KR102191024B1 - Heterocyclic com pounds and organic light-emitting diode including the same - Google Patents
Heterocyclic com pounds and organic light-emitting diode including the same Download PDFInfo
- Publication number
- KR102191024B1 KR102191024B1 KR1020130039137A KR20130039137A KR102191024B1 KR 102191024 B1 KR102191024 B1 KR 102191024B1 KR 1020130039137 A KR1020130039137 A KR 1020130039137A KR 20130039137 A KR20130039137 A KR 20130039137A KR 102191024 B1 KR102191024 B1 KR 102191024B1
- Authority
- KR
- South Korea
- Prior art keywords
- formula
- chemical formula
- group
- substituted
- carbon atoms
- Prior art date
- Legal status (The legal status is an assumption and is not a legal conclusion. Google has not performed a legal analysis and makes no representation as to the accuracy of the status listed.)
- Active
Links
- 0 Cc(c(*)c(*)c(*)c1*)c1-c1c(c(*)c(c(N)c2*)N)c2c(*)c(N)n1 Chemical compound Cc(c(*)c(*)c(*)c1*)c1-c1c(c(*)c(c(N)c2*)N)c2c(*)c(N)n1 0.000 description 3
Images
Classifications
-
- H—ELECTRICITY
- H10—SEMICONDUCTOR DEVICES; ELECTRIC SOLID-STATE DEVICES NOT OTHERWISE PROVIDED FOR
- H10K—ORGANIC ELECTRIC SOLID-STATE DEVICES
- H10K85/00—Organic materials used in the body or electrodes of devices covered by this subclass
- H10K85/60—Organic compounds having low molecular weight
- H10K85/649—Aromatic compounds comprising a hetero atom
- H10K85/656—Aromatic compounds comprising a hetero atom comprising two or more different heteroatoms per ring
-
- C—CHEMISTRY; METALLURGY
- C07—ORGANIC CHEMISTRY
- C07D—HETEROCYCLIC COMPOUNDS
- C07D401/00—Heterocyclic compounds containing two or more hetero rings, having nitrogen atoms as the only ring hetero atoms, at least one ring being a six-membered ring with only one nitrogen atom
- C07D401/14—Heterocyclic compounds containing two or more hetero rings, having nitrogen atoms as the only ring hetero atoms, at least one ring being a six-membered ring with only one nitrogen atom containing three or more hetero rings
-
- H—ELECTRICITY
- H10—SEMICONDUCTOR DEVICES; ELECTRIC SOLID-STATE DEVICES NOT OTHERWISE PROVIDED FOR
- H10K—ORGANIC ELECTRIC SOLID-STATE DEVICES
- H10K50/00—Organic light-emitting devices
- H10K50/10—OLEDs or polymer light-emitting diodes [PLED]
- H10K50/11—OLEDs or polymer light-emitting diodes [PLED] characterised by the electroluminescent [EL] layers
-
- H—ELECTRICITY
- H10—SEMICONDUCTOR DEVICES; ELECTRIC SOLID-STATE DEVICES NOT OTHERWISE PROVIDED FOR
- H10K—ORGANIC ELECTRIC SOLID-STATE DEVICES
- H10K50/00—Organic light-emitting devices
- H10K50/10—OLEDs or polymer light-emitting diodes [PLED]
- H10K50/11—OLEDs or polymer light-emitting diodes [PLED] characterised by the electroluminescent [EL] layers
- H10K50/12—OLEDs or polymer light-emitting diodes [PLED] characterised by the electroluminescent [EL] layers comprising dopants
-
- H—ELECTRICITY
- H10—SEMICONDUCTOR DEVICES; ELECTRIC SOLID-STATE DEVICES NOT OTHERWISE PROVIDED FOR
- H10K—ORGANIC ELECTRIC SOLID-STATE DEVICES
- H10K85/00—Organic materials used in the body or electrodes of devices covered by this subclass
- H10K85/60—Organic compounds having low molecular weight
- H10K85/649—Aromatic compounds comprising a hetero atom
-
- H—ELECTRICITY
- H10—SEMICONDUCTOR DEVICES; ELECTRIC SOLID-STATE DEVICES NOT OTHERWISE PROVIDED FOR
- H10K—ORGANIC ELECTRIC SOLID-STATE DEVICES
- H10K85/00—Organic materials used in the body or electrodes of devices covered by this subclass
- H10K85/60—Organic compounds having low molecular weight
- H10K85/649—Aromatic compounds comprising a hetero atom
- H10K85/657—Polycyclic condensed heteroaromatic hydrocarbons
Landscapes
- Chemical & Material Sciences (AREA)
- Physics & Mathematics (AREA)
- Spectroscopy & Molecular Physics (AREA)
- Engineering & Computer Science (AREA)
- Materials Engineering (AREA)
- Organic Chemistry (AREA)
- Optics & Photonics (AREA)
- Electroluminescent Light Sources (AREA)
Abstract
본 발명은 신규한 이형고리 화합물 및 이를 포함하는 유기전계발광소자에 관한 것으로서, 상기 이형고리 화합물은 하기 [화학식 1]로 표시되는 것을 특징으로 하고, 이를 포함하는 유기전계발광 소자는 구동전압, 발광효율, 수명 특성이 매우 우수하다.
[화학식 1]
The present invention relates to a novel heterocyclic compound and an organic electroluminescent device including the same, wherein the heterocyclic compound is represented by the following [Chemical Formula 1], and the organic electroluminescent device including the same is a driving voltage, light emission The efficiency and life characteristics are very good.
[Formula 1]
Description
본 발명은 신규한 이형고리 화합물 및 이를 발광물질로 포함하는 유기전계 발광소자에 관한 것으로서, 더욱 상세하게는 구동전압, 발광효율 등의 발광특성이 우수하고 안정적인 이형고리 화합물 및 이를 포함하는 유기전계발광소자에 관한 것이다.The present invention relates to a novel heterocyclic compound and an organic electroluminescent device including the same as a light emitting material, and more particularly, to a heterocyclic compound having excellent and stable light emission characteristics such as driving voltage and luminous efficiency, and organic electroluminescence containing the same. It relates to the device.
최근 자체 발광형으로 저전압 구동이 가능한 유기전계발광소자는 평판 표시소자의 주류인 액정디스플레이(LCD, liguid crystal display)에 비해, 시야각, 대조비 등이 우수하고 백라이트가 불필요하며 경량 및 박형이 가능하며 소비전력 측면에서도 유리하고 색 재현 범위가 넓어 차세대 표시소자로서 주목받고 있다.Recently, organic light emitting devices capable of low voltage driving by self-luminous type have superior viewing angles and contrast ratios, compared to LCD (liguid crystal displays), which are the mainstream of flat panel display devices, do not require a backlight, and are lightweight and thin. It is attracting attention as a next-generation display device because it is advantageous in terms of power and has a wide color reproduction range.
유기전계발광소자(organic light emitting diodes, OLED)는 전자 주입 전극(음극)과 정공 주입 전극(양극) 사이에 형성된 유기 발광층에 전하를 주입하면 전자와 정공이 쌍을 이룬 후 소멸하면서 빛을 내는 소자이다.Organic light emitting diodes (OLEDs) are devices that emit light while electrons and holes form a pair and then disappear when charge is injected into an organic light emitting layer formed between an electron injection electrode (cathode) and a hole injection electrode (anode). to be.
유기 발광 현상을 이용하는 유기전계발광소자는 통상 양극과 음극 및 이 사이에 유기물층을 포함하는 구조를 가진다. 여기서 유기물층은 유기전계발광소자의 효율과 안정성을 높이기 위하여 각기 다른 물질로 구성된 다층의 구조로 이루어진 경우가 많으며, 예컨대 정공주입층, 정공수송층, 발광층, 전자전달층, 전자주입층 등으로 이루어질 수 있다. 이러한 유기전계발광소자의 구조에서 두 전극 사이에 전압을 걸어주게 되면 양극에서는 정공이, 음극에서는 전자가 유기물층에 주입되게 되고, 주입된 정공과 전자가 만났을 때 엑시톤(exciton)이 형성되며, 이 엑시톤이 다시 바닥상태로 떨어질 때 빛이 나게 된다.An organic electroluminescent device using the organic light emitting phenomenon has a structure including an anode, a cathode, and an organic material layer therebetween. Here, the organic material layer is often made of a multi-layered structure composed of different materials in order to increase the efficiency and stability of the organic light emitting device. For example, it may be formed of a hole injection layer, a hole transport layer, a light emitting layer, an electron transport layer, an electron injection layer, etc. . In the structure of such an organic light emitting device, when a voltage is applied between the two electrodes, holes are injected from the anode and electrons from the cathode are injected into the organic material layer, and excitons are formed when the injected holes and electrons meet. It glows when it falls back to the ground.
유기전계발광소자는 플라스틱과 같은 휠 수 있는(flexible) 투명 기판 위에도 소자를 형성할 수 있을 뿐 아니라, 플라즈마 디스플레이 패널(Plasma Display Panel)이나 무기 전계 발광(EL) 디스플레이에 비해 10V이하의 낮은 전압에서 구동이 가능하고, 전력 소모가 비교적 적으며, 색감이 뛰어나다는 장점이 있다. 또한, 유기전계발광소자는 녹색, 청색, 적색의 3가지 색을 나타낼 수가 있어 차세대 풍부한 색 디스플레이 소자로 많은 사람들의 많은 관심의 대상이 되고 있다.The organic electroluminescent device not only can form the device on a flexible transparent substrate such as plastic, but also at a voltage lower than 10V compared to a plasma display panel or an inorganic electroluminescent (EL) display. It can be driven, consumes relatively little power, and has the advantage of excellent color. In addition, since the organic light emitting diode can display three colors of green, blue, and red, it is a target of many people's interest as a next-generation rich color display device.
유기전계발광소자가 전술한 우수한 특징들을 충분히 발휘하기 위해서는 소자 내 유기물층을 이루는 물질, 예컨대 정공주입 물질, 정공수송 물질, 발광 물질, 전자수송 물질, 전자주입 물질 등이 안정하고 효율적인 재료에 의하여 뒷받침되는 것이 선행되어야 하나, 아직까지 안정하고 효율적인 유기전계발광소자용 유기물층 재료의 개발이 충분히 이루어지지 않은 상태이다. 따라서, 새로운 재료의 개발이 계속 요구되고 있다.In order for the organic electroluminescent device to fully exhibit the above-described excellent features, materials that form the organic material layer in the device, such as hole injection materials, hole transport materials, light-emitting materials, electron transport materials, and electron injection materials, are supported by stable and efficient materials. Although this should be preceded, the development of a stable and efficient organic material layer material for an organic light emitting device has not been sufficiently achieved. Therefore, the development of new materials continues to be required.
따라서, 본 발명이 해결하고자 하는 과제는 종래 인광발광재료에 사용되는 화합물보다 구동전압이 낮고 발광효율이 우수한 특성을 갖는 신규한 이형고리 화합물 및 이를 포함하는 유기전계발광소자를 제공하는 것이다.Accordingly, a problem to be solved by the present invention is to provide a novel heterocyclic compound having a lower driving voltage and excellent luminous efficiency than a compound used in a conventional phosphorescent light emitting material, and an organic electroluminescent device including the same.
본 발명은 상기 과제를 해결하기 위하여, 하기 [화학식 1]로 표시되는 이형고리 화합물을 제공한다.The present invention provides a heterocyclic compound represented by the following [Chemical Formula 1] in order to solve the above problems.
[화학식 1][Formula 1]
또한, 본 발명은 애노드, 캐소드 및 상기 애노드와 상기 캐소드 사이에 개재되며, 상기 [화학식 1]로 표시되는 이형고리 화합물을 포함하는 유기물층을 구비한 유기전계발광소자를 제공한다.In addition, the present invention provides an organic electroluminescent device having an anode, a cathode, and an organic material layer interposed between the anode and the cathode, and including a heterocyclic compound represented by [Chemical Formula 1].
상기 [화학식 1]의 구체적인 치환기에 대해서는 후술한다.A specific substituent of the above [Formula 1] will be described later.
본 발명에 따른 [화학식 1]로 표시되는 이형고리 화합물은 기존의 물질에 비하여 안정적이고, 구동전압 또는 전류 효율 등에 있어서 우수한 발광 특성을 가지므로 이를 포함하는 유기전계발광소자는 저전압 구동이 가능하고, 발광효율을 개선시킬 수 있다.Since the heterocyclic compound represented by [Chemical Formula 1] according to the present invention is stable compared to conventional materials and has excellent luminescence characteristics in driving voltage or current efficiency, an organic electroluminescent device including the same can be driven at a low voltage, The luminous efficiency can be improved.
도 1은 본 발명의 일 구체예에 따른 유기전계발광소자의 개략도이다.1 is a schematic diagram of an organic electroluminescent device according to an embodiment of the present invention.
이하, 본 발명을 더욱 상세하게 설명한다.Hereinafter, the present invention will be described in more detail.
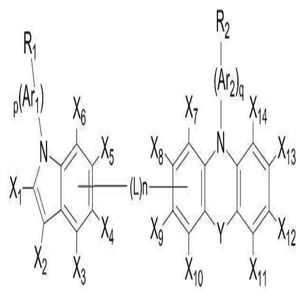
본 발명은 유기전계발광소자의 구동전압, 전류효율 등의 발광 특성을 개선한 발광층 호스트 물질로서, 하기 [화학식 1]로 표시되는 이형고리 화합물인 것을 특징으로 한다.The present invention is a light emitting layer host material having improved light emitting characteristics such as driving voltage and current efficiency of an organic light emitting device, and is characterized in that it is a heterocyclic compound represented by the following [Formula 1].
[화학식 1][Formula 1]
상기 [화학식 1]에서,In the above [Formula 1],
X1 내지 X14는 서로 동일하거나 상이하고, 각각 독립적으로 수소, 중수소, 치환 또는 비치환된 탄소수 1 내지 30의 알킬기, 치환 또는 비치환된 탄소수 6 내지 40의 아릴기, 치환 또는 비치환된 탄소수 2 내지 30의 헤테로아릴기, 할로겐 원자, 히드록실기, 시아노기, 니트로기, 아미노기, 아미디노기, 히드라진, 히드라존, 카르복실기나 이의 염, 술폰산기나 이의 염, 인산이나 이의 염, 치환 또는 비치환된 탄소수 2 내지 60의 알케닐기, 치환 또는 비치환된 탄소수 2 내지 60의 알키닐기, 치환 또는 비치환된 탄소수 1 내지 60의 알콕시기, 치환 또는 비치환된 탄소수 3 내지 60의 시클로알킬기, 치환 또는 비치환된 탄소수 5 내지 30의 시클로알케닐기, 치환 또는 비치환된 탄소수 5 내지 60의 아릴옥시기, 치환 또는 비치환된 탄소수 1 내지 30의 알킬티옥시기, 치환 또는 비치환된 탄소수 5 내지 30의 아릴티옥시기, 치환 또는 비치환된 탄소수 5 내지 60의 아릴싸이오기, -SiR3R4R5 및 -NR6R7로 이루어진 군에서 선택될 수 있다.X 1 To X 14 is the same as or different from each other, and each independently hydrogen, deuterium, a substituted or unsubstituted alkyl group having 1 to 30 carbon atoms, a substituted or unsubstituted aryl group having 6 to 40 carbon atoms, a substituted or unsubstituted carbon number of 2 to 30 Heteroaryl group, halogen atom, hydroxyl group, cyano group, nitro group, amino group, amidino group, hydrazine, hydrazone, carboxyl group or salt thereof, sulfonic acid group or salt thereof, phosphoric acid or salt thereof, substituted or unsubstituted carbon number 2 to 60 alkenyl group, substituted or unsubstituted C 2 to
또한, 상기 X11 내지 X14는 각각 서로 인접하는 치환기와 연결되어 지환족, 방향족의 단일환 또는 다환 고리를 형성할 수 있고, 상기 형성된 지환족, 방향족의 단일환 또는 다환 고리의 탄소원자는 N, S, O 중에서 선택되는 어느 하나 이상의 헤테로원자로 치환될 수 있다.In addition, the X 11 to X 14 may each be connected with a substituent adjacent to each other to form an alicyclic, aromatic monocyclic or polycyclic ring, and carbon atoms of the formed alicyclic, aromatic monocyclic or polycyclic ring are N, It may be substituted with any one or more heteroatoms selected from S and O.
또한, 상기 R1 내지 R7은 서로 동일하거나 상이하고, 각각 독립적으로 치환 또는 비치환된 탄소수 1 내지 30의 알킬기, 치환 또는 비치환된 탄소수 6 내지 40의 아릴기, 치환 또는 비치환된 탄소수 2 내지 30의 헤테로아릴기, 수소 및 중수소로 이루어진 군에서 선택될 수 있다.In addition, the R 1 To R 7 is the same as or different from each other, and each independently a substituted or unsubstituted alkyl group having 1 to 30 carbon atoms, a substituted or unsubstituted aryl group having 6 to 40 carbon atoms, a substituted or unsubstituted heteroaryl group having 2 to 30 carbon atoms , It may be selected from the group consisting of hydrogen and deuterium.
Y는 CX21X22, NX23, O, S, SiX24X25 로 이루어진 군에서 선택될 수 있으며, 상기 X21 내지 X25는 상기 X1 내지 X14에서 정의한 바와 동일하다.Y may be selected from the group consisting of CX 21 X 22 , NX 23 , O, S, SiX 24 X 25 , and X 21 to X 25 are the same as defined in X 1 to X 14 .
Ar1 및 Ar2는 서로 동일하거나 상이하고, 각각 독립적으로 치환 또는 비치환된 탄소수 6 내지 40의 아릴기 및 치환 또는 비치환된 탄소수 2 내지 30의 헤테로아릴기로 이루어진 군에서 선택될 수 있다.Ar 1 and Ar 2 are the same as or different from each other, and each may be independently selected from the group consisting of a substituted or unsubstituted aryl group having 6 to 40 carbon atoms and a substituted or unsubstituted heteroaryl group having 2 to 30 carbon atoms.
L은 연결기로서, 단일 결합이거나, 치환 또는 비치환된 탄소수 1 내지 60의 알킬렌기, 치환 또는 비치환된 탄소수 2 내지 60의 알케닐렌기, 치환 또는 비치환된 탄소수 2 내지 60의 알키닐렌기, 치환 또는 비치환된 탄소수 3 내지 60의 시클로알킬렌기, 치환 또는 비치환된 탄소수 2 내지 60의 헤테로시클로알킬렌기, 치환 또는 비치환된 탄소수 6 내지 60의 아릴렌기 및 치환 또는 비치환된 탄소수 2 내지 60의 헤테로아릴렌기로 이루어진 군에서 선택될 수 있다.L is a linking group, a single bond, a substituted or unsubstituted alkylene group having 1 to 60 carbon atoms, a substituted or unsubstituted C2 to C60 Alkenylene group, substituted or unsubstituted C2-C60 alkynylene group, substituted or unsubstituted C3-C60 Selected from the group consisting of a cycloalkylene group, a substituted or unsubstituted heterocycloalkylene group having 2 to 60 carbon atoms, a substituted or unsubstituted arylene group having 6 to 60 carbon atoms, and a substituted or unsubstituted heteroarylene group having 2 to 60 carbon atoms Can be.
n은 1 내지 3 사이의 정수이고, p+q는 1 내지 6 사이의 정수일 수 있다.n is an integer between 1 and 3, and p+q may be an integer between 1 and 6.
또한, 상기 R1 내지 R7, X11 내지 X14, X21 내지 X25, L, Ar1 및 Ar2는 각각 독립적으로 중수소 원자, 시아노기, 할로겐 원자, 히드록시기, 니트로기, 탄소수 1 내지 40의 알킬기, 탄소수 1 내지 40의 알콕시기, 탄소수 1 내지 40의 알킬아미노기, 탄소수 6 내지 40의 아릴아미노기, 탄소수 3 내지 40의 헤테로아릴아미노기, 탄소수 1 내지 40의 알킬실릴기, 탄소수 6 내지 40의 아릴실릴기, 탄소수 6 내지 40의 아릴기, 탄소수 3 내지 40의 아릴옥시기, 탄소수 3 내지 40의 헤테로아릴기, 게르마늄기, 인 및 보론으로 이루어진 군으로부터 선택되는 1종 이상으로 치환될 수 있고, 상기 치환기는 인접한 치환기와 서로 결합하여 포화 또는 불포화 고리를 형성하거나 펜던트 방법으로 함께 부착 또는 융합(fused)할 수 있다.In addition, the R 1 to R 7 , X 11 to X 14 , X 21 to X 25 , L, Ar 1 and Ar 2 are each independently a deuterium atom, a cyano group, a halogen atom, a hydroxy group, a nitro group, a carbon number of 1 to 40 Alkyl group, C 1 to
한편, 본 발명에서 사용되는 치환기인 아릴기는 하나의 수소 제거에 의해서 방향족 탄화수소로부터 유도된 유기 라디칼로, 5 내지 7원, 바람직하게는 5 또는 6원을 포함하는 단일 또는 융합고리계를 포함하며, 또한 상기 아릴기에 치환기가 있는 경우 이웃하는 치환기와 서로 융합 (fused)되어 고리를 추가로 형성할 수 있다.On the other hand, the aryl group as a substituent used in the present invention is an organic radical derived from an aromatic hydrocarbon by one hydrogen removal, and includes a single or fused ring system containing 5 to 7 members, preferably 5 or 6 members, In addition, when the aryl group has a substituent, it may be fused with neighboring substituents to further form a ring.
상기 아릴의 구체적인 예로 페닐기, 2-메틸페닐기, 3-메틸페닐기, 4-메틸페닐기, 4-에틸페닐기, o-비페닐기, m-비페닐기, p-비페닐기, 4-메틸비페닐기, 4-에틸비페닐기, o-터페닐기, m-터페닐기, p-터페닐기, 1-나프틸기, 2-나프틸기, 1-메틸나프틸기, 2-메틸나프틸기, 안트릴기, 페난트릴기, 피레닐기, 인데닐, 플루오레닐기, 테트라히드로나프틸기, 피렌일, 페릴렌일, 크라이세닐, 나프타세닐, 플루오란텐일 등과 같은 방향족 그룹을 들 수 있다.Specific examples of the aryl group include phenyl group, 2-methylphenyl group, 3-methylphenyl group, 4-methylphenyl group, 4-ethylphenyl group, o-biphenyl group, m-biphenyl group, p-biphenyl group, 4-methylbiphenyl group, 4- Ethylbiphenyl group, o-terphenyl group, m-terphenyl group, p-terphenyl group, 1-naphthyl group, 2-naphthyl group, 1-methylnaphthyl group, 2-methylnaphthyl group, anthryl group, phenanthryl group, pyre And aromatic groups such as anyl group, indenyl, fluorenyl group, tetrahydronaphthyl group, pyrenyl, peryleneyl, chrysenyl, naphthacenyl, fluoranthenyl, and the like.
상기 아릴기 중 하나 이상의 수소 원자는 중수소 원자, 할로겐 원자, 히드록시기, 니트로기, 시아노기, 실릴기, 아미노기 (-NH2, -NH(R), -N(R')(R"), R'과 R"은 서로 독립적으로 탄소수 1 내지 10의 알킬기이며, 이 경우 "알킬아미노기"라 함), 아미디노기, 히드라진기, 히드라존기, 카르복실기, 술폰산기, 인산기, 탄소수 1 내지 24의 알킬기, 탄소수 1 내지 24의 할로겐화된 알킬기, 탄소수 1 내지 24의 알케닐기, 탄소수 1 내지 24의 알키닐기, 탄소수 1 내지 24의 헤테로알킬기, 탄소수 6 내지 24의 아릴기, 탄소수 6 내지 24의 아릴알킬기, 탄소수 2 내지 24의 헤테로아릴기 또는 탄소수 2 내지 24의 헤테로아릴알킬기로 치환될 수 있다.At least one hydrogen atom in the aryl group is a deuterium atom, a halogen atom, a hydroxy group, a nitro group, a cyano group, a silyl group, an amino group (-NH 2 , -NH(R), -N(R')(R"), R 'And R'are each independently an alkyl group having 1 to 10 carbon atoms, in this case referred to as an "alkylamino group"), an amidino group, a hydrazine group, a hydrazone group, a carboxyl group, a sulfonic acid group, a phosphoric acid group, an alkyl group having 1 to 24 carbon atoms, Halogenated alkyl group having 1 to 24 carbon atoms, alkenyl group having 1 to 24 carbon atoms, alkynyl group having 1 to 24 carbon atoms, heteroalkyl group having 1 to 24 carbon atoms, aryl group having 6 to 24 carbon atoms, arylalkyl group having 6 to 24 carbon atoms, carbon number It may be substituted with a 2 to 24 heteroaryl group or a C 2 to 24 heteroarylalkyl group.
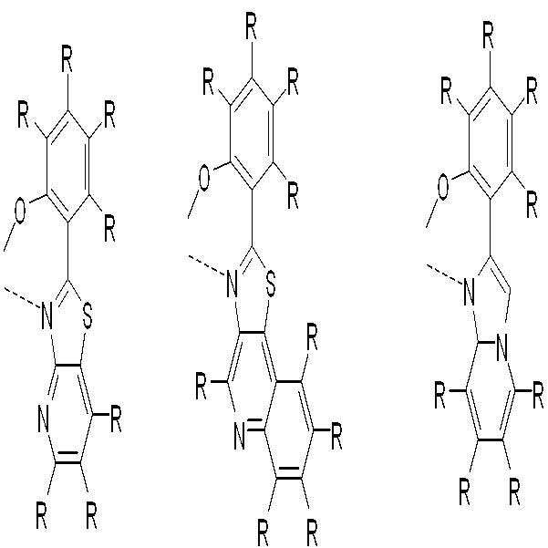
본 발명에서 사용되는 치환기인 헤테로아릴기, 특히 상기 Ar1 및 Ar2가 헤테로아릴기인 경우 하기 [구조식 1] 내지 [구조식 6] 중에서 선택되는 어느 하나의 치환기일 수 있다.The heteroaryl group used in the present invention may be a substituent selected from the following [Structural Formula 1] to [Structure 6] when Ar 1 and Ar 2 are heteroaryl groups.
[구조식 1] [구조식 2] [구조식 3][Structural Formula 1] [Structural Formula 2] [Structural Formula 3]
[구조식 4] [구조식 5] [구조식 6][Structural Formula 4] [Structural Formula 5] [Structural Formula 6]
상기 [구조식 1] 내지 [구조식 6]에서,In the [Structural Formula 1] to [Structural Formula 6],
T1 내지 T8은 서로 동일하거나 상이하며 각각 독립적으로, C(R41), C(R42)(R43), N, N(R44), O 및 S 중에서 선택되는 어느 하나일 수 있고, 상기 R31 내지 R44은 서로 동일하거나 상이하고, 각각 독립적으로 수소, 중수소, 치환 또는 비치환된 탄소수 1 내지 30의 알킬기, 치환 또는 비치환된 탄소수 5 내지 50의 아릴기, 치환 또는 비치환된 탄소수 3 내지30의 시클로알킬기, 치환 또는 비치환된 탄소수 5 내지 50의 아릴기 및 치환 또는 비치환되고 이종 원자로 O, N 또는 S를 갖는 탄소수 2 내지 50의 헤테로아릴기 중에서 선택되는 어느 하나일 수 있으며, 상기 각각의 [구조식 1] 내지 [구조식 6]에서 상기 R31 내지 R44 중 하나는 상기 [화학식 1]내의 질소와 결합하여 단일결합을 이룰 수 있다.T 1 to T 8 are the same as or different from each other, and each independently, may be any one selected from C (R 41 ), C (R 42 ) (R 43 ), N, N (R 44 ), O and S, and , Wherein R 31 to R 44 are the same as or different from each other, and each independently hydrogen, deuterium, a substituted or unsubstituted alkyl group having 1 to 30 carbon atoms, a substituted or unsubstituted aryl group having 5 to 50 carbon atoms, a substituted or unsubstituted Any one selected from a cycloalkyl group having 3 to 30 carbon atoms, a substituted or unsubstituted aryl group having 5 to 50 carbon atoms, and a substituted or unsubstituted heteroaryl group having 2 to 50 carbon atoms having O, N or S as a hetero atom In each of the [Structural Formula 1] to [Structural Formula 6], the R 31 to R 44 One of them may form a single bond by bonding with nitrogen in [Chemical Formula 1].
또한, 상기 [구조식 3]은 전자의 이동에 따른 공명구조에 의해 하기 [구조식 3-1]로 표시되는 화합물을 포함할 수 있다.In addition, the [Structural Formula 3] may include a compound represented by the following [Structural Formula 3-1] by a resonance structure according to the movement of electrons.
[구조식 3-1][Structural Formula 3-1]
상기 [구조식 3-1]에서, T1 내지 T5와 R33 및 R34는 앞서 정의한 바와 동일하다.In the [Structural Formula 3-1], T 1 to T 5 and R 33 and R 34 are the same as defined above.
또한, 본 발명의 바람직한 실시예에 의하면, 상기 [구조식 1] 내지 [구조식 6]은 하기 [구조식 7] 중에서 선택될 수 있다.In addition, according to a preferred embodiment of the present invention, the [Structural Formula 1] to [Structural Formula 6] may be selected from the following [Structural Formula 7].
[구조식 7][Structural Formula 7]
상기 [구조식 7]에서, X는 상기 X1 내지 X14 와 동일하고, m 은 1 내지 11의 정수이며, m이 2 이상인 경우 복수 개의 X는 서로 동일하거나 상이하고, 상기 하나 이상의 X 중 어느 하나는 상기 [화학식 1] 내의 질소와 결합하여 단일결합을 이룰 수 있다.In the [Structural Formula 7], X is the same as X 1 to X 14 , m is an integer of 1 to 11, and when m is 2 or more, a plurality of Xs are the same or different from each other, and any one of the at least one X May form a single bond by bonding with nitrogen in the [Chemical Formula 1].
본 발명에서 사용되는 치환기인 알킬기의 구체적인 예로는 메틸기, 에틸기, 프로필기, 이소부틸기, sec-부틸기, tert-부틸기, 펜틸기, iso-아밀기, 헥실기, 헵틸기, 옥틸기, 스테아릴기, 트리클로로메틸기, 트리플루오르메틸기 등을 들 수 있으며, 상기 알킬기 중 하나 이상의 수소 원자는 중수소 원자, 할로겐 원자, 히드록시기, 니트로기, 시아노기, 트리플루오로메틸기, 실릴기(이 경우 "알킬실릴기"라 함), 치환 또는 비치환된 아미노기(-NH2, -NH(R), -N(R')(R"), 여기서 R, R' 및 R"은 각각 독립적으로 탄소수 1 내지 24의 알킬기임(이 경우 "알킬아미노기"라 함)), 아미디노기, 히드라진기, 히드라존기, 카르복실기, 술폰산기, 인산기, 탄소수 1 내지 24의 알킬기, 탄소수 1 내지 24의 할로겐화된 알킬기, 탄소수 2 내지 24의 알케닐기, 탄소수 2 내지 24의 알키닐기, 탄소수 1 내지 24의 헤테로알킬기, 탄소수 5 내지 24의 아릴기, 탄소수 6 내지 24의 아릴알킬기, 탄소수 3 내지 24의 헤테로아릴기 또는 탄소수 3 내지 24의 헤테로아릴알킬기로 치환될 수 있다.Specific examples of the alkyl group as a substituent used in the present invention include methyl group, ethyl group, propyl group, isobutyl group, sec-butyl group, tert-butyl group, pentyl group, iso-amyl group, hexyl group, heptyl group, octyl group, Stearyl group, trichloromethyl group, trifluoromethyl group, and the like, and at least one hydrogen atom in the alkyl group is a deuterium atom, a halogen atom, a hydroxy group, a nitro group, a cyano group, a trifluoromethyl group, a silyl group (in this case " Alkylsilyl group"), a substituted or unsubstituted amino group (-NH 2 , -NH(R), -N(R')(R"), wherein R, R'and R" are each independently a C 1 It is an alkyl group of to 24 (referred to as an "alkylamino group" in this case), an amidino group, a hydrazine group, a hydrazone group, a carboxyl group, a sulfonic acid group, a phosphoric acid group, an alkyl group having 1 to 24 carbon atoms, a halogenated alkyl group having 1 to 24 carbon atoms, Alkenyl group having 2 to 24 carbon atoms, alkynyl group having 2 to 24 carbon atoms, heteroalkyl group having 1 to 24 carbon atoms, aryl group having 5 to 24 carbon atoms, arylalkyl group having 6 to 24 carbon atoms, heteroaryl group having 3 to 24 carbon atoms or carbon number It may be substituted with 3 to 24 heteroarylalkyl groups.
본 발명에서 사용되는 치환기인 알콕시기의 구체적인 예로는 메톡시기, 에톡시기, 프로폭시기, 이소부틸옥시기, sec-부틸옥시기, 펜틸옥시기, iso-아밀옥시기, 헥실옥시기 등을 들 수 있으며, 상기 알킬기의 경우와 마찬가지의 치환기로 치환가능하다.Specific examples of the alkoxy group as a substituent used in the present invention include a methoxy group, an ethoxy group, a propoxy group, an isobutyloxy group, a sec-butyloxy group, a pentyloxy group, an iso-amyloxy group, a hexyloxy group, and the like. May be substituted with the same substituent as in the case of the alkyl group.
본 발명의 화합물에서 사용되는 치환기인 할로겐기의 구체적인 예로는 플루오르(F), 클로린(Cl), 브롬(Br) 등을 들 수 있다.Specific examples of the halogen group that is a substituent used in the compound of the present invention include fluorine (F), chlorine (Cl), bromine (Br), and the like.
본 발명에 사용되는 치환기인 아릴옥시기는 -O- 아릴 라디칼을 의미하며, 이때 아릴기는 상기에서 정의된 바와 같고, 구체적인 예로서 페녹시, 나프톡시, 안트라세닐옥시, 페난트레닐옥시, 플루오레닐옥시, 인데닐옥시 등을 들 수 있고, 아릴옥시기에 포함되어 있는 하나 이상의 수소 원자는 추가로 치환가능하다.The aryloxy group used in the present invention refers to an -O- aryl radical, wherein the aryl group is as defined above, and specific examples include phenoxy, naphthoxy, anthracenyloxy, phenanthrenyloxy, fluorenyl Oxy, indenyloxy, and the like, and one or more hydrogen atoms contained in the aryloxy group may be further substituted.
본 발명에 사용되는 치환기인 실릴기의 구체적인 예로는 트리메틸실릴, 트리에틸실릴, 트리페닐실릴, 트리메톡시실릴, 디메톡시페닐실릴, 디페닐메틸실릴, 실릴, 디페닐비닐실릴, 메틸사이클로뷰틸실릴, 디메틸퓨릴실릴 등을 들 수 있다.Specific examples of the silyl group as a substituent used in the present invention include trimethylsilyl, triethylsilyl, triphenylsilyl, trimethoxysilyl, dimethoxyphenylsilyl, diphenylmethylsilyl, silyl, diphenylvinylsilyl, methylcyclobutylsilyl And dimethylfurylsilyl.
본 발명에 사용되는 알케닐기의 구체적인 예로는 직쇄상 또는 분지쇄상의 알케닐기를 나타내고, 3-펜테닐기, 4-헥세닐기, 5-헵테닐기, 4-메틸-3-펜테닐기, 2,4-디메틸-펜테닐기, 6-메틸-5-헵테닐기, 2,6-디메틸-5-헵테닐기 등을 들 수 있다.Specific examples of the alkenyl group used in the present invention represent a linear or branched alkenyl group, 3-pentenyl group, 4-hexenyl group, 5-heptenyl group, 4-methyl-3-pentenyl group, 2,4 -Dimethyl-pentenyl group, 6-methyl-5-heptenyl group, 2,6-dimethyl-5-heptenyl group, etc. are mentioned.
또한, 본 발명에 있어서, 상기 '치환 또는 비치환된'에서의 '치환'은 중수소, 시아노기, 할로겐기, 히드록시기, 니트로기, 탄소수 1 내지 24의 알킬기, 탄소수 1 내지 24의 할로겐화된 알킬기, 탄소수 1 내지 24의 알케닐기, 탄소수 1 내지 24의 알키닐기, 탄소수 1 내지 24의 헤테로알킬기, 탄소수 6 내지 24의 아릴기, 탄소수 6 내지 24의 아릴알킬기, 탄소수 2 내지 24의 헤테로아릴기 또는 탄소수 2 내지 24의 헤테로아릴알킬기, 탄소수 1 내지 24의 알콕시기, 탄소수 1 내지 24의 알킬아미노기, 탄소수 1 내지 24의 아릴아미노기, 탄소수 1 내지 24의 헤테로 아릴아미노기, 탄소수 1 내지 24의 알킬실릴기, 탄소수 1 내지 24의 아릴실릴기, 탄소수 1 내지 24의 아릴옥시기, 게르마늄, 인 및 보론으로 이루어진 군에서 선택된 1개 이상의 치환기로 치환되는 것을 의미한다.In addition, in the present invention, the'substituted' in the'substituted or unsubstituted' is deuterium, a cyano group, a halogen group, a hydroxy group, a nitro group, an alkyl group having 1 to 24 carbon atoms, a halogenated alkyl group having 1 to 24 carbon atoms, Alkenyl group having 1 to 24 carbon atoms, alkynyl group having 1 to 24 carbon atoms, heteroalkyl group having 1 to 24 carbon atoms, aryl group having 6 to 24 carbon atoms, arylalkyl group having 6 to 24 carbon atoms, heteroaryl group having 2 to 24 carbon atoms or carbon number 2 to 24 heteroarylalkyl group, C 1 to C 24 alkoxy group, C 1 to C 24 alkylamino group, C 1 to C 24 arylamino group, C 1 to C 24 hetero arylamino group, C 1 to C 24 alkylsilyl group, It means substituted with one or more substituents selected from the group consisting of an arylsilyl group having 1 to 24 carbon atoms, an aryloxy group having 1 to 24 carbon atoms, germanium, phosphorus and boron.
또한, 상기 "치환 또는 비치환된 탄소수 1 내지 30의 알킬기", "치환 또는 비치환된 탄소수 5 내지 50의 아릴기" 등에서의 상기 알킬기 또는 아릴기의 탄소수 범위는 상기 치환기가 치환된 부분을 고려하지 않고 비치환된 것으로 보았을 때의 알킬 부분 또는 아릴 부분을 구성하는 전체 탄소수를 의미하는 것이다. 예컨대, 파라위치에 부틸기가 치환된 페닐기는 탄소수 4의 부틸기로 치환된 탄소수 6의 아릴기에 해당하는 것을 의미한다.
In addition, the range of carbon atoms of the alkyl group or aryl group in the "substituted or unsubstituted alkyl group having 1 to 30 carbon atoms", "substituted or unsubstituted aryl group having 5 to 50 carbon atoms", etc. considers the portion where the substituent is substituted It does not mean the total number of carbon atoms constituting the alkyl moiety or the aryl moiety when viewed as unsubstituted. For example, a phenyl group in which a butyl group is substituted at the para position means that it corresponds to an aryl group having 6 carbon atoms substituted with a butyl group having 4 carbon atoms.
본 발명에 따른 [화학식 1]로 표시되는 이형고리 화합물은 보다 구체적으로 하기 [화학식 2] 내지 [화학식 145]로 표시되는 화합물 중에서 선택될 수 있다.The heterocyclic compound represented by [Chemical Formula 1] according to the present invention may be more specifically selected from compounds represented by [Chemical Formula 2] to [Chemical Formula 145].
[화학식 2] [화학식 3] [Chemical Formula 2] [Chemical Formula 3]
[화학식 4] [화학식 5] [Chemical Formula 4] [Chemical Formula 5]
[화학식 6] [화학식 7] [Formula 6] [Formula 7]
[화학식 8] [화학식 9] [Chemical Formula 8] [Chemical Formula 9]
[화학식 10] [화학식 11] [Formula 10] [Formula 11]
[화학식 12] [화학식 13] [Formula 12] [Formula 13]
[화학식 14] [화학식 15] [Formula 14] [Formula 15]
[화학식 16] [화학식 17] [Formula 16] [Formula 17]
[화학식 18] [화학식 19] [Chemical Formula 18] [Chemical Formula 19]
[화학식 20] [화학식 21] [Formula 20] [Formula 21]
[화학식 22] [화학식 23] [Formula 22] [Formula 23]
[화학식 24] [화학식 25] [Formula 24] [Formula 25]
[화학식 26] [화학식 27] [Formula 26] [Formula 27]
[화학식 28] [화학식 29] [Formula 28] [Formula 29]
[화학식 30] [화학식 31] [Chemical Formula 30] [Chemical Formula 31]
[화학식 32] [화학식 33] [Formula 32] [Formula 33]
[화학식 34] [화학식 35] [Formula 34] [Formula 35]
[화학식 36] [화학식 37] [Chemical Formula 36] [Chemical Formula 37]
[화학식 38] [화학식 39] [Chemical Formula 38] [Chemical Formula 39]
[화학식 40] [화학식 41] [Formula 40] [Formula 41]
[화학식 42] [화학식 43] [Formula 42] [Formula 43]
[화학식 44] [화학식 45] [Formula 44] [Formula 45]
[화학식 46] [화학식 47] [Chemical Formula 46] [Chemical Formula 47]
[화학식 48] [화학식 49] [Chemical Formula 48] [Chemical Formula 49]
[화학식 50] [화학식 51] [Formula 50] [Formula 51]
[화학식 52] [화학식 53] [Formula 52] [Formula 53]
[화학식 54] [화학식 55] [Chemical Formula 54] [Chemical Formula 55]
[화학식 56] [화학식 57] [Chemical Formula 56] [Chemical Formula 57]
[화학식 58] [화학식 59] [Chemical Formula 58] [Chemical Formula 59]
[화학식 60] [화학식 61] [Chemical Formula 60] [Chemical Formula 61]
[화학식 62] [화학식 63] [Formula 62] [Formula 63]
[화학식 64] [화학식 65] [Formula 64] [Formula 65]
[화학식 66] [화학식 67] [Chemical Formula 66] [Chemical Formula 67]
[화학식 68] [화학식 69] [Chemical Formula 68] [Chemical Formula 69]
[화학식 70] [화학식 71] [Formula 70] [Formula 71]
[화학식 72] [화학식 73] [Chemical Formula 72] [Chemical Formula 73]
[화학식 74] [화학식 75] [Formula 74] [Formula 75]
[화학식 76] [화학식 77] [Chemical Formula 76] [Chemical Formula 77]
[화학식 78] [화학식 79] [Chemical Formula 78] [Chemical Formula 79]
[화학식 80] [화학식 81] [Chemical Formula 80] [Chemical Formula 81]
[화학식 82] [화학식 83] [Formula 82] [Formula 83]
[화학식 84] [화학식 85] [Formula 84] [Formula 85]
[화학식 86] [화학식 87] [Formula 86] [Formula 87]
[화학식 88] [화학식 89] [Chemical Formula 88] [Chemical Formula 89]
[화학식 90] [화학식 91] [Formula 90] [Formula 91]
[화학식 92] [화학식 93] [Formula 92] [Formula 93]
[화학식 94] [화학식 95] [Formula 94] [Formula 95]
[화학식 96] [화학식 97] [Chemical Formula 96] [Chemical Formula 97]
[화학식 98] [화학식 99] [Chemical Formula 98] [Chemical Formula 99]
[화학식 100] [화학식 101] [Chemical Formula 100] [Chemical Formula 101]
[화학식 102] [화학식 103] [Formula 102] [Formula 103]
[화학식 104] [화학식 105] [Chemical Formula 104] [Chemical Formula 105]
[화학식 106] [화학식 107] [Formula 106] [Formula 107]
[화학식 108] [화학식 109] [Chemical Formula 108] [Chemical Formula 109]
[화학식 110] [화학식 111] [Chemical Formula 110] [Chemical Formula 111]
[화학식 112] [화학식 113] [Chemical Formula 112] [Chemical Formula 113]
[화학식 114] [화학식 115] [Chemical Formula 114] [Chemical Formula 115]
[화학식 116] [화학식 117] [Chemical Formula 116] [Chemical Formula 117]
[화학식 118] [화학식 119] [Chemical Formula 118] [Chemical Formula 119]
[화학식 120] [화학식 121] [Chemical Formula 120] [Chemical Formula 121]
[화학식 122] [화학식 123] [Formula 122] [Formula 123]
[화학식 124] [화학식 125] [Chemical Formula 124] [Chemical Formula 125]
[화학식 126] [화학식 127] [Chemical Formula 126] [Chemical Formula 127]
[화학식 128] [화학식 129] [Chemical Formula 128] [Chemical Formula 129]
[화학식 130] [화학식 131] [Chemical Formula 130] [Chemical Formula 131]
[화학식 132] [화학식 133] [Chemical Formula 132] [Chemical Formula 133]
[화학식 134] [화학식 135] [Formula 134] [Formula 135]
[화학식 136] [화학식 137] [Chemical Formula 136] [Chemical Formula 137]
[화학식 138] [화학식 139] [Chemical Formula 138] [Chemical Formula 139]
[화학식 140] [화학식 141] [Chemical Formula 140] [Chemical Formula 141]
[화학식 142] [화학식 143] [Chemical Formula 142] [Chemical Formula 143]
[화학식 144] [화학식 145]
[Formula 144] [Formula 145]
또한, 본 발명은 제1전극, 상기 제1전극에 대향된 제2전극 및 상기 제1전극과 상기 제2전극 사이에 개재되는 유기층을 포함하고, 상기 유기층이 상기 [화학식 1]로 표시되는 이형고리 화합물을 1종 이상 포함할 수 있다.In addition, the present invention includes a first electrode, a second electrode facing the first electrode, and an organic layer interposed between the first electrode and the second electrode, wherein the organic layer is represented by the above [Formula 1] It may contain one or more cyclic compounds.
또한, 상기 본 발명의 이형고리 화합물이 포함된 유기층은 정공 주입층, 정공 수송층, 정공 주입 기능 및 정공 수송 기능을 동시에 갖는 기능층, 발광층, 전자 수송층, 및 전자 주입층 중 적어도 하나를 포함할 수 있다. 이때, 상기 제1전극과 상기 제2전극 사이에 개재된 유기층이 발광층을 포함할 수 있으며, 상기 발광층은 호스트와 도판트로 이루어지고, 본 발명의 이형고리 화합물은 호스트로서 사용될 수 있다.In addition, the organic layer containing the heterocyclic compound of the present invention may include at least one of a hole injection layer, a hole transport layer, a functional layer having a hole injection function and a hole transport function at the same time, a light emitting layer, an electron transport layer, and an electron injection layer. have. In this case, the organic layer interposed between the first electrode and the second electrode may include an emission layer, the emission layer is composed of a host and a dopant, and the heterocyclic compound of the present invention may be used as a host.
한편 본 발명에서 상기 발광층에는 호스트와 더불어, 도펀트 재료가 사용될 수 있다. 상기 발광층이 호스트 및 도펀트를 포함할 경우, 도펀트의 함량은 통상적으로 호스트 약 100 중량부를 기준으로 하여 약 0.01 내지 약 20 중량부의 범위에서 선택될 수 있다.
Meanwhile, in the present invention, a dopant material may be used in addition to a host for the emission layer. When the emission layer includes a host and a dopant, the content of the dopant may be generally selected from about 0.01 to about 20 parts by weight based on about 100 parts by weight of the host.
또한, 본 발명에서 상기 전자 수송층 재료로는 전자주입전극(Cathode)로부터 주입된 전자를 안정하게 수송하는 기능을 하는 것으로서 공지의 전자 수송 물질을 이용할 수 있다. 공지의 전자 수송 물질의 예로는, 퀴놀린 유도체, 특히 트리스(8-퀴놀리노레이트)알루미늄(Alq3), TAZ, Balq, 베릴륨 비스(벤조퀴놀리-10-노에이트)(beryllium bis(benzoquinolin-10-olate: Bebq2), ADN, [화합물 201], [화합물 202], 옥사디아졸 유도체인 PBD, BMD, BND 등과 같은 재료를 사용할 수도 있다.In addition, in the present invention, a known electron transport material may be used as the material for the electron transport layer, which has a function of stably transporting electrons injected from an electron injection electrode (Cathode). Examples of known electron transport materials include quinoline derivatives, in particular tris(8-quinolinorate)aluminum (Alq3), TAZ, Balq, beryllium bis(benzoquinolin-10-noate) (beryllium bis(benzoquinolin-10-). olate: Bebq2), ADN, [Compound 201], [Compound 202], and oxadiazole derivatives such as PBD, BMD, BND, and the like may be used.
TAZ BAlqTAZ BAlq
[화합물 201] [화합물 202] BCP[Compound 201] [Compound 202] BCP
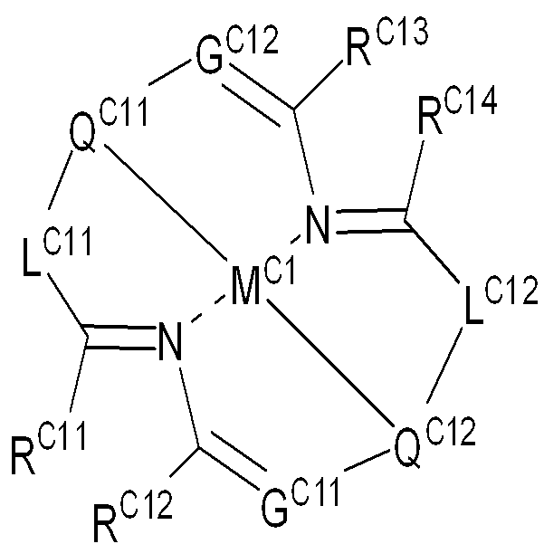
또한, 본 발명에서 사용되는 전자 수송층은 하기 [화학식 C]로 표시되는 유기 금속 화합물이 단독 또는 상기 전자수송층 재료와 혼합으로 사용될 수 있다.In addition, as for the electron transport layer used in the present invention, an organometallic compound represented by the following [Chemical Formula C] may be used alone or in combination with the electron transport layer material.
[화학식 C][Formula C]
상기 [화학식 C]에서,In [Chemical Formula C],
Y는 C, N, O 및 S에서 선택되는 어느 하나가 상기 M에 직접 결합되어 단일결합을 이루는 부분과, C, N, O 및 S에서 선택되는 어느 하나가 상기 M에 배위결합을 이루는 부분을 포함하며, 상기 단일결합과 배위결합에 의해 킬레이트된 리간드이다.Y is a portion in which any one selected from C, N, O, and S is directly bonded to the M to form a single bond, and a portion in which any one selected from C, N, O, and S forms a coordination bond to the M. It includes, and is a ligand chelated by the single bond and the coordination bond.
M은 알카리 금속, 알카리 토금속, 알루미늄(Al) 또는 붕소(B) 원자이다.M is an alkali metal, alkaline earth metal, aluminum (Al) or boron (B) atom.
OA는 상기 M과 단일결합 또는 배위결합 가능한 1가의 리간드로서, 상기 O는 산소이며, 상기 A는 치환 또는 비치환된 탄소수 1 내지 30의 알킬기, 치환 또는 비치환된 탄소수 5 내지 50의 아릴기, 치환 또는 비치환된 탄소수 2 내지 30의 알케닐기, 치환 또는 비치환된 탄소수 2 내지 20의 알키닐기, 치환 또는 비치환된 탄소수 3 내지30의 시클로알킬기, 치환 또는 비치환된 탄소수 5 내지 30의 시클로알케닐기 및 치환 또는 비치환되고 이종 원자로 O, N 또는 S를 갖는 탄소수 2 내지 50의 헤테로아릴기 중에서 선택되는 어느 하나이다.OA is a monovalent ligand capable of a single bond or coordination bond with M, wherein O is oxygen, and A is a substituted or unsubstituted alkyl group having 1 to 30 carbon atoms, a substituted or unsubstituted aryl group having 5 to 50 carbon atoms, A substituted or unsubstituted alkenyl group having 2 to 30 carbon atoms, a substituted or unsubstituted alkynyl group having 2 to 20 carbon atoms, a substituted or unsubstituted cycloalkyl group having 3 to 30 carbon atoms, a substituted or unsubstituted cycloalkyl group having 5 to 30 carbon atoms Any one selected from an alkenyl group and a substituted or unsubstituted heteroaryl group having 2 to 50 carbon atoms having O, N or S as a hetero atom.
또한, 상기 M이 알카리 금속에서 선택되는 하나의 금속인 경우에는 m=1, n=0이고, 상기 M이 알카리 토금속에서 선택되는 하나의 금속인 경우에는 m=1, n=1이거나, 또는 m=2, n=0이고, 상기 M이 붕소 또는 알루미늄인 경우에는 m = 1 내지 3중 어느 하나이며, n은 0 내지 2 중 어느 하나로서 m +n=3을 만족한다.In addition, when M is one metal selected from alkali metals, m=1, n=0, and when M is one metal selected from alkaline earth metals, m=1, n=1, or m =2, n=0, and when M is boron or aluminum, m is any one of 1 to 3, and n is any one of 0 to 2, satisfying m+n=3.
상기 '치환 또는 비치환된'에서의 '치환'은 중수소, 시아노기, 할로겐기, 히드록시기, 니트로기, 알킬기, 알콕시기, 알킬아미노기, 아릴아미노기, 헤테로 아릴아미노기, 알킬실릴기, 아릴실릴기, 아릴옥시기, 아릴기, 헤테로아릴기, 게르마늄, 인 및 보론으로 이루어진 군에서 선택된 1개 이상의 치환기로 치환되는 것을 의미한다.'Substituted' in the'substituted or unsubstituted' is deuterium, cyano group, halogen group, hydroxy group, nitro group, alkyl group, alkoxy group, alkylamino group, arylamino group, hetero arylamino group, alkylsilyl group, arylsilyl group, It means substituted with one or more substituents selected from the group consisting of aryloxy group, aryl group, heteroaryl group, germanium, phosphorus and boron.
또한, 상기 Y는 각각 동일하거나 상이하며, 서로 독립적으로 하기 [구조식 C1] 내지 [구조식 C39]부터 선택되는 어느 하나일 수 있다.In addition, each of Y is the same or different, and may be any one selected from the following [Structural Formula C1] to [Structural Formula C39] independently of each other.
[구조식 C1] [구조식 C2] [구조식 C3][Structural Formula C1] [Structural Formula C2] [Structural Formula C3]
[구조식 C4] [구조식 C5] [구조식 C6][Structural Formula C4] [Structural Formula C5] [Structural Formula C6]
[구조식 C7] [구조식 C8] [구조식 C9] [구조식 C10][Structural Formula C7] [Structural Formula C8] [Structural Formula C9] [Structural Formula C10]
[구조식 C11] [구조식 C12] [구조식 C13][Structural Formula C11] [Structural Formula C12] [Structural Formula C13]
[구조식 C14] [구조식 C15] [구조식 C16][Structural Formula C14] [Structural Formula C15] [Structural Formula C16]
[구조식 C17] [구조식 C18] [구조식 C19] [구조식 C20][Structural Formula C17] [Structural Formula C18] [Structural Formula C19] [Structural Formula C20]
[구조식 C21] [구조식 C22] [구조식 C23][Structural Formula C21] [Structural Formula C22] [Structural Formula C23]
[구조식 C24] [구조식 C25] [구조식 C26][Structural Formula C24] [Structural Formula C25] [Structural Formula C26]
[구조식 C27] [구조식 C28] [구조식 C29] [구조식 C30][Structural Formula C27] [Structural Formula C28] [Structural Formula C29] [Structural Formula C30]
[구조식 C31] [구조식 C32] [구조식 C33][Structural Formula C31] [Structural Formula C32] [Structural Formula C33]
[구조식 C34] [구조식 C35] [구조식 C36][Structural Formula C34] [Structural Formula C35] [Structural Formula C36]
[구조식 C37] [구조식 C38] [구조식 C39] [Structural Formula C37] [Structural Formula C38] [Structural Formula C39]
상기 [구조식 C1] 내지 [구조식 C39]에서,In the [Structural Formula C1] to [Structural Formula C39],
R은 서로 동일하거나 상이하며, 각각 독립적으로 수소, 중수소, 할로겐, 시아노기, 치환 또는 비치환된 탄소수 1 내지 30의 알킬기, 치환 또는 비치환된 탄소수 6 내지 30의 아릴기, 치환 또는 비치환된 탄소수 3 내지 30의 헤테로아릴기, 치환 또는 비치환된 탄소수 1 내지 30의 알콕시기, 치환 또는 비치환된 탄소수 3 내지 30의 시클로알킬기, 치환 또는 비치환된 탄소수 2 내지 30의 알케닐기, 치환 또는 비치환된 탄소수 1 내지 30의 알킬아미노기, 치환 또는 비치환된 탄소수 1 내지 30이 알킬실릴기, 치환 또는 비치환된 탄소수 6 내지 30의 아릴아미노기 및 치환 또는 비치환된 탄소수 6 내지 30의 아릴실릴기 중에서 선택되고, 인접한 치환체와 알킬렌 또는 알케닐렌으로 연결되어 스피로고리 또는 융합고리를 형성할 수 있다.R is the same as or different from each other, and each independently hydrogen, deuterium, halogen, cyano group, substituted or unsubstituted alkyl group having 1 to 30 carbon atoms, substituted or unsubstituted aryl group having 6 to 30 carbon atoms, substituted or unsubstituted A heteroaryl group having 3 to 30 carbon atoms, a substituted or unsubstituted alkoxy group having 1 to 30 carbon atoms, a substituted or unsubstituted cycloalkyl group having 3 to 30 carbon atoms, a substituted or unsubstituted alkenyl group having 2 to 30 carbon atoms, a substituted or Unsubstituted C1-C30 alkylamino group, substituted or unsubstituted C1-C30 alkylsilyl group, substituted or unsubstituted C6-C30 arylamino group, and substituted or unsubstituted C6-C30 arylsilyl It is selected from groups, and may be connected to an adjacent substituent with alkylene or alkenylene to form a spiro ring or a fused ring.
L은 치환 또는 비치환된 탄소수 1 내지 30의 알킬기, 치환 또는 비치환된 탄소수 1 내지 30의 알콕시기, 치환 또는 비치환된 탄소수 6 내지 30의 아릴기, 치환 또는 비치환된 탄소수 5 내지 30의 헤테로아릴기 및 치환 또는 비치환된 탄소수 5 내지 30의 시클로알킬기 중에서 선택되고, 상기 L은 탄소수 1 내지 20의 알킬기, 탄소수 3 내지 20의 시클로알킬기, 탄소수 6 내지 40의 아릴기, 탄소수 3 내지 20의 헤테로아릴기, 시아노기, 할로겐기, 중수소 및 수소 중에서 선택되는 1종 이상의 치환기로 더 치환되며, 인접한 치환체와 알킬렌 또는 알케닐렌으로 연결되어 스피로고리 또는 융합고리를 형성할 수 있다.
L is a substituted or unsubstituted alkyl group having 1 to 30 carbon atoms, a substituted or unsubstituted alkoxy group having 1 to 30 carbon atoms, a substituted or unsubstituted aryl group having 6 to 30 carbon atoms, a substituted or unsubstituted C 5 to 30 carbon atom Selected from a heteroaryl group and a substituted or unsubstituted cycloalkyl group having 5 to 30 carbon atoms, wherein L is an alkyl group having 1 to 20 carbon atoms, a cycloalkyl group having 3 to 20 carbon atoms, an aryl group having 6 to 40 carbon atoms, and 3 to 20 carbon atoms It is further substituted with one or more substituents selected from a heteroaryl group, a cyano group, a halogen group, deuterium and hydrogen, and may be connected to an adjacent substituent by alkylene or alkenylene to form a spiro ring or a fused ring.
이하, 본 발명의 유기전계발광소자를 도 1을 통해 설명하고자 한다.Hereinafter, the organic electroluminescent device of the present invention will be described with reference to FIG. 1.
도 1은 본 발명의 유기전계발광소자의 구조를 나타내는 단면도이다. 본 발명에 따른 유기전계발광소자는 애노드(20), 정공수송층(40), 유기발광층(50), 전자수송층(60) 및 캐소드(80)을 포함하며, 필요에 따라 정공주입층(30)과 전자주입층(70)을 더 포함할 수 있으며, 그 이외에도 1층 또는 2층의 중간층을 더 형성하는 것도 가능하며, 정공저지층 또는 전자저지층을 더 형성시킬 수도 있다.
1 is a cross-sectional view showing the structure of an organic light emitting device of the present invention. The organic electroluminescent device according to the present invention includes an
도 1을 참조하여 본 발명의 유기전계발광소자 및 그 제조방법에 대하여 살펴보면 다음과 같다.Referring to FIG. 1, an organic light emitting device of the present invention and a method of manufacturing the same will be described as follows.
먼저 기판(10) 상부에 애노드 전극용 물질을 코팅하여 애노드(20)를 형성한다. 여기에서 기판(10)으로는 통상적인 유기 EL 소자에서 사용되는 기판을 사용하는데 투명성, 표면 평활성, 취급용이성 및 방수성이 우수한 유기 기판 또는 투명 플라스틱 기판이 바람직하다. 그리고, 애노드 전극용 물질로는 투명하고 전도성이 우수한 산화인듐주석(ITO), 산화인듐아연(IZO), 산화주석(SnO2), 산화아연(ZnO) 등을 사용한다.First, an
상기 애노드(20) 전극 상부에 정공 주입층 물질을 진공열 증착, 또는 스핀 코팅하여 정공주입층(30)을 형성한다. 그 다음으로 상기 정공주입층(30)의 상부에 정공수송층 물질을 진공 열증착 또는 스핀 코팅하여 정공수송층(40)을 형성한다.The
상기 정공주입층 재료는 당업계에서 통상적으로 사용되는 것인 한 특별히 제한되지 않고 사용할 수 있으며, 예를 들어 2-TNATA [4,4',4"-tris(2-naphthylphenyl-phenylamino)-triphenylamine], NPD[N,N'-di(1-naphthyl)-N,N'-diphenylbenzidine)], TPD[N,N'-diphenyl-N,N'-bis(3-methylphenyl)-1,1'-biphenyl-4,4'-diamine], DNTPD[N,N'-diphenyl-N,N'-bis-[4-(phenyl-m-tolyl-amino)-phenyl]-biphenyl-4,4'-diamine] 등을 사용할 수 있다.The hole injection layer material is not particularly limited as long as it is commonly used in the art, and may be used, for example, 2-TNATA [4,4',4"-tris(2-naphthylphenyl-phenylamino)-triphenylamine] , NPD[N,N'-di(1-naphthyl)-N,N'-diphenylbenzidine)], TPD[N,N'-diphenyl-N,N'-bis(3-methylphenyl)-1,1'- biphenyl-4,4'-diamine], DNTPD[N,N'-diphenyl-N,N'-bis-[4-(phenyl-m-tolyl-amino)-phenyl]-biphenyl-4,4'-diamine ], etc. can be used.
또한 상기 정공수송층의 재료로서 당업계에 통상적으로 사용되는 것인 한 특별히 제한되지 않으며, 예를 들어, N,N'-비스(3-메틸페닐)-N,N'-디페닐-[1,1-비페닐]-4,4'-디아민(TPD) 또는 N,N'-디(나프탈렌-1-일)-N,N'-디페닐벤지딘(α-NPD) 등을 사용할 수 있다.In addition, the material of the hole transport layer is not particularly limited as long as it is commonly used in the art. For example, N,N'-bis(3-methylphenyl)-N,N'-diphenyl-[1,1 -Biphenyl]-4,4'-diamine (TPD) or N,N'-di(naphthalen-1-yl)-N,N'-diphenylbenzidine (α-NPD), and the like can be used.
이어서, 상기 정공수송층(40)의 상부에 유기발광층(50)을 적층하고 상기 유기발광층(50)의 상부에 선택적으로 정공저지층(미도시)을 진공 증착 방법, 또는 스핀 코팅 방법으로서 박막을 형성할 수 있다. 상기 정공저지층은 정공이 유기발광층을 통과하여 캐소드로 유입되는 경우에는 소자의 수명과 효율이 감소되기 때문에 HOMO(Highest Occupied Molecular Orbital) 레벨이 매우 낮은 물질을 사용함으로써 이러한 문제를 방지하는 역할을 한다. 이 때, 사용되는 정공 저지 물질은 특별히 제한되지는 않으나 전자수송능력을 가지면서 발광 화합물보다 높은 이온화 포텐셜을 가져야 하며 대표적으로 BAlq, BCP, TPBI 등이 사용될 수 있다.Subsequently, an organic light-emitting
상기 정공저지층에 사용되는 물질로써, BAlq, BCP, Bphen, TPBI, NTAZ, BeBq2, OXD-7, Liq 및 [화학식 101] 내지 [화학식 107] 중에서 선택되는 어느 하나가 사용될 수 있으나, 이에 한정되는 것은 아니다.As a material used for the hole blocking layer, any one selected from BAlq, BCP, Bphen, TPBI, NTAZ, BeBq 2 , OXD-7, Liq, and [Formula 101] to [Formula 107] may be used, but limited thereto It does not become.
BAlq BCP BphenBAlq BCP Bphen
TPBI NTAZ BeBq2 TPBI NTAZ BeBq 2
OXD-7 LiqOXD-7 Liq
화학식 101 화학식 102 화학식 103Formula 101 Formula 102 Formula 103
화학식 104 화학식 105 화학식 106Formula 104 Formula 105 Formula 106
화학식 107Chemical Formula 107
이러한 정공저지층 위에 전자수송층(60)을 진공 증착 방법, 또는 스핀 코팅 방법을 통해 증착한 후에 전자주입층(70)을 형성하고 상기 전자주입층(70)의 상부에 캐소드 형성용 금속을 진공 열증착하여 캐소드(80) 전극을 형성함으로써 유기 EL 소자가 완성된다. 여기에서 캐소드 형성용 금속으로는 리튬(Li), 마그네슘(Mg), 알루미늄(Al), 알루미늄-리듐(Al-Li), 칼슘(Ca), 마그네슘-인듐(Mg-In), 마그네슘-은(Mg-Ag) 등을 사용할 수 있으며, 전면 발광 소자를 얻기 위해서는 ITO, IZO를 사용한 투과형 캐소드를 사용할 수 있다.After depositing the
또한, 상기 발광층은 호스트와 도펀트로 이루어질 수 있으며, 본 발명의 구체적인 예에 의하면, 상기 발광층의 두께는 50 내지 2,000 Å인 것이 바람직하다.In addition, the emission layer may be formed of a host and a dopant, and according to a specific example of the present invention, the thickness of the emission layer is preferably 50 to 2,000 Å.
이때, 발광층에 사용되는 도펀트는 하기 [일반식 A-1] 내지 [일반식 J-1]으로 표시되는 화합물 중에서 선택되는 1종 이상의 화합물일 수 있다.In this case, the dopant used in the light emitting layer may be one or more compounds selected from compounds represented by the following [General Formula A-1] to [General Formula J-1].
[일반식 A-1][General Formula A-1]
상기 [일반식 A-1]에서,In the above [general formula A-1],
M은 7족, 8족, 9족, 10족, 11족, 13족, 14족, 15족 및 16족의 금속으로 이루어진 군으로부터 선택되고, 바람직하게는 Ir, Pt, Pd, Rh, Re, Os, Tl, Pb, Bi, In, Sn, Sb, Te, Au 및 Ag로부터 선택된다.M is selected from the group consisting of metals of
또한, 상기 L1, L2 및 L3은 리간드로서 서로 동일하거나 상이하고 각각 독립적으로 하기 [구조식 D]에서 선택되는 어느 하나일 수 있으며, 하기 구조식 D내 「*」은 금속 이온 M에 배위하는 사이트(site)를 표현한다.In addition, the L 1 , L 2 and L 3 may be the same as or different from each other as a ligand, and each independently may be any one selected from the following [Structural Formula D], and "*" in the following Structural Formula D is coordinated to the metal ion M Express the site.
[구조식 D][Structural Formula D]
상기 [구조식 D]에서,In the [Structural Formula D],
R은 서로 상이하거나 동일하며 각각 독립적으로 수소, 중수소, 할로겐, 시아노기, 치환 또는 비치환된 탄소수 1 내지 30의 알킬기, 치환 또는 비치환된 탄소수 6 내지 50의 아릴기, 치환 또는 비치환된 탄소수 5 내지 50의 헤테로아릴기, 치환 또는 비치환된 탄소수 1 내지 30의 알콕시기, 치환 또는 비치환된 탄소수 3 내지 30의 시클로알킬기, 치환 또는 비치환된 탄소수 2 내지 30의 알케닐기, 치환 또는 비치환된 탄소수 1 내지 30의 알킬아미노기, 치환 또는 비치환된 탄소수 1 내지 30의 알킬실릴기, 치환 또는 비치환된 탄소수 6 내지 30의 아릴아미노기 및 치환 또는 비치환된 탄소수 6 내지 30의 아릴실릴기 중에서 선택되는 어느 하나일수 있으며, 상기 R은 각각 독립적으로 탄소수 1 내지 20의 알킬기, 탄소수 3 내지 20의 시클로알킬기, 탄소수 6 내지 40의 아릴기, 탄소수 3 내지 20의 헤테로아릴기, 시아노기, 할로겐기, 중수소 및 수소 중에서 선택되는 1종 이상의 치환기로 더 치환될 수 있고, 또한 상기 R은 각각의 인접한 치환기와 알킬렌 또는 알케닐렌으로 연결되어 지환족 고리 및 단일환 또는 다환의 방향족 고리를 형성할 수 있다.R is different from each other or the same, and each independently hydrogen, deuterium, halogen, cyano group, substituted or unsubstituted alkyl group having 1 to 30 carbon atoms, substituted or unsubstituted aryl group having 6 to 50 carbon atoms, substituted or unsubstituted carbon number 5 to 50 heteroaryl group, substituted or unsubstituted C 1 to
L은 치환 또는 비치환된 탄소수 1 내지 30의 알킬기, 치환 또는 비치환된 탄소수 1 내지 30의 알콕시기, 치환 또는 비치환된 탄소수 6 내지 30의 아릴기, 치환 또는 비치환된 탄소수 5 내지 30의 헤테로아릴기 및 치환 또는 비치환된 탄소수 5 내지 30의 시클로알킬기 중에서 선택되고, 상기 L은 탄소수 1 내지 20의 알킬기, 탄소수 3 내지 20의 시클로알킬기, 탄소수 6 내지 40의 아릴기, 탄소수 3 내지 20의 헤테로아릴기, 시아노기, 할로겐기, 중수소 및 수소 중에서 선택되는 1종 이상의 치환기로 더 치환되며, 인접한 치환체와 알킬렌 또는 알케닐렌으로 연결되어 스피로고리 또는 융합고리를 형성할 수 있다.L is a substituted or unsubstituted alkyl group having 1 to 30 carbon atoms, a substituted or unsubstituted alkoxy group having 1 to 30 carbon atoms, a substituted or unsubstituted aryl group having 6 to 30 carbon atoms, a substituted or unsubstituted C 5 to 30 carbon atom Selected from a heteroaryl group and a substituted or unsubstituted cycloalkyl group having 5 to 30 carbon atoms, wherein L is an alkyl group having 1 to 20 carbon atoms, a cycloalkyl group having 3 to 20 carbon atoms, an aryl group having 6 to 40 carbon atoms, and 3 to 20 carbon atoms It is further substituted with one or more substituents selected from a heteroaryl group, a cyano group, a halogen group, deuterium and hydrogen, and may be connected to an adjacent substituent by alkylene or alkenylene to form a spiro ring or a fused ring.
본 발명의 일 실시예에 의하면, 상기 [일반식 A-1]으로 표시되는 도펀트는 하기 화합물 중에서 선택된 어느 하나일 수 있다.According to an embodiment of the present invention, the dopant represented by [General Formula A-1] may be any one selected from the following compounds.
[일반식 B-1][General Formula B-1]
상기 [일반식 B-1]에서,In the above [general formula B-1],
MA1은 상기 [일반식 A-1]에서 정의한 바와 동일한 금속 이온을 나타내며, 또한, YA11, YA14, YA15 및 YA18 은 각각 독립적으로 탄소 원자 또는 질소 원자를 나타내며, YA12, YA13, YA16 및 YA17은 각각 독립적으로 치환 또는 무치환의 탄소 원자, 치환 또는 무치환의 질소원자, 산소원자, 황원자를 나타내고, LA11, LA12, LA13, LA14는 각각 상기 [일반식 A-1]에서 정의한 L1, L2 및 L3와 같은 연결기를 나타내며, QA11, QA12는 MA1에 결합하는 원자를 함유하는 부분 구조를 나타낸다.M A1 represents the same metal ion as defined in [General Formula A-1], and Y A11 , Y A14 , Y A15 and Y A18 Each independently represents a carbon atom or a nitrogen atom, Y A12 , Y A13 , Y A16 and Y A17 each independently represent a substituted or unsubstituted carbon atom, a substituted or unsubstituted nitrogen atom, an oxygen atom, and a sulfur atom, L A11 , L A12 , L A13 , L A14 each represent a linking group such as L 1 , L 2 and L 3 defined in [General Formula A-1], and Q A11 and Q A12 represent an atom bonded to M A1 It shows the partial structure to contain.
본 발명의 일 실시예에 의하면, 상기 [일반식 B-1]으로 표시되는 화합물은 하기 화합물 중에서 선택된 어느 하나일 수 있다.According to an embodiment of the present invention, the compound represented by [General Formula B-1] may be any one selected from the following compounds.
[일반식 C-1][General Formula C-1]
상기 [일반식 C-1]에서,In the above [general formula C-1],
MB1은 상기 [일반식 A-1]에서 정의한 바와 동일한 금속 이온을 나타내며, YB11, YB14, YB15 및 YB18은 각각 독립적으로 탄소 원자 또는 질소 원자를 나타내고, YB12, YB13, YB16 및 YB17은 각각 독립적으로 치환 또는 무치환의 탄소 원자, 치환 또는 무치환의 질소원자, 산소원자, 황원자를 나타내며, LB11, LB12, LB13, LB14는 연결기를 나타내고, QB11, QB12는 MB1에 결합하는 원자를 함유하는 부분 구조를 나타낸다.M B1 represents the same metal ion as defined in [General Formula A-1], Y B11 , Y B14 , Y B15 and Y B18 each independently represent a carbon atom or a nitrogen atom, and Y B12 , Y B13 , Y B16 and Y B17 each independently represent a substituted or unsubstituted carbon atom, a substituted or unsubstituted nitrogen atom, an oxygen atom, and a sulfur atom, L B11 , L B12 , L B13 , L B14 represent a linking group, Q B11 , Q B12 represents a partial structure containing an atom bonded to M B1 .
본 발명의 일 실시예에 의하면, 상기 [일반식 C-1]으로 표시되는 화합물은 하기 화합물 중에서 선택된 어느 하나일 수 있다.According to an embodiment of the present invention, the compound represented by [General Formula C-1] may be any one selected from the following compounds.
[일반식 D-1][General Formula D-1]
상기 [일반식 D-1]에서,In the above [general formula D-1],
MC1은 상기 [일반식 A-1]에서 정의한 바와 동일한 금속 이온을 나타내며, RC11, RC12는 각각 독립적으로 수소 원자, 서로 연결되어 5 원 고리를 형성하는 치환기, 서로 연결되지 않는 치환기를 나타내며, RC11, RC12는 각각 독립적으로 수소 원자, 서로 연결되어 5 원 고리를 형성하는 치환기, 서로 연결되지 않은 치환기를 나타내며, RC13, RC14는 각각 독립적으로 수소 원자, 서로 연결되어 5 원 고리를 형성하는 치환기, 서로 연결되지 않은 치환기를 나타내며, GC11, GC12는 각각 독립적으로 질소 원자, 치환 또는 무치환의 탄소 원자를 나타내며, LC11, LC12는 연결기를 나타내며, QC11, QC12는 MC1에 결합하는 원자를 함유하는 부분 구조를 나타낸다.M C1 represents the same metal ion as defined in [General Formula A-1], and R C11 and R C12 each independently represent a hydrogen atom, a substituent that is connected to each other to form a 5-membered ring, and a substituent that is not connected to each other. , R C11 and R C12 each independently represent a hydrogen atom, a substituent that is connected to each other to form a 5-membered ring, and a substituent that is not connected to each other, and R C13 and R C14 are each independently a hydrogen atom, each of which is a 5-membered ring Represents a substituent that forms a substituent, a substituent that is not connected to each other, G C11 , G C12 each independently represents a nitrogen atom, a substituted or unsubstituted carbon atom, L C11 , L C12 represents a linking group, Q C11 , Q C12 Represents a partial structure containing an atom bonded to M C1 .
본 발명의 일 실시예에 의하면, 상기 [일반식 D-1]으로 표시되는 화합물은 하기 화합물 중에서 선택된 어느 하나일 수 있다.According to an embodiment of the present invention, the compound represented by [General Formula D-1] may be any one selected from the following compounds.
[일반식 E-1][General Formula E-1]
상기 [일반식 E-1]에서,In the above [general formula E-1],
MD1은 상기 [일반식 A-1]에서 정의한 바와 동일한 금속 이온을 나타내며, GD11, GD12는 각각 독립적으로 질소 원자, 치환 또는 무치환의 탄소 원자를 나타내며, JD11, JD12, JD13 및 JD14는 각각 독립적으로 5 원 고리를 형성하는데도 필요한 원자군을 나타내며, LD11, LD12는 연결기를 나타낸다.M D1 represents the same metal ion as defined in [General Formula A-1], and G D11 and G D12 each independently represent a nitrogen atom, a substituted or unsubstituted carbon atom, and J D11 , J D12 , J D13 And J D14 each independently represent an atomic group required to form a 5-membered ring, and L D11 and L D12 represent a linking group.
본 발명의 일 실시예에 의하면, 상기 [일반식 E-1]으로 표시되는 화합물은 하기 화합물 중에서 선택된 어느 하나일 수 있다.According to an embodiment of the present invention, the compound represented by [General Formula E-1] may be any one selected from the following compounds.
[일반식 F-1][General Formula F-1]
상기 [일반식 F-1]에서,In the above [general formula F-1],
ME1은 상기 [일반식 A-1]에서 정의한 바와 동일한 금속 이온을 나타내며, JE11, JE12는 각각 독립적으로 5 원 고리를 형성하는데도 필요한 원자군을 나타내며, GE11, GE12, GE13 및 GE14는 각각 독립적으로 질소 원자, 치환 또는 무치환의 탄소 원자를 나타내며, YE11, YE12, YE13 및 YE14는 각각 독립적으로 질소 원자, 치환 또는 무치환의 탄소원자를 나타낸다.M E1 represents the same metal ion as defined in [General Formula A-1], and J E11 and J E12 each independently represent an atomic group required to form a 5-membered ring, G E11 , G E12 , G E13 and G E14 each independently represents a nitrogen atom, a substituted or unsubstituted carbon atom, and Y E11 , Y E12 , Y E13 and Y E14 each independently represent a nitrogen atom, a substituted or unsubstituted carbon atom.
본 발명의 일 실시예에 의하면, 상기 [일반식 F-1]으로 표시되는 화합물은 하기 화합물 중에서 선택된 어느 하나일 수 있다.According to an embodiment of the present invention, the compound represented by [General Formula F-1] may be any one selected from the following compounds.
[일반식 G-1][General Formula G-1]
상기 [일반식 G-1]에서,In the above [general formula G-1],
MF1은 상기 [일반식 A-1]에서 정의한 바와 동일한 금속 이온을 나타내며, LF11, LF12 및 LF13은 연결기를 나타내며, RF11, RF12, RF13 및 RF14는 치환기를 나타내고, RF11과 RF12, RF12 와 RF13, RF13과 RF14는 서로 연결되어 고리를 형성할 수 있고, 이때 RF1과 RF12, RF13과 RF14가 형성하는 고리는 5 원환이다. 또한 QF11, QF12는 MF1에 결합하는 원자를 함유하는 부분 구조를 나타낸다. M F1 represents the same metal ion as defined in [General Formula A-1], L F11 , L F12 and L F13 represent a linking group, R F11 , R F12 , R F13 and R F14 represent a substituent, and R F11 and R F12 , R F12 And R F13 , R F13 and R F14 may be linked to each other to form a ring, wherein the ring formed by R F1 and R F12 , R F13 and R F14 is a 5-membered ring. In addition, Q F11 and Q F12 represent a partial structure containing an atom bonded to M F1 .
본 발명의 일 실시예에 의하면, 상기 [일반식 G-1]으로 표시되는 화합물은 하기 화합물 중에서 선택된 어느 하나일 수 있다.According to an embodiment of the present invention, the compound represented by [General Formula G-1] may be any one selected from the following compounds.
[일반식 H-1] [일반식 H-2] [일반식 H-3][General Formula H-1] [General Formula H-2] [General Formula H-3]
상기 [일반식 H-1]에서,In the above [General Formula H-1],
R11, R12는 알킬기, 아릴기 또는 헤테로아릴기이며, 서로 인접한 치환기와 융합고리를 형성할 수 있고, q11, q12는 0 내지 4의 정수로서, 바람직하게는 0 내지 2일 수 있다. 또한 q11, q12가 2 내지 4의 경우, 복수개의 R11 및 R12는 각각 동일하거나 상이할 수 있다.R 11 and R 12 are an alkyl group, an aryl group, or a heteroaryl group, and may form a fused ring with a substituent adjacent to each other, and q11 and q12 are integers of 0 to 4, preferably 0 to 2. Also, when q11 and q12 are 2 to 4, a plurality of R11 and R12 may be the same or different, respectively.
L1은 백금에 결합하는 리간드로서, 오르토 메탈(ortho metal)화 백금 착체를 형성할수 있는 리간드, 함질소헤테로환 리간드, 디케톤 리간드, 할로겐 리간드가 바람직하고, 보다 바람직하게는 오르토 메탈(ortho metal)화 백금 착체를 형성하는 리간드, 비피리딜 리간드, 또는 페난트로린 리간드이다. L 1 is a ligand that binds to platinum, and is preferably a ligand capable of forming an ortho metalized platinum complex, a nitrogen-containing heterocyclic ligand, a diketone ligand, a halogen ligand, and more preferably an ortho metal. ) A ligand that forms a platinum complex, a bipyridyl ligand, or a phenanthroline ligand.
n1은 0 내지 3의 정수이며, 바람직하게는 0이고, m1은 1 또는 2이고 바람직하게는 2이다. n 1 is an integer of 0 to 3, preferably 0, and m 1 is 1 or 2, preferably 2.
또한, 상기 n1, m1 은 상기 [일반식 H-1]로 나타나는 금속 착체가 중성 착체가 되도록 하는 것이 바람직하다.In addition, it is preferable that n 1 and m 1 make the metal complex represented by the above [General Formula H-1] a neutral complex.
상기 [일반식 H-2]에서,In the above [General Formula H-2],
R21, R22, n2, m2, q22, L2는 각각 상기 R11, R12, n1, m1, q12, L1과 동일하고, q21은 0 내지 2의 정수이며, 0이 바람직하다.R 21 , R 22 , n 2 , m 2 , q 22 , L 2 are the same as R 11 , R 12 , n 1 , m 1 , q 12 and L 1 , respectively, and q 21 is an integer of 0 to 2 , 0 is preferred.
상기 [일반식 H-3]에서,In the above [General Formula H-3],
R31, n3, m3, L3 은 각각 상기 R11, n1, m1, L1과 동일하고, q31은 0 내지 8의 정수를 나타내고, 0 내지 2가 바람직하고, 0이 보다 바람직하다.R 31 , n 3 , m 3 , L 3 are the same as R 11 , n 1 , m 1 , and L 1 , respectively, and q 31 represents an integer of 0 to 8, preferably 0 to 2, and more than 0 desirable.
본 발명의 일 실시예에 의하면, 상기 [일반식 H-1] 내지 [일반식 H-3]로 표시되는 화합물은 하기 화합물 중에서 선택된 어느 하나일 수 있다.According to an embodiment of the present invention, the compound represented by [General Formula H-1] to [General Formula H-3] may be any one selected from the following compounds.
[일반식 I-1][General Formula I-1]
상기 [일반식 I-1]에서,In the above [general formula I-1],
고리A, 고리B, 고리C 및 고리D는 상기 고리 A내지 D중의 어느 2개의 고리는 치환기를 가질 수 있는 질소 함유 헤테로고리를 나타내고, 나머지 2개의 고리는 치환기를 가질 수 있는 아릴고리 또는 헤테로아릴고리를 나타내며, 고리 A와 고리 B, 고리 A와 고리C 및/또는 고리 B와 고리 D로 축합환을 형성할 수 있다.Ring A, Ring B, Ring C, and Ring D represent a nitrogen-containing heterocycle in which any two of the rings A to D may have a substituent, and the other two rings are an aryl ring or heteroaryl which may have a substituent. Represents a ring, and can form a condensed ring with ring A and ring B, ring A and ring C, and/or ring B and ring D.
X1, X2, X3 및 X4는 이 중의 어느 2개가 백금원자에 배위결합하는 질소원자를 나타내고, 나머지 2개는 탄소원자 또는 질소원자를 나타낸다.X 1 , X 2 , X 3 and X 4 represent a nitrogen atom in which two of them are coordinated to a platinum atom, and the other two represent a carbon atom or a nitrogen atom.
Q1, Q2 및 Q3은 각각 독립적으로 2가의 원자(단) 또는 결합을 나타내지만, Q1, Q2 및 Q3이 동시에 결합을 나타내지는 않는다. Z1, Z2, Z3 및 Z4는 어느 2개가 배위결합을 나타내고, 나머지 2개는 공유결합, 산소원자 또는 황원자를 나타낸다.Q 1 , Q 2 and Q 3 each independently represent a divalent atom (term) or a bond, but Q 1 , Q 2 and Q 3 do not represent a bond at the same time. Z 1 , Z 2 , Z 3 and Z 4 are any two representing a coordination bond, and the other two represent a covalent bond, an oxygen atom or a sulfur atom.
본 발명의 일 실시예에 의하면, 상기 [일반식 I-1]으로 표시되는 화합물은 하기 화합물 중에서 선택된 어느 하나일 수 있다.According to an embodiment of the present invention, the compound represented by [General Formula I-1] may be any one selected from the following compounds.
[일반식 J-1][General Formula J-1]
상기 [일반식 J-1]에 있어서,In the above [general formula J-1],
M은 상기 [일반식 A-1]에서 정의한 바와 동일한 금속 이온을 나타내며, Ar1은 치환 또는 비치환의 고리구조를 표현하고, 상기 M에 결합하는 2개의 아조메틴(azomethine) 결합(-C=N-)에 있어서, 질소원자(N)는 각각 상기 M에 결합하고, 전체로서 상기 M에 3좌에서 결합되는 3좌 배위자를 형성하고 있다.M represents the same metal ion as defined in [General Formula A-1], Ar1 represents a substituted or unsubstituted ring structure, and two azomethine bonds (-C=N-) bonded to the M In ), the nitrogen atom (N) is each bonded to the M, and as a whole, forms a tridentate ligand bonded to the M at three loci.
또한, Ar1에 있어서 C는 Ar1으로 표시되는 고리구조를 구성하는 탄소원자를 나타낸다. 또한 상기 R1 및 R2는, 서로 동일하거나 상이할 수 있고, 각각 치환 또는 비치환의 알킬기 또는 아릴기를 나타내며, L은 1좌 배위자를 표현한다.In addition, in Ar1, C represents a carbon atom constituting the ring structure represented by Ar1. In addition, R1 and R2 may be the same as or different from each other, and each represents a substituted or unsubstituted alkyl group or aryl group, and L represents a monodentate ligand.
상기 M은 Pt인 것이 바람직하고, 상기 Ar1은 5원환, 6원환 및 이들의 축합환기부터 선택되는 것이 바람직하다.The M is preferably Pt, and Ar1 is preferably selected from a 5-membered ring, a 6-membered ring, and a condensed ring group thereof.
본 발명의 일 실시예에 의하면, 상기 [일반식 J-1]으로 표시되는 화합물은 하기 화합물 중에서 선택된 어느 하나일 수 있다.According to an embodiment of the present invention, the compound represented by [General Formula J-1] may be any one selected from the following compounds.
또한, 상기 발광층은 상기 도판트와 호스트 이외에도 다양한 호스트와 다양한 도펀트 물질을 추가로 포함할 수 있다.In addition, the emission layer may further include various hosts and various dopant materials in addition to the dopant and host.
또한, 상기 정공주입층, 정공수송층, 전자저지층, 발광층, 정공저지층, 전자수송층 및 전자주입층으로부터 선택된 하나 이상의 층은 단분자 증착방식 또는 용액공정에 의하여 형성될 수 있으며, 여기서 상기 증착 방식은 상기 각각의 층을 형성하기 위한 재료로 사용되는 물질을 진공 또는 저압상태에서 가열 등을 통해 증발시켜 박막을 형성하는 방법을 의미하고, 상기 용액공정은 상기 각각의 층을 형성하기 위한 재료로 사용되는 물질을 용매와 혼합하고 이를 잉크젯 인쇄, 롤투롤 코팅, 스크린 인쇄, 스프레이 코팅, 딥 코팅, 스핀 코팅 등과 같은 방법을 통하여 박막을 형성하는 방법을 의미한다.In addition, one or more layers selected from the hole injection layer, the hole transport layer, the electron blocking layer, the light emitting layer, the hole blocking layer, the electron transport layer and the electron injection layer may be formed by a single molecule deposition method or a solution process, wherein the deposition method Means a method of forming a thin film by evaporating a material used as a material for forming each layer through heating in a vacuum or low pressure state, and the solution process is used as a material for forming each layer It refers to a method of forming a thin film through a method such as inkjet printing, roll-to-roll coating, screen printing, spray coating, dip coating, spin coating, and the like by mixing a material to be formed with a solvent.
또한, 본 발명에 따른 유기전계발광소자는 평판 디스플레이 장치, 플렉시블 디스플레이 장치, 단색 또는 백색의 평판 조명용 장치 및 단색 또는 백색의 플렉시블 조명용 장치에서 선택되는 장치에 사용될 수 있다.
In addition, the organic electroluminescent device according to the present invention may be used in a device selected from a flat panel display device, a flexible display device, a monochrome or white flat lighting device, and a single color or white flexible lighting device.
이하, 바람직한 실시예를 들어 본 발명을 더욱 상세하게 설명한다. 그러나, 이들 실시예는 본 발명을 보다 구체적으로 설명하기 위한 것으로, 본 발명의 범위가 이에 의하여 제한되지 않는다는 것은 당업계의 통상의 지식을 가진 자에게 자명할 것이다.
Hereinafter, the present invention will be described in more detail with reference to preferred embodiments. However, these examples are for explaining the present invention in more detail, and it will be apparent to those of ordinary skill in the art that the scope of the present invention is not limited thereto.
<실시예><Example>
<합성예 1> [화학식 2]로 표시되는 화합물의 합성<Synthesis Example 1> Synthesis of a compound represented by [Chemical Formula 2]
(1) [화학식 2-a]로 표시되는 화합물의 합성(1) Synthesis of a compound represented by [Formula 2-a]
하기 [반응식 1]에 의하여 [화학식 2-a]로 표시되는 화합물을 합성하였다.A compound represented by [Chemical Formula 2-a] was synthesized by the following [Scheme 1].
[반응식 1][Scheme 1]
[화학식 2-a][Formula 2-a]
2L 둥근 바닥 플라스크에 메틸아미노벤조에이트 50.0g(330mmol), 브로모벤젠43.2g(276mmol), 팔라듐아세테이트 1.2g(5.6mmol), 잔트포스 6.4g(11.02mmol), 탄산세슘 126g(386mmol), 톨루엔 1000 mL를 넣고 24시간 환류시켰다. 반응이 끝나면 상온으로 냉각시켜 여과하고 톨루엔을 감압 농축하여 용매를 제거한 후 상기 농축액을 에틸아세테이트와 헥산을 전개용매로 하여 컬럼크로마토그래피로 정제하여 [화학식 2-a]로 표시되는 화합물 57g(수율: 91.2%)을 얻었다.
In a 2L round bottom flask, methylaminobenzoate 50.0g (330mmol), bromobenzene 43.2g (276mmol), palladium acetate 1.2g (5.6mmol), Xantfos 6.4g (11.02mmol), cesium carbonate 126g (386mmol), toluene 1000 mL was added and refluxed for 24 hours. After the reaction is completed, the reaction mixture is cooled to room temperature, filtered, toluene is concentrated under reduced pressure to remove the solvent, and the concentrated solution is purified by column chromatography using ethyl acetate and hexane as developing solvents, and 57 g of the compound represented by [Formula 2-a] (yield: 91.2%) was obtained.
(2) [화학식 2-b]로 표시되는 화합물의 합성(2) Synthesis of a compound represented by [Formula 2-b]
하기 [반응식 2]에 의하여 [화학식 2-b]로 표시되는 화합물을 합성하였다.A compound represented by [Chemical Formula 2-b] was synthesized by the following [Scheme 2].
[반응식 2][Scheme 2]
[화학식 2-a] [화학식 2-b][Formula 2-a] [Formula 2-b]
2L 둥근 바닥 플라스크에 [반응식 1]로부터 얻은 [화학식 2-a] 57g(250mmol), 아이소프로필에테르 800 mL를 넣고 10 ℃로 냉각한 다음 메틸마그네슘브로마이드(1.0M in 디에틸에테르) 875 mL(875mmol)를 1시간 동안 적가한 후 2시간 동안 환류하여 반응을 종료한다. 반응액을 상온으로 냉각한 후 10% 암모늄클로라이드 수용액 400 mL를 넣고 2시간 동안 교반하여 층분리를 함으로써 유기층을 얻고 감압 농축하여 [화학식 2-b]로 표시되는 화합물 30g(수율: 53%)을 얻었다.
[Chemical Formula 2-a] 57g (250mmol) obtained from [Scheme 1] and 800 mL of isopropyl ether were added to a 2L round bottom flask, cooled to 10 ℃, and then methylmagnesium bromide (1.0M in diethyl ether) 875 mL (875 mmol) ) Was added dropwise for 1 hour and then refluxed for 2 hours to terminate the reaction. After cooling the reaction solution to room temperature, 400 mL of a 10% ammonium chloride aqueous solution was added and stirred for 2 hours to separate layers to obtain an organic layer and concentrated under reduced pressure to obtain 30 g of a compound represented by [Formula 2-b] (yield: 53%). Got it.
(3) [화학식 2-c]로 표시되는 화합물의 합성(3) Synthesis of a compound represented by [Formula 2-c]
하기 [반응식 3]에 의하여 [화학식 2-c]로 표시되는 화합물을 합성하였다.A compound represented by [Chemical Formula 2-c] was synthesized by the following [Scheme 3].
[반응식 3][Scheme 3]
[화학식 2-b] [화학식 2-c][Formula 2-b] [Formula 2-c]
250 mL 둥근 바닥 플라스크에 [반응식 2]로부터 얻은 [화학식 2-b] 30g(130mol)을 인산 60 mL에 녹인 후 6시간 동안 반응한다. 반응종료 후 반응액을 과량의 물에 넣어 고체를 생성한 후 이를 걸러내어 [화학식 2-c]로 표시되는 화합물 20g(수율: 73.5%)를 얻었다.
In a 250 mL round-bottom flask, 30 g (130 mol) of [Chemical Formula 2-b] obtained from [Scheme 2] was dissolved in 60 mL of phosphoric acid and reacted for 6 hours. After the reaction was completed, the reaction solution was added to an excess of water to form a solid, and then filtered to obtain 20g (yield: 73.5%) of a compound represented by [Chemical Formula 2-c].
(4) [화학식 2-d]로 표시되는 화합물의 합성(4) Synthesis of a compound represented by [Formula 2-d]
하기 [반응식 4]에 의하여 [화학식 2-d]로 표시되는 화합물을 합성하였다.A compound represented by [Chemical Formula 2-d] was synthesized by the following [Scheme 4].
[반응식 4][Scheme 4]
[화학식 2-c] [화학식 2-d][Formula 2-c] [Formula 2-d]
1L 둥근 바닥 플라스크에 [반응식 3]으로부터 얻은 [화학식 2-c] 20g(96mmol)과 실리카겔 100g을 메틸렌클로라이드 200 mL에 녹여 0℃로 냉각한 후 여기에 N-브로모쑥신이미드 17.1g(96mmol)을 메틸렌클로라이드 200 mL에 녹인 용액을 적가하여 실온에서 5시간 교반하였다. 반응종료 후 반응액을 물 600 mL로 3번 씻어주고 용매를 제거하여 [화학식 2-d]로 표시되는 화합물 9.7g(수율: 35.1%)을 얻었다.
In a 1L round-bottom flask, 20g (96mmol) of [Chemical Formula 2-c] obtained from [Scheme 3] and 100g of silica gel were dissolved in 200 mL of methylene chloride, cooled to 0℃, and then 17.1g (96mmol) of N-bromosuscinimide. A solution dissolved in 200 mL of methylene chloride was added dropwise, followed by stirring at room temperature for 5 hours. After completion of the reaction, the reaction solution was washed 3 times with 600 mL of water, and the solvent was removed to obtain 9.7 g (yield: 35.1%) of the compound represented by [Chemical Formula 2-d].
(5) [화학식 2-e]로 표시되는 화합물의 합성(5) Synthesis of a compound represented by [Formula 2-e]
하기 [반응식 5]에 의하여 [화학식 2-e]로 표시되는 화합물을 합성하였다.A compound represented by [Chemical Formula 2-e] was synthesized by the following [Scheme 5].
[반응식 5][Scheme 5]
[화학식 2-d] [화학식 2-e][Formula 2-d] [Formula 2-e]
250 mL 둥근 바닥 플라스크에 [반응식 4]로부터 얻은 [화학식 2-d] 9.7g(34mmol), 요오도벤젠 20.6g(101mmol), 구리 6.4g(101mmol), 18-크라운-6 1.8g(7mmol), 탄산칼륨 18.6g(135mmol), 1,2-디클로로벤젠 100 mL를 넣고 72시간 동안 환류시켰다. 반응종료 후 반응액을 상온으로 냉각하여 과량의 메탄올을 첨가함으로써 고체를 생성한 후 이를 걸러주고 에틸아세테이트와 헥산을 전개용매로 하여 컬럼크로마토그래피로 정제하여 [화학식 2-e]로 표시되는 화합물 6.5g(수율: 53.0%)을 얻었다.
[Chemical Formula 2-d] obtained from [Scheme 4] in a 250 mL round-bottom flask, 9.7 g (34 mmol), iodobenzene 20.6 g (101 mmol), copper 6.4 g (101 mmol), 18-crown-6 1.8 g (7 mmol) , Potassium carbonate 18.6 g (135 mmol), 1,2-dichlorobenzene 100 mL was added and refluxed for 72 hours. After completion of the reaction, the reaction solution was cooled to room temperature and an excess of methanol was added to form a solid, which was then filtered and purified by column chromatography using ethyl acetate and hexane as developing solvents, and compound 6.5 represented by [Formula 2-e] g (yield: 53.0%) was obtained.
(6) [화학식 2-f]로 표시되는 화합물의 합성(6) Synthesis of a compound represented by [Formula 2-f]
하기 [반응식 6]에 의하여 [화학식 2-f]로 표시되는 화합물을 합성하였다.A compound represented by [Chemical Formula 2-f] was synthesized by the following [Scheme 6].
[반응식 6][Scheme 6]
[화학식 2-e] [화학식 2-f][Formula 2-e] [Formula 2-f]
100 mL 둥근 바닥 플라스크에 [반응식 5]로부터 얻은 [화학식 2-e] 6.5g(18mmol)을 테트라하이드로퓨란 230 mL에 녹이고 -78 ℃에서 노말-부틸리튬 13.4 mL(21mmol, 1.6M in 헥산)을 천천히 적가하였다. 한 시간 교반 후 트리메틸보레이트 2.6g(25mmol)을 첨가하고 천천히 상온으로 올려 12시간 동안 교반하였다. 산이 될 때까지 2-노르말염산 수용액을 넣어주고 물과 에틸아세테이트로 추출하였다. 얻어진 추출물을 황산마그네슘으로 건조하고 재결정하여 [화학식 2-f]로 표시되는 화합물 5.4g(수율: 91.9%)을 얻었다.
In a 100 mL round-bottom flask, 6.5 g (18 mmol) of [Formula 2-e] obtained from [Scheme 5] was dissolved in 230 mL of tetrahydrofuran, and 13.4 mL (21 mmol, 1.6M in hexane) of normal-butyllithium was added at -78 °C. It was added slowly. After stirring for an hour, 2.6g (25mmol) of trimethylborate was added, and the mixture was slowly raised to room temperature and stirred for 12 hours. 2-Normal hydrochloric acid aqueous solution was added until it became an acid, followed by extraction with water and ethyl acetate. The obtained extract was dried over magnesium sulfate and recrystallized to obtain 5.4 g (yield: 91.9%) of a compound represented by [Chemical Formula 2-f].
(7) [화학식 2-g]로 표시되는 화합물의 합성(7) Synthesis of a compound represented by [Formula 2-g]
하기 [반응식 7]에 의하여 [화학식 2-g]로 표시되는 화합물을 합성하였다.A compound represented by [Chemical Formula 2-g] was synthesized by the following [Scheme 7].
[반응식 7][Scheme 7]
[화학식 2-g][Formula 2-g]
1000 mL 둥근 바닥 플라스크에 마그네슘 24.3g(935 mmol), 요오드 1g, 테트라하이드로퓨란 150 mL를 첨가하여 녹인 후 브로모벤젠 155.3g(985 mmol)을 첨가하여 2시간 동안 환류하여 용액(A)를 준비하였다. 한편, 1 L 둥근 바닥 플라스크에 사이아누릭클로라이드 70g(380 mmol)을 테트라하이드로퓨란 300 mL에 녹여 10℃로 냉각한 후 용액(A)를 1시간 동안 천천히 첨가하여 4시간 동안 환류시켰다. 반응종료 후 고체를 걸러내고 여액을 감압증류 한 후 헥산으로 재결정하여 [화학식 2-g]로 표시되는 화합물 46.1g (수율: 45%)을 얻었다.
To a 1000 mL round-bottom flask, 24.3 g (935 mmol) of magnesium, 1 g of iodine, and 150 mL of tetrahydrofuran were added to dissolve it, and then 155.3 g (985 mmol) of bromobenzene was added and refluxed for 2 hours to prepare a solution (A). I did. Meanwhile, 70 g (380 mmol) of cyanuric chloride was dissolved in 300 mL of tetrahydrofuran in a 1 L round bottom flask, cooled to 10° C., and then solution (A) was slowly added for 1 hour and refluxed for 4 hours. After the reaction was completed, the solid was filtered off, the filtrate was distilled under reduced pressure, and recrystallized with hexane to obtain 46.1g (yield: 45%) of a compound represented by [Chemical Formula 2-g].
(8) [화학식 2-h]로 표시되는 화합물의 합성(8) Synthesis of a compound represented by [Formula 2-h]
하기 [반응식 8]에 의하여 [화학식 2-h]로 표시되는 화합물을 합성하였다.A compound represented by [Chemical Formula 2-h] was synthesized by the following [Scheme 8].
[반응식 8][Scheme 8]
[화학식 2-g] [화학식 2-h][Formula 2-g] [Formula 2-h]
250 mL 둥근 바닥 플라스크에 5-브로모인돌 5g(26mmol)과 다이메틸포름아마이드 75 mL를 넣고 교반한 후 60% 수소화나트륨 1.7g(43mmol)을 첨가하여 1시간 동안 교반하였다. [반응식 7]로부터 얻은 [화학식 2-g] 8.9g(33mmol)을 다이메틸포름아마이드 50 mL에 녹인 후 상기 반응액에 1시간 동안 천천히 첨가하고 2시간 동안 교반하였다. 반응이 종료되면 물 100 mL을 반응액을 붓고 걸러낸 후 테트라하이드로퓨란에 녹여 아세톤으로 재결정함으로써 [화학식 2-h]로 표시되는 화합물 9.8g (수율: 89.9%)를 얻었다.
To a 250 mL round-bottom flask, 5 g (26 mmol) of 5-bromoindole and 75 mL of dimethylformamide were added, stirred, and 1.7 g (43 mmol) of 60% sodium hydride was added, followed by stirring for 1 hour. [Chemical Formula 2-g] obtained from [Scheme 7] was dissolved in 50 mL of dimethylformamide, and then slowly added to the reaction solution for 1 hour and stirred for 2 hours. When the reaction was completed, 100 mL of water was poured into the reaction solution, filtered, dissolved in tetrahydrofuran, and recrystallized with acetone to obtain 9.8g (yield: 89.9%) of a compound represented by [Chemical Formula 2-h].
(9) [화학식 2]로 표시되는 화합물의 합성(9) Synthesis of a compound represented by [Formula 2]
하기 [반응식 9]에 의하여 [화학식 2]로 표시되는 화합물을 합성하였다.A compound represented by [Chemical Formula 2] was synthesized by the following [Scheme 9].
[반응식 9][Scheme 9]
[화학식 2-h] [화학식 2-f] [화학식 2][Formula 2-h] [Formula 2-f] [Formula 2]
100 mL 둥근 바닥 플라스크에 [반응식 8]로부터 얻은 [화학식 2-h] 5.4g(13mmol), [반응식 6]으로부터 얻은 [화학식 2-f] 5.4g(16mmol), 테트라키스트리페닐포스핀팔라듐 0.3g(0.3 mmol), 탄산칼륨 3.5g(25mmol), 물 10 mL, 톨루엔 30 mL 및 1,4-다이옥산 30 mL를 투입하고 12시간 동안 환류시켰다. 반응 종결 후 반응물을 층 분리하여 유기층을 감압 농축하고 이를 헥산으로 재결정을 한 후 필터하여 건조함으로써 [화학식 2]로 표시되는 화합물 5.6g(수율: 54.0%)을 얻었다.In a 100 mL round-bottom flask, [Formula 2-h] obtained from [Scheme 8] 5.4g (13mmol), [Formula 2-f] obtained from [Scheme 6] 5.4g (16mmol), tetrakistriphenylphosphine palladium 0.3 g (0.3 mmol), potassium carbonate 3.5 g (25 mmol),
MS(MALDI-TOF):m/z= 632 [M]+
MS (MALDI-TOF): m/z= 632 [M] +
<합성예 2> [화학식 16]으로 표시되는 화합물의 합성<Synthesis Example 2> Synthesis of a compound represented by [Chemical Formula 16]
(1) [화학식 16-a]로 표시되는 화합물의 합성(1) Synthesis of a compound represented by [Formula 16-a]
하기 [반응식 10]에 의하여 [화학식 16-a]로 표시되는 화합물을 합성하였다.A compound represented by [Chemical Formula 16-a] was synthesized by the following [Scheme 10].
[반응식 10][Scheme 10]
[화학식 2-d] [화학식 16-a][Formula 2-d] [Formula 16-a]
250 mL 둥근 바닥 플라스크에 [반응식 4]로부터 얻은 [화학식 2-d] 9.7g(34mmol), 9-(4-브로모페닐)카바졸 32.5g(101mmol), 구리 6.4g(101mmol), 18-크라운-6 1.8g(7mmol), 탄산칼륨 18.6g(135mmol), 1,2-디클로로벤젠 100 mL를 넣고 72시간 동안 환류시켰다. 반응종료 후 상온으로 냉각하고 과량의 메탄올을 넣어주어 고체를 생성한 후 걸러주고 에틸아세테이트와 헥산을 전개용매로 하여 컬럼크로마토그래피로 정제하여 [화학식 16-a]로 표시되는 화합물 8.5g (수율: 47.7%)를 얻었다.
[Chemical Formula 2-d] obtained from [Scheme 4] in a 250 mL round bottom flask, 9.7g (34mmol), 9-(4-bromophenyl)carbazole 32.5g (101mmol), copper 6.4g (101mmol), 18- Crown-6 1.8g (7mmol), potassium carbonate 18.6g (135mmol), 1,2-dichlorobenzene 100 mL was added and refluxed for 72 hours. After completion of the reaction, the mixture was cooled to room temperature, and an excess of methanol was added to form a solid, filtered, and purified by column chromatography using ethyl acetate and hexane as developing solvents, and 8.5g of the compound represented by [Formula 16-a] (yield: 47.7%) was obtained.
(2) [화학식 16-b]로 표시되는 화합물의 합성(2) Synthesis of a compound represented by [Formula 16-b]
하기 [반응식 11]에 의하여 [화학식 16-b]로 표시되는 화합물을 합성하였다.A compound represented by [Chemical Formula 16-b] was synthesized by the following [Scheme 11].
[반응식 11][Scheme 11]
[화학식 16-a] [화학식 16-b][Formula 16-a] [Formula 16-b]
상기 합성예 1의 [반응식 6]에서 사용된 [화학식 2-e] 대신 [반응식 10]으로부터 얻은 [화학식 16-a]를 사용한 것을 제외하고는 동일한 방법으로 합성하여 [화학식 16-b]로 표시되는 화합물 6.3g(수율: 79.4%)을 얻었다.
Except for using [Chemical Formula 16-a] obtained from [Scheme 10] instead of [Chemical Formula 2-e] used in [Scheme 6] of Synthesis Example 1, it was synthesized in the same manner and represented as [Chemical Formula 16-b] 6.3g (yield: 79.4%) of the resulting compound was obtained.
(3) [화학식 16-c]로 표시되는 화합물의 합성(3) Synthesis of a compound represented by [Formula 16-c]
하기 [반응식 12]에 의하여 [화학식 16]으로 표시되는 화합물을 합성하였다.A compound represented by [Chemical Formula 16] was synthesized by the following [Scheme 12].
[반응식 12][Scheme 12]
[화학식 2-h] [화학식 16-b] [화학식 16][Formula 2-h] [Formula 16-b] [Formula 16]
상기 합성예 1의 [반응식 9]에서 사용된 [화학식 2-f] 대신 [반응식 11]로부터 얻은 [화학식 16-b]를 사용한 것을 제외하고는 동일한 방법으로 합성하여 [화학식 16]으로 표시되는 화합물 5.2g(수율: 53.7%)을 얻었다.A compound represented by [Chemical Formula 16] synthesized in the same manner except for using [Chemical Formula 16-b] obtained from [Scheme 11] instead of [Chemical Formula 2-f] used in [Scheme 9] of Synthesis Example 1 5.2g (yield: 53.7%) was obtained.
MS(MALDI-TOF):m/z= 797 [M]+
MS (MALDI-TOF): m/z= 797 [M] +
<합성예 3> [화학식 31]로 표시되는 화합물의 합성<Synthesis Example 3> Synthesis of a compound represented by [Chemical Formula 31]
(1) [화학식 31-a]로 표시되는 화합물의 합성(1) Synthesis of a compound represented by [Chemical Formula 31-a]
하기 [반응식 13]에 의하여 [화학식 31-a]로 표시되는 화합물을 합성하였다.A compound represented by [Chemical Formula 31-a] was synthesized by the following [Scheme 13].
[반응식 13][Scheme 13]
[화학식 2-f] [화학식 31-a][Formula 2-f] [Formula 31-a]
상기 합성예 1의 [반응식 9]에서 사용된 [화학식 2-h] 대신 5-브로모인돌을 사용한 것을 제외하고는 동일한 방법으로 합성하여 [화학식 31-a]로 표시되는 화합물 17 g (수율: 69%)을 얻었다.
Compound 17 g represented by [Chemical Formula 31-a] by synthesizing by the same method except for using 5-bromoindole instead of [Chemical Formula 2-h] used in [Scheme 9] of Synthesis Example 1 (yield: 69%).
(2) [화학식 31-b]로 표시되는 화합물의 합성(2) Synthesis of a compound represented by [Chemical Formula 31-b]
하기 [반응식 14]에 의하여 [화학식 31-b]로 표시되는 화합물을 합성하였다.A compound represented by [Chemical Formula 31-b] was synthesized by the following [Scheme 14].
[반응식 14][Scheme 14]
[화학식 31-a] [화학식 31-b][Formula 31-a] [Formula 31-b]
상기 합성예 1의 [반응식 5]에서 사용된 요오도벤젠 대신 1-브로모-4-요오도벤젠 사용한 것을 제외하고는 동일한 방법으로 합성하여 [화학식 31-b]로 표시되는 화합물 13.9g (수율: 59%)을 얻었다.
Except for using 1-bromo-4-iodobenzene instead of iodobenzene used in [Scheme 5] of Synthesis Example 1, 13.9g of a compound represented by [Chemical Formula 31-b] was synthesized in the same manner (yield : 59%) was obtained.
(3) [화학식 31-c]로 표시되는 화합물의 합성(3) Synthesis of a compound represented by [Chemical Formula 31-c]
하기 [반응식 15]에 의하여 [화학식 31-c]로 표시되는 화합물을 합성하였다.A compound represented by [Chemical Formula 31-c] was synthesized by the following [Scheme 15].
[반응식 15][Scheme 15]
[화학식 31-b] [화학식 31-c][Formula 31-b] [Formula 31-c]
상기 합성예 1의 [반응식 6]에서 사용된 [화학식 2-e] 대신 [반응식 14]로부터 얻은 [화학식 31-b]를 사용한 것을 제외하고는 동일한 방법으로 합성하여 [화학식 31-c]로 표시되는 화합물 11.8g (수율: 90.6%)을 얻었다.
Except for using [Chemical Formula 31-b] obtained from [Scheme 14] instead of [Chemical Formula 2-e] used in [Scheme 6] of Synthesis Example 1, it was synthesized by the same method and represented by [Chemical Formula 31-c] To obtain 11.8g of the compound (yield: 90.6%).
(4) [화학식 31-d]로 표시되는 화합물의 합성(4) Synthesis of a compound represented by [Chemical Formula 31-d]
하기 [반응식 16]에 의하여 [화학식 31-d]로 표시되는 화합물을 합성하였다.A compound represented by [Chemical Formula 31-d] was synthesized by the following [Scheme 16].
[반응식 16][Scheme 16]
[화학식 31-d][Chemical Formula 31-d]
1000 mL 둥근 바닥 플라스크에 2,4,6-트라이클로로피리미딘 20g(109mmol), 페닐보로닉에시드 29.2g(239mmol), 테트라키스트리페닐포스핀팔라듐 6.3g (5mmol), 소듐카보네이트(2M) 160 mL, 에탄올 160 mL, 톨루엔 320 mL를 첨가한 후 120℃로 가열하여 3시간 동안 교반하였다. 반응이 종결되면 물과 에틸아세테이트로 반응액을 추출하고 유기층을 황산마그네슘으로 건조시키고 감압 농축한 후 컬럼크로마토그래피로 정제하여 [화학식 31-d]로 표시되는 화합물 25g (수율: 86%)을 얻었다.
In a 1000 mL round-bottom flask, 20 g (109 mmol) of 2,4,6-trichloropyrimidine, 29.2 g (239 mmol) of phenylboronic acid, 6.3 g (5 mmol) of tetrakistriphenylphosphine palladium, and sodium carbonate (2M) After adding 160 mL, 160 mL of ethanol, and 320 mL of toluene, the mixture was heated to 120° C. and stirred for 3 hours. When the reaction was completed, the reaction solution was extracted with water and ethyl acetate, the organic layer was dried over magnesium sulfate, concentrated under reduced pressure, and purified by column chromatography to obtain 25g (yield: 86%) of the compound represented by [Chemical Formula 31-d]. .
(5) [화학식 31]로 표시되는 화합물의 합성(5) Synthesis of the compound represented by [Chemical Formula 31]
하기 [반응식 17]에 의하여 [화학식 31]로 표시되는 화합물을 합성하였다.A compound represented by [Chemical Formula 31] was synthesized by the following [Scheme 17].
[반응식 17][Scheme 17]
[화학식 31-d] [화학식 31-c] [화학식 31][Formula 31-d] [Formula 31-c] [Formula 31]
1000 mL 둥근 바닥 플라스크에서 [반응식 16]으로부터 합성한 [화학식 31-d] 2.7g(10.1mmol), [반응식 15]로부터 합성한 [화학식 31-c] 5g(10.1mmol), 테트라키스트리페닐포스핀팔라듐 0.6g(0.5mmol), 포타슘카보네이트(2M) 15 mL 및 에탄올 15 mL을 톨루엔 30 mL에 녹이고 120 ℃에서 가열시켜 3시간 동안 교반하였다. 반응이 종결되면 물과 에틸아세테이트로 추출하고 유기층을 황산마그네슘으로 건조시켜 감압 농축한 후 컬럼크로마토그래피로 정제하여 [화학식 31]로 표시되는 화합물 5.1g(수율: 71.3%)을 얻었다.[Chemical Formula 31-d] 2.7g (10.1mmol) synthesized from [Scheme 16], [Chemical Formula 31-c] 5g (10.1mmol) synthesized from [Scheme 15] in a 1000 mL round-bottom flask, tetrakistriphenylphos Fin palladium 0.6g (0.5 mmol), potassium carbonate (2M) 15 mL, and ethanol 15 mL were dissolved in 30 mL of toluene, heated at 120° C., and stirred for 3 hours. Upon completion of the reaction, extraction was performed with water and ethyl acetate, and the organic layer was dried over magnesium sulfate, concentrated under reduced pressure, and purified by column chromatography to obtain 5.1 g (yield: 71.3%) of the compound represented by [Chemical Formula 31].
MS(MALDI-TOF):m/z= 707 [M]+
MS (MALDI-TOF): m/z= 707 [M] +
<합성예 4> [화학식 84]로 표시되는 화합물의 합성<Synthesis Example 4> Synthesis of a compound represented by [Chemical Formula 84]
(1) [화학식 84-a]로 표시되는 화합물의 합성(1) Synthesis of a compound represented by [Formula 84-a]
하기 [반응식 18]에 의하여 [화학식 84-a]로 표시되는 화합물을 합성하였다.A compound represented by [Chemical Formula 84-a] was synthesized by the following [Scheme 18].
[반응식 18][Scheme 18]
[화학식 2-d] [화학식 84-a][Formula 2-d] [Formula 84-a]
상기 합성예 1의 [반응식 8]에서 사용된 5-브로모인돌 대신 합성예 1의 [반응식 4]로부터 얻어진 [화학식 2-d]를 사용한 것을 제외하고는 동일한 방법으로 합성하여 [화학식 84-a]로 표시되는 화합물 13g (수율: 74.4%)을 얻었다.
[Chemical Formula 84-a] was synthesized by the same method except that [Chemical Formula 2-d] obtained from [Scheme 4] of Synthesis Example 1 was used instead of the 5-bromoindole used in [Scheme 8] of Synthesis Example 1 13g of the compound represented by] (yield: 74.4%) was obtained.
(2) [화학식 84-b]로 표시되는 화합물의 합성(2) Synthesis of the compound represented by [Formula 84-b]
하기 [반응식 19]에 의하여 [화학식 84-b]로 표시되는 화합물을 합성하였다.A compound represented by [Chemical Formula 84-b] was synthesized by the following [Scheme 19].
[반응식 19][Scheme 19]
[화학식 84-b][Formula 84-b]
500 mL 둥근 바닥 플라스크에 5-브로모인돌 25g(128mmol)과 요오도벤젠 78g(383mmol), 구리 24.3g(383mmol), 탄산칼륨 70.5g(510mmol), 18-크라운-6 6.7g(26mmol), 1,2-디클로로벤젠 250 mL를 넣고 72시간 동안 환류시켰다. 반응종료 후 반응액을 상온으로 냉각한 후 과량의 메탄올을 넣어주어 고체를 생성하고 이를 필터하며 에틸아세테이트와 헥산을 전개용매로 하여 컬럼크로마토그래피로 정제함으로써 [화학식 84-b]로 표시되는 화합물 15g (수율 43.2%)를 얻었다.
In a 500 mL round bottom flask, 25 g (128 mmol) 5-bromoindole and 78 g (383 mmol) iodobenzene, 24.3 g (383 mmol) copper, 70.5 g (510 mmol) potassium carbonate, 6.7 g (26 mmol) of 18-crown-6, 250 mL of 1,2-dichlorobenzene was added and refluxed for 72 hours. After the reaction is completed, the reaction solution is cooled to room temperature, and an excess of methanol is added to generate a solid, which is filtered, and purified by column chromatography using ethyl acetate and hexane as developing solvents to obtain a compound represented by [Formula 84-b]. (Yield 43.2%) was obtained.
(3) [화학식 84-c]로 표시되는 화합물의 합성(3) Synthesis of a compound represented by [Formula 84-c]
하기 [반응식 20]에 의하여 [화학식 84-c]로 표시되는 화합물을 합성하였다.A compound represented by [Chemical Formula 84-c] was synthesized by the following [Scheme 20].
[반응식 20][Scheme 20]
[화학식 84-b] [화학식 84-c][Formula 84-b] [Formula 84-c]
상기 합성예 1의 [반응식 6]에서 사용된 [화학식 2-e] 대신 [반응식 19]로부터 얻어진 [화학식 84-b]를 사용한 것을 제외하고는 동일한 방법으로 합성하여 [화학식 84-c]로 표시되는 화합물 11.2g (수율: 85.7%)을 얻었다.
Except for using [Chemical Formula 84-b] obtained from [Scheme 19] instead of [Chemical Formula 2-e] used in [Scheme 6] of Synthesis Example 1, it was synthesized by the same method and represented by [Chemical Formula 84-c] To obtain 11.2g of the compound (yield: 85.7%).
(4) [화학식 84]로 표시되는 화합물의 합성(4) Synthesis of the compound represented by [Chemical Formula 84]
하기 [반응식 21]에 의하여 [화학식 84]로 표시되는 화합물을 합성하였다.A compound represented by [Chemical Formula 84] was synthesized by the following [Scheme 21].
[반응식 21][Scheme 21]
[화학식 84-a] [화학식 84-c] [화학식 84][Formula 84-a] [Formula 84-c] [Formula 84]
250 mL 둥근 바닥 플라스크에 [반응식 18]로부터 얻은 [화학식 84-a] 13.0g(25mmol), [반응식 20]으로부터 얻은 [화학식 84-c] 7.7g(33mmol), 탄산칼륨 6.9g(50mmol), 테트라키스트리페닐포스핀팔라듐 0.6g(1mmol), 물 30 mL, 톨루엔 70 mL 및 테트라하이드로퓨란 70 mL를 투입하고 12시간 동안 환류시켰다. 반응이 종결되면 반응액을 층 분리하여 수층을 제거하고 유기층을 분리하여 감압 농축한 후 메탄올을 이용하여 결정을 석출하고 이를 여과하여 [화학식 84]로 표시되는 화합물 11.0g (수율 69.6%)을 얻었다.In a 250 mL round bottom flask, [Chemical Formula 84-a] 13.0g (25mmol) obtained from [Scheme 18], [Chemical Formula 84-c] 7.7g (33mmol) obtained from [Scheme 20], potassium carbonate 6.9g (50mmol), 0.6 g (1 mmol) of tetrakistriphenylphosphine palladium, 30 mL of water, 70 mL of toluene, and 70 mL of tetrahydrofuran were added and refluxed for 12 hours. When the reaction was completed, the reaction solution was separated into layers to remove the aqueous layer, the organic layer was separated and concentrated under reduced pressure, and crystals were precipitated using methanol and filtered to obtain 11.0g (yield 69.6%) of the compound represented by [Chemical Formula 84]. .
MS(MALDI-TOF):m/z= 632 [M]+
MS (MALDI-TOF): m/z= 632 [M] +
<합성예 5> [화학식 63]으로 표시되는 화합물의 합성<Synthesis Example 5> Synthesis of a compound represented by [Chemical Formula 63]
(1) [화학식 63-a]로 표시되는 화합물의 합성(1) Synthesis of a compound represented by [Formula 63-a]
하기 [반응식 22]에 의하여 [화학식 63-a]로 표시되는 화합물을 합성하였다.A compound represented by [Chemical Formula 63-a] was synthesized by the following [Scheme 22].
[반응식 22][Scheme 22]
[화학식 63-a][Formula 63-a]
상기 합성예 1의 [반응식 7]에서 사용된 사이아누릭클로라이드 대신 2,4,6-트리클로로피리딘을 사용한 것을 제외하고는 동일한 방법으로 합성하여 [화학식 63-a]로 표시되는 화합물 22.3g (수율: 78%)을 얻었다.
Compound 22.3g represented by [Chemical Formula 63-a] by synthesizing in the same manner except that 2,4,6-trichloropyridine was used instead of the cyanuric chloride used in [Scheme 7] of Synthesis Example 1 ( Yield: 78%).
(2) [화학식 63-b]로 표시되는 화합물의 합성(2) Synthesis of a compound represented by [Chemical Formula 63-b]
하기 [반응식 23]에 의하여 [화학식 63-b]로 표시되는 화합물을 합성하였다.A compound represented by [Chemical Formula 63-b] was synthesized by the following [Scheme 23].
[반응식 23][Scheme 23]
[화학식 2-d] [화학식 63-a] [화학식 63-b][Formula 2-d] [Formula 63-a] [Formula 63-b]
상기 합성예 2의 [반응식 10]에서 사용된 9-(4-브로모페닐)카바졸 대신 [반응식 22]로부터 얻은 [화학식 63-a]를 사용한 것을 제외하고는 동일한 방법으로 합성하여 [화학식 63-b]로 표시되는 화합물 10.5g (수율: 78.2%)을 얻었다.
[Chemical Formula 63] was synthesized by the same method except that [Chemical Formula 63-a] obtained from [Scheme 22] was used instead of 9-(4-bromophenyl)carbazole used in [Scheme 10] of Synthesis Example 2 Compound 10.5g (yield: 78.2%) represented by -b] was obtained.
(3) [화학식 63]으로 표시되는 화합물의 합성(3) Synthesis of a compound represented by [Chemical Formula 63]
하기 [반응식 24]에 의하여 [화학식 63]으로 표시되는 화합물을 합성하였다.A compound represented by [Chemical Formula 63] was synthesized by the following [Scheme 24].
[반응식 24][Scheme 24]
[화학식 63-b] [화학식 84-c] [화학식 63][Formula 63-b] [Formula 84-c] [Formula 63]
상기 합성예 4의 [반응식 21]에서 사용된 [화학식 84-a] 대신 [반응식 23]으로부터 얻은 [화학식 63-b]를 사용한 것을 제외하고는 동일한 방법으로 합성하여 [화학식 63]로 표시되는 화합물 5.2g (수율: 48.6%)을 얻었다.A compound represented by [Chemical Formula 63] synthesized in the same manner except for using [Chemical Formula 63-b] obtained from [Scheme 23] instead of [Chemical Formula 84-a] used in [Scheme 21] of Synthesis Example 4 5.2g (yield: 48.6%) was obtained.
MS(MALDI-TOF):m/z= 630 [M]+
MS (MALDI-TOF): m/z= 630 [M] +
<합성예 6> [화학식 68]로 표시되는 화합물의 합성<Synthesis Example 6> Synthesis of a compound represented by [Chemical Formula 68]
(1) [화학식 68-a]로 표시되는 화합물의 합성(1) Synthesis of the compound represented by [Chemical Formula 68-a]
하기 [반응식 25]에 의하여 [화학식 68-a]로 표시되는 화합물을 합성하였다.A compound represented by [Chemical Formula 68-a] was synthesized by the following [Scheme 25].
[반응식 25][Scheme 25]
[화학식 68-a][Formula 68-a]
1000 mL 둥근 바닥 플라스크에 카바졸 26.0g(155mmol)과 다이메틸포름아마이드 390 mL를 넣고 교반한 후 60% 수소화나트륨 9.6g(239mmol)을 넣고 1시간 동안 교반하였다. 사이아누릭클로라이드 31.5g(171mmol)을 다이메틸포름아마이드 260 mL에 녹인 후 반응액에 1시간 동안 넣어주고 다시 2시간 동안 교반하였다. 반응이 종료되면 물 500 mL에 반응액을 붓고 필터하고 이를 테트라하이드로퓨란에 녹인 후 아세톤으로 재결정하여 [화학식 68-a]로 표시되는 화합물 32.4g (수율: 66.1%)을 얻었다.
Carbazole 26.0g (155mmol) and 390 mL of dimethylformamide were added to a 1000 mL round bottom flask, stirred, and then 60% sodium hydride 9.6g (239 mmol) was added and stirred for 1 hour. After dissolving 31.5 g (171 mmol) of cyanuric chloride in 260 mL of dimethylformamide, it was added to the reaction solution for 1 hour, followed by stirring for 2 hours. When the reaction was completed, the reaction solution was poured into 500 mL of water, filtered, dissolved in tetrahydrofuran, and recrystallized with acetone to obtain 32.4g (yield: 66.1%) of the compound represented by [Chemical Formula 68-a].
(2) [화학식 68-b]로 표시되는 화합물의 합성(2) Synthesis of a compound represented by [Chemical Formula 68-b]
하기 [반응식 26]에 의하여 [화학식 68-b]로 표시되는 화합물을 합성하였다.A compound represented by [Chemical Formula 68-b] was synthesized by the following [Scheme 26].
[반응식 26][Scheme 26]
[화학식 68-a] [화학식 68-b][Formula 68-a] [Formula 68-b]
250 mL 둥근 바닥 플라스크에 [반응식 25]로부터 얻은 [화학식 68-a] 13.0g(41mmol), 페닐보로닉에시드 5.5g(45mmol), 테트라키스트리페닐포스핀팔라듐 1.0g(1mmol), 탄산칼륨 11.4g(82mmol), 물 25 mL, 톨루엔 65 mL 및 1,4-다이옥산 65mL를 투입하고 12시간 동안 환류시켰다. 반응 종결 후 반응액을 층 분리하여 유기층을 감압 농축한 후 헥산으로 재결정하고 이를 필터하고 건조시킴으로써 [화학식 68-b]로 표시되는 화합물 10.6g (수율: 72%)을 얻었다.
[Chemical Formula 68-a] 13.0g (41mmol) obtained from [Scheme 25], phenylboronic acid 5.5g (45mmol), tetrakistriphenylphosphine palladium 1.0g (1mmol), potassium carbonate in a 250 mL round bottom flask 11.4 g (82 mmol), 25 mL of water, 65 mL of toluene, and 65 mL of 1,4-dioxane were added and refluxed for 12 hours. After completion of the reaction, the reaction solution was separated into layers, the organic layer was concentrated under reduced pressure, recrystallized with hexane, filtered and dried to obtain 10.6g (yield: 72%) of the compound represented by [Chemical Formula 68-b].
(3) [화학식 68-c]로 표시되는 화합물의 합성(3) Synthesis of a compound represented by [Chemical Formula 68-c]
하기 [반응식 27]에 의하여 [화학식 68-c]로 표시되는 화합물을 합성하였다.A compound represented by [Chemical Formula 68-c] was synthesized by the following [Scheme 27].
[반응식 27][Scheme 27]
[화학식 2-d] [화학식 68-b] [화학식 68-c][Formula 2-d] [Formula 68-b] [Formula 68-c]
상기 합성예 2의 [반응식 10]에서 사용된 9-(4-브로모페닐)카바졸 대신 [반응식 26]으로부터 얻은 [화학식 68-b]를 사용한 것을 제외하고는 동일한 방법으로 합성하여 [화학식 68-c]로 표시되는 화합물 12.1g (수율: 86.8%)을 얻었다.
[Chemical Formula 68] was synthesized by the same method except for using [Chemical Formula 68-b] obtained from [Scheme 26] instead of 9-(4-bromophenyl)carbazole used in [Scheme 10] of Synthesis Example 2 12.1g (yield: 86.8%) of the compound represented by -c] was obtained.
(4) [화학식 68]로 표시되는 화합물의 합성(4) Synthesis of the compound represented by [Chemical Formula 68]
하기 [반응식 28]에 의하여 [화학식 68]로 표시되는 화합물을 합성하였다.A compound represented by [Chemical Formula 68] was synthesized by the following [Scheme 28].
[반응식 28][Scheme 28]
[화학식 68-c] [화학식 84-c] [화학식 68][Formula 68-c] [Formula 84-c] [Formula 68]
상기 합성예 4의 [반응식 21]에서 사용된 [화학식 84-a] 대신 [반응식 27]로부터 얻은 [화학식 68-c]를 사용한 것을 제외하고는 동일한 방법으로 합성하여 [화학식 68]로 표시되는 화합물 8.1g (수율: 56.5%)을 얻었다.A compound represented by [Chemical Formula 68] synthesized by the same method except for using [Chemical Formula 68-c] obtained from [Scheme 27] instead of [Chemical Formula 84-a] used in [Scheme 21] of Synthesis Example 4 8.1g (yield: 56.5%) was obtained.
MS(MALDI-TOF):m/z= 721 [M]+
MS (MALDI-TOF): m/z= 721 [M] +
<합성예 7> [화학식 103]으로 표시되는 화합물의 합성<Synthesis Example 7> Synthesis of a compound represented by [Chemical Formula 103]
(1) [화학식 103-a]로 표시되는 화합물의 합성(1) Synthesis of a compound represented by [Chemical Formula 103-a]
하기 [반응식 29]에 의하여 [화학식 103-a]로 표시되는 화합물을 합성하였다.A compound represented by [Chemical Formula 103-a] was synthesized by the following [Scheme 29].
[반응식 29][Scheme 29]
[화학식 103-a][Formula 103-a]
상기 합성예 1의 [반응식 4]에서 사용된 [화학식 2-c] 대신 2,3-다이메틸인돌을 사용한 것을 제외하고는 동일한 방법으로 합성하여 [화학식 103-a]로 표시되는 화합물 13.5g (수율: 72.8%)을 얻었다.
Except for using 2,3-dimethylindole instead of [Chemical Formula 2-c] used in [Scheme 4] of Synthesis Example 1, 13.5g of a compound represented by [Chemical Formula 103-a] ( Yield: 72.8%).
(2) [화학식 103-b]로 표시되는 화합물의 합성(2) Synthesis of a compound represented by [Chemical Formula 103-b]
하기 [반응식 30]에 의하여 [화학식 103-b]로 표시되는 화합물을 합성하였다.A compound represented by [Chemical Formula 103-b] was synthesized by the following [Scheme 30].
[반응식 30][Scheme 30]
[화학식 103-a] [화학식 103-b][Formula 103-a] [Formula 103-b]
500 mL 둥근 바닥 플라스크에 [반응식 29]에서 합성한 [화학식 103-a] 13.5g(60mmol), 요오도벤젠 36.9g(181mmol), 구리 11.5g(181mmol), 탄산칼륨 33.3g(241mmol), 18-크라운-6 3.2g(12mmol), 1,2-디클로로벤젠 140 mL를 넣고 72시간 동안 환류시켰다. 반응종료 후 상온으로 냉각하여 과량의 메탄올을 넣어주어 고체를 생성한 후 이를 필터하고 에틸아세테이트와 헥산을 전개용매로 하여 컬럼크로마토그래피로 정제함으로써 [화학식 103-a]로 표시되는 화합물 9.5g (수율: 52.5%)를 얻었다.
[Chemical Formula 103-a] 13.5g (60mmol) synthesized in [Scheme 29], iodobenzene 36.9g (181mmol), copper 11.5g (181mmol), potassium carbonate 33.3g (241mmol), 18 in a 500 mL round bottom flask -Crown-6 3.2g (12mmol), 140 mL of 1,2-dichlorobenzene was added and refluxed for 72 hours. After completion of the reaction, the mixture was cooled to room temperature, and an excess of methanol was added to generate a solid, which was then filtered and purified by column chromatography using ethyl acetate and hexane as developing solvents, thereby obtaining 9.5 g of the compound represented by [Formula 103-a] (yield : 52.5%) was obtained.
(3) [화학식 103-c]로 표시되는 화합물의 합성(3) Synthesis of a compound represented by [Chemical Formula 103-c]
하기 [반응식 31]에 의하여 [화학식 103-c]로 표시되는 화합물을 합성하였다.A compound represented by [Chemical Formula 103-c] was synthesized by the following [Scheme 31].
[반응식 31][Scheme 31]
[화학식 103-b] [화학식 103-c][Formula 103-b] [Formula 103-c]
상기 합성예 1의 [반응식 6]에서 사용된 [화학식 2-e] 대신 [반응식 30]으로부터 얻은 [화학식 103-b]를 사용한 것을 제외하고는 동일한 방법으로 합성하여 [화학식 103-c]로 표시되는 화합물 7.2g (수율: 85.8%)을 얻었다.
Except for using [Chemical Formula 103-b] obtained from [Scheme 30] instead of [Chemical Formula 2-e] used in [Scheme 6] of Synthesis Example 1, it was synthesized by the same method and represented by [Chemical Formula 103-c] 7.2 g of the resulting compound (yield: 85.8%) was obtained.
(4) [화학식 103]으로 표시되는 화합물의 합성(4) Synthesis of a compound represented by [Chemical Formula 103]
하기 [반응식 32]에 의하여 [화학식 103]으로 표시되는 화합물을 합성하였다.A compound represented by [Chemical Formula 103] was synthesized by the following [Scheme 32].
[반응식 32][Scheme 32]
[화학식 84-a] [화학식 103-c] [화학식 103][Formula 84-a] [Formula 103-c] [Formula 103]
상기 합성예 4의 [반응식 21]에서 사용된 [화학식 84-c] 대신 [반응식 31]로부터 얻은 [화학식 103-c]를 사용한 것을 제외하고는, 동일한 방법으로 합성하여 [화학식 103]으로 표시되는 화합물 4.0g (수율: 43.7%)을 얻었다.Except for using [Chemical Formula 103-c] obtained from [Scheme 31] instead of [Chemical Formula 84-c] used in [Scheme 21] of Synthesis Example 4, synthesized by the same method and represented by [Chemical Formula 103] Compound 4.0g (yield: 43.7%) was obtained.
MS(MALDI-TOF):m/z= 660 [M]+
MS (MALDI-TOF): m/z= 660 [M] +
<합성예 8> [화학식 104]로 표시되는 화합물의 합성<Synthesis Example 8> Synthesis of a compound represented by [Chemical Formula 104]
(1) [화학식 104-a]로 표시되는 화합물의 합성(1) Synthesis of a compound represented by [Formula 104-a]
하기 [반응식 33]에 의하여 [화학식 104-a]로 표시되는 화합물을 합성하였다.A compound represented by [Chemical Formula 104-a] was synthesized by the following [Scheme 33].
[반응식 33][Scheme 33]
[화학식 104-a][Formula 104-a]
1000 mL 둥근 바닥 플라스크에 4-브로모페닐히드라진하이드로클로라이드 110g(492mmol), 벤질페닐케톤 64g(328mmol)과 에탄올 550 mL를 넣고 12시간 동안 환류시켰다. 염기로 중화과정을 거친 다음 물과 에틸아세테이트로 추출한다. 유기물을 감압 농축 후 헥산으로 재결정하여 필터한 후 건조함으로써 [화학식 104-a]로 표시되는 화합물 68.3g (수율: 39.8%)을 얻었다.
To a 1000 mL round-bottom flask, 110 g (492 mmol) of 4-bromophenylhydrazine hydrochloride, 64 g (328 mmol) of benzylphenyl ketone, and 550 mL of ethanol were added and refluxed for 12 hours. After neutralization with a base, it is extracted with water and ethyl acetate. The organic material was concentrated under reduced pressure, recrystallized with hexane, filtered, and dried to obtain 68.3 g (yield: 39.8%) of the compound represented by [Chemical Formula 104-a].
(2) [화학식 104-b]로 표시되는 화합물의 합성(2) Synthesis of a compound represented by [Formula 104-b]
하기 [반응식 34]에 의하여 [화학식 104-b]로 표시되는 화합물을 합성하였다.A compound represented by [Chemical Formula 104-b] was synthesized by the following [Scheme 34].
[반응식 34][Scheme 34]
[화학식 104-a] [화학식 104-b][Formula 104-a] [Formula 104-b]
500 mL 둥근 바닥 플라스크에 [반응식 33]에서 합성한 [화학식 104-a] 25g(72mmol), 요오도벤젠 58.6g(287mmol), 구리 13.7g(215mmol), 탄산칼륨 49.6g(359mmol), 18-크라운-6 3.8g(14mmol), 1,2-디클로로벤젠 125 mL를 넣고 72시간 동안 환류시켰다. 반응종료 후 상온으로 냉각하고 과량의 메탄올을 넣어주어 고체를 생성한 후 이를 필터하여 에틸아세테이트와 헥산을 전개용매로 하여 컬럼크로마토그래피로 정제함으로써 [화학식 104-b]로 표시되는 화합물 11.3g (수율: 37%)을 얻었다.
[Chemical Formula 104-a] 25g (72mmol) synthesized in [Scheme 33], iodobenzene 58.6g (287mmol), copper 13.7g (215mmol), potassium carbonate 49.6g (359mmol), 18- in a 500 mL round bottom flask Crown-6 3.8 g (14 mmol) and 125 mL of 1,2-dichlorobenzene were added and refluxed for 72 hours. After the reaction was completed, the reaction mixture was cooled to room temperature, and an excess of methanol was added to generate a solid, which was then filtered and purified by column chromatography using ethyl acetate and hexane as developing solvents. 11.3g of the compound represented by [Formula 104-b] (yield : 37%) was obtained.
(3) [화학식 104-c]로 표시되는 화합물의 합성(3) Synthesis of a compound represented by [Formula 104-c]
하기 [반응식 35]에 의하여 [화학식 104-c]로 표시되는 화합물을 합성하였다.A compound represented by [Chemical Formula 104-c] was synthesized by the following [Scheme 35].
[반응식 35][Scheme 35]
[화학식 104-b] [화학식 104-c][Formula 104-b] [Formula 104-c]
상기 합성예 1의 [반응식 6]에서 사용된 [화학식 2-e] 대신 [반응식 34]로부터 얻은 [화학식 104-b]를 사용한 것을 제외하고는 동일한 방법으로 합성하여 [화학식 104-c]로 표시되는 화합물 14.5g (수율: 73.6%)을 얻었다.
Except for using [Chemical Formula 104-b] obtained from [Scheme 34] instead of [Chemical Formula 2-e] used in [Scheme 6] of Synthesis Example 1, it was synthesized by the same method and represented by [Chemical Formula 104-c] To obtain a compound 14.5g (yield: 73.6%).
(4) [화학식 104]로 표시되는 화합물의 합성(4) Synthesis of the compound represented by [Chemical Formula 104]
하기 [반응식 36]에 의하여 [화학식 104]로 표시되는 화합물을 합성하였다.A compound represented by [Chemical Formula 104] was synthesized by the following [Scheme 36].
[반응식 36][Scheme 36]
[화학식 84-a] [화학식 104-c] [화학식 104][Formula 84-a] [Formula 104-c] [Formula 104]
상기 합성예 4의 [반응식 21]에서 사용된 [화학식 84-c] 대신 [반응식 35]로부터 얻은 [화학식 104-c]를 사용한 것을 제외하고는, 동일한 방법으로 합성하여 [화학식 104]로 표시되는 화합물 5.5g (수율: 30.7%)을 얻었다.Except for using [Chemical Formula 104-c] obtained from [Scheme 35] instead of [Chemical Formula 84-c] used in [Scheme 21] of Synthesis Example 4, synthesized by the same method and represented by [Chemical Formula 104] Compound 5.5g (yield: 30.7%) was obtained.
MS(MALDI-TOF):m/z= 784 [M]+
MS (MALDI-TOF): m/z= 784 [M] +
<합성예 9> [화학식 105]로 표시되는 화합물의 합성<Synthesis Example 9> Synthesis of a compound represented by [Chemical Formula 105]
(1) [화학식 105-a]로 표시되는 화합물의 합성(1) Synthesis of a compound represented by [Chemical Formula 105-a]
하기 [반응식 37]에 의하여 [화학식 105-a]로 표시되는 화합물을 합성하였다.A compound represented by [Chemical Formula 105-a] was synthesized by the following [Scheme 37].
[반응식 37][Scheme 37]
[화학식 105-a][Formula 105-a]
상기 합성예 8의 [반응식 33]에서 사용된 벤질페닐케톤 대신 아세토페논을 사용한 것을 제외하고는 동일한 방법으로 합성하여 [화학식 105-a]로 표시되는 화합물 8.5g (수율: 82.5%)을 얻었다.
Except for using acetophenone instead of the benzylphenyl ketone used in [Scheme 33] of Synthesis Example 8, it was synthesized in the same manner to obtain 8.5g (yield: 82.5%) of the compound represented by [Chemical Formula 105-a].
(2) [화학식 105-b]로 표시되는 화합물의 합성(2) Synthesis of a compound represented by [Chemical Formula 105-b]
하기 [반응식 38]에 의하여 [화학식 105-b]로 표시되는 화합물을 합성하였다.A compound represented by [Chemical Formula 105-b] was synthesized by the following [Scheme 38].
[반응식 38][Scheme 38]
[화학식 105-a] [화학식 105-b][Formula 105-a] [Formula 105-b]
상기 합성예 8의 [반응식 34]에서 사용된 [화학식 104-a] 대신 [반응식 37]로부터 얻어진 [화학식 105-a]를 사용한 것을 제외하고는 동일한 방법으로 합성하여 [화학식 105-b]로 표시되는 화합물 5.2g (수율: 47.8%)을 얻었다.
Except for using [Chemical Formula 105-a] obtained from [Scheme 37] instead of [Chemical Formula 104-a] used in [Scheme 34] of Synthesis Example 8, it was synthesized by the same method and represented as [Chemical Formula 105-b] 5.2g (yield: 47.8%) of the resulting compound was obtained.
(3) [화학식 105-c]로 표시되는 화합물의 합성(3) Synthesis of a compound represented by [Chemical Formula 105-c]
하기 [반응식 39]에 의하여 [화학식 105-c]로 표시되는 화합물을 합성하였다.A compound represented by [Chemical Formula 105-c] was synthesized by the following [Scheme 39].
[반응식 39][Scheme 39]
[화학식 105-b] [화학식 105-c][Formula 105-b] [Formula 105-c]
상기 합성예 1의 [반응식 6]에서 사용된 [화학식 2-e] 대신 [반응식 34]로부터 얻은 [화학식 105-b]를 사용한 것을 제외하고는 동일한 방법으로 합성하여 [화학식 105-c]로 표시되는 화합물 3.9g (수율: 83.4%)을 얻었다.
Except for using [Chemical Formula 105-b] obtained from [Scheme 34] instead of [Chemical Formula 2-e] used in [Scheme 6] of Synthesis Example 1, it was synthesized by the same method and represented by [Chemical Formula 105-c] 3.9 g (yield: 83.4%) of the resulting compound was obtained.
(4) [화학식 105]로 표시되는 화합물의 합성(4) Synthesis of the compound represented by [Chemical Formula 105]
하기 [반응식 40]에 의하여 [화학식 105]로 표시되는 화합물을 합성하였다.A compound represented by [Chemical Formula 105] was synthesized by the following [Scheme 40].
[반응식 40][Scheme 40]
[화학식 84-a] [화학식 105-c] [화학식 105][Formula 84-a] [Formula 105-c] [Formula 105]
상기 합성예 4의 [반응식 21]에서 사용된 [화학식 84-c] 대신 [반응식 39]로부터 얻은 [화학식 105-c]를 사용한 것을 제외하고는 동일한 방법으로 합성하여 [화학식 105]로 표시되는 화합물 2.8g (수율: 52.7%)을 얻었다.A compound represented by [Chemical Formula 105] synthesized by the same method except for using [Chemical Formula 105-c] obtained from [Scheme 39] instead of [Chemical Formula 84-c] used in [Scheme 21] of Synthesis Example 4 2.8g (yield: 52.7%) was obtained.
MS(MALDI-TOF):m/z= 708 [M]+
MS (MALDI-TOF): m/z= 708 [M] +
<합성예 10> [화학식 106]으로 표시되는 화합물의 합성<Synthesis Example 10> Synthesis of a compound represented by [Chemical Formula 106]
(1) [화학식 106-a]로 표시되는 화합물의 합성(1) Synthesis of a compound represented by [Chemical Formula 106-a]
하기 [반응식 41]에 의하여 [화학식 106-a]로 표시되는 화합물을 합성하였다.A compound represented by [Chemical Formula 106-a] was synthesized by the following [Scheme 41].
[반응식 41][Scheme 41]
[화학식 106-a][Formula 106-a]
상기 합성예 8의 [반응식 33]에서 사용된 벤질페닐케톤 대신 에틸페닐케톤을 사용한 것을 제외하고는 동일한 방법으로 합성하여 [화학식 106-a]로 표시되는 화합물 11.2g (수율: 79.3%)을 얻었다.
Except for using ethylphenyl ketone instead of the benzylphenyl ketone used in [Scheme 33] of Synthesis Example 8, it was synthesized in the same manner to obtain 11.2g (yield: 79.3%) of the compound represented by [Chemical Formula 106-a] .
(2) [화학식 106-b]로 표시되는 화합물의 합성(2) Synthesis of a compound represented by [Chemical Formula 106-b]
하기 [반응식 42]에 의하여 [화학식 106-b]로 표시되는 화합물을 합성하였다.A compound represented by [Chemical Formula 106-b] was synthesized by the following [Scheme 42].
[반응식 42][Scheme 42]
[화학식 106-a] [화학식 106-b][Formula 106-a] [Formula 106-b]
상기 합성예 8의 [반응식 34]에서 사용된 [화학식 104-a] 대신 [반응식 41]로부터 얻어진 [화학식 106-a]를 사용한 것을 제외하고는 동일한 방법으로 합성하여 [화학식 106-b]로 표시되는 화합물 7.6g (수율: 53.6%)을 얻었다.
Synthesized by the same method except for using [Chemical Formula 106-a] obtained from [Scheme 41] instead of [Chemical Formula 104-a] used in [Scheme 34] of Synthesis Example 8 and represented by [Chemical Formula 106-b] 7.6 g of the resulting compound (yield: 53.6%) was obtained.
(3) [화학식 106-c]로 표시되는 화합물의 합성(3) Synthesis of a compound represented by [Chemical Formula 106-c]
하기 [반응식 43]에 의하여 [화학식 106-c]로 표시되는 화합물을 합성하였다.A compound represented by [Chemical Formula 106-c] was synthesized by the following [Scheme 43].
[반응식 43][Scheme 43]
[화학식 106-b] [화학식 106-c][Formula 106-b] [Formula 106-c]
상기 합성예 1의 [반응식 6]에서 사용된 [화학식 2-e] 대신 [반응식 42]로부터 얻은 [화학식 106-b]를 사용한 것을 제외하고는 동일한 방법으로 합성하여 [화학식 106-c]로 표시되는 화합물 5.5g (수율: 80.1%)을 얻었다.
Except for using [Chemical Formula 106-b] obtained from [Scheme 42] instead of [Chemical Formula 2-e] used in [Scheme 6] of Synthesis Example 1, it was synthesized by the same method and represented by [Chemical Formula 106-c] 5.5g (yield: 80.1%) of the compound was obtained.
(4) [화학식 106]으로 표시되는 화합물의 합성(4) Synthesis of the compound represented by [Chemical Formula 106]
하기 [반응식 44]에 의하여 [화학식 106]으로 표시되는 화합물을 합성하였다.A compound represented by [Chemical Formula 106] was synthesized by the following [Scheme 44].
[반응식 44][Scheme 44]
[화학식 84-a] [화학식 106-c] [화학식 106][Formula 84-a] [Formula 106-c] [Formula 106]
상기 합성예 4의 [반응식 21]에서 사용된 [화학식 84-c] 대신 [반응식 43]으로부터 얻은 [화학식 106-c]를 사용한 것을 제외하고는 동일한 방법으로 합성하여 [화학식 106]으로 표시되는 화합물 3.4g (수율: 44.5%)을 얻었다. A compound represented by [Chemical Formula 106] synthesized in the same manner except for using [Chemical Formula 106-c] obtained from [Scheme 43] instead of [Chemical Formula 84-c] used in [Scheme 21] of Synthesis Example 4 3.4g (yield: 44.5%) was obtained.
MS(MALDI-TOF):m/z= 722 [M]+
MS (MALDI-TOF): m/z= 722 [M] +
<합성예 11> [화학식 140]으로 표시되는 화합물의 합성<Synthesis Example 11> Synthesis of a compound represented by [Chemical Formula 140]
(1) [화학식 140-a]로 표시되는 화합물의 합성(1) Synthesis of a compound represented by [Chemical Formula 140-a]
하기 [반응식 45]에 의하여 [화학식 140-a]로 표시되는 화합물을 합성하였다.A compound represented by [Chemical Formula 140-a] was synthesized by the following [Scheme 45].
[반응식 45][Scheme 45]
[화학식 140-a] [Formula 140-a]
상온에서, 질소 기류하의 둥근 바닥 플라스크에 2-아미노벤조니트릴(20.0g, 169mmol), 테트라하이드로퓨란 140 mL를 투입하고 교반하였다. 페닐마그네슘브로마이드(3.0M in Et2O)를 112.9 mL(339mmol) 적하하였다. 1시간 정도 환류교반 후 온도를 0℃로 하였다. 에틸 클로로포메이트 (22.0g, 203mmol)를 적하한 후 약 1시간 정도 환류교반하였다. 암모늄클로라이드수용액을 약산성이 될 때까지 투입하고, 생성된 고체를 여과하여 물과 헵탄으로 씻어주어 [화학식 140-a]를 30.1g 얻었다. (수율: 80%)
At room temperature, 2-aminobenzonitrile (20.0 g, 169 mmol) and 140 mL of tetrahydrofuran were added to a round bottom flask under a nitrogen stream, followed by stirring. 112.9 mL (339 mmol) of phenyl magnesium bromide (3.0 M in Et 2 O) was added dropwise. After stirring at reflux for about 1 hour, the temperature was set to 0°C. Ethyl chloroformate (22.0g, 203mmol) was added dropwise and stirred under reflux for about 1 hour. An aqueous ammonium chloride solution was added until it became slightly acidic, and the resulting solid was filtered and washed with water and heptane to obtain 30.1 g of [Chemical Formula 140-a]. (Yield: 80%)
(2) [화학식 140-b]로 표시되는 화합물의 합성(2) Synthesis of a compound represented by [Chemical Formula 140-b]
하기 [반응식 46]에 의하여 [화학식 140-b]로 표시되는 화합물을 합성하였다.A compound represented by [Chemical Formula 140-b] was synthesized by the following [Scheme 46].
[반응식 46][Scheme 46]
[화학식 140-b] [Formula 140-b]
상온에서, 질소 기류하의 둥근 바닥 플라스크에 상기 합성한 [중간체 140-a](30.0g, 135mmol), 옥시염화인 약 80 mL를 투입하고 교반하였다. 밤새 환류교반 후 다음날 온도를 -20℃로 냉각한 후 물을 약 400 mL정도 천천히 적하하였다. 생성된 고체를 여과한 후 물, 메탄올, 헵탄으로 씻어주었다. 톨루엔과 헵탄으로 재결정하여 [화학식 140-b]를 14.6g 얻었다. (수율: 44.9%)
At room temperature, the synthesized [Intermediate 140-a] (30.0 g, 135 mmol) and about 80 mL of phosphorus oxychloride were added to a round bottom flask under a nitrogen stream, followed by stirring. After reflux stirring overnight, the temperature was cooled to -20℃ the next day, and water was slowly added dropwise to about 400 mL. The resulting solid was filtered and washed with water, methanol, and heptane. 14.6g of [Chemical Formula 140-b] was obtained by recrystallization from toluene and heptane. (Yield: 44.9%)
(3) [화학식 140-c]로 표시되는 화합물의 합성(3) Synthesis of a compound represented by [Chemical Formula 140-c]
하기 [반응식 47]에 의하여 [화학식 140-c]로 표시되는 화합물을 합성하였다.A compound represented by [Chemical Formula 140-c] was synthesized by the following [Scheme 47].
[반응식 47][Scheme 47]
[화학식 2-d] [화학식 140-c][Formula 2-d] [Formula 140-c]
상기 합성예 1의 [반응식 8]에서 사용된 5-브로모인돌 대신 상기 합성한 [화학식 2-d]를 사용하고, [화학식 2-g] 대신 상기 합성한 [화학식 140-b]를 사용하여 동일한 방법으로 [화학식 140-c] 13.2g (수율: 86%)을 얻었다.
Instead of the 5-bromoindole used in [Scheme 8] of Synthesis Example 1, the synthesized [Chemical Formula 2-d] was used, and the synthesized [Chemical Formula 140-b] was used instead of [Chemical Formula 2-g] [Chemical Formula 140-c] 13.2g (yield: 86%) was obtained by the same method.
(4) [화학식 140-d]로 표시되는 화합물의 합성(4) Synthesis of a compound represented by [Chemical Formula 140-d]
하기 [반응식 48]에 의하여 [화학식 140-d]로 표시되는 화합물을 합성하였다.A compound represented by [Chemical Formula 140-d] was synthesized by the following [Scheme 48].
[반응식 48][Scheme 48]
[화학식 140-d] [Formula 140-d]
상기 [반응식 19]에서 사용된 5-브로모인돌 대신 7-브로모인돌을 사용하여 [반응식 19] 내지 [반응식 20]과 동일한 방법으로 [화학식 140-d] 11.8g (수율: 84%)을 얻었다.
[Chemical Formula 140-d] 11.8g (yield: 84%) in the same manner as in [Scheme 19] to [Scheme 20] using 7-bromoindole instead of 5-bromoindole used in [Scheme 19] Got it.
(5) [화학식 140]으로 표시되는 화합물의 합성(5) Synthesis of a compound represented by [Chemical Formula 140]
하기 [반응식 49]에 의하여 [화학식 140]으로 표시되는 화합물을 합성하였다.A compound represented by [Chemical Formula 140] was synthesized by the following [Scheme 49].
[반응식 49][Scheme 49]
[화학식 140] [Formula 140]
상기 [반응식 9]에서 사용된 [화학식 2-h] 대신 상기 합성한 [화학식 140-c]를 사용하고, [화학식 2-f] 대신 상기 합성한 [화학식 140-d]를 사용하여 동일한 방법으로 합성하여 [화학식 140] 3.8g (수율: 41%)을 얻었다.Using the synthesized [Chemical Formula 140-c] instead of [Chemical Formula 2-h] used in [Scheme 9], and using the synthesized [Chemical Formula 140-d] instead of [Chemical Formula 2-f] Synthesized to obtain [Chemical Formula 140] 3.8g (yield: 41%).
MS(MALDI-TOF):m/z= 605 [M]+
MS (MALDI-TOF): m/z= 605 [M] +
<합성예 12> [화학식 141]으로 표시되는 화합물의 합성<Synthesis Example 12> Synthesis of a compound represented by [Chemical Formula 141]
(1) [화학식 141-a]로 표시되는 화합물의 합성(1) Synthesis of a compound represented by [Formula 141-a]
하기 [반응식 50]에 의하여 [화학식 141-a]로 표시되는 화합물을 합성하였다.A compound represented by [Chemical Formula 141-a] was synthesized by the following [Scheme 50].
[반응식 50][Scheme 50]
[화학식 141-a] [Formula 141-a]
질소 기류하에서, 물에 담겨진 둥근 바닥 플라스크에 1-니트로나프탈렌(50.0g, 289mmol), 에틸 시아노아세테이트(98.0g, 866mmol), 시안화칼륨(20.7g, 318mmol), 수산화칼륨(32.4g, 577mmol)을 투입하고 교반하였다. 디메틸포름아미드 100 mL를 투입하고 온도를 60 ℃로 승온한 후 밤새 교반하였다. 다음날 TLC의 변화를 확인하고 플라스크의 온도를 실온으로 하였다. 반응액을 감압농축하여 가능한 디메틸포름아미드를 모두 제거하였다. 소량의 디클로로메탄으로 농축물을 반응기로 옮기고 5% 수산화나트륨수용액을 500 mL 투입하고 교반하였다. 약 1시간 동안 환류교반 후 온도를 실온으로 하였다. 에틸아세테이트와 물로 추출하였다. 에틸아세테이트와 헵탄을 이용하여 컬럼크로마토그래피 분리하였다. 톨루엔과 헵탄으로 재결정하여 흰색 고체인 [화학식 141-a]을 24.6g(수율 50.7%) 얻었다.
Under a stream of nitrogen, 1-nitronaphthalene (50.0 g, 289 mmol), ethyl cyanoacetate (98.0 g, 866 mmol), potassium cyanide (20.7 g, 318 mmol), potassium hydroxide (32.4 g, 577 mmol) in a round bottom flask immersed in water And stirred. 100 mL of dimethylformamide was added, the temperature was raised to 60°C, and the mixture was stirred overnight. The next day, the change of TLC was checked and the temperature of the flask was set to room temperature. The reaction solution was concentrated under reduced pressure to remove all possible dimethylformamide. The concentrate was transferred to a reactor with a small amount of dichloromethane, and 500 mL of 5% aqueous sodium hydroxide solution was added thereto, followed by stirring. After reflux stirring for about 1 hour, the temperature was brought to room temperature. Extracted with ethyl acetate and water. It was separated by column chromatography using ethyl acetate and heptane. Recrystallized from toluene and heptane to give 24.6g (yield 50.7%) of [Chemical Formula 141-a] as a white solid.
(2) [화학식 141-b]로 표시되는 화합물의 합성(2) Synthesis of a compound represented by [Formula 141-b]
하기 [반응식 51]에 의하여 [화학식 141-b]로 표시되는 화합물을 합성하였다.A compound represented by [Chemical Formula 141-b] was synthesized by the following [Scheme 51].
[반응식 51][Scheme 51]
[화학식 141-b] [Formula 141-b]
상기 [반응식 45]에서 사용한 2-아미노벤조니트릴 대신 상기 합성한 [화학식 141-a]를 사용하여 [반응식 45] 내지 [반응식 46]과 동일한 방법으로 합성하여 [화학식 141-b]를 21g 얻었다. (수율: 74.5%)
Using the synthesized [Chemical Formula 141-a] instead of the 2-aminobenzonitrile used in [Scheme 45], it was synthesized in the same manner as in [Scheme 45] to [Scheme 46] to obtain 21g of [Formula 141-b]. (Yield: 74.5%)
(3) [화학식 141-c]로 표시되는 화합물의 합성(3) Synthesis of a compound represented by [Formula 141-c]
하기 [반응식 52]에 의하여 [화학식 141-c]로 표시되는 화합물을 합성하였다.A compound represented by [Chemical Formula 141-c] was synthesized by the following [Scheme 52].
[반응식 52][Scheme 52]
[화학식 141-c] [Formula 141-c]
상기 [반응식 47]에서 사용된 [화학식 140-b] 대신 상기 합성한 [화학식 141-b]를 사용하여 동일한 방법으로 [화학식 141-c] 14.5g (수율: 84%)을 얻었다.
[Chemical Formula 141-c] 14.5g (yield: 84%) was obtained by using the synthesized [Chemical Formula 141-b] instead of [Chemical Formula 140-b] used in [Scheme 47].
(4) [화학식 141-d]로 표시되는 화합물의 합성(4) Synthesis of a compound represented by [Formula 141-d]
하기 [반응식 53]에 의하여 [화학식 141-d]로 표시되는 화합물을 합성하였다.A compound represented by [Chemical Formula 141-d] was synthesized by the following [Scheme 53].
[반응식 53][Scheme 53]
[화학식 141-d] [Formula 141-d]
상기 [반응식 48]에서 사용된 7-브로모인돌 대신 4-브로모인돌을 사용하여 동일한 방법으로 [화학식 141-d] 12.4g (수율: 82%)을 얻었다.
[Chemical Formula 141-d] 12.4g (yield: 82%) was obtained by the same method using 4-bromoindole instead of 7-bromoindole used in [Scheme 48].
(5) [화학식 141]으로 표시되는 화합물의 합성(5) Synthesis of a compound represented by [Chemical Formula 141]
하기 [반응식 54]에 의하여 [화학식 141]으로 표시되는 화합물을 합성하였다.A compound represented by [Chemical Formula 141] was synthesized by the following [Scheme 54].
[반응식 54][Scheme 54]
[화학식 141] [Formula 141]
상기 [반응식 49]에서 사용된 [화학식 140-c] 대신 상기 합성한 [화학식 141-c]를 사용하고, [화학식 140-d] 대신 상기 합성한 [화학식 141-d]를 사용하여 동일한 방법으로 합성하여 [화학식 141] 4.5g (수율: 44%)을 얻었다. Using the synthesized [Chemical Formula 141-c] instead of [Chemical Formula 140-c] used in [Scheme 49], and using the synthesized [Chemical Formula 141-d] instead of [Chemical Formula 140-d] By synthesis, [Chemical Formula 141] 4.5g (yield: 44%) was obtained.
MS(MALDI-TOF):m/z= 655 [M]+
MS (MALDI-TOF): m/z= 655 [M] +
<합성예 13> [화학식 144]으로 표시되는 화합물의 합성<Synthesis Example 13> Synthesis of a compound represented by [Chemical Formula 144]
(1) [화학식 144-a]로 표시되는 화합물의 합성(1) Synthesis of a compound represented by [Formula 144-a]
하기 [반응식 55]에 의하여 [화학식 144-a]로 표시되는 화합물을 합성하였다.A compound represented by [Chemical Formula 144-a] was synthesized by the following [Scheme 55].
[반응식 55][Scheme 55]
[화학식 144-a] [Formula 144-a]
상기 [반응식 51]에서 사용한 [화학식 141-a] 대신 3-아미노-2-나프토니트릴을 사용하여 동일한 방법으로 합성하여 [화학식 144-a]를 20g 얻었다. (수율: 71%)
[Chemical Formula 141-a] used in [Scheme 51] was synthesized in the same manner using 3-amino-2-naphtonitrile instead of [Chemical Formula 144-a] to obtain 20g. (Yield: 71%)
(2) [화학식 144-b]로 표시되는 화합물의 합성(2) Synthesis of a compound represented by [Formula 144-b]
하기 [반응식 56]에 의하여 [화학식 144-b]로 표시되는 화합물을 합성하였다.A compound represented by [Chemical Formula 144-b] was synthesized by the following [Scheme 56].
[반응식 56][Scheme 56]
[화학식 144-b] [Formula 144-b]
상기 [반응식 52]에서 사용된 [화학식 140-b] 대신 상기 합성한 [화학식 144-a]를 사용하여 동일한 방법으로 [화학식 144-b] 13.1g (수율: 83%)을 얻었다.
13.1g (yield: 83%) of [Chemical Formula 144-b] was obtained by using the synthesized [Chemical Formula 144-a] instead of [Chemical Formula 140-b] used in [Scheme 52].
(3) [화학식 144-c]로 표시되는 화합물의 합성(3) Synthesis of a compound represented by [Formula 144-c]
하기 [반응식 57]에 의하여 [화학식 144-c]로 표시되는 화합물을 합성하였다.A compound represented by [Chemical Formula 144-c] was synthesized by the following [Scheme 57].
[반응식 57][Scheme 57]
[화학식 144-c][Formula 144-c]
상기 [반응식 53]에서 사용된 4-브로모인돌 대신 6-브로모인돌을 사용하여 동일한 방법으로 [화학식 144-c] 11.4g (수율: 81%)을 얻었다.
[Chemical Formula 144-c] 11.4g (yield: 81%) was obtained by the same method using 6-bromoindole instead of 4-bromoindole used in [Scheme 53].
(4) [화학식 144]으로 표시되는 화합물의 합성(4) Synthesis of a compound represented by [Chemical Formula 144]
하기 [반응식 58]에 의하여 [화학식 144]으로 표시되는 화합물을 합성하였다.A compound represented by [Chemical Formula 144] was synthesized by the following [Scheme 58].
[반응식 58][Scheme 58]
[화학식 144] [Formula 144]
상기 [반응식 54]에서 사용된 [화학식 141-c] 대신 상기 합성한 [화학식 144-b]를 사용하고, [화학식 141-d] 대신 상기 합성한 [화학식 144-c]를 사용하여 동일한 방법으로 합성하여 [화학식 144] 4.3g (수율: 40%)을 얻었다.Using the synthesized [Formula 144-b] instead of [Formula 141-c] used in [Scheme 54], and using the synthesized [Formula 144-c] instead of [Formula 141-d] Synthesized to obtain [Chemical Formula 144] 4.3g (yield: 40%).
MS(MALDI-TOF):m/z= 655 [M]+
MS (MALDI-TOF): m/z= 655 [M] +
<실시예 1 내지 10> 상기 합성예 1 내지 10에 따른 이형고리 화합물을 포함한 유기전계발광소자의 제조<Examples 1 to 10> Preparation of organic electroluminescent devices including heterocyclic compounds according to Synthesis Examples 1 to 10
ITO 글래스의 발광 면적이 2 mm × 2 mm 크기가 되도록 패터닝한 후 세정하였다. 기판을 진공 챔버에 장착한 후 베이스 압력이 1×10-6 torr가 되도록 한 후 유기물을 상기 ITO위에 DNTPD(700Å), NPD(300Å), 상기 합성예 1 내지 10에 의해서 합성된 화합물 + Ir(ppy)3(10%)(300Å), Alq3 (350Å), LiF(5Å), Al(1,000Å)의 순서로 성막하였으며, 0.4 mA에서 측정을 하였다.The ITO glass was patterned so that the light emitting area was 2 mm × 2 mm in size and washed. After mounting the substrate in the vacuum chamber, the base pressure is 1×10 -6 torr, and then the organic material is placed on the ITO with DNTPD (700 Å), NPD (300 Å), the compound synthesized by Synthesis Examples 1 to 10 + Ir ( ppy) 3 (10%) (300 Å), Alq 3 (350 Å), LiF (5 Å), and Al (1,000 Å) were formed in the order, and measured at 0.4 mA.
[DNTPD][DNTPD]
[NPD][NPD]
[Ir(ppy)3][Ir(ppy) 3 ]
[Alq3][Alq 3 ]
<비교예 1><Comparative Example 1>
비교예 1을 위한 유기발광다이오드 소자는 상기 실시예 1 내지 10의 소자구조에서 호스트 물질로서 본 발명에 의해 제조된 화합물 대신 CBP를 사용한 점을 제외하고 동일하게 제작하였다.The organic light emitting diode device for Comparative Example 1 was fabricated in the same manner as in the device structures of Examples 1 to 10, except that CBP was used instead of the compound prepared by the present invention as a host material.
[CBP][CBP]
상기 실시예 1 내지 10, 비교예 1에 따라 제조된 유기전계발광소자에 대하여, 전압, 전류밀도, 휘도, 색 좌표 및 수명을 측정하고 그 결과를 하기 [표 1]에 나타내었다.For the organic electroluminescent devices manufactured according to Examples 1 to 10 and Comparative Example 1, voltage, current density, luminance, color coordinates, and lifetime were measured, and the results are shown in Table 1 below.
T80은 휘도가 초기휘도(7000nit)에서 80%로 감소되는데 소요되는 시간을 의미한다.T80 refers to the time it takes for the luminance to decrease from the initial luminance (7000nit) to 80%.
상기 [표 1]에서 보는 바와 같이, 본 발명의 실시예 1 내지 10에 따라 제조된 이형고리 화합물을 호스트 물질로 포함하는 유기전계발광소자는 호스트 물질이 CBP인 비교예 1에 비하여 구동전압(V)이 낮고, 우수한 발광효율(Cd/㎡)과 긴 수명(T80)을 갖는 특성을 보이므로 표시소자, 디스플레이 소자 및 조명 등에 유용하게 사용될 수 있음을 알 수 있다.
As shown in [Table 1], the organic electroluminescent device including the heterocyclic compounds prepared according to Examples 1 to 10 of the present invention as a host material was compared to Comparative Example 1 in which the host material was CBP. ) Is low, has excellent luminous efficiency (Cd/m2) and long lifespan (T 80 ), so it can be seen that it can be usefully used for display devices, display devices, and lighting.
<실시예 11 내지 13> 상기 합성예 11 내지 13에 따른 이형고리 화합물을 포함한 유기전계발광소자의 제조<Examples 11 to 13> Preparation of organic electroluminescent devices including heterocyclic compounds according to Synthesis Examples 11 to 13
ITO 글래스의 발광 면적이 2 mm × 2 mm 크기가 되도록 패터닝한 후 세정하였다. 기판을 진공 챔버에 장착한 후 베이스 압력이 1×10-6 torr가 되도록 한 후 유기물을 상기 ITO위에 DNTPD(700Å), NPD(300Å), 상기 합성예 11 내지 13에 의해서 합성된 화합물 + (piq)2Ir(acac) (10%)(300Å), Alq3 (350Å), LiF(5Å), Al(1,000Å)의 순서로 성막하였으며, 0.4 mA에서 측정을 하였다.The ITO glass was patterned so that the light emitting area was 2 mm × 2 mm in size and washed. After mounting the substrate in the vacuum chamber, the base pressure was 1×10 -6 torr, and then the organic material was placed on the ITO with DNTPD (700 Å), NPD (300 Å), the compound synthesized by Synthesis Examples 11 to 13 + (piq ) 2 Ir (acac) (10%) (300 Å), Alq 3 (350 Å), LiF (5 Å), Al (1,000 Å) were formed in the order, and measured at 0.4 mA.
상기 (piq)2Ir(acac)의 구조는 다음과 같다.The structure of the (piq) 2 Ir(acac) is as follows.
[(piq)2Ir(acac)]
[(piq) 2 Ir(acac)]
<실시예 14> 상기 실시예 11 내지 13의 소자구조에서 발광층에 [화학식 144]를 사용하였으며, [(piq)2Ir(acac)] 대신 [PTOEP]를 사용한 점을 제외하고 동일하게 제작하였으며 [PTOEP]의 구조는 아래와 같다.<Example 14> In the device structures of Examples 11 to 13, [Chemical Formula 144] was used for the light emitting layer, and [PTOEP] was used instead of [(piq) 2 Ir(acac)], and the same was prepared [ The structure of [PTOEP] is as follows.
[PTOEP]
[PTOEP]
<비교예 2><Comparative Example 2>
비교예 2를 위한 유기발광다이오드 소자는 상기 실시예 11 내지 13의 소자구조에서 호스트 물질로서 본 발명에 의해 제조된 화합물 대신 CBP를 사용한 점을 제외하고 동일하게 제작하였다.
The organic light emitting diode device for Comparative Example 2 was fabricated in the same manner as in the device structures of Examples 11 to 13, except that CBP was used instead of the compound prepared by the present invention as a host material.
상기 실시예 11 내지 14, 비교예 2에 따라 제조된 유기전계발광소자에 대하여, 전압, 전류밀도, 휘도, 색 좌표 및 수명을 측정하고 그 결과를 하기 [표 2]에 나타내었다.For the organic electroluminescent devices prepared according to Examples 11 to 14 and Comparative Example 2, voltage, current density, luminance, color coordinates and lifetime were measured, and the results are shown in Table 2 below.
T90은 휘도가 초기휘도(3700nit)에서 90%로 감소되는데 소요되는 시간을 의미한다.T90 refers to the time it takes for the luminance to decrease from the initial luminance (3700nit) to 90%.
상기 [표 2]에서 보는 바와 같이, 본 발명의 실시예 11 내지 14에 따라 제조된 이형고리 화합물을 호스트 물질로 포함하는 유기전계발광소자는 호스트 물질이 CBP인 비교예 2에 비하여 구동전압(V)이 낮고, 우수한 발광효율(Cd/㎡)과 긴 수명(T90)을 갖는 특성을 보이므로 표시소자, 디스플레이 소자 및 조명 등에 유용하게 사용될 수 있음을 알 수 있다.As shown in [Table 2], the organic electroluminescent device including the heterocyclic compounds prepared according to Examples 11 to 14 of the present invention as a host material was compared to Comparative Example 2 in which the host material was CBP. ) Is low, has excellent luminous efficiency (Cd/m2) and long life (T 90 ), so it can be seen that it can be usefully used for display devices, display devices, and lighting.
Claims (11)
[화학식 1]
상기 [화학식 1]에서,
X1 내지 X14는 서로 동일하거나 상이하고, 각각 독립적으로 수소, 중수소, 치환 또는 비치환된 탄소수 1 내지 30의 알킬기, 치환 또는 비치환된 탄소수 6 내지 40의 아릴기, 치환 또는 비치환된 탄소수 2 내지 30의 헤테로아릴기, 할로겐 원자, 히드록실기, 시아노기, 니트로기, 아미노기, 아미디노기, 히드라진, 히드라존, 카르복실기나 이의 염, 술폰산기나 이의 염, 인산이나 이의 염, 치환 또는 비치환된 탄소수 2 내지 60의 알케닐기, 치환 또는 비치환된 탄소수 2 내지 60의 알키닐기, 치환 또는 비치환된 탄소수 1 내지 60의 알콕시기, 치환 또는 비치환된 탄소수 3 내지 60의 시클로알킬기, 치환 또는 비치환된 탄소수 5 내지 30의 시클로알케닐기, 치환 또는 비치환된 탄소수 6 내지 60의 아릴옥시기, 치환 또는 비치환된 탄소수 1 내지 30의 알킬티옥시기, 치환 또는 비치환된 탄소수 6 내지 30의 아릴티옥시기, 치환 또는 비치환된 탄소수 6 내지 60의 아릴싸이오기, -SiR3R4R5 및 -NR6R7로 이루어진 군에서 선택되며,
Y는 CX21X22, NX23, O, S 및 SiX24X25 로 이루어진 군에서 선택되고,
Ar1 및 Ar2는 서로 동일하거나 상이하고, 각각 독립적으로 치환 또는 비치환된 탄소수 6 내지 40의 아릴기 및 치환 또는 비치환된 탄소수 2 내지 30의 헤테로아릴기로 이루어진 군에서 선택되며, p+q는 1 내지 6 사이의 정수이고,
L은 단일 결합이거나, 치환 또는 비치환된 탄소수 1 내지 60의 알킬렌기, 치환 또는 비치환된 탄소수 2 내지 60의 알케닐렌기, 치환 또는 비치환된 탄소수 2 내지 60의 알키닐렌기, 치환 또는 비치환된 탄소수 3 내지 60의 시클로알킬렌기, 치환 또는 비치환된 탄소수 2 내지 60의 헤테로시클로알킬렌기, 치환 또는 비치환된 탄소수 6 내지 60의 아릴렌기 및 치환 또는 비치환된 탄소수 2 내지 60의 헤테로아릴렌기로 이루어진 군에서 선택되며, n은 1 내지 3 사이의 정수이고,
상기 R1 내지 R7은 서로 동일하거나 상이하고, 각각 독립적으로 치환 또는 비치환된 탄소수 1 내지 30의 알킬기, 치환 또는 비치환된 탄소수 6 내지 40의 아릴기, 치환 또는 비치환된 탄소수 2 내지 30의 헤테로아릴기, 수소 및 중수소로 이루어진 군에서 선택되며,
상기 X21 내지 X25는 상기 X1 내지 X14에서 정의와 동일하다.Heterocyclic compound represented by the following [Chemical Formula 1]:
[Formula 1]
In the above [Formula 1],
X 1 to X 14 is the same as or different from each other, and each independently hydrogen, deuterium, a substituted or unsubstituted alkyl group having 1 to 30 carbon atoms, a substituted or unsubstituted aryl group having 6 to 40 carbon atoms, a substituted or unsubstituted carbon number of 2 to 30 Heteroaryl group, halogen atom, hydroxyl group, cyano group, nitro group, amino group, amidino group, hydrazine, hydrazone, carboxyl group or salt thereof, sulfonic acid group or salt thereof, phosphoric acid or salt thereof, substituted or unsubstituted carbon number 2 to 60 alkenyl group, substituted or unsubstituted C 2 to C 60 alkynyl group, substituted or unsubstituted C 1 to C 60 alkoxy group, substituted or unsubstituted C 3 to C 60 cycloalkyl group, substituted or unsubstituted A cycloalkenyl group having 5 to 30 carbon atoms, a substituted or unsubstituted aryloxy group having 6 to 60 carbon atoms, a substituted or unsubstituted alkyl thioxy group having 1 to 30 carbon atoms, a substituted or unsubstituted arylthioc having 6 to 30 carbon atoms It is selected from the group consisting of a time period, a substituted or unsubstituted arylthio group having 6 to 60 carbon atoms, -SiR 3 R 4 R 5 and -NR 6 R 7 ,
Y is selected from the group consisting of CX 21 X 22 , NX 23 , O, S and SiX 24 X 25 ,
Ar 1 and Ar 2 are the same as or different from each other, and each independently selected from the group consisting of a substituted or unsubstituted aryl group having 6 to 40 carbon atoms and a substituted or unsubstituted heteroaryl group having 2 to 30 carbon atoms, p+q Is an integer between 1 and 6,
L is a single bond, a substituted or unsubstituted C1 to C60 alkylene group, a substituted or unsubstituted C2 to C60 Alkenylene group, substituted or unsubstituted C2-C60 alkynylene group, substituted or unsubstituted C3-C60 Selected from the group consisting of a cycloalkylene group, a substituted or unsubstituted heterocycloalkylene group having 2 to 60 carbon atoms, a substituted or unsubstituted arylene group having 6 to 60 carbon atoms, and a substituted or unsubstituted heteroarylene group having 2 to 60 carbon atoms And n is an integer between 1 and 3,
The R 1 to R 7 is the same as or different from each other, and each independently a substituted or unsubstituted alkyl group having 1 to 30 carbon atoms, a substituted or unsubstituted aryl group having 6 to 40 carbon atoms, a substituted or unsubstituted heteroaryl group having 2 to 30 carbon atoms , Selected from the group consisting of hydrogen and deuterium,
The X 21 to X 25 are the same as defined in X 1 to X 14 .
상기 R1 내지 R7, X1 내지 X14, X21 내지 X25, L, Ar1 및 Ar2는 각각 독립적으로 중수소 원자, 시아노기, 할로겐 원자, 히드록시기, 니트로기, 탄소수 1 내지 40의 알킬기, 탄소수 1 내지 40의 알콕시기, 탄소수 1 내지 40의 알킬아미노기, 탄소수 6 내지 40의 아릴아미노기, 탄소수 3 내지 40의 헤테로아릴아미노기, 탄소수 1 내지 40의 알킬실릴기, 탄소수 6 내지 40의 아릴실릴기, 탄소수 6 내지 40의 아릴기, 탄소수 3 내지 40의 아릴옥시기, 탄소수 3 내지 40의 헤테로아릴기, 게르마늄기, 인 및 보론으로 이루어진 군으로부터 선택되는 1종 이상으로 치환되는 것을 특징으로 하는 이형고리 화합물.The method of claim 1,
The R 1 to R 7 , X 1 to X 14 , X 21 to X 25 , L, Ar 1 and Ar 2 are each independently a deuterium atom, a cyano group, a halogen atom, a hydroxy group, a nitro group, an alkyl group having 1 to 40 carbon atoms , Alkoxy group having 1 to 40 carbon atoms, alkylamino group having 1 to 40 carbon atoms, arylamino group having 6 to 40 carbon atoms, heteroarylamino group having 3 to 40 carbon atoms, alkylsilyl group having 1 to 40 carbon atoms, arylsilyl having 6 to 40 carbon atoms Group, a C6-C40 aryl group, a C3-C40 aryloxy group, a C3-C40 heteroaryl group, a germanium group, phosphorus and boron, characterized in that substituted with at least one selected from the group consisting of Heterocyclic compounds.
상기 [화학식 1]은 하기 화학식으로 표시되는 군에서 선택되는 어느 하나인 것을 특징으로 하는 이형고리 화합물:
[화학식 2] [화학식 3]
[화학식 4] [화학식 5]
[화학식 6] [화학식 7]
[화학식 8] [화학식 9]
[화학식 10] [화학식 11]
[화학식 12] [화학식 13]
[화학식 14] [화학식 15]
[화학식 16] [화학식 17]
[화학식 18] [화학식 19]
[화학식 20] [화학식 21]
[화학식 22] [화학식 23]
[화학식 24] [화학식 25]
[화학식 26] [화학식 27]
[화학식 28] [화학식 29]
[화학식 30] [화학식 31]
[화학식 32] [화학식 33]
[화학식 34] [화학식 35]
[화학식 36] [화학식 37]
[화학식 38] [화학식 39]
[화학식 40] [화학식 41]
[화학식 42] [화학식 43]
[화학식 44] [화학식 45]
[화학식 46] [화학식 47]
[화학식 48] [화학식 49]
[화학식 50] [화학식 51]
[화학식 52] [화학식 53]
[화학식 54] [화학식 55]
[화학식 56] [화학식 57]
[화학식 58] [화학식 59]
[화학식 60] [화학식 61]
[화학식 62] [화학식 63]
[화학식 64] [화학식 65]
[화학식 66] [화학식 67]
[화학식 68] [화학식 69]
[화학식 70] [화학식 71]
[화학식 72] [화학식 73]
[화학식 74]
[화학식 77]
[화학식 78] [화학식 79]
[화학식 80] [화학식 81]
[화학식 82] [화학식 83]
[화학식 84] [화학식 85]
[화학식 86] [화학식 87]
[화학식 88] [화학식 89]
[화학식 90] [화학식 91]
[화학식 92] [화학식 93]
[화학식 94] [화학식 95]
[화학식 96] [화학식 97]
[화학식 98] [화학식 99]
[화학식 100] [화학식 101]
[화학식 102] [화학식 103]
[화학식 104] [화학식 105]
[화학식 106] [화학식 107]
[화학식 108] [화학식 109]
[화학식 110] [화학식 111]
[화학식 112] [화학식 113]
[화학식 114] [화학식 115]
[화학식 116] [화학식 117]
[화학식 118] [화학식 119]
[화학식 120] [화학식 121]
[화학식 122] [화학식 123]
[화학식 124] [화학식 125]
[화학식 126] [화학식 127]
[화학식 128] [화학식 129]
[화학식 130] [화학식 131]
[화학식 132] [화학식 133]
[화학식 134]The method of claim 1,
[Formula 1] is a heterocyclic compound, characterized in that any one selected from the group represented by the following formula:
[Chemical Formula 2] [Chemical Formula 3]
[Chemical Formula 4] [Chemical Formula 5]
[Formula 6] [Formula 7]
[Chemical Formula 8] [Chemical Formula 9]
[Formula 10] [Formula 11]
[Formula 12] [Formula 13]
[Formula 14] [Formula 15]
[Formula 16] [Formula 17]
[Chemical Formula 18] [Chemical Formula 19]
[Formula 20] [Formula 21]
[Formula 22] [Formula 23]
[Formula 24] [Formula 25]
[Formula 26] [Formula 27]
[Formula 28] [Formula 29]
[Chemical Formula 30] [Chemical Formula 31]
[Formula 32] [Formula 33]
[Formula 34] [Formula 35]
[Chemical Formula 36] [Chemical Formula 37]
[Chemical Formula 38] [Chemical Formula 39]
[Formula 40] [Formula 41]
[Formula 42] [Formula 43]
[Formula 44] [Formula 45]
[Chemical Formula 46] [Chemical Formula 47]
[Chemical Formula 48] [Chemical Formula 49]
[Formula 50] [Formula 51]
[Formula 52] [Formula 53]
[Chemical Formula 54] [Chemical Formula 55]
[Chemical Formula 56] [Chemical Formula 57]
[Chemical Formula 58] [Chemical Formula 59]
[Chemical Formula 60] [Chemical Formula 61]
[Formula 62] [Formula 63]
[Formula 64] [Formula 65]
[Chemical Formula 66] [Chemical Formula 67]
[Chemical Formula 68] [Chemical Formula 69]
[Formula 70] [Formula 71]
[Chemical Formula 72] [Chemical Formula 73]
[Chemical Formula 74]
[Chemical Formula 77]
[Chemical Formula 78] [Chemical Formula 79]
[Chemical Formula 80] [Chemical Formula 81]
[Formula 82] [Formula 83]
[Formula 84] [Formula 85]
[Formula 86] [Formula 87]
[Chemical Formula 88] [Chemical Formula 89]
[Formula 90] [Formula 91]
[Formula 92] [Formula 93]
[Formula 94] [Formula 95]
[Chemical Formula 96] [Chemical Formula 97]
[Chemical Formula 98] [Chemical Formula 99]
[Chemical Formula 100] [Chemical Formula 101]
[Formula 102] [Formula 103]
[Chemical Formula 104] [Chemical Formula 105]
[Formula 106] [Formula 107]
[Chemical Formula 108] [Chemical Formula 109]
[Chemical Formula 110] [Chemical Formula 111]
[Chemical Formula 112] [Chemical Formula 113]
[Chemical Formula 114] [Chemical Formula 115]
[Chemical Formula 116] [Chemical Formula 117]
[Chemical Formula 118] [Chemical Formula 119]
[Chemical Formula 120] [Chemical Formula 121]
[Formula 122] [Formula 123]
[Chemical Formula 124] [Chemical Formula 125]
[Chemical Formula 126] [Chemical Formula 127]
[Chemical Formula 128] [Chemical Formula 129]
[Chemical Formula 130] [Chemical Formula 131]
[Chemical Formula 132] [Chemical Formula 133]
[Chemical Formula 134]
상기 유기층은 제1항에 따른 [화학식 1]로 표시되는 이형고리 화합물을 하나 이상 포함하는 것을 특징으로 하는 유기전계발광소자.A first electrode; A second electrode facing the first electrode; And one or more organic layers interposed between the first electrode and the second electrode,
The organic layer is an organic electroluminescent device comprising at least one heterocyclic compound represented by [Chemical Formula 1] according to claim 1.
상기 유기층은 정공 주입층, 정공 수송층, 정공 주입 기능과 정공 수송 기능을 동시에 갖는 기능층, 발광층, 전자 수송층 및 전자 주입층 중에서 선택되는 층을 하나 이상 포함하는 것을 특징으로 하는 유기전계발광소자.The method of claim 8,
The organic layer comprises at least one layer selected from a hole injection layer, a hole transport layer, a functional layer having a hole injection function and a hole transport function at the same time, a light emitting layer, an electron transport layer, and an electron injection layer.
상기 발광층은 하나 이상의 호스트 화합물 및 하나 이상의 도판트 화합물을 포함하고, 상기 호스트 화합물은 상기 [화학식 1]로 표시되는 이형고리 화합물인 것을 특징으로 하는 유기전계발광소자.The method of claim 9,
The emission layer includes at least one host compound and at least one dopant compound, and the host compound is an organic electroluminescent device, wherein the host compound is a heterocyclic compound represented by [Chemical Formula 1].
상기 유기층에는 적색, 녹색 또는 청색 발광을 하는 유기 발광층을 하나 이상 더 포함하여 백색 발광을 하는 것을 특징으로 하는 유기전계발광소자.The method of claim 8,
An organic electroluminescent device, characterized in that the organic layer further includes at least one organic emission layer emitting red, green, or blue light to emit white light.
Applications Claiming Priority (2)
| Application Number | Priority Date | Filing Date | Title |
|---|---|---|---|
| KR1020120037467 | 2012-04-10 | ||
| KR20120037467 | 2012-04-10 |
Publications (2)
| Publication Number | Publication Date |
|---|---|
| KR20130115160A KR20130115160A (en) | 2013-10-21 |
| KR102191024B1 true KR102191024B1 (en) | 2020-12-14 |
Family
ID=49634842
Family Applications (1)
| Application Number | Title | Priority Date | Filing Date |
|---|---|---|---|
| KR1020130039137A Active KR102191024B1 (en) | 2012-04-10 | 2013-04-10 | Heterocyclic com pounds and organic light-emitting diode including the same |
Country Status (1)
| Country | Link |
|---|---|
| KR (1) | KR102191024B1 (en) |
Cited By (1)
| Publication number | Priority date | Publication date | Assignee | Title |
|---|---|---|---|---|
| KR20210027310A (en) * | 2012-04-24 | 2021-03-10 | 에스에프씨 주식회사 | Heterocyclic com pounds and organic light-emitting diode including the same |
Families Citing this family (17)
| Publication number | Priority date | Publication date | Assignee | Title |
|---|---|---|---|---|
| KR20130118269A (en) * | 2012-04-19 | 2013-10-29 | 에스에프씨 주식회사 | Aromatic compound and organoelectroluminescent device comprising the compound |
| KR102215780B1 (en) * | 2013-02-15 | 2021-02-17 | 에스에프씨주식회사 | Novel organic compounds for organic light-emitting diode and organic light-emitting diode including the same |
| KR102191025B1 (en) * | 2013-03-14 | 2020-12-15 | 에스에프씨 주식회사 | An electroluminescen compound and an electroluminescent device comprising the same |
| KR102271475B1 (en) * | 2013-03-14 | 2021-07-02 | 에스에프씨 주식회사 | An electroluminescen compound and an electroluminescent device comprising the same |
| US10439148B2 (en) | 2013-08-01 | 2019-10-08 | Nippon Steel Chemical & Material Co., Ltd. | Compound, light emitting material, and organic light emitting device |
| KR101626524B1 (en) * | 2014-03-24 | 2016-06-02 | (주)피엔에이치테크 | An electroluminescent compound and an electroluminescent device comprising the same |
| KR101542714B1 (en) | 2014-04-04 | 2015-08-12 | 주식회사 엘지화학 | Hetero-cyclic compound and organic light emitting device comprising the same |
| KR20150115622A (en) | 2014-04-04 | 2015-10-14 | 주식회사 엘지화학 | Hetero-cyclic compound and organic light emitting device comprising the same |
| KR101537500B1 (en) | 2014-04-04 | 2015-07-20 | 주식회사 엘지화학 | Organic light emitting diode |
| KR102215776B1 (en) * | 2014-06-18 | 2021-02-16 | 에스에프씨주식회사 | Novel heterocyclic compounds and organic light-emitting diode including the same |
| JP6629291B2 (en) * | 2014-07-21 | 2020-01-15 | メルク、パテント、ゲゼルシャフト、ミット、ベシュレンクテル、ハフツングMerck Patent GmbH | Materials for electronic devices |
| EP3029037A1 (en) * | 2014-12-05 | 2016-06-08 | Solvay SA | Acridine derivatives and their use in organic electronic devices |
| KR20170009005A (en) | 2015-07-15 | 2017-01-25 | 대우조선해양 주식회사 | A apparatus for marine growth preventing on seawater lift pump using UV light and a marine growth preventing method therewith |
| JP6575921B2 (en) * | 2015-09-15 | 2019-09-18 | エルジー・ケム・リミテッド | Heterocyclic compound and organic light emitting device including the same |
| CN108884087A (en) | 2016-04-11 | 2018-11-23 | 默克专利有限公司 | Heterocyclic compound comprising dibenzofurans and/or dibenzothiophenes structure |
| CN106397423B (en) * | 2016-08-31 | 2020-02-18 | 江苏三月光电科技有限公司 | A kind of organic compound with azepine as the core and its application in OLED |
| KR102283122B1 (en) * | 2017-11-15 | 2021-07-29 | 주식회사 엘지화학 | Heterocyclic compound and organic photovoltaic device comprising the same |
Citations (1)
| Publication number | Priority date | Publication date | Assignee | Title |
|---|---|---|---|---|
| WO2011136755A1 (en) | 2010-04-28 | 2011-11-03 | Universal Display Corporation | Depositing premixed materials |
Family Cites Families (2)
| Publication number | Priority date | Publication date | Assignee | Title |
|---|---|---|---|---|
| KR20110120994A (en) * | 2010-04-30 | 2011-11-07 | 다우어드밴스드디스플레이머티리얼 유한회사 | Novel organic light emitting compound and organic electroluminescent device employing the same |
| KR20120042633A (en) * | 2010-08-27 | 2012-05-03 | 롬엔드하스전자재료코리아유한회사 | Novel organic electroluminescent compounds and organic electroluminescent device using the same |
-
2013
- 2013-04-10 KR KR1020130039137A patent/KR102191024B1/en active Active
Patent Citations (1)
| Publication number | Priority date | Publication date | Assignee | Title |
|---|---|---|---|---|
| WO2011136755A1 (en) | 2010-04-28 | 2011-11-03 | Universal Display Corporation | Depositing premixed materials |
Cited By (2)
| Publication number | Priority date | Publication date | Assignee | Title |
|---|---|---|---|---|
| KR20210027310A (en) * | 2012-04-24 | 2021-03-10 | 에스에프씨 주식회사 | Heterocyclic com pounds and organic light-emitting diode including the same |
| KR102372231B1 (en) * | 2012-04-24 | 2022-03-10 | 에스에프씨 주식회사 | Heterocyclic com pounds and organic light-emitting diode including the same |
Also Published As
| Publication number | Publication date |
|---|---|
| KR20130115160A (en) | 2013-10-21 |
Similar Documents
| Publication | Publication Date | Title |
|---|---|---|
| KR102905139B1 (en) | An electroluminescent compound and an electroluminescent device comprising the same | |
| KR102191024B1 (en) | Heterocyclic com pounds and organic light-emitting diode including the same | |
| KR102191778B1 (en) | Heterocyclic compounds and organic light-emitting diode including the same | |
| KR102169443B1 (en) | Heterocyclic com pounds and organic light-emitting diode including the same | |
| KR102191022B1 (en) | Heterocyclic com pounds and organic light-emitting diode including the same | |
| KR102249279B1 (en) | An organoelectro luminescent compounds and organoelectro luminescent device using the same | |
| KR102191780B1 (en) | An electroluminescent compound and an electroluminescent device comprising the same | |
| KR102140005B1 (en) | An electroluminescent compound and an electroluminescent device comprising the same | |
| KR102191021B1 (en) | An electroluminescent compound and an electroluminescent device comprising the same | |
| KR102383344B1 (en) | Novel organic light-emitting diode including antracene derivatives | |
| KR20200116873A (en) | Aromatic compound and organoelectroluminescent device comprising the compound | |
| KR102169448B1 (en) | An electroluminescent compound and an electroluminescent device comprising the same | |
| KR102155738B1 (en) | An electroluminescent compound and an electroluminescent device comprising the same | |
| KR102154055B1 (en) | Carbazole derivatives and organoelectro luminescent device using the same | |
| KR102154056B1 (en) | An organoelectro luminescent compounds and organoelectro luminescent device using the same | |
| KR102372231B1 (en) | Heterocyclic com pounds and organic light-emitting diode including the same | |
| KR102215776B1 (en) | Novel heterocyclic compounds and organic light-emitting diode including the same | |
| KR102215780B1 (en) | Novel organic compounds for organic light-emitting diode and organic light-emitting diode including the same | |
| KR102140006B1 (en) | An electroluminescent compound and an electroluminescent device comprising the same | |
| KR20160026661A (en) | Novel heterocyclic compounds and organic light-emitting diode including the same | |
| KR102254134B1 (en) | An electroluminescent compound and an electroluminescent device comprising the same | |
| KR102261104B1 (en) | An electroluminescent compound and an electroluminescent device comprising the same | |
| KR102169447B1 (en) | An organoelectro luminescent compounds and organoelectro luminescent device using the same | |
| KR102084423B1 (en) | Deuterated organic compounds for organic light-emitting diode and organic light-emitting diode including the same | |
| KR20180011980A (en) | Novel heterocyclic compounds and organic light-emitting diode including the same |
Legal Events
| Date | Code | Title | Description |
|---|---|---|---|
| PA0109 | Patent application |
St.27 status event code: A-0-1-A10-A12-nap-PA0109 |
|
| PG1501 | Laying open of application |
St.27 status event code: A-1-1-Q10-Q12-nap-PG1501 |
|
| PN2301 | Change of applicant |
St.27 status event code: A-3-3-R10-R13-asn-PN2301 St.27 status event code: A-3-3-R10-R11-asn-PN2301 |
|
| R18-X000 | Changes to party contact information recorded |
St.27 status event code: A-3-3-R10-R18-oth-X000 |
|
| R17-X000 | Change to representative recorded |
St.27 status event code: A-3-3-R10-R17-oth-X000 |
|
| R18-X000 | Changes to party contact information recorded |
St.27 status event code: A-3-3-R10-R18-oth-X000 |
|
| A201 | Request for examination | ||
| PA0201 | Request for examination |
St.27 status event code: A-1-2-D10-D11-exm-PA0201 |
|
| E902 | Notification of reason for refusal | ||
| PE0902 | Notice of grounds for rejection |
St.27 status event code: A-1-2-D10-D21-exm-PE0902 |
|
| T11-X000 | Administrative time limit extension requested |
St.27 status event code: U-3-3-T10-T11-oth-X000 |
|
| T11-X000 | Administrative time limit extension requested |
St.27 status event code: U-3-3-T10-T11-oth-X000 |
|
| T11-X000 | Administrative time limit extension requested |
St.27 status event code: U-3-3-T10-T11-oth-X000 |
|
| T11-X000 | Administrative time limit extension requested |
St.27 status event code: U-3-3-T10-T11-oth-X000 |
|
| E13-X000 | Pre-grant limitation requested |
St.27 status event code: A-2-3-E10-E13-lim-X000 |
|
| P11-X000 | Amendment of application requested |
St.27 status event code: A-2-2-P10-P11-nap-X000 |
|
| P13-X000 | Application amended |
St.27 status event code: A-2-2-P10-P13-nap-X000 |
|
| E701 | Decision to grant or registration of patent right | ||
| PE0701 | Decision of registration |
St.27 status event code: A-1-2-D10-D22-exm-PE0701 |
|
| GRNT | Written decision to grant | ||
| PR0701 | Registration of establishment |
St.27 status event code: A-2-4-F10-F11-exm-PR0701 |
|
| PR1002 | Payment of registration fee |
St.27 status event code: A-2-2-U10-U11-oth-PR1002 Fee payment year number: 1 |
|
| PG1601 | Publication of registration |
St.27 status event code: A-4-4-Q10-Q13-nap-PG1601 |
|
| P22-X000 | Classification modified |
St.27 status event code: A-4-4-P10-P22-nap-X000 |
|
| P22-X000 | Classification modified |
St.27 status event code: A-4-4-P10-P22-nap-X000 |
|
| PR1001 | Payment of annual fee |
St.27 status event code: A-4-4-U10-U11-oth-PR1001 Fee payment year number: 4 |
|
| PR1001 | Payment of annual fee |
St.27 status event code: A-4-4-U10-U11-oth-PR1001 Fee payment year number: 5 |
|
| PR1001 | Payment of annual fee |
St.27 status event code: A-4-4-U10-U11-oth-PR1001 Fee payment year number: 6 |
|
| U11 | Full renewal or maintenance fee paid |
Free format text: ST27 STATUS EVENT CODE: A-4-4-U10-U11-OTH-PR1001 (AS PROVIDED BY THE NATIONAL OFFICE) Year of fee payment: 6 |





























































































































































































































































































































































