US9040962B2 - Depositing premixed materials - Google Patents
Depositing premixed materials Download PDFInfo
- Publication number
- US9040962B2 US9040962B2 US13/640,000 US201013640000A US9040962B2 US 9040962 B2 US9040962 B2 US 9040962B2 US 201013640000 A US201013640000 A US 201013640000A US 9040962 B2 US9040962 B2 US 9040962B2
- Authority
- US
- United States
- Prior art keywords
- group
- carbon atoms
- formula
- compound
- ring
- Prior art date
- Legal status (The legal status is an assumption and is not a legal conclusion. Google has not performed a legal analysis and makes no representation as to the accuracy of the status listed.)
- Active, expires
Links
- 0 C1=CC=C2C(=C1)CC1=C2/C=C\C=C/1.[1*]C.[2*]C Chemical compound C1=CC=C2C(=C1)CC1=C2/C=C\C=C/1.[1*]C.[2*]C 0.000 description 66
- AVFZOVWCLRSYKC-UHFFFAOYSA-N CN1CCCC1 Chemical compound CN1CCCC1 AVFZOVWCLRSYKC-UHFFFAOYSA-N 0.000 description 21
- OTMSDBZUPAUEDD-UHFFFAOYSA-N CC Chemical compound CC OTMSDBZUPAUEDD-UHFFFAOYSA-N 0.000 description 8
- MEKDPHXPVMKCON-UHFFFAOYSA-N C.CC Chemical compound C.CC MEKDPHXPVMKCON-UHFFFAOYSA-N 0.000 description 7
- SWEPCQAWDFKGFD-UHFFFAOYSA-N C1=CC=C(C2=CC(C3=CC(N4C5=C(C=CC=C5)C5=C4C4=C(C=C5)N(C5=CC=CC=C5)C5=C4C=CC=C5)=CC=C3)=CC(C3=CC=CC=C3)=N2)C=C1.C1=CC=C(N(C2=CC=CC=C2)C2=CC(N(C3=CC=CC=C3)C3=CC=CC=C3)=CC(N3C4=C(C=CC=C4)C4=C3C=CC3=C4N(C4=CC=CC=C4)C4=C3C=CC=C4)=C2)C=C1.C1=CC=C(N2C3=C(C=CC=C3)C3=C2C2=C(C=C3)N(C3=CC(C4=CC=CC(N5C6=C(C=CC=C6)C6=C5C=CC=C6)=N4)=CC=C3)C3=C2C=CC=C3)C=C1.C1=CC=C(N2C3=C(C=CC=C3)C3=C2C2=C(C=C3)N(C3=CC(N4C5=C(C=CC=C5)C5=C4C=CC=C5)=CC(N4C5=C(C=CC=C5)C5=C4C=CC=C5)=C3)C3=C2C=CC=C3)C=C1.C1=CC=C(N2C3=C(C=CC=C3)C3=C2C=CC2=C3N(C3=C/C4=C(\C=C/3)OC3=C4C=CC=C3)C3=C2C=CC=C3)C=C1.C1=CC=C2C(=C1)SC1=C2/C=C(C2=CC=CC(N3C4=C(C=CC=C4)C4=C3C=CC3=C4N(C4=CC=CC(C5=CC6=C(C=C5)SC5=C6C=CC=C5)=C4)C4=C3C=CC=C4)=C2)\C=C/1 Chemical compound C1=CC=C(C2=CC(C3=CC(N4C5=C(C=CC=C5)C5=C4C4=C(C=C5)N(C5=CC=CC=C5)C5=C4C=CC=C5)=CC=C3)=CC(C3=CC=CC=C3)=N2)C=C1.C1=CC=C(N(C2=CC=CC=C2)C2=CC(N(C3=CC=CC=C3)C3=CC=CC=C3)=CC(N3C4=C(C=CC=C4)C4=C3C=CC3=C4N(C4=CC=CC=C4)C4=C3C=CC=C4)=C2)C=C1.C1=CC=C(N2C3=C(C=CC=C3)C3=C2C2=C(C=C3)N(C3=CC(C4=CC=CC(N5C6=C(C=CC=C6)C6=C5C=CC=C6)=N4)=CC=C3)C3=C2C=CC=C3)C=C1.C1=CC=C(N2C3=C(C=CC=C3)C3=C2C2=C(C=C3)N(C3=CC(N4C5=C(C=CC=C5)C5=C4C=CC=C5)=CC(N4C5=C(C=CC=C5)C5=C4C=CC=C5)=C3)C3=C2C=CC=C3)C=C1.C1=CC=C(N2C3=C(C=CC=C3)C3=C2C=CC2=C3N(C3=C/C4=C(\C=C/3)OC3=C4C=CC=C3)C3=C2C=CC=C3)C=C1.C1=CC=C2C(=C1)SC1=C2/C=C(C2=CC=CC(N3C4=C(C=CC=C4)C4=C3C=CC3=C4N(C4=CC=CC(C5=CC6=C(C=C5)SC5=C6C=CC=C5)=C4)C4=C3C=CC=C4)=C2)\C=C/1 SWEPCQAWDFKGFD-UHFFFAOYSA-N 0.000 description 5
- XPAYQSLFQCRMEM-UHFFFAOYSA-N C1=CC=C(C2=CC(C3=CC=CC=C3)=NC(C3=CC=CC(N4C5=C(C=CC=C5)C5=C4C4=C(C=C5)C5=C(C=CC=C5)N4C4=CC=CC=C4)=C3)=N2)C=C1.C1=CC=C(C2=CC(N3C4=C(C=CC=C4)C4=C3C3=C(C=C4)N(C4=CC=CC=C4)C4=C3C=CC=C4)=CC(C3=CC=CC=C3)=N2)C=C1.C1=CC=C(C2=NC(C3=CC=CC=C3)=NC(N3C4=C(C=CC=C4)C4=C3C3=C(C=C4)C4=C(C=CC=C4)N3C3=C/C4=C(\C=C/3)SC3=C4C=CC=C3)=N2)C=C1.C1=CC=C(C2=NC(C3=CC=CC=C3)=NC(N3C4=C(C=CC=C4)C4=C3C3=C(C=C4)C4=C(C=CC=C4)N3C3=CC=CC=C3)=N2)C=C1.C1=CC=C(N2C3=C(C=CC=C3)C3=C2C2=C(C=C3)N(C3=NC(N4C5=C(C=CC=C5)C5=C4C=CC=C5)=CC=C3)C3=C2C=CC=C3)C=C1.C1=CC=C(N2C3=C(C=CC=C3)C3=CC=C4C5=C(C=CC=C5)N(C5=CC=C(C6=CC=CC7=C6SC6=C7C=CC=C6)C=C5)C4=C32)C=C1.C1=CC=C(N2C3=C(C=CC=C3)C3=CC=C4C5=C(C=CC=C5)N(C5=CC=C(N6C7=C(C=CC=C7)C7=C6C=CC=C7)C=C5)C4=C32)C=C1.C1=CC=C(N2C3=C(C=CC=C3)C3=CC=C4C5=C(C=CC=C5)N(C5=CC=CC(C6=CC7=C(C=C6)OC6=C7C=CC=C6)=C5)C4=C32)C=C1 Chemical compound C1=CC=C(C2=CC(C3=CC=CC=C3)=NC(C3=CC=CC(N4C5=C(C=CC=C5)C5=C4C4=C(C=C5)C5=C(C=CC=C5)N4C4=CC=CC=C4)=C3)=N2)C=C1.C1=CC=C(C2=CC(N3C4=C(C=CC=C4)C4=C3C3=C(C=C4)N(C4=CC=CC=C4)C4=C3C=CC=C4)=CC(C3=CC=CC=C3)=N2)C=C1.C1=CC=C(C2=NC(C3=CC=CC=C3)=NC(N3C4=C(C=CC=C4)C4=C3C3=C(C=C4)C4=C(C=CC=C4)N3C3=C/C4=C(\C=C/3)SC3=C4C=CC=C3)=N2)C=C1.C1=CC=C(C2=NC(C3=CC=CC=C3)=NC(N3C4=C(C=CC=C4)C4=C3C3=C(C=C4)C4=C(C=CC=C4)N3C3=CC=CC=C3)=N2)C=C1.C1=CC=C(N2C3=C(C=CC=C3)C3=C2C2=C(C=C3)N(C3=NC(N4C5=C(C=CC=C5)C5=C4C=CC=C5)=CC=C3)C3=C2C=CC=C3)C=C1.C1=CC=C(N2C3=C(C=CC=C3)C3=CC=C4C5=C(C=CC=C5)N(C5=CC=C(C6=CC=CC7=C6SC6=C7C=CC=C6)C=C5)C4=C32)C=C1.C1=CC=C(N2C3=C(C=CC=C3)C3=CC=C4C5=C(C=CC=C5)N(C5=CC=C(N6C7=C(C=CC=C7)C7=C6C=CC=C7)C=C5)C4=C32)C=C1.C1=CC=C(N2C3=C(C=CC=C3)C3=CC=C4C5=C(C=CC=C5)N(C5=CC=CC(C6=CC7=C(C=C6)OC6=C7C=CC=C6)=C5)C4=C32)C=C1 XPAYQSLFQCRMEM-UHFFFAOYSA-N 0.000 description 5
- ZDILYSQFCKFUTI-UHFFFAOYSA-N C1=CC(C2=C/C=C3\OC4=C(C=CC=C4)\C3=C\2)=CC(N2C3=CC4=C(C=C3C3=C2C=CC=C3)N(C2=CC=CC(C3=C/C=C5\OC6=C(C=CC=C6)\C5=C\3)=C2)C2=C4C=CC=C2)=C1.C1=CC(C2=CC=CC(N3C4=C(C=CC=C4)C4=C3C=CC=C4)=N2)=NC(N2C3=C(C=CC=C3)C3=C2C2=C(C=C3)C3=C(C=CC=C3)N2C2=NC(N3C4=C(C=CC=C4)C4=C3C=CC=C4)=CC=C2)=C1.C1=CC=C(C2=CC=CC(C3=CC=C(N4C5=CC6=C(C=C5C5=C4C=CC=C5)N(C4=CC=C(C5=NC(C7=CC=CC=C7)=CC=C5)C=C4)C4=C6C=CC=C4)C=C3)=N2)C=C1.C1=CC=C(C2=NC(N3C4=C(C=CC=C4)C4=C3C3=C(C=C4)C4=C(C=CC=C4)N3C3=CC(C4=C\C=C5\SC6=C(C=CC=C6)\C5=C\4)=CC=C3)=CC=C2)C=C1.C1=CC=C(N2C3=C(C=CC=C3)C3=C2C2=C(C=C3)C3=C(C=CC=C3)N2C2=CC=CC(C3=C4\OC5=C(C=CC=C5)\C4=C/C=C\3)=N2)C=C1.C1=CC=C(N2C3=C(C=CC=C3)C3=C2C2=C(C=C3)C3=C(C=CC=C3)N2C2=NC(N3C4=C(C=CC=C4)C4=C3C=CC=C4)=CC=C2)C=C1 Chemical compound C1=CC(C2=C/C=C3\OC4=C(C=CC=C4)\C3=C\2)=CC(N2C3=CC4=C(C=C3C3=C2C=CC=C3)N(C2=CC=CC(C3=C/C=C5\OC6=C(C=CC=C6)\C5=C\3)=C2)C2=C4C=CC=C2)=C1.C1=CC(C2=CC=CC(N3C4=C(C=CC=C4)C4=C3C=CC=C4)=N2)=NC(N2C3=C(C=CC=C3)C3=C2C2=C(C=C3)C3=C(C=CC=C3)N2C2=NC(N3C4=C(C=CC=C4)C4=C3C=CC=C4)=CC=C2)=C1.C1=CC=C(C2=CC=CC(C3=CC=C(N4C5=CC6=C(C=C5C5=C4C=CC=C5)N(C4=CC=C(C5=NC(C7=CC=CC=C7)=CC=C5)C=C4)C4=C6C=CC=C4)C=C3)=N2)C=C1.C1=CC=C(C2=NC(N3C4=C(C=CC=C4)C4=C3C3=C(C=C4)C4=C(C=CC=C4)N3C3=CC(C4=C\C=C5\SC6=C(C=CC=C6)\C5=C\4)=CC=C3)=CC=C2)C=C1.C1=CC=C(N2C3=C(C=CC=C3)C3=C2C2=C(C=C3)C3=C(C=CC=C3)N2C2=CC=CC(C3=C4\OC5=C(C=CC=C5)\C4=C/C=C\3)=N2)C=C1.C1=CC=C(N2C3=C(C=CC=C3)C3=C2C2=C(C=C3)C3=C(C=CC=C3)N2C2=NC(N3C4=C(C=CC=C4)C4=C3C=CC=C4)=CC=C2)C=C1 ZDILYSQFCKFUTI-UHFFFAOYSA-N 0.000 description 4
- UQKWXCAVUYSSSW-UHFFFAOYSA-N C1=CC(C2=CC=C3OC4=C(C=CC=C4)C3=C2)=NC(N2C3=CC4=C(C=C3C3=C2C=CC=C3)N(C2=CC=CC(C3=CC=C5OC6=C(C=CC=C6)C5=C3)=N2)C2=C4C=CC=C2)=C1.C1=CC(N2C3=C(C=CC=C3)C3=C2C=CC=C3)=NC(N2C3=CC4=C(C=C3C3=C2C=CC=C3)N(C2=CC=CC(N3C5=C(C=CC=C5)C5=C3C=CC=C5)=N2)C2=C4C=CC=C2)=C1.C1=CC=C(C2=NC(C3=CC=CC=C3)=NC(C3=CC=CC(N4C5=C(C=CC=C5)C5=C4C=C4C(=C5)C5=C(C=CC=C5)N4C4=CC=CC(C5=NC(C6=CC=CC=C6)=NC(C6=CC=CC=C6)=N5)=C4)=C3)=N2)C=C1.C1=CC=C(C2=NC(C3=CC=CC=C3)=NC(N3C4=CC5=C(C=C4C4=C3C=CC=C4)N(C3=NC(C4=CC=CC=C4)=NC(C4=CC=CC=C4)=N3)C3=C5C=CC=C3)=N2)C=C1.C1=CC=C(C2=NC(N3C4=CC5=C(C=C4C4=C3C=CC=C4)N(C3=CC=CC(C4=CC=CC=C4)=N3)C3=C5C=CC=C3)=CC=C2)C=C1.C1=CC=C(N2C3=C(C=CC=C3)C3=C2C=C2C(=C3)N(C3=CC(N4C5=C(C=CC=C5)C5=C4C=CC=C5)=NC(N4C5=C(C=CC=C5)C5=C4C=CC=C5)=C3)C3=C2C=CC=C3)C=C1 Chemical compound C1=CC(C2=CC=C3OC4=C(C=CC=C4)C3=C2)=NC(N2C3=CC4=C(C=C3C3=C2C=CC=C3)N(C2=CC=CC(C3=CC=C5OC6=C(C=CC=C6)C5=C3)=N2)C2=C4C=CC=C2)=C1.C1=CC(N2C3=C(C=CC=C3)C3=C2C=CC=C3)=NC(N2C3=CC4=C(C=C3C3=C2C=CC=C3)N(C2=CC=CC(N3C5=C(C=CC=C5)C5=C3C=CC=C5)=N2)C2=C4C=CC=C2)=C1.C1=CC=C(C2=NC(C3=CC=CC=C3)=NC(C3=CC=CC(N4C5=C(C=CC=C5)C5=C4C=C4C(=C5)C5=C(C=CC=C5)N4C4=CC=CC(C5=NC(C6=CC=CC=C6)=NC(C6=CC=CC=C6)=N5)=C4)=C3)=N2)C=C1.C1=CC=C(C2=NC(C3=CC=CC=C3)=NC(N3C4=CC5=C(C=C4C4=C3C=CC=C4)N(C3=NC(C4=CC=CC=C4)=NC(C4=CC=CC=C4)=N3)C3=C5C=CC=C3)=N2)C=C1.C1=CC=C(C2=NC(N3C4=CC5=C(C=C4C4=C3C=CC=C4)N(C3=CC=CC(C4=CC=CC=C4)=N3)C3=C5C=CC=C3)=CC=C2)C=C1.C1=CC=C(N2C3=C(C=CC=C3)C3=C2C=C2C(=C3)N(C3=CC(N4C5=C(C=CC=C5)C5=C4C=CC=C5)=NC(N4C5=C(C=CC=C5)C5=C4C=CC=C5)=C3)C3=C2C=CC=C3)C=C1 UQKWXCAVUYSSSW-UHFFFAOYSA-N 0.000 description 4
- COKXAMMXMBZORA-UHFFFAOYSA-N C1=CC=C(C2=CC=CC(N3C4=C(C=CC=C4)C4=C3C=CC3=C4N(C4=CC=CC(C5=C/C6=C(\C=C/5)OC5=C6C=CC=C5)=N4)C4=C3C=CC=C4)=N2)C=C1.C1=CC=C(C2=NC(C3=CC=CC=C3)=NC(C3=CC(N4C5=C(C=CC=C5)C5=C4C4=C(C=C5)N(C5=C/C6=C(\C=C/5)N(C5=CC=CC=C5)C5=C6C=CC=C5)C5=C4C=CC=C5)=CC=C3)=N2)C=C1.C1=CC=C(C2=NC(C3=CC=CC=C3)=NC(N3C4=C(C=CC=C4)C4=C3C=CC3=C4N(C4=CC=CC(C5=C/C6=C(\C=C/5)SC5=C6C=CC=C5)=C4)C4=C3C=CC=C4)=N2)C=C1.C1=CC=C(N2C3=C(C=CC=C3)C3=C2/C=C\C(N2C4=C(C=CC=C4)C4=C2C=CC2=C4N(C4=C/C5=C(\C=C/4)N(C4=CC=CC=C4)C4=C5C=CC=C4)C4=C2C=CC=C4)=C/3)C=C1.C1=CC=C(N2C3=C(C=CC=C3)C3=C2C2=C(C=C3)N(C3=C/C4=C(\C=C/3)SC3=C4C=CC=C3)C3=C2C=CC=C3)C=C1.C1=CC=C(N2C3=C(C=CC=C3)C3=C2C2=C(C=C3)N(C3=NC(/C4=C/C=C\C5=C4SC4=C5C=CC=C4)=CC=C3)C3=C2C=CC=C3)C=C1 Chemical compound C1=CC=C(C2=CC=CC(N3C4=C(C=CC=C4)C4=C3C=CC3=C4N(C4=CC=CC(C5=C/C6=C(\C=C/5)OC5=C6C=CC=C5)=N4)C4=C3C=CC=C4)=N2)C=C1.C1=CC=C(C2=NC(C3=CC=CC=C3)=NC(C3=CC(N4C5=C(C=CC=C5)C5=C4C4=C(C=C5)N(C5=C/C6=C(\C=C/5)N(C5=CC=CC=C5)C5=C6C=CC=C5)C5=C4C=CC=C5)=CC=C3)=N2)C=C1.C1=CC=C(C2=NC(C3=CC=CC=C3)=NC(N3C4=C(C=CC=C4)C4=C3C=CC3=C4N(C4=CC=CC(C5=C/C6=C(\C=C/5)SC5=C6C=CC=C5)=C4)C4=C3C=CC=C4)=N2)C=C1.C1=CC=C(N2C3=C(C=CC=C3)C3=C2/C=C\C(N2C4=C(C=CC=C4)C4=C2C=CC2=C4N(C4=C/C5=C(\C=C/4)N(C4=CC=CC=C4)C4=C5C=CC=C4)C4=C2C=CC=C4)=C/3)C=C1.C1=CC=C(N2C3=C(C=CC=C3)C3=C2C2=C(C=C3)N(C3=C/C4=C(\C=C/3)SC3=C4C=CC=C3)C3=C2C=CC=C3)C=C1.C1=CC=C(N2C3=C(C=CC=C3)C3=C2C2=C(C=C3)N(C3=NC(/C4=C/C=C\C5=C4SC4=C5C=CC=C4)=CC=C3)C3=C2C=CC=C3)C=C1 COKXAMMXMBZORA-UHFFFAOYSA-N 0.000 description 4
- RDDPAKCJIVCYKH-UHFFFAOYSA-N C.C[Y] Chemical compound C.C[Y] RDDPAKCJIVCYKH-UHFFFAOYSA-N 0.000 description 3
- OAIPLGGQMWBFQF-UHFFFAOYSA-N C1=CC=C(C2=CC3=C(C=C2)C2=N(C=CC=C2)[Ir]32C3=CC=CC=C3C3=N2C=CC=C3)C=C1.C1=CC=C(C2=CC3=C(C=C2)[Ir]2(C4=CC=CC=C4C4=N2C=CC=C4)N2=CC=CC=C32)C=C1.CC1=CC=C2C3=C(C=CC(C4=CC=CC=C4)=C3)[Ir]3(C4=CC=CC=C4C4=N3C=CC=C4)N2=C1.CC1=CC=N2C(=C1)C1=C(C=CC(C3=CC=CC=C3)=C1)[Ir]21C2=CC=CC=C2C2=N1C=CC=C2.CC1=CN2=C(C=C1)C1=C(C=C(C3=CC=CC=C3)C=C1)[Ir]21C2=CC=CC=C2C2=N1C=CC=C2 Chemical compound C1=CC=C(C2=CC3=C(C=C2)C2=N(C=CC=C2)[Ir]32C3=CC=CC=C3C3=N2C=CC=C3)C=C1.C1=CC=C(C2=CC3=C(C=C2)[Ir]2(C4=CC=CC=C4C4=N2C=CC=C4)N2=CC=CC=C32)C=C1.CC1=CC=C2C3=C(C=CC(C4=CC=CC=C4)=C3)[Ir]3(C4=CC=CC=C4C4=N3C=CC=C4)N2=C1.CC1=CC=N2C(=C1)C1=C(C=CC(C3=CC=CC=C3)=C1)[Ir]21C2=CC=CC=C2C2=N1C=CC=C2.CC1=CN2=C(C=C1)C1=C(C=C(C3=CC=CC=C3)C=C1)[Ir]21C2=CC=CC=C2C2=N1C=CC=C2 OAIPLGGQMWBFQF-UHFFFAOYSA-N 0.000 description 3
- PHKRQYLYOWOUDX-UHFFFAOYSA-N C.C.CC Chemical compound C.C.CC PHKRQYLYOWOUDX-UHFFFAOYSA-N 0.000 description 2
- IFPJIUQHZYIONX-UHFFFAOYSA-N C1=CC(C2=CC(C3=CC=CC4=C3OC3=C4C=CC=C3)=CC=C2)=CC(C2=CC3=C(C=C2)C2=C(C=CC=C2)C2=C3C=CC=C2)=C1.C1=CC(C2=CC(C3=CC=CC4=C3SC3=C4C=CC=C3)=CC=C2)=CC(C2=CC3=C(C=C2)C2=C(C=CC=C2)C2=C3C=CC=C2)=C1.C1=CC(C2=CC3=C(C=C2)C2=C(C=CC=C2)C2=C3C=C(C3=CC=CC(C4=CC=CC5=C4SC4=C5C=CC=C4)=C3)C=C2)=CC(C2=CC=CC3=C2SC2=C3/C=C\C=C/2)=C1.C1=CC(C2=CC=CC3=C2OC2=C3C=CC=C2)=CC(C2=CC3=C(C=C2)C2=C(C=CC=C2)C2=C3C=CC=C2)=C1.C1=CC(C2=CC=CC3=C2SC2=C3C=CC=C2)=CC(C2=CC3=C(C=C2)C2=C(C=CC=C2)C2=C3C=CC=C2)=C1.C1=CC=C2C(=C1)SC1=C2C=C(C2=CC(C3=CC4=C(C=C3)C3=C(C=CC=C3)C3=C4C=CC=C3)=CC=C2)C=C1 Chemical compound C1=CC(C2=CC(C3=CC=CC4=C3OC3=C4C=CC=C3)=CC=C2)=CC(C2=CC3=C(C=C2)C2=C(C=CC=C2)C2=C3C=CC=C2)=C1.C1=CC(C2=CC(C3=CC=CC4=C3SC3=C4C=CC=C3)=CC=C2)=CC(C2=CC3=C(C=C2)C2=C(C=CC=C2)C2=C3C=CC=C2)=C1.C1=CC(C2=CC3=C(C=C2)C2=C(C=CC=C2)C2=C3C=C(C3=CC=CC(C4=CC=CC5=C4SC4=C5C=CC=C4)=C3)C=C2)=CC(C2=CC=CC3=C2SC2=C3/C=C\C=C/2)=C1.C1=CC(C2=CC=CC3=C2OC2=C3C=CC=C2)=CC(C2=CC3=C(C=C2)C2=C(C=CC=C2)C2=C3C=CC=C2)=C1.C1=CC(C2=CC=CC3=C2SC2=C3C=CC=C2)=CC(C2=CC3=C(C=C2)C2=C(C=CC=C2)C2=C3C=CC=C2)=C1.C1=CC=C2C(=C1)SC1=C2C=C(C2=CC(C3=CC4=C(C=C3)C3=C(C=CC=C3)C3=C4C=CC=C3)=CC=C2)C=C1 IFPJIUQHZYIONX-UHFFFAOYSA-N 0.000 description 2
- RGANHUQXDBOJDI-UHFFFAOYSA-N C1=CC(C2=CC3=C(C=C2)C2=C(C=CC=C2)C2=C3C=C(C3=CC=CC(C4=CC=CC5=C4OC4=C5C=CC=C4)=C3)C=C2)=CC(C2=CC=CC3=C2OC2=C3/C=C\C=C/2)=C1.C1=CC(C2=NC(C3=CC=CC4=C3SC3=C4C=CC=C3)=CC=C2)=CC(C2=CC3=C(C=C2)C2=C(C=CC=C2)C2=C3C=CC=C2)=C1.C1=CC=C(C2=C3OC4=C(C=CC=C4C4=CC(C5=CC=C6C(=C5)C5=C(C=CC=C5)C5=C6C=CC=C5)=CC=C4)C3=CC=C2)C=C1.C1=CC=C(C2=C3SC4=C(C=CC=C4C4=CC(C5=CC=C6C(=C5)C5=C(C=CC=C5)C5=C6C=CC=C5)=CC=C4)C3=CC=C2)C=C1.C1=CC=C2C(=C1)OC1=C2C=C(C2=CC(C3=CC4=C(C=C3)C3=C(C=CC=C3)C3=C4C=CC=C3)=CC=C2)C=C1 Chemical compound C1=CC(C2=CC3=C(C=C2)C2=C(C=CC=C2)C2=C3C=C(C3=CC=CC(C4=CC=CC5=C4OC4=C5C=CC=C4)=C3)C=C2)=CC(C2=CC=CC3=C2OC2=C3/C=C\C=C/2)=C1.C1=CC(C2=NC(C3=CC=CC4=C3SC3=C4C=CC=C3)=CC=C2)=CC(C2=CC3=C(C=C2)C2=C(C=CC=C2)C2=C3C=CC=C2)=C1.C1=CC=C(C2=C3OC4=C(C=CC=C4C4=CC(C5=CC=C6C(=C5)C5=C(C=CC=C5)C5=C6C=CC=C5)=CC=C4)C3=CC=C2)C=C1.C1=CC=C(C2=C3SC4=C(C=CC=C4C4=CC(C5=CC=C6C(=C5)C5=C(C=CC=C5)C5=C6C=CC=C5)=CC=C4)C3=CC=C2)C=C1.C1=CC=C2C(=C1)OC1=C2C=C(C2=CC(C3=CC4=C(C=C3)C3=C(C=CC=C3)C3=C4C=CC=C3)=CC=C2)C=C1 RGANHUQXDBOJDI-UHFFFAOYSA-N 0.000 description 2
- DXZDZRAXZALKSK-UHFFFAOYSA-N C1=CC(C2=CC3=C(C=C2)C2=C(C=CC=C2)C2=C3C=CC=C2)=NC(C2=CC=CC3=C2SC2=C3C=CC=C2)=C1.C1=CC(C2=CC3=C(SC4=C3C=CC=C4)C3=C2C=CC=C3)=CC(C2=CC3=C(C=C2)C2=C(C=CC=C2)C2=C3C=CC=C2)=C1.C1=CC2=C(C=C1)C1=C(S2)C(C2=CC(C3=CC4=C(C=C3)C3=C(C=CC=C3)C3=C4C=CC=C3)=CC(C3=CC4=C(C=C3)C3=C(C=CC=C3)C3=C4C=CC=C3)=C2)=CC=C1.C1=CC2=C(C=C1)C1=C(S2)C(C2=CC=C(C3=CC4=C(C=C3)C3=C(C=CC=C3)C3=C4C=CC=C3)C=C2)=CC=C1 Chemical compound C1=CC(C2=CC3=C(C=C2)C2=C(C=CC=C2)C2=C3C=CC=C2)=NC(C2=CC=CC3=C2SC2=C3C=CC=C2)=C1.C1=CC(C2=CC3=C(SC4=C3C=CC=C4)C3=C2C=CC=C3)=CC(C2=CC3=C(C=C2)C2=C(C=CC=C2)C2=C3C=CC=C2)=C1.C1=CC2=C(C=C1)C1=C(S2)C(C2=CC(C3=CC4=C(C=C3)C3=C(C=CC=C3)C3=C4C=CC=C3)=CC(C3=CC4=C(C=C3)C3=C(C=CC=C3)C3=C4C=CC=C3)=C2)=CC=C1.C1=CC2=C(C=C1)C1=C(S2)C(C2=CC=C(C3=CC4=C(C=C3)C3=C(C=CC=C3)C3=C4C=CC=C3)C=C2)=CC=C1 DXZDZRAXZALKSK-UHFFFAOYSA-N 0.000 description 2
- PCCUYBFYCCWZQS-UHFFFAOYSA-N C1=CC(C2=CC=C3SC4=C(C=CC=C4)C3=C2)=NC(N2C3=CC4=C(C=C3C3=C2C=CC=C3)C2=C(C=CC=C2)N4C2=NC(C3=CC4=C(C=C3)SC3=C4C=CC=C3)=CC=C2)=C1.C1=CC(C2=CC=CC(N3C4=C(C=CC=C4)C4=C3C=CC=C4)=C2)=CC(N2C3=CC4=C(C=C3C3=C2C=CC=C3)C2=C(C=CC=C2)N4C2=CC(C3=CC(N4C5=C(C=CC=C5)C5=C4C=CC=C5)=CC=C3)=CC=C2)=C1.C1=CC(N2C3=C(C=CC=C3)C3=C2C=CC=C3)=CC(N2C3=C(C=CC=C3)C3=C2C=CC2=C3C3=C(C=CC=C3)N2C2=CC(N3C4=C(C=CC=C4)C4=C3C=CC=C4)=CC=C2)=C1.C1=CC2=CC=C(N3C4=CC5=C(C=C4C4=C3C=CC=C4)C3=C(C=CC=C3)N5C3=NC4=C(C=CC=C4)C=C3)N=C2C=C1.C1=CC=C(C2=CC=CC(C3=CC(N4C5=C(C=CC=C5)C5=C4C=CC4=C5C5=C(C=CC=C5)N4C4=CC(C5=CC=CC(C6=CC=CC=C6)=N5)=CC=C4)=CC=C3)=N2)C=C1.C1=CC=C(C2=CC=CC(N3C4=C(C=CC=C4)C4=C3C=C3C(=C4)C4=C(C=CC=C4)N3C3=CC=CC(C4=CC=CC=C4)=N3)=N2)C=C1.C1=CC=C(C2=NC(N3C4=C(C=CC=C4)C4=C3C=C3C(=C4)C4=C(C=CC=C4)N3C3=CC=CC=C3)=NC(N3C4=C(C=CC=C4)C4=C3C=CC=C4)=N2)C=C1 Chemical compound C1=CC(C2=CC=C3SC4=C(C=CC=C4)C3=C2)=NC(N2C3=CC4=C(C=C3C3=C2C=CC=C3)C2=C(C=CC=C2)N4C2=NC(C3=CC4=C(C=C3)SC3=C4C=CC=C3)=CC=C2)=C1.C1=CC(C2=CC=CC(N3C4=C(C=CC=C4)C4=C3C=CC=C4)=C2)=CC(N2C3=CC4=C(C=C3C3=C2C=CC=C3)C2=C(C=CC=C2)N4C2=CC(C3=CC(N4C5=C(C=CC=C5)C5=C4C=CC=C5)=CC=C3)=CC=C2)=C1.C1=CC(N2C3=C(C=CC=C3)C3=C2C=CC=C3)=CC(N2C3=C(C=CC=C3)C3=C2C=CC2=C3C3=C(C=CC=C3)N2C2=CC(N3C4=C(C=CC=C4)C4=C3C=CC=C4)=CC=C2)=C1.C1=CC2=CC=C(N3C4=CC5=C(C=C4C4=C3C=CC=C4)C3=C(C=CC=C3)N5C3=NC4=C(C=CC=C4)C=C3)N=C2C=C1.C1=CC=C(C2=CC=CC(C3=CC(N4C5=C(C=CC=C5)C5=C4C=CC4=C5C5=C(C=CC=C5)N4C4=CC(C5=CC=CC(C6=CC=CC=C6)=N5)=CC=C4)=CC=C3)=N2)C=C1.C1=CC=C(C2=CC=CC(N3C4=C(C=CC=C4)C4=C3C=C3C(=C4)C4=C(C=CC=C4)N3C3=CC=CC(C4=CC=CC=C4)=N3)=N2)C=C1.C1=CC=C(C2=NC(N3C4=C(C=CC=C4)C4=C3C=C3C(=C4)C4=C(C=CC=C4)N3C3=CC=CC=C3)=NC(N3C4=C(C=CC=C4)C4=C3C=CC=C4)=N2)C=C1 PCCUYBFYCCWZQS-UHFFFAOYSA-N 0.000 description 2
- VXUCMXZLQRDKDR-UHFFFAOYSA-N C1=CC(C2=CC=CC(N3C4=C(C=CC=C4)C4=C3C=CC=C4)=C2)=CC(N2C3=CC4=C(C=C3C3=C2C=CC=C3)C2=C(C=CC=C2)N4C2=CC(C3=CC(N4C5=C(C=CC=C5)C5=C4C=CC=C5)=CC=C3)=CC=C2)=C1.C1=CC(C2=C\C=C3\SC4=C(C=CC=C4)\C3=C\2)=NC(N2C3=CC4=C(C=C3C3=C2C=CC=C3)C2=C(C=CC=C2)N4C2=NC(C3=C/C4=C(\C=C/3)SC3=C4C=CC=C3)=CC=C2)=C1.C1=CC2=CC=C(N3C4=CC5=C(C=C4C4=C3C=CC=C4)C3=C(C=CC=C3)N5C3=NC4=C(C=CC=C4)C=C3)N=C2C=C1.C1=CC=C(C2=CC=CC(N3C4=C(C=CC=C4)C4=C3C=C3C(=C4)C4=C(C=CC=C4)N3C3=CC=CC(C4=CC=CC=C4)=N3)=N2)C=C1.C1=CC=C(C2=NC(N3C4=C(C=CC=C4)C4=C3C=C3C(=C4)C4=C(C=CC=C4)N3C3=CC=CC=C3)=NC(N3C4=C(C=CC=C4)C4=C3C=CC=C4)=N2)C=C1 Chemical compound C1=CC(C2=CC=CC(N3C4=C(C=CC=C4)C4=C3C=CC=C4)=C2)=CC(N2C3=CC4=C(C=C3C3=C2C=CC=C3)C2=C(C=CC=C2)N4C2=CC(C3=CC(N4C5=C(C=CC=C5)C5=C4C=CC=C5)=CC=C3)=CC=C2)=C1.C1=CC(C2=C\C=C3\SC4=C(C=CC=C4)\C3=C\2)=NC(N2C3=CC4=C(C=C3C3=C2C=CC=C3)C2=C(C=CC=C2)N4C2=NC(C3=C/C4=C(\C=C/3)SC3=C4C=CC=C3)=CC=C2)=C1.C1=CC2=CC=C(N3C4=CC5=C(C=C4C4=C3C=CC=C4)C3=C(C=CC=C3)N5C3=NC4=C(C=CC=C4)C=C3)N=C2C=C1.C1=CC=C(C2=CC=CC(N3C4=C(C=CC=C4)C4=C3C=C3C(=C4)C4=C(C=CC=C4)N3C3=CC=CC(C4=CC=CC=C4)=N3)=N2)C=C1.C1=CC=C(C2=NC(N3C4=C(C=CC=C4)C4=C3C=C3C(=C4)C4=C(C=CC=C4)N3C3=CC=CC=C3)=NC(N3C4=C(C=CC=C4)C4=C3C=CC=C4)=N2)C=C1 VXUCMXZLQRDKDR-UHFFFAOYSA-N 0.000 description 2
- AHXJETFFLODWNY-UHFFFAOYSA-N C1=CC(N2C3=C(C=CC=C3)C3=C2C=CC=C3)=CC(N2C3=C(C=CC=C3)C3=C2C=CC2=C3C3=C(C=CC=C3)N2C2=CC(N3C4=C(C=CC=C4)C4=C3C=CC=C4)=CC=C2)=C1.C1=CC2=C(C=C1)C1=C(/C=C\C(N3C4=CC=C5C(=C4C4=C3C=CC=C4)C3=C(C=CC=C3)N5C3=C/C=C4\OC5=C(C=CC=C5)\C4=C\3)=C/1)O2.C1=CC=C(C2=CC(C3=CC=CC=C3)=NC(N3C4=CC=C5C(=C4C4=C3C=CC=C4)C3=C(C=CC=C3)N5C3=NC(C4=CC=CC=C4)=CC(C4=CC=CC=C4)=N3)=N2)C=C1.C1=CC=C(C2=CC=CC(C3=CC(N4C5=C(C=CC=C5)C5=C4C=CC4=C5C5=C(C=CC=C5)N4C4=CC(C5=CC=CC(C6=CC=CC=C6)=N5)=CC=C4)=CC=C3)=N2)C=C1.C1=CC=C(C2=NC(N3C4=CC=C5C(=C4C4=C3C=CC=C4)C3=C(C=CC=C3)N5C3=CC=CC=C3)=CC=C2)C=C1.C1=CC=C(N2C3=CC4=C(C=C3C3=C2C=CC=C3)N(C2=C/C3=C(\C=C/2)OC2=C3C=C(N3C5=C(C=CC=C5)C5=C3/C=C3/C6=C(C=CC=C6)N(C6=CC=CC=C6)/C3=C\5)C=C2)C2=C4C=CC=C2)C=C1 Chemical compound C1=CC(N2C3=C(C=CC=C3)C3=C2C=CC=C3)=CC(N2C3=C(C=CC=C3)C3=C2C=CC2=C3C3=C(C=CC=C3)N2C2=CC(N3C4=C(C=CC=C4)C4=C3C=CC=C4)=CC=C2)=C1.C1=CC2=C(C=C1)C1=C(/C=C\C(N3C4=CC=C5C(=C4C4=C3C=CC=C4)C3=C(C=CC=C3)N5C3=C/C=C4\OC5=C(C=CC=C5)\C4=C\3)=C/1)O2.C1=CC=C(C2=CC(C3=CC=CC=C3)=NC(N3C4=CC=C5C(=C4C4=C3C=CC=C4)C3=C(C=CC=C3)N5C3=NC(C4=CC=CC=C4)=CC(C4=CC=CC=C4)=N3)=N2)C=C1.C1=CC=C(C2=CC=CC(C3=CC(N4C5=C(C=CC=C5)C5=C4C=CC4=C5C5=C(C=CC=C5)N4C4=CC(C5=CC=CC(C6=CC=CC=C6)=N5)=CC=C4)=CC=C3)=N2)C=C1.C1=CC=C(C2=NC(N3C4=CC=C5C(=C4C4=C3C=CC=C4)C3=C(C=CC=C3)N5C3=CC=CC=C3)=CC=C2)C=C1.C1=CC=C(N2C3=CC4=C(C=C3C3=C2C=CC=C3)N(C2=C/C3=C(\C=C/2)OC2=C3C=C(N3C5=C(C=CC=C5)C5=C3/C=C3/C6=C(C=CC=C6)N(C6=CC=CC=C6)/C3=C\5)C=C2)C2=C4C=CC=C2)C=C1 AHXJETFFLODWNY-UHFFFAOYSA-N 0.000 description 2
- HIALFXRTKVNIIF-UHFFFAOYSA-N C1=CC2=C(C=C1)C1=C(C=C(C3=CC4=C(C=C3)SC3=C4/C=C(C4=CC5=C(C=C4)C4=C(C=CC=C4)C4=C5C=CC=C4)\C=C/3)C=C1)C1=C2C=CC=C1.C1=CC2=C(C=C1)C1=C(C=C(C3=CC=C4OC5=C(/C=C(N6C7=C(C=CC=C7)C7=C6C=CC=C7)\C=C/5)C4=C3)C=C1)C1=C2C=CC=C1.C1=CC2=C(C=C1)C1=C(C=CC(C3=CC4=C(C=C3)C3=C(C=CC=C3)C3=C4C=CC=C3)=C1)S2.C1=CC2=C(C=C1)C1=C(O2)C(C2=CC3=C(C=C2)C2=C(C=CC=C2)C2=C3C=C(C3=CC=CC4=C3OC3=C4C=CC=C3)C=C2)=CC=C1 Chemical compound C1=CC2=C(C=C1)C1=C(C=C(C3=CC4=C(C=C3)SC3=C4/C=C(C4=CC5=C(C=C4)C4=C(C=CC=C4)C4=C5C=CC=C4)\C=C/3)C=C1)C1=C2C=CC=C1.C1=CC2=C(C=C1)C1=C(C=C(C3=CC=C4OC5=C(/C=C(N6C7=C(C=CC=C7)C7=C6C=CC=C7)\C=C/5)C4=C3)C=C1)C1=C2C=CC=C1.C1=CC2=C(C=C1)C1=C(C=CC(C3=CC4=C(C=C3)C3=C(C=CC=C3)C3=C4C=CC=C3)=C1)S2.C1=CC2=C(C=C1)C1=C(O2)C(C2=CC3=C(C=C2)C2=C(C=CC=C2)C2=C3C=C(C3=CC=CC4=C3OC3=C4C=CC=C3)C=C2)=CC=C1 HIALFXRTKVNIIF-UHFFFAOYSA-N 0.000 description 2
- ICSDOLZDZJPLSO-UHFFFAOYSA-N C1=CC2=C(C=C1)C1=C(C=C(C3=CC=C4C(=C3)SC3=C4/C=C\C=C/3)C=C1)C1=C2C=CC=C1.C1=CC2=C(C=C1)C1=C(C=C(C3=CC=C4SC5=C(/C=C(N6C7=C(C=CC=C7)C7=C6C=CC=C7)\C=C/5)C4=C3)C=C1)C1=C2C=CC=C1.C1=CC2=C(C=C1)C1=C(C=CC=C1C1=CC3=C(C=C1)C1=C(C=CC=C1)C1=C3C=CC=C1)S2.C1=CC2=C(C=C1)C1=C(S2)C(C2=CC3=C(C=C2)C2=C(C=CC=C2)C2=C3C=C(C3=CC=CC4=C3SC3=C4C=CC=C3)C=C2)=CC=C1.C1=CC2=C(C=C1)C1=C(S2)C(C2=CC3=C(C=C2)C2=C(C=CC=C2)C2=C3C=CC=C2)=CC=C1 Chemical compound C1=CC2=C(C=C1)C1=C(C=C(C3=CC=C4C(=C3)SC3=C4/C=C\C=C/3)C=C1)C1=C2C=CC=C1.C1=CC2=C(C=C1)C1=C(C=C(C3=CC=C4SC5=C(/C=C(N6C7=C(C=CC=C7)C7=C6C=CC=C7)\C=C/5)C4=C3)C=C1)C1=C2C=CC=C1.C1=CC2=C(C=C1)C1=C(C=CC=C1C1=CC3=C(C=C1)C1=C(C=CC=C1)C1=C3C=CC=C1)S2.C1=CC2=C(C=C1)C1=C(S2)C(C2=CC3=C(C=C2)C2=C(C=CC=C2)C2=C3C=C(C3=CC=CC4=C3SC3=C4C=CC=C3)C=C2)=CC=C1.C1=CC2=C(C=C1)C1=C(S2)C(C2=CC3=C(C=C2)C2=C(C=CC=C2)C2=C3C=CC=C2)=CC=C1 ICSDOLZDZJPLSO-UHFFFAOYSA-N 0.000 description 2
- BBFWHTFJCRFWLP-UHFFFAOYSA-N C1=CC=C(C2=CC3=N(C=C2)[Ir]2(C4=CC=CC=C4C4=N2C=CC=C4)C2=C3C=CC=C2)C=C1.C1=CC=C2C(=C1)C1=N(C=CC=C1)[Ir]21C2=CC=C(C3=NC=CC=C3)C=C2C2=N1C=CC=C2.C1=CC=C2C(=C1)C1=N(C=CC=C1)[Ir]21C2=CC=C(C3=NC=CC=N3)C=C2C2=N1C=CC=C2.CC1=CC=CC2=N1[Ir]1(C3=CC=CC=C32)C2=C(C=CC=C2)C2=N1C=C(C1=CC=CC=C1)C=C2.CC1=CC=CC2=N1[Ir]1(C3=CC=CC=C32)C2=C(C=CC=C2)C2=N1C=CC(C1=CC=CC=C1)=C2 Chemical compound C1=CC=C(C2=CC3=N(C=C2)[Ir]2(C4=CC=CC=C4C4=N2C=CC=C4)C2=C3C=CC=C2)C=C1.C1=CC=C2C(=C1)C1=N(C=CC=C1)[Ir]21C2=CC=C(C3=NC=CC=C3)C=C2C2=N1C=CC=C2.C1=CC=C2C(=C1)C1=N(C=CC=C1)[Ir]21C2=CC=C(C3=NC=CC=N3)C=C2C2=N1C=CC=C2.CC1=CC=CC2=N1[Ir]1(C3=CC=CC=C32)C2=C(C=CC=C2)C2=N1C=C(C1=CC=CC=C1)C=C2.CC1=CC=CC2=N1[Ir]1(C3=CC=CC=C32)C2=C(C=CC=C2)C2=N1C=CC(C1=CC=CC=C1)=C2 BBFWHTFJCRFWLP-UHFFFAOYSA-N 0.000 description 2
- RBCUGBFKYHKGGA-UHFFFAOYSA-N C1=CC=C(C2=CC=C3C(=C2)[Ir]N2=C3C=CC=C2)C=C1.CC1=C(C)C2=N(C=C1)[Ir]C1=CC=C(C3=CC=CC=C3)C=C12.CC1=CC2=N(C=C1)[Ir]C1=CC=C(C3=CC=CC=C3)C=C12.CC1=CC=CN2=C1C1=CC(C3=CC=CC=C3)=CC=C1[Ir]2.CC1=CN2=C(C=C1)C1=CC(C3=CC=CC=C3)=CC=C1[Ir]2 Chemical compound C1=CC=C(C2=CC=C3C(=C2)[Ir]N2=C3C=CC=C2)C=C1.CC1=C(C)C2=N(C=C1)[Ir]C1=CC=C(C3=CC=CC=C3)C=C12.CC1=CC2=N(C=C1)[Ir]C1=CC=C(C3=CC=CC=C3)C=C12.CC1=CC=CN2=C1C1=CC(C3=CC=CC=C3)=CC=C1[Ir]2.CC1=CN2=C(C=C1)C1=CC(C3=CC=CC=C3)=CC=C1[Ir]2 RBCUGBFKYHKGGA-UHFFFAOYSA-N 0.000 description 2
- PIBXENBOIHYLGG-UHFFFAOYSA-N C1=CC=C(C2=CC=C3[Ir]N4=C(C=CC=C4)C3=C2)C=C1.C1=CC=C2C(=C1)[Ir]N1=C2C=CC=C1.CC1=CC2=N(C=C1)[Ir]C1=CC=CC=C12.CC1=CC=C2C(=C1)[Ir]N1=C2C=CC=C1.CC1=CC=CN2=C1C1=CC=CC=C1[Ir]2.CC1=CN2=C(C=C1)C1=CC=CC=C1[Ir]2 Chemical compound C1=CC=C(C2=CC=C3[Ir]N4=C(C=CC=C4)C3=C2)C=C1.C1=CC=C2C(=C1)[Ir]N1=C2C=CC=C1.CC1=CC2=N(C=C1)[Ir]C1=CC=CC=C12.CC1=CC=C2C(=C1)[Ir]N1=C2C=CC=C1.CC1=CC=CN2=C1C1=CC=CC=C1[Ir]2.CC1=CN2=C(C=C1)C1=CC=CC=C1[Ir]2 PIBXENBOIHYLGG-UHFFFAOYSA-N 0.000 description 2
- WRGYUJFZDAWDAH-UHFFFAOYSA-N C1=CC=C(C2=CC=CC(C3=CC(N4C5=CC=CC=C5C5=C4C=CC4=C5N(C5=CC(N6C7=CC=C8C9=C(C=CC=C9)N(C9=CC=CC=C9)C8=C7C7=C6C=CC=C7)=CC=C5)C5=C4C=CC=C5)=CC=C3)=N2)C=C1.C1=CC=C(N2C3=C(C=CC=C3)C3=C2/C2=C(\C=C/3)N(C3=CC(N4C5=C(C=CC=C5)C5=C4C=CC=C5)=CC(N4C5=C(C=CC=C5)/C5=C4/C=C\C4=C5N(C5=CC=CC=C5)C5=C4C=CC=C5)=C3)C3=C2C=CC=C3)C=C1.C1=CC=C(N2C3=C(C=CC=C3)C3=C2C2=C(C=C3)C3=C(C=CC=C3)N2C2=CC=CC3=C(N4C5=C(C=CC=C5)C5=C4C4=C(C=C5)C5=C(C=CC=C5)N4C4=CC=CC=C4)C=CC=C23)C=C1.C1=CC=C(N2C3=C(C=CC=C3)C3=C2C2=C(C=C3)C3=C(C=CC=C3)N2C2=NC(N3C4=C(C=CC=C4)C4=C3/C3=C(\C=C/4)C4=C(C=CC=C4)N3C3=CC=CC=C3)=CC=C2)C=C1.C1=CC=C(N2C3=C(C=CC=C3)C3=C2C=CC2=C3C3=C(C=CC=C3)N2C2=CC=CC(C3=NC(N4C5=C(C=CC=C5)C5=C4C=CC4=C5C5=C(C=CC=C5)N4C4=CC=CC=C4)=CC=C3)=N2)C=C1.C1=CC=C(N2C3=CC4=C(C=C3C3=C2C=CC=C3)C2=C(C=CC=C2)N4C2=CC=C(N3C4=C(C=CC=C4)C4=C3C=C3C(=C4)C4=C(C=CC=C4)N3C3=CC=CC=C3)C=C2)C=C1 Chemical compound C1=CC=C(C2=CC=CC(C3=CC(N4C5=CC=CC=C5C5=C4C=CC4=C5N(C5=CC(N6C7=CC=C8C9=C(C=CC=C9)N(C9=CC=CC=C9)C8=C7C7=C6C=CC=C7)=CC=C5)C5=C4C=CC=C5)=CC=C3)=N2)C=C1.C1=CC=C(N2C3=C(C=CC=C3)C3=C2/C2=C(\C=C/3)N(C3=CC(N4C5=C(C=CC=C5)C5=C4C=CC=C5)=CC(N4C5=C(C=CC=C5)/C5=C4/C=C\C4=C5N(C5=CC=CC=C5)C5=C4C=CC=C5)=C3)C3=C2C=CC=C3)C=C1.C1=CC=C(N2C3=C(C=CC=C3)C3=C2C2=C(C=C3)C3=C(C=CC=C3)N2C2=CC=CC3=C(N4C5=C(C=CC=C5)C5=C4C4=C(C=C5)C5=C(C=CC=C5)N4C4=CC=CC=C4)C=CC=C23)C=C1.C1=CC=C(N2C3=C(C=CC=C3)C3=C2C2=C(C=C3)C3=C(C=CC=C3)N2C2=NC(N3C4=C(C=CC=C4)C4=C3/C3=C(\C=C/4)C4=C(C=CC=C4)N3C3=CC=CC=C3)=CC=C2)C=C1.C1=CC=C(N2C3=C(C=CC=C3)C3=C2C=CC2=C3C3=C(C=CC=C3)N2C2=CC=CC(C3=NC(N4C5=C(C=CC=C5)C5=C4C=CC4=C5C5=C(C=CC=C5)N4C4=CC=CC=C4)=CC=C3)=N2)C=C1.C1=CC=C(N2C3=CC4=C(C=C3C3=C2C=CC=C3)C2=C(C=CC=C2)N4C2=CC=C(N3C4=C(C=CC=C4)C4=C3C=C3C(=C4)C4=C(C=CC=C4)N3C3=CC=CC=C3)C=C2)C=C1 WRGYUJFZDAWDAH-UHFFFAOYSA-N 0.000 description 2
- DGPPVWCLBQAAOD-UHFFFAOYSA-N C1=CC=C(C2=CC=CC(C3=CC(N4C5=CC=CC=C5C5=C4C=CC4=C5N(C5=CC(N6C7=CC=C8C9=C(C=CC=C9)N(C9=CC=CC=C9)C8=C7C7=C6C=CC=C7)=CC=C5)C5=C4C=CC=C5)=CC=C3)=N2)C=C1.C1=CC=C(N2C3=C(C=CC=C3)C3=C2C2=C(C=C3)N(C3=CC(C4=NC(N5C6=C(C=CC=C6)C6=C5C=CC5=C6N(C6=CC=CC=C6)C6=C5C=CC=C6)=CC=C4)=CC(N4C5=C(C=CC=C5)C5=C4C=CC4=C5N(C5=CC=CC=C5)C5=C4C=CC=C5)=C3)C3=C2C=CC=C3)C=C1.C1=CC=C(N2C3=C(C=CC=C3)C3=C2C2=C(C=C3)N(C3=CC(N4C5=C(C6=C4/C=C\C=C/6)C4=C(C=C5)C5=C(C=CC=C5)N4C4=CC=CC=C4)=CC(N4C5=C(C=CC=C5)/C5=C4/C=C\C4=C5N(C5=CC=CC=C5)C5=C4C=CC=C5)=C3)C3=C2C=CC=C3)C=C1.C1=CC=C(N2C3=C(C=CC=C3)C3=C2C=CC2=C3C3=C(C=CC=C3)N2C2=CC=CC(C3=NC(N4C5=C(C=CC=C5)/C5=C4/C=C\C4=C5C5=C(C=CC=C5)N4C4=CC=CC=C4)=CC=C3)=N2)C=C1 Chemical compound C1=CC=C(C2=CC=CC(C3=CC(N4C5=CC=CC=C5C5=C4C=CC4=C5N(C5=CC(N6C7=CC=C8C9=C(C=CC=C9)N(C9=CC=CC=C9)C8=C7C7=C6C=CC=C7)=CC=C5)C5=C4C=CC=C5)=CC=C3)=N2)C=C1.C1=CC=C(N2C3=C(C=CC=C3)C3=C2C2=C(C=C3)N(C3=CC(C4=NC(N5C6=C(C=CC=C6)C6=C5C=CC5=C6N(C6=CC=CC=C6)C6=C5C=CC=C6)=CC=C4)=CC(N4C5=C(C=CC=C5)C5=C4C=CC4=C5N(C5=CC=CC=C5)C5=C4C=CC=C5)=C3)C3=C2C=CC=C3)C=C1.C1=CC=C(N2C3=C(C=CC=C3)C3=C2C2=C(C=C3)N(C3=CC(N4C5=C(C6=C4/C=C\C=C/6)C4=C(C=C5)C5=C(C=CC=C5)N4C4=CC=CC=C4)=CC(N4C5=C(C=CC=C5)/C5=C4/C=C\C4=C5N(C5=CC=CC=C5)C5=C4C=CC=C5)=C3)C3=C2C=CC=C3)C=C1.C1=CC=C(N2C3=C(C=CC=C3)C3=C2C=CC2=C3C3=C(C=CC=C3)N2C2=CC=CC(C3=NC(N4C5=C(C=CC=C5)/C5=C4/C=C\C4=C5C5=C(C=CC=C5)N4C4=CC=CC=C4)=CC=C3)=N2)C=C1 DGPPVWCLBQAAOD-UHFFFAOYSA-N 0.000 description 2
- CYVKMOHSPSQXAL-UHFFFAOYSA-N C1=CC=C(C2=CN3=C(C=C2)C2=C(C=CC=C2)[Ir]32C3=CC=CC=C3C3=N2C=CC=C3)C=C1.CC1=C(C2=CN3=C(C=C2)C2=C(C=CC=C2)[Ir]32C3=CC=CC=C3C3=N2C=CC=C3)C=CC=C1.CC1=CC2=N(C=C1)[Ir]1(C3=CC=CC=C3C3=N1C=CC=C3)C1=C2C=CC(C2=CC=CC=C2)=C1.CC1=CC2=N(C=C1C1=CC=CC=C1)[Ir]1(C3=CC=CC=C3C3=N1C(C)=CC=C3)C1=C2C=CC=C1.CC1=CC2=N(C=C1C1=CC=CC=C1)[Ir]1(C3=CC=CC=C3C3=N1C=CC=C3)C1=C2C=CC=C1 Chemical compound C1=CC=C(C2=CN3=C(C=C2)C2=C(C=CC=C2)[Ir]32C3=CC=CC=C3C3=N2C=CC=C3)C=C1.CC1=C(C2=CN3=C(C=C2)C2=C(C=CC=C2)[Ir]32C3=CC=CC=C3C3=N2C=CC=C3)C=CC=C1.CC1=CC2=N(C=C1)[Ir]1(C3=CC=CC=C3C3=N1C=CC=C3)C1=C2C=CC(C2=CC=CC=C2)=C1.CC1=CC2=N(C=C1C1=CC=CC=C1)[Ir]1(C3=CC=CC=C3C3=N1C(C)=CC=C3)C1=C2C=CC=C1.CC1=CC2=N(C=C1C1=CC=CC=C1)[Ir]1(C3=CC=CC=C3C3=N1C=CC=C3)C1=C2C=CC=C1 CYVKMOHSPSQXAL-UHFFFAOYSA-N 0.000 description 2
- JHCKCTGQNWMLKH-UHFFFAOYSA-N C1=CC=C(N2C3=C(/C=C\C=C/3)C3=C2C2=C(C=C3)N(C3=CC(N4C5=C(C=CC=C5)C5=C4C=CC=C5)=CC(N4C5=C(C=CC=C5)/C5=C4/C=C\C4=C5N(C5=CC=CC=C5)C5=C4C=CC=C5)=C3)C3=C2C=CC=C3)C=C1.C1=CC=C(N2C3=C(C=CC=C3)C3=C2C2=C(C=C3)C3=C(C=CC=C3)N2C2=CC(C3=CC=C(N4C5=C(C=CC=C5)C5=C4/C=C\C=C/5)C=C3)=CC(N3C4=C(C=CC=C4)C4=C3C3=C(C=C4)C4=C(C=CC=C4)N3C3=CC=CC=C3)=N2)C=C1.C1=CC=C(N2C3=C(C=CC=C3)C3=C2C2=C(C=C3)C3=C(C=CC=C3)N2C2=CC=CC3=C(N4C5=C(C=CC=C5)C5=C4C4=C(C=C5)C5=C(C=CC=C5)N4C4=CC=CC=C4)C=CC=C23)C=C1.C1=CC=C(N2C3=C(C=CC=C3)C3=C2C2=C(C=C3)C3=C(C=CC=C3)N2C2=NC(N3C4=C(C=CC=C4)C4=C3/C3=C(\C=C/4)C4=C(C=CC=C4)N3C3=CC=CC=C3)=CC=C2)C=C1.C1=CC=C(N2C3=C(C=CC=C3)C3=C2C=CC2=C3N(C3=CC4=C(C=C3)N(C3=CC=CC=C3)C3=C4/C=C(N4C5=C(C=CC=C5)C5=C4C4=C(C=C5)N(C5=CC=CC=C5)C5=C4C=CC=C5)\C=C/3)C3=C2C=CC=C3)C=C1.C1=CC=C(N2C3=CC4=C(C=C3C3=C2C=CC=C3)C2=C(C=CC=C2)N4C2=CC=C(N3C4=C(C=CC=C4)C4=C3/C=C3C(=C/4)\C4=C(C=CC=C4)N\3C3=CC=CC=C3)C=C2)C=C1 Chemical compound C1=CC=C(N2C3=C(/C=C\C=C/3)C3=C2C2=C(C=C3)N(C3=CC(N4C5=C(C=CC=C5)C5=C4C=CC=C5)=CC(N4C5=C(C=CC=C5)/C5=C4/C=C\C4=C5N(C5=CC=CC=C5)C5=C4C=CC=C5)=C3)C3=C2C=CC=C3)C=C1.C1=CC=C(N2C3=C(C=CC=C3)C3=C2C2=C(C=C3)C3=C(C=CC=C3)N2C2=CC(C3=CC=C(N4C5=C(C=CC=C5)C5=C4/C=C\C=C/5)C=C3)=CC(N3C4=C(C=CC=C4)C4=C3C3=C(C=C4)C4=C(C=CC=C4)N3C3=CC=CC=C3)=N2)C=C1.C1=CC=C(N2C3=C(C=CC=C3)C3=C2C2=C(C=C3)C3=C(C=CC=C3)N2C2=CC=CC3=C(N4C5=C(C=CC=C5)C5=C4C4=C(C=C5)C5=C(C=CC=C5)N4C4=CC=CC=C4)C=CC=C23)C=C1.C1=CC=C(N2C3=C(C=CC=C3)C3=C2C2=C(C=C3)C3=C(C=CC=C3)N2C2=NC(N3C4=C(C=CC=C4)C4=C3/C3=C(\C=C/4)C4=C(C=CC=C4)N3C3=CC=CC=C3)=CC=C2)C=C1.C1=CC=C(N2C3=C(C=CC=C3)C3=C2C=CC2=C3N(C3=CC4=C(C=C3)N(C3=CC=CC=C3)C3=C4/C=C(N4C5=C(C=CC=C5)C5=C4C4=C(C=C5)N(C5=CC=CC=C5)C5=C4C=CC=C5)\C=C/3)C3=C2C=CC=C3)C=C1.C1=CC=C(N2C3=CC4=C(C=C3C3=C2C=CC=C3)C2=C(C=CC=C2)N4C2=CC=C(N3C4=C(C=CC=C4)C4=C3/C=C3C(=C/4)\C4=C(C=CC=C4)N\3C3=CC=CC=C3)C=C2)C=C1 JHCKCTGQNWMLKH-UHFFFAOYSA-N 0.000 description 2
- LJNLUWOESXSISE-UHFFFAOYSA-N C1=CC=C(N2C3=C(C=CC=C3)C3=C2C2=C(C=C3)N(C3=CC(C4=NC(N5C6=C(C=CC=C6)/C6=C5/C=C\C5=C6N(C6=CC=CC=C6)C6=C5C=CC=C6)=CC=C4)=CC(N4C5=C(C=CC=C5)C5=C4C=CC4=C5N(C5=CC=CC=C5)C5=C4C=CC=C5)=C3)C3=C2C=CC=C3)C=C1.C1=CC=C(N2C3=C(C=CC=C3)C3=C2C2=C(C=C3)N(C3=CC(N4C5=C(C=CC=C5)C5=C4C=CC4=C5N(C5=CC=CC=C5)C5=C4C=CC=C5)=CC(N4C5=C(C=CC=C5)/C5=C4/C=C\C4=C5N(C5=CC=CC=C5)C5=C4C=CC=C5)=C3)C3=C2C=CC=C3)C=C1 Chemical compound C1=CC=C(N2C3=C(C=CC=C3)C3=C2C2=C(C=C3)N(C3=CC(C4=NC(N5C6=C(C=CC=C6)/C6=C5/C=C\C5=C6N(C6=CC=CC=C6)C6=C5C=CC=C6)=CC=C4)=CC(N4C5=C(C=CC=C5)C5=C4C=CC4=C5N(C5=CC=CC=C5)C5=C4C=CC=C5)=C3)C3=C2C=CC=C3)C=C1.C1=CC=C(N2C3=C(C=CC=C3)C3=C2C2=C(C=C3)N(C3=CC(N4C5=C(C=CC=C5)C5=C4C=CC4=C5N(C5=CC=CC=C5)C5=C4C=CC=C5)=CC(N4C5=C(C=CC=C5)/C5=C4/C=C\C4=C5N(C5=CC=CC=C5)C5=C4C=CC=C5)=C3)C3=C2C=CC=C3)C=C1 LJNLUWOESXSISE-UHFFFAOYSA-N 0.000 description 2
- JDVHROBWDUNHFZ-UHFFFAOYSA-N C1=CC=C2C(=C1)C1=N(C=CC=C1)[Ir]21C2=C(C3=C(C=C2)C2=C(C=CC=C2)O3)C2=N1C=CC=C2.C1=CC=C2C(=C1)C1=N(C=CC=C1)[Ir]21C2=C(C=CC=C2)C2=N1C=CC(C1=NC=CC=C1)=C2.CC1=CC2=N(C=C1C1=CC=CC=C1)[Ir]1(C3=CC=CC=C3C3=N1C=CC=C3)C1=C2C=CC=C1.CCC1=CC2=N(C=C1C1=CC=CC=C1)[Ir]1(C3=CC=CC=C3C3=N1C=CC=C3)C1=C2C=CC=C1.CCC1=CC2=N(C=C1C1=CC=CC=C1)[Ir]1(C3=CC=CC=C3C3=N1C=CC=C3)C1=C2C=CC=C1 Chemical compound C1=CC=C2C(=C1)C1=N(C=CC=C1)[Ir]21C2=C(C3=C(C=C2)C2=C(C=CC=C2)O3)C2=N1C=CC=C2.C1=CC=C2C(=C1)C1=N(C=CC=C1)[Ir]21C2=C(C=CC=C2)C2=N1C=CC(C1=NC=CC=C1)=C2.CC1=CC2=N(C=C1C1=CC=CC=C1)[Ir]1(C3=CC=CC=C3C3=N1C=CC=C3)C1=C2C=CC=C1.CCC1=CC2=N(C=C1C1=CC=CC=C1)[Ir]1(C3=CC=CC=C3C3=N1C=CC=C3)C1=C2C=CC=C1.CCC1=CC2=N(C=C1C1=CC=CC=C1)[Ir]1(C3=CC=CC=C3C3=N1C=CC=C3)C1=C2C=CC=C1 JDVHROBWDUNHFZ-UHFFFAOYSA-N 0.000 description 2
- RYOZSQFROBIIAJ-CXAOLJCCSA-K C1=CC=C2C(=C1)C1=N(C=CC=C1)[Ir]21C2=C(C3=C(C=C2)C2=C(C=CC=C2)S3)C2=N1C=CC=C2.C1=CC=C2C(=C1)OC1=CC3=C(C=C12)[Ir]1(C2=CC=CC=C2C2=N1C=CC=C2)N1=C3C=CC=C1.C1=CC=C2C(=C1)[Ir]N1=C2C2=C(C=CC=C2)C=C1.CC1=CC(C)=O[Ir]2(O1)C1=CC=CC=C1C1=N2C2=C(C=CC=C2)C=C1.CC1=CC(C)=O[Ir]2(O1)C1=CC=CC=C1C1=N2C=CC2=C1C=CC=C2.CC1=CC(C)=O[Ir]2(O1)C1=CC=CC=C1C1=N2C=CC2=C1SC1=CC=CC=C12 Chemical compound C1=CC=C2C(=C1)C1=N(C=CC=C1)[Ir]21C2=C(C3=C(C=C2)C2=C(C=CC=C2)S3)C2=N1C=CC=C2.C1=CC=C2C(=C1)OC1=CC3=C(C=C12)[Ir]1(C2=CC=CC=C2C2=N1C=CC=C2)N1=C3C=CC=C1.C1=CC=C2C(=C1)[Ir]N1=C2C2=C(C=CC=C2)C=C1.CC1=CC(C)=O[Ir]2(O1)C1=CC=CC=C1C1=N2C2=C(C=CC=C2)C=C1.CC1=CC(C)=O[Ir]2(O1)C1=CC=CC=C1C1=N2C=CC2=C1C=CC=C2.CC1=CC(C)=O[Ir]2(O1)C1=CC=CC=C1C1=N2C=CC2=C1SC1=CC=CC=C12 RYOZSQFROBIIAJ-CXAOLJCCSA-K 0.000 description 2
- NNPPMTNAJDCUHE-UHFFFAOYSA-N CC(C)C Chemical compound CC(C)C NNPPMTNAJDCUHE-UHFFFAOYSA-N 0.000 description 2
- HMFIQAUMVWBDCH-NJJUSXBSSA-I CC1=CC(C)=C2C(=C1)C1=N(C3=C(C=CC(CC(C)C)=C3)C=C1)[Ir]21OC(C)=CC(C)=O1.CC1=CC(C)=C2C(=C1)C1=N(C3=C(C=CC=C3)C=C1)[Ir]21OC(C)=CC(C)=O1.CC1=CC(C)=C2C(=C1)C1=N(C=CC3=C1SC1=CC=CC=C13)[Ir]21OC(C)=CC(C)=O1.CC1=CC(C)=O[Ir]2(O1)C1=CC=CC=C1C1=N2C2=C(C=CC=C2)C=C1C.CC1=CC=C2C(=C1)C1=N(C3=C(C=CC(C)=C3)C=C1)[Ir]21OC(C)=CC(C)=O1 Chemical compound CC1=CC(C)=C2C(=C1)C1=N(C3=C(C=CC(CC(C)C)=C3)C=C1)[Ir]21OC(C)=CC(C)=O1.CC1=CC(C)=C2C(=C1)C1=N(C3=C(C=CC=C3)C=C1)[Ir]21OC(C)=CC(C)=O1.CC1=CC(C)=C2C(=C1)C1=N(C=CC3=C1SC1=CC=CC=C13)[Ir]21OC(C)=CC(C)=O1.CC1=CC(C)=O[Ir]2(O1)C1=CC=CC=C1C1=N2C2=C(C=CC=C2)C=C1C.CC1=CC=C2C(=C1)C1=N(C3=C(C=CC(C)=C3)C=C1)[Ir]21OC(C)=CC(C)=O1 HMFIQAUMVWBDCH-NJJUSXBSSA-I 0.000 description 2
- JFHRZYOESOUXSM-DXGVCTHVSA-I CC1=CC(C)=C2C(=C1)C1=N(C3=C(C=CC(CC(C)C)=C3)C=C1)[Ir]21OC(CC(C)C)=CC(CC(C)C)=O1.CC1=CC(C)=C2C(=C1)C1=N(C3=C(C=CC=C3)C=C1)[Ir]21OC(CC(C)C)=CC(CC(C)C)=O1.CC1=CC(C)=C2C(=C1)C1=N(C=CC3=C1C=C(C(C)C)C=C3)[Ir]21OC(C)=CC(C)=O1.CC1=CC(C)=C2C(=C1)C1=N(C=CC3=C1C=C(C(C)C)C=C3)[Ir]21OC(CC(C)C)=CC(CC(C)C)=O1.CC1=CC(C)=C2C(=C1)C1=N(C=CC3=C1C=CC=C3)[Ir]21OC(C)=CC(C)=O1 Chemical compound CC1=CC(C)=C2C(=C1)C1=N(C3=C(C=CC(CC(C)C)=C3)C=C1)[Ir]21OC(CC(C)C)=CC(CC(C)C)=O1.CC1=CC(C)=C2C(=C1)C1=N(C3=C(C=CC=C3)C=C1)[Ir]21OC(CC(C)C)=CC(CC(C)C)=O1.CC1=CC(C)=C2C(=C1)C1=N(C=CC3=C1C=C(C(C)C)C=C3)[Ir]21OC(C)=CC(C)=O1.CC1=CC(C)=C2C(=C1)C1=N(C=CC3=C1C=C(C(C)C)C=C3)[Ir]21OC(CC(C)C)=CC(CC(C)C)=O1.CC1=CC(C)=C2C(=C1)C1=N(C=CC3=C1C=CC=C3)[Ir]21OC(C)=CC(C)=O1 JFHRZYOESOUXSM-DXGVCTHVSA-I 0.000 description 2
- SLGBZMMZGDRARJ-UHFFFAOYSA-N c1cc2c(cccc3)c3c(cccc3)c3c2cc1 Chemical compound c1cc2c(cccc3)c3c(cccc3)c3c2cc1 SLGBZMMZGDRARJ-UHFFFAOYSA-N 0.000 description 2
- IRPNCDXQCQKVKR-UHFFFAOYSA-N C1=CC(C2=CC(C3=CC=CC4=C3OC3=C4C=CC=C3)=CC=C2)=CC(C2=CC3=C(C=C2)C2=C(C=CC=C2)C2=C3C=CC=C2)=C1.C1=CC(C2=CC(C3=CC=CC4=C3SC3=C4C=CC=C3)=CC=C2)=CC(C2=CC3=C(C=C2)C2=C(C=CC=C2)C2=C3C=CC=C2)=C1.C1=CC(C2=CC3=C(C=C2)C2=C(C=CC=C2)C2=C3C=C(C3=CC=CC(/C4=C/C=C\C5=C4SC4=C5C=CC=C4)=C3)C=C2)=CC(/C2=C/C=C\C3=C2SC2=C3C=CC=C2)=C1.C1=CC(C2=CC=CC3=C2SC2=C3C=CC=C2)=CC(C2=CC3=C(C=C2)C2=C(C=CC=C2)C2=C3C=CC=C2)=C1.C1=CC=C2C(=C1)SC1=C2C=C(C2=CC(C3=CC4=C(C=C3)C3=C(C=CC=C3)C3=C4C=CC=C3)=CC=C2)C=C1 Chemical compound C1=CC(C2=CC(C3=CC=CC4=C3OC3=C4C=CC=C3)=CC=C2)=CC(C2=CC3=C(C=C2)C2=C(C=CC=C2)C2=C3C=CC=C2)=C1.C1=CC(C2=CC(C3=CC=CC4=C3SC3=C4C=CC=C3)=CC=C2)=CC(C2=CC3=C(C=C2)C2=C(C=CC=C2)C2=C3C=CC=C2)=C1.C1=CC(C2=CC3=C(C=C2)C2=C(C=CC=C2)C2=C3C=C(C3=CC=CC(/C4=C/C=C\C5=C4SC4=C5C=CC=C4)=C3)C=C2)=CC(/C2=C/C=C\C3=C2SC2=C3C=CC=C2)=C1.C1=CC(C2=CC=CC3=C2SC2=C3C=CC=C2)=CC(C2=CC3=C(C=C2)C2=C(C=CC=C2)C2=C3C=CC=C2)=C1.C1=CC=C2C(=C1)SC1=C2C=C(C2=CC(C3=CC4=C(C=C3)C3=C(C=CC=C3)C3=C4C=CC=C3)=CC=C2)C=C1 IRPNCDXQCQKVKR-UHFFFAOYSA-N 0.000 description 1
- PSRPLMBEEOBBBK-UHFFFAOYSA-N C1=CC(C2=CC3=C(C=C2)C2=C(C=CC=C2)C2=C3/C=C\C=C/2)=NC(C2=CC=CC3=C2SC2=C3C=CC=C2)=C1.C1=CC(C2=CC3=C(SC4=C3C=CC=C4)C3=C2C=CC=C3)=CC(C2=CC3=C(C=C2)C2=C(/C=C\C=C/2)C2=C3C=CC=C2)=C1.C1=CC2=C(C=C1)C1=C(S2)C(C2=CC(C3=CC4=C(C=C3)C3=C(/C=C\C=C/3)C3=C4C=CC=C3)=CC(C3=CC4=C(C=C3)C3=C(C=CC=C3)C3=C4C=CC=C3)=C2)=CC=C1.C1=CC2=C(C=C1)C1=C(S2)C(C2=CC(C3=CC4=C(C=C3)C3=C(/C=C\C=C/3)C3=C4C=CC=C3)=CC(C3=CC=CC4=C3SC3C=CC=CC43)=C2)=CC=C1.C1=CC2=C(C=C1)C1=C(S2)C(C2=CC=C(C3=CC4=C(C=C3)C3=C(C=CC=C3)C3=C4C=CC=C3)C=C2)=CC=C1 Chemical compound C1=CC(C2=CC3=C(C=C2)C2=C(C=CC=C2)C2=C3/C=C\C=C/2)=NC(C2=CC=CC3=C2SC2=C3C=CC=C2)=C1.C1=CC(C2=CC3=C(SC4=C3C=CC=C4)C3=C2C=CC=C3)=CC(C2=CC3=C(C=C2)C2=C(/C=C\C=C/2)C2=C3C=CC=C2)=C1.C1=CC2=C(C=C1)C1=C(S2)C(C2=CC(C3=CC4=C(C=C3)C3=C(/C=C\C=C/3)C3=C4C=CC=C3)=CC(C3=CC4=C(C=C3)C3=C(C=CC=C3)C3=C4C=CC=C3)=C2)=CC=C1.C1=CC2=C(C=C1)C1=C(S2)C(C2=CC(C3=CC4=C(C=C3)C3=C(/C=C\C=C/3)C3=C4C=CC=C3)=CC(C3=CC=CC4=C3SC3C=CC=CC43)=C2)=CC=C1.C1=CC2=C(C=C1)C1=C(S2)C(C2=CC=C(C3=CC4=C(C=C3)C3=C(C=CC=C3)C3=C4C=CC=C3)C=C2)=CC=C1 PSRPLMBEEOBBBK-UHFFFAOYSA-N 0.000 description 1
- DXLHPXMMGJCFHW-UHFFFAOYSA-N C1=CC(C2=CC3=C(C=C2)C2=C(C=CC=C2)C2=C3C=C(C3=CC=CC(/C4=C/C=C\C5=C4OC4=C5C=CC=C4)=C3)C=C2)=CC(/C2=C/C=C\C3=C2OC2=C3C=CC=C2)=C1.C1=CC(C2=CC=CC3=C2OC2=C3C=CC=C2)=CC(C2=CC3=C(C=C2)C2=C(C=CC=C2)C2=C3C=CC=C2)=C1.C1=CC=C(C2=C3OC4=C(C=CC=C4C4=CC(C5=CC=C6C(=C5)C5=C(C=CC=C5)C5=C6C=CC=C5)=CC=C4)C3=CC=C2)C=C1.C1=CC=C(C2=C3SC4=C(C=CC=C4C4=CC(C5=CC=C6C(=C5)C5=C(C=CC=C5)C5=C6C=CC=C5)=CC=C4)C3=CC=C2)C=C1.C1=CC=C2C(=C1)OC1=C2C=C(C2=CC(C3=CC4=C(C=C3)C3=C(C=CC=C3)C3=C4C=CC=C3)=CC=C2)C=C1 Chemical compound C1=CC(C2=CC3=C(C=C2)C2=C(C=CC=C2)C2=C3C=C(C3=CC=CC(/C4=C/C=C\C5=C4OC4=C5C=CC=C4)=C3)C=C2)=CC(/C2=C/C=C\C3=C2OC2=C3C=CC=C2)=C1.C1=CC(C2=CC=CC3=C2OC2=C3C=CC=C2)=CC(C2=CC3=C(C=C2)C2=C(C=CC=C2)C2=C3C=CC=C2)=C1.C1=CC=C(C2=C3OC4=C(C=CC=C4C4=CC(C5=CC=C6C(=C5)C5=C(C=CC=C5)C5=C6C=CC=C5)=CC=C4)C3=CC=C2)C=C1.C1=CC=C(C2=C3SC4=C(C=CC=C4C4=CC(C5=CC=C6C(=C5)C5=C(C=CC=C5)C5=C6C=CC=C5)=CC=C4)C3=CC=C2)C=C1.C1=CC=C2C(=C1)OC1=C2C=C(C2=CC(C3=CC4=C(C=C3)C3=C(C=CC=C3)C3=C4C=CC=C3)=CC=C2)C=C1 DXLHPXMMGJCFHW-UHFFFAOYSA-N 0.000 description 1
- QTBKBMMENWSBBE-UHFFFAOYSA-N C1=CC(C2=CC=C3OC4=C(C=CC=C4)C3=C2)=CC(N2C3=CC4=C(C=C3C3=C2C=CC=C3)N(C2=CC=CC(C3=CC=C5OC6=C(C=CC=C6)C5=C3)=C2)C2=C4C=CC=C2)=C1.C1=CC(C2=CC=C3OC4=C(C=CC=C4)C3=C2)=NC(N2C3=CC4=C(C=C3C3=C2C=CC=C3)N(C2=CC=CC(C3=CC=C5OC6=C(C=CC=C6)C5=C3)=N2)C2=C4C=CC=C2)=C1.C1=CC(C2=CC=CC(N3C4=C(C=CC=C4)C4=C3C=CC=C4)=N2)=NC(N2C3=C(C=CC=C3)C3=C2C2=C(C=C3)C3=C(C=CC=C3)N2C2=NC(N3C4=C(C=CC=C4)C4=C3C=CC=C4)=CC=C2)=C1.C1=CC=C(C2=CC=CC(C3=CC=C(N4C5=CC6=C(C=C5C5=C4C=CC=C5)N(C4=CC=C(C5=NC(C7=CC=CC=C7)=CC=C5)C=C4)C4=C6C=CC=C4)C=C3)=N2)C=C1.C1=CC=C(C2=NC(N3C4=C(C=CC=C4)C4=C3C3=C(C=C4)C4=C(C=CC=C4)N3C3=CC(C4=CC=C5SC6=C(C=CC=C6)C5=C4)=CC=C3)=CC=C2)C=C1.C1=CC=C(C2=NC(N3C4=CC5=C(C=C4C4=C3C=CC=C4)N(C3=CC=CC(C4=CC=CC=C4)=N3)C3=C5C=CC=C3)=CC=C2)C=C1.C1=CC=C(N2C3=C(C=CC=C3)C3=C2C2=C(C=C3)C3=C(C=CC=C3)N2C2=CC=CC(C3=C4OC5=C(C=CC=C5)C4=CC=C3)=N2)C=C1.C1=CC=C(N2C3=C(C=CC=C3)C3=C2C2=C(C=C3)C3=C(C=CC=C3)N2C2=NC(N3C4=C(C=CC=C4)C4=C3C=CC=C4)=CC=C2)C=C1 Chemical compound C1=CC(C2=CC=C3OC4=C(C=CC=C4)C3=C2)=CC(N2C3=CC4=C(C=C3C3=C2C=CC=C3)N(C2=CC=CC(C3=CC=C5OC6=C(C=CC=C6)C5=C3)=C2)C2=C4C=CC=C2)=C1.C1=CC(C2=CC=C3OC4=C(C=CC=C4)C3=C2)=NC(N2C3=CC4=C(C=C3C3=C2C=CC=C3)N(C2=CC=CC(C3=CC=C5OC6=C(C=CC=C6)C5=C3)=N2)C2=C4C=CC=C2)=C1.C1=CC(C2=CC=CC(N3C4=C(C=CC=C4)C4=C3C=CC=C4)=N2)=NC(N2C3=C(C=CC=C3)C3=C2C2=C(C=C3)C3=C(C=CC=C3)N2C2=NC(N3C4=C(C=CC=C4)C4=C3C=CC=C4)=CC=C2)=C1.C1=CC=C(C2=CC=CC(C3=CC=C(N4C5=CC6=C(C=C5C5=C4C=CC=C5)N(C4=CC=C(C5=NC(C7=CC=CC=C7)=CC=C5)C=C4)C4=C6C=CC=C4)C=C3)=N2)C=C1.C1=CC=C(C2=NC(N3C4=C(C=CC=C4)C4=C3C3=C(C=C4)C4=C(C=CC=C4)N3C3=CC(C4=CC=C5SC6=C(C=CC=C6)C5=C4)=CC=C3)=CC=C2)C=C1.C1=CC=C(C2=NC(N3C4=CC5=C(C=C4C4=C3C=CC=C4)N(C3=CC=CC(C4=CC=CC=C4)=N3)C3=C5C=CC=C3)=CC=C2)C=C1.C1=CC=C(N2C3=C(C=CC=C3)C3=C2C2=C(C=C3)C3=C(C=CC=C3)N2C2=CC=CC(C3=C4OC5=C(C=CC=C5)C4=CC=C3)=N2)C=C1.C1=CC=C(N2C3=C(C=CC=C3)C3=C2C2=C(C=C3)C3=C(C=CC=C3)N2C2=NC(N3C4=C(C=CC=C4)C4=C3C=CC=C4)=CC=C2)C=C1 QTBKBMMENWSBBE-UHFFFAOYSA-N 0.000 description 1
- FMODVWMRZNVPOE-UHFFFAOYSA-N C1=CC(C2=CC=C3SC4=C(C=CC=C4)C3=C2)=NC(N2C3=CC4=C(C=C3C3=C2C=CC=C3)C2=C(C=CC=C2)N4C2=NC(C3=CC4=C(C=C3)SC3=C4C=CC=C3)=CC=C2)=C1.C1=CC(N2C3=C(C=CC=C3)C3=C2C=CC=C3)=CC(N2C3=C(C=CC=C3)C3=C2C=CC2=C3C3=C(C=CC=C3)N2C2=CC(N3C4=C(C=CC=C4)C4=C3C=CC=C4)=CC=C2)=C1.C1=CC2=C(C=C1)C1=CC(N3C4=CC=C5C(=C4C4=C3C=CC=C4)C3=C(C=CC=C3)N5C3=CC4=C(C=C3)OC3=C4C=CC=C3)=CC=C1O2.C1=CC2=CC=C(N3C4=CC5=C(C=C4C4=C3C=CC=C4)C3=C(C=CC=C3)N5C3=NC4=C(C=CC=C4)C=C3)N=C2C=C1.C1=CC=C(C2=CC(C3=CC=CC=C3)=NC(N3C4=CC=C5C(=C4C4=C3C=CC=C4)C3=C(C=CC=C3)N5C3=NC(C4=CC=CC=C4)=CC(C4=CC=CC=C4)=N3)=N2)C=C1.C1=CC=C(C2=CC=CC(C3=CC(N4C5=C(C=CC=C5)C5=C4C=CC4=C5C5=C(C=CC=C5)N4C4=CC(C5=CC=CC(C6=CC=CC=C6)=N5)=CC=C4)=CC=C3)=N2)C=C1.C1=CC=C(C2=NC(N3C4=CC=C5C(=C4C4=C3C=CC=C4)C3=C(C=CC=C3)N5C3=CC=CC=C3)=CC=C2)C=C1.C1=CC=C(N2C3=CC4=C(C=C3C3=C2C=CC=C3)N(C2=CC3=C(C=C2)OC2=C3/C=C(N3C5=C(C=CC=C5)C5=C3C=C3C(=C5)N(C5=CC=CC=C5)C5=C3C=CC=C5)\C=C/2)C2=C4C=CC=C2)C=C1 Chemical compound C1=CC(C2=CC=C3SC4=C(C=CC=C4)C3=C2)=NC(N2C3=CC4=C(C=C3C3=C2C=CC=C3)C2=C(C=CC=C2)N4C2=NC(C3=CC4=C(C=C3)SC3=C4C=CC=C3)=CC=C2)=C1.C1=CC(N2C3=C(C=CC=C3)C3=C2C=CC=C3)=CC(N2C3=C(C=CC=C3)C3=C2C=CC2=C3C3=C(C=CC=C3)N2C2=CC(N3C4=C(C=CC=C4)C4=C3C=CC=C4)=CC=C2)=C1.C1=CC2=C(C=C1)C1=CC(N3C4=CC=C5C(=C4C4=C3C=CC=C4)C3=C(C=CC=C3)N5C3=CC4=C(C=C3)OC3=C4C=CC=C3)=CC=C1O2.C1=CC2=CC=C(N3C4=CC5=C(C=C4C4=C3C=CC=C4)C3=C(C=CC=C3)N5C3=NC4=C(C=CC=C4)C=C3)N=C2C=C1.C1=CC=C(C2=CC(C3=CC=CC=C3)=NC(N3C4=CC=C5C(=C4C4=C3C=CC=C4)C3=C(C=CC=C3)N5C3=NC(C4=CC=CC=C4)=CC(C4=CC=CC=C4)=N3)=N2)C=C1.C1=CC=C(C2=CC=CC(C3=CC(N4C5=C(C=CC=C5)C5=C4C=CC4=C5C5=C(C=CC=C5)N4C4=CC(C5=CC=CC(C6=CC=CC=C6)=N5)=CC=C4)=CC=C3)=N2)C=C1.C1=CC=C(C2=NC(N3C4=CC=C5C(=C4C4=C3C=CC=C4)C3=C(C=CC=C3)N5C3=CC=CC=C3)=CC=C2)C=C1.C1=CC=C(N2C3=CC4=C(C=C3C3=C2C=CC=C3)N(C2=CC3=C(C=C2)OC2=C3/C=C(N3C5=C(C=CC=C5)C5=C3C=C3C(=C5)N(C5=CC=CC=C5)C5=C3C=CC=C5)\C=C/2)C2=C4C=CC=C2)C=C1 FMODVWMRZNVPOE-UHFFFAOYSA-N 0.000 description 1
- FFOOKQHXYHIJLF-UHFFFAOYSA-N C1=CC(C2=CC=CC(N3C4=C(C=CC=C4)C4=C3C=CC=C4)=C2)=CC(N2C3=CC4=C(C=C3C3=C2C=CC=C3)C2=C(C=CC=C2)N4C2=CC(C3=CC(N4C5=C(C=CC=C5)C5=C4C=CC=C5)=CC=C3)=CC=C2)=C1.C1=CC(N2C3=C(C=CC=C3)C3=C2C=CC=C3)=NC(N2C3=CC4=C(C=C3C3=C2C=CC=C3)N(C2=CC=CC(N3C5=C(C=CC=C5)C5=C3C=CC=C5)=N2)C2=C4C=CC=C2)=C1.C1=CC=C(C2=CC=CC(N3C4=C(C=CC=C4)C4=C3C=C3C(=C4)C4=C(C=CC=C4)N3C3=CC=CC(C4=CC=CC=C4)=N3)=N2)C=C1.C1=CC=C(C2=NC(C3=CC=CC=C3)=NC(C3=CC=CC(N4C5=C(C=CC=C5)C5=C4C=C4C(=C5)C5=C(C=CC=C5)N4C4=CC=CC(C5=NC(C6=CC=CC=C6)=NC(C6=CC=CC=C6)=N5)=C4)=C3)=N2)C=C1.C1=CC=C(C2=NC(C3=CC=CC=C3)=NC(N3C4=CC5=C(C=C4C4=C3C=CC=C4)N(C3=NC(C4=CC=CC=C4)=NC(C4=CC=CC=C4)=N3)C3=C5C=CC=C3)=N2)C=C1.C1=CC=C(C2=NC(N3C4=C(C=CC=C4)C4=C3C=C3C(=C4)C4=C(C=CC=C4)N3C3=CC=CC=C3)=NC(N3C4=C(C=CC=C4)C4=C3C=CC=C4)=N2)C=C1.C1=CC=C(N2C3=C(C=CC=C3)C3=C2C=C2C(=C3)N(C3=CC(N4C5=C(C=CC=C5)C5=C4C=CC=C5)=NC(N4C5=C(C=CC=C5)C5=C4C=CC=C5)=C3)C3=C2C=CC=C3)C=C1 Chemical compound C1=CC(C2=CC=CC(N3C4=C(C=CC=C4)C4=C3C=CC=C4)=C2)=CC(N2C3=CC4=C(C=C3C3=C2C=CC=C3)C2=C(C=CC=C2)N4C2=CC(C3=CC(N4C5=C(C=CC=C5)C5=C4C=CC=C5)=CC=C3)=CC=C2)=C1.C1=CC(N2C3=C(C=CC=C3)C3=C2C=CC=C3)=NC(N2C3=CC4=C(C=C3C3=C2C=CC=C3)N(C2=CC=CC(N3C5=C(C=CC=C5)C5=C3C=CC=C5)=N2)C2=C4C=CC=C2)=C1.C1=CC=C(C2=CC=CC(N3C4=C(C=CC=C4)C4=C3C=C3C(=C4)C4=C(C=CC=C4)N3C3=CC=CC(C4=CC=CC=C4)=N3)=N2)C=C1.C1=CC=C(C2=NC(C3=CC=CC=C3)=NC(C3=CC=CC(N4C5=C(C=CC=C5)C5=C4C=C4C(=C5)C5=C(C=CC=C5)N4C4=CC=CC(C5=NC(C6=CC=CC=C6)=NC(C6=CC=CC=C6)=N5)=C4)=C3)=N2)C=C1.C1=CC=C(C2=NC(C3=CC=CC=C3)=NC(N3C4=CC5=C(C=C4C4=C3C=CC=C4)N(C3=NC(C4=CC=CC=C4)=NC(C4=CC=CC=C4)=N3)C3=C5C=CC=C3)=N2)C=C1.C1=CC=C(C2=NC(N3C4=C(C=CC=C4)C4=C3C=C3C(=C4)C4=C(C=CC=C4)N3C3=CC=CC=C3)=NC(N3C4=C(C=CC=C4)C4=C3C=CC=C4)=N2)C=C1.C1=CC=C(N2C3=C(C=CC=C3)C3=C2C=C2C(=C3)N(C3=CC(N4C5=C(C=CC=C5)C5=C4C=CC=C5)=NC(N4C5=C(C=CC=C5)C5=C4C=CC=C5)=C3)C3=C2C=CC=C3)C=C1 FFOOKQHXYHIJLF-UHFFFAOYSA-N 0.000 description 1
- PEIZQSQXCMHMFW-UHFFFAOYSA-N C1=CC(C2=CC=CC3=C2[Se]C2=C3C=CC=C2)=CC(C2=CC3=C(C=C2)C2=C(C=CC=C2)C2=C3C=CC=C2)=C1.C1=CC(C2=NC(C3=CC=CC4=C3SC3=C4C=CC=C3)=CC=C2)=CC(C2=CC3=C(C=C2)C2=C(C=CC=C2)C2=C3C=CC=C2)=C1.C1=CC=C(C2=CC3=C(C=C2)SC2=C3C=C(C3=CC=CC=C3)C=C2C2=CC(C3=CC4=C(C=C3)C3=C(C=CC=C3)C3=C4C=CC=C3)=CC=C2)C=C1.C1=CC=C(C2=CC3=C(SC4=C3C=C(C3=CC=CC=C3)C=C4C3=CC(C4=CC5=C(C=C4)C4=C(C=CC=C4)C4=C5C=CC=C4)=CC=C3)C(C3=CC=CC=C3)=C2)C=C1 Chemical compound C1=CC(C2=CC=CC3=C2[Se]C2=C3C=CC=C2)=CC(C2=CC3=C(C=C2)C2=C(C=CC=C2)C2=C3C=CC=C2)=C1.C1=CC(C2=NC(C3=CC=CC4=C3SC3=C4C=CC=C3)=CC=C2)=CC(C2=CC3=C(C=C2)C2=C(C=CC=C2)C2=C3C=CC=C2)=C1.C1=CC=C(C2=CC3=C(C=C2)SC2=C3C=C(C3=CC=CC=C3)C=C2C2=CC(C3=CC4=C(C=C3)C3=C(C=CC=C3)C3=C4C=CC=C3)=CC=C2)C=C1.C1=CC=C(C2=CC3=C(SC4=C3C=C(C3=CC=CC=C3)C=C4C3=CC(C4=CC5=C(C=C4)C4=C(C=CC=C4)C4=C5C=CC=C4)=CC=C3)C(C3=CC=CC=C3)=C2)C=C1 PEIZQSQXCMHMFW-UHFFFAOYSA-N 0.000 description 1
- UYAKGNWUTXIEEP-UHFFFAOYSA-N C1=CC(C2=CC=CC3=C2[Se]C2=C3C=CC=C2)=CC(C2=CC3=C(C=C2)C2=C(C=CC=C2)C2=C3C=CC=C2)=C1.C1=CC2=C(C=C1)C1=C(S2)C(C2=CC(C3=CC4=C(C=C3)C3=C(C=CC=C3)C3=C4C=CC=C3)=CC(C3=CC=CC4=C3SC3=C4C=CC=C3)=C2)=CC=C1.C1=CC=C(C2=CC3=C(C=C2)SC2=C3C=C(C3=CC=CC=C3)C=C2C2=CC(C3=CC4=C(C=C3)C3=C(C=CC=C3)C3=C4C=CC=C3)=CC=C2)C=C1.C1=CC=C(C2=CC3=C(SC4=C3C=C(C3=CC=CC=C3)C=C4C3=CC(C4=CC5=C(C=C4)C4=C(C=CC=C4)C4=C5C=CC=C4)=CC=C3)C(C3=CC=CC=C3)=C2)C=C1 Chemical compound C1=CC(C2=CC=CC3=C2[Se]C2=C3C=CC=C2)=CC(C2=CC3=C(C=C2)C2=C(C=CC=C2)C2=C3C=CC=C2)=C1.C1=CC2=C(C=C1)C1=C(S2)C(C2=CC(C3=CC4=C(C=C3)C3=C(C=CC=C3)C3=C4C=CC=C3)=CC(C3=CC=CC4=C3SC3=C4C=CC=C3)=C2)=CC=C1.C1=CC=C(C2=CC3=C(C=C2)SC2=C3C=C(C3=CC=CC=C3)C=C2C2=CC(C3=CC4=C(C=C3)C3=C(C=CC=C3)C3=C4C=CC=C3)=CC=C2)C=C1.C1=CC=C(C2=CC3=C(SC4=C3C=C(C3=CC=CC=C3)C=C4C3=CC(C4=CC5=C(C=C4)C4=C(C=CC=C4)C4=C5C=CC=C4)=CC=C3)C(C3=CC=CC=C3)=C2)C=C1 UYAKGNWUTXIEEP-UHFFFAOYSA-N 0.000 description 1
- WGQGRVAHTVWGRV-UHFFFAOYSA-N C1=CC(C2=CC=CC3=C2[Se]C2=C3C=CC=C2)=CC(C2=CC3=C(C=C2)C2=C(C=CC=C2)C2=C3C=CC=C2)=C1.C1=CC2=C(C=C1)C1=C(S2)C(C2=CC(C3=CC4=C(C=C3)C3=C(C=CC=C3)C3=C4C=CC=C3)=CC(C3=CC=CC4=C3SC3C=CC=CC43)=C2)=CC=C1.C1=CC=C(C2=CC3=C(C=C2)SC2=C3C=C(C3=CC=CC=C3)C=C2C2=CC(C3=CC4=C(C=C3)C3=C(C=CC=C3)C3=C4C=CC=C3)=CC=C2)C=C1.C1=CC=C(C2=CC3=C(SC4=C3C=C(C3=CC=CC=C3)C=C4C3=CC(C4=CC5=C(C=C4)C4=C(C=CC=C4)C4=C5C=CC=C4)=CC=C3)C(C3=CC=CC=C3)=C2)C=C1 Chemical compound C1=CC(C2=CC=CC3=C2[Se]C2=C3C=CC=C2)=CC(C2=CC3=C(C=C2)C2=C(C=CC=C2)C2=C3C=CC=C2)=C1.C1=CC2=C(C=C1)C1=C(S2)C(C2=CC(C3=CC4=C(C=C3)C3=C(C=CC=C3)C3=C4C=CC=C3)=CC(C3=CC=CC4=C3SC3C=CC=CC43)=C2)=CC=C1.C1=CC=C(C2=CC3=C(C=C2)SC2=C3C=C(C3=CC=CC=C3)C=C2C2=CC(C3=CC4=C(C=C3)C3=C(C=CC=C3)C3=C4C=CC=C3)=CC=C2)C=C1.C1=CC=C(C2=CC3=C(SC4=C3C=C(C3=CC=CC=C3)C=C4C3=CC(C4=CC5=C(C=C4)C4=C(C=CC=C4)C4=C5C=CC=C4)=CC=C3)C(C3=CC=CC=C3)=C2)C=C1 WGQGRVAHTVWGRV-UHFFFAOYSA-N 0.000 description 1
- LSNPPBOJQOKZRG-UHFFFAOYSA-N C1=CC2=C(C=C1)C1=C(/C=C\C=C/1)C2.C1=CC2=C(C=C1)C1=C(/C=C\C=C/1)O2.C1=CC2=C(C=C1)C1=C(/C=C\C=C/1)S2.C1=CC2=CC=C3C=CC=CC3=C2C=C1.C1=CC=C(C2=CC=CC(C3=CC=CC=C3)=C2)C=C1.C1=CC=C2C=C3C=CC=CC3=CC2=C1.C1=CC=C2C=CC=CC2=C1.CC1=CC=C(C)C=C1.CN1C2=C(C=CC=C2)C2=C1/C=C\C=C/2 Chemical compound C1=CC2=C(C=C1)C1=C(/C=C\C=C/1)C2.C1=CC2=C(C=C1)C1=C(/C=C\C=C/1)O2.C1=CC2=C(C=C1)C1=C(/C=C\C=C/1)S2.C1=CC2=CC=C3C=CC=CC3=C2C=C1.C1=CC=C(C2=CC=CC(C3=CC=CC=C3)=C2)C=C1.C1=CC=C2C=C3C=CC=CC3=CC2=C1.C1=CC=C2C=CC=CC2=C1.CC1=CC=C(C)C=C1.CN1C2=C(C=CC=C2)C2=C1/C=C\C=C/2 LSNPPBOJQOKZRG-UHFFFAOYSA-N 0.000 description 1
- MYICBWWQPGYCIE-UHFFFAOYSA-N C1=CC2=C(C=C1)C1=C(C=C(C3=CC4=C(C=C3)OC3=C4/C=C(C4=CC5=C(C=C4)C4=C(C=CC=C4)C4=C5C=CC=C4)\C=C/3)C=C1)C1=C2C=CC=C1.C1=CC2=C(C=C1)C1=C(C=C(C3=CC=C4C(=C3)OC3=C4/C=C\C=C/3)C=C1)C1=C2C=CC=C1.C1=CC2=C(C=C1)C1=C(C=CC=C1C1=CC3=C(C=C1)C1=C(C=CC=C1)C1=C3C=CC=C1)O2.C1=CC2=C(C=C1)C1=C(O2)C(C2=CC3=C(C=C2)C2=C(C=CC=C2)C2=C3C=CC=C2)=CC=C1 Chemical compound C1=CC2=C(C=C1)C1=C(C=C(C3=CC4=C(C=C3)OC3=C4/C=C(C4=CC5=C(C=C4)C4=C(C=CC=C4)C4=C5C=CC=C4)\C=C/3)C=C1)C1=C2C=CC=C1.C1=CC2=C(C=C1)C1=C(C=C(C3=CC=C4C(=C3)OC3=C4/C=C\C=C/3)C=C1)C1=C2C=CC=C1.C1=CC2=C(C=C1)C1=C(C=CC=C1C1=CC3=C(C=C1)C1=C(C=CC=C1)C1=C3C=CC=C1)O2.C1=CC2=C(C=C1)C1=C(O2)C(C2=CC3=C(C=C2)C2=C(C=CC=C2)C2=C3C=CC=C2)=CC=C1 MYICBWWQPGYCIE-UHFFFAOYSA-N 0.000 description 1
- MIWBLOAPHRPMPM-UHFFFAOYSA-N C1=CC2=C(C=C1)C1=C(C=C(C3=CC4=C(C=C3)OC3=C4/C=C(C4=CC5=C(C=C4)C4=C(C=CC=C4)C4=C5C=CC=C4)\C=C/3)C=C1)C1=C2C=CC=C1.C1=CC2=C(C=C1)C1=C(C=CC(C3=CC4=C(C=C3)C3=C(C=CC=C3)C3=C4C=CC=C3)=C1)O2.C1=CC2=C(C=C1)C1=C(C=CC=C1C1=CC3=C(C=C1)C1=C(C=CC=C1)C1=C3C=CC=C1)O2.C1=CC2=C(C=C1)C1=C(O2)C(C2=CC3=C(C=C2)C2=C(C=CC=C2)C2=C3C=CC=C2)=CC=C1.C1=CC2=C(C=C1)C1=CC=C(C3=CC4=C(C=C3)C3=C(C=CC=C3)C3=C4C=CC=C3)C=C1O2 Chemical compound C1=CC2=C(C=C1)C1=C(C=C(C3=CC4=C(C=C3)OC3=C4/C=C(C4=CC5=C(C=C4)C4=C(C=CC=C4)C4=C5C=CC=C4)\C=C/3)C=C1)C1=C2C=CC=C1.C1=CC2=C(C=C1)C1=C(C=CC(C3=CC4=C(C=C3)C3=C(C=CC=C3)C3=C4C=CC=C3)=C1)O2.C1=CC2=C(C=C1)C1=C(C=CC=C1C1=CC3=C(C=C1)C1=C(C=CC=C1)C1=C3C=CC=C1)O2.C1=CC2=C(C=C1)C1=C(O2)C(C2=CC3=C(C=C2)C2=C(C=CC=C2)C2=C3C=CC=C2)=CC=C1.C1=CC2=C(C=C1)C1=CC=C(C3=CC4=C(C=C3)C3=C(C=CC=C3)C3=C4C=CC=C3)C=C1O2 MIWBLOAPHRPMPM-UHFFFAOYSA-N 0.000 description 1
- NSZYFJWJQQOQBI-UHFFFAOYSA-N C1=CC2=C(C=C1)C1=C(C=C(C3=CC=C4C(=C3)SC3=C4/C=C\C=C/3)C=C1)C1=C2C=CC=C1.C1=CC2=C(C=C1)C1=C(C=C(C3=CC=C4SC5=C(/C=C(C6=CC7=C(C=C6)C6=C(C=CC=C6)C6=C7C=CC=C6)\C=C/5)C4=C3)C=C1)C1=C2C=CC=C1.C1=CC2=C(C=C1)C1=C(C=C(C3=CC=C4SC5=C(/C=C(C6C7=C(C=CC=C7)C7=C6C=CC=C7)\C=C/5)C4=C3)C=C1)C1=C2C=CC=C1.C1=CC2=C(C=C1)C1=C(C=CC=C1C1=CC3=C(C=C1)C1=C(C=CC=C1)C1=C3C=CC=C1)S2.C1=CC2=C(C=C1)C1=C(S2)C(C2=CC3=C(C=C2)C2=C(C=CC=C2)C2=C3C=C(C3=CC=CC4=C3SC3=C4C=CC=C3)C=C2)=CC=C1.C1=CC2=C(C=C1)C1=C(S2)C(C2=CC3=C(C=C2)C2=C(C=CC=C2)C2=C3C=CC=C2)=CC=C1 Chemical compound C1=CC2=C(C=C1)C1=C(C=C(C3=CC=C4C(=C3)SC3=C4/C=C\C=C/3)C=C1)C1=C2C=CC=C1.C1=CC2=C(C=C1)C1=C(C=C(C3=CC=C4SC5=C(/C=C(C6=CC7=C(C=C6)C6=C(C=CC=C6)C6=C7C=CC=C6)\C=C/5)C4=C3)C=C1)C1=C2C=CC=C1.C1=CC2=C(C=C1)C1=C(C=C(C3=CC=C4SC5=C(/C=C(C6C7=C(C=CC=C7)C7=C6C=CC=C7)\C=C/5)C4=C3)C=C1)C1=C2C=CC=C1.C1=CC2=C(C=C1)C1=C(C=CC=C1C1=CC3=C(C=C1)C1=C(C=CC=C1)C1=C3C=CC=C1)S2.C1=CC2=C(C=C1)C1=C(S2)C(C2=CC3=C(C=C2)C2=C(C=CC=C2)C2=C3C=C(C3=CC=CC4=C3SC3=C4C=CC=C3)C=C2)=CC=C1.C1=CC2=C(C=C1)C1=C(S2)C(C2=CC3=C(C=C2)C2=C(C=CC=C2)C2=C3C=CC=C2)=CC=C1 NSZYFJWJQQOQBI-UHFFFAOYSA-N 0.000 description 1
- HZMIZAYTFDBURZ-UHFFFAOYSA-N C1=CC2=C(C=C1)C1=C(C=C(C3=CC=C4OC5=C(/C=C(C6=CC7=C(C=C6)C6=C(C=CC=C6)C6=C7C=CC=C6)\C=C/5)C4=C3)C=C1)C1=C2C=CC=C1.C1=CC2=C(C=C1)C1=C(C=CC(C3=CC4=C(C=C3)C3=C(C=CC=C3)C3=C4C=CC=C3)=C1)O2.C1=CC2=C(C=C1)C1=C(O2)C(C2=CC3=C(C=C2)C2=C(C=CC=C2)C2=C3C=CC=C2)=CC=C1.C1=CC=C(C2=CC=CC3=C2OC2=C3C=CC=C2C2=CC3=C(C=C2)C2=C(C=CC=C2)C2=C3C=CC=C2)C=C1.C1=CC=C(C2=CC=CC3=C2SC2=C3C=CC=C2C2=CC3=C(C=C2)C2=C(C=CC=C2)C2=C3C=CC=C2)C=C1 Chemical compound C1=CC2=C(C=C1)C1=C(C=C(C3=CC=C4OC5=C(/C=C(C6=CC7=C(C=C6)C6=C(C=CC=C6)C6=C7C=CC=C6)\C=C/5)C4=C3)C=C1)C1=C2C=CC=C1.C1=CC2=C(C=C1)C1=C(C=CC(C3=CC4=C(C=C3)C3=C(C=CC=C3)C3=C4C=CC=C3)=C1)O2.C1=CC2=C(C=C1)C1=C(O2)C(C2=CC3=C(C=C2)C2=C(C=CC=C2)C2=C3C=CC=C2)=CC=C1.C1=CC=C(C2=CC=CC3=C2OC2=C3C=CC=C2C2=CC3=C(C=C2)C2=C(C=CC=C2)C2=C3C=CC=C2)C=C1.C1=CC=C(C2=CC=CC3=C2SC2=C3C=CC=C2C2=CC3=C(C=C2)C2=C(C=CC=C2)C2=C3C=CC=C2)C=C1 HZMIZAYTFDBURZ-UHFFFAOYSA-N 0.000 description 1
- KUKQEGQYMDJERU-UHFFFAOYSA-N C1=CC2=C(C=C1)C1=C(C=CC(C3=CC4=C(C=C3)C3=C(C=CC=C3)C3=C4C=CC=C3)=C1)O2.C1=CC2=C(C=C1)C1=C(C=CC(C3=CC4=C(C=C3)C3=C(C=CC=C3)C3=C4C=CC=C3)=C1)O2.C1=CC=C(C2=CC=CC3=C2OC2=C3C=CC=C2C2=CC3=C(C=C2)C2=C(C=CC=C2)C2=C3C=CC=C2)C=C1.C1=CC=C(C2=CC=CC3=C2SC2=C3C=CC=C2C2=CC3=C(C=C2)C2=C(C=CC=C2)C2=C3C=CC=C2)C=C1.C1=CC=C2C(=C1)SC1=C2C=CC=C1C1=CC2=C(C=C1)C1=C(C=C(C3=C4SC5=C(C=CC=C5)C4=CC=C3)C=C1)C1=C2C=CC=C1 Chemical compound C1=CC2=C(C=C1)C1=C(C=CC(C3=CC4=C(C=C3)C3=C(C=CC=C3)C3=C4C=CC=C3)=C1)O2.C1=CC2=C(C=C1)C1=C(C=CC(C3=CC4=C(C=C3)C3=C(C=CC=C3)C3=C4C=CC=C3)=C1)O2.C1=CC=C(C2=CC=CC3=C2OC2=C3C=CC=C2C2=CC3=C(C=C2)C2=C(C=CC=C2)C2=C3C=CC=C2)C=C1.C1=CC=C(C2=CC=CC3=C2SC2=C3C=CC=C2C2=CC3=C(C=C2)C2=C(C=CC=C2)C2=C3C=CC=C2)C=C1.C1=CC=C2C(=C1)SC1=C2C=CC=C1C1=CC2=C(C=C1)C1=C(C=C(C3=C4SC5=C(C=CC=C5)C4=CC=C3)C=C1)C1=C2C=CC=C1 KUKQEGQYMDJERU-UHFFFAOYSA-N 0.000 description 1
- GGDYWLKFSIOROP-UHFFFAOYSA-N C1=CC2=C(C=C1)C1=C(C=CC(C3=CC4=C(C=C3)C3=C(C=CC=C3)C3=C4C=CC=C3)=C1)O2.C1=CC2=C(C=C1)C1=CC=CC(C3=CC4=C(C=C3)C3=C(C=C(C5=CC=CC6=C5SC5=C6C=CC=C5)C=C3)C3=C4C=CC=C3)=C1S2 Chemical compound C1=CC2=C(C=C1)C1=C(C=CC(C3=CC4=C(C=C3)C3=C(C=CC=C3)C3=C4C=CC=C3)=C1)O2.C1=CC2=C(C=C1)C1=CC=CC(C3=CC4=C(C=C3)C3=C(C=C(C5=CC=CC6=C5SC5=C6C=CC=C5)C=C3)C3=C4C=CC=C3)=C1S2 GGDYWLKFSIOROP-UHFFFAOYSA-N 0.000 description 1
- RVBNCLMXXSHAEA-UHFFFAOYSA-N C1=CC2=C(C=C1)C1=C(C=CC(C3=CC4=C(C=C3)C3=C(C=CC=C3)C3=C4C=CC=C3)=C1)O2.C1=CC=C(C2=CC=CC3=C2OC2=C3C=CC=C2C2=CC3=C(C=C2)C2=C(C=CC=C2)C2=C3C=CC=C2)C=C1.C1=CC=C(C2=CC=CC3=C2SC2=C3C=CC=C2C2=CC3=C(C=C2)C2=C(C=CC=C2)C2=C3C=CC=C2)C=C1.C1=CC=C2C(=C1)SC1=C2C=CC=C1C1=CC2=C(C=C1)C1=C(C=C(C3=C4SC5=C(C=CC=C5)C4=CC=C3)C=C1)C1=C2C=CC=C1 Chemical compound C1=CC2=C(C=C1)C1=C(C=CC(C3=CC4=C(C=C3)C3=C(C=CC=C3)C3=C4C=CC=C3)=C1)O2.C1=CC=C(C2=CC=CC3=C2OC2=C3C=CC=C2C2=CC3=C(C=C2)C2=C(C=CC=C2)C2=C3C=CC=C2)C=C1.C1=CC=C(C2=CC=CC3=C2SC2=C3C=CC=C2C2=CC3=C(C=C2)C2=C(C=CC=C2)C2=C3C=CC=C2)C=C1.C1=CC=C2C(=C1)SC1=C2C=CC=C1C1=CC2=C(C=C1)C1=C(C=C(C3=C4SC5=C(C=CC=C5)C4=CC=C3)C=C1)C1=C2C=CC=C1 RVBNCLMXXSHAEA-UHFFFAOYSA-N 0.000 description 1
- IFQCTAFYUSUCQK-UHFFFAOYSA-N C1=CC2=C(C=C1)C1=CC(N3C4=CC=C5C(=C4C4=C3C=CC=C4)C3=C(C=CC=C3)N5C3=CC4=C(C=C3)OC3=C4C=CC=C3)=CC=C1O2.C1=CC=C(C2=CC(C3=CC=CC=C3)=NC(N3C4=CC=C5C(=C4C4=C3C=CC=C4)C3=C(C=CC=C3)N5C3=NC(C4=CC=CC=C4)=CC(C4=CC=CC=C4)=N3)=N2)C=C1.C1=CC=C(C2=NC(N3C4=CC=C5C(=C4C4=C3C=CC=C4)C3=C(C=CC=C3)N5C3=CC=CC=C3)=CC=C2)C=C1.C1=CC=C(N2C3=C(C=CC=C3)C3=C/C4=C(/C=C/32)C2=C(C=CC=C2)N4C2=CC3=C(C=C2)OC2=C3/C=C(N3C4=C(C=CC=C4)C4=C3/C=C3\C5=C(C=CC=C5)N(C5=CC=CC=C5)\C3=C\4)\C=C/2)C=C1.C1=CC=C(N2C3=C(C=CC=C3)C3=C2C2=C(C=C3)C3=C(C=CC=C3)N2C2=CC(N3C4=C(C=CC=C4)C4=C3/C3=C(\C=C/4)C4=C(C=CC=C4)N3C3=CC=CC=C3)=CC(C3=CC=C(N4C5=C(C=CC=C5)C5=C4C=CC=C5)C=C3)=C2)C=C1.C1=CC=C(N2C3=C(C=CC=C3)C3=C2C=CC2=C3N(C3=C/C4=C(\C=C/3)N(C3=CC=CC=C3)C3=C4C=C(N4C5=C(C=CC=C5)C5=C4/C4=C(/C=C/5)N(C5=CC=CC=C5)C5=C4C=CC=C5)C=C3)C3=C2C=CC=C3)C=C1 Chemical compound C1=CC2=C(C=C1)C1=CC(N3C4=CC=C5C(=C4C4=C3C=CC=C4)C3=C(C=CC=C3)N5C3=CC4=C(C=C3)OC3=C4C=CC=C3)=CC=C1O2.C1=CC=C(C2=CC(C3=CC=CC=C3)=NC(N3C4=CC=C5C(=C4C4=C3C=CC=C4)C3=C(C=CC=C3)N5C3=NC(C4=CC=CC=C4)=CC(C4=CC=CC=C4)=N3)=N2)C=C1.C1=CC=C(C2=NC(N3C4=CC=C5C(=C4C4=C3C=CC=C4)C3=C(C=CC=C3)N5C3=CC=CC=C3)=CC=C2)C=C1.C1=CC=C(N2C3=C(C=CC=C3)C3=C/C4=C(/C=C/32)C2=C(C=CC=C2)N4C2=CC3=C(C=C2)OC2=C3/C=C(N3C4=C(C=CC=C4)C4=C3/C=C3\C5=C(C=CC=C5)N(C5=CC=CC=C5)\C3=C\4)\C=C/2)C=C1.C1=CC=C(N2C3=C(C=CC=C3)C3=C2C2=C(C=C3)C3=C(C=CC=C3)N2C2=CC(N3C4=C(C=CC=C4)C4=C3/C3=C(\C=C/4)C4=C(C=CC=C4)N3C3=CC=CC=C3)=CC(C3=CC=C(N4C5=C(C=CC=C5)C5=C4C=CC=C5)C=C3)=C2)C=C1.C1=CC=C(N2C3=C(C=CC=C3)C3=C2C=CC2=C3N(C3=C/C4=C(\C=C/3)N(C3=CC=CC=C3)C3=C4C=C(N4C5=C(C=CC=C5)C5=C4/C4=C(/C=C/5)N(C5=CC=CC=C5)C5=C4C=CC=C5)C=C3)C3=C2C=CC=C3)C=C1 IFQCTAFYUSUCQK-UHFFFAOYSA-N 0.000 description 1
- RCJQHAPTLQVJED-UHFFFAOYSA-N C1=CC2=C(C=C1)C1=CC(N3C4=CC=C5C(=C4C4=C3C=CC=C4)C3=C(C=CC=C3)N5C3=CC4=C(C=C3)OC3=C4C=CC=C3)=CC=C1O2.C1=CC=C(C2=CC(C3=CC=CC=C3)=NC(N3C4=CC=C5C(=C4C4=C3C=CC=C4)C3=C(C=CC=C3)N5C3=NC(C4=CC=CC=C4)=CC(C4=CC=CC=C4)=N3)=N2)C=C1.C1=CC=C(C2=NC(N3C4=CC=C5C(=C4C4=C3C=CC=C4)C3=C(C=CC=C3)N5C3=CC=CC=C3)=CC=C2)C=C1.C1=CC=C(N2C3=C(C=CC=C3)C3=C/C4=C(/C=C/32)C2=C(C=CC=C2)N4C2=CC3=C(C=C2)OC2=C3/C=C(N3C4=C(C=CC=C4)C4=C3/C=C3\C5=C(C=CC=C5)N(C5=CC=CC=C5)\C3=C\4)\C=C/2)C=C1.C1=CC=C(N2C3=C(C=CC=C3)C3=C2C2=C(C=C3)C3=C(C=CC=C3)N2C2=NC(N3C4=C(C=CC=C4)C4=C3/C3=C(\C=C/4)C4=C(C=CC=C4)N3C3=CC=CC=C3)=CC(C3=CC=C(N4C5=C(C=CC=C5)C5=C4C=CC=C5)C=C3)=C2)C=C1.C1=CC=C(N2C3=C(C=CC=C3)C3=C2C=CC2=C3N(C3=C/C4=C(\C=C/3)N(C3=CC=CC=C3)C3=C4C=C(N4C5=C(C=CC=C5)C5=C4/C4=C(/C=C/5)N(C5=CC=CC=C5)C5=C4C=CC=C5)C=C3)C3=C2C=CC=C3)C=C1 Chemical compound C1=CC2=C(C=C1)C1=CC(N3C4=CC=C5C(=C4C4=C3C=CC=C4)C3=C(C=CC=C3)N5C3=CC4=C(C=C3)OC3=C4C=CC=C3)=CC=C1O2.C1=CC=C(C2=CC(C3=CC=CC=C3)=NC(N3C4=CC=C5C(=C4C4=C3C=CC=C4)C3=C(C=CC=C3)N5C3=NC(C4=CC=CC=C4)=CC(C4=CC=CC=C4)=N3)=N2)C=C1.C1=CC=C(C2=NC(N3C4=CC=C5C(=C4C4=C3C=CC=C4)C3=C(C=CC=C3)N5C3=CC=CC=C3)=CC=C2)C=C1.C1=CC=C(N2C3=C(C=CC=C3)C3=C/C4=C(/C=C/32)C2=C(C=CC=C2)N4C2=CC3=C(C=C2)OC2=C3/C=C(N3C4=C(C=CC=C4)C4=C3/C=C3\C5=C(C=CC=C5)N(C5=CC=CC=C5)\C3=C\4)\C=C/2)C=C1.C1=CC=C(N2C3=C(C=CC=C3)C3=C2C2=C(C=C3)C3=C(C=CC=C3)N2C2=NC(N3C4=C(C=CC=C4)C4=C3/C3=C(\C=C/4)C4=C(C=CC=C4)N3C3=CC=CC=C3)=CC(C3=CC=C(N4C5=C(C=CC=C5)C5=C4C=CC=C5)C=C3)=C2)C=C1.C1=CC=C(N2C3=C(C=CC=C3)C3=C2C=CC2=C3N(C3=C/C4=C(\C=C/3)N(C3=CC=CC=C3)C3=C4C=C(N4C5=C(C=CC=C5)C5=C4/C4=C(/C=C/5)N(C5=CC=CC=C5)C5=C4C=CC=C5)C=C3)C3=C2C=CC=C3)C=C1 RCJQHAPTLQVJED-UHFFFAOYSA-N 0.000 description 1
- RCHDMHRTCXZLQJ-UHFFFAOYSA-M C1=CC2=CC=C3/C=C\C=N/C3=C2N=C1.C1=CC=C(N2C=NC3=C2C=CC=C3)C=C1.C[Al](N)O.O=S1(=O)C2=C(C=CC=C2)CC2=C1C=CC=C2 Chemical compound C1=CC2=CC=C3/C=C\C=N/C3=C2N=C1.C1=CC=C(N2C=NC3=C2C=CC=C3)C=C1.C[Al](N)O.O=S1(=O)C2=C(C=CC=C2)CC2=C1C=CC=C2 RCHDMHRTCXZLQJ-UHFFFAOYSA-M 0.000 description 1
- NCINOBYXXXYZFL-UHFFFAOYSA-N C1=CC=C(C2=CC3=N(C=C2)[Ir]2(C4=CC=CC=C4C4=N2C=CC=C4)C2=C3C=CC=C2)C=C1.C1=CC=C2C(=C1)C1=N(C=CC=C1)[Ir]21C2=C(C=CC=C2)C2=N1C=CC(C1=NC=CC=C1)=C2.CC1=CC2=N(C=C1C1=CC=CC=C1)[Ir]1(C3=CC=CC=C3C3=N1C=CC=C3)C1=C2C=CC=C1.CC1=CC=CC2=N1[Ir]1(C3=CC=CC=C32)C2=C(C=CC=C2)C2=N1C=CC(C1=CC=CC=C1)=C2.CCC1=CC2=N(C=C1C1=CC=CC=C1)[Ir]1(C3=CC=CC=C3C3=N1C=CC=C3)C1=C2C=CC=C1 Chemical compound C1=CC=C(C2=CC3=N(C=C2)[Ir]2(C4=CC=CC=C4C4=N2C=CC=C4)C2=C3C=CC=C2)C=C1.C1=CC=C2C(=C1)C1=N(C=CC=C1)[Ir]21C2=C(C=CC=C2)C2=N1C=CC(C1=NC=CC=C1)=C2.CC1=CC2=N(C=C1C1=CC=CC=C1)[Ir]1(C3=CC=CC=C3C3=N1C=CC=C3)C1=C2C=CC=C1.CC1=CC=CC2=N1[Ir]1(C3=CC=CC=C32)C2=C(C=CC=C2)C2=N1C=CC(C1=CC=CC=C1)=C2.CCC1=CC2=N(C=C1C1=CC=CC=C1)[Ir]1(C3=CC=CC=C3C3=N1C=CC=C3)C1=C2C=CC=C1 NCINOBYXXXYZFL-UHFFFAOYSA-N 0.000 description 1
- LKUALNZZSGHPLJ-UHFFFAOYSA-N C1=CC=C(C2=CC=C3C(=C2)CN2=C3C=CC=C2)C=C1.CC1=C(C)C2=N(C=C1)CC1=CC=C(C3=CC=CC=C3)C=C12.CC1=CC2=N(C=C1)CC1=CC=C(C3=CC=CC=C3)C=C12.CC1=CC=CN2=C1C1=CC(C3=CC=CC=C3)=CC=C1C2.CC1=CN2=C(C=C1)C1=CC(C3=CC=CC=C3)=CC=C1C2 Chemical compound C1=CC=C(C2=CC=C3C(=C2)CN2=C3C=CC=C2)C=C1.CC1=C(C)C2=N(C=C1)CC1=CC=C(C3=CC=CC=C3)C=C12.CC1=CC2=N(C=C1)CC1=CC=C(C3=CC=CC=C3)C=C12.CC1=CC=CN2=C1C1=CC(C3=CC=CC=C3)=CC=C1C2.CC1=CN2=C(C=C1)C1=CC(C3=CC=CC=C3)=CC=C1C2 LKUALNZZSGHPLJ-UHFFFAOYSA-N 0.000 description 1
- NFDSPOPSPQHOFY-UHFFFAOYSA-N C1=CC=C(C2=CC=C3CN4=C(C=CC=C4)C3=C2)C=C1.C1=CC=C2C(=C1)CN1=C2C=CC=C1.CC1=CC2=N(C=C1)CC1=CC=CC=C12.CC1=CC=C2C(=C1)CN1=C2C=CC=C1.CC1=CC=CN2=C1C1=CC=CC=C1C2.CC1=CN2=C(C=C1)C1=CC=CC=C1C2 Chemical compound C1=CC=C(C2=CC=C3CN4=C(C=CC=C4)C3=C2)C=C1.C1=CC=C2C(=C1)CN1=C2C=CC=C1.CC1=CC2=N(C=C1)CC1=CC=CC=C12.CC1=CC=C2C(=C1)CN1=C2C=CC=C1.CC1=CC=CN2=C1C1=CC=CC=C1C2.CC1=CN2=C(C=C1)C1=CC=CC=C1C2 NFDSPOPSPQHOFY-UHFFFAOYSA-N 0.000 description 1
- QPGPHBYTXXCWKB-UHFFFAOYSA-N C1=CC=C(C2=CC=CC(C3=CC(N4C5=C(C=CC=C5)C5=C4C=CC4=C5N(C5=CC(N6C7=C(C8=C6/C=C\C=C/8)C6=C(C=C7)C7=C(C=CC=C7)N6C6=CC=CC=C6)=CC=C5)C5=C4C=CC=C5)=CC=C3)=N2)C=C1.C1=CC=C(N2C3=C(C=CC=C3)C3=C2C2=C(C=C3)N(C3=CC(C4=NC(N5C6=C(C=CC=C6)C6=C5C=CC5=C6N(C6=CC=CC=C6)C6=C5C=CC=C6)=CC=C4)=CC(N4C5=C(C=CC=C5)C5=C4C=CC4=C5N(C5=CC=CC=C5)C5=C4C=CC=C5)=C3)C3=C2C=CC=C3)C=C1.C1=CC=C(N2C3=C(C=CC=C3)C3=C2C2=C(C=C3)N(C3=CC(N4C5=C(C=CC=C5)C5=C4C=CC4=C5N(C5=CC=CC=C5)C5=C4C=CC=C5)=CC(N4C5=C(C=CC=C5)C5=C4C=CC4=C5N(C5=CC=CC=C5)C5=C4C=CC=C5)=C3)C3=C2C=CC=C3)C=C1 Chemical compound C1=CC=C(C2=CC=CC(C3=CC(N4C5=C(C=CC=C5)C5=C4C=CC4=C5N(C5=CC(N6C7=C(C8=C6/C=C\C=C/8)C6=C(C=C7)C7=C(C=CC=C7)N6C6=CC=CC=C6)=CC=C5)C5=C4C=CC=C5)=CC=C3)=N2)C=C1.C1=CC=C(N2C3=C(C=CC=C3)C3=C2C2=C(C=C3)N(C3=CC(C4=NC(N5C6=C(C=CC=C6)C6=C5C=CC5=C6N(C6=CC=CC=C6)C6=C5C=CC=C6)=CC=C4)=CC(N4C5=C(C=CC=C5)C5=C4C=CC4=C5N(C5=CC=CC=C5)C5=C4C=CC=C5)=C3)C3=C2C=CC=C3)C=C1.C1=CC=C(N2C3=C(C=CC=C3)C3=C2C2=C(C=C3)N(C3=CC(N4C5=C(C=CC=C5)C5=C4C=CC4=C5N(C5=CC=CC=C5)C5=C4C=CC=C5)=CC(N4C5=C(C=CC=C5)C5=C4C=CC4=C5N(C5=CC=CC=C5)C5=C4C=CC=C5)=C3)C3=C2C=CC=C3)C=C1 QPGPHBYTXXCWKB-UHFFFAOYSA-N 0.000 description 1
- NFASHYVLFZAPPD-UHFFFAOYSA-N C1=CC=C(C2=CN3=C(C=C2)C2=C(C=CC=C2)[Ir]32C3=CC=CC=C3C3=N2C=CC=C3)C=C1.C1=CC=C2C(=C1)C1=N(C=CC=C1)[Ir]21C2=CC=C(C3=NC=CC=C3)C=C2C2=N1C=CC=C2.C1=CC=C2C(=C1)C1=N(C=CC=C1)[Ir]21C2=CC=C(C3=NC=CC=N3)C=C2C2=N1C=CC=C2.CC1=CC=CC2=N1[Ir]1(C3=CC=CC=C32)C2=C(C=CC=C2)C2=N1C=C(C1=CC=CC=C1)C=C2 Chemical compound C1=CC=C(C2=CN3=C(C=C2)C2=C(C=CC=C2)[Ir]32C3=CC=CC=C3C3=N2C=CC=C3)C=C1.C1=CC=C2C(=C1)C1=N(C=CC=C1)[Ir]21C2=CC=C(C3=NC=CC=C3)C=C2C2=N1C=CC=C2.C1=CC=C2C(=C1)C1=N(C=CC=C1)[Ir]21C2=CC=C(C3=NC=CC=N3)C=C2C2=N1C=CC=C2.CC1=CC=CC2=N1[Ir]1(C3=CC=CC=C32)C2=C(C=CC=C2)C2=N1C=C(C1=CC=CC=C1)C=C2 NFASHYVLFZAPPD-UHFFFAOYSA-N 0.000 description 1
- GMMSDHNMWVUUGJ-UHFFFAOYSA-N C1=CC=C(N2C3=C(C=CC=C3)C3=C2C2=C(C=C3)C3=C(C=CC=C3)N2C2=CC(C3=CC=C(N4C5=C(C=CC=C5)C5=C4/C=C\C=C/5)C=C3)=CC(N3C4=C(C=CC=C4)C4=C3C3=C(C=C4)C4=C(C=CC=C4)N3C3=CC=CC=C3)=N2)C=C1.C1=CC=C(N2C3=C(C=CC=C3)C3=C2C2=C(C=C3)C3=C(C=CC=C3)N2C2=CC=CC(N3C4=C(C=CC=C4)C4=C3C3=C(C=C4)C4=C(C=CC=C4)N3C3=CC=CC=C3)=N2)C=C1.C1=CC=C(N2C3=C(C=CC=C3)C3=C2C2=C(C=C3)C3=C(C=CC=C3)N2C2=CC=CC3=C(N4C5=C(C=CC=C5)C5=C4C4=C(C=C5)C5=C(C=CC=C5)N4C4=CC=CC=C4)C=CC=C23)C=C1.C1=CC=C(N2C3=C(C=CC=C3)C3=C2C2=C(C=C3)N(C3=CC(N4C5=C(C=CC=C5)C5=C4C=CC4=C5N(C5=CC=CC=C5)C5=C4C=CC=C5)=CC(N4C5=C(C=CC=C5)C5=C4/C=C\C=C/5)=C3)C3=C2C=CC=C3)C=C1.C1=CC=C(N2C3=C(C=CC=C3)C3=C2C=CC2=C3C3=C(C=CC=C3)N2C2=CC=CC(C3=NC(N4C5=C(C=CC=C5)C5=C4C=CC4=C5C5=C(C=CC=C5)N4C4=CC=CC=C4)=CC=C3)=N2)C=C1.C1=CC=C(N2C3=C(C=CC=C3)C3=C2C=CC2=C3N(C3=CC4=C(C=C3)N(C3=CC=CC=C3)C3=C4/C=C(N4C5=C(C=CC=C5)C5=C4C4=C(C=C5)N(C5=CC=CC=C5)C5=C4C=CC=C5)\C=C/3)C3=C2C=CC=C3)C=C1.C1=CC=C(N2C3=CC4=C(C=C3C3=C2C=CC=C3)C2=C(C=CC=C2)N4C2=CC=C(N3C4=C(C=CC=C4)C4=C3/C=C3C(=C/4)\C4=C(C=CC=C4)N\3C3=CC=CC=C3)C=C2)C=C1 Chemical compound C1=CC=C(N2C3=C(C=CC=C3)C3=C2C2=C(C=C3)C3=C(C=CC=C3)N2C2=CC(C3=CC=C(N4C5=C(C=CC=C5)C5=C4/C=C\C=C/5)C=C3)=CC(N3C4=C(C=CC=C4)C4=C3C3=C(C=C4)C4=C(C=CC=C4)N3C3=CC=CC=C3)=N2)C=C1.C1=CC=C(N2C3=C(C=CC=C3)C3=C2C2=C(C=C3)C3=C(C=CC=C3)N2C2=CC=CC(N3C4=C(C=CC=C4)C4=C3C3=C(C=C4)C4=C(C=CC=C4)N3C3=CC=CC=C3)=N2)C=C1.C1=CC=C(N2C3=C(C=CC=C3)C3=C2C2=C(C=C3)C3=C(C=CC=C3)N2C2=CC=CC3=C(N4C5=C(C=CC=C5)C5=C4C4=C(C=C5)C5=C(C=CC=C5)N4C4=CC=CC=C4)C=CC=C23)C=C1.C1=CC=C(N2C3=C(C=CC=C3)C3=C2C2=C(C=C3)N(C3=CC(N4C5=C(C=CC=C5)C5=C4C=CC4=C5N(C5=CC=CC=C5)C5=C4C=CC=C5)=CC(N4C5=C(C=CC=C5)C5=C4/C=C\C=C/5)=C3)C3=C2C=CC=C3)C=C1.C1=CC=C(N2C3=C(C=CC=C3)C3=C2C=CC2=C3C3=C(C=CC=C3)N2C2=CC=CC(C3=NC(N4C5=C(C=CC=C5)C5=C4C=CC4=C5C5=C(C=CC=C5)N4C4=CC=CC=C4)=CC=C3)=N2)C=C1.C1=CC=C(N2C3=C(C=CC=C3)C3=C2C=CC2=C3N(C3=CC4=C(C=C3)N(C3=CC=CC=C3)C3=C4/C=C(N4C5=C(C=CC=C5)C5=C4C4=C(C=C5)N(C5=CC=CC=C5)C5=C4C=CC=C5)\C=C/3)C3=C2C=CC=C3)C=C1.C1=CC=C(N2C3=CC4=C(C=C3C3=C2C=CC=C3)C2=C(C=CC=C2)N4C2=CC=C(N3C4=C(C=CC=C4)C4=C3/C=C3C(=C/4)\C4=C(C=CC=C4)N\3C3=CC=CC=C3)C=C2)C=C1 GMMSDHNMWVUUGJ-UHFFFAOYSA-N 0.000 description 1
- VZPMOUORSABQQG-PVAXDIORSA-M C1=CC=C2C(=C1)C1=N(C=CC=C1)[Ir]21C2=C(C3=C(C=C2)C2=C(C=CC=C2)O3)C2=N1C=CC=C2.C1=CC=C2C(=C1)C1=N(C=CC=C1)[Ir]21C2=C(C3=C(C=C2)C2=C(C=CC=C2)S3)C2=N1C=CC=C2.C1=CC=C2C(=C1)CC1=CC3=C(C=C12)[Ir]1(C2=CC=CC=C2C2=N1C=CC=C2)N1=C3C=CC=C1.CC1=CC(C)=O[Ir]2(O1)C1=CC=CC=C1C1=N2C=CC2=C1C=CC=C2.CCC1=CC2=N(C=C1C1=CC=CC=C1)[Ir]1(C3=CC=CC=C3C3=N1C=CC=C3)C1=C2C=CC=C1 Chemical compound C1=CC=C2C(=C1)C1=N(C=CC=C1)[Ir]21C2=C(C3=C(C=C2)C2=C(C=CC=C2)O3)C2=N1C=CC=C2.C1=CC=C2C(=C1)C1=N(C=CC=C1)[Ir]21C2=C(C3=C(C=C2)C2=C(C=CC=C2)S3)C2=N1C=CC=C2.C1=CC=C2C(=C1)CC1=CC3=C(C=C12)[Ir]1(C2=CC=CC=C2C2=N1C=CC=C2)N1=C3C=CC=C1.CC1=CC(C)=O[Ir]2(O1)C1=CC=CC=C1C1=N2C=CC2=C1C=CC=C2.CCC1=CC2=N(C=C1C1=CC=CC=C1)[Ir]1(C3=CC=CC=C3C3=N1C=CC=C3)C1=C2C=CC=C1 VZPMOUORSABQQG-PVAXDIORSA-M 0.000 description 1
- LIMFVZLTWHEVIK-ODJRBACQSA-J C1=CC=C2C(=C1)CN1=C2C2=C(C=CC=C2)C=C1.CC1=CC(C)=C2C(=C1)C1=N(C=CC3=C1SC1=CC=CC=C13)[Ir]21OC(C)=CC(C)=O1.CC1=CC(C)=O[Ir]2(O1)C1=CC=CC=C1C1=N2C2=C(C=CC=C2)C=C1.CC1=CC(C)=O[Ir]2(O1)C1=CC=CC=C1C1=N2C2=C(C=CC=C2)C=C1C.CC1=CC(C)=O[Ir]2(O1)C1=CC=CC=C1C1=N2C=CC2=C1SC1=CC=CC=C12 Chemical compound C1=CC=C2C(=C1)CN1=C2C2=C(C=CC=C2)C=C1.CC1=CC(C)=C2C(=C1)C1=N(C=CC3=C1SC1=CC=CC=C13)[Ir]21OC(C)=CC(C)=O1.CC1=CC(C)=O[Ir]2(O1)C1=CC=CC=C1C1=N2C2=C(C=CC=C2)C=C1.CC1=CC(C)=O[Ir]2(O1)C1=CC=CC=C1C1=N2C2=C(C=CC=C2)C=C1C.CC1=CC(C)=O[Ir]2(O1)C1=CC=CC=C1C1=N2C=CC2=C1SC1=CC=CC=C12 LIMFVZLTWHEVIK-ODJRBACQSA-J 0.000 description 1
- ZIBMOMRUIPOUQK-UHFFFAOYSA-N C1=CC=C2C(=C1)[Ir]N1=C2C=CC=C1 Chemical compound C1=CC=C2C(=C1)[Ir]N1=C2C=CC=C1 ZIBMOMRUIPOUQK-UHFFFAOYSA-N 0.000 description 1
- UDJZTGMLYITLIQ-UHFFFAOYSA-N C=CN1CCCC1 Chemical compound C=CN1CCCC1 UDJZTGMLYITLIQ-UHFFFAOYSA-N 0.000 description 1
- AYTZOIUPYNCCRN-UHFFFAOYSA-N CC1=C(C2=CN3=C(C=C2)C2=C(C=CC=C2)[Ir]32C3=CC=CC=C3C3=N2C=CC=C3)C=CC=C1.CC1=CC2=N(C=C1)[Ir]1(C3=CC=CC=C3C3=N1C=CC=C3)C1=C2C=CC(C2=CC=CC=C2)=C1.CC1=CC2=N(C=C1C1=CC=CC=C1)[Ir]1(C3=CC=CC=C3C3=N1C(C)=CC=C3)C1=C2C=CC=C1.CC1=CC2=N(C=C1C1=CC=CC=C1)[Ir]1(C3=CC=CC=C3C3=N1C=CC=C3)C1=C2C=CC=C1 Chemical compound CC1=C(C2=CN3=C(C=C2)C2=C(C=CC=C2)[Ir]32C3=CC=CC=C3C3=N2C=CC=C3)C=CC=C1.CC1=CC2=N(C=C1)[Ir]1(C3=CC=CC=C3C3=N1C=CC=C3)C1=C2C=CC(C2=CC=CC=C2)=C1.CC1=CC2=N(C=C1C1=CC=CC=C1)[Ir]1(C3=CC=CC=C3C3=N1C(C)=CC=C3)C1=C2C=CC=C1.CC1=CC2=N(C=C1C1=CC=CC=C1)[Ir]1(C3=CC=CC=C3C3=N1C=CC=C3)C1=C2C=CC=C1 AYTZOIUPYNCCRN-UHFFFAOYSA-N 0.000 description 1
- HPSHDQAOEMIBAD-WVFYLVHHSA-I CC1=CC(C)=C2C(=C1)C1=N(C3=C(C=CC(CC(C)C)=C3)C=C1)[Ir]21OC(C)=CC(C)=O1.CC1=CC(C)=C2C(=C1)C1=N(C3=C(C=CC(CC(C)C)=C3)C=C1)[Ir]21OC(CC(C)C)=CC(CC(C)C)=O1.CC1=CC(C)=C2C(=C1)C1=N(C3=C(C=CC=C3)C=C1)[Ir]21OC(C)=CC(C)=O1.CC1=CC(C)=C2C(=C1)C1=N(C3=C(C=CC=C3)C=C1)[Ir]21OC(CC(C)C)=CC(CC(C)C)=O1.CC1=CC=C2C(=C1)C1=N(C3=C(C=CC(C)=C3)C=C1)[Ir]21OC(C)=CC(C)=O1 Chemical compound CC1=CC(C)=C2C(=C1)C1=N(C3=C(C=CC(CC(C)C)=C3)C=C1)[Ir]21OC(C)=CC(C)=O1.CC1=CC(C)=C2C(=C1)C1=N(C3=C(C=CC(CC(C)C)=C3)C=C1)[Ir]21OC(CC(C)C)=CC(CC(C)C)=O1.CC1=CC(C)=C2C(=C1)C1=N(C3=C(C=CC=C3)C=C1)[Ir]21OC(C)=CC(C)=O1.CC1=CC(C)=C2C(=C1)C1=N(C3=C(C=CC=C3)C=C1)[Ir]21OC(CC(C)C)=CC(CC(C)C)=O1.CC1=CC=C2C(=C1)C1=N(C3=C(C=CC(C)=C3)C=C1)[Ir]21OC(C)=CC(C)=O1 HPSHDQAOEMIBAD-WVFYLVHHSA-I 0.000 description 1
- GYABFFILMXYLNY-KMQOJXTASA-K CC1=CC(C)=C2C(=C1)C1=N(C=CC3=C1C=C(C(C)C)C=C3)[Ir]21OC(C)=CC(C)=O1.CC1=CC(C)=C2C(=C1)C1=N(C=CC3=C1C=C(C(C)C)C=C3)[Ir]21OC(CC(C)C)=CC(CC(C)C)=O1.CC1=CC(C)=C2C(=C1)C1=N(C=CC3=C1C=CC=C3)[Ir]21OC(C)=CC(C)=O1 Chemical compound CC1=CC(C)=C2C(=C1)C1=N(C=CC3=C1C=C(C(C)C)C=C3)[Ir]21OC(C)=CC(C)=O1.CC1=CC(C)=C2C(=C1)C1=N(C=CC3=C1C=C(C(C)C)C=C3)[Ir]21OC(CC(C)C)=CC(CC(C)C)=O1.CC1=CC(C)=C2C(=C1)C1=N(C=CC3=C1C=CC=C3)[Ir]21OC(C)=CC(C)=O1 GYABFFILMXYLNY-KMQOJXTASA-K 0.000 description 1
- MVMUSZJSFPOBTO-UHFFFAOYSA-N CN(C)C.CN(C)C(N(C)C)N(C)C.CN(C)CN(C)C.CN(C)CN(C)CN(C)CN(C)C.CN(C)CN(CN(C)C)CN(C)C Chemical compound CN(C)C.CN(C)C(N(C)C)N(C)C.CN(C)CN(C)C.CN(C)CN(C)CN(C)CN(C)C.CN(C)CN(CN(C)C)CN(C)C MVMUSZJSFPOBTO-UHFFFAOYSA-N 0.000 description 1
- VXWAUSPIOAGZBH-UHFFFAOYSA-N CN1C2=CC3=C(C=CC=C4)C4=CC3C=C2c2ccccc12 Chemical compound CN1C2=CC3=C(C=CC=C4)C4=CC3C=C2c2ccccc12 VXWAUSPIOAGZBH-UHFFFAOYSA-N 0.000 description 1
- OBBFZPZUNHQWAB-UHFFFAOYSA-K C[Al](N)O.C[Be](N)O.C[Zn](N)N.C[Zn](N)O Chemical compound C[Al](N)O.C[Be](N)O.C[Zn](N)N.C[Zn](N)O OBBFZPZUNHQWAB-UHFFFAOYSA-K 0.000 description 1
- HCVJRLYAJIFIRD-UHFFFAOYSA-L C[Al](N)O.C[Zn](N)O Chemical compound C[Al](N)O.C[Zn](N)O HCVJRLYAJIFIRD-UHFFFAOYSA-L 0.000 description 1
Images
Classifications
-
- H—ELECTRICITY
- H10—SEMICONDUCTOR DEVICES; ELECTRIC SOLID-STATE DEVICES NOT OTHERWISE PROVIDED FOR
- H10K—ORGANIC ELECTRIC SOLID-STATE DEVICES
- H10K50/00—Organic light-emitting devices
-
- H01L51/0071—
-
- C—CHEMISTRY; METALLURGY
- C09—DYES; PAINTS; POLISHES; NATURAL RESINS; ADHESIVES; COMPOSITIONS NOT OTHERWISE PROVIDED FOR; APPLICATIONS OF MATERIALS NOT OTHERWISE PROVIDED FOR
- C09B—ORGANIC DYES OR CLOSELY-RELATED COMPOUNDS FOR PRODUCING DYES, e.g. PIGMENTS; MORDANTS; LAKES
- C09B57/00—Other synthetic dyes of known constitution
-
- C—CHEMISTRY; METALLURGY
- C09—DYES; PAINTS; POLISHES; NATURAL RESINS; ADHESIVES; COMPOSITIONS NOT OTHERWISE PROVIDED FOR; APPLICATIONS OF MATERIALS NOT OTHERWISE PROVIDED FOR
- C09K—MATERIALS FOR MISCELLANEOUS APPLICATIONS, NOT PROVIDED FOR ELSEWHERE
- C09K11/00—Luminescent, e.g. electroluminescent, chemiluminescent materials
- C09K11/06—Luminescent, e.g. electroluminescent, chemiluminescent materials containing organic luminescent materials
-
- H01L51/0054—
-
- H01L51/0072—
-
- H01L51/0073—
-
- H01L51/0074—
-
- H—ELECTRICITY
- H10—SEMICONDUCTOR DEVICES; ELECTRIC SOLID-STATE DEVICES NOT OTHERWISE PROVIDED FOR
- H10K—ORGANIC ELECTRIC SOLID-STATE DEVICES
- H10K71/00—Manufacture or treatment specially adapted for the organic devices covered by this subclass
-
- H—ELECTRICITY
- H10—SEMICONDUCTOR DEVICES; ELECTRIC SOLID-STATE DEVICES NOT OTHERWISE PROVIDED FOR
- H10K—ORGANIC ELECTRIC SOLID-STATE DEVICES
- H10K85/00—Organic materials used in the body or electrodes of devices covered by this subclass
- H10K85/60—Organic compounds having low molecular weight
- H10K85/615—Polycyclic condensed aromatic hydrocarbons, e.g. anthracene
- H10K85/622—Polycyclic condensed aromatic hydrocarbons, e.g. anthracene containing four rings, e.g. pyrene
-
- H—ELECTRICITY
- H10—SEMICONDUCTOR DEVICES; ELECTRIC SOLID-STATE DEVICES NOT OTHERWISE PROVIDED FOR
- H10K—ORGANIC ELECTRIC SOLID-STATE DEVICES
- H10K85/00—Organic materials used in the body or electrodes of devices covered by this subclass
- H10K85/60—Organic compounds having low molecular weight
- H10K85/649—Aromatic compounds comprising a hetero atom
- H10K85/657—Polycyclic condensed heteroaromatic hydrocarbons
-
- H—ELECTRICITY
- H10—SEMICONDUCTOR DEVICES; ELECTRIC SOLID-STATE DEVICES NOT OTHERWISE PROVIDED FOR
- H10K—ORGANIC ELECTRIC SOLID-STATE DEVICES
- H10K85/00—Organic materials used in the body or electrodes of devices covered by this subclass
- H10K85/60—Organic compounds having low molecular weight
- H10K85/649—Aromatic compounds comprising a hetero atom
- H10K85/657—Polycyclic condensed heteroaromatic hydrocarbons
- H10K85/6572—Polycyclic condensed heteroaromatic hydrocarbons comprising only nitrogen in the heteroaromatic polycondensed ring system, e.g. phenanthroline or carbazole
-
- H—ELECTRICITY
- H10—SEMICONDUCTOR DEVICES; ELECTRIC SOLID-STATE DEVICES NOT OTHERWISE PROVIDED FOR
- H10K—ORGANIC ELECTRIC SOLID-STATE DEVICES
- H10K85/00—Organic materials used in the body or electrodes of devices covered by this subclass
- H10K85/60—Organic compounds having low molecular weight
- H10K85/649—Aromatic compounds comprising a hetero atom
- H10K85/657—Polycyclic condensed heteroaromatic hydrocarbons
- H10K85/6574—Polycyclic condensed heteroaromatic hydrocarbons comprising only oxygen in the heteroaromatic polycondensed ring system, e.g. cumarine dyes
-
- H—ELECTRICITY
- H10—SEMICONDUCTOR DEVICES; ELECTRIC SOLID-STATE DEVICES NOT OTHERWISE PROVIDED FOR
- H10K—ORGANIC ELECTRIC SOLID-STATE DEVICES
- H10K85/00—Organic materials used in the body or electrodes of devices covered by this subclass
- H10K85/60—Organic compounds having low molecular weight
- H10K85/649—Aromatic compounds comprising a hetero atom
- H10K85/657—Polycyclic condensed heteroaromatic hydrocarbons
- H10K85/6576—Polycyclic condensed heteroaromatic hydrocarbons comprising only sulfur in the heteroaromatic polycondensed ring system, e.g. benzothiophene
-
- H—ELECTRICITY
- H10—SEMICONDUCTOR DEVICES; ELECTRIC SOLID-STATE DEVICES NOT OTHERWISE PROVIDED FOR
- H10K—ORGANIC ELECTRIC SOLID-STATE DEVICES
- H10K99/00—Subject matter not provided for in other groups of this subclass
-
- H01L2251/308—
-
- H01L51/002—
-
- H01L51/0081—
-
- H01L51/0085—
-
- H01L51/5012—
-
- H—ELECTRICITY
- H10—SEMICONDUCTOR DEVICES; ELECTRIC SOLID-STATE DEVICES NOT OTHERWISE PROVIDED FOR
- H10K—ORGANIC ELECTRIC SOLID-STATE DEVICES
- H10K2101/00—Properties of the organic materials covered by group H10K85/00
- H10K2101/90—Multiple hosts in the emissive layer
-
- H—ELECTRICITY
- H10—SEMICONDUCTOR DEVICES; ELECTRIC SOLID-STATE DEVICES NOT OTHERWISE PROVIDED FOR
- H10K—ORGANIC ELECTRIC SOLID-STATE DEVICES
- H10K2102/00—Constructional details relating to the organic devices covered by this subclass
- H10K2102/10—Transparent electrodes, e.g. using graphene
- H10K2102/101—Transparent electrodes, e.g. using graphene comprising transparent conductive oxides [TCO]
- H10K2102/103—Transparent electrodes, e.g. using graphene comprising transparent conductive oxides [TCO] comprising indium oxides, e.g. ITO
-
- H—ELECTRICITY
- H10—SEMICONDUCTOR DEVICES; ELECTRIC SOLID-STATE DEVICES NOT OTHERWISE PROVIDED FOR
- H10K—ORGANIC ELECTRIC SOLID-STATE DEVICES
- H10K50/00—Organic light-emitting devices
- H10K50/10—OLEDs or polymer light-emitting diodes [PLED]
- H10K50/11—OLEDs or polymer light-emitting diodes [PLED] characterised by the electroluminescent [EL] layers
-
- H—ELECTRICITY
- H10—SEMICONDUCTOR DEVICES; ELECTRIC SOLID-STATE DEVICES NOT OTHERWISE PROVIDED FOR
- H10K—ORGANIC ELECTRIC SOLID-STATE DEVICES
- H10K71/00—Manufacture or treatment specially adapted for the organic devices covered by this subclass
- H10K71/30—Doping active layers, e.g. electron transporting layers
-
- H—ELECTRICITY
- H10—SEMICONDUCTOR DEVICES; ELECTRIC SOLID-STATE DEVICES NOT OTHERWISE PROVIDED FOR
- H10K—ORGANIC ELECTRIC SOLID-STATE DEVICES
- H10K85/00—Organic materials used in the body or electrodes of devices covered by this subclass
- H10K85/30—Coordination compounds
- H10K85/321—Metal complexes comprising a group IIIA element, e.g. Tris (8-hydroxyquinoline) gallium [Gaq3]
- H10K85/324—Metal complexes comprising a group IIIA element, e.g. Tris (8-hydroxyquinoline) gallium [Gaq3] comprising aluminium, e.g. Alq3
-
- H—ELECTRICITY
- H10—SEMICONDUCTOR DEVICES; ELECTRIC SOLID-STATE DEVICES NOT OTHERWISE PROVIDED FOR
- H10K—ORGANIC ELECTRIC SOLID-STATE DEVICES
- H10K85/00—Organic materials used in the body or electrodes of devices covered by this subclass
- H10K85/30—Coordination compounds
- H10K85/341—Transition metal complexes, e.g. Ru(II)polypyridine complexes
- H10K85/342—Transition metal complexes, e.g. Ru(II)polypyridine complexes comprising iridium
Definitions
- the present invention relates to a combination of host materials that may be advantageously used in organic light emitting devices, and methods for fabricating organic light emitting devices that contain the host material combination. More particularly, the combination of host materials may be co-evaporated or premix evaporated to provide devices with improved lifetime and efficiency.
- Opto-electronic devices that make use of organic materials are becoming increasingly desirable for a number of reasons. Many of the materials used to make such devices are relatively inexpensive, so organic opto-electronic devices have the potential for cost advantages over inorganic devices. In addition, the inherent properties of organic materials, such as their flexibility, may make them well suited for particular applications such as fabrication on a flexible substrate. Examples of organic opto-electronic devices include organic light emitting devices (OLEDs), organic phototransistors, organic photovoltaic cells, and organic photodetectors. For OLEDs, the organic materials may have performance advantages over conventional materials. For example, the wavelength at which an organic emissive layer emits light may generally be readily tuned with appropriate dopants.
- OLEDs organic light emitting devices
- the wavelength at which an organic emissive layer emits light may generally be readily tuned with appropriate dopants.
- OLEDs make use of thin organic films that emit light when voltage is applied across the device. OLEDs are becoming an increasingly interesting technology for use in applications such as flat panel displays, illumination, and backlighting. Several OLED materials and configurations are described in U.S. Pat. Nos. 5,844,363, 6,303,238, and 5,707,745, which are incorporated herein by reference in their entirety.
- phosphorescent emissive molecules is a full color display.
- Industry standards for such a display call for pixels adapted to emit particular colors, referred to as “saturated” colors.
- these standards call for saturated red, green, and blue pixels. Color may be measured using CIE coordinates, which are well known to the art.
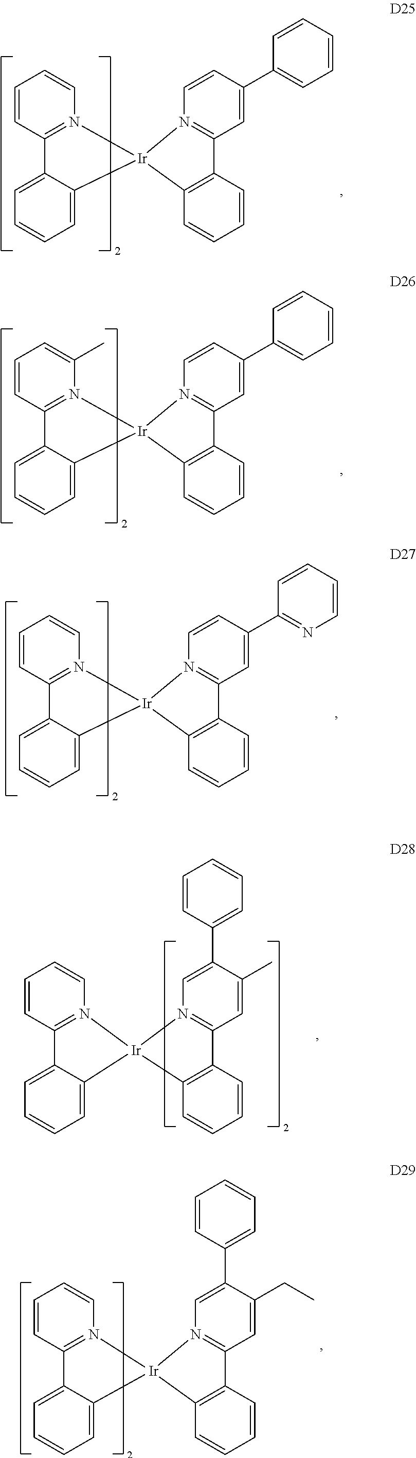
- a green emissive molecule is tris(2-phenylpyridine) iridium, denoted Ir(ppy) 3 , which has the structure:
- organic includes polymeric materials as well as small molecule organic materials that may be used to fabricate organic opto-electronic devices.
- Small molecule refers to any organic material that is not a polymer, and “small molecules” may actually be quite large. Small molecules may include repeat units in some circumstances. For example, using a long chain alkyl group as a substituent does not remove a molecule from the “small molecule” class. Small molecules may also be incorporated into polymers, for example as a pendent group on a polymer backbone or as a part of the backbone. Small molecules may also serve as the core moiety of a dendrimer, which consists of a series of chemical shells built on the core moiety.
- the core moiety of a dendrimer may be a fluorescent or phosphorescent small molecule emitter.
- a dendrimer may be a “small molecule,” and it is believed that all dendrimers currently used in the field of OLEDs are small molecules.
- top means furthest away from the substrate, while “bottom” means closest to the substrate.
- first layer is described as “disposed over” a second layer, the first layer is disposed further away from substrate. There may be other layers between the first and second layer, unless it is specified that the first layer is “in contact with” the second layer.
- a cathode may be described as “disposed over” an anode, even though there are various organic layers in between.
- solution processible means capable of being dissolved, dispersed, or transported in and/or deposited from a liquid medium, either in solution or suspension form.
- a ligand may be referred to as “photoactive” when it is believed that the ligand directly contributes to the photoactive properties of an emissive material.
- a ligand may be referred to as “ancillary” when it is believed that the ligand does not contribute to the photoactive properties of an emissive material, although an ancillary ligand may alter the properties of a photoactive ligand.
- a first “Highest Occupied Molecular Orbital” (HOMO) or “Lowest Unoccupied Molecular Orbital” (LUMO) energy level is “greater than” or “higher than” a second HOMO or LUMO energy level if the first energy level is closer to the vacuum energy level.
- IP ionization potentials
- a higher HOMO energy level corresponds to an IP having a smaller absolute value (an IP that is less negative).
- a higher LUMO energy level corresponds to an electron affinity (EA) having a smaller absolute value (an EA that is less negative).
- the LUMO energy level of a material is higher than the HOMO energy level of the same material.
- a “higher” HOMO or LUMO energy level appears closer to the top of such a diagram than a “lower” HOMO or LUMO energy level.
- a first work function is “greater than” or “higher than” a second work function if the first work function has a higher absolute value. Because work functions are generally measured as negative numbers relative to vacuum level, this means that a “higher” work function is more negative. On a conventional energy level diagram, with the vacuum level at the top, a “higher” work function is illustrated as further away from the vacuum level in the downward direction. Thus, the definitions of HOMO and LUMO energy levels follow a different convention than work functions.
- An organic composition useful in an organic light emitting device comprising a mixture of a first compound and a second compound.
- the first compound has the formula:
- R 1 and R 2 are substituents independently selected from the group consisting of C n H 2n+1 , OC n H 2n+1 , OAr 1 , N(C n H 2n+1 ) 2 , N(Ar 1 )(Ar 2 ), CH ⁇ CH—C n H 2n+1 , C ⁇ CHC n H 2n+1 , Ar 1 , Ar 1 —Ar 2 , C n H 2n —Ar 1 , or no substitution.
- Each of R 1 and R 2 may represent mono, di, tri, or tetra substitutions.
- n is 1, 2, 3, 4, 5, 6, 7, 8, 9, or 10.
- An and Ar 2 are independently selected from the group consisting of benzene, biphenyl, naphthalene, triphenylene, carbazole, and heteroaromatic analogs thereof. At least one of R 1 and R 2 includes a triphenylene group.
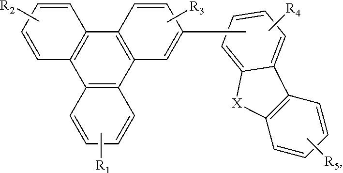
- the second compound has the formula
- Y is an m-valent aromatic hydrocarbon group of 6 to 50 carbon atoms or an m-valent aromatic heterocyclic group of 3 to 50 carbon atoms excluding a group having more than 5 condensed rings.
- m denotes an integer of 1 to 3. When m is 2 or greater, each Z may be the same or different. Z is represented by formula
- ring A is an aromatic hydrocarbon ring represented by formula
- Ring B is a heterocyclic ring represented by formula
- Ring A and B are respectively condensed with the adjacent rings.
- R 6 -R 8 are each independently selected from hydrogen, an aliphatic hydrocarbon group of 1 to 10 carbon atoms, an aromatic hydrocarbon group of 6 to 18 carbon atoms, or an aromatic heterocyclic group of 3 to 17 carbon atoms.
- Ara is an aromatic hydrocarbon group of 6 to 50 carbon atoms, or an aromatic heterocyclic group of 3 to 50 carbon atoms excluding a group having more than 5 condensed rings.
- organic light emitting devices using the organic composition and a method of making such devices.
- FIG. 1 shows an organic light emitting device
- FIG. 2 shows an inverted organic light emitting device that does not have a separate electron transport layer.
- an OLED comprises at least one organic layer disposed between and electrically connected to an anode and a cathode.
- the anode injects holes and the cathode injects electrons into the organic layer(s).
- the injected holes and electrons each migrate toward the oppositely charged electrode.
- an “exciton,” which is a localized electron-hole pair having an excited energy state is formed.
- Light is emitted when the exciton relaxes via a photoemissive mechanism.
- the exciton may be localized on an excimer or an exciplex. Non-radiative mechanisms, such as thermal relaxation, may also occur, but are generally considered undesirable.
- the initial OLEDs used emissive molecules that emitted light from their singlet states (“fluorescence”) as disclosed, for example, in U.S. Pat. No. 4,769,292, which is incorporated by reference in its entirety. Fluorescent emission generally occurs in a time frame of less than 10 nanoseconds.
- FIG. 1 shows an organic light emitting device 100 .
- Device 100 may include a substrate 110 , an anode 115 , a hole injection layer 120 , a hole transport layer 125 , an electron blocking layer 130 , an emissive layer 135 , a hole blocking layer 140 , an electron transport layer 145 , an electron injection layer 150 , a protective layer 155 , and a cathode 160 .
- Cathode 160 is a compound cathode having a first conductive layer 162 and a second conductive layer 164 .
- Device 100 may be fabricated by depositing the layers described, in order. The properties and functions of these various layers, as well as example materials, are described in more detail in U.S. Pat. No. 7,279,704 at cols. 6-10, which are incorporated by reference.
- each of these layers are available.
- a flexible and transparent substrate-anode combination is disclosed in U.S. Pat. No. 5,844,363, which is incorporated by reference in its entirety.
- An example of a p-doped hole transport layer is m-MTDATA doped with F.sub.4-TCNQ at a molar ratio of 50:1, as disclosed in U.S. Patent Application Publication No. 2003/0230980, which is incorporated by reference in its entirety.
- Examples of emissive and host materials are disclosed in U.S. Pat. No. 6,303,238 to Thompson et al., which is incorporated by reference in its entirety.
- An example of an n-doped electron transport layer is BPhen doped with Li at a molar ratio of 1:1, as disclosed in U.S. Patent Application Publication No. 2003/0230980, which is incorporated by reference in its entirety.
- the theory and use of blocking layers is described in more detail in U.S. Pat. No. 6,097,147 and U.S. Patent Application Publication No.
- FIG. 2 shows an inverted OLED 200.
- the device includes a substrate 210 , a cathode 215 , an emissive layer 220 , a hole transport layer 225 , and an anode 230 .
- Device 200 may be fabricated by depositing the layers described, in order. Because the most common OLED configuration has a cathode disposed over the anode, and device 200 has cathode 215 disposed under anode 230 , device 200 may be referred to as an “inverted” OLED. Materials similar to those described with respect to device 100 may be used in the corresponding layers of device 200 .
- FIG. 2 provides one example of how some layers may be omitted from the structure of device 100 .
- FIGS. 1 and 2 The simple layered structure illustrated in FIGS. 1 and 2 is provided by way of non-limiting example, and it is understood that embodiments of the invention may be used in connection with a wide variety of other structures.
- the specific materials and structures described are exemplary in nature, and other materials and structures may be used.
- Functional OLEDs may be achieved by combining the various layers described in different ways, or layers may be omitted entirely, based on design, performance, and cost factors. Other layers not specifically described may also be included. Materials other than those specifically described may be used. Although many of the examples provided herein describe various layers as comprising a single material, it is understood that combinations of materials, such as a mixture of host and dopant, or more generally a mixture, may be used. Also, the layers may have various sublayers.
- hole transport layer 225 transports holes and injects holes into emissive layer 220 , and may be described as a hole transport layer or a hole injection layer.
- an OLED may be described as having an “organic layer” disposed between a cathode and an anode. This organic layer may comprise a single layer, or may further comprise multiple layers of different organic materials as described, for example, with respect to FIGS. 1 and 2 .
- OLEDs comprised of polymeric materials (PLEDs) such as disclosed in U.S. Pat. No. 5,247,190 to Friend et al., which is incorporated by reference in its entirety.
- PLEDs polymeric materials
- OLEDs having a single organic layer may be used.
- OLEDs may be stacked, for example as described in U.S. Pat. No. 5,707,745 to Forrest et al, which is incorporated by reference in its entirety.
- the OLED structure may deviate from the simple layered structure illustrated in FIGS. 1 and 2 .
- the substrate may include an angled reflective surface to improve out-coupling, such as a mesa structure as described in U.S. Pat. No. 6,091,195 to Forrest et al., and/or a pit structure as described in U.S. Pat. No. 5,834,893 to Bulovic et al., which are incorporated by reference in their entireties.
- any of the layers of the various embodiments may be deposited by any suitable method.
- preferred methods include thermal evaporation, ink-jet, such as described in U.S. Pat. Nos. 6,013,982 and 6,087,196, which are incorporated by reference in their entireties, organic vapor phase deposition (OVPD), such as described in U.S. Pat. No. 6,337,102 to Forrest et al., which is incorporated by reference in its entirety, and deposition by organic vapor jet printing (OVJP), such as described in U.S. patent application Ser. No. 10/233,470, which is incorporated by reference in its entirety.
- OVPD organic vapor phase deposition
- OJP organic vapor jet printing
- Other suitable deposition methods include spin coating and other solution based processes.
- Solution based processes are preferably carried out in nitrogen or an inert atmosphere.
- preferred methods include thermal evaporation.
- Preferred patterning methods include deposition through a mask, cold welding such as described in U.S. Pat. Nos. 6,294,398 and 6,468,819, which are incorporated by reference in their entireties, and patterning associated with some of the deposition methods such as ink jet and OVJD. Other methods may also be used.
- the materials to be deposited may be modified to make them compatible with a particular deposition method. For example, substituents such as alkyl and aryl groups, branched or unbranched, and preferably containing at least 3 carbons, may be used in small molecules to enhance their ability to undergo solution processing.
- Substituents having 20 carbons or more may be used, and 3-20 carbons is a preferred range. Materials with asymmetric structures may have better solution processibility than those having symmetric structures, because asymmetric materials may have a lower tendency to recrystallize. Dendrimer substituents may be used to enhance the ability of small molecules to undergo solution processing.
- Devices fabricated in accordance with embodiments of the invention may be incorporated into a wide variety of consumer products, including flat panel displays, computer monitors, televisions, billboards, lights for interior or exterior illumination and/or signaling, heads up displays, fully transparent displays, flexible displays, laser printers, telephones, cell phones, personal digital assistants (PDAs), laptop computers, digital cameras, camcorders, viewfinders, micro-displays, vehicles, a large area wall, theater or stadium screen, or a sign.
- PDAs personal digital assistants
- Various control mechanisms may be used to control devices fabricated in accordance with the present invention, including passive matrix and active matrix. Many of the devices are intended for use in a temperature range comfortable to humans, such as 18 degrees C. to 30 degrees C., and more preferably at room temperature (20-25 degrees C.).
- the materials and structures described herein may have applications in devices other than OLEDs.
- other optoelectronic devices such as organic solar cells and organic photodetectors may employ the materials and structures.
- organic devices such as organic transistors, may employ the materials and structures.
- halo, halogen, alkyl, cycloalkyl, alkenyl, alkynyl, arylkyl, heterocyclic group, aryl, aromatic group, and heteroaryl are known to the art, and are defined in U.S. Pat. No. 7,279,704 at cols. 31-32, which are incorporated herein by reference.
- a triphenylene-dibenzoselenophene-containing material may be advantageous for use in organic light emitting devices to provide improved performance and improved device fabrication.
- the devices containing this combination of materials may demonstrate higher luminous efficiency, lower voltage and longer lifetime, i.e., higher stability.
- These devices may be fabricated by co-evaporation. Additionally, these device may be fabricated by premix-evaporation with high consistency.
- Premixing a host material and an emissive dopant material and evaporating them from a single source has been previously reported in the literature. See, EP1156536. It is also known to select two or more materials that have similar thermal evaporation properties for premix-evaporation. See, e.g., U.S. Pat. No. 5,981,092 and PCT/US2004/002710. However, a novel combination of materials is provided herein that may be suitable for premix-evaporation or co-evaporation. Further, the particular combination of materials disclosed herein may demonstrate improved results by providing a device with lower voltage, higher efficiency, and higher stability compared to a device with either compound alone.
- triphenylene-dibenzoselenophene-containing material a triphenylene-dibenzothiophene-containing material and/or a triphenylene-dibenzofuran-containing material, i.e., the first compound
- an indolocarbazole derivative i.e., the second compound
- the emissive layer is often a host:dopant layer.
- the host significantly impacts the device voltage, efficiency and lifetime. For example, in the same device structure, Host-A:dopant may lead to an undesired higher device voltage and a desired longer lifetime whereas Host-B:dopant may lead to a desired lower device voltage and an undesired shorter lifetime.
- a device using a doped Host-A:Host-B mixture may typically be expected to result in a voltage and a lifetime that are between the voltages and lifetimes, respectively, of the separate devices containing HostA:dopant and HostB:dopant. It would be desirable if a device using a mixture could have a lower voltage than a device with HostB:dopant and a longer lifetime than a device with HostA:Dopant. In addition, it would be desirable if such a device could also have an improved efficiency compared to devices using only the individual hosts.
- the mixture it is desirable for the mixture to uniformly and consistently evaporate and form a deposited film consisting of the two or more materials in a similar ratio as the mixing ratio in the source.
- the rate of evaporation no longer depends on pressure. That is, because the continuum assumptions of fluid dynamics no longer apply, mass transport is governed by molecular dynamics rather than fluid dynamics. For materials that do not melt during evaporation, direct transition from solid phase to gas phase occurs.
- evaporation temperature is defined as the temperature at which a material can be deposited at a given rate on a substrate under high vacuum.
- the evaporation temperature is the temperature of the organic material source as measured during thermal evaporation with a rate suitable for device fabrication (in the present case ⁇ 2-3 ⁇ /s for the host at a pressure ⁇ 10 ⁇ 7 -10 ⁇ 8 torr). Since the evaporation temperature depends on the molecular weight and intermolecular interactions of the material, derivatives with the same molecular modification will have the same molecular weight difference, and may have similar intermolecular interactions.
- first compound and a second compound can be premixed and evaporated with good consistency
- the molecular weight added to the first compound and the second compound is 77 atomic mass units (amu).
- the evaporation temperatures of the first compound with phenyl substitution and the second compound with phenyl substitution may be similar and their mixture may also be suitable for premix-evaporation.
- the first compound and the second compound may behave similarly even if the conditions in the evaporation chamber are different.
- premixing two or more host materials in one evaporation source can provide uniform and consistent evaporation of the two or more materials to form a deposited layer consisting of the 2 or more materials in a ratio similar to the premixing ratio.
- a first device comprising an organic light emitting device.
- the organic light emitting device further comprises a first electrode, a second electrode, and a first organic layer, disposed between the first electrode and the second electrode, wherein the first organic layer comprises an organic composition.
- the organic composition comprises a first compound and a second compound.
- the first compound has the formula:
- R 1 and R 2 are substituents independently selected from the group consisting of C n H 2n+1 , OC n H 2n+1 , OAr 1 , N(C n H 2n+1 ) 2 , N(Ar 1 )(Ar 2 ), CH ⁇ CH—C n H 2n+1 , C ⁇ CHC n H 2n+1 , Ar 1 , Ar 1 -Ar 2 , C n H 2n —Ar 1 , or no substitution.
- Each of R 1 and R 2 may represent mono, di, tri, or tetra substitutions.
- n is 1, 2, 3, 4, 5, 6, 7, 8, 9, or 10.
- Ar 1 and Ar 2 are independently selected from the group consisting of benzene, biphenyl, naphthalene, triphenylene, carbazole, and heteroaromatic analogs thereof. At least one of R 1 and R 2 includes a triphenylene group.
- the second compound is represented by the following general formula (1)
- examples of Y and Ar 3 include benzene, naphthalene, anthracene, pyridine, pyrazine, pyrimidine, pyridajine, triazine, isoindole, indazole, purine, isoquinoline, imidazole, naphthyridine, Phthalazine, quinazoline, quinoxaline, cinnoline, quinoline, pteridine, phenanthridine, acridine, perimidine, phenanthroline, phenazine, carboline, indole, benzoxazole, benzothiazole, carbazole, dibenzofuran, dibenzothiophene, and may arbitrarily connect two or more these groups.
- Y is an m-valent group and Ar 3 is a monovalent group.
- the first compound has the formula:
- X is Se, S or O.
- R 1 , R 2 , R 3 , R 4 , and R 5 may represent mono, di, tri, or tetra substitutions.
- R 1 , R 2 , R 3 , R 4 , and R 5 are independently selected from the group consisting of hydrogen, halogen, alkyl, alkoxy, amino, alkenyl, alkynyl, aryl and heteroaryl.
- the second compound is represented by the following general formula (2)
- Examples of Y′ or Ar 3 ′ in Formula 2 include benzene, naphthalene, anthracene, pyridine, pyrazine, pyrimidine, pyridajine, triazine, isoindole, indazole, purine, isoquinoline, imidazole, naphthyridine, phthalazine, quinazoline, quinoxaline, cinnoline, quinoline, pteridine, phenanthridine, acridine, perimidine, phenanthroline, phenazine, carboline, indole, benzoxazole, benzothiazole, carbazole, dibenzofuran, dibenzothiophene, and may arbitrarily connect two or more these groups. Further, in formula 2, Y′ is an m-valent group and Ar 3 is a monovalent group.
- the first compound has the formula:
- X is Se, S or O.
- R 1 , R 2 , R 3 , R 4 , and R 5 may represent mono, di, tri, or tetra substitutions.
- R 1 , R 2 , R 3 , R 4 , and R 5 are independently selected from the group consisting of hydrogen, halogen, alkyl, alkoxy, amino, alkenyl, alkynyl, aryl and heteroaryl.
- the second compound is represented by the following general formula (3)
- examples of Y′′ include pyridine, pyrazine, pyrimidine, pyridajine, triazine, isoindole, indazole, purine, isoquinoline, imidazole, naphthyridine, Phthalazine, quinazoline, quinoxaline, cinnoline, quinoline, pteridine, phenanthridine, acridine, perimidine, phenanthroline, phenazine, carboline, indole, benzoxazole, benzothiazole, carbazole, dibenzofuran, dibenzothiophene, and may arbitrarily connect two or more these groups.
- examples of Ar 3 ′′ include benzene, naphthalene, anthracene, pyridine, pyrazine, pyrimidine, pyridajine, triazine, isoindole, indazole, purine, isoquinoline, imidazole, naphthyridine, Phthalazine, quinazoline, quinoxaline, cinnoline, quinoline, pteridine, phenanthridine, acridine, perimidine, phenanthroline, phenazine, carboline, indole, benzoxazole, benzothiazole, carbazole, dibenzofuran, dibenzothiophene, and may arbitrarily connect two or more these groups.
- Y′′ is an m-valent group
- Ar 3 ′′ is a monovalent group.
- the first compound is selected from the group consisting of
- the second compound is selected from the group consisting of:
- the set of non-hydrogen substituents selected for R 1 , R 2 , R 3 , R 4 , and R 5 , and the set of non-hydrogen substituents selected for R 6 , R 7 , R 8 are the same.
- derivatives of the first compound and the second compound with the same molecular modification will have the same molecular weight difference, and may have similar intermolecular interactions. Therefore, the first compound and the second compound having the same substituents may be suitable for premixing.
- the first compound has the formula:
- X is Se, S or O.
- R 1 , R 2 , R 3 , R 4 , and R 5 may represent mono, di, tri, or tetra substitutions.
- R 1 , R 2 , R 3 , R 4 , and R 5 are independently selected from the group consisting of hydrogen, halogen, alkyl, alkoxy, amino, alkenyl, alkynyl, aryl and heteroaryl.
- L is selected from the group consisting of benzene, biphenyl, naphthalene, triphenylene, carbazole, and heteroaromatic analogs thereof.
- the second compound has the formula (2):
- examples of Y′ and Ar 3 ′ include benzene, naphthalene, anthracene, pyridine, pyrazine, pyrimidine, pyridajine, triazine, isoindole, indazole, purine, isoquinoline, imidazole, naphthyridine, Phthalazine, quinazoline, quinoxaline, cinnoline, quinoline, pteridine, phenanthridine, acridine, perimidine, phenanthroline, phenazine, carboline, indole, benzoxazole, benzothiazole, carbazole, dibenzofuran, dibenzothiophene, and may arbitrarily connect two or more these groups.
- Y′ is an m-valent group
- Ar 3 ′ is a monovalent group.
- the first compound has the formula:
- X is Se, S or O.
- R 1 , R 2 , R 3 , R 4 and R 5 may represent mono, di, tri, or tetra substitutions.
- R 1 , R 2 , R 3 , R 4 and R 5 are independently selected from the group consisting of hydrogen, halogen, alkyl, alkoxy, amino, alkenyl, alkynyl, aryl and heteroaryl.
- the second compound has the formula (3):
- examples of Y′′ include pyridine, pyrazine, pyrimidine, pyridajine, triazine, isoindole, indazole, purine, isoquinoline, imidazole, naphthyridine, Phthalazine, quinazoline, quinoxaline, cinnoline, quinoline, pteridine, phenanthridine, acridine, perimidine, phenanthroline, phenazine, carboline, indole, benzoxazole, benzothiazole, carbazole, dibenzofuran, dibenzothiophene, and may arbitrarily connect two or more these groups.
- examples of Ar 3 ′′ include benzene, naphthalene, anthracene, pyridine, pyrazine, pyrimidine, pyridajine, triazine, isoindole, indazole, purine, isoquinoline, imidazole, naphthyridine, Phthalazine, quinazoline, quinoxaline, cinnoline, quinoline, pteridine, phenanthridine, acridine, perimidine, phenanthroline, phenazine, carboline, indole, benzoxazole, benzothiazole, carbazole, dibenzofuran, dibenzothiophene, and may arbitrarily connect two or more these groups.
- Y′′ is an m-valent group
- Ar 3 ′′ is a monovalent group.
- the first compound is selected from the group consisting of
- the second compound is selected from the group consisting of
- the set of non-hydrogen substituents selected for R 1 , R 2 , R 3 , R 4 , and R 5 , and the set of non-hydrogen substituents selected for R 6 , R 7 , R 8 are the same. Therefore, the first compound and the second compound are suitable for premixing.
- the first organic layer is an emissive layer and the first compound and the second compound are hosts, and wherein the emissive layer further comprises an emissive phosphorescent dopant.
- the emissive phosphorescent dopant is selected from the group consisting of:
- the device further comprises a second organic layer different from the first organic layer, and the first organic layer is a non-emissive layer.
- the first organic layer is a blocking layer.
- the first electrode is an anode and the first organic layer is deposited over the anode.
- the first compound has an evaporation temperature within 30° C. of the evaporation temperature of the second compound.
- the organic composition comprises about 5% to about 95% of the first compound and about 5% to about 95% the second compound.
- the device is an organic light emitting device. In another aspect, the device is a consumer product.
- a method of fabricating an organic light emitting device comprises a first electrode, a second electrode, and a first organic layer disposed between the first electrode and the second electrode.
- the first organic layer comprises an organic composition further comprising a first compound and a second compound.
- the method comprises providing a substrate having the first electrode disposed thereon, depositing the organic composition over the first electrode; and depositing the second electrode over the first organic layer.
- the first compound has the formula:
- R 1 and R 2 are substituents independently selected from the group consisting of C n H 2n+1 , OC n H 2n+1 , OAr 1 , N(C n H 2n+1 ) 2 , N(Ar 1 )(Ar 2 ), CH ⁇ CH—C n H 2n+1 , C ⁇ CHC n H 2n+1 , Ar 1 , Ar 1 -Ar 2 , C n H 2n+1 —Ar 1 , or no substitution.
- Each of R 1 and R 2 may represent mono, di, tri, or tetra substitutions.
- n is 1, 2, 3, 4, 5, 6, 7, 8, 9, or 10.
- Ar 1 and Ar 2 are independently selected from the group consisting of benzene, biphenyl, naphthalene, triphenylene, carbazole, and heteroaromatic analogs thereof. At least one of R 1 and R 2 includes a triphenylene group.
- the second compound has the formula (1):
- examples of Y and Ar 3 include benzene, naphthalene, anthracene, pyridine, pyrazine, pyrimidine, pyridajine, triazine, isoindole, indazole, purine, isoquinoline, imidazole, naphthyridine, Phthalazine, quinazoline, quinoxaline, cinnoline, quinoline, pteridine, phenanthridine, acridine, perimidine, phenanthroline, phenazine, carboline, indole, benzoxazole, benzothiazole, carbazole, dibenzofuran, dibenzothiophene, and may arbitrarily connect two or more these groups.
- Y is an m-valent group and Ar 3 is a monovalent group.
- the first compound has the formula:
- R 1 , R 2 , R 3 , R 4 , and R 5 may represent mono, di, tri, or tetra substitutions.
- R 1 , R 2 , R 3 , R 4 , and R 5 are independently selected from the group consisting of hydrogen, halogen, alkyl, alkoxy, amino, alkenyl, alkynyl, aryl and heteroaryl.
- the second compound has the formula (2):
- examples of Y′ or Ar 3 ′ include a group leaded from benzene, naphthalene, anthracene, pyridine, pyrazine, pyrimidine, pyridajine, triazine, isoindole, indazole, purine, isoquinoline, imidazole, naphthyridine, Phthalazine, quinazoline, quinoxaline, cinnoline, quinoline, pteridine, phenanthridine, acridine, perimidine, phenanthroline, phenazine, carboline, indole, benzoxazole, benzothiazole, carbazole, dibenzofuran, dibenzothiophene, and may arbitrarily connect two or more these groups.
- Y′ is an m-valent group
- Ar 3 ′ is a monovalent group
- the first compound has the formula
- X is Se, S or O.
- R 1 , R 2 , R 3 , R 4 , and R 5 may represent mono, di, tri, or tetra substitutions.
- R 1 , R 2 , R 3 , R 4 , and R 5 are independently selected from the group consisting of hydrogen, halogen, alkyl, alkoxy, amino, alkenyl, alkynyl, aryl and heteroaryl.
- the second compound has the formula (3);
- examples of Y′′ include pyridine, pyrazine, pyrimidine, pyridajine, triazine, isoindole, indazole, purine, isoquinoline, imidazole, naphthyridine, Phthalazine, quinazoline, quinoxaline, cinnoline, quinoline, pteridine, phenanthridine, acridine, perimidine, phenanthroline, phenazine, carboline, indole, benzoxazole, benzothiazole, carbazole, dibenzofuran, dibenzothiophene, and may arbitrarily connect two or more these groups.
- examples of Ar 3 ′′ include benzene, naphthalene, anthracene, pyridine, pyrazine, pyrimidine, pyridajine, triazine, isoindole, indazole, purine, isoquinoline, imidazole, naphthyridine, Phthalazine, quinazoline, quinoxaline, cinnoline, quinoline, pteridine, phenanthridine, acridine, perimidine, phenanthroline, phenazine, carboline, indole, benzoxazole, benzothiazole, carbazole, dibenzofuran, dibenzothiophene, and may arbitrarily connect two or more these groups.
- Y′′ is an m-valent group
- Ar 3 ′′ is a monovalent group.
- the first compound is selected from the group consisting of
- the second compound is selected from the group consisting of:
- the set of non-hydrogen substituents selected for R 1 , R 2 , R 3 , R 4 , and R 5 , and the set of non-hydrogen substituents selected for R 6 , R 7 , and R 8 are the same and the method further comprises mixing the first compound and the second compound before depositing the organic composition over the first electrode.
- first compound and the second compound are particularly well-suited for premixing when each compound contains identical substitutions because derivatives with the same molecular modification will have the same molecular weight difference, and may have similar intermolecular interactions, e.g., a first compound including a phenyl substitution is expected to work well when premixed with a second compound also containing a phenyl substitution.
- the first compound has the formula:
- X is Se, S or O.
- R 1 , R 2 , R 3 , R 4 , and R 5 may represent mono, di, tri, or tetra substitutions.
- R 1 , R 2 , R 3 , R 4 , and R 5 are independently selected from the group consisting of hydrogen, halogen, alkyl, alkoxy, amino, alkenyl, alkynyl, aryl and heteroaryl.
- L is selected from the group consisting of benzene, biphenyl, naphthalene, triphenylene, carbazole, and heteroaromatic analogs thereof.
- the second compound has the formula (2):
- examples of Y′ and Ar 3 ′ include benzene, naphthalene, anthracene, pyridine, pyrazine, pyrimidine, pyridajine, triazine, isoindole, indazole, purine, isoquinoline, imidazole, naphthyridine, Phthalazine, quinazoline, quinoxaline, cinnoline, quinoline, pteridine, phenanthridine, acridine, perimidine, phenanthroline, phenazine, carboline, indole, benzoxazole, benzothiazole, carbazole, dibenzofuran, dibenzothiophene, and may arbitrarily connect two or more these groups.
- Y′ is an m-valent group
- Ar 3 ′ is a monovalent group.
- the first compound has the formula:
- R 1 , R 2 , R 3 , R 4 and R 5 may represent mono, di, tri, or tetra substitutions.
- R 1 , R 2 , R 3 , R 4 and R 5 are independently selected from the group consisting of hydrogen, halogen, alkyl, alkoxy, amino, alkenyl, alkynyl, aryl and heteroaryl.
- the second compound has the formula (3):
- Y′′ is a monovalent aromatic heterocyclic group of 3 to 30 carbon atoms excluding a group having more than 5 condensed rings; m denotes an integer of 1; and, Z is a represented by formula (3 a);
- ring A is an aromatic hydrocarbon ring represented by formula (3 b):
- examples of Y′′ include pyridine, pyrazine, pyrimidine, pyridajine, triazine, isoindole, indazole, purine, isoquinoline, imidazole, naphthyridine, Phthalazine, quinazoline, quinoxaline, cinnoline, quinoline, pteridine, phenanthridine, acridine, perimidine, phenanthroline, phenazine, carboline, indole, benzoxazole, benzothiazole, carbazole, dibenzofuran, dibenzothiophene, and may arbitrarily connect two or more these groups.
- examples of Ar 3 ′′ include benzene, naphthalene, anthracene, pyridine, pyrazine, pyrimidine, pyridajine, triazine, isoindole, indazole, purine, isoquinoline, imidazole, naphthyridine, Phthalazine, quinazoline, quinoxaline, cinnoline, quinoline, pteridine, phenanthridine, acridine, perimidine, phenanthroline, phenazine, carboline, indole, benzoxazole, benzothiazole, carbazole, dibenzofuran, dibenzothiophene, and may arbitrarily connect two or more these groups.
- Y′′ is an m-valent group and Ar 3 ′′ is a monovalent group.
- the first compound may be selected from the group consisting of:
- the set of non-hydrogen substituents selected for R 1 , R 2 , R 3 , R 4 , and R 5 , and the set of non-hydrogen substituents selected for R 6 , R 7 , R 8 are the same and the method further comprises mixing the first compound and the second compound before depositing the organic composition over the first electrode.
- the first compound and the second compound are mixed together and evaporated from a single source.
- the organic composition comprises about 5% to about 95% of the first compound and about 5% to about 95% the second compound.
- the first compound has a evaporation temperature within 30° C. of the evaporation temperature of the second compound. In another aspect, the first compound has an evaporation temperature within 10° C. of the evaporation temperature of the second compound.
- Table 1 shows evaporation temperatures for exemplary first compounds disclosed herein at deposition rate of 2-3 ⁇ /s at ⁇ 10 ⁇ 7 torr with a 50 cm source to substrate distance.
- TABLE 1 T evap (° C.) at deposition rate Compound of 2-3 ⁇ /s at ⁇ 10 ⁇ 7 torr H2 284 H3 280 H6 248 H7 245 H9 205 H17 240 H24 280 H10 345 H36 275 H28 309 H29 228 H30 272 H31 295 H32 336 H34 250 H37 260
- Table 2 shows evaporation temperatures for preferred second compounds disclosed herein at deposition rate of 2-3 ⁇ /s at ⁇ 10 ⁇ 7 torr with a 50 cm source to substrate distance.
- T evap (° C.) at deposition rate Compound of 2-3 ⁇ /s at ⁇ 10 ⁇ 7 torr H201 251 H203 225 H204 228 H206 188 H207 192 H211 269 H215 225 H219 205 H221 208 H225 245 H228 205 H229 252 H244 295 H246 252 H247 265 H251 292 H253 339
- the first electrode is an anode and the first organic layer is deposited over the anode.
- the method further comprises depositing a second organic layer different from the first organic layer and the first organic layer is a non-emissive layer.
- the first organic layer is a blocking layer.
- the first organic layer is an emissive layer and the first compound and the second compound are hosts, and the emissive layer further comprises an emissive phosphorescent dopant.
- the emissive phosphorescent dopant is selected from the group consisting of:
- a host composition comprising a mixture of a first compound and a second compound.
- the first compound has the formula:
- R 1 , R 2 , R 3 , R 4 , and R 5 may represent mono, di, tri, or tetra substitutions.
- R 1 , R 2 , R 3 , R 4 , and R 5 are independently selected from the group consisting of hydrogen, halogen, alkyl, alkoxy, amino, alkenyl, alkynyl, aryl and heteroaryl.
- the second compound has the formula: (2):
- Y′ is an m-valent aromatic hydrocarbon group of 6 to 40 carbon atoms or an m-valent aromatic heterocyclic group of 3 to 40 carbon atoms excluding a group having more than 5 condensed rings;
- Z is represented by formula (2 a);
- ring A is an aromatic hydrocarbon ring represented by formula (2 b):
- examples of Y′ and Ar 3 ′ include a group leaded from benzene, naphthalene, anthracene, pyridine, pyrazine, pyrimidine, pyridajine, triazine, isoindole, indazole, purine, isoquinoline, imidazole, naphthyridine, Phthalazine, quinazoline, quinoxaline, cinnoline, quinoline, pteridine, phenanthridine, acridine, perimidine, phenanthroline, phenazine, carboline, indole, benzoxazole, benzothiazole, carbazole, dibenzofuran, dibenzothiophene, and may arbitrarily connect two or more these groups.
- Y′ is an m-valent group
- Ar 3 ′ is a monovalent group.
- the first compound has the formula:
- R 1 , R 2 , R 3 , R 4 , and R 5 may represent mono, di, tri, or tetra substitutions.
- R 1 , R 2 , R 3 , R 4 , and R 5 are independently selected from the group consisting of hydrogen, halogen, alkyl, alkoxy, amino, alkenyl, alkynyl, aryl and heteroaryl.
- L is selected from the group consisting of benzene, biphenyl, naphthalene, triphenylene, carbazole, and heteroaromatic analogs thereof.
- the second compound has the formula (2):
- Y′ is an m-valent aromatic hydrocarbon group of 6 to 40 carbon atoms or an m-valent aromatic heterocyclic group of 3 to 40 carbon atoms excluding a group having more than 5 condensed rings;
- Z is represented by formula (2 a):
- examples of Y′ and Ar 3 ′ include benzene, naphthalene, anthracene, pyridine, pyrazine, pyrimidine, pyridajine, triazine, isoindole, indazole, purine, isoquinoline, imidazole, naphthyridine, Phthalazine, quinazoline, quinoxaline, cinnoline, quinoline, pteridine, phenanthridine, acridine, perimidine, phenanthroline, phenazine, carboline, indole, benzoxazole, benzothiazole, carbazole, dibenzofuran, dibenzothiophene, and may arbitrarily connect two or more these groups.
- Y′ is an m-valent group and Ar 3 ′ is a monovalent group.
- the materials described herein as useful for a particular layer in an organic light emitting device may be used in combination with a wide variety of other materials present in the device.
- emissive dopants disclosed herein may be used in conjunction with a wide variety of hosts, transport layers, blocking layers, injection layers, electrodes and other layers that may be present.
- the materials described or referred to below are non-limiting examples of materials that may be useful in combination with the compounds disclosed herein, and one of skill in the art can readily consult the literature to identify other materials that may be useful in combination.
- hole injection materials In addition to and/or in combination with the materials disclosed herein, many hole injection materials, hole transporting materials, host materials, dopant materials, exiton/hole blocking layer materials, electron transporting and electron injecting materials may be used in an OLED.
- a hole injecting/transporting material to be used in the present invention is not particularly limited, and any compound may be used as long as the compound is typically used as a hole injecting/transporting material.
- the material include, but are not limited to: a phthalocyanine or porphryin derivative; an aromatic amine derivative; an indolocarbazole derivative; a polymer containing fluorohydrocarbon; a polymer with conductivity dopants; a conducting polymer, such as PEDOT/PSS; a self-assembly monomer derived from compounds such as phosphonic acid and silane derivatives; a metal oxide derivative, such as MoO x ; an organic compound with extremely deep LUMO, such as 1,4,5,8,9,12-Hexaazatriphenylenehexacarbonitrile; a metal complex, and a cross-linkable compounds.
- aromatic amine derivatives used in HIL or HTL include, but are not limited to the following general structures:
- Each of Ar 1 to Ar 9 is selected from the group consisting aromatic hydrocarbon cyclic compounds such as benzene, biphenyl, triphenyl, triphenylene, naphthalene, anthracene, phenalene, phenanthrene, fluorene, pyrene, chrysene, perylene, azulene; group consisting aromatic heterocyclic compounds such as dibenzothiophene, dibenzofuran, dibenzoselenophene, furan, thiophene, benzofuran, benzothiophene, benzoselenophene, carbazole, indolocarbazole, pyridylindole, pyrrolodipyridine, pyrazole, imidazole, triazole, oxazole, thiazole, oxadiazole, oxatriazole, dioxazole, thiadiazole, pyridine, pyridazine, pyrim
- Ar 1 to Ar 9 is independently selected from the group consisting of:
- k is an integer from 1 to 20; X 1 to X 8 is CH or N; Ar 1 has the same group defined above.
- metal complexes used in HIL or HTL include, but are not limited to the following general formula:
- the light emitting layer of the organic EL device of the present invention preferably contains at least an organometallic complex as light emitting material, and may contain a host material using the organometallic complex as a dopant material.
- the host material are not particularly limited, and any metal complexes or organic compounds may be used as long as the triplet energy of the host is larger than that of the dopant.
- metal complexes used as host are preferred to have the following general formula:
- M is a metal
- (Y 3 -Y 4 ) is a bidentate ligand, Y 3 and Y 4 are independently selected from C, N, O, P, and S
- L is an ancillary ligand
- m is an integer value from 1 to the maximum number of ligands that may be attached to the metal
- m+n is the maximum number of ligands that may be attached to the metal.
- the metal complexes are:
- (O—N) is a bidentate ligand, having metal coordinated to atoms O and N.
- M is selected from Ir and Pt.
- (Y 3 -Y 4 ) is a carbene ligand.
- organic compounds used as host are selected from the group consisting aromatic hydrocarbon cyclic compounds such as benzene, biphenyl, triphenyl, triphenylene, naphthalene, anthracene, phenalene, phenanthrene, fluorene, pyrene, chrysene, perylene, azulene; group consisting aromatic heterocyclic compounds such as dibenzothiophene, dibenzofuran, dibenzoselenophene, furan, thiophene, benzofuran, benzothiophene, benzoselenophene, carbazole, indolocarbazole, pyridylindole, pyrrolodipyridine, pyrazole, imidazole, triazole, oxazole, thiazole, oxadiazole, oxatriazole, dioxazole, thiadiazole, pyridine, pyridazine, pyrimidine
- host compound contains at least one of the following groups in the molecule:
- R 1 to R 7 is independently selected from the group consisting of hydrogen, alkyl, alkoxy, amino, alkenyl, alkynyl, arylalkyl, heteroalkyl, aryl and heteroaryl, when it is aryl or heteroaryl, it has the similar definition as Ar mentioned above.
- k is an integer from 0 to 20.
- X 1 to X 8 is selected from CH or N.
- a hole blocking layer may be used to reduce the number of holes and/or excitons that leave the emissive layer.
- the presence of such a blocking layer in a device may result in substantially higher efficiencies as compared to a similar device lacking a blocking layer.
- a blocking layer may be used to confine emission to a desired region of an OLED.
- a compound used in HBL contains the same molecule used as host described above.
- a compound used in HBL contains at least one of the following groups in the molecule:
- Electron transport layer may include a material capable of transporting electrons. Electron transport layer may be intrinsic (undoped), or doped. Doping may be used to enhance conductivity. Examples of the ETL material are not particularly limited, and any metal complexes or organic compounds may be used as long as they are typically used to transport electrons.
- a compound used in ETL contains at least one of the following groups in the molecule:
- R 1 is selected from the group consisting of hydrogen, alkyl, alkoxy, amino, alkenyl, alkynyl, arylalkyl, heteroalkyl, aryl and heteroaryl, when it is aryl or heteroaryl, it has the similar definition as Ar mentioned above.
- Ar 1 to Ar 3 has the similar definition as Ar mentioned above.
- k is an integer from 0 to 20.
- X 1 to X 8 is selected from CH or N.
- metal complexes used in ETL contain, but are not limited to one or more of the following general formulae:
- (O—N) or (N—N) is a bidentate ligand, having metal coordinated to atoms O, N or N, N; L is an ancillary ligand; m is an integer value from 1 to the maximum number of ligands that may be attached to the metal.
- Representative device examples are fabricated by high vacuum ( ⁇ 10 ⁇ 7 Torr) thermal evaporation.
- the anode electrode consists of ⁇ 800 ⁇ of indium tin oxide (ITO).
- the cathode consists of 10 ⁇ of LiF followed by 1,000 ⁇ of Al. All representative device examples are encapsulated with a glass lid sealed with an epoxy resin in a nitrogen glove box ( ⁇ 1 ppm of H 2 O and O 2 ) and a moisture getter is incorporated inside the package.
- the organic stack in representative device examples consists of (sequentially, from the ITO surface): 100 ⁇ of LG101 (available from L.G. Chem, Seoul, South Korea) as the hole injection layer (HIL), 300 ⁇ of NPD as the hole transporting layer (HTL), 300 ⁇ of the first compound, for Example 1, H2, and the second compound, for Example 1, H251, doped with emissive dopant D4 as the emissive layer (EML), 100 ⁇ of NS60 (available from Nippon Steel Chemical Co., Ltd., Japan.) as the ETL2 and 400 ⁇ of Alq 3 as the ETL1.
- the first and second compound host materials may be co-evaporated from their individual sources. Certain first and second compound host combinations such as those shown in Table 3 for representative Device Examples 1-19 may be suitable for pre-mixing and evaporation from a common source.
Landscapes
- Chemical & Material Sciences (AREA)
- Engineering & Computer Science (AREA)
- Physics & Mathematics (AREA)
- Materials Engineering (AREA)
- Spectroscopy & Molecular Physics (AREA)
- Organic Chemistry (AREA)
- Manufacturing & Machinery (AREA)
- Optics & Photonics (AREA)
- Electroluminescent Light Sources (AREA)
Abstract
Description
wherein X is Se, S or O, R1 and R2 are substituents independently selected from the group consisting of CnH2n+1, OCnH2n+1, OAr1, N(CnH2n+1)2, N(Ar1)(Ar2), CH═CH—CnH2n+1, C≡CHCnH2n+1, Ar1, Ar1—Ar2, CnH2n—Ar1, or no substitution. Each of R1 and R2 may represent mono, di, tri, or tetra substitutions. n is 1, 2, 3, 4, 5, 6, 7, 8, 9, or 10. An and Ar2 are independently selected from the group consisting of benzene, biphenyl, naphthalene, triphenylene, carbazole, and heteroaromatic analogs thereof. At least one of R1 and R2 includes a triphenylene group. The second compound has the formula
wherein Y is an m-valent aromatic hydrocarbon group of 6 to 50 carbon atoms or an m-valent aromatic heterocyclic group of 3 to 50 carbon atoms excluding a group having more than 5 condensed rings. m denotes an integer of 1 to 3. When m is 2 or greater, each Z may be the same or different. Z is represented by formula
Ring A and B are respectively condensed with the adjacent rings. R6-R8 are each independently selected from hydrogen, an aliphatic hydrocarbon group of 1 to 10 carbon atoms, an aromatic hydrocarbon group of 6 to 18 carbon atoms, or an aromatic heterocyclic group of 3 to 17 carbon atoms. Ara is an aromatic hydrocarbon group of 6 to 50 carbon atoms, or an aromatic heterocyclic group of 3 to 50 carbon atoms excluding a group having more than 5 condensed rings. Also disclosed are organic light emitting devices using the organic composition and a method of making such devices.
X is Se, S or O. R1 and R2 are substituents independently selected from the group consisting of CnH2n+1, OCnH2n+1, OAr1, N(CnH2n+1)2, N(Ar1)(Ar2), CH═CH—CnH2n+1, C≡CHCnH2n+1, Ar1, Ar1-Ar2, CnH2n—Ar1, or no substitution. Each of R1 and R2 may represent mono, di, tri, or tetra substitutions. n is 1, 2, 3, 4, 5, 6, 7, 8, 9, or 10. Ar1 and Ar2 are independently selected from the group consisting of benzene, biphenyl, naphthalene, triphenylene, carbazole, and heteroaromatic analogs thereof. At least one of R1 and R2 includes a triphenylene group.
-
- wherein
- Y is an m-valent aromatic hydrocarbon group of 6 to 50 carbon atoms or an m-valent aromatic heterocyclic group of 3 to 50 carbon atoms excluding a group having more than 5 condensed rings.
- m denotes an integer of 1 to 3, such that when m is greater than 2, each Z may be the same or different
- Z is represented by formula (1a):
-
- wherein
- ring A is an aromatic hydrocarbon ring represented by formula (1b)
-
- ring B is a heterocyclic ring represented by formula (1c)
-
- ring A and B are respectively condensed with the adjacent rings;
- R6-R8 are each independently selected from hydrogen, an aliphatic hydrocarbon group of 1 to 10 carbon atoms, an aromatic hydrocarbon group of 6 to 18 carbon atoms, or an aromatic heterocyclic group of 3 to 17 carbon atoms; and,
- Ar3 is an aromatic hydrocarbon group of 6 to 50 carbon atoms, or an aromatic heterocyclic group of 3 to 50 carbon atoms excluding a group having more than 5 condensed rings.
-
- Y′ is an m-valent aromatic hydrocarbon group of 6 to 40 carbon atoms or an m-valent aromatic heterocyclic group of 3 to 40 carbon atoms excluding a group having more than 5 condensed rings;
- m denotes an integer of 1 or 2, and when m=2, each Z may be the same or different;
- Z is represented by formula (2a):
-
-
- wherein
- ring A is an aromatic hydrocarbon ring represented by formula (2b):
-
-
-
- ring B is an heterocyclic ring represented by formula (2c),
-
-
-
- ring A and B are respectively condensed with the adjacent rings;
- R6-R8 are each independently selected from hydrogen, an aliphatic hydrocarbon group of 1 to 10 carbon atoms, an aromatic hydrocarbon group of 6 to 18 carbon atoms, or an aromatic heterocyclic group of 3 to 17 carbon atoms; and,
- Ar3′ is an aromatic hydrocarbon group of 6 to 40 carbon atoms, or an aromatic heterocyclic group of 3 to 40 carbon atoms excluding a group having more than 5 condensed rings.
-
-
- wherein
- ring A is an aromatic hydrocarbon ring represented by formula (3 b),
-
- ring B is an heterocyclic ring represented by formula (3 c),
-
- ring A and B are respectively condensed with the adjacent rings;
- R6, R7, R8 are each independently selected from hydrogen, an aliphatic hydrocarbon group of 1 to 10 carbon atoms, an aromatic hydrocarbon group of 6 to 18 carbon atoms, or an aromatic heterocyclic group of 3 to 17 carbon atoms; and,
- Ar3″ is an aromatic hydrocarbon group of 6 to 30 carbon atoms, or an aromatic heterocyclic group of 3 to 30 carbon atoms excluding a group having more than 5 condensed rings.
-
- wherein
- Y′ is an m-valent aromatic hydrocarbon group of 6 to 40 carbon atoms or an m-valent aromatic heterocyclic group of 3 to 40 carbon atoms excluding a group having more than 5 condensed rings;
- m denotes an integer of 1 or 2, and when m=2, each Z may be the same or different;
- Z is represented by formula (2 a):
- wherein
-
-
-
- wherein ring A is an aromatic hydrocarbon ring represented by formula (2 b),
-
-
-
-
-
- ring B is an heterocyclic ring represented by formula (2 c),
-
-
-
-
-
- ring A and B are respectively condensed with the adjacent rings;
- R6-R8 are each independently selected from hydrogen, an aliphatic hydrocarbon group of 1 to 10 carbon atoms, an aromatic hydrocarbon group of 6 to 18 carbon atoms, or an aromatic heterocyclic group of 3 to 17 carbon atoms; and,
- Ar3′ is an aromatic hydrocarbon group of 6 to 40 carbon atoms, or an aromatic heterocyclic group of 3 to 40 carbon atoms excluding a group having more than 5 condensed rings.
-
-
-
- wherein
- Y″ is an aromatic heterocyclic group of 3 to 30 carbon atoms excluding a group having more than 5=condensed rings;
- m denote an integer of 1.
- Z is a represented by formula (3 a)
- wherein
-
-
-
- ring A is an aromatic hydrocarbon ring represented by formula (3 b)
-
-
-
-
-
- ring B is an heterocyclic ring represented by formula (3 c
-
-
-
-
- ring A and ring Bare respectively condensed with the adjacent rings;
- R6, R7, R8 are each independently selected from hydrogen, an aliphatic hydrocarbon group of 1 to 10 carbon atoms, an aromatic hydrocarbon group of 6 to 18 carbon atoms, or an aromatic heterocyclic group of 3 to 17 carbon atoms;
- Ar3″ is an aromatic hydrocarbon group of 6 to 30 carbon atoms, or an aromatic heterocyclic group of 3 to 30 carbon atoms excluding a group having more than 5 condensed rings.
-
-
- wherein
- Y is an m-valent aromatic hydrocarbon group of 6 to 50 carbon atoms or an m-valent aromatic heterocyclic group of 3 to 50 carbon atoms excluding a group having more than 5 condensed rings.
- m denotes an integer of 1 to 3, such that when m is greater than 2, each Z may be the same or different
- Z is represented by formula (1 a):
-
-
- wherein
- ring A is an aromatic hydrocarbon ring represented by formula (1 b)
-
-
-
- ring B is a heterocyclic ring represented by formula (1 c)
-
-
-
- ring A and B are respectively condensed with the adjacent rings;
- R6-R8 are each independently selected from hydrogen, an aliphatic hydrocarbon group of 1 to 10 carbon atoms, an aromatic hydrocarbon group of 6 to 18 carbon atoms, or an aromatic heterocyclic group of 3 to 17 carbon atoms; and,
- Ar3 is an aromatic hydrocarbon group of 6 to 50 carbon atoms, or an aromatic heterocyclic group of 3 to 50 carbon atoms excluding a group having more than 5 condensed rings.
-
where X is Se, S or O. Each of R1, R2, R3, R4, and R5 may represent mono, di, tri, or tetra substitutions. R1, R2, R3, R4, and R5 are independently selected from the group consisting of hydrogen, halogen, alkyl, alkoxy, amino, alkenyl, alkynyl, aryl and heteroaryl. The second compound has the formula (2):
-
- Y′ is an m-valent aromatic hydrocarbon group of 6 to 40 carbon atoms or an m-valent aromatic heterocyclic group of 3 to 40 carbon atoms excluding a group having more than 5 condensed rings;
- m denotes an integer of 1 or 2, and when m=2, each Z may be the same or different;
- Z is represented by formula (2 a):
-
-
- wherein ring A is an aromatic hydrocarbon ring represented by formula (2 b),
-
-
- ring B is an heterocyclic ring represented by formula (2 c),
-
- ring A and B are respectively condensed with the adjacent rings;
- R6˜R8 are independently selected from hydrogen, an aliphatic hydrocarbon group of 1 to 10 carbon atoms, an aromatic hydrocarbon group of 6 to 18 carbon atoms, or an aromatic heterocyclic group of 3 to 17 carbon atoms; and,
- Ar3′ is an aromatic hydrocarbon group of 6 to 40 carbon atoms, or an aromatic heterocyclic group of 3 to 40 carbon atoms excluding a group having more than 5 condensed rings.
-
- wherein
- Y″ is a monovalent aromatic heterocyclic group of 3 to 30 carbon atoms excluding a group having more than 5 condensed rings;
- m denote an integer of 1.
- Z is a represented by formula (3 a)
- wherein
-
-
-
- ring A is an aromatic hydrocarbon ring represented by formula (3 b)
-
-
-
-
-
- ring B is an heterocyclic ring represented by formula (3 c
-
-
-
-
- ring A and ring Bare respectively condensed with the adjacent rings;
- R6, R7, R8 are each independently selected from hydrogen, an aliphatic hydrocarbon group of 1 to 10 carbon atoms, an aromatic hydrocarbon group of 6 to 18 carbon atoms, or an aromatic heterocyclic group of 3 to 17 carbon atoms;
- Ar3″ is an aromatic hydrocarbon group of 6 to 30 carbon atoms, or an aromatic heterocyclic group of 3 to 30 carbon atoms excluding a group having more than 5 condensed rings.
-
-
- Y′ is an m-valent aromatic hydrocarbon group of 6 to 40 carbon atoms or an m-valent aromatic heterocyclic group of 3 to 40 carbon atoms excluding a group having more than 5 condensed rings;
- m denotes an integer of 1 or 2, and when m=2, each Z may be the same or different;
- Z is represented by formula (2 a):
-
- ring A is an aromatic hydrocarbon ring represented by formula (2 b),
-
- ring B is an heterocyclic ring represented by formula (2 c),
-
- ring A and B are respectively condensed with the adjacent rings;
- R6-R8 are each independently selected from hydrogen, an aliphatic hydrocarbon group of 1 to 10 carbon atoms, an aromatic hydrocarbon group of 6 to 18 carbon atoms, or an aromatic heterocyclic group of 3 to 17 carbon atoms; and,
- Ar3′ is an aromatic hydrocarbon group of 6 to 40 carbon atoms, or an aromatic heterocyclic group of 3 to 40 carbon atoms excluding a group having more than 5 condensed rings.
wherein X is Se, S or O. Each of R1, R2, R3, R4 and R5 may represent mono, di, tri, or tetra substitutions. R1, R2, R3, R4 and R5 are independently selected from the group consisting of hydrogen, halogen, alkyl, alkoxy, amino, alkenyl, alkynyl, aryl and heteroaryl. The second compound has the formula (3):
wherein Y″ is a monovalent aromatic heterocyclic group of 3 to 30 carbon atoms excluding a group having more than 5 condensed rings; m denotes an integer of 1; and, Z is a represented by formula (3 a);
-
- ring B is an heterocyclic ring represented by formula (3 c),
-
- ring A and B are respectively condensed with the adjacent rings;
- R6, R7, R8 is independently selected from hydrogen, an aliphatic hydrocarbon group of 1 to 10 carbon atoms, an aromatic hydrocarbon group of 6 to 18 carbon atoms, or an aromatic heterocyclic group of 3 to 17 carbon atoms; and,
- Ar3″ is an aromatic hydrocarbon group of 6 to 30 carbon atoms, or an aromatic heterocyclic group of 3 to 30 carbon atoms excluding a group having more than 5 condensed rings.
| TABLE 1 | |||
| Tevap (° C.) at deposition rate | |||
| Compound | of 2-3 Å/s at <10−7 torr | ||
| H2 | 284 | ||
| H3 | 280 | ||
| H6 | 248 | ||
| H7 | 245 | ||
| H9 | 205 | ||
| H17 | 240 | ||
| H24 | 280 | ||
| H10 | 345 | ||
| H36 | 275 | ||
| H28 | 309 | ||
| H29 | 228 | ||
| H30 | 272 | ||
| H31 | 295 | ||
| H32 | 336 | ||
| H34 | 250 | ||
| H37 | 260 | ||
| TABLE 2 | |||
| Tevap (° C.) at deposition rate | |||
| Compound | of 2-3 Å/s at <10−7 torr | ||
| H201 | 251 | ||
| H203 | 225 | ||
| H204 | 228 | ||
| H206 | 188 | ||
| H207 | 192 | ||
| H211 | 269 | ||
| H215 | 225 | ||
| H219 | 205 | ||
| H221 | 208 | ||
| H225 | 245 | ||
| H228 | 205 | ||
| H229 | 252 | ||
| H244 | 295 | ||
| H246 | 252 | ||
| H247 | 265 | ||
| H251 | 292 | ||
| H253 | 339 | ||
-
- ring B is an heterocyclic ring represented by formula (2 c),
-
- ring A and B are respectively condensed with the adjacent rings;
- R6-R8 are independently selected from hydrogen, an aliphatic hydrocarbon group of 1 to 10 carbon atoms, an aromatic hydrocarbon group of 6 to 18 carbon atoms, or an aromatic heterocyclic group of 3 to 17 carbon atoms; and,
- Ar3′ is an aromatic hydrocarbon group of 6 to 40 carbon atoms, or an aromatic heterocyclic group of 3 to 40 carbon atoms excluding a group having more than 5 condensed rings.
-
- wherein
- ring A is an aromatic hydrocarbon ring represented by formula (2 b):
-
- ring B is an heterocyclic ring represented by formula (2 c),
-
- ring A and B are respectively condensed with the adjacent rings;
- R6R8 are each independently selected from hydrogen, an aliphatic hydrocarbon group of 1 to 10 carbon atoms, an aromatic hydrocarbon group of 6 to 18 carbon atoms, or an aromatic heterocyclic group of 3 to 17 carbon atoms; and,
- Ar3′ is an aromatic hydrocarbon group of 6 to 40 carbon atoms, or an aromatic heterocyclic group of 3 to 40 carbon atoms excluding a group having more than 5 condensed rings.
-
- M is a metal, having an atomic weight greater than 40; (Y1-Y2) is a bidentate ligand, Y1 and Y2 are independently selected from C, N, O, P, and S; L is an ancillary ligand; m is an integer value from 1 to the maximum number of ligands that may be attached to the metal; and m+n is the maximum number of ligands that may be attached to the metal.
- In one aspect, (Y1-Y2) is a 2-phenylpyridine derivative.
- In another aspect, (Y1-Y2) is a carbene ligand.
- In another aspect, M is selected from Ir, Pt, Os, and Zn.
- In a further aspect, the metal complex has a smallest oxidation potential in solution vs. Fc+/Fc couple less than about 0.6 V.
Host Materials:
| TABLE 3 | ||||
| Device | First Compound | Second Compound | ||
| Example 1 | H2 | H251 | ||
| Example 2 | H6 | H225 | ||
| Example 3 | H6 | H201 | ||
| Example 4 | H6 | H229 | ||
| Example 5 | H7 | H225 | ||
| Example 6 | H9 | H219 | ||
| Example 7 | H9 | H228 | ||
| Example 8 | H9 | H221 | ||
| Example 9 | H17 | H225 | ||
| Example 10 | H29 | H203 | ||
| Example 11 | H29 | H215 | ||
| Example 12 | H29 | H204 | ||
| Example 13 | H30 | H247 | ||
| Example 14 | H31 | H251 | ||
| Example 15 | H31 | H244 | ||
| Example 16 | H32 | H253 | ||
| Example 17 | H34 | H229 | ||
| Example 18 | H34 | H246 | ||
| Example 19 | H36 | H211 | ||
Claims (20)
Applications Claiming Priority (1)
| Application Number | Priority Date | Filing Date | Title |
|---|---|---|---|
| PCT/US2010/001249 WO2011136755A1 (en) | 2010-04-28 | 2010-04-28 | Depositing premixed materials |
Publications (2)
| Publication Number | Publication Date |
|---|---|
| US20130112952A1 US20130112952A1 (en) | 2013-05-09 |
| US9040962B2 true US9040962B2 (en) | 2015-05-26 |
Family
ID=43425841
Family Applications (1)
| Application Number | Title | Priority Date | Filing Date |
|---|---|---|---|
| US13/640,000 Active 2030-12-02 US9040962B2 (en) | 2010-04-28 | 2010-04-28 | Depositing premixed materials |
Country Status (7)
| Country | Link |
|---|---|
| US (1) | US9040962B2 (en) |
| EP (1) | EP2564438B1 (en) |
| JP (1) | JP5646733B2 (en) |
| KR (1) | KR101637061B1 (en) |
| CN (1) | CN103026521B (en) |
| TW (1) | TWI525087B (en) |
| WO (1) | WO2011136755A1 (en) |
Cited By (22)
| Publication number | Priority date | Publication date | Assignee | Title |
|---|---|---|---|---|
| US20130306962A1 (en) * | 2011-02-11 | 2013-11-21 | Universal Display Corporation | Organic light emitting device and materials for use in same |
| US9478764B2 (en) | 2012-02-09 | 2016-10-25 | Semiconductor Energy Laboratory Co., Ltd. | Light-emitting element |
| US9887244B2 (en) * | 2016-04-06 | 2018-02-06 | Samsung Display Co., Ltd. | Organic light-emitting device |
| US10071993B2 (en) | 2010-09-21 | 2018-09-11 | Semiconductor Energy Laboratory Co., Ltd. | Carbazole derivative, light-emitting element material and organic semiconductor material |
| US10573692B2 (en) | 2016-04-06 | 2020-02-25 | Samsung Display Co., Ltd. | Organic light-emitting device having a sealing thin film encapsulation portion |
| US10658594B2 (en) | 2017-12-06 | 2020-05-19 | Idemitsu Kosan Co., Ltd. | Organic electroluminescence device and novel compound |
| US11056541B2 (en) | 2016-04-06 | 2021-07-06 | Samsung Display Co., Ltd. | Organic light-emitting device |
| US11985841B2 (en) | 2020-12-07 | 2024-05-14 | Oti Lumionics Inc. | Patterning a conductive deposited layer using a nucleation inhibiting coating and an underlying metallic coating |
| US11997864B2 (en) | 2018-05-07 | 2024-05-28 | Oti Lumionics Inc. | Device including patterning a conductive coating |
| US12004383B2 (en) | 2019-06-26 | 2024-06-04 | Oti Lumionics Inc. | Optoelectronic device including light transmissive regions, with light diffraction characteristics |
| US12069938B2 (en) | 2019-05-08 | 2024-08-20 | Oti Lumionics Inc. | Materials for forming a nucleation-inhibiting coating and devices incorporating same |
| US12101954B2 (en) | 2016-12-02 | 2024-09-24 | Oti Lumionics Inc. | Device including a conductive coating disposed over emissive regions and method therefore |
| US12101987B2 (en) | 2019-04-18 | 2024-09-24 | Oti Lumionics Inc. | Materials for forming a nucleation-inhibiting coating and devices incorporating same |
| US12150374B2 (en) | 2015-10-26 | 2024-11-19 | Oti Lumionics Inc. | Method for patterning a coating on a surface and device including a patterned coating |
| US12167634B2 (en) | 2018-11-23 | 2024-12-10 | Oti Lumionics Inc. | Optoelectronic device including a light transmissive region |
| EP4234556A4 (en) * | 2020-10-23 | 2024-12-18 | NIPPON STEEL Chemical & Material Co., Ltd. | MATERIAL FOR AN ORGANIC ELECTROLUMINESCENT ELEMENT AND ORGANIC ELECTROLUMINESCENT ELEMENT |
| US12178064B2 (en) | 2018-02-02 | 2024-12-24 | Oti Lumionics Inc. | Materials for forming a nucleation-inhibiting coating and devices incorporating same |
| US12302691B2 (en) | 2019-08-09 | 2025-05-13 | Oti Lumionics Inc. | Opto-electronic device including an auxiliary electrode and a partition |
| US12389742B2 (en) | 2019-12-24 | 2025-08-12 | Oti Lumionics Inc. | Light emitting device including capping layers on respective emissive regions |
| US12464940B2 (en) | 2017-05-17 | 2025-11-04 | Oti Lumionics Inc. | Method for selectively depositing a conductive coating over a patterning coating and device including a conductive coating |
| US12492191B2 (en) * | 2019-10-18 | 2025-12-09 | Lg Chem, Ltd. | Organic light emitting device |
| US12492313B2 (en) | 2019-03-07 | 2025-12-09 | Oti Lumionics Inc. | Materials for forming a nucleation-inhibiting coating and devices incorporating same |
Families Citing this family (124)
| Publication number | Priority date | Publication date | Assignee | Title |
|---|---|---|---|---|
| TW201300501A (en) * | 2010-07-30 | 2013-01-01 | 羅門哈斯電子材料韓國公司 | Electroluminescent device using electroluminescent compound as luminescent material |
| JP2012056880A (en) * | 2010-09-08 | 2012-03-22 | Idemitsu Kosan Co Ltd | Indolocarbazole compound, material for organic electroluminescence element, and organic electroluminescence element using the same |
| JP5856266B2 (en) * | 2010-09-21 | 2016-02-09 | 株式会社半導体エネルギー研究所 | Organic semiconductor device |
| KR101531904B1 (en) * | 2010-10-13 | 2015-06-29 | 롬엔드하스전자재료코리아유한회사 | Novel compounds for organic electronic material and organic electroluminescent device using the same |
| WO2012087955A1 (en) * | 2010-12-20 | 2012-06-28 | E. I. Du Pont De Nemours And Company | Compositions for electronic applications |
| CN103688383B (en) * | 2011-06-27 | 2016-01-20 | 新日铁住金化学株式会社 | Polymer for organic electroluminescence element and organic electroluminescence element using same |
| JP5938175B2 (en) | 2011-07-15 | 2016-06-22 | 出光興産株式会社 | Nitrogen-containing aromatic heterocyclic derivative and organic electroluminescence device using the same |
| KR20130011405A (en) * | 2011-07-21 | 2013-01-30 | 롬엔드하스전자재료코리아유한회사 | Novel organic electroluminescence compounds and organic electroluminescence device using the same |
| CN103380508B (en) | 2011-11-22 | 2017-09-08 | 出光兴产株式会社 | Aromatic heterocyclic derivative, material for organic electroluminescent element, and organic electroluminescent element |
| US9163174B2 (en) * | 2012-01-04 | 2015-10-20 | Universal Display Corporation | Highly efficient phosphorescent materials |
| KR102012047B1 (en) * | 2012-01-06 | 2019-08-19 | 유니버셜 디스플레이 코포레이션 | Highly efficient phosphorescent materials |
| KR20130084093A (en) * | 2012-01-16 | 2013-07-24 | 롬엔드하스전자재료코리아유한회사 | Novel organic electroluminescence compounds and organic electroluminescence device using the same |
| US9985219B2 (en) | 2012-03-12 | 2018-05-29 | Nippon Steel & Sumikin Chemical Co., Ltd. | Organic electroluminescent element |
| TWI585091B (en) * | 2012-03-30 | 2017-06-01 | 新日鐵住金化學股份有限公司 | Organic electroluminescent elements |
| KR102191024B1 (en) * | 2012-04-10 | 2020-12-14 | 에스에프씨 주식회사 | Heterocyclic com pounds and organic light-emitting diode including the same |
| KR20130127563A (en) * | 2012-05-02 | 2013-11-25 | 롬엔드하스전자재료코리아유한회사 | Novel organic electroluminescence compounds and organic electroluminescence device containing the same |
| KR102025834B1 (en) * | 2012-06-29 | 2019-09-27 | 삼성디스플레이 주식회사 | Novel organic emitting compound, and organic light emitting diode comprising the same |
| WO2014021280A1 (en) * | 2012-07-31 | 2014-02-06 | 出光興産株式会社 | Organic electroluminescent element |
| JP2015214490A (en) * | 2012-08-08 | 2015-12-03 | 保土谷化学工業株式会社 | Compound having triphenylene ring structure and organic electroluminescence device |
| KR101452579B1 (en) | 2012-08-17 | 2014-10-21 | 주식회사 두산 | Novel compound and organic electroluminescent device comprising the same |
| CN102850334A (en) * | 2012-08-28 | 2013-01-02 | 李崇 | Derivative compound treating dibenzofuran as core framework, and its application in OLED (organic light emission diode) |
| JP6357422B2 (en) * | 2012-12-17 | 2018-07-11 | 新日鉄住金化学株式会社 | Organic electroluminescence device |
| KR20140081421A (en) * | 2012-12-21 | 2014-07-01 | 롬엔드하스전자재료코리아유한회사 | Novel organic electroluminescent compounds and an organic electroluminescent device containing the same |
| KR101820865B1 (en) | 2013-01-17 | 2018-01-22 | 삼성전자주식회사 | MATERIAL FOR ORGANIC OPTOELECTRONIC DEVICE, ORGANIC LiGHT EMITTING DIODE INCLUDING THE SAME AND DISPLAY INCLUDING THE ORGANIC LiGHT EMITTING DIODE |
| KR102048555B1 (en) * | 2013-04-17 | 2019-11-26 | 덕산네오룩스 주식회사 | Compound for organic electronic element, organic electronic element using the same, and an electronic device thereof |
| US10128448B2 (en) | 2013-04-29 | 2018-11-13 | Udc Ireland Limited | Transition metal complexes with carbene ligands and the use thereof in OLEDs |
| KR102048035B1 (en) * | 2013-06-03 | 2019-11-25 | 덕산네오룩스 주식회사 | An organic electronic element using compound for organic electronic element, and an electronic device thereof |
| KR102054162B1 (en) * | 2013-06-26 | 2020-01-22 | 덕산네오룩스 주식회사 | An organic electronic element using compound for organic electronic element, and an electronic device thereof |
| KR101666781B1 (en) * | 2013-06-28 | 2016-10-17 | 엘지디스플레이 주식회사 | Organic Light Emitting Device |
| EP2821459B1 (en) * | 2013-07-01 | 2017-10-04 | Cheil Industries Inc. | Composition and organic optoelectric device and display device |
| KR102108454B1 (en) * | 2013-07-08 | 2020-05-26 | 덕산네오룩스 주식회사 | An organic electronic element using compound for organic electronic element, and an electronic device thereof |
| KR102054159B1 (en) * | 2013-07-09 | 2019-12-10 | 덕산네오룩스 주식회사 | An organic electronic element using compound for organic electronic element, and an electronic device thereof |
| US9761807B2 (en) * | 2013-07-15 | 2017-09-12 | Universal Display Corporation | Organic light emitting diode materials |
| KR20160039625A (en) * | 2013-08-09 | 2016-04-11 | 이데미쓰 고산 가부시키가이샤 | Organic electroluminescence composition, material for organic electroluminescence element, solution of material for organic electroluminescence element, and organic electroluminescence element |
| US9831437B2 (en) | 2013-08-20 | 2017-11-28 | Universal Display Corporation | Organic electroluminescent materials and devices |
| US10074806B2 (en) * | 2013-08-20 | 2018-09-11 | Universal Display Corporation | Organic electroluminescent materials and devices |
| KR101812581B1 (en) | 2013-10-11 | 2017-12-27 | 제일모직 주식회사 | Organic alloy for organic optoelectric device and organic optoelectric device and display device |
| JP6396147B2 (en) * | 2013-10-22 | 2018-09-26 | ユニバーサル ディスプレイ コーポレイション | Organic electroluminescent material and device |
| KR102214622B1 (en) * | 2013-12-27 | 2021-02-15 | 롬엔드하스전자재료코리아유한회사 | Novel organic electroluminescent compounds and organic electroluminescent device comprising the same |
| US9916958B1 (en) * | 2014-01-30 | 2018-03-13 | Radiation Monitoring Devices, Inc. | Alkali semi-metal films and method and apparatus for fabricating them |
| KR101802861B1 (en) | 2014-02-14 | 2017-11-30 | 삼성디스플레이 주식회사 | Organic light-emitting devices |
| WO2015137472A1 (en) * | 2014-03-12 | 2015-09-17 | 出光興産株式会社 | Composition, compound, material for organic electroluminescence element, ink composition, organic electroluminescence element, and electronic device |
| KR20160143678A (en) * | 2014-04-22 | 2016-12-14 | 유니버셜 디스플레이 코포레이션 | Material for phosphorescent light-emitting element |
| KR102491209B1 (en) * | 2014-04-29 | 2023-01-26 | 롬엔드하스전자재료코리아유한회사 | Multi-Component Host Material and Organic Electroluminescent Device Comprising the Same |
| WO2015167259A1 (en) * | 2014-04-29 | 2015-11-05 | Rohm And Haas Electronic Materials Korea Ltd. | Multi-component host material and organic electroluminescent device comprising the same |
| KR102124045B1 (en) | 2014-05-02 | 2020-06-18 | 삼성디스플레이 주식회사 | Organic light emitting device |
| KR102321377B1 (en) | 2014-06-09 | 2021-11-04 | 삼성디스플레이 주식회사 | Organic light- emitting devices |
| US10297762B2 (en) | 2014-07-09 | 2019-05-21 | Universal Display Corporation | Organic electroluminescent materials and devices |
| KR102328675B1 (en) | 2014-07-24 | 2021-11-19 | 삼성디스플레이 주식회사 | An organic light emitting device |
| US9502671B2 (en) | 2014-07-28 | 2016-11-22 | Arizona Board Of Regents On Behalf Of Arizona State University | Tridentate cyclometalated metal complexes with six-membered coordination rings |
| US9818959B2 (en) | 2014-07-29 | 2017-11-14 | Arizona Board of Regents on behlaf of Arizona State University | Metal-assisted delayed fluorescent emitters containing tridentate ligands |
| EP3186264B1 (en) | 2014-08-08 | 2018-11-28 | UDC Ireland Limited | Electroluminescent imidazo-quinoxaline carbene metal complexes |
| US9944846B2 (en) * | 2014-08-28 | 2018-04-17 | E I Du Pont De Nemours And Company | Compositions for electronic applications |
| TWI666803B (en) * | 2014-09-17 | 2019-07-21 | 日商日鐵化學材料股份有限公司 | Organic electric field light emitting element and manufacturing method thereof |
| KR102256932B1 (en) | 2014-09-18 | 2021-05-28 | 삼성디스플레이 주식회사 | Organic light emitting device |
| KR102321379B1 (en) | 2014-09-24 | 2021-11-04 | 삼성디스플레이 주식회사 | Organic light-emitting devices |
| US10749113B2 (en) | 2014-09-29 | 2020-08-18 | Universal Display Corporation | Organic electroluminescent materials and devices |
| US10361375B2 (en) | 2014-10-06 | 2019-07-23 | Universal Display Corporation | Organic electroluminescent materials and devices |
| KR102417121B1 (en) * | 2014-10-17 | 2022-07-06 | 삼성디스플레이 주식회사 | Organic light-emitting device |
| KR102285389B1 (en) | 2014-11-05 | 2021-08-04 | 삼성디스플레이 주식회사 | Organic light-emitting device |
| KR102384649B1 (en) * | 2014-11-10 | 2022-04-11 | 삼성디스플레이 주식회사 | Organic light-emitting device |
| US10424746B2 (en) | 2014-11-18 | 2019-09-24 | Udc Ireland Limited | Pt- or Pd-carbene complexes for use in organic light emitting diodes |
| KR102366567B1 (en) | 2014-11-19 | 2022-02-25 | 삼성디스플레이 주식회사 | An organic light emitting device |
| KR102385230B1 (en) | 2014-11-19 | 2022-04-12 | 삼성디스플레이 주식회사 | Organic light emitting device |
| US10381569B2 (en) | 2014-11-25 | 2019-08-13 | Universal Display Corporation | Organic electroluminescent materials and devices |
| KR102363260B1 (en) | 2014-12-19 | 2022-02-16 | 삼성디스플레이 주식회사 | Organic light emitting device |
| KR102398062B1 (en) * | 2014-12-26 | 2022-05-16 | 삼성디스플레이 주식회사 | An organic light emitting device |
| US9793493B2 (en) * | 2014-12-30 | 2017-10-17 | Luminescence Technology Corp. | Organic material and organic electroluminescent device using the same |
| EP3279963B1 (en) * | 2015-03-30 | 2022-11-09 | NIPPON STEEL Chemical & Material Co., Ltd. | Organic electroluminescent element |
| WO2016194604A1 (en) | 2015-05-29 | 2016-12-08 | 新日鉄住金化学株式会社 | Organic electroluminescent element |
| KR101694496B1 (en) * | 2015-06-03 | 2017-01-11 | (주)위델소재 | Dibenzothiophene derivative compound and organic electroluminescent device using the same |
| JP6198785B2 (en) * | 2015-08-04 | 2017-09-20 | ▲いく▼▲雷▼光電科技股▲分▼有限公司 | Phosphors for organic electroluminescent devices |
| US11522140B2 (en) | 2015-08-17 | 2022-12-06 | Universal Display Corporation | Organic electroluminescent materials and devices |
| KR102471112B1 (en) | 2015-08-19 | 2022-11-28 | 삼성디스플레이 주식회사 | An organic light emitting device |
| US11302872B2 (en) * | 2015-09-09 | 2022-04-12 | Universal Display Corporation | Organic electroluminescent materials and devices |
| KR102490887B1 (en) | 2015-09-11 | 2023-01-25 | 삼성디스플레이 주식회사 | Organic light emitting device |
| TWI562996B (en) * | 2015-10-07 | 2016-12-21 | E Ray Optoelectronics Tech Co | Organic materials for organic electroluminscent devices |
| KR102684614B1 (en) | 2015-12-21 | 2024-07-15 | 유디씨 아일랜드 리미티드 | Transition metal complexes with tripodal ligands and the use thereof in oleds |
| US20170186978A1 (en) * | 2015-12-23 | 2017-06-29 | Samsung Display Co., Ltd. | Organic light-emitting device |
| CN106920896A (en) * | 2015-12-23 | 2017-07-04 | 三星显示有限公司 | Organic luminescent device |
| KR102044946B1 (en) | 2016-02-03 | 2019-11-14 | 삼성에스디아이 주식회사 | Organic compound and organic optoelectronic device and display device |
| KR102693420B1 (en) * | 2016-05-27 | 2024-08-09 | 삼성전자주식회사 | Organic light emitting device including the same |
| KR20180007617A (en) | 2016-07-13 | 2018-01-23 | 삼성에스디아이 주식회사 | Composition for organic optoelectronic device and organic optoelectronic device and display device |
| KR102049419B1 (en) | 2016-07-19 | 2019-11-27 | 삼성에스디아이 주식회사 | Composition for organic optoelectronic device and organic optoelectronic device and display device |
| KR20180010533A (en) | 2016-07-21 | 2018-01-31 | 삼성에스디아이 주식회사 | Composition for organic optoelectric device and organic optoelectric device and display device |
| KR102001478B1 (en) | 2016-08-11 | 2019-07-24 | 삼성에스디아이 주식회사 | Composition for organic optoelectric device and organic optoelectric device and display device |
| KR102356995B1 (en) | 2016-09-30 | 2022-01-28 | 닛테츠 케미컬 앤드 머티리얼 가부시키가이샤 | organic electroluminescent device |
| KR101885898B1 (en) * | 2016-11-16 | 2018-08-06 | 주식회사 엘지화학 | Organic light emitting device |
| US10662196B2 (en) * | 2016-11-17 | 2020-05-26 | Universal Display Corporation | Organic electroluminescent materials and devices |
| CN106784403B (en) * | 2016-12-21 | 2019-02-22 | 广东工业大学 | A kind of preparation method of organic electroluminescent device |
| JP7502845B2 (en) | 2016-12-27 | 2024-06-19 | 日鉄ケミカル&マテリアル株式会社 | Material for organic electroluminescent device and organic electroluminescent device |
| CN108336237B (en) | 2017-01-20 | 2020-01-31 | 昆山工研院新型平板显示技术中心有限公司 | An organic electroluminescent device |
| KR102491900B1 (en) | 2017-03-30 | 2023-01-27 | 닛테츠 케미컬 앤드 머티리얼 가부시키가이샤 | Materials for organic electroluminescent devices and organic electroluminescent devices |
| WO2018198844A1 (en) | 2017-04-27 | 2018-11-01 | 新日鉄住金化学株式会社 | Organic electroluminescent element |
| CN110770363A (en) | 2017-06-26 | 2020-02-07 | 默克专利有限公司 | Homogeneous mixture |
| CN109326741A (en) * | 2017-08-01 | 2019-02-12 | 江苏三月光电科技有限公司 | An organic light-emitting device containing azabenzene compounds |
| WO2019111971A1 (en) | 2017-12-06 | 2019-06-13 | 出光興産株式会社 | Organic electroluminescent element and novel compound |
| KR102703716B1 (en) * | 2018-04-09 | 2024-09-06 | 삼성전자주식회사 | Condensed cyclic compound and organic light-emitting device including the same |
| US10593889B1 (en) | 2018-09-26 | 2020-03-17 | Idemitsu Kosan Co., Ltd. | Compound and organic electroluminescence device |
| CN112912461A (en) * | 2018-11-30 | 2021-06-04 | 株式会社半导体能源研究所 | Composition for EL device |
| JP7539865B2 (en) | 2019-03-29 | 2024-08-26 | 日鉄ケミカル&マテリアル株式会社 | Organic electroluminescent device |
| JP7426382B2 (en) | 2019-04-25 | 2024-02-01 | 日鉄ケミカル&マテリアル株式会社 | organic electroluminescent device |
| WO2020218187A1 (en) | 2019-04-25 | 2020-10-29 | 日鉄ケミカル&マテリアル株式会社 | Organic electroluminescent element |
| CN113826234B (en) * | 2019-05-20 | 2025-07-25 | 出光兴产株式会社 | Organic electroluminescent element, compound, and electronic device |
| TW202114987A (en) | 2019-09-30 | 2021-04-16 | 日商日鐵化學材料股份有限公司 | Organic electroluminescent element |
| CN110804060A (en) * | 2019-10-18 | 2020-02-18 | 菏泽学院 | A kind of organic compound based on nitrogen-containing heterocycle and its preparation method and application |
| KR102180086B1 (en) * | 2019-10-30 | 2020-11-17 | 덕산네오룩스 주식회사 | An organic electronic element using compound for organic electronic element, and an electronic device thereof |
| US20230113101A1 (en) | 2019-12-27 | 2023-04-13 | Nippon Steel Chemical & Material Co., Ltd. | Organic electroluminescent element |
| WO2021220838A1 (en) | 2020-04-30 | 2021-11-04 | 日鉄ケミカル&マテリアル株式会社 | Organic electroluminescence element material and organic electroluminescence element |
| TW202142533A (en) | 2020-04-30 | 2021-11-16 | 日商日鐵化學材料股份有限公司 | Material for organic electroluminescence element, organic electroluminescence element and its manufacturing method, mixed composition |
| JP7685498B2 (en) | 2020-06-30 | 2025-05-29 | 日鉄ケミカル&マテリアル株式会社 | Organic electroluminescent device |
| KR20230119115A (en) | 2020-12-11 | 2023-08-16 | 닛테츠 케미컬 앤드 머티리얼 가부시키가이샤 | organic electroluminescent device |
| US20240008354A1 (en) | 2020-12-11 | 2024-01-04 | Nippon Steel Chemical & Material Co., Ltd. | Organic electroluminescent element |
| WO2022124367A1 (en) | 2020-12-11 | 2022-06-16 | 日鉄ケミカル&マテリアル株式会社 | Material for organic electroluminescent element and organic electroluminescent element |
| WO2022131123A1 (en) | 2020-12-18 | 2022-06-23 | 日鉄ケミカル&マテリアル株式会社 | Organic electroluminescent element and method for manufacturing same |
| CN114656467B (en) * | 2020-12-22 | 2024-06-25 | 广州华睿光电材料有限公司 | Organic compounds, mixtures, compositions and organic electronic devices |
| US20240341179A1 (en) | 2021-01-08 | 2024-10-10 | Nippon Steel Chemical & Material Co., Ltd. | Organic electroluminescent element and method for manufacturing same |
| CN113683628B (en) * | 2021-02-09 | 2022-06-24 | 陕西莱特光电材料股份有限公司 | Organic electroluminescent material, electronic element, and electronic device |
| WO2022255242A1 (en) | 2021-05-31 | 2022-12-08 | 日鉄ケミカル&マテリアル株式会社 | Deuteride and organic electroluminescent element |
| JPWO2022255241A1 (en) | 2021-05-31 | 2022-12-08 | ||
| US20240237522A1 (en) | 2021-05-31 | 2024-07-11 | Nippon Steel Chemical & Material Co., Ltd. | Deuteride and organic electroluminescent element |
| CN113956273A (en) * | 2021-11-09 | 2022-01-21 | 南京艾姆材料科技有限公司 | Carbazole dimer and synthesis method and application thereof |
| CN118614162A (en) | 2022-02-25 | 2024-09-06 | 日铁化学材料株式会社 | Material for organic electroluminescent device, and organic electroluminescent device |
| JPWO2024019072A1 (en) | 2022-07-22 | 2024-01-25 |
Citations (122)
| Publication number | Priority date | Publication date | Assignee | Title |
|---|---|---|---|---|
| US4769292A (en) | 1987-03-02 | 1988-09-06 | Eastman Kodak Company | Electroluminescent device with modified thin film luminescent zone |
| US5061569A (en) | 1990-07-26 | 1991-10-29 | Eastman Kodak Company | Electroluminescent device with organic electroluminescent medium |
| US5247190A (en) | 1989-04-20 | 1993-09-21 | Cambridge Research And Innovation Limited | Electroluminescent devices |
| EP0650955A1 (en) | 1993-11-01 | 1995-05-03 | Hodogaya Chemical Co., Ltd. | Amine compound and electro-luminescence device comprising same |
| US5703436A (en) | 1994-12-13 | 1997-12-30 | The Trustees Of Princeton University | Transparent contacts for organic devices |
| US5707745A (en) | 1994-12-13 | 1998-01-13 | The Trustees Of Princeton University | Multicolor organic light emitting devices |
| US5834893A (en) | 1996-12-23 | 1998-11-10 | The Trustees Of Princeton University | High efficiency organic light emitting devices with light directing structures |
| US5844363A (en) | 1997-01-23 | 1998-12-01 | The Trustees Of Princeton Univ. | Vacuum deposited, non-polymeric flexible organic light emitting devices |
| US6013982A (en) | 1996-12-23 | 2000-01-11 | The Trustees Of Princeton University | Multicolor display devices |
| US6087196A (en) | 1998-01-30 | 2000-07-11 | The Trustees Of Princeton University | Fabrication of organic semiconductor devices using ink jet printing |
| US6091195A (en) | 1997-02-03 | 2000-07-18 | The Trustees Of Princeton University | Displays having mesa pixel configuration |
| US6097147A (en) | 1998-09-14 | 2000-08-01 | The Trustees Of Princeton University | Structure for high efficiency electroluminescent device |
| WO2001039234A2 (en) | 1999-11-24 | 2001-05-31 | The Trustees Of Princeton University | Organic light emitting diode having a blue phosphorescent molecule as an emitter |
| US6294398B1 (en) | 1999-11-23 | 2001-09-25 | The Trustees Of Princeton University | Method for patterning devices |
| US6303238B1 (en) | 1997-12-01 | 2001-10-16 | The Trustees Of Princeton University | OLEDs doped with phosphorescent compounds |
| US6337102B1 (en) | 1997-11-17 | 2002-01-08 | The Trustees Of Princeton University | Low pressure vapor phase deposition of organic thin films |
| WO2002002714A2 (en) | 2000-06-30 | 2002-01-10 | E.I. Du Pont De Nemours And Company | Electroluminescent iridium compounds with fluorinated phenylpyridines, phenylpyrimidines, and phenylquinolines and devices made with such compounds |
| WO2002015645A1 (en) | 2000-08-11 | 2002-02-21 | The Trustees Of Princeton University | Organometallic compounds and emission-shifting organic electrophosphorescence |
| US20020034656A1 (en) | 1998-09-14 | 2002-03-21 | Thompson Mark E. | Organometallic complexes as phosphorescent emitters in organic LEDs |
| US20020134984A1 (en) | 2001-02-01 | 2002-09-26 | Fuji Photo Film Co., Ltd. | Transition metal complex and light-emitting device |
| US20020158242A1 (en) | 1999-12-31 | 2002-10-31 | Se-Hwan Son | Electronic device comprising organic compound having p-type semiconducting characteristics |
| US6528187B1 (en) | 1998-09-08 | 2003-03-04 | Fuji Photo Film Co., Ltd. | Material for luminescence element and luminescence element using the same |
| WO2003040257A1 (en) | 2001-11-07 | 2003-05-15 | E. I. Du Pont De Nemours And Company | Electroluminescent platinum compounds and devices made with such compounds |
| US20030138657A1 (en) | 2000-12-07 | 2003-07-24 | Canon Kabushiki Kaisha | Deuterated semi-conducting organic compounds used for opto-electronic devices |
| WO2003060956A2 (en) | 2002-01-18 | 2003-07-24 | Lg Chem, Ltd. | New material for transporting electrons and organic electroluminescent display using the same |
| US20030151042A1 (en) | 2002-02-08 | 2003-08-14 | Hueschen Mark R. | Polarization field enhanced tunnel structures |
| US20030152802A1 (en) | 2001-06-19 | 2003-08-14 | Akira Tsuboyama | Metal coordination compound and organic liminescence device |
| US20030175553A1 (en) | 2001-12-28 | 2003-09-18 | Thompson Mark E. | White light emitting oleds from combined monomer and aggregate emission |
| US20030230980A1 (en) | 2002-06-18 | 2003-12-18 | Forrest Stephen R | Very low voltage, high efficiency phosphorescent oled in a p-i-n structure |
| US6687266B1 (en) | 2002-11-08 | 2004-02-03 | Universal Display Corporation | Organic light emitting materials and devices |
| US20040036077A1 (en) | 2002-08-22 | 2004-02-26 | Fuji Photo Film Co., Ltd. | Light emitting element |
| US20040137267A1 (en) | 2002-12-27 | 2004-07-15 | Fuji Photo Film Co., Ltd. | Organic electroluminescent device |
| US20040137268A1 (en) | 2002-12-27 | 2004-07-15 | Fuji Photo Film Co., Ltd. | Organic electroluminescent device |
| US20040174116A1 (en) | 2001-08-20 | 2004-09-09 | Lu Min-Hao Michael | Transparent electrodes |
| WO2004093207A2 (en) | 2003-04-15 | 2004-10-28 | Covion Organic Semiconductors Gmbh | Mixtures of matrix materials and organic semiconductors capable of emission, use of the same and electronic components containing said mixtures |
| WO2004107822A1 (en) | 2003-05-29 | 2004-12-09 | Nippon Steel Chemical Co., Ltd. | Organic electroluminescent element |
| US6835469B2 (en) | 2001-10-17 | 2004-12-28 | The University Of Southern California | Phosphorescent compounds and devices comprising the same |
| JP2005011610A (en) | 2003-06-18 | 2005-01-13 | Nippon Steel Chem Co Ltd | Organic electroluminescence device |
| US20050025993A1 (en) | 2003-07-25 | 2005-02-03 | Thompson Mark E. | Materials and structures for enhancing the performance of organic light emitting devices |
| WO2005014551A1 (en) | 2003-08-07 | 2005-02-17 | Nippon Steel Chemical Co., Ltd. | Aluminum chelate compelx for organic el material |
| WO2005019373A2 (en) | 2003-08-19 | 2005-03-03 | Basf Aktiengesellschaft | Transition metal complexes comprising carbene ligands serving as emitters for organic light-emitting diodes (oled's) |
| WO2005030900A1 (en) | 2003-09-25 | 2005-04-07 | Nippon Steel Chemical Co., Ltd. | Organic electroluminescent device |
| US20050112407A1 (en) | 2003-11-21 | 2005-05-26 | Fuji Photo Film Co., Ltd. | Organic electroluminescent device |
| US6921915B2 (en) | 2001-03-08 | 2005-07-26 | Canon Kabushiki Kaisha | Metal coordination compound, luminescence device and display apparatus |
| WO2005089025A1 (en) | 2004-03-15 | 2005-09-22 | Nippon Steel Chemical Co., Ltd. | Organic electroluminescent device |
| US20050238919A1 (en) | 2004-04-23 | 2005-10-27 | Fuji Photo Film Co., Ltd. | Organic electroluminescent device |
| US20050244673A1 (en) | 2002-08-27 | 2005-11-03 | Fujitsu Limited | Organometallic complex, organic EL element and organic EL display |
| US20050260441A1 (en) | 2004-05-18 | 2005-11-24 | Thompson Mark E | Luminescent compounds with carbene ligands |
| US20050260449A1 (en) | 2004-05-18 | 2005-11-24 | Robert Walters | Complexes with tridentate ligands |
| WO2005123873A1 (en) | 2004-06-17 | 2005-12-29 | Konica Minolta Holdings, Inc. | Organic electroluminescent device material, organic electroluminescent device, display and illuminating device |
| US20060008670A1 (en) | 2004-07-06 | 2006-01-12 | Chun Lin | Organic light emitting materials and devices |
| WO2006009024A1 (en) | 2004-07-23 | 2006-01-26 | Konica Minolta Holdings, Inc. | Organic electroluminescent device, display and illuminating device |
| WO2006056418A2 (en) | 2004-11-25 | 2006-06-01 | Basf Aktiengesellschaft | Use of transition metal carbene complexes in organic light-emitting diodes (oleds) |
| WO2006072002A2 (en) | 2004-12-30 | 2006-07-06 | E.I. Dupont De Nemours And Company | Organometallic complexes |
| US7087321B2 (en) | 2003-04-22 | 2006-08-08 | Universal Display Corporation | Organic light emitting devices having reduced pixel shrinkage |
| WO2006082742A1 (en) | 2005-02-04 | 2006-08-10 | Konica Minolta Holdings, Inc. | Organic electroluminescent device material, organic electroluminescent device, display and illuminating device |
| US7090928B2 (en) | 2003-04-01 | 2006-08-15 | The University Of Southern California | Binuclear compounds |
| US20060202194A1 (en) | 2005-03-08 | 2006-09-14 | Jeong Hyun C | Red phosphorescene compounds and organic electroluminescence device using the same |
| WO2006098120A1 (en) | 2005-03-16 | 2006-09-21 | Konica Minolta Holdings, Inc. | Organic electroluminescent device material and organic electroluminescent device |
| WO2006100298A1 (en) | 2005-03-24 | 2006-09-28 | Basf Aktiengesellschaft | Use of compounds containing aromatic or heteroaromatic rings linked via carbonyl group-containing groups, for use as matrix materials in organic light-emitting diodes |
| WO2006103874A1 (en) | 2005-03-29 | 2006-10-05 | Konica Minolta Holdings, Inc. | Organic electroluminescent device material, organic electroluminescent device, display and illuminating device |
| US20060240279A1 (en) | 2005-04-21 | 2006-10-26 | Vadim Adamovich | Non-blocked phosphorescent OLEDs |
| WO2006114966A1 (en) | 2005-04-18 | 2006-11-02 | Konica Minolta Holdings, Inc. | Organic electroluminescent device, display and illuminating device |
| US20060251923A1 (en) | 2005-05-06 | 2006-11-09 | Chun Lin | Stability OLED materials and devices |
| EP1725079A1 (en) | 2004-03-11 | 2006-11-22 | Mitsubishi Chemical Corporation | Composition for charge-transporting film and ion compound, charge-transporting film and organic electroluminescent device using same, and method for manufacturing organic electroluminescent device and method for producing charge-transporting film |
| US20060263635A1 (en) | 2005-05-06 | 2006-11-23 | Fuji Photo Film Co., Ltd. | Organic electroluminescent device |
| US20060280965A1 (en) | 2005-05-31 | 2006-12-14 | Raymond Kwong | Triphenylene hosts in phosphorescent light emitting diodes |
| WO2006132173A1 (en) | 2005-06-07 | 2006-12-14 | Nippon Steel Chemical Co., Ltd. | Organic metal complex and organic electroluminescent device using same |
| US7154114B2 (en) | 2004-05-18 | 2006-12-26 | Universal Display Corporation | Cyclometallated iridium carbene complexes for use as hosts |
| WO2007002683A2 (en) | 2005-06-27 | 2007-01-04 | E. I. Du Pont De Nemours And Company | Electrically conductive polymer compositions |
| WO2007004380A1 (en) | 2005-07-01 | 2007-01-11 | Konica Minolta Holdings, Inc. | Organic electroluminescent element material, organic electroluminescent element, display device, and lighting equipment |
| JP2007123392A (en) | 2005-10-26 | 2007-05-17 | Konica Minolta Holdings Inc | Organic electroluminescence element, display device and lighting device |
| WO2007063754A1 (en) | 2005-12-01 | 2007-06-07 | Nippon Steel Chemical Co., Ltd. | Compound for organic electroluminescent element and organic electroluminescent element |
| WO2007063796A1 (en) | 2005-12-01 | 2007-06-07 | Nippon Steel Chemical Co., Ltd. | Organic electroluminescent device |
| US7250226B2 (en) | 2001-08-31 | 2007-07-31 | Nippon Hoso Kyokai | Phosphorescent compound, a phosphorescent composition and an organic light-emitting device |
| US20070190359A1 (en) | 2006-02-10 | 2007-08-16 | Knowles David B | Metal complexes of cyclometallated imidazo[1,2-ƒ]phenanthridine and diimidazo[1,2-a:1',2'-c]quinazoline ligands and isoelectronic and benzannulated analogs thereof |
| JP2007254297A (en) | 2006-03-20 | 2007-10-04 | Nippon Steel Chem Co Ltd | Luminescent layer compound and organic electroluminescent device |
| US20070278938A1 (en) | 2006-04-26 | 2007-12-06 | Idemitsu Kosan Co., Ltd. | Aromatic amine derivative and electroluminescence device using the same |
| US20080015355A1 (en) | 2004-06-28 | 2008-01-17 | Thomas Schafer | Electroluminescent Metal Complexes With Triazoles And Benzotriazoles |
| US7332232B2 (en) | 2004-02-03 | 2008-02-19 | Universal Display Corporation | OLEDs utilizing multidentate ligand systems |
| US7338722B2 (en) | 2003-03-24 | 2008-03-04 | The University Of Southern California | Phenyl and fluorenyl substituted phenyl-pyrazole complexes of Ir |
| JP2008074939A (en) | 2006-09-21 | 2008-04-03 | Konica Minolta Holdings Inc | ORGANIC ELECTROLUMINESCENT ELEMENT MATERIAL, ORGANIC ELECTROLUMINESCENT ELEMENT, DISPLAY DEVICE AND LIGHTING DEVICE |
| US20080106190A1 (en) | 2006-08-23 | 2008-05-08 | Idemitsu Kosan Co., Ltd. | Aromatic amine derivatives and organic electroluminescent device using same |
| WO2008056746A1 (en) | 2006-11-09 | 2008-05-15 | Nippon Steel Chemical Co., Ltd. | Compound for organic electroluminescent device and organic electroluminescent device |
| US20080124572A1 (en) | 2006-11-24 | 2008-05-29 | Idemitsu Kosan Co., Ltd. | Aromatic amine derivative and organic electroluminescence device using the same |
| US7393599B2 (en) | 2004-05-18 | 2008-07-01 | The University Of Southern California | Luminescent compounds with carbene ligands |
| US7396598B2 (en) | 2001-06-20 | 2008-07-08 | Showa Denko K.K. | Light emitting material and organic light-emitting device |
| WO2008101842A1 (en) | 2007-02-23 | 2008-08-28 | Basf Se | Electroluminescent metal complexes with benzotriazoles |
| US20080220265A1 (en) | 2006-12-08 | 2008-09-11 | Universal Display Corporation | Cross-linkable Iridium Complexes and Organic Light-Emitting Devices Using the Same |
| US7431968B1 (en) | 2001-09-04 | 2008-10-07 | The Trustees Of Princeton University | Process and apparatus for organic vapor jet deposition |
| US7445855B2 (en) | 2004-05-18 | 2008-11-04 | The University Of Southern California | Cationic metal-carbene complexes |
| WO2008132085A1 (en) | 2007-04-26 | 2008-11-06 | Basf Se | Silanes containing phenothiazine-s-oxide or phenothiazine-s,s-dioxide groups and the use thereof in oleds |
| US20080297033A1 (en) | 2006-02-10 | 2008-12-04 | Knowles David B | Blue phosphorescent imidazophenanthridine materials |
| WO2009000673A2 (en) | 2007-06-22 | 2008-12-31 | Basf Se | Light emitting cu(i) complexes |
| US20090008605A1 (en) | 2007-07-07 | 2009-01-08 | Idemitsu Kosan Co., Ltd. | Naphthalene derivative, material for organic electroluminescence device, and organic electroluminescence device using the same |
| WO2009003898A1 (en) | 2007-07-05 | 2009-01-08 | Basf Se | Organic light-emitting diodes containing carbene transition metal complex emitters and at least one compound selected from disilylcarbazoles, disilyldibenzofurans, disilyldibenzothiophenes, disilyldibenzophospholes, disilyldibenzothiophene s-oxides and disilyldibenzothiophene s,s-dioxides |
| US20090009065A1 (en) | 2007-07-07 | 2009-01-08 | Idemitsu Kosan Co., Ltd. | Organic electroluminescence device and material for organic electroluminescence device |
| US20090017330A1 (en) | 2007-07-10 | 2009-01-15 | Idemitsu Kosan Co., Ltd. | Material for organic electroluminescence device and organic electroluminescence device utilizing the same |
| WO2009008311A1 (en) | 2007-07-07 | 2009-01-15 | Idemitsu Kosan Co., Ltd. | Chrysene derivative and organic electroluminescent device using the same |
| US20090030202A1 (en) | 2007-07-10 | 2009-01-29 | Idemitsu Kosan Co., Ltd. | Material for organic electroluminescent element and organic electroluminescent element employing the same |
| WO2009018009A1 (en) | 2007-07-27 | 2009-02-05 | E. I. Du Pont De Nemours And Company | Aqueous dispersions of electrically conducting polymers containing inorganic nanoparticles |
| US20090039776A1 (en) | 2007-08-09 | 2009-02-12 | Canon Kabushiki Kaisha | Organometallic complex and organic light-emitting element using same |
| WO2009021126A2 (en) | 2007-08-08 | 2009-02-12 | Universal Display Corporation | Benzo-fused thiophene or benzo-fused furan compounds comprising a triphenylene group |
| US20090045731A1 (en) | 2007-07-07 | 2009-02-19 | Idemitsu Kosan Co., Ltd. | Organic electroluminescence device and material for organic electroluminescence device |
| US20090045730A1 (en) | 2007-07-07 | 2009-02-19 | Idemitsu Kosan Co., Ltd. | Organic electroluminescence device and material for organic electroluminescence device |
| EP2034538A1 (en) | 2006-06-02 | 2009-03-11 | Idemitsu Kosan Co., Ltd. | Material for organic electroluminescence element, and organic electroluminescence element using the material |
| US20090101870A1 (en) | 2007-10-22 | 2009-04-23 | E. I. Du Pont De Nemours And Company | Electron transport bi-layers and devices made with such bi-layers |
| WO2009050290A1 (en) | 2007-10-17 | 2009-04-23 | Basf Se | Transition metal complexes having bridged carbene ligands and the use thereof in oleds |
| US20090108737A1 (en) | 2006-12-08 | 2009-04-30 | Raymond Kwong | Light-emitting organometallic complexes |
| US20090115316A1 (en) | 2007-11-02 | 2009-05-07 | Shiying Zheng | Organic electroluminescent device having an azatriphenylene derivative |
| US7534505B2 (en) | 2004-05-18 | 2009-05-19 | The University Of Southern California | Organometallic compounds for use in electroluminescent devices |
| WO2009063833A1 (en) | 2007-11-15 | 2009-05-22 | Idemitsu Kosan Co., Ltd. | Benzochrysene derivative and organic electroluminescent device using the same |
| WO2009062578A1 (en) | 2007-11-12 | 2009-05-22 | Merck Patent Gmbh | Organic electroluminescent devices comprising azomethine-metal complexes |
| WO2009066779A1 (en) | 2007-11-22 | 2009-05-28 | Idemitsu Kosan Co., Ltd. | Organic el element |
| WO2009066778A1 (en) | 2007-11-22 | 2009-05-28 | Idemitsu Kosan Co., Ltd. | Organic el element and solution containing organic el material |
| US20090167162A1 (en) | 2007-12-28 | 2009-07-02 | Universal Display Corporation | Dibenzothiophene-containing materials in phosphorescent light emitting diodes |
| US20090165846A1 (en) | 2005-09-07 | 2009-07-02 | Universitaet Braunschweig | Triplet emitter having condensed five-membered rings |
| WO2009086028A2 (en) | 2007-12-28 | 2009-07-09 | Universal Display Corporation | Carbazole-containing materials in phosphorescent light emitting diodes |
| US20090179554A1 (en) | 2006-05-11 | 2009-07-16 | Hitoshi Kuma | Organic electroluminescent device |
| WO2009100991A1 (en) | 2008-02-12 | 2009-08-20 | Basf Se | Electroluminescent metal complexes with dibenzo[f,h]quinoxalines |
| US20100072887A1 (en) | 2008-09-25 | 2010-03-25 | Raymond Kwong | Organoselenium materials and their uses in organic light emitting devices |
| US20110062862A1 (en) | 2008-05-08 | 2011-03-17 | Toshihiro Yamamoto | Organic electroluminescent device |
Family Cites Families (4)
| Publication number | Priority date | Publication date | Assignee | Title |
|---|---|---|---|---|
| US5981092A (en) | 1996-03-25 | 1999-11-09 | Tdk Corporation | Organic El device |
| TW593622B (en) | 2000-05-19 | 2004-06-21 | Eastman Kodak Co | Method of using predoped materials for making an organic light-emitting device |
| EP3424918A1 (en) * | 2007-08-08 | 2019-01-09 | Universal Display Corporation | Single triphenylene chromophores in phosphorescent light emitting diodes |
| US8440326B2 (en) * | 2008-06-30 | 2013-05-14 | Universal Display Corporation | Hole transport materials containing triphenylene |
-
2010
- 2010-04-28 US US13/640,000 patent/US9040962B2/en active Active
- 2010-04-28 KR KR1020127031038A patent/KR101637061B1/en active Active
- 2010-04-28 JP JP2013507924A patent/JP5646733B2/en active Active
- 2010-04-28 CN CN201080067227.8A patent/CN103026521B/en active Active
- 2010-04-28 EP EP10727175.1A patent/EP2564438B1/en active Active
- 2010-04-28 WO PCT/US2010/001249 patent/WO2011136755A1/en not_active Ceased
-
2011
- 2011-04-28 TW TW100115038A patent/TWI525087B/en active
Patent Citations (125)
| Publication number | Priority date | Publication date | Assignee | Title |
|---|---|---|---|---|
| US4769292A (en) | 1987-03-02 | 1988-09-06 | Eastman Kodak Company | Electroluminescent device with modified thin film luminescent zone |
| US5247190A (en) | 1989-04-20 | 1993-09-21 | Cambridge Research And Innovation Limited | Electroluminescent devices |
| US5061569A (en) | 1990-07-26 | 1991-10-29 | Eastman Kodak Company | Electroluminescent device with organic electroluminescent medium |
| EP0650955A1 (en) | 1993-11-01 | 1995-05-03 | Hodogaya Chemical Co., Ltd. | Amine compound and electro-luminescence device comprising same |
| US5703436A (en) | 1994-12-13 | 1997-12-30 | The Trustees Of Princeton University | Transparent contacts for organic devices |
| US5707745A (en) | 1994-12-13 | 1998-01-13 | The Trustees Of Princeton University | Multicolor organic light emitting devices |
| US5834893A (en) | 1996-12-23 | 1998-11-10 | The Trustees Of Princeton University | High efficiency organic light emitting devices with light directing structures |
| US6013982A (en) | 1996-12-23 | 2000-01-11 | The Trustees Of Princeton University | Multicolor display devices |
| US5844363A (en) | 1997-01-23 | 1998-12-01 | The Trustees Of Princeton Univ. | Vacuum deposited, non-polymeric flexible organic light emitting devices |
| US6091195A (en) | 1997-02-03 | 2000-07-18 | The Trustees Of Princeton University | Displays having mesa pixel configuration |
| US6337102B1 (en) | 1997-11-17 | 2002-01-08 | The Trustees Of Princeton University | Low pressure vapor phase deposition of organic thin films |
| US6303238B1 (en) | 1997-12-01 | 2001-10-16 | The Trustees Of Princeton University | OLEDs doped with phosphorescent compounds |
| US6087196A (en) | 1998-01-30 | 2000-07-11 | The Trustees Of Princeton University | Fabrication of organic semiconductor devices using ink jet printing |
| US6528187B1 (en) | 1998-09-08 | 2003-03-04 | Fuji Photo Film Co., Ltd. | Material for luminescence element and luminescence element using the same |
| US6097147A (en) | 1998-09-14 | 2000-08-01 | The Trustees Of Princeton University | Structure for high efficiency electroluminescent device |
| US20020034656A1 (en) | 1998-09-14 | 2002-03-21 | Thompson Mark E. | Organometallic complexes as phosphorescent emitters in organic LEDs |
| US6468819B1 (en) | 1999-11-23 | 2002-10-22 | The Trustees Of Princeton University | Method for patterning organic thin film devices using a die |
| US6294398B1 (en) | 1999-11-23 | 2001-09-25 | The Trustees Of Princeton University | Method for patterning devices |
| WO2001039234A2 (en) | 1999-11-24 | 2001-05-31 | The Trustees Of Princeton University | Organic light emitting diode having a blue phosphorescent molecule as an emitter |
| US20020158242A1 (en) | 1999-12-31 | 2002-10-31 | Se-Hwan Son | Electronic device comprising organic compound having p-type semiconducting characteristics |
| WO2002002714A2 (en) | 2000-06-30 | 2002-01-10 | E.I. Du Pont De Nemours And Company | Electroluminescent iridium compounds with fluorinated phenylpyridines, phenylpyrimidines, and phenylquinolines and devices made with such compounds |
| WO2002015645A1 (en) | 2000-08-11 | 2002-02-21 | The Trustees Of Princeton University | Organometallic compounds and emission-shifting organic electrophosphorescence |
| US20030138657A1 (en) | 2000-12-07 | 2003-07-24 | Canon Kabushiki Kaisha | Deuterated semi-conducting organic compounds used for opto-electronic devices |
| US20020134984A1 (en) | 2001-02-01 | 2002-09-26 | Fuji Photo Film Co., Ltd. | Transition metal complex and light-emitting device |
| US6921915B2 (en) | 2001-03-08 | 2005-07-26 | Canon Kabushiki Kaisha | Metal coordination compound, luminescence device and display apparatus |
| US20030152802A1 (en) | 2001-06-19 | 2003-08-14 | Akira Tsuboyama | Metal coordination compound and organic liminescence device |
| US7396598B2 (en) | 2001-06-20 | 2008-07-08 | Showa Denko K.K. | Light emitting material and organic light-emitting device |
| US20040174116A1 (en) | 2001-08-20 | 2004-09-09 | Lu Min-Hao Michael | Transparent electrodes |
| US7250226B2 (en) | 2001-08-31 | 2007-07-31 | Nippon Hoso Kyokai | Phosphorescent compound, a phosphorescent composition and an organic light-emitting device |
| US7431968B1 (en) | 2001-09-04 | 2008-10-07 | The Trustees Of Princeton University | Process and apparatus for organic vapor jet deposition |
| US6835469B2 (en) | 2001-10-17 | 2004-12-28 | The University Of Southern California | Phosphorescent compounds and devices comprising the same |
| WO2003040257A1 (en) | 2001-11-07 | 2003-05-15 | E. I. Du Pont De Nemours And Company | Electroluminescent platinum compounds and devices made with such compounds |
| US20030175553A1 (en) | 2001-12-28 | 2003-09-18 | Thompson Mark E. | White light emitting oleds from combined monomer and aggregate emission |
| WO2003060956A2 (en) | 2002-01-18 | 2003-07-24 | Lg Chem, Ltd. | New material for transporting electrons and organic electroluminescent display using the same |
| US20030151042A1 (en) | 2002-02-08 | 2003-08-14 | Hueschen Mark R. | Polarization field enhanced tunnel structures |
| US20030230980A1 (en) | 2002-06-18 | 2003-12-18 | Forrest Stephen R | Very low voltage, high efficiency phosphorescent oled in a p-i-n structure |
| US20040036077A1 (en) | 2002-08-22 | 2004-02-26 | Fuji Photo Film Co., Ltd. | Light emitting element |
| US20050244673A1 (en) | 2002-08-27 | 2005-11-03 | Fujitsu Limited | Organometallic complex, organic EL element and organic EL display |
| US6687266B1 (en) | 2002-11-08 | 2004-02-03 | Universal Display Corporation | Organic light emitting materials and devices |
| US20040137267A1 (en) | 2002-12-27 | 2004-07-15 | Fuji Photo Film Co., Ltd. | Organic electroluminescent device |
| US20040137268A1 (en) | 2002-12-27 | 2004-07-15 | Fuji Photo Film Co., Ltd. | Organic electroluminescent device |
| US7338722B2 (en) | 2003-03-24 | 2008-03-04 | The University Of Southern California | Phenyl and fluorenyl substituted phenyl-pyrazole complexes of Ir |
| US7090928B2 (en) | 2003-04-01 | 2006-08-15 | The University Of Southern California | Binuclear compounds |
| WO2004093207A2 (en) | 2003-04-15 | 2004-10-28 | Covion Organic Semiconductors Gmbh | Mixtures of matrix materials and organic semiconductors capable of emission, use of the same and electronic components containing said mixtures |
| US7087321B2 (en) | 2003-04-22 | 2006-08-08 | Universal Display Corporation | Organic light emitting devices having reduced pixel shrinkage |
| WO2004107822A1 (en) | 2003-05-29 | 2004-12-09 | Nippon Steel Chemical Co., Ltd. | Organic electroluminescent element |
| JP2005011610A (en) | 2003-06-18 | 2005-01-13 | Nippon Steel Chem Co Ltd | Organic electroluminescence device |
| US20050025993A1 (en) | 2003-07-25 | 2005-02-03 | Thompson Mark E. | Materials and structures for enhancing the performance of organic light emitting devices |
| WO2005014551A1 (en) | 2003-08-07 | 2005-02-17 | Nippon Steel Chemical Co., Ltd. | Aluminum chelate compelx for organic el material |
| WO2005019373A2 (en) | 2003-08-19 | 2005-03-03 | Basf Aktiengesellschaft | Transition metal complexes comprising carbene ligands serving as emitters for organic light-emitting diodes (oled's) |
| WO2005030900A1 (en) | 2003-09-25 | 2005-04-07 | Nippon Steel Chemical Co., Ltd. | Organic electroluminescent device |
| US20050112407A1 (en) | 2003-11-21 | 2005-05-26 | Fuji Photo Film Co., Ltd. | Organic electroluminescent device |
| US7332232B2 (en) | 2004-02-03 | 2008-02-19 | Universal Display Corporation | OLEDs utilizing multidentate ligand systems |
| EP1725079A1 (en) | 2004-03-11 | 2006-11-22 | Mitsubishi Chemical Corporation | Composition for charge-transporting film and ion compound, charge-transporting film and organic electroluminescent device using same, and method for manufacturing organic electroluminescent device and method for producing charge-transporting film |
| WO2005089025A1 (en) | 2004-03-15 | 2005-09-22 | Nippon Steel Chemical Co., Ltd. | Organic electroluminescent device |
| US20050238919A1 (en) | 2004-04-23 | 2005-10-27 | Fuji Photo Film Co., Ltd. | Organic electroluminescent device |
| US7445855B2 (en) | 2004-05-18 | 2008-11-04 | The University Of Southern California | Cationic metal-carbene complexes |
| US7154114B2 (en) | 2004-05-18 | 2006-12-26 | Universal Display Corporation | Cyclometallated iridium carbene complexes for use as hosts |
| US7393599B2 (en) | 2004-05-18 | 2008-07-01 | The University Of Southern California | Luminescent compounds with carbene ligands |
| US20050260449A1 (en) | 2004-05-18 | 2005-11-24 | Robert Walters | Complexes with tridentate ligands |
| US20050260441A1 (en) | 2004-05-18 | 2005-11-24 | Thompson Mark E | Luminescent compounds with carbene ligands |
| US7279704B2 (en) | 2004-05-18 | 2007-10-09 | The University Of Southern California | Complexes with tridentate ligands |
| US7534505B2 (en) | 2004-05-18 | 2009-05-19 | The University Of Southern California | Organometallic compounds for use in electroluminescent devices |
| WO2005123873A1 (en) | 2004-06-17 | 2005-12-29 | Konica Minolta Holdings, Inc. | Organic electroluminescent device material, organic electroluminescent device, display and illuminating device |
| US20080015355A1 (en) | 2004-06-28 | 2008-01-17 | Thomas Schafer | Electroluminescent Metal Complexes With Triazoles And Benzotriazoles |
| US20060008670A1 (en) | 2004-07-06 | 2006-01-12 | Chun Lin | Organic light emitting materials and devices |
| WO2006009024A1 (en) | 2004-07-23 | 2006-01-26 | Konica Minolta Holdings, Inc. | Organic electroluminescent device, display and illuminating device |
| US20080018221A1 (en) | 2004-11-25 | 2008-01-24 | Basf Aktiengesellschaft | Use Of Transition Metal Carbene Complexes In Organic Light-Emitting Diodes (Oleds) |
| WO2006056418A2 (en) | 2004-11-25 | 2006-06-01 | Basf Aktiengesellschaft | Use of transition metal carbene complexes in organic light-emitting diodes (oleds) |
| WO2006072002A2 (en) | 2004-12-30 | 2006-07-06 | E.I. Dupont De Nemours And Company | Organometallic complexes |
| WO2006082742A1 (en) | 2005-02-04 | 2006-08-10 | Konica Minolta Holdings, Inc. | Organic electroluminescent device material, organic electroluminescent device, display and illuminating device |
| US20060202194A1 (en) | 2005-03-08 | 2006-09-14 | Jeong Hyun C | Red phosphorescene compounds and organic electroluminescence device using the same |
| WO2006098120A1 (en) | 2005-03-16 | 2006-09-21 | Konica Minolta Holdings, Inc. | Organic electroluminescent device material and organic electroluminescent device |
| WO2006100298A1 (en) | 2005-03-24 | 2006-09-28 | Basf Aktiengesellschaft | Use of compounds containing aromatic or heteroaromatic rings linked via carbonyl group-containing groups, for use as matrix materials in organic light-emitting diodes |
| WO2006103874A1 (en) | 2005-03-29 | 2006-10-05 | Konica Minolta Holdings, Inc. | Organic electroluminescent device material, organic electroluminescent device, display and illuminating device |
| WO2006114966A1 (en) | 2005-04-18 | 2006-11-02 | Konica Minolta Holdings, Inc. | Organic electroluminescent device, display and illuminating device |
| US20060240279A1 (en) | 2005-04-21 | 2006-10-26 | Vadim Adamovich | Non-blocked phosphorescent OLEDs |
| US20060263635A1 (en) | 2005-05-06 | 2006-11-23 | Fuji Photo Film Co., Ltd. | Organic electroluminescent device |
| US20060251923A1 (en) | 2005-05-06 | 2006-11-09 | Chun Lin | Stability OLED materials and devices |
| US20060280965A1 (en) | 2005-05-31 | 2006-12-14 | Raymond Kwong | Triphenylene hosts in phosphorescent light emitting diodes |
| WO2006132173A1 (en) | 2005-06-07 | 2006-12-14 | Nippon Steel Chemical Co., Ltd. | Organic metal complex and organic electroluminescent device using same |
| WO2007002683A2 (en) | 2005-06-27 | 2007-01-04 | E. I. Du Pont De Nemours And Company | Electrically conductive polymer compositions |
| WO2007004380A1 (en) | 2005-07-01 | 2007-01-11 | Konica Minolta Holdings, Inc. | Organic electroluminescent element material, organic electroluminescent element, display device, and lighting equipment |
| US20090165846A1 (en) | 2005-09-07 | 2009-07-02 | Universitaet Braunschweig | Triplet emitter having condensed five-membered rings |
| JP2007123392A (en) | 2005-10-26 | 2007-05-17 | Konica Minolta Holdings Inc | Organic electroluminescence element, display device and lighting device |
| WO2007063796A1 (en) | 2005-12-01 | 2007-06-07 | Nippon Steel Chemical Co., Ltd. | Organic electroluminescent device |
| WO2007063754A1 (en) | 2005-12-01 | 2007-06-07 | Nippon Steel Chemical Co., Ltd. | Compound for organic electroluminescent element and organic electroluminescent element |
| US20080297033A1 (en) | 2006-02-10 | 2008-12-04 | Knowles David B | Blue phosphorescent imidazophenanthridine materials |
| US20070190359A1 (en) | 2006-02-10 | 2007-08-16 | Knowles David B | Metal complexes of cyclometallated imidazo[1,2-ƒ]phenanthridine and diimidazo[1,2-a:1',2'-c]quinazoline ligands and isoelectronic and benzannulated analogs thereof |
| JP2007254297A (en) | 2006-03-20 | 2007-10-04 | Nippon Steel Chem Co Ltd | Luminescent layer compound and organic electroluminescent device |
| US20070278938A1 (en) | 2006-04-26 | 2007-12-06 | Idemitsu Kosan Co., Ltd. | Aromatic amine derivative and electroluminescence device using the same |
| US20090179554A1 (en) | 2006-05-11 | 2009-07-16 | Hitoshi Kuma | Organic electroluminescent device |
| EP2034538A1 (en) | 2006-06-02 | 2009-03-11 | Idemitsu Kosan Co., Ltd. | Material for organic electroluminescence element, and organic electroluminescence element using the material |
| US20080106190A1 (en) | 2006-08-23 | 2008-05-08 | Idemitsu Kosan Co., Ltd. | Aromatic amine derivatives and organic electroluminescent device using same |
| JP2008074939A (en) | 2006-09-21 | 2008-04-03 | Konica Minolta Holdings Inc | ORGANIC ELECTROLUMINESCENT ELEMENT MATERIAL, ORGANIC ELECTROLUMINESCENT ELEMENT, DISPLAY DEVICE AND LIGHTING DEVICE |
| WO2008056746A1 (en) | 2006-11-09 | 2008-05-15 | Nippon Steel Chemical Co., Ltd. | Compound for organic electroluminescent device and organic electroluminescent device |
| US20080124572A1 (en) | 2006-11-24 | 2008-05-29 | Idemitsu Kosan Co., Ltd. | Aromatic amine derivative and organic electroluminescence device using the same |
| US20080220265A1 (en) | 2006-12-08 | 2008-09-11 | Universal Display Corporation | Cross-linkable Iridium Complexes and Organic Light-Emitting Devices Using the Same |
| US20090108737A1 (en) | 2006-12-08 | 2009-04-30 | Raymond Kwong | Light-emitting organometallic complexes |
| WO2008101842A1 (en) | 2007-02-23 | 2008-08-28 | Basf Se | Electroluminescent metal complexes with benzotriazoles |
| WO2008132085A1 (en) | 2007-04-26 | 2008-11-06 | Basf Se | Silanes containing phenothiazine-s-oxide or phenothiazine-s,s-dioxide groups and the use thereof in oleds |
| WO2009000673A2 (en) | 2007-06-22 | 2008-12-31 | Basf Se | Light emitting cu(i) complexes |
| WO2009003898A1 (en) | 2007-07-05 | 2009-01-08 | Basf Se | Organic light-emitting diodes containing carbene transition metal complex emitters and at least one compound selected from disilylcarbazoles, disilyldibenzofurans, disilyldibenzothiophenes, disilyldibenzophospholes, disilyldibenzothiophene s-oxides and disilyldibenzothiophene s,s-dioxides |
| US20090045730A1 (en) | 2007-07-07 | 2009-02-19 | Idemitsu Kosan Co., Ltd. | Organic electroluminescence device and material for organic electroluminescence device |
| US20090045731A1 (en) | 2007-07-07 | 2009-02-19 | Idemitsu Kosan Co., Ltd. | Organic electroluminescence device and material for organic electroluminescence device |
| US20090008605A1 (en) | 2007-07-07 | 2009-01-08 | Idemitsu Kosan Co., Ltd. | Naphthalene derivative, material for organic electroluminescence device, and organic electroluminescence device using the same |
| WO2009008311A1 (en) | 2007-07-07 | 2009-01-15 | Idemitsu Kosan Co., Ltd. | Chrysene derivative and organic electroluminescent device using the same |
| US20090009065A1 (en) | 2007-07-07 | 2009-01-08 | Idemitsu Kosan Co., Ltd. | Organic electroluminescence device and material for organic electroluminescence device |
| US20090030202A1 (en) | 2007-07-10 | 2009-01-29 | Idemitsu Kosan Co., Ltd. | Material for organic electroluminescent element and organic electroluminescent element employing the same |
| US20090017330A1 (en) | 2007-07-10 | 2009-01-15 | Idemitsu Kosan Co., Ltd. | Material for organic electroluminescence device and organic electroluminescence device utilizing the same |
| WO2009018009A1 (en) | 2007-07-27 | 2009-02-05 | E. I. Du Pont De Nemours And Company | Aqueous dispersions of electrically conducting polymers containing inorganic nanoparticles |
| WO2009021126A2 (en) | 2007-08-08 | 2009-02-12 | Universal Display Corporation | Benzo-fused thiophene or benzo-fused furan compounds comprising a triphenylene group |
| US20090039776A1 (en) | 2007-08-09 | 2009-02-12 | Canon Kabushiki Kaisha | Organometallic complex and organic light-emitting element using same |
| WO2009050290A1 (en) | 2007-10-17 | 2009-04-23 | Basf Se | Transition metal complexes having bridged carbene ligands and the use thereof in oleds |
| US20090101870A1 (en) | 2007-10-22 | 2009-04-23 | E. I. Du Pont De Nemours And Company | Electron transport bi-layers and devices made with such bi-layers |
| US20090115316A1 (en) | 2007-11-02 | 2009-05-07 | Shiying Zheng | Organic electroluminescent device having an azatriphenylene derivative |
| WO2009062578A1 (en) | 2007-11-12 | 2009-05-22 | Merck Patent Gmbh | Organic electroluminescent devices comprising azomethine-metal complexes |
| WO2009063833A1 (en) | 2007-11-15 | 2009-05-22 | Idemitsu Kosan Co., Ltd. | Benzochrysene derivative and organic electroluminescent device using the same |
| WO2009066779A1 (en) | 2007-11-22 | 2009-05-28 | Idemitsu Kosan Co., Ltd. | Organic el element |
| WO2009066778A1 (en) | 2007-11-22 | 2009-05-28 | Idemitsu Kosan Co., Ltd. | Organic el element and solution containing organic el material |
| US20090167162A1 (en) | 2007-12-28 | 2009-07-02 | Universal Display Corporation | Dibenzothiophene-containing materials in phosphorescent light emitting diodes |
| WO2009086028A2 (en) | 2007-12-28 | 2009-07-09 | Universal Display Corporation | Carbazole-containing materials in phosphorescent light emitting diodes |
| WO2009100991A1 (en) | 2008-02-12 | 2009-08-20 | Basf Se | Electroluminescent metal complexes with dibenzo[f,h]quinoxalines |
| US20110062862A1 (en) | 2008-05-08 | 2011-03-17 | Toshihiro Yamamoto | Organic electroluminescent device |
| US20100072887A1 (en) | 2008-09-25 | 2010-03-25 | Raymond Kwong | Organoselenium materials and their uses in organic light emitting devices |
Non-Patent Citations (51)
Cited By (29)
| Publication number | Priority date | Publication date | Assignee | Title |
|---|---|---|---|---|
| US10071993B2 (en) | 2010-09-21 | 2018-09-11 | Semiconductor Energy Laboratory Co., Ltd. | Carbazole derivative, light-emitting element material and organic semiconductor material |
| US20130306962A1 (en) * | 2011-02-11 | 2013-11-21 | Universal Display Corporation | Organic light emitting device and materials for use in same |
| US10693093B2 (en) | 2012-02-09 | 2020-06-23 | Semiconductor Energy Laboratory Co., Ltd. | Light-emitting element |
| US9478764B2 (en) | 2012-02-09 | 2016-10-25 | Semiconductor Energy Laboratory Co., Ltd. | Light-emitting element |
| US9673404B2 (en) | 2012-02-09 | 2017-06-06 | Semiconductor Energy Laboratory Co., Ltd. | Light-emitting element |
| US11997860B2 (en) | 2012-02-09 | 2024-05-28 | Semiconductor Energy Laboratory Co., Ltd. | Light-emitting element |
| US10326093B2 (en) | 2012-02-09 | 2019-06-18 | Semiconductor Energy Laboratory Co., Ltd. | Light-emitting element |
| US11495763B2 (en) | 2012-02-09 | 2022-11-08 | Semiconductor Energy Laboratory Co., Ltd. | Light-emitting element |
| US12150374B2 (en) | 2015-10-26 | 2024-11-19 | Oti Lumionics Inc. | Method for patterning a coating on a surface and device including a patterned coating |
| US9887244B2 (en) * | 2016-04-06 | 2018-02-06 | Samsung Display Co., Ltd. | Organic light-emitting device |
| US11056541B2 (en) | 2016-04-06 | 2021-07-06 | Samsung Display Co., Ltd. | Organic light-emitting device |
| US11818932B2 (en) | 2016-04-06 | 2023-11-14 | Samsung Display Co., Ltd. | Organic light-emitting device |
| US10573692B2 (en) | 2016-04-06 | 2020-02-25 | Samsung Display Co., Ltd. | Organic light-emitting device having a sealing thin film encapsulation portion |
| US12101954B2 (en) | 2016-12-02 | 2024-09-24 | Oti Lumionics Inc. | Device including a conductive coating disposed over emissive regions and method therefore |
| US12464940B2 (en) | 2017-05-17 | 2025-11-04 | Oti Lumionics Inc. | Method for selectively depositing a conductive coating over a patterning coating and device including a conductive coating |
| US10658594B2 (en) | 2017-12-06 | 2020-05-19 | Idemitsu Kosan Co., Ltd. | Organic electroluminescence device and novel compound |
| US10672989B2 (en) | 2017-12-06 | 2020-06-02 | Idemitsu Kosan Co., Ltd. | Organic electroluminescence device and novel compound |
| US12178064B2 (en) | 2018-02-02 | 2024-12-24 | Oti Lumionics Inc. | Materials for forming a nucleation-inhibiting coating and devices incorporating same |
| US11997864B2 (en) | 2018-05-07 | 2024-05-28 | Oti Lumionics Inc. | Device including patterning a conductive coating |
| US12167634B2 (en) | 2018-11-23 | 2024-12-10 | Oti Lumionics Inc. | Optoelectronic device including a light transmissive region |
| US12492313B2 (en) | 2019-03-07 | 2025-12-09 | Oti Lumionics Inc. | Materials for forming a nucleation-inhibiting coating and devices incorporating same |
| US12101987B2 (en) | 2019-04-18 | 2024-09-24 | Oti Lumionics Inc. | Materials for forming a nucleation-inhibiting coating and devices incorporating same |
| US12069938B2 (en) | 2019-05-08 | 2024-08-20 | Oti Lumionics Inc. | Materials for forming a nucleation-inhibiting coating and devices incorporating same |
| US12004383B2 (en) | 2019-06-26 | 2024-06-04 | Oti Lumionics Inc. | Optoelectronic device including light transmissive regions, with light diffraction characteristics |
| US12302691B2 (en) | 2019-08-09 | 2025-05-13 | Oti Lumionics Inc. | Opto-electronic device including an auxiliary electrode and a partition |
| US12492191B2 (en) * | 2019-10-18 | 2025-12-09 | Lg Chem, Ltd. | Organic light emitting device |
| US12389742B2 (en) | 2019-12-24 | 2025-08-12 | Oti Lumionics Inc. | Light emitting device including capping layers on respective emissive regions |
| EP4234556A4 (en) * | 2020-10-23 | 2024-12-18 | NIPPON STEEL Chemical & Material Co., Ltd. | MATERIAL FOR AN ORGANIC ELECTROLUMINESCENT ELEMENT AND ORGANIC ELECTROLUMINESCENT ELEMENT |
| US11985841B2 (en) | 2020-12-07 | 2024-05-14 | Oti Lumionics Inc. | Patterning a conductive deposited layer using a nucleation inhibiting coating and an underlying metallic coating |
Also Published As
| Publication number | Publication date |
|---|---|
| JP2013530515A (en) | 2013-07-25 |
| WO2011136755A1 (en) | 2011-11-03 |
| KR101637061B1 (en) | 2016-07-06 |
| US20130112952A1 (en) | 2013-05-09 |
| TW201209047A (en) | 2012-03-01 |
| EP2564438A1 (en) | 2013-03-06 |
| JP5646733B2 (en) | 2014-12-24 |
| TWI525087B (en) | 2016-03-11 |
| CN103026521A (en) | 2013-04-03 |
| CN103026521B (en) | 2016-11-09 |
| KR20130073023A (en) | 2013-07-02 |
| EP2564438B1 (en) | 2016-10-19 |
Similar Documents
| Publication | Publication Date | Title |
|---|---|---|
| US9040962B2 (en) | Depositing premixed materials | |
| US20250008834A1 (en) | Organic electroluminescent materials and devices | |
| US12284911B2 (en) | Organic electroluminescent materials and devices | |
| US11696459B2 (en) | Phosphorescence-sensitized delayed fluorescence light emitting system | |
| US11316113B2 (en) | Organic electroluminescent materials and devices | |
| US10490753B2 (en) | Organic electroluminescent materials and devices | |
| US10804475B2 (en) | Organic electroluminescent materials and devices | |
| US9627631B2 (en) | Organic electroluminescent materials and devices | |
| US9166175B2 (en) | Organic electroluminescent materials and devices | |
| US10840458B2 (en) | Organic electroluminescent materials and devices | |
| US20120187381A1 (en) | Electron Transporting Compounds | |
| US20140158992A1 (en) | Carbazole Compounds For Delayed Fluorescence | |
| US20160351811A1 (en) | Organic electroluminescent materials and devices | |
| US10930862B2 (en) | Organic electroluminescent materials and devices | |
| US20110279019A1 (en) | Azaborinine compounds as host materials and dopants for pholeds | |
| US9711730B2 (en) | Organic electroluminescent materials and devices | |
| US20140084260A1 (en) | Organic compounds containing b-n heterocycles | |
| US10964893B2 (en) | Organic electroluminescent materials and devices | |
| US9761814B2 (en) | Organic light-emitting materials and devices | |
| US11081647B2 (en) | Organic electroluminescent materials and devices | |
| US10600967B2 (en) | Organic electroluminescent materials and devices | |
| US10522769B2 (en) | Organic electroluminescent materials and devices | |
| US10991895B2 (en) | Organic electroluminescent materials and devices | |
| US20180175308A1 (en) | Organic electroluminescent materials and devices |
Legal Events
| Date | Code | Title | Description |
|---|---|---|---|
| AS | Assignment |
Owner name: UNIVERSAL DISPLAY CORPORATION, NEW JERSEY Free format text: ASSIGNMENT OF ASSIGNORS INTEREST;ASSIGNORS:ADAMOVICH, VADIM;WEAVER, MICHAEL S.;KWONG, RAYMOND;AND OTHERS;SIGNING DATES FROM 20121125 TO 20130104;REEL/FRAME:029602/0063 Owner name: NIPPON STEEL & SUMIKIN CHEMICAL CO., LTD., JAPAN Free format text: ASSIGNMENT OF ASSIGNORS INTEREST;ASSIGNORS:KAI, TAKAHIRO;KOMORI, MASAKI;YAMAMOTO, TOSHIHIRO;SIGNING DATES FROM 20121203 TO 20121207;REEL/FRAME:029602/0250 |
|
| FEPP | Fee payment procedure |
Free format text: PAYOR NUMBER ASSIGNED (ORIGINAL EVENT CODE: ASPN); ENTITY STATUS OF PATENT OWNER: LARGE ENTITY |
|
| STCF | Information on status: patent grant |
Free format text: PATENTED CASE |
|
| CC | Certificate of correction | ||
| MAFP | Maintenance fee payment |
Free format text: PAYMENT OF MAINTENANCE FEE, 4TH YEAR, LARGE ENTITY (ORIGINAL EVENT CODE: M1551); ENTITY STATUS OF PATENT OWNER: LARGE ENTITY Year of fee payment: 4 |
|
| MAFP | Maintenance fee payment |
Free format text: PAYMENT OF MAINTENANCE FEE, 8TH YEAR, LARGE ENTITY (ORIGINAL EVENT CODE: M1552); ENTITY STATUS OF PATENT OWNER: LARGE ENTITY Year of fee payment: 8 |







































































































































































