US20220145381A1 - Fed-batch in vitro transcription process - Google Patents
Fed-batch in vitro transcription process Download PDFInfo
- Publication number
- US20220145381A1 US20220145381A1 US17/438,049 US202017438049A US2022145381A1 US 20220145381 A1 US20220145381 A1 US 20220145381A1 US 202017438049 A US202017438049 A US 202017438049A US 2022145381 A1 US2022145381 A1 US 2022145381A1
- Authority
- US
- United States
- Prior art keywords
- rna
- ntp
- ivt
- reaction
- concentration
- Prior art date
- Legal status (The legal status is an assumption and is not a legal conclusion. Google has not performed a legal analysis and makes no representation as to the accuracy of the status listed.)
- Granted
Links
- 0 *O[C@H]1C(n2c[n+](C)c3c(=O)[nH]c(N)nc32)O[C@H](COP(=O)(O)OP(=O)(O)OP(=O)(O)OC[C@H]2OC(n3cnc4c(N)ncnc43)[C@H](OC)[C@@H]2OP(=O)(O)OCC2O[C@@H](n3cnc4c(=O)[nH]c(N)nc43)[C@H](O)[C@@H]2O)[C@H]1O Chemical compound *O[C@H]1C(n2c[n+](C)c3c(=O)[nH]c(N)nc32)O[C@H](COP(=O)(O)OP(=O)(O)OP(=O)(O)OC[C@H]2OC(n3cnc4c(N)ncnc43)[C@H](OC)[C@@H]2OP(=O)(O)OCC2O[C@@H](n3cnc4c(=O)[nH]c(N)nc43)[C@H](O)[C@@H]2O)[C@H]1O 0.000 description 4
- UJUYWTALFHNWMS-LKSNZOOTSA-K CO[C@@H]1[C@H](OP(=O)([O-])OC[C@H]2O[C@@H](n3cnc4c(N)ncnc43)[C@H](O)[C@@H]2OP(=O)([O-])OC[C@H]2O[C@@H](n3cnc4c(=O)[nH]c(N)nc43)[C@H](O)[C@@H]2O)[C@@H](COP(=O)([O-])OCC(OP(=O)(O)O)C(COP(=O)([O-])OC[C@H]2O[C@@H](n3c[n+](C)c4c(=O)[nH]c(N)nc43)[C@H](O)[C@@H]2O)OP(=O)(O)O)O[C@H]1n1cnc2c(=O)[nH]c(N)nc21 Chemical compound CO[C@@H]1[C@H](OP(=O)([O-])OC[C@H]2O[C@@H](n3cnc4c(N)ncnc43)[C@H](O)[C@@H]2OP(=O)([O-])OC[C@H]2O[C@@H](n3cnc4c(=O)[nH]c(N)nc43)[C@H](O)[C@@H]2O)[C@@H](COP(=O)([O-])OCC(OP(=O)(O)O)C(COP(=O)([O-])OC[C@H]2O[C@@H](n3c[n+](C)c4c(=O)[nH]c(N)nc43)[C@H](O)[C@@H]2O)OP(=O)(O)O)O[C@H]1n1cnc2c(=O)[nH]c(N)nc21 UJUYWTALFHNWMS-LKSNZOOTSA-K 0.000 description 1
- ODBBCYHJZWARSW-IIARWSKBSA-J CO[C@@H]1[C@H](OP(=O)([O-])OC[C@H]2O[C@@H](n3cnc4c(N)ncnc43)[C@H](O)[C@@H]2OP(=O)([O-])OC[C@H]2O[C@@H](n3cnc4c(=O)[nH]c(N)nc43)[C@H](O)[C@@H]2O)[C@@H](COP(=O)([O-])OP(=O)([O-])OP(=O)([O-])OC[C@H]2O[C@@H](n3c[n+](C)c4c(=O)[nH]c(N)nc43)[C@H](O)[C@@H]2O)O[C@H]1n1cnc2c(=O)[nH]c(N)nc21 Chemical compound CO[C@@H]1[C@H](OP(=O)([O-])OC[C@H]2O[C@@H](n3cnc4c(N)ncnc43)[C@H](O)[C@@H]2OP(=O)([O-])OC[C@H]2O[C@@H](n3cnc4c(=O)[nH]c(N)nc43)[C@H](O)[C@@H]2O)[C@@H](COP(=O)([O-])OP(=O)([O-])OP(=O)([O-])OC[C@H]2O[C@@H](n3c[n+](C)c4c(=O)[nH]c(N)nc43)[C@H](O)[C@@H]2O)O[C@H]1n1cnc2c(=O)[nH]c(N)nc21 ODBBCYHJZWARSW-IIARWSKBSA-J 0.000 description 1
- TZSJJBKAUPOACK-GHIQNXCXSA-O CO[C@H]1C(n2cnc3c(N)ncnc32)O[C@H](COP(=O)(O)OCC(OP(=O)(O)O)C(COP(=O)(O)OC[C@H]2OC(n3c[n+](C)c4c(=O)[nH]c(N)nc43)[C@H](O)[C@@H]2O)OP(=O)(O)O)[C@H]1OP(=O)(O)OCC1O[C@@H](n2cnc3c(=O)[nH]c(N)nc32)[C@H](O)[C@@H]1O Chemical compound CO[C@H]1C(n2cnc3c(N)ncnc32)O[C@H](COP(=O)(O)OCC(OP(=O)(O)O)C(COP(=O)(O)OC[C@H]2OC(n3c[n+](C)c4c(=O)[nH]c(N)nc43)[C@H](O)[C@@H]2O)OP(=O)(O)O)[C@H]1OP(=O)(O)OCC1O[C@@H](n2cnc3c(=O)[nH]c(N)nc32)[C@H](O)[C@@H]1O TZSJJBKAUPOACK-GHIQNXCXSA-O 0.000 description 1
- AGWRKMKSPDCRHI-SYYQHBDVSA-O CO[C@H]1C(n2cnc3c(N)ncnc32)O[C@H](COP(=O)(O)OP(=O)(O)OP(=O)(O)OC[C@H]2OC(n3c[n+](C)c4c(=O)[nH]c(N)nc43)[C@H](O)[C@@H]2O)[C@H]1OP(=O)(O)OCC1O[C@@H](n2cnc3c(=O)[nH]c(N)nc32)[C@H](O)[C@@H]1O Chemical compound CO[C@H]1C(n2cnc3c(N)ncnc32)O[C@H](COP(=O)(O)OP(=O)(O)OP(=O)(O)OC[C@H]2OC(n3c[n+](C)c4c(=O)[nH]c(N)nc43)[C@H](O)[C@@H]2O)[C@H]1OP(=O)(O)OCC1O[C@@H](n2cnc3c(=O)[nH]c(N)nc32)[C@H](O)[C@@H]1O AGWRKMKSPDCRHI-SYYQHBDVSA-O 0.000 description 1
Images
Classifications
-
- C—CHEMISTRY; METALLURGY
- C12—BIOCHEMISTRY; BEER; SPIRITS; WINE; VINEGAR; MICROBIOLOGY; ENZYMOLOGY; MUTATION OR GENETIC ENGINEERING
- C12N—MICROORGANISMS OR ENZYMES; COMPOSITIONS THEREOF; PROPAGATING, PRESERVING, OR MAINTAINING MICROORGANISMS; MUTATION OR GENETIC ENGINEERING; CULTURE MEDIA
- C12N15/00—Mutation or genetic engineering; DNA or RNA concerning genetic engineering, vectors, e.g. plasmids, or their isolation, preparation or purification; Use of hosts therefor
- C12N15/09—Recombinant DNA-technology
- C12N15/10—Processes for the isolation, preparation or purification of DNA or RNA
-
- C—CHEMISTRY; METALLURGY
- C12—BIOCHEMISTRY; BEER; SPIRITS; WINE; VINEGAR; MICROBIOLOGY; ENZYMOLOGY; MUTATION OR GENETIC ENGINEERING
- C12Q—MEASURING OR TESTING PROCESSES INVOLVING ENZYMES, NUCLEIC ACIDS OR MICROORGANISMS; COMPOSITIONS OR TEST PAPERS THEREFOR; PROCESSES OF PREPARING SUCH COMPOSITIONS; CONDITION-RESPONSIVE CONTROL IN MICROBIOLOGICAL OR ENZYMOLOGICAL PROCESSES
- C12Q1/00—Measuring or testing processes involving enzymes, nucleic acids or microorganisms; Compositions therefor; Processes of preparing such compositions
- C12Q1/68—Measuring or testing processes involving enzymes, nucleic acids or microorganisms; Compositions therefor; Processes of preparing such compositions involving nucleic acids
- C12Q1/6844—Nucleic acid amplification reactions
- C12Q1/6865—Promoter-based amplification, e.g. nucleic acid sequence amplification [NASBA], self-sustained sequence replication [3SR] or transcription-based amplification system [TAS]
-
- C—CHEMISTRY; METALLURGY
- C12—BIOCHEMISTRY; BEER; SPIRITS; WINE; VINEGAR; MICROBIOLOGY; ENZYMOLOGY; MUTATION OR GENETIC ENGINEERING
- C12P—FERMENTATION OR ENZYME-USING PROCESSES TO SYNTHESISE A DESIRED CHEMICAL COMPOUND OR COMPOSITION OR TO SEPARATE OPTICAL ISOMERS FROM A RACEMIC MIXTURE
- C12P19/00—Preparation of compounds containing saccharide radicals
- C12P19/26—Preparation of nitrogen-containing carbohydrates
- C12P19/28—N-glycosides
- C12P19/30—Nucleotides
- C12P19/34—Polynucleotides, e.g. nucleic acids, oligoribonucleotides
-
- C—CHEMISTRY; METALLURGY
- C12—BIOCHEMISTRY; BEER; SPIRITS; WINE; VINEGAR; MICROBIOLOGY; ENZYMOLOGY; MUTATION OR GENETIC ENGINEERING
- C12N—MICROORGANISMS OR ENZYMES; COMPOSITIONS THEREOF; PROPAGATING, PRESERVING, OR MAINTAINING MICROORGANISMS; MUTATION OR GENETIC ENGINEERING; CULTURE MEDIA
- C12N15/00—Mutation or genetic engineering; DNA or RNA concerning genetic engineering, vectors, e.g. plasmids, or their isolation, preparation or purification; Use of hosts therefor
- C12N15/09—Recombinant DNA-technology
- C12N15/63—Introduction of foreign genetic material using vectors; Vectors; Use of hosts therefor; Regulation of expression
- C12N15/67—General methods for enhancing the expression
-
- C—CHEMISTRY; METALLURGY
- C12—BIOCHEMISTRY; BEER; SPIRITS; WINE; VINEGAR; MICROBIOLOGY; ENZYMOLOGY; MUTATION OR GENETIC ENGINEERING
- C12Q—MEASURING OR TESTING PROCESSES INVOLVING ENZYMES, NUCLEIC ACIDS OR MICROORGANISMS; COMPOSITIONS OR TEST PAPERS THEREFOR; PROCESSES OF PREPARING SUCH COMPOSITIONS; CONDITION-RESPONSIVE CONTROL IN MICROBIOLOGICAL OR ENZYMOLOGICAL PROCESSES
- C12Q3/00—Condition responsive control processes
Definitions
- IVT In vitro transcription
- RNA DNA-dependent ribonucleic acid
- IVT reactions are commonly “batch” reactions in that several reagents, including nucleoside triphosphates (NTPs), magnesium, RNA polymerase, deoxyribonucleic acid (DNA), and pyrophosphatase are combined at the beginning of the reaction. The components are then incubated, and the reaction proceeds until at least one of the nucleotides is depleted. Thus, the reaction has at least one limiting reagent that may cause low yield of the RNA transcript (product).
- NTPs nucleoside triphosphates
- DNA deoxyribonucleic acid
- pyrophosphatase pyrophosphatase
- Other potential shortcomings of IVT reactions include, for example, abortive (truncated) transcripts, run-on transcripts, polyA tail variants producing 3′ heterogeneity, mutated transcripts, and/or double-stranded contaminants produced during the reactions.
- RNA transcripts having a length of at least 2000 nucleotides or more can be synthesized with yields of at least 100% higher than those of RNA transcripts produced using previously known IVT methods, and wherein at least 90% of which is correctly capped using co-transcriptional capping.
- the empirically-balanced fed-batch IVT reactions of the present disclosure include four nucleotides, CTP, GTP, UTP, and ATP, the relative molar ratios of each of which can be varied to maximize use of reactants and/or to alter attributes of the RNA product.
- the ratios of the four nucleotides are balanced according to their rate of consumption (consumption rate) so that no one nucleotide is rate limiting during the IVT reaction.
- this process does not require prior knowledge of the RNA product sequence or rely on the known sequence of a target RNA product.
- This process includes performing an initial batch IVT reaction on a DNA encoding the RNA of interest with known initial concentrations of CTP, GTP, UTP, and ATP (e.g., equimolar concentrations, e.g., 5 mM), and measuring the rate of decrease in concentration of each nucleotide during the actual reaction until the concentration of at least one of the NTPs drops below a threshold level over the course of 20-40 minutes.
- the measured concentrations and times collected may then be used to calculate the rate of CTP, GTP, UTP, and ATP consumption during the reaction (individual NTP consumption rate). For multiple time points, this can be the slope of a linear fit of the data (see, e.g., FIG. 1A ).
- the individual NTP consumption rates (for CTP, GTP, UTP, and ATP) are added together to determine the consumption rate of all nucleotides (total NTP consumption rate) (see, e.g., FIG. 1B ). A percent (%) consumption value is then determined for each NTP by dividing the individual NTP consumption rate by the total NTP consumption rate.
- the percent consumption values can be used to formulate an initial “master” reaction mixture for an IVT reaction and for a “feed stock” mixture.
- the initial reaction mixture may contain NTPs at a molar ratio equivalent to the percent (%) consumption value calculated for each NTP (ATP, UTP, GTP, and CTP).
- the initial NTP concentrations comprise equimolar NTP concentrations of each of [ATP], [CTP], [UTP], and [GTP] (e.g., molar ratio of 1:1:1:1).
- the initial NTP concentrations comprise non-equimolar NTP concentrations of each of [ATP], [CTP], [UTP], and [GTP] (e.g., molar ratio of 2:1:1:4).
- the molar ratio of [ATP]:[UTP]:[CTP]:[GTP] is 1:1:1:1 to 2:1:1:4.
- the molar ratio of [ATP]:[CTP] is 2:1.
- the molar ratio of [ATP]:[UTP] is 2:1.
- the molar ratio of [ATP]:[GTP] is 1:2.
- the molar ratio of [CTP]:[UTP] is 1:1.
- the molar ratio of [CTP]:[GTP] is 1:4. In some embodiments, the molar ratio of [UTP]:[GTP] is 1:4. In some embodiments, the initial NTP concentrations comprise a ratio of [ATP]:[UTP] of 1:1 to 2:1 and/or a ratio of [GTP]:[CTP] of 1:1 to 2:1. In some embodiments, the initial NTP concentrations comprise a ratio of [ATP]:[UTP] of 2:1 to 4:1 and/or a ratio of [GTP]:[CTP] of 1:1 to 4:1. In some embodiments, the initial NTP concentrations comprise a ratio of [ATP]:[UTP] of 2:1 and/or a ratio of [GTP]:[CTP] of 4:1.
- the reaction mixture may be supplemented with a feed stock mixture that comprises NTPs, each present in the feed mixture at a molar ratio based on a % consumption value calculated for each NTP.
- the feed stock mixture is supplemented in an amount that maintains a total NTP concentration in the reaction mixture above 0 mM, but at least between 5% to 50% of the initial NTP concentration.
- the feed stock mixture is supplemented in an amount that maintains a total NTP concentration in the reaction mixture above 0 mM, but at least between 5% to 100% or at least between 5% and 200% of the initial NTP concentration.
- the feed stock mixture is supplemented in an amount that maintains a total NTP concentration in the reaction mixture between 5 mM to 20 mM and/or within 5%-75% of the initial NTP concentration. In some embodiments, the feed stock mixture is supplemented in an amount that maintains a ratio of [ATP]:[UTP] of 1:1 to 4:1, optionally 1:1 to 2:1 (e.g., 2:1). In some embodiments, the feed stock mixture is supplemented in an amount that maintains a ratio of [GTP]:[CTP] of 1:1 to 4:1 (e.g., 4:1).
- a cap analog referred to as a trinucleotide (see PCT/US2018/046989, incorporated herein by reference). This allows for co-transcriptional capping of the RNA product and eliminates the need for a subsequent processing step to cap the RNA.
- this trinucleotide is preferentially incorporated at the 5′ end of the RNA product over the mono-nucleotides in the reaction mixture, it is possible for some number of purines (ATP and GTP) to be incorporated instead of the cap analog. Such an event leads to the production of uncapped RNA product, which is an undesirable inactive product variant.
- Our studies have shown that maintaining a trinucleotide-to-purine ratio of >1 allows for sufficient concentrations of capped RNA relative to uncapped RNA in the product to remain at acceptable levels.
- cap analog When performing IVT reactions using co-transcriptional capping, the consumption of cap analog compared to total nucleotides in the reaction to generate an mRNA is very low. Only one mole of cap analog is consumed per mole of capped RNA product, versus up to 5,000 or more moles of nucleotides per mole of capped RNA product (actual consumption varies based on the product sequence and length). As a result, a large excess of expensive cap analog remains un-consumed in the IVT reaction after the NTPs have been consumed. In a batch reaction, this low utilization of the cap analog (e.g. trinucleotide capping reagent) contributes to a more expensive and wasteful process.
- the cap analog e.g. trinucleotide capping reagent
- the fed-batch process of the present disclosure improves utilization of plasmid DNA, the cap analog, (e.g., a trinucleotide or tetranucleotide capping reagent) and other expensive reagents while maintaining high % capping of RNA production and mRNA yield.
- the cap analog e.g., a trinucleotide or tetranucleotide capping reagent
- other expensive reagents e.g., a trinucleotide or tetranucleotide capping reagent
- the NTPs and magnesium can be added into an active IVT reaction to prevent depletion of reactants and improve yield of RNA product without providing additional DNA or cap analog (e.g., trinucleotide).
- the NTPs may be added at a lower initial concentration, and maintained at this low level throughout the reaction, enabling a lower concentration of cap analog to be used without compromising capping efficiency.
- the empirically determined % consumption balanced fed-batch IVT process as provided herein in some embodiments with co-transcriptional capping, has shown a greater than 2-fold improvement in capped RNA yield relative to the amount of cap analog used. Furthermore, the molar ratio of RNA produced to input DNA used in the fed-batch IVT process as provided herein is greatly increased. In some embodiments, the molar ratio of RNA produced to input DNA used in the fed-batch IVT process as provided herein is increased by 2-fold or even 3-fold over non-fed-batch or batch processes.
- step (b) comprises (i) calculating individual NTP consumption rate (individual NTP concentration/time) over total NTP consumption rate (total NTP concentration/time).
- the known initial NTP concentrations are equimolar NTP concentrations.
- RNA of interest methods of fed-batch IVT of an RNA of interest comprising (a) conducting an IVT reaction with a reaction mixture that comprises DNA encoding an RNA of interest, RNA polymerase, and NTPs (and optionally magnesium and/or pyrophosphatase), and (b) delivering to the IVT reaction mixture over time a feed stock mixture that comprises NTPs (and optionally magnesium and/or pyrophosphatase), wherein each NTP is present at a molar ratio based on to a % consumption value calculated for each NTP in a particular RNA of interest, wherein the % consumption values are specific to the RNA of interest, and wherein the feed stock mixture is delivered in an amount that maintains a total NTP concentration in the reaction mixture above zero.
- each NTP in the reaction mixture of step (a) is present at a molar ratio equivalent to the percent (%) consumption value calculated for each NTP.
- the NTPs are balanced using the percent consumption. In other embodiments, the NTPs are maintained at different ratios to alter the attributes of the product, or improve the utilization of different NTPs. For example, the percent consumption may be used to maintain desired conditions throughout a reaction.
- the feed stock mixture may be delivered to the ongoing IVT reaction mixture using bolus or continuous feeding over time, e.g., every 10-250 minutes, optionally every 20-200 minutes.
- Continuous feeding involves the delivery of feed stock mixture to the ongoing IVT reaction mixture at a continuous flow rate, e.g., 2-8 mL/min or 4-6 mL/min.
- the reaction mixture further comprises an RNA cap analog, thereby producing transcribed RNA that incorporates said RNA cap analog (e.g., at least 90% or at least 95% of the transcribed RNA comprises the RNA cap analog).
- An initial and/or an ongoing IVT reaction mixture may comprise a ratio of [RNA cap analog]:[purine] of 1:1 to 20:1, 1:1 to 15:1, 1:1 to 10:1, 1:1 to 5:1, 1:1 to 3:1, or 1:1 to 2:1.
- FIGS. 1A-1B An example of nucleotide empirical balancing.
- IVT in vitro transcription
- the concentrations of CTP, GTP, UTP, and ATP ( FIG. 1A ) and the total nucleotide concentration ( FIG. 1B ) were measured over time.
- the % consumption of each nucleotide was calculated by dividing the rate of the individual NTP consumption (for example, as determined in FIG. 1A ) by the rate of the total NTP consumption (for example, as determined in FIG. 1B ).
- FIG. 2 Monitoring of NTP and cap analog concentrations. Using ultra performance liquid chromatography with UV light detector (UPLC-UV) set to 260 nm, the NTP and trinucleotide concentrations can be monitored over time. The method can also be used to calculate individual NTP concentrations or total NTP concentrations.
- UPLC-UV UV light detector
- FIGS. 3A-3B Examples of nucleotide empirical balancing for two sample constructs, RNA #1 ( FIG. 3A ) and RNA #2 ( FIG. 3B ). The concentrations of CTP, GTP, UTP, and ATP and the total nucleotide concentration were measured over time. The % consumption of each nucleotide was calculated by dividing the rate of the individual NTP consumption by the rate of the total NTP consumption.
- FIGS. 4A-4B Examples of two NTP master mixtures generated from the % consumption values for RNA #1 to achieve different process requirements.
- the batch IVT in FIG. 4A shows all four nucleotide reagents reach 0 mM at approximately the same time, thus maximizing the utilization of reagents.
- the batch IVT reaction in FIG. 4B shows all four nucleotide reagents reach 2.5 mM at the same time, for a total [NTPs] at 10 mM.
- NTPs total [NTPs]
- FIGS. 5A-5B and 6A-6B Determination of a fed-batch feeding schedule.
- a scouting fed-batch IVT reaction was run using the DNA of interest (RNA #1 and RNA #2 shown in FIGS. 5A and 5B , respectively), empirically-balanced nucleotide master mix, and an initial feeding schedule based on the predicted NTP consumption rate.
- the total concentration of nucleotides was measured at time points immediately before and immediately after feeding the IVT reaction ( FIG. 5A-5B ). The concentrations and times were used to calculate the consumption rate between each feed of the reactions generating either RNA #1 or RNA #2 ( FIG. 6A-6B ).
- FIGS. 7A-7C For the scouting fed-batch IVT of RNA #1, the nucleotide consumption rate was plotted against either [DNA] ( FIG. 7A ), [mRNA] ( FIG. 7B ), or reaction time ( FIG. 7C ). Fitting with a curve (linear fit shown) provides an empirical model of the nucleotide consumption rates throughout fed-batch IVT reaction run.
- FIGS. 8-10 IVT reaction modeling for RNA #1. Additional construct-specific parameters, including the ratios of CTP, GTP, UTP, and ATP in the master mix, the consumption rate of CTP, GTP, UTP, and ATP, the initial concentration of the cap analog, the initial % tailed RNA product, and the rate of the % tailed RNA product over time, were used to generate reaction models for RNA #1 to estimate the concentration of NTP or trinucleotide reactants ( FIG. 8 ), formation of RNA products ( FIG. 9 ), and % tailed RNA product ( FIG. 10 ).
- FIGS. 11A-11B and 12A-12B Measured [NTP] for the defined fed-batch IVT reactions of RNA #1 and RNA #2.
- FIGS. 11A-11B show the measured total [NTPs] and individual [NTPs] during the fed-batch IVT reaction for RNA #1.
- FIGS. 12A-12B show the measured total [NTPs] and individual [NTPs] during the fed-batch IVT reaction for RNA #2.
- FIGS. 13A-13B and 14A-14B Measured RNA product yield for the defined fed-batch IVT reactions of RNA #1 and RNA #2.
- FIGS. 13A-13B show the measured concentration of total RNA and tailed RNA for RNA #1 and RNA #2.
- FIGS. 14A-14B show the measured mass of total RNA and tailed RNA versus initial IVT reaction volume for RNA #1 and RNA #2.
- FIG. 15 Measured % tail RNA for the defined fed-batch IVT reactions of RNA #1 and RNA #2.
- FIGS. 16A-B The graph in FIG. 16A shows measured % capped RNA product for RNA #1 and RNA #2.
- FIG. 16B shows measured % capped RNA product over time for RNA #1.
- FIGS. 17A-17B Measured total nucleotide concentrations during the example bolus ( FIG. 17A ) and continuous ( FIG. 17B ) fed-batch IVT reactions for RNA #3.
- FIGS. 18A-18B and 19A-19B Measured RNA product yields for the bolus and continuous fed-batch IVT reactions of RNA #3.
- FIGS. 18A-18B show the measured concentration of tailed RNA for the bolus ( FIG. 18A ) and continuous ( FIG. 18B ) processes.
- FIGS. 19A-19B show the measured mass of tailed RNA versus initial IVT reaction volume for the bolus ( FIG. 19A ) and continuous ( FIG. 19B ) processes.
- FIGS. 20A-20B Measured % tailed RNA product during the bolus ( FIG. 20A ) and continuous ( FIG. 20B ) fed-batch IVT reactions for RNA #3.
- FIGS. 21A-21B Measured % capped RNA product during the bolus ( FIG. 21A ) and continuous ( FIG. 21B ) fed-batch IVT reactions for RNA #3.
- FIG. 22 Measured average A/GTP-to-trinucleotide ratio throughout the reaction for continuous fed-batch.
- FIG. 23 Measured [ATP] throughout a fed-batch IVT reaction compared to a batch IVT reaction.
- FIG. 24 Measured yield of total RNA (mg/mL initial IVT) for a fed-batch IVT reaction compared to a batch IVT reaction, over a two-hour reaction period.
- FIG. 25 shows % capped RNA product after a fed-batch IVT reaction compared to a batch IVT reaction, following a two-hour reaction period.
- an empirically-balanced fed-batch in vitro transcription (IVT) platform developed to improve the total product yield of a single batch and maintain high product quality, while increasing the utilization of reactants.
- IVT in vitro transcription
- the empirically-balanced fed-batch IVT methods of the present disclosure maximize the use of expensive reagents present in a reaction, to increase product yield without compromising product integrity.
- This improved fed-batch IVT process starts with an initial nucleotide empirical balancing reaction, which is used to calculate a percent (%) consumption value for each type of NTP in the initial reaction, specific to the RNA being transcribed. These empirically-determined values are then used to balance the nucleotide ratios in subsequent fed-batch IVT reactions for efficient, high yield RNA production.
- percent consumption generally refers to the relative consumption rate of an individual NTP compared to the consumption rate of all NTPs for a given DNA encoding an RNA of interest.
- a percent consumption rate is determined by dividing an individual NTP consumption rate by the total NTP consumption rate.
- the individual NTP consumption rate is a measure of individual NTP concentration over time (e.g., over the course of a nucleotide empirical balancing reaction) and total NTP consumption rate is a measure of total NTP concentration over time (e.g., over the course of the nucleotide empirical balancing reaction).
- empirical balancing of NTPs generally refers to the process used to determine the percent consumption of each NTP for a DNA encoding an RNA of interest. This process involves conducting a batch IVT reaction with known initial concentrations of CTP, GTP, UTP, and ATP and measuring the rate of decrease in concentration of each nucleotide during the actual reaction until the concentration of at least one of the NTPs drops below a threshold level, e.g., 1-5 mM or 20-50% of the starting concentration, over the course of the reaction, e.g., 20-40 minutes. The measured concentrations and times collected may then be used to calculate the percent consumption of CTP, GTP, UTP, and ATP consumption during the reaction.
- a threshold level e.g. 1-5 mM or 20-50% of the starting concentration
- batch IVT generally refers to an in vitro transcription reaction in which all components of the reaction, e.g., NTPs, polymerase, salt, and/or DNA, are added to the reaction mixture only once, e.g., at the beginning of the reaction.
- the reaction mixture is held at specified conditions, e.g., temperature, for a period of time, after which the transcribed RNA product is collected.
- fed-batch IVT generally refers to an in vitro transcription reaction in which the active reaction mixture is supplemented with reaction components, e.g., NTPs, polymerase, salt, and/or DNA, to prevent depletion of limiting reagents or counteract degradation of unstable components, as the reaction progresses over time.
- reaction components e.g., NTPs, polymerase, salt, and/or DNA
- the mixture that is added to the reaction is referred to as a feed stock.
- reaction components or a feed stock are supplemented into an active reaction mixture using bolus feeding.
- bolus feeding comprises the addition of discrete volumetric amounts of reaction components or feed stock into an active reaction mixture at defined time intervals, e.g., addition of 5 mL of feed stock to a reaction mixture every 20 minutes.
- reaction components or a feed stock are supplemented into an active reaction mixture using continuous feeding.
- continuous feeding comprises the addition of reaction components or feed stock into an active reaction mixture by a continuous flow rate of reaction components feed stock over a defined period of time, e.g., addition of feed stock at a continuous flow rate of 2-8 mL/min, 2-6 mL/min, or 4-6 mL/min or a continuous flow rate of 0.0030-0.007 mL/min per mL of initial volume, 0.0040-0.0060 mL/min per mL of initial volume, 0.0050-0.0080 mL/min per mL of initial volume, or 0.0060-0.0090 mL/min per mL of initial volume.
- scouting fed-batch IVT generally refers to an initial fed-batch IVT reaction using bolus feeding that is used to model reaction rate(s) over time and to set appropriate feed volumes and times in a downstream fed-batch IVT reaction.
- percent tailed RNA generally refers to the relative abundance of transcribed RNA product that contains 3′ polyA tail.
- a 3′ polyA tail is a A 100 polyA tail (i.e., consisting of 100 alanine residues).
- percent tailed RNA (the percent of transcribed RNA product comprising a 3′ polyA tail) is greater than 20%, 25%, 30%, 35%, 40%, 45%, 50%, 55%, 60%, 65%, 70%, 75%, 80%, or 85%.
- percent tailed RNA is greater than greater than 90%, 95%, 97%, or 99%.
- percent tailed RNA (the percent of transcribed RNA product comprising a 3′ polyA tail) is between 20-100%, 20-90%, 20-80%, 20-70%, 20-60%, 20-50%, 20-40%, 20-30%, 25-75%, 30-50%, 40-60%, 50-70%, 45-60%, 55-70%, 60-80%, 60-100%, 75-100%, 50-95%, 75-95%, 80-100%, 80-90%, 90-95%, 95-100%, 90-99%, or 95-99%.
- percent capped RNA generally refers to the relative abundance of transcribed RNA product that contains an incorporated cap analog at its 5′ terminus.
- a cap analog is an RNA cap analog.
- an RNA cap analog is a dinucleotide, trinucleotide, or tetranucleotide.
- percent capped RNA (the percent of transcribed RNA product comprising a 5′ cap analog) is greater than 20%, 25%, 30%, 35%, 40%, 45%, 50%, 55%, 60%, 65%, 70%, 75%, 80%, or 85%.
- percent capped RNA is greater than greater than 90%, 95%, 97%, or 99%.
- percent capped RNA is between 20-100%, 20-90%, 20-80%, 20-70%, 20-60%, 20-50%, 20-40%, 20-30%, 25-75%, 30-50%, 40-60%, 50-70%, 45-60%, 55-70%, 60-80%, 60-100%, 75-100%, 50-95%, 75-95%, 80-100%, 80-90%, 90-95%, 95-100%, 90-99%, or 95-99%.
- an RNA cap analog is added to an IVT reaction mixture that preferentially initiates the 5′ end of an RNA sequence during transcription. This allows for “co-transcriptional capping” IVT reaction, in which the IVT mixture comprises an RNA cap.
- RNA cap analogs that allow for “co-transcriptional capping” IVT reactions include 7-methyl guanosine (m7G) and 3′-O-me-7-meGpppG.
- an initial IVT reaction mixture for use in a fed-batch application generally refers to the IVT reaction mixture at the start of a fed-batch IVT reaction and prior to being supplemented with additional reaction components or feed stock.
- an initial IVT reaction mixture comprises NTPs (e.g., naturally-occurring and/or modified NTPs, e.g., ATP, UTP, GTP, and CTP), buffers (e.g., Tris and/or Good's buffers), cofactors (e.g., magnesium), RNA cap analog(s) (e.g., trinucleotide cap analog), RNA polymerase (e.g., T7 RNA polymerase), detergent (e.g., Triton X-100, DNA encoding an RNA of interest, reducing agents (e.g., dithiothreitol (DTT) or tris(2-carboxyethyl)phosphine (TCEP)), small molecule additive
- NTPs e
- an ongoing IVT reaction mixture for use in a fed-batch application generally refers to the IVT reaction mixture after the starting reaction conditions.
- concentrations of components, e.g., NTPs and RNA cap analogs, in an ongoing IVT reaction mixture changes over time.
- an ongoing IVT reaction mixture comprises NTPs (e.g., naturally-occurring and/or modified NTPs, e.g., ATP, UTP, GTP, and CTP), buffers (e.g., Tris and/or Good's buffers), cofactors (e.g., magnesium), RNA cap analog(s) (e.g., trinucleotide cap analog), RNA polymerase (e.g., T7 RNA polymerase), detergent (e.g., Triton X-100, DNA encoding an RNA of interest, reducing agents (e.g., DTT, TCEP), small molecule additives (e.g., spermidine), enzymatic additives (e.g., inorganic phosphatase or PPiase), and/or transcribed RNA of interest.
- NTPs e.g., naturally-occurring and/or modified NTPs, e.g., ATP, UTP, GTP
- the first coding position in an RNA of interest generally refers to the first nucleotide transcribed after a promoter sequence (e.g., a T7 RNA polymerase promoter).
- a promoter sequence e.g., a T7 RNA polymerase promoter.
- the first coding position is any NTP, e.g., a ATP, UTP, GTP, or CTP.
- the RNA of interest generally refers to the RNA molecule that is encoded by a DNA in an IVT reaction.
- the RNA of interest is a transcribed RNA of interest, wherein the transcribed RNA of interest is produced by an IVT reaction, e.g., a fed-batch IVT reaction.
- an RNA of interest is a mRNA, optionally comprising a 5′ cap, a 5′ untranslated region (5′ UTR), an open reading frame (ORF) that encodes a protein of interest, a 3′ untranslated region (3′ UTR), and/or a polyA tail.
- the 5′ cap analog is a 5′ trinucleotide cap.
- NTPs nucleoside triphosphates
- IVT in vitro transcription
- % consumption (individual NTP consumption rate)/(total NTP consumption rate),
- the individual NTP consumption rate is a measure of individual NTP concentration over time (over the course of the nucleotide empirical balancing reaction)
- total NTP consumption rate is a measure of total NTP concentration over time (over the course of the nucleotide empirical balancing reaction).
- an individual ATP consumption rate is calculated by measuring the concentration of ATP consumed at various time points during an initial nucleotide empirical balancing reaction until the ATP concentration, or the concentration of another NTP in the reaction, drops below a threshold level, e.g., 5 mM to 20 mM;
- an individual UTP consumption rate is calculated by measuring the concentration of UTP consumed at various time points during an initial nucleotide empirical balancing reaction until the UTP concentration, or the concentration of another NTP in the reaction, drops below a threshold level, e.g., 5 mM to 20 mM;
- an individual GTP consumption rate is calculated by measuring the concentration of GTP consumed at various time points during an initial nucleotide empirical balancing reaction until the GTP concentration, or the concentration of another NTP in the reaction, drops below a threshold level, e.g., 5 mM to 20 mM;
- an individual CTP consumption rate is calculated by measuring the concentration of CTP consumed at various time points during an initial nucleotide empirical
- Total NTP consumption rate is calculated by measuring the concentration of all (e.g., all four) NTPs consumed at various time points during an initial nucleotide empirical balancing reaction.
- a % consumption value for ATP is then calculated by dividing the individual ATP consumption rate by the total NTP consumption rate.
- a percent consumption value for UTP is calculated by dividing the individual UTP consumption rate by the total NTP consumption rate;
- a percent consumption value for GTP is calculated by dividing the individual GTP consumption rate by the total NTP consumption rate; and
- a percent consumption value for CTP is calculated by dividing the individual CTP consumption rate by the total NTP consumption rate.
- An initial nucleotide empirical balancing reaction in some embodiments, includes a DNA (e.g., DNA plasmid encoding an RNA of interest), RNA polymerase (e.g., a T7 polymerase), and a mixture of NTPs.
- the starting concentration of NTP e.g., each of ATP, UTP, GTP, and CTP
- an initial nucleotide empirical balancing reaction also includes buffer (e.g., Tris HCl), magnesium (e.g., magnesium acetate), pyrophosphatase, and/or dithiothreitol (DTT).
- an initial nucleotide empirical balancing reaction also includes an RNA cap analog, such as a trinucleotide cap analog (e.g., GAG), discussed elsewhere herein.
- the concentration of each individual NTP in the initial nucleotide empirical balancing reaction remains above zero (0) millimolar (mM). That is, NTP concentrations (individual and total) are collected (for which NTP consumption rates calculated) during the initial nucleotide empirical balancing reaction only until one of the NTP concentrations drops below a certain threshold level.
- mM millimolar
- the threshold level is 1 mM to 50 mM, 1 mM to 40 mM, 1 mM to 30 mM, 1 mM to 20 mM, 1 mM to 10 mM, 2 mM to 50 mM, 2 mM to 40 mM, 2 mM to 30 mM, 2 mM to 20 mM, 2 mM to 10 mM, 3 mM to 50 mM, 3 mM to 40 mM, 3 mM to 30 mM, 3 mM to 20 mM, 3 mM to 10 mM, 4 mM to 50 mM, 4 mM to 40 mM, 4 mM to 30 mM, 4 mM to 20 mM, 4 mM to 10 mM, 5 mM to 50 mM, 5 mM to 40 mM, 5 mM to 30 mM, 5 mM to 20 mM, or 5 mM to
- the threshold level is 10 mM to 20 mM. In some embodiments, the threshold level is 1 mM, 2 mM, 3 mM, 4 mM, 5 mM, 6 mM, 7 mM, 8 mM, 9 mM, 10 mM, 11 mM, 12 mM, 13 mM, 14 mM, 15 mM, 16 mM, 17 mM, 18 mM, 19 mM, or 20 mM.
- the threshold level is a lower limit of 2 mM to 10 mM, above a lower limit of 2 mM to 9 mM, above a lower limit of 2 mM to 8 mM, above a lower limit of 2 mM to 7 mM, above a lower limit of 2 mM to 6 mM, or above a lower limit of 2 mM to 6 mM.
- the threshold level is within 5% to 200% of the initial NTP concentration.
- the threshold level may be within 5% to 175%, within 5% to 150%, within 5% to 125%, within 5% to 100%, within 5% to 75%, within 5% to 50%, or within 5% to 25% of the initial NTP concentration.
- the threshold level is within 5%, 10%, 15%, 20%, 25%, 30%, 35%, 40%, 45%, 50%, 55%, 60%, 65%, 70%, 75%, 80%, 85%, 90%, 95%, 100%, 110%, 120%, 130%, 140%, 150%, 160%, 170%, 180%, 190%, or 200% of the initial NTP concentration.
- the initial NTP concentration is the total NTP concentration in an IVT reaction before transcription begins (after all the IVT reaction components have been combined but before the polymerase is active).
- the initial NTP concentration of an initial nucleotide empirical balancing reaction is therefore known, in some embodiments.
- the known initial NTP concentrations are equimolar NTP concentrations. That is, each NTP (e.g., ATP, UTP, GTP, and UTP) are present in the reaction at an equal molar ratio (1:1:1:1).
- the known initial NTP concentrations are not equimolar NTP concentrations.
- one or more NTPs e.g., ATP and/or UTP
- the timing of initial nucleotide empirical balancing reaction may vary.
- the reaction time may be as short as 10 to 60 minutes.
- the initial nucleotide empirical balancing reaction time is 10 to 50 minutes, 10 to 40 minutes, 10 to 30 minutes, 10 to 20 minutes, 20 to 60 minutes, 20 to 50 minutes, 20 to 40 minutes, 20 to 30 minutes, 30 to 60 minutes, 30 to 50 minutes, or 30 to 40 minutes.
- the initial nucleotide empirical balancing reaction time is 10 minutes, 20 minutes, 30 minutes, 40 minutes, 50 minutes, or 60 minutes. Longer reaction times may be used, depending on when the concentration of any one of the NTPs falls below the threshold level.
- An initial nucleotide empirical balancing reaction described above is specific to a particular DNA encoding an RNA of interest, and the percent (%) consumption values calculated from that initial reaction may be used in subsequent fed-batch IVT reactions for synthesis of that particular RNA of interest.
- methods of fed-batch IVT of an RNA of interest comprise (a) conducting an IVT reaction with a reaction mixture that comprises deoxyribonucleic acid (DNA) encoding an RNA of interest, RNA polymerase, and nucleoside triphosphates (NTPs), and (b) delivering to the IVT reaction mixture over time a feed stock mixture that comprises NTPs, wherein each NTP is present at a molar ratio based on a percent consumption value calculated for each NTP, wherein the percent consumption values are specific to the RNA of interest, and wherein the feed stock mixture is delivered in an amount that maintains a total NTP concentration in the reaction mixture above zero.
- DNA deoxyribonucleic acid
- NTPs nucleoside triphosphates
- the feed stock mixture is delivered in an amount that maintains a ratio of [ATP]:[UTP] of 1:1 to 5:1, 1:1 to 4:1, 1:1 to 3:1, or 1:1 to 2:1. In some embodiments, the feed stock mixture is delivered in an amount that maintains a ratio of [ATP]:[UTP] of 2:1. In some embodiments, the feed stock mixture is delivered in an amount that maintains a ratio of [GTP]:[CTP] of 1:1 to 5:1, 1:1 to 4:1, 1:1 to 3:1, or 1:1 to 2:1. In some embodiments, the feed stock mixture is delivered in an amount that maintains a ratio of [GTP]:[CTP] of 4:1. In some embodiments, the feed stock mixture is delivered in an amount that maintains a ratio of [ATP]:[UTP] of 2:1 and a ratio of [GTP]:[CTP] of 4:1.
- An empirically-balanced fed-batch IVT reaction mixture includes components selected from the following: a deoxyribonucleic acid (DNA), ribonucleic acid (RNA) polymerase, nucleoside triphosphates (NTPs), RNA cap analog, buffer, magnesium, pyrophosphatase, and reductant (e.g. dithiothreitol).
- the feed stock mixture includes NTPs, RNA polymerase, buffer, magnesium, pyrophosphatase, and/or reductant, but generally does not include DNA and RNA cap analog.
- the exact conditions used in the IVT reaction depend on the amount of RNA needed, for example, for a specific application.
- the total transcription reaction time may vary, although in some embodiments, the total transcription reaction time is longer than conventional IVT reaction times. In some embodiments, the total transcription reaction time is 100 minutes to 1000 minutes.
- the total transcription reaction time may be 100-800, 100-600, 100-400, 150-1000, 150-800, 150-600, 150-400, 200-1000, 200-800, 200-600, 200-400, 200-800, 200-600, 200-400, 300-1000, 300-800, 300-600, 300-400, 300-800, 300-600, 300-400, 400-1000, 400-800, 400-600, 400-400, 400-800, 400-600, 500-600, 500-500, 500-800, or 500-600 minutes.
- the total transcription reaction time is at least 100, at least 150, at least 200, at least 250, at least 300, at least 350, at least 400, at least 450, at least 500, at least 550, at least 600, at least 650, at least 700, at least 750, at least 800, at least 850, at least 900, at least 950, or at least 1000 minutes.
- the DNA may be single-stranded or double-stranded. In some embodiments, the DNA is present on a plasmid or other vector.
- a DNA may include a polynucleotide encoding a polypeptide of interest.
- a DNA in some embodiments, includes an RNA polymerase promoter (e.g., a T7 RNA polymerase promoter) located 5′ from and operably linked to a polynucleotide encoding a polypeptide of interest.
- a DNA may also include a nucleotide sequence encoding a polyadenylation (polyA) tail located at the 3′ end of the polynucleotide.
- polyA polyadenylation
- the length of the DNA, and thus the length of the RNA of interest may vary.
- the DNA (and/or the RNA of interest) may have a length of 200 nucleotides to 10,000 nucleotides.
- the DNA (and/or the RNA of interest) has a length of 200-500, 200-1000, 200-1500, 200-2000, 200-2500, 200-3000, 200-3500, 200-4000, 200-4500, 200-5000, 200-5500, 200-6000, 200-6500, 200-7000, 200-7500, 200-8000, 200-8500, 200-9000, or 200-9500 nucleotides.
- the DNA (and/or the RNA of interest) has a length of at least 200, at least 300, at least 400, at least 500, at least 600, at least 700, at least 800, at least 900, at least 1000, at least 2000, at least 3000, at last 4000, at least 5000, at least 6000, at least 7000, at least 8000, at least 9000, or at least 10,000 nucleotides.
- the reaction mixture is not supplemented with a DNA during the empirically-balanced fed-batch IVT reaction. That is, in some embodiments, throughout the entire IVT reaction, the only DNA present is that which was in the reaction mixture prior to commencement of transcription (additional DNA is not added to the IVT reaction).
- the concentration of DNA in an initial or ongoing IVT reaction mixture is about 0.01-0.10 mg/mL, 0.01-0.09 mg/mL, 0.01-0.075 mg/mL, 0.025-0.075 mg/mL, 0.01-0.05 mg/mL, 0.02-0.08 mg/mL, 0.02-0.06 mg/mL, 0.03-0.055 mg/mL, 0.04-0.05 mg/mL, or 0.05 mg/mL.
- the concentration of DNA is maintained at a concentration of above 0.01 mg/mL during the entirety of an IVT reaction.
- the concentration of DNA is maintained at a concentration is about 0.01-0.10 mg/mL, 0.01-0.09 mg/mL, 0.01-0.075 mg/mL, 0.025-0.075 mg/mL, 0.01-0.05 mg/mL, 0.02-0.08 mg/mL, 0.02-0.06 mg/mL, 0.03-0.055 mg/mL, or 0.04-0.05 mg/mL during the entirety of an IVT reaction.
- the transcribed RNA of interest as provided herein is a messenger RNA (mRNA).
- the NTP present in the first position of the RNA of interest is ATP.
- the NTP present in the first position of the RNA of interest is GTP.
- the NTP present in the first position of the RNA of interest is UTP.
- the NTP present in the first position of the RNA of interest is CTP.
- the method further comprises isolating (e.g., purifying) the RNA (e.g., mRNA) from the empirically-balanced fed-batch IVT reaction mixture.
- the methods further comprise formulating the isolated RNA in a nanoparticle.
- the nanoparticle is a lipid nanoparticle, such as a cationic lipid nanoparticle.
- the lipid nanoparticle may comprise, for example, a molar ratio of 20-60% ionizable amino lipid, 5-25% non-cationic lipid, 25-55% sterol, and 0.5-15% PEG-modified lipid. See, e.g., WO 2017/070624, published 27 Apr. 2017, incorporated herein by reference. Other nanoparticles may be used.
- the yield of transcribed RNA of interest is greater than the yield of RNA transcribed using a batch IVT reaction or method or a conventional fed-batch method (a fed-batch method that is not empirically balanced for NTP consumption). See Kerr et al., Biotechnol. Prog. 15:174-184 (1999).
- the yield of transcribed RNA of interest may be 20% to 200% greater than the yield of RNA transcribed using a batch IVT reaction or method.
- the yield of transcribed RNA of interest is 20%-175%, 20%-150%, 20%-125%, 20%-100%, 20%-75%, 20%-50%, 30%-200%, 30%-175%, 30%-150%, 30%-125%, 30%-100%, 30%-75%, 30%-50%, 40%-200%, 40%-175%, 40%-150%, 40%-125%, 40%-100%, 40%-75%, or 40%-50% greater than the yield of RNA transcribed using a batch IVT reaction or method.
- the yield of transcribed RNA of interest is at least 20%, at least 30%, at least 40%, at least 50%, at least 60%, at least 70%, at least 80%, at least 90%, or at least 100% greater than the yield of RNA transcribed using a batch IVT reaction or method.
- the yield of transcribed RNA of interest is greater than 5 mg/mL of initial reaction volume. In some embodiments, the yield of transcribed RNA of interest is greater than 6, 7, 8, 9, 10, 11, 12, 13, 14, 15, 16, 17, 18, 19, 20, 25, 30, 35, or 40 mg/mL of initial reaction volume. In some embodiments, the yield of transcribed RNA of interest is 5-10 mg/mL of initial reaction volume, 5-15 mg/mL of initial reaction volume, 10-20 mg/mL of initial reaction volume, 15-25 mg/mL of initial reaction volume, 20-30 mg/mL of initial reaction volume, 25-35 mg/mL of initial reaction volume, or 30-40 mg/mL of initial reaction volume.
- % tailed RNA of interest (the percent of RNA transcript comprising a polyA tail) is greater than 50%, greater than 60%, greater than 70%, greater than 80%, greater than 90%, or greater than 95% at reaction times (minutes) of 150 minutes, 180, 210, 240, 270, 300, 330, and/or 360 minutes into the fed-batch reaction.
- RNA polymerase examples include, without limitation, T7 RNA polymerase, T3 RNA polymerase, and SP6 RNA polymerase, and homologs, orthologs, and variants thereof.
- the RNA polymerase is a T7 polymerase variant.
- a T7 RNA polymerase is modified to include at least one amino acid substitution of a high-helix propensity amino acid in at least one position selected from E42 (e.g., E42R), S43 (e.g., S43A), Y44 (e.g., Y44A), E45 (e.g., E45R/L), M46 (e.g., M46A), G47 (e.g., G47A), A255 (e.g., A255K/Q/Y/I), R257 (e.g., R257A), A258 (e.g., A258R/E/L), G259 (e.g., G259A), A260 (e.g., A260R/E/L), L261 (e.g., L261A) and A262 (e.g., A262R/E/L), relative to wild-type T7 RNA polymerase.
- E42 e.g., E42R
- the T7 RNA polymerase may further comprise, in some embodiments, one or more additional amino acid substitutions (in addition to at least one high-helix propensity amino acid substitution).
- additional amino acid substitutions in addition to at least one high-helix propensity amino acid substitution.
- an RNA polymerase variant (e.g., a T7 RNA polymerase variant) includes an additional amino acid at its C terminus.
- the additional amino acid is a glycine (G).
- the additional amino acid is an alanine (A).
- an RNA polymerase variant (e.g., a T7 RNA polymerase variant) includes at least two (e.g., 2, 3, 4, 5 or more) additional amino acid at its C terminus.
- an RNA polymerase variant (e.g., a T7 RNA polymerase variant) is modified to include at least one amino acid substitution of a high-helix propensity amino acid in at least one position selected from E42 (e.g., E42R), S43 (e.g., S43A), Y44 (e.g., Y44A), E45 (e.g., E45R/L), M46 (e.g., M46A), G47 (e.g., G47A), A255 (e.g., A255K/Q/Y/I), R257 (e.g., R257A), A258 (e.g., A258R/E/L), G259 (e.g., G259A), A260 (e.g., A260R/E/L), L261 (e.g., L261A) and A262 (e.g., A262R/E/L), relative to wild-type T7
- E42
- a T7 RNA polymerase comprises an amino acid sequence of SEQ ID NO: 1 or SEQ ID NO: 2 modified to include at least one amino acid substitution of a high-helix propensity amino acid at a position selected from E42 (e.g., E42R), S43 (e.g., S43A), Y44 (e.g., Y44A), E45 (e.g., E45R/L), M46 (e.g., M46A) and G47 (e.g., G47A).
- at least one amino acid substitution comprises G47A.
- an RNA polymerase variant comprises an RNA polymerase that includes an additional C-terminal amino acid, relative to the wild-type RNA polymerase.
- the additional C-terminal amino acid in some embodiments, is selected from glycine, alanine, threonine, proline, glutamine, serine.
- the additional C-terminal amino acid e.g., at position 884 relative to wild-type RNA polymerase comprising the amino acid sequence of SEQ ID NO: 1 is glycine.
- a T7 RNA polymerase comprises an additional glycine at the C-terminus relative to wild-type T7 RNA polymerase. In some embodiments, a T7 RNA polymerase comprises a G47A substitution relative to wild-type T7 RNA polymerase. In some embodiments, a T7 RNA polymerase comprises a G47A substitution and an additional glycine at the C-terminus relative to wild-type T7 RNA polymerase.
- an RNA polymerase variant comprises an RNA polymerase that includes (a) an amino acid substitution at a position selected from positions 350, 351, 387, 394, 425, 427, 437, 441, 632, 811, and 880, and (b) an additional amino acid substitution and/or an amino acid modification at the C-terminal end, relative to wild-type RNA polymerase, wherein the wild-type RNA polymerase comprises the amino acid sequence of SEQ ID NO: 1.
- an RNA polymerase variant comprises an RNA polymerase that includes an amino acid substitution at position 47 (e.g., G47A), an amino acid substitution at position 350, and/or an additional amino acid (e.g., G) at the C-terminal end (at position 884), relative to wild-type RNA polymerase, wherein the wild-type RNA polymerase comprises the amino acid sequence of SEQ ID NO: 1.
- an RNA polymerase variant comprises an RNA polymerase that includes an amino acid substitution at position 47 (e.g., G47A), a lysine (K) at position 350 (E350K), and/or an additional amino acid (e.g., G) at the C-terminal end (at position 884), relative to wild-type RNA polymerase, wherein the wild-type RNA polymerase comprises the amino acid sequence of SEQ ID NO: 1.
- an RNA polymerase variant comprises an RNA polymerase that includes an amino acid substitution at position 47 (e.g., G47A), an asparagine (N) at position 350 (E350N), and/or an additional amino acid (e.g., G) at the C-terminal end (at position 884), relative to wild-type RNA polymerase, wherein the wild-type RNA polymerase comprises the amino acid sequence of SEQ ID NO: 1.
- an RNA polymerase variant comprises an RNA polymerase that includes an amino acid substitution at position 47 (e.g., G47A), an alanine (A) at position 350 (E350A), and/or an additional amino acid (e.g., G) at the C-terminal end (at position 884), relative to wild-type RNA polymerase, wherein the wild-type RNA polymerase comprises the amino acid sequence of SEQ ID NO: 1.
- an RNA polymerase variant comprises an RNA polymerase that includes an amino acid substitution at position 47 (e.g., G47A), a tryptophan at position 350 (E350W), and/or an additional amino acid (e.g., G) at the C-terminal end (at position 884), relative to wild-type RNA polymerase, wherein the wild-type RNA polymerase comprises the amino acid sequence of SEQ ID NO: 1.
- an RNA polymerase variant comprises an RNA polymerase that includes an amino acid substitution at position 47 (e.g., G47A), an amino acid substitution at position 351, and/or an additional amino acid (e.g., G) at the C-terminal end (at position 884), relative to wild-type RNA polymerase, wherein the wild-type RNA polymerase comprises the amino acid sequence of SEQ ID NO: 1.
- an RNA polymerase variant comprises an RNA polymerase that includes an amino acid substitution at position 47 (e.g., G47A), a valine (V) at position 351 (D351V), and/or an additional amino acid (e.g., G) at the C-terminal end (at position 884), relative to wild-type RNA polymerase, wherein the wild-type RNA polymerase comprises the amino acid sequence of SEQ ID NO: 1.
- an RNA polymerase variant comprises an RNA polymerase that includes an amino acid substitution at position 47 (e.g., G47A), an amino acid substitution at position 387, and/or an additional amino acid (e.g., G) at the C-terminal end (at position 884), relative to wild-type RNA polymerase, wherein the wild-type RNA polymerase comprises the amino acid sequence of SEQ ID NO: 1.
- an RNA polymerase variant comprises an RNA polymerase that includes an amino acid substitution at position 47 (e.g., G47A), a serine at position 387 (K387S), and/or an additional amino acid (e.g., G) at the C-terminal end (at position 884), relative to wild-type RNA polymerase, wherein the wild-type RNA polymerase comprises the amino acid sequence of SEQ ID NO: 1.
- an RNA polymerase variant comprises an RNA polymerase that includes an amino acid substitution at position 47 (e.g., G47A), a histidine (H) at position 387 (K387H), and/or an additional amino acid (e.g., G) at the C-terminal end (at position 884), relative to wild-type RNA polymerase, wherein the wild-type RNA polymerase comprises the amino acid sequence of SEQ ID NO: 1.
- an RNA polymerase variant comprises an RNA polymerase that includes an amino acid substitution at position 47 (e.g., G47A), an asparagine at position 387 (K387N), and/or an additional amino acid (e.g., G) at the C-terminal end (at position 884), relative to wild-type RNA polymerase, wherein the wild-type RNA polymerase comprises the amino acid sequence of SEQ ID NO: 1.
- an RNA polymerase variant comprises an RNA polymerase that includes an amino acid substitution at position 47 (e.g., G47A), an amino acid substitution at position 394, and/or an additional amino acid (e.g., G) at the C-terminal end (at position 884), relative to wild-type RNA polymerase, wherein the wild-type RNA polymerase comprises the amino acid sequence of SEQ ID NO: 1.
- an RNA polymerase variant comprises an RNA polymerase that includes an amino acid substitution at position 47 (e.g., G47A), an amino acid substitution at position 425, and/or an additional amino acid (e.g., G) at the C-terminal end (at position 884), relative to wild-type RNA polymerase, wherein the wild-type RNA polymerase comprises the amino acid sequence of SEQ ID NO: 1.
- an RNA polymerase variant comprises an RNA polymerase that includes an amino acid substitution at position 47 (e.g., G47A), an amino acid substitution at position 427, and/or an additional amino acid (e.g., G) at the C-terminal end (at position 884), relative to wild-type RNA polymerase, wherein the wild-type RNA polymerase comprises the amino acid sequence of SEQ ID NO: 1.
- an RNA polymerase variant comprises an RNA polymerase that includes an amino acid substitution at position 47 (e.g., G47A), an amino acid substitution at position 437, and/or an additional amino acid (e.g., G) at the C-terminal end (at position 884), relative to wild-type RNA polymerase, wherein the wild-type RNA polymerase comprises the amino acid sequence of SEQ ID NO: 1.
- an RNA polymerase variant comprises an RNA polymerase that includes an amino acid substitution at position 47 (e.g., G47A), a threonine at position 437 (N437T), and/or an additional amino acid (e.g., G) at the C-terminal end (at position 884), relative to wild-type RNA polymerase, wherein the wild-type RNA polymerase comprises the amino acid sequence of SEQ ID NO: 1.
- an RNA polymerase variant comprises an RNA polymerase that includes an amino acid substitution at position 47 (e.g., G47A), an isoleucine at position 437 (N437I), and/or an additional amino acid (e.g., G) at the C-terminal end (at position 884), relative to wild-type RNA polymerase, wherein the wild-type RNA polymerase comprises the amino acid sequence of SEQ ID NO: 1.
- an RNA polymerase variant comprises an RNA polymerase that includes an amino acid substitution at position 47 (e.g., G47A), a tyrosine at position 437 (N437Y), and/or an additional amino acid (e.g., G) at the C-terminal end (at position 884), relative to wild-type RNA polymerase, wherein the wild-type RNA polymerase comprises the amino acid sequence of SEQ ID NO: 1.
- an RNA polymerase variant comprises an RNA polymerase that includes an amino acid substitution at position 47 (e.g., G47A), a phenylalanine at position 437 (N437F), and/or an additional amino acid (e.g., G) at the C-terminal end (at position 884), relative to wild-type RNA polymerase, wherein the wild-type RNA polymerase comprises the amino acid sequence of SEQ ID NO: 1.
- an RNA polymerase variant comprises an RNA polymerase that includes an amino acid substitution at position 47 (e.g., G47A), an amino acid substitution at position 441, and/or an additional amino acid (e.g., G) at the C-terminal end (at position 884), relative to wild-type RNA polymerase, wherein the wild-type RNA polymerase comprises the amino acid sequence of SEQ ID NO: 1.
- an RNA polymerase variant comprises an RNA polymerase that includes an amino acid substitution at position 47 (e.g., G47A), an arginine at position 441 (K441R), and/or an additional amino acid (e.g., G) at the C-terminal end (at position 884), relative to wild-type RNA polymerase, wherein the wild-type RNA polymerase comprises the amino acid sequence of SEQ ID NO: 1.
- an RNA polymerase variant comprises an RNA polymerase that includes an amino acid substitution at position 47 (e.g., G47A), an amino acid substitution at position 632, and/or an additional amino acid (e.g., G) at the C-terminal end (at position 884), relative to wild-type RNA polymerase, wherein the wild-type RNA polymerase comprises the amino acid sequence of SEQ ID NO: 1.
- an RNA polymerase variant comprises an RNA polymerase that includes an amino acid substitution at position 47 (e.g., G47A), an amino acid substitution at position 811, and/or an additional amino acid (e.g., G) at the C-terminal end (at position 884), relative to wild-type RNA polymerase, wherein the wild-type RNA polymerase comprises the amino acid sequence of SEQ ID NO: 1.
- an RNA polymerase variant comprises an RNA polymerase that includes an amino acid substitution at position 47 (e.g., G47A), an amino acid substitution at position 880, and/or an additional amino acid (e.g., G) at the C-terminal end (at position 884), relative to wild-type RNA polymerase, wherein the wild-type RNA polymerase comprises the amino acid sequence of SEQ ID NO: 1.
- an RNA polymerase variant comprises an RNA polymerase that includes an amino acid substitution at position 47 (e.g., G47A), a tyrosine at position 880 (F880Y), and/or an additional amino acid (e.g., G) at the C-terminal end (at position 884), relative to wild-type RNA polymerase, wherein the wild-type RNA polymerase comprises the amino acid sequence of SEQ ID NO: 1.
- a RNA polymerase variant comprises an RNA polymerase that includes an amino acid substitution at a position selected from the group consisting of E350, D351, K387, N437, K441, D506, R632, D653, S628, P657, F880, and G884 relative to an RNA polymerase comprising the amino acid sequence of any one of SEQ ID NOs: 1-4.
- the RNA polymerase comprises an amino acid substitution at E350. In some embodiments, the RNA polymerase comprises an amino acid substitution at D351. In some embodiments, the RNA polymerase comprises an amino acid substitution at K387. In some embodiments, the RNA polymerase comprises an amino acid substitution at N437. In some embodiments, the RNA polymerase comprises an amino acid substitution at K441. In some embodiments, the RNA polymerase comprises an amino acid substitution at D506. In some embodiments, the RNA polymerase comprises an amino acid substitution at R632. In some embodiments, the RNA polymerase comprises an amino acid substitution at D653. In some embodiments, the RNA polymerase comprises an amino acid substitution at S628. In some embodiments, the RNA polymerase comprises an amino acid substitution at P657. In some embodiments, the RNA polymerase comprises an amino acid substitution at F880. In some embodiments, the RNA polymerase comprises an amino acid substitution at G884.
- the RNA polymerase comprises at least two, at least three, at least four, or at least five amino acid substitutions at positions selected from the group consisting of E350, D351, K387, N437, K441, D506, R632, D653, S628, P657, F880, and G884.
- the RNA polymerase comprises amino acid substitutions at positions selected from the group consisting of: E350 and D351; E350 and K387; E350 and N437; E350 and K441; E350 and D506; E350 and R632; E350 and D653; E350 and S628; E350 and P657; E350 and F880; E350 and G884; D351 and K387, D351 and N437; D351 and K441; D351 and D506; D351 and R632; D351 and D653; D351 and S628; D351 and P657; D351 and F880; D351 and G884; K387 and N437; K387 and K441; K387 and D506; K387 and R632; K387 and D653; K387 and S628; K387 and P657; K387 and F880; and K387 and G884; K387
- the RNA polymerase comprises acid substitutions at positions selected from the group consisting of: K387, D653, and G884; E350, D351, and K387; and D653, P657, and R632.
- the amino acid substitution at E350 is selected from the group consisting of E350A, E350K, E350N, and E350W, optionally wherein the amino acid substitution at E350 is E350N.
- the amino acid substitution at D351 is D351V.
- the amino acid substitution at K387 is selected from the group consisting of K387H, K387N, and K387S, optionally wherein the amino acid substitution at K387 is K387N.
- the amino acid substitution at N437 is selected from the group consisting of N437F, N437I, N437T, and N437Y, optionally wherein the amino acid substitution at N437 is N437F.
- the amino acid substitution at K441 is K441R.
- the amino acid substitution at D506 is selected from the group consisting of D506F, D506L, D506R, D506W, and D506Y.
- the amino acid substitution at R632 is R632K or R632T.
- the amino acid substitution at D653 is selected from the group consisting of D653A, D653F, D653G, D653H, D653I, D653K, D653L, D653M, D653N, D653P, D653Q, D653R, D653S, D653T, D653V, D653W, and D653Y, optionally wherein the amino acid substitution at D653 is D653W.
- the amino acid substitution at S628 is S628W.
- the amino acid substitution at P657 is selected from the group consisting of P657A, P657R, and P657W.
- the amino acid substitution at F880 is F880Y.
- the amino acid substitution at G884 is selected from the group consisting of G884A, G884S, G884T, and G884P.
- an RNA polymerase comprises amino acid substitution at two of the positions selected from the group consisting of E350, D351, K387, and D653, relative to an RNA polymerase comprising the amino acid sequence of any one of SEQ ID NOs: 1-4.
- an RNA polymerase comprises amino acid substitutions at E350 and D351.
- an RNA polymerase comprises amino acid substitutions at E350 and K387.
- an RNA polymerase comprises amino acid substitutions at K387 and D653.
- the amino acid substitution at position E350 is E350W, E350A, E350K, or E350N.
- the amino acid substitution at position D351 is D351V.
- the amino acid substitution at position K387 is K387N, K387S, or K387H.
- the amino acid substitution at position D653 is D653T or D653K.
- an RNA polymerase comprises amino acid substitution at positions E350 and K387, relative to an RNA polymerase comprising the amino acid sequence of any one of SEQ ID NOs: 1-4, optionally wherein the substitutions are E350W and K387N.
- an RNA polymerase comprises amino acid substitution at positions K387 and D653, relative to an RNA polymerase comprising the amino acid sequence of any one of SEQ ID NOs: 1-4, optionally wherein the substitutions are K387N and D653T.
- a T7 RNA polymerase comprise the amino acid sequence of SEQ ID NO: 1. In some embodiments, a T7 RNA polymerase comprise the amino acid sequence of SEQ ID NO: 2. In some embodiments, a T7 RNA polymerase comprise the amino acid sequence of SEQ ID NO: 3. In some embodiments, a T7 RNA polymerase comprise the amino acid sequence of SEQ ID NO: 4. In some embodiments, a T7 RNA polymerase comprise the amino acid sequence of SEQ ID NO: 5. In some embodiments, a T7 RNA polymerase comprise the amino acid sequence of SEQ ID NO: 6. In some embodiments, a T7 RNA polymerase comprise the amino acid sequence of SEQ ID NO: 7.
- a T7 RNA polymerase comprise the amino acid sequence of SEQ ID NO: 8. In some embodiments, a T7 RNA polymerase comprise the amino acid sequence of SEQ ID NO: 9. In some embodiments, a T7 RNA polymerase comprise the amino acid sequence of SEQ ID NO: 10. In some embodiments, a T7 RNA polymerase comprise the amino acid sequence of SEQ ID NO: 11. In some embodiments, a T7 RNA polymerase comprise the amino acid sequence of SEQ ID NO: 12.
- the RNA polymerase (e.g., T7 RNA polymerase variant) is present in an empirically-balanced fed-batch IVT reaction mixture at a concentration of 0.01 mg/ml to 1 mg/ml.
- the RNA polymerase may be present in a reaction mixture at a concentration of 0.01 mg/mL, 0.05 mg/ml, 0.1 mg/ml, 0.5 mg/ml or 1.0 mg/ml.
- NTPs of the present disclosure may be naturally-occurring NTPs, synthetic NTPs, and/or modified NTPs.
- a reaction mixture may include naturally-occurring NTPs, synthetic NTPs, modified NTPs, or any combination thereof.
- the NTPs of a reaction mixture may comprise unmodified and/or modified adenosine triphosphate (ATP), modified and/or unmodified uridine triphosphate (UTP), modified and/or unmodified guanosine triphosphate (GTP), and/or modified and/or unmodified cytidine triphosphate (CTP).
- the NTPs include modified nucleobases.
- Non-limiting examples of modified nucleobases that may be used as provided herein include pseudouridine (w), 1-methylpseudouridine (m1 ⁇ ), 1-ethylpseudouridine, 2-thiouridine, 4′-thiouridine, 2-thio-1-methyl-1-deaza-pseudouridine, 2-thio-1-methyl-pseudouridine, 2-thio-5-aza-uridine, 2-thio-dihydropseudouridine, 2-thio-dihydrouridine, 2-thio-pseudouridine, 4-methoxy-2-thio-pseudouridine, 4-methoxy-pseudouridine, 4-thio-1-methyl-pseudouridine, 4-thio-pseudouridine, 5-aza-uridine, dihydropseudouridine, 5-methyluridine, 5-methoxyuridine (mo5U) and 2′-O-methyl uridine.
- pseudouridine w
- a mixture of NTPs (and thus the RNA transcript) includes a combination of at least two (e.g., 2, 3, 4 or more) of the foregoing modified nucleobases.
- a mixture of NTPs comprises 1-methylpseudouridine (m1 ⁇ ).
- a mixture of NTPs comprises 1-ethylpseudouridine.
- each NTP e.g., ATP, UTP, GTP, and CTP
- a fed-batch IVT reaction mixture is present at a molar ratio equivalent to the percent (%) consumption value calculated for each NTP (e.g., calculated during the initial nucleotide empirical balancing reaction).
- the percent consumption value for ATP, UTP, GTP, and CTP calculated for a particular RNA of interest in an initial nucleotide empirical balancing reaction is respectively 35%, 20%, 25%, and 20%
- the molar ratio equivalent for ATP, UTP, GTP, and CTP is respectively 7 mM, 4 mM, 5 mM, and 4 mM.
- each individual (and thus total) NTP concentration in a fed-batch IVT reaction mixture is maintained above zero (0) millimolar (mM) throughout the reaction.
- the NTP concentrations may be maintained at 1 mM to 50 mM, 1 mM to 40 mM, 1 mM to 30 mM, 1 mM to 20 mM, 1 mM to 10 mM, 2 mM to 50 mM, 2 mM to 40 mM, 2 mM to 30 mM, 2 mM to 20 mM, 2 mM to 10 mM, 3 mM to 50 mM, 3 mM to 40 mM, 3 mM to 30 mM, 3 mM to 20 mM, 3 mM to 10 mM, 4 mM to 50 mM, 4 mM to 40 mM, 4 mM to 30 mM, 4 mM to 20 mM, 4 mM to 10 mM, 4 mM to
- the NTP concentrations are maintained at 10 mM to 20 mM. In some embodiments, the NTP concentrations are maintained at (or at least at) 1 mM, 2 mM, 3 mM, 4 mM, 5 mM, 6 mM, 7 mM, 8 mM, 9 mM, 10 mM, 11 mM, 12 mM, 13 mM, 14 mM, 15 mM, 16 mM, 17 mM, 18 mM, 19 mM, or 20 mM.
- the NTP concentrations are maintained above a lower limit of 2 mM to 10 mM, above a lower limit of 2 mM to 9 mM, above a lower limit of 2 mM to 8 mM, above a lower limit of 2 mM to 7 mM, above a lower limit of 2 mM to 6 mM, or above a lower limit of 2 mM to 6 mM.
- each individual (and thus total) NTP concentration is maintained within 5% to 200% of the initial NTP concentration, throughout the fed-batch IVT reaction.
- the NTP concentrations may be maintained within 5% to 175%, within 5% to 150%, within 5% to 125%, within 5% to 100%, within 5% to 75%, within 5% to 50%, or within 5% to 25% of the initial NTP concentration.
- the NTP concentrations are maintained within 5%, 10%, 15%, 20%, 25%, 30%, 35%, 40%, 45%, 50%, 55%, 60%, 65%, 70%, 75%, 80%, 85%, 90%, 95%, 100%, 110%, 120%, 130%, 140%, 150%, 160%, 170%, 180%, 190%, or 200% of the initial NTP concentration.
- the initial NTP concentration is the total NTP concentration in an IVT reaction before transcription begins.
- [NTP] i.e., brackets around a NTP
- [ATP] generally refers to the concentration of ATP
- GTP generally refers to the concentration of GTP
- CTP generally refers to the concentration of CTP
- [UTP] generally refers to the concentration of UTP.
- the concentration of NTPs and cap analog present in an IVT reaction mixture may vary.
- each purine NTP and RNA cap analog (“cap analog”) are present in the reaction at equimolar (1:1) concentrations.
- the molar ratio of cap analog (e.g., trinucleotide cap) to each purine NTP in the reaction is greater than 1:1.
- the molar ratio of cap analog to NTP in the reaction may be 2:1, 3:1, 4:1, 5:1, 6:1, 7:1, 8:1, 9:1, 10:1, 15:1, 20:1, 25:1, 50:1, or 100:1.
- the molar ratio of cap analog (e.g., trinucleotide cap) to each NTP in the reaction is less than 1:1.
- the molar ratio of cap analog (e.g., trinucleotide cap) to each NTP in the reaction may be 1:2, 1:3, 1:4, 1:5, 1:6, 1:7, 1:8, 1:9, 1:10, 1:15, 1:20, 1:25, 1:50, or 1:100.
- the relative concentration of individual NTPs in an IVT reaction may also vary.
- ATP may be used in excess of GTP, CTP and UTP.
- GTP may be used in excess of ATP, CTP and UTP, CTP may be used in excess of ATP, GTP and UTP, or UTP may be used in excess of ATP, GTP and CTP.
- the relative concentration of NTPs in an initial IVT reaction mixture comprises a ratio of [ATP]:[UTP] of 1:1 to 5:1, 1:1 to 4:1, 1:1 to 3:1, or 1:1 to 2:1. In some embodiments, the relative concentration of NTPs in an initial IVT reaction mixture comprises a ratio of [ATP]:[UTP] of 2:1. In some embodiments, the relative concentration of NTPs in an initial IVT reaction mixture comprises a ratio of [GTP]:[CTP] of 1:1 to 5:1, 1:1 to 4:1, 1:1 to 3:1, or 1:1 to 2:1. In some embodiments, the relative concentration of NTPs in an initial IVT reaction mixture comprises a ratio of [GTP]:[CTP] of 4:1. In some embodiments, the relative concentration of NTPs in an initial IVT reaction mixture comprises a ratio of [ATP]:[UTP] of 2:1 and a ratio of [GTP]:[CTP] of 4:1.
- the total NTP concentration in an ongoing IVT reaction mixture is maintained above a lower limit of 0.5 mM. In some embodiments, the total NTP concentration in an ongoing IVT reaction mixture is maintained at 0.5-20 mM, 1-20 mM, 0.5-5 mM, 2-8 mM, 2-5 mM, 5-10 mM, 5-30 mM, 5-20 mM, 10-20 mM, or 5-15 mM. In some embodiments, the total NTP concentration in an ongoing IVT reaction mixture is maintained at about 10-20 mM, about 8-16, about 6-14 mM, or about 10-15 mM.
- an empirically-balanced fed-batch IVT reaction is a “co-transcriptional capping” IVT reaction in which the IVT reaction mixture comprises an RNA cap. That is, mRNA is produced in a “one-pot” reaction, without the need for a separate capping reaction.
- an IVT reaction mixture of the present disclosure includes an RNA cap analog.
- An RNA cap analog generally enhances mRNA stability and translation efficiency. Traditional cap analogs include GpppG, m7GpppG, and m2,2,7GpppG.
- an RNA cap analog of the present disclosure is a dinucleotide cap, a trinucleotide cap, or a tetranucleotide cap.
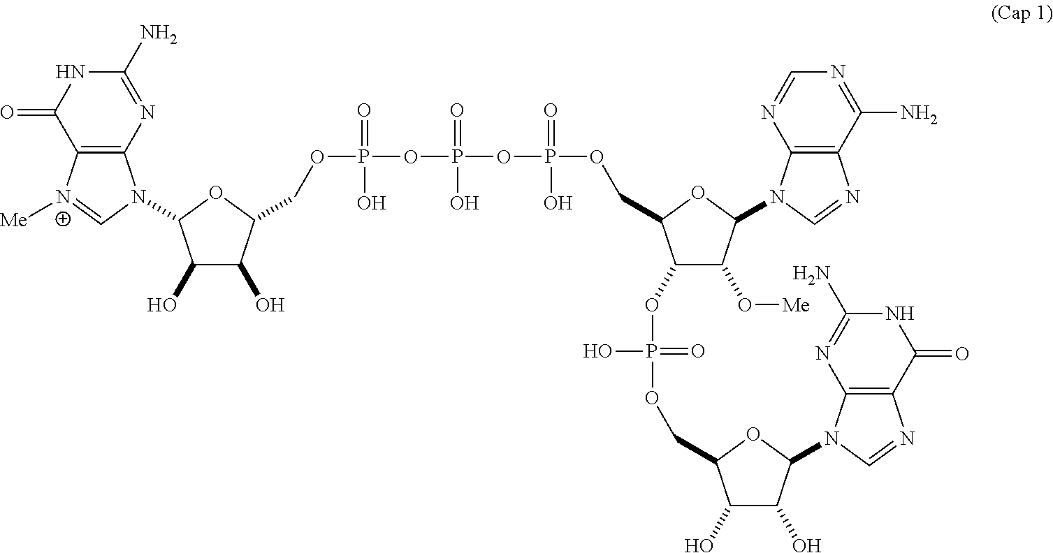
- the cap analog is a trinucleotide cap.
- the trinucleotide cap comprises a sequence selected from the following sequences: GAA, GAC, GAG, GAU, GCA, GCC, GCG, GCU, GGA, GGC, GGG, GGU, GUA, GUC, GUG, and GUU.
- the trinucleotide cap comprises a sequence selected from the following sequences: m 7 GpppApA, m 7 GpppApC, m 7 GpppApG, m 7 GpppApU, m 7 GpppCpA, m 7 GpppCpC, m 7 GpppCpG, m 7 GpppCpU, m 7 GpppGpA, m 7 GpppGpC, m 7 GpppGpG, m 7 GpppGpU, m 7 GpppUpA, m 7 GpppUpC, m 7 GpppUpG, and m 7 GpppUpU.
- the trinucleotide cap comprises a sequence selected from the following sequences: m 7 G 3′OMe pppApA, m 7 G 3′OMe pppApC, m 7 G 3′OMe pppApG, m 7 G 3′OMe pppApU, m 7 G 3′OMe pppCpA, m 7 G 3′OMe pppCpC, m 7 G 3′OMe pppCpG, m 7 G 3′OMe pppCpU, m 7 G 3′OMe pppGpA, m 7 G 3′OMe pppGpC, m 7 G 3′OMe pppGpG, m 7 G 3′OMe pppGpU, m 7 G 3′OMe pppUpA, m 7 G 3′OMe pppUpC, m 7 G 3′OMe pppUpG, m 7 G 3′OMe pppUp
- the trinucleotide cap comprises a sequence selected from the following sequences: m 7 G 3′OMe pppA 2′OMe pA, m 7 G 3′OMe pppA 2′OMe pC, m 7 G 3′OMe pppA 2′OMe pG, m 7 G 3′OMe pppA 2′OMe pU, m 7 G 3′OMe pppC 2′OMe pA, m 7 G 3′OMe pppC 2′OMe pC, m 7 G 3′OMe pppC 2′OMe pG, m 7 G 3′OMe pppC 2′OMe pU, m 7 G 3′OMe pppG 2′OMe pA, m 7 G 3′OMe pppG 2′OMe pC, m 7 G 3′OMe pppG 2′OMe pG, m 7 G 3′OMe pppG 2′
- the trinucleotide cap comprises a sequence selected from the following sequences: m 7 GpppA 2′OMe pA, m 7 GpppA 2′OMe pC, m 7 GpppA 2′OMe pG, m 7 GpppA 2′OMe pU, m 7 GpppC 2′OMe pA, m 7 GpppC 2′OMe pC, m 7 GpppC 2′OMe pG, m 7 GpppC 2′OMe pU, m 7 GpppG 2′OMe pA, m 7 GpppG 2′OMe pC, m 7 GpppG 2′OMe pG, m 7 GpppG 2′OMe pU, m 7 GpppU 2′OMe pA, m 7 GpppG 2′OMe pG, m 7 GpppG 2′OMe pU, m 7 GpppU 2′
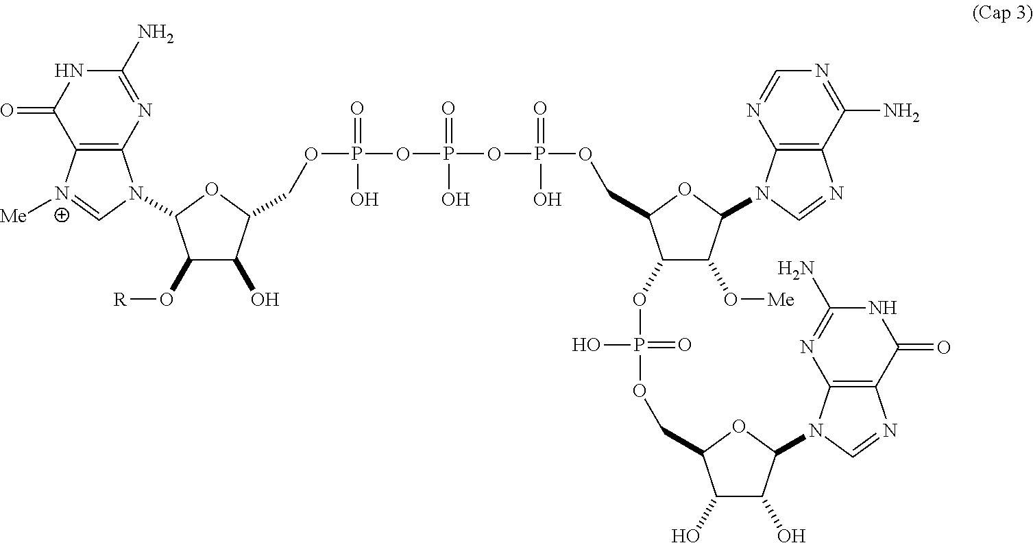
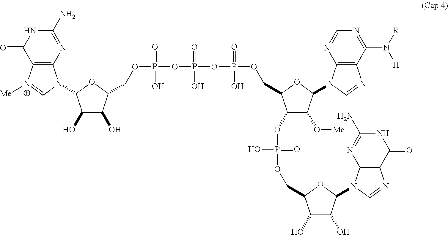
- the trinucleotide cap comprises a sequence selected from the following sequences: GAG, GCG, GUG, and GGG. In some embodiments, the trinucleotide cap comprises sequence GAG. In some embodiments, the trinucleotide cap comprises m 7 GpppA 2′OMe pG. In some embodiments, the trinucleotide cap comprises m 7 GpppmA 2′OMe pG. In some embodiments, the trinucleotide cap comprises m 7 Gpppm 6 A 2′OMe pG. In some embodiments, the trinucleotide cap comprises m 7 Gpppe 6 A 2′OMe pG.
- a trinucleotide cap comprises the following structure:
- a trinucleotide cap comprises the following structure:
- a trinucleotide cap comprises the following structure:
- a trinucleotide cap comprises the following structure:
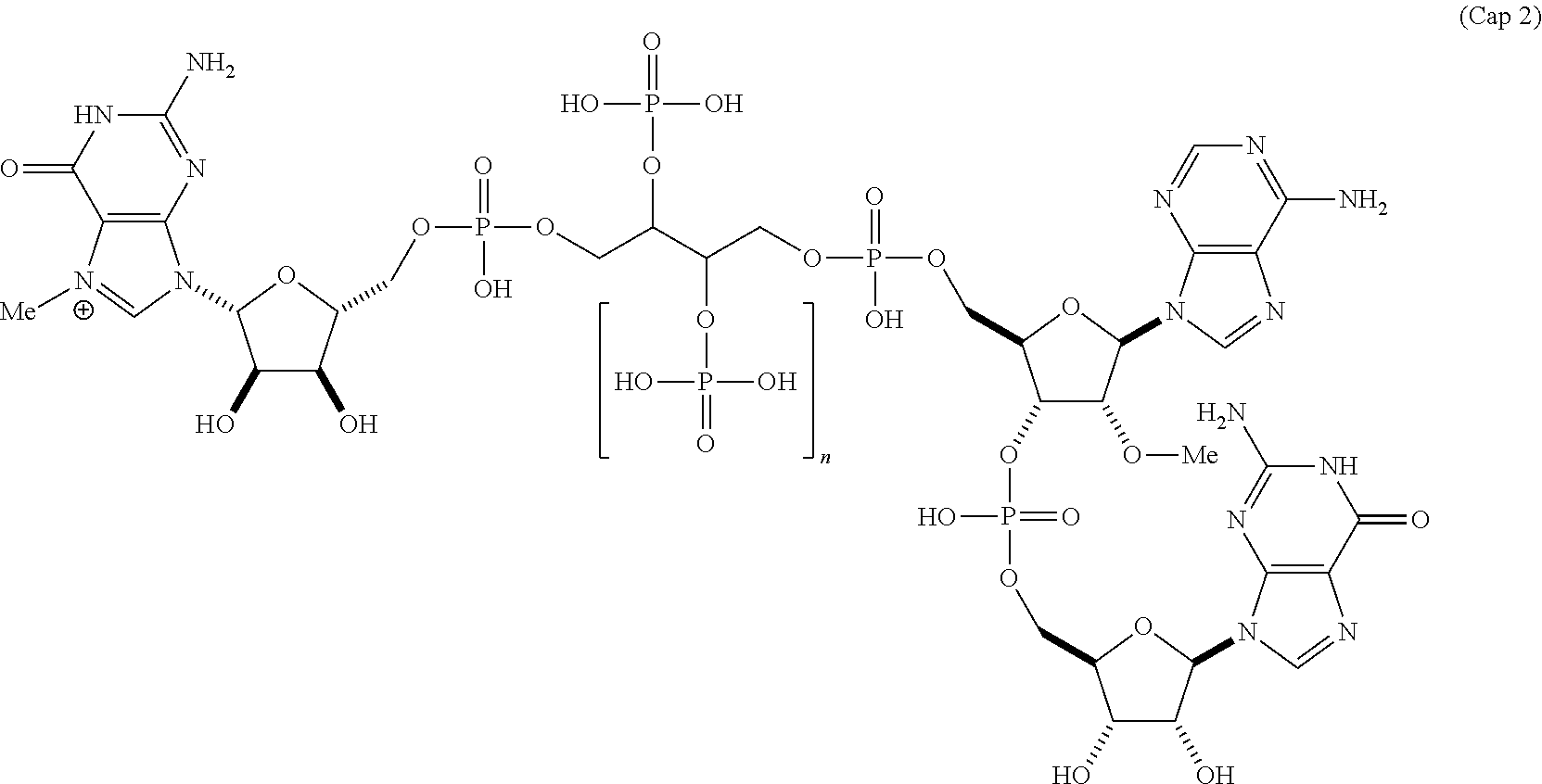
- the cap analog is a tetranucleotide cap analog. In some embodiments, the cap analog is a tetranucleotide cap analog comprising a GGAG sequence.
- a tetranucleotide cap comprises the following structure:
- a tetranucleotide cap comprises the following structure:
- a tetranucleotide cap comprises the following structure:
- a tetranucleotide cap comprises the following structure:
- R is an alkyl (e.g., C 1 -C 6 alkyl). In some embodiments, R is a methyl group (e.g., C 1 alkyl). In some embodiments, R is an ethyl group (e.g., C 2 alkyl). In some embodiments, R is a hydrogen.
- RNA cap analog e.g., m 7 GpppA 2′OMe pG
- RNA cap analog e.g., m 7 GpppA 2′OMe pG
- 100% of the RNA produced by the methods of the present disclosure is capped (comprises an RNA cap analog, e.g., m 7 GpppA 2′OMe pG)
- % capping of the RNA of interest is above 80%, above 90%, or above 95% at 150, 180, 210, 240, 270, 300, 330, and/or 360 minutes into the fed-batch reaction.
- the reaction mixture is not supplemented with an RNA cap analog during transcription of the RNA of interest. That is, throughout the entire IVT reaction, the only RNA cap analog present is that which was in the reaction mixture prior to commencement of transcription (additional RNA cap analog is not added to the IVT reaction).
- an IVT reaction mixture comprises a starting RNA cap analog concentration (concentration of RNA cap analog prior to commencement of transcription) that is at least 10% (e.g., at least 20%, at least 30%, at least 40%, or at least 50%) greater than the concentration of the NTP (e.g., ATP, UTP, GTP, or CTP (modified or unmodified)) with the highest percent consumption value.
- an IVT reaction mixture comprises a starting RNA cap analog concentration that is greater than the concentration of the NTP (e.g., ATP, UTP, GTP, or CTP (modified or unmodified)) with the highest percent consumption value.
- an IVT reaction mixture comprises a starting RNA cap analog concentration (concentration of RNA cap analog prior to commencement of transcription) that is at least 10% (e.g., at least 20%, at least 30%, at least 40%, or at least 50%) greater than the concentration of the purine (modified or unmodified) with the highest percent consumption value. In some embodiments, an IVT reaction mixture comprises a starting RNA cap analog concentration that is greater than the concentration of the purine (modified or unmodified) with the highest percent consumption value.
- an IVT reaction mixture comprises a starting RNA cap analog concentration (concentration of RNA cap analog prior to commencement of transcription) that is at least 10% (e.g., at least 20%, at least 30%, at least 40%, or at least 50%, or at least 100%) greater than the concentration of the individual NTPs (e.g., ATP, UTP, GTP, or CTP (modified or unmodified)) present in the first coding position of the RNA of interest.
- RNA cap analog concentration concentration of RNA cap analog prior to commencement of transcription
- an IVT reaction mixture comprises a starting RNA cap analog concentration (concentration of RNA cap analog prior to commencement of transcription) that is 10%-100%, 10%-50%, 10%-40%, or 10%-30% greater than the concentration of the NTP (e.g., ATP, UTP, GTP, or CTP (modified or unmodified)) present in the first coding position of the RNA of interest.
- NTP e.g., ATP, UTP, GTP, or CTP (modified or unmodified
- an IVT reaction mixture e.g., the initial and ongoing IVT reaction mixtures, comprises a ratio of [RNA cap analog]:[purine] of 1:1 to 20:1, 1:1 to 15:1, 1:1 to 10:1, 1:1 to 5:1, 1:1 to 3:1, or 1:1 to 2:1.
- concentration of RNA cap analog relative to the concentration of purine nucleotides e.g., ATP and GTP
- concentration of purine nucleotides is 1:1 to 20:1, 1:1 to 15:1, 1:1 to 10:1, 1:1 to 5:1, 1:1 to 3:1, or 1:1 to 2:1
- the IVT reaction mixture comprises a buffer, e.g., Tris, phosphate or a Good's buffer.
- concentration of buffer used in an empirically-balanced fed-batch IVT reaction mixture may be, for example, at least 10 mM, at least 20 mM, at least 30 mM, at least 40 mM, at least 50 mM, at least 60 mM, at least 70 mM, at least 80 mM, at least 90 mM, at least 100 mM or at least 110 mM phosphate.
- the concentration of phosphate is 20-60 mM or 10-100 mM.
- the buffer comprises Tris-HCl.
- the buffer may comprise 10-100 mM, 10-80 mM, 10-60 mM, 20-100 mM, 20-18 mM, 20-60 mM Tris-HCl. In some embodiments, the buffer comprises 40 mM Tris-HCl.
- the fed-batch IVT reaction mixture contains a reductant or reducing agent such as dithiothreitol (DTT) or tris(2-carboxyethyl)phosphine (TCEP).
- DTT dithiothreitol
- TCEP tris(2-carboxyethyl)phosphine
- concentration of DTT used in an IVT reaction mixture may be, for example, at least 1 mM, at least 5 mM, or at least 50 mM. In some embodiments, the concentration of DTT used in an IVT reaction mixture is 1-50 mM or 5-50 mM. In some embodiments, the concentration of DTT used in an IVT reaction mixture is 5 mM.
- the concentration of TCEP used in an IVT reaction mixture may be, for example, at least 1 mM, at least 5 mM, or at least 50 mM. In some embodiments, the concentration of TCEP used in an IVT reaction mixture is 1-50 mM or 5-50 mM.
- the empirically-balanced fed-batch IVT reaction mixture contains magnesium.
- the molar ratio of NTP to magnesium ions (Mg 2+ ; e.g., Mg(OAc) 2 ) present in an IVT reaction is 1:1 to 1:5.
- the molar ratio of NTP to magnesium ions may be 1:1, 1:2, 1:3, 1:4 or 1:5.
- a fed-batch IVT reaction typically comprises a regular feeding schedule.
- a regular feeding schedule may be used to maintain NTP concentrations within the IVT reaction at a desired level, e.g., above a threshold level, e.g., above 5%, 10%, 20%, 30%, or 50% of the initial NTP concentration.
- the timing and/or amount used in a feed schedule is determined using a scouting fed-batch IVT reaction.
- the ratio of cap analog relative to purine may decrease to less than 1:1, wherein overfeeding may result in low % capped RNA product.
- a feeding schedule may involve bolus feeding of a feed stock. In some embodiments, a feeding schedule may involve continuous feeding of a feed stock.
- bolus feeding of a feed stock to an ongoing IVT reaction involves the addition of a discrete volume or quantity of feed stock once every 10-250 minutes, 20-200 minutes, 10-175 minutes, 10-100 minutes, 10-20 minutes, 10-30 minutes, 30-60 minutes, 30-100 minutes, 30-150 minutes, 50-100 minutes, 50-150 minutes, 100-300 minutes, 100-250 minutes, or 100-150 minutes.
- bolus feeding of a feed stock to an ongoing IVT reaction involves the addition of a discrete volume or quantity of feed stock once every 10, 20, 30, 40, 50, 60, 70, 80, 90, 100, 110, 120, 130, 140, 150, 160, 170, 180, 190, 200, 210, 220, 230, 240, 250, 260, 270, 280, 290, or 300 minutes.
- a discrete volume involved in a bolus feeding is 1-20 mL, 5-20 mL, 10-50 mL, 25-100 mL, 50-500 mL, 250-1000 mL, or more.
- a discrete volume involved in a bolus feeding is 1, 2, 3, 4, 5, 6, 7, 8, 9, 10, 15, 20, 25, 50, 75, 100, 150, 200, 250, 500, 750, or 1000 mL.
- a discrete quantity of feed stock is any amount sufficient to maintain NTP concentrations above a threshold level as described above, e.g., within a range of 5% to 200%, 5%-100%, 5%-75%, 20%-100%, 20%-75%, or 25%-50% of initial NTP concentrations.
- a discrete quantity of feed stock is any amount sufficient to maintain a ratio of [ATP]:[UTP] of 1:1 to 5:1, 1:1 to 4:1, 1:1 to 3:1, or 1:1 to 2:1.
- a discrete quantity of feed stock is any amount sufficient to maintain a ratio of [ATP]:[UTP] of 2:1. In some embodiments, a discrete quantity of feed stock is any amount sufficient to maintain a ratio of [GTP]:[CTP] of 1:1 to 5:1, 1:1 to 4:1, 1:1 to 3:1, or 1:1 to 2:1. In some embodiments, a discrete quantity of feed stock is any amount sufficient to maintain a ratio of [GTP]:[CTP] of 4:1. In some embodiments, a discrete quantity of feed stock is any amount sufficient to maintain a ratio of [ATP]:[UTP] of 2:1 and a ratio of [GTP]:[CTP] of 4:1.
- an IVT reaction is supplemented with a bolus feeding of a feed stock once, twice, or three times during the entirety of the reaction. In some embodiments, an IVT reaction is supplemented with a bolus feeding of a feed stock 4, 5, 6, 7, 8, 9, 10, or more times during the entirety of the reaction. In some embodiments, an IVT reaction is supplemented with a bolus feeding of a feed stock 1-5, 2-5, 2-10, 3-10, 3-7, 4-8, 5-10, 5-15, or more times during the entirety of the reaction.
- continuous feeding of a feed stock to an ongoing IVT reaction involves continuous or constant addition of feed stock over time, e.g., throughout the entirety of the IVT reaction.
- a continuous feeding schedule is determined based on the bolus feeding schedule of the same RNA of interest, e.g., by dividing the total volume or quantity added over a period of time during a reaction by the total time over which that volume or quantity was added.
- continuous feeding involves constant addition of a feed stock to an ongoing IVT reaction at a continuous flow rate of 1-50 mL/min, 2-25 mL/min, 2-10 ml/min, 2-8 mL/min, 4-6 mL/min, 3-6 mL/min, or any operable flow rate. In some embodiments, continuous feeding involves constant addition of a feed stock to an ongoing IVT reaction at a continuous flow rate of 1, 2, 3, 4, 5, 6, 7, 8, 9, 10, 11, 12, 13, 14, 15, 16, 17, 18, 19, 20, 25, 30, 35, 40, 45, or 50 mL/min.
- continuous feeding involves constant addition of a feed stock to an ongoing IVT reaction at a continuous flow rate of 0.0030-0.007 mL/min per mL of initial volume, 0.0040-0.0060 mL/min per mL of initial volume, 0.0050-0.0080 mL/min per mL of initial volume, or 0.0060-0.0090 mL/min per mL of initial volume.
- the concentration of NTPs in a feed stock used in continuous feeding is sufficient to maintain NTP concentrations above a threshold level as described above, e.g., within a range of 5% to 200%, 5%-100%, 5%-75%, 20%-100%, 20%-75%, or 25%-50% of initial NTP concentrations.
- continuous feeding is performed using a peristaltic pump in order to accurately deliver consistent flow rates (volumes) over time.
- the concentration of NTPs in a feed stock used in continuous or bolus feeding is sufficient to maintain NTP concentrations above a threshold level.
- a discrete quantity of feed stock is any amount sufficient to maintain NTP concentrations above a threshold level.
- the threshold level is 1 mM to 50 mM, 1 mM to 40 mM, 1 mM to 30 mM, 1 mM to 20 mM, 1 mM to 10 mM, 2 mM to 50 mM, 2 mM to 40 mM, 2 mM to 30 mM, 2 mM to 20 mM, 2 mM to 10 mM, 3 mM to 50 mM, 3 mM to 40 mM, 3 mM to 30 mM, 3 mM to 20 mM, 3 mM to 10 mM, 4 mM to 50 mM, 4 mM to 40 mM, 4 mM to 30 mM, 4 mM to 20 mM, 4 mM to 10 mM, 5 mM to 50 mM, 5 mM to 40 mM, 5 mM to 30 mM, 5 mM to 20 mM, or 5 mM to
- the threshold level is 10 mM to 20 mM. In some embodiments, the threshold level is 1 mM, 2 mM, 3 mM, 4 mM, 5 mM, 6 mM, 7 mM, 8 mM, 9 mM, 10 mM, 11 mM, 12 mM, 13 mM, 14 mM, 15 mM, 16 mM, 17 mM, 18 mM, 19 mM, or 20 mM.
- the threshold level is a lower limit of 2 mM to 10 mM, above a lower limit of 2 mM to 9 mM, above a lower limit of 2 mM to 8 mM, above a lower limit of 2 mM to 7 mM, above a lower limit of 2 mM to 6 mM, or above a lower limit of 2 mM to 6 mM.
- the threshold level is within 5% to 200% of the initial NTP concentration.
- the threshold level may be within 5% to 175%, within 5% to 150%, within 5% to 125%, within 5% to 100%, within 5% to 75%, within 5% to 50%, or within 5% to 25% of the initial NTP concentration.
- the threshold level is within 5%, 10%, 15%, 20%, 25%, 30%, 35%, 40%, 45%, 50%, 55%, 60%, 65%, 70%, 75%, 80%, 85%, 90%, 95%, 100%, 110%, 120%, 130%, 140%, 150%, 160%, 170%, 180%, 190%, or 200% of the initial NTP concentration.
- results from fed-batch IVT have consistently shown a decrease in reaction rate (both consumption of NTPs and production of RNA) throughout the reaction.
- the rate of feeding must also be varied throughout the reaction. If a signal continuous feed rate (described previously) were used to feed an IVT with a decreasing reaction rate throughout the entire duration, the reaction would be under-fed at the start of the reaction when the rate is fastest, and over-fed at the end of the reaction when the rate is slowest.
- the reaction can be split into two or more continuous feed rates to be used during specified time intervals of the reaction. The number of distinct feed rate and switch times required may vary depending upon the decrease in reaction rate observed throughout fed-batch IVT.
- a scouting fed-batch IVT reaction may be conducted, in which bolus feeding is used to add feed stock to an active IVT reaction at defined time intervals and in defined volumes or quantities.
- these initial feed conditions are selected based on the prior results of fed-batch IVT reactions with other DNA encoding different RNA sequences, and are not intended to produce high quality product or yield.
- the scouting IVT reaction includes sampling time points from the active fed-batch IVT immediately prior to each bolus feed. The measured NTP concentrations within each of these samples may then be used to calculate the rates of NTP consumption in the IVT reaction for the unique DNA being transcribed over time. Feeding schedules may then be adjusted to match the observed NTP consumption and to maintain the target NTP concentration throughout the reaction. In some embodiments, these discrete feed times and volumes constitute the bolus feed schedule for the fed-batch IVT reaction.
- a method of determining percent (%) nucleoside triphosphates (NTPs) consumption of an in vitro transcription (IVT) reaction comprising:
- RNA polymerase (a) conducting an IVT reaction with a reaction mixture that comprises known initial NTP concentrations, a deoxyribonucleic acid (DNA) encoding a ribonucleic acid (RNA) of interest, and an RNA polymerase;
- NTPs comprise adenosine triphosphate (ATP), cytidine triphosphate (CTP), uridine triphosphate (UTP), and guanosine triphosphate (GTP).
- ATP adenosine triphosphate
- CTP cytidine triphosphate
- UDP uridine triphosphate
- GTP guanosine triphosphate
- step (b) comprises (i) dividing individual NTP consumption rate over total NTP consumption rate.
- the threshold concentration is above zero (0) millimolar (mM), optionally wherein the threshold concentration is 5 mM to 20 mM, and optionally wherein the threshold concentration is within 5%-75% of the initial NTP concentration.
- the known initial NTP concentrations comprise a ratio of [ATP]:[UTP] of 1:1 to 4:1, optionally 1:1 to 2:1, and/or a ratio of [GTP]:[CTP] of 1:1 to 4:1.
- NTP is a chemically modified NTP, a naturally-occurring NTP, or a synthetic NTP.
- a method of fed-batch in vitro transcription (IVT) of a ribonucleic acid (RNA) of interest comprising:
- NTPs comprise adenosine triphosphate (ATP), cytidine triphosphate (CTP), uridine triphosphate (UTP), and guanosine triphosphate (GTP).
- ATP adenosine triphosphate
- CTP cytidine triphosphate
- UDP uridine triphosphate
- GTP guanosine triphosphate
- each NTP in the initial reaction mixture of (a) is present at a concentration of 1-10 mM, 1-6 mM, 2-6 mM, or 3-6 mM.
- reaction mixture is maintained at a ratio of [ATP]:[UTP] of 1:1 to 4:1, optionally 1:1 to 2:1, and/or a ratio of [GTP]:[CTP] of 1:1 to 4:1.
- a method of fed-batch in vitro transcription (IVT) of a ribonucleic acid (RNA) of interest comprising:
- NTPs nucleoside triphosphates
- NTPs are chemically modified NTPs, naturally-occurring NTPs, or synthetic NTPs.
- RNA cap analog is a chemically modified RNA cap analog, a naturally-occurring RNA cap analog, or a synthetic RNA cap analog.
- RNA cap analog is (i) a trinucleotide RNA cap analog, optionally selected from trinucleotide cap analogs comprising a Cap 1, Cap 2, Cap 3, or Cap 4 structure, or (ii) a tetranucleotide RNA cap analog, optionally selected from trinucleotide cap analogs comprising a Cap 5, Cap 6, Cap 7, or Cap 8 structure.
- RNA of interest has a length of at least 2000 nucleotides.
- RNA of interest is a messenger RNA (mRNA).
- mRNA messenger RNA
- RNA polymerase is a T7 RNA polymerase.
- T7 RNA polymerase comprises an additional glycine at the C-terminus relative to wild-type T7 RNA polymerase.
- T7 RNA polymerase comprises a G47A substitution and an additional glycine at the C-terminus relative to wild-type T7 RNA polymerase.
- RNA cap analog is a dinucleotide cap, a trinucleotide cap, or a tetranucleotide cap.
- RNA cap analog comprises a trinucleotide sequence GAG, optionally GpppA 2′OMe pG. 61. The method of paragraph 60, wherein the RNA cap analog comprises a tetranucleotide sequence GGAG.
- RNA of interest isolated from the method of paragraph 62.
- 64 A ribonucleic acid (RNA) produced by the method of any one of paragraphs 12-63.
- RNA of paragraph 63 or 64 formulated in a cationic lipid nanoparticle, optionally wherein the cationic lipid nanoparticle comprises a molar ratio of 20-60% ionizable cationic lipid, 5-25% non-cationic lipid, 25-55% sterol, and 0.5-15% PEG-modified lipid.
- IVTT in vitro transcription
- the fed-batch IVT reaction uses four nucleotides: CTP, GTP, UTP, and ATP.
- CTP CTP
- GTP GTP
- UTP UTP
- ATP ATP
- the percent consumption values can be used to formulate a reaction mixture for a batch IVT reaction, or the NTP master mixture and the feed stock mixture for a fed-batch IVT reaction.
- the NTP master mix can contain molar ratios of NTPs equivalent to the percent consumption values.
- the empirically determined percent consumption values differ from the observed % abundance of each NTP in the desired RNA sequence. In addition, determining percent consumption does not require prior knowledge of the construct sequence.
- Ultra-Performance Liquid Chromatography may be used to monitor NTP and RNA cap analog concentration. This information can then be used to calculate individual NTP concentrations and/or total NTP concentrations.
- UPLC® Ultra-Performance Liquid Chromatography
- IVT master mixture and feed stock mixture recipes are provided as follows in Table 2 and Table 3, based on the data provided in FIGS. 1A-1B :
- the percent consumption values for CTP, GTP, UTP, and ATP can be used to control the NTP ratios in the initial IVT reaction mixture, during an ongoing reaction, or remaining after an IVT reaction is complete.
- a process to make RNA #1 may require complete utilization of all four NTP reagents by the end of the reaction.
- a batch IVT reaction for RNA #1 was conducted in which the relative nucleotide ratios were set equal to the empirical percent consumption values.
- the graph displayed in FIG. 4A shows the NTP concentrations during this reaction. All four nucleotides approach a concentration of 0 mM at the same time, maximizing the utilization of these components.
- Test IVTs were performed to evaluate the impact of GAG:NTP ratio, where NTP is either ATP or GTP.
- NTP is either ATP or GTP.
- GAG:ATP or GAG:GTP ratio greater than 0.6 generated mRNA with greater than 90% cap.
- RNA cap analog with greater than 0.6 GAG:ATP or GAG:GTP ratio produces mRNA with optimal cap content.
- fed-batch IVTs are designed to maintain a ratio of GAG:ATP or GAG:GTP greater than 0.6.
- An important aspect of the fed-batch IVT process is determining the appropriate timing of additions for a given feed stock and IVT reaction mixture, to maintain reagents in the desired range.
- a scouting fed-batch IVT reaction was conducted with a DNA of interest using the empirically-balanced nucleotide master mixture (from Examples 1 and 2) and an initial feeding schedule based on the predicted NTP consumption rate for that DNA. This initial feeding schedule would be revised following the results and analysis of this scouting fed-batch IVT reaction, as described below.
- the total concentration of nucleotides was determined immediately before and after adding feed stock mixture to the IVT reaction for each feed ( FIG. 5A-B ). These total concentration measurements and feed times were then used to calculate a unique total nucleotide consumption rate between each feed of the reaction ( FIG. 6A-B ). As displayed in FIG. 7A-C , the nucleotide consumption rates were plotted against either [DNA], [mRNA], or reaction time (in this example, [DNA] was used). Fitting this plot with a curve (linear model shown) provided an empirical model of the nucleotide consumption rate throughout the fed-batch IVT reaction. By incorporating these NTP consumption model parameters with a few additional parameters (below), a complete feed schedule was determined for the given feed stock and IVT reaction mixture used for RNA #1 (see Table 5).
- a fed-batch IVT reaction model was created by combining several empirically-determined reaction parameters with user-selected parameters for the fed-batch IVT reaction:
- the reaction model was capable of estimating concentration of total and individual nucleotides ( FIG. 9 ), yield of RNA products ( FIG. 10 ), % tailed RNA ( FIG. 11 ).
- the model provided guidance on expected % capping in the RNA product (by comparing the [purines] to [trinucleotide]) and optimal reaction time for any DNA.
- Empirically-balanced fed-batch IVT reactions were conducted for RNA #1 and RNA #2. Feeding schedules were set for both RNA #1 and RNA #2 based on a rate analysis ( FIGS. 6A-B and 7 A-C). The following initial IVT conditions were used for each construct:
- FIGS. 11-16 The nucleotide concentration, yield, and product quality were evaluated throughout the fed-batch IVT reactions for RNA #1 and RNA #2.
- FIG. 11A-B and FIG. 12A-B show the measured total [NTPs] and individual [NTPs] during the fed-batch IVT reaction for RNA #1 and RNA #2, respectively.
- FIGS. 13A and 13B show the measured concentration of total RNA and tailed RNA, respectively, for RNA #1 and RNA #2.
- FIG. 14A-B show the measured mass of total RNA and tailed RNA versus initial IVT reaction volume for RNA #1 and RNA #2.
- FIG. 15 shows % tailed RNA product for RNA #1 and RNA #2.
- FIG. 16A shows % capped mRNA product for RNA #1 and RNA #2
- FIG. 16B shows % capped RNA product over time for RNA #1.
- the experimental results can be compared to the IVT model outputs using the same parameters to verify the results of the reaction or to improve to the model.
- the construct-specific parameters can also be recorded and used for developing processes for future constructs.
- each fed-batch IVT reaction was done using bolus feeding, in which the feed-stock mixture was added in constant-volume bolus additions at specified times during the reaction. This process resulted in variations in nucleotide concentration during the reaction with each feed ( FIGS. 11A-B and 12 A-B). To minimize these variations, and to reduce the need for additional manufacturing controls required for distinct bolus feeds, the feeding schedule was converted to a continuous feed format.
- FIGS. 17-22 An example of the continuous fed-batch IVT process is shown in FIGS. 17-22 , in which a bolus fed-batch reaction is compared to a continuous fed-batch reaction for DNA encoding RNA #3.
- Tables 6 and 7 show the process parameters for bolus and continuous feed IVT reaction modes used to test RNA #3.
- the bolus feed version of the process required 18 process parameters and where the initial reaction volume was 1 L and the volume of each bolus feed was 14.28 mL. See Table 6.
- the continuous feed mode required 5 process parameters. See Table 7.
- the continuous feed schedule contained 5 feed parameters: Start time, flow rate 1, switch time from flow rate 1 to flow rate 2, flow rate 2, and a stop time (Table 7). The two flow rates were used to accommodate any variations in the rate of nucleotide consumption that occurred during the IVT reaction
- FIGS. 17A-17B show that the total nucleotide concentration throughout the IVT reaction for RNA #3 is much more consistent for the continuous fed-batch reaction than the bolus fed-batch reaction.
- FIGS. 18A-18B and 19A-19B show comparable RNA product yields for the continuous and bolus fed-batch IVT reactions.
- RNA #3 The overall product quality of RNA #3 was slightly improved for the continuous fed-batch IVT reaction compared to bolus fed-batch.
- the graphs in FIGS. 20A-20B show that the percent of tailed RNA product for RNA #3 is comparable but improved when using continuous over bolus fed-batch.
- the graphs in FIGS. 21A-21B show that capping was slightly better for the continuous fed-batch IVT reaction. This observation can be explained by a lower average A/GTP-to-trinucleotide ratio throughout the reaction for continuous fed-batch. See FIG. 22 .
- a fed-batch IVT reaction was performed to synthesize RNA using bolus feeding with tetranucleotide cap analog.
- An initial IVT mixture was created using nucleotides present in molar ratios balanced to the RNA of interest (Table 8), a GGAG tetranucleotide cap analog, T7 RNA polymerase, pyrophosphatase, buffer, and DNA encoding RNA #4.
- the initial molar ratio of tetranucleotide cap analog to ATP was 1.3:1.
- the feed stock master mix was made up of nucleotides, T7 RNA polymerase, pyrophosphatase, and buffer.
- the reaction was fed using the feed stock master mix at three times in 30-minute intervals, targeting a minimum of 8 mM NTP; and the reaction proceeded for two hours.
- a batch IVT reaction using the same initial IVT mixture was performed as a control experiment.
- the control batch reaction was not fed after the reaction had started.
- ATP concentration, total RNA yield, and percent capping were evaluated for both the fed-batch IVT reaction and the control batch reaction.
- the fed-batch reaction provided RNA with high capping efficiency ( ⁇ 90% RNA comprising the cap analog).
- the fed-batch IVT reaction significantly outperformed the control batch reaction with approximately 1.8-fold higher yield of RNA ( ⁇ 9 mg/mL initial volume for fed-batch reaction compared to ⁇ 5 mg/mL initial volume for control batch reaction).
Landscapes
- Chemical & Material Sciences (AREA)
- Life Sciences & Earth Sciences (AREA)
- Health & Medical Sciences (AREA)
- Engineering & Computer Science (AREA)
- Organic Chemistry (AREA)
- Genetics & Genomics (AREA)
- Zoology (AREA)
- Wood Science & Technology (AREA)
- Biotechnology (AREA)
- Bioinformatics & Cheminformatics (AREA)
- General Engineering & Computer Science (AREA)
- Biomedical Technology (AREA)
- Molecular Biology (AREA)
- Microbiology (AREA)
- Biochemistry (AREA)
- General Health & Medical Sciences (AREA)
- Physics & Mathematics (AREA)
- Biophysics (AREA)
- Plant Pathology (AREA)
- Proteomics, Peptides & Aminoacids (AREA)
- Crystallography & Structural Chemistry (AREA)
- Chemical Kinetics & Catalysis (AREA)
- Analytical Chemistry (AREA)
- Immunology (AREA)
- General Chemical & Material Sciences (AREA)
- Measuring Or Testing Involving Enzymes Or Micro-Organisms (AREA)
- Preparation Of Compounds By Using Micro-Organisms (AREA)
- Saccharide Compounds (AREA)
Abstract
Description
- This application claims the benefit under 35 U.S.C. § 119(e) of U.S. provisional application No. 62/816,734, filed Mar. 11, 2019, which is incorporated by reference herein in its entirety.
- In vitro transcription (IVT) uses bacteriophage DNA-dependent ribonucleic acid (RNA) polymerases (e.g., SP6, T3 and T7) to synthesize template-directed mRNA transcripts. IVT reactions are commonly “batch” reactions in that several reagents, including nucleoside triphosphates (NTPs), magnesium, RNA polymerase, deoxyribonucleic acid (DNA), and pyrophosphatase are combined at the beginning of the reaction. The components are then incubated, and the reaction proceeds until at least one of the nucleotides is depleted. Thus, the reaction has at least one limiting reagent that may cause low yield of the RNA transcript (product). Other potential shortcomings of IVT reactions include, for example, abortive (truncated) transcripts, run-on transcripts, polyA tail variants producing 3′ heterogeneity, mutated transcripts, and/or double-stranded contaminants produced during the reactions.
- The present disclosure provides, in some embodiments, empirically-balanced fed-batch in vitro transcription (IVT) methods and compositions that enable, inter alia, high yield, high integrity transcription of ribonucleic acid (RNA), such as messenger RNA (mRNA). Surprisingly, in some embodiments, RNA transcripts having a length of at least 2000 nucleotides or more can be synthesized with yields of at least 100% higher than those of RNA transcripts produced using previously known IVT methods, and wherein at least 90% of which is correctly capped using co-transcriptional capping. In certain embodiments, the empirically-balanced fed-batch IVT reactions of the present disclosure include four nucleotides, CTP, GTP, UTP, and ATP, the relative molar ratios of each of which can be varied to maximize use of reactants and/or to alter attributes of the RNA product. Importantly, the ratios of the four nucleotides are balanced according to their rate of consumption (consumption rate) so that no one nucleotide is rate limiting during the IVT reaction. Advantageously, and unlike previously described fed-batch methods, this process does not require prior knowledge of the RNA product sequence or rely on the known sequence of a target RNA product.
- This process, in some embodiments, includes performing an initial batch IVT reaction on a DNA encoding the RNA of interest with known initial concentrations of CTP, GTP, UTP, and ATP (e.g., equimolar concentrations, e.g., 5 mM), and measuring the rate of decrease in concentration of each nucleotide during the actual reaction until the concentration of at least one of the NTPs drops below a threshold level over the course of 20-40 minutes. The measured concentrations and times collected may then be used to calculate the rate of CTP, GTP, UTP, and ATP consumption during the reaction (individual NTP consumption rate). For multiple time points, this can be the slope of a linear fit of the data (see, e.g.,
FIG. 1A ). The individual NTP consumption rates (for CTP, GTP, UTP, and ATP) are added together to determine the consumption rate of all nucleotides (total NTP consumption rate) (see, e.g.,FIG. 1B ). A percent (%) consumption value is then determined for each NTP by dividing the individual NTP consumption rate by the total NTP consumption rate. - The percent consumption values can be used to formulate an initial “master” reaction mixture for an IVT reaction and for a “feed stock” mixture. For example, to allow non-limiting consumption of all NTPs in a batch reaction, the initial reaction mixture may contain NTPs at a molar ratio equivalent to the percent (%) consumption value calculated for each NTP (ATP, UTP, GTP, and CTP).
- In some embodiments, the initial NTP concentrations comprise equimolar NTP concentrations of each of [ATP], [CTP], [UTP], and [GTP] (e.g., molar ratio of 1:1:1:1).
- In some embodiments, the initial NTP concentrations comprise non-equimolar NTP concentrations of each of [ATP], [CTP], [UTP], and [GTP] (e.g., molar ratio of 2:1:1:4). In some embodiments, the molar ratio of [ATP]:[UTP]:[CTP]:[GTP] is 1:1:1:1 to 2:1:1:4. In some embodiments, the molar ratio of [ATP]:[CTP] is 2:1. In some embodiments, the molar ratio of [ATP]:[UTP] is 2:1. In some embodiments, the molar ratio of [ATP]:[GTP] is 1:2. In some embodiments, the molar ratio of [CTP]:[UTP] is 1:1. In some embodiments, the molar ratio of [CTP]:[GTP] is 1:4. In some embodiments, the molar ratio of [UTP]:[GTP] is 1:4. In some embodiments, the initial NTP concentrations comprise a ratio of [ATP]:[UTP] of 1:1 to 2:1 and/or a ratio of [GTP]:[CTP] of 1:1 to 2:1. In some embodiments, the initial NTP concentrations comprise a ratio of [ATP]:[UTP] of 2:1 to 4:1 and/or a ratio of [GTP]:[CTP] of 1:1 to 4:1. In some embodiments, the initial NTP concentrations comprise a ratio of [ATP]:[UTP] of 2:1 and/or a ratio of [GTP]:[CTP] of 4:1.
- These % consumption values are empirically determined and are specific to the RNA of interest. During the IVT reaction, the reaction mixture may be supplemented with a feed stock mixture that comprises NTPs, each present in the feed mixture at a molar ratio based on a % consumption value calculated for each NTP. In some embodiments, the feed stock mixture is supplemented in an amount that maintains a total NTP concentration in the reaction mixture above 0 mM, but at least between 5% to 50% of the initial NTP concentration. In some embodiments, the feed stock mixture is supplemented in an amount that maintains a total NTP concentration in the reaction mixture above 0 mM, but at least between 5% to 100% or at least between 5% and 200% of the initial NTP concentration. In some embodiments, the feed stock mixture is supplemented in an amount that maintains a total NTP concentration in the reaction mixture between 5 mM to 20 mM and/or within 5%-75% of the initial NTP concentration. In some embodiments, the feed stock mixture is supplemented in an amount that maintains a ratio of [ATP]:[UTP] of 1:1 to 4:1, optionally 1:1 to 2:1 (e.g., 2:1). In some embodiments, the feed stock mixture is supplemented in an amount that maintains a ratio of [GTP]:[CTP] of 1:1 to 4:1 (e.g., 4:1). Improvements to IVT reactions have led to the development and incorporation of a cap analog referred to as a trinucleotide (see PCT/US2018/046989, incorporated herein by reference). This allows for co-transcriptional capping of the RNA product and eliminates the need for a subsequent processing step to cap the RNA. Although this trinucleotide is preferentially incorporated at the 5′ end of the RNA product over the mono-nucleotides in the reaction mixture, it is possible for some number of purines (ATP and GTP) to be incorporated instead of the cap analog. Such an event leads to the production of uncapped RNA product, which is an undesirable inactive product variant. Our studies have shown that maintaining a trinucleotide-to-purine ratio of >1 allows for sufficient concentrations of capped RNA relative to uncapped RNA in the product to remain at acceptable levels.
- When performing IVT reactions using co-transcriptional capping, the consumption of cap analog compared to total nucleotides in the reaction to generate an mRNA is very low. Only one mole of cap analog is consumed per mole of capped RNA product, versus up to 5,000 or more moles of nucleotides per mole of capped RNA product (actual consumption varies based on the product sequence and length). As a result, a large excess of expensive cap analog remains un-consumed in the IVT reaction after the NTPs have been consumed. In a batch reaction, this low utilization of the cap analog (e.g. trinucleotide capping reagent) contributes to a more expensive and wasteful process.
- The fed-batch process of the present disclosure improves utilization of plasmid DNA, the cap analog, (e.g., a trinucleotide or tetranucleotide capping reagent) and other expensive reagents while maintaining high % capping of RNA production and mRNA yield. For example, in the present disclosure, NTPs and magnesium can be added into an active IVT reaction to prevent depletion of reactants and improve yield of RNA product without providing additional DNA or cap analog (e.g., trinucleotide). In another example, the NTPs may be added at a lower initial concentration, and maintained at this low level throughout the reaction, enabling a lower concentration of cap analog to be used without compromising capping efficiency. Compared to previously described IVT batch and fed-batch processes, the empirically determined % consumption balanced fed-batch IVT process as provided herein, in some embodiments with co-transcriptional capping, has shown a greater than 2-fold improvement in capped RNA yield relative to the amount of cap analog used. Furthermore, the molar ratio of RNA produced to input DNA used in the fed-batch IVT process as provided herein is greatly increased. In some embodiments, the molar ratio of RNA produced to input DNA used in the fed-batch IVT process as provided herein is increased by 2-fold or even 3-fold over non-fed-batch or batch processes.
- Thus, provided herein, in some aspects, are methods of determining percent (%) NTP consumption of an IVT reaction comprising (a) conducting an IVT reaction with a reaction mixture that comprises known initial NTP concentrations, DNA encoding an mRNA of interest, RNA polymerase, and pyrophosphatase, and (b) calculating a percent (%) consumption value for each NTP of the reaction mixture. In some embodiments, step (b) comprises (i) calculating individual NTP consumption rate (individual NTP concentration/time) over total NTP consumption rate (total NTP concentration/time). In some embodiments, the known initial NTP concentrations are equimolar NTP concentrations.
- Also provided herein, in some aspects, are methods of fed-batch IVT of an RNA of interest comprising (a) conducting an IVT reaction with a reaction mixture that comprises DNA encoding an RNA of interest, RNA polymerase, and NTPs (and optionally magnesium and/or pyrophosphatase), and (b) delivering to the IVT reaction mixture over time a feed stock mixture that comprises NTPs (and optionally magnesium and/or pyrophosphatase), wherein each NTP is present at a molar ratio based on to a % consumption value calculated for each NTP in a particular RNA of interest, wherein the % consumption values are specific to the RNA of interest, and wherein the feed stock mixture is delivered in an amount that maintains a total NTP concentration in the reaction mixture above zero. In some embodiments, each NTP in the reaction mixture of step (a) is present at a molar ratio equivalent to the percent (%) consumption value calculated for each NTP.
- In some embodiments, the NTPs are balanced using the percent consumption. In other embodiments, the NTPs are maintained at different ratios to alter the attributes of the product, or improve the utilization of different NTPs. For example, the percent consumption may be used to maintain desired conditions throughout a reaction.
- The feed stock mixture may be delivered to the ongoing IVT reaction mixture using bolus or continuous feeding over time, e.g., every 10-250 minutes, optionally every 20-200 minutes. Continuous feeding involves the delivery of feed stock mixture to the ongoing IVT reaction mixture at a continuous flow rate, e.g., 2-8 mL/min or 4-6 mL/min.
- In some embodiments, the reaction mixture further comprises an RNA cap analog, thereby producing transcribed RNA that incorporates said RNA cap analog (e.g., at least 90% or at least 95% of the transcribed RNA comprises the RNA cap analog). An initial and/or an ongoing IVT reaction mixture may comprise a ratio of [RNA cap analog]:[purine] of 1:1 to 20:1, 1:1 to 15:1, 1:1 to 10:1, 1:1 to 5:1, 1:1 to 3:1, or 1:1 to 2:1.
-
FIGS. 1A-1B . An example of nucleotide empirical balancing. An in vitro transcription (IVT) reaction was conducted with known initial nucleotide concentrations. The concentrations of CTP, GTP, UTP, and ATP (FIG. 1A ) and the total nucleotide concentration (FIG. 1B ) were measured over time. The % consumption of each nucleotide was calculated by dividing the rate of the individual NTP consumption (for example, as determined inFIG. 1A ) by the rate of the total NTP consumption (for example, as determined inFIG. 1B ). -
FIG. 2 . Monitoring of NTP and cap analog concentrations. Using ultra performance liquid chromatography with UV light detector (UPLC-UV) set to 260 nm, the NTP and trinucleotide concentrations can be monitored over time. The method can also be used to calculate individual NTP concentrations or total NTP concentrations. -
FIGS. 3A-3B . Examples of nucleotide empirical balancing for two sample constructs, RNA #1 (FIG. 3A ) and RNA #2 (FIG. 3B ). The concentrations of CTP, GTP, UTP, and ATP and the total nucleotide concentration were measured over time. The % consumption of each nucleotide was calculated by dividing the rate of the individual NTP consumption by the rate of the total NTP consumption. -
FIGS. 4A-4B . Examples of two NTP master mixtures generated from the % consumption values forRNA # 1 to achieve different process requirements. The batch IVT inFIG. 4A shows all four nucleotide reagents reach 0 mM at approximately the same time, thus maximizing the utilization of reagents. The batch IVT reaction inFIG. 4B shows all four nucleotide reagents reach 2.5 mM at the same time, for a total [NTPs] at 10 mM. The latter scenario, among others, is useful in developing fed-batch IVT reactions that require specific ratios of NTPs during the reaction, either to generate a desired product profile or fully utilize a specific reagent. -
FIGS. 5A-5B and 6A-6B . Determination of a fed-batch feeding schedule. A scouting fed-batch IVT reaction was run using the DNA of interest (RNA # 1 andRNA # 2 shown inFIGS. 5A and 5B , respectively), empirically-balanced nucleotide master mix, and an initial feeding schedule based on the predicted NTP consumption rate. Throughout the experiment, the total concentration of nucleotides was measured at time points immediately before and immediately after feeding the IVT reaction (FIG. 5A-5B ). The concentrations and times were used to calculate the consumption rate between each feed of the reactions generating eitherRNA # 1 or RNA #2 (FIG. 6A-6B ). -
FIGS. 7A-7C . For the scouting fed-batch IVT ofRNA # 1, the nucleotide consumption rate was plotted against either [DNA] (FIG. 7A ), [mRNA] (FIG. 7B ), or reaction time (FIG. 7C ). Fitting with a curve (linear fit shown) provides an empirical model of the nucleotide consumption rates throughout fed-batch IVT reaction run. -
FIGS. 8-10 . IVT reaction modeling forRNA # 1. Additional construct-specific parameters, including the ratios of CTP, GTP, UTP, and ATP in the master mix, the consumption rate of CTP, GTP, UTP, and ATP, the initial concentration of the cap analog, the initial % tailed RNA product, and the rate of the % tailed RNA product over time, were used to generate reaction models forRNA # 1 to estimate the concentration of NTP or trinucleotide reactants (FIG. 8 ), formation of RNA products (FIG. 9 ), and % tailed RNA product (FIG. 10 ). -
FIGS. 11A-11B and 12A-12B . Measured [NTP] for the defined fed-batch IVT reactions ofRNA # 1 andRNA # 2.FIGS. 11A-11B show the measured total [NTPs] and individual [NTPs] during the fed-batch IVT reaction forRNA # 1.FIGS. 12A-12B show the measured total [NTPs] and individual [NTPs] during the fed-batch IVT reaction forRNA # 2. -
FIGS. 13A-13B and 14A-14B . Measured RNA product yield for the defined fed-batch IVT reactions ofRNA # 1 andRNA # 2.FIGS. 13A-13B show the measured concentration of total RNA and tailed RNA forRNA # 1 andRNA # 2.FIGS. 14A-14B show the measured mass of total RNA and tailed RNA versus initial IVT reaction volume forRNA # 1 andRNA # 2. -
FIG. 15 . Measured % tail RNA for the defined fed-batch IVT reactions ofRNA # 1 andRNA # 2. -
FIGS. 16A-B . The graph inFIG. 16A shows measured % capped RNA product forRNA # 1 andRNA # 2.FIG. 16B shows measured % capped RNA product over time forRNA # 1. -
FIGS. 17A-17B . Measured total nucleotide concentrations during the example bolus (FIG. 17A ) and continuous (FIG. 17B ) fed-batch IVT reactions forRNA # 3. -
FIGS. 18A-18B and 19A-19B . Measured RNA product yields for the bolus and continuous fed-batch IVT reactions ofRNA # 3.FIGS. 18A-18B show the measured concentration of tailed RNA for the bolus (FIG. 18A ) and continuous (FIG. 18B ) processes.FIGS. 19A-19B show the measured mass of tailed RNA versus initial IVT reaction volume for the bolus (FIG. 19A ) and continuous (FIG. 19B ) processes. -
FIGS. 20A-20B . Measured % tailed RNA product during the bolus (FIG. 20A ) and continuous (FIG. 20B ) fed-batch IVT reactions forRNA # 3. -
FIGS. 21A-21B . Measured % capped RNA product during the bolus (FIG. 21A ) and continuous (FIG. 21B ) fed-batch IVT reactions forRNA # 3. -
FIG. 22 . Measured average A/GTP-to-trinucleotide ratio throughout the reaction for continuous fed-batch. -
FIG. 23 . Measured [ATP] throughout a fed-batch IVT reaction compared to a batch IVT reaction. -
FIG. 24 . Measured yield of total RNA (mg/mL initial IVT) for a fed-batch IVT reaction compared to a batch IVT reaction, over a two-hour reaction period. -
FIG. 25 . shows % capped RNA product after a fed-batch IVT reaction compared to a batch IVT reaction, following a two-hour reaction period. - Provided herein is an empirically-balanced fed-batch in vitro transcription (IVT) platform developed to improve the total product yield of a single batch and maintain high product quality, while increasing the utilization of reactants. Unlike existing IVT methods, which have low utilization of reaction components, have a high percentage of unused NTPs, and require high concentrations of RNA cap analog or trinucleotide capping reagent, the empirically-balanced fed-batch IVT methods of the present disclosure maximize the use of expensive reagents present in a reaction, to increase product yield without compromising product integrity. This improved fed-batch IVT process, in some embodiments, starts with an initial nucleotide empirical balancing reaction, which is used to calculate a percent (%) consumption value for each type of NTP in the initial reaction, specific to the RNA being transcribed. These empirically-determined values are then used to balance the nucleotide ratios in subsequent fed-batch IVT reactions for efficient, high yield RNA production.
- As used herein, percent consumption generally refers to the relative consumption rate of an individual NTP compared to the consumption rate of all NTPs for a given DNA encoding an RNA of interest. In some embodiments, a percent consumption rate is determined by dividing an individual NTP consumption rate by the total NTP consumption rate. In some embodiments, the individual NTP consumption rate is a measure of individual NTP concentration over time (e.g., over the course of a nucleotide empirical balancing reaction) and total NTP consumption rate is a measure of total NTP concentration over time (e.g., over the course of the nucleotide empirical balancing reaction).
- As used herein, empirical balancing of NTPs generally refers to the process used to determine the percent consumption of each NTP for a DNA encoding an RNA of interest. This process involves conducting a batch IVT reaction with known initial concentrations of CTP, GTP, UTP, and ATP and measuring the rate of decrease in concentration of each nucleotide during the actual reaction until the concentration of at least one of the NTPs drops below a threshold level, e.g., 1-5 mM or 20-50% of the starting concentration, over the course of the reaction, e.g., 20-40 minutes. The measured concentrations and times collected may then be used to calculate the percent consumption of CTP, GTP, UTP, and ATP consumption during the reaction.
- As used herein, batch IVT generally refers to an in vitro transcription reaction in which all components of the reaction, e.g., NTPs, polymerase, salt, and/or DNA, are added to the reaction mixture only once, e.g., at the beginning of the reaction. In some embodiments, the reaction mixture is held at specified conditions, e.g., temperature, for a period of time, after which the transcribed RNA product is collected.
- As used herein, fed-batch IVT generally refers to an in vitro transcription reaction in which the active reaction mixture is supplemented with reaction components, e.g., NTPs, polymerase, salt, and/or DNA, to prevent depletion of limiting reagents or counteract degradation of unstable components, as the reaction progresses over time. In some embodiments, the mixture that is added to the reaction is referred to as a feed stock. In some embodiments, reaction components or a feed stock are supplemented into an active reaction mixture using bolus feeding. In some embodiments, bolus feeding comprises the addition of discrete volumetric amounts of reaction components or feed stock into an active reaction mixture at defined time intervals, e.g., addition of 5 mL of feed stock to a reaction mixture every 20 minutes. In some embodiments, reaction components or a feed stock are supplemented into an active reaction mixture using continuous feeding. In some embodiments, continuous feeding comprises the addition of reaction components or feed stock into an active reaction mixture by a continuous flow rate of reaction components feed stock over a defined period of time, e.g., addition of feed stock at a continuous flow rate of 2-8 mL/min, 2-6 mL/min, or 4-6 mL/min or a continuous flow rate of 0.0030-0.007 mL/min per mL of initial volume, 0.0040-0.0060 mL/min per mL of initial volume, 0.0050-0.0080 mL/min per mL of initial volume, or 0.0060-0.0090 mL/min per mL of initial volume.
- As used herein, scouting fed-batch IVT generally refers to an initial fed-batch IVT reaction using bolus feeding that is used to model reaction rate(s) over time and to set appropriate feed volumes and times in a downstream fed-batch IVT reaction.
- As used herein, percent tailed RNA generally refers to the relative abundance of transcribed RNA product that contains 3′ polyA tail. In some embodiments, a 3′ polyA tail is a A100 polyA tail (i.e., consisting of 100 alanine residues). In some embodiments, percent tailed RNA (the percent of transcribed RNA product comprising a 3′ polyA tail) is greater than 20%, 25%, 30%, 35%, 40%, 45%, 50%, 55%, 60%, 65%, 70%, 75%, 80%, or 85%. In some embodiments, percent tailed RNA is greater than greater than 90%, 95%, 97%, or 99%. In some embodiments, percent tailed RNA (the percent of transcribed RNA product comprising a 3′ polyA tail) is between 20-100%, 20-90%, 20-80%, 20-70%, 20-60%, 20-50%, 20-40%, 20-30%, 25-75%, 30-50%, 40-60%, 50-70%, 45-60%, 55-70%, 60-80%, 60-100%, 75-100%, 50-95%, 75-95%, 80-100%, 80-90%, 90-95%, 95-100%, 90-99%, or 95-99%.
- As used herein, percent capped RNA generally refers to the relative abundance of transcribed RNA product that contains an incorporated cap analog at its 5′ terminus. In some embodiments, a cap analog is an RNA cap analog. In some embodiments, an RNA cap analog is a dinucleotide, trinucleotide, or tetranucleotide. In some embodiments, percent capped RNA (the percent of transcribed RNA product comprising a 5′ cap analog) is greater than 20%, 25%, 30%, 35%, 40%, 45%, 50%, 55%, 60%, 65%, 70%, 75%, 80%, or 85%. In some embodiments, percent capped RNA is greater than greater than 90%, 95%, 97%, or 99%. In some embodiments, percent capped RNA is between 20-100%, 20-90%, 20-80%, 20-70%, 20-60%, 20-50%, 20-40%, 20-30%, 25-75%, 30-50%, 40-60%, 50-70%, 45-60%, 55-70%, 60-80%, 60-100%, 75-100%, 50-95%, 75-95%, 80-100%, 80-90%, 90-95%, 95-100%, 90-99%, or 95-99%.
- In some embodiments, an RNA cap analog is added to an IVT reaction mixture that preferentially initiates the 5′ end of an RNA sequence during transcription. This allows for “co-transcriptional capping” IVT reaction, in which the IVT mixture comprises an RNA cap. Examples of RNA cap analogs that allow for “co-transcriptional capping” IVT reactions include 7-methyl guanosine (m7G) and 3′-O-me-7-meGpppG.
- As used herein, an initial IVT reaction mixture for use in a fed-batch application generally refers to the IVT reaction mixture at the start of a fed-batch IVT reaction and prior to being supplemented with additional reaction components or feed stock. In some embodiments, an initial IVT reaction mixture comprises NTPs (e.g., naturally-occurring and/or modified NTPs, e.g., ATP, UTP, GTP, and CTP), buffers (e.g., Tris and/or Good's buffers), cofactors (e.g., magnesium), RNA cap analog(s) (e.g., trinucleotide cap analog), RNA polymerase (e.g., T7 RNA polymerase), detergent (e.g., Triton X-100, DNA encoding an RNA of interest, reducing agents (e.g., dithiothreitol (DTT) or tris(2-carboxyethyl)phosphine (TCEP)), small molecule additives (e.g., spermidine), and/or enzymatic additives (e.g., inorganic phosphatase (PPiase)).
- As used herein, an ongoing IVT reaction mixture for use in a fed-batch application generally refers to the IVT reaction mixture after the starting reaction conditions. In some embodiments, the concentrations of components, e.g., NTPs and RNA cap analogs, in an ongoing IVT reaction mixture changes over time. In some embodiments, an ongoing IVT reaction mixture comprises NTPs (e.g., naturally-occurring and/or modified NTPs, e.g., ATP, UTP, GTP, and CTP), buffers (e.g., Tris and/or Good's buffers), cofactors (e.g., magnesium), RNA cap analog(s) (e.g., trinucleotide cap analog), RNA polymerase (e.g., T7 RNA polymerase), detergent (e.g., Triton X-100, DNA encoding an RNA of interest, reducing agents (e.g., DTT, TCEP), small molecule additives (e.g., spermidine), enzymatic additives (e.g., inorganic phosphatase or PPiase), and/or transcribed RNA of interest.
- As used herein, the first coding position in an RNA of interest generally refers to the first nucleotide transcribed after a promoter sequence (e.g., a T7 RNA polymerase promoter). In some embodiments, the first coding position is any NTP, e.g., a ATP, UTP, GTP, or CTP.
- As used herein, the RNA of interest generally refers to the RNA molecule that is encoded by a DNA in an IVT reaction. In some embodiments, the RNA of interest is a transcribed RNA of interest, wherein the transcribed RNA of interest is produced by an IVT reaction, e.g., a fed-batch IVT reaction. In some embodiments, an RNA of interest is a mRNA, optionally comprising a 5′ cap, a 5′ untranslated region (5′ UTR), an open reading frame (ORF) that encodes a protein of interest, a 3′ untranslated region (3′ UTR), and/or a polyA tail. In some embodiments, the 5′ cap analog is a 5′ trinucleotide cap.
- Provided herein, in some aspects, are methods of determining percent (%) nucleoside triphosphates (NTPs) consumption of an in vitro transcription (IVT) reaction. Percent (%) NTP consumption (also referred to more simply as “% consumption”) is a value obtained for each NTP of an initial nucleotide empirical balancing reaction, calculated using the following equation:
-
% consumption=(individual NTP consumption rate)/(total NTP consumption rate), - whereby the individual NTP consumption rate is a measure of individual NTP concentration over time (over the course of the nucleotide empirical balancing reaction), and total NTP consumption rate is a measure of total NTP concentration over time (over the course of the nucleotide empirical balancing reaction).
- Thus, an individual ATP consumption rate is calculated by measuring the concentration of ATP consumed at various time points during an initial nucleotide empirical balancing reaction until the ATP concentration, or the concentration of another NTP in the reaction, drops below a threshold level, e.g., 5 mM to 20 mM; an individual UTP consumption rate is calculated by measuring the concentration of UTP consumed at various time points during an initial nucleotide empirical balancing reaction until the UTP concentration, or the concentration of another NTP in the reaction, drops below a threshold level, e.g., 5 mM to 20 mM; an individual GTP consumption rate is calculated by measuring the concentration of GTP consumed at various time points during an initial nucleotide empirical balancing reaction until the GTP concentration, or the concentration of another NTP in the reaction, drops below a threshold level, e.g., 5 mM to 20 mM; and an individual CTP consumption rate is calculated by measuring the concentration of CTP consumed at various time points during an initial nucleotide empirical balancing reaction until the CTP concentration, or the concentration of another NTP in the reaction, drops below a threshold level, e.g., 5 mM to 20 mM.
- Total NTP consumption rate is calculated by measuring the concentration of all (e.g., all four) NTPs consumed at various time points during an initial nucleotide empirical balancing reaction.
- A % consumption value for ATP is then calculated by dividing the individual ATP consumption rate by the total NTP consumption rate. Likewise, a percent consumption value for UTP is calculated by dividing the individual UTP consumption rate by the total NTP consumption rate; a percent consumption value for GTP is calculated by dividing the individual GTP consumption rate by the total NTP consumption rate; and a percent consumption value for CTP is calculated by dividing the individual CTP consumption rate by the total NTP consumption rate.
- An initial nucleotide empirical balancing reaction, in some embodiments, includes a DNA (e.g., DNA plasmid encoding an RNA of interest), RNA polymerase (e.g., a T7 polymerase), and a mixture of NTPs. In an initial nucleotide empirical balancing reaction, the starting concentration of NTP (e.g., each of ATP, UTP, GTP, and CTP) is known (pre-determined). In some embodiments, an initial nucleotide empirical balancing reaction also includes buffer (e.g., Tris HCl), magnesium (e.g., magnesium acetate), pyrophosphatase, and/or dithiothreitol (DTT). In some embodiments, an initial nucleotide empirical balancing reaction also includes an RNA cap analog, such as a trinucleotide cap analog (e.g., GAG), discussed elsewhere herein.
- In some embodiments, the concentration of each individual NTP in the initial nucleotide empirical balancing reaction remains above zero (0) millimolar (mM). That is, NTP concentrations (individual and total) are collected (for which NTP consumption rates calculated) during the initial nucleotide empirical balancing reaction only until one of the NTP concentrations drops below a certain threshold level. In some embodiments, the threshold level is 1 mM to 50 mM, 1 mM to 40 mM, 1 mM to 30 mM, 1 mM to 20 mM, 1 mM to 10 mM, 2 mM to 50 mM, 2 mM to 40 mM, 2 mM to 30 mM, 2 mM to 20 mM, 2 mM to 10 mM, 3 mM to 50 mM, 3 mM to 40 mM, 3 mM to 30 mM, 3 mM to 20 mM, 3 mM to 10 mM, 4 mM to 50 mM, 4 mM to 40 mM, 4 mM to 30 mM, 4 mM to 20 mM, 4 mM to 10 mM, 5 mM to 50 mM, 5 mM to 40 mM, 5 mM to 30 mM, 5 mM to 20 mM, or 5 mM to 10 mM. In some embodiments, the threshold level is 10 mM to 20 mM. In some embodiments, the threshold level is 1 mM, 2 mM, 3 mM, 4 mM, 5 mM, 6 mM, 7 mM, 8 mM, 9 mM, 10 mM, 11 mM, 12 mM, 13 mM, 14 mM, 15 mM, 16 mM, 17 mM, 18 mM, 19 mM, or 20 mM. In some embodiments, the threshold level is a lower limit of 2 mM to 10 mM, above a lower limit of 2 mM to 9 mM, above a lower limit of 2 mM to 8 mM, above a lower limit of 2 mM to 7 mM, above a lower limit of 2 mM to 6 mM, or above a lower limit of 2 mM to 6 mM.
- In some embodiments, the threshold level is within 5% to 200% of the initial NTP concentration. For example, the threshold level may be within 5% to 175%, within 5% to 150%, within 5% to 125%, within 5% to 100%, within 5% to 75%, within 5% to 50%, or within 5% to 25% of the initial NTP concentration. In some embodiments, the threshold level is within 5%, 10%, 15%, 20%, 25%, 30%, 35%, 40%, 45%, 50%, 55%, 60%, 65%, 70%, 75%, 80%, 85%, 90%, 95%, 100%, 110%, 120%, 130%, 140%, 150%, 160%, 170%, 180%, 190%, or 200% of the initial NTP concentration. The initial NTP concentration is the total NTP concentration in an IVT reaction before transcription begins (after all the IVT reaction components have been combined but before the polymerase is active).
- The initial NTP concentration of an initial nucleotide empirical balancing reaction is therefore known, in some embodiments. In some embodiments, the known initial NTP concentrations are equimolar NTP concentrations. That is, each NTP (e.g., ATP, UTP, GTP, and UTP) are present in the reaction at an equal molar ratio (1:1:1:1). In other embodiments, the known initial NTP concentrations are not equimolar NTP concentrations. For example, one or more NTPs (e.g., ATP and/or UTP) may be present in excess of the other NTPs.
- The timing of initial nucleotide empirical balancing reaction may vary. Advantageously, however, the reaction time may be as short as 10 to 60 minutes. In some embodiments, the initial nucleotide empirical balancing reaction time is 10 to 50 minutes, 10 to 40 minutes, 10 to 30 minutes, 10 to 20 minutes, 20 to 60 minutes, 20 to 50 minutes, 20 to 40 minutes, 20 to 30 minutes, 30 to 60 minutes, 30 to 50 minutes, or 30 to 40 minutes. In some embodiments, the initial nucleotide empirical balancing reaction time is 10 minutes, 20 minutes, 30 minutes, 40 minutes, 50 minutes, or 60 minutes. Longer reaction times may be used, depending on when the concentration of any one of the NTPs falls below the threshold level.
- An initial nucleotide empirical balancing reaction described above is specific to a particular DNA encoding an RNA of interest, and the percent (%) consumption values calculated from that initial reaction may be used in subsequent fed-batch IVT reactions for synthesis of that particular RNA of interest. Thus, in some embodiments, methods of fed-batch IVT of an RNA of interest comprise (a) conducting an IVT reaction with a reaction mixture that comprises deoxyribonucleic acid (DNA) encoding an RNA of interest, RNA polymerase, and nucleoside triphosphates (NTPs), and (b) delivering to the IVT reaction mixture over time a feed stock mixture that comprises NTPs, wherein each NTP is present at a molar ratio based on a percent consumption value calculated for each NTP, wherein the percent consumption values are specific to the RNA of interest, and wherein the feed stock mixture is delivered in an amount that maintains a total NTP concentration in the reaction mixture above zero.
- In some embodiments, the feed stock mixture is delivered in an amount that maintains a ratio of [ATP]:[UTP] of 1:1 to 5:1, 1:1 to 4:1, 1:1 to 3:1, or 1:1 to 2:1. In some embodiments, the feed stock mixture is delivered in an amount that maintains a ratio of [ATP]:[UTP] of 2:1. In some embodiments, the feed stock mixture is delivered in an amount that maintains a ratio of [GTP]:[CTP] of 1:1 to 5:1, 1:1 to 4:1, 1:1 to 3:1, or 1:1 to 2:1. In some embodiments, the feed stock mixture is delivered in an amount that maintains a ratio of [GTP]:[CTP] of 4:1. In some embodiments, the feed stock mixture is delivered in an amount that maintains a ratio of [ATP]:[UTP] of 2:1 and a ratio of [GTP]:[CTP] of 4:1.
- An empirically-balanced fed-batch IVT reaction mixture, in some embodiments, includes components selected from the following: a deoxyribonucleic acid (DNA), ribonucleic acid (RNA) polymerase, nucleoside triphosphates (NTPs), RNA cap analog, buffer, magnesium, pyrophosphatase, and reductant (e.g. dithiothreitol). The feed stock mixture, by contrast, includes NTPs, RNA polymerase, buffer, magnesium, pyrophosphatase, and/or reductant, but generally does not include DNA and RNA cap analog. The exact conditions used in the IVT reaction depend on the amount of RNA needed, for example, for a specific application. Likewise, the total transcription reaction time may vary, although in some embodiments, the total transcription reaction time is longer than conventional IVT reaction times. In some embodiments, the total transcription reaction time is 100 minutes to 1000 minutes. For example, the total transcription reaction time may be 100-800, 100-600, 100-400, 150-1000, 150-800, 150-600, 150-400, 200-1000, 200-800, 200-600, 200-400, 200-800, 200-600, 200-400, 300-1000, 300-800, 300-600, 300-400, 300-800, 300-600, 300-400, 400-1000, 400-800, 400-600, 400-400, 400-800, 400-600, 500-1000, 500-800, 500-600, 500-500, 500-800, or 500-600 minutes. In some embodiments, the total transcription reaction time is at least 100, at least 150, at least 200, at least 250, at least 300, at least 350, at least 400, at least 450, at least 500, at least 550, at least 600, at least 650, at least 700, at least 750, at least 800, at least 850, at least 900, at least 950, or at least 1000 minutes.
- DNA Encoding an RNA of Interest
- The DNA may be single-stranded or double-stranded. In some embodiments, the DNA is present on a plasmid or other vector. A DNA may include a polynucleotide encoding a polypeptide of interest. A DNA, in some embodiments, includes an RNA polymerase promoter (e.g., a T7 RNA polymerase promoter) located 5′ from and operably linked to a polynucleotide encoding a polypeptide of interest. A DNA may also include a nucleotide sequence encoding a polyadenylation (polyA) tail located at the 3′ end of the polynucleotide.
- The length of the DNA, and thus the length of the RNA of interest, may vary. For example, the DNA (and/or the RNA of interest) may have a length of 200 nucleotides to 10,000 nucleotides. In some embodiments, the DNA (and/or the RNA of interest) has a length of 200-500, 200-1000, 200-1500, 200-2000, 200-2500, 200-3000, 200-3500, 200-4000, 200-4500, 200-5000, 200-5500, 200-6000, 200-6500, 200-7000, 200-7500, 200-8000, 200-8500, 200-9000, or 200-9500 nucleotides. In some embodiments, the DNA (and/or the RNA of interest) has a length of at least 200, at least 300, at least 400, at least 500, at least 600, at least 700, at least 800, at least 900, at least 1000, at least 2000, at least 3000, at last 4000, at least 5000, at least 6000, at least 7000, at least 8000, at least 9000, or at least 10,000 nucleotides.
- In some embodiments, the reaction mixture is not supplemented with a DNA during the empirically-balanced fed-batch IVT reaction. That is, in some embodiments, throughout the entire IVT reaction, the only DNA present is that which was in the reaction mixture prior to commencement of transcription (additional DNA is not added to the IVT reaction).
- In some embodiments, the concentration of DNA in an initial or ongoing IVT reaction mixture is about 0.01-0.10 mg/mL, 0.01-0.09 mg/mL, 0.01-0.075 mg/mL, 0.025-0.075 mg/mL, 0.01-0.05 mg/mL, 0.02-0.08 mg/mL, 0.02-0.06 mg/mL, 0.03-0.055 mg/mL, 0.04-0.05 mg/mL, or 0.05 mg/mL. In some embodiments, the concentration of DNA is maintained at a concentration of above 0.01 mg/mL during the entirety of an IVT reaction. In some embodiments, the concentration of DNA is maintained at a concentration is about 0.01-0.10 mg/mL, 0.01-0.09 mg/mL, 0.01-0.075 mg/mL, 0.025-0.075 mg/mL, 0.01-0.05 mg/mL, 0.02-0.08 mg/mL, 0.02-0.06 mg/mL, 0.03-0.055 mg/mL, or 0.04-0.05 mg/mL during the entirety of an IVT reaction.
- RNA Product
- In some embodiments, the transcribed RNA of interest as provided herein is a messenger RNA (mRNA). In some embodiments, the NTP present in the first position of the RNA of interest is ATP. In some embodiments, the NTP present in the first position of the RNA of interest is GTP. In some embodiments, the NTP present in the first position of the RNA of interest is UTP. In some embodiments, the NTP present in the first position of the RNA of interest is CTP.
- In some embodiments, the method further comprises isolating (e.g., purifying) the RNA (e.g., mRNA) from the empirically-balanced fed-batch IVT reaction mixture. In some embodiments, the methods further comprise formulating the isolated RNA in a nanoparticle. In some embodiments, the nanoparticle is a lipid nanoparticle, such as a cationic lipid nanoparticle. The lipid nanoparticle may comprise, for example, a molar ratio of 20-60% ionizable amino lipid, 5-25% non-cationic lipid, 25-55% sterol, and 0.5-15% PEG-modified lipid. See, e.g., WO 2017/070624, published 27 Apr. 2017, incorporated herein by reference. Other nanoparticles may be used.
- In some embodiments, the yield of transcribed RNA of interest is greater than the yield of RNA transcribed using a batch IVT reaction or method or a conventional fed-batch method (a fed-batch method that is not empirically balanced for NTP consumption). See Kerr et al., Biotechnol. Prog. 15:174-184 (1999). For example, the yield of transcribed RNA of interest may be 20% to 200% greater than the yield of RNA transcribed using a batch IVT reaction or method. In some embodiments, the yield of transcribed RNA of interest is 20%-175%, 20%-150%, 20%-125%, 20%-100%, 20%-75%, 20%-50%, 30%-200%, 30%-175%, 30%-150%, 30%-125%, 30%-100%, 30%-75%, 30%-50%, 40%-200%, 40%-175%, 40%-150%, 40%-125%, 40%-100%, 40%-75%, or 40%-50% greater than the yield of RNA transcribed using a batch IVT reaction or method. In some embodiments, the yield of transcribed RNA of interest is at least 20%, at least 30%, at least 40%, at least 50%, at least 60%, at least 70%, at least 80%, at least 90%, or at least 100% greater than the yield of RNA transcribed using a batch IVT reaction or method.
- In some embodiments, the yield of transcribed RNA of interest is greater than 5 mg/mL of initial reaction volume. In some embodiments, the yield of transcribed RNA of interest is greater than 6, 7, 8, 9, 10, 11, 12, 13, 14, 15, 16, 17, 18, 19, 20, 25, 30, 35, or 40 mg/mL of initial reaction volume. In some embodiments, the yield of transcribed RNA of interest is 5-10 mg/mL of initial reaction volume, 5-15 mg/mL of initial reaction volume, 10-20 mg/mL of initial reaction volume, 15-25 mg/mL of initial reaction volume, 20-30 mg/mL of initial reaction volume, 25-35 mg/mL of initial reaction volume, or 30-40 mg/mL of initial reaction volume.
- In some embodiments, % tailed RNA of interest (the percent of RNA transcript comprising a polyA tail) is greater than 50%, greater than 60%, greater than 70%, greater than 80%, greater than 90%, or greater than 95% at reaction times (minutes) of 150 minutes, 180, 210, 240, 270, 300, 330, and/or 360 minutes into the fed-batch reaction.
- RNA Polymerase
- Examples of RNA polymerase that may be used as provide herein include, without limitation, T7 RNA polymerase, T3 RNA polymerase, and SP6 RNA polymerase, and homologs, orthologs, and variants thereof. In some embodiments, the RNA polymerase is a T7 polymerase variant. In some embodiments, a T7 RNA polymerase is modified to include at least one amino acid substitution of a high-helix propensity amino acid in at least one position selected from E42 (e.g., E42R), S43 (e.g., S43A), Y44 (e.g., Y44A), E45 (e.g., E45R/L), M46 (e.g., M46A), G47 (e.g., G47A), A255 (e.g., A255K/Q/Y/I), R257 (e.g., R257A), A258 (e.g., A258R/E/L), G259 (e.g., G259A), A260 (e.g., A260R/E/L), L261 (e.g., L261A) and A262 (e.g., A262R/E/L), relative to wild-type T7 RNA polymerase. The T7 RNA polymerase may further comprise, in some embodiments, one or more additional amino acid substitutions (in addition to at least one high-helix propensity amino acid substitution). Thus, the present disclosure encompasses the further modification of existing (e.g., currently-available and/or commercially-available) T7 RNA polymerase variants with one or more high-helix propensity amino acid substitutions as provided herein.
- In some embodiments, an RNA polymerase variant (e.g., a T7 RNA polymerase variant) includes an additional amino acid at its C terminus. In some embodiments, the additional amino acid is a glycine (G). In some embodiments, the additional amino acid is an alanine (A). In some embodiments, an RNA polymerase variant (e.g., a T7 RNA polymerase variant) includes at least two (e.g., 2, 3, 4, 5 or more) additional amino acid at its C terminus. In some embodiments, an RNA polymerase variant (e.g., a T7 RNA polymerase variant) is modified to include at least one amino acid substitution of a high-helix propensity amino acid in at least one position selected from E42 (e.g., E42R), S43 (e.g., S43A), Y44 (e.g., Y44A), E45 (e.g., E45R/L), M46 (e.g., M46A), G47 (e.g., G47A), A255 (e.g., A255K/Q/Y/I), R257 (e.g., R257A), A258 (e.g., A258R/E/L), G259 (e.g., G259A), A260 (e.g., A260R/E/L), L261 (e.g., L261A) and A262 (e.g., A262R/E/L), relative to wild-type T7 RNA polymerase and includes an additional amino acid at its C terminus.
- In some embodiments, a T7 RNA polymerase comprises an amino acid sequence of SEQ ID NO: 1 or SEQ ID NO: 2 modified to include at least one amino acid substitution of a high-helix propensity amino acid at a position selected from E42 (e.g., E42R), S43 (e.g., S43A), Y44 (e.g., Y44A), E45 (e.g., E45R/L), M46 (e.g., M46A) and G47 (e.g., G47A). In some embodiments, at least one amino acid substitution comprises G47A.
- In some embodiments, an RNA polymerase variant comprises an RNA polymerase that includes an additional C-terminal amino acid, relative to the wild-type RNA polymerase. The additional C-terminal amino acid, in some embodiments, is selected from glycine, alanine, threonine, proline, glutamine, serine. In some embodiments, the additional C-terminal amino acid (e.g., at position 884 relative to wild-type RNA polymerase comprising the amino acid sequence of SEQ ID NO: 1) is glycine.
- In some embodiments, a T7 RNA polymerase comprises an additional glycine at the C-terminus relative to wild-type T7 RNA polymerase. In some embodiments, a T7 RNA polymerase comprises a G47A substitution relative to wild-type T7 RNA polymerase. In some embodiments, a T7 RNA polymerase comprises a G47A substitution and an additional glycine at the C-terminus relative to wild-type T7 RNA polymerase.
- In some embodiments, an RNA polymerase variant comprises an RNA polymerase that includes (a) an amino acid substitution at a position selected from
positions 350, 351, 387, 394, 425, 427, 437, 441, 632, 811, and 880, and (b) an additional amino acid substitution and/or an amino acid modification at the C-terminal end, relative to wild-type RNA polymerase, wherein the wild-type RNA polymerase comprises the amino acid sequence of SEQ ID NO: 1. - In some embodiments, an RNA polymerase variant comprises an RNA polymerase that includes an amino acid substitution at position 47 (e.g., G47A), an amino acid substitution at
position 350, and/or an additional amino acid (e.g., G) at the C-terminal end (at position 884), relative to wild-type RNA polymerase, wherein the wild-type RNA polymerase comprises the amino acid sequence of SEQ ID NO: 1. In some embodiments, an RNA polymerase variant comprises an RNA polymerase that includes an amino acid substitution at position 47 (e.g., G47A), a lysine (K) at position 350 (E350K), and/or an additional amino acid (e.g., G) at the C-terminal end (at position 884), relative to wild-type RNA polymerase, wherein the wild-type RNA polymerase comprises the amino acid sequence of SEQ ID NO: 1. In some embodiments, an RNA polymerase variant comprises an RNA polymerase that includes an amino acid substitution at position 47 (e.g., G47A), an asparagine (N) at position 350 (E350N), and/or an additional amino acid (e.g., G) at the C-terminal end (at position 884), relative to wild-type RNA polymerase, wherein the wild-type RNA polymerase comprises the amino acid sequence of SEQ ID NO: 1. In some embodiments, an RNA polymerase variant comprises an RNA polymerase that includes an amino acid substitution at position 47 (e.g., G47A), an alanine (A) at position 350 (E350A), and/or an additional amino acid (e.g., G) at the C-terminal end (at position 884), relative to wild-type RNA polymerase, wherein the wild-type RNA polymerase comprises the amino acid sequence of SEQ ID NO: 1. In some embodiments, an RNA polymerase variant comprises an RNA polymerase that includes an amino acid substitution at position 47 (e.g., G47A), a tryptophan at position 350 (E350W), and/or an additional amino acid (e.g., G) at the C-terminal end (at position 884), relative to wild-type RNA polymerase, wherein the wild-type RNA polymerase comprises the amino acid sequence of SEQ ID NO: 1. - In some embodiments, an RNA polymerase variant comprises an RNA polymerase that includes an amino acid substitution at position 47 (e.g., G47A), an amino acid substitution at position 351, and/or an additional amino acid (e.g., G) at the C-terminal end (at position 884), relative to wild-type RNA polymerase, wherein the wild-type RNA polymerase comprises the amino acid sequence of SEQ ID NO: 1. In some embodiments, an RNA polymerase variant comprises an RNA polymerase that includes an amino acid substitution at position 47 (e.g., G47A), a valine (V) at position 351 (D351V), and/or an additional amino acid (e.g., G) at the C-terminal end (at position 884), relative to wild-type RNA polymerase, wherein the wild-type RNA polymerase comprises the amino acid sequence of SEQ ID NO: 1.
- In some embodiments, an RNA polymerase variant comprises an RNA polymerase that includes an amino acid substitution at position 47 (e.g., G47A), an amino acid substitution at position 387, and/or an additional amino acid (e.g., G) at the C-terminal end (at position 884), relative to wild-type RNA polymerase, wherein the wild-type RNA polymerase comprises the amino acid sequence of SEQ ID NO: 1. In some embodiments, an RNA polymerase variant comprises an RNA polymerase that includes an amino acid substitution at position 47 (e.g., G47A), a serine at position 387 (K387S), and/or an additional amino acid (e.g., G) at the C-terminal end (at position 884), relative to wild-type RNA polymerase, wherein the wild-type RNA polymerase comprises the amino acid sequence of SEQ ID NO: 1. In some embodiments, an RNA polymerase variant comprises an RNA polymerase that includes an amino acid substitution at position 47 (e.g., G47A), a histidine (H) at position 387 (K387H), and/or an additional amino acid (e.g., G) at the C-terminal end (at position 884), relative to wild-type RNA polymerase, wherein the wild-type RNA polymerase comprises the amino acid sequence of SEQ ID NO: 1. In some embodiments, an RNA polymerase variant comprises an RNA polymerase that includes an amino acid substitution at position 47 (e.g., G47A), an asparagine at position 387 (K387N), and/or an additional amino acid (e.g., G) at the C-terminal end (at position 884), relative to wild-type RNA polymerase, wherein the wild-type RNA polymerase comprises the amino acid sequence of SEQ ID NO: 1.
- In some embodiments, an RNA polymerase variant comprises an RNA polymerase that includes an amino acid substitution at position 47 (e.g., G47A), an amino acid substitution at position 394, and/or an additional amino acid (e.g., G) at the C-terminal end (at position 884), relative to wild-type RNA polymerase, wherein the wild-type RNA polymerase comprises the amino acid sequence of SEQ ID NO: 1.
- In some embodiments, an RNA polymerase variant comprises an RNA polymerase that includes an amino acid substitution at position 47 (e.g., G47A), an amino acid substitution at position 425, and/or an additional amino acid (e.g., G) at the C-terminal end (at position 884), relative to wild-type RNA polymerase, wherein the wild-type RNA polymerase comprises the amino acid sequence of SEQ ID NO: 1.
- In some embodiments, an RNA polymerase variant comprises an RNA polymerase that includes an amino acid substitution at position 47 (e.g., G47A), an amino acid substitution at position 427, and/or an additional amino acid (e.g., G) at the C-terminal end (at position 884), relative to wild-type RNA polymerase, wherein the wild-type RNA polymerase comprises the amino acid sequence of SEQ ID NO: 1.
- In some embodiments, an RNA polymerase variant comprises an RNA polymerase that includes an amino acid substitution at position 47 (e.g., G47A), an amino acid substitution at position 437, and/or an additional amino acid (e.g., G) at the C-terminal end (at position 884), relative to wild-type RNA polymerase, wherein the wild-type RNA polymerase comprises the amino acid sequence of SEQ ID NO: 1. In some embodiments, an RNA polymerase variant comprises an RNA polymerase that includes an amino acid substitution at position 47 (e.g., G47A), a threonine at position 437 (N437T), and/or an additional amino acid (e.g., G) at the C-terminal end (at position 884), relative to wild-type RNA polymerase, wherein the wild-type RNA polymerase comprises the amino acid sequence of SEQ ID NO: 1. In some embodiments, an RNA polymerase variant comprises an RNA polymerase that includes an amino acid substitution at position 47 (e.g., G47A), an isoleucine at position 437 (N437I), and/or an additional amino acid (e.g., G) at the C-terminal end (at position 884), relative to wild-type RNA polymerase, wherein the wild-type RNA polymerase comprises the amino acid sequence of SEQ ID NO: 1. In some embodiments, an RNA polymerase variant comprises an RNA polymerase that includes an amino acid substitution at position 47 (e.g., G47A), a tyrosine at position 437 (N437Y), and/or an additional amino acid (e.g., G) at the C-terminal end (at position 884), relative to wild-type RNA polymerase, wherein the wild-type RNA polymerase comprises the amino acid sequence of SEQ ID NO: 1. In some embodiments, an RNA polymerase variant comprises an RNA polymerase that includes an amino acid substitution at position 47 (e.g., G47A), a phenylalanine at position 437 (N437F), and/or an additional amino acid (e.g., G) at the C-terminal end (at position 884), relative to wild-type RNA polymerase, wherein the wild-type RNA polymerase comprises the amino acid sequence of SEQ ID NO: 1.
- In some embodiments, an RNA polymerase variant comprises an RNA polymerase that includes an amino acid substitution at position 47 (e.g., G47A), an amino acid substitution at position 441, and/or an additional amino acid (e.g., G) at the C-terminal end (at position 884), relative to wild-type RNA polymerase, wherein the wild-type RNA polymerase comprises the amino acid sequence of SEQ ID NO: 1. In some embodiments, an RNA polymerase variant comprises an RNA polymerase that includes an amino acid substitution at position 47 (e.g., G47A), an arginine at position 441 (K441R), and/or an additional amino acid (e.g., G) at the C-terminal end (at position 884), relative to wild-type RNA polymerase, wherein the wild-type RNA polymerase comprises the amino acid sequence of SEQ ID NO: 1.
- In some embodiments, an RNA polymerase variant comprises an RNA polymerase that includes an amino acid substitution at position 47 (e.g., G47A), an amino acid substitution at position 632, and/or an additional amino acid (e.g., G) at the C-terminal end (at position 884), relative to wild-type RNA polymerase, wherein the wild-type RNA polymerase comprises the amino acid sequence of SEQ ID NO: 1.
- In some embodiments, an RNA polymerase variant comprises an RNA polymerase that includes an amino acid substitution at position 47 (e.g., G47A), an amino acid substitution at position 811, and/or an additional amino acid (e.g., G) at the C-terminal end (at position 884), relative to wild-type RNA polymerase, wherein the wild-type RNA polymerase comprises the amino acid sequence of SEQ ID NO: 1.
- In some embodiments, an RNA polymerase variant comprises an RNA polymerase that includes an amino acid substitution at position 47 (e.g., G47A), an amino acid substitution at position 880, and/or an additional amino acid (e.g., G) at the C-terminal end (at position 884), relative to wild-type RNA polymerase, wherein the wild-type RNA polymerase comprises the amino acid sequence of SEQ ID NO: 1. In some embodiments, an RNA polymerase variant comprises an RNA polymerase that includes an amino acid substitution at position 47 (e.g., G47A), a tyrosine at position 880 (F880Y), and/or an additional amino acid (e.g., G) at the C-terminal end (at position 884), relative to wild-type RNA polymerase, wherein the wild-type RNA polymerase comprises the amino acid sequence of SEQ ID NO: 1.
- In some embodiments, a RNA polymerase variant comprises an RNA polymerase that includes an amino acid substitution at a position selected from the group consisting of E350, D351, K387, N437, K441, D506, R632, D653, S628, P657, F880, and G884 relative to an RNA polymerase comprising the amino acid sequence of any one of SEQ ID NOs: 1-4.
- In some embodiments, the RNA polymerase comprises an amino acid substitution at E350. In some embodiments, the RNA polymerase comprises an amino acid substitution at D351. In some embodiments, the RNA polymerase comprises an amino acid substitution at K387. In some embodiments, the RNA polymerase comprises an amino acid substitution at N437. In some embodiments, the RNA polymerase comprises an amino acid substitution at K441. In some embodiments, the RNA polymerase comprises an amino acid substitution at D506. In some embodiments, the RNA polymerase comprises an amino acid substitution at R632. In some embodiments, the RNA polymerase comprises an amino acid substitution at D653. In some embodiments, the RNA polymerase comprises an amino acid substitution at S628. In some embodiments, the RNA polymerase comprises an amino acid substitution at P657. In some embodiments, the RNA polymerase comprises an amino acid substitution at F880. In some embodiments, the RNA polymerase comprises an amino acid substitution at G884.
- In some embodiments, the RNA polymerase comprises at least two, at least three, at least four, or at least five amino acid substitutions at positions selected from the group consisting of E350, D351, K387, N437, K441, D506, R632, D653, S628, P657, F880, and G884.
- In some embodiments, the RNA polymerase comprises amino acid substitutions at positions selected from the group consisting of: E350 and D351; E350 and K387; E350 and N437; E350 and K441; E350 and D506; E350 and R632; E350 and D653; E350 and S628; E350 and P657; E350 and F880; E350 and G884; D351 and K387, D351 and N437; D351 and K441; D351 and D506; D351 and R632; D351 and D653; D351 and S628; D351 and P657; D351 and F880; D351 and G884; K387 and N437; K387 and K441; K387 and D506; K387 and R632; K387 and D653; K387 and S628; K387 and P657; K387 and F880; and K387 and G884; N437 and K441; N437 and D506; N437 and R632; N437 and D653; N437 and S628; N437 and P657; N437 and F880; N437 and G884; K441 and D506; K441 and R632; K441 and D653; K441 and S628; K441 and P657; K441 and F880; K441 and G884; D506 and R632; D506 and D653; D506 and S628; D506 and P657; D506 and F880; D506 and G884; R632 and D653; R632 and S628; R632 and P657; R632 and F880; R632 and G884; D653 and S628; D653 and P657; D653 and F880; D653 and G884; S628 and P657; S628 and F880; S628 and G884; P657 and F880; P657 and G884; and F880 and G884.
- In some embodiments, the RNA polymerase comprises acid substitutions at positions selected from the group consisting of: K387, D653, and G884; E350, D351, and K387; and D653, P657, and R632. In some embodiments, the amino acid substitution at E350 is selected from the group consisting of E350A, E350K, E350N, and E350W, optionally wherein the amino acid substitution at E350 is E350N. In some embodiments, the amino acid substitution at D351 is D351V. In some embodiments, the amino acid substitution at K387 is selected from the group consisting of K387H, K387N, and K387S, optionally wherein the amino acid substitution at K387 is K387N. In some embodiments, the amino acid substitution at N437 is selected from the group consisting of N437F, N437I, N437T, and N437Y, optionally wherein the amino acid substitution at N437 is N437F. In some embodiments, the amino acid substitution at K441 is K441R. In some embodiments, the amino acid substitution at D506 is selected from the group consisting of D506F, D506L, D506R, D506W, and D506Y. In some embodiments, the amino acid substitution at R632 is R632K or R632T.
- In some embodiments, the amino acid substitution at D653 is selected from the group consisting of D653A, D653F, D653G, D653H, D653I, D653K, D653L, D653M, D653N, D653P, D653Q, D653R, D653S, D653T, D653V, D653W, and D653Y, optionally wherein the amino acid substitution at D653 is D653W. In some embodiments, the amino acid substitution at S628 is S628W. In some embodiments, the amino acid substitution at P657 is selected from the group consisting of P657A, P657R, and P657W. In some embodiments, the amino acid substitution at F880 is F880Y. In some embodiments, the amino acid substitution at G884 is selected from the group consisting of G884A, G884S, G884T, and G884P.
- In some embodiments, an RNA polymerase comprises amino acid substitution at two of the positions selected from the group consisting of E350, D351, K387, and D653, relative to an RNA polymerase comprising the amino acid sequence of any one of SEQ ID NOs: 1-4. In some embodiments, an RNA polymerase comprises amino acid substitutions at E350 and D351. In some embodiments, an RNA polymerase comprises amino acid substitutions at E350 and K387. In some embodiments, an RNA polymerase comprises amino acid substitutions at K387 and D653. In some embodiments, the amino acid substitution at position E350 is E350W, E350A, E350K, or E350N. In some embodiments, the amino acid substitution at position D351 is D351V. In some embodiments, the amino acid substitution at position K387 is K387N, K387S, or K387H. In some embodiments, the amino acid substitution at position D653 is D653T or D653K.
- In some embodiments, an RNA polymerase comprises amino acid substitution at positions E350 and K387, relative to an RNA polymerase comprising the amino acid sequence of any one of SEQ ID NOs: 1-4, optionally wherein the substitutions are E350W and K387N.
- In some embodiments, an RNA polymerase amino acid substitution at positions E350 and D351, relative an RNA polymerase comprising the amino acid sequence of any one of SEQ ID NOs: 1-4, optionally wherein the substitutions are E350W and D351V.
- In some embodiments, an RNA polymerase comprises amino acid substitution at positions K387 and D653, relative to an RNA polymerase comprising the amino acid sequence of any one of SEQ ID NOs: 1-4, optionally wherein the substitutions are K387N and D653T.
- In some embodiments, a T7 RNA polymerase comprise the amino acid sequence of SEQ ID NO: 1. In some embodiments, a T7 RNA polymerase comprise the amino acid sequence of SEQ ID NO: 2. In some embodiments, a T7 RNA polymerase comprise the amino acid sequence of SEQ ID NO: 3. In some embodiments, a T7 RNA polymerase comprise the amino acid sequence of SEQ ID NO: 4. In some embodiments, a T7 RNA polymerase comprise the amino acid sequence of SEQ ID NO: 5. In some embodiments, a T7 RNA polymerase comprise the amino acid sequence of SEQ ID NO: 6. In some embodiments, a T7 RNA polymerase comprise the amino acid sequence of SEQ ID NO: 7. In some embodiments, a T7 RNA polymerase comprise the amino acid sequence of SEQ ID NO: 8. In some embodiments, a T7 RNA polymerase comprise the amino acid sequence of SEQ ID NO: 9. In some embodiments, a T7 RNA polymerase comprise the amino acid sequence of SEQ ID NO: 10. In some embodiments, a T7 RNA polymerase comprise the amino acid sequence of SEQ ID NO: 11. In some embodiments, a T7 RNA polymerase comprise the amino acid sequence of SEQ ID NO: 12.
-
T7 RNA Polymerase Sequences Wild type T7 RNA Polymerase (SEQ ID NO: 1) >MNTINIAKNDFSDIELAMPFNTLADHYGERLAREQLALEHESYEMGEARFRKMFE RQLKAGEVADNAAAKPLITTLLPKMIARINDWFEEVKAKRGKRPTAFQFLQEIKPEAVAYI TIKTTLACLTSADNTTVQAVASAIGRAIEDEARFGRIRDLEAKHFKKNVEEQLNKRVGHVY KKAFMQVVEADMLSKGLLGGEAWSSWHKEDSIHVGVRCIEMLIESTGMVSLHRQNAGVV GQDSETIELAPEYAEAIATRAGALAGISPMFQPCVVPPKPWTGITGGGYWANGRRPLALVR THSKKALMRYEDVYMPEVYKAINIAQNTAWKINKKVLAVANVITKWKHCPVEDIPAIERE ELPMKPEDIDMNPEALTAWKRAAAAVYRKDKARKSRRISLEFMLEQANKFANHKAIWFP YNMDWRGRVYAVSMFNPQGNDMTKGLLTLAKGKPIGKEGYYWLKIHGANCAGVDKVPF PERIKFIEENHENIMACAKSPLENTWWAEQDSPFCFLAFCFEYAGVQHHGLSYNCSLPLAFD GSCSGIQHFSAMLRDEVGGRAVNLLPSETVQDIYGIVAKKVNEILQADAINGTDNEVVTVT DENTGEISEKVKLGTKALAGQWLAYGVTRSVTKRSVMTLAYGSKEFGFRQQVLEDTIQPAI DSGKGLMFTQPNQAAGYMAKLIWESVSVTVVAAVEAMNWLKSAAKLLAAEVKDKKTGE ILRKRCAVHWVTPDGFPVWQEYKKPIQTRLNLMFLGQFRLQPTINTNKDSEIDAHKQESGI APNFVHSQDGSHLRKTVVWAHEKYGIESFALIHDSFGTIPADAANLFKAVRETMVDTYESC DVLADFYDQFADQLHESQLDKMPALPAKGNLNLRDILESDFAFA C-terminal G T7 RNA Polymerase (SEQ ID NO: 2) >MNTINIAKNDFSDIELAMPFNTLADHYGERLAREQLALEHESYEMGEARFRKMFE RQLKAGEVADNAAAKPLITTLLPKMIARINDWFEEVKAKRGKRPTAFQFLQEIKPEAVAYI TIKTTLACLTSADNTTVQAVASAIGRAIEDEARFGRIRDLEAKHFKKNVEEQLNKRVGHVY KKAFMQVVEADMLSKGLLGGEAWSSWHKEDSIHVGVRCIEMLIESTGMVSLHRQNAGVV GQDSETIELAPEYAEAIATRAGALAGISPMFQPCVVPPKPWTGITGGGYWANGRRPLALVR THSKKALMRYEDVYMPEVYKAINIAQNTAWKINKKVLAVANVITKWKHCPVEDIPAIERE ELPMKPEDIDMNPEALTAWKRAAAAVYRKDKARKSRRISLEFMLEQANKFANHKAIWFP YNMDWRGRVYAVSMFNPQGNDMTKGLLTLAKGKPIGKEGYYWLKIHGANCAGVDKVPF PERIKFIEENHENIMACAKSPLENTWWAEQDSPFCFLAFCFEYAGVQHHGLSYNCSLPLAFD GSCSGIQHFSAMLRDEVGGRAVNLLPSETVQDIYGIVAKKVNEILQADAINGTDNEVVTVT DENTGEISEKVKLGTKALAGQWLAYGVTRSVTKRSVMTLAYGSKEFGFRQQVLEDTIQPAI DSGKGLMFTQPNQAAGYMAKLIWESVSVTVVAAVEAMNWLKSAAKLLAAEVKDKKTGE ILRKRCAVHWVTPDGFPVWQEYKKPIQTRLNLMFLGQFRLQPTINTNKDSEIDAHKQESGI APNFVHSQDGSHLRKTVVWAHEKYGIESFALIHDSFGTIPADAANLFKAVRETMVDTYESC DVLADFYDQFADQLHESQLDKMPALPAKGNLNLRDILESDFAFAG G47A T7 RNA Polymerase (SEQ ID NO: 3) >MNTINIAKNDFSDIELAMPFNTLADHYGERLAREQLALEHESYEMAEARFRKMFE RQLKAGEVADNAAAKPLITTLLPKMIARINDWFEEVKAKRGKRPTAFQFLQEIKPEAVAYI TIKTTLACLTSADNTTVQAVASAIGRAIEDEARFGRIRDLEAKHFKKNVEEQLNKRVGHVY KKAFMQVVEADMLSKGLLGGEAWSSWHKEDSIHVGVRCIEMLIESTGMVSLHRQNAGVV GQDSETIELAPEYAEAIATRAGALAGISPMFQPCVVPPKPWTGITGGGYWANGRRPLALVR THSKKALMRYEDVYMPEVYKAINIAQNTAWKINKKVLAVANVITKWKHCPVEDIPAIERE ELPMKPEDIDMNPEALTAWKRAAAAVYRKDKARKSRRISLEFMLEQANKFANHKAIWFP YNMDWRGRVYAVSMFNPQGNDMTKGLLTLAKGKPIGKEGYYWLKIHGANCAGVDKVPF PERIKFIEENHENIMACAKSPLENTWWAEQDSPFCFLAFCFEYAGVQHHGLSYNCSLPLAFD GSCSGIQHFSAMLRDEVGGRAVNLLPSETVQDIYGIVAKKVNEILQADAINGTDNEVVTVT DENTGEISEKVKLGTKALAGQWLAYGVTRSVTKRSVMTLAYGSKEFGFRQQVLEDTIQPAI DSGKGLMFTQPNQAAGYMAKLIWESVSVTVVAAVEAMNWLKSAAKLLAAEVKDKKTGE ILRKRCAVHWVTPDGFPVWQEYKKPIQTRLNLMFLGQFRLQPTINTNKDSEIDAHKQESGI APNFVHSQDGSHLRKTVVWAHEKYGIESFALIHDSFGTIPADAANLFKAVRETMVDTYESC DVLADFYDQFADQLHESQLDKMPALPAKGNLNLRDILESDFAFA G47A; C-terminal G T7 RNA Polymerase (SEQ ID NO: 4) >MNTINIAKNDFSDIELAMPFNTLADHYGERLAREQLALEHESYEMAEARFRKMFE RQLKAGEVADNAAAKPLITTLLPKMIARINDWFEEVKAKRGKRPTAFQFLQEIKPEAVAYI TIKTTLACLTSADNTTVQAVASAIGRAIEDEARFGRIRDLEAKHFKKNVEEQLNKRVGHVY KKAFMQVVEADMLSKGLLGGEAWSSWHKEDSIHVGVRCIEMLIESTGMVSLHRQNAGVV GQDSETIELAPEYAEAIATRAGALAGISPMFQPCVVPPKPWTGITGGGYWANGRRPLALVR THSKKALMRYEDVYMPEVYKAINIAQNTAWKINKKVLAVANVITKWKHCPVEDIPAIERE ELPMKPEDIDMNPEALTAWKRAAAAVYRKDKARKSRRISLEFMLEQANKFANHKAIWFP YNMDWRGRVYAVSMFNPQGNDMTKGLLTLAKGKPIGKEGYYWLKIHGANCAGVDKVPF PERIKFIEENHENIMACAKSPLENTWWAEQDSPFCFLAFCFEYAGVQHHGLSYNCSLPLAFD GSCSGIQHFSAMLRDEVGGRAVNLLPSETVQDIYGIVAKKVNEILQADAINGTDNEVVTVT DENTGEISEKVKLGTKALAGQWLAYGVTRSVTKRSVMTLAYGSKEFGFRQQVLEDTIQPAI DSGKGLMFTQPNQAAGYMAKLIWESVSVTVVAAVEAMNWLKSAAKLLAAEVKDKKTGE ILRKRCAVHWVTPDGFPVWQEYKKPIQTRLNLMFLGQFRLQPTINTNKDSEIDAHKQESGI APNFVHSQDGSHLRKTVVWAHEKYGIESFALIHDSFGTIPADAANLFKAVRETMVDTYESC DVLADFYDQFADQLHESQLDKMPALPAKGNLNLRDILESDFAFAG G47A; E350K; C-terminal G T7 RNA Polymerase (SEQ ID NO: 5) >MNTINIAKNDFSDIELAMPFNTLADHYGERLAREQLALEHESYEMAEARFRKMFE RQLKAGEVADNAAAKPLITTLLPKMIARINDWFEEVKAKRGKRPTAFQFLQEIKPEAVAYI TIKTTLACLTSADNTTVQAVASAIGRAIEDEARFGRIRDLEAKHFKKNVEEQLNKRVGHVY KKAFMQVVEADMLSKGLLGGEAWSSWHKEDSIHVGVRCIEMLIESTGMVSLHRQNAGVV GQDSETIELAPEYAEAIATRAGALAGISPMFQPCVVPPKPWTGITGGGYWANGRRPLALVR THSKKALMRYEDVYMPEVYKAINIAQNTAWKINKKVLAVANVITKWKHCPVKDIPAIERE ELPMKPEDIDMNPEALTAWKRAAAAVYRKDKARKSRRISLEFMLEQANKFANHKAIWFP YNMDWRGRVYAVSMFNPQGNDMTKGLLTLAKGKPIGKEGYYWLKIHGANCAGVDKVPF PERIKFIEENHENIMACAKSPLENTWWAEQDSPFCFLAFCFEYAGVQHHGLSYNCSLPLAFD GSCSGIQHFSAMLRDEVGGRAVNLLPSETVQDIYGIVAKKVNEILQADAINGTDNEVVTVT DENTGEISEKVKLGTKALAGQWLAYGVTRSVTKRSVMTLAYGSKEFGFRQQVLEDTIQPAI DSGKGLMFTQPNQAAGYMAKLIWESVSVTVVAAVEAMNWLKSAAKLLAAEVKDKKTGE ILRKRCAVHWVTPDGFPVWQEYKKPIQTRLNLMFLGQFRLQPTINTNKDSEIDAHKQESGI APNFVHSQDGSHLRKTVVWAHEKYGIESFALIHDSFGTIPADAANLFKAVRETMVDTYESC DVLADFYDQFADQLHESQLDKMPALPAKGNLNLRDILESDFAFAG G47A; E350N; C-terminal G T7 RNA Polymerase (SEQ ID NO: 6) >MNTINIAKNDFSDIELAMPFNTLADHYGERLAREQLALEHESYEMAEARFRKMFE RQLKAGEVADNAAAKPLITTLLPKMIARINDWFEEVKAKRGKRPTAFQFLQEIKPEAVAYI TIKTTLACLTSADNTTVQAVASAIGRAIEDEARFGRIRDLEAKHFKKNVEEQLNKRVGHVY KKAFMQVVEADMLSKGLLGGEAWSSWHKEDSIHVGVRCIEMLIESTGMVSLHRQNAGVV GQDSETIELAPEYAEAIATRAGALAGISPMFQPCVVPPKPWTGITGGGYWANGRRPLALVR THSKKALMRYEDVYMPEVYKAINIAQNTAWKINKKVLAVANVITKWKHCPVNDIPAIERE ELPMKPEDIDMNPEALTAWKRAAAAVYRKDKARKSRRISLEFMLEQANKFANHKAIWFP YNMDWRGRVYAVSMFNPQGNDMTKGLLTLAKGKPIGKEGYYWLKIHGANCAGVDKVPF PERIKFIEENHENIMACAKSPLENTWWAEQDSPFCFLAFCFEYAGVQHHGLSYNCSLPLAFD GSCSGIQHFSAMLRDEVGGRAVNLLPSETVQDIYGIVAKKVNEILQADAINGTDNEVVTVT DENTGEISEKVKLGTKALAGQWLAYGVTRSVTKRSVMTLAYGSKEFGFRQQVLEDTIQPAI DSGKGLMFTQPNQAAGYMAKLIWESVSVTVVAAVEAMNWLKSAAKLLAAEVKDKKTGE ILRKRCAVHWVTPDGFPVWQEYKKPIQTRLNLMFLGQFRLQPTINTNKDSEIDAHKQESGI APNFVHSQDGSHLRKTVVWAHEKYGIESFALIHDSFGTIPADAANLFKAVRETMVDTYESC DVLADFYDQFADQLHESQLDKMPALPAKGNLNLRDILESDFAFAG G47A; E350A; C-terminal G T7 RNA Polymerase (SEQ ID NO: 7) >MNTINIAKNDFSDIELAMPFNTLADHYGERLAREQLALEHESYEMAEARFRKMFE RQLKAGEVADNAAAKPLITTLLPKMIARINDWFEEVKAKRGKRPTAFQFLQEIKPEAVAYI TIKTTLACLTSADNTTVQAVASAIGRAIEDEARFGRIRDLEAKHFKKNVEEQLNKRVGHVY KKAFMQVVEADMLSKGLLGGEAWSSWHKEDSIHVGVRCIEMLIESTGMVSLHRQNAGVV GQDSETIELAPEYAEAIATRAGALAGISPMFQPCVVPPKPWTGITGGGYWANGRRPLALVR THSKKALMRYEDVYMPEVYKAINIAQNTAWKINKKVLAVANVITKWKHCPVADIPAIERE ELPMKPEDIDMNPEALTAWKRAAAAVYRKDKARKSRRISLEFMLEQANKFANHKAIWFP YNMDWRGRVYAVSMFNPQGNDMTKGLLTLAKGKPIGKEGYYWLKIHGANCAGVDKVPF PERIKFIEENHENIMACAKSPLENTWWAEQDSPFCFLAFCFEYAGVQHHGLSYNCSLPLAFD GSCSGIQHFSAMLRDEVGGRAVNLLPSETVQDIYGIVAKKVNEILQADAINGTDNEVVTVT DENTGEISEKVKLGTKALAGQWLAYGVTRSVTKRSVMTLAYGSKEFGFRQQVLEDTIQPAI DSGKGLMFTQPNQAAGYMAKLIWESVSVTVVAAVEAMNWLKSAAKLLAAEVKDKKTGE ILRKRCAVHWVTPDGFPVWQEYKKPIQTRLNLMFLGQFRLQPTINTNKDSEIDAHKQESGI APNFVHSQDGSHLRKTVVWAHEKYGIESFALIHDSFGTIPADAANLFKAVRETMVDTYESC DVLADFYDQFADQLHESQLDKMPALPAKGNLNLRDILESDFAFAG G47A; E350W; C-terminal G T7 RNA Polymerase (SEQ ID NO: 8) >MNTINIAKNDFSDIELAMPFNTLADHYGERLAREQLALEHESYEMAEARFRKMFE RQLKAGEVADNAAAKPLITTLLPKMIARINDWFEEVKAKRGKRPTAFQFLQEIKPEAVAYI TIKTTLACLTSADNTTVQAVASAIGRAIEDEARFGRIRDLEAKHFKKNVEEQLNKRVGHVY KKAFMQVVEADMLSKGLLGGEAWSSWHKEDSIHVGVRCIEMLIESTGMVSLHRQNAGVV GQDSETIELAPEYAEAIATRAGALAGISPMFQPCVVPPKPWTGITGGGYWANGRRPLALVR THSKKALMRYEDVYMPEVYKAINIAQNTAWKINKKVLAVANVITKWKHCPVWDIPAIERE ELPMKPEDIDMNPEALTAWKRAAAAVYRKDKARKSRRISLEFMLEQANKFANHKAIWFP YNMDWRGRVYAVSMFNPQGNDMTKGLLTLAKGKPIGKEGYYWLKIHGANCAGVDKVPF PERIKFIEENHENIMACAKSPLENTWWAEQDSPFCFLAFCFEYAGVQHHGLSYNCSLPLAFD GSCSGIQHFSAMLRDEVGGRAVNLLPSETVQDIYGIVAKKVNEILQADAINGTDNEVVTVT DENTGEISEKVKLGTKALAGQWLAYGVTRSVTKRSVMTLAYGSKEFGFRQQVLEDTIQPAI DSGKGLMFTQPNQAAGYMAKLIWESVSVTVVAAVEAMNWLKSAAKLLAAEVKDKKTGE ILRKRCAVHWVTPDGFPVWQEYKKPIQTRLNLMFLGQFRLQPTINTNKDSEIDAHKQESGI APNFVHSQDGSHLRKTVVWAHEKYGIESFALIHDSFGTIPADAANLFKAVRETMVDTYESC DVLADFYDQFADQLHESQLDKMPALPAKGNLNLRDILESDFAFAG G47A; D351V; C-terminal G T7 RNA Polymerase (SEQ ID NO: 9) >MNTINIAKNDFSDIELAMPFNTLADHYGERLAREQLALEHESYEMAEARFRKMFE RQLKAGEVADNAAAKPLITTLLPKMIARINDWFEEVKAKRGKRPTAFQFLQEIKPEAVAYI TIKTTLACLTSADNTTVQAVASAIGRAIEDEARFGRIRDLEAKHFKKNVEEQLNKRVGHVY KKAFMQVVEADMLSKGLLGGEAWSSWHKEDSIHVGVRCIEMLIESTGMVSLHRQNAGVV GQDSETIELAPEYAEAIATRAGALAGISPMFQPCVVPPKPWTGITGGGYWANGRRPLALVR THSKKALMRYEDVYMPEVYKAINIAQNTAWKINKKVLAVANVITKWKHCPVEVIPAIERE ELPMKPEDIDMNPEALTAWKRAAAAVYRKDKARKSRRISLEFMLEQANKFANHKAIWFP YNMDWRGRVYAVSMFNPQGNDMTKGLLTLAKGKPIGKEGYYWLKIHGANCAGVDKVPF PERIKFIEENHENIMACAKSPLENTWWAEQDSPFCFLAFCFEYAGVQHHGLSYNCSLPLAFD GSCSGIQHFSAMLRDEVGGRAVNLLPSETVQDIYGIVAKKVNEILQADAINGTDNEVVTVT DENTGEISEKVKLGTKALAGQWLAYGVTRSVTKRSVMTLAYGSKEFGFRQQVLEDTIQPAI DSGKGLMFTQPNQAAGYMAKLIWESVSVTVVAAVEAMNWLKSAAKLLAAEVKDKKTGE ILRKRCAVHWVTPDGFPVWQEYKKPIQTRLNLMFLGQFRLQPTINTNKDSEIDAHKQESGI APNFVHSQDGSHLRKTVVWAHEKYGIESFALIHDSFGTIPADAANLFKAVRETMVDTYESC DVLADFYDQFADQLHESQLDKMPALPAKGNLNLRDILESDFAFAG G47A; K487S; C-terminal G T7 RNA Polymerase (SEQ ID NO: 10) >MNTINIAKNDFSDIELAMPFNTLADHYGERLAREQLALEHESYEMAEARFRKMFE RQLKAGEVADNAAAKPLITTLLPKMIARINDWFEEVKAKRGKRPTAFQFLQEIKPEAVAYI TIKTTLACLTSADNTTVQAVASAIGRAIEDEARFGRIRDLEAKHFKKNVEEQLNKRVGHVY KKAFMQVVEADMLSKGLLGGEAWSSWHKEDSIHVGVRCIEMLIESTGMVSLHRQNAGVV GQDSETIELAPEYAEAIATRAGALAGISPMFQPCVVPPKPWTGITGGGYWANGRRPLALVR THSKKALMRYEDVYMPEVYKAINIAQNTAWKINKKVLAVANVITKWKHCPVEDIPAIERE ELPMKPEDIDMNPEALTAWKRAAAAVYRSDKARKSRRISLEFMLEQANKFANHKAIWFPY NMDWRGRVYAVSMFNPQGNDMTKGLLTLAKGKPIGKEGYYWLKIHGANCAGVDKVPFP ERIKFIEENHENIMACAKSPLENTWWAEQDSPFCFLAFCFEYAGVQHHGLSYNCSLPLAFD GSCSGIQHFSAMLRDEVGGRAVNLLPSETVQDIYGIVAKKVNEILQADAINGTDNEVVTVT DENTGEISEKVKLGTKALAGQWLAYGVTRSVTKRSVMTLAYGSKEFGFRQQVLEDTIQPAI DSGKGLMFTQPNQAAGYMAKLIWESVSVTVVAAVEAMNWLKSAAKLLAAEVKDKKTGE ILRKRCAVHWVTPDGFPVWQEYKKPIQTRLNLMFLGQFRLQPTINTNKDSEIDAHKQESGI APNFVHSQDGSHLRKTVVWAHEKYGIESFALIHDSFGTIPADAANLFKAVRETMVDTYESC DVLADFYDQFADQLHESQLDKMPALPAKGNLNLRDILESDFAFAG G47A; K387H; C-terminal G T7 RNA Polymerase (SEQ ID NO: 11) >MNTINIAKNDFSDIELAMPFNTLADHYGERLAREQLALEHESYEMAEARFRKMFE RQLKAGEVADNAAAKPLITTLLPKMIARINDWFEEVKAKRGKRPTAFQFLQEIKPEAVAYI TIKTTLACLTSADNTTVQAVASAIGRAIEDEARFGRIRDLEAKHFKKNVEEQLNKRVGHVY KKAFMQVVEADMLSKGLLGGEAWSSWHKEDSIHVGVRCIEMLIESTGMVSLHRQNAGVV GQDSETIELAPEYAEAIATRAGALAGISPMFQPCVVPPKPWTGITGGGYWANGRRPLALVR THSKKALMRYEDVYMPEVYKAINIAQNTAWKINKKVLAVANVITKWKHCPVEDIPAIERE ELPMKPEDIDMNPEALTAWKRAAAAVYRHDKARKSRRISLEFMLEQANKFANHKAIWFP YNMDWRGRVYAVSMFNPQGNDMTKGLLTLAKGKPIGKEGYYWLKIHGANCAGVDKVPF PERIKFIEENHENIMACAKSPLENTWWAEQDSPFCFLAFCFEYAGVQHHGLSYNCSLPLAFD GSCSGIQHFSAMLRDEVGGRAVNLLPSETVQDIYGIVAKKVNEILQADAINGTDNEVVTVT DENTGEISEKVKLGTKALAGQWLAYGVTRSVTKRSVMTLAYGSKEFGFRQQVLEDTIQPAI DSGKGLMFTQPNQAAGYMAKLIWESVSVTVVAAVEAMNWLKSAAKLLAAEVKDKKTGE ILRKRCAVHWVTPDGFPVWQEYKKPIQTRLNLMFLGQFRLQPTINTNKDSEIDAHKQESGI APNFVHSQDGSHLRKTVVWAHEKYGIESFALIHDSFGTIPADAANLFKAVRETMVDTYESC DVLADFYDQFADQLHESQLDKMPALPAKGNLNLRDILESDFAFAG G47A; K387N; C-terminal G T7 RNA Polymerase (SEQ ID NO: 12) >MNTINIAKNDFSDIELAMPFNTLADHYGERLAREQLALEHESYEMAEARFRKMFE RQLKAGEVADNAAAKPLITTLLPKMIARINDWFEEVKAKRGKRPTAFQFLQEIKPEAVAYI TIKTTLACLTSADNTTVQAVASAIGRAIEDEARFGRIRDLEAKHFKKNVEEQLNKRVGHVY KKAFMQVVEADMLSKGLLGGEAWSSWHKEDSIHVGVRCIEMLIESTGMVSLHRQNAGVV GQDSETIELAPEYAEAIATRAGALAGISPMFQPCVVPPKPWTGITGGGYWANGRRPLALVR THSKKALMRYEDVYMPEVYKAINIAQNTAWKINKKVLAVANVITKWKHCPVEDIPAIERE ELPMKPEDIDMNPEALTAWKRAAAAVYRNDKARKSRRISLEFMLEQANKFANHKAIWFP YNMDWRGRVYAVSMFNPQGNDMTKGLLTLAKGKPIGKEGYYWLKIHGANCAGVDKVPF PERIKFIEENHENIMACAKSPLENTWWAEQDSPFCFLAFCFEYAGVQHHGLSYNCSLPLAFD GSCSGIQHFSAMLRDEVGGRAVNLLPSETVQDIYGIVAKKVNEILQADAINGTDNEVVTVT DENTGEISEKVKLGTKALAGQWLAYGVTRSVTKRSVMTLAYGSKEFGFRQQVLEDTIQPAI DSGKGLMFTQPNQAAGYMAKLIWESVSVTVVAAVEAMNWLKSAAKLLAAEVKDKKTGE ILRKRCAVHWVTPDGFPVWQEYKKPIQTRLNLMFLGQFRLQPTINTNKDSEIDAHKQESGI APNFVHSQDGSHLRKTVVWAHEKYGIESFALIHDSFGTIPADAANLFKAVRETMVDTYESC DVLADFYDQFADQLHESQLDKMPALPAKGNLNLRDILESDFAFAG G47A; E350W; D351V; C-terminal G T7 RNA Polymerase (SEQ ID NO: 13) >MNTINIAKNDFSDIELAMPFNTLADHYGERLAREQLALEHESYEMAEARFRKMFE RQLKAGEVADNAAAKPLITTLLPKMIARINDWFEEVKAKRGKRPTAFQFLQEIKPEAVAYI TIKTTLACLTSADNTTVQAVASAIGRAIEDEARFGRIRDLEAKHFKKNVEEQLNKRVGHVY KKAFMQVVEADMLSKGLLGGEAWSSWHKEDSIHVGVRCIEMLIESTGMVSLHRQNAGVV GQDSETIELAPEYAEAIATRAGALAGISPMFQPCVVPPKPWTGITGGGYWANGRRPLALVR THSKKALMRYEDVYMPEVYKAINIAQNTAWKINKKVLAVANVITKWKHCPVWVIPAIERE ELPMKPEDIDMNPEALTAWKRAAAAVYRKDKARKSRRISLEFMLEQANKFANHKAIWFP YNMDWRGRVYAVSMFNPQGNDMTKGLLTLAKGKPIGKEGYYWLKIHGANCAGVDKVPF PERIKFIEENHENIMACAKSPLENTWWAEQDSPFCFLAFCFEYAGVQHHGLSYNCSLPLAFD GSCSGIQHFSAMLRDEVGGRAVNLLPSETVQDIYGIVAKKVNEILQADAINGTDNEVVTVT DENTGEISEKVKLGTKALAGQWLAYGVTRSVTKRSVMTLAYGSKEFGFRQQVLEDTIQPAI DSGKGLMFTQPNQAAGYMAKLIWESVSVTVVAAVEAMNWLKSAAKLLAAEVKDKKTGE ILRKRCAVHWVTPDGFPVWQEYKKPIQTRLNLMFLGQFRLQPTINTNKDSEIDAHKQESGI APNFVHSQDGSHLRKTVVWAHEKYGIESFALIHDSFGTIPADAANLFKAVRETMVDTYESC DVLADFYDQFADQLHESQLDKMPALPAKGNLNLRDILESDFAFAG E350W; D351V; T7 RNA Polymerase (SEQ ID NO: 14) >MNTINIAKNDFSDIELAMPFNTLADHYGERLAREQLALEHESYEMGEARFRKMFE RQLKAGEVADNAAAKPLITTLLPKMIARINDWFEEVKAKRGKRPTAFQFLQEIKPEAVAYI TIKTTLACLTSADNTTVQAVASAIGRAIEDEARFGRIRDLEAKHFKKNVEEQLNKRVGHVY KKAFMQVVEADMLSKGLLGGEAWSSWHKEDSIHVGVRCIEMLIESTGMVSLHRQNAGVV GQDSETIELAPEYAEAIATRAGALAGISPMFQPCVVPPKPWTGITGGGYWANGRRPLALVR THSKKALMRYEDVYMPEVYKAINIAQNTAWKINKKVLAVANVITKWKHCPVWV1PAIERE ELPMKPEDIDMNPEALTAWKRAAAAVYRKDKARKSRRISLEFMLEQANKFANHKAIWFP YNMDWRGRVYAVSMFNPQGNDMTKGLLTLAKGKPIGKEGYYWLKIHGANCAGVDKVPF PERIKFIEENHENIMACAKSPLENTWWAEQDSPFCFLAFCFEYAGVQHHGLSYNCSLPLAFD GSCSGIQHFSAMLRDEVGGRAVNLLPSETVQDIYGIVAKKVNEILQADAINGTDNEVVTVT DENTGEISEKVKLGTKALAGQWLAYGVTRSVTKRSVMTLAYGSKEFGFRQQVLEDTIQPAI DSGKGLMFTQPNQAAGYMAKLIWESVSVTVVAAVEAMNWLKSAAKLLAAEVKDKKTGE ILRKRCAVHWVTPDGFPVWQEYKKPIQTRLNLMFLGQFRLQPTINTNKDSEIDAHKQESGI APNFVHSQDGSHLRKTVVWAHEKYGIESFALIHDSFGTIPADAANLFKAVRETMVDTYESC DVLADFYDQFADQLHESQLDKMPALPAKGNLNLRDILESDFAFA - In some embodiments, the RNA polymerase (e.g., T7 RNA polymerase variant) is present in an empirically-balanced fed-batch IVT reaction mixture at a concentration of 0.01 mg/ml to 1 mg/ml. For example, the RNA polymerase may be present in a reaction mixture at a concentration of 0.01 mg/mL, 0.05 mg/ml, 0.1 mg/ml, 0.5 mg/ml or 1.0 mg/ml.
- Nucleoside Triphosphates
- NTPs of the present disclosure may be naturally-occurring NTPs, synthetic NTPs, and/or modified NTPs. A reaction mixture may include naturally-occurring NTPs, synthetic NTPs, modified NTPs, or any combination thereof. Thus, the NTPs of a reaction mixture may comprise unmodified and/or modified adenosine triphosphate (ATP), modified and/or unmodified uridine triphosphate (UTP), modified and/or unmodified guanosine triphosphate (GTP), and/or modified and/or unmodified cytidine triphosphate (CTP). In some embodiments, the NTPs include modified nucleobases. Non-limiting examples of modified nucleobases that may be used as provided herein include pseudouridine (w), 1-methylpseudouridine (m1ψ), 1-ethylpseudouridine, 2-thiouridine, 4′-thiouridine, 2-thio-1-methyl-1-deaza-pseudouridine, 2-thio-1-methyl-pseudouridine, 2-thio-5-aza-uridine, 2-thio-dihydropseudouridine, 2-thio-dihydrouridine, 2-thio-pseudouridine, 4-methoxy-2-thio-pseudouridine, 4-methoxy-pseudouridine, 4-thio-1-methyl-pseudouridine, 4-thio-pseudouridine, 5-aza-uridine, dihydropseudouridine, 5-methyluridine, 5-methoxyuridine (mo5U) and 2′-O-methyl uridine. In some embodiments, a mixture of NTPs (and thus the RNA transcript) includes a combination of at least two (e.g., 2, 3, 4 or more) of the foregoing modified nucleobases. In some embodiments, a mixture of NTPs comprises 1-methylpseudouridine (m1ψ). In some embodiments, a mixture of NTPs comprises 1-ethylpseudouridine.
- In some embodiments, each NTP (e.g., ATP, UTP, GTP, and CTP) in a fed-batch IVT reaction mixture is present at a molar ratio equivalent to the percent (%) consumption value calculated for each NTP (e.g., calculated during the initial nucleotide empirical balancing reaction). For example, if the percent consumption value for ATP, UTP, GTP, and CTP calculated for a particular RNA of interest in an initial nucleotide empirical balancing reaction is respectively 35%, 20%, 25%, and 20%, then in an IVT reaction mixture comprising a total NTP concentration of 20 mM (for transcribing the same RNA of interest), the molar ratio equivalent for ATP, UTP, GTP, and CTP is respectively 7 mM, 4 mM, 5 mM, and 4 mM.
- In some embodiments, each individual (and thus total) NTP concentration in a fed-batch IVT reaction mixture is maintained above zero (0) millimolar (mM) throughout the reaction. For example, the NTP concentrations may be maintained at 1 mM to 50 mM, 1 mM to 40 mM, 1 mM to 30 mM, 1 mM to 20 mM, 1 mM to 10 mM, 2 mM to 50 mM, 2 mM to 40 mM, 2 mM to 30 mM, 2 mM to 20 mM, 2 mM to 10 mM, 3 mM to 50 mM, 3 mM to 40 mM, 3 mM to 30 mM, 3 mM to 20 mM, 3 mM to 10 mM, 4 mM to 50 mM, 4 mM to 40 mM, 4 mM to 30 mM, 4 mM to 20 mM, 4 mM to 10 mM, 5 mM to 50 mM, 5 mM to 40 mM, 5 mM to 30 mM, 5 mM to 20 mM, or 5 mM to 10 mM. In some embodiments, the NTP concentrations are maintained at 10 mM to 20 mM. In some embodiments, the NTP concentrations are maintained at (or at least at) 1 mM, 2 mM, 3 mM, 4 mM, 5 mM, 6 mM, 7 mM, 8 mM, 9 mM, 10 mM, 11 mM, 12 mM, 13 mM, 14 mM, 15 mM, 16 mM, 17 mM, 18 mM, 19 mM, or 20 mM. In some embodiments, the NTP concentrations are maintained above a lower limit of 2 mM to 10 mM, above a lower limit of 2 mM to 9 mM, above a lower limit of 2 mM to 8 mM, above a lower limit of 2 mM to 7 mM, above a lower limit of 2 mM to 6 mM, or above a lower limit of 2 mM to 6 mM.
- In some embodiments, each individual (and thus total) NTP concentration is maintained within 5% to 200% of the initial NTP concentration, throughout the fed-batch IVT reaction. For example, the NTP concentrations may be maintained within 5% to 175%, within 5% to 150%, within 5% to 125%, within 5% to 100%, within 5% to 75%, within 5% to 50%, or within 5% to 25% of the initial NTP concentration. In some embodiments, the NTP concentrations are maintained within 5%, 10%, 15%, 20%, 25%, 30%, 35%, 40%, 45%, 50%, 55%, 60%, 65%, 70%, 75%, 80%, 85%, 90%, 95%, 100%, 110%, 120%, 130%, 140%, 150%, 160%, 170%, 180%, 190%, or 200% of the initial NTP concentration. The initial NTP concentration is the total NTP concentration in an IVT reaction before transcription begins. As used herein, [NTP] (i.e., brackets around a NTP) generally refers to the concentration of the NTP contained with the brackets. For example [ATP] generally refers to the concentration of ATP; [GTP] generally refers to the concentration of GTP; [CTP] generally refers to the concentration of CTP; [UTP] generally refers to the concentration of UTP.
- The concentration of NTPs and cap analog present in an IVT reaction mixture may vary. In some embodiments, each purine NTP and RNA cap analog (“cap analog”) are present in the reaction at equimolar (1:1) concentrations. In some embodiments, the molar ratio of cap analog (e.g., trinucleotide cap) to each purine NTP in the reaction is greater than 1:1. For example, the molar ratio of cap analog to NTP in the reaction may be 2:1, 3:1, 4:1, 5:1, 6:1, 7:1, 8:1, 9:1, 10:1, 15:1, 20:1, 25:1, 50:1, or 100:1. In some embodiments, the molar ratio of cap analog (e.g., trinucleotide cap) to each NTP in the reaction is less than 1:1. For example, the molar ratio of cap analog (e.g., trinucleotide cap) to each NTP in the reaction may be 1:2, 1:3, 1:4, 1:5, 1:6, 1:7, 1:8, 1:9, 1:10, 1:15, 1:20, 1:25, 1:50, or 1:100.
- The relative concentration of individual NTPs in an IVT reaction may also vary. For example, ATP may be used in excess of GTP, CTP and UTP. As other examples, GTP may be used in excess of ATP, CTP and UTP, CTP may be used in excess of ATP, GTP and UTP, or UTP may be used in excess of ATP, GTP and CTP.
- In some embodiments, the relative concentration of NTPs in an initial IVT reaction mixture comprises a ratio of [ATP]:[UTP] of 1:1 to 5:1, 1:1 to 4:1, 1:1 to 3:1, or 1:1 to 2:1. In some embodiments, the relative concentration of NTPs in an initial IVT reaction mixture comprises a ratio of [ATP]:[UTP] of 2:1. In some embodiments, the relative concentration of NTPs in an initial IVT reaction mixture comprises a ratio of [GTP]:[CTP] of 1:1 to 5:1, 1:1 to 4:1, 1:1 to 3:1, or 1:1 to 2:1. In some embodiments, the relative concentration of NTPs in an initial IVT reaction mixture comprises a ratio of [GTP]:[CTP] of 4:1. In some embodiments, the relative concentration of NTPs in an initial IVT reaction mixture comprises a ratio of [ATP]:[UTP] of 2:1 and a ratio of [GTP]:[CTP] of 4:1.
- In some embodiments, the total NTP concentration in an ongoing IVT reaction mixture is maintained above a lower limit of 0.5 mM. In some embodiments, the total NTP concentration in an ongoing IVT reaction mixture is maintained at 0.5-20 mM, 1-20 mM, 0.5-5 mM, 2-8 mM, 2-5 mM, 5-10 mM, 5-30 mM, 5-20 mM, 10-20 mM, or 5-15 mM. In some embodiments, the total NTP concentration in an ongoing IVT reaction mixture is maintained at about 10-20 mM, about 8-16, about 6-14 mM, or about 10-15 mM.
- RNA Cap Analogs
- In some embodiments, an empirically-balanced fed-batch IVT reaction is a “co-transcriptional capping” IVT reaction in which the IVT reaction mixture comprises an RNA cap. That is, mRNA is produced in a “one-pot” reaction, without the need for a separate capping reaction. Thus, in some embodiments, an IVT reaction mixture of the present disclosure includes an RNA cap analog. An RNA cap analog generally enhances mRNA stability and translation efficiency. Traditional cap analogs include GpppG, m7GpppG, and m2,2,7GpppG. In some embodiments, an RNA cap analog of the present disclosure is a dinucleotide cap, a trinucleotide cap, or a tetranucleotide cap.
- In some embodiments, the cap analog is a trinucleotide cap. In some embodiments, the trinucleotide cap comprises a sequence selected from the following sequences: GAA, GAC, GAG, GAU, GCA, GCC, GCG, GCU, GGA, GGC, GGG, GGU, GUA, GUC, GUG, and GUU.
- In some embodiments, the trinucleotide cap comprises a sequence selected from the following sequences: m7GpppApA, m7GpppApC, m7GpppApG, m7GpppApU, m7GpppCpA, m7GpppCpC, m7GpppCpG, m7GpppCpU, m7GpppGpA, m7GpppGpC, m7GpppGpG, m7GpppGpU, m7GpppUpA, m7GpppUpC, m7GpppUpG, and m7GpppUpU. In some embodiments, the trinucleotide cap comprises a sequence selected from the following sequences: m7G3′OMepppApA, m7G3′OMepppApC, m7G3′OMepppApG, m7G3′OMepppApU, m7G3′OMepppCpA, m7G3′OMepppCpC, m7G3′OMepppCpG, m7G3′OMepppCpU, m7G3′OMepppGpA, m7G3′OMepppGpC, m7G3′OMepppGpG, m7G3′OMepppGpU, m7G3′OMepppUpA, m7G3′OMepppUpC, m7G3′OMepppUpG, and m7G3′OMepppUpU. In some embodiments, the trinucleotide cap comprises a sequence selected from the following sequences: m7G3′OMepppA2′OMepA, m7G3′OMepppA2′OMepC, m7G3′OMepppA2′OMepG, m7G3′OMepppA2′OMepU, m7G3′OMepppC2′OMepA, m7G3′OMepppC2′OMepC, m7G3′OMepppC2′OMepG, m7G3′OMepppC2′OMepU, m7G3′OMepppG2′OMepA, m7G3′OMepppG2′OMepC, m7G3′OMepppG2′OMepG, m7G3′OMepppG2′OMepU, m7G3′OMepppU2′OMepA, m7G3′OMepppU2′OMepC, m7G3′OMepppU2′OMepG, and m7G3′OMepppU2′OMepU. In some embodiments, the trinucleotide cap comprises a sequence selected from the following sequences: m7GpppA2′OMepA, m7GpppA2′OMepC, m7GpppA2′OMepG, m7GpppA2′OMepU, m7GpppC2′OMepA, m7GpppC2′OMepC, m7GpppC2′OMepG, m7GpppC2′OMepU, m7GpppG2′OMepA, m7GpppG2′OMepC, m7GpppG2′OMepG, m7GpppG2′OMepU, m7GpppU2′OMepA, m7GpppU2′OMepC, m7GpppU2′OMepG, and m7GpppU2′OMepU.
- In some embodiments, the trinucleotide cap comprises a sequence selected from the following sequences: GAG, GCG, GUG, and GGG. In some embodiments, the trinucleotide cap comprises sequence GAG. In some embodiments, the trinucleotide cap comprises m7GpppA2′OMepG. In some embodiments, the trinucleotide cap comprises m7GpppmA2′OMepG. In some embodiments, the trinucleotide cap comprises m7Gpppm6A2′OMepG. In some embodiments, the trinucleotide cap comprises m7Gpppe6A2′OMepG.
- In some embodiments, a trinucleotide cap comprises the following structure:
- In other embodiments, a trinucleotide cap comprises the following structure:
- In yet other embodiments, a trinucleotide cap comprises the following structure:
- In still other embodiments, a trinucleotide cap comprises the following structure:
- In some embodiments, the cap analog is a tetranucleotide cap analog. In some embodiments, the cap analog is a tetranucleotide cap analog comprising a GGAG sequence.
- In some embodiments, a tetranucleotide cap comprises the following structure:
- In other embodiments, a tetranucleotide cap comprises the following structure:
- In yet other embodiments, a tetranucleotide cap comprises the following structure:
- In yet other embodiments, a tetranucleotide cap comprises the following structure:
- In some embodiments, R is an alkyl (e.g., C1-C6 alkyl). In some embodiments, R is a methyl group (e.g., C1 alkyl). In some embodiments, R is an ethyl group (e.g., C2 alkyl). In some embodiments, R is a hydrogen.
- In some embodiments, 20% to 100%, 30% to 100%, 40% to 100%, 50% to 100%, 60% to 100%, 70% to 100%, 80% to 100, or 90% to 100% of the RNA produced by the methods of the present disclosure is capped (comprises an RNA cap analog, e.g., m7GpppA2′OMepG). For example, greater than 70%, greater than 80%, greater than 85%, greater than 90%, or greater 95% of the RNA produced by the methods of the present disclosure is capped (comprises an RNA cap analog, e.g., m7GpppA2′OMepG). In some embodiments, 100% of the RNA produced by the methods of the present disclosure is capped (comprises an RNA cap analog, e.g., m7GpppA2′OMepG)
- In some embodiments, % capping of the RNA of interest (the percent of RNA transcript comprising an RNA cap analog) is above 80%, above 90%, or above 95% at 150, 180, 210, 240, 270, 300, 330, and/or 360 minutes into the fed-batch reaction.
- In some embodiments, the reaction mixture is not supplemented with an RNA cap analog during transcription of the RNA of interest. That is, throughout the entire IVT reaction, the only RNA cap analog present is that which was in the reaction mixture prior to commencement of transcription (additional RNA cap analog is not added to the IVT reaction).
- In some embodiments, an IVT reaction mixture comprises a starting RNA cap analog concentration (concentration of RNA cap analog prior to commencement of transcription) that is at least 10% (e.g., at least 20%, at least 30%, at least 40%, or at least 50%) greater than the concentration of the NTP (e.g., ATP, UTP, GTP, or CTP (modified or unmodified)) with the highest percent consumption value. In some embodiments, an IVT reaction mixture comprises a starting RNA cap analog concentration that is greater than the concentration of the NTP (e.g., ATP, UTP, GTP, or CTP (modified or unmodified)) with the highest percent consumption value.
- In some embodiments, an IVT reaction mixture comprises a starting RNA cap analog concentration (concentration of RNA cap analog prior to commencement of transcription) that is at least 10% (e.g., at least 20%, at least 30%, at least 40%, or at least 50%) greater than the concentration of the purine (modified or unmodified) with the highest percent consumption value. In some embodiments, an IVT reaction mixture comprises a starting RNA cap analog concentration that is greater than the concentration of the purine (modified or unmodified) with the highest percent consumption value.
- In some embodiments, an IVT reaction mixture comprises a starting RNA cap analog concentration (concentration of RNA cap analog prior to commencement of transcription) that is at least 10% (e.g., at least 20%, at least 30%, at least 40%, or at least 50%, or at least 100%) greater than the concentration of the individual NTPs (e.g., ATP, UTP, GTP, or CTP (modified or unmodified)) present in the first coding position of the RNA of interest. In some embodiments, an IVT reaction mixture comprises a starting RNA cap analog concentration (concentration of RNA cap analog prior to commencement of transcription) that is 10%-100%, 10%-50%, 10%-40%, or 10%-30% greater than the concentration of the NTP (e.g., ATP, UTP, GTP, or CTP (modified or unmodified)) present in the first coding position of the RNA of interest.
- In some embodiments, an IVT reaction mixture, e.g., the initial and ongoing IVT reaction mixtures, comprises a ratio of [RNA cap analog]:[purine] of 1:1 to 20:1, 1:1 to 15:1, 1:1 to 10:1, 1:1 to 5:1, 1:1 to 3:1, or 1:1 to 2:1. In some embodiments, the concentration of RNA cap analog relative to the concentration of purine nucleotides (e.g., ATP and GTP) is 1:1 to 20:1, 1:1 to 15:1, 1:1 to 10:1, 1:1 to 5:1, 1:1 to 3:1, or 1:1 to 2:1
- Additional IVT Reaction Components In some embodiments, the IVT reaction mixture comprises a buffer, e.g., Tris, phosphate or a Good's buffer. The concentration of buffer used in an empirically-balanced fed-batch IVT reaction mixture may be, for example, at least 10 mM, at least 20 mM, at least 30 mM, at least 40 mM, at least 50 mM, at least 60 mM, at least 70 mM, at least 80 mM, at least 90 mM, at least 100 mM or at least 110 mM phosphate. In some embodiments, the concentration of phosphate is 20-60 mM or 10-100 mM. In some embodiments, the buffer comprises Tris-HCl. For example, the buffer may comprise 10-100 mM, 10-80 mM, 10-60 mM, 20-100 mM, 20-18 mM, 20-60 mM Tris-HCl. In some embodiments, the buffer comprises 40 mM Tris-HCl.
- In some embodiments, the fed-batch IVT reaction mixture contains a reductant or reducing agent such as dithiothreitol (DTT) or tris(2-carboxyethyl)phosphine (TCEP). The concentration of DTT used in an IVT reaction mixture may be, for example, at least 1 mM, at least 5 mM, or at least 50 mM. In some embodiments, the concentration of DTT used in an IVT reaction mixture is 1-50 mM or 5-50 mM. In some embodiments, the concentration of DTT used in an IVT reaction mixture is 5 mM. The concentration of TCEP used in an IVT reaction mixture may be, for example, at least 1 mM, at least 5 mM, or at least 50 mM. In some embodiments, the concentration of TCEP used in an IVT reaction mixture is 1-50 mM or 5-50 mM. In some embodiments, the concentration of TCEP used in an IVT reaction mixture is 2 mM.
- In some embodiments, the empirically-balanced fed-batch IVT reaction mixture contains magnesium. In some embodiments, the molar ratio of NTP to magnesium ions (Mg2+; e.g., Mg(OAc)2) present in an IVT reaction is 1:1 to 1:5. For example, the molar ratio of NTP to magnesium ions may be 1:1, 1:2, 1:3, 1:4 or 1:5.
- Feeding Schedule
- A fed-batch IVT reaction typically comprises a regular feeding schedule. A regular feeding schedule may be used to maintain NTP concentrations within the IVT reaction at a desired level, e.g., above a threshold level, e.g., above 5%, 10%, 20%, 30%, or 50% of the initial NTP concentration. In some embodiments, the timing and/or amount used in a feed schedule is determined using a scouting fed-batch IVT reaction. In some embodiments, if an IVT reaction is overfed (i.e., too much of any given NTP is added during a reaction), the ratio of cap analog relative to purine may decrease to less than 1:1, wherein overfeeding may result in low % capped RNA product. In other embodiments, if an IVT reaction is underfed (i.e., not enough of any given NTP is added during a reaction), one or more nucleotides may be depleted below a threshold level, e.g., depleted to 0 mM, and the total yield of transcribed RNA may be low. In some embodiments, a feeding schedule may involve bolus feeding of a feed stock. In some embodiments, a feeding schedule may involve continuous feeding of a feed stock.
- In some embodiments, bolus feeding of a feed stock to an ongoing IVT reaction involves the addition of a discrete volume or quantity of feed stock once every 10-250 minutes, 20-200 minutes, 10-175 minutes, 10-100 minutes, 10-20 minutes, 10-30 minutes, 30-60 minutes, 30-100 minutes, 30-150 minutes, 50-100 minutes, 50-150 minutes, 100-300 minutes, 100-250 minutes, or 100-150 minutes. In some embodiments, bolus feeding of a feed stock to an ongoing IVT reaction involves the addition of a discrete volume or quantity of feed stock once every 10, 20, 30, 40, 50, 60, 70, 80, 90, 100, 110, 120, 130, 140, 150, 160, 170, 180, 190, 200, 210, 220, 230, 240, 250, 260, 270, 280, 290, or 300 minutes. In some embodiments, a discrete volume involved in a bolus feeding is 1-20 mL, 5-20 mL, 10-50 mL, 25-100 mL, 50-500 mL, 250-1000 mL, or more. In some embodiments, a discrete volume involved in a bolus feeding is 1, 2, 3, 4, 5, 6, 7, 8, 9, 10, 15, 20, 25, 50, 75, 100, 150, 200, 250, 500, 750, or 1000 mL. In some embodiments, a discrete quantity of feed stock is any amount sufficient to maintain NTP concentrations above a threshold level as described above, e.g., within a range of 5% to 200%, 5%-100%, 5%-75%, 20%-100%, 20%-75%, or 25%-50% of initial NTP concentrations. In some embodiments, a discrete quantity of feed stock is any amount sufficient to maintain a ratio of [ATP]:[UTP] of 1:1 to 5:1, 1:1 to 4:1, 1:1 to 3:1, or 1:1 to 2:1. In some embodiments, a discrete quantity of feed stock is any amount sufficient to maintain a ratio of [ATP]:[UTP] of 2:1. In some embodiments, a discrete quantity of feed stock is any amount sufficient to maintain a ratio of [GTP]:[CTP] of 1:1 to 5:1, 1:1 to 4:1, 1:1 to 3:1, or 1:1 to 2:1. In some embodiments, a discrete quantity of feed stock is any amount sufficient to maintain a ratio of [GTP]:[CTP] of 4:1. In some embodiments, a discrete quantity of feed stock is any amount sufficient to maintain a ratio of [ATP]:[UTP] of 2:1 and a ratio of [GTP]:[CTP] of 4:1.
- In some embodiments, an IVT reaction is supplemented with a bolus feeding of a feed stock once, twice, or three times during the entirety of the reaction. In some embodiments, an IVT reaction is supplemented with a bolus feeding of a
4, 5, 6, 7, 8, 9, 10, or more times during the entirety of the reaction. In some embodiments, an IVT reaction is supplemented with a bolus feeding of a feed stock 1-5, 2-5, 2-10, 3-10, 3-7, 4-8, 5-10, 5-15, or more times during the entirety of the reaction.feed stock - In some embodiments, continuous feeding of a feed stock to an ongoing IVT reaction involves continuous or constant addition of feed stock over time, e.g., throughout the entirety of the IVT reaction. In some embodiments, a continuous feeding schedule is determined based on the bolus feeding schedule of the same RNA of interest, e.g., by dividing the total volume or quantity added over a period of time during a reaction by the total time over which that volume or quantity was added. In some embodiments, continuous feeding involves constant addition of a feed stock to an ongoing IVT reaction at a continuous flow rate of 1-50 mL/min, 2-25 mL/min, 2-10 ml/min, 2-8 mL/min, 4-6 mL/min, 3-6 mL/min, or any operable flow rate. In some embodiments, continuous feeding involves constant addition of a feed stock to an ongoing IVT reaction at a continuous flow rate of 1, 2, 3, 4, 5, 6, 7, 8, 9, 10, 11, 12, 13, 14, 15, 16, 17, 18, 19, 20, 25, 30, 35, 40, 45, or 50 mL/min. In some embodiments, continuous feeding involves constant addition of a feed stock to an ongoing IVT reaction at a continuous flow rate of 0.0030-0.007 mL/min per mL of initial volume, 0.0040-0.0060 mL/min per mL of initial volume, 0.0050-0.0080 mL/min per mL of initial volume, or 0.0060-0.0090 mL/min per mL of initial volume. In some embodiments, the concentration of NTPs in a feed stock used in continuous feeding is sufficient to maintain NTP concentrations above a threshold level as described above, e.g., within a range of 5% to 200%, 5%-100%, 5%-75%, 20%-100%, 20%-75%, or 25%-50% of initial NTP concentrations. In some embodiments, continuous feeding is performed using a peristaltic pump in order to accurately deliver consistent flow rates (volumes) over time.
- In some embodiments, the concentration of NTPs in a feed stock used in continuous or bolus feeding is sufficient to maintain NTP concentrations above a threshold level. In some embodiments, a discrete quantity of feed stock is any amount sufficient to maintain NTP concentrations above a threshold level. In some embodiments, the threshold level is 1 mM to 50 mM, 1 mM to 40 mM, 1 mM to 30 mM, 1 mM to 20 mM, 1 mM to 10 mM, 2 mM to 50 mM, 2 mM to 40 mM, 2 mM to 30 mM, 2 mM to 20 mM, 2 mM to 10 mM, 3 mM to 50 mM, 3 mM to 40 mM, 3 mM to 30 mM, 3 mM to 20 mM, 3 mM to 10 mM, 4 mM to 50 mM, 4 mM to 40 mM, 4 mM to 30 mM, 4 mM to 20 mM, 4 mM to 10 mM, 5 mM to 50 mM, 5 mM to 40 mM, 5 mM to 30 mM, 5 mM to 20 mM, or 5 mM to 10 mM. In some embodiments, the threshold level is 10 mM to 20 mM. In some embodiments, the threshold level is 1 mM, 2 mM, 3 mM, 4 mM, 5 mM, 6 mM, 7 mM, 8 mM, 9 mM, 10 mM, 11 mM, 12 mM, 13 mM, 14 mM, 15 mM, 16 mM, 17 mM, 18 mM, 19 mM, or 20 mM. In some embodiments, the threshold level is a lower limit of 2 mM to 10 mM, above a lower limit of 2 mM to 9 mM, above a lower limit of 2 mM to 8 mM, above a lower limit of 2 mM to 7 mM, above a lower limit of 2 mM to 6 mM, or above a lower limit of 2 mM to 6 mM. In some embodiments, the threshold level is within 5% to 200% of the initial NTP concentration. For example, the threshold level may be within 5% to 175%, within 5% to 150%, within 5% to 125%, within 5% to 100%, within 5% to 75%, within 5% to 50%, or within 5% to 25% of the initial NTP concentration. In some embodiments, the threshold level is within 5%, 10%, 15%, 20%, 25%, 30%, 35%, 40%, 45%, 50%, 55%, 60%, 65%, 70%, 75%, 80%, 85%, 90%, 95%, 100%, 110%, 120%, 130%, 140%, 150%, 160%, 170%, 180%, 190%, or 200% of the initial NTP concentration.
- Results from fed-batch IVT have consistently shown a decrease in reaction rate (both consumption of NTPs and production of RNA) throughout the reaction. As a result, the rate of feeding must also be varied throughout the reaction. If a signal continuous feed rate (described previously) were used to feed an IVT with a decreasing reaction rate throughout the entire duration, the reaction would be under-fed at the start of the reaction when the rate is fastest, and over-fed at the end of the reaction when the rate is slowest. To prevent the risk of under- and over-feeding, the reaction can be split into two or more continuous feed rates to be used during specified time intervals of the reaction. The number of distinct feed rate and switch times required may vary depending upon the decrease in reaction rate observed throughout fed-batch IVT.
- Scouting Fed-Batch IVT Reaction To determine an appropriate feeding schedule, a scouting fed-batch IVT reaction may be conducted, in which bolus feeding is used to add feed stock to an active IVT reaction at defined time intervals and in defined volumes or quantities. In some embodiments, these initial feed conditions are selected based on the prior results of fed-batch IVT reactions with other DNA encoding different RNA sequences, and are not intended to produce high quality product or yield. In some embodiments, the scouting IVT reaction includes sampling time points from the active fed-batch IVT immediately prior to each bolus feed. The measured NTP concentrations within each of these samples may then be used to calculate the rates of NTP consumption in the IVT reaction for the unique DNA being transcribed over time. Feeding schedules may then be adjusted to match the observed NTP consumption and to maintain the target NTP concentration throughout the reaction. In some embodiments, these discrete feed times and volumes constitute the bolus feed schedule for the fed-batch IVT reaction.
- 1. A method of determining percent (%) nucleoside triphosphates (NTPs) consumption of an in vitro transcription (IVT) reaction comprising:
- (a) conducting an IVT reaction with a reaction mixture that comprises known initial NTP concentrations, a deoxyribonucleic acid (DNA) encoding a ribonucleic acid (RNA) of interest, and an RNA polymerase;
-
- (b) measuring individual NTP concentrations at discrete intervals over a period of time; and
- (c) calculating a percent (%) consumption value for each NTP of the reaction mixture.
- 2 The method of
paragraph 1, wherein the NTPs comprise adenosine triphosphate (ATP), cytidine triphosphate (CTP), uridine triphosphate (UTP), and guanosine triphosphate (GTP). - 3. The method of
paragraph 1, wherein step (b) comprises (i) dividing individual NTP consumption rate over total NTP consumption rate. - 4. The method of
paragraph 3, wherein the individual NTP consumption rate is calculated by measuring individual NTP concentrations at discrete intervals over a period of time; and the total NTP consumption rate is calculated by measuring total NTP concentration at discrete intervals over a period of time. - 5. The method of
paragraph 4, wherein the individual NTP concentration and total NTP concentration measurements are collected until the concentration of at least one of the NTPs drops below a threshold concentration. - 6. The method of
paragraph 5, wherein the threshold concentration is above zero (0) millimolar (mM), optionally wherein the threshold concentration is 5 mM to 20 mM, and optionally wherein the threshold concentration is within 5%-75% of the initial NTP concentration. - 7. The method of any one of paragraphs 1-6, wherein the known initial NTP concentrations comprise equimolar NTP concentrations of each of [ATP], [CTP], [UTP], and [GTP].
- 8. The method of any one of paragraphs 1-6, wherein the known initial NTP concentrations comprise a ratio of [ATP]:[UTP] of 1:1 to 4:1, optionally 1:1 to 2:1, and/or a ratio of [GTP]:[CTP] of 1:1 to 4:1.
- 9. The method of any one of paragraphs 1-8, wherein the known initial NTP concentrations comprise a ratio of [ATP]:[UTP]:[CTP]:[GTP] of 2:1:1:4.
- 10. The method of any of the above paragraphs, wherein the NTP is a chemically modified NTP, a naturally-occurring NTP, or a synthetic NTP.
- 11 The method of any one of paragraphs 1-10, wherein the IVT reaction is conducted over a time interval of 20 to 40 minutes.
- 12. A method of fed-batch in vitro transcription (IVT) of a ribonucleic acid (RNA) of interest comprising:
- (a) conducting an IVT reaction with an initial reaction mixture that comprises deoxyribonucleic acid (DNA) encoding an RNA of interest, RNA polymerase, and nucleoside triphosphates (NTPs); and
- (b) delivering to the ongoing IVT reaction mixture a feed stock mixture over time that comprises NTPs, wherein each NTP is present in the feed stock mixture at a molar ratio based on percent consumption value calculated separately for each NTP, wherein the percent consumption values are specific to the RNA of interest, and wherein the feed stock mixture is delivered in an amount that maintains a total NTP concentration in the reaction mixture above zero mM,
- thereby producing a transcribed RNA of interest.
- 13. The method of
paragraph 12, wherein the NTPs comprise adenosine triphosphate (ATP), cytidine triphosphate (CTP), uridine triphosphate (UTP), and guanosine triphosphate (GTP). - 14. The method of
paragraph 12 or 13, wherein the initial reaction mixture of (a) comprises a ratio of [ATP]:[UTP] of 1:1 to 4:1, optionally 1:1 to 2:1, and/or a ratio of [GTP]:[CTP] of 1:1 to 4:1. - 15. The method of any one of paragraphs 12-14, wherein the initial reaction mixture of (a) comprises a ratio of [ATP]:[UTP]:[CTP]:[GTP] of 2:1:1:4.
- 16. The method of any one of paragraphs 12-15, wherein each NTP in the initial reaction mixture of (a) is present at a molar ratio equivalent that is different from the percent (%) consumption value calculated for each NTP.
- 17. The method of any one of paragraphs 12-16, wherein each NTP in the initial reaction mixture of (a) is present in an equimolar concentration for each NTP.
- 18. The method of any one of paragraphs 12-17, wherein each NTP in the initial reaction mixture of (a) is present at a concentration of 1-10 mM, 1-6 mM, 2-6 mM, or 3-6 mM.
- 19. The method of any one of paragraphs 12-18, wherein the concentration of each NTP in the ongoing IVT reaction mixture is maintained within a range of 5% to 200%, 5%-100%, 5%-75%, 20%-100%, 20%-75%, or 25%-50% of its corresponding initial NTP concentration.
- 20. The method of any one of paragraphs 12-19, wherein the reaction mixture is maintained at a ratio of [ATP]:[UTP] of 1:1 to 4:1, optionally 1:1 to 2:1, and/or a ratio of [GTP]:[CTP] of 1:1 to 4:1.
- 21. The method of any one of paragraphs 12-20, wherein the reaction mixture is maintained at a ratio of [ATP]:[UTP]:[CTP]:[GTP] of 2:1:1:4.
- 22. A method of fed-batch in vitro transcription (IVT) of a ribonucleic acid (RNA) of interest comprising:
- (a) conducting an IVT reaction with an initial reaction mixture that comprises deoxyribonucleic acid (DNA) encoding an RNA of interest, RNA polymerase, and nucleoside triphosphates (NTPs), wherein the NTPs comprise a ratio of [ATP]:[UTP] of 2:1 and a ratio of [GTP]:[CTP] of 4:1; and
- (b) delivering to the ongoing IVT reaction mixture a feed stock mixture over time that comprises NTPs, wherein each NTP is present in the feed stock mixture at a molar ratio based on percent consumption value calculated separately for each NTP, wherein the percent consumption values are specific to the RNA of interest, and wherein the feed stock mixture is delivered in an amount that maintains a ratio of [ATP]:[UTP] of 2:1 and a ratio of [GTP]:[CTP] of 4:1,
- thereby producing a transcribed RNA of interest.
- 23. The method of any one of paragraphs 12-22, wherein the NTPs are chemically modified NTPs, naturally-occurring NTPs, or synthetic NTPs.
- 24. The method of any one of paragraphs 12-23, wherein the feed stock mixture is delivered to the ongoing IVT reaction mixture using bolus feeding over time.
- 25. The method of paragraph 24, wherein the feed stock mixture is delivered to the ongoing IVT reaction mixture every 10-250 minutes, optionally every 20-200 minutes.
- 26. The method of any one of paragraphs 12-23, wherein the feed stock mixture is delivered to the ongoing IVT reaction mixture using continuous feeding over time.
- 27. The method of paragraph 26, wherein the feed stock mixture is delivered to the ongoing IVT reaction mixture at a continuous flow rate of
- (i) 2-8 mL/min, optionally 4-6 mL/min; or
- (ii) 0.0030-0.007 mL/min per mL of initial volume, optionally 0.0040-0.0060 mL/min per mL of initial volume.
- 28. The method of any one of paragraphs 12-27, wherein each NTP in the initial reaction mixture of (a) is present at a molar ratio equivalent to the percent (%) consumption value calculated for each NTP.
- 29. The method of any one of paragraphs 12-28, wherein the total NTP concentration in the ongoing IVT reaction mixture is maintained above a lower limit of 0.5 mM, optionally maintained at 10 mM to 20 mM.
- 30. The method of any one of paragraphs 1-29, wherein the initial and/or ongoing IVT reaction mixtures further comprise an RNA cap analog.
- 31. The method of
paragraph 30, wherein the RNA cap analog is a chemically modified RNA cap analog, a naturally-occurring RNA cap analog, or a synthetic RNA cap analog. - 32. The method of
paragraph 30 or 31, wherein the RNA cap analog is (i) a trinucleotide RNA cap analog, optionally selected from trinucleotide cap analogs comprising aCap 1,Cap 2,Cap 3, orCap 4 structure, or (ii) a tetranucleotide RNA cap analog, optionally selected from trinucleotide cap analogs comprising aCap 5,Cap 6,Cap 7, orCap 8 structure. - 33. The method of any one of paragraphs 30-32, wherein the initial and ongoing IVT reaction mixtures comprise a ratio of [RNA cap analog]:[purine] of 1:1 to 20:1, 1:1 to 15:1, 1:1 to 10:1, 1:1 to 5:1, 1:1 to 3:1, or 1:1 to 2:1.
- 34. The method of any one of paragraphs 12-33, wherein the yield of transcribed RNA of interest is greater than the yield of RNA transcribed using a batch IVT reaction.
- 35. The method of paragraph 34, wherein the yield of transcribed RNA of interest is at least 100% greater than the yield of RNA transcribed using a batch IVT reaction.
- 36. The method of any one of paragraphs 12-35, wherein the yield of transcribed RNA of interest is greater than 5, 10, 15, 20, 25, or 30 mg/mL of initial reaction volume.
- 37. The method of any one of paragraphs 12-36, wherein the initial and ongoing IVT reaction mixtures further comprise a buffer and/or magnesium.
- 38. The method of paragraph 37, wherein the buffer is Tris-HCl, optionally wherein the buffer is 20 to 60 mM Tris-HCl, optionally wherein the buffer is 40 mM Tris-HCl.
- 39. The method of any one of paragraphs 30-3387, wherein at least 90%, optionally at least 95%, of the transcribed RNA of interest comprises the RNA cap analog.
- 40. The method of any one of paragraphs 30-39, wherein the cap analog to ATP ratio, or the cap analog to GTP ratio, is greater than 0.6, and at least 90% of the transcribed RNA of interest comprises a cap analog.
- 41. The method of
paragraph 39 or 40, wherein the transcribed RNA of interest has a length of at least 2000 nucleotides. - 42. The method of any one of paragraphs 30-41, wherein at least 90% of the transcribed RNA of interest comprises the RNA cap analog by the 180th minute and/or the 360th minute of the IVT reaction.
- 43. The method of any one of paragraphs 12-42, wherein the initial and/or ongoing IVT reaction mixtures are not supplemented with an RNA cap analog during the IVT reaction.
- 44. The method of any one of paragraphs 12-43, wherein the DNA concentration in the initial reaction mixture is 0.025-0.075 mg/mL, optionally 0.05 mg/mL.
- 45. The method of any one of paragraphs 12-44, wherein the DNA concentration is maintained at a concentration of above 0.01 mg/mL during the IVT reaction, optionally 0.01-0.05 mg/mL.
- 46. The method of any one of paragraphs 12-45, wherein the molar ratio of transcribed RNA of interest to the DNA in the IVT reaction is at least 2-fold or at least 3-fold greater than the molar ratio of transcribed RNA to DNA of a non-fed batch control method.
- 47. The method of any one of paragraphs 23-46, wherein the UTP is a modified UTP selected from 1-methylpseudouridine and 1-ethylpseudouridine.
- 48. The method of any one of paragraphs 12-47, wherein the transcribed RNA of interest is a messenger RNA (mRNA).
- 49. The method of any one of paragraphs 12-48, wherein the transcribed RNA of interest has a length of longer than 100 nucleotides.
- 50. The method of any one of paragraphs 12-49, wherein the total IVT reaction time is 150-1000 minutes.
- 51. The method of any one of paragraphs 12-50, wherein at least 50% or at least 70% of the transcribed RNA of interest comprises a polyA tail by the 420th minute of the IVT reaction.
- 52. The method of paragraph 51, wherein the polyA tail is an A100 polyA tail.
- 53. The method of any one of paragraphs 30-52, wherein the initial reaction mixture comprises an RNA cap analog concentration that is at least 10% or at least 20% greater than the concentration of the NTP present in the first coding position of the RNA of interest.
- 54. The method of paragraph 53, wherein the NTP present in the first coding position of the RNA of interest is ATP or GTP.
- 55. The method of any one of paragraphs 1-54, wherein the RNA polymerase is a T7 RNA polymerase.
- 56. The method of
paragraph 55, wherein the T7 RNA polymerase comprises an additional glycine at the C-terminus relative to wild-type T7 RNA polymerase. - 57. The method of
paragraph 55, wherein the T7 RNA polymerase comprises a G47A substitution relative to wild-type T7 RNA polymerase. - 58. The method of
paragraph 55, wherein the T7 RNA polymerase comprises a G47A substitution and an additional glycine at the C-terminus relative to wild-type T7 RNA polymerase. - 59. The method of any one of paragraphs 30-58, wherein the RNA cap analog is a dinucleotide cap, a trinucleotide cap, or a tetranucleotide cap.
- 60. The method of paragraph 59, wherein the RNA cap analog comprises a trinucleotide sequence GAG, optionally GpppA2′OMepG. 61. The method of
paragraph 60, wherein the RNA cap analog comprises a tetranucleotide sequence GGAG. - 62. The method of any one of paragraphs 12-61 further comprising isolating the transcribed RNA of interest.
- 63. The RNA of interest isolated from the method of paragraph 62. 64. A ribonucleic acid (RNA) produced by the method of any one of paragraphs 12-63.
- 65. The RNA of paragraph 63 or 64 formulated in a cationic lipid nanoparticle, optionally wherein the cationic lipid nanoparticle comprises a molar ratio of 20-60% ionizable cationic lipid, 5-25% non-cationic lipid, 25-55% sterol, and 0.5-15% PEG-modified lipid.
- The present disclosure is further illustrated by the following Examples. These Examples are provided to aid in the understanding of the disclosure, and should not be construed as a limitation thereof.
- The empirically-balanced fed-batch in vitro transcription (IVT) reaction of the present disclosure is based, in part, on the following:
- Empirical Balancing of Nucleotides
-
- Determining the percent consumption of each nucleotide for a given DNA
- Formulating a nucleotide master mix for use in the IVT reaction and feed stock by using the percent consumption
- Determining Feed Schedule and Feed Stock Components
-
- Feed schedule accommodates changes in the reaction rate over time
- Feeding ensures that the ratio of cap analog to the highest purine NTP concentration is ≥1
- Feed stock recipe maximizes yield and product quality while minimizing cost of goods
- In this Example, the fed-batch IVT reaction uses four nucleotides: CTP, GTP, UTP, and ATP. We have shown that the relative molar ratios of each nucleotide can be varied to maximize the utilization of reactants or to change the attributes of the RNA product. Here, we present a platform for balancing the ratios of the four nucleotides according to their rate of consumption to ensure that the concentration of each is maintained throughout fed-batch IVT.
- When the DNA encoding a new RNA product is obtained, the following steps are followed to calculate percent consumption:
- (1) Perform a batch IVT reaction with known initial concentrations of CTP, GTP, UTP, and ATP, and measure the concentration of each nucleotide during the reaction. Ensure that all nucleotides remain >0 mM for all measured time points, otherwise discard the data collected at that time. For the data shown in
FIGS. 1A-1B , all nucleotides had an initial concentration of 5 mM, and their concentrations were measured for up to 30 minutes. - (2) Use the measured concentrations and times collected to calculate the rate of CTP, GTP, UTP, and ATP consumption during the reaction. For multiple time points, this can be the slope of a linear fit of the data (
FIG. 1A ). - (3) Add the rates of CTP, GTP, UTP, and ATP to determine the total consumption rate for all nucleotides (
FIG. 1B ). - (4) Divide the rate of each individual nucleotide by the rate of all (total) nucleotides to determine a percent consumption value for CTP, GTP, UTP, and ATP.
- The relevant values are provided in Table 1.
-
TABLE 1 Experimental Determination of Percent Consumption Slope Slope percent % Abundance (mM/min) (mM/hr) consumption in Sequence CTP −0.086 −5.18 22.9% 22.9% GTP −0.092 −5.49 24.2% 23.8% UTP −0.064 −3.84 16.9% 17.9% ATP −0.136 −8.15 36.0% 35.4% Total −0.378 −22.67 — - The percent consumption values can be used to formulate a reaction mixture for a batch IVT reaction, or the NTP master mixture and the feed stock mixture for a fed-batch IVT reaction. For example, to make sure all nucleotides are fully consumed at the same time in a batch reaction, the NTP master mix can contain molar ratios of NTPs equivalent to the percent consumption values. Alternatively, in the case of a fed-batch reaction, it may instead be preferable to formulate the NTP master mixture so that all nucleotides are equivalent concentrations when the sum of all nucleotides equals 10 mM, or some concentration >0 mM where the NTPs are maintained. Finally, it may be preferable to maintain a specific ratio of nucleotides throughout the reaction, to generate a desired product profile. Using the percent consumption values allows the operator to achieve any of these process requirements.
- The empirically determined percent consumption values differ from the observed % abundance of each NTP in the desired RNA sequence. In addition, determining percent consumption does not require prior knowledge of the construct sequence.
- As shown in
FIG. 2 , Ultra-Performance Liquid Chromatography (UPLC®) may be used to monitor NTP and RNA cap analog concentration. This information can then be used to calculate individual NTP concentrations and/or total NTP concentrations. The following conditions are provided as an example: -
- Column: ACQUITY UPLC Oligonucleotide BEH C18 Column, 130 Å, 1.7 μm, 2.1 mm×150 mm (Part No. 186005516)
- Column Temp.: 40° C.
- Flow Rate: 0.4 mL/min
- Mobile Phase A: 100 mM triethylammonium acetate (TEAA)
- Mobile Phase B: 100 mM triethylammonium acetate (TEAA), 25% Acetonitrile
- Exemplary IVT master mixture and feed stock mixture recipes are provided as follows in Table 2 and Table 3, based on the data provided in
FIGS. 1A-1B : -
TABLE 2 IVT Master Mixture Component Concentration Notes Total nucleotides 20 mM Balanced to % consumption Magnesium acetate 30 mM Trinucleotide Balance to highest purine Excess can be added (ATP or GTP) to improve capping RNA polymerase 0.04 mg/mL DNA 0.05 mg/mL Pyrophosphatase 1 U/mL Dithiothreitol (DTT) 5 mM Tris HCl, pH 8.0 40 mM -
TABLE 3 Feed Stock Mixture Component Concentration Notes Total nucleotides 60 mM Balanced to % consumption Magnesium acetate 60 mM RNA polymerase 0.04 mg/mL Pyrophosphatase 1 U/mL Dithiothreitol (DTT) 5 mM Tris HCl, pH 8.0 40 mM - An initial nucleotide empirical balancing reaction was performed for DNA encoding two constructs,
RNA # 1 andRNA # 2. Graphs showing the individual NTP concentrations for each DNA are depicted inFIGS. 3A and 3B . The following percent (%) consumption values were determined, as explained in Example 1: -
TABLE 3 Experimental Determination of Percent Composition ( RNA # 1 and RNA #2)% CTP % GTP % UTP % ATP RNA # 1 22.8% 24.2% 17.0% 35.9 % RNA # 2 24.3% 26.9% 17.8% 31.1% - Customizing NTP Ratios in Fed-Batch IVT Reaction
- The percent consumption values for CTP, GTP, UTP, and ATP can be used to control the NTP ratios in the initial IVT reaction mixture, during an ongoing reaction, or remaining after an IVT reaction is complete. In one example, a process to make
RNA # 1 may require complete utilization of all four NTP reagents by the end of the reaction. In this case, a batch IVT reaction forRNA # 1 was conducted in which the relative nucleotide ratios were set equal to the empirical percent consumption values. The graph displayed inFIG. 4A shows the NTP concentrations during this reaction. All four nucleotides approach a concentration of 0 mM at the same time, maximizing the utilization of these components. - Other scenarios may require that the process maintain specific ratios of NTPs during fed-batch or batch operation, either to produce a specific product profile or ensure complete utilization of specific reagents. For example, the process may require [CTP], [GTP], [UTP], [ATP] to be equal in the range where the fed-batch IVT reaction is maintained, such as when total [NTP] equals 10 mM. In this case, the empirically-determined percent consumption values were used to calculate an adjusted composition of nucleotide master mixture to fulfill this process requirement (Table 4). The graph displayed in
FIG. 4B shows a batch IVT reaction with DNAencoding RNA # 1 that used the nucleotide master mixture specific for all NTPs to be equivalent at 10 mM total NTPs (Table 4). As shown in the figure, all four nucleotide reagents reached 2.5 mM, or a total NTP concentration equal to 10 mM, at the same time. -
TABLE 4 NTP Master Mixtures for Customized Concentrations of NTPs during IVT Reaction % CTP % GTP % UTP % ATP All NTPs Equivalent at 0 mM Total NTPs RNA # 1 22.8% 24.2% 17.0% 35.9 % RNA # 2 24.3% 26.9% 17.8% 31.1% All NTPs Equivalent at 10 mM Total NTPs RNA # 1 23.9% 24.6% 21.0% 30.5 % RNA # 2 24.6% 25.9% 21.4% 28.0% - Trinucleotide (GAG) Capping Efficiency Test
- Test IVTs were performed to evaluate the impact of GAG:NTP ratio, where NTP is either ATP or GTP. In this set of experiments (
FIG. 22 ), GAG:ATP or GAG:GTP ratio greater than 0.6 generated mRNA with greater than 90% cap. Using an RNA cap analog with greater than 0.6 GAG:ATP or GAG:GTP ratio produces mRNA with optimal cap content. Thus, fed-batch IVTs are designed to maintain a ratio of GAG:ATP or GAG:GTP greater than 0.6. - An important aspect of the fed-batch IVT process is determining the appropriate timing of additions for a given feed stock and IVT reaction mixture, to maintain reagents in the desired range. To do this, a scouting fed-batch IVT reaction was conducted with a DNA of interest using the empirically-balanced nucleotide master mixture (from Examples 1 and 2) and an initial feeding schedule based on the predicted NTP consumption rate for that DNA. This initial feeding schedule would be revised following the results and analysis of this scouting fed-batch IVT reaction, as described below.
- Throughout the scouting fed-batch IVT reaction, the total concentration of nucleotides was determined immediately before and after adding feed stock mixture to the IVT reaction for each feed (
FIG. 5A-B ). These total concentration measurements and feed times were then used to calculate a unique total nucleotide consumption rate between each feed of the reaction (FIG. 6A-B ). As displayed inFIG. 7A-C , the nucleotide consumption rates were plotted against either [DNA], [mRNA], or reaction time (in this example, [DNA] was used). Fitting this plot with a curve (linear model shown) provided an empirical model of the nucleotide consumption rate throughout the fed-batch IVT reaction. By incorporating these NTP consumption model parameters with a few additional parameters (below), a complete feed schedule was determined for the given feed stock and IVT reaction mixture used for RNA #1 (see Table 5). -
- Initial [DNA]
- Minimum nucleotide concentration
- Initial nucleotide concentration
- Feed-stock nucleotide concentration
- First feed volume fraction (volume of feed/volume of initial reaction)
- Either total reaction time or total nucleotides added
-
TABLE 5 Calculated Feed-Stock Addition Times for RNA# 1Feed Number Elapsed Reaction Time (minutes) 1 48.5 2 80.5 3 115.0 4 152.0 5 192.5 6 236.5 7 285.0 - After completing the nucleotide empirical balancing experiments (Examples 1 and 2) and setting the feed schedule (Example 3) for a given DNA, feed-stock, and IVT reaction mixture, a fed-batch IVT reaction model was created by combining several empirically-determined reaction parameters with user-selected parameters for the fed-batch IVT reaction:
- Empirically-Determined Reaction Parameters
-
- % Consumption of CTP, GTP, UTP, and ATP (from Example 1)
- NTP consumption curve-fit parameters (from Example 3)
- Initial % Tailed product (observed in Example 3)
- Rate of % Tailed product vs. time (observed in Example 3)
- User-Selected Reaction Parameters
-
- Ratios of CTP, GTP, UTP, and ATP in the nucleotide master mix for initial IVT reaction
- Ratios of CTP, GTP, UTP, and ATP in the nucleotide master mix for feed-stock
- Initial [DNA] or reaction volume (if used for NTP consumption curve-fit)
- Initial concentration of Trinucleotide
- Minimum nucleotide concentration
- Initial nucleotide concentration
- Feed-stock nucleotide concentration
- First feed volume fraction (volume of feed/initial reaction volume)
- Either total reaction time or total nucleotides added
- As shown in
FIGS. 9-11 , the reaction model was capable of estimating concentration of total and individual nucleotides (FIG. 9 ), yield of RNA products (FIG. 10 ), % tailed RNA (FIG. 11 ). In addition, the model provided guidance on expected % capping in the RNA product (by comparing the [purines] to [trinucleotide]) and optimal reaction time for any DNA. - Empirically-balanced fed-batch IVT reactions were conducted for
RNA # 1 andRNA # 2. Feeding schedules were set for bothRNA # 1 andRNA # 2 based on a rate analysis (FIGS. 6A-B and 7A-C). The following initial IVT conditions were used for each construct: - Initial IVT Reaction Recipe:
-
- 40 mM Tris HCl, pH 8.0
- 20 mM total nucleotides (empirically balanced to 10 mM NTPs)
- 30 mM magnesium acetate
- RNA cap analog (trinucleotide) equal to 1.2*[ATP]
- 0.04 mg/mL RNA polymerase
- 0.02% Triton X-100 (w/v)
- 0.05 mg/mL Plasmid
- 5 mM DTT
- 1 mM Spermidine
- 1 U/mL PPiase
- Experiment Details:
-
- Temperature: 37° C.
- Starting Reaction Volume: 500 μL
- End-over-end mixing
- Feed-Stock Recipe:
-
- 40 mM Tris HCl, pH 8.0
- 60 mM total nucleotides (empirical balance to 10 mM NTP)
- 60 mM magnesium acetate
- 0.04 mg/mL RNA polymerase
- 0.02% Triton X-100
- 5 mM DTT
- 1 mM Spermidine
- 1 U/mL PPiase
- Feeding Schedule:
-
- Constant feed volume: 71.4 μL
- Feed times:
- RNA #1: 60, 85, 115, 150, 185, 220, 260 min (7 feeds)
- RNA #2: 60, 100, 140, 180, 220, 270 min (6 feeds)
- Total reaction time: 360 min (6 hours)
- Final IVT reaction volume:
- RNA #1 (7 feeds): 1000 μL
- RNA #2 (6 feeds): 928 μL
- Analytical Outputs:
-
- RNA product yield
- Ultra-Performance Liquid Chromatography to monitor NTP and RNA cap analog concentrations
- % Tailed RNA
- % Capped RNA
- As shown in
FIGS. 11-16 , The nucleotide concentration, yield, and product quality were evaluated throughout the fed-batch IVT reactions forRNA # 1 andRNA # 2.FIG. 11A-B andFIG. 12A-B show the measured total [NTPs] and individual [NTPs] during the fed-batch IVT reaction forRNA # 1 andRNA # 2, respectively.FIGS. 13A and 13B show the measured concentration of total RNA and tailed RNA, respectively, forRNA # 1 andRNA # 2.FIG. 14A-B show the measured mass of total RNA and tailed RNA versus initial IVT reaction volume forRNA # 1 andRNA # 2.FIG. 15 shows % tailed RNA product forRNA # 1 andRNA # 2.FIG. 16A shows % capped mRNA product forRNA # 1 andRNA # 2, andFIG. 16B shows % capped RNA product over time forRNA # 1. The experimental results can be compared to the IVT model outputs using the same parameters to verify the results of the reaction or to improve to the model. The construct-specific parameters can also be recorded and used for developing processes for future constructs. - In Examples 3, 4, and 5, each fed-batch IVT reaction was done using bolus feeding, in which the feed-stock mixture was added in constant-volume bolus additions at specified times during the reaction. This process resulted in variations in nucleotide concentration during the reaction with each feed (
FIGS. 11A-B and 12A-B). To minimize these variations, and to reduce the need for additional manufacturing controls required for distinct bolus feeds, the feeding schedule was converted to a continuous feed format. - An example of the continuous fed-batch IVT process is shown in
FIGS. 17-22 , in which a bolus fed-batch reaction is compared to a continuous fed-batch reaction for DNAencoding RNA # 3. Tables 6 and 7 show the process parameters for bolus and continuous feed IVT reaction modes used to testRNA # 3. The bolus feed version of the process required 18 process parameters and where the initial reaction volume was 1 L and the volume of each bolus feed was 14.28 mL. See Table 6. In contrast, the continuous feed mode required 5 process parameters. See Table 7. The continuous feed schedule contained 5 feed parameters: Start time,flow rate 1, switch time fromflow rate 1 to flowrate 2, flowrate 2, and a stop time (Table 7). The two flow rates were used to accommodate any variations in the rate of nucleotide consumption that occurred during the IVT reaction -
TABLE 6 Process Parameters for Bolus Feed Schedule for RNA# 3Initial Reaction Volume*: 1 L Volume of each feed 14.28 mL Feed Number Feed Time (Minutes) 1 27.0 2 45.0 3 65.0 4 88.0 5 114.0 6 144.0 7 180.0 8 226.0 9 288.0 Stop Reaction 480.0 *All volumes normalized to 1 L reaction -
TABLE 7 Process Parameters for Continuous Feed Schedule for RNA# 3Initial Reaction Volume*: 1 L Stop IVT Reaction: 365.0 min Time Flow rate Flow rate Action (Minutes) (mL/min) (mL/min per mL initial volume) Start Feed 30 5.76 0.0058 mL/min per mL initial volume Switch Feed 150 4.00 0.0040 mL/min per mL initial volume Stop Feed 301 *All volumes normalized to 1 L reaction - The graphs in
FIGS. 17A-17B show that the total nucleotide concentration throughout the IVT reaction forRNA # 3 is much more consistent for the continuous fed-batch reaction than the bolus fed-batch reaction.FIGS. 18A-18B and 19A-19B show comparable RNA product yields for the continuous and bolus fed-batch IVT reactions. - The overall product quality of
RNA # 3 was slightly improved for the continuous fed-batch IVT reaction compared to bolus fed-batch. The graphs inFIGS. 20A-20B show that the percent of tailed RNA product forRNA # 3 is comparable but improved when using continuous over bolus fed-batch. The graphs inFIGS. 21A-21B show that capping was slightly better for the continuous fed-batch IVT reaction. This observation can be explained by a lower average A/GTP-to-trinucleotide ratio throughout the reaction for continuous fed-batch. SeeFIG. 22 . - In this example, a fed-batch IVT reaction was performed to synthesize RNA using bolus feeding with tetranucleotide cap analog. An initial IVT mixture was created using nucleotides present in molar ratios balanced to the RNA of interest (Table 8), a GGAG tetranucleotide cap analog, T7 RNA polymerase, pyrophosphatase, buffer, and DNA
encoding RNA # 4. The initial molar ratio of tetranucleotide cap analog to ATP was 1.3:1. The feed stock master mix was made up of nucleotides, T7 RNA polymerase, pyrophosphatase, and buffer. The reaction was fed using the feed stock master mix at three times in 30-minute intervals, targeting a minimum of 8 mM NTP; and the reaction proceeded for two hours. - A batch IVT reaction using the same initial IVT mixture was performed as a control experiment. The control batch reaction was not fed after the reaction had started.
-
TABLE 8 Concentrations of nucleotides in initial IVT mixture CTP GTP UTP ATP Concentration 29.90% 24.20% 15.50% 30.40% relative to total RNA - As shown in
FIGS. 23-25 , ATP concentration, total RNA yield, and percent capping were evaluated for both the fed-batch IVT reaction and the control batch reaction. The fed-batch reaction provided RNA with high capping efficiency (˜90% RNA comprising the cap analog). Surprisingly, the fed-batch IVT reaction significantly outperformed the control batch reaction with approximately 1.8-fold higher yield of RNA (˜9 mg/mL initial volume for fed-batch reaction compared to ˜5 mg/mL initial volume for control batch reaction).
Claims (65)
Priority Applications (1)
| Application Number | Priority Date | Filing Date | Title |
|---|---|---|---|
| US17/438,049 US12460259B2 (en) | 2019-03-11 | 2020-03-11 | Fed-batch in vitro transcription process |
Applications Claiming Priority (3)
| Application Number | Priority Date | Filing Date | Title |
|---|---|---|---|
| US201962816734P | 2019-03-11 | 2019-03-11 | |
| US17/438,049 US12460259B2 (en) | 2019-03-11 | 2020-03-11 | Fed-batch in vitro transcription process |
| PCT/US2020/021955 WO2020185811A1 (en) | 2019-03-11 | 2020-03-11 | Fed-batch in vitro transcription process |
Publications (2)
| Publication Number | Publication Date |
|---|---|
| US20220145381A1 true US20220145381A1 (en) | 2022-05-12 |
| US12460259B2 US12460259B2 (en) | 2025-11-04 |
Family
ID=72426291
Family Applications (1)
| Application Number | Title | Priority Date | Filing Date |
|---|---|---|---|
| US17/438,049 Active 2043-01-08 US12460259B2 (en) | 2019-03-11 | 2020-03-11 | Fed-batch in vitro transcription process |
Country Status (10)
| Country | Link |
|---|---|
| US (1) | US12460259B2 (en) |
| EP (1) | EP3938507A4 (en) |
| JP (2) | JP2022526089A (en) |
| KR (1) | KR20210149727A (en) |
| CN (1) | CN113874502A (en) |
| AU (1) | AU2020239037A1 (en) |
| CA (1) | CA3132975A1 (en) |
| MA (1) | MA55319A (en) |
| MX (1) | MX2021011031A (en) |
| WO (1) | WO2020185811A1 (en) |
Cited By (29)
| Publication number | Priority date | Publication date | Assignee | Title |
|---|---|---|---|---|
| US11497807B2 (en) | 2017-03-17 | 2022-11-15 | Modernatx, Inc. | Zoonotic disease RNA vaccines |
| US11564893B2 (en) | 2015-08-17 | 2023-01-31 | Modernatx, Inc. | Methods for preparing particles and related compositions |
| US11576961B2 (en) | 2017-03-15 | 2023-02-14 | Modernatx, Inc. | Broad spectrum influenza virus vaccine |
| US11696946B2 (en) | 2016-11-11 | 2023-07-11 | Modernatx, Inc. | Influenza vaccine |
| US11744801B2 (en) | 2017-08-31 | 2023-09-05 | Modernatx, Inc. | Methods of making lipid nanoparticles |
| US11752206B2 (en) | 2017-03-15 | 2023-09-12 | Modernatx, Inc. | Herpes simplex virus vaccine |
| US11767548B2 (en) | 2017-08-18 | 2023-09-26 | Modernatx, Inc. | RNA polymerase variants |
| US11786607B2 (en) | 2017-06-15 | 2023-10-17 | Modernatx, Inc. | RNA formulations |
| US11851694B1 (en) | 2019-02-20 | 2023-12-26 | Modernatx, Inc. | High fidelity in vitro transcription |
| US11866696B2 (en) | 2017-08-18 | 2024-01-09 | Modernatx, Inc. | Analytical HPLC methods |
| US11872278B2 (en) | 2015-10-22 | 2024-01-16 | Modernatx, Inc. | Combination HMPV/RSV RNA vaccines |
| US11905525B2 (en) | 2017-04-05 | 2024-02-20 | Modernatx, Inc. | Reduction of elimination of immune responses to non-intravenous, e.g., subcutaneously administered therapeutic proteins |
| US11911453B2 (en) | 2018-01-29 | 2024-02-27 | Modernatx, Inc. | RSV RNA vaccines |
| US11912982B2 (en) | 2017-08-18 | 2024-02-27 | Modernatx, Inc. | Methods for HPLC analysis |
| US12070495B2 (en) | 2019-03-15 | 2024-08-27 | Modernatx, Inc. | HIV RNA vaccines |
| US12090235B2 (en) | 2018-09-20 | 2024-09-17 | Modernatx, Inc. | Preparation of lipid nanoparticles and methods of administration thereof |
| US12128113B2 (en) | 2016-05-18 | 2024-10-29 | Modernatx, Inc. | Polynucleotides encoding JAGGED1 for the treatment of Alagille syndrome |
| WO2024232914A1 (en) * | 2023-05-05 | 2024-11-14 | Trilink Biotechnologies, Llc | In vitro transcription method |
| US12150980B2 (en) | 2015-07-30 | 2024-11-26 | Modernatx, Inc. | Concatemeric peptide epitope RNAs |
| US12151029B2 (en) | 2018-09-19 | 2024-11-26 | Modernatx, Inc. | PEG lipids and uses thereof |
| US12180518B2 (en) | 2019-02-20 | 2024-12-31 | Modernatx, Inc. | RNA polymerase variants for co-transcriptional capping |
| US12233084B2 (en) | 2016-09-14 | 2025-02-25 | Modernatx, Inc. | High purity RNA compositions and methods for preparation thereof |
| US12274743B2 (en) | 2014-04-23 | 2025-04-15 | Modernatx, Inc. | Nucleic acid vaccines |
| US12329811B2 (en) | 2021-01-11 | 2025-06-17 | Modernatx, Inc. | Seasonal RNA influenza virus vaccines |
| US12383508B2 (en) | 2018-09-19 | 2025-08-12 | Modernatx, Inc. | High-purity peg lipids and uses thereof |
| US12428577B2 (en) | 2021-05-14 | 2025-09-30 | Modernatx, Inc. | Methods of monitoring in vitro transcription of mRNA and/or post-in vitro transcription processes |
| US12460259B2 (en) | 2019-03-11 | 2025-11-04 | Modernatx, Inc. | Fed-batch in vitro transcription process |
| US12492420B2 (en) | 2024-03-29 | 2025-12-09 | New England Biolabs, Inc. | Compositions, kits, and methods for in vitro transcription |
| US12529047B1 (en) | 2021-12-21 | 2026-01-20 | Modernatx, Inc. | mRNA quantification methods |
Families Citing this family (24)
| Publication number | Priority date | Publication date | Assignee | Title |
|---|---|---|---|---|
| US11364292B2 (en) | 2015-07-21 | 2022-06-21 | Modernatx, Inc. | CHIKV RNA vaccines |
| MA46080A (en) | 2015-10-22 | 2019-07-10 | Modernatx Inc | NUCLEIC ACID VACCINES AGAINST VARICELLA ZONA VIRUS (VZV) |
| MA46316A (en) | 2015-10-22 | 2021-03-24 | Modernatx Inc | HUMAN CYTOMEGALOVIRUS VACCINE |
| WO2017070624A1 (en) | 2015-10-22 | 2017-04-27 | Modernatx, Inc. | Tropical disease vaccines |
| LT3386484T (en) | 2015-12-10 | 2022-06-10 | Modernatx, Inc. | Compositions and methods for delivery of therapeutic agents |
| EP3528821A4 (en) | 2016-10-21 | 2020-07-01 | ModernaTX, Inc. | VACCINE AGAINST THE HUMANE CYTOMEGALOVIRUS |
| WO2018107088A2 (en) | 2016-12-08 | 2018-06-14 | Modernatx, Inc. | Respiratory virus nucleic acid vaccines |
| EP3555289A1 (en) | 2016-12-13 | 2019-10-23 | ModernaTX, Inc. | Rna affinity purification |
| EP3595713A4 (en) | 2017-03-15 | 2021-01-13 | ModernaTX, Inc. | RESPIRATORY SYNCYTIAL VIRUS VACCINE |
| US11045540B2 (en) | 2017-03-15 | 2021-06-29 | Modernatx, Inc. | Varicella zoster virus (VZV) vaccine |
| WO2019055807A1 (en) | 2017-09-14 | 2019-03-21 | Modernatx, Inc. | Zika virus rna vaccines |
| IL297419B2 (en) | 2020-04-22 | 2025-02-01 | BioNTech SE | Coronavirus vaccine |
| US11406703B2 (en) | 2020-08-25 | 2022-08-09 | Modernatx, Inc. | Human cytomegalovirus vaccine |
| WO2023025404A1 (en) * | 2021-08-24 | 2023-03-02 | BioNTech SE | In vitro transcription technologies |
| US20250051736A1 (en) * | 2021-10-18 | 2025-02-13 | Modernatx, Inc. | Custom bacterial strain for recombinant protein production |
| US12186387B2 (en) | 2021-11-29 | 2025-01-07 | BioNTech SE | Coronavirus vaccine |
| CN115260264B (en) * | 2022-02-28 | 2023-06-09 | 广州市恒诺康医药科技有限公司 | Compounds for RNA capping and uses thereof |
| CA3206012A1 (en) | 2022-02-28 | 2023-08-28 | Guangzhou Henovcom Bioscience Co., Ltd. | Compounds for rna capping and uses thereof |
| US11878055B1 (en) | 2022-06-26 | 2024-01-23 | BioNTech SE | Coronavirus vaccine |
| WO2024141784A2 (en) | 2022-12-29 | 2024-07-04 | Popvax Private Limited | Broadly protective betacoronavirus vaccines and compositions |
| CN120435314A (en) | 2022-12-29 | 2025-08-05 | 波普瓦克斯私人有限公司 | Multi-target vaccines and therapeutics |
| CN116042749A (en) * | 2023-01-13 | 2023-05-02 | 深圳新合睿恩生物医疗科技有限公司 | Cyclization buffer and method for preparing exogenous cyclic RNA |
| GB202302887D0 (en) | 2023-02-28 | 2023-04-12 | Ribopro B V | Rna |
| CN119490973B (en) * | 2023-08-15 | 2025-08-19 | 南京诺唯赞生物科技股份有限公司 | RNA polymerase variants that increase the rate of RNA capping in vitro transcription |
Citations (1)
| Publication number | Priority date | Publication date | Assignee | Title |
|---|---|---|---|---|
| US20170114378A1 (en) * | 2014-06-10 | 2017-04-27 | Curevac Ag | Methods and means for enhancing rna production |
Family Cites Families (263)
| Publication number | Priority date | Publication date | Assignee | Title |
|---|---|---|---|---|
| US6100024A (en) | 1991-02-08 | 2000-08-08 | Promega Corporation | Methods and compositions for nucleic acid detection by target extension and probe amplification |
| US5298422A (en) | 1991-11-06 | 1994-03-29 | Baylor College Of Medicine | Myogenic vector systems |
| US5256555A (en) | 1991-12-20 | 1993-10-26 | Ambion, Inc. | Compositions and methods for increasing the yields of in vitro RNA transcription and other polynucleotide synthetic reactions |
| US6096503A (en) | 1993-11-12 | 2000-08-01 | The Scripps Research Institute | Method for simultaneous identification of differentially expresses mRNAs and measurement of relative concentrations |
| FR2733762B1 (en) | 1995-05-02 | 1997-08-01 | Genset Sa | METHOD FOR THE SPECIFIC COUPLING OF THE HAIR OF THE 5 'END OF A RNAM FRAGMENT AND PREPARATION OF RNAM AND COMPLETE DNA |
| US6251665B1 (en) | 1997-02-07 | 2001-06-26 | Cem Cezayirli | Directed maturation of stem cells and production of programmable antigen presenting dentritic cells therefrom |
| AU7863200A (en) | 1999-10-06 | 2001-05-10 | Quark Biotech, Inc. | Method for enrichment of natural antisense messenger rna |
| US6831072B2 (en) | 1999-10-29 | 2004-12-14 | Cygene, Inc. | Compositions and methods of synthesis and use of novel nucleic acid structures |
| US6969587B2 (en) | 2000-04-04 | 2005-11-29 | Taylor Paul D | Detection of nucleic acid heteroduplex molecules by anion-exchange chromatography |
| US20030165849A1 (en) | 2000-11-28 | 2003-09-04 | Biliang Zhang | Methods and reagents for introducing a sulfhydryl group into the 5'-terminus of RNA |
| WO2002048310A2 (en) | 2000-12-15 | 2002-06-20 | Genetics Institute, Llc | Methods and compositions for diagnosing and treating rheumatoid arthritis |
| AU2003260291A1 (en) | 2002-09-12 | 2004-04-30 | Nuevolution A/S | Proximity-aided synthesis of templated molecules |
| US8426194B2 (en) | 2003-01-21 | 2013-04-23 | Ptc Therapeutics, Inc. | Methods and agents for screening for compounds capable of modulating VEGF expression |
| GB0316089D0 (en) | 2003-07-09 | 2003-08-13 | Xo Bioscience Ltd | Differentiation method |
| WO2005012487A2 (en) | 2003-08-01 | 2005-02-10 | Invitrogen Corporation | Compositions and methods for preparing short rna molecules and other nucleic acids |
| US20140142290A1 (en) | 2003-08-01 | 2014-05-22 | Life Technologies Corporation | Compositions and methods for preparing short rna molecules and other nucleicacids |
| US20050287539A1 (en) * | 2004-06-29 | 2005-12-29 | Emmanuel Labourier | Methods and compositions for preparing capped RNA |
| US20080220471A1 (en) | 2005-07-27 | 2008-09-11 | Genentech, Inc. | Vectors and Methods Using Same |
| EP4174179B1 (en) | 2005-08-23 | 2025-05-07 | The Trustees of the University of Pennsylvania | Rna containing modified nucleosides and methods of use thereof |
| DE102005046490A1 (en) | 2005-09-28 | 2007-03-29 | Johannes-Gutenberg-Universität Mainz | New nucleic acid molecule comprising promoter, a transcriptable nucleic acid sequence, a first and second nucleic acid sequence for producing modified RNA with transcriptional stability and translational efficiency |
| CA2649325C (en) | 2006-04-14 | 2019-01-08 | Epicentre Technologies Corporation | Kits and methods for generating 5' capped rna |
| EP2104739B1 (en) | 2006-12-21 | 2013-06-19 | Novozymes Inc. | Modified messenger rna stabilizing sequences for expressing genes in bacterial cells |
| DE102006061015A1 (en) | 2006-12-22 | 2008-06-26 | Curevac Gmbh | Process for the purification of RNA on a preparative scale by HPLC |
| WO2009046738A1 (en) | 2007-10-09 | 2009-04-16 | Curevac Gmbh | Composition for treating lung cancer, particularly of non-small lung cancers (nsclc) |
| US9017970B2 (en) | 2008-05-02 | 2015-04-28 | Cellscript, Llc | RNA polyphosphatase compositions, kits, and uses thereof |
| JP5625908B2 (en) | 2008-08-08 | 2014-11-19 | 東ソー株式会社 | RNA polymerase variants with improved function |
| WO2011028218A1 (en) | 2009-09-02 | 2011-03-10 | Alnylam Pharmaceuticals, Inc. | Process for triphosphate oligonucleotide synthesis |
| KR102171849B1 (en) | 2009-12-07 | 2020-10-30 | 더 트러스티스 오브 더 유니버시티 오브 펜실바니아 | Rna preparations comprising purified modified rna for reprogramming cells |
| EP2600901B1 (en) | 2010-08-06 | 2019-03-27 | ModernaTX, Inc. | A pharmaceutical formulation comprising engineered nucleic acids and medical use thereof |
| CN103119177A (en) | 2010-09-21 | 2013-05-22 | 里博克斯艾克斯有限公司 | Microwave-driven rna polymerization by rna polymerases of caliciviruses |
| CN104531812A (en) | 2010-10-01 | 2015-04-22 | 现代治疗公司 | Engineered nucleic acids and methods of use thereof |
| US8710200B2 (en) | 2011-03-31 | 2014-04-29 | Moderna Therapeutics, Inc. | Engineered nucleic acids encoding a modified erythropoietin and their expression |
| MX360638B (en) | 2011-04-28 | 2018-11-12 | Univ Texas | Improved parenteral formulations of lipophilic pharmaceutical agents and methods for preparing and using the same. |
| WO2012158736A1 (en) | 2011-05-17 | 2012-11-22 | modeRNA Therapeutics | Engineered nucleic acids and methods of use thereof for non-human vertebrates |
| EP2530159A1 (en) | 2011-06-03 | 2012-12-05 | Sandoz Ag | Transcription terminator sequences |
| WO2013039861A2 (en) | 2011-09-12 | 2013-03-21 | modeRNA Therapeutics | Engineered nucleic acids and methods of use thereof |
| US9464124B2 (en) | 2011-09-12 | 2016-10-11 | Moderna Therapeutics, Inc. | Engineered nucleic acids and methods of use thereof |
| EP2791364A4 (en) | 2011-12-14 | 2015-11-11 | Moderna Therapeutics Inc | METHODS OF RESPONSE TO A BIOLOGICAL THREAT |
| PL2791160T3 (en) | 2011-12-16 | 2022-06-20 | Modernatx, Inc. | Modified mrna compositions |
| JP2015510495A (en) | 2011-12-21 | 2015-04-09 | モデルナ セラピューティクス インコーポレイテッドModerna Therapeutics,Inc. | Methods for extending the viability or longevity of an organ or organ graft |
| EP2798064B1 (en) | 2011-12-30 | 2016-08-31 | Cellscript, Llc | Making and using in vitro-synthesized ssrna for introducing into mammalian cells to induce a biological or biochemical effect |
| HK1206779A1 (en) | 2012-04-02 | 2016-01-15 | Modernatx, Inc. | Modified polynucleotides for the production of nuclear proteins |
| US10501512B2 (en) | 2012-04-02 | 2019-12-10 | Modernatx, Inc. | Modified polynucleotides |
| US9283287B2 (en) | 2012-04-02 | 2016-03-15 | Moderna Therapeutics, Inc. | Modified polynucleotides for the production of nuclear proteins |
| US20140275229A1 (en) | 2012-04-02 | 2014-09-18 | Moderna Therapeutics, Inc. | Modified polynucleotides encoding udp glucuronosyltransferase 1 family, polypeptide a1 |
| US10501513B2 (en) | 2012-04-02 | 2019-12-10 | Modernatx, Inc. | Modified polynucleotides for the production of oncology-related proteins and peptides |
| US9512456B2 (en) | 2012-08-14 | 2016-12-06 | Modernatx, Inc. | Enzymes and polymerases for the synthesis of RNA |
| WO2014093924A1 (en) | 2012-12-13 | 2014-06-19 | Moderna Therapeutics, Inc. | Modified nucleic acid molecules and uses thereof |
| DK2922554T3 (en) | 2012-11-26 | 2022-05-23 | Modernatx Inc | Terminalt modificeret rna |
| US20150315541A1 (en) | 2012-12-13 | 2015-11-05 | Moderna Therapeutics, Inc. | Modified polynucleotides for altering cell phenotype |
| EP2968391A1 (en) | 2013-03-13 | 2016-01-20 | Moderna Therapeutics, Inc. | Long-lived polynucleotide molecules |
| US20160032316A1 (en) | 2013-03-14 | 2016-02-04 | The Trustees Of The University Of Pennsylvania | Purification and Purity Assessment of RNA Molecules Synthesized with Modified Nucleosides |
| EP4446413A3 (en) | 2013-03-14 | 2024-12-18 | Translate Bio, Inc. | Methods for purification of messenger rna |
| EP2971010B1 (en) | 2013-03-14 | 2020-06-10 | ModernaTX, Inc. | Formulation and delivery of modified nucleoside, nucleotide, and nucleic acid compositions |
| CA2903487A1 (en) | 2013-03-14 | 2014-09-25 | Shire Human Genetic Therapies, Inc. | Quantitative assessment for cap efficiency of messenger rna |
| PT2970948T (en) | 2013-03-15 | 2019-03-20 | Glaxosmithkline Biologicals Sa | RNA Purification Methods |
| US10138507B2 (en) | 2013-03-15 | 2018-11-27 | Modernatx, Inc. | Manufacturing methods for production of RNA transcripts |
| WO2014144767A1 (en) | 2013-03-15 | 2014-09-18 | Moderna Therapeutics, Inc. | Ion exchange purification of mrna |
| US10077439B2 (en) | 2013-03-15 | 2018-09-18 | Modernatx, Inc. | Removal of DNA fragments in mRNA production process |
| US11377470B2 (en) | 2013-03-15 | 2022-07-05 | Modernatx, Inc. | Ribonucleic acid purification |
| US20160032273A1 (en) | 2013-03-15 | 2016-02-04 | Moderna Therapeutics, Inc. | Characterization of mrna molecules |
| WO2014144711A1 (en) | 2013-03-15 | 2014-09-18 | Moderna Therapeutics, Inc. | Analysis of mrna heterogeneity and stability |
| US8980864B2 (en) | 2013-03-15 | 2015-03-17 | Moderna Therapeutics, Inc. | Compositions and methods of altering cholesterol levels |
| PT3019619T (en) | 2013-07-11 | 2021-11-11 | Modernatx Inc | COMPOSITIONS COMPRISING SYNTHETIC POLYNUCLEOTIDES ENCODING SYNTHETIC CRISPR AND SGARN-RELATED PROTEINS AND METHODS OF USE |
| US20160194625A1 (en) | 2013-09-03 | 2016-07-07 | Moderna Therapeutics, Inc. | Chimeric polynucleotides |
| EP3041938A1 (en) | 2013-09-03 | 2016-07-13 | Moderna Therapeutics, Inc. | Circular polynucleotides |
| US10023626B2 (en) | 2013-09-30 | 2018-07-17 | Modernatx, Inc. | Polynucleotides encoding immune modulating polypeptides |
| EP3052511A4 (en) | 2013-10-02 | 2017-05-31 | Moderna Therapeutics, Inc. | Polynucleotide molecules and uses thereof |
| WO2015051214A1 (en) | 2013-10-03 | 2015-04-09 | Moderna Therapeutics, Inc. | Polynucleotides encoding low density lipoprotein receptor |
| CA2927393A1 (en) | 2013-10-18 | 2015-04-23 | Moderna Therapeutics, Inc. | Compositions and methods for tolerizing cellular systems |
| WO2015085318A2 (en) | 2013-12-06 | 2015-06-11 | Moderna Therapeutics, Inc. | Targeted adaptive vaccines |
| AU2015231031A1 (en) | 2014-03-20 | 2016-09-22 | The Board Of Regents Of The University Of Texas System | T7 RNA polymerase variants with expanded substrate range and enhanced transcriptional yield |
| PL3981437T3 (en) | 2014-04-23 | 2025-02-24 | Modernatx, Inc. | Nucleic acid vaccines |
| CN106164248B (en) | 2014-04-25 | 2019-10-15 | 川斯勒佰尔公司 | Purification of messenger RNA |
| EP3157573A4 (en) | 2014-06-19 | 2018-02-21 | Moderna Therapeutics, Inc. | Alternative nucleic acid molecules and uses thereof |
| AU2015289583A1 (en) | 2014-07-16 | 2017-02-02 | Modernatx, Inc. | Chimeric polynucleotides |
| AU2015289573A1 (en) | 2014-07-17 | 2017-02-02 | Modernatx, Inc | Terminal modifications of polynucleotides |
| GB201417341D0 (en) | 2014-10-01 | 2014-11-12 | Isis Innovation | Chromatography |
| EP3247363A4 (en) | 2015-01-21 | 2018-10-03 | Moderna Therapeutics, Inc. | Lipid nanoparticle compositions |
| WO2016164762A1 (en) | 2015-04-08 | 2016-10-13 | Moderna Therapeutics, Inc. | Polynucleotides encoding low density lipoprotein receptor egf-a and intracellular domain mutants and methods of using the same |
| SG11201708681SA (en) | 2015-04-30 | 2017-11-29 | Curevac Ag | Method for in vitro transcription using an immobilized restriction enzyme |
| WO2016201377A1 (en) | 2015-06-10 | 2016-12-15 | Moderna Therapeutics, Inc. | Targeted adaptive vaccines |
| WO2017011773A2 (en) | 2015-07-15 | 2017-01-19 | Modernatx, Inc. | Codon-optimized nucleic acids encoding antibodies |
| WO2017015457A1 (en) | 2015-07-21 | 2017-01-26 | Modernatx, Inc. | Ebola vaccine |
| ES2937963T3 (en) | 2015-07-21 | 2023-04-03 | Modernatx Inc | Infectious disease vaccines |
| US20190008887A1 (en) | 2015-07-30 | 2019-01-10 | ModernaTX Inc. | Multimeric mrna |
| HK1256498A1 (en) | 2015-07-30 | 2019-09-27 | Modernatx, Inc. | Concatemeric peptide epitope rnas |
| US11564893B2 (en) | 2015-08-17 | 2023-01-31 | Modernatx, Inc. | Methods for preparing particles and related compositions |
| US20180237849A1 (en) | 2015-08-17 | 2018-08-23 | Modernatx, Inc. | Rna mapping/fingerprinting |
| ES2969082T3 (en) | 2015-09-17 | 2024-05-16 | Modernatx Inc | Compounds and compositions for intracellular administration of therapeutic agents |
| LT4104687T (en) | 2015-09-21 | 2024-02-26 | Trilink Biotechnologies, Llc | Compositions and methods for synthesizing 5 -capped rnas |
| ES2810701T5 (en) | 2015-10-05 | 2024-07-11 | Modernatx Inc | Procedures for the therapeutic administration of messenger ribonucleic acid drugs |
| WO2017066789A1 (en) | 2015-10-16 | 2017-04-20 | Modernatx, Inc. | Mrna cap analogs with modified sugar |
| MA46316A (en) | 2015-10-22 | 2021-03-24 | Modernatx Inc | HUMAN CYTOMEGALOVIRUS VACCINE |
| EP4349404A3 (en) | 2015-10-22 | 2024-06-19 | ModernaTX, Inc. | Respiratory virus vaccines |
| WO2017070620A2 (en) | 2015-10-22 | 2017-04-27 | Modernatx, Inc. | Broad spectrum influenza virus vaccine |
| AU2016342376A1 (en) | 2015-10-22 | 2018-06-07 | Modernatx, Inc. | Sexually transmitted disease vaccines |
| MA46080A (en) | 2015-10-22 | 2019-07-10 | Modernatx Inc | NUCLEIC ACID VACCINES AGAINST VARICELLA ZONA VIRUS (VZV) |
| MX2018004917A (en) | 2015-10-22 | 2019-04-01 | Modernatx Inc | Respiratory syncytial virus vaccine. |
| WO2017070623A1 (en) | 2015-10-22 | 2017-04-27 | Modernatx, Inc. | Herpes simplex virus vaccine |
| WO2017070618A1 (en) | 2015-10-22 | 2017-04-27 | Modernatx, Inc. | Cancer vaccines |
| WO2017070624A1 (en) | 2015-10-22 | 2017-04-27 | Modernatx, Inc. | Tropical disease vaccines |
| US20180312545A1 (en) | 2015-11-09 | 2018-11-01 | Curevac Ag | Optimized nucleic acid molecules |
| US20210108252A1 (en) | 2015-12-09 | 2021-04-15 | Novartis Ag | Label-free analysis of rna capping efficiency using rnase h, probes and liquid chromatography/mass spectrometry |
| LT3386484T (en) | 2015-12-10 | 2022-06-10 | Modernatx, Inc. | Compositions and methods for delivery of therapeutic agents |
| WO2017106799A1 (en) | 2015-12-17 | 2017-06-22 | Modernatx, Inc. | POLYNUCLEOTIDES ENCODING METHYLMALONYL-CoA MUTASE |
| US10799463B2 (en) | 2015-12-22 | 2020-10-13 | Modernatx, Inc. | Compounds and compositions for intracellular delivery of agents |
| US10465190B1 (en) | 2015-12-23 | 2019-11-05 | Modernatx, Inc. | In vitro transcription methods and constructs |
| CN116144626A (en) | 2016-01-13 | 2023-05-23 | 新英格兰生物实验室公司 | Thermostable variants of T7 RNA polymerase |
| EP3405579A1 (en) | 2016-01-22 | 2018-11-28 | Modernatx, Inc. | Messenger ribonucleic acids for the production of intracellular binding polypeptides and methods of use thereof |
| US20190153425A1 (en) | 2016-04-22 | 2019-05-23 | Biontech Rna Pharmaceuticals Gmbh | Methods for Providing Single-Stranded RNA |
| EP3452101A2 (en) | 2016-05-04 | 2019-03-13 | CureVac AG | Rna encoding a therapeutic protein |
| EP4233898A3 (en) | 2016-05-04 | 2023-11-01 | CureVac SE | Influenza mrna vaccines |
| JP7114485B2 (en) | 2016-05-18 | 2022-08-08 | モデルナティエックス インコーポレイテッド | Polynucleotides encoding α-galactosidase A for the treatment of Fabry disease |
| EP3458108A4 (en) | 2016-05-18 | 2020-04-22 | ModernaTX, Inc. | POLYNUCLEOTIDES FOR CODING THE TRANSMEMBRANE CONDUCTIVE REGULATOR OF CYSTIC FIBROSE FOR TREATING CYSTIC FIBROSE |
| WO2017201342A1 (en) | 2016-05-18 | 2017-11-23 | Modernatx, Inc. | Polynucleotides encoding jagged1 for the treatment of alagille syndrome |
| EP3458105B1 (en) | 2016-05-18 | 2024-01-17 | Modernatx, Inc. | Polynucleotides encoding galactose-1-phosphate uridylyltransferase for the treatment of galactosemia type 1 |
| JP7210287B2 (en) | 2016-05-18 | 2023-01-23 | モダーナティエックス・インコーポレイテッド | Polynucleotides encoding citrine for the treatment of type II citrullinemia |
| JP7088911B2 (en) | 2016-05-18 | 2022-06-21 | モデルナティエックス インコーポレイテッド | Polynucleotide encoding relaxin |
| EP3458106A4 (en) | 2016-05-18 | 2020-03-18 | Modernatx, Inc. | POLYNUCLEOTIDES ENCODING LIPOPROTEIN LIPASE FOR THE TREATMENT OF HYPERLIPIDEMIA |
| MA45037A (en) | 2016-05-18 | 2019-03-27 | Modernatx Inc | RNAM-BASED POLYTHERAPY FOR CANCER TREATMENT |
| JP2019519601A (en) | 2016-05-18 | 2019-07-11 | モダーナティエックス・インコーポレイテッドModernaTX, Inc. | Polynucleotide encoding porphobilinogen deaminase for the treatment of acute intermittent porphyria |
| US20190382774A1 (en) | 2016-05-18 | 2019-12-19 | Modernatx, Inc. | Polyribonucleotides containing reduced uracil content and uses thereof |
| SG11201809381XA (en) | 2016-05-18 | 2018-12-28 | Modernatx Inc | Polynucleotides encoding interleukin-12 (il12) and uses thereof |
| WO2017201332A1 (en) | 2016-05-18 | 2017-11-23 | Modernatx, Inc. | Polynucleotides encoding acyl-coa dehydrogenase, very long-chain for the treatment of very long-chain acyl-coa dehydrogenase deficiency |
| EP3468537A1 (en) | 2016-06-14 | 2019-04-17 | Modernatx, Inc. | Stabilized formulations of lipid nanoparticles |
| CN106244608B (en) | 2016-08-08 | 2019-10-25 | 中国科学技术大学 | The T7 RNA polymerase of induction |
| AU2017326423B2 (en) | 2016-09-14 | 2023-11-09 | Modernatx, Inc. | High purity RNA compositions and methods for preparation thereof |
| EP3528821A4 (en) | 2016-10-21 | 2020-07-01 | ModernaTX, Inc. | VACCINE AGAINST THE HUMANE CYTOMEGALOVIRUS |
| CA3042015A1 (en) | 2016-10-26 | 2018-05-03 | Modernatx, Inc. | Messenger ribonucleic acids for enhancing immune responses and methods of use thereof |
| WO2018081462A1 (en) | 2016-10-26 | 2018-05-03 | Modernatx, Inc. | Methods and compositions for rna mapping |
| US11583504B2 (en) | 2016-11-08 | 2023-02-21 | Modernatx, Inc. | Stabilized formulations of lipid nanoparticles |
| US10925958B2 (en) | 2016-11-11 | 2021-02-23 | Modernatx, Inc. | Influenza vaccine |
| WO2018096179A1 (en) | 2016-11-28 | 2018-05-31 | Curevac Ag | Method for purifying rna |
| WO2018107088A2 (en) | 2016-12-08 | 2018-06-14 | Modernatx, Inc. | Respiratory virus nucleic acid vaccines |
| EP3555289A1 (en) | 2016-12-13 | 2019-10-23 | ModernaTX, Inc. | Rna affinity purification |
| US20180243225A1 (en) | 2017-01-25 | 2018-08-30 | Modernatx, Inc. | Ebola/marburg vaccines |
| CN110505877A (en) | 2017-02-01 | 2019-11-26 | 摩登纳特斯有限公司 | RNA cancer vaccine |
| WO2018144778A1 (en) | 2017-02-01 | 2018-08-09 | Modernatx, Inc. | Polynucleotide secondary structure |
| SG11201906969PA (en) | 2017-02-01 | 2019-08-27 | Modernatx Inc | Immunomodulatory therapeutic mrna compositions encoding activating oncogene mutation peptides |
| WO2018151816A1 (en) | 2017-02-16 | 2018-08-23 | Modernatx, Inc. | High potency immunogenic compositions |
| WO2018157009A1 (en) | 2017-02-24 | 2018-08-30 | Modernatx, Inc. | Nucleic acid-based therapy of muscular dystrophies |
| HUE059594T2 (en) | 2017-02-27 | 2022-11-28 | Translate Bio Inc | Methods for purification of messenger RNA |
| CA3055653A1 (en) | 2017-03-15 | 2018-09-20 | Modernatx, Inc. | Lipid nanoparticle formulation |
| US11045540B2 (en) | 2017-03-15 | 2021-06-29 | Modernatx, Inc. | Varicella zoster virus (VZV) vaccine |
| US11752206B2 (en) | 2017-03-15 | 2023-09-12 | Modernatx, Inc. | Herpes simplex virus vaccine |
| US11576961B2 (en) | 2017-03-15 | 2023-02-14 | Modernatx, Inc. | Broad spectrum influenza virus vaccine |
| MX2019011004A (en) | 2017-03-15 | 2020-08-10 | Modernatx Inc | Compounds and compositions for intracellular delivery of therapeutic agents. |
| EP3595713A4 (en) | 2017-03-15 | 2021-01-13 | ModernaTX, Inc. | RESPIRATORY SYNCYTIAL VIRUS VACCINE |
| EP3595676A4 (en) | 2017-03-17 | 2021-05-05 | Modernatx, Inc. | RNA-BASED VACCINES AGAINST ZOONOTIC DISEASES |
| US20200038499A1 (en) | 2017-03-22 | 2020-02-06 | Modernatx, Inc. | Rna bacterial vaccines |
| US11905525B2 (en) | 2017-04-05 | 2024-02-20 | Modernatx, Inc. | Reduction of elimination of immune responses to non-intravenous, e.g., subcutaneously administered therapeutic proteins |
| US20200054737A1 (en) | 2017-04-26 | 2020-02-20 | Modema TX, Inc. | Herpes simplex virus vaccine |
| MA49421A (en) | 2017-06-15 | 2020-04-22 | Modernatx Inc | RNA FORMULATIONS |
| WO2018232355A1 (en) | 2017-06-15 | 2018-12-20 | Modernatx, Inc. | Rna antibodies |
| WO2019005540A1 (en) | 2017-06-30 | 2019-01-03 | Codexis, Inc. | T7 rna polymerase variants |
| WO2019018765A1 (en) | 2017-07-21 | 2019-01-24 | Modernatx, Inc. | Modified mrna encoding a propionyl-coa carboxylase and uses thereof |
| EP3668977A4 (en) | 2017-08-18 | 2021-04-21 | Modernatx, Inc. | Analytical hplc methods |
| EP3668522B1 (en) | 2017-08-18 | 2024-09-11 | ModernaTX, Inc. | Efficacious mrna vaccines |
| WO2019036685A1 (en) | 2017-08-18 | 2019-02-21 | Modernatx, Inc. | Methods for hplc analysis |
| EP3668971B8 (en) | 2017-08-18 | 2024-05-29 | ModernaTX, Inc. | Rna polymerase variants |
| WO2019046809A1 (en) | 2017-08-31 | 2019-03-07 | Modernatx, Inc. | Methods of making lipid nanoparticles |
| WO2019055807A1 (en) | 2017-09-14 | 2019-03-21 | Modernatx, Inc. | Zika virus rna vaccines |
| DK3703658T3 (en) | 2017-10-31 | 2022-07-18 | Astrazeneca Ab | LIPIDNA NANOPARTICLES FOR ADMINISTRATION OF MODIFIED RNA ENCODING A VEGF-A POLYPEPTIDE |
| US20190192646A1 (en) | 2017-11-03 | 2019-06-27 | Modernatx, Inc. | Salmonella vaccines |
| JP2021504445A (en) | 2017-11-21 | 2021-02-15 | モデルナティーエックス, インコーポレイテッド | Epstein-Barr virus vaccine |
| EP3746090A4 (en) | 2018-01-29 | 2021-11-17 | ModernaTX, Inc. | RSV RNA VACCINES |
| AU2019293244A1 (en) | 2018-06-27 | 2021-02-11 | Modernatx, Inc. | Personalized cancer vaccine epitope selection |
| KR20210060480A (en) | 2018-08-24 | 2021-05-26 | 트랜슬레이트 바이오 인코포레이티드 | Method for purifying messenger RNA |
| JP2022500443A (en) | 2018-09-13 | 2022-01-04 | モデルナティーエックス, インコーポレイテッド | Modified mRNA for treating progressive familial intrahepatic cholestasis disorder |
| JP7640452B2 (en) | 2018-09-19 | 2025-03-05 | モデルナティエックス インコーポレイテッド | Highly pure PEGylated lipids and their uses |
| CA3113025A1 (en) | 2018-09-19 | 2020-03-26 | Modernatx, Inc. | Peg lipids and uses thereof |
| EP3853202A1 (en) | 2018-09-19 | 2021-07-28 | ModernaTX, Inc. | Compounds and compositions for intracellular delivery of therapeutic agents |
| CA3113651A1 (en) | 2018-09-20 | 2020-03-26 | Modernatx, Inc. | Preparation of lipid nanoparticles and methods of administration thereof |
| EP3876947A4 (en) | 2018-11-07 | 2022-08-31 | ModernaTX, Inc. | RNA VACCINES AGAINST CANCER |
| WO2020097509A1 (en) | 2018-11-08 | 2020-05-14 | Translate Bio, Inc. | Methods and compositions for messenger rna purification |
| MX2021009245A (en) | 2019-01-31 | 2021-11-12 | Modernatx Inc | METHODS FOR THE PREPARATION OF LIPID NANOPARTICLES. |
| CA3129663A1 (en) | 2019-02-11 | 2020-08-20 | Ethris Gmbh | Mrna purification by tangential flow filtration |
| US11351242B1 (en) | 2019-02-12 | 2022-06-07 | Modernatx, Inc. | HMPV/hPIV3 mRNA vaccine composition |
| CN113795579A (en) | 2019-02-20 | 2021-12-14 | 摩登纳特斯有限公司 | RNA polymerase variants for co-transcriptional capping |
| US11851694B1 (en) | 2019-02-20 | 2023-12-26 | Modernatx, Inc. | High fidelity in vitro transcription |
| EP3938507A4 (en) | 2019-03-11 | 2023-02-22 | ModernaTX, Inc. | Fed-batch in vitro transcription process |
| US12070495B2 (en) | 2019-03-15 | 2024-08-27 | Modernatx, Inc. | HIV RNA vaccines |
| CA3142352A1 (en) | 2019-05-31 | 2020-12-03 | Modernatx, Inc. | Expanded t cell assay |
| BR112022002548A2 (en) | 2019-08-14 | 2022-06-14 | Modernatx Inc | Processes to purify downstream products of in vitro transcription |
| WO2021050864A1 (en) | 2019-09-11 | 2021-03-18 | Modernatx, Inc. | Human cytomegalovirus vaccine |
| JP7638972B2 (en) | 2019-09-19 | 2025-03-04 | モデルナティエックス インコーポレイテッド | Branched tail lipid compounds and compositions for intracellular delivery of therapeutic agents - Patents.com |
| US20230000773A1 (en) | 2019-09-19 | 2023-01-05 | Modernatx, Inc. | Novel headgroup lipid compounds and compositions for intracellular delivery of therapeutic agents |
| EP4031666A4 (en) | 2019-09-19 | 2023-11-15 | ModernaTX, Inc. | Cap guides and methods of use thereof for rna mapping |
| WO2021142306A1 (en) | 2020-01-10 | 2021-07-15 | Modernatx, Inc. | Variational autoencoder for biological sequence generation |
| US20210228707A1 (en) | 2020-01-28 | 2021-07-29 | Modernatx, Inc. | Coronavirus rna vaccines |
| CN115103682A (en) | 2020-01-30 | 2022-09-23 | 摩登纳特斯有限公司 | Respiratory virus immunization compositions |
| TW202139976A (en) | 2020-01-31 | 2021-11-01 | 美商現代公司 | Methods of preparing lipid nanoparticles |
| JP7438604B2 (en) | 2020-02-07 | 2024-02-27 | モデルナティエックス インコーポレイテッド | SARS-COV-2 mRNA domain vaccine |
| WO2021211343A1 (en) | 2020-04-13 | 2021-10-21 | Modernatx, Inc. | Zika virus mrna vaccines |
| WO2021222304A1 (en) | 2020-04-27 | 2021-11-04 | Modernatx, Inc. | Sars-cov-2 rna vaccines |
| US20230142529A1 (en) | 2020-05-15 | 2023-05-11 | Modernatx, Inc. | Rna formulations for high volume distribution |
| WO2021159130A2 (en) | 2020-05-15 | 2021-08-12 | Modernatx, Inc. | Coronavirus rna vaccines and methods of use |
| WO2021237084A1 (en) | 2020-05-21 | 2021-11-25 | Modernatx, Inc. | Methylene blue stabilized mrna compositions |
| US20230287437A1 (en) | 2020-06-05 | 2023-09-14 | Modernatx, Inc. | Bacterial strains for dna production |
| AU2021320426A1 (en) | 2020-08-06 | 2023-03-23 | Modernatx, Inc. | Compositions for the delivery of payload molecules to airway epithelium |
| US11406703B2 (en) | 2020-08-25 | 2022-08-09 | Modernatx, Inc. | Human cytomegalovirus vaccine |
| EP4217371A1 (en) | 2020-09-25 | 2023-08-02 | ModernaTX, Inc. | Multi-proline-substituted coronavirus spike protein vaccines |
| US12329811B2 (en) | 2021-01-11 | 2025-06-17 | Modernatx, Inc. | Seasonal RNA influenza virus vaccines |
| AU2022208057A1 (en) | 2021-01-15 | 2023-08-03 | Modernatx, Inc. | Variant strain-based coronavirus vaccines |
| AU2022207495A1 (en) | 2021-01-15 | 2023-08-03 | Modernatx, Inc. | Variant strain-based coronavirus vaccines |
| IL305644A (en) | 2021-03-05 | 2023-11-01 | Modernatx Inc | VLP enteroviral vaccines |
| AU2022237382A1 (en) | 2021-03-15 | 2023-09-28 | Modernatx, Inc. | Therapeutic use of sars-cov-2 mrna domain vaccines |
| EP4313072A1 (en) | 2021-03-26 | 2024-02-07 | ModernaTX, Inc. | Pertussis vaccine |
| EP4314000A1 (en) | 2021-03-31 | 2024-02-07 | ModernaTX, Inc. | Synthesis of trinucleotide and tetranucleotide caps for mrna production |
| US20240229109A1 (en) | 2021-04-01 | 2024-07-11 | Modernatx, Inc. | Methods for identification and ratio determination of rna species in multivalent rna compositions |
| JP2024515035A (en) | 2021-04-01 | 2024-04-04 | モデルナティエックス インコーポレイテッド | Mucosal expression of antibody structures and isotypes by mRNA |
| WO2022221336A1 (en) | 2021-04-13 | 2022-10-20 | Modernatx, Inc. | Respiratory syncytial virus mrna vaccines |
| CA3216490A1 (en) | 2021-04-13 | 2022-10-20 | Modernatx, Inc. | Epstein-barr virus mrna vaccines |
| WO2022221335A1 (en) | 2021-04-13 | 2022-10-20 | Modernatx, Inc. | Respiratory virus combination vaccines |
| EP4322994A1 (en) | 2021-04-14 | 2024-02-21 | ModernaTX, Inc. | Influenza-coronavirus combination vaccines |
| US20220370616A1 (en) | 2021-04-23 | 2022-11-24 | Modernatx, Inc. | Stabilized formulations |
| TW202308658A (en) | 2021-04-23 | 2023-03-01 | 美商現代公司 | Isoquinoline-stabilized lipid nanoparticle formulations |
| EP4329731A1 (en) | 2021-04-29 | 2024-03-06 | ModernaTX, Inc. | Lyophilization methods for preparing lipid formulated therapeutics |
| US20220363937A1 (en) | 2021-05-14 | 2022-11-17 | Armstrong World Industries, Inc. | Stabilization of antimicrobial coatings |
| WO2022245888A1 (en) | 2021-05-19 | 2022-11-24 | Modernatx, Inc. | Seasonal flu rna vaccines and methods of use |
| US20240285754A1 (en) | 2021-06-14 | 2024-08-29 | Modernatx, Inc. | Mrna vaccines encoding flexible coronavirus spike proteins |
| EP4355891A4 (en) | 2021-06-14 | 2025-09-24 | Modernatx Inc | VACCINES WITH CORONAVIRUS GLYCOSYLATION VARIANTS |
| US20240218353A1 (en) | 2021-06-17 | 2024-07-04 | Modernatx, Inc. | Alternative rna purification strategies |
| WO2023283642A2 (en) | 2021-07-09 | 2023-01-12 | Modernatx, Inc. | Pan-human coronavirus concatemeric vaccines |
| WO2023283645A1 (en) | 2021-07-09 | 2023-01-12 | Modernatx, Inc. | Pan-human coronavirus domain vaccines |
| EP4366768A4 (en) | 2021-07-09 | 2025-05-21 | ModernaTX, Inc. | HUMAN PAN-CORONAVIRUS VACCINES |
| EP4381059A1 (en) | 2021-08-02 | 2024-06-12 | ModernaTX, Inc. | Extraction-less reverse phase (rp) chromatography of mrna encapsulated in lipid nanoparticles for mrna purity assessment |
| WO2023019181A1 (en) | 2021-08-11 | 2023-02-16 | Modernatx, Inc. | Sars-cov-2 lipid nanoparticle vaccine formulations |
| WO2023018773A1 (en) | 2021-08-11 | 2023-02-16 | Modernatx, Inc. | Lipid nanoparticle formulations and methods of synthesis thereof |
| EP4384613A1 (en) | 2021-08-13 | 2024-06-19 | ModernaTX, Inc. | Multicolumn chromatography mrna purification |
| WO2023056401A1 (en) | 2021-10-01 | 2023-04-06 | Modernatx, Inc. | Rna formulations for high volume distribution, and methods of using the same for treating a disease or condition caused by or associated with human cytomegalovirus |
| US20250051736A1 (en) | 2021-10-18 | 2025-02-13 | Modernatx, Inc. | Custom bacterial strain for recombinant protein production |
| US20250011798A1 (en) | 2021-10-18 | 2025-01-09 | Modernatx, Inc. | Markerless dna production |
| WO2023069625A1 (en) | 2021-10-20 | 2023-04-27 | Modernatx, Inc. | Drug product surrogate solutions |
| WO2023076658A1 (en) | 2021-11-01 | 2023-05-04 | Modernatx, Inc. | Mass spectrometry of mrna |
| EP4426855A1 (en) | 2021-11-05 | 2024-09-11 | ModernaTX, Inc. | Methods of purifying dna for gene synthesis |
| WO2023092069A1 (en) | 2021-11-18 | 2023-05-25 | Modernatx, Inc. | Sars-cov-2 mrna domain vaccines and methods of use |
| US20250360194A1 (en) | 2021-12-08 | 2025-11-27 | Modernatx, Inc. | Herpes simplex virus mrna vaccines |
| EP4448777A1 (en) | 2021-12-15 | 2024-10-23 | ModernaTX, Inc. | Determination of encapsulation efficiency of lipid nanoparticles |
| US20250084397A1 (en) | 2022-01-04 | 2025-03-13 | Modernatx, Inc. | Methods of purifying dna for gene synthesis |
| WO2023137149A1 (en) | 2022-01-14 | 2023-07-20 | Modernatx, Inc. | In vitro transcription dna purification and recycling |
| EP4473107A1 (en) | 2022-02-03 | 2024-12-11 | ModernaTX, Inc. | Continuous precipitation for mrna purification |
| US20250235531A1 (en) | 2022-02-09 | 2025-07-24 | Modernatx, Inc. | Mucosal administration methods and formulations |
| WO2023196914A1 (en) | 2022-04-08 | 2023-10-12 | Modernatx, Inc. | Influenza nucleic acid compositions and uses thereof |
| EP4508242A1 (en) | 2022-04-11 | 2025-02-19 | ModernaTX, Inc. | Detection of mrna purity in a mixture |
| US20250250551A1 (en) | 2022-04-14 | 2025-08-07 | Modernatx, Inc. | Rna polymerase variants |
| US20250251391A1 (en) | 2022-04-15 | 2025-08-07 | Modernatx, Inc. | Ribosomal engagement potency assay |
| WO2023212696A1 (en) | 2022-04-29 | 2023-11-02 | Modernatx, Inc. | Lyophilized human cytomegalovirus vaccines |
| WO2023225524A1 (en) | 2022-05-17 | 2023-11-23 | Modernatx, Inc. | Preparation of highly concentrated mrna |
| EP4544074A1 (en) | 2022-06-24 | 2025-04-30 | ModernaTX, Inc. | Methods of producing rna |
| WO2024010993A1 (en) | 2022-07-06 | 2024-01-11 | Modernatx, Inc. | Primer design for cell-free dna production |
| EP4554617A1 (en) | 2022-07-13 | 2025-05-21 | ModernaTX, Inc. | Norovirus mrna vaccines |
| WO2024026005A1 (en) | 2022-07-28 | 2024-02-01 | Modernatx, Inc. | Methods of rna purification |
| WO2024030369A1 (en) | 2022-08-01 | 2024-02-08 | Modernatx, Inc. | Extraction-less reverse phase (rp) chromatography for mrna purity assessment |
| WO2024050483A1 (en) | 2022-08-31 | 2024-03-07 | Modernatx, Inc. | Variant strain-based coronavirus vaccines and uses thereof |
| WO2024097874A1 (en) | 2022-11-03 | 2024-05-10 | Modernatx, Inc. | Chemical stability of mrna |
| EP4630397A1 (en) | 2022-12-08 | 2025-10-15 | ModernaTX, Inc. | Ionizable lipids with malonate tails |
| EP4648793A1 (en) | 2023-01-11 | 2025-11-19 | ModernaTX, Inc. | Personalized cancer vaccines |
| WO2024163465A1 (en) | 2023-01-30 | 2024-08-08 | Modernatx, Inc. | Epstein-barr virus mrna vaccines |
| EP4676526A2 (en) | 2023-03-10 | 2026-01-14 | ModernaTX, Inc. | Nucleic acid influenza vaccines and respiratory virus combination vaccines |
| WO2024206835A1 (en) | 2023-03-30 | 2024-10-03 | Modernatx, Inc. | Circular mrna and production thereof |
| WO2024215721A1 (en) | 2023-04-10 | 2024-10-17 | Modernatx, Inc. | Lyme disease vaccines |
-
2020
- 2020-03-11 EP EP20770886.8A patent/EP3938507A4/en active Pending
- 2020-03-11 US US17/438,049 patent/US12460259B2/en active Active
- 2020-03-11 MX MX2021011031A patent/MX2021011031A/en unknown
- 2020-03-11 AU AU2020239037A patent/AU2020239037A1/en not_active Abandoned
- 2020-03-11 JP JP2021555270A patent/JP2022526089A/en not_active Ceased
- 2020-03-11 MA MA055319A patent/MA55319A/en unknown
- 2020-03-11 WO PCT/US2020/021955 patent/WO2020185811A1/en not_active Ceased
- 2020-03-11 CN CN202080034511.9A patent/CN113874502A/en active Pending
- 2020-03-11 CA CA3132975A patent/CA3132975A1/en active Pending
- 2020-03-11 KR KR1020217032102A patent/KR20210149727A/en not_active Ceased
-
2024
- 2024-12-19 JP JP2024224407A patent/JP2025060748A/en not_active Withdrawn
Patent Citations (1)
| Publication number | Priority date | Publication date | Assignee | Title |
|---|---|---|---|---|
| US20170114378A1 (en) * | 2014-06-10 | 2017-04-27 | Curevac Ag | Methods and means for enhancing rna production |
Non-Patent Citations (3)
| Title |
|---|
| DASbox® Mini Bioreactor System for cell culture and microbiology; Published in 2017 by Eppendorf AG (Year: 2017) * |
| Kern JA, Davis RH. Application of a fed-batch system to produce RNA by in vitro transcription. Biotechnol Prog. 1999 Mar-Apr;15(2):174-84. doi: 10.1021/bp990008g. PMID: 10194392. (Year: 1999) * |
| McCalla et al. "Quantifying transcription of clinically relevant immobilized DNA within a continuous flow microfluidic reactor." Langmuir 26.17 (2010): 14372-14379 (Year: 2010) * |
Cited By (41)
| Publication number | Priority date | Publication date | Assignee | Title |
|---|---|---|---|---|
| US12329812B2 (en) | 2014-04-23 | 2025-06-17 | Modernatx, Inc. | Nucleic acid vaccines |
| US12274743B2 (en) | 2014-04-23 | 2025-04-15 | Modernatx, Inc. | Nucleic acid vaccines |
| US12150980B2 (en) | 2015-07-30 | 2024-11-26 | Modernatx, Inc. | Concatemeric peptide epitope RNAs |
| US11564893B2 (en) | 2015-08-17 | 2023-01-31 | Modernatx, Inc. | Methods for preparing particles and related compositions |
| US12409347B2 (en) | 2015-10-22 | 2025-09-09 | Modernatx, Inc. | Betacoronavirus mRNA vaccines |
| US12403336B2 (en) | 2015-10-22 | 2025-09-02 | Modernatx, Inc. | Betacorona virus mRNA vaccines |
| US12403335B2 (en) | 2015-10-22 | 2025-09-02 | Modernatx, Inc. | Betacoronavirus MRNA vaccines |
| US12521577B2 (en) | 2015-10-22 | 2026-01-13 | Modernatx, Inc. | Betacoronavirus RNA vaccines |
| US11872278B2 (en) | 2015-10-22 | 2024-01-16 | Modernatx, Inc. | Combination HMPV/RSV RNA vaccines |
| US12208288B2 (en) | 2015-10-22 | 2025-01-28 | Modernatx, Inc. | Betacoronavirus RNA vaccines |
| US12128113B2 (en) | 2016-05-18 | 2024-10-29 | Modernatx, Inc. | Polynucleotides encoding JAGGED1 for the treatment of Alagille syndrome |
| US12246029B2 (en) | 2016-09-14 | 2025-03-11 | Modernatx, Inc. | High purity RNA compositions and methods for preparation thereof |
| US12233084B2 (en) | 2016-09-14 | 2025-02-25 | Modernatx, Inc. | High purity RNA compositions and methods for preparation thereof |
| US12318443B2 (en) | 2016-11-11 | 2025-06-03 | Modernatx, Inc. | Influenza vaccine |
| US11696946B2 (en) | 2016-11-11 | 2023-07-11 | Modernatx, Inc. | Influenza vaccine |
| US12409218B2 (en) | 2016-11-11 | 2025-09-09 | Modernatx, Inc. | Influenza vaccine |
| US11752206B2 (en) | 2017-03-15 | 2023-09-12 | Modernatx, Inc. | Herpes simplex virus vaccine |
| US11576961B2 (en) | 2017-03-15 | 2023-02-14 | Modernatx, Inc. | Broad spectrum influenza virus vaccine |
| US11497807B2 (en) | 2017-03-17 | 2022-11-15 | Modernatx, Inc. | Zoonotic disease RNA vaccines |
| US11905525B2 (en) | 2017-04-05 | 2024-02-20 | Modernatx, Inc. | Reduction of elimination of immune responses to non-intravenous, e.g., subcutaneously administered therapeutic proteins |
| US11786607B2 (en) | 2017-06-15 | 2023-10-17 | Modernatx, Inc. | RNA formulations |
| US12195778B2 (en) | 2017-08-18 | 2025-01-14 | Modernatx, Inc. | RNA polymerase variants |
| US11912982B2 (en) | 2017-08-18 | 2024-02-27 | Modernatx, Inc. | Methods for HPLC analysis |
| US11866696B2 (en) | 2017-08-18 | 2024-01-09 | Modernatx, Inc. | Analytical HPLC methods |
| US11767548B2 (en) | 2017-08-18 | 2023-09-26 | Modernatx, Inc. | RNA polymerase variants |
| US12357575B2 (en) | 2017-08-31 | 2025-07-15 | Modernatx, Inc. | Methods of making lipid nanoparticles |
| US11744801B2 (en) | 2017-08-31 | 2023-09-05 | Modernatx, Inc. | Methods of making lipid nanoparticles |
| US12453766B2 (en) | 2018-01-29 | 2025-10-28 | Modernatx, Inc. | RSV RNA vaccines |
| US11911453B2 (en) | 2018-01-29 | 2024-02-27 | Modernatx, Inc. | RSV RNA vaccines |
| US12383508B2 (en) | 2018-09-19 | 2025-08-12 | Modernatx, Inc. | High-purity peg lipids and uses thereof |
| US12151029B2 (en) | 2018-09-19 | 2024-11-26 | Modernatx, Inc. | PEG lipids and uses thereof |
| US12090235B2 (en) | 2018-09-20 | 2024-09-17 | Modernatx, Inc. | Preparation of lipid nanoparticles and methods of administration thereof |
| US12180518B2 (en) | 2019-02-20 | 2024-12-31 | Modernatx, Inc. | RNA polymerase variants for co-transcriptional capping |
| US11851694B1 (en) | 2019-02-20 | 2023-12-26 | Modernatx, Inc. | High fidelity in vitro transcription |
| US12460259B2 (en) | 2019-03-11 | 2025-11-04 | Modernatx, Inc. | Fed-batch in vitro transcription process |
| US12070495B2 (en) | 2019-03-15 | 2024-08-27 | Modernatx, Inc. | HIV RNA vaccines |
| US12329811B2 (en) | 2021-01-11 | 2025-06-17 | Modernatx, Inc. | Seasonal RNA influenza virus vaccines |
| US12428577B2 (en) | 2021-05-14 | 2025-09-30 | Modernatx, Inc. | Methods of monitoring in vitro transcription of mRNA and/or post-in vitro transcription processes |
| US12529047B1 (en) | 2021-12-21 | 2026-01-20 | Modernatx, Inc. | mRNA quantification methods |
| WO2024232914A1 (en) * | 2023-05-05 | 2024-11-14 | Trilink Biotechnologies, Llc | In vitro transcription method |
| US12492420B2 (en) | 2024-03-29 | 2025-12-09 | New England Biolabs, Inc. | Compositions, kits, and methods for in vitro transcription |
Also Published As
| Publication number | Publication date |
|---|---|
| MX2021011031A (en) | 2021-12-10 |
| KR20210149727A (en) | 2021-12-09 |
| EP3938507A1 (en) | 2022-01-19 |
| JP2025060748A (en) | 2025-04-10 |
| US12460259B2 (en) | 2025-11-04 |
| MA55319A (en) | 2022-01-19 |
| CA3132975A1 (en) | 2020-09-17 |
| WO2020185811A1 (en) | 2020-09-17 |
| CN113874502A (en) | 2021-12-31 |
| EP3938507A4 (en) | 2023-02-22 |
| JP2022526089A (en) | 2022-05-23 |
| AU2020239037A1 (en) | 2021-09-30 |
Similar Documents
| Publication | Publication Date | Title |
|---|---|---|
| US12460259B2 (en) | Fed-batch in vitro transcription process | |
| US20250171751A1 (en) | Rna polymerase variants for co-transcriptional capping | |
| DK3112469T3 (en) | EXPRESSIONS TO INCREASE THE TRANSLATION EFFECTIVENESS OF RNA MOLECULES | |
| CN109154001B (en) | UTR sequence | |
| AU2021268028A1 (en) | Generation of optimized nucleotide sequences | |
| CN108473969B9 (en) | Modification of RNA-associated enzymes for enhanced production | |
| US20240219380A1 (en) | Methods for measuring poly a tail length | |
| JP2018537969A (en) | Modification of 3 'end of nucleic acid by DNA polymerase theta | |
| CN116981773A (en) | Guide RNA for editing polyadenylation signal sequences of target RNA | |
| WO2024026287A2 (en) | Synthesis of substoichiometric chemically modified mrnas by in vitro transcription | |
| TW202402306A (en) | Method for reducing dsrna formation and/or increasing capping efficiency during ivt | |
| US11898186B1 (en) | Compositions and methods for preparing capped mRNA | |
| RU2847257C1 (en) | Creation of optimized nucleotide sequences | |
| JP2026503216A (en) | Optimized tailing of messenger RNA | |
| WO2025024734A1 (en) | Method of mrna manufacture | |
| Kolasa et al. | Effects of distortions by A-tracts of promoter B-DNA spacer region on the kinetics of open complex formation by Escherichia coli RNA polymerase. | |
| CN120138086A (en) | Preparation method of nucleoside analogs | |
| Nonekowski | Exploring the limits of tRNA substrate recognition by Escherichia coli tRNA-guanine transglycosylase | |
| JP2017093392A (en) | Dna polymerase for nucleic acid amplification treated with bisulfite | |
| WO2008039690A2 (en) | Recombinant renalase |
Legal Events
| Date | Code | Title | Description |
|---|---|---|---|
| FEPP | Fee payment procedure |
Free format text: ENTITY STATUS SET TO UNDISCOUNTED (ORIGINAL EVENT CODE: BIG.); ENTITY STATUS OF PATENT OWNER: LARGE ENTITY |
|
| STPP | Information on status: patent application and granting procedure in general |
Free format text: APPLICATION UNDERGOING PREEXAM PROCESSING |
|
| AS | Assignment |
Owner name: MODERNATX, INC., MASSACHUSETTS Free format text: ASSIGNMENT OF ASSIGNORS INTEREST;ASSIGNORS:ELICH, JOSEPH;RABIDEAU, AMY E.;SHAMASHKIN, MICHAEL;AND OTHERS;SIGNING DATES FROM 20210310 TO 20210315;REEL/FRAME:058885/0068 Owner name: MODERNATX, INC., MASSACHUSETTS Free format text: ASSIGNMENT OF ASSIGNOR'S INTEREST;ASSIGNORS:ELICH, JOSEPH;RABIDEAU, AMY E.;SHAMASHKIN, MICHAEL;AND OTHERS;SIGNING DATES FROM 20210310 TO 20210315;REEL/FRAME:058885/0068 |
|
| STPP | Information on status: patent application and granting procedure in general |
Free format text: DOCKETED NEW CASE - READY FOR EXAMINATION |
|
| STPP | Information on status: patent application and granting procedure in general |
Free format text: NON FINAL ACTION MAILED |
|
| STPP | Information on status: patent application and granting procedure in general |
Free format text: RESPONSE TO NON-FINAL OFFICE ACTION ENTERED AND FORWARDED TO EXAMINER |
|
| STPP | Information on status: patent application and granting procedure in general |
Free format text: NON FINAL ACTION MAILED |
|
| STPP | Information on status: patent application and granting procedure in general |
Free format text: NOTICE OF ALLOWANCE MAILED -- APPLICATION RECEIVED IN OFFICE OF PUBLICATIONS |
|
| STPP | Information on status: patent application and granting procedure in general |
Free format text: PUBLICATIONS -- ISSUE FEE PAYMENT RECEIVED |
|
| STPP | Information on status: patent application and granting procedure in general |
Free format text: PUBLICATIONS -- ISSUE FEE PAYMENT VERIFIED |
|
| STCF | Information on status: patent grant |
Free format text: PATENTED CASE |







