WO2023019181A1 - Sars-cov-2 lipid nanoparticle vaccine formulations - Google Patents
Sars-cov-2 lipid nanoparticle vaccine formulations Download PDFInfo
- Publication number
- WO2023019181A1 WO2023019181A1 PCT/US2022/074780 US2022074780W WO2023019181A1 WO 2023019181 A1 WO2023019181 A1 WO 2023019181A1 US 2022074780 W US2022074780 W US 2022074780W WO 2023019181 A1 WO2023019181 A1 WO 2023019181A1
- Authority
- WO
- WIPO (PCT)
- Prior art keywords
- lipid
- mol
- peg
- composition
- alkyl
- Prior art date
- Legal status (The legal status is an assumption and is not a legal conclusion. Google has not performed a legal analysis and makes no representation as to the accuracy of the status listed.)
- Ceased
Links
Classifications
-
- A—HUMAN NECESSITIES
- A61—MEDICAL OR VETERINARY SCIENCE; HYGIENE
- A61K—PREPARATIONS FOR MEDICAL, DENTAL OR TOILETRY PURPOSES
- A61K9/00—Medicinal preparations characterised by special physical form
- A61K9/48—Preparations in capsules, e.g. of gelatin, of chocolate
- A61K9/50—Microcapsules having a gas, liquid or semi-solid filling; Solid microparticles or pellets surrounded by a distinct coating layer, e.g. coated microspheres, coated drug crystals
- A61K9/51—Nanocapsules; Nanoparticles
- A61K9/5107—Excipients; Inactive ingredients
- A61K9/5123—Organic compounds, e.g. fats, sugars
-
- A—HUMAN NECESSITIES
- A61—MEDICAL OR VETERINARY SCIENCE; HYGIENE
- A61K—PREPARATIONS FOR MEDICAL, DENTAL OR TOILETRY PURPOSES
- A61K39/00—Medicinal preparations containing antigens or antibodies
- A61K39/12—Viral antigens
-
- A—HUMAN NECESSITIES
- A61—MEDICAL OR VETERINARY SCIENCE; HYGIENE
- A61K—PREPARATIONS FOR MEDICAL, DENTAL OR TOILETRY PURPOSES
- A61K9/00—Medicinal preparations characterised by special physical form
- A61K9/0012—Galenical forms characterised by the site of application
- A61K9/0019—Injectable compositions; Intramuscular, intravenous, arterial, subcutaneous administration; Compositions to be administered through the skin in an invasive manner
-
- A—HUMAN NECESSITIES
- A61—MEDICAL OR VETERINARY SCIENCE; HYGIENE
- A61P—SPECIFIC THERAPEUTIC ACTIVITY OF CHEMICAL COMPOUNDS OR MEDICINAL PREPARATIONS
- A61P31/00—Antiinfectives, i.e. antibiotics, antiseptics, chemotherapeutics
- A61P31/12—Antivirals
- A61P31/14—Antivirals for RNA viruses
-
- A—HUMAN NECESSITIES
- A61—MEDICAL OR VETERINARY SCIENCE; HYGIENE
- A61K—PREPARATIONS FOR MEDICAL, DENTAL OR TOILETRY PURPOSES
- A61K39/00—Medicinal preparations containing antigens or antibodies
- A61K2039/51—Medicinal preparations containing antigens or antibodies comprising whole cells, viruses or DNA/RNA
- A61K2039/53—DNA (RNA) vaccination
-
- A—HUMAN NECESSITIES
- A61—MEDICAL OR VETERINARY SCIENCE; HYGIENE
- A61K—PREPARATIONS FOR MEDICAL, DENTAL OR TOILETRY PURPOSES
- A61K39/00—Medicinal preparations containing antigens or antibodies
- A61K2039/555—Medicinal preparations containing antigens or antibodies characterised by a specific combination antigen/adjuvant
-
- A—HUMAN NECESSITIES
- A61—MEDICAL OR VETERINARY SCIENCE; HYGIENE
- A61K—PREPARATIONS FOR MEDICAL, DENTAL OR TOILETRY PURPOSES
- A61K39/00—Medicinal preparations containing antigens or antibodies
- A61K2039/555—Medicinal preparations containing antigens or antibodies characterised by a specific combination antigen/adjuvant
- A61K2039/55511—Organic adjuvants
- A61K2039/55555—Liposomes; Vesicles, e.g. nanoparticles; Spheres, e.g. nanospheres; Polymers
-
- C—CHEMISTRY; METALLURGY
- C12—BIOCHEMISTRY; BEER; SPIRITS; WINE; VINEGAR; MICROBIOLOGY; ENZYMOLOGY; MUTATION OR GENETIC ENGINEERING
- C12N—MICROORGANISMS OR ENZYMES; COMPOSITIONS THEREOF; PROPAGATING, PRESERVING, OR MAINTAINING MICROORGANISMS; MUTATION OR GENETIC ENGINEERING; CULTURE MEDIA
- C12N2770/00—MICROORGANISMS OR ENZYMES; COMPOSITIONS THEREOF; PROPAGATING, PRESERVING, OR MAINTAINING MICROORGANISMS; MUTATION OR GENETIC ENGINEERING; CULTURE MEDIA ssRNA viruses positive-sense
- C12N2770/00011—Details
- C12N2770/20011—Coronaviridae
- C12N2770/20034—Use of virus or viral component as vaccine, e.g. live-attenuated or inactivated virus, VLP, viral protein
Definitions
- Coronaviruses are a large family of viruses that cause illness ranging from the common cold to more severe diseases, such as Middle East Respiratory Syndrome (MERS CoV) and Severe Acute Respiratory Syndrome (SARS-CoV). Coronaviruses are zoonotic, meaning they are transmitted between animals and people. An outbreak of the coronavirus disease (COVID-19) caused by the 2019 novel coronavirus (SARS-nCoV-2) began in Wuhan, Hubei City, China in December 2019, and has spread throughout China and to many other countries and territories, including the United States (WHO, 2020). A coronavirus ribonucleic acid (CoV-RNA) was quickly identified in some of these patients.
- COVID-19 coronavirus disease 2019 novel coronavirus
- SARS-nCoV-2 2019 novel coronavirus
- WHO United States
- RNA virus As an RNA virus, SARS-CoV-2 has the inherent feature of a high mutation rate, although like other coronaviruses, the mutation rate might be lower than other RNA viruses because of its genome-encoded exonuclease. This aspect could potentially enable SARS-CoV-2 to adapt and become more efficiently transmitted from person to person and possibly become more virulent.
- messenger RNA as a pharmaceutical agent is of great interest for a variety of applications, including in vaccines. Effective in vivo delivery of mRNA formulations represents a continuing challenge, as many such formulations are inherently unstable, activate an immune response, are susceptible to degradation by nucleases, or fail to reach their target organs or cells within the body due to issues with biodistribution.
- lipid nanoparticles have drawn specific attention in recent years as various LNP formulations have shown promise in a variety of pharmaceutical applications.
- lipids have been shown to degrade nucleic acids including mRNA, and lipid nanoparticle formulations undergo rapid loss of purity when stored as refrigerated liquids. It is also evident that the stability of mRNA is poorer when encapsulated within LNPs than when stored unencapsulated.
- SARS-CoV-2 mRNA vaccines comprising lipid nanoparticles (LNPs) having improved biophysical properties, in vitro expression, in vivo immunogenicity, and long term stability, surprisingly, even at refrigerated or warmer temperatures.
- LNPs lipid nanoparticles
- the mRNA vaccines provided herein encode for the full-length spike protein (S protein) of SARS-CoV-2, modified through the introduction of two proline residues to stabilize the S protein into a prefusion conformation.
- the coronavirus S protein mediates attachment and entry of the virus into host cells (by fusion), making it a primary target for neutralizing antibodies that prevent infection.
- coronavirus S proteins are immunogenic and S protein-based vaccines, including those based on mRNA delivery platforms, are protective in animals.
- mRNA vaccines have superior properties in that they produce much larger antibody titers, better neutralizing immunity, produce more durable immune responses, and/or produce responses earlier than commercially-available vaccines.
- the disclosure in some aspects, provides a composition comprising a lipid nanoparticle (LNP) and a nucleic acid, wherein the LNP comprises 2-4 mol% PEG-modified lipid, 5-25 mol% neutral lipid, 25-55 mol% sterol, and 20-60 mol% ionizable amino lipid, and wherein the nucleic acid comprises a messenger ribonucleic acid (mRNA) comprising an open reading frame (ORF) that encodes a SARS-CoV-2 prefusion stabilized spike (S) protein.
- mRNA messenger ribonucleic acid
- ORF open reading frame
- S SARS-CoV-2 prefusion stabilized spike
- the composition is stable for at least six months at a temperature of at least about 5 ⁇ C.
- the composition is stable for at least six months at a temperature of about 2 ⁇ C to about 6 ⁇ C. In some embodiments, the composition is stable for at least six months at room temperature.
- the LNP comprises about 2-3 mol% PEG-modified lipid, 5-25 mol% neutral lipid, 25-55 mol% sterol, and 20-60% ionizable amino lipid. In some embodiments, the LNP comprises about 2.5 mol% PEG-modified lipid, 5-25 mol% neutral lipid, 25-55 mol% sterol, and 20-60% ionizable amino lipid.
- the LNP comprises about 25 mol% PEG modified lipid 11 mol% neutral lipid 385 mol% sterol and 48 mol% ionizable amino lipid. In some embodiments, the LNP comprises about 3 mol% PEG- modified lipid, 5-25 mol% neutral lipid, 25-55 mol% sterol, 20-60% ionizable amino lipid, or any combination thereof. In some embodiments, the LNP comprises about 3 mol% PEG- modified lipid, 11 mol% neutral lipid, 39 mol% sterol, and 47 mol% ionizable amino lipid.
- the PEG-modified lipid is 1,2 dimyristoyl-sn-glycerol, methoxypolyethyleneglycol (PEG-DMG). In some embodiments, the PEG-modified lipid is 134-hydroxy-3,6,9,12,15,18,21,24,27,30,33,36,39,42,45,48,51,54,57,60,63,66,69,72,75,78,81, 84,87,90,93,96,99,102,105,108,111,114,117,120,123,126,129,132- tetratetracontaoxatetratriacontahectyl stearate.
- PEG-DMG 1,2 dimyristoyl-sn-glycerol, methoxypolyethyleneglycol
- the neutral lipid is 1,2 distearoyl-sn-glycero-3-phosphocholine (DSPC).
- the sterol is cholesterol.
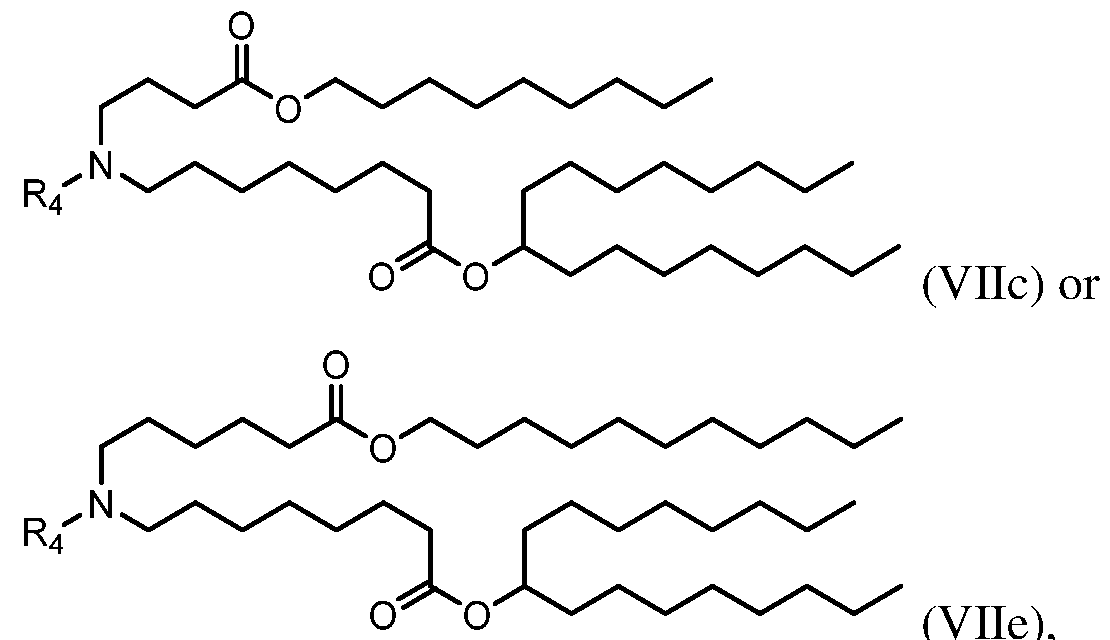
- the ionizable amino lipid has the structure of Compound I: (Compound I).
- the LNP comprises about 2.5 mol% PEG-DMG, 11 mol% DSPC, 38.5 mol% cholesterol, and 48 mol% Compound I.
- the ionizable amino lipid has the structure of Compound II: (Compound II) (heptadecan-9-yl 8- ((2-hydroxyethyl)(8-(nonyloxy)-8-oxooctyl)amino)octanoate).
- the LNP comprises about 3 mol% 134-hydroxy-3,6,9,12,15,18,21,24,27,30,33,36,39,42,45,48,51,54,57, 60,63,66,69,72,75,78,81,84,87,90,93,96,99,102,105,108,111,114,117,120,123,126,129,132- tetratetracontaoxatetratriacontahectyl stearate 11 mol% DSPC, 39 mol% cholesterol, and 47 mol% Compound II.
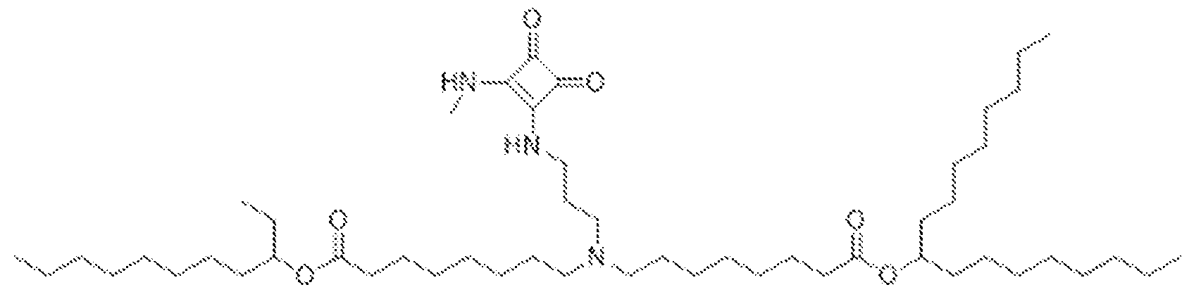
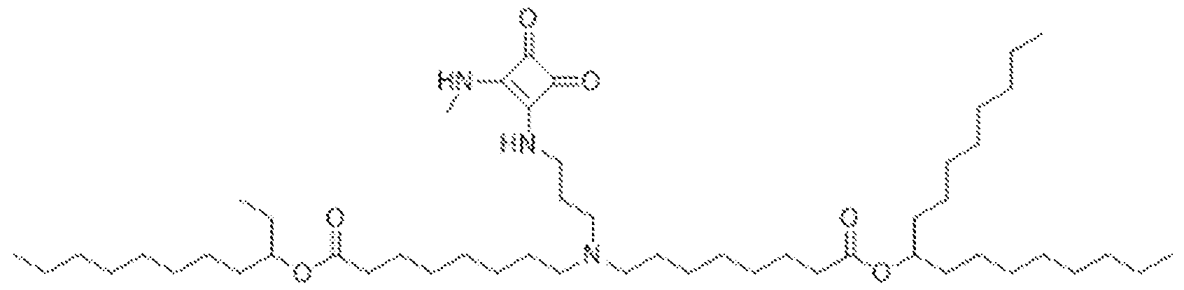
- the ionizable amino lipid has the structure of Compound III: (Compound III) (heptadecan-9-yl 8-((3-((2-(methylamino)-3,4-dioxocyclobut-1-en-1-yl)amino)propyl)(8- oxo-8-(undecan-3-yloxy)octyl)amino)octanoate).
- the LNP comprises about 3 mol% 134-hydroxy-3,6,9,12,15,18,21,24,27,30,33,36,39,42,45,48,51,54,57,60,63,66,69, 72,75,78,81,84,87,90,93,96,99,102,105,108,111,114,117,120,123,126,129,132- tetratetracontaoxatetratriacontahectyl stearate, 11 mol% DSPC, 39 mol% cholesterol, and 47 mol% Compound III.
- the ionizable amino lipid has the structure of Compound IV: (Compound IV) (3-butylheptyl 8-((8-(heptadecan-9-yloxy)-8-oxooctyl)(2- hydroxyethyl)amino)octanoate).
- the LNP comprises about 3 mol% 134- hydroxy- 3,6,9,12,15,18,21,24,27,30,33,36,39,42,45,48,51,54,57,60,63,66,69,72,75,78,81,84,87,90,93,96, 99,102,105,108,111,114,117,120,123,126,129,132-tetratetracontaoxatetratriacontahectyl stearate, 11 mol% DSPC, 39 mol% cholesterol, and 47 mol% Compound IV.
- the nucleic acid is mRNA.
- the mRNA comprises a chemical modification.
- the mRNA is chemically modified with 1-methyl-pseudouridine.
- the composition is formulated in an aqueous solution.
- the aqueous solution has a pH of about 5 to 8, including pH of about 5, 5.5, 6, 6.5, 7, 7.5, or 8.
- the aqueous solution comprises a phosphate buffer, a tris buffer, an acetate buffer, a histidine buffer, or a citrate buffer.
- the composition is stored for at least six months. In some embodiments, the storage is at room temperature. In some embodiments, the storage is at 2-6°C.
- the disclosure in some aspects, provides a composition comprising a lipid nanoparticle (LNP) and a nucleic acid, wherein the LNP comprises about 2.5 mol% PEG-DMG, 11 mol% DSPC, 38.5 mol% cholesterol, and 48 mol% Compound I.
- the SARS- CoV-2 prefusion stabilized S protein comprises a sequence having at least 90%, at least 95%, or at least 98% identity to the sequence of SEQ ID NO: 8 or 12.
- the SARS-CoV-2 prefusion stabilized S protein comprises SEQ ID NO: 8 or 12.
- the mRNA comprises a nucleotide sequence having at least 80% identity, at least 85%, at least 90%, at least 95%, at least 98%, or 100% identity to SEQ ID Nos: 1, 3, 6, 7, 8, 10, 14, and/or 15. In some embodiments, the RNA comprises a nucleotide sequence having at least 90% identity to SEQ ID Nos: 1, 3, 6, and/or 7.
- An aspect of the disclosure provides a method of producing a lipid nanoparticle composition, the method comprising: a) mixing a lipid solution comprising 0.25 mol% to 0.75 mol% of a first PEG-lipid, an ionizable lipid, a phospholipid, and a structural lipid with an aqueous buffer to thereby form a precursor lipid nanoparticle; and b) adding a lipid nanoparticle modifier comprising 1.5 mol% to 2.5 mol% of a second PEG-lipid to the precursor lipid nanoparticle thereby forming a modified lipid nanoparticle.
- the method further comprises mixing a nucleic acid (e.g., mRNA) with the lipid solution and the aqueous buffer to thereby form the precursor lipid nanoparticle, which is a precursor nucleic acid lipid nanoparticle.
- a nucleic acid e.g., mRNA
- the method further comprising mixing a nucleic acid encoding a SARS-CoV-2 prefusion stabilized S protein with the precursor lipid nanoparticle to thereby form a nucleic acid lipid nanoparticle.
- the lipid nanoparticle modifier is added in two separate steps and the total amount of the second PEG-lipid added is 1.5 mol% to 2.5 mol%.
- the lipid nanoparticle modifier is added in three, four, or five separate steps and the total amount of the second PEG-lipid added is 1.5 mol% to 2.5 mol%.
- the lipid solution comprises 0.5 mol% of the first PEG-lipid.
- the lipid nanoparticle modifier comprises 2.0 mol% of the second PEG-lipid.
- the lipid nanoparticle comprises a total of 2.5 mol% of the first PEG-lipid and the second PEG-lipid.
- the lipid nanoparticle comprises a total of 3 mol% of the first PEG-lipid and the second PEG-lipid.
- the first PEG-lipid is PEG-DMG or 134-hydroxy- 3,6,9,12,15,18,21,24,27,30,33,36,39,42,45,48,51,54,57,60,63,66,69,72,75,78,81,84,87,90,93,96, 99,102,105,108,111,114,117,120,123,126,129,132-tetratetracontaoxatetratriacontahectyl stearate.
- the second PEG-lipid is PEG-DMG or 134-hydroxy- 3,6,9,12,15,18,21,24,27,30,33,36,39,42,45,48,51,54,57,60,63,66,69,72,75,78,81,84,87,90,93,96, 99,102,105,108,111,114,117,120,123,126,129,132-tetratetracontaoxatetratriacontahectyl stearate.
- the ionizable lipid is compound I ((heptadecan-9-yl 8 ((2 hydroxyethyl)(6 oxo 6-(undecyloxy)hexyl)amino)octanoate)), compound II (heptadecan-9-yl 8- ((2-hydroxyethyl)(8-(nonyloxy)-8-oxooctyl)amino)octanoate), compound III (heptadecan-9-yl 8-((3-((2-(methylamino)-3,4-dioxocyclobut-1-en-1-yl)amino)propyl)(8-oxo-8-(undecan-3- yloxy)octyl)amino)octanoate), or compound IV (3-butylheptyl 8-((8-(heptadecan-9-yloxy)-8- oxooct)), or compound
- the phospholipid is distearoylphosphatidylcholine (DSPC).
- the structural lipid is a sterol.
- the sterol is cholesterol.
- the lipid solution comprises ethanol.
- the mixing in (a) comprises turbulent mixing ("T-mix"), vortex mixing ("V-mix”), microfluidic mixing, or a combination thereof.
- the SARS-CoV-2 prefusion stabilized S protein comprises a sequence having at least 90%, at least 95%, or at least 98% identity to the sequence of SEQ ID NOs: 8 or 12. In some embodiments, the SARS-CoV-2 prefusion stabilized S protein comprises SEQ ID NOs: 8 or 12.
- the RNA comprises a nucleotide sequence having at least 80% identity, at least 85%, at least 90%, at least 95%, at least 98%, or 100% identity to SEQ ID NOs: 1, 3, 6, 7, 8, 10, 14, and/or 15. In some embodiments, the RNA comprises a nucleotide sequence having at least 90% identity to SEQ ID NOs: 1, 3, 6, and/or 7. In some embodiments, the disclosure provides a composition comprising any one of the nucleic acid nanoparticles produced by a method described herein.
- An aspect of the disclosure provides a pharmaceutical composition packaged in a container for storage at a temperature of at least 2 ⁇ C, comprising a lipid nanoparticle (LNP) and a nucleic acid, wherein the LNP comprises 2-4 mol% PEG-modified lipid, 5-25 mol% neutral lipid, 25-55 mol% sterol, and 20-60 mol% ionizable amino lipid, and wherein the nucleic acid comprises a messenger ribonucleic acid (mRNA) comprising an open reading frame (ORF) that encodes a SARS-CoV-2 prefusion stabilized spike (S) protein, wherein the LNP has an average particle size of less than 150 nm after two weeks of storage.
- mRNA messenger ribonucleic acid
- ORF open reading frame
- S SARS-CoV-2 prefusion stabilized spike
- the LNP has an average particle size of less than 130 nm.
- the disclosure provides a composition comprising a lipid nanoparticle (LNP) and a nucleic acid, wherein the LNP comprises about 2.5 mol% PEG-DMG, 11 mol% DSPC, 38.5 mol% cholesterol, and 48 mol% Compound I, wherein the nucleic acid comprises an open reading frame (ORF) that encodes a SARS-CoV-2 prefusion stabilized spike (S) protein, and wherein about 0.25 to about 0.5 mol% of the PEG-DMA is in the core of the LNP.
- ORF open reading frame
- S SARS-CoV-2 prefusion stabilized spike
- the SARS-CoV-2 prefusion stabilized S protein comprises a sequence having at least 90%, at least 95%, or at least 98% identity to the sequence of SEQ ID NOs: 8 or 12. In some embodiments, the SARS-CoV-2 prefusion stabilized S protein comprises SEQ ID NOs: 8 or 12.
- the RNA comprises a nucleotide sequence having at least 80% identity, at least 85%, at least 90%, at least 95%, at least 98%, or 100% identity to SEQ ID NOs: 1, 3, 6, 7, 8, 10, 14, and/or 15. In some embodiments, the RNA comprises a nucleotide sequence having at least 90% identity to SEQ ID NOs: 1, 3, 6, and/or 7.
- about 0.25 to about 0.75 mol% of the PEG-modified lipid is in the core of the LNP. In some embodiments, about 0.25 mol% of the PEG-modified lipid is in the core of the LNP. In some embodiments, about 0.5 mol% of the PEG-modified lipid is in the core of the LNP. In some embodiments, about 0.75 mol% of the PEG-modified lipid is in the core of the LNP.
- FIG.1 is a graph showing the average diameter of process intermediates during the manufacture of an exemplary construct comprising mRNA and the lipid nanoparticle formulations described herein.
- FIG.2 is a graph showing the pH adjusted VMP particle size plotted against the time after V-mixing. Aliquots were run neat on a Wyatt DLS Plate reader. Aliquot was stored at room temperature.
- FIG.3 is a graph showing the filtered VMP particle size plotted against the time after V- mixing. Aliquots were run neat on a Wyatt DLS Plate reader.
- FIGs.4A-4B are graphs showing pentamer protein expression plotted as a function of total mol% PEG-DMG. The expression was determined using flow cytometry. The mean fluorescent intensity is plotted against mol% total PEG-DMG. Cells were given a 250 ng mRNA dose (FIG.4A) or 1000 ng mRNA dose (FIG.4B). Error bars represent standard error of the mean (SEM).
- FIG.5 is a graph showing that the amount of PEG-DMG present during V-mixing has a significant impact on the pentamer specific titer levels in Balb/c mice. Mice were given 1 ug doses on days 1 and 22.
- Amount in core refers to amount of PEG-DMG present during V- mixing.
- PA refers to lipid mol% of PEG-DMG added post addition. Serum was harvested on Day 21 and Day 43.
- FIG.6 is a graph showing in vitro mRNA expression levels resulting from mRNA formulated in lipid nanoparticles (LNPs) comprising different percentages of components (ionizable amino lipid : neutral lipid : sterol : PEG lipid).
- LNPs lipid nanoparticles
- the LNPs can comprise ionizable amino (cationic) lipid, neutral lipid, sterol, and PEG lipid components.
- steric stabilizers such as polyethylene glycol (PEG) at different stages in the production process, increase the long term stability of LNPs, while preserving mRNA functionality in the vial and in serum at temperatures above freezing.
- the LNPs of the present disclosure further comprise a messenger RNA (mRNA) encoding a SARS-CoV-2 Spike (S) protein (e.g., a prefusion stabilized form of the S protein), forming an mRNA vaccine.
- mRNA messenger RNA
- S SARS-CoV-2 Spike
- the vaccine compositions described herein elicit potent Synthesis of Lipid Nanoparticles
- the present disclosure provides methods of producing a nucleic acid LNP composition having enhanced stability, even at temperatures well above freezing.
- the stabilized LNP comprises, in some embodiments 2.5 mol% PEG-lipid or more, such as from 2.5 mol% to 3.0 mol% PEG-lipid.
- the PEG lipid components can be added during the nanoprecipitation step and/or during excipient addition, which can maintain the potency of the LNP (and nucleic acid) while enhancing its stability for six months or more.
- Some embodiments comprise mixing a lipid solution comprising a first PEG lipid to produce a precursor lipid nanoparticle.
- the method comprises mixing a lipid solution comprising an ionizable lipid and a first PEG-lipid, or a precursor lipid nanoparticle with a first PEG-lipid, with a solution comprising a nucleic acid (e.g., mRNA) thereby forming a precursor nucleic acid lipid nanoparticle and then adding a lipid nanoparticle modifier comprising an additional, e.g., second, PEG-lipid (which can be the same or different from the first PEG-lipid) to the precursor nucleic acid lipid nanoparticle thereby forming a modified nucleic acid lipid nanoparticle.
- a lipid nanoparticle modifier comprising an additional, e.g., second, PEG-lipid (which can be the same or different from the first PEG-lipid)
- Some embodiments further comprise adding a third PEG-lipid (which can be the same or different from the first and/or second PEG-lipid), thereby forming a further modified nucleic acid lipid nanoparticle.
- the modified and/or further modified nucleic acid lipid nanoparticle can then be processed, forming the nucleic acid lipid nanoparticle composition.
- Some embodiments comprise further PEG addition steps, e.g., fourth, fifth, sixth, etc., PEG addition steps.
- a PEG-lipid is added in stages.
- a second PEG-lipid can be added in two, three, four, five, or more stages.
- one or more stages can be added at a different point in the production process, e.g., before or after different processing steps.
- one or more stages can be performed before or after the same processing step.
- the precursor nucleic acid lipid nanoparticle (which may or may not contain an initial amount of a lipid nanoparticle modifier) is prepared prior to adding a lipid nanoparticle modifier.
- post addition methods or steps.
- Some embodiments comprise using two or more post addition steps.
- the lipid solution does not include a PEG lipid.
- the lipid solution comprises a first PEG lipid.
- the lipid solution comprises 0.25 mol% or more of the first PEG lipid, such as 0.5 mol%, 0.75 mol%, 1 mol%, or more of the first PEG lipid. In some embodiments, the lipid solution further comprises a first PEG lipid. In certain embodiments, the first PEG lipid is PEG-DMG. In some embodiments, the lipid solution comprises 0.25 mol% of PEG-DMG. In certain embodiments, the lipid solution comprises 0.50 mol% of PEG-DMG. In some embodiments, the lipid solution comprises 0.75 mol% of PEG- DMG. In certain embodiments, the lipid solution comprises 1 mol% of PEG-DMG.
- the first PEG lipid is (134-hydroxy- 3,6,9,12,15,18,21,24,27,30,33,36,39,42,45,48,51,54,57,60,63,66,69,72,75,78,81,84,87,90,93,96, 99,102,105,108,111,114,117,120,123,126,129,132-tetratetracontaoxatetratriacontahectyl stearate).
- the lipid solution comprises 0.25 mol% of 134-hydroxy- 3,6,9,12,15,18,21,24,27,30,33,36,39,42,45,48,51,54,57,60,63,66,69,72,75,78,81,84,87,90,93,96, 99,102,105,108,111,114,117,120,123,126,129,132-tetratetracontaoxatetratriacontahectyl stearate.
- the lipid solution comprises 0.50 mol% of 134-hydroxy- 3,6,9,12,15,18,21,24,27,30,33,36,39,42,45,48,51,54,57,60,63,66,69,72,75,78,81,84,87,90,93,96, 99,102,105,108,111,114,117,120,123,126,129,132-tetratetracontaoxatetratriacontahectyl stearate.
- the lipid solution comprises 0.75 mol% of 134-hydroxy- 3,6,9,12,15,18,21,24,27,30,33,36,39,42,45,48,51,54,57,60,63,66,69,72,75,78,81,84,87,90,93,96, 99,102,105,108,111,114,117,120,123,126,129,132-tetratetracontaoxatetratriacontahectyl stearate.
- the lipid solution comprises 1.0 mol% of 134-hydroxy- 3,6,9,12,15,18,21,24,27,30,33,36,39,42,45,48,51,54,57,60,63,66,69,72,75,78,81,84,87,90,93,96, 99,102,105,108,111,114,117,120,123,126,129,132-tetratetracontaoxatetratriacontahectyl stearate.
- the precursor nucleic acid lipid nanoparticle does not include a PEG lipid.
- the precursor nucleic acid lipid nanoparticle comprises a first PEG lipid.
- the first PEG lipid is PEG-DMG.
- the precursor nucleic acid lipid nanoparticle comprises 0.25 mol% of PEG-DMG. In certain embodiments, the precursor nucleic acid lipid nanoparticle comprises 0.50 mol% of PEG-DMG. In some embodiments, the precursor nucleic acid lipid nanoparticle comprises 0.75 mol% of PEG-DMG. In certain embodiments, the precursor nucleic acid lipid nanoparticle comprises 1 mol% of PEG-DMG.
- the first PEG lipid is 134-hydroxy- 3,6,9,12,15,18,21,24,27,30,33,36,39,42,45,48,51,54,57,60,63,66,69,72,75,78,81,84,87,90,93,96, 99,102,105,108,111,114,117,120,123,126,129,132-tetratetracontaoxatetratriacontahectyl stearate.
- the lipid solution comprises 0.25 mol% of 134-hydroxy- 3,6,9,12,15,18,21,24,27,30,33,36,39,42,45,48,51,54,57,60,63,66,69,72,75,78,81,84,87,90,93,96, 99,102,105,108,111,114,117,120,123,126,129,132-tetratetracontaoxatetratriacontahectyl stearate.
- the lipid solution comprises 0.50 mol% of 134-hydroxy- 3,6,9,12,15,18,21,24,27,30,33,36,39,42,45,48,51,54,57,60,63,66,69,72,75,78,81,84,87,90,93,96, 99,102,105,108,111,114,117,120,123,126,129,132-tetratetracontaoxatetratriacontahectyl stearate.
- the lipid solution comprises 0.75 mol% of 134-hydroxy- 3,6,9,12,15,18,21,24,27,30,33,36,39,42,45,48,51,54,57,60,63,66,69,72,75,78,81,84,87,90,93,96, 99,102,105,108,111,114,117,120,123,126,129,132-tetratetracontaoxatetratriacontahectyl stearate.
- the lipid solution comprises 1 mol% of 134-hydroxy- 3,6,9,12,15,18,21,24,27,30,33,36,39,42,45,48,51,54,57,60,63,66,69,72,75,78,81,84,87,90,93,96, 99,102,105,108,111,114,117,120,123,126,129,132-tetratetracontaoxatetratriacontahectyl stearate.
- the second PEG lipid is PEG-DMG or 134-hydroxy- 3,6,9,12,15,18,21,24,27,30,33,36,39,42,45,48,51,54,57,60,63,66,69,72,75,78,81,84,87,90,93,96, 99,102,105,108,111,114,117,120,123,126,129,132-tetratetracontaoxatetratriacontahectyl stearate.
- the first PEG lipid, the second PEG lipid, and optionally, other additional PEG lipids are the same PEG lipid.
- the first PEG lipid and the additional PEG lipid are both PEG-DMG. In some embodiments, the first PEG lipid and the additional PEG lipid are both 134-hydroxy- 3,6,9,12,15,18,21,24,27,30,33,36,39,42,45,48,51,54,57,60,63,66,69,72,75,78,81,84,87,90,93,96, 99,102,105,108,111,114,117,120,123,126,129,132-tetratetracontaoxatetratriacontahectyl stearate.
- the first PEG lipid and the second PEG lipid are not the same (e.g., the first PEG lipid is PEG-DMG and the second PEG lipid is 134-hydroxy- 3,6,9,12,15,18,21,24,27,30,33,36,39,42,45,48,51,54,57,60,63,66,69,72,75,78,81,84,87,90,93,96, 99,102,105,108,111,114,117,120,123,126,129,132-tetratetracontaoxatetratriacontahectyl stearate, or the first PEG lipid is 134-hydroxy- 3,6,9,12,15,18,21,24,27,30,33,36,39,42,45,48,51,54,57,60,63,66,69,72,75,78,81,84,87,90,93,96, 99,102,105,108,111,114,117,120,123,126
- the molar ratio of the first PEG lipid to the second PEG lipid is in a range of about 1:100 to about 2:1, for example, about 1:50 to about 2:1, about 1:25 to about 2:1, about 1:10 to about 2:1. In some embodiments, the molar ratio of the first PEG lipid to the second PEG lipid is in a range of about 1:25 to about 2:1, for example, about 1:10 to about 2:1. In some embodiments, the molar ratio of the first PEG lipid to the second PEG lipid is in a range of about 1:10 to about 2:1.
- the molar ratio of the first PEG lipid to the second PEG lipid is in a range of about 1:100 to about 1:1, for example, about 1:50 to about 1:1, about 1:25 to about 1:1, about 1:10 to about 1:1. In some embodiments, the molar ratio of the first PEG lipid to the second PEG lipid is in a range of about 1:10 to about 1:1. In some embodiments, the molar ratio of the first PEG lipid to the second PEG lipid is in a range of about 1:5 to about 1:1. In some embodiments, the molar ratio of the first PEG lipid to the second PEG lipid is in a range of about 1:3 to about 1:1.
- the molar ratio of the first PEG lipid to the additional PEG lipid is in a range of about 1:100 to about 2:1, for example, about 1:50 to about 2:1, about 1:25 to about 2:1, about 1:10 to about 2:1. In some embodiments, the molar ratio of the first PEG lipid to the additional PEG lipid is in a range of about 1:25 to about 2:1, for example, about 1:10 to about 2:1. In some embodiments, the molar ratio of the first PEG lipid to the additional PEG lipid is in a range of about 1:10 to about 2:1.
- the molar ratio of the first PEG lipid to the additional PEG lipid is in a range of about 1:100 to about 1:1, for example, about 1:50 to about 1:1 , about 1:25 to about 1:1, about 1:10 to about 1:1. In some embodiments, the molar ratio of the first PEG lipid to the additional PEG lipid is in a range of about 1:10 to about 1:1. In some embodiments, the molar ratio of the first PEG lipid to the additional PEG lipid is in a range of about 1:5 to about 1:1. In some embodiments, the molar ratio of the first PEG lipid to the additional PEG lipid is in a range of about 1:3 to about 1:1.
- the first PEG lipid is added to the core of the LNP and the additional PEG lipid is added to the surface of the LNP.
- the molar ratio of the core PEG lipid to the surface PEG lipid is in a range of about 1:100 to about 2:1, for example, about 1:50 to about 2:1, about 1:25 to about 2:1, about 1:10 to about 2:1. In some embodiments, the molar ratio of the core PEG lipid to the surface PEG lipid is in a range of about 1:25 to about 2:1, for example, about 1:10 to about 2:1. In some embodiments, the molar ratio of the core PEG lipid to the surface PEG lipid is in a range of about 1:10 to about 2:1.
- the molar ratio of the core PEG lipid to the surface PEG lipid is in a range of about 1:100 to about 1:1, for example, about 1:50 to about 1:1 , about 1:25 to about 1:1, about 1:10 to about 1:1. In some embodiments, the molar ratio of the core PEG lipid to the surface PEG lipid is in a range of about 1:10 to about 1:1. In some embodiments, the molar ratio of the core PEG lipid to the surface PEG lipid is in a range of about 1:5 to about 1:1. In some embodiments, the molar ratio of the core PEG lipid to the surface PEG lipid is in a range of about 1:3 to about 1:1.
- the lipid mixture can be solubilized in a water miscible organic solvent, for example, absolute ethanol.
- the organic solvent is used in the form in which it is commercially available.
- the mixture of lipids is a mixture of an ionizable amino lipid and a first PEG lipid are co-solubilized in the organic solvent.
- the lipid mixture consists essentially of an ionizable amino lipid and a PEG lipid, and optionally a phospholipid (neutral lipid) and/or a structural lipid (e.g., a sterol).
- the total concentration of lipid is preferably less than 25 mg/ml.
- the total concentration of lipid is preferably less than 5 mg/ml.
- the lipid mixture may be filtered through a membrane, e.g. a 0.45 or 0.2 ⁇ m filter.
- the lipid mixture may be combined with a nucleic acid solution, preferably in the form of a buffered aqueous solution.
- the buffered aqueous solution may be a solution in which the buffer has a pH less than the pKa of a protonated lipid in the lipid mixture.
- suitable buffers include, but are not limited to, citrate, phosphate, and acetate.
- the buffer is acetate buffer.
- the buffers are in the concentration range of 1-1000 mM of the anion, depending on the chemistry of the nucleic acid being encapsulated, and optimization of buffer concentration may be significant to achieving high loading levels. It may be suitable to add a cryoprotectant, and/or a non-ionic solute, which can balance the osmotic potential across the particle membrane, e.g., when the particles are dialyzed to remove ethanol, increase the pH, or mixed with a pharmaceutically acceptable carrier or diluent.
- the amount of nucleic acid in buffer is preferably from about 0.01 to 1.0 mg/mL, preferably 0.08 to 0.8 mg/mL.
- the temperature of the aqueous nucleic acid solution is 25 to 45° C, for example, 30 to 40° C.
- briefly heating the aqueous nucleic acid solution at elevated temperature may be useful, e.g., 1-2 minutes at 65° C.
- the lipid solution may be added to the aqueous solution either by spraying on the air-water interface, in a narrow stream, or through a liquid-liquid interface between lipid solution delivered through a tube that is submerged in the aqueous nucleic acid solution.
- the organic lipid solution may be added by gravity or by a pump delivering the organic lipid solution to the aqueous nucleic acid solution at a controlled rate, preferably a constant rate.
- the delivery of the organic lipid is continuous (e.g., by a pump operating under continuous flow).
- the delivery of the organic lipid solution can be completed in 1 minute to 6 hours, in 1 minute to 100 minutes, or in 1 to 25 minutes.
- the organic lipid solution may be added through a single spray or stream, through a tube or outlet, or through a multi-outlet system. While the lipid organic solution is added into the nucleic acid aqueous solution, the resulting solution may be mixed by stirring, shaking, or recirculation.
- mixing preferably comprises turbulent mixing ("T-mix”), vortex mixing (“V-mix”), microfluidic mixing, or a combination thereof.
- mixing comprises vortex mixing.
- the addition/mixing step results in a final concentration that is 10 to 45% ethanol, for example 11 to 30% ethanol, or 12.5 to 25% ethanol.
- formation involves either turbulent or microfluidic mixing of solutions to induce precipitation lipids in organic phase with nucleic acid in aqueous phase, or extrusion of an already phase- separated mixture of nucleic acid and lipids through membranes to create LNPs.
- a lipid solution comprising a first PEG lipid can be mixed with a solution comprising a nucleic acid thereby forming a precursor nucleic acid lipid nanoparticle.
- the nucleic acid is provided.
- the nucleic acid is any one of the nucleic acids provided herein.
- precursor lipid nanoparticles are provided.
- a "precursor lipid nanoparticle" refers to a lipid nanoparticle that is further modified by additional structural components, e.g., lipids and/or nucleic acids to produce a subsequent precursor lipid nanoparticle or final lipid nanoparticle.
- a precursor lipid nanoparticle may be formed and/or exist during one or more steps in the particle formulation process.
- multiple precursor lipid nanoparticles e.g., a first, second, third, etc. precursor lipid nanoparticle
- the precursor lipid nanoparticle may comprise a relatively low percentage of PEG molecules (e.g., at least about 0.01 mol% and less than or equal to about 1.0 mol%, at least about 0.05 mol%, at least about 0.1 mol%, at least about 0.2 mol%, at least about 0.3 mol%, at least about 0.4 mol%, at least about 0.5 mol%, at least about 0.6 mol%, at least about 0.7 mol%, or 0.8 mol%).
- PEG molecules e.g., at least about 0.01 mol% and less than or equal to about 1.0 mol%, at least about 0.05 mol%, at least about 0.1 mol%, at least about 0.2 mol%, at least about 0.3 mol%, at least about 0.4 mol%, at least about 0.5 mol%, at least about 0.6 mol%, at least about 0.7 mol%, or 0.8 mol%).
- Precursor nucleic acid lipid nanoparticle refers to a lipid nanoparticle that comprises a nucleic acid that is further modified by adding additional structural components, e.g., lipids and/or nucleic acids. In some embodiments, all of the nucleic acid in the precursor nucleic acid lipid nanoparticle is associated with the ionizable lipid. In some embodiments, between about 80% and about 100%, between about 85% and about 100%, or between about 90% and about 100% of the nucleic acid in the precursor nucleic acid lipid nanoparticle is associated with the ionizable lipid, preferably about 95% to about 100%, preferably about 98% to about 100%, preferably about 99% to about 100%.
- the precursor lipid nanoparticle may have more nucleic acid associated with the ionizable lipid than the PEG molecule. For instance, at least about 50%, at least about 60%, at least about 70%, at least about 80%, or at least about 90% of the nucleic acid in the precursor lipid nanoparticle is associated with the ionizable lipid. In some such cases, less than about 50%, less than about 40%, less than about 30%, less than about 20%, or less than about 10% of the nucleic acid in the precursor lipid nanoparticle is associated with the PEG molecule (e.g., PEG lipid).
- PEG molecule e.g., PEG lipid
- a ratio of nucleic acid associated with the ionizable lipid to nucleic acid associated with the PEG lipid in the precursor lipid nanoparticles is at least about 2:1.
- a composition comprising precursor lipid nanoparticles may comprise one or more organic solvents (e.g., ethanol).
- the nucleic acid lipid nanoparticle composition may be enriched in precursor lipid nanoparticles. For instance, at least about 50% of the lipid nanoparticles in the nucleic acid lipid nanoparticle composition may be precursor lipid nanoparticles.
- the precursor nucleic acid lipid nanoparticle comprises about 30- 60 mol% ionizable lipid; about 0-30 mol% phospholipid (neutral lipid); about 15-50 mol% structural lipid; and about 0.01-10 mol% first PEG lipid. In some embodiments, the precursor nucleic acid lipid nanoparticle comprises about 30-60 mol% ionizable lipid; about 0-30 mol% phospholipid; about 15-50 mol% structural lipid; and about 0.01-1 mol% first PEG lipid.
- the precursor nucleic acid lipid nanoparticle comprises about 40-60 mol% ionizable lipid; about 5-15 mol% phospholipid; about 35-45 mol% structural lipid; and about 0.01-10 mol% first PEG lipid. In some embodiments, the precursor nucleic acid lipid nanoparticle comprises about 40-60 mol% ionizable lipid; about 5-15 mol% phospholipid; about 35-45 mol% structural lipid; and about 0.01-1 mol% first PEG lipid.
- the precursor nucleic acid lipid nanoparticle comprises about 40-60 mol% ionizable lipid; about 5- 15 mol% phospholipid; about 35-45 mol% structural lipid; and about 0.25-1 mol% of the first PEG lipid. In some embodiments, the precursor nucleic acid lipid nanoparticle comprises about 40-60 mol% ionizable lipid; about 5-15 mol% phospholipid; about 35-45 mol% structural lipid; and about 0.5-1 mol% first PEG lipid.
- the precursor nucleic acid lipid nanoparticle comprises about 30-60 mol% ionizable lipid; about 0-30 mol% phospholipid; about 15-50 mol% structural lipid; and about 0.01-0.75 mol% first PEG lipid. In some embodiments, the precursor nucleic acid lipid nanoparticle comprises about 30-60 mol% ionizable lipid; about 0-30 mol% phospholipid; about 15-50 mol% structural lipid; and about 0.01-0.5 mol% first PEG lipid.
- the precursor nucleic acid lipid nanoparticle comprises about 30-60 mol% ionizable lipid; about 0-30 mol% phospholipid; about 15-50 mol% structural lipid; and about 0.25-1.0 mol% first PEG lipid. In some embodiments, the precursor nucleic acid lipid nanoparticle comprises about 30-60 mol% ionizable lipid; about 0-30 mol% phospholipid; about 15-50 mol% structural lipid; and about 0.5-1.0 mol% first PEG lipid. Some embodiments comprise processing a precursor LNP. Some embodiments comprise adding a PEG lipid before, during, and/or after one or more processing steps.
- the processing may involve treating to remove an organic solvent (i.e., ethanol), by dialysis or filtration, preferably by diafiltration.
- an organic solvent i.e., ethanol
- processing includes steps to purify, pH adjust, buffer exchange, and/or concentrate LNPs.
- the processing comprises a filtration such as a sterile filtration.
- the processing comprises a tangential flow filtration (TFF). While the ethanol is removed, the aqueous solution can be converted to a one buffered at a neutral pH, for example, pH 6.5 to 7.8, pH 6.8 to pH 7.5, pH 7.0 to pH 7.5, or pH 7.0 to pH 7.2, for example using a phosphate or HEPES buffer.
- the resulting aqueous solution is preferably sterilized before storage or use, such as, for example by filtration through a 0.22 ⁇ m filter.
- the processing may comprise a freezing and/or lyophilizing step. Lyophilizing steps may be carried out in a suitable glass receptacle, preferably a 1ml to 10 ml (e.g., 3 ml), cylindrical glass vial.
- the glass vial should withstand extreme changes in temperatures of less than -40° C and greater than room temperature in short periods of time, and be cut in a uniform shape.
- the composition comprising the nucleic acid lipid nanoparticle can be added to the vial, preferably in a volume ranging from about 0.1 ml to about 5 ml, from 0.2 ml to about 3 ml, from 0.3 ml to about 1 ml, or from about 0.4 ml to about 0.8 ml (e.g., about 0.5 ml), and preferably with about 9 mg/ml lipid.
- the step of lyophilizing may comprise freezing the composition at a temperature of greater than about -40° C, or e.g. less than about -30° C, forming a frozen composition; and drying the frozen composition to form the lyophilized composition.
- the freezing step preferably results in a linear decrease in temperature to the final over about 100 to 180 minutes (e.g., about 130 minutes), preferably at 0.1 to 1 °C/minute (e.g., about 0.5°C/minute) from 20 to -40° C. More preferably, sucrose at 5-15% (e.g., 8-12%) may be used, and the drying step is at about 50-150 mTorr, first at a low temperature of about -15 to about -35° C, and thereafter at a higher temperature of room temperature to about 25 °C, and is completed in three to seven days.
- the drying step is at about 50-100 mTorr, first at a low temperature of about -40 °C to about -20 °C, and then at the higher temperature.
- the method may further comprise packing the nucleic acid lipid nanoparticle composition.
- storage or “packing” may refer to storing drug product in its final state or in-process storage of LNPs before they are placed into final packaging. Modes of storage and/or packing include, but are not limited to refrigeration in sterile bags, refrigerated or frozen formulations in vials, lyophilized formulations in vials and syringes, etc.
- the concentration of the non-ionic surfactant in the nucleic acid LNP formulation ranges from about 0.00001 % w/v to about 1 % w/v, e.g., from about 0.00005 % w/v to about 0.5 % w/v, or from about 0.0001 % w/v to about 0.1 % w/v. In some embodiments, the concentration of the non-ionic surfactant in the nucleic acid LNP formulation ranges from about 0.000001 wt% to about 1 wt%, e.g., from about 0.000002 wt% to about 0.8 wt%, or from about 0.000005 wt% to about 0.5 wt%.
- the concentration of the PEG lipid in the stabilized LNP formulation ranges from about 0.01 % by molar to about 50 % by molar, e.g., from about 0.05 % by molar to about 20 % by molar, from about 0.07 % by molar to about 10 % by molar, from about 0.1 % by molar to about 8 % by molar, from about 0.2 % by molar to about 5 % by molar, or from about 0.25 % by molar to about 3 % by molar. In some embodiments, the concentration of the PEG lipid in the stabilized LNP formulation is about 2.5 % or 3% by molar.
- the distribution of one or more components in the lipid nanoparticle may be dictated, at least in part, by the process by which the components are assembled.
- the distribution (e.g., accessibility, arrangement) of nucleic acid (e.g., mRNA) within the lipid nanoparticle may be controlled, at least in part, by the formulation process.
- the formulation process may comprise one or more steps that allow the distribution of mRNA to be tailored, as described in more detail below.
- the formulation process may use a relatively low weight percentage of certain components (e.g., PEG lipid) during the particle formation step (e.g., nanoprecipitation reaction) and/or add certain lipid nanoparticle components after particle formation.
- a lipid nanoparticle and/or composition, described herein may have a beneficial amount of nucleic acid (e.g., mRNA) that is at least partially (e.g., fully) encapsulated.
- nucleic acid e.g., mRNA
- at least about 30%, at least about 35%, at least about 40%, at least about 45%, at least about 50%, at least about 55%, at least about 60%, at least about 65%, at least about 70%, at least about 75%, at least about 80%, at least about 85%, at least about 90%, or at least about 95% of the total amount of nucleic acid in the lipid nanoparticle and/or a composition is at least partially (e.g., fully) encapsulated.
- less than or equal to about 70% or less than or equal to about 90% of the total amount of nucleic acid in the lipid nanoparticle and/or a composition is at least partially (e.g., fully) encapsulated.
- the percentage of at least partially (e.g., fully) encapsulated nucleic acid may be determined by an in vitro assay (e.g., IEX) as described herein.
- the resulting LNPs undergo further processing, such as one or more steps to purify, pH adjust, buffer exchange, and/or concentrate LNPs.
- the step of processing the LNP solution comprises filtering the LNP solution.
- the filtration removes an organic solvent (e.g., ethanol) from the LNP solution.
- the processing comprises a filtration such as a sterile filtration.
- the processing comprises a tangential flow filtration (TFF).
- the LNP solution upon removal of the organic solvent (e.g., ethanol), the LNP solution is converted to a solution buffered at a neutral pH, pH 6.5 to 7.8, pH 6.8 to pH 7.5, pH 7.0 to pH 7.5, or pH 7.0 to pH 7.2 (e.g., a phosphate or HEPES buffer).
- the resulting LNP solution is preferably sterilized before storage or use, e.g., by filtration (e.g., through a 0.22 ⁇ m filter).
- the step of processing the LNP solution further comprises packing the LNP solution. Modes of storage and/or packing include, but are not limited to refrigeration in sterile bags, refrigerated or frozen formulations in vials, lyophilized formulations in vials and syringes, etc.
- the step of packing the LNP solution comprises one or more of the following steps: adding a cryoprotectant to the LNP solution; and lyophilizing the LNP solution, thereby forming a lyophilized LNP composition; storing the LNP solution or the lyophilized LNP composition; and adding a reconstituting solution to the LNP solution or the lyophilized LNP composition, thereby forming the LNP formulation.
- the cryoprotectant is added to the LNP solution prior to the lyophilization.
- the cryoprotectant comprises one or more cryoprotective agents, and each of the one or more cryoprotective agents is independently a polyol (e.g., a diol or a triol such as propylene glycol (i.e., 1 ,2-propanediol), 1,3 -propanediol, glycerol, (+/-)-2- methyl-2,4-pentanediol, 1,6-hexanediol, 1 ,2-butanediol, 2,3-butanediol, ethylene glycol, or diethylene glycol), a nondetergent sulfobetaine (e.g., NDSB-201 (3-(l-pyridino)-l-propane sulfonate), an osmolyte (e.g., L-proline or trimethylamine N-oxide dihydrate), a polymer (e.g., polyethylene glycol), a poly
- the cryoprotectant comprises sucrose.
- the lyophilization carried out in a suitable glass receptacle (e.g., a 2, 3, 5, or 10 ml cylindrical glass vial).
- the glass receptacle is able to withstand extreme changes in temperatures between lower than -40 °C and higher than room temperature in short periods of time, and/or be cut in a uniform shape.
- the step of lyophilizing comprises freezing the LNP solution at a temperature lower than about -40 °C, thereby forming a frozen LNP solution; and drying the frozen LNP solution to form the lyophilized LNP composition.
- the freezing step results in a linear decrease in temperature to the final over about 100 to 180 minutes (e.g., about 130 minutes) or at 0.1 to 1 °C/minute (e.g., about 0.5°C/minute) from 20 to -40° C.
- sucrose at 5- 15% may be used, and the drying step is performed at a vacuum ranging from about 50 mTorr to about 150 mTorr, for example, first at a low temperature lower than -10 °C (e.g., from about -35 °C to about -15 °C), lower than -20 °C, lower than -30 °C, or lower than - 40 °C, and then at a higher temperature ranging from room temperature to about 25 °C. In some embodiments, the drying step is completed in three to seven days.
- the drying step is performed at a vacuum ranging from about 50 mTorr to about 100 mTorr, for example, first at a low temperature below about 0 °C, below about -10 °C, below about -20 °C, or below about -30 °C (e.g., -35 °C), and then at a higher temperature.
- the LNP solution or the lyophilized LNP composition is stored at a temperature of about -40 °C, about -35 °C, about -30 °C, about -25 °C, about -20 °C, about - 15 °C, about -10 °C, about -5 °C, about 0 °C, about 5 °C, about 10 °C, about 15 °C, about 20 °C, or about 25 °C prior to adding the reconstituting solution.
- the LNP solution or the lyophilized LNP composition is stored at a temperature of ranging from about -40 °C to about 0 °C, from about -35 °C to about -5 °C, from about -30 °C to about -10 °C, from about -25 °C to about -15 °C, from about -22 °C to about -18 °C, or from about -21 °C to about -19 °C prior to adding the reconstituting solution.
- the LNP solution or the lyophilized LNP composition is stored at a temperature of about -20 °C prior to adding the reconstituting solution.
- the LNP solution or the lyophilized LNP composition is stored at a temperature of ranging from about -15 °C to about 25 °C, from about -10 °C to about 20 °C, from about -5 °C to about 15 °C, from about 0 °C to about 10 °C, from about 1 °C to about 9 °C, or from about 2 °C to about 8 °C prior to adding the reconstituting solution.
- the LNP solution or the lyophilized LNP composition is stored for about 30 minutes, about 1 hour, about 2 hours, about 4 hours, about 6 hours, about 12 hours, about 1 day, about 2 days, about 3 days, about 4 days, about 5 days, about 6 days, about 1 week, about 2 weeks, about 3 weeks, about 4 weeks, about 1 month, about 2 months, about 3 months, about 4 months, about 6 months, about 9 months, about 1 year, about 2 years, about 3 years, about 4 years, about 5 years, about 6 years, about 7 years about 8 years, about 9 years, or about 10 years prior to adding the reconstituting solution.
- the LNP solution or the lyophilized LNP composition is stored for a time period ranging from about 1 month to about 10 years, from about 3 months to about 8 years, from about 6 months to about 6 years, from about 9 months to about 4 years, from about 1 year to about 3 years, or from about 1.5 years to about 2.5 years prior to adding the reconstituting solution. In some embodiments, the LNP solution or the lyophilized LNP composition is stored for about 2 years prior to adding the reconstituting solution.
- the accessibility of the nucleic acid in a LNP composition comprising LNPs may be determined by one or more assays (e.g., in vitro assay). In general, any suitable in vitro assay may be used.
- Suitable assays are able to distinguish between different encapsulation states of the nucleic acid and/or association states of the nucleic acid with components of the lipid nanoparticle.
- the accessibility of a nucleic acid may be determined by an ion-exchange chromatography (IEX) assay.
- the in vitro assay may be used to generate a quantitative value of the amount of accessible or inaccessible nucleic acids (e.g., mRNA) in the lipid nanoparticles or composition.
- an ion-exchange chromatography (IEX) assay may be used to generate a quantitative value of the amount of accessible or inaccessible mRNA in a composition comprising lipid nanoparticles.
- the amount of inaccessible or accessible nucleic acids may be determined for the total composition and/or a fraction of the composition (e.g., fraction comprising certain lipid nanoparticles).
- the accessibility of the nucleic acid within the lipid nanoparticle may correlate to one or more biological properties of the lipid nanoparticle.
- the accessibility of the nucleic acid within the lipid nanoparticle may correlate with protein expression levels and/or the efficacy of intracellular nucleic acid delivery. For instance, in some embodiments, a relatively high percentage of inaccessible nucleic acid, and accordingly a relatively low percentage of accessible nucleic acid, may produce high levels of protein expression (e.g., in vitro, in vivo).
- a composition having a low percentage of accessible mRNA may have a higher level of mRNA expression than a comparative composition having a higher percentage of accessible mRNA.
- the present disclosure provides a method of characterizing a LNP composition (e.g., the LNP composition prepared by a method of the present disclosure) using a chromatography assay.
- a quantitative value of an amount of the nucleic acid (e.g., mRNA) encapsulated in the LNP composition is measured using the chromatography assay.
- the chromatography assay is an ion-exchange (IEX) chromatography assay.
- At least about 50%, at least about 55%, at least about 60%, at least about 65%, at least about 70%, at least about 75%, at least about 80%, at least about 85%, at least about 95%, or at least about 95% of the LNPs in the LNP composition have mRNA encapsulated therein, as determined by the ion-exchange chromatography (IEX) assay.
- IEX ion-exchange chromatography
- An ion exchange (IEX) chromatography method determines encapsulation efficiency for mRNAs encapsulated in ionizable-lipid-based LNPs. IEX chromatography can be used to separate bound versus free mRNA.
- the IEX screening method separates free mRNA from LNPs when there is a gradient change from low to high salt concentration.
- the LNPs elute in the void (peak 1) and mRNA elutes when gradient changes from low to high salt concentration (peak 2, termed "accessible mRNA").
- peak 1 elutes in the void
- mRNA elutes when gradient changes from low to high salt concentration
- accessible mRNA peak 2
- a LNP sample population can be subjected to an art-recognized separation technique, for example, size- exclusion chromatography (SEC). This fractionates particles based on size.
- SEC size- exclusion chromatography
- Fractions can be subjected, for example, to a biological assay, e.g., in vitro protein expression assay. Fractions can likewise be subjected to determination of encapsulation efficiency according to the IEX methods of the invention.
- a lipid nanoparticle refers to a nanoscale construct (e.g., a nanoparticle, typically less than 200 nm in diameter) comprising lipid molecules, preferably arranged in a substantially spherical (e.g., spheroid) geometry, sometimes encapsulating one or more additional molecular species.
- the LNP contains a bleb region, e.g., as described in Brader et al., Biophysical Journal 120: 1-5 (2021).
- a LNP may comprise or one or more types of lipids, including but not limited to amino lipids (e.g., ionizable amino lipids), neutral lipids, neutral lipids, charged lipids, PEG-modified lipids, phospholipids, structural lipids and sterols.
- a LNP may further comprise one or more cargo molecules, including but not limited to nucleic acids (e.g., mRNA, plasmid DNA, DNA or RNA oligonucleotides, siRNA, shRNA, snRNA, snoRNA, lncRNA, etc.), small molecules, proteins, and peptides.
- a LNP may have a unilamellar structure (i.e., having a single lipid layer or lipid bilayer surrounding a central region) or a multilamellar structure (i.e., having more than one lipid layer or lipid bilayer surrounding a central region).
- a lipid nanoparticle may be a liposome.
- a liposome is a nanoparticle comprising lipids arranged into one or more concentric lipid bilayers around a central region.
- the central region of a liposome may comprise an aqueous solution, suspension, or other aqueous composition.
- nucleic acids are formulated as lipid nanoparticle (LNP) compositions.
- Lipid nanoparticles typically comprise amino lipid, phospholipid, structural lipid and PEG lipid components along with the nucleic acid cargo of interest.
- the lipid nanoparticles provided herein can be generated using components, compositions, and methods as are generally known in the art, see for example PCT/US2016/052352; PCT/US2016/068300; PCT/US2017/037551; PCT/US2015/027400; PCT/US2016/047406; PCT/US2016/000129; PCT/US2016/014280; PCT/US2017/038426; PCT/US2014/027077; PCT/US2014/055394; PCT/US2016/052117; PCT/US2012/069610; PCT/US2017/027492; PCT/US2016/059575; PCT/US2016/069491; PCT/US2016/069493; and PCT/US2014/066242, all of which are incorporated by reference herein in their entirety.
- lipid nanoparticles Each optional component of the lipid nanoparticles described herein is described below.
- Polyethylene Glycol (PEG)-Lipids Effective in vivo delivery of nucleic acids represents a continuing medical challenge. Exogenous nucleic acids (i.e., originating from outside of a cell or organism) are readily degraded in the body, e.g., by the immune system. Accordingly, effective delivery of nucleic acids to cells often requires the use of a particulate carrier (e.g., lipid nanoparticles). The stable prior to intracellular delivery, effectively deliver nucleic acids intracellularly, and illicit no or minimal immune response.
- a particulate carrier e.g., lipid nanoparticles
- the lipid nanoparticles may comprise one or more polyethylene glycol (PEG) lipids within a critical concentration range.
- Nucleic acid LNPs must be stored at frozen temperatures in order to maintain long term stability. It has been discovered herein that modification of certain structural features of the LNP can dramatically enhance particle stability, enabling the long term storage at refrigerated or room temperatures. This can be achieved by controlling the ratio of PEG in the LNP and to some extent combining the optimal PEG concentration with an optimal RNA concentration. For instance, stability of the LNP can be further enhanced when combined with lower concentrations of nucleic acid in the particle. As shown in the Examples presented below, low mRNA concentrations and high PEG concentrations ( ⁇ 2.5 mol% or ⁇ 3 mol%) minimize growth during storage for 6 months. In some embodiments some of the total PEG lipid is localized differently in the LNP.
- a first fraction of the PEG lipid may have a different structure in the LNP than a second PEG lipid.
- the LNP composition comprises a core made up of the 4 lipid components, including a first fraction of PEG lipid and the nucleic acid.
- the core is sometimes referred to herein as the precursor nucleic acid lipid nanoparticle.
- this PEG lipid may, in some embodiments, be deposited on the surface of the core as a second fraction of PGL lipid.
- the first and second fractions of PEG lipids are localized in the LNP in different amounts.
- the first fraction of PEG lipid may be in the LNP in an amount of 0.25-1.0 mol % (e.g., 0.25 mol%, 0.5 mol%, 0.75 mol%, 1.0 mol%). In some embodiments 1.5 mol% to 2.5 mol% (e.g., 1.5 mol%, 1.75 mol%, 2.0 mol%, 2.25 mol%, 2.5 mol%) of the second fraction of PEG lipid is found in the LNP. In other embodiments the composition has a ratio of first fraction of PEG lipid to second fraction of PEG lipid of about 1:3 to about 1:1.
- PEG-lipid or “PEG-modified lipid” refers to polyethylene glycol (PEG)-modified lipids.
- PEG-lipids include PEG-modified phosphatidylethanolamine and phosphatidic acid, PEG-ceramide conjugates (e.g., PEG-CerC14 or PEG-CerC20), PEG-modified dialkylamines and PEG-modified 1,2-diacyloxypropan-3- amines.
- PEG-lipids include PEG-modified phosphatidylethanolamine and phosphatidic acid, PEG-ceramide conjugates (e.g., PEG-CerC14 or PEG-CerC20), PEG-modified dialkylamines and PEG-modified 1,2-diacyloxypropan-3- amines.
- PEGylated lipids PEGylated lipids.
- a PEG lipid can be PEG-c-DOMG, PEG-DMG, PEG-DLPE, PEG-DMPE, PEG-DPPC, or a PEG-DSPE lipid.
- the PEG-lipid includes, but is not limited to 1,2-dimyristoyl-sn- glycerol methoxypolyethylene glycol (PEG-DMG), 1,2-distearoyl-sn-glycero-3- phosphoethanolamine-N-[amino(polyethylene glycol)] (PEG-DSPE), PEG-disteryl glycerol (PEG-DSG), PEG-dipalmetoleyl, PEG-dioleyl, PEG-distearyl, PEG-diacylglycamide (PEG- DAG), PEG-dipalmitoyl phosphatidylethanolamine (PEG-DPPE), or PEG-l,2- dimyristyloxlpropyl-3-
- the PEG-lipid is selected from the group consisting of a PEG- modified phosphatidylethanolamine, a PEG-modified phosphatidic acid, a PEG-modified ceramide, a PEG-modified dialkylamine, a PEG-modified diacylglycerol, a PEG-modified dialkylglycerol, and mixtures thereof.
- the PEG-modified lipid is PEG- DMG, PEG-c-DOMG (also referred to as PEG-DOMG), PEG-DSG and/or PEG-DPG.
- the lipid moiety of the PEG-lipids includes those having lengths of from about C 14 to about C 22 , preferably from about C 14 to about C 16 .
- a PEG moiety for example an mPEG-NH2
- the PEG-lipid is PEG 2k -DMG.
- the lipid nanoparticles provided herein can comprise a PEG lipid which is a non-diffusible PEG.
- Non-limiting examples of non-diffusible PEGs include PEG- DSG and PEG-DSPE.
- PEG-lipids are known in the art, such as those described in U.S. Patent No.8,158,601 and International Publ. No. WO 2015/130584 A2, which are incorporated herein by reference in their entirety.
- some of the other lipid components (e.g., PEG lipids) of various formulae provided herein may be synthesized as described International Patent Application No. PCT/US2016/000129, filed December 10, 2016, entitled “Compositions and Methods for Delivery of Therapeutic Agents,” which is incorporated by reference in its entirety.
- the lipid component of a lipid nanoparticle composition may include one or more molecules comprising polyethylene glycol, such as PEG or PEG-modified lipids.
- a PEG lipid is a lipid modified with polyethylene glycol.
- a PEG lipid may be selected from the non-limiting group including PEG- modified phosphatidylethanolamines, PEG-modified phosphatidic acids, PEG-modified ceramides, PEG-modified dialkylamines, PEG-modified diacylglycerols, PEG-modified dialkylglycerols, and mixtures thereof.
- a PEG lipid may be PEG-c-DOMG, PEG- DMG, PEG-DLPE, PEG-DMPE, PEG-DPPC, or a PEG-DSPE lipid.
- the PEG-modified lipids are a modified form of PEG DMG.
- PEG- DMG has the following structure:
- PEG lipids can be PEGylated lipids described in International Publication No. WO2012099755, the contents of which is herein incorporated by reference in its entirety. Any exemplary PEG lipids may be modified to comprise a hydroxyl group on the PEG chain.
- the PEG lipid is a PEG-OH lipid.
- a “PEG-OH lipid” (also referred to herein as “hydroxy-PEGylated lipid”) is a PEGylated lipid having one or more hydroxyl (–OH) groups on the lipid.
- the PEG-OH lipid includes one or more hydroxyl groups on the PEG chain.
- a PEG- OH or hydroxy-PEGylated lipid comprises an –OH group at the terminus of the PEG chain.
- a PEG lipid is a compound of Formula (X): (X), or salts thereof, wherein: R 3 is –OR O ; R O is hydrogen, optionally substituted alkyl, or an oxygen protecting group; r is an integer between 1 and 100, inclusive; L 1 is optionally substituted C 1-10 alkylene, wherein at least one methylene of the optionally substituted C1-10 alkylene is independently replaced with optionally substituted carbocyclylene, optionally substituted heterocyclylene, optionally substituted arylene, optionally substituted heteroarylene, O, N(R N ), S, C(O), C(O)N(R N ), NR N C(O), C(O)O, OC(O), OC(O)O, OC(O)N(R N ), NR N C(O)O, or NR N C(O)N(R N ); D is a moiety obtained by click chemistry or a moiety cleavable under physiological conditions; m
- the compound of Fomula (X) is a PEG-OH lipid (i.e., R 3 is – OR O , and R O is hydrogen).
- the compound of Formula (X) is of Formula (X-OH): (X-OH), or a salt thereof.
- a PEG lipid is a PEGylated fatty acid.
- a PEG lipid is a compound of Formula (XI).
- R 3 is–OR O ;
- R O is hydrogen, optionally substituted alkyl or an oxygen protecting group;
- r is an integer between 1 and 100, inclusive;
- the compound of Formula (XI) is of Formula (XI-OH): or a salt thereof. In some embodiments, r is 40-50. In yet other embodiments the compound of Formula (XI) is: . or a salt thereof. In one embodiment, the compound of Formula (XI) is .
- the PEG-lipid comprises 134-hydroxy- 3,6,9,12,15,18,21,24,27,30,33,36,39,42,45,48,51,54,57,60,63,66,69,72,75,78,81,84,87,90,93,96, 99,102,105,108,111,114,117,120,123,126,129,132-tetratetracontaoxatetratriacontahectyl .
- the PEG-lipids may be one or more of the PEG lipids described in U.S. Application No. US15/674,872.
- a LNP provided herein may include one or more ionizable molecules (e.g., amino lipids or ionizable lipids).
- the ionizable molecule may comprise a charged group and may have a certain pKa.
- the pKa of the ionizable molecule may be greater than or equal to about 6, greater than or equal to about 6.2, greater than or equal to about 6.5, greater than or equal to about 6.8, greater than or equal to about 7, greater than or equal to about 7.2, greater than or equal to about 7.5, greater than or equal to about 7.8, greater than or equal to about 8.
- the pKa of the ionizable molecule may be less than or equal to about 10, less than or equal to about 9.8, less than or equal to about 9.5, less than or equal to about 9.2, less than or equal to about 9.0, less than or equal to about 8.8, or less than or equal to about 8.5. Combinations of the above referenced ranges are also possible (e.g., greater than or equal to 6 and less than or equal to about 8.5). Other ranges are also possible. In embodiments in which more than one type of ionizable molecule are present in a particle, each type of ionizable molecule may independently have a pKa in one or more of the ranges described above.
- an ionizable molecule comprises one or more charged groups.
- an ionizable molecule may be positively charged or negatively charged.
- an ionizable molecule may be positively charged.
- an ionizable molecule may comprise an amine group.
- the term “ionizable molecule” has its ordinary meaning in the art and may refer to a molecule or matrix comprising one or more charged moiety.
- a “charged moiety” is a chemical moiety that carries a formal electronic charge, e.g., monovalent (+1, or -1), divalent (+2, or -2), trivalent (+3, or -3), etc.
- the charged moiety may be anionic (i.e., negatively charged) or cationic (i.e., positively charged).
- positively-charged moieties include amine groups (e.g., primary, secondary, and/or tertiary amines), ammonium groups, pyridinium groups, guanidine groups, and imidizolium groups.
- the charged moieties comprise amine groups.
- negatively- charged groups or precursors thereof include carboxylate groups, sulfonate groups, sulfate groups, phosphonate groups, phosphate groups, hydroxyl groups, and the like.
- the charge of the charged moiety may vary, in some cases, with the environmental conditions, for example, changes in pH may alter the charge of the moiety, and/or cause the moiety to become charged or uncharged.
- the charge density of the molecule and/or matrix may be selected as desired.
- an ionizable molecule e.g., an amino lipid or ionizable lipid
- the ionizable molecule may include a neutral moiety that can be hydrolyzed to form a charged moiety, such as those provided above.
- the molecule or matrix may include an amide, which can be hydrolyzed to form an amine, respectively.
- an amide which can be hydrolyzed to form an amine, respectively.
- Those of ordinary skill in the art will be able to determine whether a given chemical moiety carries a formal electronic charge (for example, by inspection, pH titration, ionic conductivity measurements, etc.), and/or whether a given chemical moiety can be reacted (e.g., hydrolyzed) to form a chemical moiety that carries a formal electronic charge.
- the ionizable molecule e.g., amino lipid or ionizable lipid
- the molecular weight of an ionizable molecule is less than or equal to about 2,500 g/mol, less than or equal to about 2,000 g/mol, less than or equal to about 1,500 g/mol, less than or equal to about 1,250 g/mol, less than or equal to about 1,000 g/mol, less than or equal to about 900 g/mol, less than or equal to about 800 g/mol, less than or equal to about 700 g/mol, less than or equal to about 600 g/mol, less than or equal to about 500 g/mol, less than or equal to about 400 g/mol, less than or equal to about 300 g/mol, less than or equal to about 200 g/mol, or less than or equal to about 100 g/mol.
- the molecular weight of an ionizable molecule is greater than or equal to about 100 g/mol, greater than or equal to about 200 g/mol, greater than or equal to about 300 g/mol, greater than or equal to about 400 g/mol, greater than or equal to about 500 g/mol, greater than or equal to about 600 g/mol, greater than or equal to about 700 g/mol, greater than or equal to about 1000 g/mol, greater than or equal to about 1,250 g/mol, greater than or equal to about 1,500 g/mol, greater than or equal to about 1,750 g/mol, greater than or equal to about 2,000 g/mol, or greater than or equal to about 2,250 g/mol.
- each type of ionizable molecule may independently have a molecular weight in one or more of the ranges described above. It should be understood that the terms “charged” or “charged moiety” does not refer to a “partial negative charge” or “partial positive charge” on a molecule. The terms “partial negative charge” and “partial positive charge” are given their ordinary meaning in the art.
- the lipid nanoparticle comprises at least one ionizable amino lipid, at least one neutral lipid, at least one sterol, and/or at least one polyethylene glycol (PEG)- modified lipid.
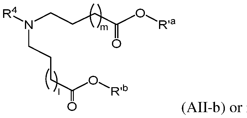
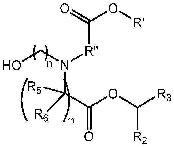
- the ionizable amino lipid is a compound of Formula (AI): its N-oxide, or a salt or isomer thereof, wherein R’ a is R’ branched ; wherein R’ branched i denotes a point of attachment; wherein R a ⁇ , R a ⁇ , R a ⁇ , and R a ⁇ are each independently selected from the group consisting of H, C2-12 alkyl, and C2-12 alkenyl; R 2 and R 3 are each independently selected from the group consisting of C 1-14 alkyl and C2-14 alkenyl; R 4 is selected from the group consisting of -(CH2)nOH, wherein n is selected from the group consisting , wherein denotes a point of attachment; wherein R 10 is N(R) 2 ; each R is independently selected from the group consisting of C 1-6 alkyl, C 2-3 alkenyl, and H; and n2 is selected from the group consisting of 1, 2, 3, 4, 5, 6,
- R’ a is R’ branched ;
- R’ branched is denotes a point of attachment;
- R a ⁇ , R a ⁇ , R a ⁇ , and R a ⁇ are each H;
- R 2 and R 3 are each C1-14 alkyl;
- R 4 is -(CH2)nOH; n is 2;
- each R 5 is H;
- each R 6 is H;
- M and M’ are each - C(O)O-;
- R’ is a C 1-12 alkyl; l is 5; and
- m is 7.
- R’ a is R’ branched ;
- R’ branched is denotes a point of attachment;
- R a ⁇ , R a ⁇ , R a ⁇ , and R a ⁇ are each H;
- R 2 and R 3 are each C 1-14 alkyl;
- R 4 is -(CH 2 ) n OH; n is 2;
- each R 5 is H;
- each R 6 is H;
- M and M’ are each - C(O)O-;
- R’ is a C1-12 alkyl; l is 3; and
- m is 7.
- R’ a is R’ branched ;
- R’ branched is denotes a point of attachment;
- R a ⁇ is C 2-12 alkyl;
- R a ⁇ , R a ⁇ , and R a ⁇ are each H;
- R 2 and R 3 are each C1-14 alkyl; alkyl);
- n2 is 2;
- R 5 is H;
- each R 6 is H;
- M and M’ are each -C(O)O-;
- R’ is a C 1-12 alkyl; l is 5; and
- m is 7.
- R’ a is R’ branched ;
- R’ branched is denotes a point of attachment;
- R a ⁇ , R a ⁇ , and R a ⁇ are each H;
- R a ⁇ is C 2-12 alkyl;
- R 2 and R 3 are each C 1-14 alkyl;
- R 4 is -(CH 2 ) n OH; n is 2;
- each R 5 is H; each R 6 is H;
- M and M’ are each -C(O)O-;
- R’ is a C1-12 alkyl; l is 5; and
- m is 7.
- the compound of Formula (I) is selected from: .
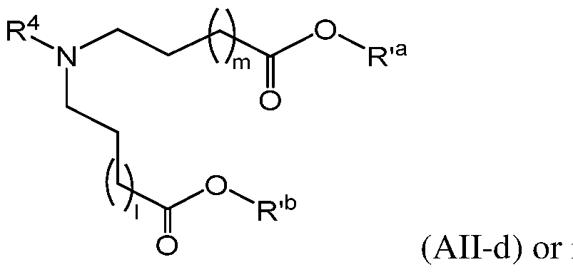
- the ionizable amino lipid is a compound of Formula (AIa): its N-oxide, or a salt or isomer thereof, wherein R’ a is R’ branched ; wherein denotes a point of attachment; wherein R a ⁇ , R a ⁇ , and R a ⁇ are each independently selected from the group consisting of H, C2-12 alkyl, and C2-12 alkenyl; R 2 and R 3 are each independently selected from the group consisting of C 1-14 alkyl and C 2-14 alkenyl; R 4 is selected from the group consisting of -(CH2)nOH wherein n is selected from the group consisting , wherein denotes a point of attachment; wherein R 10 is N(R) 2 ; each R is independently selected from the group consisting of C 1-6 alkyl, C 2-3 alkenyl, and H; and n2 is selected from the group consisting of 1, 2, 3, 4, 5, 6, 7, 8, 9, and 10; each R 5 is independently selected from
- R’ a is R’ branched ;
- R’ branched is denotes a point of attachment;
- R a ⁇ , R a ⁇ , and R a ⁇ are each H;
- R 2 and R 3 are each C1-14 alkyl;
- R 4 is -(CH2)nOH;
- n is 2;
- each R 5 is H;
- each R 6 is H;
- M and M’ are each - C(O)O-;
- R’ is a C1-12 alkyl; l is 5; and m is 7.
- R’ a is R’ branched ;
- R’ branched is denotes a point of attachment;
- R a ⁇ , R a ⁇ , and R a ⁇ are each H;
- R 2 and R 3 are each C1-14 alkyl;
- R 4 is -(CH2)nOH;
- n is 2;
- each R 5 is H;
- each R 6 is H;
- M and M’ are each - C(O)O-;
- R’ is a C 1-12 alkyl; l is 3; and m is 7.
- R’ a is R’ branched ;
- R’ branched is denotes a point of attachment;
- R a ⁇ and R a ⁇ are each H;
- R a ⁇ is C 2-12 alkyl;
- R 2 and R 3 are each C1-14 alkyl;
- R 4 is -(CH2)nOH;
- n is 2;
- each R 5 is H;
- each R 6 is H;
- M and M’ are each -C(O)O-;
- R’ is a C 1-12 alkyl; l is 5; and
- m is 7.
- the ionizable amino lipid is a compound of Formula (AIc): attachment; wherein R a ⁇ , R a ⁇ , R a ⁇ , and R a ⁇ are each independently selected from the group consisting of H, C 2-12 alkyl, and C 2-12 alkenyl; R 2 and R 3 are each independently selected from the group consisting of C1-14 alkyl and C 2-14 alkenyl; wherein denotes a point of attachment; whereinR 10 is N(R)2; each R is independently selected from the group consisting of C 1-6 alkyl, C 2-3 alkenyl, and H; n2 is selected from the group consisting of 1, 2, 3, 4, 5, 6, 7, 8, 9, and 10; each R 5 is independently selected from the group consisting of C1-3 alkyl, C 2-3 alkenyl, and H; each R 6 is independently selected from the group consisting of C1-3 alkyl, C2-3 alkenyl, and H; M and M’ are each independently selected from the group consisting of
- point of attachment; R a ⁇ , R a ⁇ , and R a ⁇ are each H; R a ⁇ is C 2-12 alkyl; R 2 and R 3 are each C 1-14 alkyl; denotes a point of attachment; R 10 is NH(C1-6 alkyl); n2 is 2; each R 5 is H; each R 6 is H; M and M’ are each -C(O)O-; R’ is a C1-12 alkyl; l is 5; and m is 7.
- the compound of Formula (AIc) is: .
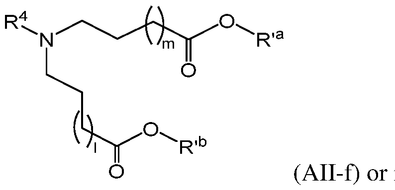
- the ionizable amino lipid is a compound of Formula (AII): its N-oxide, or a salt or isomer thereof, wherein R’ a is R’ branched or R’ cyclic ; wherein wherein denotes a point of attachment; R a ⁇ and R a ⁇ are each independently selected from the group consisting of H, C1-12 alkyl, and C 2-12 alkenyl, wherein at least one of R a ⁇ and R a ⁇ is selected from the group consisting of C 1- 12 alkyl and C2-12 alkenyl; R b ⁇ and R b ⁇ are each independently selected from the group consisting of H, C1-12 alkyl, and C 2-12 alkenyl, wherein at least one of R b ⁇ and R b ⁇ is selected from the group consisting of C 1- 12 alkyl and C2-12 alkenyl; R 2 and R 3 are each independently selected from the group consisting of C1-14 alkyl and C 2-14 alkenyl; R
- the ionizable amino lipid is a compound of Formula (AII-a): its N-oxide, or a salt or isomer thereof, wherein R’ a is R’ branched or R’ cyclic ; wherein wherein denotes a point of attachment; R a ⁇ and R a ⁇ are each independently selected from the group consisting of H, C 1-12 alkyl, and C 2-12 alkenyl, wherein at least one of R a ⁇ and R a ⁇ is selected from the group consisting of C 1- 12 alkyl and C2-12 alkenyl; R b ⁇ and R b ⁇ are each independently selected from the group consisting of H, C1-12 alkyl, and C 2-12 alkenyl, wherein at least one of R b ⁇ and R b ⁇ is selected from the group consisting of C 1- 12 alkyl and C2-12 alkenyl; R 2 and R 3 are each independently selected from the group consisting of C1-14 alkyl and C 2-14 alkenyl
- the ionizable amino lipid is a compound of Formula (AII-b): its N-oxide, or a salt or isomer thereof, wherein R’ a is R’ branched or R’ cyclic ; wherein wherein denotes a point of attachment; R a ⁇ and R b ⁇ are each independently selected from the group consisting of C1-12 alkyl and C 2-12 alkenyl; R 2 and R 3 are each independently selected from the group consisting of C 1-14 alkyl and C2-14 alkenyl; R 4 is selected from the group consisting of -(CH2)nOH wherein n is selected from the group consisting , wherein denotes a point of attachment; wherein R 10 is N(R) 2 ; each R is independently selected from the group consisting of C1-6 alkyl, C2-3 alkenyl, and H; and n2 is selected from the group consisting of 1, 2, 3, 4, 5, 6, 7, 8, 9, and 10; each R’ independently is a C 1-12
- the ionizable amino lipid is a compound of Formula (AII-c): , wherein R’ a is R’ branched or R’ cyclic ; wherein wherein denotes a point of attachment; wherein R a ⁇ is selected from the group consisting of C 1-12 alkyl and C 2-12 alkenyl; R 2 and R 3 are each independently selected from the group consisting of C1-14 alkyl and C2-14 alkenyl; R 4 is selected from the group consisting of -(CH 2 ) n OH wherein n is selected from the group consisting , wherein denotes a point of attachment; wherein R 10 is N(R)2; each R is independently selected from the group consisting of C1-6 alkyl, C2-3 alkenyl, and H; and n2 is selected from the group consisting of 1, 2, 3, 4, 5, 6, 7, 8, 9, and 10; R’ is a C1-12 alkyl or C2-12 alkenyl; m is selected from 1,
- the ionizable amino lipid is a compound of Formula (AII-d): its N-oxide, or a salt or isomer thereof, wherein R’ a is R’ branched or R’ cyclic ; wherein wherein denotes a point of attachment; wherein R a ⁇ and R b ⁇ are each independently selected from the group consisting of C1-12 alkyl and C 2-12 alkenyl; R 4 is selected from the group consisting of -(CH 2 ) n OH wherein n is selected from the group consisting , wherein denotes a point of attachment; wherein R 10 is N(R)2; each R is independently selected from the group consisting of C 1-6 alkyl, C 2-3 alkenyl, and H; and n2 is selected from the group consisting of 1, 2, 3, 4, 5, 6, 7, 8, 9, and 10; each R’ independently is a C1-12 alkyl or C2-12 alkenyl; m is selected from 1, 2, 3, 4, 5, 6, 7, 8, 9, and 10;
- the ionizable amino lipid is a compound of Formula (AII-e): , wherein R’ a is R’ branched or R’ cyclic ; wherein wherein denotes a point of attachment; wherein R a ⁇ is selected from the group consisting of C1-12 alkyl and C2-12 alkenyl; R 2 and R 3 are each independently selected from the group consisting of C1-14 alkyl and C 2-14 alkenyl; R 4 is -(CH2)nOH wherein n is selected from the group consisting of 1, 2, 3, 4, and 5; R’ is a C1-12 alkyl or C2-12 alkenyl; m is selected from 1, 2, 3, 4, 5, 6, 7, 8, and 9; l is selected from 1, 2, 3, 4, 5, 6, 7, 8, and 9.
- R’ a is R’ branched or R’ cyclic ; wherein denotes a point of attachment; wherein R a ⁇ is selected from the group consisting of C1-12 alkyl and C2-12 alkeny
- m and l are each independently selected from 4, 5, and 6. In some embodiments of the compound of Formula (AII), (AII-a), (AII-b), (AII-c), (AII-d), or (AII-e), m and l are each 5. In some embodiments of the compound of Formula (AII), (AII-a), (AII-b), (AII-c), (AII-d), or (AII-e), each R’ independently is a C 1-12 alkyl.
- each R’ independently is a C2-5 alkyl.
- R’ b is: and R 2 and R 3 are each independently a C1-14 alkyl.
- R’ b is: and R 2 and R 3 are each independently a C 6-10 alkyl.
- R’ b is: and R 2 and R 3 are each a C 8 alkyl.
- R’ branched is: and R 3 are each independently a C6-10 alkyl.
- R 3 are each independently a C6-10 alkyl.
- R 3 are each independently a C6-10 alkyl.
- R 3 are each independently a C6-10 alkyl.
- R 3 are each independently a C6-10 alkyl.
- R 3 are each independently a C6-10 alkyl.
- R 3 are each independently a C6-10 alkyl.
- R 3 are each independently a C6-10 alkyl.
- R 3 are each independently a C6-10 alkyl.
- m and l are each independently selected from 4, 5, and 6 and each R’ independently is a C1-12 alkyl.
- m and l are each 5 and each R’ independently is a C 2-5 alkyl.
- each R’ independently is a C1-12 alkyl, and R a ⁇ and R b ⁇ are each a C 1-12 alkyl.
- each R’ independently is a C2-5 alkyl, and R a ⁇ and R b ⁇ are each a C2-6 alkyl.
- (AII), (AII-a), (AII-b), (AII-c), (AII- are each independently selected from 4, 5, and 6, R’ is a C 1-12 alkyl, R a ⁇ is a C 1-12 alkyl and R 2 and R 3 are each independently a C 6-10 alkyl.
- R’ branched is: are each 5, R’ is a 2 3
- R 10 is NH(C 1-6 alkyl) and n2 is 2.
- R 4 wherein R 10 is NH(CH 3 ) and n2 is 2.
- R’ branched is: independently selected from 4, 5, and 6, each R’ independently is a C1-12 alkyl, R a ⁇ and R b ⁇ are each a C 1-12 alkyl, wherein R 10 is NH(C 1-6 alkyl), and n2 is 2.
- R’ branched is: is: independently is a C 2-5 alkyl, R a ⁇ and R b ⁇ are each a C 2-6 alkyl, , wherein R 10 is NH(CH 3 ) and n2 is 2.
- R’ branched is: are each independently selected from 4, 5, and 6, R’ is a C 1-12 alkyl, R 2 and R 3 are each independently a C6-10 alkyl, R a ⁇ is a C1-12 alkyl, wherein R 10 is NH(C1-6 alkyl) and n2 is 2.
- R’ branched is: each 5, R’ is a C 2-5 alkyl, R a ⁇ is a C 2-6 alkyl, R 2 and R 3 are each a C 8 alkyl, , wherein R 10 is NH(CH 3 ) and n2 is 2.
- R 4 is -(CH 2 ) n OH and n is 2, 3, or 4.
- R 4 is -(CH 2 ) n OH and n is 2.
- R 4 is -(CH 2 ) n OH and n is 2.
- each R’ independently is a C1-12 alkyl
- R a ⁇ and R b ⁇ are each a C 1-12 alkyl
- R 4 is -(CH 2 ) n OH
- n is 2, 3, or 4.
- each R’ independently is a C 2-5 alkyl
- R a ⁇ and R b ⁇ are each a C2-6 alkyl
- R 4 is -(CH2)nOH
- n is 2.
- the ionizable amino lipid is a compound of Formula (AII-f): its N-oxide, or a salt or isomer thereof, wherein R’ a is R’ branched or R’ cyclic ; wherein wherein denotes a point of attachment; R a ⁇ is a C1-12 alkyl; R 2 and R 3 are each independently a C 1-14 alkyl; R 4 is -(CH2)nOH wherein n is selected from the group consisting of 1, 2, 3, 4, and 5; R’ is a C1-12 alkyl; m is selected from 4, 5, and 6; and l i l t d f 4 5 d 6 In some embodiments of the compound of Formula (AII-f), m and l are each 5, and n is 2, 3, or 4.
- R’ is a C2-5 alkyl, R a ⁇ is a C2-6 alkyl, and R 2 and R 3 are each a C6-10 alkyl.
- m and l are each 5, n is 2, 3, or 4
- R’ is a C 2-5 alkyl, R a ⁇ is a C 2-6 alkyl, and R 2 and R 3 are each a C 6-10 alkyl.
- the ionizable amino lipid is a compound of Formula (AII-g): R a ⁇ is a C 2-6 alkyl; R’ is a C 2-5 alkyl; and R 4 is selected from the group consisting of -(CH2)nOH wherein n is selected from the group consisting , wherein denotes a point of attachment, R 10 is NH(C1-6 alkyl), and n2 is selected from the group consisting of 1, 2, and 3.
- R a ⁇ is a C 2-6 alkyl
- R’ is a C 2-5 alkyl
- R 4 is selected from the group consisting of -(CH2)nOH wherein n is selected from the group consisting , wherein denotes a point of attachment, R 10 is NH(C1-6 alkyl), and n2 is selected from the group consisting of 1, 2, and 3.
- the ionizable amino lipid is a compound of Formula (AII-h): R a ⁇ and R b ⁇ are each independently a C2-6 alkyl; each R’ independently is a C 2-5 alkyl; and R 4 is selected from the group consisting of -(CH2)nOH wherein n is selected from the group consisting , wherein denotes a point of attachment, R 10 is NH(C1-6 alkyl), and n2 is selected from the group consisting of 1, 2, and 3.
- R 4 is , wherein R 10 is NH(CH3) and n2 is 2.
- R 4 is -(CH 2 ) 2 OH.
- the ionizable amino lipid may be one or more of compounds of Formula (VI): , or their N-oxides, or salts or isomers thereof, wherein: R1 is selected from the group consisting of C5-30 alkyl, C5-20 alkenyl, -R*YR”, -YR”, and -R”M’R’; R 2 and R 3 are independently selected from the group consisting of H, C 1-14 alkyl, C 2-14 alkenyl, -R*YR”, -YR”, and -R*OR”, or R2 and R3, together with the atom to which they are attached, form a heterocycle or carbocycle; R 4 is selected from the group consisting of hydrogen, a C 3-6 carbocycle, -(CH 2 ) n Q, -(CH2)nCHQR, -CHQ
- another subset of compounds of Formula (VI) includes those in which: R1 is selected from the group consisting of C5-30 alkyl, C5-20 alkenyl, -R*YR”, -YR”, and -R”M’R’; R 2 and R 3 are independently selected from the group consisting of H, C 1-14 alkyl, C 2-14 alkenyl, -R*YR”, -YR”, and -R*OR”, or R2 and R3, together with the atom to which they are attached, form a heterocycle or carbocycle; R 4 is selected from the group consisting of a C 3-6 carbocycle, -(CH 2 ) n Q, -(CH 2 ) n CHQR, -CHQR, -CQ(R) 2 , and unsubstituted C 1-6 alkyl, where Q is selected from a C 3-6 carbocycle, a 5- to 14-membered heteroaryl having one or more heteroatoms selected from N, O
- another subset of compounds of Formula (VI) includes those in which: R 1 is selected from the group consisting of C 5-30 alkyl, C 5-20 alkenyl, -R*YR”, -YR”, and -R”M’R’; R2 and R3 are independently selected from the group consisting of H, C1-14 alkyl, C2-14 alkenyl, -R*YR”, -YR”, and -R*OR”, or R 2 and R 3 , together with the atom to which they are attached, form a heterocycle or carbocycle; R4 is selected from the group consisting of a C3-6 carbocycle, -(CH2)nQ, -(CH2)nCHQR, -CHQR, -CQ(R)2, and unsubstituted C1-6 alkyl, where Q is selected from a C3-6 carbocycle, a 5- to 14-membered heterocycle having one or more heteroatoms selected from N, O, and S, -OR, -
- another subset of compounds of Formula (VI) includes those in which: R1 is selected from the group consisting of C5-30 alkyl, C5-20 alkenyl, -R*YR”, -YR”, and -R”M’R’; R 2 and R 3 are independently selected from the group consisting of H, C 1-14 alkyl, C 2-14 alkenyl, -R*YR”, -YR”, and -R*OR”, or R 2 and R 3 , together with the atom to which they are attached, form a heterocycle or carbocycle; R 4 is selected from the group consisting of a C 3-6 carbocycle, -(CH 2 ) n Q, -(CH 2 ) n CHQR, -CHQR, -CQ(R) 2 , and unsubstituted C 1-6 alkyl, where Q is selected from a C 3-6 carbocycle, a 5- to 14-membered heteroaryl having one or more heteroatoms selected from N
- another subset of compounds of Formula (VI) includes those in which R 1 is selected from the group consisting of C 5-30 alkyl, C 5-20 alkenyl, -R*YR”, -YR”, and -R”M’R’; R2 and R3 are independently selected from the group consisting of H, C2-14 alkyl, C2-14 alkenyl, -R*YR”, -YR”, and -R*OR”, or R 2 and R 3 , together with the atom to which they are attached, form a heterocycle or carbocycle; R4 is -(CH2)nQ or -(CH2)nCHQR, where Q is -N(R)2, and n is selected from 3, 4, and 5; each R 5 is independently selected from the group consisting of C 1-3 alkyl, C 2-3 alkenyl, and H; each R6 is independently selected from the group consisting of C1-3 alkyl, C2-3 alkenyl, and H; M and M’ are independently selected from -
- m is 5, 7, or 9.
- Q is OH, -NHC(S)N(R)2, or -NHC(O)N(R)2.
- Q is -N(R)C(O)R, or -N(R)S(O)2R.
- a subset of compounds of Formula (VI) includes those of Formula (VI-B): or its N-oxide, or a salt or isomer thereof in which all variables are as defined herein.
- m is selected from 5, 6, 7, 8, and 9;
- M and M’ are independently selected from -C(O)O-, -OC(O)-, -OC(O)-M”-C(O)O-, -C(O)N(R’)-, -P(O)(OR’)O-, -S-S-, an aryl group
- m is 5, 7, or 9.
- Q is OH, -NHC(S)N(R)2, or -NHC(O)N(R) 2 .
- Q is -N(R)C(O)R, or -N(R)S(O) 2 R.
- the compounds of Formula (VI) are of Formula (VIIa), , or their N-oxides, or salts or isomers thereof, wherein R4 is as defined above.
- the compounds of Formula (VI) are of Formula (VIIb), , or their N-oxides, or salts or isomers thereof, wherein R4 is as defined above.
- the compounds of Formula (VI) are of Formula (VIIc) or (VIIe): , or their N-oxides, or salts or isomers thereof, wherein R4 is as defined above.
- the compounds of Formula (VI) are of Formula (VIIf): (VIIf) or their N-oxides, or salts or isomers thereof, wherein M is -C(O)O- or –OC(O)-, M” is C1-6 alkyl or C2-6 alkenyl, R2 and R3 are independently selected from the group consisting of C 5-14 alkyl and C 5-14 alkenyl, and n is selected from 2, 3, and 4.
- the compounds of Formula (VI) are of Formula (VIId), (VIId), or their N-oxides, or salts or isomers thereof, wherein n is 2, 3, or 4; and m, R’, R”, and R 2 through R 6 are as defined above.
- each of R 2 and R 3 may be independently selected from the group consisting of C5-14 alkyl and C5-14 alkenyl.
- an ionizable amino lipid comprises a compound having structure: (Compound I) (heptadecan-9-yl 8 ((2 hydroxyethyl)(6 oxo 6-(undecyloxy)hexyl)amino)octanoate).
- an ionizable amino lipid comprises a compound having structure: (Compound II) (heptadecan-9-yl 8- ((2-hydroxyethyl)(8-(nonyloxy)-8-oxooctyl)amino)octanoate).
- an ionizable amino lipid comprises a compound having structure: (Compound III) ((heptadecan-9-yl 8-((3-((2-(methylamino)-3,4-dioxocyclobut-1-en-1-yl)amino)propyl)(8- oxo-8-(undecan-3-yloxy)octyl)amino)octanoate)).
- an ionizable amino lipid comprises a compound having structure: (Compound IV) (3-butylheptyl 8-((8-(heptadecan-9-yloxy)-8-oxooctyl)(2- hydroxyethyl)amino)octanoate).
- the compounds of Formula (VI) are of Formula (VIIg), (VIIg), or their N-oxides, or salts or isomers thereof, wherein l is selected from 1, 2, 3, 4, and 5; m is selected from 5, 6, 7, 8, and 9; M1 is a bond or M’; M and M’ are independently selected from -C(O)O-, -OC(O)-, -OC(O)-M”-C(O)O-, -C(O)N(R’)-, -P(O)(OR’)O-, -S-S-, an aryl group, and a heteroaryl group; and R 2 and R 3 are independently selected from the group consisting of H, C1-14 alkyl, and C2-14 alkenyl.
- M is C1-6 alkyl (e.g., C1-4 alkyl) or C2-6 alkenyl (e.g., C2-4 alkenyl).
- R2 and R 3 are independently selected from the group consisting of C 5-14 alkyl and C 5-14 alkenyl.
- the ionizable amino lipids are one or more of the compounds described in U.S. Application Nos.
- the central amine moiety of a lipid according to Formula (VI), (VI-A), (VI-B), (VII), (VIIa), (VIIb), (VIIc), (VIId), (VIIe), (VIIf), or (VIIg) may be protonated at a physiological pH.
- a lipid may have a positive or partial positive charge at physiological pH.
- Such amino lipids may be referred to as cationic lipids, ionizable lipids, cationic amino lipids, or ionizable amino lipids.
- Amino lipids may also be zwitterionic, i.e ., neutral molecules having both a positive and a negative charge.
- the ionizable amino lipid may be one or more of compounds of formula (VIII), t is 1 or 2; A1 and A2 are each independently selected from CH or N; Z is CH 2 or absent wherein when Z is CH 2 , the dashed lines (1) and (2) each represent a single bond; and when Z is absent, the dashed lines (1) and (2) are both absent; R1, R2, R3, R4, and R5 are independently selected from the group consisting of C5-20 alkyl, C 5-20 alkenyl, -R”MR’, -R*YR”, -YR”, and -R*OR”; R X1 and R X2 are each independently H or C 1 - 3 alkyl; each M is independently selected from the group consisting of -C(O)O-, -OC(O)-, -OC(O)O-, -C(O)N(R’)-, -N(R’)C(O)-, -C(O)-, -C(O)-
- the ionizable amino lipid is salt thereof.
- the central amine moiety of a lipid according to Formula (VIII), (VIIIa1), (VIIIa2), (VIIIa3), (VIIIa4), (VIIIa5), (VIIIa6), (VIIIa7), or (VIIIa8) may be protonated at a physiological pH.
- a lipid may have a positive or partial positive charge at physiological pH.
- the lipid nanoparticle comprises a lipid having the structure: or a pharmaceutically acceptable salt thereof, wherein: each R la is independently hydrogen, R lc , or R ld ; each R lb is independently R lc or R ld ; each R 1c is independently –[CH2]2C(O)X 1 R 3 ; each R ld Is independently -C(O)R 4 ; each R 2 is independently -[C(R 2a ) 2 ] c R 2b ; each R 2a is independently hydrogen or C1-C6 alkyl; R 2b is -N(L 1 -B) 2 ; -(OCH 2 CH 2 ) 6 OH; or -(OCH 2 CH 2 ) b OCH 3 ; each R 3 and R 4 is independently C 6 -C 30 aliphatic; each I.3 is independently C1-C10 alkylene; each B is independently hydrogen or an ionizable nitrogen-containing group; each
- the lipid nanoparticle comprises a lipid having the structure: or a pharmaceutically acceptable salt thereof, wherein R 1 and R 2 are the same or different, each a linear or branched alkyl with 1-9 carbons, or as alkenyl or alkynyl with 2 to 11 carbon atoms, L1 and L2 are the same or different, each a linear alkyl having 5 to 18 carbon atoms, or form a heterocycle with N, X 1 is a bond, or is -CG-G- whereby L2-CO-O-R 2 is formed, X2 is S or O, L 3 is a bond or a lower alkyl, or form a heterocycle with N, R 3 is a lower alkyl, and R4 and R5 are the same or different, each a lower alkyl.
- R 1 and R 2 are the same or different, each a linear or branched alkyl with 1-9 carbons, or as alkenyl or alkynyl with 2 to 11 carbon atoms
- the lipid nanoparticle comprises an ionizable lipid having the structure: (XVII-L), or a pharmaceutically acceptable salt thereof. In some embodiments, the lipid nanoparticle comprises a lipid having the structure: pharmaceutically acceptable salt thereof. In some embodiments, the lipid nanoparticle comprises a lipid having the structure: or a pharmaceutically acceptable salt thereof. In some embodiments, the lipid nanoparticle comprises a lipid having the structure: L), or a pharmaceutically acceptable salt thereof. In some embodiments, the lipid nanoparticle comprises a lipid having the structure: pharmaceutically acceptable salt thereof. In some embodiments, the lipid nanoparticle comprises a lipid having the structure: (XXII-L), or a pharmaceutically acceptable salt thereof.
- the lipid nanoparticle comprises a lipid having the structure: pharmaceutically acceptable salt thereof. In some embodiments, the lipid nanoparticle comprises a lipid having the structure: pharmaceutically acceptable salt thereof. In some embodiments, the lipid nanoparticle comprises a lipid having the structure: pharmaceutically acceptable salt thereof. In some embodiments, the lipid nanoparticle comprises a lipid having the structure: (XXVI-L), or a pharmaceutically acceptable salt thereof. In some embodiments, the lipid nanoparticle comprises a lipid having the structure: pharmaceutically acceptable salt thereof.
- lipid nanoparticles provided herein comprise one or more neutral lipids
- Neutral lipids may be phospholipids
- a neutral lipid comprises 1,2-distearoyl-sn-glycero-3- phosphocholine (DSPC), 1,2-dioleoyl-sn-glycero-3-phosphoethanolamine (DOPE), 1,2- dilinoleoyl-sn-glycero-3-phosphocholine (DLPC), 1,2-dimyristoyl-sn-gly cero-phosphocholine (DMPC), 1,2-dioleoyl-sn-glycero-3-phosphocholine (DOPC), l,2-dipalmitoyl-sn-glycero-3- phosphocholine (DPPC), 1,2-diundecanoyl-sn-glycero-phosphocholine (DUPC), 1-palmitoyl-2- oleoyl-sn-glycero-3-phosphocholine (DSPC),
- the lipid nanoparticle comprises 5 – 15 mol%, 5 – 10 mol%, or 10 – 15 mol% DSPC.
- the lipid nanoparticle may comprise 5, 6, 7, 8, 9, 10, 11, 12, 13, 14, or 15 mol% DSPC.
- the lipid composition of the lipid nanoparticle composition disclosed herein can comprise one or more phospholipids, for example, one or more saturated or (poly)unsaturated phospholipids or a combination thereof.
- phospholipids comprise a phospholipid moiety and one or more fatty acid moieties.
- a phospholipid moiety can be selected, for example, from the non-limiting group consisting of phosphatidyl choline, phosphatidyl ethanolamine, phosphatidyl glycerol, phosphatidyl serine, phosphatidic acid, 2-lysophosphatidyl choline, and a sphingomyelin.
- a fatty acid moiety can be selected, for example, from the non-limiting group consisting of lauric acid, myristic acid, myristoleic acid, palmitic acid, palmitoleic acid, stearic acid, oleic acid, linoleic acid, alpha-linolenic acid, erucic acid, phytanoic acid, arachidic acid, arachidonic acid, eicosapentaenoic acid, behenic acid, docosapentaenoic acid, and docosahexaenoic acid.
- Particular phospholipids can facilitate fusion to a membrane.
- a cationic phospholipid can interact with one or more negatively charged phospholipids of a membrane (e.g., a cellular or intracellular membrane). Fusion of a phospholipid to a membrane can allow one or more elements (e.g., a therapeutic agent) of a lipid-containing composition (e.g., LNPs) to pass through the membrane permitting, e.g., delivery of the one or more elements to a target tissue.
- elements e.g., a therapeutic agent
- a lipid-containing composition e.g., LNPs
- Non-natural phospholipid species including natural species with modifications and substitutions including branching, oxidation, cyclization, and alkynes are also contemplated.
- a phospholipid can be functionalized with or cross-linked to one or more alkynes (e.g., an alkenyl group in which one or more double bonds is replaced with a triple bond).
- alkynes e.g., an alkenyl group in which one or more double bonds is replaced with a triple bond.
- an alkyne group can undergo a copper-catalyzed cycloaddition upon exposure to an azide.
- Such reactions can be useful in functionalizing a lipid bilayer of a nanoparticle composition to facilitate membrane permeation or cellular recognition or in conjugating a nanoparticle composition to a useful component such as a targeting or imaging moiety (e.g., a dye).
- Phospholipids include, but are not limited to, glycerophospholipids such as phosphatidylcholines, phosphatidylethanolamines, phosphatidylserines, phosphatidylinositols, phosphatidy glycerols, and phosphatidic acids. Phospholipids also include phosphosphingolipids, such as sphingomyelin.
- a phospholipid is selected from 1,2-distearoyl-sn-glycero-3- phosphocholine (DSPC), 1,2-Distearoyl-sn-glycero-3-phosphoethanolamine (DSPE), 1,2- dioleoyl-sn-glycero-3-phosphoethanolamine (DOPE), 1,2-dilinoleoyl-sn-glycero-3- phosphocholine (DLPC), 1,2-dimyristoyl-sn-gly cero-phosphocholine (DMPC), 1,2-dioleoyl-sn- glycero-3-phosphocholine (DOPC), l,2-dipalmitoyl-sn-glycero-3-phosphocholine (DPPC), 1,2- diundecanoyl-sn-glycero-phosphocholine (DUPC), 1-palmitoyl-2-oleoyl-sn-glycero-3- phosphocholine (POPC), 1,2-d
- a phospholipid is an analog or variant of DSPC.
- a phospholipid is a compound of Formula (IX): or a salt thereof, wherein: each R 1 is independently optionally substituted alkyl; or optionally two R 1 are joined together with the intervening atoms to form optionally substituted monocyclic carbocyclyl or optionally substituted monocyclic heterocyclyl; or optionally three R 1 are joined together with the intervening atoms to form optionally substituted bicyclic carbocyclyl or optionally substitute bicyclic heterocyclyl; n is 1, 2, 3, 4, 5, 6, 7, 8, 9, or 10; m is 0, 1, 2, 3, 4, 5, 6, 7, 8, 9, or 10; A is of the formula: each instance of L 2 is independently a bond or optionally substituted C 1-6 alkylene, wherein one methylene unit of the optionally substituted C1-6 alkylene is optionally replaced with O, N(R N ), S, C(O), C(O)N(R N ),
- the phospholipids may be one or more of the phospholipids described in PCT Application No. PCT/US2018/037922.
- Structural Lipids The lipid composition of a pharmaceutical composition disclosed herein can comprise one or more structural lipids.
- structural lipid includes sterols and also lipids containing sterol moieties. Incorporation of structural lipids in the lipid nanoparticle may help mitigate aggregation of other lipids in the particle.
- Structural lipids can be selected from the group including but not limited to, cholesterol, fecosterol, sitosterol, ergosterol, campesterol, stigmasterol, brassicasterol, tomatidine, tomatine, ursolic acid, alpha-tocopherol, hopanoids, phytosterols, steroids, and mixtures thereof.
- the structural lipid is a sterol.
- “sterols” are a subgroup of steroids consisting of steroid alcohols.
- the structural lipid is a steroid.
- the structural lipid is cholesterol.
- the structural lipid is an analog of cholesterol.
- the structural lipid is alpha-tocopherol.
- the structural lipids may be one or more of the structural lipids described in U.S. Application No.16/493,814.
- Lipid Nanoparticle Compositions As described herein, the cargo molecule or molecules (e.g., mRNA) of the disclosure is formulated in a lipid nanoparticle (LNP).
- Lipid nanoparticles typically comprise ionizable amino (cationic) lipid, neutral lipid, sterol and PEG lipid components along with the nucleic acid cargo of interest. The LNPs and nucleic acid form a stabilized composition.
- a stabilized composition comprising an LNP and nucleic acid is able to maintain its size (e.g., diameter) and potency (e.g., immunogenicity of the mRNA) during storage over a period of time.
- size e.g., diameter
- potency e.g., immunogenicity of the mRNA
- storage may be at any temperature, such as room temperature or refrigerated temperatures.
- a stabilized composition may be stored for 1 hour, 2 h 3 h 4 h 5 h 6 h 12 h 18 h 1 d 2 d 3 d 4 d 5 days, 6 days, 1 week, 1.5 weeks, 2 weeks, 2.5 weeks, 3 weeks, 3.5 weeks, 1 month, 1.5 months, 2 months, 2.5 months, 3 months, 3.5 months, 4 months, 4.5 months, 5 months, 5.5 months, 6 months 7 months, 8 months, 9 months, 10 months, 11 months, 1 year, 1.5 years, 2 years, 2.5 years, 3 years, 3.5 years, 4 years, 4.5 years, 5 years, or longer.
- the stabilized composition may be stored at temperatures below 0 ⁇ C or temperatures above 0 ⁇ C, for example, at 1 ⁇ C, 2 ⁇ C, 3 ⁇ C, 4 ⁇ C, 5 ⁇ C, 6 ⁇ C, 7 ⁇ C, 8 ⁇ C, 9 ⁇ C, 10 ⁇ C, 11 ⁇ C, 12 ⁇ C, 13 ⁇ C, 14 ⁇ C, 15 ⁇ C, 16 ⁇ C, 17 ⁇ C, 18 ⁇ C, 19 ⁇ C, 20 ⁇ C, 21 ⁇ C, 22 ⁇ C, 23 ⁇ C, 24 ⁇ C, 25 ⁇ C or warmer.
- the stabilized composition is stored at room temperature (approximately 20 ⁇ C).
- the stabilized composition is refrigerated (e.g., kept at a temperature between 2-8 ⁇ C, 2-6 ⁇ C, 2-4 ⁇ C, 3-8 ⁇ C, 3-6 ⁇ C, 4-8 ⁇ C, or at 2 ⁇ C, 3 ⁇ C, 4 ⁇ C, 5 ⁇ C, 6 ⁇ C, 7 ⁇ C, or 8 ⁇ C).
- the stabilized composition is formulated in an aqueous solution.
- An aqueous solution is one in which water is the dissolution medium or solvent.
- the aqueous solution may comprise a buffer, such as a phosphate buffer, a tris buffer, an acetate buffer, a histidine buffer, a citrate buffer, or any combination of buffers.
- the pH of the aqueous solution is about 5 to 8, such as about 5.5, about 6, about 6.5, about 7, about 7.5, or about 8. Size of an LNP (e.g., diameter) may be measured, in some embodiments, by suspending the synthetic nanocarriers in a liquid (usually aqueous) media and using dynamic light scattering (DLS) (e.g., using a Brookhaven ZetaPALS instrument).
- DLS dynamic light scattering
- a suspension of LNPs can be diluted from an aqueous buffer into purified water to achieve a final synthetic nanocarrier suspension concentration of approximately 0.01 to 0.5 mg/mL.
- the diluted suspension may be prepared directly inside, or transferred to, a suitable cuvette for DLS analysis.
- the cuvette may then be placed in the DLS, allowed to equilibrate to the controlled temperature, and then scanned for sufficient time to acquire a stable and reproducible distribution based on appropriate inputs for viscosity of the medium and refractive indices of the sample. The effective diameter, or mean of the distribution, is then reported.
- Determining the effective sizes of high aspect ratio, or non-spheroidal, synthetic nanocarriers may require augmentative techniques, such as electron microscopy, to obtain more accurate measurements.
- “Dimension” or “size” or “diameter” of LNPs means the mean of a particle size distribution, for example, obtained using dynamic light scattering.
- the diameter of the LNPs is measured over time (e.g., prior to, during, and after storage).
- a “threshold diameter value” is the diameter of the LNP prior to storage or prior to filtration.
- the diameter of the LNPs in the stabilized composition after storage varies 1%, 2%, 3%, 4%, 5%, 6%, 7%, 8%, 9%, 10%, 12%, 14%, 15%, 16%, 18%, 20%, 35%, 30%, 35%, 40%, 45%, 50%, 55%, 60% or more from the threshold diameter value.
- the diameter of the LNPs in the stabilized composition increases 50 nm or less during processing or storage (e.g., 50 nm, 45 nm, 40 nm, 35 nm, 34 nm, 33 nm, 32 nm, 31 nm, 30 nm, 29 nm, 28 nm, 27 nm, 26 nm, 25 nm, 24 nm, 23 nm, 22 nm, 21 nm, 20 nm, 19 nm, 18 nm, 17 nm, 16 nm, 15 nm, 14 nm, 13 nm, 12 nm, 11 nm, 10, nm 9 nm, 8 nm, 7 nm, 6 nm, 5 nm, 4 nm, 3 nm, 2 nm, 1 nm, or less than 1 nm ).
- the processing comprises tangential flow filtration (TFF).
- tangential-flow filtration refers to a process in which the fluid mixture containing the components to be separated by filtration (e.g., LNPs and extraneous components) is recirculated at high velocities tangential to the plane of the membrane, increasing the mass-transfer coefficient for back diffusion.
- a pressure differential is applied along the length of the membrane, causing the fluid and filterable solutes to flow through the filter.
- This filtration may be a continuous-flow process or a batch process.
- the solution may be passed repeatedly over the membrane while that fluid which passes through the filter is continually drawn off into a separate unit or the solution is passed once over the membrane and the fluid passing through the filter is continually processed downstream.
- the lipid nanoparticle comprises 1-5% PEG-modified lipid, optionally 1-3 mol%, for example 1.5 to 2.5 mol%, 1-2 mol%, 2-3 mol%, 2.5-3.5%, 3-4 mol%, or 4-5 mol%. In some embodiments, the lipid nanoparticle comprises 0.5-15 mol% PEG- modified lipid.
- the lipid nanoparticle may comprise 0.5-10 mol%, 0.5-5 mol%, 1- 15 mol%, 1-10 mol%, 1-5 mol%, 2-15 mol%, 2-10 mol%, 2-5 mol%, 5-15 mol%, 5-10 mol%, or 10-15 mol%.
- the lipid nanoparticle comprises 0.5 mol%, 1 mol%, 2 mol%, 2.5 mol%, 3 mol%, 3.5 mol%, 4 mol%, 4.5 mol%, 5 mol%, 6 mol%, 7 mol%, 8 mol%, 9 mol%, 10 mol%, 11 mol%, 12 mol%, 13 mol%, 14 mol%, or 15 mol% PEG-modified lipid.
- the lipid nanoparticle comprises 5-25 mol% neutral lipid.
- the lipid nanoparticle may comprise 5-20 mol%, 5-15 mol%, 5-10 mol%, 10-25 mol%, 10-20 mol%, 10-25 mol%, 15-25 mol%, 15-20 mol%, or 20-25 mol% neutral lipid.
- the lipid nanoparticle comprises 5 mol%, 10 mol%, 15 mol%, 20 mol%, or 25 mol% neutral lipid.
- the lipid nanoparticle comprises 40-50 mol% ionizable lipid, optionally 45-50 mol%, for example, 45-46 mol%, 46-47 mol%, 47-48 mol%, 48-49 mol%, or 49-50 mol% for example about 45 mol%, 45.5 mol%, 46 mol%, 46.5 mol%, 47 mol%, 47.5 mol%, 48 mol%, 48.5 mol%, 49 mol%, or 49.5 mol%.
- the lipid nanoparticle comprises 30-45 mol% sterol, optionally 35-40 mol%, for example, 30-31 mol%, 31-32 mol%, 32-33 mol%, 33-34 mol%, 35-35 mol%, 35-36 mol%, 36-37 mol%, 38-38 mol%, 38-39 mol%, or 39-40 mol%. In some embodiments, the lipid nanoparticle comprises 25-55 mol% sterol.
- the lipid nanoparticle may comprise 25-50 mol%, 25-45 mol%, 25-40 mol%, 25-35 mol%, 25-30 mol%, 30-55 mol%, 30- 50 mol%, 30-45 mol%, 30-40 mol%, 30-35 mol%, 35-55 mol%, 35-50 mol%, 35-45 mol%, 35- 40 mol%, 40-55 mol%, 40-50 mol%, 40-45 mol%, 45-55 mol%, 45-50 mol%, or 50-55 mol% sterol.
- the lipid nanoparticle comprises 25 mol%, 30 mol%, 35 mol%, 40 mol%, 45 mol%, 50 mol%, or 55 mol% sterol. In some embodiments, the lipid nanoparticle comprises 35 – 40 mol% cholesterol. For example, the lipid nanoparticle may comprise 35, 35.5, 36, 36.5, 37, 37.5, 38, 38.5, 39, 39.5, or 40 mol% cholesterol. In some embodiments, the lipid nanoparticle comprises 20-60 mol% ionizable amino lipid.
- the lipid nanoparticle may comprise 20-50 mol%, 20-40 mol%, 20-30 mol%, 30-60 mol%, 30-50 mol%, 30-40 mol%, 40-60 mol%, 40-50 mol%, or 50-60 mol% ionizable amino lipid.
- the lipid nanoparticle comprises 20 mol%, 30 mol%, 40 mol%, 50 mol%, or 60 mol% ionizable amino lipid.
- the lipid nanoparticle comprises 35 mol%, 36 mol%, 37 mol%, 38 mol%, 39 mol%, 40 mol%, 41 mol%, 42 mol%, 43 mol%, 44 mol%, 45 mol%, 46 mol%, 47 mol%, 48 mol%, 49 mol%, 50 mol%, 51 mol%, 52 mol%, 53 mol%, 54 mol%, or 55 mol% ionizable amino lipid. In some embodiments, the lipid nanoparticle comprises 45 – 55 mole percent (mol%) ionizable amino lipid.
- lipid nanoparticle may comprise 45, 46, 47, 48, 49, 50, 51, 52, 53, 54, or 55 mol% ionizable amino lipid.
- the percentage (e.g., by weight, or by mole) of a single type of ionizable molecule (e.g., amino lipid or ionizable lipid) and/or of all the ionizable molecules within a particle may be greater than or equal to about 15%, greater than or equal to about 16%, greater than or equal to about 17%, greater than or equal to about 18%, greater than or equal to about 19%, greater than or equal to about 20%, greater than or equal to about 21%, greater than or equal to about 22%, greater than or equal to about 23%, greater than or equal to about 24%, greater than or equal to about 25%, greater than or equal to about 30%, greater than or equal to about 35%, greater than or equal to about 40%, greater than or equal to about 42%, greater than or equal to about 45%, greater than
- the percentage (e.g., by weight, or by mole) may be less than or equal to about 70%, less than or equal to about 68%, less than or equal to about 65%, less than or equal to about 62%, less than or equal to about 60%, less than or equal to about 58%, less than or equal to about 55%, less than or equal to about 52%, less than or equal to about 50%, or less than or equal to about 48%. Combinations of the above referenced ranges are also possible (e.g., greater than or equal to 20% and less than or equal to about 60%, greater than or equal to 40% and less than or equal to about 55%, etc.).
- each type of ionizable molecule may independently have a percentage (e.g., by weight, or by mole) in one or more of the ranges described above.
- the percentage e.g., by weight, or by mole
- the percentage may be determined by extracting the ionizable molecule(s) from the dried particles using, e.g., organic solvents, and measuring the quantity of the agent using high pressure liquid chromatography (i.e., HPLC), liquid chromatography-mass spectrometry (LC- MS), nuclear magnetic resonance (NMR), or mass spectrometry (MS).
- the lipid nanoparticle comprises 30-45 mol% sterol, optionally 35-40 mol%, for example, 30-31 mol%, 31-32 mol%, 32-33 mol%, 33-34 mol%, 35-35 mol%, 35-36 mol%, 36-37 mol%, 38-38 mol%, 38-39 mol%, or 39-40 mol%.
- the lipid nanoparticle comprises 25-55 mol% sterol.
- the lipid nanoparticle may comprise 25-50 mol%, 25-45 mol%, 25-40 mol%, 25-35 mol%, 25-30 mol%, 30-55 mol%, 30- 50 mol%, 30-45 mol%, 30-40 mol%, 30-35 mol%, 35-55 mol%, 35-50 mol%, 35-45 mol%, 35- 40 mol%, 40-55 mol%, 40-50 mol%, 40-45 mol%, 45-55 mol%, 45-50 mol%, or 50-55 mol% sterol.
- the lipid nanoparticle comprises 25 mol%, 30 mol%, 35 mol%, 40 mol%, 45 mol%, 50 mol%, or 55 mol% sterol. In some embodiments, the lipid nanoparticle comprises 35 – 40 mol% cholesterol. For example, the lipid nanoparticle may comprise 35, 35.5, 36, 36.5, 37, 37.5, 38, 38.5, 39, 39.5, or 40 mol% cholesterol. In some embodiments, the lipid nanoparticle comprises a molar ratio of 5-25% phospholipid relative to the other lipid components.
- the lipid nanoparticle may comprise a molar ratio of 5-30%, 5-15%, 5-10%, 10-25%, 10-20%, 10-25%, 15-25%, 15-20%, 20-25%, or 25-30% phospholipid.
- the lipid nanoparticle comprises a molar ratio of 5%, 10%, 15%, 20%, 25%, or 30% neutral lipid.
- the lipid nanoparticle comprises a molar ratio of 25-55% structural lipid relative to the other lipid components.
- the lipid nanoparticle may comprise a molar ratio of 10- 55%, 25-50%, 25-45%, 25-40%, 25-35%, 25-30%, 30-55%, 30- 50%, 30-45%, 30-40%, 30-35%, 35-55%, 35-50%, 35-45%, 35-40%, 40-55%, 40-50%, 40-45%, 45-55%, 45-50%, or 50-55% structural lipid.
- the lipid nanoparticle comprises a molar ratio of 10%, 15%, 20%, 25%, 30%, 35%, 40%, 45%, 50%, or 55% structural lipid.
- the lipid nanoparticle comprises a molar ratio of 0.5-15% PEG lipid relative to the other lipid components.
- the lipid nanoparticle may comprise a molar ratio of 0.5-10%, 0.5-5%, 1-15%, 1-10%, 1-5%, 2-15%, 2-10%, 2-5%, 5-15%, 5-10%, or 10-15% PEG lipid.
- the lipid nanoparticle comprises a molar ratio of 0.5%, 1%, 1.5%, 2%, 2.5% 3%, 3.5%, 4%, 4.5%, 5%, 6%, 7%, 8%, 9%, 10%, 11%, 12%, 13%, 14%, or 15% PEG- lipid.
- the lipid nanoparticle comprises a molar ratio of 20-60% amino lipid, 5-25% phospholipid, 25-55% structural lipid, and 0.5-15% PEG lipid. In some embodiments, the lipid nanoparticle comprises a molar ratio of 20-60% amino lipid, 5-30% phospholipid, 10-55% structural lipid, and 0.5-15% PEG lipid. In some embodiments, the lipid nanoparticle comprises 20-60 mol% ionizable amino lipid, 5-25 mol% neutral lipid, 25-55 mol% sterol, and 0.5-15 mol% PEG-modified lipid.
- a LNP comprises an ionizable amino lipid of Compound I, wherein the neutral lipid is DSPC, the structural lipid that is cholesterol, and the PEG lipid is DMG-PEG.
- a LNP comprises an ionizable amino lipid of Compound II, wherein the neutral lipid is DSPC, the structural lipid that is cholesterol, and the PEG lipid is DMG-PEG.
- a LNP comprises an ionizable amino lipid of Compound III, wherein the neutral lipid is DSPC, the structural lipid that is 134-hydroxy- 3,6,9,12,15,18,21,24,27,30,33,36,39,42,45,48,51,54,57,60,63,66,69,72,75,78,81,84,87,90,93,96, 99,102,105,108,111,114,117,120,123,126,129,132-tetratetracontaoxatetratriacontahectyl stearate, and the PEG lipid is DMG-PEG.
- a LNP comprises an ionizable amino lipid of Compound IV, wherein the neutral lipid is DSPC, the structural lipid that is 134-hydroxy- 3,6,9,12,15,18,21,24,27,30,33,36,39,42,45,48,51,54,57,60,63,66,69,72,75,78,81,84,87,90,93,96, 99,102,105,108,111,114,117,120,123,126,129,132-tetratetracontaoxatetratriacontahectyl stearate, and the PEG lipid is DMG-PEG.
- the lipid nanoparticle comprises 49 mol% ionizable amino lipid, 10 mol% DSPC, 38.5 mol% cholesterol, and 2.5 mol% DMG-PEG. In some embodiments, the lipid nanoparticle comprises 49 mol% ionizable amino lipid, 11 mol% DSPC, 38.5 mol% cholesterol, and 1.5 mol% DMG-PEG. In some embodiments, the lipid nanoparticle comprises 48 mol% ionizable amino lipid (e.g., Compound I), 11 mol% DSPC, 38.5 mol% cholesterol, and 2.5 mol% DMG-PEG.
- Compound I Compound I
- the lipid nanoparticle comprises 47 mol% ionizable amino lipid (e.g., Compounds II, III, or IV), 11 mol% DSPC, 39 mol% cholesterol, and 3 mol% 134- hydroxy- 3,6,9,12,15,18,21,24,27,30,33,36,39,42,45,48,51,54,57,60,63,66,69,72,75,78,81,84,87,90,93,96, 99,102,105,108,111,114,117,120,123,126,129,132-tetratetracontaoxatetratriacontahectyl stearate.
- ionizable amino lipid e.g., Compounds II, III, or IV
- 11 mol% DSPC 39 mol% cholesterol
- the lipid nanoparticles comprise one or more of ionizable molecules, polynucleotides, and optional components, such as structural lipids, sterols, neutral lipids, phospholipids and a molecule capable of reducing particle aggregation (e.g., polyethylene glycol (PEG), PEG-modified lipid), such as those described above.
- a LNP comprises a lipid-to-oligonucleotide phosphate (N:P) ratio of from about 2:1 to about 30:1.
- a LNP comprises an N:P ratio of about 6:1. In some embodiments, a LNP comprises an N:P ratio of about 3:1, 4:1, or 5:1. In some embodiments, a LNP comprises a wt/wt ratio of the ionizable amino lipid component to the RNA of from about 10:1 to about 100:1. In some embodiments, a LNP comprises a wt/wt ratio of the ionizable amino lipid component to the RNA of about 20:1. In some embodiments, a LNP comprises a wt/wt ratio of the ionizable amino lipid component to the RNA of about 10:1.
- a LNP has a mean diameter from about 30nm to about 150nm. In some embodiments, a LNP has a mean diameter from about 60nm to about 120nm. In some embodiments, a LNP has a mean diameter from about 80nm to 140nm, 80nm to 130 nm, 80nm to 120 nm, 80nm to 110 nm, 80nm to 100 nm, 80nm to 90 nm, 80nm to 90 nm, 90nm to 140nm, 90nm to 130 nm, 90nm to 120 nm, 90nm to 110 nm, 90nm to 100 nm, 100nm to 140nm, 100nm to 130nm, 100nm to 120nm, 100nm to 110nm, 110nm to 140nm, 110nm to 130nm, 110nm to 120nm.
- a LNP has a mean diameter of about 80 nm, 85 nm, 90 nm, 95 nm, 100 nm, 110 nm, 111 nm, 112 nm, 113 nm, 114 nm, 115 nm, 116 nm, 117 nm, 118 nm, 119 nm, 120 nm, 125 nm, 130 nm, 135 nm, or 140 nm.
- the lipid nanoparticle has a diameter of at most 80 nm, at most 70 nm, at most 60 nm, at most 50 nm, at most 40 nm, at most 30 nm, or at most 20 nm. In some embodiments, the lipid nanoparticle has a diameter of at most 30 nm. In some embodiments, the lipid nanoparticle has a diameter of at most 20 nm.
- a lipid nanoparticle may comprise two or more components (e.g., amino lipid and nucleic acid, PEG-lipid, phospholipid, structural lipid). For instance, a lipid nanoparticle may comprise an amino lipid and a nucleic acid.
- compositions comprising the lipid nanoparticles may be used for a wide variety of applications, including the stealth delivery of therapeutic payloads with minimal adverse innate immune response.
- Lipid Nanoparticle SARS-CoV-2 Vaccine Compositions Provided herein are vaccine compositions for inducing a neutralizing antibody response to SARS-CoV-2 Spike (S) protein in a subject.
- the compositions provided herein can be used as therapeutically or prophylactically.
- the compositions provided herein include messenger RNA (mRNA) encoding a SARS- CoV-2 S protein (e.g., prefusion stabilized S protein) formulated in an LNP.
- mRNA messenger RNA
- a composition containing a messenger RNA as described herein can be administered to a subject (e.g., a mammalian subject, such as a human subject), and the mRNA is translated in vivo to produce an antigenic polypeptide (antigen), such as a SARS-CoV- 2 S protein (e.g., prefusion stabilized S protein) or S protein subunit.
- a vaccine composition comprises an approximately 25 ⁇ g to 250 ⁇ g dose of mRNA encoding a SARS-CoV-2 S protein (e.g., prefusion stabilized S protein).
- a vaccine composition comprises an approximately 25 ⁇ g dose of mRNA encoding a SARS-CoV-2 S protein (e.g., prefusion stabilized S protein). In some embodiments, a vaccine composition comprises an approximately 50 ⁇ g dose of mRNA encoding a SARS- CoV-2 S protein (e.g., prefusion stabilized S protein). In some embodiments, a vaccine composition comprises an approximately 100 ⁇ g dose of mRNA encoding a SARS-CoV-2 S protein (e.g., prefusion stabilized S protein). In some embodiments, a vaccine composition prefusion stabilized S protein).
- a vaccine composition comprises an approximately 200 ⁇ g dose of mRNA encoding a SARS-CoV-2 S protein (e.g., prefusion stabilized S protein). In some embodiments, a vaccine composition comprises an approximately 250 ⁇ g dose of mRNA encoding a SARS-CoV-2 S protein (e.g., prefusion stabilized S protein).
- a composition may further comprise a buffer, for example a Tris buffer.
- a composition may comprise 10 mM – 30 mM, 10 mM – 20 mM, or 20 mM – 30 mM Tris buffer. In some embodiments, a composition comprises 10, 15, 20, 25, or 30 mM Tris buffer.
- a composition comprises 20 mM Tris buffer.
- mRNA of a vaccine composition is formulated at a concentration of 0.1 – 1 mg/mL.
- mRNA of a vaccine composition is formulated at a concentration of 0.1, 0.2, 0.3, 0.4, 0.5, 0.6, 0.7, 0.8, 0.9, or 1 mg/mL.
- mRNA of a vaccine composition is formulated at a concentration of 0.5 mg/mL.
- a composition comprises sucrose.
- a composition may comprise 75 mg/mL – 95 mg/mL, 75 mg/mL – 85 mg/mL, or 85 mg/mL – 95 mg/mL sucrose.
- a composition comprises 75, 80, 85, 86, 87, 88, 89, 90, or 95 mg/mL sucrose.
- a composition comprises 87 mg/mL sucrose.
- a composition comprises sodium acetate.
- a composition may comprise 5 mM – 15 mM, 5 mM – 10 mM, or 10 mM – 15 mM sodium acetate.
- a composition comprises 5, 10, 11, 12, 13, 14, or 15 mM sodium acetate.
- a composition comprises 10, 10.1, 10.2, 10.3, 10.4, 10.5, 10.6, 10.7, 10.8, 10.9, or 11 mM sodium acetate. In some embodiments, a composition comprises 10.7 mM sodium acetate.
- a composition may have a pH value of 6-8. In some embodiments, a composition has a pH value of 6, 6.5, 7, 7.5, or 8. In some embodiments, a composition has a pH value of 7.5.
- a composition in some embodiments, is formulated to include mRNA at a concentration of 0.1 mg/mL – 1 mg/mL.
- a composition comprises 0.1, 0.2, 0.3, 0.4, 0.5, 0.6, 0.7, 0.8, 0.9, or 1 mg/mL mRNA. In some embodiments, a composition comprises 0.5 mg/mL mRNA.
- a composition may further include a pharmaceutically-acceptable excipient, inert or active.
- a pharmaceutically acceptable excipient after administered to a subject, does not cause undesirable physiological effects.
- the excipient in the pharmaceutical composition must be “acceptable” also in the sense that it is compatible with mRNA and can be capable of stabilizing it.
- One or more excipients e.g., solubilizing agents
- Examples of a pharmaceutically acceptable excipients include, but are not limited to, biocompatible vehicles (e.g., LNPs), carriers, adjuvants, additives, and diluents to achieve a composition usable as a dosage form.
- biocompatible vehicles e.g., LNPs
- examples of other excipients include colloidal silicon oxide, magnesium stearate, cellulose, and sodium lauryl sulfate. Additional suitable pharmaceutical excipients, as well as pharmaceutical necessities for their use, are described in Remington's Pharmaceutical Sciences.
- an mRNA is formulated in LNPs to: (1) increase stability; (2) increase cell transfection; (3) permit the sustained or delayed release (e.g., from a depot formulation); (4) alter the biodistribution (e.g., target to specific tissues or cell types); (5) increase the translation of encoded protein in vivo; and/or (6) alter the release profile of encoded protein (antigen) in vivo.
- a composition comprising mRNA does not include an adjuvant (they are adjuvant free).
- Vaccine compositions may be sterile, pyrogen-free or both sterile and pyrogen-free.
- Formulations of the vaccine compositions described herein may be prepared by any method known or hereafter developed in the art of pharmacology. In general, such preparatory methods include the step of bringing the mRNA into association with an excipient (e.g., a mixture of lipids and/or a lipid nanoparticle), and then, if necessary and/or desirable, dividing, shaping and/or packaging the product into a desired single- or multi-dose unit.
- an excipient e.g., a mixture of lipids and/or a lipid nanoparticle
- Relative amounts of the mRNA, the pharmaceutically-acceptable excipient, and/or any additional ingredients in a composition in accordance with the disclosure may vary, depending upon the identity, size, and/or condition of the subject treated and further depending upon the route by which the composition is to be administered.
- Vaccination Methods Provided herein are vaccine compositions comprising LNPs and methods for inducing a neutralizing antibody response to SARS-CoV-2 Spike (S) protein in a subject.
- a subject may be any mammal, including anon-human primate and human subjects. Typically, a subject is a human subject.
- compositions herein can be used as therapeutic compositions
- prophylactic compositions are used in the priming of immune effector cells, for example, to activate peripheral blood mononuclear cells (PBMCs) ex vivo, which are then infused (re-infused) into a subject.
- PBMCs peripheral blood mononuclear cells
- the mRNA encoding the SARS-CoV-2 S protein is expressed and translated in vivo to produce the antigen, which then stimulates an immune response in the subject.
- the compositions provided herein are administered, in some embodiments, in “effective amounts,” for example, therapeutically-effective and/or prophylactically-effective amounts.
- an “effective amount” of a composition is based, at least in part, on the target tissue, target cell type, means of administration, physical characteristics of the RNA (e.g., length, nucleotide composition, and/or extent of modified nucleosides), other components of the vaccine, and other determinants, such as age, body weight, height, sex and general health of the subject.
- an effective amount of a composition provides an induced or boosted immune response as a function of antigen production in the cells of the subject.
- an effective amount of the composition containing RNA polynucleotides having at least one chemical modification are more efficient than a composition containing a corresponding unmodified polynucleotide encoding the same antigen or a peptide antigen.
- Increased antigen production may be demonstrated by increased cell transfection (the percentage of cells transfected with the RNA vaccine), increased protein translation and/or expression from the polynucleotide, decreased nucleic acid degradation (as demonstrated, for example, by increased duration of protein translation from a modified polynucleotide), or altered antigen specific immune response of the host cell.
- an effective amount of a composition induces a SARS-CoV-2 antigen-specific immune response.
- An effective amount of a composition is based, at least in part, on the target tissue, target cell type, means of administration, physical characteristics of the RNA (e.g., length, nucleotide composition, and/or extent of modified nucleosides), other components of the vaccine, and other determinants, such as age, body weight, height, sex and general health of the subject.
- an effective amount of a composition provides an induced or boosted immune response as a function of antigen production in the cells of the subject.
- an effective amount of the composition comprising mRNA having at least one chemical modification are more efficient than a composition containing a corresponding unmodified polynucleotide encoding the same antigen or a peptide antigen.
- Increased antigen production may be demonstrated by increased cell transfection (the percentage of cells transfected with an RNA composition), increased protein translation and/or expression from the RNA, decreased nucleic acid degradation (as demonstrated, for example, by increased duration of protein translation from a modified polynucleotide), or altered antigen specific immune response of the host cell.
- compositions comprising polynucleotides and their encoded polypeptides in accordance with the present disclosure may be administered prophylactically or therapeutically as part of an active immunization scheme to healthy individuals or early in infection during the incubation phase or during active infection after onset of symptoms.
- the amount of RNA provided to a cell, a tissue or a subject may be an amount effective for immune prophylaxis.
- an initial dose of a vaccine composition is administered followed by a booster dose.
- a booster dose is a dose that is given at a certain interval after completion of the primary dose or series of doses that is/are intended to boost immunity to, and therefore prolong protection against, the disease that is to be prevented.
- the time between administration of an initial dose of a composition and a booster dose may be, for example, 1 week, 2 weeks, 3 weeks, 4 weeks, 5 weeks, 6 weeks, 7 weeks, 8 weeks, , 9 weeks, 10 weeks, 11 weeks, 12 weeks, 4 months, 5 months, 6 months, 7 months, 8 months, 9 months, 10 months, 11 months, 1 year, 2 years, 3 years, 4 years, or 5 years.
- the time between administration of an initial dose of a composition and a booster dose is 20-30 days.
- the time between administration of an initial dose of a composition and a booster dose may be 20, 21, 22, 23, 24, 25, 26, 27, 28, 29, or 30 days.
- the time between administration of an initial dose of a composition and a booster dose is 28 days.
- a method involves administering to the subject a composition comprising a mRNA having an open reading frame encoding a SARS-CoV-2 S protein (e.g., prefusion stabilized SARS-CoV-2 S protein), thereby inducing in the subject an immune response specific to the SARS-CoV-2 S protein, wherein an anti-S protein antibody titer in the subject is increased following vaccination relative to an anti-S protein antibody titer in an unvaccinated subject who has not been infected with SARS-CoV-2 or who has been infected but has recovered.
- a composition comprising a mRNA having an open reading frame encoding a SARS-CoV-2 S protein (e.g., prefusion stabilized SARS-CoV-2 S protein), thereby inducing in the subject an immune response specific to the SARS-CoV-2 S protein, wherein an anti-S protein antibody titer in the subject is increased following vaccination relative to an anti-S protein antibody titer in an unvaccinated subject who has
- an “anti-S protein antibody” is a serum antibody the binds specifically to SARS-CoV-2 S protein.
- a vaccine composition may be administered by any route that results in a therapeutically effective outcome. These include, but are not limited, to intradermal, intramuscular, intranasal, and/or subcutaneous administration. In some embodiments, a composition is administered intramuscularly (e.g., into a deltoid muscle).
- the present disclosure provides methods comprising administering vaccine compositions to a subject in need thereof. The exact amount required may vary from subject to subject, depending on the species, age, and general condition of the subject, the severity of the disease, the particular composition, its mode of administration, its mode of activity, and the like.
- the mRNA is typically formulated in dosage unit form for ease of administration and uniformity of dosage. It will be understood, however, that the total daily usage of the mRNA may be decided by the attending physician within the scope of sound medical judgment.
- the specific therapeutically effective, prophylactically effective, or appropriate imaging dose level for any particular subject may depend upon a variety of factors including the disorder being treated and the severity of the disorder; the activity of the specific compound employed; the specific composition employed; the age, body weight, general health, sex and diet of the patient; the time of administration, route of administration, and rate of excretion of the specific compound employed; the duration of the treatment; drugs used in combination or coincidental with the specific compound employed; and like factors well known in the medical arts.
- the effective amount of the RNA may range from about 25 ⁇ g – 500 ⁇ g, administered as a single dose or as multiple (e.g., booster) doses.
- a single dose of a vaccine composition e.g., administered once, twice, three times, or more
- a single dose of a vaccine composition comprises about 25 ⁇ g mRNA.
- a single dose of a vaccine composition comprises about 100 ⁇ g mRNA.
- a single dose of a vaccine composition (e.g., administered once, twice, three times, or more) comprises about 250 ⁇ g mRNA.
- a total amount of mRNA administered to a subject is about 25 ⁇ g, 50 ⁇ g, about 100 ⁇ g, about 200 ⁇ g, about 250 ⁇ g, or about 500 ⁇ g mRNA. In some embodiments, a total amount of mRNA administered to a subject is about 25 ⁇ g. In some embodiments, a total amount of mRNA administered to a subject is about 50 ⁇ g. In some embodiments, a total amount of mRNA administered to a subject is about 100 ⁇ g. In some embodiments, a total amount of mRNA administered to a subject is about 200 ⁇ g. In some embodiments, a total amount of mRNA administered to a subject is about 250 ⁇ g.
- a total amount of mRNA administered to a subject is about 500 ⁇ g.
- the mRNA described herein can be formulated into a dosage form described herein, such as an intranasal, intratracheal, or injectable (e.g., intravenous, intraocular, intravitreal, intramuscular, intradermal, intracardiac, intraperitoneal, and subcutaneous).
- Antigens Antigens are proteins capable of inducing an immune response (e.g., causing an immune system to produce antibodies against the antigens).
- antigen encompasses immunogenic proteins and immunogenic fragments and subunits [an immunogenic fragment or subunit that induces (or is capable of inducing) an immune response to a (at least one) coronavirus], unless otherwise stated.
- protein encompasses peptides and the term “antigen” encompasses antigenic fragments, protein domains, and subunits.
- Other molecules may be antigenic such as bacterial polysaccharides or combinations of protein and polysaccharide structures, but for the viral vaccines included herein, viral proteins, fragments of viral proteins, and designed and/or mutated proteins derived from the betacoronavirus SARS-CoV-2 are the antigens provided herein.
- the coronavirus antigen is a prefusion stabilized spike (S) protein, which comprises an amino acid sequence that stabilizes the S protein in its prefusion conformation.
- a prefusion stabilized spike protein is more stable than the S protein in its postfusion conformation.
- a prefusion stabilized S protein comprises a double proline stabilizing mutation.
- a prefusion stabilized S protein comprises a double proline stabilizing mutation at position 986 (K986P) and 987 (V987P), relative to wild-type (native) S protein.
- a composition comprises an RNA (e.g., mRNA) that encodes an S protein that comprises a sequence having at least 80%, at least 85%, at least 90%, at least 95%, at least 98%, or 100% identity to the sequence of SEQ ID NO: 8.
- a composition comprises an RNA (e.g., mRNA) that encodes an S protein that comprises a sequence having at least 80% identity to the sequence of SEQ ID NO: 8.
- a composition comprises an RNA (e.g., mRNA) that encodes an S protein that comprises a sequence having at least 85% identity to the sequence of SEQ ID NO: 8.
- a composition comprises an RNA (e.g., mRNA) that encodes an S protein that comprises a sequence having at least 90% identity to the sequence of SEQ ID NO: 8.
- a composition comprises an RNA (e.g., mRNA) that encodes an S protein that comprises a sequence having at least 95% identity to the sequence of SEQ ID NO: 8.
- a composition comprises an RNA (e.g., mRNA) that encodes an S protein that comprises a sequence having at least 96% identity to the sequence of SEQ ID NO: 8.
- a composition comprises an RNA (e.g., mRNA) that encodes an S protein that comprises a sequence having at least 97% identity to the sequence of SEQ ID NO: 8. In some embodiments, a composition comprises an RNA (e.g., mRNA) that encodes an S protein that comprises a sequence having at least 98% identity to the sequence of SEQ ID NO: 8. In some embodiments, a composition comprises an RNA (e.g., mRNA) that encodes an S protein that comprises a sequence having at least 99% identity to the sequence of SEQ ID NO: 8. In some embodiments, a composition comprises an RNA (e.g., mRNA) that encodes an S protein that comprises the amino acid sequence of SEQ ID NO: 8.
- a composition comprises an RNA (e.g., mRNA) that encodes an S protein that comprises a sequence having at least 80%, at least 85%, at least 90%, at least 95%, at least 98%, or 100% identity to the sequence of SEQ ID NO: 12.
- a composition comprises an RNA (e.g., mRNA) that encodes an S protein that comprises a sequence having at least 80% identity to the sequence of SEQ ID NO: 12.
- a composition comprises an RNA (e.g., mRNA) that encodes an S protein that comprises a sequence having at least 85% identity to the sequence of SEQ ID NO: 12.
- a composition comprises an RNA (e.g., mRNA) that encodes an S protein that comprises a sequence having at least 90% identity to the sequence of SEQ ID NO: 12.
- a composition comprises an RNA (e.g., mRNA) that encodes an S protein that comprises a sequence having at least 95% identity to the sequence of SEQ ID NO: 12.
- a composition comprises an RNA (e.g., mRNA) that encodes an S protein that comprises a sequence having at least 96% identity to the sequence of SEQ ID NO: 12.
- a composition comprises an RNA (e.g., mRNA) that encodes an S protein that comprises a sequence having at least 97% identity to the sequence of SEQ ID NO: 12. In some embodiments, a composition comprises an RNA (e.g., mRNA) that encodes an S protein that comprises a sequence having at least 98% identity to the sequence of SEQ ID NO: 12. In some embodiments, a composition comprises an RNA (e.g., mRNA) that encodes an S protein that comprises a sequence having at least 99% identity to the sequence of SEQ ID NO: 12. In some embodiments, a composition comprises an RNA (e.g., mRNA) that encodes an S protein that comprises the amino acid sequence of SEQ ID NO: 12.
- any one of the antigens encoded by the RNA described herein may or may not comprise a signal sequence.
- Nucleic Acids Also provided are stabilized nucleic acids encoding a SARS-CoV-2 spike protein. In 80%, at least 85%, at least 90%, at least 95%, at least 98%, or 100% identity to any nucleotide sequence disclosed herein.
- the RNA e.g., mRNA
- the RNA comprises a nucleotide sequence having at least 80%, at least 85%, at least 90%, at least 95%, at least 98%, or 100% identity to any one of SEQ ID Nos.1, 3, 6, 7, 8, 10, 14, or 15.
- the RNA comprises an ORF that comprises a nucleotide sequence having at least 80%, at least 85%, at least 90%, at least 95%, at least 98%, or 100% identity to the nucleotide sequence of any one of SEQ ID Nos: 1, 3, 6, 7, 8, 10, 14, or 15.
- identity refers to a relationship between the sequences of two or more polypeptides (e.g. antigens) or polynucleotides (nucleic acids), as determined by comparing the sequences. Identity also refers to the degree of sequence relatedness between or among sequences as determined by the number of matches between strings of two or more amino acid residues or nucleic acid residues.
- Identity measures the percent of identical matches between the smaller of two or more sequences with gap alignments (if any) addressed by a particular mathematical model or computer program (e.g., “algorithms”). Identity of related antigens or nucleic acids can be readily calculated by known methods. “Percent (%) identity” as it applies to polypeptide or polynucleotide sequences is defined as the percentage of residues (amino acid residues or nucleic acid residues) in the candidate amino acid or nucleic acid sequence that are identical with the residues in the amino acid sequence or nucleic acid sequence of a second sequence after aligning the sequences and introducing gaps, if necessary, to achieve the maximum percent identity. Methods and computer programs for the alignment are well known in the art.
- variants of a particular polynucleotide or polypeptide have at least 40%, 45%, 50%, 55%, 60%, 65%, 70%, 75%, 80%, 85%, 90%, 91%, 92%, 93%, 94%, 95%, 96%, 97%, 98%, 99% but less than 100% sequence identity to that particular reference polynucleotide or polypeptide as determined by sequence alignment programs and parameters described herein and known to those skilled in the art.
- tools for alignment include those of the BLAST suite (Stephen F.
- FGSAA Fast Optimal Global Sequence Alignment Algorithm
- Sequence tags can be used for peptide detection, purification or localization.
- Lysines can be used to increase peptide solubility or to allow for biotinylation.
- amino acid residues located at the carboxy and amino terminal regions of the amino acid sequence of a peptide or protein may optionally be deleted providing for truncated sequences.
- Certain amino acids e.g., C-terminal or N-terminal residues may alternatively be deleted depending on the use of the sequence, as for example, expression of the sequence as part of a larger sequence which is soluble or linked to a solid support.
- sequences for (or encoding) signal sequences, termination sequences, transmembrane domains, linkers, multimerization domains (such as, e.g., foldon regions) and the like may be substituted with alternative sequences that achieve the same or a similar function.
- cavities in the core of proteins can be filled to improve stability, e.g., by introducing larger amino acids.
- buried hydrogen bond networks may be replaced with hydrophobic residues to improve stability.
- glycosylation sites may be removed and replaced with appropriate residues.
- sequences provided herein contain sequence tags or terminal peptide sequences (e.g., at the N-terminal or C-terminal ends) that may be deleted, for example, prior to use in the preparation of an RNA (e.g., mRNA) vaccine.
- RNA e.g., mRNA
- protein fragments, functional protein domains, and homologous proteins are also considered to be within the scope of antigens of interest.
- provided herein is any protein fragment (meaning a polypeptide sequence at least one amino acid residue shorter than a reference antigen sequence but otherwise identical) of a reference protein, provided that the fragment is immunogenic and confers a protective immune response to the coronavirus.
- an antigen in addition to variants that are identical to the reference protein but are truncated, in some embodiments, an antigen includes 2, 3, 4, 5, 6, 7, 8, 9, 10, or more mutations, as shown in any of the sequences provided or referenced herein.
- Antigens/antigenic polypeptides can range in length from about 4, 6, or 8 amino acids to full length proteins.
- nucleic acid refers to multiple nucleotides (i.e., molecules comprising a sugar (e.g., ribose or deoxyribose) linked to a phosphate group and to an exchangeable organic base, which is either a substituted pyrimidine (e.g., cytosine (C), thymine (T) or uracil (U)) or a substituted purine (e.g., adenine (A) or guanine (G))).
- a substituted pyrimidine e.g., cytosine (C), thymine (T) or uracil (U)
- purine e.g., adenine (A) or guanine (G)
- nucleic acid refers to polyribonucleotides as well as polydeoxyribonucleotides.
- nucleic acid also includes polynucleosides (i.e., a polynucleotide minus the phosphate) and any other organic base containing polymer.
- nucleic acids include chromosomes, genomic loci, genes or gene segments that encode polynucleotides or polypeptides, coding sequences, non-coding sequences (e.g., intron, 5’-UTR, or 3’-UTR) of a gene, pri-mRNA, pre-mRNA, cDNA, mRNA, etc.
- the nucleic acid is mRNA.
- a nucleic acid may include a substitution and/or modification.
- the substitution and/or modification is in one or more bases and/or sugars.
- a nucleic acid includes nucleic acids having backbone sugars that are covalently attached to low molecular weight organic groups other than a hydroxyl group at the 2' position and other than a phosphate group or hydroxy group at the 5' position.
- a substituted or modified nucleic acid includes a 2'-O-alkylated ribose group.
- a modified nucleic acid includes sugars such as hexose, 2’-F hexose, 2’-amino ribose, constrained ethyl (cEt), locked nucleic acid (LNA), arabinose or 2'-fluoroarabinose instead of ribose.
- a nucleic acid is heterogeneous in backbone composition thereby containing any possible combination of polymer units linked together such as peptide-nucleic acids (which have an amino acid backbone with nucleic acid bases).
- a nucleic acid is DNA, RNA, PNA, cEt, LNA, ENA or hybrids including any chemical or natural modification thereof.
- compositions comprise a RNA having an open reading frame (ORF) encoding a polypeptide.
- ORF open reading frame
- the RNA is a messenger RNA (mRNA).
- the RNA (e.g., mRNA) further comprises a 5 ⁇ UTR, 3 ⁇ UTR, a poly(A) tail and/or a 5 ⁇ cap analog.
- Messenger RNA is any RNA that encodes a (at least one) protein (e.g., a naturally-occurring, non-naturally-occurring, or modified polymer of amino acids) and can be translated to produce the encoded protein in vitro, in vivo, in situ, or ex vivo.
- nucleic acid sequences set forth in the instant application may recite “T”s in a representative DNA sequence but where the sequence represents RNA (e.g., mRNA), the “T”s would be substituted for “U”s.
- any of the DNAs disclosed and identified by a particular sequence identification number herein also disclose the corresponding RNA (e.g., mRNA) sequence complementary to the DNA, where each “T” of the DNA sequence is substituted with “U.”
- RNA e.g., mRNA
- An open reading frame is a continuous stretch of DNA or RNA beginning with a start codon (e.g., methionine (ATG or AUG)) and ending with a stop codon (e.g., TAA, TAG or TGA, or UAA, UAG or UGA).
- An ORF typically encodes a protein.
- sequences disclosed herein may further comprise additional elements, e.g., 5′ and 3′ UTRs, but that those elements, unlike the ORF, need not necessarily be present in an RNA polynucleotide.
- Naturally-occurring eukaryotic mRNA molecules can contain stabilizing elements, including, but not limited to untranslated regions (UTR) at their 5′-end (5′ UTR) and/or at their 3′-end (3′ UTR), in addition to other structural features, such as a 5′-cap structure or a 3′-poly(A) tail. Both the 5′ UTR and the 3′ UTR are typically transcribed from the genomic DNA and are elements of the premature mRNA.
- UTR untranslated regions
- a composition includes an RNA polynucleotide having an open reading frame encoding at least one polypeptide having at least one modification, at least one 5′ terminal cap, and is formulated within a lipid nanoparticle along with the stabilizing compound (e.g., a compound of Formula I, of Formula II, or a tautomer or solvate thereof).
- 5′ terminal caps can include endogenous caps or cap analogs. According to the present invention, a 5′ terminal cap can comprise a guanine analog.
- guanine analogs include, but are not limited to, inosine, N1-methyl-guanosine, 2′fluoro-guanosine, 7-deaza-guanosine, 8-oxo- guanosine, 2-amino-guanosine, LNA-guanosine, and 2-azido-guanosine.
- exemplary caps including those that can be used in co- transcriptional capping methods for ribonucleic acid (RNA) synthesis, using RNA polymerase, e.g., wild type RNA polymerase or variants thereof, e.g., such as those variants described herein.
- caps can be added when RNA is produced in a “one-pot” reaction, without the need for a separate capping reaction.
- the methods comprise reacting a polynucleotide template with a RNA polymerase variant, nucleoside triphosphates, and a cap analog under in vitro transcription reaction conditions to produce RNA transcript.
- the cap analog binds to a polynucleotide template that comprises a promoter region comprising a transcriptional start site having a first nucleotide at nucleotide position +1, a second nucleotide at nucleotide position +2, and a third nucleotide at nucleotide position +3.
- the cap analog hybridizes to the polynucleotide template at least at nucleotide position +1, such as at the +1 and +2 positions, or at the +1, +2, and +3 positions.
- a cap analog may be, for example, a dinucleotide cap, a trinucleotide cap, or a tetranucleotide cap.
- a cap analog is a dinucleotide cap.
- a cap analog is a trinucleotide cap.
- a cap analog is a tetranucleotide cap.
- caps includes the inverted G nucleotide and can comprise additional nucleotides 3’ of the inverted G, .e.g., 1, 2, or more nucleotides 3’ of the inverted G and 5’ to the 5’ UTR.
- Exemplary caps comprise a sequence GG, GA, or GGA wherein the underlined, italicized G is an inverted G.
- a trinucleotide cap in some embodiments, comprises a compound of formula (I) stereoisomer, tautomer or salt thereof, wherein ring B 1 is a modified or unmodified guanine; ring B2 and ring B3 each independently is a nucleobase or a modified nucleobase; X2 is O, S(O)p, NR24 or CR25R26 in which p is 0, 1, or 2; Y 0 is O or CR 6 R 7 ; Y1 is O, S(O)n, CR6R7, or NR8, in which n is 0, 1 , or 2; each --- is a single bond or absent, wherein when each --- is a single bond, Yi is O, S(O) n , CR 6 R 7 , or NR 8 ; and when each --- is absent, Y 1 is void; Y 2 is (OP(O)R 4 ) m in which m is 0, 1, or 2, or -O-(
- a cap analog may include any of the cap analogs described in international publication WO 2017/066797, published on 20 April 2017, incorporated by reference herein in its entirety.
- the B 2 middle position can be a non-ribose molecule, such as arabinose.
- R2 is ethyl-based.
- a trinucleotide cap comprises the following structure: In yet other embodiments, a trinucleotide cap comprises the following structure: In still other embodiments, a trinucleotide cap comprises the following structure:
- R is an alkyl (e.g., C 1 -C 6 alkyl). In some embodiments, R is a methyl group (e.g., C1 alkyl). In some embodiments, R is an ethyl group (e.g., C2 alkyl).
- a trinucleotide cap in some embodiments, comprises a sequence selected from the following sequences: GAA, GAC, GAG, GAU, GCA, GCC, GCG, GCU, GGA, GGC, GGG, GGU, GUA, GUC, GUG, and GUU. In some embodiments, a trinucleotide cap comprises GAA. In some embodiments, a trinucleotide cap comprises GAC.
- a trinucleotide cap comprises GAG. In some embodiments, a trinucleotide cap comprises GAU. In some embodiments, a trinucleotide cap comprises GCA. In some embodiments, a trinucleotide cap comprises GCC. In some embodiments, a trinucleotide cap comprises GCG. In some embodiments, a trinucleotide cap comprises GCU. In some embodiments, a trinucleotide cap comprises GGA. In some embodiments, a trinucleotide cap comprises GGC. In some embodiments, a trinucleotide cap comprises GGG. In some embodiments, a trinucleotide cap comprises GGU.
- a trinucleotide cap comprises GUA. In some embodiments, a trinucleotide cap comprises GUC. In some embodiments, a trinucleotide cap comprises GUG. In some embodiments, a trinucleotide cap comprises GUU.
- a trinucleotide cap comprises a sequence selected from the following sequences: m 7 GpppApA, m 7 GpppApC, m 7 GpppApG, m 7 GpppApU, m 7 GpppCpA, m 7 GpppCpC, m 7 GpppCpG, m 7 GpppCpU, m 7 GpppGpA, m 7 GpppGpC, m 7 GpppGpG, m 7 GpppGpU, m 7 GpppUpA, m 7 GpppUpC, m 7 GpppUpG, and m 7 GpppUpU.
- a trinucleotide cap comprises m 7 GpppApA. In some embodiments, a trinucleotide cap comprises m 7 GpppApC. In some embodiments, a trinucleotide cap comprises m 7 GpppApG. In some embodiments, a trinucleotide cap comprises m 7 GpppApU. In some embodiments, a trinucleotide cap comprises m 7 GpppCpA. In some embodiments, a trinucleotide cap comprises m 7 GpppCpC. In some embodiments, a trinucleotide cap comprises m 7 GpppCpG.
- a trinucleotide cap comprises m 7 GpppCpU. In some embodiments, a trinucleotide cap comprises m 7 GpppGpA. In some embodiments, a trinucleotide cap comprises m 7 GpppGpC. In some embodiments, a trinucleotide cap comprises m 7 GpppGpG. In some embodiments, a trinucleotide cap comprises m 7 GpppGpU. In some embodiments, a trinucleotide cap comprises m 7 GpppUpA. In some embodiments, a trinucleotide cap comprises m 7 GpppUpC.
- a trinucleotide cap comprises m 7 GpppUpG. In some embodiments, a trinucleotide cap comprises m 7 GpppUpU.
- a trinucleotide cap in some embodiments, comprises a sequence selected from the following sequences: m 7 G3′OMepppApA, m 7 G3′OMepppApC, m 7 G3′OMepppApG, m 7 G3′OMepppApU, m 7 G3′OMepppCpA, m 7 G3′OMepppCpC, m 7 G3′OMepppCpG, m 7 G3′OMepppCpU, m 7 G3′OMepppGpA, m 7 G3′OMepppGpC, m 7 G3′OMepppGpG, m 7 G3′OMepppGpU, m 7 G3′OMepppGpA,
- a trinucleotide cap comprises m 7 G3′OMepppApA. In some embodiments, a trinucleotide cap comprises m 7 G 3 ′ OMe pppApC. In some embodiments, a trinucleotide cap comprises m 7 G 3 ′ OMe pppApG. In some embodiments, a trinucleotide cap comprises m 7 G 3 ′ OMe pppApU. In some embodiments, a trinucleotide cap comprises m 7 G 3 ′ OMe pppCpA.
- a trinucleotide cap comprises m 7 G 3 ′ OMe pppCpC. In some embodiments, a trinucleotide cap comprises m 7 G 3 ′ OMe pppCpG. In some embodiments, a trinucleotide cap comprises m 7 G 3 ′ OMe pppCpU. In some embodiments, a trinucleotide cap comprises m 7 G 3 ′ OMe pppGpA. In some embodiments, a trinucleotide cap comprises m 7 G 3 ′ OMe pppGpC.
- a trinucleotide cap comprises m 7 G 3 ′ OMe pppGpG. In some embodiments, a trinucleotide cap comprises m 7 G 3 ′ OMe pppGpU. In some embodiments, a trinucleotide cap comprises m 7 G3′OMepppUpA. In some embodiments, a trinucleotide cap comprises m 7 G3′OMepppUpC. In some embodiments, a trinucleotide cap comprises m 7 G3′OMepppUpG. In some embodiments, a trinucleotide cap comprises m 7 G3′OMepppUpU.
- a trinucleotide cap in other embodiments, comprises a sequence selected from the following sequences: m 7 G 3 ′ OMe pppA 2 ′ OMe pA, m 7 G 3 ′ OMe pppA 2 ′ OMe pC, m 7 G 3 ′ OMe pppA 2 ′ OMe pG, m 7 G 3 ′ OMe pppA 2 ′ OMe pU, m 7 G 3 ′ OMe pppC 2 ′ OMe pA, m 7 G 3 ′ OMe pppC 2 ′ OMe pC, m 7 G 3 ′ OMe pppC 2 ′ OMe pG, m 7 G 3 ′ OMe pppC 2 ′ OMe pG, m 7 G 3 ′ OMe pppC 2 ′ OMe pU, m 7 G 3 ′ OMe ppp
- a trinucleotide cap comprises m 7 G3′OMepppA2′OMepA. In some embodiments, a trinucleotide cap comprises m 7 G3′OMepppA2′OMepC. In some embodiments, a trinucleotide cap comprises m 7 G3′OMepppA2′OMepG. In some embodiments, a trinucleotide cap comprises m 7 G3′OMepppA2′OMepU. In some embodiments, a trinucleotide cap comprises m 7 G3′OMepppC2′OMepA.
- a trinucleotide cap comprises m 7 G3′OMepppC2′OMepC. In some embodiments, a trinucleotide cap comprises m 7 G3′OMepppC2′OMepG. In some embodiments, a trinucleotide cap comprises m 7 G3′OMepppC2′OMepU. In some embodiments, a trinucleotide cap comprises m 7 G3′OMepppG2′OMepA. In some embodiments, a trinucleotide cap comprises m 7 G 3 ′ OMe pppG 2 ′ OMe pC.
- a trinucleotide cap comprises m 7 G3′OMepppG2′OMepG. In some embodiments, a trinucleotide cap comprises m 7 G 3 ′ OMe pppG 2 ′ OMe pU. In some embodiments, a trinucleotide cap comprises m 7 G 3 ′ OMe pppU 2 ′ OMe pA. In some embodiments, a trinucleotide cap comprises m 7 G 3 ′ OMe pppU 2 ′ OMe pC.
- a trinucleotide cap comprises m 7 G 3 ′ OMe pppU 2 ′ OMe pG. In some embodiments, a trinucleotide cap comprises m 7 G 3 ′ OMe pppU 2 ′ OMe pU.
- a trinucleotide cap in still other embodiments, comprises a sequence selected from the following sequences: m 7 GpppA2′OMepA, m 7 GpppA2′OMepC, m 7 GpppA2′OMepG, m 7 GpppA 2 ′ OMe pU, m 7 GpppC 2 ′ OMe pA, m 7 GpppC 2 ′ OMe pC, m 7 GpppC 2 ′ OMe pG, m 7 GpppC 2 ′ OMe pU, m 7 GpppG 2 ′ OMe pA, m 7 GpppG 2 ′ OMe pC, m 7 GpppG 2 ′ OMe pG, m 7 GpppG 2 ′ OMe pC, m 7 GpppG 2 ′ OMe pG, m 7 GpppG 2 ′ OMe pC
- a trinucleotide cap comprises m 7 GpppA 2 ′ OMe pA. In some embodiments, a trinucleotide cap comprises m 7 GpppA 2 ′ OMe pC. In some embodiments, a trinucleotide cap comprises m 7 GpppA 2 ′ OMe pG. In some embodiments, a trinucleotide cap comprises m 7 GpppA 2 ′ OMe pU. In some embodiments, a trinucleotide cap comprises m 7 GpppC 2 ′ OMe pA.
- a trinucleotide cap comprises m 7 GpppC 2 ′ OMe pC. In some embodiments, a trinucleotide cap comprises m 7 GpppC 2 ′ OMe pG. In some embodiments, a trinucleotide cap comprises m 7 GpppC2′OMepU. In some embodiments, a trinucleotide cap comprises m 7 GpppG2′OMepA. In some embodiments, a trinucleotide cap comprises m 7 GpppG2′OMepC. In some embodiments, a trinucleotide cap comprises m 7 GpppG2′OMepG.
- a trinucleotide cap comprises m 7 GpppG2′OMepU. In some embodiments, a trinucleotide cap comprises m 7 GpppU2′OMepA. In some embodiments, a trinucleotide cap comprises m 7 GpppU2′OMepC. In some embodiments, a trinucleotide cap comprises m 7 GpppU2′OMepG. In some embodiments, a trinucleotide cap comprises m 7 GpppU2′OMepU. In some embodiments, a trinucleotide cap comprises m 7 Gpppm 6 A2’OmepG.
- a trinucleotide cap comprises m 7 Gpppe 6 A 2’Ome pG. In some embodiments, a trinucleotide cap comprises GAG. In some embodiments, a trinucleotide cap comprises GCG. In some embodiments, a trinucleotide cap comprises GUG. In some embodiments, a trinucleotide cap comprises GGG. In some embodiments, a trinucleotide cap comprises any one of the following structures: In some embodiments, the cap analog comprises a tetranucleotide cap. In some embodiments, the tetranucleotide cap comprises a trinucleotide as set forth above.
- the tetranucleotide cap comprises m7 GpppN1N2N3, where N1, N2, and N3 are optional (i.e., can be absent or one or more can be present) and are independently a natural, a modified, or an unnatural nucleoside base.
- m7 G is further methylated, eg at the 3’ position
- the m7 G comprises an O methyl at the 3’ position
- N1, N2, and N3 if present, optionally, are independently an adenine, a uracil, a guanidine, a thymine, or a cytosine.
- one or more (or all) of N 1 , N2, and N3, if present, are methylated, e.g., at the 2’ position. In some embodiments, one or more (or all) of N1, N2, and N3, if present have an O-methyl at the 2’ position.
- the tetranucleotide cap comprises the following structure: wherein B 1 , B 2 , and B 3 are independently a natural, a modified, or an unnatural nucleoside based; and R 1 , R 2 , R 3 , and R 4 are independently OH or O-methyl. In some embodiments, R3 is O-methyl and R4 is OH. In some embodiments, R3 and R4 are O-methyl.
- R 4 is O-methyl.
- R 1 is OH, R 2 is OH, R 3 is O-methyl, and R 4 is OH.
- R 1 is OH, R 2 is OH, R 3 is O-methyl, and R 4 is O-methyl.
- at least one of R1 and R2 is O-methyl, R3 is O-methyl, and R4 is OH.
- at least one of R1 and R2 is O-methyl, R3 is O-methyl, and R4 is O-methyl.
- B 1 , B 3 , and B 3 are natural nucleoside bases. In some embodiments, at least one of B1, B2, and B3 is a modified or unnatural base.
- B1, B2, and B3 is N6-methyladenine.
- B1 is adenine, cytosine, thymine, or uracil.
- B 1 is adenine
- B 2 is uracil
- B 3 is adenine.
- R 1 and R 2 are OH, R 3 and R 4 are O-methyl, B 1 is adenine, B 2 is uracil, and B3 is adenine.
- the tetranucleotide cap comprises a sequence selected from the following sequences: GAAA, GACA, GAGA, GAUA, GCAA, GCCA, GCGA, GCUA, GGAA, GGCA, GGGA, GGUA, GUCA, and GUUA.
- the tetranucleotide cap comprises a sequence selected from the following sequences: GAAG, GACG, GAGG, GAUG, GCAG, GCCG, GCGG, GCUG, GGAG, GGCG, GGGG, GGUG, GUCG, GUGG, and GUUG.
- the tetranucleotide cap comprises a sequence selected from the following sequences: GAAU, GACU, GAGU, GAUU, GCAU, GCCU, GCGU, GCUU, GGAU, GGCU, GGGU, GGUU, GUAU, GUCU, GUGU, and GUUU.
- the tetranucleotide cap comprises a sequence selected from the following sequences: GAAC, GACC, GAGC, GAUC, GCAC, GCCC, GCGC, GCUC, GGAC, GGCC, GGGC, GGUC, GUAC, GUCC, GUGC, and GUUC.
- a tetranucleotide cap in some embodiments, comprises a sequence selected from the following sequences: m 7 G3′OMepppApApN, m 7 G3′OMepppApCpN, m 7 G3′OMepppApGpN, m 7 G3′OMepppApUpN, m 7 G3′OMepppCpApN, m 7 G3′OMepppCpGpN, m 7 G3′OMepppCpUpN, m 7 G3′OMepppGpApN, m 7 G3′OMepppGpCpN, m 7 G3′OMepppGpCpN, m 7 G3′OMepppGpGpCpN, m 7 G3′OMepppGpGpN, m 7 G3′OMepppGpUpN, m 7 G3′OMepppGpGpN, m 7 G
- a tetranucleotide cap in other embodiments, comprises a sequence selected from the following sequences: m 7 G3′OMepppA2′OMepApN, m 7 G3′OMepppA2′OMepCpN, m 7 G3′OMepppA2′OMepGpN, m 7 G3′OMepppA2′OMepUpN, m 7 G3′OMepppC2′OMepApN, m 7 G3′OMepppC2′OMepCpN, m 7 G3′OMepppC2′OMepGpN, m 7 G3′OMepppC2′OMepUpN, m 7 G3′OMepppG2′OMepApN, m 7 G3′OMepppG2′OMepCpN, m 7 G3′OMepppG2′OMepG2′OMepCpN, m 7
- a tetranucleotide cap in still other embodiments, comprises a sequence selected from the following sequences: m 7 GpppA 2 ′ OMe pApN, m 7 GpppA 2 ′ OMe pCpN, m 7 GpppA 2 ′ OMe pGpN, m 7 GpppA 2 ′ OMe pUpN, m 7 GpppC 2 ′ OMe pApN, m 7 GpppC 2 ′ OMe pCpN, m 7 GpppC 2 ′ OMe pGpN, m 7 GpppC 2 ′ OMe pUpN, m 7 GpppG 2 ′ OMe pApN, m 7 GpppG 2 ′ OMe pCpN, m 7 GpppG 2 ′ OMe pCpN, m 7 GpppG 2 ′ OMe pApN,
- a tetranucleotide cap in other embodiments, comprises a sequence selected from the following sequences: m 7 G 3 ′ OMe pppA 2 ′ OMe pA 2 ′ OMe pN, m 7 G 3 ′ OMe pppA 2 ′ OMe pC 2 ′ OMe pN, m 7 G 3 ′ OMe pppA 2 ′ OMe pG 2 ′ OMe pN, m 7 G 3 ′ OMe pppA 2 ′ OMe pU 2 ′ OMe pN, m 7 G 3 ′ OMe pppC 2 ′ OMe pA 2 ′ OMe pN, m 7 G 3 ′ OMe pppC 2 ′ OMe pA 2 ′ OMe pN, m 7 G 3 ′ OMe pppC 2 ′ OMe pC 2 ′ OMe
- a tetranucleotide cap comprises GGAG. In some embodiments, a tetranucleotide cap comprises the following structure:
- the capping efficiency of a post-transcriptional or co-transcriptional capping reaction may vary. As used herein “capping efficiency” refers to the amount (e.g., expressed as a percentage) of mRNAs comprising a cap structure relative to the total mRNAs in a mixture (e.g., a post-translational capping reaction or a co-transcriptional calling reaction).
- the capping efficiency of a capping reaction is at least 60%, 70%, 80%, 90%, 95%, 99%, or 99.9% (e.g., after the capping reaction at least 60%, 70%, 80%, 90%, 95%, 99%, or 99.9% of the input mRNAs comprise a cap).
- multivalent co-IVT reactions described herein do not affect the capping efficiency of the mRNAs resulting from the IVT reaction.
- a 3′-poly(A) tail is typically a stretch of adenine nucleotides added to the 3′-end of the transcribed mRNA. It can, in some instances, comprise up to about 400 adenine nucleotides.
- a composition comprises an RNA (e.g., mRNA) having an ORF that encodes a signal peptide fused to the expressed polypeptide.
- Signal peptides usually comprising the N-terminal 15-60 amino acids of proteins, are typically needed for the translocation across the membrane on the secretory pathway and, thus, universally control the entry of most proteins both in eukaryotes and prokaryotes to the secretory pathway.
- a signal peptide may have a length of 15-60 amino acids.
- an ORF encoding a polypeptide is codon optimized.
- Codon optimization methods are known in the art.
- an ORF of any one or more of the sequences provided herein may be codon optimized. Codon optimization, in some embodiments, may be used to match codon frequencies in target and host organisms to ensure proper folding; bias GC content to increase mRNA stability or reduce secondary structures; minimize tandem repeat codons or base runs that may impair gene construction or expression; customize transcriptional and translational control regions; insert or remove protein trafficking sequences; remove/add post translation modification sites in encoded protein (e.g., glycosylation sites); add, remove or shuffle protein domains; insert or delete restriction sites; modify ribosome binding sites and mRNA degradation sites; adjust translational rates to allow the various domains of the protein to fold properly; or reduce or eliminate problem secondary structures within the polynucleotide.
- Codon optimization tools, algorithms and services are known in the art – non- limiting examples include services from GeneArt (Life Technologies), DNA2.0 (Menlo Park CA) and/or proprietary methods.
- the open reading frame (ORF) sequence is optimized using optimization algorithms.
- an RNA e.g., mRNA
- mRNA is not chemically modified and comprises the standard ribonucleotides consisting of adenosine, guanosine, cytosine and uridine.
- nucleotides and nucleosides comprise standard nucleoside residues such as those present in transcribed RNA (e.g. A, G, C, or U).
- nucleotides and nucleosides comprise standard deoxyribonucleosides such as those present in DNA (e.g. dA, dG, dC, or dT).
- the compositions can comprise, in some embodiments, an RNA having an open reading frame encoding a polypeptide, wherein the nucleic acid comprises nucleotides and/or nucleosides that can be standard (unmodified) or modified as is known in the art.
- nucleotides and nucleosides comprise modified nucleotides or nucleosides.
- modified nucleotides and nucleosides can be naturally-occurring modified nucleotides and nucleosides or non-naturally occurring modified nucleotides and nucleosides. Such modifications can include those at the sugar, backbone, or nucleobase portion of the nucleotide and/or nucleoside as are recognized in the art.
- a naturally-occurring modified nucleotide or nucleotide is one as is generally known or recognized in the art. Non-limiting examples of such naturally occurring modified nucleotides and nucleotides can be found, inter alia, in the widely recognized MODOMICS database.
- nucleic acid e.g., RNA nucleic acids, such as mRNA nucleic acids.
- a “nucleoside” refers to a compound containing a sugar molecule (e.g., a pentose or ribose) or a derivative thereof in combination with an organic base (e.g., a purine or pyrimidine) or a derivative thereof (also referred to herein as “nucleobase”).
- nucleotide refers to a nucleoside, including a phosphate group.
- Modified nucleotides may by synthesized by any useful method, such as, for example, chemically, enzymatically, or recombinantly, to include one or more modified or non-natural nucleosides.
- Nucleic acids can comprise a region or regions of linked nucleosides. Such regions may have variable backbone linkages. The linkages can be standard phosphodiester linkages, in which case the nucleic acids would comprise regions of nucleotides.
- modified nucleobases in nucleic acids comprise 1-methyl-pseudouridine (m1 ⁇ ), 1-ethyl-pseudouridine (e1 ⁇ ), 5-methoxy-uridine (mo5U), 5-methyl-cytidine (m5C), and/or pseudouridine ( ⁇ ).
- modified nucleobases in nucleic acids comprise 5-methoxymethyl uridine, 5-methylthio uridine, 1-methoxymethyl pseudouridine, 5-methyl cytidine, and/or 5-methoxy cytidine.
- the polyribonucleotide includes a combination of at least two (e.g., 2, 3, 4 or more) of any of the aforementioned modified nucleobases, including but not limited to chemical modifications.
- a mRNA comprises 1-methyl-pseudouridine (m1 ⁇ ) substitutions at one or more or all uridine positions of the nucleic acid.
- a mRNA comprises 1-methyl-pseudouridine (m1 ⁇ ) substitutions at one or more or all uridine positions of the nucleic acid and 5-methyl cytidine substitutions at one or more or all cytidine positions of the nucleic acid.
- a mRNA comprises pseudouridine ( ⁇ ) substitutions at one or more or all uridine positions of the nucleic acid.
- a mRNA comprises uridine at one or more or all uridine positions of the nucleic acid.
- mRNAs are uniformly modified (e.g., fully modified, modified throughout the entire sequence) for a particular modification.
- a nucleic acid can be uniformly modified with 1-methyl-pseudouridine, meaning that all uridine residues in the mRNA sequence are replaced with 1-methyl-pseudouridine.
- a nucleic acid can be uniformly modified for any type of nucleoside residue present in the sequence by replacement with a modified residue such as those set forth above.
- the nucleic acids may be partially or fully modified along the entire length of the molecule.
- one or more or all or a given type of nucleotide may be uniformly modified in a nucleic acid, or in a predetermined sequence region thereof (e.g., in the mRNA including or excluding the poly(A) tail).
- nucleotides X in a nucleic acid are modified nucleotides, wherein X may be any one of nucleotides A, G, U, C, or any one of the combinations A+G, A+U, A+C, G+U, G+C, U+C, A+G+U, A+G+C, G+U+C or A+G+C.
- the mRNAs may comprise one or more regions or parts which act or function as an untranslated region. Where mRNAs are designed to encode at least one polypeptide of interest, the nucleic may comprise one or more of these untranslated regions (UTRs).
- Wild-type untranslated regions of a nucleic acid are transcribed but not translated.
- the 5′ UTR starts at the transcription start site and continues to the start codon but does not include the start codon; whereas the 3′ UTR starts immediately following the stop codon and continues until the transcriptional termination signal.
- the regulatory features of a UTR can be incorporated into the polynucleotides to, among other things, enhance the stability of the molecule. The specific features can also be incorporated to ensure controlled down-regulation of the transcript in case they are misdirected to undesired organs sites.
- a variety of 5’UTR and 3’UTR sequences are known and available in the art.
- compositions e.g., pharmaceutical compositions
- methods, kits and reagents for prevention or treatment of coronavirus in humans and other mammals for example.
- the compositions provided herein can be used as therapeutic or prophylactic agents. They may be used in medicine to prevent and/or treat a coronavirus infection.
- the coronavirus vaccine containing RNA as described herein can polynucleotides are translated in vivo to produce an antigenic polypeptide (antigen).
- pharmaceutical composition refers to the combination of an active agent with a carrier, inert or active, making the composition especially suitable for diagnostic or therapeutic use in vivo or ex vivo.
- a “pharmaceutically acceptable carrier,” after administered to or upon a subject, does not cause undesirable physiological effects.
- the carrier in the pharmaceutical composition must be “acceptable” also in the sense that it is compatible with the active ingredient and can be capable of stabilizing it.
- One or more solubilizing agents can be utilized as pharmaceutical carriers for delivery of an active agent.
- a pharmaceutically acceptable carrier include, but are not limited to, biocompatible vehicles, adjuvants, additives, and diluents to achieve a composition usable as a dosage form.
- examples of other carriers include colloidal silicon oxide, magnesium stearate, cellulose, and sodium lauryl sulfate. Additional suitable pharmaceutical carriers and diluents, as well as pharmaceutical necessities for their use, are described in Remington's Pharmaceutical Sciences.
- compositions comprising polynucleotides and their encoded polypeptides in accordance with the present disclosure may be used for treatment or prevention of a coronavirus infection.
- a composition may be administered prophylactically or therapeutically as part of an active immunization scheme to healthy individuals or early in infection during the incubation phase or during active infection after onset of symptoms.
- the amount of RNA provided to a cell, a tissue or a subject may be an amount effective for immune prophylaxis.
- the vaccine may be administered to seropositive or seronegative subjects.
- a subject may be na ⁇ ve and not have antibodies that react with a virus having an antigen, wherein the antigen is the viral antigen or fragment thereof encoded by the mRNA of the vaccine (e.g., a SARS-CoV-2 antigen disclosed herein).
- the antigen is the viral antigen or fragment thereof encoded by the mRNA of the vaccine (e.g., a SARS-CoV-2 antigen disclosed herein).
- the subject may have preexisting antibodies to viral antigen encoded by the mRNA of the vaccine because they have previously had an infection with virus carrying the antigen or may have previously been administered a dose of a vaccine (e.g., an mRNA vaccine) that induces antibodies against the antigen (e.g., a SARS-CoV-2 antigen disclosed herein).
- a vaccine e.g., an mRNA vaccine
- compositions e.g., mRNA vaccines
- an antigen e.g., a SARS-CoV-2 antigen disclosed herein
- Such a composition can be administered to seropositive or seronegative subjects in some embodiments.
- a seronegative subject may be na ⁇ ve and not have antibodies that react with the specific virus (e.g., SARS-CoV-2) which the subject is being immunized against.
- a seropositive subject may have preexisting antibodies to the specific virus (e.g., SARS-CoV-2) because they have previously had an infection with that virus, variant or strain or may have previously been administered a dose of a vaccine (e.g., an mRNA vaccine) that induces antibodies against that virus, variant, or strain.
- a vaccine e.g., an mRNA vaccine
- an initial dose is administered followed by a booster dose.
- a booster dose is a dose that is given at a certain interval after completion of the primary dose or series of doses that is/are intended to boost immunity to, and therefore prolong protection against, the disease (e.g., COVID-19) that is to be prevented.
- a booster dose may be given after an earlier administration of an immunizing composition.
- the time of administration between the initial administration of an immunizing composition and the booster may be, but is not limited to, 1 minute, 2 minutes, 3 minutes, 4 minutes, 5 minutes, 6 minutes, 7 minutes, 8 minutes, 9 minutes, 10 minutes, 15 minutes, 20 minutes 35 minutes, 40 minutes, 45 minutes, 50 minutes, 55 minutes, 1 hour, 2 hours, 3 hours, 4 hours, 5 hours, 6 hours, 7 hours, 8 hours, 9 hours, 10 hours, 11 hours, 12 hours, 13 hours, 14 hours, 15 hours, 16 hours, 17 hours, 18 hours, 19 hours, 20 hours, 21 hours, 22 hours, 23 hours, 1 day, 36 hours, 2 days, 3 days, 4 days, 5 days, 6 days, 1 week, 10 days, 2 weeks, 3 weeks, 1 month (e.g., 28 days, 29 days, 30 days, or 31 days), 2 months, 3 months, 4 months, 5 months, 6 months, 7 months, 8 months, 9 months, 10 months, 11 months, 1 year, 18 months, 2 years, 3 years, 4 years, 5 years, 6 years, 7 years, 8
- the time of administration between the initial administration of the immunizing composition and the booster may be, but is not limited to, 1 week, 2 weeks, 3 weeks, 1 month, 2 months, 3 months, 6 months or 1 year.
- a composition may be administered intramuscularly, intranasally or intradermally, similarly to the administration of inactivated vaccines known in the art.
- microbial growth within a composition disclosed herein is inhibited.
- microbial growth is inhibited by the compound (e.g., compound of Formula I or Formula II).
- a composition disclosed herein does not comprise a pharmaceutical preservative.
- Non-limiting examples of pharmaceutical preservatives include methyl paragen, ethyl paraben, propyl paraben, butyl paraben, benzyl alcohol, chlorobutanol, phenol, meta cresol (m-cresol), chloro cresol, benzoic acid, sorbic acid, thiomersal, phenylmercuric nitrate, bronopol, propylene glycol, benzylkonium chloride, and benzethionium chloride.
- a composition disclosed herein does not comprise phenol, m-cresol, or benzyl alcohol.
- compositions in which microbial growth is inhibited may be useful in the preparation of injectable formulations, including those intended for dispensing from multi-dose vials.
- Multi-dose vials refer to containers of pharmaceutical compositions from which multiple doses can be taken repeatedly from the same container. Compositions intended for dispensing from multi-dose vials typically must meet USP requirements for antimicrobial effectiveness.
- a composition disclosed herein comprising a compound e.g. a compound of Formula I, or of Formula II
- Pharmaceutical compositions provided herein and for use in accordance with the embodiments provided herein may include a pharmaceutically acceptable excipient.
- the term “pharmaceutically acceptable excipient” means a non-toxic, inert solid, semi- solid or liquid filler, diluent, encapsulating material or formulation auxiliary of any type.
- materials which can serve as pharmaceutically acceptable excipients are sugars such as lactose, glucose, and sucrose; starches such as corn starch and potato starch; cellulose and its derivatives such as sodium carboxymethyl cellulose, methylcellulose, hydroxypropylmethylcellulose, ethyl cellulose, and cellulose acetate; powdered tragacanth; malt; gelatin; talc; excipients such as cocoa butter and suppository waxes; oils such as peanut oil, cottonseed oil; safflower oil; sesame oil; olive oil; corn oil and soybean oil; glycols such as propylene glycol; esters such as ethyl oleate and ethyl laurate; agar; detergents such as Tween
- compositions can be administered to humans and/or to animals, orally, rectally, parenterally, intracisternally, intravaginally, intranasally, intraperitoneally, topically (as by powders, creams, ointments, or drops), bucally, or as an oral or nasal spray.
- Liquid dosage forms for oral administration include pharmaceutically acceptable emulsions, microemulsions, solutions, suspensions, syrups, and elixirs.
- the liquid dosage forms may contain inert diluents commonly used in the art such as, for example, water or other solvents, solubilizing agents and emulsifiers such as ethyl alcohol, isopropyl alcohol, ethyl carbonate, ethyl acetate, benzyl alcohol, benzyl benzoate, propylene glycol, 1,3 butylene glycol, dimethylformamide, oils (in particular, cottonseed, groundnut, corn, germ, olive, castor, and sesame oils), glycerol, tetrahydrofurfuryl alcohol, polyethylene glycols and fatty acid esters of sorbitan, and mixtures thereof.
- inert diluents commonly used in the art such as, for example, water or other solvents, solubilizing agents and emulsifiers such as ethyl alcohol, isopropyl alcohol, ethyl carbonate, ethyl acetate, benzyl
- the oral compositions can also include adjuvants such as wetting agents, emulsifying and suspending agents, sweetening, flavoring, and perfuming agents.
- adjuvants such as wetting agents, emulsifying and suspending agents, sweetening, flavoring, and perfuming agents.
- injectable preparations for example, sterile injectable aqueous or oleaginous suspensions may be formulated according to the known art using suitable dispersing or wetting agents and suspending agents.
- the sterile injectable preparation may also be a sterile injectable solution, suspension, or emulsion in a nontoxic parenterally acceptable diluent or solvent, for example, as a solution in 1,3-butanediol.
- the acceptable vehicles and solvents that may be employed are water, Ringer’s solution, ethanol, U.S.P., and isotonic sodium chloride solution.
- sterile, fixed oils are conventionally employed as a solvent or suspending medium.
- any bland fixed oil can be employed including synthetic mono or diglycerides.
- fatty acids such as oleic acid are used in the preparation of injectables.
- the injectable formulations can be sterilized, for example, by filtration through a bacteria retaining filter, or by incorporating sterilizing agents in the form of sterile solid compositions which can be dissolved or dispersed in sterile water or other sterile injectable medium prior to use.
- the stabilized compositions are loaded and stored in prefilled syringes and cartridges for patient-friendly autoinjector and infusion pump devices.
- Kits for use in preparing or administering the compositions are also provided.
- a kit for forming compositions may include any solvents, solutions, buffer agents, acids, bases, salts, targeting agents, etc. needed in the composition formation process. Different kits may be available for different targeting agents.
- the kit includes materials or reagents for purifying, sizing, and/or characterizing the resulting compositions.
- the kit may also include instructions on how to use the materials in the kit.
- the one or more agents (e.g., pharmaceutically active agent) to be contained within the composition are typically provided by the user of the kit.
- Kits are also provided for using or administering the compositions.
- the compositions may be provided in convenient dosage units for administration to a subject.
- the kit may include multiple dosage units.
- the kit may include 1-100 dosage units.
- the kit includes a week supply of dosage units, or a month supply of dosage units.
- the kit includes an even longer supply of dosage units.
- the kits may also include devices for administering the compositions. Exemplary devices include syringes, spoons, measuring devices, etc.
- the kit may optionally include instructions for administering the compositions (e.g., prescribing information).
- pharmaceutically acceptable salt refers to those salts which are, within the scope of sound medical judgment, suitable for use in contact with the tissues of humans and lower animals without undue toxicity, irritation, allergic response, and the like, and are commensurate with a reasonable benefit/risk ratio.
- Pharmaceutically acceptable salts are well known in the art. For example, Berge et al. describe pharmaceutically acceptable salts in detail in J. Pharmaceutical Sciences, 1977, 66, 1-19, incorporated herein by reference.
- Pharmaceutically acceptable salts of the compounds provided herein include those derived from suitable inorganic and organic acids and bases.
- Examples of pharmaceutically acceptable, nontoxic acid addition salts are salts of an amino group formed with inorganic acids, such as hydrochloric acid, hydrobromic acid, phosphoric acid, sulfuric acid, and perchloric acid or with organic acids, such as acetic acid, oxalic acid, maleic acid, tartaric acid, citric acid, succinic acid, or malonic acid or by using other methods known in the art such as ion exchange.
- inorganic acids such as hydrochloric acid, hydrobromic acid, phosphoric acid, sulfuric acid, and perchloric acid
- organic acids such as acetic acid, oxalic acid, maleic acid, tartaric acid, citric acid, succinic acid, or malonic acid or by using other methods known in the art such as ion exchange.
- salts include adipate, alginate, ascorbate, aspartate, benzenesulfonate, benzoate, bisulfate, borate, butyrate, camphorate, camphorsulfonate, citrate, cyclopentanepropionate, digluconate, dodecylsulfate, ethanesulfonate, formate, fumarate, glucoheptonate, glycerophosphate, gluconate, hemisulfate, heptanoate, hexanoate, hydroiodide, 2-hydroxy-ethanesulfonate, lactobionate, lactate, laurate, lauryl sulfate, malate, maleate, malonate, methanesulfonate, 2-naphthalenesulfonate, nicotinate, nitrate, oleate, oxalate, palmitate, pamoate, pectinate,
- Salts derived from appropriate bases include alkali metal, alkaline earth metal, ammonium, and N + (C 1-4 alkyl) 4 ⁇ salts.
- Representative alkali or alkaline earth metal salts include sodium, lithium, potassium, calcium, magnesium, and the like.
- Further pharmaceutically acceptable salts include, when appropriate, nontoxic ammonium, quaternary ammonium, and amine cations formed using counterions such as halide, hydroxide, carboxylate, sulfate, phosphate, nitrate, lower alkyl sulfonate, and aryl sulfonate.
- composition and “formulation” are used interchangeably.
- intercalating small molecule or “small molecule nucleic acid intercalating agent” refers to a compound containing aromatic or heteroaromatic ring systems that can insert between adjacent base pairs of double stranded DNA or folded or double stranded regions of mRNA. Intercalating agents typically but not necessarily, contain planar polyaromatic rings and cationic substituents. Intercalation between adjacent base pairs may be full or partial.
- a typical small molecule intercalating agent contains three or four fused rings that absorb light in the UV–visible region of the electromagnetic spectrum. The following examples are intended to illustrate certain non-limiting embodiments.
- Example 1 – PEG-DMG Modulation Study This example describes the impact of increasing the amount of PEG-DMG added during the mixing and excipient addition steps.
- Four separate nanoprecipitation operations were completed, each with different levels of % PEG-DMG present during the Mixing Unit Operation (vortex mixing of lipids). The batches were split into multiple aliquots and spiked with differing amounts of PEG-DMG to produce up to 10 different sublots for each batch (Table 1).
- All LNPs were formed via a nanoprecipitation reaction using a V-mixer.
- the post addition procedure comprised (i) a nanoprecipitation reaction between the lipids dissolved in ethanol and the mRNA in aqueous solution followed by pH adjustment, (ii) tangential flow filtration (TFF), (iii) exposure of the filtered particles to a solution comprising a certain weight percentage of PEG- DMG, and (iv) a final filtration step.
- the mol% of PEG-DMG used in the nanoprecipitation reaction varied depending on the amount of PEG-DMG used in the post-filtration exposure step.
- the table below provides the total amount of PEG-DMG in the composition resulting from varying amounts of PEG-DMG added during the nanoprecipitation reaction (y axis) and during the post- addition (PA) step (x axis).
- Table 1 Concentrations of PEG-DMG in each DP Lot The size of the LNPs was measured using dynamic light scattering (DLS) after the v- mixing, pH adjustment, TFF harvest and just before excipient addition (pre-spike) 1 day after TFF harvest. As shown in FIG.1, increased PEG-DMG content present during v-mixing better stabilized the LNP, leading to less particle size growth over TFF.
- DLS dynamic light scattering
- FIG.2 shows the size stability of the filtered VMP of each lot. Filtered VMP intermediates began to increase in size at the last time point observed for Batch 2 and Batch 3 (post 400 minutes after mixing), while no increase in size was observed for Batch 1 and Batch 4. Trending was similar to the pH-adjusted VMP.
- FIG.4A the amount of PEG- DMG present impacted in vitro expression. It was found that, when the content of PEG-DMG is very low ( ⁇ 1 mol% total), expression is reduced. When the total PEG-DMG level is at least 1 mol%, there is no significant difference (i.e., greater than 2-fold differences) observed in the percentage of cells expressing the protein at both doses. This result is independent of the total PEG-DMG content (provided it is ⁇ 1 mol%), and the percent in the core and in the post addition. At the high dose of 1000 ng, a similar pattern was observed as at the lower dose (FIG. 4B).
- Example 3 In Vivo Testing As indicated by the cells bolded in Table 1, a selection of the batches were tested in animals to examine the effects of PEG-DMG levels on immunogenicity. A clear relationship was observed between the amount of PEG-DMG present during V-mixing and the titer levels (FIG.5). Mice injected with DP that had less PEG-DMG present during V-mixing had higher protein-specific IgG titer levels than mice given DP with greater amounts of PEG-DMG present during V-mixing.
- Example 4 Total PEG-DMG Mole Fraction Variation Studies
- in vitro expression of mRNA encoding an antigen, formulated in LNPs having different total PEG-DMG mole fractions was measured in Hep3B cells. Briefly, 20,000 Hep3B cells were seeded in 100 ⁇ l per well in a 96 well plate. Twenty to 24 hours later, the cells were transfected in triplicate with DP diluted in formulation buffer (62.5 ng, 250 ng, or 1000 ng mRNA). Eighteen to 24 hours later, the cells were fixed and processed using an ELISA. The batches were manufactured using identical parameters, except that the lipid composition was varied to modulate the final PEG-DMG levels.
- mRNA and Lipid Composition Example 5 Long-term Effects of PEG-DMG and mRNA Concentration This example examines the encapsulation efficiency and bulk average diameter of lipid nanoparticles comprising mRNA encoding an antigen after refrigerated or room temperature storage for six months. Briefly, an engineering lot of the mRNA, with an initial concentration of 0.77 mg/mL and initial PEG-DMG concentration of 1.5% mol lipid was diluted to varying mRNA and PEG-DMG concentrations.
- the mRNA was varied from 0.01-0.39 mg/mL and the PEG-DMG concentration varied from 1.5-3.5 mol%.
- Bulk average diameter was measured using dynamic light scattering and mRNA encapsulation efficiency was determined using methylene blue hypochromic shift.
- a central composite designed experiment with three center points was undertaken to study the effects of changes in mRNA concentration in increases in PEG-DMG concentration. In total, 13 runs were used to estimate the five model terms and the overall average of the responses. According to the models, the predicted diameter is minimized when mRNA concentration is low and PEG-DMG concentration is equal to approximately 3.1 mol% after six months of refrigerated storage. Similarly, the predicted diameter was found to be low with decreasing mRNA concentration after six months of room temperature storage.
- At least one of A and B can refer, in one embodiment, to at least one, optionally including more than one, A, with no B present (and optionally including elements other than B); in another embodiment, to at least one, optionally including more than one, B, with no A present (and optionally including elements other than A); in yet another embodiment, to at least one, optionally including more than one, A, and at least one, optionally including more than one, B (and optionally including other elements); etc.
Landscapes
- Health & Medical Sciences (AREA)
- Life Sciences & Earth Sciences (AREA)
- Chemical & Material Sciences (AREA)
- Medicinal Chemistry (AREA)
- Pharmacology & Pharmacy (AREA)
- Animal Behavior & Ethology (AREA)
- General Health & Medical Sciences (AREA)
- Public Health (AREA)
- Veterinary Medicine (AREA)
- Epidemiology (AREA)
- Virology (AREA)
- Bioinformatics & Cheminformatics (AREA)
- Engineering & Computer Science (AREA)
- Biomedical Technology (AREA)
- Mycology (AREA)
- Nanotechnology (AREA)
- Optics & Photonics (AREA)
- Dermatology (AREA)
- Immunology (AREA)
- Microbiology (AREA)
- Physics & Mathematics (AREA)
- Molecular Biology (AREA)
- Communicable Diseases (AREA)
- Oncology (AREA)
- Chemical Kinetics & Catalysis (AREA)
- General Chemical & Material Sciences (AREA)
- Nuclear Medicine, Radiotherapy & Molecular Imaging (AREA)
- Organic Chemistry (AREA)
- Medicinal Preparation (AREA)
Abstract
Stabilized formulations of lipids and nucleic acids, including lipid nanoparticle formulations which encapsulate nucleic acids encoding a SARS-CoV-2 prefusion stabilized spike (S) protein are disclosed herein. Methods of using the formulations are also provided.
Description
SARS-COV-2 LIPID NANOPARTICLE VACCINE FORMULATIONS RELATED APPLICATIONS This application claims priority under 35 U.S.C. § 119(e) to U.S. Provisional Patent Application No.63/232,128, filed August 11, 2021, which is hereby incorporated by reference in its entirety. REFERENCE TO AN ELECTRONIC SEQUENCE LISTING The contents of the electronic sequence listing (M137870215WO00-SEQ-JXV.xml; Size: 1,045,146 bytes; Date of Creation: August 10, 2022) is herein incorporated by reference in its entirety. BACKGROUND Coronaviruses (CoV) are a large family of viruses that cause illness ranging from the common cold to more severe diseases, such as Middle East Respiratory Syndrome (MERS CoV) and Severe Acute Respiratory Syndrome (SARS-CoV). Coronaviruses are zoonotic, meaning they are transmitted between animals and people. An outbreak of the coronavirus disease (COVID-19) caused by the 2019 novel coronavirus (SARS-nCoV-2) began in Wuhan, Hubei Province, China in December 2019, and has spread throughout China and to many other countries and territories, including the United States (WHO, 2020). A coronavirus ribonucleic acid (CoV-RNA) was quickly identified in some of these patients. As an RNA virus, SARS-CoV-2 has the inherent feature of a high mutation rate, although like other coronaviruses, the mutation rate might be lower than other RNA viruses because of its genome-encoded exonuclease. This aspect could potentially enable SARS-CoV-2 to adapt and become more efficiently transmitted from person to person and possibly become more virulent. The use of messenger RNA as a pharmaceutical agent is of great interest for a variety of applications, including in vaccines. Effective in vivo delivery of mRNA formulations represents a continuing challenge, as many such formulations are inherently unstable, activate an immune response, are susceptible to degradation by nucleases, or fail to reach their target organs or cells within the body due to issues with biodistribution. Each of these challenges results in loss of translational potency and therefore hinders efficacy of conventional mRNA pharmaceutical agents. Various non-viral delivery systems, including nanoparticle formulations, present attractive opportunities to overcome many challenges associated with mRNA delivery. In
particular, lipid nanoparticles (LNPs) have drawn specific attention in recent years as various LNP formulations have shown promise in a variety of pharmaceutical applications. However, lipids have been shown to degrade nucleic acids including mRNA, and lipid nanoparticle formulations undergo rapid loss of purity when stored as refrigerated liquids. It is also evident that the stability of mRNA is poorer when encapsulated within LNPs than when stored unencapsulated. SUMMARY Provided in this disclosure, among other things, are SARS-CoV-2 mRNA vaccines comprising lipid nanoparticles (LNPs) having improved biophysical properties, in vitro expression, in vivo immunogenicity, and long term stability, surprisingly, even at refrigerated or warmer temperatures. The mRNA vaccines provided herein, in some embodiments, encode for the full-length spike protein (S protein) of SARS-CoV-2, modified through the introduction of two proline residues to stabilize the S protein into a prefusion conformation. The coronavirus S protein mediates attachment and entry of the virus into host cells (by fusion), making it a primary target for neutralizing antibodies that prevent infection. Preclinical studies have demonstrated that coronavirus S proteins are immunogenic and S protein-based vaccines, including those based on mRNA delivery platforms, are protective in animals. mRNA vaccines have superior properties in that they produce much larger antibody titers, better neutralizing immunity, produce more durable immune responses, and/or produce responses earlier than commercially-available vaccines. The disclosure, in some aspects, provides a composition comprising a lipid nanoparticle (LNP) and a nucleic acid, wherein the LNP comprises 2-4 mol% PEG-modified lipid, 5-25 mol% neutral lipid, 25-55 mol% sterol, and 20-60 mol% ionizable amino lipid, and wherein the nucleic acid comprises a messenger ribonucleic acid (mRNA) comprising an open reading frame (ORF) that encodes a SARS-CoV-2 prefusion stabilized spike (S) protein. In some embodiments, the composition is stable for at least six months at a temperature of at least about 5˚C. In some embodiments, the composition is stable for at least six months at a temperature of about 2˚C to about 6˚C. In some embodiments, the composition is stable for at least six months at room temperature. In some embodiments, the LNP comprises about 2-3 mol% PEG-modified lipid, 5-25 mol% neutral lipid, 25-55 mol% sterol, and 20-60% ionizable amino lipid. In some embodiments, the LNP comprises about 2.5 mol% PEG-modified lipid, 5-25 mol% neutral lipid, 25-55 mol% sterol, and 20-60% ionizable amino lipid. In some embodiments, the LNP comprises about 25 mol% PEG modified lipid 11 mol% neutral lipid 385 mol% sterol and 48
mol% ionizable amino lipid. In some embodiments, the LNP comprises about 3 mol% PEG- modified lipid, 5-25 mol% neutral lipid, 25-55 mol% sterol, 20-60% ionizable amino lipid, or any combination thereof. In some embodiments, the LNP comprises about 3 mol% PEG- modified lipid, 11 mol% neutral lipid, 39 mol% sterol, and 47 mol% ionizable amino lipid. In some embodiments, the PEG-modified lipid is 1,2 dimyristoyl-sn-glycerol, methoxypolyethyleneglycol (PEG-DMG). In some embodiments, the PEG-modified lipid is 134-hydroxy-3,6,9,12,15,18,21,24,27,30,33,36,39,42,45,48,51,54,57,60,63,66,69,72,75,78,81, 84,87,90,93,96,99,102,105,108,111,114,117,120,123,126,129,132- tetratetracontaoxatetratriacontahectyl stearate. In some embodiments, the neutral lipid is 1,2 distearoyl-sn-glycero-3-phosphocholine (DSPC). In some embodiments, the sterol is cholesterol. In some embodiments, the ionizable amino lipid has the structure of Compound I:
(Compound I). In some embodiments, the LNP comprises about 2.5 mol% PEG-DMG, 11 mol% DSPC, 38.5 mol% cholesterol, and 48 mol% Compound I. In some embodiments, the ionizable amino lipid has the structure of Compound II:
(Compound II) (heptadecan-9-yl 8- ((2-hydroxyethyl)(8-(nonyloxy)-8-oxooctyl)amino)octanoate). In some embodiments, the LNP comprises about 3 mol% 134-hydroxy-3,6,9,12,15,18,21,24,27,30,33,36,39,42,45,48,51,54,57, 60,63,66,69,72,75,78,81,84,87,90,93,96,99,102,105,108,111,114,117,120,123,126,129,132- tetratetracontaoxatetratriacontahectyl stearate 11 mol% DSPC, 39 mol% cholesterol, and 47 mol% Compound II. In some embodiments, the ionizable amino lipid has the structure of Compound III:
(Compound III) (heptadecan-9-yl 8-((3-((2-(methylamino)-3,4-dioxocyclobut-1-en-1-yl)amino)propyl)(8- oxo-8-(undecan-3-yloxy)octyl)amino)octanoate). In some embodiments, the LNP comprises about 3 mol% 134-hydroxy-3,6,9,12,15,18,21,24,27,30,33,36,39,42,45,48,51,54,57,60,63,66,69, 72,75,78,81,84,87,90,93,96,99,102,105,108,111,114,117,120,123,126,129,132- tetratetracontaoxatetratriacontahectyl stearate, 11 mol% DSPC, 39 mol% cholesterol, and 47 mol% Compound III. In some embodiments, the ionizable amino lipid has the structure of Compound IV:
(Compound IV) (3-butylheptyl 8-((8-(heptadecan-9-yloxy)-8-oxooctyl)(2- hydroxyethyl)amino)octanoate). In some embodiments, the LNP comprises about 3 mol% 134- hydroxy- 3,6,9,12,15,18,21,24,27,30,33,36,39,42,45,48,51,54,57,60,63,66,69,72,75,78,81,84,87,90,93,96, 99,102,105,108,111,114,117,120,123,126,129,132-tetratetracontaoxatetratriacontahectyl stearate, 11 mol% DSPC, 39 mol% cholesterol, and 47 mol% Compound IV. In some embodiments, the nucleic acid is mRNA. In some embodiments, the mRNA comprises a chemical modification. In some embodiments, the mRNA is chemically modified with 1-methyl-pseudouridine. In some embodiments, the composition is formulated in an aqueous solution. In some embodiments, the aqueous solution has a pH of about 5 to 8, including pH of about 5, 5.5, 6, 6.5, 7, 7.5, or 8. In some embodiments, the aqueous solution comprises a phosphate buffer, a tris buffer, an acetate buffer, a histidine buffer, or a citrate buffer. In some embodiments, the composition is stored for at least six months. In some embodiments, the storage is at room temperature. In some embodiments, the storage is at 2-6°C.
The disclosure, in some aspects, provides a composition comprising a lipid nanoparticle (LNP) and a nucleic acid, wherein the LNP comprises about 2.5 mol% PEG-DMG, 11 mol% DSPC, 38.5 mol% cholesterol, and 48 mol% Compound I. In some embodiments, the SARS- CoV-2 prefusion stabilized S protein comprises a sequence having at least 90%, at least 95%, or at least 98% identity to the sequence of SEQ ID NO: 8 or 12. In some embodiments, the SARS-CoV-2 prefusion stabilized S protein comprises SEQ ID NO: 8 or 12. In some embodiments, the mRNA comprises a nucleotide sequence having at least 80% identity, at least 85%, at least 90%, at least 95%, at least 98%, or 100% identity to SEQ ID Nos: 1, 3, 6, 7, 8, 10, 14, and/or 15. In some embodiments, the RNA comprises a nucleotide sequence having at least 90% identity to SEQ ID Nos: 1, 3, 6, and/or 7. An aspect of the disclosure provides a method of producing a lipid nanoparticle composition, the method comprising: a) mixing a lipid solution comprising 0.25 mol% to 0.75 mol% of a first PEG-lipid, an ionizable lipid, a phospholipid, and a structural lipid with an aqueous buffer to thereby form a precursor lipid nanoparticle; and b) adding a lipid nanoparticle modifier comprising 1.5 mol% to 2.5 mol% of a second PEG-lipid to the precursor lipid nanoparticle thereby forming a modified lipid nanoparticle. In some embodiments, the method further comprises mixing a nucleic acid (e.g., mRNA) with the lipid solution and the aqueous buffer to thereby form the precursor lipid nanoparticle, which is a precursor nucleic acid lipid nanoparticle. In some embodiments, the method further comprising mixing a nucleic acid encoding a SARS-CoV-2 prefusion stabilized S protein with the precursor lipid nanoparticle to thereby form a nucleic acid lipid nanoparticle. In some embodiments, the lipid nanoparticle modifier is added in two separate steps and the total amount of the second PEG-lipid added is 1.5 mol% to 2.5 mol%. In some embodiments, the lipid nanoparticle modifier is added in three, four, or five separate steps and the total amount of the second PEG-lipid added is 1.5 mol% to 2.5 mol%. In some embodiments, the lipid solution comprises 0.5 mol% of the first PEG-lipid. In some embodiments, the lipid nanoparticle modifier comprises 2.0 mol% of the second PEG-lipid. In some embodiments, the lipid nanoparticle comprises a total of 2.5 mol% of the first PEG-lipid and the second PEG-lipid. In some embodiments, the lipid nanoparticle comprises a total of 3 mol% of the first PEG-lipid and the second PEG-lipid. In some embodiments, the first PEG-lipid is PEG-DMG or 134-hydroxy- 3,6,9,12,15,18,21,24,27,30,33,36,39,42,45,48,51,54,57,60,63,66,69,72,75,78,81,84,87,90,93,96, 99,102,105,108,111,114,117,120,123,126,129,132-tetratetracontaoxatetratriacontahectyl
stearate. In some embodiments, the second PEG-lipid is PEG-DMG or 134-hydroxy- 3,6,9,12,15,18,21,24,27,30,33,36,39,42,45,48,51,54,57,60,63,66,69,72,75,78,81,84,87,90,93,96, 99,102,105,108,111,114,117,120,123,126,129,132-tetratetracontaoxatetratriacontahectyl stearate. In some embodiments, the ionizable lipid is compound I ((heptadecan-9-yl 8 ((2 hydroxyethyl)(6 oxo 6-(undecyloxy)hexyl)amino)octanoate)), compound II (heptadecan-9-yl 8- ((2-hydroxyethyl)(8-(nonyloxy)-8-oxooctyl)amino)octanoate), compound III (heptadecan-9-yl 8-((3-((2-(methylamino)-3,4-dioxocyclobut-1-en-1-yl)amino)propyl)(8-oxo-8-(undecan-3- yloxy)octyl)amino)octanoate), or compound IV (3-butylheptyl 8-((8-(heptadecan-9-yloxy)-8- oxooctyl)(2-hydroxyethyl)amino)octanoate). In some embodiments, the phospholipid is distearoylphosphatidylcholine (DSPC). In some embodiments, the structural lipid is a sterol. In some embodiments, the sterol is cholesterol. In some embodiments, the lipid solution comprises ethanol. In some embodiments, the mixing in (a) comprises turbulent mixing ("T-mix"), vortex mixing ("V-mix"), microfluidic mixing, or a combination thereof. In some embodiments, the SARS-CoV-2 prefusion stabilized S protein comprises a sequence having at least 90%, at least 95%, or at least 98% identity to the sequence of SEQ ID NOs: 8 or 12. In some embodiments, the SARS-CoV-2 prefusion stabilized S protein comprises SEQ ID NOs: 8 or 12. In some embodiments, the RNA comprises a nucleotide sequence having at least 80% identity, at least 85%, at least 90%, at least 95%, at least 98%, or 100% identity to SEQ ID NOs: 1, 3, 6, 7, 8, 10, 14, and/or 15. In some embodiments, the RNA comprises a nucleotide sequence having at least 90% identity to SEQ ID NOs: 1, 3, 6, and/or 7. In some embodiments, the disclosure provides a composition comprising any one of the nucleic acid nanoparticles produced by a method described herein. An aspect of the disclosure provides a pharmaceutical composition packaged in a container for storage at a temperature of at least 2˚C, comprising a lipid nanoparticle (LNP) and a nucleic acid, wherein the LNP comprises 2-4 mol% PEG-modified lipid, 5-25 mol% neutral lipid, 25-55 mol% sterol, and 20-60 mol% ionizable amino lipid, and wherein the nucleic acid comprises a messenger ribonucleic acid (mRNA) comprising an open reading frame (ORF) that encodes a SARS-CoV-2 prefusion stabilized spike (S) protein, wherein the LNP has an average particle size of less than 150 nm after two weeks of storage. In some embodiments, the LNP has an average particle size of less than 130 nm. The disclosure, in some aspects, provides a composition comprising a lipid nanoparticle (LNP) and a nucleic acid, wherein the LNP comprises about 2.5 mol% PEG-DMG, 11 mol% DSPC, 38.5 mol% cholesterol, and 48 mol% Compound I, wherein the nucleic acid comprises
an open reading frame (ORF) that encodes a SARS-CoV-2 prefusion stabilized spike (S) protein, and wherein about 0.25 to about 0.5 mol% of the PEG-DMA is in the core of the LNP. In some embodiments, the SARS-CoV-2 prefusion stabilized S protein comprises a sequence having at least 90%, at least 95%, or at least 98% identity to the sequence of SEQ ID NOs: 8 or 12. In some embodiments, the SARS-CoV-2 prefusion stabilized S protein comprises SEQ ID NOs: 8 or 12. In some embodiments, the RNA comprises a nucleotide sequence having at least 80% identity, at least 85%, at least 90%, at least 95%, at least 98%, or 100% identity to SEQ ID NOs: 1, 3, 6, 7, 8, 10, 14, and/or 15. In some embodiments, the RNA comprises a nucleotide sequence having at least 90% identity to SEQ ID NOs: 1, 3, 6, and/or 7. In some embodiments, about 0.25 to about 0.75 mol% of the PEG-modified lipid is in the core of the LNP. In some embodiments, about 0.25 mol% of the PEG-modified lipid is in the core of the LNP. In some embodiments, about 0.5 mol% of the PEG-modified lipid is in the core of the LNP. In some embodiments, about 0.75 mol% of the PEG-modified lipid is in the core of the LNP. Other advantages and novel features will become apparent from the following detailed description of various non-limiting embodiments when considered in conjunction with the accompanying figures. In cases where the present specification and a document incorporated by reference include conflicting and/or inconsistent disclosure, the present specification shall control. If two or more documents incorporated by reference include conflicting and/or inconsistent disclosure with respect to each other, then the document having the later effective date shall control. BRIEF DESCRIPTION OF THE DRAWINGS Non-limiting embodiments are provided by way of example with reference to the accompanying figures, which are schematic and are not intended to be drawn to scale. In the figures, each identical or nearly identical component illustrated is typically represented by a single numeral. For purposes of clarity, not every component is labeled in every figure, nor is every component of each embodiment shown where illustration is not necessary to allow those of ordinary skill in the art to understand the subject matter. In the figures: FIG.1 is a graph showing the average diameter of process intermediates during the manufacture of an exemplary construct comprising mRNA and the lipid nanoparticle formulations described herein. The amount of PEG-DMG present during mixing was varied for each lot. Material collected during the v-mixed product (VMP), pH adj VMP, and filtered VMP were run neat. Material collected during TFF Harvest and pre-spike (1 day after TFF Harvest) steps was diluted in PBS to 005mg/ml prior to running on a Wyatt Plate reader in triplicate
FIG.2 is a graph showing the pH adjusted VMP particle size plotted against the time after V-mixing. Aliquots were run neat on a Wyatt DLS Plate reader. Aliquot was stored at room temperature. FIG.3 is a graph showing the filtered VMP particle size plotted against the time after V- mixing. Aliquots were run neat on a Wyatt DLS Plate reader. Aliquot was stored at room temperature. FIGs.4A-4B are graphs showing pentamer protein expression plotted as a function of total mol% PEG-DMG. The expression was determined using flow cytometry. The mean fluorescent intensity is plotted against mol% total PEG-DMG. Cells were given a 250 ng mRNA dose (FIG.4A) or 1000 ng mRNA dose (FIG.4B). Error bars represent standard error of the mean (SEM). FIG.5 is a graph showing that the amount of PEG-DMG present during V-mixing has a significant impact on the pentamer specific titer levels in Balb/c mice. Mice were given 1 ug doses on days 1 and 22. Amount in core refers to amount of PEG-DMG present during V- mixing. PA refers to lipid mol% of PEG-DMG added post addition. Serum was harvested on Day 21 and Day 43. FIG.6 is a graph showing in vitro mRNA expression levels resulting from mRNA formulated in lipid nanoparticles (LNPs) comprising different percentages of components (ionizable amino lipid : neutral lipid : sterol : PEG lipid). DETAILED DESCRIPTION The present disclosure is based, at least in part, on the discovery that the concentration of PEG-stabilized lipids in lipid nanoparticles (LNPs) can impact an LNP’s biophysical properties, in vitro expression, in vivo immunogenicity, and long term stability. As described herein, the LNPs can comprise ionizable amino (cationic) lipid, neutral lipid, sterol, and PEG lipid components. Without wishing to be bound by theory, it is thought that the addition of steric stabilizers, such as polyethylene glycol (PEG) at different stages in the production process, increase the long term stability of LNPs, while preserving mRNA functionality in the vial and in serum at temperatures above freezing. As described herein, increasing the levels of PEG lipids in the LNPs and/or relative distribution of the PEG lipids in the LNP enhances the stability of the LNP while preserving the biological activity of the RNA/LNP. The LNPs of the present disclosure further comprise a messenger RNA (mRNA) encoding a SARS-CoV-2 Spike (S) protein (e.g., a prefusion stabilized form of the S protein), forming an mRNA vaccine. The vaccine compositions described herein elicit potent
Synthesis of Lipid Nanoparticles The present disclosure provides methods of producing a nucleic acid LNP composition having enhanced stability, even at temperatures well above freezing. The stabilized LNP comprises, in some embodiments 2.5 mol% PEG-lipid or more, such as from 2.5 mol% to 3.0 mol% PEG-lipid. The PEG lipid components can be added during the nanoprecipitation step and/or during excipient addition, which can maintain the potency of the LNP (and nucleic acid) while enhancing its stability for six months or more. Some embodiments comprise mixing a lipid solution comprising a first PEG lipid to produce a precursor lipid nanoparticle. In some embodiments, the method comprises mixing a lipid solution comprising an ionizable lipid and a first PEG-lipid, or a precursor lipid nanoparticle with a first PEG-lipid, with a solution comprising a nucleic acid (e.g., mRNA) thereby forming a precursor nucleic acid lipid nanoparticle and then adding a lipid nanoparticle modifier comprising an additional, e.g., second, PEG-lipid (which can be the same or different from the first PEG-lipid) to the precursor nucleic acid lipid nanoparticle thereby forming a modified nucleic acid lipid nanoparticle. Some embodiments further comprise adding a third PEG-lipid (which can be the same or different from the first and/or second PEG-lipid), thereby forming a further modified nucleic acid lipid nanoparticle. The modified and/or further modified nucleic acid lipid nanoparticle can then be processed, forming the nucleic acid lipid nanoparticle composition. Some embodiments comprise further PEG addition steps, e.g., fourth, fifth, sixth, etc., PEG addition steps. In some embodiments, a PEG-lipid is added in stages. For example, a second PEG-lipid can be added in two, three, four, five, or more stages. Moreover, one or more stages can be added at a different point in the production process, e.g., before or after different processing steps. In some embodiments, one or more stages can be performed before or after the same processing step. In some embodiments, the precursor nucleic acid lipid nanoparticle (which may or may not contain an initial amount of a lipid nanoparticle modifier) is prepared prior to adding a lipid nanoparticle modifier. As used herein, such embodiments in which a modifier is added after formation of a precursor lipid nanoparticle may be referred to as "post addition" methods or steps. Some embodiments comprise using two or more post addition steps. In some embodiments, the lipid solution does not include a PEG lipid. In some embodiments, the lipid solution comprises a first PEG lipid. In some embodiments, the lipid solution comprises 0.25 mol% or more of the first PEG lipid, such as 0.5 mol%, 0.75 mol%, 1 mol%, or more of the first PEG lipid.
In some embodiments, the lipid solution further comprises a first PEG lipid. In certain embodiments, the first PEG lipid is PEG-DMG. In some embodiments, the lipid solution comprises 0.25 mol% of PEG-DMG. In certain embodiments, the lipid solution comprises 0.50 mol% of PEG-DMG. In some embodiments, the lipid solution comprises 0.75 mol% of PEG- DMG. In certain embodiments, the lipid solution comprises 1 mol% of PEG-DMG. In certain embodiments, the first PEG lipid is (134-hydroxy- 3,6,9,12,15,18,21,24,27,30,33,36,39,42,45,48,51,54,57,60,63,66,69,72,75,78,81,84,87,90,93,96, 99,102,105,108,111,114,117,120,123,126,129,132-tetratetracontaoxatetratriacontahectyl stearate). In some embodiments, the lipid solution comprises 0.25 mol% of 134-hydroxy- 3,6,9,12,15,18,21,24,27,30,33,36,39,42,45,48,51,54,57,60,63,66,69,72,75,78,81,84,87,90,93,96, 99,102,105,108,111,114,117,120,123,126,129,132-tetratetracontaoxatetratriacontahectyl stearate. In certain embodiments, the lipid solution comprises 0.50 mol% of 134-hydroxy- 3,6,9,12,15,18,21,24,27,30,33,36,39,42,45,48,51,54,57,60,63,66,69,72,75,78,81,84,87,90,93,96, 99,102,105,108,111,114,117,120,123,126,129,132-tetratetracontaoxatetratriacontahectyl stearate. In some embodiments, the lipid solution comprises 0.75 mol% of 134-hydroxy- 3,6,9,12,15,18,21,24,27,30,33,36,39,42,45,48,51,54,57,60,63,66,69,72,75,78,81,84,87,90,93,96, 99,102,105,108,111,114,117,120,123,126,129,132-tetratetracontaoxatetratriacontahectyl stearate. In certain embodiments, the lipid solution comprises 1.0 mol% of 134-hydroxy- 3,6,9,12,15,18,21,24,27,30,33,36,39,42,45,48,51,54,57,60,63,66,69,72,75,78,81,84,87,90,93,96, 99,102,105,108,111,114,117,120,123,126,129,132-tetratetracontaoxatetratriacontahectyl stearate. In some embodiments, the precursor nucleic acid lipid nanoparticle does not include a PEG lipid. In some embodiments, the precursor nucleic acid lipid nanoparticle comprises a first PEG lipid. In certain embodiments, the first PEG lipid is PEG-DMG. In some embodiments, the precursor nucleic acid lipid nanoparticle comprises 0.25 mol% of PEG-DMG. In certain embodiments, the precursor nucleic acid lipid nanoparticle comprises 0.50 mol% of PEG-DMG. In some embodiments, the precursor nucleic acid lipid nanoparticle comprises 0.75 mol% of PEG-DMG. In certain embodiments, the precursor nucleic acid lipid nanoparticle comprises 1 mol% of PEG-DMG. In certain embodiments, the first PEG lipid is 134-hydroxy- 3,6,9,12,15,18,21,24,27,30,33,36,39,42,45,48,51,54,57,60,63,66,69,72,75,78,81,84,87,90,93,96, 99,102,105,108,111,114,117,120,123,126,129,132-tetratetracontaoxatetratriacontahectyl stearate. In some embodiments, the lipid solution comprises 0.25 mol% of 134-hydroxy- 3,6,9,12,15,18,21,24,27,30,33,36,39,42,45,48,51,54,57,60,63,66,69,72,75,78,81,84,87,90,93,96,
99,102,105,108,111,114,117,120,123,126,129,132-tetratetracontaoxatetratriacontahectyl stearate. In certain embodiments, the lipid solution comprises 0.50 mol% of 134-hydroxy- 3,6,9,12,15,18,21,24,27,30,33,36,39,42,45,48,51,54,57,60,63,66,69,72,75,78,81,84,87,90,93,96, 99,102,105,108,111,114,117,120,123,126,129,132-tetratetracontaoxatetratriacontahectyl stearate. In some embodiments, the lipid solution comprises 0.75 mol% of 134-hydroxy- 3,6,9,12,15,18,21,24,27,30,33,36,39,42,45,48,51,54,57,60,63,66,69,72,75,78,81,84,87,90,93,96, 99,102,105,108,111,114,117,120,123,126,129,132-tetratetracontaoxatetratriacontahectyl stearate. In certain embodiments, the lipid solution comprises 1 mol% of 134-hydroxy- 3,6,9,12,15,18,21,24,27,30,33,36,39,42,45,48,51,54,57,60,63,66,69,72,75,78,81,84,87,90,93,96, 99,102,105,108,111,114,117,120,123,126,129,132-tetratetracontaoxatetratriacontahectyl stearate. In some embodiments, the second PEG lipid is PEG-DMG or 134-hydroxy- 3,6,9,12,15,18,21,24,27,30,33,36,39,42,45,48,51,54,57,60,63,66,69,72,75,78,81,84,87,90,93,96, 99,102,105,108,111,114,117,120,123,126,129,132-tetratetracontaoxatetratriacontahectyl stearate. In some embodiments, the first PEG lipid, the second PEG lipid, and optionally, other additional PEG lipids, are the same PEG lipid. In some embodiments, the first PEG lipid and the additional PEG lipid are both PEG-DMG. In some embodiments, the first PEG lipid and the additional PEG lipid are both 134-hydroxy- 3,6,9,12,15,18,21,24,27,30,33,36,39,42,45,48,51,54,57,60,63,66,69,72,75,78,81,84,87,90,93,96, 99,102,105,108,111,114,117,120,123,126,129,132-tetratetracontaoxatetratriacontahectyl stearate. In some embodiments, the first PEG lipid and the second PEG lipid are not the same (e.g., the first PEG lipid is PEG-DMG and the second PEG lipid is 134-hydroxy- 3,6,9,12,15,18,21,24,27,30,33,36,39,42,45,48,51,54,57,60,63,66,69,72,75,78,81,84,87,90,93,96, 99,102,105,108,111,114,117,120,123,126,129,132-tetratetracontaoxatetratriacontahectyl stearate, or the first PEG lipid is 134-hydroxy- 3,6,9,12,15,18,21,24,27,30,33,36,39,42,45,48,51,54,57,60,63,66,69,72,75,78,81,84,87,90,93,96, 99,102,105,108,111,114,117,120,123,126,129,132-tetratetracontaoxatetratriacontahectyl stearate and the second PEG lipid is PEG-DMG). In some embodiments, the molar ratio of the first PEG lipid to the second PEG lipid is in a range of about 1:100 to about 2:1, for example, about 1:50 to about 2:1, about 1:25 to about 2:1, about 1:10 to about 2:1. In some embodiments, the molar ratio of the first PEG lipid to the second PEG lipid is in a range of about 1:25 to about 2:1, for example, about 1:10 to about 2:1. In some embodiments, the molar ratio of the first PEG lipid to the second PEG lipid is in a range
of about 1:10 to about 2:1. In some embodiments, the molar ratio of the first PEG lipid to the second PEG lipid is in a range of about 1:100 to about 1:1, for example, about 1:50 to about 1:1, about 1:25 to about 1:1, about 1:10 to about 1:1. In some embodiments, the molar ratio of the first PEG lipid to the second PEG lipid is in a range of about 1:10 to about 1:1. In some embodiments, the molar ratio of the first PEG lipid to the second PEG lipid is in a range of about 1:5 to about 1:1. In some embodiments, the molar ratio of the first PEG lipid to the second PEG lipid is in a range of about 1:3 to about 1:1. In some embodiments, the molar ratio of the first PEG lipid to the additional PEG lipid (e.g., a combination of second, third, fourth, etc., if used) is in a range of about 1:100 to about 2:1, for example, about 1:50 to about 2:1, about 1:25 to about 2:1, about 1:10 to about 2:1. In some embodiments, the molar ratio of the first PEG lipid to the additional PEG lipid is in a range of about 1:25 to about 2:1, for example, about 1:10 to about 2:1. In some embodiments, the molar ratio of the first PEG lipid to the additional PEG lipid is in a range of about 1:10 to about 2:1. In some embodiments, the molar ratio of the first PEG lipid to the additional PEG lipid is in a range of about 1:100 to about 1:1, for example, about 1:50 to about 1:1 , about 1:25 to about 1:1, about 1:10 to about 1:1. In some embodiments, the molar ratio of the first PEG lipid to the additional PEG lipid is in a range of about 1:10 to about 1:1. In some embodiments, the molar ratio of the first PEG lipid to the additional PEG lipid is in a range of about 1:5 to about 1:1. In some embodiments, the molar ratio of the first PEG lipid to the additional PEG lipid is in a range of about 1:3 to about 1:1. In some embodiments, the first PEG lipid is added to the core of the LNP and the additional PEG lipid is added to the surface of the LNP. Accordingly, in some embodiments, the molar ratio of the core PEG lipid to the surface PEG lipid is in a range of about 1:100 to about 2:1, for example, about 1:50 to about 2:1, about 1:25 to about 2:1, about 1:10 to about 2:1. In some embodiments, the molar ratio of the core PEG lipid to the surface PEG lipid is in a range of about 1:25 to about 2:1, for example, about 1:10 to about 2:1. In some embodiments, the molar ratio of the core PEG lipid to the surface PEG lipid is in a range of about 1:10 to about 2:1. In some embodiments, the molar ratio of the core PEG lipid to the surface PEG lipid is in a range of about 1:100 to about 1:1, for example, about 1:50 to about 1:1 , about 1:25 to about 1:1, about 1:10 to about 1:1. In some embodiments, the molar ratio of the core PEG lipid to the surface PEG lipid is in a range of about 1:10 to about 1:1. In some embodiments, the molar ratio of the core PEG lipid to the surface PEG lipid is in a range of about 1:5 to about 1:1. In some embodiments, the molar ratio of the core PEG lipid to the surface PEG lipid is in a range of about 1:3 to about 1:1.
The lipid mixture can be solubilized in a water miscible organic solvent, for example, absolute ethanol. In some embodiments, the organic solvent is used in the form in which it is commercially available. In one exemplary embodiment, the mixture of lipids is a mixture of an ionizable amino lipid and a first PEG lipid are co-solubilized in the organic solvent. In some embodiments, the lipid mixture consists essentially of an ionizable amino lipid and a PEG lipid, and optionally a phospholipid (neutral lipid) and/or a structural lipid (e.g., a sterol). The total concentration of lipid is preferably less than 25 mg/ml. In some embodiments, the total concentration of lipid is preferably less than 5 mg/ml. The lipid mixture may be filtered through a membrane, e.g. a 0.45 or 0.2 μm filter. As described herein, the lipid mixture may be combined with a nucleic acid solution, preferably in the form of a buffered aqueous solution. The buffered aqueous solution may be a solution in which the buffer has a pH less than the pKa of a protonated lipid in the lipid mixture. Examples of suitable buffers include, but are not limited to, citrate, phosphate, and acetate. In some embodiments, the buffer is acetate buffer. In some embodiments, the buffers are in the concentration range of 1-1000 mM of the anion, depending on the chemistry of the nucleic acid being encapsulated, and optimization of buffer concentration may be significant to achieving high loading levels. It may be suitable to add a cryoprotectant, and/or a non-ionic solute, which can balance the osmotic potential across the particle membrane, e.g., when the particles are dialyzed to remove ethanol, increase the pH, or mixed with a pharmaceutically acceptable carrier or diluent. The amount of nucleic acid in buffer is preferably from about 0.01 to 1.0 mg/mL, preferably 0.08 to 0.8 mg/mL. At the time of addition of the lipid solution (e.g., ethanol), the temperature of the aqueous nucleic acid solution is 25 to 45° C, for example, 30 to 40° C. In some embodiments, briefly heating the aqueous nucleic acid solution at elevated temperature may be useful, e.g., 1-2 minutes at 65° C. The lipid solution may be added to the aqueous solution either by spraying on the air-water interface, in a narrow stream, or through a liquid-liquid interface between lipid solution delivered through a tube that is submerged in the aqueous nucleic acid solution. The organic lipid solution may be added by gravity or by a pump delivering the organic lipid solution to the aqueous nucleic acid solution at a controlled rate, preferably a constant rate. In some embodiments, the delivery of the organic lipid is continuous (e.g., by a pump operating under continuous flow). The delivery of the organic lipid solution can be completed in 1 minute to 6 hours, in 1 minute to 100 minutes, or in 1 to 25 minutes. The organic lipid solution may be added through a single spray or stream, through a tube or outlet, or through a multi-outlet system. While the lipid organic solution is added into the nucleic acid aqueous solution, the
resulting solution may be mixed by stirring, shaking, or recirculation. As used herein, "mixing" preferably comprises turbulent mixing ("T-mix"), vortex mixing ("V-mix"), microfluidic mixing, or a combination thereof. In some embodiments, “mixing” comprises vortex mixing. The addition/mixing step results in a final concentration that is 10 to 45% ethanol, for example 11 to 30% ethanol, or 12.5 to 25% ethanol. Preferably, formation involves either turbulent or microfluidic mixing of solutions to induce precipitation lipids in organic phase with nucleic acid in aqueous phase, or extrusion of an already phase- separated mixture of nucleic acid and lipids through membranes to create LNPs. In one step of the process a lipid solution comprising a first PEG lipid can be mixed with a solution comprising a nucleic acid thereby forming a precursor nucleic acid lipid nanoparticle. In some embodiments, the nucleic acid is provided. In some embodiments, the nucleic acid is any one of the nucleic acids provided herein. In some embodiments, precursor lipid nanoparticles are provided. As used herein, a "precursor lipid nanoparticle" refers to a lipid nanoparticle that is further modified by additional structural components, e.g., lipids and/or nucleic acids to produce a subsequent precursor lipid nanoparticle or final lipid nanoparticle. In some embodiments, a precursor lipid nanoparticle may be formed and/or exist during one or more steps in the particle formulation process. In some embodiments, multiple precursor lipid nanoparticles (e.g., a first, second, third, etc. precursor lipid nanoparticle) are formed during preparation of a final lipid nanoparticle. In some embodiments, in which a lipid nanoparticle comprises a PEG molecule, the precursor lipid nanoparticle may comprise a relatively low percentage of PEG molecules (e.g., at least about 0.01 mol% and less than or equal to about 1.0 mol%, at least about 0.05 mol%, at least about 0.1 mol%, at least about 0.2 mol%, at least about 0.3 mol%, at least about 0.4 mol%, at least about 0.5 mol%, at least about 0.6 mol%, at least about 0.7 mol%, or 0.8 mol%). “Precursor nucleic acid lipid nanoparticle” refers to a lipid nanoparticle that comprises a nucleic acid that is further modified by adding additional structural components, e.g., lipids and/or nucleic acids. In some embodiments, all of the nucleic acid in the precursor nucleic acid lipid nanoparticle is associated with the ionizable lipid. In some embodiments, between about 80% and about 100%, between about 85% and about 100%, or between about 90% and about 100% of the nucleic acid in the precursor nucleic acid lipid nanoparticle is associated with the ionizable lipid, preferably about 95% to about 100%, preferably about 98% to about 100%, preferably about 99% to about 100%. In some embodiments, in which a lipid nanoparticle comprises a PEG molecule, the precursor lipid nanoparticle may have more nucleic acid associated with the ionizable lipid than
the PEG molecule. For instance, at least about 50%, at least about 60%, at least about 70%, at least about 80%, or at least about 90% of the nucleic acid in the precursor lipid nanoparticle is associated with the ionizable lipid. In some such cases, less than about 50%, less than about 40%, less than about 30%, less than about 20%, or less than about 10% of the nucleic acid in the precursor lipid nanoparticle is associated with the PEG molecule (e.g., PEG lipid). In some embodiments, a ratio of nucleic acid associated with the ionizable lipid to nucleic acid associated with the PEG lipid in the precursor lipid nanoparticles is at least about 2:1. In some embodiments, a composition comprising precursor lipid nanoparticles may comprise one or more organic solvents (e.g., ethanol). In some embodiments, the nucleic acid lipid nanoparticle composition may be enriched in precursor lipid nanoparticles. For instance, at least about 50% of the lipid nanoparticles in the nucleic acid lipid nanoparticle composition may be precursor lipid nanoparticles. In some embodiments, the precursor nucleic acid lipid nanoparticle comprises about 30- 60 mol% ionizable lipid; about 0-30 mol% phospholipid (neutral lipid); about 15-50 mol% structural lipid; and about 0.01-10 mol% first PEG lipid. In some embodiments, the precursor nucleic acid lipid nanoparticle comprises about 30-60 mol% ionizable lipid; about 0-30 mol% phospholipid; about 15-50 mol% structural lipid; and about 0.01-1 mol% first PEG lipid. In some embodiments, the precursor nucleic acid lipid nanoparticle comprises about 40-60 mol% ionizable lipid; about 5-15 mol% phospholipid; about 35-45 mol% structural lipid; and about 0.01-10 mol% first PEG lipid. In some embodiments, the precursor nucleic acid lipid nanoparticle comprises about 40-60 mol% ionizable lipid; about 5-15 mol% phospholipid; about 35-45 mol% structural lipid; and about 0.01-1 mol% first PEG lipid. In some embodiments, the precursor nucleic acid lipid nanoparticle comprises about 40-60 mol% ionizable lipid; about 5- 15 mol% phospholipid; about 35-45 mol% structural lipid; and about 0.25-1 mol% of the first PEG lipid. In some embodiments, the precursor nucleic acid lipid nanoparticle comprises about 40-60 mol% ionizable lipid; about 5-15 mol% phospholipid; about 35-45 mol% structural lipid; and about 0.5-1 mol% first PEG lipid. In some embodiments, the precursor nucleic acid lipid nanoparticle comprises about 30-60 mol% ionizable lipid; about 0-30 mol% phospholipid; about 15-50 mol% structural lipid; and about 0.01-0.75 mol% first PEG lipid. In some embodiments, the precursor nucleic acid lipid nanoparticle comprises about 30-60 mol% ionizable lipid; about 0-30 mol% phospholipid; about 15-50 mol% structural lipid; and about 0.01-0.5 mol% first PEG lipid. In some embodiments, the precursor nucleic acid lipid nanoparticle comprises about 30-60 mol% ionizable lipid; about 0-30 mol% phospholipid; about 15-50 mol% structural lipid; and about 0.25-1.0 mol% first PEG lipid. In some embodiments, the precursor nucleic acid lipid
nanoparticle comprises about 30-60 mol% ionizable lipid; about 0-30 mol% phospholipid; about 15-50 mol% structural lipid; and about 0.5-1.0 mol% first PEG lipid. Some embodiments comprise processing a precursor LNP. Some embodiments comprise adding a PEG lipid before, during, and/or after one or more processing steps. In some embodiments, the processing may involve treating to remove an organic solvent (i.e., ethanol), by dialysis or filtration, preferably by diafiltration. As used herein, "processing" includes steps to purify, pH adjust, buffer exchange, and/or concentrate LNPs. In some embodiments, the processing comprises a filtration such as a sterile filtration. In some embodiments, the processing comprises a tangential flow filtration (TFF). While the ethanol is removed, the aqueous solution can be converted to a one buffered at a neutral pH, for example, pH 6.5 to 7.8, pH 6.8 to pH 7.5, pH 7.0 to pH 7.5, or pH 7.0 to pH 7.2, for example using a phosphate or HEPES buffer. The resulting aqueous solution is preferably sterilized before storage or use, such as, for example by filtration through a 0.22 μm filter. In some embodiments, the processing may comprise a freezing and/or lyophilizing step. Lyophilizing steps may be carried out in a suitable glass receptacle, preferably a 1ml to 10 ml (e.g., 3 ml), cylindrical glass vial. The glass vial should withstand extreme changes in temperatures of less than -40° C and greater than room temperature in short periods of time, and be cut in a uniform shape. The composition comprising the nucleic acid lipid nanoparticle can be added to the vial, preferably in a volume ranging from about 0.1 ml to about 5 ml, from 0.2 ml to about 3 ml, from 0.3 ml to about 1 ml, or from about 0.4 ml to about 0.8 ml (e.g., about 0.5 ml), and preferably with about 9 mg/ml lipid. The step of lyophilizing may comprise freezing the composition at a temperature of greater than about -40° C, or e.g. less than about -30° C, forming a frozen composition; and drying the frozen composition to form the lyophilized composition. The freezing step preferably results in a linear decrease in temperature to the final over about 100 to 180 minutes (e.g., about 130 minutes), preferably at 0.1 to 1 °C/minute (e.g., about 0.5°C/minute) from 20 to -40° C. More preferably, sucrose at 5-15% (e.g., 8-12%) may be used, and the drying step is at about 50-150 mTorr, first at a low temperature of about -15 to about -35° C, and thereafter at a higher temperature of room temperature to about 25 °C, and is completed in three to seven days. In another embodiment of the present disclosure the drying step is at about 50-100 mTorr, first at a low temperature of about -40 °C to about -20 °C, and then at the higher temperature. In some embodiments, the method may further comprise packing the nucleic acid lipid nanoparticle composition. As used herein, "storage" or "packing" may refer to storing drug product in its final state or in-process storage of LNPs before they are placed into final
packaging. Modes of storage and/or packing include, but are not limited to refrigeration in sterile bags, refrigerated or frozen formulations in vials, lyophilized formulations in vials and syringes, etc. In some embodiments, the concentration of the non-ionic surfactant in the nucleic acid LNP formulation ranges from about 0.00001 % w/v to about 1 % w/v, e.g., from about 0.00005 % w/v to about 0.5 % w/v, or from about 0.0001 % w/v to about 0.1 % w/v. In some embodiments, the concentration of the non-ionic surfactant in the nucleic acid LNP formulation ranges from about 0.000001 wt% to about 1 wt%, e.g., from about 0.000002 wt% to about 0.8 wt%, or from about 0.000005 wt% to about 0.5 wt%. In some embodiments, the concentration of the PEG lipid in the stabilized LNP formulation ranges from about 0.01 % by molar to about 50 % by molar, e.g., from about 0.05 % by molar to about 20 % by molar, from about 0.07 % by molar to about 10 % by molar, from about 0.1 % by molar to about 8 % by molar, from about 0.2 % by molar to about 5 % by molar, or from about 0.25 % by molar to about 3 % by molar. In some embodiments, the concentration of the PEG lipid in the stabilized LNP formulation is about 2.5 % or 3% by molar. In some embodiments, the distribution of one or more components in the lipid nanoparticle may be dictated, at least in part, by the process by which the components are assembled. For instance, in some embodiments, the distribution (e.g., accessibility, arrangement) of nucleic acid (e.g., mRNA) within the lipid nanoparticle may be controlled, at least in part, by the formulation process. For example, the formulation process may comprise one or more steps that allow the distribution of mRNA to be tailored, as described in more detail below. For example, the formulation process may use a relatively low weight percentage of certain components (e.g., PEG lipid) during the particle formation step (e.g., nanoprecipitation reaction) and/or add certain lipid nanoparticle components after particle formation. In some embodiments, a lipid nanoparticle and/or composition, described herein, may have a beneficial amount of nucleic acid (e.g., mRNA) that is at least partially (e.g., fully) encapsulated. For instance, in some embodiments, at least about 30%, at least about 35%, at least about 40%, at least about 45%, at least about 50%, at least about 55%, at least about 60%, at least about 65%, at least about 70%, at least about 75%, at least about 80%, at least about 85%, at least about 90%, or at least about 95% of the total amount of nucleic acid in the lipid nanoparticle and/or a composition is at least partially (e.g., fully) encapsulated. In some embodiments, less than or equal to about 70% or less than or equal to about 90% of the total amount of nucleic acid in the lipid nanoparticle and/or a composition is at least partially (e.g., fully) encapsulated. In some embodiments, the percentage of at least partially (e.g., fully)
encapsulated nucleic acid may be determined by an in vitro assay (e.g., IEX) as described herein. In some embodiments, the resulting LNPs undergo further processing, such as one or more steps to purify, pH adjust, buffer exchange, and/or concentrate LNPs. In some embodiments, the step of processing the LNP solution comprises filtering the LNP solution. In some embodiments, the filtration removes an organic solvent (e.g., ethanol) from the LNP solution. In some embodiments, the processing comprises a filtration such as a sterile filtration. In some embodiments, the processing comprises a tangential flow filtration (TFF). In some embodiments, upon removal of the organic solvent (e.g., ethanol), the LNP solution is converted to a solution buffered at a neutral pH, pH 6.5 to 7.8, pH 6.8 to pH 7.5, pH 7.0 to pH 7.5, or pH 7.0 to pH 7.2 (e.g., a phosphate or HEPES buffer). In some embodiments, the resulting LNP solution is preferably sterilized before storage or use, e.g., by filtration (e.g., through a 0.22 μm filter). In some embodiments, the step of processing the LNP solution further comprises packing the LNP solution. Modes of storage and/or packing include, but are not limited to refrigeration in sterile bags, refrigerated or frozen formulations in vials, lyophilized formulations in vials and syringes, etc. In some embodiments, the step of packing the LNP solution comprises one or more of the following steps: adding a cryoprotectant to the LNP solution; and lyophilizing the LNP solution, thereby forming a lyophilized LNP composition; storing the LNP solution or the lyophilized LNP composition; and adding a reconstituting solution to the LNP solution or the lyophilized LNP composition, thereby forming the LNP formulation. In some embodiments, the cryoprotectant is added to the LNP solution prior to the lyophilization. In some embodiments, the cryoprotectant comprises one or more cryoprotective agents, and each of the one or more cryoprotective agents is independently a polyol (e.g., a diol or a triol such as propylene glycol (i.e., 1 ,2-propanediol), 1,3 -propanediol, glycerol, (+/-)-2- methyl-2,4-pentanediol, 1,6-hexanediol, 1 ,2-butanediol, 2,3-butanediol, ethylene glycol, or diethylene glycol), a nondetergent sulfobetaine (e.g., NDSB-201 (3-(l-pyridino)-l-propane sulfonate), an osmolyte (e.g., L-proline or trimethylamine N-oxide dihydrate), a polymer (e.g., polyethylene glycol 200 (PEG 200), PEG 400, PEG 600, PEG 1000, PEG 3350, PEG 4000, PEG 8000, PEG 10000, PEG 20000, polyethylene glycol monomethyl ether 550 (mPEG 550), mPEG 600, mPEG 2000, mPEG 3350, mPEG 4000, mPEG 5000, polyvinylpyrrolidone (e.g., polyvinylpyrrolidone K 15), pentaerythritol propoxylate, or polypropylene glycol P 400), an organic solvent (e.g., dimethyl sulfoxide (DMSO) or ethanol), a sugar (e.g., D-(+)-sucrose, D-
sorbitol, trehalose, D-(+)-maltose monohydrate, meso-erythritol, xylitol, myo-inositol, D-(+)- raffinose pentahydrate, D-(+)-trehalose dihydrate, or D-(+)-glucose monohydrate), or a salt (e.g., lithium acetate, lithium chloride, lithium formate, lithium nitrate, lithium sulfate, magnesium acetate, sodium chloride, sodium formate, sodium malonate, sodium nitrate, sodium sulfate, or any hydrate thereof), or any combination thereof. In some embodiments, the cryoprotectant comprises sucrose. In some embodiments, the lyophilization carried out in a suitable glass receptacle (e.g., a 2, 3, 5, or 10 ml cylindrical glass vial). The glass receptacle is able to withstand extreme changes in temperatures between lower than -40 °C and higher than room temperature in short periods of time, and/or be cut in a uniform shape. In some embodiments, the step of lyophilizing comprises freezing the LNP solution at a temperature lower than about -40 °C, thereby forming a frozen LNP solution; and drying the frozen LNP solution to form the lyophilized LNP composition. The freezing step, in some embodiments, results in a linear decrease in temperature to the final over about 100 to 180 minutes (e.g., about 130 minutes) or at 0.1 to 1 °C/minute (e.g., about 0.5°C/minute) from 20 to -40° C. In some embodiments, sucrose at 5- 15% (e.g., 8-12%) may be used, and the drying step is performed at a vacuum ranging from about 50 mTorr to about 150 mTorr, for example, first at a low temperature lower than -10 °C (e.g., from about -35 °C to about -15 °C), lower than -20 °C, lower than -30 °C, or lower than - 40 °C, and then at a higher temperature ranging from room temperature to about 25 °C. In some embodiments, the drying step is completed in three to seven days. In some embodiments, the drying step is performed at a vacuum ranging from about 50 mTorr to about 100 mTorr, for example, first at a low temperature below about 0 °C, below about -10 °C, below about -20 °C, or below about -30 °C (e.g., -35 °C), and then at a higher temperature. In some embodiments, the LNP solution or the lyophilized LNP composition is stored at a temperature of about -40 °C, about -35 °C, about -30 °C, about -25 °C, about -20 °C, about - 15 °C, about -10 °C, about -5 °C, about 0 °C, about 5 °C, about 10 °C, about 15 °C, about 20 °C, or about 25 °C prior to adding the reconstituting solution. In some embodiments, the LNP solution or the lyophilized LNP composition is stored at a temperature of ranging from about -40 °C to about 0 °C, from about -35 °C to about -5 °C, from about -30 °C to about -10 °C, from about -25 °C to about -15 °C, from about -22 °C to about -18 °C, or from about -21 °C to about -19 °C prior to adding the reconstituting solution. In some embodiments, the LNP solution or the lyophilized LNP composition is stored at a temperature of about -20 °C prior to adding the reconstituting solution.
In some embodiments, the LNP solution or the lyophilized LNP composition is stored at a temperature of ranging from about -15 °C to about 25 °C, from about -10 °C to about 20 °C, from about -5 °C to about 15 °C, from about 0 °C to about 10 °C, from about 1 °C to about 9 °C, or from about 2 °C to about 8 °C prior to adding the reconstituting solution. In some embodiments, the LNP solution or the lyophilized LNP composition is stored for about 30 minutes, about 1 hour, about 2 hours, about 4 hours, about 6 hours, about 12 hours, about 1 day, about 2 days, about 3 days, about 4 days, about 5 days, about 6 days, about 1 week, about 2 weeks, about 3 weeks, about 4 weeks, about 1 month, about 2 months, about 3 months, about 4 months, about 6 months, about 9 months, about 1 year, about 2 years, about 3 years, about 4 years, about 5 years, about 6 years, about 7 years about 8 years, about 9 years, or about 10 years prior to adding the reconstituting solution. In some embodiments, the LNP solution or the lyophilized LNP composition is stored for a time period ranging from about 1 month to about 10 years, from about 3 months to about 8 years, from about 6 months to about 6 years, from about 9 months to about 4 years, from about 1 year to about 3 years, or from about 1.5 years to about 2.5 years prior to adding the reconstituting solution. In some embodiments, the LNP solution or the lyophilized LNP composition is stored for about 2 years prior to adding the reconstituting solution. In some embodiments, the accessibility of the nucleic acid in a LNP composition comprising LNPs may be determined by one or more assays (e.g., in vitro assay). In general, any suitable in vitro assay may be used. Suitable assays are able to distinguish between different encapsulation states of the nucleic acid and/or association states of the nucleic acid with components of the lipid nanoparticle. For example, the accessibility of a nucleic acid may be determined by an ion-exchange chromatography (IEX) assay. In some embodiments, the in vitro assay may be used to generate a quantitative value of the amount of accessible or inaccessible nucleic acids (e.g., mRNA) in the lipid nanoparticles or composition. For example, an ion-exchange chromatography (IEX) assay may be used to generate a quantitative value of the amount of accessible or inaccessible mRNA in a composition comprising lipid nanoparticles. In general, the amount of inaccessible or accessible nucleic acids may be determined for the total composition and/or a fraction of the composition (e.g., fraction comprising certain lipid nanoparticles). In some embodiments, the accessibility of the nucleic acid within the lipid nanoparticle may correlate to one or more biological properties of the lipid nanoparticle. In certain embodiments, the accessibility of the nucleic acid within the lipid nanoparticle may correlate
with protein expression levels and/or the efficacy of intracellular nucleic acid delivery. For instance, in some embodiments, a relatively high percentage of inaccessible nucleic acid, and accordingly a relatively low percentage of accessible nucleic acid, may produce high levels of protein expression (e.g., in vitro, in vivo). In such cases, a composition having a low percentage of accessible mRNA may have a higher level of mRNA expression than a comparative composition having a higher percentage of accessible mRNA. In some aspects, the present disclosure provides a method of characterizing a LNP composition (e.g., the LNP composition prepared by a method of the present disclosure) using a chromatography assay. In some embodiments, a quantitative value of an amount of the nucleic acid (e.g., mRNA) encapsulated in the LNP composition is measured using the chromatography assay. In some embodiments, the chromatography assay is an ion-exchange (IEX) chromatography assay. In some embodiments, at least about 50%, at least about 55%, at least about 60%, at least about 65%, at least about 70%, at least about 75%, at least about 80%, at least about 85%, at least about 95%, or at least about 95% of the LNPs in the LNP composition have mRNA encapsulated therein, as determined by the ion-exchange chromatography (IEX) assay. An ion exchange (IEX) chromatography method determines encapsulation efficiency for mRNAs encapsulated in ionizable-lipid-based LNPs. IEX chromatography can be used to separate bound versus free mRNA. The IEX screening method separates free mRNA from LNPs when there is a gradient change from low to high salt concentration. The LNPs elute in the void (peak 1) and mRNA elutes when gradient changes from low to high salt concentration (peak 2, termed "accessible mRNA"). Without wishing to being bound in theory, it is believed that within a population of LNPs (e.g., LNPs encapsulating mRNA), mRNA can exist in a variety of different encapsulation states, including, for example, fully encapsulated, surface-associated, loosely encapsulated (or other physical states). To exemplify the utility of the IEX method of the invention, a LNP sample population can be subjected to an art-recognized separation technique, for example, size- exclusion chromatography (SEC). This fractionates particles based on size. Fractions can be subjected, for example, to a biological assay, e.g., in vitro protein expression assay. Fractions can likewise be subjected to determination of encapsulation efficiency according to the IEX methods of the invention.
Lipid Nanoparticle Formulations A lipid nanoparticle (LNP) refers to a nanoscale construct (e.g., a nanoparticle, typically less than 200 nm in diameter) comprising lipid molecules, preferably arranged in a substantially spherical (e.g., spheroid) geometry, sometimes encapsulating one or more additional molecular species. In some embodiments, the LNP contains a bleb region, e.g., as described in Brader et al., Biophysical Journal 120: 1-5 (2021). A LNP may comprise or one or more types of lipids, including but not limited to amino lipids (e.g., ionizable amino lipids), neutral lipids, neutral lipids, charged lipids, PEG-modified lipids, phospholipids, structural lipids and sterols. In some embodiments, a LNP may further comprise one or more cargo molecules, including but not limited to nucleic acids (e.g., mRNA, plasmid DNA, DNA or RNA oligonucleotides, siRNA, shRNA, snRNA, snoRNA, lncRNA, etc.), small molecules, proteins, and peptides. A LNP may have a unilamellar structure (i.e., having a single lipid layer or lipid bilayer surrounding a central region) or a multilamellar structure (i.e., having more than one lipid layer or lipid bilayer surrounding a central region). In some embodiments, a lipid nanoparticle may be a liposome. A liposome is a nanoparticle comprising lipids arranged into one or more concentric lipid bilayers around a central region. The central region of a liposome may comprise an aqueous solution, suspension, or other aqueous composition. In some embodiments, nucleic acids are formulated as lipid nanoparticle (LNP) compositions. Lipid nanoparticles typically comprise amino lipid, phospholipid, structural lipid and PEG lipid components along with the nucleic acid cargo of interest. The lipid nanoparticles provided herein can be generated using components, compositions, and methods as are generally known in the art, see for example PCT/US2016/052352; PCT/US2016/068300; PCT/US2017/037551; PCT/US2015/027400; PCT/US2016/047406; PCT/US2016/000129; PCT/US2016/014280; PCT/US2017/038426; PCT/US2014/027077; PCT/US2014/055394; PCT/US2016/052117; PCT/US2012/069610; PCT/US2017/027492; PCT/US2016/059575; PCT/US2016/069491; PCT/US2016/069493; and PCT/US2014/066242, all of which are incorporated by reference herein in their entirety. Each optional component of the lipid nanoparticles described herein is described below. Polyethylene Glycol (PEG)-Lipids Effective in vivo delivery of nucleic acids represents a continuing medical challenge. Exogenous nucleic acids (i.e., originating from outside of a cell or organism) are readily degraded in the body, e.g., by the immune system. Accordingly, effective delivery of nucleic acids to cells often requires the use of a particulate carrier (e.g., lipid nanoparticles). The
stable prior to intracellular delivery, effectively deliver nucleic acids intracellularly, and illicit no or minimal immune response. To achieve minimal particle aggregation and pre-delivery stability, many conventional particulate carriers have relied on the presence and/or concentration of certain components (e.g., PEG-lipid). However, it has been discovered that certain components may decrease the stability of encapsulated nucleic acids (e.g., mRNA molecules). The reduced stability may limit the broad applicability of the particulate carriers. As such, there remains a need for methods by which to improve the stability of nucleic acid (e.g., mRNA) encapsulated within lipid nanoparticles. As described herein, the lipid nanoparticles (LNPs) may comprise one or more polyethylene glycol (PEG) lipids within a critical concentration range. Nucleic acid LNPs must be stored at frozen temperatures in order to maintain long term stability. It has been discovered herein that modification of certain structural features of the LNP can dramatically enhance particle stability, enabling the long term storage at refrigerated or room temperatures. This can be achieved by controlling the ratio of PEG in the LNP and to some extent combining the optimal PEG concentration with an optimal RNA concentration. For instance, stability of the LNP can be further enhanced when combined with lower concentrations of nucleic acid in the particle. As shown in the Examples presented below, low mRNA concentrations and high PEG concentrations (≥ 2.5 mol% or ≥ 3 mol%) minimize growth during storage for 6 months. In some embodiments some of the total PEG lipid is localized differently in the LNP. For instance, a first fraction of the PEG lipid may have a different structure in the LNP than a second PEG lipid. In some embodiments, the LNP composition comprises a core made up of the 4 lipid components, including a first fraction of PEG lipid and the nucleic acid. The core is sometimes referred to herein as the precursor nucleic acid lipid nanoparticle. When an additional PEG lipid is added to the precursor nucleic acid lipid nanoparticle during synthesis this PEG lipid may, in some embodiments, be deposited on the surface of the core as a second fraction of PGL lipid. In some embodiments the first and second fractions of PEG lipids are localized in the LNP in different amounts. The first fraction of PEG lipid may be in the LNP in an amount of 0.25-1.0 mol % (e.g., 0.25 mol%, 0.5 mol%, 0.75 mol%, 1.0 mol%). In some embodiments 1.5 mol% to 2.5 mol% (e.g., 1.5 mol%, 1.75 mol%, 2.0 mol%, 2.25 mol%, 2.5 mol%) of the second fraction of PEG lipid is found in the LNP. In other embodiments the composition has a ratio of first fraction of PEG lipid to second fraction of PEG lipid of about 1:3 to about 1:1. As used herein, the term “PEG-lipid” or “PEG-modified lipid” refers to polyethylene glycol (PEG)-modified lipids. Non-limiting examples of PEG-lipids include PEG-modified phosphatidylethanolamine and phosphatidic acid, PEG-ceramide conjugates (e.g., PEG-CerC14
or PEG-CerC20), PEG-modified dialkylamines and PEG-modified 1,2-diacyloxypropan-3- amines. Such lipids are also referred to as PEGylated lipids. For example, a PEG lipid can be PEG-c-DOMG, PEG-DMG, PEG-DLPE, PEG-DMPE, PEG-DPPC, or a PEG-DSPE lipid. In some embodiments, the PEG-lipid includes, but is not limited to 1,2-dimyristoyl-sn- glycerol methoxypolyethylene glycol (PEG-DMG), 1,2-distearoyl-sn-glycero-3- phosphoethanolamine-N-[amino(polyethylene glycol)] (PEG-DSPE), PEG-disteryl glycerol (PEG-DSG), PEG-dipalmetoleyl, PEG-dioleyl, PEG-distearyl, PEG-diacylglycamide (PEG- DAG), PEG-dipalmitoyl phosphatidylethanolamine (PEG-DPPE), or PEG-l,2- dimyristyloxlpropyl-3-amine (PEG-c-DMA). In some embodiments, the PEG-lipid is selected from the group consisting of a PEG- modified phosphatidylethanolamine, a PEG-modified phosphatidic acid, a PEG-modified ceramide, a PEG-modified dialkylamine, a PEG-modified diacylglycerol, a PEG-modified dialkylglycerol, and mixtures thereof. In some embodiments, the PEG-modified lipid is PEG- DMG, PEG-c-DOMG (also referred to as PEG-DOMG), PEG-DSG and/or PEG-DPG. In some embodiments, the lipid moiety of the PEG-lipids includes those having lengths of from about C14 to about C22, preferably from about C14 to about C16. In some embodiments, a PEG moiety, for example an mPEG-NH2, has a size of about 1000, 2000, 5000, 10,000, 15,000 or 20,000 daltons. In some embodiments, the PEG-lipid is PEG2k-DMG. In some embodiments, the lipid nanoparticles provided herein can comprise a PEG lipid which is a non-diffusible PEG. Non-limiting examples of non-diffusible PEGs include PEG- DSG and PEG-DSPE. PEG-lipids are known in the art, such as those described in U.S. Patent No.8,158,601 and International Publ. No. WO 2015/130584 A2, which are incorporated herein by reference in their entirety. In general, some of the other lipid components (e.g., PEG lipids) of various formulae provided herein may be synthesized as described International Patent Application No. PCT/US2016/000129, filed December 10, 2016, entitled “Compositions and Methods for Delivery of Therapeutic Agents,” which is incorporated by reference in its entirety. The lipid component of a lipid nanoparticle composition may include one or more molecules comprising polyethylene glycol, such as PEG or PEG-modified lipids. Such species may be alternately referred to as PEGylated lipids. A PEG lipid is a lipid modified with polyethylene glycol. A PEG lipid may be selected from the non-limiting group including PEG- modified phosphatidylethanolamines, PEG-modified phosphatidic acids, PEG-modified ceramides, PEG-modified dialkylamines, PEG-modified diacylglycerols, PEG-modified
dialkylglycerols, and mixtures thereof. For example, a PEG lipid may be PEG-c-DOMG, PEG- DMG, PEG-DLPE, PEG-DMPE, PEG-DPPC, or a PEG-DSPE lipid. In some embodiments the PEG-modified lipids are a modified form of PEG DMG. PEG- DMG has the following structure:
In some embodiments, PEG lipids can be PEGylated lipids described in International Publication No. WO2012099755, the contents of which is herein incorporated by reference in its entirety. Any exemplary PEG lipids may be modified to comprise a hydroxyl group on the PEG chain. In certain embodiments, the PEG lipid is a PEG-OH lipid. As generally defined herein, a “PEG-OH lipid” (also referred to herein as “hydroxy-PEGylated lipid”) is a PEGylated lipid having one or more hydroxyl (–OH) groups on the lipid. In certain embodiments, the PEG-OH lipid includes one or more hydroxyl groups on the PEG chain. In certain embodiments, a PEG- OH or hydroxy-PEGylated lipid comprises an –OH group at the terminus of the PEG chain. Each possibility represents a separate embodiment. In certain embodiments, a PEG lipid is a compound of Formula (X):
(X), or salts thereof, wherein: R3 is –ORO; RO is hydrogen, optionally substituted alkyl, or an oxygen protecting group; r is an integer between 1 and 100, inclusive; L1 is optionally substituted C1-10 alkylene, wherein at least one methylene of the optionally substituted C1-10 alkylene is independently replaced with optionally substituted carbocyclylene, optionally substituted heterocyclylene, optionally substituted arylene, optionally substituted heteroarylene, O, N(RN), S, C(O), C(O)N(RN), NRNC(O), C(O)O, OC(O), OC(O)O, OC(O)N(RN), NRNC(O)O, or NRNC(O)N(RN); D is a moiety obtained by click chemistry or a moiety cleavable under physiological conditions; m is 0, 1, 2, 3, 4, 5, 6, 7, 8, 9, or 10; A is of the formula:
each instance of L2 is independently a bond or optionally substituted C1-6 alkylene, wherein one methylene unit of the optionally substituted C1-6 alkylene is optionally replaced with O, N(RN), S, C(O), C(O)N(RN), NRNC(O), C(O)O, OC(O), OC(O)O, OC(O)N(RN), - NRNC(O)O, or NRNC(O)N(RN); each instance of R2 is independently optionally substituted C1-30 alkyl, optionally substituted C1-30 alkenyl, or optionally substituted C1-30 alkynyl; optionally wherein one or more methylene units of R2 are independently replaced with optionally substituted carbocyclylene, optionally substituted heterocyclylene, optionally substituted arylene, optionally substituted heteroarylene, N(RN), O, S, C(O), C(O)N(RN), NRNC(O), NRNC(O)N(RN), C(O)O, OC(O), - OC(O)O, OC(O)N(RN), NRNC(O)O, C(O)S, SC(O), C(=NRN), C(=NRN)N(RN), NRNC(=NRN), NRNC(=NRN)N(RN), C(S), C(S)N(RN), NRNC(S), NRNC(S)N(RN), S(O) , OS(O), S(O)O, - OS(O)O, OS(O)2, S(O)2O, OS(O)2O, N(RN)S(O), S(O)N(RN), N(RN)S(O)N(RN), OS(O)N(RN), N(RN)S(O)O, S(O)2, N(RN)S(O)2, S(O)2N(RN), N(RN)S(O)2N(RN), OS(O)2N(RN), or - N(RN)S(O)2O; each instance of RN is independently hydrogen, optionally substituted alkyl, or a nitrogen protecting group; Ring B is optionally substituted carbocyclyl, optionally substituted heterocyclyl, optionally substituted aryl, or optionally substituted heteroaryl; and p is 1 or 2. In certain embodiments, the compound of Fomula (X) is a PEG-OH lipid (i.e., R3 is – ORO, and RO is hydrogen). In certain embodiments, the compound of Formula (X) is of Formula (X-OH):
(X-OH), or a salt thereof. In certain embodiments, a PEG lipid is a PEGylated fatty acid. In certain embodiments, a PEG lipid is a compound of Formula (XI). Provided herein are compounds of Formula (XI):
, or a salts thereof, wherein: R3 is–ORO; RO is hydrogen, optionally substituted alkyl or an oxygen protecting group; r is an integer between 1 and 100, inclusive;
R5 is optionally substituted C10-40 alkyl, optionally substituted C10-40 alkenyl, or optionally substituted C10-40 alkynyl; and optionally one or more methylene groups of R5 are replaced with optionally substituted carbocyclylene, optionally substituted heterocyclylene, optionally substituted arylene, optionally substituted heteroarylene, N(RN), O, S, C(O), - C(O)N(RN), NRNC(O), NRNC(O)N(RN), C(O)O, OC(O), OC(O)O, OC(O)N(RN), NRNC(O)O, C(O)S, SC(O), C(=NRN), C(=NRN)N(RN), NRNC(=NRN), NRNC(=NRN)N(RN), C(S), - C(S)N(RN), NRNC(S), NRNC(S)N(RN), S(O), OS(O), S(O)O, OS(O)O, OS(O)2, S(O)2O, - OS(O)2O, N(RN)S(O), S(O)N(RN), N(RN)S(O)N(RN), OS(O)N(RN), N(RN)S(O)O, S(O)2, - N(RN)S(O)2, S(O)2N(RN), N(RN)S(O)2N(RN), OS(O)2N(RN), or N(RN)S(O)2O; and each instance of RN is independently hydrogen, optionally substituted alkyl, or a nitrogen protecting group. In certain embodiments, the compound of Formula (XI) is of Formula (XI-OH):
or a salt thereof. In some embodiments, r is 40-50. In yet other embodiments the compound of Formula (XI) is:
. or a salt thereof. In one embodiment, the compound of Formula (XI) is
. In some embodiments, the PEG-lipid comprises 134-hydroxy- 3,6,9,12,15,18,21,24,27,30,33,36,39,42,45,48,51,54,57,60,63,66,69,72,75,78,81,84,87,90,93,96, 99,102,105,108,111,114,117,120,123,126,129,132-tetratetracontaoxatetratriacontahectyl
. In some embodiments, the PEG-lipids may be one or more of the PEG lipids described in U.S. Application No. US15/674,872. Ionizable amino lipids In some embodiments, a LNP provided herein may include one or more ionizable molecules (e.g., amino lipids or ionizable lipids). The ionizable molecule may comprise a
charged group and may have a certain pKa. In certain embodiments, the pKa of the ionizable molecule may be greater than or equal to about 6, greater than or equal to about 6.2, greater than or equal to about 6.5, greater than or equal to about 6.8, greater than or equal to about 7, greater than or equal to about 7.2, greater than or equal to about 7.5, greater than or equal to about 7.8, greater than or equal to about 8. In some embodiments, the pKa of the ionizable molecule may be less than or equal to about 10, less than or equal to about 9.8, less than or equal to about 9.5, less than or equal to about 9.2, less than or equal to about 9.0, less than or equal to about 8.8, or less than or equal to about 8.5. Combinations of the above referenced ranges are also possible (e.g., greater than or equal to 6 and less than or equal to about 8.5). Other ranges are also possible. In embodiments in which more than one type of ionizable molecule are present in a particle, each type of ionizable molecule may independently have a pKa in one or more of the ranges described above. In general, an ionizable molecule comprises one or more charged groups. In some embodiments, an ionizable molecule may be positively charged or negatively charged. For instance, an ionizable molecule may be positively charged. For example, an ionizable molecule may comprise an amine group. As used herein, the term “ionizable molecule” has its ordinary meaning in the art and may refer to a molecule or matrix comprising one or more charged moiety. As used herein, a “charged moiety” is a chemical moiety that carries a formal electronic charge, e.g., monovalent (+1, or -1), divalent (+2, or -2), trivalent (+3, or -3), etc. The charged moiety may be anionic (i.e., negatively charged) or cationic (i.e., positively charged). Examples of positively-charged moieties include amine groups (e.g., primary, secondary, and/or tertiary amines), ammonium groups, pyridinium groups, guanidine groups, and imidizolium groups. In a particular embodiment, the charged moieties comprise amine groups. Examples of negatively- charged groups or precursors thereof, include carboxylate groups, sulfonate groups, sulfate groups, phosphonate groups, phosphate groups, hydroxyl groups, and the like. The charge of the charged moiety may vary, in some cases, with the environmental conditions, for example, changes in pH may alter the charge of the moiety, and/or cause the moiety to become charged or uncharged. In general, the charge density of the molecule and/or matrix may be selected as desired. In some cases, an ionizable molecule (e.g., an amino lipid or ionizable lipid) may include one or more precursor moieties that can be converted to charged moieties. For instance, the ionizable molecule may include a neutral moiety that can be hydrolyzed to form a charged moiety, such as those provided above. As a non-limiting specific example, the molecule or matrix may include an amide, which can be hydrolyzed to form an amine, respectively. Those of
ordinary skill in the art will be able to determine whether a given chemical moiety carries a formal electronic charge (for example, by inspection, pH titration, ionic conductivity measurements, etc.), and/or whether a given chemical moiety can be reacted (e.g., hydrolyzed) to form a chemical moiety that carries a formal electronic charge. The ionizable molecule (e.g., amino lipid or ionizable lipid) may have any suitable molecular weight. In certain embodiments, the molecular weight of an ionizable molecule is less than or equal to about 2,500 g/mol, less than or equal to about 2,000 g/mol, less than or equal to about 1,500 g/mol, less than or equal to about 1,250 g/mol, less than or equal to about 1,000 g/mol, less than or equal to about 900 g/mol, less than or equal to about 800 g/mol, less than or equal to about 700 g/mol, less than or equal to about 600 g/mol, less than or equal to about 500 g/mol, less than or equal to about 400 g/mol, less than or equal to about 300 g/mol, less than or equal to about 200 g/mol, or less than or equal to about 100 g/mol. In some instances, the molecular weight of an ionizable molecule is greater than or equal to about 100 g/mol, greater than or equal to about 200 g/mol, greater than or equal to about 300 g/mol, greater than or equal to about 400 g/mol, greater than or equal to about 500 g/mol, greater than or equal to about 600 g/mol, greater than or equal to about 700 g/mol, greater than or equal to about 1000 g/mol, greater than or equal to about 1,250 g/mol, greater than or equal to about 1,500 g/mol, greater than or equal to about 1,750 g/mol, greater than or equal to about 2,000 g/mol, or greater than or equal to about 2,250 g/mol. Combinations of the above ranges (e.g., at least about 200 g/mol and less than or equal to about 2,500 g/mol) are also possible. In embodiments in which more than one type of ionizable molecules are present in a particle, each type of ionizable molecule may independently have a molecular weight in one or more of the ranges described above. It should be understood that the terms “charged” or “charged moiety” does not refer to a “partial negative charge" or “partial positive charge" on a molecule. The terms “partial negative charge" and “partial positive charge" are given their ordinary meaning in the art. A “partial negative charge" may result when a functional group comprises a bond that becomes polarized such that electron density is pulled toward one atom of the bond, creating a partial negative charge on the atom. Those of ordinary skill in the art will, in general, recognize bonds that can become polarized in this way. In some embodiments, the lipid nanoparticle comprises at least one ionizable amino lipid, at least one neutral lipid, at least one sterol, and/or at least one polyethylene glycol (PEG)- modified lipid. In some embodiments, the ionizable amino lipid is a compound of Formula (AI):
its N-oxide, or a salt or isomer thereof, wherein R’a is R’branched; wherein R’branched i
denotes a point of attachment; wherein Raα, Raβ, Raγ, and Raδ are each independently selected from the group consisting of H, C2-12 alkyl, and C2-12 alkenyl; R2 and R3 are each independently selected from the group consisting of C1-14 alkyl and C2-14 alkenyl; R4 is selected from the group consisting of -(CH2)nOH, wherein n is selected from the group consisting
, wherein
denotes a point of attachment; wherein R10 is N(R)2; each R is independently selected from the group consisting of C1-6 alkyl, C2-3 alkenyl, and H; and n2 is selected from the group consisting of 1, 2, 3, 4, 5, 6, 7, 8, 9, and 10; each R5 is independently selected from the group consisting of C1-3 alkyl, C2-3 alkenyl, and H; each R6 is independently selected from the group consisting of C1-3 alkyl, C2-3 alkenyl, and H; M and M’ are each independently selected from the group consisting of -C(O)O- and -OC(O)-; R’ is a C1-12 alkyl or C2-12 alkenyl; l is selected from the group consisting of 1, 2, 3, 4, and 5; and m is selected from the group consisting of 5, 6, 7, 8, 9, 10, 11, 12, and 13. In some embodiments of the compounds of Formula (AI), R’a is R’branched; R’branched is
denotes a point of attachment; Raα, Raβ, Raγ, and Raδ are each H; R2 and
R3 are each C1-14 alkyl; R4 is -(CH2)nOH; n is 2; each R5 is H; each R6 is H; M and M’ are each - C(O)O-; R’ is a C1-12 alkyl; l is 5; and m is 7. In some embodiments of the compounds of Formula (AI), R’a is R’branched; R’branched is
denotes a point of attachment; Raα, Raβ, Raγ, and Raδ are each H; R2 and R3 are each C1-14 alkyl; R4 is -(CH2)nOH; n is 2; each R5 is H; each R6 is H; M and M’ are each - C(O)O-; R’ is a C1-12 alkyl; l is 3; and m is 7. In some embodiments of the compounds of Formula (AI), R’a is R’branched; R’branched is
denotes a point of attachment; Raα is C2-12 alkyl; Raβ, Raγ, and Raδ are each H; R2 and R3 are each C1-14 alkyl;
alkyl); n2 is 2; R5 is H; each R6 is H; M and M’ are each -C(O)O-; R’ is a C1-12 alkyl; l is 5; and m is 7. In some embodiments of the compounds of Formula (I), R’a is R’branched; R’branched is
denotes a point of attachment; Raα, Raβ, and Raδ are each H; Raγ is C2-12 alkyl; R2 and R3 are each C1-14 alkyl; R4 is -(CH2)nOH; n is 2; each R5 is H; each R6 is H; M and M’ are each -C(O)O-; R’ is a C1-12 alkyl; l is 5; and m is 7. In some embodiments, the compound of Formula (I) is selected from:
. In some embodiments, the ionizable amino lipid is a compound of Formula (AIa):
its N-oxide, or a salt or isomer thereof, wherein R’a is R’branched; wherein
denotes a point of attachment; wherein Raβ, Raγ, and Raδ are each independently selected from the group consisting of H, C2-12 alkyl, and C2-12 alkenyl; R2 and R3 are each independently selected from the group consisting of C1-14 alkyl and C2-14 alkenyl; R4 is selected from the group consisting of -(CH2)nOH wherein n is selected from the group consisting
, wherein
denotes a point of attachment; wherein R10 is N(R)2; each R is independently selected from the group consisting of C1-6 alkyl, C2-3 alkenyl, and H; and n2 is selected from the group consisting of 1, 2, 3, 4, 5, 6, 7, 8, 9, and 10; each R5 is independently selected from the group consisting of C1-3 alkyl, C2-3 alkenyl, and H; each R6 is independently selected from the group consisting of C1-3 alkyl, C2-3 alkenyl, and H; M and M’ are each independently selected from the group consisting of -C(O)O- and -OC(O)-; R’ is a C1-12 alkyl or C2-12 alkenyl; l is selected from the group consisting of 1, 2, 3, 4, and 5; and i l t d f th i ti f 5 6 7 8 9 10 11 12 d 13
In some embodiments, the ionizable amino lipid is a compound of Formula (AIb):
its N-oxide, or a salt or isomer thereof, wherein R’a is R’branched; wherein
denotes a point of attachment; wherein Raα, Raβ, Raγ, and Raδ are each independently selected from the group consisting of H, C2-12 alkyl, and C2-12 alkenyl; R2 and R3 are each independently selected from the group consisting of C1-14 alkyl and C2-14 alkenyl; R4 is -(CH2)nOH, wherein n is selected from the group consisting of 1, 2, 3, 4, and 5; each R5 is independently selected from the group consisting of C1-3 alkyl, C2-3 alkenyl, and H; each R6 is independently selected from the group consisting of C1-3 alkyl, C2-3 alkenyl, and H; M and M’ are each independently selected from the group consisting of -C(O)O- and -OC(O)-; R’ is a C1-12 alkyl or C2-12 alkenyl; l is selected from the group consisting of 1, 2, 3, 4, and 5; and m is selected from the group consisting of 5, 6, 7, 8, 9, 10, 11, 12, and 13. In some embodiments of Formula (AI) or (AIb), R’a is R’branched; R’branched is
denotes a point of attachment; Raβ, Raγ, and Raδ are each H; R2 and R3 are each C1-14 alkyl; R4 is -(CH2)nOH; n is 2; each R5 is H; each R6 is H; M and M’ are each - C(O)O-; R’ is a C1-12 alkyl; l is 5; and m is 7. In some embodiments of Formula (AI) or (AIb), R’a is R’branched; R’branched is
denotes a point of attachment; Raβ, Raγ, and Raδ are each H; R2 and R3
are each C1-14 alkyl; R4 is -(CH2)nOH; n is 2; each R5 is H; each R6 is H; M and M’ are each - C(O)O-; R’ is a C1-12 alkyl; l is 3; and m is 7. In some embodiments of Formula (AI) or (AIb), R’a is R’branched; R’branched is
denotes a point of attachment; Raβ and Raδ are each H; Raγ is C2-12 alkyl; R2 and R3 are each C1-14 alkyl; R4 is -(CH2)nOH; n is 2; each R5 is H; each R6 is H; M and M’ are each -C(O)O-; R’ is a C1-12 alkyl; l is 5; and m is 7. In some embodiments, the ionizable amino lipid is a compound of Formula (AIc):
attachment; wherein Raα, Raβ, Raγ, and Raδ are each independently selected from the group consisting of H, C2-12 alkyl, and C2-12 alkenyl; R2 and R3 are each independently selected from the group consisting of C1-14 alkyl and C2-14 alkenyl;
wherein denotes a point of attachment; whereinR10 is N(R)2; each R is independently selected from the group consisting of C1-6 alkyl, C2-3 alkenyl, and H; n2 is selected from the group consisting of 1, 2, 3, 4, 5, 6, 7, 8, 9, and 10; each R5 is independently selected from the group consisting of C1-3 alkyl, C2-3 alkenyl, and H; each R6 is independently selected from the group consisting of C1-3 alkyl, C2-3 alkenyl, and H; M and M’ are each independently selected from the group consisting of -C(O)O- and -OC(O)-; R’ is a C1-12 alkyl or C2-12 alkenyl;
l is selected from the group consisting of 1, 2, 3, 4, and 5; and m is selected from the group consisting of 5, 6, 7, 8, 9, 10, 11, 12, and 13. In some embodiments,
point of attachment; Raβ, Raγ, and Raδ are each H; Raα is C2-12 alkyl; R2 and R3 are each C1-14 alkyl;
denotes a point of attachment; R10 is NH(C1-6 alkyl); n2 is 2; each R5 is H; each R6 is H; M and M’ are each -C(O)O-; R’ is a C1-12 alkyl; l is 5; and m is 7. In some embodiments, the compound of Formula (AIc) is:
. In some embodiments, the ionizable amino lipid is a compound of Formula (AII):
its N-oxide, or a salt or isomer thereof, wherein R’a is R’branched or R’cyclic; wherein
wherein denotes a point of attachment; Raγ and Raδ are each independently selected from the group consisting of H, C1-12 alkyl, and C2-12 alkenyl, wherein at least one of Raγ and Raδ is selected from the group consisting of C1- 12 alkyl and C2-12 alkenyl;
Rbγ and Rbδ are each independently selected from the group consisting of H, C1-12 alkyl, and C2-12 alkenyl, wherein at least one of Rbγ and Rbδ is selected from the group consisting of C1- 12 alkyl and C2-12 alkenyl; R2 and R3 are each independently selected from the group consisting of C1-14 alkyl and C2-14 alkenyl; R4 is selected from the group consisting of -(CH2)nOH wherein n is selected from the group consisting
, wherein
denotes a point of attachment; wherein R10 is N(R)2; each R is independently selected from the group consisting of C1-6 alkyl, C2-3 alkenyl, and H; and n2 is selected from the group consisting of 1, 2, 3, 4, 5, 6, 7, 8, 9, and 10; each R’ independently is a C1-12 alkyl or C2-12 alkenyl; Ya is a C3-6 carbocycle; R*”a is selected from the group consisting of C1-15 alkyl and C2-15 alkenyl; and s is 2 or 3; m is selected from 1, 2, 3, 4, 5, 6, 7, 8, and 9; l is selected from 1, 2, 3, 4, 5, 6, 7, 8, and 9. In some embodiments, the ionizable amino lipid is a compound of Formula (AII-a):
its N-oxide, or a salt or isomer thereof, wherein R’a is R’branched or R’cyclic; wherein
wherein denotes a point of attachment; Raγ and Raδ are each independently selected from the group consisting of H, C1-12 alkyl, and C2-12 alkenyl, wherein at least one of Raγ and Raδ is selected from the group consisting of C1- 12 alkyl and C2-12 alkenyl;
Rbγ and Rbδ are each independently selected from the group consisting of H, C1-12 alkyl, and C2-12 alkenyl, wherein at least one of Rbγ and Rbδ is selected from the group consisting of C1- 12 alkyl and C2-12 alkenyl; R2 and R3 are each independently selected from the group consisting of C1-14 alkyl and C2-14 alkenyl; R4 is selected from the group consisting of -(CH2)nOH wherein n is selected from the group consisting
, wherein
denotes a point of attachment; wherein R10 is N(R)2; each R is independently selected from the group consisting of C1-6 alkyl, C2-3 alkenyl, and H; and n2 is selected from the group consisting of 1, 2, 3, 4, 5, 6, 7, 8, 9, and 10; each R’ independently is a C1-12 alkyl or C2-12 alkenyl; m is selected from 1, 2, 3, 4, 5, 6, 7, 8, and 9; l is selected from 1, 2, 3, 4, 5, 6, 7, 8, and 9. In some embodiments, the ionizable amino lipid is a compound of Formula (AII-b):
its N-oxide, or a salt or isomer thereof, wherein R’a is R’branched or R’cyclic; wherein
wherein
denotes a point of attachment; Raγ and Rbγ are each independently selected from the group consisting of C1-12 alkyl and C2-12 alkenyl; R2 and R3 are each independently selected from the group consisting of C1-14 alkyl and C2-14 alkenyl; R4 is selected from the group consisting of -(CH2)nOH wherein n is selected from the group consisting
,
wherein denotes a point of attachment; wherein R10 is N(R)2; each R is independently selected from the group consisting of C1-6 alkyl, C2-3 alkenyl, and H; and n2 is selected from the group consisting of 1, 2, 3, 4, 5, 6, 7, 8, 9, and 10; each R’ independently is a C1-12 alkyl or C2-12 alkenyl; m is selected from 1, 2, 3, 4, 5, 6, 7, 8, and 9; l is selected from 1, 2, 3, 4, 5, 6, 7, 8, and 9. In some embodiments, the ionizable amino lipid is a compound of Formula (AII-c):
, wherein R’a is R’branched or R’cyclic; wherein
wherein
denotes a point of attachment; wherein Raγ is selected from the group consisting of C1-12 alkyl and C2-12 alkenyl; R2 and R3 are each independently selected from the group consisting of C1-14 alkyl and C2-14 alkenyl; R4 is selected from the group consisting of -(CH2)nOH wherein n is selected from the group consisting
, wherein
denotes a point of attachment; wherein R10 is N(R)2; each R is independently selected from the group consisting of C1-6 alkyl, C2-3 alkenyl, and H; and n2 is selected from the group consisting of 1, 2, 3, 4, 5, 6, 7, 8, 9, and 10; R’ is a C1-12 alkyl or C2-12 alkenyl; m is selected from 1, 2, 3, 4, 5, 6, 7, 8, and 9; l is selected from 1, 2, 3, 4, 5, 6, 7, 8, and 9. In some embodiments, the ionizable amino lipid is a compound of Formula (AII-d):
its N-oxide, or a salt or isomer thereof, wherein R’a is R’branched or R’cyclic; wherein
wherein
denotes a point of attachment; wherein Raγ and Rbγ are each independently selected from the group consisting of C1-12 alkyl and C2-12 alkenyl; R4 is selected from the group consisting of -(CH2)nOH wherein n is selected from the group consisting
, wherein
denotes a point of attachment; wherein R10 is N(R)2; each R is independently selected from the group consisting of C1-6 alkyl, C2-3 alkenyl, and H; and n2 is selected from the group consisting of 1, 2, 3, 4, 5, 6, 7, 8, 9, and 10; each R’ independently is a C1-12 alkyl or C2-12 alkenyl; m is selected from 1, 2, 3, 4, 5, 6, 7, 8, and 9; l is selected from 1, 2, 3, 4, 5, 6, 7, 8, and 9. In some embodiments, the ionizable amino lipid is a compound of Formula (AII-e):
, wherein R’a is R’branched or R’cyclic; wherein
wherein
denotes a point of attachment; wherein Raγ is selected from the group consisting of C1-12 alkyl and C2-12 alkenyl;
R2 and R3 are each independently selected from the group consisting of C1-14 alkyl and C2-14 alkenyl; R4 is -(CH2)nOH wherein n is selected from the group consisting of 1, 2, 3, 4, and 5; R’ is a C1-12 alkyl or C2-12 alkenyl; m is selected from 1, 2, 3, 4, 5, 6, 7, 8, and 9; l is selected from 1, 2, 3, 4, 5, 6, 7, 8, and 9. In some embodiments of the compound of Formula (AII), (AII-a), (AII-b), (AII-c), (AII- d), or (AII-e), m and l are each independently selected from 4, 5, and 6. In some embodiments of the compound of Formula (AII), (AII-a), (AII-b), (AII-c), (AII-d), or (AII-e), m and l are each 5. In some embodiments of the compound of Formula (AII), (AII-a), (AII-b), (AII-c), (AII- d), or (AII-e), each R’ independently is a C1-12 alkyl. In some embodiments of the compound of Formula (AII), (AII-a), (AII-b), (AII-c), (AII-d), or (AII-e), each R’ independently is a C2-5 alkyl. In some embodiments of the compound of Formula (AII), (AII-a), (AII-b), (AII-c), (AII- d), or (AII-e), R’b is: and R2 and R3 are each independently a C1-14 alkyl. In some embodiments of the compound of Formula (AII), (AII-a), (AII-b), (AII-c), (AII-d), or (AII-e), R’b is: and R2 and R3 are each independently a C6-10 alkyl. In some embodiments of the compound of Formula (AII), (AII-a), (AII-b), (AII-c), (AII-d), or (AII-e), R’b is: and R2 and R3 are each a C8 alkyl. In some embodiments of the compound of Formula (AII), (AII-a), (AII-b), (AII-c), (AII- d), or (AII-e), R’branched is:
and R3 are each independently a C6-10 alkyl. In some embodiments of the compound of Formula
embodiments of the compound of Formula (AII), (AII-a), (AII-b), (AII-c), (AII-d), or (AII-e),
C8 alkyl. In some embodiments of the compound of Formula (AII), (AII-a), (AII-b), (AII-c), (AII-
each a C1-12 alkyl. In some embodiments of the compound of Formula (AII), (AII-a), (AII-b),
and Rbγ are each a C2-6 alkyl. In some embodiments of the compound of Formula (AII), (AII-a), (AII-b), (AII-c), (AII- d), or (AII-e), m and l are each independently selected from 4, 5, and 6 and each R’ independently is a C1-12 alkyl. In some embodiments of the compound of Formula (AII), (AII- a), (AII-b), (AII-c), (AII-d), or (AII-e), m and l are each 5 and each R’ independently is a C2-5 alkyl. In some embodiments of the compound of (AII), (AII-a), (AII-b), (AII-c), (AII-d), or
independently selected from 4, 5, and 6, each R’ independently is a C1-12 alkyl, and Raγ and Rbγ are each a C1-12 alkyl. In some embodiments of the compound of Formula (AII), (AII-a), (AII-
l are each 5, each R’ independently is a C2-5 alkyl, and Raγ and Rbγ are each a C2-6 alkyl. In some embodiments of the compound of Formula (AII), (AII-a), (AII-b), (AII-c), (AII-
are each independently selected from 4, 5, and 6, R’ is a C1-12 alkyl, Raγ is a C1-12 alkyl and R2 and R3 are each independently a C6-10 alkyl. In some embodiments of the compound of Formula (AII), (AII-a), (AII-b), (AII-c), (AII- d), or (AII-e), R’branched is:
are each 5, R’ is a 2 3
In some embodiments of the compound of (AII), (AII-a), (AII-b), (AII-c), (AII-d), or
, wherein R10 is NH(C1-6 alkyl) and n2 is 2. In some embodiments of the compound of Formula (AII), (AII-a), (AII-b), (AII-c), (AII-d), or (AII-e), R4
wherein R10 is NH(CH3) and n2 is 2. In some embodiments of the compound of Formula (AII), (AII-a), (AII-b), (AII-c), (AII- d), or (AII-e), R’branched is:
independently selected from 4, 5, and 6, each R’ independently is a C1-12 alkyl, Raγ and Rbγ are each a C1-12 alkyl,
wherein R10 is NH(C1-6 alkyl), and n2 is 2. In some embodiments of the compound of Formula (AII), (AII-a), (AII-b), (AII-c), (AII-d), or (AII-e), R’branched is:
is:
independently is a C2-5 alkyl, Raγ and Rbγ are each a C2-6 alkyl,
, wherein R10 is NH(CH3) and n2 is 2. In some embodiments of the compound of Formula (AII), (AII-a), (AII-b), (AII-c), (AII- d), or (AII-e), R’branched is:
are each independently selected from 4, 5, and 6, R’ is a C1-12 alkyl, R2 and R3 are each independently a C6-10 alkyl, Raγ is a C1-12 alkyl,
wherein R10 is NH(C1-6 alkyl) and n2 is 2. In some embodiments of the compound of Formula (AII), (AII-a), (AII-b), (AII-c), (AII-d), or (AII-e), R’branched is:
each 5, R’ is
a C2-5 alkyl, Raγ is a C2-6 alkyl, R2 and R3 are each a C8 alkyl,
, wherein R10 is NH(CH3) and n2 is 2. In some embodiments of the compound of Formula (AII), (AII-a), (AII-b), (AII-c), (AII- d), or (AII-e), R4 is -(CH2)nOH and n is 2, 3, or 4. In some embodiments of the compound of Formula (AII), (AII-a), (AII-b), (AII-c), (AII-d), or (AII-e), R4 is -(CH2)nOH and n is 2. In some embodiments of the compound of Formula (AII), (AII-a), (AII-b), (AII-c), (AII-
are each independently selected from 4, 5, and 6, each R’ independently is a C1-12 alkyl, Raγ and Rbγ are each a C1-12 alkyl, R4 is -(CH2)nOH, and n is 2, 3, or 4. In some embodiments of the compound of Formula (
,
, m and l are each 5, each R’ independently is a C2-5 alkyl, Raγ and Rbγ are each a C2-6 alkyl, R4 is -(CH2)nOH, and n is 2. In some embodiments, the ionizable amino lipid is a compound of Formula (AII-f):
its N-oxide, or a salt or isomer thereof, wherein R’a is R’branched or R’cyclic; wherein
wherein
denotes a point of attachment; Raγ is a C1-12 alkyl; R2 and R3 are each independently a C1-14 alkyl; R4 is -(CH2)nOH wherein n is selected from the group consisting of 1, 2, 3, 4, and 5; R’ is a C1-12 alkyl; m is selected from 4, 5, and 6; and l i l t d f 4 5 d 6
In some embodiments of the compound of Formula (AII-f), m and l are each 5, and n is 2, 3, or 4. In some embodiments of the compound of Formula (AII-f) R’ is a C2-5 alkyl, Raγ is a C2-6 alkyl, and R2 and R3 are each a C6-10 alkyl. In some embodiments of the compound of Formula (AII-f), m and l are each 5, n is 2, 3, or 4, R’ is a C2-5 alkyl, Raγ is a C2-6 alkyl, and R2 and R3 are each a C6-10 alkyl. In some embodiments, the ionizable amino lipid is a compound of Formula (AII-g):
Raγ is a C2-6 alkyl; R’ is a C2-5 alkyl; and R4 is selected from the group consisting of -(CH2)nOH wherein n is selected from the group consisting
, wherein
denotes a point of attachment, R10 is NH(C1-6 alkyl), and n2 is selected from the group consisting of 1, 2, and 3. In some embodiments, the ionizable amino lipid is a compound of Formula (AII-h):
Raγ and Rbγ are each independently a C2-6 alkyl; each R’ independently is a C2-5 alkyl; and R4 is selected from the group consisting of -(CH2)nOH wherein n is selected from the group consisting
, wherein
denotes a point of attachment, R10 is NH(C1-6 alkyl), and n2 is selected from the group consisting of 1, 2, and 3.
In some embodiments of the compound of Formula (AII-g) or (AII-h), R4 is
, wherein R10 is NH(CH3) and n2 is 2. In some embodiments of the compound of Formula (AII-g) or (AII-h), R4 is -(CH2)2OH. In some embodiments, the ionizable amino lipid may be one or more of compounds of Formula (VI):
, or their N-oxides, or salts or isomers thereof, wherein: R1 is selected from the group consisting of C5-30 alkyl, C5-20 alkenyl, -R*YR”, -YR”, and -R”M’R’; R2 and R3 are independently selected from the group consisting of H, C1-14 alkyl, C2-14 alkenyl, -R*YR”, -YR”, and -R*OR”, or R2 and R3, together with the atom to which they are attached, form a heterocycle or carbocycle; R4 is selected from the group consisting of hydrogen, a C3-6 carbocycle, -(CH2)nQ, -(CH2)nCHQR, -CHQR, -CQ(R)2, and unsubstituted C1-6 alkyl, where Q is selected from a carbocycle, heterocycle, -OR, -O(CH2)nN(R)2, -C(O)OR, -OC(O)R, -CX3, -CX2H, -CXH2, -CN, -N(R)2, -C(O)N(R)2, -N(R)C(O)R, -N(R)S(O)2R, -N(R)C(O)N(R)2, -N(R)C(S)N(R)2, -N(R)R8, -N(R)S(O)2R8, -O(CH2)nOR, -N(R)C(=NR9)N(R)2, -N(R)C(=CHR9)N(R)2, -OC(O)N(R)2, -N(R)C(O)OR, -N(OR)C(O)R, -N(OR)S(O)2R, -N(OR)C(O)OR, -N(OR)C(O)N(R)2, -N(OR)C(S)N(R)2, -N(OR)C(=NR9)N(R)2, -N(OR)C(=CHR9)N(R)2, -C(=NR9)N(R)2, -C(=NR9)R, -C(O)N(R)OR, and –C(R)N(R)2C(O)OR, and each n is independently selected from 1, 2, 3, 4, and 5; each R5 is independently selected from the group consisting of C1-3 alkyl, C2-3 alkenyl, and H; each R6 is independently selected from the group consisting of C1-3 alkyl, C2-3 alkenyl, and H; M and M’ are independently selected from -C(O)O-, -OC(O)-, -OC(O)-M”-C(O)O-, -C(O)N(R’)-, -N(R’)C(O)-, -C(O)-, -C(S)-, -C(S)S-, -SC(S)-, -CH(OH)-, -P(O)(OR’)O-, -S(O)2-,
R7 is selected from the group consisting of C1-3 alkyl, C2-3 alkenyl, and H; R8 is selected from the group consisting of C3-6 carbocycle and heterocycle; R9 is selected from the group consisting of H, CN, NO2, C1-6 alkyl, -OR, -S(O)2R, -S(O)2N(R)2, C2-6 alkenyl, C3-6 carbocycle and heterocycle; each R is independently selected from the group consisting of C1-3 alkyl, C2-3 alkenyl, and H; each R’ is independently selected from the group consisting of C1-18 alkyl, C2-18 alkenyl, -R*YR”, -YR”, and H; each R” is independently selected from the group consisting of C3-15 alkyl and C3-15 alkenyl; each R* is independently selected from the group consisting of C1-12 alkyl and C2-12 alkenyl; each Y is independently a C3-6 carbocycle; each X is independently selected from the group consisting of F, Cl, Br, and I; and m is selected from 5, 6, 7, 8, 9, 10, 11, 12, and 13; and wherein when R4 is -(CH2)nQ, -(CH2)nCHQR, –CHQR, or -CQ(R)2, then (i) Q is not -N(R)2 when n is 1, 2, 3, 4 or 5, or (ii) Q is not 5, 6, or 7-membered heterocycloalkyl when n is 1 or 2. In some embodiments, another subset of compounds of Formula (VI) includes those in which: R1 is selected from the group consisting of C5-30 alkyl, C5-20 alkenyl, -R*YR”, -YR”, and -R”M’R’; R2 and R3 are independently selected from the group consisting of H, C1-14 alkyl, C2-14 alkenyl, -R*YR”, -YR”, and -R*OR”, or R2 and R3, together with the atom to which they are attached, form a heterocycle or carbocycle; R4 is selected from the group consisting of a C3-6 carbocycle, -(CH2)nQ, -(CH2)nCHQR, -CHQR, -CQ(R)2, and unsubstituted C1-6 alkyl, where Q is selected from a C3-6 carbocycle, a 5- to 14-membered heteroaryl having one or more heteroatoms selected from N, O, and S, -OR, -O(CH2)nN(R)2, -C(O)OR, -OC(O)R, -CX3, -CX2H, -CXH2, -CN, -C(O)N(R)2, -N(R)C(O)R, -N(R)S(O)2R, -N(R)C(O)N(R)2, -N(R)C(S)N(R)2, -CRN(R)2C(O)OR, -N(R)R8, -O(CH2)nOR, -N(R)C(=NR9)N(R)2, -N(R)C(=CHR9)N(R)2, -OC(O)N(R)2, -N(R)C(O)OR, -N(OR)C(O)R, -N(OR)S(O)2R, -N(OR)C(O)OR, -N(OR)C(O)N(R)2, -N(OR)C(S)N(R)2, -N(OR)C(=NR9)N(R)2, -N(OR)C(=CHR9)N(R)2, -C(=NR9)N(R)2, -C(=NR9)R, -C(O)N(R)OR, and a 5- to 14-membered heterocycloalkyl having one or more heteroatoms selected from N, O, and S which is substituted with one or more substituents selected from oxo (=O), OH, amino,
mono- or di-alkylamino, and C1-3 alkyl, and each n is independently selected from 1, 2, 3, 4, and 5; each R5 is independently selected from the group consisting of C1-3 alkyl, C2-3 alkenyl, and H; each R6 is independently selected from the group consisting of C1-3 alkyl, C2-3 alkenyl, and H; M and M’ are independently selected from -C(O)O-, -OC(O)-, -C(O)N(R’)-, -N(R’)C(O)-, -C(O)-, -C(S)-, -C(S)S-, -SC(S)-, -CH(OH)-, -P(O)(OR’)O-, -S(O)2-, -S-S-, an aryl group, and a heteroaryl group; R7 is selected from the group consisting of C1-3 alkyl, C2-3 alkenyl, and H; R8 is selected from the group consisting of C3-6 carbocycle and heterocycle; R9 is selected from the group consisting of H, CN, NO2, C1-6 alkyl, -OR, -S(O)2R, -S(O)2N(R)2, C2-6 alkenyl, C3-6 carbocycle and heterocycle; each R is independently selected from the group consisting of C1-3 alkyl, C2-3 alkenyl, and H; each R’ is independently selected from the group consisting of C1-18 alkyl, C2-18 alkenyl, -R*YR”, -YR”, and H; each R” is independently selected from the group consisting of C3-14 alkyl and C3-14 alkenyl; each R* is independently selected from the group consisting of C1-12 alkyl and C2-12 alkenyl; each Y is independently a C3-6 carbocycle; each X is independently selected from the group consisting of F, Cl, Br, and I; and m is selected from 5, 6, 7, 8, 9, 10, 11, 12, and 13, or salts or isomers thereof. In some embodiments, another subset of compounds of Formula (VI) includes those in which: R1 is selected from the group consisting of C5-30 alkyl, C5-20 alkenyl, -R*YR”, -YR”, and -R”M’R’; R2 and R3 are independently selected from the group consisting of H, C1-14 alkyl, C2-14 alkenyl, -R*YR”, -YR”, and -R*OR”, or R2 and R3, together with the atom to which they are attached, form a heterocycle or carbocycle; R4 is selected from the group consisting of a C3-6 carbocycle, -(CH2)nQ, -(CH2)nCHQR, -CHQR, -CQ(R)2, and unsubstituted C1-6 alkyl, where Q is selected from a C3-6 carbocycle, a 5-
to 14-membered heterocycle having one or more heteroatoms selected from N, O, and S, -OR, -O(CH2)nN(R)2, -C(O)OR, -OC(O)R, -CX3, -CX2H, -CXH2, -CN, -C(O)N(R)2, -N(R)C(O)R, -N(R)S(O)2R, -N(R)C(O)N(R)2, -N(R)C(S)N(R)2, -CRN(R)2C(O)OR, -N(R)R8, -O(CH2)nOR, -N(R)C(=NR9)N(R)2, -N(R)C(=CHR9)N(R)2, -OC(O)N(R)2, -N(R)C(O) OR, -N(OR)C(O)R, -N(OR)S(O)2R, -N(OR)C(O)OR, -N(OR)C(O)N(R)2, -N(OR)C(S)N(R)2, - N(OR)C(=NR9)N(R)2, -N(OR)C(=CHR9)N(R)2, -C(=NR9)R, -C(O)N(R)OR, and -C(=NR9)N(R)2, and each n is independently selected from 1, 2, 3, 4, and 5; and when Q is a 5- to 14-membered heterocycle and (i) R4 is -(CH2)nQ in which n is 1 or 2, or (ii) R4 is -(CH2)nCHQR in which n is 1, or (iii) R4 is -CHQR, and -CQ(R)2, then Q is either a 5- to 14- membered heteroaryl or 8- to 14-membered heterocycloalkyl; each R5 is independently selected from the group consisting of C1-3 alkyl, C2-3 alkenyl, and H; each R6 is independently selected from the group consisting of C1-3 alkyl, C2-3 alkenyl, and H; M and M’ are independently selected from -C(O)O-, -OC(O)-, -C(O)N(R’)-, -N(R’)C(O)-, -C(O)-, -C(S)-, -C(S)S-, -SC(S)-, -CH(OH)-, -P(O)(OR’)O-, -S(O)2-, -S-S-, an aryl group, and a heteroaryl group; R7 is selected from the group consisting of C1-3 alkyl, C2-3 alkenyl, and H; R8 is selected from the group consisting of C3-6 carbocycle and heterocycle; R9 is selected from the group consisting of H, CN, NO2, C1-6 alkyl, -OR, -S(O)2R, -S(O)2N(R)2, C2-6 alkenyl, C3-6 carbocycle and heterocycle; each R is independently selected from the group consisting of C1-3 alkyl, C2-3 alkenyl, and H; each R’ is independently selected from the group consisting of C1-18 alkyl, C2-18 alkenyl, -R*YR”, -YR”, and H; each R” is independently selected from the group consisting of C3-14 alkyl and C3-14 alkenyl; each R* is independently selected from the group consisting of C1-12 alkyl and C2-12 alkenyl; each Y is independently a C3-6 carbocycle; each X is independently selected from the group consisting of F, Cl, Br, and I; and m is selected from 5, 6, 7, 8, 9, 10, 11, 12, and 13, or salts or isomers thereof.
In some embodiments, another subset of compounds of Formula (VI) includes those in which: R1 is selected from the group consisting of C5-30 alkyl, C5-20 alkenyl, -R*YR”, -YR”, and -R”M’R’; R2 and R3 are independently selected from the group consisting of H, C1-14 alkyl, C2-14 alkenyl, -R*YR”, -YR”, and -R*OR”, or R2 and R3, together with the atom to which they are attached, form a heterocycle or carbocycle; R4 is selected from the group consisting of a C3-6 carbocycle, -(CH2)nQ, -(CH2)nCHQR, -CHQR, -CQ(R)2, and unsubstituted C1-6 alkyl, where Q is selected from a C3-6 carbocycle, a 5- to 14-membered heteroaryl having one or more heteroatoms selected from N, O, and S, -OR, -O(CH2)nN(R)2, -C(O)OR, -OC(O)R, -CX3, -CX2H, -CXH2, -CN, -C(O)N(R)2, -N(R)C(O)R, -N(R)S(O)2R, -N(R)C(O)N(R)2, -N(R)C(S)N(R)2, -CRN(R)2C(O)OR, -N(R)R8, -O(CH2)nOR, -N(R)C(=NR9)N(R)2, -N(R)C(=CHR9)N(R)2, -OC(O)N(R)2, -N(R)C(O)OR, -N(OR)C(O)R, -N(OR)S(O)2R, -N(OR)C(O)OR, -N(OR)C(O)N(R)2, -N(OR)C(S)N(R)2, -N(OR)C(=NR9)N(R)2, -N(OR)C(=CHR9)N(R)2, -C(=NR9)R, -C(O)N(R)OR, and -C(=NR9)N(R)2, and each n is independently selected from 1, 2, 3, 4, and 5; each R5 is independently selected from the group consisting of C1-3 alkyl, C2-3 alkenyl, and H; each R6 is independently selected from the group consisting of C1-3 alkyl, C2-3 alkenyl, and H; M and M’ are independently selected from -C(O)O-, -OC(O)-, -C(O)N(R’)-, -N(R’)C(O)-, -C(O)-, -C(S)-, -C(S)S-, -SC(S)-, -CH(OH)-, -P(O)(OR’)O-, -S(O)2-, -S-S-, an aryl group, and a heteroaryl group; R7 is selected from the group consisting of C1-3 alkyl, C2-3 alkenyl, and H; R8 is selected from the group consisting of C3-6 carbocycle and heterocycle; R9 is selected from the group consisting of H, CN, NO2, C1-6 alkyl, -OR, -S(O)2R, -S(O)2N(R)2, C2-6 alkenyl, C3-6 carbocycle and heterocycle; each R is independently selected from the group consisting of C1-3 alkyl, C2-3 alkenyl, and H; each R’ is independently selected from the group consisting of C1-18 alkyl, C2-18 alkenyl, -R*YR”, -YR”, and H; each R” is independently selected from the group consisting of C3-14 alkyl and C3-14 alkenyl;
each R* is independently selected from the group consisting of C1-12 alkyl and C2-12 alkenyl; each Y is independently a C3-6 carbocycle; each X is independently selected from the group consisting of F, Cl, Br, and I; and m is selected from 5, 6, 7, 8, 9, 10, 11, 12, and 13, or salts or isomers thereof. In some embodiments, another subset of compounds of Formula (VI) includes those in which R1 is selected from the group consisting of C5-30 alkyl, C5-20 alkenyl, -R*YR”, -YR”, and -R”M’R’; R2 and R3 are independently selected from the group consisting of H, C2-14 alkyl, C2-14 alkenyl, -R*YR”, -YR”, and -R*OR”, or R2 and R3, together with the atom to which they are attached, form a heterocycle or carbocycle; R4 is -(CH2)nQ or -(CH2)nCHQR, where Q is -N(R)2, and n is selected from 3, 4, and 5; each R5 is independently selected from the group consisting of C1-3 alkyl, C2-3 alkenyl, and H; each R6 is independently selected from the group consisting of C1-3 alkyl, C2-3 alkenyl, and H; M and M’ are independently selected from -C(O)O-, -OC(O)-, -C(O)N(R’)-, -N(R’)C(O)-, -C(O)-, -C(S)-, -C(S)S-, -SC(S)-, -CH(OH)-, -P(O)(OR’)O-, -S(O)2-, -S-S-, an aryl group, and a heteroaryl group; R7 is selected from the group consisting of C1-3 alkyl, C2-3 alkenyl, and H; each R is independently selected from the group consisting of C1-3 alkyl, C2-3 alkenyl, and H; each R’ is independently selected from the group consisting of C1-18 alkyl, C2-18 alkenyl, -R*YR”, -YR”, and H; each R” is independently selected from the group consisting of C3-14 alkyl and C3-14 alkenyl; each R* is independently selected from the group consisting of C1-12 alkyl and C1-12 alkenyl; each Y is independently a C3-6 carbocycle; each X is independently selected from the group consisting of F, Cl, Br, and I; and m is selected from 5, 6, 7, 8, 9, 10, 11, 12, and 13, lt i th f
In some embodiments, another subset of compounds of Formula (VI) includes those in which R1 is selected from the group consisting of C5-30 alkyl, C5-20 alkenyl, -R*YR”, -YR”, and -R”M’R’; R2 and R3 are independently selected from the group consisting of C1-14 alkyl, C2-14 alkenyl, -R*YR”, -YR”, and -R*OR”, or R2 and R3, together with the atom to which they are attached, form a heterocycle or carbocycle; R4 is selected from the group consisting of -(CH2)nQ, -(CH2)nCHQR, -CHQR, and -CQ(R)2, where Q is -N(R)2, and n is selected from 1, 2, 3, 4, and 5; each R5 is independently selected from the group consisting of C1-3 alkyl, C2-3 alkenyl, and H; each R6 is independently selected from the group consisting of C1-3 alkyl, C2-3 alkenyl, and H; M and M’ are independently selected from -C(O)O-, -OC(O)-, -C(O)N(R’)-, -N(R’)C(O)-, -C(O)-, -C(S)-, -C(S)S-, -SC(S)-, -CH(OH)-, -P(O)(OR’)O-, -S(O)2-, -S-S-, an aryl group, and a heteroaryl group; R7 is selected from the group consisting of C1-3 alkyl, C2-3 alkenyl, and H; each R is independently selected from the group consisting of C1-3 alkyl, C2-3 alkenyl, and H; each R’ is independently selected from the group consisting of C1-18 alkyl, C2-18 alkenyl, -R*YR”, -YR”, and H; each R” is independently selected from the group consisting of C3-14 alkyl and C3-14 alkenyl; each R* is independently selected from the group consisting of C1-12 alkyl and C1-12 alkenyl; each Y is independently a C3-6 carbocycle; each X is independently selected from the group consisting of F, Cl, Br, and I; and m is selected from 5, 6, 7, 8, 9, 10, 11, 12, and 13, or salts or isomers thereof. In certain embodiments, a subset of compounds of Formula (VI) includes those of Formula (VI-A):
or its N-oxide, or a salt or isomer thereof, wherein l is selected from 1, 2, 3, 4, and 5; m is selected from 5, 6, 7, 8, and 9; M1 is a bond or M’; R4 is hydrogen, unsubstituted C1-3 alkyl, or -(CH2)nQ, in which Q is OH, -NHC(S)N(R)2, -NHC(O)N(R)2, -N(R)C(O)R, -N(R)S(O)2R, -N(R)R8, -NHC(=NR9)N(R)2, -NHC(=CHR9)N(R)2, -OC(O)N(R)2, -N(R)C(O)OR, heteroaryl or heterocycloalkyl; M and M’ are independently selected from -C(O)O-, -OC(O)-, -OC(O)-M”-C(O)O-, -C(O)N(R’)-, -P(O)(OR’)O-, -S-S-, an aryl group, and a heteroaryl group,; and R2 and R3 are independently selected from the group consisting of H, C1-14 alkyl, and C2-14 alkenyl. For example, m is 5, 7, or 9. For example, Q is OH, -NHC(S)N(R)2, or -NHC(O)N(R)2. For example, Q is -N(R)C(O)R, or -N(R)S(O)2R. In certain embodiments, a subset of compounds of Formula (VI) includes those of Formula (VI-B):
or its N-oxide, or a salt or isomer thereof in which all variables are as defined herein. For example, m is selected from 5, 6, 7, 8, and 9; R4 is hydrogen, unsubstituted C1-3 alkyl, or -(CH2)nQ, in which Q is H, -NHC(S)N(R)2, -NHC(O)N(R)2, -N(R)C(O)R, -N(R)S(O)2R, -N(R)R8, -NHC(=NR9)N(R)2, -NHC(=CHR9)N(R)2, -OC(O)N(R)2, -N(R)C(O)OR, heteroaryl or heterocycloalkyl; M and M’ are independently selected from -C(O)O-, -OC(O)-, -OC(O)-M”-C(O)O-, -C(O)N(R’)-, -P(O)(OR’)O-, -S-S-, an aryl group, and a heteroaryl group; and R2 and R3 are independently selected from the group consisting of H, C1-14 alkyl, and C2-14 alkenyl. For example, m is 5, 7, or 9. For example, Q is OH, -NHC(S)N(R)2, or -NHC(O)N(R)2. For example, Q is -N(R)C(O)R, or -N(R)S(O)2R. In certain embodiments, a subset of compounds of Formula (VI) includes those of Formula (VII):
or its N-oxide, or a salt or isomer thereof, wherein l is selected from 1, 2, 3, 4, and 5; M1 is a bond or M’; R4 is hydrogen, unsubstituted C1-3 alkyl, or -(CH2)nQ, in which n is 2, 3, or 4, and Q is OH, -NHC(S)N(R)2, -NHC(O)N(R)2, -N(R)C(O)R, -N(R)S(O)2R, -N(R)R8, -NHC(=NR9)N(R)2, -NHC(=CHR9)N(R)2, -OC(O)N(R)2, -N(R)C(O)OR, heteroaryl or heterocycloalkyl; M and M’ are independently selected from -C(O)O-, -OC(O)-, -OC(O)-M”-C(O)O-, -C(O)N(R’)-, -P(O)(OR’)O-, -S-S-, an aryl group, and a heteroaryl group; and R2 and R3 are independently selected from the group consisting of H, C1-14 alkyl, and C2-14 alkenyl. In one embodiment, the compounds of Formula (VI) are of Formula (VIIa),
, or their N-oxides, or salts or isomers thereof, wherein R4 is as defined above. In another embodiment, the compounds of Formula (VI) are of Formula (VIIb),
, or their N-oxides, or salts or isomers thereof, wherein R4 is as defined above. In another embodiment, the compounds of Formula (VI) are of Formula (VIIc) or (VIIe):
,
or their N-oxides, or salts or isomers thereof, wherein R4 is as defined above. In another embodiment, the compounds of Formula (VI) are of Formula (VIIf):
(VIIf) or their N-oxides, or salts or isomers thereof, wherein M is -C(O)O- or –OC(O)-, M” is C1-6 alkyl or C2-6 alkenyl, R2 and R3 are independently selected from the group consisting of C5-14 alkyl and C5-14 alkenyl, and n is selected from 2, 3, and 4. In a further embodiment, the compounds of Formula (VI) are of Formula (VIId),
(VIId), or their N-oxides, or salts or isomers thereof, wherein n is 2, 3, or 4; and m, R’, R”, and R2 through R6 are as defined above. For example, each of R2 and R3 may be independently selected from the group consisting of C5-14 alkyl and C5-14 alkenyl. In some embodiments, an ionizable amino lipid comprises a compound having structure:
(Compound I) (heptadecan-9-yl 8 ((2 hydroxyethyl)(6 oxo 6-(undecyloxy)hexyl)amino)octanoate). In some embodiments, an ionizable amino lipid comprises a compound having structure:
(Compound II) (heptadecan-9-yl 8- ((2-hydroxyethyl)(8-(nonyloxy)-8-oxooctyl)amino)octanoate).
In some embodiments, an ionizable amino lipid comprises a compound having structure:
(Compound III) ((heptadecan-9-yl 8-((3-((2-(methylamino)-3,4-dioxocyclobut-1-en-1-yl)amino)propyl)(8- oxo-8-(undecan-3-yloxy)octyl)amino)octanoate)). In some embodiments, an ionizable amino lipid comprises a compound having structure:
(Compound IV) (3-butylheptyl 8-((8-(heptadecan-9-yloxy)-8-oxooctyl)(2- hydroxyethyl)amino)octanoate). In a further embodiment, the compounds of Formula (VI) are of Formula (VIIg),
(VIIg), or their N-oxides, or salts or isomers thereof, wherein l is selected from 1, 2, 3, 4, and 5; m is selected from 5, 6, 7, 8, and 9; M1 is a bond or M’; M and M’ are independently selected from -C(O)O-, -OC(O)-, -OC(O)-M”-C(O)O-, -C(O)N(R’)-, -P(O)(OR’)O-, -S-S-, an aryl group, and a heteroaryl group; and R2 and R3 are independently selected from the group consisting of H, C1-14 alkyl, and C2-14 alkenyl. For example, M” is C1-6 alkyl (e.g., C1-4 alkyl) or C2-6 alkenyl (e.g., C2-4 alkenyl). For example, R2 and R3 are independently selected from the group consisting of C5-14 alkyl and C5-14 alkenyl. In some embodiments, the ionizable amino lipids are one or more of the compounds described in U.S. Application Nos. 62/220,091, 62/252,316, 62/253,433, 62/266,460, 62/333,557, 62/382,740, 62/393,940, 62/471,937, 62/471,949, 62/475,140, and 62/475,166, and PCT Application No. PCT/US2016/052352. The central amine moiety of a lipid according to Formula (VI), (VI-A), (VI-B), (VII), (VIIa), (VIIb), (VIIc), (VIId), (VIIe), (VIIf), or (VIIg) may be protonated at a physiological pH.
Thus, a lipid may have a positive or partial positive charge at physiological pH. Such amino lipids may be referred to as cationic lipids, ionizable lipids, cationic amino lipids, or ionizable amino lipids. Amino lipids may also be zwitterionic, i.e
., neutral molecules having both a positive and a negative charge. In some embodiments, the ionizable amino lipid may be one or more of compounds of formula (VIII),
t is 1 or 2; A1 and A2 are each independently selected from CH or N; Z is CH2 or absent wherein when Z is CH2, the dashed lines (1) and (2) each represent a single bond; and when Z is absent, the dashed lines (1) and (2) are both absent; R1, R2, R3, R4, and R5 are independently selected from the group consisting of C5-20 alkyl, C5-20 alkenyl, -R”MR’, -R*YR”, -YR”, and -R*OR”; RX1 and RX2 are each independently H or C1-3 alkyl; each M is independently selected from the group consisting of -C(O)O-, -OC(O)-, -OC(O)O-, -C(O)N(R’)-, -N(R’)C(O)-, -C(O)-, -C(S)-, -C(S)S-, -SC(S)-, -CH(OH)-, -P(O)(OR’)O-, -S(O)2-, -C(O)S-, -SC(O)-, an aryl group, and a heteroaryl group; M* is C1-C6 alkyl, W1 and W2 are each independently selected from the group consisting of -O- and -N(R6)-; each R6 is independently selected from the group consisting of H and C1-5 alkyl;
X1, X2, and X3 are independently selected from the group consisting of a bond, -CH2-, -(CH2)2-, -CHR-, -CHY-, -C(O)-, -C(O)O-, -OC(O)-, -(CH2)n-C(O)-, -C(O)-(CH2)n-, -(CH2)n-C(O)O-, -OC(O)-(CH2)n-, -(CH2)n-OC(O)-, -C(O)O-(CH2)n-, -CH(OH)-, -C(S)-, and -CH(SH)-; each Y is independently a C3-6 carbocycle; each R* is independently selected from the group consisting of C1-12 alkyl and C2-12 alkenyl; each R is independently selected from the group consisting of C1-3 alkyl and a C3-6 carbocycle; each R’ is independently selected from the group consisting of C1-12 alkyl, C2-12 alkenyl, and H; each R” is independently selected from the group consisting of C3-12 alkyl, C3-12 alkenyl and -R*MR’; and n is an integer from 1-6; wherein when ring
, then i) at least one of X1, X2, and X3 is not -CH2-; and/or ii) at least one of R1, R2, R3, R4, and R5 is -R”MR’. In some embodiments, the compound is of any of formulae (VIIIa1)-(VIIIa8):
,
In some embodiments, the ionizable amino lipid is
salt thereof. The central amine moiety of a lipid according to Formula (VIII), (VIIIa1), (VIIIa2), (VIIIa3), (VIIIa4), (VIIIa5), (VIIIa6), (VIIIa7), or (VIIIa8) may be protonated at a physiological pH. Thus, a lipid may have a positive or partial positive charge at physiological pH. In some embodiments, the lipid nanoparticle comprises a lipid having the structure:
or a pharmaceutically acceptable salt, tautomer, or stereoisomer thereof, wherein: R1 is optionally substituted C1-C24 alkyl or optionally substituted C2-C24 alkenyl; R2 and R3 are each independently optionally substituted C1-C36 alkyl; R4 and R5 are each independently optionally substituted C1-C6 alkyl, or R4 and R5 join, along with the N to which they are attached, to form a heterocyclyl or heteroaryl; L1, L2, and L3 are each independently optionally substituted C1-C I 8 alkylene; G1 is a direct bond, -(CH2)nO(C=O)-, -(CH2)n(C=O)O-, or -(C=O)-; G2 and G3 are each independently -(C=O)O- or -0(C=O)-; and n is an integer greater than 0. In some embodiments, the lipid nanoparticle comprises a lipid having the structure:
or a pharmaceutically acceptable salt, tautomer, or stereoisomer thereof, wherein: G1 is -N(R3)R4 or -OR5; R1 is optionally substituted branched, saturated or unsaturated C12-C36 alkyl; R2 is optionally substituted branched or unbranched, saturated or unsaturated C12- C36 alkyl when L is -C(=O)-; or R2 is optionally substituted branched or unbranched, saturated or unsaturated C4-C36 alkyl when L is C6-C12 alkylene, C6-C12 alkenylene, or C2-C6 alkynylene; R3 and R4 are each independently H, optionally substituted branched or unbranched, saturated or unsaturated C1-C6 alkyl; or R3 and R4 are each independently optionally substituted branched or unbranched, saturated or unsaturated C1-C6 alkyl when L is C6-C12 alkylene, C6- C12 alkenylene, or C2-C6 alkynylene; or R3 and R4, together with the nitrogen to which they are attached, join to form a heterocyclyl; R5 is H or optionally substituted C1-C6 alkyl; L is -C(=O)-, C6-C 12 alkylene, C6-C12 alkenylene, or C2-C6 alkynylene; and n is an integer from 1 to 12. In some embodiments, the lipid nanoparticle comprises a lipid having the structure:
or a pharmaceutically acceptable salt thereof, wherein: each Rla is independently hydrogen, Rlc, or Rld; each Rlb is independently Rlc or Rld; each R1c is independently –[CH2]2C(O)X1R3; each Rld Is independently -C(O)R4; each R2 is independently -[C(R2a)2]cR2b; each R2a is independently hydrogen or C1-C6 alkyl; R2b is -N(L1-B)2; -(OCH2CH2)6OH; or -(OCH2CH2)bOCH3; each R3 and R4 is independently C6-C30 aliphatic; each I.3 is independently C1-C10 alkylene; each B is independently hydrogen or an ionizable nitrogen-containing group; each X1 is independently a covalent bond or O; each a is independently an integer of 1-10; each b is independently an integer of 1-10; and each c is independently an integer of 1-10. In some embodiments, the lipid nanoparticle comprises a lipid having the structure:
or a pharmaceutically acceptable salt, prodrug or stereoisomer thereof, wherein: X is N, and Y is absent; or X is CR, and Y is NR; L1 is -O(C-O)R1, -(C=O)OR1, -C(=O)R1, -OR1, -S(O)xR1, -S-SR1, -C(=O)SR1, - SC(=O)R1, -NRaC(=O)R1, -C(=O)NRbRc, -NRaC(=O)NRbRc, -OC(=O)NRbRc, or - NRaC(=O)OR1; L2 is -O(C=O)R2, -(C=O)OR2, -C(=O)R2, -OR2, -S(O)xR2, -S-SR2, -C(=O)SR2, - SC(=O)R2, -NRdC(=O)R2, -C(=O)NReRf, -NRdC(=O)NReRf, -OC(=O)NReRf; - NRdC(=O)OR2 or a direct bond to R2;
G1 and G2 are each independently C2-C12 alkylene or C2-C12 alkenylene;
G3 is C1-C24 alkylene, C2-C24 alkenylene, C1-C24 heteroalkylene or C2- C24 heteroalkenylene when X is CR, and Y is NR; and G3 is C1-C24 heteroalkylene or C2- C24 heteroalkenylene when X is N, and Y is absent; Ra, Rb, Rd and Re are each independently H or C1-C12 alkyl or C1-C12 alkenyl; Rc and Rf are each independently C1-C12 alkyl or C2-C12 alkenyl; each R is independently H or C1-C12 alkyl; R1, R2 and R3 are each independently C1-C24 alkyl or C2-C24 alkenyl; and x is 0, 1 or 2, and wherein each alkyl, alkenyl, alkylene, alkenylene, heteroalkylene and heteroalkenylene is independently substituted or unsubstituted unless otherwise specified. In some embodiments, the lipid nanoparticle comprises a lipid having the structure:
, or a pharmaceutically acceptable salt, tautomer, prodrug or stereoisomer thereof, wherein: L1 and L2 are each independently -0(C=0)-, -(C=0)0-, -C(=0)-, -0-, -S(0)x-s -S-S-, - C(=0)S-, -SC(=0)-, -NRaC(=0)-, -C(=0)NRa-, -NRaC(=0)NRa-, -OC(=0)NRa-, -NRaC(=0)0- or a direct bond; G1 is C,-C2 alkylene, -(C=0)-, -0(C=0)-, -SC(=0)-, -NRaC(=0)- or a direct bond; G2 is -C(0)-, -(CO)O-, -C(=0)S-, -C(=0)NRa- or a direct bond; G3 is C1-C6 alkylene; Ra is H or C1-C12 alkyl; Rl a and Rlb are, at each occurrence, independently either: (a) H or C1-C12 alkyl; or (b) Rla is H or C1-C12 alkyl, and RI b together with the carbon atom to which it is bound is taken together with an adjacent Rl b and the carbon atom to which it is bound to form a carbon-carbon double bond; R2a and R2b are, at each occurrence, independently either: (a) H or C1-C12 alkyl; or (b) R2a is H or C1-C12 alkyl, and R2b together with the carbon atom to which it is bound is taken together with an adjacent R2b and the carbon atom to which it is bound to form a carbon-carbon double bond;
R3a and R3b are, at each occurrence, independently either (a): H or C1-C12 alkyl; or (b) R3a is H or C1-C12 alkyl, and R3b together with the carbon atom to which it is bound is taken together with an adjacent R and the carbon atom to which it is bound to form a carbon-carbon double bond; R4A and R4B are, at each occurrence, independently either: (a) H or C1-C12 alkyl; or (b) R4A is H or C1-C12 alkyl, and R4B together with the carbon atom to which it is bound is taken together with an adjacent R4B and the carbon atom to which it is bound to form a carbon-carbon double bond; R5 and R6 are each independently H or methyl; R7 is H or C,-C20 alkyl; R8 is OH, -N(R9)(C=0)R10, -(C=0)NR9R10, -NR9R10, -(C=0)0R" 1 or -0(C=0)R", provided that G3 is C4-C6 alkylene when R8 is -NR9R10, R9 and R10 are each independently H or C1-C12 alkyl; R" is aralkyl; a, b, c and d are each independently an integer from 1 to 24; and x is 0, 1 or 2, wherein each alkyl, alkylene and aralkyl is optionally substituted. In some embodiments, the lipid nanoparticle comprises a lipid having the structure:
, or a pharmaceutically acceptable salt, prodrug or stereoisomer thereof, wherein: X and X' are each independently N or CR; Y and Y' are each independently absent, -O(C=O)-, -(C=O)O- or NR, provided that: a) Y is absent when X is N; b) Y' is absent when X' is N; c) Y is -O(C=O)-, -(C=O)O- or NR when X is CR; and d) Y' is -O(C=O)-, -(C=O)O- or NR when X' is CR, L1 and L1' are each independently -O(C=O)R', -(C=O)OR' , -C(=O)R', -OR1, -S(O)zR', -
OC(=O)NRbRc or -NRaC(=O)OR'; L2 and L2’ are each independently -O(C=O)R2, -(C=O)OR2, -C(=O)R2, -OR2, -S(O)zR2, - S-SR2, -C(=O)SR2, -SC(=O)R2, -NRdC(=O)R2, -C(=O)NReRf, -NRdC(=O)NReRf, - OC(=O)NReRf;-NRdC(=O)OR2 or a direct bond to R2; G1. G1’, G2 and G2’ are each independently C2-Ci2 alkylene or C2-C12 alkenylene;
G is C2-C24 heteroalkylene or C2-C24 heteroalkenylene; Ra, Rb, Rd and Re are, at each occurrence, independently H, C1-C12 alkyl or C2- C12 alkenyl; Rc and Rf are, at each occurrence, independently C1-C12 alkyl or C2-C12 alkenyl; R is, at each occurrence, independently H or C1-C12 alkyl; R1 and R2 are, at each occurrence, independently branched C6-C24 alkyl or branched C6- C24 alkenyl; z is 0, 1 or 2, and wherein each alkyl, alkenyl, alkylene, alkenylene, heteroalkylene and heteroalkenylene is independently substituted or unsubstituted unless otherwise specified. In some embodiments, the lipid nanoparticle comprises a lipid having the structure:
or a pharmaceutically acceptable salt, prodrug or stereoisomer thereof, wherein: L1 is -O(C=O)R1, -(C=O)OR1, -C(=O)R1, -OR1, -S(O)xR1, -S-SR1, - C(=O)SR1, -SC(=O)R1, -NRaC(=O)R1, -C(=O)NRbRc, -NRaC(=O)NRbRc, -OC(=O)NRbRc or - NRaC(=O)OR1; L2 is -O(C=O)R2, -(C=O)OR2, -C(=O)R2, -OR2, -S(O)xR2, -S-SR2, - C(=O)SR2, -SC(=O)R2, -NRdC(=O)R2, -C(=O)NReRf, -NRdC(=O)NReRf, -OC(=O)NReRf; -NRdC(=O)OR2 or a direct bond to R2; G1 and G2 are each independently C2-C12 alkylene or C2-C12 alkenylene; G3 is C1-C24 alkylene, C2-C24 alkenylene, C3-C8 cycloalkylene or C3-C8 cycloalkenylene; Ra, Rb, Rd and Re are each independently H or C1-C12 alkyl or C1-C12 alkenyl; Rc and Rf are each independently C1-C12 alkyl or C2-C12 alkenyl; R1 and R2 are each independently branched C6-C24 alkyl or branched C6- C24 alkenyl; R3 is -N(R4)R5; R4 is C1-C12 alkyl; R5 is substituted C1-C12 alkyl; and x is 0, 1 or 2, and wherein each alkyl, alkenyl, alkylene, alkenylene, cycloalkylene, cycloalkenylene, aryl and aralkyl is independently substituted or unsubstituted unless otherwise specified. In some embodiments, the lipid nanoparticle comprises a lipid having the structure:
or a pharmaceutically acceptable salt, prodrug or stereoisomer thereof, wherein: L1 is -O(C=O)R1, -(C=O)OR1, -C(=O)R1, -OR1, -S(O)xR1, -S-SR1, -C(=O)SR1, - SC(=O)R1, -NRaC(=O)R1, -C(=O)NRbRc, -NRaC(=O)NRbRc, -OC(=O)NRbRc or - NRaC(=O)OR1;
SC(=O)R2, -NRdC(=O)R2, -C(=O)NReRf, -NRdC(=O)NReRf, -OC(=O)NReRf;-NRdC(=O)OR2 or a direct bond to R2; G1a and G2b are each independently C2-C12 alkylene or C2-C12 alkenylene; G1b and G2b are each independently C1-C12 alkylene or C2-C12 alkenylene; G3 is C1-C24 alkylene, C2-C24 alkenylene, C3-C8 cycloalkylene or C3-C8 cycloalkenylene; Ra, Rb, Rd and Re are each independently H or C1-C12 alkyl or C2-C12 alkenyl; Rc and Rf are each independently C1-C12 alkyl or C2-C12 alkenyl; R1 and R2 are each independently branched C6-C24 alkyl or branched C6- C24 alkenyl; R3a is -C(=O)N(R4a)R5a or -C(=O)OR6; R3b is -NR4bC(=O)R5b; R4a is C1-C12 alkyl; R4b is H, C1-C12 alkyl or C2-C12 alkenyl; R5a is H, C1-C8 alkyl or C2-C8 alkenyl; R5b is C2-C12 alkyl or C2-C12 alkenyl when R4b is H; or R5b is C1-C12 alkyl or C2- C12 alkenyl when R4b is C1-C12 alkyl or C2-C12 alkenyl; R6 is H, aryl or aralkyl; and x is 0, 1 or 2, and wherein each alkyl, alkenyl, alkylene, alkenylene, cycloalkylene, cycloalkenylene, aryl and aralkyl is independently substituted or unsubstituted. In some embodiments, the lipid nanoparticle comprises a lipid having the structure:
or a pharmaceutically acceptable salt, prodrug or stereoisomer thereof, wherein: G1 is -OH, - R3R4, -(C=0) R5 or - R3(C=0)R5;
G2 is -CH2- or -(C=0)-; R is, at each occurrence, independently H or OH; R1 and R2 are each independently optionally substituted branched, saturated or unsaturated C12-C36 alkyl; R3 and R4 are each independently H or optionally substituted straight or branched, saturated or unsaturated Ci-C6 alkyl; R5 is optionally substituted straight or branched, saturated or unsaturated Ci-C6 alkyl; and n is an integer from 2 to 6. In some embodiments, the lipid nanoparticle comprises a lipid having the structure:
or a pharmaceutically acceptable salt, prodrug or stereoisomer thereof, wherein: one of G1 or G2 is, at each occurrence, -O(C=O)-, -(C=O)O-, -C(=O)-, -O-, -S(O) , -S-S-, -C(=O)S-, SC(=O)-, -N(Ra)C(=O)-, -C(=O)N(Ra)-, -N(Ra)C(=O)N(Ra)-, -OC(=O)N(Ra)- or - N(Ra)C(=O)O-, and the other of G1 or G2 is, at each occurrence, -O(C=O)-, -(C=O)O-, -C(=O)-, -O-, -S(O) , -S-S-, -C(=O)S-, -SC(=O)-, -N(Ra)C(=O)-, -C(=O)N(Ra)-, -N(Ra)C(=O)N(Ra)-, - OC(=O)N(Ra)- or -N(Ra)C(=O)O- or a direct bond; L is, at each occurrence, ~O(C=O)-, wherein ~ represents a covalent bond to X; X is CRa; Z is alkyl, cycloalkyl or a monovalent moiety comprising at least one polar functional group when n is 1; or Z is alkylene, cycloalkylene or a polyvalent moiety comprising at least one polar functional group when n is greater than 1; Ra is, at each occurrence, independently H, C1-C12 alkyl, C1-C12 hydroxylalkyl, C1- C12 aminoalkyl, C1-C12 alkylaminylalkyl, C1-C12 alkoxyalkyl, C1-C12 alkoxycarbonyl, C1- C12 alkylcarbonyloxy, C1-C12 alkylcarbonyloxyalkyl or C1-C12 alkylcarbonyl; R is, at each occurrence, independently either: (a) H or C1-C12 alkyl; or (b) R together with the carbon atom to which it is bound is taken together with an adjacent R and the carbon atom to which it is bound to form a carbon-carbon double bond; R1 and R2 have, at each occurrence, the following structure, respectively:
a1 and a2 are, at each occurrence, independently an integer from 3 to 12; b1 and b2 are, at each occurrence, independently 0 or 1; c1 and c2 are, at each occurrence, independently an integer from 5 to 10; d1 and d2 are, at each occurrence, independently an integer from 5 to 10; y is, at each occurrence, independently an integer from 0 to 2; and n is an integer from 1 to 6, wherein each alkyl, alkylene, hydroxylalkyl, aminoalkyl, alkylaminylalkyl, alkoxyalkyl, alkoxycarbonyl, alkylcarbonyloxy, alkylcarbonyloxyalkyl and alkylcarbonyl is optionally substituted with one or more substituent. In some embodiments, the lipid nanoparticle comprises a lipid having the structure:
, or a pharmaceutically acceptable salt, prodrug or stereoisomer thereof, wherein:
-C(=O) Ra-, , RaC(=O) Ra-, -OC(=O) Ra- or -NRaC(=O)O- or a direct bond; G1 and G2 are each independently unsubstituted C1-C12 alkylene or C1-C12 alkenylene; G3 is C1-C24 alkylene, C1-C24 alkenylene, C3-C8 cycloalkylene, C3-C8 cycloalkenylene; Ra is H or C1-C12 alkyl; R1 and R2 are each independently C6-C24 alkyl or C6-C24 alkenyl; R3 is H, OR5, CN, -C(=O)OR4, -OC(=O)R4 or - R5C(=O)R4; R4 is C1-C12 alkyl; R5 is H or C1-C6 alkyl; and x is 0, 1 or 2. In some embodiments, the lipid nanoparticle comprises a lipid having the structure:
or a pharmaceutically acceptable salt, tautomer, prodrug or stereoisomer thereof, wherein: L1 and L2 are each independently -0(C=0)-, -(C=0)0-, -C(=0)-, -0-, -S(0)x-, -S-S-, - C(=0)S-, -SC(=0)-, - RaC(=0)-, -C(=0) Ra-, - RaC(=0) Ra-, -OC(=0) Ra-, - RaC(=0)0- or a direct bond; G1 is Ci-C2 alkylene, - (C=0)-, -0(C=0)-, -SC(=0)-, - RaC(=0)- or a direct bond: G2 is -C(=0)-, -(C=0)0-, -C(=0)S-, -C(=0)NRa- or a direct bond; G3 is C1-C6 alkylene; Ra is H or C1-C12 alkyl; Rla and Rlb are, at each occurrence, independently either: (a) H or C1-C12 alkyl; or (b) Rla is H or C1-C12 alkyl, and Rlb together with the carbon atom to which it is bound is taken together with an adjacent Rlb and the carbon atom to which it is bound to form a carbon-carbon double bond; R2a and R2b are, at each occurrence, independently either: (a) H or C1-C12 alkyl; or (b) R2a is H or C1-C12 alkyl, and R2b together with the carbon atom to which it is bound is taken together with an adjacent R2b and the carbon atom to which it is bound to form a carbon-carbon double bond; R3a and R3b are, at each occurrence, independently either (a): H or C1-C12 alkyl; or (b) R3a is H or C1-C12 alkyl, and R3b together with the carbon atom to which it is bound is taken together with an adjacent R and the carbon atom to which it is bound to form a carbon-carbon double bond; R4a and R4b are, at each occurrence, independently either: (a) H or C1-C12 alkyl; or (b) R4a is H or C1-C12 alkyl, and R4b together with the carbon atom to which it is bound is taken together with an adjacent R4b and the carbon atom to which it is bound to form a carbon-carbon double bond; R5 and R6 are each independently H or methyl; R7 is C4-C20 alkyl;
R8 and R9 are each independently C1-C12 alkyl; or R8 and R9, together with the nitrogen atom to which they are attached, form a 5, 6 or 7-membered heterocyclic ring; a, b, c and d are each independently an integer from 1 to 24; and x is 0, 1 or 2. In some embodiments, the lipid nanoparticle comprises a lipid having the structure:
or a pharmaceutically acceptable salt, tautomer, prodrug or stereoisomer thereof, wherein: L1 and L2 are each independently -0(C=0)-, -(C=0)0- or a carbon-carbon double bond; Rla and Rlb are, at each occurrence, independently either (a) H or C1-C12 alkyl, or (b) Rla is H or C1-C12 alkyl, and Rlb together with the carbon atom to which it is bound is taken together with an adjacent Rlb and the carbon atom to which it is bound to form a carbon-carbon double bond; R2a and R2b are, at each occurrence, independently either (a) H or C1-C12 alkyl, or (b) R2a is H or C1-C12 alkyl, and R2b together with the carbon atom to which it is bound is taken together with an adjacent R2b and the carbon atom to which it is bound to form a carbon-carbon double bond; R3a and R3b are, at each occurrence, independently either (a) H or C1-C12 alkyl, or (b) R3a is H or C1-C12 alkyl, and R3b together with the carbon atom to which it is bound is taken together with an adjacent R3b and the carbon atom to which it is bound to form a carbon-carbon double bond; R4a and R4b are, at each occurrence, independently either (a) H or C1-C12 alkyl, or (b) R4a is H or C1-C12 alkyl, and R4b together with the carbon atom to which it is bound is taken together with an adjacent R4b and the carbon atom to which it is bound to form a carbon-carbon double bond; R5 and R6 are each independently methyl or cycloalkyl; R7 is, at each occurrence, independently H or C1-C12 alkyl; R8 and R9 are each independently unsubstituted C1-C12 alkyl; or R8 and R9, together with the nitrogen atom to which they are attached, form a 5, 6 or 7- membered heterocyclic ring comprising one nitrogen atom;
a and d are each independently an integer from 0 to 24; b and c are each independently an integer from 1 to 24; and e is 1 or 2, provided that: at least one of Rla, R2a, R3a or R4a is C1-C12 alkyl, or at least one of L1 or L2 is -0(C=0)- or -(C=0)0-; and Rla and Rlb are not isopropyl when a is 6 or n-butyl when a is 8. In some embodiments, the lipid nanoparticle comprises a lipid having the structure:
or a pharmaceutically acceptable salt thereof, wherein R1 and R2 are the same or different, each a linear or branched alkyl with 1-9 carbons, or as alkenyl or alkynyl with 2 to 11 carbon atoms, L1 and L2 are the same or different, each a linear alkyl having 5 to 18 carbon atoms, or form a heterocycle with N, X1 is a bond, or is -CG-G- whereby L2-CO-O-R2 is formed, X2 is S or O, L3 is a bond or a lower alkyl, or form a heterocycle with N, R3 is a lower alkyl, and R4 and R5 are the same or different, each a lower alkyl. In some embodiments, the lipid nanoparticle comprises an ionizable lipid having the structure:
(XVII-L), or a pharmaceutically acceptable salt thereof. In some embodiments, the lipid nanoparticle comprises a lipid having the structure:
pharmaceutically acceptable salt thereof
In some embodiments, the lipid nanoparticle comprises a lipid having the structure:
or a pharmaceutically acceptable salt thereof. In some embodiments, the lipid nanoparticle comprises a lipid having the structure:
L), or a pharmaceutically acceptable salt thereof. In some embodiments, the lipid nanoparticle comprises a lipid having the structure:
pharmaceutically acceptable salt thereof. In some embodiments, the lipid nanoparticle comprises a lipid having the structure:
(XXII-L), or a pharmaceutically acceptable salt thereof. In some embodiments, the lipid nanoparticle comprises a lipid having the structure:
pharmaceutically acceptable salt thereof. In some embodiments, the lipid nanoparticle comprises a lipid having the structure:
pharmaceutically acceptable salt thereof. In some embodiments, the lipid nanoparticle comprises a lipid having the structure:
pharmaceutically acceptable salt thereof. In some embodiments, the lipid nanoparticle comprises a lipid having the structure:
(XXVI-L), or a pharmaceutically acceptable salt thereof. In some embodiments, the lipid nanoparticle comprises a lipid having the structure:
pharmaceutically acceptable salt thereof. Neutral lipids In certain embodiments, the lipid nanoparticles provided herein comprise one or more neutral lipids Neutral lipids may be phospholipids
In some embodiments, a neutral lipid comprises 1,2-distearoyl-sn-glycero-3- phosphocholine (DSPC), 1,2-dioleoyl-sn-glycero-3-phosphoethanolamine (DOPE), 1,2- dilinoleoyl-sn-glycero-3-phosphocholine (DLPC), 1,2-dimyristoyl-sn-gly cero-phosphocholine (DMPC), 1,2-dioleoyl-sn-glycero-3-phosphocholine (DOPC), l,2-dipalmitoyl-sn-glycero-3- phosphocholine (DPPC), 1,2-diundecanoyl-sn-glycero-phosphocholine (DUPC), 1-palmitoyl-2- oleoyl-sn-glycero-3-phosphocholine (POPC), 1,2-di-O-octadecenyl-sn-glycero-3- phosphocholine (18:0 Diether PC), 1-oleoyl-2 cholesterylhemisuccinoyl-sn-glycero-3- phosphocholine (OChemsPC), 1-hexadecyl-sn-glycero-3-phosphocholine (C16 Lyso PC), 1,2- dilinolenoyl-sn-glycero-3-phosphocholine,1,2-diarachidonoyl-sn-glycero-3-phosphocholine, 1,2-didocosahexaenoyl-sn-glycero-3-phosphocholine, 1,2-diphytanoyl-sn-glycero-3- phosphoethanolamine (ME 16.0 PE), 1,2-distearoyl-sn-glycero-3-phosphoethanolamine, 1,2- dilinoleoyl-sn-glycero-3-phosphoethanolamine, 1,2-dilinolenoyl-sn-glycero-3- phosphoethanolamine, 1,2-diarachidonoyl-sn-glycero-3-phosphoethanolamine, 1,2- didocosahexaenoyl-sn-glycero-3-phosphoethanolamine, 1,2-dioleoyl-sn-glycero-3-phospho-rac- (1-glycerol) sodium salt (DOPG), sphingomyelin, or mixtures thereof. In some embodiments, the lipid nanoparticle comprises 5 – 15 mol%, 5 – 10 mol%, or 10 – 15 mol% DSPC. For example, the lipid nanoparticle may comprise 5, 6, 7, 8, 9, 10, 11, 12, 13, 14, or 15 mol% DSPC. In certain embodiments, the lipid composition of the lipid nanoparticle composition disclosed herein can comprise one or more phospholipids, for example, one or more saturated or (poly)unsaturated phospholipids or a combination thereof. In general, phospholipids comprise a phospholipid moiety and one or more fatty acid moieties. A phospholipid moiety can be selected, for example, from the non-limiting group consisting of phosphatidyl choline, phosphatidyl ethanolamine, phosphatidyl glycerol, phosphatidyl serine, phosphatidic acid, 2-lysophosphatidyl choline, and a sphingomyelin. A fatty acid moiety can be selected, for example, from the non-limiting group consisting of lauric acid, myristic acid, myristoleic acid, palmitic acid, palmitoleic acid, stearic acid, oleic acid, linoleic acid, alpha-linolenic acid, erucic acid, phytanoic acid, arachidic acid, arachidonic acid, eicosapentaenoic acid, behenic acid, docosapentaenoic acid, and docosahexaenoic acid. Particular phospholipids can facilitate fusion to a membrane. For example, a cationic phospholipid can interact with one or more negatively charged phospholipids of a membrane (e.g., a cellular or intracellular membrane). Fusion of a phospholipid to a membrane can allow one or more elements (e.g., a therapeutic agent) of a lipid-containing composition (e.g., LNPs)
to pass through the membrane permitting, e.g., delivery of the one or more elements to a target tissue. Non-natural phospholipid species including natural species with modifications and substitutions including branching, oxidation, cyclization, and alkynes are also contemplated. For example, a phospholipid can be functionalized with or cross-linked to one or more alkynes (e.g., an alkenyl group in which one or more double bonds is replaced with a triple bond). Under appropriate reaction conditions, an alkyne group can undergo a copper-catalyzed cycloaddition upon exposure to an azide. Such reactions can be useful in functionalizing a lipid bilayer of a nanoparticle composition to facilitate membrane permeation or cellular recognition or in conjugating a nanoparticle composition to a useful component such as a targeting or imaging moiety (e.g., a dye). Phospholipids include, but are not limited to, glycerophospholipids such as phosphatidylcholines, phosphatidylethanolamines, phosphatidylserines, phosphatidylinositols, phosphatidy glycerols, and phosphatidic acids. Phospholipids also include phosphosphingolipids, such as sphingomyelin. In some embodiments, a phospholipid is selected from 1,2-distearoyl-sn-glycero-3- phosphocholine (DSPC), 1,2-Distearoyl-sn-glycero-3-phosphoethanolamine (DSPE), 1,2- dioleoyl-sn-glycero-3-phosphoethanolamine (DOPE), 1,2-dilinoleoyl-sn-glycero-3- phosphocholine (DLPC), 1,2-dimyristoyl-sn-gly cero-phosphocholine (DMPC), 1,2-dioleoyl-sn- glycero-3-phosphocholine (DOPC), l,2-dipalmitoyl-sn-glycero-3-phosphocholine (DPPC), 1,2- diundecanoyl-sn-glycero-phosphocholine (DUPC), 1-palmitoyl-2-oleoyl-sn-glycero-3- phosphocholine (POPC), 1,2-di-O-octadecenyl-sn-glycero-3-phosphocholine (18:0 Diether PC), 1-oleoyl-2 cholesterylhemisuccinoyl-sn-glycero-3-phosphocholine (OChemsPC), 1-hexadecyl- sn-glycero-3-phosphocholine (C16 Lyso PC), 1,2-dilinolenoyl-sn-glycero-3- phosphocholine,1,2-diarachidonoyl-sn-glycero-3-phosphocholine, 1,2-didocosahexaenoyl-sn- glycero-3-phosphocholine, 1,2-diphytanoyl-sn-glycero-3-phosphoethanolamine (ME 16.0 PE), 1,2-distearoyl-sn-glycero-3-phosphoethanolamine, 1,2-dilinoleoyl-sn-glycero-3- phosphoethanolamine, 1,2-dilinolenoyl-sn-glycero-3-phosphoethanolamine, 1,2-diarachidonoyl- sn-glycero-3-phosphoethanolamine, 1,2-didocosahexaenoyl-sn-glycero-3-phosphoethanolamine, 1,2-dioleoyl-sn-glycero-3-phospho-rac-(1-glycerol) sodium salt (DOPG), sphingomyelin, and mixtures thereof. In certain embodiments, a phospholipid is an analog or variant of DSPC. In certain embodiments, a phospholipid is a compound of Formula (IX):
or a salt thereof, wherein: each R1 is independently optionally substituted alkyl; or optionally two R1 are joined together with the intervening atoms to form optionally substituted monocyclic carbocyclyl or optionally substituted monocyclic heterocyclyl; or optionally three R1 are joined together with the intervening atoms to form optionally substituted bicyclic carbocyclyl or optionally substitute bicyclic heterocyclyl; n is 1, 2, 3, 4, 5, 6, 7, 8, 9, or 10; m is 0, 1, 2, 3, 4, 5, 6, 7, 8, 9, or 10; A is of the formula:
each instance of L2 is independently a bond or optionally substituted C1-6 alkylene, wherein one methylene unit of the optionally substituted C1-6 alkylene is optionally replaced with O, N(RN), S, C(O), C(O)N(RN), NRNC(O), C(O)O, OC(O), OC(O)O, OC(O)N(RN), - NRNC(O)O, or NRNC(O)N(RN); each instance of R2 is independently optionally substituted C1-30 alkyl, optionally substituted C1-30 alkenyl, or optionally substituted C1-30 alkynyl; optionally wherein one or more methylene units of R2 are independently replaced with optionally substituted carbocyclylene, optionally substituted heterocyclylene, optionally substituted arylene, optionally substituted heteroarylene, N(RN), O, S, C(O), C(O)N(RN), NRNC(O), NRNC(O)N(RN), C(O)O, OC(O), - OC(O)O, OC(O)N(RN), NRNC(O)O, C(O)S, SC(O), C(=NRN), C(=NRN)N(RN), NRNC(=NRN), NRNC(=NRN)N(RN), C(S), C(S)N(RN), NRNC(S), NRNC(S)N(RN), S(O), OS(O), S(O)O, - OS(O)O, OS(O)2, S(O)2O, OS(O)2O, N(RN)S(O), S(O)N(RN), N(RN)S(O)N(RN), OS(O)N(RN), N(RN)S(O)O, S(O)2, N(RN)S(O)2, S(O)2N(RN), N(RN)S(O)2N(RN), OS(O)2N(RN), or - N(RN)S(O)2O; each instance of RN is independently hydrogen, optionally substituted alkyl, or a nitrogen protecting group; Ring B is optionally substituted carbocyclyl, optionally substituted heterocyclyl, optionally substituted aryl, or optionally substituted heteroaryl; and p is 1 or 2; provided that the compound is not of the formula:
, wherein each instance of R2 is independently unsubstituted alkyl, unsubstituted alkenyl, or unsubstituted alkynyl. In some embodiments, the phospholipids may be one or more of the phospholipids described in PCT Application No. PCT/US2018/037922. Structural Lipids The lipid composition of a pharmaceutical composition disclosed herein can comprise one or more structural lipids. As used herein, the term “structural lipid” includes sterols and also lipids containing sterol moieties. Incorporation of structural lipids in the lipid nanoparticle may help mitigate aggregation of other lipids in the particle. Structural lipids can be selected from the group including but not limited to, cholesterol, fecosterol, sitosterol, ergosterol, campesterol, stigmasterol, brassicasterol, tomatidine, tomatine, ursolic acid, alpha-tocopherol, hopanoids, phytosterols, steroids, and mixtures thereof. In some embodiments, the structural lipid is a sterol. As used herein, “sterols” are a subgroup of steroids consisting of steroid alcohols. In certain embodiments, the structural lipid is a steroid. In certain embodiments, the structural lipid is cholesterol. In certain embodiments, the structural lipid is an analog of cholesterol. In certain embodiments, the structural lipid is alpha-tocopherol. In some embodiments, the structural lipids may be one or more of the structural lipids described in U.S. Application No.16/493,814. Lipid Nanoparticle Compositions As described herein, the cargo molecule or molecules (e.g., mRNA) of the disclosure is formulated in a lipid nanoparticle (LNP). Lipid nanoparticles typically comprise ionizable amino (cationic) lipid, neutral lipid, sterol and PEG lipid components along with the nucleic acid cargo of interest. The LNPs and nucleic acid form a stabilized composition. As used herein, a stabilized composition comprising an LNP and nucleic acid is able to maintain its size (e.g., diameter) and potency (e.g., immunogenicity of the mRNA) during storage over a period of time. As used herein, storage may be at any temperature, such as room temperature or refrigerated temperatures. For example, a stabilized composition may be stored for 1 hour, 2 h 3 h 4 h 5 h 6 h 12 h 18 h 1 d 2 d 3 d 4 d 5
days, 6 days, 1 week, 1.5 weeks, 2 weeks, 2.5 weeks, 3 weeks, 3.5 weeks, 1 month, 1.5 months, 2 months, 2.5 months, 3 months, 3.5 months, 4 months, 4.5 months, 5 months, 5.5 months, 6 months 7 months, 8 months, 9 months, 10 months, 11 months, 1 year, 1.5 years, 2 years, 2.5 years, 3 years, 3.5 years, 4 years, 4.5 years, 5 years, or longer. The stabilized composition, for example, may be stored at temperatures below 0˚C or temperatures above 0˚C, for example, at 1 ˚C, 2 ˚C, 3 ˚C, 4 ˚C, 5 ˚C, 6 ˚C, 7 ˚C, 8 ˚C, 9 ˚C, 10 ˚C, 11 ˚C, 12 ˚C, 13 ˚C, 14 ˚C, 15 ˚C, 16 ˚C, 17 ˚C, 18 ˚C, 19 ˚C, 20 ˚C, 21 ˚C, 22 ˚C, 23 ˚C, 24 ˚C, 25 ˚C or warmer. In some embodiments, the stabilized composition is stored at room temperature (approximately 20 ˚C). In some embodiments, the stabilized composition is refrigerated (e.g., kept at a temperature between 2-8 ˚C, 2-6 ˚C, 2-4 ˚C, 3-8 ˚C, 3-6 ˚C, 4-8 ˚C, or at 2 ˚C, 3 ˚C, 4 ˚C, 5 ˚C, 6 ˚C, 7 ˚C, or 8 ˚C). In some embodiments, the stabilized composition is formulated in an aqueous solution. An aqueous solution is one in which water is the dissolution medium or solvent. In some embodiments, the aqueous solution may comprise a buffer, such as a phosphate buffer, a tris buffer, an acetate buffer, a histidine buffer, a citrate buffer, or any combination of buffers. In some embodiments, the pH of the aqueous solution is about 5 to 8, such as about 5.5, about 6, about 6.5, about 7, about 7.5, or about 8. Size of an LNP (e.g., diameter) may be measured, in some embodiments, by suspending the synthetic nanocarriers in a liquid (usually aqueous) media and using dynamic light scattering (DLS) (e.g., using a Brookhaven ZetaPALS instrument). As an example, a suspension of LNPs can be diluted from an aqueous buffer into purified water to achieve a final synthetic nanocarrier suspension concentration of approximately 0.01 to 0.5 mg/mL. The diluted suspension may be prepared directly inside, or transferred to, a suitable cuvette for DLS analysis. The cuvette may then be placed in the DLS, allowed to equilibrate to the controlled temperature, and then scanned for sufficient time to acquire a stable and reproducible distribution based on appropriate inputs for viscosity of the medium and refractive indices of the sample. The effective diameter, or mean of the distribution, is then reported. Determining the effective sizes of high aspect ratio, or non-spheroidal, synthetic nanocarriers may require augmentative techniques, such as electron microscopy, to obtain more accurate measurements. “Dimension” or “size” or “diameter” of LNPs means the mean of a particle size distribution, for example, obtained using dynamic light scattering. In some embodiments, the diameter of the LNPs is measured over time (e.g., prior to, during, and after storage). As used herein, a “threshold diameter value” is the diameter of the LNP prior to storage or prior to filtration. In some embodiments, the diameter of the LNPs in the stabilized composition after storage varies 1%, 2%, 3%, 4%, 5%, 6%, 7%, 8%, 9%, 10%,
12%, 14%, 15%, 16%, 18%, 20%, 35%, 30%, 35%, 40%, 45%, 50%, 55%, 60% or more from the threshold diameter value. In some embodiments, the diameter of the LNPs in the stabilized composition increases 50 nm or less during processing or storage (e.g., 50 nm, 45 nm, 40 nm, 35 nm, 34 nm, 33 nm, 32 nm, 31 nm, 30 nm, 29 nm, 28 nm, 27 nm, 26 nm, 25 nm, 24 nm, 23 nm, 22 nm, 21 nm, 20 nm, 19 nm, 18 nm, 17 nm, 16 nm, 15 nm, 14 nm, 13 nm, 12 nm, 11 nm, 10, nm 9 nm, 8 nm, 7 nm, 6 nm, 5 nm, 4 nm, 3 nm, 2 nm, 1 nm, or less than 1 nm ). In some embodiments, the processing comprises tangential flow filtration (TFF). As used herein, the term "tangential-flow filtration" refers to a process in which the fluid mixture containing the components to be separated by filtration (e.g., LNPs and extraneous components) is recirculated at high velocities tangential to the plane of the membrane, increasing the mass-transfer coefficient for back diffusion. During the filtration process, a pressure differential is applied along the length of the membrane, causing the fluid and filterable solutes to flow through the filter. This filtration may be a continuous-flow process or a batch process. As an example, the solution may be passed repeatedly over the membrane while that fluid which passes through the filter is continually drawn off into a separate unit or the solution is passed once over the membrane and the fluid passing through the filter is continually processed downstream. In some embodiments, the lipid nanoparticle comprises 1-5% PEG-modified lipid, optionally 1-3 mol%, for example 1.5 to 2.5 mol%, 1-2 mol%, 2-3 mol%, 2.5-3.5%, 3-4 mol%, or 4-5 mol%. In some embodiments, the lipid nanoparticle comprises 0.5-15 mol% PEG- modified lipid. For example, the lipid nanoparticle may comprise 0.5-10 mol%, 0.5-5 mol%, 1- 15 mol%, 1-10 mol%, 1-5 mol%, 2-15 mol%, 2-10 mol%, 2-5 mol%, 5-15 mol%, 5-10 mol%, or 10-15 mol%. In some embodiments, the lipid nanoparticle comprises 0.5 mol%, 1 mol%, 2 mol%, 2.5 mol%, 3 mol%, 3.5 mol%, 4 mol%, 4.5 mol%, 5 mol%, 6 mol%, 7 mol%, 8 mol%, 9 mol%, 10 mol%, 11 mol%, 12 mol%, 13 mol%, 14 mol%, or 15 mol% PEG-modified lipid. In some embodiments, the lipid nanoparticle comprises 5-25 mol% neutral lipid. For example, the lipid nanoparticle may comprise 5-20 mol%, 5-15 mol%, 5-10 mol%, 10-25 mol%, 10-20 mol%, 10-25 mol%, 15-25 mol%, 15-20 mol%, or 20-25 mol% neutral lipid. In some embodiments, the lipid nanoparticle comprises 5 mol%, 10 mol%, 15 mol%, 20 mol%, or 25 mol% neutral lipid. In some embodiments, the lipid nanoparticle comprises 40-50 mol% ionizable lipid, optionally 45-50 mol%, for example, 45-46 mol%, 46-47 mol%, 47-48 mol%, 48-49 mol%, or 49-50 mol% for example about 45 mol%, 45.5 mol%, 46 mol%, 46.5 mol%, 47 mol%, 47.5 mol%, 48 mol%, 48.5 mol%, 49 mol%, or 49.5 mol%.
In some embodiments, the lipid nanoparticle comprises 30-45 mol% sterol, optionally 35-40 mol%, for example, 30-31 mol%, 31-32 mol%, 32-33 mol%, 33-34 mol%, 35-35 mol%, 35-36 mol%, 36-37 mol%, 38-38 mol%, 38-39 mol%, or 39-40 mol%. In some embodiments, the lipid nanoparticle comprises 25-55 mol% sterol. For example, the lipid nanoparticle may comprise 25-50 mol%, 25-45 mol%, 25-40 mol%, 25-35 mol%, 25-30 mol%, 30-55 mol%, 30- 50 mol%, 30-45 mol%, 30-40 mol%, 30-35 mol%, 35-55 mol%, 35-50 mol%, 35-45 mol%, 35- 40 mol%, 40-55 mol%, 40-50 mol%, 40-45 mol%, 45-55 mol%, 45-50 mol%, or 50-55 mol% sterol. In some embodiments, the lipid nanoparticle comprises 25 mol%, 30 mol%, 35 mol%, 40 mol%, 45 mol%, 50 mol%, or 55 mol% sterol. In some embodiments, the lipid nanoparticle comprises 35 – 40 mol% cholesterol. For example, the lipid nanoparticle may comprise 35, 35.5, 36, 36.5, 37, 37.5, 38, 38.5, 39, 39.5, or 40 mol% cholesterol. In some embodiments, the lipid nanoparticle comprises 20-60 mol% ionizable amino lipid. For example, the lipid nanoparticle may comprise 20-50 mol%, 20-40 mol%, 20-30 mol%, 30-60 mol%, 30-50 mol%, 30-40 mol%, 40-60 mol%, 40-50 mol%, or 50-60 mol% ionizable amino lipid. In some embodiments, the lipid nanoparticle comprises 20 mol%, 30 mol%, 40 mol%, 50 mol%, or 60 mol% ionizable amino lipid. In some embodiments, the lipid nanoparticle comprises 35 mol%, 36 mol%, 37 mol%, 38 mol%, 39 mol%, 40 mol%, 41 mol%, 42 mol%, 43 mol%, 44 mol%, 45 mol%, 46 mol%, 47 mol%, 48 mol%, 49 mol%, 50 mol%, 51 mol%, 52 mol%, 53 mol%, 54 mol%, or 55 mol% ionizable amino lipid. In some embodiments, the lipid nanoparticle comprises 45 – 55 mole percent (mol%) ionizable amino lipid. For example, lipid nanoparticle may comprise 45, 46, 47, 48, 49, 50, 51, 52, 53, 54, or 55 mol% ionizable amino lipid. In some embodiments, the percentage (e.g., by weight, or by mole) of a single type of ionizable molecule (e.g., amino lipid or ionizable lipid) and/or of all the ionizable molecules within a particle may be greater than or equal to about 15%, greater than or equal to about 16%, greater than or equal to about 17%, greater than or equal to about 18%, greater than or equal to about 19%, greater than or equal to about 20%, greater than or equal to about 21%, greater than or equal to about 22%, greater than or equal to about 23%, greater than or equal to about 24%, greater than or equal to about 25%, greater than or equal to about 30%, greater than or equal to about 35%, greater than or equal to about 40%, greater than or equal to about 42%, greater than or equal to about 45%, greater than or equal to about 48%, greater than or equal to about 50%, greater than or equal to about 52%, greater than or equal to about 55%, greater than or equal to about 58%, greater than or equal to about 60%, greater than or equal to about 62%, greater than
or equal to about 65%, or greater than or equal to about 68%. In some instances, the percentage (e.g., by weight, or by mole) may be less than or equal to about 70%, less than or equal to about 68%, less than or equal to about 65%, less than or equal to about 62%, less than or equal to about 60%, less than or equal to about 58%, less than or equal to about 55%, less than or equal to about 52%, less than or equal to about 50%, or less than or equal to about 48%. Combinations of the above referenced ranges are also possible (e.g., greater than or equal to 20% and less than or equal to about 60%, greater than or equal to 40% and less than or equal to about 55%, etc.). In embodiments in which more than one type of ionizable molecule is present in a particle, each type of ionizable molecule may independently have a percentage (e.g., by weight, or by mole) in one or more of the ranges described above. The percentage (e.g., by weight, or by mole) may be determined by extracting the ionizable molecule(s) from the dried particles using, e.g., organic solvents, and measuring the quantity of the agent using high pressure liquid chromatography (i.e., HPLC), liquid chromatography-mass spectrometry (LC- MS), nuclear magnetic resonance (NMR), or mass spectrometry (MS). Those of ordinary skill in the art would be knowledgeable of techniques to determine the quantity of a component using the above-referenced techniques. For example, HPLC may be used to quantify the amount of a component, by, e.g., comparing the area under the curve of a HPLC chromatogram to a standard curve. In some embodiments, the lipid nanoparticle comprises 30-45 mol% sterol, optionally 35-40 mol%, for example, 30-31 mol%, 31-32 mol%, 32-33 mol%, 33-34 mol%, 35-35 mol%, 35-36 mol%, 36-37 mol%, 38-38 mol%, 38-39 mol%, or 39-40 mol%. In some embodiments, the lipid nanoparticle comprises 25-55 mol% sterol. For example, the lipid nanoparticle may comprise 25-50 mol%, 25-45 mol%, 25-40 mol%, 25-35 mol%, 25-30 mol%, 30-55 mol%, 30- 50 mol%, 30-45 mol%, 30-40 mol%, 30-35 mol%, 35-55 mol%, 35-50 mol%, 35-45 mol%, 35- 40 mol%, 40-55 mol%, 40-50 mol%, 40-45 mol%, 45-55 mol%, 45-50 mol%, or 50-55 mol% sterol. In some embodiments, the lipid nanoparticle comprises 25 mol%, 30 mol%, 35 mol%, 40 mol%, 45 mol%, 50 mol%, or 55 mol% sterol. In some embodiments, the lipid nanoparticle comprises 35 – 40 mol% cholesterol. For example, the lipid nanoparticle may comprise 35, 35.5, 36, 36.5, 37, 37.5, 38, 38.5, 39, 39.5, or 40 mol% cholesterol. In some embodiments, the lipid nanoparticle comprises a molar ratio of 5-25% phospholipid relative to the other lipid components. For example, the lipid nanoparticle may comprise a molar ratio of 5-30%, 5-15%, 5-10%, 10-25%, 10-20%, 10-25%, 15-25%, 15-20%,
20-25%, or 25-30% phospholipid. In some embodiments, the lipid nanoparticle comprises a molar ratio of 5%, 10%, 15%, 20%, 25%, or 30% neutral lipid. In some embodiments, the lipid nanoparticle comprises a molar ratio of 25-55% structural lipid relative to the other lipid components. For example, the lipid nanoparticle may comprise a molar ratio of 10- 55%, 25-50%, 25-45%, 25-40%, 25-35%, 25-30%, 30-55%, 30- 50%, 30-45%, 30-40%, 30-35%, 35-55%, 35-50%, 35-45%, 35-40%, 40-55%, 40-50%, 40-45%, 45-55%, 45-50%, or 50-55% structural lipid. In some embodiments, the lipid nanoparticle comprises a molar ratio of 10%, 15%, 20%, 25%, 30%, 35%, 40%, 45%, 50%, or 55% structural lipid. In some embodiments, the lipid nanoparticle comprises a molar ratio of 0.5-15% PEG lipid relative to the other lipid components. For example, the lipid nanoparticle may comprise a molar ratio of 0.5-10%, 0.5-5%, 1-15%, 1-10%, 1-5%, 2-15%, 2-10%, 2-5%, 5-15%, 5-10%, or 10-15% PEG lipid. In some embodiments, the lipid nanoparticle comprises a molar ratio of 0.5%, 1%, 1.5%, 2%, 2.5% 3%, 3.5%, 4%, 4.5%, 5%, 6%, 7%, 8%, 9%, 10%, 11%, 12%, 13%, 14%, or 15% PEG- lipid. In some embodiments, the lipid nanoparticle comprises a molar ratio of 20-60% amino lipid, 5-25% phospholipid, 25-55% structural lipid, and 0.5-15% PEG lipid. In some embodiments, the lipid nanoparticle comprises a molar ratio of 20-60% amino lipid, 5-30% phospholipid, 10-55% structural lipid, and 0.5-15% PEG lipid. In some embodiments, the lipid nanoparticle comprises 20-60 mol% ionizable amino lipid, 5-25 mol% neutral lipid, 25-55 mol% sterol, and 0.5-15 mol% PEG-modified lipid. In some embodiments, a LNP comprises an ionizable amino lipid of Compound I, wherein the neutral lipid is DSPC, the structural lipid that is cholesterol, and the PEG lipid is DMG-PEG. In some embodiments, a LNP comprises an ionizable amino lipid of Compound II, wherein the neutral lipid is DSPC, the structural lipid that is cholesterol, and the PEG lipid is DMG-PEG. In some embodiments, a LNP comprises an ionizable amino lipid of Compound III, wherein the neutral lipid is DSPC, the structural lipid that is 134-hydroxy- 3,6,9,12,15,18,21,24,27,30,33,36,39,42,45,48,51,54,57,60,63,66,69,72,75,78,81,84,87,90,93,96, 99,102,105,108,111,114,117,120,123,126,129,132-tetratetracontaoxatetratriacontahectyl stearate, and the PEG lipid is DMG-PEG. In some embodiments, a LNP comprises an ionizable amino lipid of Compound IV, wherein the neutral lipid is DSPC, the structural lipid that is 134-hydroxy-
3,6,9,12,15,18,21,24,27,30,33,36,39,42,45,48,51,54,57,60,63,66,69,72,75,78,81,84,87,90,93,96, 99,102,105,108,111,114,117,120,123,126,129,132-tetratetracontaoxatetratriacontahectyl stearate, and the PEG lipid is DMG-PEG. In some embodiments, the lipid nanoparticle comprises 49 mol% ionizable amino lipid, 10 mol% DSPC, 38.5 mol% cholesterol, and 2.5 mol% DMG-PEG. In some embodiments, the lipid nanoparticle comprises 49 mol% ionizable amino lipid, 11 mol% DSPC, 38.5 mol% cholesterol, and 1.5 mol% DMG-PEG. In some embodiments, the lipid nanoparticle comprises 48 mol% ionizable amino lipid (e.g., Compound I), 11 mol% DSPC, 38.5 mol% cholesterol, and 2.5 mol% DMG-PEG. In some embodiments, the lipid nanoparticle comprises 47 mol% ionizable amino lipid (e.g., Compounds II, III, or IV), 11 mol% DSPC, 39 mol% cholesterol, and 3 mol% 134- hydroxy- 3,6,9,12,15,18,21,24,27,30,33,36,39,42,45,48,51,54,57,60,63,66,69,72,75,78,81,84,87,90,93,96, 99,102,105,108,111,114,117,120,123,126,129,132-tetratetracontaoxatetratriacontahectyl stearate. In some embodiments, the lipid nanoparticles comprise one or more of ionizable molecules, polynucleotides, and optional components, such as structural lipids, sterols, neutral lipids, phospholipids and a molecule capable of reducing particle aggregation (e.g., polyethylene glycol (PEG), PEG-modified lipid), such as those described above. Some aspects provide lipid compositions comprising a lipid and a compound of compound of Formula I or of Formula II, or a tautomer or solvate thereof. In some embodiments, a LNP comprises a lipid-to-oligonucleotide phosphate (N:P) ratio of from about 2:1 to about 30:1. In some embodiments, a LNP comprises an N:P ratio of about 6:1. In some embodiments, a LNP comprises an N:P ratio of about 3:1, 4:1, or 5:1. In some embodiments, a LNP comprises a wt/wt ratio of the ionizable amino lipid component to the RNA of from about 10:1 to about 100:1. In some embodiments, a LNP comprises a wt/wt ratio of the ionizable amino lipid component to the RNA of about 20:1. In some embodiments, a LNP comprises a wt/wt ratio of the ionizable amino lipid component to the RNA of about 10:1. In some embodiments, a LNP has a mean diameter from about 30nm to about 150nm. In some embodiments, a LNP has a mean diameter from about 60nm to about 120nm. In some embodiments, a LNP has a mean diameter from about 80nm to 140nm, 80nm to 130 nm,
80nm to 120 nm, 80nm to 110 nm, 80nm to 100 nm, 80nm to 90 nm, 80nm to 90 nm, 90nm to 140nm, 90nm to 130 nm, 90nm to 120 nm, 90nm to 110 nm, 90nm to 100 nm, 100nm to 140nm, 100nm to 130nm, 100nm to 120nm, 100nm to 110nm, 110nm to 140nm, 110nm to 130nm, 110nm to 120nm. In some embodiments, a LNP has a mean diameter of about 80 nm, 85 nm, 90 nm, 95 nm, 100 nm, 110 nm, 111 nm, 112 nm, 113 nm, 114 nm, 115 nm, 116 nm, 117 nm, 118 nm, 119 nm, 120 nm, 125 nm, 130 nm, 135 nm, or 140 nm. In some embodiments, the lipid nanoparticle has a diameter of at most 80 nm, at most 70 nm, at most 60 nm, at most 50 nm, at most 40 nm, at most 30 nm, or at most 20 nm. In some embodiments, the lipid nanoparticle has a diameter of at most 30 nm. In some embodiments, the lipid nanoparticle has a diameter of at most 20 nm. In some embodiments, a lipid nanoparticle may comprise two or more components (e.g., amino lipid and nucleic acid, PEG-lipid, phospholipid, structural lipid). For instance, a lipid nanoparticle may comprise an amino lipid and a nucleic acid. Compositions comprising the lipid nanoparticles may be used for a wide variety of applications, including the stealth delivery of therapeutic payloads with minimal adverse innate immune response. Lipid Nanoparticle SARS-CoV-2 Vaccine Compositions Provided herein are vaccine compositions for inducing a neutralizing antibody response to SARS-CoV-2 Spike (S) protein in a subject. The compositions provided herein can be used as therapeutically or prophylactically. The compositions provided herein include messenger RNA (mRNA) encoding a SARS- CoV-2 S protein (e.g., prefusion stabilized S protein) formulated in an LNP. In some embodiments, a composition containing a messenger RNA as described herein can be administered to a subject (e.g., a mammalian subject, such as a human subject), and the mRNA is translated in vivo to produce an antigenic polypeptide (antigen), such as a SARS-CoV- 2 S protein (e.g., prefusion stabilized S protein) or S protein subunit. In some embodiments, a vaccine composition comprises an approximately 25 µg to 250 µg dose of mRNA encoding a SARS-CoV-2 S protein (e.g., prefusion stabilized S protein). In some embodiments, a vaccine composition comprises an approximately 25 µg dose of mRNA encoding a SARS-CoV-2 S protein (e.g., prefusion stabilized S protein). In some embodiments, a vaccine composition comprises an approximately 50 µg dose of mRNA encoding a SARS- CoV-2 S protein (e.g., prefusion stabilized S protein). In some embodiments, a vaccine composition comprises an approximately 100 µg dose of mRNA encoding a SARS-CoV-2 S protein (e.g., prefusion stabilized S protein). In some embodiments, a vaccine composition
prefusion stabilized S protein). In some embodiments, a vaccine composition comprises an approximately 200 µg dose of mRNA encoding a SARS-CoV-2 S protein (e.g., prefusion stabilized S protein). In some embodiments, a vaccine composition comprises an approximately 250 µg dose of mRNA encoding a SARS-CoV-2 S protein (e.g., prefusion stabilized S protein). A composition may further comprise a buffer, for example a Tris buffer. For example, a composition may comprise 10 mM – 30 mM, 10 mM – 20 mM, or 20 mM – 30 mM Tris buffer. In some embodiments, a composition comprises 10, 15, 20, 25, or 30 mM Tris buffer. In some embodiments, a composition comprises 20 mM Tris buffer. In some embodiments, mRNA of a vaccine composition is formulated at a concentration of 0.1 – 1 mg/mL. In some embodiments, mRNA of a vaccine composition is formulated at a concentration of 0.1, 0.2, 0.3, 0.4, 0.5, 0.6, 0.7, 0.8, 0.9, or 1 mg/mL. In some embodiments, mRNA of a vaccine composition is formulated at a concentration of 0.5 mg/mL. In some embodiments, a composition comprises sucrose. For example, a composition may comprise 75 mg/mL – 95 mg/mL, 75 mg/mL – 85 mg/mL, or 85 mg/mL – 95 mg/mL sucrose. In some embodiments, a composition comprises 75, 80, 85, 86, 87, 88, 89, 90, or 95 mg/mL sucrose. In some embodiments, a composition comprises 87 mg/mL sucrose. In some embodiments, a composition comprises sodium acetate. For example, a composition may comprise 5 mM – 15 mM, 5 mM – 10 mM, or 10 mM – 15 mM sodium acetate. In some embodiments, a composition comprises 5, 10, 11, 12, 13, 14, or 15 mM sodium acetate. In some embodiments, a composition comprises 10, 10.1, 10.2, 10.3, 10.4, 10.5, 10.6, 10.7, 10.8, 10.9, or 11 mM sodium acetate. In some embodiments, a composition comprises 10.7 mM sodium acetate. A composition may have a pH value of 6-8. In some embodiments, a composition has a pH value of 6, 6.5, 7, 7.5, or 8. In some embodiments, a composition has a pH value of 7.5. A composition, in some embodiments, is formulated to include mRNA at a concentration of 0.1 mg/mL – 1 mg/mL. In some embodiments, a composition comprises 0.1, 0.2, 0.3, 0.4, 0.5, 0.6, 0.7, 0.8, 0.9, or 1 mg/mL mRNA. In some embodiments, a composition comprises 0.5 mg/mL mRNA. A composition may further include a pharmaceutically-acceptable excipient, inert or active. A pharmaceutically acceptable excipient, after administered to a subject, does not cause undesirable physiological effects. The excipient in the pharmaceutical composition must be “acceptable” also in the sense that it is compatible with mRNA and can be capable of stabilizing it. One or more excipients (e.g., solubilizing agents) can be utilized as pharmaceutical carriers for delivery of the mRNA. Examples of a pharmaceutically acceptable excipients include, but
are not limited to, biocompatible vehicles (e.g., LNPs), carriers, adjuvants, additives, and diluents to achieve a composition usable as a dosage form. Examples of other excipients include colloidal silicon oxide, magnesium stearate, cellulose, and sodium lauryl sulfate. Additional suitable pharmaceutical excipients, as well as pharmaceutical necessities for their use, are described in Remington's Pharmaceutical Sciences. In some embodiments, an mRNA is formulated in LNPs to: (1) increase stability; (2) increase cell transfection; (3) permit the sustained or delayed release (e.g., from a depot formulation); (4) alter the biodistribution (e.g., target to specific tissues or cell types); (5) increase the translation of encoded protein in vivo; and/or (6) alter the release profile of encoded protein (antigen) in vivo. In some embodiments, a composition comprising mRNA does not include an adjuvant (they are adjuvant free). Vaccine compositions may be sterile, pyrogen-free or both sterile and pyrogen-free. General considerations in the formulation and/or manufacture of pharmaceutical agents, such as vaccine compositions, may be found, for example, in Remington: The Science and Practice of Pharmacy 21st ed., Lippincott Williams & Wilkins, 2005 (incorporated herein by reference in its entirety). Formulations of the vaccine compositions described herein may be prepared by any method known or hereafter developed in the art of pharmacology. In general, such preparatory methods include the step of bringing the mRNA into association with an excipient (e.g., a mixture of lipids and/or a lipid nanoparticle), and then, if necessary and/or desirable, dividing, shaping and/or packaging the product into a desired single- or multi-dose unit. Relative amounts of the mRNA, the pharmaceutically-acceptable excipient, and/or any additional ingredients in a composition in accordance with the disclosure may vary, depending upon the identity, size, and/or condition of the subject treated and further depending upon the route by which the composition is to be administered. Vaccination Methods Provided herein are vaccine compositions comprising LNPs and methods for inducing a neutralizing antibody response to SARS-CoV-2 Spike (S) protein in a subject. A subject may be any mammal, including anon-human primate and human subjects. Typically, a subject is a human subject. Vaccine compositions herein (e.g., mRNA encoding SARS-CoV-2 Spike (S) protein formulated in a lipid nanoparticle) can be used as therapeutic compositions, prophylactic
compositions are used in the priming of immune effector cells, for example, to activate peripheral blood mononuclear cells (PBMCs) ex vivo, which are then infused (re-infused) into a subject. The mRNA encoding the SARS-CoV-2 S protein is expressed and translated in vivo to produce the antigen, which then stimulates an immune response in the subject. The compositions provided herein are administered, in some embodiments, in “effective amounts,” for example, therapeutically-effective and/or prophylactically-effective amounts. An “effective amount” of a composition (e.g., comprising RNA) is based, at least in part, on the target tissue, target cell type, means of administration, physical characteristics of the RNA (e.g., length, nucleotide composition, and/or extent of modified nucleosides), other components of the vaccine, and other determinants, such as age, body weight, height, sex and general health of the subject. Typically, an effective amount of a composition provides an induced or boosted immune response as a function of antigen production in the cells of the subject. In some embodiments, an effective amount of the composition containing RNA polynucleotides having at least one chemical modification are more efficient than a composition containing a corresponding unmodified polynucleotide encoding the same antigen or a peptide antigen. Increased antigen production may be demonstrated by increased cell transfection (the percentage of cells transfected with the RNA vaccine), increased protein translation and/or expression from the polynucleotide, decreased nucleic acid degradation (as demonstrated, for example, by increased duration of protein translation from a modified polynucleotide), or altered antigen specific immune response of the host cell. In some embodiments, an effective amount of a composition induces a SARS-CoV-2 antigen-specific immune response. An effective amount of a composition (e.g., comprising RNA) is based, at least in part, on the target tissue, target cell type, means of administration, physical characteristics of the RNA (e.g., length, nucleotide composition, and/or extent of modified nucleosides), other components of the vaccine, and other determinants, such as age, body weight, height, sex and general health of the subject. Typically, an effective amount of a composition provides an induced or boosted immune response as a function of antigen production in the cells of the subject. In some embodiments, an effective amount of the composition comprising mRNA having at least one chemical modification are more efficient than a composition containing a corresponding unmodified polynucleotide encoding the same antigen or a peptide antigen. Increased antigen production may be demonstrated by increased cell transfection (the percentage of cells transfected with an RNA composition), increased protein translation and/or expression from the RNA, decreased nucleic acid degradation (as demonstrated, for example, by increased
duration of protein translation from a modified polynucleotide), or altered antigen specific immune response of the host cell. In some embodiments, the compositions (comprising polynucleotides and their encoded polypeptides) in accordance with the present disclosure may be administered prophylactically or therapeutically as part of an active immunization scheme to healthy individuals or early in infection during the incubation phase or during active infection after onset of symptoms. In some embodiments, the amount of RNA provided to a cell, a tissue or a subject may be an amount effective for immune prophylaxis. In some embodiments, an initial dose of a vaccine composition is administered followed by a booster dose. A booster dose is a dose that is given at a certain interval after completion of the primary dose or series of doses that is/are intended to boost immunity to, and therefore prolong protection against, the disease that is to be prevented. The time between administration of an initial dose of a composition and a booster dose may be, for example, 1 week, 2 weeks, 3 weeks, 4 weeks, 5 weeks, 6 weeks, 7 weeks, 8 weeks, , 9 weeks, 10 weeks, 11 weeks, 12 weeks, 4 months, 5 months, 6 months, 7 months, 8 months, 9 months, 10 months, 11 months, 1 year, 2 years, 3 years, 4 years, or 5 years. In some embodiments, the time between administration of an initial dose of a composition and a booster dose is 20-30 days. For example, the time between administration of an initial dose of a composition and a booster dose may be 20, 21, 22, 23, 24, 25, 26, 27, 28, 29, or 30 days. In some embodiments, the time between administration of an initial dose of a composition and a booster dose is 28 days. A method of eliciting an immune response in a subject against a SARS-CoV-2 antigen (or multiple antigens) is provided in aspects of the present disclosure. In some embodiments, a method involves administering to the subject a composition comprising a mRNA having an open reading frame encoding a SARS-CoV-2 S protein (e.g., prefusion stabilized SARS-CoV-2 S protein), thereby inducing in the subject an immune response specific to the SARS-CoV-2 S protein, wherein an anti-S protein antibody titer in the subject is increased following vaccination relative to an anti-S protein antibody titer in an unvaccinated subject who has not been infected with SARS-CoV-2 or who has been infected but has recovered. An “anti-S protein antibody” is a serum antibody the binds specifically to SARS-CoV-2 S protein. A vaccine composition may be administered by any route that results in a therapeutically effective outcome. These include, but are not limited, to intradermal, intramuscular, intranasal, and/or subcutaneous administration. In some embodiments, a composition is administered intramuscularly (e.g., into a deltoid muscle).
The present disclosure provides methods comprising administering vaccine compositions to a subject in need thereof. The exact amount required may vary from subject to subject, depending on the species, age, and general condition of the subject, the severity of the disease, the particular composition, its mode of administration, its mode of activity, and the like. The mRNA is typically formulated in dosage unit form for ease of administration and uniformity of dosage. It will be understood, however, that the total daily usage of the mRNA may be decided by the attending physician within the scope of sound medical judgment. The specific therapeutically effective, prophylactically effective, or appropriate imaging dose level for any particular subject may depend upon a variety of factors including the disorder being treated and the severity of the disorder; the activity of the specific compound employed; the specific composition employed; the age, body weight, general health, sex and diet of the patient; the time of administration, route of administration, and rate of excretion of the specific compound employed; the duration of the treatment; drugs used in combination or coincidental with the specific compound employed; and like factors well known in the medical arts. The effective amount of the RNA, as provided herein, may range from about 25 µg – 500 µg, administered as a single dose or as multiple (e.g., booster) doses. In some embodiments, a single dose of a vaccine composition (e.g., administered once, twice, three times, or more) comprises about 25 µg mRNA. In some embodiments, a single dose of a vaccine composition (e.g., administered once, twice, three times, or more) comprises about 100 µg mRNA. In some embodiments, a single dose of a vaccine composition (e.g., administered once, twice, three times, or more) comprises about 250 µg mRNA. In some embodiments, a total amount of mRNA administered to a subject is about 25 µg, 50 µg, about 100 µg, about 200 µg, about 250 µg, or about 500 µg mRNA. In some embodiments, a total amount of mRNA administered to a subject is about 25 µg. In some embodiments, a total amount of mRNA administered to a subject is about 50 µg. In some embodiments, a total amount of mRNA administered to a subject is about 100 µg. In some embodiments, a total amount of mRNA administered to a subject is about 200 µg. In some embodiments, a total amount of mRNA administered to a subject is about 250 µg. In some embodiments, a total amount of mRNA administered to a subject is about 500 µg. The mRNA described herein can be formulated into a dosage form described herein, such as an intranasal, intratracheal, or injectable (e.g., intravenous, intraocular, intravitreal, intramuscular, intradermal, intracardiac, intraperitoneal, and subcutaneous).
Antigens Antigens, as used herein, are proteins capable of inducing an immune response (e.g., causing an immune system to produce antibodies against the antigens). Herein, use of the term “antigen” encompasses immunogenic proteins and immunogenic fragments and subunits [an immunogenic fragment or subunit that induces (or is capable of inducing) an immune response to a (at least one) coronavirus], unless otherwise stated. It should be understood that the term “protein’ encompasses peptides and the term “antigen” encompasses antigenic fragments, protein domains, and subunits. Other molecules may be antigenic such as bacterial polysaccharides or combinations of protein and polysaccharide structures, but for the viral vaccines included herein, viral proteins, fragments of viral proteins, and designed and/or mutated proteins derived from the betacoronavirus SARS-CoV-2 are the antigens provided herein. Exemplary sequences of the SARS-CoV-2 antigens and the mRNA encoding the antigens of the compositions of the present disclosure are provided in Table 5. In some embodiments, the coronavirus antigen is a prefusion stabilized spike (S) protein, which comprises an amino acid sequence that stabilizes the S protein in its prefusion conformation. A prefusion stabilized spike protein is more stable than the S protein in its postfusion conformation. In some embodiments, a prefusion stabilized S protein comprises a double proline stabilizing mutation. In some embodiments, a prefusion stabilized S protein comprises a double proline stabilizing mutation at position 986 (K986P) and 987 (V987P), relative to wild-type (native) S protein. In some embodiments, a composition comprises an RNA (e.g., mRNA) that encodes an S protein that comprises a sequence having at least 80%, at least 85%, at least 90%, at least 95%, at least 98%, or 100% identity to the sequence of SEQ ID NO: 8. In some embodiments, a composition comprises an RNA (e.g., mRNA) that encodes an S protein that comprises a sequence having at least 80% identity to the sequence of SEQ ID NO: 8. In some embodiments, a composition comprises an RNA (e.g., mRNA) that encodes an S protein that comprises a sequence having at least 85% identity to the sequence of SEQ ID NO: 8. In some embodiments, a composition comprises an RNA (e.g., mRNA) that encodes an S protein that comprises a sequence having at least 90% identity to the sequence of SEQ ID NO: 8. In some embodiments, a composition comprises an RNA (e.g., mRNA) that encodes an S protein that comprises a sequence having at least 95% identity to the sequence of SEQ ID NO: 8. In some embodiments, a composition comprises an RNA (e.g., mRNA) that encodes an S protein that comprises a sequence having at least 96% identity to the sequence of SEQ ID NO: 8. In some embodiments,
a composition comprises an RNA (e.g., mRNA) that encodes an S protein that comprises a sequence having at least 97% identity to the sequence of SEQ ID NO: 8. In some embodiments, a composition comprises an RNA (e.g., mRNA) that encodes an S protein that comprises a sequence having at least 98% identity to the sequence of SEQ ID NO: 8. In some embodiments, a composition comprises an RNA (e.g., mRNA) that encodes an S protein that comprises a sequence having at least 99% identity to the sequence of SEQ ID NO: 8. In some embodiments, a composition comprises an RNA (e.g., mRNA) that encodes an S protein that comprises the amino acid sequence of SEQ ID NO: 8. In some embodiments, a composition comprises an RNA (e.g., mRNA) that encodes an S protein that comprises a sequence having at least 80%, at least 85%, at least 90%, at least 95%, at least 98%, or 100% identity to the sequence of SEQ ID NO: 12. In some embodiments, a composition comprises an RNA (e.g., mRNA) that encodes an S protein that comprises a sequence having at least 80% identity to the sequence of SEQ ID NO: 12. In some embodiments, a composition comprises an RNA (e.g., mRNA) that encodes an S protein that comprises a sequence having at least 85% identity to the sequence of SEQ ID NO: 12. In some embodiments, a composition comprises an RNA (e.g., mRNA) that encodes an S protein that comprises a sequence having at least 90% identity to the sequence of SEQ ID NO: 12. In some embodiments, a composition comprises an RNA (e.g., mRNA) that encodes an S protein that comprises a sequence having at least 95% identity to the sequence of SEQ ID NO: 12. In some embodiments, a composition comprises an RNA (e.g., mRNA) that encodes an S protein that comprises a sequence having at least 96% identity to the sequence of SEQ ID NO: 12. In some embodiments, a composition comprises an RNA (e.g., mRNA) that encodes an S protein that comprises a sequence having at least 97% identity to the sequence of SEQ ID NO: 12. In some embodiments, a composition comprises an RNA (e.g., mRNA) that encodes an S protein that comprises a sequence having at least 98% identity to the sequence of SEQ ID NO: 12. In some embodiments, a composition comprises an RNA (e.g., mRNA) that encodes an S protein that comprises a sequence having at least 99% identity to the sequence of SEQ ID NO: 12. In some embodiments, a composition comprises an RNA (e.g., mRNA) that encodes an S protein that comprises the amino acid sequence of SEQ ID NO: 12. It should be understood that any one of the antigens encoded by the RNA described herein may or may not comprise a signal sequence. Nucleic Acids Also provided are stabilized nucleic acids encoding a SARS-CoV-2 spike protein. In
80%, at least 85%, at least 90%, at least 95%, at least 98%, or 100% identity to any nucleotide sequence disclosed herein. For example, in certain embodiments, the RNA (e.g., mRNA) comprises a nucleotide sequence having at least 80%, at least 85%, at least 90%, at least 95%, at least 98%, or 100% identity to any one of SEQ ID Nos.1, 3, 6, 7, 8, 10, 14, or 15. According to certain embodiments, the RNA (e.g., mRNA) comprises an ORF that comprises a nucleotide sequence having at least 80%, at least 85%, at least 90%, at least 95%, at least 98%, or 100% identity to the nucleotide sequence of any one of SEQ ID Nos: 1, 3, 6, 7, 8, 10, 14, or 15. The term “identity” refers to a relationship between the sequences of two or more polypeptides (e.g. antigens) or polynucleotides (nucleic acids), as determined by comparing the sequences. Identity also refers to the degree of sequence relatedness between or among sequences as determined by the number of matches between strings of two or more amino acid residues or nucleic acid residues. Identity measures the percent of identical matches between the smaller of two or more sequences with gap alignments (if any) addressed by a particular mathematical model or computer program (e.g., “algorithms”). Identity of related antigens or nucleic acids can be readily calculated by known methods. “Percent (%) identity” as it applies to polypeptide or polynucleotide sequences is defined as the percentage of residues (amino acid residues or nucleic acid residues) in the candidate amino acid or nucleic acid sequence that are identical with the residues in the amino acid sequence or nucleic acid sequence of a second sequence after aligning the sequences and introducing gaps, if necessary, to achieve the maximum percent identity. Methods and computer programs for the alignment are well known in the art. It is understood that identity depends on a calculation of percent identity but may differ in value due to gaps and penalties introduced in the calculation. Generally, variants of a particular polynucleotide or polypeptide (e.g., antigen) have at least 40%, 45%, 50%, 55%, 60%, 65%, 70%, 75%, 80%, 85%, 90%, 91%, 92%, 93%, 94%, 95%, 96%, 97%, 98%, 99% but less than 100% sequence identity to that particular reference polynucleotide or polypeptide as determined by sequence alignment programs and parameters described herein and known to those skilled in the art. Such tools for alignment include those of the BLAST suite (Stephen F. Altschul, et al (1997), "Gapped BLAST and PSI-BLAST: a new generation of protein database search programs", Nucleic Acids Res.25:3389-3402). Another popular local alignment technique is based on the Smith-Waterman algorithm (Smith, T.F. & Waterman, M.S. (1981) “Identification of common molecular subsequences.” J. Mol. Biol.147:195-197). A general global alignment technique based on dynamic programming is the Needleman–Wunsch algorithm (Needleman, S.B. & Wunsch, C.D. (1970) “A general method applicable to the search for similarities in the amino acid sequences of two proteins.” J. Mol. Biol.48:443-453). More
recently a Fast Optimal Global Sequence Alignment Algorithm (FOGSAA) has been developed that purportedly produces global alignment of nucleotide and protein sequences faster than other optimal global alignment methods, including the Needleman–Wunsch algorithm. As such, polynucleotides encoding peptides or polypeptides containing substitutions, insertions and/or additions, deletions and covalent modifications with respect to reference sequences, in particular the polypeptide (e.g., antigen) sequences disclosed herein, are included within the scope of this disclosure. For example, sequence tags or amino acids, such as one or more lysines, can be added to peptide sequences (e.g., at the N-terminal or C-terminal ends). Sequence tags can be used for peptide detection, purification or localization. Lysines can be used to increase peptide solubility or to allow for biotinylation. Alternatively, amino acid residues located at the carboxy and amino terminal regions of the amino acid sequence of a peptide or protein may optionally be deleted providing for truncated sequences. Certain amino acids (e.g., C-terminal or N-terminal residues) may alternatively be deleted depending on the use of the sequence, as for example, expression of the sequence as part of a larger sequence which is soluble or linked to a solid support. In some embodiments, sequences for (or encoding) signal sequences, termination sequences, transmembrane domains, linkers, multimerization domains (such as, e.g., foldon regions) and the like may be substituted with alternative sequences that achieve the same or a similar function. In some embodiments, cavities in the core of proteins can be filled to improve stability, e.g., by introducing larger amino acids. In other embodiments, buried hydrogen bond networks may be replaced with hydrophobic residues to improve stability. In yet other embodiments, glycosylation sites may be removed and replaced with appropriate residues. Such sequences are readily identifiable to one of skill in the art. It should also be understood that some of the sequences provided herein contain sequence tags or terminal peptide sequences (e.g., at the N-terminal or C-terminal ends) that may be deleted, for example, prior to use in the preparation of an RNA (e.g., mRNA) vaccine. As recognized by those skilled in the art, protein fragments, functional protein domains, and homologous proteins are also considered to be within the scope of antigens of interest. For example, provided herein is any protein fragment (meaning a polypeptide sequence at least one amino acid residue shorter than a reference antigen sequence but otherwise identical) of a reference protein, provided that the fragment is immunogenic and confers a protective immune response to the coronavirus. In addition to variants that are identical to the reference protein but are truncated, in some embodiments, an antigen includes 2, 3, 4, 5, 6, 7, 8, 9, 10, or more mutations, as shown in any of the sequences provided or referenced herein. Antigens/antigenic polypeptides can range in length from about 4, 6, or 8 amino acids to full length proteins.
The term “nucleic acid” refers to multiple nucleotides (i.e., molecules comprising a sugar (e.g., ribose or deoxyribose) linked to a phosphate group and to an exchangeable organic base, which is either a substituted pyrimidine (e.g., cytosine (C), thymine (T) or uracil (U)) or a substituted purine (e.g., adenine (A) or guanine (G))). As used herein, the term nucleic acid refers to polyribonucleotides as well as polydeoxyribonucleotides. The term nucleic acid also includes polynucleosides (i.e., a polynucleotide minus the phosphate) and any other organic base containing polymer. Non-limiting examples of nucleic acids include chromosomes, genomic loci, genes or gene segments that encode polynucleotides or polypeptides, coding sequences, non-coding sequences (e.g., intron, 5’-UTR, or 3’-UTR) of a gene, pri-mRNA, pre-mRNA, cDNA, mRNA, etc. In some embodiments, the nucleic acid is mRNA. A nucleic acid may include a substitution and/or modification. In some embodiments, the substitution and/or modification is in one or more bases and/or sugars. For example, in some embodiments a nucleic acid includes nucleic acids having backbone sugars that are covalently attached to low molecular weight organic groups other than a hydroxyl group at the 2' position and other than a phosphate group or hydroxy group at the 5' position. Thus, in some embodiments, a substituted or modified nucleic acid includes a 2'-O-alkylated ribose group. In some embodiments, a modified nucleic acid includes sugars such as hexose, 2’-F hexose, 2’-amino ribose, constrained ethyl (cEt), locked nucleic acid (LNA), arabinose or 2'-fluoroarabinose instead of ribose. Thus, in some embodiments, a nucleic acid is heterogeneous in backbone composition thereby containing any possible combination of polymer units linked together such as peptide-nucleic acids (which have an amino acid backbone with nucleic acid bases). In some embodiments, a nucleic acid is DNA, RNA, PNA, cEt, LNA, ENA or hybrids including any chemical or natural modification thereof. Chemical and natural modifications are well known in the art. Non-limiting examples of modifications include modifications designed to increase translation of the nucleic acid, to increase cell penetration or sub-cellular distribution of the nucleic acid, to stabilize the nucleic acid against nucleases and other enzymes that degrade or interfere with the structure or activity of the nucleic acid, and to improve the pharmacokinetic properties of the nucleic acid. In some embodiments, the compositions comprise a RNA having an open reading frame (ORF) encoding a polypeptide. In some embodiments, the RNA is a messenger RNA (mRNA). In some embodiments, the RNA (e.g., mRNA) further comprises a 5 ^ UTR, 3 ^ UTR, a poly(A) tail and/or a 5 ^ cap analog. Messenger RNA (mRNA) is any RNA that encodes a (at least one) protein (e.g., a naturally-occurring, non-naturally-occurring, or modified polymer of amino acids) and can be
translated to produce the encoded protein in vitro, in vivo, in situ, or ex vivo. The skilled artisan will appreciate that, except where otherwise noted, nucleic acid sequences set forth in the instant application may recite “T”s in a representative DNA sequence but where the sequence represents RNA (e.g., mRNA), the “T”s would be substituted for “U”s. Thus, any of the DNAs disclosed and identified by a particular sequence identification number herein also disclose the corresponding RNA (e.g., mRNA) sequence complementary to the DNA, where each “T” of the DNA sequence is substituted with “U.” An open reading frame (ORF) is a continuous stretch of DNA or RNA beginning with a start codon (e.g., methionine (ATG or AUG)) and ending with a stop codon (e.g., TAA, TAG or TGA, or UAA, UAG or UGA). An ORF typically encodes a protein. It will be understood that the sequences disclosed herein may further comprise additional elements, e.g., 5′ and 3′ UTRs, but that those elements, unlike the ORF, need not necessarily be present in an RNA polynucleotide. Naturally-occurring eukaryotic mRNA molecules can contain stabilizing elements, including, but not limited to untranslated regions (UTR) at their 5′-end (5′ UTR) and/or at their 3′-end (3′ UTR), in addition to other structural features, such as a 5′-cap structure or a 3′-poly(A) tail. Both the 5′ UTR and the 3′ UTR are typically transcribed from the genomic DNA and are elements of the premature mRNA. Characteristic structural features of mature mRNA, such as the 5′-cap and the 3′-poly(A) tail are usually added to the transcribed (premature) mRNA during mRNA processing. In some embodiments, a composition includes an RNA polynucleotide having an open reading frame encoding at least one polypeptide having at least one modification, at least one 5′ terminal cap, and is formulated within a lipid nanoparticle along with the stabilizing compound (e.g., a compound of Formula I, of Formula II, or a tautomer or solvate thereof). 5′ terminal caps can include endogenous caps or cap analogs. According to the present invention, a 5′ terminal cap can comprise a guanine analog. Useful guanine analogs include, but are not limited to, inosine, N1-methyl-guanosine, 2′fluoro-guanosine, 7-deaza-guanosine, 8-oxo- guanosine, 2-amino-guanosine, LNA-guanosine, and 2-azido-guanosine. Also provided herein are exemplary caps including those that can be used in co- transcriptional capping methods for ribonucleic acid (RNA) synthesis, using RNA polymerase, e.g., wild type RNA polymerase or variants thereof, e.g., such as those variants described herein. In one embodiment, caps can be added when RNA is produced in a “one-pot” reaction, without the need for a separate capping reaction. Thus, the methods, in some embodiments, comprise
reacting a polynucleotide template with a RNA polymerase variant, nucleoside triphosphates, and a cap analog under in vitro transcription reaction conditions to produce RNA transcript. In some embodiments, the cap analog binds to a polynucleotide template that comprises a promoter region comprising a transcriptional start site having a first nucleotide at nucleotide position +1, a second nucleotide at nucleotide position +2, and a third nucleotide at nucleotide position +3. In some embodiments, the cap analog hybridizes to the polynucleotide template at least at nucleotide position +1, such as at the +1 and +2 positions, or at the +1, +2, and +3 positions. A cap analog may be, for example, a dinucleotide cap, a trinucleotide cap, or a tetranucleotide cap. In some embodiments, a cap analog is a dinucleotide cap. In some embodiments, a cap analog is a trinucleotide cap. In some embodiments, a cap analog is a tetranucleotide cap. As used here the term “cap” includes the inverted G nucleotide and can comprise additional nucleotides 3’ of the inverted G, .e.g., 1, 2, or more nucleotides 3’ of the inverted G and 5’ to the 5’ UTR. Exemplary caps comprise a sequence GG, GA, or GGA wherein the underlined, italicized G is an inverted G. A trinucleotide cap, in some embodiments, comprises a compound of formula (I)
stereoisomer, tautomer or salt thereof, wherein
ring B1 is a modified or unmodified guanine; ring B2 and ring B3 each independently is a nucleobase or a modified nucleobase;
X2 is O, S(O)p, NR24 or CR25R26 in which p is 0, 1, or 2; Y0 is O or CR6R7; Y1 is O, S(O)n, CR6R7, or NR8, in which n is 0, 1 , or 2; each --- is a single bond or absent, wherein when each --- is a single bond, Yi is O, S(O)n, CR6R7, or NR8; and when each --- is absent, Y1 is void; Y2 is (OP(O)R4)m in which m is 0, 1, or 2, or -O-(CR40R41)u-Q0-(CR42R43)v-, in which Q0 is a bond, O, S(O)r, NR44, or CR45R46, r is 0, 1 , or 2, and each of u and v independently is 1, 2, 3 or 4; each R2 and R2' independently is halo, LNA, or OR3; each R3 independently is H, C1-C6 alkyl, C2-C6 alkenyl, or C2-C6 alkynyl and R3, when being C1-C6 alkyl, C2-C6 alkenyl, or C2-C6 alkynyl, is optionally substituted with one or more of halo, OH and C1-C6 alkoxyl that is optionally substituted with one or more OH or OC(O)-C1-C6 alkyl; each R4 and R4' independently is H, halo, C1-C6 alkyl, OH, SH, SeH, or BH3-; each of R6, R7, and R8, independently, is -Q1-T1, in which Q1 is a bond or C1-C3 alkyl linker optionally substituted with one or more of halo, cyano, OH and C1-C6 alkoxy, and T1 is H, halo, OH, COOH, cyano, or Rs1, in which Rs1 is C1-C3 alkyl, C2-C6 alkenyl, C2-C6 alkynyl, C1- C6 alkoxyl, C(O)O-C1-C6 alkyl, C3-C8 cycloalkyl, C6-C10 aryl, NR31R32, (NR31R32R33)+, 4 to 12- membered heterocycloalkyl, or 5- or 6-membered heteroaryl, and Rs1 is optionally substituted with one or more substituents selected from the group consisting of halo, OH, oxo, C1-C6 alkyl, COOH, C(O)O-C1-C6 alkyl, cyano, C1-C6 alkoxyl, NR31R32, (NR31R32R33)+, C3-C8 cycloalkyl, C6-C10 aryl, 4 to 12-membered heterocycloalkyl, and 5- or 6-membered heteroaryl; each of R10, R11, R12, R13 R14, and R15, independently, is -Q2-T2, in which Q2 is a bond or C1-C3 alkyl linker optionally substituted with one or more of halo, cyano, OH and C1-C6 alkoxy, and T2 is H, halo, OH, NH2, cyano, NO2, N3, Rs2, or ORs2, in which Rs2 is C1-C6 alkyl, C2-C6 alkenyl, C2-C6 alkynyl, C3-C8 cycloalkyl, C6-C10 aryl, NHC(O)-C1-C6 alkyl, NR31R32, (NR31R32R33)+, 4 to 12-membered heterocycloalkyl, or 5- or 6-membered heteroaryl, and Rs2 is optionally substituted with one or more substituents selected from the group consisting of halo, OH, oxo, C1-C6 alkyl, COOH, C(O)O-C1-C6 alkyl, cyano, C1 - C6 alkoxyl, NR31R32, (NR31R32R33)+, C3-C8 cycloalkyl, C6-C10 aryl, 4 to 12-membered heterocycloalkyl, and 5- or 6- membered heteroaryl; or alternatively R12 together with R14 is oxo, or R13 together with R15 is oxo, each of R20, R21, R22, and R23 independently is -Q3-T3, in which Q3 is a bond or C1-C3 alkyl linker optionally substituted with one or more of halo, cyano, OH and C1-C6 alkoxy, and
T3 is H, halo, OH, NH2, cyano, NO2, N3, RS3, or ORS3, in which RS3 is C1-C6 alkyl, C2- C6 alkenyl, C2-C6 alkynyl, C3-C8 cycloalkyl, C6-C10 aryl, NHC(O)-C1-C6 alkyl, mono-C1- C6 alkylamino, di-C1-C6 alkylamino, 4 to 12-membered heterocycloalkyl, or 5- or 6-membered heteroaryl, and Rs3 is optionally substituted with one or more substituents selected from the group consisting of halo, OH, oxo, C1-C6 alkyl, COOH, C(O)O-C1-C6 alkyl, cyano, C1-C6 alkoxyl, amino, mono-C1-C6 alkylamino, di-C1-C6 alkylamino, C3-C8 cycloalkyl, C6-C10 aryl, 4 to 12-membered heterocycloalkyl, and 5- or 6-membered heteroaryl; each of R24, R25, and R26 independently is H or C1-C6 alkyl; each of R27 and R28 independently is H or OR29; or R27 and R28 together form O-R30-O; each R29 independently is H, C1-C6 alkyl, C2-C6 alkenyl, or C2-C6 alkynyl and R29, when being C1-C6 alkyl, C2-C6 alkenyl, or C2-C6 alkynyl, is optionally substituted with one or more of halo, OH and C1-C6 alkoxyl that is optionally substituted with one or more OH or OC(O)-C1-C6 alkyl; R30 is C1-C6 alkylene optionally substituted with one or more of halo, OH and C1-C6 alkoxyl; each of R31, R32, and R33, independently is H, C1-C6 alkyl, C3-C8 cycloalkyl, C6-C10 aryl, 4 to 12-membered heterocycloalkyl, or 5- or 6-membered heteroaryl; each of R40, R41, R42, and R43 independently is H, halo, OH, cyano, N3, OP(O)R47R48, or C1-C6 alkyl optionally substituted with one or more OP(O)R47R48, or one R41 and one R43, together with the carbon atoms to which they are attached and Q0, form C4-C10 cycloalkyl, 4- to 14-membered heterocycloalkyl, C6-C10 aryl, or 5- to 14-membered heteroaryl, and each of the cycloalkyl, heterocycloalkyl, phenyl, or 5- to 6-membered heteroaryl is optionally substituted with one or more of OH, halo, cyano, N3, oxo, OP(O)R47R48, C1-C6 alkyl, C1-C6 haloalkyl, COOH, C(O)O-C1-C6 alkyl, C1-C6 alkoxyl, C1-C6 haloalkoxyl, amino, mono-C1-C6 alkylamino, and di-C1-C6 alkylamino; R44 is H, C1-C6 alkyl, or an amine protecting group; each of R45 and R46 independently is H, OP(O)R47R48, or C1-C6 alkyl optionally substituted with one or more OP(O)R47R48, and each of R47 and R48, independently is H, halo, C1-C6 alkyl, OH, SH, SeH, or BH3. It should be understood that a cap analog, as provided herein, may include any of the cap analogs described in international publication WO 2017/066797, published on 20 April 2017, incorporated by reference herein in its entirety. In some embodiments, the B2 middle position can be a non-ribose molecule, such as arabinose. In some embodiments R2 is ethyl-based.
Thus, in some embodiments, a trinucleotide cap comprises the following structure:
In yet other embodiments, a trinucleotide cap comprises the following structure:
In still other embodiments, a trinucleotide cap comprises the following structure:
In some embodiments, R is an alkyl (e.g., C1-C6 alkyl). In some embodiments, R is a methyl group (e.g., C1 alkyl). In some embodiments, R is an ethyl group (e.g., C2 alkyl). A trinucleotide cap, in some embodiments, comprises a sequence selected from the following sequences: GAA, GAC, GAG, GAU, GCA, GCC, GCG, GCU, GGA, GGC, GGG, GGU, GUA, GUC, GUG, and GUU. In some embodiments, a trinucleotide cap comprises GAA. In some embodiments, a trinucleotide cap comprises GAC. In some embodiments, a trinucleotide cap comprises GAG. In some embodiments, a trinucleotide cap comprises GAU. In some embodiments, a trinucleotide cap comprises GCA. In some embodiments, a trinucleotide cap comprises GCC. In some embodiments, a trinucleotide cap comprises GCG. In some embodiments, a trinucleotide cap comprises GCU. In some embodiments, a trinucleotide cap comprises GGA. In some embodiments, a trinucleotide cap comprises GGC. In some embodiments, a trinucleotide cap comprises GGG. In some embodiments, a trinucleotide cap comprises GGU. In some embodiments, a trinucleotide cap comprises GUA. In some embodiments, a trinucleotide cap comprises GUC. In some embodiments, a trinucleotide cap comprises GUG. In some embodiments, a trinucleotide cap comprises GUU. In some embodiments, a trinucleotide cap comprises a sequence selected from the following sequences: m7GpppApA, m7GpppApC, m7GpppApG, m7GpppApU, m7GpppCpA, m7GpppCpC, m7GpppCpG, m7GpppCpU, m7GpppGpA, m7GpppGpC, m7GpppGpG, m7GpppGpU, m7GpppUpA, m7GpppUpC, m7GpppUpG, and m7GpppUpU. In some embodiments, a trinucleotide cap comprises m7GpppApA. In some embodiments, a trinucleotide cap comprises m7GpppApC. In some embodiments, a trinucleotide cap comprises m7GpppApG. In some embodiments, a trinucleotide cap comprises m7GpppApU. In some embodiments, a trinucleotide cap comprises m7GpppCpA. In some embodiments, a
trinucleotide cap comprises m7GpppCpC. In some embodiments, a trinucleotide cap comprises m7GpppCpG. In some embodiments, a trinucleotide cap comprises m7GpppCpU. In some embodiments, a trinucleotide cap comprises m7GpppGpA. In some embodiments, a trinucleotide cap comprises m7GpppGpC. In some embodiments, a trinucleotide cap comprises m7GpppGpG. In some embodiments, a trinucleotide cap comprises m7GpppGpU. In some embodiments, a trinucleotide cap comprises m7GpppUpA. In some embodiments, a trinucleotide cap comprises m7GpppUpC. In some embodiments, a trinucleotide cap comprises m7GpppUpG. In some embodiments, a trinucleotide cap comprises m7GpppUpU. A trinucleotide cap, in some embodiments, comprises a sequence selected from the following sequences: m7G3′OMepppApA, m7G3′OMepppApC, m7G3′OMepppApG, m7G3′OMepppApU, m7G3′OMepppCpA, m7G3′OMepppCpC, m7G3′OMepppCpG, m7G3′OMepppCpU, m7G3′OMepppGpA, m7G3′OMepppGpC, m7G3′OMepppGpG, m7G3′OMepppGpU, m7G3′OMepppUpA, m7G3′OMepppUpC, m7G3′OMepppUpG, and m7G3′OMepppUpU. In some embodiments, a trinucleotide cap comprises m7G3′OMepppApA. In some embodiments, a trinucleotide cap comprises m7G3′OMepppApC. In some embodiments, a trinucleotide cap comprises m7G3′OMepppApG. In some embodiments, a trinucleotide cap comprises m7G3′OMepppApU. In some embodiments, a trinucleotide cap comprises m7G3′OMepppCpA. In some embodiments, a trinucleotide cap comprises m7G3′OMepppCpC. In some embodiments, a trinucleotide cap comprises m7G3′OMepppCpG. In some embodiments, a trinucleotide cap comprises m7G3′OMepppCpU. In some embodiments, a trinucleotide cap comprises m7G3′OMepppGpA. In some embodiments, a trinucleotide cap comprises m7G3′OMepppGpC. In some embodiments, a trinucleotide cap comprises m7G3′OMepppGpG. In some embodiments, a trinucleotide cap comprises m7G3′OMepppGpU. In some embodiments, a trinucleotide cap comprises m7G3′OMepppUpA. In some embodiments, a trinucleotide cap comprises m7G3′OMepppUpC. In some embodiments, a trinucleotide cap comprises m7G3′OMepppUpG. In some embodiments, a trinucleotide cap comprises m7G3′OMepppUpU. A trinucleotide cap, in other embodiments, comprises a sequence selected from the following sequences: m7G3′OMepppA2′OMepA, m7G3′OMepppA2′OMepC, m7G3′OMepppA2′OMepG, m7G3′OMepppA2′OMepU, m7G3′OMepppC2′OMepA, m7G3′OMepppC2′OMepC, m7G3′OMepppC2′OMepG, m7G3′OMepppC2′OMepU, m7G3′OMepppG2′OMepA, m7G3′OMepppG2′OMepC, m7G3′OMepppG2′OMepG, m7G3′OMepppG2′OMepU, m7G3′OMepppU2′OMepA, m7G3′OMepppU2′OMepC, m7G3′OMepppU2′OMepG, and m7G3′OMepppU2′OMepU.
In some embodiments, a trinucleotide cap comprises m7G3′OMepppA2′OMepA. In some embodiments, a trinucleotide cap comprises m7G3′OMepppA2′OMepC. In some embodiments, a trinucleotide cap comprises m7G3′OMepppA2′OMepG. In some embodiments, a trinucleotide cap comprises m7G3′OMepppA2′OMepU. In some embodiments, a trinucleotide cap comprises m7G3′OMepppC2′OMepA. In some embodiments, a trinucleotide cap comprises m7G3′OMepppC2′OMepC. In some embodiments, a trinucleotide cap comprises m7G3′OMepppC2′OMepG. In some embodiments, a trinucleotide cap comprises m7G3′OMepppC2′OMepU. In some embodiments, a trinucleotide cap comprises m7G3′OMepppG2′OMepA. In some embodiments, a trinucleotide cap comprises m7G3′OMepppG2′OMepC. In some embodiments, a trinucleotide cap comprises m7G3′OMepppG2′OMepG. In some embodiments, a trinucleotide cap comprises m7G3′OMepppG2′OMepU. In some embodiments, a trinucleotide cap comprises m7G3′OMepppU2′OMepA. In some embodiments, a trinucleotide cap comprises m7G3′OMepppU2′OMepC. In some embodiments, a trinucleotide cap comprises m7G3′OMepppU2′OMepG. In some embodiments, a trinucleotide cap comprises m7G3′OMepppU2′OMepU. A trinucleotide cap, in still other embodiments, comprises a sequence selected from the following sequences: m7GpppA2′OMepA, m7GpppA2′OMepC, m7GpppA2′OMepG, m7GpppA2′OMepU, m7GpppC2′OMepA, m7GpppC2′OMepC, m7GpppC2′OMepG, m7GpppC2′OMepU, m7GpppG2′OMepA, m7GpppG2′OMepC, m7GpppG2′OMepG, m7GpppG2′OMepU, m7GpppU2′OMepA, m7GpppU2′OMepC, m7GpppU2′OMepG, and m7GpppU2′OMepU. In some embodiments, a trinucleotide cap comprises m7GpppA2′OMepA. In some embodiments, a trinucleotide cap comprises m7GpppA2′OMepC. In some embodiments, a trinucleotide cap comprises m7GpppA2′OMepG. In some embodiments, a trinucleotide cap comprises m7GpppA2′OMepU. In some embodiments, a trinucleotide cap comprises m7GpppC2′OMepA. In some embodiments, a trinucleotide cap comprises m7GpppC2′OMepC. In some embodiments, a trinucleotide cap comprises m7GpppC2′OMepG. In some embodiments, a trinucleotide cap comprises m7GpppC2′OMepU. In some embodiments, a trinucleotide cap comprises m7GpppG2′OMepA. In some embodiments, a trinucleotide cap comprises m7GpppG2′OMepC. In some embodiments, a trinucleotide cap comprises m7GpppG2′OMepG. In some embodiments, a trinucleotide cap comprises m7GpppG2′OMepU. In some embodiments, a trinucleotide cap comprises m7GpppU2′OMepA. In some embodiments, a trinucleotide cap
comprises m7GpppU2′OMepC. In some embodiments, a trinucleotide cap comprises m7GpppU2′OMepG. In some embodiments, a trinucleotide cap comprises m7GpppU2′OMepU. In some embodiments, a trinucleotide cap comprises m7Gpppm6A2’OmepG. In some embodiments, a trinucleotide cap comprises m7Gpppe6A2’OmepG. In some embodiments, a trinucleotide cap comprises GAG. In some embodiments, a trinucleotide cap comprises GCG. In some embodiments, a trinucleotide cap comprises GUG. In some embodiments, a trinucleotide cap comprises GGG. In some embodiments, a trinucleotide cap comprises any one of the following structures:
In some embodiments, the cap analog comprises a tetranucleotide cap. In some embodiments, the tetranucleotide cap comprises a trinucleotide as set forth above. In some embodiments, the tetranucleotide cap comprises m7GpppN1N2N3, where N1, N2, and N3 are optional (i.e., can be absent or one or more can be present) and are independently a natural, a modified, or an unnatural nucleoside base. In some embodiments, m7G is further methylated, eg at the 3’ position In some embodiments the m7G comprises an O methyl at the 3’ position
In some embodiments N1, N2, and N3 if present, optionally, are independently an adenine, a uracil, a guanidine, a thymine, or a cytosine. In some embodiments, one or more (or all) of N1, N2, and N3, if present, are methylated, e.g., at the 2’ position. In some embodiments, one or more (or all) of N1, N2, and N3, if present have an O-methyl at the 2’ position. In some embodiments, the tetranucleotide cap comprises the following structure:
wherein B1, B2, and B3 are independently a natural, a modified, or an unnatural nucleoside based; and R1, R2, R3, and R4 are independently OH or O-methyl. In some embodiments, R3 is O-methyl and R4 is OH. In some embodiments, R3 and R4 are O-methyl. In some embodiments, R4 is O-methyl. In some embodiments, R1 is OH, R2 is OH, R3 is O-methyl, and R4 is OH. In some embodiments, R1 is OH, R2 is OH, R3 is O-methyl, and R4 is O-methyl. In some embodiments, at least one of R1 and R2 is O-methyl, R3 is O-methyl, and R4 is OH. In some embodiments, at least one of R1 and R2 is O-methyl, R3 is O-methyl, and R4 is O-methyl. In some embodiments, B1, B3, and B3 are natural nucleoside bases. In some embodiments, at least one of B1, B2, and B3 is a modified or unnatural base. In some embodiments, at least one of B1, B2, and B3 is N6-methyladenine. In some embodiments, B1 is adenine, cytosine, thymine, or uracil. In some embodiments, B1 is adenine, B2 is uracil, and B3 is adenine. In some embodiments, R1 and R2 are OH, R3 and R4 are O-methyl, B1 is adenine, B2 is uracil, and B3 is adenine. In some embodiments the tetranucleotide cap comprises a sequence selected from the following sequences: GAAA, GACA, GAGA, GAUA, GCAA, GCCA, GCGA, GCUA, GGAA, GGCA, GGGA, GGUA, GUCA, and GUUA. In some embodiments the tetranucleotide cap comprises a sequence selected from the following sequences: GAAG, GACG, GAGG, GAUG, GCAG, GCCG, GCGG, GCUG, GGAG, GGCG, GGGG, GGUG, GUCG, GUGG, and GUUG. In some embodiments the tetranucleotide cap comprises a sequence selected from the following
sequences: GAAU, GACU, GAGU, GAUU, GCAU, GCCU, GCGU, GCUU, GGAU, GGCU, GGGU, GGUU, GUAU, GUCU, GUGU, and GUUU. In some embodiments the tetranucleotide cap comprises a sequence selected from the following sequences: GAAC, GACC, GAGC, GAUC, GCAC, GCCC, GCGC, GCUC, GGAC, GGCC, GGGC, GGUC, GUAC, GUCC, GUGC, and GUUC. A tetranucleotide cap, in some embodiments, comprises a sequence selected from the following sequences: m7G3′OMepppApApN, m7G3′OMepppApCpN, m7G3′OMepppApGpN, m7G3′OMepppApUpN, m7G3′OMepppCpApN, m7G3′OMepppCpCpN, m7G3′OMepppCpGpN, m7G3′OMepppCpUpN, m7G3′OMepppGpApN, m7G3′OMepppGpCpN, m7G3′OMepppGpGpN, m7G3′OMepppGpUpN, m7G3′OMepppUpApN, m7G3′OMepppUpCpN, m7G3′OMepppUpGpN, and m7G3′OMepppUpUpN, where N is a natural, a modified, or an unnatural nucleoside base. A tetranucleotide cap, in other embodiments, comprises a sequence selected from the following sequences: m7G3′OMepppA2′OMepApN, m7G3′OMepppA2′OMepCpN, m7G3′OMepppA2′OMepGpN, m7G3′OMepppA2′OMepUpN, m7G3′OMepppC2′OMepApN, m7G3′OMepppC2′OMepCpN, m7G3′OMepppC2′OMepGpN, m7G3′OMepppC2′OMepUpN, m7G3′OMepppG2′OMepApN, m7G3′OMepppG2′OMepCpN, m7G3′OMepppG2′OMepGpN, m7G3′OMepppG2′OMepUpN, m7G3′OMepppU2′OMepApN, m7G3′OMepppU2′OMepCpN, m7G3′OMepppU2′OMepGpN, and m7G3′OMepppU2′OMepUpN, where N is a natural, a modified, or an unnatural nucleoside base. A tetranucleotide cap, in still other embodiments, comprises a sequence selected from the following sequences: m7GpppA2′OMepApN, m7GpppA2′OMepCpN, m7GpppA2′OMepGpN, m7GpppA2′OMepUpN, m7GpppC2′OMepApN, m7GpppC2′OMepCpN, m7GpppC2′OMepGpN, m7GpppC2′OMepUpN, m7GpppG2′OMepApN, m7GpppG2′OMepCpN, m7GpppG2′OMepGpN, m7GpppG2′OMepUpN, m7GpppU2′OMepApN, m7GpppU2′OMepCpN, m7GpppU2′OMepGpN, and m7GpppU2′OMepUpN, where N is a natural, a modified, or an unnatural nucleoside base. A tetranucleotide cap, in other embodiments, comprises a sequence selected from the following sequences: m7G3′OMepppA2′OMepA2′OMepN, m7G3′OMepppA2′OMepC2′OMepN, m7G3′OMepppA2′OMepG2′OMepN, m7G3′OMepppA2′OMepU2′OMepN, m7G3′OMepppC2′OMepA2′OMepN, m7G3′OMepppC2′OMepC2′OMepN, m7G3′OMepppC2′OMepG2′OMepN, m7G3′OMepppC2′OMepU2′OMepN, m7G3′OMepppG2′OMepA2′OMepN, m7G3′OMepppG2′OMepC2′OMepN, m7G3′OMepppG2′OMepG2′OMepN, m7G3′OMepppG2′OMepU2′OMepN, m7G3′OMepppU2′OMepA2′OMepN, m7G3′OMepppU2′OMepC2′OMepN, m7G3′OMepppU2′OMepG2′OMepN, and m7G3′OMepppU2′OMepU2′OMepN, where N is a natural, a difi d l l id b
A tetranucleotide cap, in still other embodiments, comprises a sequence selected from the following sequences: m7GpppA2′OMepA2′OMepN, m7GpppA2′OMepC2′OMepN, m7GpppA2′OMepG2′OMepN, m7GpppA2′OMepU2′OMepN, m7GpppC2′OMepA2′OMepN, m7GpppC2′OMepC2′OMepN, m7GpppC2′OMepG2′OMepN, m7GpppC2′OMepU2′OMepN, m7GpppG2′OMepA2′OMepN, m7GpppG2′OMepC2′OMepN, m7GpppG2′OMepG2′OMepN, m7GpppG2′OMepU2′OMepN, m7GpppU2′OMepA2′OMepN, m7GpppU2′OMepC2′OMepN, m7GpppU2′OMepG2′OMepN, and m7GpppU2′OMepU2′OMepN, where N is a natural, a modified, or an unnatural nucleoside base. In some embodiments, a tetranucleotide cap comprises GGAG. In some embodiments, a tetranucleotide cap comprises the following structure:
The capping efficiency of a post-transcriptional or co-transcriptional capping reaction may vary. As used herein “capping efficiency” refers to the amount (e.g., expressed as a percentage) of mRNAs comprising a cap structure relative to the total mRNAs in a mixture (e.g., a post-translational capping reaction or a co-transcriptional calling reaction). In some embodiments, the capping efficiency of a capping reaction is at least 60%, 70%, 80%, 90%, 95%, 99%, or 99.9% (e.g., after the capping reaction at least 60%, 70%, 80%, 90%, 95%, 99%, or 99.9% of the input mRNAs comprise a cap). In some embodiments, multivalent co-IVT reactions described herein do not affect the capping efficiency of the mRNAs resulting from the IVT reaction. A 3′-poly(A) tail is typically a stretch of adenine nucleotides added to the 3′-end of the transcribed mRNA. It can, in some instances, comprise up to about 400 adenine nucleotides. In some embodiments, the length of the 3′-poly(A) tail may be an essential element with respect to the stability of the individual mRNA.
In some embodiments, a composition comprises an RNA (e.g., mRNA) having an ORF that encodes a signal peptide fused to the expressed polypeptide. Signal peptides, usually comprising the N-terminal 15-60 amino acids of proteins, are typically needed for the translocation across the membrane on the secretory pathway and, thus, universally control the entry of most proteins both in eukaryotes and prokaryotes to the secretory pathway. A signal peptide may have a length of 15-60 amino acids. In some embodiments, an ORF encoding a polypeptide is codon optimized. Codon optimization methods are known in the art. For example, an ORF of any one or more of the sequences provided herein may be codon optimized. Codon optimization, in some embodiments, may be used to match codon frequencies in target and host organisms to ensure proper folding; bias GC content to increase mRNA stability or reduce secondary structures; minimize tandem repeat codons or base runs that may impair gene construction or expression; customize transcriptional and translational control regions; insert or remove protein trafficking sequences; remove/add post translation modification sites in encoded protein (e.g., glycosylation sites); add, remove or shuffle protein domains; insert or delete restriction sites; modify ribosome binding sites and mRNA degradation sites; adjust translational rates to allow the various domains of the protein to fold properly; or reduce or eliminate problem secondary structures within the polynucleotide. Codon optimization tools, algorithms and services are known in the art – non- limiting examples include services from GeneArt (Life Technologies), DNA2.0 (Menlo Park CA) and/or proprietary methods. In some embodiments, the open reading frame (ORF) sequence is optimized using optimization algorithms. In some embodiments, an RNA (e.g., mRNA) is not chemically modified and comprises the standard ribonucleotides consisting of adenosine, guanosine, cytosine and uridine. In some embodiments, nucleotides and nucleosides comprise standard nucleoside residues such as those present in transcribed RNA (e.g. A, G, C, or U). In some embodiments, nucleotides and nucleosides comprise standard deoxyribonucleosides such as those present in DNA (e.g. dA, dG, dC, or dT). The compositions can comprise, in some embodiments, an RNA having an open reading frame encoding a polypeptide, wherein the nucleic acid comprises nucleotides and/or nucleosides that can be standard (unmodified) or modified as is known in the art. In some embodiments, nucleotides and nucleosides comprise modified nucleotides or nucleosides. Such modified nucleotides and nucleosides can be naturally-occurring modified nucleotides and nucleosides or non-naturally occurring modified nucleotides and nucleosides. Such
modifications can include those at the sugar, backbone, or nucleobase portion of the nucleotide and/or nucleoside as are recognized in the art. In some embodiments, a naturally-occurring modified nucleotide or nucleotide is one as is generally known or recognized in the art. Non-limiting examples of such naturally occurring modified nucleotides and nucleotides can be found, inter alia, in the widely recognized MODOMICS database. Also provided are modified nucleosides and nucleotides of a nucleic acid (e.g., RNA nucleic acids, such as mRNA nucleic acids). A “nucleoside” refers to a compound containing a sugar molecule (e.g., a pentose or ribose) or a derivative thereof in combination with an organic base (e.g., a purine or pyrimidine) or a derivative thereof (also referred to herein as “nucleobase”). A “nucleotide” refers to a nucleoside, including a phosphate group. Modified nucleotides may by synthesized by any useful method, such as, for example, chemically, enzymatically, or recombinantly, to include one or more modified or non-natural nucleosides. Nucleic acids can comprise a region or regions of linked nucleosides. Such regions may have variable backbone linkages. The linkages can be standard phosphodiester linkages, in which case the nucleic acids would comprise regions of nucleotides. In some embodiments, modified nucleobases in nucleic acids (e.g., RNA nucleic acids, such as mRNA nucleic acids) comprise 1-methyl-pseudouridine (m1ψ), 1-ethyl-pseudouridine (e1ψ), 5-methoxy-uridine (mo5U), 5-methyl-cytidine (m5C), and/or pseudouridine (ψ). In some embodiments, modified nucleobases in nucleic acids (e.g., RNA nucleic acids, such as mRNA nucleic acids) comprise 5-methoxymethyl uridine, 5-methylthio uridine, 1-methoxymethyl pseudouridine, 5-methyl cytidine, and/or 5-methoxy cytidine. In some embodiments, the polyribonucleotide includes a combination of at least two (e.g., 2, 3, 4 or more) of any of the aforementioned modified nucleobases, including but not limited to chemical modifications. In some embodiments, a mRNA comprises 1-methyl-pseudouridine (m1ψ) substitutions at one or more or all uridine positions of the nucleic acid. In some embodiments, a mRNA comprises 1-methyl-pseudouridine (m1ψ) substitutions at one or more or all uridine positions of the nucleic acid and 5-methyl cytidine substitutions at one or more or all cytidine positions of the nucleic acid. In some embodiments, a mRNA comprises pseudouridine (ψ) substitutions at one or more or all uridine positions of the nucleic acid. In some embodiments, a mRNA pseudouridine (ψ) substitutions at one or more or all uridine positions of the nucleic acid and 5-methyl cytidine substitutions at one or more or all cytidine positions of the nucleic acid.
In some embodiments, a mRNA comprises uridine at one or more or all uridine positions of the nucleic acid. In some embodiments, mRNAs are uniformly modified (e.g., fully modified, modified throughout the entire sequence) for a particular modification. For example, a nucleic acid can be uniformly modified with 1-methyl-pseudouridine, meaning that all uridine residues in the mRNA sequence are replaced with 1-methyl-pseudouridine. Similarly, a nucleic acid can be uniformly modified for any type of nucleoside residue present in the sequence by replacement with a modified residue such as those set forth above. The nucleic acids may be partially or fully modified along the entire length of the molecule. For example, one or more or all or a given type of nucleotide (e.g., purine or pyrimidine, or any one or more or all of A, G, U, C) may be uniformly modified in a nucleic acid, or in a predetermined sequence region thereof (e.g., in the mRNA including or excluding the poly(A) tail). In some embodiments, all nucleotides X in a nucleic acid (or in a sequence region thereof) are modified nucleotides, wherein X may be any one of nucleotides A, G, U, C, or any one of the combinations A+G, A+U, A+C, G+U, G+C, U+C, A+G+U, A+G+C, G+U+C or A+G+C. The mRNAs may comprise one or more regions or parts which act or function as an untranslated region. Where mRNAs are designed to encode at least one polypeptide of interest, the nucleic may comprise one or more of these untranslated regions (UTRs). Wild-type untranslated regions of a nucleic acid are transcribed but not translated. In mRNA, the 5′ UTR starts at the transcription start site and continues to the start codon but does not include the start codon; whereas the 3′ UTR starts immediately following the stop codon and continues until the transcriptional termination signal. The regulatory features of a UTR can be incorporated into the polynucleotides to, among other things, enhance the stability of the molecule. The specific features can also be incorporated to ensure controlled down-regulation of the transcript in case they are misdirected to undesired organs sites. A variety of 5’UTR and 3’UTR sequences are known and available in the art. Pharmaceutical Compositions Provided herein are compositions (e.g., pharmaceutical compositions), methods, kits and reagents for prevention or treatment of coronavirus in humans and other mammals, for example. The compositions provided herein can be used as therapeutic or prophylactic agents. They may be used in medicine to prevent and/or treat a coronavirus infection. In some embodiments, the coronavirus vaccine containing RNA as described herein can
polynucleotides are translated in vivo to produce an antigenic polypeptide (antigen). The term "pharmaceutical composition" refers to the combination of an active agent with a carrier, inert or active, making the composition especially suitable for diagnostic or therapeutic use in vivo or ex vivo. A "pharmaceutically acceptable carrier," after administered to or upon a subject, does not cause undesirable physiological effects. The carrier in the pharmaceutical composition must be "acceptable" also in the sense that it is compatible with the active ingredient and can be capable of stabilizing it. One or more solubilizing agents can be utilized as pharmaceutical carriers for delivery of an active agent. Examples of a pharmaceutically acceptable carrier include, but are not limited to, biocompatible vehicles, adjuvants, additives, and diluents to achieve a composition usable as a dosage form. Examples of other carriers include colloidal silicon oxide, magnesium stearate, cellulose, and sodium lauryl sulfate. Additional suitable pharmaceutical carriers and diluents, as well as pharmaceutical necessities for their use, are described in Remington's Pharmaceutical Sciences. In some embodiments, the compositions (comprising polynucleotides and their encoded polypeptides) in accordance with the present disclosure may be used for treatment or prevention of a coronavirus infection. A composition may be administered prophylactically or therapeutically as part of an active immunization scheme to healthy individuals or early in infection during the incubation phase or during active infection after onset of symptoms. In some embodiments, the amount of RNA provided to a cell, a tissue or a subject may be an amount effective for immune prophylaxis. The vaccine may be administered to seropositive or seronegative subjects. For example, a subject may be naïve and not have antibodies that react with a virus having an antigen, wherein the antigen is the viral antigen or fragment thereof encoded by the mRNA of the vaccine (e.g., a SARS-CoV-2 antigen disclosed herein). Such a subject is said to be seronegative with respect to that vaccine. Alternatively, the subject may have preexisting antibodies to viral antigen encoded by the mRNA of the vaccine because they have previously had an infection with virus carrying the antigen or may have previously been administered a dose of a vaccine (e.g., an mRNA vaccine) that induces antibodies against the antigen (e.g., a SARS-CoV-2 antigen disclosed herein). Such a subject is said to be seropositive with respect to that vaccine. In some instances, the subject may have been previously exposed to a virus but not to a specific variant or strain of the virus or a specific vaccine associated with that variant or strain. Such a subject is considered to be seronegative with respect to the specific variant or strain. Thus, the present disclosure provides compositions (e.g., mRNA vaccines) that elicit potent neutralizing antibodies against an antigen (e.g., a SARS-CoV-2 antigen disclosed herein)
in a subject. Such a composition can be administered to seropositive or seronegative subjects in some embodiments. A seronegative subject may be naïve and not have antibodies that react with the specific virus (e.g., SARS-CoV-2) which the subject is being immunized against. A seropositive subject may have preexisting antibodies to the specific virus (e.g., SARS-CoV-2) because they have previously had an infection with that virus, variant or strain or may have previously been administered a dose of a vaccine (e.g., an mRNA vaccine) that induces antibodies against that virus, variant, or strain. In some embodiments, an initial dose is administered followed by a booster dose. A booster dose is a dose that is given at a certain interval after completion of the primary dose or series of doses that is/are intended to boost immunity to, and therefore prolong protection against, the disease (e.g., COVID-19) that is to be prevented. A booster dose may be given after an earlier administration of an immunizing composition. The time of administration between the initial administration of an immunizing composition and the booster may be, but is not limited to, 1 minute, 2 minutes, 3 minutes, 4 minutes, 5 minutes, 6 minutes, 7 minutes, 8 minutes, 9 minutes, 10 minutes, 15 minutes, 20 minutes 35 minutes, 40 minutes, 45 minutes, 50 minutes, 55 minutes, 1 hour, 2 hours, 3 hours, 4 hours, 5 hours, 6 hours, 7 hours, 8 hours, 9 hours, 10 hours, 11 hours, 12 hours, 13 hours, 14 hours, 15 hours, 16 hours, 17 hours, 18 hours, 19 hours, 20 hours, 21 hours, 22 hours, 23 hours, 1 day, 36 hours, 2 days, 3 days, 4 days, 5 days, 6 days, 1 week, 10 days, 2 weeks, 3 weeks, 1 month (e.g., 28 days, 29 days, 30 days, or 31 days), 2 months, 3 months, 4 months, 5 months, 6 months, 7 months, 8 months, 9 months, 10 months, 11 months, 1 year, 18 months, 2 years, 3 years, 4 years, 5 years, 6 years, 7 years, 8 years, 9 years, 10 years, 11 years, 12 years, 13 years, 14 years, 15 years, 16 years, 17 years, 18 years, 19 years, 20 years, 25 years, 30 years, 35 years, 40 years, 45 years, 50 years, 55 years, 60 years, 65 years, 70 years, 75 years, 80 years, 85 years, 90 years, 95 years or more than 99 years. In exemplary embodiments, the time of administration between the initial administration of the immunizing composition and the booster may be, but is not limited to, 1 week, 2 weeks, 3 weeks, 1 month, 2 months, 3 months, 6 months or 1 year. In some embodiments, a composition may be administered intramuscularly, intranasally or intradermally, similarly to the administration of inactivated vaccines known in the art. In some embodiments, microbial growth within a composition disclosed herein is inhibited. In some embodiments, microbial growth is inhibited by the compound (e.g., compound of Formula I or Formula II). In some embodiments, a composition disclosed herein does not comprise a pharmaceutical preservative. Non-limiting examples of pharmaceutical preservatives include methyl paragen, ethyl paraben, propyl paraben, butyl paraben, benzyl
alcohol, chlorobutanol, phenol, meta cresol (m-cresol), chloro cresol, benzoic acid, sorbic acid, thiomersal, phenylmercuric nitrate, bronopol, propylene glycol, benzylkonium chloride, and benzethionium chloride. In some embodiments, a composition disclosed herein does not comprise phenol, m-cresol, or benzyl alcohol. Compositions in which microbial growth is inhibited may be useful in the preparation of injectable formulations, including those intended for dispensing from multi-dose vials. Multi-dose vials refer to containers of pharmaceutical compositions from which multiple doses can be taken repeatedly from the same container. Compositions intended for dispensing from multi-dose vials typically must meet USP requirements for antimicrobial effectiveness. In some embodiments, a composition disclosed herein comprising a compound (e.g. a compound of Formula I, or of Formula II) has antimicrobial effectiveness, and may be dispensed from a multi-dose vial. Pharmaceutical compositions provided herein and for use in accordance with the embodiments provided herein may include a pharmaceutically acceptable excipient. As used herein, the term “pharmaceutically acceptable excipient” means a non-toxic, inert solid, semi- solid or liquid filler, diluent, encapsulating material or formulation auxiliary of any type. Some examples of materials which can serve as pharmaceutically acceptable excipients are sugars such as lactose, glucose, and sucrose; starches such as corn starch and potato starch; cellulose and its derivatives such as sodium carboxymethyl cellulose, methylcellulose, hydroxypropylmethylcellulose, ethyl cellulose, and cellulose acetate; powdered tragacanth; malt; gelatin; talc; excipients such as cocoa butter and suppository waxes; oils such as peanut oil, cottonseed oil; safflower oil; sesame oil; olive oil; corn oil and soybean oil; glycols such as propylene glycol; esters such as ethyl oleate and ethyl laurate; agar; detergents such as Tween 80; buffering agents such as magnesium hydroxide and aluminum hydroxide; alginic acid; pyrogen free water; isotonic saline; citric acid, acetate salts, Ringer’s solution; ethyl alcohol; and phosphate buffer solutions, as well as other non-toxic compatible lubricants such as sodium lauryl sulfate and magnesium stearate, as well as coloring agents, releasing agents, coating agents, sweetening, flavoring and perfuming agents, preservatives and antioxidants can also be present in the composition, according to the judgment of the formulator. The pharmaceutical compositions can be administered to humans and/or to animals, orally, rectally, parenterally, intracisternally, intravaginally, intranasally, intraperitoneally, topically (as by powders, creams, ointments, or drops), bucally, or as an oral or nasal spray. Liquid dosage forms for oral administration include pharmaceutically acceptable emulsions, microemulsions, solutions, suspensions, syrups, and elixirs. In addition to the active ingredients (i.e., the particles), the liquid dosage forms may contain inert diluents commonly
used in the art such as, for example, water or other solvents, solubilizing agents and emulsifiers such as ethyl alcohol, isopropyl alcohol, ethyl carbonate, ethyl acetate, benzyl alcohol, benzyl benzoate, propylene glycol, 1,3 butylene glycol, dimethylformamide, oils (in particular, cottonseed, groundnut, corn, germ, olive, castor, and sesame oils), glycerol, tetrahydrofurfuryl alcohol, polyethylene glycols and fatty acid esters of sorbitan, and mixtures thereof. Besides inert diluents, the oral compositions can also include adjuvants such as wetting agents, emulsifying and suspending agents, sweetening, flavoring, and perfuming agents. Injectable preparations, for example, sterile injectable aqueous or oleaginous suspensions may be formulated according to the known art using suitable dispersing or wetting agents and suspending agents. The sterile injectable preparation may also be a sterile injectable solution, suspension, or emulsion in a nontoxic parenterally acceptable diluent or solvent, for example, as a solution in 1,3-butanediol. Among the acceptable vehicles and solvents that may be employed are water, Ringer’s solution, ethanol, U.S.P., and isotonic sodium chloride solution. In addition, sterile, fixed oils are conventionally employed as a solvent or suspending medium. For this purpose any bland fixed oil can be employed including synthetic mono or diglycerides. In addition, fatty acids such as oleic acid are used in the preparation of injectables. The injectable formulations can be sterilized, for example, by filtration through a bacteria retaining filter, or by incorporating sterilizing agents in the form of sterile solid compositions which can be dissolved or dispersed in sterile water or other sterile injectable medium prior to use. In other embodiments, the stabilized compositions are loaded and stored in prefilled syringes and cartridges for patient-friendly autoinjector and infusion pump devices. Kits for use in preparing or administering the compositions are also provided. A kit for forming compositions may include any solvents, solutions, buffer agents, acids, bases, salts, targeting agents, etc. needed in the composition formation process. Different kits may be available for different targeting agents. In certain embodiments, the kit includes materials or reagents for purifying, sizing, and/or characterizing the resulting compositions. The kit may also include instructions on how to use the materials in the kit. The one or more agents (e.g., pharmaceutically active agent) to be contained within the composition are typically provided by the user of the kit. Kits are also provided for using or administering the compositions. The compositions may be provided in convenient dosage units for administration to a subject. The kit may include multiple dosage units. For example, the kit may include 1-100 dosage units. In certain embodiments, the kit includes a week supply of dosage units, or a month supply of dosage units.
In certain embodiments, the kit includes an even longer supply of dosage units. The kits may also include devices for administering the compositions. Exemplary devices include syringes, spoons, measuring devices, etc. The kit may optionally include instructions for administering the compositions (e.g., prescribing information). The term “pharmaceutically acceptable salt” refers to those salts which are, within the scope of sound medical judgment, suitable for use in contact with the tissues of humans and lower animals without undue toxicity, irritation, allergic response, and the like, and are commensurate with a reasonable benefit/risk ratio. Pharmaceutically acceptable salts are well known in the art. For example, Berge et al. describe pharmaceutically acceptable salts in detail in J. Pharmaceutical Sciences, 1977, 66, 1-19, incorporated herein by reference. Pharmaceutically acceptable salts of the compounds provided herein include those derived from suitable inorganic and organic acids and bases. Examples of pharmaceutically acceptable, nontoxic acid addition salts are salts of an amino group formed with inorganic acids, such as hydrochloric acid, hydrobromic acid, phosphoric acid, sulfuric acid, and perchloric acid or with organic acids, such as acetic acid, oxalic acid, maleic acid, tartaric acid, citric acid, succinic acid, or malonic acid or by using other methods known in the art such as ion exchange. Other pharmaceutically acceptable salts include adipate, alginate, ascorbate, aspartate, benzenesulfonate, benzoate, bisulfate, borate, butyrate, camphorate, camphorsulfonate, citrate, cyclopentanepropionate, digluconate, dodecylsulfate, ethanesulfonate, formate, fumarate, glucoheptonate, glycerophosphate, gluconate, hemisulfate, heptanoate, hexanoate, hydroiodide, 2-hydroxy-ethanesulfonate, lactobionate, lactate, laurate, lauryl sulfate, malate, maleate, malonate, methanesulfonate, 2-naphthalenesulfonate, nicotinate, nitrate, oleate, oxalate, palmitate, pamoate, pectinate, persulfate, 3-phenylpropionate, phosphate, picrate, pivalate, propionate, stearate, succinate, sulfate, tartrate, thiocyanate, p-toluenesulfonate, undecanoate, valerate salts, and the like. Salts derived from appropriate bases include alkali metal, alkaline earth metal, ammonium, and N+(C1-4 alkyl)4 − salts. Representative alkali or alkaline earth metal salts include sodium, lithium, potassium, calcium, magnesium, and the like. Further pharmaceutically acceptable salts include, when appropriate, nontoxic ammonium, quaternary ammonium, and amine cations formed using counterions such as halide, hydroxide, carboxylate, sulfate, phosphate, nitrate, lower alkyl sulfonate, and aryl sulfonate. The terms “composition” and “formulation” are used interchangeably. As used herein, the term “intercalating small molecule” or “small molecule nucleic acid intercalating agent” refers to a compound containing aromatic or heteroaromatic ring systems that can insert between adjacent base pairs of double stranded DNA or folded or double stranded
regions of mRNA. Intercalating agents typically but not necessarily, contain planar polyaromatic rings and cationic substituents. Intercalation between adjacent base pairs may be full or partial. A typical small molecule intercalating agent contains three or four fused rings that absorb light in the UV–visible region of the electromagnetic spectrum. The following examples are intended to illustrate certain non-limiting embodiments. Without further elaboration, it is believed that one skilled in the art can, based on the above description, utilize the disclosed compositions and methods to the fullest extent. The following specific embodiments are, therefore, to be construed as merely illustrative, and not limitative in any way whatsoever. EXAMPLES Example 1 – PEG-DMG Modulation Study This example describes the impact of increasing the amount of PEG-DMG added during the mixing and excipient addition steps. Four separate nanoprecipitation operations were completed, each with different levels of % PEG-DMG present during the Mixing Unit Operation (vortex mixing of lipids). The batches were split into multiple aliquots and spiked with differing amounts of PEG-DMG to produce up to 10 different sublots for each batch (Table 1). Multiple methods of PEG-DMG addition could be used to achieve the same theoretical levels of Total PEG-DMG in the DP. All LNPs were formed via a nanoprecipitation reaction using a V-mixer. The post addition procedure comprised (i) a nanoprecipitation reaction between the lipids dissolved in ethanol and the mRNA in aqueous solution followed by pH adjustment, (ii) tangential flow filtration (TFF), (iii) exposure of the filtered particles to a solution comprising a certain weight percentage of PEG- DMG, and (iv) a final filtration step. The mol% of PEG-DMG used in the nanoprecipitation reaction varied depending on the amount of PEG-DMG used in the post-filtration exposure step. The table below provides the total amount of PEG-DMG in the composition resulting from varying amounts of PEG-DMG added during the nanoprecipitation reaction (y axis) and during the post- addition (PA) step (x axis). Table 1. Concentrations of PEG-DMG in each DP Lot
The size of the LNPs was measured using dynamic light scattering (DLS) after the v- mixing, pH adjustment, TFF harvest and just before excipient addition (pre-spike) 1 day after TFF harvest. As shown in FIG.1, increased PEG-DMG content present during v-mixing better stabilized the LNP, leading to less particle size growth over TFF. Considerable size growth was observed for LNPs with 0.5 lipid-mol% PEG-DMG or less present during the v-mixing unit operation. The amount of PEG-DMG present impacted particle size growth of the pH adjusted VMP (FIG.2). VMP with 0.25 mol% present grew at the highest rate over time. The other lots showed similar behavior, except at the last time point where Batch 2 pH adj TMP exhibited accelerated growth. FIG.3 shows the size stability of the filtered VMP of each lot. Filtered VMP intermediates began to increase in size at the last time point observed for Batch 2 and Batch 3 (post 400 minutes after mixing), while no increase in size was observed for Batch 1 and Batch 4. Trending was similar to the pH-adjusted VMP. Excipient post addition of PEG-DMG was also examined. It was found to be necessary to prevent particle size growth from occurring during multiple freeze/thaw (F/T) cycles. The DP average diameter after (5 F/T)/(T0 DP size) (Zavg/Z0) was tabulated as a function of mol% PEG- DMG present during the V-mixing (y-axis) and mol% PEG-DMG added during excipient addition (x-axis) in Table 2 below. The addition of 1 mol% PEG-DMG or greater was found to prevent particle growth over time independent of the PEG-DMG level in the core of the particle. Table 2. Average DP Diameter after 5 Freeze/Thaw Cycles
Example 2 – In Vitro Testing The DPs were tested in vitro in Hep3B cells to determine protein expression via flow cytometry. In this study, 20,000 Hep3B cells were seeded in 100 µl per well in a 96 well plate. Twenty to 24 hours later, the cells were transfected in triplicate with DP diluted in formulation b ff (250 RNA 1000 RNA) Ei ht t 24 h l t th ll fi d d
processed using an ELISA and mean fluorescence intensity (MFI) was measured and plotted against mol% total PEG-DMG (FIGs.4A-4B). Dose-dependent protein expression was observed. Additionally, the amount of PEG- DMG present impacted in vitro expression (FIG.4A). It was found that, when the content of PEG-DMG is very low (< 1 mol% total), expression is reduced. When the total PEG-DMG level is at least 1 mol%, there is no significant difference (i.e., greater than 2-fold differences) observed in the percentage of cells expressing the protein at both doses. This result is independent of the total PEG-DMG content (provided it is < 1 mol%), and the percent in the core and in the post addition. At the high dose of 1000 ng, a similar pattern was observed as at the lower dose (FIG. 4B). Additionally, at levels above 2.5 mol% PEG-DMG, the material with 1 mol% PEG-DMG present in V-mixing (Batch 4) had lower mean fluorescent intensity than the batches with less PEG-DMG present during mixing. Example 3 – In Vivo Testing As indicated by the cells bolded in Table 1, a selection of the batches were tested in animals to examine the effects of PEG-DMG levels on immunogenicity. A clear relationship was observed between the amount of PEG-DMG present during V-mixing and the titer levels (FIG.5). Mice injected with DP that had less PEG-DMG present during V-mixing had higher protein-specific IgG titer levels than mice given DP with greater amounts of PEG-DMG present during V-mixing. At the level of PEG-DMG of 0.5 mol% present during mixing, no decrease in titer levels was observed as more PEG-DMG was added during the excipient addition step. However, a titer level drop was observed in mice given Batch 3, which had 0.75 mol% PEG- DMG present during V-mixing when PEG-DMG was added during the excipient addition step. Therefore, a significant difference in the in vivo immunogenicity of DP with 0.5 mol% PEG-DMG present during v-mixing compared to DP with 0.75 mol% and 1.0 mol% PEG-DMG present during v-mixing was demonstrated. At the 0.5 mol% PEG-DMG level, at least 1.25 mol% PEG-DMG added during the excipient addition step was needed to provide adequate freeze/thaw stability. Titer levels in mice given Batch 2 (0.5 mol% present in lipid stock) were not dependent on the amount of PEG-DMG added during excipient addition, suggesting that more PEG-DMG could be added without a negative impact on immunogenicity. This study was designed such that at 1.5 mol% PEG-DMG, there would be 50 mol% SM102, 38.5 mol% cholesterol, and 10% DSPC in each lot. Sublots at other levels of total mol% PEG-DMG necessarily had differing amounts of other lipids.
Example 4 – Total PEG-DMG Mole Fraction Variation Studies In this Example, in vitro expression of mRNA encoding an antigen, formulated in LNPs having different total PEG-DMG mole fractions was measured in Hep3B cells. Briefly, 20,000 Hep3B cells were seeded in 100 µl per well in a 96 well plate. Twenty to 24 hours later, the cells were transfected in triplicate with DP diluted in formulation buffer (62.5 ng, 250 ng, or 1000 ng mRNA). Eighteen to 24 hours later, the cells were fixed and processed using an ELISA. The batches were manufactured using identical parameters, except that the lipid composition was varied to modulate the final PEG-DMG levels. Similar expression was observed at all lipid composition compared to control, regardless of PEG-DMG level (FIG.6). The mRNA and lipid compositions tested are shown in Table 3 below. Table 3. mRNA and Lipid Composition
Example 5 – Long-term Effects of PEG-DMG and mRNA Concentration This example examines the encapsulation efficiency and bulk average diameter of lipid nanoparticles comprising mRNA encoding an antigen after refrigerated or room temperature storage for six months. Briefly, an engineering lot of the mRNA, with an initial concentration of 0.77 mg/mL and initial PEG-DMG concentration of 1.5% mol lipid was diluted to varying mRNA and PEG-DMG concentrations. The mRNA was varied from 0.01-0.39 mg/mL and the PEG-DMG concentration varied from 1.5-3.5 mol%. Bulk average diameter was measured using dynamic light scattering and mRNA encapsulation efficiency was determined using methylene blue hypochromic shift. A central composite designed experiment with three center points was undertaken to study the effects of changes in mRNA concentration in increases in PEG-DMG concentration. In total, 13 runs were used to estimate the five model terms and the overall average of the responses. According to the models, the predicted diameter is minimized when mRNA concentration is low and PEG-DMG concentration is equal to approximately 3.1 mol% after six months of refrigerated storage. Similarly, the predicted diameter was found to be low with decreasing mRNA concentration after six months of room temperature storage. The
maximized when the PEG-DMG concentration is approximate 2.3 mol%. At room temperature, the encapsulation efficiency was minimized when both mRNA concentration and PEG-DMG were low. The predicted diameter and percent encapsulation efficiency (EE) of four combinations of mRNA concentration and PEG-DMG mol% concentration after six months of refrigerated storage (5˚C) are shown in Table 4. Table 4. Table of Predictions (6 months at 5˚C)
Table 5. Sequences
EQUIVALENTS While several embodiments have been described and illustrated herein, those of ordinary skill in the art will readily envision a variety of other means and/or structures for performing the function and/or obtaining the results and/or one or more of the advantages described herein, and each of such variations and/or modifications is deemed to be within the scope of the embodiments described herein. More generally, those skilled in the art will readily appreciate that all parameters, dimensions, materials, and configurations described herein are meant to be exemplary and that the actual parameters, dimensions, materials, and/or configurations will depend upon the specific application or applications for which the teachings is/are used. Those skilled in the art will recognize, or be able to ascertain using no more than routine
therefore, to be understood that the foregoing embodiments are presented by way of example only and that, within the scope of the appended claims and equivalents thereto, embodiments may be practiced otherwise than as specifically described and claimed. Embodiments are provided that are directed to each individual feature, system, article, material, kit, and/or method described herein. In addition, any combination of two or more such features, systems, articles, materials, kits, and/or methods, if such features, systems, articles, materials, kits, and/or methods are not mutually inconsistent, is included within the scope of the disclosure. All definitions, as defined and used herein, should be understood to control over dictionary definitions, definitions in documents incorporated by reference, and/or ordinary meanings of the defined terms. All references, patents and patent applications disclosed herein are incorporated by reference with respect to the subject matter for which each is cited, which in some cases may encompass the entirety of the document. The indefinite articles “a” and “an,” as used herein in the specification and in the claims, unless clearly indicated to the contrary, should be understood to mean “at least one.” The phrase “and/or,” as used herein in the specification and in the claims, should be understood to mean “either or both” of the elements so conjoined, i.e., elements that are conjunctively present in some cases and disjunctively present in other cases. Multiple elements listed with “and/or” should be construed in the same fashion, i.e., “one or more” of the elements so conjoined. Other elements may optionally be present other than the elements specifically identified by the “and/or” clause, whether related or unrelated to those elements specifically identified. Thus, as a non-limiting example, a reference to “A and/or B”, when used in conjunction with open-ended language such as “comprising” can refer, in one embodiment, to A only (optionally including elements other than B); in another embodiment, to B only (optionally including elements other than A); in yet another embodiment, to both A and B (optionally including other elements); etc. As used herein in the specification and in the claims, “or” should be understood to have the same meaning as “and/or” as defined above. For example, when separating items in a list, “or” or “and/or” shall be interpreted as being inclusive, i.e., the inclusion of at least one, but also including more than one, of a number or list of elements, and, optionally, additional unlisted items. Only terms clearly indicated to the contrary, such as “only one of” or “exactly one of,” or, when used in the claims, “consisting of,” will refer to the inclusion of exactly one element of a number or list of elements. In general, the term “or” as used herein shall only be interpreted as indicating exclusive alternatives (i.e. “one or the other but not both”) when preceded by terms of exclusivity, such as “either,” “one of,” “only one of,”
or “exactly one of.” “Consisting essentially of,” when used in the claims, shall have its ordinary meaning as used in the field of patent law. As used herein in the specification and in the claims, the phrase “at least one,” in reference to a list of one or more elements, should be understood to mean at least one element selected from any one or more of the elements in the list of elements, but not necessarily including at least one of each and every element specifically listed within the list of elements and not excluding any combinations of elements in the list of elements. This definition also allows that elements may optionally be present other than the elements specifically identified within the list of elements to which the phrase “at least one” refers, whether related or unrelated to those elements specifically identified. Thus, as a non-limiting example, “at least one of A and B” (or, equivalently, “at least one of A or B,” or, equivalently “at least one of A and/or B”) can refer, in one embodiment, to at least one, optionally including more than one, A, with no B present (and optionally including elements other than B); in another embodiment, to at least one, optionally including more than one, B, with no A present (and optionally including elements other than A); in yet another embodiment, to at least one, optionally including more than one, A, and at least one, optionally including more than one, B (and optionally including other elements); etc. Each possibility represents a separate embodiment. It should also be understood that, unless clearly indicated to the contrary, in any methods claimed herein that include more than one step or act, the order of the steps or acts of the method is not necessarily limited to the order in which the steps or acts of the method are recited. In the claims, as well as in the specification above, all transitional phrases such as “comprising,” “including,” “carrying,” “having,” “containing,” “involving,” “holding,” “composed of,” and the like are to be understood to be open-ended, i.
., to mean including but not limited to. Only the transitional phrases “consisting of” and “consisting essentially of” shall be closed or semi-closed transitional phrases, respectively, as set forth in the United States Patent Office Manual of Patent Examining Procedures, Section 2111.03.
Claims
CLAIMS What is claimed is: 1. A composition comprising a lipid nanoparticle (LNP) and a nucleic acid, wherein the LNP comprises 2-4 mol% PEG-modified lipid, 5-25 mol% neutral lipid, 25-55 mol% sterol, and 20-60 mol% ionizable amino lipid, and wherein the nucleic acid comprises a messenger ribonucleic acid (mRNA) comprising an open reading frame (ORF) that encodes a SARS-CoV-2 prefusion stabilized spike (S) protein. 2. The composition of claim 1, wherein the composition is stable for at least six months at a temperature of at least about 5˚C. 3. The composition of claim 1, wherein the composition is stable for at least six months at a temperature of about 2 ˚C to about 6 ˚C. 4. The composition of claim 1, wherein the composition is stable for at least six months at room temperature. 5. The composition of any one of claims 1-4, wherein the LNP comprises about 2-3 mol% PEG-modified lipid, 5-25 mol% neutral lipid, 25-55 mol% sterol, and 20-60% ionizable amino lipid. 6. The composition of claim 5, wherein the LNP comprises about 2.5 mol% PEG-modified lipid, 5-25 mol% neutral lipid, 25-55 mol% sterol, and 20-60% ionizable amino lipid. 7. The composition of claim 6, wherein the LNP comprises about 2.5 mol% PEG-modified lipid, 11 mol% neutral lipid, 38.5 mol% sterol, and 48 mol% ionizable amino lipid. 8. The composition of any one of claims 1-4, wherein the LNP comprises about 3 mol% PEG-modified lipid, 5-25 mol% neutral lipid, 25-55 mol% sterol, 20-60% ionizable amino lipid, or any combination thereof. 9. The composition of claim 8, wherein the LNP comprises about 3 mol% PEG-modified lipid, 11 mol% neutral lipid, 39 mol% sterol, and 47 mol% ionizable amino lipid.
10. The composition of any one of claims 1-9, wherein the PEG-modified lipid is 1,2 dimyristoyl-sn-glycerol, methoxypolyethyleneglycol (PEG-DMG). 11. The composition of any one of claims 1-9, wherein the PEG-modified lipid is 134- hydroxy-3,6,9,12,15,18,21,24,27,30,33,36,39,42,45,48,51,54,57,60,63,66,69,72,75,78,81,84, 87,90,93,96,99,102,105,108,111,114,117,120,123,126,129,132- tetratetracontaoxatetratriacontahectyl stearate. 12. The composition of any one of claims 1-11, wherein the neutral lipid is 1,2 distearoyl-sn- glycero-3-phosphocholine (DSPC). 13. The composition of any one of claims 1-12, wherein the sterol is cholesterol. 14. The composition of any one of claims 1-13, wherein the ionizable amino lipid has the structure of Compound I:
(Compound I). 15. The composition of claim 14, wherein the LNP comprises about 2.5 mol% PEG-DMG, 11 mol% DSPC, 38.5 mol% cholesterol, and 48 mol% Compound I. 16. The composition of any one of claims 1-13, wherein the ionizable amino lipid has the structure of Compound II:
(Compound II) (heptadecan-9-yl 8- ((2-hydroxyethyl)(8-(nonyloxy)-8-oxooctyl)amino)octanoate). 17. The composition of claim 16, wherein the LNP comprises about 3 mol% 134-hydroxy- 3,6,9,12,15,18,21,24,27,30,33,36,39,42,45,48,51,54,57,60,63,66,69,72,75,78,81,84,87,90,93,96,
99,102,105,108,111,114,117,120,123,126,129,132-tetratetracontaoxatetratriacontahectyl stearate 11 mol% DSPC, 39 mol% cholesterol, and 47 mol% Compound II. 18. The composition of any one of claims 1-13, wherein the ionizable amino lipid has the structure of Compound III :
(Compound III) (heptadecan-9-yl 8-((3-((2-(methylamino)-3,4-dioxocyclobut-1-en-1-yl)amino)propyl)(8- oxo-8-(undecan-3-yloxy)octyl)amino)octanoate). 19. The composition of claim 18, wherein the LNP comprises about 3 mol% 134-hydroxy- 3,6,9,12,15,18,21,24,27,30,33,36,39,42,45,48,51,54,57,60,63,66,69,72,75,78,81,84,87,90,93,96, 99,102,105,108,111,114,117,120,123,126,129,132-tetratetracontaoxatetratriacontahectyl stearate, 11 mol% DSPC, 39 mol% cholesterol, and 47 mol% Compound III. 20. The composition of any one of claims 1-13, wherein the ionizable amino lipid has the structure of Compound IV:
(Compound IV) (3-butylheptyl 8-((8-(heptadecan-9-yloxy)-8-oxooctyl)(2- hydroxyethyl)amino)octanoate). 21. The composition of claim 20, wherein the LNP comprises about 3 mol% 134-hydroxy- 3,6,9,12,15,18,21,24,27,30,33,36,39,42,45,48,51,54,57,60,63,66,69,72,75,78,81,84,87,90,93,96, 99,102,105,108,111,114,117,120,123,126,129,132-tetratetracontaoxatetratriacontahectyl stearate, 11 mol% DSPC, 39 mol% cholesterol, and 47 mol% Compound IV.
23. The composition of claim 22, wherein the mRNA comprises a chemical modification. 24. The composition of claim 23, wherein the mRNA is chemically modified with 1-methyl- pseudouridine. 25. The composition of any one of claims 1-24, wherein the composition is formulated in an aqueous solution. 26. The composition of claim 25, wherein the aqueous solution has a pH of or about 5 to 8, including pH of about 5, 5.5, 6, 6.5, 7, 7.5, or 8. 27. The composition of any one of claims 25-26, wherein the aqueous solution comprises a phosphate buffer, a tris buffer, an acetate buffer, a histidine buffer, or a citrate buffer. 28. The composition of any one of claims 1-27, wherein the composition is stored for at least six months. 29. The composition of claim 28, wherein the storage is at room temperature. 30. The composition of claim 28, wherein the storage is at 2-6°C. 31. A composition comprising a lipid nanoparticle (LNP) and a nucleic acid, wherein the LNP comprises about 2.5 mol% PEG-DMG, 11 mol% DSPC, 38.5 mol% cholesterol, and 48 mol% Compound I. 32. The composition of any one of claims 1-31, wherein the SARS-CoV-2 prefusion stabilized S protein comprises a sequence having at least 90%, at least 95%, or at least 98% identity to the sequence of SEQ ID NO: 8 or 12. 33. The composition of claim 32, wherein the SARS-CoV-2 prefusion stabilized S protein comprises SEQ ID NO: 8 or 12.
34. The composition of any one of claims 1-33, wherein the mRNA comprises a nucleotide sequence having at least 80% identity, at least 85%, at least 90%, at least 95%, at least 98%, or 100% identity to SEQ ID Nos: 1, 3, 6, 7, 8, 10, 14, and/or 15. 35. The composition of any one of claims 1-34, wherein the RNA comprises a nucleotide sequence having at least 90% identity to SEQ ID Nos: 1, 3, 6, and/or 7. 36. A method of producing a lipid nanoparticle composition, the method comprising: a) mixing a lipid solution comprising 0.25 mol% to 0.75 mol% of a first PEG-lipid, an ionizable lipid, a phospholipid, and a structural lipid with an aqueous buffer to thereby form a precursor lipid nanoparticle; and b) adding a lipid nanoparticle modifier comprising 1.5 mol% to 2.5 mol% of a second PEG-lipid to the precursor lipid nanoparticle thereby forming a modified lipid nanoparticle. 37. The method of claim 36, further comprises mixing a nucleic acid (e.g., mRNA) with the lipid solution and the aqueous buffer to thereby form the precursor lipid nanoparticle, which is a precursor nucleic acid lipid nanoparticle. 38. The method of claim 36, further comprising mixing a nucleic acid encoding a SARS- CoV-2 prefusion stabilized S protein with the precursor lipid nanoparticle to thereby form a nucleic acid lipid nanoparticle. 39. The method of any one of claims 36-38, wherein the lipid nanoparticle modifier is added in two separate steps and the total amount of the second PEG-lipid added is 1.5 mol% to 2.5 mol%. 40. The method of any one of claims 36-38, wherein the lipid nanoparticle modifier is added in three, four, or five separate steps and the total amount of the second PEG-lipid added is 1.5 mol% to 2.5 mol%. 41. The method of any one of claims 36-40, wherein the lipid solution comprises 0.5 mol% of the first PEG-lipid.
42. The method of any one of claims 36-41, wherein the lipid nanoparticle modifier comprises 2.0 mol% of the second PEG-lipid. 43. The method of any one of claims 36-41, wherein the lipid nanoparticle comprises a total of 2.5 mol% of the first PEG-lipid and the second PEG-lipid. 44. The method of any one of claims 36-41, wherein the lipid nanoparticle comprises a total of 3 mol% of the first PEG-lipid and the second PEG-lipid. 45. The method of any one of claims 36-44, wherein the first PEG-lipid is PEG-DMG or 134-hydroxy-3,6,9,12,15,18,21,24,27,30,33,36,39,42,45,48,51,54,57,60,63,66,69,72,75,78,81, 84,87,90,93,96,99,102,105,108,111,114,117,120,123,126,129,132- tetratetracontaoxatetratriacontahectyl stearate. 46. The method of any one of claims 36-45, wherein the second PEG-lipid is PEG-DMG or 134-hydroxy-3,6,9,12,15,18,21,24,27,30,33,36,39,42,45,48,51,54,57,60,63,66,69,72,75,78,81, 84,87,90,93,96,99,102,105,108,111,114,117,120,123,126,129,132- tetratetracontaoxatetratriacontahectyl stearate. 47. The method of any one of claims 36-46, wherein the ionizable lipid is compound I ((heptadecan-9-yl 8 ((2 hydroxyethyl)(6 oxo 6-(undecyloxy)hexyl)amino)octanoate)), compound II (heptadecan-9-yl 8-((2-hydroxyethyl)(8-(nonyloxy)-8-oxooctyl)amino)octanoate), compound III (heptadecan-9-yl 8-((3-((2-(methylamino)-3,4-dioxocyclobut-1-en-1-yl)amino)propyl)(8- oxo-8-(undecan-3-yloxy)octyl)amino)octanoate), or compound IV (3-butylheptyl 8-((8- (heptadecan-9-yloxy)-8-oxooctyl)(2-hydroxyethyl)amino)octanoate). 48. The method of any one of claims 36-47, wherein the phospholipid is distearoylphosphatidylcholine (DSPC). 49. The method of any one of claims 36-48, wherein the structural lipid is a sterol. 50. The method of claim 49, wherein the sterol is cholesterol. 51. The method of any one of claims 36-50, wherein the lipid solution comprises ethanol.
52. The method of any one of claims 36-51, wherein the mixing in (a) comprises turbulent mixing ("T-mix"), vortex mixing ("V-mix"), microfluidic mixing, or a combination thereof. 53. The method of any one of claims 38-52, wherein the SARS-CoV-2 prefusion stabilized S protein comprises a sequence having at least 90%, at least 95%, or at least 98% identity to the sequence of SEQ ID NOs: 8 or 12. 54. The method of claim 53, wherein the SARS-CoV-2 prefusion stabilized S protein comprises SEQ ID NOs: 8 or 12. 55. The method of any one of claims 38-54, wherein the RNA comprises a nucleotide sequence having at least 80% identity, at least 85%, at least 90%, at least 95%, at least 98%, or 100% identity to SEQ ID NOs: 1, 3, 6, 7, 8, 10, 14, and/or 15. 56. The method of any one of claims 38-55, wherein the RNA comprises a nucleotide sequence having at least 90% identity to SEQ ID NOs: 1, 3, 6, and/or 7. 57. A composition comprising any one of the nucleic acid nanoparticles produced by a method of claims 38-54. 58. A pharmaceutical composition packaged in a container for storage at a temperature of at least 2˚C, comprising a lipid nanoparticle (LNP) and a nucleic acid, wherein the LNP comprises 2-4 mol% PEG-modified lipid, 5-25 mol% neutral lipid, 25-55 mol% sterol, and 20-60 mol% ionizable amino lipid, and wherein the nucleic acid comprises a messenger ribonucleic acid (mRNA) comprising an open reading frame (ORF) that encodes a SARS-CoV-2 prefusion stabilized spike (S) protein, wherein the LNP has an average particle size of less than 150 nm after two weeks of storage. 59. The pharmaceutical composition of claim 58, wherein the LNP has an average particle size of less than 130 nm.
60. A composition comprising a lipid nanoparticle (LNP) and a nucleic acid, wherein the LNP comprises about 2.5 mol% PEG-DMG, 11 mol% DSPC, 38.5 mol% cholesterol, and 48 mol% Compound I, wherein the nucleic acid comprises an open reading frame (ORF) that encodes a SARS- CoV-2 prefusion stabilized spike (S) protein, and wherein about 0.25 to about 0.5 mol% of the PEG-DMA is in the core of the LNP. 61. The composition of claim 60, wherein the SARS-CoV-2 prefusion stabilized S protein comprises a sequence having at least 90%, at least 95%, or at least 98% identity to the sequence of SEQ ID NOs: 8 or 12. 62. The composition of claim 61, wherein the SARS-CoV-2 prefusion stabilized S protein comprises SEQ ID NOs: 8 or 12. 63. The composition of any one of claims 60-62, wherein the RNA comprises a nucleotide sequence having at least 80% identity, at least 85%, at least 90%, at least 95%, at least 98%, or 100% identity to SEQ ID NOs: 1, 3, 6, 7, 8, 10, 14, and/or 15. 64. The composition of any one of claims 60-63, wherein the RNA comprises a nucleotide sequence having at least 90% identity to SEQ ID NOs: 1, 3, 6, and/or 7. 65. The composition of any one of claims 1-35, wherein about 0.25 to about 0.75 mol% of the PEG-modified lipid is in the core of the LNP. 66. The composition of any one of claims 1-35, wherein about 0.25 mol% of the PEG- modified lipid is in the core of the LNP. 67. The composition of any one of claims 1-35, wherein about 0.5 mol% of the PEG- modified lipid is in the core of the LNP. 68. The composition of any one of claims 1-35, wherein about 0.75 mol% of the PEG- modified lipid is in the core of the LNP.
Applications Claiming Priority (2)
| Application Number | Priority Date | Filing Date | Title |
|---|---|---|---|
| US202163232128P | 2021-08-11 | 2021-08-11 | |
| US63/232,128 | 2021-08-11 |
Publications (1)
| Publication Number | Publication Date |
|---|---|
| WO2023019181A1 true WO2023019181A1 (en) | 2023-02-16 |
Family
ID=83693150
Family Applications (1)
| Application Number | Title | Priority Date | Filing Date |
|---|---|---|---|
| PCT/US2022/074780 Ceased WO2023019181A1 (en) | 2021-08-11 | 2022-08-10 | Sars-cov-2 lipid nanoparticle vaccine formulations |
Country Status (1)
| Country | Link |
|---|---|
| WO (1) | WO2023019181A1 (en) |
Cited By (22)
| Publication number | Priority date | Publication date | Assignee | Title |
|---|---|---|---|---|
| US11786607B2 (en) | 2017-06-15 | 2023-10-17 | Modernatx, Inc. | RNA formulations |
| US11866696B2 (en) | 2017-08-18 | 2024-01-09 | Modernatx, Inc. | Analytical HPLC methods |
| US11872278B2 (en) | 2015-10-22 | 2024-01-16 | Modernatx, Inc. | Combination HMPV/RSV RNA vaccines |
| US11898186B1 (en) | 2022-08-10 | 2024-02-13 | Genscript Usa Inc. | Compositions and methods for preparing capped mRNA |
| US11905525B2 (en) | 2017-04-05 | 2024-02-20 | Modernatx, Inc. | Reduction of elimination of immune responses to non-intravenous, e.g., subcutaneously administered therapeutic proteins |
| US12070495B2 (en) | 2019-03-15 | 2024-08-27 | Modernatx, Inc. | HIV RNA vaccines |
| EP4442256A1 (en) * | 2023-04-04 | 2024-10-09 | Københavns Universitet | Lipid nanoparticle compositions |
| US12128113B2 (en) | 2016-05-18 | 2024-10-29 | Modernatx, Inc. | Polynucleotides encoding JAGGED1 for the treatment of Alagille syndrome |
| US12150980B2 (en) | 2015-07-30 | 2024-11-26 | Modernatx, Inc. | Concatemeric peptide epitope RNAs |
| US12151029B2 (en) | 2018-09-19 | 2024-11-26 | Modernatx, Inc. | PEG lipids and uses thereof |
| US12195778B2 (en) | 2017-08-18 | 2025-01-14 | Modernatx, Inc. | RNA polymerase variants |
| WO2025012756A1 (en) | 2023-07-07 | 2025-01-16 | Pfizer Inc. | Amphiphilic tlr7/8 adjuvants and uses thereof |
| US12233084B2 (en) | 2016-09-14 | 2025-02-25 | Modernatx, Inc. | High purity RNA compositions and methods for preparation thereof |
| WO2025073055A1 (en) * | 2023-10-05 | 2025-04-10 | Nanovation Therapeutics Inc. | Vaccine delivery method and composition for use thereof |
| US12274743B2 (en) | 2014-04-23 | 2025-04-15 | Modernatx, Inc. | Nucleic acid vaccines |
| US12318443B2 (en) | 2016-11-11 | 2025-06-03 | Modernatx, Inc. | Influenza vaccine |
| US12329811B2 (en) | 2021-01-11 | 2025-06-17 | Modernatx, Inc. | Seasonal RNA influenza virus vaccines |
| US12383508B2 (en) | 2018-09-19 | 2025-08-12 | Modernatx, Inc. | High-purity peg lipids and uses thereof |
| US12428577B2 (en) | 2021-05-14 | 2025-09-30 | Modernatx, Inc. | Methods of monitoring in vitro transcription of mRNA and/or post-in vitro transcription processes |
| US12453766B2 (en) | 2018-01-29 | 2025-10-28 | Modernatx, Inc. | RSV RNA vaccines |
| US12460259B2 (en) | 2019-03-11 | 2025-11-04 | Modernatx, Inc. | Fed-batch in vitro transcription process |
| US12529047B1 (en) | 2021-12-21 | 2026-01-20 | Modernatx, Inc. | mRNA quantification methods |
Citations (5)
| Publication number | Priority date | Publication date | Assignee | Title |
|---|---|---|---|---|
| US8158601B2 (en) | 2009-06-10 | 2012-04-17 | Alnylam Pharmaceuticals, Inc. | Lipid formulation |
| WO2012099755A1 (en) | 2011-01-11 | 2012-07-26 | Alnylam Pharmaceuticals, Inc. | Pegylated lipids and their use for drug delivery |
| WO2015130584A2 (en) | 2014-02-25 | 2015-09-03 | Merck Sharp & Dohme Corp. | Lipid nanoparticle vaccine adjuvants and antigen delivery systems |
| WO2017066797A1 (en) | 2015-10-16 | 2017-04-20 | Modernatx, Inc. | Trinucleotide mrna cap analogs |
| WO2017070626A2 (en) * | 2015-10-22 | 2017-04-27 | Modernatx, Inc. | Respiratory virus vaccines |
-
2022
- 2022-08-10 WO PCT/US2022/074780 patent/WO2023019181A1/en not_active Ceased
Patent Citations (5)
| Publication number | Priority date | Publication date | Assignee | Title |
|---|---|---|---|---|
| US8158601B2 (en) | 2009-06-10 | 2012-04-17 | Alnylam Pharmaceuticals, Inc. | Lipid formulation |
| WO2012099755A1 (en) | 2011-01-11 | 2012-07-26 | Alnylam Pharmaceuticals, Inc. | Pegylated lipids and their use for drug delivery |
| WO2015130584A2 (en) | 2014-02-25 | 2015-09-03 | Merck Sharp & Dohme Corp. | Lipid nanoparticle vaccine adjuvants and antigen delivery systems |
| WO2017066797A1 (en) | 2015-10-16 | 2017-04-20 | Modernatx, Inc. | Trinucleotide mrna cap analogs |
| WO2017070626A2 (en) * | 2015-10-22 | 2017-04-27 | Modernatx, Inc. | Respiratory virus vaccines |
Non-Patent Citations (8)
| Title |
|---|
| "Remington: The Science and Practice of Pharmacy", 2005, LIPPINCOTT WILLIAMS & WILKINS |
| BERGE ET AL., J. PHARMACEUTICAL SCIENCES, vol. 66, 1977, pages 1 - 19 |
| BRADER ET AL., BIOPHYSICAL JOURNAL, vol. 120, 2021, pages 1 - 5 |
| EMA: "mRNA-1273", 11 March 2021 (2021-03-11), XP093000406, Retrieved from the Internet <URL:https://www.ema.europa.eu/en/documents/assessment-report/spikevax-previously-covid-19-vaccine-moderna-epar-public-assessment-report_en.pdf> [retrieved on 20221121] * |
| NEEDLEMAN, S.B.WUNSCH, C.D.: "A general method applicable to the search for similarities in the amino acid sequences of two proteins", J. MOL. BIOL., vol. 48, 1970, pages 443 - 453 |
| SCHOENMAKER LINDE ET AL: "mRNA-lipid nanoparticle COVID-19 vaccines: Structure and stability", INTERNATIONAL JOURNAL OF PHARMACEUTICS, vol. 601, 1 May 2021 (2021-05-01), NL, pages 120586, XP055828800, ISSN: 0378-5173, DOI: 10.1016/j.ijpharm.2021.120586 * |
| SMITH, T.F.WATERMAN, M.S.: "Identification of common molecular subsequences", J. MOL. BIOL., vol. 147, 1981, pages 195 - 197, XP024015032, DOI: 10.1016/0022-2836(81)90087-5 |
| STEPHEN F. ALTSCHUL ET AL.: "Gapped BLAST and PSI-BLAST: a new generation of protein database search programs", NUCLEIC ACIDS RES, vol. 25, 1997, pages 3389 - 3402, XP002905950, DOI: 10.1093/nar/25.17.3389 |
Cited By (31)
| Publication number | Priority date | Publication date | Assignee | Title |
|---|---|---|---|---|
| US12274743B2 (en) | 2014-04-23 | 2025-04-15 | Modernatx, Inc. | Nucleic acid vaccines |
| US12329812B2 (en) | 2014-04-23 | 2025-06-17 | Modernatx, Inc. | Nucleic acid vaccines |
| US12150980B2 (en) | 2015-07-30 | 2024-11-26 | Modernatx, Inc. | Concatemeric peptide epitope RNAs |
| US11872278B2 (en) | 2015-10-22 | 2024-01-16 | Modernatx, Inc. | Combination HMPV/RSV RNA vaccines |
| US12521577B2 (en) | 2015-10-22 | 2026-01-13 | Modernatx, Inc. | Betacoronavirus RNA vaccines |
| US12208288B2 (en) | 2015-10-22 | 2025-01-28 | Modernatx, Inc. | Betacoronavirus RNA vaccines |
| US12403336B2 (en) | 2015-10-22 | 2025-09-02 | Modernatx, Inc. | Betacorona virus mRNA vaccines |
| US12403335B2 (en) | 2015-10-22 | 2025-09-02 | Modernatx, Inc. | Betacoronavirus MRNA vaccines |
| US12409347B2 (en) | 2015-10-22 | 2025-09-09 | Modernatx, Inc. | Betacoronavirus mRNA vaccines |
| US12128113B2 (en) | 2016-05-18 | 2024-10-29 | Modernatx, Inc. | Polynucleotides encoding JAGGED1 for the treatment of Alagille syndrome |
| US12233084B2 (en) | 2016-09-14 | 2025-02-25 | Modernatx, Inc. | High purity RNA compositions and methods for preparation thereof |
| US12246029B2 (en) | 2016-09-14 | 2025-03-11 | Modernatx, Inc. | High purity RNA compositions and methods for preparation thereof |
| US12409218B2 (en) | 2016-11-11 | 2025-09-09 | Modernatx, Inc. | Influenza vaccine |
| US12318443B2 (en) | 2016-11-11 | 2025-06-03 | Modernatx, Inc. | Influenza vaccine |
| US11905525B2 (en) | 2017-04-05 | 2024-02-20 | Modernatx, Inc. | Reduction of elimination of immune responses to non-intravenous, e.g., subcutaneously administered therapeutic proteins |
| US11786607B2 (en) | 2017-06-15 | 2023-10-17 | Modernatx, Inc. | RNA formulations |
| US12195778B2 (en) | 2017-08-18 | 2025-01-14 | Modernatx, Inc. | RNA polymerase variants |
| US11866696B2 (en) | 2017-08-18 | 2024-01-09 | Modernatx, Inc. | Analytical HPLC methods |
| US12453766B2 (en) | 2018-01-29 | 2025-10-28 | Modernatx, Inc. | RSV RNA vaccines |
| US12383508B2 (en) | 2018-09-19 | 2025-08-12 | Modernatx, Inc. | High-purity peg lipids and uses thereof |
| US12151029B2 (en) | 2018-09-19 | 2024-11-26 | Modernatx, Inc. | PEG lipids and uses thereof |
| US12460259B2 (en) | 2019-03-11 | 2025-11-04 | Modernatx, Inc. | Fed-batch in vitro transcription process |
| US12070495B2 (en) | 2019-03-15 | 2024-08-27 | Modernatx, Inc. | HIV RNA vaccines |
| US12329811B2 (en) | 2021-01-11 | 2025-06-17 | Modernatx, Inc. | Seasonal RNA influenza virus vaccines |
| US12428577B2 (en) | 2021-05-14 | 2025-09-30 | Modernatx, Inc. | Methods of monitoring in vitro transcription of mRNA and/or post-in vitro transcription processes |
| US12529047B1 (en) | 2021-12-21 | 2026-01-20 | Modernatx, Inc. | mRNA quantification methods |
| US11898186B1 (en) | 2022-08-10 | 2024-02-13 | Genscript Usa Inc. | Compositions and methods for preparing capped mRNA |
| WO2024209013A1 (en) * | 2023-04-04 | 2024-10-10 | Københavns Universitet | Lipid nanoparticle compositions |
| EP4442256A1 (en) * | 2023-04-04 | 2024-10-09 | Københavns Universitet | Lipid nanoparticle compositions |
| WO2025012756A1 (en) | 2023-07-07 | 2025-01-16 | Pfizer Inc. | Amphiphilic tlr7/8 adjuvants and uses thereof |
| WO2025073055A1 (en) * | 2023-10-05 | 2025-04-10 | Nanovation Therapeutics Inc. | Vaccine delivery method and composition for use thereof |
Similar Documents
| Publication | Publication Date | Title |
|---|---|---|
| WO2023019181A1 (en) | Sars-cov-2 lipid nanoparticle vaccine formulations | |
| US20250281418A1 (en) | Lipid nanoparticle formulations and methods of synthesis thereof | |
| EP3917503B1 (en) | Methods of preparing lipid nanoparticles | |
| EP3852728B1 (en) | Preparation of lipid nanoparticles and methods of administration thereof | |
| JP7638973B2 (en) | Carbonate-Containing Lipid Compounds and Compositions for Intracellular Delivery of Therapeutic Agents - Patent application | |
| US20220370616A1 (en) | Stabilized formulations | |
| JP7275111B2 (en) | Method for producing lipid nanoparticles | |
| US20230190761A1 (en) | Methylene blue stabilized mrna compositions | |
| CN116133652A (en) | Method for preparing lipid nanoparticles | |
| US20240238211A1 (en) | Isoquinoline-stabilized lipid nanoparticle formulations | |
| WO2023056401A1 (en) | Rna formulations for high volume distribution, and methods of using the same for treating a disease or condition caused by or associated with human cytomegalovirus | |
| JP2022095702A (en) | Stabilized formulations of lipid nanoparticles | |
| WO2021231963A1 (en) | Rna formulations for high volume distribution, and methods of using the same for treating covid-19 | |
| WO2022232585A9 (en) | Lyophilization methods for preparing lipid formulated therapeutics | |
| JP2023543963A (en) | Method of preparing lipid nanoparticles | |
| WO2023212696A1 (en) | Lyophilized human cytomegalovirus vaccines | |
| JP2022525103A (en) | Therapeutic RNA for prostate cancer | |
| JP2024509934A (en) | Composition for intracorporeal delivery of RNA and method for producing the same | |
| WO2023116804A1 (en) | Lipid compound and lipid nanoparticle composition | |
| CN119522105A (en) | Signal sequences for nucleic acid vaccines | |
| CN120813371A (en) | Composition for use in the treatment of chlamydia disease | |
| CN117946201A (en) | Lipid compounds and lipid nanoparticle compositions | |
| CN116916896A (en) | Methods for preparing lipid nanoparticles | |
| WO2025160127A1 (en) | Ionizable lipids and compositions thereof for delivery of therapeutic agents | |
| JP2025529906A (en) | Vaccine against coronavirus |
Legal Events
| Date | Code | Title | Description |
|---|---|---|---|
| 121 | Ep: the epo has been informed by wipo that ep was designated in this application |
Ref document number: 22790154 Country of ref document: EP Kind code of ref document: A1 |
|
| NENP | Non-entry into the national phase |
Ref country code: DE |
|
| 122 | Ep: pct application non-entry in european phase |
Ref document number: 22790154 Country of ref document: EP Kind code of ref document: A1 |























































































































































