WO2006100298A1 - Verwendung von verbindungen, welche aromatische oder heteroaromatische über carbonyl-gruppen enthaltende gruppen verbundene ringe enthalten, als matrixmaterialien in organischen leuchtdioden - Google Patents
Verwendung von verbindungen, welche aromatische oder heteroaromatische über carbonyl-gruppen enthaltende gruppen verbundene ringe enthalten, als matrixmaterialien in organischen leuchtdioden Download PDFInfo
- Publication number
- WO2006100298A1 WO2006100298A1 PCT/EP2006/061007 EP2006061007W WO2006100298A1 WO 2006100298 A1 WO2006100298 A1 WO 2006100298A1 EP 2006061007 W EP2006061007 W EP 2006061007W WO 2006100298 A1 WO2006100298 A1 WO 2006100298A1
- Authority
- WO
- WIPO (PCT)
- Prior art keywords
- heteroaryl
- alkyl
- alkenyl
- carbon atoms
- independently
- Prior art date
- Legal status (The legal status is an assumption and is not a legal conclusion. Google has not performed a legal analysis and makes no representation as to the accuracy of the status listed.)
- Ceased
Links
- HQGKLAMKKQSVMI-UHFFFAOYSA-N CC(C)(C1)c2cc(C)c(C)c(C)c2C11c2c(C)c(C)c(C)cc2C(C)(C)C1 Chemical compound CC(C)(C1)c2cc(C)c(C)c(C)c2C11c2c(C)c(C)c(C)cc2C(C)(C)C1 HQGKLAMKKQSVMI-UHFFFAOYSA-N 0.000 description 1
- HZIIPEGPMHIRBJ-UHFFFAOYSA-N CC(C)(c(cc1)cc(OC(c2cccnc2)=O)c1OC(c1cccnc1)=O)c(cc1OC(c2cccnc2)=O)ccc1OC(C1=CNCC=C1)=O Chemical compound CC(C)(c(cc1)cc(OC(c2cccnc2)=O)c1OC(c1cccnc1)=O)c(cc1OC(c2cccnc2)=O)ccc1OC(C1=CNCC=C1)=O HZIIPEGPMHIRBJ-UHFFFAOYSA-N 0.000 description 1
- PKJQICPBVGKWNJ-UHFFFAOYSA-N CC(c(cc1)ccc1OC(c1cc(OCc2ccccc2)cc(OCc2ccccc2)c1)=O)(c(cc1)ccc1OC(c1cc(OCc2ccccc2)cc(OCc2ccccc2)c1)=O)c(cc1)ccc1OC(c1cc(OCc2ccccc2)cc(OCc2ccccc2)c1)=O Chemical compound CC(c(cc1)ccc1OC(c1cc(OCc2ccccc2)cc(OCc2ccccc2)c1)=O)(c(cc1)ccc1OC(c1cc(OCc2ccccc2)cc(OCc2ccccc2)c1)=O)c(cc1)ccc1OC(c1cc(OCc2ccccc2)cc(OCc2ccccc2)c1)=O PKJQICPBVGKWNJ-UHFFFAOYSA-N 0.000 description 1
- BTUIPMFAUUCTCW-UHFFFAOYSA-N CN(C(N)=O)C(N)=O Chemical compound CN(C(N)=O)C(N)=O BTUIPMFAUUCTCW-UHFFFAOYSA-N 0.000 description 1
- COPDMIQMPUOJMR-UHFFFAOYSA-N O=C(c1ccc(CCc(cc2)ccc2C(Sc2ccccc2)=O)cc1)Sc1ccccc1 Chemical compound O=C(c1ccc(CCc(cc2)ccc2C(Sc2ccccc2)=O)cc1)Sc1ccccc1 COPDMIQMPUOJMR-UHFFFAOYSA-N 0.000 description 1
- HPNVYHARWFTYSK-UHFFFAOYSA-N O=C(c1ccccc1)Oc(cc(C(CC1=O)(CC(c2c3)=O)c2cc(OC(c2ccccc2)=O)c3OC(c2ccccc2)=O)c1c1)c1OC(c1ccccc1)=O Chemical compound O=C(c1ccccc1)Oc(cc(C(CC1=O)(CC(c2c3)=O)c2cc(OC(c2ccccc2)=O)c3OC(c2ccccc2)=O)c1c1)c1OC(c1ccccc1)=O HPNVYHARWFTYSK-UHFFFAOYSA-N 0.000 description 1
- GRMKXTBORAWGKW-UHFFFAOYSA-N O=C(c1ccccc1)Oc(cc(CCCC1(CCCc2c3)c2cc(OC(c2ccccc2)=O)c3OC(c2ccccc2)=O)c1c1)c1OC(c1ccccc1)=O Chemical compound O=C(c1ccccc1)Oc(cc(CCCC1(CCCc2c3)c2cc(OC(c2ccccc2)=O)c3OC(c2ccccc2)=O)c1c1)c1OC(c1ccccc1)=O GRMKXTBORAWGKW-UHFFFAOYSA-N 0.000 description 1
Classifications
-
- H—ELECTRICITY
- H05—ELECTRIC TECHNIQUES NOT OTHERWISE PROVIDED FOR
- H05B—ELECTRIC HEATING; ELECTRIC LIGHT SOURCES NOT OTHERWISE PROVIDED FOR; CIRCUIT ARRANGEMENTS FOR ELECTRIC LIGHT SOURCES, IN GENERAL
- H05B33/00—Electroluminescent light sources
- H05B33/12—Light sources with substantially two-dimensional radiating surfaces
- H05B33/14—Light sources with substantially two-dimensional radiating surfaces characterised by the chemical or physical composition or the arrangement of the electroluminescent material, or by the simultaneous addition of the electroluminescent material in or onto the light source
-
- C—CHEMISTRY; METALLURGY
- C09—DYES; PAINTS; POLISHES; NATURAL RESINS; ADHESIVES; COMPOSITIONS NOT OTHERWISE PROVIDED FOR; APPLICATIONS OF MATERIALS NOT OTHERWISE PROVIDED FOR
- C09K—MATERIALS FOR MISCELLANEOUS APPLICATIONS, NOT PROVIDED FOR ELSEWHERE
- C09K11/00—Luminescent, e.g. electroluminescent, chemiluminescent materials
- C09K11/06—Luminescent, e.g. electroluminescent, chemiluminescent materials containing organic luminescent materials
-
- H—ELECTRICITY
- H10—SEMICONDUCTOR DEVICES; ELECTRIC SOLID-STATE DEVICES NOT OTHERWISE PROVIDED FOR
- H10K—ORGANIC ELECTRIC SOLID-STATE DEVICES
- H10K85/00—Organic materials used in the body or electrodes of devices covered by this subclass
- H10K85/30—Coordination compounds
- H10K85/341—Transition metal complexes, e.g. Ru(II)polypyridine complexes
- H10K85/342—Transition metal complexes, e.g. Ru(II)polypyridine complexes comprising iridium
-
- H—ELECTRICITY
- H10—SEMICONDUCTOR DEVICES; ELECTRIC SOLID-STATE DEVICES NOT OTHERWISE PROVIDED FOR
- H10K—ORGANIC ELECTRIC SOLID-STATE DEVICES
- H10K85/00—Organic materials used in the body or electrodes of devices covered by this subclass
- H10K85/731—Liquid crystalline materials
-
- C—CHEMISTRY; METALLURGY
- C09—DYES; PAINTS; POLISHES; NATURAL RESINS; ADHESIVES; COMPOSITIONS NOT OTHERWISE PROVIDED FOR; APPLICATIONS OF MATERIALS NOT OTHERWISE PROVIDED FOR
- C09K—MATERIALS FOR MISCELLANEOUS APPLICATIONS, NOT PROVIDED FOR ELSEWHERE
- C09K2211/00—Chemical nature of organic luminescent or tenebrescent compounds
- C09K2211/10—Non-macromolecular compounds
- C09K2211/1003—Carbocyclic compounds
- C09K2211/1007—Non-condensed systems
-
- C—CHEMISTRY; METALLURGY
- C09—DYES; PAINTS; POLISHES; NATURAL RESINS; ADHESIVES; COMPOSITIONS NOT OTHERWISE PROVIDED FOR; APPLICATIONS OF MATERIALS NOT OTHERWISE PROVIDED FOR
- C09K—MATERIALS FOR MISCELLANEOUS APPLICATIONS, NOT PROVIDED FOR ELSEWHERE
- C09K2211/00—Chemical nature of organic luminescent or tenebrescent compounds
- C09K2211/10—Non-macromolecular compounds
- C09K2211/1003—Carbocyclic compounds
- C09K2211/1011—Condensed systems
-
- C—CHEMISTRY; METALLURGY
- C09—DYES; PAINTS; POLISHES; NATURAL RESINS; ADHESIVES; COMPOSITIONS NOT OTHERWISE PROVIDED FOR; APPLICATIONS OF MATERIALS NOT OTHERWISE PROVIDED FOR
- C09K—MATERIALS FOR MISCELLANEOUS APPLICATIONS, NOT PROVIDED FOR ELSEWHERE
- C09K2211/00—Chemical nature of organic luminescent or tenebrescent compounds
- C09K2211/10—Non-macromolecular compounds
- C09K2211/1003—Carbocyclic compounds
- C09K2211/1014—Carbocyclic compounds bridged by heteroatoms, e.g. N, P, Si or B
-
- C—CHEMISTRY; METALLURGY
- C09—DYES; PAINTS; POLISHES; NATURAL RESINS; ADHESIVES; COMPOSITIONS NOT OTHERWISE PROVIDED FOR; APPLICATIONS OF MATERIALS NOT OTHERWISE PROVIDED FOR
- C09K—MATERIALS FOR MISCELLANEOUS APPLICATIONS, NOT PROVIDED FOR ELSEWHERE
- C09K2211/00—Chemical nature of organic luminescent or tenebrescent compounds
- C09K2211/10—Non-macromolecular compounds
- C09K2211/1018—Heterocyclic compounds
- C09K2211/1022—Heterocyclic compounds bridged by heteroatoms, e.g. N, P, Si or B
-
- C—CHEMISTRY; METALLURGY
- C09—DYES; PAINTS; POLISHES; NATURAL RESINS; ADHESIVES; COMPOSITIONS NOT OTHERWISE PROVIDED FOR; APPLICATIONS OF MATERIALS NOT OTHERWISE PROVIDED FOR
- C09K—MATERIALS FOR MISCELLANEOUS APPLICATIONS, NOT PROVIDED FOR ELSEWHERE
- C09K2211/00—Chemical nature of organic luminescent or tenebrescent compounds
- C09K2211/10—Non-macromolecular compounds
- C09K2211/1018—Heterocyclic compounds
- C09K2211/1025—Heterocyclic compounds characterised by ligands
- C09K2211/1029—Heterocyclic compounds characterised by ligands containing one nitrogen atom as the heteroatom
-
- C—CHEMISTRY; METALLURGY
- C09—DYES; PAINTS; POLISHES; NATURAL RESINS; ADHESIVES; COMPOSITIONS NOT OTHERWISE PROVIDED FOR; APPLICATIONS OF MATERIALS NOT OTHERWISE PROVIDED FOR
- C09K—MATERIALS FOR MISCELLANEOUS APPLICATIONS, NOT PROVIDED FOR ELSEWHERE
- C09K2211/00—Chemical nature of organic luminescent or tenebrescent compounds
- C09K2211/10—Non-macromolecular compounds
- C09K2211/1018—Heterocyclic compounds
- C09K2211/1025—Heterocyclic compounds characterised by ligands
- C09K2211/1029—Heterocyclic compounds characterised by ligands containing one nitrogen atom as the heteroatom
- C09K2211/1033—Heterocyclic compounds characterised by ligands containing one nitrogen atom as the heteroatom with oxygen
-
- C—CHEMISTRY; METALLURGY
- C09—DYES; PAINTS; POLISHES; NATURAL RESINS; ADHESIVES; COMPOSITIONS NOT OTHERWISE PROVIDED FOR; APPLICATIONS OF MATERIALS NOT OTHERWISE PROVIDED FOR
- C09K—MATERIALS FOR MISCELLANEOUS APPLICATIONS, NOT PROVIDED FOR ELSEWHERE
- C09K2211/00—Chemical nature of organic luminescent or tenebrescent compounds
- C09K2211/10—Non-macromolecular compounds
- C09K2211/1018—Heterocyclic compounds
- C09K2211/1025—Heterocyclic compounds characterised by ligands
- C09K2211/1029—Heterocyclic compounds characterised by ligands containing one nitrogen atom as the heteroatom
- C09K2211/1037—Heterocyclic compounds characterised by ligands containing one nitrogen atom as the heteroatom with sulfur
-
- C—CHEMISTRY; METALLURGY
- C09—DYES; PAINTS; POLISHES; NATURAL RESINS; ADHESIVES; COMPOSITIONS NOT OTHERWISE PROVIDED FOR; APPLICATIONS OF MATERIALS NOT OTHERWISE PROVIDED FOR
- C09K—MATERIALS FOR MISCELLANEOUS APPLICATIONS, NOT PROVIDED FOR ELSEWHERE
- C09K2211/00—Chemical nature of organic luminescent or tenebrescent compounds
- C09K2211/10—Non-macromolecular compounds
- C09K2211/1018—Heterocyclic compounds
- C09K2211/1025—Heterocyclic compounds characterised by ligands
- C09K2211/1044—Heterocyclic compounds characterised by ligands containing two nitrogen atoms as heteroatoms
-
- C—CHEMISTRY; METALLURGY
- C09—DYES; PAINTS; POLISHES; NATURAL RESINS; ADHESIVES; COMPOSITIONS NOT OTHERWISE PROVIDED FOR; APPLICATIONS OF MATERIALS NOT OTHERWISE PROVIDED FOR
- C09K—MATERIALS FOR MISCELLANEOUS APPLICATIONS, NOT PROVIDED FOR ELSEWHERE
- C09K2211/00—Chemical nature of organic luminescent or tenebrescent compounds
- C09K2211/10—Non-macromolecular compounds
- C09K2211/1018—Heterocyclic compounds
- C09K2211/1025—Heterocyclic compounds characterised by ligands
- C09K2211/1044—Heterocyclic compounds characterised by ligands containing two nitrogen atoms as heteroatoms
- C09K2211/1051—Heterocyclic compounds characterised by ligands containing two nitrogen atoms as heteroatoms with sulfur
-
- C—CHEMISTRY; METALLURGY
- C09—DYES; PAINTS; POLISHES; NATURAL RESINS; ADHESIVES; COMPOSITIONS NOT OTHERWISE PROVIDED FOR; APPLICATIONS OF MATERIALS NOT OTHERWISE PROVIDED FOR
- C09K—MATERIALS FOR MISCELLANEOUS APPLICATIONS, NOT PROVIDED FOR ELSEWHERE
- C09K2211/00—Chemical nature of organic luminescent or tenebrescent compounds
- C09K2211/10—Non-macromolecular compounds
- C09K2211/1018—Heterocyclic compounds
- C09K2211/1025—Heterocyclic compounds characterised by ligands
- C09K2211/1059—Heterocyclic compounds characterised by ligands containing three nitrogen atoms as heteroatoms
-
- C—CHEMISTRY; METALLURGY
- C09—DYES; PAINTS; POLISHES; NATURAL RESINS; ADHESIVES; COMPOSITIONS NOT OTHERWISE PROVIDED FOR; APPLICATIONS OF MATERIALS NOT OTHERWISE PROVIDED FOR
- C09K—MATERIALS FOR MISCELLANEOUS APPLICATIONS, NOT PROVIDED FOR ELSEWHERE
- C09K2211/00—Chemical nature of organic luminescent or tenebrescent compounds
- C09K2211/10—Non-macromolecular compounds
- C09K2211/1018—Heterocyclic compounds
- C09K2211/1025—Heterocyclic compounds characterised by ligands
- C09K2211/1088—Heterocyclic compounds characterised by ligands containing oxygen as the only heteroatom
-
- C—CHEMISTRY; METALLURGY
- C09—DYES; PAINTS; POLISHES; NATURAL RESINS; ADHESIVES; COMPOSITIONS NOT OTHERWISE PROVIDED FOR; APPLICATIONS OF MATERIALS NOT OTHERWISE PROVIDED FOR
- C09K—MATERIALS FOR MISCELLANEOUS APPLICATIONS, NOT PROVIDED FOR ELSEWHERE
- C09K2211/00—Chemical nature of organic luminescent or tenebrescent compounds
- C09K2211/18—Metal complexes
- C09K2211/185—Metal complexes of the platinum group, i.e. Os, Ir, Pt, Ru, Rh or Pd
-
- H—ELECTRICITY
- H10—SEMICONDUCTOR DEVICES; ELECTRIC SOLID-STATE DEVICES NOT OTHERWISE PROVIDED FOR
- H10K—ORGANIC ELECTRIC SOLID-STATE DEVICES
- H10K2102/00—Constructional details relating to the organic devices covered by this subclass
- H10K2102/10—Transparent electrodes, e.g. using graphene
- H10K2102/101—Transparent electrodes, e.g. using graphene comprising transparent conductive oxides [TCO]
- H10K2102/103—Transparent electrodes, e.g. using graphene comprising transparent conductive oxides [TCO] comprising indium oxides, e.g. ITO
-
- H—ELECTRICITY
- H10—SEMICONDUCTOR DEVICES; ELECTRIC SOLID-STATE DEVICES NOT OTHERWISE PROVIDED FOR
- H10K—ORGANIC ELECTRIC SOLID-STATE DEVICES
- H10K50/00—Organic light-emitting devices
- H10K50/10—OLEDs or polymer light-emitting diodes [PLED]
- H10K50/11—OLEDs or polymer light-emitting diodes [PLED] characterised by the electroluminescent [EL] layers
-
- H—ELECTRICITY
- H10—SEMICONDUCTOR DEVICES; ELECTRIC SOLID-STATE DEVICES NOT OTHERWISE PROVIDED FOR
- H10K—ORGANIC ELECTRIC SOLID-STATE DEVICES
- H10K85/00—Organic materials used in the body or electrodes of devices covered by this subclass
- H10K85/60—Organic compounds having low molecular weight
- H10K85/615—Polycyclic condensed aromatic hydrocarbons, e.g. anthracene
- H10K85/621—Aromatic anhydride or imide compounds, e.g. perylene tetra-carboxylic dianhydride or perylene tetracarboxylic di-imide
Definitions
- the present invention relates to the use of compounds containing aromatic or heteroaromatic rings connected via carbonyl groups containing groups, as matrix materials in organic light-emitting diodes. Furthermore, the present invention relates to a light-emitting layer which contains at least one such compound as a matrix material and at least one further substance distributed therein as an emitter or which consists of at least one such compounds as matrix material and at least one further substance distributed therein as an emitter, an organic light-emitting diode containing such a light-emitting layer, and a device containing such an organic light-emitting diode.
- OLEDs organic light emitting diodes
- the property of materials is used to emit light when excited by electric current.
- OLEDs are of particular interest as an alternative to cathode ray tubes and liquid crystal displays for the production of flat panel displays. Due to the very compact design and the intrinsically low power consumption, devices containing OLEDs are particularly suitable for mobile applications, for example for applications in mobile phones, laptops, etc.
- US 2004/0209115 A1 discloses as matrix materials compounds of the general formula XAr 1 Ar 2 Ar 3 Ar 4 in which X represents carbon, silicon, germanium, tin, lead, titanium, zirconium or hafnium and the variables Ar 1 to Ar 4 denote optionally substituted and optionally linked together phenyl or mononuclear heteroaryl radicals.
- CBP N'-dicarbazole-biphenyl
- the object of the present application was therefore to provide further matrix materials for use in OLEDs, in particular for the light-emitting layers of the OLEDs, which are easily accessible and, in combination with the actual emitter (s), bring about good luminances and quantum yields in OLEDs.
- Ar 1 is an aromatic or heteroaromatic five- or six-membered ring which is monosubstituted or disubstituted benzanelated with one or more halogen, NO 2 , NO, CN, CHO, R 1 , X 1 -CO-R 1 , X 1 -SO 2 - R 1 , X 1 -R 1 ' , CO-X 1 -R 1' or SO 2 -X 1 -R 1 'may be substituted,
- Ar 2 is an n-valent organic radical containing one or more aromatic and / or heteroaromatic five- or six-membered rings containing one or more halogen, NO 2 , NO, CN, CHO, R 2 , CO-R 2 , X 2 -SO 2 -R 2 , X 2 -R 2 'or SO 2 -X 2 -R 2' may be substituted,
- E is -CO-O-, -O-CO-, -CO-S-, -S-CO-, -CO-NR '-, -NR' -CO-, -0-CO-O- or
- R 1 is Ci-C 20 -AlkVl, C 2 -C 20 alkenyl, C 6 -C 10 aryl, heteroaryl having 2 to 12 carbon atoms, C 6 -Cio-aryl-CrC 2O- alkyl, C 6 -C 1o- aryl-C 2 -C 2 o-alkenyl, heteroaryl-C r C 2 o-alkyl or heteroaryl-C 2 -C 20 -alkenyl having in each case 2 to 12 carbon atoms in the heteroaryl radical, where in the C 1 -C 20 - or C 2 -C 20 -carboxylic one or more non-adjacent CH 2 groups can be replaced by oxygen atoms, -N (C 1 -C 20 alkyl) - and / or carbonyl groups and both the C 6 -C 10 -aryl and the heteroaryl with one or more Halogen, NO 2 , NO, CN, CHO, R,
- R 1 ', R 2 ' are independently of one another hydrogen or independently of R 1 or R 2 the same meaning as R 1 or R 2 ,
- R ' is hydrogen or, independently of R, has the same meaning as R,
- X 1 , X 2 , X independently of one another oxygen, sulfur or NR 1 ' or NR 2' or NR ' , where in the event that X 1 -R 1' or X 2 -R 2 ' or XR ' corresponds to an N (R 1 ' ) 2 - or N (R 2' ) 2 - or N (R ' ) 2 group, the two radicals R 1' and R 2 'or R ' together a C 4 - or C 5 -alkylene, C 4 - or C 5 -alkenylene or
- E in formula I is -CO-O-, -O-CO-, -CO-S-, -S-CO-, -CO-NR ' - or -NR'-CO-, its attachment to Ar 2 takes place both via the carbonyl group and via the heteroatom. Furthermore, it is possible that in one and the same molecule of the formula I, a part of the n above-mentioned linking groups E via the carbonyl group, another part is attached via the heteroatoms.
- n groups E are attached to Ar 2 in the same way, ie either via the carbonyl group or via the heteroatom.
- ⁇ groups E in formula I can be different from one another.
- n groups E in formula I are the same and, if different bonds to Ar 2 are possible, bound in the same way.
- n radicals Ar 1 in formula I can be different from one another.
- n radicals Ar 1 in formula I are the same.
- the n groupings Ar 1 -E in formula I can be different from one another.
- the linking groups E differ both in their chemical nature and, in the given case, in their nature of binding to Ar 2 from each other, on the other hand, the radicals Ar 1 may differ from each other in their chemical nature.
- the n groupings Ar 1 -E in formula I are the same. This means that each of the same radicals Ar 1 are attached to Ar 2 in the same way via the linking groups E, provided that there are different possibilities of attachment in the latter groups.
- R 1 and R 2 and R 1 ' and R 2' are:
- C 1 -C 2O -alkyl in which C r C 2 o-carbon chain one or more non-adjacent CH 2 groups may be replaced by oxygen atoms, for example methyl, ethyl, propyl, isopropyl, butyl, isobutyl, sec-butyl, tert-butyl, pentyl, isopentyl, neopentyl, tert-pentyl, hexyl, 2-methylpentyl, heptyl, hept-3-yl, octyl, 2-ethylhexyl, isooctyl, nonyl, isononyl, decyl, isodecyl, undecyl, dodecyl, tridecyl, 3,5,5,7-tetramethylnonyl, isotridecyl (the above designations isooctyl, isononyl, isodecy
- C 2 -C 20 alkenyl in whose C 2 -C 20 carbon chain one or more non-adjacent CH 2 groups may be replaced by oxygen atoms, N (C r C 20 alkyl) and / or carbonyl groups, in particular C 2 -C 20 -Alk-1-enyl radicals.
- N C r C 20 alkyl
- carbonyl groups in particular C 2 -C 20 -Alk-1-enyl radicals.
- C 6 -C 10 -aryl in particular phenyl and naphthyl
- heteroaryl having 2 to 12 carbon atoms such radicals which are derived, for example, from pyrrole, furan, thiophene, pyrazole, isoxazole, isothiazole, imidazole, 1H-1, 2,3-triazole, 1H-1, 2,4-triazole, Pyridine, pyrazine, pyridazine, 1H-azepine, 2H-azepine, oxazole, thiazole, 1, 2,3-, 1, 2,4- or 1, 3,4-oxadiazole, 1, 2,3-, 1, 2 , 4- or 1, 3,4-thiadiazole and optionally the benzo or dibenzoanell faced, such as quinoline, isoquinoline, indole, benzo [b] furan (coumarone), benzo [b] thiophene (thionaphthene), carbazole, Dibenzofuran, dibenzothiophene, 1H-indazole,
- the C 6 -C 10 -aryl or heteroaryl having 2 to 12 carbon atoms with one or more substituents halogen, NO 2 , NO, CN, CHO, R, CO-R, X -SO 2 -R, XR ' or SO 2 -XR ' be substituted.
- Halogen in this case in each case denotes fluorine, chlorine, bromine or iodine, in particular fluorine or chlorine.
- the variables X 1 , X 2 and X are independently oxygen, sulfur or NR 1 'or NR 2' or NR '. If X 1 -R 1 ' or X 2 -R 2' or XR ' corresponds to an N (R 1 V or N (R 2 ') 2 - or N (R ' ) 2 group, the two R 1 ' or R 2' or R ' together form a C 4 - or C 5 -alkylene, C 4 - or C 5 -alkenylene or C 4 - or C 5 -alkadienylene bridge one or two non-adjacent CH 2 groups may be replaced by carbonyl groups. Furthermore, in the case of the alkenylene and Alkadienylen Kunststoff the interconnected by the double bond (s) of carbon atoms be part of a six-membered, optionally benzo-fused aromatic or heteroaromatic ring.
- N (R 1 ' ) 2 - or N (R 2' ) 2 - or N (R ' ) 2 groups in which the two radicals R 1' and R 2 ' or R ' together form corresponding bridges
- the present invention relates to the use of compounds of the formula I 1 in which the variables have the following meanings:
- Ar 1 is an aromatic or heteroaromatic five- or six-membered ring which is simply benzanellated and substituted with one or more halo, CN, R 1 , X 1 -CO-R 1, -R 1 ' or CO-X 1 -R 1' can be,
- Ar 2 is an n-valent organic radical which contains one or more aromatic and / or heteroaromatic five- or six-membered rings which are substituted by one or more halogen, CN, R 2 , CO-R 2 or X 2 -R 2 ' can,
- R 1 is C 1 -C 10 -alkyl, C 2 -C 10 -alkenyl, phenyl, heteroaryl of 3 to 5 carbon atoms, phenyl-C 1 -C 4 -alkyl, phenyl-C 2 -C 10 -alkenyl, heteroaryl-C 1 -C 4 -alkyl or heteroaryl-C 2 -C 10 alkenyl teroarylrest each having 3 to 5 carbon atoms in He, wherein in the C 1 -C 0 - or C 2 -C 1o carbon chain, one or more non-adjacent CH 2 groups are replaced by oxygen atoms , -N (C 1 -C 10 -alkyl) and / or carbonyl groups and both the phenyl and the heteroaryl having one or more halogen, CN, R, X-CO-R, XR ' or CO-XR ' can be substituted,
- C 1o alkyl) and / or carbonyl groups may be replaced and both the phenyl and the heteroaryl may be substituted by one or more halogen, CN, R, CO-R or XR ' ,
- R 1 ' , R 2' are independently of one another hydrogen or independently of R 1 or R 2 the same meaning as R 1 or R 2 ,
- R is C 1 -C 10 -alkyl, C 2 -C 10 alkenyl, phenyl, heteroaryl, alkyl having 3 to 5 carbon atoms, phenyl-CrC 10, phenyl-C 2 -C 10 alkenyl, heteroaryl-C r C 10 alkyl or heteroaryl-C 2 -C 10 -alkenyl having in each case 3 to 5 carbon atoms in the heteroaryl radical,
- R ' is hydrogen or, independently of R, has the same meaning as R,
- X 1 is oxygen or NR 1 ' , where in the event that X 1 -R 1' corresponds to an N (R 1 ' ) 2 group, the two radicals R 1' together form a C 4 - or C 5 -alkylene, C 4 - or C 5 alkenylene or C 4 - or C 5 -Alkadienylen Kunststoff in which optionally one or two non-adjacent CH 2 groups replaced by carbonyl groups and in the case of alkenylene and Alkadieny- lenmaschine by the double bond (e) interconnected carbon atoms may be part of a six-membered aromatic or heteroaromatic ring,
- X 2 , X are independently of one another oxygen or NR 2 ' or NR ' , where in the event that X 2 -R 2 ' or XR ' is an N (R 2 ' ) 2 - or N (R ' ) 2 - Group corresponds, the two radicals R 2 'and R ' together may form a C 4 - or C 5 -alkylene or C 4 - or C 5 -alkenylene bridge, in which optionally one or two non-adjacent CH 2 groups by carbonyl groups and in the case of the alkenylene bridge, the carbon atoms joined together by the double bond may be part of a six-membered aromatic or heteroaromatic ring,
- the present invention relates to the use of compounds of the formula I in which the variables have the following meanings:
- Ar 1 is an aromatic or heteroaromatic five- or six-membered ring which may be substituted by one or more halogen, CN, R 1 , X 1 -CO-R 1 , X 1 -R 1 'or CO-X 1 -R 1' .
- Ar 2 is an n-valent organic radical containing one or more aromatic and / or heteroaromatic five- or six-membered rings, which with one or more halogen, CN, R 2 , CO-R 2 or X 2 -R 2 ' may be substituted,
- R 1 , R 2 independently of one another are C 1 -C 8 -alkyl, phenyl, heteroaryl having 3 to 5 carbon atoms, phenylCrC ⁇ -alkyl, phenylC 2 -C 8 -alkenyl, heteroarylC r C 8 -alkyl or heteroaryl C 2 -C 8 -alkenyl having in each case 3 to 5 carbon atoms in the heteroaryl radical, where both the phenyl and the heteroaryl may be substituted by one or more halogen, CN, R or XR ' ,
- R 1 ', R 2 ' are independently of one another hydrogen or independently of R 1 or R 2 the same meaning as R 1 or R 2 ,
- R ' is hydrogen or, independently of R, has the same meaning as R,
- C 4 - or C 5 alkenylene bridge can form, in which optionally one or two non-adjacent CH 2 groups may be replaced by carbonyl groups,
- X 2 , X are independently oxygen or NR 2 ' or NR ' ,
- the proviso is that the total number of aromatic and / or heteroaromatic five- or six-membered rings contained in Ar 2 is at most six, or preferably or particularly preferably four, meaning that, for example, in Ar 2 contained naphthyl, benzofuran, benzimidazole, benzoxazole or benzothiazole radicals as two rings, anthracene, carbazole or Dibenzofuranreste as three rings and triphenylene as four rings to be considered.
- This proviso is also to be understood as meaning that in the total number of aromatic and / or heteroaromatic rings, those rings are also to be taken into account which in the substituents R 2 , CO-R 2 , X 2 -SO 2 -R 2 , X 2 - R 2 ' and SO 2 -X 2 -R 2' of the aromatic and / or heteroaromatic rings of the organic radical Ar 2 can appear.
- R 2 and R 2 ' in the groupings CO-R 2 , X 2 -SO 2 -R 2 and X 2 - R 2' itself contain no aromatic or heteroaromatic rings, but these in the linking group X 2 when the latter is NR 2 (or NR 2 ' ) and R 2 (or R 2 ') C 6 -C 10 aryl, heteroaryl having 2 to 12 carbon atoms, C 6 -C 1o- aryl-CrC 2 o-alkyl, C 6 -C 1o -aryl-C 2 -C 2 o-alkenyl, heteroaryl-CrC 20 -alkyl or heteroaryl-C 2 -C 20 -alkenyl, each having 2 to 12 Carbon atoms in the heteroaryl corresponds.
- a divalent organic radical Ar 2 (n 2) which contains two six-membered aromatic rings.
- the latter are each substituted by two methyl radicals (corresponding to two substituents R 2 in the meaning of a C 1 -C 2O -AIKyI); the cyclopentylidene bridge between the two rings is not understood as a further substituent of the rings but as part of the organic radical Ar 2 .
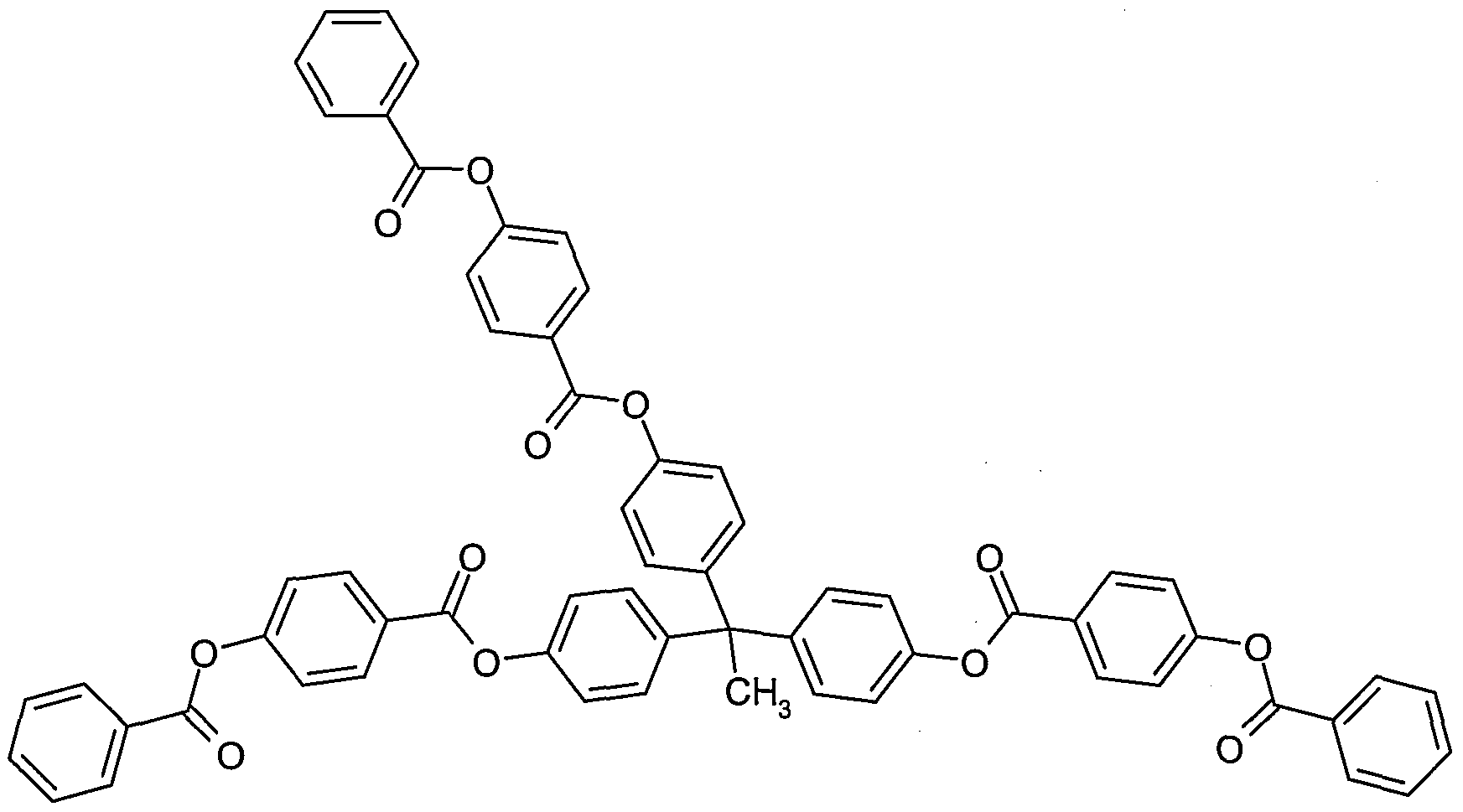
- the two benzyloxy groups attached to the divalent radical Ar 2 correspond to aryl groups Ar 1 -E in which both Ar 1 each have the meaning of a six-membered aromatic ring and both E have the meaning of a carbonyloxy group, which is attached via the carbonyl group to Ar 1 and via the heteroatom oxygen to the organic radical Ar 2 .
- a divalent organic radical Ar 2 which contains a six-membered aromatic ring and is not further substituted.
- the 1, 1, 4,4-tetramethyltetra- methylene bridge which bridges the carbon atoms in the 2- and 3-position of the same ring, is understood as part of the organic radical Ar 2 .
- those compounds and their preferred embodiments are used which have a molecular weight of 200 to 2000 g / mol.
- the compounds of the formula I used according to the invention can be prepared by processes known to the person skilled in the art and are outstandingly suitable for use as matrix materials in organic light-emitting diodes (OLEDs).
- OLEDs organic light-emitting diodes
- a suitable group of compounds having divalent organic radicals Ar 2 corresponds to the general formula 1
- rings A 1 and A 2 independently of one another additionally by one or two C r C 4 alkyl or CiC 4 -alkoxy and denote variables:
- NZ 1 , -C (Z 2 ) C (Z 3 ) - or CZ 2 Z 3 ,
- p is a value 0 or 1
- Z 1, Z 2, Z 3 are independently hydrogen, C 1 -C 20 -alkyl, C 2 -C 20 -alkenyl, C 6 -C 10 - aryl, heteroaryl having from 2 to 12 carbon atoms, C 6 -C 0 -aryl -C 1 -C 2 Q-alkyl, C 6 -C 1o aryl-C 2 -C 20 alkenyl, heteroaryl-Ci-C 20 alkyl or heteroaryl-C 2 -C 20 - alkenyl each having 2 to 12 carbon atoms in the heteroaryl radical, where in the C 1 -C 20 or C 2 -C 20 -carbon chain one or more non-adjacent CH 2 groups may be replaced by oxygen atoms, NCCrC ⁇ -alkyl) and / or carbonyl groups and both the C 6 -C 10 -aryl and the heteroaryl be substituted by one or more halogen, NO 2 , NO, CN, CHO,
- Group -C (Z 2 ) C (Z 3 ) - or CZ 2 Z 3 the two radicals Z 2 and Z 3 together a C 4 - or C 5 -alkylene, C 4 - or C 5 -alkenylene or C 4 or C 5 -alkadienylene bridge in which optionally one or two non-adjacent CH 2 groups are replaced by oxygen atoms and / or carbonyl groups and in the case of the alkenylene and alkadienylene bridges which are linked together by the double bond (s) Carbon atoms may be part of a six-membered optionally benzo-fused aromatic or heteroaromatic ring,
- Z is C 1 -C 20 -alkyl, C 2 -C 20 -alkenyl, C 6 -C 10 aryl, heteroaryl having from 2 to 12 carbon atoms, C 6 -C 10 aryl-CrC 20 alkyl, C 6 -C 1o - Aryl-C 2 -C 20 -alkenyl, heteroarylCrC ⁇ -alkyl or heteroaryl-C 2 -C 20 -alkenyl having in each case 2 to 12 carbon atoms in the heteroaryl radical,
- Z ' is hydrogen or, independently of Z, has the same meaning as Z
- the two radicals Z ' together can form a C 4 - or C 5 -alkenyl, C 4 - or C 5 -alkenylene or C 4 - or C 5 -Alkadienylen Kunststoff in which optionally one or two not adjacent
- CH 2 groups may be replaced by carbonyl groups, and in the case of alkenylene and Alkadienylen Kunststoff the comparable with each other by the double bond (s) bonded carbon atoms may be part of a six-membered, optionally benzo-fused aromatic or heteroaromatic ring,
- Ar 1 is independently an aromatic or heteroaromatic five- or six-membered ring which is benzanellated once or twice and is substituted by one or more halogen, NO 2 , NO, CN, CHO, R 1 , X 1 -CO-R 1 , X 1 -SO 2 -R 1 , X 1 -R 1 ' , CO-X 1 -R 1' or SO 2 -X 1 -R 1 ' may be substituted,
- R 1 is C 1 -C 20 -alkyl C 1 2 -C 20 alkenyl, C 6 -C 10 aryl, heteroaryl having from 2 to 12 carbon atoms, C 6 -C 1o aryl-CrC 2 O-alkyl, C 6 - C 10 -aryl-C 2 -C 20 -alkenyl, heteroaryl-C 1 -C 4 -alkyl or heteroaryl C 2 -C 20 -alkenyl having in each case 2 to 12 carbon atoms in the heteroaryl radical, where in the C 1 -C 20 - or C 2 -C 20 -carbon chain one or more non-adjacent CH 2 groups may be replaced by oxygen atoms, N (C 1 -C 20 -alkyl) and / or carbonyl groups and both the C 6 -C 10 - Aryl and the heteroaryl be substituted with one or more halogen, NO 2 , NO, CN, CHO, R, X-
- R 1 ' is hydrogen or, independently of R 1, the same meaning as R 1 ,
- R ' is hydrogen or, independently of R, the same meaning as R
- X 1 , X independently of one another oxygen, sulfur or NR 1 ' or NR ' , where in the event that X 1 -R 1 ' or XR ' of an N (R 1 ' ) 2 - or N (R ' ) 2 group, the two radicals R 1 ' and R ' together may form a C 4 - or C 5 -alkylene, C 4 - or C 5 -alkenylene or C 4 - or C 5 -alkadienylene bridge, in which optionally one or two non-adjacent CH 2 groups are replaced by carbonyl groups and in the case of the alkenylene and alkadienylene bridges the carbon atoms joined together by the double bond (s) may be part of a six-membered, optionally benzanellated, aromatic or heteroaromatic ring,
- radicals Z 1 , Z 2 and Z 3 carbon-bonded hydrogen atoms may be partially or completely replaced by fluorine atoms.
- variables Z 1 , Z 2 and Z 3 or Z and Z ' or W it is analogous to those already mentioned above for the variables R 1' and R 2 ' or R and R ' or X 1 , X 2 and X are given given given definitions and radicals listed by way of example; With regard to the remaining variables Ar 1 , R 1 , R 1 ' , R, R ' , X 1 and X and their preferences, reference is likewise made to the definitions given above and the radicals listed by way of example.
- Y is a single chemical bond, C 2 -C 4 -alkylene, SO 2 or CZ 2 Z 3 ,
- p is a value 0 or 1
- Z 2 , Z 3 independently of one another C 1 -C 10 -alkyl or C 6 -C 10 -aryl, where the
- C 6 -C 10 -ArVl with one or more halogen, in particular fluorine, Z, CO-Z or OZ ' may be substituted and in the group CZ 2 Z 3, the two radicals Z 2 and Z 3 together a C 4 - or C 5 -alkylene, C 4 - or C 5 -alkenyl- or C 4 - or C 5 -Alkadienylen Kunststoff can form in which one or two non-adjacent CH 2 groups replaced by oxygen atoms and / or carbonyl groups and in the case of Alkenylene and alkadienylene bridges, the carbon atoms interconnected by the double bond (s) may be part of a six-membered, optionally benzo-fused, aromatic or heteroaromatic ring, ZC 1 -C 10 -alkyl or C 6 -C 10 -aryl,
- Z ' is hydrogen or, independently of Z, has the same meaning as Z
- Ar 1 is independently an aromatic or heteroaromatic five- or six-membered ring substituted with one or more halogen, in particular fluorine, R 1 , X 1 -CO-R ⁇ X 1 -R 1 ' or CO-X 1 -R 1' substituted can be,
- E is independently of one another -CO-O-, -O-CO-, -CO-S-, -S-CO- or -O-CO-O-,
- R 1 is independently C 1 -C 0 -alkyl, C 2 -C 10 alkenyl, C 6 -C 1o aryl, C 6 -C 10 -
- X-CO-R, XR 'or CO-XR ' may be substituted
- R 1 ' is hydrogen or, independently of R 1, the same meaning as R 1 ,
- R ' is hydrogen or, independently of R, the same meaning as R
- X 1 , X independently of one another oxygen or NR 1 ' or NR ' , where in the event that X 1 -R 1 ' or XR ' of an N (R 1 ' ) 2 - or N (R ' ) 2 - Group corresponds, the two radicals R 1 'and R ' together can form a C 4 - or C 5 -alkylene, C 4 - o of the C 5 alkenylene or C 4 - or C 5 -Alkadienylen Kunststoff, in which optionally one or two non-adjacent CH 2 groups are replaced by carbonyl groups and in the case of the alkenylene and alkadienylene bridges the carbon atoms joined together by the double bond (s) may be part of a six-membered, optionally benzanellated, aromatic or heteroaromatic ring,
- radicals Z 1 , Z 2 and Z 3 carbon-bonded hydrogen atoms may be partially or completely replaced by fluorine atoms.
- rings A 1 and A 2 are each independently additionally substituted in each case with one or two C 1 -C 4 -alkyl or C 1 -C 4 -alkoxy can and do mean the variables
- Y ' is a single chemical bond or oxygen
- Z 2 , Z 3 independently of one another C r C 10 alkyl or C 6 -C 10 -ArVl, wherein the C 1 -C 10 - alkyl having one or more fluorine and the C 6 -C 1o -aryl having one or more fluorine , Ci-Ci ⁇ - alkyl or C 1 -C 10 -alkoxy may be substituted and in the group CZ 2 Z 3, the two radicals Z 2 and Z 3 together a C 4 - or C 5 -alkylene, C 4 - or C 5 alkenylene or C 4 - or C 5 alkadienylene bridge in which one or two non-adjacent CH 2 groups replaced by oxygen atoms and / or carbonyl groups and in the case of alkenylene and Alkadienylen Kunststoff by the double bond (s) carbon atoms joined together may be part of a six-membered, optionally benzo-fused aromatic or heteroaromatic ring,
- Y is a single chemical bond, C 2 -C 4 -alkylene, in particular ethylene, or SO 2
- rings A 1 and A 2 in addition may be substituted with one or two C r C 4 alkyl or C 1 -C 4 -alkoxy in each case independently of each other yet and denote variables:
- Z ' is hydrogen or, independently of Z, has the same meaning as Z
- the two radicals Z 'together can form a C 4 - or C 5 -alkenyl, C 4 - or C 5 -alkenylene or C 4 - or C 5 -Alkadienylen Kunststoff in which optionally one or two not replacing adjacent CH 2 groups by carbonyl groups and, in the case of the alkenylene and alkadienylene bridges, the carbon atoms interconnected by the double bond (s) may be part of a six-membered, if appropriate benzanelated, aromatic or heteroaromatic ring,
- Ar 1 is independently an aromatic or heteroaromatic five- or six-membered ring which is benzanellated once or twice and is substituted by one or more halogen, NO 2 , NO, CN, CHO, R 1 , X 1 -CO-R 1 , X 1 -SO 2 -R 1 , X 1 -R 1 ' , CO-X 1 -R 1' or SO 2 -X 1 -R 1 ' may be substituted,
- R 1 is C 1 -C 20 alkyl, C 2 -C 20 alkenyl, C 6 -C 1o aryl, heteroaryl of 2 to 12 carbon atoms, C 6 -C 10 arylCyc 20 alkyl, C 6 -C 1o aryl-C 2 -C 2O alkenyl, heteroaryl-Ci-C 20 alkyl or heteroaryl-C 2 -C 20 alkenyl each having 2 to 12 carbon atoms in the heteroaryl, wherein the C 1 -C 20 - or C 2 -C 20 -carbon chain one or more non-adjacent CH 2 groups may be replaced by oxygen atoms, N (C 1 -C 20 -alkyl) and / or carbonyl groups and both the C 6 -C 10 - Aryl and the heteroaryl having one or more halogen, NO 2 , NO, CN, CHO, R, X-CO-R, X-SO 2 -R, X-R
- R is C 1 -C 20 -alkyl, C 2 -C 20 -alkenyl, C 6 -C 10 aryl, heteroaryl atoms with 2 to 12 carbon, C 6 -C 1 o aryl-C r C 2 o alkyl, C 6 -C 1 o aryl-C 2 -C 2O -aIkenyl, heteroaryl CrCao-alkyl or heteroaryl-C 2 -C 20 -aIkenyl each having 2 to 12 carbon atoms in the heteroaryl radical,
- R ' is hydrogen or, independently of R, the same meaning as R
- X 1 , X independently of one another oxygen, sulfur or NR 1 ' or NR ' , where in the event that X 1 -R 1 ' or XR ' of an N (R 1 ' ) 2 - or N (R ' ) 2 group, the two radicals R 1 ' and R ' together may form a C 4 - or C 5 -alkylene, C 4 - or C 5 -alkenylene or C 4 - or C 5 -alkadienylene bridge, in which optionally one or two non-adjacent CH 2 groups replaced by carbonyl groups and in the case of alkenylene and Alkadieny len bridge interconnected by the double bond (s) carbon atoms may be part of a six-membered optionally benzanellier- th aromatic or heteroaromatic ring.
- variables Z and Z ' or W reference is made mutatis mutandis to the definitions given above for the variables R and R ' or X 1 , X 2 and X and examples listed by way of example; With regard to the remaining variables Ar 1 , R 1 , R 1 ' , R, R ' , X 1 and X and their preferences, reference is likewise made to the definitions already given above and the examples listed by way of example.
- a particularly useful group of compounds represented by the general formula 2 wherein the rings A 1 and A 2 in addition with one or two -C 4 alkyl or C 1 -C 4 -alkoxy may be substituted independently of one another have in each case and denote the variables
- Y is bivalent phenyl or divalent heteroaryl having 2 to 5 carbon atoms, in which the phenyl may be substituted by one or more fluorine, CN, Z, -CO-Z or WZ ' ,
- Z is C 1 -C 4 -alkyl or phenyl
- Z ' is hydrogen or, independently of Z, has the same meaning as Z
- the two radicals Z ' together a C 4 - or C 5 - Alkylene, C 4 - or C 5 alkenylene or C 4 - or C 5 -Alkadienylen Kunststoff can form, in which optionally one or two non-adjacent CH 2 groups replaced by carbonyl groups and in the case of alkenylene and Alkadienylen Kunststoff by the Double bond (s) may be part of a six-membered, optionally benzo-fused aromatic or heteroaromatic ring,
- Ar 1 independently of one another an aromatic or heteroaromatic five- or six-membered ring, which with one or more fluorine, R 1 , X 1 -CO-
- R 1 , X 1 -R 1 'or CO-X 1 -R 1' may be substituted
- E is independently of one another -CO-O-, -O-CO-, -CO-S-, -S-CO- or -O-CO-O-,
- R 1 is C r C 10 -alkyl or phenyl, where the phenyl may be substituted with one or more fluorine, R, X-CO-R, XR 'or CO-XR'
- R 1 ' is hydrogen or, independently of R 1, the same meaning as R 1 ,
- R is C 1 -C 4 -alkyl or phenyl
- R ' is hydrogen or, independently of R, the same meaning as R
- X 1 , X independently of one another oxygen, sulfur or NR 1 ' or NR ' , where in the event that X 1 -R 1 ' or XR ' of an N (R 1 ' ) 2 - or N (R') 2 group, the two radicals R 1 ' and R ' together may form a C 4 - or C 5 -alkylene, C 4 - or C 5 -alkenylene or C 4 - or C 5 -alkadienylene bridge, in which optionally one or two non-adjacent CH 2 groups substituted by carbonyl groups and in the case of alkenylene and Alkadienylen Kunststoff the interconnected by the double bond (s) carbon atoms may be part of a six-membered optionally benzanell believing aromatic or heteroaromatic ring.
- C 6 -C 0 aryl is 1,4-phenylene and 2,6-naphthyl, in particular 1, 4-phenylene in question.
- Suitable divalent heteroaryl having 2 to 12 carbon atoms are radicals which are derived, for example, from pyrrole, furan, thiophene, pyrazole, isoxazole, isothiazole, imidazole, 1H-1, 2,3-triazole, 1H-1, 2, 4-triazole, pyridine, pyrazine, pyridazine, 1 H-azepine, 2H-azepine, oxazole, thiazole, 1, 2,3-, 1, 2,4- or 1, 3,4-oxadiazole, 1, 2,3 -, 1, 2,4 - or 1, 3,4-thiadiazole and optionally the benzo or dibenzoanell believing rings, such as quinoline, isoquinoline, indole, benzo [b] furan (coumarone), benzo [b] thiophene (thiomonaphthene), carbazole, dibenzofuran, dibenzothiophene, 1 H-in
- Suitable divalent heteroaryl having 2 to 5 carbon atoms are, in particular, radicals which are present, for example. Derive pyrrole, furan, thiophene, pyrazole, isoxazole, isothiazole, imidazole, 1H-1,2,3-triazole, 1H-1,2,4-triazole, pyridine, pyrazine, pyridazine, 1H-azepine, 2H-azepine, Oxazole, thiazole, 1, 2,3-, 1, 2,4- or 1, 3,4-oxadiazole, 1, 2,3-, 1, 2,4- or 1,3,4-thiadiazole.
- rings A 1 and A 2 independently of one another have in each case with one or two C r C 4 alkyl or C 1 -C 4 -alkoxy may be substituted additionally,
- each independently of one another represents a C 2 -C 3 -alkylene or C 2 -C 3 -alkenylene bridge which is optionally substituted by one or two C 1 -C 4 -alkyl groups and in which in the case of C 2 -C 3 -alkylene or C 2 -C 3 -alkylene; 3 alkenylene bridge optionally a CH 2 group replaced by oxygen or a carbonyl group and / or in the case of C 2 -C 3 -Alkeny- len Portugal the carbon atoms interconnected by the double bond may be part of a six-membered optionally benzanell believing aromatic or heteroaromatic ring and the other variables mean:
- Ar 1 is independently an aromatic or heteroaromatic five- or six-membered ring which is benzanellated once or twice and is substituted by one or more halogen, NO 2 , NO, CN, CHO, R 1 , X 1 -CO-R 1 , X 1 -SO 2 -R 1 , X 1 -R 1 ' , CO-X 1 -R 1' or SO 2 -X 1 -R 1 ' may be substituted,
- R 1 is C 1 -C 20 -alkyl, C 2 -C 20 -alkenyl, C 6 -C 10 -aryl, heteroaryl having 2 to 12 carbon atoms, C 6 -C 10 -aryl-C 1 -C 2 0-alkyl, C 6 -C 10 -aryl-C 2 -C 20 -alkenyl, heteroaryl-C 1 -C 20 -alkyl or heteroaryl-C 2 -C 20 -alkenyl having in each case 2 to 12 carbon atoms in the heteroaryl radical, where in the C 20 - or C 2 -C 20 -Kohlen- chain one or more non-adjacent CH 2 groups may be replaced by oxygen atoms, N (C r C 20 alkyl) and / or carbonyl groups and both the C 6 -Ci 0 -aryl and the heteroaryl having one or more halogen, NO 2 , NO, CN, CHO, R, X-
- R 1 ' is hydrogen or, independently of R 1, the same meaning as R 1 ,
- R is C 1 -C 20 -alkyl, C 2 -C 20 -alkenyl, C 6 -C 10 -aryl, heteroaryl having 2 to 12 carbon atoms, C 6 -C 10 -aryl-C 2 -C 20 -alkenyl, heteroaryl-C 1 -C 20 -alkyl or heteroaryl-C 2 -C 20 -alkenyl having in each case 2 to 12 carbon atoms in the heteroaryl radical,
- R ' is hydrogen or, independently of R, the same meaning as R
- X 1 , X independently of one another oxygen, sulfur or NR 1 ' or NR ' , where in the event that X 1 -R 1 ' or XR ' of an N (R 1 ' ) 2 - or N (R ' ) 2 group, the two radicals R 1 ' and R ' together may form a C 4 - or C 5 -alkylene, C 4 - or C 5 -alkenylene or C 4 - or C 5 -alkadienylene bridge, in which optionally one or two non-adjacent CH 2 groups replaced by carbonyl groups and in the case of alkenylene and Alkadieny len bridge interconnected by the double bond (s) carbon atoms may be part of a six-membered optionally benzanellier- th aromatic or heteroaromatic ring.
- the carbon atoms connected by the double bond may be part of a six-membered aromatic or heteroaromatic ring and the other variables mean:
- Ar 1 is independently an aromatic or heteroaromatic five- or six-membered ring which may be substituted by one or more fluoro, R 1 , X 1 -CO-R 1 , X 1 -R 1 ' or CO-X 1 -R 1' .
- E is independently of one another -CO-O-, -O-CO-, -CO-S-, -S-CO- or -O-CO-O-,
- R 1 is C 1 -C 6 -alkyl or phenyl, where the phenyl may be substituted by one or more fluorine, R, X-CO-R, XR ' or CO-XR ' ,
- R 1 ' is hydrogen or, independently of R 1, the same meaning as R 1 ,
- R is cyanoalkyl or phenyl
- R ' is hydrogen or, independently of R, the same meaning as R
- X 1 , X independently of one another oxygen, sulfur or NR 1 'or NR', where in the event that X 1 -R 1 ' or XR ' of an N (R 1 ' ) 2 - or N (R ' ) 2 group corresponds to the two radicals R 1 ' or R ' together a C 4 - or C 5 -alkylene,
- C 4 - or C 5 alkenylene or C 4 - or C 5 -Alkadienylen Kunststoff in which optionally one or two non-adjacent CH 2 groups replaced by carbonyl groups and in the case of alkenylene and Alkadieny- lenmaschine by the double bond (a) interconnected coal may be part of a six-membered optionally benzanellier- th aromatic or heteroaromatic ring.
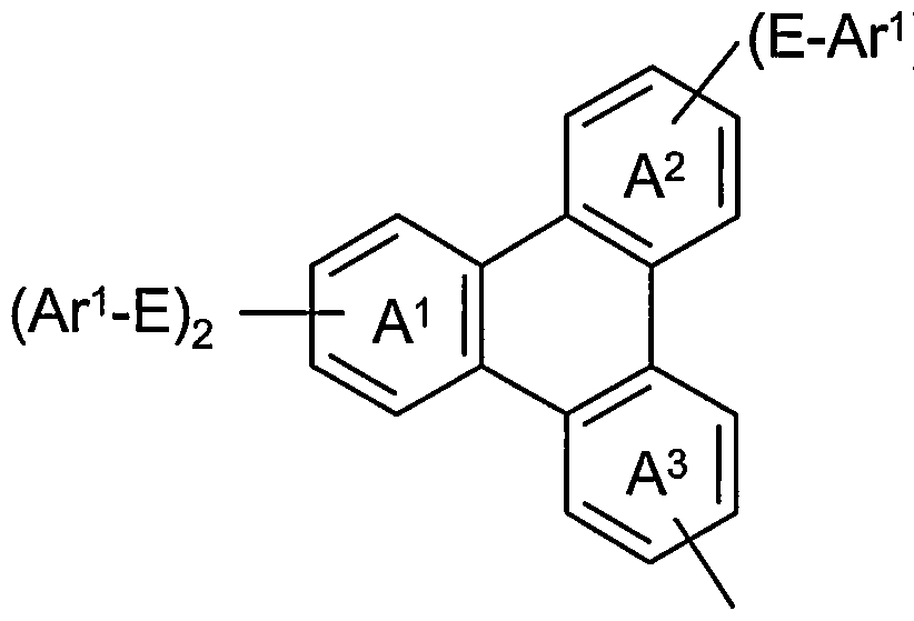
- a suitable group of compounds having trivalent organic radicals Ar 2 corresponds to the general formula 4
- rings A 1, A 2 and A 3 independently of one another may be substituted with one or two Ci-C 4 alkyl or C 1 -C 4 -alkoxy and additionally each represent the remaining variables:
- Z 1 is hydrogen, C 1 -C 20 -alkyl, C 2 -C 20 -alkenyl, C 6 -C 10 -aryl, heteroaryl having 2 to 12 carbon atoms, C 6 -C 10 -aryl-C 2 -C 2 o-alkenyl, Heteroaryl-CrC 2 o-alkyl or heteroaryl-C 2 -C 2 o-alkenyl each having 2 to 12 carbon atoms in the heteroaryl radical, wherein in the C 1 -C 2 O or C 2 -C 20 - carbon chain one or more not adjacent CH 2 groups may be replaced by oxygen atoms, N (C 1 -C 20 -AIRyI) and / or carbonyl groups, and both the C 6 -C 10 -aryl and the heteroaryl may be replaced by one or more halogen, NO 2 , NO , CN, CHO, Z, CO-Z, W-SO 2 -Z, WZ ' or SO 2
- Z ' is hydrogen or, independently of Z, has the same meaning as Z
- the two radicals Z ' together can form a C 4 - or C 5 -alkenyl, C 4 - or C 5 -alkenylene or C 4 - or C 5 -Alkadienylen Kunststoff in which optionally one or two not replacing adjacent CH 2 groups by carbonyl groups and, in the case of the alkenylene and alkadienylene bridges, the carbon atoms interconnected by the double bond (s) may be part of a six-membered, if appropriate benzanelated, aromatic or heteroaromatic ring,
- Ar 1 is independently an aromatic or heteroaromatic five- or six-membered ring which is benzanellated once or twice and is substituted by one or more halogen, NO 2 , NO, CN, CHO, R 1 , X 1 -CO-R 1 , X 1 -SO 2 -R 1 , X 1 -R 1 ' , CO-X 1 -R 1' or SO 2 -X 1 -R 1 ' may be substituted,
- R 1 ' is hydrogen or, independently of R 1, the same meaning as R 1 ,
- R ' is hydrogen or, independently of R, the same meaning as R
- X 1 , X independently of one another oxygen, sulfur or NR 1 'or NR', where in the event that X 1 -R 1 'or XR' of an N (R 1 ') 2 - or N (R') 2 group, the two radicals R 1 ' and R ' together may form a C 4 - or C 5 -alkylene, C 4 - or C 5 -alkenylene or C 4 - or C 5 -alkadienylene bridge, in which optionally one or two non-adjacent CH 2 groups replaced by carbonyl groups and in the case of alkenylene and Alkadieny len bridge interconnected by the double bond (s) carbon atoms may be part of a six-membered optionally benzanellier- th aromatic or heteroaromatic ring.
- Z 1 is hydrogen or Ci-C 10 alkyl, wherein the Ci-Cio carbon chain, one or more non-adjacent CH 2 groups are replaced by oxygen atoms, N (C 1 -C 0 -alkyl) - / or carbonyl groups and may be replaced,
- Ar 1 is independently an aromatic or heteroaromatic five- or six-membered ring which is benzanellated once or twice and which contains one or more halogen, CN, R 1 , X 1 -CO-R 1 , X 1 -R 1 ' or CO-X 1 R 1 ' may be substituted,
- E is independently of one another -CO-O-, -O-CO-, -CO-S-, -S-CO- or -O-CO-O-,
- R 1 is C 1 -C 1 (r is alkyl, C 6 -C 10 -aryl, heteroaryl having 2 to 5 carbon atoms,
- R 1 ' is hydrogen or, independently of R 1, the same meaning as R 1 ,
- Ce-Cu-aryl-CrC ⁇ alkyl C 6 -C 10 -aryl-C 2 -C 10 alkenyl, heteroaryl-CrC 10 alkyl or HeIeTOaIyI-C 2 -C 10 alkenyl each having 2 to 5 carbon atoms in the Hertoaryl rest,
- R ' is hydrogen or, independently of R, the same meaning as R
- X 1 , X independently of one another oxygen, sulfur or NR 1 ' or NR', where in the event that X 1 -R 1 ' or XR ' of an N (R 1 ' ) 2 - or N (R ' ) 2 group, the two radicals R 1 ' and R ' together may form a C 4 - or C 5 -alkylene, C 4 - or C 5 -alkenylene or C 4 - or C 5 -alkadienylene bridge, in which optionally one or two non-adjacent CH 2 groups replaced by carbonyl groups and in the case of alkenylene and Alkadieny len bridge interconnected by the double bond (s) carbon atoms may be part of a six-membered optionally benzanellier- th aromatic or heteroaromatic ring. Examples of such compounds are
- ring A 1 may additionally be substituted by one to three C 1 -C 4 -alkyl or C 1 -C 4 -alkoxy and the other variables mean:
- Ar 1 is independently an aromatic or heteroaromatic five- or six-membered ring which is benzanellated once or twice and is substituted by one or more halogen, NO 2 , NO, CN, CHO, R 1 , X 1 -CO-R 1 , X 1 -SO 2 -R 1 , X 1 -R 1 ' , CO-X 1 -R 1' or SO 2 -X 1 -R 1 ' may be substituted,
- R 1 is C 1 -C 20 -alkyl, C 2 -C 2 o-alkenyl, C 6 -C 10 -aryl, heteroaryl having 2 to 12 carbon atoms, C 6 -C 10 -aryl-C 1 -C 2 0-alkyl , C 6 -C 10 -aryl-C 2 -C 20 -alkenyl, heteroaryl-dC ⁇ -alkyl or heteroaryl-C 2 -C 20 -alkenyl having in each case 2 to 12 carbon atoms in the heteroaryl radical, where in the CrC 20 - or C 2 -C 20 carbon chain -Kohlen- one or more non-adjacent CH 2 groups are replaced by oxygen atoms, N (20 -alkyl) - and / or carbonyl groups can be replaced, and both the C 6 -C 10 aryl as well as the heteroaryl with one or more halogen, NO 2 , NO, CN, CHO, R,
- R 1 ' is hydrogen or, independently of R 1, the same meaning as R 1 ,
- R ' is hydrogen or, independently of R, the same meaning as R
- X 1 , X independently of one another oxygen, sulfur or NR 1 ' or NR ' , where in the event that X 1 -R 1 ' or XR ' of an N (R 1 ' ) 2 - or N (R ' ) 2 group, the two radicals R 1 ' and R ' together may form a C 4 - or C 5 -alkylene, C 4 - or C 5 -alkenylene or C 4 - or C 5 -alkadienylene bridge, in which optionally one or two non-adjacent CH 2 groups replaced by carbonyl groups and in the case of alkenylene and Alkadieny len bridge interconnected by the double bond (s) carbon atoms may be part of a six-membered optionally benzanellier- th aromatic or heteroaromatic ring.
- a particularly suitable group of compounds corresponds to the general formula 5, wherein the ring A 1 is not further substituted except with the three aryl groups Ar 1 -E and the other variables mean:
- Ar 1 is independently an aromatic or heteroaromatic five- or six-membered ring which is benzanellated once or twice and which contains one or more halogen, CN, R 1 , X 1 -CO-R 1 , X 1 -R 1 ' or CO-X 1 R 1 ' may be substituted,
- E is independently of one another -CO-O-, -O-CO-, -CO-S-, -S-CO- or -O-CO-O-,
- R 1 is C 1 -C 10 -alkyl, C 6 -C 10 -aryl, heteroaryl having 2 to 5 carbon atoms, C 6 -C 1 o-aryl-C 2 -C 1 o-alkenyl, heteroaryl-C 1 -C 10 -alkyl or heteroaryl-C 2 -C 10 -alkenyl having in each case 2 to 5 carbon atoms in the heteroaryl radical, where in the C 1 -C 10 - or C 2 -Ci 0 carbon chain one or more non-adjacent CH 2 groups may be replaced by oxygen atoms, N (C 1 -C 10 alkyl) - and / or carbonyl groups and both the C 6 -C 1o- aryl as well as the heteroaryl may be substituted by one or more halogen, CN, R, X-CO-R, XR ' or CO-XR ' ,
- R 1 ' is hydrogen or, independently of R 1, the same meaning as R 1 ,
- R is C 1 -C 10 -alkyl, C 6 -C 10 aryl, heteroaryl having from 2 to 5 carbon atoms, C6-C 10 aryl-C r C 10 alkyl, C 6 -C 10 -aryl-C 2 -C 0 -alkenyl, heteroaryl-C r C 10 -alkyl or heteroaryl-C 2 -C 10 -alkenyl having in each case 2 to 5 carbon atoms in the heteroaryl radical,
- R ' is hydrogen or, independently of R, the same meaning as R
- X 1 , X independently of one another oxygen, sulfur or NR 1 'or NR', where in the event that X 1 -R 1 ' or XR ' of an N (R 1 ') 2 - or N (R') 2 group, the two radicals R 1 ' and R ' together may form a C 4 - or C 5 -alkylene, C 4 - or C 5 -alkenylene or C 4 - or C 5 -alkadienylene bridge, in which optionally one or two non-adjacent CH 2 groups replaced by carbonyl groups and in the case of alkenylene and Alkadieny len bridge interconnected by the double bond (s) carbon atoms may be part of a six-membered optionally benzanellier- th aromatic or heteroaromatic ring.
- a suitable group of compounds having tetravalent organic radicals Ar 2 corresponds to the general formula 6
- rings A 1 and A 2 additionally by one or two C 1 -C 4 or C -AIRyI independently
- Z, Z 1 , Z independently of one another are hydrogen, C 1 -C 20 -alkyl, C 2 -C 20 -alkenyl, C 6 -C 10 -aryl, heteroaryl having 2 to 12 carbon atoms, C 6 -C 10 -aryl-C 2 -C 20 alkenyl, heteroaryl-Ci-C 20 alkyl or heteroaryl-C 2 -C 20 alkenyl each having 2 to 12 carbon atoms in the Heteroaryl radical, wherein in the C 1 -C 2 O or C 2 -C 2 o carbon chain one or more non-adjacent CH 2 groups replaced by oxygen atoms, N (C 1 -C 20 alkyl) - and / or carbonyl groups and both the C 6 -C 10 -aryl and the heteroaryl with one or more halogen, NO 2 , NO, CN, CHO, Z, CO-Z, W-SO 2 -Z, WZ ' or SO 2 - W
- Alkadienylene bridge the carbon atoms interconnected by the double bond (s) may be part of a six-membered, optionally benzo-fused, aromatic or heteroaromatic ring,
- Z ' is hydrogen or, independently of Z, has the same meaning as Z
- the two radicals Z ' together can form a C 4 - or C 5 -alkenyl, C 4 - or C 5 -alkenylene or C 4 - or C 5 -Alkadienylen Kunststoff in which optionally one or two not replacing adjacent CH 2 groups by carbonyl groups and, in the case of the alkenylene and alkadienylene bridges, the carbon atoms interconnected by the double bond (s) may be part of a six-membered, if appropriate benzanelated, aromatic or heteroaromatic ring,
- Ar 1 is independently an aromatic or heteroaromatic five- or six-membered ring which is benzanellated once or twice and is substituted by one or more halogen, NO 2 , NO, CN, CHO, R 1 , X 1 -CO-R 1 , X 1 -SO 2 -
- R 1 , X 1 -R 1 ' , CO-X 1 -R 1' or SO 2 -X 1 -R 1 ' may be substituted
- R 1 is C 1 -C 2 O-AlKyl, C 2 -C 20 -alkenyl, C 6 -C 10 -aryl, heteroaryl having 2 to 12 carbon atoms, Ce-Cu-aryl-C-rCj-o-alkyl, C 6 -C 10 -aryl-C 2 -C 20 -alkenyl, heteroaryl or heteroaryl-C 2 -C 2 o-alkenyl having in each case 2 to 12 carbon atoms in the heteroaryl radical, where in the Ci-C 20 - or C 2 -C 20 -Kohlen- chain one or more non-adjacent CH 2 groups by oxygen atoms , N (C 1 -C 20 -alkyl) and / or carbonyl groups may be replaced and both the C 6 -C 10 -aryl and the heteroaryl with one or more halogen, NO 2 , NO, CN, CHO, R, X-CO-R, X-SO 2
- R 1 ' is hydrogen or, independently of R 1, the same meaning as R 1 ,
- RC 1 -C 20 -alkyl C 2 -C 20 -alkenyl, C 6 -C 10 -aryl, heteroaryl having 2 to 12 carbon atoms, C 6 -C 10 -aryl-C 1 -C 20 -alkyl, C 6 -C 10 - aryl-C 2 -C 20 -alkenyI, heteroaryl-C r C 20 -alkyl or heteroaryl-C 2 -C 20 alkenyl each having 2 to 12 carbon atoms in the heteroaryl radical,
- R ' is hydrogen or, independently of R, the same meaning as R
- X 1 , X independently of one another oxygen, sulfur or NR 1 ' or NR ' , where in the event that X 1 -R 1 ' or XR ' of an N (R 1 ' ) 2 - or N (R ' ) 2 group, the two radicals R 1 ' and R ' together may form a C 4 - or C 5 -alkylene, C 4 - or C 5 -alkenylene or C 4 - or C 5 -alkadienylene bridge, in which optionally one or two non-adjacent CH 2 groups are replaced by carbonyl groups and in the case of the alkenylene and alkadienylene bridges the carbon atoms joined together by the double bond (s) may be part of a six-membered, optionally benzanellated, aromatic or heteroaromatic ring,
- radicals Z 1 , Z 2 and Z 3 carbon-bonded hydrogen atoms may be partially or completely replaced by fluorine atoms.
- a particularly suitable group of compounds corresponds to the general formula 6 in which the rings A 1 and A 2 can each independently be substituted by one or two C 1 -C 4 -alkyl or C 1 -C 4 -alkoxy and the variables mean Y is a single chemical bond, C 2 -C 4 -alkylene, SO 2 or CZ 2 Z 3 ,
- Z 2 are independently C 1 -C 0 -alkyl or C 6 -C 10 aryl, wherein said C 6 -C 10 - aryl 'substituted with one or more halogen, especially fluorine, Z, CO-Z or OZ and in the group CZ 2 Z 3 the two radicals Z 2 and Z 3 together may form a C 4 - or C 5 -alkylene, C 4 - or C 5 -alkenylene or C 4 - or C 5 -alkadienylene bridge in which one or two non-adjacent CH 2 groups are replaced by oxygen atoms and / or carbonyl groups and, in the case of the alkenylene and alkadienylene bridges, the carbon atoms linked together by the double bond (s)
- ZC r is C 1o -alkyl or C 6 -C 10 -aryl
- Z ' is hydrogen or, independently of Z, has the same meaning as Z
- Ar 1 is independently an aromatic or heteroaromatic five or six membered ring containing one or more halogens, in particular fluorine, R 1 , X 1 -CO-R ⁇ X 1 -R 1 ' or CO-X 1 -R 1 ' can be substituted,
- E is independently of one another -CO-O-, -O-CO-, -CO-S-, -S-CO- or -O-CO-O-,
- R 1 is independently C 1 -C 10 -alkyl, C 2 -C 1o alkenyl, C 6 -C 10 -AryI, C 6 -C 0 - aryl-CrC ⁇ alkyl, or C 6 -C 1o aryl-C 2 -C 1o -alkenyl, where in the C 1 -C 10 - or
- C 2 -C 10 carbon chain one or more non-adjacent CH 2 groups may be replaced by oxygen atoms, N (C 1 -C 10 alkyl) - and / or carbonyl groups and the C 6 -C 10 aryl with one or more Halogen, R, X-CO-R, XR ' or CO-XR ' may be substituted,
- R 1 ' is hydrogen or, independently of R 1, the same meaning as R 1 ,
- R ' is hydrogen or, independently of R, the same meaning as R
- X 1 , X independently of one another oxygen or NR 1 'or NR', where in the event that X 1 -R 1 ' or XR ' of an N (R 1 ' ) 2 - or N (R ' ) 2 - Group corresponds, the two radicals R 1 ' and R ' together may form a C 4 - or C 5 alkylene, C 4 - or C 5 alkenylene or C 4 - or C 5 -Alkadienylen Kunststoff, in which optionally replaces one or two non-adjacent CH 2 groups with carbonyl groups and, in the case of the alkenylene and alkadienylene bridges, the carbon atoms interconnected by the double bond (s) may form part of a six-membered, optionally benzanellated, aromatic or heteroaromatic ring,
- radicals Z 1 , Z 2 and Z 3 carbon-bonded hydrogen atoms may be partially or completely replaced by fluorine atoms.
- Y is a single chemical bond, C 2 -C 4 -alkylene, in particular ethylene, or SO 2
- rings A 1 and A 2 independently of one another have in each case with one or two C r C 4 alkyl or C 1 -C 4 -alkoxy may be substituted additionally,
- each independently of one another is a C 2 -C 3 -alkylene or C 2 -C 3 -alkenylene bridge which is optionally substituted by one or two C 1 -C 4 -alkyl groups and in which optionally a CH 2 group is replaced by oxygen or a C 2 -C 3 -alkenylene bridge Replaced carbonyl group and / or in the case of the C 2 -C 3 alkenylene bridge, the carbon atoms interconnected by the double bond may be part of a six-membered optionally benzanell believing aromatic or heteroaromatic ring and the other variables mean:
- Ar 1 is independently an aromatic or heteroaromatic five- or six-membered ring which is benzanellated once or twice and is substituted by one or more halogen, NO 2 , NO, CN, CHO, R 1 , X 1 -CO-R 1 , X 1 -SO 2 -R 1 , X 1 -R 1 ', CO-X 1
- R 1 is C 1 -C 20 -alkyl, C 2 -C 20 -alkenyl, C 6 -C 10 -aryl, heteroaryl having 2 to 12 carbon atoms, Ce-C 1 -C aryl-C 1 -C -alkyl, C C 6 -C 10 -aryl-C 2 -C 20 -alkenyl, heteroarylCrC ⁇ -alkyl or heteroaryl-C 2 -C 20 -alkenyl having in each case 2 to 12 carbon atoms in the heteroaryl radical, where in the C 1 -C 20 one or more non-adjacent CH 2 groups can be replaced by oxygen atoms, N (C 1 -C 20 -alkyl) and / or carbonyl groups and both the C 6 - or C 2 -C 20 -carbon chain.
- R 1 ' is hydrogen or, independently of R 1, the same meaning as R 1 ,
- R is C 1 -C 20 -alkyl, C 2 -C 20 -alkenyl, C 6 -C 10 -aryl, heteroaryl having 2 to 12 carbon atoms, C 6 -C 0 aryl-C 2 -C 20 alkenyl, heteroaryl-CrC ⁇ alkyl, or heteroaryl-C 2 -C 20 -alkenyI each having 2 to 12 carbon atoms in the heteroaryl radical,
- R ' is hydrogen or, independently of R, the same meaning as R
- X 1 , X independently of one another oxygen, sulfur or NR 1 'or NR', where in the event that X 1 -R 1 ' or XR ' of an N (R 1 ') 2 - or N (R') 2 group, the two radicals R 1 ' and R ' together may form a C 4 - or C 5 alkylene, C 4 - or C 5 alkenylene or C 4 - or C 5 -Alkadienylen Kunststoff, in which optionally one or two non-adjacent CH 2 groups replaced by carbonyl groups and in the case of alkenylene and Alkadieny len bridge interconnected by the double bond (s) carbon atoms may be part of a six-membered optionally benzanellier- th aromatic or heteroaromatic ring.
- C 2 -C 3 -alkylene or C 2 -C 3 -alkenylene bridges which are optionally substituted by one or two C 1 -C 4 -alkyl groups and in which optionally a CH 2 group is replaced by oxygen or a carbonyl group and / or in the case of C 2 -C 3 alkenylene bridges, the carbon atoms which are joined together by the double bond can be part of a six-membered aromatic or heteroaromatic ring and the other variables mean:
- Ar 1 is independently an aromatic or heteroaromatic five- or six-membered ring which may be substituted by one or more fluoro, R 1 , X 1 -CO-R 1 , X 1 -R 1 'or CO-X 1 -R 1 ' .
- E is independently of one another -CO-O-, -O-CO-, -CO-S-, -S-CO- or -O-CO-O-,
- R 1 is C 1 -C 10 -alkyl, phenyl or phenyl-C 1 -C 4 -alkyl, where the phenyl may be substituted by one or more fluorine, R, X-CO-R, XR 'or CO-XR',
- R 1 ' is hydrogen or, independently of R 1, the same meaning as R 1 ,
- R ' is hydrogen or, independently of R, the same meaning as R
- X 1 , X independently of one another oxygen, sulfur or NR 1 'or NR', where in the event that X 1 -R 1 ' or XR ' of an N (R 1 ') 2 - or N (R') 2 group, the two radicals R 1 ' and R ' together may form a C 4 - or C 5 -alkylene, C 4 - or C 5 -alkenylene or C 4 - or C 5 -alkadienylene bridge, in which optionally one or two non-adjacent CH 2 groups replaced by carbonyl groups and in the case of alkenylene and Alkadieny len bridge interconnected by the double bond (s) carbon atoms may be part of a six-membered optionally benzanellier- th aromatic or heteroaromatic ring. Examples of such compounds are
- rings A 3 and A 4 are each independently additionally each with one or two C 1 -C 4 -AlkYl or C 1 -C 4 -alkoxy and the rings A 1 , A 1 ' , A 2 and A 2 ' in addition to the Groupings Ar 1 -E independently still each with one or two
- C 1 -C 4 -alkyl or C 1 -C 4 -alkoxy may be substituted, and the other variables mean:
- Ar 1 is independently an aromatic or heteroaromatic five- or six-membered ring which is benzanellated once or twice and is substituted by one or more halogen, NO 2 , NO, CN, CHO, R 1 , X 1 -CO-R 1 , X 1 -SO 2 -R 1 , X 1 -R 1 ' , CO-X 1 -R 1' or SO 2 -X 1 -R 1 ' may be substituted,
- R 1 is C 1 -C 6 -alkyl, C 2 -C 20 -alkenyl, C 6 -C 10 -aryl, heteroaryl having 2 to 12 carbon atoms, C 1 -C 4 -arylCr-C 6 -alkyl, C 6 -C 10 -aryl-C 2 -C 20 -alkenyl, hetero- or heteroaryl-C 2 -C 2 o-alkenyl having in each case 2 to 12 carbon atoms in the heteroaryl radical, where in the C 1 -C 2O- or C 2 -C 20 -carbon chain one or more non-adjacent CH 2 groups Oxygen atoms, N (C 1 -C 20 -alkyl) and / or carbonyl groups may
- R 1 ' is hydrogen or, independently of R 1, the same meaning as R 1 ,
- R is C 1 -C 4 -alkyl, C 2 -C 20 -alkenyl, C 6 -C 10 -aryl, heteroaryl having 2 to 12 carbon atoms, C 6 -C 1o aryl-C 2 -C 2 o-alkenyl, heteroaryl-CrC ⁇ alkyl, or heteroaryl-C 2 -C 20 alkenyl each having 2 to 12 carbon atoms in the heteroaryl radical,
- R ' is hydrogen or, independently of R, the same meaning as R
- X 1 , X independently of one another oxygen, sulfur or NR 1 'or NR', where in the event that X 1 -R 1 ' or XR' of an N (R 1 ' ) 2 - or N (R') 2 group, the two radicals R 1 'and R' together may form a C 4 - or C 5 -alkylene, C 4 - or C 5 -alkenylene or C 4 - or C 5 -alkadienylene bridge, in which optionally one or two non-adjacent CH 2 groups replaced by carbonyl groups and in the case of alkenylene and Alkadieny len bridge interconnected by the double bond (s) carbon atoms may be part of a six-membered optionally benzanellier- th aromatic or heteroaromatic ring.
- a particularly suitable group of compounds corresponds to the general formula 8, wherein the rings A 3 , A 4 , A 1 , A 1 ' , A 2 and A 2 ' are each independently additionally each with one or two C 1 -C 4 -Alk ⁇ or C 1 -C 4 -alkoxy may be substituted, and the other variables mean:
- Ar 1 is independently an aromatic or heteroaromatic five- or six-membered ring which may be substituted by one or more fluoro, R 1 , X 1 -CO-R 1 , X 1 -R 1 'or CO-X 1 -R 1 ' .
- E is independently of one another -CO-O-, -O-CO-, -CO-S-, -S-CO- or -O-CO-O-,
- R 1 is C 1 -C 10 -alkyl, phenyl or phenyl-C 1 -C 4 -alkyl, where the phenyl may be substituted by one or more fluorine, R, X-CO-R, XR 'or CO-XR',
- R 1 ' is hydrogen or, independently of R 1, the same meaning as R 1 ,
- R ' is hydrogen or, independently of R, the same meaning as R
- X 1 , X independently of one another oxygen, sulfur or NR 1 'or NR', where in the event that X 1 -R 1 ' or XR ' of an N (R 1 ' ) 2 - or N (R ' ) 2 group, the two radicals R 1 ' and R ' together may form a C 4 - or C 5 -alkylene, C 4 - or C 5 -alkenylene or C 4 - or C 5 -alkadienylene bridge, in which optionally one or two non-adjacent CH 2 groups replaced by carbonyl groups and in the case of alkenylene and Alkadieny len bridge interconnected by the double bond (s) carbon atoms may be part of a six-membered optionally benzanellier- th aromatic or heteroaromatic ring.
- rings A 1 and A 2 may be additionally substituted, in each case additionally, in each case with a C 1 -C 4 -alkyl or C 1 -C 4 -alkoxy, and the other variables mean:
- Ar 1 is independently an aromatic or heteroaromatic five- or six-membered ring which is benzanellated once or twice and is substituted by one or more halogen, NO 2 , NO, CN 1 CHO, R 1 , X 1 -CO-R 1 , X 1 -SO 2 -
- R 1 , X 1 -R 1 ' , CO-X 1 -R 1 ' or SO 2 -X 1 -R 1 ' may be substituted, E independently of one another -CO-O-, -O-CO-, -CO-S-, -S-CO-, -CO-NR ' -,
- R 1 is C 1 -C 20 -alkyl, C 2 -C 2 o-alkenyl, C 6 -C 10 -aryl, heteroaryl having 2 to 12 carbon atoms, Ce-C 1 -C aryl-C 1 -C 4 -alkyl, C 6 C 1o -aryl-C 2 -C 2 o-alkenyl, heteroaryl-dC ⁇ -alkyl or heteroaryl-C 2 -C 20 -alkenyl having in each case 2 to 12 carbon atoms in the heteroaryl radical, where in the C 1 -C 20 or C 2 -C 20 -carbon chain one or more non-adjacent CH 2 groups can be replaced by oxygen atoms, N (C 1 -C 20 -Alkyl) - and / or carbonyl groups and both the C 6 -C 10 -Aryl and the heteroaryl having one or more halogen, NO 2 , NO, CN, CHO, R,
- R 1 ' is hydrogen or, independently of R 1, the same meaning as R 1 ,
- RC r C 20 alkyl, C 2 -C 20 -alkenyl, C 6 -C 10 aryl, heteroaryl having from 2 to 12 carbon atoms, C 6 -C 0 aryl-Ci-C 20 alkyl, C 6 -C 10 -Aryl-C 2 -C 20 -alkenyl, heteroarylCrC ⁇ -alkyl or heteroaryl-C 2 -C 20 -alkenyl having in each case 2 to 12 carbon atoms in the heteroaryl radical,
- R ' is hydrogen or, independently of R, the same meaning as R
- X 1 , X independently of one another oxygen, sulfur or NR 1 'or NR', where in the event that X 1 -R 1 ' or XR ' of an N (R 1 ') 2 - or N (R') 2 group, the two radicals R 1 ' and R ' together may form a C 4 - or C 5 -alkylene, C 4 - or C 5 -alkenylene or C 4 - or C 5 -alkadienylene bridge, in which optionally one or two non-adjacent CH 2 groups replaced by carbonyl groups and in the case of alkenylene and Alkadieny len bridge interconnected by the double bond (s) carbon atoms may be part of a six-membered optionally benzanellier- th aromatic or heteroaromatic ring.
- a particularly suitable group of compounds corresponds to the general formula 9, in which the rings A 1 and A 2 bear no further substituents apart from the groupings Ar 1 -E and the other variables mean:
- Ar 1 is independently an aromatic or heteroaromatic five- or six-membered ring which may be substituted by one or more fluoro, R 1 , X 1 -CO-R 1 , X 1 -R 1 'or CO-X 1 -R 1' .
- E is independently of one another -CO-O-, -O-CO-, -CO-S-, -S-CO- or -O-CO-O-,
- R 1 is C 1 -C 10 -alkyl, phenyl or phenyl-C 1 -C 4 -alkyl, where the phenyl may be substituted by one or more fluorine, R, X-CO-R, XR ' or CO-XR ' ,
- R 1 ' is hydrogen or, independently of R 1, the same meaning as R 1 ,
- R ' is hydrogen or, independently of R, the same meaning as R
- X 1 , X independently of one another oxygen, sulfur or NR 1 'or NR', where in the event that X 1 -R 1 ' or XR' of an N (R 1 ' ) 2 - or N (R ' ) 2 group, the two radicals R 1 ' and R ' together can form a C 4 - or C 5 -alkyiene, C 4 - or C 5 -alkenylene or C 4 - or C 5 -alkadienylene bridge, in which optionally one or two non-adjacent CH 2 groups replaced by carbonyl groups and in the case of alkenylene and Alkadieny len bridge interconnected by the double bond (s) carbon atoms may be part of a six-membered optionally benzanellier- th aromatic or heteroaromatic ring.
- a suitable group of compounds having hexavalent organic radicals Ar 2 corresponds to the general formula 10
- rings A 1 and A 2 can additionally be additionally substituted in each case with a C 1 -C 4 -alkyl or C 1 -C 4 -alkoxy,
- each independently of one another represents a C 2 -C 3 -alkylene or C 2 -C 3 -alkenylene bridge which is optionally substituted by one or two C 1 -C 4 -alkyl groups and in which optionally a CH 2 group is replaced by oxygen or a C 1 -C 4 -alkyl group
- Replaced carbonyl group and / or in the case of the C 2 -C 3 alkenylene bridge the carbon atoms interconnected by the double bond may be part of a six-membered optionally benzene fused aromatic or heteroaromatic ring and the remaining variables mean:
- Ar 1 is independently an aromatic or heteroaromatic five- or six-membered ring which is benzanellated once or twice and is substituted by one or more halogen, NO 2 , NO, CN, CHO, R 1 , X 1 -CO-R 1 , X 1 -SO 2 -R 1 , X 1 -R 1 ' , CO-X 1 -R 1' or SO 2 -X 1 -R 1 ' may be substituted,
- R 1 is C 1 -C 20 -alkyl, C 2 -C 20 -alkenyl, C 6 -C 0 aryl, heteroaryl having from 2 to 12 carbon atoms, C6-C 1o -aryl-C 2 -C 2 o-alkenyl, heteroarylCrC ⁇ -alkyl or heteroaryl-C 2 -C 20 -alkenyl having in each case 2 to 12 carbon atoms in the heteroaryl radical, where in the C 1 -C One or more non-adjacent CH 2 groups can be replaced by oxygen atoms, N (C 1 -C 20 -alkyl) and / or carbonyl groups and both the C 6 -C 20 - or C 2 -C 20 -Kohlen- 10 -aryl and the heteroaryl having one or more halogen, NO 2 , NO, CN, CHO, R, X-CO-R, X-SO 2 -R, X-R '
- R 1 ' is hydrogen or, independently of R 1, the same meaning as R 1 , RC r C 2 -alkyl, C 2 -C 20 -alkenyl, C 6 -C 10 aryl, heteroaryl having from 2 to 12 carbon atoms, C 6 -C O aryl-Ci-C2o-alkyl, C 6 - C 1 -C aryl-C 2 -C 2 o-alkenyl, heteroaryl-C 1 -C 4 -alkyl or heteroaryl C 2 -C 20 -alkenyl having in each case 2 to 12 carbon atoms in the heteroaryl radical,
- R ' is hydrogen or, independently of R, the same meaning as R
- X 1 , X independently of one another oxygen, sulfur or NR 1 'or NR', where in the event that X 1 -R 1 'or XR ' of an N (R 1 ') 2 - or N (R') 2 group, the two radicals R 1 'and R' together may form a C 4 - or C 5 -alkylene, C 4 - or C 5 -alkenylene or C 4 - or C 5 -alkadienylene bridge, in which optionally one or two non-adjacent CH 2 groups replaced by carbonyl groups and in the case of Aikenylen- and Alkadieny len bridge the interconnected by the double bond (s) carbon atoms may be part of a six-membered optionally benzanellier- th aromatic or heteroaromatic ring.
- a particularly suitable group of compounds corresponds to the general formula 10, in which the rings A 1 and A 2, in addition to the arylations Ar 1 -E independently of one another, additionally each having a C 1 -C 4 -alkyl or C 1 -C 4 - Alkoxy can be substituted,
- C 2 -C 3 -alkylene or C 2 -C 3 -alkenylene bridges which are optionally substituted by one or two C 1 -C 4 -alkyl groups and in which optionally a CH 2 group is replaced by oxygen or a carbonyl group and / or in the case of C 2 -C 3 alkenylene bridges, the carbon atoms connected by the double bond may be part of a six-membered aromatic or heteroaromatic ring and the remaining variables mean:
- Ar 1 is independently an aromatic or heteroaromatic five- or six-membered ring which may be substituted by one or more fluoro, R 1 , X 1 -CO-R 1 , X 1 -R 1 'or CO-X 1 -R 1 ' .
- E is independently of one another -CO-O-, -O-CO-, -CO-S-, -S-CO- or -O-CO-O-,
- R 1 is C 1 -C 10 alkyl, phenyl or where the phenyl may be substituted by one or more fluoro, R, X-CO-R, XR 'or CO-XR ' ,
- R 1 ' is hydrogen or, independently of R 1, the same meaning as R 1 ,
- R is CrC 1o -alkyl or phenyl
- R ' is hydrogen or, independently of R, the same meaning as R
- X 1 , X independently of one another oxygen, sulfur or NR 1 ' or NR', where in the event that X 1 -R 1 ' or XR ' of an N (R 1 ') 2 - or N (R') 2 group, the two radicals R 1 'and R ' together may form a C 4 - or C 5 -alkylene, C 4 - or C 5 -alkenylene or C 4 - or C 5 -alkadienylene bridge, in which optionally one or two non-adjacent CH 2 groups replaced by carbonyl groups and in the case of alkenylene and Alkadieny len bridge interconnected by the double bond (s) carbon atoms may be part of a six-membered optionally benzanellier- th aromatic or heteroaromatic ring.
- rings A 1 , A 1 ' , A 2 , A 2' , A 3 and A 3 ' independently of one another in each case additionally with one or two C 1 -C 4 -AIKyI or C 1 -C 4 -alkoxy may be substituted and the remaining variables mean:
- Ar 1 is independently an aromatic or heteroaromatic five- or six-membered ring which is benzanellated once or twice and is substituted by one or more halogen, NO 2 , NO, CN, CHO, R 1 , X 1 -CO-R 1 , X 1 -SO 2 -R 1 , X 1 -R 1 ' , CO-X 1 -R 1' or SO 2 -X 1 -R 1 ' may be substituted, E independently of one another -CO-O-, -O-CO-, -CO-S-, -S-CO-, -CO-NR ' -,
- R 1 is C 1 -C 20 -alkyl, C 2 -C 20 -alkenyl, C 6 -C 10 aryl, heteroaryl having 2 to 12 atoms of carbon, C 6 -C 1o aryl-Ci-C2o-alkyl , C 6 -C 1o -aryl-C 2 -C 2 o-alkenyl, heteroaryl-CrCj-o-alkyl or heteroaryl-C 2 -C 20 -alkenyl having in each case 2 to 12 carbon atoms in the heteroaryl radical, where in the C One or more non-adjacent CH 2 groups can be replaced by oxygen atoms, N (C 1 -C 20 -alkyl) and / or carbonyl groups and both the C 1 -C 20 - or C 2 -C 20 -carbon chain 6 -C 1o -aryl and the heteroaryl having one or more halogen, NO 2 , NO, CN, CHO, R
- R 1 ' is hydrogen or, independently of R 1, the same meaning as R 1 ,
- RC 1 -C 20 -AlkYl C 2 -C 20 alkenyl, C 6 -C 10 aryl, heteroaryl having 2 to 12 carbon atoms, C 6 -C 10 aryl-Ci-C 20 alkyl, C 6 -C 10 -aryl-C 2 -C 20 -alkenyl, heteroaryl or heteroaryl-C 2 -C 20 -alkenyl having in each case 2 to 12 carbon atoms in the heteroaryl radical,
- R ' is hydrogen or, independently of R, the same meaning as R
- X 1 , X independently of one another oxygen, sulfur or NR 1 'or NR ' , where in the event that X 1 -R 1 ' or XR' of an N (R 1 ' ) 2 - or N (R') 2 group, the two radicals R 1 ' and R' together may form a C 4 - or C 5 -alkylene, C 4 - or C 5 -alkenylene or C 4 - or C 5 -alkadienylene bridge, in which optionally one or two non-adjacent CH 2 groups replaced by carbonyl groups and in the case of alkenylene and Alkadieny len bridge interconnected by the double bond (s) carbon atoms may be part of a six-membered optionally benzanellier- th aromatic or heteroaromatic ring.
- Ar 1 is independently an aromatic or heteroaromatic five- or six-membered ring which is benzanellated once or twice and which contains one or more halogen, CN, R 1 , X 1 -CO-R 1 , X 1 -R 1 ' or CO-X 1 R 1 ' may be substituted,
- E is independently of one another -CO-O-, -O-CO-, -CO-S-, -S-CO- or -O-CO-O-,
- E ' is independently a chemical single bond, oxygen or CrC-io-alkyl, wherein the Ci-C 10 carbon chain, one or more non-adjacent CH 2 groups are replaced by oxygen atoms, N (C 1 -C 10 -alkyl) - and / or carbonyl groups can be replaced,
- R 1 is C 1 -C 10 alkyl, C 6 -C 10 aryl, heteroaryl of 2 to 5 carbon atoms, C 1 -C 4 arylCrC-m-alkyl, C 6 -C 10 aryl-C 2 -C 10 -alkenyl, heteroaryl-C r C 1 o -alkyl or heteroaryl-C 2 -C 10 -alkenyl having in each case 2 to 5 carbon atoms in the heteroaryl radical, where in the C 1 -C 10 - or C 2 -C 0 - Carbon chain one or more non-adjacent CH 2 groups can be replaced by oxygen atoms, N (C 1 -C 1o alkyl) and / or carbonyl groups and both the C 6 -C 10 aryl and the heteroaryl with one or more halogen .
- R 1 ' is hydrogen or, independently of R 1, the same meaning as R 1 ,
- R is C 1 -C 10 -alkyl, C 6 -C 10 -aryl, heteroaryl having 2 to 5 carbon atoms,
- Ce-C-io-arylCrC-io-alkyl C 6 -C 10 -aryl-C 2 -C 10 -alkenyl, heteroaryl-C 1 -C 4 -alkyl or heteroaryl-C 2 -C 10 -alkenyl, each having 2 to 5 carbon atoms in the heteroaryl radical,
- R ' is hydrogen or, independently of R, the same meaning as R
- X 1 , X independently of one another oxygen, sulfur or NR 1 'or NR', where in the event that X 1 -R 1 ' or XR ' of an N (R 1 ' ) 2 - or N (R ' ) 2 group, the two radicals R 1 ' or R ' together can form a C 4 - or C 5 -alkylene, C 4 - or C 5 -alkenylene or C 4 - or C 5 -alkadienylene bridge, in which optionally one or two non-adjacent CH 2 groups are replaced by carbonyl groups and, in the case of the alkenylene and alkadienylene bridges, the carbon atoms interconnected by the double bond (s) may form part of a six-membered, optionally benzanellated, aromatic or heteroaromatic ring.
- Ar 1 is independently an aromatic or heteroaromatic five- or six-membered ring which is benzanellated once or twice and is substituted by one or more halogen, NO 2 , NO, CN, CHO, R 1 , X 1 -CO-R 1 , X 1 -SO 2 -R 1 , X 1 -R 1 ', CO-X 1 -R 1 ' or SO 2 -X 1 -R 1 'may be substituted,
- R 1 is C r C 2 -alkyl, C 2 -C 20 -alkenyl, C 6 -C 10 aryl, heteroaryl having from 2 to 12 carbon atoms, C 6 -C 1o aryl-C 1 -C 2 o alkyl, C 6 -C 10 -aryl-C 2 -C 2 o-alkenyl, heteroarylC r C 20 -alkyl or heteroaryl-C 2 -C 20 -alkenyl having in each case 2 to 12 carbon atoms in the heteroaryl radical, where in the CrC 20 - or C 2 -C 20 carbon chain -Kohlen- one or more non-adjacent CH 2 groups are replaced by oxygen atoms, N (Ci-C 20 alkyl) - and / or carbonyl groups can be replaced, and both the C 6 -C 10 -Aryl and the heteroaryl having one or more halogen, NO 2 , NO, CN, CHO, R,
- R 1 ' is hydrogen or, independently of R 1, the same meaning as R 1 ,
- R is C 1 -C 4 -alkyl, C 2 -C 20 -alkenyl, C 6 -C 10 -aryl, heteroaryl having 2 to 12 carbon atoms, C 6 -C 10 -arylC r C 20 -alkyl, C 6 -C 10 - Aryl-C 2 -C 20 -alkenyl, heteroarylC r C 2 o-alkyl or heteroaryl-C 2 -C 20 -alkenyl having in each case 2 to 12 carbon atoms in the heteroaryl radical,
- R ' is hydrogen or, independently of R, the same meaning as R
- X 1 , X independently of one another oxygen, sulfur or NR 1 'or NR ' , where in the event that X 1 -R 1 'or XR ' of an N (R 1 ' ) 2 - or N (R ' ) 2 group, the two radicals R 1 'and R' together may form a C 4 - or C 5 -alkylene, C 4 - or C 5 -alkenylene or C 4 - or C 5 -alkadienylene bridge, in which optionally one or two non-adjacent CH 2 groups replaced by carbonyl groups and in the case of alkenylene and Alkadieny len bridge interconnected by the double bond (s) carbon atoms may be part of a six-membered optionally benzanellier- th aromatic or heteroaromatic ring.
- Ar 1 , R 1 , R 1 ', R, R', X 1 and X and their preferences, reference is made to the definition of the variables Ar
- a particularly suitable group of compounds corresponds to the general formula 12, wherein the rings A 1 , A 2 and A 3 may be independently of one another in each case additionally substituted by one or two C r C 4 alkyl or C 1 -C 4 -alkoxy and the remaining variables mean:
- Ar 1 is independently an aromatic or heteroaromatic five- or six-membered ring which is benzanellated once or twice and which contains one or more halogen, CN, R 1 , X 1 -CO-R 1 , X 1 -R 1 'or CO-X 1 R 1 'may be substituted,
- R 1 is C 1 -C 10 -alkyl, C 6 -C 10 -ArVl, heteroaryl having 2 to 5 carbon atoms,
- R 1 ' is hydrogen or, independently of R 1, the same meaning as R 1 ,
- R ' is hydrogen or, independently of R, the same meaning as R
- X 1 , X independently of one another oxygen, sulfur or NR 1 'or NR ' , where in the event that X 1 -R 1 ' or XR ' of an N (R 1 ') 2 - or N (R') 2 group, the two radicals R 1 'and R' together may form a C 4 - or C 5 -alkylene, C 4 - or C 5 -alkenylene or C 4 - or C 5 -alkadienylene bridge, in which optionally one or two non-adjacent CH 2 groups replaced by carbonyl groups and in the case of alkenylene and Alkadieny-
- the carbon atoms connected by the double bond (s) may be part of a six-membered, optionally benzanellated, aromatic or heteroaromatic ring.
- a further subject of the present invention is a light-emitting layer which comprises at least one of the compounds of the formula I or a preferred guide form as a matrix material and at least one further substance distributed therein as an emitter.
- the light-emitting layer according to the invention contains at least one of the compounds from the abovementioned groups of compounds of the formulas 1 to 12 or a preferred embodiment as matrix material and at least one further substance distributed therein as emitter.
- Another object of the present invention is a light-emitting layer which consists of at least one of the compounds of formula I or a preferred embodiment as a matrix material and at least one further substance distributed therein as an emitter.
- the light-emitting layer according to the invention consists of at least one of the compounds from the abovementioned groups of compounds of the formulas 1 to 12 or a preferred embodiment as matrix material and at least one further substance distributed therein as emitter.
- the matrix material according to the present invention can also be used in combination with other matrix materials known to the person skilled in the art.
- the use of the compounds of the formula I as matrix materials is not intended to preclude these compounds themselves also emitting light.
- the matrix materials used according to the invention have the effect that, in the case of compounds which are used as emitters in OLEDs, an increase in the luminance and quantum yield compared with otherwise conventional matrix materials is normally achieved if they are embedded in the former.
- emitter compounds are based on metal complexes, and in particular the complexes of the metals Ru, Rh, Ir, Pd and Pt, especially the complexes of Ir, have gained importance.
- the compounds of the formula I used according to the invention are particularly suitable as matrix materials for emitters based on such metal complexes. In particular, they are suitable for use as matrix materials together with complexes of Ru, Rh, Ir, Pd and Pt, more preferably for use with complexes of Ir.
- Suitable metal complexes for use together with the compounds of the formula I as matrix materials in OLEDs are described, for example, in the publications WO 02/60910 A1, WO 02/68453 A1, US 2001/0015432 A1, US 2001/0019782 A1 US 2002/0055014 A1, US 2002/0024293 A1, US 2002/0048689 A1, EP 1 191 612 A2, EP 1 191 613 A2, EP 1 211 257 A2, US 2002/0094453 A1, WO 02/02714 A2, WO 00/70655 A2, WO 01 / 41512 A1 and WO 02/15645 A1.
- Suitable metal complexes for use together with the compounds of the formula I as matrix materials in OLEDs are, for example, also carbene complexes, as described in WO 05/019373 A2.
- the disclosure of this publication is hereby explicitly referred to and the disclosure of which is to be considered incorporated into the content of the present application.
- suitable metal complexes for use together with the compounds of the formula I as matrix materials in OLEDs contain carbene ligands of the following structures disclosed in the document WO 05/019373 A2 (the designation of the variables was taken from the document WO 05/019373 A2; the more precise definition of the variables is explicitly referred to this publication):
- z, z are the same or different, CH or N;
- R 1 R is the same or different, an alkyl, aryl, heteroaryl or alkenyl radical, preferably an alkyl or aryl radical or in each case 2 radicals R 12 or R 12 ' form Together, a fused ring which may optionally contain at least one heteroatom, preferably N, preferably in each case 2 radicals R 12 and R 12 together form a fused aromatic C 6 ring, wherein to this, preferably six-membered, aromatic ring optionally or several other aromatic rings may be fused, with any conceivable annulation being possible, and the fused radicals may in turn be substituted; or R 12 or R 12 is a radical with donor or acceptor action, preferably selected from the group consisting of halogen radicals, preferably F, Cl, Br, particularly preferably F; Alkoxy, aryloxy, carbonyl, ester, amino, amide, CHF 2 , CH 2 F, CF 3 , CN,
- t and t ' are identical or different, preferably equal to 0 to 3, where, when t or t'> 1, the radicals R 12 and R 12 may be identical or different, preferably t or f is 0 or 1 the radical R 12 or R 12 ' is, when t or f is 1, in the ortho, meta or para position to the point of attachment to the nitrogen atom adjacent to the carbene carbon atom;
- R 4 , R 5 , R 6 , R 7 , R 8 , R 9 and R 11 are hydrogen, alkyl, aryl, heteroaryl, alkenyl or a substituent with donor or acceptor action, preferably selected from halogen radicals, preferably F, Cl, Br, especially preferred are F, alkoxy radicals, aryloxy radicals, carbonyl radicals, ester radicals, amine radicals, amide radicals, CH 2 F groups, CHF 2 groups, CF 3 groups, CN groups, thio groups and SCN groups
- R 10 is alkyl, aryl, heteroaryl or alkenyl, preferably alkyl, heteroaryl or aryl, or in each case 2 radicals R 10 together form a fused ring which may optionally contain at least one heteroatom, preferably nitrogen, preferably form in each case 2 radicals R 10 together, a fused aromatic C 6 ring, which may be fused to this, preferably six-membered, aromatic ring optionally one or more further aromatic rings, with any conceivable annulation is possible, and the fused radicals may in turn be substituted; or R 10 is a radical having a donor or acceptor effect, preferably selected from the group consisting of halogen radicals, preferably F, Cl, Br, particularly preferably F; Alkoxy, aryloxy, carbonyl, ester, amino, amide, CHF 2 , CH 2 F, CF 3 , CN, thio groups and SCN v is 0 to 4, preferably 0, 1 or 2, most preferably 0, wherein when v
- the four carbon atoms of the aryl group in formula c, optionally substituted with R 10 carry hydrogen atoms.
- suitable metal complexes for use together with the compounds of the formula I as matrix materials in OLEDs contain Ir carbene complexes of the following structures disclosed in the document WO 05/019373 A2:
- M is Ru (III), Rh (III), Ir (III), Pd (II) or Pt (II)
- n Ru (III), Rh (III) and Ir (III) is 3, for Pd (II) and Pt (II) assumes the value 2 and Y 2 and Y 3 signify hydrogen, methyl, ethyl, n-propyl, isopropyl or tert-butyl.
- M is Ir (III) with n equal to 3.
- Y 3 is preferably methyl, ethyl, n-propyl, iso-propyl or tert-butyl.
- M is Ru (III), Rh (III), Ir (III), Pd (II) or Pt (II)
- n Ru (III) 1 Rh (III) and Ir (III) is 3, for Pd (II) and Pt (II) is 2 and Y 3 is hydrogen, methyl, ethyl, n-propyl, iso-propyl or tert-butyl.
- M is Ir (III) with n equal to 3.
- Y 3 is preferably methyl, ethyl, n-propyl, iso-propyl or tert-butyl.
- M is Ru (III), Rh (III) and especially Ir (III), Pd (II) or Pt (II), n is Ru (III), Rh (III) and Ir (III) is 3 and for Pd (II) and Pt (II) assumes the value 2.
- M is Ru (II), Rh (III) and especially Ir (III), Pd (II) or Pt (II), n is Ru (III), Rh (III) and Ir (III) are 3 and for Pd (II) and Pt (II) assumes the value 2.
- Y 2 is hydrogen, methyl, ethyl, n-propyl, iso-propyl or tert-butyl and Y 3 is methyl, ethyl, n-propyl, iso-propyl or tert-butyl.
- Suitable ligands L are, in particular, the acetylacetonate and its derivatives, the picolinate, Schiff's bases, amino acids and the bidentate monoanionic ligands mentioned in WO 02/15645; In particular, the acetylacetonate and pico linat of interest. In the case of complexes L 2 ML ', the ligands L may be the same or different.
- OLEDs are basically made up of several layers, eg:
- the OLED does not have all of the said layers, for example, an OLED having the layers (1) (anode), (3) (light emitting layer), and (5) (cathode) is also suitable the layers (2) (hole-transprotective layer) and (4) (electron-transprotective layer) are taken over by the adjacent layers.
- OLEDs comprising layers (1), (2), (3) and (5) or layers (1), (3), (4) and (5) are also suitable.
- the compounds of the formula I 1 can be used in particular as such compounds of the groups of compounds of the formulas 1 to 12 described above as charge-transporting materials, but are preferably used as matrix materials in the light-emitting layer.
- the compounds of the formula I used according to the invention in particular those compounds of the above-described groups of compounds of the formulas 1 to 12, can be present as the sole matrix material in the light-emitting layer without further additives.
- further compounds are present in the light-emitting layer.
- a fluorescent dye may be present to alter the emission color of the emitter molecule present.
- a diluent material can be used. This diluent material can be a polymer, for example poly (N-vinylcarbazole) or polysilane.
- the individual of the abovementioned layers of the OLED can in turn be composed of 2 or more layers.
- the hole-transporting layer may be constructed of a layer into which holes from the electrode and a layer that transports the holes away from the hole-injecting layer into the light-emitting layer.
- the electron-transporting layer may also consist of several layers, for example a layer in which electrons are injected through the electrode and a layer which receives electrons from the electron-injecting layer and transports them into the light-emitting layer.
- These mentioned layers are each selected according to factors such as energy level, temperature resistance and charge carrier mobility, as well as the energy difference of said layers with the organic layers or the metal electrodes.
- the person skilled in the art is able to choose the structure of the OLEDs in such a way that it is optimally adapted to the organic compounds used according to the invention as emitter substances.
- the HOMO (highest occupied molecular orbital) of the hole-transporting layer should be adapted to the working function of the anode and the LUMO (lowest unoccupied molecular orbital) of the electron-transporting layer to the work function of the cathode.
- organic light-emitting diodes which contain such light-emitting layers according to the invention.
- OLEDs containing a light-emitting layer which at least one compound of formula I or its preferred embodiments, in particular those compounds of the above-described groups of compounds of formulas 1 to 12, as a matrix material and at least one further therein contains distributed substance as an emitter, or which consists of one or more compounds of formula I or its preferred embodiments, in particular those compounds of the above-described groups of compounds of formulas 1 to 12, as a matrix material and at least one further substance distributed therein as an emitter.
- the anode (1) is an electrode that provides positive charge carriers.
- it may be constructed of materials including a metal, a mixture of various metals, a metal alloy, a metal oxide, or a mixture of various metal oxides.
- the anode may be a conductive polymer.
- Suitable metals include the metals of groups Ib, IVa, Va and VIa of the Periodic Table of the Elements and the transition metals of the group Villa.
- mixed metal oxides of groups IIb, IIIb and IVb of the Periodic Table of the Elements for example indium tin oxide (ITO), are generally used.
- the anode (1) contains an organic material, for example polyaniline, as described for example in Nature, Vol. 357, pages 477 to 479 (June 11, 1992). At least either the anode or the cathode should be at least partially transparent in order to be able to decouple the light formed.
- organic material for example polyaniline
- Suitable hole transport materials for the layer (2) of the OLED according to the invention are disclosed, for example, in Kirk-Othmer Encyclopedia of Chemical Technology, 4th Edition, Vol. 18, pages 837 to 860, 1996. Both hole transporting molecules and polymers can be used as hole transport material.
- Commonly used hole transporting molecules are selected from the group consisting of 4,4'-bis [N- (1-naphthyl) -N-phenyl-amino] biphenyl ( ⁇ -NPD), N, N'-diphenyl-N, N '-bis (3-methylphenyl) - [1,1'-biphenyl] -4,4'-diamine (TPD), 1,1-bis [(di-4-tolylamino) phenyl] cyclohexane (TAPC), N , N'-bis (4-methylphenyl) -N, N'-bis (4-ethylphenyl) - [1, 1'- (3,3'-dimethyl) biphenyl] -4,4'-diamine (ETPD), Tetrakis (3-methylphenyl) -N, N 1 N ", N'-2,5-phenylenediamine (PDA), ⁇ -phenyl-4-N, N-dipheny
- hole transporting polymers are selected from the group consisting of polyvinyl carbazoles, (phenylmethyl) polysilanes and polyanilines. It is also possible to obtain hole transporting polymers by doping hole transporting molecules into polymers such as polystyrene and polycarbonate. Suitable hole-transporting molecules are the molecules already mentioned above.
- oxinoid compounds such as tris (8-quinolinolato) aluminum (Alq 3 )
- phenanthroline-based compounds such as 2,9-dimethyl-4,7-diphen
- the layer (4) can serve both to facilitate the electron transport and as a buffer layer or as a barrier layer in order to avoid quenching of the exciton at the interfaces of the layers of the OLED.
- the layer (4) improves the mobility of the electrons and reduces quenching of the exciton.
- hole transport materials and electron transport materials some may serve several functions.
- some of the electron-conducting materials are simultaneously hole-blocking materials if they have a deep HOMO.
- the charge transport layers can also be electronically doped in order to improve the transport properties of the materials used, on the one hand to make the layer thicknesses more generous (avoidance of pinholes / short circuits) and on the other hand to minimize the operating voltage of the device.
- the hole transport materials can be doped with electron acceptors, for example phthalocyanines or arylamines such as TPD or TDTA can be doped with tetrafluorotetracyanchinodimethane (F4-TCNQ).
- the electron transport materials may be doped with alkali metals, for example Alq 3 with lithium.
- the electronic doping is known to the person skilled in the art and described, for example, in W. Gao, A. Kahn, J. Appl. Phys., Vol. 94, no. 1, 1 July 2003 (p-doped organic layers); AG Werner, F. Li, K. Harada, M. Pfeiffer, T. Fritz, K. Leo. Appl. Phys. Lett, Vol. 82, no. 25, 23 June 2003 and Pfeiffer et al., Organic Electronics 2003, 4, 89-103.
- the cathode (5) is an electrode which serves to introduce electrons or negative charge carriers.
- Suitable materials for the cathode are selected from the group consisting of alkali metals of group Ia, for example Li, Cs, alkaline earth metals of group IIa, for example calcium, barium or magnesium, metals of group IIb of the Periodic Table of the Elements (old ILJPAC version) comprising the lanthanides and actinides, for example samarium.
- metals such as aluminum or indium, as well as combinations of all the metals mentioned can be used.
- lithium-containing organometallic compounds or LiF can be applied between the organic layer and the cathode to reduce the operating voltage.
- the OLED according to the present invention may additionally contain further layers which are known to the person skilled in the art.
- a layer can be applied between the layer (2) and the light-emitting layer (3), which facilitates the transport of the positive charge and / or adapts the band gap of the layers to one another.
- this further layer can serve as a protective layer.
- additional layers may be present between the light-emitting layer (3) and the layer (4) to facilitate the transport of the negative charge and / or to match the bandgap between the layers.
- this layer can serve as a protective layer.
- the OLED according to the invention contains at least one of the further layers mentioned below: a hole injection layer between the anode (1) and the hole-transporting layer (2); a block layer for electrons between the hole-transporting layer (2) and the light-emitting layer (3); a block layer for holes between the light-emitting layer (3) and the
- Electron-transporting layer (4) an electron injection layer between the electron-transporting
- the OLED does not have all of the layers (1) to (5) mentioned, for example an OLED with the layers (1) (anode), (3) (non-emissive layer) and (5 ) (Cathode), wherein the functions of the layers (2) (hole-transporting layer) and (4) (electron-transporting layer) are taken over by the adjacent layers.
- OLEDs comprising layers (1), (2), (3) and (5) or layers (1), (3), (4) and (5) are also suitable.
- Suitable materials for the individual layers are known to those skilled in the art and e.g. in WO 00/70655.
- each of the mentioned layers of the OLED according to the invention can be developed from two or more layers. Furthermore, it is possible that some or all of the layers (1), (2), (3), (4), and (5) are surface treated to increase the efficiency of charge carrier transport. The selection of materials for each of said layers is preferably determined by obtaining an OLED having a high efficiency and lifetime.
- the preparation of the OLEDs according to the invention can be carried out by methods known to the person skilled in the art.
- the OLED according to the invention is produced by successive vapor deposition of the individual layers onto a suitable substrate.
- Suitable substrates are, for example, glass or polymer films.
- vapor deposition conventional techniques can be used such as thermal evaporation, chemical vapor deposition and others.
- the organic layers may be coated from solutions or dispersions in suitable solvents using coating techniques known to those skilled in the art.
- the various layers have the following thicknesses: anode (1) 500 to 5000 A, preferably 1000 to 2000 A; Hole-transporting layer (2) 50 to 1000 A, preferably 200 to 800 A, light-emitting layer (3) 10 to 1000 A, preferably 100 to 800 A, electron-transporting layer (4) 50 to 1000 A 1, preferably 200 to 800 A, cathode (5) 200 to 10,000 A, preferably 300 to 5000 A.
- the position of the recombination zone of holes and electrons in the inventive OLED and thus the emission spectrum of the OLED can be affected by the relative thickness of each layer. That is, the thickness of the electron transport layer should preferably be selected so that the electron / holes recombination zone is in the light emitting layer.
- the ratio of the layer thicknesses of the individual layers in the OLED depends on the materials used.
- the layer thicknesses of optionally used additional layers are known to the person skilled in the art.
- OLEDs By using the compounds of the formula I used as matrix materials in the light-emitting layer of the OLEDs according to the invention, OLEDs can be obtained with high efficiency.
- the efficiency of the OLEDs according to the invention can be further improved by optimizing the other layers.
- highly efficient cathodes such as Ca or Ba, optionally in combination with an intermediate layer of LiF, can be used.
- Shaped substrates and new hole-transporting materials, which cause a reduction in the operating voltage or an increase in the quantum efficiency, can also be used in the inventive OLEDs.
- additional layers may be present in the OLEDs to adjust the energy levels of the various layers and to facilitate electroluminescence.
- the OLEDs according to the invention can be used in all devices in which electroluminescence is useful. Suitable devices are preferably selected from stationary and mobile screens. Stationary screens are e.g. Screens of computers, televisions, screens in printers, kitchen appliances and billboards, lights and signboards. Mobile screens are e.g. Screens in cell phones, laptops, digital cameras, vehicles, and destination displays on buses and trains.
- Stationary screens are e.g. Screens of computers, televisions, screens in printers, kitchen appliances and billboards, lights and signboards.
- Mobile screens are e.g. Screens in cell phones, laptops, digital cameras, vehicles, and destination displays on buses and trains.
- the compounds of the formula I used according to the invention can be used in OLEDs with inverse structure.
- the compounds of the formula I used according to the invention in these inverse OLEDs are preferably used in turn as matrix materials in the light-emitting layer.
- the construction of inverse OLEDs and the materials usually used therein are known to the person skilled in the art.
- the ITO substrate used as the anode was first cleaned with commercial cleaning agents for LCD production (Deconex 20NS ® and neutralizing agent 25ORGAN- ACID ®), and then in an acetone / isopropanol mixture in an ultrasonic bath cleaned. To remove possible organic residues, the substrate was subjected to a continuous ozone flow in an ozone furnace for a further 25 minutes. This treatment also improved hole injection of the ITO.
- the vapor deposition rate was about 2 nm / min for all substances, the pressure about 10 "7 mbar.
- the hole conductor and exciton / electron blocker (235 ° C. crucible temperature) were first vapor-deposited onto the cleaned substrate to a thickness of 28 nm. Then, the deposition of a 20 nm thick layer of a micro research was carried out from 67 wt .-% of matrix material (120 0 C pot temperature) and 33 wt .-% emitter connection (240 0 C pot temperature).
- BCP 2,9-dimethyl-4,7-diphenyl-1,10-phenanthroline
- electroluminescence spectra were recorded at different currents or voltages. Furthermore, the current-voltage characteristic was measured in combination with the radiated light output. The light output can be converted by calibration with a luminance meter into photometric quantities.
Landscapes
- Chemical & Material Sciences (AREA)
- Engineering & Computer Science (AREA)
- Materials Engineering (AREA)
- Organic Chemistry (AREA)
- Crystallography & Structural Chemistry (AREA)
- Inorganic Chemistry (AREA)
- Plural Heterocyclic Compounds (AREA)
- Electroluminescent Light Sources (AREA)
- Heterocyclic Carbon Compounds Containing A Hetero Ring Having Oxygen Or Sulfur (AREA)
Abstract
Description
Claims
Priority Applications (2)
| Application Number | Priority Date | Filing Date | Title |
|---|---|---|---|
| EP06725284A EP1866978A1 (de) | 2005-03-24 | 2006-03-23 | Verwendung von verbindungen, welche aromatische oder heteroaromatische über carbonyl-gruppen enthaltende gruppen verbundene ringe enthalten, als matrixmaterialien in organischen leuchtdioden |
| JP2008502423A JP2008538858A (ja) | 2005-03-24 | 2006-03-23 | カルボニル基を有する基を介して結合された芳香族環もしくは複素芳香族環を有する化合物を、有機発光ダイオードにおけるマトリクス材料として用いる使用 |
Applications Claiming Priority (2)
| Application Number | Priority Date | Filing Date | Title |
|---|---|---|---|
| DE102005014284A DE102005014284A1 (de) | 2005-03-24 | 2005-03-24 | Verwendung von Verbindungen, welche aromatische oder heteroaromatische über Carbonyl-Gruppen enthaltende Gruppen verbundene Ringe enthalten, als Matrixmaterialien in organischen Leuchtdioden |
| DE102005014284.2 | 2005-03-24 |
Publications (1)
| Publication Number | Publication Date |
|---|---|
| WO2006100298A1 true WO2006100298A1 (de) | 2006-09-28 |
Family
ID=36582047
Family Applications (1)
| Application Number | Title | Priority Date | Filing Date |
|---|---|---|---|
| PCT/EP2006/061007 Ceased WO2006100298A1 (de) | 2005-03-24 | 2006-03-23 | Verwendung von verbindungen, welche aromatische oder heteroaromatische über carbonyl-gruppen enthaltende gruppen verbundene ringe enthalten, als matrixmaterialien in organischen leuchtdioden |
Country Status (6)
| Country | Link |
|---|---|
| EP (1) | EP1866978A1 (de) |
| JP (1) | JP2008538858A (de) |
| KR (1) | KR20070118656A (de) |
| CN (1) | CN101171697A (de) |
| DE (1) | DE102005014284A1 (de) |
| WO (1) | WO2006100298A1 (de) |
Cited By (606)
| Publication number | Priority date | Publication date | Assignee | Title |
|---|---|---|---|---|
| WO2010097433A1 (de) | 2009-02-26 | 2010-09-02 | Basf Se | Chinonverbindungen als dotierstoff in der organischen elektronik |
| WO2011157790A1 (en) | 2010-06-18 | 2011-12-22 | Basf Se | Organic electronic devices comprising a layer of a dibenzofurane compound and a 8-hydroxyquinolinolato earth alkaline metal, or alkali metal complex |
| WO2011157779A1 (en) | 2010-06-18 | 2011-12-22 | Basf Se | Organic electronic devices comprising a layer of a pyridine compound and a 8-hydroxyquinolinolato earth alkaline metal, or alkali metal complex |
| WO2012045710A1 (en) | 2010-10-07 | 2012-04-12 | Basf Se | Phenanthro[9,10-b]furans for electronic applications |
| WO2012080052A1 (en) | 2010-12-13 | 2012-06-21 | Basf Se | Bispyrimidines for electronic applications |
| WO2012130709A1 (en) | 2011-03-25 | 2012-10-04 | Basf Se | 4h-imidazo[1,2-a]imidazoles for electronic applications |
| US8362246B2 (en) | 2010-12-13 | 2013-01-29 | Basf Se | Bispyrimidines for electronic applications |
| US8373159B2 (en) | 2007-07-05 | 2013-02-12 | Basf Se | Organic light-emitting diodes comprising carbene-transition metal complex emitter, and at least one compound selected from disilylcarbazoles, disilyldibenzofurans, disilyldibenzothiophenes, disilyldibenzophospholes, disilyldibenzothiophene s-oxides and disilyldibe |
| WO2013068376A1 (en) | 2011-11-10 | 2013-05-16 | Basf Se | 4h-imidazo[1,2-a]imidazoles for electronic applications |
| WO2013104649A1 (en) | 2012-01-12 | 2013-07-18 | Basf Se | Metal complexes with dibenzo[f,h]quinoxalines |
| US8618533B2 (en) | 2008-10-07 | 2013-12-31 | Osram Opto Semiconductors Gmbh | Siloles substituted by fused ring systems and use thereof in organic electronics |
| WO2014009317A1 (en) | 2012-07-10 | 2014-01-16 | Basf Se | Benzimidazo[1,2-a]benzimidazole derivatives for electronic applications |
| US8692241B1 (en) | 2012-11-08 | 2014-04-08 | Universal Display Corporation | Transition metal complexes containing triazole and tetrazole carbene ligands |
| US8709615B2 (en) | 2011-07-28 | 2014-04-29 | Universal Display Corporation | Heteroleptic iridium complexes as dopants |
| US8716484B1 (en) | 2012-12-05 | 2014-05-06 | Universal Display Corporation | Hole transporting materials with twisted aryl groups |
| WO2014072320A1 (en) | 2012-11-06 | 2014-05-15 | Basf Se | Phenoxasiline based compounds for electronic application |
| US8754232B2 (en) | 2011-02-23 | 2014-06-17 | Universal Display Corporation | Methods of making bis-tridentate carbene complexes of ruthenium and osmium |
| US8822708B2 (en) | 2007-08-08 | 2014-09-02 | Universal Display Corporation | Benzo-fused thiophene / triphenylene hybrid materials |
| US8871361B2 (en) | 2011-02-23 | 2014-10-28 | Universal Display Corporation | Tetradentate platinum complexes |
| US8883322B2 (en) | 2011-03-08 | 2014-11-11 | Universal Display Corporation | Pyridyl carbene phosphorescent emitters |
| US8884316B2 (en) | 2011-06-17 | 2014-11-11 | Universal Display Corporation | Non-common capping layer on an organic device |
| US8889864B2 (en) | 2006-02-10 | 2014-11-18 | Universal Display Corporation | Metal complexes of cyclometallated imidazo[1,2-f]phenanthridine and diimidazo[1,2-a:1′,2′-c]quinazoline ligands and isoelectronic and benzannulated analogs thereof |
| US8927308B2 (en) | 2011-05-12 | 2015-01-06 | Universal Display Corporation | Method of forming bus line designs for large-area OLED lighting |
| US8926119B2 (en) | 2011-08-04 | 2015-01-06 | Universal Display Corporation | Extendable light source with variable light emitting area |
| US8927749B2 (en) | 2013-03-07 | 2015-01-06 | Universal Display Corporation | Organic electroluminescent materials and devices |
| US8932734B2 (en) | 2010-10-08 | 2015-01-13 | Universal Display Corporation | Organic electroluminescent materials and devices |
| US8946697B1 (en) | 2012-11-09 | 2015-02-03 | Universal Display Corporation | Iridium complexes with aza-benzo fused ligands |
| US8952363B2 (en) | 2009-01-16 | 2015-02-10 | Universal Display Corporation | Organic electroluminescent materials and devices |
| US8952362B2 (en) | 2012-08-31 | 2015-02-10 | The Regents Of The University Of Michigan | High efficiency and brightness fluorescent organic light emitting diode by triplet-triplet fusion |
| US8963132B2 (en) | 2010-03-25 | 2015-02-24 | Universal Display Corporation | Solution processable doped triarylamine hole injection materials |
| US8969592B2 (en) | 2012-01-10 | 2015-03-03 | Universal Display Corporation | Heterocyclic host materials |
| US8968887B2 (en) | 2010-04-28 | 2015-03-03 | Universal Display Corporation | Triphenylene-benzofuran/benzothiophene/benzoselenophene compounds with substituents joining to form fused rings |
| US8987451B2 (en) | 2012-01-03 | 2015-03-24 | Universal Display Corporation | Synthesis of cyclometallated platinum(II) complexes |
| US9005772B2 (en) | 2011-02-23 | 2015-04-14 | Universal Display Corporation | Thioazole and oxazole carbene metal complexes as phosphorescent OLED materials |
| WO2015063046A1 (en) | 2013-10-31 | 2015-05-07 | Basf Se | Azadibenzothiophenes for electronic applications |
| US9040962B2 (en) | 2010-04-28 | 2015-05-26 | Universal Display Corporation | Depositing premixed materials |
| US9054323B2 (en) | 2012-03-15 | 2015-06-09 | Universal Display Corporation | Secondary hole transporting layer with diarylamino-phenyl-carbazole compounds |
| US9054344B2 (en) | 2010-01-20 | 2015-06-09 | Universal Display Corporation | Electroluminescent devices for lighting applications |
| US9054343B2 (en) | 2011-06-17 | 2015-06-09 | Universal Display Corporation | Fine tuning of emission spectra by combination of multiple emitter spectra |
| US9059412B2 (en) | 2012-07-19 | 2015-06-16 | Universal Display Corporation | Transition metal complexes containing substituted imidazole carbene as ligands and their application in OLEDs |
| US9076973B2 (en) | 2008-09-03 | 2015-07-07 | Universal Display Corporation | Phosphorescent materials |
| US9079872B2 (en) | 2010-10-07 | 2015-07-14 | Basf Se | Phenanthro[9, 10-B]furans for electronic applications |
| US9118017B2 (en) | 2012-02-27 | 2015-08-25 | Universal Display Corporation | Host compounds for red phosphorescent OLEDs |
| US9123903B2 (en) | 2007-12-28 | 2015-09-01 | Universal Display Corporation | Dibenzothiophene-containing materials in phosphorescent light emitting diodes |
| US9130177B2 (en) | 2011-01-13 | 2015-09-08 | Universal Display Corporation | 5-substituted 2 phenylquinoline complexes materials for light emitting diode |
| US9140428B2 (en) | 2010-06-11 | 2015-09-22 | Universal Display Corporation | Triplet-triplet annihilation up-conversation for display and lighting applications |
| US9142792B2 (en) | 2010-06-18 | 2015-09-22 | Basf Se | Organic electronic devices comprising a layer comprising at least one metal organic compound and at least one metal oxide |
| US9142788B2 (en) | 2011-11-14 | 2015-09-22 | Universal Display Corporation | Host materials for OLEDs |
| US9142786B2 (en) | 2007-03-08 | 2015-09-22 | Universal Display Corporation | Phosphorescent materials |
| US9156870B2 (en) | 2010-02-25 | 2015-10-13 | Universal Display Corporation | Phosphorescent emitters |
| US9166175B2 (en) | 2012-11-27 | 2015-10-20 | Universal Display Corporation | Organic electroluminescent materials and devices |
| US9163174B2 (en) | 2012-01-04 | 2015-10-20 | Universal Display Corporation | Highly efficient phosphorescent materials |
| US9175211B2 (en) | 2010-03-03 | 2015-11-03 | Universal Display Corporation | Phosphorescent materials |
| US9181270B2 (en) | 2014-02-28 | 2015-11-10 | Universal Display Corporation | Method of making sulfide compounds |
| US9184399B2 (en) | 2012-05-04 | 2015-11-10 | Universal Display Corporation | Asymmetric hosts with triaryl silane side chains |
| US9190621B2 (en) | 2007-03-08 | 2015-11-17 | Universal Display Corporation | Materials for organic light emitting diode |
| US9190623B2 (en) | 2012-11-20 | 2015-11-17 | Universal Display Corporation | Organic electroluminescent materials and devices |
| US9190620B2 (en) | 2014-03-01 | 2015-11-17 | Universal Display Corporation | Organic electroluminescent materials and devices |
| US9193745B2 (en) | 2011-11-15 | 2015-11-24 | Universal Display Corporation | Heteroleptic iridium complex |
| US9196860B2 (en) | 2012-12-04 | 2015-11-24 | Universal Display Corporation | Compounds for triplet-triplet annihilation upconversion |
| US9209411B2 (en) | 2012-12-07 | 2015-12-08 | Universal Display Corporation | Organic electroluminescent materials and devices |
| US9212197B2 (en) | 2011-05-19 | 2015-12-15 | Universal Display Corporation | Phosphorescent heteroleptic phenylbenzimidazole dopants |
| US9217004B2 (en) | 2011-11-21 | 2015-12-22 | Universal Display Corporation | Organic light emitting materials |
| US9224958B2 (en) | 2013-07-19 | 2015-12-29 | Universal Display Corporation | Organic electroluminescent materials and devices |
| US9231218B2 (en) | 2012-07-10 | 2016-01-05 | Universal Display Corporation | Phosphorescent emitters containing dibenzo[1,4]azaborinine structure |
| US9252363B2 (en) | 2012-10-04 | 2016-02-02 | Universal Display Corporation | Aryloxyalkylcarboxylate solvent compositions for inkjet printing of organic layers |
| US9252377B2 (en) | 2011-07-14 | 2016-02-02 | Universal Display Corporation | Inorganic hosts in OLEDs |
| WO2016016791A1 (en) | 2014-07-28 | 2016-02-04 | Idemitsu Kosan Co., Ltd (Ikc) | 2,9-functionalized benzimidazolo[1,2-a]benzimidazoles as hosts for organic light emitting diodes (oleds) |
| US9257658B2 (en) | 2011-05-19 | 2016-02-09 | Universal Display Corporation | Method of making organic electroluminescent materials |
| EP2982676A1 (de) | 2014-08-07 | 2016-02-10 | Idemitsu Kosan Co., Ltd. | Benzimidazo[2,1-b]benzoxazole für elektronische Anwendungen |
| EP2993215A1 (de) | 2014-09-04 | 2016-03-09 | Idemitsu Kosan Co., Ltd. | Azabenzimidazo[2,1-a]benzimidazole für elektronische Anwendungen |
| US9287513B2 (en) | 2012-09-24 | 2016-03-15 | Universal Display Corporation | Organic electroluminescent materials and devices |
| US9293712B2 (en) | 2013-10-11 | 2016-03-22 | Universal Display Corporation | Disubstituted pyrene compounds with amino group containing ortho aryl group and devices containing the same |
| US9306179B2 (en) | 2013-11-08 | 2016-04-05 | Universal Display Corporation | Organic electroluminescent materials and devices |
| US9312499B1 (en) | 2015-01-05 | 2016-04-12 | Universal Display Corporation | Organic electroluminescent materials and devices |
| US9312505B2 (en) | 2012-09-25 | 2016-04-12 | Universal Display Corporation | Organic electroluminescent materials and devices |
| US9318710B2 (en) | 2012-07-30 | 2016-04-19 | Universal Display Corporation | Organic electroluminescent materials and devices |
| US9324949B2 (en) | 2013-07-16 | 2016-04-26 | Universal Display Corporation | Organic electroluminescent materials and devices |
| EP3015469A1 (de) | 2014-10-30 | 2016-05-04 | Idemitsu Kosan Co., Ltd. | 5-((benz)imidazol-2-yl)benzimidazo[1,2-a]benzimidazole für elektronische anwendungen |
| WO2016079667A1 (en) | 2014-11-17 | 2016-05-26 | Idemitsu Kosan Co., Ltd. | Indole derivatives for electronic applications |
| EP3034507A1 (de) | 2014-12-15 | 2016-06-22 | Idemitsu Kosan Co., Ltd | 1-funktionalisierte Dibenzofurane und Dibenzothiophene für organische Leuchtdioden (OLEDS) |
| EP3034506A1 (de) | 2014-12-15 | 2016-06-22 | Idemitsu Kosan Co., Ltd | 4-funktionalisierte Carbazolderivate für elektronische Anwendungen |
| US9386657B2 (en) | 2012-03-15 | 2016-07-05 | Universal Display Corporation | Organic Electroluminescent materials and devices |
| US9397312B2 (en) | 2011-05-11 | 2016-07-19 | Universal Display Corporation | Process for fabricating metal bus lines for OLED lighting panels |
| US9397309B2 (en) | 2014-03-13 | 2016-07-19 | Universal Display Corporation | Organic electroluminescent devices |
| US9397310B2 (en) | 2011-07-14 | 2016-07-19 | Universal Display Corporation | Organice electroluminescent materials and devices |
| US9397302B2 (en) | 2014-10-08 | 2016-07-19 | Universal Display Corporation | Organic electroluminescent materials and devices |
| US9406892B2 (en) | 2015-01-07 | 2016-08-02 | Universal Display Corporation | Organic electroluminescent materials and devices |
| EP3053918A1 (de) | 2015-02-06 | 2016-08-10 | Idemitsu Kosan Co., Ltd | 2-Carbazol substituierte Benzimidazole für elektronische Anwendungen |
| EP3054498A1 (de) | 2015-02-06 | 2016-08-10 | Idemitsu Kosan Co., Ltd. | Bisimidazodiazozine |
| WO2016124704A1 (de) | 2015-02-06 | 2016-08-11 | Technische Universität Dresden | Blaue fluoreszenzemitter |
| US9419225B2 (en) | 2013-03-14 | 2016-08-16 | Universal Display Corporation | Organic electroluminescent materials and devices |
| EP3061759A1 (de) | 2015-02-24 | 2016-08-31 | Idemitsu Kosan Co., Ltd | Nitrilsubstituierte dibenzofurane |
| US9435021B2 (en) | 2010-07-29 | 2016-09-06 | University Of Southern California | Co-deposition methods for the fabrication of organic optoelectronic devices |
| US9444075B2 (en) | 2014-11-26 | 2016-09-13 | Universal Display Corporation | Emissive display with photo-switchable polarization |
| US9450198B2 (en) | 2014-04-15 | 2016-09-20 | Universal Display Corporation | Organic electroluminescent materials and devices |
| US9450195B2 (en) | 2014-12-17 | 2016-09-20 | Universal Display Corporation | Organic electroluminescent materials and devices |
| EP3070144A1 (de) | 2015-03-17 | 2016-09-21 | Idemitsu Kosan Co., Ltd. | Siebengliedrige ringverbindungen |
| US9455411B2 (en) | 2008-09-25 | 2016-09-27 | Universal Display Corporation | Organic electroluminescent materials and devices |
| US9455417B2 (en) | 2011-12-13 | 2016-09-27 | Universal Display Corporation | Split electrode for organic devices |
| EP3072943A1 (de) | 2015-03-26 | 2016-09-28 | Idemitsu Kosan Co., Ltd. | Dibenzofuran/carbazol-substituierte benzonitrile |
| US9461254B2 (en) | 2012-01-03 | 2016-10-04 | Universal Display Corporation | Organic electroluminescent materials and devices |
| EP3075737A1 (de) | 2015-03-31 | 2016-10-05 | Idemitsu Kosan Co., Ltd | Benzimidazolo[1,2-a]benzimidazol mit aryl- oder heteroarylnitrilgruppen für organische leuchtdioden |
| US9478758B1 (en) | 2015-05-08 | 2016-10-25 | Universal Display Corporation | Organic electroluminescent materials and devices |
| US9484541B2 (en) | 2014-10-20 | 2016-11-01 | Universal Display Corporation | Organic electroluminescent materials and devices |
| US9493698B2 (en) | 2011-08-31 | 2016-11-15 | Universal Display Corporation | Organic electroluminescent materials and devices |
| US9502672B2 (en) | 2012-06-21 | 2016-11-22 | Universal Display Corporation | Organic electroluminescent materials and devices |
| US9502656B2 (en) | 2014-02-24 | 2016-11-22 | Universal Display Corporation | Organic electroluminescent materials and devices |
| US9512355B2 (en) | 2011-12-09 | 2016-12-06 | Universal Display Corporation | Organic light emitting materials |
| US9512136B2 (en) | 2012-11-26 | 2016-12-06 | Universal Display Corporation | Organic electroluminescent materials and devices |
| US9537106B2 (en) | 2013-05-09 | 2017-01-03 | Universal Display Corporation | Organic electroluminescent materials and devices |
| US9540329B2 (en) | 2012-07-19 | 2017-01-10 | Universal Display Corporation | Organic electroluminescent materials and devices |
| US9543532B2 (en) | 2010-06-11 | 2017-01-10 | Universal Display Corporation | Organic electroluminescent materials and devices |
| US9553274B2 (en) | 2013-07-16 | 2017-01-24 | Universal Display Corporation | Organic electroluminescent materials and devices |
| US9590195B2 (en) | 2014-02-28 | 2017-03-07 | Universal Display Corporation | Organic electroluminescent materials and devices |
| US9590180B2 (en) | 2007-06-23 | 2017-03-07 | Universal Display Corporation | Organic electroluminescent materials and devices |
| US9590194B2 (en) | 2014-02-14 | 2017-03-07 | Universal Display Corporation | Organic electroluminescent materials and devices |
| EP3150606A1 (de) | 2015-10-01 | 2017-04-05 | Idemitsu Kosan Co., Ltd. | Benzimidazolo[1,2-a]benzimidazole mit benzofuran- oder benzothiophen- gruppen für organische licht emittierende dioden. |
| EP3150604A1 (de) | 2015-10-01 | 2017-04-05 | Idemitsu Kosan Co., Ltd. | Benzimidazolo[1,2-a]benzimidazol mit benzimidazolo[1,2-a]benzimidazolylgruppen, carbazolylgruppen, benzofurangruppen oder benzothiophengruppen für organische leuchtdioden |
| WO2017056053A1 (en) | 2015-10-01 | 2017-04-06 | Idemitsu Kosan Co., Ltd. | Benzimidazolo[1,2-a]benzimidazole carrying benzimidazolo[1,2-a]benzimidazolyl groups, carbazolyl groups, benzofurane groups or benzothiophene groups for organic light emitting diodes |
| WO2017056055A1 (en) | 2015-10-01 | 2017-04-06 | Idemitsu Kosan Co., Ltd. | Benzimidazolo[1,2-a]benzimidazole carrying triazine groups for organic light emitting diodes |
| US9634264B2 (en) | 2012-11-09 | 2017-04-25 | Universal Display Corporation | Organic electroluminescent materials and devices |
| US9634265B2 (en) | 2009-04-28 | 2017-04-25 | Universal Display Corporation | Organic electroluminescent materials and devices |
| US9647218B2 (en) | 2013-11-14 | 2017-05-09 | Universal Display Corporation | Organic electroluminescent materials and devices |
| US9647227B2 (en) | 2005-04-13 | 2017-05-09 | Universal Display Corporation | Organic light emitting devices |
| US9647217B2 (en) | 2014-02-24 | 2017-05-09 | Universal Display Corporation | Organic electroluminescent materials and devices |
| US9647221B2 (en) | 2011-07-14 | 2017-05-09 | Universal Display Corporation | Organic light-emitting devices |
| WO2017078182A1 (en) | 2015-11-04 | 2017-05-11 | Idemitsu Kosan Co., Ltd. | Benzimidazole fused heteroaryls |
| US9653691B2 (en) | 2012-12-12 | 2017-05-16 | Universal Display Corporation | Phosphorescence-sensitizing fluorescence material system |
| US9663544B2 (en) | 2012-07-25 | 2017-05-30 | Universal Display Corporation | Organic electroluminescent materials and devices |
| US9673401B2 (en) | 2013-06-28 | 2017-06-06 | Universal Display Corporation | Organic electroluminescent materials and devices |
| US9673406B2 (en) | 2009-05-20 | 2017-06-06 | Universal Display Corporation | Metal complexes with boron-nitrogen heterocycle containing ligands |
| US9670404B2 (en) | 2012-06-06 | 2017-06-06 | Universal Display Corporation | Organic electroluminescent materials and devices |
| US9673407B2 (en) | 2014-02-28 | 2017-06-06 | Universal Display Corporation | Organic electroluminescent materials and devices |
| WO2017093958A1 (en) | 2015-12-04 | 2017-06-08 | Idemitsu Kosan Co., Ltd. | Benzimidazolo[1,2-a]benzimidazole derivatives for organic light emitting diodes |
| US9685617B2 (en) | 2012-11-09 | 2017-06-20 | Universal Display Corporation | Organic electronuminescent materials and devices |
| US9691993B2 (en) | 2014-04-09 | 2017-06-27 | Universal Display Corporation | Organic electroluminescent materials and devices |
| DE102015122869A1 (de) | 2015-12-28 | 2017-06-29 | Technische Universität Dresden | Neue Emittermaterialien und Matrixmaterialien für optoelektronische und elektronische Bauelemente, insbesondere organische lichtemittierende Dioden (OLEDs) |
| WO2017109727A1 (en) | 2015-12-21 | 2017-06-29 | Idemitsu Kosan Co., Ltd. | Hetero-condensed phenylquinazolines and their use in electronic devices |
| US9711730B2 (en) | 2015-01-25 | 2017-07-18 | Universal Display Corporation | Organic electroluminescent materials and devices |
| US9725476B2 (en) | 2012-07-09 | 2017-08-08 | Universal Display Corporation | Silylated metal complexes |
| US9735377B2 (en) | 2005-05-06 | 2017-08-15 | Universal Display Corporation | Phosphorescent emitters and host materials with improved stability |
| US9735378B2 (en) | 2013-09-09 | 2017-08-15 | Universal Display Corporation | Organic electroluminescent materials and devices |
| US9735373B2 (en) | 2013-06-10 | 2017-08-15 | Universal Display Corporation | Organic electroluminescent materials and devices |
| US9741941B2 (en) | 2014-04-29 | 2017-08-22 | Universal Display Corporation | Organic electroluminescent materials and devices |
| US9748504B2 (en) | 2014-03-25 | 2017-08-29 | Universal Display Corporation | Organic electroluminescent materials and devices |
| US9748500B2 (en) | 2015-01-15 | 2017-08-29 | Universal Display Corporation | Organic light emitting materials |
| US9748503B2 (en) | 2013-09-13 | 2017-08-29 | Universal Display Corporation | Organic electroluminescent materials and devices |
| US9755159B2 (en) | 2014-01-23 | 2017-09-05 | Universal Display Corporation | Organic materials for OLEDs |
| US9755164B2 (en) | 2011-06-08 | 2017-09-05 | Universal Display Corporation | Organic electroluminescent materials and devices |
| US9761814B2 (en) | 2014-11-18 | 2017-09-12 | Universal Display Corporation | Organic light-emitting materials and devices |
| US9761807B2 (en) | 2013-07-15 | 2017-09-12 | Universal Display Corporation | Organic light emitting diode materials |
| US9773986B2 (en) | 2009-11-19 | 2017-09-26 | The University Of Southern California | Copper(I)-carbene complexes and organic electroluminescent devices |
| US9773985B2 (en) | 2012-05-21 | 2017-09-26 | Universal Display Corporation | Organic electroluminescent materials and devices |
| US9780316B2 (en) | 2015-03-16 | 2017-10-03 | Universal Display Corporation | Organic electroluminescent materials and devices |
| US9783564B2 (en) | 2011-07-25 | 2017-10-10 | Universal Display Corporation | Organic electroluminescent materials and devices |
| WO2017178864A1 (en) | 2016-04-12 | 2017-10-19 | Idemitsu Kosan Co., Ltd. | Seven-membered ring compounds |
| US9806270B2 (en) | 2011-03-25 | 2017-10-31 | Udc Ireland Limited | 4H-imidazo[1,2-a]imidazoles for electronic applications |
| US9831447B2 (en) | 2013-10-08 | 2017-11-28 | Universal Display Corporation | Organic electroluminescent materials and devices |
| US9831437B2 (en) | 2013-08-20 | 2017-11-28 | Universal Display Corporation | Organic electroluminescent materials and devices |
| US9847496B2 (en) | 2013-12-23 | 2017-12-19 | Universal Display Corporation | Organic electroluminescent materials and devices |
| US9847497B2 (en) | 2014-02-18 | 2017-12-19 | Universal Display Corporation | Organic electroluminescent materials and devices |
| US9847498B2 (en) | 2014-04-14 | 2017-12-19 | Universal Display Corporation | Organic electroluminescent materials and devices |
| DE102016110970A1 (de) | 2016-06-15 | 2017-12-21 | Technische Universität Dresden | Effiziente lichtemittierende Emittermoleküle für optoelektronische Anwendungen durch gezielte Verstärkung der Emission aus ladungsseparierten CT-Zuständen auf Basis dual fluoreszierender Benzol-(Poly)carboxylat-Akzeptoren |
| US9853229B2 (en) | 2013-10-23 | 2017-12-26 | University Of Southern California | Organic electroluminescent materials and devices |
| US9859510B2 (en) | 2015-05-15 | 2018-01-02 | Universal Display Corporation | Organic electroluminescent materials and devices |
| US9871212B2 (en) | 2014-11-14 | 2018-01-16 | Universal Display Corporation | Organic electroluminescent materials and devices |
| US9876173B2 (en) | 2013-12-09 | 2018-01-23 | Universal Display Corporation | Organic electroluminescent materials and devices |
| US9882151B2 (en) | 2014-11-14 | 2018-01-30 | Universal Display Corporation | Organic electroluminescent materials and devices |
| US9899612B2 (en) | 2006-12-08 | 2018-02-20 | Universal Display Corporation | Organic electroluminescent materials and devices |
| US9905784B2 (en) | 2013-11-15 | 2018-02-27 | Universal Display Corporation | Organic electroluminescent materials and devices |
| US9911928B2 (en) | 2015-03-19 | 2018-03-06 | Universal Display Corporation | Organic electroluminescent materials and devices |
| US9911931B2 (en) | 2014-06-26 | 2018-03-06 | Universal Display Corporation | Organic electroluminescent materials and devices |
| US9929361B2 (en) | 2015-02-16 | 2018-03-27 | Universal Display Corporation | Organic electroluminescent materials and devices |
| US9929353B2 (en) | 2014-04-02 | 2018-03-27 | Universal Display Corporation | Organic electroluminescent materials and devices |
| US9929360B2 (en) | 2016-07-08 | 2018-03-27 | Universal Display Corporation | Organic electroluminescent materials and devices |
| US9929357B2 (en) | 2014-07-22 | 2018-03-27 | Universal Display Corporation | Organic electroluminescent materials and devices |
| US9935277B2 (en) | 2014-01-30 | 2018-04-03 | Universal Display Corporation | Organic electroluminescent materials and devices |
| US9932359B2 (en) | 2013-08-30 | 2018-04-03 | University Of Southern California | Organic electroluminescent materials and devices |
| US9935276B2 (en) | 2013-02-21 | 2018-04-03 | Universal Display Corporation | Organic electroluminescent materials and devices |
| US9954180B2 (en) | 2010-08-20 | 2018-04-24 | Universal Display Corporation | Bicarbazole compounds for OLEDs |
| EP3318566A1 (de) | 2012-09-20 | 2018-05-09 | UDC Ireland Limited | Azadibenzofurane für elektronische anwendungen |
| US9978961B2 (en) | 2014-01-08 | 2018-05-22 | Universal Display Corporation | Organic electroluminescent materials and devices |
| US9978958B2 (en) | 2012-08-24 | 2018-05-22 | Universal Display Corporation | Phosphorescent emitters with phenylimidazole ligands |
| US9978956B2 (en) | 2015-07-15 | 2018-05-22 | Universal Display Corporation | Organic electroluminescent materials and devices |
| US9997716B2 (en) | 2014-05-27 | 2018-06-12 | Universal Display Corporation | Organic electroluminescent materials and devices |
| US9997712B2 (en) | 2013-03-27 | 2018-06-12 | Universal Display Corporation | Organic electroluminescent materials and devices |
| US10003034B2 (en) | 2013-09-30 | 2018-06-19 | Universal Display Corporation | Organic electroluminescent materials and devices |
| US10003033B2 (en) | 2014-02-18 | 2018-06-19 | Universal Display Corporation | Organic electroluminescent materials and devices |
| US10008679B2 (en) | 2014-04-14 | 2018-06-26 | Universal Display Corporation | Organic electroluminescent materials and devices |
| US10008677B2 (en) | 2011-01-13 | 2018-06-26 | Universal Display Corporation | Materials for organic light emitting diode |
| US10008678B2 (en) | 2008-12-12 | 2018-06-26 | Universal Display Corporation | Organic electroluminescent materials and devices |
| EP3345983A1 (de) | 2007-07-05 | 2018-07-11 | UDC Ireland Limited | Verbindungen enthaltend mindestens eine disilylverbindung ausgewählt aus disilylcarbazolen, disilyldibenzofuranen, disilyldibenzothiophenen, disilyldibenzophospholen, disilyldibenzothiophen-s-oxiden und disilyldibenzothiophen-s, s-dioxiden |
| US10033004B2 (en) | 2015-06-01 | 2018-07-24 | Universal Display Corporation | Organic electroluminescent materials and devices |
| US10038151B2 (en) | 2014-11-12 | 2018-07-31 | Universal Display Corporation | Organic electroluminescent materials and devices |
| US10043987B2 (en) | 2014-09-29 | 2018-08-07 | Universal Display Corporation | Organic electroluminescent materials and devices |
| US10056565B2 (en) | 2013-11-20 | 2018-08-21 | Universal Display Corporation | Organic electroluminescent materials and devices |
| US10069090B2 (en) | 2012-11-20 | 2018-09-04 | Universal Display Corporation | Organic electroluminescent materials and devices |
| US10074806B2 (en) | 2013-08-20 | 2018-09-11 | Universal Display Corporation | Organic electroluminescent materials and devices |
| US10079349B2 (en) | 2011-05-27 | 2018-09-18 | Universal Display Corporation | Organic electroluminescent materials and devices |
| US10084143B2 (en) | 2008-09-16 | 2018-09-25 | Universal Display Corporation | Phosphorescent materials |
| US10109799B2 (en) | 2015-05-21 | 2018-10-23 | Universal Display Corporation | Organic electroluminescent materials and devices |
| US10121975B2 (en) | 2013-07-03 | 2018-11-06 | Universal Display Corporation | Organic electroluminescent materials and devices |
| US10135008B2 (en) | 2014-01-07 | 2018-11-20 | Universal Display Corporation | Organic electroluminescent materials and devices |
| US10135006B2 (en) | 2016-01-04 | 2018-11-20 | Universal Display Corporation | Organic electroluminescent materials and devices |
| US10135007B2 (en) | 2014-09-29 | 2018-11-20 | Universal Display Corporation | Organic electroluminescent materials and devices |
| US10144867B2 (en) | 2015-02-13 | 2018-12-04 | Universal Display Corporation | Organic electroluminescent materials and devices |
| US10147892B2 (en) | 2010-12-07 | 2018-12-04 | The University Of Southern California | Organic electroluminescent materials and devices |
| US10153445B2 (en) | 2016-11-21 | 2018-12-11 | Universal Display Corporation | Organic electroluminescent materials and devices |
| US10153443B2 (en) | 2016-07-19 | 2018-12-11 | Universal Display Corporation | Organic electroluminescent materials and devices |
| US10158089B2 (en) | 2011-05-27 | 2018-12-18 | Universal Display Corporation | Organic electroluminescent materials and devices |
| EP3418285A1 (de) | 2017-06-20 | 2018-12-26 | Idemitsu Kosan Co., Ltd. | Zusammensetzung mit einem substituierten ir-komplex und einem mit einem heteroatom verbrückten phenylchinazolin |
| US10177318B2 (en) | 2015-10-29 | 2019-01-08 | Universal Display Corporation | Organic electroluminescent materials and devices |
| US10177316B2 (en) | 2015-02-09 | 2019-01-08 | Universal Display Corporation | Organic electroluminescent materials and devices |
| US10181564B2 (en) | 2015-08-26 | 2019-01-15 | Universal Display Corporation | Organic electroluminescent materials and devices |
| US10199582B2 (en) | 2013-09-03 | 2019-02-05 | University Of Southern California | Organic electroluminescent materials and devices |
| US10199581B2 (en) | 2013-07-01 | 2019-02-05 | Universal Display Corporation | Organic electroluminescent materials and devices |
| US10205105B2 (en) | 2016-08-15 | 2019-02-12 | Universal Display Corporation | Organic electroluminescent materials and devices |
| US10208026B2 (en) | 2014-03-18 | 2019-02-19 | Universal Display Corporation | Organic electroluminescent materials and devices |
| US10211413B2 (en) | 2012-01-17 | 2019-02-19 | Universal Display Corporation | Organic electroluminescent materials and devices |
| US10236456B2 (en) | 2016-04-11 | 2019-03-19 | Universal Display Corporation | Organic electroluminescent materials and devices |
| US10236458B2 (en) | 2016-10-24 | 2019-03-19 | Universal Display Corporation | Organic electroluminescent materials and devices |
| US10256411B2 (en) | 2015-05-21 | 2019-04-09 | Universal Display Corporation | Organic electroluminescent materials and devices |
| US10256419B2 (en) | 2014-05-08 | 2019-04-09 | Universal Display Corporation | Organic electroluminescent materials and devices |
| US10253252B2 (en) | 2014-12-30 | 2019-04-09 | Universal Display Corporation | Organic electroluminescent materials and devices |
| US10256427B2 (en) | 2014-04-15 | 2019-04-09 | Universal Display Corporation | Efficient organic electroluminescent devices |
| US10270046B2 (en) | 2015-03-06 | 2019-04-23 | Universal Display Corporation | Organic electroluminescent materials and devices |
| US10276809B2 (en) | 2016-04-05 | 2019-04-30 | Universal Display Corporation | Organic electroluminescent materials and devices |
| US10297770B2 (en) | 2015-03-27 | 2019-05-21 | Universal Display Corporation | Organic electroluminescent materials and devices |
| US10297762B2 (en) | 2014-07-09 | 2019-05-21 | Universal Display Corporation | Organic electroluminescent materials and devices |
| US10301338B2 (en) | 2014-05-08 | 2019-05-28 | Universal Display Corporation | Organic electroluminescent materials and devices |
| US10340464B2 (en) | 2016-11-10 | 2019-07-02 | Universal Display Corporation | Organic electroluminescent materials and devices |
| US10355227B2 (en) | 2013-12-16 | 2019-07-16 | Universal Display Corporation | Metal complex for phosphorescent OLED |
| US10355222B2 (en) | 2015-02-06 | 2019-07-16 | Universal Display Corporation | Organic electroluminescent materials and devices |
| US10361381B2 (en) | 2015-09-03 | 2019-07-23 | Universal Display Corporation | Organic electroluminescent materials and devices |
| US10361375B2 (en) | 2014-10-06 | 2019-07-23 | Universal Display Corporation | Organic electroluminescent materials and devices |
| US10388892B2 (en) | 2015-10-29 | 2019-08-20 | Universal Display Corporation | Organic electroluminescent materials and devices |
| US10388893B2 (en) | 2015-10-29 | 2019-08-20 | Universal Display Corporation | Organic electroluminescent materials and devices |
| US10400163B2 (en) | 2013-02-08 | 2019-09-03 | Universal Display Corporation | Organic electroluminescent materials and devices |
| US10403825B2 (en) | 2014-02-27 | 2019-09-03 | Universal Display Corporation | Organic electroluminescent materials and devices |
| US10403826B2 (en) | 2015-05-07 | 2019-09-03 | Universal Display Corporation | Organic electroluminescent materials and devices |
| US10403830B2 (en) | 2014-05-08 | 2019-09-03 | Universal Display Corporation | Organic electroluminescent materials and devices |
| US10411201B2 (en) | 2014-11-12 | 2019-09-10 | Universal Display Corporation | Organic electroluminescent materials and devices |
| US10411200B2 (en) | 2014-08-07 | 2019-09-10 | Universal Display Corporation | Electroluminescent (2-phenylpyridine)iridium complexes and devices |
| US10418568B2 (en) | 2015-06-01 | 2019-09-17 | Universal Display Corporation | Organic electroluminescent materials and devices |
| US10418562B2 (en) | 2015-02-06 | 2019-09-17 | Universal Display Corporation | Organic electroluminescent materials and devices |
| US10418569B2 (en) | 2015-01-25 | 2019-09-17 | Universal Display Corporation | Organic electroluminescent materials and devices |
| US10461260B2 (en) | 2014-06-03 | 2019-10-29 | Universal Display Corporation | Organic electroluminescent materials and devices |
| US10457699B2 (en) | 2014-05-02 | 2019-10-29 | Universal Display Corporation | Organic electroluminescent materials and devices |
| US10457864B2 (en) | 2016-02-09 | 2019-10-29 | Universal Display Corporation | Organic electroluminescent materials and devices |
| US10468609B2 (en) | 2016-06-02 | 2019-11-05 | Universal Display Corporation | Organic electroluminescent materials and devices |
| US10476010B2 (en) | 2015-11-30 | 2019-11-12 | Universal Display Corporation | Organic electroluminescent materials and devices |
| US10490753B2 (en) | 2016-12-15 | 2019-11-26 | Universal Display Corporation | Organic electroluminescent materials and devices |
| US10505127B2 (en) | 2016-09-19 | 2019-12-10 | Universal Display Corporation | Organic electroluminescent materials and devices |
| US10522769B2 (en) | 2015-08-18 | 2019-12-31 | Universal Display Corporation | Organic electroluminescent materials and devices |
| US10529931B2 (en) | 2015-03-24 | 2020-01-07 | Universal Display Corporation | Organic Electroluminescent materials and devices |
| US10566546B2 (en) | 2014-07-14 | 2020-02-18 | Universal Display Corporation | Organic electroluminescent materials and devices |
| US10566552B2 (en) | 2016-04-13 | 2020-02-18 | Universal Display Corporation | Organic electroluminescent materials and devices |
| US10566547B2 (en) | 2016-07-11 | 2020-02-18 | Universal Display Corporation | Organic electroluminescent materials and devices |
| US10593890B2 (en) | 2015-04-06 | 2020-03-17 | Universal Display Corporation | Organic electroluminescent materials and devices |
| US10593892B2 (en) | 2015-10-01 | 2020-03-17 | Universal Display Corporation | Organic electroluminescent materials and devices |
| US10600967B2 (en) | 2016-02-18 | 2020-03-24 | Universal Display Corporation | Organic electroluminescent materials and devices |
| US10600966B2 (en) | 2015-02-27 | 2020-03-24 | Universal Display Corporation | Organic electroluminescent materials and devices |
| US10608188B2 (en) | 2017-09-11 | 2020-03-31 | Universal Display Corporation | Organic electroluminescent materials and devices |
| US10608185B2 (en) | 2016-10-17 | 2020-03-31 | Univeral Display Corporation | Organic electroluminescent materials and devices |
| US10608186B2 (en) | 2016-09-14 | 2020-03-31 | Universal Display Corporation | Organic electroluminescent materials and devices |
| US10629820B2 (en) | 2017-01-18 | 2020-04-21 | Universal Display Corporation | Organic electroluminescent materials and devices |
| US10636983B2 (en) | 2014-05-08 | 2020-04-28 | Universal Display Corporation | Organic electroluminescent materials and devices |
| US10636978B2 (en) | 2014-12-30 | 2020-04-28 | Universal Display Corporation | Organic electroluminescent materials and devices |
| US10644247B2 (en) | 2015-02-06 | 2020-05-05 | Universal Display Corporation | Organic electroluminescent materials and devices |
| US10644251B2 (en) | 2013-12-04 | 2020-05-05 | Universal Display Corporation | Organic electroluminescent materials and devices |
| US10651403B2 (en) | 2016-06-20 | 2020-05-12 | Universal Display Corporation | Organic electroluminescent materials and devices |
| US10662196B2 (en) | 2016-11-17 | 2020-05-26 | Universal Display Corporation | Organic electroluminescent materials and devices |
| US10672998B2 (en) | 2017-03-23 | 2020-06-02 | Universal Display Corporation | Organic electroluminescent materials and devices |
| US10672997B2 (en) | 2016-06-20 | 2020-06-02 | Universal Display Corporation | Organic electroluminescent materials and devices |
| US10680188B2 (en) | 2016-11-11 | 2020-06-09 | Universal Display Corporation | Organic electroluminescent materials and devices |
| US10680183B2 (en) | 2015-02-15 | 2020-06-09 | Universal Display Corporation | Organic electroluminescent materials and devices |
| US10680187B2 (en) | 2016-09-23 | 2020-06-09 | Universal Display Corporation | Organic electroluminescent materials and devices |
| US10686140B2 (en) | 2016-06-20 | 2020-06-16 | Universal Display Corporation | Organic electroluminescent materials and devices |
| US10686143B2 (en) | 2015-03-05 | 2020-06-16 | Universal Display Corporation | Organic electroluminescent materials and devices |
| DE102013200085B4 (de) | 2012-01-06 | 2020-06-18 | Universal Display Corporation | Hocheffiziente phosphoreszierende Materialien |
| US10707423B2 (en) | 2014-02-21 | 2020-07-07 | Universal Display Corporation | Organic electroluminescent materials and devices |
| US10707427B2 (en) | 2016-02-09 | 2020-07-07 | Universal Display Corporation | Organic electroluminescent materials and devices |
| US10720587B2 (en) | 2016-07-19 | 2020-07-21 | Universal Display Corporation | Organic electroluminescent materials and devices |
| US10727423B2 (en) | 2016-06-20 | 2020-07-28 | Universal Display Corporation | Organic electroluminescent materials and devices |
| US10741780B2 (en) | 2017-03-10 | 2020-08-11 | Universal Display Corporation | Organic electroluminescent materials and devices |
| US10749113B2 (en) | 2014-09-29 | 2020-08-18 | Universal Display Corporation | Organic electroluminescent materials and devices |
| US10745431B2 (en) | 2017-03-08 | 2020-08-18 | Universal Display Corporation | Organic electroluminescent materials and devices |
| US10770664B2 (en) | 2015-09-21 | 2020-09-08 | Universal Display Corporation | Organic electroluminescent materials and devices |
| US10777754B2 (en) | 2017-04-11 | 2020-09-15 | Universal Display Corporation | Organic electroluminescent materials and devices |
| US10777749B2 (en) | 2015-05-07 | 2020-09-15 | Universal Display Corporation | Organic electroluminescent materials and devices |
| US10790455B2 (en) | 2017-05-18 | 2020-09-29 | Universal Display Corporation | Organic electroluminescent materials and devices |
| US10804475B2 (en) | 2017-01-11 | 2020-10-13 | Universal Display Corporation | Organic electroluminescent materials and devices |
| US10811618B2 (en) | 2016-12-19 | 2020-10-20 | Universal Display Corporation | Organic electroluminescent materials and devices |
| US10822362B2 (en) | 2017-05-11 | 2020-11-03 | Universal Display Corporation | Organic electroluminescent materials and devices |
| US10825997B2 (en) | 2015-06-25 | 2020-11-03 | Universal Display Corporation | Organic electroluminescent materials and devices |
| US10822361B2 (en) | 2017-02-22 | 2020-11-03 | Universal Display Corporation | Organic electroluminescent materials and devices |
| US10833276B2 (en) | 2016-11-21 | 2020-11-10 | Universal Display Corporation | Organic electroluminescent materials and devices |
| US10840459B2 (en) | 2017-05-18 | 2020-11-17 | Universal Display Corporation | Organic electroluminescent materials and devices |
| US10840458B2 (en) | 2016-05-25 | 2020-11-17 | Universal Display Corporation | Organic electroluminescent materials and devices |
| US10844085B2 (en) | 2017-03-29 | 2020-11-24 | Universal Display Corporation | Organic electroluminescent materials and devices |
| US10847728B2 (en) | 2015-10-01 | 2020-11-24 | Universal Display Corporation | Organic electroluminescent materials and devices |
| US10854826B2 (en) | 2014-10-08 | 2020-12-01 | Universal Display Corporation | Organic electroluminescent compounds, compositions and devices |
| US10862046B2 (en) | 2017-03-30 | 2020-12-08 | Universal Display Corporation | Organic electroluminescent materials and devices |
| US10862055B2 (en) | 2017-05-05 | 2020-12-08 | Universal Display Corporation | Organic electroluminescent materials and devices |
| US10862054B2 (en) | 2016-06-20 | 2020-12-08 | Universal Display Corporation | Organic electroluminescent materials and devices |
| US10868261B2 (en) | 2014-11-10 | 2020-12-15 | Universal Display Corporation | Organic electroluminescent materials and devices |
| US10873037B2 (en) | 2017-03-28 | 2020-12-22 | Universal Display Corporation | Organic electroluminescent materials and devices |
| US10870668B2 (en) | 2017-05-05 | 2020-12-22 | Universal Display Corporation | Organic electroluminescent materials and devices |
| US10873036B2 (en) | 2015-07-07 | 2020-12-22 | Universal Display Corporation | Organic electroluminescent materials and devices |
| US10897016B2 (en) | 2016-11-14 | 2021-01-19 | Universal Display Corporation | Organic electroluminescent materials and devices |
| US10910570B2 (en) | 2017-04-28 | 2021-02-02 | Universal Display Corporation | Organic electroluminescent materials and devices |
| US10910577B2 (en) | 2017-03-28 | 2021-02-02 | Universal Display Corporation | Organic electroluminescent materials and devices |
| US10930866B2 (en) | 2013-07-25 | 2021-02-23 | Universal Display Corporation | Organic electroluminescent materials and devices |
| US10930864B2 (en) | 2017-05-10 | 2021-02-23 | Universal Display Corporation | Organic electroluminescent materials and devices |
| US10930862B2 (en) | 2017-06-01 | 2021-02-23 | Universal Display Corporation | Organic electroluminescent materials and devices |
| US10934293B2 (en) | 2017-05-18 | 2021-03-02 | Universal Display Corporation | Organic electroluminescent materials and devices |
| US10941170B2 (en) | 2017-05-03 | 2021-03-09 | Universal Display Corporation | Organic electroluminescent materials and devices |
| US10944062B2 (en) | 2017-05-18 | 2021-03-09 | Universal Display Corporation | Organic electroluminescent materials and devices |
| US10944060B2 (en) | 2017-05-11 | 2021-03-09 | Universal Display Corporation | Organic electroluminescent materials and devices |
| US10950803B2 (en) | 2014-10-13 | 2021-03-16 | Universal Display Corporation | Compounds and uses in devices |
| US10957861B2 (en) | 2015-12-29 | 2021-03-23 | Universal Display Corporation | Organic electroluminescent materials and devices |
| US10957866B2 (en) | 2016-06-30 | 2021-03-23 | Universal Display Corporation | Organic electroluminescent materials and devices |
| US10957870B2 (en) | 2012-09-07 | 2021-03-23 | Universal Display Corporation | Organic light emitting device |
| US10964904B2 (en) | 2017-01-20 | 2021-03-30 | Universal Display Corporation | Organic electroluminescent materials and devices |
| US10964893B2 (en) | 2016-11-17 | 2021-03-30 | Universal Display Corporation | Organic electroluminescent materials and devices |
| US10968226B2 (en) | 2017-06-23 | 2021-04-06 | Universal Display Corporation | Organic electroluminescent materials and devices |
| US10971687B2 (en) | 2017-12-14 | 2021-04-06 | Universal Display Corporation | Organic electroluminescent materials and devices |
| US10975113B2 (en) | 2017-04-21 | 2021-04-13 | Universal Display Corporation | Organic electroluminescent materials and devices |
| US10978647B2 (en) | 2017-02-15 | 2021-04-13 | Universal Display Corporation | Organic electroluminescent materials and devices |
| US10991895B2 (en) | 2015-10-06 | 2021-04-27 | Universal Display Corporation | Organic electroluminescent materials and devices |
| US10998507B2 (en) | 2015-11-23 | 2021-05-04 | Universal Display Corporation | Organic electroluminescent materials and devices |
| US11011709B2 (en) | 2016-10-07 | 2021-05-18 | Universal Display Corporation | Organic electroluminescent materials and devices |
| US11018309B2 (en) | 2015-08-03 | 2021-05-25 | Universal Display Corporation | Organic electroluminescent materials and devices |
| US11024808B2 (en) | 2015-12-29 | 2021-06-01 | Universal Display Corporation | Organic electroluminescent materials and devices |
| US11038115B2 (en) | 2017-05-18 | 2021-06-15 | Universal Display Corporation | Organic electroluminescent materials and device |
| US11038137B2 (en) | 2017-04-28 | 2021-06-15 | Universal Display Corporation | Organic electroluminescent materials and devices |
| US11038117B2 (en) | 2017-04-11 | 2021-06-15 | Universal Display Corporation | Organic electroluminescent materials and devices |
| US11050028B2 (en) | 2017-01-24 | 2021-06-29 | Universal Display Corporation | Organic electroluminescent materials and devices |
| US11056658B2 (en) | 2017-03-29 | 2021-07-06 | Universal Display Corporation | Organic electroluminescent materials and devices |
| US11056657B2 (en) | 2015-02-27 | 2021-07-06 | University Display Corporation | Organic electroluminescent materials and devices |
| US11053268B2 (en) | 2017-01-20 | 2021-07-06 | Universal Display Corporation | Organic electroluminescent materials and devices |
| US11081647B2 (en) | 2016-04-22 | 2021-08-03 | Universal Display Corporation | Organic electroluminescent materials and devices |
| US11081658B2 (en) | 2016-10-03 | 2021-08-03 | Universal Display Corporation | Organic electroluminescent materials and devices |
| US11081659B2 (en) | 2018-01-10 | 2021-08-03 | Universal Display Corporation | Organic electroluminescent materials and devices |
| US11084838B2 (en) | 2017-04-21 | 2021-08-10 | Universal Display Corporation | Organic electroluminescent materials and device |
| US11094891B2 (en) | 2016-03-16 | 2021-08-17 | Universal Display Corporation | Organic electroluminescent materials and devices |
| US11101434B2 (en) | 2017-04-21 | 2021-08-24 | Universal Display Corporation | Organic electroluminescent materials and devices |
| US11108000B2 (en) | 2014-08-07 | 2021-08-31 | Unniversal Display Corporation | Organic electroluminescent materials and devices |
| US11117897B2 (en) | 2017-05-01 | 2021-09-14 | Universal Display Corporation | Organic electroluminescent materials and devices |
| US11127906B2 (en) | 2016-10-03 | 2021-09-21 | Universal Display Corporation | Organic electroluminescent materials and devices |
| US11127905B2 (en) | 2015-07-29 | 2021-09-21 | Universal Display Corporation | Organic electroluminescent materials and devices |
| US11139443B2 (en) | 2017-03-31 | 2021-10-05 | Universal Display Corporation | Organic electroluminescent materials and devices |
| US11142538B2 (en) | 2018-03-12 | 2021-10-12 | Universal Display Corporation | Organic electroluminescent materials and devices |
| US11152579B2 (en) | 2016-12-28 | 2021-10-19 | Universal Display Corporation | Organic electroluminescent materials and devices |
| US11158820B2 (en) | 2017-03-29 | 2021-10-26 | Universal Display Corporation | Organic electroluminescent materials and devices |
| US11165028B2 (en) | 2018-03-12 | 2021-11-02 | Universal Display Corporation | Organic electroluminescent materials and devices |
| US11168103B2 (en) | 2017-11-17 | 2021-11-09 | Universal Display Corporation | Organic electroluminescent materials and devices |
| US11174259B2 (en) | 2017-06-23 | 2021-11-16 | Universal Display Corporation | Organic electroluminescent materials and devices |
| US11183646B2 (en) | 2017-11-07 | 2021-11-23 | Universal Display Corporation | Organic electroluminescent materials and devices |
| US11183642B2 (en) | 2016-10-03 | 2021-11-23 | Universal Display Corporation | Organic electroluminescent materials and devices |
| US11180519B2 (en) | 2018-02-09 | 2021-11-23 | Universal Display Corporation | Organic electroluminescent materials and devices |
| US11189804B2 (en) | 2016-10-03 | 2021-11-30 | Universal Display Corporation | Organic electroluminescent materials and devices |
| US11196010B2 (en) | 2016-10-03 | 2021-12-07 | Universal Display Corporation | Organic electroluminescent materials and devices |
| US11201298B2 (en) | 2017-01-09 | 2021-12-14 | Universal Display Corporation | Organic electroluminescent materials and devices |
| US11201299B2 (en) | 2017-05-04 | 2021-12-14 | Universal Display Corporation | Organic electroluminescent materials and devices |
| US11214587B2 (en) | 2017-11-07 | 2022-01-04 | Universal Display Corporation | Organic electroluminescent materials and devices |
| US11217757B2 (en) | 2018-03-12 | 2022-01-04 | Universal Display Corporation | Host materials for electroluminescent devices |
| US11228002B2 (en) | 2016-04-22 | 2022-01-18 | Universal Display Corporation | Organic electroluminescent materials and devices |
| US11228004B2 (en) | 2018-06-22 | 2022-01-18 | Universal Display Corporation | Organic electroluminescent materials and devices |
| US11228010B2 (en) | 2017-07-26 | 2022-01-18 | Universal Display Corporation | Organic electroluminescent materials and devices |
| US11228003B2 (en) | 2016-04-22 | 2022-01-18 | Universal Display Corporation | Organic electroluminescent materials and devices |
| US11233205B2 (en) | 2017-12-14 | 2022-01-25 | Universal Display Corporation | Organic electroluminescent materials and devices |
| US11233203B2 (en) | 2018-09-06 | 2022-01-25 | Universal Display Corporation | Organic electroluminescent materials and devices |
| US11233204B2 (en) | 2017-12-14 | 2022-01-25 | Universal Display Corporation | Organic electroluminescent materials and devices |
| US11239433B2 (en) | 2017-07-26 | 2022-02-01 | Universal Display Corporation | Organic electroluminescent materials and devices |
| US11239432B2 (en) | 2016-10-14 | 2022-02-01 | Universal Display Corporation | Organic electroluminescent materials and devices |
| US11239434B2 (en) | 2018-02-09 | 2022-02-01 | Universal Display Corporation | Organic electroluminescent materials and devices |
| US11261207B2 (en) | 2018-06-25 | 2022-03-01 | Universal Display Corporation | Organic electroluminescent materials and devices |
| US11271177B2 (en) | 2018-01-11 | 2022-03-08 | Universal Display Corporation | Organic electroluminescent materials and devices |
| US11276829B2 (en) | 2017-03-31 | 2022-03-15 | Universal Display Corporation | Organic electroluminescent materials and devices |
| US11279722B2 (en) | 2018-03-12 | 2022-03-22 | Universal Display Corporation | Organic electroluminescent materials and devices |
| US11296283B2 (en) | 2018-06-04 | 2022-04-05 | Universal Display Corporation | Organic electroluminescent materials and devices |
| US11302872B2 (en) | 2015-09-09 | 2022-04-12 | Universal Display Corporation | Organic electroluminescent materials and devices |
| US11322691B2 (en) | 2017-07-26 | 2022-05-03 | Universal Display Corporation | Organic electroluminescent materials and devices |
| US11325932B2 (en) | 2019-02-08 | 2022-05-10 | Universal Display Corporation | Organic electroluminescent materials and devices |
| US11342513B2 (en) | 2018-05-04 | 2022-05-24 | Universal Display Corporation | Organic electroluminescent materials and devices |
| US11339182B2 (en) | 2018-06-07 | 2022-05-24 | Universal Display Corporation | Organic electroluminescent materials and devices |
| US11342509B2 (en) | 2018-02-09 | 2022-05-24 | Universal Display Corporation | Organic electroluminescent materials and devices |
| US11349083B2 (en) | 2017-08-10 | 2022-05-31 | Universal Display Corporation | Organic electroluminescent materials and devices |
| US11367840B2 (en) | 2018-01-26 | 2022-06-21 | Universal Display Corporation | Organic electroluminescent materials and devices |
| US11370809B2 (en) | 2019-02-08 | 2022-06-28 | Universal Display Corporation | Organic electroluminescent materials and devices |
| US11374181B2 (en) | 2019-08-14 | 2022-06-28 | Universal Display Corporation | Organic electroluminescent materials and devices |
| US11390639B2 (en) | 2018-04-13 | 2022-07-19 | Universal Display Corporation | Organic electroluminescent materials and devices |
| US11424420B2 (en) | 2017-09-07 | 2022-08-23 | Universal Display Corporation | Organic electroluminescent materials and devices |
| US11437591B2 (en) | 2017-08-24 | 2022-09-06 | Universal Display Corporation | Organic electroluminescent materials and devices |
| US11444249B2 (en) | 2017-09-07 | 2022-09-13 | Universal Display Corporation | Organic electroluminescent materials and devices |
| US11450822B2 (en) | 2018-05-25 | 2022-09-20 | Universal Display Corporation | Organic electroluminescent materials and devices |
| US11462697B2 (en) | 2017-08-22 | 2022-10-04 | Universal Display Corporation | Organic electroluminescent materials and devices |
| US11459349B2 (en) | 2018-05-25 | 2022-10-04 | Universal Display Corporation | Organic electroluminescent materials and devices |
| US11469384B2 (en) | 2018-11-02 | 2022-10-11 | Universal Display Corporation | Organic electroluminescent materials and devices |
| US11469382B2 (en) | 2017-07-12 | 2022-10-11 | Universal Display Corporation | Organic electroluminescent materials and devices |
| US11469383B2 (en) | 2018-10-08 | 2022-10-11 | Universal Display Corporation | Organic electroluminescent materials and devices |
| US11476430B2 (en) | 2018-10-15 | 2022-10-18 | Universal Display Corporation | Organic electroluminescent materials and devices |
| US11482683B2 (en) | 2016-06-20 | 2022-10-25 | Universal Display Corporation | Organic electroluminescent materials and devices |
| US11485706B2 (en) | 2018-09-11 | 2022-11-01 | Universal Display Corporation | Organic electroluminescent materials and devices |
| US11495756B2 (en) | 2019-05-07 | 2022-11-08 | Universal Display Corporation | Organic electroluminescent materials and devices |
| US11495757B2 (en) | 2017-06-23 | 2022-11-08 | Universal Display Corporation | Organic electroluminescent materials and devices |
| US11495752B2 (en) | 2018-10-08 | 2022-11-08 | Universal Display Corporation | Organic electroluminescent materials and devices |
| US11508913B2 (en) | 2017-08-10 | 2022-11-22 | Universal Display Corporation | Organic electroluminescent materials and devices |
| US11515494B2 (en) | 2018-05-04 | 2022-11-29 | Universal Display Corporation | Organic electroluminescent materials and devices |
| US11515482B2 (en) | 2018-10-23 | 2022-11-29 | Universal Display Corporation | Deep HOMO (highest occupied molecular orbital) emitter device structures |
| US11515489B2 (en) | 2018-11-28 | 2022-11-29 | Universal Display Corporation | Host materials for electroluminescent devices |
| US11512093B2 (en) | 2019-03-04 | 2022-11-29 | Universal Display Corporation | Compound used for organic light emitting device (OLED), consumer product and formulation |
| US11515493B2 (en) | 2018-01-11 | 2022-11-29 | Universal Display Corporation | Organic electroluminescent materials and devices |
| US11522140B2 (en) | 2015-08-17 | 2022-12-06 | Universal Display Corporation | Organic electroluminescent materials and devices |
| US11545636B2 (en) | 2016-12-15 | 2023-01-03 | Universal Display Corporation | Organic electroluminescent materials and devices |
| US11542289B2 (en) | 2018-01-26 | 2023-01-03 | Universal Display Corporation | Organic electroluminescent materials and devices |
| US11545637B2 (en) | 2017-01-13 | 2023-01-03 | Universal Display Corporation | Organic electroluminescent materials and devices |
| US11548905B2 (en) | 2016-12-15 | 2023-01-10 | Universal Display Corporation | Organic electroluminescent materials and devices |
| US11552261B2 (en) | 2017-06-23 | 2023-01-10 | Universal Display Corporation | Organic electroluminescent materials and devices |
| US11555048B2 (en) | 2016-12-01 | 2023-01-17 | Universal Display Corporation | Organic electroluminescent materials and devices |
| US11557738B2 (en) | 2019-02-22 | 2023-01-17 | Universal Display Corporation | Organic electroluminescent materials and devices |
| US11557733B2 (en) | 2018-03-12 | 2023-01-17 | Universal Display Corporation | Organic electroluminescent materials and devices |
| US11569480B2 (en) | 2019-03-12 | 2023-01-31 | Universal Display Corporation | Plasmonic OLEDs and vertical dipole emitters |
| US11600787B2 (en) | 2019-08-30 | 2023-03-07 | Universal Display Corporation | Organic electroluminescent materials and devices |
| US11605791B2 (en) | 2017-09-01 | 2023-03-14 | Universal Display Corporation | Organic electroluminescent materials and devices |
| US11608321B2 (en) | 2017-06-23 | 2023-03-21 | Universal Display Corporation | Organic electroluminescent materials and devices |
| US11616203B2 (en) | 2018-04-17 | 2023-03-28 | Universal Display Corporation | Organic electroluminescent materials and devices |
| US11613550B2 (en) | 2019-04-30 | 2023-03-28 | Universal Display Corporation | Organic electroluminescent materials and devices comprising benzimidazole-containing metal complexes |
| US11623936B2 (en) | 2018-12-11 | 2023-04-11 | Universal Display Corporation | Organic electroluminescent materials and devices |
| US11637251B2 (en) | 2009-03-23 | 2023-04-25 | Universal Display Corporation | Organic electroluminescent materials and devices |
| US11637261B2 (en) | 2019-03-12 | 2023-04-25 | Universal Display Corporation | Nanopatch antenna outcoupling structure for use in OLEDs |
| US11634445B2 (en) | 2019-05-21 | 2023-04-25 | Universal Display Corporation | Organic electroluminescent materials and devices |
| US11639363B2 (en) | 2019-04-22 | 2023-05-02 | Universal Display Corporation | Organic electroluminescent materials and devices |
| US11647667B2 (en) | 2019-06-14 | 2023-05-09 | Universal Display Corporation | Organic electroluminescent compounds and organic light emitting devices using the same |
| US11672165B2 (en) | 2018-11-28 | 2023-06-06 | Universal Display Corporation | Organic electroluminescent materials and devices |
| US11672176B2 (en) | 2018-11-28 | 2023-06-06 | Universal Display Corporation | Host materials for electroluminescent devices |
| US11678565B2 (en) | 2017-06-23 | 2023-06-13 | Universal Display Corporation | Organic electroluminescent materials and devices |
| US11685754B2 (en) | 2019-07-22 | 2023-06-27 | Universal Display Corporation | Heteroleptic organic electroluminescent materials |
| US11690285B2 (en) | 2018-11-28 | 2023-06-27 | Universal Display Corporation | Electroluminescent devices |
| US11696492B2 (en) | 2017-09-07 | 2023-07-04 | Universal Display Corporation | Organic electroluminescent materials and devices |
| US11697653B2 (en) | 2019-10-21 | 2023-07-11 | Universal Display Corporation | Organic electroluminescent materials and devices |
| US11700765B2 (en) | 2018-01-10 | 2023-07-11 | Universal Display Corporation | Organic electroluminescent materials and devices |
| US11708355B2 (en) | 2019-08-01 | 2023-07-25 | Universal Display Corporation | Organic electroluminescent materials and devices |
| US11716899B2 (en) | 2018-11-28 | 2023-08-01 | Universal Display Corporation | Organic electroluminescent materials and devices |
| US11716900B2 (en) | 2018-05-30 | 2023-08-01 | Universal Display Corporation | Host materials for electroluminescent devices |
| US11723269B2 (en) | 2017-08-22 | 2023-08-08 | Universal Display Corporation | Organic electroluminescent materials and devices |
| US11718634B2 (en) | 2018-09-14 | 2023-08-08 | Universal Display Corporation | Organic electroluminescent materials and devices |
| US11725022B2 (en) | 2017-06-23 | 2023-08-15 | Universal Display Corporation | Organic electroluminescent materials and devices |
| US11737349B2 (en) | 2018-12-12 | 2023-08-22 | Universal Display Corporation | Organic electroluminescent materials and devices |
| US11744142B2 (en) | 2017-08-10 | 2023-08-29 | Universal Display Corporation | Organic electroluminescent materials and devices |
| US11744141B2 (en) | 2017-08-09 | 2023-08-29 | Universal Display Corporation | Organic electroluminescent materials and devices |
| US11739081B2 (en) | 2019-03-11 | 2023-08-29 | Universal Display Corporation | Organic electroluminescent materials and devices |
| US11753427B2 (en) | 2018-05-04 | 2023-09-12 | Universal Display Corporation | Organic electroluminescent materials and devices |
| US11753425B2 (en) | 2018-07-11 | 2023-09-12 | Universal Display Corporation | Organic electroluminescent materials and devices |
| US11758804B2 (en) | 2017-06-23 | 2023-09-12 | Universal Display Corporation | Organic electroluminescent materials and devices |
| US11765965B2 (en) | 2019-10-30 | 2023-09-19 | Universal Display Corporation | Organic electroluminescent materials and devices |
| US11765968B2 (en) | 2017-01-23 | 2023-09-19 | Universal Display Corporation | Organic electroluminescent materials and devices |
| US11765970B2 (en) | 2017-07-26 | 2023-09-19 | Universal Display Corporation | Organic electroluminescent materials and devices |
| US11778897B2 (en) | 2017-09-20 | 2023-10-03 | Universal Display Corporation | Organic electroluminescent materials and devices |
| US11773320B2 (en) | 2019-02-21 | 2023-10-03 | Universal Display Corporation | Organic electroluminescent materials and devices |
| US11778895B2 (en) | 2020-01-13 | 2023-10-03 | Universal Display Corporation | Organic electroluminescent materials and devices |
| US11780865B2 (en) | 2017-01-09 | 2023-10-10 | Universal Display Corporation | Organic electroluminescent materials and devices |
| US11780829B2 (en) | 2019-01-30 | 2023-10-10 | The University Of Southern California | Organic electroluminescent materials and devices |
| US11793073B2 (en) | 2018-05-06 | 2023-10-17 | Universal Display Corporation | Host materials for electroluminescent devices |
| US11802136B2 (en) | 2017-06-23 | 2023-10-31 | Universal Display Corporation | Organic electroluminescent materials and devices |
| US11812624B2 (en) | 2019-01-30 | 2023-11-07 | The University Of Southern California | Organic electroluminescent materials and devices |
| US11812622B2 (en) | 2015-09-25 | 2023-11-07 | Universal Display Corporation | Organic electroluminescent compounds and devices |
| US11818949B2 (en) | 2015-04-06 | 2023-11-14 | Universal Display Corporation | Organic electroluminescent materials and devices |
| US11814403B2 (en) | 2017-06-23 | 2023-11-14 | Universal Display Corporation | Organic electroluminescent materials and devices |
| US11825735B2 (en) | 2017-11-28 | 2023-11-21 | Universal Display Corporation | Organic electroluminescent materials and devices |
| US11825736B2 (en) | 2018-11-19 | 2023-11-21 | Universal Display Corporation | Organic electroluminescent materials and devices |
| US11820783B2 (en) | 2019-09-06 | 2023-11-21 | Universal Display Corporation | Organic electroluminescent materials and devices |
| US11832510B2 (en) | 2017-06-23 | 2023-11-28 | Universal Display Corporation | Organic electroluminescent materials and devices |
| US11827651B2 (en) | 2019-05-13 | 2023-11-28 | Universal Display Corporation | Organic electroluminescent materials and devices |
| US11834459B2 (en) | 2018-12-12 | 2023-12-05 | Universal Display Corporation | Host materials for electroluminescent devices |
| US11845764B2 (en) | 2018-01-26 | 2023-12-19 | Universal Display Corporation | Organic electroluminescent materials and devices |
| US11864458B2 (en) | 2019-10-08 | 2024-01-02 | Universal Display Corporation | Organic electroluminescent materials and devices |
| US11871653B2 (en) | 2019-02-22 | 2024-01-09 | Universal Display Corporation | Organic electroluminescent materials and devices |
| US11882759B2 (en) | 2018-04-13 | 2024-01-23 | Universal Display Corporation | Organic electroluminescent materials and devices |
| US11889708B2 (en) | 2019-11-14 | 2024-01-30 | Universal Display Corporation | Organic electroluminescent materials and devices |
| US11903305B2 (en) | 2018-09-24 | 2024-02-13 | Universal Display Corporation | Organic electroluminescent materials and devices |
| US11910699B2 (en) | 2017-08-10 | 2024-02-20 | Universal Display Corporation | Organic electroluminescent materials and devices |
| US11910700B2 (en) | 2009-03-23 | 2024-02-20 | Universal Display Corporation | Heteroleptic iridium complexes as dopants |
| US11910702B2 (en) | 2017-11-07 | 2024-02-20 | Universal Display Corporation | Organic electroluminescent devices |
| US11917900B2 (en) | 2020-01-28 | 2024-02-27 | Universal Display Corporation | Organic electroluminescent materials and devices |
| US11917843B2 (en) | 2017-07-26 | 2024-02-27 | Universal Display Corporation | Organic electroluminescent materials and devices |
| US11920070B2 (en) | 2019-07-12 | 2024-03-05 | The University Of Southern California | Luminescent janus-type, two-coordinated metal complexes |
| US11925103B2 (en) | 2018-06-05 | 2024-03-05 | Universal Display Corporation | Organic electroluminescent materials and devices |
| US11925105B2 (en) | 2019-08-26 | 2024-03-05 | Universal Display Corporation | Organic electroluminescent materials and devices |
| US11925102B2 (en) | 2015-06-04 | 2024-03-05 | Universal Display Corporation | Organic electroluminescent materials and devices |
| US11919914B2 (en) | 2019-10-25 | 2024-03-05 | Universal Display Corporation | Organic electroluminescent materials and devices |
| US11930699B2 (en) | 2019-08-15 | 2024-03-12 | Universal Display Corporation | Organic electroluminescent materials and devices |
| US11926638B2 (en) | 2019-07-22 | 2024-03-12 | Universal Display Corporation | Organic electroluminescent materials and devices |
| US11937503B2 (en) | 2017-11-30 | 2024-03-19 | Universal Display Corporation | Organic electroluminescent materials and devices |
| US11937494B2 (en) | 2019-08-28 | 2024-03-19 | Universal Display Corporation | Organic electroluminescent materials and devices |
| US11932660B2 (en) | 2020-01-29 | 2024-03-19 | Universal Display Corporation | Organic electroluminescent materials and devices |
| US11944000B2 (en) | 2013-10-29 | 2024-03-26 | Universal Display Corporation | Organic electroluminescent materials and devices |
| US11950493B2 (en) | 2019-10-15 | 2024-04-02 | Universal Display Corporation | Organic electroluminescent materials and devices |
| US11957050B2 (en) | 2018-02-09 | 2024-04-09 | Universal Display Corporation | Organic electroluminescent materials and devices |
| US11963441B2 (en) | 2018-11-26 | 2024-04-16 | Universal Display Corporation | Organic electroluminescent materials and devices |
| US11963438B2 (en) | 2019-03-26 | 2024-04-16 | The University Of Southern California | Organic electroluminescent materials and devices |
| US11968883B2 (en) | 2017-07-26 | 2024-04-23 | Universal Display Corporation | Organic electroluminescent materials and devices |
| US11970508B2 (en) | 2020-04-22 | 2024-04-30 | Universal Display Corporation | Organic electroluminescent materials and devices |
| US11985888B2 (en) | 2019-08-12 | 2024-05-14 | The Regents Of The University Of Michigan | Organic electroluminescent device |
| US11999886B2 (en) | 2019-09-26 | 2024-06-04 | Universal Display Corporation | Organic electroluminescent materials and devices |
| US12010859B2 (en) | 2019-05-24 | 2024-06-11 | Universal Display Corporation | Organic electroluminescent materials and devices |
| US12018035B2 (en) | 2020-03-23 | 2024-06-25 | Universal Display Corporation | Organic electroluminescent materials and devices |
| US12029055B2 (en) | 2018-01-30 | 2024-07-02 | The University Of Southern California | OLED with hybrid emissive layer |
| US12035613B2 (en) | 2020-05-26 | 2024-07-09 | Universal Display Corporation | Organic electroluminescent materials and devices |
| US12048237B2 (en) | 2016-05-05 | 2024-07-23 | Universal Display Corporation | Organic electroluminescent materials and devices |
| US12058929B2 (en) | 2015-06-04 | 2024-08-06 | Universal Display Corporation | Organic electroluminescent materials and devices |
| US12065451B2 (en) | 2020-08-19 | 2024-08-20 | Universal Display Corporation | Organic electroluminescent materials and devices |
| US12075690B2 (en) | 2017-12-14 | 2024-08-27 | Universal Display Corporation | Organic electroluminescent materials and devices |
| US12075691B2 (en) | 2019-04-30 | 2024-08-27 | Universal Display Corporation | Organic electroluminescent materials and devices |
| US12077550B2 (en) | 2019-07-02 | 2024-09-03 | Universal Display Corporation | Organic electroluminescent materials and devices |
| US12089486B2 (en) | 2017-02-08 | 2024-09-10 | Universal Display Corporation | Organic electroluminescent materials and devices |
| US12084465B2 (en) | 2020-02-24 | 2024-09-10 | Universal Display Corporation | Organic electroluminescent materials and devices |
| US12098157B2 (en) | 2017-06-23 | 2024-09-24 | Universal Display Corporation | Organic electroluminescent materials and devices |
| US12103942B2 (en) | 2019-05-13 | 2024-10-01 | Universal Display Corporation | Organic electroluminescent materials and devices |
| US12122793B2 (en) | 2019-03-27 | 2024-10-22 | Universal Display Corporation | Organic electroluminescent materials and devices |
| US12129269B2 (en) | 2020-04-13 | 2024-10-29 | Universal Display Corporation | Organic electroluminescent materials and devices |
| US12137606B2 (en) | 2020-10-20 | 2024-11-05 | Universal Display Corporation | Organic electroluminescent materials and devices |
| US12137605B2 (en) | 2019-02-08 | 2024-11-05 | Universal Display Corporation | Organic electroluminescent materials and devices |
| US12144244B2 (en) | 2019-09-10 | 2024-11-12 | Universal Display Corporation | Organic electroluminescent materials and devices |
| US12139501B2 (en) | 2019-08-16 | 2024-11-12 | Universal Display Corporation | Organic electroluminescent materials and devices |
| US12156463B2 (en) | 2020-02-07 | 2024-11-26 | Universal Display Corporation | Organic electroluminescent materials and devices |
| US12156464B2 (en) | 2014-11-25 | 2024-11-26 | Universal Display Corporation | Organic electroluminescent materials and devices |
| US12157748B2 (en) | 2020-07-30 | 2024-12-03 | Universal Display Corporation | Organic electroluminescent materials and devices |
| US12167673B2 (en) | 2018-12-19 | 2024-12-10 | Universal Display Corporation | Organic electroluminescent materials and devices |
| US12171137B2 (en) | 2018-09-10 | 2024-12-17 | Universal Display Corporation | Organic electroluminescent materials and devices |
| US12171138B2 (en) | 2005-05-06 | 2024-12-17 | Universal Display Corporation | Organic electroluminescent materials and devices |
| US12187751B2 (en) | 2020-01-08 | 2025-01-07 | Universal Display Corporation | Organic electroluminescent materials and devices |
| US12201013B2 (en) | 2020-01-08 | 2025-01-14 | Universal Display Corporation | Organic electroluminescent materials and devices |
| US12221455B2 (en) | 2020-09-24 | 2025-02-11 | Universal Display Corporation | Organic electroluminescent materials and devices |
| US12227525B2 (en) | 2019-08-14 | 2025-02-18 | Universal Display Corporation | Organic electroluminescent materials and devices |
| US12234251B2 (en) | 2020-03-04 | 2025-02-25 | Universal Display Corporation | Organic electroluminescent materials and devices |
| US12234249B2 (en) | 2019-08-21 | 2025-02-25 | Universal Display Corporation | Organic electroluminescent materials and devices |
| US12245502B2 (en) | 2020-02-03 | 2025-03-04 | Universal Display Corporation | Organic electroluminescent materials and devices |
| US12245504B2 (en) | 2020-10-26 | 2025-03-04 | Universal Display Corporation | Organic electroluminescent materials and devices |
| US12240865B2 (en) | 2019-03-27 | 2025-03-04 | Universal Display Corporation | Organic electroluminescent materials and devices |
| US12247043B2 (en) | 2020-06-11 | 2025-03-11 | Universal Display Corporation | Organic electroluminescent material and formulations, and its various uses as hosts, fluorescent dopants, and acceptors in organic light emitting diodes |
| US12247042B2 (en) | 2020-10-26 | 2025-03-11 | Universal Display Corporation | Organic electroluminescent materials and devices |
| US12250872B2 (en) | 2019-02-22 | 2025-03-11 | Universal Display Corporation | Organic electroluminescent materials and devices |
| US12252499B2 (en) | 2020-09-29 | 2025-03-18 | Universal Display Corporation | Organic electroluminescent materials and devices |
| US12262631B2 (en) | 2020-11-10 | 2025-03-25 | Universal Display Corporation | Organic electroluminescent materials and devices |
| US12279516B2 (en) | 2020-06-17 | 2025-04-15 | Universal Display Corporation | Organic electroluminescent materials and devices |
| US12279520B2 (en) | 2020-04-22 | 2025-04-15 | Universal Display Corporation | Organic electroluminescent materials and devices |
| US12275747B2 (en) | 2020-06-02 | 2025-04-15 | Universal Display Corporation | Organic electroluminescent materials and devices |
| US12281128B2 (en) | 2019-07-30 | 2025-04-22 | Universal Display Corporation | Organic electroluminescent materials and devices |
| US12281129B2 (en) | 2018-12-12 | 2025-04-22 | Universal Display Corporation | Organic electroluminescent materials and devices |
| US12286410B2 (en) | 2020-05-18 | 2025-04-29 | Universal Display Corporation | Organic electroluminescent materials and devices |
| US12289986B2 (en) | 2020-08-25 | 2025-04-29 | Universal Display Corporation | Organic electroluminescent materials and devices |
| US12286447B2 (en) | 2020-10-06 | 2025-04-29 | Universal Display Corporation | Organic electroluminescent materials and devices |
| US12295251B2 (en) | 2019-08-01 | 2025-05-06 | Universal Display Corporation | Organic electroluminescent materials and devices |
| US12317745B2 (en) | 2016-11-09 | 2025-05-27 | Universal Display Corporation | Organic electroluminescent materials and devices |
| US12312365B2 (en) | 2020-10-12 | 2025-05-27 | Universal Display Corporation | Organic electroluminescent materials and devices |
| US12324348B2 (en) | 2020-02-28 | 2025-06-03 | Universal Display Corporation | Organic electroluminescent materials and devices |
| US12325717B2 (en) | 2020-11-24 | 2025-06-10 | Universal Display Corporation | Organic electroluminescent materials and devices |
| US12331065B2 (en) | 2019-09-26 | 2025-06-17 | Universal Display Corporation | Organic electroluminescent materials and devices |
| US12336427B2 (en) | 2020-07-09 | 2025-06-17 | Universal Display Corporation | Organic electroluminescent materials and devices |
| US12331064B2 (en) | 2020-12-09 | 2025-06-17 | University Of Southern California | Tandem carbene phosphors |
| US12342716B2 (en) | 2020-12-09 | 2025-06-24 | University Of Southern California | Tandem-carbene phosphors |
| US12349589B2 (en) | 2020-01-28 | 2025-07-01 | Universal Display Corporation | Organic electroluminescent materials and devices |
| US12369487B2 (en) | 2020-08-05 | 2025-07-22 | Universal Display Corporation | Organic electroluminescent materials and devices |
| US12369488B2 (en) | 2020-09-09 | 2025-07-22 | Universal Display Corporation | Organic electroluminescent materials and devices |
| US12378197B2 (en) | 2018-07-13 | 2025-08-05 | Universal Display Corporation | Organic electroluminescent materials and devices |
| US12389791B2 (en) | 2017-09-21 | 2025-08-12 | Universal Display Corporation | Organic electroluminescent materials and devices |
| US12384809B2 (en) | 2019-09-06 | 2025-08-12 | Universal Display Corporation | Organic electroluminescent materials and devices |
| US12391876B2 (en) | 2017-01-03 | 2025-08-19 | Universal Display Corporation | Organic electroluminescent materials and devices |
| US12398164B2 (en) | 2021-02-01 | 2025-08-26 | Universal Display Corporation | Organic electroluminescent materials and devices |
| US12414433B2 (en) | 2022-02-11 | 2025-09-09 | Universal Display Corporation | Organic electroluminescent devices |
| US12419188B2 (en) | 2020-06-30 | 2025-09-16 | Universal Display Corporation | Organic electroluminescent materials and devices |
| US12421262B2 (en) | 2021-03-15 | 2025-09-23 | Universal Display Corporation | Organic electroluminescent materials and devices |
| US12435102B2 (en) | 2020-10-02 | 2025-10-07 | Universal Display Corporation | Organic electroluminescent materials and devices |
| US12453279B2 (en) | 2018-08-22 | 2025-10-21 | Universal Display Corporation | Organic electroluminescent materials and devices |
| US12459946B2 (en) | 2017-10-05 | 2025-11-04 | Universal Display Corporation | Organic host materials for electroluminescent devices |
| US12460128B2 (en) | 2020-10-02 | 2025-11-04 | Universal Display Corporation | Organic electroluminescent materials and devices |
| US12459966B2 (en) | 2021-02-02 | 2025-11-04 | Universal Display Corporation | Organic electroluminescent materials and devices |
| US12466844B2 (en) | 2020-05-13 | 2025-11-11 | Universal Display Corporation | Organic electroluminescent materials and devices |
| US12466848B2 (en) | 2020-12-10 | 2025-11-11 | Universal Display Corporation | Organic electroluminescent materials and devices |
| US12473317B2 (en) | 2021-06-04 | 2025-11-18 | Universal Display Corporation | Organic electroluminescent materials and devices |
| US12477890B2 (en) | 2019-02-01 | 2025-11-18 | Universal Display Corporation | Organic electroluminescent materials and devices |
| US12484437B2 (en) | 2021-02-26 | 2025-11-25 | Universal Display Corporation | Organic electroluminescent materials and devices |
| US12479861B2 (en) | 2019-10-25 | 2025-11-25 | Universal Display Corporation | Organic electroluminescent materials and devices |
| US12486295B2 (en) | 2020-09-14 | 2025-12-02 | Universal Display Corporation | Organic electroluminescent materials and devices |
| US12486451B2 (en) | 2020-10-02 | 2025-12-02 | Universal Display Corporation | Organic electroluminescent materials and devices |
| US12486288B2 (en) | 2020-10-12 | 2025-12-02 | University Of Southern California | Fast phosphors utilizing HP2H ligands |
| US12486296B2 (en) | 2019-10-02 | 2025-12-02 | Universal Display Corporation | Organic electroluminescent materials and devices |
| US12495715B2 (en) | 2021-06-29 | 2025-12-09 | Universal Display Corporation | Organic electroluminescent materials and devices |
| US12497420B2 (en) | 2020-10-02 | 2025-12-16 | Universal Display Corporation | Organic electroluminescent materials and devices |
| US12497419B2 (en) | 2021-02-22 | 2025-12-16 | Universal Display Corporation | Organic electroluminescent materials and devices |
| US12507586B2 (en) | 2021-07-21 | 2025-12-23 | Universal Display Corporation | Organic electroluminescent materials and devices |
| US12514110B2 (en) | 2021-08-06 | 2025-12-30 | Universal Display Corporation | Organic electroluminescent materials and devices |
| US12509628B2 (en) | 2021-12-16 | 2025-12-30 | Universal Display Corporation | Organic electroluminescent materials and devices |
| US12516078B2 (en) | 2020-11-24 | 2026-01-06 | Universal Display Corporation | Organic electroluminescent materials and devices |
| US12520713B2 (en) | 2020-10-08 | 2026-01-06 | Universal Display Corporation | Organic electroluminescent materials and devices |
| US12520715B2 (en) | 2021-07-16 | 2026-01-06 | University Of Southern California | Organic electroluminescent materials and devices |
| US12522565B2 (en) | 2019-10-25 | 2026-01-13 | Universal Display Corporation | Organic electroluminescent materials and devices |
| US12522608B2 (en) | 2018-04-13 | 2026-01-13 | Universal Display Corporation | Host materials for electroluminescent devices |
| US12528833B2 (en) | 2020-11-18 | 2026-01-20 | Universal Display Corporation | Organic electroluminescent materials and devices |
| US12538698B2 (en) | 2020-01-06 | 2026-01-27 | Universal Display Corporation | Organic electroluminescent materials and devices |
| US12534485B2 (en) | 2020-11-24 | 2026-01-27 | Universal Display Corporation | Organic electroluminescent materials and devices |
| US12543492B2 (en) | 2020-09-09 | 2026-02-03 | Universal Display Corporation | Organic electroluminescent materials and devices |
| US12550604B2 (en) | 2024-01-12 | 2026-02-10 | Universal Display Corporation | Organic electroluminescent materials and devices |
Families Citing this family (4)
| Publication number | Priority date | Publication date | Assignee | Title |
|---|---|---|---|---|
| JP2007045742A (ja) * | 2005-08-10 | 2007-02-22 | Mitsubishi Chemicals Corp | 遷移金属錯体の製造方法及び遷移金属錯体 |
| ATE550342T1 (de) * | 2006-04-05 | 2012-04-15 | Basf Se | Heteroleptische übergangsmetall-carben-komplexe und deren verwendung in organischen leuchtdioden (oleds) |
| JP5484690B2 (ja) | 2007-05-18 | 2014-05-07 | ユー・ディー・シー アイルランド リミテッド | 有機電界発光素子 |
| CN110818652B (zh) * | 2018-08-09 | 2023-08-22 | 上海和辉光电股份有限公司 | 一种含芳基酯衍生物的有机发光材料、其制备方法及其应用 |
Citations (4)
| Publication number | Priority date | Publication date | Assignee | Title |
|---|---|---|---|---|
| JP2003192652A (ja) * | 2001-08-02 | 2003-07-09 | Chemiprokasei Kaisha Ltd | α,α,α′−トリス(4−カルボニルオキシアリール)−1−アルキル−4−イソアルキルベンゼン誘導体、その製造方法、それよりなる正孔輸送材料およびそれを用いたエレクトロルミネッセンス素子 |
| JP2004026757A (ja) * | 2002-06-27 | 2004-01-29 | Chemiprokasei Kaisha Ltd | ポリフェノール誘導体、その製法およびそれを用いた有機エレクトロルミネッセンス素子 |
| WO2004093207A2 (de) * | 2003-04-15 | 2004-10-28 | Covion Organic Semiconductors Gmbh | Mischungen von organischen zur emission befähigten halbleitern und matrixmaterialien, deren verwendung und elektronikbauteile enthaltend diese mischungen |
| WO2005003253A2 (de) * | 2003-07-07 | 2005-01-13 | Covion Organic Semiconductors Gmbh | Mischungen von organischen zur emission befähigten halbleitern und matrixmaterialen, deren verwendung und elektronikbauteile enthaltend diese |
-
2005
- 2005-03-24 DE DE102005014284A patent/DE102005014284A1/de not_active Withdrawn
-
2006
- 2006-03-23 JP JP2008502423A patent/JP2008538858A/ja not_active Withdrawn
- 2006-03-23 KR KR1020077024429A patent/KR20070118656A/ko not_active Withdrawn
- 2006-03-23 WO PCT/EP2006/061007 patent/WO2006100298A1/de not_active Ceased
- 2006-03-23 EP EP06725284A patent/EP1866978A1/de not_active Withdrawn
- 2006-03-23 CN CNA2006800149293A patent/CN101171697A/zh active Pending
Patent Citations (4)
| Publication number | Priority date | Publication date | Assignee | Title |
|---|---|---|---|---|
| JP2003192652A (ja) * | 2001-08-02 | 2003-07-09 | Chemiprokasei Kaisha Ltd | α,α,α′−トリス(4−カルボニルオキシアリール)−1−アルキル−4−イソアルキルベンゼン誘導体、その製造方法、それよりなる正孔輸送材料およびそれを用いたエレクトロルミネッセンス素子 |
| JP2004026757A (ja) * | 2002-06-27 | 2004-01-29 | Chemiprokasei Kaisha Ltd | ポリフェノール誘導体、その製法およびそれを用いた有機エレクトロルミネッセンス素子 |
| WO2004093207A2 (de) * | 2003-04-15 | 2004-10-28 | Covion Organic Semiconductors Gmbh | Mischungen von organischen zur emission befähigten halbleitern und matrixmaterialien, deren verwendung und elektronikbauteile enthaltend diese mischungen |
| WO2005003253A2 (de) * | 2003-07-07 | 2005-01-13 | Covion Organic Semiconductors Gmbh | Mischungen von organischen zur emission befähigten halbleitern und matrixmaterialen, deren verwendung und elektronikbauteile enthaltend diese |
Non-Patent Citations (4)
| Title |
|---|
| M. NOMURA, K. FUKUKAWA, Y. SHIBASAKI, U. UEDA: "New amorphous hole-transporting molecular materials: 1,1,1-Tris(4-(4-diarylaminobenzoyloxy)phenyl)ethane", SYNTHETIC METALS, vol. 132, 2002, Elsevier, pages 9 - 13, XP002386604 * |
| PATENT ABSTRACTS OF JAPAN vol. 2003, no. 11 5 November 2003 (2003-11-05) * |
| PATENT ABSTRACTS OF JAPAN vol. 2003, no. 12 5 December 2003 (2003-12-05) * |
| Y. SHIROTA: "Photo- and electroactive amorphous molecular materials - molecular design, syntheses, reactions, properties, and applications", JOURNAL OF MATERIALS CHEMISTRY, vol. 15, 24 November 2004 (2004-11-24), www.rsc.org/materials, pages 75 - 93, XP002386605 * |
Cited By (875)
| Publication number | Priority date | Publication date | Assignee | Title |
|---|---|---|---|---|
| US9647227B2 (en) | 2005-04-13 | 2017-05-09 | Universal Display Corporation | Organic light emitting devices |
| US9871219B2 (en) | 2005-04-13 | 2018-01-16 | Universal Display Corporation | Organic light emitting devices |
| US9735377B2 (en) | 2005-05-06 | 2017-08-15 | Universal Display Corporation | Phosphorescent emitters and host materials with improved stability |
| US12171138B2 (en) | 2005-05-06 | 2024-12-17 | Universal Display Corporation | Organic electroluminescent materials and devices |
| US10749121B2 (en) | 2006-02-10 | 2020-08-18 | Universal Display Corporation | Organic electroluminescent materials and devices |
| US8889864B2 (en) | 2006-02-10 | 2014-11-18 | Universal Display Corporation | Metal complexes of cyclometallated imidazo[1,2-f]phenanthridine and diimidazo[1,2-a:1′,2′-c]quinazoline ligands and isoelectronic and benzannulated analogs thereof |
| US10978649B2 (en) | 2006-02-10 | 2021-04-13 | Universal Display Corporation | Organic electroluminescent materials and devices |
| US9065063B2 (en) | 2006-02-10 | 2015-06-23 | Universal Display Corporation | Metal complexes of cyclometallated imidazo[1,2-f]phenanthridine and diimidazo[1,2-a:1′,2′-c]quinazoline ligands and isoelectronic and benzannulated analogs thereof |
| US9281483B2 (en) | 2006-02-10 | 2016-03-08 | Universal Display Corporation | Organic electroluminescent materials and devices |
| US9893306B2 (en) | 2006-02-10 | 2018-02-13 | Universal Display Corporation | Organic electroluminescent materials and devices |
| US10403831B2 (en) | 2006-02-10 | 2019-09-03 | Universal Display Corporation | Organic electroluminescent materials and devices |
| US9548462B2 (en) | 2006-02-10 | 2017-01-17 | Universal Display Corporation | Organic electroluminescent materials and devices |
| US10158090B2 (en) | 2006-02-10 | 2018-12-18 | Universal Display Corporation | Organic electroluminescent materials and devices |
| US9899612B2 (en) | 2006-12-08 | 2018-02-20 | Universal Display Corporation | Organic electroluminescent materials and devices |
| US10230060B2 (en) | 2007-03-08 | 2019-03-12 | Universal Display Corporation | Organic electroluminescent materials and devices |
| US9911930B2 (en) | 2007-03-08 | 2018-03-06 | Universal Display Corporation | Organic electroluminescent materials and devices |
| US9142786B2 (en) | 2007-03-08 | 2015-09-22 | Universal Display Corporation | Phosphorescent materials |
| US9190621B2 (en) | 2007-03-08 | 2015-11-17 | Universal Display Corporation | Materials for organic light emitting diode |
| US9853227B2 (en) | 2007-03-08 | 2017-12-26 | Universal Display Corporation | Organic electroluminescent materials and devices |
| US9577201B2 (en) | 2007-03-08 | 2017-02-21 | Universal Display Corporation | Organic electroluminescent materials and devices |
| US11495755B2 (en) | 2007-03-08 | 2022-11-08 | Universal Display Corporation | Organic electroluminescent materials and devices |
| US10600975B2 (en) | 2007-03-08 | 2020-03-24 | Universal Display Corporation | Organic electroluminescent materials and devices |
| US9590180B2 (en) | 2007-06-23 | 2017-03-07 | Universal Display Corporation | Organic electroluminescent materials and devices |
| US8373159B2 (en) | 2007-07-05 | 2013-02-12 | Basf Se | Organic light-emitting diodes comprising carbene-transition metal complex emitter, and at least one compound selected from disilylcarbazoles, disilyldibenzofurans, disilyldibenzothiophenes, disilyldibenzophospholes, disilyldibenzothiophene s-oxides and disilyldibe |
| EP3345983A1 (de) | 2007-07-05 | 2018-07-11 | UDC Ireland Limited | Verbindungen enthaltend mindestens eine disilylverbindung ausgewählt aus disilylcarbazolen, disilyldibenzofuranen, disilyldibenzothiophenen, disilyldibenzophospholen, disilyldibenzothiophen-s-oxiden und disilyldibenzothiophen-s, s-dioxiden |
| US9997727B2 (en) | 2007-08-08 | 2018-06-12 | Universal Display Corporation | Organic electroluminescent materials and devices |
| US10374171B2 (en) | 2007-08-08 | 2019-08-06 | Universal Display Corporation | Organic electroluminescent materials and devices |
| US11690286B2 (en) | 2007-08-08 | 2023-06-27 | Universal Display Corporation | Organic electroluminescent materials and devices |
| US10312450B2 (en) | 2007-08-08 | 2019-06-04 | Universal Display Corporation | Organic electroluminescent materials and devices |
| US10957858B2 (en) | 2007-08-08 | 2021-03-23 | Universal Display Corporation | Organic electroluminescent materials and devices |
| US8822708B2 (en) | 2007-08-08 | 2014-09-02 | Universal Display Corporation | Benzo-fused thiophene / triphenylene hybrid materials |
| US9577200B2 (en) | 2007-08-08 | 2017-02-21 | Universal Display Corporation | Organic electroluminescent materials and devices |
| US12082493B2 (en) | 2007-08-08 | 2024-09-03 | Universal Display Corporation | Organic electroluminescent materials and devices |
| US9153786B2 (en) | 2007-08-08 | 2015-10-06 | Universal Display Corporation | Organic electroluminescent materials and devices |
| US9608206B2 (en) | 2007-08-08 | 2017-03-28 | Universal Display Corporation | Organic electroluminescent materials and devices |
| US9997726B2 (en) | 2007-12-28 | 2018-06-12 | Universal Display Corporation | Dibenzothiophene-containing materials in phosphorescent light emitting diodes |
| US9123903B2 (en) | 2007-12-28 | 2015-09-01 | Universal Display Corporation | Dibenzothiophene-containing materials in phosphorescent light emitting diodes |
| US11482685B2 (en) | 2008-09-03 | 2022-10-25 | Universal Display Corporation | Organic electroluminescent materials and devices |
| US9630983B2 (en) | 2008-09-03 | 2017-04-25 | Universal Display Corporation | Organic electroluminescent material and devices |
| US10186672B2 (en) | 2008-09-03 | 2019-01-22 | Universal Display Corporation | Organic electroluminescent materials and devices |
| US10593896B2 (en) | 2008-09-03 | 2020-03-17 | Universal Display Corporation | Organic electroluminescent materials and devices |
| US10892426B2 (en) | 2008-09-03 | 2021-01-12 | Universal Display Corporation | Organic electroluminescent materials and devices |
| US12127470B2 (en) | 2008-09-03 | 2024-10-22 | Universal Display Corporation | Organic electroluminescent materials and devices |
| US9076973B2 (en) | 2008-09-03 | 2015-07-07 | Universal Display Corporation | Phosphorescent materials |
| US10084143B2 (en) | 2008-09-16 | 2018-09-25 | Universal Display Corporation | Phosphorescent materials |
| US9455411B2 (en) | 2008-09-25 | 2016-09-27 | Universal Display Corporation | Organic electroluminescent materials and devices |
| US8618533B2 (en) | 2008-10-07 | 2013-12-31 | Osram Opto Semiconductors Gmbh | Siloles substituted by fused ring systems and use thereof in organic electronics |
| US10008678B2 (en) | 2008-12-12 | 2018-06-26 | Universal Display Corporation | Organic electroluminescent materials and devices |
| US9067947B2 (en) | 2009-01-16 | 2015-06-30 | Universal Display Corporation | Organic electroluminescent materials and devices |
| US9831442B2 (en) | 2009-01-16 | 2017-11-28 | Universal Display Corporation | Organic electroluminescent materials and devices |
| US9518063B2 (en) | 2009-01-16 | 2016-12-13 | Universal Display Corporation | Organic electroluminescent materials and devices |
| US8952363B2 (en) | 2009-01-16 | 2015-02-10 | Universal Display Corporation | Organic electroluminescent materials and devices |
| US8592806B2 (en) | 2009-02-26 | 2013-11-26 | Novaled Ag | Quinone compounds as dopants in organic electronics |
| WO2010097433A1 (de) | 2009-02-26 | 2010-09-02 | Basf Se | Chinonverbindungen als dotierstoff in der organischen elektronik |
| US9184397B2 (en) | 2009-03-23 | 2015-11-10 | Universal Display Corporation | Heteroleptic iridium complexes as dopants |
| US11910701B2 (en) | 2009-03-23 | 2024-02-20 | Universal Display Corporation | Organic electroluminescent materials and devices |
| US11910700B2 (en) | 2009-03-23 | 2024-02-20 | Universal Display Corporation | Heteroleptic iridium complexes as dopants |
| US10312458B2 (en) | 2009-03-23 | 2019-06-04 | Universal Display Corporation | Organic electroluminescent materials and devices |
| US11637251B2 (en) | 2009-03-23 | 2023-04-25 | Universal Display Corporation | Organic electroluminescent materials and devices |
| US11380854B2 (en) | 2009-03-23 | 2022-07-05 | Universal Display Corporation | Heteroleptic iridium complexes as dopants |
| US12408242B2 (en) | 2009-03-23 | 2025-09-02 | Universal Display Corporation | Heteroleptic iridium complexes as dopants |
| US10374173B2 (en) | 2009-04-28 | 2019-08-06 | Universal Display Corporation | Organic electroluminescent materials and devices |
| US12201011B2 (en) | 2009-04-28 | 2025-01-14 | Universal Display Corporation | Organic electroluminescent materials and devices |
| US9634265B2 (en) | 2009-04-28 | 2017-04-25 | Universal Display Corporation | Organic electroluminescent materials and devices |
| US9673406B2 (en) | 2009-05-20 | 2017-06-06 | Universal Display Corporation | Metal complexes with boron-nitrogen heterocycle containing ligands |
| US9773986B2 (en) | 2009-11-19 | 2017-09-26 | The University Of Southern California | Copper(I)-carbene complexes and organic electroluminescent devices |
| US9054344B2 (en) | 2010-01-20 | 2015-06-09 | Universal Display Corporation | Electroluminescent devices for lighting applications |
| US9156870B2 (en) | 2010-02-25 | 2015-10-13 | Universal Display Corporation | Phosphorescent emitters |
| US9175211B2 (en) | 2010-03-03 | 2015-11-03 | Universal Display Corporation | Phosphorescent materials |
| US8963132B2 (en) | 2010-03-25 | 2015-02-24 | Universal Display Corporation | Solution processable doped triarylamine hole injection materials |
| US8968887B2 (en) | 2010-04-28 | 2015-03-03 | Universal Display Corporation | Triphenylene-benzofuran/benzothiophene/benzoselenophene compounds with substituents joining to form fused rings |
| US9040962B2 (en) | 2010-04-28 | 2015-05-26 | Universal Display Corporation | Depositing premixed materials |
| US9543532B2 (en) | 2010-06-11 | 2017-01-10 | Universal Display Corporation | Organic electroluminescent materials and devices |
| US9140428B2 (en) | 2010-06-11 | 2015-09-22 | Universal Display Corporation | Triplet-triplet annihilation up-conversation for display and lighting applications |
| WO2011157779A1 (en) | 2010-06-18 | 2011-12-22 | Basf Se | Organic electronic devices comprising a layer of a pyridine compound and a 8-hydroxyquinolinolato earth alkaline metal, or alkali metal complex |
| US9142792B2 (en) | 2010-06-18 | 2015-09-22 | Basf Se | Organic electronic devices comprising a layer comprising at least one metal organic compound and at least one metal oxide |
| WO2011157790A1 (en) | 2010-06-18 | 2011-12-22 | Basf Se | Organic electronic devices comprising a layer of a dibenzofurane compound and a 8-hydroxyquinolinolato earth alkaline metal, or alkali metal complex |
| US9435021B2 (en) | 2010-07-29 | 2016-09-06 | University Of Southern California | Co-deposition methods for the fabrication of organic optoelectronic devices |
| US11316113B2 (en) | 2010-08-20 | 2022-04-26 | Universal Display Corporation | Organic electroluminescent materials and devices |
| US12464945B2 (en) | 2010-08-20 | 2025-11-04 | Universal Display Corporation | Organic electroluminescent materials and devices |
| US11289659B2 (en) | 2010-08-20 | 2022-03-29 | Universal Display Corporation | Organic electroluminescent materials and devices |
| US9954180B2 (en) | 2010-08-20 | 2018-04-24 | Universal Display Corporation | Bicarbazole compounds for OLEDs |
| US9079872B2 (en) | 2010-10-07 | 2015-07-14 | Basf Se | Phenanthro[9, 10-B]furans for electronic applications |
| WO2012045710A1 (en) | 2010-10-07 | 2012-04-12 | Basf Se | Phenanthro[9,10-b]furans for electronic applications |
| US8932734B2 (en) | 2010-10-08 | 2015-01-13 | Universal Display Corporation | Organic electroluminescent materials and devices |
| US9401482B2 (en) | 2010-10-08 | 2016-07-26 | Universal Display Corporation | Organic electroluminescent materials and devices |
| US10147892B2 (en) | 2010-12-07 | 2018-12-04 | The University Of Southern California | Organic electroluminescent materials and devices |
| US8362246B2 (en) | 2010-12-13 | 2013-01-29 | Basf Se | Bispyrimidines for electronic applications |
| WO2012080052A1 (en) | 2010-12-13 | 2012-06-21 | Basf Se | Bispyrimidines for electronic applications |
| US10008677B2 (en) | 2011-01-13 | 2018-06-26 | Universal Display Corporation | Materials for organic light emitting diode |
| US11374180B2 (en) | 2011-01-13 | 2022-06-28 | Universal Display Corporation | Organic electroluminescent materials and devices |
| US11997918B2 (en) | 2011-01-13 | 2024-05-28 | Universal Display Corporation | Organic electroluminescent materials and devices |
| US9130177B2 (en) | 2011-01-13 | 2015-09-08 | Universal Display Corporation | 5-substituted 2 phenylquinoline complexes materials for light emitting diode |
| US10680189B2 (en) | 2011-01-13 | 2020-06-09 | Universal Display Corporation | Materials for organic light emitting diodes |
| US10388890B2 (en) | 2011-02-23 | 2019-08-20 | Universal Display Corporation | Organic electroluminescent heterocyclic carbene metal complexes and devices containing the same |
| US10381580B2 (en) | 2011-02-23 | 2019-08-13 | Universal Display Corporation | Organic electroluminescent materials and devices |
| US9947880B2 (en) | 2011-02-23 | 2018-04-17 | Universal Display Corporation | Organic electroluminescent materials and devices |
| US8754232B2 (en) | 2011-02-23 | 2014-06-17 | Universal Display Corporation | Methods of making bis-tridentate carbene complexes of ruthenium and osmium |
| US8871361B2 (en) | 2011-02-23 | 2014-10-28 | Universal Display Corporation | Tetradentate platinum complexes |
| US9005772B2 (en) | 2011-02-23 | 2015-04-14 | Universal Display Corporation | Thioazole and oxazole carbene metal complexes as phosphorescent OLED materials |
| US10873038B2 (en) | 2011-03-08 | 2020-12-22 | Universal Display Corporation | Organic electroluminescent materials and devices |
| US11600791B2 (en) | 2011-03-08 | 2023-03-07 | Universal Display Corporation | Organic electroluminescent materials and devices |
| US9972793B2 (en) | 2011-03-08 | 2018-05-15 | Universal Display Corporation | Organic electroluminescent materials and devices |
| US8883322B2 (en) | 2011-03-08 | 2014-11-11 | Universal Display Corporation | Pyridyl carbene phosphorescent emitters |
| EP3640252A1 (de) | 2011-03-25 | 2020-04-22 | UDC Ireland Limited | 4h-imidazo[1,2-a]imidazole für elektronische anwendungen |
| US9806270B2 (en) | 2011-03-25 | 2017-10-31 | Udc Ireland Limited | 4H-imidazo[1,2-a]imidazoles for electronic applications |
| WO2012130709A1 (en) | 2011-03-25 | 2012-10-04 | Basf Se | 4h-imidazo[1,2-a]imidazoles for electronic applications |
| US10431750B2 (en) | 2011-03-25 | 2019-10-01 | Udc Ireland Limited | 4H-imidazo[1,2-a]imidazoles for electronic applications |
| EP3034508A1 (de) | 2011-03-25 | 2016-06-22 | Basf Se | 4h-imidazo[1,2-a]imidazole für elektronische anwendungen |
| US9397312B2 (en) | 2011-05-11 | 2016-07-19 | Universal Display Corporation | Process for fabricating metal bus lines for OLED lighting panels |
| US9450027B2 (en) | 2011-05-12 | 2016-09-20 | Universal Display Corporation | Method of forming bus line designs for large-area OLED lighting |
| US8927308B2 (en) | 2011-05-12 | 2015-01-06 | Universal Display Corporation | Method of forming bus line designs for large-area OLED lighting |
| US9257658B2 (en) | 2011-05-19 | 2016-02-09 | Universal Display Corporation | Method of making organic electroluminescent materials |
| US9212197B2 (en) | 2011-05-19 | 2015-12-15 | Universal Display Corporation | Phosphorescent heteroleptic phenylbenzimidazole dopants |
| US11189805B2 (en) | 2011-05-27 | 2021-11-30 | Universal Display Corporation | Organic electroluminescent materials and devices |
| US10158089B2 (en) | 2011-05-27 | 2018-12-18 | Universal Display Corporation | Organic electroluminescent materials and devices |
| US12439813B2 (en) | 2011-05-27 | 2025-10-07 | Universal Display Corpration | Organic electroluminescent materials and devices |
| US10079349B2 (en) | 2011-05-27 | 2018-09-18 | Universal Display Corporation | Organic electroluminescent materials and devices |
| US10978648B2 (en) | 2011-06-08 | 2021-04-13 | Universal Display Corporation | Organic electroluminescent materials and devices |
| US9847495B2 (en) | 2011-06-08 | 2017-12-19 | Universal Display Corporation | Organic electroluminescent materials and devices |
| US10297769B2 (en) | 2011-06-08 | 2019-05-21 | Universal Display Corporation | Organic electroluminescent materials and devices |
| US9812656B2 (en) | 2011-06-08 | 2017-11-07 | Universal Display Corporation | Organic electroluminescent materials and devices |
| US11063229B2 (en) | 2011-06-08 | 2021-07-13 | Universal Display Corporation | Organic electroluminescent materials and devices |
| US9755164B2 (en) | 2011-06-08 | 2017-09-05 | Universal Display Corporation | Organic electroluminescent materials and devices |
| US9054343B2 (en) | 2011-06-17 | 2015-06-09 | Universal Display Corporation | Fine tuning of emission spectra by combination of multiple emitter spectra |
| US11751455B2 (en) | 2011-06-17 | 2023-09-05 | Universal Display Corporation | Non-common capping layer on an organic device |
| US8884316B2 (en) | 2011-06-17 | 2014-11-11 | Universal Display Corporation | Non-common capping layer on an organic device |
| US10340313B2 (en) | 2011-06-17 | 2019-07-02 | Universal Display Corporation | Non-common capping layer on an organic device |
| US9252377B2 (en) | 2011-07-14 | 2016-02-02 | Universal Display Corporation | Inorganic hosts in OLEDs |
| US9397310B2 (en) | 2011-07-14 | 2016-07-19 | Universal Display Corporation | Organice electroluminescent materials and devices |
| US9647221B2 (en) | 2011-07-14 | 2017-05-09 | Universal Display Corporation | Organic light-emitting devices |
| US10214551B2 (en) | 2011-07-25 | 2019-02-26 | Universal Display Corporation | Organic electroluminescent materials and devices |
| US9783564B2 (en) | 2011-07-25 | 2017-10-10 | Universal Display Corporation | Organic electroluminescent materials and devices |
| US8709615B2 (en) | 2011-07-28 | 2014-04-29 | Universal Display Corporation | Heteroleptic iridium complexes as dopants |
| US9313857B2 (en) | 2011-08-04 | 2016-04-12 | Universal Display Corporation | Organic electroluminescent materials and devices |
| US8926119B2 (en) | 2011-08-04 | 2015-01-06 | Universal Display Corporation | Extendable light source with variable light emitting area |
| US9493698B2 (en) | 2011-08-31 | 2016-11-15 | Universal Display Corporation | Organic electroluminescent materials and devices |
| US9502664B2 (en) | 2011-11-10 | 2016-11-22 | Udc Ireland Limited | 4H-imidazo[1,2-a]imidazoles for electronic applications |
| WO2013068376A1 (en) | 2011-11-10 | 2013-05-16 | Basf Se | 4h-imidazo[1,2-a]imidazoles for electronic applications |
| US9142788B2 (en) | 2011-11-14 | 2015-09-22 | Universal Display Corporation | Host materials for OLEDs |
| US9193745B2 (en) | 2011-11-15 | 2015-11-24 | Universal Display Corporation | Heteroleptic iridium complex |
| US9217004B2 (en) | 2011-11-21 | 2015-12-22 | Universal Display Corporation | Organic light emitting materials |
| US11482684B2 (en) | 2011-12-09 | 2022-10-25 | Universal Display Corporation | Organic electroluminescent materials and devices |
| US9512355B2 (en) | 2011-12-09 | 2016-12-06 | Universal Display Corporation | Organic light emitting materials |
| US10454046B2 (en) | 2011-12-09 | 2019-10-22 | Universal Display Corporation | Organic electroluminescent materials and devices |
| US9455417B2 (en) | 2011-12-13 | 2016-09-27 | Universal Display Corporation | Split electrode for organic devices |
| US8987451B2 (en) | 2012-01-03 | 2015-03-24 | Universal Display Corporation | Synthesis of cyclometallated platinum(II) complexes |
| US9461254B2 (en) | 2012-01-03 | 2016-10-04 | Universal Display Corporation | Organic electroluminescent materials and devices |
| US9163174B2 (en) | 2012-01-04 | 2015-10-20 | Universal Display Corporation | Highly efficient phosphorescent materials |
| DE102013200085B4 (de) | 2012-01-06 | 2020-06-18 | Universal Display Corporation | Hocheffiziente phosphoreszierende Materialien |
| US9447113B2 (en) | 2012-01-10 | 2016-09-20 | Universal Display Corporation | Organic electroluminescent materials and devices |
| US8969592B2 (en) | 2012-01-10 | 2015-03-03 | Universal Display Corporation | Heterocyclic host materials |
| WO2013104649A1 (en) | 2012-01-12 | 2013-07-18 | Basf Se | Metal complexes with dibenzo[f,h]quinoxalines |
| US10167303B2 (en) | 2012-01-12 | 2019-01-01 | Udc Ireland Limited | Iridium organometallic complex containing a substituted dibenzo[f,h]quinoxaline and an electronic device having an emitting layer containing the iridium complex |
| US9472762B2 (en) | 2012-01-12 | 2016-10-18 | Udc Ireland Limited | Iridium organometallic complex containing a substituted dibenzo[f,h]quinoxaline and an electronic device having an emitting layer containing the iridium complex |
| US10211413B2 (en) | 2012-01-17 | 2019-02-19 | Universal Display Corporation | Organic electroluminescent materials and devices |
| US9118017B2 (en) | 2012-02-27 | 2015-08-25 | Universal Display Corporation | Host compounds for red phosphorescent OLEDs |
| US9054323B2 (en) | 2012-03-15 | 2015-06-09 | Universal Display Corporation | Secondary hole transporting layer with diarylamino-phenyl-carbazole compounds |
| US9548459B2 (en) | 2012-03-15 | 2017-01-17 | Universal Display Corporation | Organic materials for organic light emitting devices |
| DE102013003605B4 (de) | 2012-03-15 | 2023-08-17 | Universal Display Corporation | Sekundäre Lochtransportschicht mit Tricarbazolverbindungen |
| US9386657B2 (en) | 2012-03-15 | 2016-07-05 | Universal Display Corporation | Organic Electroluminescent materials and devices |
| US9184399B2 (en) | 2012-05-04 | 2015-11-10 | Universal Display Corporation | Asymmetric hosts with triaryl silane side chains |
| US9773985B2 (en) | 2012-05-21 | 2017-09-26 | Universal Display Corporation | Organic electroluminescent materials and devices |
| US9670404B2 (en) | 2012-06-06 | 2017-06-06 | Universal Display Corporation | Organic electroluminescent materials and devices |
| US9502672B2 (en) | 2012-06-21 | 2016-11-22 | Universal Display Corporation | Organic electroluminescent materials and devices |
| US9725476B2 (en) | 2012-07-09 | 2017-08-08 | Universal Display Corporation | Silylated metal complexes |
| US9620724B2 (en) | 2012-07-10 | 2017-04-11 | Udc Ireland Limited | Benzimidazo[1,2-A]benzimidazole derivatives for electronic applications |
| WO2014009317A1 (en) | 2012-07-10 | 2014-01-16 | Basf Se | Benzimidazo[1,2-a]benzimidazole derivatives for electronic applications |
| US10243150B2 (en) | 2012-07-10 | 2019-03-26 | Udc Ireland Limited | Benzimidazo[1,2-a]benzimidazole derivatives for electronic applications |
| EP3232485A1 (de) | 2012-07-10 | 2017-10-18 | UDC Ireland Limited | Benzimidazo[1,2-a]benzimidazol-derivate für elektronische anwendungen |
| US9231218B2 (en) | 2012-07-10 | 2016-01-05 | Universal Display Corporation | Phosphorescent emitters containing dibenzo[1,4]azaborinine structure |
| DE102013214144B4 (de) | 2012-07-19 | 2023-02-16 | Universal Display Corp. | Diarylamino-substituierte Metallkomplexe |
| US9540329B2 (en) | 2012-07-19 | 2017-01-10 | Universal Display Corporation | Organic electroluminescent materials and devices |
| US9059412B2 (en) | 2012-07-19 | 2015-06-16 | Universal Display Corporation | Transition metal complexes containing substituted imidazole carbene as ligands and their application in OLEDs |
| US9663544B2 (en) | 2012-07-25 | 2017-05-30 | Universal Display Corporation | Organic electroluminescent materials and devices |
| US9318710B2 (en) | 2012-07-30 | 2016-04-19 | Universal Display Corporation | Organic electroluminescent materials and devices |
| US9627631B2 (en) | 2012-07-30 | 2017-04-18 | Universal Display Corporation | Organic electroluminescent materials and devices |
| US9978958B2 (en) | 2012-08-24 | 2018-05-22 | Universal Display Corporation | Phosphorescent emitters with phenylimidazole ligands |
| US8952362B2 (en) | 2012-08-31 | 2015-02-10 | The Regents Of The University Of Michigan | High efficiency and brightness fluorescent organic light emitting diode by triplet-triplet fusion |
| US11696459B2 (en) | 2012-09-07 | 2023-07-04 | Universal Display Corporation | Phosphorescence-sensitized delayed fluorescence light emitting system |
| US10957870B2 (en) | 2012-09-07 | 2021-03-23 | Universal Display Corporation | Organic light emitting device |
| US12295199B2 (en) | 2012-09-07 | 2025-05-06 | Universal Display Corporation | Phosphorescence-sensitized delayed fluorescence light emitting system |
| EP3318566A1 (de) | 2012-09-20 | 2018-05-09 | UDC Ireland Limited | Azadibenzofurane für elektronische anwendungen |
| US10249827B2 (en) | 2012-09-20 | 2019-04-02 | Udc Ireland Limited | Azadibenzofurans for electronic applications |
| US9287513B2 (en) | 2012-09-24 | 2016-03-15 | Universal Display Corporation | Organic electroluminescent materials and devices |
| US12421263B2 (en) | 2012-09-25 | 2025-09-23 | Universal Display Corporation | Organic electroluminescent materials and devices |
| US9312505B2 (en) | 2012-09-25 | 2016-04-12 | Universal Display Corporation | Organic electroluminescent materials and devices |
| US11917902B2 (en) | 2012-09-25 | 2024-02-27 | Universal Display Corporation | Organic electroluminescent materials and devices |
| US10388894B2 (en) | 2012-09-25 | 2019-08-20 | Universal Display Corporation | Organic electroluminescent materials and devices |
| US9252363B2 (en) | 2012-10-04 | 2016-02-02 | Universal Display Corporation | Aryloxyalkylcarboxylate solvent compositions for inkjet printing of organic layers |
| WO2014072320A1 (en) | 2012-11-06 | 2014-05-15 | Basf Se | Phenoxasiline based compounds for electronic application |
| US8692241B1 (en) | 2012-11-08 | 2014-04-08 | Universal Display Corporation | Transition metal complexes containing triazole and tetrazole carbene ligands |
| US9685617B2 (en) | 2012-11-09 | 2017-06-20 | Universal Display Corporation | Organic electronuminescent materials and devices |
| US10033002B2 (en) | 2012-11-09 | 2018-07-24 | Universal Display Corporation | Organic electroluminescent materials and devices |
| US9634264B2 (en) | 2012-11-09 | 2017-04-25 | Universal Display Corporation | Organic electroluminescent materials and devices |
| US8946697B1 (en) | 2012-11-09 | 2015-02-03 | Universal Display Corporation | Iridium complexes with aza-benzo fused ligands |
| US12453280B2 (en) | 2012-11-09 | 2025-10-21 | Universal Display Corporation | Organic electroluminescent materials and devices |
| US10510968B2 (en) | 2012-11-09 | 2019-12-17 | Universal Display Corporation | Organic electroluminescent materials and devices |
| US11380855B2 (en) | 2012-11-09 | 2022-07-05 | Universal Display Corporation | Organic electroluminescent materials and devices |
| US10069090B2 (en) | 2012-11-20 | 2018-09-04 | Universal Display Corporation | Organic electroluminescent materials and devices |
| US9190623B2 (en) | 2012-11-20 | 2015-11-17 | Universal Display Corporation | Organic electroluminescent materials and devices |
| US11145831B2 (en) | 2012-11-20 | 2021-10-12 | Universal Display Corporation | Osmium(IV) complexes for OLED materials |
| US10847729B2 (en) | 2012-11-20 | 2020-11-24 | Universal Display Corporation | Organic electroluminescent materials and devices |
| US9512136B2 (en) | 2012-11-26 | 2016-12-06 | Universal Display Corporation | Organic electroluminescent materials and devices |
| US9166175B2 (en) | 2012-11-27 | 2015-10-20 | Universal Display Corporation | Organic electroluminescent materials and devices |
| US9196860B2 (en) | 2012-12-04 | 2015-11-24 | Universal Display Corporation | Compounds for triplet-triplet annihilation upconversion |
| US8716484B1 (en) | 2012-12-05 | 2014-05-06 | Universal Display Corporation | Hole transporting materials with twisted aryl groups |
| US9670185B2 (en) | 2012-12-07 | 2017-06-06 | Universal Display Corporation | Organic electroluminescent materials and devices |
| US11716902B2 (en) | 2012-12-07 | 2023-08-01 | Universal Display Corporation | Organic electroluminescent materials and devices |
| US10910564B2 (en) | 2012-12-07 | 2021-02-02 | Universal Display Corporation | Organic electroluminescent materials and devices |
| US10069081B2 (en) | 2012-12-07 | 2018-09-04 | Universal Display Corporation | Organic electroluminescent materials and devices |
| US9209411B2 (en) | 2012-12-07 | 2015-12-08 | Universal Display Corporation | Organic electroluminescent materials and devices |
| US9653691B2 (en) | 2012-12-12 | 2017-05-16 | Universal Display Corporation | Phosphorescence-sensitizing fluorescence material system |
| US10400163B2 (en) | 2013-02-08 | 2019-09-03 | Universal Display Corporation | Organic electroluminescent materials and devices |
| DE102014001468B4 (de) | 2013-02-08 | 2024-08-08 | Universal Display Corporation | Heteroleptischer phenylbenzimidazol-komplex |
| US11871652B2 (en) | 2013-02-21 | 2024-01-09 | Universal Display Corporation | Organic electroluminescent materials and devices |
| US12527214B2 (en) | 2013-02-21 | 2026-01-13 | Universal Display Corporation | Organic electroluminescent materials and devices |
| US10367154B2 (en) | 2013-02-21 | 2019-07-30 | Universal Display Corporation | Organic electroluminescent materials and devices |
| US9935276B2 (en) | 2013-02-21 | 2018-04-03 | Universal Display Corporation | Organic electroluminescent materials and devices |
| US8927749B2 (en) | 2013-03-07 | 2015-01-06 | Universal Display Corporation | Organic electroluminescent materials and devices |
| US9419225B2 (en) | 2013-03-14 | 2016-08-16 | Universal Display Corporation | Organic electroluminescent materials and devices |
| US9997712B2 (en) | 2013-03-27 | 2018-06-12 | Universal Display Corporation | Organic electroluminescent materials and devices |
| US9537106B2 (en) | 2013-05-09 | 2017-01-03 | Universal Display Corporation | Organic electroluminescent materials and devices |
| US9735373B2 (en) | 2013-06-10 | 2017-08-15 | Universal Display Corporation | Organic electroluminescent materials and devices |
| US9673401B2 (en) | 2013-06-28 | 2017-06-06 | Universal Display Corporation | Organic electroluminescent materials and devices |
| US10199581B2 (en) | 2013-07-01 | 2019-02-05 | Universal Display Corporation | Organic electroluminescent materials and devices |
| US10991896B2 (en) | 2013-07-01 | 2021-04-27 | Universal Display Corporation | Organic electroluminescent materials and devices |
| US10121975B2 (en) | 2013-07-03 | 2018-11-06 | Universal Display Corporation | Organic electroluminescent materials and devices |
| US9761807B2 (en) | 2013-07-15 | 2017-09-12 | Universal Display Corporation | Organic light emitting diode materials |
| US9553274B2 (en) | 2013-07-16 | 2017-01-24 | Universal Display Corporation | Organic electroluminescent materials and devices |
| US9324949B2 (en) | 2013-07-16 | 2016-04-26 | Universal Display Corporation | Organic electroluminescent materials and devices |
| US9224958B2 (en) | 2013-07-19 | 2015-12-29 | Universal Display Corporation | Organic electroluminescent materials and devices |
| US10930866B2 (en) | 2013-07-25 | 2021-02-23 | Universal Display Corporation | Organic electroluminescent materials and devices |
| US10749114B2 (en) | 2013-08-20 | 2020-08-18 | Universal Display Corporation | Organic electroluminescent materials and devices |
| US9831437B2 (en) | 2013-08-20 | 2017-11-28 | Universal Display Corporation | Organic electroluminescent materials and devices |
| US10074806B2 (en) | 2013-08-20 | 2018-09-11 | Universal Display Corporation | Organic electroluminescent materials and devices |
| US11611042B2 (en) | 2013-08-20 | 2023-03-21 | Universal Display Corporation | Organic electroluminescent materials and devices |
| US9932359B2 (en) | 2013-08-30 | 2018-04-03 | University Of Southern California | Organic electroluminescent materials and devices |
| US10199582B2 (en) | 2013-09-03 | 2019-02-05 | University Of Southern California | Organic electroluminescent materials and devices |
| US9735378B2 (en) | 2013-09-09 | 2017-08-15 | Universal Display Corporation | Organic electroluminescent materials and devices |
| US9748503B2 (en) | 2013-09-13 | 2017-08-29 | Universal Display Corporation | Organic electroluminescent materials and devices |
| US10003034B2 (en) | 2013-09-30 | 2018-06-19 | Universal Display Corporation | Organic electroluminescent materials and devices |
| US9831447B2 (en) | 2013-10-08 | 2017-11-28 | Universal Display Corporation | Organic electroluminescent materials and devices |
| US9293712B2 (en) | 2013-10-11 | 2016-03-22 | Universal Display Corporation | Disubstituted pyrene compounds with amino group containing ortho aryl group and devices containing the same |
| US9853229B2 (en) | 2013-10-23 | 2017-12-26 | University Of Southern California | Organic electroluminescent materials and devices |
| US10128450B2 (en) | 2013-10-23 | 2018-11-13 | University Of Southern California | Organic electroluminescent materials and devices |
| US11944000B2 (en) | 2013-10-29 | 2024-03-26 | Universal Display Corporation | Organic electroluminescent materials and devices |
| WO2015063046A1 (en) | 2013-10-31 | 2015-05-07 | Basf Se | Azadibenzothiophenes for electronic applications |
| US9306179B2 (en) | 2013-11-08 | 2016-04-05 | Universal Display Corporation | Organic electroluminescent materials and devices |
| US9647218B2 (en) | 2013-11-14 | 2017-05-09 | Universal Display Corporation | Organic electroluminescent materials and devices |
| US9905784B2 (en) | 2013-11-15 | 2018-02-27 | Universal Display Corporation | Organic electroluminescent materials and devices |
| US10056565B2 (en) | 2013-11-20 | 2018-08-21 | Universal Display Corporation | Organic electroluminescent materials and devices |
| US10644251B2 (en) | 2013-12-04 | 2020-05-05 | Universal Display Corporation | Organic electroluminescent materials and devices |
| US9876173B2 (en) | 2013-12-09 | 2018-01-23 | Universal Display Corporation | Organic electroluminescent materials and devices |
| US10355227B2 (en) | 2013-12-16 | 2019-07-16 | Universal Display Corporation | Metal complex for phosphorescent OLED |
| US11653558B2 (en) | 2013-12-16 | 2023-05-16 | Universal Display Corporation | Organic electroluminescent materials and devices |
| US9847496B2 (en) | 2013-12-23 | 2017-12-19 | Universal Display Corporation | Organic electroluminescent materials and devices |
| US10749122B2 (en) | 2014-01-07 | 2020-08-18 | Universal Display Corporation | Organic electroluminescent materials and devices |
| US10985331B2 (en) | 2014-01-07 | 2021-04-20 | Universal Display Corporation | Organic electroluminescent materials and devices |
| US11943999B2 (en) | 2014-01-07 | 2024-03-26 | Universal Display Corporation | Organic electroluminescent materials and devices |
| US10135008B2 (en) | 2014-01-07 | 2018-11-20 | Universal Display Corporation | Organic electroluminescent materials and devices |
| US11005051B2 (en) | 2014-01-08 | 2021-05-11 | Universal Display Corporation | Organic electroluminescent materials and devices |
| US9978961B2 (en) | 2014-01-08 | 2018-05-22 | Universal Display Corporation | Organic electroluminescent materials and devices |
| US9755159B2 (en) | 2014-01-23 | 2017-09-05 | Universal Display Corporation | Organic materials for OLEDs |
| US9935277B2 (en) | 2014-01-30 | 2018-04-03 | Universal Display Corporation | Organic electroluminescent materials and devices |
| US9590194B2 (en) | 2014-02-14 | 2017-03-07 | Universal Display Corporation | Organic electroluminescent materials and devices |
| US9847497B2 (en) | 2014-02-18 | 2017-12-19 | Universal Display Corporation | Organic electroluminescent materials and devices |
| US11024816B2 (en) | 2014-02-18 | 2021-06-01 | Universal Display Corporation | Organic electroluminescent materials and devices |
| US10003033B2 (en) | 2014-02-18 | 2018-06-19 | Universal Display Corporation | Organic electroluminescent materials and devices |
| US10707423B2 (en) | 2014-02-21 | 2020-07-07 | Universal Display Corporation | Organic electroluminescent materials and devices |
| US9502656B2 (en) | 2014-02-24 | 2016-11-22 | Universal Display Corporation | Organic electroluminescent materials and devices |
| US9647217B2 (en) | 2014-02-24 | 2017-05-09 | Universal Display Corporation | Organic electroluminescent materials and devices |
| US10403825B2 (en) | 2014-02-27 | 2019-09-03 | Universal Display Corporation | Organic electroluminescent materials and devices |
| US12274165B2 (en) | 2014-02-27 | 2025-04-08 | Universal Display Corporation | Organic electroluminescent materials and devices |
| US11600782B2 (en) | 2014-02-27 | 2023-03-07 | Universal Display Corporation | Organic electroluminescent materials and devices |
| US9673407B2 (en) | 2014-02-28 | 2017-06-06 | Universal Display Corporation | Organic electroluminescent materials and devices |
| US9181270B2 (en) | 2014-02-28 | 2015-11-10 | Universal Display Corporation | Method of making sulfide compounds |
| US9590195B2 (en) | 2014-02-28 | 2017-03-07 | Universal Display Corporation | Organic electroluminescent materials and devices |
| US9190620B2 (en) | 2014-03-01 | 2015-11-17 | Universal Display Corporation | Organic electroluminescent materials and devices |
| US9397309B2 (en) | 2014-03-13 | 2016-07-19 | Universal Display Corporation | Organic electroluminescent devices |
| US10208026B2 (en) | 2014-03-18 | 2019-02-19 | Universal Display Corporation | Organic electroluminescent materials and devices |
| US9748504B2 (en) | 2014-03-25 | 2017-08-29 | Universal Display Corporation | Organic electroluminescent materials and devices |
| US9929353B2 (en) | 2014-04-02 | 2018-03-27 | Universal Display Corporation | Organic electroluminescent materials and devices |
| US9691993B2 (en) | 2014-04-09 | 2017-06-27 | Universal Display Corporation | Organic electroluminescent materials and devices |
| US11793066B2 (en) | 2014-04-14 | 2023-10-17 | Universal Display Corporation | Organic electroluminescent materials and devices |
| US11005052B2 (en) | 2014-04-14 | 2021-05-11 | Universal Display Corporation | Organic electroluminescent materials and devices |
| US10008679B2 (en) | 2014-04-14 | 2018-06-26 | Universal Display Corporation | Organic electroluminescent materials and devices |
| US10825998B2 (en) | 2014-04-14 | 2020-11-03 | Universal Display Corporation | Organic electroluminescent materials and devices |
| US9847498B2 (en) | 2014-04-14 | 2017-12-19 | Universal Display Corporation | Organic electroluminescent materials and devices |
| US9905785B2 (en) | 2014-04-14 | 2018-02-27 | Universal Display Corporation | Organic electroluminescent materials and devices |
| US9450198B2 (en) | 2014-04-15 | 2016-09-20 | Universal Display Corporation | Organic electroluminescent materials and devices |
| US10256427B2 (en) | 2014-04-15 | 2019-04-09 | Universal Display Corporation | Efficient organic electroluminescent devices |
| US9741941B2 (en) | 2014-04-29 | 2017-08-22 | Universal Display Corporation | Organic electroluminescent materials and devices |
| US11427607B2 (en) | 2014-05-02 | 2022-08-30 | Universal Display Corporation | Organic electroluminescent materials and devices |
| US11919916B2 (en) | 2014-05-02 | 2024-03-05 | Universal Display Corporation | Organic electroluminescent materials and devices |
| US10457699B2 (en) | 2014-05-02 | 2019-10-29 | Universal Display Corporation | Organic electroluminescent materials and devices |
| US10256419B2 (en) | 2014-05-08 | 2019-04-09 | Universal Display Corporation | Organic electroluminescent materials and devices |
| US11495754B2 (en) | 2014-05-08 | 2022-11-08 | Universal Display Corporation | Organic electroluminescent materials and devices |
| US10403830B2 (en) | 2014-05-08 | 2019-09-03 | Universal Display Corporation | Organic electroluminescent materials and devices |
| US10276805B2 (en) | 2014-05-08 | 2019-04-30 | Universal Display Corporation | Organic electroluminescent materials and devices |
| US10263198B2 (en) | 2014-05-08 | 2019-04-16 | Universal Display Corporation | Organic electroluminescent materials and devices |
| US10636983B2 (en) | 2014-05-08 | 2020-04-28 | Universal Display Corporation | Organic electroluminescent materials and devices |
| US10301338B2 (en) | 2014-05-08 | 2019-05-28 | Universal Display Corporation | Organic electroluminescent materials and devices |
| US9997716B2 (en) | 2014-05-27 | 2018-06-12 | Universal Display Corporation | Organic electroluminescent materials and devices |
| US10461260B2 (en) | 2014-06-03 | 2019-10-29 | Universal Display Corporation | Organic electroluminescent materials and devices |
| US9911931B2 (en) | 2014-06-26 | 2018-03-06 | Universal Display Corporation | Organic electroluminescent materials and devices |
| US10700293B2 (en) | 2014-06-26 | 2020-06-30 | Universal Display Corporation | Organic electroluminescent materials and devices |
| US11957047B2 (en) | 2014-07-09 | 2024-04-09 | Universal Display Corporation | Organic electroluminescent materials and devices |
| US11024811B2 (en) | 2014-07-09 | 2021-06-01 | Universal Display Corporation | Organic electroluminescent materials and devices |
| US10297762B2 (en) | 2014-07-09 | 2019-05-21 | Universal Display Corporation | Organic electroluminescent materials and devices |
| US11456423B2 (en) | 2014-07-09 | 2022-09-27 | Universal Display Corporation | Organic electroluminescent materials and devices |
| US10566546B2 (en) | 2014-07-14 | 2020-02-18 | Universal Display Corporation | Organic electroluminescent materials and devices |
| US9929357B2 (en) | 2014-07-22 | 2018-03-27 | Universal Display Corporation | Organic electroluminescent materials and devices |
| WO2016016791A1 (en) | 2014-07-28 | 2016-02-04 | Idemitsu Kosan Co., Ltd (Ikc) | 2,9-functionalized benzimidazolo[1,2-a]benzimidazoles as hosts for organic light emitting diodes (oleds) |
| US12029108B2 (en) | 2014-08-07 | 2024-07-02 | Universal Display Corporation | Organic electroluminescent materials and devices |
| US11108000B2 (en) | 2014-08-07 | 2021-08-31 | Unniversal Display Corporation | Organic electroluminescent materials and devices |
| EP2982676A1 (de) | 2014-08-07 | 2016-02-10 | Idemitsu Kosan Co., Ltd. | Benzimidazo[2,1-b]benzoxazole für elektronische Anwendungen |
| US10411200B2 (en) | 2014-08-07 | 2019-09-10 | Universal Display Corporation | Electroluminescent (2-phenylpyridine)iridium complexes and devices |
| EP2993215A1 (de) | 2014-09-04 | 2016-03-09 | Idemitsu Kosan Co., Ltd. | Azabenzimidazo[2,1-a]benzimidazole für elektronische Anwendungen |
| US10043987B2 (en) | 2014-09-29 | 2018-08-07 | Universal Display Corporation | Organic electroluminescent materials and devices |
| US10749113B2 (en) | 2014-09-29 | 2020-08-18 | Universal Display Corporation | Organic electroluminescent materials and devices |
| US10135007B2 (en) | 2014-09-29 | 2018-11-20 | Universal Display Corporation | Organic electroluminescent materials and devices |
| US11641774B2 (en) | 2014-09-29 | 2023-05-02 | Universal Display Corporation | Organic electroluminescent materials and devices |
| US11342510B2 (en) | 2014-10-06 | 2022-05-24 | Universal Display Corporation | Organic electroluminescent materials and devices |
| US10361375B2 (en) | 2014-10-06 | 2019-07-23 | Universal Display Corporation | Organic electroluminescent materials and devices |
| US10854826B2 (en) | 2014-10-08 | 2020-12-01 | Universal Display Corporation | Organic electroluminescent compounds, compositions and devices |
| US11342516B2 (en) | 2014-10-08 | 2022-05-24 | Universal Display Corporation | Organic electroluminescent materials and devices |
| US9799838B2 (en) | 2014-10-08 | 2017-10-24 | Universal Display Corporation | Fluorinated organic electroluminescent materials and devices |
| US10998508B2 (en) | 2014-10-08 | 2021-05-04 | Universal Display Corporation | Organic electroluminescent materials and devices |
| US12082485B2 (en) | 2014-10-08 | 2024-09-03 | Universal Display Corporation | Organic electroluminescent materials and devices |
| US9397302B2 (en) | 2014-10-08 | 2016-07-19 | Universal Display Corporation | Organic electroluminescent materials and devices |
| US10950803B2 (en) | 2014-10-13 | 2021-03-16 | Universal Display Corporation | Compounds and uses in devices |
| US9484541B2 (en) | 2014-10-20 | 2016-11-01 | Universal Display Corporation | Organic electroluminescent materials and devices |
| EP3015469A1 (de) | 2014-10-30 | 2016-05-04 | Idemitsu Kosan Co., Ltd. | 5-((benz)imidazol-2-yl)benzimidazo[1,2-a]benzimidazole für elektronische anwendungen |
| WO2016067261A1 (en) | 2014-10-30 | 2016-05-06 | Idemitsu Kosan Co., Ltd. | 5-((benz)imidazol-2-yl)benzimidazo[1,2-a]benzimidazoles for electronic applications |
| US12201012B2 (en) | 2014-11-10 | 2025-01-14 | Universal Display Corporation | Organic electroluminescent materials and devices |
| US10868261B2 (en) | 2014-11-10 | 2020-12-15 | Universal Display Corporation | Organic electroluminescent materials and devices |
| US11043641B2 (en) | 2014-11-12 | 2021-06-22 | Universal Display Corporation | Organic electroluminescent materials and devices |
| US10411201B2 (en) | 2014-11-12 | 2019-09-10 | Universal Display Corporation | Organic electroluminescent materials and devices |
| US11832507B2 (en) | 2014-11-12 | 2023-11-28 | Universal Display Corporation | Organic electroluminescent materials and devices |
| US10038151B2 (en) | 2014-11-12 | 2018-07-31 | Universal Display Corporation | Organic electroluminescent materials and devices |
| US9871212B2 (en) | 2014-11-14 | 2018-01-16 | Universal Display Corporation | Organic electroluminescent materials and devices |
| US9882151B2 (en) | 2014-11-14 | 2018-01-30 | Universal Display Corporation | Organic electroluminescent materials and devices |
| WO2016079667A1 (en) | 2014-11-17 | 2016-05-26 | Idemitsu Kosan Co., Ltd. | Indole derivatives for electronic applications |
| US9761814B2 (en) | 2014-11-18 | 2017-09-12 | Universal Display Corporation | Organic light-emitting materials and devices |
| US12156464B2 (en) | 2014-11-25 | 2024-11-26 | Universal Display Corporation | Organic electroluminescent materials and devices |
| US9444075B2 (en) | 2014-11-26 | 2016-09-13 | Universal Display Corporation | Emissive display with photo-switchable polarization |
| US9825260B2 (en) | 2014-11-26 | 2017-11-21 | Universal Display Corporation | Emissive display with photo-switchable polarization |
| EP3034506A1 (de) | 2014-12-15 | 2016-06-22 | Idemitsu Kosan Co., Ltd | 4-funktionalisierte Carbazolderivate für elektronische Anwendungen |
| EP3034507A1 (de) | 2014-12-15 | 2016-06-22 | Idemitsu Kosan Co., Ltd | 1-funktionalisierte Dibenzofurane und Dibenzothiophene für organische Leuchtdioden (OLEDS) |
| WO2016097983A1 (en) | 2014-12-15 | 2016-06-23 | Idemitsu Kosan Co., Ltd. | 1-functionalized dibenzofurans and dibenzothiophenes for organic light emitting diodes (oleds) |
| US9450195B2 (en) | 2014-12-17 | 2016-09-20 | Universal Display Corporation | Organic electroluminescent materials and devices |
| US9680113B2 (en) | 2014-12-17 | 2017-06-13 | Universal Display Corporation | Organic electroluminescent materials and devices |
| US10000517B2 (en) | 2014-12-17 | 2018-06-19 | Universal Display Corporation | Organic electroluminescent materials and devices |
| US10253252B2 (en) | 2014-12-30 | 2019-04-09 | Universal Display Corporation | Organic electroluminescent materials and devices |
| US10636978B2 (en) | 2014-12-30 | 2020-04-28 | Universal Display Corporation | Organic electroluminescent materials and devices |
| US9312499B1 (en) | 2015-01-05 | 2016-04-12 | Universal Display Corporation | Organic electroluminescent materials and devices |
| US9406892B2 (en) | 2015-01-07 | 2016-08-02 | Universal Display Corporation | Organic electroluminescent materials and devices |
| US9748500B2 (en) | 2015-01-15 | 2017-08-29 | Universal Display Corporation | Organic light emitting materials |
| US9711730B2 (en) | 2015-01-25 | 2017-07-18 | Universal Display Corporation | Organic electroluminescent materials and devices |
| US10418569B2 (en) | 2015-01-25 | 2019-09-17 | Universal Display Corporation | Organic electroluminescent materials and devices |
| US11245081B2 (en) | 2015-02-06 | 2022-02-08 | Universal Display Corporation | Organic electroluminescent materials and devices |
| DE102015101767A1 (de) | 2015-02-06 | 2016-08-11 | Technische Universität Dresden | Blaue Fluoreszenzemitter |
| WO2016124704A1 (de) | 2015-02-06 | 2016-08-11 | Technische Universität Dresden | Blaue fluoreszenzemitter |
| WO2016125110A1 (en) | 2015-02-06 | 2016-08-11 | Idemitsu Kosan Co., Ltd. | Bisimidazolodiazocines |
| US10418562B2 (en) | 2015-02-06 | 2019-09-17 | Universal Display Corporation | Organic electroluminescent materials and devices |
| US10355222B2 (en) | 2015-02-06 | 2019-07-16 | Universal Display Corporation | Organic electroluminescent materials and devices |
| EP3054498A1 (de) | 2015-02-06 | 2016-08-10 | Idemitsu Kosan Co., Ltd. | Bisimidazodiazozine |
| US10644247B2 (en) | 2015-02-06 | 2020-05-05 | Universal Display Corporation | Organic electroluminescent materials and devices |
| EP3053918A1 (de) | 2015-02-06 | 2016-08-10 | Idemitsu Kosan Co., Ltd | 2-Carbazol substituierte Benzimidazole für elektronische Anwendungen |
| US10177316B2 (en) | 2015-02-09 | 2019-01-08 | Universal Display Corporation | Organic electroluminescent materials and devices |
| US10144867B2 (en) | 2015-02-13 | 2018-12-04 | Universal Display Corporation | Organic electroluminescent materials and devices |
| US10889754B2 (en) | 2015-02-13 | 2021-01-12 | Universal Display Corporation | Organic electroluminescent materials and devices |
| US11535797B2 (en) | 2015-02-13 | 2022-12-27 | Universal Display Corporation | Organic electroluminescent materials and devices |
| US12319857B2 (en) | 2015-02-13 | 2025-06-03 | Universal Display Corporation | Organic electroluminescent materials and devices |
| US11795385B2 (en) | 2015-02-13 | 2023-10-24 | Universal Display Corporation | Organic electroluminescent materials and devices |
| US10680183B2 (en) | 2015-02-15 | 2020-06-09 | Universal Display Corporation | Organic electroluminescent materials and devices |
| US9929361B2 (en) | 2015-02-16 | 2018-03-27 | Universal Display Corporation | Organic electroluminescent materials and devices |
| EP3061759A1 (de) | 2015-02-24 | 2016-08-31 | Idemitsu Kosan Co., Ltd | Nitrilsubstituierte dibenzofurane |
| US11056657B2 (en) | 2015-02-27 | 2021-07-06 | University Display Corporation | Organic electroluminescent materials and devices |
| US10600966B2 (en) | 2015-02-27 | 2020-03-24 | Universal Display Corporation | Organic electroluminescent materials and devices |
| US11678567B2 (en) | 2015-02-27 | 2023-06-13 | Universal Display Corporation | Organic electroluminescent materials and devices |
| US10686143B2 (en) | 2015-03-05 | 2020-06-16 | Universal Display Corporation | Organic electroluminescent materials and devices |
| US10270046B2 (en) | 2015-03-06 | 2019-04-23 | Universal Display Corporation | Organic electroluminescent materials and devices |
| US9780316B2 (en) | 2015-03-16 | 2017-10-03 | Universal Display Corporation | Organic electroluminescent materials and devices |
| EP3070144A1 (de) | 2015-03-17 | 2016-09-21 | Idemitsu Kosan Co., Ltd. | Siebengliedrige ringverbindungen |
| US9911928B2 (en) | 2015-03-19 | 2018-03-06 | Universal Display Corporation | Organic electroluminescent materials and devices |
| US10529931B2 (en) | 2015-03-24 | 2020-01-07 | Universal Display Corporation | Organic Electroluminescent materials and devices |
| EP3072943A1 (de) | 2015-03-26 | 2016-09-28 | Idemitsu Kosan Co., Ltd. | Dibenzofuran/carbazol-substituierte benzonitrile |
| US10297770B2 (en) | 2015-03-27 | 2019-05-21 | Universal Display Corporation | Organic electroluminescent materials and devices |
| WO2016157113A1 (en) | 2015-03-31 | 2016-10-06 | Idemitsu Kosan Co., Ltd. | Benzimidazolo[1,2-a]benzimidazole carrying aryl- or heteroarylnitril groups for organic light emitting diodes |
| EP3075737A1 (de) | 2015-03-31 | 2016-10-05 | Idemitsu Kosan Co., Ltd | Benzimidazolo[1,2-a]benzimidazol mit aryl- oder heteroarylnitrilgruppen für organische leuchtdioden |
| US10693082B2 (en) | 2015-04-06 | 2020-06-23 | Universal Display Corporation | Organic electroluminescent materials and devices |
| US10593890B2 (en) | 2015-04-06 | 2020-03-17 | Universal Display Corporation | Organic electroluminescent materials and devices |
| US12284913B2 (en) | 2015-04-06 | 2025-04-22 | Universal Display Corporation | Organic electroluminescent materials and devices |
| US11672175B2 (en) | 2015-04-06 | 2023-06-06 | Universal Display Corporation | Organic electroluminescent materials and devices |
| US11818949B2 (en) | 2015-04-06 | 2023-11-14 | Universal Display Corporation | Organic electroluminescent materials and devices |
| US11245080B2 (en) | 2015-04-06 | 2022-02-08 | Universal Display Corporation | Organic electroluminescent materials and devices |
| US12295262B2 (en) | 2015-04-06 | 2025-05-06 | Universal Display Corporation | Organic electroluminescent materials and devices |
| US10777749B2 (en) | 2015-05-07 | 2020-09-15 | Universal Display Corporation | Organic electroluminescent materials and devices |
| US11744151B2 (en) | 2015-05-07 | 2023-08-29 | Universal Display Corporation | Organic electroluminescent materials and devices |
| US10403826B2 (en) | 2015-05-07 | 2019-09-03 | Universal Display Corporation | Organic electroluminescent materials and devices |
| US9478758B1 (en) | 2015-05-08 | 2016-10-25 | Universal Display Corporation | Organic electroluminescent materials and devices |
| US12035614B2 (en) | 2015-05-15 | 2024-07-09 | Universal Display Corporation | Organic electroluminescent materials and devices |
| US10547013B2 (en) | 2015-05-15 | 2020-01-28 | Universal Display Corporation | Organic electroluminescent materials and devices |
| US11335864B2 (en) | 2015-05-15 | 2022-05-17 | Universal Display Corporation | Organic electroluminescent materials and devices |
| US9859510B2 (en) | 2015-05-15 | 2018-01-02 | Universal Display Corporation | Organic electroluminescent materials and devices |
| USRE48809E1 (en) | 2015-05-15 | 2021-11-02 | Universal Display Corporation | Organic electroluminescent materials and devices |
| US10256411B2 (en) | 2015-05-21 | 2019-04-09 | Universal Display Corporation | Organic electroluminescent materials and devices |
| US10109799B2 (en) | 2015-05-21 | 2018-10-23 | Universal Display Corporation | Organic electroluminescent materials and devices |
| US10033004B2 (en) | 2015-06-01 | 2018-07-24 | Universal Display Corporation | Organic electroluminescent materials and devices |
| US10418568B2 (en) | 2015-06-01 | 2019-09-17 | Universal Display Corporation | Organic electroluminescent materials and devices |
| US11925102B2 (en) | 2015-06-04 | 2024-03-05 | Universal Display Corporation | Organic electroluminescent materials and devices |
| US12058929B2 (en) | 2015-06-04 | 2024-08-06 | Universal Display Corporation | Organic electroluminescent materials and devices |
| US10825997B2 (en) | 2015-06-25 | 2020-11-03 | Universal Display Corporation | Organic electroluminescent materials and devices |
| US10873036B2 (en) | 2015-07-07 | 2020-12-22 | Universal Display Corporation | Organic electroluminescent materials and devices |
| US9978956B2 (en) | 2015-07-15 | 2018-05-22 | Universal Display Corporation | Organic electroluminescent materials and devices |
| US11127905B2 (en) | 2015-07-29 | 2021-09-21 | Universal Display Corporation | Organic electroluminescent materials and devices |
| US12459955B2 (en) | 2015-07-29 | 2025-11-04 | Universal Display Corporation | Organic electroluminescent materials and devices |
| US11018309B2 (en) | 2015-08-03 | 2021-05-25 | Universal Display Corporation | Organic electroluminescent materials and devices |
| US11522140B2 (en) | 2015-08-17 | 2022-12-06 | Universal Display Corporation | Organic electroluminescent materials and devices |
| US10522769B2 (en) | 2015-08-18 | 2019-12-31 | Universal Display Corporation | Organic electroluminescent materials and devices |
| US10181564B2 (en) | 2015-08-26 | 2019-01-15 | Universal Display Corporation | Organic electroluminescent materials and devices |
| US11605789B2 (en) | 2015-09-03 | 2023-03-14 | Universal Display Corporation | Organic electroluminescent materials and devices |
| US10672996B2 (en) | 2015-09-03 | 2020-06-02 | Universal Display Corporation | Organic electroluminescent materials and devices |
| US11626563B2 (en) | 2015-09-03 | 2023-04-11 | Universal Display Corporation | Organic electroluminescent materials and devices |
| US10361381B2 (en) | 2015-09-03 | 2019-07-23 | Universal Display Corporation | Organic electroluminescent materials and devices |
| US11302872B2 (en) | 2015-09-09 | 2022-04-12 | Universal Display Corporation | Organic electroluminescent materials and devices |
| US10770664B2 (en) | 2015-09-21 | 2020-09-08 | Universal Display Corporation | Organic electroluminescent materials and devices |
| US11812622B2 (en) | 2015-09-25 | 2023-11-07 | Universal Display Corporation | Organic electroluminescent compounds and devices |
| EP3150606A1 (de) | 2015-10-01 | 2017-04-05 | Idemitsu Kosan Co., Ltd. | Benzimidazolo[1,2-a]benzimidazole mit benzofuran- oder benzothiophen- gruppen für organische licht emittierende dioden. |
| WO2017056055A1 (en) | 2015-10-01 | 2017-04-06 | Idemitsu Kosan Co., Ltd. | Benzimidazolo[1,2-a]benzimidazole carrying triazine groups for organic light emitting diodes |
| US10847728B2 (en) | 2015-10-01 | 2020-11-24 | Universal Display Corporation | Organic electroluminescent materials and devices |
| US12063853B2 (en) | 2015-10-01 | 2024-08-13 | Universal Display Corporation | Organic electroluminescent materials and devices |
| US10593892B2 (en) | 2015-10-01 | 2020-03-17 | Universal Display Corporation | Organic electroluminescent materials and devices |
| US11889747B2 (en) | 2015-10-01 | 2024-01-30 | Universal Display Corporation | Organic electroluminescent materials and devices |
| EP3150604A1 (de) | 2015-10-01 | 2017-04-05 | Idemitsu Kosan Co., Ltd. | Benzimidazolo[1,2-a]benzimidazol mit benzimidazolo[1,2-a]benzimidazolylgruppen, carbazolylgruppen, benzofurangruppen oder benzothiophengruppen für organische leuchtdioden |
| WO2017056053A1 (en) | 2015-10-01 | 2017-04-06 | Idemitsu Kosan Co., Ltd. | Benzimidazolo[1,2-a]benzimidazole carrying benzimidazolo[1,2-a]benzimidazolyl groups, carbazolyl groups, benzofurane groups or benzothiophene groups for organic light emitting diodes |
| WO2017056052A1 (en) | 2015-10-01 | 2017-04-06 | Idemitsu Kosan Co., Ltd. | Benzimidazolo[1,2-a]benzimidazole carrying benzimidazolo[1,2-a]benzimidazolyl groups, carbazolyl groups, benzofurane groups or benzothiophene groups for organic light emitting diodes |
| US10991895B2 (en) | 2015-10-06 | 2021-04-27 | Universal Display Corporation | Organic electroluminescent materials and devices |
| US11349087B2 (en) | 2015-10-29 | 2022-05-31 | Universal Display Corporation | Organic electroluminescent materials and devices |
| US10177318B2 (en) | 2015-10-29 | 2019-01-08 | Universal Display Corporation | Organic electroluminescent materials and devices |
| US10388893B2 (en) | 2015-10-29 | 2019-08-20 | Universal Display Corporation | Organic electroluminescent materials and devices |
| US10388892B2 (en) | 2015-10-29 | 2019-08-20 | Universal Display Corporation | Organic electroluminescent materials and devices |
| WO2017078182A1 (en) | 2015-11-04 | 2017-05-11 | Idemitsu Kosan Co., Ltd. | Benzimidazole fused heteroaryls |
| US11832456B2 (en) | 2015-11-23 | 2023-11-28 | Universal Display Corporation | Organic electroluminescent materials and devices |
| US10998507B2 (en) | 2015-11-23 | 2021-05-04 | Universal Display Corporation | Organic electroluminescent materials and devices |
| US10476010B2 (en) | 2015-11-30 | 2019-11-12 | Universal Display Corporation | Organic electroluminescent materials and devices |
| WO2017093958A1 (en) | 2015-12-04 | 2017-06-08 | Idemitsu Kosan Co., Ltd. | Benzimidazolo[1,2-a]benzimidazole derivatives for organic light emitting diodes |
| WO2017109727A1 (en) | 2015-12-21 | 2017-06-29 | Idemitsu Kosan Co., Ltd. | Hetero-condensed phenylquinazolines and their use in electronic devices |
| WO2017109722A1 (en) | 2015-12-21 | 2017-06-29 | Idemitsu Kosan Co., Ltd. | Nitrogen-containing heterocyclic compounds and organic electroluminescence devices containing them |
| DE102015122869A1 (de) | 2015-12-28 | 2017-06-29 | Technische Universität Dresden | Neue Emittermaterialien und Matrixmaterialien für optoelektronische und elektronische Bauelemente, insbesondere organische lichtemittierende Dioden (OLEDs) |
| US11024808B2 (en) | 2015-12-29 | 2021-06-01 | Universal Display Corporation | Organic electroluminescent materials and devices |
| US11818948B2 (en) | 2015-12-29 | 2023-11-14 | Universal Display Corporation | Organic electroluminescent materials and devices |
| US10957861B2 (en) | 2015-12-29 | 2021-03-23 | Universal Display Corporation | Organic electroluminescent materials and devices |
| US10135006B2 (en) | 2016-01-04 | 2018-11-20 | Universal Display Corporation | Organic electroluminescent materials and devices |
| US11098245B2 (en) | 2016-02-09 | 2021-08-24 | Universal Display Corporation | Organic electroluminescent materials and devices |
| US11692132B2 (en) | 2016-02-09 | 2023-07-04 | Universal Display Corporation | Organic electroluminescent materials and devices |
| US11716898B2 (en) | 2016-02-09 | 2023-08-01 | Universal Display Corporation | Organic electroluminescent materials and devices |
| US12247150B2 (en) | 2016-02-09 | 2025-03-11 | Universal Display Corporation | Organic electroluminescent materials and devices |
| US10457864B2 (en) | 2016-02-09 | 2019-10-29 | Universal Display Corporation | Organic electroluminescent materials and devices |
| US10707427B2 (en) | 2016-02-09 | 2020-07-07 | Universal Display Corporation | Organic electroluminescent materials and devices |
| US10600967B2 (en) | 2016-02-18 | 2020-03-24 | Universal Display Corporation | Organic electroluminescent materials and devices |
| US12302750B2 (en) | 2016-02-18 | 2025-05-13 | Universal Display Corporation | Organic electroluminescent materials and devices |
| US12284911B2 (en) | 2016-03-16 | 2025-04-22 | Universal Display Corporation | Organic electroluminescent materials and devices |
| US11094891B2 (en) | 2016-03-16 | 2021-08-17 | Universal Display Corporation | Organic electroluminescent materials and devices |
| US10276809B2 (en) | 2016-04-05 | 2019-04-30 | Universal Display Corporation | Organic electroluminescent materials and devices |
| US10236456B2 (en) | 2016-04-11 | 2019-03-19 | Universal Display Corporation | Organic electroluminescent materials and devices |
| WO2017178864A1 (en) | 2016-04-12 | 2017-10-19 | Idemitsu Kosan Co., Ltd. | Seven-membered ring compounds |
| US11825734B2 (en) | 2016-04-13 | 2023-11-21 | Universal Display Corporation | Organic electroluminescent materials and devices |
| US11342515B2 (en) | 2016-04-13 | 2022-05-24 | Universal Display Corporation | Organic electroluminescent materials and devices |
| US10566552B2 (en) | 2016-04-13 | 2020-02-18 | Universal Display Corporation | Organic electroluminescent materials and devices |
| US11228002B2 (en) | 2016-04-22 | 2022-01-18 | Universal Display Corporation | Organic electroluminescent materials and devices |
| US11081647B2 (en) | 2016-04-22 | 2021-08-03 | Universal Display Corporation | Organic electroluminescent materials and devices |
| US11228003B2 (en) | 2016-04-22 | 2022-01-18 | Universal Display Corporation | Organic electroluminescent materials and devices |
| US12048237B2 (en) | 2016-05-05 | 2024-07-23 | Universal Display Corporation | Organic electroluminescent materials and devices |
| US10985328B2 (en) | 2016-05-25 | 2021-04-20 | Universal Display Corporation | Organic electroluminescent materials and devices |
| US11711977B2 (en) | 2016-05-25 | 2023-07-25 | Universal Display Corporation | Organic electroluminescent materials and devices |
| US10840458B2 (en) | 2016-05-25 | 2020-11-17 | Universal Display Corporation | Organic electroluminescent materials and devices |
| US10468609B2 (en) | 2016-06-02 | 2019-11-05 | Universal Display Corporation | Organic electroluminescent materials and devices |
| WO2017216299A1 (de) | 2016-06-15 | 2017-12-21 | Technische Universität Dresden | Emittermoleküle auf basis dual fluoreszierender benzol-(poly)carboxylat-akzeptoren |
| DE102016110970A1 (de) | 2016-06-15 | 2017-12-21 | Technische Universität Dresden | Effiziente lichtemittierende Emittermoleküle für optoelektronische Anwendungen durch gezielte Verstärkung der Emission aus ladungsseparierten CT-Zuständen auf Basis dual fluoreszierender Benzol-(Poly)carboxylat-Akzeptoren |
| US10727423B2 (en) | 2016-06-20 | 2020-07-28 | Universal Display Corporation | Organic electroluminescent materials and devices |
| US11588121B2 (en) | 2016-06-20 | 2023-02-21 | Universal Display Corporation | Organic electroluminescent materials and devices |
| US11839139B2 (en) | 2016-06-20 | 2023-12-05 | Universal Display Corporation | Organic electroluminescent materials and devices |
| US12101999B2 (en) | 2016-06-20 | 2024-09-24 | Universal Display Corporation | Organic electroluminescent materials and devices |
| US12398319B2 (en) | 2016-06-20 | 2025-08-26 | Universal Display Corporation | Tetradentate organic electroluminescent materials and devices |
| US10672997B2 (en) | 2016-06-20 | 2020-06-02 | Universal Display Corporation | Organic electroluminescent materials and devices |
| US11482683B2 (en) | 2016-06-20 | 2022-10-25 | Universal Display Corporation | Organic electroluminescent materials and devices |
| US10651403B2 (en) | 2016-06-20 | 2020-05-12 | Universal Display Corporation | Organic electroluminescent materials and devices |
| US11903306B2 (en) | 2016-06-20 | 2024-02-13 | Universal Display Corporation | Organic electroluminescent materials and devices |
| US12171139B2 (en) | 2016-06-20 | 2024-12-17 | Universal Display Corporation | Organic electroluminescent materials and devices |
| US10862054B2 (en) | 2016-06-20 | 2020-12-08 | Universal Display Corporation | Organic electroluminescent materials and devices |
| US10686140B2 (en) | 2016-06-20 | 2020-06-16 | Universal Display Corporation | Organic electroluminescent materials and devices |
| US11424419B2 (en) | 2016-06-20 | 2022-08-23 | Universal Display Corporation | Organic electroluminescent materials and devices |
| US11690284B2 (en) | 2016-06-20 | 2023-06-27 | Universal Display Corporation | Organic electroluminescent materials and devices |
| US11114624B2 (en) | 2016-06-20 | 2021-09-07 | Universal Display Corporation | Organic electroluminescent materials and devices |
| US11683981B2 (en) | 2016-06-20 | 2023-06-20 | Universal Display Corporation | Organic electroluminescent materials and devices |
| US12274157B2 (en) | 2016-06-20 | 2025-04-08 | Universal Display Corporation | Organic electroluminescent materials and devices |
| US10957866B2 (en) | 2016-06-30 | 2021-03-23 | Universal Display Corporation | Organic electroluminescent materials and devices |
| US9929360B2 (en) | 2016-07-08 | 2018-03-27 | Universal Display Corporation | Organic electroluminescent materials and devices |
| US10680184B2 (en) | 2016-07-11 | 2020-06-09 | Universal Display Corporation | Organic electroluminescent materials and devices |
| US10566547B2 (en) | 2016-07-11 | 2020-02-18 | Universal Display Corporation | Organic electroluminescent materials and devices |
| US10153443B2 (en) | 2016-07-19 | 2018-12-11 | Universal Display Corporation | Organic electroluminescent materials and devices |
| US10720587B2 (en) | 2016-07-19 | 2020-07-21 | Universal Display Corporation | Organic electroluminescent materials and devices |
| US10205105B2 (en) | 2016-08-15 | 2019-02-12 | Universal Display Corporation | Organic electroluminescent materials and devices |
| US10608186B2 (en) | 2016-09-14 | 2020-03-31 | Universal Display Corporation | Organic electroluminescent materials and devices |
| US11024807B2 (en) | 2016-09-14 | 2021-06-01 | Universal Display Corporation | Organic electroluminescent materials and devices |
| US10505127B2 (en) | 2016-09-19 | 2019-12-10 | Universal Display Corporation | Organic electroluminescent materials and devices |
| US10680187B2 (en) | 2016-09-23 | 2020-06-09 | Universal Display Corporation | Organic electroluminescent materials and devices |
| US11189804B2 (en) | 2016-10-03 | 2021-11-30 | Universal Display Corporation | Organic electroluminescent materials and devices |
| US11081658B2 (en) | 2016-10-03 | 2021-08-03 | Universal Display Corporation | Organic electroluminescent materials and devices |
| US11127906B2 (en) | 2016-10-03 | 2021-09-21 | Universal Display Corporation | Organic electroluminescent materials and devices |
| US11196010B2 (en) | 2016-10-03 | 2021-12-07 | Universal Display Corporation | Organic electroluminescent materials and devices |
| US11711969B2 (en) | 2016-10-03 | 2023-07-25 | Universal Display Corporation | Organic electroluminescent materials and devices |
| US11183642B2 (en) | 2016-10-03 | 2021-11-23 | Universal Display Corporation | Organic electroluminescent materials and devices |
| US11711968B2 (en) | 2016-10-07 | 2023-07-25 | Universal Display Corporation | Organic electroluminescent materials and devices |
| US11011709B2 (en) | 2016-10-07 | 2021-05-18 | Universal Display Corporation | Organic electroluminescent materials and devices |
| US12239011B2 (en) | 2016-10-07 | 2025-02-25 | Universal Display Corporation | Organic electroluminescent materials and devices |
| US11239432B2 (en) | 2016-10-14 | 2022-02-01 | Universal Display Corporation | Organic electroluminescent materials and devices |
| US10608185B2 (en) | 2016-10-17 | 2020-03-31 | Univeral Display Corporation | Organic electroluminescent materials and devices |
| US10236458B2 (en) | 2016-10-24 | 2019-03-19 | Universal Display Corporation | Organic electroluminescent materials and devices |
| US12317745B2 (en) | 2016-11-09 | 2025-05-27 | Universal Display Corporation | Organic electroluminescent materials and devices |
| US10340464B2 (en) | 2016-11-10 | 2019-07-02 | Universal Display Corporation | Organic electroluminescent materials and devices |
| US11069864B2 (en) | 2016-11-11 | 2021-07-20 | Universal Display Corporation | Organic electroluminescent materials and devices |
| US10680188B2 (en) | 2016-11-11 | 2020-06-09 | Universal Display Corporation | Organic electroluminescent materials and devices |
| US11980094B2 (en) | 2016-11-14 | 2024-05-07 | Universal Display Corporation | Organic electroluminescent materials and devices |
| US10897016B2 (en) | 2016-11-14 | 2021-01-19 | Universal Display Corporation | Organic electroluminescent materials and devices |
| US10964893B2 (en) | 2016-11-17 | 2021-03-30 | Universal Display Corporation | Organic electroluminescent materials and devices |
| US10662196B2 (en) | 2016-11-17 | 2020-05-26 | Universal Display Corporation | Organic electroluminescent materials and devices |
| US10833276B2 (en) | 2016-11-21 | 2020-11-10 | Universal Display Corporation | Organic electroluminescent materials and devices |
| US10153445B2 (en) | 2016-11-21 | 2018-12-11 | Universal Display Corporation | Organic electroluminescent materials and devices |
| US12428438B2 (en) | 2016-12-01 | 2025-09-30 | Universal Display Corporation | Organic electroluminescent materials and devices |
| US11555048B2 (en) | 2016-12-01 | 2023-01-17 | Universal Display Corporation | Organic electroluminescent materials and devices |
| US10490753B2 (en) | 2016-12-15 | 2019-11-26 | Universal Display Corporation | Organic electroluminescent materials and devices |
| US11545636B2 (en) | 2016-12-15 | 2023-01-03 | Universal Display Corporation | Organic electroluminescent materials and devices |
| US11548905B2 (en) | 2016-12-15 | 2023-01-10 | Universal Display Corporation | Organic electroluminescent materials and devices |
| US10811618B2 (en) | 2016-12-19 | 2020-10-20 | Universal Display Corporation | Organic electroluminescent materials and devices |
| US12514109B2 (en) | 2016-12-28 | 2025-12-30 | Universal Display Corporation | Organic electroluminescent materials and devices |
| US11152579B2 (en) | 2016-12-28 | 2021-10-19 | Universal Display Corporation | Organic electroluminescent materials and devices |
| US12391876B2 (en) | 2017-01-03 | 2025-08-19 | Universal Display Corporation | Organic electroluminescent materials and devices |
| US11201298B2 (en) | 2017-01-09 | 2021-12-14 | Universal Display Corporation | Organic electroluminescent materials and devices |
| US11780865B2 (en) | 2017-01-09 | 2023-10-10 | Universal Display Corporation | Organic electroluminescent materials and devices |
| US10804475B2 (en) | 2017-01-11 | 2020-10-13 | Universal Display Corporation | Organic electroluminescent materials and devices |
| US11545637B2 (en) | 2017-01-13 | 2023-01-03 | Universal Display Corporation | Organic electroluminescent materials and devices |
| US10629820B2 (en) | 2017-01-18 | 2020-04-21 | Universal Display Corporation | Organic electroluminescent materials and devices |
| US11566034B2 (en) | 2017-01-20 | 2023-01-31 | Universal Display Corporation | Organic electroluminescent materials and devices |
| US11053268B2 (en) | 2017-01-20 | 2021-07-06 | Universal Display Corporation | Organic electroluminescent materials and devices |
| US10964904B2 (en) | 2017-01-20 | 2021-03-30 | Universal Display Corporation | Organic electroluminescent materials and devices |
| US11765968B2 (en) | 2017-01-23 | 2023-09-19 | Universal Display Corporation | Organic electroluminescent materials and devices |
| US11765966B2 (en) | 2017-01-24 | 2023-09-19 | Universal Display Corporation | Organic electroluminescent materials and devices |
| US11050028B2 (en) | 2017-01-24 | 2021-06-29 | Universal Display Corporation | Organic electroluminescent materials and devices |
| US12089486B2 (en) | 2017-02-08 | 2024-09-10 | Universal Display Corporation | Organic electroluminescent materials and devices |
| US10978647B2 (en) | 2017-02-15 | 2021-04-13 | Universal Display Corporation | Organic electroluminescent materials and devices |
| US11254697B2 (en) | 2017-02-22 | 2022-02-22 | Universal Display Corporation | Organic electroluminescent materials and devices |
| US11697661B2 (en) | 2017-02-22 | 2023-07-11 | Universal Display Corporation | Organic electroluminescent materials and devices |
| US11760770B2 (en) | 2017-02-22 | 2023-09-19 | Universal Display Corporation | Organic electroluminescent materials and devices |
| US10844084B2 (en) | 2017-02-22 | 2020-11-24 | Universal Display Corporation | Organic electroluminescent materials and devices |
| US10822361B2 (en) | 2017-02-22 | 2020-11-03 | Universal Display Corporation | Organic electroluminescent materials and devices |
| US10745431B2 (en) | 2017-03-08 | 2020-08-18 | Universal Display Corporation | Organic electroluminescent materials and devices |
| US10741780B2 (en) | 2017-03-10 | 2020-08-11 | Universal Display Corporation | Organic electroluminescent materials and devices |
| US10672998B2 (en) | 2017-03-23 | 2020-06-02 | Universal Display Corporation | Organic electroluminescent materials and devices |
| US10873037B2 (en) | 2017-03-28 | 2020-12-22 | Universal Display Corporation | Organic electroluminescent materials and devices |
| US10910577B2 (en) | 2017-03-28 | 2021-02-02 | Universal Display Corporation | Organic electroluminescent materials and devices |
| US11056658B2 (en) | 2017-03-29 | 2021-07-06 | Universal Display Corporation | Organic electroluminescent materials and devices |
| US12247041B2 (en) | 2017-03-29 | 2025-03-11 | Universal Display Corporation | Organic electroluminescent materials and devices |
| US12041846B2 (en) | 2017-03-29 | 2024-07-16 | Universal Display Corporation | Organic electroluminescent materials and devices |
| US11678563B2 (en) | 2017-03-29 | 2023-06-13 | Universal Display Corporation | Organic electroluminescent materials and devices |
| US11158820B2 (en) | 2017-03-29 | 2021-10-26 | Universal Display Corporation | Organic electroluminescent materials and devices |
| US11725021B2 (en) | 2017-03-29 | 2023-08-15 | Universal Display Corporation | Organic electroluminescent materials and devices |
| US11192910B2 (en) | 2017-03-29 | 2021-12-07 | Universal Display Corporation | Organic electroluminescent materials and devices |
| US10844085B2 (en) | 2017-03-29 | 2020-11-24 | Universal Display Corporation | Organic electroluminescent materials and devices |
| US10862046B2 (en) | 2017-03-30 | 2020-12-08 | Universal Display Corporation | Organic electroluminescent materials and devices |
| US11139443B2 (en) | 2017-03-31 | 2021-10-05 | Universal Display Corporation | Organic electroluminescent materials and devices |
| US11276829B2 (en) | 2017-03-31 | 2022-03-15 | Universal Display Corporation | Organic electroluminescent materials and devices |
| US11038117B2 (en) | 2017-04-11 | 2021-06-15 | Universal Display Corporation | Organic electroluminescent materials and devices |
| US10777754B2 (en) | 2017-04-11 | 2020-09-15 | Universal Display Corporation | Organic electroluminescent materials and devices |
| US11566035B2 (en) | 2017-04-21 | 2023-01-31 | Universal Display Corporation | Organic electroluminescent materials and devices |
| US11591356B2 (en) | 2017-04-21 | 2023-02-28 | Universal Display Corporation | Organic electroluminescent materials and devices |
| US11101434B2 (en) | 2017-04-21 | 2021-08-24 | Universal Display Corporation | Organic electroluminescent materials and devices |
| US10975113B2 (en) | 2017-04-21 | 2021-04-13 | Universal Display Corporation | Organic electroluminescent materials and devices |
| US11084838B2 (en) | 2017-04-21 | 2021-08-10 | Universal Display Corporation | Organic electroluminescent materials and device |
| US10910570B2 (en) | 2017-04-28 | 2021-02-02 | Universal Display Corporation | Organic electroluminescent materials and devices |
| US11038137B2 (en) | 2017-04-28 | 2021-06-15 | Universal Display Corporation | Organic electroluminescent materials and devices |
| US11117897B2 (en) | 2017-05-01 | 2021-09-14 | Universal Display Corporation | Organic electroluminescent materials and devices |
| US11702420B2 (en) | 2017-05-01 | 2023-07-18 | Universal Display Corporation | Organic electroluminescent materials and devices |
| US10941170B2 (en) | 2017-05-03 | 2021-03-09 | Universal Display Corporation | Organic electroluminescent materials and devices |
| US11201299B2 (en) | 2017-05-04 | 2021-12-14 | Universal Display Corporation | Organic electroluminescent materials and devices |
| US11377459B2 (en) | 2017-05-05 | 2022-07-05 | Universal Display Corporation | Organic electroluminescent materials and devices |
| US10870668B2 (en) | 2017-05-05 | 2020-12-22 | Universal Display Corporation | Organic electroluminescent materials and devices |
| US10862055B2 (en) | 2017-05-05 | 2020-12-08 | Universal Display Corporation | Organic electroluminescent materials and devices |
| US10930864B2 (en) | 2017-05-10 | 2021-02-23 | Universal Display Corporation | Organic electroluminescent materials and devices |
| US10944060B2 (en) | 2017-05-11 | 2021-03-09 | Universal Display Corporation | Organic electroluminescent materials and devices |
| US10822362B2 (en) | 2017-05-11 | 2020-11-03 | Universal Display Corporation | Organic electroluminescent materials and devices |
| US10944062B2 (en) | 2017-05-18 | 2021-03-09 | Universal Display Corporation | Organic electroluminescent materials and devices |
| US10934293B2 (en) | 2017-05-18 | 2021-03-02 | Universal Display Corporation | Organic electroluminescent materials and devices |
| US10840459B2 (en) | 2017-05-18 | 2020-11-17 | Universal Display Corporation | Organic electroluminescent materials and devices |
| US10790455B2 (en) | 2017-05-18 | 2020-09-29 | Universal Display Corporation | Organic electroluminescent materials and devices |
| US11038115B2 (en) | 2017-05-18 | 2021-06-15 | Universal Display Corporation | Organic electroluminescent materials and device |
| US10930862B2 (en) | 2017-06-01 | 2021-02-23 | Universal Display Corporation | Organic electroluminescent materials and devices |
| EP3418285A1 (de) | 2017-06-20 | 2018-12-26 | Idemitsu Kosan Co., Ltd. | Zusammensetzung mit einem substituierten ir-komplex und einem mit einem heteroatom verbrückten phenylchinazolin |
| US11958825B2 (en) | 2017-06-23 | 2024-04-16 | Universal Display Corporation | Organic electroluminescent materials and devices |
| US11725022B2 (en) | 2017-06-23 | 2023-08-15 | Universal Display Corporation | Organic electroluminescent materials and devices |
| US11174259B2 (en) | 2017-06-23 | 2021-11-16 | Universal Display Corporation | Organic electroluminescent materials and devices |
| US12098157B2 (en) | 2017-06-23 | 2024-09-24 | Universal Display Corporation | Organic electroluminescent materials and devices |
| US11608321B2 (en) | 2017-06-23 | 2023-03-21 | Universal Display Corporation | Organic electroluminescent materials and devices |
| US11758804B2 (en) | 2017-06-23 | 2023-09-12 | Universal Display Corporation | Organic electroluminescent materials and devices |
| US11495757B2 (en) | 2017-06-23 | 2022-11-08 | Universal Display Corporation | Organic electroluminescent materials and devices |
| US11552261B2 (en) | 2017-06-23 | 2023-01-10 | Universal Display Corporation | Organic electroluminescent materials and devices |
| US11832510B2 (en) | 2017-06-23 | 2023-11-28 | Universal Display Corporation | Organic electroluminescent materials and devices |
| US11678565B2 (en) | 2017-06-23 | 2023-06-13 | Universal Display Corporation | Organic electroluminescent materials and devices |
| US11814403B2 (en) | 2017-06-23 | 2023-11-14 | Universal Display Corporation | Organic electroluminescent materials and devices |
| US11802136B2 (en) | 2017-06-23 | 2023-10-31 | Universal Display Corporation | Organic electroluminescent materials and devices |
| US10968226B2 (en) | 2017-06-23 | 2021-04-06 | Universal Display Corporation | Organic electroluminescent materials and devices |
| US11731975B2 (en) | 2017-06-23 | 2023-08-22 | Universal Display Corporation | Organic electroluminescent materials and devices |
| US11469382B2 (en) | 2017-07-12 | 2022-10-11 | Universal Display Corporation | Organic electroluminescent materials and devices |
| US11968883B2 (en) | 2017-07-26 | 2024-04-23 | Universal Display Corporation | Organic electroluminescent materials and devices |
| US11322691B2 (en) | 2017-07-26 | 2022-05-03 | Universal Display Corporation | Organic electroluminescent materials and devices |
| US12514108B2 (en) | 2017-07-26 | 2025-12-30 | Universal Display Corporation | Organic electroluminescent materials and devices |
| US11228010B2 (en) | 2017-07-26 | 2022-01-18 | Universal Display Corporation | Organic electroluminescent materials and devices |
| US11239433B2 (en) | 2017-07-26 | 2022-02-01 | Universal Display Corporation | Organic electroluminescent materials and devices |
| US11765970B2 (en) | 2017-07-26 | 2023-09-19 | Universal Display Corporation | Organic electroluminescent materials and devices |
| US12096681B2 (en) | 2017-07-26 | 2024-09-17 | Universal Display Corporation | Organic electroluminescent materials and devices |
| US11917843B2 (en) | 2017-07-26 | 2024-02-27 | Universal Display Corporation | Organic electroluminescent materials and devices |
| US11744141B2 (en) | 2017-08-09 | 2023-08-29 | Universal Display Corporation | Organic electroluminescent materials and devices |
| US11744142B2 (en) | 2017-08-10 | 2023-08-29 | Universal Display Corporation | Organic electroluminescent materials and devices |
| US11349083B2 (en) | 2017-08-10 | 2022-05-31 | Universal Display Corporation | Organic electroluminescent materials and devices |
| US11910699B2 (en) | 2017-08-10 | 2024-02-20 | Universal Display Corporation | Organic electroluminescent materials and devices |
| US12161047B2 (en) | 2017-08-10 | 2024-12-03 | Universal Display Corporation | Organic electroluminescent materials and devices |
| US11508913B2 (en) | 2017-08-10 | 2022-11-22 | Universal Display Corporation | Organic electroluminescent materials and devices |
| US11462697B2 (en) | 2017-08-22 | 2022-10-04 | Universal Display Corporation | Organic electroluminescent materials and devices |
| US11723269B2 (en) | 2017-08-22 | 2023-08-08 | Universal Display Corporation | Organic electroluminescent materials and devices |
| US11437591B2 (en) | 2017-08-24 | 2022-09-06 | Universal Display Corporation | Organic electroluminescent materials and devices |
| US11605791B2 (en) | 2017-09-01 | 2023-03-14 | Universal Display Corporation | Organic electroluminescent materials and devices |
| US12069949B2 (en) | 2017-09-07 | 2024-08-20 | Universal Display Corporation | Organic electroluminescent materials and devices |
| US11444249B2 (en) | 2017-09-07 | 2022-09-13 | Universal Display Corporation | Organic electroluminescent materials and devices |
| US11424420B2 (en) | 2017-09-07 | 2022-08-23 | Universal Display Corporation | Organic electroluminescent materials and devices |
| US11696492B2 (en) | 2017-09-07 | 2023-07-04 | Universal Display Corporation | Organic electroluminescent materials and devices |
| US10964895B2 (en) | 2017-09-11 | 2021-03-30 | Universal Display Corporation | Organic electroluminescent materials and devices |
| US10608188B2 (en) | 2017-09-11 | 2020-03-31 | Universal Display Corporation | Organic electroluminescent materials and devices |
| US11778897B2 (en) | 2017-09-20 | 2023-10-03 | Universal Display Corporation | Organic electroluminescent materials and devices |
| US12389791B2 (en) | 2017-09-21 | 2025-08-12 | Universal Display Corporation | Organic electroluminescent materials and devices |
| US12459946B2 (en) | 2017-10-05 | 2025-11-04 | Universal Display Corporation | Organic host materials for electroluminescent devices |
| US11910702B2 (en) | 2017-11-07 | 2024-02-20 | Universal Display Corporation | Organic electroluminescent devices |
| US11214587B2 (en) | 2017-11-07 | 2022-01-04 | Universal Display Corporation | Organic electroluminescent materials and devices |
| US11685756B2 (en) | 2017-11-07 | 2023-06-27 | Universal Display Corporation | Organic electroluminescent materials and devices |
| US11183646B2 (en) | 2017-11-07 | 2021-11-23 | Universal Display Corporation | Organic electroluminescent materials and devices |
| US12239013B2 (en) | 2017-11-07 | 2025-02-25 | Universal Display Corporation | Organic electroluminescent devices |
| US11168103B2 (en) | 2017-11-17 | 2021-11-09 | Universal Display Corporation | Organic electroluminescent materials and devices |
| US11825735B2 (en) | 2017-11-28 | 2023-11-21 | Universal Display Corporation | Organic electroluminescent materials and devices |
| US11937503B2 (en) | 2017-11-30 | 2024-03-19 | Universal Display Corporation | Organic electroluminescent materials and devices |
| US11233205B2 (en) | 2017-12-14 | 2022-01-25 | Universal Display Corporation | Organic electroluminescent materials and devices |
| US11233204B2 (en) | 2017-12-14 | 2022-01-25 | Universal Display Corporation | Organic electroluminescent materials and devices |
| US12075690B2 (en) | 2017-12-14 | 2024-08-27 | Universal Display Corporation | Organic electroluminescent materials and devices |
| US10971687B2 (en) | 2017-12-14 | 2021-04-06 | Universal Display Corporation | Organic electroluminescent materials and devices |
| US12239012B2 (en) | 2018-01-10 | 2025-02-25 | Universal Display Corporation | Organic electroluminescent materials and devices |
| US11700765B2 (en) | 2018-01-10 | 2023-07-11 | Universal Display Corporation | Organic electroluminescent materials and devices |
| US11081659B2 (en) | 2018-01-10 | 2021-08-03 | Universal Display Corporation | Organic electroluminescent materials and devices |
| US11515493B2 (en) | 2018-01-11 | 2022-11-29 | Universal Display Corporation | Organic electroluminescent materials and devices |
| US11818946B2 (en) | 2018-01-11 | 2023-11-14 | Universal Display Corporation | Organic electroluminescent materials and devices |
| US11271177B2 (en) | 2018-01-11 | 2022-03-08 | Universal Display Corporation | Organic electroluminescent materials and devices |
| US11845764B2 (en) | 2018-01-26 | 2023-12-19 | Universal Display Corporation | Organic electroluminescent materials and devices |
| US12325719B2 (en) | 2018-01-26 | 2025-06-10 | Universal Display Corporation | Organic electroluminescent materials and devices |
| US11367840B2 (en) | 2018-01-26 | 2022-06-21 | Universal Display Corporation | Organic electroluminescent materials and devices |
| US11542289B2 (en) | 2018-01-26 | 2023-01-03 | Universal Display Corporation | Organic electroluminescent materials and devices |
| US12029055B2 (en) | 2018-01-30 | 2024-07-02 | The University Of Southern California | OLED with hybrid emissive layer |
| US11957050B2 (en) | 2018-02-09 | 2024-04-09 | Universal Display Corporation | Organic electroluminescent materials and devices |
| US11342509B2 (en) | 2018-02-09 | 2022-05-24 | Universal Display Corporation | Organic electroluminescent materials and devices |
| US11239434B2 (en) | 2018-02-09 | 2022-02-01 | Universal Display Corporation | Organic electroluminescent materials and devices |
| US11697662B2 (en) | 2018-02-09 | 2023-07-11 | Universal Display Corporation | Organic electroluminescent materials and devices |
| US12302752B2 (en) | 2018-02-09 | 2025-05-13 | Universal Display Corporation | Organic electroluminescent materials and devices |
| US11180519B2 (en) | 2018-02-09 | 2021-11-23 | Universal Display Corporation | Organic electroluminescent materials and devices |
| US11910708B2 (en) | 2018-02-09 | 2024-02-20 | Universal Display Corporation | Organic electroluminescent materials and devices |
| US12122794B2 (en) | 2018-02-09 | 2024-10-22 | Universal Display Corporation | Organic electroluminescent materials and devices |
| US11746122B2 (en) | 2018-03-12 | 2023-09-05 | Universal Display Corporation | Organic electroluminescent materials and devices |
| US11557733B2 (en) | 2018-03-12 | 2023-01-17 | Universal Display Corporation | Organic electroluminescent materials and devices |
| US12297212B2 (en) | 2018-03-12 | 2025-05-13 | Universal Display Corporation | Organic electroluminescent materials and devices |
| US11142538B2 (en) | 2018-03-12 | 2021-10-12 | Universal Display Corporation | Organic electroluminescent materials and devices |
| US11279722B2 (en) | 2018-03-12 | 2022-03-22 | Universal Display Corporation | Organic electroluminescent materials and devices |
| US11700766B2 (en) | 2018-03-12 | 2023-07-11 | Universal Display Corporation | Host materials for electroluminescent devices |
| US11165028B2 (en) | 2018-03-12 | 2021-11-02 | Universal Display Corporation | Organic electroluminescent materials and devices |
| US11217757B2 (en) | 2018-03-12 | 2022-01-04 | Universal Display Corporation | Host materials for electroluminescent devices |
| US12108668B2 (en) | 2018-03-12 | 2024-10-01 | Universal Display Corporation | Host materials for electroluminescent devices |
| US11390639B2 (en) | 2018-04-13 | 2022-07-19 | Universal Display Corporation | Organic electroluminescent materials and devices |
| US11882759B2 (en) | 2018-04-13 | 2024-01-23 | Universal Display Corporation | Organic electroluminescent materials and devices |
| US12325718B2 (en) | 2018-04-13 | 2025-06-10 | Universal Display Corporation | Organic electroluminescent materials and devices |
| US12522608B2 (en) | 2018-04-13 | 2026-01-13 | Universal Display Corporation | Host materials for electroluminescent devices |
| US11616203B2 (en) | 2018-04-17 | 2023-03-28 | Universal Display Corporation | Organic electroluminescent materials and devices |
| US11839142B2 (en) | 2018-05-04 | 2023-12-05 | Universal Display Corporation | Organic electroluminescent materials and devices |
| US11753427B2 (en) | 2018-05-04 | 2023-09-12 | Universal Display Corporation | Organic electroluminescent materials and devices |
| US12274158B2 (en) | 2018-05-04 | 2025-04-08 | Universal Display Corporation | Organic electroluminescent materials and devices |
| US11515494B2 (en) | 2018-05-04 | 2022-11-29 | Universal Display Corporation | Organic electroluminescent materials and devices |
| US11342513B2 (en) | 2018-05-04 | 2022-05-24 | Universal Display Corporation | Organic electroluminescent materials and devices |
| US12317747B2 (en) | 2018-05-06 | 2025-05-27 | Universal Display Corporation | Host materials for electroluminescent devices |
| US11793073B2 (en) | 2018-05-06 | 2023-10-17 | Universal Display Corporation | Host materials for electroluminescent devices |
| US11450822B2 (en) | 2018-05-25 | 2022-09-20 | Universal Display Corporation | Organic electroluminescent materials and devices |
| US11844267B2 (en) | 2018-05-25 | 2023-12-12 | Universal Display Corporation | Organic electroluminescent materials and devices |
| US11459349B2 (en) | 2018-05-25 | 2022-10-04 | Universal Display Corporation | Organic electroluminescent materials and devices |
| US11716900B2 (en) | 2018-05-30 | 2023-08-01 | Universal Display Corporation | Host materials for electroluminescent devices |
| US11404653B2 (en) | 2018-06-04 | 2022-08-02 | Universal Display Corporation | Organic electroluminescent materials and devices |
| US12022727B2 (en) | 2018-06-04 | 2024-06-25 | Universal Display Corporation | Organic electroluminescent materials and devices |
| US11296283B2 (en) | 2018-06-04 | 2022-04-05 | Universal Display Corporation | Organic electroluminescent materials and devices |
| US11925103B2 (en) | 2018-06-05 | 2024-03-05 | Universal Display Corporation | Organic electroluminescent materials and devices |
| US11339182B2 (en) | 2018-06-07 | 2022-05-24 | Universal Display Corporation | Organic electroluminescent materials and devices |
| US11228004B2 (en) | 2018-06-22 | 2022-01-18 | Universal Display Corporation | Organic electroluminescent materials and devices |
| US11261207B2 (en) | 2018-06-25 | 2022-03-01 | Universal Display Corporation | Organic electroluminescent materials and devices |
| US11753425B2 (en) | 2018-07-11 | 2023-09-12 | Universal Display Corporation | Organic electroluminescent materials and devices |
| US12378197B2 (en) | 2018-07-13 | 2025-08-05 | Universal Display Corporation | Organic electroluminescent materials and devices |
| US12453279B2 (en) | 2018-08-22 | 2025-10-21 | Universal Display Corporation | Organic electroluminescent materials and devices |
| US11233203B2 (en) | 2018-09-06 | 2022-01-25 | Universal Display Corporation | Organic electroluminescent materials and devices |
| US12171137B2 (en) | 2018-09-10 | 2024-12-17 | Universal Display Corporation | Organic electroluminescent materials and devices |
| US12319653B2 (en) | 2018-09-11 | 2025-06-03 | Universal Display Corporation | Organic electroluminescent materials and devices |
| US11485706B2 (en) | 2018-09-11 | 2022-11-01 | Universal Display Corporation | Organic electroluminescent materials and devices |
| US11939293B2 (en) | 2018-09-11 | 2024-03-26 | Universal Display Corporation | Organic electroluminescent materials and devices |
| US12522625B2 (en) | 2018-09-14 | 2026-01-13 | Universal Display Corporation | Organic electroluminescent materials and devices |
| US11718634B2 (en) | 2018-09-14 | 2023-08-08 | Universal Display Corporation | Organic electroluminescent materials and devices |
| US11903305B2 (en) | 2018-09-24 | 2024-02-13 | Universal Display Corporation | Organic electroluminescent materials and devices |
| US11469383B2 (en) | 2018-10-08 | 2022-10-11 | Universal Display Corporation | Organic electroluminescent materials and devices |
| US11495752B2 (en) | 2018-10-08 | 2022-11-08 | Universal Display Corporation | Organic electroluminescent materials and devices |
| US11476430B2 (en) | 2018-10-15 | 2022-10-18 | Universal Display Corporation | Organic electroluminescent materials and devices |
| US11515482B2 (en) | 2018-10-23 | 2022-11-29 | Universal Display Corporation | Deep HOMO (highest occupied molecular orbital) emitter device structures |
| US11839141B2 (en) | 2018-11-02 | 2023-12-05 | Universal Display Corporation | Organic electroluminescent materials and devices |
| US11469384B2 (en) | 2018-11-02 | 2022-10-11 | Universal Display Corporation | Organic electroluminescent materials and devices |
| US11825736B2 (en) | 2018-11-19 | 2023-11-21 | Universal Display Corporation | Organic electroluminescent materials and devices |
| US11963441B2 (en) | 2018-11-26 | 2024-04-16 | Universal Display Corporation | Organic electroluminescent materials and devices |
| US12479863B2 (en) | 2018-11-26 | 2025-11-25 | Universal Display Corporation | Organic electroluminescent materials and devices |
| US11690285B2 (en) | 2018-11-28 | 2023-06-27 | Universal Display Corporation | Electroluminescent devices |
| US12193319B2 (en) | 2018-11-28 | 2025-01-07 | Universal Display Corporation | Organic electroluminescent materials and devices |
| US12048246B2 (en) | 2018-11-28 | 2024-07-23 | Universal Display Corporation | Host materials for electroluminescent devices |
| US11515489B2 (en) | 2018-11-28 | 2022-11-29 | Universal Display Corporation | Host materials for electroluminescent devices |
| US11706980B2 (en) | 2018-11-28 | 2023-07-18 | Universal Display Corporation | Host materials for electroluminescent devices |
| US11716899B2 (en) | 2018-11-28 | 2023-08-01 | Universal Display Corporation | Organic electroluminescent materials and devices |
| US12035618B2 (en) | 2018-11-28 | 2024-07-09 | Universal Display Corporation | Electroluminescent devices |
| US11672176B2 (en) | 2018-11-28 | 2023-06-06 | Universal Display Corporation | Host materials for electroluminescent devices |
| US11672165B2 (en) | 2018-11-28 | 2023-06-06 | Universal Display Corporation | Organic electroluminescent materials and devices |
| US11623936B2 (en) | 2018-12-11 | 2023-04-11 | Universal Display Corporation | Organic electroluminescent materials and devices |
| US11737349B2 (en) | 2018-12-12 | 2023-08-22 | Universal Display Corporation | Organic electroluminescent materials and devices |
| US11834459B2 (en) | 2018-12-12 | 2023-12-05 | Universal Display Corporation | Host materials for electroluminescent devices |
| US12281129B2 (en) | 2018-12-12 | 2025-04-22 | Universal Display Corporation | Organic electroluminescent materials and devices |
| US12167673B2 (en) | 2018-12-19 | 2024-12-10 | Universal Display Corporation | Organic electroluminescent materials and devices |
| US11780829B2 (en) | 2019-01-30 | 2023-10-10 | The University Of Southern California | Organic electroluminescent materials and devices |
| US11812624B2 (en) | 2019-01-30 | 2023-11-07 | The University Of Southern California | Organic electroluminescent materials and devices |
| US12477890B2 (en) | 2019-02-01 | 2025-11-18 | Universal Display Corporation | Organic electroluminescent materials and devices |
| US11325932B2 (en) | 2019-02-08 | 2022-05-10 | Universal Display Corporation | Organic electroluminescent materials and devices |
| US12137605B2 (en) | 2019-02-08 | 2024-11-05 | Universal Display Corporation | Organic electroluminescent materials and devices |
| US11370809B2 (en) | 2019-02-08 | 2022-06-28 | Universal Display Corporation | Organic electroluminescent materials and devices |
| US11773320B2 (en) | 2019-02-21 | 2023-10-03 | Universal Display Corporation | Organic electroluminescent materials and devices |
| US11871653B2 (en) | 2019-02-22 | 2024-01-09 | Universal Display Corporation | Organic electroluminescent materials and devices |
| US12250872B2 (en) | 2019-02-22 | 2025-03-11 | Universal Display Corporation | Organic electroluminescent materials and devices |
| US11557738B2 (en) | 2019-02-22 | 2023-01-17 | Universal Display Corporation | Organic electroluminescent materials and devices |
| US11758807B2 (en) | 2019-02-22 | 2023-09-12 | Universal Display Corporation | Organic electroluminescent materials and devices |
| US12167678B2 (en) | 2019-02-22 | 2024-12-10 | Universal Display Corporation | Organic electroluminescent materials and devices |
| US11512093B2 (en) | 2019-03-04 | 2022-11-29 | Universal Display Corporation | Compound used for organic light emitting device (OLED), consumer product and formulation |
| US11739081B2 (en) | 2019-03-11 | 2023-08-29 | Universal Display Corporation | Organic electroluminescent materials and devices |
| US12225760B2 (en) | 2019-03-12 | 2025-02-11 | Universal Display Corporation | Organic electroluminescent devices |
| US11569480B2 (en) | 2019-03-12 | 2023-01-31 | Universal Display Corporation | Plasmonic OLEDs and vertical dipole emitters |
| US11968851B2 (en) | 2019-03-12 | 2024-04-23 | Universal Display Corporation | Organic electroluminescent devices |
| US11637261B2 (en) | 2019-03-12 | 2023-04-25 | Universal Display Corporation | Nanopatch antenna outcoupling structure for use in OLEDs |
| US12232348B2 (en) | 2019-03-12 | 2025-02-18 | Universal Display Corporation | Organic electroluminescent devices |
| US11963438B2 (en) | 2019-03-26 | 2024-04-16 | The University Of Southern California | Organic electroluminescent materials and devices |
| US12240865B2 (en) | 2019-03-27 | 2025-03-04 | Universal Display Corporation | Organic electroluminescent materials and devices |
| US12122793B2 (en) | 2019-03-27 | 2024-10-22 | Universal Display Corporation | Organic electroluminescent materials and devices |
| US11639363B2 (en) | 2019-04-22 | 2023-05-02 | Universal Display Corporation | Organic electroluminescent materials and devices |
| US11613550B2 (en) | 2019-04-30 | 2023-03-28 | Universal Display Corporation | Organic electroluminescent materials and devices comprising benzimidazole-containing metal complexes |
| US12006333B2 (en) | 2019-04-30 | 2024-06-11 | Universal Display Corporation | Organic electroluminescent materials and devices comprising imidazole-containing metal complexes |
| US12075691B2 (en) | 2019-04-30 | 2024-08-27 | Universal Display Corporation | Organic electroluminescent materials and devices |
| US11495756B2 (en) | 2019-05-07 | 2022-11-08 | Universal Display Corporation | Organic electroluminescent materials and devices |
| US12103942B2 (en) | 2019-05-13 | 2024-10-01 | Universal Display Corporation | Organic electroluminescent materials and devices |
| US11827651B2 (en) | 2019-05-13 | 2023-11-28 | Universal Display Corporation | Organic electroluminescent materials and devices |
| US11634445B2 (en) | 2019-05-21 | 2023-04-25 | Universal Display Corporation | Organic electroluminescent materials and devices |
| US12010859B2 (en) | 2019-05-24 | 2024-06-11 | Universal Display Corporation | Organic electroluminescent materials and devices |
| US11647667B2 (en) | 2019-06-14 | 2023-05-09 | Universal Display Corporation | Organic electroluminescent compounds and organic light emitting devices using the same |
| US12077550B2 (en) | 2019-07-02 | 2024-09-03 | Universal Display Corporation | Organic electroluminescent materials and devices |
| US11920070B2 (en) | 2019-07-12 | 2024-03-05 | The University Of Southern California | Luminescent janus-type, two-coordinated metal complexes |
| US11926638B2 (en) | 2019-07-22 | 2024-03-12 | Universal Display Corporation | Organic electroluminescent materials and devices |
| US11685754B2 (en) | 2019-07-22 | 2023-06-27 | Universal Display Corporation | Heteroleptic organic electroluminescent materials |
| US12018036B2 (en) | 2019-07-22 | 2024-06-25 | Universal Display Corporation | Heteroleptic organic electroluminescent materials and devices |
| US12281128B2 (en) | 2019-07-30 | 2025-04-22 | Universal Display Corporation | Organic electroluminescent materials and devices |
| US11708355B2 (en) | 2019-08-01 | 2023-07-25 | Universal Display Corporation | Organic electroluminescent materials and devices |
| US12295251B2 (en) | 2019-08-01 | 2025-05-06 | Universal Display Corporation | Organic electroluminescent materials and devices |
| US11985888B2 (en) | 2019-08-12 | 2024-05-14 | The Regents Of The University Of Michigan | Organic electroluminescent device |
| US11374181B2 (en) | 2019-08-14 | 2022-06-28 | Universal Display Corporation | Organic electroluminescent materials and devices |
| US12227525B2 (en) | 2019-08-14 | 2025-02-18 | Universal Display Corporation | Organic electroluminescent materials and devices |
| US12250875B2 (en) | 2019-08-15 | 2025-03-11 | Universal Display Corporation | Organic electroluminescent materials and devices |
| US11930699B2 (en) | 2019-08-15 | 2024-03-12 | Universal Display Corporation | Organic electroluminescent materials and devices |
| US12139501B2 (en) | 2019-08-16 | 2024-11-12 | Universal Display Corporation | Organic electroluminescent materials and devices |
| US12234249B2 (en) | 2019-08-21 | 2025-02-25 | Universal Display Corporation | Organic electroluminescent materials and devices |
| US11925105B2 (en) | 2019-08-26 | 2024-03-05 | Universal Display Corporation | Organic electroluminescent materials and devices |
| US12262628B2 (en) | 2019-08-28 | 2025-03-25 | Universal Display Corporation | Organic electroluminescent materials and devices |
| US11937494B2 (en) | 2019-08-28 | 2024-03-19 | Universal Display Corporation | Organic electroluminescent materials and devices |
| US11600787B2 (en) | 2019-08-30 | 2023-03-07 | Universal Display Corporation | Organic electroluminescent materials and devices |
| US12384809B2 (en) | 2019-09-06 | 2025-08-12 | Universal Display Corporation | Organic electroluminescent materials and devices |
| US11820783B2 (en) | 2019-09-06 | 2023-11-21 | Universal Display Corporation | Organic electroluminescent materials and devices |
| US12144244B2 (en) | 2019-09-10 | 2024-11-12 | Universal Display Corporation | Organic electroluminescent materials and devices |
| US11999886B2 (en) | 2019-09-26 | 2024-06-04 | Universal Display Corporation | Organic electroluminescent materials and devices |
| US12331065B2 (en) | 2019-09-26 | 2025-06-17 | Universal Display Corporation | Organic electroluminescent materials and devices |
| US12331237B2 (en) | 2019-09-26 | 2025-06-17 | Universal Display Corporation | Organic electroluminescent materials and devices |
| US12486296B2 (en) | 2019-10-02 | 2025-12-02 | Universal Display Corporation | Organic electroluminescent materials and devices |
| US11864458B2 (en) | 2019-10-08 | 2024-01-02 | Universal Display Corporation | Organic electroluminescent materials and devices |
| US11950493B2 (en) | 2019-10-15 | 2024-04-02 | Universal Display Corporation | Organic electroluminescent materials and devices |
| US11697653B2 (en) | 2019-10-21 | 2023-07-11 | Universal Display Corporation | Organic electroluminescent materials and devices |
| US12479861B2 (en) | 2019-10-25 | 2025-11-25 | Universal Display Corporation | Organic electroluminescent materials and devices |
| US11919914B2 (en) | 2019-10-25 | 2024-03-05 | Universal Display Corporation | Organic electroluminescent materials and devices |
| US12522565B2 (en) | 2019-10-25 | 2026-01-13 | Universal Display Corporation | Organic electroluminescent materials and devices |
| US11765965B2 (en) | 2019-10-30 | 2023-09-19 | Universal Display Corporation | Organic electroluminescent materials and devices |
| US11889708B2 (en) | 2019-11-14 | 2024-01-30 | Universal Display Corporation | Organic electroluminescent materials and devices |
| US12538698B2 (en) | 2020-01-06 | 2026-01-27 | Universal Display Corporation | Organic electroluminescent materials and devices |
| US12201013B2 (en) | 2020-01-08 | 2025-01-14 | Universal Display Corporation | Organic electroluminescent materials and devices |
| US12187751B2 (en) | 2020-01-08 | 2025-01-07 | Universal Display Corporation | Organic electroluminescent materials and devices |
| US11778895B2 (en) | 2020-01-13 | 2023-10-03 | Universal Display Corporation | Organic electroluminescent materials and devices |
| US11917900B2 (en) | 2020-01-28 | 2024-02-27 | Universal Display Corporation | Organic electroluminescent materials and devices |
| US12349589B2 (en) | 2020-01-28 | 2025-07-01 | Universal Display Corporation | Organic electroluminescent materials and devices |
| US12426495B2 (en) | 2020-01-28 | 2025-09-23 | Universal Display Corporation | Organic electroluminescent materials and devices |
| US11932660B2 (en) | 2020-01-29 | 2024-03-19 | Universal Display Corporation | Organic electroluminescent materials and devices |
| US12245502B2 (en) | 2020-02-03 | 2025-03-04 | Universal Display Corporation | Organic electroluminescent materials and devices |
| US12156463B2 (en) | 2020-02-07 | 2024-11-26 | Universal Display Corporation | Organic electroluminescent materials and devices |
| US12084465B2 (en) | 2020-02-24 | 2024-09-10 | Universal Display Corporation | Organic electroluminescent materials and devices |
| US12324348B2 (en) | 2020-02-28 | 2025-06-03 | Universal Display Corporation | Organic electroluminescent materials and devices |
| US12234251B2 (en) | 2020-03-04 | 2025-02-25 | Universal Display Corporation | Organic electroluminescent materials and devices |
| US12018035B2 (en) | 2020-03-23 | 2024-06-25 | Universal Display Corporation | Organic electroluminescent materials and devices |
| US12129269B2 (en) | 2020-04-13 | 2024-10-29 | Universal Display Corporation | Organic electroluminescent materials and devices |
| US11970508B2 (en) | 2020-04-22 | 2024-04-30 | Universal Display Corporation | Organic electroluminescent materials and devices |
| US12279520B2 (en) | 2020-04-22 | 2025-04-15 | Universal Display Corporation | Organic electroluminescent materials and devices |
| US12466844B2 (en) | 2020-05-13 | 2025-11-11 | Universal Display Corporation | Organic electroluminescent materials and devices |
| US12286410B2 (en) | 2020-05-18 | 2025-04-29 | Universal Display Corporation | Organic electroluminescent materials and devices |
| US12035613B2 (en) | 2020-05-26 | 2024-07-09 | Universal Display Corporation | Organic electroluminescent materials and devices |
| US12275747B2 (en) | 2020-06-02 | 2025-04-15 | Universal Display Corporation | Organic electroluminescent materials and devices |
| US12247043B2 (en) | 2020-06-11 | 2025-03-11 | Universal Display Corporation | Organic electroluminescent material and formulations, and its various uses as hosts, fluorescent dopants, and acceptors in organic light emitting diodes |
| US12279516B2 (en) | 2020-06-17 | 2025-04-15 | Universal Display Corporation | Organic electroluminescent materials and devices |
| US12419188B2 (en) | 2020-06-30 | 2025-09-16 | Universal Display Corporation | Organic electroluminescent materials and devices |
| US12336427B2 (en) | 2020-07-09 | 2025-06-17 | Universal Display Corporation | Organic electroluminescent materials and devices |
| US12157748B2 (en) | 2020-07-30 | 2024-12-03 | Universal Display Corporation | Organic electroluminescent materials and devices |
| US12369487B2 (en) | 2020-08-05 | 2025-07-22 | Universal Display Corporation | Organic electroluminescent materials and devices |
| US12065451B2 (en) | 2020-08-19 | 2024-08-20 | Universal Display Corporation | Organic electroluminescent materials and devices |
| US12289986B2 (en) | 2020-08-25 | 2025-04-29 | Universal Display Corporation | Organic electroluminescent materials and devices |
| US12369488B2 (en) | 2020-09-09 | 2025-07-22 | Universal Display Corporation | Organic electroluminescent materials and devices |
| US12543492B2 (en) | 2020-09-09 | 2026-02-03 | Universal Display Corporation | Organic electroluminescent materials and devices |
| US12486295B2 (en) | 2020-09-14 | 2025-12-02 | Universal Display Corporation | Organic electroluminescent materials and devices |
| US12221455B2 (en) | 2020-09-24 | 2025-02-11 | Universal Display Corporation | Organic electroluminescent materials and devices |
| US12252499B2 (en) | 2020-09-29 | 2025-03-18 | Universal Display Corporation | Organic electroluminescent materials and devices |
| US12460128B2 (en) | 2020-10-02 | 2025-11-04 | Universal Display Corporation | Organic electroluminescent materials and devices |
| US12497420B2 (en) | 2020-10-02 | 2025-12-16 | Universal Display Corporation | Organic electroluminescent materials and devices |
| US12435102B2 (en) | 2020-10-02 | 2025-10-07 | Universal Display Corporation | Organic electroluminescent materials and devices |
| US12486451B2 (en) | 2020-10-02 | 2025-12-02 | Universal Display Corporation | Organic electroluminescent materials and devices |
| US12286447B2 (en) | 2020-10-06 | 2025-04-29 | Universal Display Corporation | Organic electroluminescent materials and devices |
| US12520713B2 (en) | 2020-10-08 | 2026-01-06 | Universal Display Corporation | Organic electroluminescent materials and devices |
| US12312365B2 (en) | 2020-10-12 | 2025-05-27 | Universal Display Corporation | Organic electroluminescent materials and devices |
| US12486288B2 (en) | 2020-10-12 | 2025-12-02 | University Of Southern California | Fast phosphors utilizing HP2H ligands |
| US12137606B2 (en) | 2020-10-20 | 2024-11-05 | Universal Display Corporation | Organic electroluminescent materials and devices |
| US12247042B2 (en) | 2020-10-26 | 2025-03-11 | Universal Display Corporation | Organic electroluminescent materials and devices |
| US12391873B2 (en) | 2020-10-26 | 2025-08-19 | Universal Display Corporation | Organic electroluminescent materials and devices |
| US12245504B2 (en) | 2020-10-26 | 2025-03-04 | Universal Display Corporation | Organic electroluminescent materials and devices |
| US12262631B2 (en) | 2020-11-10 | 2025-03-25 | Universal Display Corporation | Organic electroluminescent materials and devices |
| US12528833B2 (en) | 2020-11-18 | 2026-01-20 | Universal Display Corporation | Organic electroluminescent materials and devices |
| US12325717B2 (en) | 2020-11-24 | 2025-06-10 | Universal Display Corporation | Organic electroluminescent materials and devices |
| US12534485B2 (en) | 2020-11-24 | 2026-01-27 | Universal Display Corporation | Organic electroluminescent materials and devices |
| US12516078B2 (en) | 2020-11-24 | 2026-01-06 | Universal Display Corporation | Organic electroluminescent materials and devices |
| US12331064B2 (en) | 2020-12-09 | 2025-06-17 | University Of Southern California | Tandem carbene phosphors |
| US12342716B2 (en) | 2020-12-09 | 2025-06-24 | University Of Southern California | Tandem-carbene phosphors |
| US12466848B2 (en) | 2020-12-10 | 2025-11-11 | Universal Display Corporation | Organic electroluminescent materials and devices |
| US12398164B2 (en) | 2021-02-01 | 2025-08-26 | Universal Display Corporation | Organic electroluminescent materials and devices |
| US12459966B2 (en) | 2021-02-02 | 2025-11-04 | Universal Display Corporation | Organic electroluminescent materials and devices |
| US12497419B2 (en) | 2021-02-22 | 2025-12-16 | Universal Display Corporation | Organic electroluminescent materials and devices |
| US12484437B2 (en) | 2021-02-26 | 2025-11-25 | Universal Display Corporation | Organic electroluminescent materials and devices |
| US12421262B2 (en) | 2021-03-15 | 2025-09-23 | Universal Display Corporation | Organic electroluminescent materials and devices |
| US12473317B2 (en) | 2021-06-04 | 2025-11-18 | Universal Display Corporation | Organic electroluminescent materials and devices |
| US12495715B2 (en) | 2021-06-29 | 2025-12-09 | Universal Display Corporation | Organic electroluminescent materials and devices |
| US12520715B2 (en) | 2021-07-16 | 2026-01-06 | University Of Southern California | Organic electroluminescent materials and devices |
| US12507586B2 (en) | 2021-07-21 | 2025-12-23 | Universal Display Corporation | Organic electroluminescent materials and devices |
| US12514110B2 (en) | 2021-08-06 | 2025-12-30 | Universal Display Corporation | Organic electroluminescent materials and devices |
| US12509628B2 (en) | 2021-12-16 | 2025-12-30 | Universal Display Corporation | Organic electroluminescent materials and devices |
| US12414433B2 (en) | 2022-02-11 | 2025-09-09 | Universal Display Corporation | Organic electroluminescent devices |
| US12545690B2 (en) | 2022-02-16 | 2026-02-10 | Universal Display Corporation | Organic electroluminescent materials and devices |
| US12550603B2 (en) | 2022-08-24 | 2026-02-10 | Universal Display Corporation | Organic electroluminescent materials and devices |
| US12550604B2 (en) | 2024-01-12 | 2026-02-10 | Universal Display Corporation | Organic electroluminescent materials and devices |
Also Published As
| Publication number | Publication date |
|---|---|
| JP2008538858A (ja) | 2008-11-06 |
| CN101171697A (zh) | 2008-04-30 |
| EP1866978A1 (de) | 2007-12-19 |
| KR20070118656A (ko) | 2007-12-17 |
| DE102005014284A1 (de) | 2006-09-28 |
Similar Documents
| Publication | Publication Date | Title |
|---|---|---|
| EP1866978A1 (de) | Verwendung von verbindungen, welche aromatische oder heteroaromatische über carbonyl-gruppen enthaltende gruppen verbundene ringe enthalten, als matrixmaterialien in organischen leuchtdioden | |
| DE102020101561B4 (de) | Organische licht emittierende materialien, die einen cyano-substituierten liganden enthalten | |
| EP2195868B1 (de) | Verwendung von acridinderivaten als matrixmaterialien und/oder elektronenblocker in oleds | |
| EP2288671B1 (de) | Neue übergangsmetall-komplexe und deren verwendung in organischen leuchtdioden - iii | |
| EP2297800B1 (de) | Deuterierte übergangsmetall- komplexe und deren verwendung in organischen leuchtdioden | |
| DE112010005815B4 (de) | Bicarbazolverbindungen für OLEDs | |
| EP1692244B1 (de) | Verwendung von platin(ii)-komplexen als lumineszierende materialien in organischen licht-emittierenden dioden (oleds) | |
| WO2008132085A1 (de) | Silane enthaltend phenothiazin-s-oxid oder phenothiazin-s,s-dioxid-gruppen und deren verwendung in oleds | |
| EP2035526A1 (de) | Verwendung von übergangsmetallcarbenkomplexen, die keine cyclometallierung über nicht-carbene enthalten, in oleds | |
| EP3216797A1 (de) | Dinukleare platin-carben-komplexe und deren verwendung in oleds | |
| DE102013019465A1 (de) | Organische elektrolumineszenzvorrichtung mit verzögerter fluoreszenz | |
| DE112005000865T5 (de) | Organische Licht-emittierende Bauteile | |
| EP3253848B1 (de) | Blaue fluoreszenzemitter | |
| EP1794211B1 (de) | Verwendung von kupfer(i)-komplexen in organischen lichtemittierenden dioden | |
| DE102004057073A1 (de) | Verwendung von Phenothiazin-S-oxiden und -S,S-dioxiden als Matrixmaterialien für organische Leuchtdioden | |
| DE102015122869A1 (de) | Neue Emittermaterialien und Matrixmaterialien für optoelektronische und elektronische Bauelemente, insbesondere organische lichtemittierende Dioden (OLEDs) | |
| EP1735851B1 (de) | Verwendung von metallocenkomplexen von metallen der 4. nebengruppe des periodensystems als triplettemitter in organischen leuchtdioden (oleds) | |
| WO2007039344A2 (de) | Weisse organische leuchtdioden (oleds) auf der basis von exciplexen zweier blau fluoreszierender verbindungen | |
| EP2207865A1 (de) | Verwendung von substituierten tris(diphenylamino)-triazinverbindungen in oleds | |
| DE10360681A1 (de) | Verwendung von Hauptgruppenmetall-Diketonatokomplexen als lumineszierende Materialien in organischen Leuchtdioden (OLEDs) | |
| DE102013200085B4 (de) | Hocheffiziente phosphoreszierende Materialien | |
| EP2288670A1 (de) | Neue übergangsmetall-komplexe und deren verwendung in organischen leuchtdioden - iv | |
| DE10360680A1 (de) | Verwendung von Gadolinium(III)-Chelaten als lumineszierende Materialien in organischen Leuchtdioden (OLEDs) |
Legal Events
| Date | Code | Title | Description |
|---|---|---|---|
| 121 | Ep: the epo has been informed by wipo that ep was designated in this application | ||
| WWE | Wipo information: entry into national phase |
Ref document number: 2006725284 Country of ref document: EP |
|
| NENP | Non-entry into the national phase |
Ref country code: DE |
|
| WWE | Wipo information: entry into national phase |
Ref document number: 2008502423 Country of ref document: JP |
|
| NENP | Non-entry into the national phase |
Ref country code: RU |
|
| WWE | Wipo information: entry into national phase |
Ref document number: 1020077024429 Country of ref document: KR |
|
| WWW | Wipo information: withdrawn in national office |
Ref document number: RU |
|
| WWE | Wipo information: entry into national phase |
Ref document number: 200680014929.3 Country of ref document: CN |
|
| WWP | Wipo information: published in national office |
Ref document number: 2006725284 Country of ref document: EP |


























































































































