WO2014095249A1 - Fungicidal imidazolyl and triazolyl compounds - Google Patents
Fungicidal imidazolyl and triazolyl compounds Download PDFInfo
- Publication number
- WO2014095249A1 WO2014095249A1 PCT/EP2013/074648 EP2013074648W WO2014095249A1 WO 2014095249 A1 WO2014095249 A1 WO 2014095249A1 EP 2013074648 W EP2013074648 W EP 2013074648W WO 2014095249 A1 WO2014095249 A1 WO 2014095249A1
- Authority
- WO
- WIPO (PCT)
- Prior art keywords
- para
- allyl
- meta
- scn
- alkyl
- Prior art date
- Legal status (The legal status is an assumption and is not a legal conclusion. Google has not performed a legal analysis and makes no representation as to the accuracy of the status listed.)
- Ceased
Links
Classifications
-
- C—CHEMISTRY; METALLURGY
- C07—ORGANIC CHEMISTRY
- C07D—HETEROCYCLIC COMPOUNDS
- C07D233/00—Heterocyclic compounds containing 1,3-diazole or hydrogenated 1,3-diazole rings, not condensed with other rings
- C07D233/54—Heterocyclic compounds containing 1,3-diazole or hydrogenated 1,3-diazole rings, not condensed with other rings having two double bonds between ring members or between ring members and non-ring members
- C07D233/56—Heterocyclic compounds containing 1,3-diazole or hydrogenated 1,3-diazole rings, not condensed with other rings having two double bonds between ring members or between ring members and non-ring members with only hydrogen atoms or radicals containing only hydrogen and carbon atoms, attached to ring carbon atoms
-
- C—CHEMISTRY; METALLURGY
- C07—ORGANIC CHEMISTRY
- C07D—HETEROCYCLIC COMPOUNDS
- C07D233/00—Heterocyclic compounds containing 1,3-diazole or hydrogenated 1,3-diazole rings, not condensed with other rings
- C07D233/54—Heterocyclic compounds containing 1,3-diazole or hydrogenated 1,3-diazole rings, not condensed with other rings having two double bonds between ring members or between ring members and non-ring members
- C07D233/66—Heterocyclic compounds containing 1,3-diazole or hydrogenated 1,3-diazole rings, not condensed with other rings having two double bonds between ring members or between ring members and non-ring members with hetero atoms or with carbon atoms having three bonds to hetero atoms with at the most one bond to halogen, e.g. ester or nitrile radicals, directly attached to ring carbon atoms
- C07D233/68—Halogen atoms
-
- C—CHEMISTRY; METALLURGY
- C07—ORGANIC CHEMISTRY
- C07D—HETEROCYCLIC COMPOUNDS
- C07D233/00—Heterocyclic compounds containing 1,3-diazole or hydrogenated 1,3-diazole rings, not condensed with other rings
- C07D233/54—Heterocyclic compounds containing 1,3-diazole or hydrogenated 1,3-diazole rings, not condensed with other rings having two double bonds between ring members or between ring members and non-ring members
- C07D233/66—Heterocyclic compounds containing 1,3-diazole or hydrogenated 1,3-diazole rings, not condensed with other rings having two double bonds between ring members or between ring members and non-ring members with hetero atoms or with carbon atoms having three bonds to hetero atoms with at the most one bond to halogen, e.g. ester or nitrile radicals, directly attached to ring carbon atoms
- C07D233/84—Sulfur atoms
-
- C—CHEMISTRY; METALLURGY
- C07—ORGANIC CHEMISTRY
- C07D—HETEROCYCLIC COMPOUNDS
- C07D251/00—Heterocyclic compounds containing 1,3,5-triazine rings
- C07D251/02—Heterocyclic compounds containing 1,3,5-triazine rings not condensed with other rings
- C07D251/10—Heterocyclic compounds containing 1,3,5-triazine rings not condensed with other rings having two double bonds between ring members or between ring members and non-ring members
Definitions
- the present invention relates to fungicidal imidazolyl and triazolyl compounds, agrochemical compositions comprising them, to their use and to methods for combating phytopathogenic fungi.
- the present invention also relates to seeds treated with at least one such compound.
- the invention relates to processes for preparing compounds of formula I as well as to specific intermediates that are obtained during the reaction sequence.
- EP 433780 A1 describes fungicidal substituted azolylmethylcycloalkanols and fungicides comprising them.
- EP 655443 A2 deals with a process for the preparation of such azole fungicides.
- WO 9638423 A1 relates to (mercapto-triazolmethyl)-cyclo- pentanols as microbicides.
- the fungicidal activity of known fungicidal compounds is unsatisfactory. Based on this, it was an object of the present invention to provide compounds having improved activity and/or a broader activity spectrum against phytopathogenic fungi. This objective is achieved by the use of substituted imidazolyl and triazolyl compounds of formula I having good fungicidal activity against phytopathogenic fungi.
- the compounds according to the present invention differ from those described in the abovementioned publications in that the terminal aromatic moiety Z is different in nature and/or its substitution pattern.
- A is N or CH
- R D is hydrogen, CN, d-C 6 -alkyl, Ci-C 6 -haloalkyl, C 2 -C 6 -alkenyl,
- R 1 and R 2 are independently selected from the group consisting of hydrogen, halogen, CN, N0 2 , OH, SH, Ci-Ce-alkyl, Ci-C 6 -alkoxy, Ci-C 6 -alkylthio, Ci-C 6 -alkylsulfinyl, Ci-C6-alkylsulfonyl, C2-C6-alkenyl, C2-C6-alkynyl, Cs-Cs-cycloalkyl, C3-C8- cycloalkyloxy, C 3 -C 8 -cycloalkyl-Ci-C 4 -alkyl, NH 2 , NH(Ci-C 4 -alkyl), N(Ci-C 4 -alkyl) 2 , NH(C 3 -C 6 -cycloalkyl),
- R 11 and R 22 are independently selected from the group consisting of
- R 1 and R 2 together with the carbon atom to which they are bound form a saturated or partially unsaturated three-, four-, five-, six- or seven-membered carbocycle or a saturated or partially unsaturated three-, four-, five-, six- or seven-membered heterocycle, wherein the heterocycle includes beside carbon atoms one, two, three or four heteroatoms independently selected from the group consisting of N, O and S, and wherein the carbo- and heterocycle are unsubstituted or carry one, two, three or four independently
- R 12 is halogen, CN, N0 2 , OH, SH, NH 2 , Ci-Ce-alkyl, Ci-C 6 -haloalkyl, Ci-C 6 -alkoxy, Ci-C6-haloalkoxy, Ci-C6-alkylthio, Ci-C6-haloalkylthio, Ci-C 4 -alkoxy-Ci-C 4 -alkyl, phenyl or phenoxy; wherein the phenyl moieties of R 12 are unsubstituted or substituted by one, two, three or four independently selected substituents R 12a ; wherein R 12a is halogen, CN, N0 2 , OH, SH, NH 2 , Ci-C 6 -alkyl, Ci-C 6 -haloalkyl, Ci-C 6 - alkoxy, Ci-C6-haloalkoxy, Ci-C6-alkylthio, Ci-C6-haloalkyl
- R 3 is hydrogen, Ci-C6-alkyl, C2-C6-alkenyl, C2-C6-alkynyl, Cs-Cs-cycloalkyl, C3-C8-cycloalkyl-Ci-C4-alkyl, Ci-C6-alkylsulfonyl, phenylsulfonyl,
- R N is hydrogen, Ci-C6-alkyl, Ci-C6-haloalkyl, C2-C 4 -alkenyl, C2-C 4 -alkynyl or Ci-C 4 -alkoxy-Ci-C 4 -alkyl, Cs-Cs-cycloalkyl or C3-Cs-cycloalkyl-Ci-C 4 -alkyl;
- R B1 and R B2 are independently selected from the group consisting of
- R 4 is independently selected from the group consisting of halogen, CN, NO2, OH, SH, d-Ce-alkyl, Ci-C 6 -alkoxy, Ci-C 6 -alkylthio, Ci-C 6 -alkylsulfinyl, Ci-C 6 - alkylsulfonyl, C2-C6-alkenyl, C2-C6-alkynyl, C 3 -C8-cycloalkyl, Cs-Cs-cycloalkyloxy, Cs-C 8 -cycloalkyl-Ci-C 4 -alkyl, NH 2 , NH(Ci-C 4 -alkyl), N(Ci-C 4 -alkyl) 2 , NH(C 3 -C 6 - cycloalkyl), N(C 3 -C 6 -cycloalkyl) 2 ,
- R YN , R Y , R Y2 , R Y3 , R Y4 , R Y5 , R Y6 , R Y7 and R Y8 are independently selected from the group consisting of hydrogen, halogen, CN, nitro, OH, Ci-C 4 -alkyl, Ci-C 4 -halogenalkyl, Ci-C 4 -alkoxy and Ci-C 4 -halogenalkoxy; is 0, 1 or 2;
- Z is phenyl or a five- or six-membered heteroaryl, wherein the phenyl carries one, two, three or four radicals R L and wherein the heteroaryl is unsubstituted or substituted by one, two, three or four radicals R L ;
- R L is independently selected from the groups consisting of halogen, CN, NO2, OH, SH, d-Ce-alkyl, Ci-C 6 -alkoxy, Ci-C 6 -alkylthio, Ci-C 6 -alkylsulfinyl, Ci-C6-alkylsulfonyl, C2-C6-alkenyl, C2-C6-alkynyl, Cs-Cs-cycloalkyl, C 3 -C 3 - cycloalkyloxy, C 3 -C 8 -cycloalkyl-Ci-C -alkyl, NH 2 , NH(Ci-C -alkyl), N(Ci-C - alkyl) 2 , NH(C 3 -C 6 -cycloalkyl), N(C 3 -C 6 -cycloalkyl) 2 ,
- R La is halogen, CN, N0 2 , OH, SH, NH 2 , Ci-C 6 -alkyl, Ci-C 6 -haloalkyl,
- Ci-C6-alkoxy, Ci-C6-haloalkoxy, Ci-C6-alkylthio, Ci-C6-haloalkylthio or C3-C8-cycloalkyl; is 0, 1 , 2, 3 or 4; is independently selected from the group consisting of halogen, CN, NO2, OH, SH, d-Ce-alkyl, d-Ce-hydroxyalkyl, Ci-C 6 -haloalkyl, Ci-C 6 -alkoxy, Ci-C 6 - haloalkoxy, Ci-C6-alkylthio, Ci-C6-haloalkylthio, Ci-C6-alkylsulfinyl, C1-C6- haloalkylsulfinyl, Ci-C6-alkylsulfonyl, Ci-C6-haloalkylsulfonyl, Ci-C4-alkoxy-Ci-C4- alkyl,
- R 51 and R 52 are independently selected from the group consisting of
- R 6 is hydrogen or Ci-C6-alkyl; or R 6 and R B1 together form a double bond; and the N-oxides and the agriculturally acceptable salts of the compounds
- the present invention also provides a use of compounds I and/or their agriculturally useful salts for controlling phytopathogenic fungi and to methods for combating phytopathogenic fungi.
- the invention further provides compositions comprising these compounds I and/or their agriculturally acceptable salts.
- the present invention also relates to seeds treated with at least one such compound.
- the invention relates to processes for preparing compounds of formula I and to intermediates such as compounds of formulae I I , IV, VI I, X, XI , XI II and XIV.
- Compounds I can exist as one or more stereoisomers.
- the various stereoisomers include enantiomers, diastereomers, atropisomers and geometric isomers.
- one stereoisomer may be more active and/or may exhibit beneficial effects when enriched relative to the other stereoisomer(s) or when separated from the other stereoisomer(s). Additionally, the skilled artisan knows how to separate, enrich, and/or to selectively prepare said stereoisomers.
- the compounds of the invention may be present as a mixture of stereoisomers, e.g. a racemate, individual stereoisomers, or as an optically active form.
- Compounds I can be present in different crystal modifications whose biological activity may differ. They also form part of the subject matter of the present invention.
- the compounds of formula I can be present in atropisomers arising from restricted rotation about a single bond of asymmetric groups. They also form part of the subject matter of the present invention.
- the embodiments of the intermediates correspond to the embodiments of the compounds of formula I.
- the term "compounds I" refers to compounds of formula I.
- C n -C m indicates the number of carbon atoms possible in each case in the substituent or substituent moiety in question.
- halogen refers to fluorine, chlorine, bromine and iodine.
- Ci-C6-alkyl refers to a straight-chained or branched saturated hydrocarbon group having 1 to 6 carbon atoms, for example methyl, ethyl, propyl, 1 -methylethyl, butyl, 1 -methylpropyl, 2-methylpropyl, and 1 , 1 -dimethylethyl.
- Ci-C6-haloalkyl refers to a straight-chained or branched alkyl group having 1 to 6 carbon atoms (as defined above), wherein some or all of the hydrogen atoms in these groups may be replaced by halogen atoms as mentioned above, for example chloromethyl, bromomethyl, dichloromethyl, trichloromethyl, fluoromethyl, difluoro- methyl, trifluoromethyl, chlorofluoromethyl, dichlorofluoromethyl, chlorodifluoromethyl,
- Ci-C6-alkoxy refers to a straight-chain or branched alkyl group having 1 to 6 carbon atoms (as defined above) which is bonded via an oxygen, at any position in the alkyl group, for example methoxy, ethoxy, n-propoxy, 1 -methylethoxy, butoxy, 1 -meth- ylpropoxy, 2-methylpropoxy or 1 , 1 -dimethylethoxy.
- Ci-C6-hydroxyalkyl refers to a straight-chained or branched alkyl group having 1 to 6 carbon atoms (as defined above), wherein one hydrogen atom in these groups may be replaced by one hydroxy group, for example hydroxym ethyl,
- Ci-C6-haloalkoxy refers to a Ci-C6-alkoxy group as defined above, wherein some or all of the hydrogen atoms may be replaced by halogen atoms as mentioned above, for example, OCH 2 F, OCHF 2 , OCF 3 , OCH 2 CI, OCHC , OCCI 3 , chlorofluoro- methoxy, dichlorofluoromethoxy, chlorodifluoromethoxy, 2-fluoroethoxy, 2-chloro- ethoxy, 2-bromoethoxy, 2-iodoethoxy, 2,2-difluoroethoxy, 2,2,2-trifluoroethoxy,
- phenyl-Ci-C4-alkyl or heteroaryl-Ci-C4-alkyl refer to alkyl having 1 to 4 carbon atoms (as defined above), wherein one hydrogen atom of the alkyl radical is replaced by a phenyl or hetereoaryl radical respectively.
- Ci-C4-alkoxy-Ci-C4-alkyl refers to alkyl having 1 to 4 carbon atoms (as defined above), wherein one hydrogen atom of the alkyl radical is replaced by a
- Ci-C4-alkoxy group (as defined above).
- Ci-C6-alkoxy-Ci-C4-alkyl refers to alkyl having 1 to 4 carbon atoms (as defined above), wherein one hydrogen atom of the alkyl radical is replaced by a Ci-C6-alkoxy group (as defined above).
- Ci-C6-alkylthio refers to straight-chain or branched alkyl groups having 1 to 6 carbon atoms (as defined above) bonded via a sulfur atom.
- Ci-C6-haloalkylthio refers to straight-chain or branched haloalkyl group having 1 to 6 carbon atoms (as defined above) bonded through a sulfur atom, at any position in the haloalkyl group.
- C2-C6-alkenyl refers to a straight-chain or branched unsaturated
- hydrocarbon radical having 2 to 6 carbon atoms and a double bond in any position such as ethenyl, 1 -propenyl, 2-propenyl (allyl), 1 -methylethenyl, 1 -butenyl, 2-butenyl, 3-butenyl, 1 -methyl-1 -propenyl, 2-methyl-1 -propenyl, 1 -methyl-2-propenyl, 2-methyl-2- propenyl.
- C2-C6-alkynyl refers to a straight-chain or branched unsaturated
- hydrocarbon radical having 2 to 6 carbon atoms and containing at least one triple bond such as ethynyl, 1 -propynyl, 2-propynyl (propargyl), 1 -butynyl, 2-butynyl, 3-butynyl, 1 -methyl-2-propynyl.
- Cs-Cs-cycloalkyl refers to monocyclic saturated hydrocarbon radicals having 3 to 8 carbon ring members, such as cyclopropyl (C3H5), cyclobutyl, cyclopentyl, cyclohexyl, cycloheptyl or cyclooctyl.
- C3-C8-cycloalkyl-Ci-C4-alkyl refers to a cycloalkyl radical having 3 to 8 carbon atoms (as defined above), which is bonded via a Ci-C4-alkyl group (as defined above).
- C 3 -C8-cycloalkyl-C 3 -C8-cycloalkyl refers to a cycloalkyl radical having 3 to 8 carbon atoms (as defined above), which is substituted by a further cycloalkyl radical having 3 to 8 carbon atoms.
- C 3 -C8-cycloalkyloxy refers to a cycloalkyl radical having 3 to 8 carbon atoms (as defined above), which is bonded via an oxygen.
- the number of valence of carbon is 4, that of nitrogen is 3.
- saturated or partially unsaturated 3-, 4- 5-, 6- or 7-membered carbocycle is to be understood as meaning both saturated or partially unsaturated carbocycles having 3, 4, 5, 6 or 7 ring members.
- Examples include cyclopropyl, cyclopentyl, cyclopentenyl, cyclopentadienyl, cyclohexyl, cyclohexenyl, cyclohexadienyl, cycloheptyl, cycloheptenyl, cycloheptadienyl, and the like.
- saturated or partially unsaturated 3-, 4-, 5-, 6-, or 7-membered heterocycle, wherein the ring member atoms of the heterocycle include besides carbon atoms 1 , 2, 3 or 4 heteroatoms independently selected from the group of N, O and S is to be understood as meaning both saturated and partially unsaturated heterocycles, for example: a 3- or 4-membered saturated heterocycle which contains 1 or 2 heteroatoms from the group consisting of N, O and S as ring members such as oxirane, aziridine, thiirane, oxetane, azetidine, thiethane, [1 ,2]dioxetane, [1 ,2]dithietane,
- [1 ,2]diazetidine and a 5- or 6-membered saturated or partially unsaturated heterocycle which contains 1 , 2 or 3 heteroatoms from the group consisting of N, O and S as ring members such as 2-tetrahydrofuranyl, 3-tetrahydrofuranyl, 2-tetrahydrothienyl, 3- tetrahydrothienyl, 2-pyrrolidinyl, 3-pyrrolidinyl, 3-isoxazolidinyl, 4-isoxazolidinyl, 5- isoxazolidinyl, 3-isothiazolidinyl, 4-isothiazolidinyl, 5-isothiazolidinyl, 3- pyrazolidinyl, 4-pyrazolidinyl, 5-pyrazolidinyl, 2-oxazolidinyl, 4-oxazolidinyl, 5- oxazolidinyl, 2-thiazolidinyl, 4-thiazolidinyl, 5-thiazolidinyl, 2-
- 5-membered heteroaryl refers to aromatic ring systems incuding besides carbon atoms, 1 , 2, 3 or 4 heteroatoms independently selected from the group consisting of N, O and S, for example, a 5-membered heteroaryl such as pyrrol-1 -yl, pyrrol-2-yl, pyrrol-3-yl, thien-2-yl, thien-3-yl, furan-2-yl, furan-3-yl, pyrazol-1 -yl, pyrazol-3-yl, pyrazol-4-yl, pyrazol-5- yl, imidazol-1 -yl, imidazol-2-yl, imidazol-4-yl, imidazol-5-yl, oxazol-2-yl, oxazol-4- yl, oxazol-5-yl, isoxazol-3-yl, isoxazol-4-yl, isoxazol-3-yl,
- phenoxy or “heteroaryloxy” are to be understood as meaning a respective aromatic residue, which is attached to the remainder of a molecule through an oxygen atom.
- inventive compounds I can be prepared by various routes in analogy to known processes described in the prior art, and, advantageously, by the synthesis shown in the following schemes and in the experimental part of this application.
- Compounds of formua II can be prepared for example in analogy to methods described in Organic Reactions (Hoboken, NJ, United States) 2001 , 58 or in Chemical & Pharmaceutical Bulletin 1979, 27(4), 916-922.
- Compounds of the formula III are literature known, commercially available or can be prepared for example in analogy to methods described in the literature, for example in WO 2000063163 A1 or in analogy with the procedures described in WO 2009075080 A1 or in WO 2012078596 A2.
- compounds of the formula I can be synthesized via epoxide ring opening of compounds IV with an azole compound as shown in Scheme 2.
- this reaction is carried out at temperatures between 25 and 200°C, preferably from 50 to 170°C, in an inert organic solvent preferably (e.g. THF, DME, Et 2 0, DMF, NMP, DMSO, toluene, acetonitrile) in the presence of a base (e.g. NaH, KH, Cs 2 C0 3 , NEt 3 , DBU, NaOAc, KOAc, K2CO3, KOH, NaOH, f-BuOK, NaOEt, DIEA, DBU) and/or a catalyst (e.g.
- a base e.g. NaH, KH, Cs 2 C0 3 , NEt 3 , DBU, NaOAc, KOAc, K2CO3, KOH, NaOH, f-BuOK, NaOEt, DIEA, DBU
- a catalyst e.g.
- Compound VII (compound II wherein R 6 is hydrogen) can be synthesized by substitution of a leaving group LG, for example a halogen such as bromine or iodine, an alkylsulfonate or alkylsulfate) in compound V with compound VI in the presence of a base (e.g.
- R 6 and R B1 in compounds II together form a double bond such compounds can be obtained by the introduction of a leaving group in the position of R 6 or R B1 (for example a halide, alcohol, sulfonate, sulfate) followed by elimination in analogy with the procedures described in Organic Syntheses 1957, 37 or in Organic Letters 2005, 7(7), 1415-1417.
- a leaving group in the position of R 6 or R B1 for example a halide, alcohol, sulfonate, sulfate
- Compounds of formula II, wherein B is -CR B1 R B2 - can be synthesized by substitution of a leaving group LG, for example a halogen such as chlorine, bromine or iodine, an alkylsulfonate or alkylsulfate, in compound IX with compound VIII in the presence of a base, for example NaH, KH, KOH, NaOH, f-BuOK, NaOEt, DIEA, DBU, morpholine, butyl lithium, lithium diisopropylamide or potassium tert-pentyloxide, in an appropriate solvent, for example in THF, DME, Et 2 0, DMF, NMP, DMSO, toluene, acetonitrile, MeOH or EtOH in analogy with the procedures described in Tetrahedron 2005, 61 (45), 10757-10773 or in European Journal of Medicinal Chemistry 2009, 44(6), 2563-2571 .
- LG for example a halogen such as chlorine,
- This reaction takes places in the presence of a suitable base, for example NaH, KH, KOH, NaOH, f-BuOK, NaOEt, DIEA, DBU, morpholine, butyl lithium, lithium diisopropylamide or proline, in an appropriate solvent, for example in THF, DME, Et 2 0, DMF, NMP, DMSO, toluene, acetonitrile, MeOH or EtOH, in analogy with the procedures described in Tetrahedron 1984, 44(15), 4927- 4940 or in Journal of the American Chemical Society 2003, 125(9), 2475-2479.
- a suitable base for example NaH, KH, KOH, NaOH, f-BuOK, NaOEt, DIEA, DBU, morpholine, butyl lithium, lithium diisopropylamide or proline
- an appropriate solvent for example in THF, DME, Et 2 0, DMF, NMP, DMSO, toluene, acetonitrile, Me
- compounds XIII can be further functionalized in analogy with the procedure described for compound VII after protection of the hydroxyl group, for example by introducing a f- butyldimethylsilyl ether, methoxymethyl ether, f-butyldiphenylsilyl ether or a benzylic ether.
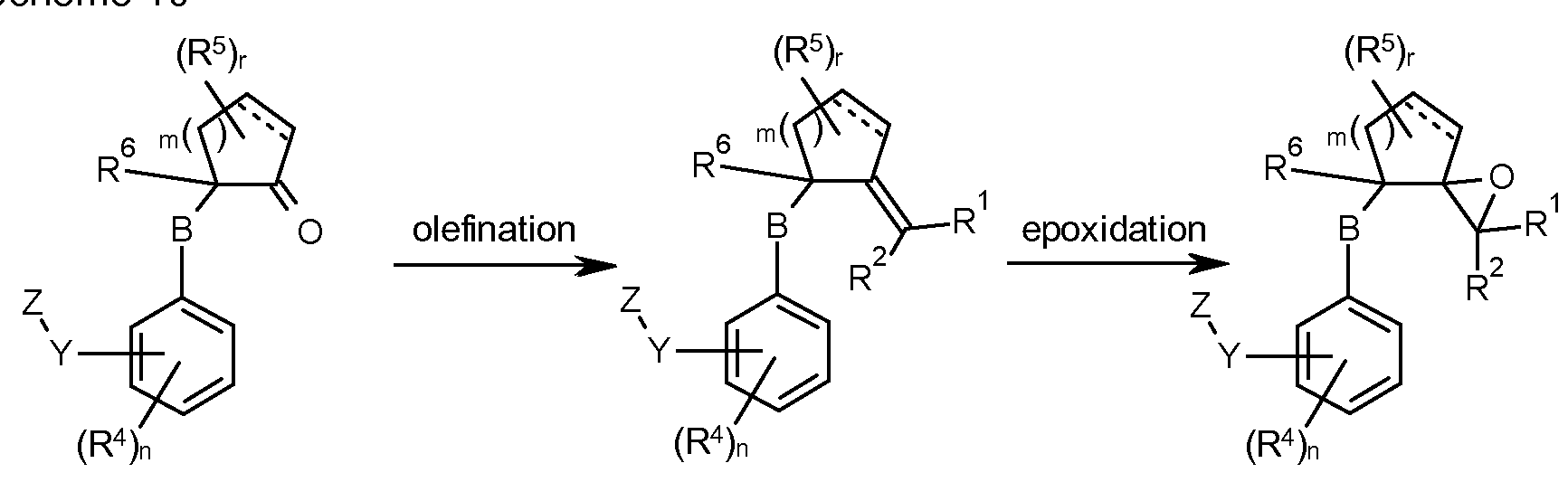
- epoxide IV can be synthesized via alkene XIV as shown in Scheme 10.
- Alkene XIV can be synthesized by the reaction of ketone II and a suitable olefination reagent, for example the Tebbe reagent, i.e. titanocene dichloride and
- a base for example TMEDA, f-BuOK, lithium diisopropylamide, butyl lithium, NaOMe, potassium bis(trimethylsilyl)amide, or an additive, for example PbCI 2 , Zn, TiCU, CsF, in an inert solvent, for example THF, DME, Et 2 0, D
- Epoxide IV can be prepared from the reaction of alkene XIV and an epoxidising reagent, for example H2O2, m-CPBA, t-BuOOH or oxone, in an inert solvent, for example in THF, DME, Et 2 0, DMF, NMP, DMSO, toluene or acetonitrile, in analogy to methods described in Synthesis 2005, (1 1 ), 1822-1828 or in Journal of Organic Chemistry 1991 , 56(19), 5553-5556.
- an epoxidising reagent for example H2O2, m-CPBA, t-BuOOH or oxone
- an inert solvent for example in THF, DME, Et 2 0, DMF, NMP, DMSO, toluene or acetonitrile
- Ketone lb can be synthesized by further oxidation (e.g. using Martin ' s reagent, PCC, oxalyl chloride, Mn02, 4-methylmorpholine A/-oxide) in analogy with reported methods in Organic Letters 2012, 14(18), 4898-4901 ; Inorganic Chemistry 2012, 51 (17), 9385- 9394.
- oxidation e.g. using Martin ' s reagent, PCC, oxalyl chloride, Mn02, 4-methylmorpholine A/-oxide
- Alkene Ic can be synthesized by the reaction of ketone lb and a suitable olefination reagent, for example the Tebbe reagent, dihalogenemethane, methylmagnesium halide, phosphonium salts of type R3P-CHR 1 R 2 or phosphonate salts of type (RO) 3 P-CHR 1 R 2 , in the presence of a base (e.g. TMEDA, f-BuOK, LDA, BuLi, NaOMe, potassium bis(trimethylsilyl)amide) and/or an additive (e.g.
- a base e.g. TMEDA, f-BuOK, LDA, BuLi, NaOMe, potassium bis(trimethylsilyl)amide
- an additive e.g.
- hexamethyldisilazide lithium 2,2,6,6-tertramethylpiperidide or zink 2,2,6,6- tertramethylpiperidide, at low temperature in a suitable solvent such as Et.20, MTBE or THF, followed by addition of a suitable electrophile, for example Ss, CH3-S-S-CH3, , ICI, C2F 4 Br2, to obtain correspondingly substituted azole compounds as has been described in Tetrahedron Letters 201 1 , 52(36), 4590-4594; WO 2006/102194 A1 , Journal of Organic Chemistry 2009, 74(21 ), 8309-8313; WO 201 1/1 13820 A1 ; WO 2012/025506 A1 , WO 9616048 A1 or in Synthesis 1999, 1 , 100-106.
- a suitable solvent such as Et.20, MTBE or THF
- a suitable electrophile for example Ss, CH3-S-S-CH3, , ICI, C
- Compounds I wherein D is SCN can be obtained by treating a compound I wherei D is SH with cyanogen halide such as Br-CN or CI-CN and a base (organic or inorganic base such as K2CO3, NaOH, KOH or NEt.3, DBU) in a suitable solvent such as acetone, MeCN or THF in analogy to methods reported in: WO 2009/077497 A2 or in Chemical & Pharmaceutical Bulletin 1964, 12(2), 182-191 .
- cyanogen halide such as Br-CN or CI-CN
- a base organic or inorganic base such as K2CO3, NaOH, KOH or NEt.3, DBU
- suitable solvent such as acetone, MeCN or THF
- Compounds I wherein D is SH can be functionalized at the sulfur atom using standard procedures, for example with an alkylation agent such as metyl iodide in the presence of an organic or inorganic base such as K2CO3, NaOH, KOH or NEt.3 or DBU, in a suitable solvent such as acetone, MeCN or THF.
- an alkylation agent such as metyl iodide
- an organic or inorganic base such as K2CO3, NaOH, KOH or NEt.3 or DBU
- a suitable solvent such as acetone, MeCN or THF.
- Compounds of the formula I wherein X is OR 3 can be obtained from the reaction of compounds of the formula I wherein X is OH in the presence of an electrophile (e.g. Mel, ethyl bromide, cyclopropyl bromide, 1 ,4-dibromobutane, propargyl bromide, methyl chloroformate, allyl bromide, acetylene, cyclohexene, cyclopentene, phenol) and a base (e.g. NaH, KH, f-BuOK, NaH, KOH, Et 3 N, LDA, imidazole, K2CO3, Cs 2 C0 3 ) and in an inert organic solvent preferably (e.g.
- an electrophile e.g. Mel, ethyl bromide, cyclopropyl bromide, 1 ,4-dibromobutane, propargyl bromide, methyl chloroformate,
- nitriles can also be obtained from compounds I wherein X is OH in presence of a reagent, for example cyanuric trichloride, NaCN, tetrabutylammonium cyanide and/or an additive (for example N-tosylimidazole, Bu 4 NI, Bu 4 NCI, Bu 4 NBr, TMSCI, DDQ, PPh 3 ) in an inert organic solvent (for example THF, DME, Et20, DMF, NMP, DMSO, toluene, acetonitrile).
- a reagent for example cyanuric trichloride, NaCN, tetrabutylammonium cyanide and/or an additive (for example N-tosylimidazole, Bu 4 NI, Bu 4 NCI, Bu 4 NBr, TMSCI, DDQ, PPh 3 ) in an inert organic solvent (for example THF, DME, Et20, DMF, N
- the N-oxides may be prepared from the compounds I according to conventional oxidation methods, e. g. by treating compounds I with an organic peracid such as metachloroperbenzoic acid (cf. WO 03/64572 or J. Med. Chem. (1995), 38(1 1 ), 1892-1903,); or with inorganic oxidizing agents such as hydrogen peroxide (cf. J. Heterocyc. Chem. (1981 ), 18 (7), 1305-1308) or oxone (cf. J. Am. Chem. Soc. (2001 ), 123 (25), 5962-5973).
- the oxidation may lead to pure mono-N-oxides or to a mixture of different N-oxides, which can be separated by conventional methods such as chromatography.
- the invention relates to intermediates of formula II. In another aspect the invention relates to intermediates of formula IV. In a further aspect the invention relates to intermediates of formula VII. In still another aspect the invention relates to intermediates of formula X. In yet another aspect the invention relates to intermediates of formula XI. In one aspect the invention relates to intermediates of formula XIII. In one aspect the invention relates to intermediates of formula XIV. If the synthesis yields mixtures of isomers, a separation is generally not necessarily required since in some cases the individual isomers can be interconverted during workup for use or during application (e. g. under the action of light, acids or bases). Such conversions may also take place after use, e. g. in the treatment of plants in the treated plant, or in the harmful fungus to be controlled.
- reaction mixtures are worked up in a customary manner, for example by mixing with water, separating the phases and, if appropriate, chromatic purification of the crude products.
- the intermediates and end products are obtained in the form of colorless or slightly viscous oils which can be freed from volatile components or purified under reduced pressure and at moderately elevated temperatures. If the intermediates and end products are obtained as solids, purification can also be carried out by recrystallization or digestion.
- Agriculturally useful salts of the compounds I encompass especially the salts of those cations or the acid addition salts of those acids whose cations and anions, respectively, have no adverse effect on the fungicidal action of the compounds I.
- Suitable cations are thus in particular the ions of the alkali metals, preferably sodium and potassium, of the alkaline earth metals, preferably calcium, magnesium and barium, of the transition metals, preferably manganese, copper, zinc and iron, and also the ammonium ion which, if desired, may carry one to four Ci-C4-alkyl substituents and/or one phenyl or benzyl substituent, preferably diisopropylammonium, tetramethylammonium, tetrabutylammonium, trimethylbenzylammonium, furthermore phosphonium ions, sulfonium ions, preferably tri(Ci-C4-alkyl)sulfonium, and sulfoxonium
- Anions of useful acid addition salts are primarily chloride, bromide, fluoride,
- Ci-C4-alkanoic acids preferably formate, acetate, propionate and butyrate. They can be formed by reacting a compound I with an acid of the
- anion preferably of hydrochloric acid, hydrobromic acid, sulfuric acid, phosphoric acid or nitric acid.
- a according to the invention is N or CH. According to one embodiment A is N.
- A is CH.
- R D is hydrogen, halogen or SR D , wherein R D is hydrogen, CN, Ci-C6-alkyl, Ci-C6-haloalkyl, C2-C6-alkenyl, C2-C6-haloalkenyl, C2-C6- alkynyl or C2-C6-haloalkynyl.
- D is hydrogen.
- D is halogen, in particular iodine.
- D is SR D .
- R D is H.
- R D isCN.
- R 2 is hydrogen, halogen, CN, NO2, OH, SH, Ci-C6-alkyl, Ci-C6-alkoxy, Ci-C6-alkylthio, Ci-C6-alkylsulfinyl, Ci-C6-alkylsulfonyl, C2-C6-alkenyl, C2-C6-alkynyl, C 3 -C8-cycloalkyl, C 3 -C8-cycloalkyloxy, C 3 -C8-cycloalkyl-Ci-C4-alkyl, NH2, NH(Ci-C 4 -alkyl), N(Ci-C 4 -alkyl) 2 , NH(C 3 -C 6 -cycloalkyl), N(C 3 -C 6 -cycloalkyl) 2 ,
- R 2 is hydrogen, halogen, CN, NO2, OH, SH, Ci-C6-alkyl, Ci-C6-hydroxyalkyl, Ci-C6-haloalkyl, Ci-C6-alkoxy, Ci-C6-haloalkoxy, d-Ce-alkylthio, Ci-Ce-haloalkylthio, Ci-C 4 -alkoxy-Ci-C 4 -alkyl, C 2 -C 6 -alkenyl, C 2 -C 6 - alkynyl, C2-C6-haloalkenyl, C2-C6-haloalkynyl, Cs-Cs-cycloalkyl, Cs-Cs-cycloalkyloxy, C3-Cs-cycloalkyl-Ci-C 4 -alkyl, NH 2 , NH(Ci-C 4 -alkyl) or N(Ci-C 4 -alkyl)
- R 2 is halogen, CN, N0 2 , OH, NH 2 , N(CH 3 ) 2 , Ci-Ce-alkyl, Ci-C 6 -haloalkyl, Ci-C 6 -alkoxy, Ci-C6-haloalkoxy, Ci-C6-alkylthio, Ci-C6-haloalkylthio, Ci-C 4 -alkoxy-Ci-C 4 -alkyl, C2-C6-alkenyl, C2-C6-alkynyl or Cs-Cs-cycloalkyl.
- R 2 is halogen, CN, NO2, OH, SH, Ci-Ce- alkyl, Ci-C6-hydroxyalkyl, Ci-drhaloalkyl, Ci-C6-alkoxy, Ci-C6-haloalkoxy, Ci-dr alkylthio, Ci-drhaloalkylthio, Ci-C 4 -alkoxy-Ci-C 4 -alkyl, C2-C6-alkenyl, C2-C6-alkynyl, C2-C6-haloalkenyl, d-drhaloalkynyl, Cs-Cs-cycloalkyl, Cs-Cs-cycloalkyloxy, C3-C8- cycloalkyl-Ci-C 4 -alkyl, NH 2 , NH(Ci-C 4 -alkyl) or N(Ci-C 4 -alkyl) 2 .
- R 2 is halogen, CN, N0 2 , OH, NH 2 , N(CH 3 ) 2 , Ci-C 6 -alkyl, Ci-C 6 -haloalkyl, Ci-C 6 -alkoxy,
- R 2 is hydrogen, halogen, CN, OH, NH 2 , N(CH 3 ) 2 , Ci-C6-alkyl, Ci-C6-haloalkyl, Ci-C6-alkoxy, Ci-C6-haloalkoxy, C 2 -C6-alkenyl, C 2 -C6- alkynyl or Cs-Cs-cycloalkyl.
- R 2 is halogen, CN, OH, NH 2 , N(CHs) 2 , Ci-C6-alkyl, Ci-C6-haloalkyl, Ci-C6-alkoxy, Ci-C6-haloalkoxy, C 2 -C6-alkenyl, C 2 -C6-alkynyl or C 3 -Cs- cycloalkyl.
- R 2 is hydrogen, halogen, CN, OH, NH 2 , N(CH 3 ) 2 , Ci-C6-alkyl, Ci-C6-alkoxy, C 2 -C6-alkenyl, C 2 -C6-alkynyl and Cs-Cs-cycloalkyl.
- R 2 is halogen, CN, OH, NH 2 , N(CHs) 2 , Ci-C6-alkyl, Ci-C6-alkoxy, C 2 -C6-alkenyl, C 2 -C6-alkynyl and Cs-Cs-cycloalkyl.
- R 2 is Cs-Cs-cycloalkyl, phenyl or 5- or 6-membered heteroaryl, wherein the alicyclic and aromatic moieties of R 2 are unsubstituted or substituted by one, two, three or four or up to the maximum possible number of independently selected substituents R 2a .
- R 2 is Cs-Cs-cycloalkyl, in particular cyclopropyl.
- R 2 is phenyl or 5- or 6- membered heteroaryl, wherein the aromatic moieties of R 2 is unsubstituted or substituted by one, two, three or four or up to the maximum possible number of independently selected substituents R 2a .
- R 2 is C 2 -C6-alkenyl, in particular 2-propenyl, or C 2 -C6- alkynyl, in particular 2-propynyl and 2-butynyl.
- R 2 is Ci-C6-haloalkyl, in particular CF3 or CHF 2 , or Ci-C6-haloalkoxy, in particular OCF3 or OCHF 2 .
- R 2 is halogen, in particular chlorine or bromine.
- R 2 is Ci-C6-alkyl, in particular Ci-C 4 -alkyl, more particularly methyl, ethyl and 1 -methylethyl.
- R 2 is Ci-C6-alkoxy, in particular methoxy, ethoxy or 1 -methylethoxy.
- R 2 is C 2 -C6-alkenyl, in particular 2-propenyl, or C 2 -C6- alkynyl, in particular 2-propynyl and 2-butynyl.
- R 2 is Ci-C6-haloalkyl, in particular CF3 or CHF 2 , or Ci-C6-haloalkoxy, in particular OCF3 or OCHF 2 .
- R 2 is hydrogen.
- R 1 is hydrogen, halogen, CN, NO2, OH, SH, C1-C6- alkyl, Ci-C6-hydroxyalkyl, Ci-C6-haloalkyl, Ci-C6-alkoxy, Ci-C6-haloalkoxy, C1-C6- alkylthio, d-Ce-haloalkylthio, Ci-C4-alkoxy-Ci-C4-alkyl, C2-Ce-alkenyl, C2-Ce-alkynyl, C2-C6-haloalkenyl, C2-C6-haloalkynyl, Cs-Cs-cycloalkyl, C3-Cs-cycloalkyloxy, C3-C8- cycloalkyl-Ci-C 4 -alkyl, NH 2 , NH(Ci-C 4 -alkyl) or N(Ci-C 4 -alkyl) 2 and R 2 is independently as defined
- R 1 is hydrogen, halogen, CN, NO2, OH, NH2, N(CH 3 ) 2 , d-Ce-alkyl, Ci-Ce-haloalkyl, Ci-C 6 -alkoxy, Ci-Ce-haloalkoxy, Ci-C 6 -alkylthio, Ci-Ce-haloalkylthio, Ci-C4-alkoxy-Ci-C4-alkyl, C2-Ce-alkenyl, C2-Ce-alkynyl or Cs-Cs- cycloalkyl and R 2 is as defined or preferably defined above.
- R 1 is hydrogen, halogen, CN, OH, NH 2 , N(CH 3 )2, d-Ce-alkyl, Ci-Ce- haloalkyl, Ci-C6-alkoxy, Ci-C6-haloalkoxy, C2-C6-alkenyl, C2-C6-alkynyl or Cs-Cs- cycloalkyl and R 2 is independently as defined or preferably defined above.
- R 1 is halogen, CN, NO2, OH, NH2, N(CHs)2, Ci-C6-alkyl, Ci-C6-haloalkyl, Ci-C6-alkoxy, Ci-C6-haloalkoxy, Ci-C6-alkylthio, C1-C6- haloalkylthio, Ci-C4-alkoxy-Ci-C4-alkyl, C2-C6-alkenyl or C2-C6-alkynyl or Cs-Cs- cycloalkyl, and R 2 is a radical as defined for R 1 or hydrogen.
- R 1 is hydrogen, halogen, CN, OH, NH2, N(CHs)2, Ci-C6-alkyl, Ci-C6-alkoxy, C2-C6-alkenyl, C2-C6-alkynyl and Cs-Cs-cycloalkyl and R 2 is independently as defined or preferably defined above.
- R 1 is CN and R 2 is as defined or preferably defined above. In a further aspect R 1 is CN and R 2 is CN. In yet another aspect R 1 is CN and R 2 is hydrogen.
- R 1 is OH, SH or NH2 and R 2 is as defined or preferably defined above.
- R 2 is hydrogen and R 1 is OH, SH or NH2.
- R 2 is hydrogen and R 1 is OH, SH or NH2.
- R 1 is C2-C6-alkenyl, in particular 2-propenyl, or C2-C6- alkynyl, in particular 2-propynyl and 2-butynyl and R 2 is as defined or preferably defined above.
- R 2 is hydrogen and R 1 is C2-C6-alkenyl, in particular 2-propenyl, or C2-C6-alkynyl, in particular 2-propynyl and 2-butynyl.
- R 1 is Ci-C6-haloalkyl, in particular CF3 or CHF2, or Ci-C6-haloalkoxy and R 2 is as defined or preferably defined above.
- R 2 is hydrogen and R 1 is Ci-C6-haloalkyl, in particular CF3 or CHF2, or Ci-C6-haloalkoxy, in particular OCF3 or OCHF2.
- R 1 is Cs-Cs-cycloalkyl, phenyl or 5- or 6-membered heteroaryl, wherein the alicyclic and aromatic moieties of R 1 are unsubstituted or substituted by one, two, three or four or up to the maximum possible number of independently selected substituents R 1a and R 2 is as defined or preferably defined above.
- R 2 is hydrogen and R 1 is Cs-Cs-cycloalkyl, phenyl or 5- or 6-membered heteroaryl, wherein the alicyclic and aromatic moieties of R 1 are unsubstituted or substituted by one, two, three or four or up to the maximum possible number of independently selected substituents R 1a .
- R 1 is phenyl or 5- or 6-membered heteroaryl, wherein the aromatic moieties of R 1 are unsubstituted or substituted by one, two, three or four or up to the maximum possible number of independently selected substituents R 1a and R 2 is independently as defined or preferably defined above.
- R 2 is hydrogen and R 1 is phenyl or 5- or 6-membered heteroaryl, wherein the aromatic moieties of R 1 are unsubstituted or substituted by one, two, three or four or up to the maximum possible number of independently selected substituents R 1a .
- R 1 is Cs-Cs-cycloalkyl, in particular cyclopropyl and R 2 is as defined or preferably defined above.
- R 2 is hydrogen and R 1 is Cs-Cs-cycloalkyl, in particular cyclopropyl.
- R 1 and R 2 together with the carbon atom to which they are bound form a vinyl group
- R 11 and R 22 are independently selected from the group consisting of hydrogen, halogen, CN, NO2, OH, SH, NH2, Ci-C6-alkyl, Ci-C6-haloalkyl, Ci-C6-alkoxy, Ci-C6-haloalkoxy, Ci-C6-alkylthio, Ci-C6-haloalkylthio and Ci-C4-alkoxy- Ci-C4-alkyl.
- R 1 and R 2 are independently selected from the group consisting of hydrogen, halogen and Ci-C6-alkyl.
- R 11 and R 22 are hydrogen
- R 1 and R 2 together with the carbon atom to which they are bound form a saturated or partially unsaturated three-, four-, five-, six- or seven-membered carbocycle which is unsubstituted or carries one, two, three or four independently selected substituents R 12 as defined and preferably defined below.
- R 1 and R 2 together with the carbon atom to which they are bound form a saturated carbocycle, in particular selected from the group consisting of cyclopropyl, cyclobutyl, cyclopentyl, cyclohexyl and cycloheptyl, wherein the carbocycle in each case is unsubstituted or carries one, two, three or four
- R 1 and R 2 together with the carbon atom to which they are bound form a partially unsaturated carbocycle, in particular selected from the group consisting of cyclopentenyl, cyclopentadienyl and cyclohexenyl and wherein the carbocycle is unsubstituted or carries one, two, three or four independently selected substituents R 12 as defined and preferably defined below.
- R 1 and R 2 together with the carbon atom to which they are bound form a cyclopropyl ring which is unsubstituted or carries one, two, three or four independently selected substituents R 12 as defined and preferably defined below.
- R 1 and R 2 together with the carbon atom to which they are bound form a cyclobutyl ring which is unsubstituted or carries one, two, three or four independently selected substituents R 12 as defined and preferably defined below.
- R 1 and R 2 together with the carbon atom to which they are bound form a cyclopentyl ring which is unsubstituted or carries one, two, three or four independently selected substituents R 12 as defined and preferably defined below.
- R 1 and R 2 together with the carbon atom to which they are bound form a cyclohexyl ring which is unsubstituted or carries one, two, three or four independently selected substituents R 12 as defined and preferably defined below.
- R 1 and R 2 together with the carbon atom to which they are bound form a saturated or partially unsaturated three-, four-, five-, six- or seven-membered heterocycle, in particular a three-, four- or five- membered heterocycle, wherein the heterocycle includes beside carbon atoms one, two, three or four, in particular one or two, heteroatoms independently selected from the group consisting of N, O and S, and wherein the heterocycle is unsubstituted or carries one, two, three or four independently selected substituents R 12 as defined and preferably defined below.
- R 1 and R 2 form a heterocycle selected from the group consisting of oxirane, aziridine, thiirane, oxetane, azetidine, thiethane, 2- tetrahydrofuranyl, 3-tetrahydrofuranyl, 2-tetrahydrothienyl and 3-tetrahydrothienyl, wherein the heterocycle is unsubstituted or carries one, two, three or four
- R 1 and R 2 together with the carbon atom to which they are bound form an oxirane which is unsubstituted or carries one, two, three or four independently selected substituents R 12 as defined and preferably defined below.
- R 1 and R 2 together with the carbon atom to which they are bound form an oxetane which is unsubstituted or carries one, two, three or four independently selected substituents R 12 as defined and preferably defined below.
- R 12 according to the invention is in each case independently selected from the group consisting of halogen, CN, N0 2 , OH, SH, NH 2 , Ci-C 6 -alkyl, d-C 6 -haloalkyl,
- R 12 is halogen, CN , NO2, OH , SH , N H2, Ci-C6-alkyl, Ci-C6-haloalkyl, Ci-C6-alkoxy, Ci-C6-haloalkoxy, Ci-C6-alkylthio, Ci-C6-haloalkylthio or C 1 -C 4 -a I koxy-C 1 -C 4 -a I ky I .
- R 12 is halogen, CN , Ci-C6-alkyl, Ci-C6-haloalkyl, Ci-C6-alkoxy or Ci-C6-haloalkoxy.
- R 12 is halogen, CN or Ci-C6-alkyl.
- R 12 is halogen, in particular fluorine.
- R 12 is chlorine.
- R 12 is Ci-C6-alkyl, in particular Ci-C 4 -alkyl, even more preferably methyl.
- X according to the invention is OR 3 or CN .
- X is CN .
- R 3 is hydrogen
- R 3 is hydrogen Ci-C6-alkyl, Ci-C6-hydroxyalkyl, Ci-C6-haloalkyl, Ci-C 4 -alkoxy-Ci-C 4 -alkyl, C2-C6-alkenyl, C2-C6-alkynyl,
- R 3 is hydrogen, Ci-C6-alkyl, C1-C6- hydroxyalkyl, Ci-C6-haloalkyl, Ci-C 4 -alkoxy-Ci-C 4 -alkyl, C2-C6-alkenyl, C2-C6-alkynyl, C2-C6-haloalkenyl, C2-C6-haloalkynyl, Cs-Cs-cycloalkyl, C3-Cs-cycloalkyl-Ci-C 4 -alkyl, Ci-Ce-alkylsulfonyl, phenyl or wherein the aliphatic, alicyclic and aromatic groups of R 3 in each case either do not carry any further substituents or in each case may further carry one, two, three or four or up to the maximum possible number of independently selected substituents R 3a as defined and preferably defined below.
- R 3 is hydrogen, Ci-C6-alkyl, C2-C6-alkenyl, C2-C6- alkynyl, Ci-C -alkoxy-Ci-C 6 -alkyl, d-Ce-alkylsulfonyl, phenyl or phenyl-Ci-C 4 -alkyl, wherein aliphatic, alicyclic and aromatic groups of R 3 in each case either do not carry any further substituents or in each case may further carry one, two, three or four or up to the maximum possible number of independently selected substituents R 3a as defined and preferably defined below.
- R 3 is Ci-C6-alkylsulfonyl, in particular
- R 3 is Ci-C6-alkyl, in particular Ci-C4-alkyl, more particularly methyl or ethyl.
- R 3 is C2-C6-alkenyl, in particular 2-propenyl.
- R 3 is C2-C6-alkynyl, in particular 2-propynyl or 2-butynyl.
- R 3 is phenyl, which is unsubstituted or carries one, two, three or four or up to the maximum possible number of independently selected substituents R 3a as defined and preferably defined below.
- R 3 is phenyl-Ci-C4-alkyl, in particular benzyl, wherein the aromatic moiety is unsubstituted or carries one, two, three or four or up to the maximum possible number of independently selected substituents R 3a as defined and preferably defined below.
- R 3 is Ci-C4-alkoxy-Ci-C6-alkyl, in particular methoxymethyl.
- R 3a is halogen, CN, NO2, OH, Ci-C4-alkyl, C1-C4- halogenalkyl, C 3 -C8-cycloalkyl, Ci-C4-alkoxy or Ci-C4-halogenalkoxy.
- R 3a is halogen, in particular F and CI, Ci-C4-alkoxy, in particular methoxy, or Ci-C4-alkyl, in particular methyl and ethyl.
- R 4 is independently selected from the group consisting of halogen, CN, NO2, OH, SH, Ci-C6-alkyl, Ci-C6-haloalkyl, Ci-C6-alkoxy, Ci-C6-haloalkoxy, Ci-C6-alkylthio, Ci-C6-haloalkylthio, Ci-C4-alkoxy-Ci-C4-alkyl,
- R 4 is independently selected from the group consisting of halogen, CN, NO2, OH, C-i-Ce-alkyl, d-Ce-haloalkyl, Ci-Ce-alkoxy, d-Ce-haloalkoxy, C2-C6-alkenyl, C2-C6-alkynyl, C2-C6-haloalkenyl and C2-C6-haloalkynyl.
- R 4 is independently selected from the group consisting of halogen, in particular fluorine and chlorine, and Ci-C6-haloalkyl, in particular CF3 or CHF2.
- R 4 is CN
- n is 0, 1 , 2, 3 or 4. In a preferred embodiment n is 1 , 2, 3 or 4. In another preferred embodiment n is 0, 1 , 2 or 3. In another preferred embodiment n is 1 , 2 or 3. In a preferred aspect n is 0, 1 or 2. In still another preferred aspect n is 1 or 2. In a further preferred embodiment n is 1 . In yet another preferred embodiment n is 2.
- n is 1 , 2, 3 or 4, in particular 1 , 2 or 3, wherein in each case one radical R 4 is located in ortho-position of the phenyl ring with respect to the triazole bearing moiety.
- n is 1 , 2, 3 or 4, in particular 1 , 2 or 3, wherein in each case one radical R 4 is located in para-position of the phenyl ring with respect to the triazole bearing moiety.
- n is 1 , 2, 3 or 4, in particular 1 , 2 or 3, or particularly 1 or 2, wherein in each case one R 4 is located in ortho- and one R 4 is located in para-position of the phenyl ring with respect to the triazole bearing moiety.
- n is 1 and R 4 is located in ortho-position of the phenyl ring with respect to the triazole bearing moiety. In a further preferred embodiment n is 1 and R 4 is located in para-position of the phenyl ring with respect to the triazole bearing moiety. In a specific embodiment, n is 1 and R 4 is chlorine, which is located in ortho-position of the phenyl ring with respect to the triazole bearing moiety. In yet another specific embodiment, n is 1 and R 4 is CF3, which is located in ortho-position of the phenyl ring with respect to the triazole bearing moiety.
- R 5 is independently selected from the group consisting of halogen, CN, N0 2 , OH, SH , d-C 6 -alkyl, d-Ce-hydroxyalkyl, Ci-C 6 -haloalkyl, d-C 6 -alk- oxy, Ci-C6-haloalkoxy, Ci-C6-alkylthio, Ci-C6-haloalkylthio, Ci-C6-alkylsulfinyl, C1-C6- haloalkylsulfinyl, Ci-C6-alkylsulfonyl, Ci-C6-haloalkylsulfonyl, Ci-C4-alkoxy-Ci-C4-alkyl, Ci-C4-alkoxy-Ci-C4-alkoxy, C2-C6-alkenyl, C2-C6-alkynyl, C2-C6-haloalkenyl,
- R 51 and R 52 are independently selected from the group consisting of hydrogen, halogen, CN, N0 2 , OH, SH, NH 2 , Ci-C 6 -alkyl, Ci-C 6 -haloalkyl, Ci-C 6 -alkoxy,
- R 5 is independently selected from the group consisting of hydrogen, halogen, CN , NO2, OH, SH , Ci-C6-alkyl, Ci-C6-hydroxyalkyl, d-Ce-haloalkyl, d-Ce-alkoxy, d-Ce-haloalkoxy, d-d-alkylthio, d-Ce-haloalkylthio, d-d-alkoxy-d-d-alkyl, d-d-alkenyl, d-d-alkynyl, d-d-haloalkenyl,
- d-d-haloalkynyl d-Cs-cycloalkyl, d-Cs-cycloalkyloxy and d-Cs-cycloalkyl-d-d- alkyl.
- R 5 is independently selected from the group consisting of hydrogen, halogen, CN, Ci-C6-alkyl, Ci-d-haloalkyl, Ci-C6-alkoxy, Ci-C6-haloalkoxy, Ci-C4-alkoxy-Ci-C4-alkyl, C2-C6-alkenyl, d-d-alkynyl, d-d-cycloalkyl and d-d- cycloa I kyl-Ci -C4-a I kyl .
- R 5 is independently selected from the group consisting of hydrogen, halogen, Ci-C6-alkyl, Ci-drhaloalkyl, d-d-alkoxy, Ci-d- haloalkoxy and Cs-Cs-cycloalkyl.
- R 5 is hydrogen. According to a further embodiment R 5 is halogen, in particular fluorine and chlorine. In another embodiment R 5 is Ci-d-alkyl, preferably Ci-d-alkyl, in particular methyl, ethyl or 1-methylethyl. In a further aspect R 5 is d-d-alkoxy, in particular methoxy and ethoxy.
- two radicals R 5 which are bound to the same carbon atom, are hydrogen, halogen, Ci-d-alkyl, Ci-d-haloalkyl, Ci-d-alkoxy or Ci-d- haloalkoxy.
- two radicals R 5 which are bound to the same carbon atom, are halogen, in particular fluorine or chlorine.
- two radicals R 5 which are bound to the same carbon atom, are Ci-d-alkyl, in particular methyl.
- two radicals R 5 together with the carbon atom of the central alicyclic ring to which they are bound (denominated as C*) form a vinyl group C* CR 51 R 52 , whereas said central alicyclic ring is otherwise unsubstituted or substituted by one or two further radicals R 5 as defined above; wherein R 51 and R 52 are independently selected from the group consisting of hydrogen, halogen, CN, NO2, OH, SH, NH 2 , d-Ce-alkyl, Ci-d-haloalkyl, Ci-d-alkoxy, Ci-d-haloalkoxy, Ci-d- alkylthio, Ci-d-haloalkylthio and Ci-d-alkoxy-Ci-d-alkyl, in particular hydrogen, halogen, CN, Ci-d-alkyl, Ci-d-haloalkyl, Ci-d-alkoxy and Ci-d-haloalkoxy.
- two radicals R 5 together with the carbon atom of the central alicyclic ring to which they are bound form a vinyl group C* CR 51 R 52 , whereas said central alicyclic ring is otherwise unsubstituted or substituted by one or two further radicals R 5 as defined above; wherein R 51 and R 52 are independently selected from the group consisting of hydrogen, halogen and Ci-C6-alkyl. In a further preferred embodiment R 51 and R 52 are hydrogen.
- two radicals R 5 together with the carbon atom of the central alicyclic ring to which they are bound form a heterocycle selected from the group consisting of oxirane, aziridine, thiirane, oxetane, azetidine, thiethane, 2- tetrahydrofuranyl, 3-tetrahydrofuranyl, 2-tetrahydrothienyl and 3-tetrahydrothienyl, whereas said central alicyclic ring is otherwise unsubstituted or substituted by one or two further radicals R 5 as defined above; wherein the heterocycle is unsubstituted or carries one, two, three or four independently selected substituents R 53 as defined and preferably defined below.
- R 53 according to the invention is in each case independently selected from the group consisting of halogen, CN, N0 2 , OH, SH, NH 2 , Ci-C 6 -alkyl, d-C 6 -haloalkyl,
- R 53 in each case is halogen, CN, NO2, OH, SH, NH2, Ci-C6-alkyl, Ci-C6-haloalkyl, Ci-C6-alkoxy, Ci-C6-haloalkoxy, Ci-C6-alkylthio, Ci-C6-haloalkylthio or Ci-C 4 -alkoxy-Ci-C 4 -alkyl.
- R 53 is halogen, CN, C1-C6- alkyl, Ci-C6-haloalkyl, Ci-C6-alkoxy or Ci-C6-haloalkoxy.
- R 53 is halogen, CN or Ci-C6-alkyl.
- R 53 is halogen, in particular fluorine. In a further preferred embodiment R 53 is chlorine. In still another preferred aspect of the invention R 53 is Ci-C6-alkyl, in particular C1-C4- alkyl, even more preferably methyl.
- r is 0, 1 , 2, 3 or 4. In a preferred embodiment r is 1 , 2, 3 or 4. In another preferred embodiment r is 0, 1 , 2 or 3. In another preferred embodiment r is 1 , 2 or 3. In a preferred aspect r is 0, 1 or 2. In still another preferred aspect r is 1 or 2. In a further preferred embodiment r is 1. In yet another preferred embodiment the invention relates to compounds I wherein r is 2. In a further preferred embodiment r is 2 and the groups R 5 are attached to the same carbon atom.
- R 6 according to the invention is hydrogen or Ci-C6-alkyl. In one embodiment of the invention R 6 is hydrogen. In another embodiment R 6 is Ci-C6-alkyl, in particular methyl or ethyl. In a further preferred embodiment R 6 is hydrogen and R 5 is Ci-C6-alkyl, in particular methyl.
- m is 0, 1 , 2 or 3. In a preferred embodiment m is 1 or 2. In another preferred embodiment m is 1. In still another preferred embodiment m is 2.
- ⁇ is a single bond.
- R N is hydrogen, Ci-C6-alkyl, Ci-C6-haloalkyl, C2-C4-alkenyl, C2-C4-alkynyl, Ci-C 4 -alkoxy-Ci- C 4 -alkyl, C 3 -C 8 -cycloalkyl or C 3 -C 8 -cycloalkyl-Ci-C 4 -alkyl;
- R B1 and R B2 are
- Ci-C6-alkyl independently selected from the group consisting of hydrogen, halogen, CN, NO2, OH, SH, Ci-C6-alkyl, Ci-C6-hydroxyalkyl, Ci-C6-haloalkyl, Ci-C6-alkoxy, Ci-C6-haloalkoxy, Ci-C6-alkylthio, Ci-C6-haloalkylthio, Ci-C6-alkylsulfinyl, Ci-C6-haloalkylsulfinyl, C1-C6- alkylsulfonyl, Ci-C6-haloalkylsulfonyl, Ci-C 4 -alkoxy-Ci-C 4 -alkyl, Ci-C 4 -alkoxy-Ci-C 4 - alkoxy, C2-C6-alkenyl, C2-C6-alkynyl, C2-C6-haloalkenyl, C2-C6-haloal
- B is a direct bond or a divalent group selected from the group consisting of a direct bond, -O- and -CR B1 R B2 -.
- B is a direct bond.
- B is -0-.
- B is - CH2-.
- B is -CR B1 R B2 -, wherein R 6 and R B1 together form a double bond, in particular wherein R B1 is hydrogen.
- R 6 and R B1 together form a double bond.
- R 6 and R B1 together form a double bond and R B2 is hydrogen, halogen, CN, OH, SH, Ci-C6-alkyl, Ci-C6-haloalkyl, Ci-C6-alkoxy or Ci-C6- haloalkoxy.
- R 6 and R B1 together form a double bond and R B2 is hydrogen.
- R B1 and R B2 together with the carbon atom to which they are bound form a saturated or partially unsaturated three-, four-, five-, six- or seven-membered carbocycle which is unsubstituted or carries one, two, three or four independently selected substituents R B3 as defined and preferably defined below.
- R B1 and R B2 together with the carbon atom to which they are bound form a saturated carbocycle, in particular selected from the group consisting of cyclopropyl, cyclobutyl, cyclopentyl, cyclohexyl and cycloheptyl ,wherein the carbocycle in each case is unsubstituted or carries one, two, three or four
- R B3 independently selected substituents R B3 as defined and preferably defined below
- R B1 and R B2 together with the carbon atom to which they are bound form a partially unsaturated carbocycle, in particular selected from the group consisting cyclopentenyl, cyclopentadienyl and cyclohexenyl and wherein the carbocycle is unsubstituted or carries one, two, three or four independently selected substituents R B3 as defined and preferably defined below.
- R B1 and R B2 together with the carbon atom to which they are bound form a cyclopropyl ring which is unsubstituted or carries one, two, three or four independently selected substituents R B3 as defined and preferably defined below.
- R B1 and R B2 together with the carbon atom to which they are bound form a cyclobutyl ring which is unsubstituted or carries one, two, three or four independently selected substituents R B3 as defined and preferably defined below.
- R B1 and R B2 together with the carbon atom to which they are bound form a cyclopentyl ring which is unsubstituted or carries one, two, three or four independently selected substituents R B3 as defined and preferably defined below.
- R B1 and R B2 together with the carbon atom to which they are bound form a cyclohexyl ring which is unsubstituted or carries one, two, three or four independently selected substituents R B3 as defined and preferably defined below.
- R B1 and R B2 together with the carbon atom to which they are bound form a saturated or partially unsaturated three-, four-, five-, six- or seven-membered heterocycle, in particular a three-, four- or five- membered heterocycle, wherein the heterocycle includes beside carbon atoms one, two, three or four, in particular one or two, heteroatoms independently selected from the group consisting of N, O and S, and wherein the heterocycle is unsubstituted or carries one, two, three or four independently selected substituents R B3 as defined and preferably defined below.
- R B1 and R B2 form a heterocycle selected from the group consisting of oxirane, aziridine, thiirane, oxetane, azetidine, thiethane, 2- tetrahydrofuranyl, 3-tetrahydrofuranyl, 2-tetrahydrothienyl and 3-tetrahydrothienyl, wherein the heterocycle is unsubstituted or carries one, two, three or four
- R B3 independently selected substituents R B3 as defined and preferably defined below.
- R B1 and R B2 together with the carbon atom to which they are bound form an oxirane which is unsubstituted or carries one, two, three or four independently selected substituents R B3 as defined and preferably defined below.
- R B1 and R B2 together with the carbon atom to which they are bound form an oxetane which is unsubstituted or carries one, two, three or four independently selected substituents R B3 as defined and preferably defined below.
- R B3 is in each case independently selected from the group consisting of halogen, CN, N0 2 , OH, SH, NH 2 , Ci-C 6 -alkyl, d-C 6 -haloalkyl, Ci-C6-alkoxy, Ci-C6-haloalkoxy, Ci-C6-alkylthio, Ci-C6-haloalkylthio and Ci-C 4 -alkoxy- Ci-C 4 -alkyl.
- R B3 in each case is halogen, CN, NO2, OH, SH, NH2, Ci-C6-alkyl, Ci-C6-haloalkyl, Ci-C6-alkoxy, Ci-C6-haloalkoxy, Ci-C6-alkylthio, Ci-C6-haloalkylthio or Ci-C 4 -alkoxy-Ci-C 4 -alkyl.
- R B3 is halogen, CN, C1-C6- alkyl, Ci-C6-haloalkyl, Ci-C6-alkoxy or Ci-C6-haloalkoxy.
- R B3 is halogen, CN or Ci-C6-alkyl. In yet another preferred embodiment R B3 is halogen, in particular fluorine or chlorine. In still another preferred aspect of the invention R B3 is Ci-C6-alkyl, in particular Ci-C 4 -alkyl, even more preferably methyl.
- Y is a direct bond or -0-.
- R YN , R Y , R Y2 , R Y3 , R Y4 , R Y5 , R Y6 , R Y7 and R Y8 according to the invention are
- R YN , R Y , R Y2 , R Y3 , R Y4 , R Y5 , R Y6 , R Y7 and R Y8 are independently selected from the group consisting of hydrogen and halogen, in particular fluorine or chlorine.
- R YN , R Y1 , R Y2 , R Y3 , R Y4 , R Y5 , R Y6 , R Y7 and R Y8 are independently selected from the group consisting of hydrogen and Ci-C 4 -alkyl, in particular methyl or ethyl.
- R YN , R Y1 , R Y2 , R Y3 , R Y4 , R Y5 , R Y6 , R Y7 and R Y8 are independently selected from the group consisting of hydrogen and Ci-C 4 -alkoxy, in particular methoxy and ethoxy.
- R YN , R Y1 , R Y2 , R Y3 , R Y4 , R Y5 , R Y6 , R Y7 and R Y8 are independently selected from hydrogen or CN.
- R YN , R Y , R Y2 , R Y3 , R Y4 , R Y5 , R Y6 , R Y7 and R Y8 are independently selected from hydrogen or OH.
- Z according to the invention is phenyl or a five- or six-membered heteroaryl, wherein the phenyl carries one, two, three or four radicals R L and wherein the heteroaryl is unsubstituted or substituted by one, two, three or four radicals R L as defined or preferably defined below.
- Z is phenyl or a five- or six-membered heteroaryl selected from the group consisting of pyrimidin-2-yl, pyrimidin-3-yl, pyrimidin-4-yl, pyridin-2-yl, pyridin-3-yl, pyridin-4-yl, thiazol-2-yl, thiazol-4-yl, thiazol-5-yl, isothiazol-3-yl, isothiazol- 4-yl, isothiazol-5-yl, pyrazin-2-yl, pyridazin-3-yl, 1 ,3,5-triazin-2-yl and 1 ,2,4-triazin-3-yl; and wherein the phenyl carries one, two, three or four independently selected radicals R L , and wherein the heteroaryl is unsubstituted or carries one, two or three radicals R L , wherein R L is as defined or preferably defined
- Z is phenyl which carries one, two, three or four independently selected radicals R L as defined or preferably defined below.
- Z is a five- or six-membered heteroaryl which is unsubstituted or, according to a further specific embodiment, carries one, two, three or four independently selected radicals R L as defined or preferably defined below.
- Z is selected from the group consisting of pyrimidin-2-yl, pyrimidin-3-yl, pyrimidin-4-yl, pyridin-2-yl, pyridin-3-yl, pyridin-4-yl, thiazol-2-yl, pyrazin-2-yl, pyridazin-3-yl, 1 ,3,5-triazin-2-yl, and 1 ,2,4-triazin- 3-yl; preferably Z is pyrimidin-2-yl, pyridin-2-yl, pyridin-3-yl, pyridin-4-yl and thiazol-2-yl, which is unsubstituted or, according to a further specific embodiment, carries one, two, three or four independently selected radicals R L as defined or preferably defined below.
- Z is substituted by exactly one radical R L as defined or preferably defined below.
- Z is substituted by two independently selected radicals R L as defined or preferably defined below.
- Z is substituted by three independently selected radicals R L as defined or preferably defined below.
- Z is substituted by four independently selected radicals R L as defined or preferably defined below.
- R L is independently selected from the group consisting of halogen, CN, N0 2 , OH, SH, d-C 6 -alkyl, Ci-C 6 -alkoxy, Ci-C 6 -alkylthio, Ci-C 6 -alkylsul- finyl, Ci-C6-alkylsulfonyl, C2-C6-alkenyl, C2-C6-alkynyl, C 3 -C8-cycloalkyl, C 3 -C 3 - cycloalkyloxy, C 3 -C 8 -cycloalkyl-Ci-C 4 -alkyl, NH 2 , NH(Ci-C 4 -alkyl), N(Ci-C 4 -alkyl) 2 ,
- R L is independently selected from the group consisting of halogen, CN, NO2, OH, SH, d-Ce-alkyl, d-Ce-hydroxyalkyl, Ci-Ce- haloalkyl, Ci-C6-alkoxy, Ci-C6-haloalkoxy, Ci-C6-alkylthio, Ci-C6-haloalkylthio, C1-C6- alkylsulfinyl, Ci-C6-haloalkylsulfinyl, Ci-C6-alkylsulfonyl, Ci-C6-haloalkylsulfonyl, C1-C4- alkoxy-Ci-C4-alkyl, Ci-C4-alkoxy-Ci-C4-alkoxy, C2-C6-alkenyl, C2-C6-alkynyl,
- R L is independently selected from the group consisting of halogen, CN, OH, Ci-C6-alkyl, Ci-C6-haloalkyl, Ci-C6-alkoxy and Ci-C6-haloalkoxy.
- R L is independently selected from the group consisting of 2-F, 3-F, 4-F, 2-CI, 3-CI, 4-CI, 4-Br, 4-I, 4-CH 3 , 4-OCH 3 , 2-CF 3 , 3-CF 3 , 4-CF 3 , 2-CHF 2 , 3-CHF2, 4-CHF2, 2,4-F 2 , 2,3-F 2 , 2,5-F 2 , 2,6-F 2 , 3,4-F 2 , 3,5-F 2 , 2,4-CI 2 , 2,3-CI 2 , 2,5-CI 2 , 2,6-CI 2 , 3,4-CI 2 , 3,5-CI 2 , 2,4-(CH 3 ) 2 , 2,4-(CF 3 ) 2 , 2,4-(CHF 2 ) 2 , 2-F-4-CI, 2-F-4-CF 3 , 2-F-4-CHF2, 2-CI-4-F, 2-CI-4-CF 3 , 2-CI-4-CHF 2 , 2-CF 3 -4-F, 2-CF 3 -4-F, 2-CF
- R L is independently selected from the group consisting of 2-F, 3-F, 4-F, 2-CI, 3-CI, 4-CI, 2-CF 3 , 3-CF 3 , 4-CF 3 , 2,4-F 2 , 2,4-CI 2 , 2,6-CI 2 , 2-CN, 3-CN, 4-CN, -F-4-CN, 2-CI-4-CN.
- R L is independently selected from the group consisting of halogen, in particular fluorine or chlorine.
- R L is independently selected from the group consisting of Ci-C6-haloalkyl, in particular CF 3 or CHF2.
- R L is CN.
- the group Z-Y- is attached to the phenyl ring in para-position with respect to the triazole bearing moiety. In a further preferred embodiment the group Z-Y- is attached to the phenyl ring in meta-position with respect to the triazole bearing moiety.
- Z is a phenyl ring which is substituted by one or more radicals R L and the combination of the groups Y and Z in each case are one of the following combinations as defined in lines A-1 to A-100 in table A.
- the radicals R L are to be construed in positions relative to the group Y.
- the combination of the groups Y and Z in each case are one of the following combinations in lines Z-1 to Z-206 in table Z:
- B-17 CH 2 H CN -CH 2 - para
- B-42 CH 2 SH CN -CH 2 - para
- B-92 CH 2 SCN CN -CH 2 - para
- B-1 17 CH 2 H OH -CH 2 - para
- B-142 CH 2 SH OH -CH 2 - para
- B-192 CH 2 SCN OH -CH 2 - para
- B-217 CH 2 H OCH3 -CH 2 - para
- B-242 CH 2 SH OCH3 -CH 2 - para
- B-267 CH 2 S-allyl OCH3 -CH 2 - para line R 1 R 2 D X B position
- B-292 CH 2 SCN OCH 3 -CH 2 - para
- B-317 CH 2 H OCH 2 CH 3 -CH 2 - para
- B-342 CH 2 SH OCH2CH3 -CH 2 - para
- B-367 CH 2 S-allyl OCH2CH3 -CH 2 - para
- B-392 CH 2 SCN OCH2CH3 -CH 2 - para
- B-417 CH 2 H O-allyl -CH 2 - para
- B-442 CH 2 SH O-allyl -CH 2 - para
- B-492 CH 2 SCN O-allyl -CH 2 - para
- B-517 CH 2 H O-propargyl -CH 2 - para
- B-542 CH 2 SH O-propargyl -CH 2 - para
- B-592 CH 2 SCN O-propargyl -CH 2 - para
- B-617 CH 2 H O-benzyl -CH 2 - para
Landscapes
- Chemical & Material Sciences (AREA)
- Organic Chemistry (AREA)
- Plural Heterocyclic Compounds (AREA)
- Agricultural Chemicals And Associated Chemicals (AREA)
Abstract
The present invention relates to fungicidal imidazolyland triazolyl compounds (I), agrochemical compositions comprising them, to their use and to methods for combating phytopathogenic fungi. The present invention also relatesto seeds treated with at least one such compound. Furthermore the invention relates to processes for preparing compounds of formula (I) as well asto specific intermediates that are obtained during the reaction sequence.
Description
Fungicidal imidazolyl and triazolyl compounds
The present invention relates to fungicidal imidazolyl and triazolyl compounds, agrochemical compositions comprising them, to their use and to methods for combating phytopathogenic fungi. The present invention also relates to seeds treated with at least one such compound. Furthermore the invention relates to processes for preparing compounds of formula I as well as to specific intermediates that are obtained during the reaction sequence.
EP 433780 A1 describes fungicidal substituted azolylmethylcycloalkanols and fungicides comprising them. EP 655443 A2 deals with a process for the preparation of such azole fungicides. WO 9638423 A1 relates to (mercapto-triazolmethyl)-cyclo- pentanols as microbicides.
In many cases, in particular at low application rates, the fungicidal activity of known fungicidal compounds is unsatisfactory. Based on this, it was an object of the present invention to provide compounds having improved activity and/or a broader activity spectrum against phytopathogenic fungi. This objective is achieved by the use of substituted imidazolyl and triazolyl compounds of formula I having good fungicidal activity against phytopathogenic fungi.
The compounds according to the present invention differ from those described in the abovementioned publications in that the terminal aromatic moiety Z is different in nature and/or its substitution pattern.
Accordingly, the present invention relates to compounds of the formula I
A is N or CH;
D is hydrogen, halogen or SRD; wherein
RD is hydrogen, CN, d-C6-alkyl, Ci-C6-haloalkyl, C2-C6-alkenyl,
C2-C6-haloalkenyl, C2-C6-alkynyl or C2-C6-haloalkynyl;
R1 and R2 are independently selected from the group consisting of hydrogen, halogen, CN, N02, OH, SH, Ci-Ce-alkyl, Ci-C6-alkoxy, Ci-C6-alkylthio, Ci-C6-alkylsulfinyl, Ci-C6-alkylsulfonyl, C2-C6-alkenyl, C2-C6-alkynyl, Cs-Cs-cycloalkyl, C3-C8- cycloalkyloxy, C3-C8-cycloalkyl-Ci-C4-alkyl, NH2, NH(Ci-C4-alkyl), N(Ci-C4-alkyl)2, NH(C3-C6-cycloalkyl), N(C3-C6-cycloalkyl)2, C(=0)-Ci-C4-alkyl, C(=0)OH,
C(=0)-0-Ci-C4-alkyl, C(=0)-NH(Ci-C4-alkyl), C(=0)-N(Ci-C4-alkyl)2,
C(=0)-NH(C3-C6-cycloalkyl), C(=0)-N(C3-C6-cycloalkyl)2, phenyl, heteroaryl, phenyl-Ci-C4-alkyl and heteroaryl-Ci-C4-alkyl, wherein the heteroaryl radical in the last-mentioned groups is 5- or 6-membered; and wherein the aliphatic, alicyclic and aromatic heteroaryl moieties of R1 and/or R2 are unsubstituted or substituted by one, two, three or four or up to the maximum possible number of independently selected substituents R1a; wherein
R1a is halogen, CN, N02, OH, SH, NH2, Ci-Ce-alkyl, Ci-C6-haloalkyl, Ci-C6- alkoxy, Ci-C6-haloalkoxy, Ci-C6-alkylthio, Ci-C6-haloalkylthio, Cs-Cs- cycloalkyl or Ci-C4-alkoxy-Ci-C4-alkyl; or R1 and R2 together with the carbon atom to which they are bound (denominated as C*) form a vinyl group C*=CR11R22, wherein
R11 and R22 are independently selected from the group consisting of
hydrogen, halogen, CN, N02, OH, SH, NH2, Ci-Ce-alkyl, Ci-C6-haloalkyl, Ci-C6-alkoxy, Ci-C6-haloalkoxy, Ci-C6-alkylthio, Ci-C6-haloalkylthio and C 1 -C4-a I koxy-C 1 -C4-a I ky I ; or R1 and R2 together with the carbon atom to which they are bound form a saturated or partially unsaturated three-, four-, five-, six- or seven-membered carbocycle or a saturated or partially unsaturated three-, four-, five-, six- or seven-membered heterocycle, wherein the heterocycle includes beside carbon atoms one, two, three or four heteroatoms independently selected from the group consisting of N, O and S, and wherein the carbo- and heterocycle are unsubstituted or carry one, two, three or four independently selected substituents R12, wherein one or two CH2 groups of the carbo- or heterocycle may be replaced by one or two groups independently selected from the group of C(=0) and C(=S); wherein
R12 is halogen, CN, N02, OH, SH, NH2, Ci-Ce-alkyl, Ci-C6-haloalkyl, Ci-C6-alkoxy, Ci-C6-haloalkoxy, Ci-C6-alkylthio, Ci-C6-haloalkylthio, Ci-C4-alkoxy-Ci-C4-alkyl, phenyl or phenoxy; wherein the phenyl moieties of R12 are unsubstituted or substituted by one, two, three or four independently selected substituents R12a; wherein
R12a is halogen, CN, N02, OH, SH, NH2, Ci-C6-alkyl, Ci-C6-haloalkyl, Ci-C6- alkoxy, Ci-C6-haloalkoxy, Ci-C6-alkylthio, Ci-C6-haloalkylthio, C3-C8- cycloalkyl or Ci-C4-alkoxy-Ci-C4-alkyl; is OR3 or CN; wherein
R3 is hydrogen, Ci-C6-alkyl, C2-C6-alkenyl, C2-C6-alkynyl, Cs-Cs-cycloalkyl, C3-C8-cycloalkyl-Ci-C4-alkyl, Ci-C6-alkylsulfonyl, phenylsulfonyl,
C(=0)-Ci-C4-alkyl, C(=0)-0-Ci-C4-alkyl, C(=0)-NH(Ci-C4-alkyl),
C(=0)-N(Ci-C4-alkyl)2, C(=0)-Ci-C4-alkylphenyl, phenyl, phenyl-Ci-C4-alkyl, phenyl-C2-C4-alkenyl or phenyl-C2-C4-alkynyl; wherein the aliphatic, alicyclic and aromatic moieties of R3 are unsubstituted or substituted by one, two, three or four or up to the maximum possible number of independently selected substituents R3a; wherein
R3a is halogen, CN, N02, OH, C C4-alkyl, C C4-halogenalkyl, Cs-Cs- cycloalkyl, Ci-C4-alkoxy or Ci-C4-halogenalkoxy; is a single or a double bond; is a direct bond or a divalent group selected from the group consisting of -0-, -S(=0)p-, -NRN- and -CRB1 RB2-; wherein p is 0, 1 or 2;
RN is hydrogen, Ci-C6-alkyl, Ci-C6-haloalkyl, C2-C4-alkenyl, C2-C4-alkynyl or Ci-C4-alkoxy-Ci-C4-alkyl, Cs-Cs-cycloalkyl or C3-Cs-cycloalkyl-Ci-C4-alkyl;
RB1 and RB2 are independently selected from the group consisting of
hydrogen, halogen, CN, NO2, OH , SH, d-Ce-alkyl, d-Ce-hydroxyalkyl, Ci-C6-haloalkyl, Ci-C6-alkoxy, Ci-C6-haloalkoxy, Ci-C6-alkylthio, C1-C6- haloalkylthio, Ci-C6-alkylsulfinyl, Ci-C6-haloalkylsulfinyl, Ci-C6-alkylsulfonyl, Ci-C6-haloalkylsulfonyl, Ci-C4-alkoxy-Ci-C4-alkyl, Ci-C4-alkoxy-Ci-C4- alkoxy, C2-C6-alkenyl, C2-C6-alkynyl, C2-C6-haloalkenyl, C2-C6-haloalkynyl, C3-Cs-cycloalkyl, C3-Cs-cycloalkyloxy and C3-Cs-cycloalkyl-Ci-C4-alkyl; or RB1 and RB2 together with the carbon atom to which they are bound form a saturated or partially unsaturated three-, four-, five-, six- or seven-membered carbocycle or a saturated or partially unsaturated three-, four-, five-, six- or seven-membered heterocycle, wherein the heterocycle includes beside carbon atoms one, two, three or four heteroatoms independently selected from the group consisting of N , O and S, and wherein the carbo- and heterocycle are
unsubstituted or carry one, two, three or four independently selected substituents
RB3; and wherein one or two Chb groups of the carbo- or heterocycle may be replaced by one or two groups independently selected from the group of C(=0) and C(=S); wherein RB3 is halogen, CN, N02, OH, SH, NH2, Ci-C6-alkyl, Ci-C6-haloalkyl,
Ci-C6-alkoxy, Ci-C6-haloalkoxy, Ci-C6-alkylthio, Ci-C6-haloalkylthio or C 1 -C4-a I koxy-C 1 -C4-a I ky I ;
R4 is independently selected from the group consisting of halogen, CN, NO2, OH, SH, d-Ce-alkyl, Ci-C6-alkoxy, Ci-C6-alkylthio, Ci-C6-alkylsulfinyl, Ci-C6- alkylsulfonyl, C2-C6-alkenyl, C2-C6-alkynyl, C3-C8-cycloalkyl, Cs-Cs-cycloalkyloxy, Cs-C8-cycloalkyl-Ci-C4-alkyl, NH2, NH(Ci-C4-alkyl), N(Ci-C4-alkyl)2, NH(C3-C6- cycloalkyl), N(C3-C6-cycloalkyl)2,
alkyl,
C(=0)-NH(C3-C6-cycloalkyl) and C(=0)-N(C3-C6-cycloalkyl)2; wherein the aliphatic and alicyclic moieties of R4 are unsubstituted or substituted by one, two, three or four or up to the maximum possible number of independently selected substituents R4a; wherein
R4a is halogen, CN, N02, OH, Ci-C -alkyl, Ci-C -haloalkyl, C3-C8-cycloalkyl, Ci-C4-alkoxy or Ci-C4-halogenalkoxy; is 0, 1 , 2, 3 or 4; is a direct bond or a divalent radical selected from -0-, -S(=0)p-, -CRY1RY2-, -N(RYN)-, -CRY3RY4-CRY5RY6-, -CRY7=CY8- and -C≡C-, wherein
RYN, RY , RY2, RY3, RY4, RY5, RY6, RY7 and RY8 are independently selected from the group consisting of hydrogen, halogen, CN, nitro, OH, Ci-C4-alkyl, Ci-C4-halogenalkyl, Ci-C4-alkoxy and Ci-C4-halogenalkoxy; is 0, 1 or 2;
Z is phenyl or a five- or six-membered heteroaryl, wherein the phenyl carries one, two, three or four radicals RL and wherein the heteroaryl is unsubstituted or substituted by one, two, three or four radicals RL; wherein
RL is independently selected from the groups consisting of halogen, CN, NO2, OH, SH, d-Ce-alkyl, Ci-C6-alkoxy, Ci-C6-alkylthio, Ci-C6-alkylsulfinyl, Ci-C6-alkylsulfonyl, C2-C6-alkenyl, C2-C6-alkynyl, Cs-Cs-cycloalkyl, C3-C3- cycloalkyloxy, C3-C8-cycloalkyl-Ci-C -alkyl, NH2, NH(Ci-C -alkyl), N(Ci-C - alkyl)2, NH(C3-C6-cycloalkyl), N(C3-C6-cycloalkyl)2,
alkyl)2, C(=0)-NH(C3-C6-cycloalkyl), C(=0)-N(C3-C6-cycloalkyl)2, phenyl and
phenyl-Ci-C4-alkyl; and wherein the aliphatic, alicyclic and aromatic moieties are unsubstituted or substituted by one, two, three or four or up to the maximum possible number of independently selected substituents RLa; wherein
RLa is halogen, CN, N02, OH, SH, NH2, Ci-C6-alkyl, Ci-C6-haloalkyl,
Ci-C6-alkoxy, Ci-C6-haloalkoxy, Ci-C6-alkylthio, Ci-C6-haloalkylthio or C3-C8-cycloalkyl; is 0, 1 , 2, 3 or 4; is independently selected from the group consisting of halogen, CN, NO2, OH, SH, d-Ce-alkyl, d-Ce-hydroxyalkyl, Ci-C6-haloalkyl, Ci-C6-alkoxy, Ci-C6- haloalkoxy, Ci-C6-alkylthio, Ci-C6-haloalkylthio, Ci-C6-alkylsulfinyl, C1-C6- haloalkylsulfinyl, Ci-C6-alkylsulfonyl, Ci-C6-haloalkylsulfonyl, Ci-C4-alkoxy-Ci-C4- alkyl, Ci-C4-alkoxy-Ci-C4-alkoxy, C2-C6-alkenyl, C2-C6-alkynyl, C2-C6-haloalkenyl, C2-C6-haloalkynyl, Cs-Cs-cycloalkyl, Cs-Cs-cycloalkyloxy and Cs-Cs-cycloalkyl- Ci-C4-alkyl; or two radicals R5 together with the carbon atom of the central alicyclic ring to which they are bound (denominated as C*) form a vinyl group C*=CR51 R52, whereas said central alicyclic ring is otherwise unsubstituted or substituted by one or two further radicals R5 as defined above; wherein
R51 and R52 are independently selected from the group consisting of
hydrogen, halogen, CN, N02, OH, SH, NH2, Ci-C6-alkyl, Ci-C6-haloalkyl, Ci-C6-alkoxy, Ci-C6-haloalkoxy, Ci-C6-alkylthio, Ci-C6-haloalkylthio and C 1 -C4-a I koxy-C 1 -C4-a I ky I ; or two radicals R5 together with the carbon atom of the central alicyclic ring to which they are bound form a saturated or partially unsaturated three-, four-, five-, six- or seven-membered carbocycle or a saturated or partially unsaturated three-, four-, five-, six- or seven-membered heterocycle; whereas said central alicyclic ring is otherwise unsubstituted or substituted by one or two further radicals R5 as defined above; wherein the heterocycle includes beside carbon atoms one, two, three or four heteroatoms independently selected from the group consisting of N, O and S, and wherein the carbo- and heterocycle are unsubstituted or carry one, two, three or four independently selected substituents R53; and one or two CH2 groups of the carbo- or heterocycle may be replaced by one or two groups independently selected from the group of C(=0) and C(=S); wherein
R53 is halogen, CN, N02, OH, SH, NH2, Ci-C6-alkyl, Ci-C6-haloalkyl,
Ci-C6-alkoxy, Ci-C6-haloalkoxy, Ci-C6-alkylthio, Ci-C6-haloalkylthio or C 1 -C4-a I koxy-C 1 -C4-a I ky I ; m is 1 , 2 or 3;
R6 is hydrogen or Ci-C6-alkyl; or R6 and RB1 together form a double bond; and the N-oxides and the agriculturally acceptable salts of the compounds
of formula I .
The present invention also provides a use of compounds I and/or their agriculturally useful salts for controlling phytopathogenic fungi and to methods for combating phytopathogenic fungi. The invention further provides compositions comprising these compounds I and/or their agriculturally acceptable salts. The present invention also relates to seeds treated with at least one such compound. Furthermore the invention relates to processes for preparing compounds of formula I and to intermediates such as compounds of formulae I I , IV, VI I, X, XI , XI II and XIV.
Compounds I can exist as one or more stereoisomers. The various stereoisomers include enantiomers, diastereomers, atropisomers and geometric isomers. One skilled in the art will appreciate that one stereoisomer may be more active and/or may exhibit beneficial effects when enriched relative to the other stereoisomer(s) or when separated from the other stereoisomer(s). Additionally, the skilled artisan knows how to separate, enrich, and/or to selectively prepare said stereoisomers. The compounds of the invention may be present as a mixture of stereoisomers, e.g. a racemate, individual stereoisomers, or as an optically active form.
Compounds I can be present in different crystal modifications whose biological activity may differ. They also form part of the subject matter of the present invention. The compounds of formula I can be present in atropisomers arising from restricted rotation about a single bond of asymmetric groups. They also form part of the subject matter of the present invention.
In respect of the variables, the embodiments of the intermediates correspond to the embodiments of the compounds of formula I. The term "compounds I" refers to compounds of formula I.
In the definitions of the variables given above, collective terms are used which are generally representative for the substituents in question. The term "Cn-Cm" indicates the number of carbon atoms possible in each case in the substituent or substituent moiety
in question.
The term "halogen" refers to fluorine, chlorine, bromine and iodine. The term "Ci-C6-alkyl" refers to a straight-chained or branched saturated hydrocarbon group having 1 to 6 carbon atoms, for example methyl, ethyl, propyl, 1 -methylethyl, butyl, 1 -methylpropyl, 2-methylpropyl, and 1 , 1 -dimethylethyl.
The term "Ci-C6-haloalkyl" refers to a straight-chained or branched alkyl group having 1 to 6 carbon atoms (as defined above), wherein some or all of the hydrogen atoms in these groups may be replaced by halogen atoms as mentioned above, for example chloromethyl, bromomethyl, dichloromethyl, trichloromethyl, fluoromethyl, difluoro- methyl, trifluoromethyl, chlorofluoromethyl, dichlorofluoromethyl, chlorodifluoromethyl,
1 - chloroethyl, 1 -bromoethyl, 1 -fluoroethyl, 2-fluoroethyl, 2,2-difluoroethyl, 2,2,2-tri- fluoroethyl, 2-chloro-2-fluoroethyl, 2-chloro-2,2-difluoroethyl, 2,2-dichloro-2-fluoroethyl, 2,2,2-trichloroethyl and pentafluoroethyl, 2-fluoropropyl, 3-fluoropropyl, 2,2-difluoro- propyl, 2,3-difluoropropyl, 2-chloropropyl, 3-chloropropyl, 2,3-dichloropropyl, 2-bromo- propyl, 3-bromopropyl, 3,3,3-trifluoropropyl, 3,3,3-trichloropropyl, CH2-C2F5, CF2-C2F5, CF(CF3)2, 1 -(fluoromethyl)-2 -fluoroethyl, 1 -(chloromethyl)-2-chloroethyl, 1 -(bromo- methyl)-2-bromoethyl, 4-fluorobutyl, 4-chlorobutyl, 4-bromobutyl or nonafluorobutyl.
The term "Ci-C6-alkoxy" refers to a straight-chain or branched alkyl group having 1 to 6 carbon atoms (as defined above) which is bonded via an oxygen, at any position in the alkyl group, for example methoxy, ethoxy, n-propoxy, 1 -methylethoxy, butoxy, 1 -meth- ylpropoxy, 2-methylpropoxy or 1 , 1 -dimethylethoxy.
The term "Ci-C6-hydroxyalkyl" refers to a straight-chained or branched alkyl group having 1 to 6 carbon atoms (as defined above), wherein one hydrogen atom in these groups may be replaced by one hydroxy group, for example hydroxym ethyl,
2-hydroxyethyl, 3-hydroxy-propyl, 4-hydroxy-butyl.
The term "Ci-C6-haloalkoxy" refers to a Ci-C6-alkoxy group as defined above, wherein some or all of the hydrogen atoms may be replaced by halogen atoms as mentioned above, for example, OCH2F, OCHF2, OCF3, OCH2CI, OCHC , OCCI3, chlorofluoro- methoxy, dichlorofluoromethoxy, chlorodifluoromethoxy, 2-fluoroethoxy, 2-chloro- ethoxy, 2-bromoethoxy, 2-iodoethoxy, 2,2-difluoroethoxy, 2,2,2-trifluoroethoxy,
2- chloro-2-fluoroethoxy, 2-chloro-2,2-difluoroethoxy, 2,2-dichloro-2-fluoroethoxy, 2,2,2-trichloroethoxy, OC2F5, 2-fluoropropoxy, 3-fluoropropoxy, 2,2-difluoropropoxy, 2,3-difluoropropoxy, 2-chloropropoxy, 3-chloropropoxy, 2,3-dichloropropoxy,
2-bromopropoxy, 3-bromopropoxy, 3,3,3-trifluoropropoxy, 3,3,3-trichloropropoxy,
OCH2-C2F5, OCF2-C2F5, 1 -(CH2F)-2-fluoroethoxy, 1 -(CH2CI)-2-chloroethoxy, 1 -(CH2Br)- 2-bromo-,ethoxy, 4-fluorobutoxy, 4-chlorobutoxy, 4-bromobutoxy or nonafluorobutoxy.
The terms "phenyl-Ci-C4-alkyl or heteroaryl-Ci-C4-alkyl" refer to alkyl having 1 to 4 carbon atoms (as defined above), wherein one hydrogen atom of the alkyl radical is replaced by a phenyl or hetereoaryl radical respectively. The term "Ci-C4-alkoxy-Ci-C4-alkyl" refers to alkyl having 1 to 4 carbon atoms (as defined above), wherein one hydrogen atom of the alkyl radical is replaced by a
Ci-C4-alkoxy group (as defined above). Likewise, the term "Ci-C6-alkoxy-Ci-C4-alkyl" refers to alkyl having 1 to 4 carbon atoms (as defined above), wherein one hydrogen atom of the alkyl radical is replaced by a Ci-C6-alkoxy group (as defined above).
The term "Ci-C6-alkylthio" as used herein refers to straight-chain or branched alkyl groups having 1 to 6 carbon atoms (as defined above) bonded via a sulfur atom.
Accordingly, the term "Ci-C6-haloalkylthio" as used herein refers to straight-chain or branched haloalkyl group having 1 to 6 carbon atoms (as defined above) bonded through a sulfur atom, at any position in the haloalkyl group.
The term "Ci -C6-a I kylsu If i nyl" refers to straight-chain or branched alkyl groups having 1 to 6 carbon atoms (as defined above) bonded through a -S(=0)- moiety, at any position in the alkyl group, for example methylsulfinyl and ethylsulfinyl, and the like.
Accordingly, the term "Ci-C6-haloalkylsulfinyl" refers to straight-chain or branched haloalkyl group having 1 to 6 carbon atoms (as defined above), bonded through a -S(=0)- moiety, at any position in the haloalkyl group.
The term "Ci-C6-alkylsulfonyl" refers to straight-chain or branched alkyl groups having 1 to 6 carbon atoms (as defined above), bonded through a -S(=0)2- moiety, at any position in the alkyl group, for example methylsulfonyl. Accordingly, the term
"Ci-C6-haloalkylsulfonyl" refers to straight-chain or branched haloalkyl group having 1 to 6 carbon atoms (as defined above), bonded through a -S(=0)2- moiety, at any position in the haloalkyl group.
The term "C2-C6-alkenyl" refers to a straight-chain or branched unsaturated
hydrocarbon radical having 2 to 6 carbon atoms and a double bond in any position, such as ethenyl, 1 -propenyl, 2-propenyl (allyl), 1 -methylethenyl, 1 -butenyl, 2-butenyl, 3-butenyl, 1 -methyl-1 -propenyl, 2-methyl-1 -propenyl, 1 -methyl-2-propenyl, 2-methyl-2- propenyl.
The term "C2-C6-alkynyl" refers to a straight-chain or branched unsaturated
hydrocarbon radical having 2 to 6 carbon atoms and containing at least one triple bond, such as ethynyl, 1 -propynyl, 2-propynyl (propargyl), 1 -butynyl, 2-butynyl, 3-butynyl, 1 -methyl-2-propynyl.
The term "Cs-Cs-cycloalkyl" refers to monocyclic saturated hydrocarbon radicals having 3 to 8 carbon ring members, such as cyclopropyl (C3H5), cyclobutyl, cyclopentyl,
cyclohexyl, cycloheptyl or cyclooctyl.
The term "C3-C8-cycloalkyl-Ci-C4-alkyl" refers to a cycloalkyl radical having 3 to 8 carbon atoms (as defined above), which is bonded via a Ci-C4-alkyl group (as defined above).
The term "C3-C8-cycloalkyl-C3-C8-cycloalkyl" refers to a cycloalkyl radical having 3 to 8 carbon atoms (as defined above), which is substituted by a further cycloalkyl radical having 3 to 8 carbon atoms.
The term "C3-C8-cycloalkyloxy" refers to a cycloalkyl radical having 3 to 8 carbon atoms (as defined above), which is bonded via an oxygen.
The term "C(=0)-Ci-C4-alkyl" refers to a radical which is attached through the carbon atom of the group C(=0) as indicated by the number valence of the carbon atom. The number of valence of carbon is 4, that of nitrogen is 3. Likewise the following terms are to be construed: NH(Ci-C4-alkyl), N(Ci-C4-alkyl)2, NH(C3-C6-cycloalkyl), N(C3-C6- cycloalkyl)2, C(=0)OH, C(=0)-0-Ci-C4-alkyl, C(=0)-NH(Ci-C4-alkyl), C(=0)-N(Ci-C4- alkyl)2, C(=0)-NH(C3-C6-cycloalkyl), C(=0)-N(C3-C6-cycloalkyl)2.
The term "saturated or partially unsaturated 3-, 4- 5-, 6- or 7-membered carbocycle" is to be understood as meaning both saturated or partially unsaturated carbocycles having 3, 4, 5, 6 or 7 ring members. Examples include cyclopropyl, cyclopentyl, cyclopentenyl, cyclopentadienyl, cyclohexyl, cyclohexenyl, cyclohexadienyl, cycloheptyl, cycloheptenyl, cycloheptadienyl, and the like.
The term "saturated or partially unsaturated 3-, 4-, 5-, 6-, or 7-membered heterocycle, wherein the ring member atoms of the heterocycle include besides carbon atoms 1 , 2, 3 or 4 heteroatoms independently selected from the group of N, O and S", is to be understood as meaning both saturated and partially unsaturated heterocycles, for example: a 3- or 4-membered saturated heterocycle which contains 1 or 2 heteroatoms from the group consisting of N, O and S as ring members such as oxirane, aziridine, thiirane, oxetane, azetidine, thiethane, [1 ,2]dioxetane, [1 ,2]dithietane,
[1 ,2]diazetidine; and a 5- or 6-membered saturated or partially unsaturated heterocycle which contains 1 , 2 or 3 heteroatoms from the group consisting of N, O and S as ring members such as 2-tetrahydrofuranyl, 3-tetrahydrofuranyl, 2-tetrahydrothienyl, 3- tetrahydrothienyl, 2-pyrrolidinyl, 3-pyrrolidinyl, 3-isoxazolidinyl, 4-isoxazolidinyl, 5- isoxazolidinyl, 3-isothiazolidinyl, 4-isothiazolidinyl, 5-isothiazolidinyl, 3- pyrazolidinyl, 4-pyrazolidinyl, 5-pyrazolidinyl, 2-oxazolidinyl, 4-oxazolidinyl, 5-
oxazolidinyl, 2-thiazolidinyl, 4-thiazolidinyl, 5-thiazolidinyl, 2-imidazolidinyl, 4- imidazolidinyl, 1 ,2,4-oxadiazolidin-3-yl, 1 ,2,4-oxadiazolidin-5-yl, 1 ,2,4- thiadiazolidin-3-yl, 1 ,2,4-thiadiazolidin-5-yl, 1 ,2,4-triazolidin-3-yl, 1 ,3,4- oxadiazolidin-2-yl, 1 ,3,4-thiadiazolidin-2-yl, 1 ,3,4-triazolidin-2-yl, 2,3-dihydrofur-2- yl, 2 ,3-d i hyd rofu r-3-y 1 , 2 ,4-d i hyd rofu r-2-y 1 , 2,4-dihydrofur-3-yl, 2,3-dihydrothien-2- yl, 2,3-dihydrothien-3-yl, 2,4-dihydrothien-2-yl, 2,4-dihydrothien-3-yl, 2-pyrrolin-2- yl, 2-pyrrolin-3-yl, 3-pyrrolin-2-yl, 3-pyrrolin-3-yl, 2-isoxazolin-3-yl, 3-isoxazolin-3- yl, 4-isoxazolin-3-yl, 2-isoxazolin-4-yl, 3-isoxazolin-4-yl, 4-isoxazolin-4-yl,
2- isoxazolin-5-yl, 3-isoxazolin-5-yl, 4-isoxazolin-5-yl, 2-isothiazolin-3-yl,
3- isothiazolin-3-yl, 4-isothiazolin-3-yl, 2-isothiazolin-4-yl, 3-isothiazolin-4-yl,
4- isothiazolin-4-yl, 2-isothiazolin-5-yl, 3-isothiazolin-5-yl, 4-isothiazolin-5-yl, 2,3- dihydropyrazol-1 -yl, 2,3-dihydropyrazol-2-yl, 2,3-dihydropyrazol-3-yl, 2,3- dihydropyrazol-4-yl, 2,3-dihydropyrazol-5-yl, 3,4-dihydropyrazol-1 -yl, 3,4- dihydropyrazol-3-yl, 3,4-dihydropyrazol-4-yl, 3,4-dihydropyrazol-5-yl, 4,5- dihydropyrazol-1 -yl, 4,5-dihydropyrazol-3-yl, 4,5-dihydropyrazol-4-yl, 4,5- dihydropyrazol-5-yl, 2,3-dihydrooxazol-2-yl, 2,3-dihydrooxazol-3-yl, 2,3- dihydrooxazol-4-yl, 2,3-dihydrooxazol-5-yl, 3,4-dihydrooxazol-2-yl, 3,4- dihydrooxazol-3-yl, 3,4-dihydrooxazol-4-yl, 3,4-dihydrooxazol-5-yl, 3,4- dihydrooxazol-2-yl, 3,4-dihydrooxazol-3-yl, 3,4-dihydrooxazol-4-yl, 2-piperidinyl, 3-piperidinyl, 4-piperidinyl, 1 ,3-dioxan-5-yl, 2-tetrahydropyranyl, 4- tetrahydropyranyl, 2-tetrahydrothienyl, 3-hexahydropyridazinyl, 4-hexa- hydropyridazinyl, 2-hexahydropyrimidinyl, 4-hexahydropyrimidinyl, 5-hexahydro- pyrimidinyl, 2-piperazinyl, 1 ,3,5-hexahydrotriazin-2-yl and 1 ,2,4-hexahydrotriazin- 3-yl and also the corresponding -ylidene radicals; and a 7-membered saturated or partially unsaturated heterocycle such as tetra- and hexahydroazepinyl, such as 2,3,4,5-tetrahydro[1 H]azepin-1 -,-2-,-3-,-4-,-5-,-6- or- 7-yl, 3,4,5,6-tetrahydro[2H]azepin-2-,-3-,-4-,-5-,-6- or-7-yl, 2,3,4,7- tetrahydro[1 H]azepin-1 -,-2-,-3-,-4-,-5-,-6- or-7-yl, 2,3,6,7-tetrahydro[1 H]azepin-1 - ,-2-, -3-, -4-, -5-, -6- or-7-yl, hexahydroazepin-1 -,-2-,-3- or-4-yl, tetra- and hexahydrooxepinyl such as 2,3,4,5-tetrahydro[1 H]oxepin-2-,-3-,-4-,-5-,-6- or-7-yl, 2,3,4,7-tetrahydro[1 H]oxepin-2-,-3-,-4-,-5-,-6- or-7-yl, 2,3,6,7- tetrahydro[1 H]oxepin-2-, -3-, -4-, -5-, -6- or-7-yl, hexahydroazepin-1 -,-2-,-3- or-4-yl, tetra- and hexahydro-1 ,3-diazepinyl, tetra- and hexahydro-1 ,4-diazepinyl, tetra- and hexahydro-1 ,3-oxazepinyl, tetra- and hexahydro-1 ,4-oxazepinyl, tetra- and hexahydro-1 ,3-dioxepinyl, tetra- and hexahydro-1 ,4-dioxepinyl and the corresponding -ylidene radicals; and
The term "5-or 6-membered heteroaryl" refers to aromatic ring systems incuding besides carbon atoms, 1 , 2, 3 or 4 heteroatoms independently selected from the group consisting of N, O and S, for example,
a 5-membered heteroaryl such as pyrrol-1 -yl, pyrrol-2-yl, pyrrol-3-yl, thien-2-yl, thien-3-yl, furan-2-yl, furan-3-yl, pyrazol-1 -yl, pyrazol-3-yl, pyrazol-4-yl, pyrazol-5- yl, imidazol-1 -yl, imidazol-2-yl, imidazol-4-yl, imidazol-5-yl, oxazol-2-yl, oxazol-4- yl, oxazol-5-yl, isoxazol-3-yl, isoxazol-4-yl, isoxazol-5-yl, thiazol-2-yl, thiazol-4-yl, thiazol-5-yl, isothiazol-3-yl, isothiazol-4-yl, isothiazol-5-yl, 1 ,2,4-triazolyl-1 -yl,
1 ,2,4-triazol-3-yl 1 ,2,4-triazol-5-yl, 1 ,2,4-oxadiazol-3-yl, 1 ,2,4-oxadiazol-5-yl and 1 ,2,4-thiadiazol-3-yl, 1 ,2,4-thiadiazol-5-yl; or a 6-membered heteroaryl, such as pyridin-2-yl, pyridin-3-yl, pyridin-4-yl, pyridazin-3-yl, pyridazin-4-yl, pyrimidin-2-yl, pyrimidin-4-yl, pyrimidin-5-yl, pyrazin-2-yl and 1 ,3,5-triazin-2-yl and 1 ,2,4-triazin-3-yl.
The terms "phenoxy" or "heteroaryloxy" are to be understood as meaning a respective aromatic residue, which is attached to the remainder of a molecule through an oxygen atom.
The inventive compounds I can be prepared by various routes in analogy to known processes described in the prior art, and, advantageously, by the synthesis shown in the following schemes and in the experimental part of this application.
Compounds of the formula I can be obtained by reaction of ketone II and compound III as shown in Scheme 1 . This reaction takes places by the formation of the corresponding metal species of III via insertion, for example using Mg/ZnC , Li, Mg, or by metal exchange reaction (e.g BuLi, Li-naphthalide) in an inert organic solvent, for example in THF, DME, Et20, DMF, NMP, DMSO, toluene or acetonitrile, to afford corresponding metal organic intermediates which can add to the ketone group of compound II and thus provide alcohol I, wherein X is OH.
Scheme 1 :
Compounds of formua II can be prepared for example in analogy to methods described in Organic Reactions (Hoboken, NJ, United States) 2001 , 58 or in Chemical & Pharmaceutical Bulletin 1979, 27(4), 916-922. Compounds of the formula III are literature known, commercially available or can be prepared for example in analogy to methods described in the literature, for example in WO 2000063163 A1 or in analogy with the procedures described in WO 2009075080 A1 or in WO 2012078596 A2.
Alternatively, compounds of the formula I can be synthesized via epoxide ring opening of compounds IV with an azole compound as shown in Scheme 2.
Scheme 2
IV I
In general, this reaction is carried out at temperatures between 25 and 200°C, preferably from 50 to 170°C, in an inert organic solvent preferably (e.g. THF, DME, Et20, DMF, NMP, DMSO, toluene, acetonitrile) in the presence of a base (e.g. NaH, KH, Cs2C03, NEt3, DBU, NaOAc, KOAc, K2CO3, KOH, NaOH, f-BuOK, NaOEt, DIEA, DBU) and/or a catalyst (e.g. AICI3, GaCI3, SbF5, PF3, TiCI4, S03, PF5, BMe3, 4-DMAP), in analogy to methods described in WO 20101461 12 A1 , Organic Letters 2002, 4(14), 2445-2448 or in Journal of Medicinal Chemistry 1987, 30(6), 1054-1068.
Compounds of the formula II, wherein B is -0-, -NRN- or -S- can be obtained according to the reaction sequence outlined in Scheme 3:
Scheme 3
V VI VII II
Compound VII (compound II wherein R6 is hydrogen) can be synthesized by substitution of a leaving group LG, for example a halogen such as bromine or iodine, an alkylsulfonate or alkylsulfate) in compound V with compound VI in the presence of a base (e.g. NaH, KH, Cs2C03, NEt3, DBU, NaOAc, KOAc, K2C03, KOH, NaOH, f-BuOK, NaOEt, DIEA, DBU) in an appropriate solvent, for example in THF, DME, Et20, DMF, NMP, DMSO, toluene or in acetonitrile, in analogy to procedures described in Advanced Synthesis & Catalysis 2010, 352(1 ), 81-84; Bio-Organic Chemistry 1989, (2), 303-31 1 ; Journal of the American Chemical Society 1989, 1 1 1 (1 1 ), 3908-3918; Journal of the Chemical Society or in Perkin Transactions 1 : Organic and Bio-Organic Chemistry 1983, (3), 573-580. Compounds V and VI are commercial available or literature known. Further functionalization of compound VII to give compounds II can be
achieved by the reaction with an electrophile, for example methyl iodide, ethyl iodide, isopropyl bromide, pentyl bromide, in the presence of a base, for example butyl lithium, lithium diisopropylamide; NaH, KH, KOH, NaOH, f-BuOK, NaOEt or NaOMe, in an appropriate solvent, for example THF, DME, Et20, DMF, NMP, DMSO, toluene or acetonitrile, in analogy with the procedures described for example in European Journal of Organic Chemistry 201 1 , 201 1 (35), 7189-7193 or in Organic Syntheses 1968, 48. In the case where R6 and RB1 in compounds II together form a double bond, such compounds can be obtained by the introduction of a leaving group in the position of R6 or RB1 (for example a halide, alcohol, sulfonate, sulfate) followed by elimination in analogy with the procedures described in Organic Syntheses 1957, 37 or in Organic Letters 2005, 7(7), 1415-1417. For the preparation of compounds, wherein RB1 is OH see synthesis as described in Scheme 6. Compounds of formula II wherein B is -S(0)p- can be obtained from compounds II wherein B is -S- via stepwise oxidation in analogy with reported procedures for example in Journal of Sulfur Chemistry 201 1 , 32(5), 435- 441 , Journal of Sulfur Chemistry 201 1 , 32(1 ), 93-98 or in European Journal of Inorganic Chemistry 201 1 , (5), 727-738.
Compounds VI, wherein B is -0-, -S(=0)p- or -NRN- and wherein Y is -0-, -S(=0)p-, -N(RYN)-, -CRY1RY2-, -C≡C-, -CRY7=RY8-or -CRY3RY4CRY5RY6- can be synthesized as described in Scheme 4 by the reaction of a suitable compound Via and halide Vlb, wherein X is a halogen, for example fluorine, chlorine or bromine and in which B is protected, for example in the form of a trimethylsilylether , f-butyldimethylsilylether, triisopropylsilylether, triethylsilylether, f- butyloxycarbonylether, flurorenylmethoxy- carbonylester). These reactions take place in the presence of a base (e.g. Na2C03, EtN(/-Pr)2, f-BuOK, Cs2C03, NaH, KH, NaOH, KOH, K2C03, Et3N, NaOEt, KOEt) and/or a catalyst (e.g. Cul, Cu(OAc)2, PdCI2, Pd(PPh3)4, PdCI2(PPh3)2, Pd(OAc)2, CuS04/02, CuO/02, CuS04/02) in an inert organic solvent, for example in THF, DME, Et20, DMF, NMP, DMSO, toluene or acetonitrile, in analogy with the procedures described for example in WO 2009071504 A1 , Applied Organometallic Chemistry 2012, 26(8), 445- 447, Tetrahedron 201 1 , 67(5), 1002-1010, Catalysis Science & Technology 201 1 , 1 (4), 569-573, WO 2012126984 A1 , Tetrahedron 2012, 68(24), 4869-4881 or in Green Chemistry 2010, 12(1 1 ), 2024-2029. Compounds VI can be obtained after deprotection of compound Vic in analogy with reported procedures in Synthesis 1982, (7), 583-584; Journal of the American Chemical Society 1992, 1 14, 998-1010 or in Journal of the American Chemical Society 1990, 1 12, 7001-7031. Compounds Via and Vlb are commercial available or they are literature known.
Scheme 4
PG PG
VB solvent NB
I base and/or I deprotection
/ catalyst \
Z_YH + (R4)n — " " (R4)nJ— " Vl
Via vib Vic
Compounds of the formula II, wherein B is -CRB1RB2- can be obtained according to the reaction sequence outlined in Scheme 5:
Scheme 5
VIII IX x XI
Compounds of formula II, wherein B is -CRB1RB2- can be synthesized by substitution of a leaving group LG, for example a halogen such as chlorine, bromine or iodine, an alkylsulfonate or alkylsulfate, in compound IX with compound VIII in the presence of a base, for example NaH, KH, KOH, NaOH, f-BuOK, NaOEt, DIEA, DBU, morpholine, butyl lithium, lithium diisopropylamide or potassium tert-pentyloxide, in an appropriate solvent, for example in THF, DME, Et20, DMF, NMP, DMSO, toluene, acetonitrile, MeOH or EtOH in analogy with the procedures described in Tetrahedron 2005, 61 (45), 10757-10773 or in European Journal of Medicinal Chemistry 2009, 44(6), 2563-2571 . Compounds VIII and IX are commercial available or literature known or can be prepared in analogy to the preparation of compounds VI as described above. Further functionalization of compound X can be achieved in analogy with the reported procedure for the conversion of compound VII to compound II in Scheme 3. Alternatively, compounds of the formula XI II can be obtained via aldol condensation of ketone VIII and carbonyl compound XII. This reaction takes places in the presence of a suitable base, for example NaH, KH, KOH, NaOH, f-BuOK, NaOEt, DIEA, DBU, morpholine, butyl lithium, lithium diisopropylamide or proline, in an appropriate solvent, for example in THF, DME, Et20, DMF, NMP, DMSO, toluene, acetonitrile, MeOH or EtOH, in analogy with the procedures described in Tetrahedron 1984, 44(15), 4927- 4940 or in Journal of the American Chemical Society 2003, 125(9), 2475-2479. Compounds of the formula XII are commercial available or literature known. Moreover, compounds XIII can be further functionalized in analogy with the procedure described for compound VII after protection of the hydroxyl group, for example by introducing a f-
butyldimethylsilyl ether, methoxymethyl ether, f-butyldiphenylsilyl ether or a benzylic ether.
Scheme 6
Compounds IX and XII can be obtained from benzylic alcohol IXa. Compounds IX after transformation of the hydroxyl in a leaving group and compounds XII after oxidation as shown in Scheme 7. These compounds can be synthesized in analogy with the procedures described in Tetrahedron Letters 2011 , 52(1 ), 13-16 or in Journal of Coordination Chemistry 2012, 65(6), 1071-1081.
Scheme 7
Compounds IXa wherein Y is O, S(=0)P, N(RYN), -CRY1RY2-, -C≡C-, -CRY7=RY8- or -CRY3RY4CRY5RY6- can be synthesized for example by the reaction of compounds Vld and IXb or Via and IXc as shown in Scheme 8, wherein X is, for example, a halide or a proton. These reaction take place in the presence of a base (e.g. Na2CO3, EtN(/- Pr)2, i-BuOK, Cs2CO3, NaH, KH, NaOH, KOH, K2CO3, NaOEt, KOEt, Et3N)and/or a catalyst (e.g. Cul, Cu(OAc)2, PdCI2, Pd(PPh3)4, PdCI2(PPh3)2, Pd(OAc)2, CuSO /O2, CuO/O2, CuSO /O2) in an inert organic solvent, for example in THF, DME, Et2O, DMF, NMP, DMSO, toluene or acetonitrile, in analogy to procedures reported in WO 2005060949 A2, Tetrahedron 201 1 , 67(5), 1002-1010; Synthesis 2012, 44(10), 1507-1510; Journal of Organic Chemistry 2006, 71 (1 ), 379-381 ; Organic Letters 2012, 14(5), 1202-1205 or in Chemistry - A European Journal 2012, 18(19), 6039-6048. Compounds IXb, Via and IXc are commercial available or their preparation is known from literature. Scheme 8
IXb Vld Via IXc
Compounds of the formula IV can be synthesized by epoxidation of ketone II. This reaction is shown in Scheme 9 and takes places in the presence of a suitable epoxidation reagent, for example trimethylsulfoxonium, diiodomethane/Mg, dimethyl sulfate/methyl sulfide, diethyl sulfate/ethyl sulfide, in the presence of a base, for example NaH, NaOH, KH, KOH, KH, Cs2C03, NEt3, DBU, NaOAc, KOAc, K2C03, KOH, NaOH, f-BuOK, NaOEt, butyl lithium, in an appropriate solvent, for example in THF, DME, Et20, DMF, NMP, DMSO, toluene, acetonitrile, Et20 or CH2CI2, in analogy with the procedures described in Synthetic Communications 1985, 15(8), 749-757 or in Organic Syntheses 1969, 49.
Scheme 9
Alternatively, epoxide IV can be synthesized via alkene XIV as shown in Scheme 10. Alkene XIV can be synthesized by the reaction of ketone II and a suitable olefination reagent, for example the Tebbe reagent, i.e. titanocene dichloride and
trimethylaluminium, dihalogenemethane, methylmagnesium halide, phosphonium salts of type R3P-CHR1R2 or phosphonate salts of type (RO)3P-CHR1R2) in the present of a base, for example TMEDA, f-BuOK, lithium diisopropylamide, butyl lithium, NaOMe, potassium bis(trimethylsilyl)amide, or an additive, for example PbCI2, Zn, TiCU, CsF, in an inert solvent, for example THF, DME, Et20, DMF, NMP, DMSO, toluene,
acetonitrile, in analogy to methods described in Organic Letters 2010, 12(6), 1332- 1335; WO 2012/051036 A1 , Organic Reactions (Hoboken, NJ, United States) 2004, 64, Chemical Communications 2002, (20), 2394-2395; Chimia 1982, 36(10), 396-7; Journal of Organic Chemistry 1992, 57(6), 1707-12; European Journal of Organic Chemistry 2006, (21 ), 4916-4923; Synthetic Communications 1982, 12(6), 469-75; Bioorganic &
Medicinal Chemistry 2004, 12(16), 4313-4336; Journal of the American Chemical Society 1974, 96(5), 1607-9, Tetrahedron 1981 , 37, 3873-3888, Tetrahedron Letters 1983, 24, 4405-4408 or in Journal of Organic Chemistry 1997, 62, 1934-1939. Epoxide IV can be prepared from the reaction of alkene XIV and an epoxidising reagent, for example H2O2, m-CPBA, t-BuOOH or oxone, in an inert solvent, for example in THF, DME, Et20, DMF, NMP, DMSO, toluene or acetonitrile, in analogy to methods described in Synthesis 2005, (1 1 ), 1822-1828 or in Journal of Organic Chemistry 1991 , 56(19), 5553-5556.
Scheme 10
XIV IV
Compounds lc, wherein R1 and R2 together with carbon atom to which they are bound form a vinyl group (C*=CR11R12), can be obtained following a procedure as shown in Scheme 1 1 :
Sche
Compounds I, wherein R1 and R2 are hydrogen, can be oxidized to alcohol la. This reaction takes places in the presence of an oxidating reagent, for example potassium osmate or Os04 and an additive, for example mopholineoxide or pyridine, in an inert organic solvent, for example THF, DME, Et20, DMF, NMP, DMSO, toluene or
acetonitrile, in analogy to methods described in WO 201 1 1 16663 A1 or in Chemistry - A European Journal 2008, 14(12), 3605-3619.
Ketone lb can be synthesized by further oxidation (e.g. using Martin's reagent, PCC, oxalyl chloride, Mn02, 4-methylmorpholine A/-oxide) in analogy with reported methods in Organic Letters 2012, 14(18), 4898-4901 ; Inorganic Chemistry 2012, 51 (17), 9385- 9394.
Alkene Ic can be synthesized by the reaction of ketone lb and a suitable olefination reagent, for example the Tebbe reagent, dihalogenemethane, methylmagnesium halide, phosphonium salts of type R3P-CHR1R2 or phosphonate salts of type (RO)3P-CHR1R2, in the presence of a base (e.g. TMEDA, f-BuOK, LDA, BuLi, NaOMe, potassium bis(trimethylsilyl)amide) and/or an additive (e.g. PbC , Zn, TiCU, CsF) in an inert solvent, for example THF, DME, Et20, DMF, NMP, DMSO, toluene or acetonitrile, in analogy to methods described in Organic Letters 2010, 12(6), 1332-1335; WO 2012051036 A1 , Organic Reactions (Hoboken, NJ, United States) 2004, 64, Chemical Communications 2002, (20), 2394-2395; WO 2012051036 A1 ; Chimia 1982, 36(10), 396-397; Journal of Organic Chemistry 1992, 57(6), 1707-1712; European Journal of Organic Chemistry 2006, (21 ), 4916-4923; Synthetic Communications 1982, 12(6), 469-475; Bioorganic & Medicinal Chemistry 2004, 12(16), 4313-4336; Journal of the American Chemical Society 1974, 96(5), 1607-1609; Tetrahedron 1981 , 37, 3873- 3888; Tetrahedron Letters 1983, 24, 4405-4408 or in Journal of Organic Chemistry 1997, 62, 1934-1939.
Compounds of the formula I wherein D is SH or halogen can be prepared starting from compounds I wherein D is hydrogen upon reaction with a base, for example butyl lithium, lithium diisopropylamide, lithium hexamethyldisilazide, potassium
hexamethyldisilazide, lithium 2,2,6,6-tertramethylpiperidide or zink 2,2,6,6- tertramethylpiperidide, at low temperature in a suitable solvent such as Et.20, MTBE or THF, followed by addition of a suitable electrophile, for example Ss, CH3-S-S-CH3, , ICI, C2F4Br2, to obtain correspondingly substituted azole compounds as has been described in Tetrahedron Letters 201 1 , 52(36), 4590-4594; WO 2006/102194 A1 , Journal of Organic Chemistry 2009, 74(21 ), 8309-8313; WO 201 1/1 13820 A1 ; WO 2012/025506 A1 , WO 9616048 A1 or in Synthesis 1999, 1 , 100-106.
Compounds I wherein D is SCN can be obtained by treating a compound I wherei D is SH with cyanogen halide such as Br-CN or CI-CN and a base (organic or inorganic base such as K2CO3, NaOH, KOH or NEt.3, DBU) in a suitable solvent such as acetone, MeCN or THF in analogy to methods reported in: WO 2009/077497 A2 or in Chemical & Pharmaceutical Bulletin 1964, 12(2), 182-191 . Compounds I wherein D is SH can be functionalized at the sulfur atom using standard procedures, for example with an alkylation agent such as metyl iodide in the presence of an organic or inorganic base
such as K2CO3, NaOH, KOH or NEt.3 or DBU, in a suitable solvent such as acetone, MeCN or THF. These compounds can be synthesized for example in analogy with reported methods in: WO 2012047762 A2, Heteroatom Chemistry 2010, 20(7), 405- 410, Khimiya Geterotsiklicheskikh Soedinenii 1977, (1 1 ), 1561 -1563, Indian Journal of Heterocyclic Chemistry 1999, 8(4), 341 -342 or in WO 201 1 1 13820 A1 .
Compounds of the formula I wherein X is OR3 can be obtained from the reaction of compounds of the formula I wherein X is OH in the presence of an electrophile (e.g. Mel, ethyl bromide, cyclopropyl bromide, 1 ,4-dibromobutane, propargyl bromide, methyl chloroformate, allyl bromide, acetylene, cyclohexene, cyclopentene, phenol) and a base (e.g. NaH, KH, f-BuOK, NaH, KOH, Et3N, LDA, imidazole, K2CO3, Cs2C03) and in an inert organic solvent preferably (e.g. THF, DME, Et20, DMF, NMP, DMSO, toluene, acetonitrile). These compounds can be synthesized in analogy with the procedures described in: Chemische Berichte 1986, 1 19(12), 3672-3693; Journal of Organic Chemistry 201 1 , 76(14), 5825-5831 ; Synlett 2001 , 1962-1964; Tetrahedron 1987, 43(10), 231 1 -2316; Organometallics 2003, 22(19), 3915-3920; Tetrahedron 2007, 63(37), 9071 -9081 ; Tetrahedron 2007, 63(37), 9071 -9081 or in Journal of Organometallic Chemistry 1987, 334(1 -2), 225-242. Compounds of the formula I wherein X is CN can be synthesized from compounds I wherein X is OH by transformation of the OH group into a leaving group as described above for compounds V followed by substitution with an appropriate cyanide source (Organic Process Research & Development 2012, 16(8), 1385-1392; WO 2012024150 A1 ; US 20100056637 A1 ; Organic Letters 2008, 10(20), 4573-4576). Such nitriles can also be obtained from compounds I wherein X is OH in presence of a reagent, for example cyanuric trichloride, NaCN, tetrabutylammonium cyanide and/or an additive (for example N-tosylimidazole, Bu4NI, Bu4NCI, Bu4NBr, TMSCI, DDQ, PPh3) in an inert organic solvent (for example THF, DME, Et20, DMF, NMP, DMSO, toluene, acetonitrile). These compounds can be prepared for example in analogy to methods described in: Letters in Organic Chemistry 2005, 2(8), 725-730, Tetrahedron Letters 2007, 48(38), 6779-6784, Journal of Organic Chemistry 2004, 69(7), 2562-2564 or in Organic Chemistry: An Indian Journal 2008, 4(1 ), 32-35.
If individual compounds I cannot be obtained by the routes described above, they can be prepared by derivatization of other compounds I. The N-oxides may be prepared from the compounds I according to conventional oxidation methods, e. g. by treating compounds I with an organic peracid such as metachloroperbenzoic acid (cf. WO 03/64572 or J. Med. Chem. (1995), 38(1 1 ), 1892-1903,); or with inorganic oxidizing agents such as hydrogen peroxide (cf. J. Heterocyc. Chem. (1981 ), 18 (7), 1305-1308) or oxone (cf. J. Am. Chem. Soc. (2001 ), 123 (25), 5962-5973). The oxidation may lead to pure mono-N-oxides or to a mixture of different N-oxides, which can be separated by
conventional methods such as chromatography.
In one aspect the invention relates to intermediates of formula II. In another aspect the invention relates to intermediates of formula IV. In a further aspect the invention relates to intermediates of formula VII. In still another aspect the invention relates to intermediates of formula X. In yet another aspect the invention relates to intermediates of formula XI. In one aspect the invention relates to intermediates of formula XIII. In one aspect the invention relates to intermediates of formula XIV. If the synthesis yields mixtures of isomers, a separation is generally not necessarily required since in some cases the individual isomers can be interconverted during workup for use or during application (e. g. under the action of light, acids or bases). Such conversions may also take place after use, e. g. in the treatment of plants in the treated plant, or in the harmful fungus to be controlled.
The reaction mixtures are worked up in a customary manner, for example by mixing with water, separating the phases and, if appropriate, chromatic purification of the crude products. In some cases, the intermediates and end products are obtained in the form of colorless or slightly viscous oils which can be freed from volatile components or purified under reduced pressure and at moderately elevated temperatures. If the intermediates and end products are obtained as solids, purification can also be carried out by recrystallization or digestion.
Agriculturally useful salts of the compounds I encompass especially the salts of those cations or the acid addition salts of those acids whose cations and anions, respectively, have no adverse effect on the fungicidal action of the compounds I. Suitable cations are thus in particular the ions of the alkali metals, preferably sodium and potassium, of the alkaline earth metals, preferably calcium, magnesium and barium, of the transition metals, preferably manganese, copper, zinc and iron, and also the ammonium ion which, if desired, may carry one to four Ci-C4-alkyl substituents and/or one phenyl or benzyl substituent, preferably diisopropylammonium, tetramethylammonium, tetrabutylammonium, trimethylbenzylammonium, furthermore phosphonium ions, sulfonium ions, preferably tri(Ci-C4-alkyl)sulfonium, and sulfoxonium ions, preferably tri(Ci-C4-alkyl)sulfoxonium.
Anions of useful acid addition salts are primarily chloride, bromide, fluoride,
hydrogensulfate, sulfate, dihydrogenphosphate, hydrogenphosphate, phosphate, nitrate, bicarbonate, carbonate, hexafluorosilicate, hexafluorophosphate, benzoate, and the anions of Ci-C4-alkanoic acids, preferably formate, acetate, propionate and butyrate. They can be formed by reacting a compound I with an acid of the
corresponding anion, preferably of hydrochloric acid, hydrobromic acid, sulfuric acid, phosphoric acid or nitric acid.
In the following, the meaning of the substituents of the compounds used according to
the invention is further defined. Thereby, in each case the substituents are meant to have the given meanings and preferred meaning on their own or in any combination with the meanings or preferred meanings of any other substituent. The groups mentioned herein in tables A and B, as well as in tables 1 to 2754, for a combination of substituents are furthermore, independently of the combination in which they are mentioned, particularly preferred embodiments of the substituent or of the combination of substituents in question.
A according to the invention is N or CH. According to one embodiment A is N.
According to a further embodiment A is CH.
D according to the present invention is hydrogen, halogen or SRD, wherein RD is hydrogen, CN, Ci-C6-alkyl, Ci-C6-haloalkyl, C2-C6-alkenyl, C2-C6-haloalkenyl, C2-C6- alkynyl or C2-C6-haloalkynyl.
In a preferred embodiment D is hydrogen, halogen, SH, SCN or S-CH2-CH=CH2
(S-allyl). According to one embodiment D is hydrogen. According to a further embodiment, D is halogen, in particular iodine. According to another preferred embodiment D is SRD. According to a particular embodiment, RD is H. In yet another preferred embodiment RD isCN. In a further preferred embodiment RDis -CH2-CH=CH2.
R1 and R2 according to the invention are independently selected from the group consisting of hydrogen, halogen, CN, NO2, OH, SH, Ci-C6-alkyl, Ci-C6-alkoxy, C1-C6- alkylthio, Ci-C6-alkylsulfinyl, Ci-C6-alkylsulfonyl, C2-C6-alkenyl, C2-C6-alkynyl, C3-Cs- cycloalkyl, C3-C8-cycloalkyloxy, C3-C8-cycloalkyl-Ci-C4-alkyl, NH2, NH(Ci-C4-alkyl), N(Ci-C4-alkyl)2, NH(C3-C6-cycloalkyl), N(C3-C6-cycloalkyl)2, C(=0)-Ci-C4-alkyl,
C(=0)OH, C(=0)-0-Ci-C4-alkyl, C(=0)-NH(Ci-C4-alkyl), C(=0)-N(Ci-C4-alkyl)2, C(=0)-NH(C3-C6-cycloalkyl), C(=0)-N(C3-C6-cycloalkyl)2, phenyl, heteroaryl, phenyl- Ci-C4-alkyl and heteroaryl-Ci-C4-alkyl, wherein the heteroaryl radical in the last- mentioned groups is 5- or 6-membered; and wherein the aliphatic, alicyclic and aromatic moieties of R1 are unsubstituted or substituted by one, two, three or four or up to the maximum possible number of independently selected substituents R1a; wherein R1a is halogen, CN, N02, OH, SH, NH2, Ci-C6-alkyl, d-C6-haloalkyl, Ci-C6-alkoxy, Ci-C6-haloalkoxy, Ci-C6-alkylthio, Ci-C6-haloalkylthio, C3-C8-cycloalkyl or Ci-C4-alkoxy- Ci-C4-alkyl.
R2 according to the invention is hydrogen, halogen, CN, NO2, OH, SH, Ci-C6-alkyl, Ci-C6-alkoxy, Ci-C6-alkylthio, Ci-C6-alkylsulfinyl, Ci-C6-alkylsulfonyl, C2-C6-alkenyl, C2-C6-alkynyl, C3-C8-cycloalkyl, C3-C8-cycloalkyloxy, C3-C8-cycloalkyl-Ci-C4-alkyl, NH2, NH(Ci-C4-alkyl), N(Ci-C4-alkyl)2, NH(C3-C6-cycloalkyl), N(C3-C6-cycloalkyl)2,
C(=0)-Ci-C4-alkyl, C(=0)OH, C(=0)-0-Ci-C4-alkyl, C(=0)-NH(Ci-C4-alkyl),
C(=0)-N(Ci-C4-alkyl)2, C(=0)-NH(C3-C6-cycloalkyl), C(=0)-N(C3-C6-cycloalkyl)2, phenyl, heteroaryl, phenyl-Ci-C4-alkyl or heteroaryl-Ci-C4-alkyl, wherein the heteroaryl group in the last-mentioned groups is 5- or 6-membered; and wherein the aliphatic, alicyclic and
aromatic moieties of R2 are unsubstituted or substituted by one, two, three or four or up to the maximum possible number of independently selected substituents R2a; wherein R2a is halogen, CN, N02, OH, SH, NH2, Ci-C6-alkyl, Ci-C6-haloalkyl, d-C6-alkoxy, Ci-C6-haloalkoxy, Ci-C6-alkylthio, Ci-C6-haloalkylthio, Cs-Cs-cycloalkyl or d-d-alkoxy- Ci-C4-alkyl.
According to a preferred embodiment of the invention R2 is hydrogen, halogen, CN, N02, OH , SH, Ci-Ce-alkyl, Ci-C6-alkoxy, Ci-C6-alkylthio, Ci-C6-alkylsulfinyl, Ci-C6- alkylsulfonyl, C2-C6-alkenyl, C2-C6-alkynyl, Cs-Cs-cycloalkyl, C3-Cs-cycloalkyloxy, d-Cs- cycloalkyl-Ci-C4-alkyl, NH2, NH(Ci-C4-alkyl), N(Ci-C4-alkyl)2, N H(C3-C6-cycloalkyl), N(C3-C6-cycloalkyl)2, C(=0)-Ci-C4-alkyl, C(=0)OH, C(=0)-0-Ci-C4-alkyl,
C(=0)-NH(Ci-C4-alkyl), C(=0)-N(Ci-C4-alkyl)2, C(=0)-NH(C3-C6-cycloalkyl), C(=0)- N(C3-C6-cycloalkyl)2, phenyl, heteroaryl, phenyl-Ci-C4-alkyl or heteroaryl-Ci-C4-alkyl, wherein the heteroaryl radical in the last-mentioned groups is 5- or 6-membered; and wherein the aliphatic, alicyclic and aromatic moieties of R2 are unsubstituted or substituted by one, two, three or four or up to the maximum possible number of independently selected substituents R2a; wherein R2a is halogen, CN, NO2, OH, SH, NH2, Ci-Ce-alkyl, Ci-C6-haloalkyl, Ci-C6-alkoxy, Ci-C6-haloalkoxy, Ci-C6-alkylthio, Ci-C6-haloalkylthio, Cs-Cs-cycloalkyl or Ci-C4-alkoxy-Ci-C4-alkyl.
According to another preferred embodiment of the invention R2 is halogen, CN , NO2, OH, SH, Ci-Ce-alkyl, Ci-C6-alkoxy, Ci-C6-alkylthio, Ci-C6-alkylsulfinyl, Ci-C6- alkylsulfonyl, C2-C6-alkenyl, C2-C6-alkynyl, Cs-Cs-cycloalkyl, C3-Cs-cycloalkyloxy, d-Cs- cycloalkyl-Ci-C4-alkyl, NH2, NH(Ci-C4-alkyl), N(Ci-C4-alkyl)2, NH(C3-C6-cycloalkyl), N(C3-C6-cycloalkyl)2, C(=0)-Ci-C4-alkyl, C(=0)OH, C(=0)-0-Ci-C4-alkyl, C(=0)- NH(Ci-C4-alkyl), C(=0)-N(Ci-C4-alkyl)2, C(=0)-NH(C3-C6-cycloalkyl), C(=0)-N(C3-C6- cycloalkyl)2, phenyl, heteroaryl, phenyl-Ci-C4-alkyl or heteroaryl-Ci-C4-alkyl, wherein the heteroaryl radical in the last-mentioned groups is 5- or 6-membered; and wherein the aliphatic, alicyclic and aromatic moieties of R2 are unsubstituted or substituted by one, two, three or four or up to the maximum possible number of independently selected substituents R2a; wherein R2a is halogen, CN, N02, OH, SH, NH2, Ci-Ce-alkyl, Ci-C6-haloalkyl, Ci-C6-alkoxy, Ci-C6-haloalkoxy, Ci-C6-alkylthio, Ci-C6-haloalkylthio, C3-Cs-cycloalkyl or Ci-C4-alkoxy-Ci-C4-alkyl.
According to a further preferred embodiment R2 is hydrogen, halogen, CN, NO2, OH, SH, Ci-C6-alkyl, Ci-C6-hydroxyalkyl, Ci-C6-haloalkyl, Ci-C6-alkoxy, Ci-C6-haloalkoxy, d-Ce-alkylthio, Ci-Ce-haloalkylthio, Ci-C4-alkoxy-Ci-C4-alkyl, C2-C6-alkenyl, C2-C6- alkynyl, C2-C6-haloalkenyl, C2-C6-haloalkynyl, Cs-Cs-cycloalkyl, Cs-Cs-cycloalkyloxy, C3-Cs-cycloalkyl-Ci-C4-alkyl, NH2, NH(Ci-C4-alkyl) or N(Ci-C4-alkyl)2. Preferably, R2 is halogen, CN, N02, OH, NH2, N(CH3)2, Ci-Ce-alkyl, Ci-C6-haloalkyl, Ci-C6-alkoxy, Ci-C6-haloalkoxy, Ci-C6-alkylthio, Ci-C6-haloalkylthio, Ci-C4-alkoxy-Ci-C4-alkyl, C2-C6-alkenyl, C2-C6-alkynyl or Cs-Cs-cycloalkyl.
According to another preferred embodiment R2 is halogen, CN, NO2, OH, SH, Ci-Ce- alkyl, Ci-C6-hydroxyalkyl, Ci-drhaloalkyl, Ci-C6-alkoxy, Ci-C6-haloalkoxy, Ci-dr alkylthio, Ci-drhaloalkylthio, Ci-C4-alkoxy-Ci-C4-alkyl, C2-C6-alkenyl, C2-C6-alkynyl, C2-C6-haloalkenyl, d-drhaloalkynyl, Cs-Cs-cycloalkyl, Cs-Cs-cycloalkyloxy, C3-C8-
cycloalkyl-Ci-C4-alkyl, NH2, NH(Ci-C4-alkyl) or N(Ci-C4-alkyl)2. Preferably, R2 is halogen, CN, N02, OH, NH2, N(CH3)2, Ci-C6-alkyl, Ci-C6-haloalkyl, Ci-C6-alkoxy,
Ci-C6-haloalkoxy, Ci-C6-alkylthio, Ci-C6-haloalkylthio, Ci-C4-alkoxy-Ci-C4-alkyl, C2-C6-alkenyl, C2-C6-alkynyl or Cs-Cs-cycloalkyl.
In still a further preferred embodiment R2 is hydrogen, halogen, CN, OH, NH2, N(CH3)2, Ci-C6-alkyl, Ci-C6-haloalkyl, Ci-C6-alkoxy, Ci-C6-haloalkoxy, C2-C6-alkenyl, C2-C6- alkynyl or Cs-Cs-cycloalkyl.
In yet another preferred embodiment R2 is halogen, CN, OH, NH2, N(CHs)2, Ci-C6-alkyl, Ci-C6-haloalkyl, Ci-C6-alkoxy, Ci-C6-haloalkoxy, C2-C6-alkenyl, C2-C6-alkynyl or C3-Cs- cycloalkyl.
In another preferred embodiment R2 is hydrogen, halogen, CN, OH, NH2, N(CH3)2, Ci-C6-alkyl, Ci-C6-alkoxy, C2-C6-alkenyl, C2-C6-alkynyl and Cs-Cs-cycloalkyl.
In still another preferred embodiment R2 is halogen, CN, OH, NH2, N(CHs)2, Ci-C6-alkyl, Ci-C6-alkoxy, C2-C6-alkenyl, C2-C6-alkynyl and Cs-Cs-cycloalkyl.
According to a further preferred embodiment of the invention, R2 is Cs-Cs-cycloalkyl, phenyl or 5- or 6-membered heteroaryl, wherein the alicyclic and aromatic moieties of R2 are unsubstituted or substituted by one, two, three or four or up to the maximum possible number of independently selected substituents R2a. In another preferred embodiment R2 is Cs-Cs-cycloalkyl, in particular cyclopropyl.
According to a further preferred embodiment of the invention, R2 is phenyl or 5- or 6- membered heteroaryl, wherein the aromatic moieties of R2 is unsubstituted or substituted by one, two, three or four or up to the maximum possible number of independently selected substituents R2a.
In another preferred embodiment R2 is C2-C6-alkenyl, in particular 2-propenyl, or C2-C6- alkynyl, in particular 2-propynyl and 2-butynyl.
In one further preferred aspect of the invention R2 is Ci-C6-haloalkyl, in particular CF3 or CHF2, or Ci-C6-haloalkoxy, in particular OCF3 or OCHF2.
In a preferred embodiment R2 is halogen, in particular chlorine or bromine.
According to a further preferred embodiment R2 is Ci-C6-alkyl, in particular Ci-C4-alkyl, more particularly methyl, ethyl and 1 -methylethyl.
Furthermore, in a preferred embodiment R2 is Ci-C6-alkoxy, in particular methoxy, ethoxy or 1 -methylethoxy.
In another preferred embodiment R2 is C2-C6-alkenyl, in particular 2-propenyl, or C2-C6- alkynyl, in particular 2-propynyl and 2-butynyl. In one further aspect of the invention R2 is Ci-C6-haloalkyl, in particular CF3 or CHF2, or Ci-C6-haloalkoxy, in particular OCF3 or OCHF2. In another preferred embodiment R2 is hydrogen.
According to one embodiment of the invention R1 is hydrogen, halogen, CN, N02, OH, SH, d-Ce-alkyl, Ci-C6-alkoxy, Ci-C6-alkylthio, Ci-C6-alkylsulfinyl, Ci-C6-alkylsulfonyl, C2-C6-alkenyl, C2-C6-alkynyl, Cs-Cs-cycloalkyl, Cs-Cs-cycloalkyloxy, C3-Cs-cycloalkyl-Ci- C4-alkyl, NH2, NH(Ci-C4-alkyl), N(Ci-C4-alkyl)2, NH(C3-C6-cycloalkyl), N(C3-C6- cycloalkyl)2, C(=0)-Ci-C4-alkyl, C(=0)OH, C(=0)-0-Ci-C4-alkyl, C(=0)-NH(Ci-C4-alkyl), C(=0)-N(Ci-C4-alkyl)2, C(=0)-NH(C3-C6-cycloalkyl), C(=0)-N(C3-C6-cycloalkyl)2, phenyl,
heteroaryl, phenyl-Ci-C4-alkyl or heteroaryl-Ci-C4-alkyl, wherein the heteroaryl radical in the last-mentioned groups is 5- or 6-membered; and wherein the aliphatic, alicyclic and aromatic moieties of R1 are unsubstituted or substituted by one, two, three or four or up to the maximum possible number of independently selected substituents R1a; wherein R1a is halogen, CN , N02, OH, SH, NH2, Ci-C6-alkyl, Ci-Ce-haloalkyI, Ci-C6-alk- oxy, Ci-C6-haloalkoxy, Ci-C6-alkylthio, Ci-C6-haloalkylthio, Cs-Cs-cycloalkyl or C1-C4- alkoxy-Ci-C4-alkyl and R2 is independently as defined or preferably defined above. According to another embodiment R1 is hydrogen, halogen, CN, NO2, OH, SH, C1-C6- alkyl, Ci-C6-hydroxyalkyl, Ci-C6-haloalkyl, Ci-C6-alkoxy, Ci-C6-haloalkoxy, C1-C6- alkylthio, d-Ce-haloalkylthio, Ci-C4-alkoxy-Ci-C4-alkyl, C2-Ce-alkenyl, C2-Ce-alkynyl, C2-C6-haloalkenyl, C2-C6-haloalkynyl, Cs-Cs-cycloalkyl, C3-Cs-cycloalkyloxy, C3-C8- cycloalkyl-Ci-C4-alkyl, NH2, NH(Ci-C4-alkyl) or N(Ci-C4-alkyl)2 and R2 is independently as defined for R1 or hydrogen. Preferably, R1 is hydrogen, halogen, CN, NO2, OH, NH2, N(CH3)2, d-Ce-alkyl, Ci-Ce-haloalkyl, Ci-C6-alkoxy, Ci-Ce-haloalkoxy, Ci-C6-alkylthio, Ci-Ce-haloalkylthio, Ci-C4-alkoxy-Ci-C4-alkyl, C2-Ce-alkenyl, C2-Ce-alkynyl or Cs-Cs- cycloalkyl and R2 is as defined or preferably defined above. In a further preferred embodiment R1 is hydrogen, halogen, CN, OH, NH2, N(CH3)2, d-Ce-alkyl, Ci-Ce- haloalkyl, Ci-C6-alkoxy, Ci-C6-haloalkoxy, C2-C6-alkenyl, C2-C6-alkynyl or Cs-Cs- cycloalkyl and R2 is independently as defined or preferably defined above.
In yet another preferred embodiment R1 is halogen, CN, NO2, OH, NH2, N(CHs)2, Ci-C6-alkyl, Ci-C6-haloalkyl, Ci-C6-alkoxy, Ci-C6-haloalkoxy, Ci-C6-alkylthio, C1-C6- haloalkylthio, Ci-C4-alkoxy-Ci-C4-alkyl, C2-C6-alkenyl or C2-C6-alkynyl or Cs-Cs- cycloalkyl, and R2 is a radical as defined for R1 or hydrogen.
In still another preferred embodiment R1 is hydrogen, halogen, CN, OH, NH2, N(CHs)2, Ci-C6-alkyl, Ci-C6-alkoxy, C2-C6-alkenyl, C2-C6-alkynyl and Cs-Cs-cycloalkyl and R2 is independently as defined or preferably defined above.
In one aspect of the invention R1 is CN and R2 is as defined or preferably defined above. In a further aspect R1 is CN and R2 is CN. In yet another aspect R1 is CN and R2 is hydrogen.
In a further specific aspect of the invention R1 is OH, SH or NH2 and R2 is as defined or preferably defined above. In still another specific aspect R2 is hydrogen and R1 is OH, SH or NH2. In a further aspect R2 is hydrogen and R1 is OH, SH or NH2.
In one preferred embodiment R1 is C2-C6-alkenyl, in particular 2-propenyl, or C2-C6- alkynyl, in particular 2-propynyl and 2-butynyl and R2 is as defined or preferably defined above. In a preferred embodiment R2 is hydrogen and R1 is C2-C6-alkenyl, in particular 2-propenyl, or C2-C6-alkynyl, in particular 2-propynyl and 2-butynyl.
In another preferred embodiment R1 is Ci-C6-haloalkyl, in particular CF3 or CHF2, or Ci-C6-haloalkoxy and R2 is as defined or preferably defined above. In one further aspect of the invention R2 is hydrogen and R1 is Ci-C6-haloalkyl, in particular CF3 or CHF2, or Ci-C6-haloalkoxy, in particular OCF3 or OCHF2.
In a further preferred embodiment R1 is Cs-Cs-cycloalkyl, phenyl or 5- or 6-membered heteroaryl, wherein the alicyclic and aromatic moieties of R1 are unsubstituted or
substituted by one, two, three or four or up to the maximum possible number of independently selected substituents R1a and R2 is as defined or preferably defined above. In still another preferred embodiment R2 is hydrogen and R1 is Cs-Cs-cycloalkyl, phenyl or 5- or 6-membered heteroaryl, wherein the alicyclic and aromatic moieties of R1 are unsubstituted or substituted by one, two, three or four or up to the maximum possible number of independently selected substituents R1a.
According to a further embodiment of the invention, R1 is phenyl or 5- or 6-membered heteroaryl, wherein the aromatic moieties of R1 are unsubstituted or substituted by one, two, three or four or up to the maximum possible number of independently selected substituents R1a and R2 is independently as defined or preferably defined above.
According to yet another embodiment of the invention R2 is hydrogen and R1 is phenyl or 5- or 6-membered heteroaryl, wherein the aromatic moieties of R1 are unsubstituted or substituted by one, two, three or four or up to the maximum possible number of independently selected substituents R1a.
In another preferred embodiment R1 is Cs-Cs-cycloalkyl, in particular cyclopropyl and R2 is as defined or preferably defined above. In still a further preferred embodiment R2 is hydrogen and R1 is Cs-Cs-cycloalkyl, in particular cyclopropyl.
In still another specific aspect of the invention R2 and R1 are hydrogen. According to one embodiment of the invention R1 and R2 together with the carbon atom to which they are bound (denominated as C*) form a vinyl group C*=CR11R22, wherein R11 and R22 are as defined or preferably defined below; or R1 and R2 together with the carbon atom to which they are bound form a saturated or partially unsaturated three-, four-, five-, six- or seven-membered carbocycle or a saturated or partially unsaturated three-, four-, five-, six- or seven-membered heterocycle, wherein the heterocycle includes beside carbon atoms one, two, three or four heteroatoms independently selected from the group consisting of N, O and S, and wherein the carbo- and heterocycle are unsubstituted or carry one, two, three or four independently selected substituents R12 as defined and preferably defined below, and wherein one or two Chb groups of the carbo- or heterocycle may be replaced by one or two groups
independently selected from the group of C(=0) and C(=S).
According to a further embodiment of the invention R1 and R2 together with the carbon atom to which they are bound (denominated as C*) form a vinyl group C*=CR11R22, wherein R11 and R22 are as defined or preferably defined below; or R1 and R2 together with the carbon atom to which they are bound form a saturated or partially unsaturated three-, four-, five-, six- or seven-membered carbocycle, which is unsubstituted or carries one, two, three or four independently selected substituents R12 as defined and preferably defined below, and wherein one or two Chb groups of the carbocycle may be replaced by one or two groups independently selected from the group of C(=0) and C(=S).
According to a further embodiment of the invention R1 and R2 together with the carbon atom to which they are bound (denominated as C*) form a vinyl group C*=CR11R22, wherein R11 and R22 are as defined or preferably defined below. R11 and R22 according to the invention are independently selected from the group consisting of hydrogen, halogen, CN, NO2, OH, SH, NH2, Ci-C6-alkyl, Ci-C6-haloalkyl, Ci-C6-alkoxy, Ci-C6-haloalkoxy, Ci-C6-alkylthio, Ci-C6-haloalkylthio and Ci-C4-alkoxy- Ci-C4-alkyl. In another preferred embodiment R1 and R2 are independently selected from the group consisting of hydrogen, halogen and Ci-C6-alkyl. In a further preferred embodiment R11 and R22 are hydrogen
In a further embodiment of the invention R1 and R2 together with the carbon atom to which they are bound form a saturated or partially unsaturated three-, four-, five-, six- or seven-membered carbocycle or a saturated or partially unsaturated three-, four-, five-, six- or seven-membered heterocycle, wherein the heterocycle includes beside carbon atoms one, two, three or four heteroatoms independently selected from the group consisting of N, O and S, and wherein the carbo- and heterocycle are unsubstituted or carry one, two, three or four independently selected substituents R12 as defined and preferably defined below, wherein one or two CH2 groups of the carbo- or heterocycle may be replaced by one or two groups independently selected from the group of C(=0) and C(=S), such as in, for example, cyclopropanone, cyclopentanone, cyclopropanethione, cyclopentanethione, 5-oxazolone, cyclohexane-1 ,4-dione, cyclohexane-1 ,4-dithione. According to another embodiment of the invention R1 and R2 together with the carbon atom to which they are bound form a saturated or partially unsaturated three-, four-, five-, six- or seven-membered carbocycle which is unsubstituted or carries one, two, three or four independently selected substituents R12 as defined and preferably defined below.
In one preferred embodiment R1 and R2 together with the carbon atom to which they are bound form a saturated carbocycle, in particular selected from the group consisting of cyclopropyl, cyclobutyl, cyclopentyl, cyclohexyl and cycloheptyl, wherein the carbocycle in each case is unsubstituted or carries one, two, three or four
independently selected substituents R12 as defined and preferably defined below. In another preferred embodiment R1 and R2 together with the carbon atom to which they are bound form a partially unsaturated carbocycle, in particular selected from the group consisting of cyclopentenyl, cyclopentadienyl and cyclohexenyl and wherein the carbocycle is unsubstituted or carries one, two, three or four independently selected substituents R12 as defined and preferably defined below.
In a specific embodiment thereof, R1 and R2 together with the carbon atom to which they are bound form a cyclopropyl ring which is unsubstituted or carries one, two, three or four independently selected substituents R12 as defined and preferably defined below.
According to a further specific embodiment R1 and R2 together with the carbon atom to which they are bound form a cyclobutyl ring which is unsubstituted or carries one, two, three or four independently selected substituents R12 as defined and preferably defined below.
In still a further specific embodiment of the invention R1 and R2 together with the carbon atom to which they are bound form a cyclopentyl ring which is unsubstituted or carries one, two, three or four independently selected substituents R12 as defined and preferably defined below.
In yet another preferred embodiment R1 and R2 together with the carbon atom to which they are bound form a cyclohexyl ring which is unsubstituted or carries one, two, three or four independently selected substituents R12 as defined and preferably defined below.
According to still another embodiment of the invention R1 and R2 together with the carbon atom to which they are bound form a saturated or partially unsaturated three-, four-, five-, six- or seven-membered heterocycle, in particular a three-, four- or five- membered heterocycle, wherein the heterocycle includes beside carbon atoms one, two, three or four, in particular one or two, heteroatoms independently selected from the group consisting of N, O and S, and wherein the heterocycle is unsubstituted or carries one, two, three or four independently selected substituents R12 as defined and preferably defined below.
In one specific embodiment thereof R1 and R2 form a heterocycle selected from the group consisting of oxirane, aziridine, thiirane, oxetane, azetidine, thiethane, 2- tetrahydrofuranyl, 3-tetrahydrofuranyl, 2-tetrahydrothienyl and 3-tetrahydrothienyl, wherein the heterocycle is unsubstituted or carries one, two, three or four
independently selected substituents R12 as defined and preferably defined below. In a further specific embodiment R1 and R2 together with the carbon atom to which they are bound form an oxirane which is unsubstituted or carries one, two, three or four independently selected substituents R12 as defined and preferably defined below. In still a further specific embodiment of the invention R1 and R2 together with the carbon atom to which they are bound form an oxetane which is unsubstituted or carries one, two, three or four independently selected substituents R12 as defined and preferably defined below. R12 according to the invention is in each case independently selected from the group consisting of halogen, CN, N02, OH, SH, NH2, Ci-C6-alkyl, d-C6-haloalkyl,
Ci-C6-alkoxy, Ci-C6-haloalkoxy, Ci-C6-alkylthio, Ci-C6-haloalkylthio, Ci-C4-alkoxy- Ci-C4-alkyl, phenyl or phenoxy; wherein the phenyl moieties of R12 are unsubstituted or substituted by one, two, three or four independently selected substituents R12a; wherein R12a is halogen, CN, N02, OH, SH, NH2, Ci-C6-alkyl, Ci-C6-haloalkyl, Ci-C6-alkoxy,
Ci-C6-haloalkoxy, Ci-C6-alkylthio, Ci-C6-haloalkylthio, Cs-Cs-cycloalkyl or Ci-C4-alkoxy- Ci-C4-alkyl.
In a preferred embodiment R12 is halogen, CN , NO2, OH , SH , N H2, Ci-C6-alkyl, Ci-C6-haloalkyl, Ci-C6-alkoxy, Ci-C6-haloalkoxy, Ci-C6-alkylthio, Ci-C6-haloalkylthio or C 1 -C4-a I koxy-C 1 -C4-a I ky I .
In another preferred embodiment R12 is halogen, CN , Ci-C6-alkyl, Ci-C6-haloalkyl, Ci-C6-alkoxy or Ci-C6-haloalkoxy. In another preferred embodiment R12 is halogen, CN or Ci-C6-alkyl. In yet another preferred embodiment R12 is halogen, in particular fluorine. In a further preferred embodiment R12 is chlorine. In still another preferred aspect of the invention R12 is Ci-C6-alkyl, in particular Ci-C4-alkyl, even more preferably methyl.
X according to the invention is OR3 or CN . In one embodiment X is CN . According to another embodiment X is OR3, wherein R3 is hydrogen, Ci-C6-alkyl, C2-C6-alkenyl, C2-C6-alkynyl, Cs-Cs-cycloalkyl, C3-C0-cycloalkyl-Ci-C4-alkyl, Ci-C6-alkylsulfonyl, phenylsulfonyl,
C(=0)-N H(Ci-C4-alkyl),
phenyl, phenyl-Ci-C -alkyl, phenyl- C2-C4-alkenyl or phenyl-C2-C4-alkynyl; wherein the aliphatic, alicyclic and aromatic moieties of R3 in each case either do not carry any further substituents or in each case may further carry one, two, three or four or up to the maximum possible number of independently selected substituents R3a as defined or preferably defined below.
According to one specific embodiment thereof, R3 is hydrogen.
According to a further embodiment R3 is hydrogen Ci-C6-alkyl, Ci-C6-hydroxyalkyl, Ci-C6-haloalkyl, Ci-C4-alkoxy-Ci-C4-alkyl, C2-C6-alkenyl, C2-C6-alkynyl,
C2-C6-haloalkenyl, C2-C6-haloalkynyl, Cs-Cs-cycloalkyl, C3-Cs-cycloalkyl-Ci-C4-alkyl, d-Ce-alkylsulfonyl, phenylsulfonyl,
C(=0)-N H(Ci-C4-alkyl),
phenyl, phenyl-Ci-C4-alkyl, phenyl-C2-C4-alkenyl or phenyl-C2-C4-alkynyl; wherein the aliphatic, alicyclic and aromatic moieties of R3 in each case either do not carry any further substituents or in each case may further carry one, two, three or four or up to the maximum possible number of independently selected substituents R3a as defined or pereferably defined below.
In another embodiment of the invention R3 is hydrogen, Ci-C6-alkyl, C1-C6- hydroxyalkyl, Ci-C6-haloalkyl, Ci-C4-alkoxy-Ci-C4-alkyl, C2-C6-alkenyl, C2-C6-alkynyl, C2-C6-haloalkenyl, C2-C6-haloalkynyl, Cs-Cs-cycloalkyl, C3-Cs-cycloalkyl-Ci-C4-alkyl, Ci-Ce-alkylsulfonyl,
phenyl or wherein the aliphatic, alicyclic and aromatic groups of R3 in each case either do not carry any further substituents or in each case may further carry one, two, three or four or up to the maximum possible number of independently selected substituents R3a as defined and preferably defined below.
In another aspect of the invention R3 is hydrogen, Ci-C6-alkyl, C2-C6-alkenyl, C2-C6- alkynyl, Ci-C -alkoxy-Ci-C6-alkyl,
d-Ce-alkylsulfonyl, phenyl or phenyl-Ci-C4-alkyl, wherein aliphatic, alicyclic and aromatic groups of R3 in each case either do not carry any further substituents or in each case may further carry one, two, three or four or up to the maximum possible number of independently selected
substituents R3a as defined and preferably defined below.
In a further preferred aspect of the invention R3 is C(=0)-Ci-C4-alkyl, in particular COCH3. In another preferred aspect R3 is Ci-C6-alkylsulfonyl, in particular
methylsulfonyl.
In another preferred aspect of the invention R3 is Ci-C6-alkyl, in particular Ci-C4-alkyl, more particularly methyl or ethyl. In a further preferred aspect R3 is C2-C6-alkenyl, in particular 2-propenyl. In yet another preferred embodiment R3 is C2-C6-alkynyl, in particular 2-propynyl or 2-butynyl.
According to one further specific embodiment, R3 is phenyl, which is unsubstituted or carries one, two, three or four or up to the maximum possible number of independently selected substituents R3a as defined and preferably defined below. According to another preferred embodiment R3 is phenyl-Ci-C4-alkyl, in particular benzyl, wherein the aromatic moiety is unsubstituted or carries one, two, three or four or up to the maximum possible number of independently selected substituents R3a as defined and preferably defined below.
In one specific embodiment of the invention R3 is Ci-C4-alkoxy-Ci-C6-alkyl, in particular methoxymethyl.
R3a according to the invention is halogen, CN, NO2, OH, Ci-C4-alkyl, C1-C4- halogenalkyl, C3-C8-cycloalkyl, Ci-C4-alkoxy or Ci-C4-halogenalkoxy.
In a preferred embodiment R3a is halogen, in particular F and CI, Ci-C4-alkoxy, in particular methoxy, or Ci-C4-alkyl, in particular methyl and ethyl.
R4 according to the present invention is independently selected from the group consisting of halogen, CN, N02, OH, SH, Ci-Ce-alkyI, Ci-C6-alkoxy, Ci-C6-alkylthio, Ci- C6-alkylsulfinyl, Ci-C6-alkylsulfonyl, C2-C6-alkenyl, C2-C6-alkynyl, Cs-Cs-cycloalkyl, C3- Cs-cycloalkyloxy, C3-C8-cycloalkyl-Ci-C4-alkyl, NH2, NH(Ci-C4-alkyl), N(Ci-C4-alkyl)2, NH(C3-C6-cycloalkyl), N(C3-C6-cycloalkyl)2, C(=0)-Ci-C4-alkyl, C(=0)OH,
C4-alkyl, C(=0)-NH(Ci-C4-alkyl), C(=0)-N(Ci-C4-alkyl)2, C(=0)-NH(C3-C6-cycloalkyl) and C(=0)-N(C3-C6-cycloalkyl)2; wherein the aliphatic and alicyclic moieties of R4 are unsubstituted or substituted by one, two, three or four or up to the maximum possible number of independently selected substituents R4a; wherein R4a is halogen, CN, NO2, OH, Ci-C4-alkyl, Ci-C4-haloalkyl, C3-C8-cycloalkyl, Ci-C4-alkoxy or Ci-C4- halogenalkoxy.
In another preferred embodiment R4 is independently selected from the group consisting of halogen, CN, NO2, OH, SH, Ci-C6-alkyl, Ci-C6-haloalkyl, Ci-C6-alkoxy, Ci-C6-haloalkoxy, Ci-C6-alkylthio, Ci-C6-haloalkylthio, Ci-C4-alkoxy-Ci-C4-alkyl,
C2-C6-alkenyl, C2-C6-alkynyl, C2-C6-haloalkenyl, C2-C6-haloalkynyl, C3-C8-cycloalkyl, C3-C8-cycloalkyloxy and C3-C8-cycloalkyl-Ci-C4-alkyl.
In one specific embodiment R4 is independently selected from the group consisting of halogen, CN, NO2, OH, C-i-Ce-alkyl, d-Ce-haloalkyl, Ci-Ce-alkoxy, d-Ce-haloalkoxy, C2-C6-alkenyl, C2-C6-alkynyl, C2-C6-haloalkenyl and C2-C6-haloalkynyl.
In another preferred embodiment R4 is independently selected from the group consisting of halogen, in particular fluorine and chlorine, and Ci-C6-haloalkyl, in particular CF3 or CHF2.
In still another preferred aspect of the invention R4 is CN.
According to the invention n is 0, 1 , 2, 3 or 4. In a preferred embodiment n is 1 , 2, 3 or 4. In another preferred embodiment n is 0, 1 , 2 or 3. In another preferred embodiment n is 1 , 2 or 3. In a preferred aspect n is 0, 1 or 2. In still another preferred aspect n is 1 or 2. In a further preferred embodiment n is 1 . In yet another preferred embodiment n is 2.
According to one embodiment of the invention n is 1 , 2, 3 or 4, in particular 1 , 2 or 3, wherein in each case one radical R4 is located in ortho-position of the phenyl ring with respect to the triazole bearing moiety. In another preferred aspect of the invention n is 1 , 2, 3 or 4, in particular 1 , 2 or 3, wherein in each case one radical R4 is located in para-position of the phenyl ring with respect to the triazole bearing moiety. In a preferred embodiment n is 1 , 2, 3 or 4, in particular 1 , 2 or 3, or particularly 1 or 2, wherein in each case one R4 is located in ortho- and one R4 is located in para-position of the phenyl ring with respect to the triazole bearing moiety. In still another preferred embodiment, n is 1 and R4 is located in ortho-position of the phenyl ring with respect to the triazole bearing moiety. In a further preferred embodiment n is 1 and R4 is located in para-position of the phenyl ring with respect to the triazole bearing moiety. In a specific embodiment, n is 1 and R4 is chlorine, which is located in ortho-position of the phenyl ring with respect to the triazole bearing moiety. In yet another specific embodiment, n is 1 and R4 is CF3, which is located in ortho-position of the phenyl ring with respect to the triazole bearing moiety.
R5 according to the invention is independently selected from the group consisting of halogen, CN, N02, OH, SH , d-C6-alkyl, d-Ce-hydroxyalkyl, Ci-C6-haloalkyl, d-C6-alk- oxy, Ci-C6-haloalkoxy, Ci-C6-alkylthio, Ci-C6-haloalkylthio, Ci-C6-alkylsulfinyl, C1-C6- haloalkylsulfinyl, Ci-C6-alkylsulfonyl, Ci-C6-haloalkylsulfonyl, Ci-C4-alkoxy-Ci-C4-alkyl, Ci-C4-alkoxy-Ci-C4-alkoxy, C2-C6-alkenyl, C2-C6-alkynyl, C2-C6-haloalkenyl,
C2-C6-haloalkynyl, Cs-Cs-cycloalkyl, Cs-Cs-cycloalkyloxy and C3-C8-cycloalkyl-Ci-C4- alkyl; or two radicals R5 together with the ring carbon atom to which they are bound (denominated as C*) form a vinyl group C*=CR51 R52; whereas said ring is otherwise unsubstituted or substituted by one or two further radicals R5 as defined above;
wherein R51 and R52 are independently selected from the group consisting of hydrogen, halogen, CN, N02, OH, SH, NH2, Ci-C6-alkyl, Ci-C6-haloalkyl, Ci-C6-alkoxy,
Ci-C6-haloalkoxy, Ci-C6-alkylthio, Ci-C6-haloalkylthio and Ci-C4-alkoxy-Ci-C4-alkyl; or two radicals R5 together with the ring carbon atom to which they are bound form a saturated or partially unsaturated three-, four-, five-, six- or seven-membered carbocycle or a saturated or partially unsaturated three-, four-, five-, six- or seven- membered heterocycle; whereas said ring is otherwise unsubstituted or substituted by one or two further radicals R5 as defined above; wherein the heterocycle includes
beside carbon atoms one, two, three or four heteroatoms independently selected from the group consisting of N, O and S, and wherein the carbo- and heterocycle are unsubstituted or carry one, two, three or four independently selected substituents R53; and one or two Chb groups of the carbo- or heterocycle may be replaced by one or two groups independently selected from the group of C(=0) and C(=S); wherein R53 is halogen, CN, N02, OH, SH, NH2, Ci-C6-alkyl, d-C6-haloalkyl, Ci-C6-alkoxy,
Ci-C6-haloalkoxy, Ci-C6-alkylthio, Ci-C6-haloalkylthio or Ci-C4-alkoxy-Ci-C4-alkyl. In one embodiment of the invention R5 is independently selected from the group consisting of hydrogen, halogen, CN , NO2, OH, SH , Ci-C6-alkyl, Ci-C6-hydroxyalkyl, d-Ce-haloalkyl, d-Ce-alkoxy, d-Ce-haloalkoxy, d-d-alkylthio, d-Ce-haloalkylthio, d-d-alkoxy-d-d-alkyl, d-d-alkenyl, d-d-alkynyl, d-d-haloalkenyl,
d-d-haloalkynyl, d-Cs-cycloalkyl, d-Cs-cycloalkyloxy and d-Cs-cycloalkyl-d-d- alkyl.
In another embodiment R5 is independently selected from the group consisting of hydrogen, halogen, CN, Ci-C6-alkyl, Ci-d-haloalkyl, Ci-C6-alkoxy, Ci-C6-haloalkoxy, Ci-C4-alkoxy-Ci-C4-alkyl, C2-C6-alkenyl, d-d-alkynyl, d-d-cycloalkyl and d-d- cycloa I kyl-Ci -C4-a I kyl .
According to a further embodiment R5 is independently selected from the group consisting of hydrogen, halogen, Ci-C6-alkyl, Ci-drhaloalkyl, d-d-alkoxy, Ci-d- haloalkoxy and Cs-Cs-cycloalkyl.
In a peferred embodiment R5 is hydrogen. According to a further embodiment R5 is halogen, in particular fluorine and chlorine. In another embodiment R5 is Ci-d-alkyl, preferably Ci-d-alkyl, in particular methyl, ethyl or 1-methylethyl. In a further aspect R5 is d-d-alkoxy, in particular methoxy and ethoxy.
In one aspect of the invention two radicals R5, which are bound to the same carbon atom, are hydrogen, halogen, Ci-d-alkyl, Ci-d-haloalkyl, Ci-d-alkoxy or Ci-d- haloalkoxy. In a further peferred embodiment two radicals R5, which are bound to the same carbon atom, are halogen, in particular fluorine or chlorine. In still another peferred embodiment two radicals R5, which are bound to the same carbon atom, are Ci-d-alkyl, in particular methyl.
According to one embodiment of the invention two radicals R5 together with the carbon atom of the central alicyclic ring to which they are bound (denominated as C*) form a vinyl group C*=CR51 R52, whereas said central alicyclic ring is otherwise unsubstituted or substituted by one or two further radicals R5 as defined above; wherein R51 and R52 are independently selected from the group consisting of hydrogen, halogen, CN, NO2, OH, SH, NH2, d-Ce-alkyl, Ci-d-haloalkyl, Ci-d-alkoxy, Ci-d-haloalkoxy, Ci-d- alkylthio, Ci-d-haloalkylthio and Ci-d-alkoxy-Ci-d-alkyl, in particular hydrogen, halogen, CN, Ci-d-alkyl, Ci-d-haloalkyl, Ci-d-alkoxy and Ci-d-haloalkoxy.
In another preferred embodiment two radicals R5 together with the carbon atom of the central alicyclic ring to which they are bound form a vinyl group C*=CR51 R52, whereas said central alicyclic ring is otherwise unsubstituted or substituted by one or two further radicals R5 as defined above; wherein R51 and R52 are independently selected from the
group consisting of hydrogen, halogen and Ci-C6-alkyl. In a further preferred embodiment R51 and R52 are hydrogen.
In a further embodiment of the invention two radicals R5 together with the carbon atom of the central alicyclic ring to which they are bound form a saturated or partially unsaturated three-, four-, five-, six- or seven-membered, in particular three-, four- or five-membered, carbocycle or a saturated or partially unsaturated three-, four-, five-, six- or seven-membered, in particular three-, four- or five-membered heterocycle, whereas said central alicyclic ring is otherwise unsubstituted or substituted by one or two further radicals R5 as defined above; wherein the heterocycle includes beside carbon atoms one, two, three or four, in particular one or two, heteroatoms
independently selected from the group consisting of N, O and S, and wherein the carbo- and heterocycle is unsubstituted or carries one, two, three or four independently selected substituents R53 as defined and preferably defined below; and wherein one or two CH2 groups of the carbo- or heterocycle may be replaced by one or two groups independently selected from the group of C(=0) and C(=S), such as in, for example, cyclopropanone, cyclopentanone, cyclopropanethione, cyclopentanethione, 5- oxazolone, cyclohexane-1 ,4-dione, cyclohexane-1 ,4-dithione. According to another embodiment of the invention two radicals R5 together with the carbon atom of the central alicyclic ring to which they are bound form a saturated or partially unsaturated three-, four-, five-, six- or seven-membered carbocycle, whereas said central alicyclic ring is otherwise unsubstituted or substituted by one or two further radicals R5 as defined above; and the carbocycle is unsubstituted or carries one, two, three or four independently selected substituents R53 as defined and preferably defined below.
In one preferred embodiment two radicals R5 together with the carbon atom of the central alicyclic ring to which they are bound form a saturated carbocycle, whereas said central alicyclic ring is otherwise unsubstituted or substituted by one or two further radicals R5 as defined above; in particular the carbocycle is selected from the group consisting of cyclopropyl, cyclobutyl, cyclopentyl, cyclohexyl and cycloheptyl ,wherein the carbocycle in each case is unsubstituted or carries one, two, three or four independently selected substituents R53 as defined and preferably defined below. In another preferred embodiment two radicals R5 together with the carbon atom of the central alicyclic ring to which they are bound form a partially unsaturated carbocycle, whereas said central alicyclic ring is otherwise unsubstituted or substituted by one or two further radicals R5 as defined above; in particular the carbocycle is selected from the group consisting cyclopentenyl, cyclopentadienyl and cyclohexenyl and wherein the carbocycle is unsubstituted or carries one, two, three or four independently selected substituents R53 as defined and preferably defined below.
In a specific embodiment thereof, two radicals R5 together with the carbon atom of the central alicyclic ring to which they are bound form a cyclopropyl ring, whereas said central alicyclic ring is otherwise unsubstituted or substituted by one or two further
radicals R5 as defined above; and wherein the cycloproply ring is unsubstituted or carries one, two, three or four independently selected substituents R53 as defined and preferably defined below.
According to a further specific embodiment two radicals R5 together with the carbon atom of the central alicyclic ring to which they are bound form a cyclobutyl ring, whereas said central alicyclic ring is otherwise unsubstituted or substituted by one or two further radicals R5 as defined above; and wherein the cyclobutyl ring which is unsubstituted or carries one, two, three or four independently selected substituents R53 as defined and preferably defined below.
In still a further specific embodiment of the invention two radicals R5 together with the carbon atom of the central alicyclic ring to which they are bound form a cyclopentyl ring, whereas said central alicyclic ring is otherwise unsubstituted or substituted by one or two further radicals R5 as defined above; and wherein the cyclopentyl ring which is unsubstituted or carries one, two, three or four independently selected substituents R53 as defined and preferably defined below.
In yet another preferred embodiment two radicals R5 together with the carbon atom of the central alicyclic ring to which they are bound form a cyclohexyl ring, whereas said central alicyclic ring is otherwise unsubstituted or substituted by one or two further radicals R5 as defined above; and wherein the cyclohexyl ring which is unsubstituted or carries one, two, three or four independently selected substituents R53 as defined and preferably defined below.
According to still another embodiment of the invention two radicals R5 together with the carbon atom of the central alicyclic ring to which they are bound form a saturated or partially unsaturated three-, four-, five-, six- or seven-membered heterocycle, in particular a three-, four- or five-membered heterocycle, whereas said central alicyclic ring is otherwise unsubstituted or substituted by one or two further radicals R5 as defined above; and wherein the heterocycle includes beside carbon atoms one, two, three or four, in particular one or two, heteroatoms independently selected from the group consisting of N, O and S, and wherein the heterocycle is unsubstituted or carries one, two, three or four independently selected substituents R53 as defined and preferably defined below.
In one specific embodiment thereof two radicals R5 together with the carbon atom of the central alicyclic ring to which they are bound form a heterocycle selected from the group consisting of oxirane, aziridine, thiirane, oxetane, azetidine, thiethane, 2- tetrahydrofuranyl, 3-tetrahydrofuranyl, 2-tetrahydrothienyl and 3-tetrahydrothienyl, whereas said central alicyclic ring is otherwise unsubstituted or substituted by one or two further radicals R5 as defined above; wherein the heterocycle is unsubstituted or carries one, two, three or four independently selected substituents R53 as defined and preferably defined below.
In a further specific embodiment two radicals R5 together with the carbon atom of the central alicyclic ring to which they are bound form an oxirane ring, whereas said central alicyclic ring is otherwise unsubstituted or substituted by one or two further radicals R5
as defined above; and wherein the oxirane ring is unsubstituted or carries one, two, three or four independently selected substituents R53 as defined and preferably defined below.
In still a further specific embodiment of the invention two radicals R5 together with the carbon atom of the central alicyclic ring to which they are bound form an oxetane ring, whereas said central alicyclic ring is otherwise unsubstituted or substituted by one or two further radicals R5 as defined above; and wherein the oxetane ring is unsubstituted or carries one, two, three or four independently selected substituents R53 as defined and preferably defined below.
R53 according to the invention is in each case independently selected from the group consisting of halogen, CN, N02, OH, SH, NH2, Ci-C6-alkyl, d-C6-haloalkyl,
Ci-C6-alkoxy, Ci-C6-haloalkoxy, Ci-C6-alkylthio, Ci-C6-haloalkylthio and Ci-C4-alkoxy- Ci-C4-alkyl.
In a preferred aspect R53 in each case is halogen, CN, NO2, OH, SH, NH2, Ci-C6-alkyl, Ci-C6-haloalkyl, Ci-C6-alkoxy, Ci-C6-haloalkoxy, Ci-C6-alkylthio, Ci-C6-haloalkylthio or Ci-C4-alkoxy-Ci-C4-alkyl. In another preferred embodiment R53 is halogen, CN, C1-C6- alkyl, Ci-C6-haloalkyl, Ci-C6-alkoxy or Ci-C6-haloalkoxy. In another preferred embodiment R53 is halogen, CN or Ci-C6-alkyl. In yet another preferred embodiment R53 is halogen, in particular fluorine. In a further preferred embodiment R53 is chlorine. In still another preferred aspect of the invention R53 is Ci-C6-alkyl, in particular C1-C4- alkyl, even more preferably methyl.
According to the invention r is 0, 1 , 2, 3 or 4. In a preferred embodiment r is 1 , 2, 3 or 4. In another preferred embodiment r is 0, 1 , 2 or 3. In another preferred embodiment r is 1 , 2 or 3. In a preferred aspect r is 0, 1 or 2. In still another preferred aspect r is 1 or 2. In a further preferred embodiment r is 1. In yet another preferred embodiment the invention relates to compounds I wherein r is 2. In a further preferred embodiment r is 2 and the groups R5 are attached to the same carbon atom.
R6 according to the invention is hydrogen or Ci-C6-alkyl. In one embodiment of the invention R6 is hydrogen. In another embodiment R6 is Ci-C6-alkyl, in particular methyl or ethyl. In a further preferred embodiment R6 is hydrogen and R5 is Ci-C6-alkyl, in particular methyl.
According to the invention m is 0, 1 , 2 or 3. In a preferred embodiment m is 1 or 2. In another preferred embodiment m is 1. In still another preferred embodiment m is 2.
According to the invention is a single or a double bond. In one aspect of the invention is a double bond. In another aspect τ is a single bond.
B according to the invention is a direct bond or a divalent group selected from the group consisting of -0-, -S(=0)p-, -NRN- and -CRB1RB2-; wherein p is 0, 1 or 2; RN is
hydrogen, Ci-C6-alkyl, Ci-C6-haloalkyl, C2-C4-alkenyl, C2-C4-alkynyl, Ci-C4-alkoxy-Ci- C4-alkyl, C3-C8-cycloalkyl or C3-C8-cycloalkyl-Ci-C4-alkyl; RB1 and RB2 are
independently selected from the group consisting of hydrogen, halogen, CN, NO2, OH, SH, Ci-C6-alkyl, Ci-C6-hydroxyalkyl, Ci-C6-haloalkyl, Ci-C6-alkoxy, Ci-C6-haloalkoxy, Ci-C6-alkylthio, Ci-C6-haloalkylthio, Ci-C6-alkylsulfinyl, Ci-C6-haloalkylsulfinyl, C1-C6- alkylsulfonyl, Ci-C6-haloalkylsulfonyl, Ci-C4-alkoxy-Ci-C4-alkyl, Ci-C4-alkoxy-Ci-C4- alkoxy, C2-C6-alkenyl, C2-C6-alkynyl, C2-C6-haloalkenyl, C2-C6-haloalkynyl, C3-C8- cycloalkyl, Cs-Cs-cycloalkyloxy or C3-C8-cycloalkyl-Ci-C4-alkyl; or RB1 and RB2 together with the carbon atom to which they are bound form a saturated or partially unsaturated three-, four-, five-, six- or seven-membered carbocycle or a saturated or partially unsaturated three-, four-, five-, six- or seven-membered heterocycle, wherein the heterocycle includes beside carbon atoms one, two, three or four heteroatoms independently selected from the group consisting of N, O and S, and wherein the carbo- and heterocycle are unsubstituted or carry one, two, three or four independently selected substituents RB3; and wherein one or two CH2 groups of the carbo- or heterocycle may be replaced by one or two groups independently selected from the group of C(=0) and C(=S); wherein RB3 is halogen, CN, N02, OH, SH, NH2, Ci-C6-alkyl, Ci-C6-haloalkyl, Ci-C6-alkoxy, Ci-C6-haloalkoxy, Ci-C6-alkylthio, Ci-C6-haloalkylthio or C1 -C4-a I koxy-C1 -C4-a I ky I .
In one embodiment B is a direct bond or a divalent group selected from the group consisting of a direct bond, -O- and -CRB1RB2-. In a preferred embodiment B is a direct bond. In another peferred embodiment B is -0-. In a further peferred embodiment B is - CH2-. In one preferred embodiment B is -CRB1RB2-, wherein R6 and RB1 together form a double bond, in particular wherein RB1 is hydrogen.
In still another peferred embodiment R6 and RB1 together form a double bond. In a further peferred embodiment R6 and RB1 together form a double bond and RB2 is hydrogen, halogen, CN, OH, SH, Ci-C6-alkyl, Ci-C6-haloalkyl, Ci-C6-alkoxy or Ci-C6- haloalkoxy. In yet another peferred embodiment R6 and RB1 together form a double bond and RB2 is hydrogen.
According to another embodiment of the invention RB1 and RB2 together with the carbon atom to which they are bound form a saturated or partially unsaturated three-, four-, five-, six- or seven-membered carbocycle which is unsubstituted or carries one, two, three or four independently selected substituents RB3 as defined and preferably defined below.
In one preferred embodiment RB1 and RB2 together with the carbon atom to which they are bound form a saturated carbocycle, in particular selected from the group consisting of cyclopropyl, cyclobutyl, cyclopentyl, cyclohexyl and cycloheptyl ,wherein the carbocycle in each case is unsubstituted or carries one, two, three or four
independently selected substituents RB3 as defined and preferably defined below In another preferred embodiment RB1 and RB2 together with the carbon atom to which they are bound form a partially unsaturated carbocycle, in particular selected from the
group consisting cyclopentenyl, cyclopentadienyl and cyclohexenyl and wherein the carbocycle is unsubstituted or carries one, two, three or four independently selected substituents RB3 as defined and preferably defined below.
In a specific embodiment thereof, RB1 and RB2 together with the carbon atom to which they are bound form a cyclopropyl ring which is unsubstituted or carries one, two, three or four independently selected substituents RB3 as defined and preferably defined below.
According to a further specific embodiment RB1 and RB2 together with the carbon atom to which they are bound form a cyclobutyl ring which is unsubstituted or carries one, two, three or four independently selected substituents RB3 as defined and preferably defined below.
In still a further specific embodiment of the invention RB1 and RB2 together with the carbon atom to which they are bound form a cyclopentyl ring which is unsubstituted or carries one, two, three or four independently selected substituents RB3 as defined and preferably defined below.
In yet another preferred embodiment RB1 and RB2 together with the carbon atom to which they are bound form a cyclohexyl ring which is unsubstituted or carries one, two, three or four independently selected substituents RB3 as defined and preferably defined below.
According to still another embodiment of the invention RB1 and RB2 together with the carbon atom to which they are bound form a saturated or partially unsaturated three-, four-, five-, six- or seven-membered heterocycle, in particular a three-, four- or five- membered heterocycle, wherein the heterocycle includes beside carbon atoms one, two, three or four, in particular one or two, heteroatoms independently selected from the group consisting of N, O and S, and wherein the heterocycle is unsubstituted or carries one, two, three or four independently selected substituents RB3 as defined and preferably defined below.
In one specific embodiment thereof RB1 and RB2 form a heterocycle selected from the group consisting of oxirane, aziridine, thiirane, oxetane, azetidine, thiethane, 2- tetrahydrofuranyl, 3-tetrahydrofuranyl, 2-tetrahydrothienyl and 3-tetrahydrothienyl, wherein the heterocycle is unsubstituted or carries one, two, three or four
independently selected substituents RB3 as defined and preferably defined below. In a further specific embodiment RB1 and RB2 together with the carbon atom to which they are bound form an oxirane which is unsubstituted or carries one, two, three or four independently selected substituents RB3 as defined and preferably defined below. In still a further specific embodiment of the invention RB1 and RB2 together with the carbon atom to which they are bound form an oxetane which is unsubstituted or carries one, two, three or four independently selected substituents RB3 as defined and preferably defined below.
RB3 according to the invention is in each case independently selected from the group consisting of halogen, CN, N02, OH, SH, NH2, Ci-C6-alkyl, d-C6-haloalkyl,
Ci-C6-alkoxy, Ci-C6-haloalkoxy, Ci-C6-alkylthio, Ci-C6-haloalkylthio and Ci-C4-alkoxy- Ci-C4-alkyl.
In a preferred aspect RB3 in each case is halogen, CN, NO2, OH, SH, NH2, Ci-C6-alkyl, Ci-C6-haloalkyl, Ci-C6-alkoxy, Ci-C6-haloalkoxy, Ci-C6-alkylthio, Ci-C6-haloalkylthio or Ci-C4-alkoxy-Ci-C4-alkyl. In another preferred embodiment RB3 is halogen, CN, C1-C6- alkyl, Ci-C6-haloalkyl, Ci-C6-alkoxy or Ci-C6-haloalkoxy. In another preferred embodiment RB3 is halogen, CN or Ci-C6-alkyl. In yet another preferred embodiment RB3 is halogen, in particular fluorine or chlorine. In still another preferred aspect of the invention RB3 is Ci-C6-alkyl, in particular Ci-C4-alkyl, even more preferably methyl.
Y according to the invention is a direct bond or a divalent radical selected from -0-, -S(=0)p-, -CRY1RY2-, -N(RYN)-, -CRY3RY4-CRY5RY6-, -CRY7=CY8- and -C≡C-, wherein RYN, RY , RY2, RY3, RY4, RY5, RY6, RY7 and RY8 are as defined or preferably defined below; and wherein p is 0, 1 or 2.
In another peferred embodiment Y is a direct bond or a divalent radical selected from -0-, -S(=0)2-, -CH2-, -CH2-CH2-, -CH=CH- and -C≡C-. In a further peferred
embodiment Y is a direct bond or a divalent radical selected from -0-, -S-, -S(=0)2- and
In a further aspect of the present invention Y is a direct bond or -0-.
In another aspect Y is a direct bond. Still another aspect relates to compounds wherein
Y is -0-. In still another aspect Y is -S-. According to a further aspect of the invention Y is -S(=0)2-. According to yet another peferred embodiment Y is -CH2-.
RYN, RY , RY2, RY3, RY4, RY5, RY6, RY7 and RY8 according to the invention are
independently selected from the group consisting of hydrogen, halogen, CN, nitro, OH, Ci-C4-alkyl, Ci-C4-halogenalkyl, Ci-C4-alkoxy and Ci-C4-halogenalkoxy.
In one preferred aspect of the invention RYN, RY , RY2, RY3, RY4, RY5, RY6, RY7 and RY8 are independently selected from the group consisting of hydrogen and halogen, in particular fluorine or chlorine. In a further preferred aspect RYN, RY1, RY2, RY3, RY4, RY5, RY6, RY7 and RY8 are independently selected from the group consisting of hydrogen and Ci-C4-alkyl, in particular methyl or ethyl. In a preferred aspect RYN, RY1, RY2, RY3, RY4, RY5, RY6, RY7 and RY8 are independently selected from the group consisting of hydrogen and Ci-C4-alkoxy, in particular methoxy and ethoxy. In another preferred aspect RYN, RY1, RY2, RY3, RY4, RY5, RY6, RY7 and RY8 are independently selected from hydrogen or CN. In yet another preferred aspect RYN, RY , RY2, RY3, RY4, RY5, RY6, RY7 and RY8 are independently selected from hydrogen or OH.
Z according to the invention is phenyl or a five- or six-membered heteroaryl, wherein the phenyl carries one, two, three or four radicals RL and wherein the heteroaryl is unsubstituted or substituted by one, two, three or four radicals RL as defined or preferably defined below.
In a preferred embodiment Z is phenyl or a five- or six-membered heteroaryl selected from the group consisting of pyrimidin-2-yl, pyrimidin-3-yl, pyrimidin-4-yl, pyridin-2-yl,
pyridin-3-yl, pyridin-4-yl, thiazol-2-yl, thiazol-4-yl, thiazol-5-yl, isothiazol-3-yl, isothiazol- 4-yl, isothiazol-5-yl, pyrazin-2-yl, pyridazin-3-yl, 1 ,3,5-triazin-2-yl and 1 ,2,4-triazin-3-yl; and wherein the phenyl carries one, two, three or four independently selected radicals RL , and wherein the heteroaryl is unsubstituted or carries one, two or three radicals RL, wherein RL is as defined or preferably defined below.
In another preferred embodiment Z is phenyl which carries one, two, three or four independently selected radicals RL as defined or preferably defined below.
In a further peferred embodiment Z is a five- or six-membered heteroaryl which is unsubstituted or, according to a further specific embodiment, carries one, two, three or four independently selected radicals RL as defined or preferably defined below.
In a further peferred embodiment Z is a five-membered heteroaryl which is
unsubstituted or, according to a further specific embodiment, carries one, two, three or four independently selected radicals RL as defined or preferably defined below.
In a further peferred embodiment Z is a six-membered heteroaryl which is
unsubstituted or, according to a further specific embodiment, carries one, two, three or four independently selected radicals RL as defined or preferably defined below.
According to one preferred aspect of the invention Z is selected from the group consisting of pyrimidin-2-yl, pyrimidin-3-yl, pyrimidin-4-yl, pyridin-2-yl, pyridin-3-yl, pyridin-4-yl, thiazol-2-yl, pyrazin-2-yl, pyridazin-3-yl, 1 ,3,5-triazin-2-yl, and 1 ,2,4-triazin- 3-yl; preferably Z is pyrimidin-2-yl, pyridin-2-yl, pyridin-3-yl, pyridin-4-yl and thiazol-2-yl, which is unsubstituted or, according to a further specific embodiment, carries one, two, three or four independently selected radicals RL as defined or preferably defined below.
In a further preferred embodiment Z is substituted by exactly one radical RL as defined or preferably defined below. In still another preferred embodiment Z is substituted by two independently selected radicals RL as defined or preferably defined below. In yet another preferred embodiment Z is substituted by three independently selected radicals RL as defined or preferably defined below. In another preferred embodiment Z is substituted by four independently selected radicals RL as defined or preferably defined below.
RL according to the invention is independently selected from the group consisting of halogen, CN, N02, OH, SH, d-C6-alkyl, Ci-C6-alkoxy, Ci-C6-alkylthio, Ci-C6-alkylsul- finyl, Ci-C6-alkylsulfonyl, C2-C6-alkenyl, C2-C6-alkynyl, C3-C8-cycloalkyl, C3-C3- cycloalkyloxy, C3-C8-cycloalkyl-Ci-C4-alkyl, NH2, NH(Ci-C4-alkyl), N(Ci-C4-alkyl)2,
NH(C3-C6-cycloalkyl), N(C3-C6-cycloalkyl)2, C(=0)-Ci-C4-alkyl, C(=0)OH, C(=0)-0- Ci-C4-alkyl, C(=0)-NH(Ci-C4-alkyl), C(=0)-N(Ci-C4-alkyl)2, C(=0)-NH(C3-C6-cycloalkyl), C(=0)-N(C3-C6-cycloalkyl)2, phenyl and phenyl-Ci-C4-alkyl , wherein the aliphatic, alicyclic and aromatic moieties are unsubstituted or substituted by one, two, three or four or up to the maximum possible number of independently selected substituents RLa; wherein RLa is halogen, CN, N02, OH, SH, NH2, Ci-C6-alkyl, Ci-C6-haloalkyl, Ci-C6-alk- oxy, Ci-C6-haloalkoxy, Ci-C6-alkylthio, Ci-C6-haloalkylthio or C3-C8-cycloalkyl.
In another embodiment of the invention RL is independently selected from the group consisting of halogen, CN, NO2, OH, SH, d-Ce-alkyl, d-Ce-hydroxyalkyl, Ci-Ce- haloalkyl, Ci-C6-alkoxy, Ci-C6-haloalkoxy, Ci-C6-alkylthio, Ci-C6-haloalkylthio, C1-C6- alkylsulfinyl, Ci-C6-haloalkylsulfinyl, Ci-C6-alkylsulfonyl, Ci-C6-haloalkylsulfonyl, C1-C4- alkoxy-Ci-C4-alkyl, Ci-C4-alkoxy-Ci-C4-alkoxy, C2-C6-alkenyl, C2-C6-alkynyl,
C2-C6-haloalkenyl, C2-C6-haloalkynyl, C3-C8-cycloalkyl, C3-C8-cycloalkyloxy, C3-C3- cycloalkyl-Ci-C4-alkyl and NH2, NH(Ci-C4-alkyl).
In still another embodiment RL is independently selected from the group consisting of halogen, CN, OH, Ci-C6-alkyl, Ci-C6-haloalkyl, Ci-C6-alkoxy and Ci-C6-haloalkoxy. In a further embodiment RL is independently selected from the group consisting of 2-F, 3-F, 4-F, 2-CI, 3-CI, 4-CI, 4-Br, 4-I, 4-CH3, 4-OCH3, 2-CF3, 3-CF3, 4-CF3, 2-CHF2, 3-CHF2, 4-CHF2, 2,4-F2, 2,3-F2, 2,5-F2, 2,6-F2, 3,4-F2, 3,5-F2, 2,4-CI2, 2,3-CI2, 2,5-CI2, 2,6-CI2, 3,4-CI2, 3,5-CI2, 2,4-(CH3)2, 2,4-(CF3)2, 2,4-(CHF2)2, 2-F-4-CI, 2-F-4-CF3, 2-F-4-CHF2, 2-CI-4-F, 2-CI-4-CF3, 2-CI-4-CHF2, 2-CF3-4-F, 2-CF3-4-CI, 2-CF3-4-CHF2, 2-CHF2-4-F, 2-CHF2-4-CI, 2-CHF2-4-CF3, 2-CN, 3-CN, 4-CN, 2-F-4-CN, 2-CI-4-CN, 2-CF3-4-CN and 2-CHF2-4-CN.
In yet another preferred embodiment RL is independently selected from the group consisting of 2-F, 3-F, 4-F, 2-CI, 3-CI, 4-CI, 2-CF3, 3-CF3, 4-CF3, 2,4-F2, 2,4-CI2, 2,6-CI2, 2-CN, 3-CN, 4-CN, -F-4-CN, 2-CI-4-CN.
In a further preferred embodiment RL is independently selected from the group consisting of halogen, in particular fluorine or chlorine. In a further preferred aspect RL is independently selected from the group consisting of Ci-C6-haloalkyl, in particular CF3 or CHF2. In one preferred embodiment RL is CN.
According to one preferred embodiment of the invention the group Z-Y- is attached to the phenyl ring in para-position with respect to the triazole bearing moiety. In a further preferred embodiment the group Z-Y- is attached to the phenyl ring in meta-position with respect to the triazole bearing moiety.
According to further preferred embodiments of the invention Z is a phenyl ring which is substituted by one or more radicals RL and the combination of the groups Y and Z in each case are one of the following combinations as defined in lines A-1 to A-100 in table A. The radicals RL are to be construed in positions relative to the group Y.
Table A:
line Y RL line Y RL
A-1 -0- 2-F A-9 -0- 4-CH3
A-2 -0- 3-F A-10 -0- 4-OCH3
A-3 -0- 4-F A-1 1 -0- 2-CF3
A-4 -0- 2-CI A-12 -0- 3-CF3
A-5 -0- 3-CI A-13 -0- 4-CF3
A-6 -0- 4-CI A-14 -0- 2-CHF2
A-7 -0- 4-Br A-15 -0- 3-CHF2
A-8 -0- 4-I A-16 -0- 4-CHF2
line Y RL line Y RL
A-17 -0- 2,4-F2 A-57 direct bond 4-Br
A-18 -0- 2,3-F2 A-58 direct bond 4-I
A-19 -0- 2,5-F2 A-59 direct bond 4-CH3
A-20 -0- 2,6-F2 A-60 direct bond 4-OCH3
A-21 -0- 3,4-F2 A-61 direct bond 2-CF3
A-22 -0- 3,5-F2 A-62 direct bond 3-CF3
A-23 -0- 2,4-C A-63 direct bond 4-CF3
A-24 -0- 2,3-C A-64 direct bond 2-CHF2
A-25 -0- 2,5-CI2 A-65 direct bond 3-CHF2
A-26 -0- 2,6-CI2 A-66 direct bond 4-CHF2
A-27 -0- 3,4-C A-67 direct bond 2,4-F2
A-28 -0- 3,5-CI2 A-68 direct bond 2,3-F2
A-29 -0- 2,4-(CH3)2 A-69 direct bond 2,5-F2
A-30 -0- 2,4-(CF3)2 A-70 direct bond 2,6-F2
A-31 -0- 2,4-(CHF2)2 A-71 direct bond 3,4-F2
A-32 -0- 2-F-4-CI A-72 direct bond 3,5-F2
A-33 -0- 2-F-4-CF3 A-73 direct bond 2.4-CI2
A-34 -0- 2-F-4-CHF2 A-74 direct bond 2,3-C
A-35 -0- 2-CI-4-F A-75 direct bond 2,5-CI2
A-36 -0- 2-CI-4-CF3 A-76 direct bond 2,6-CI2
A-37 -0- 2-CI-4-CHF2 A-77 direct bond 3,4-C
A-38 -0- 2-CF3-4-F A-78 direct bond 3,5-CI2
A-39 -0- 2-CF3-4-CI A-79 direct bond 2,4-(CH3)2
A-40 -0- 2-CF3-4-CHF2 A-80 direct bond 2,4-(CF3)2
A-41 -0- 2-CHF2-4-F A-81 direct bond 2,4-(CHF2)2
A-42 -0- 2-CHF2-4-CI A-82 direct bond 2-F-4-CI
A-43 -0- 2-CHF2-4-CF3 A-83 direct bond 2-F-4-CF3
A-44 -0- 2-CN A-84 direct bond 2-F-4-CHF2
A-45 -0- 3-CN A-85 direct bond 2-CI-4-F
A-46 -0- 4-CN A-86 direct bond 2-CI-4-CF3
A-47 -0- 2-F-4-CN A-87 direct bond 2-CI-4-CHF2
A-48 -0- 2-CI-4-CN A-88 direct bond 2-CF3-4-F
A-49 -0- 2-CF3-4-CN A-89 direct bond 2-CF3-4-CI
A-50 -0- 2-CHF2-4-CN A-90 direct bond 2-CF3-4-CHF2
A-51 direct bond 2-F A-91 direct bond 2-CHF2-4-F
A-52 direct bond 3-F A-92 direct bond 2-CHF2-4-CI
A-53 direct bond 4-F A-93 direct bond 2-CHF2-4-CF3
A-54 direct bond 2-CI A-94 direct bond 2-CN
A-55 direct bond 3-CI A-95 direct bond 3-CN
A-56 direct bond 4-CI A-96 direct bond 4-CN
line Y RL line Y RL
A-97 direct bond 2-F-4-CN A-99 direct bond 2-CF3-4-CN
A-98 direct bond 2-CI-4-CN A-100 direct bond 2-CHF2-4-CN
In still further preferred embodiments of the invention the combination of the groups Y and Z in each case are one of the following combinations in lines Z-1 to Z-206 in table Z:
Table Z:
in which # indicates the point of of the group Y.
Further preferred embodiments relate to compounds I wherein R1, R2, D, X, B and the position of the group Y-Z relative to the triazole bearing moiety in each case are one of the following combinations in lines B-1 to B-4200 in table B.
Y-Z
B-16 CH2CH3 CH2CH3 H CN -CH2- para
B-17 =CH2 H CN -CH2- para
B-18 cyclopropyl H CN -CH2- para
B-19 cyclobutyl H CN -CH2- para
B-20 cyclopentyl H CN -CH2- para
B-21 cyclohexyl H CN -CH2- para
B-22 1 -triazolyl H H CN -CH2- para
B-23 2-pyridinyl H H CN -CH2- para
B-24 3-pyridinyl H H CN -CH2- para
B-25 4-pyridinyl H H CN -CH2- para
B-26 H H SH CN -CH2- para
B-27 CHs H SH CN -CH2- para
B-28 CH2CH3 H SH CN -CH2- para
B-29 CH2CH2CH3 H SH CN -CH2- para
B-30 CH(CH3)2 H SH CN -CH2- para
B-31 OCH3 H SH CN -CH2- para
B-32 OCH2CH3 H SH CN -CH2- para
B-33 OCH(CH3)2 H SH CN -CH2- para
B-34 F H SH CN -CH2- para
B-35 CI H SH CN -CH2- para
B-36 Br H SH CN -CH2- para
B-37 OH H SH CN -CH2- para
B-38 NH2 H SH CN -CH2- para
B-39 N(CH3)2 H SH CN -CH2- para
B-40 CHs CHs SH CN -CH2- para
B-41 CH2CH3 CH2CH3 SH CN -CH2- para
B-42 =CH2 SH CN -CH2- para
B-43 cyclopropyl SH CN -CH2- para
B-44 cyclobutyl SH CN -CH2- para
B-45 cyclopentyl SH CN -CH2- para
B-46 cyclohexyl SH CN -CH2- para
B-47 1 -triazolyl H SH CN -CH2- para
B-48 2-pyridinyl H SH CN -CH2- para
B-49 3-pyridinyl H SH CN -CH2- para
B-50 4-pyridinyl H SH CN -CH2- para
B-51 H H S-allyl CN -CH2- para
line R1 R2 D X B position
Y-Z
B-52 CHs H S-allyl CN -CH2- para
B-53 CH2CH3 H S-allyl CN -CH2- para
B-54 CH2CH2CH3 H S-allyl CN -CH2- para
B-55 CH(CH3)2 H S-allyl CN -CH2- para
B-56 OCH3 H S-allyl CN -CH2- para
B-57 OCH2CH3 H S-allyl CN -CH2- para
B-58 OCH(CH3)2 H S-allyl CN -CH2- para
B-59 F H S-allyl CN -CH2- para
B-60 CI H S-allyl CN -CH2- para
B-61 Br H S-allyl CN -CH2- para
B-62 OH H S-allyl CN -CH2- para
B-63 NH2 H S-allyl CN -CH2- para
B-64 N(CH3)2 H S-allyl CN -CH2- para
B-65 CHs CH3 S-allyl CN -CH2- para
B-66 CH2CH3 CH2CH3 S-allyl CN -CH2- para
B-67 =CH2 S-allyl CN -CH2- para
B-68 cyclopropyl S-allyl CN -CH2- para
B-69 cyclobutyl S-allyl CN -CH2- para
B-70 cyclopentyl S-allyl CN -CH2- para
B-71 cyclohexyl S-allyl CN -CH2- para
B-72 1 -triazolyl H S-allyl CN -CH2- para
B-73 2-pyridinyl H S-allyl CN -CH2- para
B-74 3-pyridinyl H S-allyl CN -CH2- para
B-75 4-pyridinyl H S-allyl CN -CH2- para
B-76 H H SCN CN -CH2- para
B-77 CHs H SCN CN -CH2- para
B-78 CH2CH3 H SCN CN -CH2- para
B-79 CH2CH2CH3 H SCN CN -CH2- para
B-80 CH(CH3)2 H SCN CN -CH2- para
B-81 OCH3 H SCN CN -CH2- para
B-82 OCH2CH3 H SCN CN -CH2- para
B-83 OCH(CH3)2 H SCN CN -CH2- para
B-84 F H SCN CN -CH2- para
B-85 CI H SCN CN -CH2- para
B-86 Br H SCN CN -CH2- para
B-87 OH H SCN CN -CH2- para
line R1 R2 D X B position
Y-Z
B-88 NH2 H SCN CN -CH2- para
B-89 N(CH3)2 H SCN CN -CH2- para
B-90 CHs CH3 SCN CN -CH2- para
B-91 CH2CH3 CH2CH3 SCN CN -CH2- para
B-92 =CH2 SCN CN -CH2- para
B-93 cyclopropyl SCN CN -CH2- para
B-94 cyclobutyl SCN CN -CH2- para
B-95 cyclopentyl SCN CN -CH2- para
B-96 cyclohexyl SCN CN -CH2- para
B-97 1 -triazolyl H SCN CN -CH2- para
B-98 2-pyridinyl H SCN CN -CH2- para
B-99 3-pyridinyl H SCN CN -CH2- para
B-100 4-pyridinyl H SCN CN -CH2- para
B-101 H H H OH -CH2- para
B-102 CHs H H OH -CH2- para
B-103 CH2CH3 H H OH -CH2- para
B-104 CH2CH2CH3 H H OH -CH2- para
B-105 CH(CH3)2 H H OH -CH2- para
B-106 OCH3 H H OH -CH2- para
B-107 OCH2CH3 H H OH -CH2- para
B-108 OCH(CH3)2 H H OH -CH2- para
B-109 F H H OH -CH2- para
B-1 10 CI H H OH -CH2- para
B-1 1 1 Br H H OH -CH2- para
B-1 12 OH H H OH -CH2- para
B-1 13 NH2 H H OH -CH2- para
B-1 14 N(CH3)2 H H OH -CH2- para
B-1 15 CH3 CH3 H OH -CH2- para
B-1 16 CH2CH3 CH2CH3 H OH -CH2- para
B-1 17 =CH2 H OH -CH2- para
B-1 18 cyclopropyl H OH -CH2- para
B-1 19 cyclobutyl H OH -CH2- para
B-120 cyclopentyl H OH -CH2- para
B-121 cyclohexyl H OH -CH2- para
B-122 1 -triazolyl H H OH -CH2- para
B-123 2-pyridinyl H H OH -CH2- para
line R1 R2 D X B position
Y-Z
B-124 3-pyridinyl H H OH -CH2- para
B-125 4-pyridinyl H H OH -CH2- para
B-126 H H SH OH -CH2- para
B-127 CH3 H SH OH -CH2- para
B-128 CH2CH3 H SH OH -CH2- para
B-129 CH2CH2CH3 H SH OH -CH2- para
B-130 CH(CH3)2 H SH OH -CH2- para
B-131 OCH3 H SH OH -CH2- para
B-132 OCH2CH3 H SH OH -CH2- para
B-133 OCH(CH3)2 H SH OH -CH2- para
B-134 F H SH OH -CH2- para
B-135 CI H SH OH -CH2- para
B-136 Br H SH OH -CH2- para
B-137 OH H SH OH -CH2- para
B-138 NH2 H SH OH -CH2- para
B-139 N(CH3)2 H SH OH -CH2- para
B-140 CH3 CH3 SH OH -CH2- para
B-141 CH2CH3 CH2CH3 SH OH -CH2- para
B-142 =CH2 SH OH -CH2- para
B-143 cyclopropyl SH OH -CH2- para
B-144 cyclobutyl SH OH -CH2- para
B-145 cyclopentyl SH OH -CH2- para
B-146 cyclohexyl SH OH -CH2- para
B-147 1 -triazolyl H SH OH -CH2- para
B-148 2-pyridinyl H SH OH -CH2- para
B-149 3-pyridinyl H SH OH -CH2- para
B-150 4-pyridinyl H SH OH -CH2- para
B-151 H H S-allyl OH -CH2- para
B-152 CH3 H S-allyl OH -CH2- para
B-153 CH2CH3 H S-allyl OH -CH2- para
B-154 CH2CH2CH3 H S-allyl OH -CH2- para
B-155 CH(CH3)2 H S-allyl OH -CH2- para
B-156 OCH3 H S-allyl OH -CH2- para
B-157 OCH2CH3 H S-allyl OH -CH2- para
B-158 OCH(CH3)2 H S-allyl OH -CH2- para
B-159 F H S-allyl OH -CH2- para
line R1 R2 D X B position
Y-Z
B-160 CI H S-allyl OH -CH2- para
B-161 Br H S-allyl OH -CH2- para
B-162 OH H S-allyl OH -CH2- para
B-163 NH2 H S-allyl OH -CH2- para
B-164 N(CH3)2 H S-allyl OH -CH2- para
B-165 CH3 CH3 S-allyl OH -CH2- para
B-166 CH2CH3 CH2CH3 S-allyl OH -CH2- para
B-167 =CH2 S-allyl OH -CH2- para
B-168 cyclopropyl S-allyl OH -CH2- para
B-169 cyclobutyl S-allyl OH -CH2- para
B-170 cyclopentyl S-allyl OH -CH2- para
B-171 cyclohexyl S-allyl OH -CH2- para
B-172 1 -triazolyl H S-allyl OH -CH2- para
B-173 2-pyridinyl H S-allyl OH -CH2- para
B-174 3-pyridinyl H S-allyl OH -CH2- para
B-175 4-pyridinyl H S-allyl OH -CH2- para
B-176 H H SCN OH -CH2- para
B-177 CH3 H SCN OH -CH2- para
B-178 CH2CH3 H SCN OH -CH2- para
B-179 CH2CH2CH3 H SCN OH -CH2- para
B-180 CH(CH3)2 H SCN OH -CH2- para
B-181 OCH3 H SCN OH -CH2- para
B-182 OCH2CH3 H SCN OH -CH2- para
B-183 OCH(CH3)2 H SCN OH -CH2- para
B-184 F H SCN OH -CH2- para
B-185 CI H SCN OH -CH2- para
B-186 Br H SCN OH -CH2- para
B-187 OH H SCN OH -CH2- para
B-188 NH2 H SCN OH -CH2- para
B-189 N(CH3)2 H SCN OH -CH2- para
B-190 CH3 CH3 SCN OH -CH2- para
B-191 CH2CH3 CH2CH3 SCN OH -CH2- para
B-192 =CH2 SCN OH -CH2- para
B-193 cyclopropyl SCN OH -CH2- para
B-194 cyclobutyl SCN OH -CH2- para
B-195 cyclopentyl SCN OH -CH2- para
line R1 R2 D X B position
Y-Z
B-196 cyclohexyl SCN OH -CH2- para
B-197 1 -triazolyl H SCN OH -CH2- para
B-198 2-pyridinyl H SCN OH -CH2- para
B-199 3-pyridinyl H SCN OH -CH2- para
B-200 4-pyridinyl H SCN OH -CH2- para
B-201 H H H OCH3 -CH2- para
B-202 CH3 H H OCH3 -CH2- para
B-203 CH2CH3 H H OCH3 -CH2- para
B-204 CH2CH2CH3 H H OCH3 -CH2- para
B-205 CH(CH3)2 H H OCH3 -CH2- para
B-206 OCH3 H H OCH3 -CH2- para
B-207 OCH2CH3 H H OCH3 -CH2- para
B-208 OCH(CH3)2 H H OCH3 -CH2- para
B-209 F H H OCH3 -CH2- para
B-210 CI H H OCH3 -CH2- para
B-21 1 Br H H OCH3 -CH2- para
B-212 OH H H OCH3 -CH2- para
B-213 NH2 H H OCH3 -CH2- para
B-214 N(CH3)2 H H OCH3 -CH2- para
B-215 CH3 CH3 H OCH3 -CH2- para
B-216 CH2CH3 CH2CH3 H OCH3 -CH2- para
B-217 =CH2 H OCH3 -CH2- para
B-218 cyclopropyl H OCH3 -CH2- para
B-219 cyclobutyl H OCH3 -CH2- para
B-220 cyclopentyl H OCH3 -CH2- para
B-221 cyclohexyl H OCH3 -CH2- para
B-222 1 -triazolyl H H OCH3 -CH2- para
B-223 2-pyridinyl H H OCH3 -CH2- para
B-224 3-pyridinyl H H OCH3 -CH2- para
B-225 4-pyridinyl H H OCH3 -CH2- para
B-226 H H SH OCH3 -CH2- para
B-227 CH3 H SH OCH3 -CH2- para
B-228 CH2CH3 H SH OCH3 -CH2- para
B-229 CH2CH2CH3 H SH OCH3 -CH2- para
B-230 CH(CH3)2 H SH OCH3 -CH2- para
B-231 OCH3 H SH OCH3 -CH2- para
line R1 R2 D X B position
Y-Z
B-232 OCH2CH3 H SH OCH3 -CH2- para
B-233 OCH(CH3)2 H SH OCH3 -CH2- para
B-234 F H SH OCH3 -CH2- para
B-235 CI H SH OCH3 -CH2- para
B-236 Br H SH OCH3 -CH2- para
B-237 OH H SH OCH3 -CH2- para
B-238 NH2 H SH OCH3 -CH2- para
B-239 N(CH3)2 H SH OCH3 -CH2- para
B-240 CH3 CH3 SH OCH3 -CH2- para
B-241 CH2CH3 CH2CH3 SH OCH3 -CH2- para
B-242 =CH2 SH OCH3 -CH2- para
B-243 cyclopropyl SH OCH3 -CH2- para
B-244 cyclobutyl SH OCH3 -CH2- para
B-245 cyclopentyl SH OCH3 -CH2- para
B-246 cyclohexyl SH OCH3 -CH2- para
B-247 1 -triazolyl H SH OCH3 -CH2- para
B-248 2-pyridinyl H SH OCH3 -CH2- para
B-249 3-pyridinyl H SH OCH3 -CH2- para
B-250 4-pyridinyl H SH OCH3 -CH2- para
B-251 H H S-allyl OCH3 -CH2- para
B-252 CH3 H S-allyl OCH3 -CH2- para
B-253 CH2CH3 H S-allyl OCH3 -CH2- para
B-254 CH2CH2CH3 H S-allyl OCH3 -CH2- para
B-255 CH(CH3)2 H S-allyl OCH3 -CH2- para
B-256 OCH3 H S-allyl OCH3 -CH2- para
B-257 OCH2CH3 H S-allyl OCH3 -CH2- para
B-258 OCH(CH3)2 H S-allyl OCH3 -CH2- para
B-259 F H S-allyl OCH3 -CH2- para
B-260 CI H S-allyl OCH3 -CH2- para
B-261 Br H S-allyl OCH3 -CH2- para
B-262 OH H S-allyl OCH3 -CH2- para
B-263 NH2 H S-allyl OCH3 -CH2- para
B-264 N(CH3)2 H S-allyl OCH3 -CH2- para
B-265 CH3 CH3 S-allyl OCH3 -CH2- para
B-266 CH2CH3 CH2CH3 S-allyl OCH3 -CH2- para
B-267 =CH2 S-allyl OCH3 -CH2- para
line R1 R2 D X B position
Y-Z
B-268 cyclopropyl S-allyl OCH3 -CH2- para
B-269 cyclobutyl S-allyl OCH3 -CH2- para
B-270 cyclopentyl S-allyl OCH3 -CH2- para
B-271 cyclohexyl S-allyl OCH3 -CH2- para
B-272 1 -triazolyl H S-allyl OCH3 -CH2- para
B-273 2-pyridinyl H S-allyl OCH3 -CH2- para
B-274 3-pyridinyl H S-allyl OCH3 -CH2- para
B-275 4-pyridinyl H S-allyl OCH3 -CH2- para
B-276 H H SCN OCH3 -CH2- para
B-277 CHs H SCN OCH3 -CH2- para
B-278 CH2CH3 H SCN OCH3 -CH2- para
B-279 CH2CH2CH3 H SCN OCH3 -CH2- para
B-280 CH(CH3)2 H SCN OCH3 -CH2- para
B-281 OCH3 H SCN OCH3 -CH2- para
B-282 OCH2CH3 H SCN OCH3 -CH2- para
B-283 OCH(CH3)2 H SCN OCH3 -CH2- para
B-284 F H SCN OCH3 -CH2- para
B-285 CI H SCN OCH3 -CH2- para
B-286 Br H SCN OCH3 -CH2- para
B-287 OH H SCN OCH3 -CH2- para
B-288 NH2 H SCN OCH3 -CH2- para
B-289 N(CH3)2 H SCN OCH3 -CH2- para
B-290 CH3 CH3 SCN OCH3 -CH2- para
B-291 CH2CH3 CH2CH3 SCN OCH3 -CH2- para
B-292 =CH2 SCN OCH3 -CH2- para
B-293 cyclopropyl SCN OCH3 -CH2- para
B-294 cyclobutyl SCN OCH3 -CH2- para
B-295 cyclopentyl SCN OCH3 -CH2- para
B-296 cyclohexyl SCN OCH3 -CH2- para
B-297 1 -triazolyl H SCN OCH3 -CH2- para
B-298 2-pyridinyl H SCN OCH3 -CH2- para
B-299 3-pyridinyl H SCN OCH3 -CH2- para
B-300 4-pyridinyl H SCN OCH3 -CH2- para
B-301 H H H OCH2CH3 -CH2- para
B-302 CH3 H H OCH2CH3 -CH2- para
B-303 CH2CH3 H H OCH2CH3 -CH2- para
line R1 R2 D X B position
Y-Z
B-304 CH2CH2CH3 H H OCH2CH3 -CH2- para
B-305 CH(CH3)2 H H OCH2CH3 -CH2- para
B-306 OCH3 H H OCH2CH3 -CH2- para
B-307 OCH2CH3 H H OCH2CH3 -CH2- para
B-308 OCH(CH3)2 H H OCH2CH3 -CH2- para
B-309 F H H OCH2CH3 -CH2- para
B-310 CI H H OCH2CH3 -CH2- para
B-31 1 Br H H OCH2CH3 -CH2- para
B-312 OH H H OCH2CH3 -CH2- para
B-313 NH2 H H OCH2CH3 -CH2- para
B-314 N(CH3)2 H H OCH2CH3 -CH2- para
B-315 CHs CH3 H OCH2CH3 -CH2- para
B-316 CH2CH3 CH2CH3 H OCH2CH3 -CH2- para
B-317 =CH2 H OCH2CH3 -CH2- para
B-318 cyclopropyl H OCH2CH3 -CH2- para
B-319 cyclobutyl H OCH2CH3 -CH2- para
B-320 cyclopentyl H OCH2CH3 -CH2- para
B-321 cyclohexyl H OCH2CH3 -CH2- para
B-322 1 -triazolyl H H OCH2CH3 -CH2- para
B-323 2-pyridinyl H H OCH2CH3 -CH2- para
B-324 3-pyridinyl H H OCH2CH3 -CH2- para
B-325 4-pyridinyl H H OCH2CH3 -CH2- para
B-326 H H SH OCH2CH3 -CH2- para
B-327 CHs H SH OCH2CH3 -CH2- para
B-328 CH2CH3 H SH OCH2CH3 -CH2- para
B-329 CH2CH2CH3 H SH OCH2CH3 -CH2- para
B-330 CH(CH3)2 H SH OCH2CH3 -CH2- para
B-331 OCH3 H SH OCH2CH3 -CH2- para
B-332 OCH2CH3 H SH OCH2CH3 -CH2- para
B-333 OCH(CH3)2 H SH OCH2CH3 -CH2- para
B-334 F H SH OCH2CH3 -CH2- para
B-335 CI H SH OCH2CH3 -CH2- para
B-336 Br H SH OCH2CH3 -CH2- para
B-337 OH H SH OCH2CH3 -CH2- para
B-338 NH2 H SH OCH2CH3 -CH2- para
B-339 N(CH3)2 H SH OCH2CH3 -CH2- para
line R1 R2 D X B position
Y-Z
B-340 CHs CH3 SH OCH2CH3 -CH2- para
B-341 CH2CH3 CH2CH3 SH OCH2CH3 -CH2- para
B-342 =CH2 SH OCH2CH3 -CH2- para
B-343 cyclopropyl SH OCH2CH3 -CH2- para
B-344 cyclobutyl SH OCH2CH3 -CH2- para
B-345 cyclopentyl SH OCH2CH3 -CH2- para
B-346 cyclohexyl SH OCH2CH3 -CH2- para
B-347 1 -triazolyl H SH OCH2CH3 -CH2- para
B-348 2-pyridinyl H SH OCH2CH3 -CH2- para
B-349 3-pyridinyl H SH OCH2CH3 -CH2- para
B-350 4-pyridinyl H SH OCH2CH3 -CH2- para
B-351 H H S-allyl OCH2CH3 -CH2- para
B-352 CHs H S-allyl OCH2CH3 -CH2- para
B-353 CH2CH3 H S-allyl OCH2CH3 -CH2- para
B-354 CH2CH2CH3 H S-allyl OCH2CH3 -CH2- para
B-355 CH(CH3)2 H S-allyl OCH2CH3 -CH2- para
B-356 OCH3 H S-allyl OCH2CH3 -CH2- para
B-357 OCH2CH3 H S-allyl OCH2CH3 -CH2- para
B-358 OCH(CH3)2 H S-allyl OCH2CH3 -CH2- para
B-359 F H S-allyl OCH2CH3 -CH2- para
B-360 CI H S-allyl OCH2CH3 -CH2- para
B-361 Br H S-allyl OCH2CH3 -CH2- para
B-362 OH H S-allyl OCH2CH3 -CH2- para
B-363 NH2 H S-allyl OCH2CH3 -CH2- para
B-364 N(CH3)2 H S-allyl OCH2CH3 -CH2- para
B-365 CH3 CH3 S-allyl OCH2CH3 -CH2- para
B-366 CH2CH3 CH2CH3 S-allyl OCH2CH3 -CH2- para
B-367 =CH2 S-allyl OCH2CH3 -CH2- para
B-368 cyclopropyl S-allyl OCH2CH3 -CH2- para
B-369 cyclobutyl S-allyl OCH2CH3 -CH2- para
B-370 cyclopentyl S-allyl OCH2CH3 -CH2- para
B-371 cyclohexyl S-allyl OCH2CH3 -CH2- para
B-372 1 -triazolyl H S-allyl OCH2CH3 -CH2- para
B-373 2-pyridinyl H S-allyl OCH2CH3 -CH2- para
B-374 3-pyridinyl H S-allyl OCH2CH3 -CH2- para
B-375 4-pyridinyl H S-allyl OCH2CH3 -CH2- para
line R1 R2 D X B position
Y-Z
B-376 H H SCN OCH2CH3 -CH2- para
B-377 CHs H SCN OCH2CH3 -CH2- para
B-378 CH2CH3 H SCN OCH2CH3 -CH2- para
B-379 CH2CH2CH3 H SCN OCH2CH3 -CH2- para
B-380 CH(CH3)2 H SCN OCH2CH3 -CH2- para
B-381 OCH3 H SCN OCH2CH3 -CH2- para
B-382 OCH2CH3 H SCN OCH2CH3 -CH2- para
B-383 OCH(CH3)2 H SCN OCH2CH3 -CH2- para
B-384 F H SCN OCH2CH3 -CH2- para
B-385 CI H SCN OCH2CH3 -CH2- para
B-386 Br H SCN OCH2CH3 -CH2- para
B-387 OH H SCN OCH2CH3 -CH2- para
B-388 NH2 H SCN OCH2CH3 -CH2- para
B-389 N(CH3)2 H SCN OCH2CH3 -CH2- para
B-390 CHs CH3 SCN OCH2CH3 -CH2- para
B-391 CH2CH3 CH2CH3 SCN OCH2CH3 -CH2- para
B-392 =CH2 SCN OCH2CH3 -CH2- para
B-393 cyclopropyl SCN OCH2CH3 -CH2- para
B-394 cyclobutyl SCN OCH2CH3 -CH2- para
B-395 cyclopentyl SCN OCH2CH3 -CH2- para
B-396 cyclohexyl SCN OCH2CH3 -CH2- para
B-397 1 -triazolyl H SCN OCH2CH3 -CH2- para
B-398 2-pyridinyl H SCN OCH2CH3 -CH2- para
B-399 3-pyridinyl H SCN OCH2CH3 -CH2- para
B-400 4-pyridinyl H SCN OCH2CH3 -CH2- para
B-401 H H H O-allyl -CH2- para
B-402 CHs H H O-allyl -CH2- para
B-403 CH2CH3 H H O-allyl -CH2- para
B-404 CH2CH2CH3 H H O-allyl -CH2- para
B-405 CH(CH3)2 H H O-allyl -CH2- para
B-406 OCH3 H H O-allyl -CH2- para
B-407 OCH2CH3 H H O-allyl -CH2- para
B-408 OCH(CH3)2 H H O-allyl -CH2- para
B-409 F H H O-allyl -CH2- para
B-410 CI H H O-allyl -CH2- para
B-41 1 Br H H O-allyl -CH2- para
line R1 R2 D X B position
Y-Z
B-412 OH H H O-allyl -CH2- para
B-413 NH2 H H O-allyl -CH2- para
B-414 N(CH3)2 H H O-allyl -CH2- para
B-415 CHs CHs H O-allyl -CH2- para
B-416 CH2CH3 CH2CH3 H O-allyl -CH2- para
B-417 =CH2 H O-allyl -CH2- para
B-418 cyclopropyl H O-allyl -CH2- para
B-419 cyclobutyl H O-allyl -CH2- para
B-420 cyclopentyl H O-allyl -CH2- para
B-421 cyclohexyl H O-allyl -CH2- para
B-422 1 -triazolyl H H O-allyl -CH2- para
B-423 2-pyridinyl H H O-allyl -CH2- para
B-424 3-pyridinyl H H O-allyl -CH2- para
B-425 4-pyridinyl H H O-allyl -CH2- para
B-426 H H SH O-allyl -CH2- para
B-427 CHs H SH O-allyl -CH2- para
B-428 CH2CH3 H SH O-allyl -CH2- para
B-429 CH2CH2CH3 H SH O-allyl -CH2- para
B-430 CH(CH3)2 H SH O-allyl -CH2- para
B-431 OCH3 H SH O-allyl -CH2- para
B-432 OCH2CH3 H SH O-allyl -CH2- para
B-433 OCH(CH3)2 H SH O-allyl -CH2- para
B-434 F H SH O-allyl -CH2- para
B-435 CI H SH O-allyl -CH2- para
B-436 Br H SH O-allyl -CH2- para
B-437 OH H SH O-allyl -CH2- para
B-438 NH2 H SH O-allyl -CH2- para
B-439 N(CH3)2 H SH O-allyl -CH2- para
B-440 CHs CHs SH O-allyl -CH2- para
B-441 CH2CH3 CH2CH3 SH O-allyl -CH2- para
B-442 =CH2 SH O-allyl -CH2- para
B-443 cyclopropyl SH O-allyl -CH2- para
B-444 cyclobutyl SH O-allyl -CH2- para
B-445 cyclopentyl SH O-allyl -CH2- para
B-446 cyclohexyl SH O-allyl -CH2- para
B-447 1 -triazolyl H SH O-allyl -CH2- para
line R1 R2 D X B position
Y-Z
B-448 2-pyridinyl H SH O-allyl -CH2- para
B-449 3-pyridinyl H SH O-allyl -CH2- para
B-450 4-pyridinyl H SH O-allyl -CH2- para
B-451 H H S-allyl O-allyl -CH2- para
B-452 CH3 H S-allyl O-allyl -CH2- para
B-453 CH2CH3 H S-allyl O-allyl -CH2- para
B-454 CH2CH2CH3 H S-allyl O-allyl -CH2- para
B-455 CH(CH3)2 H S-allyl O-allyl -CH2- para
B-456 OCH3 H S-allyl O-allyl -CH2- para
B-457 OCH2CH3 H S-allyl O-allyl -CH2- para
B-458 OCH(CH3)2 H S-allyl O-allyl -CH2- para
B-459 F H S-allyl O-allyl -CH2- para
B-460 CI H S-allyl O-allyl -CH2- para
B-461 Br H S-allyl O-allyl -CH2- para
B-462 OH H S-allyl O-allyl -CH2- para
B-463 NH2 H S-allyl O-allyl -CH2- para
B-464 N(CH3)2 H S-allyl O-allyl -CH2- para
B-465 CH3 CH3 S-allyl O-allyl -CH2- para
B-466 CH2CH3 CH2CH3 S-allyl O-allyl -CH2- para
B-467 =CH2 S-allyl O-allyl -CH2- para
B-468 cyclopropyl S-allyl O-allyl -CH2- para
B-469 cyclobutyl S-allyl O-allyl -CH2- para
B-470 cyclopentyl S-allyl O-allyl -CH2- para
B-471 cyclohexyl S-allyl O-allyl -CH2- para
B-472 1 -triazolyl H S-allyl O-allyl -CH2- para
B-473 2-pyridinyl H S-allyl O-allyl -CH2- para
B-474 3-pyridinyl H S-allyl O-allyl -CH2- para
B-475 4-pyridinyl H S-allyl O-allyl -CH2- para
B-476 H H SCN O-allyl -CH2- para
B-477 CH3 H SCN O-allyl -CH2- para
B-478 CH2CH3 H SCN O-allyl -CH2- para
B-479 CH2CH2CH3 H SCN O-allyl -CH2- para
B-480 CH(CH3)2 H SCN O-allyl -CH2- para
B-481 OCH3 H SCN O-allyl -CH2- para
B-482 OCH2CH3 H SCN O-allyl -CH2- para
B-483 OCH(CH3)2 H SCN O-allyl -CH2- para
line R1 R2 D X B position
Y-Z
B-484 F H SCN O-allyl -CH2- para
B-485 CI H SCN O-allyl -CH2- para
B-486 Br H SCN O-allyl -CH2- para
B-487 OH H SCN O-allyl -CH2- para
B-488 NH2 H SCN O-allyl -CH2- para
B-489 N(CH3)2 H SCN O-allyl -CH2- para
B-490 CH3 CH3 SCN O-allyl -CH2- para
B-491 CH2CH3 CH2CH3 SCN O-allyl -CH2- para
B-492 =CH2 SCN O-allyl -CH2- para
B-493 cyclopropyl SCN O-allyl -CH2- para
B-494 cyclobutyl SCN O-allyl -CH2- para
B-495 cyclopentyl SCN O-allyl -CH2- para
B-496 cyclohexyl SCN O-allyl -CH2- para
B-497 1 -triazolyl H SCN O-allyl -CH2- para
B-498 2-pyridinyl H SCN O-allyl -CH2- para
B-499 3-pyridinyl H SCN O-allyl -CH2- para
B-500 4-pyridinyl H SCN O-allyl -CH2- para
B-501 H H H O-propargyl -CH2- para
B-502 CH3 H H O-propargyl -CH2- para
B-503 CH2CH3 H H O-propargyl -CH2- para
B-504 CH2CH2CH3 H H O-propargyl -CH2- para
B-505 CH(CH3)2 H H O-propargyl -CH2- para
B-506 OCH3 H H O-propargyl -CH2- para
B-507 OCH2CH3 H H O-propargyl -CH2- para
B-508 OCH(CH3)2 H H O-propargyl -CH2- para
B-509 F H H O-propargyl -CH2- para
B-510 CI H H O-propargyl -CH2- para
B-51 1 Br H H O-propargyl -CH2- para
B-512 OH H H O-propargyl -CH2- para
B-513 NH2 H H O-propargyl -CH2- para
B-514 N(CH3)2 H H O-propargyl -CH2- para
B-515 CH3 CH3 H O-propargyl -CH2- para
B-516 CH2CH3 CH2CH3 H O-propargyl -CH2- para
B-517 =CH2 H O-propargyl -CH2- para
B-518 cyclopropyl H O-propargyl -CH2- para
B-519 cyclobutyl H O-propargyl -CH2- para
line R1 R2 D X B position
Y-Z
B-520 cyclopentyl H O-propargyl -CH2- para
B-521 cyclohexyl H O-propargyl -CH2- para
B-522 1 -triazolyl H H O-propargyl -CH2- para
B-523 2-pyridinyl H H O-propargyl -CH2- para
B-524 3-pyridinyl H H O-propargyl -CH2- para
B-525 4-pyridinyl H H O-propargyl -CH2- para
B-526 H H SH O-propargyl -CH2- para
B-527 CHs H SH O-propargyl -CH2- para
B-528 CH2CH3 H SH O-propargyl -CH2- para
B-529 CH2CH2CH3 H SH O-propargyl -CH2- para
B-530 CH(CH3)2 H SH O-propargyl -CH2- para
B-531 OCH3 H SH O-propargyl -CH2- para
B-532 OCH2CH3 H SH O-propargyl -CH2- para
B-533 OCH(CH3)2 H SH O-propargyl -CH2- para
B-534 F H SH O-propargyl -CH2- para
B-535 CI H SH O-propargyl -CH2- para
B-536 Br H SH O-propargyl -CH2- para
B-537 OH H SH O-propargyl -CH2- para
B-538 NH2 H SH O-propargyl -CH2- para
B-539 N(CH3)2 H SH O-propargyl -CH2- para
B-540 CHs CHs SH O-propargyl -CH2- para
B-541 CH2CH3 CH2CH3 SH O-propargyl -CH2- para
B-542 =CH2 SH O-propargyl -CH2- para
B-543 cyclopropyl SH O-propargyl -CH2- para
B-544 cyclobutyl SH O-propargyl -CH2- para
B-545 cyclopentyl SH O-propargyl -CH2- para
B-546 cyclohexyl SH O-propargyl -CH2- para
B-547 1 -triazolyl H SH O-propargyl -CH2- para
B-548 2-pyridinyl H SH O-propargyl -CH2- para
B-549 3-pyridinyl H SH O-propargyl -CH2- para
B-550 4-pyridinyl H SH O-propargyl -CH2- para
B-551 H H S-allyl O-propargyl -CH2- para
B-552 CHs H S-allyl O-propargyl -CH2- para
B-553 CH2CH3 H S-allyl O-propargyl -CH2- para
B-554 CH2CH2CH3 H S-allyl O-propargyl -CH2- para
B-555 CH(CH3)2 H S-allyl O-propargyl -CH2- para
line R1 R2 D X B position
Y-Z
B-556 OCHs H S-allyl O-propargyl -CH2- para
B-557 OCH2CH3 H S-allyl O-propargyl -CH2- para
B-558 OCH(CH3)2 H S-allyl O-propargyl -CH2- para
B-559 F H S-allyl O-propargyl -CH2- para
B-560 CI H S-allyl O-propargyl -CH2- para
B-561 Br H S-allyl O-propargyl -CH2- para
B-562 OH H S-allyl O-propargyl -CH2- para
B-563 NH2 H S-allyl O-propargyl -CH2- para
B-564 N(CH3)2 H S-allyl O-propargyl -CH2- para
B-565 CH3 CH3 S-allyl O-propargyl -CH2- para
B-566 CH2CH3 CH2CH3 S-allyl O-propargyl -CH2- para
B-567 =CH2 S-allyl O-propargyl -CH2- para
B-568 cyclopropyl S-allyl O-propargyl -CH2- para
B-569 cyclobutyl S-allyl O-propargyl -CH2- para
B-570 cyclopentyl S-allyl O-propargyl -CH2- para
B-571 cyclohexyl S-allyl O-propargyl -CH2- para
B-572 1 -triazolyl H S-allyl O-propargyl -CH2- para
B-573 2-pyridinyl H S-allyl O-propargyl -CH2- para
B-574 3-pyridinyl H S-allyl O-propargyl -CH2- para
B-575 4-pyridinyl H S-allyl O-propargyl -CH2- para
B-576 H H SCN O-propargyl -CH2- para
B-577 CH3 H SCN O-propargyl -CH2- para
B-578 CH2CH3 H SCN O-propargyl -CH2- para
B-579 CH2CH2CH3 H SCN O-propargyl -CH2- para
B-580 CH(CH3)2 H SCN O-propargyl -CH2- para
B-581 OCHs H SCN O-propargyl -CH2- para
B-582 OCH2CH3 H SCN O-propargyl -CH2- para
B-583 OCH(CH3)2 H SCN O-propargyl -CH2- para
B-584 F H SCN O-propargyl -CH2- para
B-585 CI H SCN O-propargyl -CH2- para
B-586 Br H SCN O-propargyl -CH2- para
B-587 OH H SCN O-propargyl -CH2- para
B-588 NH2 H SCN O-propargyl -CH2- para
B-589 N(CH3)2 H SCN O-propargyl -CH2- para
B-590 CH3 CH3 SCN O-propargyl -CH2- para
B-591 CH2CH3 CH2CH3 SCN O-propargyl -CH2- para
line R1 R2 D X B position
Y-Z
B-592 =CH2 SCN O-propargyl -CH2- para
B-593 cyclopropyl SCN O-propargyl -CH2- para
B-594 cyclobutyl SCN O-propargyl -CH2- para
B-595 cyclopentyl SCN O-propargyl -CH2- para
B-596 cyclohexyl SCN O-propargyl -CH2- para
B-597 1 -triazolyl H SCN O-propargyl -CH2- para
B-598 2-pyridinyl H SCN O-propargyl -CH2- para
B-599 3-pyridinyl H SCN O-propargyl -CH2- para
B-600 4-pyridinyl H SCN O-propargyl -CH2- para
B-601 H H H O-benzyl -CH2- para
B-602 CHs H H O-benzyl -CH2- para
B-603 CH2CH3 H H O-benzyl -CH2- para
B-604 CH2CH2CH3 H H O-benzyl -CH2- para
B-605 CH(CH3)2 H H O-benzyl -CH2- para
B-606 OCH3 H H O-benzyl -CH2- para
B-607 OCH2CH3 H H O-benzyl -CH2- para
B-608 OCH(CH3)2 H H O-benzyl -CH2- para
B-609 F H H O-benzyl -CH2- para
B-610 CI H H O-benzyl -CH2- para
B-61 1 Br H H O-benzyl -CH2- para
B-612 OH H H O-benzyl -CH2- para
B-613 NH2 H H O-benzyl -CH2- para
B-614 N(CH3)2 H H O-benzyl -CH2- para
B-615 CH3 CH3 H O-benzyl -CH2- para
B-616 CH2CH3 CH2CH3 H O-benzyl -CH2- para
B-617 =CH2 H O-benzyl -CH2- para
B-618 cyclopropyl H O-benzyl -CH2- para
B-619 cyclobutyl H O-benzyl -CH2- para
B-620 cyclopentyl H O-benzyl -CH2- para
B-621 cyclohexyl H O-benzyl -CH2- para
B-622 1 -triazolyl H H O-benzyl -CH2- para
B-623 2-pyridinyl H H O-benzyl -CH2- para
B-624 3-pyridinyl H H O-benzyl -CH2- para
B-625 4-pyridinyl H H O-benzyl -CH2- para
B-626 H H SH O-benzyl -CH2- para
B-627 CH3 H SH O-benzyl -CH2- para
line R1 R2 D X B position
Y-Z
B-628 CH2CH3 H SH O-benzyl -CH2- para
B-629 CH2CH2CH3 H SH O-benzyl -CH2- para
B-630 CH(CH3)2 H SH O-benzyl -CH2- para
B-631 OCH3 H SH O-benzyl -CH2- para
B-632 OCH2CH3 H SH O-benzyl -CH2- para
B-633 OCH(CH3)2 H SH O-benzyl -CH2- para
B-634 F H SH O-benzyl -CH2- para
B-635 CI H SH O-benzyl -CH2- para
B-636 Br H SH O-benzyl -CH2- para
B-637 OH H SH O-benzyl -CH2- para
B-638 NH2 H SH O-benzyl -CH2- para
B-639 N(CH3)2 H SH O-benzyl -CH2- para
B-640 CHs CHs SH O-benzyl -CH2- para
B-641 CH2CH3 CH2CH3 SH O-benzyl -CH2- para
B-642 =CH2 SH O-benzyl -CH2- para
B-643 cyclopropyl SH O-benzyl -CH2- para
B-644 cyclobutyl SH O-benzyl -CH2- para
B-645 cyclopentyl SH O-benzyl -CH2- para
B-646 cyclohexyl SH O-benzyl -CH2- para
B-647 1 -triazolyl H SH O-benzyl -CH2- para
B-648 2-pyridinyl H SH O-benzyl -CH2- para
B-649 3-pyridinyl H SH O-benzyl -CH2- para
B-650 4-pyridinyl H SH O-benzyl -CH2- para
B-651 H H S-allyl O-benzyl -CH2- para
B-652 CHs H S-allyl O-benzyl -CH2- para
B-653 CH2CH3 H S-allyl O-benzyl -CH2- para
B-654 CH2CH2CH3 H S-allyl O-benzyl -CH2- para
B-655 CH(CH3)2 H S-allyl O-benzyl -CH2- para
B-656 OCH3 H S-allyl O-benzyl -CH2- para
B-657 OCH2CH3 H S-allyl O-benzyl -CH2- para
B-658 OCH(CH3)2 H S-allyl O-benzyl -CH2- para
B-659 F H S-allyl O-benzyl -CH2- para
B-660 CI H S-allyl O-benzyl -CH2- para
B-661 Br H S-allyl O-benzyl -CH2- para
B-662 OH H S-allyl O-benzyl -CH2- para
B-663 NH2 H S-allyl O-benzyl -CH2- para
line R1 R2 D X B position
Y-Z
B-664 N(CH3)2 H S-allyl O-benzyl -CH2- para
B-665 CHs CH3 S-allyl O-benzyl -CH2- para
B-666 CH2CH3 CH2CH3 S-allyl O-benzyl -CH2- para
B-667 =CH2 S-allyl O-benzyl -CH2- para
B-668 cyclopropyl S-allyl O-benzyl -CH2- para
B-669 cyclobutyl S-allyl O-benzyl -CH2- para
B-670 cyclopentyl S-allyl O-benzyl -CH2- para
B-671 cyclohexyl S-allyl O-benzyl -CH2- para
B-672 1 -triazolyl H S-allyl O-benzyl -CH2- para
B-673 2-pyridinyl H S-allyl O-benzyl -CH2- para
B-674 3-pyridinyl H S-allyl O-benzyl -CH2- para
B-675 4-pyridinyl H S-allyl O-benzyl -CH2- para
B-676 H H SCN O-benzyl -CH2- para
B-677 CHs H SCN O-benzyl -CH2- para
B-678 CH2CH3 H SCN O-benzyl -CH2- para
B-679 CH2CH2CH3 H SCN O-benzyl -CH2- para
B-680 CH(CH3)2 H SCN O-benzyl -CH2- para
B-681 OCH3 H SCN O-benzyl -CH2- para
B-682 OCH2CH3 H SCN O-benzyl -CH2- para
B-683 OCH(CH3)2 H SCN O-benzyl -CH2- para
B-684 F H SCN O-benzyl -CH2- para
B-685 CI H SCN O-benzyl -CH2- para
B-686 Br H SCN O-benzyl -CH2- para
B-687 OH H SCN O-benzyl -CH2- para
B-688 NH2 H SCN O-benzyl -CH2- para
B-689 N(CH3)2 H SCN O-benzyl -CH2- para
B-690 CH3 CH3 SCN O-benzyl -CH2- para
B-691 CH2CH3 CH2CH3 SCN O-benzyl -CH2- para
B-692 =CH2 SCN O-benzyl -CH2- para
B-693 cyclopropyl SCN O-benzyl -CH2- para
B-694 cyclobutyl SCN O-benzyl -CH2- para
B-695 cyclopentyl SCN O-benzyl -CH2- para
B-696 cyclohexyl SCN O-benzyl -CH2- para
B-697 1 -triazolyl H SCN O-benzyl -CH2- para
B-698 2-pyridinyl H SCN O-benzyl -CH2- para
Y-Z
B-736 Br H SH CN =CH- para
B-737 OH H SH CN =CH- para
B-738 NH2 H SH CN =CH- para
B-739 N(CH3)2 H SH CN =CH- para
B-740 CHs CH3 SH CN =CH- para
B-741 CH2CH3 CH2CH3 SH CN =CH- para
B-742 =CH2 SH CN =CH- para
B-743 cyclopropyl SH CN =CH- para
B-744 cyclobutyl SH CN =CH- para
B-745 cyclopentyl SH CN =CH- para
B-746 cyclohexyl SH CN =CH- para
B-747 1 -triazolyl H SH CN =CH- para
B-748 2-pyridinyl H SH CN =CH- para
B-749 3-pyridinyl H SH CN =CH- para
B-750 4-pyridinyl H SH CN =CH- para
B-751 H H S-allyl CN =CH- para
B-752 CHs H S-allyl CN =CH- para
B-753 CH2CH3 H S-allyl CN =CH- para
B-754 CH2CH2CH3 H S-allyl CN =CH- para
B-755 CH(CH3)2 H S-allyl CN =CH- para
B-756 OCH3 H S-allyl CN =CH- para
B-757 OCH2CH3 H S-allyl CN =CH- para
B-758 OCH(CH3)2 H S-allyl CN =CH- para
B-759 F H S-allyl CN =CH- para
B-760 CI H S-allyl CN =CH- para
B-761 Br H S-allyl CN =CH- para
B-762 OH H S-allyl CN =CH- para
B-763 NH2 H S-allyl CN =CH- para
B-764 N(CH3)2 H S-allyl CN =CH- para
B-765 CH3 CH3 S-allyl CN =CH- para
B-766 CH2CH3 CH2CH3 S-allyl CN =CH- para
B-767 =CH2 S-allyl CN =CH- para
B-768 cyclopropyl S-allyl CN =CH- para
B-769 cyclobutyl S-allyl CN =CH- para
B-770 cyclopentyl S-allyl CN =CH- para
B-771 cyclohexyl S-allyl CN =CH- para
line R1 R2 D X B position
Y-Z
B-772 1 -triazolyl H S-allyl CN =CH- para
B-773 2-pyridinyl H S-allyl CN =CH- para
B-774 3-pyridinyl H S-allyl CN =CH- para
B-775 4-pyridinyl H S-allyl CN =CH- para
B-776 H H SCN CN =CH- para
B-777 CHs H SCN CN =CH- para
B-778 CH2CH3 H SCN CN =CH- para
B-779 CH2CH2CH3 H SCN CN =CH- para
B-780 CH(CH3)2 H SCN CN =CH- para
B-781 OCH3 H SCN CN =CH- para
B-782 OCH2CH3 H SCN CN =CH- para
B-783 OCH(CH3)2 H SCN CN =CH- para
B-784 F H SCN CN =CH- para
B-785 CI H SCN CN =CH- para
B-786 Br H SCN CN =CH- para
B-787 OH H SCN CN =CH- para
B-788 NH2 H SCN CN =CH- para
B-789 N(CH3)2 H SCN CN =CH- para
B-790 CH3 CH3 SCN CN =CH- para
B-791 CH2CH3 CH2CH3 SCN CN =CH- para
B-792 =CH2 SCN CN =CH- para
B-793 cyclopropyl SCN CN =CH- para
B-794 cyclobutyl SCN CN =CH- para
B-795 cyclopentyl SCN CN =CH- para
B-796 cyclohexyl SCN CN =CH- para
B-797 1 -triazolyl H SCN CN =CH- para
B-798 2-pyridinyl H SCN CN =CH- para
B-799 3-pyridinyl H SCN CN =CH- para
B-800 4-pyridinyl H SCN CN =CH- para
B-801 H H H OH =CH- para
B-802 CH3 H H OH =CH- para
B-803 CH2CH3 H H OH =CH- para
B-804 CH2CH2CH3 H H OH =CH- para
B-805 CH(CH3)2 H H OH =CH- para
B-806 OCH3 H H OH =CH- para
B-807 OCH2CH3 H H OH =CH- para
line R1 R2 D X B position
Y-Z
B-808 OCH(CH3)2 H H OH =CH- para
B-809 F H H OH =CH- para
B-810 CI H H OH =CH- para
B-81 1 Br H H OH =CH- para
B-812 OH H H OH =CH- para
B-813 NH2 H H OH =CH- para
B-814 N(CH3)2 H H OH =CH- para
B-815 CHs CH3 H OH =CH- para
B-816 CH2CH3 CH2CH3 H OH =CH- para
B-817 =CH2 H OH =CH- para
B-818 cyclopropyl H OH =CH- para
B-819 cyclobutyl H OH =CH- para
B-820 cyclopentyl H OH =CH- para
B-821 cyclohexyl H OH =CH- para
B-822 1 -triazolyl H H OH =CH- para
B-823 2-pyridinyl H H OH =CH- para
B-824 3-pyridinyl H H OH =CH- para
B-825 4-pyridinyl H H OH =CH- para
B-826 H H SH OH =CH- para
B-827 CHs H SH OH =CH- para
B-828 CH2CH3 H SH OH =CH- para
B-829 CH2CH2CH3 H SH OH =CH- para
B-830 CH(CH3)2 H SH OH =CH- para
B-831 OCH3 H SH OH =CH- para
B-832 OCH2CH3 H SH OH =CH- para
B-833 OCH(CH3)2 H SH OH =CH- para
B-834 F H SH OH =CH- para
B-835 CI H SH OH =CH- para
B-836 Br H SH OH =CH- para
B-837 OH H SH OH =CH- para
B-838 NH2 H SH OH =CH- para
B-839 N(CH3)2 H SH OH =CH- para
B-840 CH3 CH3 SH OH =CH- para
B-841 CH2CH3 CH2CH3 SH OH =CH- para
B-842 =CH2 SH OH =CH- para
B-843 cyclopropyl SH OH =CH- para
line R1 R2 D X B position
Y-Z
B-844 cyclobutyl SH OH =CH- para
B-845 cyclopentyl SH OH =CH- para
B-846 cyclohexyl SH OH =CH- para
B-847 1 -triazolyl H SH OH =CH- para
B-848 2-pyridinyl H SH OH =CH- para
B-849 3-pyridinyl H SH OH =CH- para
B-850 4-pyridinyl H SH OH =CH- para
B-851 H H S-allyl OH =CH- para
B-852 CHs H S-allyl OH =CH- para
B-853 CH2CH3 H S-allyl OH =CH- para
B-854 CH2CH2CH3 H S-allyl OH =CH- para
B-855 CH(CH3)2 H S-allyl OH =CH- para
B-856 OCH3 H S-allyl OH =CH- para
B-857 OCH2CH3 H S-allyl OH =CH- para
B-858 OCH(CH3)2 H S-allyl OH =CH- para
B-859 F H S-allyl OH =CH- para
B-860 CI H S-allyl OH =CH- para
B-861 Br H S-allyl OH =CH- para
B-862 OH H S-allyl OH =CH- para
B-863 NH2 H S-allyl OH =CH- para
B-864 N(CH3)2 H S-allyl OH =CH- para
B-865 CH3 CH3 S-allyl OH =CH- para
B-866 CH2CH3 CH2CH3 S-allyl OH =CH- para
B-867 =CH2 S-allyl OH =CH- para
B-868 cyclopropyl S-allyl OH =CH- para
B-869 cyclobutyl S-allyl OH =CH- para
B-870 cyclopentyl S-allyl OH =CH- para
B-871 cyclohexyl S-allyl OH =CH- para
B-872 1 -triazolyl H S-allyl OH =CH- para
B-873 2-pyridinyl H S-allyl OH =CH- para
B-874 3-pyridinyl H S-allyl OH =CH- para
B-875 4-pyridinyl H S-allyl OH =CH- para
B-876 H H SCN OH =CH- para
B-877 CH3 H SCN OH =CH- para
B-878 CH2CH3 H SCN OH =CH- para
Y-Z
B-916 CH2CH3 CH2CH3 H OCH3 =CH- para
B-917 =CH2 H OCH3 =CH- para
B-918 cyclopropyl H OCH3 =CH- para
B-919 cyclobutyl H OCH3 =CH- para
B-920 cyclopentyl H OCH3 =CH- para
B-921 cyclohexyl H OCH3 =CH- para
B-922 1 -triazolyl H H OCH3 =CH- para
B-923 2-pyridinyl H H OCH3 =CH- para
B-924 3-pyridinyl H H OCH3 =CH- para
B-925 4-pyridinyl H H OCH3 =CH- para
B-926 H H SH OCH3 =CH- para
B-927 CHs H SH OCH3 =CH- para
B-928 CH2CH3 H SH OCH3 =CH- para
B-929 CH2CH2CH3 H SH OCH3 =CH- para
B-930 CH(CH3)2 H SH OCH3 =CH- para
B-931 OCH3 H SH OCH3 =CH- para
B-932 OCH2CH3 H SH OCH3 =CH- para
B-933 OCH(CH3)2 H SH OCH3 =CH- para
B-934 F H SH OCH3 =CH- para
B-935 CI H SH OCH3 =CH- para
B-936 Br H SH OCH3 =CH- para
B-937 OH H SH OCH3 =CH- para
B-938 NH2 H SH OCH3 =CH- para
B-939 N(CH3)2 H SH OCH3 =CH- para
B-940 CHs CHs SH OCH3 =CH- para
B-941 CH2CH3 CH2CH3 SH OCH3 =CH- para
B-942 =CH2 SH OCH3 =CH- para
B-943 cyclopropyl SH OCH3 =CH- para
B-944 cyclobutyl SH OCH3 =CH- para
B-945 cyclopentyl SH OCH3 =CH- para
B-946 cyclohexyl SH OCH3 =CH- para
B-947 1 -triazolyl H SH OCH3 =CH- para
B-948 2-pyridinyl H SH OCH3 =CH- para
B-949 3-pyridinyl H SH OCH3 =CH- para
B-950 4-pyridinyl H SH OCH3 =CH- para
B-951 H H S-allyl OCH3 =CH- para
line R1 R2 D X B position
Y-Z
B-952 CHs H S-allyl OCH3 =CH- para
B-953 CH2CH3 H S-allyl OCH3 =CH- para
B-954 CH2CH2CH3 H S-allyl OCH3 =CH- para
B-955 CH(CH3)2 H S-allyl OCH3 =CH- para
B-956 OCH3 H S-allyl OCH3 =CH- para
B-957 OCH2CH3 H S-allyl OCH3 =CH- para
B-958 OCH(CH3)2 H S-allyl OCH3 =CH- para
B-959 F H S-allyl OCH3 =CH- para
B-960 CI H S-allyl OCH3 =CH- para
B-961 Br H S-allyl OCH3 =CH- para
B-962 OH H S-allyl OCH3 =CH- para
B-963 NH2 H S-allyl OCH3 =CH- para
B-964 N(CH3)2 H S-allyl OCH3 =CH- para
B-965 CH3 CH3 S-allyl OCH3 =CH- para
B-966 CH2CH3 CH2CH3 S-allyl OCH3 =CH- para
B-967 =CH2 S-allyl OCH3 =CH- para
B-968 cyclopropyl S-allyl OCH3 =CH- para
B-969 cyclobutyl S-allyl OCH3 =CH- para
B-970 cyclopentyl S-allyl OCH3 =CH- para
B-971 cyclohexyl S-allyl OCH3 =CH- para
B-972 1 -triazolyl H S-allyl OCH3 =CH- para
B-973 2-pyridinyl H S-allyl OCH3 =CH- para
B-974 3-pyridinyl H S-allyl OCH3 =CH- para
B-975 4-pyridinyl H S-allyl OCH3 =CH- para
B-976 H H SCN OCH3 =CH- para
B-977 CH3 H SCN OCH3 =CH- para
B-978 CH2CH3 H SCN OCH3 =CH- para
B-979 CH2CH2CH3 H SCN OCH3 =CH- para
B-980 CH(CH3)2 H SCN OCH3 =CH- para
B-981 OCH3 H SCN OCH3 =CH- para
B-982 OCH2CH3 H SCN OCH3 =CH- para
B-983 OCH(CH3)2 H SCN OCH3 =CH- para
B-984 F H SCN OCH3 =CH- para
B-985 CI H SCN OCH3 =CH- para
B-986 Br H SCN OCH3 =CH- para
B-987 OH H SCN OCH3 =CH- para
line R1 R2 D X B position
Y-Z
B-988 NH2 H SCN OCH3 =CH- para
B-989 N(CH3)2 H SCN OCH3 =CH- para
B-990 CHs CH3 SCN OCH3 =CH- para
B-991 CH2CH3 CH2CH3 SCN OCH3 =CH- para
B-992 =CH2 SCN OCH3 =CH- para
B-993 cyclopropyl SCN OCH3 =CH- para
B-994 cyclobutyl SCN OCH3 =CH- para
B-995 cyclopentyl SCN OCH3 =CH- para
B-996 cyclohexyl SCN OCH3 =CH- para
B-997 1 -triazolyl H SCN OCH3 =CH- para
B-998 2-pyridinyl H SCN OCH3 =CH- para
B-999 3-pyridinyl H SCN OCH3 =CH- para
B-1000 4-pyridinyl H SCN OCH3 =CH- para
B-1001 H H H OCH2CH3 =CH- para
B-1002 CHs H H OCH2CH3 =CH- para
B-1003 CH2CH3 H H OCH2CH3 =CH- para
B-1004 CH2CH2CH3 H H OCH2CH3 =CH- para
B-1005 CH(CH3)2 H H OCH2CH3 =CH- para
B-1006 OCH3 H H OCH2CH3 =CH- para
B-1007 OCH2CH3 H H OCH2CH3 =CH- para
B-1008 OCH(CH3)2 H H OCH2CH3 =CH- para
B-1009 F H H OCH2CH3 =CH- para
B-1010 CI H H OCH2CH3 =CH- para
B-101 1 Br H H OCH2CH3 =CH- para
B-1012 OH H H OCH2CH3 =CH- para
B-1013 NH2 H H OCH2CH3 =CH- para
B-1014 N(CH3)2 H H OCH2CH3 =CH- para
B-1015 CH3 CH3 H OCH2CH3 =CH- para
B-1016 CH2CH3 CH2CH3 H OCH2CH3 =CH- para
B-1017 =CH2 H OCH2CH3 =CH- para
B-1018 cyclopropyl H OCH2CH3 =CH- para
B-1019 cyclobutyl H OCH2CH3 =CH- para
B-1020 cyclopentyl H OCH2CH3 =CH- para
B-1021 cyclohexyl H OCH2CH3 =CH- para
B-1022 1 -triazolyl H H OCH2CH3 =CH- para
B-1023 2-pyridinyl H H OCH2CH3 =CH- para
line R1 R2 D X B position
Y-Z
B-1024 3-pyridinyl H H OCH2CH3 =CH- para
B-1025 4-pyridinyl H H OCH2CH3 =CH- para
B-1026 H H SH OCH2CH3 =CH- para
B-1027 CHs H SH OCH2CH3 =CH- para
B-1028 CH2CH3 H SH OCH2CH3 =CH- para
B-1029 CH2CH2CH3 H SH OCH2CH3 =CH- para
B-1030 CH(CH3)2 H SH OCH2CH3 =CH- para
B-1031 OCH3 H SH OCH2CH3 =CH- para
B-1032 OCH2CH3 H SH OCH2CH3 =CH- para
B-1033 OCH(CH3)2 H SH OCH2CH3 =CH- para
B-1034 F H SH OCH2CH3 =CH- para
B-1035 CI H SH OCH2CH3 =CH- para
B-1036 Br H SH OCH2CH3 =CH- para
B-1037 OH H SH OCH2CH3 =CH- para
B-1038 NH2 H SH OCH2CH3 =CH- para
B-1039 N(CH3)2 H SH OCH2CH3 =CH- para
B-1040 CH3 CH3 SH OCH2CH3 =CH- para
B-1041 CH2CH3 CH2CH3 SH OCH2CH3 =CH- para
B-1042 =CH2 SH OCH2CH3 =CH- para
B-1043 cyclopropyl SH OCH2CH3 =CH- para
B-1044 cyclobutyl SH OCH2CH3 =CH- para
B-1045 cyclopentyl SH OCH2CH3 =CH- para
B-1046 cyclohexyl SH OCH2CH3 =CH- para
B-1047 1 -triazolyl H SH OCH2CH3 =CH- para
B-1048 2-pyridinyl H SH OCH2CH3 =CH- para
B-1049 3-pyridinyl H SH OCH2CH3 =CH- para
B-1050 4-pyridinyl H SH OCH2CH3 =CH- para
B-1051 H H S-allyl OCH2CH3 =CH- para
B-1052 CH3 H S-allyl OCH2CH3 =CH- para
B-1053 CH2CH3 H S-allyl OCH2CH3 =CH- para
B-1054 CH2CH2CH3 H S-allyl OCH2CH3 =CH- para
B-1055 CH(CH3)2 H S-allyl OCH2CH3 =CH- para
B-1056 OCH3 H S-allyl OCH2CH3 =CH- para
B-1057 OCH2CH3 H S-allyl OCH2CH3 =CH- para
B-1058 OCH(CH3)2 H S-allyl OCH2CH3 =CH- para
B-1059 F H S-allyl OCH2CH3 =CH- para
line R1 R2 D X B position
Y-Z
B-1060 CI H S-allyl OCH2CH3 =CH- para
B-1061 Br H S-allyl OCH2CH3 =CH- para
B-1062 OH H S-allyl OCH2CH3 =CH- para
B-1063 NH2 H S-allyl OCH2CH3 =CH- para
B-1064 N(CH3)2 H S-allyl OCH2CH3 =CH- para
B-1065 CHs CH3 S-allyl OCH2CH3 =CH- para
B-1066 CH2CH3 CH2CH3 S-allyl OCH2CH3 =CH- para
B-1067 =CH2 S-allyl OCH2CH3 =CH- para
B-1068 cyclopropyl S-allyl OCH2CH3 =CH- para
B-1069 cyclobutyl S-allyl OCH2CH3 =CH- para
B-1070 cyclopentyl S-allyl OCH2CH3 =CH- para
B-1071 cyclohexyl S-allyl OCH2CH3 =CH- para
B-1072 1 -triazolyl H S-allyl OCH2CH3 =CH- para
B-1073 2-pyridinyl H S-allyl OCH2CH3 =CH- para
B-1074 3-pyridinyl H S-allyl OCH2CH3 =CH- para
B-1075 4-pyridinyl H S-allyl OCH2CH3 =CH- para
B-1076 H H SCN OCH2CH3 =CH- para
B-1077 CHs H SCN OCH2CH3 =CH- para
B-1078 CH2CH3 H SCN OCH2CH3 =CH- para
B-1079 CH2CH2CH3 H SCN OCH2CH3 =CH- para
B-1080 CH(CH3)2 H SCN OCH2CH3 =CH- para
B-1081 OCH3 H SCN OCH2CH3 =CH- para
B-1082 OCH2CH3 H SCN OCH2CH3 =CH- para
B-1083 OCH(CH3)2 H SCN OCH2CH3 =CH- para
B-1084 F H SCN OCH2CH3 =CH- para
B-1085 CI H SCN OCH2CH3 =CH- para
B-1086 Br H SCN OCH2CH3 =CH- para
B-1087 OH H SCN OCH2CH3 =CH- para
B-1088 NH2 H SCN OCH2CH3 =CH- para
B-1089 N(CH3)2 H SCN OCH2CH3 =CH- para
B-1090 CH3 CH3 SCN OCH2CH3 =CH- para
B-1091 CH2CH3 CH2CH3 SCN OCH2CH3 =CH- para
B-1092 =CH2 SCN OCH2CH3 =CH- para
B-1093 cyclopropyl SCN OCH2CH3 =CH- para
B-1094 cyclobutyl SCN OCH2CH3 =CH- para
B-1095 cyclopentyl SCN OCH2CH3 =CH- para
line R1 R2 D X B position
Y-Z
B-1096 cyclohexyl SCN OCH2CH3 =CH- para
B-1097 1-triazolyl H SCN OCH2CH3 =CH- para
B-1098 2-pyridinyl H SCN OCH2CH3 =CH- para
B-1099 3-pyridinyl H SCN OCH2CH3 =CH- para
B-1100 4-pyridinyl H SCN OCH2CH3 =CH- para
B-1101 H H H O-allyl =CH- para
B-1102 CHs H H O-allyl =CH- para
B-1103 CH2CH3 H H O-allyl =CH- para
B-1104 CH2CH2CH3 H H O-allyl =CH- para
B-1105 CH(CH3)2 H H O-allyl =CH- para
B-1106 OCH3 H H O-allyl =CH- para
B-1107 OCH2CH3 H H O-allyl =CH- para
B-1108 OCH(CH3)2 H H O-allyl =CH- para
B-1109 F H H O-allyl =CH- para
B-1110 CI H H O-allyl =CH- para
B-1111 Br H H O-allyl =CH- para
B-1112 OH H H O-allyl =CH- para
B-1113 NH2 H H O-allyl =CH- para
B-1114 N(CH3)2 H H O-allyl =CH- para
B-1115 CH3 CH3 H O-allyl =CH- para
B-1116 CH2CH3 CH2CH3 H O-allyl =CH- para
B-1117 =CH2 H O-allyl =CH- para
B-1118 cyclopropyl H O-allyl =CH- para
B-1119 cyclobutyl H O-allyl =CH- para
B-1120 cyclopentyl H O-allyl =CH- para
B-1121 cyclohexyl H O-allyl =CH- para
B-1122 1-triazolyl H H O-allyl =CH- para
B-1123 2-pyridinyl H H O-allyl =CH- para
B-1124 3-pyridinyl H H O-allyl =CH- para
B-1125 4-pyridinyl H H O-allyl =CH- para
B-1126 H H SH O-allyl =CH- para
B-1127 CH3 H SH O-allyl =CH- para
B-1128 CH2CH3 H SH O-allyl =CH- para
B-1129 CH2CH2CH3 H SH O-allyl =CH- para
B-1130 CH(CH3)2 H SH O-allyl =CH- para
B-1131 OCH3 H SH O-allyl =CH- para
line R1 R2 D X B position
Y-Z
B-1132 OCH2CH3 H SH O-allyl =CH- para
B-1133 OCH(CH3)2 H SH O-allyl =CH- para
B-1134 F H SH O-allyl =CH- para
B-1135 CI H SH O-allyl =CH- para
B-1136 Br H SH O-allyl =CH- para
B-1137 OH H SH O-allyl =CH- para
B-1138 NH2 H SH O-allyl =CH- para
B-1139 N(CH3)2 H SH O-allyl =CH- para
B-1140 CHs CH3 SH O-allyl =CH- para
B-1141 CH2CH3 CH2CH3 SH O-allyl =CH- para
B-1142 =CH2 SH O-allyl =CH- para
B-1143 cyclopropyl SH O-allyl =CH- para
B-1144 cyclobutyl SH O-allyl =CH- para
B-1145 cyclopentyl SH O-allyl =CH- para
B-1146 cyclohexyl SH O-allyl =CH- para
B-1147 1-triazolyl H SH O-allyl =CH- para
B-1148 2-pyridinyl H SH O-allyl =CH- para
B-1149 3-pyridinyl H SH O-allyl =CH- para
B-1150 4-pyridinyl H SH O-allyl =CH- para
B-1151 H H S-allyl O-allyl =CH- para
B-1152 CHs H S-allyl O-allyl =CH- para
B-1153 CH2CH3 H S-allyl O-allyl =CH- para
B-1154 CH2CH2CH3 H S-allyl O-allyl =CH- para
B-1155 CH(CH3)2 H S-allyl O-allyl =CH- para
B-1156 OCH3 H S-allyl O-allyl =CH- para
B-1157 OCH2CH3 H S-allyl O-allyl =CH- para
B-1158 OCH(CH3)2 H S-allyl O-allyl =CH- para
B-1159 F H S-allyl O-allyl =CH- para
B-1160 CI H S-allyl O-allyl =CH- para
B-1161 Br H S-allyl O-allyl =CH- para
B-1162 OH H S-allyl O-allyl =CH- para
B-1163 NH2 H S-allyl O-allyl =CH- para
B-1164 N(CH3)2 H S-allyl O-allyl =CH- para
B-1165 CH3 CH3 S-allyl O-allyl =CH- para
B-1166 CH2CH3 CH2CH3 S-allyl O-allyl =CH- para
B-1167 =CH2 S-allyl O-allyl =CH- para
line R1 R2 D X B position
Y-Z
B-1168 cyclopropyl S-allyl O-allyl =CH- para
B-1169 cyclobutyl S-allyl O-allyl =CH- para
B-1170 cyclopentyl S-allyl O-allyl =CH- para
B-1171 cyclohexyl S-allyl O-allyl =CH- para
B-1172 1-triazolyl H S-allyl O-allyl =CH- para
B-1173 2-pyridinyl H S-allyl O-allyl =CH- para
B-1174 3-pyridinyl H S-allyl O-allyl =CH- para
B-1175 4-pyridinyl H S-allyl O-allyl =CH- para
B-1176 H H SCN O-allyl =CH- para
B-1177 CHs H SCN O-allyl =CH- para
B-1178 CH2CH3 H SCN O-allyl =CH- para
B-1179 CH2CH2CH3 H SCN O-allyl =CH- para
B-1180 CH(CH3)2 H SCN O-allyl =CH- para
B-1181 OCH3 H SCN O-allyl =CH- para
B-1182 OCH2CH3 H SCN O-allyl =CH- para
B-1183 OCH(CH3)2 H SCN O-allyl =CH- para
B-1184 F H SCN O-allyl =CH- para
B-1185 CI H SCN O-allyl =CH- para
B-1186 Br H SCN O-allyl =CH- para
B-1187 OH H SCN O-allyl =CH- para
B-1188 NH2 H SCN O-allyl =CH- para
B-1189 N(CH3)2 H SCN O-allyl =CH- para
B-1190 CH3 CH3 SCN O-allyl =CH- para
B-1191 CH2CH3 CH2CH3 SCN O-allyl =CH- para
B-1192 =CH2 SCN O-allyl =CH- para
B-1193 cyclopropyl SCN O-allyl =CH- para
B-1194 cyclobutyl SCN O-allyl =CH- para
B-1195 cyclopentyl SCN O-allyl =CH- para
B-1196 cyclohexyl SCN O-allyl =CH- para
B-1197 1-triazolyl H SCN O-allyl =CH- para
B-1198 2-pyridinyl H SCN O-allyl =CH- para
B-1199 3-pyridinyl H SCN O-allyl =CH- para
B-1200 4-pyridinyl H SCN O-allyl =CH- para
B-1201 H H H O-propargyl =CH- para
B-1202 CH3 H H O-propargyl =CH- para
B-1203 CH2CH3 H H O-propargyl =CH- para
line R1 R2 D X B position
Y-Z
B-1204 CH2CH2CH3 H H O-propargyl =CH- para
B-1205 CH(CH3)2 H H O-propargyl =CH- para
B-1206 OCH3 H H O-propargyl =CH- para
B-1207 OCH2CH3 H H O-propargyl =CH- para
B-1208 OCH(CH3)2 H H O-propargyl =CH- para
B-1209 F H H O-propargyl =CH- para
B-1210 CI H H O-propargyl =CH- para
B-121 1 Br H H O-propargyl =CH- para
B-1212 OH H H O-propargyl =CH- para
B-1213 NH2 H H O-propargyl =CH- para
B-1214 N(CH3)2 H H O-propargyl =CH- para
B-1215 CHs CH3 H O-propargyl =CH- para
B-1216 CH2CH3 CH2CH3 H O-propargyl =CH- para
B-1217 =CH2 H O-propargyl =CH- para
B-1218 cyclopropyl H O-propargyl =CH- para
B-1219 cyclobutyl H O-propargyl =CH- para
B-1220 cyclopentyl H O-propargyl =CH- para
B-1221 cyclohexyl H O-propargyl =CH- para
B-1222 1 -triazolyl H H O-propargyl =CH- para
B-1223 2-pyridinyl H H O-propargyl =CH- para
B-1224 3-pyridinyl H H O-propargyl =CH- para
B-1225 4-pyridinyl H H O-propargyl =CH- para
B-1226 H H SH O-propargyl =CH- para
B-1227 CHs H SH O-propargyl =CH- para
B-1228 CH2CH3 H SH O-propargyl =CH- para
B-1229 CH2CH2CH3 H SH O-propargyl =CH- para
B-1230 CH(CH3)2 H SH O-propargyl =CH- para
B-1231 OCH3 H SH O-propargyl =CH- para
B-1232 OCH2CH3 H SH O-propargyl =CH- para
B-1233 OCH(CH3)2 H SH O-propargyl =CH- para
B-1234 F H SH O-propargyl =CH- para
B-1235 CI H SH O-propargyl =CH- para
B-1236 Br H SH O-propargyl =CH- para
B-1237 OH H SH O-propargyl =CH- para
B-1238 NH2 H SH O-propargyl =CH- para
B-1239 N(CH3)2 H SH O-propargyl =CH- para
line R1 R2 D X B position
Y-Z
B-1240 CHs CH3 SH O-propargyl =CH- para
B-1241 CH2CH3 CH2CH3 SH O-propargyl =CH- para
B-1242 =CH2 SH O-propargyl =CH- para
B-1243 cyclopropyl SH O-propargyl =CH- para
B-1244 cyclobutyl SH O-propargyl =CH- para
B-1245 cyclopentyl SH O-propargyl =CH- para
B-1246 cyclohexyl SH O-propargyl =CH- para
B-1247 1 -triazolyl H SH O-propargyl =CH- para
B-1248 2-pyridinyl H SH O-propargyl =CH- para
B-1249 3-pyridinyl H SH O-propargyl =CH- para
B-1250 4-pyridinyl H SH O-propargyl =CH- para
B-1251 H H S-allyl O-propargyl =CH- para
B-1252 CHs H S-allyl O-propargyl =CH- para
B-1253 CH2CH3 H S-allyl O-propargyl =CH- para
B-1254 CH2CH2CH3 H S-allyl O-propargyl =CH- para
B-1255 CH(CH3)2 H S-allyl O-propargyl =CH- para
B-1256 OCH3 H S-allyl O-propargyl =CH- para
B-1257 OCH2CH3 H S-allyl O-propargyl =CH- para
B-1258 OCH(CH3)2 H S-allyl O-propargyl =CH- para
B-1259 F H S-allyl O-propargyl =CH- para
B-1260 CI H S-allyl O-propargyl =CH- para
B-1261 Br H S-allyl O-propargyl =CH- para
B-1262 OH H S-allyl O-propargyl =CH- para
B-1263 NH2 H S-allyl O-propargyl =CH- para
B-1264 N(CH3)2 H S-allyl O-propargyl =CH- para
B-1265 CH3 CH3 S-allyl O-propargyl =CH- para
B-1266 CH2CH3 CH2CH3 S-allyl O-propargyl =CH- para
B-1267 =CH2 S-allyl O-propargyl =CH- para
B-1268 cyclopropyl S-allyl O-propargyl =CH- para
B-1269 cyclobutyl S-allyl O-propargyl =CH- para
B-1270 cyclopentyl S-allyl O-propargyl =CH- para
B-1271 cyclohexyl S-allyl O-propargyl =CH- para
B-1272 1 -triazolyl H S-allyl O-propargyl =CH- para
B-1273 2-pyridinyl H S-allyl O-propargyl =CH- para
B-1274 3-pyridinyl H S-allyl O-propargyl =CH- para
B-1275 4-pyridinyl H S-allyl O-propargyl =CH- para
line R1 R2 D X B position
Y-Z
B-1276 H H SCN O-propargyl =CH- para
B-1277 CHs H SCN O-propargyl =CH- para
B-1278 CH2CH3 H SCN O-propargyl =CH- para
B-1279 CH2CH2CH3 H SCN O-propargyl =CH- para
B-1280 CH(CH3)2 H SCN O-propargyl =CH- para
B-1281 OCH3 H SCN O-propargyl =CH- para
B-1282 OCH2CH3 H SCN O-propargyl =CH- para
B-1283 OCH(CH3)2 H SCN O-propargyl =CH- para
B-1284 F H SCN O-propargyl =CH- para
B-1285 CI H SCN O-propargyl =CH- para
B-1286 Br H SCN O-propargyl =CH- para
B-1287 OH H SCN O-propargyl =CH- para
B-1288 NH2 H SCN O-propargyl =CH- para
B-1289 N(CH3)2 H SCN O-propargyl =CH- para
B-1290 CH3 CH3 SCN O-propargyl =CH- para
B-1291 CH2CH3 CH2CH3 SCN O-propargyl =CH- para
B-1292 =CH2 SCN O-propargyl =CH- para
B-1293 cyclopropyl SCN O-propargyl =CH- para
B-1294 cyclobutyl SCN O-propargyl =CH- para
B-1295 cyclopentyl SCN O-propargyl =CH- para
B-1296 cyclohexyl SCN O-propargyl =CH- para
B-1297 1 -triazolyl H SCN O-propargyl =CH- para
B-1298 2-pyridinyl H SCN O-propargyl =CH- para
B-1299 3-pyridinyl H SCN O-propargyl =CH- para
B-1300 4-pyridinyl H SCN O-propargyl =CH- para
B-1301 H H H O-benzyl =CH- para
B-1302 CH3 H H O-benzyl =CH- para
B-1303 CH2CH3 H H O-benzyl =CH- para
B-1304 CH2CH2CH3 H H O-benzyl =CH- para
B-1305 CH(CH3)2 H H O-benzyl =CH- para
B-1306 OCH3 H H O-benzyl =CH- para
B-1307 OCH2CH3 H H O-benzyl =CH- para
B-1308 OCH(CH3)2 H H O-benzyl =CH- para
B-1309 F H H O-benzyl =CH- para
B-1310 CI H H O-benzyl =CH- para
B-131 1 Br H H O-benzyl =CH- para
line R1 R2 D X B position
Y-Z
B-1312 OH H H O-benzyl =CH- para
B-1313 NH2 H H O-benzyl =CH- para
B-1314 N(CH3)2 H H O-benzyl =CH- para
B-1315 CHs CH3 H O-benzyl =CH- para
B-1316 CH2CH3 CH2CH3 H O-benzyl =CH- para
B-1317 =CH2 H O-benzyl =CH- para
B-1318 cyclopropyl H O-benzyl =CH- para
B-1319 cyclobutyl H O-benzyl =CH- para
B-1320 cyclopentyl H O-benzyl =CH- para
B-1321 cyclohexyl H O-benzyl =CH- para
B-1322 1 -triazolyl H H O-benzyl =CH- para
B-1323 2-pyridinyl H H O-benzyl =CH- para
B-1324 3-pyridinyl H H O-benzyl =CH- para
B-1325 4-pyridinyl H H O-benzyl =CH- para
B-1326 H H SH O-benzyl =CH- para
B-1327 CHs H SH O-benzyl =CH- para
B-1328 CH2CH3 H SH O-benzyl =CH- para
B-1329 CH2CH2CH3 H SH O-benzyl =CH- para
B-1330 CH(CH3)2 H SH O-benzyl =CH- para
B-1331 OCH3 H SH O-benzyl =CH- para
B-1332 OCH2CH3 H SH O-benzyl =CH- para
B-1333 OCH(CH3)2 H SH O-benzyl =CH- para
B-1334 F H SH O-benzyl =CH- para
B-1335 CI H SH O-benzyl =CH- para
B-1336 Br H SH O-benzyl =CH- para
B-1337 OH H SH O-benzyl =CH- para
B-1338 NH2 H SH O-benzyl =CH- para
B-1339 N(CH3)2 H SH O-benzyl =CH- para
B-1340 CH3 CH3 SH O-benzyl =CH- para
B-1341 CH2CH3 CH2CH3 SH O-benzyl =CH- para
B-1342 =CH2 SH O-benzyl =CH- para
B-1343 cyclopropyl SH O-benzyl =CH- para
B-1344 cyclobutyl SH O-benzyl =CH- para
B-1345 cyclopentyl SH O-benzyl =CH- para
B-1346 cyclohexyl SH O-benzyl =CH- para
B-1347 1 -triazolyl H SH O-benzyl =CH- para
line R1 R2 D X B position
Y-Z
B-1348 2-pyridinyl H SH O-benzyl =CH- para
B-1349 3-pyridinyl H SH O-benzyl =CH- para
B-1350 4-pyridinyl H SH O-benzyl =CH- para
B-1351 H H S-allyl O-benzyl =CH- para
B-1352 CHs H S-allyl O-benzyl =CH- para
B-1353 CH2CH3 H S-allyl O-benzyl =CH- para
B-1354 CH2CH2CH3 H S-allyl O-benzyl =CH- para
B-1355 CH(CH3)2 H S-allyl O-benzyl =CH- para
B-1356 OCH3 H S-allyl O-benzyl =CH- para
B-1357 OCH2CH3 H S-allyl O-benzyl =CH- para
B-1358 OCH(CH3)2 H S-allyl O-benzyl =CH- para
B-1359 F H S-allyl O-benzyl =CH- para
B-1360 CI H S-allyl O-benzyl =CH- para
B-1361 Br H S-allyl O-benzyl =CH- para
B-1362 OH H S-allyl O-benzyl =CH- para
B-1363 NH2 H S-allyl O-benzyl =CH- para
B-1364 N(CH3)2 H S-allyl O-benzyl =CH- para
B-1365 CH3 CH3 S-allyl O-benzyl =CH- para
B-1366 CH2CH3 CH2CH3 S-allyl O-benzyl =CH- para
B-1367 =CH2 S-allyl O-benzyl =CH- para
B-1368 cyclopropyl S-allyl O-benzyl =CH- para
B-1369 cyclobutyl S-allyl O-benzyl =CH- para
B-1370 cyclopentyl S-allyl O-benzyl =CH- para
B-1371 cyclohexyl S-allyl O-benzyl =CH- para
B-1372 1 -triazolyl H S-allyl O-benzyl =CH- para
B-1373 2-pyridinyl H S-allyl O-benzyl =CH- para
B-1374 3-pyridinyl H S-allyl O-benzyl =CH- para
B-1375 4-pyridinyl H S-allyl O-benzyl =CH- para
B-1376 H H SCN O-benzyl =CH- para
B-1377 CH3 H SCN O-benzyl =CH- para
B-1378 CH2CH3 H SCN O-benzyl =CH- para
B-1379 CH2CH2CH3 H SCN O-benzyl =CH- para
B-1380 CH(CH3)2 H SCN O-benzyl =CH- para
B-1381 OCH3 H SCN O-benzyl =CH- para
B-1382 OCH2CH3 H SCN O-benzyl =CH- para
B-1383 OCH(CH3)2 H SCN O-benzyl =CH- para
line R1 R2 D X B position
Y-Z
B-1384 F H SCN O-benzyl =CH- para
B-1385 CI H SCN O-benzyl =CH- para
B-1386 Br H SCN O-benzyl =CH- para
B-1387 OH H SCN O-benzyl =CH- para
B-1388 NH2 H SCN O-benzyl =CH- para
B-1389 N(CH3)2 H SCN O-benzyl =CH- para
B-1390 CHs CH3 SCN O-benzyl =CH- para
B-1391 CH2CH3 CH2CH3 SCN O-benzyl =CH- para
B-1392 =CH2 SCN O-benzyl =CH- para
B-1393 cyclopropyl SCN O-benzyl =CH- para
B-1394 cyclobutyl SCN O-benzyl =CH- para
B-1395 cyclopentyl SCN O-benzyl =CH- para
B-1396 cyclohexyl SCN O-benzyl =CH- para
B-1397 1 -triazolyl H SCN O-benzyl =CH- para
B-1398 2-pyridinyl H SCN O-benzyl =CH- para
B-1399 3-pyridinyl H SCN O-benzyl =CH- para
B-1400 4-pyridinyl H SCN O-benzyl =CH- para
B-1401 H H H CN direct bond para
B-1402 CHs H H CN direct bond para
B-1403 CH2CH3 H H CN direct bond para
B-1404 CH2CH2CH3 H H CN direct bond para
B-1405 CH(CH3)2 H H CN direct bond para
B-1406 OCH3 H H CN direct bond para
B-1407 OCH2CH3 H H CN direct bond para
B-1408 OCH(CH3)2 H H CN direct bond para
B-1409 F H H CN direct bond para
B-1410 CI H H CN direct bond para
B-141 1 Br H H CN direct bond para
B-1412 OH H H CN direct bond para
B-1413 NH2 H H CN direct bond para
B-1414 N(CH3)2 H H CN direct bond para
B-1415 CH3 CH3 H CN direct bond para
B-1416 CH2CH3 CH2CH3 H CN direct bond para
B-1417 =CH2 H CN direct bond para
B-1418 cyclopropyl H CN direct bond para
B-1419 cyclobutyl H CN direct bond para
line R1 R2 D X B position
Y-Z
B-1420 cyclopentyl H CN direct bond para
B-1421 cyclohexyl H CN direct bond para
B-1422 1 -triazolyl H H CN direct bond para
B-1423 2-pyridinyl H H CN direct bond para
B-1424 3-pyridinyl H H CN direct bond para
B-1425 4-pyridinyl H H CN direct bond para
B-1426 H H SH CN direct bond para
B-1427 CHs H SH CN direct bond para
B-1428 CH2CH3 H SH CN direct bond para
B-1429 CH2CH2CH3 H SH CN direct bond para
B-1430 CH(CH3)2 H SH CN direct bond para
B-1431 OCH3 H SH CN direct bond para
B-1432 OCH2CH3 H SH CN direct bond para
B-1433 OCH(CH3)2 H SH CN direct bond para
B-1434 F H SH CN direct bond para
B-1435 CI H SH CN direct bond para
B-1436 Br H SH CN direct bond para
B-1437 OH H SH CN direct bond para
B-1438 NH2 H SH CN direct bond para
B-1439 N(CH3)2 H SH CN direct bond para
B-1440 CH3 CH3 SH CN direct bond para
B-1441 CH2CH3 CH2CH3 SH CN direct bond para
B-1442 =CH2 SH CN direct bond para
B-1443 cyclopropyl SH CN direct bond para
B-1444 cyclobutyl SH CN direct bond para
B-1445 cyclopentyl SH CN direct bond para
B-1446 cyclohexyl SH CN direct bond para
B-1447 1 -triazolyl H SH CN direct bond para
B-1448 2-pyridinyl H SH CN direct bond para
B-1449 3-pyridinyl H SH CN direct bond para
B-1450 4-pyridinyl H SH CN direct bond para
B-1451 H H S-allyl CN direct bond para
B-1452 CH3 H S-allyl CN direct bond para
B-1453 CH2CH3 H S-allyl CN direct bond para
B-1454 CH2CH2CH3 H S-allyl CN direct bond para
B-1455 CH(CH3)2 H S-allyl CN direct bond para
line R1 R2 D X B position
Y-Z
B-1456 OCHs H S-allyl CN direct bond para
B-1457 OCH2CH3 H S-allyl CN direct bond para
B-1458 OCH(CH3)2 H S-allyl CN direct bond para
B-1459 F H S-allyl CN direct bond para
B-1460 CI H S-allyl CN direct bond para
B-1461 Br H S-allyl CN direct bond para
B-1462 OH H S-allyl CN direct bond para
B-1463 NH2 H S-allyl CN direct bond para
B-1464 N(CH3)2 H S-allyl CN direct bond para
B-1465 CHs CH3 S-allyl CN direct bond para
B-1466 CH2CH3 CH2CH3 S-allyl CN direct bond para
B-1467 =CH2 S-allyl CN direct bond para
B-1468 cyclopropyl S-allyl CN direct bond para
B-1469 cyclobutyl S-allyl CN direct bond para
B-1470 cyclopentyl S-allyl CN direct bond para
B-1471 cyclohexyl S-allyl CN direct bond para
B-1472 1 -triazolyl H S-allyl CN direct bond para
B-1473 2-pyridinyl H S-allyl CN direct bond para
B-1474 3-pyridinyl H S-allyl CN direct bond para
B-1475 4-pyridinyl H S-allyl CN direct bond para
B-1476 H H SCN CN direct bond para
B-1477 CHs H SCN CN direct bond para
B-1478 CH2CH3 H SCN CN direct bond para
B-1479 CH2CH2CH3 H SCN CN direct bond para
B-1480 CH(CH3)2 H SCN CN direct bond para
B-1481 OCHs H SCN CN direct bond para
B-1482 OCH2CH3 H SCN CN direct bond para
B-1483 OCH(CH3)2 H SCN CN direct bond para
B-1484 F H SCN CN direct bond para
B-1485 CI H SCN CN direct bond para
B-1486 Br H SCN CN direct bond para
B-1487 OH H SCN CN direct bond para
B-1488 NH2 H SCN CN direct bond para
B-1489 N(CH3)2 H SCN CN direct bond para
B-1490 CH3 CH3 SCN CN direct bond para
B-1491 CH2CH3 CH2CH3 SCN CN direct bond para
line R1 R2 D X B position
Y-Z
B-1492 =CH2 SCN CN direct bond para
B-1493 cyclopropyl SCN CN direct bond para
B-1494 cyclobutyl SCN CN direct bond para
B-1495 cyclopentyl SCN CN direct bond para
B-1496 cyclohexyl SCN CN direct bond para
B-1497 1 -triazolyl H SCN CN direct bond para
B-1498 2-pyridinyl H SCN CN direct bond para
B-1499 3-pyridinyl H SCN CN direct bond para
B-1500 4-pyridinyl H SCN CN direct bond para
B-1501 H H H OH direct bond para
B-1502 CHs H H OH direct bond para
B-1503 CH2CH3 H H OH direct bond para
B-1504 CH2CH2CH3 H H OH direct bond para
B-1505 CH(CH3)2 H H OH direct bond para
B-1506 OCH3 H H OH direct bond para
B-1507 OCH2CH3 H H OH direct bond para
B-1508 OCH(CH3)2 H H OH direct bond para
B-1509 F H H OH direct bond para
B-1510 CI H H OH direct bond para
B-151 1 Br H H OH direct bond para
B-1512 OH H H OH direct bond para
B-1513 NH2 H H OH direct bond para
B-1514 N(CH3)2 H H OH direct bond para
B-1515 CH3 CH3 H OH direct bond para
B-1516 CH2CH3 CH2CH3 H OH direct bond para
B-1517 =CH2 H OH direct bond para
B-1518 cyclopropyl H OH direct bond para
B-1519 cyclobutyl H OH direct bond para
B-1520 cyclopentyl H OH direct bond para
B-1521 cyclohexyl H OH direct bond para
B-1522 1 -triazolyl H H OH direct bond para
B-1523 2-pyridinyl H H OH direct bond para
B-1524 3-pyridinyl H H OH direct bond para
B-1525 4-pyridinyl H H OH direct bond para
B-1526 H H SH OH direct bond para
B-1527 CH3 H SH OH direct bond para
line R1 R2 D X B position
Y-Z
B-1528 CH2CH3 H SH OH direct bond para
B-1529 CH2CH2CH3 H SH OH direct bond para
B-1530 CH(CH3)2 H SH OH direct bond para
B-1531 OCH3 H SH OH direct bond para
B-1532 OCH2CH3 H SH OH direct bond para
B-1533 OCH(CH3)2 H SH OH direct bond para
B-1534 F H SH OH direct bond para
B-1535 CI H SH OH direct bond para
B-1536 Br H SH OH direct bond para
B-1537 OH H SH OH direct bond para
B-1538 NH2 H SH OH direct bond para
B-1539 N(CH3)2 H SH OH direct bond para
B-1540 CHs CH3 SH OH direct bond para
B-1541 CH2CH3 CH2CH3 SH OH direct bond para
B-1542 =CH2 SH OH direct bond para
B-1543 cyclopropyl SH OH direct bond para
B-1544 cyclobutyl SH OH direct bond para
B-1545 cyclopentyl SH OH direct bond para
B-1546 cyclohexyl SH OH direct bond para
B-1547 1 -triazolyl H SH OH direct bond para
B-1548 2-pyridinyl H SH OH direct bond para
B-1549 3-pyridinyl H SH OH direct bond para
B-1550 4-pyridinyl H SH OH direct bond para
B-1551 H H S-allyl OH direct bond para
B-1552 CHs H S-allyl OH direct bond para
B-1553 CH2CH3 H S-allyl OH direct bond para
B-1554 CH2CH2CH3 H S-allyl OH direct bond para
B-1555 CH(CH3)2 H S-allyl OH direct bond para
B-1556 OCH3 H S-allyl OH direct bond para
B-1557 OCH2CH3 H S-allyl OH direct bond para
B-1558 OCH(CH3)2 H S-allyl OH direct bond para
B-1559 F H S-allyl OH direct bond para
B-1560 CI H S-allyl OH direct bond para
B-1561 Br H S-allyl OH direct bond para
B-1562 OH H S-allyl OH direct bond para
B-1563 NH2 H S-allyl OH direct bond para
line R1 R2 D X B position
Y-Z
B-1564 N(CH3)2 H S-allyl OH direct bond para
B-1565 CHs CH3 S-allyl OH direct bond para
B-1566 CH2CH3 CH2CH3 S-allyl OH direct bond para
B-1567 =CH2 S-allyl OH direct bond para
B-1568 cyclopropyl S-allyl OH direct bond para
B-1569 cyclobutyl S-allyl OH direct bond para
B-1570 cyclopentyl S-allyl OH direct bond para
B-1571 cyclohexyl S-allyl OH direct bond para
B-1572 1 -triazolyl H S-allyl OH direct bond para
B-1573 2-pyridinyl H S-allyl OH direct bond para
B-1574 3-pyridinyl H S-allyl OH direct bond para
B-1575 4-pyridinyl H S-allyl OH direct bond para
B-1576 H H SCN OH direct bond para
B-1577 CHs H SCN OH direct bond para
B-1578 CH2CH3 H SCN OH direct bond para
B-1579 CH2CH2CH3 H SCN OH direct bond para
B-1580 CH(CH3)2 H SCN OH direct bond para
B-1581 OCH3 H SCN OH direct bond para
B-1582 OCH2CH3 H SCN OH direct bond para
B-1583 OCH(CH3)2 H SCN OH direct bond para
B-1584 F H SCN OH direct bond para
B-1585 CI H SCN OH direct bond para
B-1586 Br H SCN OH direct bond para
B-1587 OH H SCN OH direct bond para
B-1588 NH2 H SCN OH direct bond para
B-1589 N(CH3)2 H SCN OH direct bond para
B-1590 CH3 CH3 SCN OH direct bond para
B-1591 CH2CH3 CH2CH3 SCN OH direct bond para
B-1592 =CH2 SCN OH direct bond para
B-1593 cyclopropyl SCN OH direct bond para
B-1594 cyclobutyl SCN OH direct bond para
B-1595 cyclopentyl SCN OH direct bond para
B-1596 cyclohexyl SCN OH direct bond para
B-1597 1 -triazolyl H SCN OH direct bond para
B-1598 2-pyridinyl H SCN OH direct bond para
B-1599 3-pyridinyl H SCN OH direct bond para
line R1 R2 D X B position
Y-Z
B-1600 4-pyridinyl H SCN OH direct bond para
B-1601 H H H OCH3 direct bond para
B-1602 CHs H H OCH3 direct bond para
B-1603 CH2CH3 H H OCH3 direct bond para
B-1604 CH2CH2CH3 H H OCH3 direct bond para
B-1605 CH(CH3)2 H H OCH3 direct bond para
B-1606 OCH3 H H OCH3 direct bond para
B-1607 OCH2CH3 H H OCH3 direct bond para
B-1608 OCH(CH3)2 H H OCH3 direct bond para
B-1609 F H H OCH3 direct bond para
B-1610 CI H H OCH3 direct bond para
B-161 1 Br H H OCH3 direct bond para
B-1612 OH H H OCH3 direct bond para
B-1613 NH2 H H OCH3 direct bond para
B-1614 N(CH3)2 H H OCH3 direct bond para
B-1615 CH3 CH3 H OCH3 direct bond para
B-1616 CH2CH3 CH2CH3 H OCH3 direct bond para
B-1617 =CH2 H OCH3 direct bond para
B-1618 cyclopropyl H OCH3 direct bond para
B-1619 cyclobutyl H OCH3 direct bond para
B-1620 cyclopentyl H OCH3 direct bond para
B-1621 cyclohexyl H OCH3 direct bond para
B-1622 1 -triazolyl H H OCH3 direct bond para
B-1623 2-pyridinyl H H OCH3 direct bond para
B-1624 3-pyridinyl H H OCH3 direct bond para
B-1625 4-pyridinyl H H OCH3 direct bond para
B-1626 H H SH OCH3 direct bond para
B-1627 CH3 H SH OCH3 direct bond para
B-1628 CH2CH3 H SH OCH3 direct bond para
B-1629 CH2CH2CH3 H SH OCH3 direct bond para
B-1630 CH(CH3)2 H SH OCH3 direct bond para
B-1631 OCH3 H SH OCH3 direct bond para
B-1632 OCH2CH3 H SH OCH3 direct bond para
B-1633 OCH(CH3)2 H SH OCH3 direct bond para
B-1634 F H SH OCH3 direct bond para
B-1635 CI H SH OCH3 direct bond para
line R1 R2 D X B position
Y-Z
B-1636 Br H SH OCH3 direct bond para
B-1637 OH H SH OCH3 direct bond para
B-1638 NH2 H SH OCH3 direct bond para
B-1639 N(CH3)2 H SH OCH3 direct bond para
B-1640 CHs CH3 SH OCH3 direct bond para
B-1641 CH2CH3 CH2CH3 SH OCH3 direct bond para
B-1642 =CH2 SH OCH3 direct bond para
B-1643 cyclopropyl SH OCH3 direct bond para
B-1644 cyclobutyl SH OCH3 direct bond para
B-1645 cyclopentyl SH OCH3 direct bond para
B-1646 cyclohexyl SH OCH3 direct bond para
B-1647 1 -triazolyl H SH OCH3 direct bond para
B-1648 2-pyridinyl H SH OCH3 direct bond para
B-1649 3-pyridinyl H SH OCH3 direct bond para
B-1650 4-pyridinyl H SH OCH3 direct bond para
B-1651 H H S-allyl OCH3 direct bond para
B-1652 CHs H S-allyl OCH3 direct bond para
B-1653 CH2CH3 H S-allyl OCH3 direct bond para
B-1654 CH2CH2CH3 H S-allyl OCH3 direct bond para
B-1655 CH(CH3)2 H S-allyl OCH3 direct bond para
B-1656 OCH3 H S-allyl OCH3 direct bond para
B-1657 OCH2CH3 H S-allyl OCH3 direct bond para
B-1658 OCH(CH3)2 H S-allyl OCH3 direct bond para
B-1659 F H S-allyl OCH3 direct bond para
B-1660 CI H S-allyl OCH3 direct bond para
B-1661 Br H S-allyl OCH3 direct bond para
B-1662 OH H S-allyl OCH3 direct bond para
B-1663 NH2 H S-allyl OCH3 direct bond para
B-1664 N(CH3)2 H S-allyl OCH3 direct bond para
B-1665 CH3 CH3 S-allyl OCH3 direct bond para
B-1666 CH2CH3 CH2CH3 S-allyl OCH3 direct bond para
B-1667 =CH2 S-allyl OCH3 direct bond para
B-1668 cyclopropyl S-allyl OCH3 direct bond para
B-1669 cyclobutyl S-allyl OCH3 direct bond para
B-1670 cyclopentyl S-allyl OCH3 direct bond para
B-1671 cyclohexyl S-allyl OCH3 direct bond para
line R1 R2 D X B position
Y-Z
B-1672 1 -triazolyl H S-allyl OCH3 direct bond para
B-1673 2-pyridinyl H S-allyl OCH3 direct bond para
B-1674 3-pyridinyl H S-allyl OCH3 direct bond para
B-1675 4-pyridinyl H S-allyl OCH3 direct bond para
B-1676 H H SCN OCH3 direct bond para
B-1677 CHs H SCN OCH3 direct bond para
B-1678 CH2CH3 H SCN OCH3 direct bond para
B-1679 CH2CH2CH3 H SCN OCH3 direct bond para
B-1680 CH(CH3)2 H SCN OCH3 direct bond para
B-1681 OCH3 H SCN OCH3 direct bond para
B-1682 OCH2CH3 H SCN OCH3 direct bond para
B-1683 OCH(CH3)2 H SCN OCH3 direct bond para
B-1684 F H SCN OCH3 direct bond para
B-1685 CI H SCN OCH3 direct bond para
B-1686 Br H SCN OCH3 direct bond para
B-1687 OH H SCN OCH3 direct bond para
B-1688 NH2 H SCN OCH3 direct bond para
B-1689 N(CH3)2 H SCN OCH3 direct bond para
B-1690 CH3 CH3 SCN OCH3 direct bond para
B-1691 CH2CH3 CH2CH3 SCN OCH3 direct bond para
B-1692 =CH2 SCN OCH3 direct bond para
B-1693 cyclopropyl SCN OCH3 direct bond para
B-1694 cyclobutyl SCN OCH3 direct bond para
B-1695 cyclopentyl SCN OCH3 direct bond para
B-1696 cyclohexyl SCN OCH3 direct bond para
B-1697 1 -triazolyl H SCN OCH3 direct bond para
B-1698 2-pyridinyl H SCN OCH3 direct bond para
B-1699 3-pyridinyl H SCN OCH3 direct bond para
B-1700 4-pyridinyl H SCN OCH3 direct bond para
B-1701 H H H OCH2CH3 direct bond para
B-1702 CH3 H H OCH2CH3 direct bond para
B-1703 CH2CH3 H H OCH2CH3 direct bond para
B-1704 CH2CH2CH3 H H OCH2CH3 direct bond para
B-1705 CH(CH3)2 H H OCH2CH3 direct bond para
B-1706 OCH3 H H OCH2CH3 direct bond para
B-1707 OCH2CH3 H H OCH2CH3 direct bond para
line R1 R2 D X B position
Y-Z
B-1708 OCH(CH3)2 H H OCH2CH3 direct bond para
B-1709 F H H OCH2CH3 direct bond para
B-1710 CI H H OCH2CH3 direct bond para
B-171 1 Br H H OCH2CH3 direct bond para
B-1712 OH H H OCH2CH3 direct bond para
B-1713 NH2 H H OCH2CH3 direct bond para
B-1714 N(CH3)2 H H OCH2CH3 direct bond para
B-1715 CHs CH3 H OCH2CH3 direct bond para
B-1716 CH2CH3 CH2CH3 H OCH2CH3 direct bond para
B-1717 =CH2 H OCH2CH3 direct bond para
B-1718 cyclopropyl H OCH2CH3 direct bond para
B-1719 cyclobutyl H OCH2CH3 direct bond para
B-1720 cyclopentyl H OCH2CH3 direct bond para
B-1721 cyclohexyl H OCH2CH3 direct bond para
B-1722 1 -triazolyl H H OCH2CH3 direct bond para
B-1723 2-pyridinyl H H OCH2CH3 direct bond para
B-1724 3-pyridinyl H H OCH2CH3 direct bond para
B-1725 4-pyridinyl H H OCH2CH3 direct bond para
B-1726 H H SH OCH2CH3 direct bond para
B-1727 CHs H SH OCH2CH3 direct bond para
B-1728 CH2CH3 H SH OCH2CH3 direct bond para
B-1729 CH2CH2CH3 H SH OCH2CH3 direct bond para
B-1730 CH(CH3)2 H SH OCH2CH3 direct bond para
B-1731 OCH3 H SH OCH2CH3 direct bond para
B-1732 OCH2CH3 H SH OCH2CH3 direct bond para
B-1733 OCH(CH3)2 H SH OCH2CH3 direct bond para
B-1734 F H SH OCH2CH3 direct bond para
B-1735 CI H SH OCH2CH3 direct bond para
B-1736 Br H SH OCH2CH3 direct bond para
B-1737 OH H SH OCH2CH3 direct bond para
B-1738 NH2 H SH OCH2CH3 direct bond para
B-1739 N(CH3)2 H SH OCH2CH3 direct bond para
B-1740 CH3 CH3 SH OCH2CH3 direct bond para
B-1741 CH2CH3 CH2CH3 SH OCH2CH3 direct bond para
B-1742 =CH2 SH OCH2CH3 direct bond para
B-1743 cyclopropyl SH OCH2CH3 direct bond para
line R1 R2 D X B position
Y-Z
B-1744 cyclobutyl SH OCH2CH3 direct bond para
B-1745 cyclopentyl SH OCH2CH3 direct bond para
B-1746 cyclohexyl SH OCH2CH3 direct bond para
B-1747 1 -triazolyl H SH OCH2CH3 direct bond para
B-1748 2-pyridinyl H SH OCH2CH3 direct bond para
B-1749 3-pyridinyl H SH OCH2CH3 direct bond para
B-1750 4-pyridinyl H SH OCH2CH3 direct bond para
B-1751 H H S-allyl OCH2CH3 direct bond para
B-1752 CHs H S-allyl OCH2CH3 direct bond para
B-1753 CH2CH3 H S-allyl OCH2CH3 direct bond para
B-1754 CH2CH2CH3 H S-allyl OCH2CH3 direct bond para
B-1755 CH(CH3)2 H S-allyl OCH2CH3 direct bond para
B-1756 OCH3 H S-allyl OCH2CH3 direct bond para
B-1757 OCH2CH3 H S-allyl OCH2CH3 direct bond para
B-1758 OCH(CH3)2 H S-allyl OCH2CH3 direct bond para
B-1759 F H S-allyl OCH2CH3 direct bond para
B-1760 CI H S-allyl OCH2CH3 direct bond para
B-1761 Br H S-allyl OCH2CH3 direct bond para
B-1762 OH H S-allyl OCH2CH3 direct bond para
B-1763 NH2 H S-allyl OCH2CH3 direct bond para
B-1764 N(CH3)2 H S-allyl OCH2CH3 direct bond para
B-1765 CH3 CH3 S-allyl OCH2CH3 direct bond para
B-1766 CH2CH3 CH2CH3 S-allyl OCH2CH3 direct bond para
B-1767 =CH2 S-allyl OCH2CH3 direct bond para
B-1768 cyclopropyl S-allyl OCH2CH3 direct bond para
B-1769 cyclobutyl S-allyl OCH2CH3 direct bond para
B-1770 cyclopentyl S-allyl OCH2CH3 direct bond para
B-1771 cyclohexyl S-allyl OCH2CH3 direct bond para
B-1772 1 -triazolyl H S-allyl OCH2CH3 direct bond para
B-1773 2-pyridinyl H S-allyl OCH2CH3 direct bond para
B-1774 3-pyridinyl H S-allyl OCH2CH3 direct bond para
B-1775 4-pyridinyl H S-allyl OCH2CH3 direct bond para
B-1776 H H SCN OCH2CH3 direct bond para
B-1777 CH3 H SCN OCH2CH3 direct bond para
B-1778 CH2CH3 H SCN OCH2CH3 direct bond para
B-1779 CH2CH2CH3 H SCN OCH2CH3 direct bond para
line R1 R2 D X B position
Y-Z
B-1780 CH(CH3)2 H SCN OCH2CH3 direct bond para
B-1781 OCHs H SCN OCH2CH3 direct bond para
B-1782 OCH2CH3 H SCN OCH2CH3 direct bond para
B-1783 OCH(CH3)2 H SCN OCH2CH3 direct bond para
B-1784 F H SCN OCH2CH3 direct bond para
B-1785 CI H SCN OCH2CH3 direct bond para
B-1786 Br H SCN OCH2CH3 direct bond para
B-1787 OH H SCN OCH2CH3 direct bond para
B-1788 NH2 H SCN OCH2CH3 direct bond para
B-1789 N(CH3)2 H SCN OCH2CH3 direct bond para
B-1790 CHs CH3 SCN OCH2CH3 direct bond para
B-1791 CH2CH3 CH2CH3 SCN OCH2CH3 direct bond para
B-1792 =CH2 SCN OCH2CH3 direct bond para
B-1793 cyclopropyl SCN OCH2CH3 direct bond para
B-1794 cyclobutyl SCN OCH2CH3 direct bond para
B-1795 cyclopentyl SCN OCH2CH3 direct bond para
B-1796 cyclohexyl SCN OCH2CH3 direct bond para
B-1797 1 -triazolyl H SCN OCH2CH3 direct bond para
B-1798 2-pyridinyl H SCN OCH2CH3 direct bond para
B-1799 3-pyridinyl H SCN OCH2CH3 direct bond para
B-1800 4-pyridinyl H SCN OCH2CH3 direct bond para
B-1801 H H H O-allyl direct bond para
B-1802 CHs H H O-allyl direct bond para
B-1803 CH2CH3 H H O-allyl direct bond para
B-1804 CH2CH2CH3 H H O-allyl direct bond para
B-1805 CH(CH3)2 H H O-allyl direct bond para
B-1806 OCHs H H O-allyl direct bond para
B-1807 OCH2CH3 H H O-allyl direct bond para
B-1808 OCH(CH3)2 H H O-allyl direct bond para
B-1809 F H H O-allyl direct bond para
B-1810 CI H H O-allyl direct bond para
B-181 1 Br H H O-allyl direct bond para
B-1812 OH H H O-allyl direct bond para
B-1813 NH2 H H O-allyl direct bond para
B-1814 N(CH3)2 H H O-allyl direct bond para
B-1815 CH3 CH3 H O-allyl direct bond para
line R1 R2 D X B position
Y-Z
B-1816 CH2CH3 CH2CH3 H O-allyl direct bond para
B-1817 =CH2 H O-allyl direct bond para
B-1818 cyclopropyl H O-allyl direct bond para
B-1819 cyclobutyl H O-allyl direct bond para
B-1820 cyclopentyl H O-allyl direct bond para
B-1821 cyclohexyl H O-allyl direct bond para
B-1822 1 -triazolyl H H O-allyl direct bond para
B-1823 2-pyridinyl H H O-allyl direct bond para
B-1824 3-pyridinyl H H O-allyl direct bond para
B-1825 4-pyridinyl H H O-allyl direct bond para
B-1826 H H SH O-allyl direct bond para
B-1827 CHs H SH O-allyl direct bond para
B-1828 CH2CH3 H SH O-allyl direct bond para
B-1829 CH2CH2CH3 H SH O-allyl direct bond para
B-1830 CH(CH3)2 H SH O-allyl direct bond para
B-1831 OCH3 H SH O-allyl direct bond para
B-1832 OCH2CH3 H SH O-allyl direct bond para
B-1833 OCH(CH3)2 H SH O-allyl direct bond para
B-1834 F H SH O-allyl direct bond para
B-1835 CI H SH O-allyl direct bond para
B-1836 Br H SH O-allyl direct bond para
B-1837 OH H SH O-allyl direct bond para
B-1838 NH2 H SH O-allyl direct bond para
B-1839 N(CH3)2 H SH O-allyl direct bond para
B-1840 CHs CHs SH O-allyl direct bond para
B-1841 CH2CH3 CH2CH3 SH O-allyl direct bond para
B-1842 =CH2 SH O-allyl direct bond para
B-1843 cyclopropyl SH O-allyl direct bond para
B-1844 cyclobutyl SH O-allyl direct bond para
B-1845 cyclopentyl SH O-allyl direct bond para
B-1846 cyclohexyl SH O-allyl direct bond para
B-1847 1 -triazolyl H SH O-allyl direct bond para
B-1848 2-pyridinyl H SH O-allyl direct bond para
B-1849 3-pyridinyl H SH O-allyl direct bond para
B-1850 4-pyridinyl H SH O-allyl direct bond para
B-1851 H H S-allyl O-allyl direct bond para
line R1 R2 D X B position
Y-Z
B-1852 CHs H S-allyl O-allyl direct bond para
B-1853 CH2CH3 H S-allyl O-allyl direct bond para
B-1854 CH2CH2CH3 H S-allyl O-allyl direct bond para
B-1855 CH(CH3)2 H S-allyl O-allyl direct bond para
B-1856 OCH3 H S-allyl O-allyl direct bond para
B-1857 OCH2CH3 H S-allyl O-allyl direct bond para
B-1858 OCH(CH3)2 H S-allyl O-allyl direct bond para
B-1859 F H S-allyl O-allyl direct bond para
B-1860 CI H S-allyl O-allyl direct bond para
B-1861 Br H S-allyl O-allyl direct bond para
B-1862 OH H S-allyl O-allyl direct bond para
B-1863 NH2 H S-allyl O-allyl direct bond para
B-1864 N(CH3)2 H S-allyl O-allyl direct bond para
B-1865 CH3 CH3 S-allyl O-allyl direct bond para
B-1866 CH2CH3 CH2CH3 S-allyl O-allyl direct bond para
B-1867 =CH2 S-allyl O-allyl direct bond para
B-1868 cyclopropyl S-allyl O-allyl direct bond para
B-1869 cyclobutyl S-allyl O-allyl direct bond para
B-1870 cyclopentyl S-allyl O-allyl direct bond para
B-1871 cyclohexyl S-allyl O-allyl direct bond para
B-1872 1 -triazolyl H S-allyl O-allyl direct bond para
B-1873 2-pyridinyl H S-allyl O-allyl direct bond para
B-1874 3-pyridinyl H S-allyl O-allyl direct bond para
B-1875 4-pyridinyl H S-allyl O-allyl direct bond para
B-1876 H H SCN O-allyl direct bond para
B-1877 CH3 H SCN O-allyl direct bond para
B-1878 CH2CH3 H SCN O-allyl direct bond para
B-1879 CH2CH2CH3 H SCN O-allyl direct bond para
B-1880 CH(CH3)2 H SCN O-allyl direct bond para
B-1881 OCH3 H SCN O-allyl direct bond para
B-1882 OCH2CH3 H SCN O-allyl direct bond para
B-1883 OCH(CH3)2 H SCN O-allyl direct bond para
B-1884 F H SCN O-allyl direct bond para
B-1885 CI H SCN O-allyl direct bond para
B-1886 Br H SCN O-allyl direct bond para
B-1887 OH H SCN O-allyl direct bond para
line R1 R2 D X B position
Y-Z
B-1888 NH2 H SCN O-allyl direct bond para
B-1889 N(CH3)2 H SCN O-allyl direct bond para
B-1890 CHs CH3 SCN O-allyl direct bond para
B-1891 CH2CH3 CH2CH3 SCN O-allyl direct bond para
B-1892 =CH2 SCN O-allyl direct bond para
B-1893 cyclopropyl SCN O-allyl direct bond para
B-1894 cyclobutyl SCN O-allyl direct bond para
B-1895 cyclopentyl SCN O-allyl direct bond para
B-1896 cyclohexyl SCN O-allyl direct bond para
B-1897 1 -triazolyl H SCN O-allyl direct bond para
B-1898 2-pyridinyl H SCN O-allyl direct bond para
B-1899 3-pyridinyl H SCN O-allyl direct bond para
B-1900 4-pyridinyl H SCN O-allyl direct bond para
B-1901 H H H O-propargyl direct bond para
B-1902 CHs H H O-propargyl direct bond para
B-1903 CH2CH3 H H O-propargyl direct bond para
B-1904 CH2CH2CH3 H H O-propargyl direct bond para
B-1905 CH(CH3)2 H H O-propargyl direct bond para
B-1906 OCH3 H H O-propargyl direct bond para
B-1907 OCH2CH3 H H O-propargyl direct bond para
B-1908 OCH(CH3)2 H H O-propargyl direct bond para
B-1909 F H H O-propargyl direct bond para
B-1910 CI H H O-propargyl direct bond para
B-191 1 Br H H O-propargyl direct bond para
B-1912 OH H H O-propargyl direct bond para
B-1913 NH2 H H O-propargyl direct bond para
B-1914 N(CH3)2 H H O-propargyl direct bond para
B-1915 CH3 CH3 H O-propargyl direct bond para
B-1916 CH2CH3 CH2CH3 H O-propargyl direct bond para
B-1917 =CH2 H O-propargyl direct bond para
B-1918 cyclopropyl H O-propargyl direct bond para
B-1919 cyclobutyl H O-propargyl direct bond para
B-1920 cyclopentyl H O-propargyl direct bond para
B-1921 cyclohexyl H O-propargyl direct bond para
B-1922 1 -triazolyl H H O-propargyl direct bond para
B-1923 2-pyridinyl H H O-propargyl direct bond para
line R1 R2 D X B position
Y-Z
B-1924 3-pyridinyl H H O-propargyl direct bond para
B-1925 4-pyridinyl H H O-propargyl direct bond para
B-1926 H H SH O-propargyl direct bond para
B-1927 CHs H SH O-propargyl direct bond para
B-1928 CH2CH3 H SH O-propargyl direct bond para
B-1929 CH2CH2CH3 H SH O-propargyl direct bond para
B-1930 CH(CH3)2 H SH O-propargyl direct bond para
B-1931 OCH3 H SH O-propargyl direct bond para
B-1932 OCH2CH3 H SH O-propargyl direct bond para
B-1933 OCH(CH3)2 H SH O-propargyl direct bond para
B-1934 F H SH O-propargyl direct bond para
B-1935 CI H SH O-propargyl direct bond para
B-1936 Br H SH O-propargyl direct bond para
B-1937 OH H SH O-propargyl direct bond para
B-1938 NH2 H SH O-propargyl direct bond para
B-1939 N(CH3)2 H SH O-propargyl direct bond para
B-1940 CH3 CH3 SH O-propargyl direct bond para
B-1941 CH2CH3 CH2CH3 SH O-propargyl direct bond para
B-1942 =CH2 SH O-propargyl direct bond para
B-1943 cyclopropyl SH O-propargyl direct bond para
B-1944 cyclobutyl SH O-propargyl direct bond para
B-1945 cyclopentyl SH O-propargyl direct bond para
B-1946 cyclohexyl SH O-propargyl direct bond para
B-1947 1 -triazolyl H SH O-propargyl direct bond para
B-1948 2-pyridinyl H SH O-propargyl direct bond para
B-1949 3-pyridinyl H SH O-propargyl direct bond para
B-1950 4-pyridinyl H SH O-propargyl direct bond para
B-1951 H H S-allyl O-propargyl direct bond para
B-1952 CH3 H S-allyl O-propargyl direct bond para
B-1953 CH2CH3 H S-allyl O-propargyl direct bond para
B-1954 CH2CH2CH3 H S-allyl O-propargyl direct bond para
B-1955 CH(CH3)2 H S-allyl O-propargyl direct bond para
B-1956 OCH3 H S-allyl O-propargyl direct bond para
B-1957 OCH2CH3 H S-allyl O-propargyl direct bond para
B-1958 OCH(CH3)2 H S-allyl O-propargyl direct bond para
B-1959 F H S-allyl O-propargyl direct bond para
line R1 R2 D X B position
Y-Z
B-1960 CI H S-allyl O-propargyl direct bond para
B-1961 Br H S-allyl O-propargyl direct bond para
B-1962 OH H S-allyl O-propargyl direct bond para
B-1963 NH2 H S-allyl O-propargyl direct bond para
B-1964 N(CH3)2 H S-allyl O-propargyl direct bond para
B-1965 CHs CH3 S-allyl O-propargyl direct bond para
B-1966 CH2CH3 CH2CH3 S-allyl O-propargyl direct bond para
B-1967 =CH2 S-allyl O-propargyl direct bond para
B-1968 cyclopropyl S-allyl O-propargyl direct bond para
B-1969 cyclobutyl S-allyl O-propargyl direct bond para
B-1970 cyclopentyl S-allyl O-propargyl direct bond para
B-1971 cyclohexyl S-allyl O-propargyl direct bond para
B-1972 1 -triazolyl H S-allyl O-propargyl direct bond para
B-1973 2-pyridinyl H S-allyl O-propargyl direct bond para
B-1974 3-pyridinyl H S-allyl O-propargyl direct bond para
B-1975 4-pyridinyl H S-allyl O-propargyl direct bond para
B-1976 H H SCN O-propargyl direct bond para
B-1977 CHs H SCN O-propargyl direct bond para
B-1978 CH2CH3 H SCN O-propargyl direct bond para
B-1979 CH2CH2CH3 H SCN O-propargyl direct bond para
B-1980 CH(CH3)2 H SCN O-propargyl direct bond para
B-1981 OCH3 H SCN O-propargyl direct bond para
B-1982 OCH2CH3 H SCN O-propargyl direct bond para
B-1983 OCH(CH3)2 H SCN O-propargyl direct bond para
B-1984 F H SCN O-propargyl direct bond para
B-1985 CI H SCN O-propargyl direct bond para
B-1986 Br H SCN O-propargyl direct bond para
B-1987 OH H SCN O-propargyl direct bond para
B-1988 NH2 H SCN O-propargyl direct bond para
B-1989 N(CH3)2 H SCN O-propargyl direct bond para
B-1990 CH3 CH3 SCN O-propargyl direct bond para
B-1991 CH2CH3 CH2CH3 SCN O-propargyl direct bond para
B-1992 =CH2 SCN O-propargyl direct bond para
B-1993 cyclopropyl SCN O-propargyl direct bond para
B-1994 cyclobutyl SCN O-propargyl direct bond para
B-1995 cyclopentyl SCN O-propargyl direct bond para
line R1 R2 D X B position
Y-Z
B-1996 cyclohexyl SCN O-propargyl direct bond para
B-1997 1 -triazolyl H SCN O-propargyl direct bond para
B-1998 2-pyridinyl H SCN O-propargyl direct bond para
B-1999 3-pyridinyl H SCN O-propargyl direct bond para
B-2000 4-pyridinyl H SCN O-propargyl direct bond para
B-2001 H H H O-benzyl direct bond para
B-2002 CHs H H O-benzyl direct bond para
B-2003 CH2CH3 H H O-benzyl direct bond para
B-2004 CH2CH2CH3 H H O-benzyl direct bond para
B-2005 CH(CH3)2 H H O-benzyl direct bond para
B-2006 OCH3 H H O-benzyl direct bond para
B-2007 OCH2CH3 H H O-benzyl direct bond para
B-2008 OCH(CH3)2 H H O-benzyl direct bond para
B-2009 F H H O-benzyl direct bond para
B-2010 CI H H O-benzyl direct bond para
B-201 1 Br H H O-benzyl direct bond para
B-2012 OH H H O-benzyl direct bond para
B-2013 NH2 H H O-benzyl direct bond para
B-2014 N(CH3)2 H H O-benzyl direct bond para
B-2015 CH3 CH3 H O-benzyl direct bond para
B-2016 CH2CH3 CH2CH3 H O-benzyl direct bond para
B-2017 =CH2 H O-benzyl direct bond para
B-2018 cyclopropyl H O-benzyl direct bond para
B-2019 cyclobutyl H O-benzyl direct bond para
B-2020 cyclopentyl H O-benzyl direct bond para
B-2021 cyclohexyl H O-benzyl direct bond para
B-2022 1 -triazolyl H H O-benzyl direct bond para
B-2023 2-pyridinyl H H O-benzyl direct bond para
B-2024 3-pyridinyl H H O-benzyl direct bond para
B-2025 4-pyridinyl H H O-benzyl direct bond para
B-2026 H H SH O-benzyl direct bond para
B-2027 CH3 H SH O-benzyl direct bond para
B-2028 CH2CH3 H SH O-benzyl direct bond para
B-2029 CH2CH2CH3 H SH O-benzyl direct bond para
B-2030 CH(CH3)2 H SH O-benzyl direct bond para
B-2031 OCH3 H SH O-benzyl direct bond para
line R1 R2 D X B position
Y-Z
B-2032 OCH2CH3 H SH O-benzyl direct bond para
B-2033 OCH(CH3)2 H SH O-benzyl direct bond para
B-2034 F H SH O-benzyl direct bond para
B-2035 CI H SH O-benzyl direct bond para
B-2036 Br H SH O-benzyl direct bond para
B-2037 OH H SH O-benzyl direct bond para
B-2038 NH2 H SH O-benzyl direct bond para
B-2039 N(CH3)2 H SH O-benzyl direct bond para
B-2040 CHs CH3 SH O-benzyl direct bond para
B-2041 CH2CH3 CH2CH3 SH O-benzyl direct bond para
B-2042 =CH2 SH O-benzyl direct bond para
B-2043 cyclopropyl SH O-benzyl direct bond para
B-2044 cyclobutyl SH O-benzyl direct bond para
B-2045 cyclopentyl SH O-benzyl direct bond para
B-2046 cyclohexyl SH O-benzyl direct bond para
B-2047 1 -triazolyl H SH O-benzyl direct bond para
B-2048 2-pyridinyl H SH O-benzyl direct bond para
B-2049 3-pyridinyl H SH O-benzyl direct bond para
B-2050 4-pyridinyl H SH O-benzyl direct bond para
B-2051 H H S-allyl O-benzyl direct bond para
B-2052 CHs H S-allyl O-benzyl direct bond para
B-2053 CH2CH3 H S-allyl O-benzyl direct bond para
B-2054 CH2CH2CH3 H S-allyl O-benzyl direct bond para
B-2055 CH(CH3)2 H S-allyl O-benzyl direct bond para
B-2056 OCH3 H S-allyl O-benzyl direct bond para
B-2057 OCH2CH3 H S-allyl O-benzyl direct bond para
B-2058 OCH(CH3)2 H S-allyl O-benzyl direct bond para
B-2059 F H S-allyl O-benzyl direct bond para
B-2060 CI H S-allyl O-benzyl direct bond para
B-2061 Br H S-allyl O-benzyl direct bond para
B-2062 OH H S-allyl O-benzyl direct bond para
B-2063 NH2 H S-allyl O-benzyl direct bond para
B-2064 N(CH3)2 H S-allyl O-benzyl direct bond para
B-2065 CH3 CH3 S-allyl O-benzyl direct bond para
B-2066 CH2CH3 CH2CH3 S-allyl O-benzyl direct bond para
B-2067 =CH2 S-allyl O-benzyl direct bond para
line R1 R2 D X B position
Y-Z
B-2068 cyclopropyl S-allyl O-benzyl direct bond para
B-2069 cyclobutyl S-allyl O-benzyl direct bond para
B-2070 cyclopentyl S-allyl O-benzyl direct bond para
B-2071 cyclohexyl S-allyl O-benzyl direct bond para
B-2072 1 -triazolyl H S-allyl O-benzyl direct bond para
B-2073 2-pyridinyl H S-allyl O-benzyl direct bond para
B-2074 3-pyridinyl H S-allyl O-benzyl direct bond para
B-2075 4-pyridinyl H S-allyl O-benzyl direct bond para
B-2076 H H SCN O-benzyl direct bond para
B-2077 CHs H SCN O-benzyl direct bond para
B-2078 CH2CH3 H SCN O-benzyl direct bond para
B-2079 CH2CH2CH3 H SCN O-benzyl direct bond para
B-2080 CH(CH3)2 H SCN O-benzyl direct bond para
B-2081 OCH3 H SCN O-benzyl direct bond para
B-2082 OCH2CH3 H SCN O-benzyl direct bond para
B-2083 OCH(CH3)2 H SCN O-benzyl direct bond para
B-2084 F H SCN O-benzyl direct bond para
B-2085 CI H SCN O-benzyl direct bond para
B-2086 Br H SCN O-benzyl direct bond para
B-2087 OH H SCN O-benzyl direct bond para
B-2088 NH2 H SCN O-benzyl direct bond para
B-2089 N(CH3)2 H SCN O-benzyl direct bond para
B-2090 CH3 CH3 SCN O-benzyl direct bond para
B-2091 CH2CH3 CH2CH3 SCN O-benzyl direct bond para
B-2092 =CH2 SCN O-benzyl direct bond para
B-2093 cyclopropyl SCN O-benzyl direct bond para
B-2094 cyclobutyl SCN O-benzyl direct bond para
B-2095 cyclopentyl SCN O-benzyl direct bond para
B-2096 cyclohexyl SCN O-benzyl direct bond para
B-2097 1 -triazolyl H SCN O-benzyl direct bond para
B-2098 2-pyridinyl H SCN O-benzyl direct bond para
B-2099 3-pyridinyl H SCN O-benzyl direct bond para
B-2100 4-pyridinyl H SCN O-benzyl direct bond para
B-2101 H H H CN -CH2- meta
B-2102 CH3 H H CN -CH2- meta
B-2103 CH2CH3 H H CN -CH2- meta
line R1 R2 D X B position
Y-Z
B-2104 CH2CH2CH3 H H CN -CH2- meta
B-2105 CH(CH3)2 H H CN -CH2- meta
B-2106 OCH3 H H CN -CH2- meta
B-2107 OCH2CH3 H H CN -CH2- meta
B-2108 OCH(CH3)2 H H CN -CH2- meta
B-2109 F H H CN -CH2- meta
B-21 10 CI H H CN -CH2- meta
B-21 1 1 Br H H CN -CH2- meta
B-21 12 OH H H CN -CH2- meta
B-21 13 NH2 H H CN -CH2- meta
B-21 14 N(CH3)2 H H CN -CH2- meta
B-21 15 CHs CH3 H CN -CH2- meta
B-21 16 CH2CH3 CH2CH3 H CN -CH2- meta
B-21 17 =CH2 H CN -CH2- meta
B-21 18 cyclopropyl H CN -CH2- meta
B-21 19 cyclobutyl H CN -CH2- meta
B-2120 cyclopentyl H CN -CH2- meta
B-2121 cyclohexyl H CN -CH2- meta
B-2122 1 -triazolyl H H CN -CH2- meta
B-2123 2-pyridinyl H H CN -CH2- meta
B-2124 3-pyridinyl H H CN -CH2- meta
B-2125 4-pyridinyl H H CN -CH2- meta
B-2126 H H SH CN -CH2- meta
B-2127 CHs H SH CN -CH2- meta
B-2128 CH2CH3 H SH CN -CH2- meta
B-2129 CH2CH2CH3 H SH CN -CH2- meta
B-2130 CH(CH3)2 H SH CN -CH2- meta
B-2131 OCH3 H SH CN -CH2- meta
B-2132 OCH2CH3 H SH CN -CH2- meta
B-2133 OCH(CH3)2 H SH CN -CH2- meta
B-2134 F H SH CN -CH2- meta
B-2135 CI H SH CN -CH2- meta
B-2136 Br H SH CN -CH2- meta
B-2137 OH H SH CN -CH2- meta
B-2138 NH2 H SH CN -CH2- meta
B-2139 N(CH3)2 H SH CN -CH2- meta
line R1 R2 D X B position
Y-Z
B-2140 CHs CH3 SH CN -CH2- meta
B-2141 CH2CH3 CH2CH3 SH CN -CH2- meta
B-2142 =CH2 SH CN -CH2- meta
B-2143 cyclopropyl SH CN -CH2- meta
B-2144 cyclobutyl SH CN -CH2- meta
B-2145 cyclopentyl SH CN -CH2- meta
B-2146 cyclohexyl SH CN -CH2- meta
B-2147 1 -triazolyl H SH CN -CH2- meta
B-2148 2-pyridinyl H SH CN -CH2- meta
B-2149 3-pyridinyl H SH CN -CH2- meta
B-2150 4-pyridinyl H SH CN -CH2- meta
B-2151 H H S-allyl CN -CH2- meta
B-2152 CHs H S-allyl CN -CH2- meta
B-2153 CH2CH3 H S-allyl CN -CH2- meta
B-2154 CH2CH2CH3 H S-allyl CN -CH2- meta
B-2155 CH(CH3)2 H S-allyl CN -CH2- meta
B-2156 OCH3 H S-allyl CN -CH2- meta
B-2157 OCH2CH3 H S-allyl CN -CH2- meta
B-2158 OCH(CH3)2 H S-allyl CN -CH2- meta
B-2159 F H S-allyl CN -CH2- meta
B-2160 CI H S-allyl CN -CH2- meta
B-2161 Br H S-allyl CN -CH2- meta
B-2162 OH H S-allyl CN -CH2- meta
B-2163 NH2 H S-allyl CN -CH2- meta
B-2164 N(CH3)2 H S-allyl CN -CH2- meta
B-2165 CH3 CH3 S-allyl CN -CH2- meta
B-2166 CH2CH3 CH2CH3 S-allyl CN -CH2- meta
B-2167 =CH2 S-allyl CN -CH2- meta
B-2168 cyclopropyl S-allyl CN -CH2- meta
B-2169 cyclobutyl S-allyl CN -CH2- meta
B-2170 cyclopentyl S-allyl CN -CH2- meta
B-2171 cyclohexyl S-allyl CN -CH2- meta
B-2172 1 -triazolyl H S-allyl CN -CH2- meta
B-2173 2-pyridinyl H S-allyl CN -CH2- meta
B-2174 3-pyridinyl H S-allyl CN -CH2- meta
B-2175 4-pyridinyl H S-allyl CN -CH2- meta
line R1 R2 D X B position
Y-Z
B-2176 H H SCN CN -CH2- meta
B-2177 CHs H SCN CN -CH2- meta
B-2178 CH2CH3 H SCN CN -CH2- meta
B-2179 CH2CH2CH3 H SCN CN -CH2- meta
B-2180 CH(CH3)2 H SCN CN -CH2- meta
B-2181 OCH3 H SCN CN -CH2- meta
B-2182 OCH2CH3 H SCN CN -CH2- meta
B-2183 OCH(CH3)2 H SCN CN -CH2- meta
B-2184 F H SCN CN -CH2- meta
B-2185 CI H SCN CN -CH2- meta
B-2186 Br H SCN CN -CH2- meta
B-2187 OH H SCN CN -CH2- meta
B-2188 NH2 H SCN CN -CH2- meta
B-2189 N(CH3)2 H SCN CN -CH2- meta
B-2190 CHs CH3 SCN CN -CH2- meta
B-2191 CH2CH3 CH2CH3 SCN CN -CH2- meta
B-2192 =CH2 SCN CN -CH2- meta
B-2193 cyclopropyl SCN CN -CH2- meta
B-2194 cyclobutyl SCN CN -CH2- meta
B-2195 cyclopentyl SCN CN -CH2- meta
B-2196 cyclohexyl SCN CN -CH2- meta
B-2197 1 -triazolyl H SCN CN -CH2- meta
B-2198 2-pyridinyl H SCN CN -CH2- meta
B-2199 3-pyridinyl H SCN CN -CH2- meta
B-2200 4-pyridinyl H SCN CN -CH2- meta
B-2201 H H H OH -CH2- meta
B-2202 CHs H H OH -CH2- meta
B-2203 CH2CH3 H H OH -CH2- meta
B-2204 CH2CH2CH3 H H OH -CH2- meta
B-2205 CH(CH3)2 H H OH -CH2- meta
B-2206 OCH3 H H OH -CH2- meta
B-2207 OCH2CH3 H H OH -CH2- meta
B-2208 OCH(CH3)2 H H OH -CH2- meta
B-2209 F H H OH -CH2- meta
B-2210 CI H H OH -CH2- meta
B-221 1 Br H H OH -CH2- meta
line R1 R2 D X B position
Y-Z
B-2212 OH H H OH -CH2- meta
B-2213 NH2 H H OH -CH2- meta
B-2214 N(CH3)2 H H OH -CH2- meta
B-2215 CHs CHs H OH -CH2- meta
B-2216 CH2CH3 CH2CH3 H OH -CH2- meta
B-2217 =CH2 H OH -CH2- meta
B-2218 cyclopropyl H OH -CH2- meta
B-2219 cyclobutyl H OH -CH2- meta
B-2220 cyclopentyl H OH -CH2- meta
B-2221 cyclohexyl H OH -CH2- meta
B-2222 1 -triazolyl H H OH -CH2- meta
B-2223 2-pyridinyl H H OH -CH2- meta
B-2224 3-pyridinyl H H OH -CH2- meta
B-2225 4-pyridinyl H H OH -CH2- meta
B-2226 H H SH OH -CH2- meta
B-2227 CHs H SH OH -CH2- meta
B-2228 CH2CH3 H SH OH -CH2- meta
B-2229 CH2CH2CH3 H SH OH -CH2- meta
B-2230 CH(CH3)2 H SH OH -CH2- meta
B-2231 OCH3 H SH OH -CH2- meta
B-2232 OCH2CH3 H SH OH -CH2- meta
B-2233 OCH(CH3)2 H SH OH -CH2- meta
B-2234 F H SH OH -CH2- meta
B-2235 CI H SH OH -CH2- meta
B-2236 Br H SH OH -CH2- meta
B-2237 OH H SH OH -CH2- meta
B-2238 NH2 H SH OH -CH2- meta
B-2239 N(CH3)2 H SH OH -CH2- meta
B-2240 CHs CHs SH OH -CH2- meta
B-2241 CH2CH3 CH2CH3 SH OH -CH2- meta
B-2242 =CH2 SH OH -CH2- meta
B-2243 cyclopropyl SH OH -CH2- meta
B-2244 cyclobutyl SH OH -CH2- meta
B-2245 cyclopentyl SH OH -CH2- meta
B-2246 cyclohexyl SH OH -CH2- meta
B-2247 1 -triazolyl H SH OH -CH2- meta
line R1 R2 D X B position
Y-Z
B-2248 2-pyridinyl H SH OH -CH2- meta
B-2249 3-pyridinyl H SH OH -CH2- meta
B-2250 4-pyridinyl H SH OH -CH2- meta
B-2251 H H S-allyl OH -CH2- meta
B-2252 CH3 H S-allyl OH -CH2- meta
B-2253 CH2CH3 H S-allyl OH -CH2- meta
B-2254 CH2CH2CH3 H S-allyl OH -CH2- meta
B-2255 CH(CH3)2 H S-allyl OH -CH2- meta
B-2256 OCH3 H S-allyl OH -CH2- meta
B-2257 OCH2CH3 H S-allyl OH -CH2- meta
B-2258 OCH(CH3)2 H S-allyl OH -CH2- meta
B-2259 F H S-allyl OH -CH2- meta
B-2260 CI H S-allyl OH -CH2- meta
B-2261 Br H S-allyl OH -CH2- meta
B-2262 OH H S-allyl OH -CH2- meta
B-2263 NH2 H S-allyl OH -CH2- meta
B-2264 N(CH3)2 H S-allyl OH -CH2- meta
B-2265 CH3 CH3 S-allyl OH -CH2- meta
B-2266 CH2CH3 CH2CH3 S-allyl OH -CH2- meta
B-2267 =CH2 S-allyl OH -CH2- meta
B-2268 cyclopropyl S-allyl OH -CH2- meta
B-2269 cyclobutyl S-allyl OH -CH2- meta
B-2270 cyclopentyl S-allyl OH -CH2- meta
B-2271 cyclohexyl S-allyl OH -CH2- meta
B-2272 1 -triazolyl H S-allyl OH -CH2- meta
B-2273 2-pyridinyl H S-allyl OH -CH2- meta
B-2274 3-pyridinyl H S-allyl OH -CH2- meta
B-2275 4-pyridinyl H S-allyl OH -CH2- meta
B-2276 H H SCN OH -CH2- meta
B-2277 CH3 H SCN OH -CH2- meta
B-2278 CH2CH3 H SCN OH -CH2- meta
B-2279 CH2CH2CH3 H SCN OH -CH2- meta
B-2280 CH(CH3)2 H SCN OH -CH2- meta
B-2281 OCH3 H SCN OH -CH2- meta
B-2282 OCH2CH3 H SCN OH -CH2- meta
B-2283 OCH(CH3)2 H SCN OH -CH2- meta
line R1 R2 D X B position
Y-Z
B-2284 F H SCN OH -CH2- meta
B-2285 CI H SCN OH -CH2- meta
B-2286 Br H SCN OH -CH2- meta
B-2287 OH H SCN OH -CH2- meta
B-2288 NH2 H SCN OH -CH2- meta
B-2289 N(CH3)2 H SCN OH -CH2- meta
B-2290 CH3 CH3 SCN OH -CH2- meta
B-2291 CH2CH3 CH2CH3 SCN OH -CH2- meta
B-2292 =CH2 SCN OH -CH2- meta
B-2293 cyclopropyl SCN OH -CH2- meta
B-2294 cyclobutyl SCN OH -CH2- meta
B-2295 cyclopentyl SCN OH -CH2- meta
B-2296 cyclohexyl SCN OH -CH2- meta
B-2297 1 -triazolyl H SCN OH -CH2- meta
B-2298 2-pyridinyl H SCN OH -CH2- meta
B-2299 3-pyridinyl H SCN OH -CH2- meta
B-2300 4-pyridinyl H SCN OH -CH2- meta
B-2301 H H H OCH3 -CH2- meta
B-2302 CH3 H H OCH3 -CH2- meta
B-2303 CH2CH3 H H OCH3 -CH2- meta
B-2304 CH2CH2CH3 H H OCH3 -CH2- meta
B-2305 CH(CH3)2 H H OCH3 -CH2- meta
B-2306 OCH3 H H OCH3 -CH2- meta
B-2307 OCH2CH3 H H OCH3 -CH2- meta
B-2308 OCH(CH3)2 H H OCH3 -CH2- meta
B-2309 F H H OCH3 -CH2- meta
B-2310 CI H H OCH3 -CH2- meta
B-231 1 Br H H OCH3 -CH2- meta
B-2312 OH H H OCH3 -CH2- meta
B-2313 NH2 H H OCH3 -CH2- meta
B-2314 N(CH3)2 H H OCH3 -CH2- meta
B-2315 CH3 CH3 H OCH3 -CH2- meta
B-2316 CH2CH3 CH2CH3 H OCH3 -CH2- meta
B-2317 =CH2 H OCH3 -CH2- meta
B-2318 cyclopropyl H OCH3 -CH2- meta
B-2319 cyclobutyl H OCH3 -CH2- meta
line R1 R2 D X B position
Y-Z
B-2320 cyclopentyl H OCH3 -CH2- meta
B-2321 cyclohexyl H OCH3 -CH2- meta
B-2322 1 -triazolyl H H OCH3 -CH2- meta
B-2323 2-pyridinyl H H OCH3 -CH2- meta
B-2324 3-pyridinyl H H OCH3 -CH2- meta
B-2325 4-pyridinyl H H OCH3 -CH2- meta
B-2326 H H SH OCH3 -CH2- meta
B-2327 CHs H SH OCH3 -CH2- meta
B-2328 CH2CH3 H SH OCH3 -CH2- meta
B-2329 CH2CH2CH3 H SH OCH3 -CH2- meta
B-2330 CH(CH3)2 H SH OCH3 -CH2- meta
B-2331 OCH3 H SH OCH3 -CH2- meta
B-2332 OCH2CH3 H SH OCH3 -CH2- meta
B-2333 OCH(CH3)2 H SH OCH3 -CH2- meta
B-2334 F H SH OCH3 -CH2- meta
B-2335 CI H SH OCH3 -CH2- meta
B-2336 Br H SH OCH3 -CH2- meta
B-2337 OH H SH OCH3 -CH2- meta
B-2338 NH2 H SH OCH3 -CH2- meta
B-2339 N(CH3)2 H SH OCH3 -CH2- meta
B-2340 CHs CHs SH OCH3 -CH2- meta
B-2341 CH2CH3 CH2CH3 SH OCH3 -CH2- meta
B-2342 =CH2 SH OCH3 -CH2- meta
B-2343 cyclopropyl SH OCH3 -CH2- meta
B-2344 cyclobutyl SH OCH3 -CH2- meta
B-2345 cyclopentyl SH OCH3 -CH2- meta
B-2346 cyclohexyl SH OCH3 -CH2- meta
B-2347 1 -triazolyl H SH OCH3 -CH2- meta
B-2348 2-pyridinyl H SH OCH3 -CH2- meta
B-2349 3-pyridinyl H SH OCH3 -CH2- meta
B-2350 4-pyridinyl H SH OCH3 -CH2- meta
B-2351 H H S-allyl OCH3 -CH2- meta
B-2352 CHs H S-allyl OCH3 -CH2- meta
B-2353 CH2CH3 H S-allyl OCH3 -CH2- meta
B-2354 CH2CH2CH3 H S-allyl OCH3 -CH2- meta
B-2355 CH(CH3)2 H S-allyl OCH3 -CH2- meta
line R1 R2 D X B position
Y-Z
B-2356 OCHs H S-allyl OCHs -CH2- meta
B-2357 OCH2CH3 H S-allyl OCHs -CH2- meta
B-2358 OCH(CH3)2 H S-allyl OCHs -CH2- meta
B-2359 F H S-allyl OCH3 -CH2- meta
B-2360 CI H S-allyl OCH3 -CH2- meta
B-2361 Br H S-allyl OCH3 -CH2- meta
B-2362 OH H S-allyl OCH3 -CH2- meta
B-2363 NH2 H S-allyl OCH3 -CH2- meta
B-2364 N(CH3)2 H S-allyl OCH3 -CH2- meta
B-2365 CH3 CH3 S-allyl OCH3 -CH2- meta
B-2366 CH2CH3 CH2CH3 S-allyl OCH3 -CH2- meta
B-2367 =CH2 S-allyl OCH3 -CH2- meta
B-2368 cyclopropyl S-allyl OCH3 -CH2- meta
B-2369 cyclobutyl S-allyl OCH3 -CH2- meta
B-2370 cyclopentyl S-allyl OCH3 -CH2- meta
B-2371 cyclohexyl S-allyl OCH3 -CH2- meta
B-2372 1 -triazolyl H S-allyl OCH3 -CH2- meta
B-2373 2-pyridinyl H S-allyl OCH3 -CH2- meta
B-2374 3-pyridinyl H S-allyl OCH3 -CH2- meta
B-2375 4-pyridinyl H S-allyl OCH3 -CH2- meta
B-2376 H H SCN OCH3 -CH2- meta
B-2377 CH3 H SCN OCH3 -CH2- meta
B-2378 CH2CH3 H SCN OCH3 -CH2- meta
B-2379 CH2CH2CH3 H SCN OCH3 -CH2- meta
B-2380 CH(CH3)2 H SCN OCH3 -CH2- meta
B-2381 OCHs H SCN OCH3 -CH2- meta
B-2382 OCH2CH3 H SCN OCH3 -CH2- meta
B-2383 OCH(CH3)2 H SCN OCH3 -CH2- meta
B-2384 F H SCN OCH3 -CH2- meta
B-2385 CI H SCN OCH3 -CH2- meta
B-2386 Br H SCN OCH3 -CH2- meta
B-2387 OH H SCN OCH3 -CH2- meta
B-2388 NH2 H SCN OCH3 -CH2- meta
B-2389 N(CH3)2 H SCN OCH3 -CH2- meta
B-2390 CH3 CH3 SCN OCH3 -CH2- meta
B-2391 CH2CH3 CH2CH3 SCN OCH3 -CH2- meta
line R1 R2 D X B position
Y-Z
B-2392 =CH2 SCN OCH3 -CH2- meta
B-2393 cyclopropyl SCN OCH3 -CH2- meta
B-2394 cyclobutyl SCN OCH3 -CH2- meta
B-2395 cyclopentyl SCN OCH3 -CH2- meta
B-2396 cyclohexyl SCN OCH3 -CH2- meta
B-2397 1 -triazolyl H SCN OCH3 -CH2- meta
B-2398 2-pyridinyl H SCN OCH3 -CH2- meta
B-2399 3-pyridinyl H SCN OCH3 -CH2- meta
B-2400 4-pyridinyl H SCN OCH3 -CH2- meta
B-2401 H H H OCH2CH3 -CH2- meta
B-2402 CHs H H OCH2CH3 -CH2- meta
B-2403 CH2CH3 H H OCH2CH3 -CH2- meta
B-2404 CH2CH2CH3 H H OCH2CH3 -CH2- meta
B-2405 CH(CH3)2 H H OCH2CH3 -CH2- meta
B-2406 OCH3 H H OCH2CH3 -CH2- meta
B-2407 OCH2CH3 H H OCH2CH3 -CH2- meta
B-2408 OCH(CH3)2 H H OCH2CH3 -CH2- meta
B-2409 F H H OCH2CH3 -CH2- meta
B-2410 CI H H OCH2CH3 -CH2- meta
B-241 1 Br H H OCH2CH3 -CH2- meta
B-2412 OH H H OCH2CH3 -CH2- meta
B-2413 NH2 H H OCH2CH3 -CH2- meta
B-2414 N(CH3)2 H H OCH2CH3 -CH2- meta
B-2415 CH3 CH3 H OCH2CH3 -CH2- meta
B-2416 CH2CH3 CH2CH3 H OCH2CH3 -CH2- meta
B-2417 =CH2 H OCH2CH3 -CH2- meta
B-2418 cyclopropyl H OCH2CH3 -CH2- meta
B-2419 cyclobutyl H OCH2CH3 -CH2- meta
B-2420 cyclopentyl H OCH2CH3 -CH2- meta
B-2421 cyclohexyl H OCH2CH3 -CH2- meta
B-2422 1 -triazolyl H H OCH2CH3 -CH2- meta
B-2423 2-pyridinyl H H OCH2CH3 -CH2- meta
B-2424 3-pyridinyl H H OCH2CH3 -CH2- meta
B-2425 4-pyridinyl H H OCH2CH3 -CH2- meta
B-2426 H H SH OCH2CH3 -CH2- meta
B-2427 CH3 H SH OCH2CH3 -CH2- meta
line R1 R2 D X B position
Y-Z
B-2428 CH2CH3 H SH OCH2CH3 -CH2- meta
B-2429 CH2CH2CH3 H SH OCH2CH3 -CH2- meta
B-2430 CH(CH3)2 H SH OCH2CH3 -CH2- meta
B-2431 OCH3 H SH OCH2CH3 -CH2- meta
B-2432 OCH2CH3 H SH OCH2CH3 -CH2- meta
B-2433 OCH(CH3)2 H SH OCH2CH3 -CH2- meta
B-2434 F H SH OCH2CH3 -CH2- meta
B-2435 CI H SH OCH2CH3 -CH2- meta
B-2436 Br H SH OCH2CH3 -CH2- meta
B-2437 OH H SH OCH2CH3 -CH2- meta
B-2438 NH2 H SH OCH2CH3 -CH2- meta
B-2439 N(CH3)2 H SH OCH2CH3 -CH2- meta
B-2440 CHs CHs SH OCH2CH3 -CH2- meta
B-2441 CH2CH3 CH2CH3 SH OCH2CH3 -CH2- meta
B-2442 =CH2 SH OCH2CH3 -CH2- meta
B-2443 cyclopropyl SH OCH2CH3 -CH2- meta
B-2444 cyclobutyl SH OCH2CH3 -CH2- meta
B-2445 cyclopentyl SH OCH2CH3 -CH2- meta
B-2446 cyclohexyl SH OCH2CH3 -CH2- meta
B-2447 1 -triazolyl H SH OCH2CH3 -CH2- meta
B-2448 2-pyridinyl H SH OCH2CH3 -CH2- meta
B-2449 3-pyridinyl H SH OCH2CH3 -CH2- meta
B-2450 4-pyridinyl H SH OCH2CH3 -CH2- meta
B-2451 H H S-allyl OCH2CH3 -CH2- meta
B-2452 CHs H S-allyl OCH2CH3 -CH2- meta
B-2453 CH2CH3 H S-allyl OCH2CH3 -CH2- meta
B-2454 CH2CH2CH3 H S-allyl OCH2CH3 -CH2- meta
B-2455 CH(CH3)2 H S-allyl OCH2CH3 -CH2- meta
B-2456 OCH3 H S-allyl OCH2CH3 -CH2- meta
B-2457 OCH2CH3 H S-allyl OCH2CH3 -CH2- meta
B-2458 OCH(CH3)2 H S-allyl OCH2CH3 -CH2- meta
B-2459 F H S-allyl OCH2CH3 -CH2- meta
B-2460 CI H S-allyl OCH2CH3 -CH2- meta
B-2461 Br H S-allyl OCH2CH3 -CH2- meta
B-2462 OH H S-allyl OCH2CH3 -CH2- meta
B-2463 NH2 H S-allyl OCH2CH3 -CH2- meta
line R1 R2 D X B position
Y-Z
B-2464 N(CH3)2 H S-allyl OCH2CH3 -CH2- meta
B-2465 CHs CH3 S-allyl OCH2CH3 -CH2- meta
B-2466 CH2CH3 CH2CH3 S-allyl OCH2CH3 -CH2- meta
B-2467 =CH2 S-allyl OCH2CH3 -CH2- meta
B-2468 cyclopropyl S-allyl OCH2CH3 -CH2- meta
B-2469 cyclobutyl S-allyl OCH2CH3 -CH2- meta
B-2470 cyclopentyl S-allyl OCH2CH3 -CH2- meta
B-2471 cyclohexyl S-allyl OCH2CH3 -CH2- meta
B-2472 1 -triazolyl H S-allyl OCH2CH3 -CH2- meta
B-2473 2-pyridinyl H S-allyl OCH2CH3 -CH2- meta
B-2474 3-pyridinyl H S-allyl OCH2CH3 -CH2- meta
B-2475 4-pyridinyl H S-allyl OCH2CH3 -CH2- meta
B-2476 H H SCN OCH2CH3 -CH2- meta
B-2477 CHs H SCN OCH2CH3 -CH2- meta
B-2478 CH2CH3 H SCN OCH2CH3 -CH2- meta
B-2479 CH2CH2CH3 H SCN OCH2CH3 -CH2- meta
B-2480 CH(CH3)2 H SCN OCH2CH3 -CH2- meta
B-2481 OCH3 H SCN OCH2CH3 -CH2- meta
B-2482 OCH2CH3 H SCN OCH2CH3 -CH2- meta
B-2483 OCH(CH3)2 H SCN OCH2CH3 -CH2- meta
B-2484 F H SCN OCH2CH3 -CH2- meta
B-2485 CI H SCN OCH2CH3 -CH2- meta
B-2486 Br H SCN OCH2CH3 -CH2- meta
B-2487 OH H SCN OCH2CH3 -CH2- meta
B-2488 NH2 H SCN OCH2CH3 -CH2- meta
B-2489 N(CH3)2 H SCN OCH2CH3 -CH2- meta
B-2490 CH3 CH3 SCN OCH2CH3 -CH2- meta
B-2491 CH2CH3 CH2CH3 SCN OCH2CH3 -CH2- meta
B-2492 =CH2 SCN OCH2CH3 -CH2- meta
B-2493 cyclopropyl SCN OCH2CH3 -CH2- meta
B-2494 cyclobutyl SCN OCH2CH3 -CH2- meta
B-2495 cyclopentyl SCN OCH2CH3 -CH2- meta
B-2496 cyclohexyl SCN OCH2CH3 -CH2- meta
B-2497 1 -triazolyl H SCN OCH2CH3 -CH2- meta
B-2498 2-pyridinyl H SCN OCH2CH3 -CH2- meta
B-2499 3-pyridinyl H SCN OCH2CH3 -CH2- meta
line R1 R2 D X B position
Y-Z
B-2500 4-pyridinyl H SCN OCH2CH3 -CH2- meta
B-2501 H H H O-allyl -CH2- meta
B-2502 CHs H H O-allyl -CH2- meta
B-2503 CH2CH3 H H O-allyl -CH2- meta
B-2504 CH2CH2CH3 H H O-allyl -CH2- meta
B-2505 CH(CH3)2 H H O-allyl -CH2- meta
B-2506 OCH3 H H O-allyl -CH2- meta
B-2507 OCH2CH3 H H O-allyl -CH2- meta
B-2508 OCH(CH3)2 H H O-allyl -CH2- meta
B-2509 F H H O-allyl -CH2- meta
B-2510 CI H H O-allyl -CH2- meta
B-251 1 Br H H O-allyl -CH2- meta
B-2512 OH H H O-allyl -CH2- meta
B-2513 NH2 H H O-allyl -CH2- meta
B-2514 N(CH3)2 H H O-allyl -CH2- meta
B-2515 CHs CH3 H O-allyl -CH2- meta
B-2516 CH2CH3 CH2CH3 H O-allyl -CH2- meta
B-2517 =CH2 H O-allyl -CH2- meta
B-2518 cyclopropyl H O-allyl -CH2- meta
B-2519 cyclobutyl H O-allyl -CH2- meta
B-2520 cyclopentyl H O-allyl -CH2- meta
B-2521 cyclohexyl H O-allyl -CH2- meta
B-2522 1 -triazolyl H H O-allyl -CH2- meta
B-2523 2-pyridinyl H H O-allyl -CH2- meta
B-2524 3-pyridinyl H H O-allyl -CH2- meta
B-2525 4-pyridinyl H H O-allyl -CH2- meta
B-2526 H H SH O-allyl -CH2- meta
B-2527 CHs H SH O-allyl -CH2- meta
B-2528 CH2CH3 H SH O-allyl -CH2- meta
B-2529 CH2CH2CH3 H SH O-allyl -CH2- meta
B-2530 CH(CH3)2 H SH O-allyl -CH2- meta
B-2531 OCH3 H SH O-allyl -CH2- meta
B-2532 OCH2CH3 H SH O-allyl -CH2- meta
B-2533 OCH(CH3)2 H SH O-allyl -CH2- meta
B-2534 F H SH O-allyl -CH2- meta
B-2535 CI H SH O-allyl -CH2- meta
line R1 R2 D X B position
Y-Z
B-2536 Br H SH O-allyl -CH2- meta
B-2537 OH H SH O-allyl -CH2- meta
B-2538 NH2 H SH O-allyl -CH2- meta
B-2539 N(CH3)2 H SH O-allyl -CH2- meta
B-2540 CH3 CH3 SH O-allyl -CH2- meta
B-2541 CH2CH3 CH2CH3 SH O-allyl -CH2- meta
B-2542 =CH2 SH O-allyl -CH2- meta
B-2543 cyclopropyl SH O-allyl -CH2- meta
B-2544 cyclobutyl SH O-allyl -CH2- meta
B-2545 cyclopentyl SH O-allyl -CH2- meta
B-2546 cyclohexyl SH O-allyl -CH2- meta
B-2547 1 -triazolyl H SH O-allyl -CH2- meta
B-2548 2-pyridinyl H SH O-allyl -CH2- meta
B-2549 3-pyridinyl H SH O-allyl -CH2- meta
B-2550 4-pyridinyl H SH O-allyl -CH2- meta
B-2551 H H S-allyl O-allyl -CH2- meta
B-2552 CH3 H S-allyl O-allyl -CH2- meta
B-2553 CH2CH3 H S-allyl O-allyl -CH2- meta
B-2554 CH2CH2CH3 H S-allyl O-allyl -CH2- meta
B-2555 CH(CH3)2 H S-allyl O-allyl -CH2- meta
B-2556 OCH3 H S-allyl O-allyl -CH2- meta
B-2557 OCH2CH3 H S-allyl O-allyl -CH2- meta
B-2558 OCH(CH3)2 H S-allyl O-allyl -CH2- meta
B-2559 F H S-allyl O-allyl -CH2- meta
B-2560 CI H S-allyl O-allyl -CH2- meta
B-2561 Br H S-allyl O-allyl -CH2- meta
B-2562 OH H S-allyl O-allyl -CH2- meta
B-2563 NH2 H S-allyl O-allyl -CH2- meta
B-2564 N(CH3)2 H S-allyl O-allyl -CH2- meta
B-2565 CH3 CH3 S-allyl O-allyl -CH2- meta
B-2566 CH2CH3 CH2CH3 S-allyl O-allyl -CH2- meta
B-2567 =CH2 S-allyl O-allyl -CH2- meta
B-2568 cyclopropyl S-allyl O-allyl -CH2- meta
B-2569 cyclobutyl S-allyl O-allyl -CH2- meta
B-2570 cyclopentyl S-allyl O-allyl -CH2- meta
B-2571 cyclohexyl S-allyl O-allyl -CH2- meta
line R1 R2 D X B position
Y-Z
B-2572 1 -triazolyl H S-allyl O-allyl -CH2- meta
B-2573 2-pyridinyl H S-allyl O-allyl -CH2- meta
B-2574 3-pyridinyl H S-allyl O-allyl -CH2- meta
B-2575 4-pyridinyl H S-allyl O-allyl -CH2- meta
B-2576 H H SCN O-allyl -CH2- meta
B-2577 CH3 H SCN O-allyl -CH2- meta
B-2578 CH2CH3 H SCN O-allyl -CH2- meta
B-2579 CH2CH2CH3 H SCN O-allyl -CH2- meta
B-2580 CH(CH3)2 H SCN O-allyl -CH2- meta
B-2581 OCH3 H SCN O-allyl -CH2- meta
B-2582 OCH2CH3 H SCN O-allyl -CH2- meta
B-2583 OCH(CH3)2 H SCN O-allyl -CH2- meta
B-2584 F H SCN O-allyl -CH2- meta
B-2585 CI H SCN O-allyl -CH2- meta
B-2586 Br H SCN O-allyl -CH2- meta
B-2587 OH H SCN O-allyl -CH2- meta
B-2588 NH2 H SCN O-allyl -CH2- meta
B-2589 N(CH3)2 H SCN O-allyl -CH2- meta
B-2590 CH3 CH3 SCN O-allyl -CH2- meta
B-2591 CH2CH3 CH2CH3 SCN O-allyl -CH2- meta
B-2592 =CH2 SCN O-allyl -CH2- meta
B-2593 cyclopropyl SCN O-allyl -CH2- meta
B-2594 cyclobutyl SCN O-allyl -CH2- meta
B-2595 cyclopentyl SCN O-allyl -CH2- meta
B-2596 cyclohexyl SCN O-allyl -CH2- meta
B-2597 1 -triazolyl H SCN O-allyl -CH2- meta
B-2598 2-pyridinyl H SCN O-allyl -CH2- meta
B-2599 3-pyridinyl H SCN O-allyl -CH2- meta
B-2600 4-pyridinyl H SCN O-allyl -CH2- meta
B-2601 H H H O-propargyl -CH2- meta
B-2602 CH3 H H O-propargyl -CH2- meta
B-2603 CH2CH3 H H O-propargyl -CH2- meta
B-2604 CH2CH2CH3 H H O-propargyl -CH2- meta
B-2605 CH(CH3)2 H H O-propargyl -CH2- meta
B-2606 OCH3 H H O-propargyl -CH2- meta
B-2607 OCH2CH3 H H O-propargyl -CH2- meta
line R1 R2 D X B position
Y-Z
B-2608 OCH(CH3)2 H H O-propargyl -CH2- meta
B-2609 F H H O-propargyl -CH2- meta
B-2610 CI H H O-propargyl -CH2- meta
B-261 1 Br H H O-propargyl -CH2- meta
B-2612 OH H H O-propargyl -CH2- meta
B-2613 NH2 H H O-propargyl -CH2- meta
B-2614 N(CH3)2 H H O-propargyl -CH2- meta
B-2615 CH3 CH3 H O-propargyl -CH2- meta
B-2616 CH2CH3 CH2CH3 H O-propargyl -CH2- meta
B-2617 =CH2 H O-propargyl -CH2- meta
B-2618 cyclopropyl H O-propargyl -CH2- meta
B-2619 cyclobutyl H O-propargyl -CH2- meta
B-2620 cyclopentyl H O-propargyl -CH2- meta
B-2621 cyclohexyl H O-propargyl -CH2- meta
B-2622 1 -triazolyl H H O-propargyl -CH2- meta
B-2623 2-pyridinyl H H O-propargyl -CH2- meta
B-2624 3-pyridinyl H H O-propargyl -CH2- meta
B-2625 4-pyridinyl H H O-propargyl -CH2- meta
B-2626 H H SH O-propargyl -CH2- meta
B-2627 CH3 H SH O-propargyl -CH2- meta
B-2628 CH2CH3 H SH O-propargyl -CH2- meta
B-2629 CH2CH2CH3 H SH O-propargyl -CH2- meta
B-2630 CH(CH3)2 H SH O-propargyl -CH2- meta
B-2631 OCH3 H SH O-propargyl -CH2- meta
B-2632 OCH2CH3 H SH O-propargyl -CH2- meta
B-2633 OCH(CH3)2 H SH O-propargyl -CH2- meta
B-2634 F H SH O-propargyl -CH2- meta
B-2635 CI H SH O-propargyl -CH2- meta
B-2636 Br H SH O-propargyl -CH2- meta
B-2637 OH H SH O-propargyl -CH2- meta
B-2638 NH2 H SH O-propargyl -CH2- meta
B-2639 N(CH3)2 H SH O-propargyl -CH2- meta
B-2640 CH3 CH3 SH O-propargyl -CH2- meta
B-2641 CH2CH3 CH2CH3 SH O-propargyl -CH2- meta
B-2642 =CH2 SH O-propargyl -CH2- meta
B-2643 cyclopropyl SH O-propargyl -CH2- meta
line R1 R2 D X B position
Y-Z
B-2644 cyclobutyl SH O-propargyl -CH2- meta
B-2645 cyclopentyl SH O-propargyl -CH2- meta
B-2646 cyclohexyl SH O-propargyl -CH2- meta
B-2647 1 -triazolyl H SH O-propargyl -CH2- meta
B-2648 2-pyridinyl H SH O-propargyl -CH2- meta
B-2649 3-pyridinyl H SH O-propargyl -CH2- meta
B-2650 4-pyridinyl H SH O-propargyl -CH2- meta
B-2651 H H S-allyl O-propargyl -CH2- meta
B-2652 CHs H S-allyl O-propargyl -CH2- meta
B-2653 CH2CH3 H S-allyl O-propargyl -CH2- meta
B-2654 CH2CH2CH3 H S-allyl O-propargyl -CH2- meta
B-2655 CH(CH3)2 H S-allyl O-propargyl -CH2- meta
B-2656 OCH3 H S-allyl O-propargyl -CH2- meta
B-2657 OCH2CH3 H S-allyl O-propargyl -CH2- meta
B-2658 OCH(CH3)2 H S-allyl O-propargyl -CH2- meta
B-2659 F H S-allyl O-propargyl -CH2- meta
B-2660 CI H S-allyl O-propargyl -CH2- meta
B-2661 Br H S-allyl O-propargyl -CH2- meta
B-2662 OH H S-allyl O-propargyl -CH2- meta
B-2663 NH2 H S-allyl O-propargyl -CH2- meta
B-2664 N(CH3)2 H S-allyl O-propargyl -CH2- meta
B-2665 CHs CHs S-allyl O-propargyl -CH2- meta
B-2666 CH2CH3 CH2CH3 S-allyl O-propargyl -CH2- meta
B-2667 =CH2 S-allyl O-propargyl -CH2- meta
B-2668 cyclopropyl S-allyl O-propargyl -CH2- meta
B-2669 cyclobutyl S-allyl O-propargyl -CH2- meta
B-2670 cyclopentyl S-allyl O-propargyl -CH2- meta
B-2671 cyclohexyl S-allyl O-propargyl -CH2- meta
B-2672 1 -triazolyl H S-allyl O-propargyl -CH2- meta
B-2673 2-pyridinyl H S-allyl O-propargyl -CH2- meta
B-2674 3-pyridinyl H S-allyl O-propargyl -CH2- meta
B-2675 4-pyridinyl H S-allyl O-propargyl -CH2- meta
B-2676 H H SCN O-propargyl -CH2- meta
B-2677 CHs H SCN O-propargyl -CH2- meta
B-2678 CH2CH3 H SCN O-propargyl -CH2- meta
B-2679 CH2CH2CH3 H SCN O-propargyl -CH2- meta
line R1 R2 D X B position
Y-Z
B-2680 CH(CH3)2 H SCN O-propargyl -CH2- meta
B-2681 OCHs H SCN O-propargyl -CH2- meta
B-2682 OCH2CH3 H SCN O-propargyl -CH2- meta
B-2683 OCH(CH3)2 H SCN O-propargyl -CH2- meta
B-2684 F H SCN O-propargyl -CH2- meta
B-2685 CI H SCN O-propargyl -CH2- meta
B-2686 Br H SCN O-propargyl -CH2- meta
B-2687 OH H SCN O-propargyl -CH2- meta
B-2688 NH2 H SCN O-propargyl -CH2- meta
B-2689 N(CH3)2 H SCN O-propargyl -CH2- meta
B-2690 CHs CH3 SCN O-propargyl -CH2- meta
B-2691 CH2CH3 CH2CH3 SCN O-propargyl -CH2- meta
B-2692 =CH2 SCN O-propargyl -CH2- meta
B-2693 cyclopropyl SCN O-propargyl -CH2- meta
B-2694 cyclobutyl SCN O-propargyl -CH2- meta
B-2695 cyclopentyl SCN O-propargyl -CH2- meta
B-2696 cyclohexyl SCN O-propargyl -CH2- meta
B-2697 1 -triazolyl H SCN O-propargyl -CH2- meta
B-2698 2-pyridinyl H SCN O-propargyl -CH2- meta
B-2699 3-pyridinyl H SCN O-propargyl -CH2- meta
B-2700 4-pyridinyl H SCN O-propargyl -CH2- meta
B-2701 H H H O-benzyl -CH2- meta
B-2702 CHs H H O-benzyl -CH2- meta
B-2703 CH2CH3 H H O-benzyl -CH2- meta
B-2704 CH2CH2CH3 H H O-benzyl -CH2- meta
B-2705 CH(CH3)2 H H O-benzyl -CH2- meta
B-2706 OCHs H H O-benzyl -CH2- meta
B-2707 OCH2CH3 H H O-benzyl -CH2- meta
B-2708 OCH(CH3)2 H H O-benzyl -CH2- meta
B-2709 F H H O-benzyl -CH2- meta
B-2710 CI H H O-benzyl -CH2- meta
B-271 1 Br H H O-benzyl -CH2- meta
B-2712 OH H H O-benzyl -CH2- meta
B-2713 NH2 H H O-benzyl -CH2- meta
B-2714 N(CH3)2 H H O-benzyl -CH2- meta
B-2715 CH3 CH3 H O-benzyl -CH2- meta
line R1 R2 D X B position
Y-Z
B-2716 CH2CH3 CH2CH3 H O-benzyl -CH2- meta
B-2717 =CH2 H O-benzyl -CH2- meta
B-2718 cyclopropyl H O-benzyl -CH2- meta
B-2719 cyclobutyl H O-benzyl -CH2- meta
B-2720 cyclopentyl H O-benzyl -CH2- meta
B-2721 cyclohexyl H O-benzyl -CH2- meta
B-2722 1 -triazolyl H H O-benzyl -CH2- meta
B-2723 2-pyridinyl H H O-benzyl -CH2- meta
B-2724 3-pyridinyl H H O-benzyl -CH2- meta
B-2725 4-pyridinyl H H O-benzyl -CH2- meta
B-2726 H H SH O-benzyl -CH2- meta
B-2727 CHs H SH O-benzyl -CH2- meta
B-2728 CH2CH3 H SH O-benzyl -CH2- meta
B-2729 CH2CH2CH3 H SH O-benzyl -CH2- meta
B-2730 CH(CH3)2 H SH O-benzyl -CH2- meta
B-2731 OCH3 H SH O-benzyl -CH2- meta
B-2732 OCH2CH3 H SH O-benzyl -CH2- meta
B-2733 OCH(CH3)2 H SH O-benzyl -CH2- meta
B-2734 F H SH O-benzyl -CH2- meta
B-2735 CI H SH O-benzyl -CH2- meta
B-2736 Br H SH O-benzyl -CH2- meta
B-2737 OH H SH O-benzyl -CH2- meta
B-2738 NH2 H SH O-benzyl -CH2- meta
B-2739 N(CH3)2 H SH O-benzyl -CH2- meta
B-2740 CHs CHs SH O-benzyl -CH2- meta
B-2741 CH2CH3 CH2CH3 SH O-benzyl -CH2- meta
B-2742 =CH2 SH O-benzyl -CH2- meta
B-2743 cyclopropyl SH O-benzyl -CH2- meta
B-2744 cyclobutyl SH O-benzyl -CH2- meta
B-2745 cyclopentyl SH O-benzyl -CH2- meta
B-2746 cyclohexyl SH O-benzyl -CH2- meta
B-2747 1 -triazolyl H SH O-benzyl -CH2- meta
B-2748 2-pyridinyl H SH O-benzyl -CH2- meta
B-2749 3-pyridinyl H SH O-benzyl -CH2- meta
B-2750 4-pyridinyl H SH O-benzyl -CH2- meta
B-2751 H H S-allyl O-benzyl -CH2- meta
line R1 R2 D X B position
Y-Z
B-2752 CHs H S-allyl O-benzyl -CH2- meta
B-2753 CH2CH3 H S-allyl O-benzyl -CH2- meta
B-2754 CH2CH2CH3 H S-allyl O-benzyl -CH2- meta
B-2755 CH(CH3)2 H S-allyl O-benzyl -CH2- meta
B-2756 OCH3 H S-allyl O-benzyl -CH2- meta
B-2757 OCH2CH3 H S-allyl O-benzyl -CH2- meta
B-2758 OCH(CH3)2 H S-allyl O-benzyl -CH2- meta
B-2759 F H S-allyl O-benzyl -CH2- meta
B-2760 CI H S-allyl O-benzyl -CH2- meta
B-2761 Br H S-allyl O-benzyl -CH2- meta
B-2762 OH H S-allyl O-benzyl -CH2- meta
B-2763 NH2 H S-allyl O-benzyl -CH2- meta
B-2764 N(CH3)2 H S-allyl O-benzyl -CH2- meta
B-2765 CHs CH3 S-allyl O-benzyl -CH2- meta
B-2766 CH2CH3 CH2CH3 S-allyl O-benzyl -CH2- meta
B-2767 =CH2 S-allyl O-benzyl -CH2- meta
B-2768 cyclopropyl S-allyl O-benzyl -CH2- meta
B-2769 cyclobutyl S-allyl O-benzyl -CH2- meta
B-2770 cyclopentyl S-allyl O-benzyl -CH2- meta
B-2771 cyclohexyl S-allyl O-benzyl -CH2- meta
B-2772 1 -triazolyl H S-allyl O-benzyl -CH2- meta
B-2773 2-pyridinyl H S-allyl O-benzyl -CH2- meta
B-2774 3-pyridinyl H S-allyl O-benzyl -CH2- meta
B-2775 4-pyridinyl H S-allyl O-benzyl -CH2- meta
B-2776 H H SCN O-benzyl -CH2- meta
B-2777 CHs H SCN O-benzyl -CH2- meta
B-2778 CH2CH3 H SCN O-benzyl -CH2- meta
B-2779 CH2CH2CH3 H SCN O-benzyl -CH2- meta
B-2780 CH(CH3)2 H SCN O-benzyl -CH2- meta
B-2781 OCH3 H SCN O-benzyl -CH2- meta
B-2782 OCH2CH3 H SCN O-benzyl -CH2- meta
B-2783 OCH(CH3)2 H SCN O-benzyl -CH2- meta
B-2784 F H SCN O-benzyl -CH2- meta
B-2785 CI H SCN O-benzyl -CH2- meta
B-2786 Br H SCN O-benzyl -CH2- meta
B-2787 OH H SCN O-benzyl -CH2- meta
line R1 R2 D X B position
Y-Z
B-2788 NH2 H SCN O-benzyl -CH2- meta
B-2789 N(CH3)2 H SCN O-benzyl -CH2- meta
B-2790 CHs CHs SCN O-benzyl -CH2- meta
B-2791 CH2CH3 CH2CH3 SCN O-benzyl -CH2- meta
B-2792 =CH2 SCN O-benzyl -CH2- meta
B-2793 cyclopropyl SCN O-benzyl -CH2- meta
B-2794 cyclobutyl SCN O-benzyl -CH2- meta
B-2795 cyclopentyl SCN O-benzyl -CH2- meta
B-2796 cyclohexyl SCN O-benzyl -CH2- meta
B-2797 1 -triazolyl H SCN O-benzyl -CH2- meta
B-2798 2-pyridinyl H SCN O-benzyl -CH2- meta
B-2799 3-pyridinyl H SCN O-benzyl -CH2- meta
B-2800 4-pyridinyl H SCN O-benzyl -CH2- meta
B-2801 H H H CN =CH- meta
B-2802 CHs H H CN =CH- meta
B-2803 CH2CH3 H H CN =CH- meta
B-2804 CH2CH2CH3 H H CN =CH- meta
B-2805 CH(CH3)2 H H CN =CH- meta
B-2806 OCH3 H H CN =CH- meta
B-2807 OCH2CH3 H H CN =CH- meta
B-2808 OCH(CH3)2 H H CN =CH- meta
B-2809 F H H CN =CH- meta
B-2810 CI H H CN =CH- meta
B-281 1 Br H H CN =CH- meta
B-2812 OH H H CN =CH- meta
B-2813 NH2 H H CN =CH- meta
B-2814 N(CH3)2 H H CN =CH- meta
B-2815 CHs CHs H CN =CH- meta
B-2816 CH2CH3 CH2CH3 H CN =CH- meta
B-2817 =CH2 H CN =CH- meta
B-2818 cyclopropyl H CN =CH- meta
B-2819 cyclobutyl H CN =CH- meta
B-2820 cyclopentyl H CN =CH- meta
B-2821 cyclohexyl H CN =CH- meta
B-2822 1 -triazolyl H H CN =CH- meta
B-2823 2-pyridinyl H H CN =CH- meta
line R1 R2 D X B position
Y-Z
B-2824 3-pyridinyl H H CN =CH- meta
B-2825 4-pyridinyl H H CN =CH- meta
B-2826 H H SH CN =CH- meta
B-2827 CHs H SH CN =CH- meta
B-2828 CH2CH3 H SH CN =CH- meta
B-2829 CH2CH2CH3 H SH CN =CH- meta
B-2830 CH(CH3)2 H SH CN =CH- meta
B-2831 OCH3 H SH CN =CH- meta
B-2832 OCH2CH3 H SH CN =CH- meta
B-2833 OCH(CH3)2 H SH CN =CH- meta
B-2834 F H SH CN =CH- meta
B-2835 CI H SH CN =CH- meta
B-2836 Br H SH CN =CH- meta
B-2837 OH H SH CN =CH- meta
B-2838 NH2 H SH CN =CH- meta
B-2839 N(CH3)2 H SH CN =CH- meta
B-2840 CH3 CH3 SH CN =CH- meta
B-2841 CH2CH3 CH2CH3 SH CN =CH- meta
B-2842 =CH2 SH CN =CH- meta
B-2843 cyclopropyl SH CN =CH- meta
B-2844 cyclobutyl SH CN =CH- meta
B-2845 cyclopentyl SH CN =CH- meta
B-2846 cyclohexyl SH CN =CH- meta
B-2847 1 -triazolyl H SH CN =CH- meta
B-2848 2-pyridinyl H SH CN =CH- meta
B-2849 3-pyridinyl H SH CN =CH- meta
B-2850 4-pyridinyl H SH CN =CH- meta
B-2851 H H S-allyl CN =CH- meta
B-2852 CH3 H S-allyl CN =CH- meta
B-2853 CH2CH3 H S-allyl CN =CH- meta
B-2854 CH2CH2CH3 H S-allyl CN =CH- meta
B-2855 CH(CH3)2 H S-allyl CN =CH- meta
B-2856 OCH3 H S-allyl CN =CH- meta
B-2857 OCH2CH3 H S-allyl CN =CH- meta
B-2858 OCH(CH3)2 H S-allyl CN =CH- meta
B-2859 F H S-allyl CN =CH- meta
line R1 R2 D X B position
Y-Z
B-2860 CI H S-allyl CN =CH- meta
B-2861 Br H S-allyl CN =CH- meta
B-2862 OH H S-allyl CN =CH- meta
B-2863 NH2 H S-allyl CN =CH- meta
B-2864 N(CH3)2 H S-allyl CN =CH- meta
B-2865 CHs CH3 S-allyl CN =CH- meta
B-2866 CH2CH3 CH2CH3 S-allyl CN =CH- meta
B-2867 =CH2 S-allyl CN =CH- meta
B-2868 cyclopropyl S-allyl CN =CH- meta
B-2869 cyclobutyl S-allyl CN =CH- meta
B-2870 cyclopentyl S-allyl CN =CH- meta
B-2871 cyclohexyl S-allyl CN =CH- meta
B-2872 1 -triazolyl H S-allyl CN =CH- meta
B-2873 2-pyridinyl H S-allyl CN =CH- meta
B-2874 3-pyridinyl H S-allyl CN =CH- meta
B-2875 4-pyridinyl H S-allyl CN =CH- meta
B-2876 H H SCN CN =CH- meta
B-2877 CHs H SCN CN =CH- meta
B-2878 CH2CH3 H SCN CN =CH- meta
B-2879 CH2CH2CH3 H SCN CN =CH- meta
B-2880 CH(CH3)2 H SCN CN =CH- meta
B-2881 OCH3 H SCN CN =CH- meta
B-2882 OCH2CH3 H SCN CN =CH- meta
B-2883 OCH(CH3)2 H SCN CN =CH- meta
B-2884 F H SCN CN =CH- meta
B-2885 CI H SCN CN =CH- meta
B-2886 Br H SCN CN =CH- meta
B-2887 OH H SCN CN =CH- meta
B-2888 NH2 H SCN CN =CH- meta
B-2889 N(CH3)2 H SCN CN =CH- meta
B-2890 CH3 CH3 SCN CN =CH- meta
B-2891 CH2CH3 CH2CH3 SCN CN =CH- meta
B-2892 =CH2 SCN CN =CH- meta
B-2893 cyclopropyl SCN CN =CH- meta
B-2894 cyclobutyl SCN CN =CH- meta
B-2895 cyclopentyl SCN CN =CH- meta
line R1 R2 D X B position
Y-Z
B-2896 cyclohexyl SCN CN =CH- meta
B-2897 1 -triazolyl H SCN CN =CH- meta
B-2898 2-pyridinyl H SCN CN =CH- meta
B-2899 3-pyridinyl H SCN CN =CH- meta
B-2900 4-pyridinyl H SCN CN =CH- meta
B-2901 H H H OH =CH- meta
B-2902 CHs H H OH =CH- meta
B-2903 CH2CH3 H H OH =CH- meta
B-2904 CH2CH2CH3 H H OH =CH- meta
B-2905 CH(CH3)2 H H OH =CH- meta
B-2906 OCH3 H H OH =CH- meta
B-2907 OCH2CH3 H H OH =CH- meta
B-2908 OCH(CH3)2 H H OH =CH- meta
B-2909 F H H OH =CH- meta
B-2910 CI H H OH =CH- meta
B-291 1 Br H H OH =CH- meta
B-2912 OH H H OH =CH- meta
B-2913 NH2 H H OH =CH- meta
B-2914 N(CH3)2 H H OH =CH- meta
B-2915 CH3 CH3 H OH =CH- meta
B-2916 CH2CH3 CH2CH3 H OH =CH- meta
B-2917 =CH2 H OH =CH- meta
B-2918 cyclopropyl H OH =CH- meta
B-2919 cyclobutyl H OH =CH- meta
B-2920 cyclopentyl H OH =CH- meta
B-2921 cyclohexyl H OH =CH- meta
B-2922 1 -triazolyl H H OH =CH- meta
B-2923 2-pyridinyl H H OH =CH- meta
B-2924 3-pyridinyl H H OH =CH- meta
B-2925 4-pyridinyl H H OH =CH- meta
B-2926 H H SH OH =CH- meta
B-2927 CH3 H SH OH =CH- meta
B-2928 CH2CH3 H SH OH =CH- meta
B-2929 CH2CH2CH3 H SH OH =CH- meta
B-2930 CH(CH3)2 H SH OH =CH- meta
B-2931 OCH3 H SH OH =CH- meta
line R1 R2 D X B position
Y-Z
B-2932 OCH2CH3 H SH OH =CH- meta
B-2933 OCH(CH3)2 H SH OH =CH- meta
B-2934 F H SH OH =CH- meta
B-2935 CI H SH OH =CH- meta
B-2936 Br H SH OH =CH- meta
B-2937 OH H SH OH =CH- meta
B-2938 NH2 H SH OH =CH- meta
B-2939 N(CH3)2 H SH OH =CH- meta
B-2940 CHs CH3 SH OH =CH- meta
B-2941 CH2CH3 CH2CH3 SH OH =CH- meta
B-2942 =CH2 SH OH =CH- meta
B-2943 cyclopropyl SH OH =CH- meta
B-2944 cyclobutyl SH OH =CH- meta
B-2945 cyclopentyl SH OH =CH- meta
B-2946 cyclohexyl SH OH =CH- meta
B-2947 1 -triazolyl H SH OH =CH- meta
B-2948 2-pyridinyl H SH OH =CH- meta
B-2949 3-pyridinyl H SH OH =CH- meta
B-2950 4-pyridinyl H SH OH =CH- meta
B-2951 H H S-allyl OH =CH- meta
B-2952 CHs H S-allyl OH =CH- meta
B-2953 CH2CH3 H S-allyl OH =CH- meta
B-2954 CH2CH2CH3 H S-allyl OH =CH- meta
B-2955 CH(CH3)2 H S-allyl OH =CH- meta
B-2956 OCH3 H S-allyl OH =CH- meta
B-2957 OCH2CH3 H S-allyl OH =CH- meta
B-2958 OCH(CH3)2 H S-allyl OH =CH- meta
B-2959 F H S-allyl OH =CH- meta
B-2960 CI H S-allyl OH =CH- meta
B-2961 Br H S-allyl OH =CH- meta
B-2962 OH H S-allyl OH =CH- meta
B-2963 NH2 H S-allyl OH =CH- meta
B-2964 N(CH3)2 H S-allyl OH =CH- meta
B-2965 CH3 CH3 S-allyl OH =CH- meta
B-2966 CH2CH3 CH2CH3 S-allyl OH =CH- meta
B-2967 =CH2 S-allyl OH =CH- meta
line R1 R2 D X B position
Y-Z
B-2968 cyclopropyl S-allyl OH =CH- meta
B-2969 cyclobutyl S-allyl OH =CH- meta
B-2970 cyclopentyl S-allyl OH =CH- meta
B-2971 cyclohexyl S-allyl OH =CH- meta
B-2972 1 -triazolyl H S-allyl OH =CH- meta
B-2973 2-pyridinyl H S-allyl OH =CH- meta
B-2974 3-pyridinyl H S-allyl OH =CH- meta
B-2975 4-pyridinyl H S-allyl OH =CH- meta
B-2976 H H SCN OH =CH- meta
B-2977 CHs H SCN OH =CH- meta
B-2978 CH2CH3 H SCN OH =CH- meta
B-2979 CH2CH2CH3 H SCN OH =CH- meta
B-2980 CH(CH3)2 H SCN OH =CH- meta
B-2981 OCH3 H SCN OH =CH- meta
B-2982 OCH2CH3 H SCN OH =CH- meta
B-2983 OCH(CH3)2 H SCN OH =CH- meta
B-2984 F H SCN OH =CH- meta
B-2985 CI H SCN OH =CH- meta
B-2986 Br H SCN OH =CH- meta
B-2987 OH H SCN OH =CH- meta
B-2988 NH2 H SCN OH =CH- meta
B-2989 N(CH3)2 H SCN OH =CH- meta
B-2990 CH3 CH3 SCN OH =CH- meta
B-2991 CH2CH3 CH2CH3 SCN OH =CH- meta
B-2992 =CH2 SCN OH =CH- meta
B-2993 cyclopropyl SCN OH =CH- meta
B-2994 cyclobutyl SCN OH =CH- meta
B-2995 cyclopentyl SCN OH =CH- meta
B-2996 cyclohexyl SCN OH =CH- meta
B-2997 1 -triazolyl H SCN OH =CH- meta
B-2998 2-pyridinyl H SCN OH =CH- meta
B-2999 3-pyridinyl H SCN OH =CH- meta
B-3000 4-pyridinyl H SCN OH =CH- meta
B-3001 H H H OCH3 =CH- meta
B-3002 CH3 H H OCH3 =CH- meta
B-3003 CH2CH3 H H OCH3 =CH- meta
line R1 R2 D X B position
Y-Z
B-3004 CH2CH2CH3 H H OCH3 =CH- meta
B-3005 CH(CH3)2 H H OCH3 =CH- meta
B-3006 OCH3 H H OCH3 =CH- meta
B-3007 OCH2CH3 H H OCH3 =CH- meta
B-3008 OCH(CH3)2 H H OCH3 =CH- meta
B-3009 F H H OCH3 =CH- meta
B-3010 CI H H OCH3 =CH- meta
B-301 1 Br H H OCH3 =CH- meta
B-3012 OH H H OCH3 =CH- meta
B-3013 NH2 H H OCH3 =CH- meta
B-3014 N(CH3)2 H H OCH3 =CH- meta
B-3015 CHs CH3 H OCH3 =CH- meta
B-3016 CH2CH3 CH2CH3 H OCH3 =CH- meta
B-3017 =CH2 H OCH3 =CH- meta
B-3018 cyclopropyl H OCH3 =CH- meta
B-3019 cyclobutyl H OCH3 =CH- meta
B-3020 cyclopentyl H OCH3 =CH- meta
B-3021 cyclohexyl H OCH3 =CH- meta
B-3022 1 -triazolyl H H OCH3 =CH- meta
B-3023 2-pyridinyl H H OCH3 =CH- meta
B-3024 3-pyridinyl H H OCH3 =CH- meta
B-3025 4-pyridinyl H H OCH3 =CH- meta
B-3026 H H SH OCH3 =CH- meta
B-3027 CHs H SH OCH3 =CH- meta
B-3028 CH2CH3 H SH OCH3 =CH- meta
B-3029 CH2CH2CH3 H SH OCH3 =CH- meta
B-3030 CH(CH3)2 H SH OCH3 =CH- meta
B-3031 OCH3 H SH OCH3 =CH- meta
B-3032 OCH2CH3 H SH OCH3 =CH- meta
B-3033 OCH(CH3)2 H SH OCH3 =CH- meta
B-3034 F H SH OCH3 =CH- meta
B-3035 CI H SH OCH3 =CH- meta
B-3036 Br H SH OCH3 =CH- meta
B-3037 OH H SH OCH3 =CH- meta
B-3038 NH2 H SH OCH3 =CH- meta
B-3039 N(CH3)2 H SH OCH3 =CH- meta
line R1 R2 D X B position
Y-Z
B-3040 CHs CH3 SH OCH3 =CH- meta
B-3041 CH2CH3 CH2CH3 SH OCH3 =CH- meta
B-3042 =CH2 SH OCH3 =CH- meta
B-3043 cyclopropyl SH OCH3 =CH- meta
B-3044 cyclobutyl SH OCH3 =CH- meta
B-3045 cyclopentyl SH OCH3 =CH- meta
B-3046 cyclohexyl SH OCH3 =CH- meta
B-3047 1 -triazolyl H SH OCH3 =CH- meta
B-3048 2-pyridinyl H SH OCH3 =CH- meta
B-3049 3-pyridinyl H SH OCH3 =CH- meta
B-3050 4-pyridinyl H SH OCH3 =CH- meta
B-3051 H H S-allyl OCH3 =CH- meta
B-3052 CHs H S-allyl OCH3 =CH- meta
B-3053 CH2CH3 H S-allyl OCH3 =CH- meta
B-3054 CH2CH2CH3 H S-allyl OCH3 =CH- meta
B-3055 CH(CH3)2 H S-allyl OCH3 =CH- meta
B-3056 OCH3 H S-allyl OCH3 =CH- meta
B-3057 OCH2CH3 H S-allyl OCH3 =CH- meta
B-3058 OCH(CH3)2 H S-allyl OCH3 =CH- meta
B-3059 F H S-allyl OCH3 =CH- meta
B-3060 CI H S-allyl OCH3 =CH- meta
B-3061 Br H S-allyl OCH3 =CH- meta
B-3062 OH H S-allyl OCH3 =CH- meta
B-3063 NH2 H S-allyl OCH3 =CH- meta
B-3064 N(CH3)2 H S-allyl OCH3 =CH- meta
B-3065 CH3 CH3 S-allyl OCH3 =CH- meta
B-3066 CH2CH3 CH2CH3 S-allyl OCH3 =CH- meta
B-3067 =CH2 S-allyl OCH3 =CH- meta
B-3068 cyclopropyl S-allyl OCH3 =CH- meta
B-3069 cyclobutyl S-allyl OCH3 =CH- meta
B-3070 cyclopentyl S-allyl OCH3 =CH- meta
B-3071 cyclohexyl S-allyl OCH3 =CH- meta
B-3072 1 -triazolyl H S-allyl OCH3 =CH- meta
B-3073 2-pyridinyl H S-allyl OCH3 =CH- meta
B-3074 3-pyridinyl H S-allyl OCH3 =CH- meta
B-3075 4-pyridinyl H S-allyl OCH3 =CH- meta
line R1 R2 D X B position
Y-Z
B-3076 H H SCN OCH3 =CH- meta
B-3077 CHs H SCN OCH3 =CH- meta
B-3078 CH2CH3 H SCN OCH3 =CH- meta
B-3079 CH2CH2CH3 H SCN OCH3 =CH- meta
B-3080 CH(CH3)2 H SCN OCH3 =CH- meta
B-3081 OCH3 H SCN OCH3 =CH- meta
B-3082 OCH2CH3 H SCN OCH3 =CH- meta
B-3083 OCH(CH3)2 H SCN OCH3 =CH- meta
B-3084 F H SCN OCH3 =CH- meta
B-3085 CI H SCN OCH3 =CH- meta
B-3086 Br H SCN OCH3 =CH- meta
B-3087 OH H SCN OCH3 =CH- meta
B-3088 NH2 H SCN OCH3 =CH- meta
B-3089 N(CH3)2 H SCN OCH3 =CH- meta
B-3090 CH3 CH3 SCN OCH3 =CH- meta
B-3091 CH2CH3 CH2CH3 SCN OCH3 =CH- meta
B-3092 =CH2 SCN OCH3 =CH- meta
B-3093 cyclopropyl SCN OCH3 =CH- meta
B-3094 cyclobutyl SCN OCH3 =CH- meta
B-3095 cyclopentyl SCN OCH3 =CH- meta
B-3096 cyclohexyl SCN OCH3 =CH- meta
B-3097 1 -triazolyl H SCN OCH3 =CH- meta
B-3098 2-pyridinyl H SCN OCH3 =CH- meta
B-3099 3-pyridinyl H SCN OCH3 =CH- meta
B-3100 4-pyridinyl H SCN OCH3 =CH- meta
B-3101 H H H OCH2CH3 =CH- meta
B-3102 CH3 H H OCH2CH3 =CH- meta
B-3103 CH2CH3 H H OCH2CH3 =CH- meta
B-3104 CH2CH2CH3 H H OCH2CH3 =CH- meta
B-3105 CH(CH3)2 H H OCH2CH3 =CH- meta
B-3106 OCH3 H H OCH2CH3 =CH- meta
B-3107 OCH2CH3 H H OCH2CH3 =CH- meta
B-3108 OCH(CH3)2 H H OCH2CH3 =CH- meta
B-3109 F H H OCH2CH3 =CH- meta
B-31 10 CI H H OCH2CH3 =CH- meta
B-31 1 1 Br H H OCH2CH3 =CH- meta
line R1 R2 D X B position
Y-Z
B-31 12 OH H H OCH2CH3 =CH- meta
B-31 13 NH2 H H OCH2CH3 =CH- meta
B-31 14 N(CH3)2 H H OCH2CH3 =CH- meta
B-31 15 CHs CH3 H OCH2CH3 =CH- meta
B-31 16 CH2CH3 CH2CH3 H OCH2CH3 =CH- meta
B-31 17 =CH2 H OCH2CH3 =CH- meta
B-31 18 cyclopropyl H OCH2CH3 =CH- meta
B-31 19 cyclobutyl H OCH2CH3 =CH- meta
B-3120 cyclopentyl H OCH2CH3 =CH- meta
B-3121 cyclohexyl H OCH2CH3 =CH- meta
B-3122 1 -triazolyl H H OCH2CH3 =CH- meta
B-3123 2-pyridinyl H H OCH2CH3 =CH- meta
B-3124 3-pyridinyl H H OCH2CH3 =CH- meta
B-3125 4-pyridinyl H H OCH2CH3 =CH- meta
B-3126 H H SH OCH2CH3 =CH- meta
B-3127 CHs H SH OCH2CH3 =CH- meta
B-3128 CH2CH3 H SH OCH2CH3 =CH- meta
B-3129 CH2CH2CH3 H SH OCH2CH3 =CH- meta
B-3130 CH(CH3)2 H SH OCH2CH3 =CH- meta
B-3131 OCH3 H SH OCH2CH3 =CH- meta
B-3132 OCH2CH3 H SH OCH2CH3 =CH- meta
B-3133 OCH(CH3)2 H SH OCH2CH3 =CH- meta
B-3134 F H SH OCH2CH3 =CH- meta
B-3135 CI H SH OCH2CH3 =CH- meta
B-3136 Br H SH OCH2CH3 =CH- meta
B-3137 OH H SH OCH2CH3 =CH- meta
B-3138 NH2 H SH OCH2CH3 =CH- meta
B-3139 N(CH3)2 H SH OCH2CH3 =CH- meta
B-3140 CH3 CH3 SH OCH2CH3 =CH- meta
B-3141 CH2CH3 CH2CH3 SH OCH2CH3 =CH- meta
B-3142 =CH2 SH OCH2CH3 =CH- meta
B-3143 cyclopropyl SH OCH2CH3 =CH- meta
B-3144 cyclobutyl SH OCH2CH3 =CH- meta
B-3145 cyclopentyl SH OCH2CH3 =CH- meta
B-3146 cyclohexyl SH OCH2CH3 =CH- meta
B-3147 1 -triazolyl H SH OCH2CH3 =CH- meta
line R1 R2 D X B position
Y-Z
B-3148 2-pyridinyl H SH OCH2CH3 =CH- meta
B-3149 3-pyridinyl H SH OCH2CH3 =CH- meta
B-3150 4-pyridinyl H SH OCH2CH3 =CH- meta
B-3151 H H S-allyl OCH2CH3 =CH- meta
B-3152 CHs H S-allyl OCH2CH3 =CH- meta
B-3153 CH2CH3 H S-allyl OCH2CH3 =CH- meta
B-3154 CH2CH2CH3 H S-allyl OCH2CH3 =CH- meta
B-3155 CH(CH3)2 H S-allyl OCH2CH3 =CH- meta
B-3156 OCH3 H S-allyl OCH2CH3 =CH- meta
B-3157 OCH2CH3 H S-allyl OCH2CH3 =CH- meta
B-3158 OCH(CH3)2 H S-allyl OCH2CH3 =CH- meta
B-3159 F H S-allyl OCH2CH3 =CH- meta
B-3160 CI H S-allyl OCH2CH3 =CH- meta
B-3161 Br H S-allyl OCH2CH3 =CH- meta
B-3162 OH H S-allyl OCH2CH3 =CH- meta
B-3163 NH2 H S-allyl OCH2CH3 =CH- meta
B-3164 N(CH3)2 H S-allyl OCH2CH3 =CH- meta
B-3165 CH3 CH3 S-allyl OCH2CH3 =CH- meta
B-3166 CH2CH3 CH2CH3 S-allyl OCH2CH3 =CH- meta
B-3167 =CH2 S-allyl OCH2CH3 =CH- meta
B-3168 cyclopropyl S-allyl OCH2CH3 =CH- meta
B-3169 cyclobutyl S-allyl OCH2CH3 =CH- meta
B-3170 cyclopentyl S-allyl OCH2CH3 =CH- meta
B-3171 cyclohexyl S-allyl OCH2CH3 =CH- meta
B-3172 1 -triazolyl H S-allyl OCH2CH3 =CH- meta
B-3173 2-pyridinyl H S-allyl OCH2CH3 =CH- meta
B-3174 3-pyridinyl H S-allyl OCH2CH3 =CH- meta
B-3175 4-pyridinyl H S-allyl OCH2CH3 =CH- meta
B-3176 H H SCN OCH2CH3 =CH- meta
B-3177 CH3 H SCN OCH2CH3 =CH- meta
B-3178 CH2CH3 H SCN OCH2CH3 =CH- meta
B-3179 CH2CH2CH3 H SCN OCH2CH3 =CH- meta
B-3180 CH(CH3)2 H SCN OCH2CH3 =CH- meta
B-3181 OCH3 H SCN OCH2CH3 =CH- meta
B-3182 OCH2CH3 H SCN OCH2CH3 =CH- meta
B-3183 OCH(CH3)2 H SCN OCH2CH3 =CH- meta
line R1 R2 D X B position
Y-Z
B-3184 F H SCN OCH2CH3 =CH- meta
B-3185 CI H SCN OCH2CH3 =CH- meta
B-3186 Br H SCN OCH2CH3 =CH- meta
B-3187 OH H SCN OCH2CH3 =CH- meta
B-3188 NH2 H SCN OCH2CH3 =CH- meta
B-3189 N(CH3)2 H SCN OCH2CH3 =CH- meta
B-3190 CHs CH3 SCN OCH2CH3 =CH- meta
B-3191 CH2CH3 CH2CH3 SCN OCH2CH3 =CH- meta
B-3192 =CH2 SCN OCH2CH3 =CH- meta
B-3193 cyclopropyl SCN OCH2CH3 =CH- meta
B-3194 cyclobutyl SCN OCH2CH3 =CH- meta
B-3195 cyclopentyl SCN OCH2CH3 =CH- meta
B-3196 cyclohexyl SCN OCH2CH3 =CH- meta
B-3197 1 -triazolyl H SCN OCH2CH3 =CH- meta
B-3198 2-pyridinyl H SCN OCH2CH3 =CH- meta
B-3199 3-pyridinyl H SCN OCH2CH3 =CH- meta
B-3200 4-pyridinyl H SCN OCH2CH3 =CH- meta
B-3201 H H H O-allyl =CH- meta
B-3202 CHs H H O-allyl =CH- meta
B-3203 CH2CH3 H H O-allyl =CH- meta
B-3204 CH2CH2CH3 H H O-allyl =CH- meta
B-3205 CH(CH3)2 H H O-allyl =CH- meta
B-3206 OCH3 H H O-allyl =CH- meta
B-3207 OCH2CH3 H H O-allyl =CH- meta
B-3208 OCH(CH3)2 H H O-allyl =CH- meta
B-3209 F H H O-allyl =CH- meta
B-3210 CI H H O-allyl =CH- meta
B-321 1 Br H H O-allyl =CH- meta
B-3212 OH H H O-allyl =CH- meta
B-3213 NH2 H H O-allyl =CH- meta
B-3214 N(CH3)2 H H O-allyl =CH- meta
B-3215 CH3 CH3 H O-allyl =CH- meta
B-3216 CH2CH3 CH2CH3 H O-allyl =CH- meta
B-3217 =CH2 H O-allyl =CH- meta
B-3218 cyclopropyl H O-allyl =CH- meta
B-3219 cyclobutyl H O-allyl =CH- meta
line R1 R2 D X B position
Y-Z
B-3220 cyclopentyl H O-allyl =CH- meta
B-3221 cyclohexyl H O-allyl =CH- meta
B-3222 1 -triazolyl H H O-allyl =CH- meta
B-3223 2-pyridinyl H H O-allyl =CH- meta
B-3224 3-pyridinyl H H O-allyl =CH- meta
B-3225 4-pyridinyl H H O-allyl =CH- meta
B-3226 H H SH O-allyl =CH- meta
B-3227 CHs H SH O-allyl =CH- meta
B-3228 CH2CH3 H SH O-allyl =CH- meta
B-3229 CH2CH2CH3 H SH O-allyl =CH- meta
B-3230 CH(CH3)2 H SH O-allyl =CH- meta
B-3231 OCH3 H SH O-allyl =CH- meta
B-3232 OCH2CH3 H SH O-allyl =CH- meta
B-3233 OCH(CH3)2 H SH O-allyl =CH- meta
B-3234 F H SH O-allyl =CH- meta
B-3235 CI H SH O-allyl =CH- meta
B-3236 Br H SH O-allyl =CH- meta
B-3237 OH H SH O-allyl =CH- meta
B-3238 NH2 H SH O-allyl =CH- meta
B-3239 N(CH3)2 H SH O-allyl =CH- meta
B-3240 CH3 CH3 SH O-allyl =CH- meta
B-3241 CH2CH3 CH2CH3 SH O-allyl =CH- meta
B-3242 =CH2 SH O-allyl =CH- meta
B-3243 cyclopropyl SH O-allyl =CH- meta
B-3244 cyclobutyl SH O-allyl =CH- meta
B-3245 cyclopentyl SH O-allyl =CH- meta
B-3246 cyclohexyl SH O-allyl =CH- meta
B-3247 1 -triazolyl H SH O-allyl =CH- meta
B-3248 2-pyridinyl H SH O-allyl =CH- meta
B-3249 3-pyridinyl H SH O-allyl =CH- meta
B-3250 4-pyridinyl H SH O-allyl =CH- meta
B-3251 H H S-allyl O-allyl =CH- meta
B-3252 CH3 H S-allyl O-allyl =CH- meta
B-3253 CH2CH3 H S-allyl O-allyl =CH- meta
B-3254 CH2CH2CH3 H S-allyl O-allyl =CH- meta
B-3255 CH(CH3)2 H S-allyl O-allyl =CH- meta
line R1 R2 D X B position
Y-Z
B-3256 OCHs H S-allyl O-allyl =CH- meta
B-3257 OCH2CH3 H S-allyl O-allyl =CH- meta
B-3258 OCH(CH3)2 H S-allyl O-allyl =CH- meta
B-3259 F H S-allyl O-allyl =CH- meta
B-3260 CI H S-allyl O-allyl =CH- meta
B-3261 Br H S-allyl O-allyl =CH- meta
B-3262 OH H S-allyl O-allyl =CH- meta
B-3263 NH2 H S-allyl O-allyl =CH- meta
B-3264 N(CH3)2 H S-allyl O-allyl =CH- meta
B-3265 CHs CH3 S-allyl O-allyl =CH- meta
B-3266 CH2CH3 CH2CH3 S-allyl O-allyl =CH- meta
B-3267 =CH2 S-allyl O-allyl =CH- meta
B-3268 cyclopropyl S-allyl O-allyl =CH- meta
B-3269 cyclobutyl S-allyl O-allyl =CH- meta
B-3270 cyclopentyl S-allyl O-allyl =CH- meta
B-3271 cyclohexyl S-allyl O-allyl =CH- meta
B-3272 1 -triazolyl H S-allyl O-allyl =CH- meta
B-3273 2-pyridinyl H S-allyl O-allyl =CH- meta
B-3274 3-pyridinyl H S-allyl O-allyl =CH- meta
B-3275 4-pyridinyl H S-allyl O-allyl =CH- meta
B-3276 H H SCN O-allyl =CH- meta
B-3277 CHs H SCN O-allyl =CH- meta
B-3278 CH2CH3 H SCN O-allyl =CH- meta
B-3279 CH2CH2CH3 H SCN O-allyl =CH- meta
B-3280 CH(CH3)2 H SCN O-allyl =CH- meta
B-3281 OCHs H SCN O-allyl =CH- meta
B-3282 OCH2CH3 H SCN O-allyl =CH- meta
B-3283 OCH(CH3)2 H SCN O-allyl =CH- meta
B-3284 F H SCN O-allyl =CH- meta
B-3285 CI H SCN O-allyl =CH- meta
B-3286 Br H SCN O-allyl =CH- meta
B-3287 OH H SCN O-allyl =CH- meta
B-3288 NH2 H SCN O-allyl =CH- meta
B-3289 N(CH3)2 H SCN O-allyl =CH- meta
B-3290 CH3 CH3 SCN O-allyl =CH- meta
B-3291 CH2CH3 CH2CH3 SCN O-allyl =CH- meta
line R1 R2 D X B position
Y-Z
B-3292 =CH2 SCN O-allyl =CH- meta
B-3293 cyclopropyl SCN O-allyl =CH- meta
B-3294 cyclobutyl SCN O-allyl =CH- meta
B-3295 cyclopentyl SCN O-allyl =CH- meta
B-3296 cyclohexyl SCN O-allyl =CH- meta
B-3297 1 -triazolyl H SCN O-allyl =CH- meta
B-3298 2-pyridinyl H SCN O-allyl =CH- meta
B-3299 3-pyridinyl H SCN O-allyl =CH- meta
B-3300 4-pyridinyl H SCN O-allyl =CH- meta
B-3301 H H H O-propargyl =CH- meta
B-3302 CHs H H O-propargyl =CH- meta
B-3303 CH2CH3 H H O-propargyl =CH- meta
B-3304 CH2CH2CH3 H H O-propargyl =CH- meta
B-3305 CH(CH3)2 H H O-propargyl =CH- meta
B-3306 OCH3 H H O-propargyl =CH- meta
B-3307 OCH2CH3 H H O-propargyl =CH- meta
B-3308 OCH(CH3)2 H H O-propargyl =CH- meta
B-3309 F H H O-propargyl =CH- meta
B-3310 CI H H O-propargyl =CH- meta
B-331 1 Br H H O-propargyl =CH- meta
B-3312 OH H H O-propargyl =CH- meta
B-3313 NH2 H H O-propargyl =CH- meta
B-3314 N(CH3)2 H H O-propargyl =CH- meta
B-3315 CH3 CH3 H O-propargyl =CH- meta
B-3316 CH2CH3 CH2CH3 H O-propargyl =CH- meta
B-3317 =CH2 H O-propargyl =CH- meta
B-3318 cyclopropyl H O-propargyl =CH- meta
B-3319 cyclobutyl H O-propargyl =CH- meta
B-3320 cyclopentyl H O-propargyl =CH- meta
B-3321 cyclohexyl H O-propargyl =CH- meta
B-3322 1 -triazolyl H H O-propargyl =CH- meta
B-3323 2-pyridinyl H H O-propargyl =CH- meta
B-3324 3-pyridinyl H H O-propargyl =CH- meta
B-3325 4-pyridinyl H H O-propargyl =CH- meta
B-3326 H H SH O-propargyl =CH- meta
B-3327 CH3 H SH O-propargyl =CH- meta
line R1 R2 D X B position
Y-Z
B-3328 CH2CH3 H SH O-propargyl =CH- meta
B-3329 CH2CH2CH3 H SH O-propargyl =CH- meta
B-3330 CH(CH3)2 H SH O-propargyl =CH- meta
B-3331 OCH3 H SH O-propargyl =CH- meta
B-3332 OCH2CH3 H SH O-propargyl =CH- meta
B-3333 OCH(CH3)2 H SH O-propargyl =CH- meta
B-3334 F H SH O-propargyl =CH- meta
B-3335 CI H SH O-propargyl =CH- meta
B-3336 Br H SH O-propargyl =CH- meta
B-3337 OH H SH O-propargyl =CH- meta
B-3338 NH2 H SH O-propargyl =CH- meta
B-3339 N(CH3)2 H SH O-propargyl =CH- meta
B-3340 CHs CH3 SH O-propargyl =CH- meta
B-3341 CH2CH3 CH2CH3 SH O-propargyl =CH- meta
B-3342 =CH2 SH O-propargyl =CH- meta
B-3343 cyclopropyl SH O-propargyl =CH- meta
B-3344 cyclobutyl SH O-propargyl =CH- meta
B-3345 cyclopentyl SH O-propargyl =CH- meta
B-3346 cyclohexyl SH O-propargyl =CH- meta
B-3347 1 -triazolyl H SH O-propargyl =CH- meta
B-3348 2-pyridinyl H SH O-propargyl =CH- meta
B-3349 3-pyridinyl H SH O-propargyl =CH- meta
B-3350 4-pyridinyl H SH O-propargyl =CH- meta
B-3351 H H S-allyl O-propargyl =CH- meta
B-3352 CHs H S-allyl O-propargyl =CH- meta
B-3353 CH2CH3 H S-allyl O-propargyl =CH- meta
B-3354 CH2CH2CH3 H S-allyl O-propargyl =CH- meta
B-3355 CH(CH3)2 H S-allyl O-propargyl =CH- meta
B-3356 OCH3 H S-allyl O-propargyl =CH- meta
B-3357 OCH2CH3 H S-allyl O-propargyl =CH- meta
B-3358 OCH(CH3)2 H S-allyl O-propargyl =CH- meta
B-3359 F H S-allyl O-propargyl =CH- meta
B-3360 CI H S-allyl O-propargyl =CH- meta
B-3361 Br H S-allyl O-propargyl =CH- meta
B-3362 OH H S-allyl O-propargyl =CH- meta
B-3363 NH2 H S-allyl O-propargyl =CH- meta
line R1 R2 D X B position
Y-Z
B-3364 N(CH3)2 H S-allyl O-propargyl =CH- meta
B-3365 CHs CH3 S-allyl O-propargyl =CH- meta
B-3366 CH2CH3 CH2CH3 S-allyl O-propargyl =CH- meta
B-3367 =CH2 S-allyl O-propargyl =CH- meta
B-3368 cyclopropyl S-allyl O-propargyl =CH- meta
B-3369 cyclobutyl S-allyl O-propargyl =CH- meta
B-3370 cyclopentyl S-allyl O-propargyl =CH- meta
B-3371 cyclohexyl S-allyl O-propargyl =CH- meta
B-3372 1 -triazolyl H S-allyl O-propargyl =CH- meta
B-3373 2-pyridinyl H S-allyl O-propargyl =CH- meta
B-3374 3-pyridinyl H S-allyl O-propargyl =CH- meta
B-3375 4-pyridinyl H S-allyl O-propargyl =CH- meta
B-3376 H H SCN O-propargyl =CH- meta
B-3377 CHs H SCN O-propargyl =CH- meta
B-3378 CH2CH3 H SCN O-propargyl =CH- meta
B-3379 CH2CH2CH3 H SCN O-propargyl =CH- meta
B-3380 CH(CH3)2 H SCN O-propargyl =CH- meta
B-3381 OCH3 H SCN O-propargyl =CH- meta
B-3382 OCH2CH3 H SCN O-propargyl =CH- meta
B-3383 OCH(CH3)2 H SCN O-propargyl =CH- meta
B-3384 F H SCN O-propargyl =CH- meta
B-3385 CI H SCN O-propargyl =CH- meta
B-3386 Br H SCN O-propargyl =CH- meta
B-3387 OH H SCN O-propargyl =CH- meta
B-3388 NH2 H SCN O-propargyl =CH- meta
B-3389 N(CH3)2 H SCN O-propargyl =CH- meta
B-3390 CH3 CH3 SCN O-propargyl =CH- meta
B-3391 CH2CH3 CH2CH3 SCN O-propargyl =CH- meta
B-3392 =CH2 SCN O-propargyl =CH- meta
B-3393 cyclopropyl SCN O-propargyl =CH- meta
B-3394 cyclobutyl SCN O-propargyl =CH- meta
B-3395 cyclopentyl SCN O-propargyl =CH- meta
B-3396 cyclohexyl SCN O-propargyl =CH- meta
B-3397 1 -triazolyl H SCN O-propargyl =CH- meta
B-3398 2-pyridinyl H SCN O-propargyl =CH- meta
B-3399 3-pyridinyl H SCN O-propargyl =CH- meta
line R1 R2 D X B position
Y-Z
B-3400 4-pyridinyl H SCN O-propargyl =CH- meta
B-3401 H H H O-benzyl =CH- meta
B-3402 CHs H H O-benzyl =CH- meta
B-3403 CH2CH3 H H O-benzyl =CH- meta
B-3404 CH2CH2CH3 H H O-benzyl =CH- meta
B-3405 CH(CH3)2 H H O-benzyl =CH- meta
B-3406 OCH3 H H O-benzyl =CH- meta
B-3407 OCH2CH3 H H O-benzyl =CH- meta
B-3408 OCH(CH3)2 H H O-benzyl =CH- meta
B-3409 F H H O-benzyl =CH- meta
B-3410 CI H H O-benzyl =CH- meta
B-341 1 Br H H O-benzyl =CH- meta
B-3412 OH H H O-benzyl =CH- meta
B-3413 NH2 H H O-benzyl =CH- meta
B-3414 N(CH3)2 H H O-benzyl =CH- meta
B-3415 CH3 CH3 H O-benzyl =CH- meta
B-3416 CH2CH3 CH2CH3 H O-benzyl =CH- meta
B-3417 =CH2 H O-benzyl =CH- meta
B-3418 cyclopropyl H O-benzyl =CH- meta
B-3419 cyclobutyl H O-benzyl =CH- meta
B-3420 cyclopentyl H O-benzyl =CH- meta
B-3421 cyclohexyl H O-benzyl =CH- meta
B-3422 1 -triazolyl H H O-benzyl =CH- meta
B-3423 2-pyridinyl H H O-benzyl =CH- meta
B-3424 3-pyridinyl H H O-benzyl =CH- meta
B-3425 4-pyridinyl H H O-benzyl =CH- meta
B-3426 H H SH O-benzyl =CH- meta
B-3427 CH3 H SH O-benzyl =CH- meta
B-3428 CH2CH3 H SH O-benzyl =CH- meta
B-3429 CH2CH2CH3 H SH O-benzyl =CH- meta
B-3430 CH(CH3)2 H SH O-benzyl =CH- meta
B-3431 OCH3 H SH O-benzyl =CH- meta
B-3432 OCH2CH3 H SH O-benzyl =CH- meta
B-3433 OCH(CH3)2 H SH O-benzyl =CH- meta
B-3434 F H SH O-benzyl =CH- meta
B-3435 CI H SH O-benzyl =CH- meta
line R1 R2 D X B position
Y-Z
B-3436 Br H SH O-benzyl =CH- meta
B-3437 OH H SH O-benzyl =CH- meta
B-3438 NH2 H SH O-benzyl =CH- meta
B-3439 N(CH3)2 H SH O-benzyl =CH- meta
B-3440 CHs CH3 SH O-benzyl =CH- meta
B-3441 CH2CH3 CH2CH3 SH O-benzyl =CH- meta
B-3442 =CH2 SH O-benzyl =CH- meta
B-3443 cyclopropyl SH O-benzyl =CH- meta
B-3444 cyclobutyl SH O-benzyl =CH- meta
B-3445 cyclopentyl SH O-benzyl =CH- meta
B-3446 cyclohexyl SH O-benzyl =CH- meta
B-3447 1 -triazolyl H SH O-benzyl =CH- meta
B-3448 2-pyridinyl H SH O-benzyl =CH- meta
B-3449 3-pyridinyl H SH O-benzyl =CH- meta
B-3450 4-pyridinyl H SH O-benzyl =CH- meta
B-3451 H H S-allyl O-benzyl =CH- meta
B-3452 CHs H S-allyl O-benzyl =CH- meta
B-3453 CH2CH3 H S-allyl O-benzyl =CH- meta
B-3454 CH2CH2CH3 H S-allyl O-benzyl =CH- meta
B-3455 CH(CH3)2 H S-allyl O-benzyl =CH- meta
B-3456 OCH3 H S-allyl O-benzyl =CH- meta
B-3457 OCH2CH3 H S-allyl O-benzyl =CH- meta
B-3458 OCH(CH3)2 H S-allyl O-benzyl =CH- meta
B-3459 F H S-allyl O-benzyl =CH- meta
B-3460 CI H S-allyl O-benzyl =CH- meta
B-3461 Br H S-allyl O-benzyl =CH- meta
B-3462 OH H S-allyl O-benzyl =CH- meta
B-3463 NH2 H S-allyl O-benzyl =CH- meta
B-3464 N(CH3)2 H S-allyl O-benzyl =CH- meta
B-3465 CH3 CH3 S-allyl O-benzyl =CH- meta
B-3466 CH2CH3 CH2CH3 S-allyl O-benzyl =CH- meta
B-3467 =CH2 S-allyl O-benzyl =CH- meta
B-3468 cyclopropyl S-allyl O-benzyl =CH- meta
B-3469 cyclobutyl S-allyl O-benzyl =CH- meta
B-3470 cyclopentyl S-allyl O-benzyl =CH- meta
B-3471 cyclohexyl S-allyl O-benzyl =CH- meta
line R1 R2 D X B position
Y-Z
B-3472 1 -triazolyl H S-allyl O-benzyl =CH- meta
B-3473 2-pyridinyl H S-allyl O-benzyl =CH- meta
B-3474 3-pyridinyl H S-allyl O-benzyl =CH- meta
B-3475 4-pyridinyl H S-allyl O-benzyl =CH- meta
B-3476 H H SCN O-benzyl =CH- meta
B-3477 CHs H SCN O-benzyl =CH- meta
B-3478 CH2CH3 H SCN O-benzyl =CH- meta
B-3479 CH2CH2CH3 H SCN O-benzyl =CH- meta
B-3480 CH(CH3)2 H SCN O-benzyl =CH- meta
B-3481 OCH3 H SCN O-benzyl =CH- meta
B-3482 OCH2CH3 H SCN O-benzyl =CH- meta
B-3483 OCH(CH3)2 H SCN O-benzyl =CH- meta
B-3484 F H SCN O-benzyl =CH- meta
B-3485 CI H SCN O-benzyl =CH- meta
B-3486 Br H SCN O-benzyl =CH- meta
B-3487 OH H SCN O-benzyl =CH- meta
B-3488 NH2 H SCN O-benzyl =CH- meta
B-3489 N(CH3)2 H SCN O-benzyl =CH- meta
B-3490 CH3 CH3 SCN O-benzyl =CH- meta
B-3491 CH2CH3 CH2CH3 SCN O-benzyl =CH- meta
B-3492 =CH2 SCN O-benzyl =CH- meta
B-3493 cyclopropyl SCN O-benzyl =CH- meta
B-3494 cyclobutyl SCN O-benzyl =CH- meta
B-3495 cyclopentyl SCN O-benzyl =CH- meta
B-3496 cyclohexyl SCN O-benzyl =CH- meta
B-3497 1 -triazolyl H SCN O-benzyl =CH- meta
B-3498 2-pyridinyl H SCN O-benzyl =CH- meta
B-3499 3-pyridinyl H SCN O-benzyl =CH- meta
B-3500 4-pyridinyl H SCN O-benzyl =CH- meta
B-3501 H H H CN direct bond meta
B-3502 CH3 H H CN direct bond meta
B-3503 CH2CH3 H H CN direct bond meta
B-3504 CH2CH2CH3 H H CN direct bond meta
B-3505 CH(CH3)2 H H CN direct bond meta
B-3506 OCH3 H H CN direct bond meta
B-3507 OCH2CH3 H H CN direct bond meta
line R1 R2 D X B position
Y-Z
B-3508 OCH(CH3)2 H H CN direct bond meta
B-3509 F H H CN direct bond meta
B-3510 CI H H CN direct bond meta
B-351 1 Br H H CN direct bond meta
B-3512 OH H H CN direct bond meta
B-3513 NH2 H H CN direct bond meta
B-3514 N(CH3)2 H H CN direct bond meta
B-3515 CHs CH3 H CN direct bond meta
B-3516 CH2CH3 CH2CH3 H CN direct bond meta
B-3517 =CH2 H CN direct bond meta
B-3518 cyclopropyl H CN direct bond meta
B-3519 cyclobutyl H CN direct bond meta
B-3520 cyclopentyl H CN direct bond meta
B-3521 cyclohexyl H CN direct bond meta
B-3522 1 -triazolyl H H CN direct bond meta
B-3523 2-pyridinyl H H CN direct bond meta
B-3524 3-pyridinyl H H CN direct bond meta
B-3525 4-pyridinyl H H CN direct bond meta
B-3526 H H SH CN direct bond meta
B-3527 CHs H SH CN direct bond meta
B-3528 CH2CH3 H SH CN direct bond meta
B-3529 CH2CH2CH3 H SH CN direct bond meta
B-3530 CH(CH3)2 H SH CN direct bond meta
B-3531 OCH3 H SH CN direct bond meta
B-3532 OCH2CH3 H SH CN direct bond meta
B-3533 OCH(CH3)2 H SH CN direct bond meta
B-3534 F H SH CN direct bond meta
B-3535 CI H SH CN direct bond meta
B-3536 Br H SH CN direct bond meta
B-3537 OH H SH CN direct bond meta
B-3538 NH2 H SH CN direct bond meta
B-3539 N(CH3)2 H SH CN direct bond meta
B-3540 CH3 CH3 SH CN direct bond meta
B-3541 CH2CH3 CH2CH3 SH CN direct bond meta
B-3542 =CH2 SH CN direct bond meta
B-3543 cyclopropyl SH CN direct bond meta
line R1 R2 D X B position
Y-Z
B-3544 cyclobutyl SH CN direct bond meta
B-3545 cyclopentyl SH CN direct bond meta
B-3546 cyclohexyl SH CN direct bond meta
B-3547 1 -triazolyl H SH CN direct bond meta
B-3548 2-pyridinyl H SH CN direct bond meta
B-3549 3-pyridinyl H SH CN direct bond meta
B-3550 4-pyridinyl H SH CN direct bond meta
B-3551 H H S-allyl CN direct bond meta
B-3552 CHs H S-allyl CN direct bond meta
B-3553 CH2CH3 H S-allyl CN direct bond meta
B-3554 CH2CH2CH3 H S-allyl CN direct bond meta
B-3555 CH(CH3)2 H S-allyl CN direct bond meta
B-3556 OCH3 H S-allyl CN direct bond meta
B-3557 OCH2CH3 H S-allyl CN direct bond meta
B-3558 OCH(CH3)2 H S-allyl CN direct bond meta
B-3559 F H S-allyl CN direct bond meta
B-3560 CI H S-allyl CN direct bond meta
B-3561 Br H S-allyl CN direct bond meta
B-3562 OH H S-allyl CN direct bond meta
B-3563 NH2 H S-allyl CN direct bond meta
B-3564 N(CH3)2 H S-allyl CN direct bond meta
B-3565 CH3 CH3 S-allyl CN direct bond meta
B-3566 CH2CH3 CH2CH3 S-allyl CN direct bond meta
B-3567 =CH2 S-allyl CN direct bond meta
B-3568 cyclopropyl S-allyl CN direct bond meta
B-3569 cyclobutyl S-allyl CN direct bond meta
B-3570 cyclopentyl S-allyl CN direct bond meta
B-3571 cyclohexyl S-allyl CN direct bond meta
B-3572 1 -triazolyl H S-allyl CN direct bond meta
B-3573 2-pyridinyl H S-allyl CN direct bond meta
B-3574 3-pyridinyl H S-allyl CN direct bond meta
B-3575 4-pyridinyl H S-allyl CN direct bond meta
B-3576 H H SCN CN direct bond meta
B-3577 CH3 H SCN CN direct bond meta
B-3578 CH2CH3 H SCN CN direct bond meta
B-3579 CH2CH2CH3 H SCN CN direct bond meta
line R1 R2 D X B position
Y-Z
B-3580 CH(CH3)2 H SCN CN direct bond meta
B-3581 OCHs H SCN CN direct bond meta
B-3582 OCH2CH3 H SCN CN direct bond meta
B-3583 OCH(CH3)2 H SCN CN direct bond meta
B-3584 F H SCN CN direct bond meta
B-3585 CI H SCN CN direct bond meta
B-3586 Br H SCN CN direct bond meta
B-3587 OH H SCN CN direct bond meta
B-3588 NH2 H SCN CN direct bond meta
B-3589 N(CH3)2 H SCN CN direct bond meta
B-3590 CHs CH3 SCN CN direct bond meta
B-3591 CH2CH3 CH2CH3 SCN CN direct bond meta
B-3592 =CH2 SCN CN direct bond meta
B-3593 cyclopropyl SCN CN direct bond meta
B-3594 cyclobutyl SCN CN direct bond meta
B-3595 cyclopentyl SCN CN direct bond meta
B-3596 cyclohexyl SCN CN direct bond meta
B-3597 1 -triazolyl H SCN CN direct bond meta
B-3598 2-pyridinyl H SCN CN direct bond meta
B-3599 3-pyridinyl H SCN CN direct bond meta
B-3600 4-pyridinyl H SCN CN direct bond meta
B-3601 H H H OH direct bond meta
B-3602 CHs H H OH direct bond meta
B-3603 CH2CH3 H H OH direct bond meta
B-3604 CH2CH2CH3 H H OH direct bond meta
B-3605 CH(CH3)2 H H OH direct bond meta
B-3606 OCHs H H OH direct bond meta
B-3607 OCH2CH3 H H OH direct bond meta
B-3608 OCH(CH3)2 H H OH direct bond meta
B-3609 F H H OH direct bond meta
B-3610 CI H H OH direct bond meta
B-361 1 Br H H OH direct bond meta
B-3612 OH H H OH direct bond meta
B-3613 NH2 H H OH direct bond meta
B-3614 N(CH3)2 H H OH direct bond meta
B-3615 CH3 CH3 H OH direct bond meta
line R1 R2 D X B position
Y-Z
B-3616 CH2CH3 CH2CH3 H OH direct bond meta
B-3617 =CH2 H OH direct bond meta
B-3618 cyclopropyl H OH direct bond meta
B-3619 cyclobutyl H OH direct bond meta
B-3620 cyclopentyl H OH direct bond meta
B-3621 cyclohexyl H OH direct bond meta
B-3622 1 -triazolyl H H OH direct bond meta
B-3623 2-pyridinyl H H OH direct bond meta
B-3624 3-pyridinyl H H OH direct bond meta
B-3625 4-pyridinyl H H OH direct bond meta
B-3626 H H SH OH direct bond meta
B-3627 CHs H SH OH direct bond meta
B-3628 CH2CH3 H SH OH direct bond meta
B-3629 CH2CH2CH3 H SH OH direct bond meta
B-3630 CH(CH3)2 H SH OH direct bond meta
B-3631 OCH3 H SH OH direct bond meta
B-3632 OCH2CH3 H SH OH direct bond meta
B-3633 OCH(CH3)2 H SH OH direct bond meta
B-3634 F H SH OH direct bond meta
B-3635 CI H SH OH direct bond meta
B-3636 Br H SH OH direct bond meta
B-3637 OH H SH OH direct bond meta
B-3638 NH2 H SH OH direct bond meta
B-3639 N(CH3)2 H SH OH direct bond meta
B-3640 CHs CHs SH OH direct bond meta
B-3641 CH2CH3 CH2CH3 SH OH direct bond meta
B-3642 =CH2 SH OH direct bond meta
B-3643 cyclopropyl SH OH direct bond meta
B-3644 cyclobutyl SH OH direct bond meta
B-3645 cyclopentyl SH OH direct bond meta
B-3646 cyclohexyl SH OH direct bond meta
B-3647 1 -triazolyl H SH OH direct bond meta
B-3648 2-pyridinyl H SH OH direct bond meta
B-3649 3-pyridinyl H SH OH direct bond meta
B-3650 4-pyridinyl H SH OH direct bond meta
B-3651 H H S-allyl OH direct bond meta
line R1 R2 D X B position
Y-Z
B-3652 CHs H S-allyl OH direct bond meta
B-3653 CH2CH3 H S-allyl OH direct bond meta
B-3654 CH2CH2CH3 H S-allyl OH direct bond meta
B-3655 CH(CH3)2 H S-allyl OH direct bond meta
B-3656 OCH3 H S-allyl OH direct bond meta
B-3657 OCH2CH3 H S-allyl OH direct bond meta
B-3658 OCH(CH3)2 H S-allyl OH direct bond meta
B-3659 F H S-allyl OH direct bond meta
B-3660 CI H S-allyl OH direct bond meta
B-3661 Br H S-allyl OH direct bond meta
B-3662 OH H S-allyl OH direct bond meta
B-3663 NH2 H S-allyl OH direct bond meta
B-3664 N(CH3)2 H S-allyl OH direct bond meta
B-3665 CH3 CH3 S-allyl OH direct bond meta
B-3666 CH2CH3 CH2CH3 S-allyl OH direct bond meta
B-3667 =CH2 S-allyl OH direct bond meta
B-3668 cyclopropyl S-allyl OH direct bond meta
B-3669 cyclobutyl S-allyl OH direct bond meta
B-3670 cyclopentyl S-allyl OH direct bond meta
B-3671 cyclohexyl S-allyl OH direct bond meta
B-3672 1 -triazolyl H S-allyl OH direct bond meta
B-3673 2-pyridinyl H S-allyl OH direct bond meta
B-3674 3-pyridinyl H S-allyl OH direct bond meta
B-3675 4-pyridinyl H S-allyl OH direct bond meta
B-3676 H H SCN OH direct bond meta
B-3677 CH3 H SCN OH direct bond meta
B-3678 CH2CH3 H SCN OH direct bond meta
B-3679 CH2CH2CH3 H SCN OH direct bond meta
B-3680 CH(CH3)2 H SCN OH direct bond meta
B-3681 OCH3 H SCN OH direct bond meta
B-3682 OCH2CH3 H SCN OH direct bond meta
B-3683 OCH(CH3)2 H SCN OH direct bond meta
B-3684 F H SCN OH direct bond meta
B-3685 CI H SCN OH direct bond meta
B-3686 Br H SCN OH direct bond meta
B-3687 OH H SCN OH direct bond meta
line R1 R2 D X B position
Y-Z
B-3688 NH2 H SCN OH direct bond meta
B-3689 N(CH3)2 H SCN OH direct bond meta
B-3690 CHs CH3 SCN OH direct bond meta
B-3691 CH2CH3 CH2CH3 SCN OH direct bond meta
B-3692 =CH2 SCN OH direct bond meta
B-3693 cyclopropyl SCN OH direct bond meta
B-3694 cyclobutyl SCN OH direct bond meta
B-3695 cyclopentyl SCN OH direct bond meta
B-3696 cyclohexyl SCN OH direct bond meta
B-3697 1 -triazolyl H SCN OH direct bond meta
B-3698 2-pyridinyl H SCN OH direct bond meta
B-3699 3-pyridinyl H SCN OH direct bond meta
B-3700 4-pyridinyl H SCN OH direct bond meta
B-3701 H H H OCH3 direct bond meta
B-3702 CHs H H OCH3 direct bond meta
B-3703 CH2CH3 H H OCH3 direct bond meta
B-3704 CH2CH2CH3 H H OCH3 direct bond meta
B-3705 CH(CH3)2 H H OCH3 direct bond meta
B-3706 OCH3 H H OCH3 direct bond meta
B-3707 OCH2CH3 H H OCH3 direct bond meta
B-3708 OCH(CH3)2 H H OCH3 direct bond meta
B-3709 F H H OCH3 direct bond meta
B-3710 CI H H OCH3 direct bond meta
B-371 1 Br H H OCH3 direct bond meta
B-3712 OH H H OCH3 direct bond meta
B-3713 NH2 H H OCH3 direct bond meta
B-3714 N(CH3)2 H H OCH3 direct bond meta
B-3715 CH3 CH3 H OCH3 direct bond meta
B-3716 CH2CH3 CH2CH3 H OCH3 direct bond meta
B-3717 =CH2 H OCH3 direct bond meta
B-3718 cyclopropyl H OCH3 direct bond meta
B-3719 cyclobutyl H OCH3 direct bond meta
B-3720 cyclopentyl H OCH3 direct bond meta
B-3721 cyclohexyl H OCH3 direct bond meta
B-3722 1 -triazolyl H H OCH3 direct bond meta
B-3723 2-pyridinyl H H OCH3 direct bond meta
line R1 R2 D X B position
Y-Z
B-3724 3-pyridinyl H H OCH3 direct bond meta
B-3725 4-pyridinyl H H OCH3 direct bond meta
B-3726 H H SH OCH3 direct bond meta
B-3727 CHs H SH OCH3 direct bond meta
B-3728 CH2CH3 H SH OCH3 direct bond meta
B-3729 CH2CH2CH3 H SH OCH3 direct bond meta
B-3730 CH(CH3)2 H SH OCH3 direct bond meta
B-3731 OCH3 H SH OCH3 direct bond meta
B-3732 OCH2CH3 H SH OCH3 direct bond meta
B-3733 OCH(CH3)2 H SH OCH3 direct bond meta
B-3734 F H SH OCH3 direct bond meta
B-3735 CI H SH OCH3 direct bond meta
B-3736 Br H SH OCH3 direct bond meta
B-3737 OH H SH OCH3 direct bond meta
B-3738 NH2 H SH OCH3 direct bond meta
B-3739 N(CH3)2 H SH OCH3 direct bond meta
B-3740 CH3 CH3 SH OCH3 direct bond meta
B-3741 CH2CH3 CH2CH3 SH OCH3 direct bond meta
B-3742 =CH2 SH OCH3 direct bond meta
B-3743 cyclopropyl SH OCH3 direct bond meta
B-3744 cyclobutyl SH OCH3 direct bond meta
B-3745 cyclopentyl SH OCH3 direct bond meta
B-3746 cyclohexyl SH OCH3 direct bond meta
B-3747 1 -triazolyl H SH OCH3 direct bond meta
B-3748 2-pyridinyl H SH OCH3 direct bond meta
B-3749 3-pyridinyl H SH OCH3 direct bond meta
B-3750 4-pyridinyl H SH OCH3 direct bond meta
B-3751 H H S-allyl OCH3 direct bond meta
B-3752 CH3 H S-allyl OCH3 direct bond meta
B-3753 CH2CH3 H S-allyl OCH3 direct bond meta
B-3754 CH2CH2CH3 H S-allyl OCH3 direct bond meta
B-3755 CH(CH3)2 H S-allyl OCH3 direct bond meta
B-3756 OCH3 H S-allyl OCH3 direct bond meta
B-3757 OCH2CH3 H S-allyl OCH3 direct bond meta
B-3758 OCH(CH3)2 H S-allyl OCH3 direct bond meta
B-3759 F H S-allyl OCH3 direct bond meta
line R1 R2 D X B position
Y-Z
B-3760 CI H S-allyl OCH3 direct bond meta
B-3761 Br H S-allyl OCH3 direct bond meta
B-3762 OH H S-allyl OCH3 direct bond meta
B-3763 NH2 H S-allyl OCH3 direct bond meta
B-3764 N(CH3)2 H S-allyl OCH3 direct bond meta
B-3765 CHs CH3 S-allyl OCH3 direct bond meta
B-3766 CH2CH3 CH2CH3 S-allyl OCH3 direct bond meta
B-3767 =CH2 S-allyl OCH3 direct bond meta
B-3768 cyclopropyl S-allyl OCH3 direct bond meta
B-3769 cyclobutyl S-allyl OCH3 direct bond meta
B-3770 cyclopentyl S-allyl OCH3 direct bond meta
B-3771 cyclohexyl S-allyl OCH3 direct bond meta
B-3772 1 -triazolyl H S-allyl OCH3 direct bond meta
B-3773 2-pyridinyl H S-allyl OCH3 direct bond meta
B-3774 3-pyridinyl H S-allyl OCH3 direct bond meta
B-3775 4-pyridinyl H S-allyl OCH3 direct bond meta
B-3776 H H SCN OCH3 direct bond meta
B-3777 CHs H SCN OCH3 direct bond meta
B-3778 CH2CH3 H SCN OCH3 direct bond meta
B-3779 CH2CH2CH3 H SCN OCH3 direct bond meta
B-3780 CH(CH3)2 H SCN OCH3 direct bond meta
B-3781 OCH3 H SCN OCH3 direct bond meta
B-3782 OCH2CH3 H SCN OCH3 direct bond meta
B-3783 OCH(CH3)2 H SCN OCH3 direct bond meta
B-3784 F H SCN OCH3 direct bond meta
B-3785 CI H SCN OCH3 direct bond meta
B-3786 Br H SCN OCH3 direct bond meta
B-3787 OH H SCN OCH3 direct bond meta
B-3788 NH2 H SCN OCH3 direct bond meta
B-3789 N(CH3)2 H SCN OCH3 direct bond meta
B-3790 CH3 CH3 SCN OCH3 direct bond meta
B-3791 CH2CH3 CH2CH3 SCN OCH3 direct bond meta
B-3792 =CH2 SCN OCH3 direct bond meta
B-3793 cyclopropyl SCN OCH3 direct bond meta
B-3794 cyclobutyl SCN OCH3 direct bond meta
B-3795 cyclopentyl SCN OCH3 direct bond meta
line R1 R2 D X B position
Y-Z
B-3796 cyclohexyl SCN OCH3 direct bond meta
B-3797 1 -triazolyl H SCN OCH3 direct bond meta
B-3798 2-pyridinyl H SCN OCH3 direct bond meta
B-3799 3-pyridinyl H SCN OCH3 direct bond meta
B-3800 4-pyridinyl H SCN OCH3 direct bond meta
B-3801 H H H OCH2CH3 direct bond meta
B-3802 CHs H H OCH2CH3 direct bond meta
B-3803 CH2CH3 H H OCH2CH3 direct bond meta
B-3804 CH2CH2CH3 H H OCH2CH3 direct bond meta
B-3805 CH(CH3)2 H H OCH2CH3 direct bond meta
B-3806 OCH3 H H OCH2CH3 direct bond meta
B-3807 OCH2CH3 H H OCH2CH3 direct bond meta
B-3808 OCH(CH3)2 H H OCH2CH3 direct bond meta
B-3809 F H H OCH2CH3 direct bond meta
B-3810 CI H H OCH2CH3 direct bond meta
B-381 1 Br H H OCH2CH3 direct bond meta
B-3812 OH H H OCH2CH3 direct bond meta
B-3813 NH2 H H OCH2CH3 direct bond meta
B-3814 N(CH3)2 H H OCH2CH3 direct bond meta
B-3815 CH3 CH3 H OCH2CH3 direct bond meta
B-3816 CH2CH3 CH2CH3 H OCH2CH3 direct bond meta
B-3817 =CH2 H OCH2CH3 direct bond meta
B-3818 cyclopropyl H OCH2CH3 direct bond meta
B-3819 cyclobutyl H OCH2CH3 direct bond meta
B-3820 cyclopentyl H OCH2CH3 direct bond meta
B-3821 cyclohexyl H OCH2CH3 direct bond meta
B-3822 1 -triazolyl H H OCH2CH3 direct bond meta
B-3823 2-pyridinyl H H OCH2CH3 direct bond meta
B-3824 3-pyridinyl H H OCH2CH3 direct bond meta
B-3825 4-pyridinyl H H OCH2CH3 direct bond meta
B-3826 H H SH OCH2CH3 direct bond meta
B-3827 CH3 H SH OCH2CH3 direct bond meta
B-3828 CH2CH3 H SH OCH2CH3 direct bond meta
B-3829 CH2CH2CH3 H SH OCH2CH3 direct bond meta
B-3830 CH(CH3)2 H SH OCH2CH3 direct bond meta
B-3831 OCH3 H SH OCH2CH3 direct bond meta
line R1 R2 D X B position
Y-Z
B-3832 OCH2CH3 H SH OCH2CH3 direct bond meta
B-3833 OCH(CH3)2 H SH OCH2CH3 direct bond meta
B-3834 F H SH OCH2CH3 direct bond meta
B-3835 CI H SH OCH2CH3 direct bond meta
B-3836 Br H SH OCH2CH3 direct bond meta
B-3837 OH H SH OCH2CH3 direct bond meta
B-3838 NH2 H SH OCH2CH3 direct bond meta
B-3839 N(CH3)2 H SH OCH2CH3 direct bond meta
B-3840 CHs CH3 SH OCH2CH3 direct bond meta
B-3841 CH2CH3 CH2CH3 SH OCH2CH3 direct bond meta
B-3842 =CH2 SH OCH2CH3 direct bond meta
B-3843 cyclopropyl SH OCH2CH3 direct bond meta
B-3844 cyclobutyl SH OCH2CH3 direct bond meta
B-3845 cyclopentyl SH OCH2CH3 direct bond meta
B-3846 cyclohexyl SH OCH2CH3 direct bond meta
B-3847 1 -triazolyl H SH OCH2CH3 direct bond meta
B-3848 2-pyridinyl H SH OCH2CH3 direct bond meta
B-3849 3-pyridinyl H SH OCH2CH3 direct bond meta
B-3850 4-pyridinyl H SH OCH2CH3 direct bond meta
B-3851 H H S-allyl OCH2CH3 direct bond meta
B-3852 CHs H S-allyl OCH2CH3 direct bond meta
B-3853 CH2CH3 H S-allyl OCH2CH3 direct bond meta
B-3854 CH2CH2CH3 H S-allyl OCH2CH3 direct bond meta
B-3855 CH(CH3)2 H S-allyl OCH2CH3 direct bond meta
B-3856 OCH3 H S-allyl OCH2CH3 direct bond meta
B-3857 OCH2CH3 H S-allyl OCH2CH3 direct bond meta
B-3858 OCH(CH3)2 H S-allyl OCH2CH3 direct bond meta
B-3859 F H S-allyl OCH2CH3 direct bond meta
B-3860 CI H S-allyl OCH2CH3 direct bond meta
B-3861 Br H S-allyl OCH2CH3 direct bond meta
B-3862 OH H S-allyl OCH2CH3 direct bond meta
B-3863 NH2 H S-allyl OCH2CH3 direct bond meta
B-3864 N(CH3)2 H S-allyl OCH2CH3 direct bond meta
B-3865 CH3 CH3 S-allyl OCH2CH3 direct bond meta
B-3866 CH2CH3 CH2CH3 S-allyl OCH2CH3 direct bond meta
B-3867 =CH2 S-allyl OCH2CH3 direct bond meta
line R1 R2 D X B position
Y-Z
B-3868 cyclopropyl S-allyl OCH2CH3 direct bond meta
B-3869 cyclobutyl S-allyl OCH2CH3 direct bond meta
B-3870 cyclopentyl S-allyl OCH2CH3 direct bond meta
B-3871 cyclohexyl S-allyl OCH2CH3 direct bond meta
B-3872 1 -triazolyl H S-allyl OCH2CH3 direct bond meta
B-3873 2-pyridinyl H S-allyl OCH2CH3 direct bond meta
B-3874 3-pyridinyl H S-allyl OCH2CH3 direct bond meta
B-3875 4-pyridinyl H S-allyl OCH2CH3 direct bond meta
B-3876 H H SCN OCH2CH3 direct bond meta
B-3877 CHs H SCN OCH2CH3 direct bond meta
B-3878 CH2CH3 H SCN OCH2CH3 direct bond meta
B-3879 CH2CH2CH3 H SCN OCH2CH3 direct bond meta
B-3880 CH(CH3)2 H SCN OCH2CH3 direct bond meta
B-3881 OCH3 H SCN OCH2CH3 direct bond meta
B-3882 OCH2CH3 H SCN OCH2CH3 direct bond meta
B-3883 OCH(CH3)2 H SCN OCH2CH3 direct bond meta
B-3884 F H SCN OCH2CH3 direct bond meta
B-3885 CI H SCN OCH2CH3 direct bond meta
B-3886 Br H SCN OCH2CH3 direct bond meta
B-3887 OH H SCN OCH2CH3 direct bond meta
B-3888 NH2 H SCN OCH2CH3 direct bond meta
B-3889 N(CH3)2 H SCN OCH2CH3 direct bond meta
B-3890 CH3 CH3 SCN OCH2CH3 direct bond meta
B-3891 CH2CH3 CH2CH3 SCN OCH2CH3 direct bond meta
B-3892 =CH2 SCN OCH2CH3 direct bond meta
B-3893 cyclopropyl SCN OCH2CH3 direct bond meta
B-3894 cyclobutyl SCN OCH2CH3 direct bond meta
B-3895 cyclopentyl SCN OCH2CH3 direct bond meta
B-3896 cyclohexyl SCN OCH2CH3 direct bond meta
B-3897 1 -triazolyl H SCN OCH2CH3 direct bond meta
B-3898 2-pyridinyl H SCN OCH2CH3 direct bond meta
B-3899 3-pyridinyl H SCN OCH2CH3 direct bond meta
B-3900 4-pyridinyl H SCN OCH2CH3 direct bond meta
B-3901 H H H O-allyl direct bond meta
B-3902 CH3 H H O-allyl direct bond meta
B-3903 CH2CH3 H H O-allyl direct bond meta
line R1 R2 D X B position
Y-Z
B-3904 CH2CH2CH3 H H O-allyl direct bond meta
B-3905 CH(CH3)2 H H O-allyl direct bond meta
B-3906 OCH3 H H O-allyl direct bond meta
B-3907 OCH2CH3 H H O-allyl direct bond meta
B-3908 OCH(CH3)2 H H O-allyl direct bond meta
B-3909 F H H O-allyl direct bond meta
B-3910 CI H H O-allyl direct bond meta
B-391 1 Br H H O-allyl direct bond meta
B-3912 OH H H O-allyl direct bond meta
B-3913 NH2 H H O-allyl direct bond meta
B-3914 N(CH3)2 H H O-allyl direct bond meta
B-3915 CHs CH3 H O-allyl direct bond meta
B-3916 CH2CH3 CH2CH3 H O-allyl direct bond meta
B-3917 =CH2 H O-allyl direct bond meta
B-3918 cyclopropyl H O-allyl direct bond meta
B-3919 cyclobutyl H O-allyl direct bond meta
B-3920 cyclopentyl H O-allyl direct bond meta
B-3921 cyclohexyl H O-allyl direct bond meta
B-3922 1 -triazolyl H H O-allyl direct bond meta
B-3923 2-pyridinyl H H O-allyl direct bond meta
B-3924 3-pyridinyl H H O-allyl direct bond meta
B-3925 4-pyridinyl H H O-allyl direct bond meta
B-3926 H H SH O-allyl direct bond meta
B-3927 CHs H SH O-allyl direct bond meta
B-3928 CH2CH3 H SH O-allyl direct bond meta
B-3929 CH2CH2CH3 H SH O-allyl direct bond meta
B-3930 CH(CH3)2 H SH O-allyl direct bond meta
B-3931 OCH3 H SH O-allyl direct bond meta
B-3932 OCH2CH3 H SH O-allyl direct bond meta
B-3933 OCH(CH3)2 H SH O-allyl direct bond meta
B-3934 F H SH O-allyl direct bond meta
B-3935 CI H SH O-allyl direct bond meta
B-3936 Br H SH O-allyl direct bond meta
B-3937 OH H SH O-allyl direct bond meta
B-3938 NH2 H SH O-allyl direct bond meta
B-3939 N(CH3)2 H SH O-allyl direct bond meta
line R1 R2 D X B position
Y-Z
B-3940 CHs CH3 SH O-allyl direct bond meta
B-3941 CH2CH3 CH2CH3 SH O-allyl direct bond meta
B-3942 =CH2 SH O-allyl direct bond meta
B-3943 cyclopropyl SH O-allyl direct bond meta
B-3944 cyclobutyl SH O-allyl direct bond meta
B-3945 cyclopentyl SH O-allyl direct bond meta
B-3946 cyclohexyl SH O-allyl direct bond meta
B-3947 1 -triazolyl H SH O-allyl direct bond meta
B-3948 2-pyridinyl H SH O-allyl direct bond meta
B-3949 3-pyridinyl H SH O-allyl direct bond meta
B-3950 4-pyridinyl H SH O-allyl direct bond meta
B-3951 H H S-allyl O-allyl direct bond meta
B-3952 CHs H S-allyl O-allyl direct bond meta
B-3953 CH2CH3 H S-allyl O-allyl direct bond meta
B-3954 CH2CH2CH3 H S-allyl O-allyl direct bond meta
B-3955 CH(CH3)2 H S-allyl O-allyl direct bond meta
B-3956 OCH3 H S-allyl O-allyl direct bond meta
B-3957 OCH2CH3 H S-allyl O-allyl direct bond meta
B-3958 OCH(CH3)2 H S-allyl O-allyl direct bond meta
B-3959 F H S-allyl O-allyl direct bond meta
B-3960 CI H S-allyl O-allyl direct bond meta
B-3961 Br H S-allyl O-allyl direct bond meta
B-3962 OH H S-allyl O-allyl direct bond meta
B-3963 NH2 H S-allyl O-allyl direct bond meta
B-3964 N(CH3)2 H S-allyl O-allyl direct bond meta
B-3965 CH3 CH3 S-allyl O-allyl direct bond meta
B-3966 CH2CH3 CH2CH3 S-allyl O-allyl direct bond meta
B-3967 =CH2 S-allyl O-allyl direct bond meta
B-3968 cyclopropyl S-allyl O-allyl direct bond meta
B-3969 cyclobutyl S-allyl O-allyl direct bond meta
B-3970 cyclopentyl S-allyl O-allyl direct bond meta
B-3971 cyclohexyl S-allyl O-allyl direct bond meta
B-3972 1 -triazolyl H S-allyl O-allyl direct bond meta
B-3973 2-pyridinyl H S-allyl O-allyl direct bond meta
B-3974 3-pyridinyl H S-allyl O-allyl direct bond meta
B-3975 4-pyridinyl H S-allyl O-allyl direct bond meta
line R1 R2 D X B position
Y-Z
B-3976 H H SCN O-allyl direct bond meta
B-3977 CHs H SCN O-allyl direct bond meta
B-3978 CH2CH3 H SCN O-allyl direct bond meta
B-3979 CH2CH2CH3 H SCN O-allyl direct bond meta
B-3980 CH(CH3)2 H SCN O-allyl direct bond meta
B-3981 OCH3 H SCN O-allyl direct bond meta
B-3982 OCH2CH3 H SCN O-allyl direct bond meta
B-3983 OCH(CH3)2 H SCN O-allyl direct bond meta
B-3984 F H SCN O-allyl direct bond meta
B-3985 CI H SCN O-allyl direct bond meta
B-3986 Br H SCN O-allyl direct bond meta
B-3987 OH H SCN O-allyl direct bond meta
B-3988 NH2 H SCN O-allyl direct bond meta
B-3989 N(CH3)2 H SCN O-allyl direct bond meta
B-3990 CH3 CH3 SCN O-allyl direct bond meta
B-3991 CH2CH3 CH2CH3 SCN O-allyl direct bond meta
B-3992 =CH2 SCN O-allyl direct bond meta
B-3993 cyclopropyl SCN O-allyl direct bond meta
B-3994 cyclobutyl SCN O-allyl direct bond meta
B-3995 cyclopentyl SCN O-allyl direct bond meta
B-3996 cyclohexyl SCN O-allyl direct bond meta
B-3997 1 -triazolyl H SCN O-allyl direct bond meta
B-3998 2-pyridinyl H SCN O-allyl direct bond meta
B-3999 3-pyridinyl H SCN O-allyl direct bond meta
B-4000 4-pyridinyl H SCN O-allyl direct bond meta
B-4001 H H H O-propargyl direct bond meta
B-4002 CH3 H H O-propargyl direct bond meta
B-4003 CH2CH3 H H O-propargyl direct bond meta
B-4004 CH2CH2CH3 H H O-propargyl direct bond meta
B-4005 CH(CH3)2 H H O-propargyl direct bond meta
B-4006 OCH3 H H O-propargyl direct bond meta
B-4007 OCH2CH3 H H O-propargyl direct bond meta
B-4008 OCH(CH3)2 H H O-propargyl direct bond meta
B-4009 F H H O-propargyl direct bond meta
B-4010 CI H H O-propargyl direct bond meta
B-401 1 Br H H O-propargyl direct bond meta
line R1 R2 D X B position
Y-Z
B-4012 OH H H O-propargyl direct bond meta
B-4013 NH2 H H O-propargyl direct bond meta
B-4014 N(CH3)2 H H O-propargyl direct bond meta
B-4015 CHs CH3 H O-propargyl direct bond meta
B-4016 CH2CH3 CH2CH3 H O-propargyl direct bond meta
B-4017 =CH2 H O-propargyl direct bond meta
B-4018 cyclopropyl H O-propargyl direct bond meta
B-4019 cyclobutyl H O-propargyl direct bond meta
B-4020 cyclopentyl H O-propargyl direct bond meta
B-4021 cyclohexyl H O-propargyl direct bond meta
B-4022 1 -triazolyl H H O-propargyl direct bond meta
B-4023 2-pyridinyl H H O-propargyl direct bond meta
B-4024 3-pyridinyl H H O-propargyl direct bond meta
B-4025 4-pyridinyl H H O-propargyl direct bond meta
B-4026 H H SH O-propargyl direct bond meta
B-4027 CHs H SH O-propargyl direct bond meta
B-4028 CH2CH3 H SH O-propargyl direct bond meta
B-4029 CH2CH2CH3 H SH O-propargyl direct bond meta
B-4030 CH(CH3)2 H SH O-propargyl direct bond meta
B-4031 OCH3 H SH O-propargyl direct bond meta
B-4032 OCH2CH3 H SH O-propargyl direct bond meta
B-4033 OCH(CH3)2 H SH O-propargyl direct bond meta
B-4034 F H SH O-propargyl direct bond meta
B-4035 CI H SH O-propargyl direct bond meta
B-4036 Br H SH O-propargyl direct bond meta
B-4037 OH H SH O-propargyl direct bond meta
B-4038 NH2 H SH O-propargyl direct bond meta
B-4039 N(CH3)2 H SH O-propargyl direct bond meta
B-4040 CH3 CH3 SH O-propargyl direct bond meta
B-4041 CH2CH3 CH2CH3 SH O-propargyl direct bond meta
B-4042 =CH2 SH O-propargyl direct bond meta
B-4043 cyclopropyl SH O-propargyl direct bond meta
B-4044 cyclobutyl SH O-propargyl direct bond meta
B-4045 cyclopentyl SH O-propargyl direct bond meta
B-4046 cyclohexyl SH O-propargyl direct bond meta
B-4047 1 -triazolyl H SH O-propargyl direct bond meta
line R1 R2 D X B position
Y-Z
B-4048 2-pyridinyl H SH O-propargyl direct bond meta
B-4049 3-pyridinyl H SH O-propargyl direct bond meta
B-4050 4-pyridinyl H SH O-propargyl direct bond meta
B-4051 H H S-allyl O-propargyl direct bond meta
B-4052 CHs H S-allyl O-propargyl direct bond meta
B-4053 CH2CH3 H S-allyl O-propargyl direct bond meta
B-4054 CH2CH2CH3 H S-allyl O-propargyl direct bond meta
B-4055 CH(CH3)2 H S-allyl O-propargyl direct bond meta
B-4056 OCH3 H S-allyl O-propargyl direct bond meta
B-4057 OCH2CH3 H S-allyl O-propargyl direct bond meta
B-4058 OCH(CH3)2 H S-allyl O-propargyl direct bond meta
B-4059 F H S-allyl O-propargyl direct bond meta
B-4060 CI H S-allyl O-propargyl direct bond meta
B-4061 Br H S-allyl O-propargyl direct bond meta
B-4062 OH H S-allyl O-propargyl direct bond meta
B-4063 NH2 H S-allyl O-propargyl direct bond meta
B-4064 N(CH3)2 H S-allyl O-propargyl direct bond meta
B-4065 CH3 CH3 S-allyl O-propargyl direct bond meta
B-4066 CH2CH3 CH2CH3 S-allyl O-propargyl direct bond meta
B-4067 =CH2 S-allyl O-propargyl direct bond meta
B-4068 cyclopropyl S-allyl O-propargyl direct bond meta
B-4069 cyclobutyl S-allyl O-propargyl direct bond meta
B-4070 cyclopentyl S-allyl O-propargyl direct bond meta
B-4071 cyclohexyl S-allyl O-propargyl direct bond meta
B-4072 1 -triazolyl H S-allyl O-propargyl direct bond meta
B-4073 2-pyridinyl H S-allyl O-propargyl direct bond meta
B-4074 3-pyridinyl H S-allyl O-propargyl direct bond meta
B-4075 4-pyridinyl H S-allyl O-propargyl direct bond meta
B-4076 H H SCN O-propargyl direct bond meta
B-4077 CH3 H SCN O-propargyl direct bond meta
B-4078 CH2CH3 H SCN O-propargyl direct bond meta
B-4079 CH2CH2CH3 H SCN O-propargyl direct bond meta
B-4080 CH(CH3)2 H SCN O-propargyl direct bond meta
B-4081 OCH3 H SCN O-propargyl direct bond meta
B-4082 OCH2CH3 H SCN O-propargyl direct bond meta
B-4083 OCH(CH3)2 H SCN O-propargyl direct bond meta
line R1 R2 D X B position
Y-Z
B-4084 F H SCN O-propargyl direct bond meta
B-4085 CI H SCN O-propargyl direct bond meta
B-4086 Br H SCN O-propargyl direct bond meta
B-4087 OH H SCN O-propargyl direct bond meta
B-4088 NH2 H SCN O-propargyl direct bond meta
B-4089 N(CH3)2 H SCN O-propargyl direct bond meta
B-4090 CHs CH3 SCN O-propargyl direct bond meta
B-4091 CH2CH3 CH2CH3 SCN O-propargyl direct bond meta
B-4092 =CH2 SCN O-propargyl direct bond meta
B-4093 cyclopropyl SCN O-propargyl direct bond meta
B-4094 cyclobutyl SCN O-propargyl direct bond meta
B-4095 cyclopentyl SCN O-propargyl direct bond meta
B-4096 cyclohexyl SCN O-propargyl direct bond meta
B-4097 1 -triazolyl H SCN O-propargyl direct bond meta
B-4098 2-pyridinyl H SCN O-propargyl direct bond meta
B-4099 3-pyridinyl H SCN O-propargyl direct bond meta
B-4100 4-pyridinyl H SCN O-propargyl direct bond meta
B-4101 H H H O-benzyl direct bond meta
B-4102 CHs H H O-benzyl direct bond meta
B-4103 CH2CH3 H H O-benzyl direct bond meta
B-4104 CH2CH2CH3 H H O-benzyl direct bond meta
B-4105 CH(CH3)2 H H O-benzyl direct bond meta
B-4106 OCH3 H H O-benzyl direct bond meta
B-4107 OCH2CH3 H H O-benzyl direct bond meta
B-4108 OCH(CH3)2 H H O-benzyl direct bond meta
B-4109 F H H O-benzyl direct bond meta
B-41 10 CI H H O-benzyl direct bond meta
B-41 1 1 Br H H O-benzyl direct bond meta
B-41 12 OH H H O-benzyl direct bond meta
B-41 13 NH2 H H O-benzyl direct bond meta
B-41 14 N(CH3)2 H H O-benzyl direct bond meta
B-41 15 CH3 CH3 H O-benzyl direct bond meta
B-41 16 CH2CH3 CH2CH3 H O-benzyl direct bond meta
B-41 17 =CH2 H O-benzyl direct bond meta
B-41 18 cyclopropyl H O-benzyl direct bond meta
B-41 19 cyclobutyl H O-benzyl direct bond meta
line R1 R2 D X B position
Y-Z
B-4120 cyclopentyl H O-benzyl direct bond meta
B-4121 cyclohexyl H O-benzyl direct bond meta
B-4122 1 -triazolyl H H O-benzyl direct bond meta
B-4123 2-pyridinyl H H O-benzyl direct bond meta
B-4124 3-pyridinyl H H O-benzyl direct bond meta
B-4125 4-pyridinyl H H O-benzyl direct bond meta
B-4126 H H SH O-benzyl direct bond meta
B-4127 CHs H SH O-benzyl direct bond meta
B-4128 CH2CH3 H SH O-benzyl direct bond meta
B-4129 CH2CH2CH3 H SH O-benzyl direct bond meta
B-4130 CH(CH3)2 H SH O-benzyl direct bond meta
B-4131 OCH3 H SH O-benzyl direct bond meta
B-4132 OCH2CH3 H SH O-benzyl direct bond meta
B-4133 OCH(CH3)2 H SH O-benzyl direct bond meta
B-4134 F H SH O-benzyl direct bond meta
B-4135 CI H SH O-benzyl direct bond meta
B-4136 Br H SH O-benzyl direct bond meta
B-4137 OH H SH O-benzyl direct bond meta
B-4138 NH2 H SH O-benzyl direct bond meta
B-4139 N(CH3)2 H SH O-benzyl direct bond meta
B-4140 CH3 CH3 SH O-benzyl direct bond meta
B-4141 CH2CH3 CH2CH3 SH O-benzyl direct bond meta
B-4142 =CH2 SH O-benzyl direct bond meta
B-4143 cyclopropyl SH O-benzyl direct bond meta
B-4144 cyclobutyl SH O-benzyl direct bond meta
B-4145 cyclopentyl SH O-benzyl direct bond meta
B-4146 cyclohexyl SH O-benzyl direct bond meta
B-4147 1 -triazolyl H SH O-benzyl direct bond meta
B-4148 2-pyridinyl H SH O-benzyl direct bond meta
B-4149 3-pyridinyl H SH O-benzyl direct bond meta
B-4150 4-pyridinyl H SH O-benzyl direct bond meta
B-4151 H H S-allyl O-benzyl direct bond meta
B-4152 CH3 H S-allyl O-benzyl direct bond meta
B-4153 CH2CH3 H S-allyl O-benzyl direct bond meta
B-4154 CH2CH2CH3 H S-allyl O-benzyl direct bond meta
B-4155 CH(CH3)2 H S-allyl O-benzyl direct bond meta
line R1 R2 D X B position
Y-Z
B-4156 OCHs H S-allyl O-benzyl direct bond meta
B-4157 OCH2CH3 H S-allyl O-benzyl direct bond meta
B-4158 OCH(CH3)2 H S-allyl O-benzyl direct bond meta
B-4159 F H S-allyl O-benzyl direct bond meta
B-4160 CI H S-allyl O-benzyl direct bond meta
B-4161 Br H S-allyl O-benzyl direct bond meta
B-4162 OH H S-allyl O-benzyl direct bond meta
B-4163 NH2 H S-allyl O-benzyl direct bond meta
B-4164 N(CH3)2 H S-allyl O-benzyl direct bond meta
B-4165 CHs CH3 S-allyl O-benzyl direct bond meta
B-4166 CH2CH3 CH2CH3 S-allyl O-benzyl direct bond meta
B-4167 =CH2 S-allyl O-benzyl direct bond meta
B-4168 cyclopropyl S-allyl O-benzyl direct bond meta
B-4169 cyclobutyl S-allyl O-benzyl direct bond meta
B-4170 cyclopentyl S-allyl O-benzyl direct bond meta
B-4171 cyclohexyl S-allyl O-benzyl direct bond meta
B-4172 1 -triazolyl H S-allyl O-benzyl direct bond meta
B-4173 2-pyridinyl H S-allyl O-benzyl direct bond meta
B-4174 3-pyridinyl H S-allyl O-benzyl direct bond meta
B-4175 4-pyridinyl H S-allyl O-benzyl direct bond meta
B-4176 H H SCN O-benzyl direct bond meta
B-4177 CHs H SCN O-benzyl direct bond meta
B-4178 CH2CH3 H SCN O-benzyl direct bond meta
B-4179 CH2CH2CH3 H SCN O-benzyl direct bond meta
B-4180 CH(CH3)2 H SCN O-benzyl direct bond meta
B-4181 OCHs H SCN O-benzyl direct bond meta
B-4182 OCH2CH3 H SCN O-benzyl direct bond meta
B-4183 OCH(CH3)2 H SCN O-benzyl direct bond meta
B-4184 F H SCN O-benzyl direct bond meta
B-4185 CI H SCN O-benzyl direct bond meta
B-4186 Br H SCN O-benzyl direct bond meta
B-4187 OH H SCN O-benzyl direct bond meta
B-4188 NH2 H SCN O-benzyl direct bond meta
B-4189 N(CH3)2 H SCN O-benzyl direct bond meta
B-4190 CH3 CH3 SCN O-benzyl direct bond meta
B-4191 CH2CH3 CH2CH3 SCN O-benzyl direct bond meta
line R1 R2 D X B position
Y-Z
B-4192 =CH2 SCN O-benzyl direct bond meta
B-4193 cyclopropyl SCN O-benzyl direct bond meta
B-4194 cyclobutyl SCN O-benzyl direct bond meta
B-4195 cyclopentyl SCN O-benzyl direct bond meta
B-4196 cyclohexyl SCN O-benzyl direct bond meta
B-4197 1 -triazolyl H SCN O-benzyl direct bond meta
B-4198 2-pyridinyl H SCN O-benzyl direct bond meta
B-4199 3-pyridinyl H SCN O-benzyl direct bond meta
B-4200 4-pyridinyl H SCN O-benzyl direct bond meta
Further embodiments of the invention are compounds I, wherein the combination of the groups A, R5, r, R6, m, ττττ and (R4)n are as specified in compounds of the formulae
I.G I.H I.J
With respect to their use, particular preference is given to the compounds compiled in the Tables 1 to 2754 below, wherein the meaning of the combination of substituents R1, R2, X, D, B and the position of the group Y-Z in each case are selected from line B-1 to B-4200 in Table B and wherein the meaning of the combination of group Z, Y and RL
are selected from line A-1 to A-100 as described in Table A or wherein the meaning of the combination of group Z and Y are selected from line Z-1 to Z-206 as described in Table Z. Table 1 : Compounds I. A, wherein the combination of substituents R1, R2, X, D, B and the position of the group Y-Z in each case corresponds to one line B-1 to B-4200 in table B and wherein Z is phenyl and the combination of the meaning of Y and RL corresponds to line A-1 in Table A (compounds I.A.al .b1 to I.A.al .b4200).
Table 2: Compounds I. A, wherein the combination of substituents R1, R2, X, D, B and the position of the group Y-Z in each case corresponds to one line B-1 to B-4200 in table B and wherein Z is phenyl and the combination of the meaning of Y and RL corresponds to line A-2 in Table A (compounds I.A.a2.b1 to I.A.a2.b4200).
Table 3: Compounds I. A, wherein the combination of substituents R1, R2, X, D, B and the position of the group Y-Z in each case corresponds to one line B-1 to B-4200 in table B and wherein Z is phenyl and the combination of the meaning of Y and RL corresponds to line A-3 in Table A (compounds I.A.a3.b1 to I.A.a3.b4200).
Table 4: Compounds I. A, wherein the combination of substituents R1, R2, X, D, B and the position of the group Y-Z in each case corresponds to one line B-1 to B-4200 in table B and wherein Z is phenyl and the combination of the meaning of Y and RL corresponds to line A-4 in Table A (compounds I.A.a4.b1 to I.A.a4.b4200).
Table 5: Compounds I. A, wherein the combination of substituents R1, R2, X, D, B and the position of the group Y-Z in each case corresponds to one line B-1 to B-4200 in table B and wherein Z is phenyl and the combination of the meaning of Y and RL corresponds to line A-5 in Table A (compounds I.A.a5.b1 to I.A.a5.b4200).
Table 6: Compounds I. A, wherein the combination of substituents R1, R2, X, D, B and the position of the group Y-Z in each case corresponds to one line B-1 to B-4200 in table B and wherein Z is phenyl and the combination of the meaning of Y and RL corresponds to line A-6 in Table A (compounds I.A.a6.b1 to I.A.a6.b4200).
Table 7: Compounds I. A, wherein the combination of substituents R1, R2, X, D, B and the position of the group Y-Z in each case corresponds to one line B-1 to B-4200 in table B and wherein Z is phenyl and the combination of the meaning of Y and RL corresponds to line A-7 in Table A (compounds I.A.a7.b1 to I.A.a7.b4200).
Table 8: Compounds I. A, wherein the combination of substituents R1, R2, X, D, B and the position of the group Y-Z in each case corresponds to one line B-1 to B-4200 in table B and wherein Z is phenyl and the combination of the meaning of Y and RL corresponds to line A-8 in Table A (compounds I.A.a8.b1 to I.A.a8.b4200).
Table 9: Compounds I. A, wherein the combination of substituents R1, R2, X, D, B and the position of the group Y-Z in each case corresponds to one line B-1 to B-4200 in table B and wherein Z is phenyl and the combination of the meaning of Y and RL corresponds to line A-9 in Table A (compounds I.A.a9.b1 to I.A.a9.b4200).
Table 10: Compounds I. A, wherein the combination of substituents R1, R2, X, D, B and the position of the group Y-Z in each case corresponds to one line B-1 to B-4200
in table B and wherein Z is phenyl and the combination of the meaning of Y and RL corresponds to line A-10 in Table A (compounds I.A.a10.b1 to I.A.a10.b4200).
Table 1 1 : Compounds I .A, wherein the combination of substituents R1, R2, X, D, B and the position of the group Y-Z in each case corresponds to one line B-1 to B-4200 in table B and wherein Z is phenyl and the combination of the meaning of Y and RL corresponds to line A-1 1 in Table A (compounds I.A.al 1 .b1 to I.A.al 1 .b4200).
Table 12: Compounds I. A, wherein the combination of substituents R1, R2, X, D, B and the position of the group Y-Z in each case corresponds to one line B-1 to B-4200 in table B and wherein Z is phenyl and the combination of the meaning of Y and RL corresponds to line A-12 in Table A (compounds I.A.a12.b1 to I.A.a12.b4200).
Table 13: Compounds I. A, wherein the combination of substituents R1, R2, X, D, B and the position of the group Y-Z in each case corresponds to one line B-1 to B-4200 in table B and wherein Z is phenyl and the combination of the meaning of Y and RL corresponds to line A-13 in Table A (compounds I.A.a13.b1 to I.A.al 3. b4200).
Table 14: Compounds I. A, wherein the combination of substituents R1, R2, X, D,
B and the position of the group Y-Z in each case corresponds to one line B-1 to B-4200 in table B and wherein Z is phenyl and the combination of the meaning of Y and RL corresponds to line A-14 in Table A (compounds I.A.a14.b1 to I.A.a14.b4200).
Table 15: Compounds I. A, wherein the combination of substituents R1, R2, X, D, B and the position of the group Y-Z in each case corresponds to one line B-1 to B-4200 in table B and wherein Z is phenyl and the combination of the meaning of Y and RL corresponds to line A-15 in Table A (compounds I.A.a15.b1 to I.A.al 5. b4200).
Table 16: Compounds I. A, wherein the combination of substituents R1, R2, X, D, B and the position of the group Y-Z in each case corresponds to one line B-1 to B-4200 in table B and wherein Z is phenyl and the combination of the meaning of Y and RL corresponds to line A-16 in Table A (compounds I.A.a16.b1 to I.A.al 6. b4200).
Table 17: Compounds I.A, wherein the combination of substituents R1, R2, X, D, B and the position of the group Y-Z in each case corresponds to one line B-1 to B-4200 in table B and wherein Z is phenyl and the combination of the meaning of Y and RL corresponds to line A-17 in Table A (compounds I.A.a17.b1 to I.A.al 7. b4200).
Table 18: Compounds I.A, wherein the combination of substituents R1, R2, X, D, B and the position of the group Y-Z in each case corresponds to one line B-1 to B-4200 in table B and wherein Z is phenyl and the combination of the meaning of Y and RL corresponds to line A-18 in Table A (compounds I.A.a18.b1 to I.A.al 8. b4200).
Table 19: Compounds I.A, wherein the combination of substituents R1, R2, X, D,
B and the position of the group Y-Z in each case corresponds to one line B-1 to B-4200 in table B and wherein Z is phenyl and the combination of the meaning of Y and RL corresponds to line A-19 in Table A (compounds I.A.a19.b1 to I.A.al 9. b4200).
Table 20: Compounds I.A, wherein the combination of substituents R1, R2, X, D, B and the position of the group Y-Z in each case corresponds to one line B-1 to B-4200 in table B and wherein Z is phenyl and the combination of the meaning of Y and RL corresponds to line A-20 in Table A (compounds I.A.a20.b1 to I.A.a20.b4200).
Table 21 : Compounds I .A, wherein the combination of substituents R1, R2, X, D, B and the position of the group Y-Z in each case corresponds to one line B-1 to B-4200 in table B and wherein Z is phenyl and the combination of the meaning of Y and RL corresponds to line A-21 in Table A (compounds I.A.a21 .b1 to I.A.a21 .b4200).
Table 22: Compounds I. A, wherein the combination of substituents R1, R2, X, D,
B and the position of the group Y-Z in each case corresponds to one line B-1 to B-4200 in table B and wherein Z is phenyl and the combination of the meaning of Y and RL corresponds to line A-22 in Table A (compounds I.A.a22.b1 to I.A.a22.b4200).
Table 23: Compounds I. A, wherein the combination of substituents R1, R2, X, D, B and the position of the group Y-Z in each case corresponds to one line B-1 to B-4200 in table B and wherein Z is phenyl and the combination of the meaning of Y and RL corresponds to line A-23 in Table A (compounds I.A.a23.b1 to I.A.a23.b4200).
Table 24: Compounds I. A, wherein the combination of substituents R1, R2, X, D, B and the position of the group Y-Z in each case corresponds to one line B-1 to B-4200 in table B and wherein Z is phenyl and the combination of the meaning of Y and RL corresponds to line A-24 in Table A (compounds I.A.a24.b1 to I.A.a24.b4200).
Table 25: Compounds I. A, wherein the combination of substituents R1, R2, X, D, B and the position of the group Y-Z in each case corresponds to one line B-1 to B-4200 in table B and wherein Z is phenyl and the combination of the meaning of Y and RL corresponds to line A-25 in Table A (compounds I.A.a25.b1 to I.A.a25.b4200).
Table 26: Compounds I. A, wherein the combination of substituents R1, R2, X, D, B and the position of the group Y-Z in each case corresponds to one line B-1 to B-4200 in table B and wherein Z is phenyl and the combination of the meaning of Y and RL corresponds to line A-26 in Table A (compounds I.A.a26.b1 to I.A.a26.b4200).
Table 27: Compounds I. A, wherein the combination of substituents R1, R2, X, D,
B and the position of the group Y-Z in each case corresponds to one line B-1 to B-4200 in table B and wherein Z is phenyl and the combination of the meaning of Y and RL corresponds to line A-27 in Table A (compounds I.A.a27.b1 to I.A.a27.b4200).
Table 28: Compounds I.A, wherein the combination of substituents R1, R2, X, D, B and the position of the group Y-Z in each case corresponds to one line B-1 to B-4200 in table B and wherein Z is phenyl and the combination of the meaning of Y and RL corresponds to line A-28 in Table A (compounds I.A.a28.b1 to I.A.a28.b4200).
Table 29: Compounds I.A, wherein the combination of substituents R1, R2, X, D, B and the position of the group Y-Z in each case corresponds to one line B-1 to B-4200 in table B and wherein Z is phenyl and the combination of the meaning of Y and RL corresponds to line A-29 in Table A (compounds I.A.a29.b1 to I.A.a29.b4200).
Table 30: Compounds I.A, wherein the combination of substituents R1, R2, X, D, B and the position of the group Y-Z in each case corresponds to one line B-1 to B-4200 in table B and wherein Z is phenyl and the combination of the meaning of Y and RL corresponds to line A-30 in Table A (compounds I.A.a30.b1 to I.A.a30.b4200).
Table 31 : Compounds I.A, wherein the combination of substituents R1, R2, X, D, B and the position of the group Y-Z in each case corresponds to one line B-1 to B-4200
in table B and wherein Z is phenyl and the combination of the meaning of Y and RL corresponds to line A-31 in Table A (compounds I.A.a31 .b1 to I.A.a31 .b4200).
Table 32: Compounds I .A, wherein the combination of substituents R1, R2, X, D, B and the position of the group Y-Z in each case corresponds to one line B-1 to B-4200 in table B and wherein Z is phenyl and the combination of the meaning of Y and RL corresponds to line A-32 in Table A (compounds I.A.a32.b1 to I.A.a32.b4200).
Table 33: Compounds I. A, wherein the combination of substituents R1, R2, X, D, B and the position of the group Y-Z in each case corresponds to one line B-1 to B-4200 in table B and wherein Z is phenyl and the combination of the meaning of Y and RL corresponds to line A-33 in Table A (compounds I.A.a33.b1 to I.A.a33.b4200).
Table 34: Compounds I. A, wherein the combination of substituents R1, R2, X, D, B and the position of the group Y-Z in each case corresponds to one line B-1 to B-4200 in table B and wherein Z is phenyl and the combination of the meaning of Y and RL corresponds to line A-34 in Table A (compounds I.A.a34.b1 to I.A.a34.b4200).
Table 35: Compounds I. A, wherein the combination of substituents R1, R2, X, D,
B and the position of the group Y-Z in each case corresponds to one line B-1 to B-4200 in table B and wherein Z is phenyl and the combination of the meaning of Y and RL corresponds to line A-35 in Table A (compounds I.A.a35.b1 to I.A.a35.b4200).
Table 36: Compounds I. A, wherein the combination of substituents R1, R2, X, D, B and the position of the group Y-Z in each case corresponds to one line B-1 to B-4200 in table B and wherein Z is phenyl and the combination of the meaning of Y and RL corresponds to line A-36 in Table A (compounds I.A.a36.b1 to I.A.a36.b4200).
Table 37: Compounds I. A, wherein the combination of substituents R1, R2, X, D, B and the position of the group Y-Z in each case corresponds to one line B-1 to B-4200 in table B and wherein Z is phenyl and the combination of the meaning of Y and RL corresponds to line A-37 in Table A (compounds I.A.a37.b1 to I.A.a37.b4200).
Table 38: Compounds I. A, wherein the combination of substituents R1, R2, X, D, B and the position of the group Y-Z in each case corresponds to one line B-1 to B-4200 in table B and wherein Z is phenyl and the combination of the meaning of Y and RL corresponds to line A-38 in Table A (compounds I.A.a38.b1 to I.A.a38.b4200).
Table 39: Compounds I.A, wherein the combination of substituents R1, R2, X, D, B and the position of the group Y-Z in each case corresponds to one line B-1 to B-4200 in table B and wherein Z is phenyl and the combination of the meaning of Y and RL corresponds to line A-39 in Table A (compounds I.A.a39.b1 to I.A.a39.b4200).
Table 40: Compounds I.A, wherein the combination of substituents R1, R2, X, D,
B and the position of the group Y-Z in each case corresponds to one line B-1 to B-4200 in table B and wherein Z is phenyl and the combination of the meaning of Y and RL corresponds to line A-40 in Table A (compounds I.A.a40.b1 to I.A.a40.b4200).
Table 41 : Compounds I.A, wherein the combination of substituents R1, R2, X, D, B and the position of the group Y-Z in each case corresponds to one line B-1 to B-4200 in table B and wherein Z is phenyl and the combination of the meaning of Y and RL corresponds to line A-41 in Table A (compounds I.A.a41 .b1 to I.A.a41 .b4200).
Table 42: Compounds I. A, wherein the combination of substituents R1, R2, X, D, B and the position of the group Y-Z in each case corresponds to one line B-1 to B-4200 in table B and wherein Z is phenyl and the combination of the meaning of Y and RL corresponds to line A-42 in Table A (compounds I.A.a42.b1 to I.A.a42.b4200).
Table 43: Compounds I. A, wherein the combination of substituents R1, R2, X, D,
B and the position of the group Y-Z in each case corresponds to one line B-1 to B-4200 in table B and wherein Z is phenyl and the combination of the meaning of Y and RL corresponds to line A-43 in Table A (compounds I.A.a43.b1 to I.A.a43.b4200).
Table 44: Compounds I. A, wherein the combination of substituents R1, R2, X, D, B and the position of the group Y-Z in each case corresponds to one line B-1 to B-4200 in table B and wherein Z is phenyl and the combination of the meaning of Y and RL corresponds to line A-44 in Table A (compounds I.A.a44.b1 to I.A.a44.b4200).
Table 45: Compounds I. A, wherein the combination of substituents R1, R2, X, D, B and the position of the group Y-Z in each case corresponds to one line B-1 to B-4200 in table B and wherein Z is phenyl and the combination of the meaning of Y and RL corresponds to line A-45 in Table A (compounds I.A.a45.b1 to I.A.a45.b4200).
Table 46: Compounds I. A, wherein the combination of substituents R1, R2, X, D, B and the position of the group Y-Z in each case corresponds to one line B-1 to B-4200 in table B and wherein Z is phenyl and the combination of the meaning of Y and RL corresponds to line A-46 in Table A (compounds I.A.a46.b1 to I.A.a46.b4200).
Table 47: Compounds I. A, wherein the combination of substituents R1, R2, X, D, B and the position of the group Y-Z in each case corresponds to one line B-1 to B-4200 in table B and wherein Z is phenyl and the combination of the meaning of Y and RL corresponds to line A-47 in Table A (compounds I.A.a47.b1 to I.A.a47.b4200).
Table 48: Compounds I. A, wherein the combination of substituents R1, R2, X, D,
B and the position of the group Y-Z in each case corresponds to one line B-1 to B-4200 in table B and wherein Z is phenyl and the combination of the meaning of Y and RL corresponds to line A-48 in Table A (compounds I.A.a48.b1 to I.A.a48.b4200).
Table 49: Compounds I. A, wherein the combination of substituents R1, R2, X, D, B and the position of the group Y-Z in each case corresponds to one line B-1 to B-4200 in table B and wherein Z is phenyl and the combination of the meaning of Y and RL corresponds to line A-49 in Table A (compounds I.A.a49.b1 to I.A.a49.b4200).
Table 50: Compounds I.A, wherein the combination of substituents R1, R2, X, D, B and the position of the group Y-Z in each case corresponds to one line B-1 to B-4200 in table B and wherein Z is phenyl and the combination of the meaning of Y and RL corresponds to line A-50 in Table A (compounds I.A.a50.b1 to I.A.a50.b4200).
Table 51 : Compounds I.A, wherein the combination of substituents R1, R2, X, D, B and the position of the group Y-Z in each case corresponds to one line B-1 to B-4200 in table B and wherein Z is phenyl and the combination of the meaning of Y and RL corresponds to line A-51 in Table A (compounds I.A.a51 .b1 to I.A.a51 .b4200).
Table 52: Compounds I.A, wherein the combination of substituents R1, R2, X, D, B and the position of the group Y-Z in each case corresponds to one line B-1 to B-4200
in table B and wherein Z is phenyl and the combination of the meaning of Y and RL corresponds to line A-52 in Table A (compounds I.A.a52.b1 to I.A.a52.b4200).
Table 53: Compounds I. A, wherein the combination of substituents R1, R2, X, D, B and the position of the group Y-Z in each case corresponds to one line B-1 to B-4200 in table B and wherein Z is phenyl and the combination of the meaning of Y and RL corresponds to line A-53 in Table A (compounds I.A.a53.b1 to I.A.a53.b4200).
Table 54: Compounds I.A, wherein the combination of substituents R1, R2, X, D, B and the position of the group Y-Z in each case corresponds to one line B-1 to B-4200 in table B and wherein Z is phenyl and the combination of the meaning of Y and RL corresponds to line A-54 in Table A (compounds I.A.a54.b1 to I.A.a54.b4200).
Table 55: Compounds I.A, wherein the combination of substituents R1, R2, X, D, B and the position of the group Y-Z in each case corresponds to one line B-1 to B-4200 in table B and wherein Z is phenyl and the combination of the meaning of Y and RL corresponds to line A-55 in Table A (compounds I.A.a55.b1 to I.A.a55.b4200).
Table 56: Compounds I.A, wherein the combination of substituents R1, R2, X, D,
B and the position of the group Y-Z in each case corresponds to one line B-1 to B-4200 in table B and wherein Z is phenyl and the combination of the meaning of Y and RL corresponds to line A-56 in Table A (compounds I.A.a56.b1 to I.A.a56.b4200).
Table 57: Compounds I.A, wherein the combination of substituents R1, R2, X, D, B and the position of the group Y-Z in each case corresponds to one line B-1 to B-4200 in table B and wherein Z is phenyl and the combination of the meaning of Y and RL corresponds to line A-57 in Table A (compounds I.A.a57.b1 to I.A.a57.b4200).
Table 58: Compounds I.A, wherein the combination of substituents R1, R2, X, D, B and the position of the group Y-Z in each case corresponds to one line B-1 to B-4200 in table B and wherein Z is phenyl and the combination of the meaning of Y and RL corresponds to line A-58 in Table A (compounds I.A.a58.b1 to I.A.a58.b4200).
Table 59: Compounds I.A, wherein the combination of substituents R1, R2, X, D, B and the position of the group Y-Z in each case corresponds to one line B-1 to B-4200 in table B and wherein Z is phenyl and the combination of the meaning of Y and RL corresponds to line A-59 in Table A (compounds I.A.a59.b1 to I.A.a59.b4200).
Table 60: Compounds I.A, wherein the combination of substituents R1, R2, X, D, B and the position of the group Y-Z in each case corresponds to one line B-1 to B-4200 in table B and wherein Z is phenyl and the combination of the meaning of Y and RL corresponds to line A-60 in Table A (compounds I.A.a60.b1 to I.A.a60.b4200).
Table 61 : Compounds I.A, wherein the combination of substituents R1, R2, X, D,
B and the position of the group Y-Z in each case corresponds to one line B-1 to B-4200 in table B and wherein Z is phenyl and the combination of the meaning of Y and RL corresponds to line A-61 in Table A (compounds I.A.a61.b1 to I.A.a61.b4200).
Table 62: Compounds I.A, wherein the combination of substituents R1, R2, X, D, B and the position of the group Y-Z in each case corresponds to one line B-1 to B-4200 in table B and wherein Z is phenyl and the combination of the meaning of Y and RL corresponds to line A-62 in Table A (compounds I.A.a62.b1 to I.A.a62.b4200).
Table 63: Compounds I. A, wherein the combination of substituents R1, R2, X, D, B and the position of the group Y-Z in each case corresponds to one line B-1 to B-4200 in table B and wherein Z is phenyl and the combination of the meaning of Y and RL corresponds to line A-63 in Table A (compounds I.A.a63.b1 to I.A.a63.b4200).
Table 64: Compounds I. A, wherein the combination of substituents R1, R2, X, D,
B and the position of the group Y-Z in each case corresponds to one line B-1 to B-4200 in table B and wherein Z is phenyl and the combination of the meaning of Y and RL corresponds to line A-64 in Table A (compounds I.A.a64.b1 to I.A.a64.b4200).
Table 65: Compounds I. A, wherein the combination of substituents R1, R2, X, D, B and the position of the group Y-Z in each case corresponds to one line B-1 to B-4200 in table B and wherein Z is phenyl and the combination of the meaning of Y and RL corresponds to line A-65 in Table A (compounds I.A.a65.b1 to I.A.a65.b4200).
Table 66: Compounds I. A, wherein the combination of substituents R1, R2, X, D, B and the position of the group Y-Z in each case corresponds to one line B-1 to B-4200 in table B and wherein Z is phenyl and the combination of the meaning of Y and RL corresponds to line A-66 in Table A (compounds I.A.a66.b1 to I.A.a66.b4200).
Table 67: Compounds I. A, wherein the combination of substituents R1, R2, X, D, B and the position of the group Y-Z in each case corresponds to one line B-1 to B-4200 in table B and wherein Z is phenyl and the combination of the meaning of Y and RL corresponds to line A-67 in Table A (compounds I.A.a67.b1 to I.A.a67.b4200).
Table 68: Compounds I. A, wherein the combination of substituents R1, R2, X, D, B and the position of the group Y-Z in each case corresponds to one line B-1 to B-4200 in table B and wherein Z is phenyl and the combination of the meaning of Y and RL corresponds to line A-68 in Table A (compounds I.A.a68.b1 to I.A.a68.b4200).
Table 69: Compounds I. A, wherein the combination of substituents R1, R2, X, D,
B and the position of the group Y-Z in each case corresponds to one line B-1 to B-4200 in table B and wherein Z is phenyl and the combination of the meaning of Y and RL corresponds to line A-69 in Table A (compounds I.A.a69.b1 to I.A.a69.b4200).
Table 70: Compounds I. A, wherein the combination of substituents R1, R2, X, D, B and the position of the group Y-Z in each case corresponds to one line B-1 to B-4200 in table B and wherein Z is phenyl and the combination of the meaning of Y and RL corresponds to line A-70 in Table A (compounds I.A.a70.b1 to I.A.a70.b4200).
Table 71 : Compounds I.A, wherein the combination of substituents R1, R2, X, D, B and the position of the group Y-Z in each case corresponds to one line B-1 to B-4200 in table B and wherein Z is phenyl and the combination of the meaning of Y and RL corresponds to line A-71 in Table A (compounds I.A.a71 .b1 to I.A.a71 .b4200).
Table 72: Compounds I.A, wherein the combination of substituents R1, R2, X, D, B and the position of the group Y-Z in each case corresponds to one line B-1 to B-4200 in table B and wherein Z is phenyl and the combination of the meaning of Y and RL corresponds to line A-72 in Table A (compounds I.A.a72.b1 to I.A.a72.b4200).
Table 73: Compounds I.A, wherein the combination of substituents R1, R2, X, D, B and the position of the group Y-Z in each case corresponds to one line B-1 to B-4200
in table B and wherein Z is phenyl and the combination of the meaning of Y and RL corresponds to line A-73 in Table A (compounds I.A.a73.b1 to I.A.a73.b4200).
Table 74: Compounds I. A, wherein the combination of substituents R1, R2, X, D, B and the position of the group Y-Z in each case corresponds to one line B-1 to B-4200 in table B and wherein Z is phenyl and the combination of the meaning of Y and RL corresponds to line A-74 in Table A (compounds I.A.a74.b1 to I.A.a74.b4200).
Table 75: Compounds I. A, wherein the combination of substituents R1, R2, X, D, B and the position of the group Y-Z in each case corresponds to one line B-1 to B-4200 in table B and wherein Z is phenyl and the combination of the meaning of Y and RL corresponds to line A-75 in Table A (compounds I.A.a75.b1 to I.A.a75.b4200).
Table 76: Compounds I.A, wherein the combination of substituents R1, R2, X, D, B and the position of the group Y-Z in each case corresponds to one line B-1 to B-4200 in table B and wherein Z is phenyl and the combination of the meaning of Y and RL corresponds to line A-76 in Table A (compounds I.A.a76.b1 to I.A.a76.b4200).
Table 77: Compounds I.A, wherein the combination of substituents R1, R2, X, D,
B and the position of the group Y-Z in each case corresponds to one line B-1 to B-4200 in table B and wherein Z is phenyl and the combination of the meaning of Y and RL corresponds to line A-77 in Table A (compounds I.A.a77.b1 to I.A.a77.b4200).
Table 78: Compounds I.A, wherein the combination of substituents R1, R2, X, D, B and the position of the group Y-Z in each case corresponds to one line B-1 to B-4200 in table B and wherein Z is phenyl and the combination of the meaning of Y and RL corresponds to line A-78 in Table A (compounds I.A.a78.b1 to I.A.a78.b4200).
Table 79: Compounds I.A, wherein the combination of substituents R1, R2, X, D, B and the position of the group Y-Z in each case corresponds to one line B-1 to B-4200 in table B and wherein Z is phenyl and the combination of the meaning of Y and RL corresponds to line A-79 in Table A (compounds I.A.a79.b1 to I.A.a79.b4200).
Table 80: Compounds I.A, wherein the combination of substituents R1, R2, X, D, B and the position of the group Y-Z in each case corresponds to one line B-1 to B-4200 in table B and wherein Z is phenyl and the combination of the meaning of Y and RL corresponds to line A-80 in Table A (compounds I.A.a80.b1 to I.A.a80.b4200).
Table 81 : Compounds I.A, wherein the combination of substituents R1, R2, X, D, B and the position of the group Y-Z in each case corresponds to one line B-1 to B-4200 in table B and wherein Z is phenyl and the combination of the meaning of Y and RL corresponds to line A-81 in Table A (compounds I.A.a81 .b1 to I.A.a81 .b4200).
Table 82: Compounds I.A, wherein the combination of substituents R1, R2, X, D,
B and the position of the group Y-Z in each case corresponds to one line B-1 to B-4200 in table B and wherein Z is phenyl and the combination of the meaning of Y and RL corresponds to line A-82 in Table A (compounds I.A.a82.b1 to I.A.a82.b4200).
Table 83: Compounds I.A, wherein the combination of substituents R1, R2, X, D, B and the position of the group Y-Z in each case corresponds to one line B-1 to B-4200 in table B and wherein Z is phenyl and the combination of the meaning of Y and RL corresponds to line A-83 in Table A (compounds I.A.a83.b1 to I.A.a83.b4200).
Table 84: Compounds I. A, wherein the combination of substituents R1, R2, X, D, B and the position of the group Y-Z in each case corresponds to one line B-1 to B-4200 in table B and wherein Z is phenyl and the combination of the meaning of Y and RL corresponds to line A-84 in Table A (compounds I.A.a84.b1 to I.A.a84.b4200).
Table 85: Compounds I. A, wherein the combination of substituents R1, R2, X, D,
B and the position of the group Y-Z in each case corresponds to one line B-1 to B-4200 in table B and wherein Z is phenyl and the combination of the meaning of Y and RL corresponds to line A-85 in Table A (compounds I.A.a85.b1 to I.A.a85.b4200).
Table 86: Compounds I. A, wherein the combination of substituents R1, R2, X, D, B and the position of the group Y-Z in each case corresponds to one line B-1 to B-4200 in table B and wherein Z is phenyl and the combination of the meaning of Y and RL corresponds to line A-86 in Table A (compounds I.A.a86.b1 to I.A.a86.b4200).
Table 87: Compounds I.A, wherein the combination of substituents R1, R2, X, D, B and the position of the group Y-Z in each case corresponds to one line B-1 to B-4200 in table B and wherein Z is phenyl and the combination of the meaning of Y and RL corresponds to line A-87 in Table A (compounds I.A.a87.b1 to I.A.a87.b4200).
Table 88: Compounds I.A, wherein the combination of substituents R1, R2, X, D, B and the position of the group Y-Z in each case corresponds to one line B-1 to B-4200 in table B and wherein Z is phenyl and the combination of the meaning of Y and RL corresponds to line A-88 in Table A (compounds I.A.a88.b1 to I.A.a88.b4200).
Table 89: Compounds I.A, wherein the combination of substituents R1, R2, X, D, B and the position of the group Y-Z in each case corresponds to one line B-1 to B-4200 in table B and wherein Z is phenyl and the combination of the meaning of Y and RL corresponds to line A-89 in Table A (compounds I.A.a89.b1 to I.A.a89.b4200).
Table 90: Compounds I.A, wherein the combination of substituents R1, R2, X, D,
B and the position of the group Y-Z in each case corresponds to one line B-1 to B-4200 in table B and wherein Z is phenyl and the combination of the meaning of Y and RL corresponds to line A-90 in Table A (compounds I.A.a90.b1 to I.A.a90.b4200).
Table 91 : Compounds I.A, wherein the combination of substituents R1, R2, X, D, B and the position of the group Y-Z in each case corresponds to one line B-1 to B-4200 in table B and wherein Z is phenyl and the combination of the meaning of Y and RL corresponds to line A-91 in Table A (compounds I.A.a91.b1 to I.A.a91 .b4200).
Table 92: Compounds I.A, wherein the combination of substituents R1, R2, X, D, B and the position of the group Y-Z in each case corresponds to one line B-1 to B-4200 in table B and wherein Z is phenyl and the combination of the meaning of Y and RL corresponds to line A-92 in Table A (compounds I.A.a92.b1 to I.A.a92.b4200).
Table 93: Compounds I.A, wherein the combination of substituents R1, R2, X, D, B and the position of the group Y-Z in each case corresponds to one line B-1 to B-4200 in table B and wherein Z is phenyl and the combination of the meaning of Y and RL corresponds to line A-93 in Table A (compounds I.A.a93.b1 to I.A.a93.b4200).
Table 94: Compounds I.A, wherein the combination of substituents R1, R2, X, D, B and the position of the group Y-Z in each case corresponds to one line B-1 to B-4200
in table B and wherein Z is phenyl and the combination of the meaning of Y and RL corresponds to line A-94 in Table A (compounds I.A.a94.b1 to I.A.a94.b4200).
Table 95: Compounds I. A, wherein the combination of substituents R1, R2, X, D, B and the position of the group Y-Z in each case corresponds to one line B-1 to B-4200 in table B and wherein Z is phenyl and the combination of the meaning of Y and RL corresponds to line A-95 in Table A (compounds I.A.a95.b1 to I.A.a95.b4200).
Table 96: Compounds I. A, wherein the combination of substituents R1, R2, X, D, B and the position of the group Y-Z in each case corresponds to one line B-1 to B-4200 in table B and wherein Z is phenyl and the combination of the meaning of Y and RL corresponds to line A-96 in Table A (compounds I.A.a96.b1 to I.A.a96.b4200).
Table 97: Compounds I. A, wherein the combination of substituents R1, R2, X, D, B and the position of the group Y-Z in each case corresponds to one line B-1 to B-4200 in table B and wherein Z is phenyl and the combination of the meaning of Y and RL corresponds to line A-97 in Table A (compounds I.A.a97.b1 to I.A.a97.b4200).
Table 98: Compounds I. A, wherein the combination of substituents R1, R2, X, D,
B and the position of the group Y-Z in each case corresponds to one line B-1 to B-4200 in table B and wherein Z is phenyl and the combination of the meaning of Y and RL corresponds to line A-98 in Table A (compounds I.A.a98.b1 to I.A.a98.b4200).
Table 99: Compounds I. A, wherein the combination of substituents R1, R2, X, D, B and the position of the group Y-Z in each case corresponds to one line B-1 to B-4200 in table B and wherein Z is phenyl and the combination of the meaning of Y and RL corresponds to line A-99 in Table A (compounds I.A.a99.b1 to I.A.a99.b4200).
Table 100: Compounds I. A, wherein the combination of substituents R1, R2, X, D, B and the position of the group Y-Z in each case corresponds to one line B-1 to B-4200 in table B and wherein Z is phenyl and the combination of the meaning of Y and RL corresponds to line A-100 in Table A (compounds I.A.a100.b1 to I.A.a100.b4200).
Table 101 : Compounds I. A, wherein the combination of substituents R1, R2, X, D, B and the position of the group Y-Z in each case corresponds to one line of lines B-1 to B-4200 in table B and wherein the combination of the meaning of Y and Z corresponds to line Z-1 in Table Z (compounds I.A.zl .b1 to I.A.zl .b4200).
Table 102: Compounds I. A, wherein the combination of substituents R1, R2, X, D, B and the position of the group Y-Z in each case corresponds to one line of lines B-1 to B-4200 in table B and wherein the combination of the meaning of Y and Z corresponds to line Z-2 in Table Z (compounds I.A.z2.b1 to I.A.z2.b4200).
Table 103: Compounds I. A, wherein the combination of substituents R1, R2, X, D,
B and the position of the group Y-Z in each case corresponds to one line of lines B-1 to B-4200 in table B and wherein the combination of the meaning of Y and Z corresponds to line Z-3 in Table Z (compounds I.A.z3.b1 to I.A.z3.b4200).
Table 104: Compounds I. A, wherein the combination of substituents R1, R2, X, D, B and the position of the group Y-Z in each case corresponds to one line of lines B-1 to B-4200 in table B and wherein the combination of the meaning of Y and Z corresponds to line Z-4 in Table Z (compounds I.A.z4.b1 to I.A.z4.b4200).
Table 105: Compounds I. A, wherein the combination of substituents R1, R2, X, D, B and the position of the group Y-Z in each case corresponds to one line of lines B-1 to B-4200 in table B and wherein the combination of the meaning of Y and Z corresponds to line Z-5 in Table Z (compounds I.A.z5.b1 to I.A.z5.b4200).
Table 106: Compounds I. A, wherein the combination of substituents R1, R2, X, D,
B and the position of the group Y-Z in each case corresponds to one line of lines B-1 to B-4200 in table B and wherein the combination of the meaning of Y and Z corresponds to line Z-6 in Table Z (compounds I.A.z6.b1 to I.A.z6.b4200).
Table 107: Compounds I. A, wherein the combination of substituents R1, R2, X, D, B and the position of the group Y-Z in each case corresponds to one line of lines B-1 to B-4200 in table B and wherein the combination of the meaning of Y and Z corresponds to line Z-7 in Table Z (compounds I.A.z7.b1 to I.A.z7.b4200).
Table 108: Compounds I. A, wherein the combination of substituents R1, R2, X, D, B and the position of the group Y-Z in each case corresponds to one line of lines B-1 to B-4200 in table B and wherein the combination of the meaning of Y and Z corresponds to line Z-8 in Table Z (compounds I.A.z8.b1 to I.A.z8.b4200).
Table 109: Compounds I. A, wherein the combination of substituents R1, R2, X, D, B and the position of the group Y-Z in each case corresponds to one line of lines B-1 to B-4200 in table B and wherein the combination of the meaning of Y and Z corresponds to line Z-9 in Table Z (compounds I.A.z9.b1 to I.A.z9.b4200).
Table 1 10: Compounds I. A, wherein the combination of substituents R1, R2, X, D, B and the position of the group Y-Z in each case corresponds to one line of lines B-1 to B-4200 in table B and wherein the combination of the meaning of Y and Z corresponds to line Z-10 in Table Z (compounds I.A.z10.b1 to I.A.z10.b4200).
Table 1 1 1 : Compounds I. A, wherein the combination of substituents R1, R2, X, D,
B and the position of the group Y-Z in each case corresponds to one line of lines B-1 to B-4200 in table B and wherein the combination of the meaning of Y and Z corresponds to line Z-1 1 in Table Z (compounds I.A.zl 1 .b1 to I.A.zl 1 .b4200).
Table 1 12: Compounds I. A, wherein the combination of substituents R1, R2, X, D, B and the position of the group Y-Z in each case corresponds to one line of lines B-1 to B-4200 in table B and wherein the combination of the meaning of Y and Z corresponds to line Z-12 in Table Z (compounds I.A.z12.b1 to I.A.z12.b4200).
Table 1 13: Compounds I. A, wherein the combination of substituents R1, R2, X, D, B and the position of the group Y-Z in each case corresponds to one line of lines B-1 to B-4200 in table B and wherein the combination of the meaning of Y and Z corresponds to line Z-13 in Table Z (compounds I.A.z13.b1 to I.A.z13.b4200).
Table 1 14: Compounds I. A, wherein the combination of substituents R1, R2, X, D, B and the position of the group Y-Z in each case corresponds to one line of lines B-1 to B-4200 in table B and wherein the combination of the meaning of Y and Z corresponds to line Z-14 in Table Z (compounds I.A.z14.b1 to I.A.z14.b4200).
Table 1 15: Compounds I. A, wherein the combination of substituents R1, R2, X, D, B and the position of the group Y-Z in each case corresponds to one line of lines B-1 to
B-4200 in table B and wherein the combination of the meaning of Y and Z corresponds to line Z-15 in Table Z (compounds I.A.z15.b1 to I.A.z15.b4200).
Table 1 16: Compounds I. A, wherein the combination of substituents R1, R2, X, D, B and the position of the group Y-Z in each case corresponds to one line of lines B-1 to B-4200 in table B and wherein the combination of the meaning of Y and Z corresponds to line Z-16 in Table Z (compounds I.A.z16.b1 to I.A.z16.b4200).
Table 1 17: Compounds I. A, wherein the combination of substituents R1, R2, X, D, B and the position of the group Y-Z in each case corresponds to one line of lines B-1 to B-4200 in table B and wherein the combination of the meaning of Y and Z corresponds to line Z-17 in Table Z (compounds I.A.z17.b1 to I.A.z17.b4200).
Table 1 18: Compounds I. A, wherein the combination of substituents R1, R2, X, D, B and the position of the group Y-Z in each case corresponds to one line of lines B-1 to B-4200 in table B and wherein the combination of the meaning of Y and Z corresponds to line Z-18 in Table Z (compounds I.A.z18.b1 to I.A.z18.b4200).
Table 1 19: Compounds I. A, wherein the combination of substituents R1, R2, X, D,
B and the position of the group Y-Z in each case corresponds to one line of lines B-1 to B-4200 in table B and wherein the combination of the meaning of Y and Z corresponds to line Z-19 in Table Z (compounds I.A.z19.b1 to I.A.z19.b4200).
Table 120: Compounds I. A, wherein the combination of substituents R1, R2, X, D, B and the position of the group Y-Z in each case corresponds to one line of lines B-1 to B-4200 in table B and wherein the combination of the meaning of Y and Z corresponds to line Z-20 in Table Z (compounds I.A.z20.b1 to I.A.z20.b4200).
Table 121 : Compounds I. A, wherein the combination of substituents R1, R2, X, D, B and the position of the group Y-Z in each case corresponds to one line of lines B-1 to B-4200 in table B and wherein the combination of the meaning of Y and Z corresponds to line Z-21 in Table Z (compounds I.A.z21 .b1 to I.A.z21 .b4200).
Table 122: Compounds I. A, wherein the combination of substituents R1, R2, X, D, B and the position of the group Y-Z in each case corresponds to one line of lines B-1 to B-4200 in table B and wherein the combination of the meaning of Y and Z corresponds to line Z-22 in Table Z (compounds I.A.z22.b1 to I.A.z22.b4200).
Table 123: Compounds I. A, wherein the combination of substituents R1, R2, X, D, B and the position of the group Y-Z in each case corresponds to one line of lines B-1 to B-4200 in table B and wherein the combination of the meaning of Y and Z corresponds to line Z-23 in Table Z (compounds I.A.z23.b1 to I.A.z23.b4200).
Table 124: Compounds I. A, wherein the combination of substituents R1, R2, X, D,
B and the position of the group Y-Z in each case corresponds to one line of lines B-1 to B-4200 in table B and wherein the combination of the meaning of Y and Z corresponds to line Z-24 in Table Z (compounds I.A.z24.b1 to I.A.z24.b4200).
Table 125: Compounds I. A, wherein the combination of substituents R1, R2, X, D, B and the position of the group Y-Z in each case corresponds to one line of lines B-1 to B-4200 in table B and wherein the combination of the meaning of Y and Z corresponds to line Z-25 in Table Z (compounds I.A.z25.b1 to I.A.z25.b4200).
Table 126: Compounds I. A, wherein the combination of substituents R1, R2, X, D, B and the position of the group Y-Z in each case corresponds to one line of lines B-1 to B-4200 in table B and wherein the combination of the meaning of Y and Z corresponds to line Z-26 in Table Z (compounds I.A.z26.b1 to I.A.z26.b4200).
Table 127: Compounds I. A, wherein the combination of substituents R1, R2, X, D,
B and the position of the group Y-Z in each case corresponds to one line of lines B-1 to B-4200 in table B and wherein the combination of the meaning of Y and Z corresponds to line Z-27 in Table Z (compounds I.A.z27.b1 to I.A.z27.b4200).
Table 128: Compounds I. A, wherein the combination of substituents R1, R2, X, D, B and the position of the group Y-Z in each case corresponds to one line of lines B-1 to B-4200 in table B and wherein the combination of the meaning of Y and Z corresponds to line Z-28 in Table Z (compounds I.A.z28.b1 to I.A.z28.b4200).
Table 129: Compounds I. A, wherein the combination of substituents R1, R2, X, D, B and the position of the group Y-Z in each case corresponds to one line of lines B-1 to B-4200 in table B and wherein the combination of the meaning of Y and Z corresponds to line Z-29 in Table Z (compounds I.A.z29.b1 to I.A.z29.b4200).
Table 130: Compounds I. A, wherein the combination of substituents R1, R2, X, D, B and the position of the group Y-Z in each case corresponds to one line of lines B-1 to B-4200 in table B and wherein the combination of the meaning of Y and Z corresponds to line Z-30 in Table Z (compounds I.A.z30.b1 to I.A.z30.b4200).
Table 131 : Compounds I. A, wherein the combination of substituents R1, R2, X, D, B and the position of the group Y-Z in each case corresponds to one line of lines B-1 to B-4200 in table B and wherein the combination of the meaning of Y and Z corresponds to line Z-31 in Table Z (compounds I.A.z31 .b1 to I.A.z31 .b4200).
Table 132: Compounds I. A, wherein the combination of substituents R1, R2, X, D,
B and the position of the group Y-Z in each case corresponds to one line of lines B-1 to B-4200 in table B and wherein the combination of the meaning of Y and Z corresponds to line Z-32 in Table Z (compounds I.A.z32.b1 to I.A.z32.b4200).
Table 133: Compounds I. A, wherein the combination of substituents R1, R2, X, D, B and the position of the group Y-Z in each case corresponds to one line of lines B-1 to B-4200 in table B and wherein the combination of the meaning of Y and Z corresponds to line Z-33 in Table Z (compounds I.A.z33.b1 to I.A.z33.b4200).
Table 134: Compounds I. A, wherein the combination of substituents R1, R2, X, D, B and the position of the group Y-Z in each case corresponds to one line of lines B-1 to B-4200 in table B and wherein the combination of the meaning of Y and Z corresponds to line Z-34 in Table Z (compounds I.A.z34.b1 to I.A.z34.b4200).
Table 135: Compounds I. A, wherein the combination of substituents R1, R2, X, D, B and the position of the group Y-Z in each case corresponds to one line of lines B-1 to B-4200 in table B and wherein the combination of the meaning of Y and Z corresponds to line Z-35 in Table Z (compounds I.A.z35.b1 to I.A.z35.b4200).
Table 136: Compounds I.A, wherein the combination of substituents R1, R2, X, D, B and the position of the group Y-Z in each case corresponds to one line of lines B-1 to
B-4200 in table B and wherein the combination of the meaning of Y and Z corresponds to line Z-36 in Table Z (compounds I.A.z36.b1 to I.A.z36.b4200).
Table 137: Compounds I. A, wherein the combination of substituents R1, R2, X, D, B and the position of the group Y-Z in each case corresponds to one line of lines B-1 to B-4200 in table B and wherein the combination of the meaning of Y and Z corresponds to line Z-37 in Table Z (compounds I.A.z37.b1 to I.A.z37.b4200).
Table 138: Compounds I. A, wherein the combination of substituents R1, R2, X, D, B and the position of the group Y-Z in each case corresponds to one line of lines B-1 to B-4200 in table B and wherein the combination of the meaning of Y and Z corresponds to line Z-38 in Table Z (compounds I.A.z38.b1 to I.A.z38.b4200).
Table 139: Compounds I. A, wherein the combination of substituents R1, R2, X, D, B and the position of the group Y-Z in each case corresponds to one line of lines B-1 to B-4200 in table B and wherein the combination of the meaning of Y and Z corresponds to line Z-39 in Table Z (compounds I.A.z39.b1 to I.A.z39.b4200).
Table 140: Compounds I .A, wherein the combination of substituents R1, R2, X, D,
B and the position of the group Y-Z in each case corresponds to one line of lines B-1 to B-4200 in table B and wherein the combination of the meaning of Y and Z corresponds to line Z-40 in Table Z (compounds I.A.z40.b1 to I.A.z40.b4200).
Table 141 : Compounds I. A, wherein the combination of substituents R1, R2, X, D, B and the position of the group Y-Z in each case corresponds to one line of lines B-1 to B-4200 in table B and wherein the combination of the meaning of Y and Z corresponds to line Z-41 in Table Z (compounds I.A.z41 .b1 to I.A.z41 .b4200).
Table 142: Compounds I. A, wherein the combination of substituents R1, R2, X, D, B and the position of the group Y-Z in each case corresponds to one line of lines B-1 to B-4200 in table B and wherein the combination of the meaning of Y and Z corresponds to line Z-42 in Table Z (compounds I.A.z42.b1 to I.A.z42.b4200).
Table 143: Compounds I. A, wherein the combination of substituents R1, R2, X, D, B and the position of the group Y-Z in each case corresponds to one line of lines B-1 to B-4200 in table B and wherein the combination of the meaning of Y and Z corresponds to line Z-43 in Table Z (compounds I.A.z43.b1 to I.A.z43.b4200).
Table 144: Compounds I. A, wherein the combination of substituents R1, R2, X, D, B and the position of the group Y-Z in each case corresponds to one line of lines B-1 to B-4200 in table B and wherein the combination of the meaning of Y and Z corresponds to line Z-44 in Table Z (compounds I.A.z44.b1 to I.A.z44.b4200).
Table 145: Compounds I. A, wherein the combination of substituents R1, R2, X, D,
B and the position of the group Y-Z in each case corresponds to one line of lines B-1 to B-4200 in table B and wherein the combination of the meaning of Y and Z corresponds to line Z-45 in Table Z (compounds I.A.z45.b1 to I.A.z45.b4200).
Table 146: Compounds I. A, wherein the combination of substituents R1, R2, X, D, B and the position of the group Y-Z in each case corresponds to one line of lines B-1 to B-4200 in table B and wherein the combination of the meaning of Y and Z corresponds to line Z-46 in Table Z (compounds I.A.z46.b1 to I.A.z46.b4200).
Table 147: Compounds I. A, wherein the combination of substituents R1, R2, X, D, B and the position of the group Y-Z in each case corresponds to one line of lines B-1 to B-4200 in table B and wherein the combination of the meaning of Y and Z corresponds to line Z-47 in Table Z (compounds I.A.z47.b1 to I.A.z47.b4200).
Table 148: Compounds I. A, wherein the combination of substituents R1, R2, X, D,
B and the position of the group Y-Z in each case corresponds to one line of lines B-1 to B-4200 in table B and wherein the combination of the meaning of Y and Z corresponds to line Z-48 in Table Z (compounds I.A.z48.b1 to I.A.z48.b4200).
Table 149: Compounds I. A, wherein the combination of substituents R1, R2, X, D, B and the position of the group Y-Z in each case corresponds to one line of lines B-1 to B-4200 in table B and wherein the combination of the meaning of Y and Z corresponds to line Z-49 in Table Z (compounds I.A.z49.b1 to I.A.z49.b4200).
Table 150: Compounds I. A, wherein the combination of substituents R1, R2, X, D, B and the position of the group Y-Z in each case corresponds to one line of lines B-1 to B-4200 in table B and wherein the combination of the meaning of Y and Z corresponds to line Z-50 in Table Z (compounds I.A.z50.b1 to I.A.z50.b4200).
Table 151 : Compounds I. A, wherein the combination of substituents R1, R2, X, D, B and the position of the group Y-Z in each case corresponds to one line of lines B-1 to B-4200 in table B and wherein the combination of the meaning of Y and Z corresponds to line Z-51 in Table Z (compounds I.A.z51 .b1 to I.A.z51 .b4200).
Table 152: Compounds I.A, wherein the combination of substituents R1, R2, X, D, B and the position of the group Y-Z in each case corresponds to one line of lines B-1 to B-4200 in table B and wherein the combination of the meaning of Y and Z corresponds to line Z-52 in Table Z (compounds I.A.z52.b1 to I.A.z52.b4200).
Table 153: Compounds I.A, wherein the combination of substituents R1, R2, X, D,
B and the position of the group Y-Z in each case corresponds to one line of lines B-1 to B-4200 in table B and wherein the combination of the meaning of Y and Z corresponds to line Z-53 in Table Z (compounds I.A.z53.b1 to I.A.z53.b4200).
Table 154: Compounds I.A, wherein the combination of substituents R1, R2, X, D, B and the position of the group Y-Z in each case corresponds to one line of lines B-1 to B-4200 in table B and wherein the combination of the meaning of Y and Z corresponds to line Z-54 in Table Z (compounds I.A.z54.b1 to I.A.z54.b4200).
Table 155: Compounds I.A, wherein the combination of substituents R1, R2, X, D, B and the position of the group Y-Z in each case corresponds to one line of lines B-1 to B-4200 in table B and wherein the combination of the meaning of Y and Z corresponds to line Z-55 in Table Z (compounds I.A.z55.b1 to I.A.z55.b4200).
Table 156: Compounds I.A, wherein the combination of substituents R1, R2, X, D, B and the position of the group Y-Z in each case corresponds to one line of lines B-1 to B-4200 in table B and wherein the combination of the meaning of Y and Z corresponds to line Z-56 in Table Z (compounds I.A.z56.b1 to I.A.z56.b4200).
Table 157: Compounds I.A, wherein the combination of substituents R1, R2, X, D, B and the position of the group Y-Z in each case corresponds to one line of lines B-1 to
B-4200 in table B and wherein the combination of the meaning of Y and Z corresponds to line Z-57 in Table Z (compounds I.A.z57.b1 to I.A.z57.b4200).
Table 158: Compounds I. A, wherein the combination of substituents R1, R2, X, D, B and the position of the group Y-Z in each case corresponds to one line of lines B-1 to B-4200 in table B and wherein the combination of the meaning of Y and Z corresponds to line Z-58 in Table Z (compounds I.A.z58.b1 to I.A.z58.b4200).
Table 159: Compounds I. A, wherein the combination of substituents R1, R2, X, D, B and the position of the group Y-Z in each case corresponds to one line of lines B-1 to B-4200 in table B and wherein the combination of the meaning of Y and Z corresponds to line Z-59 in Table Z (compounds I.A.z59.b1 to I.A.z59.b4200).
Table 160: Compounds I. A, wherein the combination of substituents R1, R2, X, D, B and the position of the group Y-Z in each case corresponds to one line of lines B-1 to B-4200 in table B and wherein the combination of the meaning of Y and Z corresponds to line Z-60 in Table Z (compounds I.A.z60.b1 to I.A.z60.b4200).
Table 161 : Compounds I. A, wherein the combination of substituents R1, R2, X, D,
B and the position of the group Y-Z in each case corresponds to one line of lines B-1 to B-4200 in table B and wherein the combination of the meaning of Y and Z corresponds to line Z-61 in Table Z (compounds I.A.z61 .b1 to I.A.z61 .b4200).
Table 162: Compounds I. A, wherein the combination of substituents R1, R2, X, D, B and the position of the group Y-Z in each case corresponds to one line of lines B-1 to B-4200 in table B and wherein the combination of the meaning of Y and Z corresponds to line Z-62 in Table Z (compounds I.A.z62.b1 to I.A.z62.b4200).
Table 163: Compounds I. A, wherein the combination of substituents R1, R2, X, D, B and the position of the group Y-Z in each case corresponds to one line of lines B-1 to B-4200 in table B and wherein the combination of the meaning of Y and Z corresponds to line Z-63 in Table Z (compounds I.A.z63.b1 to I.A.z63.b4200).
Table 164: Compounds I. A, wherein the combination of substituents R1, R2, X, D, B and the position of the group Y-Z in each case corresponds to one line of lines B-1 to B-4200 in table B and wherein the combination of the meaning of Y and Z corresponds to line Z-64 in Table Z (compounds I.A.z64.b1 to I.A.z64.b4200).
Table 165: Compounds I. A, wherein the combination of substituents R1, R2, X, D, B and the position of the group Y-Z in each case corresponds to one line of lines B-1 to B-4200 in table B and wherein the combination of the meaning of Y and Z corresponds to line Z-65 in Table Z (compounds I.A.z65.b1 to I.A.z65.b4200).
Table 166: Compounds I. A, wherein the combination of substituents R1, R2, X, D,
B and the position of the group Y-Z in each case corresponds to one line of lines B-1 to B-4200 in table B and wherein the combination of the meaning of Y and Z corresponds to line Z-66 in Table Z (compounds I.A.z66.b1 to I.A.z66.b4200).
Table 167: Compounds I. A, wherein the combination of substituents R1, R2, X, D, B and the position of the group Y-Z in each case corresponds to one line of lines B-1 to B-4200 in table B and wherein the combination of the meaning of Y and Z corresponds to line Z-67 in Table Z (compounds I.A.z67.b1 to I.A.z67.b4200).
Table 168: Compounds I. A, wherein the combination of substituents R1, R2, X, D, B and the position of the group Y-Z in each case corresponds to one line of lines B-1 to B-4200 in table B and wherein the combination of the meaning of Y and Z corresponds to line Z-68 in Table Z (compounds I.A.z68.b1 to I.A.z68.b4200).
Table 169: Compounds I. A, wherein the combination of substituents R1, R2, X, D,
B and the position of the group Y-Z in each case corresponds to one line of lines B-1 to B-4200 in table B and wherein the combination of the meaning of Y and Z corresponds to line Z-69 in Table Z (compounds I.A.z69.b1 to I.A.z69.b4200).
Table 170: Compounds I. A, wherein the combination of substituents R1, R2, X, D, B and the position of the group Y-Z in each case corresponds to one line of lines B-1 to B-4200 in table B and wherein the combination of the meaning of Y and Z corresponds to line Z-70 in Table Z (compounds I.A.z70.b1 to I.A.z70.b4200).
Table 171 : Compounds I. A, wherein the combination of substituents R1, R2, X, D, B and the position of the group Y-Z in each case corresponds to one line of lines B-1 to B-4200 in table B and wherein the combination of the meaning of Y and Z corresponds to line Z-71 in Table Z (compounds I.A.z71 .b1 to I.A.z71 .b4200).
Table 172: Compounds I. A, wherein the combination of substituents R1, R2, X, D, B and the position of the group Y-Z in each case corresponds to one line of lines B-1 to B-4200 in table B and wherein the combination of the meaning of Y and Z corresponds to line Z-72 in Table Z (compounds I.A.z72.b1 to I.A.z72.b4200).
Table 173: Compounds I.A, wherein the combination of substituents R1, R2, X, D, B and the position of the group Y-Z in each case corresponds to one line of lines B-1 to B-4200 in table B and wherein the combination of the meaning of Y and Z corresponds to line Z-73 in Table Z (compounds I.A.z73.b1 to I.A.z73.b4200).
Table 174: Compounds I.A, wherein the combination of substituents R1, R2, X, D,
B and the position of the group Y-Z in each case corresponds to one line of lines B-1 to B-4200 in table B and wherein the combination of the meaning of Y and Z corresponds to line Z-74 in Table Z (compounds I.A.z74.b1 to I.A.z74.b4200).
Table 175: Compounds I.A, wherein the combination of substituents R1, R2, X, D, B and the position of the group Y-Z in each case corresponds to one line of lines B-1 to B-4200 in table B and wherein the combination of the meaning of Y and Z corresponds to line Z-75 in Table Z (compounds I.A.z75.b1 to I.A.z75.b4200).
Table 176: Compounds I.A, wherein the combination of substituents R1, R2, X, D, B and the position of the group Y-Z in each case corresponds to one line of lines B-1 to B-4200 in table B and wherein the combination of the meaning of Y and Z corresponds to line Z-76 in Table Z (compounds I.A.z76.b1 to I.A.z76.b4200).
Table 177: Compounds I.A, wherein the combination of substituents R1, R2, X, D, B and the position of the group Y-Z in each case corresponds to one line of lines B-1 to B-4200 in table B and wherein the combination of the meaning of Y and Z corresponds to line Z-77 in Table Z (compounds I.A.z77.b1 to I.A.z77.b4200).
Table 178: Compounds I.A, wherein the combination of substituents R1, R2, X, D, B and the position of the group Y-Z in each case corresponds to one line of lines B-1 to
B-4200 in table B and wherein the combination of the meaning of Y and Z corresponds to line Z-78 in Table Z (compounds I.A.z78.b1 to I.A.z78.b4200).
Table 179: Compounds I. A, wherein the combination of substituents R1, R2, X, D, B and the position of the group Y-Z in each case corresponds to one line of lines B-1 to B-4200 in table B and wherein the combination of the meaning of Y and Z corresponds to line Z-79 in Table Z (compounds I.A.z79.b1 to I.A.z79.b4200).
Table 180: Compounds I. A, wherein the combination of substituents R1, R2, X, D, B and the position of the group Y-Z in each case corresponds to one line of lines B-1 to B-4200 in table B and wherein the combination of the meaning of Y and Z corresponds to line Z-80 in Table Z (compounds I.A.z80.b1 to I.A.z80.b4200).
Table 181 : Compounds I. A, wherein the combination of substituents R1, R2, X, D, B and the position of the group Y-Z in each case corresponds to one line of lines B-1 to B-4200 in table B and wherein the combination of the meaning of Y and Z corresponds to line Z-81 in Table Z (compounds I.A.z81 .b1 to I.A.z81 .b4200).
Table 182: Compounds I. A, wherein the combination of substituents R1, R2, X, D,
B and the position of the group Y-Z in each case corresponds to one line of lines B-1 to B-4200 in table B and wherein the combination of the meaning of Y and Z corresponds to line Z-82 in Table Z (compounds I.A.z82.b1 to I.A.z82.b4200).
Table 183: Compounds I. A, wherein the combination of substituents R1, R2, X, D, B and the position of the group Y-Z in each case corresponds to one line of lines B-1 to B-4200 in table B and wherein the combination of the meaning of Y and Z corresponds to line Z-83 in Table Z (compounds I.A.z83.b1 to I.A.z83.b4200).
Table 184: Compounds I. A, wherein the combination of substituents R1, R2, X, D, B and the position of the group Y-Z in each case corresponds to one line of lines B-1 to B-4200 in table B and wherein the combination of the meaning of Y and Z corresponds to line Z-84 in Table Z (compounds I.A.z84.b1 to I.A.z84.b4200).
Table 185: Compounds I.A, wherein the combination of substituents R1, R2, X, D, B and the position of the group Y-Z in each case corresponds to one line of lines B-1 to B-4200 in table B and wherein the combination of the meaning of Y and Z corresponds to line Z-85 in Table Z (compounds I.A.z85.b1 to I.A.z85.b4200).
Table 186: Compounds I.A, wherein the combination of substituents R1, R2, X, D, B and the position of the group Y-Z in each case corresponds to one line of lines B-1 to B-4200 in table B and wherein the combination of the meaning of Y and Z corresponds to line Z-86 in Table Z (compounds I.A.z86.b1 to I.A.z86.b4200).
Table 187: Compounds I.A, wherein the combination of substituents R1, R2, X, D,
B and the position of the group Y-Z in each case corresponds to one line of lines B-1 to B-4200 in table B and wherein the combination of the meaning of Y and Z corresponds to line Z-87 in Table Z (compounds I.A.z87.b1 to I.A.z87.b4200).
Table 188: Compounds I.A, wherein the combination of substituents R1, R2, X, D, B and the position of the group Y-Z in each case corresponds to one line of lines B-1 to B-4200 in table B and wherein the combination of the meaning of Y and Z corresponds to line Z-88 in Table Z (compounds I.A.z88.b1 to I.A.z88.b4200).
Table 189: Compounds I. A, wherein the combination of substituents R1, R2, X, D, B and the position of the group Y-Z in each case corresponds to one line of lines B-1 to B-4200 in table B and wherein the combination of the meaning of Y and Z corresponds to line Z-89 in Table Z (compounds I.A.z89.b1 to I.A.z89.b4200).
Table 190: Compounds I. A, wherein the combination of substituents R1, R2, X, D,
B and the position of the group Y-Z in each case corresponds to one line of lines B-1 to B-4200 in table B and wherein the combination of the meaning of Y and Z corresponds to line Z-90 in Table Z (compounds I.A.z90.b1 to I.A.z90.b4200).
Table 191 : Compounds I. A, wherein the combination of substituents R1, R2, X, D, B and the position of the group Y-Z in each case corresponds to one line of lines B-1 to B-4200 in table B and wherein the combination of the meaning of Y and Z corresponds to line Z-91 in Table Z (compounds I.A.z91 .b1 to I.A.z91 .b4200).
Table 192: Compounds I. A, wherein the combination of substituents R1, R2, X, D, B and the position of the group Y-Z in each case corresponds to one line of lines B-1 to B-4200 in table B and wherein the combination of the meaning of Y and Z corresponds to line Z-92 in Table Z (compounds I.A.z92.b1 to I.A.z92.b4200).
Table 193: Compounds I. A, wherein the combination of substituents R1, R2, X, D, B and the position of the group Y-Z in each case corresponds to one line of lines B-1 to B-4200 in table B and wherein the combination of the meaning of Y and Z corresponds to line Z-93 in Table Z (compounds I.A.z93.b1 to I.A.z93.b4200).
Table 194: Compounds I. A, wherein the combination of substituents R1, R2, X, D, B and the position of the group Y-Z in each case corresponds to one line of lines B-1 to B-4200 in table B and wherein the combination of the meaning of Y and Z corresponds to line Z-94 in Table Z (compounds I.A.z94.b1 to I.A.z94.b4200).
Table 195: Compounds I. A, wherein the combination of substituents R1, R2, X, D,
B and the position of the group Y-Z in each case corresponds to one line of lines B-1 to B-4200 in table B and wherein the combination of the meaning of Y and Z corresponds to line Z-95 in Table Z (compounds I.A.z95.b1 to I.A.z95.b4200).
Table 196: Compounds I. A, wherein the combination of substituents R1, R2, X, D, B and the position of the group Y-Z in each case corresponds to one line of lines B-1 to B-4200 in table B and wherein the combination of the meaning of Y and Z corresponds to line Z-96 in Table Z (compounds I.A.z96.b1 to I.A.z96.b4200).
Table 197: Compounds I. A, wherein the combination of substituents R1, R2, X, D, B and the position of the group Y-Z in each case corresponds to one line of lines B-1 to B-4200 in table B and wherein the combination of the meaning of Y and Z corresponds to line Z-97 in Table Z (compounds I.A.z97.b1 to I.A.z97.b4200).
Table 198: Compounds I. A, wherein the combination of substituents R1, R2, X, D, B and the position of the group Y-Z in each case corresponds to one line of lines B-1 to B-4200 in table B and wherein the combination of the meaning of Y and Z corresponds to line Z-98 in Table Z (compounds I.A.z98.b1 to I.A.z98.b4200).
Table 199: Compounds I. A, wherein the combination of substituents R1, R2, X, D, B and the position of the group Y-Z in each case corresponds to one line of lines B-1 to
B-4200 in table B and wherein the combination of the meaning of Y and Z corresponds to line Z-99 in Table Z (compounds I.A.z99.b1 to I.A.z99.b4200).
Table 200: Compounds I. A, wherein the combination of substituents R1, R2, X, D, B and the position of the group Y-Z in each case corresponds to one line of lines B-1 to B-4200 in table B and wherein the combination of the meaning of Y and Z corresponds to line Z-100 in Table Z (compounds I.A.z100.b1 to I.A.z100.b4200).
Table 201 : Compounds I. A, wherein the combination of substituents R1, R2, X, D, B and the position of the group Y-Z in each case corresponds to one line of lines B-1 to B-4200 in table B and wherein the combination of the meaning of Y and Z corresponds to line Z-101 in Table Z (compounds I.A.z101.b1 to I.A.z101 .b4200).
Table 202: Compounds I. A, wherein the combination of substituents R1, R2, X, D, B and the position of the group Y-Z in each case corresponds to one line of lines B-1 to B-4200 in table B and wherein the combination of the meaning of Y and Z corresponds to line Z-102 in Table Z (compounds I.A.z102.b1 to I.A.z102.b4200).
Table 203: Compounds I. A, wherein the combination of substituents R1, R2, X, D,
B and the position of the group Y-Z in each case corresponds to one line of lines B-1 to B-4200 in table B and wherein the combination of the meaning of Y and Z corresponds to line Z-103 in Table Z (compounds I.A.z103.b1 to I.A.z103.b4200).
Table 204: Compounds I. A, wherein the combination of substituents R1, R2, X, D, B and the position of the group Y-Z in each case corresponds to one line of lines B-1 to B-4200 in table B and wherein the combination of the meaning of Y and Z corresponds to line Z-104 in Table Z (compounds I.A.z104.b1 to I.A.z104.b4200).
Table 205: Compounds I. A, wherein the combination of substituents R1, R2, X, D, B and the position of the group Y-Z in each case corresponds to one line of lines B-1 to B-4200 in table B and wherein the combination of the meaning of Y and Z corresponds to line Z-105 in Table Z (compounds I.A.z105.b1 to I.A.z105.b4200).
Table 206: Compounds I. A, wherein the combination of substituents R1, R2, X, D, B and the position of the group Y-Z in each case corresponds to one line of lines B-1 to B-4200 in table B and wherein the combination of the meaning of Y and Z corresponds to line Z-106 in Table Z (compounds I.A.z106.b1 to I.A.z106.b4200).
Table 207: Compounds I. A, wherein the combination of substituents R1, R2, X, D, B and the position of the group Y-Z in each case corresponds to one line of lines B-1 to B-4200 in table B and wherein the combination of the meaning of Y and Z corresponds to line Z-107 in Table Z (compounds I.A.z107.b1 to I.A.z107.b4200).
Table 208: Compounds I. A, wherein the combination of substituents R1, R2, X, D,
B and the position of the group Y-Z in each case corresponds to one line of lines B-1 to B-4200 in table B and wherein the combination of the meaning of Y and Z corresponds to line Z-108 in Table Z (compounds I.A.z108.b1 to I.A.z108.b4200).
Table 209: Compounds I .A, wherein the combination of substituents R1, R2, X, D, B and the position of the group Y-Z in each case corresponds to one line of lines B-1 to B-4200 in table B and wherein the combination of the meaning of Y and Z corresponds to line Z-109 in Table Z (compounds I.A.z109.b1 to I.A.z109.b4200).
Table 210: Compounds I .A, wherein the combination of substituents R1, R2, X, D, B and the position of the group Y-Z in each case corresponds to one line of lines B-1 to B-4200 in table B and wherein the combination of the meaning of Y and Z corresponds to line Z-1 10 in Table Z (compounds I.A.zl 10. b1 to I.A.zl 10.b4200).
Table 21 1 : Compounds I.A, wherein the combination of substituents R1, R2, X, D,
B and the position of the group Y-Z in each case corresponds to one line of lines B-1 to B-4200 in table B and wherein the combination of the meaning of Y and Z corresponds to line Z-1 1 1 in Table Z (compounds I.A.zl 1 1.b1 to I.A.zl 1 1 .b4200).
Table 212: Compounds I.A, wherein the combination of substituents R1, R2, X, D, B and the position of the group Y-Z in each case corresponds to one line of lines B-1 to B-4200 in table B and wherein the combination of the meaning of Y and Z corresponds to line Z-1 12 in Table Z (compounds I.A.zl 12.b1 to I.A.zl 12.b4200).
Table 213: Compounds I.A, wherein the combination of substituents R1, R2, X, D, B and the position of the group Y-Z in each case corresponds to one line of lines B-1 to B-4200 in table B and wherein the combination of the meaning of Y and Z corresponds to line Z-1 13 in Table Z (compounds I.A.zl 13. b1 to I.A.zl 13.b4200).
Table 214: Compounds I.A, wherein the combination of substituents R1, R2, X, D, B and the position of the group Y-Z in each case corresponds to one line of lines B-1 to B-4200 in table B and wherein the combination of the meaning of Y and Z corresponds to line Z-1 14 in Table Z (compounds I.A.zl 14.b1 to I.A.zl 14.b4200).
Table 215: Compounds I.A, wherein the combination of substituents R1, R2, X, D, B and the position of the group Y-Z in each case corresponds to one line of lines B-1 to B-4200 in table B and wherein the combination of the meaning of Y and Z corresponds to line Z-1 15 in Table Z (compounds I.A.zl 15.b1 to I.A.zl 15.b4200).
Table 216: Compounds I.A, wherein the combination of substituents R1, R2, X, D,
B and the position of the group Y-Z in each case corresponds to one line of lines B-1 to B-4200 in table B and wherein the combination of the meaning of Y and Z corresponds to line Z-1 16 in Table Z (compounds I.A.zl 16.b1 to I.A.zl 16. b4200).
Table 217: Compounds I.A, wherein the combination of substituents R1, R2, X, D, B and the position of the group Y-Z in each case corresponds to one line of lines B-1 to B-4200 in table B and wherein the combination of the meaning of Y and Z corresponds to line Z-1 17 in Table Z (compounds I.A.zl 17.b1 to I.A.zl 17.b4200).
Table 218: Compounds I.A, wherein the combination of substituents R1, R2, X, D, B and the position of the group Y-Z in each case corresponds to one line of lines B-1 to B-4200 in table B and wherein the combination of the meaning of Y and Z corresponds to line Z-1 18 in Table Z (compounds I.A.zl 18.b1 to I.A.zl 18. b4200).
Table 219: Compounds I.A, wherein the combination of substituents R1, R2, X, D, B and the position of the group Y-Z in each case corresponds to one line of lines B-1 to B-4200 in table B and wherein the combination of the meaning of Y and Z corresponds to line Z-1 19 in Table Z (compounds I.A.zl 19.b1 to I.A.zl 19.b4200).
Table 220: Compounds I.A, wherein the combination of substituents R1, R2, X, D, B and the position of the group Y-Z in each case corresponds to one line of lines B-1 to
B-4200 in table B and wherein the combination of the meaning of Y and Z corresponds to line Z-120 in Table Z (compounds I.A.z120.b1 to I.A.z120.b4200).
Table 221 : Compounds I. A, wherein the combination of substituents R1, R2, X, D, B and the position of the group Y-Z in each case corresponds to one line of lines B-1 to B-4200 in table B and wherein the combination of the meaning of Y and Z corresponds to line Z-121 in Table Z (compounds I.A.zl 21 .b1 to I.A.z121.b4200).
Table 222: Compounds I. A, wherein the combination of substituents R1, R2, X, D, B and the position of the group Y-Z in each case corresponds to one line of lines B-1 to B-4200 in table B and wherein the combination of the meaning of Y and Z corresponds to line Z-122 in Table Z (compounds I.A.z122.b1 to I.A.z122.b4200).
Table 223: Compounds I. A, wherein the combination of substituents R1, R2, X, D, B and the position of the group Y-Z in each case corresponds to one line of lines B-1 to B-4200 in table B and wherein the combination of the meaning of Y and Z corresponds to line Z-123 in Table Z (compounds I.A.z123.b1 to I.A.z123.b4200).
Table 224: Compounds I. A, wherein the combination of substituents R1, R2, X, D,
B and the position of the group Y-Z in each case corresponds to one line of lines B-1 to B-4200 in table B and wherein the combination of the meaning of Y and Z corresponds to line Z-124 in Table Z (compounds I.A.z124.b1 to I.A.z124.b4200).
Table 225: Compounds I. A, wherein the combination of substituents R1, R2, X, D, B and the position of the group Y-Z in each case corresponds to one line of lines B-1 to B-4200 in table B and wherein the combination of the meaning of Y and Z corresponds to line Z-125 in Table Z (compounds I.A.z125.b1 to I.A.z125.b4200).
Table 226: Compounds I. A, wherein the combination of substituents R1, R2, X, D, B and the position of the group Y-Z in each case corresponds to one line of lines B-1 to B-4200 in table B and wherein the combination of the meaning of Y and Z corresponds to line Z-126 in Table Z (compounds I.A.z126.b1 to I.A.z126.b4200).
Table 227: Compounds I. A, wherein the combination of substituents R1, R2, X, D, B and the position of the group Y-Z in each case corresponds to one line of lines B-1 to B-4200 in table B and wherein the combination of the meaning of Y and Z corresponds to line Z-127 in Table Z (compounds I.A.z127.b1 to I.A.z127.b4200).
Table 228: Compounds I. A, wherein the combination of substituents R1, R2, X, D, B and the position of the group Y-Z in each case corresponds to one line of lines B-1 to B-4200 in table B and wherein the combination of the meaning of Y and Z corresponds to line Z-128 in Table Z (compounds I.A.z128.b1 to I.A.z128.b4200).
Table 229: Compounds I. A, wherein the combination of substituents R1, R2, X, D,
B and the position of the group Y-Z in each case corresponds to one line of lines B-1 to B-4200 in table B and wherein the combination of the meaning of Y and Z corresponds to line Z-129 in Table Z (compounds I.A.z129.b1 to I.A.z129.b4200).
Table 230: Compounds I. A, wherein the combination of substituents R1, R2, X, D, B and the position of the group Y-Z in each case corresponds to one line of lines B-1 to B-4200 in table B and wherein the combination of the meaning of Y and Z corresponds to line Z-130 in Table Z (compounds I.A.z130.b1 to I.A.zl 30. b4200).
Table 231 : Compounds I. A, wherein the combination of substituents R1, R2, X, D, B and the position of the group Y-Z in each case corresponds to one line of lines B-1 to B-4200 in table B and wherein the combination of the meaning of Y and Z corresponds to line Z-131 in Table Z (compounds I.A.z131.b1 to I.A.z131 .b4200).
Table 232: Compounds I. A, wherein the combination of substituents R1, R2, X, D,
B and the position of the group Y-Z in each case corresponds to one line of lines B-1 to B-4200 in table B and wherein the combination of the meaning of Y and Z corresponds to line Z-132 in Table Z (compounds I.A.z132.b1 to I.A.z132.b4200).
Table 233: Compounds I. A, wherein the combination of substituents R1, R2, X, D, B and the position of the group Y-Z in each case corresponds to one line of lines B-1 to B-4200 in table B and wherein the combination of the meaning of Y and Z corresponds to line Z-133 in Table Z (compounds I.A.z133.b1 to I.A.z133.b4200).
Table 234: Compounds I. A, wherein the combination of substituents R1, R2, X, D, B and the position of the group Y-Z in each case corresponds to one line of lines B-1 to B-4200 in table B and wherein the combination of the meaning of Y and Z corresponds to line Z-134 in Table Z (compounds I.A.z134.b1 to I.A.z134.b4200).
Table 235: Compounds I. A, wherein the combination of substituents R1, R2, X, D, B and the position of the group Y-Z in each case corresponds to one line of lines B-1 to B-4200 in table B and wherein the combination of the meaning of Y and Z corresponds to line Z-135 in Table Z (compounds I.A.z135.b1 to I.A.z135.b4200).
Table 236: Compounds I. A, wherein the combination of substituents R1, R2, X, D, B and the position of the group Y-Z in each case corresponds to one line of lines B-1 to B-4200 in table B and wherein the combination of the meaning of Y and Z corresponds to line Z-136 in Table Z (compounds I.A.z136.b1 to I.A.z136.b4200).
Table 237: Compounds I. A, wherein the combination of substituents R1, R2, X, D,
B and the position of the group Y-Z in each case corresponds to one line of lines B-1 to B-4200 in table B and wherein the combination of the meaning of Y and Z corresponds to line Z-137 in Table Z (compounds I.A.z137.b1 to I.A.z137.b4200).
Table 238: Compounds I. A, wherein the combination of substituents R1, R2, X, D, B and the position of the group Y-Z in each case corresponds to one line of lines B-1 to B-4200 in table B and wherein the combination of the meaning of Y and Z corresponds to line Z-138 in Table Z (compounds I.A.z138.b1 to I.A.z138.b4200).
Table 239: Compounds I. A, wherein the combination of substituents R1, R2, X, D, B and the position of the group Y-Z in each case corresponds to one line of lines B-1 to B-4200 in table B and wherein the combination of the meaning of Y and Z corresponds to line Z-139 in Table Z (compounds I.A.z139.b1 to I.A.z139.b4200).
Table 240: Compounds I. A, wherein the combination of substituents R1, R2, X, D, B and the position of the group Y-Z in each case corresponds to one line of lines B-1 to B-4200 in table B and wherein the combination of the meaning of Y and Z corresponds to line Z-140 in Table Z (compounds I.A.z140.b1 to I.A.z140.b4200).
Table 241 : Compounds I.A, wherein the combination of substituents R1, R2, X, D, B and the position of the group Y-Z in each case corresponds to one line of lines B-1 to
B-4200 in table B and wherein the combination of the meaning of Y and Z corresponds to line Z-141 in Table Z (compounds I.A.z141 .b1 to I.A.z141.b4200).
Table 242: Compounds I. A, wherein the combination of substituents R1, R2, X, D, B and the position of the group Y-Z in each case corresponds to one line of lines B-1 to B-4200 in table B and wherein the combination of the meaning of Y and Z corresponds to line Z-142 in Table Z (compounds I.A.z142.b1 to I.A.z142.b4200).
Table 243: Compounds I. A, wherein the combination of substituents R1, R2, X, D, B and the position of the group Y-Z in each case corresponds to one line of lines B-1 to B-4200 in table B and wherein the combination of the meaning of Y and Z corresponds to line Z-143 in Table Z (compounds I.A.z143.b1 to I.A.z143.b4200).
Table 244: Compounds I. A, wherein the combination of substituents R1, R2, X, D, B and the position of the group Y-Z in each case corresponds to one line of lines B-1 to B-4200 in table B and wherein the combination of the meaning of Y and Z corresponds to line Z-144 in Table Z (compounds I.A.z144.b1 to I.A.z144.b4200).
Table 245: Compounds I. A, wherein the combination of substituents R1, R2, X, D,
B and the position of the group Y-Z in each case corresponds to one line of lines B-1 to B-4200 in table B and wherein the combination of the meaning of Y and Z corresponds to line Z-145 in Table Z (compounds I.A.z145.b1 to I.A.z145.b4200).
Table 246: Compounds I. A, wherein the combination of substituents R1, R2, X, D, B and the position of the group Y-Z in each case corresponds to one line of lines B-1 to B-4200 in table B and wherein the combination of the meaning of Y and Z corresponds to line Z-146 in Table Z (compounds I.A.z146.b1 to I.A.z146.b4200).
Table 247: Compounds I. A, wherein the combination of substituents R1, R2, X, D, B and the position of the group Y-Z in each case corresponds to one line of lines B-1 to B-4200 in table B and wherein the combination of the meaning of Y and Z corresponds to line Z-147 in Table Z (compounds I.A.z147.b1 to I.A.z147.b4200).
Table 248: Compounds I. A, wherein the combination of substituents R1, R2, X, D, B and the position of the group Y-Z in each case corresponds to one line of lines B-1 to B-4200 in table B and wherein the combination of the meaning of Y and Z corresponds to line Z-148 in Table Z (compounds I.A.z148.b1 to I.A.z148.b4200).
Table 249: Compounds I.A, wherein the combination of substituents R1, R2, X, D, B and the position of the group Y-Z in each case corresponds to one line of lines B-1 to B-4200 in table B and wherein the combination of the meaning of Y and Z corresponds to line Z-149 in Table Z (compounds I.A.z149.b1 to I.A.z149.b4200).
Table 250: Compounds I.A, wherein the combination of substituents R1, R2, X, D,
B and the position of the group Y-Z in each case corresponds to one line of lines B-1 to B-4200 in table B and wherein the combination of the meaning of Y and Z corresponds to line Z-150 in Table Z (compounds I.A.z150.b1 to I.A.z150.b4200).
Table 251 : Compounds I.A, wherein the combination of substituents R1, R2, X, D, B and the position of the group Y-Z in each case corresponds to one line of lines B-1 to B-4200 in table B and wherein the combination of the meaning of Y and Z corresponds to line Z-151 in Table Z (compounds I.A.z151.b1 to I.A.z151 .b4200).
Table 252: Compounds I. A, wherein the combination of substituents R1, R2, X, D, B and the position of the group Y-Z in each case corresponds to one line of lines B-1 to B-4200 in table B and wherein the combination of the meaning of Y and Z corresponds to line Z-152 in Table Z (compounds I.A.z152.b1 to I.A.z152.b4200).
Table 253: Compounds I. A, wherein the combination of substituents R1, R2, X, D,
B and the position of the group Y-Z in each case corresponds to one line of lines B-1 to B-4200 in table B and wherein the combination of the meaning of Y and Z corresponds to line Z-153 in Table Z (compounds I.A.z153.b1 to I.A.z153.b4200).
Table 254: Compounds I. A, wherein the combination of substituents R1, R2, X, D, B and the position of the group Y-Z in each case corresponds to one line of lines B-1 to B-4200 in table B and wherein the combination of the meaning of Y and Z corresponds to line Z-154 in Table Z (compounds I.A.z154.b1 to I.A.z154.b4200).
Table 255: Compounds I. A, wherein the combination of substituents R1, R2, X, D, B and the position of the group Y-Z in each case corresponds to one line of lines B-1 to B-4200 in table B and wherein the combination of the meaning of Y and Z corresponds to line Z-155 in Table Z (compounds I.A.z155.b1 to I.A.z155.b4200).
Table 256: Compounds I. A, wherein the combination of substituents R1, R2, X, D, B and the position of the group Y-Z in each case corresponds to one line of lines B-1 to B-4200 in table B and wherein the combination of the meaning of Y and Z corresponds to line Z-156 in Table Z (compounds I.A.z156.b1 to I.A.z156.b4200).
Table 257: Compounds I. A, wherein the combination of substituents R1, R2, X, D, B and the position of the group Y-Z in each case corresponds to one line of lines B-1 to B-4200 in table B and wherein the combination of the meaning of Y and Z corresponds to line Z-157 in Table Z (compounds I.A.z157.b1 to I.A.z157.b4200).
Table 258: Compounds I. A, wherein the combination of substituents R1, R2, X, D,
B and the position of the group Y-Z in each case corresponds to one line of lines B-1 to B-4200 in table B and wherein the combination of the meaning of Y and Z corresponds to line Z-158 in Table Z (compounds I.A.z158.b1 to I.A.z158.b4200).
Table 259: Compounds I. A, wherein the combination of substituents R1, R2, X, D, B and the position of the group Y-Z in each case corresponds to one line of lines B-1 to B-4200 in table B and wherein the combination of the meaning of Y and Z corresponds to line Z-159 in Table Z (compounds I.A.z159.b1 to I.A.z159.b4200).
Table 260: Compounds I. A, wherein the combination of substituents R1, R2, X, D, B and the position of the group Y-Z in each case corresponds to one line of lines B-1 to B-4200 in table B and wherein the combination of the meaning of Y and Z corresponds to line Z-160 in Table Z (compounds I.A.z160.b1 to I.A.z160.b4200).
Table 261 : Compounds I. A, wherein the combination of substituents R1, R2, X, D, B and the position of the group Y-Z in each case corresponds to one line of lines B-1 to B-4200 in table B and wherein the combination of the meaning of Y and Z corresponds to line Z-161 in Table Z (compounds I.A.zl 61 .b1 to I.A.z161 .b4200).
Table 262: Compounds I. A, wherein the combination of substituents R1, R2, X, D, B and the position of the group Y-Z in each case corresponds to one line of lines B-1 to
B-4200 in table B and wherein the combination of the meaning of Y and Z corresponds to line Z-162 in Table Z (compounds I.A.z162.b1 to I.A.z162.b4200).
Table 263: Compounds I. A, wherein the combination of substituents R1, R2, X, D, B and the position of the group Y-Z in each case corresponds to one line of lines B-1 to B-4200 in table B and wherein the combination of the meaning of Y and Z corresponds to line Z-163 in Table Z (compounds I.A.z163.b1 to I.A.z163.b4200).
Table 264: Compounds I. A, wherein the combination of substituents R1, R2, X, D, B and the position of the group Y-Z in each case corresponds to one line of lines B-1 to B-4200 in table B and wherein the combination of the meaning of Y and Z corresponds to line Z-164 in Table Z (compounds I.A.z164.b1 to I.A.z164.b4200).
Table 265: Compounds I. A, wherein the combination of substituents R1, R2, X, D, B and the position of the group Y-Z in each case corresponds to one line of lines B-1 to B-4200 in table B and wherein the combination of the meaning of Y and Z corresponds to line Z-165 in Table Z (compounds I.A.z165.b1 to I.A.z165.b4200).
Table 266: Compounds I. A, wherein the combination of substituents R1, R2, X, D,
B and the position of the group Y-Z in each case corresponds to one line of lines B-1 to B-4200 in table B and wherein the combination of the meaning of Y and Z corresponds to line Z-166 in Table Z (compounds I.A.z166.b1 to I.A.z166.b4200).
Table 267: Compounds I. A, wherein the combination of substituents R1, R2, X, D, B and the position of the group Y-Z in each case corresponds to one line of lines B-1 to B-4200 in table B and wherein the combination of the meaning of Y and Z corresponds to line Z-167 in Table Z (compounds I.A.z167.b1 to I.A.z167.b4200).
Table 268: Compounds I. A, wherein the combination of substituents R1, R2, X, D, B and the position of the group Y-Z in each case corresponds to one line of lines B-1 to B-4200 in table B and wherein the combination of the meaning of Y and Z corresponds to line Z-168 in Table Z (compounds I.A.z168.b1 to I.A.z168.b4200).
Table 269: Compounds I.A, wherein the combination of substituents R1, R2, X, D, B and the position of the group Y-Z in each case corresponds to one line of lines B-1 to B-4200 in table B and wherein the combination of the meaning of Y and Z corresponds to line Z-169 in Table Z (compounds I.A.z169.b1 to I.A.z169.b4200).
Table 270: Compounds I.A, wherein the combination of substituents R1, R2, X, D, B and the position of the group Y-Z in each case corresponds to one line of lines B-1 to B-4200 in table B and wherein the combination of the meaning of Y and Z corresponds to line Z-170 in Table Z (compounds I.A.z170.b1 to I.A.z170.b4200).
Table 271 : Compounds I.A, wherein the combination of substituents R1, R2, X, D,
B and the position of the group Y-Z in each case corresponds to one line of lines B-1 to B-4200 in table B and wherein the combination of the meaning of Y and Z corresponds to line Z-171 in Table Z (compounds I.A.zl 71 .b1 to I.A.z171.b4200).
Table 272: Compounds I.A, wherein the combination of substituents R1, R2, X, D, B and the position of the group Y-Z in each case corresponds to one line of lines B-1 to B-4200 in table B and wherein the combination of the meaning of Y and Z corresponds to line Z-172 in Table Z (compounds I.A.z172.b1 to I.A.zl 72.b4200).
Table 273: Compounds I .A, wherein the combination of substituents R1, R2, X, D, B and the position of the group Y-Z in each case corresponds to one line of lines B-1 to B-4200 in table B and wherein the combination of the meaning of Y and Z corresponds to line Z-173 in Table Z (compounds I.A.z173.b1 to I.A.z173.b4200).
Table 274: Compounds I. A, wherein the combination of substituents R1, R2, X, D,
B and the position of the group Y-Z in each case corresponds to one line of lines B-1 to B-4200 in table B and wherein the combination of the meaning of Y and Z corresponds to line Z-174 in Table Z (compounds I.A.z174.b1 to I.A.z174.b4200).
Table 275: Compounds I. A, wherein the combination of substituents R1, R2, X, D, B and the position of the group Y-Z in each case corresponds to one line of lines B-1 to B-4200 in table B and wherein the combination of the meaning of Y and Z corresponds to line Z-175 in Table Z (compounds I.A.z175.b1 to I.A.z175.b4200).
Table 276: Compounds I. A, wherein the combination of substituents R1, R2, X, D, B and the position of the group Y-Z in each case corresponds to one line of lines B-1 to B-4200 in table B and wherein the combination of the meaning of Y and Z corresponds to line Z-176 in Table Z (compounds I.A.z176.b1 to I.A.z176.b4200).
Table 277: Compounds I. A, wherein the combination of substituents R1, R2, X, D, B and the position of the group Y-Z in each case corresponds to one line of lines B-1 to B-4200 in table B and wherein the combination of the meaning of Y and Z corresponds to line Z-177 in Table Z (compounds I.A.z177.b1 to I.A.z177.b4200).
Table 278: Compounds I. A, wherein the combination of substituents R1, R2, X, D, B and the position of the group Y-Z in each case corresponds to one line of lines B-1 to B-4200 in table B and wherein the combination of the meaning of Y and Z corresponds to line Z-178 in Table Z (compounds I.A.z178.b1 to I.A.z178.b4200).
Table 279: Compounds I. A, wherein the combination of substituents R1, R2, X, D,
B and the position of the group Y-Z in each case corresponds to one line of lines B-1 to B-4200 in table B and wherein the combination of the meaning of Y and Z corresponds to line Z-179 in Table Z (compounds I.A.z179.b1 to I.A.z179.b4200).
Table 280: Compounds I .A, wherein the combination of substituents R1, R2, X, D, B and the position of the group Y-Z in each case corresponds to one line of lines B-1 to B-4200 in table B and wherein the combination of the meaning of Y and Z corresponds to line Z-180 in Table Z (compounds I.A.z180.b1 to I.A.z180.b4200).
Table 281 : Compounds I. A, wherein the combination of substituents R1, R2, X, D, B and the position of the group Y-Z in each case corresponds to one line of lines B-1 to B-4200 in table B and wherein the combination of the meaning of Y and Z corresponds to line Z-181 in Table Z (compounds I.A.z181.b1 to I.A.z181 .b4200).
Table 282: Compounds I. A, wherein the combination of substituents R1, R2, X, D, B and the position of the group Y-Z in each case corresponds to one line of lines B-1 to B-4200 in table B and wherein the combination of the meaning of Y and Z corresponds to line Z-182 in Table Z (compounds I.A.z182.b1 to I.A.z182.b4200).
Table 283: Compounds I. A, wherein the combination of substituents R1, R2, X, D, B and the position of the group Y-Z in each case corresponds to one line of lines B-1 to
B-4200 in table B and wherein the combination of the meaning of Y and Z corresponds to line Z-183 in Table Z (compounds I.A.z183.b1 to I.A.z183.b4200).
Table 284: Compounds I .A, wherein the combination of substituents R1, R2, X, D, B and the position of the group Y-Z in each case corresponds to one line of lines B-1 to B-4200 in table B and wherein the combination of the meaning of Y and Z corresponds to line Z-184 in Table Z (compounds I.A.z184.b1 to I.A.z184.b4200).
Table 285: Compounds I. A, wherein the combination of substituents R1, R2, X, D, B and the position of the group Y-Z in each case corresponds to one line of lines B-1 to B-4200 in table B and wherein the combination of the meaning of Y and Z corresponds to line Z-185 in Table Z (compounds I.A.z185.b1 to I.A.z185.b4200).
Table 286: Compounds I. A, wherein the combination of substituents R1, R2, X, D, B and the position of the group Y-Z in each case corresponds to one line of lines B-1 to B-4200 in table B and wherein the combination of the meaning of Y and Z corresponds to line Z-186 in Table Z (compounds I.A.z186.b1 to I.A.z186.b4200).
Table 287: Compounds I. A, wherein the combination of substituents R1, R2, X, D,
B and the position of the group Y-Z in each case corresponds to one line of lines B-1 to B-4200 in table B and wherein the combination of the meaning of Y and Z corresponds to line Z-187 in Table Z (compounds I.A.z187.b1 to I.A.z187.b4200).
Table 288: Compounds I .A, wherein the combination of substituents R1, R2, X, D, B and the position of the group Y-Z in each case corresponds to one line of lines B-1 to B-4200 in table B and wherein the combination of the meaning of Y and Z corresponds to line Z-188 in Table Z (compounds I.A.z188.b1 to I.A.z188.b4200).
Table 289: Compounds I. A, wherein the combination of substituents R1, R2, X, D, B and the position of the group Y-Z in each case corresponds to one line of lines B-1 to B-4200 in table B and wherein the combination of the meaning of Y and Z corresponds to line Z-189 in Table Z (compounds I.A.z189.b1 to I.A.z189.b4200).
Table 290: Compounds I. A, wherein the combination of substituents R1, R2, X, D, B and the position of the group Y-Z in each case corresponds to one line of lines B-1 to B-4200 in table B and wherein the combination of the meaning of Y and Z corresponds to line Z-190 in Table Z (compounds I.A.z190.b1 to I.A.z190.b4200).
Table 291 : Compounds I. A, wherein the combination of substituents R1, R2, X, D, B and the position of the group Y-Z in each case corresponds to one line of lines B-1 to B-4200 in table B and wherein the combination of the meaning of Y and Z corresponds to line Z-191 in Table Z (compounds I.A.z191.b1 to I.A.z191 .b4200).
Table 292: Compounds I. A, wherein the combination of substituents R1, R2, X, D,
B and the position of the group Y-Z in each case corresponds to one line of lines B-1 to B-4200 in table B and wherein the combination of the meaning of Y and Z corresponds to line Z-192 in Table Z (compounds I.A.z192.b1 to I.A.z192.b4200).
Table 293: Compounds I. A, wherein the combination of substituents R1, R2, X, D, B and the position of the group Y-Z in each case corresponds to one line of lines B-1 to B-4200 in table B and wherein the combination of the meaning of Y and Z corresponds to line Z-193 in Table Z (compounds I.A.z193.b1 to I.A.z193.b4200).
Table 294: Compounds I. A, wherein the combination of substituents R1, R2, X, D, B and the position of the group Y-Z in each case corresponds to one line of lines B-1 to B-4200 in table B and wherein the combination of the meaning of Y and Z corresponds to line Z-194 in Table Z (compounds I.A.z194.b1 to I.A.z194.b4200).
Table 295: Compounds I. A, wherein the combination of substituents R1, R2, X, D,
B and the position of the group Y-Z in each case corresponds to one line of lines B-1 to B-4200 in table B and wherein the combination of the meaning of Y and Z corresponds to line Z-195 in Table Z (compounds I.A.z195.b1 to I.A.z195.b4200).
Table 296: Compounds I.A, wherein the combination of substituents R1, R2, X, D, B and the position of the group Y-Z in each case corresponds to one line of lines B-1 to B-4200 in table B and wherein the combination of the meaning of Y and Z corresponds to line Z-196 in Table Z (compounds I.A.z196.b1 to I.A.z196.b4200).
Table 297: Compounds I.A, wherein the combination of substituents R1, R2, X, D, B and the position of the group Y-Z in each case corresponds to one line of lines B-1 to B-4200 in table B and wherein the combination of the meaning of Y and Z corresponds to line Z-197 in Table Z (compounds I.A.z197.b1 to I.A.z197.b4200).
Table 298: Compounds I.A, wherein the combination of substituents R1, R2, X, D, B and the position of the group Y-Z in each case corresponds to one line of lines B-1 to B-4200 in table B and wherein the combination of the meaning of Y and Z corresponds to line Z-198 in Table Z (compounds I.A.z198.b1 to I.A.z198.b4200).
Table 299: Compounds I.A, wherein the combination of substituents R1, R2, X, D, B and the position of the group Y-Z in each case corresponds to one line of lines B-1 to B-4200 in table B and wherein the combination of the meaning of Y and Z corresponds to line Z-199 in Table Z (compounds I.A.z199.b1 to I.A.z199.b4200).
Table 300: Compounds I.A, wherein the combination of substituents R1, R2, X, D,
B and the position of the group Y-Z in each case corresponds to one line of lines B-1 to B-4200 in table B and wherein the combination of the meaning of Y and Z corresponds to line Z-200 in Table Z (compounds I.A.z200.b1 to I.A.z200.b4200).
Table 301 : Compounds I.A, wherein the combination of substituents R1, R2, X, D, B and the position of the group Y-Z in each case corresponds to one line of lines B-1 to B-4200 in table B and wherein the combination of the meaning of Y and Z corresponds to line Z-201 in Table Z (compounds I.A.z201.b1 to I.A.z201 .b4200).
Table 302: Compounds I.A, wherein the combination of substituents R1, R2, X, D, B and the position of the group Y-Z in each case corresponds to one line of lines B-1 to B-4200 in table B and wherein the combination of the meaning of Y and Z corresponds to line Z-202 in Table Z (compounds I.A.z202.b1 to I.A.z202.b4200).
Table 303: Compounds I.A, wherein the combination of substituents R1, R2, X, D, B and the position of the group Y-Z in each case corresponds to one line of lines B-1 to B-4200 in table B and wherein the combination of the meaning of Y and Z corresponds to line Z-203 in Table Z (compounds I.A.z203.b1 to I.A.z203.b4200).
Table 304: Compounds I.A, wherein the combination of substituents R1, R2, X, D, B and the position of the group Y-Z in each case corresponds to one line of lines B-1 to
B-4200 in table B and wherein the combination of the meaning of Y and Z corresponds to line Z-204 in Table Z (compounds I.A.z204.b1 to I.A.z204.b4200).
Table 305: Compounds I. A, wherein the combination of substituents R1, R2, X, D, B and the position of the group Y-Z in each case corresponds to one line of lines B-1 to B-4200 in table B and wherein the combination of the meaning of Y and Z corresponds to line Z-205 in Table Z (compounds I.A.z205.b1 to I.A.z205.b4200).
Table 306: Compounds I. A, wherein the combination of substituents R1, R2, X, D, B and the position of the group Y-Z in each case corresponds to one line of lines B-1 to B-4200 in table B and wherein the combination of the meaning of Y and Z corresponds to line Z-206 in Table Z (compounds I.A.z206.b1 to I.A.z206.b4200).
Table 307: Compounds I.B, wherein the combination of substituents R1, R2, X, D, B and the position of the group Y-Z in each case corresponds to one line B-1 to B-4200 in table B and wherein Z is phenyl and the combination of the meaning of Y and RL corresponds to line A-1 in Table A (compounds I.B.al .b1 to I.B.al .b4200).
Table 308: Compounds I.B, wherein the combination of substituents R1, R2, X, D,
B and the position of the group Y-Z in each case corresponds to one line B-1 to B-4200 in table B and wherein Z is phenyl and the combination of the meaning of Y and RL corresponds to line A-2 in Table A (compounds I.B.a2.b1 to I.B.a2.b4200).
Table 309: Compounds I.B, wherein the combination of substituents R1, R2, X, D, B and the position of the group Y-Z in each case corresponds to one line B-1 to B-4200 in table B and wherein Z is phenyl and the combination of the meaning of Y and RL corresponds to line A-3 in Table A (compounds I.B.a3.b1 to I.B.a3.b4200).
Table 310: Compounds I.B, wherein the combination of substituents R1, R2, X, D, B and the position of the group Y-Z in each case corresponds to one line B-1 to B-4200 in table B and wherein Z is phenyl and the combination of the meaning of Y and RL corresponds to line A-4 in Table A (compounds I.B.a4.b1 to I.B.a4.b4200).
Table 31 1 : Compounds I.B, wherein the combination of substituents R1, R2, X, D, B and the position of the group Y-Z in each case corresponds to one line B-1 to B-4200 in table B and wherein Z is phenyl and the combination of the meaning of Y and RL corresponds to line A-5 in Table A (compounds I.B.a5.b1 to I.B.a5.b4200).
Table 312: Compounds I.B, wherein the combination of substituents R1, R2, X, D, B and the position of the group Y-Z in each case corresponds to one line B-1 to B-4200 in table B and wherein Z is phenyl and the combination of the meaning of Y and RL corresponds to line A-6 in Table A (compounds I.B.a6.b1 to I.B.a6.b4200).
Table 313: Compounds I.B, wherein the combination of substituents R1, R2, X, D,
B and the position of the group Y-Z in each case corresponds to one line B-1 to B-4200 in table B and wherein Z is phenyl and the combination of the meaning of Y and RL corresponds to line A-7 in Table A (compounds I.B.a7.b1 to I.B.a7.b4200).
Table 314: Compounds I.B, wherein the combination of substituents R1, R2, X, D, B and the position of the group Y-Z in each case corresponds to one line B-1 to B-4200 in table B and wherein Z is phenyl and the combination of the meaning of Y and RL corresponds to line A-8 in Table A (compounds I.B.a8.b1 to I.B.a8.b4200).
Table 315: Compounds I.B, wherein the combination of substituents R1, R2, X, D, B and the position of the group Y-Z in each case corresponds to one line B-1 to B-4200 in table B and wherein Z is phenyl and the combination of the meaning of Y and RL corresponds to line A-9 in Table A (compounds I.B.a9.b1 to I.B.a9.b4200).
Table 316: Compounds I.B, wherein the combination of substituents R1, R2, X, D,
B and the position of the group Y-Z in each case corresponds to one line B-1 to B-4200 in table B and wherein Z is phenyl and the combination of the meaning of Y and RL corresponds to line A-10 in Table A (compounds I.B.a10.b1 to I.B.a10.b4200).
Table 317: Compounds I.B, wherein the combination of substituents R1, R2, X, D, B and the position of the group Y-Z in each case corresponds to one line B-1 to B-4200 in table B and wherein Z is phenyl and the combination of the meaning of Y and RL corresponds to line A-1 1 in Table A (compounds I.B.al 1 .b1 to I.B.al 1 .b4200).
Table 318: Compounds I.B, wherein the combination of substituents R1, R2, X, D, B and the position of the group Y-Z in each case corresponds to one line B-1 to B-4200 in table B and wherein Z is phenyl and the combination of the meaning of Y and RL corresponds to line A-12 in Table A (compounds I.B.a12.b1 to I.B.a12.b4200).
Table 319: Compounds I.B, wherein the combination of substituents R1, R2, X, D, B and the position of the group Y-Z in each case corresponds to one line B-1 to B-4200 in table B and wherein Z is phenyl and the combination of the meaning of Y and RL corresponds to line A-13 in Table A (compounds I.B.a13.b1 to I.B.a13.b4200).
Table 320: Compounds I.B, wherein the combination of substituents R1, R2, X, D, B and the position of the group Y-Z in each case corresponds to one line B-1 to B-4200 in table B and wherein Z is phenyl and the combination of the meaning of Y and RL corresponds to line A-14 in Table A (compounds I.B.a14.b1 to I.B.a14.b4200).
Table 321 : Compounds I.B, wherein the combination of substituents R1, R2, X, D,
B and the position of the group Y-Z in each case corresponds to one line B-1 to B-4200 in table B and wherein Z is phenyl and the combination of the meaning of Y and RL corresponds to line A-15 in Table A (compounds I.B.a15.b1 to I.B.a15.b4200).
Table 322: Compounds I.B, wherein the combination of substituents R1, R2, X, D, B and the position of the group Y-Z in each case corresponds to one line B-1 to B-4200 in table B and wherein Z is phenyl and the combination of the meaning of Y and RL corresponds to line A-16 in Table A (compounds I.B.a16.b1 to I.B.a16.b4200).
Table 323: Compounds I.B, wherein the combination of substituents R1, R2, X, D, B and the position of the group Y-Z in each case corresponds to one line B-1 to B-4200 in table B and wherein Z is phenyl and the combination of the meaning of Y and RL corresponds to line A-17 in Table A (compounds I.B.a17.b1 to I.B.a17.b4200).
Table 324: Compounds I.B, wherein the combination of substituents R1, R2, X, D, B and the position of the group Y-Z in each case corresponds to one line B-1 to B-4200 in table B and wherein Z is phenyl and the combination of the meaning of Y and RL corresponds to line A-18 in Table A (compounds I.B.a18.b1 to I.B.a18.b4200).
Table 325: Compounds I.B, wherein the combination of substituents R1, R2, X, D, B and the position of the group Y-Z in each case corresponds to one line B-1 to B-4200
in table B and wherein Z is phenyl and the combination of the meaning of Y and RL corresponds to line A-19 in Table A (compounds I.B.a19.b1 to I.B.a19.b4200).
Table 326: Compounds I.B, wherein the combination of substituents R1, R2, X, D, B and the position of the group Y-Z in each case corresponds to one line B-1 to B-4200 in table B and wherein Z is phenyl and the combination of the meaning of Y and RL corresponds to line A-20 in Table A (compounds I.B.a20.b1 to I.B.a20.b4200).
Table 327: Compounds I.B, wherein the combination of substituents R1, R2, X, D, B and the position of the group Y-Z in each case corresponds to one line B-1 to B-4200 in table B and wherein Z is phenyl and the combination of the meaning of Y and RL corresponds to line A-21 in Table A (compounds I. B.a21 .b1 to I.B.a21 .b4200).
Table 328: Compounds I.B, wherein the combination of substituents R1, R2, X, D, B and the position of the group Y-Z in each case corresponds to one line B-1 to B-4200 in table B and wherein Z is phenyl and the combination of the meaning of Y and RL corresponds to line A-22 in Table A (compounds I.B.a22.b1 to I.B.a22.b4200).
Table 329: Compounds I.B, wherein the combination of substituents R1, R2, X, D,
B and the position of the group Y-Z in each case corresponds to one line B-1 to B-4200 in table B and wherein Z is phenyl and the combination of the meaning of Y and RL corresponds to line A-23 in Table A (compounds I.B.a23.b1 to I.B.a23.b4200).
Table 330: Compounds I.B, wherein the combination of substituents R1, R2, X, D, B and the position of the group Y-Z in each case corresponds to one line B-1 to B-4200 in table B and wherein Z is phenyl and the combination of the meaning of Y and RL corresponds to line A-24 in Table A (compounds I.B.a24.b1 to I.B.a24.b4200).
Table 331 : Compounds I.B, wherein the combination of substituents R1, R2, X, D, B and the position of the group Y-Z in each case corresponds to one line B-1 to B-4200 in table B and wherein Z is phenyl and the combination of the meaning of Y and RL corresponds to line A-25 in Table A (compounds I.B.a25.b1 to I.B.a25.b4200).
Table 332: Compounds I.B, wherein the combination of substituents R1, R2, X, D, B and the position of the group Y-Z in each case corresponds to one line B-1 to B-4200 in table B and wherein Z is phenyl and the combination of the meaning of Y and RL corresponds to line A-26 in Table A (compounds I.B.a26.b1 to I.B.a26.b4200).
Table 333: Compounds I.B, wherein the combination of substituents R1, R2, X, D, B and the position of the group Y-Z in each case corresponds to one line B-1 to B-4200 in table B and wherein Z is phenyl and the combination of the meaning of Y and RL corresponds to line A-27 in Table A (compounds I.B.a27.b1 to I.B.a27.b4200).
Table 334: Compounds I.B, wherein the combination of substituents R1, R2, X, D,
B and the position of the group Y-Z in each case corresponds to one line B-1 to B-4200 in table B and wherein Z is phenyl and the combination of the meaning of Y and RL corresponds to line A-28 in Table A (compounds I.B.a28.b1 to I.B.a28.b4200).
Table 335: Compounds I.B, wherein the combination of substituents R1, R2, X, D, B and the position of the group Y-Z in each case corresponds to one line B-1 to B-4200 in table B and wherein Z is phenyl and the combination of the meaning of Y and RL corresponds to line A-29 in Table A (compounds I.B.a29.b1 to I.B.a29.b4200).
Table 336: Compounds I.B, wherein the combination of substituents R1, R2, X, D, B and the position of the group Y-Z in each case corresponds to one line B-1 to B-4200 in table B and wherein Z is phenyl and the combination of the meaning of Y and RL corresponds to line A-30 in Table A (compounds I.B.a30.b1 to I.B.a30.b4200).
Table 337: Compounds I.B, wherein the combination of substituents R1, R2, X, D,
B and the position of the group Y-Z in each case corresponds to one line B-1 to B-4200 in table B and wherein Z is phenyl and the combination of the meaning of Y and RL corresponds to line A-31 in Table A (compounds I.B.a31 .b1 to I.B.a31.b4200).
Table 338: Compounds I.B, wherein the combination of substituents R1, R2, X, D, B and the position of the group Y-Z in each case corresponds to one line B-1 to B-4200 in table B and wherein Z is phenyl and the combination of the meaning of Y and RL corresponds to line A-32 in Table A (compounds I.B.a32.b1 to I.B.a32.b4200).
Table 339: Compounds I.B, wherein the combination of substituents R1, R2, X, D, B and the position of the group Y-Z in each case corresponds to one line B-1 to B-4200 in table B and wherein Z is phenyl and the combination of the meaning of Y and RL corresponds to line A-33 in Table A (compounds I.B.a33.b1 to I.B.a33.b4200).
Table 340: Compounds I.B, wherein the combination of substituents R1, R2, X, D, B and the position of the group Y-Z in each case corresponds to one line B-1 to B-4200 in table B and wherein Z is phenyl and the combination of the meaning of Y and RL corresponds to line A-34 in Table A (compounds I.B.a34.b1 to I.B.a34.b4200).
Table 341 : Compounds I.B, wherein the combination of substituents R1, R2, X, D, B and the position of the group Y-Z in each case corresponds to one line B-1 to B-4200 in table B and wherein Z is phenyl and the combination of the meaning of Y and RL corresponds to line A-35 in Table A (compounds I.B.a35.b1 to I.B.a35.b4200).
Table 342: Compounds I.B, wherein the combination of substituents R1, R2, X, D,
B and the position of the group Y-Z in each case corresponds to one line B-1 to B-4200 in table B and wherein Z is phenyl and the combination of the meaning of Y and RL corresponds to line A-36 in Table A (compounds I.B.a36.b1 to I.B.a36.b4200).
Table 343: Compounds I.B, wherein the combination of substituents R1, R2, X, D, B and the position of the group Y-Z in each case corresponds to one line B-1 to B-4200 in table B and wherein Z is phenyl and the combination of the meaning of Y and RL corresponds to line A-37 in Table A (compounds I.B.a37.b1 to I.B.a37.b4200).
Table 344: Compounds I.B, wherein the combination of substituents R1, R2, X, D, B and the position of the group Y-Z in each case corresponds to one line B-1 to B-4200 in table B and wherein Z is phenyl and the combination of the meaning of Y and RL corresponds to line A-38 in Table A (compounds I.B.a38.b1 to I.B.a38.b4200).
Table 345: Compounds I.B, wherein the combination of substituents R1, R2, X, D, B and the position of the group Y-Z in each case corresponds to one line B-1 to B-4200 in table B and wherein Z is phenyl and the combination of the meaning of Y and RL corresponds to line A-39 in Table A (compounds I.B.a39.b1 to I.B.a39.b4200).
Table 346: Compounds I.B, wherein the combination of substituents R1, R2, X, D, B and the position of the group Y-Z in each case corresponds to one line B-1 to B-4200
in table B and wherein Z is phenyl and the combination of the meaning of Y and RL corresponds to line A-40 in Table A (compounds I.B.a40.b1 to I.B.a40.b4200).
Table 347: Compounds I.B, wherein the combination of substituents R1, R2, X, D, B and the position of the group Y-Z in each case corresponds to one line B-1 to B-4200 in table B and wherein Z is phenyl and the combination of the meaning of Y and RL corresponds to line A-41 in Table A (compounds I.B.a41 .b1 to I.B.a41 .b4200).
Table 348: Compounds I.B, wherein the combination of substituents R1, R2, X, D, B and the position of the group Y-Z in each case corresponds to one line B-1 to B-4200 in table B and wherein Z is phenyl and the combination of the meaning of Y and RL corresponds to line A-42 in Table A (compounds I.B.a42.b1 to I.B.a42.b4200).
Table 349: Compounds I.B, wherein the combination of substituents R1, R2, X, D, B and the position of the group Y-Z in each case corresponds to one line B-1 to B-4200 in table B and wherein Z is phenyl and the combination of the meaning of Y and RL corresponds to line A-43 in Table A (compounds I.B.a43.b1 to I.B.a43.b4200).
Table 350: Compounds I.B, wherein the combination of substituents R1, R2, X, D,
B and the position of the group Y-Z in each case corresponds to one line B-1 to B-4200 in table B and wherein Z is phenyl and the combination of the meaning of Y and RL corresponds to line A-44 in Table A (compounds I.B.a44.b1 to I.B.a44.b4200).
Table 351 : Compounds I.B, wherein the combination of substituents R1, R2, X, D, B and the position of the group Y-Z in each case corresponds to one line B-1 to B-4200 in table B and wherein Z is phenyl and the combination of the meaning of Y and RL corresponds to line A-45 in Table A (compounds I.B.a45.b1 to I.B.a45.b4200).
Table 352: Compounds I.B, wherein the combination of substituents R1, R2, X, D, B and the position of the group Y-Z in each case corresponds to one line B-1 to B-4200 in table B and wherein Z is phenyl and the combination of the meaning of Y and RL corresponds to line A-46 in Table A (compounds I.B.a46.b1 to I.B.a46.b4200).
Table 353: Compounds I.B, wherein the combination of substituents R1, R2, X, D, B and the position of the group Y-Z in each case corresponds to one line B-1 to B-4200 in table B and wherein Z is phenyl and the combination of the meaning of Y and RL corresponds to line A-47 in Table A (compounds I.B.a47.b1 to I.B.a47.b4200).
Table 354: Compounds I.B, wherein the combination of substituents R1, R2, X, D, B and the position of the group Y-Z in each case corresponds to one line B-1 to B-4200 in table B and wherein Z is phenyl and the combination of the meaning of Y and RL corresponds to line A-48 in Table A (compounds I.B.a48.b1 to I.B.a48.b4200).
Table 355: Compounds I.B, wherein the combination of substituents R1, R2, X, D,
B and the position of the group Y-Z in each case corresponds to one line B-1 to B-4200 in table B and wherein Z is phenyl and the combination of the meaning of Y and RL corresponds to line A-49 in Table A (compounds I.B.a49.b1 to I.B.a49.b4200).
Table 356: Compounds I.B, wherein the combination of substituents R1, R2, X, D, B and the position of the group Y-Z in each case corresponds to one line B-1 to B-4200 in table B and wherein Z is phenyl and the combination of the meaning of Y and RL corresponds to line A-50 in Table A (compounds I.B.a50.b1 to I.B.a50.b4200).
Table 357: Compounds I.B, wherein the combination of substituents R1, R2, X, D, B and the position of the group Y-Z in each case corresponds to one line B-1 to B-4200 in table B and wherein Z is phenyl and the combination of the meaning of Y and RL corresponds to line A-51 in Table A (compounds I.B.a51 .b1 to I.B.a51 .b4200).
Table 358: Compounds I.B, wherein the combination of substituents R1, R2, X, D,
B and the position of the group Y-Z in each case corresponds to one line B-1 to B-4200 in table B and wherein Z is phenyl and the combination of the meaning of Y and RL corresponds to line A-52 in Table A (compounds I.B.a52.b1 to I.B.a52.b4200).
Table 359: Compounds I.B, wherein the combination of substituents R1, R2, X, D, B and the position of the group Y-Z in each case corresponds to one line B-1 to B-4200 in table B and wherein Z is phenyl and the combination of the meaning of Y and RL corresponds to line A-53 in Table A (compounds I.B.a53.b1 to I.B.a53.b4200).
Table 360: Compounds I.B, wherein the combination of substituents R1, R2, X, D, B and the position of the group Y-Z in each case corresponds to one line B-1 to B-4200 in table B and wherein Z is phenyl and the combination of the meaning of Y and RL corresponds to line A-54 in Table A (compounds I.B.a54.b1 to I.B.a54.b4200).
Table 361 : Compounds I.B, wherein the combination of substituents R1, R2, X, D, B and the position of the group Y-Z in each case corresponds to one line B-1 to B-4200 in table B and wherein Z is phenyl and the combination of the meaning of Y and RL corresponds to line A-55 in Table A (compounds I.B.a55.b1 to I.B.a55.b4200).
Table 362: Compounds I.B, wherein the combination of substituents R1, R2, X, D, B and the position of the group Y-Z in each case corresponds to one line B-1 to B-4200 in table B and wherein Z is phenyl and the combination of the meaning of Y and RL corresponds to line A-56 in Table A (compounds I.B.a56.b1 to I.B.a56.b4200).
Table 363: Compounds I.B, wherein the combination of substituents R1, R2, X, D,
B and the position of the group Y-Z in each case corresponds to one line B-1 to B-4200 in table B and wherein Z is phenyl and the combination of the meaning of Y and RL corresponds to line A-57 in Table A (compounds I.B.a57.b1 to I.B.a57.b4200).
Table 364: Compounds I.B, wherein the combination of substituents R1, R2, X, D, B and the position of the group Y-Z in each case corresponds to one line B-1 to B-4200 in table B and wherein Z is phenyl and the combination of the meaning of Y and RL corresponds to line A-58 in Table A (compounds I.B.a58.b1 to I.B.a58.b4200).
Table 365: Compounds I.B, wherein the combination of substituents R1, R2, X, D, B and the position of the group Y-Z in each case corresponds to one line B-1 to B-4200 in table B and wherein Z is phenyl and the combination of the meaning of Y and RL corresponds to line A-59 in Table A (compounds I.B.a59.b1 to I.B.a59.b4200).
Table 366: Compounds I.B, wherein the combination of substituents R1, R2, X, D, B and the position of the group Y-Z in each case corresponds to one line B-1 to B-4200 in table B and wherein Z is phenyl and the combination of the meaning of Y and RL corresponds to line A-60 in Table A (compounds I.B.a60.b1 to I.B.a60.b4200).
Table 367: Compounds I.B, wherein the combination of substituents R1, R2, X, D, B and the position of the group Y-Z in each case corresponds to one line B-1 to B-4200
in table B and wherein Z is phenyl and the combination of the meaning of Y and RL corresponds to line A-61 in Table A (compounds I.B.a61 .b1 to I.B.a61 .b4200).
Table 368: Compounds I.B, wherein the combination of substituents R1, R2, X, D, B and the position of the group Y-Z in each case corresponds to one line B-1 to B-4200 in table B and wherein Z is phenyl and the combination of the meaning of Y and RL corresponds to line A-62 in Table A (compounds I.B.a62.b1 to I.B.a62.b4200).
Table 369: Compounds I.B, wherein the combination of substituents R1, R2, X, D, B and the position of the group Y-Z in each case corresponds to one line B-1 to B-4200 in table B and wherein Z is phenyl and the combination of the meaning of Y and RL corresponds to line A-63 in Table A (compounds I.B.a63.b1 to I.B.a63.b4200).
Table 370: Compounds I.B, wherein the combination of substituents R1, R2, X, D, B and the position of the group Y-Z in each case corresponds to one line B-1 to B-4200 in table B and wherein Z is phenyl and the combination of the meaning of Y and RL corresponds to line A-64 in Table A (compounds I.B.a64.b1 to I.B.a64.b4200).
Table 371 : Compounds I.B, wherein the combination of substituents R1, R2, X, D,
B and the position of the group Y-Z in each case corresponds to one line B-1 to B-4200 in table B and wherein Z is phenyl and the combination of the meaning of Y and RL corresponds to line A-65 in Table A (compounds I.B.a65.b1 to I.B.a65.b4200).
Table 372: Compounds I.B, wherein the combination of substituents R1, R2, X, D, B and the position of the group Y-Z in each case corresponds to one line B-1 to B-4200 in table B and wherein Z is phenyl and the combination of the meaning of Y and RL corresponds to line A-66 in Table A (compounds I.B.a66.b1 to I.B.a66.b4200).
Table 373: Compounds I.B, wherein the combination of substituents R1, R2, X, D, B and the position of the group Y-Z in each case corresponds to one line B-1 to B-4200 in table B and wherein Z is phenyl and the combination of the meaning of Y and RL corresponds to line A-67 in Table A (compounds I.B.a67.b1 to I.B.a67.b4200).
Table 374: Compounds I.B, wherein the combination of substituents R1, R2, X, D, B and the position of the group Y-Z in each case corresponds to one line B-1 to B-4200 in table B and wherein Z is phenyl and the combination of the meaning of Y and RL corresponds to line A-68 in Table A (compounds I.B.a68.b1 to I.B.a68.b4200).
Table 375: Compounds I.B, wherein the combination of substituents R1, R2, X, D, B and the position of the group Y-Z in each case corresponds to one line B-1 to B-4200 in table B and wherein Z is phenyl and the combination of the meaning of Y and RL corresponds to line A-69 in Table A (compounds I.B.a69.b1 to I.B.a69.b4200).
Table 376: Compounds I.B, wherein the combination of substituents R1, R2, X, D,
B and the position of the group Y-Z in each case corresponds to one line B-1 to B-4200 in table B and wherein Z is phenyl and the combination of the meaning of Y and RL corresponds to line A-70 in Table A (compounds I.B.a70.b1 to I.B.a70.b4200).
Table 377: Compounds I.B, wherein the combination of substituents R1, R2, X, D, B and the position of the group Y-Z in each case corresponds to one line B-1 to B-4200 in table B and wherein Z is phenyl and the combination of the meaning of Y and RL corresponds to line A-71 in Table A (compounds I.B.a71 .b1 to I.B.a71 .b4200).
Table 378: Compounds I.B, wherein the combination of substituents R1, R2, X, D, B and the position of the group Y-Z in each case corresponds to one line B-1 to B-4200 in table B and wherein Z is phenyl and the combination of the meaning of Y and RL corresponds to line A-72 in Table A (compounds I.B.a72.b1 to I.B.a72.b4200).
Table 379: Compounds I.B, wherein the combination of substituents R1, R2, X, D,
B and the position of the group Y-Z in each case corresponds to one line B-1 to B-4200 in table B and wherein Z is phenyl and the combination of the meaning of Y and RL corresponds to line A-73 in Table A (compounds I.B.a73.b1 to I.B.a73.b4200).
Table 380: Compounds I.B, wherein the combination of substituents R1, R2, X, D, B and the position of the group Y-Z in each case corresponds to one line B-1 to B-4200 in table B and wherein Z is phenyl and the combination of the meaning of Y and RL corresponds to line A-74 in Table A (compounds I.B.a74.b1 to I.B.a74.b4200).
Table 381 : Compounds I.B, wherein the combination of substituents R1, R2, X, D, B and the position of the group Y-Z in each case corresponds to one line B-1 to B-4200 in table B and wherein Z is phenyl and the combination of the meaning of Y and RL corresponds to line A-75 in Table A (compounds I.B.a75.b1 to I.B.a75.b4200).
Table 382: Compounds I.B, wherein the combination of substituents R1, R2, X, D, B and the position of the group Y-Z in each case corresponds to one line B-1 to B-4200 in table B and wherein Z is phenyl and the combination of the meaning of Y and RL corresponds to line A-76 in Table A (compounds I.B.a76.b1 to I.B.a76.b4200).
Table 383: Compounds I.B, wherein the combination of substituents R1, R2, X, D, B and the position of the group Y-Z in each case corresponds to one line B-1 to B-4200 in table B and wherein Z is phenyl and the combination of the meaning of Y and RL corresponds to line A-77 in Table A (compounds I.B.a77.b1 to I.B.a77.b4200).
Table 384: Compounds I.B, wherein the combination of substituents R1, R2, X, D,
B and the position of the group Y-Z in each case corresponds to one line B-1 to B-4200 in table B and wherein Z is phenyl and the combination of the meaning of Y and RL corresponds to line A-78 in Table A (compounds I.B.a78.b1 to I.B.a78.b4200).
Table 385: Compounds I.B, wherein the combination of substituents R1, R2, X, D, B and the position of the group Y-Z in each case corresponds to one line B-1 to B-4200 in table B and wherein Z is phenyl and the combination of the meaning of Y and RL corresponds to line A-79 in Table A (compounds I.B.a79.b1 to I.B.a79.b4200).
Table 386: Compounds I.B, wherein the combination of substituents R1, R2, X, D, B and the position of the group Y-Z in each case corresponds to one line B-1 to B-4200 in table B and wherein Z is phenyl and the combination of the meaning of Y and RL corresponds to line A-80 in Table A (compounds I.B.a80.b1 to I.B.a80.b4200).
Table 387: Compounds I.B, wherein the combination of substituents R1, R2, X, D, B and the position of the group Y-Z in each case corresponds to one line B-1 to B-4200 in table B and wherein Z is phenyl and the combination of the meaning of Y and RL corresponds to line A-81 in Table A (compounds I.B.a81 .b1 to I.B.a81 .b4200).
Table 388: Compounds I.B, wherein the combination of substituents R1, R2, X, D, B and the position of the group Y-Z in each case corresponds to one line B-1 to B-4200
in table B and wherein Z is phenyl and the combination of the meaning of Y and RL corresponds to line A-82 in Table A (compounds I.B.a82.b1 to I.B.a82.b4200).
Table 389: Compounds I.B, wherein the combination of substituents R1, R2, X, D, B and the position of the group Y-Z in each case corresponds to one line B-1 to B-4200 in table B and wherein Z is phenyl and the combination of the meaning of Y and RL corresponds to line A-83 in Table A (compounds I.B.a83.b1 to I.B.a83.b4200).
Table 390: Compounds I.B, wherein the combination of substituents R1, R2, X, D, B and the position of the group Y-Z in each case corresponds to one line B-1 to B-4200 in table B and wherein Z is phenyl and the combination of the meaning of Y and RL corresponds to line A-84 in Table A (compounds I.B.a84.b1 to I.B.a84.b4200).
Table 391 : Compounds I.B, wherein the combination of substituents R1, R2, X, D, B and the position of the group Y-Z in each case corresponds to one line B-1 to B-4200 in table B and wherein Z is phenyl and the combination of the meaning of Y and RL corresponds to line A-85 in Table A (compounds I.B.a85.b1 to I.B.a85.b4200).
Table 392: Compounds I.B, wherein the combination of substituents R1, R2, X, D,
B and the position of the group Y-Z in each case corresponds to one line B-1 to B-4200 in table B and wherein Z is phenyl and the combination of the meaning of Y and RL corresponds to line A-86 in Table A (compounds I.B.a86.b1 to I.B.a86.b4200).
Table 393: Compounds I.B, wherein the combination of substituents R1, R2, X, D, B and the position of the group Y-Z in each case corresponds to one line B-1 to B-4200 in table B and wherein Z is phenyl and the combination of the meaning of Y and RL corresponds to line A-87 in Table A (compounds I.B.a87.b1 to I.B.a87.b4200).
Table 394: Compounds I.B, wherein the combination of substituents R1, R2, X, D, B and the position of the group Y-Z in each case corresponds to one line B-1 to B-4200 in table B and wherein Z is phenyl and the combination of the meaning of Y and RL corresponds to line A-88 in Table A (compounds I.B.a88.b1 to I.B.a88.b4200).
Table 395: Compounds I.B, wherein the combination of substituents R1, R2, X, D, B and the position of the group Y-Z in each case corresponds to one line B-1 to B-4200 in table B and wherein Z is phenyl and the combination of the meaning of Y and RL corresponds to line A-89 in Table A (compounds I.B.a89.b1 to I.B.a89.b4200).
Table 396: Compounds I.B, wherein the combination of substituents R1, R2, X, D, B and the position of the group Y-Z in each case corresponds to one line B-1 to B-4200 in table B and wherein Z is phenyl and the combination of the meaning of Y and RL corresponds to line A-90 in Table A (compounds I.B.a90.b1 to I.B.a90.b4200).
Table 397: Compounds I.B, wherein the combination of substituents R1, R2, X, D,
B and the position of the group Y-Z in each case corresponds to one line B-1 to B-4200 in table B and wherein Z is phenyl and the combination of the meaning of Y and RL corresponds to line A-91 in Table A (compounds I.B.a91 .b1 to I.B.a91 .b4200).
Table 398: Compounds I.B, wherein the combination of substituents R1, R2, X, D, B and the position of the group Y-Z in each case corresponds to one line B-1 to B-4200 in table B and wherein Z is phenyl and the combination of the meaning of Y and RL corresponds to line A-92 in Table A (compounds I.B.a92.b1 to I.B.a92.b4200).
Table 399: Compounds I.B, wherein the combination of substituents R1, R2, X, D, B and the position of the group Y-Z in each case corresponds to one line B-1 to B-4200 in table B and wherein Z is phenyl and the combination of the meaning of Y and RL corresponds to line A-93 in Table A (compounds I.B.a93.b1 to I.B.a93.b4200).
Table 400: Compounds I.B, wherein the combination of substituents R1, R2, X, D,
B and the position of the group Y-Z in each case corresponds to one line B-1 to B-4200 in table B and wherein Z is phenyl and the combination of the meaning of Y and RL corresponds to line A-94 in Table A (compounds I.B.a94.b1 to I.B.a94.b4200).
Table 401 : Compounds I.B, wherein the combination of substituents R1, R2, X, D, B and the position of the group Y-Z in each case corresponds to one line B-1 to B-4200 in table B and wherein Z is phenyl and the combination of the meaning of Y and RL corresponds to line A-95 in Table A (compounds I.B.a95.b1 to I.B.a95.b4200).
Table 402: Compounds I.B, wherein the combination of substituents R1, R2, X, D, B and the position of the group Y-Z in each case corresponds to one line B-1 to B-4200 in table B and wherein Z is phenyl and the combination of the meaning of Y and RL corresponds to line A-96 in Table A (compounds I.B.a96.b1 to I.B.a96.b4200).
Table 403: Compounds I.B, wherein the combination of substituents R1, R2, X, D, B and the position of the group Y-Z in each case corresponds to one line B-1 to B-4200 in table B and wherein Z is phenyl and the combination of the meaning of Y and RL corresponds to line A-97 in Table A (compounds I.B.a97.b1 to I.B.a97.b4200).
Table 404: Compounds I.B, wherein the combination of substituents R1, R2, X, D, B and the position of the group Y-Z in each case corresponds to one line B-1 to B-4200 in table B and wherein Z is phenyl and the combination of the meaning of Y and RL corresponds to line A-98 in Table A (compounds I.B.a98.b1 to I.B.a98.b4200).
Table 405: Compounds I.B, wherein the combination of substituents R1, R2, X, D,
B and the position of the group Y-Z in each case corresponds to one line B-1 to B-4200 in table B and wherein Z is phenyl and the combination of the meaning of Y and RL corresponds to line A-99 in Table A (compounds I.B.a99.b1 to I.B.a99.b4200).
Table 406: Compounds I.B, wherein the combination of substituents R1, R2, X, D, B and the position of the group Y-Z in each case corresponds to one line B-1 to B-4200 in table B and wherein Z is phenyl and the combination of the meaning of Y and RL corresponds to line A-100 in Table A (compounds I.B.a100.b1 to I.B.a100.b4200).
Table 407: Compounds I.B, wherein the combination of substituents R1, R2, X, D, B and the position of the group Y-Z in each case corresponds to one line of lines B-1 to B-4200 in table B and wherein the combination of the meaning of Y and Z corresponds to line Z-1 in Table Z (compounds I.B.zl .b1 to I.B.zl .b4200).
Table 408: Compounds I.B, wherein the combination of substituents R1, R2, X, D, B and the position of the group Y-Z in each case corresponds to one line of lines B-1 to B-4200 in table B and wherein the combination of the meaning of Y and Z corresponds to line Z-2 in Table Z (compounds I.B.z2.b1 to I.B.z2.b4200).
Table 409: Compounds I.B, wherein the combination of substituents R1, R2, X, D, B and the position of the group Y-Z in each case corresponds to one line of lines B-1 to
B-4200 in table B and wherein the combination of the meaning of Y and Z corresponds to line Z-3 in Table Z (compounds I.B.z3.b1 to I.B.z3.b4200).
Table 410: Compounds I.B, wherein the combination of substituents R1, R2, X, D, B and the position of the group Y-Z in each case corresponds to one line of lines B-1 to B-4200 in table B and wherein the combination of the meaning of Y and Z corresponds to line Z-4 in Table Z (compounds I.B.z4.b1 to I.B.z4.b4200).
Table 41 1 : Compounds I.B, wherein the combination of substituents R1, R2, X, D, B and the position of the group Y-Z in each case corresponds to one line of lines B-1 to B-4200 in table B and wherein the combination of the meaning of Y and Z corresponds to line Z-5 in Table Z (compounds I.B.z5.b1 to I.B.z5.b4200).
Table 412: Compounds I.B, wherein the combination of substituents R1, R2, X, D, B and the position of the group Y-Z in each case corresponds to one line of lines B-1 to B-4200 in table B and wherein the combination of the meaning of Y and Z corresponds to line Z-6 in Table Z (compounds I.B.z6.b1 to I.B.z6.b4200).
Table 413: Compounds I.B, wherein the combination of substituents R1, R2, X, D,
B and the position of the group Y-Z in each case corresponds to one line of lines B-1 to B-4200 in table B and wherein the combination of the meaning of Y and Z corresponds to line Z-7 in Table Z (compounds I.B.z7.b1 to I.B.z7.b4200).
Table 414: Compounds I.B, wherein the combination of substituents R1, R2, X, D, B and the position of the group Y-Z in each case corresponds to one line of lines B-1 to B-4200 in table B and wherein the combination of the meaning of Y and Z corresponds to line Z-8 in Table Z (compounds I.B.z8.b1 to I.B.z8.b4200).
Table 415: Compounds I.B, wherein the combination of substituents R1, R2, X, D, B and the position of the group Y-Z in each case corresponds to one line of lines B-1 to B-4200 in table B and wherein the combination of the meaning of Y and Z corresponds to line Z-9 in Table Z (compounds I.B.z9.b1 to I.B.z9.b4200).
Table 416: Compounds I.B, wherein the combination of substituents R1, R2, X, D, B and the position of the group Y-Z in each case corresponds to one line of lines B-1 to B-4200 in table B and wherein the combination of the meaning of Y and Z corresponds to line Z-10 in Table Z (compounds I.B.z10.b1 to I.B.z10.b4200).
Table 417: Compounds I.B, wherein the combination of substituents R1, R2, X, D, B and the position of the group Y-Z in each case corresponds to one line of lines B-1 to B-4200 in table B and wherein the combination of the meaning of Y and Z corresponds to line Z-1 1 in Table Z (compounds I.B.zl 1 .b1 to I.B.zl 1 .b4200).
Table 418: Compounds I.B, wherein the combination of substituents R1, R2, X, D,
B and the position of the group Y-Z in each case corresponds to one line of lines B-1 to B-4200 in table B and wherein the combination of the meaning of Y and Z corresponds to line Z-12 in Table Z (compounds I.B.z12.b1 to I.B.z12.b4200).
Table 419: Compounds I.B, wherein the combination of substituents R1, R2, X, D, B and the position of the group Y-Z in each case corresponds to one line of lines B-1 to B-4200 in table B and wherein the combination of the meaning of Y and Z corresponds to line Z-13 in Table Z (compounds I.B.z13.b1 to I.B.z13.b4200).
Table 420: Compounds I.B, wherein the combination of substituents R1, R2, X, D, B and the position of the group Y-Z in each case corresponds to one line of lines B-1 to B-4200 in table B and wherein the combination of the meaning of Y and Z corresponds to line Z-14 in Table Z (compounds I.B.z14.b1 to I.B.z14.b4200).
Table 421 : Compounds I.B, wherein the combination of substituents R1, R2, X, D,
B and the position of the group Y-Z in each case corresponds to one line of lines B-1 to B-4200 in table B and wherein the combination of the meaning of Y and Z corresponds to line Z-15 in Table Z (compounds I.B.z15.b1 to I.B.z15.b4200).
Table 422: Compounds I.B, wherein the combination of substituents R1, R2, X, D, B and the position of the group Y-Z in each case corresponds to one line of lines B-1 to B-4200 in table B and wherein the combination of the meaning of Y and Z corresponds to line Z-16 in Table Z (compounds I.B.z16.b1 to I.B.z16.b4200).
Table 423: Compounds I.B, wherein the combination of substituents R1, R2, X, D, B and the position of the group Y-Z in each case corresponds to one line of lines B-1 to B-4200 in table B and wherein the combination of the meaning of Y and Z corresponds to line Z-17 in Table Z (compounds I.B.z17.b1 to I.B.z17.b4200).
Table 424: Compounds I.B, wherein the combination of substituents R1, R2, X, D, B and the position of the group Y-Z in each case corresponds to one line of lines B-1 to B-4200 in table B and wherein the combination of the meaning of Y and Z corresponds to line Z-18 in Table Z (compounds I.B.z18.b1 to I.B.z18.b4200).
Table 425: Compounds I.B, wherein the combination of substituents R1, R2, X, D, B and the position of the group Y-Z in each case corresponds to one line of lines B-1 to B-4200 in table B and wherein the combination of the meaning of Y and Z corresponds to line Z-19 in Table Z (compounds I.B.z19.b1 to I.B.z19.b4200).
Table 426: Compounds I.B, wherein the combination of substituents R1, R2, X, D,
B and the position of the group Y-Z in each case corresponds to one line of lines B-1 to B-4200 in table B and wherein the combination of the meaning of Y and Z corresponds to line Z-20 in Table Z (compounds I.B.z20.b1 to I.B.z20.b4200).
Table 427: Compounds I.B, wherein the combination of substituents R1, R2, X, D, B and the position of the group Y-Z in each case corresponds to one line of lines B-1 to B-4200 in table B and wherein the combination of the meaning of Y and Z corresponds to line Z-21 in Table Z (compounds I.B.z21 .b1 to I.B.z21 .b4200).
Table 428: Compounds I.B, wherein the combination of substituents R1, R2, X, D, B and the position of the group Y-Z in each case corresponds to one line of lines B-1 to B-4200 in table B and wherein the combination of the meaning of Y and Z corresponds to line Z-22 in Table Z (compounds I.B.z22.b1 to I.B.z22.b4200).
Table 429: Compounds I.B, wherein the combination of substituents R1, R2, X, D, B and the position of the group Y-Z in each case corresponds to one line of lines B-1 to B-4200 in table B and wherein the combination of the meaning of Y and Z corresponds to line Z-23 in Table Z (compounds I.B.z23.b1 to I.B.z23.b4200).
Table 430: Compounds I.B, wherein the combination of substituents R1, R2, X, D, B and the position of the group Y-Z in each case corresponds to one line of lines B-1 to
B-4200 in table B and wherein the combination of the meaning of Y and Z corresponds to line Z-24 in Table Z (compounds I.B.z24.b1 to I.B.z24.b4200).
Table 431 : Compounds I.B, wherein the combination of substituents R1, R2, X, D, B and the position of the group Y-Z in each case corresponds to one line of lines B-1 to B-4200 in table B and wherein the combination of the meaning of Y and Z corresponds to line Z-25 in Table Z (compounds I.B.z25.b1 to I.B.z25.b4200).
Table 432: Compounds I.B, wherein the combination of substituents R1, R2, X, D, B and the position of the group Y-Z in each case corresponds to one line of lines B-1 to B-4200 in table B and wherein the combination of the meaning of Y and Z corresponds to line Z-26 in Table Z (compounds I.B.z26.b1 to I.B.z26.b4200).
Table 433: Compounds I.B, wherein the combination of substituents R1, R2, X, D, B and the position of the group Y-Z in each case corresponds to one line of lines B-1 to B-4200 in table B and wherein the combination of the meaning of Y and Z corresponds to line Z-27 in Table Z (compounds I.B.z27.b1 to I.B.z27.b4200).
Table 434: Compounds I.B, wherein the combination of substituents R1, R2, X, D,
B and the position of the group Y-Z in each case corresponds to one line of lines B-1 to B-4200 in table B and wherein the combination of the meaning of Y and Z corresponds to line Z-28 in Table Z (compounds I.B.z28.b1 to I.B.z28.b4200).
Table 435: Compounds I.B, wherein the combination of substituents R1, R2, X, D, B and the position of the group Y-Z in each case corresponds to one line of lines B-1 to B-4200 in table B and wherein the combination of the meaning of Y and Z corresponds to line Z-29 in Table Z (compounds I.B.z29.b1 to I.B.z29.b4200).
Table 436: Compounds I.B, wherein the combination of substituents R1, R2, X, D, B and the position of the group Y-Z in each case corresponds to one line of lines B-1 to B-4200 in table B and wherein the combination of the meaning of Y and Z corresponds to line Z-30 in Table Z (compounds I.B.z30.b1 to I.B.z30.b4200).
Table 437: Compounds I.B, wherein the combination of substituents R1, R2, X, D, B and the position of the group Y-Z in each case corresponds to one line of lines B-1 to B-4200 in table B and wherein the combination of the meaning of Y and Z corresponds to line Z-31 in Table Z (compounds I.B.z31 .b1 to I.B.z31 .b4200).
Table 438: Compounds I.B, wherein the combination of substituents R1, R2, X, D, B and the position of the group Y-Z in each case corresponds to one line of lines B-1 to B-4200 in table B and wherein the combination of the meaning of Y and Z corresponds to line Z-32 in Table Z (compounds I.B.z32.b1 to I.B.z32.b4200).
Table 439: Compounds I.B, wherein the combination of substituents R1, R2, X, D,
B and the position of the group Y-Z in each case corresponds to one line of lines B-1 to B-4200 in table B and wherein the combination of the meaning of Y and Z corresponds to line Z-33 in Table Z (compounds I.B.z33.b1 to I.B.z33.b4200).
Table 440: Compounds I.B, wherein the combination of substituents R1, R2, X, D, B and the position of the group Y-Z in each case corresponds to one line of lines B-1 to B-4200 in table B and wherein the combination of the meaning of Y and Z corresponds to line Z-34 in Table Z (compounds I.B.z34.b1 to I.B.z34.b4200).
Table 441 : Compounds I.B, wherein the combination of substituents R1, R2, X, D, B and the position of the group Y-Z in each case corresponds to one line of lines B-1 to B-4200 in table B and wherein the combination of the meaning of Y and Z corresponds to line Z-35 in Table Z (compounds I.B.z35.b1 to I.B.z35.b4200).
Table 442: Compounds I.B, wherein the combination of substituents R1, R2, X, D,
B and the position of the group Y-Z in each case corresponds to one line of lines B-1 to B-4200 in table B and wherein the combination of the meaning of Y and Z corresponds to line Z-36 in Table Z (compounds I.B.z36.b1 to I.B.z36.b4200).
Table 443: Compounds I.B, wherein the combination of substituents R1, R2, X, D, B and the position of the group Y-Z in each case corresponds to one line of lines B-1 to B-4200 in table B and wherein the combination of the meaning of Y and Z corresponds to line Z-37 in Table Z (compounds I.B.z37.b1 to I.B.z37.b4200).
Table 444: Compounds I.B, wherein the combination of substituents R1, R2, X, D, B and the position of the group Y-Z in each case corresponds to one line of lines B-1 to B-4200 in table B and wherein the combination of the meaning of Y and Z corresponds to line Z-38 in Table Z (compounds I.B.z38.b1 to I.B.z38.b4200).
Table 445: Compounds I.B, wherein the combination of substituents R1, R2, X, D, B and the position of the group Y-Z in each case corresponds to one line of lines B-1 to B-4200 in table B and wherein the combination of the meaning of Y and Z corresponds to line Z-39 in Table Z (compounds I.B.z39.b1 to I.B.z39.b4200).
Table 446: Compounds I.B, wherein the combination of substituents R1, R2, X, D, B and the position of the group Y-Z in each case corresponds to one line of lines B-1 to B-4200 in table B and wherein the combination of the meaning of Y and Z corresponds to line Z-40 in Table Z (compounds I.B.z40.b1 to I.B.z40.b4200).
Table 447: Compounds I.B, wherein the combination of substituents R1, R2, X, D,
B and the position of the group Y-Z in each case corresponds to one line of lines B-1 to B-4200 in table B and wherein the combination of the meaning of Y and Z corresponds to line Z-41 in Table Z (compounds I.B.z41 .b1 to I.B.z41 .b4200).
Table 448: Compounds I.B, wherein the combination of substituents R1, R2, X, D, B and the position of the group Y-Z in each case corresponds to one line of lines B-1 to B-4200 in table B and wherein the combination of the meaning of Y and Z corresponds to line Z-42 in Table Z (compounds I.B.z42.b1 to I.B.z42.b4200).
Table 449: Compounds I.B, wherein the combination of substituents R1, R2, X, D, B and the position of the group Y-Z in each case corresponds to one line of lines B-1 to B-4200 in table B and wherein the combination of the meaning of Y and Z corresponds to line Z-43 in Table Z (compounds I.B.z43.b1 to I.B.z43.b4200).
Table 450: Compounds I.B, wherein the combination of substituents R1, R2, X, D, B and the position of the group Y-Z in each case corresponds to one line of lines B-1 to B-4200 in table B and wherein the combination of the meaning of Y and Z corresponds to line Z-44 in Table Z (compounds I.B.z44.b1 to I.B.z44.b4200).
Table 451 : Compounds I.B, wherein the combination of substituents R1, R2, X, D, B and the position of the group Y-Z in each case corresponds to one line of lines B-1 to
B-4200 in table B and wherein the combination of the meaning of Y and Z corresponds to line Z-45 in Table Z (compounds I.B.z45.b1 to I.B.z45.b4200).
Table 452: Compounds I.B, wherein the combination of substituents R1, R2, X, D, B and the position of the group Y-Z in each case corresponds to one line of lines B-1 to B-4200 in table B and wherein the combination of the meaning of Y and Z corresponds to line Z-46 in Table Z (compounds I.B.z46.b1 to I.B.z46.b4200).
Table 453: Compounds I.B, wherein the combination of substituents R1, R2, X, D, B and the position of the group Y-Z in each case corresponds to one line of lines B-1 to B-4200 in table B and wherein the combination of the meaning of Y and Z corresponds to line Z-47 in Table Z (compounds I.B.z47.b1 to I.B.z47.b4200).
Table 454: Compounds I.B, wherein the combination of substituents R1, R2, X, D, B and the position of the group Y-Z in each case corresponds to one line of lines B-1 to B-4200 in table B and wherein the combination of the meaning of Y and Z corresponds to line Z-48 in Table Z (compounds I.B.z48.b1 to I.B.z48.b4200).
Table 455: Compounds I.B, wherein the combination of substituents R1, R2, X, D,
B and the position of the group Y-Z in each case corresponds to one line of lines B-1 to B-4200 in table B and wherein the combination of the meaning of Y and Z corresponds to line Z-49 in Table Z (compounds I.B.z49.b1 to I.B.z49.b4200).
Table 456: Compounds I.B, wherein the combination of substituents R1, R2, X, D, B and the position of the group Y-Z in each case corresponds to one line of lines B-1 to B-4200 in table B and wherein the combination of the meaning of Y and Z corresponds to line Z-50 in Table Z (compounds I.B.z50.b1 to I.B.z50.b4200).
Table 457: Compounds I.B, wherein the combination of substituents R1, R2, X, D, B and the position of the group Y-Z in each case corresponds to one line of lines B-1 to B-4200 in table B and wherein the combination of the meaning of Y and Z corresponds to line Z-51 in Table Z (compounds I.B.z51 .b1 to I.B.z51 .b4200).
Table 458: Compounds I.B, wherein the combination of substituents R1, R2, X, D, B and the position of the group Y-Z in each case corresponds to one line of lines B-1 to B-4200 in table B and wherein the combination of the meaning of Y and Z corresponds to line Z-52 in Table Z (compounds I.B.z52.b1 to I.B.z52.b4200).
Table 459: Compounds I.B, wherein the combination of substituents R1, R2, X, D, B and the position of the group Y-Z in each case corresponds to one line of lines B-1 to B-4200 in table B and wherein the combination of the meaning of Y and Z corresponds to line Z-53 in Table Z (compounds I.B.z53.b1 to I.B.z53.b4200).
Table 460: Compounds I.B, wherein the combination of substituents R1, R2, X, D,
B and the position of the group Y-Z in each case corresponds to one line of lines B-1 to B-4200 in table B and wherein the combination of the meaning of Y and Z corresponds to line Z-54 in Table Z (compounds I.B.z54.b1 to I.B.z54.b4200).
Table 461 : Compounds I.B, wherein the combination of substituents R1, R2, X, D, B and the position of the group Y-Z in each case corresponds to one line of lines B-1 to B-4200 in table B and wherein the combination of the meaning of Y and Z corresponds to line Z-55 in Table Z (compounds I.B.z55.b1 to I.B.z55.b4200).
Table 462: Compounds I.B, wherein the combination of substituents R1, R2, X, D, B and the position of the group Y-Z in each case corresponds to one line of lines B-1 to B-4200 in table B and wherein the combination of the meaning of Y and Z corresponds to line Z-56 in Table Z (compounds I.B.z56.b1 to I.B.z56.b4200).
Table 463: Compounds I.B, wherein the combination of substituents R1, R2, X, D,
B and the position of the group Y-Z in each case corresponds to one line of lines B-1 to B-4200 in table B and wherein the combination of the meaning of Y and Z corresponds to line Z-57 in Table Z (compounds I.B.z57.b1 to I.B.z57.b4200).
Table 464: Compounds I.B, wherein the combination of substituents R1, R2, X, D, B and the position of the group Y-Z in each case corresponds to one line of lines B-1 to B-4200 in table B and wherein the combination of the meaning of Y and Z corresponds to line Z-58 in Table Z (compounds I.B.z58.b1 to I.B.z58.b4200).
Table 465: Compounds I.B, wherein the combination of substituents R1, R2, X, D, B and the position of the group Y-Z in each case corresponds to one line of lines B-1 to B-4200 in table B and wherein the combination of the meaning of Y and Z corresponds to line Z-59 in Table Z (compounds I.B.z59.b1 to I.B.z59.b4200).
Table 466: Compounds I.B, wherein the combination of substituents R1, R2, X, D, B and the position of the group Y-Z in each case corresponds to one line of lines B-1 to B-4200 in table B and wherein the combination of the meaning of Y and Z corresponds to line Z-60 in Table Z (compounds I.B.z60.b1 to I.B.z60.b4200).
Table 467: Compounds I.B, wherein the combination of substituents R1, R2, X, D, B and the position of the group Y-Z in each case corresponds to one line of lines B-1 to B-4200 in table B and wherein the combination of the meaning of Y and Z corresponds to line Z-61 in Table Z (compounds I.B.z61 .b1 to I.B.z61 .b4200).
Table 468: Compounds I.B, wherein the combination of substituents R1, R2, X, D,
B and the position of the group Y-Z in each case corresponds to one line of lines B-1 to B-4200 in table B and wherein the combination of the meaning of Y and Z corresponds to line Z-62 in Table Z (compounds I.B.z62.b1 to I.B.z62.b4200).
Table 469: Compounds I.B, wherein the combination of substituents R1, R2, X, D, B and the position of the group Y-Z in each case corresponds to one line of lines B-1 to B-4200 in table B and wherein the combination of the meaning of Y and Z corresponds to line Z-63 in Table Z (compounds I.B.z63.b1 to I.B.z63.b4200).
Table 470: Compounds I.B, wherein the combination of substituents R1, R2, X, D, B and the position of the group Y-Z in each case corresponds to one line of lines B-1 to B-4200 in table B and wherein the combination of the meaning of Y and Z corresponds to line Z-64 in Table Z (compounds I.B.z64.b1 to I.B.z64.b4200).
Table 471 : Compounds I.B, wherein the combination of substituents R1, R2, X, D, B and the position of the group Y-Z in each case corresponds to one line of lines B-1 to B-4200 in table B and wherein the combination of the meaning of Y and Z corresponds to line Z-65 in Table Z (compounds I.B.z65.b1 to I.B.z65.b4200).
Table 472: Compounds I.B, wherein the combination of substituents R1, R2, X, D, B and the position of the group Y-Z in each case corresponds to one line of lines B-1 to
B-4200 in table B and wherein the combination of the meaning of Y and Z corresponds to line Z-66 in Table Z (compounds I.B.z66.b1 to I.B.z66.b4200).
Table 473: Compounds I.B, wherein the combination of substituents R1, R2, X, D, B and the position of the group Y-Z in each case corresponds to one line of lines B-1 to B-4200 in table B and wherein the combination of the meaning of Y and Z corresponds to line Z-67 in Table Z (compounds I.B.z67.b1 to I.B.z67.b4200).
Table 474: Compounds I.B, wherein the combination of substituents R1, R2, X, D, B and the position of the group Y-Z in each case corresponds to one line of lines B-1 to B-4200 in table B and wherein the combination of the meaning of Y and Z corresponds to line Z-68 in Table Z (compounds I.B.z68.b1 to I.B.z68.b4200).
Table 475: Compounds I.B, wherein the combination of substituents R1, R2, X, D, B and the position of the group Y-Z in each case corresponds to one line of lines B-1 to B-4200 in table B and wherein the combination of the meaning of Y and Z corresponds to line Z-69 in Table Z (compounds I.B.z69.b1 to I.B.z69.b4200).
Table 476: Compounds I.B, wherein the combination of substituents R1, R2, X, D,
B and the position of the group Y-Z in each case corresponds to one line of lines B-1 to B-4200 in table B and wherein the combination of the meaning of Y and Z corresponds to line Z-70 in Table Z (compounds I.B.z70.b1 to I.B.z70.b4200).
Table 477: Compounds I.B, wherein the combination of substituents R1, R2, X, D, B and the position of the group Y-Z in each case corresponds to one line of lines B-1 to B-4200 in table B and wherein the combination of the meaning of Y and Z corresponds to line Z-71 in Table Z (compounds I.B.z71 .b1 to I.B.z71 .b4200).
Table 478: Compounds I.B, wherein the combination of substituents R1, R2, X, D, B and the position of the group Y-Z in each case corresponds to one line of lines B-1 to B-4200 in table B and wherein the combination of the meaning of Y and Z corresponds to line Z-72 in Table Z (compounds I.B.z72.b1 to I.B.z72.b4200).
Table 479: Compounds I.B, wherein the combination of substituents R1, R2, X, D, B and the position of the group Y-Z in each case corresponds to one line of lines B-1 to B-4200 in table B and wherein the combination of the meaning of Y and Z corresponds to line Z-73 in Table Z (compounds I.B.z73.b1 to I.B.z73.b4200).
Table 480: Compounds I.B, wherein the combination of substituents R1, R2, X, D, B and the position of the group Y-Z in each case corresponds to one line of lines B-1 to B-4200 in table B and wherein the combination of the meaning of Y and Z corresponds to line Z-74 in Table Z (compounds I.B.z74.b1 to I.B.z74.b4200).
Table 481 : Compounds I.B, wherein the combination of substituents R1, R2, X, D,
B and the position of the group Y-Z in each case corresponds to one line of lines B-1 to B-4200 in table B and wherein the combination of the meaning of Y and Z corresponds to line Z-75 in Table Z (compounds I.B.z75.b1 to I.B.z75.b4200).
Table 482: Compounds I.B, wherein the combination of substituents R1, R2, X, D, B and the position of the group Y-Z in each case corresponds to one line of lines B-1 to B-4200 in table B and wherein the combination of the meaning of Y and Z corresponds to line Z-76 in Table Z (compounds I.B.z76.b1 to I.B.z76.b4200).
Table 483: Compounds I.B, wherein the combination of substituents R1, R2, X, D, B and the position of the group Y-Z in each case corresponds to one line of lines B-1 to B-4200 in table B and wherein the combination of the meaning of Y and Z corresponds to line Z-77 in Table Z (compounds I.B.z77.b1 to I.B.z77.b4200).
Table 484: Compounds I.B, wherein the combination of substituents R1, R2, X, D,
B and the position of the group Y-Z in each case corresponds to one line of lines B-1 to B-4200 in table B and wherein the combination of the meaning of Y and Z corresponds to line Z-78 in Table Z (compounds I.B.z78.b1 to I.B.z78.b4200).
Table 485: Compounds I.B, wherein the combination of substituents R1, R2, X, D, B and the position of the group Y-Z in each case corresponds to one line of lines B-1 to B-4200 in table B and wherein the combination of the meaning of Y and Z corresponds to line Z-79 in Table Z (compounds I.B.z79.b1 to I.B.z79.b4200).
Table 486: Compounds I.B, wherein the combination of substituents R1, R2, X, D, B and the position of the group Y-Z in each case corresponds to one line of lines B-1 to B-4200 in table B and wherein the combination of the meaning of Y and Z corresponds to line Z-80 in Table Z (compounds I.B.z80.b1 to I.B.z80.b4200).
Table 487: Compounds I.B, wherein the combination of substituents R1, R2, X, D, B and the position of the group Y-Z in each case corresponds to one line of lines B-1 to B-4200 in table B and wherein the combination of the meaning of Y and Z corresponds to line Z-81 in Table Z (compounds I.B.z81 .b1 to I.B.z81 .b4200).
Table 488: Compounds I.B, wherein the combination of substituents R1, R2, X, D, B and the position of the group Y-Z in each case corresponds to one line of lines B-1 to B-4200 in table B and wherein the combination of the meaning of Y and Z corresponds to line Z-82 in Table Z (compounds I.B.z82.b1 to I.B.z82.b4200).
Table 489: Compounds I.B, wherein the combination of substituents R1, R2, X, D,
B and the position of the group Y-Z in each case corresponds to one line of lines B-1 to B-4200 in table B and wherein the combination of the meaning of Y and Z corresponds to line Z-83 in Table Z (compounds I.B.z83.b1 to I.B.z83.b4200).
Table 490: Compounds I.B, wherein the combination of substituents R1, R2, X, D, B and the position of the group Y-Z in each case corresponds to one line of lines B-1 to B-4200 in table B and wherein the combination of the meaning of Y and Z corresponds to line Z-84 in Table Z (compounds I.B.z84.b1 to I.B.z84.b4200).
Table 491 : Compounds I.B, wherein the combination of substituents R1, R2, X, D, B and the position of the group Y-Z in each case corresponds to one line of lines B-1 to B-4200 in table B and wherein the combination of the meaning of Y and Z corresponds to line Z-85 in Table Z (compounds I.B.z85.b1 to I.B.z85.b4200).
Table 492: Compounds I.B, wherein the combination of substituents R1, R2, X, D, B and the position of the group Y-Z in each case corresponds to one line of lines B-1 to B-4200 in table B and wherein the combination of the meaning of Y and Z corresponds to line Z-86 in Table Z (compounds I.B.z86.b1 to I.B.z86.b4200).
Table 493: Compounds I.B, wherein the combination of substituents R1, R2, X, D, B and the position of the group Y-Z in each case corresponds to one line of lines B-1 to
B-4200 in table B and wherein the combination of the meaning of Y and Z corresponds to line Z-87 in Table Z (compounds I.B.z87.b1 to I.B.z87.b4200).
Table 494: Compounds I.B, wherein the combination of substituents R1, R2, X, D, B and the position of the group Y-Z in each case corresponds to one line of lines B-1 to B-4200 in table B and wherein the combination of the meaning of Y and Z corresponds to line Z-88 in Table Z (compounds I.B.z88.b1 to I.B.z88.b4200).
Table 495: Compounds I.B, wherein the combination of substituents R1, R2, X, D, B and the position of the group Y-Z in each case corresponds to one line of lines B-1 to B-4200 in table B and wherein the combination of the meaning of Y and Z corresponds to line Z-89 in Table Z (compounds I.B.z89.b1 to I.B.z89.b4200).
Table 496: Compounds I.B, wherein the combination of substituents R1, R2, X, D, B and the position of the group Y-Z in each case corresponds to one line of lines B-1 to B-4200 in table B and wherein the combination of the meaning of Y and Z corresponds to line Z-90 in Table Z (compounds I.B.z90.b1 to I.B.z90.b4200).
Table 497: Compounds I.B, wherein the combination of substituents R1, R2, X, D,
B and the position of the group Y-Z in each case corresponds to one line of lines B-1 to B-4200 in table B and wherein the combination of the meaning of Y and Z corresponds to line Z-91 in Table Z (compounds I.B.z91 .b1 to I.B.z91 .b4200).
Table 498: Compounds I.B, wherein the combination of substituents R1, R2, X, D, B and the position of the group Y-Z in each case corresponds to one line of lines B-1 to B-4200 in table B and wherein the combination of the meaning of Y and Z corresponds to line Z-92 in Table Z (compounds I.B.z92.b1 to I.B.z92.b4200).
Table 499: Compounds I.B, wherein the combination of substituents R1, R2, X, D, B and the position of the group Y-Z in each case corresponds to one line of lines B-1 to B-4200 in table B and wherein the combination of the meaning of Y and Z corresponds to line Z-93 in Table Z (compounds I.B.z93.b1 to I.B.z93.b4200).
Table 500: Compounds I.B, wherein the combination of substituents R1, R2, X, D, B and the position of the group Y-Z in each case corresponds to one line of lines B-1 to B-4200 in table B and wherein the combination of the meaning of Y and Z corresponds to line Z-94 in Table Z (compounds I.B.z94.b1 to I.B.z94.b4200).
Table 501 : Compounds I.B, wherein the combination of substituents R1, R2, X, D, B and the position of the group Y-Z in each case corresponds to one line of lines B-1 to B-4200 in table B and wherein the combination of the meaning of Y and Z corresponds to line Z-95 in Table Z (compounds I.B.z95.b1 to I.B.z95.b4200).
Table 502: Compounds I.B, wherein the combination of substituents R1, R2, X, D,
B and the position of the group Y-Z in each case corresponds to one line of lines B-1 to B-4200 in table B and wherein the combination of the meaning of Y and Z corresponds to line Z-96 in Table Z (compounds I.B.z96.b1 to I.B.z96.b4200).
Table 503: Compounds I.B, wherein the combination of substituents R1, R2, X, D, B and the position of the group Y-Z in each case corresponds to one line of lines B-1 to B-4200 in table B and wherein the combination of the meaning of Y and Z corresponds to line Z-97 in Table Z (compounds I.B.z97.b1 to I.B.z97.b4200).
Table 504: Compounds I.B, wherein the combination of substituents R1, R2, X, D, B and the position of the group Y-Z in each case corresponds to one line of lines B-1 to B-4200 in table B and wherein the combination of the meaning of Y and Z corresponds to line Z-98 in Table Z (compounds I.B.z98.b1 to I.B.z98.b4200).
Table 505: Compounds I.B, wherein the combination of substituents R1, R2, X, D,
B and the position of the group Y-Z in each case corresponds to one line of lines B-1 to B-4200 in table B and wherein the combination of the meaning of Y and Z corresponds to line Z-99 in Table Z (compounds I.B.z99.b1 to I.B.z99.b4200).
Table 506: Compounds I.B, wherein the combination of substituents R1, R2, X, D, B and the position of the group Y-Z in each case corresponds to one line of lines B-1 to B-4200 in table B and wherein the combination of the meaning of Y and Z corresponds to line Z-100 in Table Z (compounds I.B.z100.b1 to I.B.z100.b4200).
Table 507: Compounds I.B, wherein the combination of substituents R1, R2, X, D, B and the position of the group Y-Z in each case corresponds to one line of lines B-1 to B-4200 in table B and wherein the combination of the meaning of Y and Z corresponds to line Z-101 in Table Z (compounds I.B.z101.b1 to I.B.z101 .b4200).
Table 508: Compounds I.B, wherein the combination of substituents R1, R2, X, D, B and the position of the group Y-Z in each case corresponds to one line of lines B-1 to B-4200 in table B and wherein the combination of the meaning of Y and Z corresponds to line Z-102 in Table Z (compounds I.B.z102.b1 to I.B.z102.b4200).
Table 509: Compounds I.B, wherein the combination of substituents R1, R2, X, D, B and the position of the group Y-Z in each case corresponds to one line of lines B-1 to B-4200 in table B and wherein the combination of the meaning of Y and Z corresponds to line Z-103 in Table Z (compounds I.B.z103.b1 to I.B.z103.b4200).
Table 510: Compounds I.B, wherein the combination of substituents R1, R2, X, D,
B and the position of the group Y-Z in each case corresponds to one line of lines B-1 to B-4200 in table B and wherein the combination of the meaning of Y and Z corresponds to line Z-104 in Table Z (compounds I.B.z104.b1 to I.B.z104.b4200).
Table 51 1 : Compounds I.B, wherein the combination of substituents R1, R2, X, D, B and the position of the group Y-Z in each case corresponds to one line of lines B-1 to B-4200 in table B and wherein the combination of the meaning of Y and Z corresponds to line Z-105 in Table Z (compounds I.B.z105.b1 to I.B.z105.b4200).
Table 512: Compounds I.B, wherein the combination of substituents R1, R2, X, D, B and the position of the group Y-Z in each case corresponds to one line of lines B-1 to B-4200 in table B and wherein the combination of the meaning of Y and Z corresponds to line Z-106 in Table Z (compounds I.B.z106.b1 to I.B.z106.b4200).
Table 513: Compounds I.B, wherein the combination of substituents R1, R2, X, D, B and the position of the group Y-Z in each case corresponds to one line of lines B-1 to B-4200 in table B and wherein the combination of the meaning of Y and Z corresponds to line Z-107 in Table Z (compounds I.B.z107.b1 to I.B.z107.b4200).
Table 514: Compounds I.B, wherein the combination of substituents R1, R2, X, D, B and the position of the group Y-Z in each case corresponds to one line of lines B-1 to
B-4200 in table B and wherein the combination of the meaning of Y and Z corresponds to line Z-108 in Table Z (compounds I.B.z108.b1 to I.B.z108.b4200).
Table 515: Compounds I.B, wherein the combination of substituents R1, R2, X, D, B and the position of the group Y-Z in each case corresponds to one line of lines B-1 to B-4200 in table B and wherein the combination of the meaning of Y and Z corresponds to line Z-109 in Table Z (compounds I.B.z109.b1 to I.B.z109.b4200).
Table 516: Compounds I.B, wherein the combination of substituents R1, R2, X, D, B and the position of the group Y-Z in each case corresponds to one line of lines B-1 to B-4200 in table B and wherein the combination of the meaning of Y and Z corresponds to line Z-1 10 in Table Z (compounds I.B.zl 10.b1 to I.B.zl 10.b4200).
Table 517: Compounds I.B, wherein the combination of substituents R1, R2, X, D, B and the position of the group Y-Z in each case corresponds to one line of lines B-1 to B-4200 in table B and wherein the combination of the meaning of Y and Z corresponds to line Z-1 1 1 in Table Z (compounds I.B.zl 1 1.b1 to I.B.zl 1 1 .b4200).
Table 518: Compounds I.B, wherein the combination of substituents R1, R2, X, D,
B and the position of the group Y-Z in each case corresponds to one line of lines B-1 to B-4200 in table B and wherein the combination of the meaning of Y and Z corresponds to line Z-1 12 in Table Z (compounds I.B.zl 12.b1 to I.B.zl 12.b4200).
Table 519: Compounds I.B, wherein the combination of substituents R1, R2, X, D, B and the position of the group Y-Z in each case corresponds to one line of lines B-1 to B-4200 in table B and wherein the combination of the meaning of Y and Z corresponds to line Z-1 13 in Table Z (compounds I.B.zl 13.b1 to I.B.zl 13.b4200).
Table 520: Compounds I.B, wherein the combination of substituents R1, R2, X, D, B and the position of the group Y-Z in each case corresponds to one line of lines B-1 to B-4200 in table B and wherein the combination of the meaning of Y and Z corresponds to line Z-1 14 in Table Z (compounds I.B.zl 14. b1 to I.B.zl 14.b4200).
Table 521 : Compounds I.B, wherein the combination of substituents R1, R2, X, D, B and the position of the group Y-Z in each case corresponds to one line of lines B-1 to B-4200 in table B and wherein the combination of the meaning of Y and Z corresponds to line Z-1 15 in Table Z (compounds I.B.zl 15.b1 to I.B.zl 15.b4200).
Table 522: Compounds I.B, wherein the combination of substituents R1, R2, X, D, B and the position of the group Y-Z in each case corresponds to one line of lines B-1 to B-4200 in table B and wherein the combination of the meaning of Y and Z corresponds to line Z-1 16 in Table Z (compounds I.B.zl 16.b1 to I.B.zl 16.b4200).
Table 523: Compounds I.B, wherein the combination of substituents R1, R2, X, D,
B and the position of the group Y-Z in each case corresponds to one line of lines B-1 to B-4200 in table B and wherein the combination of the meaning of Y and Z corresponds to line Z-1 17 in Table Z (compounds I.B.zl 17.b1 to I.B.zl 17.b4200).
Table 524: Compounds I.B, wherein the combination of substituents R1, R2, X, D, B and the position of the group Y-Z in each case corresponds to one line of lines B-1 to B-4200 in table B and wherein the combination of the meaning of Y and Z corresponds to line Z-1 18 in Table Z (compounds I.B.zl 18.b1 to I.B.zl 18.b4200).
Table 525: Compounds I.B, wherein the combination of substituents R1, R2, X, D, B and the position of the group Y-Z in each case corresponds to one line of lines B-1 to B-4200 in table B and wherein the combination of the meaning of Y and Z corresponds to line Z-1 19 in Table Z (compounds I.B.zl 19. b1 to I.B.zl 19.b4200).
Table 526: Compounds I.B, wherein the combination of substituents R1, R2, X, D,
B and the position of the group Y-Z in each case corresponds to one line of lines B-1 to B-4200 in table B and wherein the combination of the meaning of Y and Z corresponds to line Z-120 in Table Z (compounds I.B.z120.b1 to I.B.z120.b4200).
Table 527: Compounds I.B, wherein the combination of substituents R1, R2, X, D, B and the position of the group Y-Z in each case corresponds to one line of lines B-1 to B-4200 in table B and wherein the combination of the meaning of Y and Z corresponds to line Z-121 in Table Z (compounds I. B.z121.b1 to I.B.z121 .b4200).
Table 528: Compounds I.B, wherein the combination of substituents R1, R2, X, D, B and the position of the group Y-Z in each case corresponds to one line of lines B-1 to B-4200 in table B and wherein the combination of the meaning of Y and Z corresponds to line Z-122 in Table Z (compounds I.B.z122.b1 to I.B.z122.b4200).
Table 529: Compounds I.B, wherein the combination of substituents R1, R2, X, D, B and the position of the group Y-Z in each case corresponds to one line of lines B-1 to B-4200 in table B and wherein the combination of the meaning of Y and Z corresponds to line Z-123 in Table Z (compounds I.B.z123.b1 to I.B.z123.b4200).
Table 530: Compounds I.B, wherein the combination of substituents R1, R2, X, D, B and the position of the group Y-Z in each case corresponds to one line of lines B-1 to B-4200 in table B and wherein the combination of the meaning of Y and Z corresponds to line Z-124 in Table Z (compounds I.B.z124.b1 to I.B.z124.b4200).
Table 531 : Compounds I.B, wherein the combination of substituents R1, R2, X, D,
B and the position of the group Y-Z in each case corresponds to one line of lines B-1 to B-4200 in table B and wherein the combination of the meaning of Y and Z corresponds to line Z-125 in Table Z (compounds I.B.z125.b1 to I.B.z125.b4200).
Table 532: Compounds I.B, wherein the combination of substituents R1, R2, X, D, B and the position of the group Y-Z in each case corresponds to one line of lines B-1 to B-4200 in table B and wherein the combination of the meaning of Y and Z corresponds to line Z-126 in Table Z (compounds I.B.z126.b1 to I.B.z126.b4200).
Table 533: Compounds I.B, wherein the combination of substituents R1, R2, X, D, B and the position of the group Y-Z in each case corresponds to one line of lines B-1 to B-4200 in table B and wherein the combination of the meaning of Y and Z corresponds to line Z-127 in Table Z (compounds I.B.z127.b1 to I.B.z127.b4200).
Table 534: Compounds I.B, wherein the combination of substituents R1, R2, X, D, B and the position of the group Y-Z in each case corresponds to one line of lines B-1 to B-4200 in table B and wherein the combination of the meaning of Y and Z corresponds to line Z-128 in Table Z (compounds I.B.z128.b1 to I.B.z128.b4200).
Table 535: Compounds I.B, wherein the combination of substituents R1, R2, X, D, B and the position of the group Y-Z in each case corresponds to one line of lines B-1 to
B-4200 in table B and wherein the combination of the meaning of Y and Z corresponds to line Z-129 in Table Z (compounds I.B.z129.b1 to I.B.z129.b4200).
Table 536: Compounds I.B, wherein the combination of substituents R1, R2, X, D, B and the position of the group Y-Z in each case corresponds to one line of lines B-1 to B-4200 in table B and wherein the combination of the meaning of Y and Z corresponds to line Z-130 in Table Z (compounds I.B.z130.b1 to I.B.z130.b4200).
Table 537: Compounds I.B, wherein the combination of substituents R1, R2, X, D, B and the position of the group Y-Z in each case corresponds to one line of lines B-1 to B-4200 in table B and wherein the combination of the meaning of Y and Z corresponds to line Z-131 in Table Z (compounds I. B.z131.b1 to I. B.z131 .b4200).
Table 538: Compounds I.B, wherein the combination of substituents R1, R2, X, D, B and the position of the group Y-Z in each case corresponds to one line of lines B-1 to B-4200 in table B and wherein the combination of the meaning of Y and Z corresponds to line Z-132 in Table Z (compounds I.B.z132.b1 to I.B.z132.b4200).
Table 539: Compounds I.B, wherein the combination of substituents R1, R2, X, D,
B and the position of the group Y-Z in each case corresponds to one line of lines B-1 to B-4200 in table B and wherein the combination of the meaning of Y and Z corresponds to line Z-133 in Table Z (compounds I.B.z133.b1 to I.B.z133.b4200).
Table 540: Compounds I.B, wherein the combination of substituents R1, R2, X, D, B and the position of the group Y-Z in each case corresponds to one line of lines B-1 to B-4200 in table B and wherein the combination of the meaning of Y and Z corresponds to line Z-134 in Table Z (compounds I.B.z134.b1 to I.B.z134.b4200).
Table 541 : Compounds I.B, wherein the combination of substituents R1, R2, X, D, B and the position of the group Y-Z in each case corresponds to one line of lines B-1 to B-4200 in table B and wherein the combination of the meaning of Y and Z corresponds to line Z-135 in Table Z (compounds I.B.z135.b1 to I.B.z135.b4200).
Table 542: Compounds I.B, wherein the combination of substituents R1, R2, X, D, B and the position of the group Y-Z in each case corresponds to one line of lines B-1 to B-4200 in table B and wherein the combination of the meaning of Y and Z corresponds to line Z-136 in Table Z (compounds I.B.z136.b1 to I.B.z136.b4200).
Table 543: Compounds I.B, wherein the combination of substituents R1, R2, X, D, B and the position of the group Y-Z in each case corresponds to one line of lines B-1 to B-4200 in table B and wherein the combination of the meaning of Y and Z corresponds to line Z-137 in Table Z (compounds I.B.z137.b1 to I.B.z137.b4200).
Table 544: Compounds I.B, wherein the combination of substituents R1, R2, X, D,
B and the position of the group Y-Z in each case corresponds to one line of lines B-1 to B-4200 in table B and wherein the combination of the meaning of Y and Z corresponds to line Z-138 in Table Z (compounds I.B.z138.b1 to I.B.z138.b4200).
Table 545: Compounds I.B, wherein the combination of substituents R1, R2, X, D, B and the position of the group Y-Z in each case corresponds to one line of lines B-1 to B-4200 in table B and wherein the combination of the meaning of Y and Z corresponds to line Z-139 in Table Z (compounds I.B.z139.b1 to I.B.z139.b4200).
Table 546: Compounds I.B, wherein the combination of substituents R1, R2, X, D, B and the position of the group Y-Z in each case corresponds to one line of lines B-1 to B-4200 in table B and wherein the combination of the meaning of Y and Z corresponds to line Z-140 in Table Z (compounds I.B.z140.b1 to I.B.z140.b4200).
Table 547: Compounds I.B, wherein the combination of substituents R1, R2, X, D,
B and the position of the group Y-Z in each case corresponds to one line of lines B-1 to B-4200 in table B and wherein the combination of the meaning of Y and Z corresponds to line Z-141 in Table Z (compounds I. B.z141.b1 to I.B.z141 .b4200).
Table 548: Compounds I.B, wherein the combination of substituents R1, R2, X, D, B and the position of the group Y-Z in each case corresponds to one line of lines B-1 to B-4200 in table B and wherein the combination of the meaning of Y and Z corresponds to line Z-142 in Table Z (compounds I.B.z142.b1 to I.B.z142.b4200).
Table 549: Compounds I.B, wherein the combination of substituents R1, R2, X, D, B and the position of the group Y-Z in each case corresponds to one line of lines B-1 to B-4200 in table B and wherein the combination of the meaning of Y and Z corresponds to line Z-143 in Table Z (compounds I.B.z143.b1 to I.B.z143.b4200).
Table 550: Compounds I.B, wherein the combination of substituents R1, R2, X, D, B and the position of the group Y-Z in each case corresponds to one line of lines B-1 to B-4200 in table B and wherein the combination of the meaning of Y and Z corresponds to line Z-144 in Table Z (compounds I.B.z144.b1 to I.B.z144.b4200).
Table 551 : Compounds I.B, wherein the combination of substituents R1, R2, X, D, B and the position of the group Y-Z in each case corresponds to one line of lines B-1 to B-4200 in table B and wherein the combination of the meaning of Y and Z corresponds to line Z-145 in Table Z (compounds I.B.z145.b1 to I.B.z145.b4200).
Table 552: Compounds I.B, wherein the combination of substituents R1, R2, X, D,
B and the position of the group Y-Z in each case corresponds to one line of lines B-1 to B-4200 in table B and wherein the combination of the meaning of Y and Z corresponds to line Z-146 in Table Z (compounds I.B.z146.b1 to I.B.z146.b4200).
Table 553: Compounds I.B, wherein the combination of substituents R1, R2, X, D, B and the position of the group Y-Z in each case corresponds to one line of lines B-1 to B-4200 in table B and wherein the combination of the meaning of Y and Z corresponds to line Z-147 in Table Z (compounds I.B.z147.b1 to I.B.z147.b4200).
Table 554: Compounds I.B, wherein the combination of substituents R1, R2, X, D, B and the position of the group Y-Z in each case corresponds to one line of lines B-1 to B-4200 in table B and wherein the combination of the meaning of Y and Z corresponds to line Z-148 in Table Z (compounds I.B.z148.b1 to I.B.z148.b4200).
Table 555: Compounds I.B, wherein the combination of substituents R1, R2, X, D, B and the position of the group Y-Z in each case corresponds to one line of lines B-1 to B-4200 in table B and wherein the combination of the meaning of Y and Z corresponds to line Z-149 in Table Z (compounds I.B.z149.b1 to I.B.z149.b4200).
Table 556: Compounds I.B, wherein the combination of substituents R1, R2, X, D, B and the position of the group Y-Z in each case corresponds to one line of lines B-1 to
B-4200 in table B and wherein the combination of the meaning of Y and Z corresponds to line Z-150 in Table Z (compounds I.B.z150.b1 to I.B.z150.b4200).
Table 557: Compounds I.B, wherein the combination of substituents R1, R2, X, D, B and the position of the group Y-Z in each case corresponds to one line of lines B-1 to B-4200 in table B and wherein the combination of the meaning of Y and Z corresponds to line Z-151 in Table Z (compounds I. B.z151.b1 to I.B.z151 .b4200).
Table 558: Compounds I.B, wherein the combination of substituents R1, R2, X, D, B and the position of the group Y-Z in each case corresponds to one line of lines B-1 to B-4200 in table B and wherein the combination of the meaning of Y and Z corresponds to line Z-152 in Table Z (compounds I.B.z152.b1 to I.B.z152.b4200).
Table 559: Compounds I.B, wherein the combination of substituents R1, R2, X, D, B and the position of the group Y-Z in each case corresponds to one line of lines B-1 to B-4200 in table B and wherein the combination of the meaning of Y and Z corresponds to line Z-153 in Table Z (compounds I.B.z153.b1 to I.B.z153.b4200).
Table 560: Compounds I.B, wherein the combination of substituents R1, R2, X, D,
B and the position of the group Y-Z in each case corresponds to one line of lines B-1 to B-4200 in table B and wherein the combination of the meaning of Y and Z corresponds to line Z-154 in Table Z (compounds I.B.z154.b1 to I.B.z154.b4200).
Table 561 : Compounds I.B, wherein the combination of substituents R1, R2, X, D, B and the position of the group Y-Z in each case corresponds to one line of lines B-1 to B-4200 in table B and wherein the combination of the meaning of Y and Z corresponds to line Z-155 in Table Z (compounds I.B.z155.b1 to I.B.z155.b4200).
Table 562: Compounds I.B, wherein the combination of substituents R1, R2, X, D, B and the position of the group Y-Z in each case corresponds to one line of lines B-1 to B-4200 in table B and wherein the combination of the meaning of Y and Z corresponds to line Z-156 in Table Z (compounds I.B.z156.b1 to I.B.z156.b4200).
Table 563: Compounds I.B, wherein the combination of substituents R1, R2, X, D, B and the position of the group Y-Z in each case corresponds to one line of lines B-1 to B-4200 in table B and wherein the combination of the meaning of Y and Z corresponds to line Z-157 in Table Z (compounds I.B.z157.b1 to I.B.z157.b4200).
Table 564: Compounds I.B, wherein the combination of substituents R1, R2, X, D, B and the position of the group Y-Z in each case corresponds to one line of lines B-1 to B-4200 in table B and wherein the combination of the meaning of Y and Z corresponds to line Z-158 in Table Z (compounds I.B.z158.b1 to I.B.z158.b4200).
Table 565: Compounds I.B, wherein the combination of substituents R1, R2, X, D,
B and the position of the group Y-Z in each case corresponds to one line of lines B-1 to B-4200 in table B and wherein the combination of the meaning of Y and Z corresponds to line Z-159 in Table Z (compounds I.B.z159.b1 to I.B.z159.b4200).
Table 566: Compounds I.B, wherein the combination of substituents R1, R2, X, D, B and the position of the group Y-Z in each case corresponds to one line of lines B-1 to B-4200 in table B and wherein the combination of the meaning of Y and Z corresponds to line Z-160 in Table Z (compounds I.B.z160.b1 to I.B.z160.b4200).
Table 567: Compounds I.B, wherein the combination of substituents R1, R2, X, D, B and the position of the group Y-Z in each case corresponds to one line of lines B-1 to B-4200 in table B and wherein the combination of the meaning of Y and Z corresponds to line Z-161 in Table Z (compounds I. B.z161.b1 to I.B.z161 .b4200).
Table 568: Compounds I.B, wherein the combination of substituents R1, R2, X, D,
B and the position of the group Y-Z in each case corresponds to one line of lines B-1 to B-4200 in table B and wherein the combination of the meaning of Y and Z corresponds to line Z-162 in Table Z (compounds I.B.z162.b1 to I.B.z162.b4200).
Table 569: Compounds I.B, wherein the combination of substituents R1, R2, X, D, B and the position of the group Y-Z in each case corresponds to one line of lines B-1 to B-4200 in table B and wherein the combination of the meaning of Y and Z corresponds to line Z-163 in Table Z (compounds I.B.z163.b1 to I.B.z163.b4200).
Table 570: Compounds I.B, wherein the combination of substituents R1, R2, X, D, B and the position of the group Y-Z in each case corresponds to one line of lines B-1 to B-4200 in table B and wherein the combination of the meaning of Y and Z corresponds to line Z-164 in Table Z (compounds I.B.z164.b1 to I.B.z164.b4200).
Table 571 : Compounds I.B, wherein the combination of substituents R1, R2, X, D, B and the position of the group Y-Z in each case corresponds to one line of lines B-1 to B-4200 in table B and wherein the combination of the meaning of Y and Z corresponds to line Z-165 in Table Z (compounds I.B.z165.b1 to I.B.z165.b4200).
Table 572: Compounds I.B, wherein the combination of substituents R1, R2, X, D, B and the position of the group Y-Z in each case corresponds to one line of lines B-1 to B-4200 in table B and wherein the combination of the meaning of Y and Z corresponds to line Z-166 in Table Z (compounds I.B.z166.b1 to I.B.z166.b4200).
Table 573: Compounds I.B, wherein the combination of substituents R1, R2, X, D,
B and the position of the group Y-Z in each case corresponds to one line of lines B-1 to B-4200 in table B and wherein the combination of the meaning of Y and Z corresponds to line Z-167 in Table Z (compounds I.B.z167.b1 to I.B.z167.b4200).
Table 574: Compounds I.B, wherein the combination of substituents R1, R2, X, D, B and the position of the group Y-Z in each case corresponds to one line of lines B-1 to B-4200 in table B and wherein the combination of the meaning of Y and Z corresponds to line Z-168 in Table Z (compounds I.B.z168.b1 to I.B.z168.b4200).
Table 575: Compounds I.B, wherein the combination of substituents R1, R2, X, D, B and the position of the group Y-Z in each case corresponds to one line of lines B-1 to B-4200 in table B and wherein the combination of the meaning of Y and Z corresponds to line Z-169 in Table Z (compounds I.B.z169.b1 to I.B.z169.b4200).
Table 576: Compounds I.B, wherein the combination of substituents R1, R2, X, D, B and the position of the group Y-Z in each case corresponds to one line of lines B-1 to B-4200 in table B and wherein the combination of the meaning of Y and Z corresponds to line Z-170 in Table Z (compounds I.B.z170.b1 to I.B.z170.b4200).
Table 577: Compounds I.B, wherein the combination of substituents R1, R2, X, D, B and the position of the group Y-Z in each case corresponds to one line of lines B-1 to
B-4200 in table B and wherein the combination of the meaning of Y and Z corresponds to line Z-171 in Table Z (compounds I. B.z171.b1 to I.B.z171.b4200).
Table 578: Compounds I.B, wherein the combination of substituents R1, R2, X, D, B and the position of the group Y-Z in each case corresponds to one line of lines B-1 to B-4200 in table B and wherein the combination of the meaning of Y and Z corresponds to line Z-172 in Table Z (compounds I.B.z172.b1 to I.B.z172.b4200).
Table 579: Compounds I.B, wherein the combination of substituents R1, R2, X, D, B and the position of the group Y-Z in each case corresponds to one line of lines B-1 to B-4200 in table B and wherein the combination of the meaning of Y and Z corresponds to line Z-173 in Table Z (compounds I.B.z173.b1 to I.B.z173.b4200).
Table 580: Compounds I.B, wherein the combination of substituents R1, R2, X, D, B and the position of the group Y-Z in each case corresponds to one line of lines B-1 to B-4200 in table B and wherein the combination of the meaning of Y and Z corresponds to line Z-174 in Table Z (compounds I.B.z174.b1 to I.B.z174.b4200).
Table 581 : Compounds I.B, wherein the combination of substituents R1, R2, X, D,
B and the position of the group Y-Z in each case corresponds to one line of lines B-1 to B-4200 in table B and wherein the combination of the meaning of Y and Z corresponds to line Z-175 in Table Z (compounds I.B.z175.b1 to I.B.z175.b4200).
Table 582: Compounds I.B, wherein the combination of substituents R1, R2, X, D, B and the position of the group Y-Z in each case corresponds to one line of lines B-1 to B-4200 in table B and wherein the combination of the meaning of Y and Z corresponds to line Z-176 in Table Z (compounds I.B.z176.b1 to I.B.z176.b4200).
Table 583: Compounds I.B, wherein the combination of substituents R1, R2, X, D, B and the position of the group Y-Z in each case corresponds to one line of lines B-1 to B-4200 in table B and wherein the combination of the meaning of Y and Z corresponds to line Z-177 in Table Z (compounds I.B.z177.b1 to I.B.z177.b4200).
Table 584: Compounds I.B, wherein the combination of substituents R1, R2, X, D, B and the position of the group Y-Z in each case corresponds to one line of lines B-1 to B-4200 in table B and wherein the combination of the meaning of Y and Z corresponds to line Z-178 in Table Z (compounds I.B.z178.b1 to I.B.z178.b4200).
Table 585: Compounds I.B, wherein the combination of substituents R1, R2, X, D, B and the position of the group Y-Z in each case corresponds to one line of lines B-1 to B-4200 in table B and wherein the combination of the meaning of Y and Z corresponds to line Z-179 in Table Z (compounds I.B.z179.b1 to I.B.z179.b4200).
Table 586: Compounds I.B, wherein the combination of substituents R1, R2, X, D,
B and the position of the group Y-Z in each case corresponds to one line of lines B-1 to B-4200 in table B and wherein the combination of the meaning of Y and Z corresponds to line Z-180 in Table Z (compounds I.B.z180.b1 to I.B.z180.b4200).
Table 587: Compounds I.B, wherein the combination of substituents R1, R2, X, D, B and the position of the group Y-Z in each case corresponds to one line of lines B-1 to B-4200 in table B and wherein the combination of the meaning of Y and Z corresponds to line Z-181 in Table Z (compounds I. B.z181.b1 to I.B.z181 .b4200).
Table 588: Compounds I.B, wherein the combination of substituents R1, R2, X, D, B and the position of the group Y-Z in each case corresponds to one line of lines B-1 to B-4200 in table B and wherein the combination of the meaning of Y and Z corresponds to line Z-182 in Table Z (compounds I.B.z182.b1 to I.B.z182.b4200).
Table 589: Compounds I.B, wherein the combination of substituents R1, R2, X, D,
B and the position of the group Y-Z in each case corresponds to one line of lines B-1 to B-4200 in table B and wherein the combination of the meaning of Y and Z corresponds to line Z-183 in Table Z (compounds I.B.z183.b1 to I.B.z183.b4200).
Table 590: Compounds I.B, wherein the combination of substituents R1, R2, X, D, B and the position of the group Y-Z in each case corresponds to one line of lines B-1 to B-4200 in table B and wherein the combination of the meaning of Y and Z corresponds to line Z-184 in Table Z (compounds I.B.z184.b1 to I.B.z184.b4200).
Table 591 : Compounds I.B, wherein the combination of substituents R1, R2, X, D, B and the position of the group Y-Z in each case corresponds to one line of lines B-1 to B-4200 in table B and wherein the combination of the meaning of Y and Z corresponds to line Z-185 in Table Z (compounds I.B.z185.b1 to I.B.z185.b4200).
Table 592: Compounds I.B, wherein the combination of substituents R1, R2, X, D, B and the position of the group Y-Z in each case corresponds to one line of lines B-1 to B-4200 in table B and wherein the combination of the meaning of Y and Z corresponds to line Z-186 in Table Z (compounds I.B.z186.b1 to I.B.z186.b4200).
Table 593: Compounds I.B, wherein the combination of substituents R1, R2, X, D, B and the position of the group Y-Z in each case corresponds to one line of lines B-1 to B-4200 in table B and wherein the combination of the meaning of Y and Z corresponds to line Z-187 in Table Z (compounds I.B.z187.b1 to I.B.z187.b4200).
Table 594: Compounds I.B, wherein the combination of substituents R1, R2, X, D,
B and the position of the group Y-Z in each case corresponds to one line of lines B-1 to B-4200 in table B and wherein the combination of the meaning of Y and Z corresponds to line Z-188 in Table Z (compounds I.B.z188.b1 to I.B.z188.b4200).
Table 595: Compounds I.B, wherein the combination of substituents R1, R2, X, D, B and the position of the group Y-Z in each case corresponds to one line of lines B-1 to B-4200 in table B and wherein the combination of the meaning of Y and Z corresponds to line Z-189 in Table Z (compounds I.B.z189.b1 to I.B.z189.b4200).
Table 596: Compounds I.B, wherein the combination of substituents R1, R2, X, D, B and the position of the group Y-Z in each case corresponds to one line of lines B-1 to B-4200 in table B and wherein the combination of the meaning of Y and Z corresponds to line Z-190 in Table Z (compounds I.B.z190.b1 to I.B.z190.b4200).
Table 597: Compounds I.B, wherein the combination of substituents R1, R2, X, D, B and the position of the group Y-Z in each case corresponds to one line of lines B-1 to B-4200 in table B and wherein the combination of the meaning of Y and Z corresponds to line Z-191 in Table Z (compounds I. B.z191 .b1 to I.B.z191.b4200).
Table 598: Compounds I.B, wherein the combination of substituents R1, R2, X, D, B and the position of the group Y-Z in each case corresponds to one line of lines B-1 to
B-4200 in table B and wherein the combination of the meaning of Y and Z corresponds to line Z-192 in Table Z (compounds I.B.z192.b1 to I.B.z192.b4200).
Table 599: Compounds I.B, wherein the combination of substituents R1, R2, X, D, B and the position of the group Y-Z in each case corresponds to one line of lines B-1 to B-4200 in table B and wherein the combination of the meaning of Y and Z corresponds to line Z-193 in Table Z (compounds I.B.z193.b1 to I.B.z193.b4200).
Table 600: Compounds I.B, wherein the combination of substituents R1, R2, X, D, B and the position of the group Y-Z in each case corresponds to one line of lines B-1 to B-4200 in table B and wherein the combination of the meaning of Y and Z corresponds to line Z-194 in Table Z (compounds I.B.z194.b1 to I.B.z194.b4200).
Table 601 : Compounds I.B, wherein the combination of substituents R1, R2, X, D, B and the position of the group Y-Z in each case corresponds to one line of lines B-1 to B-4200 in table B and wherein the combination of the meaning of Y and Z corresponds to line Z-195 in Table Z (compounds I.B.z195.b1 to I.B.z195.b4200).
Table 602: Compounds I.B, wherein the combination of substituents R1, R2, X, D,
B and the position of the group Y-Z in each case corresponds to one line of lines B-1 to B-4200 in table B and wherein the combination of the meaning of Y and Z corresponds to line Z-196 in Table Z (compounds I.B.z196.b1 to I.B.z196.b4200).
Table 603: Compounds I.B, wherein the combination of substituents R1, R2, X, D, B and the position of the group Y-Z in each case corresponds to one line of lines B-1 to B-4200 in table B and wherein the combination of the meaning of Y and Z corresponds to line Z-197 in Table Z (compounds I.B.z197.b1 to I.B.z197.b4200).
Table 604: Compounds I.B, wherein the combination of substituents R1, R2, X, D, B and the position of the group Y-Z in each case corresponds to one line of lines B-1 to B-4200 in table B and wherein the combination of the meaning of Y and Z corresponds to line Z-198 in Table Z (compounds I.B.z198.b1 to I.B.z198.b4200).
Table 605: Compounds I.B, wherein the combination of substituents R1, R2, X, D, B and the position of the group Y-Z in each case corresponds to one line of lines B-1 to B-4200 in table B and wherein the combination of the meaning of Y and Z corresponds to line Z-199 in Table Z (compounds I.B.z199.b1 to I.B.z199.b4200).
Table 606: Compounds I.B, wherein the combination of substituents R1, R2, X, D, B and the position of the group Y-Z in each case corresponds to one line of lines B-1 to B-4200 in table B and wherein the combination of the meaning of Y and Z corresponds to line Z-200 in Table Z (compounds I.B.z200.b1 to I.B.z200.b4200).
Table 607: Compounds I.B, wherein the combination of substituents R1, R2, X, D,
B and the position of the group Y-Z in each case corresponds to one line of lines B-1 to B-4200 in table B and wherein the combination of the meaning of Y and Z corresponds to line Z-201 in Table Z (compounds I.B.z201.b1 to I.B.z201 .b4200).
Table 608: Compounds I.B, wherein the combination of substituents R1, R2, X, D, B and the position of the group Y-Z in each case corresponds to one line of lines B-1 to B-4200 in table B and wherein the combination of the meaning of Y and Z corresponds to line Z-202 in Table Z (compounds I.B.z202.b1 to I.B.z202.b4200).
Table 609: Compounds I.B, wherein the combination of substituents R1, R2, X, D, B and the position of the group Y-Z in each case corresponds to one line of lines B-1 to B-4200 in table B and wherein the combination of the meaning of Y and Z corresponds to line Z-203 in Table Z (compounds I.B.z203.b1 to I.B.z203.b4200).
Table 610: Compounds I.B, wherein the combination of substituents R1, R2, X, D,
B and the position of the group Y-Z in each case corresponds to one line of lines B-1 to B-4200 in table B and wherein the combination of the meaning of Y and Z corresponds to line Z-204 in Table Z (compounds I.B.z204.b1 to I.B.z204.b4200).
Table 61 1 : Compounds I.B, wherein the combination of substituents R1, R2, X, D, B and the position of the group Y-Z in each case corresponds to one line of lines B-1 to B-4200 in table B and wherein the combination of the meaning of Y and Z corresponds to line Z-205 in Table Z (compounds I.B.z205.b1 to I.B.z205.b4200).
Table 612: Compounds I.B, wherein the combination of substituents R1, R2, X, D, B and the position of the group Y-Z in each case corresponds to one line of lines B-1 to B-4200 in table B and wherein the combination of the meaning of Y and Z corresponds to line Z-206 in Table Z (compounds I.B.z206.b1 to I.B.z206.b4200).
Table 613: Compounds I.C, wherein the combination of substituents R1, R2, X, D, B and the position of the group Y-Z in each case corresponds to one line B-1 to B-4200 in table B and wherein Z is phenyl and the combination of the meaning of Y and RL corresponds to line A-1 in Table A (compounds I.C.al .b1 to I.C.al .b4200).
Table 614: Compounds I.C, wherein the combination of substituents R1, R2, X, D, B and the position of the group Y-Z in each case corresponds to one line B-1 to B-4200 in table B and wherein Z is phenyl and the combination of the meaning of Y and RL corresponds to line A-2 in Table A (compounds I.C.a2.b1 to I.C.a2.b4200).
Table 615: Compounds I.C, wherein the combination of substituents R1, R2, X, D,
B and the position of the group Y-Z in each case corresponds to one line B-1 to B-4200 in table B and wherein Z is phenyl and the combination of the meaning of Y and RL corresponds to line A-3 in Table A (compounds I.C.a3.b1 to I.C.a3.b4200).
Table 616: Compounds I.C, wherein the combination of substituents R1, R2, X, D, B and the position of the group Y-Z in each case corresponds to one line B-1 to B-4200 in table B and wherein Z is phenyl and the combination of the meaning of Y and RL corresponds to line A-4 in Table A (compounds I.C.a4.b1 to I.C.a4.b4200).
Table 617: Compounds I.C, wherein the combination of substituents R1, R2, X, D, B and the position of the group Y-Z in each case corresponds to one line B-1 to B-4200 in table B and wherein Z is phenyl and the combination of the meaning of Y and RL corresponds to line A-5 in Table A (compounds I.C.a5.b1 to I.C.a5.b4200).
Table 618: Compounds I.C, wherein the combination of substituents R1, R2, X, D, B and the position of the group Y-Z in each case corresponds to one line B-1 to B-4200 in table B and wherein Z is phenyl and the combination of the meaning of Y and RL corresponds to line A-6 in Table A (compounds I.C.a6.b1 to I.C.a6.b4200).
Table 619: Compounds I.C, wherein the combination of substituents R1, R2, X, D, B and the position of the group Y-Z in each case corresponds to one line B-1 to B-4200
in table B and wherein Z is phenyl and the combination of the meaning of Y and RL corresponds to line A-7 in Table A (compounds I.C.a7.b1 to I.C.a7.b4200).
Table 620: Compounds I.C, wherein the combination of substituents R1, R2, X, D, B and the position of the group Y-Z in each case corresponds to one line B-1 to B-4200 in table B and wherein Z is phenyl and the combination of the meaning of Y and RL corresponds to line A-8 in Table A (compounds I.C.a8.b1 to I.C.a8.b4200).
Table 621 : Compounds I.C, wherein the combination of substituents R1, R2, X, D, B and the position of the group Y-Z in each case corresponds to one line B-1 to B-4200 in table B and wherein Z is phenyl and the combination of the meaning of Y and RL corresponds to line A-9 in Table A (compounds I.C.a9.b1 to I.C.a9.b4200).
Table 622: Compounds I.C, wherein the combination of substituents R1, R2, X, D, B and the position of the group Y-Z in each case corresponds to one line B-1 to B-4200 in table B and wherein Z is phenyl and the combination of the meaning of Y and RL corresponds to line A-10 in Table A (compounds I.C.a10.b1 to I.C.a10.b4200).
Table 623: Compounds I.C, wherein the combination of substituents R1, R2, X, D,
B and the position of the group Y-Z in each case corresponds to one line B-1 to B-4200 in table B and wherein Z is phenyl and the combination of the meaning of Y and RL corresponds to line A-1 1 in Table A (compounds I.C.al 1.b1 to I.C.al 1 .b4200).
Table 624: Compounds I.C, wherein the combination of substituents R1, R2, X, D, B and the position of the group Y-Z in each case corresponds to one line B-1 to B-4200 in table B and wherein Z is phenyl and the combination of the meaning of Y and RL corresponds to line A-12 in Table A (compounds I.C.a12.b1 to I.C.a12.b4200).
Table 625: Compounds I.C, wherein the combination of substituents R1, R2, X, D, B and the position of the group Y-Z in each case corresponds to one line B-1 to B-4200 in table B and wherein Z is phenyl and the combination of the meaning of Y and RL corresponds to line A-13 in Table A (compounds I.C.a13.b1 to I.C.a13.b4200).
Table 626: Compounds I.C, wherein the combination of substituents R1, R2, X, D, B and the position of the group Y-Z in each case corresponds to one line B-1 to B-4200 in table B and wherein Z is phenyl and the combination of the meaning of Y and RL corresponds to line A-14 in Table A (compounds I.C.a14.b1 to I.C.a14.b4200).
Table 627: Compounds I.C, wherein the combination of substituents R1, R2, X, D, B and the position of the group Y-Z in each case corresponds to one line B-1 to B-4200 in table B and wherein Z is phenyl and the combination of the meaning of Y and RL corresponds to line A-15 in Table A (compounds I.C.a15.b1 to I.C.a15.b4200).
Table 628: Compounds I.C, wherein the combination of substituents R1, R2, X, D,
B and the position of the group Y-Z in each case corresponds to one line B-1 to B-4200 in table B and wherein Z is phenyl and the combination of the meaning of Y and RL corresponds to line A-16 in Table A (compounds I.C.al 6.b1 to I.C.al 6.b4200).
Table 629: Compounds I.C, wherein the combination of substituents R1, R2, X, D, B and the position of the group Y-Z in each case corresponds to one line B-1 to B-4200 in table B and wherein Z is phenyl and the combination of the meaning of Y and RL corresponds to line A-17 in Table A (compounds I.C.a17.b1 to I.C.a17.b4200).
Table 630: Compounds I.C, wherein the combination of substituents R1, R2, X, D, B and the position of the group Y-Z in each case corresponds to one line B-1 to B-4200 in table B and wherein Z is phenyl and the combination of the meaning of Y and RL corresponds to line A-18 in Table A (compounds I.C.a18.b1 to I.C.a18.b4200).
Table 631 : Compounds I.C, wherein the combination of substituents R1, R2, X, D,
B and the position of the group Y-Z in each case corresponds to one line B-1 to B-4200 in table B and wherein Z is phenyl and the combination of the meaning of Y and RL corresponds to line A-19 in Table A (compounds I.C.a19.b1 to I.C.a19.b4200).
Table 632: Compounds I.C, wherein the combination of substituents R1, R2, X, D, B and the position of the group Y-Z in each case corresponds to one line B-1 to B-4200 in table B and wherein Z is phenyl and the combination of the meaning of Y and RL corresponds to line A-20 in Table A (compounds I.C.a20.b1 to I.C.a20.b4200).
Table 633: Compounds I.C, wherein the combination of substituents R1, R2, X, D, B and the position of the group Y-Z in each case corresponds to one line B-1 to B-4200 in table B and wherein Z is phenyl and the combination of the meaning of Y and RL corresponds to line A-21 in Table A (compounds I.C.a21.b1 to I.C.a21 .b4200).
Table 634: Compounds I.C, wherein the combination of substituents R1, R2, X, D, B and the position of the group Y-Z in each case corresponds to one line B-1 to B-4200 in table B and wherein Z is phenyl and the combination of the meaning of Y and RL corresponds to line A-22 in Table A (compounds I.C.a22.b1 to I.C.a22.b4200).
Table 635: Compounds I.C, wherein the combination of substituents R1, R2, X, D, B and the position of the group Y-Z in each case corresponds to one line B-1 to B-4200 in table B and wherein Z is phenyl and the combination of the meaning of Y and RL corresponds to line A-23 in Table A (compounds I.C.a23.b1 to I.C.a23.b4200).
Table 636: Compounds I.C, wherein the combination of substituents R1, R2, X, D,
B and the position of the group Y-Z in each case corresponds to one line B-1 to B-4200 in table B and wherein Z is phenyl and the combination of the meaning of Y and RL corresponds to line A-24 in Table A (compounds I.C.a24.b1 to I.C.a24.b4200).
Table 637: Compounds I.C, wherein the combination of substituents R1, R2, X, D, B and the position of the group Y-Z in each case corresponds to one line B-1 to B-4200 in table B and wherein Z is phenyl and the combination of the meaning of Y and RL corresponds to line A-25 in Table A (compounds I.C.a25.b1 to I.C.a25.b4200).
Table 638: Compounds I.C, wherein the combination of substituents R1, R2, X, D, B and the position of the group Y-Z in each case corresponds to one line B-1 to B-4200 in table B and wherein Z is phenyl and the combination of the meaning of Y and RL corresponds to line A-26 in Table A (compounds I.C.a26.b1 to I.C.a26.b4200).
Table 639: Compounds I.C, wherein the combination of substituents R1, R2, X, D, B and the position of the group Y-Z in each case corresponds to one line B-1 to B-4200 in table B and wherein Z is phenyl and the combination of the meaning of Y and RL corresponds to line A-27 in Table A (compounds I.C.a27.b1 to I.C.a27.b4200).
Table 640: Compounds I.C, wherein the combination of substituents R1, R2, X, D, B and the position of the group Y-Z in each case corresponds to one line B-1 to B-4200
in table B and wherein Z is phenyl and the combination of the meaning of Y and RL corresponds to line A-28 in Table A (compounds I.C.a28.b1 to I.C.a28.b4200).
Table 641 : Compounds I.C, wherein the combination of substituents R1, R2, X, D, B and the position of the group Y-Z in each case corresponds to one line B-1 to B-4200 in table B and wherein Z is phenyl and the combination of the meaning of Y and RL corresponds to line A-29 in Table A (compounds I.C.a29.b1 to I.C.a29.b4200).
Table 642: Compounds I.C, wherein the combination of substituents R1, R2, X, D, B and the position of the group Y-Z in each case corresponds to one line B-1 to B-4200 in table B and wherein Z is phenyl and the combination of the meaning of Y and RL corresponds to line A-30 in Table A (compounds I.C.a30.b1 to I.C.a30.b4200).
Table 643: Compounds I.C, wherein the combination of substituents R1, R2, X, D, B and the position of the group Y-Z in each case corresponds to one line B-1 to B-4200 in table B and wherein Z is phenyl and the combination of the meaning of Y and RL corresponds to line A-31 in Table A (compounds I.C.a31.b1 to I.C.a31 .b4200).
Table 644: Compounds I.C, wherein the combination of substituents R1, R2, X, D,
B and the position of the group Y-Z in each case corresponds to one line B-1 to B-4200 in table B and wherein Z is phenyl and the combination of the meaning of Y and RL corresponds to line A-32 in Table A (compounds I.C.a32.b1 to I.C.a32.b4200).
Table 645: Compounds I.C, wherein the combination of substituents R1, R2, X, D, B and the position of the group Y-Z in each case corresponds to one line B-1 to B-4200 in table B and wherein Z is phenyl and the combination of the meaning of Y and RL corresponds to line A-33 in Table A (compounds I.C.a33.b1 to I.C.a33.b4200).
Table 646: Compounds I.C, wherein the combination of substituents R1, R2, X, D, B and the position of the group Y-Z in each case corresponds to one line B-1 to B-4200 in table B and wherein Z is phenyl and the combination of the meaning of Y and RL corresponds to line A-34 in Table A (compounds I.C.a34.b1 to I.C.a34.b4200).
Table 647: Compounds I.C, wherein the combination of substituents R1, R2, X, D, B and the position of the group Y-Z in each case corresponds to one line B-1 to B-4200 in table B and wherein Z is phenyl and the combination of the meaning of Y and RL corresponds to line A-35 in Table A (compounds I.C.a35.b1 to I.C.a35.b4200).
Table 648: Compounds I.C, wherein the combination of substituents R1, R2, X, D, B and the position of the group Y-Z in each case corresponds to one line B-1 to B-4200 in table B and wherein Z is phenyl and the combination of the meaning of Y and RL corresponds to line A-36 in Table A (compounds I.C.a36.b1 to I.C.a36.b4200).
Table 649: Compounds I.C, wherein the combination of substituents R1, R2, X, D,
B and the position of the group Y-Z in each case corresponds to one line B-1 to B-4200 in table B and wherein Z is phenyl and the combination of the meaning of Y and RL corresponds to line A-37 in Table A (compounds I.C.a37.b1 to I.C.a37.b4200).
Table 650: Compounds I.C, wherein the combination of substituents R1, R2, X, D, B and the position of the group Y-Z in each case corresponds to one line B-1 to B-4200 in table B and wherein Z is phenyl and the combination of the meaning of Y and RL corresponds to line A-38 in Table A (compounds I.C.a38.b1 to I.C.a38.b4200).
Table 651 : Compounds I.C, wherein the combination of substituents R1, R2, X, D, B and the position of the group Y-Z in each case corresponds to one line B-1 to B-4200 in table B and wherein Z is phenyl and the combination of the meaning of Y and RL corresponds to line A-39 in Table A (compounds I.C.a39.b1 to I.C.a39.b4200).
Table 652: Compounds I.C, wherein the combination of substituents R1, R2, X, D,
B and the position of the group Y-Z in each case corresponds to one line B-1 to B-4200 in table B and wherein Z is phenyl and the combination of the meaning of Y and RL corresponds to line A-40 in Table A (compounds I.C.a40.b1 to I.C.a40.b4200).
Table 653: Compounds I.C, wherein the combination of substituents R1, R2, X, D, B and the position of the group Y-Z in each case corresponds to one line B-1 to B-4200 in table B and wherein Z is phenyl and the combination of the meaning of Y and RL corresponds to line A-41 in Table A (compounds I.C.a41.b1 to I.C.a41 .b4200).
Table 654: Compounds I.C, wherein the combination of substituents R1, R2, X, D, B and the position of the group Y-Z in each case corresponds to one line B-1 to B-4200 in table B and wherein Z is phenyl and the combination of the meaning of Y and RL corresponds to line A-42 in Table A (compounds I.C.a42.b1 to I.C.a42.b4200).
Table 655: Compounds I.C, wherein the combination of substituents R1, R2, X, D, B and the position of the group Y-Z in each case corresponds to one line B-1 to B-4200 in table B and wherein Z is phenyl and the combination of the meaning of Y and RL corresponds to line A-43 in Table A (compounds I.C.a43.b1 to I.C.a43.b4200).
Table 656: Compounds I.C, wherein the combination of substituents R1, R2, X, D, B and the position of the group Y-Z in each case corresponds to one line B-1 to B-4200 in table B and wherein Z is phenyl and the combination of the meaning of Y and RL corresponds to line A-44 in Table A (compounds I.C.a44.b1 to I.C.a44.b4200).
Table 657: Compounds I.C, wherein the combination of substituents R1, R2, X, D,
B and the position of the group Y-Z in each case corresponds to one line B-1 to B-4200 in table B and wherein Z is phenyl and the combination of the meaning of Y and RL corresponds to line A-45 in Table A (compounds I.C.a45.b1 to I.C.a45.b4200).
Table 658: Compounds I.C, wherein the combination of substituents R1, R2, X, D, B and the position of the group Y-Z in each case corresponds to one line B-1 to B-4200 in table B and wherein Z is phenyl and the combination of the meaning of Y and RL corresponds to line A-46 in Table A (compounds I.C.a46.b1 to I.C.a46.b4200).
Table 659: Compounds I.C, wherein the combination of substituents R1, R2, X, D, B and the position of the group Y-Z in each case corresponds to one line B-1 to B-4200 in table B and wherein Z is phenyl and the combination of the meaning of Y and RL corresponds to line A-47 in Table A (compounds I.C.a47.b1 to I.C.a47.b4200).
Table 660: Compounds I.C, wherein the combination of substituents R1, R2, X, D, B and the position of the group Y-Z in each case corresponds to one line B-1 to B-4200 in table B and wherein Z is phenyl and the combination of the meaning of Y and RL corresponds to line A-48 in Table A (compounds I.C.a48.b1 to I.C.a48.b4200).
Table 661 : Compounds I.C, wherein the combination of substituents R1, R2, X, D, B and the position of the group Y-Z in each case corresponds to one line B-1 to B-4200
in table B and wherein Z is phenyl and the combination of the meaning of Y and RL corresponds to line A-49 in Table A (compounds I.C.a49.b1 to I.C.a49.b4200).
Table 662: Compounds I.C, wherein the combination of substituents R1, R2, X, D, B and the position of the group Y-Z in each case corresponds to one line B-1 to B-4200 in table B and wherein Z is phenyl and the combination of the meaning of Y and RL corresponds to line A-50 in Table A (compounds I.C.a50.b1 to I.C.a50.b4200).
Table 663: Compounds I.C, wherein the combination of substituents R1, R2, X, D, B and the position of the group Y-Z in each case corresponds to one line B-1 to B-4200 in table B and wherein Z is phenyl and the combination of the meaning of Y and RL corresponds to line A-51 in Table A (compounds I.C. a51.b1 to I.C.a51 .b4200).
Table 664: Compounds I.C, wherein the combination of substituents R1, R2, X, D, B and the position of the group Y-Z in each case corresponds to one line B-1 to B-4200 in table B and wherein Z is phenyl and the combination of the meaning of Y and RL corresponds to line A-52 in Table A (compounds I.C.a52.b1 to I.C.a52.b4200).
Table 665: Compounds I.C, wherein the combination of substituents R1, R2, X, D,
B and the position of the group Y-Z in each case corresponds to one line B-1 to B-4200 in table B and wherein Z is phenyl and the combination of the meaning of Y and RL corresponds to line A-53 in Table A (compounds I.C.a53.b1 to I.C.a53.b4200).
Table 666: Compounds I.C, wherein the combination of substituents R1, R2, X, D, B and the position of the group Y-Z in each case corresponds to one line B-1 to B-4200 in table B and wherein Z is phenyl and the combination of the meaning of Y and RL corresponds to line A-54 in Table A (compounds I.C.a54.b1 to I.C.a54.b4200).
Table 667: Compounds I.C, wherein the combination of substituents R1, R2, X, D, B and the position of the group Y-Z in each case corresponds to one line B-1 to B-4200 in table B and wherein Z is phenyl and the combination of the meaning of Y and RL corresponds to line A-55 in Table A (compounds I.C.a55.b1 to I.C.a55.b4200).
Table 668: Compounds I.C, wherein the combination of substituents R1, R2, X, D, B and the position of the group Y-Z in each case corresponds to one line B-1 to B-4200 in table B and wherein Z is phenyl and the combination of the meaning of Y and RL corresponds to line A-56 in Table A (compounds I.C.a56.b1 to I.C.a56.b4200).
Table 669: Compounds I.C, wherein the combination of substituents R1, R2, X, D, B and the position of the group Y-Z in each case corresponds to one line B-1 to B-4200 in table B and wherein Z is phenyl and the combination of the meaning of Y and RL corresponds to line A-57 in Table A (compounds I.C.a57.b1 to I.C.a57.b4200).
Table 670: Compounds I.C, wherein the combination of substituents R1, R2, X, D,
B and the position of the group Y-Z in each case corresponds to one line B-1 to B-4200 in table B and wherein Z is phenyl and the combination of the meaning of Y and RL corresponds to line A-58 in Table A (compounds I.C.a58.b1 to I.C.a58.b4200).
Table 671 : Compounds I.C, wherein the combination of substituents R1, R2, X, D, B and the position of the group Y-Z in each case corresponds to one line B-1 to B-4200 in table B and wherein Z is phenyl and the combination of the meaning of Y and RL corresponds to line A-59 in Table A (compounds I.C.a59.b1 to I.C.a59.b4200).
Table 672: Compounds I.C, wherein the combination of substituents R1, R2, X, D, B and the position of the group Y-Z in each case corresponds to one line B-1 to B-4200 in table B and wherein Z is phenyl and the combination of the meaning of Y and RL corresponds to line A-60 in Table A (compounds I.C.a60.b1 to I.C.a60.b4200).
Table 673: Compounds I.C, wherein the combination of substituents R1, R2, X, D,
B and the position of the group Y-Z in each case corresponds to one line B-1 to B-4200 in table B and wherein Z is phenyl and the combination of the meaning of Y and RL corresponds to line A-61 in Table A (compounds I.C.a61.b1 to I.C.a61 .b4200).
Table 674: Compounds I.C, wherein the combination of substituents R1, R2, X, D, B and the position of the group Y-Z in each case corresponds to one line B-1 to B-4200 in table B and wherein Z is phenyl and the combination of the meaning of Y and RL corresponds to line A-62 in Table A (compounds I.C.a62.b1 to I.C.a62.b4200).
Table 675: Compounds I.C, wherein the combination of substituents R1, R2, X, D, B and the position of the group Y-Z in each case corresponds to one line B-1 to B-4200 in table B and wherein Z is phenyl and the combination of the meaning of Y and RL corresponds to line A-63 in Table A (compounds I.C.a63.b1 to I.C.a63.b4200).
Table 676: Compounds I.C, wherein the combination of substituents R1, R2, X, D, B and the position of the group Y-Z in each case corresponds to one line B-1 to B-4200 in table B and wherein Z is phenyl and the combination of the meaning of Y and RL corresponds to line A-64 in Table A (compounds I.C.a64.b1 to I.C.a64.b4200).
Table 677: Compounds I.C, wherein the combination of substituents R1, R2, X, D, B and the position of the group Y-Z in each case corresponds to one line B-1 to B-4200 in table B and wherein Z is phenyl and the combination of the meaning of Y and RL corresponds to line A-65 in Table A (compounds I.C.a65.b1 to I.C.a65.b4200).
Table 678: Compounds I.C, wherein the combination of substituents R1, R2, X, D,
B and the position of the group Y-Z in each case corresponds to one line B-1 to B-4200 in table B and wherein Z is phenyl and the combination of the meaning of Y and RL corresponds to line A-66 in Table A (compounds I.C.a66.b1 to I.C.a66.b4200).
Table 679: Compounds I.C, wherein the combination of substituents R1, R2, X, D, B and the position of the group Y-Z in each case corresponds to one line B-1 to B-4200 in table B and wherein Z is phenyl and the combination of the meaning of Y and RL corresponds to line A-67 in Table A (compounds I.C.a67.b1 to I.C.a67.b4200).
Table 680: Compounds I.C, wherein the combination of substituents R1, R2, X, D, B and the position of the group Y-Z in each case corresponds to one line B-1 to B-4200 in table B and wherein Z is phenyl and the combination of the meaning of Y and RL corresponds to line A-68 in Table A (compounds I.C.a68.b1 to I.C.a68.b4200).
Table 681 : Compounds I.C, wherein the combination of substituents R1, R2, X, D, B and the position of the group Y-Z in each case corresponds to one line B-1 to B-4200 in table B and wherein Z is phenyl and the combination of the meaning of Y and RL corresponds to line A-69 in Table A (compounds I.C.a69.b1 to I.C.a69.b4200).
Table 682: Compounds I.C, wherein the combination of substituents R1, R2, X, D, B and the position of the group Y-Z in each case corresponds to one line B-1 to B-4200
in table B and wherein Z is phenyl and the combination of the meaning of Y and RL corresponds to line A-70 in Table A (compounds I.C.a70.b1 to I.C.a70.b4200).
Table 683: Compounds I.C, wherein the combination of substituents R1, R2, X, D, B and the position of the group Y-Z in each case corresponds to one line B-1 to B-4200 in table B and wherein Z is phenyl and the combination of the meaning of Y and RL corresponds to line A-71 in Table A (compounds I.C.a71.b1 to I.C.a71 .b4200).
Table 684: Compounds I.C, wherein the combination of substituents R1, R2, X, D, B and the position of the group Y-Z in each case corresponds to one line B-1 to B-4200 in table B and wherein Z is phenyl and the combination of the meaning of Y and RL corresponds to line A-72 in Table A (compounds I.C.a72.b1 to I.C.a72.b4200).
Table 685: Compounds I.C, wherein the combination of substituents R1, R2, X, D, B and the position of the group Y-Z in each case corresponds to one line B-1 to B-4200 in table B and wherein Z is phenyl and the combination of the meaning of Y and RL corresponds to line A-73 in Table A (compounds I.C.a73.b1 to I.C.a73.b4200).
Table 686: Compounds I.C, wherein the combination of substituents R1, R2, X, D,
B and the position of the group Y-Z in each case corresponds to one line B-1 to B-4200 in table B and wherein Z is phenyl and the combination of the meaning of Y and RL corresponds to line A-74 in Table A (compounds I.C.a74.b1 to I.C.a74.b4200).
Table 687: Compounds I.C, wherein the combination of substituents R1, R2, X, D, B and the position of the group Y-Z in each case corresponds to one line B-1 to B-4200 in table B and wherein Z is phenyl and the combination of the meaning of Y and RL corresponds to line A-75 in Table A (compounds I.C.a75.b1 to I.C.a75.b4200).
Table 688: Compounds I.C, wherein the combination of substituents R1, R2, X, D, B and the position of the group Y-Z in each case corresponds to one line B-1 to B-4200 in table B and wherein Z is phenyl and the combination of the meaning of Y and RL corresponds to line A-76 in Table A (compounds I.C.a76.b1 to I.C.a76.b4200).
Table 689: Compounds I.C, wherein the combination of substituents R1, R2, X, D, B and the position of the group Y-Z in each case corresponds to one line B-1 to B-4200 in table B and wherein Z is phenyl and the combination of the meaning of Y and RL corresponds to line A-77 in Table A (compounds I.C.a77.b1 to I.C.a77.b4200).
Table 690: Compounds I.C, wherein the combination of substituents R1, R2, X, D, B and the position of the group Y-Z in each case corresponds to one line B-1 to B-4200 in table B and wherein Z is phenyl and the combination of the meaning of Y and RL corresponds to line A-78 in Table A (compounds I.C.a78.b1 to I.C.a78.b4200).
Table 691 : Compounds I.C, wherein the combination of substituents R1, R2, X, D,
B and the position of the group Y-Z in each case corresponds to one line B-1 to B-4200 in table B and wherein Z is phenyl and the combination of the meaning of Y and RL corresponds to line A-79 in Table A (compounds I.C.a79.b1 to I.C.a79.b4200).
Table 692: Compounds I.C, wherein the combination of substituents R1, R2, X, D, B and the position of the group Y-Z in each case corresponds to one line B-1 to B-4200 in table B and wherein Z is phenyl and the combination of the meaning of Y and RL corresponds to line A-80 in Table A (compounds I.C.a80.b1 to I.C.a80.b4200).
Table 693: Compounds I.C, wherein the combination of substituents R1, R2, X, D, B and the position of the group Y-Z in each case corresponds to one line B-1 to B-4200 in table B and wherein Z is phenyl and the combination of the meaning of Y and RL corresponds to line A-81 in Table A (compounds I.C.a81.b1 to I.C.a81 .b4200).
Table 694: Compounds I.C, wherein the combination of substituents R1, R2, X, D,
B and the position of the group Y-Z in each case corresponds to one line B-1 to B-4200 in table B and wherein Z is phenyl and the combination of the meaning of Y and RL corresponds to line A-82 in Table A (compounds I.C.a82.b1 to I.C.a82.b4200).
Table 695: Compounds I.C, wherein the combination of substituents R1, R2, X, D, B and the position of the group Y-Z in each case corresponds to one line B-1 to B-4200 in table B and wherein Z is phenyl and the combination of the meaning of Y and RL corresponds to line A-83 in Table A (compounds I.C.a83.b1 to I.C.a83.b4200).
Table 696: Compounds I.C, wherein the combination of substituents R1, R2, X, D, B and the position of the group Y-Z in each case corresponds to one line B-1 to B-4200 in table B and wherein Z is phenyl and the combination of the meaning of Y and RL corresponds to line A-84 in Table A (compounds I.C.a84.b1 to I.C.a84.b4200).
Table 697: Compounds I.C, wherein the combination of substituents R1, R2, X, D, B and the position of the group Y-Z in each case corresponds to one line B-1 to B-4200 in table B and wherein Z is phenyl and the combination of the meaning of Y and RL corresponds to line A-85 in Table A (compounds I.C.a85.b1 to I.C.a85.b4200).
Table 698: Compounds I.C, wherein the combination of substituents R1, R2, X, D, B and the position of the group Y-Z in each case corresponds to one line B-1 to B-4200 in table B and wherein Z is phenyl and the combination of the meaning of Y and RL corresponds to line A-86 in Table A (compounds I.C.a86.b1 to I.C.a86.b4200).
Table 699: Compounds I.C, wherein the combination of substituents R1, R2, X, D,
B and the position of the group Y-Z in each case corresponds to one line B-1 to B-4200 in table B and wherein Z is phenyl and the combination of the meaning of Y and RL corresponds to line A-87 in Table A (compounds I.C.a87.b1 to I.C.a87.b4200).
Table 700: Compounds I.C, wherein the combination of substituents R1, R2, X, D, B and the position of the group Y-Z in each case corresponds to one line B-1 to B-4200 in table B and wherein Z is phenyl and the combination of the meaning of Y and RL corresponds to line A-88 in Table A (compounds I.C.a88.b1 to I.C.a88.b4200).
Table 701 : Compounds I.C, wherein the combination of substituents R1, R2, X, D, B and the position of the group Y-Z in each case corresponds to one line B-1 to B-4200 in table B and wherein Z is phenyl and the combination of the meaning of Y and RL corresponds to line A-89 in Table A (compounds I.C.a89.b1 to I.C.a89.b4200).
Table 702: Compounds I.C, wherein the combination of substituents R1, R2, X, D, B and the position of the group Y-Z in each case corresponds to one line B-1 to B-4200 in table B and wherein Z is phenyl and the combination of the meaning of Y and RL corresponds to line A-90 in Table A (compounds I.C.a90.b1 to I.C.a90.b4200).
Table 703: Compounds I.C, wherein the combination of substituents R1, R2, X, D, B and the position of the group Y-Z in each case corresponds to one line B-1 to B-4200
in table B and wherein Z is phenyl and the combination of the meaning of Y and RL corresponds to line A-91 in Table A (compounds I.C.a91.b1 to I.C.a91 .b4200).
Table 704: Compounds I.C, wherein the combination of substituents R1, R2, X, D, B and the position of the group Y-Z in each case corresponds to one line B-1 to B-4200 in table B and wherein Z is phenyl and the combination of the meaning of Y and RL corresponds to line A-92 in Table A (compounds I.C.a92.b1 to I.C.a92.b4200).
Table 705: Compounds I.C, wherein the combination of substituents R1, R2, X, D, B and the position of the group Y-Z in each case corresponds to one line B-1 to B-4200 in table B and wherein Z is phenyl and the combination of the meaning of Y and RL corresponds to line A-93 in Table A (compounds I.C.a93.b1 to I.C.a93.b4200).
Table 706: Compounds I.C, wherein the combination of substituents R1, R2, X, D, B and the position of the group Y-Z in each case corresponds to one line B-1 to B-4200 in table B and wherein Z is phenyl and the combination of the meaning of Y and RL corresponds to line A-94 in Table A (compounds I.C.a94.b1 to I.C.a94.b4200).
Table 707: Compounds I.C, wherein the combination of substituents R1, R2, X, D,
B and the position of the group Y-Z in each case corresponds to one line B-1 to B-4200 in table B and wherein Z is phenyl and the combination of the meaning of Y and RL corresponds to line A-95 in Table A (compounds I.C.a95.b1 to I.C.a95.b4200).
Table 708: Compounds I.C, wherein the combination of substituents R1, R2, X, D, B and the position of the group Y-Z in each case corresponds to one line B-1 to B-4200 in table B and wherein Z is phenyl and the combination of the meaning of Y and RL corresponds to line A-96 in Table A (compounds I.C.a96.b1 to I.C.a96.b4200).
Table 709: Compounds I.C, wherein the combination of substituents R1, R2, X, D, B and the position of the group Y-Z in each case corresponds to one line B-1 to B-4200 in table B and wherein Z is phenyl and the combination of the meaning of Y and RL corresponds to line A-97 in Table A (compounds I.C.a97.b1 to I.C.a97.b4200).
Table 710: Compounds I.C, wherein the combination of substituents R1, R2, X, D, B and the position of the group Y-Z in each case corresponds to one line B-1 to B-4200 in table B and wherein Z is phenyl and the combination of the meaning of Y and RL corresponds to line A-98 in Table A (compounds I.C.a98.b1 to I.C.a98.b4200).
Table 71 1 : Compounds I.C, wherein the combination of substituents R1, R2, X, D, B and the position of the group Y-Z in each case corresponds to one line B-1 to B-4200 in table B and wherein Z is phenyl and the combination of the meaning of Y and RL corresponds to line A-99 in Table A (compounds I.C.a99.b1 to I.C.a99.b4200).
Table 712: Compounds I.C, wherein the combination of substituents R1, R2, X, D,
B and the position of the group Y-Z in each case corresponds to one line B-1 to B-4200 in table B and wherein Z is phenyl and the combination of the meaning of Y and RL corresponds to line A-100 in Table A (compounds I.C.a100.b1 to I.C.a100.b4200).
Table 713: Compounds I.C, wherein the combination of substituents R1, R2, X, D, B and the position of the group Y-Z in each case corresponds to one line of lines B-1 to B-4200 in table B and wherein the combination of the meaning of Y and Z corresponds to line Z-1 in Table Z (compounds I.C.zl .b1 to I.C.zl .b4200).
Table 714: Compounds I.C, wherein the combination of substituents R1, R2, X, D, B and the position of the group Y-Z in each case corresponds to one line of lines B-1 to B-4200 in table B and wherein the combination of the meaning of Y and Z corresponds to line Z-2 in Table Z (compounds I.C.z2.b1 to I.C.z2.b4200).
Table 715: Compounds I.C, wherein the combination of substituents R1, R2, X, D,
B and the position of the group Y-Z in each case corresponds to one line of lines B-1 to B-4200 in table B and wherein the combination of the meaning of Y and Z corresponds to line Z-3 in Table Z (compounds I.C.z3.b1 to I.C.z3.b4200).
Table 716: Compounds I.C, wherein the combination of substituents R1, R2, X, D, B and the position of the group Y-Z in each case corresponds to one line of lines B-1 to B-4200 in table B and wherein the combination of the meaning of Y and Z corresponds to line Z-4 in Table Z (compounds I.C.z4.b1 to I.C.z4.b4200).
Table 717: Compounds I.C, wherein the combination of substituents R1, R2, X, D, B and the position of the group Y-Z in each case corresponds to one line of lines B-1 to B-4200 in table B and wherein the combination of the meaning of Y and Z corresponds to line Z-5 in Table Z (compounds I.C.z5.b1 to I.C.z5.b4200).
Table 718: Compounds I.C, wherein the combination of substituents R1, R2, X, D, B and the position of the group Y-Z in each case corresponds to one line of lines B-1 to B-4200 in table B and wherein the combination of the meaning of Y and Z corresponds to line Z-6 in Table Z (compounds I.C.z6.b1 to I.C.z6.b4200).
Table 719: Compounds I.C, wherein the combination of substituents R1, R2, X, D, B and the position of the group Y-Z in each case corresponds to one line of lines B-1 to B-4200 in table B and wherein the combination of the meaning of Y and Z corresponds to line Z-7 in Table Z (compounds I.C.z7.b1 to I.C.z7.b4200).
Table 720: Compounds I.C, wherein the combination of substituents R1, R2, X, D,
B and the position of the group Y-Z in each case corresponds to one line of lines B-1 to B-4200 in table B and wherein the combination of the meaning of Y and Z corresponds to line Z-8 in Table Z (compounds I.C.z8.b1 to I.C.z8.b4200).
Table 721 : Compounds I.C, wherein the combination of substituents R1, R2, X, D, B and the position of the group Y-Z in each case corresponds to one line of lines B-1 to B-4200 in table B and wherein the combination of the meaning of Y and Z corresponds to line Z-9 in Table Z (compounds I.C.z9.b1 to I.C.z9.b4200).
Table 722: Compounds I.C, wherein the combination of substituents R1, R2, X, D, B and the position of the group Y-Z in each case corresponds to one line of lines B-1 to B-4200 in table B and wherein the combination of the meaning of Y and Z corresponds to line Z-10 in Table Z (compounds I.C.z10.b1 to I.C.z10.b4200).
Table 723: Compounds I.C, wherein the combination of substituents R1, R2, X, D, B and the position of the group Y-Z in each case corresponds to one line of lines B-1 to B-4200 in table B and wherein the combination of the meaning of Y and Z corresponds to line Z-1 1 in Table Z (compounds I.C.zl 1.b1 to I.C.zl 1 .b4200).
Table 724: Compounds I.C, wherein the combination of substituents R1, R2, X, D, B and the position of the group Y-Z in each case corresponds to one line of lines B-1 to
B-4200 in table B and wherein the combination of the meaning of Y and Z corresponds to line Z-12 in Table Z (compounds I.C.z12.b1 to I.C.z12.b4200).
Table 725: Compounds I.C, wherein the combination of substituents R1, R2, X, D, B and the position of the group Y-Z in each case corresponds to one line of lines B-1 to B-4200 in table B and wherein the combination of the meaning of Y and Z corresponds to line Z-13 in Table Z (compounds I.C.z13.b1 to I.C.z13.b4200).
Table 726: Compounds I.C, wherein the combination of substituents R1, R2, X, D, B and the position of the group Y-Z in each case corresponds to one line of lines B-1 to B-4200 in table B and wherein the combination of the meaning of Y and Z corresponds to line Z-14 in Table Z (compounds I.C.z14.b1 to I.C.z14.b4200).
Table 727: Compounds I.C, wherein the combination of substituents R1, R2, X, D, B and the position of the group Y-Z in each case corresponds to one line of lines B-1 to B-4200 in table B and wherein the combination of the meaning of Y and Z corresponds to line Z-15 in Table Z (compounds I.C.z15.b1 to I.C.z15.b4200).
Table 728: Compounds I.C, wherein the combination of substituents R1, R2, X, D,
B and the position of the group Y-Z in each case corresponds to one line of lines B-1 to B-4200 in table B and wherein the combination of the meaning of Y and Z corresponds to line Z-16 in Table Z (compounds I.C.z16.b1 to I.C.z16.b4200).
Table 729: Compounds I.C, wherein the combination of substituents R1, R2, X, D, B and the position of the group Y-Z in each case corresponds to one line of lines B-1 to B-4200 in table B and wherein the combination of the meaning of Y and Z corresponds to line Z-17 in Table Z (compounds I.C.z17.b1 to I.C.z17.b4200).
Table 730: Compounds I.C, wherein the combination of substituents R1, R2, X, D, B and the position of the group Y-Z in each case corresponds to one line of lines B-1 to B-4200 in table B and wherein the combination of the meaning of Y and Z corresponds to line Z-18 in Table Z (compounds I.C.z18.b1 to I.C.z18.b4200).
Table 731 : Compounds I.C, wherein the combination of substituents R1, R2, X, D, B and the position of the group Y-Z in each case corresponds to one line of lines B-1 to B-4200 in table B and wherein the combination of the meaning of Y and Z corresponds to line Z-19 in Table Z (compounds I.C.z19.b1 to I.C.z19.b4200).
Table 732: Compounds I.C, wherein the combination of substituents R1, R2, X, D, B and the position of the group Y-Z in each case corresponds to one line of lines B-1 to B-4200 in table B and wherein the combination of the meaning of Y and Z corresponds to line Z-20 in Table Z (compounds I.C.z20.b1 to I.C.z20.b4200).
Table 733: Compounds I.C, wherein the combination of substituents R1, R2, X, D,
B and the position of the group Y-Z in each case corresponds to one line of lines B-1 to B-4200 in table B and wherein the combination of the meaning of Y and Z corresponds to line Z-21 in Table Z (compounds I.C.z21.b1 to I.C.z21 .b4200).
Table 734: Compounds I.C, wherein the combination of substituents R1, R2, X, D, B and the position of the group Y-Z in each case corresponds to one line of lines B-1 to B-4200 in table B and wherein the combination of the meaning of Y and Z corresponds to line Z-22 in Table Z (compounds I.C.z22.b1 to I.C.z22.b4200).
Table 735: Compounds I.C, wherein the combination of substituents R1, R2, X, D, B and the position of the group Y-Z in each case corresponds to one line of lines B-1 to B-4200 in table B and wherein the combination of the meaning of Y and Z corresponds to line Z-23 in Table Z (compounds I.C.z23.b1 to I.C.z23.b4200).
Table 736: Compounds I.C, wherein the combination of substituents R1, R2, X, D,
B and the position of the group Y-Z in each case corresponds to one line of lines B-1 to B-4200 in table B and wherein the combination of the meaning of Y and Z corresponds to line Z-24 in Table Z (compounds I.C.z24.b1 to I.C.z24.b4200).
Table 737: Compounds I.C, wherein the combination of substituents R1, R2, X, D, B and the position of the group Y-Z in each case corresponds to one line of lines B-1 to B-4200 in table B and wherein the combination of the meaning of Y and Z corresponds to line Z-25 in Table Z (compounds I.C.z25.b1 to I.C.z25.b4200).
Table 738: Compounds I.C, wherein the combination of substituents R1, R2, X, D, B and the position of the group Y-Z in each case corresponds to one line of lines B-1 to B-4200 in table B and wherein the combination of the meaning of Y and Z corresponds to line Z-26 in Table Z (compounds I.C.z26.b1 to I.C.z26.b4200).
Table 739: Compounds I.C, wherein the combination of substituents R1, R2, X, D, B and the position of the group Y-Z in each case corresponds to one line of lines B-1 to B-4200 in table B and wherein the combination of the meaning of Y and Z corresponds to line Z-27 in Table Z (compounds I.C.z27.b1 to I.C.z27.b4200).
Table 740: Compounds I.C, wherein the combination of substituents R1, R2, X, D, B and the position of the group Y-Z in each case corresponds to one line of lines B-1 to B-4200 in table B and wherein the combination of the meaning of Y and Z corresponds to line Z-28 in Table Z (compounds I.C.z28.b1 to I.C.z28.b4200).
Table 741 : Compounds I.C, wherein the combination of substituents R1, R2, X, D,
B and the position of the group Y-Z in each case corresponds to one line of lines B-1 to B-4200 in table B and wherein the combination of the meaning of Y and Z corresponds to line Z-29 in Table Z (compounds I.C.z29.b1 to I.C.z29.b4200).
Table 742: Compounds I.C, wherein the combination of substituents R1, R2, X, D, B and the position of the group Y-Z in each case corresponds to one line of lines B-1 to B-4200 in table B and wherein the combination of the meaning of Y and Z corresponds to line Z-30 in Table Z (compounds I.C.z30.b1 to I.C.z30.b4200).
Table 743: Compounds I.C, wherein the combination of substituents R1, R2, X, D, B and the position of the group Y-Z in each case corresponds to one line of lines B-1 to B-4200 in table B and wherein the combination of the meaning of Y and Z corresponds to line Z-31 in Table Z (compounds I.C.z31.b1 to I.C.z31 .b4200).
Table 744: Compounds I.C, wherein the combination of substituents R1, R2, X, D, B and the position of the group Y-Z in each case corresponds to one line of lines B-1 to B-4200 in table B and wherein the combination of the meaning of Y and Z corresponds to line Z-32 in Table Z (compounds I.C.z32.b1 to I.C.z32.b4200).
Table 745: Compounds I.C, wherein the combination of substituents R1, R2, X, D, B and the position of the group Y-Z in each case corresponds to one line of lines B-1 to
B-4200 in table B and wherein the combination of the meaning of Y and Z corresponds to line Z-33 in Table Z (compounds I.C.z33.b1 to I.C.z33.b4200).
Table 746: Compounds I.C, wherein the combination of substituents R1, R2, X, D, B and the position of the group Y-Z in each case corresponds to one line of lines B-1 to B-4200 in table B and wherein the combination of the meaning of Y and Z corresponds to line Z-34 in Table Z (compounds I.C.z34.b1 to I.C.z34.b4200).
Table 747: Compounds I.C, wherein the combination of substituents R1, R2, X, D, B and the position of the group Y-Z in each case corresponds to one line of lines B-1 to B-4200 in table B and wherein the combination of the meaning of Y and Z corresponds to line Z-35 in Table Z (compounds I.C.z35.b1 to I.C.z35.b4200).
Table 748: Compounds I.C, wherein the combination of substituents R1, R2, X, D, B and the position of the group Y-Z in each case corresponds to one line of lines B-1 to B-4200 in table B and wherein the combination of the meaning of Y and Z corresponds to line Z-36 in Table Z (compounds I.C.z36.b1 to I.C.z36.b4200).
Table 749: Compounds I.C, wherein the combination of substituents R1, R2, X, D,
B and the position of the group Y-Z in each case corresponds to one line of lines B-1 to B-4200 in table B and wherein the combination of the meaning of Y and Z corresponds to line Z-37 in Table Z (compounds I.C.z37.b1 to I.C.z37.b4200).
Table 750: Compounds I.C, wherein the combination of substituents R1, R2, X, D, B and the position of the group Y-Z in each case corresponds to one line of lines B-1 to B-4200 in table B and wherein the combination of the meaning of Y and Z corresponds to line Z-38 in Table Z (compounds I.C.z38.b1 to I.C.z38.b4200).
Table 751 : Compounds I.C, wherein the combination of substituents R1, R2, X, D, B and the position of the group Y-Z in each case corresponds to one line of lines B-1 to B-4200 in table B and wherein the combination of the meaning of Y and Z corresponds to line Z-39 in Table Z (compounds I.C.z39.b1 to I.C.z39.b4200).
Table 752: Compounds I.C, wherein the combination of substituents R1, R2, X, D, B and the position of the group Y-Z in each case corresponds to one line of lines B-1 to B-4200 in table B and wherein the combination of the meaning of Y and Z corresponds to line Z-40 in Table Z (compounds I.C.z40.b1 to I.C.z40.b4200).
Table 753: Compounds I.C, wherein the combination of substituents R1, R2, X, D, B and the position of the group Y-Z in each case corresponds to one line of lines B-1 to B-4200 in table B and wherein the combination of the meaning of Y and Z corresponds to line Z-41 in Table Z (compounds I.C.z41.b1 to I.C.z41 .b4200).
Table 754: Compounds I.C, wherein the combination of substituents R1, R2, X, D,
B and the position of the group Y-Z in each case corresponds to one line of lines B-1 to B-4200 in table B and wherein the combination of the meaning of Y and Z corresponds to line Z-42 in Table Z (compounds I.C.z42.b1 to I.C.z42.b4200).
Table 755: Compounds I.C, wherein the combination of substituents R1, R2, X, D, B and the position of the group Y-Z in each case corresponds to one line of lines B-1 to B-4200 in table B and wherein the combination of the meaning of Y and Z corresponds to line Z-43 in Table Z (compounds I.C.z43.b1 to I.C.z43.b4200).
Table 756: Compounds I.C, wherein the combination of substituents R1, R2, X, D, B and the position of the group Y-Z in each case corresponds to one line of lines B-1 to B-4200 in table B and wherein the combination of the meaning of Y and Z corresponds to line Z-44 in Table Z (compounds I.C.z44.b1 to I.C.z44.b4200).
Table 757: Compounds I.C, wherein the combination of substituents R1, R2, X, D,
B and the position of the group Y-Z in each case corresponds to one line of lines B-1 to B-4200 in table B and wherein the combination of the meaning of Y and Z corresponds to line Z-45 in Table Z (compounds I.C.z45.b1 to I.C.z45.b4200).
Table 758: Compounds I.C, wherein the combination of substituents R1, R2, X, D, B and the position of the group Y-Z in each case corresponds to one line of lines B-1 to B-4200 in table B and wherein the combination of the meaning of Y and Z corresponds to line Z-46 in Table Z (compounds I.C.z46.b1 to I.C.z46.b4200).
Table 759: Compounds I.C, wherein the combination of substituents R1, R2, X, D, B and the position of the group Y-Z in each case corresponds to one line of lines B-1 to B-4200 in table B and wherein the combination of the meaning of Y and Z corresponds to line Z-47 in Table Z (compounds I.C.z47.b1 to I.C.z47.b4200).
Table 760: Compounds I.C, wherein the combination of substituents R1, R2, X, D, B and the position of the group Y-Z in each case corresponds to one line of lines B-1 to B-4200 in table B and wherein the combination of the meaning of Y and Z corresponds to line Z-48 in Table Z (compounds I.C.z48.b1 to I.C.z48.b4200).
Table 761 : Compounds I.C, wherein the combination of substituents R1, R2, X, D, B and the position of the group Y-Z in each case corresponds to one line of lines B-1 to B-4200 in table B and wherein the combination of the meaning of Y and Z corresponds to line Z-49 in Table Z (compounds I.C.z49.b1 to I.C.z49.b4200).
Table 762: Compounds I.C, wherein the combination of substituents R1, R2, X, D,
B and the position of the group Y-Z in each case corresponds to one line of lines B-1 to B-4200 in table B and wherein the combination of the meaning of Y and Z corresponds to line Z-50 in Table Z (compounds I.C.z50.b1 to I.C.z50.b4200).
Table 763: Compounds I.C, wherein the combination of substituents R1, R2, X, D, B and the position of the group Y-Z in each case corresponds to one line of lines B-1 to B-4200 in table B and wherein the combination of the meaning of Y and Z corresponds to line Z-51 in Table Z (compounds I.C.z51.b1 to I.C.z51 .b4200).
Table 764: Compounds I.C, wherein the combination of substituents R1, R2, X, D, B and the position of the group Y-Z in each case corresponds to one line of lines B-1 to B-4200 in table B and wherein the combination of the meaning of Y and Z corresponds to line Z-52 in Table Z (compounds I.C.z52.b1 to I.C.z52.b4200).
Table 765: Compounds I.C, wherein the combination of substituents R1, R2, X, D, B and the position of the group Y-Z in each case corresponds to one line of lines B-1 to B-4200 in table B and wherein the combination of the meaning of Y and Z corresponds to line Z-53 in Table Z (compounds I.C.z53.b1 to I.C.z53.b4200).
Table 766: Compounds I.C, wherein the combination of substituents R1, R2, X, D, B and the position of the group Y-Z in each case corresponds to one line of lines B-1 to
B-4200 in table B and wherein the combination of the meaning of Y and Z corresponds to line Z-54 in Table Z (compounds I.C.z54.b1 to I.C.z54.b4200).
Table 767: Compounds I.C, wherein the combination of substituents R1, R2, X, D, B and the position of the group Y-Z in each case corresponds to one line of lines B-1 to B-4200 in table B and wherein the combination of the meaning of Y and Z corresponds to line Z-55 in Table Z (compounds I.C.z55.b1 to I.C.z55.b4200).
Table 768: Compounds I.C, wherein the combination of substituents R1, R2, X, D, B and the position of the group Y-Z in each case corresponds to one line of lines B-1 to B-4200 in table B and wherein the combination of the meaning of Y and Z corresponds to line Z-56 in Table Z (compounds I.C.z56.b1 to I.C.z56.b4200).
Table 769: Compounds I.C, wherein the combination of substituents R1, R2, X, D, B and the position of the group Y-Z in each case corresponds to one line of lines B-1 to B-4200 in table B and wherein the combination of the meaning of Y and Z corresponds to line Z-57 in Table Z (compounds I.C.z57.b1 to I.C.z57.b4200).
Table 770: Compounds I.C, wherein the combination of substituents R1, R2, X, D,
B and the position of the group Y-Z in each case corresponds to one line of lines B-1 to B-4200 in table B and wherein the combination of the meaning of Y and Z corresponds to line Z-58 in Table Z (compounds I.C.z58.b1 to I.C.z58.b4200).
Table 771 : Compounds I.C, wherein the combination of substituents R1, R2, X, D, B and the position of the group Y-Z in each case corresponds to one line of lines B-1 to B-4200 in table B and wherein the combination of the meaning of Y and Z corresponds to line Z-59 in Table Z (compounds I.C.z59.b1 to I.C.z59.b4200).
Table 772: Compounds I.C, wherein the combination of substituents R1, R2, X, D, B and the position of the group Y-Z in each case corresponds to one line of lines B-1 to B-4200 in table B and wherein the combination of the meaning of Y and Z corresponds to line Z-60 in Table Z (compounds I.C.z60.b1 to I.C.z60.b4200).
Table 773: Compounds I.C, wherein the combination of substituents R1, R2, X, D, B and the position of the group Y-Z in each case corresponds to one line of lines B-1 to B-4200 in table B and wherein the combination of the meaning of Y and Z corresponds to line Z-61 in Table Z (compounds I.C.z61.b1 to I.C.z61 .b4200).
Table 774: Compounds I.C, wherein the combination of substituents R1, R2, X, D, B and the position of the group Y-Z in each case corresponds to one line of lines B-1 to B-4200 in table B and wherein the combination of the meaning of Y and Z corresponds to line Z-62 in Table Z (compounds I.C.z62.b1 to I.C.z62.b4200).
Table 775: Compounds I.C, wherein the combination of substituents R1, R2, X, D,
B and the position of the group Y-Z in each case corresponds to one line of lines B-1 to B-4200 in table B and wherein the combination of the meaning of Y and Z corresponds to line Z-63 in Table Z (compounds I.C.z63.b1 to I.C.z63.b4200).
Table 776: Compounds I.C, wherein the combination of substituents R1, R2, X, D, B and the position of the group Y-Z in each case corresponds to one line of lines B-1 to B-4200 in table B and wherein the combination of the meaning of Y and Z corresponds to line Z-64 in Table Z (compounds I.C.z64.b1 to I.C.z64.b4200).
Table 777: Compounds I.C, wherein the combination of substituents R1, R2, X, D, B and the position of the group Y-Z in each case corresponds to one line of lines B-1 to B-4200 in table B and wherein the combination of the meaning of Y and Z corresponds to line Z-65 in Table Z (compounds I.C.z65.b1 to I.C.z65.b4200).
Table 778: Compounds I.C, wherein the combination of substituents R1, R2, X, D,
B and the position of the group Y-Z in each case corresponds to one line of lines B-1 to B-4200 in table B and wherein the combination of the meaning of Y and Z corresponds to line Z-66 in Table Z (compounds I.C.z66.b1 to I.C.z66.b4200).
Table 779: Compounds I.C, wherein the combination of substituents R1, R2, X, D, B and the position of the group Y-Z in each case corresponds to one line of lines B-1 to B-4200 in table B and wherein the combination of the meaning of Y and Z corresponds to line Z-67 in Table Z (compounds I.C.z67.b1 to I.C.z67.b4200).
Table 780: Compounds I.C, wherein the combination of substituents R1, R2, X, D, B and the position of the group Y-Z in each case corresponds to one line of lines B-1 to B-4200 in table B and wherein the combination of the meaning of Y and Z corresponds to line Z-68 in Table Z (compounds I.C.z68.b1 to I.C.z68.b4200).
Table 781 : Compounds I.C, wherein the combination of substituents R1, R2, X, D, B and the position of the group Y-Z in each case corresponds to one line of lines B-1 to B-4200 in table B and wherein the combination of the meaning of Y and Z corresponds to line Z-69 in Table Z (compounds I.C.z69.b1 to I.C.z69.b4200).
Table 782: Compounds I.C, wherein the combination of substituents R1, R2, X, D, B and the position of the group Y-Z in each case corresponds to one line of lines B-1 to B-4200 in table B and wherein the combination of the meaning of Y and Z corresponds to line Z-70 in Table Z (compounds I.C.z70.b1 to I.C.z70.b4200).
Table 783: Compounds I.C, wherein the combination of substituents R1, R2, X, D,
B and the position of the group Y-Z in each case corresponds to one line of lines B-1 to B-4200 in table B and wherein the combination of the meaning of Y and Z corresponds to line Z-71 in Table Z (compounds I.C.z71.b1 to I.C.z71 .b4200).
Table 784: Compounds I.C, wherein the combination of substituents R1, R2, X, D, B and the position of the group Y-Z in each case corresponds to one line of lines B-1 to B-4200 in table B and wherein the combination of the meaning of Y and Z corresponds to line Z-72 in Table Z (compounds I.C.z72.b1 to I.C.z72.b4200).
Table 785: Compounds I.C, wherein the combination of substituents R1, R2, X, D, B and the position of the group Y-Z in each case corresponds to one line of lines B-1 to B-4200 in table B and wherein the combination of the meaning of Y and Z corresponds to line Z-73 in Table Z (compounds I.C.z73.b1 to I.C.z73.b4200).
Table 786: Compounds I.C, wherein the combination of substituents R1, R2, X, D, B and the position of the group Y-Z in each case corresponds to one line of lines B-1 to B-4200 in table B and wherein the combination of the meaning of Y and Z corresponds to line Z-74 in Table Z (compounds I.C.z74.b1 to I.C.z74.b4200).
Table 787: Compounds I.C, wherein the combination of substituents R1, R2, X, D, B and the position of the group Y-Z in each case corresponds to one line of lines B-1 to
B-4200 in table B and wherein the combination of the meaning of Y and Z corresponds to line Z-75 in Table Z (compounds I.C.z75.b1 to I.C.z75.b4200).
Table 788: Compounds I.C, wherein the combination of substituents R1, R2, X, D, B and the position of the group Y-Z in each case corresponds to one line of lines B-1 to B-4200 in table B and wherein the combination of the meaning of Y and Z corresponds to line Z-76 in Table Z (compounds I.C.z76.b1 to I.C.z76.b4200).
Table 789: Compounds I.C, wherein the combination of substituents R1, R2, X, D, B and the position of the group Y-Z in each case corresponds to one line of lines B-1 to B-4200 in table B and wherein the combination of the meaning of Y and Z corresponds to line Z-77 in Table Z (compounds I.C.z77.b1 to I.C.z77.b4200).
Table 790: Compounds I.C, wherein the combination of substituents R1, R2, X, D, B and the position of the group Y-Z in each case corresponds to one line of lines B-1 to B-4200 in table B and wherein the combination of the meaning of Y and Z corresponds to line Z-78 in Table Z (compounds I.C.z78.b1 to I.C.z78.b4200).
Table 791 : Compounds I.C, wherein the combination of substituents R1, R2, X, D,
B and the position of the group Y-Z in each case corresponds to one line of lines B-1 to B-4200 in table B and wherein the combination of the meaning of Y and Z corresponds to line Z-79 in Table Z (compounds I.C.z79.b1 to I.C.z79.b4200).
Table 792: Compounds I.C, wherein the combination of substituents R1, R2, X, D, B and the position of the group Y-Z in each case corresponds to one line of lines B-1 to B-4200 in table B and wherein the combination of the meaning of Y and Z corresponds to line Z-80 in Table Z (compounds I.C.z80.b1 to I.C.z80.b4200).
Table 793: Compounds I.C, wherein the combination of substituents R1, R2, X, D, B and the position of the group Y-Z in each case corresponds to one line of lines B-1 to B-4200 in table B and wherein the combination of the meaning of Y and Z corresponds to line Z-81 in Table Z (compounds I.C.z81.b1 to I.C.z81 .b4200).
Table 794: Compounds I.C, wherein the combination of substituents R1, R2, X, D, B and the position of the group Y-Z in each case corresponds to one line of lines B-1 to B-4200 in table B and wherein the combination of the meaning of Y and Z corresponds to line Z-82 in Table Z (compounds I.C.z82.b1 to I.C.z82.b4200).
Table 795: Compounds I.C, wherein the combination of substituents R1, R2, X, D, B and the position of the group Y-Z in each case corresponds to one line of lines B-1 to B-4200 in table B and wherein the combination of the meaning of Y and Z corresponds to line Z-83 in Table Z (compounds I.C.z83.b1 to I.C.z83.b4200).
Table 796: Compounds I.C, wherein the combination of substituents R1, R2, X, D,
B and the position of the group Y-Z in each case corresponds to one line of lines B-1 to B-4200 in table B and wherein the combination of the meaning of Y and Z corresponds to line Z-84 in Table Z (compounds I.C.z84.b1 to I.C.z84.b4200).
Table 797: Compounds I.C, wherein the combination of substituents R1, R2, X, D, B and the position of the group Y-Z in each case corresponds to one line of lines B-1 to B-4200 in table B and wherein the combination of the meaning of Y and Z corresponds to line Z-85 in Table Z (compounds I.C.z85.b1 to I.C.z85.b4200).
Table 798: Compounds I.C, wherein the combination of substituents R1, R2, X, D, B and the position of the group Y-Z in each case corresponds to one line of lines B-1 to B-4200 in table B and wherein the combination of the meaning of Y and Z corresponds to line Z-86 in Table Z (compounds I.C.z86.b1 to I.C.z86.b4200).
Table 799: Compounds I.C, wherein the combination of substituents R1, R2, X, D,
B and the position of the group Y-Z in each case corresponds to one line of lines B-1 to B-4200 in table B and wherein the combination of the meaning of Y and Z corresponds to line Z-87 in Table Z (compounds I.C.z87.b1 to I.C.z87.b4200).
Table 800: Compounds I.C, wherein the combination of substituents R1, R2, X, D, B and the position of the group Y-Z in each case corresponds to one line of lines B-1 to B-4200 in table B and wherein the combination of the meaning of Y and Z corresponds to line Z-88 in Table Z (compounds I.C.z88.b1 to I.C.z88.b4200).
Table 801 : Compounds I.C, wherein the combination of substituents R1, R2, X, D, B and the position of the group Y-Z in each case corresponds to one line of lines B-1 to B-4200 in table B and wherein the combination of the meaning of Y and Z corresponds to line Z-89 in Table Z (compounds I.C.z89.b1 to I.C.z89.b4200).
Table 802: Compounds I.C, wherein the combination of substituents R1, R2, X, D, B and the position of the group Y-Z in each case corresponds to one line of lines B-1 to B-4200 in table B and wherein the combination of the meaning of Y and Z corresponds to line Z-90 in Table Z (compounds I.C.z90.b1 to I.C.z90.b4200).
Table 803: Compounds I.C, wherein the combination of substituents R1, R2, X, D, B and the position of the group Y-Z in each case corresponds to one line of lines B-1 to B-4200 in table B and wherein the combination of the meaning of Y and Z corresponds to line Z-91 in Table Z (compounds I.C.z91.b1 to I.C.z91 .b4200).
Table 804: Compounds I.C, wherein the combination of substituents R1, R2, X, D,
B and the position of the group Y-Z in each case corresponds to one line of lines B-1 to B-4200 in table B and wherein the combination of the meaning of Y and Z corresponds to line Z-92 in Table Z (compounds I.C.z92.b1 to I.C.z92.b4200).
Table 805: Compounds I.C, wherein the combination of substituents R1, R2, X, D, B and the position of the group Y-Z in each case corresponds to one line of lines B-1 to B-4200 in table B and wherein the combination of the meaning of Y and Z corresponds to line Z-93 in Table Z (compounds I.C.z93.b1 to I.C.z93.b4200).
Table 806: Compounds I.C, wherein the combination of substituents R1, R2, X, D, B and the position of the group Y-Z in each case corresponds to one line of lines B-1 to B-4200 in table B and wherein the combination of the meaning of Y and Z corresponds to line Z-94 in Table Z (compounds I.C.z94.b1 to I.C.z94.b4200).
Table 807: Compounds I.C, wherein the combination of substituents R1, R2, X, D, B and the position of the group Y-Z in each case corresponds to one line of lines B-1 to B-4200 in table B and wherein the combination of the meaning of Y and Z corresponds to line Z-95 in Table Z (compounds I.C.z95.b1 to I.C.z95.b4200).
Table 808: Compounds I.C, wherein the combination of substituents R1, R2, X, D, B and the position of the group Y-Z in each case corresponds to one line of lines B-1 to
B-4200 in table B and wherein the combination of the meaning of Y and Z corresponds to line Z-96 in Table Z (compounds I.C.z96.b1 to I.C.z96.b4200).
Table 809: Compounds I.C, wherein the combination of substituents R1, R2, X, D, B and the position of the group Y-Z in each case corresponds to one line of lines B-1 to B-4200 in table B and wherein the combination of the meaning of Y and Z corresponds to line Z-97 in Table Z (compounds I.C.z97.b1 to I.C.z97.b4200).
Table 810: Compounds I.C, wherein the combination of substituents R1, R2, X, D, B and the position of the group Y-Z in each case corresponds to one line of lines B-1 to B-4200 in table B and wherein the combination of the meaning of Y and Z corresponds to line Z-98 in Table Z (compounds I.C.z98.b1 to I.C.z98.b4200).
Table 81 1 : Compounds I.C, wherein the combination of substituents R1, R2, X, D, B and the position of the group Y-Z in each case corresponds to one line of lines B-1 to B-4200 in table B and wherein the combination of the meaning of Y and Z corresponds to line Z-99 in Table Z (compounds I.C.z99.b1 to I.C.z99.b4200).
Table 812: Compounds I.C, wherein the combination of substituents R1, R2, X, D,
B and the position of the group Y-Z in each case corresponds to one line of lines B-1 to B-4200 in table B and wherein the combination of the meaning of Y and Z corresponds to line Z-100 in Table Z (compounds I.C.z100.b1 to I.C.z100.b4200).
Table 813: Compounds I.C, wherein the combination of substituents R1, R2, X, D, B and the position of the group Y-Z in each case corresponds to one line of lines B-1 to B-4200 in table B and wherein the combination of the meaning of Y and Z corresponds to line Z-101 in Table Z (compounds I.C.z101.b1 to I.C.z101.b4200).
Table 814: Compounds I.C, wherein the combination of substituents R1, R2, X, D, B and the position of the group Y-Z in each case corresponds to one line of lines B-1 to B-4200 in table B and wherein the combination of the meaning of Y and Z corresponds to line Z-102 in Table Z (compounds I.C.z102.b1 to I.C.z102.b4200).
Table 815: Compounds I.C, wherein the combination of substituents R1, R2, X, D, B and the position of the group Y-Z in each case corresponds to one line of lines B-1 to B-4200 in table B and wherein the combination of the meaning of Y and Z corresponds to line Z-103 in Table Z (compounds I.C.z103.b1 to I.C.z103.b4200).
Table 816: Compounds I.C, wherein the combination of substituents R1, R2, X, D, B and the position of the group Y-Z in each case corresponds to one line of lines B-1 to B-4200 in table B and wherein the combination of the meaning of Y and Z corresponds to line Z-104 in Table Z (compounds I.C.z104.b1 to I.C.z104.b4200).
Table 817: Compounds I.C, wherein the combination of substituents R1, R2, X, D,
B and the position of the group Y-Z in each case corresponds to one line of lines B-1 to B-4200 in table B and wherein the combination of the meaning of Y and Z corresponds to line Z-105 in Table Z (compounds I.C.z105.b1 to I.C.z105.b4200).
Table 818: Compounds I.C, wherein the combination of substituents R1, R2, X, D, B and the position of the group Y-Z in each case corresponds to one line of lines B-1 to B-4200 in table B and wherein the combination of the meaning of Y and Z corresponds to line Z-106 in Table Z (compounds I.C.z106.b1 to I.C.z106.b4200).
Table 819: Compounds I.C, wherein the combination of substituents R1, R2, X, D, B and the position of the group Y-Z in each case corresponds to one line of lines B-1 to B-4200 in table B and wherein the combination of the meaning of Y and Z corresponds to line Z-107 in Table Z (compounds I.C.z107.b1 to I.C.z107.b4200).
Table 820: Compounds I.C, wherein the combination of substituents R1, R2, X, D,
B and the position of the group Y-Z in each case corresponds to one line of lines B-1 to B-4200 in table B and wherein the combination of the meaning of Y and Z corresponds to line Z-108 in Table Z (compounds I.C.z108.b1 to I.C.z108.b4200).
Table 821 : Compounds I.C, wherein the combination of substituents R1, R2, X, D, B and the position of the group Y-Z in each case corresponds to one line of lines B-1 to B-4200 in table B and wherein the combination of the meaning of Y and Z corresponds to line Z-109 in Table Z (compounds I.C.z109.b1 to I.C.z109.b4200).
Table 822: Compounds I.C, wherein the combination of substituents R1, R2, X, D, B and the position of the group Y-Z in each case corresponds to one line of lines B-1 to B-4200 in table B and wherein the combination of the meaning of Y and Z corresponds to line Z-1 10 in Table Z (compounds I.C.z1 10.b1 to I.C.z1 10.b4200).
Table 823: Compounds I.C, wherein the combination of substituents R1, R2, X, D, B and the position of the group Y-Z in each case corresponds to one line of lines B-1 to B-4200 in table B and wherein the combination of the meaning of Y and Z corresponds to line Z-1 1 1 in Table Z (compounds I.C.zl 1 1 .b1 to I.C.zl 1 1 .b4200).
Table 824: Compounds I.C, wherein the combination of substituents R1, R2, X, D, B and the position of the group Y-Z in each case corresponds to one line of lines B-1 to B-4200 in table B and wherein the combination of the meaning of Y and Z corresponds to line Z-1 12 in Table Z (compounds I.C.zl 12.b1 to I.C.zl 12.b4200).
Table 825: Compounds I.C, wherein the combination of substituents R1, R2, X, D,
B and the position of the group Y-Z in each case corresponds to one line of lines B-1 to B-4200 in table B and wherein the combination of the meaning of Y and Z corresponds to line Z-1 13 in Table Z (compounds I.C.zl 13.b1 to I.C.zl 13.b4200).
Table 826: Compounds I.C, wherein the combination of substituents R1, R2, X, D, B and the position of the group Y-Z in each case corresponds to one line of lines B-1 to B-4200 in table B and wherein the combination of the meaning of Y and Z corresponds to line Z-1 14 in Table Z (compounds I.C.zl 14.b1 to I.C.zl 14.b4200).
Table 827: Compounds I.C, wherein the combination of substituents R1, R2, X, D, B and the position of the group Y-Z in each case corresponds to one line of lines B-1 to B-4200 in table B and wherein the combination of the meaning of Y and Z corresponds to line Z-1 15 in Table Z (compounds I.C.zl 15.b1 to I.C.zl 15.b4200).
Table 828: Compounds I.C, wherein the combination of substituents R1, R2, X, D, B and the position of the group Y-Z in each case corresponds to one line of lines B-1 to B-4200 in table B and wherein the combination of the meaning of Y and Z corresponds to line Z-1 16 in Table Z (compounds I.C.zl 16.b1 to I.C.zl 16.b4200).
Table 829: Compounds I.C, wherein the combination of substituents R1, R2, X, D, B and the position of the group Y-Z in each case corresponds to one line of lines B-1 to
B-4200 in table B and wherein the combination of the meaning of Y and Z corresponds to line Z-1 17 in Table Z (compounds I.C.z1 17.b1 to I.C.z1 17.b4200).
Table 830: Compounds I.C, wherein the combination of substituents R1, R2, X, D, B and the position of the group Y-Z in each case corresponds to one line of lines B-1 to B-4200 in table B and wherein the combination of the meaning of Y and Z corresponds to line Z-1 18 in Table Z (compounds I.C.z1 18.b1 to I.C.z1 18.b4200).
Table 831 : Compounds I.C, wherein the combination of substituents R1, R2, X, D, B and the position of the group Y-Z in each case corresponds to one line of lines B-1 to B-4200 in table B and wherein the combination of the meaning of Y and Z corresponds to line Z-1 19 in Table Z (compounds I.C.zl 19.b1 to I.C.zl 19.b4200).
Table 832: Compounds I.C, wherein the combination of substituents R1, R2, X, D, B and the position of the group Y-Z in each case corresponds to one line of lines B-1 to B-4200 in table B and wherein the combination of the meaning of Y and Z corresponds to line Z-120 in Table Z (compounds I.C.z120.b1 to I.C.z120.b4200).
Table 833: Compounds I.C, wherein the combination of substituents R1, R2, X, D,
B and the position of the group Y-Z in each case corresponds to one line of lines B-1 to B-4200 in table B and wherein the combination of the meaning of Y and Z corresponds to line Z-121 in Table Z (compounds I.C.z121.b1 to I.C.z121.b4200).
Table 834: Compounds I.C, wherein the combination of substituents R1, R2, X, D, B and the position of the group Y-Z in each case corresponds to one line of lines B-1 to B-4200 in table B and wherein the combination of the meaning of Y and Z corresponds to line Z-122 in Table Z (compounds I.C.z122.b1 to I.C.z122.b4200).
Table 835: Compounds I.C, wherein the combination of substituents R1, R2, X, D, B and the position of the group Y-Z in each case corresponds to one line of lines B-1 to B-4200 in table B and wherein the combination of the meaning of Y and Z corresponds to line Z-123 in Table Z (compounds I.C.z123.b1 to I.C.z123.b4200).
Table 836: Compounds I.C, wherein the combination of substituents R1, R2, X, D, B and the position of the group Y-Z in each case corresponds to one line of lines B-1 to B-4200 in table B and wherein the combination of the meaning of Y and Z corresponds to line Z-124 in Table Z (compounds I.C.z124.b1 to I.C.z124.b4200).
Table 837: Compounds I.C, wherein the combination of substituents R1, R2, X, D, B and the position of the group Y-Z in each case corresponds to one line of lines B-1 to B-4200 in table B and wherein the combination of the meaning of Y and Z corresponds to line Z-125 in Table Z (compounds I.C.z125.b1 to I.C.z125.b4200).
Table 838: Compounds I.C, wherein the combination of substituents R1, R2, X, D,
B and the position of the group Y-Z in each case corresponds to one line of lines B-1 to B-4200 in table B and wherein the combination of the meaning of Y and Z corresponds to line Z-126 in Table Z (compounds I.C.z126.b1 to I.C.z126.b4200).
Table 839: Compounds I.C, wherein the combination of substituents R1, R2, X, D, B and the position of the group Y-Z in each case corresponds to one line of lines B-1 to B-4200 in table B and wherein the combination of the meaning of Y and Z corresponds to line Z-127 in Table Z (compounds I.C.z127.b1 to I.C.z127.b4200).
Table 840: Compounds I.C, wherein the combination of substituents R1, R2, X, D, B and the position of the group Y-Z in each case corresponds to one line of lines B-1 to B-4200 in table B and wherein the combination of the meaning of Y and Z corresponds to line Z-128 in Table Z (compounds I.C.z128.b1 to I.C.z128.b4200).
Table 841 : Compounds I.C, wherein the combination of substituents R1, R2, X, D,
B and the position of the group Y-Z in each case corresponds to one line of lines B-1 to B-4200 in table B and wherein the combination of the meaning of Y and Z corresponds to line Z-129 in Table Z (compounds I.C.z129.b1 to I.C.z129.b4200).
Table 842: Compounds I.C, wherein the combination of substituents R1, R2, X, D, B and the position of the group Y-Z in each case corresponds to one line of lines B-1 to B-4200 in table B and wherein the combination of the meaning of Y and Z corresponds to line Z-130 in Table Z (compounds I.C.z130.b1 to I.C.z130.b4200).
Table 843: Compounds I.C, wherein the combination of substituents R1, R2, X, D, B and the position of the group Y-Z in each case corresponds to one line of lines B-1 to B-4200 in table B and wherein the combination of the meaning of Y and Z corresponds to line Z-131 in Table Z (compounds I.C.z131.b1 to I.C.z131 .b4200).
Table 844: Compounds I.C, wherein the combination of substituents R1, R2, X, D, B and the position of the group Y-Z in each case corresponds to one line of lines B-1 to B-4200 in table B and wherein the combination of the meaning of Y and Z corresponds to line Z-132 in Table Z (compounds I.C.z132.b1 to I.C.z132.b4200).
Table 845: Compounds I.C, wherein the combination of substituents R1, R2, X, D, B and the position of the group Y-Z in each case corresponds to one line of lines B-1 to B-4200 in table B and wherein the combination of the meaning of Y and Z corresponds to line Z-133 in Table Z (compounds I.C.z133.b1 to I.C.z133.b4200).
Table 846: Compounds I.C, wherein the combination of substituents R1, R2, X, D,
B and the position of the group Y-Z in each case corresponds to one line of lines B-1 to B-4200 in table B and wherein the combination of the meaning of Y and Z corresponds to line Z-134 in Table Z (compounds I.C.z134.b1 to I.C.z134.b4200).
Table 847: Compounds I.C, wherein the combination of substituents R1, R2, X, D, B and the position of the group Y-Z in each case corresponds to one line of lines B-1 to B-4200 in table B and wherein the combination of the meaning of Y and Z corresponds to line Z-135 in Table Z (compounds I.C.z135.b1 to I.C.z135.b4200).
Table 848: Compounds I.C, wherein the combination of substituents R1, R2, X, D, B and the position of the group Y-Z in each case corresponds to one line of lines B-1 to B-4200 in table B and wherein the combination of the meaning of Y and Z corresponds to line Z-136 in Table Z (compounds I.C.z136.b1 to I.C.z136.b4200).
Table 849: Compounds I.C, wherein the combination of substituents R1, R2, X, D, B and the position of the group Y-Z in each case corresponds to one line of lines B-1 to B-4200 in table B and wherein the combination of the meaning of Y and Z corresponds to line Z-137 in Table Z (compounds I.C.z137.b1 to I.C.z137.b4200).
Table 850: Compounds I.C, wherein the combination of substituents R1, R2, X, D, B and the position of the group Y-Z in each case corresponds to one line of lines B-1 to
B-4200 in table B and wherein the combination of the meaning of Y and Z corresponds to line Z-138 in Table Z (compounds I.C.z138.b1 to I.C.z138.b4200).
Table 851 : Compounds I.C, wherein the combination of substituents R1, R2, X, D, B and the position of the group Y-Z in each case corresponds to one line of lines B-1 to B-4200 in table B and wherein the combination of the meaning of Y and Z corresponds to line Z-139 in Table Z (compounds I.C.z139.b1 to I.C.z139.b4200).
Table 852: Compounds I.C, wherein the combination of substituents R1, R2, X, D, B and the position of the group Y-Z in each case corresponds to one line of lines B-1 to B-4200 in table B and wherein the combination of the meaning of Y and Z corresponds to line Z-140 in Table Z (compounds I.C.z140.b1 to I.C.z140.b4200).
Table 853: Compounds I.C, wherein the combination of substituents R1, R2, X, D, B and the position of the group Y-Z in each case corresponds to one line of lines B-1 to B-4200 in table B and wherein the combination of the meaning of Y and Z corresponds to line Z-141 in Table Z (compounds I.C.z141.b1 to I.C.z141.b4200).
Table 854: Compounds I.C, wherein the combination of substituents R1, R2, X, D,
B and the position of the group Y-Z in each case corresponds to one line of lines B-1 to B-4200 in table B and wherein the combination of the meaning of Y and Z corresponds to line Z-142 in Table Z (compounds I.C.z142.b1 to I.C.z142.b4200).
Table 855: Compounds I.C, wherein the combination of substituents R1, R2, X, D, B and the position of the group Y-Z in each case corresponds to one line of lines B-1 to B-4200 in table B and wherein the combination of the meaning of Y and Z corresponds to line Z-143 in Table Z (compounds I.C.z143.b1 to I.C.z143.b4200).
Table 856: Compounds I.C, wherein the combination of substituents R1, R2, X, D, B and the position of the group Y-Z in each case corresponds to one line of lines B-1 to B-4200 in table B and wherein the combination of the meaning of Y and Z corresponds to line Z-144 in Table Z (compounds I.C.z144.b1 to I.C.z144.b4200).
Table 857: Compounds I.C, wherein the combination of substituents R1, R2, X, D, B and the position of the group Y-Z in each case corresponds to one line of lines B-1 to B-4200 in table B and wherein the combination of the meaning of Y and Z corresponds to line Z-145 in Table Z (compounds I.C.z145.b1 to I.C.z145.b4200).
Table 858: Compounds I.C, wherein the combination of substituents R1, R2, X, D, B and the position of the group Y-Z in each case corresponds to one line of lines B-1 to B-4200 in table B and wherein the combination of the meaning of Y and Z corresponds to line Z-146 in Table Z (compounds I.C.z146.b1 to I.C.z146.b4200).
Table 859: Compounds I.C, wherein the combination of substituents R1, R2, X, D,
B and the position of the group Y-Z in each case corresponds to one line of lines B-1 to B-4200 in table B and wherein the combination of the meaning of Y and Z corresponds to line Z-147 in Table Z (compounds I.C.z147.b1 to I.C.z147.b4200).
Table 860: Compounds I.C, wherein the combination of substituents R1, R2, X, D, B and the position of the group Y-Z in each case corresponds to one line of lines B-1 to B-4200 in table B and wherein the combination of the meaning of Y and Z corresponds to line Z-148 in Table Z (compounds I.C.z148.b1 to I.C.z148.b4200).
Table 861 : Compounds I.C, wherein the combination of substituents R1, R2, X, D, B and the position of the group Y-Z in each case corresponds to one line of lines B-1 to B-4200 in table B and wherein the combination of the meaning of Y and Z corresponds to line Z-149 in Table Z (compounds I.C.z149.b1 to I.C.z149.b4200).
Table 862: Compounds I.C, wherein the combination of substituents R1, R2, X, D,
B and the position of the group Y-Z in each case corresponds to one line of lines B-1 to B-4200 in table B and wherein the combination of the meaning of Y and Z corresponds to line Z-150 in Table Z (compounds I.C.z150.b1 to I.C.z150.b4200).
Table 863: Compounds I.C, wherein the combination of substituents R1, R2, X, D, B and the position of the group Y-Z in each case corresponds to one line of lines B-1 to B-4200 in table B and wherein the combination of the meaning of Y and Z corresponds to line Z-151 in Table Z (compounds I.C.z151.b1 to I.C.z151.b4200).
Table 864: Compounds I.C, wherein the combination of substituents R1, R2, X, D, B and the position of the group Y-Z in each case corresponds to one line of lines B-1 to B-4200 in table B and wherein the combination of the meaning of Y and Z corresponds to line Z-152 in Table Z (compounds I.C.z152.b1 to I.C.z152.b4200).
Table 865: Compounds I.C, wherein the combination of substituents R1, R2, X, D, B and the position of the group Y-Z in each case corresponds to one line of lines B-1 to B-4200 in table B and wherein the combination of the meaning of Y and Z corresponds to line Z-153 in Table Z (compounds I.C.z153.b1 to I.C.z153.b4200).
Table 866: Compounds I.C, wherein the combination of substituents R1, R2, X, D, B and the position of the group Y-Z in each case corresponds to one line of lines B-1 to B-4200 in table B and wherein the combination of the meaning of Y and Z corresponds to line Z-154 in Table Z (compounds I.C.z154.b1 to I.C.z154.b4200).
Table 867: Compounds I.C, wherein the combination of substituents R1, R2, X, D,
B and the position of the group Y-Z in each case corresponds to one line of lines B-1 to B-4200 in table B and wherein the combination of the meaning of Y and Z corresponds to line Z-155 in Table Z (compounds I.C.z155.b1 to I.C.z155.b4200).
Table 868: Compounds I.C, wherein the combination of substituents R1, R2, X, D, B and the position of the group Y-Z in each case corresponds to one line of lines B-1 to B-4200 in table B and wherein the combination of the meaning of Y and Z corresponds to line Z-156 in Table Z (compounds I.C.z156.b1 to I.C.z156.b4200).
Table 869: Compounds I.C, wherein the combination of substituents R1, R2, X, D, B and the position of the group Y-Z in each case corresponds to one line of lines B-1 to B-4200 in table B and wherein the combination of the meaning of Y and Z corresponds to line Z-157 in Table Z (compounds I.C.z157.b1 to I.C.z157.b4200).
Table 870: Compounds I.C, wherein the combination of substituents R1, R2, X, D, B and the position of the group Y-Z in each case corresponds to one line of lines B-1 to B-4200 in table B and wherein the combination of the meaning of Y and Z corresponds to line Z-158 in Table Z (compounds I.C.z158.b1 to I.C.z158.b4200).
Table 871 : Compounds I.C, wherein the combination of substituents R1, R2, X, D, B and the position of the group Y-Z in each case corresponds to one line of lines B-1 to
B-4200 in table B and wherein the combination of the meaning of Y and Z corresponds to line Z-159 in Table Z (compounds I.C.z159.b1 to I.C.z159.b4200).
Table 872: Compounds I.C, wherein the combination of substituents R1, R2, X, D, B and the position of the group Y-Z in each case corresponds to one line of lines B-1 to B-4200 in table B and wherein the combination of the meaning of Y and Z corresponds to line Z-160 in Table Z (compounds I.C.z160.b1 to I.C.z160.b4200).
Table 873: Compounds I.C, wherein the combination of substituents R1, R2, X, D, B and the position of the group Y-Z in each case corresponds to one line of lines B-1 to B-4200 in table B and wherein the combination of the meaning of Y and Z corresponds to line Z-161 in Table Z (compounds I.C.z161.b1 to I.C.z161.b4200).
Table 874: Compounds I.C, wherein the combination of substituents R1, R2, X, D, B and the position of the group Y-Z in each case corresponds to one line of lines B-1 to B-4200 in table B and wherein the combination of the meaning of Y and Z corresponds to line Z-162 in Table Z (compounds I.C.z162.b1 to I.C.z162.b4200).
Table 875: Compounds I.C, wherein the combination of substituents R1, R2, X, D,
B and the position of the group Y-Z in each case corresponds to one line of lines B-1 to B-4200 in table B and wherein the combination of the meaning of Y and Z corresponds to line Z-163 in Table Z (compounds I.C.z163.b1 to I.C.z163.b4200).
Table 876: Compounds I.C, wherein the combination of substituents R1, R2, X, D, B and the position of the group Y-Z in each case corresponds to one line of lines B-1 to B-4200 in table B and wherein the combination of the meaning of Y and Z corresponds to line Z-164 in Table Z (compounds I.C.z164.b1 to I.C.z164.b4200).
Table 877: Compounds I.C, wherein the combination of substituents R1, R2, X, D, B and the position of the group Y-Z in each case corresponds to one line of lines B-1 to B-4200 in table B and wherein the combination of the meaning of Y and Z corresponds to line Z-165 in Table Z (compounds I.C.z165.b1 to I.C.z165.b4200).
Table 878: Compounds I.C, wherein the combination of substituents R1, R2, X, D, B and the position of the group Y-Z in each case corresponds to one line of lines B-1 to B-4200 in table B and wherein the combination of the meaning of Y and Z corresponds to line Z-166 in Table Z (compounds I.C.z166.b1 to I.C.z166.b4200).
Table 879: Compounds I.C, wherein the combination of substituents R1, R2, X, D, B and the position of the group Y-Z in each case corresponds to one line of lines B-1 to B-4200 in table B and wherein the combination of the meaning of Y and Z corresponds to line Z-167 in Table Z (compounds I.C.z167.b1 to I.C.z167.b4200).
Table 880: Compounds I.C, wherein the combination of substituents R1, R2, X, D,
B and the position of the group Y-Z in each case corresponds to one line of lines B-1 to B-4200 in table B and wherein the combination of the meaning of Y and Z corresponds to line Z-168 in Table Z (compounds I.C.z168.b1 to I.C.z168.b4200).
Table 881 : Compounds I.C, wherein the combination of substituents R1, R2, X, D, B and the position of the group Y-Z in each case corresponds to one line of lines B-1 to B-4200 in table B and wherein the combination of the meaning of Y and Z corresponds to line Z-169 in Table Z (compounds I.C.z169.b1 to I.C.z169.b4200).
Table 882: Compounds I.C, wherein the combination of substituents R1, R2, X, D, B and the position of the group Y-Z in each case corresponds to one line of lines B-1 to B-4200 in table B and wherein the combination of the meaning of Y and Z corresponds to line Z-170 in Table Z (compounds I.C.z170.b1 to I.C.z170.b4200).
Table 883: Compounds I.C, wherein the combination of substituents R1, R2, X, D,
B and the position of the group Y-Z in each case corresponds to one line of lines B-1 to B-4200 in table B and wherein the combination of the meaning of Y and Z corresponds to line Z-171 in Table Z (compounds I.C.z171.b1 to I.C.z171.b4200).
Table 884: Compounds I.C, wherein the combination of substituents R1, R2, X, D, B and the position of the group Y-Z in each case corresponds to one line of lines B-1 to B-4200 in table B and wherein the combination of the meaning of Y and Z corresponds to line Z-172 in Table Z (compounds I.C.z172.b1 to I.C.z172.b4200).
Table 885: Compounds I.C, wherein the combination of substituents R1, R2, X, D, B and the position of the group Y-Z in each case corresponds to one line of lines B-1 to B-4200 in table B and wherein the combination of the meaning of Y and Z corresponds to line Z-173 in Table Z (compounds I.C.z173.b1 to I.C.z173.b4200).
Table 886: Compounds I.C, wherein the combination of substituents R1, R2, X, D, B and the position of the group Y-Z in each case corresponds to one line of lines B-1 to B-4200 in table B and wherein the combination of the meaning of Y and Z corresponds to line Z-174 in Table Z (compounds I.C.z174.b1 to I.C.z174.b4200).
Table 887: Compounds I.C, wherein the combination of substituents R1, R2, X, D, B and the position of the group Y-Z in each case corresponds to one line of lines B-1 to B-4200 in table B and wherein the combination of the meaning of Y and Z corresponds to line Z-175 in Table Z (compounds I.C.z175.b1 to I.C.z175.b4200).
Table 888: Compounds I.C, wherein the combination of substituents R1, R2, X, D,
B and the position of the group Y-Z in each case corresponds to one line of lines B-1 to B-4200 in table B and wherein the combination of the meaning of Y and Z corresponds to line Z-176 in Table Z (compounds I.C.z176.b1 to I.C.z176.b4200).
Table 889: Compounds I.C, wherein the combination of substituents R1, R2, X, D, B and the position of the group Y-Z in each case corresponds to one line of lines B-1 to B-4200 in table B and wherein the combination of the meaning of Y and Z corresponds to line Z-177 in Table Z (compounds I.C.z177.b1 to I.C.z177.b4200).
Table 890: Compounds I.C, wherein the combination of substituents R1, R2, X, D, B and the position of the group Y-Z in each case corresponds to one line of lines B-1 to B-4200 in table B and wherein the combination of the meaning of Y and Z corresponds to line Z-178 in Table Z (compounds I.C.z178.b1 to I.C.z178.b4200).
Table 891 : Compounds I.C, wherein the combination of substituents R1, R2, X, D, B and the position of the group Y-Z in each case corresponds to one line of lines B-1 to B-4200 in table B and wherein the combination of the meaning of Y and Z corresponds to line Z-179 in Table Z (compounds I.C.z179.b1 to I.C.z179.b4200).
Table 892: Compounds I.C, wherein the combination of substituents R1, R2, X, D, B and the position of the group Y-Z in each case corresponds to one line of lines B-1 to
B-4200 in table B and wherein the combination of the meaning of Y and Z corresponds to line Z-180 in Table Z (compounds I.C.z180.b1 to I.C.z180.b4200).
Table 893: Compounds I.C, wherein the combination of substituents R1, R2, X, D, B and the position of the group Y-Z in each case corresponds to one line of lines B-1 to B-4200 in table B and wherein the combination of the meaning of Y and Z corresponds to line Z-181 in Table Z (compounds I.C.z181.b1 to I.C.z181.b4200).
Table 894: Compounds I.C, wherein the combination of substituents R1, R2, X, D, B and the position of the group Y-Z in each case corresponds to one line of lines B-1 to B-4200 in table B and wherein the combination of the meaning of Y and Z corresponds to line Z-182 in Table Z (compounds I.C.z182.b1 to I.C.z182.b4200).
Table 895: Compounds I.C, wherein the combination of substituents R1, R2, X, D, B and the position of the group Y-Z in each case corresponds to one line of lines B-1 to B-4200 in table B and wherein the combination of the meaning of Y and Z corresponds to line Z-183 in Table Z (compounds I.C.z183.b1 to I.C.z183.b4200).
Table 896: Compounds I.C, wherein the combination of substituents R1, R2, X, D,
B and the position of the group Y-Z in each case corresponds to one line of lines B-1 to B-4200 in table B and wherein the combination of the meaning of Y and Z corresponds to line Z-184 in Table Z (compounds I.C.z184.b1 to I.C.z184.b4200).
Table 897: Compounds I.C, wherein the combination of substituents R1, R2, X, D, B and the position of the group Y-Z in each case corresponds to one line of lines B-1 to B-4200 in table B and wherein the combination of the meaning of Y and Z corresponds to line Z-185 in Table Z (compounds I.C.z185.b1 to I.C.z185.b4200).
Table 898: Compounds I.C, wherein the combination of substituents R1, R2, X, D, B and the position of the group Y-Z in each case corresponds to one line of lines B-1 to B-4200 in table B and wherein the combination of the meaning of Y and Z corresponds to line Z-186 in Table Z (compounds I.C.z186.b1 to I.C.z186.b4200).
Table 899: Compounds I.C, wherein the combination of substituents R1, R2, X, D, B and the position of the group Y-Z in each case corresponds to one line of lines B-1 to B-4200 in table B and wherein the combination of the meaning of Y and Z corresponds to line Z-187 in Table Z (compounds I.C.z187.b1 to I.C.z187.b4200).
Table 900: Compounds I.C, wherein the combination of substituents R1, R2, X, D, B and the position of the group Y-Z in each case corresponds to one line of lines B-1 to B-4200 in table B and wherein the combination of the meaning of Y and Z corresponds to line Z-188 in Table Z (compounds I.C.z188.b1 to I.C.z188.b4200).
Table 901 : Compounds I.C, wherein the combination of substituents R1, R2, X, D,
B and the position of the group Y-Z in each case corresponds to one line of lines B-1 to B-4200 in table B and wherein the combination of the meaning of Y and Z corresponds to line Z-189 in Table Z (compounds I.C.z189.b1 to I.C.z189.b4200).
Table 902: Compounds I.C, wherein the combination of substituents R1, R2, X, D, B and the position of the group Y-Z in each case corresponds to one line of lines B-1 to B-4200 in table B and wherein the combination of the meaning of Y and Z corresponds to line Z-190 in Table Z (compounds I.C.z190.b1 to I.C.z190.b4200).
Table 903: Compounds I.C, wherein the combination of substituents R1, R2, X, D, B and the position of the group Y-Z in each case corresponds to one line of lines B-1 to B-4200 in table B and wherein the combination of the meaning of Y and Z corresponds to line Z-191 in Table Z (compounds I.C.z191.b1 to I.C.z191.b4200).
Table 904: Compounds I.C, wherein the combination of substituents R1, R2, X, D,
B and the position of the group Y-Z in each case corresponds to one line of lines B-1 to B-4200 in table B and wherein the combination of the meaning of Y and Z corresponds to line Z-192 in Table Z (compounds I.C.z192.b1 to I.C.z192.b4200).
Table 905: Compounds I.C, wherein the combination of substituents R1, R2, X, D, B and the position of the group Y-Z in each case corresponds to one line of lines B-1 to B-4200 in table B and wherein the combination of the meaning of Y and Z corresponds to line Z-193 in Table Z (compounds I.C.z193.b1 to I.C.z193.b4200).
Table 906: Compounds I.C, wherein the combination of substituents R1, R2, X, D, B and the position of the group Y-Z in each case corresponds to one line of lines B-1 to B-4200 in table B and wherein the combination of the meaning of Y and Z corresponds to line Z-194 in Table Z (compounds I.C.z194.b1 to I.C.z194.b4200).
Table 907: Compounds I.C, wherein the combination of substituents R1, R2, X, D, B and the position of the group Y-Z in each case corresponds to one line of lines B-1 to B-4200 in table B and wherein the combination of the meaning of Y and Z corresponds to line Z-195 in Table Z (compounds I.C.z195.b1 to I.C.z195.b4200).
Table 908: Compounds I.C, wherein the combination of substituents R1, R2, X, D, B and the position of the group Y-Z in each case corresponds to one line of lines B-1 to B-4200 in table B and wherein the combination of the meaning of Y and Z corresponds to line Z-196 in Table Z (compounds I.C.z196.b1 to I.C.z196.b4200).
Table 909: Compounds I.C, wherein the combination of substituents R1, R2, X, D,
B and the position of the group Y-Z in each case corresponds to one line of lines B-1 to B-4200 in table B and wherein the combination of the meaning of Y and Z corresponds to line Z-197 in Table Z (compounds I.C.z197.b1 to I.C.z197.b4200).
Table 910: Compounds I.C, wherein the combination of substituents R1, R2, X, D, B and the position of the group Y-Z in each case corresponds to one line of lines B-1 to B-4200 in table B and wherein the combination of the meaning of Y and Z corresponds to line Z-198 in Table Z (compounds I.C.z198.b1 to I.C.z198.b4200).
Table 91 1 : Compounds I.C, wherein the combination of substituents R1, R2, X, D, B and the position of the group Y-Z in each case corresponds to one line of lines B-1 to B-4200 in table B and wherein the combination of the meaning of Y and Z corresponds to line Z-199 in Table Z (compounds I.C.z199.b1 to I.C.z199.b4200).
Table 912: Compounds I.C, wherein the combination of substituents R1, R2, X, D, B and the position of the group Y-Z in each case corresponds to one line of lines B-1 to B-4200 in table B and wherein the combination of the meaning of Y and Z corresponds to line Z-200 in Table Z (compounds I.C.z200.b1 to I.C.z200.b4200).
Table 913: Compounds I.C, wherein the combination of substituents R1, R2, X, D, B and the position of the group Y-Z in each case corresponds to one line of lines B-1 to
B-4200 in table B and wherein the combination of the meaning of Y and Z corresponds to line Z-201 in Table Z (compounds I.C.z201.b1 to I.C.z201.b4200).
Table 914: Compounds I.C, wherein the combination of substituents R1, R2, X, D, B and the position of the group Y-Z in each case corresponds to one line of lines B-1 to B-4200 in table B and wherein the combination of the meaning of Y and Z corresponds to line Z-202 in Table Z (compounds I.C.z202.b1 to I.C.z202.b4200).
Table 915: Compounds I.C, wherein the combination of substituents R1, R2, X, D, B and the position of the group Y-Z in each case corresponds to one line of lines B-1 to B-4200 in table B and wherein the combination of the meaning of Y and Z corresponds to line Z-203 in Table Z (compounds I.C.z203.b1 to I.C.z203.b4200).
Table 916: Compounds I.C, wherein the combination of substituents R1, R2, X, D, B and the position of the group Y-Z in each case corresponds to one line of lines B-1 to B-4200 in table B and wherein the combination of the meaning of Y and Z corresponds to line Z-204 in Table Z (compounds I.C.z204.b1 to I.C.z204.b4200).
Table 917: Compounds I.C, wherein the combination of substituents R1, R2, X, D,
B and the position of the group Y-Z in each case corresponds to one line of lines B-1 to B-4200 in table B and wherein the combination of the meaning of Y and Z corresponds to line Z-205 in Table Z (compounds I.C.z205.b1 to I.C.z205.b4200).
Table 918: Compounds I.C, wherein the combination of substituents R1, R2, X, D, B and the position of the group Y-Z in each case corresponds to one line of lines B-1 to B-4200 in table B and wherein the combination of the meaning of Y and Z corresponds to line Z-206 in Table Z (compounds I.C.z206.b1 to I.C.z206.b4200).
Table 919: Compounds I.D, wherein the combination of substituents R1, R2, X, D, B and the position of the group Y-Z in each case corresponds to one line B-1 to B-4200 in table B and wherein Z is phenyl and the combination of the meaning of Y and RL corresponds to line A-1 in Table A (compounds I.D.al .b1 to I.D.al .b4200).
Table 920: Compounds I.D, wherein the combination of substituents R1, R2, X, D, B and the position of the group Y-Z in each case corresponds to one line B-1 to B-4200 in table B and wherein Z is phenyl and the combination of the meaning of Y and RL corresponds to line A-2 in Table A (compounds I.D.a2.b1 to I.D.a2.b4200).
Table 921 : Compounds I.D, wherein the combination of substituents R1, R2, X, D, B and the position of the group Y-Z in each case corresponds to one line B-1 to B-4200 in table B and wherein Z is phenyl and the combination of the meaning of Y and RL corresponds to line A-3 in Table A (compounds I.D.a3.b1 to I.D.a3.b4200).
Table 922: Compounds I.D, wherein the combination of substituents R1, R2, X, D,
B and the position of the group Y-Z in each case corresponds to one line B-1 to B-4200 in table B and wherein Z is phenyl and the combination of the meaning of Y and RL corresponds to line A-4 in Table A (compounds I.D.a4.b1 to I.D.a4.b4200).
Table 923: Compounds I.D, wherein the combination of substituents R1, R2, X, D, B and the position of the group Y-Z in each case corresponds to one line B-1 to B-4200 in table B and wherein Z is phenyl and the combination of the meaning of Y and RL corresponds to line A-5 in Table A (compounds I.D.a5.b1 to I.D.a5.b4200).
Table 924: Compounds I.D, wherein the combination of substituents R1, R2, X, D, B and the position of the group Y-Z in each case corresponds to one line B-1 to B-4200 in table B and wherein Z is phenyl and the combination of the meaning of Y and RL corresponds to line A-6 in Table A (compounds I.D.a6.b1 to I.D.a6.b4200).
Table 925: Compounds I.D, wherein the combination of substituents R1, R2, X, D,
B and the position of the group Y-Z in each case corresponds to one line B-1 to B-4200 in table B and wherein Z is phenyl and the combination of the meaning of Y and RL corresponds to line A-7 in Table A (compounds I.D.a7.b1 to I.D.a7.b4200).
Table 926: Compounds I.D, wherein the combination of substituents R1, R2, X, D, B and the position of the group Y-Z in each case corresponds to one line B-1 to B-4200 in table B and wherein Z is phenyl and the combination of the meaning of Y and RL corresponds to line A-8 in Table A (compounds I.D.a8.b1 to I.D.a8.b4200).
Table 927: Compounds I.D, wherein the combination of substituents R1, R2, X, D, B and the position of the group Y-Z in each case corresponds to one line B-1 to B-4200 in table B and wherein Z is phenyl and the combination of the meaning of Y and RL corresponds to line A-9 in Table A (compounds I.D.a9.b1 to I.D.a9.b4200).
Table 928: Compounds I.D, wherein the combination of substituents R1, R2, X, D, B and the position of the group Y-Z in each case corresponds to one line B-1 to B-4200 in table B and wherein Z is phenyl and the combination of the meaning of Y and RL corresponds to line A-10 in Table A (compounds I.D.a10.b1 to I.D.a10.b4200).
Table 929: Compounds I.D, wherein the combination of substituents R1, R2, X, D, B and the position of the group Y-Z in each case corresponds to one line B-1 to B-4200 in table B and wherein Z is phenyl and the combination of the meaning of Y and RL corresponds to line A-1 1 in Table A (compounds I.D.al 1 .b1 to I.D.al 1.b4200).
Table 930: Compounds I.D, wherein the combination of substituents R1, R2, X, D,
B and the position of the group Y-Z in each case corresponds to one line B-1 to B-4200 in table B and wherein Z is phenyl and the combination of the meaning of Y and RL corresponds to line A-12 in Table A (compounds I.D.a12.b1 to I.D.a12.b4200).
Table 931 : Compounds I.D, wherein the combination of substituents R1, R2, X, D, B and the position of the group Y-Z in each case corresponds to one line B-1 to B-4200 in table B and wherein Z is phenyl and the combination of the meaning of Y and RL corresponds to line A-13 in Table A (compounds I.D.a13.b1 to I.D.a13.b4200).
Table 932: Compounds I.D, wherein the combination of substituents R1, R2, X, D, B and the position of the group Y-Z in each case corresponds to one line B-1 to B-4200 in table B and wherein Z is phenyl and the combination of the meaning of Y and RL corresponds to line A-14 in Table A (compounds I.D.a14.b1 to I.D.a14.b4200).
Table 933: Compounds I.D, wherein the combination of substituents R1, R2, X, D, B and the position of the group Y-Z in each case corresponds to one line B-1 to B-4200 in table B and wherein Z is phenyl and the combination of the meaning of Y and RL corresponds to line A-15 in Table A (compounds I.D.a15.b1 to I.D.a15.b4200).
Table 934: Compounds I.D, wherein the combination of substituents R1, R2, X, D, B and the position of the group Y-Z in each case corresponds to one line B-1 to B-4200
in table B and wherein Z is phenyl and the combination of the meaning of Y and RL corresponds to line A-16 in Table A (compounds I.D.a16.b1 to I.D.a16.b4200).
Table 935: Compounds I.D, wherein the combination of substituents R1, R2, X, D, B and the position of the group Y-Z in each case corresponds to one line B-1 to B-4200 in table B and wherein Z is phenyl and the combination of the meaning of Y and RL corresponds to line A-17 in Table A (compounds I.D.a17.b1 to I.D.a17.b4200).
Table 936: Compounds I.D, wherein the combination of substituents R1, R2, X, D, B and the position of the group Y-Z in each case corresponds to one line B-1 to B-4200 in table B and wherein Z is phenyl and the combination of the meaning of Y and RL corresponds to line A-18 in Table A (compounds I.D.a18.b1 to I.D.a18.b4200).
Table 937: Compounds I.D, wherein the combination of substituents R1, R2, X, D, B and the position of the group Y-Z in each case corresponds to one line B-1 to B-4200 in table B and wherein Z is phenyl and the combination of the meaning of Y and RL corresponds to line A-19 in Table A (compounds I.D.a19.b1 to I.D.a19.b4200).
Table 938: Compounds I.D, wherein the combination of substituents R1, R2, X, D,
B and the position of the group Y-Z in each case corresponds to one line B-1 to B-4200 in table B and wherein Z is phenyl and the combination of the meaning of Y and RL corresponds to line A-20 in Table A (compounds I.D.a20.b1 to I.D.a20.b4200).
Table 939: Compounds I.D, wherein the combination of substituents R1, R2, X, D, B and the position of the group Y-Z in each case corresponds to one line B-1 to B-4200 in table B and wherein Z is phenyl and the combination of the meaning of Y and RL corresponds to line A-21 in Table A (compounds I.D.a21.b1 to I.D.a21 .b4200).
Table 940: Compounds I.D, wherein the combination of substituents R1, R2, X, D, B and the position of the group Y-Z in each case corresponds to one line B-1 to B-4200 in table B and wherein Z is phenyl and the combination of the meaning of Y and RL corresponds to line A-22 in Table A (compounds I.D.a22.b1 to I.D.a22.b4200).
Table 941 : Compounds I.D, wherein the combination of substituents R1, R2, X, D, B and the position of the group Y-Z in each case corresponds to one line B-1 to B-4200 in table B and wherein Z is phenyl and the combination of the meaning of Y and RL corresponds to line A-23 in Table A (compounds I.D.a23.b1 to I.D.a23.b4200).
Table 942: Compounds I.D, wherein the combination of substituents R1, R2, X, D, B and the position of the group Y-Z in each case corresponds to one line B-1 to B-4200 in table B and wherein Z is phenyl and the combination of the meaning of Y and RL corresponds to line A-24 in Table A (compounds I.D.a24.b1 to I.D.a24.b4200).
Table 943: Compounds I.D, wherein the combination of substituents R1, R2, X, D,
B and the position of the group Y-Z in each case corresponds to one line B-1 to B-4200 in table B and wherein Z is phenyl and the combination of the meaning of Y and RL corresponds to line A-25 in Table A (compounds I.D.a25.b1 to I.D.a25.b4200).
Table 944: Compounds I.D, wherein the combination of substituents R1, R2, X, D, B and the position of the group Y-Z in each case corresponds to one line B-1 to B-4200 in table B and wherein Z is phenyl and the combination of the meaning of Y and RL corresponds to line A-26 in Table A (compounds I.D.a26.b1 to I.D.a26.b4200).
Table 945: Compounds I.D, wherein the combination of substituents R1, R2, X, D, B and the position of the group Y-Z in each case corresponds to one line B-1 to B-4200 in table B and wherein Z is phenyl and the combination of the meaning of Y and RL corresponds to line A-27 in Table A (compounds I.D.a27.b1 to I.D.a27.b4200).
Table 946: Compounds I.D, wherein the combination of substituents R1, R2, X, D,
B and the position of the group Y-Z in each case corresponds to one line B-1 to B-4200 in table B and wherein Z is phenyl and the combination of the meaning of Y and RL corresponds to line A-28 in Table A (compounds I.D.a28.b1 to I.D.a28.b4200).
Table 947: Compounds I.D, wherein the combination of substituents R1, R2, X, D, B and the position of the group Y-Z in each case corresponds to one line B-1 to B-4200 in table B and wherein Z is phenyl and the combination of the meaning of Y and RL corresponds to line A-29 in Table A (compounds I.D.a29.b1 to I.D.a29.b4200).
Table 948: Compounds I.D, wherein the combination of substituents R1, R2, X, D, B and the position of the group Y-Z in each case corresponds to one line B-1 to B-4200 in table B and wherein Z is phenyl and the combination of the meaning of Y and RL corresponds to line A-30 in Table A (compounds I.D.a30.b1 to I.D.a30.b4200).
Table 949: Compounds I.D, wherein the combination of substituents R1, R2, X, D, B and the position of the group Y-Z in each case corresponds to one line B-1 to B-4200 in table B and wherein Z is phenyl and the combination of the meaning of Y and RL corresponds to line A-31 in Table A (compounds I.D.a31.b1 to I.D.a31 .b4200).
Table 950: Compounds I.D, wherein the combination of substituents R1, R2, X, D, B and the position of the group Y-Z in each case corresponds to one line B-1 to B-4200 in table B and wherein Z is phenyl and the combination of the meaning of Y and RL corresponds to line A-32 in Table A (compounds I.D.a32.b1 to I.D.a32.b4200).
Table 951 : Compounds I.D, wherein the combination of substituents R1, R2, X, D,
B and the position of the group Y-Z in each case corresponds to one line B-1 to B-4200 in table B and wherein Z is phenyl and the combination of the meaning of Y and RL corresponds to line A-33 in Table A (compounds I.D.a33.b1 to I.D.a33.b4200).
Table 952: Compounds I.D, wherein the combination of substituents R1, R2, X, D, B and the position of the group Y-Z in each case corresponds to one line B-1 to B-4200 in table B and wherein Z is phenyl and the combination of the meaning of Y and RL corresponds to line A-34 in Table A (compounds I.D.a34.b1 to I.D.a34.b4200).
Table 953: Compounds I.D, wherein the combination of substituents R1, R2, X, D, B and the position of the group Y-Z in each case corresponds to one line B-1 to B-4200 in table B and wherein Z is phenyl and the combination of the meaning of Y and RL corresponds to line A-35 in Table A (compounds I.D.a35.b1 to I.D.a35.b4200).
Table 954: Compounds I.D, wherein the combination of substituents R1, R2, X, D, B and the position of the group Y-Z in each case corresponds to one line B-1 to B-4200 in table B and wherein Z is phenyl and the combination of the meaning of Y and RL corresponds to line A-36 in Table A (compounds I.D.a36.b1 to I.D.a36.b4200).
Table 955: Compounds I.D, wherein the combination of substituents R1, R2, X, D, B and the position of the group Y-Z in each case corresponds to one line B-1 to B-4200
in table B and wherein Z is phenyl and the combination of the meaning of Y and RL corresponds to line A-37 in Table A (compounds I.D.a37.b1 to I.D.a37.b4200).
Table 956: Compounds I.D, wherein the combination of substituents R1, R2, X, D, B and the position of the group Y-Z in each case corresponds to one line B-1 to B-4200 in table B and wherein Z is phenyl and the combination of the meaning of Y and RL corresponds to line A-38 in Table A (compounds I.D.a38.b1 to I.D.a38.b4200).
Table 957: Compounds I.D, wherein the combination of substituents R1, R2, X, D, B and the position of the group Y-Z in each case corresponds to one line B-1 to B-4200 in table B and wherein Z is phenyl and the combination of the meaning of Y and RL corresponds to line A-39 in Table A (compounds I.D.a39.b1 to I.D.a39.b4200).
Table 958: Compounds I.D, wherein the combination of substituents R1, R2, X, D, B and the position of the group Y-Z in each case corresponds to one line B-1 to B-4200 in table B and wherein Z is phenyl and the combination of the meaning of Y and RL corresponds to line A-40 in Table A (compounds I.D.a40.b1 to I.D.a40.b4200).
Table 959: Compounds I.D, wherein the combination of substituents R1, R2, X, D,
B and the position of the group Y-Z in each case corresponds to one line B-1 to B-4200 in table B and wherein Z is phenyl and the combination of the meaning of Y and RL corresponds to line A-41 in Table A (compounds I.D.a41.b1 to I.D.a41 .b4200).
Table 960: Compounds I.D, wherein the combination of substituents R1, R2, X, D, B and the position of the group Y-Z in each case corresponds to one line B-1 to B-4200 in table B and wherein Z is phenyl and the combination of the meaning of Y and RL corresponds to line A-42 in Table A (compounds I.D.a42.b1 to I.D.a42.b4200).
Table 961 : Compounds I.D, wherein the combination of substituents R1, R2, X, D, B and the position of the group Y-Z in each case corresponds to one line B-1 to B-4200 in table B and wherein Z is phenyl and the combination of the meaning of Y and RL corresponds to line A-43 in Table A (compounds I.D.a43.b1 to I.D.a43.b4200).
Table 962: Compounds I.D, wherein the combination of substituents R1, R2, X, D, B and the position of the group Y-Z in each case corresponds to one line B-1 to B-4200 in table B and wherein Z is phenyl and the combination of the meaning of Y and RL corresponds to line A-44 in Table A (compounds I.D.a44.b1 to I.D.a44.b4200).
Table 963: Compounds I.D, wherein the combination of substituents R1, R2, X, D, B and the position of the group Y-Z in each case corresponds to one line B-1 to B-4200 in table B and wherein Z is phenyl and the combination of the meaning of Y and RL corresponds to line A-45 in Table A (compounds I.D.a45.b1 to I.D.a45.b4200).
Table 964: Compounds I.D, wherein the combination of substituents R1, R2, X, D,
B and the position of the group Y-Z in each case corresponds to one line B-1 to B-4200 in table B and wherein Z is phenyl and the combination of the meaning of Y and RL corresponds to line A-46 in Table A (compounds I.D.a46.b1 to I.D.a46.b4200).
Table 965: Compounds I.D, wherein the combination of substituents R1, R2, X, D, B and the position of the group Y-Z in each case corresponds to one line B-1 to B-4200 in table B and wherein Z is phenyl and the combination of the meaning of Y and RL corresponds to line A-47 in Table A (compounds I.D.a47.b1 to I.D.a47.b4200).
Table 966: Compounds I.D, wherein the combination of substituents R1, R2, X, D, B and the position of the group Y-Z in each case corresponds to one line B-1 to B-4200 in table B and wherein Z is phenyl and the combination of the meaning of Y and RL corresponds to line A-48 in Table A (compounds I.D.a48.b1 to I.D.a48.b4200).
Table 967: Compounds I.D, wherein the combination of substituents R1, R2, X, D,
B and the position of the group Y-Z in each case corresponds to one line B-1 to B-4200 in table B and wherein Z is phenyl and the combination of the meaning of Y and RL corresponds to line A-49 in Table A (compounds I.D.a49.b1 to I.D.a49.b4200).
Table 968: Compounds I.D, wherein the combination of substituents R1, R2, X, D, B and the position of the group Y-Z in each case corresponds to one line B-1 to B-4200 in table B and wherein Z is phenyl and the combination of the meaning of Y and RL corresponds to line A-50 in Table A (compounds I.D.a50.b1 to I.D.a50.b4200).
Table 969: Compounds I.D, wherein the combination of substituents R1, R2, X, D, B and the position of the group Y-Z in each case corresponds to one line B-1 to B-4200 in table B and wherein Z is phenyl and the combination of the meaning of Y and RL corresponds to line A-51 in Table A (compounds I.D.a51 .b1 to I.D.a51.b4200).
Table 970: Compounds I.D, wherein the combination of substituents R1, R2, X, D, B and the position of the group Y-Z in each case corresponds to one line B-1 to B-4200 in table B and wherein Z is phenyl and the combination of the meaning of Y and RL corresponds to line A-52 in Table A (compounds I.D.a52.b1 to I.D.a52.b4200).
Table 971 : Compounds I.D, wherein the combination of substituents R1, R2, X, D, B and the position of the group Y-Z in each case corresponds to one line B-1 to B-4200 in table B and wherein Z is phenyl and the combination of the meaning of Y and RL corresponds to line A-53 in Table A (compounds I.D.a53.b1 to I.D.a53.b4200).
Table 972: Compounds I.D, wherein the combination of substituents R1, R2, X, D,
B and the position of the group Y-Z in each case corresponds to one line B-1 to B-4200 in table B and wherein Z is phenyl and the combination of the meaning of Y and RL corresponds to line A-54 in Table A (compounds I.D.a54.b1 to I.D.a54.b4200).
Table 973: Compounds I.D, wherein the combination of substituents R1, R2, X, D, B and the position of the group Y-Z in each case corresponds to one line B-1 to B-4200 in table B and wherein Z is phenyl and the combination of the meaning of Y and RL corresponds to line A-55 in Table A (compounds I.D.a55.b1 to I.D.a55.b4200).
Table 974: Compounds I.D, wherein the combination of substituents R1, R2, X, D, B and the position of the group Y-Z in each case corresponds to one line B-1 to B-4200 in table B and wherein Z is phenyl and the combination of the meaning of Y and RL corresponds to line A-56 in Table A (compounds I.D.a56.b1 to I.D.a56.b4200).
Table 975: Compounds I.D, wherein the combination of substituents R1, R2, X, D, B and the position of the group Y-Z in each case corresponds to one line B-1 to B-4200 in table B and wherein Z is phenyl and the combination of the meaning of Y and RL corresponds to line A-57 in Table A (compounds I.D.a57.b1 to I.D.a57.b4200).
Table 976: Compounds I.D, wherein the combination of substituents R1, R2, X, D, B and the position of the group Y-Z in each case corresponds to one line B-1 to B-4200
in table B and wherein Z is phenyl and the combination of the meaning of Y and RL corresponds to line A-58 in Table A (compounds I.D.a58.b1 to I.D.a58.b4200).
Table 977: Compounds I.D, wherein the combination of substituents R1, R2, X, D, B and the position of the group Y-Z in each case corresponds to one line B-1 to B-4200 in table B and wherein Z is phenyl and the combination of the meaning of Y and RL corresponds to line A-59 in Table A (compounds I.D.a59.b1 to I.D.a59.b4200).
Table 978: Compounds I.D, wherein the combination of substituents R1, R2, X, D, B and the position of the group Y-Z in each case corresponds to one line B-1 to B-4200 in table B and wherein Z is phenyl and the combination of the meaning of Y and RL corresponds to line A-60 in Table A (compounds I.D.a60.b1 to I.D.a60.b4200).
Table 979: Compounds I.D, wherein the combination of substituents R1, R2, X, D, B and the position of the group Y-Z in each case corresponds to one line B-1 to B-4200 in table B and wherein Z is phenyl and the combination of the meaning of Y and RL corresponds to line A-61 in Table A (compounds I.D.a61.b1 to I.D.a61 .b4200).
Table 980: Compounds I.D, wherein the combination of substituents R1, R2, X, D,
B and the position of the group Y-Z in each case corresponds to one line B-1 to B-4200 in table B and wherein Z is phenyl and the combination of the meaning of Y and RL corresponds to line A-62 in Table A (compounds I.D.a62.b1 to I.D.a62.b4200).
Table 981 : Compounds I.D, wherein the combination of substituents R1, R2, X, D, B and the position of the group Y-Z in each case corresponds to one line B-1 to B-4200 in table B and wherein Z is phenyl and the combination of the meaning of Y and RL corresponds to line A-63 in Table A (compounds I.D.a63.b1 to I.D.a63.b4200).
Table 982: Compounds I.D, wherein the combination of substituents R1, R2, X, D, B and the position of the group Y-Z in each case corresponds to one line B-1 to B-4200 in table B and wherein Z is phenyl and the combination of the meaning of Y and RL corresponds to line A-64 in Table A (compounds I.D.a64.b1 to I.D.a64.b4200).
Table 983: Compounds I.D, wherein the combination of substituents R1, R2, X, D, B and the position of the group Y-Z in each case corresponds to one line B-1 to B-4200 in table B and wherein Z is phenyl and the combination of the meaning of Y and RL corresponds to line A-65 in Table A (compounds I.D.a65.b1 to I.D.a65.b4200).
Table 984: Compounds I.D, wherein the combination of substituents R1, R2, X, D, B and the position of the group Y-Z in each case corresponds to one line B-1 to B-4200 in table B and wherein Z is phenyl and the combination of the meaning of Y and RL corresponds to line A-66 in Table A (compounds I.D.a66.b1 to I.D.a66.b4200).
Table 985: Compounds I.D, wherein the combination of substituents R1, R2, X, D,
B and the position of the group Y-Z in each case corresponds to one line B-1 to B-4200 in table B and wherein Z is phenyl and the combination of the meaning of Y and RL corresponds to line A-67 in Table A (compounds I.D.a67.b1 to I.D.a67.b4200).
Table 986: Compounds I.D, wherein the combination of substituents R1, R2, X, D, B and the position of the group Y-Z in each case corresponds to one line B-1 to B-4200 in table B and wherein Z is phenyl and the combination of the meaning of Y and RL corresponds to line A-68 in Table A (compounds I.D.a68.b1 to I.D.a68.b4200).
Table 987: Compounds I.D, wherein the combination of substituents R1, R2, X, D, B and the position of the group Y-Z in each case corresponds to one line B-1 to B-4200 in table B and wherein Z is phenyl and the combination of the meaning of Y and RL corresponds to line A-69 in Table A (compounds I.D.a69.b1 to I.D.a69.b4200).
Table 988: Compounds I.D, wherein the combination of substituents R1, R2, X, D,
B and the position of the group Y-Z in each case corresponds to one line B-1 to B-4200 in table B and wherein Z is phenyl and the combination of the meaning of Y and RL corresponds to line A-70 in Table A (compounds I.D.a70.b1 to I.D.a70.b4200).
Table 989: Compounds I.D, wherein the combination of substituents R1, R2, X, D, B and the position of the group Y-Z in each case corresponds to one line B-1 to B-4200 in table B and wherein Z is phenyl and the combination of the meaning of Y and RL corresponds to line A-71 in Table A (compounds I.D.a71.b1 to I.D.a71 .b4200).
Table 990: Compounds I.D, wherein the combination of substituents R1, R2, X, D, B and the position of the group Y-Z in each case corresponds to one line B-1 to B-4200 in table B and wherein Z is phenyl and the combination of the meaning of Y and RL corresponds to line A-72 in Table A (compounds I.D.a72.b1 to I.D.a72.b4200).
Table 991 : Compounds I.D, wherein the combination of substituents R1, R2, X, D, B and the position of the group Y-Z in each case corresponds to one line B-1 to B-4200 in table B and wherein Z is phenyl and the combination of the meaning of Y and RL corresponds to line A-73 in Table A (compounds I.D.a73.b1 to I.D.a73.b4200).
Table 992: Compounds I.D, wherein the combination of substituents R1, R2, X, D, B and the position of the group Y-Z in each case corresponds to one line B-1 to B-4200 in table B and wherein Z is phenyl and the combination of the meaning of Y and RL corresponds to line A-74 in Table A (compounds I.D.a74.b1 to I.D.a74.b4200).
Table 993: Compounds I.D, wherein the combination of substituents R1, R2, X, D,
B and the position of the group Y-Z in each case corresponds to one line B-1 to B-4200 in table B and wherein Z is phenyl and the combination of the meaning of Y and RL corresponds to line A-75 in Table A (compounds I.D.a75.b1 to I.D.a75.b4200).
Table 994: Compounds I.D, wherein the combination of substituents R1, R2, X, D, B and the position of the group Y-Z in each case corresponds to one line B-1 to B-4200 in table B and wherein Z is phenyl and the combination of the meaning of Y and RL corresponds to line A-76 in Table A (compounds I.D.a76.b1 to I.D.a76.b4200).
Table 995: Compounds I.D, wherein the combination of substituents R1, R2, X, D, B and the position of the group Y-Z in each case corresponds to one line B-1 to B-4200 in table B and wherein Z is phenyl and the combination of the meaning of Y and RL corresponds to line A-77 in Table A (compounds I.D.a77.b1 to I.D.a77.b4200).
Table 996: Compounds I.D, wherein the combination of substituents R1, R2, X, D, B and the position of the group Y-Z in each case corresponds to one line B-1 to B-4200 in table B and wherein Z is phenyl and the combination of the meaning of Y and RL corresponds to line A-78 in Table A (compounds I.D.a78.b1 to I.D.a78.b4200).
Table 997: Compounds I.D, wherein the combination of substituents R1, R2, X, D, B and the position of the group Y-Z in each case corresponds to one line B-1 to B-4200
in table B and wherein Z is phenyl and the combination of the meaning of Y and RL corresponds to line A-79 in Table A (compounds I.D.a79.b1 to I.D.a79.b4200).
Table 998: Compounds I.D, wherein the combination of substituents R1, R2, X, D, B and the position of the group Y-Z in each case corresponds to one line B-1 to B-4200 in table B and wherein Z is phenyl and the combination of the meaning of Y and RL corresponds to line A-80 in Table A (compounds I.D.a80.b1 to I.D.a80.b4200).
Table 999: Compounds I.D, wherein the combination of substituents R1, R2, X, D, B and the position of the group Y-Z in each case corresponds to one line B-1 to B-4200 in table B and wherein Z is phenyl and the combination of the meaning of Y and RL corresponds to line A-81 in Table A (compounds I.D. a81.b1 to I.D.a81 .b4200).
Table 1000: Compounds I.D, wherein the combination of substituents R1, R2, X, D, B and the position of the group Y-Z in each case corresponds to one line B-1 to B- 4200 in table B and wherein Z is phenyl and the combination of the meaning of Y and RL corresponds to line A-82 in Table A (compounds I.D.a82.b1 to I.D.a82.b4200).
Table 1001 : Compounds I.D, wherein the combination of substituents R1, R2, X,
D, B and the position of the group Y-Z in each case corresponds to one line B-1 to B- 4200 in table B and wherein Z is phenyl and the combination of the meaning of Y and RL corresponds to line A-83 in Table A (compounds I.D.a83.b1 to I.D.a83.b4200).
Table 1002: Compounds I.D, wherein the combination of substituents R1, R2, X, D, B and the position of the group Y-Z in each case corresponds to one line B-1 to B- 4200 in table B and wherein Z is phenyl and the combination of the meaning of Y and RL corresponds to line A-84 in Table A (compounds I.D.a84.b1 to I.D.a84.b4200).
Table 1003: Compounds I.D, wherein the combination of substituents R1, R2, X, D, B and the position of the group Y-Z in each case corresponds to one line B-1 to B- 4200 in table B and wherein Z is phenyl and the combination of the meaning of Y and RL corresponds to line A-85 in Table A (compounds I.D.a85.b1 to I.D.a85.b4200).
Table 1004: Compounds I.D, wherein the combination of substituents R1, R2, X, D, B and the position of the group Y-Z in each case corresponds to one line B-1 to B- 4200 in table B and wherein Z is phenyl and the combination of the meaning of Y and RL corresponds to line A-86 in Table A (compounds I.D.a86.b1 to I.D.a86.b4200).
Table 1005: Compounds I.D, wherein the combination of substituents R1, R2, X, D, B and the position of the group Y-Z in each case corresponds to one line B-1 to B- 4200 in table B and wherein Z is phenyl and the combination of the meaning of Y and RL corresponds to line A-87 in Table A (compounds I.D.a87.b1 to I.D.a87.b4200).
Table 1006: Compounds I.D, wherein the combination of substituents R1, R2, X,
D, B and the position of the group Y-Z in each case corresponds to one line B-1 to B- 4200 in table B and wherein Z is phenyl and the combination of the meaning of Y and RL corresponds to line A-88 in Table A (compounds I.D.a88.b1 to I.D.a88.b4200).
Table 1007: Compounds I.D, wherein the combination of substituents R1, R2, X, D, B and the position of the group Y-Z in each case corresponds to one line B-1 to B- 4200 in table B and wherein Z is phenyl and the combination of the meaning of Y and RL corresponds to line A-89 in Table A (compounds I.D.a89.b1 to I.D.a89.b4200).
Table 1008: Compounds I.D, wherein the combination of substituents R1, R2, X, D, B and the position of the group Y-Z in each case corresponds to one line B-1 to B- 4200 in table B and wherein Z is phenyl and the combination of the meaning of Y and RL corresponds to line A-90 in Table A (compounds I.D.a90.b1 to I.D.a90.b4200).
Table 1009: Compounds I.D, wherein the combination of substituents R1, R2, X,
D, B and the position of the group Y-Z in each case corresponds to one line B-1 to B- 4200 in table B and wherein Z is phenyl and the combination of the meaning of Y and RL corresponds to line A-91 in Table A (compounds I.D.a91.b1 to I.D.a91.b4200).
Table 1010: Compounds I.D, wherein the combination of substituents R1, R2, X, D, B and the position of the group Y-Z in each case corresponds to one line B-1 to B- 4200 in table B and wherein Z is phenyl and the combination of the meaning of Y and RL corresponds to line A-92 in Table A (compounds I.D.a92.b1 to I.D.a92.b4200).
Table 101 1 : Compounds I.D, wherein the combination of substituents R1, R2, X, D, B and the position of the group Y-Z in each case corresponds to one line B-1 to B- 4200 in table B and wherein Z is phenyl and the combination of the meaning of Y and RL corresponds to line A-93 in Table A (compounds I.D.a93.b1 to I.D.a93.b4200).
Table 1012: Compounds I.D, wherein the combination of substituents R1, R2, X, D, B and the position of the group Y-Z in each case corresponds to one line B-1 to B- 4200 in table B and wherein Z is phenyl and the combination of the meaning of Y and RL corresponds to line A-94 in Table A (compounds I.D.a94.b1 to I.D.a94.b4200).
Table 1013: Compounds I.D, wherein the combination of substituents R1, R2, X, D, B and the position of the group Y-Z in each case corresponds to one line B-1 to B- 4200 in table B and wherein Z is phenyl and the combination of the meaning of Y and RL corresponds to line A-95 in Table A (compounds I.D.a95.b1 to I.D.a95.b4200).
Table 1014: Compounds I.D, wherein the combination of substituents R1, R2, X,
D, B and the position of the group Y-Z in each case corresponds to one line B-1 to B- 4200 in table B and wherein Z is phenyl and the combination of the meaning of Y and RL corresponds to line A-96 in Table A (compounds I.D.a96.b1 to I.D.a96.b4200).
Table 1015: Compounds I.D, wherein the combination of substituents R1, R2, X, D, B and the position of the group Y-Z in each case corresponds to one line B-1 to B- 4200 in table B and wherein Z is phenyl and the combination of the meaning of Y and RL corresponds to line A-97 in Table A (compounds I.D.a97.b1 to I.D.a97.b4200).
Table 1016: Compounds I.D, wherein the combination of substituents R1, R2, X, D, B and the position of the group Y-Z in each case corresponds to one line B-1 to B- 4200 in table B and wherein Z is phenyl and the combination of the meaning of Y and RL corresponds to line A-98 in Table A (compounds I.D.a98.b1 to I.D.a98.b4200).
Table 1017: Compounds I.D, wherein the combination of substituents R1, R2, X, D, B and the position of the group Y-Z in each case corresponds to one line B-1 to B- 4200 in table B and wherein Z is phenyl and the combination of the meaning of Y and RL corresponds to line A-99 in Table A (compounds I.D.a99.b1 to I.D.a99.b4200).
Table 1018: Compounds I.D, wherein the combination of substituents R1, R2, X, D, B and the position of the group Y-Z in each case corresponds to one line B-1 to B-
4200 in table B and wherein Z is phenyl and the combination of the meaning of Y and RL corresponds to line A-100 in Table A (compounds I.D.a100.b1 to I.D.a100.b4200).
Table 1019: Compounds I.D, wherein the combination of substituents R1, R2, X, D, B and the position of the group Y-Z in each case corresponds to one line of lines B-1 to B-4200 in table B and wherein the combination of the meaning of Y and Z corresponds to line Z-1 in Table Z (compounds I.D.zl .b1 to I.D.zl .b4200).
Table 1020: Compounds I.D, wherein the combination of substituents R1, R2, X, D, B and the position of the group Y-Z in each case corresponds to one line of lines B-1 to B-4200 in table B and wherein the combination of the meaning of Y and Z corresponds to line Z-2 in Table Z (compounds I.D.z2.b1 to I.D.z2.b4200).
Table 1021 : Compounds I.D, wherein the combination of substituents R1, R2, X, D, B and the position of the group Y-Z in each case corresponds to one line of lines B-1 to B-4200 in table B and wherein the combination of the meaning of Y and Z corresponds to line Z-3 in Table Z (compounds I.D.z3.b1 to I.D.z3.b4200).
Table 1022: Compounds I.D, wherein the combination of substituents R1, R2, X,
D, B and the position of the group Y-Z in each case corresponds to one line of lines B-1 to B-4200 in table B and wherein the combination of the meaning of Y and Z corresponds to line Z-4 in Table Z (compounds I.D.z4.b1 to I.D.z4.b4200).
Table 1023: Compounds I.D, wherein the combination of substituents R1, R2, X, D, B and the position of the group Y-Z in each case corresponds to one line of lines B-1 to B-4200 in table B and wherein the combination of the meaning of Y and Z corresponds to line Z-5 in Table Z (compounds I.D.z5.b1 to I.D.z5.b4200).
Table 1024: Compounds I.D, wherein the combination of substituents R1, R2, X, D, B and the position of the group Y-Z in each case corresponds to one line of lines B-1 to B-4200 in table B and wherein the combination of the meaning of Y and Z corresponds to line Z-6 in Table Z (compounds I.D.z6.b1 to I.D.z6.b4200).
Table 1025: Compounds I.D, wherein the combination of substituents R1, R2, X, D, B and the position of the group Y-Z in each case corresponds to one line of lines B-1 to B-4200 in table B and wherein the combination of the meaning of Y and Z corresponds to line Z-7 in Table Z (compounds I.D.z7.b1 to I.D.z7.b4200).
Table 1026: Compounds I.D, wherein the combination of substituents R1, R2, X, D, B and the position of the group Y-Z in each case corresponds to one line of lines B-1 to B-4200 in table B and wherein the combination of the meaning of Y and Z corresponds to line Z-8 in Table Z (compounds I.D.z8.b1 to I.D.z8.b4200).
Table 1027: Compounds I.D, wherein the combination of substituents R1, R2, X,
D, B and the position of the group Y-Z in each case corresponds to one line of lines B-1 to B-4200 in table B and wherein the combination of the meaning of Y and Z corresponds to line Z-9 in Table Z (compounds I.D.z9.b1 to I.D.z9.b4200).
Table 1028: Compounds I.D, wherein the combination of substituents R1, R2, X, D, B and the position of the group Y-Z in each case corresponds to one line of lines B-1 to B-4200 in table B and wherein the combination of the meaning of Y and Z corresponds to line Z-10 in Table Z (compounds I.D.z10.b1 to I.D.z10.b4200).
Table 1029: Compounds I.D, wherein the combination of substituents R1, R2, X, D, B and the position of the group Y-Z in each case corresponds to one line of lines B-1 to B-4200 in table B and wherein the combination of the meaning of Y and Z corresponds to line Z-1 1 in Table Z (compounds I.D.zl 1.b1 to I.D.zl 1 .b4200).
Table 1030: Compounds I.D, wherein the combination of substituents R1, R2, X,
D, B and the position of the group Y-Z in each case corresponds to one line of lines B-1 to B-4200 in table B and wherein the combination of the meaning of Y and Z corresponds to line Z-12 in Table Z (compounds I.D.z12.b1 to I.D.z12.b4200).
Table 1031 : Compounds I.D, wherein the combination of substituents R1, R2, X, D, B and the position of the group Y-Z in each case corresponds to one line of lines B-1 to B-4200 in table B and wherein the combination of the meaning of Y and Z corresponds to line Z-13 in Table Z (compounds I.D.z13.b1 to I.D.z13.b4200).
Table 1032: Compounds I.D, wherein the combination of substituents R1, R2, X, D, B and the position of the group Y-Z in each case corresponds to one line of lines B-1 to B-4200 in table B and wherein the combination of the meaning of Y and Z corresponds to line Z-14 in Table Z (compounds I.D.z14.b1 to I.D.z14.b4200).
Table 1033: Compounds I.D, wherein the combination of substituents R1, R2, X, D, B and the position of the group Y-Z in each case corresponds to one line of lines B-1 to B-4200 in table B and wherein the combination of the meaning of Y and Z corresponds to line Z-15 in Table Z (compounds I.D.z15.b1 to I.D.z15.b4200).
Table 1034: Compounds I.D, wherein the combination of substituents R1, R2, X, D, B and the position of the group Y-Z in each case corresponds to one line of lines B-1 to B-4200 in table B and wherein the combination of the meaning of Y and Z corresponds to line Z-16 in Table Z (compounds I.D.z16.b1 to I.D.z16.b4200).
Table 1035: Compounds I.D, wherein the combination of substituents R1, R2, X,
D, B and the position of the group Y-Z in each case corresponds to one line of lines B-1 to B-4200 in table B and wherein the combination of the meaning of Y and Z corresponds to line Z-17 in Table Z (compounds I.D.z17.b1 to I.D.z17.b4200).
Table 1036: Compounds I.D, wherein the combination of substituents R1, R2, X, D, B and the position of the group Y-Z in each case corresponds to one line of lines B-1 to B-4200 in table B and wherein the combination of the meaning of Y and Z corresponds to line Z-18 in Table Z (compounds I.D.z18.b1 to I.D.z18.b4200).
Table 1037: Compounds I.D, wherein the combination of substituents R1, R2, X, D, B and the position of the group Y-Z in each case corresponds to one line of lines B-1 to B-4200 in table B and wherein the combination of the meaning of Y and Z corresponds to line Z-19 in Table Z (compounds I.D.z19.b1 to I.D.z19.b4200).
Table 1038: Compounds I.D, wherein the combination of substituents R1, R2, X, D, B and the position of the group Y-Z in each case corresponds to one line of lines B-1 to B-4200 in table B and wherein the combination of the meaning of Y and Z corresponds to line Z-20 in Table Z (compounds I.D.z20.b1 to I.D.z20.b4200).
Table 1039: Compounds I.D, wherein the combination of substituents R1, R2, X, D, B and the position of the group Y-Z in each case corresponds to one line of lines B-1
to B-4200 in table B and wherein the combination of the meaning of Y and Z corresponds to line Z-21 in Table Z (compounds I.D.z21.b1 to I.D.z21 .b4200).
Table 1040: Compounds I.D, wherein the combination of substituents R1, R2, X, D, B and the position of the group Y-Z in each case corresponds to one line of lines B-1 to B-4200 in table B and wherein the combination of the meaning of Y and Z corresponds to line Z-22 in Table Z (compounds I.D.z22.b1 to I.D.z22.b4200).
Table 1041 : Compounds I.D, wherein the combination of substituents R1, R2, X, D, B and the position of the group Y-Z in each case corresponds to one line of lines B-1 to B-4200 in table B and wherein the combination of the meaning of Y and Z corresponds to line Z-23 in Table Z (compounds I.D.z23.b1 to I.D.z23.b4200).
Table 1042: Compounds I.D, wherein the combination of substituents R1, R2, X, D, B and the position of the group Y-Z in each case corresponds to one line of lines B-1 to B-4200 in table B and wherein the combination of the meaning of Y and Z corresponds to line Z-24 in Table Z (compounds I.D.z24.b1 to I.D.z24.b4200).
Table 1043: Compounds I.D, wherein the combination of substituents R1, R2, X,
D, B and the position of the group Y-Z in each case corresponds to one line of lines B-1 to B-4200 in table B and wherein the combination of the meaning of Y and Z corresponds to line Z-25 in Table Z (compounds I.D.z25.b1 to I.D.z25.b4200).
Table 1044: Compounds I.D, wherein the combination of substituents R1, R2, X, D, B and the position of the group Y-Z in each case corresponds to one line of lines B-1 to B-4200 in table B and wherein the combination of the meaning of Y and Z corresponds to line Z-26 in Table Z (compounds I.D.z26.b1 to I.D.z26.b4200).
Table 1045: Compounds I.D, wherein the combination of substituents R1, R2, X, D, B and the position of the group Y-Z in each case corresponds to one line of lines B-1 to B-4200 in table B and wherein the combination of the meaning of Y and Z corresponds to line Z-27 in Table Z (compounds I.D.z27.b1 to I.D.z27.b4200).
Table 1046: Compounds I.D, wherein the combination of substituents R1, R2, X, D, B and the position of the group Y-Z in each case corresponds to one line of lines B-1 to B-4200 in table B and wherein the combination of the meaning of Y and Z corresponds to line Z-28 in Table Z (compounds I.D.z28.b1 to I.D.z28.b4200).
Table 1047: Compounds I.D, wherein the combination of substituents R1, R2, X, D, B and the position of the group Y-Z in each case corresponds to one line of lines B-1 to B-4200 in table B and wherein the combination of the meaning of Y and Z corresponds to line Z-29 in Table Z (compounds I.D.z29.b1 to I.D.z29.b4200).
Table 1048: Compounds I.D, wherein the combination of substituents R1, R2, X,
D, B and the position of the group Y-Z in each case corresponds to one line of lines B-1 to B-4200 in table B and wherein the combination of the meaning of Y and Z corresponds to line Z-30 in Table Z (compounds I.D.z30.b1 to I.D.z30.b4200).
Table 1049: Compounds I.D, wherein the combination of substituents R1, R2, X, D, B and the position of the group Y-Z in each case corresponds to one line of lines B-1 to B-4200 in table B and wherein the combination of the meaning of Y and Z corresponds to line Z-31 in Table Z (compounds I.D.z31 .b1 to I.D.z31 .b4200).
Table 1050: Compounds I.D, wherein the combination of substituents R1, R2, X, D, B and the position of the group Y-Z in each case corresponds to one line of lines B-1 to B-4200 in table B and wherein the combination of the meaning of Y and Z corresponds to line Z-32 in Table Z (compounds I.D.z32.b1 to I.D.z32.b4200).
Table 1051 : Compounds I.D, wherein the combination of substituents R1, R2, X,
D, B and the position of the group Y-Z in each case corresponds to one line of lines B-1 to B-4200 in table B and wherein the combination of the meaning of Y and Z corresponds to line Z-33 in Table Z (compounds I.D.z33.b1 to I.D.z33.b4200).
Table 1052: Compounds I.D, wherein the combination of substituents R1, R2, X, D, B and the position of the group Y-Z in each case corresponds to one line of lines B-1 to B-4200 in table B and wherein the combination of the meaning of Y and Z corresponds to line Z-34 in Table Z (compounds I.D.z34.b1 to I.D.z34.b4200).
Table 1053: Compounds I.D, wherein the combination of substituents R1, R2, X, D, B and the position of the group Y-Z in each case corresponds to one line of lines B-1 to B-4200 in table B and wherein the combination of the meaning of Y and Z corresponds to line Z-35 in Table Z (compounds I.D.z35.b1 to I.D.z35.b4200).
Table 1054: Compounds I.D, wherein the combination of substituents R1, R2, X, D, B and the position of the group Y-Z in each case corresponds to one line of lines B-1 to B-4200 in table B and wherein the combination of the meaning of Y and Z corresponds to line Z-36 in Table Z (compounds I.D.z36.b1 to I.D.z36.b4200).
Table 1055: Compounds I.D, wherein the combination of substituents R1, R2, X, D, B and the position of the group Y-Z in each case corresponds to one line of lines B-1 to B-4200 in table B and wherein the combination of the meaning of Y and Z corresponds to line Z-37 in Table Z (compounds I.D.z37.b1 to I.D.z37.b4200).
Table 1056: Compounds I.D, wherein the combination of substituents R1, R2, X,
D, B and the position of the group Y-Z in each case corresponds to one line of lines B-1 to B-4200 in table B and wherein the combination of the meaning of Y and Z corresponds to line Z-38 in Table Z (compounds I.D.z38.b1 to I.D.z38.b4200).
Table 1057: Compounds I.D, wherein the combination of substituents R1, R2, X, D, B and the position of the group Y-Z in each case corresponds to one line of lines B-1 to B-4200 in table B and wherein the combination of the meaning of Y and Z corresponds to line Z-39 in Table Z (compounds I.D.z39.b1 to I.D.z39.b4200).
Table 1058: Compounds I.D, wherein the combination of substituents R1, R2, X, D, B and the position of the group Y-Z in each case corresponds to one line of lines B-1 to B-4200 in table B and wherein the combination of the meaning of Y and Z corresponds to line Z-40 in Table Z (compounds I.D.z40.b1 to I.D.z40.b4200).
Table 1059: Compounds I.D, wherein the combination of substituents R1, R2, X, D, B and the position of the group Y-Z in each case corresponds to one line of lines B-1 to B-4200 in table B and wherein the combination of the meaning of Y and Z corresponds to line Z-41 in Table Z (compounds I.D.z41.b1 to I.D.z41 .b4200).
Table 1060: Compounds I.D, wherein the combination of substituents R1, R2, X, D, B and the position of the group Y-Z in each case corresponds to one line of lines B-1
to B-4200 in table B and wherein the combination of the meaning of Y and Z corresponds to line Z-42 in Table Z (compounds I.D.z42.b1 to I.D.z42.b4200).
Table 1061 : Compounds I.D, wherein the combination of substituents R1, R2, X, D, B and the position of the group Y-Z in each case corresponds to one line of lines B-1 to B-4200 in table B and wherein the combination of the meaning of Y and Z corresponds to line Z-43 in Table Z (compounds I.D.z43.b1 to I.D.z43.b4200).
Table 1062: Compounds I.D, wherein the combination of substituents R1, R2, X, D, B and the position of the group Y-Z in each case corresponds to one line of lines B-1 to B-4200 in table B and wherein the combination of the meaning of Y and Z corresponds to line Z-44 in Table Z (compounds I.D.z44.b1 to I.D.z44.b4200).
Table 1063: Compounds I.D, wherein the combination of substituents R1, R2, X, D, B and the position of the group Y-Z in each case corresponds to one line of lines B-1 to B-4200 in table B and wherein the combination of the meaning of Y and Z corresponds to line Z-45 in Table Z (compounds I.D.z45.b1 to I.D.z45.b4200).
Table 1064: Compounds I.D, wherein the combination of substituents R1, R2, X,
D, B and the position of the group Y-Z in each case corresponds to one line of lines B-1 to B-4200 in table B and wherein the combination of the meaning of Y and Z corresponds to line Z-46 in Table Z (compounds I.D.z46.b1 to I.D.z46.b4200).
Table 1065: Compounds I.D, wherein the combination of substituents R1, R2, X, D, B and the position of the group Y-Z in each case corresponds to one line of lines B-1 to B-4200 in table B and wherein the combination of the meaning of Y and Z corresponds to line Z-47 in Table Z (compounds I.D.z47.b1 to I.D.z47.b4200).
Table 1066: Compounds I.D, wherein the combination of substituents R1, R2, X, D, B and the position of the group Y-Z in each case corresponds to one line of lines B-1 to B-4200 in table B and wherein the combination of the meaning of Y and Z corresponds to line Z-48 in Table Z (compounds I.D.z48.b1 to I.D.z48.b4200).
Table 1067: Compounds I.D, wherein the combination of substituents R1, R2, X, D, B and the position of the group Y-Z in each case corresponds to one line of lines B-1 to B-4200 in table B and wherein the combination of the meaning of Y and Z corresponds to line Z-49 in Table Z (compounds I.D.z49.b1 to I.D.z49.b4200).
Table 1068: Compounds I.D, wherein the combination of substituents R1, R2, X, D, B and the position of the group Y-Z in each case corresponds to one line of lines B-1 to B-4200 in table B and wherein the combination of the meaning of Y and Z corresponds to line Z-50 in Table Z (compounds I.D.z50.b1 to I.D.z50.b4200).
Table 1069: Compounds I.D, wherein the combination of substituents R1, R2, X,
D, B and the position of the group Y-Z in each case corresponds to one line of lines B-1 to B-4200 in table B and wherein the combination of the meaning of Y and Z corresponds to line Z-51 in Table Z (compounds I.D.z51.b1 to I.D.z51 .b4200).
Table 1070: Compounds I.D, wherein the combination of substituents R1, R2, X, D, B and the position of the group Y-Z in each case corresponds to one line of lines B-1 to B-4200 in table B and wherein the combination of the meaning of Y and Z corresponds to line Z-52 in Table Z (compounds I.D.z52.b1 to I.D.z52.b4200).
Table 1071 : Compounds I.D, wherein the combination of substituents R1, R2, X, D, B and the position of the group Y-Z in each case corresponds to one line of lines B-1 to B-4200 in table B and wherein the combination of the meaning of Y and Z corresponds to line Z-53 in Table Z (compounds I.D.z53.b1 to I.D.z53.b4200).
Table 1072: Compounds I.D, wherein the combination of substituents R1, R2, X,
D, B and the position of the group Y-Z in each case corresponds to one line of lines B-1 to B-4200 in table B and wherein the combination of the meaning of Y and Z corresponds to line Z-54 in Table Z (compounds I.D.z54.b1 to I.D.z54.b4200).
Table 1073: Compounds I.D, wherein the combination of substituents R1, R2, X, D, B and the position of the group Y-Z in each case corresponds to one line of lines B-1 to B-4200 in table B and wherein the combination of the meaning of Y and Z corresponds to line Z-55 in Table Z (compounds I.D.z55.b1 to I.D.z55.b4200).
Table 1074: Compounds I.D, wherein the combination of substituents R1, R2, X, D, B and the position of the group Y-Z in each case corresponds to one line of lines B-1 to B-4200 in table B and wherein the combination of the meaning of Y and Z corresponds to line Z-56 in Table Z (compounds I.D.z56.b1 to I.D.z56.b4200).
Table 1075: Compounds I.D, wherein the combination of substituents R1, R2, X, D, B and the position of the group Y-Z in each case corresponds to one line of lines B-1 to B-4200 in table B and wherein the combination of the meaning of Y and Z corresponds to line Z-57 in Table Z (compounds I.D.z57.b1 to I.D.z57.b4200).
Table 1076: Compounds I.D, wherein the combination of substituents R1, R2, X, D, B and the position of the group Y-Z in each case corresponds to one line of lines B-1 to B-4200 in table B and wherein the combination of the meaning of Y and Z corresponds to line Z-58 in Table Z (compounds I.D.z58.b1 to I.D.z58.b4200).
Table 1077: Compounds I.D, wherein the combination of substituents R1, R2, X,
D, B and the position of the group Y-Z in each case corresponds to one line of lines B-1 to B-4200 in table B and wherein the combination of the meaning of Y and Z corresponds to line Z-59 in Table Z (compounds I.D.z59.b1 to I.D.z59.b4200).
Table 1078: Compounds I.D, wherein the combination of substituents R1, R2, X, D, B and the position of the group Y-Z in each case corresponds to one line of lines B-1 to B-4200 in table B and wherein the combination of the meaning of Y and Z corresponds to line Z-60 in Table Z (compounds I.D.z60.b1 to I.D.z60.b4200).
Table 1079: Compounds I.D, wherein the combination of substituents R1, R2, X, D, B and the position of the group Y-Z in each case corresponds to one line of lines B-1 to B-4200 in table B and wherein the combination of the meaning of Y and Z corresponds to line Z-61 in Table Z (compounds I.D.z61.b1 to I.D.z61 .b4200).
Table 1080: Compounds I.D, wherein the combination of substituents R1, R2, X, D, B and the position of the group Y-Z in each case corresponds to one line of lines B-1 to B-4200 in table B and wherein the combination of the meaning of Y and Z corresponds to line Z-62 in Table Z (compounds I.D.z62.b1 to I.D.z62.b4200).
Table 1081 : Compounds I.D, wherein the combination of substituents R1, R2, X, D, B and the position of the group Y-Z in each case corresponds to one line of lines B-1
to B-4200 in table B and wherein the combination of the meaning of Y and Z corresponds to line Z-63 in Table Z (compounds I.D.z63.b1 to I.D.z63.b4200).
Table 1082: Compounds I.D, wherein the combination of substituents R1, R2, X, D, B and the position of the group Y-Z in each case corresponds to one line of lines B-1 to B-4200 in table B and wherein the combination of the meaning of Y and Z corresponds to line Z-64 in Table Z (compounds I.D.z64.b1 to I.D.z64.b4200).
Table 1083: Compounds I.D, wherein the combination of substituents R1, R2, X, D, B and the position of the group Y-Z in each case corresponds to one line of lines B-1 to B-4200 in table B and wherein the combination of the meaning of Y and Z corresponds to line Z-65 in Table Z (compounds I.D.z65.b1 to I.D.z65.b4200).
Table 1084: Compounds I.D, wherein the combination of substituents R1, R2, X, D, B and the position of the group Y-Z in each case corresponds to one line of lines B-1 to B-4200 in table B and wherein the combination of the meaning of Y and Z corresponds to line Z-66 in Table Z (compounds I.D.z66.b1 to I.D.z66.b4200).
Table 1085: Compounds I.D, wherein the combination of substituents R1, R2, X,
D, B and the position of the group Y-Z in each case corresponds to one line of lines B-1 to B-4200 in table B and wherein the combination of the meaning of Y and Z corresponds to line Z-67 in Table Z (compounds I.D.z67.b1 to I.D.z67.b4200).
Table 1086: Compounds I.D, wherein the combination of substituents R1, R2, X, D, B and the position of the group Y-Z in each case corresponds to one line of lines B-1 to B-4200 in table B and wherein the combination of the meaning of Y and Z corresponds to line Z-68 in Table Z (compounds I.D.z68.b1 to I.D.z68.b4200).
Table 1087: Compounds I.D, wherein the combination of substituents R1, R2, X, D, B and the position of the group Y-Z in each case corresponds to one line of lines B-1 to B-4200 in table B and wherein the combination of the meaning of Y and Z corresponds to line Z-69 in Table Z (compounds I.D.z69.b1 to I.D.z69.b4200).
Table 1088: Compounds I.D, wherein the combination of substituents R1, R2, X, D, B and the position of the group Y-Z in each case corresponds to one line of lines B-1 to B-4200 in table B and wherein the combination of the meaning of Y and Z corresponds to line Z-70 in Table Z (compounds I.D.z70.b1 to I.D.z70.b4200).
Table 1089: Compounds I.D, wherein the combination of substituents R1, R2, X, D, B and the position of the group Y-Z in each case corresponds to one line of lines B-1 to B-4200 in table B and wherein the combination of the meaning of Y and Z corresponds to line Z-71 in Table Z (compounds I.D.z71.b1 to I.D.z71 .b4200).
Table 1090: Compounds I.D, wherein the combination of substituents R1, R2, X,
D, B and the position of the group Y-Z in each case corresponds to one line of lines B-1 to B-4200 in table B and wherein the combination of the meaning of Y and Z corresponds to line Z-72 in Table Z (compounds I.D.z72.b1 to I.D.z72.b4200).
Table 1091 : Compounds I.D, wherein the combination of substituents R1, R2, X, D, B and the position of the group Y-Z in each case corresponds to one line of lines B-1 to B-4200 in table B and wherein the combination of the meaning of Y and Z corresponds to line Z-73 in Table Z (compounds I.D.z73.b1 to I.D.z73.b4200).
Table 1092: Compounds I.D, wherein the combination of substituents R1, R2, X, D, B and the position of the group Y-Z in each case corresponds to one line of lines B-1 to B-4200 in table B and wherein the combination of the meaning of Y and Z corresponds to line Z-74 in Table Z (compounds I.D.z74.b1 to I.D.z74.b4200).
Table 1093: Compounds I.D, wherein the combination of substituents R1, R2, X,
D, B and the position of the group Y-Z in each case corresponds to one line of lines B-1 to B-4200 in table B and wherein the combination of the meaning of Y and Z corresponds to line Z-75 in Table Z (compounds I.D.z75.b1 to I.D.z75.b4200).
Table 1094: Compounds I.D, wherein the combination of substituents R1, R2, X, D, B and the position of the group Y-Z in each case corresponds to one line of lines B-1 to B-4200 in table B and wherein the combination of the meaning of Y and Z corresponds to line Z-76 in Table Z (compounds I.D.z76.b1 to I.D.z76.b4200).
Table 1095: Compounds I.D, wherein the combination of substituents R1, R2, X, D, B and the position of the group Y-Z in each case corresponds to one line of lines B-1 to B-4200 in table B and wherein the combination of the meaning of Y and Z corresponds to line Z-77 in Table Z (compounds I.D.z77.b1 to I.D.z77.b4200).
Table 1096: Compounds I.D, wherein the combination of substituents R1, R2, X, D, B and the position of the group Y-Z in each case corresponds to one line of lines B-1 to B-4200 in table B and wherein the combination of the meaning of Y and Z corresponds to line Z-78 in Table Z (compounds I.D.z78.b1 to I.D.z78.b4200).
Table 1097: Compounds I.D, wherein the combination of substituents R1, R2, X, D, B and the position of the group Y-Z in each case corresponds to one line of lines B-1 to B-4200 in table B and wherein the combination of the meaning of Y and Z corresponds to line Z-79 in Table Z (compounds I.D.z79.b1 to I.D.z79.b4200).
Table 1098: Compounds I.D, wherein the combination of substituents R1, R2, X,
D, B and the position of the group Y-Z in each case corresponds to one line of lines B-1 to B-4200 in table B and wherein the combination of the meaning of Y and Z corresponds to line Z-80 in Table Z (compounds I.D.z80.b1 to I.D.z80.b4200).
Table 1099: Compounds I.D, wherein the combination of substituents R1, R2, X, D, B and the position of the group Y-Z in each case corresponds to one line of lines B-1 to B-4200 in table B and wherein the combination of the meaning of Y and Z corresponds to line Z-81 in Table Z (compounds I.D.z81.b1 to I.D.z81 .b4200).
Table 1 100: Compounds I.D, wherein the combination of substituents R1, R2, X, D, B and the position of the group Y-Z in each case corresponds to one line of lines B-1 to B-4200 in table B and wherein the combination of the meaning of Y and Z corresponds to line Z-82 in Table Z (compounds I.D.z82.b1 to I.D.z82.b4200).
Table 1 101 : Compounds I.D, wherein the combination of substituents R1, R2, X, D, B and the position of the group Y-Z in each case corresponds to one line of lines B-1 to B-4200 in table B and wherein the combination of the meaning of Y and Z corresponds to line Z-83 in Table Z (compounds I.D.z83.b1 to I.D.z83.b4200).
Table 1 102: Compounds I.D, wherein the combination of substituents R1, R2, X, D, B and the position of the group Y-Z in each case corresponds to one line of lines B-1
to B-4200 in table B and wherein the combination of the meaning of Y and Z corresponds to line Z-84 in Table Z (compounds I.D.z84.b1 to I.D.z84.b4200).
Table 1 103: Compounds I.D, wherein the combination of substituents R1, R2, X, D, B and the position of the group Y-Z in each case corresponds to one line of lines B-1 to B-4200 in table B and wherein the combination of the meaning of Y and Z corresponds to line Z-85 in Table Z (compounds I.D.z85.b1 to I.D.z85.b4200).
Table 1 104: Compounds I.D, wherein the combination of substituents R1, R2, X, D, B and the position of the group Y-Z in each case corresponds to one line of lines B-1 to B-4200 in table B and wherein the combination of the meaning of Y and Z corresponds to line Z-86 in Table Z (compounds I.D.z86.b1 to I.D.z86.b4200).
Table 1 105: Compounds I.D, wherein the combination of substituents R1, R2, X, D, B and the position of the group Y-Z in each case corresponds to one line of lines B-1 to B-4200 in table B and wherein the combination of the meaning of Y and Z corresponds to line Z-87 in Table Z (compounds I.D.z87.b1 to I.D.z87.b4200).
Table 1 106: Compounds I.D, wherein the combination of substituents R1, R2, X,
D, B and the position of the group Y-Z in each case corresponds to one line of lines B-1 to B-4200 in table B and wherein the combination of the meaning of Y and Z corresponds to line Z-88 in Table Z (compounds I.D.z88.b1 to I.D.z88.b4200).
Table 1 107: Compounds I.D, wherein the combination of substituents R1, R2, X, D, B and the position of the group Y-Z in each case corresponds to one line of lines B-1 to B-4200 in table B and wherein the combination of the meaning of Y and Z corresponds to line Z-89 in Table Z (compounds I.D.z89.b1 to I.D.z89.b4200).
Table 1 108: Compounds I.D, wherein the combination of substituents R1, R2, X, D, B and the position of the group Y-Z in each case corresponds to one line of lines B-1 to B-4200 in table B and wherein the combination of the meaning of Y and Z corresponds to line Z-90 in Table Z (compounds I.D.z90.b1 to I.D.z90.b4200).
Table 1 109: Compounds I.D, wherein the combination of substituents R1, R2, X, D, B and the position of the group Y-Z in each case corresponds to one line of lines B-1 to B-4200 in table B and wherein the combination of the meaning of Y and Z corresponds to line Z-91 in Table Z (compounds I.D.z91.b1 to I.D.z91 .b4200).
Table 1 1 10: Compounds I.D, wherein the combination of substituents R1, R2, X, D, B and the position of the group Y-Z in each case corresponds to one line of lines B-1 to B-4200 in table B and wherein the combination of the meaning of Y and Z corresponds to line Z-92 in Table Z (compounds I.D.z92.b1 to I.D.z92.b4200).
Table 1 1 1 1 : Compounds I.D, wherein the combination of substituents R1, R2, X,
D, B and the position of the group Y-Z in each case corresponds to one line of lines B-1 to B-4200 in table B and wherein the combination of the meaning of Y and Z corresponds to line Z-93 in Table Z (compounds I.D.z93.b1 to I.D.z93.b4200).
Table 1 1 12: Compounds I.D, wherein the combination of substituents R1, R2, X, D, B and the position of the group Y-Z in each case corresponds to one line of lines B-1 to B-4200 in table B and wherein the combination of the meaning of Y and Z corresponds to line Z-94 in Table Z (compounds I.D.z94.b1 to I.D.z94.b4200).
Table 1 1 13: Compounds I.D, wherein the combination of substituents R1, R2, X, D, B and the position of the group Y-Z in each case corresponds to one line of lines B-1 to B-4200 in table B and wherein the combination of the meaning of Y and Z corresponds to line Z-95 in Table Z (compounds I.D.z95.b1 to I.D.z95.b4200).
Table 1 1 14: Compounds I.D, wherein the combination of substituents R1, R2, X,
D, B and the position of the group Y-Z in each case corresponds to one line of lines B-1 to B-4200 in table B and wherein the combination of the meaning of Y and Z corresponds to line Z-96 in Table Z (compounds I.D.z96.b1 to I.D.z96.b4200).
Table 1 1 15: Compounds I.D, wherein the combination of substituents R1, R2, X, D, B and the position of the group Y-Z in each case corresponds to one line of lines B-1 to B-4200 in table B and wherein the combination of the meaning of Y and Z corresponds to line Z-97 in Table Z (compounds I.D.z97.b1 to I.D.z97.b4200).
Table 1 1 16: Compounds I.D, wherein the combination of substituents R1, R2, X, D, B and the position of the group Y-Z in each case corresponds to one line of lines B-1 to B-4200 in table B and wherein the combination of the meaning of Y and Z corresponds to line Z-98 in Table Z (compounds I.D.z98.b1 to I.D.z98.b4200).
Table 1 1 17: Compounds I.D, wherein the combination of substituents R1, R2, X, D, B and the position of the group Y-Z in each case corresponds to one line of lines B-1 to B-4200 in table B and wherein the combination of the meaning of Y and Z corresponds to line Z-99 in Table Z (compounds I.D.z99.b1 to I.D.z99.b4200).
Table 1 1 18: Compounds I.D, wherein the combination of substituents R1, R2, X, D, B and the position of the group Y-Z in each case corresponds to one line of lines B-1 to B-4200 in table B and wherein the combination of the meaning of Y and Z corresponds to line Z-100 in Table Z (compounds I.D.z100.b1 to I.D.z100.b4200).
Table 1 1 19: Compounds I.D, wherein the combination of substituents R1, R2, X,
D, B and the position of the group Y-Z in each case corresponds to one line of lines B-1 to B-4200 in table B and wherein the combination of the meaning of Y and Z corresponds to line Z-101 in Table Z (compounds I.D.z101.b1 to I.D.z101.b4200).
Table 1 120: Compounds I.D, wherein the combination of substituents R1, R2, X, D, B and the position of the group Y-Z in each case corresponds to one line of lines B-1 to B-4200 in table B and wherein the combination of the meaning of Y and Z corresponds to line Z-102 in Table Z (compounds I.D.z102.b1 to I.D.z102.b4200).
Table 1 121 : Compounds I.D, wherein the combination of substituents R1, R2, X, D, B and the position of the group Y-Z in each case corresponds to one line of lines B-1 to B-4200 in table B and wherein the combination of the meaning of Y and Z corresponds to line Z-103 in Table Z (compounds I.D.z103.b1 to I.D.z103.b4200).
Table 1 122: Compounds I.D, wherein the combination of substituents R1, R2, X, D, B and the position of the group Y-Z in each case corresponds to one line of lines B-1 to B-4200 in table B and wherein the combination of the meaning of Y and Z corresponds to line Z-104 in Table Z (compounds I.D.z104.b1 to I.D.z104.b4200).
Table 1 123: Compounds I.D, wherein the combination of substituents R1, R2, X, D, B and the position of the group Y-Z in each case corresponds to one line of lines B-1
to B-4200 in table B and wherein the combination of the meaning of Y and Z corresponds to line Z-105 in Table Z (compounds I.D.z105.b1 to I.D.z105.b4200).
Table 1 124: Compounds I.D, wherein the combination of substituents R1, R2, X, D, B and the position of the group Y-Z in each case corresponds to one line of lines B-1 to B-4200 in table B and wherein the combination of the meaning of Y and Z corresponds to line Z-106 in Table Z (compounds I.D.z106.b1 to I.D.z106.b4200).
Table 1 125: Compounds I.D, wherein the combination of substituents R1, R2, X, D, B and the position of the group Y-Z in each case corresponds to one line of lines B-1 to B-4200 in table B and wherein the combination of the meaning of Y and Z corresponds to line Z-107 in Table Z (compounds I.D.z107.b1 to I.D.z107.b4200).
Table 1 126: Compounds I.D, wherein the combination of substituents R1, R2, X, D, B and the position of the group Y-Z in each case corresponds to one line of lines B-1 to B-4200 in table B and wherein the combination of the meaning of Y and Z corresponds to line Z-108 in Table Z (compounds I.D.z108.b1 to I.D.z108.b4200).
Table 1 127: Compounds I.D, wherein the combination of substituents R1, R2, X,
D, B and the position of the group Y-Z in each case corresponds to one line of lines B-1 to B-4200 in table B and wherein the combination of the meaning of Y and Z corresponds to line Z-109 in Table Z (compounds I.D.z109.b1 to I.D.z109.b4200).
Table 1 128: Compounds I.D, wherein the combination of substituents R1, R2, X, D, B and the position of the group Y-Z in each case corresponds to one line of lines B-1 to B-4200 in table B and wherein the combination of the meaning of Y and Z corresponds to line Z-1 10 in Table Z (compounds I.D.z1 10.b1 to I.D.z1 10.b4200).
Table 1 129: Compounds I.D, wherein the combination of substituents R1, R2, X, D, B and the position of the group Y-Z in each case corresponds to one line of lines B-1 to B-4200 in table B and wherein the combination of the meaning of Y and Z corresponds to line Z-1 1 1 in Table Z (compounds I.D.zl 1 1.b1 to I.D.zl 1 1.b4200).
Table 1 130: Compounds I.D, wherein the combination of substituents R1, R2, X, D, B and the position of the group Y-Z in each case corresponds to one line of lines B-1 to B-4200 in table B and wherein the combination of the meaning of Y and Z corresponds to line Z-1 12 in Table Z (compounds I.D.zl 12. b1 to I.D.zl 12.b4200).
Table 1 131 : Compounds I.D, wherein the combination of substituents R1, R2, X, D, B and the position of the group Y-Z in each case corresponds to one line of lines B-1 to B-4200 in table B and wherein the combination of the meaning of Y and Z corresponds to line Z-1 13 in Table Z (compounds I.D.zl 13. b1 to I.D.zl 13. b4200).
Table 1 132: Compounds I.D, wherein the combination of substituents R1, R2, X,
D, B and the position of the group Y-Z in each case corresponds to one line of lines B-1 to B-4200 in table B and wherein the combination of the meaning of Y and Z corresponds to line Z-1 14 in Table Z (compounds I.D.zl 14. b1 to I.D.zl 14. b4200).
Table 1 133: Compounds I.D, wherein the combination of substituents R1, R2, X, D, B and the position of the group Y-Z in each case corresponds to one line of lines B-1 to B-4200 in table B and wherein the combination of the meaning of Y and Z corresponds to line Z-1 15 in Table Z (compounds I.D.zl 15. b1 to I.D.zl 15. b4200).
Table 1 134: Compounds I.D, wherein the combination of substituents R1, R2, X, D, B and the position of the group Y-Z in each case corresponds to one line of lines B-1 to B-4200 in table B and wherein the combination of the meaning of Y and Z corresponds to line Z-1 16 in Table Z (compounds I.D.z1 16.b1 to I.D.zl 16.b4200).
Table 1 135: Compounds I.D, wherein the combination of substituents R1, R2, X,
D, B and the position of the group Y-Z in each case corresponds to one line of lines B-1 to B-4200 in table B and wherein the combination of the meaning of Y and Z corresponds to line Z-1 17 in Table Z (compounds I.D.zl 17. b1 to I.D.zl 17. b4200).
Table 1 136: Compounds I.D, wherein the combination of substituents R1, R2, X, D, B and the position of the group Y-Z in each case corresponds to one line of lines B-1 to B-4200 in table B and wherein the combination of the meaning of Y and Z corresponds to line Z-1 18 in Table Z (compounds I.D.zl 18.b1 to I.D.zl 18.b4200).
Table 1 137: Compounds I.D, wherein the combination of substituents R1, R2, X, D, B and the position of the group Y-Z in each case corresponds to one line of lines B-1 to B-4200 in table B and wherein the combination of the meaning of Y and Z corresponds to line Z-1 19 in Table Z (compounds I.D.zl 19. b1 to I.D.zl 19. b4200).
Table 1 138: Compounds I.D, wherein the combination of substituents R1, R2, X, D, B and the position of the group Y-Z in each case corresponds to one line of lines B-1 to B-4200 in table B and wherein the combination of the meaning of Y and Z corresponds to line Z-120 in Table Z (compounds I.D.z120.b1 to I.D.z120.b4200).
Table 1 139: Compounds I.D, wherein the combination of substituents R1, R2, X, D, B and the position of the group Y-Z in each case corresponds to one line of lines B-1 to B-4200 in table B and wherein the combination of the meaning of Y and Z corresponds to line Z-121 in Table Z (compounds I.D.z121.b1 to I.D.z121.b4200).
Table 1 140: Compounds I.D, wherein the combination of substituents R1, R2, X,
D, B and the position of the group Y-Z in each case corresponds to one line of lines B-1 to B-4200 in table B and wherein the combination of the meaning of Y and Z corresponds to line Z-122 in Table Z (compounds I.D.z122.b1 to I.D.z122.b4200).
Table 1 141 : Compounds I.D, wherein the combination of substituents R1, R2, X, D, B and the position of the group Y-Z in each case corresponds to one line of lines B-1 to B-4200 in table B and wherein the combination of the meaning of Y and Z corresponds to line Z-123 in Table Z (compounds I.D.z123.b1 to I.D.z123.b4200).
Table 1 142: Compounds I.D, wherein the combination of substituents R1, R2, X, D, B and the position of the group Y-Z in each case corresponds to one line of lines B-1 to B-4200 in table B and wherein the combination of the meaning of Y and Z corresponds to line Z-124 in Table Z (compounds I.D.z124.b1 to I.D.z124.b4200).
Table 1 143: Compounds I.D, wherein the combination of substituents R1, R2, X, D, B and the position of the group Y-Z in each case corresponds to one line of lines B-1 to B-4200 in table B and wherein the combination of the meaning of Y and Z corresponds to line Z-125 in Table Z (compounds I.D.z125.b1 to I.D.z125.b4200).
Table 1 144: Compounds I.D, wherein the combination of substituents R1, R2, X, D, B and the position of the group Y-Z in each case corresponds to one line of lines B-1
to B-4200 in table B and wherein the combination of the meaning of Y and Z corresponds to line Z-126 in Table Z (compounds I.D.z126.b1 to I.D.z126.b4200).
Table 1 145: Compounds I.D, wherein the combination of substituents R1, R2, X, D, B and the position of the group Y-Z in each case corresponds to one line of lines B-1 to B-4200 in table B and wherein the combination of the meaning of Y and Z corresponds to line Z-127 in Table Z (compounds I.D.z127.b1 to I.D.z127.b4200).
Table 1 146: Compounds I.D, wherein the combination of substituents R1, R2, X, D, B and the position of the group Y-Z in each case corresponds to one line of lines B-1 to B-4200 in table B and wherein the combination of the meaning of Y and Z corresponds to line Z-128 in Table Z (compounds I.D.z128.b1 to I.D.z128.b4200).
Table 1 147: Compounds I.D, wherein the combination of substituents R1, R2, X, D, B and the position of the group Y-Z in each case corresponds to one line of lines B-1 to B-4200 in table B and wherein the combination of the meaning of Y and Z corresponds to line Z-129 in Table Z (compounds I.D.z129.b1 to I.D.z129.b4200).
Table 1 148: Compounds I.D, wherein the combination of substituents R1, R2, X,
D, B and the position of the group Y-Z in each case corresponds to one line of lines B-1 to B-4200 in table B and wherein the combination of the meaning of Y and Z corresponds to line Z-130 in Table Z (compounds I.D.z130.b1 to I.D.z130.b4200).
Table 1 149: Compounds I.D, wherein the combination of substituents R1, R2, X, D, B and the position of the group Y-Z in each case corresponds to one line of lines B-1 to B-4200 in table B and wherein the combination of the meaning of Y and Z corresponds to line Z-131 in Table Z (compounds I.D.z131.b1 to I.D.z131.b4200).
Table 1 150: Compounds I.D, wherein the combination of substituents R1, R2, X, D, B and the position of the group Y-Z in each case corresponds to one line of lines B-1 to B-4200 in table B and wherein the combination of the meaning of Y and Z corresponds to line Z-132 in Table Z (compounds I.D.z132.b1 to I.D.z132.b4200).
Table 1 151 : Compounds I.D, wherein the combination of substituents R1, R2, X, D, B and the position of the group Y-Z in each case corresponds to one line of lines B-1 to B-4200 in table B and wherein the combination of the meaning of Y and Z corresponds to line Z-133 in Table Z (compounds I.D.z133.b1 to I.D.z133.b4200).
Table 1 152: Compounds I.D, wherein the combination of substituents R1, R2, X, D, B and the position of the group Y-Z in each case corresponds to one line of lines B-1 to B-4200 in table B and wherein the combination of the meaning of Y and Z corresponds to line Z-134 in Table Z (compounds I.D.z134.b1 to I.D.z134.b4200).
Table 1 153: Compounds I.D, wherein the combination of substituents R1, R2, X,
D, B and the position of the group Y-Z in each case corresponds to one line of lines B-1 to B-4200 in table B and wherein the combination of the meaning of Y and Z corresponds to line Z-135 in Table Z (compounds I.D.z135.b1 to I.D.z135.b4200).
Table 1 154: Compounds I.D, wherein the combination of substituents R1, R2, X, D, B and the position of the group Y-Z in each case corresponds to one line of lines B-1 to B-4200 in table B and wherein the combination of the meaning of Y and Z corresponds to line Z-136 in Table Z (compounds I.D.z136.b1 to I.D.z136.b4200).
Table 1 155: Compounds I.D, wherein the combination of substituents R1, R2, X, D, B and the position of the group Y-Z in each case corresponds to one line of lines B-1 to B-4200 in table B and wherein the combination of the meaning of Y and Z corresponds to line Z-137 in Table Z (compounds I.D.z137.b1 to I.D.z137.b4200).
Table 1 156: Compounds I.D, wherein the combination of substituents R1, R2, X,
D, B and the position of the group Y-Z in each case corresponds to one line of lines B-1 to B-4200 in table B and wherein the combination of the meaning of Y and Z corresponds to line Z-138 in Table Z (compounds I.D.z138.b1 to I.D.z138.b4200).
Table 1 157: Compounds I.D, wherein the combination of substituents R1, R2, X, D, B and the position of the group Y-Z in each case corresponds to one line of lines B-1 to B-4200 in table B and wherein the combination of the meaning of Y and Z corresponds to line Z-139 in Table Z (compounds I.D.z139.b1 to I.D.z139.b4200).
Table 1 158: Compounds I.D, wherein the combination of substituents R1, R2, X, D, B and the position of the group Y-Z in each case corresponds to one line of lines B-1 to B-4200 in table B and wherein the combination of the meaning of Y and Z corresponds to line Z-140 in Table Z (compounds I.D.z140.b1 to I.D.z140.b4200).
Table 1 159: Compounds I.D, wherein the combination of substituents R1, R2, X, D, B and the position of the group Y-Z in each case corresponds to one line of lines B-1 to B-4200 in table B and wherein the combination of the meaning of Y and Z corresponds to line Z-141 in Table Z (compounds I. D.z141.b1 to I.D.z141.b4200).
Table 1 160: Compounds I.D, wherein the combination of substituents R1, R2, X, D, B and the position of the group Y-Z in each case corresponds to one line of lines B-1 to B-4200 in table B and wherein the combination of the meaning of Y and Z corresponds to line Z-142 in Table Z (compounds I.D.z142.b1 to I.D.z142.b4200).
Table 1 161 : Compounds I.D, wherein the combination of substituents R1, R2, X,
D, B and the position of the group Y-Z in each case corresponds to one line of lines B-1 to B-4200 in table B and wherein the combination of the meaning of Y and Z corresponds to line Z-143 in Table Z (compounds I.D.z143.b1 to I.D.z143.b4200).
Table 1 162: Compounds I.D, wherein the combination of substituents R1, R2, X, D, B and the position of the group Y-Z in each case corresponds to one line of lines B-1 to B-4200 in table B and wherein the combination of the meaning of Y and Z corresponds to line Z-144 in Table Z (compounds I.D.z144.b1 to I.D.z144.b4200).
Table 1 163: Compounds I.D, wherein the combination of substituents R1, R2, X, D, B and the position of the group Y-Z in each case corresponds to one line of lines B-1 to B-4200 in table B and wherein the combination of the meaning of Y and Z corresponds to line Z-145 in Table Z (compounds I.D.z145.b1 to I.D.z145.b4200).
Table 1 164: Compounds I.D, wherein the combination of substituents R1, R2, X, D, B and the position of the group Y-Z in each case corresponds to one line of lines B-1 to B-4200 in table B and wherein the combination of the meaning of Y and Z corresponds to line Z-146 in Table Z (compounds I.D.z146.b1 to I.D.z146.b4200).
Table 1 165: Compounds I.D, wherein the combination of substituents R1, R2, X, D, B and the position of the group Y-Z in each case corresponds to one line of lines B-1
to B-4200 in table B and wherein the combination of the meaning of Y and Z corresponds to line Z-147 in Table Z (compounds I.D.z147.b1 to I.D.z147.b4200).
Table 1 166: Compounds I.D, wherein the combination of substituents R1, R2, X, D, B and the position of the group Y-Z in each case corresponds to one line of lines B-1 to B-4200 in table B and wherein the combination of the meaning of Y and Z corresponds to line Z-148 in Table Z (compounds I.D.z148.b1 to I.D.z148.b4200).
Table 1 167: Compounds I.D, wherein the combination of substituents R1, R2, X, D, B and the position of the group Y-Z in each case corresponds to one line of lines B-1 to B-4200 in table B and wherein the combination of the meaning of Y and Z corresponds to line Z-149 in Table Z (compounds I.D.z149.b1 to I.D.z149.b4200).
Table 1 168: Compounds I.D, wherein the combination of substituents R1, R2, X, D, B and the position of the group Y-Z in each case corresponds to one line of lines B-1 to B-4200 in table B and wherein the combination of the meaning of Y and Z corresponds to line Z-150 in Table Z (compounds I.D.z150.b1 to I.D.z150.b4200).
Table 1 169: Compounds I.D, wherein the combination of substituents R1, R2, X,
D, B and the position of the group Y-Z in each case corresponds to one line of lines B-1 to B-4200 in table B and wherein the combination of the meaning of Y and Z corresponds to line Z-151 in Table Z (compounds I.D.z151.b1 to I.D.z151.b4200).
Table 1 170: Compounds I.D, wherein the combination of substituents R1, R2, X, D, B and the position of the group Y-Z in each case corresponds to one line of lines B-1 to B-4200 in table B and wherein the combination of the meaning of Y and Z corresponds to line Z-152 in Table Z (compounds I.D.z152.b1 to I.D.z152.b4200).
Table 1 171 : Compounds I.D, wherein the combination of substituents R1, R2, X, D, B and the position of the group Y-Z in each case corresponds to one line of lines B-1 to B-4200 in table B and wherein the combination of the meaning of Y and Z corresponds to line Z-153 in Table Z (compounds I.D.z153.b1 to I.D.z153.b4200).
Table 1 172: Compounds I.D, wherein the combination of substituents R1, R2, X, D, B and the position of the group Y-Z in each case corresponds to one line of lines B-1 to B-4200 in table B and wherein the combination of the meaning of Y and Z corresponds to line Z-154 in Table Z (compounds I.D.z154.b1 to I.D.z154.b4200).
Table 1 173: Compounds I.D, wherein the combination of substituents R1, R2, X, D, B and the position of the group Y-Z in each case corresponds to one line of lines B-1 to B-4200 in table B and wherein the combination of the meaning of Y and Z corresponds to line Z-155 in Table Z (compounds I.D.z155.b1 to I.D.z155.b4200).
Table 1 174: Compounds I.D, wherein the combination of substituents R1, R2, X,
D, B and the position of the group Y-Z in each case corresponds to one line of lines B-1 to B-4200 in table B and wherein the combination of the meaning of Y and Z corresponds to line Z-156 in Table Z (compounds I.D.z156.b1 to I.D.z156.b4200).
Table 1 175: Compounds I.D, wherein the combination of substituents R1, R2, X, D, B and the position of the group Y-Z in each case corresponds to one line of lines B-1 to B-4200 in table B and wherein the combination of the meaning of Y and Z corresponds to line Z-157 in Table Z (compounds I.D.z157.b1 to I.D.z157.b4200).
Table 1 176: Compounds I.D, wherein the combination of substituents R1, R2, X, D, B and the position of the group Y-Z in each case corresponds to one line of lines B-1 to B-4200 in table B and wherein the combination of the meaning of Y and Z corresponds to line Z-158 in Table Z (compounds I.D.z158.b1 to I.D.z158.b4200).
Table 1 177: Compounds I.D, wherein the combination of substituents R1, R2, X,
D, B and the position of the group Y-Z in each case corresponds to one line of lines B-1 to B-4200 in table B and wherein the combination of the meaning of Y and Z corresponds to line Z-159 in Table Z (compounds I.D.z159.b1 to I.D.z159.b4200).
Table 1 178: Compounds I.D, wherein the combination of substituents R1, R2, X, D, B and the position of the group Y-Z in each case corresponds to one line of lines B-1 to B-4200 in table B and wherein the combination of the meaning of Y and Z corresponds to line Z-160 in Table Z (compounds I.D.z160.b1 to I.D.z160.b4200).
Table 1 179: Compounds I.D, wherein the combination of substituents R1, R2, X, D, B and the position of the group Y-Z in each case corresponds to one line of lines B-1 to B-4200 in table B and wherein the combination of the meaning of Y and Z corresponds to line Z-161 in Table Z (compounds I.D.z161.b1 to I.D.z161.b4200).
Table 1 180: Compounds I.D, wherein the combination of substituents R1, R2, X, D, B and the position of the group Y-Z in each case corresponds to one line of lines B-1 to B-4200 in table B and wherein the combination of the meaning of Y and Z corresponds to line Z-162 in Table Z (compounds I.D.z162.b1 to I.D.z162.b4200).
Table 1 181 : Compounds I.D, wherein the combination of substituents R1, R2, X, D, B and the position of the group Y-Z in each case corresponds to one line of lines B-1 to B-4200 in table B and wherein the combination of the meaning of Y and Z corresponds to line Z-163 in Table Z (compounds I.D.z163.b1 to I.D.z163.b4200).
Table 1 182: Compounds I.D, wherein the combination of substituents R1, R2, X,
D, B and the position of the group Y-Z in each case corresponds to one line of lines B-1 to B-4200 in table B and wherein the combination of the meaning of Y and Z corresponds to line Z-164 in Table Z (compounds I.D.z164.b1 to I.D.z164.b4200).
Table 1 183: Compounds I.D, wherein the combination of substituents R1, R2, X, D, B and the position of the group Y-Z in each case corresponds to one line of lines B-1 to B-4200 in table B and wherein the combination of the meaning of Y and Z corresponds to line Z-165 in Table Z (compounds I.D.z165.b1 to I.D.z165.b4200).
Table 1 184: Compounds I.D, wherein the combination of substituents R1, R2, X, D, B and the position of the group Y-Z in each case corresponds to one line of lines B-1 to B-4200 in table B and wherein the combination of the meaning of Y and Z corresponds to line Z-166 in Table Z (compounds I.D.z166.b1 to I.D.z166.b4200).
Table 1 185: Compounds I.D, wherein the combination of substituents R1, R2, X, D, B and the position of the group Y-Z in each case corresponds to one line of lines B-1 to B-4200 in table B and wherein the combination of the meaning of Y and Z corresponds to line Z-167 in Table Z (compounds I.D.z167.b1 to I.D.z167.b4200).
Table 1 186: Compounds I.D, wherein the combination of substituents R1, R2, X, D, B and the position of the group Y-Z in each case corresponds to one line of lines B-1
to B-4200 in table B and wherein the combination of the meaning of Y and Z corresponds to line Z-168 in Table Z (compounds I.D.z168.b1 to I.D.z168.b4200).
Table 1 187: Compounds I.D, wherein the combination of substituents R1, R2, X, D, B and the position of the group Y-Z in each case corresponds to one line of lines B-1 to B-4200 in table B and wherein the combination of the meaning of Y and Z corresponds to line Z-169 in Table Z (compounds I.D.z169.b1 to I.D.z169.b4200).
Table 1 188: Compounds I.D, wherein the combination of substituents R1, R2, X, D, B and the position of the group Y-Z in each case corresponds to one line of lines B-1 to B-4200 in table B and wherein the combination of the meaning of Y and Z corresponds to line Z-170 in Table Z (compounds I.D.z170.b1 to I.D.z170.b4200).
Table 1 189: Compounds I.D, wherein the combination of substituents R1, R2, X, D, B and the position of the group Y-Z in each case corresponds to one line of lines B-1 to B-4200 in table B and wherein the combination of the meaning of Y and Z corresponds to line Z-171 in Table Z (compounds I.D.z171.b1 to I.D.z171.b4200).
Table 1 190: Compounds I.D, wherein the combination of substituents R1, R2, X,
D, B and the position of the group Y-Z in each case corresponds to one line of lines B-1 to B-4200 in table B and wherein the combination of the meaning of Y and Z corresponds to line Z-172 in Table Z (compounds I.D.z172.b1 to I.D.z172.b4200).
Table 1 191 : Compounds I.D, wherein the combination of substituents R1, R2, X, D, B and the position of the group Y-Z in each case corresponds to one line of lines B-1 to B-4200 in table B and wherein the combination of the meaning of Y and Z corresponds to line Z-173 in Table Z (compounds I.D.z173.b1 to I.D.z173.b4200).
Table 1 192: Compounds I.D, wherein the combination of substituents R1, R2, X, D, B and the position of the group Y-Z in each case corresponds to one line of lines B-1 to B-4200 in table B and wherein the combination of the meaning of Y and Z corresponds to line Z-174 in Table Z (compounds I.D.z174.b1 to I.D.z174.b4200).
Table 1 193: Compounds I.D, wherein the combination of substituents R1, R2, X, D, B and the position of the group Y-Z in each case corresponds to one line of lines B-1 to B-4200 in table B and wherein the combination of the meaning of Y and Z corresponds to line Z-175 in Table Z (compounds I.D.z175.b1 to I.D.z175.b4200).
Table 1 194: Compounds I.D, wherein the combination of substituents R1, R2, X, D, B and the position of the group Y-Z in each case corresponds to one line of lines B-1 to B-4200 in table B and wherein the combination of the meaning of Y and Z corresponds to line Z-176 in Table Z (compounds I.D.z176.b1 to I.D.z176.b4200).
Table 1 195: Compounds I.D, wherein the combination of substituents R1, R2, X,
D, B and the position of the group Y-Z in each case corresponds to one line of lines B-1 to B-4200 in table B and wherein the combination of the meaning of Y and Z corresponds to line Z-177 in Table Z (compounds I.D.z177.b1 to I.D.z177.b4200).
Table 1 196: Compounds I.D, wherein the combination of substituents R1, R2, X, D, B and the position of the group Y-Z in each case corresponds to one line of lines B-1 to B-4200 in table B and wherein the combination of the meaning of Y and Z corresponds to line Z-178 in Table Z (compounds I.D.z178.b1 to I.D.z178.b4200).
Table 1 197: Compounds I.D, wherein the combination of substituents R1, R2, X, D, B and the position of the group Y-Z in each case corresponds to one line of lines B-1 to B-4200 in table B and wherein the combination of the meaning of Y and Z corresponds to line Z-179 in Table Z (compounds I.D.z179.b1 to I.D.z179.b4200).
Table 1 198: Compounds I.D, wherein the combination of substituents R1, R2, X,
D, B and the position of the group Y-Z in each case corresponds to one line of lines B-1 to B-4200 in table B and wherein the combination of the meaning of Y and Z corresponds to line Z-180 in Table Z (compounds I.D.z180.b1 to I.D.z180.b4200).
Table 1 199: Compounds I.D, wherein the combination of substituents R1, R2, X, D, B and the position of the group Y-Z in each case corresponds to one line of lines B-1 to B-4200 in table B and wherein the combination of the meaning of Y and Z corresponds to line Z-181 in Table Z (compounds I.D.z181.b1 to I.D.z181.b4200).
Table 1200: Compounds I.D, wherein the combination of substituents R1, R2, X, D, B and the position of the group Y-Z in each case corresponds to one line of lines B-1 to B-4200 in table B and wherein the combination of the meaning of Y and Z corresponds to line Z-182 in Table Z (compounds I.D.z182.b1 to I.D.z182.b4200).
Table 1201 : Compounds I.D, wherein the combination of substituents R1, R2, X, D, B and the position of the group Y-Z in each case corresponds to one line of lines B-1 to B-4200 in table B and wherein the combination of the meaning of Y and Z corresponds to line Z-183 in Table Z (compounds I.D.z183.b1 to I.D.z183.b4200).
Table 1202: Compounds I.D, wherein the combination of substituents R1, R2, X, D, B and the position of the group Y-Z in each case corresponds to one line of lines B-1 to B-4200 in table B and wherein the combination of the meaning of Y and Z corresponds to line Z-184 in Table Z (compounds I.D.z184.b1 to I.D.z184.b4200).
Table 1203: Compounds I.D, wherein the combination of substituents R1, R2, X,
D, B and the position of the group Y-Z in each case corresponds to one line of lines B-1 to B-4200 in table B and wherein the combination of the meaning of Y and Z corresponds to line Z-185 in Table Z (compounds I.D.z185.b1 to I.D.z185.b4200).
Table 1204: Compounds I.D, wherein the combination of substituents R1, R2, X, D, B and the position of the group Y-Z in each case corresponds to one line of lines B-1 to B-4200 in table B and wherein the combination of the meaning of Y and Z corresponds to line Z-186 in Table Z (compounds I.D.z186.b1 to I.D.z186.b4200).
Table 1205: Compounds I.D, wherein the combination of substituents R1, R2, X, D, B and the position of the group Y-Z in each case corresponds to one line of lines B-1 to B-4200 in table B and wherein the combination of the meaning of Y and Z corresponds to line Z-187 in Table Z (compounds I.D.z187.b1 to I.D.z187.b4200).
Table 1206: Compounds I.D, wherein the combination of substituents R1, R2, X, D, B and the position of the group Y-Z in each case corresponds to one line of lines B-1 to B-4200 in table B and wherein the combination of the meaning of Y and Z corresponds to line Z-188 in Table Z (compounds I.D.z188.b1 to I.D.z188.b4200).
Table 1207: Compounds I.D, wherein the combination of substituents R1, R2, X, D, B and the position of the group Y-Z in each case corresponds to one line of lines B-1
to B-4200 in table B and wherein the combination of the meaning of Y and Z corresponds to line Z-189 in Table Z (compounds I.D.z189.b1 to I.D.z189.b4200).
Table 1208: Compounds I.D, wherein the combination of substituents R1, R2, X, D, B and the position of the group Y-Z in each case corresponds to one line of lines B-1 to B-4200 in table B and wherein the combination of the meaning of Y and Z corresponds to line Z-190 in Table Z (compounds I.D.z190.b1 to I.D.z190.b4200).
Table 1209: Compounds I.D, wherein the combination of substituents R1, R2, X, D, B and the position of the group Y-Z in each case corresponds to one line of lines B-1 to B-4200 in table B and wherein the combination of the meaning of Y and Z corresponds to line Z-191 in Table Z (compounds I. D.z191.b1 to I.D.z191.b4200).
Table 1210: Compounds I.D, wherein the combination of substituents R1, R2, X, D, B and the position of the group Y-Z in each case corresponds to one line of lines B-1 to B-4200 in table B and wherein the combination of the meaning of Y and Z corresponds to line Z-192 in Table Z (compounds I.D.z192.b1 to I.D.z192.b4200).
Table 121 1 : Compounds I.D, wherein the combination of substituents R1, R2, X,
D, B and the position of the group Y-Z in each case corresponds to one line of lines B-1 to B-4200 in table B and wherein the combination of the meaning of Y and Z corresponds to line Z-193 in Table Z (compounds I.D.z193.b1 to I.D.z193.b4200).
Table 1212: Compounds I.D, wherein the combination of substituents R1, R2, X, D, B and the position of the group Y-Z in each case corresponds to one line of lines B-1 to B-4200 in table B and wherein the combination of the meaning of Y and Z corresponds to line Z-194 in Table Z (compounds I.D.z194.b1 to I.D.z194.b4200).
Table 1213: Compounds I.D, wherein the combination of substituents R1, R2, X, D, B and the position of the group Y-Z in each case corresponds to one line of lines B-1 to B-4200 in table B and wherein the combination of the meaning of Y and Z corresponds to line Z-195 in Table Z (compounds I.D.z195.b1 to I.D.z195.b4200).
Table 1214: Compounds I.D, wherein the combination of substituents R1, R2, X, D, B and the position of the group Y-Z in each case corresponds to one line of lines B-1 to B-4200 in table B and wherein the combination of the meaning of Y and Z corresponds to line Z-196 in Table Z (compounds I.D.z196.b1 to I.D.z196.b4200).
Table 1215: Compounds I.D, wherein the combination of substituents R1, R2, X, D, B and the position of the group Y-Z in each case corresponds to one line of lines B-1 to B-4200 in table B and wherein the combination of the meaning of Y and Z corresponds to line Z-197 in Table Z (compounds I.D.z197.b1 to I.D.z197.b4200).
Table 1216: Compounds I.D, wherein the combination of substituents R1, R2, X,
D, B and the position of the group Y-Z in each case corresponds to one line of lines B-1 to B-4200 in table B and wherein the combination of the meaning of Y and Z corresponds to line Z-198 in Table Z (compounds I.D.z198.b1 to I.D.z198.b4200).
Table 1217: Compounds I.D, wherein the combination of substituents R1, R2, X, D, B and the position of the group Y-Z in each case corresponds to one line of lines B-1 to B-4200 in table B and wherein the combination of the meaning of Y and Z corresponds to line Z-199 in Table Z (compounds I.D.z199.b1 to I.D.z199.b4200).
Table 1218: Compounds I.D, wherein the combination of substituents R1, R2, X, D, B and the position of the group Y-Z in each case corresponds to one line of lines B-1 to B-4200 in table B and wherein the combination of the meaning of Y and Z corresponds to line Z-200 in Table Z (compounds I.D.z200.b1 to I.D.z200.b4200).
Table 1219: Compounds I.D, wherein the combination of substituents R1, R2, X,
D, B and the position of the group Y-Z in each case corresponds to one line of lines B-1 to B-4200 in table B and wherein the combination of the meaning of Y and Z corresponds to line Z-201 in Table Z (compounds I.D.z201 .b1 to I.D.z201 .b4200).
Table 1220: Compounds I.D, wherein the combination of substituents R1, R2, X, D, B and the position of the group Y-Z in each case corresponds to one line of lines B-1 to B-4200 in table B and wherein the combination of the meaning of Y and Z corresponds to line Z-202 in Table Z (compounds I.D.z202.b1 to I.D.z202.b4200).
Table 1221 : Compounds I.D, wherein the combination of substituents R1, R2, X, D, B and the position of the group Y-Z in each case corresponds to one line of lines B-1 to B-4200 in table B and wherein the combination of the meaning of Y and Z corresponds to line Z-203 in Table Z (compounds I.D.z203.b1 to I.D.z203.b4200).
Table 1222: Compounds I.D, wherein the combination of substituents R1, R2, X, D, B and the position of the group Y-Z in each case corresponds to one line of lines B-1 to B-4200 in table B and wherein the combination of the meaning of Y and Z corresponds to line Z-204 in Table Z (compounds I.D.z204.b1 to I.D.z204.b4200).
Table 1223: Compounds I.D, wherein the combination of substituents R1, R2, X, D, B and the position of the group Y-Z in each case corresponds to one line of lines B-1 to B-4200 in table B and wherein the combination of the meaning of Y and Z corresponds to line Z-205 in Table Z (compounds I.D.z205.b1 to I.D.z205.b4200).
Table 1224: Compounds I.D, wherein the combination of substituents R1, R2, X,
D, B and the position of the group Y-Z in each case corresponds to one line of lines B-1 to B-4200 in table B and wherein the combination of the meaning of Y and Z corresponds to line Z-206 in Table Z (compounds I.D.z206.b1 to I.D.z206.b4200).
Table 1225: Compounds I.E, wherein the combination of substituents R1, R2, X, D, B and the position of the group Y-Z in each case corresponds to one line B-1 to B- 4200 in table B and wherein Z is phenyl and the combination of the meaning of Y and RL corresponds to line A-1 in Table A (compounds I.E.al .b1 to I.E.al .b4200).
Table 1226: Compounds I.E, wherein the combination of substituents R1, R2, X, D, B and the position of the group Y-Z in each case corresponds to one line B-1 to B- 4200 in table B and wherein Z is phenyl and the combination of the meaning of Y and RL corresponds to line A-2 in Table A (compounds I.E.a2.b1 to I.E.a2.b4200).
Table 1227: Compounds I.E, wherein the combination of substituents R1, R2, X, D, B and the position of the group Y-Z in each case corresponds to one line B-1 to B- 4200 in table B and wherein Z is phenyl and the combination of the meaning of Y and RL corresponds to line A-3 in Table A (compounds I.E.a3.b1 to I.E.a3.b4200).
Table 1228: Compounds I.E, wherein the combination of substituents R1, R2, X, D, B and the position of the group Y-Z in each case corresponds to one line B-1 to B-
4200 in table B and wherein Z is phenyl and the combination of the meaning of Y and RL corresponds to line A-4 in Table A (compounds I.E.a4.b1 to I.E.a4.b4200).
Table 1229: Compounds I.E, wherein the combination of substituents R1, R2, X, D, B and the position of the group Y-Z in each case corresponds to one line B-1 to B- 4200 in table B and wherein Z is phenyl and the combination of the meaning of Y and RL corresponds to line A-5 in Table A (compounds I.E.a5.b1 to I.E.a5.b4200).
Table 1230: Compounds I.E, wherein the combination of substituents R1, R2, X, D, B and the position of the group Y-Z in each case corresponds to one line B-1 to B- 4200 in table B and wherein Z is phenyl and the combination of the meaning of Y and RL corresponds to line A-6 in Table A (compounds I.E.a6.b1 to I.E.a6.b4200).
Table 1231 : Compounds I.E, wherein the combination of substituents R1, R2, X, D, B and the position of the group Y-Z in each case corresponds to one line B-1 to B- 4200 in table B and wherein Z is phenyl and the combination of the meaning of Y and RL corresponds to line A-7 in Table A (compounds I.E.a7.b1 to I.E.a7.b4200).
Table 1232: Compounds I.E, wherein the combination of substituents R1, R2, X,
D, B and the position of the group Y-Z in each case corresponds to one line B-1 to B- 4200 in table B and wherein Z is phenyl and the combination of the meaning of Y and RL corresponds to line A-8 in Table A (compounds I.E.a8.b1 to I.E.a8.b4200).
Table 1233: Compounds I.E, wherein the combination of substituents R1, R2, X, D, B and the position of the group Y-Z in each case corresponds to one line B-1 to B- 4200 in table B and wherein Z is phenyl and the combination of the meaning of Y and RL corresponds to line A-9 in Table A (compounds I.E.a9.b1 to I.E.a9.b4200).
Table 1234: Compounds I.E, wherein the combination of substituents R1, R2, X, D, B and the position of the group Y-Z in each case corresponds to one line B-1 to B- 4200 in table B and wherein Z is phenyl and the combination of the meaning of Y and RL corresponds to line A-10 in Table A (compounds I.E.a10.b1 to I.E.a10.b4200).
Table 1235: Compounds I.E, wherein the combination of substituents R1, R2, X, D, B and the position of the group Y-Z in each case corresponds to one line B-1 to B- 4200 in table B and wherein Z is phenyl and the combination of the meaning of Y and RL corresponds to line A-1 1 in Table A (compounds I.E.al 1 .b1 to I.E.al 1 .b4200).
Table 1236: Compounds I.E, wherein the combination of substituents R1, R2, X, D, B and the position of the group Y-Z in each case corresponds to one line B-1 to B- 4200 in table B and wherein Z is phenyl and the combination of the meaning of Y and RL corresponds to line A-12 in Table A (compounds I.E.a12.b1 to I.E.a12.b4200).
Table 1237: Compounds I.E, wherein the combination of substituents R1, R2, X,
D, B and the position of the group Y-Z in each case corresponds to one line B-1 to B- 4200 in table B and wherein Z is phenyl and the combination of the meaning of Y and RL corresponds to line A-13 in Table A (compounds I.E.a13.b1 to I.E.a13.b4200).
Table 1238: Compounds I.E, wherein the combination of substituents R1, R2, X, D, B and the position of the group Y-Z in each case corresponds to one line B-1 to B- 4200 in table B and wherein Z is phenyl and the combination of the meaning of Y and RL corresponds to line A-14 in Table A (compounds I.E.a14.b1 to I.E.a14.b4200).
Table 1239: Compounds I.E, wherein the combination of substituents R1, R2, X, D, B and the position of the group Y-Z in each case corresponds to one line B-1 to B- 4200 in table B and wherein Z is phenyl and the combination of the meaning of Y and RL corresponds to line A-15 in Table A (compounds I.E.a15.b1 to I.E.a15.b4200).
Table 1240: Compounds I.E, wherein the combination of substituents R1, R2, X,
D, B and the position of the group Y-Z in each case corresponds to one line B-1 to B- 4200 in table B and wherein Z is phenyl and the combination of the meaning of Y and RL corresponds to line A-16 in Table A (compounds I.E.a16.b1 to I.E.a16.b4200).
Table 1241 : Compounds I.E, wherein the combination of substituents R1, R2, X, D, B and the position of the group Y-Z in each case corresponds to one line B-1 to B- 4200 in table B and wherein Z is phenyl and the combination of the meaning of Y and RL corresponds to line A-17 in Table A (compounds I.E.a17.b1 to I.E.a17.b4200).
Table 1242: Compounds I.E, wherein the combination of substituents R1, R2, X, D, B and the position of the group Y-Z in each case corresponds to one line B-1 to B- 4200 in table B and wherein Z is phenyl and the combination of the meaning of Y and RL corresponds to line A-18 in Table A (compounds I.E.a18.b1 to I.E.a18.b4200).
Table 1243: Compounds I.E, wherein the combination of substituents R1, R2, X, D, B and the position of the group Y-Z in each case corresponds to one line B-1 to B- 4200 in table B and wherein Z is phenyl and the combination of the meaning of Y and RL corresponds to line A-19 in Table A (compounds I.E.a19.b1 to I.E.a19.b4200).
Table 1244: Compounds I.E, wherein the combination of substituents R1, R2, X, D, B and the position of the group Y-Z in each case corresponds to one line B-1 to B- 4200 in table B and wherein Z is phenyl and the combination of the meaning of Y and RL corresponds to line A-20 in Table A (compounds I.E.a20.b1 to I.E.a20.b4200).
Table 1245: Compounds I.E, wherein the combination of substituents R1, R2, X,
D, B and the position of the group Y-Z in each case corresponds to one line B-1 to B- 4200 in table B and wherein Z is phenyl and the combination of the meaning of Y and RL corresponds to line A-21 in Table A (compounds I.E.a21.b1 to I.E.a21.b4200).
Table 1246: Compounds I.E, wherein the combination of substituents R1, R2, X, D, B and the position of the group Y-Z in each case corresponds to one line B-1 to B- 4200 in table B and wherein Z is phenyl and the combination of the meaning of Y and RL corresponds to line A-22 in Table A (compounds I.E.a22.b1 to I.E.a22.b4200).
Table 1247: Compounds I.E, wherein the combination of substituents R1, R2, X, D, B and the position of the group Y-Z in each case corresponds to one line B-1 to B- 4200 in table B and wherein Z is phenyl and the combination of the meaning of Y and RL corresponds to line A-23 in Table A (compounds I.E.a23.b1 to I.E.a23.b4200).
Table 1248: Compounds I.E, wherein the combination of substituents R1, R2, X, D, B and the position of the group Y-Z in each case corresponds to one line B-1 to B- 4200 in table B and wherein Z is phenyl and the combination of the meaning of Y and RL corresponds to line A-24 in Table A (compounds I.E.a24.b1 to I.E.a24.b4200).
Table 1249: Compounds I.E, wherein the combination of substituents R1, R2, X, D, B and the position of the group Y-Z in each case corresponds to one line B-1 to B-
4200 in table B and wherein Z is phenyl and the combination of the meaning of Y and RL corresponds to line A-25 in Table A (compounds I.E.a25.b1 to I.E.a25.b4200).
Table 1250: Compounds I.E, wherein the combination of substituents R1, R2, X, D, B and the position of the group Y-Z in each case corresponds to one line B-1 to B- 4200 in table B and wherein Z is phenyl and the combination of the meaning of Y and RL corresponds to line A-26 in Table A (compounds I.E.a26.b1 to I.E.a26.b4200).
Table 1251 : Compounds I.E, wherein the combination of substituents R1, R2, X, D, B and the position of the group Y-Z in each case corresponds to one line B-1 to B- 4200 in table B and wherein Z is phenyl and the combination of the meaning of Y and RL corresponds to line A-27 in Table A (compounds I.E.a27.b1 to I.E.a27.b4200).
Table 1252: Compounds I.E, wherein the combination of substituents R1, R2, X, D, B and the position of the group Y-Z in each case corresponds to one line B-1 to B- 4200 in table B and wherein Z is phenyl and the combination of the meaning of Y and RL corresponds to line A-28 in Table A (compounds I.E.a28.b1 to I.E.a28.b4200).
Table 1253: Compounds I.E, wherein the combination of substituents R1, R2, X,
D, B and the position of the group Y-Z in each case corresponds to one line B-1 to B- 4200 in table B and wherein Z is phenyl and the combination of the meaning of Y and RL corresponds to line A-29 in Table A (compounds I.E.a29.b1 to I.E.a29.b4200).
Table 1254: Compounds I.E, wherein the combination of substituents R1, R2, X, D, B and the position of the group Y-Z in each case corresponds to one line B-1 to B- 4200 in table B and wherein Z is phenyl and the combination of the meaning of Y and RL corresponds to line A-30 in Table A (compounds I.E.a30.b1 to I.E.a30.b4200).
Table 1255: Compounds I.E, wherein the combination of substituents R1, R2, X, D, B and the position of the group Y-Z in each case corresponds to one line B-1 to B- 4200 in table B and wherein Z is phenyl and the combination of the meaning of Y and RL corresponds to line A-31 in Table A (compounds I.E.a31 .b1 to I.E.a31 .b4200).
Table 1256: Compounds I.E, wherein the combination of substituents R1, R2, X, D, B and the position of the group Y-Z in each case corresponds to one line B-1 to B- 4200 in table B and wherein Z is phenyl and the combination of the meaning of Y and RL corresponds to line A-32 in Table A (compounds I.E.a32.b1 to I.E.a32.b4200).
Table 1257: Compounds I.E, wherein the combination of substituents R1, R2, X, D, B and the position of the group Y-Z in each case corresponds to one line B-1 to B- 4200 in table B and wherein Z is phenyl and the combination of the meaning of Y and RL corresponds to line A-33 in Table A (compounds I.E.a33.b1 to I.E.a33.b4200).
Table 1258: Compounds I.E, wherein the combination of substituents R1, R2, X,
D, B and the position of the group Y-Z in each case corresponds to one line B-1 to B- 4200 in table B and wherein Z is phenyl and the combination of the meaning of Y and RL corresponds to line A-34 in Table A (compounds I.E.a34.b1 to I.E.a34.b4200).
Table 1259: Compounds I.E, wherein the combination of substituents R1, R2, X, D, B and the position of the group Y-Z in each case corresponds to one line B-1 to B- 4200 in table B and wherein Z is phenyl and the combination of the meaning of Y and RL corresponds to line A-35 in Table A (compounds I.E.a35.b1 to I.E.a35.b4200).
Table 1260: Compounds I.E, wherein the combination of substituents R1, R2, X, D, B and the position of the group Y-Z in each case corresponds to one line B-1 to B- 4200 in table B and wherein Z is phenyl and the combination of the meaning of Y and RL corresponds to line A-36 in Table A (compounds I.E.a36.b1 to I.E.a36.b4200).
Table 1261 : Compounds I.E, wherein the combination of substituents R1, R2, X,
D, B and the position of the group Y-Z in each case corresponds to one line B-1 to B- 4200 in table B and wherein Z is phenyl and the combination of the meaning of Y and RL corresponds to line A-37 in Table A (compounds I.E.a37.b1 to I.E.a37.b4200).
Table 1262: Compounds I.E, wherein the combination of substituents R1, R2, X, D, B and the position of the group Y-Z in each case corresponds to one line B-1 to B- 4200 in table B and wherein Z is phenyl and the combination of the meaning of Y and RL corresponds to line A-38 in Table A (compounds I.E.a38.b1 to I.E.a38.b4200).
Table 1263: Compounds I.E, wherein the combination of substituents R1, R2, X, D, B and the position of the group Y-Z in each case corresponds to one line B-1 to B- 4200 in table B and wherein Z is phenyl and the combination of the meaning of Y and RL corresponds to line A-39 in Table A (compounds I.E.a39.b1 to I.E.a39.b4200).
Table 1264: Compounds I.E, wherein the combination of substituents R1, R2, X, D, B and the position of the group Y-Z in each case corresponds to one line B-1 to B- 4200 in table B and wherein Z is phenyl and the combination of the meaning of Y and RL corresponds to line A-40 in Table A (compounds I.E.a40.b1 to I.E.a40.b4200).
Table 1265: Compounds I.E, wherein the combination of substituents R1, R2, X, D, B and the position of the group Y-Z in each case corresponds to one line B-1 to B- 4200 in table B and wherein Z is phenyl and the combination of the meaning of Y and RL corresponds to line A-41 in Table A (compounds I.E.a41 .b1 to I.E.a41 .b4200).
Table 1266: Compounds I.E, wherein the combination of substituents R1, R2, X,
D, B and the position of the group Y-Z in each case corresponds to one line B-1 to B- 4200 in table B and wherein Z is phenyl and the combination of the meaning of Y and RL corresponds to line A-42 in Table A (compounds I.E.a42.b1 to I.E.a42.b4200).
Table 1267: Compounds I.E, wherein the combination of substituents R1, R2, X, D, B and the position of the group Y-Z in each case corresponds to one line B-1 to B- 4200 in table B and wherein Z is phenyl and the combination of the meaning of Y and RL corresponds to line A-43 in Table A (compounds I.E.a43.b1 to I.E.a43.b4200).
Table 1268: Compounds I.E, wherein the combination of substituents R1, R2, X, D, B and the position of the group Y-Z in each case corresponds to one line B-1 to B- 4200 in table B and wherein Z is phenyl and the combination of the meaning of Y and RL corresponds to line A-44 in Table A (compounds I.E.a44.b1 to I.E.a44.b4200).
Table 1269: Compounds I.E, wherein the combination of substituents R1, R2, X, D, B and the position of the group Y-Z in each case corresponds to one line B-1 to B- 4200 in table B and wherein Z is phenyl and the combination of the meaning of Y and RL corresponds to line A-45 in Table A (compounds I.E.a45.b1 to I.E.a45.b4200).
Table 1270: Compounds I.E, wherein the combination of substituents R1, R2, X, D, B and the position of the group Y-Z in each case corresponds to one line B-1 to B-
4200 in table B and wherein Z is phenyl and the combination of the meaning of Y and RL corresponds to line A-46 in Table A (compounds I.E.a46.b1 to I.E.a46.b4200).
Table 1271 : Compounds I.E, wherein the combination of substituents R1, R2, X, D, B and the position of the group Y-Z in each case corresponds to one line B-1 to B- 4200 in table B and wherein Z is phenyl and the combination of the meaning of Y and RL corresponds to line A-47 in Table A (compounds I.E.a47.b1 to I.E.a47.b4200).
Table 1272: Compounds I.E, wherein the combination of substituents R1, R2, X, D, B and the position of the group Y-Z in each case corresponds to one line B-1 to B- 4200 in table B and wherein Z is phenyl and the combination of the meaning of Y and RL corresponds to line A-48 in Table A (compounds I.E.a48.b1 to I.E.a48.b4200).
Table 1273: Compounds I.E, wherein the combination of substituents R1, R2, X, D, B and the position of the group Y-Z in each case corresponds to one line B-1 to B- 4200 in table B and wherein Z is phenyl and the combination of the meaning of Y and RL corresponds to line A-49 in Table A (compounds I.E.a49.b1 to I.E.a49.b4200).
Table 1274: Compounds I.E, wherein the combination of substituents R1, R2, X,
D, B and the position of the group Y-Z in each case corresponds to one line B-1 to B- 4200 in table B and wherein Z is phenyl and the combination of the meaning of Y and RL corresponds to line A-50 in Table A (compounds I.E.a50.b1 to I.E.a50.b4200).
Table 1275: Compounds I.E, wherein the combination of substituents R1, R2, X, D, B and the position of the group Y-Z in each case corresponds to one line B-1 to B- 4200 in table B and wherein Z is phenyl and the combination of the meaning of Y and RL corresponds to line A-51 in Table A (compounds I.E.a51 .b1 to I.E.a51 .b4200).
Table 1276: Compounds I.E, wherein the combination of substituents R1, R2, X, D, B and the position of the group Y-Z in each case corresponds to one line B-1 to B- 4200 in table B and wherein Z is phenyl and the combination of the meaning of Y and RL corresponds to line A-52 in Table A (compounds I.E.a52.b1 to I.E.a52.b4200).
Table 1277: Compounds I.E, wherein the combination of substituents R1, R2, X, D, B and the position of the group Y-Z in each case corresponds to one line B-1 to B- 4200 in table B and wherein Z is phenyl and the combination of the meaning of Y and RL corresponds to line A-53 in Table A (compounds I.E.a53.b1 to I.E.a53.b4200).
Table 1278: Compounds I.E, wherein the combination of substituents R1, R2, X, D, B and the position of the group Y-Z in each case corresponds to one line B-1 to B- 4200 in table B and wherein Z is phenyl and the combination of the meaning of Y and RL corresponds to line A-54 in Table A (compounds I.E.a54.b1 to I.E.a54.b4200).
Table 1279: Compounds I.E, wherein the combination of substituents R1, R2, X,
D, B and the position of the group Y-Z in each case corresponds to one line B-1 to B- 4200 in table B and wherein Z is phenyl and the combination of the meaning of Y and RL corresponds to line A-55 in Table A (compounds I.E.a55.b1 to I.E.a55.b4200).
Table 1280: Compounds I.E, wherein the combination of substituents R1, R2, X, D, B and the position of the group Y-Z in each case corresponds to one line B-1 to B- 4200 in table B and wherein Z is phenyl and the combination of the meaning of Y and RL corresponds to line A-56 in Table A (compounds I.E.a56.b1 to I.E.a56.b4200).
Table 1281 : Compounds I.E, wherein the combination of substituents R1, R2, X, D, B and the position of the group Y-Z in each case corresponds to one line B-1 to B- 4200 in table B and wherein Z is phenyl and the combination of the meaning of Y and RL corresponds to line A-57 in Table A (compounds I.E.a57.b1 to I.E.a57.b4200).
Table 1282: Compounds I.E, wherein the combination of substituents R1, R2, X,
D, B and the position of the group Y-Z in each case corresponds to one line B-1 to B- 4200 in table B and wherein Z is phenyl and the combination of the meaning of Y and RL corresponds to line A-58 in Table A (compounds I.E.a58.b1 to I.E.a58.b4200).
Table 1283: Compounds I.E, wherein the combination of substituents R1, R2, X, D, B and the position of the group Y-Z in each case corresponds to one line B-1 to B- 4200 in table B and wherein Z is phenyl and the combination of the meaning of Y and RL corresponds to line A-59 in Table A (compounds I.E.a59.b1 to I.E.a59.b4200).
Table 1284: Compounds I.E, wherein the combination of substituents R1, R2, X, D, B and the position of the group Y-Z in each case corresponds to one line B-1 to B- 4200 in table B and wherein Z is phenyl and the combination of the meaning of Y and RL corresponds to line A-60 in Table A (compounds I.E.a60.b1 to I.E.a60.b4200).
Table 1285: Compounds I.E, wherein the combination of substituents R1, R2, X, D, B and the position of the group Y-Z in each case corresponds to one line B-1 to B- 4200 in table B and wherein Z is phenyl and the combination of the meaning of Y and RL corresponds to line A-61 in Table A (compounds I.E.a61 .b1 to I.E.a61 .b4200).
Table 1286: Compounds I.E, wherein the combination of substituents R1, R2, X, D, B and the position of the group Y-Z in each case corresponds to one line B-1 to B- 4200 in table B and wherein Z is phenyl and the combination of the meaning of Y and RL corresponds to line A-62 in Table A (compounds I.E.a62.b1 to I.E.a62.b4200).
Table 1287: Compounds I.E, wherein the combination of substituents R1, R2, X,
D, B and the position of the group Y-Z in each case corresponds to one line B-1 to B- 4200 in table B and wherein Z is phenyl and the combination of the meaning of Y and RL corresponds to line A-63 in Table A (compounds I.E.a63.b1 to I.E.a63.b4200).
Table 1288: Compounds I.E, wherein the combination of substituents R1, R2, X, D, B and the position of the group Y-Z in each case corresponds to one line B-1 to B- 4200 in table B and wherein Z is phenyl and the combination of the meaning of Y and RL corresponds to line A-64 in Table A (compounds I.E.a64.b1 to I.E.a64.b4200).
Table 1289: Compounds I.E, wherein the combination of substituents R1, R2, X, D, B and the position of the group Y-Z in each case corresponds to one line B-1 to B- 4200 in table B and wherein Z is phenyl and the combination of the meaning of Y and RL corresponds to line A-65 in Table A (compounds I.E.a65.b1 to I.E.a65.b4200).
Table 1290: Compounds I.E, wherein the combination of substituents R1, R2, X, D, B and the position of the group Y-Z in each case corresponds to one line B-1 to B- 4200 in table B and wherein Z is phenyl and the combination of the meaning of Y and RL corresponds to line A-66 in Table A (compounds I.E.a66.b1 to I.E.a66.b4200).
Table 1291 : Compounds I.E, wherein the combination of substituents R1, R2, X, D, B and the position of the group Y-Z in each case corresponds to one line B-1 to B-
4200 in table B and wherein Z is phenyl and the combination of the meaning of Y and RL corresponds to line A-67 in Table A (compounds I.E.a67.b1 to I.E.a67.b4200).
Table 1292: Compounds I.E, wherein the combination of substituents R1, R2, X, D, B and the position of the group Y-Z in each case corresponds to one line B-1 to B- 4200 in table B and wherein Z is phenyl and the combination of the meaning of Y and RL corresponds to line A-68 in Table A (compounds I.E.a68.b1 to I.E.a68.b4200).
Table 1293: Compounds I.E, wherein the combination of substituents R1, R2, X, D, B and the position of the group Y-Z in each case corresponds to one line B-1 to B- 4200 in table B and wherein Z is phenyl and the combination of the meaning of Y and RL corresponds to line A-69 in Table A (compounds I.E.a69.b1 to I.E.a69.b4200).
Table 1294: Compounds I.E, wherein the combination of substituents R1, R2, X, D, B and the position of the group Y-Z in each case corresponds to one line B-1 to B- 4200 in table B and wherein Z is phenyl and the combination of the meaning of Y and RL corresponds to line A-70 in Table A (compounds I.E.a70.b1 to I.E.a70.b4200).
Table 1295: Compounds I.E, wherein the combination of substituents R1, R2, X,
D, B and the position of the group Y-Z in each case corresponds to one line B-1 to B- 4200 in table B and wherein Z is phenyl and the combination of the meaning of Y and RL corresponds to line A-71 in Table A (compounds I.E.a71 .b1 to I.E.a71 .b4200).
Table 1296: Compounds I.E, wherein the combination of substituents R1, R2, X, D, B and the position of the group Y-Z in each case corresponds to one line B-1 to B- 4200 in table B and wherein Z is phenyl and the combination of the meaning of Y and RL corresponds to line A-72 in Table A (compounds I.E.a72.b1 to I.E.a72.b4200).
Table 1297: Compounds I.E, wherein the combination of substituents R1, R2, X, D, B and the position of the group Y-Z in each case corresponds to one line B-1 to B- 4200 in table B and wherein Z is phenyl and the combination of the meaning of Y and RL corresponds to line A-73 in Table A (compounds I.E.a73.b1 to I.E.a73.b4200).
Table 1298: Compounds I.E, wherein the combination of substituents R1, R2, X, D, B and the position of the group Y-Z in each case corresponds to one line B-1 to B- 4200 in table B and wherein Z is phenyl and the combination of the meaning of Y and RL corresponds to line A-74 in Table A (compounds I.E.a74.b1 to I.E.a74.b4200).
Table 1299: Compounds I.E, wherein the combination of substituents R1, R2, X, D, B and the position of the group Y-Z in each case corresponds to one line B-1 to B- 4200 in table B and wherein Z is phenyl and the combination of the meaning of Y and RL corresponds to line A-75 in Table A (compounds I.E.a75.b1 to I.E.a75.b4200).
Table 1300: Compounds I.E, wherein the combination of substituents R1, R2, X,
D, B and the position of the group Y-Z in each case corresponds to one line B-1 to B- 4200 in table B and wherein Z is phenyl and the combination of the meaning of Y and RL corresponds to line A-76 in Table A (compounds I.E.a76.b1 to I.E.a76.b4200).
Table 1301 : Compounds I.E, wherein the combination of substituents R1, R2, X, D, B and the position of the group Y-Z in each case corresponds to one line B-1 to B- 4200 in table B and wherein Z is phenyl and the combination of the meaning of Y and RL corresponds to line A-77 in Table A (compounds I.E.a77.b1 to I.E.a77.b4200).
Table 1302: Compounds I.E, wherein the combination of substituents R1, R2, X, D, B and the position of the group Y-Z in each case corresponds to one line B-1 to B- 4200 in table B and wherein Z is phenyl and the combination of the meaning of Y and RL corresponds to line A-78 in Table A (compounds I.E.a78.b1 to I.E.a78.b4200).
Table 1303: Compounds I.E, wherein the combination of substituents R1, R2, X,
D, B and the position of the group Y-Z in each case corresponds to one line B-1 to B- 4200 in table B and wherein Z is phenyl and the combination of the meaning of Y and RL corresponds to line A-79 in Table A (compounds I.E.a79.b1 to I.E.a79.b4200).
Table 1304: Compounds I.E, wherein the combination of substituents R1, R2, X, D, B and the position of the group Y-Z in each case corresponds to one line B-1 to B- 4200 in table B and wherein Z is phenyl and the combination of the meaning of Y and RL corresponds to line A-80 in Table A (compounds I.E.a80.b1 to I.E.a80.b4200).
Table 1305: Compounds I.E, wherein the combination of substituents R1, R2, X, D, B and the position of the group Y-Z in each case corresponds to one line B-1 to B- 4200 in table B and wherein Z is phenyl and the combination of the meaning of Y and RL corresponds to line A-81 in Table A (compounds I.E.a81 .b1 to I.E.a81 .b4200).
Table 1306: Compounds I.E, wherein the combination of substituents R1, R2, X, D, B and the position of the group Y-Z in each case corresponds to one line B-1 to B- 4200 in table B and wherein Z is phenyl and the combination of the meaning of Y and RL corresponds to line A-82 in Table A (compounds I.E.a82.b1 to I.E.a82.b4200).
Table 1307: Compounds I.E, wherein the combination of substituents R1, R2, X, D, B and the position of the group Y-Z in each case corresponds to one line B-1 to B- 4200 in table B and wherein Z is phenyl and the combination of the meaning of Y and RL corresponds to line A-83 in Table A (compounds I.E.a83.b1 to I.E.a83.b4200).
Table 1308: Compounds I.E, wherein the combination of substituents R1, R2, X,
D, B and the position of the group Y-Z in each case corresponds to one line B-1 to B- 4200 in table B and wherein Z is phenyl and the combination of the meaning of Y and RL corresponds to line A-84 in Table A (compounds I.E.a84.b1 to I.E.a84.b4200).
Table 1309: Compounds I.E, wherein the combination of substituents R1, R2, X, D, B and the position of the group Y-Z in each case corresponds to one line B-1 to B- 4200 in table B and wherein Z is phenyl and the combination of the meaning of Y and RL corresponds to line A-85 in Table A (compounds I.E.a85.b1 to I.E.a85.b4200).
Table 1310: Compounds I.E, wherein the combination of substituents R1, R2, X, D, B and the position of the group Y-Z in each case corresponds to one line B-1 to B- 4200 in table B and wherein Z is phenyl and the combination of the meaning of Y and RL corresponds to line A-86 in Table A (compounds I.E.a86.b1 to I.E.a86.b4200).
Table 131 1 : Compounds I.E, wherein the combination of substituents R1, R2, X, D, B and the position of the group Y-Z in each case corresponds to one line B-1 to B- 4200 in table B and wherein Z is phenyl and the combination of the meaning of Y and RL corresponds to line A-87 in Table A (compounds I.E.a87.b1 to I.E.a87.b4200).
Table 1312: Compounds I.E, wherein the combination of substituents R1, R2, X, D, B and the position of the group Y-Z in each case corresponds to one line B-1 to B-
4200 in table B and wherein Z is phenyl and the combination of the meaning of Y and RL corresponds to line A-88 in Table A (compounds I.E.a88.b1 to I.E.a88.b4200).
Table 1313: Compounds I.E, wherein the combination of substituents R1, R2, X, D, B and the position of the group Y-Z in each case corresponds to one line B-1 to B- 4200 in table B and wherein Z is phenyl and the combination of the meaning of Y and RL corresponds to line A-89 in Table A (compounds I.E.a89.b1 to I.E.a89.b4200).
Table 1314: Compounds I.E, wherein the combination of substituents R1, R2, X, D, B and the position of the group Y-Z in each case corresponds to one line B-1 to B- 4200 in table B and wherein Z is phenyl and the combination of the meaning of Y and RL corresponds to line A-90 in Table A (compounds I.E.a90.b1 to I.E.a90.b4200).
Table 1315: Compounds I.E, wherein the combination of substituents R1, R2, X, D, B and the position of the group Y-Z in each case corresponds to one line B-1 to B- 4200 in table B and wherein Z is phenyl and the combination of the meaning of Y and RL corresponds to line A-91 in Table A (compounds I.E.a91 .b1 to I.E.a91 .b4200).
Table 1316: Compounds I.E, wherein the combination of substituents R1, R2, X,
D, B and the position of the group Y-Z in each case corresponds to one line B-1 to B- 4200 in table B and wherein Z is phenyl and the combination of the meaning of Y and RL corresponds to line A-92 in Table A (compounds I.E.a92.b1 to I.E.a92.b4200).
Table 1317: Compounds I.E, wherein the combination of substituents R1, R2, X, D, B and the position of the group Y-Z in each case corresponds to one line B-1 to B- 4200 in table B and wherein Z is phenyl and the combination of the meaning of Y and RL corresponds to line A-93 in Table A (compounds I.E.a93.b1 to I.E.a93.b4200).
Table 1318: Compounds I.E, wherein the combination of substituents R1, R2, X, D, B and the position of the group Y-Z in each case corresponds to one line B-1 to B- 4200 in table B and wherein Z is phenyl and the combination of the meaning of Y and RL corresponds to line A-94 in Table A (compounds I.E.a94.b1 to I.E.a94.b4200).
Table 1319: Compounds I.E, wherein the combination of substituents R1, R2, X, D, B and the position of the group Y-Z in each case corresponds to one line B-1 to B- 4200 in table B and wherein Z is phenyl and the combination of the meaning of Y and RL corresponds to line A-95 in Table A (compounds I.E.a95.b1 to I.E.a95.b4200).
Table 1320: Compounds I.E, wherein the combination of substituents R1, R2, X, D, B and the position of the group Y-Z in each case corresponds to one line B-1 to B- 4200 in table B and wherein Z is phenyl and the combination of the meaning of Y and RL corresponds to line A-96 in Table A (compounds I.E.a96.b1 to I.E.a96.b4200).
Table 1321 : Compounds I.E, wherein the combination of substituents R1, R2, X,
D, B and the position of the group Y-Z in each case corresponds to one line B-1 to B- 4200 in table B and wherein Z is phenyl and the combination of the meaning of Y and RL corresponds to line A-97 in Table A (compounds I.E.a97.b1 to I.E.a97.b4200).
Table 1322: Compounds I.E, wherein the combination of substituents R1, R2, X, D, B and the position of the group Y-Z in each case corresponds to one line B-1 to B- 4200 in table B and wherein Z is phenyl and the combination of the meaning of Y and RL corresponds to line A-98 in Table A (compounds I.E.a98.b1 to I.E.a98.b4200).
Table 1323: Compounds I.E, wherein the combination of substituents R1, R2, X, D, B and the position of the group Y-Z in each case corresponds to one line B-1 to B- 4200 in table B and wherein Z is phenyl and the combination of the meaning of Y and RL corresponds to line A-99 in Table A (compounds I.E.a99.b1 to I.E.a99.b4200).
Table 1324: Compounds I.E, wherein the combination of substituents R1, R2, X,
D, B and the position of the group Y-Z in each case corresponds to one line B-1 to B- 4200 in table B and wherein Z is phenyl and the combination of the meaning of Y and RL corresponds to line A-100 in Table A (compounds I.E.a100.b1 to I.E.a100.b4200).
Table 1325: Compounds I.E, wherein the combination of substituents R1, R2, X, D, B and the position of the group Y-Z in each case corresponds to one line of lines B-1 to B-4200 in table B and wherein the combination of the meaning of Y and Z corresponds to line Z-1 in Table Z (compounds I.E.zl .b1 to I.E.zl .b4200).
Table 1326: Compounds I.E, wherein the combination of substituents R1, R2, X, D, B and the position of the group Y-Z in each case corresponds to one line of lines B-1 to B-4200 in table B and wherein the combination of the meaning of Y and Z corresponds to line Z-2 in Table Z (compounds I.E.z2.b1 to I.E.z2.b4200).
Table 1327: Compounds I.E, wherein the combination of substituents R1, R2, X, D, B and the position of the group Y-Z in each case corresponds to one line of lines B-1 to B-4200 in table B and wherein the combination of the meaning of Y and Z corresponds to line Z-3 in Table Z (compounds I.E.z3.b1 to I.E.z3.b4200).
Table 1328: Compounds I.E, wherein the combination of substituents R1, R2, X, D, B and the position of the group Y-Z in each case corresponds to one line of lines B-1 to B-4200 in table B and wherein the combination of the meaning of Y and Z corresponds to line Z-4 in Table Z (compounds I.E.z4.b1 to I.E.z4.b4200).
Table 1329: Compounds I.E, wherein the combination of substituents R1, R2, X,
D, B and the position of the group Y-Z in each case corresponds to one line of lines B-1 to B-4200 in table B and wherein the combination of the meaning of Y and Z corresponds to line Z-5 in Table Z (compounds I.E.z5.b1 to I.E.z5.b4200).
Table 1330: Compounds I.E, wherein the combination of substituents R1, R2, X, D, B and the position of the group Y-Z in each case corresponds to one line of lines B-1 to B-4200 in table B and wherein the combination of the meaning of Y and Z corresponds to line Z-6 in Table Z (compounds I.E.z6.b1 to I.E.z6.b4200).
Table 1331 : Compounds I.E, wherein the combination of substituents R1, R2, X, D, B and the position of the group Y-Z in each case corresponds to one line of lines B-1 to B-4200 in table B and wherein the combination of the meaning of Y and Z corresponds to line Z-7 in Table Z (compounds I.E.z7.b1 to I.E.z7.b4200).
Table 1332: Compounds I.E, wherein the combination of substituents R1, R2, X, D, B and the position of the group Y-Z in each case corresponds to one line of lines B-1 to B-4200 in table B and wherein the combination of the meaning of Y and Z corresponds to line Z-8 in Table Z (compounds I.E.z8.b1 to I.E.z8.b4200).
Table 1333: Compounds I.E, wherein the combination of substituents R1, R2, X, D, B and the position of the group Y-Z in each case corresponds to one line of lines B-1
to B-4200 in table B and wherein the combination of the meaning of Y and Z corresponds to line Z-9 in Table Z (compounds I.E.z9.b1 to I.E.z9.b4200).
Table 1334: Compounds I.E, wherein the combination of substituents R1, R2, X, D, B and the position of the group Y-Z in each case corresponds to one line of lines B-1 to B-4200 in table B and wherein the combination of the meaning of Y and Z corresponds to line Z-10 in Table Z (compounds I.E.z10.b1 to I.E.z10.b4200).
Table 1335: Compounds I.E, wherein the combination of substituents R1, R2, X, D, B and the position of the group Y-Z in each case corresponds to one line of lines B-1 to B-4200 in table B and wherein the combination of the meaning of Y and Z corresponds to line Z-1 1 in Table Z (compounds I.E. z1 1 .b1 to I.E.zl 1 .b4200).
Table 1336: Compounds I.E, wherein the combination of substituents R1, R2, X, D, B and the position of the group Y-Z in each case corresponds to one line of lines B-1 to B-4200 in table B and wherein the combination of the meaning of Y and Z corresponds to line Z-12 in Table Z (compounds I.E.z12.b1 to I.E.z12.b4200).
Table 1337: Compounds I.E, wherein the combination of substituents R1, R2, X,
D, B and the position of the group Y-Z in each case corresponds to one line of lines B-1 to B-4200 in table B and wherein the combination of the meaning of Y and Z corresponds to line Z-13 in Table Z (compounds I.E.z13.b1 to I.E.z13.b4200).
Table 1338: Compounds I.E, wherein the combination of substituents R1, R2, X, D, B and the position of the group Y-Z in each case corresponds to one line of lines B-1 to B-4200 in table B and wherein the combination of the meaning of Y and Z corresponds to line Z-14 in Table Z (compounds I.E.z14.b1 to I.E.z14.b4200).
Table 1339: Compounds I.E, wherein the combination of substituents R1, R2, X, D, B and the position of the group Y-Z in each case corresponds to one line of lines B-1 to B-4200 in table B and wherein the combination of the meaning of Y and Z corresponds to line Z-15 in Table Z (compounds I.E.z15.b1 to I.E.z15.b4200).
Table 1340: Compounds I.E, wherein the combination of substituents R1, R2, X, D, B and the position of the group Y-Z in each case corresponds to one line of lines B-1 to B-4200 in table B and wherein the combination of the meaning of Y and Z corresponds to line Z-16 in Table Z (compounds I.E.z16.b1 to I.E.z16.b4200).
Table 1341 : Compounds I.E, wherein the combination of substituents R1, R2, X, D, B and the position of the group Y-Z in each case corresponds to one line of lines B-1 to B-4200 in table B and wherein the combination of the meaning of Y and Z corresponds to line Z-17 in Table Z (compounds I.E.z17.b1 to I.E.z17.b4200).
Table 1342: Compounds I.E, wherein the combination of substituents R1, R2, X,
D, B and the position of the group Y-Z in each case corresponds to one line of lines B-1 to B-4200 in table B and wherein the combination of the meaning of Y and Z corresponds to line Z-18 in Table Z (compounds I.E.z18.b1 to I.E.z18.b4200).
Table 1343: Compounds I.E, wherein the combination of substituents R1, R2, X, D, B and the position of the group Y-Z in each case corresponds to one line of lines B-1 to B-4200 in table B and wherein the combination of the meaning of Y and Z corresponds to line Z-19 in Table Z (compounds I.E.z19.b1 to I.E.z19.b4200).
Table 1344: Compounds I.E, wherein the combination of substituents R1, R2, X, D, B and the position of the group Y-Z in each case corresponds to one line of lines B-1 to B-4200 in table B and wherein the combination of the meaning of Y and Z corresponds to line Z-20 in Table Z (compounds I.E.z20.b1 to I.E.z20.b4200).
Table 1345: Compounds I.E, wherein the combination of substituents R1, R2, X,
D, B and the position of the group Y-Z in each case corresponds to one line of lines B-1 to B-4200 in table B and wherein the combination of the meaning of Y and Z corresponds to line Z-21 in Table Z (compounds I.E.z21 .b1 to I.E.z21 .b4200).
Table 1346: Compounds I.E, wherein the combination of substituents R1, R2, X, D, B and the position of the group Y-Z in each case corresponds to one line of lines B-1 to B-4200 in table B and wherein the combination of the meaning of Y and Z corresponds to line Z-22 in Table Z (compounds I.E.z22.b1 to I.E.z22.b4200).
Table 1347: Compounds I.E, wherein the combination of substituents R1, R2, X, D, B and the position of the group Y-Z in each case corresponds to one line of lines B-1 to B-4200 in table B and wherein the combination of the meaning of Y and Z corresponds to line Z-23 in Table Z (compounds I.E.z23.b1 to I.E.z23.b4200).
Table 1348: Compounds I.E, wherein the combination of substituents R1, R2, X, D, B and the position of the group Y-Z in each case corresponds to one line of lines B-1 to B-4200 in table B and wherein the combination of the meaning of Y and Z corresponds to line Z-24 in Table Z (compounds I.E.z24.b1 to I.E.z24.b4200).
Table 1349: Compounds I.E, wherein the combination of substituents R1, R2, X, D, B and the position of the group Y-Z in each case corresponds to one line of lines B-1 to B-4200 in table B and wherein the combination of the meaning of Y and Z corresponds to line Z-25 in Table Z (compounds I.E.z25.b1 to I.E.z25.b4200).
Table 1350: Compounds I.E, wherein the combination of substituents R1, R2, X,
D, B and the position of the group Y-Z in each case corresponds to one line of lines B-1 to B-4200 in table B and wherein the combination of the meaning of Y and Z corresponds to line Z-26 in Table Z (compounds I.E.z26.b1 to I.E.z26.b4200).
Table 1351 : Compounds I.E, wherein the combination of substituents R1, R2, X, D, B and the position of the group Y-Z in each case corresponds to one line of lines B-1 to B-4200 in table B and wherein the combination of the meaning of Y and Z corresponds to line Z-27 in Table Z (compounds I.E.z27.b1 to I.E.z27.b4200).
Table 1352: Compounds I.E, wherein the combination of substituents R1, R2, X, D, B and the position of the group Y-Z in each case corresponds to one line of lines B-1 to B-4200 in table B and wherein the combination of the meaning of Y and Z corresponds to line Z-28 in Table Z (compounds I.E.z28.b1 to I.E.z28.b4200).
Table 1353: Compounds I.E, wherein the combination of substituents R1, R2, X, D, B and the position of the group Y-Z in each case corresponds to one line of lines B-1 to B-4200 in table B and wherein the combination of the meaning of Y and Z corresponds to line Z-29 in Table Z (compounds I.E.z29.b1 to I.E.z29.b4200).
Table 1354: Compounds I.E, wherein the combination of substituents R1, R2, X, D, B and the position of the group Y-Z in each case corresponds to one line of lines B-1
to B-4200 in table B and wherein the combination of the meaning of Y and Z corresponds to line Z-30 in Table Z (compounds I.E.z30.b1 to I.E.z30.b4200).
Table 1355: Compounds I.E, wherein the combination of substituents R1, R2, X, D, B and the position of the group Y-Z in each case corresponds to one line of lines B-1 to B-4200 in table B and wherein the combination of the meaning of Y and Z corresponds to line Z-31 in Table Z (compounds I.E.z31 .b1 to I.E.z31 .b4200).
Table 1356: Compounds I.E, wherein the combination of substituents R1, R2, X, D, B and the position of the group Y-Z in each case corresponds to one line of lines B-1 to B-4200 in table B and wherein the combination of the meaning of Y and Z corresponds to line Z-32 in Table Z (compounds I.E.z32.b1 to I.E.z32.b4200).
Table 1357: Compounds I.E, wherein the combination of substituents R1, R2, X, D, B and the position of the group Y-Z in each case corresponds to one line of lines B-1 to B-4200 in table B and wherein the combination of the meaning of Y and Z corresponds to line Z-33 in Table Z (compounds I.E.z33.b1 to I.E.z33.b4200).
Table 1358: Compounds I.E, wherein the combination of substituents R1, R2, X,
D, B and the position of the group Y-Z in each case corresponds to one line of lines B-1 to B-4200 in table B and wherein the combination of the meaning of Y and Z corresponds to line Z-34 in Table Z (compounds I.E.z34.b1 to I.E.z34.b4200).
Table 1359: Compounds I.E, wherein the combination of substituents R1, R2, X, D, B and the position of the group Y-Z in each case corresponds to one line of lines B-1 to B-4200 in table B and wherein the combination of the meaning of Y and Z corresponds to line Z-35 in Table Z (compounds I.E.z35.b1 to I.E.z35.b4200).
Table 1360: Compounds I.E, wherein the combination of substituents R1, R2, X, D, B and the position of the group Y-Z in each case corresponds to one line of lines B-1 to B-4200 in table B and wherein the combination of the meaning of Y and Z corresponds to line Z-36 in Table Z (compounds I.E.z36.b1 to I.E.z36.b4200).
Table 1361 : Compounds I.E, wherein the combination of substituents R1, R2, X, D, B and the position of the group Y-Z in each case corresponds to one line of lines B-1 to B-4200 in table B and wherein the combination of the meaning of Y and Z corresponds to line Z-37 in Table Z (compounds I.E.z37.b1 to I.E.z37.b4200).
Table 1362: Compounds I.E, wherein the combination of substituents R1, R2, X, D, B and the position of the group Y-Z in each case corresponds to one line of lines B-1 to B-4200 in table B and wherein the combination of the meaning of Y and Z corresponds to line Z-38 in Table Z (compounds I.E.z38.b1 to I.E.z38.b4200).
Table 1363: Compounds I.E, wherein the combination of substituents R1, R2, X,
D, B and the position of the group Y-Z in each case corresponds to one line of lines B-1 to B-4200 in table B and wherein the combination of the meaning of Y and Z corresponds to line Z-39 in Table Z (compounds I.E.z39.b1 to I.E.z39.b4200).
Table 1364: Compounds I.E, wherein the combination of substituents R1, R2, X, D, B and the position of the group Y-Z in each case corresponds to one line of lines B-1 to B-4200 in table B and wherein the combination of the meaning of Y and Z corresponds to line Z-40 in Table Z (compounds I.E.z40.b1 to I.E.z40.b4200).
Table 1365: Compounds I.E, wherein the combination of substituents R1, R2, X, D, B and the position of the group Y-Z in each case corresponds to one line of lines B-1 to B-4200 in table B and wherein the combination of the meaning of Y and Z corresponds to line Z-41 in Table Z (compounds I.E.z41 .b1 to I.E.z41.b4200).
Table 1366: Compounds I.E, wherein the combination of substituents R1, R2, X,
D, B and the position of the group Y-Z in each case corresponds to one line of lines B-1 to B-4200 in table B and wherein the combination of the meaning of Y and Z corresponds to line Z-42 in Table Z (compounds I.E.z42.b1 to I.E.z42.b4200).
Table 1367: Compounds I.E, wherein the combination of substituents R1, R2, X, D, B and the position of the group Y-Z in each case corresponds to one line of lines B-1 to B-4200 in table B and wherein the combination of the meaning of Y and Z corresponds to line Z-43 in Table Z (compounds I.E.z43.b1 to I.E.z43.b4200).
Table 1368: Compounds I.E, wherein the combination of substituents R1, R2, X, D, B and the position of the group Y-Z in each case corresponds to one line of lines B-1 to B-4200 in table B and wherein the combination of the meaning of Y and Z corresponds to line Z-44 in Table Z (compounds I.E.z44.b1 to I.E.z44.b4200).
Table 1369: Compounds I.E, wherein the combination of substituents R1, R2, X, D, B and the position of the group Y-Z in each case corresponds to one line of lines B-1 to B-4200 in table B and wherein the combination of the meaning of Y and Z corresponds to line Z-45 in Table Z (compounds I.E.z45.b1 to I.E.z45.b4200).
Table 1370: Compounds I.E, wherein the combination of substituents R1, R2, X, D, B and the position of the group Y-Z in each case corresponds to one line of lines B-1 to B-4200 in table B and wherein the combination of the meaning of Y and Z corresponds to line Z-46 in Table Z (compounds I.E.z46.b1 to I.E.z46.b4200).
Table 1371 : Compounds I.E, wherein the combination of substituents R1, R2, X,
D, B and the position of the group Y-Z in each case corresponds to one line of lines B-1 to B-4200 in table B and wherein the combination of the meaning of Y and Z corresponds to line Z-47 in Table Z (compounds I.E.z47.b1 to I.E.z47.b4200).
Table 1372: Compounds I.E, wherein the combination of substituents R1, R2, X, D, B and the position of the group Y-Z in each case corresponds to one line of lines B-1 to B-4200 in table B and wherein the combination of the meaning of Y and Z corresponds to line Z-48 in Table Z (compounds I.E.z48.b1 to I.E.z48.b4200).
Table 1373: Compounds I.E, wherein the combination of substituents R1, R2, X, D, B and the position of the group Y-Z in each case corresponds to one line of lines B-1 to B-4200 in table B and wherein the combination of the meaning of Y and Z corresponds to line Z-49 in Table Z (compounds I.E.z49.b1 to I.E.z49.b4200).
Table 1374: Compounds I.E, wherein the combination of substituents R1, R2, X, D, B and the position of the group Y-Z in each case corresponds to one line of lines B-1 to B-4200 in table B and wherein the combination of the meaning of Y and Z corresponds to line Z-50 in Table Z (compounds I.E.z50.b1 to I.E.z50.b4200).
Table 1375: Compounds I.E, wherein the combination of substituents R1, R2, X, D, B and the position of the group Y-Z in each case corresponds to one line of lines B-1
to B-4200 in table B and wherein the combination of the meaning of Y and Z corresponds to line Z-51 in Table Z (compounds I.E.z51 .b1 to I.E.z51 .b4200).
Table 1376: Compounds I.E, wherein the combination of substituents R1, R2, X, D, B and the position of the group Y-Z in each case corresponds to one line of lines B-1 to B-4200 in table B and wherein the combination of the meaning of Y and Z corresponds to line Z-52 in Table Z (compounds I.E.z52.b1 to I.E.z52.b4200).
Table 1377: Compounds I.E, wherein the combination of substituents R1, R2, X, D, B and the position of the group Y-Z in each case corresponds to one line of lines B-1 to B-4200 in table B and wherein the combination of the meaning of Y and Z corresponds to line Z-53 in Table Z (compounds I.E.z53.b1 to I.E.z53.b4200).
Table 1378: Compounds I.E, wherein the combination of substituents R1, R2, X, D, B and the position of the group Y-Z in each case corresponds to one line of lines B-1 to B-4200 in table B and wherein the combination of the meaning of Y and Z corresponds to line Z-54 in Table Z (compounds I.E.z54.b1 to I.E.z54.b4200).
Table 1379: Compounds I.E, wherein the combination of substituents R1, R2, X,
D, B and the position of the group Y-Z in each case corresponds to one line of lines B-1 to B-4200 in table B and wherein the combination of the meaning of Y and Z corresponds to line Z-55 in Table Z (compounds I.E.z55.b1 to I.E.z55.b4200).
Table 1380: Compounds I.E, wherein the combination of substituents R1, R2, X, D, B and the position of the group Y-Z in each case corresponds to one line of lines B-1 to B-4200 in table B and wherein the combination of the meaning of Y and Z corresponds to line Z-56 in Table Z (compounds I.E.z56.b1 to I.E.z56.b4200).
Table 1381 : Compounds I.E, wherein the combination of substituents R1, R2, X, D, B and the position of the group Y-Z in each case corresponds to one line of lines B-1 to B-4200 in table B and wherein the combination of the meaning of Y and Z corresponds to line Z-57 in Table Z (compounds I.E.z57.b1 to I.E.z57.b4200).
Table 1382: Compounds I.E, wherein the combination of substituents R1, R2, X, D, B and the position of the group Y-Z in each case corresponds to one line of lines B-1 to B-4200 in table B and wherein the combination of the meaning of Y and Z corresponds to line Z-58 in Table Z (compounds I.E.z58.b1 to I.E.z58.b4200).
Table 1383: Compounds I.E, wherein the combination of substituents R1, R2, X, D, B and the position of the group Y-Z in each case corresponds to one line of lines B-1 to B-4200 in table B and wherein the combination of the meaning of Y and Z corresponds to line Z-59 in Table Z (compounds I.E.z59.b1 to I.E.z59.b4200).
Table 1384: Compounds I.E, wherein the combination of substituents R1, R2, X,
D, B and the position of the group Y-Z in each case corresponds to one line of lines B-1 to B-4200 in table B and wherein the combination of the meaning of Y and Z corresponds to line Z-60 in Table Z (compounds I.E.z60.b1 to I.E.z60.b4200).
Table 1385: Compounds I.E, wherein the combination of substituents R1, R2, X, D, B and the position of the group Y-Z in each case corresponds to one line of lines B-1 to B-4200 in table B and wherein the combination of the meaning of Y and Z corresponds to line Z-61 in Table Z (compounds I.E.z61 .b1 to I.E.z61 .b4200).
Table 1386: Compounds I.E, wherein the combination of substituents R1, R2, X, D, B and the position of the group Y-Z in each case corresponds to one line of lines B-1 to B-4200 in table B and wherein the combination of the meaning of Y and Z corresponds to line Z-62 in Table Z (compounds I.E.z62.b1 to I.E.z62.b4200).
Table 1387: Compounds I.E, wherein the combination of substituents R1, R2, X,
D, B and the position of the group Y-Z in each case corresponds to one line of lines B-1 to B-4200 in table B and wherein the combination of the meaning of Y and Z corresponds to line Z-63 in Table Z (compounds I.E.z63.b1 to I.E.z63.b4200).
Table 1388: Compounds I.E, wherein the combination of substituents R1, R2, X, D, B and the position of the group Y-Z in each case corresponds to one line of lines B-1 to B-4200 in table B and wherein the combination of the meaning of Y and Z corresponds to line Z-64 in Table Z (compounds I.E.z64.b1 to I.E.z64.b4200).
Table 1389: Compounds I.E, wherein the combination of substituents R1, R2, X, D, B and the position of the group Y-Z in each case corresponds to one line of lines B-1 to B-4200 in table B and wherein the combination of the meaning of Y and Z corresponds to line Z-65 in Table Z (compounds I.E.z65.b1 to I.E.z65.b4200).
Table 1390: Compounds I.E, wherein the combination of substituents R1, R2, X, D, B and the position of the group Y-Z in each case corresponds to one line of lines B-1 to B-4200 in table B and wherein the combination of the meaning of Y and Z corresponds to line Z-66 in Table Z (compounds I.E.z66.b1 to I.E.z66.b4200).
Table 1391 : Compounds I.E, wherein the combination of substituents R1, R2, X, D, B and the position of the group Y-Z in each case corresponds to one line of lines B-1 to B-4200 in table B and wherein the combination of the meaning of Y and Z corresponds to line Z-67 in Table Z (compounds I.E.z67.b1 to I.E.z67.b4200).
Table 1392: Compounds I.E, wherein the combination of substituents R1, R2, X,
D, B and the position of the group Y-Z in each case corresponds to one line of lines B-1 to B-4200 in table B and wherein the combination of the meaning of Y and Z corresponds to line Z-68 in Table Z (compounds I.E.z68.b1 to I.E.z68.b4200).
Table 1393: Compounds I.E, wherein the combination of substituents R1, R2, X, D, B and the position of the group Y-Z in each case corresponds to one line of lines B-1 to B-4200 in table B and wherein the combination of the meaning of Y and Z corresponds to line Z-69 in Table Z (compounds I.E.z69.b1 to I.E.z69.b4200).
Table 1394: Compounds I.E, wherein the combination of substituents R1, R2, X, D, B and the position of the group Y-Z in each case corresponds to one line of lines B-1 to B-4200 in table B and wherein the combination of the meaning of Y and Z corresponds to line Z-70 in Table Z (compounds I.E.z70.b1 to I.E.z70.b4200).
Table 1395: Compounds I.E, wherein the combination of substituents R1, R2, X, D, B and the position of the group Y-Z in each case corresponds to one line of lines B-1 to B-4200 in table B and wherein the combination of the meaning of Y and Z corresponds to line Z-71 in Table Z (compounds I.E.z71 .b1 to I.E.z71 .b4200).
Table 1396: Compounds I.E, wherein the combination of substituents R1, R2, X, D, B and the position of the group Y-Z in each case corresponds to one line of lines B-1
to B-4200 in table B and wherein the combination of the meaning of Y and Z corresponds to line Z-72 in Table Z (compounds I.E.z72.b1 to I.E.z72.b4200).
Table 1397: Compounds I.E, wherein the combination of substituents R1, R2, X, D, B and the position of the group Y-Z in each case corresponds to one line of lines B-1 to B-4200 in table B and wherein the combination of the meaning of Y and Z corresponds to line Z-73 in Table Z (compounds I.E.z73.b1 to I.E.z73.b4200).
Table 1398: Compounds I.E, wherein the combination of substituents R1, R2, X, D, B and the position of the group Y-Z in each case corresponds to one line of lines B-1 to B-4200 in table B and wherein the combination of the meaning of Y and Z corresponds to line Z-74 in Table Z (compounds I.E.z74.b1 to I.E.z74.b4200).
Table 1399: Compounds I.E, wherein the combination of substituents R1, R2, X, D, B and the position of the group Y-Z in each case corresponds to one line of lines B-1 to B-4200 in table B and wherein the combination of the meaning of Y and Z corresponds to line Z-75 in Table Z (compounds I.E.z75.b1 to I.E.z75.b4200).
Table 1400: Compounds I.E, wherein the combination of substituents R1, R2, X,
D, B and the position of the group Y-Z in each case corresponds to one line of lines B-1 to B-4200 in table B and wherein the combination of the meaning of Y and Z corresponds to line Z-76 in Table Z (compounds I.E.z76.b1 to I.E.z76.b4200).
Table 1401 : Compounds I.E, wherein the combination of substituents R1, R2, X, D, B and the position of the group Y-Z in each case corresponds to one line of lines B-1 to B-4200 in table B and wherein the combination of the meaning of Y and Z corresponds to line Z-77 in Table Z (compounds I.E.z77.b1 to I.E.z77.b4200).
Table 1402: Compounds I.E, wherein the combination of substituents R1, R2, X, D, B and the position of the group Y-Z in each case corresponds to one line of lines B-1 to B-4200 in table B and wherein the combination of the meaning of Y and Z corresponds to line Z-78 in Table Z (compounds I.E.z78.b1 to I.E.z78.b4200).
Table 1403: Compounds I.E, wherein the combination of substituents R1, R2, X, D, B and the position of the group Y-Z in each case corresponds to one line of lines B-1 to B-4200 in table B and wherein the combination of the meaning of Y and Z corresponds to line Z-79 in Table Z (compounds I.E.z79.b1 to I.E.z79.b4200).
Table 1404: Compounds I.E, wherein the combination of substituents R1, R2, X, D, B and the position of the group Y-Z in each case corresponds to one line of lines B-1 to B-4200 in table B and wherein the combination of the meaning of Y and Z corresponds to line Z-80 in Table Z (compounds I.E.z80.b1 to I.E.z80.b4200).
Table 1405: Compounds I.E, wherein the combination of substituents R1, R2, X,
D, B and the position of the group Y-Z in each case corresponds to one line of lines B-1 to B-4200 in table B and wherein the combination of the meaning of Y and Z corresponds to line Z-81 in Table Z (compounds I.E.z81 .b1 to I.E.z81 .b4200).
Table 1406: Compounds I.E, wherein the combination of substituents R1, R2, X, D, B and the position of the group Y-Z in each case corresponds to one line of lines B-1 to B-4200 in table B and wherein the combination of the meaning of Y and Z corresponds to line Z-82 in Table Z (compounds I.E.z82.b1 to I.E.z82.b4200).
Table 1407: Compounds I.E, wherein the combination of substituents R1, R2, X, D, B and the position of the group Y-Z in each case corresponds to one line of lines B-1 to B-4200 in table B and wherein the combination of the meaning of Y and Z corresponds to line Z-83 in Table Z (compounds I.E.z83.b1 to I.E.z83.b4200).
Table 1408: Compounds I.E, wherein the combination of substituents R1, R2, X,
D, B and the position of the group Y-Z in each case corresponds to one line of lines B-1 to B-4200 in table B and wherein the combination of the meaning of Y and Z corresponds to line Z-84 in Table Z (compounds I.E.z84.b1 to I.E.z84.b4200).
Table 1409: Compounds I.E, wherein the combination of substituents R1, R2, X, D, B and the position of the group Y-Z in each case corresponds to one line of lines B-1 to B-4200 in table B and wherein the combination of the meaning of Y and Z corresponds to line Z-85 in Table Z (compounds I.E.z85.b1 to I.E.z85.b4200).
Table 1410: Compounds I.E, wherein the combination of substituents R1, R2, X, D, B and the position of the group Y-Z in each case corresponds to one line of lines B-1 to B-4200 in table B and wherein the combination of the meaning of Y and Z corresponds to line Z-86 in Table Z (compounds I.E.z86.b1 to I.E.z86.b4200).
Table 141 1 : Compounds I.E, wherein the combination of substituents R1, R2, X, D, B and the position of the group Y-Z in each case corresponds to one line of lines B-1 to B-4200 in table B and wherein the combination of the meaning of Y and Z corresponds to line Z-87 in Table Z (compounds I.E.z87.b1 to I.E.z87.b4200).
Table 1412: Compounds I.E, wherein the combination of substituents R1, R2, X, D, B and the position of the group Y-Z in each case corresponds to one line of lines B-1 to B-4200 in table B and wherein the combination of the meaning of Y and Z corresponds to line Z-88 in Table Z (compounds I.E.z88.b1 to I.E.z88.b4200).
Table 1413: Compounds I.E, wherein the combination of substituents R1, R2, X,
D, B and the position of the group Y-Z in each case corresponds to one line of lines B-1 to B-4200 in table B and wherein the combination of the meaning of Y and Z corresponds to line Z-89 in Table Z (compounds I.E.z89.b1 to I.E.z89.b4200).
Table 1414: Compounds I.E, wherein the combination of substituents R1, R2, X, D, B and the position of the group Y-Z in each case corresponds to one line of lines B-1 to B-4200 in table B and wherein the combination of the meaning of Y and Z corresponds to line Z-90 in Table Z (compounds I.E.z90.b1 to I.E.z90.b4200).
Table 1415: Compounds I.E, wherein the combination of substituents R1, R2, X, D, B and the position of the group Y-Z in each case corresponds to one line of lines B-1 to B-4200 in table B and wherein the combination of the meaning of Y and Z corresponds to line Z-91 in Table Z (compounds I.E.z91 .b1 to I.E.z91 .b4200).
Table 1416: Compounds I.E, wherein the combination of substituents R1, R2, X, D, B and the position of the group Y-Z in each case corresponds to one line of lines B-1 to B-4200 in table B and wherein the combination of the meaning of Y and Z corresponds to line Z-92 in Table Z (compounds I.E.z92.b1 to I.E.z92.b4200).
Table 1417: Compounds I.E, wherein the combination of substituents R1, R2, X, D, B and the position of the group Y-Z in each case corresponds to one line of lines B-1
to B-4200 in table B and wherein the combination of the meaning of Y and Z corresponds to line Z-93 in Table Z (compounds I.E.z93.b1 to I.E.z93.b4200).
Table 1418: Compounds I.E, wherein the combination of substituents R1, R2, X, D, B and the position of the group Y-Z in each case corresponds to one line of lines B-1 to B-4200 in table B and wherein the combination of the meaning of Y and Z corresponds to line Z-94 in Table Z (compounds I.E.z94.b1 to I.E.z94.b4200).
Table 1419: Compounds I.E, wherein the combination of substituents R1, R2, X, D, B and the position of the group Y-Z in each case corresponds to one line of lines B-1 to B-4200 in table B and wherein the combination of the meaning of Y and Z corresponds to line Z-95 in Table Z (compounds I.E.z95.b1 to I.E.z95.b4200).
Table 1420: Compounds I.E, wherein the combination of substituents R1, R2, X, D, B and the position of the group Y-Z in each case corresponds to one line of lines B-1 to B-4200 in table B and wherein the combination of the meaning of Y and Z corresponds to line Z-96 in Table Z (compounds I.E.z96.b1 to I.E.z96.b4200).
Table 1421 : Compounds I.E, wherein the combination of substituents R1, R2, X,
D, B and the position of the group Y-Z in each case corresponds to one line of lines B-1 to B-4200 in table B and wherein the combination of the meaning of Y and Z corresponds to line Z-97 in Table Z (compounds I.E.z97.b1 to I.E.z97.b4200).
Table 1422: Compounds I.E, wherein the combination of substituents R1, R2, X, D, B and the position of the group Y-Z in each case corresponds to one line of lines B-1 to B-4200 in table B and wherein the combination of the meaning of Y and Z corresponds to line Z-98 in Table Z (compounds I.E.z98.b1 to I.E.z98.b4200).
Table 1423: Compounds I.E, wherein the combination of substituents R1, R2, X, D, B and the position of the group Y-Z in each case corresponds to one line of lines B-1 to B-4200 in table B and wherein the combination of the meaning of Y and Z corresponds to line Z-99 in Table Z (compounds I.E.z99.b1 to I.E.z99.b4200).
Table 1424: Compounds I.E, wherein the combination of substituents R1, R2, X, D, B and the position of the group Y-Z in each case corresponds to one line of lines B-1 to B-4200 in table B and wherein the combination of the meaning of Y and Z corresponds to line Z-100 in Table Z (compounds I.E.z100.b1 to I.E.z100.b4200).
Table 1425: Compounds I.E, wherein the combination of substituents R1, R2, X, D, B and the position of the group Y-Z in each case corresponds to one line of lines B-1 to B-4200 in table B and wherein the combination of the meaning of Y and Z corresponds to line Z-101 in Table Z (compounds I.E.z101.b1 to I.E.zl 01 .b4200).
Table 1426: Compounds I.E, wherein the combination of substituents R1, R2, X,
D, B and the position of the group Y-Z in each case corresponds to one line of lines B-1 to B-4200 in table B and wherein the combination of the meaning of Y and Z corresponds to line Z-102 in Table Z (compounds I.E.zl 02. b1 to I.E.zl 02. b4200).
Table 1427: Compounds I.E, wherein the combination of substituents R1, R2, X, D, B and the position of the group Y-Z in each case corresponds to one line of lines B-1 to B-4200 in table B and wherein the combination of the meaning of Y and Z corresponds to line Z-103 in Table Z (compounds I.E.z103.b1 to I.E.z103.b4200).
Table 1428: Compounds I.E, wherein the combination of substituents R1, R2, X, D, B and the position of the group Y-Z in each case corresponds to one line of lines B-1 to B-4200 in table B and wherein the combination of the meaning of Y and Z corresponds to line Z-104 in Table Z (compounds I.E.z104.b1 to I.E.z104.b4200).
Table 1429: Compounds I.E, wherein the combination of substituents R1, R2, X,
D, B and the position of the group Y-Z in each case corresponds to one line of lines B-1 to B-4200 in table B and wherein the combination of the meaning of Y and Z corresponds to line Z-105 in Table Z (compounds I.E.z105.b1 to I.E.z105.b4200).
Table 1430: Compounds I.E, wherein the combination of substituents R1, R2, X, D, B and the position of the group Y-Z in each case corresponds to one line of lines B-1 to B-4200 in table B and wherein the combination of the meaning of Y and Z corresponds to line Z-106 in Table Z (compounds I.E.z106.b1 to I.E.z106.b4200).
Table 1431 : Compounds I.E, wherein the combination of substituents R1, R2, X, D, B and the position of the group Y-Z in each case corresponds to one line of lines B-1 to B-4200 in table B and wherein the combination of the meaning of Y and Z corresponds to line Z-107 in Table Z (compounds I.E.z107.b1 to I.E.z107.b4200).
Table 1432: Compounds I.E, wherein the combination of substituents R1, R2, X, D, B and the position of the group Y-Z in each case corresponds to one line of lines B-1 to B-4200 in table B and wherein the combination of the meaning of Y and Z corresponds to line Z-108 in Table Z (compounds I.E.z108.b1 to I.E.z108.b4200).
Table 1433: Compounds I.E, wherein the combination of substituents R1, R2, X, D, B and the position of the group Y-Z in each case corresponds to one line of lines B-1 to B-4200 in table B and wherein the combination of the meaning of Y and Z corresponds to line Z-109 in Table Z (compounds I.E.z109.b1 to I.E.z109.b4200).
Table 1434: Compounds I.E, wherein the combination of substituents R1, R2, X,
D, B and the position of the group Y-Z in each case corresponds to one line of lines B-1 to B-4200 in table B and wherein the combination of the meaning of Y and Z corresponds to line Z-1 10 in Table Z (compounds I.E.z1 10.b1 to I.E.zl 10.b4200).
Table 1435: Compounds I.E, wherein the combination of substituents R1, R2, X, D, B and the position of the group Y-Z in each case corresponds to one line of lines B-1 to B-4200 in table B and wherein the combination of the meaning of Y and Z corresponds to line Z-1 1 1 in Table Z (compounds I.E.zl 1 1.b1 to I.E.zl 1 1 .b4200).
Table 1436: Compounds I.E, wherein the combination of substituents R1, R2, X, D, B and the position of the group Y-Z in each case corresponds to one line of lines B-1 to B-4200 in table B and wherein the combination of the meaning of Y and Z corresponds to line Z-1 12 in Table Z (compounds I.E.zl 12. b1 to I.E.zl 12.b4200).
Table 1437: Compounds I.E, wherein the combination of substituents R1, R2, X, D, B and the position of the group Y-Z in each case corresponds to one line of lines B-1 to B-4200 in table B and wherein the combination of the meaning of Y and Z corresponds to line Z-1 13 in Table Z (compounds I.E.zl 13. b1 to I.E.zl 13.b4200).
Table 1438: Compounds I.E, wherein the combination of substituents R1, R2, X, D, B and the position of the group Y-Z in each case corresponds to one line of lines B-1
to B-4200 in table B and wherein the combination of the meaning of Y and Z corresponds to line Z-1 14 in Table Z (compounds I.E.zl 14. b1 to I.E.zl 14.b4200).
Table 1439: Compounds I.E, wherein the combination of substituents R1, R2, X, D, B and the position of the group Y-Z in each case corresponds to one line of lines B-1 to B-4200 in table B and wherein the combination of the meaning of Y and Z corresponds to line Z-1 15 in Table Z (compounds I.E.zl 15. b1 to I.E.zl 15. b4200).
Table 1440: Compounds I.E, wherein the combination of substituents R1, R2, X, D, B and the position of the group Y-Z in each case corresponds to one line of lines B-1 to B-4200 in table B and wherein the combination of the meaning of Y and Z corresponds to line Z-1 16 in Table Z (compounds I.E.zl 16.b1 to I.E.zl 16.b4200).
Table 1441 : Compounds I.E, wherein the combination of substituents R1, R2, X, D, B and the position of the group Y-Z in each case corresponds to one line of lines B-1 to B-4200 in table B and wherein the combination of the meaning of Y and Z corresponds to line Z-1 17 in Table Z (compounds I.E.zl 17. b1 to I.E.zl 17. b4200).
Table 1442: Compounds I.E, wherein the combination of substituents R1, R2, X,
D, B and the position of the group Y-Z in each case corresponds to one line of lines B-1 to B-4200 in table B and wherein the combination of the meaning of Y and Z corresponds to line Z-1 18 in Table Z (compounds I.E.zl 18. b1 to I.E.zl 18. b4200).
Table 1443: Compounds I.E, wherein the combination of substituents R1, R2, X, D, B and the position of the group Y-Z in each case corresponds to one line of lines B-1 to B-4200 in table B and wherein the combination of the meaning of Y and Z corresponds to line Z-1 19 in Table Z (compounds I.E.zl 19. b1 to I.E.zl 19. b4200).
Table 1444: Compounds I.E, wherein the combination of substituents R1, R2, X, D, B and the position of the group Y-Z in each case corresponds to one line of lines B-1 to B-4200 in table B and wherein the combination of the meaning of Y and Z corresponds to line Z-120 in Table Z (compounds I.E.z120.b1 to I.E.z120.b4200).
Table 1445: Compounds I.E, wherein the combination of substituents R1, R2, X, D, B and the position of the group Y-Z in each case corresponds to one line of lines B-1 to B-4200 in table B and wherein the combination of the meaning of Y and Z corresponds to line Z-121 in Table Z (compounds I. E.z121.b1 to I.E.z121 .b4200).
Table 1446: Compounds I.E, wherein the combination of substituents R1, R2, X, D, B and the position of the group Y-Z in each case corresponds to one line of lines B-1 to B-4200 in table B and wherein the combination of the meaning of Y and Z corresponds to line Z-122 in Table Z (compounds I.E.z122.b1 to I.E.z122.b4200).
Table 1447: Compounds I.E, wherein the combination of substituents R1, R2, X,
D, B and the position of the group Y-Z in each case corresponds to one line of lines B-1 to B-4200 in table B and wherein the combination of the meaning of Y and Z corresponds to line Z-123 in Table Z (compounds I.E.z123.b1 to I.E.z123.b4200).
Table 1448: Compounds I.E, wherein the combination of substituents R1, R2, X, D, B and the position of the group Y-Z in each case corresponds to one line of lines B-1 to B-4200 in table B and wherein the combination of the meaning of Y and Z corresponds to line Z-124 in Table Z (compounds I.E.z124.b1 to I.E.z124.b4200).
Table 1449: Compounds I.E, wherein the combination of substituents R1, R2, X, D, B and the position of the group Y-Z in each case corresponds to one line of lines B-1 to B-4200 in table B and wherein the combination of the meaning of Y and Z corresponds to line Z-125 in Table Z (compounds I.E.z125.b1 to I.E.z125.b4200).
Table 1450: Compounds I.E, wherein the combination of substituents R1, R2, X,
D, B and the position of the group Y-Z in each case corresponds to one line of lines B-1 to B-4200 in table B and wherein the combination of the meaning of Y and Z corresponds to line Z-126 in Table Z (compounds I.E.z126.b1 to I.E.z126.b4200).
Table 1451 : Compounds I.E, wherein the combination of substituents R1, R2, X, D, B and the position of the group Y-Z in each case corresponds to one line of lines B-1 to B-4200 in table B and wherein the combination of the meaning of Y and Z corresponds to line Z-127 in Table Z (compounds I.E.z127.b1 to I.E.z127.b4200).
Table 1452: Compounds I.E, wherein the combination of substituents R1, R2, X, D, B and the position of the group Y-Z in each case corresponds to one line of lines B-1 to B-4200 in table B and wherein the combination of the meaning of Y and Z corresponds to line Z-128 in Table Z (compounds I.E.z128.b1 to I.E.z128.b4200).
Table 1453: Compounds I.E, wherein the combination of substituents R1, R2, X, D, B and the position of the group Y-Z in each case corresponds to one line of lines B-1 to B-4200 in table B and wherein the combination of the meaning of Y and Z corresponds to line Z-129 in Table Z (compounds I.E.z129.b1 to I.E.z129.b4200).
Table 1454: Compounds I.E, wherein the combination of substituents R1, R2, X, D, B and the position of the group Y-Z in each case corresponds to one line of lines B-1 to B-4200 in table B and wherein the combination of the meaning of Y and Z corresponds to line Z-130 in Table Z (compounds I.E.z130.b1 to I.E.z130.b4200).
Table 1455: Compounds I.E, wherein the combination of substituents R1, R2, X,
D, B and the position of the group Y-Z in each case corresponds to one line of lines B-1 to B-4200 in table B and wherein the combination of the meaning of Y and Z corresponds to line Z-131 in Table Z (compounds I.E.z131.b1 to I.E.zl 31 .b4200).
Table 1456: Compounds I.E, wherein the combination of substituents R1, R2, X, D, B and the position of the group Y-Z in each case corresponds to one line of lines B-1 to B-4200 in table B and wherein the combination of the meaning of Y and Z corresponds to line Z-132 in Table Z (compounds I.E.z132.b1 to I.E.zl 32. b4200).
Table 1457: Compounds I.E, wherein the combination of substituents R1, R2, X, D, B and the position of the group Y-Z in each case corresponds to one line of lines B-1 to B-4200 in table B and wherein the combination of the meaning of Y and Z corresponds to line Z-133 in Table Z (compounds I.E.z133.b1 to I.E.z133.b4200).
Table 1458: Compounds I.E, wherein the combination of substituents R1, R2, X, D, B and the position of the group Y-Z in each case corresponds to one line of lines B-1 to B-4200 in table B and wherein the combination of the meaning of Y and Z corresponds to line Z-134 in Table Z (compounds I.E.z134.b1 to I.E.zl 34. b4200).
Table 1459: Compounds I.E, wherein the combination of substituents R1, R2, X, D, B and the position of the group Y-Z in each case corresponds to one line of lines B-1
to B-4200 in table B and wherein the combination of the meaning of Y and Z corresponds to line Z-135 in Table Z (compounds I.E.z135.b1 to I.E.z135.b4200).
Table 1460: Compounds I.E, wherein the combination of substituents R1, R2, X, D, B and the position of the group Y-Z in each case corresponds to one line of lines B-1 to B-4200 in table B and wherein the combination of the meaning of Y and Z corresponds to line Z-136 in Table Z (compounds I.E.z136.b1 to I.E.z136.b4200).
Table 1461 : Compounds I.E, wherein the combination of substituents R1, R2, X, D, B and the position of the group Y-Z in each case corresponds to one line of lines B-1 to B-4200 in table B and wherein the combination of the meaning of Y and Z corresponds to line Z-137 in Table Z (compounds I.E.z137.b1 to I.E.z137.b4200).
Table 1462: Compounds I.E, wherein the combination of substituents R1, R2, X, D, B and the position of the group Y-Z in each case corresponds to one line of lines B-1 to B-4200 in table B and wherein the combination of the meaning of Y and Z corresponds to line Z-138 in Table Z (compounds I.E.z138.b1 to I.E.z138.b4200).
Table 1463: Compounds I.E, wherein the combination of substituents R1, R2, X,
D, B and the position of the group Y-Z in each case corresponds to one line of lines B-1 to B-4200 in table B and wherein the combination of the meaning of Y and Z corresponds to line Z-139 in Table Z (compounds I.E.z139.b1 to I.E.z139.b4200).
Table 1464: Compounds I.E, wherein the combination of substituents R1, R2, X, D, B and the position of the group Y-Z in each case corresponds to one line of lines B-1 to B-4200 in table B and wherein the combination of the meaning of Y and Z corresponds to line Z-140 in Table Z (compounds I.E.z140.b1 to I.E.z140.b4200).
Table 1465: Compounds I.E, wherein the combination of substituents R1, R2, X, D, B and the position of the group Y-Z in each case corresponds to one line of lines B-1 to B-4200 in table B and wherein the combination of the meaning of Y and Z corresponds to line Z-141 in Table Z (compounds I.E.z141.b1 to I.E.z141 .b4200).
Table 1466: Compounds I.E, wherein the combination of substituents R1, R2, X, D, B and the position of the group Y-Z in each case corresponds to one line of lines B-1 to B-4200 in table B and wherein the combination of the meaning of Y and Z corresponds to line Z-142 in Table Z (compounds I.E.z142.b1 to I.E.z142.b4200).
Table 1467: Compounds I.E, wherein the combination of substituents R1, R2, X, D, B and the position of the group Y-Z in each case corresponds to one line of lines B-1 to B-4200 in table B and wherein the combination of the meaning of Y and Z corresponds to line Z-143 in Table Z (compounds I.E.z143.b1 to I.E.z143.b4200).
Table 1468: Compounds I.E, wherein the combination of substituents R1, R2, X,
D, B and the position of the group Y-Z in each case corresponds to one line of lines B-1 to B-4200 in table B and wherein the combination of the meaning of Y and Z corresponds to line Z-144 in Table Z (compounds I.E.z144.b1 to I.E.z144.b4200).
Table 1469: Compounds I.E, wherein the combination of substituents R1, R2, X, D, B and the position of the group Y-Z in each case corresponds to one line of lines B-1 to B-4200 in table B and wherein the combination of the meaning of Y and Z corresponds to line Z-145 in Table Z (compounds I.E.z145.b1 to I.E.z145.b4200).
Table 1470: Compounds I.E, wherein the combination of substituents R1, R2, X, D, B and the position of the group Y-Z in each case corresponds to one line of lines B-1 to B-4200 in table B and wherein the combination of the meaning of Y and Z corresponds to line Z-146 in Table Z (compounds I.E.z146.b1 to I.E.z146.b4200).
Table 1471 : Compounds I.E, wherein the combination of substituents R1, R2, X,
D, B and the position of the group Y-Z in each case corresponds to one line of lines B-1 to B-4200 in table B and wherein the combination of the meaning of Y and Z corresponds to line Z-147 in Table Z (compounds I.E.z147.b1 to I.E.z147.b4200).
Table 1472: Compounds I.E, wherein the combination of substituents R1, R2, X, D, B and the position of the group Y-Z in each case corresponds to one line of lines B-1 to B-4200 in table B and wherein the combination of the meaning of Y and Z corresponds to line Z-148 in Table Z (compounds I.E.z148.b1 to I.E.z148.b4200).
Table 1473: Compounds I.E, wherein the combination of substituents R1, R2, X, D, B and the position of the group Y-Z in each case corresponds to one line of lines B-1 to B-4200 in table B and wherein the combination of the meaning of Y and Z corresponds to line Z-149 in Table Z (compounds I.E.z149.b1 to I.E.z149.b4200).
Table 1474: Compounds I.E, wherein the combination of substituents R1, R2, X, D, B and the position of the group Y-Z in each case corresponds to one line of lines B-1 to B-4200 in table B and wherein the combination of the meaning of Y and Z corresponds to line Z-150 in Table Z (compounds I.E.z150.b1 to I.E.z150.b4200).
Table 1475: Compounds I.E, wherein the combination of substituents R1, R2, X, D, B and the position of the group Y-Z in each case corresponds to one line of lines B-1 to B-4200 in table B and wherein the combination of the meaning of Y and Z corresponds to line Z-151 in Table Z (compounds I.E.z151.b1 to I.E.zl 51 .b4200).
Table 1476: Compounds I.E, wherein the combination of substituents R1, R2, X,
D, B and the position of the group Y-Z in each case corresponds to one line of lines B-1 to B-4200 in table B and wherein the combination of the meaning of Y and Z corresponds to line Z-152 in Table Z (compounds I.E.z152.b1 to I.E.zl 52. b4200).
Table 1477: Compounds I.E, wherein the combination of substituents R1, R2, X, D, B and the position of the group Y-Z in each case corresponds to one line of lines B-1 to B-4200 in table B and wherein the combination of the meaning of Y and Z corresponds to line Z-153 in Table Z (compounds I.E.z153.b1 to I.E.z153.b4200).
Table 1478: Compounds I.E, wherein the combination of substituents R1, R2, X, D, B and the position of the group Y-Z in each case corresponds to one line of lines B-1 to B-4200 in table B and wherein the combination of the meaning of Y and Z corresponds to line Z-154 in Table Z (compounds I.E.z154.b1 to I.E.zl 54. b4200).
Table 1479: Compounds I.E, wherein the combination of substituents R1, R2, X, D, B and the position of the group Y-Z in each case corresponds to one line of lines B-1 to B-4200 in table B and wherein the combination of the meaning of Y and Z corresponds to line Z-155 in Table Z (compounds I.E.z155.b1 to I.E.zl 55. b4200).
Table 1480: Compounds I.E, wherein the combination of substituents R1, R2, X, D, B and the position of the group Y-Z in each case corresponds to one line of lines B-1
to B-4200 in table B and wherein the combination of the meaning of Y and Z corresponds to line Z-156 in Table Z (compounds I.E.z156.b1 to I.E.z156.b4200).
Table 1481 : Compounds I.E, wherein the combination of substituents R1, R2, X, D, B and the position of the group Y-Z in each case corresponds to one line of lines B-1 to B-4200 in table B and wherein the combination of the meaning of Y and Z corresponds to line Z-157 in Table Z (compounds I.E.z157.b1 to I.E.z157.b4200).
Table 1482: Compounds I.E, wherein the combination of substituents R1, R2, X, D, B and the position of the group Y-Z in each case corresponds to one line of lines B-1 to B-4200 in table B and wherein the combination of the meaning of Y and Z corresponds to line Z-158 in Table Z (compounds I.E.z158.b1 to I.E.z158.b4200).
Table 1483: Compounds I.E, wherein the combination of substituents R1, R2, X, D, B and the position of the group Y-Z in each case corresponds to one line of lines B-1 to B-4200 in table B and wherein the combination of the meaning of Y and Z corresponds to line Z-159 in Table Z (compounds I.E.z159.b1 to I.E.z159.b4200).
Table 1484: Compounds I.E, wherein the combination of substituents R1, R2, X,
D, B and the position of the group Y-Z in each case corresponds to one line of lines B-1 to B-4200 in table B and wherein the combination of the meaning of Y and Z corresponds to line Z-160 in Table Z (compounds I.E.z160.b1 to I.E.z160.b4200).
Table 1485: Compounds I.E, wherein the combination of substituents R1, R2, X, D, B and the position of the group Y-Z in each case corresponds to one line of lines B-1 to B-4200 in table B and wherein the combination of the meaning of Y and Z corresponds to line Z-161 in Table Z (compounds I.E.z161.b1 to I.E.zl 61 .b4200).
Table 1486: Compounds I.E, wherein the combination of substituents R1, R2, X, D, B and the position of the group Y-Z in each case corresponds to one line of lines B-1 to B-4200 in table B and wherein the combination of the meaning of Y and Z corresponds to line Z-162 in Table Z (compounds I.E.z162.b1 to I.E.zl 62. b4200).
Table 1487: Compounds I.E, wherein the combination of substituents R1, R2, X, D, B and the position of the group Y-Z in each case corresponds to one line of lines B-1 to B-4200 in table B and wherein the combination of the meaning of Y and Z corresponds to line Z-163 in Table Z (compounds I.E.z163.b1 to I.E.zl 63. b4200).
Table 1488: Compounds I.E, wherein the combination of substituents R1, R2, X, D, B and the position of the group Y-Z in each case corresponds to one line of lines B-1 to B-4200 in table B and wherein the combination of the meaning of Y and Z corresponds to line Z-164 in Table Z (compounds I.E.z164.b1 to I.E.z164.b4200).
Table 1489: Compounds I.E, wherein the combination of substituents R1, R2, X,
D, B and the position of the group Y-Z in each case corresponds to one line of lines B-1 to B-4200 in table B and wherein the combination of the meaning of Y and Z corresponds to line Z-165 in Table Z (compounds I.E.z165.b1 to I.E.zl 65. b4200).
Table 1490: Compounds I.E, wherein the combination of substituents R1, R2, X, D, B and the position of the group Y-Z in each case corresponds to one line of lines B-1 to B-4200 in table B and wherein the combination of the meaning of Y and Z corresponds to line Z-166 in Table Z (compounds I.E.z166.b1 to I.E.zl 66. b4200).
Table 1491 : Compounds I.E, wherein the combination of substituents R1, R2, X, D, B and the position of the group Y-Z in each case corresponds to one line of lines B-1 to B-4200 in table B and wherein the combination of the meaning of Y and Z corresponds to line Z-167 in Table Z (compounds I.E.z167.b1 to I.E.z167.b4200).
Table 1492: Compounds I.E, wherein the combination of substituents R1, R2, X,
D, B and the position of the group Y-Z in each case corresponds to one line of lines B-1 to B-4200 in table B and wherein the combination of the meaning of Y and Z corresponds to line Z-168 in Table Z (compounds I.E.z168.b1 to I.E.z168.b4200).
Table 1493: Compounds I.E, wherein the combination of substituents R1, R2, X, D, B and the position of the group Y-Z in each case corresponds to one line of lines B-1 to B-4200 in table B and wherein the combination of the meaning of Y and Z corresponds to line Z-169 in Table Z (compounds I.E.z169.b1 to I.E.z169.b4200).
Table 1494: Compounds I.E, wherein the combination of substituents R1, R2, X, D, B and the position of the group Y-Z in each case corresponds to one line of lines B-1 to B-4200 in table B and wherein the combination of the meaning of Y and Z corresponds to line Z-170 in Table Z (compounds I.E.z170.b1 to I.E.z170.b4200).
Table 1495: Compounds I.E, wherein the combination of substituents R1, R2, X, D, B and the position of the group Y-Z in each case corresponds to one line of lines B-1 to B-4200 in table B and wherein the combination of the meaning of Y and Z corresponds to line Z-171 in Table Z (compounds I. E.z171.b1 to I.E.z171 .b4200).
Table 1496: Compounds I.E, wherein the combination of substituents R1, R2, X, D, B and the position of the group Y-Z in each case corresponds to one line of lines B-1 to B-4200 in table B and wherein the combination of the meaning of Y and Z corresponds to line Z-172 in Table Z (compounds I.E.z172.b1 to I.E.z172.b4200).
Table 1497: Compounds I.E, wherein the combination of substituents R1, R2, X,
D, B and the position of the group Y-Z in each case corresponds to one line of lines B-1 to B-4200 in table B and wherein the combination of the meaning of Y and Z corresponds to line Z-173 in Table Z (compounds I.E.z173.b1 to I.E.z173.b4200).
Table 1498: Compounds I.E, wherein the combination of substituents R1, R2, X, D, B and the position of the group Y-Z in each case corresponds to one line of lines B-1 to B-4200 in table B and wherein the combination of the meaning of Y and Z corresponds to line Z-174 in Table Z (compounds I.E.z174.b1 to I.E.z174.b4200).
Table 1499: Compounds I.E, wherein the combination of substituents R1, R2, X, D, B and the position of the group Y-Z in each case corresponds to one line of lines B-1 to B-4200 in table B and wherein the combination of the meaning of Y and Z corresponds to line Z-175 in Table Z (compounds I.E.z175.b1 to I.E.z175.b4200).
Table 1500: Compounds I.E, wherein the combination of substituents R1, R2, X, D, B and the position of the group Y-Z in each case corresponds to one line of lines B-1 to B-4200 in table B and wherein the combination of the meaning of Y and Z corresponds to line Z-176 in Table Z (compounds I.E.z176.b1 to I.E.z176.b4200).
Table 1501 : Compounds I.E, wherein the combination of substituents R1, R2, X, D, B and the position of the group Y-Z in each case corresponds to one line of lines B-1
to B-4200 in table B and wherein the combination of the meaning of Y and Z corresponds to line Z-177 in Table Z (compounds I.E.z177.b1 to I.E.z177.b4200).
Table 1502: Compounds I.E, wherein the combination of substituents R1, R2, X, D, B and the position of the group Y-Z in each case corresponds to one line of lines B-1 to B-4200 in table B and wherein the combination of the meaning of Y and Z corresponds to line Z-178 in Table Z (compounds I.E.z178.b1 to I.E.z178.b4200).
Table 1503: Compounds I.E, wherein the combination of substituents R1, R2, X, D, B and the position of the group Y-Z in each case corresponds to one line of lines B-1 to B-4200 in table B and wherein the combination of the meaning of Y and Z corresponds to line Z-179 in Table Z (compounds I.E.z179.b1 to I.E.z179.b4200).
Table 1504: Compounds I.E, wherein the combination of substituents R1, R2, X, D, B and the position of the group Y-Z in each case corresponds to one line of lines B-1 to B-4200 in table B and wherein the combination of the meaning of Y and Z corresponds to line Z-180 in Table Z (compounds I.E.z180.b1 to I.E.z180.b4200).
Table 1505: Compounds I.E, wherein the combination of substituents R1, R2, X,
D, B and the position of the group Y-Z in each case corresponds to one line of lines B-1 to B-4200 in table B and wherein the combination of the meaning of Y and Z corresponds to line Z-181 in Table Z (compounds I.E.z181.b1 to I.E.zl 81 .b4200).
Table 1506: Compounds I.E, wherein the combination of substituents R1, R2, X, D, B and the position of the group Y-Z in each case corresponds to one line of lines B-1 to B-4200 in table B and wherein the combination of the meaning of Y and Z corresponds to line Z-182 in Table Z (compounds I.E.z182.b1 to I.E.zl 82. b4200).
Table 1507: Compounds I.E, wherein the combination of substituents R1, R2, X, D, B and the position of the group Y-Z in each case corresponds to one line of lines B-1 to B-4200 in table B and wherein the combination of the meaning of Y and Z corresponds to line Z-183 in Table Z (compounds I.E.z183.b1 to I.E.zl 83. b4200).
Table 1508: Compounds I.E, wherein the combination of substituents R1, R2, X, D, B and the position of the group Y-Z in each case corresponds to one line of lines B-1 to B-4200 in table B and wherein the combination of the meaning of Y and Z corresponds to line Z-184 in Table Z (compounds I.E.z184.b1 to I.E.zl 84. b4200).
Table 1509: Compounds I.E, wherein the combination of substituents R1, R2, X, D, B and the position of the group Y-Z in each case corresponds to one line of lines B-1 to B-4200 in table B and wherein the combination of the meaning of Y and Z corresponds to line Z-185 in Table Z (compounds I.E.z185.b1 to I.E.zl 85. b4200).
Table 1510: Compounds I.E, wherein the combination of substituents R1, R2, X,
D, B and the position of the group Y-Z in each case corresponds to one line of lines B-1 to B-4200 in table B and wherein the combination of the meaning of Y and Z corresponds to line Z-186 in Table Z (compounds I.E.z186.b1 to I.E.zl 86. b4200).
Table 151 1 : Compounds I.E, wherein the combination of substituents R1, R2, X, D, B and the position of the group Y-Z in each case corresponds to one line of lines B-1 to B-4200 in table B and wherein the combination of the meaning of Y and Z corresponds to line Z-187 in Table Z (compounds I.E.z187.b1 to I.E.zl 87. b4200).
Table 1512: Compounds I.E, wherein the combination of substituents R1, R2, X, D, B and the position of the group Y-Z in each case corresponds to one line of lines B-1 to B-4200 in table B and wherein the combination of the meaning of Y and Z corresponds to line Z-188 in Table Z (compounds I.E.z188.b1 to I.E.z188.b4200).
Table 1513: Compounds I.E, wherein the combination of substituents R1, R2, X,
D, B and the position of the group Y-Z in each case corresponds to one line of lines B-1 to B-4200 in table B and wherein the combination of the meaning of Y and Z corresponds to line Z-189 in Table Z (compounds I.E.z189.b1 to I.E.z189.b4200).
Table 1514: Compounds I.E, wherein the combination of substituents R1, R2, X, D, B and the position of the group Y-Z in each case corresponds to one line of lines B-1 to B-4200 in table B and wherein the combination of the meaning of Y and Z corresponds to line Z-190 in Table Z (compounds I.E.z190.b1 to I.E.z190.b4200).
Table 1515: Compounds I.E, wherein the combination of substituents R1, R2, X, D, B and the position of the group Y-Z in each case corresponds to one line of lines B-1 to B-4200 in table B and wherein the combination of the meaning of Y and Z corresponds to line Z-191 in Table Z (compounds I.E.z191.b1 to I.E.zl 91 .b4200).
Table 1516: Compounds I.E, wherein the combination of substituents R1, R2, X, D, B and the position of the group Y-Z in each case corresponds to one line of lines B-1 to B-4200 in table B and wherein the combination of the meaning of Y and Z corresponds to line Z-192 in Table Z (compounds I.E.z192.b1 to I.E.zl 92. b4200).
Table 1517: Compounds I.E, wherein the combination of substituents R1, R2, X, D, B and the position of the group Y-Z in each case corresponds to one line of lines B-1 to B-4200 in table B and wherein the combination of the meaning of Y and Z corresponds to line Z-193 in Table Z (compounds I.E.z193.b1 to I.E.z193.b4200).
Table 1518: Compounds I.E, wherein the combination of substituents R1, R2, X,
D, B and the position of the group Y-Z in each case corresponds to one line of lines B-1 to B-4200 in table B and wherein the combination of the meaning of Y and Z corresponds to line Z-194 in Table Z (compounds I.E.z194.b1 to I.E.zl 94. b4200).
Table 1519: Compounds I.E, wherein the combination of substituents R1, R2, X, D, B and the position of the group Y-Z in each case corresponds to one line of lines B-1 to B-4200 in table B and wherein the combination of the meaning of Y and Z corresponds to line Z-195 in Table Z (compounds I.E.z195.b1 to I.E.zl 95. b4200).
Table 1520: Compounds I.E, wherein the combination of substituents R1, R2, X, D, B and the position of the group Y-Z in each case corresponds to one line of lines B-1 to B-4200 in table B and wherein the combination of the meaning of Y and Z corresponds to line Z-196 in Table Z (compounds I.E.z196.b1 to I.E.zl 96. b4200).
Table 1521 : Compounds I.E, wherein the combination of substituents R1, R2, X, D, B and the position of the group Y-Z in each case corresponds to one line of lines B-1 to B-4200 in table B and wherein the combination of the meaning of Y and Z corresponds to line Z-197 in Table Z (compounds I.E.z197.b1 to I.E.zl 97. b4200).
Table 1522: Compounds I.E, wherein the combination of substituents R1, R2, X, D, B and the position of the group Y-Z in each case corresponds to one line of lines B-1
to B-4200 in table B and wherein the combination of the meaning of Y and Z corresponds to line Z-198 in Table Z (compounds I.E.z198.b1 to I.E.z198.b4200).
Table 1523: Compounds I.E, wherein the combination of substituents R1, R2, X, D, B and the position of the group Y-Z in each case corresponds to one line of lines B-1 to B-4200 in table B and wherein the combination of the meaning of Y and Z corresponds to line Z-199 in Table Z (compounds I.E.z199.b1 to I.E.z199.b4200).
Table 1524: Compounds I.E, wherein the combination of substituents R1, R2, X, D, B and the position of the group Y-Z in each case corresponds to one line of lines B-1 to B-4200 in table B and wherein the combination of the meaning of Y and Z corresponds to line Z-200 in Table Z (compounds I.E.z200.b1 to I.E.z200.b4200).
Table 1525: Compounds I.E, wherein the combination of substituents R1, R2, X, D, B and the position of the group Y-Z in each case corresponds to one line of lines B-1 to B-4200 in table B and wherein the combination of the meaning of Y and Z corresponds to line Z-201 in Table Z (compounds I.E.z201.b1 to I.E.z201 .b4200).
Table 1526: Compounds I.E, wherein the combination of substituents R1, R2, X,
D, B and the position of the group Y-Z in each case corresponds to one line of lines B-1 to B-4200 in table B and wherein the combination of the meaning of Y and Z corresponds to line Z-202 in Table Z (compounds I.E.z202.b1 to I.E.z202.b4200).
Table 1527: Compounds I.E, wherein the combination of substituents R1, R2, X, D, B and the position of the group Y-Z in each case corresponds to one line of lines B-1 to B-4200 in table B and wherein the combination of the meaning of Y and Z corresponds to line Z-203 in Table Z (compounds I.E.z203.b1 to I.E.z203.b4200).
Table 1528: Compounds I.E, wherein the combination of substituents R1, R2, X, D, B and the position of the group Y-Z in each case corresponds to one line of lines B-1 to B-4200 in table B and wherein the combination of the meaning of Y and Z corresponds to line Z-204 in Table Z (compounds I.E.z204.b1 to I.E.z204.b4200).
Table 1529: Compounds I.E, wherein the combination of substituents R1, R2, X, D, B and the position of the group Y-Z in each case corresponds to one line of lines B-1 to B-4200 in table B and wherein the combination of the meaning of Y and Z corresponds to line Z-205 in Table Z (compounds I.E.z205.b1 to I.E.z205.b4200).
Table 1530: Compounds I.E, wherein the combination of substituents R1, R2, X, D, B and the position of the group Y-Z in each case corresponds to one line of lines B-1 to B-4200 in table B and wherein the combination of the meaning of Y and Z corresponds to line Z-206 in Table Z (compounds I.E.z206.b1 to I.E.z206.b4200).
Table 1531 : Compounds I.F, wherein the combination of substituents R1, R2, X,
D, B and the position of the group Y-Z in each case corresponds to one line B-1 to B- 4200 in table B and wherein Z is phenyl and the combination of the meaning of Y and RL corresponds to line A-1 in Table A (compounds I.F.al .b1 to I.F.al .b4200).
Table 1532: Compounds I.F, wherein the combination of substituents R1, R2, X, D, B and the position of the group Y-Z in each case corresponds to one line B-1 to B- 4200 in table B and wherein Z is phenyl and the combination of the meaning of Y and RL corresponds to line A-2 in Table A (compounds I.F.a2.b1 to I.F.a2.b4200).
Table 1533: Compounds I.F, wherein the combination of substituents R1, R2, X, D, B and the position of the group Y-Z in each case corresponds to one line B-1 to B- 4200 in table B and wherein Z is phenyl and the combination of the meaning of Y and RL corresponds to line A-3 in Table A (compounds I.F.a3.b1 to I.F.a3.b4200).
Table 1534: Compounds I.F, wherein the combination of substituents R1, R2, X,
D, B and the position of the group Y-Z in each case corresponds to one line B-1 to B- 4200 in table B and wherein Z is phenyl and the combination of the meaning of Y and RL corresponds to line A-4 in Table A (compounds I.F.a4.b1 to I.F.a4.b4200).
Table 1535: Compounds I.F, wherein the combination of substituents R1, R2, X, D, B and the position of the group Y-Z in each case corresponds to one line B-1 to B- 4200 in table B and wherein Z is phenyl and the combination of the meaning of Y and RL corresponds to line A-5 in Table A (compounds I.F.a5.b1 to I.F.a5.b4200).
Table 1536: Compounds I.F, wherein the combination of substituents R1, R2, X, D, B and the position of the group Y-Z in each case corresponds to one line B-1 to B- 4200 in table B and wherein Z is phenyl and the combination of the meaning of Y and RL corresponds to line A-6 in Table A (compounds I.F.a6.b1 to I.F.a6.b4200).
Table 1537: Compounds I.F, wherein the combination of substituents R1, R2, X, D, B and the position of the group Y-Z in each case corresponds to one line B-1 to B- 4200 in table B and wherein Z is phenyl and the combination of the meaning of Y and RL corresponds to line A-7 in Table A (compounds I.F.a7.b1 to I.F.a7.b4200).
Table 1538: Compounds I.F, wherein the combination of substituents R1, R2, X, D, B and the position of the group Y-Z in each case corresponds to one line B-1 to B- 4200 in table B and wherein Z is phenyl and the combination of the meaning of Y and RL corresponds to line A-8 in Table A (compounds I.F.a8.b1 to I.F.a8.b4200).
Table 1539: Compounds I.F, wherein the combination of substituents R1, R2, X,
D, B and the position of the group Y-Z in each case corresponds to one line B-1 to B- 4200 in table B and wherein Z is phenyl and the combination of the meaning of Y and RL corresponds to line A-9 in Table A (compounds I.F.a9.b1 to I.F.a9.b4200).
Table 1540: Compounds I.F, wherein the combination of substituents R1, R2, X, D, B and the position of the group Y-Z in each case corresponds to one line B-1 to B- 4200 in table B and wherein Z is phenyl and the combination of the meaning of Y and RL corresponds to line A-10 in Table A (compounds I.F.a10.b1 to I.F.a10.b4200).
Table 1541 : Compounds I.F, wherein the combination of substituents R1, R2, X, D, B and the position of the group Y-Z in each case corresponds to one line B-1 to B- 4200 in table B and wherein Z is phenyl and the combination of the meaning of Y and RL corresponds to line A-1 1 in Table A (compounds I.F.al 1.b1 to I.F.al 1.b4200).
Table 1542: Compounds I.F, wherein the combination of substituents R1, R2, X, D, B and the position of the group Y-Z in each case corresponds to one line B-1 to B- 4200 in table B and wherein Z is phenyl and the combination of the meaning of Y and RL corresponds to line A-12 in Table A (compounds I.F.a12.b1 to I.F.a12.b4200).
Table 1543: Compounds I.F, wherein the combination of substituents R1, R2, X, D, B and the position of the group Y-Z in each case corresponds to one line B-1 to B-
4200 in table B and wherein Z is phenyl and the combination of the meaning of Y and RL corresponds to line A-13 in Table A (compounds I.F.a13.b1 to I.F.a13.b4200).
Table 1544: Compounds I.F, wherein the combination of substituents R1, R2, X, D, B and the position of the group Y-Z in each case corresponds to one line B-1 to B- 4200 in table B and wherein Z is phenyl and the combination of the meaning of Y and RL corresponds to line A-14 in Table A (compounds I.F.a14.b1 to I.F.a14.b4200).
Table 1545: Compounds I.F, wherein the combination of substituents R1, R2, X, D, B and the position of the group Y-Z in each case corresponds to one line B-1 to B- 4200 in table B and wherein Z is phenyl and the combination of the meaning of Y and RL corresponds to line A-15 in Table A (compounds I.F.a15.b1 to I.F.a15.b4200).
Table 1546: Compounds I.F, wherein the combination of substituents R1, R2, X, D, B and the position of the group Y-Z in each case corresponds to one line B-1 to B- 4200 in table B and wherein Z is phenyl and the combination of the meaning of Y and RL corresponds to line A-16 in Table A (compounds I.F.a16.b1 to I.F.a16.b4200).
Table 1547: Compounds I.F, wherein the combination of substituents R1, R2, X,
D, B and the position of the group Y-Z in each case corresponds to one line B-1 to B- 4200 in table B and wherein Z is phenyl and the combination of the meaning of Y and RL corresponds to line A-17 in Table A (compounds I.F.a17.b1 to I.F.a17.b4200).
Table 1548: Compounds I.F, wherein the combination of substituents R1, R2, X, D, B and the position of the group Y-Z in each case corresponds to one line B-1 to B- 4200 in table B and wherein Z is phenyl and the combination of the meaning of Y and RL corresponds to line A-18 in Table A (compounds I.F.a18.b1 to I.F.a18.b4200).
Table 1549: Compounds I.F, wherein the combination of substituents R1, R2, X, D, B and the position of the group Y-Z in each case corresponds to one line B-1 to B- 4200 in table B and wherein Z is phenyl and the combination of the meaning of Y and RL corresponds to line A-19 in Table A (compounds I.F.a19.b1 to I.F.a19.b4200).
Table 1550: Compounds I.F, wherein the combination of substituents R1, R2, X, D, B and the position of the group Y-Z in each case corresponds to one line B-1 to B- 4200 in table B and wherein Z is phenyl and the combination of the meaning of Y and RL corresponds to line A-20 in Table A (compounds I.F.a20.b1 to I.F.a20.b4200).
Table 1551 : Compounds I.F, wherein the combination of substituents R1, R2, X, D, B and the position of the group Y-Z in each case corresponds to one line B-1 to B- 4200 in table B and wherein Z is phenyl and the combination of the meaning of Y and RL corresponds to line A-21 in Table A (compounds I.F.a21.b1 to I.F.a21.b4200).
Table 1552: Compounds I.F, wherein the combination of substituents R1, R2, X,
D, B and the position of the group Y-Z in each case corresponds to one line B-1 to B- 4200 in table B and wherein Z is phenyl and the combination of the meaning of Y and RL corresponds to line A-22 in Table A (compounds I.F.a22.b1 to I.F.a22.b4200).
Table 1553: Compounds I.F, wherein the combination of substituents R1, R2, X, D, B and the position of the group Y-Z in each case corresponds to one line B-1 to B- 4200 in table B and wherein Z is phenyl and the combination of the meaning of Y and RL corresponds to line A-23 in Table A (compounds I.F.a23.b1 to I.F.a23.b4200).
Table 1554: Compounds I.F, wherein the combination of substituents R1, R2, X, D, B and the position of the group Y-Z in each case corresponds to one line B-1 to B- 4200 in table B and wherein Z is phenyl and the combination of the meaning of Y and RL corresponds to line A-24 in Table A (compounds I.F.a24.b1 to I.F.a24.b4200).
Table 1555: Compounds I.F, wherein the combination of substituents R1, R2, X,
D, B and the position of the group Y-Z in each case corresponds to one line B-1 to B- 4200 in table B and wherein Z is phenyl and the combination of the meaning of Y and RL corresponds to line A-25 in Table A (compounds I.F.a25.b1 to I.F.a25.b4200).
Table 1556: Compounds I.F, wherein the combination of substituents R1, R2, X, D, B and the position of the group Y-Z in each case corresponds to one line B-1 to B- 4200 in table B and wherein Z is phenyl and the combination of the meaning of Y and RL corresponds to line A-26 in Table A (compounds I.F.a26.b1 to I.F.a26.b4200).
Table 1557: Compounds I.F, wherein the combination of substituents R1, R2, X, D, B and the position of the group Y-Z in each case corresponds to one line B-1 to B- 4200 in table B and wherein Z is phenyl and the combination of the meaning of Y and RL corresponds to line A-27 in Table A (compounds I.F.a27.b1 to I.F.a27.b4200).
Table 1558: Compounds I.F, wherein the combination of substituents R1, R2, X, D, B and the position of the group Y-Z in each case corresponds to one line B-1 to B- 4200 in table B and wherein Z is phenyl and the combination of the meaning of Y and RL corresponds to line A-28 in Table A (compounds I.F.a28.b1 to I.F.a28.b4200).
Table 1559: Compounds I.F, wherein the combination of substituents R1, R2, X, D, B and the position of the group Y-Z in each case corresponds to one line B-1 to B- 4200 in table B and wherein Z is phenyl and the combination of the meaning of Y and RL corresponds to line A-29 in Table A (compounds I.F.a29.b1 to I.F.a29.b4200).
Table 1560: Compounds I.F, wherein the combination of substituents R1, R2, X,
D, B and the position of the group Y-Z in each case corresponds to one line B-1 to B- 4200 in table B and wherein Z is phenyl and the combination of the meaning of Y and RL corresponds to line A-30 in Table A (compounds I.F.a30.b1 to I.F.a30.b4200).
Table 1561 : Compounds I.F, wherein the combination of substituents R1, R2, X, D, B and the position of the group Y-Z in each case corresponds to one line B-1 to B- 4200 in table B and wherein Z is phenyl and the combination of the meaning of Y and RL corresponds to line A-31 in Table A (compounds I.F.a31.b1 to I.F.a31.b4200).
Table 1562: Compounds I.F, wherein the combination of substituents R1, R2, X, D, B and the position of the group Y-Z in each case corresponds to one line B-1 to B- 4200 in table B and wherein Z is phenyl and the combination of the meaning of Y and RL corresponds to line A-32 in Table A (compounds I.F.a32.b1 to I.F.a32.b4200).
Table 1563: Compounds I.F, wherein the combination of substituents R1, R2, X, D, B and the position of the group Y-Z in each case corresponds to one line B-1 to B- 4200 in table B and wherein Z is phenyl and the combination of the meaning of Y and RL corresponds to line A-33 in Table A (compounds I.F.a33.b1 to I.F.a33.b4200).
Table 1564: Compounds I.F, wherein the combination of substituents R1, R2, X, D, B and the position of the group Y-Z in each case corresponds to one line B-1 to B-
4200 in table B and wherein Z is phenyl and the combination of the meaning of Y and RL corresponds to line A-34 in Table A (compounds I.F.a34.b1 to I.F.a34.b4200).
Table 1565: Compounds I.F, wherein the combination of substituents R1, R2, X, D, B and the position of the group Y-Z in each case corresponds to one line B-1 to B- 4200 in table B and wherein Z is phenyl and the combination of the meaning of Y and RL corresponds to line A-35 in Table A (compounds I.F.a35.b1 to I.F.a35.b4200).
Table 1566: Compounds I.F, wherein the combination of substituents R1, R2, X, D, B and the position of the group Y-Z in each case corresponds to one line B-1 to B- 4200 in table B and wherein Z is phenyl and the combination of the meaning of Y and RL corresponds to line A-36 in Table A (compounds I.F.a36.b1 to I.F.a36.b4200).
Table 1567: Compounds I.F, wherein the combination of substituents R1, R2, X, D, B and the position of the group Y-Z in each case corresponds to one line B-1 to B- 4200 in table B and wherein Z is phenyl and the combination of the meaning of Y and RL corresponds to line A-37 in Table A (compounds I.F.a37.b1 to I.F.a37.b4200).
Table 1568: Compounds I.F, wherein the combination of substituents R1, R2, X,
D, B and the position of the group Y-Z in each case corresponds to one line B-1 to B- 4200 in table B and wherein Z is phenyl and the combination of the meaning of Y and RL corresponds to line A-38 in Table A (compounds I.F.a38.b1 to I.F.a38.b4200).
Table 1569: Compounds I.F, wherein the combination of substituents R1, R2, X, D, B and the position of the group Y-Z in each case corresponds to one line B-1 to B- 4200 in table B and wherein Z is phenyl and the combination of the meaning of Y and RL corresponds to line A-39 in Table A (compounds I.F.a39.b1 to I.F.a39.b4200).
Table 1570: Compounds I.F, wherein the combination of substituents R1, R2, X, D, B and the position of the group Y-Z in each case corresponds to one line B-1 to B- 4200 in table B and wherein Z is phenyl and the combination of the meaning of Y and RL corresponds to line A-40 in Table A (compounds I.F.a40.b1 to I.F.a40.b4200).
Table 1571 : Compounds I.F, wherein the combination of substituents R1, R2, X, D, B and the position of the group Y-Z in each case corresponds to one line B-1 to B- 4200 in table B and wherein Z is phenyl and the combination of the meaning of Y and RL corresponds to line A-41 in Table A (compounds I.F.a41 .b1 to I.F.a41 .b4200).
Table 1572: Compounds I.F, wherein the combination of substituents R1, R2, X, D, B and the position of the group Y-Z in each case corresponds to one line B-1 to B- 4200 in table B and wherein Z is phenyl and the combination of the meaning of Y and RL corresponds to line A-42 in Table A (compounds I.F.a42.b1 to I.F.a42.b4200).
Table 1573: Compounds I.F, wherein the combination of substituents R1, R2, X,
D, B and the position of the group Y-Z in each case corresponds to one line B-1 to B- 4200 in table B and wherein Z is phenyl and the combination of the meaning of Y and RL corresponds to line A-43 in Table A (compounds I.F.a43.b1 to I.F.a43.b4200).
Table 1574: Compounds I.F, wherein the combination of substituents R1, R2, X, D, B and the position of the group Y-Z in each case corresponds to one line B-1 to B- 4200 in table B and wherein Z is phenyl and the combination of the meaning of Y and RL corresponds to line A-44 in Table A (compounds I.F.a44.b1 to I.F.a44.b4200).
Table 1575: Compounds I.F, wherein the combination of substituents R1, R2, X, D, B and the position of the group Y-Z in each case corresponds to one line B-1 to B- 4200 in table B and wherein Z is phenyl and the combination of the meaning of Y and RL corresponds to line A-45 in Table A (compounds I.F.a45.b1 to I.F.a45.b4200).
Table 1576: Compounds I.F, wherein the combination of substituents R1, R2, X,
D, B and the position of the group Y-Z in each case corresponds to one line B-1 to B- 4200 in table B and wherein Z is phenyl and the combination of the meaning of Y and RL corresponds to line A-46 in Table A (compounds I.F.a46.b1 to I.F.a46.b4200).
Table 1577: Compounds I.F, wherein the combination of substituents R1, R2, X, D, B and the position of the group Y-Z in each case corresponds to one line B-1 to B- 4200 in table B and wherein Z is phenyl and the combination of the meaning of Y and RL corresponds to line A-47 in Table A (compounds I.F.a47.b1 to I.F.a47.b4200).
Table 1578: Compounds I.F, wherein the combination of substituents R1, R2, X, D, B and the position of the group Y-Z in each case corresponds to one line B-1 to B- 4200 in table B and wherein Z is phenyl and the combination of the meaning of Y and RL corresponds to line A-48 in Table A (compounds I.F.a48.b1 to I.F.a48.b4200).
Table 1579: Compounds I.F, wherein the combination of substituents R1, R2, X, D, B and the position of the group Y-Z in each case corresponds to one line B-1 to B- 4200 in table B and wherein Z is phenyl and the combination of the meaning of Y and RL corresponds to line A-49 in Table A (compounds I.F.a49.b1 to I.F.a49.b4200).
Table 1580: Compounds I.F, wherein the combination of substituents R1, R2, X, D, B and the position of the group Y-Z in each case corresponds to one line B-1 to B- 4200 in table B and wherein Z is phenyl and the combination of the meaning of Y and RL corresponds to line A-50 in Table A (compounds I.F.a50.b1 to I.F.a50.b4200).
Table 1581 : Compounds I.F, wherein the combination of substituents R1, R2, X,
D, B and the position of the group Y-Z in each case corresponds to one line B-1 to B- 4200 in table B and wherein Z is phenyl and the combination of the meaning of Y and RL corresponds to line A-51 in Table A (compounds I.F.a51.b1 to I.F.a51.b4200).
Table 1582: Compounds I.F, wherein the combination of substituents R1, R2, X, D, B and the position of the group Y-Z in each case corresponds to one line B-1 to B- 4200 in table B and wherein Z is phenyl and the combination of the meaning of Y and RL corresponds to line A-52 in Table A (compounds I.F.a52.b1 to I.F.a52.b4200).
Table 1583: Compounds I.F, wherein the combination of substituents R1, R2, X, D, B and the position of the group Y-Z in each case corresponds to one line B-1 to B- 4200 in table B and wherein Z is phenyl and the combination of the meaning of Y and RL corresponds to line A-53 in Table A (compounds I.F.a53.b1 to I.F.a53.b4200).
Table 1584: Compounds I.F, wherein the combination of substituents R1, R2, X, D, B and the position of the group Y-Z in each case corresponds to one line B-1 to B- 4200 in table B and wherein Z is phenyl and the combination of the meaning of Y and RL corresponds to line A-54 in Table A (compounds I.F.a54.b1 to I.F.a54.b4200).
Table 1585: Compounds I.F, wherein the combination of substituents R1, R2, X, D, B and the position of the group Y-Z in each case corresponds to one line B-1 to B-
4200 in table B and wherein Z is phenyl and the combination of the meaning of Y and RL corresponds to line A-55 in Table A (compounds I.F.a55.b1 to I.F.a55.b4200).
Table 1586: Compounds I.F, wherein the combination of substituents R1, R2, X, D, B and the position of the group Y-Z in each case corresponds to one line B-1 to B- 4200 in table B and wherein Z is phenyl and the combination of the meaning of Y and RL corresponds to line A-56 in Table A (compounds I.F.a56.b1 to I.F.a56.b4200).
Table 1587: Compounds I.F, wherein the combination of substituents R1, R2, X, D, B and the position of the group Y-Z in each case corresponds to one line B-1 to B- 4200 in table B and wherein Z is phenyl and the combination of the meaning of Y and RL corresponds to line A-57 in Table A (compounds I.F.a57.b1 to I.F.a57.b4200).
Table 1588: Compounds I.F, wherein the combination of substituents R1, R2, X, D, B and the position of the group Y-Z in each case corresponds to one line B-1 to B- 4200 in table B and wherein Z is phenyl and the combination of the meaning of Y and RL corresponds to line A-58 in Table A (compounds I.F.a58.b1 to I.F.a58.b4200).
Table 1589: Compounds I.F, wherein the combination of substituents R1, R2, X,
D, B and the position of the group Y-Z in each case corresponds to one line B-1 to B- 4200 in table B and wherein Z is phenyl and the combination of the meaning of Y and RL corresponds to line A-59 in Table A (compounds I.F.a59.b1 to I.F.a59.b4200).
Table 1590: Compounds I.F, wherein the combination of substituents R1, R2, X, D, B and the position of the group Y-Z in each case corresponds to one line B-1 to B- 4200 in table B and wherein Z is phenyl and the combination of the meaning of Y and RL corresponds to line A-60 in Table A (compounds I.F.a60.b1 to I.F.a60.b4200).
Table 1591 : Compounds I.F, wherein the combination of substituents R1, R2, X, D, B and the position of the group Y-Z in each case corresponds to one line B-1 to B- 4200 in table B and wherein Z is phenyl and the combination of the meaning of Y and RL corresponds to line A-61 in Table A (compounds I.F.a61.b1 to I.F.a61.b4200).
Table 1592: Compounds I.F, wherein the combination of substituents R1, R2, X, D, B and the position of the group Y-Z in each case corresponds to one line B-1 to B- 4200 in table B and wherein Z is phenyl and the combination of the meaning of Y and RL corresponds to line A-62 in Table A (compounds I.F.a62.b1 to I.F.a62.b4200).
Table 1593: Compounds I.F, wherein the combination of substituents R1, R2, X, D, B and the position of the group Y-Z in each case corresponds to one line B-1 to B- 4200 in table B and wherein Z is phenyl and the combination of the meaning of Y and RL corresponds to line A-63 in Table A (compounds I.F.a63.b1 to I.F.a63.b4200).
Table 1594: Compounds I.F, wherein the combination of substituents R1, R2, X,
D, B and the position of the group Y-Z in each case corresponds to one line B-1 to B- 4200 in table B and wherein Z is phenyl and the combination of the meaning of Y and RL corresponds to line A-64 in Table A (compounds I.F.a64.b1 to I.F.a64.b4200).
Table 1595: Compounds I.F, wherein the combination of substituents R1, R2, X, D, B and the position of the group Y-Z in each case corresponds to one line B-1 to B- 4200 in table B and wherein Z is phenyl and the combination of the meaning of Y and RL corresponds to line A-65 in Table A (compounds I.F.a65.b1 to I.F.a65.b4200).
Table 1596: Compounds I.F, wherein the combination of substituents R1, R2, X, D, B and the position of the group Y-Z in each case corresponds to one line B-1 to B- 4200 in table B and wherein Z is phenyl and the combination of the meaning of Y and RL corresponds to line A-66 in Table A (compounds I.F.a66.b1 to I.F.a66.b4200).
Table 1597: Compounds I.F, wherein the combination of substituents R1, R2, X,
D, B and the position of the group Y-Z in each case corresponds to one line B-1 to B- 4200 in table B and wherein Z is phenyl and the combination of the meaning of Y and RL corresponds to line A-67 in Table A (compounds I.F.a67.b1 to I.F.a67.b4200).
Table 1598: Compounds I.F, wherein the combination of substituents R1, R2, X, D, B and the position of the group Y-Z in each case corresponds to one line B-1 to B- 4200 in table B and wherein Z is phenyl and the combination of the meaning of Y and RL corresponds to line A-68 in Table A (compounds I.F.a68.b1 to I.F.a68.b4200).
Table 1599: Compounds I.F, wherein the combination of substituents R1, R2, X, D, B and the position of the group Y-Z in each case corresponds to one line B-1 to B- 4200 in table B and wherein Z is phenyl and the combination of the meaning of Y and RL corresponds to line A-69 in Table A (compounds I.F.a69.b1 to I.F.a69.b4200).
Table 1600: Compounds I.F, wherein the combination of substituents R1, R2, X, D, B and the position of the group Y-Z in each case corresponds to one line B-1 to B- 4200 in table B and wherein Z is phenyl and the combination of the meaning of Y and RL corresponds to line A-70 in Table A (compounds I.F.a70.b1 to I.F.a70.b4200).
Table 1601 : Compounds I.F, wherein the combination of substituents R1, R2, X, D, B and the position of the group Y-Z in each case corresponds to one line B-1 to B- 4200 in table B and wherein Z is phenyl and the combination of the meaning of Y and RL corresponds to line A-71 in Table A (compounds I.F.a71.b1 to I.F.a71.b4200).
Table 1602: Compounds I.F, wherein the combination of substituents R1, R2, X,
D, B and the position of the group Y-Z in each case corresponds to one line B-1 to B- 4200 in table B and wherein Z is phenyl and the combination of the meaning of Y and RL corresponds to line A-72 in Table A (compounds I.F.a72.b1 to I.F.a72.b4200).
Table 1603: Compounds I.F, wherein the combination of substituents R1, R2, X, D, B and the position of the group Y-Z in each case corresponds to one line B-1 to B- 4200 in table B and wherein Z is phenyl and the combination of the meaning of Y and RL corresponds to line A-73 in Table A (compounds I.F.a73.b1 to I.F.a73.b4200).
Table 1604: Compounds I.F, wherein the combination of substituents R1, R2, X, D, B and the position of the group Y-Z in each case corresponds to one line B-1 to B- 4200 in table B and wherein Z is phenyl and the combination of the meaning of Y and RL corresponds to line A-74 in Table A (compounds I.F.a74.b1 to I.F.a74.b4200).
Table 1605: Compounds I.F, wherein the combination of substituents R1, R2, X, D, B and the position of the group Y-Z in each case corresponds to one line B-1 to B- 4200 in table B and wherein Z is phenyl and the combination of the meaning of Y and RL corresponds to line A-75 in Table A (compounds I.F.a75.b1 to I.F.a75.b4200).
Table 1606: Compounds I.F, wherein the combination of substituents R1, R2, X, D, B and the position of the group Y-Z in each case corresponds to one line B-1 to B-
4200 in table B and wherein Z is phenyl and the combination of the meaning of Y and RL corresponds to line A-76 in Table A (compounds I.F.a76.b1 to I.F.a76.b4200).
Table 1607: Compounds I.F, wherein the combination of substituents R1, R2, X, D, B and the position of the group Y-Z in each case corresponds to one line B-1 to B- 4200 in table B and wherein Z is phenyl and the combination of the meaning of Y and RL corresponds to line A-77 in Table A (compounds I.F.a77.b1 to I.F.a77.b4200).
Table 1608: Compounds I.F, wherein the combination of substituents R1, R2, X, D, B and the position of the group Y-Z in each case corresponds to one line B-1 to B- 4200 in table B and wherein Z is phenyl and the combination of the meaning of Y and RL corresponds to line A-78 in Table A (compounds I.F.a78.b1 to I.F.a78.b4200).
Table 1609: Compounds I.F, wherein the combination of substituents R1, R2, X, D, B and the position of the group Y-Z in each case corresponds to one line B-1 to B- 4200 in table B and wherein Z is phenyl and the combination of the meaning of Y and RL corresponds to line A-79 in Table A (compounds I.F.a79.b1 to I.F.a79.b4200).
Table 1610: Compounds I.F, wherein the combination of substituents R1, R2, X,
D, B and the position of the group Y-Z in each case corresponds to one line B-1 to B- 4200 in table B and wherein Z is phenyl and the combination of the meaning of Y and RL corresponds to line A-80 in Table A (compounds I.F.a80.b1 to I.F.a80.b4200).
Table 161 1 : Compounds I.F, wherein the combination of substituents R1, R2, X, D, B and the position of the group Y-Z in each case corresponds to one line B-1 to B- 4200 in table B and wherein Z is phenyl and the combination of the meaning of Y and RL corresponds to line A-81 in Table A (compounds I.F.a81.b1 to I.F.a81.b4200).
Table 1612: Compounds I.F, wherein the combination of substituents R1, R2, X, D, B and the position of the group Y-Z in each case corresponds to one line B-1 to B- 4200 in table B and wherein Z is phenyl and the combination of the meaning of Y and RL corresponds to line A-82 in Table A (compounds I.F.a82.b1 to I.F.a82.b4200).
Table 1613: Compounds I.F, wherein the combination of substituents R1, R2, X, D, B and the position of the group Y-Z in each case corresponds to one line B-1 to B- 4200 in table B and wherein Z is phenyl and the combination of the meaning of Y and RL corresponds to line A-83 in Table A (compounds I.F.a83.b1 to I.F.a83.b4200).
Table 1614: Compounds I.F, wherein the combination of substituents R1, R2, X, D, B and the position of the group Y-Z in each case corresponds to one line B-1 to B- 4200 in table B and wherein Z is phenyl and the combination of the meaning of Y and RL corresponds to line A-84 in Table A (compounds I.F.a84.b1 to I.F.a84.b4200).
Table 1615: Compounds I.F, wherein the combination of substituents R1, R2, X,
D, B and the position of the group Y-Z in each case corresponds to one line B-1 to B- 4200 in table B and wherein Z is phenyl and the combination of the meaning of Y and RL corresponds to line A-85 in Table A (compounds I.F.a85.b1 to I.F.a85.b4200).
Table 1616: Compounds I.F, wherein the combination of substituents R1, R2, X, D, B and the position of the group Y-Z in each case corresponds to one line B-1 to B- 4200 in table B and wherein Z is phenyl and the combination of the meaning of Y and RL corresponds to line A-86 in Table A (compounds I.F.a86.b1 to I.F.a86.b4200).
Table 1617: Compounds I.F, wherein the combination of substituents R1, R2, X, D, B and the position of the group Y-Z in each case corresponds to one line B-1 to B- 4200 in table B and wherein Z is phenyl and the combination of the meaning of Y and RL corresponds to line A-87 in Table A (compounds I.F.a87.b1 to I.F.a87.b4200).
Table 1618: Compounds I.F, wherein the combination of substituents R1, R2, X,
D, B and the position of the group Y-Z in each case corresponds to one line B-1 to B- 4200 in table B and wherein Z is phenyl and the combination of the meaning of Y and RL corresponds to line A-88 in Table A (compounds I.F.a88.b1 to I.F.a88.b4200).
Table 1619: Compounds I.F, wherein the combination of substituents R1, R2, X, D, B and the position of the group Y-Z in each case corresponds to one line B-1 to B- 4200 in table B and wherein Z is phenyl and the combination of the meaning of Y and RL corresponds to line A-89 in Table A (compounds I.F.a89.b1 to I.F.a89.b4200).
Table 1620: Compounds I.F, wherein the combination of substituents R1, R2, X, D, B and the position of the group Y-Z in each case corresponds to one line B-1 to B- 4200 in table B and wherein Z is phenyl and the combination of the meaning of Y and RL corresponds to line A-90 in Table A (compounds I.F.a90.b1 to I.F.a90.b4200).
Table 1621 : Compounds I.F, wherein the combination of substituents R1, R2, X, D, B and the position of the group Y-Z in each case corresponds to one line B-1 to B- 4200 in table B and wherein Z is phenyl and the combination of the meaning of Y and RL corresponds to line A-91 in Table A (compounds I.F.a91.b1 to I.F.a91.b4200).
Table 1622: Compounds I.F, wherein the combination of substituents R1, R2, X, D, B and the position of the group Y-Z in each case corresponds to one line B-1 to B- 4200 in table B and wherein Z is phenyl and the combination of the meaning of Y and RL corresponds to line A-92 in Table A (compounds I.F.a92.b1 to I.F.a92.b4200).
Table 1623: Compounds I.F, wherein the combination of substituents R1, R2, X,
D, B and the position of the group Y-Z in each case corresponds to one line B-1 to B- 4200 in table B and wherein Z is phenyl and the combination of the meaning of Y and RL corresponds to line A-93 in Table A (compounds I.F.a93.b1 to I.F.a93.b4200).
Table 1624: Compounds I.F, wherein the combination of substituents R1, R2, X, D, B and the position of the group Y-Z in each case corresponds to one line B-1 to B- 4200 in table B and wherein Z is phenyl and the combination of the meaning of Y and RL corresponds to line A-94 in Table A (compounds I.F.a94.b1 to I.F.a94.b4200).
Table 1625: Compounds I.F, wherein the combination of substituents R1, R2, X, D, B and the position of the group Y-Z in each case corresponds to one line B-1 to B- 4200 in table B and wherein Z is phenyl and the combination of the meaning of Y and RL corresponds to line A-95 in Table A (compounds I.F.a95.b1 to I.F.a95.b4200).
Table 1626: Compounds I.F, wherein the combination of substituents R1, R2, X, D, B and the position of the group Y-Z in each case corresponds to one line B-1 to B- 4200 in table B and wherein Z is phenyl and the combination of the meaning of Y and RL corresponds to line A-96 in Table A (compounds I.F.a96.b1 to I.F.a96.b4200).
Table 1627: Compounds I.F, wherein the combination of substituents R1, R2, X, D, B and the position of the group Y-Z in each case corresponds to one line B-1 to B-
4200 in table B and wherein Z is phenyl and the combination of the meaning of Y and RL corresponds to line A-97 in Table A (compounds I.F.a97.b1 to I.F.a97.b4200).
Table 1628: Compounds I.F, wherein the combination of substituents R1, R2, X, D, B and the position of the group Y-Z in each case corresponds to one line B-1 to B- 4200 in table B and wherein Z is phenyl and the combination of the meaning of Y and RL corresponds to line A-98 in Table A (compounds I.F.a98.b1 to I.F.a98.b4200).
Table 1629: Compounds I.F, wherein the combination of substituents R1, R2, X, D, B and the position of the group Y-Z in each case corresponds to one line B-1 to B- 4200 in table B and wherein Z is phenyl and the combination of the meaning of Y and RL corresponds to line A-99 in Table A (compounds I.F.a99.b1 to I.F.a99.b4200).
Table 1630: Compounds I.F, wherein the combination of substituents R1, R2, X, D, B and the position of the group Y-Z in each case corresponds to one line B-1 to B- 4200 in table B and wherein Z is phenyl and the combination of the meaning of Y and RL corresponds to line A-100 in Table A (compounds I.F.a100.b1 to I.F.a100.b4200).
Table 1631 : Compounds I.F, wherein the combination of substituents R1, R2, X,
D, B and the position of the group Y-Z in each case corresponds to one line of lines B-1 to B-4200 in table B and wherein the combination of the meaning of Y and Z corresponds to line Z-1 in Table Z (compounds I.F.zl .b1 to I.F.zl .b4200).
Table 1632: Compounds I.F, wherein the combination of substituents R1, R2, X, D, B and the position of the group Y-Z in each case corresponds to one line of lines B-1 to B-4200 in table B and wherein the combination of the meaning of Y and Z corresponds to line Z-2 in Table Z (compounds I.F.z2.b1 to I.F.z2.b4200).
Table 1633: Compounds I.F, wherein the combination of substituents R1, R2, X, D, B and the position of the group Y-Z in each case corresponds to one line of lines B-1 to B-4200 in table B and wherein the combination of the meaning of Y and Z corresponds to line Z-3 in Table Z (compounds I.F.z3.b1 to I.F.z3.b4200).
Table 1634: Compounds I.F, wherein the combination of substituents R1, R2, X, D, B and the position of the group Y-Z in each case corresponds to one line of lines B-1 to B-4200 in table B and wherein the combination of the meaning of Y and Z corresponds to line Z-4 in Table Z (compounds I.F.z4.b1 to I.F.z4.b4200).
Table 1635: Compounds I.F, wherein the combination of substituents R1, R2, X, D, B and the position of the group Y-Z in each case corresponds to one line of lines B-1 to B-4200 in table B and wherein the combination of the meaning of Y and Z corresponds to line Z-5 in Table Z (compounds I.F.z5.b1 to I.F.z5.b4200).
Table 1636: Compounds I.F, wherein the combination of substituents R1, R2, X,
D, B and the position of the group Y-Z in each case corresponds to one line of lines B-1 to B-4200 in table B and wherein the combination of the meaning of Y and Z corresponds to line Z-6 in Table Z (compounds I.F.z6.b1 to I.F.z6.b4200).
Table 1637: Compounds I.F, wherein the combination of substituents R1, R2, X, D, B and the position of the group Y-Z in each case corresponds to one line of lines B-1 to B-4200 in table B and wherein the combination of the meaning of Y and Z corresponds to line Z-7 in Table Z (compounds I.F.z7.b1 to I.F.z7.b4200).
Table 1638: Compounds I.F, wherein the combination of substituents R1, R2, X, D, B and the position of the group Y-Z in each case corresponds to one line of lines B-1 to B-4200 in table B and wherein the combination of the meaning of Y and Z corresponds to line Z-8 in Table Z (compounds I.F.z8.b1 to I.F.z8.b4200).
Table 1639: Compounds I.F, wherein the combination of substituents R1, R2, X,
D, B and the position of the group Y-Z in each case corresponds to one line of lines B-1 to B-4200 in table B and wherein the combination of the meaning of Y and Z corresponds to line Z-9 in Table Z (compounds I.F.z9.b1 to I.F.z9.b4200).
Table 1640: Compounds I.F, wherein the combination of substituents R1, R2, X, D, B and the position of the group Y-Z in each case corresponds to one line of lines B-1 to B-4200 in table B and wherein the combination of the meaning of Y and Z corresponds to line Z-10 in Table Z (compounds I.F.z10.b1 to I.F.z10.b4200).
Table 1641 : Compounds I.F, wherein the combination of substituents R1, R2, X, D, B and the position of the group Y-Z in each case corresponds to one line of lines B-1 to B-4200 in table B and wherein the combination of the meaning of Y and Z corresponds to line Z-1 1 in Table Z (compounds I.F.zl 1.b1 to I.F.zl 1 .b4200).
Table 1642: Compounds I.F, wherein the combination of substituents R1, R2, X, D, B and the position of the group Y-Z in each case corresponds to one line of lines B-1 to B-4200 in table B and wherein the combination of the meaning of Y and Z corresponds to line Z-12 in Table Z (compounds I.F.z12.b1 to I.F.z12.b4200).
Table 1643: Compounds I.F, wherein the combination of substituents R1, R2, X, D, B and the position of the group Y-Z in each case corresponds to one line of lines B-1 to B-4200 in table B and wherein the combination of the meaning of Y and Z corresponds to line Z-13 in Table Z (compounds I.F.zl 3.b1 to I.F.z13.b4200).
Table 1644: Compounds I.F, wherein the combination of substituents R1, R2, X,
D, B and the position of the group Y-Z in each case corresponds to one line of lines B-1 to B-4200 in table B and wherein the combination of the meaning of Y and Z corresponds to line Z-14 in Table Z (compounds I.F.z14.b1 to I.F.z14.b4200).
Table 1645: Compounds I.F, wherein the combination of substituents R1, R2, X, D, B and the position of the group Y-Z in each case corresponds to one line of lines B-1 to B-4200 in table B and wherein the combination of the meaning of Y and Z corresponds to line Z-15 in Table Z (compounds I.F.zl 5.b1 to I.F.z15.b4200).
Table 1646: Compounds I.F, wherein the combination of substituents R1, R2, X, D, B and the position of the group Y-Z in each case corresponds to one line of lines B-1 to B-4200 in table B and wherein the combination of the meaning of Y and Z corresponds to line Z-16 in Table Z (compounds I.F.zl 6.b1 to I.F.z16.b4200).
Table 1647: Compounds I.F, wherein the combination of substituents R1, R2, X, D, B and the position of the group Y-Z in each case corresponds to one line of lines B-1 to B-4200 in table B and wherein the combination of the meaning of Y and Z corresponds to line Z-17 in Table Z (compounds I.F.zl 7.b1 to I.F.z17.b4200).
Table 1648: Compounds I.F, wherein the combination of substituents R1, R2, X, D, B and the position of the group Y-Z in each case corresponds to one line of lines B-1
to B-4200 in table B and wherein the combination of the meaning of Y and Z corresponds to line Z-18 in Table Z (compounds I.F.z18.b1 to I.F.z18.b4200).
Table 1649: Compounds I.F, wherein the combination of substituents R1, R2, X, D, B and the position of the group Y-Z in each case corresponds to one line of lines B-1 to B-4200 in table B and wherein the combination of the meaning of Y and Z corresponds to line Z-19 in Table Z (compounds I.F.z19.b1 to I.F.z19.b4200).
Table 1650: Compounds I.F, wherein the combination of substituents R1, R2, X, D, B and the position of the group Y-Z in each case corresponds to one line of lines B-1 to B-4200 in table B and wherein the combination of the meaning of Y and Z corresponds to line Z-20 in Table Z (compounds I.F.z20.b1 to I.F.z20.b4200).
Table 1651 : Compounds I.F, wherein the combination of substituents R1, R2, X, D, B and the position of the group Y-Z in each case corresponds to one line of lines B-1 to B-4200 in table B and wherein the combination of the meaning of Y and Z corresponds to line Z-21 in Table Z (compounds I.F.z21.b1 to I.F.z21 .b4200).
Table 1652: Compounds I.F, wherein the combination of substituents R1, R2, X,
D, B and the position of the group Y-Z in each case corresponds to one line of lines B-1 to B-4200 in table B and wherein the combination of the meaning of Y and Z corresponds to line Z-22 in Table Z (compounds I.F.z22.b1 to I.F.z22.b4200).
Table 1653: Compounds I.F, wherein the combination of substituents R1, R2, X, D, B and the position of the group Y-Z in each case corresponds to one line of lines B-1 to B-4200 in table B and wherein the combination of the meaning of Y and Z corresponds to line Z-23 in Table Z (compounds I.F.z23.b1 to I.F.z23.b4200).
Table 1654: Compounds I.F, wherein the combination of substituents R1, R2, X, D, B and the position of the group Y-Z in each case corresponds to one line of lines B-1 to B-4200 in table B and wherein the combination of the meaning of Y and Z corresponds to line Z-24 in Table Z (compounds I.F.z24.b1 to I.F.z24.b4200).
Table 1655: Compounds I.F, wherein the combination of substituents R1, R2, X, D, B and the position of the group Y-Z in each case corresponds to one line of lines B-1 to B-4200 in table B and wherein the combination of the meaning of Y and Z corresponds to line Z-25 in Table Z (compounds I.F.z25.b1 to I.F.z25.b4200).
Table 1656: Compounds I.F, wherein the combination of substituents R1, R2, X, D, B and the position of the group Y-Z in each case corresponds to one line of lines B-1 to B-4200 in table B and wherein the combination of the meaning of Y and Z corresponds to line Z-26 in Table Z (compounds I.F.z26.b1 to I.F.z26.b4200).
Table 1657: Compounds I.F, wherein the combination of substituents R1, R2, X,
D, B and the position of the group Y-Z in each case corresponds to one line of lines B-1 to B-4200 in table B and wherein the combination of the meaning of Y and Z corresponds to line Z-27 in Table Z (compounds I.F.z27.b1 to I.F.z27.b4200).
Table 1658: Compounds I.F, wherein the combination of substituents R1, R2, X, D, B and the position of the group Y-Z in each case corresponds to one line of lines B-1 to B-4200 in table B and wherein the combination of the meaning of Y and Z corresponds to line Z-28 in Table Z (compounds I.F.z28.b1 to I.F.z28.b4200).
Table 1659: Compounds I.F, wherein the combination of substituents R1, R2, X, D, B and the position of the group Y-Z in each case corresponds to one line of lines B-1 to B-4200 in table B and wherein the combination of the meaning of Y and Z corresponds to line Z-29 in Table Z (compounds I.F.z29.b1 to I.F.z29.b4200).
Table 1660: Compounds I.F, wherein the combination of substituents R1, R2, X,
D, B and the position of the group Y-Z in each case corresponds to one line of lines B-1 to B-4200 in table B and wherein the combination of the meaning of Y and Z corresponds to line Z-30 in Table Z (compounds I.F.z30.b1 to I.F.z30.b4200).
Table 1661 : Compounds I.F, wherein the combination of substituents R1, R2, X, D, B and the position of the group Y-Z in each case corresponds to one line of lines B-1 to B-4200 in table B and wherein the combination of the meaning of Y and Z corresponds to line Z-31 in Table Z (compounds I.F.z31.b1 to I.F.z31 .b4200).
Table 1662: Compounds I.F, wherein the combination of substituents R1, R2, X, D, B and the position of the group Y-Z in each case corresponds to one line of lines B-1 to B-4200 in table B and wherein the combination of the meaning of Y and Z corresponds to line Z-32 in Table Z (compounds I.F.z32.b1 to I.F.z32.b4200).
Table 1663: Compounds I.F, wherein the combination of substituents R1, R2, X, D, B and the position of the group Y-Z in each case corresponds to one line of lines B-1 to B-4200 in table B and wherein the combination of the meaning of Y and Z corresponds to line Z-33 in Table Z (compounds I.F.z33.b1 to I.F.z33.b4200).
Table 1664: Compounds I.F, wherein the combination of substituents R1, R2, X, D, B and the position of the group Y-Z in each case corresponds to one line of lines B-1 to B-4200 in table B and wherein the combination of the meaning of Y and Z corresponds to line Z-34 in Table Z (compounds I.F.z34.b1 to I.F.z34.b4200).
Table 1665: Compounds I.F, wherein the combination of substituents R1, R2, X,
D, B and the position of the group Y-Z in each case corresponds to one line of lines B-1 to B-4200 in table B and wherein the combination of the meaning of Y and Z corresponds to line Z-35 in Table Z (compounds I.F.z35.b1 to I.F.z35.b4200).
Table 1666: Compounds I.F, wherein the combination of substituents R1, R2, X, D, B and the position of the group Y-Z in each case corresponds to one line of lines B-1 to B-4200 in table B and wherein the combination of the meaning of Y and Z corresponds to line Z-36 in Table Z (compounds I.F.z36.b1 to I.F.z36.b4200).
Table 1667: Compounds I.F, wherein the combination of substituents R1, R2, X, D, B and the position of the group Y-Z in each case corresponds to one line of lines B-1 to B-4200 in table B and wherein the combination of the meaning of Y and Z corresponds to line Z-37 in Table Z (compounds I.F.z37.b1 to I.F.z37.b4200).
Table 1668: Compounds I.F, wherein the combination of substituents R1, R2, X, D, B and the position of the group Y-Z in each case corresponds to one line of lines B-1 to B-4200 in table B and wherein the combination of the meaning of Y and Z corresponds to line Z-38 in Table Z (compounds I.F.z38.b1 to I.F.z38.b4200).
Table 1669: Compounds I.F, wherein the combination of substituents R1, R2, X, D, B and the position of the group Y-Z in each case corresponds to one line of lines B-1
to B-4200 in table B and wherein the combination of the meaning of Y and Z corresponds to line Z-39 in Table Z (compounds I.F.z39.b1 to I.F.z39.b4200).
Table 1670: Compounds I.F, wherein the combination of substituents R1, R2, X, D, B and the position of the group Y-Z in each case corresponds to one line of lines B-1 to B-4200 in table B and wherein the combination of the meaning of Y and Z corresponds to line Z-40 in Table Z (compounds I.F.z40.b1 to I.F.z40.b4200).
Table 1671 : Compounds I.F, wherein the combination of substituents R1, R2, X, D, B and the position of the group Y-Z in each case corresponds to one line of lines B-1 to B-4200 in table B and wherein the combination of the meaning of Y and Z corresponds to line Z-41 in Table Z (compounds I. F.z41.b1 to I.F.z41 .b4200).
Table 1672: Compounds I.F, wherein the combination of substituents R1, R2, X, D, B and the position of the group Y-Z in each case corresponds to one line of lines B-1 to B-4200 in table B and wherein the combination of the meaning of Y and Z corresponds to line Z-42 in Table Z (compounds I.F.z42.b1 to I.F.z42.b4200).
Table 1673: Compounds I.F, wherein the combination of substituents R1, R2, X,
D, B and the position of the group Y-Z in each case corresponds to one line of lines B-1 to B-4200 in table B and wherein the combination of the meaning of Y and Z corresponds to line Z-43 in Table Z (compounds I.F.z43.b1 to I.F.z43.b4200).
Table 1674: Compounds I.F, wherein the combination of substituents R1, R2, X, D, B and the position of the group Y-Z in each case corresponds to one line of lines B-1 to B-4200 in table B and wherein the combination of the meaning of Y and Z corresponds to line Z-44 in Table Z (compounds I.F.z44.b1 to I.F.z44.b4200).
Table 1675: Compounds I.F, wherein the combination of substituents R1, R2, X, D, B and the position of the group Y-Z in each case corresponds to one line of lines B-1 to B-4200 in table B and wherein the combination of the meaning of Y and Z corresponds to line Z-45 in Table Z (compounds I.F.z45.b1 to I.F.z45.b4200).
Table 1676: Compounds I.F, wherein the combination of substituents R1, R2, X, D, B and the position of the group Y-Z in each case corresponds to one line of lines B-1 to B-4200 in table B and wherein the combination of the meaning of Y and Z corresponds to line Z-46 in Table Z (compounds I.F.z46.b1 to I.F.z46.b4200).
Table 1677: Compounds I.F, wherein the combination of substituents R1, R2, X, D, B and the position of the group Y-Z in each case corresponds to one line of lines B-1 to B-4200 in table B and wherein the combination of the meaning of Y and Z corresponds to line Z-47 in Table Z (compounds I.F.z47.b1 to I.F.z47.b4200).
Table 1678: Compounds I.F, wherein the combination of substituents R1, R2, X,
D, B and the position of the group Y-Z in each case corresponds to one line of lines B-1 to B-4200 in table B and wherein the combination of the meaning of Y and Z corresponds to line Z-48 in Table Z (compounds I.F.z48.b1 to I.F.z48.b4200).
Table 1679: Compounds I.F, wherein the combination of substituents R1, R2, X, D, B and the position of the group Y-Z in each case corresponds to one line of lines B-1 to B-4200 in table B and wherein the combination of the meaning of Y and Z corresponds to line Z-49 in Table Z (compounds I.F.z49.b1 to I.F.z49.b4200).
Table 1680: Compounds I.F, wherein the combination of substituents R1, R2, X, D, B and the position of the group Y-Z in each case corresponds to one line of lines B-1 to B-4200 in table B and wherein the combination of the meaning of Y and Z corresponds to line Z-50 in Table Z (compounds I.F.z50.b1 to I.F.z50.b4200).
Table 1681 : Compounds I.F, wherein the combination of substituents R1, R2, X,
D, B and the position of the group Y-Z in each case corresponds to one line of lines B-1 to B-4200 in table B and wherein the combination of the meaning of Y and Z corresponds to line Z-51 in Table Z (compounds I.F.z51.b1 to I.F.z51 .b4200).
Table 1682: Compounds I.F, wherein the combination of substituents R1, R2, X, D, B and the position of the group Y-Z in each case corresponds to one line of lines B-1 to B-4200 in table B and wherein the combination of the meaning of Y and Z corresponds to line Z-52 in Table Z (compounds I.F.z52.b1 to I.F.z52.b4200).
Table 1683: Compounds I.F, wherein the combination of substituents R1, R2, X, D, B and the position of the group Y-Z in each case corresponds to one line of lines B-1 to B-4200 in table B and wherein the combination of the meaning of Y and Z corresponds to line Z-53 in Table Z (compounds I.F.z53.b1 to I.F.z53.b4200).
Table 1684: Compounds I.F, wherein the combination of substituents R1, R2, X, D, B and the position of the group Y-Z in each case corresponds to one line of lines B-1 to B-4200 in table B and wherein the combination of the meaning of Y and Z corresponds to line Z-54 in Table Z (compounds I.F.z54.b1 to I.F.z54.b4200).
Table 1685: Compounds I.F, wherein the combination of substituents R1, R2, X, D, B and the position of the group Y-Z in each case corresponds to one line of lines B-1 to B-4200 in table B and wherein the combination of the meaning of Y and Z corresponds to line Z-55 in Table Z (compounds I.F.z55.b1 to I.F.z55.b4200).
Table 1686: Compounds I.F, wherein the combination of substituents R1, R2, X,
D, B and the position of the group Y-Z in each case corresponds to one line of lines B-1 to B-4200 in table B and wherein the combination of the meaning of Y and Z corresponds to line Z-56 in Table Z (compounds I.F.z56.b1 to I.F.z56.b4200).
Table 1687: Compounds I.F, wherein the combination of substituents R1, R2, X, D, B and the position of the group Y-Z in each case corresponds to one line of lines B-1 to B-4200 in table B and wherein the combination of the meaning of Y and Z corresponds to line Z-57 in Table Z (compounds I.F.z57.b1 to I.F.z57.b4200).
Table 1688: Compounds I.F, wherein the combination of substituents R1, R2, X, D, B and the position of the group Y-Z in each case corresponds to one line of lines B-1 to B-4200 in table B and wherein the combination of the meaning of Y and Z corresponds to line Z-58 in Table Z (compounds I.F.z58.b1 to I.F.z58.b4200).
Table 1689: Compounds I.F, wherein the combination of substituents R1, R2, X, D, B and the position of the group Y-Z in each case corresponds to one line of lines B-1 to B-4200 in table B and wherein the combination of the meaning of Y and Z corresponds to line Z-59 in Table Z (compounds I.F.z59.b1 to I.F.z59.b4200).
Table 1690: Compounds I.F, wherein the combination of substituents R1, R2, X, D, B and the position of the group Y-Z in each case corresponds to one line of lines B-1
to B-4200 in table B and wherein the combination of the meaning of Y and Z corresponds to line Z-60 in Table Z (compounds I.F.z60.b1 to I.F.z60.b4200).
Table 1691 : Compounds I.F, wherein the combination of substituents R1, R2, X, D, B and the position of the group Y-Z in each case corresponds to one line of lines B-1 to B-4200 in table B and wherein the combination of the meaning of Y and Z corresponds to line Z-61 in Table Z (compounds I.F.z61.b1 to I.F.z61 .b4200).
Table 1692: Compounds I.F, wherein the combination of substituents R1, R2, X, D, B and the position of the group Y-Z in each case corresponds to one line of lines B-1 to B-4200 in table B and wherein the combination of the meaning of Y and Z corresponds to line Z-62 in Table Z (compounds I.F.z62.b1 to I.F.z62.b4200).
Table 1693: Compounds I.F, wherein the combination of substituents R1, R2, X, D, B and the position of the group Y-Z in each case corresponds to one line of lines B-1 to B-4200 in table B and wherein the combination of the meaning of Y and Z corresponds to line Z-63 in Table Z (compounds I.F.z63.b1 to I.F.z63.b4200).
Table 1694: Compounds I.F, wherein the combination of substituents R1, R2, X,
D, B and the position of the group Y-Z in each case corresponds to one line of lines B-1 to B-4200 in table B and wherein the combination of the meaning of Y and Z corresponds to line Z-64 in Table Z (compounds I.F.z64.b1 to I.F.z64.b4200).
Table 1695: Compounds I.F, wherein the combination of substituents R1, R2, X, D, B and the position of the group Y-Z in each case corresponds to one line of lines B-1 to B-4200 in table B and wherein the combination of the meaning of Y and Z corresponds to line Z-65 in Table Z (compounds I.F.z65.b1 to I.F.z65.b4200).
Table 1696: Compounds I.F, wherein the combination of substituents R1, R2, X, D, B and the position of the group Y-Z in each case corresponds to one line of lines B-1 to B-4200 in table B and wherein the combination of the meaning of Y and Z corresponds to line Z-66 in Table Z (compounds I.F.z66.b1 to I.F.z66.b4200).
Table 1697: Compounds I.F, wherein the combination of substituents R1, R2, X, D, B and the position of the group Y-Z in each case corresponds to one line of lines B-1 to B-4200 in table B and wherein the combination of the meaning of Y and Z corresponds to line Z-67 in Table Z (compounds I.F.z67.b1 to I.F.z67.b4200).
Table 1698: Compounds I.F, wherein the combination of substituents R1, R2, X, D, B and the position of the group Y-Z in each case corresponds to one line of lines B-1 to B-4200 in table B and wherein the combination of the meaning of Y and Z corresponds to line Z-68 in Table Z (compounds I.F.z68.b1 to I.F.z68.b4200).
Table 1699: Compounds I.F, wherein the combination of substituents R1, R2, X,
D, B and the position of the group Y-Z in each case corresponds to one line of lines B-1 to B-4200 in table B and wherein the combination of the meaning of Y and Z corresponds to line Z-69 in Table Z (compounds I.F.z69.b1 to I.F.z69.b4200).
Table 1700: Compounds I.F, wherein the combination of substituents R1, R2, X, D, B and the position of the group Y-Z in each case corresponds to one line of lines B-1 to B-4200 in table B and wherein the combination of the meaning of Y and Z corresponds to line Z-70 in Table Z (compounds I.F.z70.b1 to I.F.z70.b4200).
Table 1701 : Compounds I.F, wherein the combination of substituents R1, R2, X, D, B and the position of the group Y-Z in each case corresponds to one line of lines B-1 to B-4200 in table B and wherein the combination of the meaning of Y and Z corresponds to line Z-71 in Table Z (compounds I.F.z71.b1 to I.F.z71 .b4200).
Table 1702: Compounds I.F, wherein the combination of substituents R1, R2, X,
D, B and the position of the group Y-Z in each case corresponds to one line of lines B-1 to B-4200 in table B and wherein the combination of the meaning of Y and Z corresponds to line Z-72 in Table Z (compounds I.F.z72.b1 to I.F.z72.b4200).
Table 1703: Compounds I.F, wherein the combination of substituents R1, R2, X, D, B and the position of the group Y-Z in each case corresponds to one line of lines B-1 to B-4200 in table B and wherein the combination of the meaning of Y and Z corresponds to line Z-73 in Table Z (compounds I.F.z73.b1 to I.F.z73.b4200).
Table 1704: Compounds I.F, wherein the combination of substituents R1, R2, X, D, B and the position of the group Y-Z in each case corresponds to one line of lines B-1 to B-4200 in table B and wherein the combination of the meaning of Y and Z corresponds to line Z-74 in Table Z (compounds I.F.z74.b1 to I.F.z74.b4200).
Table 1705: Compounds I.F, wherein the combination of substituents R1, R2, X, D, B and the position of the group Y-Z in each case corresponds to one line of lines B-1 to B-4200 in table B and wherein the combination of the meaning of Y and Z corresponds to line Z-75 in Table Z (compounds I.F.z75.b1 to I.F.z75.b4200).
Table 1706: Compounds I.F, wherein the combination of substituents R1, R2, X, D, B and the position of the group Y-Z in each case corresponds to one line of lines B-1 to B-4200 in table B and wherein the combination of the meaning of Y and Z corresponds to line Z-76 in Table Z (compounds I.F.z76.b1 to I.F.z76.b4200).
Table 1707: Compounds I.F, wherein the combination of substituents R1, R2, X,
D, B and the position of the group Y-Z in each case corresponds to one line of lines B-1 to B-4200 in table B and wherein the combination of the meaning of Y and Z corresponds to line Z-77 in Table Z (compounds I.F.z77.b1 to I.F.z77.b4200).
Table 1708: Compounds I.F, wherein the combination of substituents R1, R2, X, D, B and the position of the group Y-Z in each case corresponds to one line of lines B-1 to B-4200 in table B and wherein the combination of the meaning of Y and Z corresponds to line Z-78 in Table Z (compounds I.F.z78.b1 to I.F.z78.b4200).
Table 1709: Compounds I.F, wherein the combination of substituents R1, R2, X, D, B and the position of the group Y-Z in each case corresponds to one line of lines B-1 to B-4200 in table B and wherein the combination of the meaning of Y and Z corresponds to line Z-79 in Table Z (compounds I.F.z79.b1 to I.F.z79.b4200).
Table 1710: Compounds I.F, wherein the combination of substituents R1, R2, X, D, B and the position of the group Y-Z in each case corresponds to one line of lines B-1 to B-4200 in table B and wherein the combination of the meaning of Y and Z corresponds to line Z-80 in Table Z (compounds I.F.z80.b1 to I.F.z80.b4200).
Table 171 1 : Compounds I.F, wherein the combination of substituents R1, R2, X, D, B and the position of the group Y-Z in each case corresponds to one line of lines B-1
to B-4200 in table B and wherein the combination of the meaning of Y and Z corresponds to line Z-81 in Table Z (compounds I.F.z81.b1 to I.F.z81 .b4200).
Table 1712: Compounds I.F, wherein the combination of substituents R1, R2, X, D, B and the position of the group Y-Z in each case corresponds to one line of lines B-1 to B-4200 in table B and wherein the combination of the meaning of Y and Z corresponds to line Z-82 in Table Z (compounds I.F.z82.b1 to I.F.z82.b4200).
Table 1713: Compounds I.F, wherein the combination of substituents R1, R2, X, D, B and the position of the group Y-Z in each case corresponds to one line of lines B-1 to B-4200 in table B and wherein the combination of the meaning of Y and Z corresponds to line Z-83 in Table Z (compounds I.F.z83.b1 to I.F.z83.b4200).
Table 1714: Compounds I.F, wherein the combination of substituents R1, R2, X, D, B and the position of the group Y-Z in each case corresponds to one line of lines B-1 to B-4200 in table B and wherein the combination of the meaning of Y and Z corresponds to line Z-84 in Table Z (compounds I.F.z84.b1 to I.F.z84.b4200).
Table 1715: Compounds I.F, wherein the combination of substituents R1, R2, X,
D, B and the position of the group Y-Z in each case corresponds to one line of lines B-1 to B-4200 in table B and wherein the combination of the meaning of Y and Z corresponds to line Z-85 in Table Z (compounds I.F.z85.b1 to I.F.z85.b4200).
Table 1716: Compounds I.F, wherein the combination of substituents R1, R2, X, D, B and the position of the group Y-Z in each case corresponds to one line of lines B-1 to B-4200 in table B and wherein the combination of the meaning of Y and Z corresponds to line Z-86 in Table Z (compounds I.F.z86.b1 to I.F.z86.b4200).
Table 1717: Compounds I.F, wherein the combination of substituents R1, R2, X, D, B and the position of the group Y-Z in each case corresponds to one line of lines B-1 to B-4200 in table B and wherein the combination of the meaning of Y and Z corresponds to line Z-87 in Table Z (compounds I.F.z87.b1 to I.F.z87.b4200).
Table 1718: Compounds I.F, wherein the combination of substituents R1, R2, X, D, B and the position of the group Y-Z in each case corresponds to one line of lines B-1 to B-4200 in table B and wherein the combination of the meaning of Y and Z corresponds to line Z-88 in Table Z (compounds I.F.z88.b1 to I.F.z88.b4200).
Table 1719: Compounds I.F, wherein the combination of substituents R1, R2, X, D, B and the position of the group Y-Z in each case corresponds to one line of lines B-1 to B-4200 in table B and wherein the combination of the meaning of Y and Z corresponds to line Z-89 in Table Z (compounds I.F.z89.b1 to I.F.z89.b4200).
Table 1720: Compounds I.F, wherein the combination of substituents R1, R2, X,
D, B and the position of the group Y-Z in each case corresponds to one line of lines B-1 to B-4200 in table B and wherein the combination of the meaning of Y and Z corresponds to line Z-90 in Table Z (compounds I.F.z90.b1 to I.F.z90.b4200).
Table 1721 : Compounds I.F, wherein the combination of substituents R1, R2, X, D, B and the position of the group Y-Z in each case corresponds to one line of lines B-1 to B-4200 in table B and wherein the combination of the meaning of Y and Z corresponds to line Z-91 in Table Z (compounds I.F.z91.b1 to I.F.z91 .b4200).
Table 1722: Compounds I.F, wherein the combination of substituents R1, R2, X, D, B and the position of the group Y-Z in each case corresponds to one line of lines B-1 to B-4200 in table B and wherein the combination of the meaning of Y and Z corresponds to line Z-92 in Table Z (compounds I.F.z92.b1 to I.F.z92.b4200).
Table 1723: Compounds I.F, wherein the combination of substituents R1, R2, X,
D, B and the position of the group Y-Z in each case corresponds to one line of lines B-1 to B-4200 in table B and wherein the combination of the meaning of Y and Z corresponds to line Z-93 in Table Z (compounds I.F.z93.b1 to I.F.z93.b4200).
Table 1724: Compounds I.F, wherein the combination of substituents R1, R2, X, D, B and the position of the group Y-Z in each case corresponds to one line of lines B-1 to B-4200 in table B and wherein the combination of the meaning of Y and Z corresponds to line Z-94 in Table Z (compounds I.F.z94.b1 to I.F.z94.b4200).
Table 1725: Compounds I.F, wherein the combination of substituents R1, R2, X, D, B and the position of the group Y-Z in each case corresponds to one line of lines B-1 to B-4200 in table B and wherein the combination of the meaning of Y and Z corresponds to line Z-95 in Table Z (compounds I.F.z95.b1 to I.F.z95.b4200).
Table 1726: Compounds I.F, wherein the combination of substituents R1, R2, X, D, B and the position of the group Y-Z in each case corresponds to one line of lines B-1 to B-4200 in table B and wherein the combination of the meaning of Y and Z corresponds to line Z-96 in Table Z (compounds I.F.z96.b1 to I.F.z96.b4200).
Table 1727: Compounds I.F, wherein the combination of substituents R1, R2, X, D, B and the position of the group Y-Z in each case corresponds to one line of lines B-1 to B-4200 in table B and wherein the combination of the meaning of Y and Z corresponds to line Z-97 in Table Z (compounds I.F.z97.b1 to I.F.z97.b4200).
Table 1728: Compounds I.F, wherein the combination of substituents R1, R2, X,
D, B and the position of the group Y-Z in each case corresponds to one line of lines B-1 to B-4200 in table B and wherein the combination of the meaning of Y and Z corresponds to line Z-98 in Table Z (compounds I.F.z98.b1 to I.F.z98.b4200).
Table 1729: Compounds I.F, wherein the combination of substituents R1, R2, X, D, B and the position of the group Y-Z in each case corresponds to one line of lines B-1 to B-4200 in table B and wherein the combination of the meaning of Y and Z corresponds to line Z-99 in Table Z (compounds I.F.z99.b1 to I.F.z99.b4200).
Table 1730: Compounds I.F, wherein the combination of substituents R1, R2, X, D, B and the position of the group Y-Z in each case corresponds to one line of lines B-1 to B-4200 in table B and wherein the combination of the meaning of Y and Z corresponds to line Z-100 in Table Z (compounds I.F.z100.b1 to I.F.z100.b4200).
Table 1731 : Compounds I.F, wherein the combination of substituents R1, R2, X, D, B and the position of the group Y-Z in each case corresponds to one line of lines B-1 to B-4200 in table B and wherein the combination of the meaning of Y and Z corresponds to line Z-101 in Table Z (compounds I. F.z101.b1 to I.F.z101.b4200).
Table 1732: Compounds I.F, wherein the combination of substituents R1, R2, X, D, B and the position of the group Y-Z in each case corresponds to one line of lines B-1
to B-4200 in table B and wherein the combination of the meaning of Y and Z corresponds to line Z-102 in Table Z (compounds I.F.z102.b1 to I.F.z102.b4200).
Table 1733: Compounds I.F, wherein the combination of substituents R1, R2, X, D, B and the position of the group Y-Z in each case corresponds to one line of lines B-1 to B-4200 in table B and wherein the combination of the meaning of Y and Z corresponds to line Z-103 in Table Z (compounds I.F.z103.b1 to I.F.z103.b4200).
Table 1734: Compounds I.F, wherein the combination of substituents R1, R2, X, D, B and the position of the group Y-Z in each case corresponds to one line of lines B-1 to B-4200 in table B and wherein the combination of the meaning of Y and Z corresponds to line Z-104 in Table Z (compounds I.F.z104.b1 to I.F.z104.b4200).
Table 1735: Compounds I.F, wherein the combination of substituents R1, R2, X, D, B and the position of the group Y-Z in each case corresponds to one line of lines B-1 to B-4200 in table B and wherein the combination of the meaning of Y and Z corresponds to line Z-105 in Table Z (compounds I.F.z105.b1 to I.F.z105.b4200).
Table 1736: Compounds I.F, wherein the combination of substituents R1, R2, X,
D, B and the position of the group Y-Z in each case corresponds to one line of lines B-1 to B-4200 in table B and wherein the combination of the meaning of Y and Z corresponds to line Z-106 in Table Z (compounds I.F.z106.b1 to I.F.z106.b4200).
Table 1737: Compounds I.F, wherein the combination of substituents R1, R2, X, D, B and the position of the group Y-Z in each case corresponds to one line of lines B-1 to B-4200 in table B and wherein the combination of the meaning of Y and Z corresponds to line Z-107 in Table Z (compounds I.F.z107.b1 to I.F.z107.b4200).
Table 1738: Compounds I.F, wherein the combination of substituents R1, R2, X, D, B and the position of the group Y-Z in each case corresponds to one line of lines B-1 to B-4200 in table B and wherein the combination of the meaning of Y and Z corresponds to line Z-108 in Table Z (compounds I.F.z108.b1 to I.F.z108.b4200).
Table 1739: Compounds I.F, wherein the combination of substituents R1, R2, X, D, B and the position of the group Y-Z in each case corresponds to one line of lines B-1 to B-4200 in table B and wherein the combination of the meaning of Y and Z corresponds to line Z-109 in Table Z (compounds I.F.z109.b1 to I.F.z109.b4200).
Table 1740: Compounds I.F, wherein the combination of substituents R1, R2, X, D, B and the position of the group Y-Z in each case corresponds to one line of lines B-1 to B-4200 in table B and wherein the combination of the meaning of Y and Z corresponds to line Z-1 10 in Table Z (compounds I.F.z1 10.b1 to I.F.zl 10.b4200).
Table 1741 : Compounds I.F, wherein the combination of substituents R1, R2, X,
D, B and the position of the group Y-Z in each case corresponds to one line of lines B-1 to B-4200 in table B and wherein the combination of the meaning of Y and Z corresponds to line Z-1 1 1 in Table Z (compounds I.F.zl 1 1.b1 to I.F.zl 1 1.b4200).
Table 1742: Compounds I.F, wherein the combination of substituents R1, R2, X, D, B and the position of the group Y-Z in each case corresponds to one line of lines B-1 to B-4200 in table B and wherein the combination of the meaning of Y and Z corresponds to line Z-1 12 in Table Z (compounds I.F.zl 12. b1 to I.F.zl 12.b4200).
Table 1743: Compounds I.F, wherein the combination of substituents R1, R2, X, D, B and the position of the group Y-Z in each case corresponds to one line of lines B-1 to B-4200 in table B and wherein the combination of the meaning of Y and Z corresponds to line Z-1 13 in Table Z (compounds I.F.z1 13.b1 to I.F.zl 13.b4200).
Table 1744: Compounds I.F, wherein the combination of substituents R1, R2, X,
D, B and the position of the group Y-Z in each case corresponds to one line of lines B-1 to B-4200 in table B and wherein the combination of the meaning of Y and Z corresponds to line Z-1 14 in Table Z (compounds I.F.zl 14. b1 to I.F.zl 14. b4200).
Table 1745: Compounds I.F, wherein the combination of substituents R1, R2, X, D, B and the position of the group Y-Z in each case corresponds to one line of lines B-1 to B-4200 in table B and wherein the combination of the meaning of Y and Z corresponds to line Z-1 15 in Table Z (compounds I.F.zl 15. b1 to I.F.zl 15. b4200).
Table 1746: Compounds I.F, wherein the combination of substituents R1, R2, X, D, B and the position of the group Y-Z in each case corresponds to one line of lines B-1 to B-4200 in table B and wherein the combination of the meaning of Y and Z corresponds to line Z-1 16 in Table Z (compounds I.F.zl 16.b1 to I.F.zl 16.b4200).
Table 1747: Compounds I.F, wherein the combination of substituents R1, R2, X, D, B and the position of the group Y-Z in each case corresponds to one line of lines B-1 to B-4200 in table B and wherein the combination of the meaning of Y and Z corresponds to line Z-1 17 in Table Z (compounds I.F.zl 17.b1 to I.F.zl 17.b4200).
Table 1748: Compounds I.F, wherein the combination of substituents R1, R2, X, D, B and the position of the group Y-Z in each case corresponds to one line of lines B-1 to B-4200 in table B and wherein the combination of the meaning of Y and Z corresponds to line Z-1 18 in Table Z (compounds I.F.zl 18.b1 to I.F.zl 18.b4200).
Table 1749: Compounds I.F, wherein the combination of substituents R1, R2, X,
D, B and the position of the group Y-Z in each case corresponds to one line of lines B-1 to B-4200 in table B and wherein the combination of the meaning of Y and Z corresponds to line Z-1 19 in Table Z (compounds I.F.zl 19. b1 to I.F.zl 19. b4200).
Table 1750: Compounds I.F, wherein the combination of substituents R1, R2, X, D, B and the position of the group Y-Z in each case corresponds to one line of lines B-1 to B-4200 in table B and wherein the combination of the meaning of Y and Z corresponds to line Z-120 in Table Z (compounds I.F.z120.b1 to I.F.z120.b4200).
Table 1751 : Compounds I.F, wherein the combination of substituents R1, R2, X, D, B and the position of the group Y-Z in each case corresponds to one line of lines B-1 to B-4200 in table B and wherein the combination of the meaning of Y and Z corresponds to line Z-121 in Table Z (compounds I.F.z121.b1 to I.F.z121.b4200).
Table 1752: Compounds I.F, wherein the combination of substituents R1, R2, X, D, B and the position of the group Y-Z in each case corresponds to one line of lines B-1 to B-4200 in table B and wherein the combination of the meaning of Y and Z corresponds to line Z-122 in Table Z (compounds I.F.z122.b1 to I.F.z122.b4200).
Table 1753: Compounds I.F, wherein the combination of substituents R1, R2, X, D, B and the position of the group Y-Z in each case corresponds to one line of lines B-1
to B-4200 in table B and wherein the combination of the meaning of Y and Z corresponds to line Z-123 in Table Z (compounds I.F.z123.b1 to I.F.z123.b4200).
Table 1754: Compounds I.F, wherein the combination of substituents R1, R2, X, D, B and the position of the group Y-Z in each case corresponds to one line of lines B-1 to B-4200 in table B and wherein the combination of the meaning of Y and Z corresponds to line Z-124 in Table Z (compounds I.F.z124.b1 to I.F.z124.b4200).
Table 1755: Compounds I.F, wherein the combination of substituents R1, R2, X, D, B and the position of the group Y-Z in each case corresponds to one line of lines B-1 to B-4200 in table B and wherein the combination of the meaning of Y and Z corresponds to line Z-125 in Table Z (compounds I.F.z125.b1 to I.F.z125.b4200).
Table 1756: Compounds I.F, wherein the combination of substituents R1, R2, X, D, B and the position of the group Y-Z in each case corresponds to one line of lines B-1 to B-4200 in table B and wherein the combination of the meaning of Y and Z corresponds to line Z-126 in Table Z (compounds I.F.z126.b1 to I.F.z126.b4200).
Table 1757: Compounds I.F, wherein the combination of substituents R1, R2, X,
D, B and the position of the group Y-Z in each case corresponds to one line of lines B-1 to B-4200 in table B and wherein the combination of the meaning of Y and Z corresponds to line Z-127 in Table Z (compounds I.F.z127.b1 to I.F.z127.b4200).
Table 1758: Compounds I.F, wherein the combination of substituents R1, R2, X, D, B and the position of the group Y-Z in each case corresponds to one line of lines B-1 to B-4200 in table B and wherein the combination of the meaning of Y and Z corresponds to line Z-128 in Table Z (compounds I.F.z128.b1 to I.F.z128.b4200).
Table 1759: Compounds I.F, wherein the combination of substituents R1, R2, X, D, B and the position of the group Y-Z in each case corresponds to one line of lines B-1 to B-4200 in table B and wherein the combination of the meaning of Y and Z corresponds to line Z-129 in Table Z (compounds I.F.z129.b1 to I.F.z129.b4200).
Table 1760: Compounds I.F, wherein the combination of substituents R1, R2, X, D, B and the position of the group Y-Z in each case corresponds to one line of lines B-1 to B-4200 in table B and wherein the combination of the meaning of Y and Z corresponds to line Z-130 in Table Z (compounds I.F.z130.b1 to I.F.z130.b4200).
Table 1761 : Compounds I.F, wherein the combination of substituents R1, R2, X, D, B and the position of the group Y-Z in each case corresponds to one line of lines B-1 to B-4200 in table B and wherein the combination of the meaning of Y and Z corresponds to line Z-131 in Table Z (compounds I.F.z131.b1 to I.F.z131.b4200).
Table 1762: Compounds I.F, wherein the combination of substituents R1, R2, X,
D, B and the position of the group Y-Z in each case corresponds to one line of lines B-1 to B-4200 in table B and wherein the combination of the meaning of Y and Z corresponds to line Z-132 in Table Z (compounds I.F.z132.b1 to I.F.z132.b4200).
Table 1763: Compounds I.F, wherein the combination of substituents R1, R2, X, D, B and the position of the group Y-Z in each case corresponds to one line of lines B-1 to B-4200 in table B and wherein the combination of the meaning of Y and Z corresponds to line Z-133 in Table Z (compounds I.F.z133.b1 to I.F.z133.b4200).
Table 1764: Compounds I.F, wherein the combination of substituents R1, R2, X, D, B and the position of the group Y-Z in each case corresponds to one line of lines B-1 to B-4200 in table B and wherein the combination of the meaning of Y and Z corresponds to line Z-134 in Table Z (compounds I.F.z134.b1 to I.F.z134.b4200).
Table 1765: Compounds I.F, wherein the combination of substituents R1, R2, X,
D, B and the position of the group Y-Z in each case corresponds to one line of lines B-1 to B-4200 in table B and wherein the combination of the meaning of Y and Z corresponds to line Z-135 in Table Z (compounds I.F.z135.b1 to I.F.z135.b4200).
Table 1766: Compounds I.F, wherein the combination of substituents R1, R2, X, D, B and the position of the group Y-Z in each case corresponds to one line of lines B-1 to B-4200 in table B and wherein the combination of the meaning of Y and Z corresponds to line Z-136 in Table Z (compounds I.F.z136.b1 to I.F.z136.b4200).
Table 1767: Compounds I.F, wherein the combination of substituents R1, R2, X, D, B and the position of the group Y-Z in each case corresponds to one line of lines B-1 to B-4200 in table B and wherein the combination of the meaning of Y and Z corresponds to line Z-137 in Table Z (compounds I.F.z137.b1 to I.F.z137.b4200).
Table 1768: Compounds I.F, wherein the combination of substituents R1, R2, X, D, B and the position of the group Y-Z in each case corresponds to one line of lines B-1 to B-4200 in table B and wherein the combination of the meaning of Y and Z corresponds to line Z-138 in Table Z (compounds I.F.z138.b1 to I.F.z138.b4200).
Table 1769: Compounds I.F, wherein the combination of substituents R1, R2, X, D, B and the position of the group Y-Z in each case corresponds to one line of lines B-1 to B-4200 in table B and wherein the combination of the meaning of Y and Z corresponds to line Z-139 in Table Z (compounds I.F.z139.b1 to I.F.z139.b4200).
Table 1770: Compounds I.F, wherein the combination of substituents R1, R2, X,
D, B and the position of the group Y-Z in each case corresponds to one line of lines B-1 to B-4200 in table B and wherein the combination of the meaning of Y and Z corresponds to line Z-140 in Table Z (compounds I.F.z140.b1 to I.F.z140.b4200).
Table 1771 : Compounds I.F, wherein the combination of substituents R1, R2, X, D, B and the position of the group Y-Z in each case corresponds to one line of lines B-1 to B-4200 in table B and wherein the combination of the meaning of Y and Z corresponds to line Z-141 in Table Z (compounds I.F.z141.b1 to I.F.z141.b4200).
Table 1772: Compounds I.F, wherein the combination of substituents R1, R2, X, D, B and the position of the group Y-Z in each case corresponds to one line of lines B-1 to B-4200 in table B and wherein the combination of the meaning of Y and Z corresponds to line Z-142 in Table Z (compounds I.F.z142.b1 to I.F.z142.b4200).
Table 1773: Compounds I.F, wherein the combination of substituents R1, R2, X, D, B and the position of the group Y-Z in each case corresponds to one line of lines B-1 to B-4200 in table B and wherein the combination of the meaning of Y and Z corresponds to line Z-143 in Table Z (compounds I.F.z143.b1 to I.F.z143.b4200).
Table 1774: Compounds I.F, wherein the combination of substituents R1, R2, X, D, B and the position of the group Y-Z in each case corresponds to one line of lines B-1
to B-4200 in table B and wherein the combination of the meaning of Y and Z corresponds to line Z-144 in Table Z (compounds I.F.z144.b1 to I.F.z144.b4200).
Table 1775: Compounds I.F, wherein the combination of substituents R1, R2, X, D, B and the position of the group Y-Z in each case corresponds to one line of lines B-1 to B-4200 in table B and wherein the combination of the meaning of Y and Z corresponds to line Z-145 in Table Z (compounds I.F.z145.b1 to I.F.z145.b4200).
Table 1776: Compounds I.F, wherein the combination of substituents R1, R2, X, D, B and the position of the group Y-Z in each case corresponds to one line of lines B-1 to B-4200 in table B and wherein the combination of the meaning of Y and Z corresponds to line Z-146 in Table Z (compounds I.F.z146.b1 to I.F.z146.b4200).
Table 1777: Compounds I.F, wherein the combination of substituents R1, R2, X, D, B and the position of the group Y-Z in each case corresponds to one line of lines B-1 to B-4200 in table B and wherein the combination of the meaning of Y and Z corresponds to line Z-147 in Table Z (compounds I.F.z147.b1 to I.F.z147.b4200).
Table 1778: Compounds I.F, wherein the combination of substituents R1, R2, X,
D, B and the position of the group Y-Z in each case corresponds to one line of lines B-1 to B-4200 in table B and wherein the combination of the meaning of Y and Z corresponds to line Z-148 in Table Z (compounds I.F.z148.b1 to I.F.z148.b4200).
Table 1779: Compounds I.F, wherein the combination of substituents R1, R2, X, D, B and the position of the group Y-Z in each case corresponds to one line of lines B-1 to B-4200 in table B and wherein the combination of the meaning of Y and Z corresponds to line Z-149 in Table Z (compounds I.F.z149.b1 to I.F.z149.b4200).
Table 1780: Compounds I.F, wherein the combination of substituents R1, R2, X, D, B and the position of the group Y-Z in each case corresponds to one line of lines B-1 to B-4200 in table B and wherein the combination of the meaning of Y and Z corresponds to line Z-150 in Table Z (compounds I.F.z150.b1 to I.F.z150.b4200).
Table 1781 : Compounds I.F, wherein the combination of substituents R1, R2, X, D, B and the position of the group Y-Z in each case corresponds to one line of lines B-1 to B-4200 in table B and wherein the combination of the meaning of Y and Z corresponds to line Z-151 in Table Z (compounds I. F.z151.b1 to I.F.z151.b4200).
Table 1782: Compounds I.F, wherein the combination of substituents R1, R2, X, D, B and the position of the group Y-Z in each case corresponds to one line of lines B-1 to B-4200 in table B and wherein the combination of the meaning of Y and Z corresponds to line Z-152 in Table Z (compounds I.F.z152.b1 to I.F.z152.b4200).
Table 1783: Compounds I.F, wherein the combination of substituents R1, R2, X,
D, B and the position of the group Y-Z in each case corresponds to one line of lines B-1 to B-4200 in table B and wherein the combination of the meaning of Y and Z corresponds to line Z-153 in Table Z (compounds I.F.z153.b1 to I.F.z153.b4200).
Table 1784: Compounds I.F, wherein the combination of substituents R1, R2, X, D, B and the position of the group Y-Z in each case corresponds to one line of lines B-1 to B-4200 in table B and wherein the combination of the meaning of Y and Z corresponds to line Z-154 in Table Z (compounds I.F.z154.b1 to I.F.z154.b4200).
Table 1785: Compounds I.F, wherein the combination of substituents R1, R2, X, D, B and the position of the group Y-Z in each case corresponds to one line of lines B-1 to B-4200 in table B and wherein the combination of the meaning of Y and Z corresponds to line Z-155 in Table Z (compounds I.F.z155.b1 to I.F.z155.b4200).
Table 1786: Compounds I.F, wherein the combination of substituents R1, R2, X,
D, B and the position of the group Y-Z in each case corresponds to one line of lines B-1 to B-4200 in table B and wherein the combination of the meaning of Y and Z corresponds to line Z-156 in Table Z (compounds I.F.z156.b1 to I.F.z156.b4200).
Table 1787: Compounds I.F, wherein the combination of substituents R1, R2, X, D, B and the position of the group Y-Z in each case corresponds to one line of lines B-1 to B-4200 in table B and wherein the combination of the meaning of Y and Z corresponds to line Z-157 in Table Z (compounds I.F.z157.b1 to I.F.z157.b4200).
Table 1788: Compounds I.F, wherein the combination of substituents R1, R2, X, D, B and the position of the group Y-Z in each case corresponds to one line of lines B-1 to B-4200 in table B and wherein the combination of the meaning of Y and Z corresponds to line Z-158 in Table Z (compounds I.F.z158.b1 to I.F.z158.b4200).
Table 1789: Compounds I.F, wherein the combination of substituents R1, R2, X, D, B and the position of the group Y-Z in each case corresponds to one line of lines B-1 to B-4200 in table B and wherein the combination of the meaning of Y and Z corresponds to line Z-159 in Table Z (compounds I.F.z159.b1 to I.F.z159.b4200).
Table 1790: Compounds I.F, wherein the combination of substituents R1, R2, X, D, B and the position of the group Y-Z in each case corresponds to one line of lines B-1 to B-4200 in table B and wherein the combination of the meaning of Y and Z corresponds to line Z-160 in Table Z (compounds I.F.z160.b1 to I.F.z160.b4200).
Table 1791 : Compounds I.F, wherein the combination of substituents R1, R2, X,
D, B and the position of the group Y-Z in each case corresponds to one line of lines B-1 to B-4200 in table B and wherein the combination of the meaning of Y and Z corresponds to line Z-161 in Table Z (compounds I.F.z161.b1 to I.F.z161.b4200).
Table 1792: Compounds I.F, wherein the combination of substituents R1, R2, X, D, B and the position of the group Y-Z in each case corresponds to one line of lines B-1 to B-4200 in table B and wherein the combination of the meaning of Y and Z corresponds to line Z-162 in Table Z (compounds I.F.z162.b1 to I.F.z162.b4200).
Table 1793: Compounds I.F, wherein the combination of substituents R1, R2, X, D, B and the position of the group Y-Z in each case corresponds to one line of lines B-1 to B-4200 in table B and wherein the combination of the meaning of Y and Z corresponds to line Z-163 in Table Z (compounds I.F.z163.b1 to I.F.z163.b4200).
Table 1794: Compounds I.F, wherein the combination of substituents R1, R2, X, D, B and the position of the group Y-Z in each case corresponds to one line of lines B-1 to B-4200 in table B and wherein the combination of the meaning of Y and Z corresponds to line Z-164 in Table Z (compounds I.F.z164.b1 to I.F.z164.b4200).
Table 1795: Compounds I.F, wherein the combination of substituents R1, R2, X, D, B and the position of the group Y-Z in each case corresponds to one line of lines B-1
to B-4200 in table B and wherein the combination of the meaning of Y and Z corresponds to line Z-165 in Table Z (compounds I.F.z165.b1 to I.F.z165.b4200).
Table 1796: Compounds I.F, wherein the combination of substituents R1, R2, X, D, B and the position of the group Y-Z in each case corresponds to one line of lines B-1 to B-4200 in table B and wherein the combination of the meaning of Y and Z corresponds to line Z-166 in Table Z (compounds I.F.z166.b1 to I.F.z166.b4200).
Table 1797: Compounds I.F, wherein the combination of substituents R1, R2, X, D, B and the position of the group Y-Z in each case corresponds to one line of lines B-1 to B-4200 in table B and wherein the combination of the meaning of Y and Z corresponds to line Z-167 in Table Z (compounds I.F.z167.b1 to I.F.z167.b4200).
Table 1798: Compounds I.F, wherein the combination of substituents R1, R2, X, D, B and the position of the group Y-Z in each case corresponds to one line of lines B-1 to B-4200 in table B and wherein the combination of the meaning of Y and Z corresponds to line Z-168 in Table Z (compounds I.F.z168.b1 to I.F.z168.b4200).
Table 1799: Compounds I.F, wherein the combination of substituents R1, R2, X,
D, B and the position of the group Y-Z in each case corresponds to one line of lines B-1 to B-4200 in table B and wherein the combination of the meaning of Y and Z corresponds to line Z-169 in Table Z (compounds I.F.z169.b1 to I.F.z169.b4200).
Table 1800: Compounds I.F, wherein the combination of substituents R1, R2, X, D, B and the position of the group Y-Z in each case corresponds to one line of lines B-1 to B-4200 in table B and wherein the combination of the meaning of Y and Z corresponds to line Z-170 in Table Z (compounds I.F.z170.b1 to I.F.z170.b4200).
Table 1801 : Compounds I.F, wherein the combination of substituents R1, R2, X, D, B and the position of the group Y-Z in each case corresponds to one line of lines B-1 to B-4200 in table B and wherein the combination of the meaning of Y and Z corresponds to line Z-171 in Table Z (compounds I.F.z171.b1 to I.F.z171.b4200).
Table 1802: Compounds I.F, wherein the combination of substituents R1, R2, X, D, B and the position of the group Y-Z in each case corresponds to one line of lines B-1 to B-4200 in table B and wherein the combination of the meaning of Y and Z corresponds to line Z-172 in Table Z (compounds I.F.z172.b1 to I.F.z172.b4200).
Table 1803: Compounds I.F, wherein the combination of substituents R1, R2, X, D, B and the position of the group Y-Z in each case corresponds to one line of lines B-1 to B-4200 in table B and wherein the combination of the meaning of Y and Z corresponds to line Z-173 in Table Z (compounds I.F.z173.b1 to I.F.z173.b4200).
Table 1804: Compounds I.F, wherein the combination of substituents R1, R2, X,
D, B and the position of the group Y-Z in each case corresponds to one line of lines B-1 to B-4200 in table B and wherein the combination of the meaning of Y and Z corresponds to line Z-174 in Table Z (compounds I.F.z174.b1 to I.F.z174.b4200).
Table 1805: Compounds I.F, wherein the combination of substituents R1, R2, X, D, B and the position of the group Y-Z in each case corresponds to one line of lines B-1 to B-4200 in table B and wherein the combination of the meaning of Y and Z corresponds to line Z-175 in Table Z (compounds I.F.z175.b1 to I.F.z175.b4200).
Table 1806: Compounds I.F, wherein the combination of substituents R1, R2, X, D, B and the position of the group Y-Z in each case corresponds to one line of lines B-1 to B-4200 in table B and wherein the combination of the meaning of Y and Z corresponds to line Z-176 in Table Z (compounds I.F.z176.b1 to I.F.z176.b4200).
Table 1807: Compounds I.F, wherein the combination of substituents R1, R2, X,
D, B and the position of the group Y-Z in each case corresponds to one line of lines B-1 to B-4200 in table B and wherein the combination of the meaning of Y and Z corresponds to line Z-177 in Table Z (compounds I.F.z177.b1 to I.F.z177.b4200).
Table 1808: Compounds I.F, wherein the combination of substituents R1, R2, X, D, B and the position of the group Y-Z in each case corresponds to one line of lines B-1 to B-4200 in table B and wherein the combination of the meaning of Y and Z corresponds to line Z-178 in Table Z (compounds I.F.z178.b1 to I.F.z178.b4200).
Table 1809: Compounds I.F, wherein the combination of substituents R1, R2, X, D, B and the position of the group Y-Z in each case corresponds to one line of lines B-1 to B-4200 in table B and wherein the combination of the meaning of Y and Z corresponds to line Z-179 in Table Z (compounds I.F.z179.b1 to I.F.z179.b4200).
Table 1810: Compounds I.F, wherein the combination of substituents R1, R2, X, D, B and the position of the group Y-Z in each case corresponds to one line of lines B-1 to B-4200 in table B and wherein the combination of the meaning of Y and Z corresponds to line Z-180 in Table Z (compounds I.F.z180.b1 to I.F.z180.b4200).
Table 181 1 : Compounds I.F, wherein the combination of substituents R1, R2, X, D, B and the position of the group Y-Z in each case corresponds to one line of lines B-1 to B-4200 in table B and wherein the combination of the meaning of Y and Z corresponds to line Z-181 in Table Z (compounds I.F.z181.b1 to I.F.z181.b4200).
Table 1812: Compounds I.F, wherein the combination of substituents R1, R2, X,
D, B and the position of the group Y-Z in each case corresponds to one line of lines B-1 to B-4200 in table B and wherein the combination of the meaning of Y and Z corresponds to line Z-182 in Table Z (compounds I.F.z182.b1 to I.F.z182.b4200).
Table 1813: Compounds I.F, wherein the combination of substituents R1, R2, X, D, B and the position of the group Y-Z in each case corresponds to one line of lines B-1 to B-4200 in table B and wherein the combination of the meaning of Y and Z corresponds to line Z-183 in Table Z (compounds I.F.z183.b1 to I.F.z183.b4200).
Table 1814: Compounds I.F, wherein the combination of substituents R1, R2, X, D, B and the position of the group Y-Z in each case corresponds to one line of lines B-1 to B-4200 in table B and wherein the combination of the meaning of Y and Z corresponds to line Z-184 in Table Z (compounds I.F.z184.b1 to I.F.z184.b4200).
Table 1815: Compounds I.F, wherein the combination of substituents R1, R2, X, D, B and the position of the group Y-Z in each case corresponds to one line of lines B-1 to B-4200 in table B and wherein the combination of the meaning of Y and Z corresponds to line Z-185 in Table Z (compounds I.F.z185.b1 to I.F.z185.b4200).
Table 1816: Compounds I.F, wherein the combination of substituents R1, R2, X, D, B and the position of the group Y-Z in each case corresponds to one line of lines B-1
to B-4200 in table B and wherein the combination of the meaning of Y and Z corresponds to line Z-186 in Table Z (compounds I.F.z186.b1 to I.F.z186.b4200).
Table 1817: Compounds I.F, wherein the combination of substituents R1, R2, X, D, B and the position of the group Y-Z in each case corresponds to one line of lines B-1 to B-4200 in table B and wherein the combination of the meaning of Y and Z corresponds to line Z-187 in Table Z (compounds I.F.z187.b1 to I.F.z187.b4200).
Table 1818: Compounds I.F, wherein the combination of substituents R1, R2, X, D, B and the position of the group Y-Z in each case corresponds to one line of lines B-1 to B-4200 in table B and wherein the combination of the meaning of Y and Z corresponds to line Z-188 in Table Z (compounds I.F.z188.b1 to I.F.z188.b4200).
Table 1819: Compounds I.F, wherein the combination of substituents R1, R2, X, D, B and the position of the group Y-Z in each case corresponds to one line of lines B-1 to B-4200 in table B and wherein the combination of the meaning of Y and Z corresponds to line Z-189 in Table Z (compounds I.F.z189.b1 to I.F.z189.b4200).
Table 1820: Compounds I.F, wherein the combination of substituents R1, R2, X,
D, B and the position of the group Y-Z in each case corresponds to one line of lines B-1 to B-4200 in table B and wherein the combination of the meaning of Y and Z corresponds to line Z-190 in Table Z (compounds I.F.z190.b1 to I.F.z190.b4200).
Table 1821 : Compounds I.F, wherein the combination of substituents R1, R2, X, D, B and the position of the group Y-Z in each case corresponds to one line of lines B-1 to B-4200 in table B and wherein the combination of the meaning of Y and Z corresponds to line Z-191 in Table Z (compounds I.F.z191.b1 to I.F.z191.b4200).
Table 1822: Compounds I.F, wherein the combination of substituents R1, R2, X, D, B and the position of the group Y-Z in each case corresponds to one line of lines B-1 to B-4200 in table B and wherein the combination of the meaning of Y and Z corresponds to line Z-192 in Table Z (compounds I.F.z192.b1 to I.F.z192.b4200).
Table 1823: Compounds I.F, wherein the combination of substituents R1, R2, X, D, B and the position of the group Y-Z in each case corresponds to one line of lines B-1 to B-4200 in table B and wherein the combination of the meaning of Y and Z corresponds to line Z-193 in Table Z (compounds I.F.z193.b1 to I.F.z193.b4200).
Table 1824: Compounds I.F, wherein the combination of substituents R1, R2, X, D, B and the position of the group Y-Z in each case corresponds to one line of lines B-1 to B-4200 in table B and wherein the combination of the meaning of Y and Z corresponds to line Z-194 in Table Z (compounds I.F.z194.b1 to I.F.z194.b4200).
Table 1825: Compounds I.F, wherein the combination of substituents R1, R2, X,
D, B and the position of the group Y-Z in each case corresponds to one line of lines B-1 to B-4200 in table B and wherein the combination of the meaning of Y and Z corresponds to line Z-195 in Table Z (compounds I.F.z195.b1 to I.F.z195.b4200).
Table 1826: Compounds I.F, wherein the combination of substituents R1, R2, X, D, B and the position of the group Y-Z in each case corresponds to one line of lines B-1 to B-4200 in table B and wherein the combination of the meaning of Y and Z corresponds to line Z-196 in Table Z (compounds I.F.z196.b1 to I.F.z196.b4200).
Table 1827: Compounds I.F, wherein the combination of substituents R1, R2, X, D, B and the position of the group Y-Z in each case corresponds to one line of lines B-1 to B-4200 in table B and wherein the combination of the meaning of Y and Z corresponds to line Z-197 in Table Z (compounds I.F.z197.b1 to I.F.z197.b4200).
Table 1828: Compounds I.F, wherein the combination of substituents R1, R2, X,
D, B and the position of the group Y-Z in each case corresponds to one line of lines B-1 to B-4200 in table B and wherein the combination of the meaning of Y and Z corresponds to line Z-198 in Table Z (compounds I.F.z198.b1 to I.F.z198.b4200).
Table 1829: Compounds I.F, wherein the combination of substituents R1, R2, X, D, B and the position of the group Y-Z in each case corresponds to one line of lines B-1 to B-4200 in table B and wherein the combination of the meaning of Y and Z corresponds to line Z-199 in Table Z (compounds I.F.z199.b1 to I.F.z199.b4200).
Table 1830: Compounds I.F, wherein the combination of substituents R1, R2, X, D, B and the position of the group Y-Z in each case corresponds to one line of lines B-1 to B-4200 in table B and wherein the combination of the meaning of Y and Z corresponds to line Z-200 in Table Z (compounds I.F.z200.b1 to I.F.z200.b4200).
Table 1831 : Compounds I.F, wherein the combination of substituents R1, R2, X, D, B and the position of the group Y-Z in each case corresponds to one line of lines B-1 to B-4200 in table B and wherein the combination of the meaning of Y and Z corresponds to line Z-201 in Table Z (compounds I.F.z201.b1 to I.F.z201 .b4200).
Table 1832: Compounds I.F, wherein the combination of substituents R1, R2, X, D, B and the position of the group Y-Z in each case corresponds to one line of lines B-1 to B-4200 in table B and wherein the combination of the meaning of Y and Z corresponds to line Z-202 in Table Z (compounds I.F.z202.b1 to I.F.z202.b4200).
Table 1833: Compounds I.F, wherein the combination of substituents R1, R2, X,
D, B and the position of the group Y-Z in each case corresponds to one line of lines B-1 to B-4200 in table B and wherein the combination of the meaning of Y and Z corresponds to line Z-203 in Table Z (compounds I.F.z203.b1 to I.F.z203.b4200).
Table 1834: Compounds I.F, wherein the combination of substituents R1, R2, X, D, B and the position of the group Y-Z in each case corresponds to one line of lines B-1 to B-4200 in table B and wherein the combination of the meaning of Y and Z corresponds to line Z-204 in Table Z (compounds I.F.z204.b1 to I.F.z204.b4200).
Table 1835: Compounds I.F, wherein the combination of substituents R1, R2, X, D, B and the position of the group Y-Z in each case corresponds to one line of lines B-1 to B-4200 in table B and wherein the combination of the meaning of Y and Z corresponds to line Z-205 in Table Z (compounds I.F.z205.b1 to I.F.z205.b4200).
Table 1836: Compounds I.F, wherein the combination of substituents R1, R2, X, D, B and the position of the group Y-Z in each case corresponds to one line of lines B-1 to B-4200 in table B and wherein the combination of the meaning of Y and Z corresponds to line Z-206 in Table Z (compounds I.F.z206.b1 to I.F.z206.b4200).
Table 1837: Compounds I.G, wherein the combination of substituents R1, R2, X, D, B and the position of the group Y-Z in each case corresponds to one line B-1 to B-
4200 in table B and wherein Z is phenyl and the combination of the meaning of Y and RL corresponds to line A-1 in Table A (compounds I.G.al .b1 to I.G.al .b4200).
Table 1838: Compounds I.G, wherein the combination of substituents R1, R2, X, D, B and the position of the group Y-Z in each case corresponds to one line B-1 to B- 4200 in table B and wherein Z is phenyl and the combination of the meaning of Y and RL corresponds to line A-2 in Table A (compounds I.G.a2.b1 to I.G.a2.b4200).
Table 1839: Compounds I.G, wherein the combination of substituents R1, R2, X, D, B and the position of the group Y-Z in each case corresponds to one line B-1 to B- 4200 in table B and wherein Z is phenyl and the combination of the meaning of Y and RL corresponds to line A-3 in Table A (compounds I.G.a3.b1 to I.G.a3.b4200).
Table 1840: Compounds I.G, wherein the combination of substituents R1, R2, X, D, B and the position of the group Y-Z in each case corresponds to one line B-1 to B- 4200 in table B and wherein Z is phenyl and the combination of the meaning of Y and RL corresponds to line A-4 in Table A (compounds I.G.a4.b1 to I.G.a4.b4200).
Table 1841 : Compounds I.G, wherein the combination of substituents R1, R2, X,
D, B and the position of the group Y-Z in each case corresponds to one line B-1 to B- 4200 in table B and wherein Z is phenyl and the combination of the meaning of Y and RL corresponds to line A-5 in Table A (compounds I.G.a5.b1 to I.G.a5.b4200).
Table 1842: Compounds I.G, wherein the combination of substituents R1, R2, X, D, B and the position of the group Y-Z in each case corresponds to one line B-1 to B- 4200 in table B and wherein Z is phenyl and the combination of the meaning of Y and RL corresponds to line A-6 in Table A (compounds I.G.a6.b1 to I.G.a6.b4200).
Table 1843: Compounds I.G, wherein the combination of substituents R1, R2, X, D, B and the position of the group Y-Z in each case corresponds to one line B-1 to B- 4200 in table B and wherein Z is phenyl and the combination of the meaning of Y and RL corresponds to line A-7 in Table A (compounds I.G.a7.b1 to I.G.a7.b4200).
Table 1844: Compounds I.G, wherein the combination of substituents R1, R2, X, D, B and the position of the group Y-Z in each case corresponds to one line B-1 to B- 4200 in table B and wherein Z is phenyl and the combination of the meaning of Y and RL corresponds to line A-8 in Table A (compounds I.G.a8.b1 to I.G.a8.b4200).
Table 1845: Compounds I.G, wherein the combination of substituents R1, R2, X, D, B and the position of the group Y-Z in each case corresponds to one line B-1 to B- 4200 in table B and wherein Z is phenyl and the combination of the meaning of Y and RL corresponds to line A-9 in Table A (compounds I.G.a9.b1 to I.G.a9.b4200).
Table 1846: Compounds I.G, wherein the combination of substituents R1, R2, X,
D, B and the position of the group Y-Z in each case corresponds to one line B-1 to B- 4200 in table B and wherein Z is phenyl and the combination of the meaning of Y and RL corresponds to line A-10 in Table A (compounds I.G.a10.b1 to I.G.a10.b4200).
Table 1847: Compounds I.G, wherein the combination of substituents R1, R2, X, D, B and the position of the group Y-Z in each case corresponds to one line B-1 to B- 4200 in table B and wherein Z is phenyl and the combination of the meaning of Y and RL corresponds to line A-1 1 in Table A (compounds I.G.al 1 .b1 to I.G.al 1 .b4200).
Table 1848: Compounds I.G, wherein the combination of substituents R1, R2, X, D, B and the position of the group Y-Z in each case corresponds to one line B-1 to B- 4200 in table B and wherein Z is phenyl and the combination of the meaning of Y and RL corresponds to line A-12 in Table A (compounds I.G.a12.b1 to I.G.a12.b4200).
Table 1849: Compounds I.G, wherein the combination of substituents R1, R2, X,
D, B and the position of the group Y-Z in each case corresponds to one line B-1 to B- 4200 in table B and wherein Z is phenyl and the combination of the meaning of Y and RL corresponds to line A-13 in Table A (compounds I.G.a13.b1 to I.G.a13.b4200).
Table 1850: Compounds I.G, wherein the combination of substituents R1, R2, X, D, B and the position of the group Y-Z in each case corresponds to one line B-1 to B- 4200 in table B and wherein Z is phenyl and the combination of the meaning of Y and RL corresponds to line A-14 in Table A (compounds I.G.a14.b1 to I.G.a14.b4200).
Table 1851 : Compounds I.G, wherein the combination of substituents R1, R2, X, D, B and the position of the group Y-Z in each case corresponds to one line B-1 to B- 4200 in table B and wherein Z is phenyl and the combination of the meaning of Y and RL corresponds to line A-15 in Table A (compounds I.G.a15.b1 to I.G.a15.b4200).
Table 1852: Compounds I.G, wherein the combination of substituents R1, R2, X, D, B and the position of the group Y-Z in each case corresponds to one line B-1 to B- 4200 in table B and wherein Z is phenyl and the combination of the meaning of Y and RL corresponds to line A-16 in Table A (compounds I.G.a16.b1 to I.G.a16.b4200).
Table 1853: Compounds I.G, wherein the combination of substituents R1, R2, X, D, B and the position of the group Y-Z in each case corresponds to one line B-1 to B- 4200 in table B and wherein Z is phenyl and the combination of the meaning of Y and RL corresponds to line A-17 in Table A (compounds I.G.a17.b1 to I.G.a17.b4200).
Table 1854: Compounds I.G, wherein the combination of substituents R1, R2, X,
D, B and the position of the group Y-Z in each case corresponds to one line B-1 to B- 4200 in table B and wherein Z is phenyl and the combination of the meaning of Y and RL corresponds to line A-18 in Table A (compounds I.G.a18.b1 to I.G.a18.b4200).
Table 1855: Compounds I.G, wherein the combination of substituents R1, R2, X, D, B and the position of the group Y-Z in each case corresponds to one line B-1 to B- 4200 in table B and wherein Z is phenyl and the combination of the meaning of Y and RL corresponds to line A-19 in Table A (compounds I.G.a19.b1 to I.G.a19.b4200).
Table 1856: Compounds I.G, wherein the combination of substituents R1, R2, X, D, B and the position of the group Y-Z in each case corresponds to one line B-1 to B- 4200 in table B and wherein Z is phenyl and the combination of the meaning of Y and RL corresponds to line A-20 in Table A (compounds I.G.a20.b1 to I.G.a20.b4200).
Table 1857: Compounds I.G, wherein the combination of substituents R1, R2, X, D, B and the position of the group Y-Z in each case corresponds to one line B-1 to B- 4200 in table B and wherein Z is phenyl and the combination of the meaning of Y and RL corresponds to line A-21 in Table A (compounds I.G.a21.b1 to I.G.a21.b4200).
Table 1858: Compounds I.G, wherein the combination of substituents R1, R2, X, D, B and the position of the group Y-Z in each case corresponds to one line B-1 to B-
4200 in table B and wherein Z is phenyl and the combination of the meaning of Y and RL corresponds to line A-22 in Table A (compounds I.G.a22.b1 to I.G.a22.b4200).
Table 1859: Compounds I.G, wherein the combination of substituents R1, R2, X, D, B and the position of the group Y-Z in each case corresponds to one line B-1 to B- 4200 in table B and wherein Z is phenyl and the combination of the meaning of Y and RL corresponds to line A-23 in Table A (compounds I.G.a23.b1 to I.G.a23.b4200).
Table 1860: Compounds I.G, wherein the combination of substituents R1, R2, X, D, B and the position of the group Y-Z in each case corresponds to one line B-1 to B- 4200 in table B and wherein Z is phenyl and the combination of the meaning of Y and RL corresponds to line A-24 in Table A (compounds I.G.a24.b1 to I.G.a24.b4200).
Table 1861 : Compounds I.G, wherein the combination of substituents R1, R2, X, D, B and the position of the group Y-Z in each case corresponds to one line B-1 to B- 4200 in table B and wherein Z is phenyl and the combination of the meaning of Y and RL corresponds to line A-25 in Table A (compounds I.G.a25.b1 to I.G.a25.b4200).
Table 1862: Compounds I.G, wherein the combination of substituents R1, R2, X,
D, B and the position of the group Y-Z in each case corresponds to one line B-1 to B- 4200 in table B and wherein Z is phenyl and the combination of the meaning of Y and RL corresponds to line A-26 in Table A (compounds I.G.a26.b1 to I.G.a26.b4200).
Table 1863: Compounds I.G, wherein the combination of substituents R1, R2, X, D, B and the position of the group Y-Z in each case corresponds to one line B-1 to B- 4200 in table B and wherein Z is phenyl and the combination of the meaning of Y and RL corresponds to line A-27 in Table A (compounds I.G.a27.b1 to I.G.a27.b4200).
Table 1864: Compounds I.G, wherein the combination of substituents R1, R2, X, D, B and the position of the group Y-Z in each case corresponds to one line B-1 to B- 4200 in table B and wherein Z is phenyl and the combination of the meaning of Y and RL corresponds to line A-28 in Table A (compounds I.G.a28.b1 to I.G.a28.b4200).
Table 1865: Compounds I.G, wherein the combination of substituents R1, R2, X, D, B and the position of the group Y-Z in each case corresponds to one line B-1 to B- 4200 in table B and wherein Z is phenyl and the combination of the meaning of Y and RL corresponds to line A-29 in Table A (compounds I.G.a29.b1 to I.G.a29.b4200).
Table 1866: Compounds I.G, wherein the combination of substituents R1, R2, X, D, B and the position of the group Y-Z in each case corresponds to one line B-1 to B- 4200 in table B and wherein Z is phenyl and the combination of the meaning of Y and RL corresponds to line A-30 in Table A (compounds I.G.a30.b1 to I.G.a30.b4200).
Table 1867: Compounds I.G, wherein the combination of substituents R1, R2, X,
D, B and the position of the group Y-Z in each case corresponds to one line B-1 to B- 4200 in table B and wherein Z is phenyl and the combination of the meaning of Y and RL corresponds to line A-31 in Table A (compounds I.G.a31 .b1 to I.G.a31 .b4200).
Table 1868: Compounds I.G, wherein the combination of substituents R1, R2, X, D, B and the position of the group Y-Z in each case corresponds to one line B-1 to B- 4200 in table B and wherein Z is phenyl and the combination of the meaning of Y and RL corresponds to line A-32 in Table A (compounds I.G.a32.b1 to I.G.a32.b4200).
Table 1869: Compounds I.G, wherein the combination of substituents R1, R2, X, D, B and the position of the group Y-Z in each case corresponds to one line B-1 to B- 4200 in table B and wherein Z is phenyl and the combination of the meaning of Y and RL corresponds to line A-33 in Table A (compounds I.G.a33.b1 to I.G.a33.b4200).
Table 1870: Compounds I.G, wherein the combination of substituents R1, R2, X,
D, B and the position of the group Y-Z in each case corresponds to one line B-1 to B- 4200 in table B and wherein Z is phenyl and the combination of the meaning of Y and RL corresponds to line A-34 in Table A (compounds I.G.a34.b1 to I.G.a34.b4200).
Table 1871 : Compounds I.G, wherein the combination of substituents R1, R2, X, D, B and the position of the group Y-Z in each case corresponds to one line B-1 to B- 4200 in table B and wherein Z is phenyl and the combination of the meaning of Y and RL corresponds to line A-35 in Table A (compounds I.G.a35.b1 to I.G.a35.b4200).
Table 1872: Compounds I.G, wherein the combination of substituents R1, R2, X, D, B and the position of the group Y-Z in each case corresponds to one line B-1 to B- 4200 in table B and wherein Z is phenyl and the combination of the meaning of Y and RL corresponds to line A-36 in Table A (compounds I.G.a36.b1 to I.G.a36.b4200).
Table 1873: Compounds I.G, wherein the combination of substituents R1, R2, X, D, B and the position of the group Y-Z in each case corresponds to one line B-1 to B- 4200 in table B and wherein Z is phenyl and the combination of the meaning of Y and RL corresponds to line A-37 in Table A (compounds I.G.a37.b1 to I.G.a37.b4200).
Table 1874: Compounds I.G, wherein the combination of substituents R1, R2, X, D, B and the position of the group Y-Z in each case corresponds to one line B-1 to B- 4200 in table B and wherein Z is phenyl and the combination of the meaning of Y and RL corresponds to line A-38 in Table A (compounds I.G.a38.b1 to I.G.a38.b4200).
Table 1875: Compounds I.G, wherein the combination of substituents R1, R2, X,
D, B and the position of the group Y-Z in each case corresponds to one line B-1 to B- 4200 in table B and wherein Z is phenyl and the combination of the meaning of Y and RL corresponds to line A-39 in Table A (compounds I.G.a39.b1 to I.G.a39.b4200).
Table 1876: Compounds I.G, wherein the combination of substituents R1, R2, X, D, B and the position of the group Y-Z in each case corresponds to one line B-1 to B- 4200 in table B and wherein Z is phenyl and the combination of the meaning of Y and RL corresponds to line A-40 in Table A (compounds I.G.a40.b1 to I.G.a40.b4200).
Table 1877: Compounds I.G, wherein the combination of substituents R1, R2, X, D, B and the position of the group Y-Z in each case corresponds to one line B-1 to B- 4200 in table B and wherein Z is phenyl and the combination of the meaning of Y and RL corresponds to line A-41 in Table A (compounds I.G.a41 .b1 to I.G.a41 .b4200).
Table 1878: Compounds I.G, wherein the combination of substituents R1, R2, X, D, B and the position of the group Y-Z in each case corresponds to one line B-1 to B- 4200 in table B and wherein Z is phenyl and the combination of the meaning of Y and RL corresponds to line A-42 in Table A (compounds I.G.a42.b1 to I.G.a42.b4200).
Table 1879: Compounds I.G, wherein the combination of substituents R1, R2, X, D, B and the position of the group Y-Z in each case corresponds to one line B-1 to B-
4200 in table B and wherein Z is phenyl and the combination of the meaning of Y and RL corresponds to line A-43 in Table A (compounds I.G.a43.b1 to I.G.a43.b4200).
Table 1880: Compounds I.G, wherein the combination of substituents R1, R2, X, D, B and the position of the group Y-Z in each case corresponds to one line B-1 to B- 4200 in table B and wherein Z is phenyl and the combination of the meaning of Y and RL corresponds to line A-44 in Table A (compounds I.G.a44.b1 to I.G.a44.b4200).
Table 1881 : Compounds I.G, wherein the combination of substituents R1, R2, X, D, B and the position of the group Y-Z in each case corresponds to one line B-1 to B- 4200 in table B and wherein Z is phenyl and the combination of the meaning of Y and RL corresponds to line A-45 in Table A (compounds I.G.a45.b1 to I.G.a45.b4200).
Table 1882: Compounds I.G, wherein the combination of substituents R1, R2, X, D, B and the position of the group Y-Z in each case corresponds to one line B-1 to B- 4200 in table B and wherein Z is phenyl and the combination of the meaning of Y and RL corresponds to line A-46 in Table A (compounds I.G.a46.b1 to I.G.a46.b4200).
Table 1883: Compounds I.G, wherein the combination of substituents R1, R2, X,
D, B and the position of the group Y-Z in each case corresponds to one line B-1 to B- 4200 in table B and wherein Z is phenyl and the combination of the meaning of Y and RL corresponds to line A-47 in Table A (compounds I.G.a47.b1 to I.G.a47.b4200).
Table 1884: Compounds I.G, wherein the combination of substituents R1, R2, X, D, B and the position of the group Y-Z in each case corresponds to one line B-1 to B- 4200 in table B and wherein Z is phenyl and the combination of the meaning of Y and RL corresponds to line A-48 in Table A (compounds I.G.a48.b1 to I.G.a48.b4200).
Table 1885: Compounds I.G, wherein the combination of substituents R1, R2, X, D, B and the position of the group Y-Z in each case corresponds to one line B-1 to B- 4200 in table B and wherein Z is phenyl and the combination of the meaning of Y and RL corresponds to line A-49 in Table A (compounds I.G.a49.b1 to I.G.a49.b4200).
Table 1886: Compounds I.G, wherein the combination of substituents R1, R2, X, D, B and the position of the group Y-Z in each case corresponds to one line B-1 to B- 4200 in table B and wherein Z is phenyl and the combination of the meaning of Y and RL corresponds to line A-50 in Table A (compounds I.G.a50.b1 to I.G.a50.b4200).
Table 1887: Compounds I.G, wherein the combination of substituents R1, R2, X, D, B and the position of the group Y-Z in each case corresponds to one line B-1 to B- 4200 in table B and wherein Z is phenyl and the combination of the meaning of Y and RL corresponds to line A-51 in Table A (compounds I.G.a51 .b1 to I.G.a51 .b4200).
Table 1888: Compounds I.G, wherein the combination of substituents R1, R2, X,
D, B and the position of the group Y-Z in each case corresponds to one line B-1 to B- 4200 in table B and wherein Z is phenyl and the combination of the meaning of Y and RL corresponds to line A-52 in Table A (compounds I.G.a52.b1 to I.G.a52.b4200).
Table 1889: Compounds I.G, wherein the combination of substituents R1, R2, X, D, B and the position of the group Y-Z in each case corresponds to one line B-1 to B- 4200 in table B and wherein Z is phenyl and the combination of the meaning of Y and RL corresponds to line A-53 in Table A (compounds I.G.a53.b1 to I.G.a53.b4200).
Table 1890: Compounds I.G, wherein the combination of substituents R1, R2, X, D, B and the position of the group Y-Z in each case corresponds to one line B-1 to B- 4200 in table B and wherein Z is phenyl and the combination of the meaning of Y and RL corresponds to line A-54 in Table A (compounds I.G.a54.b1 to I.G.a54.b4200).
Table 1891 : Compounds I.G, wherein the combination of substituents R1, R2, X,
D, B and the position of the group Y-Z in each case corresponds to one line B-1 to B- 4200 in table B and wherein Z is phenyl and the combination of the meaning of Y and RL corresponds to line A-55 in Table A (compounds I.G.a55.b1 to I.G.a55.b4200).
Table 1892: Compounds I.G, wherein the combination of substituents R1, R2, X, D, B and the position of the group Y-Z in each case corresponds to one line B-1 to B- 4200 in table B and wherein Z is phenyl and the combination of the meaning of Y and RL corresponds to line A-56 in Table A (compounds I.G.a56.b1 to I.G.a56.b4200).
Table 1893: Compounds I.G, wherein the combination of substituents R1, R2, X, D, B and the position of the group Y-Z in each case corresponds to one line B-1 to B- 4200 in table B and wherein Z is phenyl and the combination of the meaning of Y and RL corresponds to line A-57 in Table A (compounds I.G.a57.b1 to I.G.a57.b4200).
Table 1894: Compounds I.G, wherein the combination of substituents R1, R2, X, D, B and the position of the group Y-Z in each case corresponds to one line B-1 to B- 4200 in table B and wherein Z is phenyl and the combination of the meaning of Y and RL corresponds to line A-58 in Table A (compounds I.G.a58.b1 to I.G.a58.b4200).
Table 1895: Compounds I.G, wherein the combination of substituents R1, R2, X, D, B and the position of the group Y-Z in each case corresponds to one line B-1 to B- 4200 in table B and wherein Z is phenyl and the combination of the meaning of Y and RL corresponds to line A-59 in Table A (compounds I.G.a59.b1 to I.G.a59.b4200).
Table 1896: Compounds I.G, wherein the combination of substituents R1, R2, X,
D, B and the position of the group Y-Z in each case corresponds to one line B-1 to B- 4200 in table B and wherein Z is phenyl and the combination of the meaning of Y and RL corresponds to line A-60 in Table A (compounds I.G.a60.b1 to I.G.a60.b4200).
Table 1897: Compounds I.G, wherein the combination of substituents R1, R2, X, D, B and the position of the group Y-Z in each case corresponds to one line B-1 to B- 4200 in table B and wherein Z is phenyl and the combination of the meaning of Y and RL corresponds to line A-61 in Table A (compounds I.G.a61 .b1 to I.G.a61 .b4200).
Table 1898: Compounds I.G, wherein the combination of substituents R1, R2, X, D, B and the position of the group Y-Z in each case corresponds to one line B-1 to B- 4200 in table B and wherein Z is phenyl and the combination of the meaning of Y and RL corresponds to line A-62 in Table A (compounds I.G.a62.b1 to I.G.a62.b4200).
Table 1899: Compounds I.G, wherein the combination of substituents R1, R2, X, D, B and the position of the group Y-Z in each case corresponds to one line B-1 to B- 4200 in table B and wherein Z is phenyl and the combination of the meaning of Y and RL corresponds to line A-63 in Table A (compounds I.G.a63.b1 to I.G.a63.b4200).
Table 1900: Compounds I.G, wherein the combination of substituents R1, R2, X, D, B and the position of the group Y-Z in each case corresponds to one line B-1 to B-
4200 in table B and wherein Z is phenyl and the combination of the meaning of Y and RL corresponds to line A-64 in Table A (compounds I.G.a64.b1 to I.G.a64.b4200).
Table 1901 : Compounds I.G, wherein the combination of substituents R1, R2, X, D, B and the position of the group Y-Z in each case corresponds to one line B-1 to B- 4200 in table B and wherein Z is phenyl and the combination of the meaning of Y and RL corresponds to line A-65 in Table A (compounds I.G.a65.b1 to I.G.a65.b4200).
Table 1902: Compounds I.G, wherein the combination of substituents R1, R2, X, D, B and the position of the group Y-Z in each case corresponds to one line B-1 to B- 4200 in table B and wherein Z is phenyl and the combination of the meaning of Y and RL corresponds to line A-66 in Table A (compounds I.G.a66.b1 to I.G.a66.b4200).
Table 1903: Compounds I.G, wherein the combination of substituents R1, R2, X, D, B and the position of the group Y-Z in each case corresponds to one line B-1 to B- 4200 in table B and wherein Z is phenyl and the combination of the meaning of Y and RL corresponds to line A-67 in Table A (compounds I.G.a67.b1 to I.G.a67.b4200).
Table 1904: Compounds I.G, wherein the combination of substituents R1, R2, X,
D, B and the position of the group Y-Z in each case corresponds to one line B-1 to B- 4200 in table B and wherein Z is phenyl and the combination of the meaning of Y and RL corresponds to line A-68 in Table A (compounds I.G.a68.b1 to I.G.a68.b4200).
Table 1905: Compounds I.G, wherein the combination of substituents R1, R2, X, D, B and the position of the group Y-Z in each case corresponds to one line B-1 to B- 4200 in table B and wherein Z is phenyl and the combination of the meaning of Y and RL corresponds to line A-69 in Table A (compounds I.G.a69.b1 to I.G.a69.b4200).
Table 1906: Compounds I.G, wherein the combination of substituents R1, R2, X, D, B and the position of the group Y-Z in each case corresponds to one line B-1 to B- 4200 in table B and wherein Z is phenyl and the combination of the meaning of Y and RL corresponds to line A-70 in Table A (compounds I.G.a70.b1 to I.G.a70.b4200).
Table 1907: Compounds I.G, wherein the combination of substituents R1, R2, X, D, B and the position of the group Y-Z in each case corresponds to one line B-1 to B- 4200 in table B and wherein Z is phenyl and the combination of the meaning of Y and RL corresponds to line A-71 in Table A (compounds I.G.a71 .b1 to I.G.a71 .b4200).
Table 1908: Compounds I.G, wherein the combination of substituents R1, R2, X, D, B and the position of the group Y-Z in each case corresponds to one line B-1 to B- 4200 in table B and wherein Z is phenyl and the combination of the meaning of Y and RL corresponds to line A-72 in Table A (compounds I.G.a72.b1 to I.G.a72.b4200).
Table 1909: Compounds I.G, wherein the combination of substituents R1, R2, X,
D, B and the position of the group Y-Z in each case corresponds to one line B-1 to B- 4200 in table B and wherein Z is phenyl and the combination of the meaning of Y and RL corresponds to line A-73 in Table A (compounds I.G.a73.b1 to I.G.a73.b4200).
Table 1910: Compounds I.G, wherein the combination of substituents R1, R2, X, D, B and the position of the group Y-Z in each case corresponds to one line B-1 to B- 4200 in table B and wherein Z is phenyl and the combination of the meaning of Y and RL corresponds to line A-74 in Table A (compounds I.G.a74.b1 to I.G.a74.b4200).
Table 191 1 : Compounds I.G, wherein the combination of substituents R1, R2, X, D, B and the position of the group Y-Z in each case corresponds to one line B-1 to B- 4200 in table B and wherein Z is phenyl and the combination of the meaning of Y and RL corresponds to line A-75 in Table A (compounds I.G.a75.b1 to I.G.a75.b4200).
Table 1912: Compounds I.G, wherein the combination of substituents R1, R2, X,
D, B and the position of the group Y-Z in each case corresponds to one line B-1 to B- 4200 in table B and wherein Z is phenyl and the combination of the meaning of Y and RL corresponds to line A-76 in Table A (compounds I.G.a76.b1 to I.G.a76.b4200).
Table 1913: Compounds I.G, wherein the combination of substituents R1, R2, X, D, B and the position of the group Y-Z in each case corresponds to one line B-1 to B- 4200 in table B and wherein Z is phenyl and the combination of the meaning of Y and RL corresponds to line A-77 in Table A (compounds I.G.a77.b1 to I.G.a77.b4200).
Table 1914: Compounds I.G, wherein the combination of substituents R1, R2, X, D, B and the position of the group Y-Z in each case corresponds to one line B-1 to B- 4200 in table B and wherein Z is phenyl and the combination of the meaning of Y and RL corresponds to line A-78 in Table A (compounds I.G.a78.b1 to I.G.a78.b4200).
Table 1915: Compounds I.G, wherein the combination of substituents R1, R2, X, D, B and the position of the group Y-Z in each case corresponds to one line B-1 to B- 4200 in table B and wherein Z is phenyl and the combination of the meaning of Y and RL corresponds to line A-79 in Table A (compounds I.G.a79.b1 to I.G.a79.b4200).
Table 1916: Compounds I.G, wherein the combination of substituents R1, R2, X, D, B and the position of the group Y-Z in each case corresponds to one line B-1 to B- 4200 in table B and wherein Z is phenyl and the combination of the meaning of Y and RL corresponds to line A-80 in Table A (compounds I.G.a80.b1 to I.G.a80.b4200).
Table 1917: Compounds I.G, wherein the combination of substituents R1, R2, X,
D, B and the position of the group Y-Z in each case corresponds to one line B-1 to B- 4200 in table B and wherein Z is phenyl and the combination of the meaning of Y and RL corresponds to line A-81 in Table A (compounds I.G.a81 .b1 to I.G.a81 .b4200).
Table 1918: Compounds I.G, wherein the combination of substituents R1, R2, X, D, B and the position of the group Y-Z in each case corresponds to one line B-1 to B- 4200 in table B and wherein Z is phenyl and the combination of the meaning of Y and RL corresponds to line A-82 in Table A (compounds I.G.a82.b1 to I.G.a82.b4200).
Table 1919: Compounds I.G, wherein the combination of substituents R1, R2, X, D, B and the position of the group Y-Z in each case corresponds to one line B-1 to B- 4200 in table B and wherein Z is phenyl and the combination of the meaning of Y and RL corresponds to line A-83 in Table A (compounds I.G.a83.b1 to I.G.a83.b4200).
Table 1920: Compounds I.G, wherein the combination of substituents R1, R2, X, D, B and the position of the group Y-Z in each case corresponds to one line B-1 to B- 4200 in table B and wherein Z is phenyl and the combination of the meaning of Y and RL corresponds to line A-84 in Table A (compounds I.G.a84.b1 to I.G.a84.b4200).
Table 1921 : Compounds I.G, wherein the combination of substituents R1, R2, X, D, B and the position of the group Y-Z in each case corresponds to one line B-1 to B-
4200 in table B and wherein Z is phenyl and the combination of the meaning of Y and RL corresponds to line A-85 in Table A (compounds I.G.a85.b1 to I.G.a85.b4200).
Table 1922: Compounds I.G, wherein the combination of substituents R1, R2, X, D, B and the position of the group Y-Z in each case corresponds to one line B-1 to B- 4200 in table B and wherein Z is phenyl and the combination of the meaning of Y and RL corresponds to line A-86 in Table A (compounds I.G.a86.b1 to I.G.a86.b4200).
Table 1923: Compounds I.G, wherein the combination of substituents R1, R2, X, D, B and the position of the group Y-Z in each case corresponds to one line B-1 to B- 4200 in table B and wherein Z is phenyl and the combination of the meaning of Y and RL corresponds to line A-87 in Table A (compounds I.G.a87.b1 to I.G.a87.b4200).
Table 1924: Compounds I.G, wherein the combination of substituents R1, R2, X, D, B and the position of the group Y-Z in each case corresponds to one line B-1 to B- 4200 in table B and wherein Z is phenyl and the combination of the meaning of Y and RL corresponds to line A-88 in Table A (compounds I.G.a88.b1 to I.G.a88.b4200).
Table 1925: Compounds I.G, wherein the combination of substituents R1, R2, X,
D, B and the position of the group Y-Z in each case corresponds to one line B-1 to B- 4200 in table B and wherein Z is phenyl and the combination of the meaning of Y and RL corresponds to line A-89 in Table A (compounds I.G.a89.b1 to I.G.a89.b4200).
Table 1926: Compounds I.G, wherein the combination of substituents R1, R2, X, D, B and the position of the group Y-Z in each case corresponds to one line B-1 to B- 4200 in table B and wherein Z is phenyl and the combination of the meaning of Y and RL corresponds to line A-90 in Table A (compounds I.G.a90.b1 to I.G.a90.b4200).
Table 1927: Compounds I.G, wherein the combination of substituents R1, R2, X, D, B and the position of the group Y-Z in each case corresponds to one line B-1 to B- 4200 in table B and wherein Z is phenyl and the combination of the meaning of Y and RL corresponds to line A-91 in Table A (compounds I.G.a91 .b1 to I.G.a91 .b4200).
Table 1928: Compounds I.G, wherein the combination of substituents R1, R2, X, D, B and the position of the group Y-Z in each case corresponds to one line B-1 to B- 4200 in table B and wherein Z is phenyl and the combination of the meaning of Y and RL corresponds to line A-92 in Table A (compounds I.G.a92.b1 to I.G.a92.b4200).
Table 1929: Compounds I.G, wherein the combination of substituents R1, R2, X, D, B and the position of the group Y-Z in each case corresponds to one line B-1 to B- 4200 in table B and wherein Z is phenyl and the combination of the meaning of Y and RL corresponds to line A-93 in Table A (compounds I.G.a93.b1 to I.G.a93.b4200).
Table 1930: Compounds I.G, wherein the combination of substituents R1, R2, X,
D, B and the position of the group Y-Z in each case corresponds to one line B-1 to B- 4200 in table B and wherein Z is phenyl and the combination of the meaning of Y and RL corresponds to line A-94 in Table A (compounds I.G.a94.b1 to I.G.a94.b4200).
Table 1931 : Compounds I.G, wherein the combination of substituents R1, R2, X, D, B and the position of the group Y-Z in each case corresponds to one line B-1 to B- 4200 in table B and wherein Z is phenyl and the combination of the meaning of Y and RL corresponds to line A-95 in Table A (compounds I.G.a95.b1 to I.G.a95.b4200).
Table 1932: Compounds I.G, wherein the combination of substituents R1, R2, X, D, B and the position of the group Y-Z in each case corresponds to one line B-1 to B- 4200 in table B and wherein Z is phenyl and the combination of the meaning of Y and RL corresponds to line A-96 in Table A (compounds I.G.a96.b1 to I.G.a96.b4200).
Table 1933: Compounds I.G, wherein the combination of substituents R1, R2, X,
D, B and the position of the group Y-Z in each case corresponds to one line B-1 to B- 4200 in table B and wherein Z is phenyl and the combination of the meaning of Y and RL corresponds to line A-97 in Table A (compounds I.G.a97.b1 to I.G.a97.b4200).
Table 1934: Compounds I.G, wherein the combination of substituents R1, R2, X, D, B and the position of the group Y-Z in each case corresponds to one line B-1 to B- 4200 in table B and wherein Z is phenyl and the combination of the meaning of Y and RL corresponds to line A-98 in Table A (compounds I.G.a98.b1 to I.G.a98.b4200).
Table 1935: Compounds I.G, wherein the combination of substituents R1, R2, X, D, B and the position of the group Y-Z in each case corresponds to one line B-1 to B- 4200 in table B and wherein Z is phenyl and the combination of the meaning of Y and RL corresponds to line A-99 in Table A (compounds I.G.a99.b1 to I.G.a99.b4200).
Table 1936: Compounds I.G, wherein the combination of substituents R1, R2, X, D, B and the position of the group Y-Z in each case corresponds to one line B-1 to B- 4200 in table B and wherein Z is phenyl and the combination of the meaning of Y and RL corresponds to line A-100 in Table A (compounds I.G.a100.b1 to I.G.a100.b4200).
Table 1937: Compounds I.G, wherein the combination of substituents R1, R2, X, D, B and the position of the group Y-Z in each case corresponds to one line of lines B-1 to B-4200 in table B and wherein the combination of the meaning of Y and Z corresponds to line Z-1 in Table Z (compounds I.G.zl .b1 to I.G.zl .b4200).
Table 1938: Compounds I.G, wherein the combination of substituents R1, R2, X,
D, B and the position of the group Y-Z in each case corresponds to one line of lines B-1 to B-4200 in table B and wherein the combination of the meaning of Y and Z corresponds to line Z-2 in Table Z (compounds I.G.z2.b1 to I.G.z2.b4200).
Table 1939: Compounds I.G, wherein the combination of substituents R1, R2, X, D, B and the position of the group Y-Z in each case corresponds to one line of lines B-1 to B-4200 in table B and wherein the combination of the meaning of Y and Z corresponds to line Z-3 in Table Z (compounds I.G.z3.b1 to I.G.z3.b4200).
Table 1940: Compounds I.G, wherein the combination of substituents R1, R2, X, D, B and the position of the group Y-Z in each case corresponds to one line of lines B-1 to B-4200 in table B and wherein the combination of the meaning of Y and Z corresponds to line Z-4 in Table Z (compounds I.G.z4.b1 to I.G.z4.b4200).
Table 1941 : Compounds I.G, wherein the combination of substituents R1, R2, X, D, B and the position of the group Y-Z in each case corresponds to one line of lines B-1 to B-4200 in table B and wherein the combination of the meaning of Y and Z corresponds to line Z-5 in Table Z (compounds I.G.z5.b1 to I.G.z5.b4200).
Table 1942: Compounds I.G, wherein the combination of substituents R1, R2, X, D, B and the position of the group Y-Z in each case corresponds to one line of lines B-1
to B-4200 in table B and wherein the combination of the meaning of Y and Z corresponds to line Z-6 in Table Z (compounds I.G.z6.b1 to I.G.z6.b4200).
Table 1943: Compounds I.G, wherein the combination of substituents R1, R2, X, D, B and the position of the group Y-Z in each case corresponds to one line of lines B-1 to B-4200 in table B and wherein the combination of the meaning of Y and Z corresponds to line Z-7 in Table Z (compounds I.G.z7.b1 to I.G.z7.b4200).
Table 1944: Compounds I.G, wherein the combination of substituents R1, R2, X, D, B and the position of the group Y-Z in each case corresponds to one line of lines B-1 to B-4200 in table B and wherein the combination of the meaning of Y and Z corresponds to line Z-8 in Table Z (compounds I.G.z8.b1 to I.G.z8.b4200).
Table 1945: Compounds I.G, wherein the combination of substituents R1, R2, X, D, B and the position of the group Y-Z in each case corresponds to one line of lines B-1 to B-4200 in table B and wherein the combination of the meaning of Y and Z corresponds to line Z-9 in Table Z (compounds I.G.z9.b1 to I.G.z9.b4200).
Table 1946: Compounds I.G, wherein the combination of substituents R1, R2, X,
D, B and the position of the group Y-Z in each case corresponds to one line of lines B-1 to B-4200 in table B and wherein the combination of the meaning of Y and Z corresponds to line Z-10 in Table Z (compounds I.G.z10.b1 to I.G.z10.b4200).
Table 1947: Compounds I.G, wherein the combination of substituents R1, R2, X, D, B and the position of the group Y-Z in each case corresponds to one line of lines B-1 to B-4200 in table B and wherein the combination of the meaning of Y and Z corresponds to line Z-1 1 in Table Z (compounds I.G.zl 1.b1 to I.G.zl 1.b4200).
Table 1948: Compounds I.G, wherein the combination of substituents R1, R2, X, D, B and the position of the group Y-Z in each case corresponds to one line of lines B-1 to B-4200 in table B and wherein the combination of the meaning of Y and Z corresponds to line Z-12 in Table Z (compounds I.G.z12.b1 to I.G.z12.b4200).
Table 1949: Compounds I.G, wherein the combination of substituents R1, R2, X, D, B and the position of the group Y-Z in each case corresponds to one line of lines B-1 to B-4200 in table B and wherein the combination of the meaning of Y and Z corresponds to line Z-13 in Table Z (compounds I.G.z13.b1 to I.G.zl 3. b4200).
Table 1950: Compounds I.G, wherein the combination of substituents R1, R2, X, D, B and the position of the group Y-Z in each case corresponds to one line of lines B-1 to B-4200 in table B and wherein the combination of the meaning of Y and Z corresponds to line Z-14 in Table Z (compounds I.G.z14.b1 to I.G.z14.b4200).
Table 1951 : Compounds I.G, wherein the combination of substituents R1, R2, X,
D, B and the position of the group Y-Z in each case corresponds to one line of lines B-1 to B-4200 in table B and wherein the combination of the meaning of Y and Z corresponds to line Z-15 in Table Z (compounds I.G.zl 5. b1 to I.G.zl 5. b4200).
Table 1952: Compounds I.G, wherein the combination of substituents R1, R2, X, D, B and the position of the group Y-Z in each case corresponds to one line of lines B-1 to B-4200 in table B and wherein the combination of the meaning of Y and Z corresponds to line Z-16 in Table Z (compounds I.G.zl 6.b1 to I.G.zl 6.b4200).
Table 1953: Compounds I.G, wherein the combination of substituents R1, R2, X, D, B and the position of the group Y-Z in each case corresponds to one line of lines B-1 to B-4200 in table B and wherein the combination of the meaning of Y and Z corresponds to line Z-17 in Table Z (compounds I.G.z17.b1 to I.G.z17.b4200).
Table 1954: Compounds I.G, wherein the combination of substituents R1, R2, X,
D, B and the position of the group Y-Z in each case corresponds to one line of lines B-1 to B-4200 in table B and wherein the combination of the meaning of Y and Z corresponds to line Z-18 in Table Z (compounds I.G.z18.b1 to I.G.z18.b4200).
Table 1955: Compounds I.G, wherein the combination of substituents R1, R2, X, D, B and the position of the group Y-Z in each case corresponds to one line of lines B-1 to B-4200 in table B and wherein the combination of the meaning of Y and Z corresponds to line Z-19 in Table Z (compounds I.G.z19.b1 to I.G.z19.b4200).
Table 1956: Compounds I.G, wherein the combination of substituents R1, R2, X, D, B and the position of the group Y-Z in each case corresponds to one line of lines B-1 to B-4200 in table B and wherein the combination of the meaning of Y and Z corresponds to line Z-20 in Table Z (compounds I.G.z20.b1 to I.G.z20.b4200).
Table 1957: Compounds I.G, wherein the combination of substituents R1, R2, X, D, B and the position of the group Y-Z in each case corresponds to one line of lines B-1 to B-4200 in table B and wherein the combination of the meaning of Y and Z corresponds to line Z-21 in Table Z (compounds I.G.z21 .b1 to I.G.z21.b4200).
Table 1958: Compounds I.G, wherein the combination of substituents R1, R2, X, D, B and the position of the group Y-Z in each case corresponds to one line of lines B-1 to B-4200 in table B and wherein the combination of the meaning of Y and Z corresponds to line Z-22 in Table Z (compounds I.G.z22.b1 to I.G.z22.b4200).
Table 1959: Compounds I.G, wherein the combination of substituents R1, R2, X,
D, B and the position of the group Y-Z in each case corresponds to one line of lines B-1 to B-4200 in table B and wherein the combination of the meaning of Y and Z corresponds to line Z-23 in Table Z (compounds I.G.z23.b1 to I.G.z23.b4200).
Table 1960: Compounds I.G, wherein the combination of substituents R1, R2, X, D, B and the position of the group Y-Z in each case corresponds to one line of lines B-1 to B-4200 in table B and wherein the combination of the meaning of Y and Z corresponds to line Z-24 in Table Z (compounds I.G.z24.b1 to I.G.z24.b4200).
Table 1961 : Compounds I.G, wherein the combination of substituents R1, R2, X, D, B and the position of the group Y-Z in each case corresponds to one line of lines B-1 to B-4200 in table B and wherein the combination of the meaning of Y and Z corresponds to line Z-25 in Table Z (compounds I.G.z25.b1 to I.G.z25.b4200).
Table 1962: Compounds I.G, wherein the combination of substituents R1, R2, X, D, B and the position of the group Y-Z in each case corresponds to one line of lines B-1 to B-4200 in table B and wherein the combination of the meaning of Y and Z corresponds to line Z-26 in Table Z (compounds I.G.z26.b1 to I.G.z26.b4200).
Table 1963: Compounds I.G, wherein the combination of substituents R1, R2, X, D, B and the position of the group Y-Z in each case corresponds to one line of lines B-1
to B-4200 in table B and wherein the combination of the meaning of Y and Z corresponds to line Z-27 in Table Z (compounds I.G.z27.b1 to I.G.z27.b4200).
Table 1964: Compounds I.G, wherein the combination of substituents R1, R2, X, D, B and the position of the group Y-Z in each case corresponds to one line of lines B-1 to B-4200 in table B and wherein the combination of the meaning of Y and Z corresponds to line Z-28 in Table Z (compounds I.G.z28.b1 to I.G.z28.b4200).
Table 1965: Compounds I.G, wherein the combination of substituents R1, R2, X, D, B and the position of the group Y-Z in each case corresponds to one line of lines B-1 to B-4200 in table B and wherein the combination of the meaning of Y and Z corresponds to line Z-29 in Table Z (compounds I.G.z29.b1 to I.G.z29.b4200).
Table 1966: Compounds I.G, wherein the combination of substituents R1, R2, X, D, B and the position of the group Y-Z in each case corresponds to one line of lines B-1 to B-4200 in table B and wherein the combination of the meaning of Y and Z corresponds to line Z-30 in Table Z (compounds I.G.z30.b1 to I.G.z30.b4200).
Table 1967: Compounds I.G, wherein the combination of substituents R1, R2, X,
D, B and the position of the group Y-Z in each case corresponds to one line of lines B-1 to B-4200 in table B and wherein the combination of the meaning of Y and Z corresponds to line Z-31 in Table Z (compounds I.G.z31.b1 to I.G.z31.b4200).
Table 1968: Compounds I.G, wherein the combination of substituents R1, R2, X, D, B and the position of the group Y-Z in each case corresponds to one line of lines B-1 to B-4200 in table B and wherein the combination of the meaning of Y and Z corresponds to line Z-32 in Table Z (compounds I.G.z32.b1 to I.G.z32.b4200).
Table 1969: Compounds I.G, wherein the combination of substituents R1, R2, X, D, B and the position of the group Y-Z in each case corresponds to one line of lines B-1 to B-4200 in table B and wherein the combination of the meaning of Y and Z corresponds to line Z-33 in Table Z (compounds I.G.z33.b1 to I.G.z33.b4200).
Table 1970: Compounds I.G, wherein the combination of substituents R1, R2, X, D, B and the position of the group Y-Z in each case corresponds to one line of lines B-1 to B-4200 in table B and wherein the combination of the meaning of Y and Z corresponds to line Z-34 in Table Z (compounds I.G.z34.b1 to I.G.z34.b4200).
Table 1971 : Compounds I.G, wherein the combination of substituents R1, R2, X, D, B and the position of the group Y-Z in each case corresponds to one line of lines B-1 to B-4200 in table B and wherein the combination of the meaning of Y and Z corresponds to line Z-35 in Table Z (compounds I.G.z35.b1 to I.G.z35.b4200).
Table 1972: Compounds I.G, wherein the combination of substituents R1, R2, X,
D, B and the position of the group Y-Z in each case corresponds to one line of lines B-1 to B-4200 in table B and wherein the combination of the meaning of Y and Z corresponds to line Z-36 in Table Z (compounds I.G.z36.b1 to I.G.z36.b4200).
Table 1973: Compounds I.G, wherein the combination of substituents R1, R2, X, D, B and the position of the group Y-Z in each case corresponds to one line of lines B-1 to B-4200 in table B and wherein the combination of the meaning of Y and Z corresponds to line Z-37 in Table Z (compounds I.G.z37.b1 to I.G.z37.b4200).
Table 1974: Compounds I.G, wherein the combination of substituents R1, R2, X, D, B and the position of the group Y-Z in each case corresponds to one line of lines B-1 to B-4200 in table B and wherein the combination of the meaning of Y and Z corresponds to line Z-38 in Table Z (compounds I.G.z38.b1 to I.G.z38.b4200).
Table 1975: Compounds I.G, wherein the combination of substituents R1, R2, X,
D, B and the position of the group Y-Z in each case corresponds to one line of lines B-1 to B-4200 in table B and wherein the combination of the meaning of Y and Z corresponds to line Z-39 in Table Z (compounds I.G.z39.b1 to I.G.z39.b4200).
Table 1976: Compounds I.G, wherein the combination of substituents R1, R2, X, D, B and the position of the group Y-Z in each case corresponds to one line of lines B-1 to B-4200 in table B and wherein the combination of the meaning of Y and Z corresponds to line Z-40 in Table Z (compounds I.G.z40.b1 to I.G.z40.b4200).
Table 1977: Compounds I.G, wherein the combination of substituents R1, R2, X, D, B and the position of the group Y-Z in each case corresponds to one line of lines B-1 to B-4200 in table B and wherein the combination of the meaning of Y and Z corresponds to line Z-41 in Table Z (compounds I.G.z41.b1 to I.G.z41.b4200).
Table 1978: Compounds I.G, wherein the combination of substituents R1, R2, X, D, B and the position of the group Y-Z in each case corresponds to one line of lines B-1 to B-4200 in table B and wherein the combination of the meaning of Y and Z corresponds to line Z-42 in Table Z (compounds I.G.z42.b1 to I.G.z42.b4200).
Table 1979: Compounds I.G, wherein the combination of substituents R1, R2, X, D, B and the position of the group Y-Z in each case corresponds to one line of lines B-1 to B-4200 in table B and wherein the combination of the meaning of Y and Z corresponds to line Z-43 in Table Z (compounds I.G.z43.b1 to I.G.z43.b4200).
Table 1980: Compounds I.G, wherein the combination of substituents R1, R2, X,
D, B and the position of the group Y-Z in each case corresponds to one line of lines B-1 to B-4200 in table B and wherein the combination of the meaning of Y and Z corresponds to line Z-44 in Table Z (compounds I.G.z44.b1 to I.G.z44.b4200).
Table 1981 : Compounds I.G, wherein the combination of substituents R1, R2, X, D, B and the position of the group Y-Z in each case corresponds to one line of lines B-1 to B-4200 in table B and wherein the combination of the meaning of Y and Z corresponds to line Z-45 in Table Z (compounds I.G.z45.b1 to I.G.z45.b4200).
Table 1982: Compounds I.G, wherein the combination of substituents R1, R2, X, D, B and the position of the group Y-Z in each case corresponds to one line of lines B-1 to B-4200 in table B and wherein the combination of the meaning of Y and Z corresponds to line Z-46 in Table Z (compounds I.G.z46.b1 to I.G.z46.b4200).
Table 1983: Compounds I.G, wherein the combination of substituents R1, R2, X, D, B and the position of the group Y-Z in each case corresponds to one line of lines B-1 to B-4200 in table B and wherein the combination of the meaning of Y and Z corresponds to line Z-47 in Table Z (compounds I.G.z47.b1 to I.G.z47.b4200).
Table 1984: Compounds I.G, wherein the combination of substituents R1, R2, X, D, B and the position of the group Y-Z in each case corresponds to one line of lines B-1
to B-4200 in table B and wherein the combination of the meaning of Y and Z corresponds to line Z-48 in Table Z (compounds I.G.z48.b1 to I.G.z48.b4200).
Table 1985: Compounds I.G, wherein the combination of substituents R1, R2, X, D, B and the position of the group Y-Z in each case corresponds to one line of lines B-1 to B-4200 in table B and wherein the combination of the meaning of Y and Z corresponds to line Z-49 in Table Z (compounds I.G.z49.b1 to I.G.z49.b4200).
Table 1986: Compounds I.G, wherein the combination of substituents R1, R2, X, D, B and the position of the group Y-Z in each case corresponds to one line of lines B-1 to B-4200 in table B and wherein the combination of the meaning of Y and Z corresponds to line Z-50 in Table Z (compounds I.G.z50.b1 to I.G.z50.b4200).
Table 1987: Compounds I.G, wherein the combination of substituents R1, R2, X, D, B and the position of the group Y-Z in each case corresponds to one line of lines B-1 to B-4200 in table B and wherein the combination of the meaning of Y and Z corresponds to line Z-51 in Table Z (compounds I.G.z51.b1 to I.G.z51.b4200).
Table 1988: Compounds I.G, wherein the combination of substituents R1, R2, X,
D, B and the position of the group Y-Z in each case corresponds to one line of lines B-1 to B-4200 in table B and wherein the combination of the meaning of Y and Z corresponds to line Z-52 in Table Z (compounds I.G.z52.b1 to I.G.z52.b4200).
Table 1989: Compounds I.G, wherein the combination of substituents R1, R2, X, D, B and the position of the group Y-Z in each case corresponds to one line of lines B-1 to B-4200 in table B and wherein the combination of the meaning of Y and Z corresponds to line Z-53 in Table Z (compounds I.G.z53.b1 to I.G.z53.b4200).
Table 1990: Compounds I.G, wherein the combination of substituents R1, R2, X, D, B and the position of the group Y-Z in each case corresponds to one line of lines B-1 to B-4200 in table B and wherein the combination of the meaning of Y and Z corresponds to line Z-54 in Table Z (compounds I.G.z54.b1 to I.G.z54.b4200).
Table 1991 : Compounds I.G, wherein the combination of substituents R1, R2, X, D, B and the position of the group Y-Z in each case corresponds to one line of lines B-1 to B-4200 in table B and wherein the combination of the meaning of Y and Z corresponds to line Z-55 in Table Z (compounds I.G.z55.b1 to I.G.z55.b4200).
Table 1992: Compounds I.G, wherein the combination of substituents R1, R2, X, D, B and the position of the group Y-Z in each case corresponds to one line of lines B-1 to B-4200 in table B and wherein the combination of the meaning of Y and Z corresponds to line Z-56 in Table Z (compounds I.G.z56.b1 to I.G.z56.b4200).
Table 1993: Compounds I.G, wherein the combination of substituents R1, R2, X,
D, B and the position of the group Y-Z in each case corresponds to one line of lines B-1 to B-4200 in table B and wherein the combination of the meaning of Y and Z corresponds to line Z-57 in Table Z (compounds I.G.z57.b1 to I.G.z57.b4200).
Table 1994: Compounds I.G, wherein the combination of substituents R1, R2, X, D, B and the position of the group Y-Z in each case corresponds to one line of lines B-1 to B-4200 in table B and wherein the combination of the meaning of Y and Z corresponds to line Z-58 in Table Z (compounds I.G.z58.b1 to I.G.z58.b4200).
Table 1995: Compounds I.G, wherein the combination of substituents R1, R2, X, D, B and the position of the group Y-Z in each case corresponds to one line of lines B-1 to B-4200 in table B and wherein the combination of the meaning of Y and Z corresponds to line Z-59 in Table Z (compounds I.G.z59.b1 to I.G.z59.b4200).
Table 1996: Compounds I.G, wherein the combination of substituents R1, R2, X,
D, B and the position of the group Y-Z in each case corresponds to one line of lines B-1 to B-4200 in table B and wherein the combination of the meaning of Y and Z corresponds to line Z-60 in Table Z (compounds I.G.z60.b1 to I.G.z60.b4200).
Table 1997: Compounds I.G, wherein the combination of substituents R1, R2, X, D, B and the position of the group Y-Z in each case corresponds to one line of lines B-1 to B-4200 in table B and wherein the combination of the meaning of Y and Z corresponds to line Z-61 in Table Z (compounds I.G.z61.b1 to I.G.z61.b4200).
Table 1998: Compounds I.G, wherein the combination of substituents R1, R2, X, D, B and the position of the group Y-Z in each case corresponds to one line of lines B-1 to B-4200 in table B and wherein the combination of the meaning of Y and Z corresponds to line Z-62 in Table Z (compounds I.G.z62.b1 to I.G.z62.b4200).
Table 1999: Compounds I.G, wherein the combination of substituents R1, R2, X, D, B and the position of the group Y-Z in each case corresponds to one line of lines B-1 to B-4200 in table B and wherein the combination of the meaning of Y and Z corresponds to line Z-63 in Table Z (compounds I.G.z63.b1 to I.G.z63.b4200).
Table 2000: Compounds I.G, wherein the combination of substituents R1, R2, X, D, B and the position of the group Y-Z in each case corresponds to one line of lines B-1 to B-4200 in table B and wherein the combination of the meaning of Y and Z corresponds to line Z-64 in Table Z (compounds I.G.z64.b1 to I.G.z64.b4200).
Table 2001 : Compounds I.G, wherein the combination of substituents R1, R2, X,
D, B and the position of the group Y-Z in each case corresponds to one line of lines B-1 to B-4200 in table B and wherein the combination of the meaning of Y and Z corresponds to line Z-65 in Table Z (compounds I.G.z65.b1 to I.G.z65.b4200).
Table 2002: Compounds I.G, wherein the combination of substituents R1, R2, X, D, B and the position of the group Y-Z in each case corresponds to one line of lines B-1 to B-4200 in table B and wherein the combination of the meaning of Y and Z corresponds to line Z-66 in Table Z (compounds I.G.z66.b1 to I.G.z66.b4200).
Table 2003: Compounds I.G, wherein the combination of substituents R1, R2, X, D, B and the position of the group Y-Z in each case corresponds to one line of lines B-1 to B-4200 in table B and wherein the combination of the meaning of Y and Z corresponds to line Z-67 in Table Z (compounds I.G.z67.b1 to I.G.z67.b4200).
Table 2004: Compounds I.G, wherein the combination of substituents R1, R2, X, D, B and the position of the group Y-Z in each case corresponds to one line of lines B-1 to B-4200 in table B and wherein the combination of the meaning of Y and Z corresponds to line Z-68 in Table Z (compounds I.G.z68.b1 to I.G.z68.b4200).
Table 2005: Compounds I.G, wherein the combination of substituents R1, R2, X, D, B and the position of the group Y-Z in each case corresponds to one line of lines B-1
to B-4200 in table B and wherein the combination of the meaning of Y and Z corresponds to line Z-69 in Table Z (compounds I.G.z69.b1 to I.G.z69.b4200).
Table 2006: Compounds I.G, wherein the combination of substituents R1, R2, X, D, B and the position of the group Y-Z in each case corresponds to one line of lines B-1 to B-4200 in table B and wherein the combination of the meaning of Y and Z corresponds to line Z-70 in Table Z (compounds I.G.z70.b1 to I.G.z70.b4200).
Table 2007: Compounds I.G, wherein the combination of substituents R1, R2, X, D, B and the position of the group Y-Z in each case corresponds to one line of lines B-1 to B-4200 in table B and wherein the combination of the meaning of Y and Z corresponds to line Z-71 in Table Z (compounds I. G.z71.b1 to I.G.z71.b4200).
Table 2008: Compounds I.G, wherein the combination of substituents R1, R2, X, D, B and the position of the group Y-Z in each case corresponds to one line of lines B-1 to B-4200 in table B and wherein the combination of the meaning of Y and Z corresponds to line Z-72 in Table Z (compounds I.G.z72.b1 to I.G.z72.b4200).
Table 2009: Compounds I.G, wherein the combination of substituents R1, R2, X,
D, B and the position of the group Y-Z in each case corresponds to one line of lines B-1 to B-4200 in table B and wherein the combination of the meaning of Y and Z corresponds to line Z-73 in Table Z (compounds I.G.z73.b1 to I.G.z73.b4200).
Table 2010: Compounds I.G, wherein the combination of substituents R1, R2, X, D, B and the position of the group Y-Z in each case corresponds to one line of lines B-1 to B-4200 in table B and wherein the combination of the meaning of Y and Z corresponds to line Z-74 in Table Z (compounds I.G.z74.b1 to I.G.z74.b4200).
Table 201 1 : Compounds I.G, wherein the combination of substituents R1, R2, X, D, B and the position of the group Y-Z in each case corresponds to one line of lines B-1 to B-4200 in table B and wherein the combination of the meaning of Y and Z corresponds to line Z-75 in Table Z (compounds I.G.z75.b1 to I.G.z75.b4200).
Table 2012: Compounds I.G, wherein the combination of substituents R1, R2, X, D, B and the position of the group Y-Z in each case corresponds to one line of lines B-1 to B-4200 in table B and wherein the combination of the meaning of Y and Z corresponds to line Z-76 in Table Z (compounds I.G.z76.b1 to I.G.z76.b4200).
Table 2013: Compounds I.G, wherein the combination of substituents R1, R2, X, D, B and the position of the group Y-Z in each case corresponds to one line of lines B-1 to B-4200 in table B and wherein the combination of the meaning of Y and Z corresponds to line Z-77 in Table Z (compounds I.G.z77.b1 to I.G.z77.b4200).
Table 2014: Compounds I.G, wherein the combination of substituents R1, R2, X,
D, B and the position of the group Y-Z in each case corresponds to one line of lines B-1 to B-4200 in table B and wherein the combination of the meaning of Y and Z corresponds to line Z-78 in Table Z (compounds I.G.z78.b1 to I.G.z78.b4200).
Table 2015: Compounds I.G, wherein the combination of substituents R1, R2, X, D, B and the position of the group Y-Z in each case corresponds to one line of lines B-1 to B-4200 in table B and wherein the combination of the meaning of Y and Z corresponds to line Z-79 in Table Z (compounds I.G.z79.b1 to I.G.z79.b4200).
Table 2016: Compounds I.G, wherein the combination of substituents R1, R2, X, D, B and the position of the group Y-Z in each case corresponds to one line of lines B-1 to B-4200 in table B and wherein the combination of the meaning of Y and Z corresponds to line Z-80 in Table Z (compounds I.G.z80.b1 to I.G.z80.b4200).
Table 2017: Compounds I.G, wherein the combination of substituents R1, R2, X,
D, B and the position of the group Y-Z in each case corresponds to one line of lines B-1 to B-4200 in table B and wherein the combination of the meaning of Y and Z corresponds to line Z-81 in Table Z (compounds I.G.z81.b1 to I.G.z81.b4200).
Table 2018: Compounds I.G, wherein the combination of substituents R1, R2, X, D, B and the position of the group Y-Z in each case corresponds to one line of lines B-1 to B-4200 in table B and wherein the combination of the meaning of Y and Z corresponds to line Z-82 in Table Z (compounds I.G.z82.b1 to I.G.z82.b4200).
Table 2019: Compounds I.G, wherein the combination of substituents R1, R2, X, D, B and the position of the group Y-Z in each case corresponds to one line of lines B-1 to B-4200 in table B and wherein the combination of the meaning of Y and Z corresponds to line Z-83 in Table Z (compounds I.G.z83.b1 to I.G.z83.b4200).
Table 2020: Compounds I.G, wherein the combination of substituents R1, R2, X, D, B and the position of the group Y-Z in each case corresponds to one line of lines B-1 to B-4200 in table B and wherein the combination of the meaning of Y and Z corresponds to line Z-84 in Table Z (compounds I.G.z84.b1 to I.G.z84.b4200).
Table 2021 : Compounds I.G, wherein the combination of substituents R1, R2, X, D, B and the position of the group Y-Z in each case corresponds to one line of lines B-1 to B-4200 in table B and wherein the combination of the meaning of Y and Z corresponds to line Z-85 in Table Z (compounds I.G.z85.b1 to I.G.z85.b4200).
Table 2022: Compounds I.G, wherein the combination of substituents R1, R2, X,
D, B and the position of the group Y-Z in each case corresponds to one line of lines B-1 to B-4200 in table B and wherein the combination of the meaning of Y and Z corresponds to line Z-86 in Table Z (compounds I.G.z86.b1 to I.G.z86.b4200).
Table 2023: Compounds I.G, wherein the combination of substituents R1, R2, X, D, B and the position of the group Y-Z in each case corresponds to one line of lines B-1 to B-4200 in table B and wherein the combination of the meaning of Y and Z corresponds to line Z-87 in Table Z (compounds I.G.z87.b1 to I.G.z87.b4200).
Table 2024: Compounds I.G, wherein the combination of substituents R1, R2, X, D, B and the position of the group Y-Z in each case corresponds to one line of lines B-1 to B-4200 in table B and wherein the combination of the meaning of Y and Z corresponds to line Z-88 in Table Z (compounds I.G.z88.b1 to I.G.z88.b4200).
Table 2025: Compounds I.G, wherein the combination of substituents R1, R2, X, D, B and the position of the group Y-Z in each case corresponds to one line of lines B-1 to B-4200 in table B and wherein the combination of the meaning of Y and Z corresponds to line Z-89 in Table Z (compounds I.G.z89.b1 to I.G.z89.b4200).
Table 2026: Compounds I.G, wherein the combination of substituents R1, R2, X, D, B and the position of the group Y-Z in each case corresponds to one line of lines B-1
to B-4200 in table B and wherein the combination of the meaning of Y and Z corresponds to line Z-90 in Table Z (compounds I.G.z90.b1 to I.G.z90.b4200).
Table 2027: Compounds I.G, wherein the combination of substituents R1, R2, X, D, B and the position of the group Y-Z in each case corresponds to one line of lines B-1 to B-4200 in table B and wherein the combination of the meaning of Y and Z corresponds to line Z-91 in Table Z (compounds I.G.z91.b1 to I.G.z91.b4200).
Table 2028: Compounds I.G, wherein the combination of substituents R1, R2, X, D, B and the position of the group Y-Z in each case corresponds to one line of lines B-1 to B-4200 in table B and wherein the combination of the meaning of Y and Z corresponds to line Z-92 in Table Z (compounds I.G.z92.b1 to I.G.z92.b4200).
Table 2029: Compounds I.G, wherein the combination of substituents R1, R2, X, D, B and the position of the group Y-Z in each case corresponds to one line of lines B-1 to B-4200 in table B and wherein the combination of the meaning of Y and Z corresponds to line Z-93 in Table Z (compounds I.G.z93.b1 to I.G.z93.b4200).
Table 2030: Compounds I.G, wherein the combination of substituents R1, R2, X,
D, B and the position of the group Y-Z in each case corresponds to one line of lines B-1 to B-4200 in table B and wherein the combination of the meaning of Y and Z corresponds to line Z-94 in Table Z (compounds I.G.z94.b1 to I.G.z94.b4200).
Table 2031 : Compounds I.G, wherein the combination of substituents R1, R2, X, D, B and the position of the group Y-Z in each case corresponds to one line of lines B-1 to B-4200 in table B and wherein the combination of the meaning of Y and Z corresponds to line Z-95 in Table Z (compounds I.G.z95.b1 to I.G.z95.b4200).
Table 2032: Compounds I.G, wherein the combination of substituents R1, R2, X, D, B and the position of the group Y-Z in each case corresponds to one line of lines B-1 to B-4200 in table B and wherein the combination of the meaning of Y and Z corresponds to line Z-96 in Table Z (compounds I.G.z96.b1 to I.G.z96.b4200).
Table 2033: Compounds I.G, wherein the combination of substituents R1, R2, X, D, B and the position of the group Y-Z in each case corresponds to one line of lines B-1 to B-4200 in table B and wherein the combination of the meaning of Y and Z corresponds to line Z-97 in Table Z (compounds I.G.z97.b1 to I.G.z97.b4200).
Table 2034: Compounds I.G, wherein the combination of substituents R1, R2, X, D, B and the position of the group Y-Z in each case corresponds to one line of lines B-1 to B-4200 in table B and wherein the combination of the meaning of Y and Z corresponds to line Z-98 in Table Z (compounds I.G.z98.b1 to I.G.z98.b4200).
Table 2035: Compounds I.G, wherein the combination of substituents R1, R2, X,
D, B and the position of the group Y-Z in each case corresponds to one line of lines B-1 to B-4200 in table B and wherein the combination of the meaning of Y and Z corresponds to line Z-99 in Table Z (compounds I.G.z99.b1 to I.G.z99.b4200).
Table 2036: Compounds I.G, wherein the combination of substituents R1, R2, X, D, B and the position of the group Y-Z in each case corresponds to one line of lines B-1 to B-4200 in table B and wherein the combination of the meaning of Y and Z corresponds to line Z-100 in Table Z (compounds I.G.z100.b1 to I.G.z100.b4200).
Table 2037: Compounds I.G, wherein the combination of substituents R1, R2, X, D, B and the position of the group Y-Z in each case corresponds to one line of lines B-1 to B-4200 in table B and wherein the combination of the meaning of Y and Z corresponds to line Z-101 in Table Z (compounds I.G.z101 .b1 to I.G.z101 .b4200).
Table 2038: Compounds I.G, wherein the combination of substituents R1, R2, X,
D, B and the position of the group Y-Z in each case corresponds to one line of lines B-1 to B-4200 in table B and wherein the combination of the meaning of Y and Z corresponds to line Z-102 in Table Z (compounds I.G.z102.b1 to I.G.z102.b4200).
Table 2039: Compounds I.G, wherein the combination of substituents R1, R2, X, D, B and the position of the group Y-Z in each case corresponds to one line of lines B-1 to B-4200 in table B and wherein the combination of the meaning of Y and Z corresponds to line Z-103 in Table Z (compounds I.G.z103.b1 to I.G.z103.b4200).
Table 2040: Compounds I.G, wherein the combination of substituents R1, R2, X, D, B and the position of the group Y-Z in each case corresponds to one line of lines B-1 to B-4200 in table B and wherein the combination of the meaning of Y and Z corresponds to line Z-104 in Table Z (compounds I.G.z104.b1 to I.G.z104.b4200).
Table 2041 : Compounds I.G, wherein the combination of substituents R1, R2, X, D, B and the position of the group Y-Z in each case corresponds to one line of lines B-1 to B-4200 in table B and wherein the combination of the meaning of Y and Z corresponds to line Z-105 in Table Z (compounds I.G.z105.b1 to I.G.z105.b4200).
Table 2042: Compounds I.G, wherein the combination of substituents R1, R2, X, D, B and the position of the group Y-Z in each case corresponds to one line of lines B-1 to B-4200 in table B and wherein the combination of the meaning of Y and Z corresponds to line Z-106 in Table Z (compounds I.G.z106.b1 to I.G.z106.b4200).
Table 2043: Compounds I.G, wherein the combination of substituents R1, R2, X,
D, B and the position of the group Y-Z in each case corresponds to one line of lines B-1 to B-4200 in table B and wherein the combination of the meaning of Y and Z corresponds to line Z-107 in Table Z (compounds I.G.z107.b1 to I.G.z107.b4200).
Table 2044: Compounds I.G, wherein the combination of substituents R1, R2, X, D, B and the position of the group Y-Z in each case corresponds to one line of lines B-1 to B-4200 in table B and wherein the combination of the meaning of Y and Z corresponds to line Z-108 in Table Z (compounds I.G.z108.b1 to I.G.z108.b4200).
Table 2045: Compounds I.G, wherein the combination of substituents R1, R2, X, D, B and the position of the group Y-Z in each case corresponds to one line of lines B-1 to B-4200 in table B and wherein the combination of the meaning of Y and Z corresponds to line Z-109 in Table Z (compounds I.G.z109.b1 to I.G.z109.b4200).
Table 2046: Compounds I.G, wherein the combination of substituents R1, R2, X, D, B and the position of the group Y-Z in each case corresponds to one line of lines B-1 to B-4200 in table B and wherein the combination of the meaning of Y and Z corresponds to line Z-1 10 in Table Z (compounds I.G.zl 10. b1 to I.G.zl 10.b4200).
Table 2047: Compounds I.G, wherein the combination of substituents R1, R2, X, D, B and the position of the group Y-Z in each case corresponds to one line of lines B-1
to B-4200 in table B and wherein the combination of the meaning of Y and Z corresponds to line Z-1 1 1 in Table Z (compounds I.G.zl 1 1 .b1 to I.G.zl 1 1 .b4200).
Table 2048: Compounds I.G, wherein the combination of substituents R1, R2, X, D, B and the position of the group Y-Z in each case corresponds to one line of lines B-1 to B-4200 in table B and wherein the combination of the meaning of Y and Z corresponds to line Z-1 12 in Table Z (compounds I.G.zl 12. b1 to I.G.zl 12.b4200).
Table 2049: Compounds I.G, wherein the combination of substituents R1, R2, X, D, B and the position of the group Y-Z in each case corresponds to one line of lines B-1 to B-4200 in table B and wherein the combination of the meaning of Y and Z corresponds to line Z-1 13 in Table Z (compounds I.G.zl 13. b1 to I.G.zl 13.b4200).
Table 2050: Compounds I.G, wherein the combination of substituents R1, R2, X, D, B and the position of the group Y-Z in each case corresponds to one line of lines B-1 to B-4200 in table B and wherein the combination of the meaning of Y and Z corresponds to line Z-1 14 in Table Z (compounds I.G.zl 14. b1 to I.G.zl 14. b4200).
Table 2051 : Compounds I.G, wherein the combination of substituents R1 , R2, X,
D, B and the position of the group Y-Z in each case corresponds to one line of lines B-1 to B-4200 in table B and wherein the combination of the meaning of Y and Z corresponds to line Z-1 15 in Table Z (compounds I.G.zl 15. b1 to I.G.zl 15. b4200).
Table 2052: Compounds I.G, wherein the combination of substituents R1, R2, X, D, B and the position of the group Y-Z in each case corresponds to one line of lines B-1 to B-4200 in table B and wherein the combination of the meaning of Y and Z corresponds to line Z-1 16 in Table Z (compounds I.G.zl 16. b1 to I.G.zl 16. b4200).
Table 2053: Compounds I.G, wherein the combination of substituents R1, R2, X, D, B and the position of the group Y-Z in each case corresponds to one line of lines B-1 to B-4200 in table B and wherein the combination of the meaning of Y and Z corresponds to line Z-1 17 in Table Z (compounds I.G.zl 17. b1 to I.G.zl 17. b4200).
Table 2054: Compounds I.G, wherein the combination of substituents R1, R2, X, D, B and the position of the group Y-Z in each case corresponds to one line of lines B-1 to B-4200 in table B and wherein the combination of the meaning of Y and Z corresponds to line Z-1 18 in Table Z (compounds I.G.zl 18. b1 to I.G.zl 18.b4200).
Table 2055: Compounds I.G, wherein the combination of substituents R1, R2, X, D, B and the position of the group Y-Z in each case corresponds to one line of lines B-1 to B-4200 in table B and wherein the combination of the meaning of Y and Z corresponds to line Z-1 19 in Table Z (compounds I.G.zl 19. b1 to I.G.zl 19. b4200).
Table 2056: Compounds I.G, wherein the combination of substituents R1, R2, X,
D, B and the position of the group Y-Z in each case corresponds to one line of lines B-1 to B-4200 in table B and wherein the combination of the meaning of Y and Z corresponds to line Z-120 in Table Z (compounds I.G.z120.b1 to I.G.z120.b4200).
Table 2057: Compounds I.G, wherein the combination of substituents R1, R2, X, D, B and the position of the group Y-Z in each case corresponds to one line of lines B-1 to B-4200 in table B and wherein the combination of the meaning of Y and Z corresponds to line Z-121 in Table Z (compounds I.G.z121 .b1 to I.G.z121 .b4200).
Table 2058: Compounds I.G, wherein the combination of substituents R1, R2, X, D, B and the position of the group Y-Z in each case corresponds to one line of lines B-1 to B-4200 in table B and wherein the combination of the meaning of Y and Z corresponds to line Z-122 in Table Z (compounds I.G.z122.b1 to I.G.z122.b4200).
Table 2059: Compounds I.G, wherein the combination of substituents R1, R2, X,
D, B and the position of the group Y-Z in each case corresponds to one line of lines B-1 to B-4200 in table B and wherein the combination of the meaning of Y and Z corresponds to line Z-123 in Table Z (compounds I.G.z123.b1 to I.G.z123.b4200).
Table 2060: Compounds I.G, wherein the combination of substituents R1, R2, X, D, B and the position of the group Y-Z in each case corresponds to one line of lines B-1 to B-4200 in table B and wherein the combination of the meaning of Y and Z corresponds to line Z-124 in Table Z (compounds I.G.z124.b1 to I.G.z124.b4200).
Table 2061 : Compounds I.G, wherein the combination of substituents R1, R2, X, D, B and the position of the group Y-Z in each case corresponds to one line of lines B-1 to B-4200 in table B and wherein the combination of the meaning of Y and Z corresponds to line Z-125 in Table Z (compounds I.G.z125.b1 to I.G.z125.b4200).
Table 2062: Compounds I.G, wherein the combination of substituents R1, R2, X, D, B and the position of the group Y-Z in each case corresponds to one line of lines B-1 to B-4200 in table B and wherein the combination of the meaning of Y and Z corresponds to line Z-126 in Table Z (compounds I.G.z126.b1 to I.G.z126.b4200).
Table 2063: Compounds I.G, wherein the combination of substituents R1, R2, X, D, B and the position of the group Y-Z in each case corresponds to one line of lines B-1 to B-4200 in table B and wherein the combination of the meaning of Y and Z corresponds to line Z-127 in Table Z (compounds I.G.z127.b1 to I.G.z127.b4200).
Table 2064: Compounds I.G, wherein the combination of substituents R1, R2, X,
D, B and the position of the group Y-Z in each case corresponds to one line of lines B-1 to B-4200 in table B and wherein the combination of the meaning of Y and Z corresponds to line Z-128 in Table Z (compounds I.G.z128.b1 to I.G.z128.b4200).
Table 2065: Compounds I.G, wherein the combination of substituents R1, R2, X, D, B and the position of the group Y-Z in each case corresponds to one line of lines B-1 to B-4200 in table B and wherein the combination of the meaning of Y and Z corresponds to line Z-129 in Table Z (compounds I.G.z129.b1 to I.G.z129.b4200).
Table 2066: Compounds I.G, wherein the combination of substituents R1, R2, X, D, B and the position of the group Y-Z in each case corresponds to one line of lines B-1 to B-4200 in table B and wherein the combination of the meaning of Y and Z corresponds to line Z-130 in Table Z (compounds I.G.z130.b1 to I.G.z130.b4200).
Table 2067: Compounds I.G, wherein the combination of substituents R1, R2, X, D, B and the position of the group Y-Z in each case corresponds to one line of lines B-1 to B-4200 in table B and wherein the combination of the meaning of Y and Z corresponds to line Z-131 in Table Z (compounds I.G.zl 31 . b1 to I.G.z131 .b4200).
Table 2068: Compounds I.G, wherein the combination of substituents R1, R2, X, D, B and the position of the group Y-Z in each case corresponds to one line of lines B-1
to B-4200 in table B and wherein the combination of the meaning of Y and Z corresponds to line Z-132 in Table Z (compounds I.G.z132.b1 to I.G.z132.b4200).
Table 2069: Compounds I.G, wherein the combination of substituents R1, R2, X, D, B and the position of the group Y-Z in each case corresponds to one line of lines B-1 to B-4200 in table B and wherein the combination of the meaning of Y and Z corresponds to line Z-133 in Table Z (compounds I.G.z133.b1 to I.G.z133.b4200).
Table 2070: Compounds I.G, wherein the combination of substituents R1, R2, X, D, B and the position of the group Y-Z in each case corresponds to one line of lines B-1 to B-4200 in table B and wherein the combination of the meaning of Y and Z corresponds to line Z-134 in Table Z (compounds I.G.z134.b1 to I.G.z134.b4200).
Table 2071 : Compounds I.G, wherein the combination of substituents R1, R2, X, D, B and the position of the group Y-Z in each case corresponds to one line of lines B-1 to B-4200 in table B and wherein the combination of the meaning of Y and Z corresponds to line Z-135 in Table Z (compounds I.G.z135.b1 to I.G.z135.b4200).
Table 2072: Compounds I.G, wherein the combination of substituents R1, R2, X,
D, B and the position of the group Y-Z in each case corresponds to one line of lines B-1 to B-4200 in table B and wherein the combination of the meaning of Y and Z corresponds to line Z-136 in Table Z (compounds I.G.z136.b1 to I.G.z136.b4200).
Table 2073: Compounds I.G, wherein the combination of substituents R1, R2, X, D, B and the position of the group Y-Z in each case corresponds to one line of lines B-1 to B-4200 in table B and wherein the combination of the meaning of Y and Z corresponds to line Z-137 in Table Z (compounds I.G.z137.b1 to I.G.z137.b4200).
Table 2074: Compounds I.G, wherein the combination of substituents R1, R2, X, D, B and the position of the group Y-Z in each case corresponds to one line of lines B-1 to B-4200 in table B and wherein the combination of the meaning of Y and Z corresponds to line Z-138 in Table Z (compounds I.G.z138.b1 to I.G.z138.b4200).
Table 2075: Compounds I.G, wherein the combination of substituents R1, R2, X, D, B and the position of the group Y-Z in each case corresponds to one line of lines B-1 to B-4200 in table B and wherein the combination of the meaning of Y and Z corresponds to line Z-139 in Table Z (compounds I.G.z139.b1 to I.G.z139.b4200).
Table 2076: Compounds I.G, wherein the combination of substituents R1, R2, X, D, B and the position of the group Y-Z in each case corresponds to one line of lines B-1 to B-4200 in table B and wherein the combination of the meaning of Y and Z corresponds to line Z-140 in Table Z (compounds I.G.z140.b1 to I.G.z140.b4200).
Table 2077: Compounds I.G, wherein the combination of substituents R1, R2, X,
D, B and the position of the group Y-Z in each case corresponds to one line of lines B-1 to B-4200 in table B and wherein the combination of the meaning of Y and Z corresponds to line Z-141 in Table Z (compounds I.G.z141 .b1 to I.G.z141.b4200).
Table 2078: Compounds I.G, wherein the combination of substituents R1, R2, X, D, B and the position of the group Y-Z in each case corresponds to one line of lines B-1 to B-4200 in table B and wherein the combination of the meaning of Y and Z corresponds to line Z-142 in Table Z (compounds I.G.z142.b1 to I.G.z142.b4200).
Table 2079: Compounds I.G, wherein the combination of substituents R1, R2, X, D, B and the position of the group Y-Z in each case corresponds to one line of lines B-1 to B-4200 in table B and wherein the combination of the meaning of Y and Z corresponds to line Z-143 in Table Z (compounds I.G.z143.b1 to I.G.z143.b4200).
Table 2080: Compounds I.G, wherein the combination of substituents R1, R2, X,
D, B and the position of the group Y-Z in each case corresponds to one line of lines B-1 to B-4200 in table B and wherein the combination of the meaning of Y and Z corresponds to line Z-144 in Table Z (compounds I.G.z144.b1 to I.G.z144.b4200).
Table 2081 : Compounds I.G, wherein the combination of substituents R1, R2, X, D, B and the position of the group Y-Z in each case corresponds to one line of lines B-1 to B-4200 in table B and wherein the combination of the meaning of Y and Z corresponds to line Z-145 in Table Z (compounds I.G.z145.b1 to I.G.z145.b4200).
Table 2082: Compounds I.G, wherein the combination of substituents R1, R2, X, D, B and the position of the group Y-Z in each case corresponds to one line of lines B-1 to B-4200 in table B and wherein the combination of the meaning of Y and Z corresponds to line Z-146 in Table Z (compounds I.G.z146.b1 to I.G.z146.b4200).
Table 2083: Compounds I.G, wherein the combination of substituents R1, R2, X, D, B and the position of the group Y-Z in each case corresponds to one line of lines B-1 to B-4200 in table B and wherein the combination of the meaning of Y and Z corresponds to line Z-147 in Table Z (compounds I.G.z147.b1 to I.G.z147.b4200).
Table 2084: Compounds I.G, wherein the combination of substituents R1, R2, X, D, B and the position of the group Y-Z in each case corresponds to one line of lines B-1 to B-4200 in table B and wherein the combination of the meaning of Y and Z corresponds to line Z-148 in Table Z (compounds I.G.z148.b1 to I.G.z148.b4200).
Table 2085: Compounds I.G, wherein the combination of substituents R1, R2, X,
D, B and the position of the group Y-Z in each case corresponds to one line of lines B-1 to B-4200 in table B and wherein the combination of the meaning of Y and Z corresponds to line Z-149 in Table Z (compounds I.G.z149.b1 to I.G.z149.b4200).
Table 2086: Compounds I.G, wherein the combination of substituents R1, R2, X, D, B and the position of the group Y-Z in each case corresponds to one line of lines B-1 to B-4200 in table B and wherein the combination of the meaning of Y and Z corresponds to line Z-150 in Table Z (compounds I.G.z150.b1 to I.G.z150.b4200).
Table 2087: Compounds I.G, wherein the combination of substituents R1, R2, X, D, B and the position of the group Y-Z in each case corresponds to one line of lines B-1 to B-4200 in table B and wherein the combination of the meaning of Y and Z corresponds to line Z-151 in Table Z (compounds I.G.z151 .b1 to I.G.z151 .b4200).
Table 2088: Compounds I.G, wherein the combination of substituents R1, R2, X, D, B and the position of the group Y-Z in each case corresponds to one line of lines B-1 to B-4200 in table B and wherein the combination of the meaning of Y and Z corresponds to line Z-152 in Table Z (compounds I.G.z152.b1 to I.G.z152.b4200).
Table 2089: Compounds I.G, wherein the combination of substituents R1, R2, X, D, B and the position of the group Y-Z in each case corresponds to one line of lines B-1
to B-4200 in table B and wherein the combination of the meaning of Y and Z corresponds to line Z-153 in Table Z (compounds I.G.z153.b1 to I.G.z153.b4200).
Table 2090: Compounds I.G, wherein the combination of substituents R1, R2, X, D, B and the position of the group Y-Z in each case corresponds to one line of lines B-1 to B-4200 in table B and wherein the combination of the meaning of Y and Z corresponds to line Z-154 in Table Z (compounds I.G.z154.b1 to I.G.z154.b4200).
Table 2091 : Compounds I.G, wherein the combination of substituents R1, R2, X, D, B and the position of the group Y-Z in each case corresponds to one line of lines B-1 to B-4200 in table B and wherein the combination of the meaning of Y and Z corresponds to line Z-155 in Table Z (compounds I.G.z155.b1 to I.G.z155.b4200).
Table 2092: Compounds I.G, wherein the combination of substituents R1, R2, X, D, B and the position of the group Y-Z in each case corresponds to one line of lines B-1 to B-4200 in table B and wherein the combination of the meaning of Y and Z corresponds to line Z-156 in Table Z (compounds I.G.z156.b1 to I.G.z156.b4200).
Table 2093: Compounds I.G, wherein the combination of substituents R1, R2, X,
D, B and the position of the group Y-Z in each case corresponds to one line of lines B-1 to B-4200 in table B and wherein the combination of the meaning of Y and Z corresponds to line Z-157 in Table Z (compounds I.G.z157.b1 to I.G.z157.b4200).
Table 2094: Compounds I.G, wherein the combination of substituents R1, R2, X, D, B and the position of the group Y-Z in each case corresponds to one line of lines B-1 to B-4200 in table B and wherein the combination of the meaning of Y and Z corresponds to line Z-158 in Table Z (compounds I.G.z158.b1 to I.G.z158.b4200).
Table 2095: Compounds I.G, wherein the combination of substituents R1, R2, X, D, B and the position of the group Y-Z in each case corresponds to one line of lines B-1 to B-4200 in table B and wherein the combination of the meaning of Y and Z corresponds to line Z-159 in Table Z (compounds I.G.z159.b1 to I.G.z159.b4200).
Table 2096: Compounds I.G, wherein the combination of substituents R1, R2, X, D, B and the position of the group Y-Z in each case corresponds to one line of lines B-1 to B-4200 in table B and wherein the combination of the meaning of Y and Z corresponds to line Z-160 in Table Z (compounds I.G.z160.b1 to I.G.z160.b4200).
Table 2097: Compounds I.G, wherein the combination of substituents R1, R2, X, D, B and the position of the group Y-Z in each case corresponds to one line of lines B-1 to B-4200 in table B and wherein the combination of the meaning of Y and Z corresponds to line Z-161 in Table Z (compounds I.G.z161 .b1 to I.G.z161 .b4200).
Table 2098: Compounds I.G, wherein the combination of substituents R1, R2, X,
D, B and the position of the group Y-Z in each case corresponds to one line of lines B-1 to B-4200 in table B and wherein the combination of the meaning of Y and Z corresponds to line Z-162 in Table Z (compounds I.G.z162.b1 to I.G.z162.b4200).
Table 2099: Compounds I.G, wherein the combination of substituents R1, R2, X, D, B and the position of the group Y-Z in each case corresponds to one line of lines B-1 to B-4200 in table B and wherein the combination of the meaning of Y and Z corresponds to line Z-163 in Table Z (compounds I.G.z163.b1 to I.G.z163.b4200).
Table 2100: Compounds I.G, wherein the combination of substituents R1, R2, X, D, B and the position of the group Y-Z in each case corresponds to one line of lines B-1 to B-4200 in table B and wherein the combination of the meaning of Y and Z corresponds to line Z-164 in Table Z (compounds I.G.z164.b1 to I.G.z164.b4200).
Table 2101 : Compounds I.G, wherein the combination of substituents R1, R2, X,
D, B and the position of the group Y-Z in each case corresponds to one line of lines B-1 to B-4200 in table B and wherein the combination of the meaning of Y and Z corresponds to line Z-165 in Table Z (compounds I.G.z165.b1 to I.G.z165.b4200).
Table 2102: Compounds I.G, wherein the combination of substituents R1, R2, X, D, B and the position of the group Y-Z in each case corresponds to one line of lines B-1 to B-4200 in table B and wherein the combination of the meaning of Y and Z corresponds to line Z-166 in Table Z (compounds I.G.z166.b1 to I.G.z166.b4200).
Table 2103: Compounds I.G, wherein the combination of substituents R1, R2, X, D, B and the position of the group Y-Z in each case corresponds to one line of lines B-1 to B-4200 in table B and wherein the combination of the meaning of Y and Z corresponds to line Z-167 in Table Z (compounds I.G.z167.b1 to I.G.z167.b4200).
Table 2104: Compounds I.G, wherein the combination of substituents R1, R2, X, D, B and the position of the group Y-Z in each case corresponds to one line of lines B-1 to B-4200 in table B and wherein the combination of the meaning of Y and Z corresponds to line Z-168 in Table Z (compounds I.G.z168.b1 to I.G.z168.b4200).
Table 2105: Compounds I.G, wherein the combination of substituents R1, R2, X, D, B and the position of the group Y-Z in each case corresponds to one line of lines B-1 to B-4200 in table B and wherein the combination of the meaning of Y and Z corresponds to line Z-169 in Table Z (compounds I.G.z169.b1 to I.G.z169.b4200).
Table 2106: Compounds I.G, wherein the combination of substituents R1, R2, X,
D, B and the position of the group Y-Z in each case corresponds to one line of lines B-1 to B-4200 in table B and wherein the combination of the meaning of Y and Z corresponds to line Z-170 in Table Z (compounds I.G.z170.b1 to I.G.z170.b4200).
Table 2107: Compounds I.G, wherein the combination of substituents R1, R2, X, D, B and the position of the group Y-Z in each case corresponds to one line of lines B-1 to B-4200 in table B and wherein the combination of the meaning of Y and Z corresponds to line Z-171 in Table Z (compounds I.G.z171 .b1 to I.G.z171 .b4200).
Table 2108: Compounds I.G, wherein the combination of substituents R1, R2, X, D, B and the position of the group Y-Z in each case corresponds to one line of lines B-1 to B-4200 in table B and wherein the combination of the meaning of Y and Z corresponds to line Z-172 in Table Z (compounds I.G.z172.b1 to I.G.z172.b4200).
Table 2109: Compounds I.G, wherein the combination of substituents R1, R2, X, D, B and the position of the group Y-Z in each case corresponds to one line of lines B-1 to B-4200 in table B and wherein the combination of the meaning of Y and Z corresponds to line Z-173 in Table Z (compounds I.G.z173.b1 to I.G.z173.b4200).
Table 21 10: Compounds I.G, wherein the combination of substituents R1, R2, X, D, B and the position of the group Y-Z in each case corresponds to one line of lines B-1
to B-4200 in table B and wherein the combination of the meaning of Y and Z corresponds to line Z-174 in Table Z (compounds I.G.z174.b1 to I.G.z174.b4200).
Table 21 1 1 : Compounds I.G, wherein the combination of substituents R1, R2, X, D, B and the position of the group Y-Z in each case corresponds to one line of lines B-1 to B-4200 in table B and wherein the combination of the meaning of Y and Z corresponds to line Z-175 in Table Z (compounds I.G.z175.b1 to I.G.z175.b4200).
Table 21 12: Compounds I.G, wherein the combination of substituents R1, R2, X, D, B and the position of the group Y-Z in each case corresponds to one line of lines B-1 to B-4200 in table B and wherein the combination of the meaning of Y and Z corresponds to line Z-176 in Table Z (compounds I.G.z176.b1 to I.G.z176.b4200).
Table 21 13: Compounds I.G, wherein the combination of substituents R1, R2, X, D, B and the position of the group Y-Z in each case corresponds to one line of lines B-1 to B-4200 in table B and wherein the combination of the meaning of Y and Z corresponds to line Z-177 in Table Z (compounds I.G.z177.b1 to I.G.z177.b4200).
Table 21 14: Compounds I.G, wherein the combination of substituents R1, R2, X,
D, B and the position of the group Y-Z in each case corresponds to one line of lines B-1 to B-4200 in table B and wherein the combination of the meaning of Y and Z corresponds to line Z-178 in Table Z (compounds I.G.z178.b1 to I.G.z178.b4200).
Table 21 15: Compounds I.G, wherein the combination of substituents R1, R2, X, D, B and the position of the group Y-Z in each case corresponds to one line of lines B-1 to B-4200 in table B and wherein the combination of the meaning of Y and Z corresponds to line Z-179 in Table Z (compounds I.G.z179.b1 to I.G.z179.b4200).
Table 21 16: Compounds I.G, wherein the combination of substituents R1, R2, X, D, B and the position of the group Y-Z in each case corresponds to one line of lines B-1 to B-4200 in table B and wherein the combination of the meaning of Y and Z corresponds to line Z-180 in Table Z (compounds I.G.z180.b1 to I.G.z180.b4200).
Table 21 17: Compounds I.G, wherein the combination of substituents R1, R2, X, D, B and the position of the group Y-Z in each case corresponds to one line of lines B-1 to B-4200 in table B and wherein the combination of the meaning of Y and Z corresponds to line Z-181 in Table Z (compounds I.G.zl 81 . b1 to I.G.z181 .b4200).
Table 21 18: Compounds I.G, wherein the combination of substituents R1, R2, X, D, B and the position of the group Y-Z in each case corresponds to one line of lines B-1 to B-4200 in table B and wherein the combination of the meaning of Y and Z corresponds to line Z-182 in Table Z (compounds I.G.zl 82. b1 to I.G.zl 82. b4200).
Table 21 19: Compounds I.G, wherein the combination of substituents R1, R2, X,
D, B and the position of the group Y-Z in each case corresponds to one line of lines B-1 to B-4200 in table B and wherein the combination of the meaning of Y and Z corresponds to line Z-183 in Table Z (compounds I.G.zl 83. b1 to I.G.zl 83. b4200).
Table 2120: Compounds I.G, wherein the combination of substituents R1, R2, X, D, B and the position of the group Y-Z in each case corresponds to one line of lines B-1 to B-4200 in table B and wherein the combination of the meaning of Y and Z corresponds to line Z-184 in Table Z (compounds I.G.z184.b1 to I.G.zl 84. b4200).
Table 2121 : Compounds I.G, wherein the combination of substituents R1, R2, X, D, B and the position of the group Y-Z in each case corresponds to one line of lines B-1 to B-4200 in table B and wherein the combination of the meaning of Y and Z corresponds to line Z-185 in Table Z (compounds I.G.z185.b1 to I.G.z185.b4200).
Table 2122: Compounds I.G, wherein the combination of substituents R1, R2, X,
D, B and the position of the group Y-Z in each case corresponds to one line of lines B-1 to B-4200 in table B and wherein the combination of the meaning of Y and Z corresponds to line Z-186 in Table Z (compounds I.G.z186.b1 to I.G.z186.b4200).
Table 2123: Compounds I.G, wherein the combination of substituents R1, R2, X, D, B and the position of the group Y-Z in each case corresponds to one line of lines B-1 to B-4200 in table B and wherein the combination of the meaning of Y and Z corresponds to line Z-187 in Table Z (compounds I.G.z187.b1 to I.G.z187.b4200).
Table 2124: Compounds I.G, wherein the combination of substituents R1, R2, X, D, B and the position of the group Y-Z in each case corresponds to one line of lines B-1 to B-4200 in table B and wherein the combination of the meaning of Y and Z corresponds to line Z-188 in Table Z (compounds I.G.z188.b1 to I.G.z188.b4200).
Table 2125: Compounds I.G, wherein the combination of substituents R1, R2, X, D, B and the position of the group Y-Z in each case corresponds to one line of lines B-1 to B-4200 in table B and wherein the combination of the meaning of Y and Z corresponds to line Z-189 in Table Z (compounds I.G.z189.b1 to I.G.z189.b4200).
Table 2126: Compounds I.G, wherein the combination of substituents R1, R2, X, D, B and the position of the group Y-Z in each case corresponds to one line of lines B-1 to B-4200 in table B and wherein the combination of the meaning of Y and Z corresponds to line Z-190 in Table Z (compounds I.G.z190.b1 to I.G.z190.b4200).
Table 2127: Compounds I.G, wherein the combination of substituents R1, R2, X,
D, B and the position of the group Y-Z in each case corresponds to one line of lines B-1 to B-4200 in table B and wherein the combination of the meaning of Y and Z corresponds to line Z-191 in Table Z (compounds I.G.z191 .b1 to I.G.z191 .b4200).
Table 2128: Compounds I.G, wherein the combination of substituents R1, R2, X, D, B and the position of the group Y-Z in each case corresponds to one line of lines B-1 to B-4200 in table B and wherein the combination of the meaning of Y and Z corresponds to line Z-192 in Table Z (compounds I.G.z192.b1 to I.G.z192.b4200).
Table 2129: Compounds I.G, wherein the combination of substituents R1, R2, X, D, B and the position of the group Y-Z in each case corresponds to one line of lines B-1 to B-4200 in table B and wherein the combination of the meaning of Y and Z corresponds to line Z-193 in Table Z (compounds I.G.z193.b1 to I.G.z193.b4200).
Table 2130: Compounds I.G, wherein the combination of substituents R1, R2, X, D, B and the position of the group Y-Z in each case corresponds to one line of lines B-1 to B-4200 in table B and wherein the combination of the meaning of Y and Z corresponds to line Z-194 in Table Z (compounds I.G.z194.b1 to I.G.z194.b4200).
Table 2131 : Compounds I.G, wherein the combination of substituents R1, R2, X, D, B and the position of the group Y-Z in each case corresponds to one line of lines B-1
to B-4200 in table B and wherein the combination of the meaning of Y and Z corresponds to line Z-195 in Table Z (compounds I.G.z195.b1 to I.G.z195.b4200).
Table 2132: Compounds I.G, wherein the combination of substituents R1, R2, X, D, B and the position of the group Y-Z in each case corresponds to one line of lines B-1 to B-4200 in table B and wherein the combination of the meaning of Y and Z corresponds to line Z-196 in Table Z (compounds I.G.z196.b1 to I.G.z196.b4200).
Table 2133: Compounds I.G, wherein the combination of substituents R1, R2, X, D, B and the position of the group Y-Z in each case corresponds to one line of lines B-1 to B-4200 in table B and wherein the combination of the meaning of Y and Z corresponds to line Z-197 in Table Z (compounds I.G.z197.b1 to I.G.z197.b4200).
Table 2134: Compounds I.G, wherein the combination of substituents R1, R2, X, D, B and the position of the group Y-Z in each case corresponds to one line of lines B-1 to B-4200 in table B and wherein the combination of the meaning of Y and Z corresponds to line Z-198 in Table Z (compounds I.G.z198.b1 to I.G.z198.b4200).
Table 2135: Compounds I.G, wherein the combination of substituents R1, R2, X,
D, B and the position of the group Y-Z in each case corresponds to one line of lines B-1 to B-4200 in table B and wherein the combination of the meaning of Y and Z corresponds to line Z-199 in Table Z (compounds I.G.z199.b1 to I.G.z199.b4200).
Table 2136: Compounds I.G, wherein the combination of substituents R1, R2, X, D, B and the position of the group Y-Z in each case corresponds to one line of lines B-1 to B-4200 in table B and wherein the combination of the meaning of Y and Z corresponds to line Z-200 in Table Z (compounds I.G.z200.b1 to I.G.z200.b4200).
Table 2137: Compounds I.G, wherein the combination of substituents R1, R2, X, D, B and the position of the group Y-Z in each case corresponds to one line of lines B-1 to B-4200 in table B and wherein the combination of the meaning of Y and Z corresponds to line Z-201 in Table Z (compounds I.G.z201 .b1 to I.G.z201 .b4200).
Table 2138: Compounds I.G, wherein the combination of substituents R1, R2, X, D, B and the position of the group Y-Z in each case corresponds to one line of lines B-1 to B-4200 in table B and wherein the combination of the meaning of Y and Z corresponds to line Z-202 in Table Z (compounds I.G.z202.b1 to I.G.z202.b4200).
Table 2139: Compounds I.G, wherein the combination of substituents R1, R2, X, D, B and the position of the group Y-Z in each case corresponds to one line of lines B-1 to B-4200 in table B and wherein the combination of the meaning of Y and Z corresponds to line Z-203 in Table Z (compounds I.G.z203.b1 to I.G.z203.b4200).
Table 2140: Compounds I.G, wherein the combination of substituents R1, R2, X,
D, B and the position of the group Y-Z in each case corresponds to one line of lines B-1 to B-4200 in table B and wherein the combination of the meaning of Y and Z corresponds to line Z-204 in Table Z (compounds I.G.z204.b1 to I.G.z204.b4200).
Table 2141 : Compounds I.G, wherein the combination of substituents R1, R2, X, D, B and the position of the group Y-Z in each case corresponds to one line of lines B-1 to B-4200 in table B and wherein the combination of the meaning of Y and Z corresponds to line Z-205 in Table Z (compounds I.G.z205.b1 to I.G.z205.b4200).
Table 2142: Compounds I.G, wherein the combination of substituents R1, R2, X, D, B and the position of the group Y-Z in each case corresponds to one line of lines B-1 to B-4200 in table B and wherein the combination of the meaning of Y and Z corresponds to line Z-206 in Table Z (compounds I.G.z206.b1 to I.G.z206.b4200).
Table 2143: Compounds I.H, wherein the combination of substituents R1, R2, X,
D, B and the position of the group Y-Z in each case corresponds to one line B-1 to B- 4200 in table B and wherein Z is phenyl and the combination of the meaning of Y and RL corresponds to line A-1 in Table A (compounds I.H.al .b1 to I.H.al .b4200).
Table 2144: Compounds I.H, wherein the combination of substituents R1, R2, X, D, B and the position of the group Y-Z in each case corresponds to one line B-1 to B- 4200 in table B and wherein Z is phenyl and the combination of the meaning of Y and RL corresponds to line A-2 in Table A (compounds I.H.a2.b1 to I.H.a2.b4200).
Table 2145: Compounds I.H, wherein the combination of substituents R1, R2, X, D, B and the position of the group Y-Z in each case corresponds to one line B-1 to B- 4200 in table B and wherein Z is phenyl and the combination of the meaning of Y and RL corresponds to line A-3 in Table A (compounds I.H.a3.b1 to I.H.a3.b4200).
Table 2146: Compounds I.H, wherein the combination of substituents R1, R2, X, D, B and the position of the group Y-Z in each case corresponds to one line B-1 to B- 4200 in table B and wherein Z is phenyl and the combination of the meaning of Y and RL corresponds to line A-4 in Table A (compounds I.H.a4.b1 to I.H.a4.b4200).
Table 2147: Compounds I.H, wherein the combination of substituents R1, R2, X, D, B and the position of the group Y-Z in each case corresponds to one line B-1 to B- 4200 in table B and wherein Z is phenyl and the combination of the meaning of Y and RL corresponds to line A-5 in Table A (compounds I.H.a5.b1 to I.H.a5.b4200).
Table 2148: Compounds I.H, wherein the combination of substituents R1, R2, X,
D, B and the position of the group Y-Z in each case corresponds to one line B-1 to B- 4200 in table B and wherein Z is phenyl and the combination of the meaning of Y and RL corresponds to line A-6 in Table A (compounds I.H.a6.b1 to I.H.a6.b4200).
Table 2149: Compounds I.H, wherein the combination of substituents R1, R2, X, D, B and the position of the group Y-Z in each case corresponds to one line B-1 to B- 4200 in table B and wherein Z is phenyl and the combination of the meaning of Y and RL corresponds to line A-7 in Table A (compounds I.H.a7.b1 to I.H.a7.b4200).
Table 2150: Compounds I.H, wherein the combination of substituents R1, R2, X, D, B and the position of the group Y-Z in each case corresponds to one line B-1 to B- 4200 in table B and wherein Z is phenyl and the combination of the meaning of Y and RL corresponds to line A-8 in Table A (compounds I.H.a8.b1 to I.H.a8.b4200).
Table 2151 : Compounds I.H, wherein the combination of substituents R1, R2, X, D, B and the position of the group Y-Z in each case corresponds to one line B-1 to B- 4200 in table B and wherein Z is phenyl and the combination of the meaning of Y and RL corresponds to line A-9 in Table A (compounds I.H.a9.b1 to I.H.a9.b4200).
Table 2152: Compounds I.H, wherein the combination of substituents R1, R2, X, D, B and the position of the group Y-Z in each case corresponds to one line B-1 to B-
4200 in table B and wherein Z is phenyl and the combination of the meaning of Y and RL corresponds to line A-10 in Table A (compounds I.H.a10.b1 to I.H.a10.b4200).
Table 2153: Compounds I.H, wherein the combination of substituents R1, R2, X, D, B and the position of the group Y-Z in each case corresponds to one line B-1 to B- 4200 in table B and wherein Z is phenyl and the combination of the meaning of Y and RL corresponds to line A-1 1 in Table A (compounds I.H.al 1.b1 to I.H.al 1 .b4200).
Table 2154: Compounds I.H, wherein the combination of substituents R1, R2, X, D, B and the position of the group Y-Z in each case corresponds to one line B-1 to B- 4200 in table B and wherein Z is phenyl and the combination of the meaning of Y and RL corresponds to line A-12 in Table A (compounds I.H.a12.b1 to I.H.a12.b4200).
Table 2155: Compounds I.H, wherein the combination of substituents R1, R2, X, D, B and the position of the group Y-Z in each case corresponds to one line B-1 to B- 4200 in table B and wherein Z is phenyl and the combination of the meaning of Y and RL corresponds to line A-13 in Table A (compounds I.H.a13.b1 to I.H.a13.b4200).
Table 2156: Compounds I.H, wherein the combination of substituents R1, R2, X,
D, B and the position of the group Y-Z in each case corresponds to one line B-1 to B- 4200 in table B and wherein Z is phenyl and the combination of the meaning of Y and RL corresponds to line A-14 in Table A (compounds I.H.a14.b1 to I.H.a14.b4200).
Table 2157: Compounds I.H, wherein the combination of substituents R1, R2, X, D, B and the position of the group Y-Z in each case corresponds to one line B-1 to B- 4200 in table B and wherein Z is phenyl and the combination of the meaning of Y and RL corresponds to line A-15 in Table A (compounds I.H.al 5.b1 to I.H.a15.b4200).
Table 2158: Compounds I.H, wherein the combination of substituents R1, R2, X, D, B and the position of the group Y-Z in each case corresponds to one line B-1 to B- 4200 in table B and wherein Z is phenyl and the combination of the meaning of Y and RL corresponds to line A-16 in Table A (compounds I.H.al 6.b1 to I.H.al 6. b4200).
Table 2159: Compounds I.H, wherein the combination of substituents R1, R2, X, D, B and the position of the group Y-Z in each case corresponds to one line B-1 to B- 4200 in table B and wherein Z is phenyl and the combination of the meaning of Y and RL corresponds to line A-17 in Table A (compounds I.H.a17.b1 to I.H.a17.b4200).
Table 2160: Compounds I.H, wherein the combination of substituents R1, R2, X, D, B and the position of the group Y-Z in each case corresponds to one line B-1 to B- 4200 in table B and wherein Z is phenyl and the combination of the meaning of Y and RL corresponds to line A-18 in Table A (compounds I.H.a18.b1 to I.H.a18.b4200).
Table 2161 : Compounds I.H, wherein the combination of substituents R1, R2, X,
D, B and the position of the group Y-Z in each case corresponds to one line B-1 to B- 4200 in table B and wherein Z is phenyl and the combination of the meaning of Y and RL corresponds to line A-19 in Table A (compounds I.H.a19.b1 to I.H.a19.b4200).
Table 2162: Compounds I.H, wherein the combination of substituents R1, R2, X, D, B and the position of the group Y-Z in each case corresponds to one line B-1 to B- 4200 in table B and wherein Z is phenyl and the combination of the meaning of Y and RL corresponds to line A-20 in Table A (compounds I.H.a20.b1 to I.H.a20.b4200).
Table 2163: Compounds I.H, wherein the combination of substituents R1, R2, X, D, B and the position of the group Y-Z in each case corresponds to one line B-1 to B- 4200 in table B and wherein Z is phenyl and the combination of the meaning of Y and RL corresponds to line A-21 in Table A (compounds I.H.a21.b1 to I.H.a21 .b4200).
Table 2164: Compounds I.H, wherein the combination of substituents R1, R2, X,
D, B and the position of the group Y-Z in each case corresponds to one line B-1 to B- 4200 in table B and wherein Z is phenyl and the combination of the meaning of Y and RL corresponds to line A-22 in Table A (compounds I.H.a22.b1 to I.H.a22.b4200).
Table 2165: Compounds I.H, wherein the combination of substituents R1, R2, X, D, B and the position of the group Y-Z in each case corresponds to one line B-1 to B- 4200 in table B and wherein Z is phenyl and the combination of the meaning of Y and RL corresponds to line A-23 in Table A (compounds I.H.a23.b1 to I.H.a23.b4200).
Table 2166: Compounds I.H, wherein the combination of substituents R1, R2, X, D, B and the position of the group Y-Z in each case corresponds to one line B-1 to B- 4200 in table B and wherein Z is phenyl and the combination of the meaning of Y and RL corresponds to line A-24 in Table A (compounds I.H.a24.b1 to I.H.a24.b4200).
Table 2167: Compounds I.H, wherein the combination of substituents R1, R2, X, D, B and the position of the group Y-Z in each case corresponds to one line B-1 to B- 4200 in table B and wherein Z is phenyl and the combination of the meaning of Y and RL corresponds to line A-25 in Table A (compounds I.H.a25.b1 to I.H.a25.b4200).
Table 2168: Compounds I.H, wherein the combination of substituents R1, R2, X, D, B and the position of the group Y-Z in each case corresponds to one line B-1 to B- 4200 in table B and wherein Z is phenyl and the combination of the meaning of Y and RL corresponds to line A-26 in Table A (compounds I.H.a26.b1 to I.H.a26.b4200).
Table 2169: Compounds I.H, wherein the combination of substituents R1, R2, X,
D, B and the position of the group Y-Z in each case corresponds to one line B-1 to B- 4200 in table B and wherein Z is phenyl and the combination of the meaning of Y and RL corresponds to line A-27 in Table A (compounds I.H.a27.b1 to I.H.a27.b4200).
Table 2170: Compounds I.H, wherein the combination of substituents R1, R2, X, D, B and the position of the group Y-Z in each case corresponds to one line B-1 to B- 4200 in table B and wherein Z is phenyl and the combination of the meaning of Y and RL corresponds to line A-28 in Table A (compounds I.H.a28.b1 to I.H.a28.b4200).
Table 2171 : Compounds I.H, wherein the combination of substituents R1, R2, X, D, B and the position of the group Y-Z in each case corresponds to one line B-1 to B- 4200 in table B and wherein Z is phenyl and the combination of the meaning of Y and RL corresponds to line A-29 in Table A (compounds I.H.a29.b1 to I.H.a29.b4200).
Table 2172: Compounds I.H, wherein the combination of substituents R1, R2, X, D, B and the position of the group Y-Z in each case corresponds to one line B-1 to B- 4200 in table B and wherein Z is phenyl and the combination of the meaning of Y and RL corresponds to line A-30 in Table A (compounds I.H.a30.b1 to I.H.a30.b4200).
Table 2173: Compounds I.H, wherein the combination of substituents R1, R2, X, D, B and the position of the group Y-Z in each case corresponds to one line B-1 to B-
4200 in table B and wherein Z is phenyl and the combination of the meaning of Y and RL corresponds to line A-31 in Table A (compounds I.H.a31.b1 to I.H.a31 .b4200).
Table 2174: Compounds I.H, wherein the combination of substituents R1, R2, X, D, B and the position of the group Y-Z in each case corresponds to one line B-1 to B- 4200 in table B and wherein Z is phenyl and the combination of the meaning of Y and RL corresponds to line A-32 in Table A (compounds I.H.a32.b1 to I.H.a32.b4200).
Table 2175: Compounds I.H, wherein the combination of substituents R1, R2, X, D, B and the position of the group Y-Z in each case corresponds to one line B-1 to B- 4200 in table B and wherein Z is phenyl and the combination of the meaning of Y and RL corresponds to line A-33 in Table A (compounds I.H.a33.b1 to I.H.a33.b4200).
Table 2176: Compounds I.H, wherein the combination of substituents R1, R2, X, D, B and the position of the group Y-Z in each case corresponds to one line B-1 to B- 4200 in table B and wherein Z is phenyl and the combination of the meaning of Y and RL corresponds to line A-34 in Table A (compounds I.H.a34.b1 to I.H.a34.b4200).
Table 2177: Compounds I.H, wherein the combination of substituents R1, R2, X,
D, B and the position of the group Y-Z in each case corresponds to one line B-1 to B- 4200 in table B and wherein Z is phenyl and the combination of the meaning of Y and RL corresponds to line A-35 in Table A (compounds I.H.a35.b1 to I.H.a35.b4200).
Table 2178: Compounds I.H, wherein the combination of substituents R1, R2, X, D, B and the position of the group Y-Z in each case corresponds to one line B-1 to B- 4200 in table B and wherein Z is phenyl and the combination of the meaning of Y and RL corresponds to line A-36 in Table A (compounds I.H.a36.b1 to I.H.a36.b4200).
Table 2179: Compounds I.H, wherein the combination of substituents R1, R2, X, D, B and the position of the group Y-Z in each case corresponds to one line B-1 to B- 4200 in table B and wherein Z is phenyl and the combination of the meaning of Y and RL corresponds to line A-37 in Table A (compounds I.H.a37.b1 to I.H.a37.b4200).
Table 2180: Compounds I.H, wherein the combination of substituents R1, R2, X, D, B and the position of the group Y-Z in each case corresponds to one line B-1 to B- 4200 in table B and wherein Z is phenyl and the combination of the meaning of Y and RL corresponds to line A-38 in Table A (compounds I.H.a38.b1 to I.H.a38.b4200).
Table 2181 : Compounds I.H, wherein the combination of substituents R1, R2, X, D, B and the position of the group Y-Z in each case corresponds to one line B-1 to B- 4200 in table B and wherein Z is phenyl and the combination of the meaning of Y and RL corresponds to line A-39 in Table A (compounds I.H.a39.b1 to I.H.a39.b4200).
Table 2182: Compounds I.H, wherein the combination of substituents R1, R2, X,
D, B and the position of the group Y-Z in each case corresponds to one line B-1 to B- 4200 in table B and wherein Z is phenyl and the combination of the meaning of Y and RL corresponds to line A-40 in Table A (compounds I.H.a40.b1 to I.H.a40.b4200).
Table 2183: Compounds I.H, wherein the combination of substituents R1, R2, X, D, B and the position of the group Y-Z in each case corresponds to one line B-1 to B- 4200 in table B and wherein Z is phenyl and the combination of the meaning of Y and RL corresponds to line A-41 in Table A (compounds I.H.a41.b1 to I.H.a41.b4200).
Table 2184: Compounds I.H, wherein the combination of substituents R1, R2, X, D, B and the position of the group Y-Z in each case corresponds to one line B-1 to B- 4200 in table B and wherein Z is phenyl and the combination of the meaning of Y and RL corresponds to line A-42 in Table A (compounds I.H.a42.b1 to I.H.a42.b4200).
Table 2185: Compounds I.H, wherein the combination of substituents R1, R2, X,
D, B and the position of the group Y-Z in each case corresponds to one line B-1 to B- 4200 in table B and wherein Z is phenyl and the combination of the meaning of Y and RL corresponds to line A-43 in Table A (compounds I.H.a43.b1 to I.H.a43.b4200).
Table 2186: Compounds I.H, wherein the combination of substituents R1, R2, X, D, B and the position of the group Y-Z in each case corresponds to one line B-1 to B- 4200 in table B and wherein Z is phenyl and the combination of the meaning of Y and RL corresponds to line A-44 in Table A (compounds I.H.a44.b1 to I.H.a44.b4200).
Table 2187: Compounds I.H, wherein the combination of substituents R1, R2, X, D, B and the position of the group Y-Z in each case corresponds to one line B-1 to B- 4200 in table B and wherein Z is phenyl and the combination of the meaning of Y and RL corresponds to line A-45 in Table A (compounds I.H.a45.b1 to I.H.a45.b4200).
Table 2188: Compounds I.H, wherein the combination of substituents R1, R2, X, D, B and the position of the group Y-Z in each case corresponds to one line B-1 to B- 4200 in table B and wherein Z is phenyl and the combination of the meaning of Y and RL corresponds to line A-46 in Table A (compounds I.H.a46.b1 to I.H.a46.b4200).
Table 2189: Compounds I.H, wherein the combination of substituents R1, R2, X, D, B and the position of the group Y-Z in each case corresponds to one line B-1 to B- 4200 in table B and wherein Z is phenyl and the combination of the meaning of Y and RL corresponds to line A-47 in Table A (compounds I.H.a47.b1 to I.H.a47.b4200).
Table 2190: Compounds I.H, wherein the combination of substituents R1, R2, X,
D, B and the position of the group Y-Z in each case corresponds to one line B-1 to B- 4200 in table B and wherein Z is phenyl and the combination of the meaning of Y and RL corresponds to line A-48 in Table A (compounds I.H.a48.b1 to I.H.a48.b4200).
Table 2191 : Compounds I.H, wherein the combination of substituents R1, R2, X, D, B and the position of the group Y-Z in each case corresponds to one line B-1 to B- 4200 in table B and wherein Z is phenyl and the combination of the meaning of Y and RL corresponds to line A-49 in Table A (compounds I.H.a49.b1 to I.H.a49.b4200).
Table 2192: Compounds I.H, wherein the combination of substituents R1, R2, X, D, B and the position of the group Y-Z in each case corresponds to one line B-1 to B- 4200 in table B and wherein Z is phenyl and the combination of the meaning of Y and RL corresponds to line A-50 in Table A (compounds I.H.a50.b1 to I.H.a50.b4200).
Table 2193: Compounds I.H, wherein the combination of substituents R1, R2, X, D, B and the position of the group Y-Z in each case corresponds to one line B-1 to B- 4200 in table B and wherein Z is phenyl and the combination of the meaning of Y and RL corresponds to line A-51 in Table A (compounds I.H.a51.b1 to I.H.a51 .b4200).
Table 2194: Compounds I.H, wherein the combination of substituents R1, R2, X, D, B and the position of the group Y-Z in each case corresponds to one line B-1 to B-
4200 in table B and wherein Z is phenyl and the combination of the meaning of Y and RL corresponds to line A-52 in Table A (compounds I.H.a52.b1 to I.H.a52.b4200).
Table 2195: Compounds I.H, wherein the combination of substituents R1, R2, X, D, B and the position of the group Y-Z in each case corresponds to one line B-1 to B- 4200 in table B and wherein Z is phenyl and the combination of the meaning of Y and RL corresponds to line A-53 in Table A (compounds I.H.a53.b1 to I.H.a53.b4200).
Table 2196: Compounds I.H, wherein the combination of substituents R1, R2, X, D, B and the position of the group Y-Z in each case corresponds to one line B-1 to B- 4200 in table B and wherein Z is phenyl and the combination of the meaning of Y and RL corresponds to line A-54 in Table A (compounds I.H.a54.b1 to I.H.a54.b4200).
Table 2197: Compounds I.H, wherein the combination of substituents R1, R2, X, D, B and the position of the group Y-Z in each case corresponds to one line B-1 to B- 4200 in table B and wherein Z is phenyl and the combination of the meaning of Y and RL corresponds to line A-55 in Table A (compounds I.H.a55.b1 to I.H.a55.b4200).
Table 2198: Compounds I.H, wherein the combination of substituents R1, R2, X,
D, B and the position of the group Y-Z in each case corresponds to one line B-1 to B- 4200 in table B and wherein Z is phenyl and the combination of the meaning of Y and RL corresponds to line A-56 in Table A (compounds I.H.a56.b1 to I.H.a56.b4200).
Table 2199: Compounds I.H, wherein the combination of substituents R1, R2, X, D, B and the position of the group Y-Z in each case corresponds to one line B-1 to B- 4200 in table B and wherein Z is phenyl and the combination of the meaning of Y and RL corresponds to line A-57 in Table A (compounds I.H.a57.b1 to I.H.a57.b4200).
Table 2200: Compounds I.H, wherein the combination of substituents R1, R2, X, D, B and the position of the group Y-Z in each case corresponds to one line B-1 to B- 4200 in table B and wherein Z is phenyl and the combination of the meaning of Y and RL corresponds to line A-58 in Table A (compounds I.H.a58.b1 to I.H.a58.b4200).
Table 2201 : Compounds I.H, wherein the combination of substituents R1, R2, X, D, B and the position of the group Y-Z in each case corresponds to one line B-1 to B- 4200 in table B and wherein Z is phenyl and the combination of the meaning of Y and RL corresponds to line A-59 in Table A (compounds I.H.a59.b1 to I.H.a59.b4200).
Table 2202: Compounds I.H, wherein the combination of substituents R1, R2, X, D, B and the position of the group Y-Z in each case corresponds to one line B-1 to B- 4200 in table B and wherein Z is phenyl and the combination of the meaning of Y and RL corresponds to line A-60 in Table A (compounds I.H.a60.b1 to I.H.a60.b4200).
Table 2203: Compounds I.H, wherein the combination of substituents R1, R2, X,
D, B and the position of the group Y-Z in each case corresponds to one line B-1 to B- 4200 in table B and wherein Z is phenyl and the combination of the meaning of Y and RL corresponds to line A-61 in Table A (compounds I.H.a61.b1 to I.H.a61 .b4200).
Table 2204: Compounds I.H, wherein the combination of substituents R1, R2, X, D, B and the position of the group Y-Z in each case corresponds to one line B-1 to B- 4200 in table B and wherein Z is phenyl and the combination of the meaning of Y and RL corresponds to line A-62 in Table A (compounds I.H.a62.b1 to I.H.a62.b4200).
Table 2205: Compounds I.H, wherein the combination of substituents R1, R2, X, D, B and the position of the group Y-Z in each case corresponds to one line B-1 to B- 4200 in table B and wherein Z is phenyl and the combination of the meaning of Y and RL corresponds to line A-63 in Table A (compounds I.H.a63.b1 to I.H.a63.b4200).
Table 2206: Compounds I.H, wherein the combination of substituents R1, R2, X,
D, B and the position of the group Y-Z in each case corresponds to one line B-1 to B- 4200 in table B and wherein Z is phenyl and the combination of the meaning of Y and RL corresponds to line A-64 in Table A (compounds I.H.a64.b1 to I.H.a64.b4200).
Table 2207: Compounds I.H, wherein the combination of substituents R1, R2, X, D, B and the position of the group Y-Z in each case corresponds to one line B-1 to B- 4200 in table B and wherein Z is phenyl and the combination of the meaning of Y and RL corresponds to line A-65 in Table A (compounds I.H.a65.b1 to I.H.a65.b4200).
Table 2208: Compounds I.H, wherein the combination of substituents R1, R2, X, D, B and the position of the group Y-Z in each case corresponds to one line B-1 to B- 4200 in table B and wherein Z is phenyl and the combination of the meaning of Y and RL corresponds to line A-66 in Table A (compounds I.H.a66.b1 to I.H.a66.b4200).
Table 2209: Compounds I.H, wherein the combination of substituents R1, R2, X, D, B and the position of the group Y-Z in each case corresponds to one line B-1 to B- 4200 in table B and wherein Z is phenyl and the combination of the meaning of Y and RL corresponds to line A-67 in Table A (compounds I.H.a67.b1 to I.H.a67.b4200).
Table 2210: Compounds I.H, wherein the combination of substituents R1, R2, X, D, B and the position of the group Y-Z in each case corresponds to one line B-1 to B- 4200 in table B and wherein Z is phenyl and the combination of the meaning of Y and RL corresponds to line A-68 in Table A (compounds I.H.a68.b1 to I.H.a68.b4200).
Table 221 1 : Compounds I.H, wherein the combination of substituents R1, R2, X,
D, B and the position of the group Y-Z in each case corresponds to one line B-1 to B- 4200 in table B and wherein Z is phenyl and the combination of the meaning of Y and RL corresponds to line A-69 in Table A (compounds I.H.a69.b1 to I.H.a69.b4200).
Table 2212: Compounds I.H, wherein the combination of substituents R1, R2, X, D, B and the position of the group Y-Z in each case corresponds to one line B-1 to B- 4200 in table B and wherein Z is phenyl and the combination of the meaning of Y and RL corresponds to line A-70 in Table A (compounds I.H.a70.b1 to I.H.a70.b4200).
Table 2213: Compounds I.H, wherein the combination of substituents R1, R2, X, D, B and the position of the group Y-Z in each case corresponds to one line B-1 to B- 4200 in table B and wherein Z is phenyl and the combination of the meaning of Y and RL corresponds to line A-71 in Table A (compounds I.H.a71.b1 to I.H.a71 .b4200).
Table 2214: Compounds I.H, wherein the combination of substituents R1, R2, X, D, B and the position of the group Y-Z in each case corresponds to one line B-1 to B- 4200 in table B and wherein Z is phenyl and the combination of the meaning of Y and RL corresponds to line A-72 in Table A (compounds I.H.a72.b1 to I.H.a72.b4200).
Table 2215: Compounds I.H, wherein the combination of substituents R1, R2, X, D, B and the position of the group Y-Z in each case corresponds to one line B-1 to B-
4200 in table B and wherein Z is phenyl and the combination of the meaning of Y and RL corresponds to line A-73 in Table A (compounds I.H.a73.b1 to I.H.a73.b4200).
Table 2216: Compounds I.H, wherein the combination of substituents R1, R2, X, D, B and the position of the group Y-Z in each case corresponds to one line B-1 to B- 4200 in table B and wherein Z is phenyl and the combination of the meaning of Y and RL corresponds to line A-74 in Table A (compounds I.H.a74.b1 to I.H.a74.b4200).
Table 2217: Compounds I.H, wherein the combination of substituents R1, R2, X, D, B and the position of the group Y-Z in each case corresponds to one line B-1 to B- 4200 in table B and wherein Z is phenyl and the combination of the meaning of Y and RL corresponds to line A-75 in Table A (compounds I.H.a75.b1 to I.H.a75.b4200).
Table 2218: Compounds I.H, wherein the combination of substituents R1, R2, X, D, B and the position of the group Y-Z in each case corresponds to one line B-1 to B- 4200 in table B and wherein Z is phenyl and the combination of the meaning of Y and RL corresponds to line A-76 in Table A (compounds I.H.a76.b1 to I.H.a76.b4200).
Table 2219: Compounds I.H, wherein the combination of substituents R1, R2, X,
D, B and the position of the group Y-Z in each case corresponds to one line B-1 to B- 4200 in table B and wherein Z is phenyl and the combination of the meaning of Y and RL corresponds to line A-77 in Table A (compounds I.H.a77.b1 to I.H.a77.b4200).
Table 2220: Compounds I.H, wherein the combination of substituents R1, R2, X, D, B and the position of the group Y-Z in each case corresponds to one line B-1 to B- 4200 in table B and wherein Z is phenyl and the combination of the meaning of Y and RL corresponds to line A-78 in Table A (compounds I.H.a78.b1 to I.H.a78.b4200).
Table 2221 : Compounds I.H, wherein the combination of substituents R1, R2, X, D, B and the position of the group Y-Z in each case corresponds to one line B-1 to B- 4200 in table B and wherein Z is phenyl and the combination of the meaning of Y and RL corresponds to line A-79 in Table A (compounds I.H.a79.b1 to I.H.a79.b4200).
Table 2222: Compounds I.H, wherein the combination of substituents R1, R2, X, D, B and the position of the group Y-Z in each case corresponds to one line B-1 to B- 4200 in table B and wherein Z is phenyl and the combination of the meaning of Y and RL corresponds to line A-80 in Table A (compounds I.H.a80.b1 to I.H.a80.b4200).
Table 2223: Compounds I.H, wherein the combination of substituents R1, R2, X, D, B and the position of the group Y-Z in each case corresponds to one line B-1 to B- 4200 in table B and wherein Z is phenyl and the combination of the meaning of Y and RL corresponds to line A-81 in Table A (compounds I.H.a81.b1 to I.H.a81.b4200).
Table 2224: Compounds I.H, wherein the combination of substituents R1, R2, X,
D, B and the position of the group Y-Z in each case corresponds to one line B-1 to B- 4200 in table B and wherein Z is phenyl and the combination of the meaning of Y and RL corresponds to line A-82 in Table A (compounds I.H.a82.b1 to I.H.a82.b4200).
Table 2225: Compounds I.H, wherein the combination of substituents R1, R2, X, D, B and the position of the group Y-Z in each case corresponds to one line B-1 to B- 4200 in table B and wherein Z is phenyl and the combination of the meaning of Y and RL corresponds to line A-83 in Table A (compounds I.H.a83.b1 to I.H.a83.b4200).
Table 2226: Compounds I.H, wherein the combination of substituents R1, R2, X, D, B and the position of the group Y-Z in each case corresponds to one line B-1 to B- 4200 in table B and wherein Z is phenyl and the combination of the meaning of Y and RL corresponds to line A-84 in Table A (compounds I.H.a84.b1 to I.H.a84.b4200).
Table 2227: Compounds I.H, wherein the combination of substituents R1, R2, X,
D, B and the position of the group Y-Z in each case corresponds to one line B-1 to B- 4200 in table B and wherein Z is phenyl and the combination of the meaning of Y and RL corresponds to line A-85 in Table A (compounds I.H.a85.b1 to I.H.a85.b4200).
Table 2228: Compounds I.H, wherein the combination of substituents R1, R2, X, D, B and the position of the group Y-Z in each case corresponds to one line B-1 to B- 4200 in table B and wherein Z is phenyl and the combination of the meaning of Y and RL corresponds to line A-86 in Table A (compounds I.H.a86.b1 to I.H.a86.b4200).
Table 2229: Compounds I.H, wherein the combination of substituents R1, R2, X, D, B and the position of the group Y-Z in each case corresponds to one line B-1 to B- 4200 in table B and wherein Z is phenyl and the combination of the meaning of Y and RL corresponds to line A-87 in Table A (compounds I.H.a87.b1 to I.H.a87.b4200).
Table 2230: Compounds I.H, wherein the combination of substituents R1, R2, X, D, B and the position of the group Y-Z in each case corresponds to one line B-1 to B- 4200 in table B and wherein Z is phenyl and the combination of the meaning of Y and RL corresponds to line A-88 in Table A (compounds I.H.a88.b1 to I.H.a88.b4200).
Table 2231 : Compounds I.H, wherein the combination of substituents R1, R2, X, D, B and the position of the group Y-Z in each case corresponds to one line B-1 to B- 4200 in table B and wherein Z is phenyl and the combination of the meaning of Y and RL corresponds to line A-89 in Table A (compounds I.H.a89.b1 to I.H.a89.b4200).
Table 2232: Compounds I.H, wherein the combination of substituents R1, R2, X,
D, B and the position of the group Y-Z in each case corresponds to one line B-1 to B- 4200 in table B and wherein Z is phenyl and the combination of the meaning of Y and RL corresponds to line A-90 in Table A (compounds I.H.a90.b1 to I.H.a90.b4200).
Table 2233: Compounds I.H, wherein the combination of substituents R1, R2, X, D, B and the position of the group Y-Z in each case corresponds to one line B-1 to B- 4200 in table B and wherein Z is phenyl and the combination of the meaning of Y and RL corresponds to line A-91 in Table A (compounds I.H.a91.b1 to I.H.a91 .b4200).
Table 2234: Compounds I.H, wherein the combination of substituents R1, R2, X, D, B and the position of the group Y-Z in each case corresponds to one line B-1 to B- 4200 in table B and wherein Z is phenyl and the combination of the meaning of Y and RL corresponds to line A-92 in Table A (compounds I.H.a92.b1 to I.H.a92.b4200).
Table 2235: Compounds I.H, wherein the combination of substituents R1, R2, X, D, B and the position of the group Y-Z in each case corresponds to one line B-1 to B- 4200 in table B and wherein Z is phenyl and the combination of the meaning of Y and RL corresponds to line A-93 in Table A (compounds I.H.a93.b1 to I.H.a93.b4200).
Table 2236: Compounds I.H, wherein the combination of substituents R1, R2, X, D, B and the position of the group Y-Z in each case corresponds to one line B-1 to B-
4200 in table B and wherein Z is phenyl and the combination of the meaning of Y and RL corresponds to line A-94 in Table A (compounds I.H.a94.b1 to I.H.a94.b4200).
Table 2237: Compounds I.H, wherein the combination of substituents R1, R2, X, D, B and the position of the group Y-Z in each case corresponds to one line B-1 to B- 4200 in table B and wherein Z is phenyl and the combination of the meaning of Y and RL corresponds to line A-95 in Table A (compounds I.H.a95.b1 to I.H.a95.b4200).
Table 2238: Compounds I.H, wherein the combination of substituents R1, R2, X, D, B and the position of the group Y-Z in each case corresponds to one line B-1 to B- 4200 in table B and wherein Z is phenyl and the combination of the meaning of Y and RL corresponds to line A-96 in Table A (compounds I.H.a96.b1 to I.H.a96.b4200).
Table 2239: Compounds I.H, wherein the combination of substituents R1, R2, X, D, B and the position of the group Y-Z in each case corresponds to one line B-1 to B- 4200 in table B and wherein Z is phenyl and the combination of the meaning of Y and RL corresponds to line A-97 in Table A (compounds I.H.a97.b1 to I.H.a97.b4200).
Table 2240: Compounds I.H, wherein the combination of substituents R1, R2, X,
D, B and the position of the group Y-Z in each case corresponds to one line B-1 to B- 4200 in table B and wherein Z is phenyl and the combination of the meaning of Y and RL corresponds to line A-98 in Table A (compounds I.H.a98.b1 to I.H.a98.b4200).
Table 2241 : Compounds I.H, wherein the combination of substituents R1, R2, X, D, B and the position of the group Y-Z in each case corresponds to one line B-1 to B- 4200 in table B and wherein Z is phenyl and the combination of the meaning of Y and RL corresponds to line A-99 in Table A (compounds I.H.a99.b1 to I.H.a99.b4200).
Table 2242: Compounds I.H, wherein the combination of substituents R1, R2, X, D, B and the position of the group Y-Z in each case corresponds to one line B-1 to B- 4200 in table B and wherein Z is phenyl and the combination of the meaning of Y and RL corresponds to line A-100 in Table A (compounds I.H.a100.b1 to I.H.a100.b4200).
Table 2243: Compounds I.H, wherein the combination of substituents R1, R2, X, D, B and the position of the group Y-Z in each case corresponds to one line of lines B-1 to B-4200 in table B and wherein the combination of the meaning of Y and Z corresponds to line Z-1 in Table Z (compounds I.H.zl .b1 to I.H.zl .b4200).
Table 2244: Compounds I.H, wherein the combination of substituents R1, R2, X, D, B and the position of the group Y-Z in each case corresponds to one line of lines B-1 to B-4200 in table B and wherein the combination of the meaning of Y and Z corresponds to line Z-2 in Table Z (compounds I.H.z2.b1 to I.H.z2.b4200).
Table 2245: Compounds I.H, wherein the combination of substituents R1, R2, X,
D, B and the position of the group Y-Z in each case corresponds to one line of lines B-1 to B-4200 in table B and wherein the combination of the meaning of Y and Z corresponds to line Z-3 in Table Z (compounds I.H.z3.b1 to I.H.z3.b4200).
Table 2246: Compounds I.H, wherein the combination of substituents R1, R2, X, D, B and the position of the group Y-Z in each case corresponds to one line of lines B-1 to B-4200 in table B and wherein the combination of the meaning of Y and Z corresponds to line Z-4 in Table Z (compounds I.H.z4.b1 to I.H.z4.b4200).
Table 2247: Compounds I.H, wherein the combination of substituents R1, R2, X, D, B and the position of the group Y-Z in each case corresponds to one line of lines B-1 to B-4200 in table B and wherein the combination of the meaning of Y and Z corresponds to line Z-5 in Table Z (compounds I.H.z5.b1 to I.H.z5.b4200).
Table 2248: Compounds I.H, wherein the combination of substituents R1, R2, X,
D, B and the position of the group Y-Z in each case corresponds to one line of lines B-1 to B-4200 in table B and wherein the combination of the meaning of Y and Z corresponds to line Z-6 in Table Z (compounds I.H.z6.b1 to I.H.z6.b4200).
Table 2249: Compounds I.H, wherein the combination of substituents R1, R2, X, D, B and the position of the group Y-Z in each case corresponds to one line of lines B-1 to B-4200 in table B and wherein the combination of the meaning of Y and Z corresponds to line Z-7 in Table Z (compounds I.H.z7.b1 to I.H.z7.b4200).
Table 2250: Compounds I.H, wherein the combination of substituents R1, R2, X, D, B and the position of the group Y-Z in each case corresponds to one line of lines B-1 to B-4200 in table B and wherein the combination of the meaning of Y and Z corresponds to line Z-8 in Table Z (compounds I.H.z8.b1 to I.H.z8.b4200).
Table 2251 : Compounds I.H, wherein the combination of substituents R1, R2, X, D, B and the position of the group Y-Z in each case corresponds to one line of lines B-1 to B-4200 in table B and wherein the combination of the meaning of Y and Z corresponds to line Z-9 in Table Z (compounds I.H.z9.b1 to I.H.z9.b4200).
Table 2252: Compounds I.H, wherein the combination of substituents R1, R2, X, D, B and the position of the group Y-Z in each case corresponds to one line of lines B-1 to B-4200 in table B and wherein the combination of the meaning of Y and Z corresponds to line Z-10 in Table Z (compounds I.H.z10.b1 to I.H.z10.b4200).
Table 2253: Compounds I.H, wherein the combination of substituents R1, R2, X,
D, B and the position of the group Y-Z in each case corresponds to one line of lines B-1 to B-4200 in table B and wherein the combination of the meaning of Y and Z corresponds to line Z-1 1 in Table Z (compounds I.H.zl 1.b1 to I.H.zl 1 .b4200).
Table 2254: Compounds I.H, wherein the combination of substituents R1, R2, X, D, B and the position of the group Y-Z in each case corresponds to one line of lines B-1 to B-4200 in table B and wherein the combination of the meaning of Y and Z corresponds to line Z-12 in Table Z (compounds I.H.z12.b1 to I.H.z12.b4200).
Table 2255: Compounds I.H, wherein the combination of substituents R1, R2, X, D, B and the position of the group Y-Z in each case corresponds to one line of lines B-1 to B-4200 in table B and wherein the combination of the meaning of Y and Z corresponds to line Z-13 in Table Z (compounds I.H.zl 3.b1 to I.H.z13.b4200).
Table 2256: Compounds I.H, wherein the combination of substituents R1, R2, X, D, B and the position of the group Y-Z in each case corresponds to one line of lines B-1 to B-4200 in table B and wherein the combination of the meaning of Y and Z corresponds to line Z-14 in Table Z (compounds I.H.z14.b1 to I.H.z14.b4200).
Table 2257: Compounds I.H, wherein the combination of substituents R1, R2, X, D, B and the position of the group Y-Z in each case corresponds to one line of lines B-1
to B-4200 in table B and wherein the combination of the meaning of Y and Z corresponds to line Z-15 in Table Z (compounds I.H.z15.b1 to I.H.z15.b4200).
Table 2258: Compounds I.H, wherein the combination of substituents R1, R2, X, D, B and the position of the group Y-Z in each case corresponds to one line of lines B-1 to B-4200 in table B and wherein the combination of the meaning of Y and Z corresponds to line Z-16 in Table Z (compounds I.H.z16.b1 to I.H.z16.b4200).
Table 2259: Compounds I.H, wherein the combination of substituents R1, R2, X, D, B and the position of the group Y-Z in each case corresponds to one line of lines B-1 to B-4200 in table B and wherein the combination of the meaning of Y and Z corresponds to line Z-17 in Table Z (compounds I.H.z17.b1 to I.H.z17.b4200).
Table 2260: Compounds I.H, wherein the combination of substituents R1, R2, X, D, B and the position of the group Y-Z in each case corresponds to one line of lines B-1 to B-4200 in table B and wherein the combination of the meaning of Y and Z corresponds to line Z-18 in Table Z (compounds I.H.z18.b1 to I.H.z18.b4200).
Table 2261 : Compounds I.H, wherein the combination of substituents R1, R2, X,
D, B and the position of the group Y-Z in each case corresponds to one line of lines B-1 to B-4200 in table B and wherein the combination of the meaning of Y and Z corresponds to line Z-19 in Table Z (compounds I.H.z19.b1 to I.H.z19.b4200).
Table 2262: Compounds I.H, wherein the combination of substituents R1, R2, X, D, B and the position of the group Y-Z in each case corresponds to one line of lines B-1 to B-4200 in table B and wherein the combination of the meaning of Y and Z corresponds to line Z-20 in Table Z (compounds I.H.z20.b1 to I.H.z20.b4200).
Table 2263: Compounds I.H, wherein the combination of substituents R1, R2, X, D, B and the position of the group Y-Z in each case corresponds to one line of lines B-1 to B-4200 in table B and wherein the combination of the meaning of Y and Z corresponds to line Z-21 in Table Z (compounds I.H.z21.b1 to I.H.z21 .b4200).
Table 2264: Compounds I.H, wherein the combination of substituents R1, R2, X, D, B and the position of the group Y-Z in each case corresponds to one line of lines B-1 to B-4200 in table B and wherein the combination of the meaning of Y and Z corresponds to line Z-22 in Table Z (compounds I.H.z22.b1 to I.H.z22.b4200).
Table 2265: Compounds I.H, wherein the combination of substituents R1, R2, X, D, B and the position of the group Y-Z in each case corresponds to one line of lines B-1 to B-4200 in table B and wherein the combination of the meaning of Y and Z corresponds to line Z-23 in Table Z (compounds I.H.z23.b1 to I.H.z23.b4200).
Table 2266: Compounds I.H, wherein the combination of substituents R1, R2, X,
D, B and the position of the group Y-Z in each case corresponds to one line of lines B-1 to B-4200 in table B and wherein the combination of the meaning of Y and Z corresponds to line Z-24 in Table Z (compounds I.H.z24.b1 to I.H.z24.b4200).
Table 2267: Compounds I.H, wherein the combination of substituents R1, R2, X, D, B and the position of the group Y-Z in each case corresponds to one line of lines B-1 to B-4200 in table B and wherein the combination of the meaning of Y and Z corresponds to line Z-25 in Table Z (compounds I.H.z25.b1 to I.H.z25.b4200).
Table 2268: Compounds I.H, wherein the combination of substituents R1, R2, X, D, B and the position of the group Y-Z in each case corresponds to one line of lines B-1 to B-4200 in table B and wherein the combination of the meaning of Y and Z corresponds to line Z-26 in Table Z (compounds I.H.z26.b1 to I.H.z26.b4200).
Table 2269: Compounds I.H, wherein the combination of substituents R1, R2, X,
D, B and the position of the group Y-Z in each case corresponds to one line of lines B-1 to B-4200 in table B and wherein the combination of the meaning of Y and Z corresponds to line Z-27 in Table Z (compounds I.H.z27.b1 to I.H.z27.b4200).
Table 2270: Compounds I.H, wherein the combination of substituents R1, R2, X, D, B and the position of the group Y-Z in each case corresponds to one line of lines B-1 to B-4200 in table B and wherein the combination of the meaning of Y and Z corresponds to line Z-28 in Table Z (compounds I.H.z28.b1 to I.H.z28.b4200).
Table 2271 : Compounds I.H, wherein the combination of substituents R1, R2, X, D, B and the position of the group Y-Z in each case corresponds to one line of lines B-1 to B-4200 in table B and wherein the combination of the meaning of Y and Z corresponds to line Z-29 in Table Z (compounds I.H.z29.b1 to I.H.z29.b4200).
Table 2272: Compounds I.H, wherein the combination of substituents R1, R2, X, D, B and the position of the group Y-Z in each case corresponds to one line of lines B-1 to B-4200 in table B and wherein the combination of the meaning of Y and Z corresponds to line Z-30 in Table Z (compounds I.H.z30.b1 to I.H.z30.b4200).
Table 2273: Compounds I.H, wherein the combination of substituents R1, R2, X, D, B and the position of the group Y-Z in each case corresponds to one line of lines B-1 to B-4200 in table B and wherein the combination of the meaning of Y and Z corresponds to line Z-31 in Table Z (compounds I.H.z31.b1 to I.H.z31 .b4200).
Table 2274: Compounds I.H, wherein the combination of substituents R1, R2, X,
D, B and the position of the group Y-Z in each case corresponds to one line of lines B-1 to B-4200 in table B and wherein the combination of the meaning of Y and Z corresponds to line Z-32 in Table Z (compounds I.H.z32.b1 to I.H.z32.b4200).
Table 2275: Compounds I.H, wherein the combination of substituents R1, R2, X, D, B and the position of the group Y-Z in each case corresponds to one line of lines B-1 to B-4200 in table B and wherein the combination of the meaning of Y and Z corresponds to line Z-33 in Table Z (compounds I.H.z33.b1 to I.H.z33.b4200).
Table 2276: Compounds I.H, wherein the combination of substituents R1, R2, X, D, B and the position of the group Y-Z in each case corresponds to one line of lines B-1 to B-4200 in table B and wherein the combination of the meaning of Y and Z corresponds to line Z-34 in Table Z (compounds I.H.z34.b1 to I.H.z34.b4200).
Table 2277: Compounds I.H, wherein the combination of substituents R1, R2, X, D, B and the position of the group Y-Z in each case corresponds to one line of lines B-1 to B-4200 in table B and wherein the combination of the meaning of Y and Z corresponds to line Z-35 in Table Z (compounds I.H.z35.b1 to I.H.z35.b4200).
Table 2278: Compounds I.H, wherein the combination of substituents R1, R2, X, D, B and the position of the group Y-Z in each case corresponds to one line of lines B-1
to B-4200 in table B and wherein the combination of the meaning of Y and Z corresponds to line Z-36 in Table Z (compounds I.H.z36.b1 to I.H.z36.b4200).
Table 2279: Compounds I.H, wherein the combination of substituents R1, R2, X, D, B and the position of the group Y-Z in each case corresponds to one line of lines B-1 to B-4200 in table B and wherein the combination of the meaning of Y and Z corresponds to line Z-37 in Table Z (compounds I.H.z37.b1 to I.H.z37.b4200).
Table 2280: Compounds I.H, wherein the combination of substituents R1, R2, X, D, B and the position of the group Y-Z in each case corresponds to one line of lines B-1 to B-4200 in table B and wherein the combination of the meaning of Y and Z corresponds to line Z-38 in Table Z (compounds I.H.z38.b1 to I.H.z38.b4200).
Table 2281 : Compounds I.H, wherein the combination of substituents R1, R2, X, D, B and the position of the group Y-Z in each case corresponds to one line of lines B-1 to B-4200 in table B and wherein the combination of the meaning of Y and Z corresponds to line Z-39 in Table Z (compounds I.H.z39.b1 to I.H.z39.b4200).
Table 2282: Compounds I.H, wherein the combination of substituents R1, R2, X,
D, B and the position of the group Y-Z in each case corresponds to one line of lines B-1 to B-4200 in table B and wherein the combination of the meaning of Y and Z corresponds to line Z-40 in Table Z (compounds I.H.z40.b1 to I.H.z40.b4200).
Table 2283: Compounds I.H, wherein the combination of substituents R1, R2, X, D, B and the position of the group Y-Z in each case corresponds to one line of lines B-1 to B-4200 in table B and wherein the combination of the meaning of Y and Z corresponds to line Z-41 in Table Z (compounds I.H.z41.b1 to I.H.z41 .b4200).
Table 2284: Compounds I.H, wherein the combination of substituents R1, R2, X, D, B and the position of the group Y-Z in each case corresponds to one line of lines B-1 to B-4200 in table B and wherein the combination of the meaning of Y and Z corresponds to line Z-42 in Table Z (compounds I.H.z42.b1 to I.H.z42.b4200).
Table 2285: Compounds I.H, wherein the combination of substituents R1, R2, X, D, B and the position of the group Y-Z in each case corresponds to one line of lines B-1 to B-4200 in table B and wherein the combination of the meaning of Y and Z corresponds to line Z-43 in Table Z (compounds I.H.z43.b1 to I.H.z43.b4200).
Table 2286: Compounds I.H, wherein the combination of substituents R1, R2, X, D, B and the position of the group Y-Z in each case corresponds to one line of lines B-1 to B-4200 in table B and wherein the combination of the meaning of Y and Z corresponds to line Z-44 in Table Z (compounds I.H.z44.b1 to I.H.z44.b4200).
Table 2287: Compounds I.H, wherein the combination of substituents R1, R2, X,
D, B and the position of the group Y-Z in each case corresponds to one line of lines B-1 to B-4200 in table B and wherein the combination of the meaning of Y and Z corresponds to line Z-45 in Table Z (compounds I.H.z45.b1 to I.H.z45.b4200).
Table 2288: Compounds I.H, wherein the combination of substituents R1, R2, X, D, B and the position of the group Y-Z in each case corresponds to one line of lines B-1 to B-4200 in table B and wherein the combination of the meaning of Y and Z corresponds to line Z-46 in Table Z (compounds I.H.z46.b1 to I.H.z46.b4200).
Table 2289: Compounds I.H, wherein the combination of substituents R1, R2, X, D, B and the position of the group Y-Z in each case corresponds to one line of lines B-1 to B-4200 in table B and wherein the combination of the meaning of Y and Z corresponds to line Z-47 in Table Z (compounds I.H.z47.b1 to I.H.z47.b4200).
Table 2290: Compounds I.H, wherein the combination of substituents R1, R2, X,
D, B and the position of the group Y-Z in each case corresponds to one line of lines B-1 to B-4200 in table B and wherein the combination of the meaning of Y and Z corresponds to line Z-48 in Table Z (compounds I.H.z48.b1 to I.H.z48.b4200).
Table 2291 : Compounds I.H, wherein the combination of substituents R1, R2, X, D, B and the position of the group Y-Z in each case corresponds to one line of lines B-1 to B-4200 in table B and wherein the combination of the meaning of Y and Z corresponds to line Z-49 in Table Z (compounds I.H.z49.b1 to I.H.z49.b4200).
Table 2292: Compounds I.H, wherein the combination of substituents R1, R2, X, D, B and the position of the group Y-Z in each case corresponds to one line of lines B-1 to B-4200 in table B and wherein the combination of the meaning of Y and Z corresponds to line Z-50 in Table Z (compounds I.H.z50.b1 to I.H.z50.b4200).
Table 2293: Compounds I.H, wherein the combination of substituents R1, R2, X, D, B and the position of the group Y-Z in each case corresponds to one line of lines B-1 to B-4200 in table B and wherein the combination of the meaning of Y and Z corresponds to line Z-51 in Table Z (compounds I.H.z51.b1 to I.H.z51 .b4200).
Table 2294: Compounds I.H, wherein the combination of substituents R1, R2, X, D, B and the position of the group Y-Z in each case corresponds to one line of lines B-1 to B-4200 in table B and wherein the combination of the meaning of Y and Z corresponds to line Z-52 in Table Z (compounds I.H.z52.b1 to I.H.z52.b4200).
Table 2295: Compounds I.H, wherein the combination of substituents R1, R2, X,
D, B and the position of the group Y-Z in each case corresponds to one line of lines B-1 to B-4200 in table B and wherein the combination of the meaning of Y and Z corresponds to line Z-53 in Table Z (compounds I.H.z53.b1 to I.H.z53.b4200).
Table 2296: Compounds I.H, wherein the combination of substituents R1, R2, X, D, B and the position of the group Y-Z in each case corresponds to one line of lines B-1 to B-4200 in table B and wherein the combination of the meaning of Y and Z corresponds to line Z-54 in Table Z (compounds I.H.z54.b1 to I.H.z54.b4200).
Table 2297: Compounds I.H, wherein the combination of substituents R1, R2, X, D, B and the position of the group Y-Z in each case corresponds to one line of lines B-1 to B-4200 in table B and wherein the combination of the meaning of Y and Z corresponds to line Z-55 in Table Z (compounds I.H.z55.b1 to I.H.z55.b4200).
Table 2298: Compounds I.H, wherein the combination of substituents R1, R2, X, D, B and the position of the group Y-Z in each case corresponds to one line of lines B-1 to B-4200 in table B and wherein the combination of the meaning of Y and Z corresponds to line Z-56 in Table Z (compounds I.H.z56.b1 to I.H.z56.b4200).
Table 2299: Compounds I.H, wherein the combination of substituents R1, R2, X, D, B and the position of the group Y-Z in each case corresponds to one line of lines B-1
to B-4200 in table B and wherein the combination of the meaning of Y and Z corresponds to line Z-57 in Table Z (compounds I.H.z57.b1 to I.H.z57.b4200).
Table 2300: Compounds I.H, wherein the combination of substituents R1, R2, X, D, B and the position of the group Y-Z in each case corresponds to one line of lines B-1 to B-4200 in table B and wherein the combination of the meaning of Y and Z corresponds to line Z-58 in Table Z (compounds I.H.z58.b1 to I.H.z58.b4200).
Table 2301 : Compounds I.H, wherein the combination of substituents R1, R2, X, D, B and the position of the group Y-Z in each case corresponds to one line of lines B-1 to B-4200 in table B and wherein the combination of the meaning of Y and Z corresponds to line Z-59 in Table Z (compounds I.H.z59.b1 to I.H.z59.b4200).
Table 2302: Compounds I.H, wherein the combination of substituents R1, R2, X, D, B and the position of the group Y-Z in each case corresponds to one line of lines B-1 to B-4200 in table B and wherein the combination of the meaning of Y and Z corresponds to line Z-60 in Table Z (compounds I.H.z60.b1 to I.H.z60.b4200).
Table 2303: Compounds I.H, wherein the combination of substituents R1, R2, X,
D, B and the position of the group Y-Z in each case corresponds to one line of lines B-1 to B-4200 in table B and wherein the combination of the meaning of Y and Z corresponds to line Z-61 in Table Z (compounds I.H.z61.b1 to I.H.z61 .b4200).
Table 2304: Compounds I.H, wherein the combination of substituents R1, R2, X, D, B and the position of the group Y-Z in each case corresponds to one line of lines B-1 to B-4200 in table B and wherein the combination of the meaning of Y and Z corresponds to line Z-62 in Table Z (compounds I.H.z62.b1 to I.H.z62.b4200).
Table 2305: Compounds I.H, wherein the combination of substituents R1, R2, X, D, B and the position of the group Y-Z in each case corresponds to one line of lines B-1 to B-4200 in table B and wherein the combination of the meaning of Y and Z corresponds to line Z-63 in Table Z (compounds I.H.z63.b1 to I.H.z63.b4200).
Table 2306: Compounds I.H, wherein the combination of substituents R1, R2, X, D, B and the position of the group Y-Z in each case corresponds to one line of lines B-1 to B-4200 in table B and wherein the combination of the meaning of Y and Z corresponds to line Z-64 in Table Z (compounds I.H.z64.b1 to I.H.z64.b4200).
Table 2307: Compounds I.H, wherein the combination of substituents R1, R2, X, D, B and the position of the group Y-Z in each case corresponds to one line of lines B-1 to B-4200 in table B and wherein the combination of the meaning of Y and Z corresponds to line Z-65 in Table Z (compounds I.H.z65.b1 to I.H.z65.b4200).
Table 2308: Compounds I.H, wherein the combination of substituents R1, R2, X,
D, B and the position of the group Y-Z in each case corresponds to one line of lines B-1 to B-4200 in table B and wherein the combination of the meaning of Y and Z corresponds to line Z-66 in Table Z (compounds I.H.z66.b1 to I.H.z66.b4200).
Table 2309: Compounds I.H, wherein the combination of substituents R1, R2, X, D, B and the position of the group Y-Z in each case corresponds to one line of lines B-1 to B-4200 in table B and wherein the combination of the meaning of Y and Z corresponds to line Z-67 in Table Z (compounds I.H.z67.b1 to I.H.z67.b4200).
Table 2310: Compounds I.H, wherein the combination of substituents R1, R2, X, D, B and the position of the group Y-Z in each case corresponds to one line of lines B-1 to B-4200 in table B and wherein the combination of the meaning of Y and Z corresponds to line Z-68 in Table Z (compounds I.H.z68.b1 to I.H.z68.b4200).
Table 231 1 : Compounds I.H, wherein the combination of substituents R1, R2, X,
D, B and the position of the group Y-Z in each case corresponds to one line of lines B-1 to B-4200 in table B and wherein the combination of the meaning of Y and Z corresponds to line Z-69 in Table Z (compounds I.H.z69.b1 to I.H.z69.b4200).
Table 2312: Compounds I.H, wherein the combination of substituents R1, R2, X, D, B and the position of the group Y-Z in each case corresponds to one line of lines B-1 to B-4200 in table B and wherein the combination of the meaning of Y and Z corresponds to line Z-70 in Table Z (compounds I.H.z70.b1 to I.H.z70.b4200).
Table 2313: Compounds I.H, wherein the combination of substituents R1, R2, X, D, B and the position of the group Y-Z in each case corresponds to one line of lines B-1 to B-4200 in table B and wherein the combination of the meaning of Y and Z corresponds to line Z-71 in Table Z (compounds I.H.z71.b1 to I.H.z71 .b4200).
Table 2314: Compounds I.H, wherein the combination of substituents R1, R2, X, D, B and the position of the group Y-Z in each case corresponds to one line of lines B-1 to B-4200 in table B and wherein the combination of the meaning of Y and Z corresponds to line Z-72 in Table Z (compounds I.H.z72.b1 to I.H.z72.b4200).
Table 2315: Compounds I.H, wherein the combination of substituents R1, R2, X, D, B and the position of the group Y-Z in each case corresponds to one line of lines B-1 to B-4200 in table B and wherein the combination of the meaning of Y and Z corresponds to line Z-73 in Table Z (compounds I.H.z73.b1 to I.H.z73.b4200).
Table 2316: Compounds I.H, wherein the combination of substituents R1, R2, X,
D, B and the position of the group Y-Z in each case corresponds to one line of lines B-1 to B-4200 in table B and wherein the combination of the meaning of Y and Z corresponds to line Z-74 in Table Z (compounds I.H.z74.b1 to I.H.z74.b4200).
Table 2317: Compounds I.H, wherein the combination of substituents R1, R2, X, D, B and the position of the group Y-Z in each case corresponds to one line of lines B-1 to B-4200 in table B and wherein the combination of the meaning of Y and Z corresponds to line Z-75 in Table Z (compounds I.H.z75.b1 to I.H.z75.b4200).
Table 2318: Compounds I.H, wherein the combination of substituents R1, R2, X, D, B and the position of the group Y-Z in each case corresponds to one line of lines B-1 to B-4200 in table B and wherein the combination of the meaning of Y and Z corresponds to line Z-76 in Table Z (compounds I.H.z76.b1 to I.H.z76.b4200).
Table 2319: Compounds I.H, wherein the combination of substituents R1, R2, X, D, B and the position of the group Y-Z in each case corresponds to one line of lines B-1 to B-4200 in table B and wherein the combination of the meaning of Y and Z corresponds to line Z-77 in Table Z (compounds I.H.z77.b1 to I.H.z77.b4200).
Table 2320: Compounds I.H, wherein the combination of substituents R1, R2, X, D, B and the position of the group Y-Z in each case corresponds to one line of lines B-1
to B-4200 in table B and wherein the combination of the meaning of Y and Z corresponds to line Z-78 in Table Z (compounds I.H.z78.b1 to I.H.z78.b4200).
Table 2321 : Compounds I.H, wherein the combination of substituents R1, R2, X, D, B and the position of the group Y-Z in each case corresponds to one line of lines B-1 to B-4200 in table B and wherein the combination of the meaning of Y and Z corresponds to line Z-79 in Table Z (compounds I.H.z79.b1 to I.H.z79.b4200).
Table 2322: Compounds I.H, wherein the combination of substituents R1, R2, X, D, B and the position of the group Y-Z in each case corresponds to one line of lines B-1 to B-4200 in table B and wherein the combination of the meaning of Y and Z corresponds to line Z-80 in Table Z (compounds I.H.z80.b1 to I.H.z80.b4200).
Table 2323: Compounds I.H, wherein the combination of substituents R1, R2, X, D, B and the position of the group Y-Z in each case corresponds to one line of lines B-1 to B-4200 in table B and wherein the combination of the meaning of Y and Z corresponds to line Z-81 in Table Z (compounds I.H.z81.b1 to I.H.z81 .b4200).
Table 2324: Compounds I.H, wherein the combination of substituents R1, R2, X,
D, B and the position of the group Y-Z in each case corresponds to one line of lines B-1 to B-4200 in table B and wherein the combination of the meaning of Y and Z corresponds to line Z-82 in Table Z (compounds I.H.z82.b1 to I.H.z82.b4200).
Table 2325: Compounds I.H, wherein the combination of substituents R1, R2, X, D, B and the position of the group Y-Z in each case corresponds to one line of lines B-1 to B-4200 in table B and wherein the combination of the meaning of Y and Z corresponds to line Z-83 in Table Z (compounds I.H.z83.b1 to I.H.z83.b4200).
Table 2326: Compounds I.H, wherein the combination of substituents R1, R2, X, D, B and the position of the group Y-Z in each case corresponds to one line of lines B-1 to B-4200 in table B and wherein the combination of the meaning of Y and Z corresponds to line Z-84 in Table Z (compounds I.H.z84.b1 to I.H.z84.b4200).
Table 2327: Compounds I.H, wherein the combination of substituents R1, R2, X, D, B and the position of the group Y-Z in each case corresponds to one line of lines B-1 to B-4200 in table B and wherein the combination of the meaning of Y and Z corresponds to line Z-85 in Table Z (compounds I.H.z85.b1 to I.H.z85.b4200).
Table 2328: Compounds I.H, wherein the combination of substituents R1, R2, X, D, B and the position of the group Y-Z in each case corresponds to one line of lines B-1 to B-4200 in table B and wherein the combination of the meaning of Y and Z corresponds to line Z-86 in Table Z (compounds I.H.z86.b1 to I.H.z86.b4200).
Table 2329: Compounds I.H, wherein the combination of substituents R1, R2, X,
D, B and the position of the group Y-Z in each case corresponds to one line of lines B-1 to B-4200 in table B and wherein the combination of the meaning of Y and Z corresponds to line Z-87 in Table Z (compounds I.H.z87.b1 to I.H.z87.b4200).
Table 2330: Compounds I.H, wherein the combination of substituents R1, R2, X, D, B and the position of the group Y-Z in each case corresponds to one line of lines B-1 to B-4200 in table B and wherein the combination of the meaning of Y and Z corresponds to line Z-88 in Table Z (compounds I.H.z88.b1 to I.H.z88.b4200).
Table 2331 : Compounds I.H, wherein the combination of substituents R1, R2, X, D, B and the position of the group Y-Z in each case corresponds to one line of lines B-1 to B-4200 in table B and wherein the combination of the meaning of Y and Z corresponds to line Z-89 in Table Z (compounds I.H.z89.b1 to I.H.z89.b4200).
Table 2332: Compounds I.H, wherein the combination of substituents R1, R2, X,
D, B and the position of the group Y-Z in each case corresponds to one line of lines B-1 to B-4200 in table B and wherein the combination of the meaning of Y and Z corresponds to line Z-90 in Table Z (compounds I.H.z90.b1 to I.H.z90.b4200).
Table 2333: Compounds I.H, wherein the combination of substituents R1, R2, X, D, B and the position of the group Y-Z in each case corresponds to one line of lines B-1 to B-4200 in table B and wherein the combination of the meaning of Y and Z corresponds to line Z-91 in Table Z (compounds I.H.z91.b1 to I.H.z91 .b4200).
Table 2334: Compounds I.H, wherein the combination of substituents R1, R2, X, D, B and the position of the group Y-Z in each case corresponds to one line of lines B-1 to B-4200 in table B and wherein the combination of the meaning of Y and Z corresponds to line Z-92 in Table Z (compounds I.H.z92.b1 to I.H.z92.b4200).
Table 2335: Compounds I.H, wherein the combination of substituents R1, R2, X, D, B and the position of the group Y-Z in each case corresponds to one line of lines B-1 to B-4200 in table B and wherein the combination of the meaning of Y and Z corresponds to line Z-93 in Table Z (compounds I.H.z93.b1 to I.H.z93.b4200).
Table 2336: Compounds I.H, wherein the combination of substituents R1, R2, X, D, B and the position of the group Y-Z in each case corresponds to one line of lines B-1 to B-4200 in table B and wherein the combination of the meaning of Y and Z corresponds to line Z-94 in Table Z (compounds I.H.z94.b1 to I.H.z94.b4200).
Table 2337: Compounds I.H, wherein the combination of substituents R1, R2, X,
D, B and the position of the group Y-Z in each case corresponds to one line of lines B-1 to B-4200 in table B and wherein the combination of the meaning of Y and Z corresponds to line Z-95 in Table Z (compounds I.H.z95.b1 to I.H.z95.b4200).
Table 2338: Compounds I.H, wherein the combination of substituents R1, R2, X, D, B and the position of the group Y-Z in each case corresponds to one line of lines B-1 to B-4200 in table B and wherein the combination of the meaning of Y and Z corresponds to line Z-96 in Table Z (compounds I.H.z96.b1 to I.H.z96.b4200).
Table 2339: Compounds I.H, wherein the combination of substituents R1, R2, X, D, B and the position of the group Y-Z in each case corresponds to one line of lines B-1 to B-4200 in table B and wherein the combination of the meaning of Y and Z corresponds to line Z-97 in Table Z (compounds I.H.z97.b1 to I.H.z97.b4200).
Table 2340: Compounds I.H, wherein the combination of substituents R1, R2, X, D, B and the position of the group Y-Z in each case corresponds to one line of lines B-1 to B-4200 in table B and wherein the combination of the meaning of Y and Z corresponds to line Z-98 in Table Z (compounds I.H.z98.b1 to I.H.z98.b4200).
Table 2341 : Compounds I.H, wherein the combination of substituents R1, R2, X, D, B and the position of the group Y-Z in each case corresponds to one line of lines B-1
to B-4200 in table B and wherein the combination of the meaning of Y and Z corresponds to line Z-99 in Table Z (compounds I.H.z99.b1 to I.H.z99.b4200).
Table 2342: Compounds I.H, wherein the combination of substituents R1, R2, X, D, B and the position of the group Y-Z in each case corresponds to one line of lines B-1 to B-4200 in table B and wherein the combination of the meaning of Y and Z corresponds to line Z-100 in Table Z (compounds I.H.z100.b1 to I.H.z100.b4200).
Table 2343: Compounds I.H, wherein the combination of substituents R1, R2, X, D, B and the position of the group Y-Z in each case corresponds to one line of lines B-1 to B-4200 in table B and wherein the combination of the meaning of Y and Z corresponds to line Z-101 in Table Z (compounds I. H.z101.b1 to I.H.z101.b4200).
Table 2344: Compounds I.H, wherein the combination of substituents R1, R2, X, D, B and the position of the group Y-Z in each case corresponds to one line of lines B-1 to B-4200 in table B and wherein the combination of the meaning of Y and Z corresponds to line Z-102 in Table Z (compounds I.H.z102.b1 to I.H.z102.b4200).
Table 2345: Compounds I.H, wherein the combination of substituents R1, R2, X,
D, B and the position of the group Y-Z in each case corresponds to one line of lines B-1 to B-4200 in table B and wherein the combination of the meaning of Y and Z corresponds to line Z-103 in Table Z (compounds I.H.z103.b1 to I.H.z103.b4200).
Table 2346: Compounds I.H, wherein the combination of substituents R1, R2, X, D, B and the position of the group Y-Z in each case corresponds to one line of lines B-1 to B-4200 in table B and wherein the combination of the meaning of Y and Z corresponds to line Z-104 in Table Z (compounds I.H.z104.b1 to I.H.z104.b4200).
Table 2347: Compounds I.H, wherein the combination of substituents R1, R2, X, D, B and the position of the group Y-Z in each case corresponds to one line of lines B-1 to B-4200 in table B and wherein the combination of the meaning of Y and Z corresponds to line Z-105 in Table Z (compounds I.H.z105.b1 to I.H.z105.b4200).
Table 2348: Compounds I.H, wherein the combination of substituents R1, R2, X, D, B and the position of the group Y-Z in each case corresponds to one line of lines B-1 to B-4200 in table B and wherein the combination of the meaning of Y and Z corresponds to line Z-106 in Table Z (compounds I.H.z106.b1 to I.H.z106.b4200).
Table 2349: Compounds I.H, wherein the combination of substituents R1, R2, X, D, B and the position of the group Y-Z in each case corresponds to one line of lines B-1 to B-4200 in table B and wherein the combination of the meaning of Y and Z corresponds to line Z-107 in Table Z (compounds I.H.z107.b1 to I.H.z107.b4200).
Table 2350: Compounds I.H, wherein the combination of substituents R1, R2, X,
D, B and the position of the group Y-Z in each case corresponds to one line of lines B-1 to B-4200 in table B and wherein the combination of the meaning of Y and Z corresponds to line Z-108 in Table Z (compounds I.H.z108.b1 to I.H.z108.b4200).
Table 2351 : Compounds I.H, wherein the combination of substituents R1, R2, X, D, B and the position of the group Y-Z in each case corresponds to one line of lines B-1 to B-4200 in table B and wherein the combination of the meaning of Y and Z corresponds to line Z-109 in Table Z (compounds I.H.z109.b1 to I.H.z109.b4200).
Table 2352: Compounds I.H, wherein the combination of substituents R1, R2, X, D, B and the position of the group Y-Z in each case corresponds to one line of lines B-1 to B-4200 in table B and wherein the combination of the meaning of Y and Z corresponds to line Z-1 10 in Table Z (compounds I.H.z1 10.b1 to I.H.z1 10.b4200).
Table 2353: Compounds I.H, wherein the combination of substituents R1, R2, X,
D, B and the position of the group Y-Z in each case corresponds to one line of lines B-1 to B-4200 in table B and wherein the combination of the meaning of Y and Z corresponds to line Z-1 1 1 in Table Z (compounds I.H.zl 1 1.b1 to I.H.zl 1 1.b4200).
Table 2354: Compounds I.H, wherein the combination of substituents R1, R2, X, D, B and the position of the group Y-Z in each case corresponds to one line of lines B-1 to B-4200 in table B and wherein the combination of the meaning of Y and Z corresponds to line Z-1 12 in Table Z (compounds I.H.zl 12. b1 to I.H.zl 12.b4200).
Table 2355: Compounds I.H, wherein the combination of substituents R1, R2, X, D, B and the position of the group Y-Z in each case corresponds to one line of lines B-1 to B-4200 in table B and wherein the combination of the meaning of Y and Z corresponds to line Z-1 13 in Table Z (compounds I.H.zl 13. b1 to I.H.zl 13.b4200).
Table 2356: Compounds I.H, wherein the combination of substituents R1, R2, X, D, B and the position of the group Y-Z in each case corresponds to one line of lines B-1 to B-4200 in table B and wherein the combination of the meaning of Y and Z corresponds to line Z-1 14 in Table Z (compounds I.H.zl 14. b1 to I.H.zl 14.b4200).
Table 2357: Compounds I.H, wherein the combination of substituents R1, R2, X, D, B and the position of the group Y-Z in each case corresponds to one line of lines B-1 to B-4200 in table B and wherein the combination of the meaning of Y and Z corresponds to line Z-1 15 in Table Z (compounds I.H.zl 15. b1 to I.H.zl 15. b4200).
Table 2358: Compounds I.H, wherein the combination of substituents R1, R2, X,
D, B and the position of the group Y-Z in each case corresponds to one line of lines B-1 to B-4200 in table B and wherein the combination of the meaning of Y and Z corresponds to line Z-1 16 in Table Z (compounds I.H.zl 16.b1 to I.H.zl 16.b4200).
Table 2359: Compounds I.H, wherein the combination of substituents R1, R2, X, D, B and the position of the group Y-Z in each case corresponds to one line of lines B-1 to B-4200 in table B and wherein the combination of the meaning of Y and Z corresponds to line Z-1 17 in Table Z (compounds I.H.zl 17. b1 to I.H.zl 17. b4200).
Table 2360: Compounds I.H, wherein the combination of substituents R1, R2, X, D, B and the position of the group Y-Z in each case corresponds to one line of lines B-1 to B-4200 in table B and wherein the combination of the meaning of Y and Z corresponds to line Z-1 18 in Table Z (compounds I.H.zl 18.b1 to I.H.zl 18.b4200).
Table 2361 : Compounds I.H, wherein the combination of substituents R1, R2, X, D, B and the position of the group Y-Z in each case corresponds to one line of lines B-1 to B-4200 in table B and wherein the combination of the meaning of Y and Z corresponds to line Z-1 19 in Table Z (compounds I.H.zl 19. b1 to I.H.zl 19. b4200).
Table 2362: Compounds I.H, wherein the combination of substituents R1, R2, X, D, B and the position of the group Y-Z in each case corresponds to one line of lines B-1
to B-4200 in table B and wherein the combination of the meaning of Y and Z corresponds to line Z-120 in Table Z (compounds I.H.z120.b1 to I.H.z120.b4200).
Table 2363: Compounds I.H, wherein the combination of substituents R1, R2, X, D, B and the position of the group Y-Z in each case corresponds to one line of lines B-1 to B-4200 in table B and wherein the combination of the meaning of Y and Z corresponds to line Z-121 in Table Z (compounds I.H.z121.b1 to I.H.z121.b4200).
Table 2364: Compounds I.H, wherein the combination of substituents R1, R2, X, D, B and the position of the group Y-Z in each case corresponds to one line of lines B-1 to B-4200 in table B and wherein the combination of the meaning of Y and Z corresponds to line Z-122 in Table Z (compounds I.H.z122.b1 to I.H.z122.b4200).
Table 2365: Compounds I.H, wherein the combination of substituents R1, R2, X, D, B and the position of the group Y-Z in each case corresponds to one line of lines B-1 to B-4200 in table B and wherein the combination of the meaning of Y and Z corresponds to line Z-123 in Table Z (compounds I.H.z123.b1 to I.H.z123.b4200).
Table 2366: Compounds I.H, wherein the combination of substituents R1, R2, X,
D, B and the position of the group Y-Z in each case corresponds to one line of lines B-1 to B-4200 in table B and wherein the combination of the meaning of Y and Z corresponds to line Z-124 in Table Z (compounds I.H.z124.b1 to I.H.z124.b4200).
Table 2367: Compounds I.H, wherein the combination of substituents R1, R2, X, D, B and the position of the group Y-Z in each case corresponds to one line of lines B-1 to B-4200 in table B and wherein the combination of the meaning of Y and Z corresponds to line Z-125 in Table Z (compounds I.H.z125.b1 to I.H.z125.b4200).
Table 2368: Compounds I.H, wherein the combination of substituents R1, R2, X, D, B and the position of the group Y-Z in each case corresponds to one line of lines B-1 to B-4200 in table B and wherein the combination of the meaning of Y and Z corresponds to line Z-126 in Table Z (compounds I.H.z126.b1 to I.H.z126.b4200).
Table 2369: Compounds I.H, wherein the combination of substituents R1, R2, X, D, B and the position of the group Y-Z in each case corresponds to one line of lines B-1 to B-4200 in table B and wherein the combination of the meaning of Y and Z corresponds to line Z-127 in Table Z (compounds I.H.z127.b1 to I.H.z127.b4200).
Table 2370: Compounds I.H, wherein the combination of substituents R1, R2, X, D, B and the position of the group Y-Z in each case corresponds to one line of lines B-1 to B-4200 in table B and wherein the combination of the meaning of Y and Z corresponds to line Z-128 in Table Z (compounds I.H.z128.b1 to I.H.z128.b4200).
Table 2371 : Compounds I.H, wherein the combination of substituents R1, R2, X,
D, B and the position of the group Y-Z in each case corresponds to one line of lines B-1 to B-4200 in table B and wherein the combination of the meaning of Y and Z corresponds to line Z-129 in Table Z (compounds I.H.z129.b1 to I.H.z129.b4200).
Table 2372: Compounds I.H, wherein the combination of substituents R1, R2, X, D, B and the position of the group Y-Z in each case corresponds to one line of lines B-1 to B-4200 in table B and wherein the combination of the meaning of Y and Z corresponds to line Z-130 in Table Z (compounds I.H.z130.b1 to I.H.z130.b4200).
Table 2373: Compounds I.H, wherein the combination of substituents R1, R2, X, D, B and the position of the group Y-Z in each case corresponds to one line of lines B-1 to B-4200 in table B and wherein the combination of the meaning of Y and Z corresponds to line Z-131 in Table Z (compounds I.H.z131.b1 to I.H.z131.b4200).
Table 2374: Compounds I.H, wherein the combination of substituents R1, R2, X,
D, B and the position of the group Y-Z in each case corresponds to one line of lines B-1 to B-4200 in table B and wherein the combination of the meaning of Y and Z corresponds to line Z-132 in Table Z (compounds I.H.z132.b1 to I.H.z132.b4200).
Table 2375: Compounds I.H, wherein the combination of substituents R1, R2, X, D, B and the position of the group Y-Z in each case corresponds to one line of lines B-1 to B-4200 in table B and wherein the combination of the meaning of Y and Z corresponds to line Z-133 in Table Z (compounds I.H.z133.b1 to I.H.z133.b4200).
Table 2376: Compounds I.H, wherein the combination of substituents R1, R2, X, D, B and the position of the group Y-Z in each case corresponds to one line of lines B-1 to B-4200 in table B and wherein the combination of the meaning of Y and Z corresponds to line Z-134 in Table Z (compounds I.H.z134.b1 to I.H.z134.b4200).
Table 2377: Compounds I.H, wherein the combination of substituents R1, R2, X, D, B and the position of the group Y-Z in each case corresponds to one line of lines B-1 to B-4200 in table B and wherein the combination of the meaning of Y and Z corresponds to line Z-135 in Table Z (compounds I.H.z135.b1 to I.H.z135.b4200).
Table 2378: Compounds I.H, wherein the combination of substituents R1, R2, X, D, B and the position of the group Y-Z in each case corresponds to one line of lines B-1 to B-4200 in table B and wherein the combination of the meaning of Y and Z corresponds to line Z-136 in Table Z (compounds I.H.z136.b1 to I.H.z136.b4200).
Table 2379: Compounds I.H, wherein the combination of substituents R1, R2, X,
D, B and the position of the group Y-Z in each case corresponds to one line of lines B-1 to B-4200 in table B and wherein the combination of the meaning of Y and Z corresponds to line Z-137 in Table Z (compounds I.H.z137.b1 to I.H.z137.b4200).
Table 2380: Compounds I.H, wherein the combination of substituents R1, R2, X, D, B and the position of the group Y-Z in each case corresponds to one line of lines B-1 to B-4200 in table B and wherein the combination of the meaning of Y and Z corresponds to line Z-138 in Table Z (compounds I.H.z138.b1 to I.H.z138.b4200).
Table 2381 : Compounds I.H, wherein the combination of substituents R1, R2, X, D, B and the position of the group Y-Z in each case corresponds to one line of lines B-1 to B-4200 in table B and wherein the combination of the meaning of Y and Z corresponds to line Z-139 in Table Z (compounds I.H.z139.b1 to I.H.z139.b4200).
Table 2382: Compounds I.H, wherein the combination of substituents R1, R2, X, D, B and the position of the group Y-Z in each case corresponds to one line of lines B-1 to B-4200 in table B and wherein the combination of the meaning of Y and Z corresponds to line Z-140 in Table Z (compounds I.H.z140.b1 to I.H.z140.b4200).
Table 2383: Compounds I.H, wherein the combination of substituents R1, R2, X, D, B and the position of the group Y-Z in each case corresponds to one line of lines B-1
to B-4200 in table B and wherein the combination of the meaning of Y and Z corresponds to line Z-141 in Table Z (compounds I.H.z141.b1 to I.H.z141.b4200).
Table 2384: Compounds I.H, wherein the combination of substituents R1, R2, X, D, B and the position of the group Y-Z in each case corresponds to one line of lines B-1 to B-4200 in table B and wherein the combination of the meaning of Y and Z corresponds to line Z-142 in Table Z (compounds I.H.z142.b1 to I.H.z142.b4200).
Table 2385: Compounds I.H, wherein the combination of substituents R1, R2, X, D, B and the position of the group Y-Z in each case corresponds to one line of lines B-1 to B-4200 in table B and wherein the combination of the meaning of Y and Z corresponds to line Z-143 in Table Z (compounds I.H.z143.b1 to I.H.z143.b4200).
Table 2386: Compounds I.H, wherein the combination of substituents R1, R2, X, D, B and the position of the group Y-Z in each case corresponds to one line of lines B-1 to B-4200 in table B and wherein the combination of the meaning of Y and Z corresponds to line Z-144 in Table Z (compounds I.H.z144.b1 to I.H.z144.b4200).
Table 2387: Compounds I.H, wherein the combination of substituents R1, R2, X,
D, B and the position of the group Y-Z in each case corresponds to one line of lines B-1 to B-4200 in table B and wherein the combination of the meaning of Y and Z corresponds to line Z-145 in Table Z (compounds I.H.z145.b1 to I.H.z145.b4200).
Table 2388: Compounds I.H, wherein the combination of substituents R1, R2, X, D, B and the position of the group Y-Z in each case corresponds to one line of lines B-1 to B-4200 in table B and wherein the combination of the meaning of Y and Z corresponds to line Z-146 in Table Z (compounds I.H.z146.b1 to I.H.z146.b4200).
Table 2389: Compounds I.H, wherein the combination of substituents R1, R2, X, D, B and the position of the group Y-Z in each case corresponds to one line of lines B-1 to B-4200 in table B and wherein the combination of the meaning of Y and Z corresponds to line Z-147 in Table Z (compounds I.H.z147.b1 to I.H.z147.b4200).
Table 2390: Compounds I.H, wherein the combination of substituents R1, R2, X, D, B and the position of the group Y-Z in each case corresponds to one line of lines B-1 to B-4200 in table B and wherein the combination of the meaning of Y and Z corresponds to line Z-148 in Table Z (compounds I.H.z148.b1 to I.H.z148.b4200).
Table 2391 : Compounds I.H, wherein the combination of substituents R1, R2, X, D, B and the position of the group Y-Z in each case corresponds to one line of lines B-1 to B-4200 in table B and wherein the combination of the meaning of Y and Z corresponds to line Z-149 in Table Z (compounds I.H.z149.b1 to I.H.z149.b4200).
Table 2392: Compounds I.H, wherein the combination of substituents R1, R2, X,
D, B and the position of the group Y-Z in each case corresponds to one line of lines B-1 to B-4200 in table B and wherein the combination of the meaning of Y and Z corresponds to line Z-150 in Table Z (compounds I.H.z150.b1 to I.H.z150.b4200).
Table 2393: Compounds I.H, wherein the combination of substituents R1, R2, X, D, B and the position of the group Y-Z in each case corresponds to one line of lines B-1 to B-4200 in table B and wherein the combination of the meaning of Y and Z corresponds to line Z-151 in Table Z (compounds I.H.z151.b1 to I.H.zl 51 .b4200).
Table 2394: Compounds I.H, wherein the combination of substituents R1, R2, X, D, B and the position of the group Y-Z in each case corresponds to one line of lines B-1 to B-4200 in table B and wherein the combination of the meaning of Y and Z corresponds to line Z-152 in Table Z (compounds I.H.z152.b1 to I.H.z152.b4200).
Table 2395: Compounds I.H, wherein the combination of substituents R1, R2, X,
D, B and the position of the group Y-Z in each case corresponds to one line of lines B-1 to B-4200 in table B and wherein the combination of the meaning of Y and Z corresponds to line Z-153 in Table Z (compounds I.H.z153.b1 to I.H.z153.b4200).
Table 2396: Compounds I.H, wherein the combination of substituents R1, R2, X, D, B and the position of the group Y-Z in each case corresponds to one line of lines B-1 to B-4200 in table B and wherein the combination of the meaning of Y and Z corresponds to line Z-154 in Table Z (compounds I.H.z154.b1 to I.H.z154.b4200).
Table 2397: Compounds I.H, wherein the combination of substituents R1, R2, X, D, B and the position of the group Y-Z in each case corresponds to one line of lines B-1 to B-4200 in table B and wherein the combination of the meaning of Y and Z corresponds to line Z-155 in Table Z (compounds I.H.z155.b1 to I.H.z155.b4200).
Table 2398: Compounds I.H, wherein the combination of substituents R1, R2, X, D, B and the position of the group Y-Z in each case corresponds to one line of lines B-1 to B-4200 in table B and wherein the combination of the meaning of Y and Z corresponds to line Z-156 in Table Z (compounds I.H.z156.b1 to I.H.z156.b4200).
Table 2399: Compounds I.H, wherein the combination of substituents R1, R2, X, D, B and the position of the group Y-Z in each case corresponds to one line of lines B-1 to B-4200 in table B and wherein the combination of the meaning of Y and Z corresponds to line Z-157 in Table Z (compounds I.H.z157.b1 to I.H.z157.b4200).
Table 2400: Compounds I.H, wherein the combination of substituents R1, R2, X,
D, B and the position of the group Y-Z in each case corresponds to one line of lines B-1 to B-4200 in table B and wherein the combination of the meaning of Y and Z corresponds to line Z-158 in Table Z (compounds I.H.z158.b1 to I.H.z158.b4200).
Table 2401 : Compounds I.H, wherein the combination of substituents R1, R2, X, D, B and the position of the group Y-Z in each case corresponds to one line of lines B-1 to B-4200 in table B and wherein the combination of the meaning of Y and Z corresponds to line Z-159 in Table Z (compounds I.H.z159.b1 to I.H.z159.b4200).
Table 2402: Compounds I.H, wherein the combination of substituents R1, R2, X, D, B and the position of the group Y-Z in each case corresponds to one line of lines B-1 to B-4200 in table B and wherein the combination of the meaning of Y and Z corresponds to line Z-160 in Table Z (compounds I.H.z160.b1 to I.H.z160.b4200).
Table 2403: Compounds I.H, wherein the combination of substituents R1, R2, X, D, B and the position of the group Y-Z in each case corresponds to one line of lines B-1 to B-4200 in table B and wherein the combination of the meaning of Y and Z corresponds to line Z-161 in Table Z (compounds I. H.z161.b1 to I.H.z161.b4200).
Table 2404: Compounds I.H, wherein the combination of substituents R1, R2, X, D, B and the position of the group Y-Z in each case corresponds to one line of lines B-1
to B-4200 in table B and wherein the combination of the meaning of Y and Z corresponds to line Z-162 in Table Z (compounds I.H.z162.b1 to I.H.z162.b4200).
Table 2405: Compounds I.H, wherein the combination of substituents R1, R2, X, D, B and the position of the group Y-Z in each case corresponds to one line of lines B-1 to B-4200 in table B and wherein the combination of the meaning of Y and Z corresponds to line Z-163 in Table Z (compounds I.H.z163.b1 to I.H.z163.b4200).
Table 2406: Compounds I.H, wherein the combination of substituents R1, R2, X, D, B and the position of the group Y-Z in each case corresponds to one line of lines B-1 to B-4200 in table B and wherein the combination of the meaning of Y and Z corresponds to line Z-164 in Table Z (compounds I.H.z164.b1 to I.H.z164.b4200).
Table 2407: Compounds I.H, wherein the combination of substituents R1, R2, X, D, B and the position of the group Y-Z in each case corresponds to one line of lines B-1 to B-4200 in table B and wherein the combination of the meaning of Y and Z corresponds to line Z-165 in Table Z (compounds I.H.z165.b1 to I.H.z165.b4200).
Table 2408: Compounds I.H, wherein the combination of substituents R1, R2, X,
D, B and the position of the group Y-Z in each case corresponds to one line of lines B-1 to B-4200 in table B and wherein the combination of the meaning of Y and Z corresponds to line Z-166 in Table Z (compounds I.H.z166.b1 to I.H.z166.b4200).
Table 2409: Compounds I.H, wherein the combination of substituents R1, R2, X, D, B and the position of the group Y-Z in each case corresponds to one line of lines B-1 to B-4200 in table B and wherein the combination of the meaning of Y and Z corresponds to line Z-167 in Table Z (compounds I.H.z167.b1 to I.H.z167.b4200).
Table 2410: Compounds I.H, wherein the combination of substituents R1, R2, X, D, B and the position of the group Y-Z in each case corresponds to one line of lines B-1 to B-4200 in table B and wherein the combination of the meaning of Y and Z corresponds to line Z-168 in Table Z (compounds I.H.z168.b1 to I.H.z168.b4200).
Table 241 1 : Compounds I.H, wherein the combination of substituents R1, R2, X, D, B and the position of the group Y-Z in each case corresponds to one line of lines B-1 to B-4200 in table B and wherein the combination of the meaning of Y and Z corresponds to line Z-169 in Table Z (compounds I.H.z169.b1 to I.H.z169.b4200).
Table 2412: Compounds I.H, wherein the combination of substituents R1, R2, X, D, B and the position of the group Y-Z in each case corresponds to one line of lines B-1 to B-4200 in table B and wherein the combination of the meaning of Y and Z corresponds to line Z-170 in Table Z (compounds I.H.z170.b1 to I.H.z170.b4200).
Table 2413: Compounds I.H, wherein the combination of substituents R1, R2, X,
D, B and the position of the group Y-Z in each case corresponds to one line of lines B-1 to B-4200 in table B and wherein the combination of the meaning of Y and Z corresponds to line Z-171 in Table Z (compounds I.H.z171.b1 to I.H.z171.b4200).
Table 2414: Compounds I.H, wherein the combination of substituents R1, R2, X, D, B and the position of the group Y-Z in each case corresponds to one line of lines B-1 to B-4200 in table B and wherein the combination of the meaning of Y and Z corresponds to line Z-172 in Table Z (compounds I.H.z172.b1 to I.H.z172.b4200).
Table 2415: Compounds I.H, wherein the combination of substituents R1, R2, X, D, B and the position of the group Y-Z in each case corresponds to one line of lines B-1 to B-4200 in table B and wherein the combination of the meaning of Y and Z corresponds to line Z-173 in Table Z (compounds I.H.z173.b1 to I.H.z173.b4200).
Table 2416: Compounds I.H, wherein the combination of substituents R1, R2, X,
D, B and the position of the group Y-Z in each case corresponds to one line of lines B-1 to B-4200 in table B and wherein the combination of the meaning of Y and Z corresponds to line Z-174 in Table Z (compounds I.H.z174.b1 to I.H.z174.b4200).
Table 2417: Compounds I.H, wherein the combination of substituents R1, R2, X, D, B and the position of the group Y-Z in each case corresponds to one line of lines B-1 to B-4200 in table B and wherein the combination of the meaning of Y and Z corresponds to line Z-175 in Table Z (compounds I.H.z175.b1 to I.H.z175.b4200).
Table 2418: Compounds I.H, wherein the combination of substituents R1, R2, X, D, B and the position of the group Y-Z in each case corresponds to one line of lines B-1 to B-4200 in table B and wherein the combination of the meaning of Y and Z corresponds to line Z-176 in Table Z (compounds I.H.z176.b1 to I.H.z176.b4200).
Table 2419: Compounds I.H, wherein the combination of substituents R1, R2, X, D, B and the position of the group Y-Z in each case corresponds to one line of lines B-1 to B-4200 in table B and wherein the combination of the meaning of Y and Z corresponds to line Z-177 in Table Z (compounds I.H.z177.b1 to I.H.z177.b4200).
Table 2420: Compounds I.H, wherein the combination of substituents R1, R2, X, D, B and the position of the group Y-Z in each case corresponds to one line of lines B-1 to B-4200 in table B and wherein the combination of the meaning of Y and Z corresponds to line Z-178 in Table Z (compounds I.H.z178.b1 to I.H.z178.b4200).
Table 2421 : Compounds I.H, wherein the combination of substituents R1, R2, X,
D, B and the position of the group Y-Z in each case corresponds to one line of lines B-1 to B-4200 in table B and wherein the combination of the meaning of Y and Z corresponds to line Z-179 in Table Z (compounds I.H.z179.b1 to I.H.z179.b4200).
Table 2422: Compounds I.H, wherein the combination of substituents R1, R2, X, D, B and the position of the group Y-Z in each case corresponds to one line of lines B-1 to B-4200 in table B and wherein the combination of the meaning of Y and Z corresponds to line Z-180 in Table Z (compounds I.H.z180.b1 to I.H.z180.b4200).
Table 2423: Compounds I.H, wherein the combination of substituents R1, R2, X, D, B and the position of the group Y-Z in each case corresponds to one line of lines B-1 to B-4200 in table B and wherein the combination of the meaning of Y and Z corresponds to line Z-181 in Table Z (compounds I.H.z181.b1 to I.H.z181.b4200).
Table 2424: Compounds I.H, wherein the combination of substituents R1, R2, X, D, B and the position of the group Y-Z in each case corresponds to one line of lines B-1 to B-4200 in table B and wherein the combination of the meaning of Y and Z corresponds to line Z-182 in Table Z (compounds I.H.z182.b1 to I.H.z182.b4200).
Table 2425: Compounds I.H, wherein the combination of substituents R1, R2, X, D, B and the position of the group Y-Z in each case corresponds to one line of lines B-1
to B-4200 in table B and wherein the combination of the meaning of Y and Z corresponds to line Z-183 in Table Z (compounds I.H.z183.b1 to I.H.z183.b4200).
Table 2426: Compounds I.H, wherein the combination of substituents R1, R2, X, D, B and the position of the group Y-Z in each case corresponds to one line of lines B-1 to B-4200 in table B and wherein the combination of the meaning of Y and Z corresponds to line Z-184 in Table Z (compounds I.H.z184.b1 to I.H.z184.b4200).
Table 2427: Compounds I.H, wherein the combination of substituents R1, R2, X, D, B and the position of the group Y-Z in each case corresponds to one line of lines B-1 to B-4200 in table B and wherein the combination of the meaning of Y and Z corresponds to line Z-185 in Table Z (compounds I.H.z185.b1 to I.H.z185.b4200).
Table 2428: Compounds I.H, wherein the combination of substituents R1, R2, X, D, B and the position of the group Y-Z in each case corresponds to one line of lines B-1 to B-4200 in table B and wherein the combination of the meaning of Y and Z corresponds to line Z-186 in Table Z (compounds I.H.z186.b1 to I.H.z186.b4200).
Table 2429: Compounds I.H, wherein the combination of substituents R1, R2, X,
D, B and the position of the group Y-Z in each case corresponds to one line of lines B-1 to B-4200 in table B and wherein the combination of the meaning of Y and Z corresponds to line Z-187 in Table Z (compounds I.H.z187.b1 to I.H.z187.b4200).
Table 2430: Compounds I.H, wherein the combination of substituents R1, R2, X, D, B and the position of the group Y-Z in each case corresponds to one line of lines B-1 to B-4200 in table B and wherein the combination of the meaning of Y and Z corresponds to line Z-188 in Table Z (compounds I.H.z188.b1 to I.H.z188.b4200).
Table 2431 : Compounds I.H, wherein the combination of substituents R1, R2, X, D, B and the position of the group Y-Z in each case corresponds to one line of lines B-1 to B-4200 in table B and wherein the combination of the meaning of Y and Z corresponds to line Z-189 in Table Z (compounds I.H.z189.b1 to I.H.z189.b4200).
Table 2432: Compounds I.H, wherein the combination of substituents R1, R2, X, D, B and the position of the group Y-Z in each case corresponds to one line of lines B-1 to B-4200 in table B and wherein the combination of the meaning of Y and Z corresponds to line Z-190 in Table Z (compounds I.H.z190.b1 to I.H.z190.b4200).
Table 2433: Compounds I.H, wherein the combination of substituents R1, R2, X, D, B and the position of the group Y-Z in each case corresponds to one line of lines B-1 to B-4200 in table B and wherein the combination of the meaning of Y and Z corresponds to line Z-191 in Table Z (compounds I.H.z191.b1 to I.H.z191.b4200).
Table 2434: Compounds I.H, wherein the combination of substituents R1, R2, X,
D, B and the position of the group Y-Z in each case corresponds to one line of lines B-1 to B-4200 in table B and wherein the combination of the meaning of Y and Z corresponds to line Z-192 in Table Z (compounds I.H.z192.b1 to I.H.z192.b4200).
Table 2435: Compounds I.H, wherein the combination of substituents R1, R2, X, D, B and the position of the group Y-Z in each case corresponds to one line of lines B-1 to B-4200 in table B and wherein the combination of the meaning of Y and Z corresponds to line Z-193 in Table Z (compounds I.H.z193.b1 to I.H.z193.b4200).
Table 2436: Compounds I.H, wherein the combination of substituents R1, R2, X, D, B and the position of the group Y-Z in each case corresponds to one line of lines B-1 to B-4200 in table B and wherein the combination of the meaning of Y and Z corresponds to line Z-194 in Table Z (compounds I.H.z194.b1 to I.H.z194.b4200).
Table 2437: Compounds I.H, wherein the combination of substituents R1, R2, X,
D, B and the position of the group Y-Z in each case corresponds to one line of lines B-1 to B-4200 in table B and wherein the combination of the meaning of Y and Z corresponds to line Z-195 in Table Z (compounds I.H.z195.b1 to I.H.z195.b4200).
Table 2438: Compounds I.H, wherein the combination of substituents R1, R2, X, D, B and the position of the group Y-Z in each case corresponds to one line of lines B-1 to B-4200 in table B and wherein the combination of the meaning of Y and Z corresponds to line Z-196 in Table Z (compounds I.H.z196.b1 to I.H.z196.b4200).
Table 2439: Compounds I.H, wherein the combination of substituents R1, R2, X, D, B and the position of the group Y-Z in each case corresponds to one line of lines B-1 to B-4200 in table B and wherein the combination of the meaning of Y and Z corresponds to line Z-197 in Table Z (compounds I.H.z197.b1 to I.H.z197.b4200).
Table 2440: Compounds I.H, wherein the combination of substituents R1, R2, X, D, B and the position of the group Y-Z in each case corresponds to one line of lines B-1 to B-4200 in table B and wherein the combination of the meaning of Y and Z corresponds to line Z-198 in Table Z (compounds I.H.z198.b1 to I.H.z198.b4200).
Table 2441 : Compounds I.H, wherein the combination of substituents R1, R2, X, D, B and the position of the group Y-Z in each case corresponds to one line of lines B-1 to B-4200 in table B and wherein the combination of the meaning of Y and Z corresponds to line Z-199 in Table Z (compounds I.H.z199.b1 to I.H.z199.b4200).
Table 2442: Compounds I.H, wherein the combination of substituents R1, R2, X,
D, B and the position of the group Y-Z in each case corresponds to one line of lines B-1 to B-4200 in table B and wherein the combination of the meaning of Y and Z corresponds to line Z-200 in Table Z (compounds I.H.z200.b1 to I.H.z200.b4200).
Table 2443: Compounds I.H, wherein the combination of substituents R1, R2, X, D, B and the position of the group Y-Z in each case corresponds to one line of lines B-1 to B-4200 in table B and wherein the combination of the meaning of Y and Z corresponds to line Z-201 in Table Z (compounds I.H.z201.b1 to I.H.z201.b4200).
Table 2444: Compounds I.H, wherein the combination of substituents R1, R2, X, D, B and the position of the group Y-Z in each case corresponds to one line of lines B-1 to B-4200 in table B and wherein the combination of the meaning of Y and Z corresponds to line Z-202 in Table Z (compounds I.H.z202.b1 to I.H.z202.b4200).
Table 2445: Compounds I.H, wherein the combination of substituents R1, R2, X, D, B and the position of the group Y-Z in each case corresponds to one line of lines B-1 to B-4200 in table B and wherein the combination of the meaning of Y and Z corresponds to line Z-203 in Table Z (compounds I.H.z203.b1 to I.H.z203.b4200).
Table 2446: Compounds I.H, wherein the combination of substituents R1, R2, X, D, B and the position of the group Y-Z in each case corresponds to one line of lines B-1
to B-4200 in table B and wherein the combination of the meaning of Y and Z corresponds to line Z-204 in Table Z (compounds I.H.z204.b1 to I.H.z204.b4200).
Table 2447: Compounds I.H, wherein the combination of substituents R1, R2, X, D, B and the position of the group Y-Z in each case corresponds to one line of lines B-1 to B-4200 in table B and wherein the combination of the meaning of Y and Z corresponds to line Z-205 in Table Z (compounds I.H.z205.b1 to I.H.z205.b4200).
Table 2448: Compounds I.H, wherein the combination of substituents R1, R2, X, D, B and the position of the group Y-Z in each case corresponds to one line of lines B-1 to B-4200 in table B and wherein the combination of the meaning of Y and Z corresponds to line Z-206 in Table Z (compounds I.H.z206.b1 to I.H.z206.b4200).
Table 2449: Compounds I.J, wherein the combination of substituents R1, R2, X, D, B and the position of the group Y-Z in each case corresponds to one line B-1 to B- 4200 in table B and wherein Z is phenyl and the combination of the meaning of Y and RL corresponds to line A-1 in Table A (compounds I.J.al .b1 to I.J.al .b4200).
Table 2450: Compounds I.J, wherein the combination of substituents R1, R2, X,
D, B and the position of the group Y-Z in each case corresponds to one line B-1 to B- 4200 in table B and wherein Z is phenyl and the combination of the meaning of Y and RL corresponds to line A-2 in Table A (compounds I.J.a2.b1 to I.J.a2.b4200).
Table 2451 : Compounds I.J, wherein the combination of substituents R1, R2, X, D, B and the position of the group Y-Z in each case corresponds to one line B-1 to B- 4200 in table B and wherein Z is phenyl and the combination of the meaning of Y and RL corresponds to line A-3 in Table A (compounds I.J.a3.b1 to I.J.a3.b4200).
Table 2452: Compounds I.J, wherein the combination of substituents R1, R2, X, D, B and the position of the group Y-Z in each case corresponds to one line B-1 to B- 4200 in table B and wherein Z is phenyl and the combination of the meaning of Y and RL corresponds to line A-4 in Table A (compounds I.J.a4.b1 to I.J.a4.b4200).
Table 2453: Compounds I.J, wherein the combination of substituents R1, R2, X, D, B and the position of the group Y-Z in each case corresponds to one line B-1 to B- 4200 in table B and wherein Z is phenyl and the combination of the meaning of Y and RL corresponds to line A-5 in Table A (compounds I.J.a5.b1 to I.J.a5.b4200).
Table 2454: Compounds I.J, wherein the combination of substituents R1, R2, X, D, B and the position of the group Y-Z in each case corresponds to one line B-1 to B- 4200 in table B and wherein Z is phenyl and the combination of the meaning of Y and RL corresponds to line A-6 in Table A (compounds I.J.a6.b1 to I.J.a6.b4200).
Table 2455: Compounds I.J, wherein the combination of substituents R1, R2, X,
D, B and the position of the group Y-Z in each case corresponds to one line B-1 to B- 4200 in table B and wherein Z is phenyl and the combination of the meaning of Y and RL corresponds to line A-7 in Table A (compounds I.J.a7.b1 to I.J.a7.b4200).
Table 2456: Compounds I.J, wherein the combination of substituents R1, R2, X, D, B and the position of the group Y-Z in each case corresponds to one line B-1 to B- 4200 in table B and wherein Z is phenyl and the combination of the meaning of Y and RL corresponds to line A-8 in Table A (compounds I.J.a8.b1 to I.J.a8.b4200).
Table 2457: Compounds I.J, wherein the combination of substituents R1, R2, X, D, B and the position of the group Y-Z in each case corresponds to one line B-1 to B- 4200 in table B and wherein Z is phenyl and the combination of the meaning of Y and RL corresponds to line A-9 in Table A (compounds I.J.a9.b1 to I.J.a9.b4200).
Table 2458: Compounds I.J, wherein the combination of substituents R1, R2, X,
D, B and the position of the group Y-Z in each case corresponds to one line B-1 to B- 4200 in table B and wherein Z is phenyl and the combination of the meaning of Y and RL corresponds to line A-10 in Table A (compounds I.J.a10.b1 to I.J.a10.b4200).
Table 2459: Compounds I.J, wherein the combination of substituents R1, R2, X, D, B and the position of the group Y-Z in each case corresponds to one line B-1 to B- 4200 in table B and wherein Z is phenyl and the combination of the meaning of Y and RL corresponds to line A-1 1 in Table A (compounds I.J.al 1.b1 to I.J.al 1.b4200).
Table 2460: Compounds I.J, wherein the combination of substituents R1, R2, X, D, B and the position of the group Y-Z in each case corresponds to one line B-1 to B- 4200 in table B and wherein Z is phenyl and the combination of the meaning of Y and RL corresponds to line A-12 in Table A (compounds I.J.a12.b1 to I.J.a12.b4200).
Table 2461 : Compounds I.J, wherein the combination of substituents R1, R2, X, D, B and the position of the group Y-Z in each case corresponds to one line B-1 to B- 4200 in table B and wherein Z is phenyl and the combination of the meaning of Y and RL corresponds to line A-13 in Table A (compounds I.J.al 3. b1 to I.J.al 3. b4200).
Table 2462: Compounds I.J, wherein the combination of substituents R1, R2, X, D, B and the position of the group Y-Z in each case corresponds to one line B-1 to B- 4200 in table B and wherein Z is phenyl and the combination of the meaning of Y and RL corresponds to line A-14 in Table A (compounds I.J.a14.b1 to I.J.a14.b4200).
Table 2463: Compounds I.J, wherein the combination of substituents R1, R2, X,
D, B and the position of the group Y-Z in each case corresponds to one line B-1 to B- 4200 in table B and wherein Z is phenyl and the combination of the meaning of Y and RL corresponds to line A-15 in Table A (compounds I.J.al 5. b1 to I.J.al 5. b4200).
Table 2464: Compounds I.J, wherein the combination of substituents R1, R2, X, D, B and the position of the group Y-Z in each case corresponds to one line B-1 to B- 4200 in table B and wherein Z is phenyl and the combination of the meaning of Y and RL corresponds to line A-16 in Table A (compounds I.J.al 6.b1 to I.J.al 6.b4200).
Table 2465: Compounds I.J, wherein the combination of substituents R1, R2, X, D, B and the position of the group Y-Z in each case corresponds to one line B-1 to B- 4200 in table B and wherein Z is phenyl and the combination of the meaning of Y and RL corresponds to line A-17 in Table A (compounds I.J.al 7. b1 to I.J.al 7. b4200).
Table 2466: Compounds I.J, wherein the combination of substituents R1, R2, X, D, B and the position of the group Y-Z in each case corresponds to one line B-1 to B- 4200 in table B and wherein Z is phenyl and the combination of the meaning of Y and RL corresponds to line A-18 in Table A (compounds I.J.a18.b1 to I.J.a18.b4200).
Table 2467: Compounds I.J, wherein the combination of substituents R1, R2, X, D, B and the position of the group Y-Z in each case corresponds to one line B-1 to B-
4200 in table B and wherein Z is phenyl and the combination of the meaning of Y and RL corresponds to line A-19 in Table A (compounds I.J.a19.b1 to I.J.a19.b4200).
Table 2468: Compounds I.J, wherein the combination of substituents R1, R2, X, D, B and the position of the group Y-Z in each case corresponds to one line B-1 to B- 4200 in table B and wherein Z is phenyl and the combination of the meaning of Y and RL corresponds to line A-20 in Table A (compounds I.J.a20.b1 to I.J.a20.b4200).
Table 2469: Compounds I.J, wherein the combination of substituents R1, R2, X, D, B and the position of the group Y-Z in each case corresponds to one line B-1 to B- 4200 in table B and wherein Z is phenyl and the combination of the meaning of Y and RL corresponds to line A-21 in Table A (compounds I.J. a21.b1 to I.J.a21 .b4200).
Table 2470: Compounds I.J, wherein the combination of substituents R1, R2, X, D, B and the position of the group Y-Z in each case corresponds to one line B-1 to B- 4200 in table B and wherein Z is phenyl and the combination of the meaning of Y and RL corresponds to line A-22 in Table A (compounds I.J.a22.b1 to I.J.a22.b4200).
Table 2471 : Compounds I.J, wherein the combination of substituents R1, R2, X,
D, B and the position of the group Y-Z in each case corresponds to one line B-1 to B- 4200 in table B and wherein Z is phenyl and the combination of the meaning of Y and RL corresponds to line A-23 in Table A (compounds I.J.a23.b1 to I.J.a23.b4200).
Table 2472: Compounds I.J, wherein the combination of substituents R1, R2, X, D, B and the position of the group Y-Z in each case corresponds to one line B-1 to B- 4200 in table B and wherein Z is phenyl and the combination of the meaning of Y and RL corresponds to line A-24 in Table A (compounds I.J.a24.b1 to I.J.a24.b4200).
Table 2473: Compounds I.J, wherein the combination of substituents R1, R2, X, D, B and the position of the group Y-Z in each case corresponds to one line B-1 to B- 4200 in table B and wherein Z is phenyl and the combination of the meaning of Y and RL corresponds to line A-25 in Table A (compounds I.J.a25.b1 to I.J.a25.b4200).
Table 2474: Compounds I.J, wherein the combination of substituents R1, R2, X, D, B and the position of the group Y-Z in each case corresponds to one line B-1 to B- 4200 in table B and wherein Z is phenyl and the combination of the meaning of Y and RL corresponds to line A-26 in Table A (compounds I.J.a26.b1 to I.J.a26.b4200).
Table 2475: Compounds I.J, wherein the combination of substituents R1, R2, X, D, B and the position of the group Y-Z in each case corresponds to one line B-1 to B- 4200 in table B and wherein Z is phenyl and the combination of the meaning of Y and RL corresponds to line A-27 in Table A (compounds I.J.a27.b1 to I.J.a27.b4200).
Table 2476: Compounds I.J, wherein the combination of substituents R1, R2, X,
D, B and the position of the group Y-Z in each case corresponds to one line B-1 to B- 4200 in table B and wherein Z is phenyl and the combination of the meaning of Y and RL corresponds to line A-28 in Table A (compounds I.J.a28.b1 to I.J.a28.b4200).
Table 2477: Compounds I.J, wherein the combination of substituents R1, R2, X, D, B and the position of the group Y-Z in each case corresponds to one line B-1 to B- 4200 in table B and wherein Z is phenyl and the combination of the meaning of Y and RL corresponds to line A-29 in Table A (compounds I.J.a29.b1 to I.J.a29.b4200).
Table 2478: Compounds I.J, wherein the combination of substituents R1, R2, X, D, B and the position of the group Y-Z in each case corresponds to one line B-1 to B- 4200 in table B and wherein Z is phenyl and the combination of the meaning of Y and RL corresponds to line A-30 in Table A (compounds I.J.a30.b1 to I.J.a30.b4200).
Table 2479: Compounds I.J, wherein the combination of substituents R1, R2, X,
D, B and the position of the group Y-Z in each case corresponds to one line B-1 to B- 4200 in table B and wherein Z is phenyl and the combination of the meaning of Y and RL corresponds to line A-31 in Table A (compounds I.J.a31.b1 to I.J.a31.b4200).
Table 2480: Compounds I.J, wherein the combination of substituents R1, R2, X, D, B and the position of the group Y-Z in each case corresponds to one line B-1 to B- 4200 in table B and wherein Z is phenyl and the combination of the meaning of Y and RL corresponds to line A-32 in Table A (compounds I.J.a32.b1 to I.J.a32.b4200).
Table 2481 : Compounds I.J, wherein the combination of substituents R1, R2, X, D, B and the position of the group Y-Z in each case corresponds to one line B-1 to B- 4200 in table B and wherein Z is phenyl and the combination of the meaning of Y and RL corresponds to line A-33 in Table A (compounds I.J.a33.b1 to I.J.a33.b4200).
Table 2482: Compounds I.J, wherein the combination of substituents R1, R2, X, D, B and the position of the group Y-Z in each case corresponds to one line B-1 to B- 4200 in table B and wherein Z is phenyl and the combination of the meaning of Y and RL corresponds to line A-34 in Table A (compounds I.J.a34.b1 to I.J.a34.b4200).
Table 2483: Compounds I.J, wherein the combination of substituents R1, R2, X, D, B and the position of the group Y-Z in each case corresponds to one line B-1 to B- 4200 in table B and wherein Z is phenyl and the combination of the meaning of Y and RL corresponds to line A-35 in Table A (compounds I.J.a35.b1 to I.J.a35.b4200).
Table 2484: Compounds I.J, wherein the combination of substituents R1, R2, X,
D, B and the position of the group Y-Z in each case corresponds to one line B-1 to B- 4200 in table B and wherein Z is phenyl and the combination of the meaning of Y and RL corresponds to line A-36 in Table A (compounds I.J.a36.b1 to I.J.a36.b4200).
Table 2485: Compounds I.J, wherein the combination of substituents R1, R2, X, D, B and the position of the group Y-Z in each case corresponds to one line B-1 to B- 4200 in table B and wherein Z is phenyl and the combination of the meaning of Y and RL corresponds to line A-37 in Table A (compounds I.J.a37.b1 to I.J.a37.b4200).
Table 2486: Compounds I.J, wherein the combination of substituents R1, R2, X, D, B and the position of the group Y-Z in each case corresponds to one line B-1 to B- 4200 in table B and wherein Z is phenyl and the combination of the meaning of Y and RL corresponds to line A-38 in Table A (compounds I.J.a38.b1 to I.J.a38.b4200).
Table 2487: Compounds I.J, wherein the combination of substituents R1, R2, X, D, B and the position of the group Y-Z in each case corresponds to one line B-1 to B- 4200 in table B and wherein Z is phenyl and the combination of the meaning of Y and RL corresponds to line A-39 in Table A (compounds I.J.a39.b1 to I.J.a39.b4200).
Table 2488: Compounds I.J, wherein the combination of substituents R1, R2, X, D, B and the position of the group Y-Z in each case corresponds to one line B-1 to B-
4200 in table B and wherein Z is phenyl and the combination of the meaning of Y and RL corresponds to line A-40 in Table A (compounds I.J.a40.b1 to I.J.a40.b4200).
Table 2489: Compounds I.J, wherein the combination of substituents R1, R2, X, D, B and the position of the group Y-Z in each case corresponds to one line B-1 to B- 4200 in table B and wherein Z is phenyl and the combination of the meaning of Y and RL corresponds to line A-41 in Table A (compounds I.J.a41.b1 to I.J.a41.b4200).
Table 2490: Compounds I.J, wherein the combination of substituents R1, R2, X, D, B and the position of the group Y-Z in each case corresponds to one line B-1 to B- 4200 in table B and wherein Z is phenyl and the combination of the meaning of Y and RL corresponds to line A-42 in Table A (compounds I.J.a42.b1 to I.J.a42.b4200).
Table 2491 : Compounds I.J, wherein the combination of substituents R1, R2, X, D, B and the position of the group Y-Z in each case corresponds to one line B-1 to B- 4200 in table B and wherein Z is phenyl and the combination of the meaning of Y and RL corresponds to line A-43 in Table A (compounds I.J.a43.b1 to I.J.a43.b4200).
Table 2492: Compounds I.J, wherein the combination of substituents R1, R2, X,
D, B and the position of the group Y-Z in each case corresponds to one line B-1 to B- 4200 in table B and wherein Z is phenyl and the combination of the meaning of Y and RL corresponds to line A-44 in Table A (compounds I.J.a44.b1 to I.J.a44.b4200).
Table 2493: Compounds I.J, wherein the combination of substituents R1, R2, X, D, B and the position of the group Y-Z in each case corresponds to one line B-1 to B- 4200 in table B and wherein Z is phenyl and the combination of the meaning of Y and RL corresponds to line A-45 in Table A (compounds I.J.a45.b1 to I.J.a45.b4200).
Table 2494: Compounds I.J, wherein the combination of substituents R1, R2, X, D, B and the position of the group Y-Z in each case corresponds to one line B-1 to B- 4200 in table B and wherein Z is phenyl and the combination of the meaning of Y and RL corresponds to line A-46 in Table A (compounds I.J.a46.b1 to I.J.a46.b4200).
Table 2495: Compounds I.J, wherein the combination of substituents R1, R2, X, D, B and the position of the group Y-Z in each case corresponds to one line B-1 to B- 4200 in table B and wherein Z is phenyl and the combination of the meaning of Y and RL corresponds to line A-47 in Table A (compounds I.J.a47.b1 to I.J.a47.b4200).
Table 2496: Compounds I.J, wherein the combination of substituents R1, R2, X, D, B and the position of the group Y-Z in each case corresponds to one line B-1 to B- 4200 in table B and wherein Z is phenyl and the combination of the meaning of Y and RL corresponds to line A-48 in Table A (compounds I.J.a48.b1 to I.J.a48.b4200).
Table 2497: Compounds I.J, wherein the combination of substituents R1, R2, X,
D, B and the position of the group Y-Z in each case corresponds to one line B-1 to B- 4200 in table B and wherein Z is phenyl and the combination of the meaning of Y and RL corresponds to line A-49 in Table A (compounds I.J.a49.b1 to I.J.a49.b4200).
Table 2498: Compounds I.J, wherein the combination of substituents R1, R2, X, D, B and the position of the group Y-Z in each case corresponds to one line B-1 to B- 4200 in table B and wherein Z is phenyl and the combination of the meaning of Y and RL corresponds to line A-50 in Table A (compounds I.J.a50.b1 to I.J.a50.b4200).
Table 2499: Compounds I.J, wherein the combination of substituents R1, R2, X, D, B and the position of the group Y-Z in each case corresponds to one line B-1 to B- 4200 in table B and wherein Z is phenyl and the combination of the meaning of Y and RL corresponds to line A-51 in Table A (compounds I.J.a51.b1 to I.J.a51.b4200).
Table 2500: Compounds I.J, wherein the combination of substituents R1, R2, X,
D, B and the position of the group Y-Z in each case corresponds to one line B-1 to B- 4200 in table B and wherein Z is phenyl and the combination of the meaning of Y and RL corresponds to line A-52 in Table A (compounds I.J.a52.b1 to I.J.a52.b4200).
Table 2501 : Compounds I.J, wherein the combination of substituents R1, R2, X, D, B and the position of the group Y-Z in each case corresponds to one line B-1 to B- 4200 in table B and wherein Z is phenyl and the combination of the meaning of Y and RL corresponds to line A-53 in Table A (compounds I.J.a53.b1 to I.J.a53.b4200).
Table 2502: Compounds I.J, wherein the combination of substituents R1, R2, X, D, B and the position of the group Y-Z in each case corresponds to one line B-1 to B- 4200 in table B and wherein Z is phenyl and the combination of the meaning of Y and RL corresponds to line A-54 in Table A (compounds I.J.a54.b1 to I.J.a54.b4200).
Table 2503: Compounds I.J, wherein the combination of substituents R1, R2, X, D, B and the position of the group Y-Z in each case corresponds to one line B-1 to B- 4200 in table B and wherein Z is phenyl and the combination of the meaning of Y and RL corresponds to line A-55 in Table A (compounds I.J.a55.b1 to I.J.a55.b4200).
Table 2504: Compounds I.J, wherein the combination of substituents R1, R2, X, D, B and the position of the group Y-Z in each case corresponds to one line B-1 to B- 4200 in table B and wherein Z is phenyl and the combination of the meaning of Y and RL corresponds to line A-56 in Table A (compounds I.J.a56.b1 to I.J.a56.b4200).
Table 2505: Compounds I.J, wherein the combination of substituents R1, R2, X,
D, B and the position of the group Y-Z in each case corresponds to one line B-1 to B- 4200 in table B and wherein Z is phenyl and the combination of the meaning of Y and RL corresponds to line A-57 in Table A (compounds I.J.a57.b1 to I.J.a57.b4200).
Table 2506: Compounds I.J, wherein the combination of substituents R1, R2, X, D, B and the position of the group Y-Z in each case corresponds to one line B-1 to B- 4200 in table B and wherein Z is phenyl and the combination of the meaning of Y and RL corresponds to line A-58 in Table A (compounds I.J.a58.b1 to I.J.a58.b4200).
Table 2507: Compounds I.J, wherein the combination of substituents R1, R2, X, D, B and the position of the group Y-Z in each case corresponds to one line B-1 to B- 4200 in table B and wherein Z is phenyl and the combination of the meaning of Y and RL corresponds to line A-59 in Table A (compounds I.J.a59.b1 to I.J.a59.b4200).
Table 2508: Compounds I.J, wherein the combination of substituents R1, R2, X, D, B and the position of the group Y-Z in each case corresponds to one line B-1 to B- 4200 in table B and wherein Z is phenyl and the combination of the meaning of Y and RL corresponds to line A-60 in Table A (compounds I.J.a60.b1 to I.J.a60.b4200).
Table 2509: Compounds I.J, wherein the combination of substituents R1, R2, X, D, B and the position of the group Y-Z in each case corresponds to one line B-1 to B-
4200 in table B and wherein Z is phenyl and the combination of the meaning of Y and RL corresponds to line A-61 in Table A (compounds I.J.a61 .b1 to I.J.a61 .b4200).
Table 2510: Compounds I.J, wherein the combination of substituents R1, R2, X, D, B and the position of the group Y-Z in each case corresponds to one line B-1 to B- 4200 in table B and wherein Z is phenyl and the combination of the meaning of Y and RL corresponds to line A-62 in Table A (compounds I.J.a62.b1 to I.J.a62.b4200).
Table 251 1 : Compounds I.J, wherein the combination of substituents R1, R2, X, D, B and the position of the group Y-Z in each case corresponds to one line B-1 to B- 4200 in table B and wherein Z is phenyl and the combination of the meaning of Y and RL corresponds to line A-63 in Table A (compounds I.J.a63.b1 to I.J.a63.b4200).
Table 2512: Compounds I.J, wherein the combination of substituents R1, R2, X, D, B and the position of the group Y-Z in each case corresponds to one line B-1 to B- 4200 in table B and wherein Z is phenyl and the combination of the meaning of Y and RL corresponds to line A-64 in Table A (compounds I.J.a64.b1 to I.J.a64.b4200).
Table 2513: Compounds I.J, wherein the combination of substituents R1, R2, X,
D, B and the position of the group Y-Z in each case corresponds to one line B-1 to B- 4200 in table B and wherein Z is phenyl and the combination of the meaning of Y and RL corresponds to line A-65 in Table A (compounds I.J.a65.b1 to I.J.a65.b4200).
Table 2514: Compounds I.J, wherein the combination of substituents R1, R2, X, D, B and the position of the group Y-Z in each case corresponds to one line B-1 to B- 4200 in table B and wherein Z is phenyl and the combination of the meaning of Y and RL corresponds to line A-66 in Table A (compounds I.J.a66.b1 to I.J.a66.b4200).
Table 2515: Compounds I.J, wherein the combination of substituents R1, R2, X, D, B and the position of the group Y-Z in each case corresponds to one line B-1 to B- 4200 in table B and wherein Z is phenyl and the combination of the meaning of Y and RL corresponds to line A-67 in Table A (compounds I.J.a67.b1 to I.J.a67.b4200).
Table 2516: Compounds I.J, wherein the combination of substituents R1, R2, X, D, B and the position of the group Y-Z in each case corresponds to one line B-1 to B- 4200 in table B and wherein Z is phenyl and the combination of the meaning of Y and RL corresponds to line A-68 in Table A (compounds I.J.a68.b1 to I.J.a68.b4200).
Table 2517: Compounds I.J, wherein the combination of substituents R1, R2, X, D, B and the position of the group Y-Z in each case corresponds to one line B-1 to B- 4200 in table B and wherein Z is phenyl and the combination of the meaning of Y and RL corresponds to line A-69 in Table A (compounds I.J.a69.b1 to I.J.a69.b4200).
Table 2518: Compounds I.J, wherein the combination of substituents R1, R2, X,
D, B and the position of the group Y-Z in each case corresponds to one line B-1 to B- 4200 in table B and wherein Z is phenyl and the combination of the meaning of Y and RL corresponds to line A-70 in Table A (compounds I.J.a70.b1 to I.J.a70.b4200).
Table 2519: Compounds I.J, wherein the combination of substituents R1, R2, X, D, B and the position of the group Y-Z in each case corresponds to one line B-1 to B- 4200 in table B and wherein Z is phenyl and the combination of the meaning of Y and RL corresponds to line A-71 in Table A (compounds I.J.a71.b1 to I.J.a71.b4200).
Table 2520: Compounds I.J, wherein the combination of substituents R1, R2, X, D, B and the position of the group Y-Z in each case corresponds to one line B-1 to B- 4200 in table B and wherein Z is phenyl and the combination of the meaning of Y and RL corresponds to line A-72 in Table A (compounds I.J.a72.b1 to I.J.a72.b4200).
Table 2521 : Compounds I.J, wherein the combination of substituents R1, R2, X,
D, B and the position of the group Y-Z in each case corresponds to one line B-1 to B- 4200 in table B and wherein Z is phenyl and the combination of the meaning of Y and RL corresponds to line A-73 in Table A (compounds I.J.a73.b1 to I.J.a73.b4200).
Table 2522: Compounds I.J, wherein the combination of substituents R1, R2, X, D, B and the position of the group Y-Z in each case corresponds to one line B-1 to B- 4200 in table B and wherein Z is phenyl and the combination of the meaning of Y and RL corresponds to line A-74 in Table A (compounds I.J.a74.b1 to I.J.a74.b4200).
Table 2523: Compounds I.J, wherein the combination of substituents R1, R2, X, D, B and the position of the group Y-Z in each case corresponds to one line B-1 to B- 4200 in table B and wherein Z is phenyl and the combination of the meaning of Y and RL corresponds to line A-75 in Table A (compounds I.J.a75.b1 to I.J.a75.b4200).
Table 2524: Compounds I.J, wherein the combination of substituents R1, R2, X, D, B and the position of the group Y-Z in each case corresponds to one line B-1 to B- 4200 in table B and wherein Z is phenyl and the combination of the meaning of Y and RL corresponds to line A-76 in Table A (compounds I.J.a76.b1 to I.J.a76.b4200).
Table 2525: Compounds I.J, wherein the combination of substituents R1, R2, X, D, B and the position of the group Y-Z in each case corresponds to one line B-1 to B- 4200 in table B and wherein Z is phenyl and the combination of the meaning of Y and RL corresponds to line A-77 in Table A (compounds I.J.a77.b1 to I.J.a77.b4200).
Table 2526: Compounds I.J, wherein the combination of substituents R1, R2, X,
D, B and the position of the group Y-Z in each case corresponds to one line B-1 to B- 4200 in table B and wherein Z is phenyl and the combination of the meaning of Y and RL corresponds to line A-78 in Table A (compounds I.J.a78.b1 to I.J.a78.b4200).
Table 2527: Compounds I.J, wherein the combination of substituents R1, R2, X, D, B and the position of the group Y-Z in each case corresponds to one line B-1 to B- 4200 in table B and wherein Z is phenyl and the combination of the meaning of Y and RL corresponds to line A-79 in Table A (compounds I.J.a79.b1 to I.J.a79.b4200).
Table 2528: Compounds I.J, wherein the combination of substituents R1, R2, X, D, B and the position of the group Y-Z in each case corresponds to one line B-1 to B- 4200 in table B and wherein Z is phenyl and the combination of the meaning of Y and RL corresponds to line A-80 in Table A (compounds I.J.a80.b1 to I.J.a80.b4200).
Table 2529: Compounds I.J, wherein the combination of substituents R1, R2, X, D, B and the position of the group Y-Z in each case corresponds to one line B-1 to B- 4200 in table B and wherein Z is phenyl and the combination of the meaning of Y and RL corresponds to line A-81 in Table A (compounds I.J.a81.b1 to I.J.a81.b4200).
Table 2530: Compounds I.J, wherein the combination of substituents R1, R2, X, D, B and the position of the group Y-Z in each case corresponds to one line B-1 to B-
4200 in table B and wherein Z is phenyl and the combination of the meaning of Y and RL corresponds to line A-82 in Table A (compounds I.J.a82.b1 to I.J.a82.b4200).
Table 2531 : Compounds I.J, wherein the combination of substituents R1, R2, X, D, B and the position of the group Y-Z in each case corresponds to one line B-1 to B- 4200 in table B and wherein Z is phenyl and the combination of the meaning of Y and RL corresponds to line A-83 in Table A (compounds I.J.a83.b1 to I.J.a83.b4200).
Table 2532: Compounds I.J, wherein the combination of substituents R1, R2, X, D, B and the position of the group Y-Z in each case corresponds to one line B-1 to B- 4200 in table B and wherein Z is phenyl and the combination of the meaning of Y and RL corresponds to line A-84 in Table A (compounds I.J.a84.b1 to I.J.a84.b4200).
Table 2533: Compounds I.J, wherein the combination of substituents R1, R2, X, D, B and the position of the group Y-Z in each case corresponds to one line B-1 to B- 4200 in table B and wherein Z is phenyl and the combination of the meaning of Y and RL corresponds to line A-85 in Table A (compounds I.J.a85.b1 to I.J.a85.b4200).
Table 2534: Compounds I.J, wherein the combination of substituents R1, R2, X,
D, B and the position of the group Y-Z in each case corresponds to one line B-1 to B- 4200 in table B and wherein Z is phenyl and the combination of the meaning of Y and RL corresponds to line A-86 in Table A (compounds I.J.a86.b1 to I.J.a86.b4200).
Table 2535: Compounds I.J, wherein the combination of substituents R1, R2, X, D, B and the position of the group Y-Z in each case corresponds to one line B-1 to B- 4200 in table B and wherein Z is phenyl and the combination of the meaning of Y and RL corresponds to line A-87 in Table A (compounds I.J.a87.b1 to I.J.a87.b4200).
Table 2536: Compounds I.J, wherein the combination of substituents R1, R2, X, D, B and the position of the group Y-Z in each case corresponds to one line B-1 to B- 4200 in table B and wherein Z is phenyl and the combination of the meaning of Y and RL corresponds to line A-88 in Table A (compounds I.J.a88.b1 to I.J.a88.b4200).
Table 2537: Compounds I.J, wherein the combination of substituents R1, R2, X, D, B and the position of the group Y-Z in each case corresponds to one line B-1 to B- 4200 in table B and wherein Z is phenyl and the combination of the meaning of Y and RL corresponds to line A-89 in Table A (compounds I.J.a89.b1 to I.J.a89.b4200).
Table 2538: Compounds I.J, wherein the combination of substituents R1, R2, X, D, B and the position of the group Y-Z in each case corresponds to one line B-1 to B- 4200 in table B and wherein Z is phenyl and the combination of the meaning of Y and RL corresponds to line A-90 in Table A (compounds I.J.a90.b1 to I.J.a90.b4200).
Table 2539: Compounds I.J, wherein the combination of substituents R1, R2, X,
D, B and the position of the group Y-Z in each case corresponds to one line B-1 to B- 4200 in table B and wherein Z is phenyl and the combination of the meaning of Y and RL corresponds to line A-91 in Table A (compounds I.J.a91.b1 to I.J.a91.b4200).
Table 2540: Compounds I.J, wherein the combination of substituents R1, R2, X, D, B and the position of the group Y-Z in each case corresponds to one line B-1 to B- 4200 in table B and wherein Z is phenyl and the combination of the meaning of Y and RL corresponds to line A-92 in Table A (compounds I.J.a92.b1 to I.J.a92.b4200).
Table 2541 : Compounds I.J, wherein the combination of substituents R1, R2, X, D, B and the position of the group Y-Z in each case corresponds to one line B-1 to B- 4200 in table B and wherein Z is phenyl and the combination of the meaning of Y and RL corresponds to line A-93 in Table A (compounds I.J.a93.b1 to I.J.a93.b4200).
Table 2542: Compounds I.J, wherein the combination of substituents R1, R2, X,
D, B and the position of the group Y-Z in each case corresponds to one line B-1 to B- 4200 in table B and wherein Z is phenyl and the combination of the meaning of Y and RL corresponds to line A-94 in Table A (compounds I.J.a94.b1 to I.J.a94.b4200).
Table 2543: Compounds I.J, wherein the combination of substituents R1, R2, X, D, B and the position of the group Y-Z in each case corresponds to one line B-1 to B- 4200 in table B and wherein Z is phenyl and the combination of the meaning of Y and RL corresponds to line A-95 in Table A (compounds I.J.a95.b1 to I.J.a95.b4200).
Table 2544: Compounds I.J, wherein the combination of substituents R1, R2, X, D, B and the position of the group Y-Z in each case corresponds to one line B-1 to B- 4200 in table B and wherein Z is phenyl and the combination of the meaning of Y and RL corresponds to line A-96 in Table A (compounds I.J.a96.b1 to I.J.a96.b4200).
Table 2545: Compounds I.J, wherein the combination of substituents R1, R2, X, D, B and the position of the group Y-Z in each case corresponds to one line B-1 to B- 4200 in table B and wherein Z is phenyl and the combination of the meaning of Y and RL corresponds to line A-97 in Table A (compounds I.J.a97.b1 to I.J.a97.b4200).
Table 2546: Compounds I.J, wherein the combination of substituents R1, R2, X, D, B and the position of the group Y-Z in each case corresponds to one line B-1 to B- 4200 in table B and wherein Z is phenyl and the combination of the meaning of Y and RL corresponds to line A-98 in Table A (compounds I.J.a98.b1 to I.J.a98.b4200).
Table 2547: Compounds I.J, wherein the combination of substituents R1, R2, X,
D, B and the position of the group Y-Z in each case corresponds to one line B-1 to B- 4200 in table B and wherein Z is phenyl and the combination of the meaning of Y and RL corresponds to line A-99 in Table A (compounds I.J.a99.b1 to I.J.a99.b4200).
Table 2548: Compounds I.J, wherein the combination of substituents R1, R2, X, D, B and the position of the group Y-Z in each case corresponds to one line B-1 to B- 4200 in table B and wherein Z is phenyl and the combination of the meaning of Y and RL corresponds to line A-100 in Table A (compounds I.J.a100.b1 to I.J.a100.b4200).
Table 2549: Compounds I.J, wherein the combination of substituents R1, R2, X, D, B and the position of the group Y-Z in each case corresponds to one line of lines B-1 to B-4200 in table B and wherein the combination of the meaning of Y and Z corresponds to line Z-1 in Table Z (compounds I.J.zl .b1 to I.J.zl .b4200).
Table 2550: Compounds I.J, wherein the combination of substituents R1, R2, X, D, B and the position of the group Y-Z in each case corresponds to one line of lines B-1 to B-4200 in table B and wherein the combination of the meaning of Y and Z corresponds to line Z-2 in Table Z (compounds I.J.z2.b1 to I.J.z2.b4200).
Table 2551 : Compounds I.J, wherein the combination of substituents R1, R2, X, D, B and the position of the group Y-Z in each case corresponds to one line of lines B-1
to B-4200 in table B and wherein the combination of the meaning of Y and Z corresponds to line Z-3 in Table Z (compounds I.J.z3.b1 to I.J.z3.b4200).
Table 2552: Compounds I.J, wherein the combination of substituents R1, R2, X, D, B and the position of the group Y-Z in each case corresponds to one line of lines B-1 to B-4200 in table B and wherein the combination of the meaning of Y and Z corresponds to line Z-4 in Table Z (compounds I.J.z4.b1 to I.J.z4.b4200).
Table 2553: Compounds I.J, wherein the combination of substituents R1, R2, X, D, B and the position of the group Y-Z in each case corresponds to one line of lines B-1 to B-4200 in table B and wherein the combination of the meaning of Y and Z corresponds to line Z-5 in Table Z (compounds I.J.z5.b1 to I.J.z5.b4200).
Table 2554: Compounds I.J, wherein the combination of substituents R1, R2, X, D, B and the position of the group Y-Z in each case corresponds to one line of lines B-1 to B-4200 in table B and wherein the combination of the meaning of Y and Z corresponds to line Z-6 in Table Z (compounds I.J.z6.b1 to I.J.z6.b4200).
Table 2555: Compounds I.J, wherein the combination of substituents R1, R2, X,
D, B and the position of the group Y-Z in each case corresponds to one line of lines B-1 to B-4200 in table B and wherein the combination of the meaning of Y and Z corresponds to line Z-7 in Table Z (compounds I.J.z7.b1 to I.J.z7.b4200).
Table 2556: Compounds I.J, wherein the combination of substituents R1, R2, X, D, B and the position of the group Y-Z in each case corresponds to one line of lines B-1 to B-4200 in table B and wherein the combination of the meaning of Y and Z corresponds to line Z-8 in Table Z (compounds I.J.z8.b1 to I.J.z8.b4200).
Table 2557: Compounds I.J, wherein the combination of substituents R1, R2, X, D, B and the position of the group Y-Z in each case corresponds to one line of lines B-1 to B-4200 in table B and wherein the combination of the meaning of Y and Z corresponds to line Z-9 in Table Z (compounds I.J.z9.b1 to I.J.z9.b4200).
Table 2558: Compounds I.J, wherein the combination of substituents R1, R2, X, D, B and the position of the group Y-Z in each case corresponds to one line of lines B-1 to B-4200 in table B and wherein the combination of the meaning of Y and Z corresponds to line Z-10 in Table Z (compounds I.J.z10.b1 to I.J.z10.b4200).
Table 2559: Compounds I.J, wherein the combination of substituents R1, R2, X, D, B and the position of the group Y-Z in each case corresponds to one line of lines B-1 to B-4200 in table B and wherein the combination of the meaning of Y and Z corresponds to line Z-1 1 in Table Z (compounds I.J.zl 1.b1 to I.J.zl 1 .b4200).
Table 2560: Compounds I.J, wherein the combination of substituents R1, R2, X,
D, B and the position of the group Y-Z in each case corresponds to one line of lines B-1 to B-4200 in table B and wherein the combination of the meaning of Y and Z corresponds to line Z-12 in Table Z (compounds I.J.z12.b1 to I.J.z12.b4200).
Table 2561 : Compounds I.J, wherein the combination of substituents R1, R2, X, D, B and the position of the group Y-Z in each case corresponds to one line of lines B-1 to B-4200 in table B and wherein the combination of the meaning of Y and Z corresponds to line Z-13 in Table Z (compounds I.J.zl 3. b1 to I.J.zl 3. b4200).
Table 2562: Compounds I.J, wherein the combination of substituents R1, R2, X, D, B and the position of the group Y-Z in each case corresponds to one line of lines B-1 to B-4200 in table B and wherein the combination of the meaning of Y and Z corresponds to line Z-14 in Table Z (compounds I.J.z14.b1 to I.J.z14.b4200).
Table 2563: Compounds I.J, wherein the combination of substituents R1, R2, X,
D, B and the position of the group Y-Z in each case corresponds to one line of lines B-1 to B-4200 in table B and wherein the combination of the meaning of Y and Z corresponds to line Z-15 in Table Z (compounds I.J.z15.b1 to I.J.z15.b4200).
Table 2564: Compounds I.J, wherein the combination of substituents R1, R2, X, D, B and the position of the group Y-Z in each case corresponds to one line of lines B-1 to B-4200 in table B and wherein the combination of the meaning of Y and Z corresponds to line Z-16 in Table Z (compounds I.J.z16.b1 to I.J.z16.b4200).
Table 2565: Compounds I.J, wherein the combination of substituents R1, R2, X, D, B and the position of the group Y-Z in each case corresponds to one line of lines B-1 to B-4200 in table B and wherein the combination of the meaning of Y and Z corresponds to line Z-17 in Table Z (compounds I.J.z17.b1 to I.J.z17.b4200).
Table 2566: Compounds I.J, wherein the combination of substituents R1, R2, X, D, B and the position of the group Y-Z in each case corresponds to one line of lines B-1 to B-4200 in table B and wherein the combination of the meaning of Y and Z corresponds to line Z-18 in Table Z (compounds I.J.z18.b1 to I.J.z18.b4200).
Table 2567: Compounds I.J, wherein the combination of substituents R1, R2, X, D, B and the position of the group Y-Z in each case corresponds to one line of lines B-1 to B-4200 in table B and wherein the combination of the meaning of Y and Z corresponds to line Z-19 in Table Z (compounds I.J.z19.b1 to I.J.z19.b4200).
Table 2568: Compounds I.J, wherein the combination of substituents R1, R2, X,
D, B and the position of the group Y-Z in each case corresponds to one line of lines B-1 to B-4200 in table B and wherein the combination of the meaning of Y and Z corresponds to line Z-20 in Table Z (compounds I.J.z20.b1 to I.J.z20.b4200).
Table 2569: Compounds I.J, wherein the combination of substituents R1, R2, X, D, B and the position of the group Y-Z in each case corresponds to one line of lines B-1 to B-4200 in table B and wherein the combination of the meaning of Y and Z corresponds to line Z-21 in Table Z (compounds I.J.z21.b1 to I.J.z21.b4200).
Table 2570: Compounds I.J, wherein the combination of substituents R1, R2, X, D, B and the position of the group Y-Z in each case corresponds to one line of lines B-1 to B-4200 in table B and wherein the combination of the meaning of Y and Z corresponds to line Z-22 in Table Z (compounds I.J.z22.b1 to I.J.z22.b4200).
Table 2571 : Compounds I.J, wherein the combination of substituents R1, R2, X, D, B and the position of the group Y-Z in each case corresponds to one line of lines B-1 to B-4200 in table B and wherein the combination of the meaning of Y and Z corresponds to line Z-23 in Table Z (compounds I.J.z23.b1 to I.J.z23.b4200).
Table 2572: Compounds I.J, wherein the combination of substituents R1, R2, X, D, B and the position of the group Y-Z in each case corresponds to one line of lines B-1
to B-4200 in table B and wherein the combination of the meaning of Y and Z corresponds to line Z-24 in Table Z (compounds I.J.z24.b1 to I.J.z24.b4200).
Table 2573: Compounds I.J, wherein the combination of substituents R1, R2, X, D, B and the position of the group Y-Z in each case corresponds to one line of lines B-1 to B-4200 in table B and wherein the combination of the meaning of Y and Z corresponds to line Z-25 in Table Z (compounds I.J.z25.b1 to I.J.z25.b4200).
Table 2574: Compounds I.J, wherein the combination of substituents R1, R2, X, D, B and the position of the group Y-Z in each case corresponds to one line of lines B-1 to B-4200 in table B and wherein the combination of the meaning of Y and Z corresponds to line Z-26 in Table Z (compounds I.J.z26.b1 to I.J.z26.b4200).
Table 2575: Compounds I.J, wherein the combination of substituents R1, R2, X, D, B and the position of the group Y-Z in each case corresponds to one line of lines B-1 to B-4200 in table B and wherein the combination of the meaning of Y and Z corresponds to line Z-27 in Table Z (compounds I.J.z27.b1 to I.J.z27.b4200).
Table 2576: Compounds I.J, wherein the combination of substituents R1, R2, X,
D, B and the position of the group Y-Z in each case corresponds to one line of lines B-1 to B-4200 in table B and wherein the combination of the meaning of Y and Z corresponds to line Z-28 in Table Z (compounds I.J.z28.b1 to I.J.z28.b4200).
Table 2577: Compounds I.J, wherein the combination of substituents R1, R2, X, D, B and the position of the group Y-Z in each case corresponds to one line of lines B-1 to B-4200 in table B and wherein the combination of the meaning of Y and Z corresponds to line Z-29 in Table Z (compounds I.J.z29.b1 to I.J.z29.b4200).
Table 2578: Compounds I.J, wherein the combination of substituents R1, R2, X, D, B and the position of the group Y-Z in each case corresponds to one line of lines B-1 to B-4200 in table B and wherein the combination of the meaning of Y and Z corresponds to line Z-30 in Table Z (compounds I.J.z30.b1 to I.J.z30.b4200).
Table 2579: Compounds I.J, wherein the combination of substituents R1, R2, X, D, B and the position of the group Y-Z in each case corresponds to one line of lines B-1 to B-4200 in table B and wherein the combination of the meaning of Y and Z corresponds to line Z-31 in Table Z (compounds I.J.z31.b1 to I.J.z31 .b4200).
Table 2580: Compounds I.J, wherein the combination of substituents R1, R2, X, D, B and the position of the group Y-Z in each case corresponds to one line of lines B-1 to B-4200 in table B and wherein the combination of the meaning of Y and Z corresponds to line Z-32 in Table Z (compounds I.J.z32.b1 to I.J.z32.b4200).
Table 2581 : Compounds I.J, wherein the combination of substituents R1, R2, X,
D, B and the position of the group Y-Z in each case corresponds to one line of lines B-1 to B-4200 in table B and wherein the combination of the meaning of Y and Z corresponds to line Z-33 in Table Z (compounds I.J.z33.b1 to I.J.z33.b4200).
Table 2582: Compounds I.J, wherein the combination of substituents R1, R2, X, D, B and the position of the group Y-Z in each case corresponds to one line of lines B-1 to B-4200 in table B and wherein the combination of the meaning of Y and Z corresponds to line Z-34 in Table Z (compounds I.J.z34.b1 to I.J.z34.b4200).
Table 2583: Compounds I.J, wherein the combination of substituents R1, R2, X, D, B and the position of the group Y-Z in each case corresponds to one line of lines B-1 to B-4200 in table B and wherein the combination of the meaning of Y and Z corresponds to line Z-35 in Table Z (compounds I.J.z35.b1 to I.J.z35.b4200).
Table 2584: Compounds I.J, wherein the combination of substituents R1, R2, X,
D, B and the position of the group Y-Z in each case corresponds to one line of lines B-1 to B-4200 in table B and wherein the combination of the meaning of Y and Z corresponds to line Z-36 in Table Z (compounds I.J.z36.b1 to I.J.z36.b4200).
Table 2585: Compounds I.J, wherein the combination of substituents R1, R2, X, D, B and the position of the group Y-Z in each case corresponds to one line of lines B-1 to B-4200 in table B and wherein the combination of the meaning of Y and Z corresponds to line Z-37 in Table Z (compounds I.J.z37.b1 to I.J.z37.b4200).
Table 2586: Compounds I.J, wherein the combination of substituents R1, R2, X, D, B and the position of the group Y-Z in each case corresponds to one line of lines B-1 to B-4200 in table B and wherein the combination of the meaning of Y and Z corresponds to line Z-38 in Table Z (compounds I.J.z38.b1 to I.J.z38.b4200).
Table 2587: Compounds I.J, wherein the combination of substituents R1, R2, X, D, B and the position of the group Y-Z in each case corresponds to one line of lines B-1 to B-4200 in table B and wherein the combination of the meaning of Y and Z corresponds to line Z-39 in Table Z (compounds I.J.z39.b1 to I.J.z39.b4200).
Table 2588: Compounds I.J, wherein the combination of substituents R1, R2, X, D, B and the position of the group Y-Z in each case corresponds to one line of lines B-1 to B-4200 in table B and wherein the combination of the meaning of Y and Z corresponds to line Z-40 in Table Z (compounds I.J.z40.b1 to I.J.z40.b4200).
Table 2589: Compounds I.J, wherein the combination of substituents R1, R2, X,
D, B and the position of the group Y-Z in each case corresponds to one line of lines B-1 to B-4200 in table B and wherein the combination of the meaning of Y and Z corresponds to line Z-41 in Table Z (compounds I.J.z41.b1 to I.J.z41 .b4200).
Table 2590: Compounds I.J, wherein the combination of substituents R1, R2, X, D, B and the position of the group Y-Z in each case corresponds to one line of lines B-1 to B-4200 in table B and wherein the combination of the meaning of Y and Z corresponds to line Z-42 in Table Z (compounds I.J.z42.b1 to I.J.z42.b4200).
Table 2591 : Compounds I.J, wherein the combination of substituents R1, R2, X, D, B and the position of the group Y-Z in each case corresponds to one line of lines B-1 to B-4200 in table B and wherein the combination of the meaning of Y and Z corresponds to line Z-43 in Table Z (compounds I.J.z43.b1 to I.J.z43.b4200).
Table 2592: Compounds I.J, wherein the combination of substituents R1, R2, X, D, B and the position of the group Y-Z in each case corresponds to one line of lines B-1 to B-4200 in table B and wherein the combination of the meaning of Y and Z corresponds to line Z-44 in Table Z (compounds I.J.z44.b1 to I.J.z44.b4200).
Table 2593: Compounds I.J, wherein the combination of substituents R1, R2, X, D, B and the position of the group Y-Z in each case corresponds to one line of lines B-1
to B-4200 in table B and wherein the combination of the meaning of Y and Z corresponds to line Z-45 in Table Z (compounds I.J.z45.b1 to I.J.z45.b4200).
Table 2594: Compounds I.J, wherein the combination of substituents R1, R2, X, D, B and the position of the group Y-Z in each case corresponds to one line of lines B-1 to B-4200 in table B and wherein the combination of the meaning of Y and Z corresponds to line Z-46 in Table Z (compounds I.J.z46.b1 to I.J.z46.b4200).
Table 2595: Compounds I.J, wherein the combination of substituents R1, R2, X, D, B and the position of the group Y-Z in each case corresponds to one line of lines B-1 to B-4200 in table B and wherein the combination of the meaning of Y and Z corresponds to line Z-47 in Table Z (compounds I.J.z47.b1 to I.J.z47.b4200).
Table 2596: Compounds I.J, wherein the combination of substituents R1, R2, X, D, B and the position of the group Y-Z in each case corresponds to one line of lines B-1 to B-4200 in table B and wherein the combination of the meaning of Y and Z corresponds to line Z-48 in Table Z (compounds I.J.z48.b1 to I.J.z48.b4200).
Table 2597: Compounds I.J, wherein the combination of substituents R1, R2, X,
D, B and the position of the group Y-Z in each case corresponds to one line of lines B-1 to B-4200 in table B and wherein the combination of the meaning of Y and Z corresponds to line Z-49 in Table Z (compounds I.J.z49.b1 to I.J.z49.b4200).
Table 2598: Compounds I.J, wherein the combination of substituents R1, R2, X, D, B and the position of the group Y-Z in each case corresponds to one line of lines B-1 to B-4200 in table B and wherein the combination of the meaning of Y and Z corresponds to line Z-50 in Table Z (compounds I.J.z50.b1 to I.J.z50.b4200).
Table 2599: Compounds I.J, wherein the combination of substituents R1, R2, X, D, B and the position of the group Y-Z in each case corresponds to one line of lines B-1 to B-4200 in table B and wherein the combination of the meaning of Y and Z corresponds to line Z-51 in Table Z (compounds I.J.z51.b1 to I.J.z51 .b4200).
Table 2600: Compounds I.J, wherein the combination of substituents R1, R2, X, D, B and the position of the group Y-Z in each case corresponds to one line of lines B-1 to B-4200 in table B and wherein the combination of the meaning of Y and Z corresponds to line Z-52 in Table Z (compounds I.J.z52.b1 to I.J.z52.b4200).
Table 2601 : Compounds I.J, wherein the combination of substituents R1, R2, X, D, B and the position of the group Y-Z in each case corresponds to one line of lines B-1 to B-4200 in table B and wherein the combination of the meaning of Y and Z corresponds to line Z-53 in Table Z (compounds I.J.z53.b1 to I.J.z53.b4200).
Table 2602: Compounds I.J, wherein the combination of substituents R1, R2, X,
D, B and the position of the group Y-Z in each case corresponds to one line of lines B-1 to B-4200 in table B and wherein the combination of the meaning of Y and Z corresponds to line Z-54 in Table Z (compounds I.J.z54.b1 to I.J.z54.b4200).
Table 2603: Compounds I.J, wherein the combination of substituents R1, R2, X, D, B and the position of the group Y-Z in each case corresponds to one line of lines B-1 to B-4200 in table B and wherein the combination of the meaning of Y and Z corresponds to line Z-55 in Table Z (compounds I.J.z55.b1 to I.J.z55.b4200).
Table 2604: Compounds I.J, wherein the combination of substituents R1, R2, X, D, B and the position of the group Y-Z in each case corresponds to one line of lines B-1 to B-4200 in table B and wherein the combination of the meaning of Y and Z corresponds to line Z-56 in Table Z (compounds I.J.z56.b1 to I.J.z56.b4200).
Table 2605: Compounds I.J, wherein the combination of substituents R1, R2, X,
D, B and the position of the group Y-Z in each case corresponds to one line of lines B-1 to B-4200 in table B and wherein the combination of the meaning of Y and Z corresponds to line Z-57 in Table Z (compounds I.J.z57.b1 to I.J.z57.b4200).
Table 2606: Compounds I.J, wherein the combination of substituents R1, R2, X, D, B and the position of the group Y-Z in each case corresponds to one line of lines B-1 to B-4200 in table B and wherein the combination of the meaning of Y and Z corresponds to line Z-58 in Table Z (compounds I.J.z58.b1 to I.J.z58.b4200).
Table 2607: Compounds I.J, wherein the combination of substituents R1, R2, X, D, B and the position of the group Y-Z in each case corresponds to one line of lines B-1 to B-4200 in table B and wherein the combination of the meaning of Y and Z corresponds to line Z-59 in Table Z (compounds I.J.z59.b1 to I.J.z59.b4200).
Table 2608: Compounds I.J, wherein the combination of substituents R1, R2, X, D, B and the position of the group Y-Z in each case corresponds to one line of lines B-1 to B-4200 in table B and wherein the combination of the meaning of Y and Z corresponds to line Z-60 in Table Z (compounds I.J.z60.b1 to I.J.z60.b4200).
Table 2609: Compounds I.J, wherein the combination of substituents R1, R2, X, D, B and the position of the group Y-Z in each case corresponds to one line of lines B-1 to B-4200 in table B and wherein the combination of the meaning of Y and Z corresponds to line Z-61 in Table Z (compounds I.J.z61.b1 to I.J.z61 .b4200).
Table 2610: Compounds I.J, wherein the combination of substituents R1, R2, X,
D, B and the position of the group Y-Z in each case corresponds to one line of lines B-1 to B-4200 in table B and wherein the combination of the meaning of Y and Z corresponds to line Z-62 in Table Z (compounds I.J.z62.b1 to I.J.z62.b4200).
Table 261 1 : Compounds I.J, wherein the combination of substituents R1, R2, X, D, B and the position of the group Y-Z in each case corresponds to one line of lines B-1 to B-4200 in table B and wherein the combination of the meaning of Y and Z corresponds to line Z-63 in Table Z (compounds I.J.z63.b1 to I.J.z63.b4200).
Table 2612: Compounds I.J, wherein the combination of substituents R1, R2, X, D, B and the position of the group Y-Z in each case corresponds to one line of lines B-1 to B-4200 in table B and wherein the combination of the meaning of Y and Z corresponds to line Z-64 in Table Z (compounds I.J.z64.b1 to I.J.z64.b4200).
Table 2613: Compounds I.J, wherein the combination of substituents R1, R2, X, D, B and the position of the group Y-Z in each case corresponds to one line of lines B-1 to B-4200 in table B and wherein the combination of the meaning of Y and Z corresponds to line Z-65 in Table Z (compounds I.J.z65.b1 to I.J.z65.b4200).
Table 2614: Compounds I.J, wherein the combination of substituents R1, R2, X, D, B and the position of the group Y-Z in each case corresponds to one line of lines B-1
to B-4200 in table B and wherein the combination of the meaning of Y and Z corresponds to line Z-66 in Table Z (compounds I.J.z66.b1 to I.J.z66.b4200).
Table 2615: Compounds I.J, wherein the combination of substituents R1, R2, X, D, B and the position of the group Y-Z in each case corresponds to one line of lines B-1 to B-4200 in table B and wherein the combination of the meaning of Y and Z corresponds to line Z-67 in Table Z (compounds I.J.z67.b1 to I.J.z67.b4200).
Table 2616: Compounds I.J, wherein the combination of substituents R1, R2, X, D, B and the position of the group Y-Z in each case corresponds to one line of lines B-1 to B-4200 in table B and wherein the combination of the meaning of Y and Z corresponds to line Z-68 in Table Z (compounds I.J.z68.b1 to I.J.z68.b4200).
Table 2617: Compounds I.J, wherein the combination of substituents R1, R2, X, D, B and the position of the group Y-Z in each case corresponds to one line of lines B-1 to B-4200 in table B and wherein the combination of the meaning of Y and Z corresponds to line Z-69 in Table Z (compounds I.J.z69.b1 to I.J.z69.b4200).
Table 2618: Compounds I.J, wherein the combination of substituents R1, R2, X,
D, B and the position of the group Y-Z in each case corresponds to one line of lines B-1 to B-4200 in table B and wherein the combination of the meaning of Y and Z corresponds to line Z-70 in Table Z (compounds I.J.z70.b1 to I.J.z70.b4200).
Table 2619: Compounds I.J, wherein the combination of substituents R1, R2, X, D, B and the position of the group Y-Z in each case corresponds to one line of lines B-1 to B-4200 in table B and wherein the combination of the meaning of Y and Z corresponds to line Z-71 in Table Z (compounds I.J.z71.b1 to I.J.z71 .b4200).
Table 2620: Compounds I.J, wherein the combination of substituents R1, R2, X, D, B and the position of the group Y-Z in each case corresponds to one line of lines B-1 to B-4200 in table B and wherein the combination of the meaning of Y and Z corresponds to line Z-72 in Table Z (compounds I.J.z72.b1 to I.J.z72.b4200).
Table 2621 : Compounds I.J, wherein the combination of substituents R1, R2, X, D, B and the position of the group Y-Z in each case corresponds to one line of lines B-1 to B-4200 in table B and wherein the combination of the meaning of Y and Z corresponds to line Z-73 in Table Z (compounds I.J.z73.b1 to I.J.z73.b4200).
Table 2622: Compounds I.J, wherein the combination of substituents R1, R2, X, D, B and the position of the group Y-Z in each case corresponds to one line of lines B-1 to B-4200 in table B and wherein the combination of the meaning of Y and Z corresponds to line Z-74 in Table Z (compounds I.J.z74.b1 to I.J.z74.b4200).
Table 2623: Compounds I.J, wherein the combination of substituents R1, R2, X,
D, B and the position of the group Y-Z in each case corresponds to one line of lines B-1 to B-4200 in table B and wherein the combination of the meaning of Y and Z corresponds to line Z-75 in Table Z (compounds I.J.z75.b1 to I.J.z75.b4200).
Table 2624: Compounds I.J, wherein the combination of substituents R1, R2, X, D, B and the position of the group Y-Z in each case corresponds to one line of lines B-1 to B-4200 in table B and wherein the combination of the meaning of Y and Z corresponds to line Z-76 in Table Z (compounds I.J.z76.b1 to I.J.z76.b4200).
Table 2625: Compounds I.J, wherein the combination of substituents R1, R2, X, D, B and the position of the group Y-Z in each case corresponds to one line of lines B-1 to B-4200 in table B and wherein the combination of the meaning of Y and Z corresponds to line Z-77 in Table Z (compounds I.J.z77.b1 to I.J.z77.b4200).
Table 2626: Compounds I.J, wherein the combination of substituents R1, R2, X,
D, B and the position of the group Y-Z in each case corresponds to one line of lines B-1 to B-4200 in table B and wherein the combination of the meaning of Y and Z corresponds to line Z-78 in Table Z (compounds I.J.z78.b1 to I.J.z78.b4200).
Table 2627: Compounds I.J, wherein the combination of substituents R1, R2, X, D, B and the position of the group Y-Z in each case corresponds to one line of lines B-1 to B-4200 in table B and wherein the combination of the meaning of Y and Z corresponds to line Z-79 in Table Z (compounds I.J.z79.b1 to I.J.z79.b4200).
Table 2628: Compounds I.J, wherein the combination of substituents R1, R2, X, D, B and the position of the group Y-Z in each case corresponds to one line of lines B-1 to B-4200 in table B and wherein the combination of the meaning of Y and Z corresponds to line Z-80 in Table Z (compounds I.J.z80.b1 to I.J.z80.b4200).
Table 2629: Compounds I.J, wherein the combination of substituents R1, R2, X, D, B and the position of the group Y-Z in each case corresponds to one line of lines B-1 to B-4200 in table B and wherein the combination of the meaning of Y and Z corresponds to line Z-81 in Table Z (compounds I.J.z81.b1 to I.J.z81 .b4200).
Table 2630: Compounds I.J, wherein the combination of substituents R1, R2, X, D, B and the position of the group Y-Z in each case corresponds to one line of lines B-1 to B-4200 in table B and wherein the combination of the meaning of Y and Z corresponds to line Z-82 in Table Z (compounds I.J.z82.b1 to I.J.z82.b4200).
Table 2631 : Compounds I.J, wherein the combination of substituents R1, R2, X,
D, B and the position of the group Y-Z in each case corresponds to one line of lines B-1 to B-4200 in table B and wherein the combination of the meaning of Y and Z corresponds to line Z-83 in Table Z (compounds I.J.z83.b1 to I.J.z83.b4200).
Table 2632: Compounds I.J, wherein the combination of substituents R1, R2, X, D, B and the position of the group Y-Z in each case corresponds to one line of lines B-1 to B-4200 in table B and wherein the combination of the meaning of Y and Z corresponds to line Z-84 in Table Z (compounds I.J.z84.b1 to I.J.z84.b4200).
Table 2633: Compounds I.J, wherein the combination of substituents R1, R2, X, D, B and the position of the group Y-Z in each case corresponds to one line of lines B-1 to B-4200 in table B and wherein the combination of the meaning of Y and Z corresponds to line Z-85 in Table Z (compounds I.J.z85.b1 to I.J.z85.b4200).
Table 2634: Compounds I.J, wherein the combination of substituents R1, R2, X, D, B and the position of the group Y-Z in each case corresponds to one line of lines B-1 to B-4200 in table B and wherein the combination of the meaning of Y and Z corresponds to line Z-86 in Table Z (compounds I.J.z86.b1 to I.J.z86.b4200).
Table 2635: Compounds I.J, wherein the combination of substituents R1, R2, X, D, B and the position of the group Y-Z in each case corresponds to one line of lines B-1
to B-4200 in table B and wherein the combination of the meaning of Y and Z corresponds to line Z-87 in Table Z (compounds I.J.z87.b1 to I.J.z87.b4200).
Table 2636: Compounds I.J, wherein the combination of substituents R1, R2, X, D, B and the position of the group Y-Z in each case corresponds to one line of lines B-1 to B-4200 in table B and wherein the combination of the meaning of Y and Z corresponds to line Z-88 in Table Z (compounds I.J.z88.b1 to I.J.z88.b4200).
Table 2637: Compounds I.J, wherein the combination of substituents R1, R2, X, D, B and the position of the group Y-Z in each case corresponds to one line of lines B-1 to B-4200 in table B and wherein the combination of the meaning of Y and Z corresponds to line Z-89 in Table Z (compounds I.J.z89.b1 to I.J.z89.b4200).
Table 2638: Compounds I.J, wherein the combination of substituents R1, R2, X, D, B and the position of the group Y-Z in each case corresponds to one line of lines B-1 to B-4200 in table B and wherein the combination of the meaning of Y and Z corresponds to line Z-90 in Table Z (compounds I.J.z90.b1 to I.J.z90.b4200).
Table 2639: Compounds I.J, wherein the combination of substituents R1, R2, X,
D, B and the position of the group Y-Z in each case corresponds to one line of lines B-1 to B-4200 in table B and wherein the combination of the meaning of Y and Z corresponds to line Z-91 in Table Z (compounds I.J.z91.b1 to I.J.z91 .b4200).
Table 2640: Compounds I.J, wherein the combination of substituents R1, R2, X, D, B and the position of the group Y-Z in each case corresponds to one line of lines B-1 to B-4200 in table B and wherein the combination of the meaning of Y and Z corresponds to line Z-92 in Table Z (compounds I.J.z92.b1 to I.J.z92.b4200).
Table 2641 : Compounds I.J, wherein the combination of substituents R1, R2, X, D, B and the position of the group Y-Z in each case corresponds to one line of lines B-1 to B-4200 in table B and wherein the combination of the meaning of Y and Z corresponds to line Z-93 in Table Z (compounds I.J.z93.b1 to I.J.z93.b4200).
Table 2642: Compounds I.J, wherein the combination of substituents R1, R2, X, D, B and the position of the group Y-Z in each case corresponds to one line of lines B-1 to B-4200 in table B and wherein the combination of the meaning of Y and Z corresponds to line Z-94 in Table Z (compounds I.J.z94.b1 to I.J.z94.b4200).
Table 2643: Compounds I.J, wherein the combination of substituents R1, R2, X, D, B and the position of the group Y-Z in each case corresponds to one line of lines B-1 to B-4200 in table B and wherein the combination of the meaning of Y and Z corresponds to line Z-95 in Table Z (compounds I.J.z95.b1 to I.J.z95.b4200).
Table 2644: Compounds I.J, wherein the combination of substituents R1, R2, X,
D, B and the position of the group Y-Z in each case corresponds to one line of lines B-1 to B-4200 in table B and wherein the combination of the meaning of Y and Z corresponds to line Z-96 in Table Z (compounds I.J.z96.b1 to I.J.z96.b4200).
Table 2645: Compounds I.J, wherein the combination of substituents R1, R2, X, D, B and the position of the group Y-Z in each case corresponds to one line of lines B-1 to B-4200 in table B and wherein the combination of the meaning of Y and Z corresponds to line Z-97 in Table Z (compounds I.J.z97.b1 to I.J.z97.b4200).
Table 2646: Compounds I.J, wherein the combination of substituents R1, R2, X, D, B and the position of the group Y-Z in each case corresponds to one line of lines B-1 to B-4200 in table B and wherein the combination of the meaning of Y and Z corresponds to line Z-98 in Table Z (compounds I.J.z98.b1 to I.J.z98.b4200).
Table 2647: Compounds I.J, wherein the combination of substituents R1, R2, X,
D, B and the position of the group Y-Z in each case corresponds to one line of lines B-1 to B-4200 in table B and wherein the combination of the meaning of Y and Z corresponds to line Z-99 in Table Z (compounds I.J.z99.b1 to I.J.z99.b4200).
Table 2648: Compounds I.J, wherein the combination of substituents R1, R2, X, D, B and the position of the group Y-Z in each case corresponds to one line of lines B-1 to B-4200 in table B and wherein the combination of the meaning of Y and Z corresponds to line Z-100 in Table Z (compounds I.J.z100.b1 to I.J.z100.b4200).
Table 2649: Compounds I.J, wherein the combination of substituents R1, R2, X, D, B and the position of the group Y-Z in each case corresponds to one line of lines B-1 to B-4200 in table B and wherein the combination of the meaning of Y and Z corresponds to line Z-101 in Table Z (compounds I.J.z101.b1 to I.J.z101.b4200).
Table 2650: Compounds I.J, wherein the combination of substituents R1, R2, X, D, B and the position of the group Y-Z in each case corresponds to one line of lines B-1 to B-4200 in table B and wherein the combination of the meaning of Y and Z corresponds to line Z-102 in Table Z (compounds I.J.z102.b1 to I.J.z102.b4200).
Table 2651 : Compounds I.J, wherein the combination of substituents R1, R2, X, D, B and the position of the group Y-Z in each case corresponds to one line of lines B-1 to B-4200 in table B and wherein the combination of the meaning of Y and Z corresponds to line Z-103 in Table Z (compounds I.J.z103.b1 to I.J.z103.b4200).
Table 2652: Compounds I.J, wherein the combination of substituents R1, R2, X,
D, B and the position of the group Y-Z in each case corresponds to one line of lines B-1 to B-4200 in table B and wherein the combination of the meaning of Y and Z corresponds to line Z-104 in Table Z (compounds I.J.z104.b1 to I.J.z104.b4200).
Table 2653: Compounds I.J, wherein the combination of substituents R1, R2, X, D, B and the position of the group Y-Z in each case corresponds to one line of lines B-1 to B-4200 in table B and wherein the combination of the meaning of Y and Z corresponds to line Z-105 in Table Z (compounds I.J.z105.b1 to I.J.z105.b4200).
Table 2654: Compounds I.J, wherein the combination of substituents R1, R2, X, D, B and the position of the group Y-Z in each case corresponds to one line of lines B-1 to B-4200 in table B and wherein the combination of the meaning of Y and Z corresponds to line Z-106 in Table Z (compounds I.J.z106.b1 to I.J.z106.b4200).
Table 2655: Compounds I.J, wherein the combination of substituents R1, R2, X, D, B and the position of the group Y-Z in each case corresponds to one line of lines B-1 to B-4200 in table B and wherein the combination of the meaning of Y and Z corresponds to line Z-107 in Table Z (compounds I.J.z107.b1 to I.J.z107.b4200).
Table 2656: Compounds I.J, wherein the combination of substituents R1, R2, X, D, B and the position of the group Y-Z in each case corresponds to one line of lines B-1
to B-4200 in table B and wherein the combination of the meaning of Y and Z corresponds to line Z-108 in Table Z (compounds I.J.z108.b1 to I.J.z108.b4200).
Table 2657: Compounds I.J, wherein the combination of substituents R1, R2, X, D, B and the position of the group Y-Z in each case corresponds to one line of lines B-1 to B-4200 in table B and wherein the combination of the meaning of Y and Z corresponds to line Z-109 in Table Z (compounds I.J.z109.b1 to I.J.z109.b4200).
Table 2658: Compounds I.J, wherein the combination of substituents R1, R2, X, D, B and the position of the group Y-Z in each case corresponds to one line of lines B-1 to B-4200 in table B and wherein the combination of the meaning of Y and Z corresponds to line Z-1 10 in Table Z (compounds I.J.zl 10.b1 to I.J.zl 10.b4200).
Table 2659: Compounds I.J, wherein the combination of substituents R1, R2, X, D, B and the position of the group Y-Z in each case corresponds to one line of lines B-1 to B-4200 in table B and wherein the combination of the meaning of Y and Z corresponds to line Z-1 1 1 in Table Z (compounds I.J.zl 1 1.b1 to I.J.zl 1 1.b4200).
Table 2660: Compounds I.J, wherein the combination of substituents R1, R2, X,
D, B and the position of the group Y-Z in each case corresponds to one line of lines B-1 to B-4200 in table B and wherein the combination of the meaning of Y and Z corresponds to line Z-1 12 in Table Z (compounds I.J.zl 12. b1 to I.J.zl 12. b4200).
Table 2661 : Compounds I.J, wherein the combination of substituents R1, R2, X, D, B and the position of the group Y-Z in each case corresponds to one line of lines B-1 to B-4200 in table B and wherein the combination of the meaning of Y and Z corresponds to line Z-1 13 in Table Z (compounds I.J.zl 13. b1 to I.J.zl 13. b4200).
Table 2662: Compounds I.J, wherein the combination of substituents R1, R2, X, D, B and the position of the group Y-Z in each case corresponds to one line of lines B-1 to B-4200 in table B and wherein the combination of the meaning of Y and Z corresponds to line Z-1 14 in Table Z (compounds I.J.zl 14. b1 to I.J.zl 14. b4200).
Table 2663: Compounds I.J, wherein the combination of substituents R1, R2, X, D, B and the position of the group Y-Z in each case corresponds to one line of lines B-1 to B-4200 in table B and wherein the combination of the meaning of Y and Z corresponds to line Z-1 15 in Table Z (compounds I.J.zl 15. b1 to I.J.zl 15. b4200).
Table 2664: Compounds I.J, wherein the combination of substituents R1, R2, X, D, B and the position of the group Y-Z in each case corresponds to one line of lines B-1 to B-4200 in table B and wherein the combination of the meaning of Y and Z corresponds to line Z-1 16 in Table Z (compounds I.J.zl 16.b1 to I.J.zl 16.b4200).
Table 2665: Compounds I.J, wherein the combination of substituents R1, R2, X,
D, B and the position of the group Y-Z in each case corresponds to one line of lines B-1 to B-4200 in table B and wherein the combination of the meaning of Y and Z corresponds to line Z-1 17 in Table Z (compounds I.J.zl 17. b1 to I.J.zl 17. b4200).
Table 2666: Compounds I.J, wherein the combination of substituents R1, R2, X, D, B and the position of the group Y-Z in each case corresponds to one line of lines B-1 to B-4200 in table B and wherein the combination of the meaning of Y and Z corresponds to line Z-1 18 in Table Z (compounds I.J.zl 18. b1 to I.J.zl 18.b4200).
Table 2667: Compounds I.J, wherein the combination of substituents R1, R2, X, D, B and the position of the group Y-Z in each case corresponds to one line of lines B-1 to B-4200 in table B and wherein the combination of the meaning of Y and Z corresponds to line Z-1 19 in Table Z (compounds I.J.z1 19.b1 to I.J.zl 19.b4200).
Table 2668: Compounds I.J, wherein the combination of substituents R1, R2, X,
D, B and the position of the group Y-Z in each case corresponds to one line of lines B-1 to B-4200 in table B and wherein the combination of the meaning of Y and Z corresponds to line Z-120 in Table Z (compounds I.J.z120.b1 to I.J.z120.b4200).
Table 2669: Compounds I.J, wherein the combination of substituents R1, R2, X, D, B and the position of the group Y-Z in each case corresponds to one line of lines B-1 to B-4200 in table B and wherein the combination of the meaning of Y and Z corresponds to line Z-121 in Table Z (compounds I.J.z121.b1 to I.J.z121.b4200).
Table 2670: Compounds I.J, wherein the combination of substituents R1, R2, X, D, B and the position of the group Y-Z in each case corresponds to one line of lines B-1 to B-4200 in table B and wherein the combination of the meaning of Y and Z corresponds to line Z-122 in Table Z (compounds I.J.z122.b1 to I.J.z122.b4200).
Table 2671 : Compounds I.J, wherein the combination of substituents R1, R2, X, D, B and the position of the group Y-Z in each case corresponds to one line of lines B-1 to B-4200 in table B and wherein the combination of the meaning of Y and Z corresponds to line Z-123 in Table Z (compounds I.J.z123.b1 to I.J.z123.b4200).
Table 2672: Compounds I.J, wherein the combination of substituents R1, R2, X, D, B and the position of the group Y-Z in each case corresponds to one line of lines B-1 to B-4200 in table B and wherein the combination of the meaning of Y and Z corresponds to line Z-124 in Table Z (compounds I.J.z124.b1 to I.J.z124.b4200).
Table 2673: Compounds I.J, wherein the combination of substituents R1, R2, X,
D, B and the position of the group Y-Z in each case corresponds to one line of lines B-1 to B-4200 in table B and wherein the combination of the meaning of Y and Z corresponds to line Z-125 in Table Z (compounds I.J.z125.b1 to I.J.z125.b4200).
Table 2674: Compounds I.J, wherein the combination of substituents R1, R2, X, D, B and the position of the group Y-Z in each case corresponds to one line of lines B-1 to B-4200 in table B and wherein the combination of the meaning of Y and Z corresponds to line Z-126 in Table Z (compounds I.J.z126.b1 to I.J.z126.b4200).
Table 2675: Compounds I.J, wherein the combination of substituents R1, R2, X, D, B and the position of the group Y-Z in each case corresponds to one line of lines B-1 to B-4200 in table B and wherein the combination of the meaning of Y and Z corresponds to line Z-127 in Table Z (compounds I.J.z127.b1 to I.J.z127.b4200).
Table 2676: Compounds I.J, wherein the combination of substituents R1, R2, X, D, B and the position of the group Y-Z in each case corresponds to one line of lines B-1 to B-4200 in table B and wherein the combination of the meaning of Y and Z corresponds to line Z-128 in Table Z (compounds I.J.z128.b1 to I.J.z128.b4200).
Table 2677: Compounds I.J, wherein the combination of substituents R1, R2, X, D, B and the position of the group Y-Z in each case corresponds to one line of lines B-1
to B-4200 in table B and wherein the combination of the meaning of Y and Z corresponds to line Z-129 in Table Z (compounds I.J.z129.b1 to I.J.z129.b4200).
Table 2678: Compounds I.J, wherein the combination of substituents R1, R2, X, D, B and the position of the group Y-Z in each case corresponds to one line of lines B-1 to B-4200 in table B and wherein the combination of the meaning of Y and Z corresponds to line Z-130 in Table Z (compounds I.J.z130.b1 to I.J.z130.b4200).
Table 2679: Compounds I.J, wherein the combination of substituents R1, R2, X, D, B and the position of the group Y-Z in each case corresponds to one line of lines B-1 to B-4200 in table B and wherein the combination of the meaning of Y and Z corresponds to line Z-131 in Table Z (compounds I.J.z131.b1 to I.J.z131.b4200).
Table 2680: Compounds I.J, wherein the combination of substituents R1, R2, X, D, B and the position of the group Y-Z in each case corresponds to one line of lines B-1 to B-4200 in table B and wherein the combination of the meaning of Y and Z corresponds to line Z-132 in Table Z (compounds I.J.z132.b1 to I.J.z132.b4200).
Table 2681 : Compounds I.J, wherein the combination of substituents R1, R2, X,
D, B and the position of the group Y-Z in each case corresponds to one line of lines B-1 to B-4200 in table B and wherein the combination of the meaning of Y and Z corresponds to line Z-133 in Table Z (compounds I.J.z133.b1 to I.J.z133.b4200).
Table 2682: Compounds I.J, wherein the combination of substituents R1, R2, X, D, B and the position of the group Y-Z in each case corresponds to one line of lines B-1 to B-4200 in table B and wherein the combination of the meaning of Y and Z corresponds to line Z-134 in Table Z (compounds I.J.z134.b1 to I.J.z134.b4200).
Table 2683: Compounds I.J, wherein the combination of substituents R1, R2, X, D, B and the position of the group Y-Z in each case corresponds to one line of lines B-1 to B-4200 in table B and wherein the combination of the meaning of Y and Z corresponds to line Z-135 in Table Z (compounds I.J.z135.b1 to I.J.z135.b4200).
Table 2684: Compounds I.J, wherein the combination of substituents R1, R2, X, D, B and the position of the group Y-Z in each case corresponds to one line of lines B-1 to B-4200 in table B and wherein the combination of the meaning of Y and Z corresponds to line Z-136 in Table Z (compounds I.J.z136.b1 to I.J.z136.b4200).
Table 2685: Compounds I.J, wherein the combination of substituents R1, R2, X, D, B and the position of the group Y-Z in each case corresponds to one line of lines B-1 to B-4200 in table B and wherein the combination of the meaning of Y and Z corresponds to line Z-137 in Table Z (compounds I.J.z137.b1 to I.J.z137.b4200).
Table 2686: Compounds I.J, wherein the combination of substituents R1, R2, X,
D, B and the position of the group Y-Z in each case corresponds to one line of lines B-1 to B-4200 in table B and wherein the combination of the meaning of Y and Z corresponds to line Z-138 in Table Z (compounds I.J.z138.b1 to I.J.z138.b4200).
Table 2687: Compounds I.J, wherein the combination of substituents R1, R2, X, D, B and the position of the group Y-Z in each case corresponds to one line of lines B-1 to B-4200 in table B and wherein the combination of the meaning of Y and Z corresponds to line Z-139 in Table Z (compounds I.J.z139.b1 to I.J.z139.b4200).
Table 2688: Compounds I.J, wherein the combination of substituents R1, R2, X, D, B and the position of the group Y-Z in each case corresponds to one line of lines B-1 to B-4200 in table B and wherein the combination of the meaning of Y and Z corresponds to line Z-140 in Table Z (compounds I.J.z140.b1 to I.J.z140.b4200).
Table 2689: Compounds I.J, wherein the combination of substituents R1, R2, X,
D, B and the position of the group Y-Z in each case corresponds to one line of lines B-1 to B-4200 in table B and wherein the combination of the meaning of Y and Z corresponds to line Z-141 in Table Z (compounds I.J.z141.b1 to I.J.z141.b4200).
Table 2690: Compounds I.J, wherein the combination of substituents R1, R2, X, D, B and the position of the group Y-Z in each case corresponds to one line of lines B-1 to B-4200 in table B and wherein the combination of the meaning of Y and Z corresponds to line Z-142 in Table Z (compounds I.J.z142.b1 to I.J.z142.b4200).
Table 2691 : Compounds I.J, wherein the combination of substituents R1, R2, X, D, B and the position of the group Y-Z in each case corresponds to one line of lines B-1 to B-4200 in table B and wherein the combination of the meaning of Y and Z corresponds to line Z-143 in Table Z (compounds I.J.z143.b1 to I.J.z143.b4200).
Table 2692: Compounds I.J, wherein the combination of substituents R1, R2, X, D, B and the position of the group Y-Z in each case corresponds to one line of lines B-1 to B-4200 in table B and wherein the combination of the meaning of Y and Z corresponds to line Z-144 in Table Z (compounds I.J.z144.b1 to I.J.z144.b4200).
Table 2693: Compounds I.J, wherein the combination of substituents R1, R2, X, D, B and the position of the group Y-Z in each case corresponds to one line of lines B-1 to B-4200 in table B and wherein the combination of the meaning of Y and Z corresponds to line Z-145 in Table Z (compounds I.J.z145.b1 to I.J.z145.b4200).
Table 2694: Compounds I.J, wherein the combination of substituents R1, R2, X,
D, B and the position of the group Y-Z in each case corresponds to one line of lines B-1 to B-4200 in table B and wherein the combination of the meaning of Y and Z corresponds to line Z-146 in Table Z (compounds I.J.z146.b1 to I.J.z146.b4200).
Table 2695: Compounds I.J, wherein the combination of substituents R1, R2, X, D, B and the position of the group Y-Z in each case corresponds to one line of lines B-1 to B-4200 in table B and wherein the combination of the meaning of Y and Z corresponds to line Z-147 in Table Z (compounds I.J.z147.b1 to I.J.z147.b4200).
Table 2696: Compounds I.J, wherein the combination of substituents R1, R2, X, D, B and the position of the group Y-Z in each case corresponds to one line of lines B-1 to B-4200 in table B and wherein the combination of the meaning of Y and Z corresponds to line Z-148 in Table Z (compounds I.J.z148.b1 to I.J.z148.b4200).
Table 2697: Compounds I.J, wherein the combination of substituents R1, R2, X, D, B and the position of the group Y-Z in each case corresponds to one line of lines B-1 to B-4200 in table B and wherein the combination of the meaning of Y and Z corresponds to line Z-149 in Table Z (compounds I.J.z149.b1 to I.J.z149.b4200).
Table 2698: Compounds I.J, wherein the combination of substituents R1, R2, X, D, B and the position of the group Y-Z in each case corresponds to one line of lines B-1
to B-4200 in table B and wherein the combination of the meaning of Y and Z corresponds to line Z-150 in Table Z (compounds I.J.z150.b1 to I.J.z150.b4200).
Table 2699: Compounds I.J, wherein the combination of substituents R1, R2, X, D, B and the position of the group Y-Z in each case corresponds to one line of lines B-1 to B-4200 in table B and wherein the combination of the meaning of Y and Z corresponds to line Z-151 in Table Z (compounds I.J.z151.b1 to I.J.z151.b4200).
Table 2700: Compounds I.J, wherein the combination of substituents R1, R2, X, D, B and the position of the group Y-Z in each case corresponds to one line of lines B-1 to B-4200 in table B and wherein the combination of the meaning of Y and Z corresponds to line Z-152 in Table Z (compounds I.J.z152.b1 to I.J.z152.b4200).
Table 2701 : Compounds I.J, wherein the combination of substituents R1, R2, X, D, B and the position of the group Y-Z in each case corresponds to one line of lines B-1 to B-4200 in table B and wherein the combination of the meaning of Y and Z corresponds to line Z-153 in Table Z (compounds I.J.z153.b1 to I.J.z153.b4200).
Table 2702: Compounds I.J, wherein the combination of substituents R1, R2, X,
D, B and the position of the group Y-Z in each case corresponds to one line of lines B-1 to B-4200 in table B and wherein the combination of the meaning of Y and Z corresponds to line Z-154 in Table Z (compounds I.J.z154.b1 to I.J.z154.b4200).
Table 2703: Compounds I.J, wherein the combination of substituents R1, R2, X, D, B and the position of the group Y-Z in each case corresponds to one line of lines B-1 to B-4200 in table B and wherein the combination of the meaning of Y and Z corresponds to line Z-155 in Table Z (compounds I.J.z155.b1 to I.J.z155.b4200).
Table 2704: Compounds I.J, wherein the combination of substituents R1, R2, X, D, B and the position of the group Y-Z in each case corresponds to one line of lines B-1 to B-4200 in table B and wherein the combination of the meaning of Y and Z corresponds to line Z-156 in Table Z (compounds I.J.z156.b1 to I.J.z156.b4200).
Table 2705: Compounds I.J, wherein the combination of substituents R1, R2, X, D, B and the position of the group Y-Z in each case corresponds to one line of lines B-1 to B-4200 in table B and wherein the combination of the meaning of Y and Z corresponds to line Z-157 in Table Z (compounds I.J.z157.b1 to I.J.z157.b4200).
Table 2706: Compounds I.J, wherein the combination of substituents R1, R2, X, D, B and the position of the group Y-Z in each case corresponds to one line of lines B-1 to B-4200 in table B and wherein the combination of the meaning of Y and Z corresponds to line Z-158 in Table Z (compounds I.J.z158.b1 to I.J.z158.b4200).
Table 2707: Compounds I.J, wherein the combination of substituents R1, R2, X,
D, B and the position of the group Y-Z in each case corresponds to one line of lines B-1 to B-4200 in table B and wherein the combination of the meaning of Y and Z corresponds to line Z-159 in Table Z (compounds I.J.z159.b1 to I.J.z159.b4200).
Table 2708: Compounds I.J, wherein the combination of substituents R1, R2, X, D, B and the position of the group Y-Z in each case corresponds to one line of lines B-1 to B-4200 in table B and wherein the combination of the meaning of Y and Z corresponds to line Z-160 in Table Z (compounds I.J.z160.b1 to I.J.z160.b4200).
Table 2709: Compounds I.J, wherein the combination of substituents R1, R2, X, D, B and the position of the group Y-Z in each case corresponds to one line of lines B-1 to B-4200 in table B and wherein the combination of the meaning of Y and Z corresponds to line Z-161 in Table Z (compounds I.J.z161.b1 to I.J.zl 61 .b4200).
Table 2710: Compounds I.J, wherein the combination of substituents R1, R2, X,
D, B and the position of the group Y-Z in each case corresponds to one line of lines B-1 to B-4200 in table B and wherein the combination of the meaning of Y and Z corresponds to line Z-162 in Table Z (compounds I.J.z162.b1 to I.J.z162.b4200).
Table 271 1 : Compounds I.J, wherein the combination of substituents R1, R2, X, D, B and the position of the group Y-Z in each case corresponds to one line of lines B-1 to B-4200 in table B and wherein the combination of the meaning of Y and Z corresponds to line Z-163 in Table Z (compounds I.J.z163.b1 to I.J.z163.b4200).
Table 2712: Compounds I.J, wherein the combination of substituents R1, R2, X, D, B and the position of the group Y-Z in each case corresponds to one line of lines B-1 to B-4200 in table B and wherein the combination of the meaning of Y and Z corresponds to line Z-164 in Table Z (compounds I.J.z164.b1 to I.J.z164.b4200).
Table 2713: Compounds I.J, wherein the combination of substituents R1, R2, X, D, B and the position of the group Y-Z in each case corresponds to one line of lines B-1 to B-4200 in table B and wherein the combination of the meaning of Y and Z corresponds to line Z-165 in Table Z (compounds I.J.z165.b1 to I.J.z165.b4200).
Table 2714: Compounds I.J, wherein the combination of substituents R1, R2, X, D, B and the position of the group Y-Z in each case corresponds to one line of lines B-1 to B-4200 in table B and wherein the combination of the meaning of Y and Z corresponds to line Z-166 in Table Z (compounds I.J.z166.b1 to I.J.z166.b4200).
Table 2715: Compounds I.J, wherein the combination of substituents R1, R2, X,
D, B and the position of the group Y-Z in each case corresponds to one line of lines B-1 to B-4200 in table B and wherein the combination of the meaning of Y and Z corresponds to line Z-167 in Table Z (compounds I.J.z167.b1 to I.J.z167.b4200).
Table 2716: Compounds I.J, wherein the combination of substituents R1, R2, X, D, B and the position of the group Y-Z in each case corresponds to one line of lines B-1 to B-4200 in table B and wherein the combination of the meaning of Y and Z corresponds to line Z-168 in Table Z (compounds I.J.z168.b1 to I.J.z168.b4200).
Table 2717: Compounds I.J, wherein the combination of substituents R1, R2, X, D, B and the position of the group Y-Z in each case corresponds to one line of lines B-1 to B-4200 in table B and wherein the combination of the meaning of Y and Z corresponds to line Z-169 in Table Z (compounds I.J.z169.b1 to I.J.z169.b4200).
Table 2718: Compounds I.J, wherein the combination of substituents R1, R2, X, D, B and the position of the group Y-Z in each case corresponds to one line of lines B-1 to B-4200 in table B and wherein the combination of the meaning of Y and Z corresponds to line Z-170 in Table Z (compounds I.J.z170.b1 to I.J.z170.b4200).
Table 2719: Compounds I.J, wherein the combination of substituents R1, R2, X, D, B and the position of the group Y-Z in each case corresponds to one line of lines B-1
to B-4200 in table B and wherein the combination of the meaning of Y and Z corresponds to line Z-171 in Table Z (compounds I.J.z171.b1 to I.J.z171.b4200).
Table 2720: Compounds I.J, wherein the combination of substituents R1, R2, X, D, B and the position of the group Y-Z in each case corresponds to one line of lines B-1 to B-4200 in table B and wherein the combination of the meaning of Y and Z corresponds to line Z-172 in Table Z (compounds I.J.z172.b1 to I.J.z172.b4200).
Table 2721 : Compounds I.J, wherein the combination of substituents R1, R2, X, D, B and the position of the group Y-Z in each case corresponds to one line of lines B-1 to B-4200 in table B and wherein the combination of the meaning of Y and Z corresponds to line Z-173 in Table Z (compounds I.J.z173.b1 to I.J.z173.b4200).
Table 2722: Compounds I.J, wherein the combination of substituents R1, R2, X, D, B and the position of the group Y-Z in each case corresponds to one line of lines B-1 to B-4200 in table B and wherein the combination of the meaning of Y and Z corresponds to line Z-174 in Table Z (compounds I.J.z174.b1 to I.J.z174.b4200).
Table 2723: Compounds I.J, wherein the combination of substituents R1, R2, X,
D, B and the position of the group Y-Z in each case corresponds to one line of lines B-1 to B-4200 in table B and wherein the combination of the meaning of Y and Z corresponds to line Z-175 in Table Z (compounds I.J.z175.b1 to I.J.z175.b4200).
Table 2724: Compounds I.J, wherein the combination of substituents R1, R2, X, D, B and the position of the group Y-Z in each case corresponds to one line of lines B-1 to B-4200 in table B and wherein the combination of the meaning of Y and Z corresponds to line Z-176 in Table Z (compounds I.J.z176.b1 to I.J.z176.b4200).
Table 2725: Compounds I.J, wherein the combination of substituents R1, R2, X, D, B and the position of the group Y-Z in each case corresponds to one line of lines B-1 to B-4200 in table B and wherein the combination of the meaning of Y and Z corresponds to line Z-177 in Table Z (compounds I.J.z177.b1 to I.J.z177.b4200).
Table 2726: Compounds I.J, wherein the combination of substituents R1, R2, X, D, B and the position of the group Y-Z in each case corresponds to one line of lines B-1 to B-4200 in table B and wherein the combination of the meaning of Y and Z corresponds to line Z-178 in Table Z (compounds I.J.z178.b1 to I.J.z178.b4200).
Table 2727: Compounds I.J, wherein the combination of substituents R1, R2, X, D, B and the position of the group Y-Z in each case corresponds to one line of lines B-1 to B-4200 in table B and wherein the combination of the meaning of Y and Z corresponds to line Z-179 in Table Z (compounds I.J.z179.b1 to I.J.z179.b4200).
Table 2728: Compounds I.J, wherein the combination of substituents R1, R2, X,
D, B and the position of the group Y-Z in each case corresponds to one line of lines B-1 to B-4200 in table B and wherein the combination of the meaning of Y and Z corresponds to line Z-180 in Table Z (compounds I.J.z180.b1 to I.J.z180.b4200).
Table 2729: Compounds I.J, wherein the combination of substituents R1, R2, X, D, B and the position of the group Y-Z in each case corresponds to one line of lines B-1 to B-4200 in table B and wherein the combination of the meaning of Y and Z corresponds to line Z-181 in Table Z (compounds I.J.z181.b1 to I.J.z181.b4200).
Table 2730: Compounds I.J, wherein the combination of substituents R1, R2, X, D, B and the position of the group Y-Z in each case corresponds to one line of lines B-1 to B-4200 in table B and wherein the combination of the meaning of Y and Z corresponds to line Z-182 in Table Z (compounds I.J.z182.b1 to I.J.z182.b4200).
Table 2731 : Compounds I.J, wherein the combination of substituents R1, R2, X,
D, B and the position of the group Y-Z in each case corresponds to one line of lines B-1 to B-4200 in table B and wherein the combination of the meaning of Y and Z corresponds to line Z-183 in Table Z (compounds I.J.z183.b1 to I.J.z183.b4200).
Table 2732: Compounds I.J, wherein the combination of substituents R1, R2, X, D, B and the position of the group Y-Z in each case corresponds to one line of lines B-1 to B-4200 in table B and wherein the combination of the meaning of Y and Z corresponds to line Z-184 in Table Z (compounds I.J.z184.b1 to I.J.z184.b4200).
Table 2733: Compounds I.J, wherein the combination of substituents R1, R2, X, D, B and the position of the group Y-Z in each case corresponds to one line of lines B-1 to B-4200 in table B and wherein the combination of the meaning of Y and Z corresponds to line Z-185 in Table Z (compounds I.J.z185.b1 to I.J.z185.b4200).
Table 2734: Compounds I.J, wherein the combination of substituents R1, R2, X, D, B and the position of the group Y-Z in each case corresponds to one line of lines B-1 to B-4200 in table B and wherein the combination of the meaning of Y and Z corresponds to line Z-186 in Table Z (compounds I.J.z186.b1 to I.J.z186.b4200).
Table 2735: Compounds I.J, wherein the combination of substituents R1, R2, X, D, B and the position of the group Y-Z in each case corresponds to one line of lines B-1 to B-4200 in table B and wherein the combination of the meaning of Y and Z corresponds to line Z-187 in Table Z (compounds I.J.z187.b1 to I.J.z187.b4200).
Table 2736: Compounds I.J, wherein the combination of substituents R1, R2, X,
D, B and the position of the group Y-Z in each case corresponds to one line of lines B-1 to B-4200 in table B and wherein the combination of the meaning of Y and Z corresponds to line Z-188 in Table Z (compounds I.J.z188.b1 to I.J.z188.b4200).
Table 2737: Compounds I.J, wherein the combination of substituents R1, R2, X, D, B and the position of the group Y-Z in each case corresponds to one line of lines B-1 to B-4200 in table B and wherein the combination of the meaning of Y and Z corresponds to line Z-189 in Table Z (compounds I.J.z189.b1 to I.J.z189.b4200).
Table 2738: Compounds I.J, wherein the combination of substituents R1, R2, X, D, B and the position of the group Y-Z in each case corresponds to one line of lines B-1 to B-4200 in table B and wherein the combination of the meaning of Y and Z corresponds to line Z-190 in Table Z (compounds I.J.z190.b1 to I.J.z190.b4200).
Table 2739: Compounds I.J, wherein the combination of substituents R1, R2, X, D, B and the position of the group Y-Z in each case corresponds to one line of lines B-1 to B-4200 in table B and wherein the combination of the meaning of Y and Z corresponds to line Z-191 in Table Z (compounds I.J.z191.b1 to I.J.z191.b4200).
Table 2740: Compounds I.J, wherein the combination of substituents R1, R2, X, D, B and the position of the group Y-Z in each case corresponds to one line of lines B-1
to B-4200 in table B and wherein the combination of the meaning of Y and Z corresponds to line Z-192 in Table Z (compounds I.J.z192.b1 to I.J.z192.b4200).
Table 2741 : Compounds I.J, wherein the combination of substituents R1, R2, X, D, B and the position of the group Y-Z in each case corresponds to one line of lines B-1 to B-4200 in table B and wherein the combination of the meaning of Y and Z corresponds to line Z-193 in Table Z (compounds I.J.z193.b1 to I.J.z193.b4200).
Table 2742: Compounds I.J, wherein the combination of substituents R1, R2, X, D, B and the position of the group Y-Z in each case corresponds to one line of lines B-1 to B-4200 in table B and wherein the combination of the meaning of Y and Z corresponds to line Z-194 in Table Z (compounds I.J.z194.b1 to I.J.z194.b4200).
Table 2743: Compounds I.J, wherein the combination of substituents R1, R2, X, D, B and the position of the group Y-Z in each case corresponds to one line of lines B-1 to B-4200 in table B and wherein the combination of the meaning of Y and Z corresponds to line Z-195 in Table Z (compounds I.J.z195.b1 to I.J.z195.b4200).
Table 2744: Compounds I.J, wherein the combination of substituents R1, R2, X,
D, B and the position of the group Y-Z in each case corresponds to one line of lines B-1 to B-4200 in table B and wherein the combination of the meaning of Y and Z corresponds to line Z-196 in Table Z (compounds I.J.z196.b1 to I.J.z196.b4200).
Table 2745: Compounds I.J, wherein the combination of substituents R1, R2, X, D, B and the position of the group Y-Z in each case corresponds to one line of lines B-1 to B-4200 in table B and wherein the combination of the meaning of Y and Z corresponds to line Z-197 in Table Z (compounds I.J.z197.b1 to I.J.z197.b4200).
Table 2746: Compounds I.J, wherein the combination of substituents R1, R2, X, D, B and the position of the group Y-Z in each case corresponds to one line of lines B-1 to B-4200 in table B and wherein the combination of the meaning of Y and Z corresponds to line Z-198 in Table Z (compounds I.J.z198.b1 to I.J.z198.b4200).
Table 2747: Compounds I.J, wherein the combination of substituents R1, R2, X, D, B and the position of the group Y-Z in each case corresponds to one line of lines B-1 to B-4200 in table B and wherein the combination of the meaning of Y and Z corresponds to line Z-199 in Table Z (compounds I.J.z199.b1 to I.J.z199.b4200).
Table 2748: Compounds I.J, wherein the combination of substituents R1, R2, X, D, B and the position of the group Y-Z in each case corresponds to one line of lines B-1 to B-4200 in table B and wherein the combination of the meaning of Y and Z corresponds to line Z-200 in Table Z (compounds I.J.z200.b1 to I.J.z200.b4200).
Table 2749: Compounds I.J, wherein the combination of substituents R1, R2, X,
D, B and the position of the group Y-Z in each case corresponds to one line of lines B-1 to B-4200 in table B and wherein the combination of the meaning of Y and Z corresponds to line Z-201 in Table Z (compounds I.J.z201.b1 to I.J.z201.b4200).
Table 2750: Compounds I.J, wherein the combination of substituents R1, R2, X, D, B and the position of the group Y-Z in each case corresponds to one line of lines B-1 to B-4200 in table B and wherein the combination of the meaning of Y and Z corresponds to line Z-202 in Table Z (compounds I.J.z202.b1 to I.J.z202.b4200).
Table 2751 : Compounds I.J, wherein the combination of substituents R1, R2, X, D, B and the position of the group Y-Z in each case corresponds to one line of lines B-1 to B-4200 in table B and wherein the combination of the meaning of Y and Z
corresponds to line Z-203 in Table Z (compounds I.J.z203.b1 to I.J.z203.b4200).
Table 2752: Compounds I.J, wherein the combination of substituents R1, R2, X,
D, B and the position of the group Y-Z in each case corresponds to one line of lines B-1 to B-4200 in table B and wherein the combination of the meaning of Y and Z
corresponds to line Z-204 in Table Z (compounds I.J.z204.b1 to I.J.z204.b4200).
Table 2753: Compounds I.J, wherein the combination of substituents R1, R2, X, D, B and the position of the group Y-Z in each case corresponds to one line of lines B-1 to B-4200 in table B and wherein the combination of the meaning of Y and Z
corresponds to line Z-205 in Table Z (compounds I.J.z205.b1 to I.J.z205.b4200).
Table 2754: Compounds I.J, wherein the combination of substituents R1, R2, X, D, B and the position of the group Y-Z in each case corresponds to one line of lines B-1 to B-4200 in table B and wherein the combination of the meaning of Y and Z
corresponds to line Z-206 in Table Z (compounds I.J.z206.b1 to I.J.z206.b4200).
Accordingly a compound I having the following formula
wherein A is N, D is hydrogen, R1 is ethyl, R2 is hydrogen, X is OH, r is 2, R5 is methyl, is a single bond, B is -CH2-, m is 1 , R6 is hydrogen, R4 is 2-CI, Y is -0-, Z is phenyl and RL is 2,4-C , is denominated as compound I.B.a23.b103 and is
individualized in Table 329. The compounds I and the compositions according to the invention, respectively, are suitable as fungicides. They are distinguished by an outstanding effectiveness against a broad spectrum of phytopathogenic fungi, including soil-borne fungi, which derive especially from the classes of the Plasmodiophoromycetes, Peronosporomycetes (syn. Oomycetes), Chytridiomycetes, Zygomycetes, Ascomycetes, Basidiomycetes and Deuteromycetes (syn. Fungi imperfecti). Some are systemically effective and they can be used in crop protection as foliar fungicides, fungicides for seed dressing and soil fungicides. Moreover, they are suitable for controlling harmful fungi, which inter alia occur in wood or roots of plants. The compounds I and the compositions according to the invention are particularly important in the control of a multitude of phytopathogenic fungi on various cultivated plants, such as cereals, e. g. wheat, rye, barley, triticale, oats or rice; beet, e. g. sugar beet or fodder beet; fruits, such as pomes, stone fruits or soft fruits, e. g. apples, pears, plums, peaches, almonds, cherries, strawberries, raspberries, blackberries or
gooseberries; leguminous plants, such as lentils, peas, alfalfa or soybeans; oil plants, such as rape, mustard, olives, sunflowers, coconut, cocoa beans, castor oil plants, oil palms, ground nuts or soybeans; cucurbits, such as squashes, cucumber or melons; fiber plants, such as cotton, flax, hemp or jute; citrus fruit, such as oranges, lemons, grapefruits or mandarins; vegetables, such as spinach, lettuce, asparagus, cabbages, carrots, onions, tomatoes, potatoes, cucurbits or paprika; lauraceous plants, such as avocados, cinnamon or camphor; energy and raw material plants, such as corn, soybean, rape, sugar cane or oil palm; corn; tobacco; nuts; coffee; tea; bananas; vines (table grapes and grape juice grape vines); hop; turf; sweet leaf (also called Stevia); natural rubber plants or ornamental and forestry plants, such as flowers, shrubs, broad- leaved trees or evergreens, e. g. conifers; and on the plant propagation material, such as seeds, and the crop material of these plants.
Preferably, compounds I and compositions thereof, respectively are used for controlling a multitude of fungi on field crops, such as potatoes sugar beets, tobacco, wheat, rye, barley, oats, rice, corn, cotton, soybeans, rape, legumes, sunflowers, coffee or sugar cane; fruits; vines; ornamentals; or vegetables, such as cucumbers, tomatoes, beans or squashes. The term "plant propagation material" is to be understood to denote all the generative parts of the plant such as seeds and vegetative plant material such as cuttings and tubers (e. g. potatoes), which can be used for the multiplication of the plant. This includes seeds, roots, fruits, tubers, bulbs, rhizomes, shoots, sprouts and other parts of plants, including seedlings and young plants, which are to be transplanted after germi- nation or after emergence from soil. These young plants may also be protected before transplantation by a total or partial treatment by immersion or pouring.
Preferably, treatment of plant propagation materials with compounds I and compositions thereof, respectively, is used for controlling a multitude of fungi on cereals, such as wheat, rye, barley and oats; rice, corn, cotton and soybeans.
The term "cultivated plants" is to be understood as including plants which have been modified by breeding, mutagenesis or genetic engineering including but not limiting to agricultural biotech products on the market or in development (cf. http://cera-gmc.org/, see GM crop database therein). Genetically modified plants are plants, which genetic material has been so modified by the use of recombinant DNA techniques that under natural circumstances cannot readily be obtained by cross breeding, mutations or natural recombination. Typically, one or more genes have been integrated into the genetic material of a genetically modified plant in order to improve certain properties of the plant. Such genetic modifications also include but are not limited to targeted post- translational modification of protein(s), oligo- or polypeptides e. g. by glycosylation or polymer additions such as prenylated, acetylated or farnesylated moieties or PEG moieties.
Plants that have been modified by breeding, mutagenesis or genetic engineering, e. g. have been rendered tolerant to applications of specific classes of herbicides, such as auxin herbicides such as dicamba or 2,4-D; bleacher herbicides such as hydroxyl- phenylpyruvate dioxygenase (HPPD) inhibitors or phytoene desaturase (PDS) inhibit- tors; acetolactate synthase (ALS) inhibitors such as sulfonyl ureas or imidazolinones; enolpyruvylshikimate-3-phosphate synthase (EPSPS) inhibitors, such as glyphosate; glutamine synthetase (GS) inhibitors such as glufosinate; protoporphyrinogen-IX oxidase inhibitors; lipid biosynthesis inhibitors such as acetyl CoA carboxylase (ACCase) inhibitors; or oxynil (i. e. bromoxynil or ioxynil) herbicides as a result of conventional methods of breeding or genetic engineering. Furthermore, plants have been made resistant to multiple classes of herbicides through multiple genetic modifications, such as resistance to both glyphosate and glufosinate or to both glyphosate and a herbicide from another class such as ALS inhibitors, HPPD inhibitors, auxin herbicides, or ACCase inhibitors. These herbicide resistance technologies are e. g. described in Pest Managem. Sci. 61 , 2005, 246; 61 , 2005, 258; 61 , 2005, 277; 61 , 2005, 269; 61 , 2005, 286; 64, 2008, 326; 64, 2008, 332; Weed Sci. 57, 2009, 108; Austral. J. Agricult. Res. 58, 2007, 708; Science 316, 2007, 1 185; and references quoted therein. Several cultivated plants have been rendered tolerant to herbicides by conventional methods of breeding (mutagenesis), e. g. Clearfield® summer rape (Canola, BASF SE, Germany) being tolerant to imidazolinones, e. g. imazamox, or ExpressSun® sunflowers (DuPont, USA) being tolerant to sulfonyl ureas, e. g. tribenuron. Genetic engineering methods have been used to render cultivated plants such as soybean, cotton, corn, beets and rape, tolerant to herbicides such as glyphosate and glufosinate, some of which are commercially available under the trade names RoundupReady® (glyphosate-tolerant, Monsanto, U.S.A.), Cultivance® (imidazolinone tolerant, BASF SE, Germany) and LibertyLink® (glufosinate-tolerant, Bayer CropScience, Germany).
Furthermore, plants are also covered that are by the use of recombinant DNA techniques capable to synthesize one or more insecticidal proteins, especially those known from the bacterial genus Bacillus, particularly from Bacillus thuringiensis, such as δ-endotoxins, e. g. CrylA(b), CrylA(c), CrylF, CrylF(a2), CryllA(b), CrylllA,
CrylllB(bl ) or Cry9c; vegetative insecticidal proteins (VIP), e. g. VIP1 , VIP2, VIP3 or VIP3A; insecticidal proteins of bacteria colonizing nematodes, e. g. Photorhabdus spp. or Xenorhabdus spp.; toxins produced by animals, such as scorpion toxins, arachnid toxins, wasp toxins, or other insect-specific neurotoxins; toxins produced by fungi, such Streptomycetes toxins, plant lectins, such as pea or barley lectins; agglutinins;
proteinase inhibitors, such as trypsin inhibitors, serine protease inhibitors, patatin, cystatin or papain inhibitors; ribosome-inactivating proteins (RIP), such as ricin, maize- RIP, abrin, luffin, saporin or bryodin; steroid metabolism enzymes, such as 3-hydroxy- steroid oxidase, ecdysteroid-IDP-glycosyl-transferase, cholesterol oxidases, ecdysone inhibitors or HMG-CoA-reductase; ion channel blockers, such as blockers of sodium or calcium channels; juvenile hormone esterase; diuretic hormone receptors (helicokinin receptors); stilben synthase, bibenzyl synthase, chitinases or glucanases. In the
context of the present invention these insecticidal proteins or toxins are to be understood expressly also as pre-toxins, hybrid proteins, truncated or otherwise modified proteins. Hybrid proteins are characterized by a new combination of protein domains, (see, e. g. WO 02/015701 ). Further examples of such toxins or genetically modified plants capable of synthesizing such toxins are disclosed, e. g., in EP-A 374 753, WO 93/007278, WO 95/34656, EP-A 427 529, EP-A 451 878, WO 03/18810 und WO 03/52073. The methods for producing such genetically modified plants are generally known to the person skilled in the art and are described, e. g. in the publications mentioned above. These insecticidal proteins contained in the genetically modified plants impart to the plants producing these proteins tolerance to harmful pests from all taxonomic groups of athropods, especially to beetles (Coeloptera), two-winged insects (Diptera), and moths (Lepidoptera) and to nematodes (Nematoda). Genetically modified plants capable to synthesize one or more insecticidal proteins are, e. g., described in the publications mentioned above, and some of which are commercially available such as YieldGard® (corn cultivars producing the CrylAb toxin), YieldGard® Plus (corn cultivars producing CrylAb and Cry3Bb1 toxins), Starlink® (corn cultivars producing the Cry9c toxin), Herculex® RW (corn cultivars producing Cry34Ab1 , Cry35Ab1 and the enzyme Phosphinothricin-N-Acetyltransferase [PAT]); NuCOTN® 33B (cotton cultivars producing the CrylAc toxin), Bollgard® I (cotton cultivars producing the CrylAc toxin), Bollgard® II (cotton cultivars producing CrylAc and
Cry2Ab2 toxins); VIPCOT® (cotton cultivars producing a VIP-toxin); NewLeaf® (potato cultivars producing the Cry3A toxin); Bt-Xtra®, NatureGard®, KnockOut®, BiteGard®, Protecta®, Bt1 1 (e. g. Agrisure® CB) and Bt176 from Syngenta Seeds SAS, France, (corn cultivars producing the CrylAb toxin and PAT enyzme), MIR604 from Syngenta Seeds SAS, France (corn cultivars producing a modified version of the Cry3A toxin, c.f. WO 03/018810), MON 863 from Monsanto Europe S.A., Belgium (corn cultivars producing the Cry3Bb1 toxin), IPC 531 from Monsanto Europe S.A., Belgium (cotton cultivars producing a modified version of the CrylAc toxin) and 1507 from Pioneer Overseas Corporation, Belgium (corn cultivars producing the Cry1 F toxin and PAT enzyme). Furthermore, plants are also covered that are by the use of recombinant DNA techniques capable to synthesize one or more proteins to increase the resistance or tolerance of those plants to bacterial, viral or fungal pathogens. Examples of such proteins are the so-called "pathogenesis-related proteins" (PR proteins, see, e. g. EP-A 392 225), plant disease resistance genes (e. g. potato cultivars, which express resistance genes acting against Phytophthora infestans derived from the mexican wild potato Solanum bulbocastanum) or T4-lysozym (e. g. potato cultivars capable of synthesizing these proteins with increased resistance against bacteria such as Erwinia amylvora). The methods for producing such genetically modified plants are generally known to the person skilled in the art and are described, e. g. in the publications mentioned above.
Furthermore, plants are also covered that are by the use of recombinant DNA techniques capable to synthesize one or more proteins to increase the productivity
(e. g. bio mass production, grain yield, starch content, oil content or protein content), tolerance to drought, salinity or other growth-limiting environmental factors or tolerance to pests and fungal, bacterial or viral pathogens of those plants.
Furthermore, plants are also covered that contain by the use of recombinant DNA techniques a modified amount of substances of content or new substances of content, specifically to improve human or animal nutrition, e. g. oil crops that produce health- promoting long-chain omega-3 fatty acids or unsaturated omega-9 fatty acids (e. g. Nexera® rape, DOW Agro Sciences, Canada). Furthermore, plants are also covered that contain by the use of recombinant DNA techniques a modified amount of substances of content or new substances of content, specifically to improve raw material production, e. g. potatoes that produce increased amounts of amylopectin (e. g. Amflora® potato, BASF SE, Germany). The compounds I and compositions thereof, respectively, are particularly suitable for controlling the following plant diseases:
Albugo spp. (white rust) on ornamentals, vegetables (e. g. A. Candida) and sunflowers (e. g. A. tragopogonis); Alternaria spp. (Alternaria leaf spot) on vegetables, rape (A. brassicola or brassicae), sugar beets (A. tenuis), fruits, rice, soybeans, potatoes (e. g. A. solani or A. alternata), tomatoes (e. g. A. solani or A. alternata) and wheat; Aphano- myces spp. on sugar beets and vegetables; Ascochyta spp. on cereals and vegetables, e. g. A. tritici (anthracnose) on wheat and A. hordei on barley; Bipolaris and Drechslera spp. (teleomorph: Cochliobolus spp.), e. g. Southern leaf blight (D. maydis) or Northern leaf blight (B. zeicola) on corn, e. g. spot blotch (B. sorokiniana) on cereals and e.g. B. oryzae on rice and turfs; Blumeria (formerly Erysiphe) graminis (powdery mildew) on cereals (e. g. on wheat or barley); Botrytis cinerea (teleomorph: Botryotinia fuckeliana: grey mold) on fruits and berries (e. g. strawberries), vegetables (e. g. lettuce, carrots, celery and cabbages), rape, flowers, vines, forestry plants and wheat; Bremia lactucae (downy mildew) on lettuce; Ceratocystis (syn. Ophiostoma) spp. (rot or wilt) on broad- leaved trees and evergreens, e. g. C. ulmi (Dutch elm disease) on elms; Cercospora spp. (Cercospora leaf spots) on corn (e.g. Gray leaf spot: C. zeae-maydis), rice, sugar beets (e. g. C. beticola), sugar cane, vegetables, coffee, soybeans (e. g. C. sojina or C. kikuchii) and rice; Cladosporium spp. on tomatoes (e. g. C. fulvum: leaf mold) and cereals, e. g. C. herbarum (black ear) on wheat; Claviceps purpurea (ergot) on cereals; Cochliobolus (anamorph: Helminthosporium of Bipolaris) spp. (leaf spots) on corn (C. carbonum), cereals (e. g. C. sativus, anamorph: B. sorokiniana) and rice (e. g. C.
miyabeanus, anamorph: H. oryzae); Colletotrichum (teleomorph: Glomerella) spp. (anthracnose) on cotton (e. g. C. gossypii), corn (e. g. C. graminicola: Anthracnose stalk rot), soft fruits, potatoes (e. g. C. coccodes: black dot), beans (e. g. C. lindemuthi- anum) and soybeans (e. g. C. truncatum or C. gloeosporioides); Corticium spp., e. g. C. sasakii (sheath blight) on rice; Corynespora cassiicola (leaf spots) on soybeans and ornamentals; Cycloconium spp., e. g. C. oleaginum on olive trees; Cylindrocarpon spp. (e. g. fruit tree canker or young vine decline, teleomorph: Nectria or Neonectria spp.)
on fruit trees, vines (e. g. C. liriodendri, teleomorph: Neonectria liriodendri: Black Foot Disease) and ornamentals; Dematophora (teleomorph: Rosellinia) necatrix (root and stem rot) on soybeans; Diaporthe spp., e. g. D. phaseolorum (damping off) on soybeans; Drechslera (syn. Helminthosporium, teleomorph: Pyrenophora) spp. on corn, cereals, such as barley (e. g. D. teres, net blotch) and wheat (e. g. D. tritici-repentis: tan spot), rice and turf; Esca (dieback, apoplexy) on vines, caused by Formitiporia (syn. Phellinus) punctata, F. mediterranea, Phaeomoniella chlamydospora (earlier Phaeo- acremonium chlamydosporum), Phaeoacremonium aleophilum and/or Botryosphaeria obtusa; Elsinoe spp. on pome fruits (E. pyri), soft fruits (E. veneta: anthracnose) and vines (E. ampelina: anthracnose); Entyloma oryzae (leaf smut) on rice; Epicoccum spp. (black mold) on wheat; Erysiphe spp. (powdery mildew) on sugar beets (E. betae), vegetables (e. g. E. pisi), such as cucurbits (e. g. E. cichoracearum), cabbages, rape (e. g. E. cruciferarum); Eutypa lata (Eutypa canker or dieback, anamorph: Cytosporina lata, syn. Libertella blepharis) on fruit trees, vines and ornamental woods; Exserohilum (syn. Helminthosporium) spp. on corn (e. g. E. turcicum); Fusarium (teleomorph:
Gibberella) spp. (wilt, root or stem rot) on various plants, such as F. graminearum or F. culmorum (root rot, scab or head blight) on cereals (e. g. wheat or barley), F. oxy- sporum on tomatoes, F. solani on soybeans and F. verticillioides on corn; Gaeumanno- myces graminis (take-all) on cereals (e. g. wheat or barley) and corn; Gibberella spp. on cereals (e. g. G. zeae) and rice (e. g. G. fujikuroi: Bakanae disease); Glomerella cingulata on vines, pome fruits and other plants and G. gossypii on cotton; Grain- staining complex on rice; Guignardia bidwellii (black rot) on vines; Gymnosporangium spp. on rosaceous plants and junipers, e. g. G. sabinae (rust) on pears; Helminthosporium spp. (syn. Drechslera, teleomorph: Cochliobolus) on corn, cereals and rice; Hemileia spp., e. g. H. vastatrix (coffee leaf rust) on coffee; Isariopsis clavispora (syn. Cladosporium vitis) on vines; Macrophomina phaseolina (syn. phaseoli) (root and stem rot) on soybeans and cotton; Microdochium (syn. Fusarium) nivale (pink snow mold) on cereals (e. g. wheat or barley); Microsphaera diffusa (powdery mildew) on soybeans; Monilinia spp., e. g. M. laxa, M. fructicola and M. fructigena (bloom and twig blight, brown rot) on stone fruits and other rosaceous plants; Mycosphaerella spp. on cereals, bananas, soft fruits and ground nuts, such as e. g. M. graminicola (anamorph: Septoria tritici, Septoria blotch) on wheat or M. fijiensis (black Sigatoka disease) on bananas; Peronospora spp. (downy mildew) on cabbage (e. g. P. brassicae), rape (e. g. P.
parasitica), onions (e. g. P. destructor), tobacco (P. tabacina) and soybeans (e. g. P. manshurica); Phakopsora pachyrhizi and P. meibomiae (soybean rust) on soybeans; Phialophora spp. e. g. on vines (e. g. P. tracheiphila and P. tetraspora) and soybeans (e. g. P. gregata: stem rot); Phoma lingam (root and stem rot) on rape and cabbage and P. betae (root rot, leaf spot and damping-off) on sugar beets; Phomopsis spp. on sunflowers, vines (e. g. P. viticola: can and leaf spot) and soybeans (e. g. stem rot: P. phaseoli, teleomorph: Diaporthe phaseolorum); Physoderma maydis (brown spots) on corn; Phytophthora spp. (wilt, root, leaf, fruit and stem root) on various plants, such as paprika and cucurbits (e. g. P. capsici), soybeans (e. g. P. megasperma, syn. P. sojae), potatoes and tomatoes (e. g. P. infestans: late blight) and broad-leaved trees (e. g. P.
ramorum: sudden oak death); Plasmodiophora brassicae (club root) on cabbage, rape, radish and other plants; Plasmopara spp., e. g. P. viticola (grapevine downy mildew) on vines and P. halstedii on sunflowers; Podosphaera spp. (powdery mildew) on rosaceous plants, hop, pome and soft fruits, e. g. P. leucotricha on apples; Polymyxa spp., e. g. on cereals, such as barley and wheat (P. graminis) and sugar beets (P. betae) and thereby transmitted viral diseases; Pseudocercosporella herpotrichoides (eyespot, teleomorph: Tapesia yallundae) on cereals, e. g. wheat or barley; Pseudoperonospora (downy mildew) on various plants, e. g. P. cubensis on cucurbits or P. humili on hop; Pseudopezicula tracheiphila (red fire disease or .rotbrenner', anamorph: Phialophora) on vines; Puccinia spp. (rusts) on various plants, e. g. P. triticina (brown or leaf rust), P. striiformis (stripe or yellow rust), P. hordei (dwarf rust), P. graminis (stem or black rust) or P. recondita (brown or leaf rust) on cereals, such as e. g. wheat, barley or rye, P. kuehnii (orange rust) on sugar cane and P. asparagi on asparagus; Pyrenophora (anamorph: Drechslera) tritici-repentis (tan spot) on wheat or P. teres (net blotch) on barley; Pyricularia spp., e. g. P. oryzae (teleomorph: Magnaporthe grisea, rice blast) on rice and P. grisea on turf and cereals; Pythium spp. (damping-off) on turf, rice, corn, wheat, cotton, rape, sunflowers, soybeans, sugar beets, vegetables and various other plants (e. g. P. ultimum or P. aphanidermatum); Ramularia spp., e. g. R. collo-cygni (Ramularia leaf spots, Physiological leaf spots) on barley and R. beticola on sugar beets; Rhizoctonia spp. on cotton, rice, potatoes, turf, corn, rape, potatoes, sugar beets, vegetables and various other plants, e. g. R. solani (root and stem rot) on soybeans, R. solani (sheath blight) on rice or R. cerealis (Rhizoctonia spring blight) on wheat or barley; Rhizopus stolonifer (black mold, soft rot) on strawberries, carrots, cabbage, vines and tomatoes; Rhynchosporium secalis (scald) on barley, rye and triticale; Sarocladium oryzae and S. attenuatum (sheath rot) on rice; Sclerotinia spp. (stem rot or white mold) on vegetables and field crops, such as rape, sunflowers (e. g. S. sclerotiorum) and soybeans (e. g. S. rolfsii or S. sclerotiorum); Septoria spp. on various plants, e. g. S. glycines (brown spot) on soybeans, S. tritici (Septoria blotch) on wheat and S. (syn. Stagonospora) nodorum (Stagonospora blotch) on cereals;
Uncinula (syn. Erysiphe) necator (powdery mildew, anamorph: Oidium tuckeri) on vines; Setospaeria spp. (leaf blight) on corn (e. g. S. turcicum, syn. Helminthosporium turcicum) and turf; Sphacelotheca spp. (smut) on corn, (e. g. S. reiliana: head smut), sorghum und sugar cane; Sphaerotheca fuliginea (powdery mildew) on cucurbits;
Spongospora subterranea (powdery scab) on potatoes and thereby transmitted viral diseases; Stagonospora spp. on cereals, e. g. S. nodorum (Stagonospora blotch, teleomorph: Leptosphaeria [syn. Phaeosphaeria] nodorum) on wheat; Synchytrium endobioticum on potatoes (potato wart disease); Taphrina spp., e. g. T. deformans (leaf curl disease) on peaches and T. pruni (plum pocket) on plums; Thielaviopsis spp. (black root rot) on tobacco, pome fruits, vegetables, soybeans and cotton, e. g. T. basicola (syn. Chalara elegans); Tilletia spp. (common bunt or stinking smut) on cereals, such as e. g. T. tritici (syn. T. caries, wheat bunt) and T. controversa (dwarf bunt) on wheat; Typhula incarnata (grey snow mold) on barley or wheat; Urocystis spp., e. g. U. occulta (stem smut) on rye; Uromyces spp. (rust) on vegetables, such as
beans (e. g. U. appendiculatus, syn. U. phaseoli) and sugar beets (e. g. U. betae); Ustilago spp. (loose smut) on cereals (e. g. U. nuda and U. avaenae), corn (e. g. U. maydis: corn smut) and sugar cane; Venturia spp. (scab) on apples (e. g. V. inaequalis) and pears; and Verticillium spp. (wilt) on various plants, such as fruits and ornamentals, vines, soft fruits, vegetables and field crops, e. g. V. dahliae on strawberries, rape, potatoes and tomatoes.
The compounds I and compositions thereof, respectively, are also suitable for controlling harmful fungi in the protection of stored products or harvest and in the protection of materials. The term "protection of materials" is to be understood to denote the protection of technical and non-living materials, such as adhesives, glues, wood, paper and paperboard, textiles, leather, paint dispersions, plastics, colling lubricants, fiber or fabrics, against the infestation and destruction by harmful microorganisms, such as fungi and bacteria. As to the protection of wood and other materials, the particular attention is paid to the following harmful fungi: Ascomycetes such as
Ophiostoma spp., Ceratocystis spp., Aureobasidium pullulans, Sclerophoma spp., Chaetomium spp., Humicola spp., Petriella spp., Trichurus spp.; Basidiomycetes such as Coniophora spp., Coriolus spp., Gloeophyllum spp., Lentinus spp., Pleurotus spp., Poria spp., Serpula spp. and Tyromyces spp., Deuteromycetes such as Aspergillus spp., Cladosporium spp., Penicillium spp., Trichorma spp., Alternaria spp.,
Paecilomyces spp. and Zygomycetes such as Mucor spp., and in addition in the protection of stored products and harvest the following yeast fungi are worthy of note: Candida spp. and Saccharomyces cerevisae. The method of treatment according to the invention can also be used in the field of protecting stored products or harvest against attack of fungi and microorganisms.
According to the present invention, the term "stored products" is understood to denote natural substances of plant or animal origin and their processed forms, which have been taken from the natural life cycle and for which long-term protection is desired. Stored products of crop plant origin, such as plants or parts thereof, for example stalks, leafs, tubers, seeds, fruits or grains, can be protected in the freshly harvested state or in processed form, such as pre-dried, moistened, comminuted, ground, pressed or roasted, which process is also known as post-harvest treatment. Also falling under the definition of stored products is timber, whether in the form of crude timber, such as construction timber, electricity pylons and barriers, or in the form of finished articles, such as furniture or objects made from wood. Stored products of animal origin are hides, leather, furs, hairs and the like. The combinations according the present invention can prevent disadvantageous effects such as decay, discoloration or mold. Preferably "stored products" is understood to denote natural substances of plant origin and their processed forms, more preferably fruits and their processed forms, such as pomes, stone fruits, soft fruits and citrus fruits and their processed forms.
The compounds I and compositions thereof, resepectively, may be used for improving the health of a plant. The invention also relates to a method for improving plant health by treating a plant, its propagation material and/or the locus where the plant is growing or is to grow with an effective amount of compounds I and compositions thereof, respectively.
The term "plant health" is to be understood to denote a condition of the plant and/or its products which is determined by several indicators alone or in combination with each other such as yield (e. g. increased biomass and/or increased content of valuable ingredients), plant vigor (e. g. improved plant growth and/or greener leaves ("greening effect")), quality (e. g. improved content or composition of certain ingredients) and tolerance to abiotic and/or biotic stress. The above identified indicators for the health condition of a plant may be interdependent or may result from each other. The compounds of formula I can be present in different crystal modifications whose biological activity may differ. They are likewise subject matter of the present invention.
The compounds I are employed as such or in form of compositions by treating the fungi or the plants, plant propagation materials, such as seeds, soil, surfaces, materials or rooms to be protected from fungal attack with a fungicidally effective amount of the active substances. The application can be carried out both before and after the infection of the plants, plant propagation materials, such as seeds, soil, surfaces, materials or rooms by the fungi. Plant propagation materials may be treated with compounds I as such or a composition comprising at least one compound I prophylactically either at or before planting or transplanting.
The invention also relates to agrochemical compositions comprising an auxiliary and at least one compound I according to the invention.
An agrochemical composition comprises a fungicidally effective amount of a compound I. The term "effective amount" denotes an amount of the composition or of the compounds I, which is sufficient for controlling harmful fungi on cultivated plants or in the protection of materials and which does not result in a substantial damage to the treated plants. Such an amount can vary in a broad range and is dependent on various factors, such as the fungal species to be controlled, the treated cultivated plant or material, the climatic conditions and the specific compound I used. The compounds I, their N-oxides and salts can be converted into customary types of agrochemical compositions, e. g. solutions, emulsions, suspensions, dusts, powders, pastes, granules, pressings, capsules, and mixtures thereof. Examples for composition types are suspensions (e.g. SC, OD, FS), emulsifiable concentrates (e.g. EC), emul-
sions (e.g. EW, EO, ES, ME), capsules (e.g. CS, ZC), pastes, pastilles, wettable powders or dusts (e.g. WP, SP, WS, DP, DS), pressings (e.g. BR, TB, DT), granules (e.g. WG, SG, GR, FG, GG, MG), insecticidal articles (e.g. LN), as well as gel formulations for the treatment of plant propagation materials such as seeds (e.g. GF). These and further compositions types are defined in the "Catalogue of pesticide formulation types and international coding system", Technical Monograph No. 2, 6th Ed. May 2008, CropLife International.
The compositions are prepared in a known manner, such as described by Mollet and Grubemann, Formulation technology, Wiley VCH, Weinheim, 2001 ; or Knowles, New developments in crop protection product formulation, Agrow Reports DS243, T&F Informa, London, 2005.
Suitable auxiliaries are solvents, liquid carriers, solid carriers or fillers, surfactants, dispersants, emulsifiers, wetters, adjuvants, solubilizers, penetration enhancers, protective colloids, adhesion agents, thickeners, humectants, repellents, attractants, feeding stimulants, compatibilizers, bactericides, anti-freezing agents, anti-foaming agents, colorants, tackifiers and binders.
Suitable solvents and liquid carriers are water and organic solvents, such as mineral oil fractions of medium to high boiling point, e.g. kerosene, diesel oil; oils of vegetable or animal origin; aliphatic, cyclic and aromatic hydrocarbons, e. g. toluene, paraffin, tetrahydronaphthalene, alkylated naphthalenes; alcohols, e.g. ethanol, propanol, butanol, benzylalcohol, cyclohexanol; glycols; DMSO; ketones, e.g. cyclohexanone; esters, e.g. lactates, carbonates, fatty acid esters, gamma-butyrolactone; fatty acids; phosphonates; amines; amides, e.g. N-methylpyrrolidone, fatty acid dimethylamides; and mixtures thereof.
Suitable solid carriers or fillers are mineral earths, e.g. silicates, silica gels, talc, kaolins, limestone, lime, chalk, clays, dolomite, diatomaceous earth, bentonite, calcium sulfate, magnesium sulfate, magnesium oxide; polysaccharides, e.g. cellulose, starch; fertilizers, e.g. ammonium sulfate, ammonium phosphate, ammonium nitrate, ureas; products of vegetable origin, e.g. cereal meal, tree bark meal, wood meal, nutshell meal, and mixtures thereof.
Suitable surfactants are surface-active compounds, such as anionic, cationic, nonionic and amphoteric surfactants, block polymers, polyelectrolytes, and mixtures thereof. Such surfactants can be used as emusifier, dispersant, solubilizer, wetter, penetration enhancer, protective colloid, or adjuvant. Examples of surfactants are listed in
McCutcheon's, Vol.1 : Emulsifiers & Detergents, McCutcheon's Directories, Glen Rock, USA, 2008 (International Ed. or North American Ed.).
Suitable anionic surfactants are alkali, alkaline earth or ammonium salts of sulfonates, sulfates, phosphates, carboxylates, and mixtures thereof. Examples of sulfonates are alkylarylsulfonates, diphenylsulfonates, alpha-olefin sulfonates, lignine sulfonates, sulfonates of fatty acids and oils, sulfonates of ethoxylated alkylphenols, sulfonates of alkoxylated arylphenols, sulfonates of condensed naphthalenes, sulfonates of dodecyl-
and tridecylbenzenes, sulfonates of naphthalenes and alkylnaphthalenes,
sulfosuccinates or sulfosuccinamates. Examples of sulfates are sulfates of fatty acids and oils, of ethoxylated alkylphenols, of alcohols, of ethoxylated alcohols, or of fatty acid esters. Examples of phosphates are phosphate esters. Examples of carboxylates are alkyl carboxylates, and carboxylated alcohol or alkylphenol ethoxylates.
Suitable nonionic surfactants are alkoxylates, N-subsituted fatty acid amides, amine oxides, esters, sugar-based surfactants, polymeric surfactants, and mixtures thereof. Examples of alkoxylates are compounds such as alcohols, alkylphenols, amines, amides, arylphenols, fatty acids or fatty acid esters which have been alkoxylated with 1 to 50 equivalents. Ethylene oxide and/or propylene oxide may be employed for the alkoxylation, preferably ethylene oxide. Examples of N-subsititued fatty acid amides are fatty acid glucamides or fatty acid alkanolamides. Examples of esters are fatty acid esters, glycerol esters or monoglycerides. Examples of sugar-based surfactants are sorbitans, ethoxylated sorbitans, sucrose and glucose esters or alkylpolyglucosides. Examples of polymeric surfactants are home- or copolymers of vinylpyrrolidone, vinylalcohols, or vinylacetate.
Suitable cationic surfactants are quaternary surfactants, for example quaternary ammonium compounds with one or two hydrophobic groups, or salts of long-chain primary amines. Suitable amphoteric surfactants are alkylbetains and imidazolines. Suitable block polymers are block polymers of the A-B or A-B-A type comprising blocks of polyethylene oxide and polypropylene oxide, or of the A-B-C type comprising alkanol, polyethylene oxide and polypropylene oxide. Suitable polyelectrolytes are polyacids or polybases. Examples of polyacids are alkali salts of polyacrylic acid or polyacid comb polymers. Examples of polybases are polyvinylamines or polyethyleneamines.
Suitable adjuvants are compounds, which have a neglectable or even no pesticidal activity themselves, and which improve the biological performance of the compound I on the target. Examples are surfactants, mineral or vegetable oils, and other auxilaries. Further examples are listed by Knowles, Adjuvants and additives, Agrow Reports DS256, T&F Informa UK, 2006, chapter 5.
Suitable thickeners are polysaccharides (e.g. xanthan gum, carboxymethylcellulose), anorganic clays (organically modified or unmodified), polycarboxylates, and silicates. Suitable bactericides are bronopol and isothiazolinone derivatives such as alkyliso- thiazolinones and benzisothiazolinones.
Suitable anti-freezing agents are ethylene glycol, propylene glycol, urea and glycerin. Suitable anti-foaming agents are silicones, long chain alcohols, and salts of fatty acids. Suitable colorants (e.g. in red, blue, or green) are pigments of low water solubility and water-soluble dyes. Examples are inorganic colorants (e.g. iron oxide, titan oxide, iron hexacyanoferrate) and organic colorants (e.g. alizarin-, azo- and phthalocyanine colorants).
Suitable tackifiers or binders are polyvinylpyrrolidone, polyvinylacetates, polyvinyl alcohols, polyacrylates, biological or synthetic waxes, and cellulose ethers.
Examples for composition types and their preparation are:
i) Water-soluble concentrates (SL, LS)
10-60 wt% of a compound I and 5-15 wt% wetting agent (e.g. alcohol alkoxylates) are dissolved in water and/or in a water-soluble solvent (e.g. alcohols) ad 100 wt%. The active substance dissolves upon dilution with water.
ii) Dispersible concentrates (DC)
5-25 wt% of a compound I and 1 -10 wt% dispersant (e. g. polyvinylpyrrolidone) are dissolved in organic solvent (e.g. cyclohexanone) ad 100 wt%. Dilution with water gives a dispersion.
iii) Emulsifiable concentrates (EC)
15-70 wt% of a compound I and 5-10 wt% emulsifiers (e.g. calcium dodecylben- zenesulfonate and castor oil ethoxylate) are dissolved in water-insoluble organic solvent (e.g. aromatic hydrocarbon) ad 100 wt%. Dilution with water gives an emulsion. iv) Emulsions (EW, EO, ES)
5-40 wt% of a compound I and 1 -10 wt% emulsifiers (e.g. calcium dodecylbenzene- sulfonate and castor oil ethoxylate) are dissolved in 20-40 wt% water-insoluble organic solvent (e.g. aromatic hydrocarbon). This mixture is introduced into water ad 100 wt% by means of an emulsifying machine and made into a homogeneous emulsion. Dilution with water gives an emulsion.
v) Suspensions (SC, OD, FS)
In an agitated ball mill, 20-60 wt% of a compound I are comminuted with addition of 2- 10 wt% dispersants and wetting agents (e.g. sodium lignosulfonate and alcohol ethoxylate), 0.1 -2 wt% thickener (e.g. xanthan gum) and water ad 100 wt% to give a fine active substance suspension. Dilution with water gives a stable suspension of the active substance. For FS type composition up to 40 wt% binder (e.g. polyvinylalcohol) is added.
vi) Water-dispersible granules and water-soluble granules (WG, SG)
50-80 wt% of a compound I are ground finely with addition of dispersants and wetting agents (e.g. sodium lignosulfonate and alcohol ethoxylate) ad 100 wt% and prepared as water-dispersible or water-soluble granules by means of technical appliances (e. g. extrusion, spray tower, fluidized bed). Dilution with water gives a stable dispersion or solution of the active substance.
vii) Water-dispersible powders and water-soluble powders (WP, SP, WS)
50-80 wt% of a compound I are ground in a rotor-stator mill with addition of 1 -5 wt% dispersants (e.g. sodium lignosulfonate), 1 -3 wt% wetting agents (e.g. alcohol ethoxy- late) and solid carrier (e.g. silica gel) ad 100 wt%. Dilution with water gives a stable dispersion or solution of the active substance.
viii) Gel (GW, GF)
In an agitated ball mill, 5-25 wt% of a compound I are comminuted with addition of 3-10 wt% dispersants (e.g. sodium lignosulfonate), 1 -5 wt% thickener (e.g. carboxy- methylcellulose) and water ad 100 wt% to give a fine suspension of the active substance. Dilution with water gives a stable suspension of the active substance.
ix) Microemulsion (ME)
5-20 wt% of a compound I are added to 5-30 wt% organic solvent blend (e.g. fatty acid dimethylamide and cyclohexanone), 10-25 wt% surfactant blend (e.g. alcohol ethoxylate and arylphenol ethoxylate), and water ad 100 %. This mixture is stirred for 1 h to produce spontaneously a thermodynamically stable microemulsion.
x) Microcapsules (CS)
An oil phase comprising 5-50 wt% of a compound I, 0-40 wt% water insoluble organic solvent (e.g. aromatic hydrocarbon), 2-15 wt% acrylic monomers (e.g. methylmethac- rylate, methacrylic acid and a di- or triacrylate) are dispersed into an aqueous solution of a protective colloid (e.g. polyvinyl alcohol). Radical polymerization initiated by a radi- cal initiator results in the formation of poly(meth)acrylate microcapsules. Alternatively, an oil phase comprising 5-50 wt% of a compound I according to the invention, 0-40 wt% water insoluble organic solvent (e.g. aromatic hydrocarbon), and an isocyanate monomer (e.g. diphenylmethene-4,4'-diisocyanatae) are dispersed into an aqueous solution of a protective colloid (e.g. polyvinyl alcohol). The addition of a polyamine (e.g. hexamethylenediamine) results in the formation of polyurea microcapsules. The monomers amount to 1 -10 wt%. The wt% relate to the total CS composition,
xi) Dustable powders (DP, DS)
1 -10 wt% of a compound I are ground finely and mixed intimately with solid carrier (e.g. finely divided kaolin) ad 100 wt%.
xii) Granules (GR, FG)
0.5-30 wt% of a compound I is ground finely and associated with solid carrier (e.g. silicate) ad 100 wt%. Granulation is achieved by extrusion, spray-drying or fluidized bed.
xiii) Ultra-low volume liquids (UL)
1 -50 wt% of a compound I are dissolved in organic solvent (e.g. aromatic hydrocarbon) ad 100 wt%.
The compositions types i) to xiii) may optionally comprise further auxiliaries, such as 0.1 -1 wt% bactericides, 5-15 wt% anti-freezing agents, 0.1 -1 wt% anti-foaming agents, and 0.1 -1 wt% colorants.
The agrochemical compositions generally comprise between 0.01 and 95%, preferably between 0.1 and 90%, and in particular between 0.5 and 75%, by weight of active substance. The active substances are employed in a purity of from 90% to 100%, preferably from 95% to 100% (according to NMR spectrum).
Solutions for seed treatment (LS), Suspoemulsions (SE), flowable concentrates (FS), powders for dry treatment (DS), water-dispersible powders for slurry treatment (WS), water-soluble powders (SS), emulsions (ES), emulsifiable concentrates (EC) and gels (GF) are usually employed for the purposes of treatment of plant propagation materials, particularly seeds. The compositions in question give, after two-to-tenfold dilution, active substance concentrations of from 0.01 to 60% by weight, preferably from 0.1 to 40%, in the ready-to-use preparations. Application can be carried out before or during sowing. Methods for applying compound I and compositions thereof, respectively, on to plant propagation material, especially seeds include dressing, coating, pelleting,
dusting, soaking and in-furrow application methods of the propagation material.
Preferably, compound I or the compositions thereof, respectively, are applied on to the plant propagation material by a method such that germination is not induced, e. g. by seed dressing, pelleting, coating and dusting.
When employed in plant protection, the amounts of active substances applied are, depending on the kind of effect desired, from 0.001 to 2 kg per ha, preferably from 0.005 to 2 kg per ha, more preferably from 0.05 to 0.9 kg per ha, and in particular from 0.1 to 0.75 kg per ha.
In treatment of plant propagation materials such as seeds, e. g. by dusting, coating or drenching seed, amounts of active substance of from 0.1 to 1000 g, preferably from 1 to 1000 g, more preferably from 1 to 100 g and most preferably from 5 to 100 g, per 100 kilogram of plant propagation material (preferably seeds) are generally required. When used in the protection of materials or stored products, the amount of active substance applied depends on the kind of application area and on the desired effect. Amounts customarily applied in the protection of materials are 0.001 g to 2 kg, preferably 0.005 g to 1 kg, of active substance per cubic meter of treated material. Various types of oils, wetters, adjuvants, fertilizer, or micronutrients, and further pesticides (e.g. herbicides, insecticides, fungicides, growth regulators, safeners, biopesticides) may be added to the active substances or the compositions comprising them as premix or, if appropriate not until immediately prior to use (tank mix). These agents can be admixed with the compositions according to the invention in a weight ratio of 1 :100 to 100:1 , preferably 1 :10 to 10:1. A pesticide is generally a chemical or biological agent (such as a virus, bacterium, antimicrobial or disinfectant) that through its effect deters, incapacitates, kills or otherwise discourages pests. Target pests can include insects, plant pathogens, weeds, mollusks, birds, mammals, fish, nematodes (roundworms), and microbes that destroy property, cause nuisance, spread disease or are vectors for disease. The term pesticides includes also plant growth regulators that alter the expected growth, flowering, or reproduction rate of plants; defoliants that cause leaves or other foliage to drop from a plant, usually to facilitate harvest; desiccants that promote drying of living tissues, such as unwanted plant tops; plant activators that activate plant physiology for defense of against certain pests; safeners that reduce unwanted herbicidal action of pesticides on crop plants; and plant growth promoters that affect plant physiology to increase plant growth, biomass, yield or any other quality parameter of the harvestable goods of acrop plant.
Biopesticides are typically created by growing and concentrating naturally occurring organisms and/or their metabolites including bacteria and other microbes, fungi, viruses, nematodes, proteins, etc. They are often considered to be important components of integrated pest management (IPM) programmes.
Biopesticides fall into two major classes, microbial and biochemical pesticides:
(1 ) Microbial pesticides consist of bacteria, fungi or viruses (and often include the metabolites that bacteria and fungi produce). Entomopathogenic nematodes are also classed as microbial pesticides, even though they are multi-cellular.
(2) Biochemical pesticides are naturally occurring substances that control pests or provide other crop protection uses as defined below, but are relatively non-toxic to mammals.
The user applies the composition according to the invention usually from a predosage device, a knapsack sprayer, a spray tank, a spray plane, or an irrigation system.
Usually, the agrochemical composition is made up with water, buffer, and/or further auxiliaries to the desired application concentration and the ready-to-use spray liquor or the agrochemical composition according to the invention is thus obtained. Usually, 20 to 2000 liters, preferably 50 to 400 liters, of the ready-to-use spray liquor are applied per hectare of agricultural useful area.
According to one embodiment, individual components of the composition according to the invention such as parts of a kit or parts of a binary or ternary mixture may be mixed by the user himself in a spray tank or any other kind of vessel used for applications (e.g seed treater drums, seed pelleting machinery, knapsack sprayer) and further auxiliaries may be added, if appropriate.
When living microorganisms, such as pesticides from groups L1 ), L3) and L5), form part of such kit, it must be taken care that choice and amounts of the components (e.g. chemcial pesticidal agents) and of the further auxiliaries should not influence the viability of the microbial pesticides in the composition mixed by the user. Especially for bactericides and solvents, compatibility with the respective microbial pesticide has to be taken into account.
Consequently, one embodiment of the invention is a kit for preparing a usable pesticidal composition, the kit compring a) a composition comprising component 1 ) as defined herein and at least one auxiliary; and b) a composition comprising component 2) as defined herein and at least one auxiliary; and optionally c) a composition comprising at least one auxiliary and optionally a further active component 3) as defined herein.
Mixing the compounds I or the compositions comprising them in the use form as fungicides with other fungicides results in many cases in an expansion of the fungicidal spectrum of activity being obtained or in a prevention of fungicide resistance development. Furthermore, in many cases, synergistic effects are obtained.
The following list of pesticides II (e.g. pesticidally-active substances and biopesticides), in conjunction with which the compounds I can be used, is intended to illustrate the possible combinations but does not limit them:
A) Respiration inhibitors
Inhibitors of complex III at Q0 site (e.g. strobilurins): azoxystrobin (A.1 .1 ), coumethoxystrobin (A.1.2), coumoxystrobin (A.1.3), dimoxystrobin (A.1 .4),
enestroburin (A.1 .5), fenaminstrobin (A.1 .6), fenoxystrobin/flufenoxystrobin (A.1.7), fluoxastrobin (A.1.8), kresoxim-methyl (A.1 .9), mandestrobin (A.1 .10), metominostrobin (A.1 .1 1 ), orysastrobin (A.1 .12), picoxystrobin (A.1 .13), pyraclostrobin (A.1.14), pyrametostrobin (A.1 .15), pyraoxystrobin (A.1.16), trifloxystrobin (A.1.17) and 2-(2-(3-(2,6-dichlorophenyl)-1 -methyl-allylidene- aminooxymethyl)-phenyl)-2-methoxyimino-N-methyl-acetamide (A.1 .18), pyribencarb (A.1.19), triclopyricarb/chlorodincarb (A.1.20), famoxadone (A.1.21 ), fenamidone (A.1.21 );
inhibitors of complex III at Qi site: cyazofamid (A.2.1 ), amisulbrom (A.2.2),
[(3S,6S,7R,8R)-8-benzyl-3-[(3-acetoxy-4-methoxy-pyridine-2-carbonyl)amino]- 6-methyl-4,9-dioxo-1 ,5-dioxonan-7-yl] 2-methylpropanoate (A.2.3),
[(3S,6S,7R,8R)-8-benzyl-3-[[3-(acetoxymethoxy)-4-methoxy-pyridine- 2-carbonyl]amino]-6-methyl-4,9-dioxo-1 ,5-dioxonan-7-yl] 2-methylpropanoate (A.2.4), [(3S,6S,7R,8R)-8-benzyl-3-[(3-isobutoxycarbonyloxy-4-methoxy-pyridine- 2-carbonyl)amino]-6-methyl-4,9-dioxo-1 ,5-dioxonan-7-yl] 2-methylpropanoate (A.2.5), [(3S,6S,7R,8R)-8-benzyl-3-[[3-(1 ,3-benzodioxol-5-ylmethoxy)-4-methoxy- pyridine-2-carbonyl]amino]-6-methyl-4,9-dioxo-1 ,5-dioxonan-7-yl] 2-methylpropanoate (A.2.6); (3S,6S,7R,8R)-3-[[(3-hydroxy-4-methoxy-2- pyridinyl)carbonyl]amino]-6-methyl-4,9-dioxo-8-(phenylmethyl)-1 ,5-dioxonan-7-yl
2- methylpropanoate (A.2.7);
inhibitors of complex II (e. g. carboxamides): benodanil (A.3.1 ), benzovindiflupyr (A.3.2), bixafen (A.3.3), boscalid (A.3.4), carboxin (A.3.5), fenfuram (A.3.6), fluopyram (A.3.7), flutolanil (A.3.8), fluxapyroxad (A.3.9), furametpyr (A.3.10), isofetamid (A.3.1 1 ), isopyrazam (A.3.12), mepronil (A.3.13), oxycarboxin
(A.3.14), penflufen (A.3.14), penthiopyrad (A.3.15), sedaxane (A.3.16), tecloftalam (A.3.17), thifluzamide (A.3.18), N-(4'-trifluoromethylthiobiphenyl-2-yl)-
3- difluoromethyl-1 -methyl-1 H-pyrazole-4-carboxamide (A.3.19), N-(2-(1 ,3,3- trimethyl-butyl)-phenyl)-1 ,3-dimethyl-5-fluoro-1 H-pyrazole-4-carboxamide (A.3.20), 3-(difluoromethyl)-1 -methyl-N-(1 ,1 ,3-trimethylindan-4-yl)pyrazole-4- carboxamide (A.3.21 ), 3-(trifluoromethyl)-1 -methyl-N-(1 ,1 ,3-trimethylindan-4- yl)pyrazole-4-carboxamide (A.3.22), 1 ,3-dimethyl-N-(1 ,1 ,3-trimethylindan-4- yl)pyrazole-4-carboxamide (A.3.23), 3-(trifluoromethyl)-1 ,5-dimethyl-N-(1 ,1 ,3- trimethylindan-4-yl)pyrazole-4-carboxamide (A.3.24), 1 ,3,5-trimethyl-N-(1 ,1 ,3- trimethylindan-4-yl)pyrazole-4-carboxamide (A.3.25), N-(7-fluoro-1 ,1 ,3-trimethyl- indan-4-yl)-1 ,3-dimethyl-pyrazole-4-carboxamide (A.3.26), N-[2-(2,4- dichlorophenyl)-2-methoxy-1 -methyl-ethyl]-3-(difluoromethyl)-1 -methyl-pyrazole-
4- carboxamide (A.3.27);
other respiration inhibitors (e.g. complex I, uncouplers): diflumetorim (A.4.1 ), (5,8- difluoroquinazolin-4-yl)-{2-[2-fluoro-4-(4-trifluoromethylpyridin-2-yloxy)-phenyl]- ethyl}-amine (A.4.2); nitrophenyl derivates: binapacryl (A.4.3), dinobuton (A.4.4), dinocap (A.4.5), fluazinam (A.4.6); ferimzone (A.4.7); organometal compounds: fentin salts, such as fentin-acetate (A.4.8), fentin chloride (A.4.9) or fentin hydroxide (A.4.10); ametoctradin (A.4.1 1 ); and silthiofam (A.4.12);
B) Sterol biosynthesis inhibitors (SBI fungicides)
C14 demethylase inhibitors (DMI fungicides): triazoles: azaconazole (B.1 .1 ), bitertanol (B.1.2), bromuconazole (B.1 .3), cyproconazole (B.1.4), difenoconazole (B.1.5), diniconazole (B.1 .6), diniconazole-M (B.1.7), epoxiconazole (B.1 .8), fenbuconazole (B.1 .9), fluquinconazole (B.1 .10), flusilazole (B.1.1 1 ), flutriafol
(B.1.12), hexaconazole (B.1 .13), imibenconazole (B.1 .14), ipconazole (B.1.15), metconazole (B.1 .17), myclobutanil (B.1 .18), oxpoconazole (B.1.19),
paclobutrazole (B.1 .20), penconazole (B.1.21 ), propiconazole (B.1.22), prothio- conazole (B.1.23), simeconazole (B.1.24), tebuconazole (B.1.25), tetraconazole (B.1.26), triadimefon (B.1.27), triadimenol (B.1 .28), triticonazole (B.1.29), uniconazole (B.1 .30), 1 -[rel-(2S;3R)-3-(2-chlorophenyl)-2-(2,4-difluorophenyl)- oxiranylmethyl]-5-thiocyanato-1 H-[1 ,2,4]triazolo (B.1 .31 ), 2-[rel-(2S;3R)-3-(2- chlorophenyl)-2-(2,4-difluorophenyl)-oxiranylmethyl]-2H-[1 ,2,4]triazole-3-thiol (B.1.32), 2-[2-chloro-4-(4-chlorophenoxy)phenyl]-1-(1 ,2,4-triazol-1 -yl)pentan-2-ol (B.1 .33), 1 -[4-(4-chlorophenoxy)-2-(trifluoromethyl)phenyl]-1 -cyclopropyl-2-(1 ,2,4- triazol-1 -yl)ethanol (B.1 .34), 2-[4-(4-chlorophenoxy)-2-(trifluoromethyl)phenyl]-1 - (1 ,2,4-triazol-1 -yl)butan-2-ol (B.1 .35), 2-[2-chloro-4-(4-chlorophenoxy)phenyl]-1 - (1 ,2,4-triazol-1 -yl)butan-2-ol (B.1 .36), 2-[4-(4-chlorophenoxy)-2- (trifluoromethyl)phenyl]-3-methyl-1 -(1 ,2,4-triazol-1-yl)butan-2-ol (B.1 .37), 2-[4-(4- chlorophenoxy)-2-(trifluoromethyl)phenyl]-1 -(1 ,2,4-triazol-1 -yl)propan-2-ol
(B.1.38), 2-[2-chloro-4-(4-chlorophenoxy)phenyl]-3-methyl-1 -(1 ,2,4-triazol-1 - yl)butan-2-ol (B.1.39), 2-[4-(4-chlorophenoxy)-2-(trifluoromethyl)phenyl]-1 -(1 ,2,4- triazol-1 -yl)pentan-2-ol (B.1 .40), 2-[4-(4-fluorophenoxy)-2-(trifluoromethyl)phenyl]- 1 -(1 ,2,4-triazol-1 -yl)propan-2-ol (B.1 .41 ); imidazoles: imazalil (B.1.42), pefurazoate (B.1 .43), prochloraz (B.1.44), triflumizol (B.1 .45); pyrimidines, pyridines and piperazines: fenarimol (B.1.46), nuarimol (B.1.47), pyrifenox (B.1.48), triforine (B.1 .49), [3-(4-chloro-2-fluoro-phenyl)-5-(2,4-difluoro- phenyl)isoxazol-4-yl]-(3-pyridyl)methanol (B.1 .50);
Delta14-reductase inhibitors: aldimorph (B.2.1 ), dodemorph (B.2.2), dodemorph- acetate (B.2.3), fenpropimorph (B.2.4), tridemorph (B.2.5), fenpropidin (B.2.6), piperalin (B.2.7), spiroxamine (B.2.8);
Inhibitors of 3-keto reductase: fenhexamid (B.3.1 );
C) Nucleic acid synthesis inhibitors
phenylamides or acyl amino acid fungicides: benalaxyl (C.1.1 ), benalaxyl-M (C.1 .2), kiralaxyl (C.1 .3), metalaxyl (C.1 .4), metalaxyl-M (mefenoxam, C.1 .5), ofurace (C.1 .6), oxadixyl (C.1 .7);
others: hymexazole (C.2.1 ), octhilinone (C.2.2), oxolinic acid (C.2.3), bupirimate (C.2.4), 5-fluorocytosine (C.2.5), 5-fluoro-2-(p-tolylmethoxy)pyrimidin-4-amine (C.2.6), 5-fluoro-2-(4-fluorophenylmethoxy)pyrimidin-4-amine (C.2.7);
D) Inhibitors of cell division and cytoskeleton
tubulin inhibitors, such as benzimidazoles, thiophanates: benomyl (D1 .1 ), carbendazim (D1.2), fuberidazole (D1 .3), thiabendazole (D1 .4), thiophanate-
methyl (D1 .5); triazolopyrimidines: 5-chloro-7-(4-methylpiperidin-1 -yl)-6-(2,4,6- trifluorophenyl)-[1 ,2,4]triazolo[1 ,5-a]pyrimidine (D1 .6);
other cell division inhibitors: diethofencarb (D2.1 ), ethaboxam (D2.2), pencycuron (D2.3), fluopicolide (D2.4), zoxamide (D2.5), metrafenone (D2.6), pyriofenone (D2.7);
E) Inhibitors of amino acid and protein synthesis
methionine synthesis inhibitors (anilino-pyrimidines): cyprodinil (E.1 .1 ), mepani- pyrim (E.1.2), pyrimethanil (E.1.3);
protein synthesis inhibitors: blasticidin-S (E.2.1 ), kasugamycin (E.2.2), kasugamycin hydrochloride-hydrate (E.2.3), mildiomycin (E.2.4), streptomycin
(E.2.5), oxytetracyclin (E.2.6), polyoxine (E.2.7), validamycin A (E.2.8);
F) Signal transduction inhibitors
MAP / histidine kinase inhibitors: fluoroimid (F.1 .1 ), iprodione (F.1 .2), procymidone (F.1.3), vinclozolin (F.1.4), fenpiclonil (F.1.5), fludioxonil (F.1 .6); - G protein inhibitors: quinoxyfen (F.2.1 );
G) Lipid and membrane synthesis inhibitors
Phospholipid biosynthesis inhibitors: edifenphos (G.1 .1 ), iprobenfos (G.1 .2), pyrazophos (G.1.3), isoprothiolane (G.1 .4);
lipid peroxidation: dicloran (G.2.1 ), quintozene (G.2.2), tecnazene (G.2.3), tolclofos-methyl (G.2.4), biphenyl (G.2.5), chloroneb (G.2.6), etridiazole (G.2.7); phospholipid biosynthesis and cell wall deposition: dimethomorph (G.3.1 ), flumorph (G.3.2), mandipropamid (G.3.3), pyrimorph (G.3.4), benthiavalicarb (G.3.5), iprovalicarb (G.3.6), valifenalate (G.3.7) and N-(1 -(1 -(4-cyano-phenyl)- ethanesulfonyl)-but-2-yl) carbamic acid-(4-fluorophenyl) ester (G.3.8);
- compounds affecting cell membrane permeability and fatty acides: propamocarb (G.4.1 );
fatty acid amide hydrolase inhibitors: oxathiapiprolin (G.5.1 ), 2-{3-[2-(1 -{[3,5- bis(difluoromethyl-1 H-pyrazol-1 -yl]acetyl}piperidin-4-yl)-1 ,3-thiazol-4-yl]-4,5- dihydro-1 ,2-oxazol-5-yl}phenyl methanesulfonate (G.5.2), 2-{3-[2-(1 -{[3,5- bis(difluoromethyl)-1 H-pyrazol-1 -yl]acetyl}piperidin-4-yl) 1 ,3-thiazol-4-yl]-4,5- dihydro-1 ,2-oxazol-5-yl}-3-chlorophenyl methanesulfonate (G.5.3);
H) Inhibitors with Multi Site Action
inorganic active substances: Bordeaux mixture (H.1.1 ), copper acetate (H.1 .2), copper hydroxide (H.1.3), copper oxychloride (H.1.4), basic copper sulfate (H.1 .5), sulfur (H.1.6);
thio- and dithiocarbamates: ferbam (H.2.1 ), mancozeb (H.2.2), maneb (H.2.3), metam (H.2.4), metiram (H.2.5), propineb (H.2.6), thiram (H.2.7), zineb (H.2.8), ziram (H.2.9);
organochlorine compounds (e.g. phthalimides, sulfamides, chloronitriles):
anilazine (H.3.1 ), chlorothalonil (H.3.2), captafol (H.3.3), captan (H.3.4), folpet
(H.3.5), dichlofluanid (H.3.6), dichlorophen (H.3.7), hexachlorobenzene (H.3.8), pentachlorphenole (H.3.9) and its salts, phthalide (H.3.10), tolylfluanid (H.3.1 1 ), N-(4-chloro-2-nitro-phenyl)-N-ethyl-4-methyl-benzenesulfonamide (H.3.12);
guanidines and others: guanidine (H.4.1 ), dodine (H.4.2), dodine free base (H.4.3), guazatine (H.4.4), guazatine-acetate (H.4.5), iminoctadine (H.4.6), iminoctadine-triacetate (H.4.7), iminoctadine-tris(albesilate) (H.4.8), dithianon (H.4.9), 2,6-dimethyl-1 H,5H-[1 ,4]dithiino[2,3-c:5,6-c']dipyrrole-1 ,3,5,7(2H,6H)- tetraone (H.4.10);
I) Cell wall synthesis inhibitors
inhibitors of glucan synthesis: validamycin (1.1.1 ), polyoxin B (1.1 .2);
melanin synthesis inhibitors: pyroquilon (1.2.1 ), tricyclazole (I.2.2), carpropamid (I.2.3), dicyclomet (I.2.4), fenoxanil (I.2.5);
J) Plant defence inducers
acibenzolar-S-methyl (J.1.1 ), probenazole (J.1 .2), isotianil (J.1 .3), tiadinil (J.1.4), prohexadione-calcium (J.1.5); phosphonates: fosetyl (J.1 .6), fosetyl-aluminum (J.1 .7), phosphorous acid and its salts (J.1.8), potassium or sodium bicarbonate (J.1 .9);
K) Unknown mode of action
bronopol (K.1.1 ), chinomethionat (K.1 .2), cyflufenamid (K.1.3), cymoxanil (K.1 .4), dazomet (K.1 .5), debacarb (K.1.6), diclomezine (K.1 .7), difenzoquat (K.1 .8), difenzoquat-methylsulfate (K.1 .9), diphenylamin (K.1 .10), fenpyrazamine
(K.1.1 1 ), flumetover (K.1 .12), flusulfamide (K.1.13), flutianil (K.1.14),
methasulfocarb (K.1 .15), nitrapyrin (K.1 .16), nitrothal-isopropyl (K.1.18), oxathiapiprolin (K.1 .19), tolprocarb (K.1 .20), oxin-copper (K.1.21 ), proquinazid (K.1.22), tebufloquin (K.1 .23), tecloftalam (K.1.24), triazoxide (K.1 .25), 2-butoxy- 6-iodo-3-propylchromen-4-one (K.1.26), 2-[3,5-bis(difluoromethyl)-1 H-pyrazol-1 - y|]-1 -[4-(4-{5-[2-(prop-2-yn-1 -yloxy)phenyl]-4,5-dihydro-1 ,2-oxazol-3-yl}-1 ,3- thiazol-2-yl)piperidin-1 -yl]ethanone (K.1.27), 2-[3,5-bis(difluoromethyl)-1 H- pyrazol-1 -yl]-1 -[4-(4-{5-[2-fluoro-6-(prop-2-yn-1 -yloxy)phenyl]-4,5-dihydro-1 ,2- oxazol-3-yl}-1 ,3-thiazol-2-yl)piperidin-1 -yl]ethanone (K.1 .28), 2-[3,5- bis(difluoromethyl)-1 H-pyrazol-1 -yl]-1 -[4-(4-{5-[2-chloro-6-(prop-2-yn-1 -yl- oxy)phenyl]-4,5-dihydro-1 ,2-oxazol-3-yl}-1 ,3-thiazol-2-yl)piperidin-1 -yl]ethanone (K.1.29), N-(cyclopropylmethoxyimino-(6-difluoro-methoxy-2,3-difluoro-phenyl)- methyl)-2-phenyl acetamide (K.1 .30), N'-(4-(4-chloro-3-trifluoromethyl-phenoxy)- 2,5-dimethyl-phenyl)-N-ethyl-N-methyl formamidine (K.1 .31 ), N'-(4-(4-fluoro-3- trifluoromethyl-phenoxy)-2,5-dimethyl-phenyl)-N-ethyl-N-methyl formamidine (K.1.32), N'-(2-methyl-5-trifluoromethyl-4-(3-trimethylsilanyl-propoxy)-phenyl)-N- ethyl-N-methyl formamidine (K.1.33), N'-(5-difluoromethyl-2-methyl-4-(3-tri- methylsilanyl-propoxy)-phenyl)-N-ethyl-N-methyl formamidine (K.1.34), methoxy- acetic acid 6-tert-butyl-8-fluoro-2,3-dimethyl-quinolin-4-yl ester (K.1 .35), 3-[5-(4- methylphenyl)-2,3-dimethyl-isoxazolidin-3-yl]-pyridine (K.1 .36), 3-[5-(4-chloro- phenyl)-2,3-dimethyl-isoxazolidin-3-yl]-pyridine (pyrisoxazole) (K.1 .37), N-(6- methoxy-pyridin-3-yl) cyclopropanecarboxylic acid amide (K.1 .38), 5-chloro-
1 -(4,6-dimethoxy-pyrimidin-2-yl)-2-methyl-1 H-benzoimidazole (K.1.39), 2-(4- chloro-phenyl)-N-[4-(3,4-dimethoxy-phenyl)-isoxazol-5-yl]-2-prop-2-ynyloxy- acetamide, ethyl (Z)-3-amino-2-cyano-3-phenyl-prop-2-enoate (K.1 .40),
picarbutrazox (K.1.41 ), pentyl N-[6-[[(Z)-[(1 -methyltetrazol-5-yl)-phenyl- methylene]amino]oxymethyl]-2-pyndyl]carbamate (K.1 .42), 2-[2-[(7,8-difluoro-2- methyl-3-quinolyl)oxy]-6-fluoro-phenyl]propan-2-ol (K.1 .43), 2-[2-fluoro-6-[(8- fluoro-2-methyl-3-quinolyl)oxy]phen-yl]propan-2-ol (K.1 .44), 3-(5-fluoro-3,3,4,4- tetramethyl-3,4-dihydroisoquinolin-1 -yl)quinoline (K.1.45), 3-(4,4-difluoro-3,3- dimethyl-3,4-dihydroisoquinolin-1 -yl)quinoline (K.1 .46), 3-(4,4,5-trifluoro-3,3- dimethyl-3,4-dihydroisoquinolin-1 -yl)quinoline (K.1 .47);
Biopesticides
L1 ) Microbial pesticides with fungicidal, bactericidal, viricidal and/or plant
defense activator activity: Ampelomyces quisqualis, Aspergillus flavus, Aureobasidium pullulans, Bacillus amyloliquefaciens, B. mojavensis, B. pumilus, B. simplex, B. solisalsi, B. subtilis, B. subtilis var.
amyloliquefaciens, Candida oleophila, C. saitoana, Clavibacter
michiganensis (bacteriophages), Coniothyrium minitans, Cryphonectria parasitica, Cryptococcus albidus, Dilophosphora alopecuri, Fusarium oxysporum, Clonostachys rosea f. catenulate (also named Gliocladium catenulatum), Gliocladium roseum, Lysobacter antibioticus, L.
enzymogenes, Metschnikowia fructicola, Microdochium dimerum,
Microsphaeropsis ochracea, Muscodor albus, Paenibacillus polymyxa, Pantoea vagans, Phlebiopsis gigantea, Pseudomonas sp., Pseudomonas chloraphis, Pseudozyma flocculosa, Pichia anomala, Pythium oligandrum, Sphaerodes mycoparasitica, Streptomyces griseoviridis, S. lydicus, S. violaceusniger, Talaromyces flavus, Trichoderma asperellum, T. atroviride, T. fertile, T. gamsii, T. harmatum, T. harzianum; mixture of T. harzianum and T. viride; mixture of T. polysporum and T. harzianum; T. stromaticum, T. virens (also named Gliocladium virens), T. viride, Typhula phacorrhiza, Ulocladium oudemansii, Verticillium dahlia, zucchini yellow mosaic virus (avirulent strain);
L2) Biochemical pesticides with fungicidal, bactericidal, viricidal and/or plant defense activator activity: chitosan (hydrolysate), harpin protein, laminarin, Menhaden fish oil, natamycin, Plum pox virus coat protein, potassium or sodium bicarbonate, Reynoutria sachlinensis extract, salicylic acid, tea tree oil;
L3) Microbial pesticides with insecticidal, acaricidal, molluscidal and/or
nematicidal activity: Agrobacterium radiobacter, Bacillus cereus, B. firmus, B. thuringiensis, B. thuringiensis ssp. aizawai, B. t. ssp. israelensis, B. t. ssp. galleriae, B. t. ssp. kurstaki, B. t. ssp. tenebrionis, Beauveria bassiana, B. brongniartii , Burkholderia sp., Chromobacterium subtsugae, Cydia pomonella granulosis virus, Cryptophlebia leucotreta granulovirus (CrleGV), Isaria fumosorosea, Heterorhabditis bacteriophora, Lecanicillium
longisporum, L. muscarium (formerly Verticillium lecanii), Metarhizium anisopliae, M. anisopliae var. acridum, Nomuraea rileyi, Paecilomyces fumosoroseus, P. lilacinus, Paenibacillus popilliae, Pasteuria spp., P.
nishizawae, P. penetrans, P. ramose, P. reneformis, P. thornea, P. usgae, Pseudomonas fluorescens, Steinernema carpocapsae, S. feltiae, S.
kraussei;
L4) Biochemical pesticides with insecticidal, acaricidal, molluscidal, pheromone and/or nematicidal activity: L-carvone, citral, (E,Z)-7,9-dodecadien-1 -yl acetate, ethyl formate, (E,Z)-2,4-ethyl decadienoate (pear ester), (Ζ,Ζ,Ε)- 7,1 1 ,13-hexadecatrienal, heptyl butyrate, isopropyl myristate, lavanulyl senecioate, cis-jasmone, 2-methyl 1 -butanol, methyl eugenol, methyl jasmonate, (E,Z)-2,13-octadecadien-1 -ol, (E,Z)-2, 13-octadecadien-1 -ol acetate, (E,Z)-3,13-octadecadien-1 -ol, R-1 -octen-3-ol, pentatermanone, potassium silicate, sorbitol actanoate, (E,Z,Z)-3,8,1 1 -tetradecatrienyl acetate, (Z,E)-9,12-tetradecadien-1 -yl acetate, Z-7-tetradecen-2-one, Z-9- tetradecen-1 -yl acetate, Z-1 1 -tetradecenal, Z-1 1 -tetradecen-1 -ol, Acacia negra extract, extract of grapefruit seeds and pulp, extract of Chenopodium ambrosiodae, Catnip oil, Neem oil, Quillay extract, Tagetes oil;
L5) Microbial pesticides with plant stress reducing, plant growth regulator, plant growth promoting and/or yield enhancing activity: Azospirillum
amazonense, A. brasilense, A. lipoferum, A. irakense, A. halopraeferens, Bradyrhizobium sp., B. elkanii, B. japonicum, B. liaoningense, B. lupini, Delftia acidovorans, Glomus intraradices, Mesorhizobium sp., Paenibacillus alvei, Penicillium bilaiae, Rhizobium leguminosarum bv. phaseoli, R. I. trifolii, R. I. bv. viciae, R. tropici, Sinorhizobium meliloti;
L6) Biochemical pesticides with plant stress reducing, plant growth regulator and/or plant yield enhancing activity: abscisic acid, aluminium silicate (kaolin), 3-decen-2-one, formononetin, genistein, hesperetin,
homobrassinlide, humates, jasmonic acid or salts or derivatives thereof, lysophosphatidyl ethanolamine, naringenin, polymeric polyhydroxy acid, Ascophyllum nodosum (Norwegian kelp, Brown kelp) extract and Ecklonia maxima (kelp) extract;
M) Growth regulators
abscisic acid (M.1.1 ), amidochlor, ancymidol, 6-benzylaminopurine, brassinolide, butralin, chlormequat (chlormequat chloride), choline chloride, cyclanilide, daminozide, dikegulac, dimethipin, 2,6-dimethylpuridine, ethephon, flumetralin, flurprimidol, fluthiacet, forchlorfenuron, gibberellic acid, inabenfide, indole-3- acetic acid , maleic hydrazide, mefluidide, mepiquat (mepiquat chloride), naphthaleneacetic acid, N-6-benzyladenine, paclobutrazol, prohexadione
(prohexadione-calcium), prohydrojasmon, thidiazuron, triapenthenol, tributyl phosphorotrithioate, 2,3,5-tri-iodobenzoic acid , trinexapac-ethyl and uniconazole; N) Herbicides
- acetamides: acetochlor (N.1.1 ), alachlor, butachlor, dimethachlor, dimethenamid (N.1 .2), flufenacet (N.1 .3), mefenacet (N.1.4), metolachlor (N.1.5), metazachlor (N.1 .6), napropamide, naproanilide, pethoxamid, pretilachlor, propachlor, thenylchlor;
amino acid derivatives: bilanafos, glyphosate (N.2.1 ), glufosinate (N.2.2), sulfosate (N.2.3);
aryloxyphenoxypropionates: clodinafop (N.3.1 ), cyhalofop-butyl, fenoxaprop (N.3.2), fluazifop (N.3.3), haloxyfop (N.3.4), metamifop, propaquizafop, quizalofop, quizalofop-P-tefuryl;
Bipyridyls: diquat, paraquat (N.4.1 );
(thio)carbamates: asulam, butylate, carbetamide, desmedipham, dimepiperate, eptam (EPTC), esprocarb, molinate, orbencarb, phenmedipham (N.5.1 ), prosulfocarb, pyributicarb, thiobencarb, triallate;
cyclohexanediones: butroxydim, clethodim (N.6.1 ), cycloxydim (N.6.2), profoxydim (N.6.3), sethoxydim (N.6.4), tepraloxydim (N.6.5), tralkoxydim;
dinitroanilines: benfluralin, ethalfluralin, oryzalin, pendimethalin (N.7.1 ), prodiamine (N.7.2), trifluralin (N.7.3);
diphenyl ethers: acifluorfen (N.8.1 ), aclonifen, bifenox, diclofop, ethoxyfen, fomesafen, lactofen, oxyfluorfen;
hydroxybenzonitriles: bomoxynil (N.9.1 ), dichlobenil, ioxynil;
imidazolinones: imazamethabenz, imazamox (N.10.1 ), imazapic (N.10.2), imazapyr (N.10.3), imazaquin (N.10.4), imazethapyr (N.10.5);
phenoxy acetic acids: clomeprop, 2,4-dichlorophenoxyacetic acid (2,4-D)
(N.1 1.1 ), 2,4-DB, dichlorprop, MCPA, MCPA-thioethyl, MCPB, Mecoprop;
pyrazines: chloridazon (N.1 1.1 ), flufenpyr-ethyl, fluthiacet, norflurazon, pyridate; pyridines: aminopyralid, clopyralid (N.12.1 ), diflufenican, dithiopyr, fluridone, fluroxypyr (N.12.2), picloram (N.12.3), picolinafen (N.12.4), thiazopyr;
sulfonyl ureas: amidosulfuron, azimsulfuron, bensulfuron (N.13.1 ), chlorimuron- ethyl (N.13.2), chlorsulfuron, cinosulfuron, cyclosulfamuron (N.13.3),
ethoxysulfuron, flazasulfuron, flucetosulfuron, flupyrsulfuron, foramsulfuron, halosulfuron, imazosulfuron, iodosulfuron (N.13.4), mesosulfuron (N.13.5), metazosulfuron, metsulfuron-methyl (N.13.6), nicosulfuron (N.13.7), oxasulfuron, primisulfuron, prosulfuron, pyrazosulfuron, rimsulfuron (N.13.8), sulfometuron, sulfosulfuron, thifensulfuron, triasulfuron, tribenuron, trifloxysulfuron, triflusulfuron (N.13.9), tritosulfuron, 1 -((2-chloro-6-propyl-imidazo[1 ,2-b]pyridazin-3-yl)sulfonyl)- 3-(4 , 6-d i methoxy-pyri m id i n-2-yl) u rea ;
triazines: ametryn, atrazine (N.14.1 ), cyanazine, dimethametryn, ethiozin, hexazinone (N.14.2), metamitron, metribuzin, prometryn, simazine,
terbuthylazine, terbutryn, triaziflam;
ureas: chlorotoluron, daimuron, diuron (N.15.1 ), fluometuron, isoproturon, linuron, methabenzthiazuron, tebuthiuron;
other acetolactate synthase inhibitors: bispyribac-sodium, cloransulam-methyl, diclosulam, florasulam (N.16.1 ), flucarbazone, flumetsulam, metosulam, ortho- sulfamuron, penoxsulam, propoxycarbazone, pyribambenz-propyl, pyribenzoxim, pyriftalid, pyriminobac-methyl, pyrimisulfan, pyrithiobac, pyroxasulfone (N.16.2), pyroxsulam;
others: amicarbazone, aminotriazole, anilofos, beflubutamid, benazolin, bencarbazone,benfluresate, benzofenap, bentazone (N.17.1 ), benzobicyclon, bicyclopyrone, bromacil, bromobutide, butafenacil, butamifos, cafenstrole, carfentrazone, cinidon-ethyl (N.17.2), chlorthal, cinmethylin (N.17.3), clomazone (N.17.4), cumyluron, cyprosulfamide, dicamba (N.17.5), difenzoquat,
diflufenzopyr (N.17.6), Drechslera monoceras, endothal, ethofumesate, etobenzanid, fenoxasulfone, fentrazamide, flumiclorac-pentyl, flumioxazin, flupoxam, flurochloridone, flurtamone, indanofan, isoxaben, isoxaflutole, lenacil, propanil, propyzamide, quinclorac (N.17.7), quinmerac (N.17.8), mesotrione (N.17.9), methyl arsonic acid, naptalam, oxadiargyl, oxadiazon, oxaziclomefone, pentoxazone, pinoxaden, pyraclonil, pyraflufen-ethyl, pyrasulfotole, pyrazoxyfen, pyrazolynate, quinoclamine, saflufenacil (N.17.10), sulcotrione (N.17.1 1 ), sulfentrazone, terbacil, tefuryltrione, tembotrione, thiencarbazone, topramezone (N.17.12), (3-[2-chloro-4-fluoro-5-(3-methyl-2,6-dioxo-4-trifluoromethyl-3,6- dihydro-2H-pyrimidin-1 -yl)-phenoxy]-pyridin-2-yloxy)-acetic acid ethyl ester, 6- amino-5-chloro-2-cyclopropyl-pyrimidine-4-carboxylic acid methyl ester, 6-chloro- 3-(2-cyclopropyl-6-methyl-phenoxy)-pyridazin-4-ol, 4-amino-3-chloro-6-(4-chloro- phenyl)-5-fluoro-pyridine-2-carboxylic acid, 4-amino-3-chloro-6-(4-chloro-2-fluoro- 3-methoxy-phenyl)-pyridine-2-carboxylic acid methyl ester, and 4-amino-3-chloro- 6-(4-chloro-3-dimethylamino-2-fluoro-phenyl)-pyridine-2-carboxylic acid methyl ester;
O) Insecticides
organo(thio)phosphates: acephate (0.1 .1 ), azamethiphos (0.1 .2), azinphos- methyl (0.1.3), chlorpyrifos (0.1 .4), chlorpyrifos-methyl (0.1 .5), chlorfenvinphos (0.1.6), diazinon (0.1 .7), dichlorvos (0.1.8), dicrotophos (0.1.9), dimethoate
(0.1.10), disulfoton (0.1.1 1 ), ethion (0.1.12), fenitrothion (0.1.13), fenthion (0.1.14), isoxathion (0.1 .15), malathion (0.1 .16), methamidophos (0.1.17), methidathion (0.1 .18), methyl-parathion (0.1.19), mevinphos (0.1.20), monocrotophos (0.1.21 ), oxydemeton-methyl (0.1 .22), paraoxon (0.1.23), parathion (0.1 .24), phenthoate (0.1 .25), phosalone (0.1.26), phosmet (0.1.27), phosphamidon (0.1 .28), phorate (0.1 .29), phoxim (0.1 .30), pirimiphos-methyl (0.1.31 ), profenofos (0.1.32), prothiofos (0.1 .33), sulprophos (0.1.34), tetrachlorvinphos (0.1 .35), terbufos (0.1.36), triazophos (0.1.37), trichlorfon (0.1 .38);
- carbamates: alanycarb (0.2.1 ), aldicarb (0.2.2), bendiocarb (0.2.3), benfuracarb (0.2.4), carbaryl (0.2.5), carbofuran (0.2.6), carbosulfan (0.2.7), fenoxycarb (0.2.8), furathiocarb (0.2.9), methiocarb (0.2.10), methomyl (0.2.1 1 ), oxamyl (0.2.12), pirimicarb (0.2.13), propoxur (0.2.14), thiodicarb (0.2.15), triazamate (0.2.16);
- pyrethroids: allethrin (0.3.1 ), bifenthrin (0.3.2), cyfluthrin (0.3.3), cyhalothrin
(0.3.4), cyphenothrin (0.3.5), cypermethrin (0.3.6), alpha-cypermethrin (0.3.7), beta-cypermethrin (0.3.8), zeta-cypermethrin (0.3.9), deltamethrin (0.3.10), esfenvalerate (0.3.1 1 ), etofenprox (0.3.1 1 ), fenpropathrin (0.3.12), fenvalerate
(0.3.13), imiprothrin (0.3.14), lambda-cyhalothrin (0.3.15), permethrin (0.3.16), prallethrin (0.3.17), pyrethrin I and II (0.3.18), resmethrin (0.3.19), silafluofen (O.3.20), tau-fluvalinate (0.3.21 ), tefluthrin (0.3.22), tetramethrin (0.3.23), tralomethrin (0.3.24), transfluthrin (0.3.25), profluthrin (0.3.26), dimefluthrin (0.3.27);
insect growth regulators: a) chitin synthesis inhibitors: benzoylureas:
chlorfluazuron (0.4.1 ), cyramazin (0.4.2), diflubenzuron (0.4.3), flucycloxuron (0.4.4), flufenoxuron (0.4.5), hexaflumuron (0.4.6), lufenuron (0.4.7), novaluron (0.4.8), teflubenzuron (0.4.9), triflumuron (0.4.10); buprofezin (0.4.1 1 ), diofenolan (0.4.12), hexythiazox (0.4.13), etoxazole (0.4.14), clofentazine (0.4.15); b) ecdysone antagonists: halofenozide (0.4.16), methoxyfenozide (0.4.17), tebufenozide (0.4.18), azadirachtin (0.4.19); c) juvenoids: pyriproxyfen (O.4.20), methoprene (0.4.21 ), fenoxycarb (0.4.22); d) lipid biosynthesis inhibitors: spirodiclofen (0.4.23), spiromesifen (0.4.24), spirotetramat (0.4.24); nicotinic receptor agonists/antagonists compounds: clothianidin (0.5.1 ), dinotefuran (0.5.2), flupyradifurone (0.5.3), imidacloprid (0.5.4), thiamethoxam (0.5.5), nitenpyram (0.5.6), acetamiprid (0.5.7), thiacloprid (0.5.8), 1 -2-chloro- thiazol-5-ylmethyl)-2-nitrimino-3,5-dimethyl-[1 ,3,5]triazinane (0.5.9);
GABA antagonist compounds: endosulfan (0.6.19, ethiprole (0.6.2), fipronil (0.6.3), vaniliprole (0.6.4), pyrafluprole (0.6.5), pyriprole (0.6.6), 5-amino-1 -(2,6- dichloro-4-methyl-phenyl)-4-sulfinamoyl-1 H-pyrazole-3-carbothioic acid amide (0.6.7);
macrocyclic lactone insecticides: abamectin (0.7.1 ), emamectin (0.7.2), milbemectin (0.7.3), lepimectin (0.7.4), spinosad (0.7.5), spinetoram (0.7.6); mitochondrial electron transport inhibitor (METI) I acaricides: fenazaquin (0.8.1 ), pyridaben (0.8.2), tebufenpyrad (0.8.3), tolfenpyrad (0.8.4), flufenerim (0.8.5); METI II and III compounds: acequinocyl (0.9.1 ), fluacyprim (0.9.2),
hydramethylnon (0.9.3);
Uncouplers: chlorfenapyr (0.10.1 );
oxidative phosphorylation inhibitors: cyhexatin (0.1 1 .1 ), diafenthiuron (0.1 1 .2), fenbutatin oxide (0.1 1.3), propargite (0.1 1 .4);
moulting disruptor compounds: cryomazine (0.12.1 );
mixed function oxidase inhibitors: piperonyl butoxide (0.13.1 );
sodium channel blockers: indoxacarb (0.14.1 ), metaflumizone (0.14.2);
ryanodine receptor inhibitors: chlorantraniliprole (0.15.1 ), cyantraniliprole
(0.15.2), flubendiamide (0.15.3), N-[4,6-dichloro-2-[(diethyl-lambda-4- sulfanylidene)carbamoyl]-phenyl]-2-(3-chloro-2-pyridyl)-5-(trifluoromethyl)pyr- azole-3-carboxamide (0.15.4); N-[4-chloro-2-[(diethyl-lambda-4- sulfanylidene)carbamoyl]-6-methyl-phenyl]-2-(3-chloro-2-pyridyl)-5-(triflu- oromethyl)pyrazole-3-carboxamide (0.15.5); N-[4-chloro-2-[(di-2-propyl-lambda-
4-sulfanylidene)carbamoyl]-6-methyl-phenyl]-2-(3-chloro-2-pyridyl)-5-
(trifluoromethyl)pyrazole-3-carboxamide (0.15.6); N-[4,6-dichloro-2-[(di-2-propyl- lambda-4-sulfanylidene)carbamoyl]-phenyl]-2-(3-chloro-2-pyridyl)-
5-(trifluoromethyl)pyrazole-3-carboxamide (0.15.7); N-[4,6-dichloro-2-[(diethyl- lambda-4-sulfanylidene)carbamoyl]-phenyl]-2-(3-chloro-2-pyridyl)-5- (difluoromethyl)pyrazole-3-carboxamide (0.15.8); N-[4,6-dibromo-2-[(di-2-propyl- lambda-4-sulfanylidene)carbamoyl]-phenyl]-2-(3-chloro-2-pyridyl)-5- (trifluoromethyl)pyrazole-3-carboxamide (0.15.9); N-[4-chloro-2-[(di-2-propyl- lambda-4-sulfanylidene)carbamoyl]-6-cyano-phenyl]-2-(3-chloro-2-pyridyl)-5- (trifluoromethyl)pyrazole-3-carboxamide (0.15.10); N-[4,6-dibromo-2-[(diethyl- lambda-4-sulfanylidene)carbamoyl]-phenyl]-2-(3-chloro-2-pyridyl)-5-(tri- fluoromethyl)pyrazole-3-carboxamide (0.15.1 1 );
- others: benclothiaz (0.16.1 ), bifenazate (0.16.2), artap (0.16.3), flonicamid
(0.16.4), pyridalyl (0.16.5), pymetrozine (0.16.6), sulfur (0.16.7), thiocyclam (0.16.8), cyenopyrafen (0.16.9), flupyrazofos (O.16.10), cyflumetofen (0.16.1 1 ), amidoflumet (0.16.12), imicyafos (0.16.13), bistrifluron (0.16.14),
pyrifluquinazon (0.16.15) and 1 ,1 '-[(3S,4R,4aR,6S,6aS,12R,12aS,12bS)-4-[[(2- cyclopropylacetyl)oxy]methyl]-1 ,3,4,4a,5,6,6a,12,12a,12b-decahydro-12-hydroxy- 4,6a, 12b-trimethyl-1 1 -oxo-9-(3-pyridinyl)-2H , 1 1 H-naphtho[2, 1 -b]pyrano[3,4- e]pyran-3,6-diyl] cyclopropaneacetic acid ester (0.16.16).
The present invention furthermore relates to agrochemical compositions comprising a mixture of at least one compound I (component 1 ) and at least one further active substance useful for plant protection, e. g. selected from the groups A) to O) (component 2), in particular one further fungicide, e. g. one or more fungicide from the groups A) to K), as described above, and if desired one suitable solvent or solid carrier. Those mixtures are of particular interest, since many of them at the same application rate show higher efficiencies against harmful fungi. Furthermore, combating harmful fungi with a mixture of compounds I and at least one fungicide from groups A) to L), as described above, is more efficient than combating those fungi with individual compounds I or individual fungicides from groups A) to L). By applying compounds I together with at least one active substance from groups A) to O) a synergistic effect can be obtained, i.e. more then simple addition of the individual effects is obtained (synergistic mixtures).
This can be obtained by applying the compounds I and at least one further active substance simultaneously, either jointly (e. g. as tank-mix) or seperately, or in succession, wherein the time interval between the individual applications is selected to ensure that the active substance applied first still occurs at the site of action in a sufficient amount at the time of application of the further active substance(s). The order of application is not essential for working of the present invention.
When applying compounds I and a pesticide II sequentially the time between both applications may vary e.g. between 2 hours to 7 days. Also a broader range is possible ranging from 0.25 hour to 30 days, preferably from 0.5 hour to 14 days, particularly from 1 hour to 7 days or from 1 .5 hours to 5 days, even more preferred from 2 hours to
1 day. In case of a mixture comprising a pesticide II selected from group L), it is preferred that the pesticide II is applied as last treatment.
According to the invention, the solid material (dry matter) of the biopesticides (with the exception of oils such as Neem oil, Tagetes oil, etc.) are considered as active components (e.g. to be obtained after drying or evaporation of the extraction medium or the suspension medium in case of liquid formulations of the microbial pesticides). In accordance with the present invention, the weight ratios and percentages used herein for a biological extract such as Quillay extract are based on the total weight of the dry content (solid material) of the respective extract(s).
The total weight ratios of compositions comprising at least one microbial pesticide in the form of viable microbial cells including dormant forms, can be determined using the amount of CFU of the respective microorganism to calclulate the total weight of the respective active component with the following equation that 1 x 109 CFU equals one gram of total weight of the respective active component. Colony forming unit is measure of viable microbial cells, in particular fungal and bacterial cells. In addition, here "CFU" may also be understood as the number of (juvenile) individual nematodes in case of (entomopathogenic) nematode biopesticides, such as Steinernema feltiae.
In binary mixtures, i.e. compositions according to the invention comprising one compound I (component 1 ) and one further active substance (component 2), e. g. one active substance from groups A) to O), the weight ratio of component 1 and component
2 generally depends from the properties of the active substances used, usually it is in the range of from 1 :100 to 100:1 , regularly in the range of from 1 :50 to 50:1 , preferably in the range of from 1 :20 to 20: 1 , more preferably in the range of from 1 : 10 to 10: 1 and even more preferably in the range of from 1 :3 to 3:1 and in particular in the range of from 1 :2 to 2:1 .
According to a further embodiments of the binary mixtures and compositions, the weight ratio of the component 1 ) and the component 2) usually is in the range of from 1000:1 to 1 :1 , often in the range of from 100:1 to 1 :1 , regularly in the range of from
50:1 to 1 :1 , preferably in the range of from 20:1 to 1 :1 , more preferably in the range of from 10:1 to 1 :1 , even more preferably in the range of from 4:1 to 1 :1 and in particular in the range of from 2:1 to 1 :1.
According to a further embodiments of the binary mixtures and compositions, the weight ratio of the component 1 ) and the component 2) usually is in the range of from 1 :1 to 1 :1000, often in the range of from 1 :1 to 1 :100, regularly in the range of from 1 :1 to 1 :50, preferably in the range of from 1 :1 to 1 :20, more preferably in the range of from 1 :1 to 1 :10, even more preferably in the range of from 1 :1 to 1 :4 and in particular in the range of from 1 :1 to 1 :2.
In ternary mixtures, i.e. compositions according to the invention comprising one compound I (component 1 ) and a first further active substance (component 2) and a second further active substance (component 3), e. g. two active substances from groups A) to O), the weight ratio of component 1 and component 2 depends from the
properties of the active substances used, usually it is in the range of from 1 :100 to 100:1 , regularly in the range of from 1 :50 to 50:1 , preferably in the range of from 1 :20 to 20:1 , more preferably in the range of from 1 :10 to 10:1 and in particular in the range of from 1 :4 to 4:1 , and the weight ratio of component 1 ) and component 3) usually it is in the range of from 1 :100 to 100:1 , regularly in the range of from 1 :50 to 50:1 , preferably in the range of from 1 :20 to 20:1 , more preferably in the range of from 1 :10 to 10:1 and in particular in the range of from 1 :4 to 4:1.
Any further active components are, if desired, added in a ratio of from 20:1 to 1 :20 to the component 1 ).
These ratios are also suitable for inventive mixtures applied by seed treatment.
Preference is also given to mixtures comprising a compound I (component 1 ) and at least one active substance selected from group A) (component 2) and particularly selected from azoxystrobin (A.1.1 ), dimoxystrobin (A.1 .4), fluoxastrobin (A.1 .8), kresoxim-methyl (A.1 .9), orysastrobin (A.1 .12), picoxystrobin (A.1.13), pyraclostrobin (A.1.14), trifloxystrobin (A.1 .17), pyribencarb (A.1 .19), famoxadone (A.1 .21 ), cyazofamid (A.2.1 ), amisulbrom (A.2.2), benzovindiflupyr (A.3.2), bixafen (A.3.3), boscalid (A.3.4), fluopyram (A.3.7), flutolanil (A.3.8), fluxapyroxad (A.3.9), isopyrazam (A.3.12), oxycarboxin (A.3.14), penflufen (A.3.14), penthiopyrad (A.3.15), sedaxane (A.3.16), N-(4'-trifluoromethylthiobiphenyl-2-yl)-3-difluoromethyl-1 -methyl-1 H-pyrazole- 4-carboxamide (A.3.19), N-(2-(1 ,3,3-trimethyl-butyl)-phenyl)-1 ,3-dimethyl-5-fluoro-1 H- pyrazole-4-carboxamide (A.3.20), 3-(difluoromethyl)-1 -methyl-N-(1 ,1 ,3-trimethylindan- 4-yl)pyrazole-4-carboxamide (A.3.21 ), 3-(trifluoromethyl)-1 -methyl-N-(1 ,1 ,3-trimethyl- indan-4-yl)pyrazole-4-carboxamide (A.3.22), 1 ,3-dimethyl-N-(1 ,1 ,3-trimethylindan-4- yl)pyrazole-4-carboxamide (A.3.23), 3-(trifluoromethyl)-1 ,5-dimethyl-N-(1 ,1 ,3- trimethylindan-4-yl)pyrazole-4-carboxamide (A.3.24), 1 ,3,5-trimethyl-N-(1 ,1 ,3- trimethylindan-4-yl)pyrazole-4-carboxamide (A.3.25), N-(7-fluoro-1 ,1 ,3-trimethyl-indan- 4-yl)-1 ,3-dimethyl-pyrazole-4-carboxamide (A.3.26), N-[2-(2,4-dichlorophenyl)-2- methoxy-1 -methyl-ethyl]-3-(difluoromethyl)-1 -methyl-pyrazole-4-carboxamide (A.3.27), dinocap (A.4.5), fluazinam (A.4.6); fentin-acetate (A.4.8), fentin chloride (A.4.9) and ametoctradin (A.4.1 1 ).
Preference is given to mixtures comprising a compound of formula I (component 1 ) and at least one active substance selected from group B) (component 2) and particularly selected from cyproconazole (B.1.4), difenoconazole (B.1 .5), diniconazole (B.1 .6), epoxiconazole (B.1 .8), fluquinconazole (B.1.10), flusilazole (B.1 .1 1 ), flutriafol (B.1.12), metconazole (B.1 .17), myclobutanil (B.1 .18), penconazole (B.1.21 ), propiconazole (B.1.22), prothioconazole (B.1.23), tebuconazole (B.1 .25), tetraconazole (B.1.26), triadimefon (B.1 .27), triadimenol (B.1.28), triticonazole (B.1.29), uniconazole (B.1.30), 1 -[re/-(2S;3R)-3-(2-chlorophenyl)-2-(2,4-difluorophenyl)-oxiranylmethyl]-5-thiocyanato- 1 H-[1 ,2,4]triazolo (B.1.31 ), 2-[re/-(2S;3R)-3-(2-chlorophenyl)-2-(2,4-difluorophenyl)-oxi- ranylmethyl]-2H-[1 ,2,4]triazole-3-thiol (B.1 .32), 2-[2-chloro-4-(4-chlorophenoxy)phenyl]- 1 -(1 ,2,4-triazol-1 -yl)pentan-2-ol (B.1 .33), 1 -[4-(4-chlorophenoxy)-2-(trifluoro- methyl)phenyl]-1 -cyclopropyl-2-(1 ,2,4-triazol-1 -yl)ethanol (B.1 .34), 2-[4-(4-chloro-
phenoxy)-2-(trifluoromethyl)phenyl]-1 -(1 ,2,4-triazol-1 -yl)butan-2-ol (B.1.35), 2-[2-chloro- 4-(4-chlorophenoxy)phenyl]-1 -(1 ,2,4-triazol-1 -yl)butan-2-ol (B.1 .36), 2-[4-(4-chloro- phenoxy)-2-(trifluoromethyl)phenyl]-3-methyl-1 -(1 ,2,4-triazol-1 -yl)butan-2-ol (B.1 .37), 2- [4-(4-chlorophenoxy)-2-(trifluoromethyl)phenyl]-1 -(1 ,2,4-triazol-1 -yl)propan-2-ol (B.1.38), 2-[2-chloro-4-(4-chlorophenoxy)phenyl]-3-methyl-1 -(1 ,2,4-triazol-1 -yl)butan-2- ol (B.1 .39), 2-[4-(4-chlorophenoxy)-2-(trifluoromethyl)phenyl]-1 -(1 ,2,4-triazol-1 - yl)pentan-2-ol (B.1 .40), 2-[4-(4-fluorophenoxy)-2-(trifluoromethyl)phenyl]-1 -(1 ,2,4- triazol-1 -yl)propan-2-ol (B.1.41 ), imazalil (B.1.42), prochloraz (B.1.44), fenarimol (B.1.46), triforine (B.1 .49), [3-(4-chloro-2-fluoro-phenyl)-5-(2,4-difluorophenyl)isoxazol- 4-yl]-(3-pyridyl)methanol (B.1.50), dodemorph (B.2.2), fenpropimorph (B.2.4), tridemorph (B.2.5), fenpropidin (B.2.6), piperalin (B.2.7), spiroxamine (B.2.8) and fenhexamid (B.3.1 ).
Preference is given to mixtures comprising a compound of formula I (component 1 ) and at least one active substance selected from group C) (component 2) and particularly selected from
metalaxyl (C.1.4), metalaxyl-M (mefenoxam, C.1 .5), ofurace (C.1 .6) and
bupirimate (C.2.4).
Preference is given to mixtures comprising a compound of formula I (component 1 ) and at least one active substance selected from group D) (component 2) and particularly selected from benomyl (D1 .1 ), carbendazim (D1 .2), thiabendazole (D1 .4), thiophanate- methyl (D1 .5), ethaboxam (D2.2), fluopicolide (D2.4), zoxamide (D2.5), metrafenone (D2.6), pyriofenone (D2.7).
Preference is also given to mixtures comprising a compound I (component 1 ) and at least one active substance selected from group E) (component 2) and particularly selected from cyprodinil (E.1.1 ), mepanipyrim (E.1.2), pyrimethanil (E.1 .3).
Preference is also given to mixtures comprising a compound I (component 1 ) and at least one active substance selected from group F) (component 2) and particularly selected from iprodione (F.1 .2), vinclozolin (F.1.4), fenpiclonil (F.1 .5), fludioxonil (F.1 .6) and quinoxyfen (F.2.1 ).
Preference is also given to mixtures comprising a compound I (component 1 ) and at least one active substance selected from group G) (component 2) and particularly selected from dimethomorph (G.3.1 ), flumorph (G.3.2), mandipropamid (G.3.3), pyrimorph (G.3.4), benthiavalicarb (G.3.5), iprovalicarb (G.3.6), propamocarb (G.4.1 ), oxathiapiprolin (G.5.1 ).
Preference is also given to mixtures comprising a compound I (component 1 ) and at least one active substance selected from group H) (component 2) and particularly selected from copper acetate (H.1.2), copper hydroxide (H.1 .3), copper oxychloride (H.1 .4), basic copper sulfate (H.1.5), sulfur (H.1 .6), mancozeb (H.2.2), metiram (H.2.5), thiram (H.2.7), chlorothalonil (H.3.2), captafol (H.3.3), captan (H.3.4), folpet (H.3.5), dichlofluanid (H.3.6), N-(4-chloro-2-nitro-phenyl)-N-ethyl-4-methyl-benzenesulfonamide (H.3.12), dodine (H.4.2), iminoctadine (H.4.6), dithianon (H.4.9) and 2,6-dimethyl- 1 H,5H-[1 ,4]dithiino[2,3-c:5,6-c']dipyrrole-1 ,3,5,7(2H,6H)-tetraone (H.4.10).
Preference is also given to mixtures comprising a compound I (component 1 ) and at least one active substance selected from group I) (component 2) and particularly selected from carpropamid (1.2.3), and fenoxanil (1.2.5).
Preference is also given to mixtures comprising a compound I (component 1 ) and at least one active substance selected from group J) (component 2) and particularly selected from acibenzolar-S-methyl (J.1.1 ), probenazole (J.1.2), isotianil (J.1.3), tiadinil (J.1.4), prohexadione-calcium (J.1 .5), fosetyl (J.1 .6), fosetyl-aluminum (J.1 .7), phosphorous acid and its salts (J.1.8), potassium or sodium bicarbonate (J.1 .9).
Preference is also given to mixtures comprising a compound I (component 1 ) and at least one active substance selected from group K) (component 2) and particularly selected from cymoxanil (K.1.4), dazomet (K.1 .5), difenzoquat (K.1.8), flumetover (K.1.12), flusulfamide (K.1.13), flutianil (K.1 .14), methasulfocarb (K.1.15),
oxathiapiprolin (K.1 .19) and proquinazid (K.1.22). The biopesticides from group L) of pesticides II, their preparation and their pesticidal activity e.g. against harmful fungi or insects are known (e-Pesticide Manual V 5.2 (ISBN 978 1 901396 85 0) (2008-201 1 ); http://www.epa.gov/opp00001/biopesticides/, see product lists therein; http://www.omri.org/omri-lists, see lists therein; Bio-Pesticides Database BPDB http://sitem.herts.ac.uk/aeru/bpdb/, see A to Z link therein).
The biopesticides from group L1 ) and/or L2) may also have insecticidal, acaricidal, molluscidal, pheromone, nematicidal, plant stress reducing, plant growth regulator, plant growth promoting and/or yield enhancing activity. The biopesticides from group L3) and/or L4) may also have fungicidal, bactericidal, viricidal, plant defense activator, plant stress reducing, plant growth regulator, plant growth promoting and/or yield enhancing activity. The biopesticides from group L5) and/or L6) may also have fungicidal, bactericidal, viricidal, plant defense activator, insecticidal, acaricidal, molluscidal, pheromone and/or nematicidal activity.
Many of these biopesticides are registered and/or are commercially available:
aluminium silicate (Screen™ Duo from Certis LLC, USA), Agrobacterium radiobacter K1026 (e.g. NoGall® from Becker Underwood Pty Ltd., Australia), A. radiobacter K84 (Nature 280, 697-699, 1979; e.g. GallTroll® from AG Biochem, Inc., C, USA),
Ampelomyces quisqualis M-10 (e.g. AQ 10® from Intrachem Bio GmbH & Co. KG, Germany), Ascophyllum nodosum (Norwegian kelp, Brown kelp) extract or filtrate (e.g. ORKA GOLD from Becker Underwood, South Africa; or Goemar® from Laboratoires Goemar, France), Aspergillus flavus NRRL 21882 isolated from a peanut in Georgia in 1991 by the USDA, National Peanut Research Laboratory (e.g. in Afla-Guard® from Syngenta, CH), mixtures of Aureobasidium pullulans DSM14940 and DSM 14941 (e.g. blastospores in Blossom Protect® from bio-ferm GmbH, Germany), Azospirillum amazonense BR 1 1 140 (SpY2T) (Proc. 9th Int. and 1 st Latin American PGPR meeting, Quimara, Medellin, Colombia 2012, p. 60, ISBN 978-958-46-0908-3), A. brasilense AZ39 (Eur. J. Soil Biol 45(1 ), 28-35, 2009), A. brasilense XOH (e.g. AZOS from Xtreme Gardening, USA or RTI Reforestation Technologies International; USA), A. brasilense
BR 1 1002 (Proc. 9th Int. and 1 st Latin American PGPR meeting, Quimara, Medellin, Colombia 2012, p. 60, ISBN 978-958-46-0908-3), A. brasilense BR 1 1005 (SP245; e.g. in GELFIX Gramineas from BASF Agricultural Specialties Ltd., Brazil), A. lipoferum BR 1 1646 (Sp31 ) (Proc. 9th Int. and 1 st Latin American PGPR meeting, Quimara, Medellin, Colombia 2012, p. 60), Bacillus amyloliquefaciens FZB42 (e.g. in RhizoVital® 42 from AbiTEP GmbH, Berlin, Germany), B. amyloliquefaciens IN937a (J. Microbiol.
Biotechnol. 17(2), 280-286, 2007; e.g. in BioYield® from Gustafson LLC, TX, USA), B. amyloliquefaciens IT-45 (CNCM I-3800) (e.g. Rhizocell C from ITHEC, France), B. amyloliquefaciens subsp. plantarum MBI600 (NRRL B-50595, deposited at United States Department of Agriculture) (e.g. Integral®, Subtilex® NG from Becker
Underwood, USA), B. cereus CNCM 1-1562 (US 6,406,690), B. firmus CNCM 1-1582 (WO 2009/126473, WO 2009/124707, US 6,406,690; Votivo® from Bayer Crop
Science LP, USA), B. pumilus GB34 (ATCC 700814; e.g. in YieldShield® from
Gustafson LLC, TX, USA), and Bacillus pumilus KFP9F (NRRL B-50754) (e.g. in BAC- UP or FUSION-P from Becker Underwood South Africa), B. pumilus QST 2808 (NRRL B-30087) (e.g. Sonata® and Ballad® Plus from AgraQuest Inc., USA), B. subtilis GB03 (e.g. Kodiak® or BioYield® from Gustafson, Inc., USA; or Companion® from Growth Products, Ltd., White Plains, NY 10603, USA), B. subtilis GB07 (Epic® from Gustafson, Inc., USA), B. subtilis QST-713 (NRRL B-21661 in Rhapsody®, Serenade® MAX and Serenade® ASO from AgraQuest Inc., USA), B. subtilis var. amyloliquefaciens FZB24 (e.g. Taegro® from Novozyme Biologicals, Inc., USA), B. subtilis var. amyloliquefaciens D747 (e.g. Double Nickel 55 from Certis LLC, USA), B. thuringiensis ssp. aizawai ABTS-1857 (e.g. in XenTari® from BioFa AG, Munsingen, Germany), B. t. ssp. aizawai SAN 401 I, ABG-6305 and ABG-6346, Bacillus t. ssp. israelensis AM65-52 (e.g. in VectoBac® from Valent Biosciences, IL, USA), Bacillus thuringiensis ssp. kurstaki SB4 (NRRL B-50753; e.g. Beta Pro® from Becker Underwood, South Africa), B. t. ssp. kurstaki ABTS-351 identical to HD-1 (ATCC SD-1275; e.g. in Dipel® DF from Valent Biosciences, IL, USA), B. t. ssp. kurstaki EG 2348 (e.g. in Lepinox® or Rapax® from CBC (Europe) S.r.l., Italy), B. t. ssp. tenebrionis DSM 2803 (EP 0 585 215 B1 ; identical to NRRL B-15939; Mycogen Corp.), B. t. ssp. tenebrionis NB-125 (DSM 5526; EP 0 585 215 B1 ; also referred to as SAN 418 I or ABG-6479; former production strain of Novo-Nordisk), B. t. ssp. tenebrionis NB-176 (or NB-176-1 ) a gamma-irridated, induced high-yielding mutant of strain NB-125 (DSM 5480; EP 585 215 B1 ; Novodor® from Valent Biosciences, Switzerland), Beauveria bassiana ATCC 74040 (e.g. in Naturalis® from CBC (Europe) S.r.l., Italy), B. bassiana DSM 12256 (US 200020031495; e.g. BioExpert® SC from Live Sytems Technology S.A., Colombia), B. bassiana GHA (BotaniGard® 22WGP from Laverlam Int. Corp., USA), B. bassiana PPRI 5339
(ARSEF number 5339 in the USDA ARS collection of entomopathogenic fungal cultures; NRRL 50757) (e.g. BroadBand® from Becker Underwood, South Africa), B. brongniartii (e.g. in Melocont® from Agrifutur, Agrianello, Italy, for control of cockchafer; J. Appl. Microbiol. 100(5), 1063-72, 2006), Bradyrhizobium sp. (e.g. Vault® from Becker Underwood, USA), B. japonicum (e.g. VAULT® from Becker Underwood, USA), Candida oleophila 1-182 (NRRL Y-18846; e.g. Aspire® from Ecogen Inc., USA,
Phytoparasitica 23(3), 231 -234, 1995), C. oleophila strain O (NRRL Y-2317; Biological Control 51 , 403-408, 2009),, Candida saitoana (e.g. Biocure® (in mixture with lysozyme) and BioCoat® from Micro Flo Company, USA (BASF SE) and Arysta), Chitosan (e.g. Armour-Zen® from BotriZen Ltd., NZ), Clonostachys rosea f. catenulata, also named Gliocladium catenulatum (e.g. isolate J 1446: Prestop® from Verdera Oy, Finland), Chromobacterium subtsugae PRAA4-1 isolated from soil under an eastern hemlock (Tsuga canadensis) in the Catoctin Mountain region of central Maryland (e.g. in GRANDEVO from Marrone Bio Innovations, USA), Coniothyrium minitans
CON/M/91 -08 (e.g. Contans® WG from Prophyta, Germany), Cryphonectria parasitica (e.g. Endothia parasitica from CNICM, France), Cryptococcus albidus (e.g. YIELD PLUS® from Anchor Bio-Technologies, South Africa), Cryptophlebia leucotreta granulovirus (CrIeGV) (e.g. in CRYPTEX from Adermatt Biocontrol, Switzerland), Cydia pomonella granulovirus (CpGV) V03 (DSM GV-0006; e.g. in MADEX Max from
Andermatt Biocontrol, Switzerland), CpGV V22 (DSM GV-0014; e.g. in MADEX Twin from Adermatt Biocontrol, Switzerland), Delftia acidovorans RAY209 (ATCC PTA-4249; WO 2003/57861 ; e.g. in BIOBOOST from Brett Young, Winnipeg, Canada),
Dilophosphora alopecuri (Twist Fungus from Becker Underwood, Australia), Ecklonia maxima (kelp) extract (e.g. KELPAK SL from Kelp Products Ltd, South Africa), formononetin (e.g. in MYCONATE from Plant Health Care pic, U.K.), Fusarium oxysporum (e.g. BIOFOX® from S.I.A.P.A., Italy, FUSACLEAN® from Natural Plant Protection, France), Glomus intraradices (e.g. MYC 4000 from ITHEC, France), Glomus intraradices RTI-801 (e.g. MYKOS from Xtreme Gardening, USA or RTI Reforestation Technologies International; USA), grapefruit seeds and pulp extract (e.g. BC-1000 from Chemie S.A., Chile), harpin (alpha-beta) protein (e.g. MESSENGER or HARP-N-Tek from Plant Health Care pic, U.K.; Science 257, 1-132, 1992),
Heterorhabditis bacteriophaga (e.g. Nemasys® G from Becker Underwood Ltd., UK), Isaria fumosorosea Apopka-97 (ATCC 20874) (PFR-97™ from Certis LLC, USA), cis- jasmone (US 8,221 ,736), laminarin (e.g. in VACCIPLANT from Laboratoires Goemar, St. Malo, France or Stahler SA, Switzerland), Lecanicillium longisporum KV42 and KV71 (e.g. VERTALEC® from Koppert BV, Netherlands), L. muscarium KV01 (formerly Verticillium lecanii) (e.g. MYCOTAL from Koppert BV, Netherlands), Lysobacter antibioticus 13-1 (Biological Control 45, 288-296, 2008), L. antibioticus HS124 (Curr. Microbiol. 59(6), 608-615, 2009), L. enzymogenes 3.1 T8 (Microbiol. Res. 158, 107-1 15; Biological Control 31 (2), 145-154, 2004), Metarhizium anisopliae var. acridum IMI 330189 (isolated from Ornithacris cavroisi in Niger; also NRRL 50758) (e.g. GREEN MUSCLE® from Becker Underwood, South Africa), M. a. var. acridum FI-985 (e.g. GREEN GUARD® SC from Becker Underwood Pty Ltd, Australia), M. anisopliae Fl- 1045 (e.g. BIOCANE® from Becker Underwood Pty Ltd, Australia), M. anisopliae F52 (DSM 3884, ATCC 90448; e.g. MET52® Novozymes Biologicals BioAg Group,
Canada), M. anisopliae ICIPE 69 (e.g. METATHRIPOL from ICIPE, Nairobe, Kenya), Metschnikowia fructicola (NRRL Y-30752; e.g. SHEMER® from Agrogreen, Israel, now distributed by Bayer CropSciences, Germany; US 6,994,849), Microdochium dimerum (e.g. ANTIBOT® from Agrauxine, France), Microsphaeropsis ochracea P130A (ATCC
74412 isolated from apple leaves from an abandoned orchard, St-Joseph-du-Lac, Quebec, Canada in 1993; Mycologia 94(2), 297-301 , 2002), Muscodor albus QST 20799 originally isolated from the bark of a cinnamon tree in Honduras (e.g. in development products Muscudor™ or QRD300 from AgraQuest, USA), Neem oil (e.g. TRILOGY®, TRIACT® 70 EC from Certis LLC, USA), Nomuraea rileyi strains
SA86101 , GU87401 , SR86151 , CG128 and VA9101 , Paecilomyces fumosoroseus FE 9901 (e.g. NO FLY™ from Natural Industries, Inc., USA), P. lilacinus 251 (e.g. in BioAct®/MeloCon® from Prophyta, Germany; Crop Protection 27, 352-361 , 2008; originally isolated from infected nematode eggs in the Philippines), P. lilacinus DSM 15169 (e.g. NEMATA® SC from Live Systems Technology S.A., Colombia), P. lilacinus BCP2 (NRRL 50756; e.g. PL GOLD from Becker Underwood BioAg SA Ltd, South Africa), mixture of Paenibacillus alvei NAS6G6 (NRRL B-50755), Pantoea vagans (formerly agglomerans) C9-1 (originally isolated in 1994 from apple stem tissue;
BlightBan C9-1® from NuFrams America Inc., USA, for control of fire blight in apple; J. Bacteriol. 192(24) 6486-6487, 2010), Pasteuria spp. ATCC PTA-9643 (WO
2010/085795), Pasteuria spp. ATCC SD-5832 (WO 2012/064527), P. nishizawae (WO 2010/80169), P. penetrans (US 5,248,500), P. ramose (WO 2010/80619), P. thornea (WO 2010/80169), P. usgae (WO 2010/80169), Penicillium bilaiae (e.g. Jump Start® from Novozymes Biologicals BioAg Group, Canada, originally isolated from soil in southern Alberta; Fertilizer Res. 39, 97-103, 1994), Phlebiopsis gigantea (e.g.
RotStop® from Verdera Oy, Finland), Pichia anomala WRL-076 (NRRL Y-30842; US 8,206,972), potassium bicarbonate (e.g. Amicarb® fromm Stahler SA, Switzerland), potassium silicate (e.g. Sil-MATRIX™ from Certis LLC, USA), Pseudozyma flocculosa PF-A22 UL (e.g. Sporodex® from Plant Products Co. Ltd., Canada), Pseudomonas sp. DSM 13134 (WO 2001/40441 , e.g. in PRORADIX from Sourcon Padena GmbH & Co. KG, Hechinger Str. 262, 72072 Tubingen, Germany), P. chloraphis MA 342 (e.g. in CERALL or CEDEMON from BioAgri AB, Uppsala, Sweden), P. fluorescens CL 145A (e.g. in ZEQUANOX from Marrone Biolnnovations, Davis, CA, USA; J. Invertebr.
Pathol. 1 13(1 ):104-14, 2013), Pythium oligandrum DV 74 (ATCC 38472; e.g.
POLYVERSUM® from Remeslo SSRO, Biopreparaty, Czech Rep. and GOWAN, USA; US 2013/0035230), Reynoutria sachlinensis extract (e.g. REGALIA® SC from Marrone Biolnnovations, Davis, CA, USA), Rhizobium leguminosarum bv. phaseoli (e.g. RHIZO- STICK from Becker Underwood, USA), R. I. trifolii RP1 13-7 (e.g. DORMAL from Becker Underwood, USA; Appl. Environ. Microbiol. 44(5), 1096-1 101 ), R. I. bv. viciae
P1 NP3Cst (also referred to as 1435; New Phytol 179(1 ), 224-235, 2008; e.g. in
NODULATOR PL Peat Granule from Becker Underwood, USA; or in NODULATOR XL PL bfrom Becker Underwood, Canada), R. I. bv. viciae SU303 (e.g. NODULAID Group E from Becker Underwood, Australia), R. I. bv. viciae WSM1455 (e.g. NODULAID Group F from Becker Underwood, Australia), R. tropici SEMIA 4080 (identical to PRF 81 ; Soil Biology & Biochemistry 39, 867-876, 2007), Sinorhizobium meliloti MSDJ0848 (INRA, France) also referred to as strain 201 1 or RCR201 1 (Mol Gen Genomics (2004) 272: 1-17; e.g. DORMAL ALFALFA from Becker Underwood, USA; NITRAGIN® Gold from Novozymes Biologicals BioAg Group, Canada), Sphaerodes mycoparasitica IDAC
301008-01 (WO 201 1/022809), Steinernema carpocapsae (e.g. MILLENIUM® from Becker Underwood Ltd., UK), S. feltiae (NEMASHIELD® from BioWorks, Inc., USA; NEMASYS® from Becker Underwood Ltd., UK), S. kraussei L137 (NEMASYS® L from Becker Underwood Ltd., UK), Streptomyces griseoviridis K61 (e.g. MYCOSTOP® from Verdera Oy, Espoo, Finland; Crop Protection 25, 468-475, 2006), S. lydicus WYEC 108 (e.g. Actinovate® from Natural Industries, Inc., USA, US 5,403,584), S. violaceusniger YCED-9 (e.g. DT-9® from Natural Industries, Inc., USA, US 5,968,503), Talaromyces flavus V1 17b (e.g. PROTUS® from Prophyta, Germany), Trichoderma asperellum SKT-1 (e.g. ECO-HOPE® from Kumiai Chemical Industry Co., Ltd., Japan), T.
asperellum ICC 012 (e.g. in TENET WP, REMDIER WP, BIOTEN WP from Isagro NC, USA, BIO-TAM from AgraQuest, USA), T. atroviride LC52 (e.g. SENTINEL® from Agrimm Technologies Ltd, NZ), T. atroviride CNCM 1-1237 (e.g. in Esquive WG from Agrauxine S.A., France, e.g. against pruning wound diseases on vine and plant root pathogens), T. fertile JM41 R (NRRL 50759; e.g. RICHPLUS™ from Becker Underwood Bio Ag SA Ltd, South Africa), T. gamsii ICC 080 (e.g. in TENET WP, REMDIER WP, BIOTEN WP from Isagro NC, USA, BIO-TAM from AgraQuest, USA), T. harzianum T- 22 (e.g. PLANTSHIELD® der Firma BioWorks Inc., USA), T. harzianum TH 35 (e.g. ROOT PRO® from Mycontrol Ltd., Israel), T. harzianum T-39 (e.g. TRICHODEX® and TRICHODERMA 2000® from Mycontrol Ltd., Israel and Makhteshim Ltd., Israel), T. harzianum and T. viride (e.g. TRICHOPEL from Agrimm Technologies Ltd, NZ), T. harzianum ICC012 and T. viride ICC080 (e.g. REMEDIER® WP from Isagro Ricerca, Italy), T. polysporum and T. harzianum (e.g. BINAB® from BINAB Bio-Innovation AB, Sweden), T. stromaticum (e.g. TRICOVAB® from C.E.P.L.A.C., Brazil), T. virens GL-21 (also named Gliocladium virens) (e.g. SOILGARD® from Certis LLC, USA), T. viride (e.g. TRIECO® from Ecosense Labs. (India) Pvt. Ltd., Indien, BIO-CURE® F from T. Stanes & Co. Ltd., Indien), T. viride TV1 (e.g. T. viride TV1 from Agribiotec srl, Italy) and Ulocladium oudemansii HRU3 (e.g. in BOTRY-ZEN® from Botry-Zen Ltd, NZ). Strains can be sourced from genetic resource and deposition centers: American Type Culture Collection, 10801 University Blvd., Manassas, VA 201 10-2209, USA (strains with ATCC prefic); CABI Europe - International Mycological Institute, Bakeham Lane, Egham, Surrey, TW20 9TYNRRL, UK (strains with prefices CABI and IMI);
Centraalbureau voor Schimmelcultures, Fungal Biodiversity Centre, Uppsalaan 8, PO Box 85167, 3508 AD Utrecht, Netherlands (strains with prefic CBS); Division of Plant Industry, CSIRO, Canberra, Australia (strains with prefix CC); Collection Nationale de Cultures de Microorganismes, Institut Pasteur, 25 rue du Docteur Roux, F-75724 PARIS Cedex 15 (strains with prefix CNCM); Leibniz-lnstitut DSMZ-Deutsche
Sammlung von Mikroorganismen und Zellkulturen GmbH, Inhoffenst^e 7 B, 38124 Braunschweig, Germany (strains with prefix DSM); International Depositary Authority of Canada Collection, Canada (strains with prefix IDAC); Interntional Collection of Micro- orgniasms from Plants, Landcare Research, Private Bag 92170, Auckland Mail Centre, Auckland 1 142, New Zealand (strans with prefix ICMP); IITA, PMB 5320, Ibadan, Nigeria (straisn with prefix IITA); The National Collections of Industrial and Marine Bacteria Ltd., Torry Research Station, P.O. Box 31 , 135 Abbey Road, Aberdeen, AB9
8DG, Scotland (strains with prefix NCIMB); ARS Culture Collection of the National Center for Agricultural Utilization Research, Agricultural Research Service, U.S.
Department of Agriculture, 1815 North University Street, Peoria, Illinois 61604, USA (strains with prefix NRRL); Department of Scientific and Industrial Research Culture Collection, Applied Biochemistry Division, Palmerston North, New Zealand (strains with prefix NZP); FEPAGRO-Fundagao Estadual de Pesquisa Agropecuaria, Rua
Gongalves Dias, 570, Bairro Menino Deus, Porto Alegre/RS, Brazil (strains with prefix SEMIA); SARDI, Adelaide, South Australia (strains with prefix SRDI); U.S. Department of Agriculture, Agricultural Research Service, Soybean and Alfalfa Research
Laboratory, BARC-West, 10300 Baltimore Boulevard, Building 01 1 , Room 19-9, Beltsville, MD 20705, USA (strains with prefix USDA: Beltsville Rhizobium Culture Collection Catalog March 1987 USDA-ARS ARS-30:
http://pdf.usaid.gov/pdf_docs/PNAAW891.pdf); and Murdoch University, Perth, Western Australia (strains with prefix WSM). Further strains may be found at the Global catalogue of Microorganisms: http://gcm.wfcc.info/ and
http://www.landcareresearch.co.nz/resources/collections/icmp and further references to strain collections and their prefixes at http://refs.wdcm.org/collections.htm.
Bacillus amyloliquefaciens subsp. plantarum MBI600 (NRRL B-50595) is deposited under accession number NRRL B-50595 with the strain designation Bacillus subtilis 1430 (and identical to NCIMB 1237). Recently, MBI 600 has been re-classified as Bacillus amyloliquefaciens subsp. plantarum based on polyphasic testing which combines classical microbiological methods relying on a mixture of traditional tools (such as culture-based methods) and molecular tools (such as genotyping and fatty acids analysis). Thus, Bacillus subtilis MBI600 (or MBI 600 or MBI-600) is identical to Bacillus amyloliquefaciens subsp. plantarum MBI600, formerly Bacillus subtilis MBI600. Bacillus amyloliquefaciens MBI600 is known as plant growth-promoting rice seed treatment from Int. J. Microbiol. Res. 3(2) (201 1 ), 120-130 and further described e.g. in US 2012/0149571 A1 . This strain MBI600 is e.g. commercially available as liquid formulation product INTEGRAL® (Becker-Underwood Inc., USA).
Bacillus subtilis strain FB17 was originally isolated from red beet roots in North America (System Appl. Microbiol 27 (2004) 372-379). This B. subtilis strain promotes plant health (US 2010/0260735 A1 ; WO 201 1/109395 A2). B. subtilis FB17 has also been deposited at ATCC under number PTA-1 1857 on April 26, 201 1. Bacillus subtilis strain FB17 may be referred elsewhere to as UD1022 or UD10-22.
Bacillus amyloliquefaciens AP-136 (NRRL B-50614), B. amyloliquefaciens AP-188
(NRRL B-50615), B. amyloliquefaciens AP-218 (NRRL B-50618), B. amyloliquefaciens AP-219 (NRRL B-50619), B. amyloliquefaciens AP-295 (NRRL B-50620), B. japonicum SEMIA 5079 (e.g. Gelfix 5 or Adhere 60 from Nitral Urbana Laoboratories, Brazil, a BASF Company), B. japonicum SEMIA 5080 (e.g. GELFIX 5 or ADHERE 60 from Nitral Urbana Laoboratories, Brazil, a BASF Company), B. mojavensis AP-209 (NRRL B- 50616), B. solisalsi AP-217 (NRRL B-50617), B. pumilus strain INR-7 (otherwise referred to as BU-F22 (NRRL B-50153) and BU-F33 (NRRL B-50185)), B. simplex ABU 288 (NRRL B-50340) and B. amyloliquefaciens subsp. plantarum MBI600 (NRRL B-
50595) have been mentioned i.a. in US patent appl. 20120149571 , US 8,445,255, WO 2012/079073. Bradyrhizobium japonicum USDA 3 is known from US patent 7,262,151. Jasmonic acid or salts (jasmonates) or derivatives include without limitation potassium jasmonate, sodium jasmonate, lithium jasmonate, ammonium jasmonate, dimethyl- ammonium jasmonate, isopropylammonium jasmonate, diolammonium jasmonate, diethtriethanolammonium jasmonate, jasmonic acid methyl ester, jasmonic acid amide, jasmonic acid methylamide, jasmonic acid-L-amino acid (amide-linked) conjugates (e.g., conjugates with L-isoleucine, L-valine, L-leucine, or L-phenylalanine), 12-oxo- phytodienoic acid, coronatine, coronafacoyl-L-serine, coronafacoyl-L-threonine, methyl esters of 1 -oxo-indanoyl-isoleucine, methyl esters of 1 -oxo-indanoyl-leucine, coronalon (2-[(6-ethyl-l-oxo-indane-4-carbonyl) -amino]-3-methyl -pentanoic acid methyl ester), linoleic acid or derivatives thereof and cis-jasmone, or combinations of any of the above.
Humates are humic and fulvic acids extracted from a form of lignite coal and clay, known as leonardite. Humic acids are organic acids that occur in humus and other organically derived materials such as peat and certain soft coal. They have been shown to increase fertilizer efficiency in phosphate and micro-nutrient uptake by plants as well as aiding in the development of plant root systems. According to one embodiment of the inventive mixtures, the at least one pesticide II is selected from the groups L1 ) to L6):
L1 ) Microbial pesticides with fungicidal, bactericidal, viricidal and/or plant defense activator activity: Ampelomyces quisqualis M-10 (L.1 .1 ), Aspergillus flavus NRRL 21882 (L1 .2), Aureobasidium pullulans DSM 14940 (L1 .3), A. pullulans DSM 14941 (L.1.4), Bacillus amyloliquefaciens AP-136 (NRRL B-50614) (L.1 .5), B.
amyloliquefaciens AP-188 (NRRL B-50615) (L.1.6), B. amyloliquefaciens AP-218 (NRRL B-50618) (L.1.7), B. amyloliquefaciens AP-219 (NRRL B-50619) (L.1 .8), B. amyloliquefaciens AP-295 (NRRL B-50620) (L.1.9), B. amyloliquefaciens FZB42 (L.1.10), B. amyloliquefaciens IN937a (L.1 .1 1 ), B. amyloliquefaciens IT-45 (CNCM I-3800) (L.1 .12), B. amyloliquefaciens subsp. plantarum MBI600 (NRRL B-50595)
(L.1 .13), B. mojavensis AP-209 (NRRL B-50616) (L.1.15), B. pumilus INR-7 (otherwise referred to as BU-F22 (NRRL B-50153) and BU-F33 (NRRL B-50185)) (L.1.14), B. pumilus KFP9F (L.1.15), B. pumilus QST 2808 (NRRL B-30087) (L.1 .16), B. pumilus GHA 181 (L.1.17), B. simplex ABU 288 (NRRL B-50340) (L.1 .18), B. solisalsi AP-217 (NRRL B-50617) (L.1.19), B. subtilis CX-9060 (L.1.20), B. subtilis GB03 (L.1.21 ), B. subtilis GB07 (L.1 .22), B. subtilis QST-713 (NRRL B-21661 ) (L.1 .23), B. subtilis var. amyloliquefaciens FZB24 (L.1 .24), B. subtilis var. amyloliquefaciens D747 (L.1.25), Candida oleophila I-82 (L.1 .26), C. oleophila O (L.1.27), C. saitoana (L.1.28),
Clavibacter michiganensis (bacteriophages) (L.1.29), Coniothyrium minitans
CON/M/91 -08 (L.1.30), Cryphonectria parasitica (L.1.31 ), Cryptococcus albidus (L.1.32), Dilophosphora alopecuri (L.1.33), Fusarium oxysporum (L.1.34),
Clonostachys rosea f. catenulata J 1446 (also named Gliocladium catenulatum) (L.1 .35), Gliocladium roseum 321 U (L.1 .36), Metschnikowia fructicola NRRL Y-30752
(L.1.37), Microdochium dimerum (L.1.38), Microsphaeropsis ochracea P130A (L.1.39), Muscodor albus QST 20799 (L.1.40), Paenibacillus polymyxa PKB1 (ATCC 202127) (L.1.41 ), Pantoea vagans C9-1 (L.1.42), Phlebiopsis gigantea (L.1.43), Pichia anomala WRL-76 (L.1 .44), Pseudozyma flocculosa PF-A22 UL (L.1 .45), Pythium oligandrum DV 74 (L.1 .46), Sphaerodes mycoparasitica IDAC 301008-01 (L.1 .47), Streptomyces griseoviridis K61 (L.1.48), S. lydicus WYEC 108 (L.1 .49), S. violaceusniger XL-2 (L.1.50), S. violaceusniger YCED-9 (L.1.51 ), Talaromyces flavus V1 17b (L.1.52), Trichoderma asperellum T34 (L.1 .53), T. asperellum SKT-1 (L.1.54), T. asperellum ICC 012 (L.1.55), T. atroviride LC52 (L.1.56), T. atroviride CNCM 1-1237 (L.1.57), T. fertile JM41 R (L.1.58), T. gamsii ICC 080 (L.1 .59), T. harmatum TH 382 (L.1 .60), T.
harzianum TH-35 (L.1 .61 ), T. harzianum T-22 (L.1 .62), T. harzianum T-39 (L.1 .63); mixture of T. harzianum ICC012 and T. viride ICC080 (L.1 .64); mixture of T.
polysporum and T. harzianum (L.1.65); T. stromaticum (L.1 .66), T. virens (also named Gliocladium virens) GL-21 (L.1 .67), T. virens G41 (L.1.68), T. viride TV1 (L.1.69), Typhula phacorrhiza 94671 (L.1.70), Ulocladium oudemansii HRU3 (L.1.71 ),
Verticillium dahlia (L.1.72), zucchini yellow mosaic virus (avirulent strain) (L.1 .73); L2) Biochemical pesticides with fungicidal, bactericidal, viricidal and/or plant defense activator activity: chitosan (hydrolysate) (L.2.1 ), harpin protein (L.2.2), laminarin (L.2.3), Menhaden fish oil (L.2.4), natamycin (L.2.5), Plum pox virus coat protein (L.2.6), potassium bicarbonate (L.2.7), Reynoutria sachlinensis extract (L.2.8), salicylic acid (L.2.9), potassium or sodium bicarbonate (L.2.10), tea tree oil (L.2.1 1 );
L3) Microbial pesticides with insecticidal, acaricidal, molluscidal and/or nematicidal activity: Agrobacterium radiobacter K1026 (L.3.1 ), A radiobacter K84 (L.3.2), Bacillus firmus 1-1582 (L.3.3); B. thuringiensis ssp. aizawai strains ABTS-1857 (L.3.4), SAN 401 I (L.3.5), ABG-6305 (L.3.6) and ABG-6346 (L.3.7); B. t. ssp. israelensis AM65-52
(L.3.8), B. t. ssp. israelensis SUM-6218 (L.3.9), B. t. ssp. galleriae SDS-502 (L.3.10), B. t. ssp. kurstaki EG 2348 (L.3.1 1 ), B. t. ssp. kurstaki SB4 (L.3.12), B. t. ssp. kurstaki ABTS-351 (HD-1 ) (L.3.13), Beauveria bassiana ATCC 74040 (L.3.14), B. bassiana GHA (L.3.15), B. bassiana H123 (L.3.16), B. bassiana DSM 12256 (L.3.17), B.
bassiana PPRI 5339 (L.3.18), B. brongniartii (L.3.19), Burkholderia sp. A396 (L.3.20), Chromobacterium subtsugae PRAA4-1 (L.3.21 ), Cydia pomonella granulosis virus V22 (L.3.22), Cydia pomonella granulosis virus V1 (L.3.23), Isaria fumosorosea Apopka-97 (L.3.24), Lecanicillium longisporum KV42 (L.3.25), L. longisporum KV71 (L.3.26), L. muscarium (formerly Verticillium lecanii) KV01 (L.3.27), Metarhizium anisopliae FI-985 (L.3.28), M. anisopliae FI-1045 (L.3.29), M. anisopliae F52 (L.3.30), M. anisopliae ICIPE 69 (L.3.31 ), M. anisopliae var. acridum IMI 330189 (L.3.32); Nomuraea rileyi strains SA86101 (L.3.33), GU87401 (L.3.34), SR86151 (L.3.35), CG128 (L.3.36) and VA9101 (L.3.37); Paecilomyces fumosoroseus FE 9901 (L.3.38), P. lilacinus 251 (L.3.39), P. lilacinus DSM 15169 (L.3.40), P. lilacinus BCP2 (L.3.41 ), Paenibacillus popilliae Dutky-1940 (NRRL B-2309 = ATCC 14706) (L.3.42), P. popilliae KLN 3, P. popilliae Dutky 1 (L.3.43), Pasteuria spp. Ph3 (L.3.44), Pasteuria spp. ATCC PTA-9643 (L.3.45), Pasteuria spp. ATCC SD-5832 (L.3.46), P. nishizawae PN-1 (L.3.46), P.
penetrans (L.3.47), P. ramose (L.3.48), P. reneformis Pr-3 (L.3.49), P. thornea (L.3.50),
P. usgae (L.3.51 ), Pseudomonas fluorescens CL 145A (L.3.52), Steinernema carpocapsae (L.3.53), S. feltiae (L.3.54), S. kraussei L137 (L.3.55);
L4) Biochemical pesticides with insecticidal, acaricidal, molluscidal, pheromone and/or nematicidal activity: L-carvone (L.4.1 ), citral (L.4.2), (E,Z)-7,9-dodecadien-1 -yl acetate (L.4.3), ethyl formate (L.4.4), (E,Z)-2,4-ethyl decadienoate (pear ester) (L.4.5), (Z,Z,E)-7,1 1 ,13-hexadecatrienal (L.4.6), heptyl butyrate (L.4.7), isopropyl myristate (L.4.8), cis-jasmone (L.4.9), lavanulyl senecioate (L.4.10), 2-methyl 1 -butanol (L.4.1 1 ), methyl eugenol (L.4.12), methyl jasmonate (L.4.13), (E,Z)-2,13-octadecadien-1 -ol (L.4.14), (E,Z)-2,13-octadecadien-1 -ol acetate (L.4.15), (E,Z)-3,13-octadecadien-1 -ol (L.4.16), R-1 -octen-3-ol (L.4.17), pentatermanone (L.4.18), potassium silicate (L.4.19), sorbitol actanoate (L.4.20), (E,Z,Z)-3,8,1 1 -tetradecatrienyl acetate (L.4.21 ), (Z,E)-9,12- tetradecadien-1 -yl acetate (L.4.22), Z-7-tetradecen-2-one (L.4.23), Z-9-tetradecen-1 -yl acetate (L.4.24), Z-1 1 -tetradecenal (L.4.25), Z-1 1 -tetradecen-1 -ol (L.4.26), Acacia negra extract (L.4.27), extract of grapefruit seeds and pulp (L.4.28), extract of
Chenopodium ambrosiodae (L.4.29), Catnip oil (L.4.30), Neem oil (L.4.31 ), Quillay extract (L.4.32), Tagetes oil (L.4.33);
L5) Microbial pesticides with plant stress reducing, plant growth regulator, plant growth promoting and/or yield enhancing activity: Azospirillum amazonense BR 1 1 140 (SpY2T) (L.5.1 ), A. brasilense AZ39 (L.5.2), A. brasilense XOH (L.5.3), A. brasilense BR 1 1005 (Sp245) (L.5.4), A. brasilense BR 1 1002 (L.5.5), A. lipoferum BR 1 1646 (Sp31 ) (L.5.6), A. irakense (L.5.7), A. halopraeferens (L.5.8), Bradyrhizobium sp.
PNL01 (L.5.9), B. sp. (Arachis) CB1015 (L.5.10), B. sp. (Arachis) USDA 3446 (L.5.1 1 ), B. sp. (Arachis) SEMIA 6144 (L.5.12), B. sp. (Arachis) SEMIA 6462 (L.5.13), B. sp. (Arachis) SEMIA 6464 (L.5.14), B. sp. (Vigna) (L.5.15), B. elkanii SEMIA 587 (L.5.16), B. elkanii SEMIA 5019 (L.5.17), B. elkanii U-1301 (L.5.18), B. elkanii U-1302 (L.5.19), B. elkanii USDA 74 (L.5.20), B. elkanii USDA 76 (L.5.21 ), B. elkanii USDA 94 (L.5.22), B. elkanii USDA 3254 (L.5.23), B. japonicum 532c (L.5.24), B. japonicum CPAC 15 (L.5.25), B. japonicum E-109 (L.5.26), B. japonicum G49 (L.5.27), B. japonicum TA-1 1 (L.5.28), B. japonicum USDA 3 (L.5.29), B. japonicum USDA 31 (L.5.30), B. japonicum USDA 76 (L.5.31 ), B. japonicum USDA 1 10 (L.5.32), B. japonicum USDA 121 (L.5.33), B. japonicum USDA 123 (L.5.34), B. japonicum USDA 136 (L.5.35), B. japonicum SEMIA 566 (L.5.36), B. japonicum SEMIA 5079 (L.5.37), B. japonicum SEMIA 5080 (L.5.38), B. japonicum WB74 (L.5.39), B. liaoningense (L.5.40), B. lupini LL13 (L.5.41 ), B. lupini WU425 (L.5.42), B. lupini WSM471 (L.5.43), B. lupini WSM4024 (L.5.44), Glomus intraradices RTI-801 (L.5.45), Mesorhizobium sp. WSM1271 (L.5.46), M. sp. WSM1497 (L.5.47), M. ciceri CC1 192 (L.5.48), M. huakii (L.5.49), M. loti CC829 (L.5.50), M. loti SU343 (L.5.51 ), Paenibacillus alvei NAS6G6 (L.5.52), Penicillium bilaiae (L.5.53), Rhizobium leguminosarum bv. phaseoli RG-B10 (L.5.54), R. I. bv. trifolii RP1 13-7 (L.5.55), R. I. bv. trifolii 095 (L.5.63), R. I. bv. trifolii TA1 (L.5.64), R. I. bv. trifolii CC283b (L.5.65), R. I. bv. trifolii CC275e (L.5.66), R. I. bv. trifolii CB782 (L.5.67), R. I. bv. trifolii CC1099 (L.5.68), R. I. bv. trifolii WSM1325 (L.5.69), R. I. bv. viciae SU303 (L.5.56), R. I. bv. viciae WSM1455 (L.5.57), R. I. bv. viciae P1 NP3Cst (L.5.58), R. I. bv. viciae RG-P2 (L.5.70), R. tropici SEMIA 4080 (L.5.59), R. tropici
SEMIA 4077 (L.5.71 ), R. tropici CC51 1 (L.5.72), Sinorhizobium meliloti MSDJ0848 (L.5.60), S. meliloti NRG185 (L.5.61 ), S. meliloti RRI 128 (L.5.62);
L6) Biochemical pesticides with plant stress reducing, plant growth regulator and/or plant yield enhancing activity: abscisic acid (L.6.1 ), aluminium silicate (kaolin) (L.6.2), 3-decen-2-one (L.6.3), formononectin (L.6.4), genistein (L.6.5), hesperetin (L.6.6), homobrassinlide (L.6.7), humates (L.6.8), methyl jasmonate (L.6.9), cis-jasmone (L.6.10), lysophosphatidyl ethanlamine (L.6.1 1 ), naringenin (L.6.12), polymeric polyhydroxy acid (L.6.13), salicylic acid (L.6.14), Ascophyllum nodosum (Norwegian kelp, Brown kelp) extract (L.6.15) and Ecklonia maxima (kelp) extract (L.6.16).
The present invention furthermore relates to agrochemical compositions comprising a mixture of XXX (component 1 ) and at least one biopesticide selected from the group L) (component 2), in particular at least one further fungicidal biopesticide selected from the groups L1 ) and L2), as described above, and if desired at least one suitable auxiliary.
Preference is also given to mixtures comprising as pesticide II (component 2) a biopesticide from group L1 ), preferably selected from Bacillus amyloliquefaciens AP- 136 (NRRL B-50614 and B-50330), B. amyloliquefaciens AP-188 (NRRL B-50615 and B-50331 ), B. amyloliquefaciens AP-218 (NRRL B-50618), B. amyloliquefaciens AP-219 (NRRL B-50619 and B-50332), B. amyloliquefaciens AP-295 (NRRL B-50620 and B- 50333), B. amyloliquefaciens IT-45 (CNCM I-3800), B. amyloliquefaciens subsp.
plantarum MBI600 (NRRL B-50595), B. mojavensis AP-209 (NRRL B-50616), B.
pumilus INR-7 (otherwise referred to as BU-F22 (NRRL B-50153) and BU-F33 (NRRL B-50185)), B. pumilus KFP9F, B. pumilus QST 2808 (NRRL B-30087), B. pumilus GHA 181 , B. simplex ABU 288 (NRRL B-50340), B. solisalsi AP-217 (NRRL B-50617), B. subtilis CX-9060, B. subtilis GB03, B. subtilis GB07, B. subtilis QST-713 (NRRL B- 21661 ), B. subtilis var. amyloliquefaciens FZB24, B. subtilis var. amyloliquefaciens D747, Paenibacillus alvei NAS6G6, Paenibacillus polymyxa PKB1 (ATCC 202127), Sphaerodes mycoparasitica IDAC 301008-01 and Trichoderma fertile JM41 R, even more preferably from Bacillus amyloliquefaciens AP-136 (NRRL B-50614), B.
amyloliquefaciens AP-188 (NRRL B-50615), B. amyloliquefaciens AP-218 (NRRL B- 50618), B. amyloliquefaciens AP-219 (NRRL B-50619), B. amyloliquefaciens AP-295 (NRRL B-50620), B. amyloliquefaciens IT-45 (CNCM I-3800), B. mojavensis AP-209 (NRRL B-50616), B. pumilus INR-7 (otherwise referred to as BU-F22 (NRRL B-50153) and BU-F33 (NRRL B-50185)), B. pumilus QST 2808 (NRRL B-30087), B. simplex ABU 288 (NRRL B-50340), B. subtilis QST-713 (NRRL B-21661 ), B. subtilis MBI600 (NRRL B-50595), Paenibacillus alvei NAS6G6, Sphaerodes mycoparasitica IDAC 301008-01 and Trichoderma fertile JM41 R.
According to one embodiment of the inventive mixtures, the at least one pesticide II is Bacillus amyloliquefaciens subsp. plantarum MBI600. These mixtures are particularly suitable in soybean.
According to another embodiment of the inventive mixtures, the at least one pesticide II is B. pumilus strain INR-7. These mixtures are particularly suitable in soybean and corn.
According to a further embodiment, the at least one pesticide II is Bacillus simplex, preferably B. simplex strain ABU 288. These mixtures are particularly suitable in soybean and corn.
According to one embodiment of the inventive mixtures, the at least one pesticide II is selected from Bacillus amyloliquefaciens AP-136, B. amyloliquefaciens AP-188, B. amyloliquefaciens AP-218, B. amyloliquefaciens AP-219, B. amyloliquefaciens AP-295, B. amyloliquefaciens FZB42, B. amyloliquefaciens IN937a, B. amyloliquefaciens IT-45, B. amyloliquefaciens subsp. plantarum MBI600, B. mojavensis AP-209, B. pumilus GB34, B. pumilus INR-7, B. pumilus KFP9F, B. pumilus QST 2808, B. pumilus GHA 181 , B. simplex ABU 288, B. solisalsi AP-217, B. subtilis CX-9060, B. subtilis GB03, B. subtilis GB07, B. subtilis QST-713, B. subtilis var. amyloliquefaciens FZB24 and B. subtilis var. amyloliquefaciens D747. These mixtures are particularly suitable in soybean and corn, in particular for seed treatment.
According to a further embodiment, the at least one pesticide II is selected from
Streptomyces spp. Preferably from S. griseoviridis, S. lydicus and S. violaceusniger, in particular from strains S. griseoviridis K61 , S. lydicus WYEC 108, S. violaceusniger XL- 2 and S. violaceusniger YCED-9.
According to a further embodiment, the at least one pesticide II is Sphaerodes mycoparasitica, preferably Sphaerodes mycoparasitica strain IDAC 301008-01 (also referred to as strain SMCD2220-01 ). These mixtures are particularly suitable in soybean, cereals and corn, in particular corn especially to combat Fusarium head blight.
The present invention also relates to mixtures wherein the at least one pesticide II is selected from the following yests and fungi: Ampelomyces quisqualis, in particular strain AQ 10, Aureobasidium pullulans, in particular blastospores of strain DSM14940 or blastospores of strain DSM 14941 or mixtures thereof; Candida oleophila, in particular strains 1-182 and O, Coniothyrium minitans, in particular strain CON/M/91 -8; Dilophosphora alopecuri which reduces annual ryegrass toxicity (ARGT), a disease of livestock resulting from the ingestion of annual ryegrass seed-heads that have been infected by the toxin producing bacterium Rathayibacter toxicus; Gliocladium
catenulatum, in particular strain J 1446; Metschnikovia fructicola, in particular strain NRRL Y-30752, Microsphaeropsis ochracea, in particular strain P130A for control of apple scab; (2.13) Muscodor albus, in particular strain QST 20799, Pichia anomala, in particular strain WRL-076, Pseudozyma flocculosa, in particular strain PF-A22 UL; Pythium oligandrum, in particular strain DV74;
The present invention also relates to mixtures wherein the at least one pesticide II is selected from the fungal genus Trichoderma, preferably from the strains Trichoderma asperellum T34, T. asperellum SKT-1 , T. asperellum ICC 012, T. atroviride LC52, T. atroviride CNCM 1-1237, T. fertile JM41 R, T. gamsii ICC 080, T. harmatum TH 382, T. harzianum TH-35, T. harzianum T-22, T. harzianum T-39, ; mixture of T. harzianum
ICC012 and T. viride ICC080; mixture of T. polysporum and T. harzianum; T.
stromaticum, T. virens GL-21 , T. virens G41 and T. viride TV1 ; in particular T. fertile JM41 R.
The present invention also relates to mixtures wherein the at least one pesticide II is selected from the fungal genus Ulocladium, in particular U. oudemansii HRU3.
Preference is also given to mixtures comprising as pesticide II (component 2) a biopesticide from group L2), preferably selected from chitosan (hydrolysate), methyl- jasmonate, cis-jasmone, laminarin, Reynoutria sachlinensis extract and tea tree oil; even more preferable from methyl jasmonate and laminarin.
Preference is also given to mixtures comprising as pesticide II (component 2) a biopesticide from group L3), preferably selected from Agrobacterium radiobacter K1026, Bacillus firmus 1-1582, Bacillus thuringiensis ssp. kurstaki SB4, Beauveria bassiana GHA, B. bassiana H123, B. bassiana DSM 12256, B. bassiana PPRI 5339, Metarhizium anisopliae var. acridum IMI 330189, M. anisopliae FI-985, M. anisopliae FI-1045, M. anisopliae F52, M. anisopliae ICIPE 69, Paecilomyces lilacinus DSM 15169, P. lilacinus BCP2, Paenibacillus popilliae Dutky-1940 (NRRL B-2309 = ATCC 14706), P. popilliae KLN 3 and P. popilliae Dutky 1 , even more preferably from Bacillus thuringiensis ssp. kurstaki SB4, B. bassiana DSM 12256, B. bassiana PPRI 5339, Metarhizium anisopliae var. acridum IMI 330189, M. anisopliae FI-985, M. anisopliae FI-1045, Paecilomyces lilacinus DSM 15169, P. lilacinus BCP2, Paenibacillus popilliae Dutky-1940 (NRRL B-2309 = ATCC 14706), P. popilliae KLN 3 and P. popilliae Dutky 1 .
According to a further embodiment, the at least one pesticide II is Beauveria bassiana, preferably selected from Beauveria bassiana ATCC 74040, B. bassiana GHA, B. bassiana H123, B. bassiana DSM 12256 and B. bassiana PPRI 5339, in particular Beauveria bassiana strain PPRI 5339. These mixtures are particularly suitable for wide range of arthropod pests, such as white flies, thrips, mites, aphids, tingids and all their developmental stages (eggs, immature stages, and adults) infesting numerous crops (vegetables, cucurbits, solanaceous fruits, strawberry, flowers and ornamentals, grapevine, citrus, pome, stone fruits, etc.). Recent studies have shown that these antagonistic fungal strains can effectively control also nut-weevils, wireworms (Agriotes spp.), and Tephritid flies, such as the Mediterranean fruit fly, Ceratitis capitata, the cherry fruit fly, Rhagoletis cerasi, and the olive fly, Bactrocera oleae. They are also useful in soybean and corn.
According to a further embodiment, the at least one pesticide II is Beauveria brongniartii.
According to a further embodiment, the at least one pesticide II is Metarhizium anisopliae or M. anisopliae var. acridium, preferably selected from M. anisopliae Fl- 1045, M. anisopliae F52, M. anisopliae var. acridum strains FI-985 and IMI 330189, in particular strain IMI 330189. These mixtures are particularly suitable for control of arthropod pests in soybean and corn.
According to a further embodiment, the at least one pesticide II is Lecanicillium sp., preferably selected from Lecanicillium longisporum KV42, L. longisporum KV71 and L. muscarium (formerly Verticillium lecanii) KV01 .
According to a further embodiment, the at least one pesticide II is Paecilomyces fumosoroseus, preferably strain FE 9901 especially for white fly control.
According to a further embodiment, the at least one pesticide II is selected from Nomuraea rileyi, preferably strains SA86101 , GU87401 , SR86151 , CG128 and VA9101 ; and P. lilacinus, preferably strains 251 , DSM 15169 or BCP2, in particular BCP2, which strains especially control the growth of plant-pathogenic nematodes. According to a further embodiment, the at least one pesticide II is Bacillus firmus, preferably spores of strain CNCM 1-1582, preferable for seed treatment of soybean and corn against nematodes and insects.
According to a further embodiment, the at least one pesticide II is B. cereus preferably spores of CNCM 1-1562, preferable for seed treatment of soybean and corn against nematodes and insects.
According to a further embodiment, the at least one pesticide II is a mixture of spores of B. firmus and B. cereus, preferably mixtures spores of strains CNCM 1-1582 and CNCM 1-1562, preferable for seed treatment of soybean and corn against nematodes and insects.
According to a further embodiment, the at least one pesticide II is selected from
Bacillus thuringiensis, preferably B. thuringiensis ssp. aizawai, in particular B. t. ssp. aizawai strains ABTS-18, SAN 401 I, ABG-6305 and ABG-6346, which are effective against different lepidopteran species including also noctuidae.
According to a further embodiment, the at least one pesticide II is selected from Bacillus t. ssp. israelensis, preferably AM65-52, SAN 402 I and ABG-6164, which are applied against larvae of various dipteran pests, e.g. mosquitoes and nematoceres. According to a further embodiment, the at least one pesticide II is selected from Bacillus t. ssp. kurstaki preferably from strains EG 2348, SB4 and ABTS-351 (HD-1 ), in particular B. thuringiensis ssp. kurstaki SB4. These strains are used for control of lepidopteran larvae, but without noctuidae.
According to a further embodiment, the at least one pesticide II is selected from Bacillus thuringiensis subsp. tenebrionis, preferably the strains DSM 2803, NB-125 and NB-176, in particular NB-176, which all protect plants e.g. against leaf beetle larvae. Preference is also given to mixtures comprising as pesticide II (component 2) a biopesticide from group L4), preferably selected from methyl jasmonate, Acacia negra extract, extract of grapefruit seeds and pulp, Catnip oil, Neem oil, Quillay extract and Tagetes oil, in particular methyl jasmonate or water-based Quillay extract. Preference is also given to mixtures comprising as pesticide II (component 2) a biopesticide from group L5), preferably selected from Azospirillum amazonense BR 1 1 140 (SpY2T), A. brasilense XOH, A. brasilense BR 1 1005 (Sp245), A. brasilense BR 1 1002, A. lipoferum BR 1 1646 (Sp31 ), A. irakense, A. halopraeferens, Bacillus
amyloliquefaciens AP-136 (NRRL B-50614), Bradyrhizobium sp. (Vigna), B. japonicum USDA 3, B. japonicum USDA 31 , B. japonicum USDA 76, B. japonicum USDA 1 10, B. japonicum USDA 121 , Glomus intraradices RTI-801 , Paenibacillus alvei NAS6G6, Penicillium bilaiae, Rhizobium leguminosarum bv. phaseoli, R. I. trifolii, R. I. bv. viciae, and Sinorhizobium meliloti, more preferably selected from Azospirillum brasilense BR 1 1005 (Sp245), Bradyrhizobium sp. (Vigna), B. japonicum USDA 3, B. japonicum USDA 31 , B. japonicum USDA 76, B. japonicum USDA 1 10, B. japonicum USDA 121 , Rhizobium leguminosarum bv. phaseoli, R. I. trifolii RP1 13-7, R. I. bv. viciae SU303, R. I. bv. viciae WSM1455, R. tropici SEMIA 4077, R. tropici SEMIA 4080 and
Sinorhizobium meliloti.
According to another embodiment of the inventive mixtures, Bradyrhizobium sp.
(meaning any Bradyrhizobium species and/or strain) as pesticide II is Bradyrhizobium japonicum (B. japonicum). These mixtures are particularly suitable in soybean. B. japonicum strains were cultivated using media and fermentation techniques known in the art, e.g. in yeast extract-mannitol broth (YEM) at 27°C for about 5 days.
The present invention also relates to mixtures, wherein the at least one pesticide II is selected from Bradyrhizobium japonicum (B. japonicum) and further comprisies a compound III, wherein compound III is selected from jasmonic acid or salts or derivatives thereof including cis-jasmone, preferably methyl-jasmonate or cis-jasmone. References for various B. japonicum strains are given e.g. in US 7,262,151 (B.
japonicum strains USDA 1 10 (= IITA 2121 , SEMIA 5032, RCR 3427, ARS 1-1 10, Nitragin 61A89; isolated from Glycine max in Florida in 1959, Serogroup 1 10; Appl Environ Microbiol 60, 940-94, 1994), USDA 31 (= Nitragin 61A164; isolated from Glycine max in Wisoconsin in 1941 , USA, Serogroup 31 ), USDA 76 (plant passage of strain USDA 74 which has been isolated from Glycine max in California, USA, in 1956, Serogroup 76), USDA 121 (isolated from Glycine max in Ohio, USA, in 1965), USDA 3 (isolated from Glycine max in Virginia, USA, in 1914, Serogroup 6), USDA 121 (Crop Science 26(5), 91 1 -916, 1986) and USDA 136 (= CB 1809, SEMIA 586, Nitragin 61A136, RCR 3407; isolated from Glycine max in Beltsville, Maryland in 1961 ; Appl Environ Microbiol 60, 940-94, 1994). Further suitable B. japonicum strain G49 (INRA, Angers, France) is described in Fernandez-Flouret, D. & Cleyet-Marel, J. C. (1987) C R Acad Agric Fr 73, 163-171 ), especially for soybean grown in Europe, in particular in France. Further suitable B. japonicum strain TA-1 1 (TA1 1 NOD+) (NRRL B-18466) is i.a. described in US 5,021 ,076; Appl Environ Microbiol (1990) 56, 2399-2403 and commercially available as liquid inoculant for soybean (VAULT® NP, Becker
Underwood, USA). Further B. japonicum strains as example for pesticide II are described in US2012/0252672A. Further suitable and especially in Canada
commercially available strain 532c (The Nitragin Company, Milwaukee, Wisconsin, USA, field isolate from Wisconsin; Nitragin strain collection No. 61A152; Can J Plant Sci 70 (1990), 661 -666) (e.g. in RHIZOFLO, HISTICK, HICOAT Super from Becker Underwood, Canada). Preferably, B. japonicum is selected from strains TA-1 1 and 532c, more preferably a mixture of B. japonicum strains TA-1 1 and 532c.
Other suitable and commercially available B. japonicum strains (see e.g. Appl Environ Microbiol 2007, 73(8), 2635) are SEMIA 566 (isolated from North American inoculant in 1966 and used in Brazilian commercial inoculants from 1966 to 1978), SEMIA 586 (= CB 1809; originally isolated in Maryland, USA but received from Austrailia in 1966 and used in Brazilian inoculants in 1977), CPAC 15 (= SEMIA 5079; a natural varaiant of SEMIA 566 used in commercial inoculants since 1992) and CPAC 7 (= SEMIA 5080; a natural variant of SEMIA 586 used in commercial inoculants since 1992). These strains are especially suitable for soybean grown in Australia or South America, in particular in Brazil. In particular, mixtures of B. japonicum SEMIA 5079 and SEMIA 5080 are suitable. Some of the abovementioned strains have been re-classified as a novel species Bradyrhizobium elkanii, e.g. strain USDA 76 (Can. J. Microbiol., 1992, 38, 501 - 505).
Another suitable and commercially available B. japonicum strain is E-109 (variant of strain USDA 138, see e.g. Eur. J. Soil Biol. 45 (2009) 28-35; Biol Fertil Soils (201 1 ) 47:81-89, deposited at Agriculture Collection Laboratory of the Instituto de
Microbiologia y Zoologia Agncola (IMYZA), Instituto Nacional de Tecnologi'a
Agropecuaria (INTA), Castelar, Argentina). This strain is especially suitable for soybean grown in South America, in particular in Argentina.
Another suitable and commercially available B. japonicum strain are WB74 or WB74-1 (e.g. from Stimuplant CC, South Africa or from SoyGro Bio-Fertilizer Ltd, South Africa). These strains are especially suitable for soybean grown in South America and Africa, in particular in South Africa.
The present invention also relates to mixtures, wherein the at least one pesticide II is selected from Bradyrhizobium elkanii and Bradyrhizobium liaoningense (B. elkanii and B. liaoningense), more preferably from B. elkanii. These mixtures are particularly suitable in soybean. B. elkanii and liaoningense were cultivated using media and fermentation techniques known in the art, e.g. in yeast extract-mannitol broth (YEM) at 27°C for about 5 days.
The present invention also relates to mixtures wherein the at least one pesticide II is selected from selected from B. elkanii and B. liaoningense and further comprises a compound III, wherein compound III is selected from jasmonic acid or salts or derivatives thereof including cis-jasmone, preferably methyl-jasmonate or cis-jasmone. Suitable and commercially available B. elkanii strains are SEMIA 587 and SEMIA 5019 (=29W) (see e.g. Appl Environ Microbiol 2007, 73(8), 2635) and USDA 3254 and USDA 76 and USDA 94. Preferably, mixtures of B. elkanii strains SEMIA 587 and
SEMIA 5019 are useful (e.g. in Gelfix 5 from Nitral Urbana Laboratories, Brazil, a BASF Company). Further commercially available B. elkanii strains are U-1301 and U-1302 (e.g. product Nitroagin® Optimize from Novozymes Bio As S.A., Brazil or NITRASEC for soybean from LAGE y Cia, Brazil). These strains are especially suitable for soybean grown in Australia or South America, in particular in Brazil.
The present invention also relates to mixtures, wherein pesticide II is selected from Bradyrhizobium sp. (Arachis) (B. sp. Arachis) which shall describe the cowpea miscellany cross-inoculation group which includes inter alia indigenous cowpea
bradyrhizobia on cowpea (Vigna unguiculata), siratro (Macroptilium atropurpureum), lima bean (Phaseolus lunatus), and peanut (Arachis hypogaea). This mixture comprising as pesticide II B. sp. Arachis is especially suitable for use in peanut, Cowpea, Mung bean, Moth bean, Dune bean, Rice bean, Snake bean and Creeping vigna, in particular peanut.
The present invention also relates to mixtures wherein the at least one pesticide II is selected from B. sp. (Arachis) and further comprises a compound III, wherein compound III is selected from jasmonic acid or salts or derivatives thereof including cis- jasmone, preferably methyl-jasmonate or cis-jasmone.
Suitable and commercially available B. sp. (Arachis) strain is CB1015 (= IITA 1006, USDA 3446 presumably originally collected in India; from Australian Inoculants
Research Group; see e.g. http://www.qaseeds.com.au/inoculant_applic.php). These strains are especially suitable for peanut grown in Australia, North America or South America, in particular in Brazil. Further suitable strain is Bradyrhizobium sp. PNL01 (Becker Underwood, ; Bisson and Mason, April 29, 2010, Project report, Worcester Polytechnic Institute, Worcester, MA, USA: http://www.wpi.edu/Pubs/E- project/Available/E-project-042810-163614/).
Suitable and commercially available Bradyrhizobium sp. (Arachis) strains especially for cowpea and peanut but also for soybean are Bradyrhizobium SEMIA 6144, SEMIA 6462 (= BR 3267) and SEMIA 6464 (= BR 3262; see e.g. FEMS Microbiology Letters (2010) 303(2), 123-131 ; Revista Brasileira de Ciencia do Solo (201 1 ) 35(3);739-742, ISSN 0100-0683).
The present invention also relates to mixtures, wherein the at least one pesticide II is selected from Bradyrhizobium sp. (Lupine) (also called B. lupini, B. lupines or
Rhizobium lupini). This mixture is especially suitable for use in dry beans and lupins. The present invention also relates to mixtures wherein the at least one pesticide II is selected from Bradyrhizobium sp. (Lupine) (B. lupini) and further comprises a compound III, wherein compound III is selected from jasmonic acid or salts or derivatives thereof including cis-jasmone, preferably methyl-jasmonate or cis-jasmone. Suitable and commercially available B. lupini strain is LL13 (isolated from Lupinus iuteus nodules from French soils; deposited at INRA, Dijon and Angers, France;
http://agriculture.gouv.fr/IMG/pdf/ch20060216.pdf). This strain is especially suitable for lupins grown in Australia, North America or Europe, in particular in Europe.
Further suitable and commercially available B. lupini strains WU425 (isolated in Esperance, Western Australia from a non-Australian legume Ornthopus compressus), WSM4024 (isolated from lupins in Australia by CRS during a 2005 survey) and
WSM471 (isolated from Ornithopus pinnatus in Oyster Harbour, Western Australia) are described e.g. in Palta J.A. and Berger J.B. (eds), 2008, Proceedings 12th International Lupin Conference, 14-18 Sept. 2008, Fremantle, Western Australia. International Lupin Association, Canterbury, New Zealand, 47-50, ISBN 0-86476-153-8:
http://www.lupins.org/pdf/conference/2008/Agronomy%20and%20Production/John%20 Howieson%20and%20G%20OHara.pdf; Appl. Environ. Microbiol. 71 , 7041 -7052, 2005; Australian J. Exp. Agricult. 36(1 ), 63-70, 1996.
The present invention also relates to mixtures, wherein the at least one pesticide II is selected from Mesorhizobium sp. (meaning any Mesorhizobium species and/or strain), more preferably Mesorhizobium ciceri. These mixtures are particularly suitable in cowpea.
The present invention also relates to mixtures wherein the at least one pesticide II is selected from Mesorhizobium sp. and further comprises a compound III, wherein compound III is selected from jasmonic acid or salts or derivatives thereof including cis- jasmone, preferably methyl-jasmonate or cis-jasmone.
Suitable and commercially available Mesorhizobium sp. strains are e.g. M. ciceri CC1 192 (=UPM 848, CECT 5549; from Horticultural Research Station, Gosford,
Australia; collected in Israel from Cicer arietinum nodules; Can J Microbial (2002) 48, 279-284) and Mesorhizobium sp. strains WSM1271 (collected in Sardinia, Italy, from plant host Biserrula pelecinus), WSM 1497 (collected in Mykonos, Greece, from plant host Biserrula pelecinus), M. loti strains CC829 (commerical inoculant for Lotus pedunculatus and L. ulginosus in Australia, isolated from L. ulginosus nodules in USA; NZP 2012), M. loti SU343 (a commercial inoculant for Lotus corniculatus in Australia; isolated from host nodules in USA). For references see e.g. Soil Biol Biochem (2004) 36(8), 1309-1317; Plant and Soil (201 1 ) 348(1 -2), 231 -243).
Suitable and commercially available M. loti strains are e.g. M. loti CC829 for Lotus pedunculatus.
The present invention also relates to mixtures wherein the at least one pesticide II is selected from Mesorhizobium huakuii, also referred to as Rhizobium huakuii (see e.g. Appl. Environ. Microbiol. 201 1 , 77(15), 5513-5516). These mixtures are particularly suitable in Astralagus, e.g. Astalagus sinicus (Chinese milkwetch), Thermopsis, e.g. Thermopsis luinoides (Goldenbanner) and alike.
The present invention also relates to mixtures wherein the at least one pesticide II is selected from Mesorhizobium huakuii and further comprises a compound III, wherein compound III is selected from jasmonic acid or salts or derivatives thereof including cis- jasmone, preferably methyl-jasmonate or cis-jasmone.
Suitable and commercially available M. huakuii strain is HN3015 which was isolated from Astralagus sinicus in a rice-growing field of Southern China (see e.g. World J. Microbiol. Biotechn. (2007) 23(6), 845-851 , ISSN 0959-3993).
The present invention also relates to mixtures, wherein the at least one pesticide II is selected from Azospirillum amazonense, A. brasilense, A. Iipoferum, A. irakense and A. halopraeferens, more preferably from A. brasilense, in particular selected from A.
brasilense strains BR 1 1005 (Sp245) and AZ39 which are both commercially used in Brazil and are obtainable from EMBRAPA-Agribiologia, Brazil. These mixtures are particularly suitable in soybean.
The present invention also relates to mixtures wherein the at least one pesticide II is selected from A. amazonense, A. brasilense, A. Iipoferum, A. irakense and A.
halopraeferens, more preferably A. brasilense, and further comprises a compound III, wherein compound III is selected from jasmonic acid or salts or derivatives thereof including cis-jasmone, preferably methyl-jasmonate or cis-jasmone.
The present invention also relates to mixtures wherein the at least one pesticide II is selected from Rhizobium leguminosarum bv. phaseoli, especially strain RG-B10 thereof; R. I. trifolii, especially strain RP1 13-7 thereof, R. I. bv. viciae, in particular strains SU303, WSM1455 and P1 NP3Cst thereof; R. tropici, especially strains CC51 1 , SEMIA 4077 and SEMIA 4080 thereof; and Sinorhizobium meliloti, especially strain MSDJ0848 thereof.
According to a further embodiment, in the inventive mixtures pesticide II is selected from one compound II selected from Sinorhizobium meliloti MSDJ0848, S. meliloti NRG 185, S. me///of/ RRI 128, S. me///of/ SU277, Rhizobium leguminosarum bv.
phaseoli RG-B10, R. leguminosarum bv. viciae P1 NP3Cst, R. leguminosarum bv. viciae RG-P2, R. leguminosarum bv. viciae SU303, R. leguminosarum bv. viciae WSM1455, R. leguminosarum bv. trifolii RP1 13-7, R. leguminosarum bv. trifolii 095, R. leguminosarum bv. frifo/// TA1 , R. leguminosarum bv. trifolii CC283b, R.
leguminosarum bv. trifolii CB782, R. leguminosarum bv. trifolii CC1099, R.
leguminosarum bv. trifolii CC275e, R. leguminosarum bv. info// WSM 1325, R. tropici CC51 1 , R. tropici SEMIA 4077 and R. tropici SEMIA 4080.
Sinorhizobium meliloti is commercially available from Becker Underwood as product Dormal® Alfalfa & Luzerne. Rhizobium leguminosarum bv. phaseoli is commercially available from Becker Underwood as product Rhizo Stick. These strains are particulyrly suitable as inoculants for various legumes such as alfalfa, clover, peas, beans, lentils, soybeans, peanuts and others.
Rhizobium leguminosarum bv. phaseoli, also called R. phaseoli and recently the type I isolates being re-classified as R. etli, is commercially available from Becker
Underwood, now BASF Corporation, USA, as product Rhizo-Stick for dry beans.
Particularly suitable strains especially for the legume common bean (Phaseolus vulgaris), but also for other crops such as corn and lettuce, are as follows: R.
leguminosarum bv. phaseoli RG-B10 (identical to strain USDA 9041 ) is commercially available as NODULATOR Dry Bean in Africa, HiStick NT Dry bean in US, and
NOUDLATOR Dry Bean in Canada from Becker Underwood, USA, now BASF
Corporation, USA and is known from Int. J. Syst. Bacteriol. 46(1 ), 240-244, 1996; Int. J. Syst. Evol. Microbiol. 50, 159-170, 2000.
Further R. I. bv. phaseoli or R. etli strains are e.g. known from the abovementioned refences and Appl. Environ. Microbiol. 45(3), 737-742, 1983; ibida 54(5), 1280-1283, 1988.
R. legominosarum bv. viciae P1 NP3Cst (also referred to as 1435) is known from New Phytol. 179(1 ), 224-235, 2008; and e.g. in NODULATOR PL Peat Granule from Becker Underwood, USA; or in NODULATOR XL PL from Becker Underwood, Canada). R. leguminosarum bv. viciae RG-P2 (also called P2) is commercially available as inoculant for pean and lentils as RhizUP peat in Canada from Becker Underwood, Canada now BASF Agricultural Specialties Ltd., Canada. R. leguminosarum bv. viciae WSM1455 is commercially available NODULAID for faba beans peat from Becker Underwood, Australia now BASF Agricultural Specialties Ltd., Australia. R.
leguminosarum bv. viciae SU303 is commercially available as NODULAID Group E,
NODULAID NT peat or NODULATOR granules for peas from Becker Underwood, Australia now BASF Agricultural Specialties Ltd., Australia. R. leguminosarum bv. viciae WSM1455 is commercially available as NODULAID Group F peat, NODULAID NT and NODULATOR granules for faba bean from Becker Underwood, Australia, now BASF Agricultural Specialties, Australia, and is also as inoculant for faba beans as NODULATOR SA faba bean in Canada or as Faba Sterile Peat in Europe or as NODULATOR faba bean granules in Canada from Becker Underwood, Canada now BASF Agricultural Specialties Ltd., Canada.
Rhizobium leguminosarum bv. trifolii \s commercially available from Becker Underwood as product Nodulator or DORMAL true clover. Suitable strains are especially useful for all kind of clovers, are as follows: R. legominosarum bv. trifolii strains RP1 13-7 (also called 1 13-7) and 095 are commercially available from Becker Underwood, USA, now BASF Corporation, USA; see also Appl. Environ. Microbiol. 44(5), 1096-1 101 . Suitable strain R. legominosarum bv. fr/To//7 TA1 obtained from Australia is known from Appl. Environ. Microbiol. 49(1 ), 127-131 , 1985 and commercially available as NODULAID peat for white clover from Becker Underwood, Australia, now BASF Agricultural Specialties, Australia. R. leguminosarum bv. trifolii CC283b is commercially available as NODULAID peat for Caucasian clover from Becker Underwood, Australia, now BASF Agricultural Specialties, Australia. R. leguminosarum bv. trifolii CC1099 is commercially available as NODULAID peat for sainfoin from Becker Underwood, Australia, now BASF Agricultural Specialties, Australia. R. leguminosarum bv. trifolii CC275e is commercially available as NODULAID peat for NZ white clover from Becker Underwood, Australia, now BASF Agricultural Specialties, Australia. R. leguminosarum bv. trifolii CB782 is commercially available as NODULAID peat for Kenya white clover from Becker Underwood, Australia, now BASF Agricultural Specialties, Australia. R. legominosarum bv. trifolii strain WSM1325 has been collected in 1993 from the Greek Island of Serifos, is commercially available in NODULAID peat for sub clover and NODULATOR granules for sub clover both from Becker Underwood, Australia, now BASF Agricultural Specialties, Australia for a broad range of annual clovers of
Mediterranean origin, and is known from Stand. Genomic Sci. 2(3), 347-356, 2010. R. legominosarum bv. trifolii strain WSM2304 has been isolated from Trifolium
polymorphum in Uruguay in 1998 and is known from Stand. Genomic Sci. 2(1 ), 66-76, 2010, and is particularly suitable to nodulate its clover host in Uruguay.
R. tropici ls useful for a range of legume crops especially in tropical regions such as Brazil. Suitable strains are especially useful for all kind of clovers, are as follows: R. tropici strain SEMIA 4080 (identical to PRF 81 ; known from Soil Biology & Biochemistry 39, 867-876, 2007; BMC Microbiol. 12:84, 2012) is commercially available in
NITRAFIX FEIJAO peat for beans from BASF Agricultural Specialties, Brazil and has been used as commercial inoculant for applications to common bean crops in Brazil since 1998, and is deposited with FEPAGRO-Fundagao Estadual de Pesquisa
Agropecuaria, Rua Gongalves Dias, 570, Bairro Menino Deus, Porto Alegre/RS, Brazil. R. tropici is useful for a range of legume crops especially in tropical regions such as Brazil. Suitable strains are especially useful for all kind of clovers, are as follows: R.
tropici strain SEMIA 4077 (identical to CIAT899; Rev. Ciena Agron. 44(4) Fortaleza Oct./Dec. 2013) is commercially available in NITRAFIX FEIJAO peat for beans from BASF Agricultural Specialties, Brazil. R. tropici strain CC51 1 is commercially available as NODULAID peat for common bean from Becker Underwood, Australia, now BASF Agricultural Speciealties, Australia, and is known from Agronomy, N.Z. 36, 4-35, 2006. The present invention also relates to mixtures wherein the at least one pesticide II is selected from R. leguminosarum bv. phaseoli, R. I. trifolii, R. I. bv. viciae, R. tropici and Sinorhizobium meliloti, and further comprises a compound III, wherein compound III is selected from jasmonic acid or salts or derivatives thereof including cis-jasmone, preferably methyl-jasmonate or cis-jasmone.
According to a further embodiment, the at least one pesticide II is selected from Delftia acidovorans, in particular strain RAY209, especially in soybean and canola.
According to a further embodiment, the at least one pesticide II is selected from Lysobacter spp., preferably selected from L.antibioticus, in particular strains 13-1 and HS124, preferably in rice or pepper for control of Phytophthora or bacterial leaf blight. According to a further embodiment, the at least one pesticide II is selected from L. enzymogenes, in particular strain 3.1 T8.
According to a further embodiment, the at least one pesticide II is selected from Lysobacter spp., preferably selected from Pseudomonas spp., in particular strain MA 342 and Pseudomonas sp. DSM 13134.
According to a further embodiment, the at least one pesticide II is selected from Penicillium bilaiae.
Preference is also given to mixtures comprising as pesticide II (component 2) a biopesticide from group L6), preferably selected from abscisic acid, aluminium silicate (kaolin), humates, Ascophyllum nodosum (Norwegian kelp, Brown kelp) extract and Ecklonia maxima (kelp) extract.
Preference is also given to mixtures comprising as pesticide II a biopesticide selected from the isoflavones formonennitin, hesperetin and naringenin.
Accordingly, the present invention furthermore relates to compositions comprising one compound I (component 1 ) and one further pesticide II (component 2), which further pesticide II is selected from the column "Co. 2" of the lines C-1 to C-830 of Table C. A further embodiment relates to the compositions C-1 to C-830 listed in Table C, where a row of Table C corresponds in each case to a fungicidal composition comprising as active component one of the in the present specification individualized compounds of formula I (component 1 ) and the respective further pesticide II from groups A) to O) (component 2) stated in the row in question. Preferably, the compositions described comprise the active components in synergistically effective amounts.
Table C: Compositions comprising as active components one indiviualized compound I (I) (in column Co.1 ) and as component 2) (in column Co.2) one further pesticide II from groups A) to O) [which is coded e.g. as (A.1.1 ) for azoxystrobin as defned above].
Mixt. Co.1 Co.2 Mixt. Co.1 Co.2 Mixt. Co.1 Co.2
C-1 (I) (A.1.1) C-41 (I) (A.3.13) C-81 (I) (B.1.14)
C-2 (I) (A.1.2) C-42 (I) (A.3.14) C-82 (I) (B.1.15)
C-3 (I) (A.1.3) C-43 (I) (A.3.15) C-83 (I) (B.1.16)
C-4 (I) (A.1.4) C-44 (I) (A.3.16) C-84 (I) (B.1.17)
C-5 (I) (A.1.5) C-45 (I) (A.3.17) C-85 (I) (B.1.18)
C-6 (I) (A.1.6) C-46 (I) (A.3.18) C-86 (I) (B.1.19)
C-1 (I) (A.1.7) C-47 (I) (A.3.19) C-87 (I) (B.1.20)
C-8 (I) (A.1.8) C-48 (I) (A.3.20) C-88 (I) (B.1.21)
C-9 (I) (A.1.9) C-49 (I) (A.3.21) C-89 (I) (B.1.22)
C-10 (I) (A.1.10) C-50 (I) (A.3.22) C-90 (I) (B.1.23)
C-11 (I) (A.1.11) C-51 (I) (A.3.23) C-91 (I) (B.1.24)
C-12 (I) (A.1.12) C-52 (I) (A.3.24) C-92 (I) (B.1.25)
C-13 (I) (A.1.13) C-53 (I) (A.3.25) C-93 (I) (B.1.26)
C-14 (I) (A.1.14) C-54 (I) (A.3.26) C-94 (I) (B.1.27)
C-15 (I) (A.1.15) C-55 (I) (A.3.27) C-95 (I) (B.1.28)
C-16 (I) (A.1.16) C-56 (I) (A.4.1) C-96 (I) (B.1.29)
C-17 (I) (A.1.17) C-57 (I) (A.4.2) C-97 (I) (B.1.30)
C-18 (I) (A.1.18) C-58 (I) (A.4.3) C-98 (I) (B.1.31)
C-19 (I) (A.1.19) C-59 (I) (A.4.4) C-99 (I) (B.1.32)
C-20 (I) (A.1.20) C-60 (I) (A.4.5) C-100 (I) (B.1.33)
C-21 (I) (A.1.21) C-61 (I) (A.4.6) C-101 (I) (B.1.34)
C-22 (I) (A.2.1) C-62 (I) (A.4.7) C-102 (I) (B.1.35)
C-23 (I) (A.2.2) C-63 (I) (A.4.8) C-103 (I) (B.1.36)
C-24 (I) (A.2.3) C-64 (I) (A.4.9) C-104 (I) (B.1.37)
C-25 (I) (A.2.4) C-65 (I) (A.4.10) C-105 (I) (B.1.38)
C-26 (I) (A.2.5) C-66 (I) (A.4.11) C-106 (I) (B.1.39)
C-27 (I) (A.2.6) C-67 (I) (A.4.12) C-107 (I) (B.1.40)
C-28 (I) (A.2.7) C-68 (I) (B.1.1) C-108 (I) (B.1.41)
C-29 (I) (A.3.1) C-69 (I) (B.1.2) C-109 (I) (B.1.42)
C-30 (I) (A.3.2) C-70 (I) (B.1.3) C-110 (I) (B.1.43)
C-31 (I) (A.3.3) C-71 (I) (B.1.4) C-111 (I) (B.1.44)
C-32 (I) (A.3.4) C-72 (I) (B.1.5) C-112 (I) (B.1.45)
C-33 (I) (A.3.5) C-73 (I) (B.1.6) C-113 (I) (B.1.46)
C-34 (I) (A.3.6) C-74 (I) (B.1.7) C-114 (I) (B.1.47)
C-35 (I) (A.3.7) C-75 (I) (B.1.8) C-115 (I) (B.1.48)
C-36 (I) (A.3.8) C-76 (I) (B.1.9) C-116 (I) (B.1.49)
C-37 (I) (A.3.9) C-77 (I) (B.1.10) C-117 (I) (B.1.50)
C-38 (I) (A.3.10) C-78 (I) (B.1.11) C-118 (I) (B.2.1)
C-39 (I) (A.3.11) C-79 (I) (B.1.12) C-119 (I) (B.2.2)
C-40 (I) (A.3.12) C-80 (I) (B.1.13) C-120 (I) (B.2.3)
Mixt. Co.1 Co. 2 Mixt. Co.1 Co. 2 Mixt. Co.1 Co. 2
C-121 (I) (B.2.4) C-162 (I) (E.2.6) C-203 (I) (H.2.3)
C-122 (I) (B.2.5) C-163 (I) (E.2.7) C-204 (I) (H.2.4)
C-123 (I) (B.2.6) C-164 (I) (E.2.8) C-205 (I) (H.2.5)
C-124 (I) (B.2.7) C-165 (I) (F.1.1 ) C-206 (I) (H.2.6)
C-125 (I) (B.2.8) C-166 (I) (F.1.2) C-207 (I) (H.2.7)
C-126 (I) (B.3.1 ) C-167 (I) (F.1.3) C-208 (I) (H.2.8)
C-127 (I) (C.1.1 ) C-168 (I) (F.1.4) C-209 (I) (H.2.9)
C-128 (I) (C.1.2) C-169 (I) (F.1.5) C-210 (I) (H.3.1 )
C-129 (I) (C.1.3) C-170 (I) (F.1.6) C-21 1 (I) (H.3.2)
C-130 (I) (C.1.4) C-171 (I) (F.2.1 ) C-212 (I) (H.3.3)
C-131 (I) (C.1.5) C-172 (I) (G.1 .1 ) C-213 (I) (H.3.4)
C-132 (I) (C.1.6) C-173 (I) (G.1 .2) C-214 (I) (H.3.5)
C-133 (I) (C.1.7) C-174 (I) (G.1 .3) C-215 (I) (H.3.6)
C-134 (I) (C.2.1 ) C-175 (I) (G.1 .4) C-216 (I) (H.3.7)
C-135 (I) (C.2.2) C-176 (I) (G.2.1 ) C-217 (I) (H.3.8)
C-136 (I) (C.2.3) C-177 (I) (G.2.2) C-218 (I) (H.3.9)
C-137 (I) (C.2.4) C-178 (I) (G.2.3) C-219 (I) (H.3.10)
C-138 (I) (C.2.5) C-179 (I) (G.2.4) C-220 (I) (H.3.1 1 )
C-139 (I) (C.2.6) C-180 (I) (G.2.5) C-221 (I) (H.4.1 )
C-140 (I) (C.2.7) C-181 (I) (G.2.6) C-222 (I) (H.4.2)
C-141 (I) (D.1.1 ) C-182 (I) (G.2.7) C-223 (I) (H.4.3)
C-142 (I) (D.1.2) C-183 (I) (G.3.1 ) C-224 (I) (H.4.4)
C-143 (I) (D.1.3) C-184 (I) (G.3.2) C-225 (I) (H.4.5)
C-144 (I) (D.1.4) C-185 (I) (G.3.3) C-226 (I) (H.4.6)
C-145 (I) (D.1.5) C-186 (I) (G.3.4) C-227 (I) (H.4.7)
C-146 (I) (D.1 .6) C-187 (I) (G.3.5) C-228 (I) (H.4.8)
C-147 (I) (D.2.1 ) C-188 (I) (G.3.6) C-229 (I) (H.4.9)
C-148 (I) (D.2.2) C-189 (I) (G.3.7) C-230 (I) (H.4.10)
C-149 (I) (D.2.3) C-190 (I) (G.3.8) C-231 (I) (1.1 .1 )
C-150 (I) (D.2.4) C-191 (I) (G.4.1 ) C-232 (I) (1.1 .2)
C-151 (I) (D.2.5) C-192 (I) (G.5.1 ) C-233 (I) (1.2.1 )
C-152 (I) (D.2.6) C-193 (I) (G.5.2) C-234 (I) (I.2.2)
C-153 (I) (D.2.7) C-194 (I) (G.5.3) C-235 (I) (I.2.3)
C-154 (I) (E.1 .1 ) C-195 (I) (H.1.1 ) C-236 (I) (I.2.4)
C-155 (I) (E.1 .2) C-196 (I) (H.1.2) C-237 (I) (I.2.5)
C-156 (I) (E.1 .3) C-197 (I) (H.1.3) C-238 (I) (J.1.1 )
C-157 (I) (E.2.1 ) C-198 (I) (H.1.4) C-239 (I) (J.1.2)
C-158 (I) (E.2.2) C-199 (I) (H.1.5) C-240 (I) (J.1.3)
C-159 (I) (E.2.3) C-200 (I) (H.1.6) C-241 (I) (J.1.4)
C-160 (I) (E.2.4) C-201 (I) (H.2.1 ) C-242 (I) (J.1.5)
C-161 (I) (E.2.5) C-202 (I) (H.2.2) C-243 (I) (J.1.6)
Mixt. Co.1 Co.2 Mixt. Co.1 Co.2 Mixt. Co.1 Co.2
C-244 (I) (J.1.7) C-285 (I) (K.1.39) C-326 (I) (M.1.33)
C-245 (I) (J.1.8) C-286 (I) (K.1.40) C-327 (I) (M.1.34)
C-246 (I) (J.1.9) C-287 (I) (K.1.41) C-328 (I) (M.1.35)
C-247 (I) (K.1.1) C-288 (I) (K.1.42) C-329 (I) (M.1.36)
C-248 (I) (K.1.2) C-289 (I) (K.1.43) C-330 (I) (M.1.37)
C-249 (I) (K.1.3) C-290 (I) (K.1.44) C-331 (I) (M.1.38)
C-250 (I) (K.1.4) C-291 (I) (K.1.45) C-332 (I) (M.1.39)
C-251 (I) (K.1.5) C-292 (I) (K.1.46) C-333 (I) (M.1.40)
C-252 (I) (K.1.6) C-293 (I) (K.1.47) C-334 (I) (M.1.41)
C-253 (I) (K.1.7) C-294 (I) (M.1.1) C-335 (I) (M.1.42)
C-254 (I) (K.1.8) C-295 (I) (M.1.2) C-336 (I) (M.1.43)
C-255 (I) (K.1.9) C-296 (I) (M.1.3) C-337 (I) (M.1.44)
C-256 (I) (K.1.10) C-297 (I) (M.1.4) C-338 (I) (M.1.45)
C-257 (I) (K.1.11) C-298 (I) (M.1.5) C-339 (I) (M.1.46)
C-258 (I) (K.1.12) C-299 (I) (M.1.6) C-340 (I) (M.1.47)
C-259 (I) (K.1.13) C-300 (I) (M.1.7) C-341 (I) (M.1.48)
C-260 (I) (K.1.14) C-301 (I) (M.1.8) C-342 (I) (M.1.49)
C-261 (I) (K.1.15) C-302 (I) (M.1.9) C-343 (I) (M.1.50)
C-262 (I) (K.1.16) C-303 (I) (M.1.10) C-344 (I) (N.1.1)
C-263 (I) (K.1.17) C-304 (I) (M.1.11) C-345 (I) (N.1.2)
C-264 (I) (K.1.18) C-305 (I) (M.1.12) C-346 (I) (N.1.3)
C-265 (I) (K.1.19) C-306 (I) (M.1.13) C-347 (I) (N.1.4)
C-266 (I) (K.1.20) C-307 (I) (M.1.14) C-348 (I) (N.1.5)
C-267 (I) (K.1.21) C-308 (I) (M.1.15) C-349 (I) (N.2.1)
C-268 (I) (K.1.22) C-309 (I) (M.1.16) C-350 (I) (N.2.2)
C-269 (I) (K.1.23) C-310 (I) (M.1.17) C-351 (I) (N.2.3)
C-270 (I) (K.1.24) C-311 (I) (M.1.18) C-352 (I) (N.3.1)
C-271 (I) (K.1.25) C-312 (I) (M.1.19) C-353 (I) (N.3.2)
C-272 (I) (K.1.26) C-313 (I) (M.1.20) C-354 (I) (N.3.3)
C-273 (I) (K.1.27) C-314 (I) (M.1.21) C-355 (I) (N.3.4)
C-274 (I) (K.1.28) C-315 (I) (M.1.22) C-356 (I) (N.4.1)
C-275 (I) (K.1.29) C-316 (I) (M.1.23) C-357 (I) (N.5.1)
C-276 (I) (K.1.30) C-317 (I) (M.1.24) C-358 (I) (N.6.1)
C-277 (I) (K.1.31) C-318 (I) (M.1.25) C-359 (I) (N.6.2)
C-278 (I) (K.1.32) C-319 (I) (M.1.26) C-360 (I) (N.6.3)
C-279 (I) (K.1.33) C-320 (I) (M.1.27) C-361 (I) (N.6.4)
C-280 (I) (K.1.34) C-321 (I) (M.1.28) C-362 (I) (N.6.5)
C-281 (I) (K.1.35) C-322 (I) (M.1.29) C-363 (I) (N.7.1)
C-282 (I) (K.1.36) C-323 (I) (M.1.30) C-364 (I) (N.7.2)
C-283 (I) (K.1.37) C-324 (I) (M.1.31) C-365 (I) (N.7.3)
C-284 (I) (K.1.38) C-325 (I) (M.1.32) C-366 (I) (N.8.1)
Mixt. Co.1 Co.2 Mixt. Co.1 Co.2 Mixt. Co.1 Co.2
C-367 (I) (N.9.1) C-408 (I) (0.1.5) C-449 (I) (0.2.8)
C-368 (I) (N.10.1) C-409 (I) (0.1.6) C-450 (I) (0.2.9)
C-369 (I) (N.10.2) C-410 (I) (0.1.7) C-451 (I) (0.2.10)
C-370 (I) (N.10.3) C-411 (I) (0.1.8) C-452 (I) (0.2.11)
C-371 (I) (N.10.4) C-412 (I) (0.1.9) C-453 (I) (0.2.12)
C-372 (I) (N.10.5) C-413 (I) (0.1.10) C-454 (I) (0.2.13)
C-373 (I) (N.11.1) C-414 (I) (0.1.11) C-455 (I) (0.2.14)
C-374 (I) (N.12.1) C-415 (I) (0.1.12) C-456 (I) (0.2.15)
C-375 (I) (N.12.2) C-416 (I) (0.1.13) C-457 (I) (0.2.16)
C-376 (I) (N.12.3) C-417 (I) (0.1.14) C-458 (I) (0.3.1)
C-377 (I) (N.12.4) C-418 (I) (0.1.15) C-459 (I) (0.3.2)
C-378 (I) (N.13.1) C-419 (I) (0.1.16) C-460 (I) (0.3.3)
C-379 (I) (N.13.2) C-420 (I) (0.1.17) C-461 (I) (0.3.4)
C-380 (I) (N.13.3) C-421 (I) (0.1.18) C-462 (I) (0.3.5)
C-381 (I) (N.13.4) C-422 (I) (0.1.19) C-463 (I) (0.3.6)
C-382 (I) (N.13.5) C-423 (I) (0.1.20) C-464 (I) (0.3.7)
C-383 (I) (N.13.6) C-424 (I) (0.1.21) C-465 (I) (0.3.8)
C-384 (I) (N.13.7) C-425 (I) (0.1.22) C-466 (I) (0.3.9)
C-385 (I) (N.13.8) C-426 (I) (0.1.23) C-467 (I) (0.3.10)
C-386 (I) (N.13.9) C-427 (I) (0.1.24) C-468 (I) (0.3.11)
C-387 (I) (N.14.1) C-428 (I) (0.1.25) C-469 (I) (0.3.12)
C-388 (I) (N.14.2) C-429 (I) (0.1.26) C-470 (I) (0.3.13)
C-389 (I) (N.15.1) C-430 (I) (0.1.27) C-471 (I) (0.3.14)
C-390 (I) (N.16.1) C-431 (I) (0.1.28) C-472 (I) (0.3.15)
C-391 (I) (N.16.2) C-432 (I) (0.1.29) C-473 (I) (0.3.16)
C-392 (I) (N.17.1) C-433 (I) (0.1.30) C-474 (I) (0.3.17)
C-393 (I) (N.17.2) C-434 (I) (0.1.31) C-475 (I) (0.3.18)
C-394 (I) (N.17.3) C-435 (I) (0.1.32) C-476 (I) (0.3.19)
C-395 (I) (N.17.4) C-436 (I) (0.1.33) C-477 (I) (O.3.20)
C-396 (I) (N.17.5) C-437 (I) (0.1.34) C-478 (I) (0.3.21)
C-397 (I) (N.17.6) C-438 (I) (0.1.35) C-479 (I) (0.3.22)
C-398 (I) (N.17.7) C-439 (I) (0.1.36) C-480 (I) (0.3.23)
C-399 (I) (N.17.8) C-440 (I) (0.1.37) C-481 (I) (0.3.24)
C-400 (I) (N.17.9) C-441 (I) (0.1.38) C-482 (I) (0.3.25)
C-401 (I) (N.17.10) C-442 (I) (0.2.1) C-483 (I) (0.3.26)
C-402 (I) (N.17.11) C-443 (I) (0.2.2) C-484 (I) (0.3.27)
C-403 (I) (N.17.12) C-444 (I) (0.2.3) C-485 (I) (0.4.1)
C-404 (I) (0.1.1) C-445 (I) (0.2.4) C-486 (I) (0.4.2)
C-405 (I) (0.1.2) C-446 (I) (0.2.5) C-487 (I) (0.4.3)
C-406 (I) (0.1.3) C-447 (I) (0.2.6) C-488 (I) (0.4.4)
C-407 (I) (0.1.4) C-448 (I) (0.2.7) C-489 (I) (0.4.5)
Mixt. Co.1 Co.2 Mixt. Co.1 Co.2 Mixt. Co.1 Co.2
C-490 (I) (0.4.6) C-531 (I) (0.8.1) C-572 (I) (L.1.8)
C-491 (I) (0.4.7) C-532 (I) (0.8.2) C-573 (I) (L.1.9)
C-492 (I) (0.4.8) C-533 (I) (0.8.3) C-574 (I) (L.1.10)
C-493 (I) (0.4.9) C-534 (I) (0.8.4) C-575 (I) (L.1.11)
C-494 (I) (0.4.10) C-535 (I) (0.8.5) C-576 (I) (L.1.12)
C-495 (I) (0.4.11) C-536 (I) (0.9.1) C-511 (I) (L.1.13)
C-496 (I) (0.4.12) C-537 (I) (0.9.2) C-578 (I) (L.1.14)
C-497 (I) (0.4.13) C-538 (I) (0.9.3) C-579 (I) (L.1.15)
C-498 (I) (0.4.14) C-539 (I) (O.10.1) C-580 (I) (L.1.16)
C-499 (I) (0.4.15) C-540 (I) (0.11.1) C-581 (I) (L.1.17)
C-500 (I) (0.4.16) C-541 (I) (0.11.2) C-582 (I) (L.1.18)
C-501 (I) (0.4.17) C-542 (I) (0.11.3) C-583 (I) (L.1.19)
C-502 (I) (0.4.18) C-543 (I) (0.11.4) C-584 (I) (L.1.20)
C-503 (I) (0.4.19) C-544 (I) (0.12.1) C-585 (I) (L.1.21)
C-504 (I) (O.4.20) C-545 (I) (0.13.1) C-586 (I) (L.1.22)
C-505 (I) (0.4.21) C-546 (I) (0.14.1) C-587 (I) (L.1.23)
C-506 (I) (0.4.22) C-547 (I) (0.14.2) C-588 (I) (L.1.24)
C-507 (I) (0.4.23) C-548 (I) (0.15.1) C-589 (I) (L.1.25)
C-508 (I) (0.4.24) C-549 (I) (0.15.2) C-590 (I) (L.1.26)
C-509 (I) (0.5.1) C-550 (I) (0.15.3) C-591 (I) (L.1.27)
C-510 (I) (0.5.2) C-551 (I) (0.15.4) C-592 (I) (L.1.28)
C-511 (I) (0.5.3) C-552 (I) (0.15.5) C-593 (I) (L.1.29)
C-512 (I) (0.5.4) C-553 (I) (0.15.6) C-594 (I) (L.1.30)
C-513 (I) (0.5.5) C-554 (I) (0.15.7) C-595 (I) (L.1.31)
C-514 (I) (0.5.6) C-555 (I) (0.15.8) C-596 (I) (L.1.32)
C-515 (I) (0.5.7) C-556 (I) (0.15.9) C-597 (I) (L.1.33)
C-516 (I) (0.5.8) C-557 (I) (O.15.10) C-598 (I) (L.1.34)
C-517 (I) (0.5.9) C-558 (I) (0.15.11) C-599 (I) (L.1.35)
C-518 (I) (0.6.1) C-559 (I) (0.16.1) C-600 (I) (L.1.36)
C-519 (I) (0.6.2) C-560 (I) (0.16.2) C-601 (I) (L.1.37)
C-520 (I) (0.6.3) C-561 (I) (0.16.3) C-602 (I) (L.1.38)
C-521 (I) (0.6.4) C-562 (I) (0.16.4) C-603 (I) (L.1.39)
C-522 (I) (0.6.5) C-563 (I) (0.16.5) C-604 (I) (L.1.40)
C-523 (I) (0.6.6) C-564 (I) (0.16.6) C-605 (I) (L.1.41)
C-524 (I) (0.6.7) C-565 (I) (L.1.1) C-606 (I) (L.1.42)
C-525 (I) (0.7.1) C-566 (I) (L.1.2) C-607 (I) (L.1.43)
C-526 (I) (0.7.2) C-567 (I) (L.1.3) C-608 (I) (L.1.44)
C-527 (I) (0.7.3) C-568 (I) (L.1.4) C-609 (I) (L.1.45)
C-528 (I) (0.7.4) C-569 (I) (L.1.5) C-610 (I) (L.1.46)
C-529 (I) (0.7.5) C-570 (I) (L.1.6) C-611 (I) (L.1.47)
C-530 (I) (0.7.6) C-571 (I) (L.1.7) C-612 (I) (L.1.48)
Mixt. Co.1 Co. 2 Mixt. Co.1 Co. 2 Mixt. Co.1 Co. 2
C-613 (I) (L.1 .49) C-654 (I) (L.3.6) C-695 (I) (L.3.47)
C-614 (I) (L.1 .50) C-655 (I) (L.3.7) C-696 (I) (L.3.48)
C-615 (I) (L.1 .51 ) C-656 (I) (L.3.8) C-697 (I) (L.3.49)
C-616 (I) (L.1 .52) C-657 (I) (L.3.9) C-698 (I) (L.3.50)
C-617 (I) (L.1 .53) C-658 (I) (L.3.10) C-699 (I) (L.3.51 )
C-618 (I) (L.1 .54) C-659 (I) (L.3.1 1 ) C-700 (I) (L.3.52)
C-619 (I) (L.1 .55) C-660 (I) (L.3.12) C-701 (I) (L.3.53)
C-620 (I) (L.1 .56) C-661 (I) (L.3.13) C-702 (I) (L.3.54)
C-621 (I) (L.1.57) C-662 (I) (L.3.14) C-703 (I) (L.3.55)
C-622 (I) (L.1 .58) C-663 (I) (L.3.15) C-704 (I) (L.4.1 )
C-623 (I) (L.1 .59) C-664 (I) (L.3.16) C-705 (I) (L.4.2)
C-624 (I) (L.1 .60) C-665 (I) (L.3.17) C-706 (I) (L.4.3)
C-625 (I) (L.1 .61 ) C-666 (I) (L.3.18) C-707 (I) (L.4.4)
C-626 (I) (L.1 .62) C-667 (I) (L.3.19) C-708 (I) (L.4.5)
C-627 (I) (L.1 .63) C-668 (I) (L.3.20) C-709 (I) (L.4.6)
C-628 (I) (L.1 .64) C-669 (I) (L.3.21 ) C-710 (I) (L.4.7)
C-629 (I) (L.1 .65) C-670 (I) (L.3.22) C-71 1 (I) (L.4.8)
C-630 (I) (L.1 .66) C-671 (I) (L.3.23) C-712 (I) (L.4.9)
C-631 (I) (L.1 .67) C-672 (I) (L.3.24) C-713 (I) (L.4.10)
C-632 (I) (L.1 .68) C-673 (I) (L.3.25) C-714 (I) (L.4.1 1 )
C-633 (I) (L.1 .69) C-674 (I) (L.3.26) C-715 (I) (L.4.12)
C-634 (I) (L.1 .70) C-675 (I) (L.3.27) C-716 (I) (L.4.13)
C-635 (I) (L.1 .71 ) C-676 (I) (L.3.28) C-717 (I) (L.4.14)
C-636 (I) (L.1 .72) C-677 (I) (L.3.29) C-718 (I) (L.4.15)
C-637 (I) (L.1 .73) C-678 (I) (L.3.30) C-719 (I) (L.4.16)
C-638 (I) (L.2.1 ) C-679 (I) (L.3.31 ) C-720 (I) (L.4.17)
C-639 (I) (L.2.2) C-680 (I) (L.3.32) C-721 (I) (L.4.18)
C-640 (I) (L.2.3) C-681 (I) (L.3.33) C-722 (I) (L.4.19)
C-641 (I) (L.2.4) C-682 (I) (L.3.34) C-723 (I) (L.4.20)
C-642 (I) (L.2.5) C-683 (I) (L.3.35) C-724 (I) (L.4.21 )
C-643 (I) (L.2.6) C-684 (I) (L.3.36) C-725 (I) (L.4.22)
C-644 (I) (L.2.7) C-685 (I) (L.3.37) C-726 (I) (L.4.23)
C-645 (I) (L.2.8) C-686 (I) (L.3.38) C-727 (I) (L.4.24)
C-646 (I) (L.2.9) C-687 (I) (L.3.39) C-728 (I) (L.4.25)
C-647 (I) (L.2.10) C-688 (I) (L.3.40) C-729 (I) (L.4.26)
C-648 (I) (L.2.1 1 ) C-689 (I) (L.3.41 ) C-730 (I) (L.4.27)
C-649 (I) (L.3.1 ) C-690 (I) (L.3.42) C-731 (I) (L.4.28)
C-650 (I) (L.3.2) C-691 (I) (L.3.43) C-732 (I) (L.4.29)
C-651 (I) (L.3.3) C-692 (I) (L.3.44) C-733 (I) (L.4.30)
C-652 (I) (L.3.4) C-693 (I) (L.3.45) C-734 (I) (L.4.31 )
C-653 (I) (L.3.5) C-694 (I) (L.3.46) C-735 (I) (L.4.32)
Mixt. Co.1 Co. 2 Mixt. Co.1 Co. 2 Mixt. Co.1 Co. 2
C-736 (I) (L.4.33) C-768 (I) (L.5.32) C-800 (I) (L.5.60)
C-737 (I) (L.5.1 ) C-769 (I) (L.5.33) C-801 (I) (L.5.61 )
C-738 (I) (L.5.2) C-770 (I) (L.5.34) C-802 (I) (L.5.62)
C-739 (I) (L.5.3) C-771 (I) (L.5.35) C-803 (I) (L.5.63)
C-740 (I) (L.5.4) C-772 (I) (L.5.36) C-804 (I) (L.5.64)
C-741 (I) (L.5.5) C-773 (I) (L.5.37) C-805 (I) (L.5.65)
C-742 (I) (L.5.6) C-774 (I) (L.5.38) C-806 (I) (L.5.66)
C-743 (I) (L.5.7) C-775 (I) (L.5.39) C-807 (I) (L.5.67)
C-744 (I) (L.5.8) C-776 (I) (L.5.40) C-808 (I) (L.5.67)
C-745 (I) (L.5.9) C-777 (I) (L.5.41 ) C-809 (I) (L.5.67)
C-746 (I) (L.5.10) C-778 (I) (L.5.42) C-810 (I) (L.5.68)
C-747 (I) (L.5.1 1 ) C-779 (I) (L.5.43) C-81 1 (I) (L.5.69)
C-748 (I) (L.5.12) C-780 (I) (L.5.44) C-812 (I) (L.5.70)
C-749 (I) (L.5.13) C-781 (I) (L.5.45) C-813 (I) (L.5.71 )
C-750 (I) (L.5.14) C-782 (I) (L.5.46) C-814 (I) (L.5.72)
C-751 (I) (L.5.15) C-783 (I) (L.5.47) C-815 (I) (L.6.1 )
C-752 (I) (L.5.16) C-784 (I) (L.5.48) C-816 (I) (L.6.2)
C-753 (I) (L.5.17) C-785 (I) (L.5.49) C-817 (I) (L.6.3)
C-754 (I) (L.5.18) C-786 (I) (L.5.50) C-818 (I) (L.6.4)
C-755 (I) (L.5.19) C-787 (I) (L.5.51 ) C-819 (I) (L.6.5)
C-756 (I) (L.5.20) C-788 (I) (L.5.52) C-820 (I) (L.6.6)
C-757 (I) (L.5.21 ) C-789 (I) (L.5.53) C-821 (I) (L.6.7)
C-758 (I) (L.5.22) C-790 (I) (L.5.54) C-822 (I) (L.6.8)
C-759 (I) (L.5.23) C-791 (I) (L.5.55) C-823 (I) (L.6.9)
C-760 (I) (L.5.24) C-792 (I) (L.5.56) C-824 (I) (L.6.10)
C-761 (I) (L.5.25) C-793 (I) (L.5.57) C-825 (I) (L.6.1 1 )
C-762 (I) (L.5.26) C-794 (I) (L.5.58) C-826 (I) (L.6.12)
C-763 (I) (L.5.27) C-795 (I) (L.5.59) C-827 (I) (L.6.13)
C-764 (I) (L.5.28) C-796 (I) (L.5.60) C-828 (I) (L.6.14)
C-765 (I) (L.5.29) C-797 (I) (L.5.60) C-829 (I) (L.6.15)
C-766 (I) (L.5.30) C-798 (I) (L.5.60) C-830 (I) (L.6.16)
C-767 (I) (L.5.31 ) C-799 (I) (L.5.60)
The active substances referred to as component 2, their preparation and their activity e.g. against harmful fungi is known (cf.: h p://www.alanwood. net/pesticides/); these substances are commercially available. The compounds described by lUPAC nomenclature, their preparation and their ungicidal activity are also known (cf. Can. J.
Plant Sci. 48(6), 587-94, 1968; EP-A 141 317; EP-A 152 031 ; EP-A 226 917;
EP-A 243 970; EP-A 256 503; EP-A 428 941 ; EP-A 532 022; EP-A 1 028 125; EP-A 1 035 122; EP-A 1 201 648; EP-A 1 122 244, JP 2002316902; DE 19650197;
DE 10021412; DE 102005009458; US 3,296,272; US 3,325,503; WO 98/46608;
WO 99/14187; WO 99/24413; WO 99/27783; WO 00/29404; WO 00/46148;
WO 00/65913; WO 01/54501 ; WO 01/56358; WO 02/22583; WO 02/40431 ;
WO 03/10149; WO 03/1 1853; WO 03/14103; WO 03/16286; WO 03/53145;
WO 03/61388; WO 03/66609; WO 03/74491 ; WO 04/49804; WO 04/83193;
WO 05/120234; WO 05/123689; WO 05/123690; WO 05/63721 ; WO 05/87772;
WO 05/87773; WO 06/15866; WO 06/87325; WO 06/87343; WO 07/82098;
WO 07/90624, WO 1 1/028657, WO2012/168188, WO 2007/006670, WO 201 1/77514; W013/047749, WO 10/069882, WO 13/047441 , WO 03/16303, WO 09/90181 , WO 13/007767, WO 13/010862, WO 13/127704, WO 13/024009 and WO 13/024010.
The mixtures of active substances can be prepared as compositions comprising besides the active ingredients at least one inert ingredient (auxiliary) by usual means, e. g. by the means given for the compositions of compounds I.
Concerning usual ingredients of such compositions reference is made to the explanations given for the compositions containing compounds I .
The mixtures of active substances according to the present invention are suitable as fungicides, as are the compounds of formula I. They are distinguished by an outstanding effectiveness against a broad spectrum of phytopathogenic fungi, especially from the classes of the Ascomycetes, Basidiomycetes, Deuteromycetes and Peronosporomycetes (syn. Oomycetes). In addition, it is refered to the explanations regarding the fungicidal activity of the compounds and the compositions containing compounds I, respectively.
According to one embodiment, the microbial pesticides selected from groups L1 ), L3) and L5) embrace not only the isolated, pure cultures of the respective micro-organism as defined herein, but also its cell-free extract, its suspensions in a whole broth culture or as a metabolite-containing supernatant or a purified metabolite obtained from a whole broth culture of the microorganism or microorganism strain.
According to a further embodiment, the microbial pesticides selected from groups L1 ), L3 and L5) embraces not only the isolated, pure cultures of the respective micro- organism as defined herein, but also a cell-free extract thereof or at least one metabolite thereof, and/or a mutant of the respective micro-organism having all the identifying characteristics thereof and also a cell-free extract or at least one metabolite of the mutant.
"Whole broth culture" refers to a liquid culture containing both cells and media.
"Supernatant" refers to the liquid broth remaining when cells grown in broth are removed by centrifugation, filtration, sedimentation, or other means well known in the art.
The term "cell-free extract" refers to an extract of the vegetative cells, spores and/or the whole culture broth of a microorganism comprising cellular metabolites produced by the respective microorganism obtainable by cell disruption methods known in the art such as solvent-based (e.g. organic solvents such as alcohols sometimesin
combination with suitable salts), temperature-based, application of shear forces, cell disrupotion with an ultrasonicator. The desired extract may be concentrated by
conventional concentration techniques such as drying, evaporation, centrifugation or alike. Certain washing steps using organic solents and/or water-based media may also be applied to the crude extract preferably prior to use.
The term "metabolite" refers to any compound, substance or byproduct produced by a microorganism (such as fungi and bacteria) that has improves plant growth, water use efficiency of the plant, plant health, plant appearance, or the population of beneficial microorganisms in the soil around the plant activity.
The term "mutant" refers a microorganism obtained by direct mutant selection but also includes microorganisms that have been further mutagenized or otherwise manipulated (e.g., via the introduction of a plasmid). Accordingly, embodiments include mutants, variants, and or derivatives of the respective microorganism, both naturally occurring and artificially induced mutants. For example, mutants may be induced by subjecting the microorganism to known mutagens, such as N-methyl-nitrosoguanidine, using conventional methods.
Suitable bactericides are bronopol and isothiazolinone derivatives such as alkyliso- thiazolinones and benzisothiazolinones. Suitable anti-freezing agents are ethylene glycol, propylene glycol, urea and glycerin. Suitable anti-foaming agents are silicones, long chain alcohols, and salts of fatty acids. Suitable colorants (e.g. in red, blue, or green) are pigments of low water solubility and water-soluble dyes. Examples are inorganic colorants (e.g. iron oxide, titan oxide, iron hexacyanoferrate) and organic colorants (e.g. alizarin-, azo- and phthalocyanine colorants). Suitable tackifiers or binders are polyvinylpyrrolidone, polyvinylacetates, polyvinyl alcohols, polyacrylates, biological or synthetic waxes, and cellulose ethers.
In the case of mixtures comprising microbial pesticides II selected from groups L1 ), L3) and L5), the microorganisms as used according to the invention can be cultivated continuously or discontinuously in the batch process or in the fed batch or repeated fed batch process. A review of known methods of cultivation will be found in the textbook by Chmiel (Bioprozesstechnik 1. Einfuhrung in die Bioverfahrenstechnik (Gustav Fischer Verlag, Stuttgart, 1991 )) or in the textbook by Storhas (Bioreaktoren und periphere Einrichtungen (Vieweg Verlag, Braunschweig/Wiesbaden, 1994)).
When living microorganisms, such as pesticides II from groups L1 ), L3) and L5), form part of the compositions, such compositions can be prepared as compositions comprising besides the active ingredients at least one auxiliary (inert ingredient) by usual means (see e.g. H.D. Burges: Formulation of Micobial Biopestcides, Springer, 1998). Suitable customary types of such compositions are suspensions, dusts, powders, pastes, granules, pressings, capsules, and mixtures thereof. Examples for composition types are suspensions (e.g. SC, OD, FS), capsules (e.g. CS, ZC), pastes, pastilles, wettable powders or dusts (e.g. WP, SP, WS, DP, DS), pressings (e.g. BR, TB, DT), granules (e.g. WG, SG, GR, FG, GG, MG), insecticidal articles (e.g. LN), as well as gel formulations for the treatment of plant propagation materials such as seeds (e.g. GF). Herein, it has to be taken into account that each formulation type or choice of auxiliary should not influence the viability of the microorganism during storage of thecomposition and when finally applied to the soil, plant or plant propagation material.
Suitable formulations are e.g. mentioned in WO 2008/002371 , US 6955,912, US 5,422,107.
Examples for suitable auxiliaries are those mentioned earlier herein, wherein it must be taken care that choice and amounts of such auxiliaries should not influence the viability of the microbial pesticides in the composition. Especially for bactericides and solvents, compatibility with the respective microorganism of the respective microbial pesticide has to be taken into account. In addition, compositions with microbial pesticides may further contain stabilizers or nutrients and UV protectants. Suitable stabilzers or nutrients are e.g. alpha-tocopherol, trehalose, glutamate, potassium sorbate, various sugars like glucose, sucrose, lactose and maltodextrine (H.D. Burges: Formulation of Micobial Biopestcides, Springer, 1998). Suitable UV protectants are e.g. inorganic compouns like titan dioxide, zinc oxide and iron oxide pigments or organic compounds like benzophenones, benzotriazoles and phenyltriazines. The compositions may in addition to auxiliaries mentioned for compositions comprising compounds I herein optionally comprise 0.1 - 80% stabilizers or nutrients and 0.1 -10% UV protectants.
When mixtures comprising microbial pesticides are employed in crop protection, the application rates preferably range from about 1 x 106 to 5 x 1015 (or more) CFU/ha. Preferably, the spore concentration is about 1 x 107 to about 1 x 1011 CFU/ha. In the case of (entomopathogenic) nematodes as microbial pesticides (e.g. Steinernema feltiae), the application rates preferably range inform about 1 x 105 to 1 x 1012 (or more), more preferably from 1 x 108 to 1 x 1011, even more preferably from 5 x 108 to 1 x 1010 individuals (e.g. in the form of eggs, juvenile or any other live stages, preferably in an infetive juvenile stage) per ha.
When mixtures comprising microbial pesticides are employed in seed treatment, the application rates with respect to plant propagation material preferably range from about 1 x 106 to 1 x 1012 (or more) CFU/seed. Preferably, the concentration is about 1 x 106 to about 1 x 1011 CFU/seed. In the case of the microbial pesticides II, the application rates with respect to plant propagation material also preferably range from about 1 x 107 to 1 x 1014 (or more) CFU per 100 kg of seed, preferably from 1 x 109 to about 1 x 1011 CFU per 100 kg of seed.
I. Synthesis examples With due modification of the starting compounds, the procedures shown in the synthesis examples below can be used to obtain further compounds I. 5-[(4- bromophenyl)methyl]-2,2-dimethyl-1 -(1 ,2,4-triazol-1 -ylmethyl)cyclopentanol was synthesized according to methods described in EP 0267778 A2. 1 -(bromomethyl)-4-(4- chlorophenoxy)benzene was obtained according to procedures described in WO 2002089579 A1 and EP 351 1 12 A2.
Example 1 : Preparation of 5-[[4-(4-chlorophenyl)phenyl]methyl]-2,2-dimethyl-1 -(1 ,2,4- triazol-1 -ylmethyl)cyclopentanol (1-1 )
To a mixture of 5-[(4-bromophenyl)methyl]-2,2-dimethyl-1 -(1 ,2,4-triazol- 1 -ylmethyl)cyclopentanol (2.5 g, crude) and 4-chlorophenyl boronic acid (0.9 g, 5.7 mmol) in N,N-dimethylformamide (150 ml.) was added [1 ,1 '-bis(diphenylphosphino)- ferrocene]dichloropalladium(ll) (0.1 g) and sodium carbonate (1 1.4 mmol) and was heated at 80°C for 4 h. Water was added and extracted with ethyl acetate. The combined organic phases were washed with a saturadted aqueous solution of sodium chloride, dried with sodium sulfate and concentrated. The crude material was purified by means of column chromatography and afforded compound 1-1 (550 mg).
H-NMR (CDCIs, 400 MHz): δ = 8.21 (s, 1 H), 7.92 (m, 1 H),7.36-7.42 (m, 4H), 7.32 (m, 2H), 7.1 1 (m, 2H), 4.17-4.33 (m,2H), 3.81 (s, 1 H), 2.28-2.92 (m, 3H), 1 .69 (m, 2H), 1.40 (m, 2H), 0.96 (s, 3H), 0.55-0.71 (s, 3H).
Example 2: Preparation of ethyl 1 -[[4-(4-chlorophenoxy)phenyl]methyl]-2-oxo- cyclopentanecarboxylate
To a mixture of ethyl 2-oxocyclopentanecarboxylate (1 1.5 g, 0.07 mol),
1 -(bromomethyl)-4-(4-chlorophenoxy)benzene (23.0 g, 0.07 mol) and potassium carbonate (15.2 g, 0.10 mol) in acetone (300 ml.) was heated at 60°C overnight. The resulting solution was concentrated under vacuum and the residue was extracted with dichloromethane, dried with sodium sulfate and concentrated to afford ethyl 1 -[[4-(4- chlorophenoxy)phenyl]methyl]-2-oxo-cyclopentanecarboxylate (24 g, 89%).
H-NMR (CDCIs, 400 MHz): δ = 7.30 (m, 2H), 7.12 (m, 2H), 6.90 (m, 4H), 4.20 (m, 2H), 3.20 (m, 2H), 3.10 (1 H), 2.40 (m, 2H), 1 .93-2.10 (m, 3H), 1.26 (m, 3H).
Example 3: Preparation of ethyl 1 -[[4-(4-chlorophenoxy)phenyl]methyl]-3-methyl-2-oxo- cyclopentanecarboxylate
To ethyl 1 -[[4-(4-chlorophenoxy)phenyl]methyl]-2-oxo-cyclopentanecarboxylate (24.0 g, 0.06 mol) dissolved in tetrahydrofuran (500 ml.) at -78°C, was added a solution of lithium diisopropylamide (0.16 mol) dropwise over 20 minutes under a nitrogen atmosphere and the solution was stirred at this temperature for further 20 minutes. Then methyl iodide (18.2 g, 0.13 mol) was added dropwise and the solution was warmed to room temperature and stirred overnight. A saturated aqueous solution of ammonium chloride was added, extracted with methyl feri-butyl ether, washed with a saturated aqueous solution of sodium chloride, dried with sodium sulfate and concentrated to afford ethyl 1 -[[4-(4-chlorophenoxy)phenyl]methyl]-3-methyl-2-oxo- cyclopentanecarboxylate (24 g, crude).
Example 4: Preparation of ethyl 1 -[[4-(4-chlorophenoxy)phenyl]methyl]-3,3-dimethyl-2- oxo-cyclopentanecarboxylate
Ethyl 1 -[[4-(4-chlorophenoxy)phenyl]methyl]-3-methyl-2-oxo-cyclopentanecarboxylate (25 g, crude) dissolved in tetrahydrofuran (500 ml.) was cooled to -78°C and lithium hexamethyldisilazide (0.19 mol) was added dropwise over 20 minutes. The solution was stirred at this temperature for 20 minutes. Then methyl iodide (0.13 mol) was added dropwise and warmed to room temperature and stirred overnight. A saturated aqueous solution of ammonium chloride was added, extracted with methyl ferf-butyl ether, washed with a saturated aqueous solution of sodium chloride, dried with sodium sulfate and concentrated to afford ethyl 1 -[[4-(4-chlorophenoxy)phenyl]methyl]-3,3- dimethyl-2-oxo-cyclopentanecarboxylate (20 g, crude).
H-NMR (CDCIs, 400 MHz): δ = 7.20 (m, 2H), 7.17 (m, 2H), 6.81 (m, 4H), 4.13 (m, 2H), 3.08 (s, 2H), 2.56 (m, 1 H) , 2.24 (m, 1 H), 1 .37 (m, 2H),1.17 (m, 3H), 1.18 (s, 3H), 0.61 (s, 3H).
Example 5: Preparation of 5-[[4-(4-chlorophenoxy)phenyl]methyl]-2,2-dimethyl- cyclopentanone Ethyl 1 -[[4-(4-chlorophenoxy)phenyl]methyl]-3,3-dimethyl-2-oxo-cyclopentane- carboxylate (20 g, crude) was dissolved in a mixture of 200 ml. isopropanol and 100 ml. water and sodium hydroxide (3.0 g, 0.075 mol) was added. After heating to reflux overnight the resulting solution was concentrated under vacuum and the residue was adjusted to pH 7, extracted with methyl feri-butyl ether, dried with sodium sulfate and concentrated. Purification by means of column chromatography afforded 5-[[4-(4- chlorophenoxy)phenyl]methyl]-2,2-dimethyl-cyclopentanone (4.0 g).
H-NMR ( CDCIs, 400 MHz): δ = 7.24 (m, 2H), 7.1 1 (m, 2H), 6.87-6.92 (m, 4H), 3.05 (m, 1 H), 2.58 (m, 1 H), 2.45 (m, 1 H), 1.95 (m, 1 H),1 .71 (m, 1 H), 1 .52-1 .58 (m, 2H), 1.09 (s, 3H), 0.85 (s, 3H).
Example 6: Preparation of 7-[[4-(4-chlorophenoxy)phenyl]methyl]-4,4-dimethyl-1 - oxaspiro[2.4]heptane
To a suspension of sodium hydride (1 ,5 g) in tetrahydrofuran (20 ml.) at 10-15°C, dimethylsulfoxide (20 ml.) was added and stirred for 10 minutes. A solution of trimethylsulfonium iodide (1 ,6 g in 30 ml. dimethylsulfoxide) was added keeping the temperature at 10-15°C. After 1 h, a solution of 5-[[4-(4-chlorophenoxy)phenyl]methyl]- 2,2-dimethyl-cyclopentanone (8,2 g in 500 ml. tetrahydrofuran) was slowly added dropwise. Stirring was continued for 16 h. After full conversion, a saturated aqueous solution of ammonium chloride (50 ml.) was added and the aqueous phase was extracted with methyl ferf-butyl ether. The combined organic phases were washed with water and a saturated aqueous solution of sodium chloride, dried with sodium sulfate
and evaporated to obtain the crude product as a yellow oil that was used in the next step without further purification.
Example 7: Preparation of 5-[[4-(4-chlorophenoxy)phenyl]methyl]-2,2-dimethyl-1 -(1 ,2,4- triazol-1 -ylmethyl)cyclopentanol (I-2)
To a mixture of 7-[[4-(4-chlorophenoxy)phenyl]methyl]-4,4-dimethyl-1 - oxaspiro[2.4]heptane (2.4 g, crude) and 1 , 2, 4-triazole (0.6 g) in N,N- dimethylformamide (25 ml.) was added cesium carbonate (3,6g) and heated at 160°C for 4 h using microwave irradiation. Water (100 ml.) was added and the reaction mixture was extracted with ethyl acetate. The combined organic phases were washed with a saturated aqueous solution of sodium chloride, dried with sodium sulfate and concentrated and purified by column chromatography to afford I-2 (0.4 g).
H-NMR (CDCIs, 400 MHz): δ = 8.26-8.28 (s, 1 H), 8.02 (s, 1 H), 7.27-7.30 (m, 2H), 7.17 (m, 2H), 6.92 (m, 4H), 4.21 -4.41 (m, 2H), 3.61 -3.87 (s, 1 H), 2.95 (m, 1 H), 2.31 -2.39 (m, 2H), 1.76 (m, 2H), 1 .40-1 .48 (m, 2H), 1 .06 (s, 3H), 0.65 (s, 3H).
Example 8: Compound I-3 was obtained from I-2 by methylation of the hydroxyl group using standard synthet
H-NMR (CDCIs, 400 MHz): δ = 8.15 (s, 1 H), 7.85 (s, 1 H), 7.21 (m, 2H), 7.07 (m, 2H), 6.85 (m, 4H), 4.39 (s, 2H), 3.35 (s, 3H), 2.78 (m, 1 H), 2.55 (m, 1 H), 2.22 (m, 1 H), 1.61 (m, 2H), 1 .24-1 .38 (m, 2H), 1 .03 (s, 3H), 0.52 (s, 3H). II. Examples of the action against harmful fungi 11.1 Greenhouse Test
The stock solution were prepared: a mixture of acetone and/or dimethylsulfoxide and the wetting agent/emulsifier Wettol, which is based on ethoxylated alkylphenoles, in a relation (volume) solvent-emulsifier of 99 : 1 was added to 25 mg of the compound to give a total of 5 ml_. Water was then added to total volume of 100 ml_. This stock solution was diluted with the described solvent-emulsifier-water mixture to the given concentration.
Use example 1 . Preventative control of leaf blotch on wheat caused by Septoria tritici (Septtr P1 )
Leaves of pot-grown wheat seedling were sprayed to run-off with an aqueous suspension of the active compound, prepared as described. The plants were allowed to air-dry. At the following day the plants were inoculated with an aqueous spore suspension of Septoria tritici. Then the trial plants were immediately transferred to a humid chamber at 18-22°C and a relative humidity close to 100%. After 4 days the plants were transferred to a chamber with 18-22°C and a relative humidity close to 70 %. After 4 weeks the extent of fungal attack on the leaves was visually assessed as % diseased leaf area.
In this test, the plants which had been treated with 150 ppm of the active substances 1-1 or I-2 showed an infection of equal to or less than 10% whereas the untreated plants were 90% infected.
Use example 2. Preventative control of brown rust on wheat caused by Puccinia recondita (Puccrt P1 )
The first two developed leaves of pot-grown wheat seedling were sprayed to run-off with an aqueous suspension, containing the concentration of active ingredient as described below. The next day the plants were inoculated with spores of Puccinia recondita. To ensure the success the artificial inoculation, the plants were transferred to a humid chamber without light and a relative humidity of 95 to 99 % and 20 to 24°C for 24 h. Then the trial plants were cultivated for 6 days in a greenhouse chamber at 20-24°C and a relative humidity between 65 and 70%. The extent of fungal attack on the leaves was visually assessed as % diseased leaf area.
In this test, the plants which had been treated with 150 ppm of the active substance 1-1 showed an infection of equal to or less than 10% whereas the untreated plants were 90% infected.
Use example 3. Preventative fungicidal control of Botrytis cinerea on leaves of green pepper (Botrci P1 )
Young seedlings of green pepper were grown in pots to the 4 to 5 leaf stage. These plants were sprayed to run-off with an aqueous suspension, containing the
concentration of active ingredient mentioned below. The next day the plants were inoculated with an aqueous biomalt solution containing the spore suspension of Botrytis cinerea. Then the plants were immediately transferred to a humid chamber. After 5 days at 22 to 24°C and a relative humidity close to 100% the extent of fungal attack on the leaves was visually assessed as % diseased leaf area.
In this test, the plants which had been treated with 150 ppm of the active substance 1-1 showed an infection of equal to or less than 10% whereas the untreated plants were 100% infected. Use example 4. Protective control of soy bean rust on soy beans caused by
Phakopsora pachyrhizi (Phakpa P1 )
Leaves of pot-grown soy bean seedlings were sprayed to run-off with an aqueous suspension, containing the concentration of active ingredient as described below. The plants were allowed to air-dry. The trial plants were cultivated for 1 day in a
greenhouse chamber at 23-27°C and a relative humidity between 60 and 80%.Then the plants were inoculated with spores of Phakopsora pachyrhizi. To ensure the success the artificial inoculation, the plants were transferred to a humid chamber with a relative humidity of about 95 % and 20 to 24°C for 24 h. The trial plants were cultivated for fourteen days in a greenhouse chamber at 23-27°C and a relative humidity between 60 and 80%. The extent of fungal attack on the leaves was visually assessed as % diseased leaf area.
In this test, the plants which had been treated with 150 ppm of the active substances 1-1 or I-3 showed an infection of equal to or less than 25% whereas the untreated plants were 100% infected.
11.2 Microtest
The active compounds were formulated separately as a stock solution having a concentration of 10000 ppm in dimethyl sulfoxide.
The measured parameters were compared to the growth of the active compound-free control variant (100%) and the fungus-free and active compound-free blank value to determine the relative growth in % of the pathogens in the respective active
compounds.
Use example 5. Activity against the grey mold Botrytis cinerea in the microtiterplate test (Botrci)
The stock solutions were mixed according to the ratio, pipetted onto a micro titer plate (MTP) and diluted with water to the stated concentrations. A spore suspension of Botrci cinerea in an aqueous biomalt or yeast-bactopeptone-sodiumacetate solution was then added. The plates were placed in a water vapor-saturated chamber at a temperature of 18°C. Using an absorption photometer, the MTPs were measured at 405 nm 7 days after the inoculation.
In this test, the plants which had been treated with 31 ppm of the active substances 1-1 or I-2 showed the relative growth in % of the pathogens of equal to or less than 5%.
Use example 6. Activity against rice blast Pyricularia oryzae in the microtiterplate test (Pyrior)
The stock solutions were mixed according to the ratio, pipetted onto a micro titer plate (MTP) and diluted with water to the stated concentrations. A spore suspension of Pyricularia oryzae in an aqueous biomalt or yeast-bactopeptone-glycerine solution was then added. The plates were placed in a water vapor-saturated chamber at a temperature of 18°C. Using an absorption photometer, the MTPs were measured at 405 nm 7 days after the inoculation. In this test, the plants which had been treated with 31 ppm of the active substances 1-1 , I-2 or I-3 showed the relative growth in % of the pathogens of equal to or less than 10%.
Use example 7. Activity against leaf blotch on wheat caused by Septoria tritici (Septtr) The stock solutions were mixed according to the ratio, pipetted onto a micro titer plate (MTP) and diluted with water to the stated concentrations. A spore suspension of Septoria tritici in an aqueous biomalt or yeast-bactopeptone-glycerine solution was then added. The plates were placed in a water vapor-saturated chamber at a temperature of 18°C. Using an absorption photometer, the MTPs were measured at 405 nm 7 days after the inoculation.
In this test, the plants which had been treated with 31 ppm of the active substances 1-1 , I-2 or I-3 showed the relative growth in % of the pathogens of equal to or less than 10%.
Claims
We claim:
Compounds of formul
wherein:
A is N or CH;
R1 and R2 are independently selected from the group consisting of hydrogen, halogen, CN, N02, OH, SH, Ci-C6-alkyl, Ci-C6-alkoxy, d-C6-alkylthio,
Ci-C6-alkylsulfinyl, Ci-C6-alkylsulfonyl, C2-C6-alkenyl, C2-C6-alkynyl, C3-C3- cycloalkyl, C3-C8-cycloalkyloxy, C3-C8-cycloalkyl-Ci-C4-alkyl, NH2, NH(Ci-C4-alkyl), N(Ci-C4-alkyl)2, NH(C3-C6-cycloalkyl), N(C3-C6-cycloalkyl)2, C(=0)-Ci-C4-alkyl, C(=0)OH, C(=0)-0-Ci-C4-alkyl, C(=0)-NH(Ci-C4-alkyl), C(=0)-N(Ci-C4-alkyl)2, C(=0)-NH(C3-C6-cycloalkyl), C(=0)-N(C3-C6- cycloalkyl)2, phenyl, heteroaryl, phenyl-Ci-C4-alkyl and heteroaryl-Ci-C4- alkyl, wherein the heteroaryl radical in the last-mentioned groups is 5- or 6- membered; and wherein the aliphatic, alicyclic and aromatic heteroaryl moieties of R1 and/or R2 are unsubstituted or substituted by one, two, three or four or up to the maximum possible number of independently selected substituents R1a; wherein
R1a is halogen, CN, N02, OH, SH, NH2, Ci-C6-alkyl, Ci-C6-haloalkyl, Ci-C6-alkoxy, Ci-C6-haloalkoxy, Ci-C6-alkylthio, Ci-C6-haloalkylthio, C3-C8-cycloalkyl or Ci-C4-alkoxy-Ci-C4-alkyl; or R1 and R2 together with the carbon atom to which they are bound
(denominated as C*) form a vinyl group C*=CR11R22, wherein
R11 and R22 are independently selected from the group consisting of hydrogen, halogen, CN, N02, OH, SH, NH2, Ci-C6-alkyl,
Ci-C6-haloalkyl, Ci-C6-alkoxy, Ci-C6-haloalkoxy, Ci-C6-alkylthio, Ci-C6-haloalkylthio and Ci-C4-alkoxy-Ci-C4-alkyl; or R1 and R2 together with the carbon atom to which they are bound form a saturated or partially unsaturated three-, four-, five-, six- or seven-membered carbocycle or a saturated or partially unsaturated three-, four-, five-, six- or
seven-membered heterocycle, wherein the heterocycle includes beside carbon atoms one, two, three or four heteroatoms independently selected from the group consisting of N, O and S, and wherein the carbo- and heterocycle are
unsubstituted or carry one, two, three or four independently selected substituents R12, wherein one or two CH2 groups of the carbo- or heterocycle may be replaced by one or two groups independently selected from the group of C(=0) and C(=S); wherein
R12 is halogen, CN, N02, OH, SH, NH2, Ci-C6-alkyl, Ci-C6-haloalkyl,
d-Ce-alkoxy, Ci-C6-haloalkoxy, Ci-C6-alkylthio, Ci-C6-haloalkylthio, Ci-C4- alkoxy-Ci-C4-alkyl, phenyl or phenoxy; wherein the phenyl moieties of R12 are unsubstituted or substituted by one, two, three or four independently selected substituents R12a; wherein
R 2a is halogen, CN, N02, OH, SH, NH2, Ci-C6-alkyl, Ci-C6-haloalkyl, Ci-C6-alkoxy, Ci-C6-haloalkoxy, Ci-C6-alkylthio, Ci-C6-haloalkylthio, C3-C8-cycloalkyl or Ci-C4-alkoxy-Ci-C4-alkyl;
X is OR3 or CN; wherein
R3 is hydrogen, Ci-C6-alkyl, C2-C6-alkenyl, C2-C6-alkynyl, C3-C8- cycloalkyl, C3-C8-cycloalkyl-Ci-C4-alkyl, Ci-C6-alkylsulfonyl, phenylsulfonyl, C(=0)-Ci-C4-alkyl, C(=0)-0-Ci-C4-alkyl, C(=0)- NH(Ci-C4-alkyl), C(=0)-N(Ci-C4-alkyl)2, C(=0)-Ci-C4-alkylphenyl, phenyl, phenyl-Ci-C4-alkyl, phenyl-C2-C4-alkenyl or phenyl-C2-C4- alkynyl; wherein the aliphatic, alicyclic and aromatic moieties of R3 are unsubstituted or substituted by one, two, three or four or up to the maximum possible number of independently selected substituents R3a; wherein
R3a is halogen, CN, N02, OH, C C4-alkyl, C C4-halogenalkyl, C3-C8-cycloalkyl, Ci-C4-alkoxy or Ci-C4-halogenalkoxy; is a single or a double bond;
B is a direct bond or a divalent group selected from the group consisting of -0-, -S(=0)p-, -NRN- and -CRB1RB2-; wherein p is 0, 1 or 2;
RN is hydrogen, Ci-C6-alkyl, Ci-C6-haloalkyl, C2-C4-alkenyl, C2-C4-alkynyl or Ci-C4-alkoxy-Ci-C4-alkyl, Cs-Cs-cycloalkyl or Cs-Cs-cycloalkyl- Ci-C4-alkyl;
RB1 and RB2 are independently selected from the group consisting of hydrogen, halogen, CN, N02, OH, SH, Ci-C6-alkyl, Ci-C6- hydroxyalkyl, Ci-C6-haloalkyl, Ci-C6-alkoxy, Ci-C6-haloalkoxy, C1-C6- alkylthio, Ci-C6-haloalkylthio, Ci-C6-alkylsulfinyl, Ci-C6-haloalkyl- sulfinyl, Ci-C6-alkylsulfonyl, Ci-C6-haloalkylsulfonyl, Ci-C4-alkoxy- Ci-C4-alkyl, Ci-C4-alkoxy-Ci-C4-alkoxy, C2-C6-alkenyl, C2-C6-alkynyl, C2-C6-haloalkenyl, C2-C6-haloalkynyl, Cs-Cs-cycloalkyl, C3-C8- cycloalkyloxy and C3-C8-cycloalkyl-Ci-C4-alkyl; or RB1 and RB2 together with the carbon atom to which they are bound form a saturated or partially unsaturated three-, four-, five-, six- or seven- membered carbocycle or a saturated or partially unsaturated three-, four-, five-, six- or seven-membered heterocycle, wherein the heterocycle includes beside carbon atoms one, two, three or four heteroatoms independently selected from the group consisting of N, O and S, and wherein the carbo- and heterocycle are unsubstituted or carry one, two, three or four independently selected substituents RB3; and wherein one or two CH2 groups of the carbo- or heterocycle may be replaced by one or two groups independently selected from the group of C(=0) and C(=S); wherein
RB3 is halogen, CN, N02, OH, SH, NH2, Ci-C6-alkyl, Ci-C6-haloalkyl,
Ci-C6-alkoxy, Ci-C6-haloalkoxy, Ci-C6-alkylthio, Ci-C6-haloalkylthio or C 1 -C4-a I koxy-C 1 -C4-a I ky I ; is independently selected from the group consisting of halogen, CN, NO2, OH, SH, d-Ce-alkyl, Ci-C6-alkoxy, Ci-C6-alkylthio, Ci-C6-alkylsulfinyl, Ci-C6-alkylsulfonyl, C2-C6-alkenyl, C2-C6-alkynyl, Cs-Cs-cycloalkyl, C3-C8- cycloalkyloxy, C3-C8-cycloalkyl-Ci-C4-alkyl, NH2, NH(Ci-C4-alkyl), N(Ci-C4- alkyl)2, NH(C3-C6-cycloalkyl), N(C3-C6-cycloalkyl)2, C(=0)-Ci-C4-alkyl, C(=0)OH, C(=0)-0-Ci-C4-alkyl, C(=0)-NH(Ci-C4-alkyl), C(=0)-N(Ci-C4- alkyl)2, C(=0)-NH(C3-C6-cycloalkyl) and C(=0)-N(C3-C6-cycloalkyl)2;
wherein the aliphatic and alicyclic moieties of R4 are unsubstituted or substituted by one, two, three or four or up to the maximum possible number of independently selected substituents R4a; wherein
R4a is halogen, CN, N02, OH, Ci-C4-alkyl, Ci-C4-haloalkyl, Cs-Cs- cycloalkyl, Ci-C4-alkoxy or Ci-C4-halogenalkoxy; is 0, 1 , 2, 3 or 4; is a direct bond or a divalent radical selected from -0-, -S(=0)p-, -CRY1RY2-, -N(RYN)-, -CRY3RY4-CRY5RY6-, -CRY7=CY8- and -C≡C-, wherein
RYN, RY1 , RY2, RY3, RY4, RY5, RY6, RY7 and RY8 are independently selected from the group consisting of hydrogen, halogen, CN, nitro, OH, C1-C4- alkyl, Ci-C4-halogenalkyl, Ci-C4-alkoxy and Ci-C4-halogenalkoxy; p is 0, 1 or 2; is phenyl , wherein the phenyl carries one, two, three or four radicals RL; wherein
RL is independently selected from the groups consisting of halogen, CN, N02, OH , SH, Ci-Ce-alkyl, Ci-C6-alkoxy, Ci-C6-alkylthio, Ci-C6-alkyl- sulfinyl, Ci-C6-alkylsulfonyl, C2-C6-alkenyl, C2-C6-alkynyl, C3-C8- cycloalkyl, Cs-Cs-cycloalkyloxy, C3-Cs-cycloalkyl-Ci-C4-alkyl, NH2, NH(Ci-C4-alkyl), N(Ci-C4-alkyl)2, NH(C3-C6-cycloalkyl), N(C3-C6- cycloalkyl)2, C(=0)-Ci-C4-alkyl, C(=0)OH, C(=0)-0-Ci-C4-alkyl, C(=0)-NH(Ci-C4-alkyl), C(=0)-N(Ci-C4-alkyl)2, C(=0)-NH(C3-C6- cycloalkyl), C(=0)-N(C3-C6-cycloalkyl)2, phenyl and phenyl-Ci-C4- alkyl; and wherein the aliphatic, alicyclic and aromatic moieties are unsubstituted or substituted by one, two, three or four or up to the maximum possible number of independently selected substituents RLa; wherein
RLa is halogen, CN, N02, OH, SH, NH2, Ci-Ce-alkyl, Ci-C6-haloalkyl, Ci-C6-alkoxy, Ci-C6-haloalkoxy, Ci-C6-alkylthio, C1-C6- haloalkylthio or Cs-Cs-cycloalkyl; is 0, 1 , 2, 3 or 4; is independently selected from the group consisting of halogen, CN, NO2, OH, SH, Ci-Ce-alkyl, d-Ce-hydroxyalkyl, Ci-C6-haloalkyl, Ci-C6-alkoxy, Ci-C6-haloalkoxy, Ci-C6-alkylthio, Ci-C6-haloalkylthio, Ci-C6-alkylsulfinyl, Ci-C6-haloalkylsulfinyl, Ci-C6-alkylsulfonyl, Ci-C6-haloalkylsulfonyl, C1-C4- alkoxy-Ci-C4-alkyl, Ci-C4-alkoxy-Ci-C4-alkoxy, C2-C6-alkenyl, C2-C6-alkynyl, C2-C6-haloalkenyl, C2-C6-haloalkynyl, Cs-Cs-cycloalkyl, Cs-Cs-cycloalkyloxy and C3-Cs-cycloa I kyl-Ci -C4-a I kyl ; or two radicals R5 together with the carbon atom of the central alicyclic ring to which they are bound (denominated as C*) form a vinyl group
C*=CR51 R52, whereas said central alicyclic ring is otherwise unsubstituted or substituted by one or two further radicals R5 as defined above; wherein
R51 and R52 are independently selected from the group consisting of hydrogen, halogen, CN, N02, OH, SH, NH2, Ci-C6-alkyl,
Ci-C6-haloalkyl, Ci-C6-alkoxy, Ci-C6-haloalkoxy, Ci-C6-alkylthio, Ci-C6-haloalkylthio and Ci-C4-alkoxy-Ci-C4-alkyl; or two radicals R5 together with the carbon atom of the central alicyclic ring to which they are bound form a saturated or partially unsaturated three-, four-, five-, six- or seven-membered carbocycle or a saturated or partially unsaturated three-, four-, five-, six- or seven-membered heterocycle;
whereas said central alicyclic ring is otherwise unsubstituted or substituted by one or two further radicals R5 as defined above; wherein the heterocycle includes beside carbon atoms one, two, three or four heteroatoms independently selected from the group consisting of N, O and S, and wherein the carbo- and heterocycle are unsubstituted or carry one, two, three or four independently selected substituents R53; and one or two CH2 groups of the carbo- or heterocycle may be replaced by one or two groups independently selected from the group of C(=0) and C(=S); wherein
R53 is halogen, CN, N02, OH, SH, NH2, Ci-C6-alkyl, Ci-C6-haloalkyl,
Ci-C6-alkoxy, Ci-C6-haloalkoxy, Ci-C6-alkylthio, Ci-C6-haloalkylthio or C 1 -C4-a I koxy-C 1 -C4-a I ky I ; m is 1 , 2 or 3; is hydrogen or Ci-C6-alkyl; R6 and RB1 together form a double bond; and the N-oxides and the agriculturally acceptable salts of the compounds of formula I.
2. Compounds according to claim 1 , wherein A is N.
Compounds according to claim 1 or 2, wherein R1 is halogen, CN, NO2, OH, NH2, N(CH3)2, d-Ce-alkyl, Ci-C6-haloalkyl, Ci-C6-alkoxy, Ci-C6-haloalkoxy, Ci-C6- alkylthio, Ci-C6-haloalkylthio, Ci-C4-alkoxy-Ci-C4-alkyl, C2-C6-alkenyl or C2-C6- alkynyl or Cs-Cs-cycloalkyl, and wherein R2 is a radical as defined for R1 or hydrogen.
Compounds according to any of claims 1 to 3, wherein n is 1 , 2, 3 or 4 and one radical R4 is located in ortho-position of the phenyl ring with respect to the triazole bearing moiety.
5. Compounds according to any of claims 1 to 4, wherein R4 is independently selected from the group consisting of halogen, CN, NO2, OH, Ci-C6-alkyl, C1-C6- haloalkyl, Ci-C6-alkoxy, Ci-C6-haloalkoxy, C2-C6-alkenyl, C2-C6-alkynyl, C2-C6-haloalkenyl and C2-C6-haloalkynyl.
6. Compounds according to any of claims 1 to 5, wherein B is -CRB1RB2-, and
wherein R6 and RB1 together form a double bond.
7. Compounds according to any of claims 1 to 6, wherein B is -CH2-.
8. Compounds according to any of claims 1 to 7, wherein Y is -O- or a direct bond.
9. Compounds according to any of claims 1 to 8, wherein Z is phenyl, wherein the phenyl carries one, two, three or four radicals RL.
10. Compounds according to any of claims 1 to 9, wherein the group Z-Y- is attached to the phenyl ring in para-position with respect to the triazole bearing residue.
1 1 . A composition comprising a compound of formula I or an N-oxide or an
agriculturally acceptable salt thereof, according to any of claims 1 to 10.
12. The composition according to claim 1 1 comprising at least one further active substance.
13. A method for combating phytopathogenic fungi, comprising treating the fungi or the materials, plants, the soil or seeds to be protected against fungal attack, with an effective amount of at least one compound of formula I or an N-oxide or an agriculturally acceptable salt thereof, according to any of claims 1 to 10.
14. A use of compounds of formula I, their N-oxides or their agriculturally acceptable salts, according to any of claims 1 to 10 for combating phytopathogenic fungi.
15. Seed treated with a compound of formula I, or an N-oxide or an agriculturally acceptable salt thereof, as defined in any of claims 1 to 10, in an amount of from 0.1 g to 10 kg per 100 kg of seed.
Applications Claiming Priority (4)
| Application Number | Priority Date | Filing Date | Title |
|---|---|---|---|
| EP12198125.2 | 2012-12-19 | ||
| EP12198125 | 2012-12-19 | ||
| EP13150199.1 | 2013-01-04 | ||
| EP13150199 | 2013-01-04 |
Publications (1)
| Publication Number | Publication Date |
|---|---|
| WO2014095249A1 true WO2014095249A1 (en) | 2014-06-26 |
Family
ID=49639896
Family Applications (1)
| Application Number | Title | Priority Date | Filing Date |
|---|---|---|---|
| PCT/EP2013/074648 Ceased WO2014095249A1 (en) | 2012-12-19 | 2013-11-25 | Fungicidal imidazolyl and triazolyl compounds |
Country Status (1)
| Country | Link |
|---|---|
| WO (1) | WO2014095249A1 (en) |
Cited By (5)
| Publication number | Priority date | Publication date | Assignee | Title |
|---|---|---|---|---|
| US9815798B2 (en) | 2014-03-26 | 2017-11-14 | Basf Se | Substituted [1,2,4]triazole and imidazole compounds as fungicides |
| US10053432B2 (en) | 2013-12-12 | 2018-08-21 | Basf Se | Substituted [1,2,4]triazole and imidazole compounds |
| US10112913B2 (en) | 2014-05-13 | 2018-10-30 | Basf Se | Substituted [1,2,4]triazole and imidazole compounds as fungicides |
| US10450279B2 (en) | 2014-06-06 | 2019-10-22 | Basf Se | Substituted [1,2,4]triazole compounds |
| CN113817691A (en) * | 2018-11-28 | 2021-12-21 | 江苏省农业科学院 | Wheat ACCase mutant type gene and application thereof in herbicide resistance of plants |
Citations (25)
| Publication number | Priority date | Publication date | Assignee | Title |
|---|---|---|---|---|
| EP0267778A2 (en) * | 1986-11-10 | 1988-05-18 | Kureha Kagaku Kogyo Kabushiki Kaisha | Azole derivatives useful in controlling plant diseases and regulating plant growth |
| EP0433780A1 (en) | 1989-12-16 | 1991-06-26 | BASF Aktiengesellschaft | Substituted azolylmethylcycloalkanols and fungicides containing them |
| EP0589428A1 (en) * | 1992-09-24 | 1994-03-30 | Kureha Kagaku Kogyo Kabushiki Kaisha | Process for production of (azolylmethyl)-(biphenylmethyl)cyclopentanol derivatives |
| EP0655443A2 (en) | 1993-11-11 | 1995-05-31 | Kureha Chemical Industry Co., Ltd. | Process for the preparation of azolylmethylcycloalkanol derivatives |
| WO1996016048A1 (en) | 1994-11-21 | 1996-05-30 | Bayer Aktiengesellschaft | Microbicidal triazolyl derivatives |
| WO1996038424A1 (en) * | 1995-06-01 | 1996-12-05 | Bayer Aktiengesellschaft | Cycloalkane benzylidines as microbicides |
| WO1996038423A1 (en) | 1995-06-01 | 1996-12-05 | Bayer Aktiengesellschaft | (mercapto-triazolylmethyl) cyclopentanol microbicides |
| WO2000063163A1 (en) | 1999-04-16 | 2000-10-26 | Eastman Chemical Company | Process for the preparation of cyclopropylacetonitrile |
| WO2003064572A1 (en) | 2002-01-31 | 2003-08-07 | Exxonmobil Research And Engineering Company | Lubricating oil compositions with improved friction properties |
| WO2005060949A2 (en) | 2003-12-12 | 2005-07-07 | Eli Lilly And Company | Selective norepinephrine reuptake inhibitors for the treatment of hot flashes, impulse control disorders and personality change due to a general medical condition |
| WO2006102194A1 (en) | 2005-03-21 | 2006-09-28 | Eli Lilly And Company | Imidazopyridazine compounds |
| WO2009071504A1 (en) | 2007-12-03 | 2009-06-11 | Smithkline Beecham Corporation | 2,6-disubstituted pyridines as soluble guanylate cyclase activators |
| WO2009075080A1 (en) | 2007-12-10 | 2009-06-18 | Kumiai Chemical Industry Co., Ltd. | Fluoroalkylsulfide derivative and pest control agent |
| WO2009077497A2 (en) | 2007-12-19 | 2009-06-25 | Basf Se | Azolyl methyl oxiranes, the use thereof, and agents containing them |
| US20100056637A1 (en) | 2005-12-20 | 2010-03-04 | Icagen, Inc. | Treatment methods using triaryl methane compounds |
| WO2010146112A1 (en) | 2009-06-18 | 2010-12-23 | Basf Se | Antifungal 1, 2, 4-triazolyl derivatives |
| WO2010146114A1 (en) * | 2009-06-18 | 2010-12-23 | Basf Se | Triazole compounds carrying a sulfur substituent |
| WO2011113820A1 (en) | 2010-03-16 | 2011-09-22 | Basf Se | A process using grignard reagents |
| WO2011116663A1 (en) | 2010-03-24 | 2011-09-29 | 中国科学院上海药物研究所 | 2',2-dithiazol non-nucleoside compounds, preparation methods, pharmaceutical compositions and uses as hepatitis virus inhibitors thereof |
| WO2012024150A1 (en) | 2010-08-16 | 2012-02-23 | Boehringer Ingelheim International Gmbh | Oxadiazole inhibitors of leukotriene production |
| WO2012025506A1 (en) | 2010-08-26 | 2012-03-01 | Bayer Cropscience Ag | 5-iodo-triazole derivatives |
| WO2012047762A2 (en) | 2010-10-08 | 2012-04-12 | Amplyx Pharmaceuticals, Inc. | Antifungal agents |
| WO2012051036A1 (en) | 2010-10-11 | 2012-04-19 | Merck Sharp & Dohme Corp. | Quinazolinone-type compounds as crth2 antagonists |
| WO2012078596A2 (en) | 2010-12-07 | 2012-06-14 | Mindsinsync (Hong Kong) Limited | Backrest pillow |
| WO2012126984A1 (en) | 2011-03-24 | 2012-09-27 | Janssen Pharmaceuticals, Inc. | Novel substituted triazolyl piperazine and triazolyl piperidine derivatives as gamma secretase modulators |
-
2013
- 2013-11-25 WO PCT/EP2013/074648 patent/WO2014095249A1/en not_active Ceased
Patent Citations (25)
| Publication number | Priority date | Publication date | Assignee | Title |
|---|---|---|---|---|
| EP0267778A2 (en) * | 1986-11-10 | 1988-05-18 | Kureha Kagaku Kogyo Kabushiki Kaisha | Azole derivatives useful in controlling plant diseases and regulating plant growth |
| EP0433780A1 (en) | 1989-12-16 | 1991-06-26 | BASF Aktiengesellschaft | Substituted azolylmethylcycloalkanols and fungicides containing them |
| EP0589428A1 (en) * | 1992-09-24 | 1994-03-30 | Kureha Kagaku Kogyo Kabushiki Kaisha | Process for production of (azolylmethyl)-(biphenylmethyl)cyclopentanol derivatives |
| EP0655443A2 (en) | 1993-11-11 | 1995-05-31 | Kureha Chemical Industry Co., Ltd. | Process for the preparation of azolylmethylcycloalkanol derivatives |
| WO1996016048A1 (en) | 1994-11-21 | 1996-05-30 | Bayer Aktiengesellschaft | Microbicidal triazolyl derivatives |
| WO1996038423A1 (en) | 1995-06-01 | 1996-12-05 | Bayer Aktiengesellschaft | (mercapto-triazolylmethyl) cyclopentanol microbicides |
| WO1996038424A1 (en) * | 1995-06-01 | 1996-12-05 | Bayer Aktiengesellschaft | Cycloalkane benzylidines as microbicides |
| WO2000063163A1 (en) | 1999-04-16 | 2000-10-26 | Eastman Chemical Company | Process for the preparation of cyclopropylacetonitrile |
| WO2003064572A1 (en) | 2002-01-31 | 2003-08-07 | Exxonmobil Research And Engineering Company | Lubricating oil compositions with improved friction properties |
| WO2005060949A2 (en) | 2003-12-12 | 2005-07-07 | Eli Lilly And Company | Selective norepinephrine reuptake inhibitors for the treatment of hot flashes, impulse control disorders and personality change due to a general medical condition |
| WO2006102194A1 (en) | 2005-03-21 | 2006-09-28 | Eli Lilly And Company | Imidazopyridazine compounds |
| US20100056637A1 (en) | 2005-12-20 | 2010-03-04 | Icagen, Inc. | Treatment methods using triaryl methane compounds |
| WO2009071504A1 (en) | 2007-12-03 | 2009-06-11 | Smithkline Beecham Corporation | 2,6-disubstituted pyridines as soluble guanylate cyclase activators |
| WO2009075080A1 (en) | 2007-12-10 | 2009-06-18 | Kumiai Chemical Industry Co., Ltd. | Fluoroalkylsulfide derivative and pest control agent |
| WO2009077497A2 (en) | 2007-12-19 | 2009-06-25 | Basf Se | Azolyl methyl oxiranes, the use thereof, and agents containing them |
| WO2010146112A1 (en) | 2009-06-18 | 2010-12-23 | Basf Se | Antifungal 1, 2, 4-triazolyl derivatives |
| WO2010146114A1 (en) * | 2009-06-18 | 2010-12-23 | Basf Se | Triazole compounds carrying a sulfur substituent |
| WO2011113820A1 (en) | 2010-03-16 | 2011-09-22 | Basf Se | A process using grignard reagents |
| WO2011116663A1 (en) | 2010-03-24 | 2011-09-29 | 中国科学院上海药物研究所 | 2',2-dithiazol non-nucleoside compounds, preparation methods, pharmaceutical compositions and uses as hepatitis virus inhibitors thereof |
| WO2012024150A1 (en) | 2010-08-16 | 2012-02-23 | Boehringer Ingelheim International Gmbh | Oxadiazole inhibitors of leukotriene production |
| WO2012025506A1 (en) | 2010-08-26 | 2012-03-01 | Bayer Cropscience Ag | 5-iodo-triazole derivatives |
| WO2012047762A2 (en) | 2010-10-08 | 2012-04-12 | Amplyx Pharmaceuticals, Inc. | Antifungal agents |
| WO2012051036A1 (en) | 2010-10-11 | 2012-04-19 | Merck Sharp & Dohme Corp. | Quinazolinone-type compounds as crth2 antagonists |
| WO2012078596A2 (en) | 2010-12-07 | 2012-06-14 | Mindsinsync (Hong Kong) Limited | Backrest pillow |
| WO2012126984A1 (en) | 2011-03-24 | 2012-09-27 | Janssen Pharmaceuticals, Inc. | Novel substituted triazolyl piperazine and triazolyl piperidine derivatives as gamma secretase modulators |
Non-Patent Citations (80)
| Title |
|---|
| ADVANCED SYNTHESIS & CATALYSIS, vol. 352, no. 1, 2010, pages 81 - 84 |
| APPLIED ORGANOMETALLIC CHEMISTRY, vol. 26, no. 8, 2012, pages 445 - 447 |
| BIOORGANIC & MEDICINAL CHEMISTRY, vol. 12, no. 16, 2004, pages 4313 - 4336 |
| BIO-ORGANIC CHEMISTRY, 1989, pages 303 - 311 |
| CATALYSIS SCIENCE & TECHNOLOGY, vol. 1, no. 4, 2011, pages 569 - 573 |
| CHEMICAL & PHARMACEUTICAL BULLETIN, vol. 12, no. 2, 1964, pages 182 - 191 |
| CHEMICAL & PHARMACEUTICAL BULLETIN, vol. 27, no. 4, 1979, pages 916 - 922 |
| CHEMICAL COMMUNICATIONS, 2002, pages 2394 - 2395 |
| CHEMISCHE BERICHTE, vol. 119, no. 12, 1986, pages 3672 - 3693 |
| CHEMISTRY - A EUROPEAN JOURNAL, vol. 14, no. 12, 2008, pages 3605 - 3619 |
| CHEMISTRY - A EUROPEAN JOURNAL, vol. 18, no. 19, 2012, pages 6039 - 6048 |
| CHIMIA, vol. 36, no. 10, 1982, pages 396 - 397 |
| CHIMIA, vol. 36, no. 10, 1982, pages 396 - 7 |
| EUROPEAN JOURNAL OF INORGANIC CHEMISTRY, 2011, pages 727 - 738 |
| EUROPEAN JOURNAL OF MEDICINAL CHEMISTRY, vol. 44, no. 6, 2009, pages 2563 - 2571 |
| EUROPEAN JOURNAL OF ORGANIC CHEMISTRY, 2006, pages 4916 - 4923 |
| EUROPEAN JOURNAL OF ORGANIC CHEMISTRY, vol. 2011, no. 35, 2011, pages 7189 - 7193 |
| GREEN CHEMISTRY, vol. 12, no. 11, 2010, pages 2024 - 2029 |
| HETEROATOM CHEMISTRY, vol. 20, no. 7, 2010, pages 405 - 410 |
| INDIAN JOURNAL OF HETEROCYCLIC CHEMISTRY, vol. 8, no. 4, 1999, pages 341 - 342 |
| INORGANIC CHEMISTRY, vol. 51, no. 17, 2012, pages 9385 - 9394 |
| J. AM. CHEM. SOC., vol. 123, no. 25, 2001, pages 5962 - 5973 |
| J. HETEROCYC. CHEM., vol. 18, no. 7, 1981, pages 1305 - 1308 |
| J. MED. CHEM., vol. 38, no. 11, 1995, pages 1892 - 1903 |
| JOURNAL OF COORDINATION CHEMISTRY, vol. 65, no. 6, 2012, pages 1071 - 1081 |
| JOURNAL OF MEDICINAL CHEMISTRY, vol. 30, no. 6, 1987, pages 1054 - 1068 |
| JOURNAL OF ORGANIC CHEMISTRY, vol. 56, no. 19, 1991, pages 5553 - 5556 |
| JOURNAL OF ORGANIC CHEMISTRY, vol. 57, no. 6, 1992, pages 1707 - 12 |
| JOURNAL OF ORGANIC CHEMISTRY, vol. 57, no. 6, 1992, pages 1707 - 1712 |
| JOURNAL OF ORGANIC CHEMISTRY, vol. 62, 1997, pages 1934 - 1939 |
| JOURNAL OF ORGANIC CHEMISTRY, vol. 69, no. 7, 2004, pages 2562 - 2564 |
| JOURNAL OF ORGANIC CHEMISTRY, vol. 71, no. 1, 2006, pages 379 - 381 |
| JOURNAL OF ORGANIC CHEMISTRY, vol. 74, no. 21, 2009, pages 8309 - 8313 |
| JOURNAL OF ORGANIC CHEMISTRY, vol. 76, no. 14, 2011, pages 5825 - 5831 |
| JOURNAL OF ORGANOMETALLIC CHEMISTRY, vol. 334, no. 1-2, 1987, pages 225 - 242 |
| JOURNAL OF SULFUR CHEMISTRY, vol. 32, no. 1, 2011, pages 93 - 98 |
| JOURNAL OF SULFUR CHEMISTRY, vol. 32, no. 5, 2011, pages 435 - 441 |
| JOURNAL OF THE AMERICAN CHEMICAL SOCIETY, vol. 111, no. 11, 1989, pages 3908 - 3918 |
| JOURNAL OF THE AMERICAN CHEMICAL SOCIETY, vol. 112, 1990, pages 7001 - 7031 |
| JOURNAL OF THE AMERICAN CHEMICAL SOCIETY, vol. 114, 1992, pages 998 - 1010 |
| JOURNAL OF THE AMERICAN CHEMICAL SOCIETY, vol. 125, no. 9, 2003, pages 2475 - 2479 |
| JOURNAL OF THE AMERICAN CHEMICAL SOCIETY, vol. 96, no. 5, 1974, pages 1607 - 1609 |
| JOURNAL OF THE AMERICAN CHEMICAL SOCIETY, vol. 96, no. 5, 1974, pages 1607 - 9 |
| JOURNAL OF THE CHEMICAL SOCIETY OR IN PERKIN TRANSACTIONS 1: ORGANIC AND BIO-ORGANIC CHEMISTRY, 1983, pages 573 - 580 |
| KHIMIYA GETEROTSIKLICHESKIKH SOEDINENII, 1977, pages 1561 - 1563 |
| LETTERS IN ORGANIC CHEMISTRY, vol. 2, no. 8, 2005, pages 725 - 730 |
| MEDICINAL CHEMISTRY, vol. 12, no. 16, 2004, pages 4313 - 4336 |
| ORGANIC CHEMISTRY: AN INDIAN JOURNAL, vol. 4, no. 1, 2008, pages 32 - 35 |
| ORGANIC LETTERS, vol. 10, no. 20, 2008, pages 4573 - 4576 |
| ORGANIC LETTERS, vol. 12, no. 6, 2010, pages 1332 - 1335 |
| ORGANIC LETTERS, vol. 14, no. 18, 2012, pages 4898 - 4901 |
| ORGANIC LETTERS, vol. 14, no. 5, 2012, pages 1202 - 1205 |
| ORGANIC LETTERS, vol. 4, no. 14, 2002, pages 2445 - 2448 |
| ORGANIC LETTERS, vol. 7, no. 7, 2005, pages 1415 - 1417 |
| ORGANIC PROCESS RESEARCH & DEVELOPMENT, vol. 16, no. 8, 2012, pages 1385 - 1392 |
| ORGANIC REACTIONS (HOBOKEN, NJ, UNITED STATES, vol. 58, 2001 |
| ORGANIC REACTIONS (HOBOKEN, NJ, UNITED STATES, vol. 64, 2004 |
| ORGANIC SYNTHESES, vol. 37, 1957 |
| ORGANIC SYNTHESES, vol. 48, 1968 |
| ORGANIC SYNTHESES, vol. 49, 1969 |
| ORGANOMETALLICS, vol. 22, no. 19, 2003, pages 3915 - 3920 |
| SYNLETT, 2001, pages 1962 - 1964 |
| SYNTHESIS, 1982, pages 583 - 584 |
| SYNTHESIS, 2005, pages 1822 - 1828 |
| SYNTHESIS, vol. 1, 1999, pages 100 - 106 |
| SYNTHESIS, vol. 44, no. 10, 2012, pages 1507 - 1510 |
| SYNTHETIC COMMUNICATIONS, vol. 12, no. 6, 1982, pages 469 - 475 |
| SYNTHETIC COMMUNICATIONS, vol. 12, no. 6, 1982, pages 469 - 75 |
| SYNTHETIC COMMUNICATIONS, vol. 15, no. 8, 1985, pages 749 - 757 |
| TETRAHEDRON LETTERS, vol. 24, 1983, pages 4405 - 4408 |
| TETRAHEDRON LETTERS, vol. 48, no. 38, 2007, pages 6779 - 6784 |
| TETRAHEDRON LETTERS, vol. 52, no. 1, 2011, pages 13 - 16 |
| TETRAHEDRON LETTERS, vol. 52, no. 36, 2011, pages 4590 - 4594 |
| TETRAHEDRON, vol. 37, 1981, pages 3873 - 3888 |
| TETRAHEDRON, vol. 43, no. 10, 1987, pages 2311 - 2316 |
| TETRAHEDRON, vol. 44, no. 15, 1984, pages 4927 - 4940 |
| TETRAHEDRON, vol. 61, no. 45, 2005, pages 10757 - 10773 |
| TETRAHEDRON, vol. 63, no. 37, 2007, pages 9071 - 9081 |
| TETRAHEDRON, vol. 67, no. 5, 2011, pages 1002 - 1010 |
| TETRAHEDRON, vol. 68, no. 24, 2012, pages 4869 - 4881 |
Cited By (6)
| Publication number | Priority date | Publication date | Assignee | Title |
|---|---|---|---|---|
| US10053432B2 (en) | 2013-12-12 | 2018-08-21 | Basf Se | Substituted [1,2,4]triazole and imidazole compounds |
| US9815798B2 (en) | 2014-03-26 | 2017-11-14 | Basf Se | Substituted [1,2,4]triazole and imidazole compounds as fungicides |
| US10112913B2 (en) | 2014-05-13 | 2018-10-30 | Basf Se | Substituted [1,2,4]triazole and imidazole compounds as fungicides |
| US10450279B2 (en) | 2014-06-06 | 2019-10-22 | Basf Se | Substituted [1,2,4]triazole compounds |
| CN113817691A (en) * | 2018-11-28 | 2021-12-21 | 江苏省农业科学院 | Wheat ACCase mutant type gene and application thereof in herbicide resistance of plants |
| CN113817691B (en) * | 2018-11-28 | 2024-04-26 | 江苏省农业科学院 | Wheat ACCase mutant gene and application thereof in herbicide resistance of plants |
Similar Documents
| Publication | Publication Date | Title |
|---|---|---|
| AU2015238666B2 (en) | Substituted [1,2,4]triazole and imidazole compounds as fungicides | |
| US10450279B2 (en) | Substituted [1,2,4]triazole compounds | |
| US10053432B2 (en) | Substituted [1,2,4]triazole and imidazole compounds | |
| US10071971B2 (en) | Substituted [1,2,4]triazole compounds and their use as fungicides | |
| EP2925731A1 (en) | Substituted [1,2,4]triazole compounds | |
| EP3013816A1 (en) | Strobilurin type compounds for combating phytopathogenic fungi | |
| EP3010888A1 (en) | Strobilurin type compounds for combating phytopathogenic fungi | |
| WO2014082871A1 (en) | Substituted 2-[phenoxy-phenyl]-1-[1,2,4]triazol-1-yl-ethanol compounds and their use as fungicides | |
| WO2014095672A1 (en) | Substituted [1,2,4]triazole compounds and their use as fungicides | |
| EP2746259A1 (en) | Substituted [1,2,4]triazole and imidazole compounds | |
| US20160002179A1 (en) | Substituted imidazole and (1,2,4)triazole compounds as fungicides | |
| EP2935225A1 (en) | Substituted [1,2,4]triazole and imidazole compounds | |
| CA2923101A1 (en) | Fungicidal pyrimidine compounds | |
| EP2746260A1 (en) | Substituted [1,2,4]triazole and imidazole compounds | |
| EP3013794A1 (en) | Strobilurin type compounds for combating phytopathogenic fungi | |
| WO2014095249A1 (en) | Fungicidal imidazolyl and triazolyl compounds | |
| US9670192B2 (en) | Substituted isoxazole derivatives | |
| WO2015036059A1 (en) | Fungicidal pyrimidine compounds | |
| WO2014082879A1 (en) | Substituted [1,2,4]triazole compounds | |
| WO2014095637A1 (en) | Substituted [1,2,4]triazole and imidazole compounds | |
| EP2746278A1 (en) | Substituted [1,2,4]triazole and imidazole compounds | |
| EP2746262A1 (en) | Substituted [1,2,4]triazole and imidazole compounds for combating phytopathogenic fungi | |
| WO2014118099A1 (en) | Fungicidal naphthoquinones and derivatives | |
| EP2746277A1 (en) | Fungicidal imidazolyl and triazolyl compounds | |
| EP2746255A1 (en) | Substituted [1,2,4]triazole and imidazole compounds |
Legal Events
| Date | Code | Title | Description |
|---|---|---|---|
| 121 | Ep: the epo has been informed by wipo that ep was designated in this application |
Ref document number: 13795267 Country of ref document: EP Kind code of ref document: A1 |
|
| NENP | Non-entry into the national phase |
Ref country code: DE |
|
| 122 | Ep: pct application non-entry in european phase |
Ref document number: 13795267 Country of ref document: EP Kind code of ref document: A1 |






























