US20090053236A1 - USE OF COMBINATION OF ANTI-ANGIOGENIC SUBSTANCE AND c-kit KINASE INHIBITOR - Google Patents
USE OF COMBINATION OF ANTI-ANGIOGENIC SUBSTANCE AND c-kit KINASE INHIBITOR Download PDFInfo
- Publication number
- US20090053236A1 US20090053236A1 US12/092,539 US9253906A US2009053236A1 US 20090053236 A1 US20090053236 A1 US 20090053236A1 US 9253906 A US9253906 A US 9253906A US 2009053236 A1 US2009053236 A1 US 2009053236A1
- Authority
- US
- United States
- Prior art keywords
- group
- substituent
- quinolinecarboxamide
- chloro
- methoxy
- Prior art date
- Legal status (The legal status is an assumption and is not a legal conclusion. Google has not performed a legal analysis and makes no representation as to the accuracy of the status listed.)
- Abandoned
Links
- 102000016971 Proto-Oncogene Proteins c-kit Human genes 0.000 title claims abstract description 41
- 108010014608 Proto-Oncogene Proteins c-kit Proteins 0.000 title claims abstract description 41
- 239000000126 substance Substances 0.000 title claims abstract description 36
- 229940126163 KIT kinase inhibitor Drugs 0.000 title description 3
- 230000001772 anti-angiogenic effect Effects 0.000 title 1
- 239000008194 pharmaceutical composition Substances 0.000 claims abstract description 91
- 206010028980 Neoplasm Diseases 0.000 claims abstract description 47
- WOSKHXYHFSIKNG-UHFFFAOYSA-N lenvatinib Chemical compound C=12C=C(C(N)=O)C(OC)=CC2=NC=CC=1OC(C=C1Cl)=CC=C1NC(=O)NC1CC1 WOSKHXYHFSIKNG-UHFFFAOYSA-N 0.000 claims abstract description 43
- 238000000034 method Methods 0.000 claims abstract description 41
- 201000011510 cancer Diseases 0.000 claims abstract description 36
- 230000002401 inhibitory effect Effects 0.000 claims abstract description 29
- 125000001424 substituent group Chemical group 0.000 claims description 523
- -1 (cyclopropylamino)carbonyl Chemical group 0.000 claims description 189
- 125000004435 hydrogen atom Chemical group [H]* 0.000 claims description 118
- 125000004169 (C1-C6) alkyl group Chemical group 0.000 claims description 115
- 150000001875 compounds Chemical class 0.000 claims description 90
- 125000006552 (C3-C8) cycloalkyl group Chemical group 0.000 claims description 86
- 150000003839 salts Chemical class 0.000 claims description 69
- 239000012453 solvate Substances 0.000 claims description 67
- 125000004191 (C1-C6) alkoxy group Chemical group 0.000 claims description 57
- 125000000882 C2-C6 alkenyl group Chemical group 0.000 claims description 56
- 125000003601 C2-C6 alkynyl group Chemical group 0.000 claims description 54
- 125000000041 C6-C10 aryl group Chemical group 0.000 claims description 54
- 125000000623 heterocyclic group Chemical group 0.000 claims description 53
- 125000001313 C5-C10 heteroaryl group Chemical group 0.000 claims description 49
- KTUFNOKKBVMGRW-UHFFFAOYSA-N imatinib Chemical compound C1CN(C)CCN1CC1=CC=C(C(=O)NC=2C=C(NC=3N=C(C=CN=3)C=3C=NC=CC=3)C(C)=CC=2)C=C1 KTUFNOKKBVMGRW-UHFFFAOYSA-N 0.000 claims description 45
- 125000004093 cyano group Chemical group *C#N 0.000 claims description 35
- 125000004453 alkoxycarbonyl group Chemical group 0.000 claims description 30
- 125000002887 hydroxy group Chemical group [H]O* 0.000 claims description 30
- 125000005843 halogen group Chemical group 0.000 claims description 28
- 125000002496 methyl group Chemical group [H]C([H])([H])* 0.000 claims description 27
- 125000000000 cycloalkoxy group Chemical group 0.000 claims description 22
- 125000002252 acyl group Chemical group 0.000 claims description 21
- 239000000203 mixture Substances 0.000 claims description 18
- 125000003277 amino group Chemical group 0.000 claims description 17
- 125000006700 (C1-C6) alkylthio group Chemical group 0.000 claims description 14
- 108091000080 Phosphotransferase Proteins 0.000 claims description 14
- 229910052799 carbon Inorganic materials 0.000 claims description 14
- 125000002915 carbonyl group Chemical group [*:2]C([*:1])=O 0.000 claims description 14
- 238000009472 formulation Methods 0.000 claims description 14
- 102000020233 phosphotransferase Human genes 0.000 claims description 14
- 125000000956 methoxy group Chemical group [H]C([H])([H])O* 0.000 claims description 12
- 229910052757 nitrogen Inorganic materials 0.000 claims description 12
- 125000004433 nitrogen atom Chemical group N* 0.000 claims description 12
- 125000004430 oxygen atom Chemical group O* 0.000 claims description 12
- SLCFEJAMCRLYRG-UHFFFAOYSA-N 6-(2,6-dichlorophenyl)-2-(4-fluoro-3-methylanilino)-8-methylpyrido[2,3-d]pyrimidin-7-one Chemical compound C1=C(F)C(C)=CC(NC=2N=C3N(C)C(=O)C(C=4C(=CC=CC=4Cl)Cl)=CC3=CN=2)=C1 SLCFEJAMCRLYRG-UHFFFAOYSA-N 0.000 claims description 11
- 125000000449 nitro group Chemical group [O-][N+](*)=O 0.000 claims description 11
- 229910052717 sulfur Inorganic materials 0.000 claims description 11
- 125000004434 sulfur atom Chemical group 0.000 claims description 11
- 125000003161 (C1-C6) alkylene group Chemical group 0.000 claims description 10
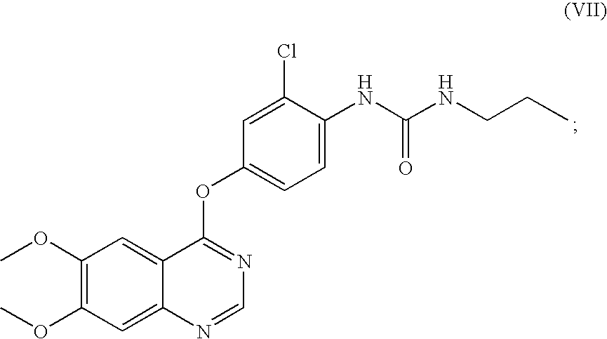
- VPBYZLCHOKSGRX-UHFFFAOYSA-N 1-[2-chloro-4-(6,7-dimethoxyquinazolin-4-yl)oxyphenyl]-3-propylurea Chemical compound C1=C(Cl)C(NC(=O)NCCC)=CC=C1OC1=NC=NC2=CC(OC)=C(OC)C=C12 VPBYZLCHOKSGRX-UHFFFAOYSA-N 0.000 claims description 10
- SPMVMDHWKHCIDT-UHFFFAOYSA-N 1-[2-chloro-4-[(6,7-dimethoxy-4-quinolinyl)oxy]phenyl]-3-(5-methyl-3-isoxazolyl)urea Chemical compound C=12C=C(OC)C(OC)=CC2=NC=CC=1OC(C=C1Cl)=CC=C1NC(=O)NC=1C=C(C)ON=1 SPMVMDHWKHCIDT-UHFFFAOYSA-N 0.000 claims description 10
- XXJWYDDUDKYVKI-UHFFFAOYSA-N 4-[(4-fluoro-2-methyl-1H-indol-5-yl)oxy]-6-methoxy-7-[3-(1-pyrrolidinyl)propoxy]quinazoline Chemical compound COC1=CC2=C(OC=3C(=C4C=C(C)NC4=CC=3)F)N=CN=C2C=C1OCCCN1CCCC1 XXJWYDDUDKYVKI-UHFFFAOYSA-N 0.000 claims description 10
- CVYMVLXWVKWDRY-UHFFFAOYSA-N 4-[3-chloro-4-(cyclopropylcarbamoylamino)phenoxy]-n,7-dimethoxyquinoline-6-carboxamide Chemical compound C1=CN=C2C=C(OC)C(C(=O)NOC)=CC2=C1OC(C=C1Cl)=CC=C1NC(=O)NC1CC1 CVYMVLXWVKWDRY-UHFFFAOYSA-N 0.000 claims description 10
- NUUUMEBLJGCQKP-UHFFFAOYSA-N 4-[3-chloro-4-(ethylcarbamoylamino)phenoxy]-7-methoxyquinoline-6-carboxamide Chemical compound C1=C(Cl)C(NC(=O)NCC)=CC=C1OC1=CC=NC2=CC(OC)=C(C(N)=O)C=C12 NUUUMEBLJGCQKP-UHFFFAOYSA-N 0.000 claims description 10
- QGOQOIVJDCDNPZ-UHFFFAOYSA-N 4-[3-chloro-4-(ethylcarbamoylamino)phenoxy]-n,7-dimethoxyquinoline-6-carboxamide Chemical compound C1=C(Cl)C(NC(=O)NCC)=CC=C1OC1=CC=NC2=CC(OC)=C(C(=O)NOC)C=C12 QGOQOIVJDCDNPZ-UHFFFAOYSA-N 0.000 claims description 10
- OOYBBISIVFMANP-UHFFFAOYSA-N 4-[3-chloro-4-(methylcarbamoylamino)phenoxy]-7-methoxyquinoline-6-carboxamide Chemical compound C1=C(Cl)C(NC(=O)NC)=CC=C1OC1=CC=NC2=CC(OC)=C(C(N)=O)C=C12 OOYBBISIVFMANP-UHFFFAOYSA-N 0.000 claims description 10
- OONFNUWBHFSNBT-HXUWFJFHSA-N AEE788 Chemical compound C1CN(CC)CCN1CC1=CC=C(C=2NC3=NC=NC(N[C@H](C)C=4C=CC=CC=4)=C3C=2)C=C1 OONFNUWBHFSNBT-HXUWFJFHSA-N 0.000 claims description 10
- MLDQJTXFUGDVEO-UHFFFAOYSA-N BAY-43-9006 Chemical compound C1=NC(C(=O)NC)=CC(OC=2C=CC(NC(=O)NC=3C=C(C(Cl)=CC=3)C(F)(F)F)=CC=2)=C1 MLDQJTXFUGDVEO-UHFFFAOYSA-N 0.000 claims description 10
- 125000003178 carboxy group Chemical group [H]OC(*)=O 0.000 claims description 10
- 125000002485 formyl group Chemical group [H]C(*)=O 0.000 claims description 10
- 125000000475 sulfinyl group Chemical group [*:2]S([*:1])=O 0.000 claims description 10
- 125000000472 sulfonyl group Chemical group *S(*)(=O)=O 0.000 claims description 10
- ZBNZXTGUTAYRHI-UHFFFAOYSA-N Dasatinib Chemical compound C=1C(N2CCN(CCO)CC2)=NC(C)=NC=1NC(S1)=NC=C1C(=O)NC1=C(C)C=CC=C1Cl ZBNZXTGUTAYRHI-UHFFFAOYSA-N 0.000 claims description 9
- AFVFQIVMOAPDHO-UHFFFAOYSA-N Methanesulfonic acid Chemical compound CS(O)(=O)=O AFVFQIVMOAPDHO-UHFFFAOYSA-N 0.000 claims description 8
- 125000001997 phenyl group Chemical group [H]C1=C([H])C([H])=C(*)C([H])=C1[H] 0.000 claims description 8
- 239000002253 acid Substances 0.000 claims description 7
- 125000001559 cyclopropyl group Chemical group [H]C1([H])C([H])([H])C1([H])* 0.000 claims description 7
- 125000001301 ethoxy group Chemical group [H]C([H])([H])C([H])([H])O* 0.000 claims description 7
- 125000001495 ethyl group Chemical group [H]C([H])([H])C([H])([H])* 0.000 claims description 7
- YCOYDOIWSSHVCK-UHFFFAOYSA-N vatalanib Chemical compound C1=CC(Cl)=CC=C1NC(C1=CC=CC=C11)=NN=C1CC1=CC=NC=C1 YCOYDOIWSSHVCK-UHFFFAOYSA-N 0.000 claims description 7
- 125000000391 vinyl group Chemical group [H]C([*])=C([H])[H] 0.000 claims description 7
- WUWDLXZGHZSWQZ-UHFFFAOYSA-N 3-[(3,5-dimethyl-1H-pyrrol-2-yl)methylidene]-1H-indol-2-one Chemical compound N1C(C)=CC(C)=C1C=C1C2=CC=CC=C2NC1=O WUWDLXZGHZSWQZ-UHFFFAOYSA-N 0.000 claims description 6
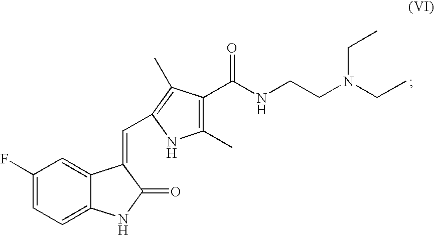
- WINHZLLDWRZWRT-UHFFFAOYSA-N N-[2-(diethylamino)ethyl]-5-[(5-fluoro-2-oxo-1H-indol-3-ylidene)methyl]-2,4-dimethyl-1H-pyrrole-3-carboxamide Chemical compound CCN(CC)CCNC(=O)C1=C(C)NC(C=C2C3=CC(F)=CC=C3NC2=O)=C1C WINHZLLDWRZWRT-UHFFFAOYSA-N 0.000 claims description 6
- XSQUKJJJFZCRTK-UHFFFAOYSA-N Urea Chemical compound NC(N)=O XSQUKJJJFZCRTK-UHFFFAOYSA-N 0.000 claims description 6
- 125000004429 atom Chemical group 0.000 claims description 6
- WRSXUNSJGJUKHE-UHFFFAOYSA-N indazole Chemical compound C1=CC=C[C]2C=NN=C21 WRSXUNSJGJUKHE-UHFFFAOYSA-N 0.000 claims description 6
- 125000004170 methylsulfonyl group Chemical group [H]C([H])([H])S(*)(=O)=O 0.000 claims description 6
- HASHTOAUESHUMQ-UHFFFAOYSA-N 1-[4-[6-cyano-7-(2-methoxyethoxy)quinolin-4-yl]oxy-2-fluorophenyl]-3-(4-fluorophenyl)urea Chemical compound C=12C=C(C#N)C(OCCOC)=CC2=NC=CC=1OC(C=C1F)=CC=C1NC(=O)NC1=CC=C(F)C=C1 HASHTOAUESHUMQ-UHFFFAOYSA-N 0.000 claims description 5
- AUPCVPWZWJXIAT-UHFFFAOYSA-N 1-[4-[6-cyano-7-(2-methoxyethoxy)quinolin-4-yl]oxy-2-fluorophenyl]-3-cyclopropylurea Chemical compound C=12C=C(C#N)C(OCCOC)=CC2=NC=CC=1OC(C=C1F)=CC=C1NC(=O)NC1CC1 AUPCVPWZWJXIAT-UHFFFAOYSA-N 0.000 claims description 5
- GOBPOUAOHPVZTB-XMMPIXPASA-N 1-[4-[6-cyano-7-[(2r)-3-(diethylamino)-2-hydroxypropoxy]quinolin-4-yl]oxyphenyl]-3-(4-fluorophenyl)urea Chemical compound C=12C=C(C#N)C(OC[C@H](O)CN(CC)CC)=CC2=NC=CC=1OC(C=C1)=CC=C1NC(=O)NC1=CC=C(F)C=C1 GOBPOUAOHPVZTB-XMMPIXPASA-N 0.000 claims description 5
- 125000004214 1-pyrrolidinyl group Chemical group [H]C1([H])N(*)C([H])([H])C([H])([H])C1([H])[H] 0.000 claims description 5
- 125000004200 2-methoxyethyl group Chemical group [H]C([H])([H])OC([H])([H])C([H])([H])* 0.000 claims description 5
- CLHLPPCPNLYDPT-UHFFFAOYSA-N 4-[3-chloro-4-(2-fluoroethylcarbamoylamino)phenoxy]-7-methoxyquinoline-6-carboxamide Chemical compound C=12C=C(C(N)=O)C(OC)=CC2=NC=CC=1OC1=CC=C(NC(=O)NCCF)C(Cl)=C1 CLHLPPCPNLYDPT-UHFFFAOYSA-N 0.000 claims description 5
- UEKYTLREYHCBHZ-UHFFFAOYSA-N 4-[3-chloro-4-(cyclopropylcarbamoylamino)phenoxy]-7-(2-ethoxyethoxy)quinoline-6-carboxamide Chemical compound C=12C=C(C(N)=O)C(OCCOCC)=CC2=NC=CC=1OC(C=C1Cl)=CC=C1NC(=O)NC1CC1 UEKYTLREYHCBHZ-UHFFFAOYSA-N 0.000 claims description 5
- GPJYJVPKNNVNBA-UHFFFAOYSA-N 4-[3-chloro-4-(cyclopropylcarbamoylamino)phenoxy]-7-(2-hydroxyethoxy)quinoline-6-carboxamide Chemical compound C1=CN=C2C=C(OCCO)C(C(=O)N)=CC2=C1OC(C=C1Cl)=CC=C1NC(=O)NC1CC1 GPJYJVPKNNVNBA-UHFFFAOYSA-N 0.000 claims description 5
- CDHXPIPIGZBBFC-UHFFFAOYSA-N 4-[3-chloro-4-(cyclopropylcarbamoylamino)phenoxy]-7-(2-methoxyethoxy)-n-methylquinoline-6-carboxamide Chemical compound C1=CN=C2C=C(OCCOC)C(C(=O)NC)=CC2=C1OC(C=C1Cl)=CC=C1NC(=O)NC1CC1 CDHXPIPIGZBBFC-UHFFFAOYSA-N 0.000 claims description 5
- WSUIBHCMQOIGHV-ZDUSSCGKSA-N 4-[3-chloro-4-(cyclopropylcarbamoylamino)phenoxy]-7-[(2s)-2,3-dihydroxypropoxy]quinoline-6-carboxamide Chemical compound C1=CN=C2C=C(OC[C@@H](O)CO)C(C(=O)N)=CC2=C1OC(C=C1Cl)=CC=C1NC(=O)NC1CC1 WSUIBHCMQOIGHV-ZDUSSCGKSA-N 0.000 claims description 5
- VDJVLOFVTLVMDF-UHFFFAOYSA-N 4-[3-chloro-4-(cyclopropylcarbamoylamino)phenoxy]-7-methoxy-n-methylquinoline-6-carboxamide Chemical compound C1=CN=C2C=C(OC)C(C(=O)NC)=CC2=C1OC(C=C1Cl)=CC=C1NC(=O)NC1CC1 VDJVLOFVTLVMDF-UHFFFAOYSA-N 0.000 claims description 5
- YFQDJOZMLCVRJE-UHFFFAOYSA-N 4-[3-chloro-4-(cyclopropylcarbamoylamino)phenoxy]-n-(2-hydroxyethyl)-7-methoxyquinoline-6-carboxamide Chemical compound C=12C=C(C(=O)NCCO)C(OC)=CC2=NC=CC=1OC(C=C1Cl)=CC=C1NC(=O)NC1CC1 YFQDJOZMLCVRJE-UHFFFAOYSA-N 0.000 claims description 5
- RGMRFTRYYMUKDT-UHFFFAOYSA-N 4-[3-chloro-4-(cyclopropylcarbamoylamino)phenoxy]-n-cyclopropyl-7-methoxyquinoline-6-carboxamide Chemical compound C=12C=C(C(=O)NC3CC3)C(OC)=CC2=NC=CC=1OC(C=C1Cl)=CC=C1NC(=O)NC1CC1 RGMRFTRYYMUKDT-UHFFFAOYSA-N 0.000 claims description 5
- ZHNZBMXNWOGBPY-UHFFFAOYSA-N 4-[3-chloro-4-(cyclopropylcarbamoylamino)phenoxy]-n-ethyl-7-methoxyquinoline-6-carboxamide Chemical compound C1=CN=C2C=C(OC)C(C(=O)NCC)=CC2=C1OC(C=C1Cl)=CC=C1NC(=O)NC1CC1 ZHNZBMXNWOGBPY-UHFFFAOYSA-N 0.000 claims description 5
- ZGABLVBACNKJIX-QGZVFWFLSA-N 4-[3-chloro-4-(ethylcarbamoylamino)phenoxy]-7-[(2r)-3-(diethylamino)-2-hydroxypropoxy]-n-methylquinoline-6-carboxamide Chemical compound C1=C(Cl)C(NC(=O)NCC)=CC=C1OC1=CC=NC2=CC(OC[C@H](O)CN(CC)CC)=C(C(=O)NC)C=C12 ZGABLVBACNKJIX-QGZVFWFLSA-N 0.000 claims description 5
- MLLKTUYMQBRHPD-UHFFFAOYSA-N 4-[3-chloro-4-(ethylcarbamoylamino)phenoxy]-7-methoxy-n-methylquinoline-6-carboxamide Chemical compound C1=C(Cl)C(NC(=O)NCC)=CC=C1OC1=CC=NC2=CC(OC)=C(C(=O)NC)C=C12 MLLKTUYMQBRHPD-UHFFFAOYSA-N 0.000 claims description 5
- ULTNEGSOZDDAKN-UHFFFAOYSA-N 4-[3-chloro-4-(ethylcarbamoylamino)phenoxy]-n-methyl-7-[(1-methylpiperidin-4-yl)methoxy]quinoline-6-carboxamide Chemical compound C1=C(Cl)C(NC(=O)NCC)=CC=C1OC1=CC=NC2=CC(OCC3CCN(C)CC3)=C(C(=O)NC)C=C12 ULTNEGSOZDDAKN-UHFFFAOYSA-N 0.000 claims description 5
- AOKMTGASYSQDSL-UHFFFAOYSA-N 4-[3-chloro-4-(methylcarbamoylamino)phenoxy]-n-(2-ethoxyethyl)-7-methoxyquinoline-6-carboxamide Chemical compound C1=CN=C2C=C(OC)C(C(=O)NCCOCC)=CC2=C1OC1=CC=C(NC(=O)NC)C(Cl)=C1 AOKMTGASYSQDSL-UHFFFAOYSA-N 0.000 claims description 5
- KOOKPRHGEOKCGT-UHFFFAOYSA-N 4-[3-chloro-4-(methylcarbamoylamino)phenoxy]-n-methyl-7-[(1-methylpiperidin-4-yl)methoxy]quinoline-6-carboxamide Chemical compound C1=C(Cl)C(NC(=O)NC)=CC=C1OC1=CC=NC2=CC(OCC3CCN(C)CC3)=C(C(=O)NC)C=C12 KOOKPRHGEOKCGT-UHFFFAOYSA-N 0.000 claims description 5
- ZXIGKCZIBDLPQC-UHFFFAOYSA-N 4-[3-chloro-4-(propylcarbamoylamino)phenoxy]-7-methoxyquinoline-6-carboxamide Chemical compound C1=C(Cl)C(NC(=O)NCCC)=CC=C1OC1=CC=NC2=CC(OC)=C(C(N)=O)C=C12 ZXIGKCZIBDLPQC-UHFFFAOYSA-N 0.000 claims description 5
- OBZBMLISQPQHQP-WMLDXEAASA-N 4-[3-chloro-4-[[(1r,2s)-2-fluorocyclopropyl]carbamoylamino]phenoxy]-7-methoxyquinoline-6-carboxamide Chemical compound C=12C=C(C(N)=O)C(OC)=CC2=NC=CC=1OC(C=C1Cl)=CC=C1NC(=O)N[C@@H]1C[C@@H]1F OBZBMLISQPQHQP-WMLDXEAASA-N 0.000 claims description 5
- GYJSJFNJACTZRQ-UHFFFAOYSA-N 4-[3-fluoro-4-(2-fluoroethylcarbamoylamino)phenoxy]-7-methoxyquinoline-6-carboxamide Chemical compound C=12C=C(C(N)=O)C(OC)=CC2=NC=CC=1OC1=CC=C(NC(=O)NCCF)C(F)=C1 GYJSJFNJACTZRQ-UHFFFAOYSA-N 0.000 claims description 5
- SFOPEIQXFVKEQJ-UHFFFAOYSA-N 4-[4-(cyclopropylcarbamoylamino)-3-fluorophenoxy]-7-(2-methoxyethoxy)quinoline-6-carboxamide Chemical compound C=12C=C(C(N)=O)C(OCCOC)=CC2=NC=CC=1OC(C=C1F)=CC=C1NC(=O)NC1CC1 SFOPEIQXFVKEQJ-UHFFFAOYSA-N 0.000 claims description 5
- IUSGFWOTVSIFLC-UHFFFAOYSA-N 4-[4-(cyclopropylcarbamoylamino)phenoxy]-7-(2-methoxyethoxy)quinoline-6-carboxamide Chemical compound C=12C=C(C(N)=O)C(OCCOC)=CC2=NC=CC=1OC(C=C1)=CC=C1NC(=O)NC1CC1 IUSGFWOTVSIFLC-UHFFFAOYSA-N 0.000 claims description 5
- HVAGDNHPUIXFTD-UHFFFAOYSA-N 4-[4-(ethylcarbamoylamino)-3-fluorophenoxy]-7-methoxyquinoline-6-carboxamide Chemical compound C1=C(F)C(NC(=O)NCC)=CC=C1OC1=CC=NC2=CC(OC)=C(C(N)=O)C=C12 HVAGDNHPUIXFTD-UHFFFAOYSA-N 0.000 claims description 5
- QHDLEBMYVJYICY-UHFFFAOYSA-N 4-[6-methoxy-7-(3-piperidin-1-ylpropoxy)quinazolin-4-yl]piperazine-1-carboxylic acid Chemical compound COC1=CC2=C(N3CCN(CC3)C(O)=O)N=CN=C2C=C1OCCCN1CCCCC1 QHDLEBMYVJYICY-UHFFFAOYSA-N 0.000 claims description 5
- XBDQKXXYIPTUBI-UHFFFAOYSA-N Propionic acid Substances CCC(O)=O XBDQKXXYIPTUBI-UHFFFAOYSA-N 0.000 claims description 5
- 239000004202 carbamide Substances 0.000 claims description 5
- 125000001664 diethylamino group Chemical group [H]C([H])([H])C([H])([H])N(*)C([H])([H])C([H])([H])[H] 0.000 claims description 5
- 125000002147 dimethylamino group Chemical group [H]C([H])([H])N(*)C([H])([H])[H] 0.000 claims description 5
- 125000004573 morpholin-4-yl group Chemical group N1(CCOCC1)* 0.000 claims description 5
- YHRJNFSQMIQEDM-UHFFFAOYSA-N n-(2-cyanoethyl)-4-[4-(cyclopropylcarbamoylamino)-3-fluorophenoxy]-7-methoxyquinoline-6-carboxamide Chemical compound C=12C=C(C(=O)NCCC#N)C(OC)=CC2=NC=CC=1OC(C=C1F)=CC=C1NC(=O)NC1CC1 YHRJNFSQMIQEDM-UHFFFAOYSA-N 0.000 claims description 5
- RTEIDPNMIHKCTL-UHFFFAOYSA-N n-(2-cyanoethyl)-4-[4-(ethylcarbamoylamino)-3-fluorophenoxy]-7-methoxyquinoline-6-carboxamide Chemical compound C1=C(F)C(NC(=O)NCC)=CC=C1OC1=CC=NC2=CC(OC)=C(C(=O)NCCC#N)C=C12 RTEIDPNMIHKCTL-UHFFFAOYSA-N 0.000 claims description 5
- 125000000587 piperidin-1-yl group Chemical group [H]C1([H])N(*)C([H])([H])C([H])([H])C([H])([H])C1([H])[H] 0.000 claims description 5
- 125000001436 propyl group Chemical group [H]C([*])([H])C([H])([H])C([H])([H])[H] 0.000 claims description 5
- UTKAHGPJXSQBPU-UHFFFAOYSA-N 1-[2-chloro-4-[6-cyano-7-[(1-methylpiperidin-4-yl)methoxy]quinolin-4-yl]oxyphenyl]-3-cyclopropylurea Chemical compound C1CN(C)CCC1COC1=CC2=NC=CC(OC=3C=C(Cl)C(NC(=O)NC4CC4)=CC=3)=C2C=C1C#N UTKAHGPJXSQBPU-UHFFFAOYSA-N 0.000 claims description 4
- PLNVTFXCHDSSLU-UHFFFAOYSA-N 4-[3-chloro-4-(cyclopropylcarbamoylamino)phenoxy]-7-(2-methoxyethoxy)quinoline-6-carboxamide Chemical compound C=12C=C(C(N)=O)C(OCCOC)=CC2=NC=CC=1OC(C=C1Cl)=CC=C1NC(=O)NC1CC1 PLNVTFXCHDSSLU-UHFFFAOYSA-N 0.000 claims description 4
- UNTWYNIMDREARP-UHFFFAOYSA-N 4-[3-chloro-4-(cyclopropylcarbamoylamino)phenoxy]-n-(2-fluoroethyl)-7-methoxyquinoline-6-carboxamide Chemical compound C=12C=C(C(=O)NCCF)C(OC)=CC2=NC=CC=1OC(C=C1Cl)=CC=C1NC(=O)NC1CC1 UNTWYNIMDREARP-UHFFFAOYSA-N 0.000 claims description 4
- FFCCMAUPUSVFSW-MRXNPFEDSA-N 4-[3-chloro-4-(methylcarbamoylamino)phenoxy]-7-[(2r)-3-(diethylamino)-2-hydroxypropoxy]-n-methylquinoline-6-carboxamide Chemical compound C=12C=C(C(=O)NC)C(OC[C@H](O)CN(CC)CC)=CC2=NC=CC=1OC1=CC=C(NC(=O)NC)C(Cl)=C1 FFCCMAUPUSVFSW-MRXNPFEDSA-N 0.000 claims description 4
- QPFLFVCAGSBURY-OAHLLOKOSA-N 4-[3-chloro-4-(methylcarbamoylamino)phenoxy]-7-methoxy-n-[[(2r)-oxolan-2-yl]methyl]quinoline-6-carboxamide Chemical compound C1=C(Cl)C(NC(=O)NC)=CC=C1OC1=CC=NC2=CC(OC)=C(C(=O)NC[C@@H]3OCCC3)C=C12 QPFLFVCAGSBURY-OAHLLOKOSA-N 0.000 claims description 4
- CTTFHNMGGIGPFU-UHFFFAOYSA-N 4-[4-(cyclopropylcarbamoylamino)-3-fluorophenoxy]-7-methoxyquinoline-6-carboxamide Chemical compound C=12C=C(C(N)=O)C(OC)=CC2=NC=CC=1OC(C=C1F)=CC=C1NC(=O)NC1CC1 CTTFHNMGGIGPFU-UHFFFAOYSA-N 0.000 claims description 4
- VBISVMLKCDTQGF-UHFFFAOYSA-N 4-[4-(cyclopropylcarbamoylamino)phenoxy]-7-methoxyquinoline-6-carboxamide Chemical compound C=12C=C(C(N)=O)C(OC)=CC2=NC=CC=1OC(C=C1)=CC=C1NC(=O)NC1CC1 VBISVMLKCDTQGF-UHFFFAOYSA-N 0.000 claims description 4
- 125000003903 2-propenyl group Chemical group [H]C([*])([H])C([H])=C([H])[H] 0.000 claims description 3
- OENTYYHQBNTPEC-UHFFFAOYSA-N 4-[3-chloro-4-(cyclopropylcarbamoylamino)phenoxy]-7-methoxy-n-(2-methoxyethyl)quinoline-6-carboxamide Chemical compound C1=CN=C2C=C(OC)C(C(=O)NCCOC)=CC2=C1OC(C=C1Cl)=CC=C1NC(=O)NC1CC1 OENTYYHQBNTPEC-UHFFFAOYSA-N 0.000 claims description 2
- 125000003342 alkenyl group Chemical group 0.000 claims description 2
- 125000000250 methylamino group Chemical group [H]N(*)C([H])([H])[H] 0.000 claims description 2
- 125000004432 carbon atom Chemical group C* 0.000 claims 7
- 125000002924 primary amino group Chemical group [H]N([H])* 0.000 claims 3
- 125000006650 (C2-C4) alkynyl group Chemical group 0.000 claims 2
- 125000006317 cyclopropyl amino group Chemical group 0.000 claims 2
- 125000006728 (C1-C6) alkynyl group Chemical group 0.000 claims 1
- PITXNBADWUXPSF-UHFFFAOYSA-N 1-cyclopropyl-3-[2-fluoro-4-[[7-methoxy-6-(oxomethylidene)-5h-quinolin-4-yl]oxy]phenyl]urea Chemical compound C=12CC(=C=O)C(OC)=CC2=NC=CC=1OC(C=C1F)=CC=C1NC(=O)NC1CC1 PITXNBADWUXPSF-UHFFFAOYSA-N 0.000 claims 1
- 229910052739 hydrogen Inorganic materials 0.000 claims 1
- 239000001257 hydrogen Substances 0.000 claims 1
- 230000000259 anti-tumor effect Effects 0.000 abstract description 11
- 229940124204 C-kit inhibitor Drugs 0.000 description 33
- 229960002411 imatinib Drugs 0.000 description 33
- 239000005517 L01XE01 - Imatinib Substances 0.000 description 31
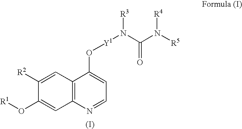
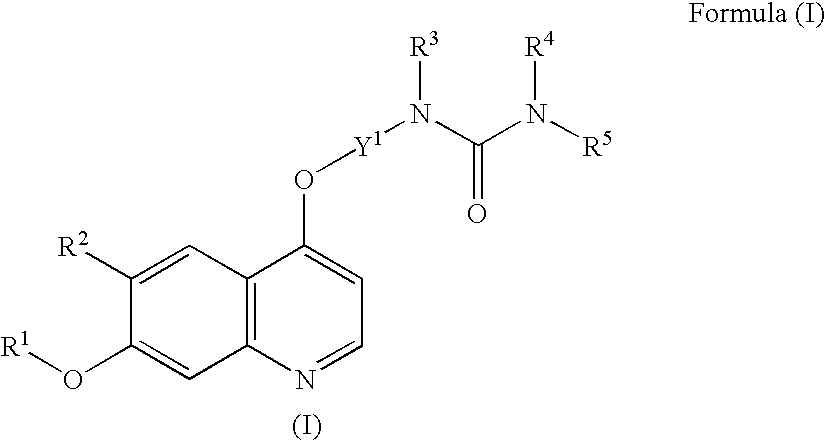
- 0 [1*]OC1=CC2=C(C=C1[2*])C(OCN([3*])C(=O)N([4*])[5*])=CC=N2 Chemical compound [1*]OC1=CC2=C(C=C1[2*])C(OCN([3*])C(=O)N([4*])[5*])=CC=N2 0.000 description 25
- 210000004027 cell Anatomy 0.000 description 12
- 238000011160 research Methods 0.000 description 12
- 229940126062 Compound A Drugs 0.000 description 8
- NLDMNSXOCDLTTB-UHFFFAOYSA-N Heterophylliin A Natural products O1C2COC(=O)C3=CC(O)=C(O)C(O)=C3C3=C(O)C(O)=C(O)C=C3C(=O)OC2C(OC(=O)C=2C=C(O)C(O)=C(O)C=2)C(O)C1OC(=O)C1=CC(O)=C(O)C(O)=C1 NLDMNSXOCDLTTB-UHFFFAOYSA-N 0.000 description 8
- 239000013078 crystal Substances 0.000 description 8
- 239000008187 granular material Substances 0.000 description 8
- 210000004408 hybridoma Anatomy 0.000 description 8
- LFQSCWFLJHTTHZ-UHFFFAOYSA-N Ethanol Chemical compound CCO LFQSCWFLJHTTHZ-UHFFFAOYSA-N 0.000 description 7
- 241000282414 Homo sapiens Species 0.000 description 7
- VYPSYNLAJGMNEJ-UHFFFAOYSA-N Silicium dioxide Chemical compound O=[Si]=O VYPSYNLAJGMNEJ-UHFFFAOYSA-N 0.000 description 7
- 239000008280 blood Substances 0.000 description 7
- 210000004369 blood Anatomy 0.000 description 7
- 239000003814 drug Substances 0.000 description 7
- 229940079593 drug Drugs 0.000 description 7
- 239000000546 pharmaceutical excipient Substances 0.000 description 7
- 239000000243 solution Substances 0.000 description 7
- 239000011230 binding agent Substances 0.000 description 6
- 239000012634 fragment Substances 0.000 description 6
- SOVPLYCDESSZEN-UHFFFAOYSA-N CC(C)CC1CCN(C)CC1.CCC(C)CC(C)C.CCCC(C)C Chemical compound CC(C)CC1CCN(C)CC1.CCC(C)CC(C)C.CCCC(C)C SOVPLYCDESSZEN-UHFFFAOYSA-N 0.000 description 5
- OKTJSMMVPCPJKN-UHFFFAOYSA-N Carbon Chemical compound [C] OKTJSMMVPCPJKN-UHFFFAOYSA-N 0.000 description 5
- 229920002153 Hydroxypropyl cellulose Polymers 0.000 description 5
- 241000124008 Mammalia Species 0.000 description 5
- 239000003795 chemical substances by application Substances 0.000 description 5
- 238000007796 conventional method Methods 0.000 description 5
- 239000000314 lubricant Substances 0.000 description 5
- WUWDLXZGHZSWQZ-WQLSENKSSA-N semaxanib Chemical compound N1C(C)=CC(C)=C1\C=C/1C2=CC=CC=C2NC\1=O WUWDLXZGHZSWQZ-WQLSENKSSA-N 0.000 description 5
- 238000007920 subcutaneous administration Methods 0.000 description 5
- UXXQOJXBIDBUAC-UHFFFAOYSA-N tandutinib Chemical compound COC1=CC2=C(N3CCN(CC3)C(=O)NC=3C=CC(OC(C)C)=CC=3)N=CN=C2C=C1OCCCN1CCCCC1 UXXQOJXBIDBUAC-UHFFFAOYSA-N 0.000 description 5
- FBPFZTCFMRRESA-KVTDHHQDSA-N D-Mannitol Chemical compound OC[C@@H](O)[C@@H](O)[C@H](O)[C@H](O)CO FBPFZTCFMRRESA-KVTDHHQDSA-N 0.000 description 4
- VAARYSWULJUGST-UHFFFAOYSA-N PD173955 Chemical compound CSC1=CC=CC(NC=2N=C3N(C)C(=O)C(C=4C(=CC=CC=4Cl)Cl)=CC3=CN=2)=C1 VAARYSWULJUGST-UHFFFAOYSA-N 0.000 description 4
- 206010035226 Plasma cell myeloma Diseases 0.000 description 4
- 239000002202 Polyethylene glycol Substances 0.000 description 4
- DPXJVFZANSGRMM-UHFFFAOYSA-N acetic acid;2,3,4,5,6-pentahydroxyhexanal;sodium Chemical compound [Na].CC(O)=O.OCC(O)C(O)C(O)C(O)C=O DPXJVFZANSGRMM-UHFFFAOYSA-N 0.000 description 4
- 239000000427 antigen Substances 0.000 description 4
- 102000036639 antigens Human genes 0.000 description 4
- 108091007433 antigens Proteins 0.000 description 4
- RITAVMQDGBJQJZ-FMIVXFBMSA-N axitinib Chemical compound CNC(=O)C1=CC=CC=C1SC1=CC=C(C(\C=C\C=2N=CC=CC=2)=NN2)C2=C1 RITAVMQDGBJQJZ-FMIVXFBMSA-N 0.000 description 4
- 229960002448 dasatinib Drugs 0.000 description 4
- 239000007884 disintegrant Substances 0.000 description 4
- 235000010977 hydroxypropyl cellulose Nutrition 0.000 description 4
- 239000001863 hydroxypropyl cellulose Substances 0.000 description 4
- 229940102223 injectable solution Drugs 0.000 description 4
- 238000004519 manufacturing process Methods 0.000 description 4
- 230000036961 partial effect Effects 0.000 description 4
- 229920001223 polyethylene glycol Polymers 0.000 description 4
- 229950003647 semaxanib Drugs 0.000 description 4
- 235000012239 silicon dioxide Nutrition 0.000 description 4
- 229960003787 sorafenib Drugs 0.000 description 4
- NHFDRBXTEDBWCZ-ZROIWOOFSA-N 3-[2,4-dimethyl-5-[(z)-(2-oxo-1h-indol-3-ylidene)methyl]-1h-pyrrol-3-yl]propanoic acid Chemical compound OC(=O)CCC1=C(C)NC(\C=C/2C3=CC=CC=C3NC\2=O)=C1C NHFDRBXTEDBWCZ-ZROIWOOFSA-N 0.000 description 3
- QTBSBXVTEAMEQO-UHFFFAOYSA-N Acetic acid Chemical compound CC(O)=O QTBSBXVTEAMEQO-UHFFFAOYSA-N 0.000 description 3
- 229910002012 Aerosil® Inorganic materials 0.000 description 3
- 229920002785 Croscarmellose sodium Polymers 0.000 description 3
- 238000002965 ELISA Methods 0.000 description 3
- 108010070675 Glutathione transferase Proteins 0.000 description 3
- 229920003114 HPC-L Polymers 0.000 description 3
- 102100029100 Hematopoietic prostaglandin D synthase Human genes 0.000 description 3
- 101710175625 Maltose/maltodextrin-binding periplasmic protein Proteins 0.000 description 3
- OKKJLVBELUTLKV-UHFFFAOYSA-N Methanol Chemical compound OC OKKJLVBELUTLKV-UHFFFAOYSA-N 0.000 description 3
- ZMXDDKWLCZADIW-UHFFFAOYSA-N N,N-Dimethylformamide Chemical compound CN(C)C=O ZMXDDKWLCZADIW-UHFFFAOYSA-N 0.000 description 3
- 206010070834 Sensitisation Diseases 0.000 description 3
- ZMANZCXQSJIPKH-UHFFFAOYSA-N Triethylamine Chemical compound CCN(CC)CC ZMANZCXQSJIPKH-UHFFFAOYSA-N 0.000 description 3
- 108091008605 VEGF receptors Proteins 0.000 description 3
- 102000009484 Vascular Endothelial Growth Factor Receptors Human genes 0.000 description 3
- 239000002671 adjuvant Substances 0.000 description 3
- 239000002246 antineoplastic agent Substances 0.000 description 3
- WPYMKLBDIGXBTP-UHFFFAOYSA-N benzoic acid Chemical compound OC(=O)C1=CC=CC=C1 WPYMKLBDIGXBTP-UHFFFAOYSA-N 0.000 description 3
- 239000000872 buffer Substances 0.000 description 3
- 229960002412 cediranib Drugs 0.000 description 3
- 235000010980 cellulose Nutrition 0.000 description 3
- 229920002678 cellulose Polymers 0.000 description 3
- 239000001913 cellulose Substances 0.000 description 3
- KRKNYBCHXYNGOX-UHFFFAOYSA-N citric acid Chemical compound OC(=O)CC(O)(C(O)=O)CC(O)=O KRKNYBCHXYNGOX-UHFFFAOYSA-N 0.000 description 3
- 239000011248 coating agent Substances 0.000 description 3
- 238000000576 coating method Methods 0.000 description 3
- 229960001681 croscarmellose sodium Drugs 0.000 description 3
- 235000010947 crosslinked sodium carboxy methyl cellulose Nutrition 0.000 description 3
- 230000000694 effects Effects 0.000 description 3
- MVPICKVDHDWCJQ-UHFFFAOYSA-N ethyl 3-pyrrolidin-1-ylpropanoate Chemical compound CCOC(=O)CCN1CCCC1 MVPICKVDHDWCJQ-UHFFFAOYSA-N 0.000 description 3
- 125000005842 heteroatom Chemical group 0.000 description 3
- 125000000959 isobutyl group Chemical group [H]C([H])([H])C([H])(C([H])([H])[H])C([H])([H])* 0.000 description 3
- 125000001449 isopropyl group Chemical group [H]C([H])([H])C([H])(*)C([H])([H])[H] 0.000 description 3
- 229940043355 kinase inhibitor Drugs 0.000 description 3
- 201000000050 myeloid neoplasm Diseases 0.000 description 3
- 125000004108 n-butyl group Chemical group [H]C([H])([H])C([H])([H])C([H])([H])C([H])([H])* 0.000 description 3
- 125000003506 n-propoxy group Chemical group [H]C([H])([H])C([H])([H])C([H])([H])O* 0.000 description 3
- 125000004123 n-propyl group Chemical group [H]C([H])([H])C([H])([H])C([H])([H])* 0.000 description 3
- 239000003757 phosphotransferase inhibitor Substances 0.000 description 3
- 229920001184 polypeptide Polymers 0.000 description 3
- 102000004196 processed proteins & peptides Human genes 0.000 description 3
- 108090000765 processed proteins & peptides Proteins 0.000 description 3
- 125000002914 sec-butyl group Chemical group [H]C([H])([H])C([H])([H])C([H])(*)C([H])([H])[H] 0.000 description 3
- 230000008313 sensitization Effects 0.000 description 3
- RMAQACBXLXPBSY-UHFFFAOYSA-N silicic acid Chemical compound O[Si](O)(O)O RMAQACBXLXPBSY-UHFFFAOYSA-N 0.000 description 3
- DVQHRBFGRZHMSR-UHFFFAOYSA-N sodium methyl 2,2-dimethyl-4,6-dioxo-5-(N-prop-2-enoxy-C-propylcarbonimidoyl)cyclohexane-1-carboxylate Chemical compound [Na+].C=CCON=C(CCC)[C-]1C(=O)CC(C)(C)C(C(=O)OC)C1=O DVQHRBFGRZHMSR-UHFFFAOYSA-N 0.000 description 3
- 229940045902 sodium stearyl fumarate Drugs 0.000 description 3
- 239000007787 solid Substances 0.000 description 3
- 239000002904 solvent Substances 0.000 description 3
- WINHZLLDWRZWRT-ATVHPVEESA-N sunitinib Chemical compound CCN(CC)CCNC(=O)C1=C(C)NC(\C=C/2C3=CC(F)=CC=C3NC\2=O)=C1C WINHZLLDWRZWRT-ATVHPVEESA-N 0.000 description 3
- 125000000999 tert-butyl group Chemical group [H]C([H])([H])C(*)(C([H])([H])[H])C([H])([H])[H] 0.000 description 3
- LLDWLPRYLVPDTG-UHFFFAOYSA-N vatalanib succinate Chemical compound OC(=O)CCC(O)=O.C1=CC(Cl)=CC=C1NC(C1=CC=CC=C11)=NN=C1CC1=CC=NC=C1 LLDWLPRYLVPDTG-UHFFFAOYSA-N 0.000 description 3
- YBJHBAHKTGYVGT-ZKWXMUAHSA-N (+)-Biotin Chemical compound N1C(=O)N[C@@H]2[C@H](CCCCC(=O)O)SC[C@@H]21 YBJHBAHKTGYVGT-ZKWXMUAHSA-N 0.000 description 2
- 125000005988 1,1-dioxo-thiomorpholinyl group Chemical group 0.000 description 2
- CFKMVGJGLGKFKI-UHFFFAOYSA-N 4-chloro-m-cresol Chemical compound CC1=CC(O)=CC=C1Cl CFKMVGJGLGKFKI-UHFFFAOYSA-N 0.000 description 2
- 244000215068 Acacia senegal Species 0.000 description 2
- 208000014697 Acute lymphocytic leukaemia Diseases 0.000 description 2
- 102000002260 Alkaline Phosphatase Human genes 0.000 description 2
- 108020004774 Alkaline Phosphatase Proteins 0.000 description 2
- 208000010839 B-cell chronic lymphocytic leukemia Diseases 0.000 description 2
- 208000032791 BCR-ABL1 positive chronic myelogenous leukemia Diseases 0.000 description 2
- CURLTUGMZLYLDI-UHFFFAOYSA-N Carbon dioxide Chemical compound O=C=O CURLTUGMZLYLDI-UHFFFAOYSA-N 0.000 description 2
- 208000010833 Chronic myeloid leukaemia Diseases 0.000 description 2
- 206010009944 Colon cancer Diseases 0.000 description 2
- AOJJSUZBOXZQNB-TZSSRYMLSA-N Doxorubicin Chemical compound O([C@H]1C[C@@](O)(CC=2C(O)=C3C(=O)C=4C=CC=C(C=4C(=O)C3=C(O)C=21)OC)C(=O)CO)[C@H]1C[C@H](N)[C@H](O)[C@H](C)O1 AOJJSUZBOXZQNB-TZSSRYMLSA-N 0.000 description 2
- VZCYOOQTPOCHFL-OWOJBTEDSA-N Fumaric acid Chemical compound OC(=O)\C=C\C(O)=O VZCYOOQTPOCHFL-OWOJBTEDSA-N 0.000 description 2
- 229920000084 Gum arabic Polymers 0.000 description 2
- 208000031422 Lymphocytic Chronic B-Cell Leukemia Diseases 0.000 description 2
- 208000033761 Myelogenous Chronic BCR-ABL Positive Leukemia Diseases 0.000 description 2
- 241000283973 Oryctolagus cuniculus Species 0.000 description 2
- ISWSIDIOOBJBQZ-UHFFFAOYSA-N Phenol Chemical compound OC1=CC=CC=C1 ISWSIDIOOBJBQZ-UHFFFAOYSA-N 0.000 description 2
- 229920001213 Polysorbate 20 Polymers 0.000 description 2
- JUJWROOIHBZHMG-UHFFFAOYSA-N Pyridine Chemical compound C1=CC=NC=C1 JUJWROOIHBZHMG-UHFFFAOYSA-N 0.000 description 2
- IQFYYKKMVGJFEH-XLPZGREQSA-N Thymidine Chemical compound O=C1NC(=O)C(C)=CN1[C@@H]1O[C@H](CO)[C@@H](O)C1 IQFYYKKMVGJFEH-XLPZGREQSA-N 0.000 description 2
- DTQVDTLACAAQTR-UHFFFAOYSA-N Trifluoroacetic acid Chemical compound OC(=O)C(F)(F)F DTQVDTLACAAQTR-UHFFFAOYSA-N 0.000 description 2
- 235000010489 acacia gum Nutrition 0.000 description 2
- 239000000205 acacia gum Substances 0.000 description 2
- 229940041181 antineoplastic drug Drugs 0.000 description 2
- 125000003725 azepanyl group Chemical group 0.000 description 2
- 125000002393 azetidinyl group Chemical group 0.000 description 2
- 125000004069 aziridinyl group Chemical group 0.000 description 2
- 210000003719 b-lymphocyte Anatomy 0.000 description 2
- 239000002585 base Substances 0.000 description 2
- 125000002619 bicyclic group Chemical group 0.000 description 2
- 239000012830 cancer therapeutic Substances 0.000 description 2
- 150000001721 carbon Chemical group 0.000 description 2
- 235000019438 castor oil Nutrition 0.000 description 2
- 239000004359 castor oil Substances 0.000 description 2
- 229960001777 castor oil Drugs 0.000 description 2
- 229910052801 chlorine Inorganic materials 0.000 description 2
- 125000001309 chloro group Chemical group Cl* 0.000 description 2
- 208000032852 chronic lymphocytic leukemia Diseases 0.000 description 2
- 239000003086 colorant Substances 0.000 description 2
- 230000002301 combined effect Effects 0.000 description 2
- 125000001995 cyclobutyl group Chemical group [H]C1([H])C([H])([H])C([H])(*)C1([H])[H] 0.000 description 2
- 125000001352 cyclobutyloxy group Chemical group C1(CCC1)O* 0.000 description 2
- 125000001511 cyclopentyl group Chemical group [H]C1([H])C([H])([H])C([H])([H])C([H])(*)C1([H])[H] 0.000 description 2
- 125000001887 cyclopentyloxy group Chemical group C1(CCCC1)O* 0.000 description 2
- 125000000131 cyclopropyloxy group Chemical group C1(CC1)O* 0.000 description 2
- 125000005959 diazepanyl group Chemical group 0.000 description 2
- NUVBSKCKDOMJSU-UHFFFAOYSA-N ethylparaben Chemical compound CCOC(=O)C1=CC=C(O)C=C1 NUVBSKCKDOMJSU-UHFFFAOYSA-N 0.000 description 2
- 125000004705 ethylthio group Chemical group C(C)S* 0.000 description 2
- 239000000796 flavoring agent Substances 0.000 description 2
- 229910052731 fluorine Inorganic materials 0.000 description 2
- 125000001153 fluoro group Chemical group F* 0.000 description 2
- 235000013355 food flavoring agent Nutrition 0.000 description 2
- 125000002541 furyl group Chemical group 0.000 description 2
- 108020001507 fusion proteins Proteins 0.000 description 2
- 102000037865 fusion proteins Human genes 0.000 description 2
- ZEMPKEQAKRGZGQ-XOQCFJPHSA-N glycerol triricinoleate Natural products CCCCCC[C@@H](O)CC=CCCCCCCCC(=O)OC[C@@H](COC(=O)CCCCCCCC=CC[C@@H](O)CCCCCC)OC(=O)CCCCCCCC=CC[C@H](O)CCCCCC ZEMPKEQAKRGZGQ-XOQCFJPHSA-N 0.000 description 2
- 150000004677 hydrates Chemical class 0.000 description 2
- FDGQSTZJBFJUBT-UHFFFAOYSA-N hypoxanthine Chemical compound O=C1NC=NC2=C1NC=N2 FDGQSTZJBFJUBT-UHFFFAOYSA-N 0.000 description 2
- 125000002883 imidazolyl group Chemical group 0.000 description 2
- 238000001727 in vivo Methods 0.000 description 2
- 125000003253 isopropoxy group Chemical group [H]C([H])([H])C([H])(O*)C([H])([H])[H] 0.000 description 2
- 125000001786 isothiazolyl group Chemical group 0.000 description 2
- 125000000842 isoxazolyl group Chemical group 0.000 description 2
- JVTAAEKCZFNVCJ-UHFFFAOYSA-N lactic acid Chemical compound CC(O)C(O)=O JVTAAEKCZFNVCJ-UHFFFAOYSA-N 0.000 description 2
- HQKMJHAJHXVSDF-UHFFFAOYSA-L magnesium stearate Chemical compound [Mg+2].CCCCCCCCCCCCCCCCCC([O-])=O.CCCCCCCCCCCCCCCCCC([O-])=O HQKMJHAJHXVSDF-UHFFFAOYSA-L 0.000 description 2
- 235000010355 mannitol Nutrition 0.000 description 2
- 239000002609 medium Substances 0.000 description 2
- BDAGIHXWWSANSR-UHFFFAOYSA-N methanoic acid Natural products OC=O BDAGIHXWWSANSR-UHFFFAOYSA-N 0.000 description 2
- 229920000609 methyl cellulose Polymers 0.000 description 2
- 235000010981 methylcellulose Nutrition 0.000 description 2
- 239000001923 methylcellulose Substances 0.000 description 2
- 125000002816 methylsulfanyl group Chemical group [H]C([H])([H])S[*] 0.000 description 2
- 125000002950 monocyclic group Chemical group 0.000 description 2
- 125000002757 morpholinyl group Chemical group 0.000 description 2
- 125000004708 n-butylthio group Chemical group C(CCC)S* 0.000 description 2
- 125000004706 n-propylthio group Chemical group C(CC)S* 0.000 description 2
- 125000002971 oxazolyl group Chemical group 0.000 description 2
- 125000004193 piperazinyl group Chemical group 0.000 description 2
- 125000003386 piperidinyl group Chemical group 0.000 description 2
- 235000010486 polyoxyethylene sorbitan monolaurate Nutrition 0.000 description 2
- 239000000256 polyoxyethylene sorbitan monolaurate Substances 0.000 description 2
- 235000010482 polyoxyethylene sorbitan monooleate Nutrition 0.000 description 2
- 239000000244 polyoxyethylene sorbitan monooleate Substances 0.000 description 2
- 229920000053 polysorbate 80 Polymers 0.000 description 2
- 229940068968 polysorbate 80 Drugs 0.000 description 2
- 239000000843 powder Substances 0.000 description 2
- 239000003755 preservative agent Substances 0.000 description 2
- 230000002335 preservative effect Effects 0.000 description 2
- BDERNNFJNOPAEC-UHFFFAOYSA-N propan-1-ol Chemical compound CCCO BDERNNFJNOPAEC-UHFFFAOYSA-N 0.000 description 2
- 125000003226 pyrazolyl group Chemical group 0.000 description 2
- 125000004076 pyridyl group Chemical group 0.000 description 2
- 125000000714 pyrimidinyl group Chemical group 0.000 description 2
- 125000000719 pyrrolidinyl group Chemical group 0.000 description 2
- 125000000168 pyrrolyl group Chemical group 0.000 description 2
- 230000001105 regulatory effect Effects 0.000 description 2
- 239000000377 silicon dioxide Substances 0.000 description 2
- GEHJYWRUCIMESM-UHFFFAOYSA-L sodium sulfite Chemical compound [Na+].[Na+].[O-]S([O-])=O GEHJYWRUCIMESM-UHFFFAOYSA-L 0.000 description 2
- 239000003381 stabilizer Substances 0.000 description 2
- 239000000375 suspending agent Substances 0.000 description 2
- 238000009492 tablet coating Methods 0.000 description 2
- 239000002700 tablet coating Substances 0.000 description 2
- 125000003718 tetrahydrofuranyl group Chemical group 0.000 description 2
- 125000001412 tetrahydropyranyl group Chemical group 0.000 description 2
- 125000000335 thiazolyl group Chemical group 0.000 description 2
- 125000001544 thienyl group Chemical group 0.000 description 2
- 125000003396 thiol group Chemical group [H]S* 0.000 description 2
- 125000004568 thiomorpholinyl group Chemical group 0.000 description 2
- JOXIMZWYDAKGHI-UHFFFAOYSA-N toluene-4-sulfonic acid Chemical compound CC1=CC=C(S(O)(=O)=O)C=C1 JOXIMZWYDAKGHI-UHFFFAOYSA-N 0.000 description 2
- VZCYOOQTPOCHFL-UHFFFAOYSA-N trans-butenedioic acid Natural products OC(=O)C=CC(O)=O VZCYOOQTPOCHFL-UHFFFAOYSA-N 0.000 description 2
- GETQZCLCWQTVFV-UHFFFAOYSA-N trimethylamine Chemical compound CN(C)C GETQZCLCWQTVFV-UHFFFAOYSA-N 0.000 description 2
- NOOLISFMXDJSKH-UTLUCORTSA-N (+)-Neomenthol Chemical compound CC(C)[C@@H]1CC[C@@H](C)C[C@@H]1O NOOLISFMXDJSKH-UTLUCORTSA-N 0.000 description 1
- DSSYKIVIOFKYAU-XCBNKYQSSA-N (R)-camphor Chemical compound C1C[C@@]2(C)C(=O)C[C@@H]1C2(C)C DSSYKIVIOFKYAU-XCBNKYQSSA-N 0.000 description 1
- 125000004973 1-butenyl group Chemical group C(=CCC)* 0.000 description 1
- 125000004972 1-butynyl group Chemical group [H]C([H])([H])C([H])([H])C#C* 0.000 description 1
- 125000001637 1-naphthyl group Chemical group [H]C1=C([H])C([H])=C2C(*)=C([H])C([H])=C([H])C2=C1[H] 0.000 description 1
- 125000006017 1-propenyl group Chemical group 0.000 description 1
- 125000000530 1-propynyl group Chemical group [H]C([H])([H])C#C* 0.000 description 1
- YQTCQNIPQMJNTI-UHFFFAOYSA-N 2,2-dimethylpropan-1-one Chemical group CC(C)(C)[C]=O YQTCQNIPQMJNTI-UHFFFAOYSA-N 0.000 description 1
- 125000004974 2-butenyl group Chemical group C(C=CC)* 0.000 description 1
- 125000000069 2-butynyl group Chemical group [H]C([H])([H])C#CC([H])([H])* 0.000 description 1
- 125000004398 2-methyl-2-butyl group Chemical group CC(C)(CC)* 0.000 description 1
- 125000004918 2-methyl-2-pentyl group Chemical group CC(C)(CCC)* 0.000 description 1
- 125000004922 2-methyl-3-pentyl group Chemical group CC(C)C(CC)* 0.000 description 1
- 125000004493 2-methylbut-1-yl group Chemical group CC(C*)CC 0.000 description 1
- QTWJRLJHJPIABL-UHFFFAOYSA-N 2-methylphenol;3-methylphenol;4-methylphenol Chemical compound CC1=CC=C(O)C=C1.CC1=CC=CC(O)=C1.CC1=CC=CC=C1O QTWJRLJHJPIABL-UHFFFAOYSA-N 0.000 description 1
- BSKHPKMHTQYZBB-UHFFFAOYSA-N 2-methylpyridine Chemical compound CC1=CC=CC=N1 BSKHPKMHTQYZBB-UHFFFAOYSA-N 0.000 description 1
- 125000001622 2-naphthyl group Chemical group [H]C1=C([H])C([H])=C2C([H])=C(*)C([H])=C([H])C2=C1[H] 0.000 description 1
- 125000001494 2-propynyl group Chemical group [H]C#CC([H])([H])* 0.000 description 1
- 125000004975 3-butenyl group Chemical group C(CC=C)* 0.000 description 1
- 125000000474 3-butynyl group Chemical group [H]C#CC([H])([H])C([H])([H])* 0.000 description 1
- 125000004917 3-methyl-2-butyl group Chemical group CC(C(C)*)C 0.000 description 1
- 125000004919 3-methyl-2-pentyl group Chemical group CC(C(C)*)CC 0.000 description 1
- 125000004921 3-methyl-3-pentyl group Chemical group CC(CC)(CC)* 0.000 description 1
- OSWFIVFLDKOXQC-UHFFFAOYSA-N 4-(3-methoxyphenyl)aniline Chemical compound COC1=CC=CC(C=2C=CC(N)=CC=2)=C1 OSWFIVFLDKOXQC-UHFFFAOYSA-N 0.000 description 1
- TVZGACDUOSZQKY-LBPRGKRZSA-N 4-aminofolic acid Chemical compound C1=NC2=NC(N)=NC(N)=C2N=C1CNC1=CC=C(C(=O)N[C@@H](CCC(O)=O)C(O)=O)C=C1 TVZGACDUOSZQKY-LBPRGKRZSA-N 0.000 description 1
- 125000004920 4-methyl-2-pentyl group Chemical group CC(CC(C)*)C 0.000 description 1
- ZCYVEMRRCGMTRW-UHFFFAOYSA-N 7553-56-2 Chemical group [I] ZCYVEMRRCGMTRW-UHFFFAOYSA-N 0.000 description 1
- HBAQYPYDRFILMT-UHFFFAOYSA-N 8-[3-(1-cyclopropylpyrazol-4-yl)-1H-pyrazolo[4,3-d]pyrimidin-5-yl]-3-methyl-3,8-diazabicyclo[3.2.1]octan-2-one Chemical class C1(CC1)N1N=CC(=C1)C1=NNC2=C1N=C(N=C2)N1C2C(N(CC1CC2)C)=O HBAQYPYDRFILMT-UHFFFAOYSA-N 0.000 description 1
- 208000031261 Acute myeloid leukaemia Diseases 0.000 description 1
- 201000003076 Angiosarcoma Diseases 0.000 description 1
- 239000004475 Arginine Substances 0.000 description 1
- 206010003445 Ascites Diseases 0.000 description 1
- 241000416162 Astragalus gummifer Species 0.000 description 1
- 108090001008 Avidin Proteins 0.000 description 1
- 239000005711 Benzoic acid Substances 0.000 description 1
- DWRXFEITVBNRMK-UHFFFAOYSA-N Beta-D-1-Arabinofuranosylthymine Natural products O=C1NC(=O)C(C)=CN1C1C(O)C(O)C(CO)O1 DWRXFEITVBNRMK-UHFFFAOYSA-N 0.000 description 1
- 102100026189 Beta-galactosidase Human genes 0.000 description 1
- 206010005003 Bladder cancer Diseases 0.000 description 1
- 108010006654 Bleomycin Proteins 0.000 description 1
- 241000283690 Bos taurus Species 0.000 description 1
- 208000003174 Brain Neoplasms Diseases 0.000 description 1
- 206010006187 Breast cancer Diseases 0.000 description 1
- 208000026310 Breast neoplasm Diseases 0.000 description 1
- WKBOTKDWSSQWDR-UHFFFAOYSA-N Bromine atom Chemical group [Br] WKBOTKDWSSQWDR-UHFFFAOYSA-N 0.000 description 1
- VMQIYQCRNNCDEP-HBPAQXCTSA-N C.CCN(CC)CCNC(=O)C1=C(C)NC(/C=C2\C(=O)NC3=CC=C(F)C=C32)=C1C Chemical compound C.CCN(CC)CCNC(=O)C1=C(C)NC(/C=C2\C(=O)NC3=CC=C(F)C=C32)=C1C VMQIYQCRNNCDEP-HBPAQXCTSA-N 0.000 description 1
- HDYGFGMWHWLOBF-YBEGLDIGSA-N CC(=O)CCC1=C(C)NC(/C=C2\C(=O)NC3=CC=CC=C32)=C1C Chemical compound CC(=O)CCC1=C(C)NC(/C=C2\C(=O)NC3=CC=CC=C32)=C1C HDYGFGMWHWLOBF-YBEGLDIGSA-N 0.000 description 1
- XPCHMPWXUOYJGJ-UHFFFAOYSA-N CC1=CC=C(NC2=NN=C(CC3=CC=NC=C3)C3=C2C=CC=C3)C=C1 Chemical compound CC1=CC=C(NC2=NN=C(CC3=CC=NC=C3)C3=C2C=CC=C3)C=C1 XPCHMPWXUOYJGJ-UHFFFAOYSA-N 0.000 description 1
- WJEVLGHGKHFJMZ-UHFFFAOYSA-N CCCN1CCN(C2=NC(C)=NC(NC3=NC=C(C(=O)NC4=C(C)C=CC=C4Cl)S3)=C2)CC1 Chemical compound CCCN1CCN(C2=NC(C)=NC(NC3=NC=C(C(=O)NC4=C(C)C=CC=C4Cl)S3)=C2)CC1 WJEVLGHGKHFJMZ-UHFFFAOYSA-N 0.000 description 1
- JXHYCDUNAUGWFS-UHFFFAOYSA-N CNC(=O)C1=NC=CC(OC2=CC=C(NC(=O)NC3=CC=C(Cl)C(C)=C3)C=C2)=C1 Chemical compound CNC(=O)C1=NC=CC(OC2=CC=C(NC(=O)NC3=CC=C(Cl)C(C)=C3)C=C2)=C1 JXHYCDUNAUGWFS-UHFFFAOYSA-N 0.000 description 1
- 241000282693 Cercopithecidae Species 0.000 description 1
- 208000005243 Chondrosarcoma Diseases 0.000 description 1
- 241000723346 Cinnamomum camphora Species 0.000 description 1
- 244000223760 Cinnamomum zeylanicum Species 0.000 description 1
- 208000001333 Colorectal Neoplasms Diseases 0.000 description 1
- 229920002261 Corn starch Polymers 0.000 description 1
- CMSMOCZEIVJLDB-UHFFFAOYSA-N Cyclophosphamide Chemical compound ClCCN(CCCl)P1(=O)NCCCO1 CMSMOCZEIVJLDB-UHFFFAOYSA-N 0.000 description 1
- NOOLISFMXDJSKH-UHFFFAOYSA-N DL-menthol Natural products CC(C)C1CCC(C)CC1O NOOLISFMXDJSKH-UHFFFAOYSA-N 0.000 description 1
- FEWJPZIEWOKRBE-JCYAYHJZSA-N Dextrotartaric acid Chemical compound OC(=O)[C@H](O)[C@@H](O)C(O)=O FEWJPZIEWOKRBE-JCYAYHJZSA-N 0.000 description 1
- XBPCUCUWBYBCDP-UHFFFAOYSA-N Dicyclohexylamine Chemical compound C1CCCCC1NC1CCCCC1 XBPCUCUWBYBCDP-UHFFFAOYSA-N 0.000 description 1
- 206010061825 Duodenal neoplasm Diseases 0.000 description 1
- 241000196324 Embryophyta Species 0.000 description 1
- 208000000461 Esophageal Neoplasms Diseases 0.000 description 1
- 239000001856 Ethyl cellulose Substances 0.000 description 1
- LYCAIKOWRPUZTN-UHFFFAOYSA-N Ethylene glycol Chemical compound OCCO LYCAIKOWRPUZTN-UHFFFAOYSA-N 0.000 description 1
- 241000282326 Felis catus Species 0.000 description 1
- 201000008808 Fibrosarcoma Diseases 0.000 description 1
- GHASVSINZRGABV-UHFFFAOYSA-N Fluorouracil Chemical compound FC1=CNC(=O)NC1=O GHASVSINZRGABV-UHFFFAOYSA-N 0.000 description 1
- 208000022072 Gallbladder Neoplasms Diseases 0.000 description 1
- 206010051066 Gastrointestinal stromal tumour Diseases 0.000 description 1
- 108010010803 Gelatin Proteins 0.000 description 1
- WQZGKKKJIJFFOK-GASJEMHNSA-N Glucose Natural products OC[C@H]1OC(O)[C@H](O)[C@@H](O)[C@@H]1O WQZGKKKJIJFFOK-GASJEMHNSA-N 0.000 description 1
- 208000001258 Hemangiosarcoma Diseases 0.000 description 1
- VEXZGXHMUGYJMC-UHFFFAOYSA-N Hydrochloric acid Chemical compound Cl VEXZGXHMUGYJMC-UHFFFAOYSA-N 0.000 description 1
- 239000004354 Hydroxyethyl cellulose Substances 0.000 description 1
- 229920000663 Hydroxyethyl cellulose Polymers 0.000 description 1
- UGQMRVRMYYASKQ-UHFFFAOYSA-N Hypoxanthine nucleoside Natural products OC1C(O)C(CO)OC1N1C(NC=NC2=O)=C2N=C1 UGQMRVRMYYASKQ-UHFFFAOYSA-N 0.000 description 1
- 102000008394 Immunoglobulin Fragments Human genes 0.000 description 1
- 108010021625 Immunoglobulin Fragments Proteins 0.000 description 1
- 208000007766 Kaposi sarcoma Diseases 0.000 description 1
- 208000008839 Kidney Neoplasms Diseases 0.000 description 1
- ODKSFYDXXFIFQN-BYPYZUCNSA-P L-argininium(2+) Chemical compound NC(=[NH2+])NCCC[C@H]([NH3+])C(O)=O ODKSFYDXXFIFQN-BYPYZUCNSA-P 0.000 description 1
- KDXKERNSBIXSRK-YFKPBYRVSA-N L-lysine Chemical compound NCCCC[C@H](N)C(O)=O KDXKERNSBIXSRK-YFKPBYRVSA-N 0.000 description 1
- FBOZXECLQNJBKD-ZDUSSCGKSA-N L-methotrexate Chemical compound C=1N=C2N=C(N)N=C(N)C2=NC=1CN(C)C1=CC=C(C(=O)N[C@@H](CCC(O)=O)C(O)=O)C=C1 FBOZXECLQNJBKD-ZDUSSCGKSA-N 0.000 description 1
- 239000005511 L01XE05 - Sorafenib Substances 0.000 description 1
- 239000002067 L01XE06 - Dasatinib Substances 0.000 description 1
- GUBGYTABKSRVRQ-QKKXKWKRSA-N Lactose Natural products OC[C@H]1O[C@@H](O[C@H]2[C@H](O)[C@@H](O)C(O)O[C@@H]2CO)[C@H](O)[C@@H](O)[C@H]1O GUBGYTABKSRVRQ-QKKXKWKRSA-N 0.000 description 1
- 206010058467 Lung neoplasm malignant Diseases 0.000 description 1
- 206010025323 Lymphomas Diseases 0.000 description 1
- KDXKERNSBIXSRK-UHFFFAOYSA-N Lysine Natural products NCCCCC(N)C(O)=O KDXKERNSBIXSRK-UHFFFAOYSA-N 0.000 description 1
- 239000004472 Lysine Substances 0.000 description 1
- 206010027476 Metastases Diseases 0.000 description 1
- 241001465754 Metazoa Species 0.000 description 1
- 229930192392 Mitomycin Natural products 0.000 description 1
- 208000034578 Multiple myelomas Diseases 0.000 description 1
- 241000711408 Murine respirovirus Species 0.000 description 1
- 208000005927 Myosarcoma Diseases 0.000 description 1
- NWIBSHFKIJFRCO-WUDYKRTCSA-N Mytomycin Chemical compound C1N2C(C(C(C)=C(N)C3=O)=O)=C3[C@@H](COC(N)=O)[C@@]2(OC)[C@@H]2[C@H]1N2 NWIBSHFKIJFRCO-WUDYKRTCSA-N 0.000 description 1
- DFPAKSUCGFBDDF-UHFFFAOYSA-N Nicotinamide Chemical compound NC(=O)C1=CC=CN=C1 DFPAKSUCGFBDDF-UHFFFAOYSA-N 0.000 description 1
- 206010033128 Ovarian cancer Diseases 0.000 description 1
- 206010061535 Ovarian neoplasm Diseases 0.000 description 1
- 229910019142 PO4 Inorganic materials 0.000 description 1
- 229930012538 Paclitaxel Natural products 0.000 description 1
- 206010061902 Pancreatic neoplasm Diseases 0.000 description 1
- 241001494479 Pecora Species 0.000 description 1
- 241000009328 Perro Species 0.000 description 1
- 208000009565 Pharyngeal Neoplasms Diseases 0.000 description 1
- 229920003171 Poly (ethylene oxide) Polymers 0.000 description 1
- 239000004372 Polyvinyl alcohol Substances 0.000 description 1
- OFOBLEOULBTSOW-UHFFFAOYSA-N Propanedioic acid Natural products OC(=O)CC(O)=O OFOBLEOULBTSOW-UHFFFAOYSA-N 0.000 description 1
- 206010060862 Prostate cancer Diseases 0.000 description 1
- 208000000236 Prostatic Neoplasms Diseases 0.000 description 1
- 239000012980 RPMI-1640 medium Substances 0.000 description 1
- 241000700159 Rattus Species 0.000 description 1
- 208000015634 Rectal Neoplasms Diseases 0.000 description 1
- 206010038389 Renal cancer Diseases 0.000 description 1
- 206010039491 Sarcoma Diseases 0.000 description 1
- 235000021355 Stearic acid Nutrition 0.000 description 1
- 208000005718 Stomach Neoplasms Diseases 0.000 description 1
- 108010090804 Streptavidin Proteins 0.000 description 1
- KDYFGRWQOYBRFD-UHFFFAOYSA-N Succinic acid Natural products OC(=O)CCC(O)=O KDYFGRWQOYBRFD-UHFFFAOYSA-N 0.000 description 1
- CZMRCDWAGMRECN-UGDNZRGBSA-N Sucrose Chemical compound O[C@H]1[C@H](O)[C@@H](CO)O[C@@]1(CO)O[C@@H]1[C@H](O)[C@@H](O)[C@H](O)[C@@H](CO)O1 CZMRCDWAGMRECN-UGDNZRGBSA-N 0.000 description 1
- 229930006000 Sucrose Natural products 0.000 description 1
- QAOWNCQODCNURD-UHFFFAOYSA-L Sulfate Chemical compound [O-]S([O-])(=O)=O QAOWNCQODCNURD-UHFFFAOYSA-L 0.000 description 1
- 241000282898 Sus scrofa Species 0.000 description 1
- 239000005463 Tandutinib Substances 0.000 description 1
- FEWJPZIEWOKRBE-UHFFFAOYSA-N Tartaric acid Natural products [H+].[H+].[O-]C(=O)C(O)C(O)C([O-])=O FEWJPZIEWOKRBE-UHFFFAOYSA-N 0.000 description 1
- 244000299461 Theobroma cacao Species 0.000 description 1
- 235000009470 Theobroma cacao Nutrition 0.000 description 1
- 206010062129 Tongue neoplasm Diseases 0.000 description 1
- 229920001615 Tragacanth Polymers 0.000 description 1
- 208000007097 Urinary Bladder Neoplasms Diseases 0.000 description 1
- 208000002495 Uterine Neoplasms Diseases 0.000 description 1
- 235000011054 acetic acid Nutrition 0.000 description 1
- 125000002777 acetyl group Chemical group [H]C([H])([H])C(*)=O 0.000 description 1
- 229940009456 adriamycin Drugs 0.000 description 1
- 238000001042 affinity chromatography Methods 0.000 description 1
- 150000001298 alcohols Chemical class 0.000 description 1
- 125000001931 aliphatic group Chemical group 0.000 description 1
- 229910052783 alkali metal Inorganic materials 0.000 description 1
- 229910052784 alkaline earth metal Inorganic materials 0.000 description 1
- 125000003282 alkyl amino group Chemical group 0.000 description 1
- 125000000217 alkyl group Chemical group 0.000 description 1
- 229940100198 alkylating agent Drugs 0.000 description 1
- 239000002168 alkylating agent Substances 0.000 description 1
- 125000000304 alkynyl group Chemical group 0.000 description 1
- WNROFYMDJYEPJX-UHFFFAOYSA-K aluminium hydroxide Chemical compound [OH-].[OH-].[OH-].[Al+3] WNROFYMDJYEPJX-UHFFFAOYSA-K 0.000 description 1
- 229960003896 aminopterin Drugs 0.000 description 1
- 150000003863 ammonium salts Chemical class 0.000 description 1
- BFNBIHQBYMNNAN-UHFFFAOYSA-N ammonium sulfate Chemical compound N.N.OS(O)(=O)=O BFNBIHQBYMNNAN-UHFFFAOYSA-N 0.000 description 1
- 229910052921 ammonium sulfate Inorganic materials 0.000 description 1
- 235000011130 ammonium sulphate Nutrition 0.000 description 1
- 239000003242 anti bacterial agent Substances 0.000 description 1
- 230000000340 anti-metabolite Effects 0.000 description 1
- 229940088710 antibiotic agent Drugs 0.000 description 1
- 229940100197 antimetabolite Drugs 0.000 description 1
- 239000002256 antimetabolite Substances 0.000 description 1
- ODKSFYDXXFIFQN-UHFFFAOYSA-N arginine Natural products OC(=O)C(N)CCCNC(N)=N ODKSFYDXXFIFQN-UHFFFAOYSA-N 0.000 description 1
- 125000003118 aryl group Chemical group 0.000 description 1
- 125000003828 azulenyl group Chemical group 0.000 description 1
- JUHORIMYRDESRB-UHFFFAOYSA-N benzathine Chemical compound C=1C=CC=CC=1CNCCNCC1=CC=CC=C1 JUHORIMYRDESRB-UHFFFAOYSA-N 0.000 description 1
- SRSXLGNVWSONIS-UHFFFAOYSA-N benzenesulfonic acid Chemical compound OS(=O)(=O)C1=CC=CC=C1 SRSXLGNVWSONIS-UHFFFAOYSA-N 0.000 description 1
- 229940092714 benzenesulfonic acid Drugs 0.000 description 1
- 125000003785 benzimidazolyl group Chemical group N1=C(NC2=C1C=CC=C2)* 0.000 description 1
- 125000004618 benzofuryl group Chemical group O1C(=CC2=C1C=CC=C2)* 0.000 description 1
- 235000010233 benzoic acid Nutrition 0.000 description 1
- 125000005874 benzothiadiazolyl group Chemical group 0.000 description 1
- 125000001164 benzothiazolyl group Chemical group S1C(=NC2=C1C=CC=C2)* 0.000 description 1
- 125000004196 benzothienyl group Chemical group S1C(=CC2=C1C=CC=C2)* 0.000 description 1
- 125000004541 benzoxazolyl group Chemical group O1C(=NC2=C1C=CC=C2)* 0.000 description 1
- WQZGKKKJIJFFOK-VFUOTHLCSA-N beta-D-glucose Chemical compound OC[C@H]1O[C@@H](O)[C@H](O)[C@@H](O)[C@@H]1O WQZGKKKJIJFFOK-VFUOTHLCSA-N 0.000 description 1
- 108010005774 beta-Galactosidase Proteins 0.000 description 1
- IQFYYKKMVGJFEH-UHFFFAOYSA-N beta-L-thymidine Natural products O=C1NC(=O)C(C)=CN1C1OC(CO)C(O)C1 IQFYYKKMVGJFEH-UHFFFAOYSA-N 0.000 description 1
- 238000001574 biopsy Methods 0.000 description 1
- 229960002685 biotin Drugs 0.000 description 1
- 235000020958 biotin Nutrition 0.000 description 1
- 239000011616 biotin Substances 0.000 description 1
- 229960001561 bleomycin Drugs 0.000 description 1
- OYVAGSVQBOHSSS-UAPAGMARSA-O bleomycin A2 Chemical compound N([C@H](C(=O)N[C@H](C)[C@@H](O)[C@H](C)C(=O)N[C@@H]([C@H](O)C)C(=O)NCCC=1SC=C(N=1)C=1SC=C(N=1)C(=O)NCCC[S+](C)C)[C@@H](O[C@H]1[C@H]([C@@H](O)[C@H](O)[C@H](CO)O1)O[C@@H]1[C@H]([C@@H](OC(N)=O)[C@H](O)[C@@H](CO)O1)O)C=1N=CNC=1)C(=O)C1=NC([C@H](CC(N)=O)NC[C@H](N)C(N)=O)=NC(N)=C1C OYVAGSVQBOHSSS-UAPAGMARSA-O 0.000 description 1
- KDYFGRWQOYBRFD-NUQCWPJISA-N butanedioic acid Chemical compound O[14C](=O)CC[14C](O)=O KDYFGRWQOYBRFD-NUQCWPJISA-N 0.000 description 1
- 125000004063 butyryl group Chemical group O=C([*])C([H])([H])C([H])([H])C([H])([H])[H] 0.000 description 1
- FUFJGUQYACFECW-UHFFFAOYSA-L calcium hydrogenphosphate Chemical compound [Ca+2].OP([O-])([O-])=O FUFJGUQYACFECW-UHFFFAOYSA-L 0.000 description 1
- 159000000007 calcium salts Chemical class 0.000 description 1
- 229960000846 camphor Drugs 0.000 description 1
- 229930008380 camphor Natural products 0.000 description 1
- 239000002775 capsule Substances 0.000 description 1
- 239000001569 carbon dioxide Substances 0.000 description 1
- 229910002092 carbon dioxide Inorganic materials 0.000 description 1
- 229920003123 carboxymethyl cellulose sodium Polymers 0.000 description 1
- 229940063834 carboxymethylcellulose sodium Drugs 0.000 description 1
- 230000010261 cell growth Effects 0.000 description 1
- 239000006285 cell suspension Substances 0.000 description 1
- 238000005119 centrifugation Methods 0.000 description 1
- 229960002242 chlorocresol Drugs 0.000 description 1
- 238000004587 chromatography analysis Methods 0.000 description 1
- 235000017803 cinnamon Nutrition 0.000 description 1
- 125000000259 cinnolinyl group Chemical group N1=NC(=CC2=CC=CC=C12)* 0.000 description 1
- DQLATGHUWYMOKM-UHFFFAOYSA-L cisplatin Chemical compound N[Pt](N)(Cl)Cl DQLATGHUWYMOKM-UHFFFAOYSA-L 0.000 description 1
- 229960004316 cisplatin Drugs 0.000 description 1
- 235000015165 citric acid Nutrition 0.000 description 1
- 238000010367 cloning Methods 0.000 description 1
- 208000029742 colonic neoplasm Diseases 0.000 description 1
- 239000008120 corn starch Substances 0.000 description 1
- 229940099112 cornstarch Drugs 0.000 description 1
- 229930003836 cresol Natural products 0.000 description 1
- 229940013361 cresol Drugs 0.000 description 1
- 125000004122 cyclic group Chemical group 0.000 description 1
- 125000000582 cycloheptyl group Chemical group [H]C1([H])C([H])([H])C([H])([H])C([H])([H])C([H])(*)C([H])([H])C1([H])[H] 0.000 description 1
- 125000003113 cycloheptyloxy group Chemical group C1(CCCCCC1)O* 0.000 description 1
- 125000000113 cyclohexyl group Chemical group [H]C1([H])C([H])([H])C([H])([H])C([H])(*)C([H])([H])C1([H])[H] 0.000 description 1
- 125000002933 cyclohexyloxy group Chemical group C1(CCCCC1)O* 0.000 description 1
- 125000000640 cyclooctyl group Chemical group [H]C1([H])C([H])([H])C([H])([H])C([H])([H])C([H])(*)C([H])([H])C([H])([H])C1([H])[H] 0.000 description 1
- 125000004410 cyclooctyloxy group Chemical group C1(CCCCCCC1)O* 0.000 description 1
- 229960004397 cyclophosphamide Drugs 0.000 description 1
- 229940127089 cytotoxic agent Drugs 0.000 description 1
- 238000011161 development Methods 0.000 description 1
- 235000019700 dicalcium phosphate Nutrition 0.000 description 1
- 235000014113 dietary fatty acids Nutrition 0.000 description 1
- 238000010790 dilution Methods 0.000 description 1
- 239000012895 dilution Substances 0.000 description 1
- 125000000532 dioxanyl group Chemical group 0.000 description 1
- 239000002270 dispersing agent Substances 0.000 description 1
- 239000002552 dosage form Substances 0.000 description 1
- 201000000312 duodenum cancer Diseases 0.000 description 1
- 201000004101 esophageal cancer Diseases 0.000 description 1
- BEFDCLMNVWHSGT-UHFFFAOYSA-N ethenylcyclopentane Chemical compound C=CC1CCCC1 BEFDCLMNVWHSGT-UHFFFAOYSA-N 0.000 description 1
- 125000003754 ethoxycarbonyl group Chemical group C(=O)(OCC)* 0.000 description 1
- 235000019325 ethyl cellulose Nutrition 0.000 description 1
- 229920001249 ethyl cellulose Polymers 0.000 description 1
- 239000004403 ethyl p-hydroxybenzoate Substances 0.000 description 1
- 235000010228 ethyl p-hydroxybenzoate Nutrition 0.000 description 1
- 125000000031 ethylamino group Chemical group [H]C([H])([H])C([H])([H])N([H])[*] 0.000 description 1
- 125000002534 ethynyl group Chemical group [H]C#C* 0.000 description 1
- VJJPUSNTGOMMGY-MRVIYFEKSA-N etoposide Chemical class COC1=C(O)C(OC)=CC([C@@H]2C3=CC=4OCOC=4C=C3[C@@H](O[C@H]3[C@@H]([C@@H](O)[C@@H]4O[C@H](C)OC[C@H]4O3)O)[C@@H]3[C@@H]2C(OC3)=O)=C1 VJJPUSNTGOMMGY-MRVIYFEKSA-N 0.000 description 1
- 229960005420 etoposide Drugs 0.000 description 1
- 239000000194 fatty acid Substances 0.000 description 1
- 229930195729 fatty acid Natural products 0.000 description 1
- 239000004503 fine granule Substances 0.000 description 1
- 238000001943 fluorescence-activated cell sorting Methods 0.000 description 1
- 229960002949 fluorouracil Drugs 0.000 description 1
- 235000019253 formic acid Nutrition 0.000 description 1
- 239000001530 fumaric acid Substances 0.000 description 1
- 235000011087 fumaric acid Nutrition 0.000 description 1
- 125000003838 furazanyl group Chemical group 0.000 description 1
- 201000010175 gallbladder cancer Diseases 0.000 description 1
- 206010017758 gastric cancer Diseases 0.000 description 1
- 201000011243 gastrointestinal stromal tumor Diseases 0.000 description 1
- 239000008273 gelatin Substances 0.000 description 1
- 229920000159 gelatin Polymers 0.000 description 1
- 235000019322 gelatine Nutrition 0.000 description 1
- 235000011852 gelatine desserts Nutrition 0.000 description 1
- 238000002523 gelfiltration Methods 0.000 description 1
- 238000007429 general method Methods 0.000 description 1
- 239000008103 glucose Substances 0.000 description 1
- 208000014829 head and neck neoplasm Diseases 0.000 description 1
- 125000004836 hexamethylene group Chemical group [H]C([H])([*:2])C([H])([H])C([H])([H])C([H])([H])C([H])([H])C([H])([H])[*:1] 0.000 description 1
- 125000006038 hexenyl group Chemical group 0.000 description 1
- 125000005980 hexynyl group Chemical group 0.000 description 1
- 238000012333 histopathological diagnosis Methods 0.000 description 1
- 230000007062 hydrolysis Effects 0.000 description 1
- 238000006460 hydrolysis reaction Methods 0.000 description 1
- 235000019447 hydroxyethyl cellulose Nutrition 0.000 description 1
- 235000010979 hydroxypropyl methyl cellulose Nutrition 0.000 description 1
- 239000001866 hydroxypropyl methyl cellulose Substances 0.000 description 1
- 229920003088 hydroxypropyl methyl cellulose Polymers 0.000 description 1
- UFVKGYZPFZQRLF-UHFFFAOYSA-N hydroxypropyl methyl cellulose Chemical compound OC1C(O)C(OC)OC(CO)C1OC1C(O)C(O)C(OC2C(C(O)C(OC3C(C(O)C(O)C(CO)O3)O)C(CO)O2)O)C(CO)O1 UFVKGYZPFZQRLF-UHFFFAOYSA-N 0.000 description 1
- 125000005945 imidazopyridyl group Chemical group 0.000 description 1
- 125000003453 indazolyl group Chemical group N1N=C(C2=C1C=CC=C2)* 0.000 description 1
- 125000003454 indenyl group Chemical group C1(C=CC2=CC=CC=C12)* 0.000 description 1
- 125000001041 indolyl group Chemical group 0.000 description 1
- 239000003112 inhibitor Substances 0.000 description 1
- 229910052740 iodine Inorganic materials 0.000 description 1
- 238000004255 ion exchange chromatography Methods 0.000 description 1
- 125000000904 isoindolyl group Chemical group C=1(NC=C2C=CC=CC12)* 0.000 description 1
- 125000001972 isopentyl group Chemical group [H]C([H])([H])C([H])(C([H])([H])[H])C([H])([H])C([H])([H])* 0.000 description 1
- 125000005956 isoquinolyl group Chemical group 0.000 description 1
- 201000010982 kidney cancer Diseases 0.000 description 1
- 239000004310 lactic acid Substances 0.000 description 1
- 235000014655 lactic acid Nutrition 0.000 description 1
- 239000008101 lactose Substances 0.000 description 1
- HWLFIUUAYLEFCT-UHFFFAOYSA-N lenvatinib mesylate Chemical compound CS(O)(=O)=O.C=12C=C(C(N)=O)C(OC)=CC2=NC=CC=1OC(C=C1Cl)=CC=C1NC(=O)NC1CC1 HWLFIUUAYLEFCT-UHFFFAOYSA-N 0.000 description 1
- 208000032839 leukemia Diseases 0.000 description 1
- 230000000670 limiting effect Effects 0.000 description 1
- 201000007270 liver cancer Diseases 0.000 description 1
- 208000014018 liver neoplasm Diseases 0.000 description 1
- 229940031703 low substituted hydroxypropyl cellulose Drugs 0.000 description 1
- 201000005202 lung cancer Diseases 0.000 description 1
- 208000020816 lung neoplasm Diseases 0.000 description 1
- 229960003511 macrogol Drugs 0.000 description 1
- 159000000003 magnesium salts Chemical class 0.000 description 1
- 235000019359 magnesium stearate Nutrition 0.000 description 1
- VZCYOOQTPOCHFL-UPHRSURJSA-N maleic acid Chemical compound OC(=O)\C=C/C(O)=O VZCYOOQTPOCHFL-UPHRSURJSA-N 0.000 description 1
- 239000011976 maleic acid Substances 0.000 description 1
- 208000015486 malignant pancreatic neoplasm Diseases 0.000 description 1
- 208000026037 malignant tumor of neck Diseases 0.000 description 1
- 108010082117 matrigel Proteins 0.000 description 1
- 238000005259 measurement Methods 0.000 description 1
- 201000001441 melanoma Diseases 0.000 description 1
- 239000001525 mentha piperita l. herb oil Substances 0.000 description 1
- 229940041616 menthol Drugs 0.000 description 1
- 230000004060 metabolic process Effects 0.000 description 1
- 229910052751 metal Chemical class 0.000 description 1
- 239000002184 metal Chemical class 0.000 description 1
- 230000009401 metastasis Effects 0.000 description 1
- 229940098779 methanesulfonic acid Drugs 0.000 description 1
- 229960000485 methotrexate Drugs 0.000 description 1
- 125000001160 methoxycarbonyl group Chemical group [H]C([H])([H])OC(*)=O 0.000 description 1
- 239000004292 methyl p-hydroxybenzoate Substances 0.000 description 1
- 235000010270 methyl p-hydroxybenzoate Nutrition 0.000 description 1
- 125000001570 methylene group Chemical group [H]C([H])([*:1])[*:2] 0.000 description 1
- LXCFILQKKLGQFO-UHFFFAOYSA-N methylparaben Chemical compound COC(=O)C1=CC=C(O)C=C1 LXCFILQKKLGQFO-UHFFFAOYSA-N 0.000 description 1
- 229960002216 methylparaben Drugs 0.000 description 1
- 229960004857 mitomycin Drugs 0.000 description 1
- 201000002077 muscle cancer Diseases 0.000 description 1
- 125000006606 n-butoxy group Chemical group 0.000 description 1
- 125000002004 n-butylamino group Chemical group [H]N(*)C([H])([H])C([H])([H])C([H])([H])C([H])([H])[H] 0.000 description 1
- 125000001280 n-hexyl group Chemical group C(CCCCC)* 0.000 description 1
- 125000000740 n-pentyl group Chemical group [H]C([H])([H])C([H])([H])C([H])([H])C([H])([H])C([H])([H])* 0.000 description 1
- 125000004888 n-propyl amino group Chemical group [H]N(*)C([H])([H])C([H])([H])C([H])([H])[H] 0.000 description 1
- 230000003472 neutralizing effect Effects 0.000 description 1
- 125000002868 norbornyl group Chemical group C12(CCC(CC1)C2)* 0.000 description 1
- 125000005295 norbornyloxy group Chemical group C12(CCC(CC1)C2)O* 0.000 description 1
- 238000011580 nude mouse model Methods 0.000 description 1
- QIQXTHQIDYTFRH-UHFFFAOYSA-N octadecanoic acid Chemical compound CCCCCCCCCCCCCCCCCC(O)=O QIQXTHQIDYTFRH-UHFFFAOYSA-N 0.000 description 1
- OQCDKBAXFALNLD-UHFFFAOYSA-N octadecanoic acid Natural products CCCCCCCC(C)CCCCCCCCC(O)=O OQCDKBAXFALNLD-UHFFFAOYSA-N 0.000 description 1
- 201000008968 osteosarcoma Diseases 0.000 description 1
- 125000001715 oxadiazolyl group Chemical group 0.000 description 1
- 125000000160 oxazolidinyl group Chemical group 0.000 description 1
- 125000003566 oxetanyl group Chemical group 0.000 description 1
- 230000003647 oxidation Effects 0.000 description 1
- 238000007254 oxidation reaction Methods 0.000 description 1
- 125000000466 oxiranyl group Chemical group 0.000 description 1
- 239000003002 pH adjusting agent Substances 0.000 description 1
- 229960001592 paclitaxel Drugs 0.000 description 1
- 201000002528 pancreatic cancer Diseases 0.000 description 1
- 208000008443 pancreatic carcinoma Diseases 0.000 description 1
- 230000007170 pathology Effects 0.000 description 1
- 125000004817 pentamethylene group Chemical group [H]C([H])([*:2])C([H])([H])C([H])([H])C([H])([H])C([H])([H])[*:1] 0.000 description 1
- 125000003538 pentan-3-yl group Chemical group [H]C([H])([H])C([H])([H])C([H])(*)C([H])([H])C([H])([H])[H] 0.000 description 1
- 125000002255 pentenyl group Chemical group C(=CCCC)* 0.000 description 1
- 125000005981 pentynyl group Chemical group 0.000 description 1
- 235000019477 peppermint oil Nutrition 0.000 description 1
- 201000008006 pharynx cancer Diseases 0.000 description 1
- 229960003742 phenol Drugs 0.000 description 1
- NBIIXXVUZAFLBC-UHFFFAOYSA-K phosphate Chemical compound [O-]P([O-])([O-])=O NBIIXXVUZAFLBC-UHFFFAOYSA-K 0.000 description 1
- 239000010452 phosphate Substances 0.000 description 1
- 239000008363 phosphate buffer Substances 0.000 description 1
- 125000004592 phthalazinyl group Chemical group C1(=NN=CC2=CC=CC=C12)* 0.000 description 1
- 229920002451 polyvinyl alcohol Polymers 0.000 description 1
- 235000019422 polyvinyl alcohol Nutrition 0.000 description 1
- XAEFZNCEHLXOMS-UHFFFAOYSA-M potassium benzoate Chemical compound [K+].[O-]C(=O)C1=CC=CC=C1 XAEFZNCEHLXOMS-UHFFFAOYSA-M 0.000 description 1
- 238000001556 precipitation Methods 0.000 description 1
- 238000004393 prognosis Methods 0.000 description 1
- 125000001501 propionyl group Chemical group O=C([*])C([H])([H])C([H])([H])[H] 0.000 description 1
- 102000004169 proteins and genes Human genes 0.000 description 1
- 108090000623 proteins and genes Proteins 0.000 description 1
- 210000001938 protoplast Anatomy 0.000 description 1
- 125000001042 pteridinyl group Chemical group N1=C(N=CC2=NC=CN=C12)* 0.000 description 1
- 125000000561 purinyl group Chemical group N1=C(N=C2N=CNC2=C1)* 0.000 description 1
- 125000003373 pyrazinyl group Chemical group 0.000 description 1
- 125000002098 pyridazinyl group Chemical group 0.000 description 1
- UMJSCPRVCHMLSP-UHFFFAOYSA-N pyridine Natural products COC1=CC=CN=C1 UMJSCPRVCHMLSP-UHFFFAOYSA-N 0.000 description 1
- 125000006085 pyrrolopyridyl group Chemical group 0.000 description 1
- 125000002294 quinazolinyl group Chemical group N1=C(N=CC2=CC=CC=C12)* 0.000 description 1
- 125000005493 quinolyl group Chemical group 0.000 description 1
- 125000001567 quinoxalinyl group Chemical group N1=C(C=NC2=CC=CC=C12)* 0.000 description 1
- 238000003127 radioimmunoassay Methods 0.000 description 1
- 206010038038 rectal cancer Diseases 0.000 description 1
- 201000001275 rectum cancer Diseases 0.000 description 1
- 230000009467 reduction Effects 0.000 description 1
- 238000006722 reduction reaction Methods 0.000 description 1
- 238000012216 screening Methods 0.000 description 1
- 230000035945 sensitivity Effects 0.000 description 1
- 125000003808 silyl group Chemical group [H][Si]([H])([H])[*] 0.000 description 1
- 201000002314 small intestine cancer Diseases 0.000 description 1
- HRZFUMHJMZEROT-UHFFFAOYSA-L sodium disulfite Chemical compound [Na+].[Na+].[O-]S(=O)S([O-])(=O)=O HRZFUMHJMZEROT-UHFFFAOYSA-L 0.000 description 1
- 159000000000 sodium salts Chemical class 0.000 description 1
- 235000010265 sodium sulphite Nutrition 0.000 description 1
- 239000008279 sol Substances 0.000 description 1
- 239000004334 sorbic acid Substances 0.000 description 1
- 235000010199 sorbic acid Nutrition 0.000 description 1
- 229940075582 sorbic acid Drugs 0.000 description 1
- 210000000952 spleen Anatomy 0.000 description 1
- 239000008117 stearic acid Substances 0.000 description 1
- 201000011549 stomach cancer Diseases 0.000 description 1
- 239000005720 sucrose Substances 0.000 description 1
- 238000009495 sugar coating Methods 0.000 description 1
- 239000000725 suspension Substances 0.000 description 1
- 208000024891 symptom Diseases 0.000 description 1
- 239000003826 tablet Substances 0.000 description 1
- 239000000454 talc Substances 0.000 description 1
- 229910052623 talc Inorganic materials 0.000 description 1
- 229950009893 tandutinib Drugs 0.000 description 1
- 239000011975 tartaric acid Substances 0.000 description 1
- 235000002906 tartaric acid Nutrition 0.000 description 1
- RCINICONZNJXQF-MZXODVADSA-N taxol Chemical class O([C@@H]1[C@@]2(C[C@@H](C(C)=C(C2(C)C)[C@H](C([C@]2(C)[C@@H](O)C[C@H]3OC[C@]3([C@H]21)OC(C)=O)=O)OC(=O)C)OC(=O)[C@H](O)[C@@H](NC(=O)C=1C=CC=CC=1)C=1C=CC=CC=1)O)C(=O)C1=CC=CC=C1 RCINICONZNJXQF-MZXODVADSA-N 0.000 description 1
- 125000005958 tetrahydrothienyl group Chemical group 0.000 description 1
- 125000004632 tetrahydrothiopyranyl group Chemical group S1C(CCCC1)* 0.000 description 1
- 125000000383 tetramethylene group Chemical group [H]C([H])([*:1])C([H])([H])C([H])([H])C([H])([H])[*:2] 0.000 description 1
- 125000003831 tetrazolyl group Chemical group 0.000 description 1
- 125000001113 thiadiazolyl group Chemical group 0.000 description 1
- 125000001984 thiazolidinyl group Chemical group 0.000 description 1
- 125000004589 thienofuryl group Chemical group O1C(=CC2=C1C=CS2)* 0.000 description 1
- 125000004588 thienopyridyl group Chemical group S1C(=CC2=C1C=CC=N2)* 0.000 description 1
- 229940104230 thymidine Drugs 0.000 description 1
- 201000002510 thyroid cancer Diseases 0.000 description 1
- 208000013066 thyroid gland cancer Diseases 0.000 description 1
- 201000006134 tongue cancer Diseases 0.000 description 1
- 239000012929 tonicity agent Substances 0.000 description 1
- 235000010487 tragacanth Nutrition 0.000 description 1
- 239000000196 tragacanth Substances 0.000 description 1
- 229940116362 tragacanth Drugs 0.000 description 1
- 238000002054 transplantation Methods 0.000 description 1
- 125000004306 triazinyl group Chemical group 0.000 description 1
- 125000001425 triazolyl group Chemical group 0.000 description 1
- 210000004881 tumor cell Anatomy 0.000 description 1
- 239000000439 tumor marker Substances 0.000 description 1
- 201000005112 urinary bladder cancer Diseases 0.000 description 1
- 206010046766 uterine cancer Diseases 0.000 description 1
- 125000003774 valeryl group Chemical group O=C([*])C([H])([H])C([H])([H])C([H])([H])C([H])([H])[H] 0.000 description 1
- 210000003556 vascular endothelial cell Anatomy 0.000 description 1
- 229950000578 vatalanib Drugs 0.000 description 1
- OGWKCGZFUXNPDA-XQKSVPLYSA-N vincristine Chemical class C([N@]1C[C@@H](C[C@]2(C(=O)OC)C=3C(=CC4=C([C@]56[C@H]([C@@]([C@H](OC(C)=O)[C@]7(CC)C=CCN([C@H]67)CC5)(O)C(=O)OC)N4C=O)C=3)OC)C[C@@](C1)(O)CC)CC1=C2NC2=CC=CC=C12 OGWKCGZFUXNPDA-XQKSVPLYSA-N 0.000 description 1
- OGWKCGZFUXNPDA-UHFFFAOYSA-N vincristine Chemical class C1C(CC)(O)CC(CC2(C(=O)OC)C=3C(=CC4=C(C56C(C(C(OC(C)=O)C7(CC)C=CCN(C67)CC5)(O)C(=O)OC)N4C=O)C=3)OC)CN1CCC1=C2NC2=CC=CC=C12 OGWKCGZFUXNPDA-UHFFFAOYSA-N 0.000 description 1
- 229960004528 vincristine Drugs 0.000 description 1
- XLYOFNOQVPJJNP-UHFFFAOYSA-N water Substances O XLYOFNOQVPJJNP-UHFFFAOYSA-N 0.000 description 1
Images
Classifications
-
- C—CHEMISTRY; METALLURGY
- C07—ORGANIC CHEMISTRY
- C07D—HETEROCYCLIC COMPOUNDS
- C07D215/00—Heterocyclic compounds containing quinoline or hydrogenated quinoline ring systems
- C07D215/02—Heterocyclic compounds containing quinoline or hydrogenated quinoline ring systems having no bond between the ring nitrogen atom and a non-ring member or having only hydrogen atoms or carbon atoms directly attached to the ring nitrogen atom
- C07D215/16—Heterocyclic compounds containing quinoline or hydrogenated quinoline ring systems having no bond between the ring nitrogen atom and a non-ring member or having only hydrogen atoms or carbon atoms directly attached to the ring nitrogen atom with hetero atoms or with carbon atoms having three bonds to hetero atoms with at the most one bond to halogen, e.g. ester or nitrile radicals, directly attached to ring carbon atoms
- C07D215/48—Carbon atoms having three bonds to hetero atoms with at the most one bond to halogen
-
- A—HUMAN NECESSITIES
- A61—MEDICAL OR VETERINARY SCIENCE; HYGIENE
- A61K—PREPARATIONS FOR MEDICAL, DENTAL OR TOILETRY PURPOSES
- A61K31/00—Medicinal preparations containing organic active ingredients
- A61K31/33—Heterocyclic compounds
- A61K31/395—Heterocyclic compounds having nitrogen as a ring hetero atom, e.g. guanethidine or rifamycins
- A61K31/40—Heterocyclic compounds having nitrogen as a ring hetero atom, e.g. guanethidine or rifamycins having five-membered rings with one nitrogen as the only ring hetero atom, e.g. sulpiride, succinimide, tolmetin, buflomedil
- A61K31/403—Heterocyclic compounds having nitrogen as a ring hetero atom, e.g. guanethidine or rifamycins having five-membered rings with one nitrogen as the only ring hetero atom, e.g. sulpiride, succinimide, tolmetin, buflomedil condensed with carbocyclic rings, e.g. carbazole
- A61K31/404—Indoles, e.g. pindolol
-
- A—HUMAN NECESSITIES
- A61—MEDICAL OR VETERINARY SCIENCE; HYGIENE
- A61K—PREPARATIONS FOR MEDICAL, DENTAL OR TOILETRY PURPOSES
- A61K31/00—Medicinal preparations containing organic active ingredients
- A61K31/33—Heterocyclic compounds
- A61K31/395—Heterocyclic compounds having nitrogen as a ring hetero atom, e.g. guanethidine or rifamycins
- A61K31/435—Heterocyclic compounds having nitrogen as a ring hetero atom, e.g. guanethidine or rifamycins having six-membered rings with one nitrogen as the only ring hetero atom
- A61K31/44—Non condensed pyridines; Hydrogenated derivatives thereof
- A61K31/4409—Non condensed pyridines; Hydrogenated derivatives thereof only substituted in position 4, e.g. isoniazid, iproniazid
-
- A—HUMAN NECESSITIES
- A61—MEDICAL OR VETERINARY SCIENCE; HYGIENE
- A61K—PREPARATIONS FOR MEDICAL, DENTAL OR TOILETRY PURPOSES
- A61K31/00—Medicinal preparations containing organic active ingredients
- A61K31/33—Heterocyclic compounds
- A61K31/395—Heterocyclic compounds having nitrogen as a ring hetero atom, e.g. guanethidine or rifamycins
- A61K31/435—Heterocyclic compounds having nitrogen as a ring hetero atom, e.g. guanethidine or rifamycins having six-membered rings with one nitrogen as the only ring hetero atom
- A61K31/44—Non condensed pyridines; Hydrogenated derivatives thereof
- A61K31/4427—Non condensed pyridines; Hydrogenated derivatives thereof containing further heterocyclic ring systems
- A61K31/4439—Non condensed pyridines; Hydrogenated derivatives thereof containing further heterocyclic ring systems containing a five-membered ring with nitrogen as a ring hetero atom, e.g. omeprazole
-
- A—HUMAN NECESSITIES
- A61—MEDICAL OR VETERINARY SCIENCE; HYGIENE
- A61K—PREPARATIONS FOR MEDICAL, DENTAL OR TOILETRY PURPOSES
- A61K31/00—Medicinal preparations containing organic active ingredients
- A61K31/33—Heterocyclic compounds
- A61K31/395—Heterocyclic compounds having nitrogen as a ring hetero atom, e.g. guanethidine or rifamycins
- A61K31/435—Heterocyclic compounds having nitrogen as a ring hetero atom, e.g. guanethidine or rifamycins having six-membered rings with one nitrogen as the only ring hetero atom
- A61K31/47—Quinolines; Isoquinolines
-
- A—HUMAN NECESSITIES
- A61—MEDICAL OR VETERINARY SCIENCE; HYGIENE
- A61K—PREPARATIONS FOR MEDICAL, DENTAL OR TOILETRY PURPOSES
- A61K31/00—Medicinal preparations containing organic active ingredients
- A61K31/33—Heterocyclic compounds
- A61K31/395—Heterocyclic compounds having nitrogen as a ring hetero atom, e.g. guanethidine or rifamycins
- A61K31/435—Heterocyclic compounds having nitrogen as a ring hetero atom, e.g. guanethidine or rifamycins having six-membered rings with one nitrogen as the only ring hetero atom
- A61K31/47—Quinolines; Isoquinolines
- A61K31/4709—Non-condensed quinolines and containing further heterocyclic rings
-
- A—HUMAN NECESSITIES
- A61—MEDICAL OR VETERINARY SCIENCE; HYGIENE
- A61K—PREPARATIONS FOR MEDICAL, DENTAL OR TOILETRY PURPOSES
- A61K31/00—Medicinal preparations containing organic active ingredients
- A61K31/33—Heterocyclic compounds
- A61K31/395—Heterocyclic compounds having nitrogen as a ring hetero atom, e.g. guanethidine or rifamycins
- A61K31/495—Heterocyclic compounds having nitrogen as a ring hetero atom, e.g. guanethidine or rifamycins having six-membered rings with two or more nitrogen atoms as the only ring heteroatoms, e.g. piperazine or tetrazines
- A61K31/50—Pyridazines; Hydrogenated pyridazines
- A61K31/502—Pyridazines; Hydrogenated pyridazines ortho- or peri-condensed with carbocyclic ring systems, e.g. cinnoline, phthalazine
-
- A—HUMAN NECESSITIES
- A61—MEDICAL OR VETERINARY SCIENCE; HYGIENE
- A61K—PREPARATIONS FOR MEDICAL, DENTAL OR TOILETRY PURPOSES
- A61K31/00—Medicinal preparations containing organic active ingredients
- A61K31/33—Heterocyclic compounds
- A61K31/395—Heterocyclic compounds having nitrogen as a ring hetero atom, e.g. guanethidine or rifamycins
- A61K31/495—Heterocyclic compounds having nitrogen as a ring hetero atom, e.g. guanethidine or rifamycins having six-membered rings with two or more nitrogen atoms as the only ring heteroatoms, e.g. piperazine or tetrazines
- A61K31/505—Pyrimidines; Hydrogenated pyrimidines, e.g. trimethoprim
- A61K31/506—Pyrimidines; Hydrogenated pyrimidines, e.g. trimethoprim not condensed and containing further heterocyclic rings
-
- A—HUMAN NECESSITIES
- A61—MEDICAL OR VETERINARY SCIENCE; HYGIENE
- A61K—PREPARATIONS FOR MEDICAL, DENTAL OR TOILETRY PURPOSES
- A61K31/00—Medicinal preparations containing organic active ingredients
- A61K31/33—Heterocyclic compounds
- A61K31/395—Heterocyclic compounds having nitrogen as a ring hetero atom, e.g. guanethidine or rifamycins
- A61K31/495—Heterocyclic compounds having nitrogen as a ring hetero atom, e.g. guanethidine or rifamycins having six-membered rings with two or more nitrogen atoms as the only ring heteroatoms, e.g. piperazine or tetrazines
- A61K31/505—Pyrimidines; Hydrogenated pyrimidines, e.g. trimethoprim
- A61K31/517—Pyrimidines; Hydrogenated pyrimidines, e.g. trimethoprim ortho- or peri-condensed with carbocyclic ring systems, e.g. quinazoline, perimidine
-
- A—HUMAN NECESSITIES
- A61—MEDICAL OR VETERINARY SCIENCE; HYGIENE
- A61K—PREPARATIONS FOR MEDICAL, DENTAL OR TOILETRY PURPOSES
- A61K31/00—Medicinal preparations containing organic active ingredients
- A61K31/33—Heterocyclic compounds
- A61K31/395—Heterocyclic compounds having nitrogen as a ring hetero atom, e.g. guanethidine or rifamycins
- A61K31/495—Heterocyclic compounds having nitrogen as a ring hetero atom, e.g. guanethidine or rifamycins having six-membered rings with two or more nitrogen atoms as the only ring heteroatoms, e.g. piperazine or tetrazines
- A61K31/505—Pyrimidines; Hydrogenated pyrimidines, e.g. trimethoprim
- A61K31/519—Pyrimidines; Hydrogenated pyrimidines, e.g. trimethoprim ortho- or peri-condensed with heterocyclic rings
-
- A—HUMAN NECESSITIES
- A61—MEDICAL OR VETERINARY SCIENCE; HYGIENE
- A61K—PREPARATIONS FOR MEDICAL, DENTAL OR TOILETRY PURPOSES
- A61K31/00—Medicinal preparations containing organic active ingredients
- A61K31/33—Heterocyclic compounds
- A61K31/395—Heterocyclic compounds having nitrogen as a ring hetero atom, e.g. guanethidine or rifamycins
- A61K31/535—Heterocyclic compounds having nitrogen as a ring hetero atom, e.g. guanethidine or rifamycins having six-membered rings with at least one nitrogen and one oxygen as the ring hetero atoms, e.g. 1,2-oxazines
- A61K31/5375—1,4-Oxazines, e.g. morpholine
- A61K31/5377—1,4-Oxazines, e.g. morpholine not condensed and containing further heterocyclic rings, e.g. timolol
-
- A—HUMAN NECESSITIES
- A61—MEDICAL OR VETERINARY SCIENCE; HYGIENE
- A61K—PREPARATIONS FOR MEDICAL, DENTAL OR TOILETRY PURPOSES
- A61K45/00—Medicinal preparations containing active ingredients not provided for in groups A61K31/00 - A61K41/00
- A61K45/06—Mixtures of active ingredients without chemical characterisation, e.g. antiphlogistics and cardiaca
-
- A—HUMAN NECESSITIES
- A61—MEDICAL OR VETERINARY SCIENCE; HYGIENE
- A61P—SPECIFIC THERAPEUTIC ACTIVITY OF CHEMICAL COMPOUNDS OR MEDICINAL PREPARATIONS
- A61P35/00—Antineoplastic agents
-
- A—HUMAN NECESSITIES
- A61—MEDICAL OR VETERINARY SCIENCE; HYGIENE
- A61P—SPECIFIC THERAPEUTIC ACTIVITY OF CHEMICAL COMPOUNDS OR MEDICINAL PREPARATIONS
- A61P43/00—Drugs for specific purposes, not provided for in groups A61P1/00-A61P41/00
Definitions
- the present invention relates to a pharmaceutical composition and a kit comprising a combination of a compound represented by Formula (I), a pharmacologically acceptable salt thereof or a solvate thereof (hereinafter, also referred to as a “compound of the invention”) and a substance having a c-kit kinase-inhibiting activity (hereinafter, also referred to as a “c-kit inhibitor”), to a method for treating cancer comprising administering an effective amount of the pharmaceutical composition to a patient, to use of the compound of the invention for producing the pharmaceutical composition, and to the compound of the invention used for the pharmaceutical composition.
- a compound represented by Formula (I) a pharmacologically acceptable salt thereof or a solvate thereof
- c-kit inhibitor substance having a c-kit kinase-inhibiting activity
- chemotherapeutic agents for cancer examples include alkylating agents such as cyclophosphamide, antimetabolites such as methotrexate and fluorouracil, antibiotics such as adriamycin, mitomycin and bleomycin, plant-derived taxol, vincristine and etoposide and metal complexes such as cisplatin. None of them, however, provides sufficient antitumor effect, and thus development of a novel antitumor drug has been strongly desired.
- alkylating agents such as cyclophosphamide
- antimetabolites such as methotrexate and fluorouracil
- antibiotics such as adriamycin, mitomycin and bleomycin
- plant-derived taxol vincristine and etoposide
- metal complexes such as cisplatin. None of them, however, provides sufficient antitumor effect, and thus development of a novel antitumor drug has been strongly desired.
- imatinib 4-(4-methylpiperazine-1-ylmethyl)-N-[4-methyl-3-[4-(3-pyridyl)pyrimidine-2-ylamino]phenyl]benzenamide
- imatinib 4-(4-methylpiperazine-1-ylmethyl)-N-[4-methyl-3-[4-(3-pyridyl)pyrimidine-2-ylamino]phenyl]benzenamide
- the present invention was achieved regarding the circumstances described above.
- the problem to be solved by the invention is to find a pharmaceutical composition having an excellent antitumor effect and a method for treating cancer.
- the present invention relates to:
- a pharmaceutical composition comprising a combination of a compound represented by Formula (I), a pharmacologically acceptable salt thereof or a solvate thereof and a substance having a c-kit kinase-inhibiting activity.
- a kit comprising: (a) at least one selected from the group consisting of a package, an instruction and an attached document describing combined use of a compound represented by Formula (I), a pharmacologically acceptable salt thereof or a solvate thereof and a substance having a c-kit kinase-inhibiting activity; and (b) a pharmaceutical composition comprising a compound represented by Formula (I), a pharmacologically acceptable salt thereof or a solvate thereof.
- a kit comprising a set of a formulation containing a compound represented by Formula (I), a pharmacologically acceptable salt thereof or a solvate thereof, and a formulation containing a substance having a c-kit kinase-inhibiting activity.
- a pharmaceutical composition comprising a compound represented by Formula (I), a pharmacologically acceptable salt thereof or a solvate thereof which is administered to a patient with a substance having a c-kit kinase-inhibiting activity.
- a method for treating cancer comprising administering an effective amount of a compound represented by Formula (I), a pharmacologically acceptable salt thereof or a solvate thereof and an effective amount of a substance having a c-kit kinase-inhibiting activity to a patient.
- R 1 represents group represented by Formula —V 1 —V 2 —V 3 (wherein, V 1 represents C 1-6 alkylene group that may have a substituent; V 2 represents a single bond, an oxygen atom, a sulfur atom, carbonyl group, sulfinyl group, sulfonyl group, group represented by Formula —CONR 6 —, group represented by Formula —SO 2 NR 6 —, group represented by Formula —NR 6 SO 2 —, group represented by Formula —NR 6 CO— or group represented by Formula —NR 6 — (wherein, R 6 represents a hydrogen atom, C 1-6 alkyl group that may have a substituent or C 3-8 cycloalkyl group that may have a substituent); V 3 represents a hydrogen atom, C 1-6 alkyl group that may have a substituent, C 2-6 alkenyl group that may have a substituent, C 2-6 alkynyl group that may have a substituent, C 3-8 cycl
- R 7 and R 8 each independently represent a hydrogen atom, a halogen atom, cyano group, nitro group, amino group, C 1-6 alkyl group that may have a substituent, C 3-8 cycloalkyl group that may have a substituent, C 1-6 alkoxy group that may have a substituent, C 1-6 alkylthio group that may have a substituent, formyl group, C 2-7 acyl group that may have a substituent, C 2-7 alkoxycarbonyl group that may have a substituent or group represented by Formula —CONV d1 V d2 (wherein, V d1 and V d2 each independently represent a hydrogen atom or C 1-6 alkyl group that may have a substituent); W 1 and W 2 each independently represent a carbon atom or a nitrogen atom that may have a substituent); R 3 and R 4 each independently represent a hydrogen atom, C 1-6 alkyl group that may have a substituent, C 2-6 alkeny
- the present invention preferably relates to the followings.
- a pharmaceutical composition comprising a combination of 4-(3-chloro-4-(cyclopropylaminocarbonyl)aminophenoxy)-7-methoxy-6-quinolinecarboxamide, a pharmacologically acceptable salt thereof or a solvate thereof and imatinib.
- a kit comprising: (a) at least one selected from the group consisting of a package, an instruction and an attached document describing combined use of 4-(3-chloro-4-(cyclopropylaminocarbonyl)aminophenoxy)-7-methoxy-6-quinolinecarboxamide, a pharmacologically acceptable salt thereof or a solvate thereof and imatinib; and (b) a pharmaceutical composition comprising 4-(3-chloro-4-(cyclopropylaminocarbonyl)aminophenoxy)-7-methoxy-6-quinolinecarboxamide, a pharmacologically acceptable salt thereof or a solvate thereof.
- a kit comprising a set of a formulation containing 4-(3-chloro-4-(cyclopropylaminocarbonyl)aminophenoxy)-7-methoxy-6-quinolinecarboxamide, a pharmacologically acceptable salt thereof or a solvate thereof and a formulation containing imatinib.
- a pharmaceutical composition comprising 4-(3-chloro-4-(cyclopropylaminocarbonyl)aminophenoxy)-7-methoxy-6-quinolinecarboxamide, a pharmacologically acceptable salt thereof or a solvate thereof which is administered to a patient together with imatinib.
- a method for treating cancer comprising administering an effective amount of 4-(3-chloro-4-(cyclopropylaminocarbonyl)aminophenoxy)-7-methoxy-6-quinolinecarboxamide, a pharmacologically acceptable salt thereof or a solvate thereof and an effective amount of imatinib to a patient.
- a pharmaceutical composition comprising a combination of a compound represented by Formula (I), a pharmacologically acceptable salt thereof or a solvate thereof and a c-kit inhibitor is provided, which can be used for treating cancer.
- FIG. 1 shows the combined effect of a VEGF receptor kinase inhibitor and a c-kit inhibitor in a human cancer cell line subcutaneous xenograft model.
- Compound A refers to 4-(3-chloro-4-(cyclopropylaminocarbonyl)aminophenoxy)-7-methoxy-6-quinolinecarboxamide and
- Compound B refers to imatinib.
- FIG. 2 shows the combined effect of a VEGF receptor kinase inhibitor and a c-kit inhibitor in a human cancer cell line subcutaneous xenograft model.
- Compound A refers to 4-(3-chloro-4-(cyclopropylaminocarbonyl)aminophenoxy)-7-methoxy-6-quinolinecarboxamide and Compound B refers to imatinib.
- a halogen atom refers to a fluorine atom, a chlorine atom, a bromine atom or an iodine atom.
- a halogen atom include a fluorine atom and a chlorine atom.
- C 1-6 alkyl group refers to linear or branched alkyl group with a carbon number of 1-6, and specific examples include methyl group, ethyl group, 1-propyl group (n-propyl group), 2-propyl group (i-propyl group), 2-methyl-1-propyl group (i-butyl group), 2-methyl-2-propyl group (t-butyl group), 1-butyl group (n-butyl group), 2-butyl group (s-butyl group), 1-pentyl group, 2-pentyl group, 3-pentyl group, 2-methyl-1-butyl group, 3-methyl-1-butyl group, 2-methyl-2-butyl group, 3-methyl-2-butyl group, 2,2-dimethyl-1-propyl group, 1-hexyl group, 2-hexyl group, 3-hexyl group, 2-methyl-1-pentyl group, 3-methyl-1-pentyl group, 4-methyl-1-pentyl group, 2-methyl-2
- C 1-6 alkyl group examples include methyl group, ethyl group, 1-propyl group, 2-propyl group, 2-methyl-1-propyl group, 2-methyl-2-propyl group, 1-butyl group and 2-butyl group.
- C 1-6 alkylene group refers to divalent group derived from the “C 1-6 alkyl group” defined above by removing any one hydrogen atom therefrom, and specific examples include methylene group, 1,2-ethylene group, 1,1-ethylene group, 1,3-propylene group, tetramethylene group, pentamethylene group and hexamethylene group.
- C 2-6 alkenyl group refers to linear or branched alkenyl group having one double bond and a carbon number of 2-6, and specific examples include ethenyl group (vinyl group), 1-propenyl group, 2-propenyl group (allyl group), 1-butenyl group, 2-butenyl group, 3-butenyl group, pentenyl group and hexenyl group.
- C 2-6 alkynyl group refers to linear or branched alkynyl group having one triple bond and a carbon number of 2-6, and specific examples include ethinyl group, 1-propynyl group, 2-propynyl group, 1-butynyl group, 2-butynyl group, 3-butynyl group, pentynyl group and hexynyl group.
- C 3-8 cycloalkyl group refers to monocyclic or bicyclic saturated aliphatic hydrocarbon group with a carbon number of 3-8, and specific examples include cyclopropyl group, cyclobutyl group, cyclopentyl group, cyclohexyl group, cycloheptyl group, cyclooctyl group, bicyclo[2.1.0]pentyl group, bicyclo[3.1.0]hexyl group, bicyclo[2.1.1]hexyl group, bicyclo[4.1.0]heptyl group, bicyclo[2.2.1]heptyl group (norbornyl group), bicyclo[3.3.0]octyl group, bicyclo[3.2.1]octyl group and bicyclo[2.2.2]octyl group.
- C 3-8 cycloalkyl group include cyclopropyl group, cyclobutyl group and cyclopentyl group.
- C 6-10 aryl group refers to aromatic hydrocarbon cyclic group with a carbon number of 6-10, and specific examples include phenyl group, 1-naphthyl group, 2-naphthyl group, indenyl group and azulenyl group.
- C 6-10 aryl group includes phenyl group.
- a heteroatom refers to a nitrogen atom, an oxygen atom or a sulfur atom.
- 5-10-membered heteroaryl group refers to aromatic cyclic group having 5-10 atoms forming the ring and 1-5 heteroatoms included in the atom forming the ring, and specific examples include furyl group, thienyl group, pyrrolyl group, imidazolyl group, triazolyl group, tetrazolyl group, thiazolyl group, pyrazolyl group, oxazolyl group, isoxazolyl group, isothiazolyl group, furazanyl group, thiadiazolyl group, oxadiazolyl group, pyridyl group, pyrazinyl group, pyridazinyl group, pyrimidinyl group, triazinyl group, purinyl group, pteridinyl group, quinolyl group, isoquinolyl group, naphthridinyl group, quinoxalinyl group, cinnolinyl group, quina
- “5-10-membered heteroaryl group” include furyl group, thienyl group, pyrrolyl group, imidazolyl group, thiazolyl group, pyrazolyl group, oxazolyl group, isoxazolyl group, isothiazolyl group, pyridyl group and pyrimidinyl group.
- (1) has 3-10 atoms forming the ring
- (3) may include 1-2 double bonds in the ring
- (4) may have 1-3 carbonyl group, sulfinyl group or sulfonyl group in the ring;
- (5) is nonaromatic monocyclic or bicyclic group.
- the nitrogen atom may have a binding hand.
- Specific examples include aziridinyl group, azetidinyl group, pyrrolidinyl group, piperidinyl group, azepanyl group, azocanyl group, piperazinyl group, diazepanyl group, diazocanyl group, diazabicyclo[2.2.1]heptyl group, morpholinyl group, thiomorpholinyl group, 1,1-dioxothiomorpholinyl group, oxiranyl group, oxetanyl group, tetrahydrofuryl group, dioxoranyl group, tetrahydropyranyl group, dioxanyl group, tetrahydrothienyl group, tetrahydrothiopyranyl group, oxazolidinyl group and thi
- “3-10-membered nonaromatic heterocyclic group” include aziridinyl group, azetidinyl group, pyrrolidinyl group, piperidinyl group, azepanyl group, piperazinyl group, diazepanyl group, morpholinyl group, thiomorpholinyl group, 1,1-dioxothiomorpholinyl group, tetrahydrofuryl group and tetrahydropyranyl group.
- C 1-6 alkoxy group refers to group in which an oxygen atom is bound to the terminal of “C 1-6 alkyl group” defined above, and specific examples include methoxy group, ethoxy group, 1-propoxy group (n-propoxy group), 2-propoxy group (i-propoxy group), 2-methyl-1-propoxy group (i-butoxy group), 2-methyl-2-propoxy group (t-butoxy group), 1-butoxy group (n-butoxy group), 2-butoxy group (s-butoxy group), 1-pentyloxy group, 2-pentyloxy group, 3-pentyloxy group, 2-methyl-1-butoxy group, 3-methyl-1-butoxy group, 2-methyl-2-butoxy group, 3-methyl-2-butoxy group, 2,2-dimethyl-1-propoxy group, 1-hexyloxy group, 2-hexyloxy group, 3-hexyloxy group, 2-methyl-1-pentyloxy group, 3-methyl-1-pentyloxy group, 4-methyl-1-pentyloxy group, 2-methyl-2-
- C 1-6 alkoxy group examples include methoxy group, ethoxy group, 1-propoxy group, 2-propoxy group, 2-methyl-1-propoxy group, 2-methyl-2-propoxy group, 1-butoxy group and 2-butoxy group.
- C 1-6 alkylthio group refers to group in which a sulfur atom is bound to the terminal of “C 1-6 alkyl group” defined above, and specific examples include methylthio group, ethylthio group, 1-propylthio group (n-propylthio group), 2-propylthio group (i-propylthio group), 2-methyl-1-propylthio group (i-butylthio group), 2-methyl-2-propylthio group (t-butylthio group), 1-butylthio group (n-butylthio group), 2-butylthio group (s-butylthio group), 1-pentylthio group, 2-pentylthio group, 3-pentylthio group, 2-methyl-1-butylthio group, 3-methyl-1-butylthio group, 2-methyl-2-butylthio group, 3-methyl-2-butylthio group, 2,2-dimethyl-1-propylthio group,
- C 1-6 alkylthio group examples include methylthio group, ethylthio group, 1-propylthio group (n-propylthio group), 2-propylthio group (i-propylthio group), 2-methyl-1-propylthio group (i-butylthio group), 2-methyl-2-propylthio group (t-butylthio group), 1-butylthio group (n-butylthio group) and 2-butylthio group (s-butylthio group).
- C 3-8 cycloalkoxy group refers to group in which an oxygen atom is bound to the terminal of “C 3-8 cycloalkyl group” defined above, and specific examples include cyclopropoxy group, cyclobutoxy group, cyclopentyloxy group, cyclohexyloxy group, cycloheptyloxy group, cyclooctyloxy group, bicyclo[2.1.0]pentyloxy group, bicyclo[3.1.0]hexyloxy group, bicyclo[2.1.1]hexyloxy group, bicyclo[4.1.0]heptyloxy group, bicyclo[2.2.1]heptyloxy group (norbornyloxy group), bicyclo[3.3.0]octyloxy group, bicyclo[3.2.1]octyloxy group and bicyclo[2.2.2]octyloxy group.
- C 3-8 cycloalkoxy group include cyclopropoxy group, cyclobutoxy group and cyclopentyloxy group.
- “mono-C 1-6 alkylamino group” refers to group in which a hydrogen atom in amino group is substituted with “C 1-6 alkyl group” defined above, and specific examples include methylamino group, ethylamino group, 1-propylamino group (n-propylamino group), 2-propylamino group (i-propylamino group), 2-methyl-1-propylamino group (i-butylamino group), 2-methyl-2-propylamino group (t-butylamino group), 1-butylamino group (n-butylamino group), 2-butylamino group (s-butylamino group), 1-pentylamino group, 2-pentylamino group, 3-pentylamino group, 2-methyl-1-butylamino group, 3-methyl-1-butylamino group, 2-methyl-2-butylamino group, 3-methyl-2-butylamino group, 2,2-dimethyl-1-propy
- di-C 1-6 alkylamino group refers to group in which two hydrogen atoms in amino group are substituted with identical or different “C 1-6 alkyl group” defined above, and specific examples include N,N-dimethylamino group, N,N-diethylamino group, N,N-di-n-propylamino group, N,N-di-i-propylamino group, N,N-di-n-butylamino group, N,N-di-i-butylamino group, N,N-di-s-butylamino group, N,N-di-t-butylamino group, N-ethyl-N-methylamino group, N-n-propyl-N-methylamino group, N-i-propyl-N-methylamino group, N-n-butyl-N-methylamino group, N-i-butyl-N-methylamino group, N-i-butyl
- C 2-7 acyl group refers to carbonyl group bound with “C 1-6 alkyl group” defined above, and specific examples include acetyl group, propionyl group, isopropionyl group, butyryl group, isobutyryl group, valeryl group, isovaleryl group and pivaloyl group.
- C 2-7 alkoxycarbonyl group refers to carbonyl group bound with “C 1-6 alkoxy group” defined above, and specific examples include methoxycarbonyl group, ethoxycarbonyl group, 1-propyloxycarbonyl group, 2-propyloxycarbonyl group and 2-methyl-2-propoxy group.
- “that may have a substituent” means “that may have one or more substituents in any combination at substitutable positions”, and specific examples include a halogen atom, hydroxyl group, thiol group, nitro group, cyano group, formyl group, carboxyl group, amino group, silyl group, methanesulfonyl group, C 1-6 alkyl group, C 2-6 alkenyl group, C 2-6 alkynyl group, C 3-8 cycloalkyl group, C 6-10 aryl group, 5-10-membered heteroaryl group, 3-10-membered nonaromatic heterocyclic group, C 1-6 alkoxy group, C 1-6 alkylthio group, C 3-8 cycloalkoxy group, mono-C 1-6 alkylamino group, di-C 16 alkylamino group, C 2-7 acyl group and C 2-7 alkoxycarbonyl group.
- C 1-6 alkyl group, C 2-6 alkenyl group, C 2-6 alkynyl group, C 3-8 cycloalkyl group, C 6-10 aryl group, 5-10-membered heteroaryl group, 3-10-membered nonaromatic heterocyclic group, C 1-6 alkoxy group, C 1-6 alkylthio group, C 3-8 cycloalkoxy group, mono-C 1-6 alkylamino group, di-C 1-6 alkylamino group, C 2-7 acyl group and C 2-7 alkoxycarbonyl group may each independently have 1-3 groups selected from the group consisting from the following substituent groups.
- R 1 represents group represented by Formula —V 1 —V 2 —V 3 (wherein, V 1 represents C 1-6 alkylene group that may have a substituent; V 2 represents a single bond, an oxygen atom, a sulfur atom, carbonyl group, sulfinyl group, sulfonyl group, group represented by Formula —CONR 6 —, group represented by Formula —SO 2 NR 6 —, group represented by Formula —NR 6 SO 2 —, group represented by Formula —NR 6 CO— or group represented by Formula —NR 6 — (wherein, R 6 represents a hydrogen atom, C 1-6 alkyl group that may have a substituent or C 3-8 cycloalkyl group that may have a substituent); V 3 represents a hydrogen atom, C 1-6 alkyl group that may have a substituent, C 2-6 alkenyl group that may have a substituent, C 2-6 alkynyl group that may have a substituent, C 3-8 cycloalky
- R 1 includes C 1-6 alkyl group.
- R 1 may have a substituent selected from 3-10-membered nonaromatic heterocyclic group which may have C 1-6 alkyl group, hydroxyl group, C 1-6 alkoxy group, amino group, mono-C 1-6 alkylamino group and di-C 1-6 alkylamino group.
- R 1 More preferable examples of R 1 include methyl group and group represented by any one of Formulae
- R a3 represents methyl group
- R a1 represents a hydrogen atom or hydroxyl group
- R a2 represents methoxy group, ethoxy group, 1-pyrrolidinyl group, 1-piperidinyl group, 4-morpholinyl group, dimethylamino group or diethylamino group).
- R 1 include methyl group and 2-methoxyethyl group.
- R 2 represents cyano group, C 1-6 alkoxy group that may have a substituent, carboxyl group, C 2-7 alkoxycarbonyl group that may have a substituent or group represented by Formula —CONV a11 V a12 (wherein, V a11 represents a hydrogen atom, C 1-6 alkyl group that may have a substituent, C 2-6 alkenyl group that may have a substituent, C 2-6 alkynyl group that may have a substituent, C 3-8 cycloalkyl group that may have a substituent, C 6-10 aryl group that may have a substituent, 5-10-membered heteroaryl group that may have a substituent or 3-10-membered nonaromatic heterocyclic group that may have a substituent; V a12 represents a hydrogen atom, C 1-6 alkyl group that may have a substituent, C 2-6 alkenyl group that may have a substituent, C 2-6 alkynyl group that may have a substitu
- R 2 include cyano group or group represented by Formula —CONV a11 V a12 (wherein, V a11 and V a12 have the same meaning as defined above).
- R 2 include cyano group or group represented by Formula —CONHV a16 (wherein, V a16 represents a hydrogen atom, C 1-6 alkyl group, C 3-8 cycloalkyl group, C 1-6 alkoxy group or C 3-8 cycloalkoxy group, where V a16 may have a substituent selected from a halogen atom, cyano group, hydroxyl group and C 1-6 alkoxy group).
- R 2 includes group represented by Formula —CONHV a17 (wherein, V a17 represents a hydrogen atom, C 1-6 alkyl group or C 1-6 alkoxy group).
- R 2 include group represented by Formula —CONHV a18 (wherein, V a18 represents a hydrogen atom, methyl group or methoxy group).
- Y 1 represents group represented by Formula
- R 7 and R 8 each independently represent a hydrogen atom, a halogen atom, cyano group, nitro group, amino group, C 1-6 alkyl group that may have a substituent, C 3-8 cycloalkyl group that may have a substituent, C 1-6 alkoxy group that may have a substituent, C 1-6 alkylthio group that may have a substituent, formyl group, C 2-7 acyl group that may have a substituent, C 2-7 alkoxycarbonyl group that may have a substituent or group represented by Formula —CONV d1 V d2 (wherein, V d1 and V d2 each independently represent a hydrogen atom or C 1-6 alkyl group that may have a substituent); and W 1 and W 2 each independently represent a carbon atom or a nitrogen atom that may have a substituent).
- a preferable example of Y 1 includes group represented by Formula
- R 71 represents a hydrogen atom or a halogen atom
- R 3 and R 4 each independently represent a hydrogen atom, C 1-6 alkyl group that may have a substituent, C 2-6 alkenyl group that may have a substituent, C 2-6 alkynyl group that may have a substituent, C 3-8 cycloalkyl group that may have a substituent, C 2-7 acyl group that may have a substituent or C 2-7 alkoxycarbonyl group that may have a substituent.
- R 3 and R 4 includes a hydrogen atom.
- R 5 represents a hydrogen atom, C 1-6 alkyl group that may have a substituent, C 2-6 alkenyl group that may have a substituent, C 2-6 alkynyl group that may have a substituent, C 3-8 cycloalkyl group that may have a substituent, C 6-10 aryl group that may have a substituent, 5-10-membered heteroaryl group that may have a substituent or 3-10-membered nonaromatic heterocyclic group that may have a substituent.
- R 5 include a hydrogen atom, C 1-6 alkyl group, C 3-8 cycloalkyl group and C 6-10 aryl group (where R 5 may have a substituent selected from a halogen atom and methanesulfonyl group).
- R 5 More preferable examples of R 5 include methyl group, ethyl group or cyclopropyl group.
- More preferable examples of the compound represented by Formula (I) further include:
- a still more preferable example of the compound represented by Formula (I) further includes 4-(3-chloro-4-(cyclopropylaminocarbonyl)aminophenoxy)-7-methoxy-6-quinolinecarboxamide (see Formula (II)).
- the most preferable example of the compound represented by Formula (I), a pharmacologically acceptable salt thereof or a solvate thereof includes methanesulfonate of 4-(3-chloro-4-(cyclopropylaminocarbonyl)aminophenoxy)-7-methoxy-6-quinolinecarboxamide.
- the compound represented by Formula (I) can be produced by a known method, for example, by methods described in International publication No. 02/32872 pamphlet (WO02/32872) and International publication No. 2005/063713 pamphlet (WO2005/063713).
- examples of the c-kit inhibitor include:
- Imatinib, SU5416, SU6668, SU11248, KRN633, PTK787/ZK222584, KRN951, AZD2171, AG013736, BAY 43-9006, AEE-788, PD180970, PD173955, MLN518 and BMS-354825 can be produced by a known method, for example, by methods described in the respective documents.
- imatinib is available by purchasing GlivecTM from Novartis Pharma K.K.
- the compound represented by Formula (I) and/or the c-kit inhibitor may form a pharmacologically acceptable salt with acid or base.
- the compound represented by Formula (I) and/or the c-kit inhibitor of the invention also comprises such pharmacologically acceptable salts.
- salts formed with acid include inorganic acid salts such as hydrochloride, hydrobromate, sulfate and phosphate, and organic acid salts such as formic acid, acetic acid, lactic acid, succinic acid, fumaric acid, maleic acid, citric acid, tartaric acid, stearic acid, benzoic acid, methanesulfonic acid, benzenesulfonic acid, p-toluenesulfonic acid and trifluoroacetic acid.
- salts formed with base include alkali metal salts such as sodium salt and potassium salt, alkaline earth metal salts such as calcium salt and magnesium salt, organic base salts such as trimethylamine, triethylamine, pyridine, picoline, dicyclohexylamine, N,N′-dibenzyl ethylenediamine, arginine and lysine and ammonium salt.
- alkali metal salts such as sodium salt and potassium salt
- alkaline earth metal salts such as calcium salt and magnesium salt
- organic base salts such as trimethylamine, triethylamine, pyridine, picoline, dicyclohexylamine, N,N′-dibenzyl ethylenediamine, arginine and lysine and ammonium salt.
- the compound represented by Formula (I) and/or the c-kit inhibitor also comprises, if any, solvates and enantiomers thereof.
- solvates include hydrates and nonhydrates, preferably hydrates.
- solvents include water, alcohols (for example, methanol, ethanol, n-propanol) and dimethylformamide.
- the compound represented by Formula (I) may be crystalline or amorphous. If a crystalline polymorph is present, it may be a single product of any one of the crystal forms or a mixture of such forms.
- the compound of the invention and/or the c-kit inhibitor also comprises compounds that generate the compound represented by Formula (I) and/or the c-kit inhibitor by undergoing metabolism such as oxidation, reduction and hydrolysis in vivo.
- an example of the c-kit inhibitor includes an anti-c-kit kinase antibody.
- an anti-c-kit kinase antibody is an antibody that has affinity with c-kit kinase or a partial fragment thereof.
- an anti-c-kit kinase antibody is a neutralizing antibody that recognizes and binds with c-kit kinase to inhibit the vascular endothelial cell growth activity of c-kit kinase.
- an anti-c-kit kinase antibody is, for example, a polyclonal antibody, a monoclonal antibody, a chimeric antibody, a single-chain antibody (scFV) (Huston et al. (1988) Proc. Natl. Acad. Sci.
- an anti-c-kit kinase antibody may be modified with polyethyleneglycol (PEG) or the like.
- PEG polyethyleneglycol
- an anti-c-kit kinase antibody may be produced as a fusion protein with ⁇ -galactosidase, MBP (maltose binding protein), GST (glutathione S-transferase), GFP (green fluorescence protein) or the like, which can be detected in an ELISA method or the like without using a secondary antibody.
- An anti-c-kit kinase antibody may be modified by being labeled with biotin or the like such that the antibody can be collected using avidin, streptavidin or the like.
- An anti-c-kit kinase antibody may be produced according to a conventional method using c-kit kinase or a partial fragment thereof (hereinafter, also referred to as a “polypeptide fragment of c-kit kinase”), or a cell expressing c-kit kinase or a partial fragment thereof as a sensitized antigen (“Current Protocols in Molecular Biology” (John Wiley & Sons (1987) Section 11.4-11.13)).
- a polypeptide fragment of c-kit kinase may be a fusion protein with an Fc region, GST, MBP, GFP, AP (alkaline phosphatase) or the like.
- a polyclonal antibody and a monoclonal antibody may be prepared according to a method known by those skilled in the art (Antibodies: A Laboratory Manual, E. Harlow and D. Lane, ed., Cold Spring Harbor Laboratory (Cold Spring Harbor, N.Y., 1988)).
- a polyclonal antibody may be obtained, for example, by administering an antigen to a mammal such as a mouse, a rabbit or a rat, collecting blood from this mammal, and separating and purifying an antibody from the collected blood. Immune sensitization methods are known by those skilled in the art, and may be carried out, for example, by administering an antigen once or more. Furthermore, an antigen (a polypeptide fragment of c-kit kinase) may be used by dissolving it in an appropriate buffer such as a buffer containing a complete Freund's adjuvant or a generally used adjuvant such as aluminum hydroxide, although no adjuvant may be used depending on the administration route or conditions.
- an antigen a polypeptide fragment of c-kit kinase
- an antigen may be used by dissolving it in an appropriate buffer such as a buffer containing a complete Freund's adjuvant or a generally used adjuvant such as aluminum hydroxide, although no adjuvant may be used depending
- Blood is taken from the mammal 1-2 months after the last immune sensitization, and separated and purified according to a conventional method such as centrifugation, precipitation using ammonium sulfate or polyethyleneglycol and various chromatographies, thereby obtaining a polyclonal antibody as a polyclonal antiserum.
- An example of a method for producing a monoclonal antibody includes a hybridoma technique.
- the hybridoma technique first sensitizes a mammal in the same manner as in the production of the polyclonal antibody.
- partial blood collection is carried out appropriate days after the sensitization to determine the antibody titer by a known method such as ELISA method.
- spleen is removed from the sensitized animal to obtain B cells.
- the B cells are fused with myeloma cells by a common method to produce antibody-producing hybridomas.
- the myeloma cells used are not particularly limited and known cells may be used.
- the method for fusing the cells may be any method selected from methods known in the art such as Sendai virus technique, polyethyleneglycol technique and protoplast technique.
- the obtained hybridomas are cultured for an appropriate period of time in an HAT medium (a medium containing hypoxanthine, aminopterin and thymidine) by a common method for hybridoma selection. Then, the antibody-producing hybridoma of interest may be screened and cloned.
- HAT medium a medium containing hypoxanthine, aminopterin and thymidine
- a known antibody detecting method such as ELISA method or radioimmunoassay method may be used as the screening method, and a method known in the art such as limiting dilution technique, FACS method or the like may be used as the cloning method.
- the obtained hybridoma may be cultured in an appropriate culture solution, or may be intraperitoneally administered, for example, to a mouse that is compatible with the hybridoma.
- the desired monoclonal antibody can be isolated and purified from the resulting culture solution or ascites by salt-out, ion-exchange chromatography, gel filtration, affinity chromatography or the like.
- the present invention relates to a pharmaceutical composition, a kit, a method for treating cancer or the like characterized by combining a compound of the invention and a c-kit inhibitor.
- the c-kit inhibitor is not particularly limited as long as it has an activity of inhibiting c-kit kinase.
- the c-kit inhibitor include a c-kit kinase inhibitor and an anti-c-kit kinase antibody.
- c-kit inhibitors include imatinib, SU5416, SU6668, SU11248, KRN633, PTK787/ZK222584, KRN951, AZD2171, AG013736, BAY 43-9006, AEE-788, PD180970, PD173955, MLN518 and BMS-354825, and more preferable example includes imatinib.
- the phrase “in combination” refers to a combination for combined use of the compound, and includes both a form for concomitantly using separate substances upon administration and a form as a mixture.
- the dosage form of the formulation included in the kit of the invention is not particularly limited as long as it contains the compound of the invention and/or the c-kit inhibitor.
- the pharmaceutical composition and/or the kit of the invention is useful as a pharmaceutical composition and/or a kit for treating cancer.
- the pharmaceutical composition and/or the kit of the invention may be used as a drug for treating cancer.
- a drug for treating cancer comprises an antitumor drug, a drug for improving prognosis of cancer, a drug for preventing cancer recurrence, a drug for suppressing cancer metastasis and the like.
- the effect of cancer treatment may be confirmed by observation of a x-ray picture, CT or the like, by histopathological diagnosis of biopsy, or from a tumor marker value.
- the pharmaceutical composition and/or the kit of the invention may be administered to a mammal (e.g., human, rat, rabbit, sheep, pig, bovine, cat, dog, monkey, etc.).
- a mammal e.g., human, rat, rabbit, sheep, pig, bovine, cat, dog, monkey, etc.
- the types of cancer treated by the drug are not particularly limited and may include, for example, brain cancer, head&neck cancer, esophagus cancer, tongue cancer, lung cancer, breast cancer, pancreatic cancer, stomach cancer, small intestine cancer, duodenum cancer, colorectal cancer (colon cancer, rectal cancer), bladder cancer, kidney cancer, liver cancer, prostate cancer, uterus cancer, ovary cancer, thyroid gland cancer, gallbladder cancer, pharynx cancer, sarcoma (e.g., osteosarcoma, chondrosarcoma, Kaposi's sarcoma, myosarcoma, angiosarcoma, fibrosarcoma, etc.), leukemia (e.g., chronic myeloid leukemia (CML), acute myeloid leukemia (AML), chronic lymphatic leukemia (CLL) and acute lymphatic leukemia (ALL), lymphoma, multiple myeloma (MM), etc.) and melanoma.
- the pharmaceutical composition and/or the kit of the invention may be used through oral or parental administration.
- the given dose of the compound of the invention differs depending on the degree of the symptom, age, sex, weight and sensitivity difference of the patient, administration mode, administration period, administration interval, nature, prescription and the type of the pharmaceutical formulation, and the type of the active element.
- the dose of the compound is 0.1-1000 mg/day, preferably 0.5-100 mg/day, more preferably 1-30 mg/day for an adult (weight 60 kg), which may be administered once to three times a day.
- the given dose of the c-kit inhibitor is usually, but without limitation, 10-6000 mg/day, preferably 50-4000 mg/day, more preferably 50-2000 mg/day for an adult, which may be administered once to three times a day.
- the given dose of the c-kit kinase inhibitor is usually, but without limitation, 10-6000 mg/day, preferably 50-4000 mg/day, more preferably 50-2000 mg/day for an adult, which may be administered once to three times a day.
- the given dose of an anti-c-kit kinase antibody is usually, but without limitation, 1-6000 mg/day, preferably 10-2000 mg/day, more preferably 10-1000 mg/day for an adult, which may be administered once a day or a week.
- the amount of the compound of the invention used is not particularly limited and may differ according to the individual combination with the c-kit inhibitor, for example, it may be about 0.01-100 times (weight ratio) the amount of the c-kit inhibitor. More preferably, it is about 0.1-10 times (weight ratio) the amount of the c-kit inhibitor.
- the pharmaceutical composition of the invention may be made into various forms, for example, into solid oral formulations, injectable solution or the like.
- each of the compound and the c-kit inhibitor contained in the kit of the invention may individually be made into solid oral formulations, injectable solution or the like.
- an excipient In order to prepare a solid oral formulation, an excipient, and if necessary, a binder, disintegrant, lubricant, colorant, a flavoring agent and the like are added to the principal agent, and then made into a tablet, a coated tablet, granule, fine granule, dispersant, a capsule or the like according to a conventional method.
- lactose, cornstarch, sucrose, glucose, sorbit, crystalline cellulose, silicon dioxide or the like may be used as the excipient; for example, polyvinyl alcohol, ethyl cellulose, methyl cellulose, gum arabic, hydroxypropyl cellulose, hydroxypropylmethyl cellulose or the like may be used as the binder; for example, magnesium stearate, talc, silica or the like may be used as the lubricant; those that are allowed to be added to drugs may be used as the colorant; and for example, cocoa powder, menthol, aromatic acid, peppermint oil, camphor, cinnamon powder or the like may be used as the flavoring agent.
- these tablets and granule may be coated appropriately with sugar coating, gelatin coating or else.
- the principal agent may be added with a pH adjuster, a buffer, a suspending agent, a solubilizing agent, a stabilizer, a tonicity agent, a preservative or the like, and may be made into an intravenously, subcutaneously or intramuscularly injectable solution according to a conventional method. If necessary, the solution may be made into a lyophilized form by a conventional technique.
- suspending agent examples include methyl cellulose, Polysorbate 80, hydroxyethyl cellulose, gum arabic, powdered tragacanth, carboxy methyl cellulose sodium and polyoxyethylene sorbitan monolaurate.
- solubilizing agent examples include polyoxyethylene hydrogenated castor oil, Polysorbate 80, nicotine acid amide, polyoxyethylene sorbitan monolaurate, macrogol, and castor oil fatty acid ethyl ester.
- examples of the stabilizer include sodium sulfite and sodium metasulfite; examples of the preservative include methyl parahydroxybenzoate, ethyl parahydroxybenzoate, sorbic acid, phenol, cresol and chlorocresol.
- a formulation containing the compound of the invention and a formulation containing the c-kit inhibitor may be mixed together or may be separately accommodated and packed together.
- the order of the formulations above is not particularly limited and they may be administered simultaneously or one may be administered after the other.
- the pharmaceutical composition and/or the kit of the invention may also contain a package, an instruction, an attached document or the like.
- the package, the instruction, the attached document or the like may include description of a combination employed for using substances, and description of usage and dosage in the case of administering separate substances in combination or in the case of administering them in a form of a mixture.
- the usage and dosage may be described referring to the related description above.
- the kit of the invention may also comprise: (a) at least one selected from the group consisting of a package, an instruction and an attached document describing combined use of the compound of the invention and the c-kit inhibitor; and (b) a pharmaceutical composition containing the compound of the invention.
- the kit is useful for treating cancer.
- the pharmaceutical composition containing the compound of the invention is useful for treating cancer.
- the package, the instruction, the attached document or the like may include the description of combined use of the compound, and description of usage and dosage in the case of administering separate substances in combination upon administration or in the case of administering them in the form of a mixture. The usage and dosage may be described referring to the description of pharmaceutical composition and kit above.
- the present invention also comprises use of a compound of the invention for producing a pharmaceutical composition in combination with a c-kit inhibitor.
- the pharmaceutical composition is useful for treating cancer.
- the present invention also comprises a method for preventing or treating cancer comprising simultaneously or separately administering a compound of the invention and a c-kit inhibitor to a patient.
- a method for preventing or treating cancer comprising simultaneously or separately administering a compound of the invention and a c-kit inhibitor to a patient.
- the route and the method for administering the compound of the invention and the c-kit inhibitor are not particularly limited and reference may be made to the description of the pharmaceutical composition of the invention above.
- the present invention also comprises a pharmaceutical composition containing the compound of the invention which is simultaneously or separately administered with a c-kit inhibitor to a patient.
- a pharmaceutical composition containing the compound of the invention which is simultaneously or separately administered with a c-kit inhibitor to a patient.
- the route and the method for administering the compound of the invention and the c-kit inhibitor are not particularly limited and reference may be made to the description of the pharmaceutical composition of the invention above.
- Human gastrointestinal stromal tumor cell line GIST882 (supplied by The Brigham and Women's Hospital, Inc.) was cultured in RPMI1640 (containing 10% FBS) in a 5% carbon dioxide incubator to about 80% confluence. Following cultivation, each cell was collected by trypsin-EDTA treatment according to a general method. Using a phosphate buffer containing 50% matrigel, 5 ⁇ 10 7 cells/mL suspension was prepared, and 0.2 mL each of the resulting cell suspension was subcutaneously transplanted into the flank of a nude mouse.
- 4-(3-chloro-4-(cyclopropylaminocarbonyl)aminophenoxy)-7-methoxy-6-quinolinecarboxamide 10 mg/kg or 30 mg/kg, once a day, for two weeks
- imatinib 160 mg/kg, twice a day, for two weeks
- 4-(3-chloro-4-(cyclopropylaminocarbonyl)aminophenoxy)-7-methoxy-6-quinolinecarboxamide(methanesulfonate) was prepared based on the description of International publication No. 02/32872 pamphlet (WO02/32872).
- imatinib was purchased from Novartis Pharma K.K. The major and minor axes of tumors were measured with Digimatic caliper (Mitsutoyo), and tumor volumes and relative tumor volumes were calculated according to the following formulae.
- Tumor Volume (TV) Major axis of tumor (mm) ⁇ (Minor axis of tumor) 2 (mm 2 )/2
- Relative Tumor Volume (RTV) Tumor volume on measurement day/Tumor volume on the first administration day
- Table 1 shows antitumor effects obtained with 4-(3-chloro-4-(cyclopropylaminocarbonyl)aminophenoxy)-7-methoxy-6-quinolinecarboxamide (indicated as Compound A in Table 1) alone, imatinib alone and combined use of 4-(3-chloro-4-(cyclopropylaminocarbonyl)aminophenoxy)-7-methoxy-6-quinolinecarboxamide and imatinib in human cancer cell line subcutaneous xenograft models. The first day of administration was considered Day 1.
- Table 2 shows antitumor effects obtained with 4-(3-chloro-4-(cyclopropylaminocarbonyl)aminophenoxy)-7-methoxy-6-quinolinecarboxamide (indicated as Compound A in Table 2) alone, imatinib alone and combined use of 4-(3-chloro-4-(cyclopropylaminocarbonyl)aminophenoxy)-7-methoxy-6-quinolinecarboxamide and imatinib in human cancer cell line subcutaneous xenograft models. The first day of administration was considered Day 1.
- crystal (C) of 4-(3-chloro-4-(cyclopropylaminocarbonyl)aminophenoxy)-7-methoxy-6-quinolinecarboxamide methanesulfonate (hereinafter, also referred to as “crystal (C)”, which was produced according to the method described in Example 7 of WO2005/063713) and 192 g of light anhydrous silicic acid (antigelling agent sold under the trade name of AEROSILTM200, Nippon Aerosil) were mixed with 20 L Super Mixer, and then 1236 g of D-mannitol (excipient, Towa-Kasei), 720 g of crystalline cellulose (excipient sold under the trade name of Avicel PH101, Asahi Kasei) and 72 g of hydroxypropylcellulose (binder sold under the trade name of HPC-L.
- crystal (C) which was produced according to the method described in Example 7 of WO2005/063713
- the tablets were coated with a tablet coating machine using aqueous 10% Opadry yellow (OPADRY 03F42069 YELLOW, Colorcon Japan) solution as a coating solution, thereby obtaining coated tablets with a total mass of 105 mg per tablet.
- aqueous 10% Opadry yellow OPDRY 03F42069 YELLOW, Colorcon Japan
- This granulated body was dried in a rack dryer (60° C.), and then size-regulated using PowerMILL to obtain granules. Together with the granules, 120 g of croscarmellose sodium (disintegrant sold under the trade name of Ac-Di-Sol, FMC International Inc.) and 36 g of sodium stearyl fumarate (lubricant, JRS Pharma LP) were placed in a 20 L tumbler mixer and mixed together, and molded with a tablet machine to obtain tablets with a total mass of 400 mg per tablet.
- croscarmellose sodium disintegrant sold under the trade name of Ac-Di-Sol, FMC International Inc.
- lubricant lubricant
- the tablets were coated with a tablet coating machine using aqueous 10% Opadry yellow (OPADRY 03F42069 YELLOW, Colorcon Japan) solution as a coating solution, thereby obtaining coated tablets with a total mass of 411 mg per tablet.
- aqueous 10% Opadry yellow OPDRY 03F42069 YELLOW, Colorcon Japan
- a pharmaceutical composition and/or kit comprising a combination of a compound represented by Formula (I), a pharmacologically acceptable salt thereof or a solvate thereof and a c-kit inhibitor, which can be used for treating cancer.
Landscapes
- Health & Medical Sciences (AREA)
- Chemical & Material Sciences (AREA)
- Veterinary Medicine (AREA)
- Medicinal Chemistry (AREA)
- Pharmacology & Pharmacy (AREA)
- Life Sciences & Earth Sciences (AREA)
- Animal Behavior & Ethology (AREA)
- General Health & Medical Sciences (AREA)
- Public Health (AREA)
- Epidemiology (AREA)
- Organic Chemistry (AREA)
- Chemical Kinetics & Catalysis (AREA)
- General Chemical & Material Sciences (AREA)
- Nuclear Medicine, Radiotherapy & Molecular Imaging (AREA)
- Engineering & Computer Science (AREA)
- Bioinformatics & Cheminformatics (AREA)
- Pharmaceuticals Containing Other Organic And Inorganic Compounds (AREA)
- Medicines That Contain Protein Lipid Enzymes And Other Medicines (AREA)
Abstract
The object of the present invention is to find a pharmaceutical composition and a method for treating cancer that show an excellent antitumor effect. Combinational use of 4-(3-chloro-4-(cyclopropylaminocarbonyl)aminophenoxy)-7-methoxy-6-quinolinecarboxamide and analogues thereof can result in an excellent antitumor effect when combined with a substance having a c-kit kinase-inhibiting activity.
Description
- The present invention relates to a pharmaceutical composition and a kit comprising a combination of a compound represented by Formula (I), a pharmacologically acceptable salt thereof or a solvate thereof (hereinafter, also referred to as a “compound of the invention”) and a substance having a c-kit kinase-inhibiting activity (hereinafter, also referred to as a “c-kit inhibitor”), to a method for treating cancer comprising administering an effective amount of the pharmaceutical composition to a patient, to use of the compound of the invention for producing the pharmaceutical composition, and to the compound of the invention used for the pharmaceutical composition.
- Examples of conventionally used chemotherapeutic agents for cancer include alkylating agents such as cyclophosphamide, antimetabolites such as methotrexate and fluorouracil, antibiotics such as adriamycin, mitomycin and bleomycin, plant-derived taxol, vincristine and etoposide and metal complexes such as cisplatin. None of them, however, provides sufficient antitumor effect, and thus development of a novel antitumor drug has been strongly desired.
- Recently, 4-(4-methylpiperazine-1-ylmethyl)-N-[4-methyl-3-[4-(3-pyridyl)pyrimidine-2-ylamino]phenyl]benzenamide (hereinafter, also referred to as “imatinib” or “STI571”) is known as a c-kit inhibitor (
Documents 1 and 2). - In addition, 4-(3-chloro-4-(cyclopropylaminocarbonyl)aminophenoxy)-7-methoxy-6-quinolinecarboxamide is known as a VEGF receptor kinase inhibitor (Document 3-4).
- However, it has not been elucidated yet what kind of antitumor effect can or cannot be obtained with a pharmaceutical composition containing a combination of these substances.
-
- 1. Blood., 96, 925-932, 2000.
- 2. J Clin Oncol., 20, 1692-1703, 2002.
- 3. International publication No. 02/32872 pamphlet)
- 4. International publication No. 2005/063713 (pamphlet)
- The present invention was achieved regarding the circumstances described above. The problem to be solved by the invention is to find a pharmaceutical composition having an excellent antitumor effect and a method for treating cancer.
- In order to solve the above problem, the present inventors have gone through keen examination, as a result of which combined use of 4-(3-chloro-4-(cyclopropylaminocarbonyl)aminophenoxy)-7-methoxy-6-quinolinecarboxamide and c-kit inhibitor imatinib was found to show an excellent antitumor effect.
- Thus, the present invention relates to:
- (1) a pharmaceutical composition comprising a combination of a compound represented by Formula (I), a pharmacologically acceptable salt thereof or a solvate thereof and a substance having a c-kit kinase-inhibiting activity.
- (2) A kit comprising: (a) at least one selected from the group consisting of a package, an instruction and an attached document describing combined use of a compound represented by Formula (I), a pharmacologically acceptable salt thereof or a solvate thereof and a substance having a c-kit kinase-inhibiting activity; and (b) a pharmaceutical composition comprising a compound represented by Formula (I), a pharmacologically acceptable salt thereof or a solvate thereof.
- (3) A kit comprising a set of a formulation containing a compound represented by Formula (I), a pharmacologically acceptable salt thereof or a solvate thereof, and a formulation containing a substance having a c-kit kinase-inhibiting activity.
- (4) A pharmaceutical composition comprising a compound represented by Formula (I), a pharmacologically acceptable salt thereof or a solvate thereof which is administered to a patient with a substance having a c-kit kinase-inhibiting activity.
- (5) A method for treating cancer comprising administering an effective amount of a compound represented by Formula (I), a pharmacologically acceptable salt thereof or a solvate thereof and an effective amount of a substance having a c-kit kinase-inhibiting activity to a patient.
- (6) Use of a compound represented by Formula (I), a pharmacologically acceptable salt thereof or a solvate thereof for producing a pharmaceutical composition in combination with a substance having a c-kit kinase-inhibiting activity.
- (7) A compound represented by Formula (I), a pharmacologically acceptable salt thereof or a solvate thereof used for a pharmaceutical composition in combination with a substance having a c-kit kinase-inhibiting activity.
- The compound represented by Formula (I), a pharmacologically acceptable salt thereof or a solvate thereof is as follows:
- [wherein, R1 represents group represented by Formula —V1—V2—V3 (wherein, V1 represents C1-6 alkylene group that may have a substituent; V2 represents a single bond, an oxygen atom, a sulfur atom, carbonyl group, sulfinyl group, sulfonyl group, group represented by Formula —CONR6—, group represented by Formula —SO2NR6—, group represented by Formula —NR6SO2—, group represented by Formula —NR6CO— or group represented by Formula —NR6— (wherein, R6 represents a hydrogen atom, C1-6 alkyl group that may have a substituent or C3-8 cycloalkyl group that may have a substituent); V3 represents a hydrogen atom, C1-6 alkyl group that may have a substituent, C2-6 alkenyl group that may have a substituent, C2-6 alkynyl group that may have a substituent, C3-8 cycloalkyl group that may have a substituent, C6-10 aryl group that may have a substituent, 5-10-membered heteroaryl group that may have a substituent or 3-10-membered nonaromatic heterocyclic group that may have a substituent);
R2 represents cyano group, C1-6 alkoxy group that may have a substituent, carboxyl group, C2-7 alkoxycarbonyl group that may have a substituent or group represented by Formula —CONVa11Va12 (wherein, Va11 represents a hydrogen atom, C1-6 alkyl group that may have a substituent, C2-6 alkenyl group that may have a substituent, C2-6 alkynyl group that may have a substituent, C3-8 cycloalkyl group that may have a substituent, C6-10 aryl group that may have a substituent, 5-10-membered heteroaryl group that may have a substituent or 3-10-membered nonaromatic heterocyclic group that may have a substituent; Va12 represents a hydrogen atom, C1-6 alkyl group that may have a substituent, C2-6 alkenyl group that may have a substituent, C2-6 alkynyl group that may have a substituent, C3-8 cycloalkyl group that may have a substituent, C6-10 aryl group that may have a substituent, 5-10-membered heteroaryl group that may have a substituent, 3-10-membered nonaromatic heterocyclic group that may have a substituent, hydroxyl group, C1-6 alkoxy group that may have a substituent or C3-8 cycloalkoxy group that may have a substituent);
Y1 represents group represented by Formula - (wherein, R7 and R8 each independently represent a hydrogen atom, a halogen atom, cyano group, nitro group, amino group, C1-6 alkyl group that may have a substituent, C3-8 cycloalkyl group that may have a substituent, C1-6 alkoxy group that may have a substituent, C1-6 alkylthio group that may have a substituent, formyl group, C2-7 acyl group that may have a substituent, C2-7 alkoxycarbonyl group that may have a substituent or group represented by Formula —CONVd1Vd2 (wherein, Vd1 and Vd2 each independently represent a hydrogen atom or C1-6 alkyl group that may have a substituent);
W1 and W2 each independently represent a carbon atom or a nitrogen atom that may have a substituent);
R3 and R4 each independently represent a hydrogen atom, C1-6 alkyl group that may have a substituent, C2-6 alkenyl group that may have a substituent, C2-6 alkynyl group that may have a substituent, C3-8 cycloalkyl group that may have a substituent, C2-7 acyl group that may have a substituent or C2-7 alkoxycarbonyl group that may have a substituent;
R5 represents a hydrogen atom, C1-6 alkyl group that may have a substituent, C2-6 alkenyl group that may have a substituent, C2-6 alkynyl group that may have a substituent, C3-8 cycloalkyl group that may have a substituent, C6-10 aryl group that may have a substituent, 5-10-membered heteroaryl group that may have a substituent, 3-10-membered nonaromatic heterocyclic group that may have a substituent]. - Furthermore, the present invention preferably relates to the followings.
- (1) A pharmaceutical composition comprising a combination of 4-(3-chloro-4-(cyclopropylaminocarbonyl)aminophenoxy)-7-methoxy-6-quinolinecarboxamide, a pharmacologically acceptable salt thereof or a solvate thereof and imatinib.
- (2) A kit comprising: (a) at least one selected from the group consisting of a package, an instruction and an attached document describing combined use of 4-(3-chloro-4-(cyclopropylaminocarbonyl)aminophenoxy)-7-methoxy-6-quinolinecarboxamide, a pharmacologically acceptable salt thereof or a solvate thereof and imatinib; and (b) a pharmaceutical composition comprising 4-(3-chloro-4-(cyclopropylaminocarbonyl)aminophenoxy)-7-methoxy-6-quinolinecarboxamide, a pharmacologically acceptable salt thereof or a solvate thereof.
- (3) A kit comprising a set of a formulation containing 4-(3-chloro-4-(cyclopropylaminocarbonyl)aminophenoxy)-7-methoxy-6-quinolinecarboxamide, a pharmacologically acceptable salt thereof or a solvate thereof and a formulation containing imatinib.
- (4) A pharmaceutical composition comprising 4-(3-chloro-4-(cyclopropylaminocarbonyl)aminophenoxy)-7-methoxy-6-quinolinecarboxamide, a pharmacologically acceptable salt thereof or a solvate thereof which is administered to a patient together with imatinib.
- (5) A method for treating cancer comprising administering an effective amount of 4-(3-chloro-4-(cyclopropylaminocarbonyl)aminophenoxy)-7-methoxy-6-quinolinecarboxamide, a pharmacologically acceptable salt thereof or a solvate thereof and an effective amount of imatinib to a patient.
- (6) Use of 4-(3-chloro-4-(cyclopropylaminocarbonyl)aminophenoxy)-7-methoxy-6-quinolinecarboxamide, a pharmacologically acceptable salt thereof or a solvate thereof for producing a pharmaceutical composition in combination with imatinib.
- (7) 4-(3-chloro-4-(cyclopropylaminocarbonyl)aminophenoxy)-7-methoxy-6-quinolinecarboxamide, a pharmacologically acceptable salt thereof or a solvate thereof for producing a pharmaceutical composition in combination with imatinib.
- According to the present invention, a pharmaceutical composition comprising a combination of a compound represented by Formula (I), a pharmacologically acceptable salt thereof or a solvate thereof and a c-kit inhibitor is provided, which can be used for treating cancer.
-
FIG. 1 shows the combined effect of a VEGF receptor kinase inhibitor and a c-kit inhibitor in a human cancer cell line subcutaneous xenograft model. InFIG. 1 , Compound A refers to 4-(3-chloro-4-(cyclopropylaminocarbonyl)aminophenoxy)-7-methoxy-6-quinolinecarboxamide and Compound B refers to imatinib. -
FIG. 2 shows the combined effect of a VEGF receptor kinase inhibitor and a c-kit inhibitor in a human cancer cell line subcutaneous xenograft model. InFIG. 2 . Compound A refers to 4-(3-chloro-4-(cyclopropylaminocarbonyl)aminophenoxy)-7-methoxy-6-quinolinecarboxamide and Compound B refers to imatinib. - Hereinafter, embodiments of the present invention will be described. The following embodiments illustrate the present invention, which are not intended to limit the present invention. The present invention may be carried out in various embodiments without departing from the scope of the invention.
- The documents, laid-open patent applications, patent publications and other patent documents cited herein are incorporated herein by reference. The present specification incorporates the content of specification of Japanese Patent Application No. 2005-322946 based on which the present application claims priority.
- 1. Compound
- Herein, “a halogen atom” refers to a fluorine atom, a chlorine atom, a bromine atom or an iodine atom.
- Preferable examples of “a halogen atom” include a fluorine atom and a chlorine atom.
- Herein, “C1-6 alkyl group” refers to linear or branched alkyl group with a carbon number of 1-6, and specific examples include methyl group, ethyl group, 1-propyl group (n-propyl group), 2-propyl group (i-propyl group), 2-methyl-1-propyl group (i-butyl group), 2-methyl-2-propyl group (t-butyl group), 1-butyl group (n-butyl group), 2-butyl group (s-butyl group), 1-pentyl group, 2-pentyl group, 3-pentyl group, 2-methyl-1-butyl group, 3-methyl-1-butyl group, 2-methyl-2-butyl group, 3-methyl-2-butyl group, 2,2-dimethyl-1-propyl group, 1-hexyl group, 2-hexyl group, 3-hexyl group, 2-methyl-1-pentyl group, 3-methyl-1-pentyl group, 4-methyl-1-pentyl group, 2-methyl-2-pentyl group, 3-methyl-2-pentyl group, 4-methyl-2-pentyl group, 2-methyl-3-pentyl group, 3-methyl-3-pentyl group, 2,3-dimethyl-1-butyl group, 3,3-dimethyl-1-butyl group, 2,2-dimethyl-1-butyl group, 2-ethyl-1-butyl group, 3,3-dimethyl-2-butyl group and 2,3-dimethyl-2-butyl group.
- Preferable examples of “C1-6 alkyl group” include methyl group, ethyl group, 1-propyl group, 2-propyl group, 2-methyl-1-propyl group, 2-methyl-2-propyl group, 1-butyl group and 2-butyl group.
- Herein, “C1-6 alkylene group” refers to divalent group derived from the “C1-6 alkyl group” defined above by removing any one hydrogen atom therefrom, and specific examples include methylene group, 1,2-ethylene group, 1,1-ethylene group, 1,3-propylene group, tetramethylene group, pentamethylene group and hexamethylene group.
- Herein, “C2-6 alkenyl group” refers to linear or branched alkenyl group having one double bond and a carbon number of 2-6, and specific examples include ethenyl group (vinyl group), 1-propenyl group, 2-propenyl group (allyl group), 1-butenyl group, 2-butenyl group, 3-butenyl group, pentenyl group and hexenyl group.
- Herein, “C2-6 alkynyl group” refers to linear or branched alkynyl group having one triple bond and a carbon number of 2-6, and specific examples include ethinyl group, 1-propynyl group, 2-propynyl group, 1-butynyl group, 2-butynyl group, 3-butynyl group, pentynyl group and hexynyl group.
- Herein, “C3-8 cycloalkyl group” refers to monocyclic or bicyclic saturated aliphatic hydrocarbon group with a carbon number of 3-8, and specific examples include cyclopropyl group, cyclobutyl group, cyclopentyl group, cyclohexyl group, cycloheptyl group, cyclooctyl group, bicyclo[2.1.0]pentyl group, bicyclo[3.1.0]hexyl group, bicyclo[2.1.1]hexyl group, bicyclo[4.1.0]heptyl group, bicyclo[2.2.1]heptyl group (norbornyl group), bicyclo[3.3.0]octyl group, bicyclo[3.2.1]octyl group and bicyclo[2.2.2]octyl group.
- Preferable examples of “C3-8 cycloalkyl group” include cyclopropyl group, cyclobutyl group and cyclopentyl group.
- Herein, “C6-10 aryl group” refers to aromatic hydrocarbon cyclic group with a carbon number of 6-10, and specific examples include phenyl group, 1-naphthyl group, 2-naphthyl group, indenyl group and azulenyl group.
- A preferable example of “C6-10 aryl group” includes phenyl group.
- Herein, “a heteroatom” refers to a nitrogen atom, an oxygen atom or a sulfur atom.
- Herein. “5-10-membered heteroaryl group” refers to aromatic cyclic group having 5-10 atoms forming the ring and 1-5 heteroatoms included in the atom forming the ring, and specific examples include furyl group, thienyl group, pyrrolyl group, imidazolyl group, triazolyl group, tetrazolyl group, thiazolyl group, pyrazolyl group, oxazolyl group, isoxazolyl group, isothiazolyl group, furazanyl group, thiadiazolyl group, oxadiazolyl group, pyridyl group, pyrazinyl group, pyridazinyl group, pyrimidinyl group, triazinyl group, purinyl group, pteridinyl group, quinolyl group, isoquinolyl group, naphthridinyl group, quinoxalinyl group, cinnolinyl group, quinazolinyl group, phthalazinyl group, imidazopyridyl group, imidazothiazolyl group, imidazoxazolyl group, benzothiazolyl group, benzoxazolyl group, benzimidazolyl group, indolyl group, isoindolyl group, indazolyl group, pyrrolopyridyl group, thienopyridyl group, furopyridyl group, benzothiadiazolyl group, benzoxadiazolyl group, pyridopyrimidinyl group, benzofuryl group, benzothienyl group and thienofuryl group.
- Preferable examples of “5-10-membered heteroaryl group” include furyl group, thienyl group, pyrrolyl group, imidazolyl group, thiazolyl group, pyrazolyl group, oxazolyl group, isoxazolyl group, isothiazolyl group, pyridyl group and pyrimidinyl group.
- Herein, “3-10-membered nonaromatic heterocyclic group”:
- (1) has 3-10 atoms forming the ring;
- (2) has 1-2 heteroatoms included in the atoms forming the ring;
- (3) may include 1-2 double bonds in the ring;
- (4) may have 1-3 carbonyl group, sulfinyl group or sulfonyl group in the ring; and
- (5) is nonaromatic monocyclic or bicyclic group. When a nitrogen atom is included in the atoms forming the ring, the nitrogen atom may have a binding hand. Specific examples include aziridinyl group, azetidinyl group, pyrrolidinyl group, piperidinyl group, azepanyl group, azocanyl group, piperazinyl group, diazepanyl group, diazocanyl group, diazabicyclo[2.2.1]heptyl group, morpholinyl group, thiomorpholinyl group, 1,1-dioxothiomorpholinyl group, oxiranyl group, oxetanyl group, tetrahydrofuryl group, dioxoranyl group, tetrahydropyranyl group, dioxanyl group, tetrahydrothienyl group, tetrahydrothiopyranyl group, oxazolidinyl group and thiazolidinyl group.
- Preferable examples of “3-10-membered nonaromatic heterocyclic group” include aziridinyl group, azetidinyl group, pyrrolidinyl group, piperidinyl group, azepanyl group, piperazinyl group, diazepanyl group, morpholinyl group, thiomorpholinyl group, 1,1-dioxothiomorpholinyl group, tetrahydrofuryl group and tetrahydropyranyl group.
- Herein, “C1-6 alkoxy group” refers to group in which an oxygen atom is bound to the terminal of “C1-6 alkyl group” defined above, and specific examples include methoxy group, ethoxy group, 1-propoxy group (n-propoxy group), 2-propoxy group (i-propoxy group), 2-methyl-1-propoxy group (i-butoxy group), 2-methyl-2-propoxy group (t-butoxy group), 1-butoxy group (n-butoxy group), 2-butoxy group (s-butoxy group), 1-pentyloxy group, 2-pentyloxy group, 3-pentyloxy group, 2-methyl-1-butoxy group, 3-methyl-1-butoxy group, 2-methyl-2-butoxy group, 3-methyl-2-butoxy group, 2,2-dimethyl-1-propoxy group, 1-hexyloxy group, 2-hexyloxy group, 3-hexyloxy group, 2-methyl-1-pentyloxy group, 3-methyl-1-pentyloxy group, 4-methyl-1-pentyloxy group, 2-methyl-2-pentyloxy group, 3-methyl-2-pentyloxy group, 4-methyl-2-pentyloxy group, 2-methyl-3-pentyloxy group, 3-methyl-3-pentyloxy group, 2,3-dimethyl-1-butoxy group, 3,3-dimethyl-1-butoxy group, 2,2-dimethyl-1-butoxy group, 2-ethyl-1-butoxy group, 3,3-dimethyl-2-butoxy group and 2,3-dimethyl-2-butoxy group.
- Preferable examples of “C1-6 alkoxy group” include methoxy group, ethoxy group, 1-propoxy group, 2-propoxy group, 2-methyl-1-propoxy group, 2-methyl-2-propoxy group, 1-butoxy group and 2-butoxy group.
- Herein, “C1-6 alkylthio group” refers to group in which a sulfur atom is bound to the terminal of “C1-6 alkyl group” defined above, and specific examples include methylthio group, ethylthio group, 1-propylthio group (n-propylthio group), 2-propylthio group (i-propylthio group), 2-methyl-1-propylthio group (i-butylthio group), 2-methyl-2-propylthio group (t-butylthio group), 1-butylthio group (n-butylthio group), 2-butylthio group (s-butylthio group), 1-pentylthio group, 2-pentylthio group, 3-pentylthio group, 2-methyl-1-butylthio group, 3-methyl-1-butylthio group, 2-methyl-2-butylthio group, 3-methyl-2-butylthio group, 2,2-dimethyl-1-propylthio group, 1-hexylthio group, 2-hexylthio group, 3-hexylthio group, 2-methyl-1-pentylthio group, 3-methyl-1-pentylthio group, 4-methyl-1-pentylthio group, 2-methyl-2-pentylthio group, 3-methyl-2-pentylthio group, 4-methyl-2-pentylthio group, 2-methyl-3-pentylthio group, 3-methyl-3-pentylthio group, 2,3-dimethyl-1-butylthio group, 3,3-dimethyl-1-butylthio group, 2,2-dimethyl-1-butylthio group, 2-ethyl-1-butylthio group, 3,3-dimethyl-2-butylthio group and 2,3-dimethyl-2-butylthio group.
- Preferable examples of “C1-6 alkylthio group” include methylthio group, ethylthio group, 1-propylthio group (n-propylthio group), 2-propylthio group (i-propylthio group), 2-methyl-1-propylthio group (i-butylthio group), 2-methyl-2-propylthio group (t-butylthio group), 1-butylthio group (n-butylthio group) and 2-butylthio group (s-butylthio group).
- Herein, “C3-8 cycloalkoxy group” refers to group in which an oxygen atom is bound to the terminal of “C3-8 cycloalkyl group” defined above, and specific examples include cyclopropoxy group, cyclobutoxy group, cyclopentyloxy group, cyclohexyloxy group, cycloheptyloxy group, cyclooctyloxy group, bicyclo[2.1.0]pentyloxy group, bicyclo[3.1.0]hexyloxy group, bicyclo[2.1.1]hexyloxy group, bicyclo[4.1.0]heptyloxy group, bicyclo[2.2.1]heptyloxy group (norbornyloxy group), bicyclo[3.3.0]octyloxy group, bicyclo[3.2.1]octyloxy group and bicyclo[2.2.2]octyloxy group.
- Preferable examples of “C3-8 cycloalkoxy group” include cyclopropoxy group, cyclobutoxy group and cyclopentyloxy group.
- Herein, “mono-C1-6 alkylamino group” refers to group in which a hydrogen atom in amino group is substituted with “C1-6 alkyl group” defined above, and specific examples include methylamino group, ethylamino group, 1-propylamino group (n-propylamino group), 2-propylamino group (i-propylamino group), 2-methyl-1-propylamino group (i-butylamino group), 2-methyl-2-propylamino group (t-butylamino group), 1-butylamino group (n-butylamino group), 2-butylamino group (s-butylamino group), 1-pentylamino group, 2-pentylamino group, 3-pentylamino group, 2-methyl-1-butylamino group, 3-methyl-1-butylamino group, 2-methyl-2-butylamino group, 3-methyl-2-butylamino group, 2,2-dimethyl-1-propylamino group, 1-hexylamino group, 2-hexylamino group, 3-hexylamino group, 2-methyl-1-pentylamino group, 3-methyl-1-pentylamino group, 4-methyl-1-pentylamino group, 2-methyl-2-pentylamino group, 3-methyl-2-pentylamino group, 4-methyl-2-pentylamino group, 2-methyl-3-pentylamino group, 3-methyl-3-pentylamino group, 2,3-dimethyl-1-butylamino group, 3,3-dimethyl-1-butylamino group, 2,2-dimethyl-1-butylamino group, 2-ethyl-1-butylamino group, 3,3-dimethyl-2-butylamino group and 2,3-dimethyl-2-butylamino group.
- Herein, “di-C1-6 alkylamino group” refers to group in which two hydrogen atoms in amino group are substituted with identical or different “C1-6 alkyl group” defined above, and specific examples include N,N-dimethylamino group, N,N-diethylamino group, N,N-di-n-propylamino group, N,N-di-i-propylamino group, N,N-di-n-butylamino group, N,N-di-i-butylamino group, N,N-di-s-butylamino group, N,N-di-t-butylamino group, N-ethyl-N-methylamino group, N-n-propyl-N-methylamino group, N-i-propyl-N-methylamino group, N-n-butyl-N-methylamino group, N-i-butyl-N-methylamino group, N-s-butyl-N-methylamino group and N-t-butyl-N-methylamino group.
- Herein, “C2-7 acyl group” refers to carbonyl group bound with “C1-6 alkyl group” defined above, and specific examples include acetyl group, propionyl group, isopropionyl group, butyryl group, isobutyryl group, valeryl group, isovaleryl group and pivaloyl group.
- Herein, “C2-7 alkoxycarbonyl group” refers to carbonyl group bound with “C1-6 alkoxy group” defined above, and specific examples include methoxycarbonyl group, ethoxycarbonyl group, 1-propyloxycarbonyl group, 2-propyloxycarbonyl group and 2-methyl-2-propoxy group.
- Herein, “that may have a substituent” means “that may have one or more substituents in any combination at substitutable positions”, and specific examples include a halogen atom, hydroxyl group, thiol group, nitro group, cyano group, formyl group, carboxyl group, amino group, silyl group, methanesulfonyl group, C1-6 alkyl group, C2-6 alkenyl group, C2-6 alkynyl group, C3-8 cycloalkyl group, C6-10 aryl group, 5-10-membered heteroaryl group, 3-10-membered nonaromatic heterocyclic group, C1-6 alkoxy group, C1-6 alkylthio group, C3-8 cycloalkoxy group, mono-C1-6 alkylamino group, di-C16 alkylamino group, C2-7 acyl group and C2-7 alkoxycarbonyl group. In this case, C1-6 alkyl group, C2-6 alkenyl group, C2-6 alkynyl group, C3-8 cycloalkyl group, C6-10 aryl group, 5-10-membered heteroaryl group, 3-10-membered nonaromatic heterocyclic group, C1-6 alkoxy group, C1-6 alkylthio group, C3-8 cycloalkoxy group, mono-C1-6 alkylamino group, di-C1-6 alkylamino group, C2-7 acyl group and C2-7 alkoxycarbonyl group may each independently have 1-3 groups selected from the group consisting from the following substituent groups.
- <Substituent Groups>
- A halogen atom, hydroxyl group, thiol group, nitro group, cyano group, C1-6 alkyl group, C3-8 cycloalkyl group, C2-6 alkenyl group, C2-6 alkynyl group, C6-10 aryl group, 5-10-membered heteroaryl group, 3-10-membered nonaromatic heterocyclic group, C1-6 alkoxy group and C1-6 alkylthio group.
- (A) Compound of the Invention
- According to the present invention, compound represented by Formula (I) is as follows.
- R1 represents group represented by Formula —V1—V2—V3 (wherein, V1 represents C1-6 alkylene group that may have a substituent; V2 represents a single bond, an oxygen atom, a sulfur atom, carbonyl group, sulfinyl group, sulfonyl group, group represented by Formula —CONR6—, group represented by Formula —SO2NR6—, group represented by Formula —NR6SO2—, group represented by Formula —NR6CO— or group represented by Formula —NR6— (wherein, R6 represents a hydrogen atom, C1-6 alkyl group that may have a substituent or C3-8 cycloalkyl group that may have a substituent); V3 represents a hydrogen atom, C1-6 alkyl group that may have a substituent, C2-6 alkenyl group that may have a substituent, C2-6 alkynyl group that may have a substituent, C3-8 cycloalkyl group that may have a substituent, C6-10 aryl group that may have a substituent, 5-10-membered heteroaryl group that may have a substituent or 3-10-membered nonaromatic heterocyclic group that may have a substituent).
- A preferable example of R1 includes C1-6 alkyl group. In this case, R1 may have a substituent selected from 3-10-membered nonaromatic heterocyclic group which may have C1-6 alkyl group, hydroxyl group, C1-6 alkoxy group, amino group, mono-C1-6 alkylamino group and di-C1-6 alkylamino group.
- More preferable examples of R1 include methyl group and group represented by any one of Formulae
- (wherein, Ra3 represents methyl group; Ra1 represents a hydrogen atom or hydroxyl group; Ra2 represents methoxy group, ethoxy group, 1-pyrrolidinyl group, 1-piperidinyl group, 4-morpholinyl group, dimethylamino group or diethylamino group).
- Still more preferable examples of R1 include methyl group and 2-methoxyethyl group.
- (ii) R2
- R2 represents cyano group, C1-6 alkoxy group that may have a substituent, carboxyl group, C2-7 alkoxycarbonyl group that may have a substituent or group represented by Formula —CONVa11Va12 (wherein, Va11 represents a hydrogen atom, C1-6 alkyl group that may have a substituent, C2-6 alkenyl group that may have a substituent, C2-6 alkynyl group that may have a substituent, C3-8 cycloalkyl group that may have a substituent, C6-10 aryl group that may have a substituent, 5-10-membered heteroaryl group that may have a substituent or 3-10-membered nonaromatic heterocyclic group that may have a substituent; Va12 represents a hydrogen atom, C1-6 alkyl group that may have a substituent, C2-6 alkenyl group that may have a substituent, C2-6 alkynyl group that may have a substituent, C3-8 cycloalkyl group that may have a substituent, C6-10 aryl group that may have a substituent, 5-10-membered heteroaryl group that may have a substituent, 3-10-membered nonaromatic heterocyclic group that may have a substituent, hydroxyl group, C1-6 alkoxy group that may have a substituent or C3-8 cycloalkoxy group that may have a substituent).
- Preferable examples of R2 include cyano group or group represented by Formula —CONVa11Va12 (wherein, Va11 and Va12 have the same meaning as defined above).
- More preferable examples of R2 include cyano group or group represented by Formula —CONHVa16 (wherein, Va16 represents a hydrogen atom, C1-6 alkyl group, C3-8 cycloalkyl group, C1-6 alkoxy group or C3-8 cycloalkoxy group, where Va16 may have a substituent selected from a halogen atom, cyano group, hydroxyl group and C1-6 alkoxy group).
- Still more preferable example of R2 includes group represented by Formula —CONHVa17 (wherein, Va17 represents a hydrogen atom, C1-6 alkyl group or C1-6 alkoxy group).
- The most preferable example of R2 include group represented by Formula —CONHVa18 (wherein, Va18 represents a hydrogen atom, methyl group or methoxy group).
- (iii) Y1
- Y1 represents group represented by Formula
- (wherein, R7 and R8 each independently represent a hydrogen atom, a halogen atom, cyano group, nitro group, amino group, C1-6 alkyl group that may have a substituent, C3-8 cycloalkyl group that may have a substituent, C1-6 alkoxy group that may have a substituent, C1-6 alkylthio group that may have a substituent, formyl group, C2-7 acyl group that may have a substituent, C2-7 alkoxycarbonyl group that may have a substituent or group represented by Formula —CONVd1Vd2 (wherein, Vd1 and Vd2 each independently represent a hydrogen atom or C1-6 alkyl group that may have a substituent); and
W1 and W2 each independently represent a carbon atom or a nitrogen atom that may have a substituent). - A preferable example of Y1 includes group represented by Formula
- (wherein, R71 represents a hydrogen atom or a halogen atom).
- (iv) R3 and R4
- R3 and R4 each independently represent a hydrogen atom, C1-6 alkyl group that may have a substituent, C2-6 alkenyl group that may have a substituent, C2-6 alkynyl group that may have a substituent, C3-8 cycloalkyl group that may have a substituent, C2-7 acyl group that may have a substituent or C2-7 alkoxycarbonyl group that may have a substituent.
- A preferable example of R3 and R4 includes a hydrogen atom.
- (v) R5
- R5 represents a hydrogen atom, C1-6 alkyl group that may have a substituent, C2-6 alkenyl group that may have a substituent, C2-6 alkynyl group that may have a substituent, C3-8 cycloalkyl group that may have a substituent, C6-10 aryl group that may have a substituent, 5-10-membered heteroaryl group that may have a substituent or 3-10-membered nonaromatic heterocyclic group that may have a substituent.
- Preferable examples of R5 include a hydrogen atom, C1-6 alkyl group, C3-8 cycloalkyl group and C6-10 aryl group (where R5 may have a substituent selected from a halogen atom and methanesulfonyl group).
- More preferable examples of R5 include methyl group, ethyl group or cyclopropyl group.
- Moreover, preferable examples of the compound represented by Formula (I) include:
- N-(4-(6-cyano-7-(2-methoxyethoxy)-4-quinolyl)oxy-2-fluorophenyl)-N′-(4-fluorophenyl)urea;
- N-(2-chloro-4-((6-cyano-7-((1-methyl-4-piperidyl)methoxy)-4-quinolyl)oxy)phenyl)-N′-cyclopropylurea;
- N-(4-((6-cyano-7-(((2R)-3-(diethylamino)-2-hydroxypropyl)oxy)-4-quinolyl)oxy)phenyl)-N′-(4-fluorophenyl)urea;
- N-(4-((6-cyano-7-(((2R)-2-hydroxy-3-(1-pyrrolidino)propyl)oxy)-4-quinolyl)oxy)phenyl)-N′-(4-fluorophenyl)urea;
- 4-(3-chloro-4-(cyclopropylaminocarbonyl)aminophenoxy)-7-methoxy-6-quinolinecarboxamide;
- 4-(3-chloro-4-(cyclopropylaminocarbonyl)aminophenoxy)-7-(2-methoxyethoxy)-6-quinolinecarboxamide;
- N6-cyclopropyl-4-(3-chloro-4-(((cyclopropylamino)carbonyl)amino)phenoxy)-7-methoxy-6-quinolinecarboxamide;
- N6-(2-methoxyethyl)-4-(3-chloro-4-(((cyclopropylamino)carbonyl)amino)phenoxy)-7-methoxy-6-quinolinecarboxamide;
- N6-(2-fluoroethyl)-4-(3-chloro-4-(((cyclopropylamino)carbonyl)amino)phenoxy)-7-methoxy-6-quinolinecarboxamide;
- N6-methoxy-4-(3-chloro-4-(((cyclopropylamino)carbonyl)amino)phenoxy)-7-methoxy-6-quinolinecarboxamide;
- N6-methyl-4-(3-chloro-4-(((cyclopropylamino)carbonyl)amino)phenoxy)-7-methoxy-6-quinolinecarboxamide;
- N6-ethyl-4-(3-chloro-4-(((cyclopropylamino)carbonyl)amino)phenoxy)-7-methoxy-6-quinolinecarboxamide;
- 4-(3-fluoro-4-(cyclopropylaminocarbonyl)aminophenoxy)-7-(2-methoxyethoxy)-6-quinolinecarboxamide;
- 4-(3-chloro-4-(cyclopropylaminocarbonyl)aminophenoxy)-7-(2-hydroxyethoxy)-6-quinolinecarboxamide;
- 4-(3-chloro-4-(cyclopropylaminocarbonyl)aminophenoxy)-7-((2S)-2,3-dihydroxypropyl)oxy-6-quinolinecarboxamide;
- 4-(3-chloro-4-(methylaminocarbonyl)aminophenoxy)-7-methoxy-6-quinolinecarboxamide;
- 4-(3-chloro-4-(ethylaminocarbonyl)aminophenoxy)-7-methoxy-6-quinolinecarboxamide;
- N6-methoxy-4-(3-chloro-4-(((ethylamino)carbonyl)amino)phenoxy)-7-methoxy-6-quinolinecarboxamide;
- 4-(3-chloro-4-(cyclopropylaminocarbonyl)aminophenoxy)-7-(2-ethoxyethoxy)-6-quinolinecarboxamide;
- 4-(4-((cyclopropylamino)carbonyl)aminophenoxy)-7-(2-methoxyethoxy)-6-quinolinecarboxamide;
- N-(2-fluoro-4-((6-carbamoyl-7-methoxy-4-quinolyl)oxy)phenyl)-N′-cyclopropylurea;
- N6-(2-hydroxyethyl)-4-(3-chloro-4-(((cyclopropylamino)carbonyl)amino)phenoxy)-7-methoxy-6-quinolinecarboxamide;
- 4-(3-chloro-4-(1-propylaminocarbonyl)aminophenoxy)-7-methoxy-6-quinolinecarboxamide;
- 4-(3-chloro-4-(cis-2-fluoro-cyclopropylaminocarbonyl)aminophenoxy)-7-methoxy-6-quinolinecarboxamide;
- N6-methyl-4-(3-chloro-4-(((cyclopropylamino)carbonyl)amino)phenoxy)-7-(2-methoxyethoxy)-6-quinolinecarboxamide;
- N6-methyl-4-(3-chloro-4-(((ethylamino)carbonyl)amino)phenoxy)-7-methoxy-6-quinolinecarboxamide;
- 4-(3-chloro-4-(cyclopropylaminocarbonyl)aminophenoxy)-7-(2-(4-morpholino)ethoxy)-6-quinolinecarboxamide;
- 4-(3-chloro-4-(2-fluoroethylaminocarbonyl)aminophenoxy)-7-methoxy-6-quinolinecarboxamide;
- N6-((2R)tetrahydro-2-furanylmethyl)-4-(3-chloro-4-(((methylamino)carbonyl)amino)phenoxy)-7-methoxy-6-quinolinecarboxamide;
- 4-(3-fluoro-4-(ethylaminocarbonyl)aminophenoxy)-7-methoxy-6-quinolinecarboxamide;
- 4-(3-chloro-4-(((cyclopropylamino)carbonyl)amino)phenoxy)-7-((2R)-2-hydroxy-3-(1-pyrrolidino)propoxy)-6-quinolinecarboxamide;
- N6-methyl-4-(3-chloro-4-(((methylamino)carbonyl)amino)phenoxy)-7-((2R)-3-diethylamino-2-hydroxypropoxy)-6-quinolinecarboxamide;
- N6-methyl-4-(3-chloro-4-(((ethylamino)carbonyl)amino)phenoxy)-7-((2R)-3-diethylamino-2-hydroxypropoxy)-6-quinolinecarboxamide.
- N6-methyl-4-(3-chloro-4-(((methylamino)carbonyl)amino)phenoxy)-7-((2R)-2-hydroxy-3-(1-pyrrolidino)propoxy)-6-quinolinecarboxamide;
- N6-methyl-4-(3-chloro-4-(((ethylamino)carbonyl)amino)phenoxy)-7-((2R)-2-hydroxy-3-(1-pyrrolidino)propoxy)-6-quinolinecarboxamide;
- N6-methyl-4-(3-chloro-4-(((methylamino)carbonyl)amino)phenoxy)-7-((1-methyl-4-piperidyl)methoxy)-6-quinolinecarboxamide;
- N6-methyl-4-(3-chloro-4-(((ethylamino)carbonyl)amino)phenoxy)-7-((1-methyl-4-piperidyl)methoxy)-6-quinolinecarboxamide;
- N-(4-(6-cyano-7-(2-methoxyethoxy)-4-quinolyl)oxy-2-fluorophenyl)-N′-cyclopropylurea;
- N-(4-(6-cyano-7-(3-(4-morpholino)propoxy)-4-quinolyl)oxyphenyl)-N′-(3-(methylsulfonyl)phenyl)urea;
- 4-(4-((cyclopropylamino)carbonyl)aminophenoxy)-7-methoxy-6-quinolinecarboxamide;
- 4-(3-fluoro-4-((2-fluoroethylamino)carbonyl)aminophenoxy)-7-methoxy-6-quinolinecarboxamide;
- N6-(2-ethoxyethyl)-4-(3-chloro-4-(((methylamino)carbonyl)amino)phenoxy)-7-methoxy-6-quinolinecarboxamide;
- 4-(4-(3-ethylureido)-3-fluoro-phenoxy)-7-methoxyquinoline-6-carboxylic acid (2-cyanoethyl)amide; and
- N-(4-(6-(2-cyanoethyl)carbamoyl-7-methoxy-4-quinolyl)oxy-2-fluorophenyl)-N′-cyclopropylurea.
- More preferable examples of the compound represented by Formula (I) further include:
- 4-(3-chloro-4-(cyclopropylaminocarbonyl)aminophenoxy)-7-methoxy-6-quinolinecarboxamide;
- 4-(3-chloro-4-(ethylaminocarbonyl)aminophenoxy)-7-methoxy-6-quinolinecarboxamide;
- N6-methoxy-4-(3-chloro-4-(((cyclopropylamino)carbonyl)amino)phenoxy)-7-methoxy-6-quinolinecarboxamide;
- 4-(3-chloro-4-(methylaminocarbonyl)aminophenoxy)-7-methoxy-6-quinolinecarboxamide; and
- N6-methoxy-4-(3-chloro-4-(((ethylamino)carbonyl)amino)phenoxy)-7-methoxy-6-quinolinecarboxamide.
- A still more preferable example of the compound represented by Formula (I) further includes 4-(3-chloro-4-(cyclopropylaminocarbonyl)aminophenoxy)-7-methoxy-6-quinolinecarboxamide (see Formula (II)).
- The most preferable example of the compound represented by Formula (I), a pharmacologically acceptable salt thereof or a solvate thereof includes methanesulfonate of 4-(3-chloro-4-(cyclopropylaminocarbonyl)aminophenoxy)-7-methoxy-6-quinolinecarboxamide.
- The compound represented by Formula (I) can be produced by a known method, for example, by methods described in International publication No. 02/32872 pamphlet (WO02/32872) and International publication No. 2005/063713 pamphlet (WO2005/063713).
- (B) C-Kit Inhibitor
- According to the present invention, examples of the c-kit inhibitor include:
- (1) 4-(4-methylpiperazine-1-ylmethyl)-N-[4-methyl-3-[4-(3-pyridyl)pyrimidine-2-ylamino]phenyl]benzenamide (hereinafter, also referred to as “imatinib” or “STI571”. Blood., 96, 925-932, 2000, Bioorganic and Medicinal Chemistry Letters., 7: 187-192, 1997) (see Formula (III))
- (2) 3-[(2,4-dimethylpyrrole-5-yl)methylene]-2-indolinone (hereinafter, also referred to as “SU5416” or “semaxanib”. Cancer Research., 61, 3660-3668, 2000, Journal of Medicinal Chemistry., 41: 2588-2603, 1998, U.S. Pat. No. 5,792,783) (see Formula (IV))
- (Z)-3-[(2,4-dimethyl-5-(2-oxo-1,2-dihydroindole-3-ylidenemethyl)-1H-pyrrole-3-yl)-propionic acid (hereinafter, also referred to as “SU6668”. Cancer Research., 61, 3660-3668, 2000, Journal of Medicinal Chemistry., 42: 5120-5130, 1999) (see Formula (V))
- 5-(5-fluoro-2-oxo-1,2-dihydroindole-3-ylidenemethyl)-2,4-dimethyl-1H-pyrrole-3-carboxylic acid (2-diethylaminoethyl)amide (hereinafter, also referred to as “SU11248”. Molecular Cancer Therapeutics., 2:471-478, 2003, Journal of Medicinal Chemistry., 46: 1116-9, 2003) (see Formula (VI))
- (5) N-{2-chloro-4-[(6,7-dimethoxy-4-quinazolinyl)oxy]phenyl}-N′-propylurea (hereinafter, also referred to as “KRN633”. Molecular Cancer Therapeutics., 3:1639-49, 2004) (see Formula (VII))
- (6) 1-(4-chloroanilino)-4-(4-pyridylmethyl)phthalazine (hereinafter, also referred to as “PTK787/ZK222584” or “vatalanib”. Cancer Research, 60, 2178-2189, 2000, Journal of Medicinal Chemistry., 43:2310-23, 2000, WO98/35958) (see Formula (VIII))
- N-{2-chloro-4-[(6,7-dimethoxy-4-quinolyl)oxy]phenyl}-N′-(5-methyl-3-isoxazolyl)urea (hereinafter, also referred to as “KRN951”. Proceedings of the American Association for Cancer Research, 45, 594, (Abstract 2571), 2004, Proceedings of the American Association for Cancer Research, 45, 595, (Abstract 2575), 2004, WO2002/088110) (see Formula (IX))
- 4-[(4-fluoro-2-methylindole-5-yl)oxy]-6-methoxy-7-[3-(pyrrolidine-1-yl)propoxy]quinazoline (hereinafter, also referred to as “AZD2171”. Cancer Research. 65:4389-400, 2005, WO00/47212) (see Formula (X))
- (9) 6-[2-(methylcarbamoyl)phenylsulfanil]-3-E-[2-(pyridine-2-yl)ethenyl]indazole (hereinafter, also referred to as “AG013736”. Proceedings of the American Association for Cancer Research, 44, 865, (Abstract 3780), 2003, American Journal of Pathology. 165:35-52, 2004, WO01/002369) (see Formula (XI))
- N-(3-trifluoromethyl-4-chlorophenyl)-N′-(4-(2-methylcarbamoylpyridine-4-yl)oxyphenyl)urea (hereinafter, also referred to as “BAY 43-9006” or “sorafenib”. Cancer Research., 64, 7099-7109, 2004, Organic Process Res Dev., 6, 777-81, 2002, WO00/42012) (see Formula (XII))
- [6-[4-[(4-ethylpiperazine-1-yl)methyl]phenyl]-7H-pyrrolo[2,3-d]pyrimidine-4-yl]-((R)-1-phenylethyl)amine (hereinafter, also referred to as “AEE-788”. Cancer Research., 64, 4931-4941, 2004, Cancer Research., 64, 7977-7984, 2004) (see Formula (XIII))
- 6-(2,6-dichloro-phenyl)-2-(4-fluoro-3-methyl-phenylamino)-8-methyl8H-pyrido[2,3-d]pyrimidine-7-one (hereinafter, also referred to as “PD180970”. Cancer Research., 6, 4244-4255, 2002, Journal of Medicinal Chemistry., 40, 2296-2303, 1997) (see Formula (XIV))
- 6-(2,6-dichlorophenyl)-8-methyl-2-(3-methylsulfanilphenylamino)-8H-pyrido[2,3-/d/]pyrimidine-7-one (hereinafter, also referred to as “PD173955”. Cancer Research., 62, 4244-4255, 2002, Journal of Medicinal Chemistry., 40, 2296-2303, 1997) (see Formula (XV))
- 4-[6-methoxy-7-(3-piperidine-1-yl-propoxy)quinazoline-4-yl]piperazine-1-carboxylic acid(4-isopropoxyphenyl)amide (hereinafter, also referred to as “MLN518” or “tandutinib”. Blood., 104, 3754-3757, 2004, Journal of Medicinal Chemistry., 45, 3772-3793, 2002) (see Formula (XVI))
- N-(2-chloro-6-methylphenyl)-2-[[6-[4-(2-hydroxyethyl)piperazine-1-yl]-2-methylpyrimidine-4-yl]amino]thiazole-5-carboxamide (hereinafter, also referred to as “BMS-354825” or “dasatinib”. Proceedings of the National Academy of Sciences of the United States of America., 102, 11011-11016, 2005) (see Formula (XVII))
- Imatinib, SU5416, SU6668, SU11248, KRN633, PTK787/ZK222584, KRN951, AZD2171, AG013736, BAY 43-9006, AEE-788, PD180970, PD173955, MLN518 and BMS-354825 can be produced by a known method, for example, by methods described in the respective documents.
- In addition, imatinib is available by purchasing Glivec™ from Novartis Pharma K.K.
- According to the present invention, the compound represented by Formula (I) and/or the c-kit inhibitor may form a pharmacologically acceptable salt with acid or base.
- The compound represented by Formula (I) and/or the c-kit inhibitor of the invention also comprises such pharmacologically acceptable salts. Examples of salts formed with acid include inorganic acid salts such as hydrochloride, hydrobromate, sulfate and phosphate, and organic acid salts such as formic acid, acetic acid, lactic acid, succinic acid, fumaric acid, maleic acid, citric acid, tartaric acid, stearic acid, benzoic acid, methanesulfonic acid, benzenesulfonic acid, p-toluenesulfonic acid and trifluoroacetic acid. Examples of salts formed with base include alkali metal salts such as sodium salt and potassium salt, alkaline earth metal salts such as calcium salt and magnesium salt, organic base salts such as trimethylamine, triethylamine, pyridine, picoline, dicyclohexylamine, N,N′-dibenzyl ethylenediamine, arginine and lysine and ammonium salt.
- Furthermore, according to the present invention, the compound represented by Formula (I) and/or the c-kit inhibitor also comprises, if any, solvates and enantiomers thereof. Examples of solvates include hydrates and nonhydrates, preferably hydrates. Examples of solvents include water, alcohols (for example, methanol, ethanol, n-propanol) and dimethylformamide.
- Moreover, according to the present invention, the compound represented by Formula (I) may be crystalline or amorphous. If a crystalline polymorph is present, it may be a single product of any one of the crystal forms or a mixture of such forms.
- According to the present invention, the compound of the invention and/or the c-kit inhibitor also comprises compounds that generate the compound represented by Formula (I) and/or the c-kit inhibitor by undergoing metabolism such as oxidation, reduction and hydrolysis in vivo.
- According to the present invention, an example of the c-kit inhibitor includes an anti-c-kit kinase antibody.
- According to the present invention, an anti-c-kit kinase antibody is an antibody that has affinity with c-kit kinase or a partial fragment thereof. Preferably, an anti-c-kit kinase antibody is a neutralizing antibody that recognizes and binds with c-kit kinase to inhibit the vascular endothelial cell growth activity of c-kit kinase. According to the present invention, an anti-c-kit kinase antibody is, for example, a polyclonal antibody, a monoclonal antibody, a chimeric antibody, a single-chain antibody (scFV) (Huston et al. (1988) Proc. Natl. Acad. Sci. USA 85: 5879-83; The Pharmacology of Monoclonal Antibody, vol. 113, Rosenburg and Moore ed., Springer Verlag (1994) pp. 269-315), a humanized antibody, a polyspecific antibody (LeDoussal et al. (1992) Int. J. Cancer Suppl. 7: 58-62; Paulus (1985) Behring Inst. Mitt. 78: 118-32; Millstein and Cuello (1983) Nature 305: 537-9; Zimmermann (1986) Rev. Physiol. Biochem. Pharmacol. 105: 176-260; Van Dijk et al. (1989) Int. J. Cancer 43: 944-9), or antibody fragments such as Fab, Fab′, F(ab′)2, Fc and Fv, preferably a monoclonal antibody. Furthermore, if necessary, an anti-c-kit kinase antibody may be modified with polyethyleneglycol (PEG) or the like. Otherwise, an anti-c-kit kinase antibody may be produced as a fusion protein with β-galactosidase, MBP (maltose binding protein), GST (glutathione S-transferase), GFP (green fluorescence protein) or the like, which can be detected in an ELISA method or the like without using a secondary antibody. An anti-c-kit kinase antibody may be modified by being labeled with biotin or the like such that the antibody can be collected using avidin, streptavidin or the like.
- An anti-c-kit kinase antibody may be produced according to a conventional method using c-kit kinase or a partial fragment thereof (hereinafter, also referred to as a “polypeptide fragment of c-kit kinase”), or a cell expressing c-kit kinase or a partial fragment thereof as a sensitized antigen (“Current Protocols in Molecular Biology” (John Wiley & Sons (1987) Section 11.4-11.13)). In this case, a polypeptide fragment of c-kit kinase may be a fusion protein with an Fc region, GST, MBP, GFP, AP (alkaline phosphatase) or the like.
- A polyclonal antibody and a monoclonal antibody may be prepared according to a method known by those skilled in the art (Antibodies: A Laboratory Manual, E. Harlow and D. Lane, ed., Cold Spring Harbor Laboratory (Cold Spring Harbor, N.Y., 1988)).
- A polyclonal antibody may be obtained, for example, by administering an antigen to a mammal such as a mouse, a rabbit or a rat, collecting blood from this mammal, and separating and purifying an antibody from the collected blood. Immune sensitization methods are known by those skilled in the art, and may be carried out, for example, by administering an antigen once or more. Furthermore, an antigen (a polypeptide fragment of c-kit kinase) may be used by dissolving it in an appropriate buffer such as a buffer containing a complete Freund's adjuvant or a generally used adjuvant such as aluminum hydroxide, although no adjuvant may be used depending on the administration route or conditions.
- Blood is taken from the mammal 1-2 months after the last immune sensitization, and separated and purified according to a conventional method such as centrifugation, precipitation using ammonium sulfate or polyethyleneglycol and various chromatographies, thereby obtaining a polyclonal antibody as a polyclonal antiserum.
- An example of a method for producing a monoclonal antibody includes a hybridoma technique. The hybridoma technique first sensitizes a mammal in the same manner as in the production of the polyclonal antibody. Preferably, partial blood collection is carried out appropriate days after the sensitization to determine the antibody titer by a known method such as ELISA method.
- Subsequently, spleen is removed from the sensitized animal to obtain B cells. Then, the B cells are fused with myeloma cells by a common method to produce antibody-producing hybridomas. The myeloma cells used are not particularly limited and known cells may be used. The method for fusing the cells may be any method selected from methods known in the art such as Sendai virus technique, polyethyleneglycol technique and protoplast technique. The obtained hybridomas are cultured for an appropriate period of time in an HAT medium (a medium containing hypoxanthine, aminopterin and thymidine) by a common method for hybridoma selection. Then, the antibody-producing hybridoma of interest may be screened and cloned.
- A known antibody detecting method such as ELISA method or radioimmunoassay method may be used as the screening method, and a method known in the art such as limiting dilution technique, FACS method or the like may be used as the cloning method. The obtained hybridoma may be cultured in an appropriate culture solution, or may be intraperitoneally administered, for example, to a mouse that is compatible with the hybridoma. The desired monoclonal antibody can be isolated and purified from the resulting culture solution or ascites by salt-out, ion-exchange chromatography, gel filtration, affinity chromatography or the like.
- 2. Pharmaceutical Composition, Kit and Method for Treating Cancer
- The present invention relates to a pharmaceutical composition, a kit, a method for treating cancer or the like characterized by combining a compound of the invention and a c-kit inhibitor.
- According to the present invention, the c-kit inhibitor is not particularly limited as long as it has an activity of inhibiting c-kit kinase. Examples of the c-kit inhibitor include a c-kit kinase inhibitor and an anti-c-kit kinase antibody. Preferable examples of c-kit inhibitors include imatinib, SU5416, SU6668, SU11248, KRN633, PTK787/ZK222584, KRN951, AZD2171, AG013736, BAY 43-9006, AEE-788, PD180970, PD173955, MLN518 and BMS-354825, and more preferable example includes imatinib.
- According to the present invention, the phrase “in combination” refers to a combination for combined use of the compound, and includes both a form for concomitantly using separate substances upon administration and a form as a mixture.
- The dosage form of the formulation included in the kit of the invention is not particularly limited as long as it contains the compound of the invention and/or the c-kit inhibitor. The pharmaceutical composition and/or the kit of the invention is useful as a pharmaceutical composition and/or a kit for treating cancer.
- The pharmaceutical composition and/or the kit of the invention may be used as a drug for treating cancer.
- According to the present invention, a drug for treating cancer comprises an antitumor drug, a drug for improving prognosis of cancer, a drug for preventing cancer recurrence, a drug for suppressing cancer metastasis and the like.
- The effect of cancer treatment may be confirmed by observation of a x-ray picture, CT or the like, by histopathological diagnosis of biopsy, or from a tumor marker value.
- The pharmaceutical composition and/or the kit of the invention may be administered to a mammal (e.g., human, rat, rabbit, sheep, pig, bovine, cat, dog, monkey, etc.).
- The types of cancer treated by the drug are not particularly limited and may include, for example, brain cancer, head&neck cancer, esophagus cancer, tongue cancer, lung cancer, breast cancer, pancreatic cancer, stomach cancer, small intestine cancer, duodenum cancer, colorectal cancer (colon cancer, rectal cancer), bladder cancer, kidney cancer, liver cancer, prostate cancer, uterus cancer, ovary cancer, thyroid gland cancer, gallbladder cancer, pharynx cancer, sarcoma (e.g., osteosarcoma, chondrosarcoma, Kaposi's sarcoma, myosarcoma, angiosarcoma, fibrosarcoma, etc.), leukemia (e.g., chronic myeloid leukemia (CML), acute myeloid leukemia (AML), chronic lymphatic leukemia (CLL) and acute lymphatic leukemia (ALL), lymphoma, multiple myeloma (MM), etc.) and melanoma.
- The pharmaceutical composition and/or the kit of the invention may be used through oral or parental administration. When the pharmaceutical composition and/or the kit of the invention is used, the given dose of the compound of the invention differs depending on the degree of the symptom, age, sex, weight and sensitivity difference of the patient, administration mode, administration period, administration interval, nature, prescription and the type of the pharmaceutical formulation, and the type of the active element. Usually, but without limitation, the dose of the compound is 0.1-1000 mg/day, preferably 0.5-100 mg/day, more preferably 1-30 mg/day for an adult (weight 60 kg), which may be administered once to three times a day.
- When the pharmaceutical composition and/or kit of the invention is used, the given dose of the c-kit inhibitor is usually, but without limitation, 10-6000 mg/day, preferably 50-4000 mg/day, more preferably 50-2000 mg/day for an adult, which may be administered once to three times a day.
- In addition, when the pharmaceutical composition and/or the kit of the invention is used, the given dose of the c-kit kinase inhibitor is usually, but without limitation, 10-6000 mg/day, preferably 50-4000 mg/day, more preferably 50-2000 mg/day for an adult, which may be administered once to three times a day.
- When the pharmaceutical composition and/or the kit of the invention is used, the given dose of an anti-c-kit kinase antibody is usually, but without limitation, 1-6000 mg/day, preferably 10-2000 mg/day, more preferably 10-1000 mg/day for an adult, which may be administered once a day or a week.
- The amount of the compound of the invention used is not particularly limited and may differ according to the individual combination with the c-kit inhibitor, for example, it may be about 0.01-100 times (weight ratio) the amount of the c-kit inhibitor. More preferably, it is about 0.1-10 times (weight ratio) the amount of the c-kit inhibitor.
- The pharmaceutical composition of the invention may be made into various forms, for example, into solid oral formulations, injectable solution or the like.
- Furthermore, each of the compound and the c-kit inhibitor contained in the kit of the invention may individually be made into solid oral formulations, injectable solution or the like.
- In order to prepare a solid oral formulation, an excipient, and if necessary, a binder, disintegrant, lubricant, colorant, a flavoring agent and the like are added to the principal agent, and then made into a tablet, a coated tablet, granule, fine granule, dispersant, a capsule or the like according to a conventional method.
- For example, lactose, cornstarch, sucrose, glucose, sorbit, crystalline cellulose, silicon dioxide or the like may be used as the excipient; for example, polyvinyl alcohol, ethyl cellulose, methyl cellulose, gum arabic, hydroxypropyl cellulose, hydroxypropylmethyl cellulose or the like may be used as the binder; for example, magnesium stearate, talc, silica or the like may be used as the lubricant; those that are allowed to be added to drugs may be used as the colorant; and for example, cocoa powder, menthol, aromatic acid, peppermint oil, camphor, cinnamon powder or the like may be used as the flavoring agent. Of course, if necessary, these tablets and granule may be coated appropriately with sugar coating, gelatin coating or else.
- When an injectable solution is to be prepared, if necessary, the principal agent may be added with a pH adjuster, a buffer, a suspending agent, a solubilizing agent, a stabilizer, a tonicity agent, a preservative or the like, and may be made into an intravenously, subcutaneously or intramuscularly injectable solution according to a conventional method. If necessary, the solution may be made into a lyophilized form by a conventional technique.
- Examples of the suspending agent include methyl cellulose, Polysorbate 80, hydroxyethyl cellulose, gum arabic, powdered tragacanth, carboxy methyl cellulose sodium and polyoxyethylene sorbitan monolaurate.
- Examples of the solubilizing agent include polyoxyethylene hydrogenated castor oil, Polysorbate 80, nicotine acid amide, polyoxyethylene sorbitan monolaurate, macrogol, and castor oil fatty acid ethyl ester.
- Examples of the stabilizer include sodium sulfite and sodium metasulfite; examples of the preservative include methyl parahydroxybenzoate, ethyl parahydroxybenzoate, sorbic acid, phenol, cresol and chlorocresol.
- In the kit of the invention, a formulation containing the compound of the invention and a formulation containing the c-kit inhibitor may be mixed together or may be separately accommodated and packed together. The order of the formulations above is not particularly limited and they may be administered simultaneously or one may be administered after the other.
- Besides the compound of the invention and the c-kit inhibitor, the pharmaceutical composition and/or the kit of the invention may also contain a package, an instruction, an attached document or the like. The package, the instruction, the attached document or the like may include description of a combination employed for using substances, and description of usage and dosage in the case of administering separate substances in combination or in the case of administering them in a form of a mixture. The usage and dosage may be described referring to the related description above.
- The kit of the invention may also comprise: (a) at least one selected from the group consisting of a package, an instruction and an attached document describing combined use of the compound of the invention and the c-kit inhibitor; and (b) a pharmaceutical composition containing the compound of the invention. The kit is useful for treating cancer. The pharmaceutical composition containing the compound of the invention is useful for treating cancer. The package, the instruction, the attached document or the like may include the description of combined use of the compound, and description of usage and dosage in the case of administering separate substances in combination upon administration or in the case of administering them in the form of a mixture. The usage and dosage may be described referring to the description of pharmaceutical composition and kit above.
- The present invention also comprises use of a compound of the invention for producing a pharmaceutical composition in combination with a c-kit inhibitor. According to the use of the invention, the pharmaceutical composition is useful for treating cancer.
- The present invention also comprises a method for preventing or treating cancer comprising simultaneously or separately administering a compound of the invention and a c-kit inhibitor to a patient. According to the method of the invention for preventing or treating cancer, the route and the method for administering the compound of the invention and the c-kit inhibitor are not particularly limited and reference may be made to the description of the pharmaceutical composition of the invention above.
- The present invention also comprises a pharmaceutical composition containing the compound of the invention which is simultaneously or separately administered with a c-kit inhibitor to a patient. For the pharmaceutical composition of the invention, the route and the method for administering the compound of the invention and the c-kit inhibitor are not particularly limited and reference may be made to the description of the pharmaceutical composition of the invention above.
- Hereinafter, the present invention will be illustrated by way of specific examples, although the invention should not be limited thereto.
- Human gastrointestinal stromal tumor cell line GIST882 (supplied by The Brigham and Women's Hospital, Inc.) was cultured in RPMI1640 (containing 10% FBS) in a 5% carbon dioxide incubator to about 80% confluence. Following cultivation, each cell was collected by trypsin-EDTA treatment according to a general method. Using a phosphate buffer containing 50% matrigel, 5×107 cells/mL suspension was prepared, and 0.2 mL each of the resulting cell suspension was subcutaneously transplanted into the flank of a nude mouse. Starting from twenty-one days after the transplantation, 4-(3-chloro-4-(cyclopropylaminocarbonyl)aminophenoxy)-7-methoxy-6-quinolinecarboxamide (10 mg/kg or 30 mg/kg, once a day, for two weeks) and imatinib (160 mg/kg, twice a day, for two weeks) were orally administered alone or in combination. 4-(3-chloro-4-(cyclopropylaminocarbonyl)aminophenoxy)-7-methoxy-6-quinolinecarboxamide(methanesulfonate) was prepared based on the description of International publication No. 02/32872 pamphlet (WO02/32872). Moreover, imatinib was purchased from Novartis Pharma K.K. The major and minor axes of tumors were measured with Digimatic caliper (Mitsutoyo), and tumor volumes and relative tumor volumes were calculated according to the following formulae.
-
Tumor Volume (TV)=Major axis of tumor (mm)×(Minor axis of tumor)2 (mm2)/2 -
Relative Tumor Volume (RTV)=Tumor volume on measurement day/Tumor volume on the first administration day - As a result, combined use of 4-(3-chloro-4-(cyclopropylaminocarbonyl)aminophenoxy)-7-methoxy-6-quinolinecarboxamide and imatinib showed greater antitumor effect than the case where 4-(3-chloro-4-(cyclopropylaminocarbonyl)aminophenoxy)-7-methoxy-6-quinolinecarboxamide or imatinib was used alone (Tables 1 and 2,
FIGS. 1 and 2 ). Furthermore, combined use of 4-(3-chloro-4-(cyclopropylaminocarbonyl)aminophenoxy)-7-methoxy-6-quinolinecarboxamide and imatinib showed greater antitumor effect than the case where imatinib was used alone (Tables 1 and 2,FIGS. 1 and 2 ). -
TABLE 1 Relative tumor volume on Day 15 Administered compound Average ± standard deviation Control (untreated) 2.71 ± 0.24 Imatinib 160 mg/kg1.03 ± 0.15 Compound A 10 mg/kg2.06 ± 0.16 Compound A 10 mg/kg +0.77 ± 0.12 imatinib 160 mg/kg - Table 1 shows antitumor effects obtained with 4-(3-chloro-4-(cyclopropylaminocarbonyl)aminophenoxy)-7-methoxy-6-quinolinecarboxamide (indicated as Compound A in Table 1) alone, imatinib alone and combined use of 4-(3-chloro-4-(cyclopropylaminocarbonyl)aminophenoxy)-7-methoxy-6-quinolinecarboxamide and imatinib in human cancer cell line subcutaneous xenograft models. The first day of administration was considered
Day 1. -
TABLE 2 Relative tumor volume on Day 15 Administered compound Average ± standard deviation Control (untreated) 2.71 ± 0.24 Imatinib 160 mg/kg1.03 ± 0.15 Compound A 30 mg/kg1.36 ± 0.13 Compound A 30 mg/kg +0.62 ± 0.09 imatinib 160 mg/kg - Table 2 shows antitumor effects obtained with 4-(3-chloro-4-(cyclopropylaminocarbonyl)aminophenoxy)-7-methoxy-6-quinolinecarboxamide (indicated as Compound A in Table 2) alone, imatinib alone and combined use of 4-(3-chloro-4-(cyclopropylaminocarbonyl)aminophenoxy)-7-methoxy-6-quinolinecarboxamide and imatinib in human cancer cell line subcutaneous xenograft models. The first day of administration was considered
Day 1. - From the obtained results, the combination of 4-(3-chloro-4-(cyclopropylaminocarbonyl)aminophenoxy)-7-methoxy-6-quinolinecarboxamide and imatinib was found to provide a pharmaceutical composition and a kit that show a remarkable antitumor activity, which can be used for treating cancer.
- Hereinafter, a method for producing a formulation of one of the compounds represented by Formula (I), 4-(3-chloro-4-(cyclopropylaminocarbonyl)aminophenoxy)-7-methoxy-6-quinolinecarboxamide will be described as a reference example.
- (Production of Pharmaceutical Composition)
- (1) 1 mg Tablet
- 24 g of crystal (C) of 4-(3-chloro-4-(cyclopropylaminocarbonyl)aminophenoxy)-7-methoxy-6-quinolinecarboxamide methanesulfonate (hereinafter, also referred to as “crystal (C)”, which was produced according to the method described in Example 7 of WO2005/063713) and 192 g of light anhydrous silicic acid (antigelling agent sold under the trade name of AEROSIL™200, Nippon Aerosil) were mixed with 20 L Super Mixer, and then 1236 g of D-mannitol (excipient, Towa-Kasei), 720 g of crystalline cellulose (excipient sold under the trade name of Avicel PH101, Asahi Kasei) and 72 g of hydroxypropylcellulose (binder sold under the trade name of HPC-L. Nippon Soda) were further added and mixed together. Subsequently, a suitable amount of anhydrous ethanol was added to obtain a granulated body containing crystal (C). This granulated body was dried in a rack dryer (60° C.), and then size-regulated using PowerMILL to obtain granules. Together with the granules, 120 g of croscarmellose sodium (disintegrant sold under the trade name of Ac-Di-Sol, FMC International Inc.) and 36 g of sodium stearyl fumarate (lubricant, JRS Pharma LP) were placed in a 20 L tumbler mixer and mixed together, and molded with a tablet machine to obtain tablets with a total mass of 100 mg per tablet. Moreover, the tablets were coated with a tablet coating machine using aqueous 10% Opadry yellow (OPADRY 03F42069 YELLOW, Colorcon Japan) solution as a coating solution, thereby obtaining coated tablets with a total mass of 105 mg per tablet.
- (2) 10 mg Tablet
- 60 g of crystal (C) and 192 g of light anhydrous silicic acid (antigelling agent sold under the trade name of AEROSIL™200, Nippon Aerosil) were mixed with 20 L Super Mixer, and then 1200 g of D-mannitol (excipient, Towa-Kasei), 720 g of crystalline cellulose (excipient sold under the trade name of Avicel PH101, Asahi Kasei) and 72 g of hydroxypropylcellulose (binder sold under the trade name of HPC-L, Nippon Soda) were further added and mixed together. Subsequently, a suitable amount of anhydrous ethanol was added to obtain a granulated body containing crystal (C). This granulated body was dried in a rack dryer (60° C.), and then size-regulated using PowerMILL to obtain granules. Together with the granules, 120 g of croscarmellose sodium (disintegrant sold under the trade name of Ac-Di-Sol, FMC International Inc.) and 36 g of sodium stearyl fumarate (lubricant, JRS Pharma LP) were placed in a 20 L tumbler mixer and mixed together, and molded with a tablet machine to obtain tablets with a total mass of 400 mg per tablet. Moreover, the tablets were coated with a tablet coating machine using aqueous 10% Opadry yellow (OPADRY 03F42069 YELLOW, Colorcon Japan) solution as a coating solution, thereby obtaining coated tablets with a total mass of 411 mg per tablet.
- (3) 100 mg Tablet
- 31.4 g of crystal (C) and 4 g of light anhydrous silicic acid (antigelling agent sold under the trade name of AEROSIL™200, Nippon Aerosil) were mixed with 1 L Super Mixer, and then 40.1 g of anhydrous calcium hydrogen phosphate (excipient, Kyowa Chemical Industry), 10 g of low substituted hydroxypropylcellulose (binder sold under the trade name of L-HPC (LH-21), Shin-Etsu Chemical) and 3 g of hydroxypropylcellulose (binder sold under the trade name of HPC-L, Nippon Soda) were further added and mixed together. Subsequently, a suitable amount of anhydrous ethanol was added to obtain a granulated body containing crystal (C). This granulated body was dried in a rack dryer (60° C.), and then granulated using PowerMILL to obtain granules. Together with the granules 10 g of croscarmellose sodium (disintegrant sold under the trade name of Ac-Di-Sol. FMC International Inc.) and 1.5 g of sodium stearyl fumarate (lubricant, JRS Pharma LP) were mixed and molded with a tablet machine to obtain tablets with a total mass of 400 mg per tablet.
- According to the present invention, there is provided a pharmaceutical composition and/or kit comprising a combination of a compound represented by Formula (I), a pharmacologically acceptable salt thereof or a solvate thereof and a c-kit inhibitor, which can be used for treating cancer.
Claims (83)
1. A pharmaceutical composition comprising a combination of a compound represented by Formula (I), a pharmacologically acceptable salt thereof or a solvate thereof and a substance having a c-kit kinase-inhibiting activity:
[wherein, R1 represents group represented by Formula —V1—V2—V3 (wherein, V1 represents C1-6 alkylene group that may have a substituent; V2 represents a single bond, an oxygen atom, a sulfur atom, carbonyl group, sulfinyl group, sulfonyl group, group represented by Formula —CONR6—, group represented by Formula —SO2NR6—, group represented by Formula —NR6SO2—, group represented by Formula —NR6CO— or group represented by Formula —NR6SO2—, (wherein, R6 represents a hydrogen atom, C1-6 alkyl group that may have a substituent or C3-8 cycloalkyl group that may have a substituent); V3 represents a hydrogen atom, C1-6 alkyl group that may have a substituent, C2-6 alkenyl group that may have a substituent, C2-6 alkynyl group that may have a substituent, C3-8 cycloalkyl group that may have a substituent, C6-10 aryl group that may have a substituent, 5-10-membered heteroaryl group that may have a substituent or 3-10-membered nonaromatic heterocyclic group that may have a substituent);
R2 represents cyano group, C1-6 alkoxy group that may have a substituent, carboxyl group, C2-7 alkoxycarbonyl group that may have a substituent or group represented by Formula —CONVa11Va12 (wherein, Va11 represents a hydrogen atom, C1-6 alkyl group that may have a substituent, C2-6 alkenyl group that may have a substituent, C2-6 alkynyl group that may have a substituent, C3-8 cycloalkyl group that may have a substituent, C6-10 aryl group that may have a substituent, 5-10-membered heteroaryl group that may have a substituent or 3-10-membered nonaromatic heterocyclic group that may have a substituent; Va12 represents a hydrogen atom, C1-6 alkyl group that may have a substituent, C2-6 alkenyl group that may have a substituent, C2-6 alkynyl group that may have a substituent, C3-8 cycloalkyl group that may have a substituent, C6-10 aryl group that may have a substituent, 5-10-membered heteroaryl group that may have a substituent, 3-10-membered nonaromatic heterocyclic group that may have a substituent, hydroxyl group, C1-6 alkoxy group that may have a substituent or C3-8 cycloalkoxy group that may have a substituent);
Y1 represents Formula
(wherein, R7 and R8 each independently represent a hydrogen atom, a halogen atom, cyano group, nitro group, amino group, C1-6 alkyl group that may have a substituent, C3-8 cycloalkyl group that may have a substituent, C1-6 alkoxy group that may have a substituent, C1-6 alkylthio group that may have a substituent, formyl group, C2-7 acyl group that may have a substituent, C2-7 alkoxycarbonyl group that may have a substituent or group represented by Formula —CONVd1Vd2 (wherein, Vd1 and Vd2 each independently represent a hydrogen atom or C1-6 alkyl group that may have a substituent);
W1 and W2 each independently represent a carbon atom or a nitrogen atom that may have a substituent);
R3 and R4 each independently represent a hydrogen atom, C1-6 alkyl group that may have a substituent, C2-6 alkenyl group that may have a substituent, C2-4 alkynyl group that may have a substituent, C3-8 cycloalkyl group that may have a substituent, C2-7 acyl group that may have a substituent or C2-7 alkoxycarbonyl group that may have a substituent;
R5 represents a hydrogen atom, C1-6 alkyl group that may have a substituent, C2-6 at alkenyl group that may have a substituent, C2-6 alkynyl group that may have a substituent, C3-8 cycloalkyl group that may have a substituent, C6-10 aryl group that may have a substituent, 5-10-membered heteroaryl group that may have a substituent, 3-10-membered nonaromatic heterocyclic group that may have a substituent].
2. A pharmaceutical composition according to claim 1 , wherein R1 is C1-6 alkyl group (where, R1 may have a substituent selected from 3-10-membered nonaromatic heterocyclic group that may have C1-6 alkyl group, hydroxyl group, C1-6 alkoxy group, amino group, mono-C1-6 alkylamino group and di-C1-6 alkylamino group).
3. A pharmaceutical composition according to claim 1 , wherein R1 is methyl group or group represented any one of the following Formulae:
4. A pharmaceutical composition according to claim 1 , wherein R1 is methyl group or 2-methoxyethyl group.
5. A pharmaceutical composition according to claim 1 , wherein R2 represents cyano group or group represented by Formula —CONVa11Va12 (wherein, Va11 represents a hydrogen atom, C1-6 alkyl group that may have a substituent, C2-6 alkenyl group that may have a substituent, C2-6 alkynyl group that may have a substituent, C3-8 cycloalkyl group that may have a substituent, C6-10 aryl group that may have a substituent, 5-10-membered heteroaryl group that may have a substituent or 3-10-membered nonaromatic heterocylic group that may have a substituent; Va12 represents a hydrogen atom, C1-6 alkyl group that may have a substituent, C2-6 alkenyl group that may have a substituent, C2-6 alkynyl group that may have a substituent, C3-8 cycloalkyl group that may have a substituent, C6-10 aryl group that may have a substituent, 5-10-membered heteroaryl group that may have a substituent, 3-10-membered nonaromatic heterocyclic group that may have a substituent, hydroxyl group, C1-6 alkoxy group that may have a substituent or C3-8 cycloalkoxy group that may have a substituent).
6. A pharmaceutical composition according to claim 1 , wherein R2 is cyano group or group represented by Formula —CONHVa16 (wherein, Va16 represents a hydrogen atom, C1-6 alkyl group, C3-8 cycloalkyl group, C1-6 alkoxy group or C3-8 cycloalkoxy group, where Va16 may have a substituent selected from a halogen atom, cyano group, hydroxyl group and C1-6 alkoxy group).
7. A pharmaceutical composition according to claim 1 , wherein R2 is group represented by Formula —CONHVa17 (wherein, Va17 represents a hydrogen atom, C1-6 alkyl group or C1-6 alkoxy group).
8. A pharmaceutical composition according to claim 1 , wherein R2 is group represented by Formula —CONHVa18 (wherein, Va18 represents a hydrogen atom, methyl group or methoxy group).
10. A pharmaceutical composition according to claim 1 , wherein R3 and R4 is a hydrogen atom.
11. A pharmaceutical composition according to claim 1 , wherein R5 is a hydrogen atom, C1-6 alkyl group, C3-8 cycloalkyl group or C6-10 aryl group (where, R5 may have a substituent selected from a halogen atom and methanesulfonyl group).
12. A pharmaceutical composition according to claim 1 , wherein R5 is methyl group, ethyl group or cyclopropyl group.
13. A pharmaceutical composition according to claim 1 , wherein the compound represented by Formula (I), a pharmacologically acceptable salt thereof or a solvate thereof is at least one compound selected from the group consisting of: N-(4-(6-cyano-7-(2-methoxyethoxy)-4-quinolyl)oxy-2-fluorophenyl)-N′-(4-fluorophenyl)urea;
N-(2-chloro-4-((6-cyano-7-((1-methyl-4-piperidyl)methoxy)-4-quinolyl)oxy)phenyl)-N′-cyclopropylurea;
N-(4-((6-cyano-7-(((2R)-3-(diethylamino)-2-hydroxypropyl)oxy)-4-quinolyl)oxy)phenyl)-N′-(4-fluorophenyl)urea;
N-(4-((6-cyano-7-(((2R)-2-hydroxy-3-(1-pyrrolidino)propyl)oxy)-4-quinolyl)oxy)phenyl)-N′-(4-fluorophenyl)urea;
4-(3-chloro-4-(cyclopropylaminocarbonyl)aminophenoxy)-7-methoxy-6-quinolinecarboxamide;
4-(3-chloro-4-(cyclopropylaminocarbonyl)aminophenoxy)-7-(2-methoxyethoxy)-6-quinolinecarboxamide;
N6-cyclopropyl-4-(3-chloro-4-(((cyclopropylamino)carbonyl)amino)phenoxy)-7-methoxy-6-quinolinecarboxamide;
N6-(2-methoxyethyl)-4-(3-chloro-4-(((cyclopropylamino)carbonyl)amino 7-methoxy-6-quinolinecarboxamide;
N6-(2-fluoroethyl)-4-(3-chloro-4-(((cyclopropylamino)cabonylamino)phenoxy)-7-methoxy-6-quinolinecarboxamide;
N6-methoxy-4-(3-chloro-4-(((cyclopropylamino)carbonyl)amino)phenoxy)-7-methoxy-6-quinolinecarboxamide;
N6-methyl-4-(3-chloro-4-(((cyclopropylamino)carbonyl)amino)phenoxy)-7-methoxy-6-quinolinecarboxamide;
N6-ethyl-4-(3-chloro-4-(((cyclopropylamino)carbonyl)amino)phenoxy)-7-methoxy-6-quinolinecarboxamide;
4-(3-fluoro-4-(cyclopropylaminocarbonyl)aminophenoxy)-7-(2-methoxyethoxy)-6-quinolinecarboxamide;
4-(3-chloro-4-(cyclopropylaminocarbonyl)aminophenoxy)-7-(2-hydroxyethoxy)-6-quinolinecarboxamide;
4-(3-chloro-4-(cyclopropylaminocarbonyl)aminophenoxy)-7-((2S)-2,3-dihydroxypropyl)oxy-6-quinolinecarboxamide;
4-(3-chloro-4-(methylaminocarbonyl)aminophenoxy)-7-methoxy-6-quinolinecarboxamide;
4-(3-chloro-4-(ethylaminocarbonyl)aminophenoxy)-7-methoxy-6-quinolinecarboxamide;
N6-methoxy-4-(3-chloro-4-(((ethylamino)carbonyl)amino)phenoxy)-7-methoxy-6-quinolinecarboxamide;
4-(3-chloro-4-(cyclopropylaminocarbonyl)aminophenoxy)-7-(2-ethoxyethoxy)-6-quinolinecarboxamide;
4-(4-((cyclopropylamino)carbonyl)aminophenoxy)-7-(2-methoxyethoxy)-6-quinolinecarboxamide;
N-(2-fluoro-4-((6-carbamoyl-7-methoxy-4-quinolyl)oxy)phenyl)-N′-cyclopropylurea;
N6-(2-hydroxyethyl)-4-(3-chloro-4-(((cyclopropylamino)carbonyl)amino)phenoxy)-7-methoxy-6-quinolinecarboxamide;
4-(3-chloro-4-(1-propylaminocarbonyl)aminophenoxy)-7-methoxy-6-quinolinecarboxamide;
4-(3-chloro-4-(cis-2-fluoro-cyclopropylaminocarbonyl)aminophenoxy)-7-methoxy-6-quinolinecarboxamide;
N6-methyl-4-(3-chloro-4-(((cyclopropylamino)carbonyl)amino)phenoxy)-7-(2-methoxyethoxy)-6-quinolinecarboxamide;
N6-methyl-4-(3-chloro-4-(((ethylamino)carbonyl)amino)phenoxy)-7-methoxy-6-quinolinecarboxamide;
4-(3-chloro-4-(cyclopropylaminocarbonyl)aminophenoxy)-7-(2-(4-morpholino)ethoxy)-6-quinolinecarboxamide;
4-(3-chloro-4-(2-fluoroethylaminocarbonyl)aminophenoxy)-7-methoxy-6-quinolinecarboxamide;
N6-((2R)tetrahydro-2-furanylmethyl)-4-(3-chloro-4-(((methylamino)carbonyl)amino)phenoxy)-7-methoxy-6-quinolinecarboxamide;
4-(3-fluoro-4-(ethylaminocarbonyl)aminophenoxy)-7-methoxy-6-quinolinecarboxamide;
4-(3-chloro-4-(((cyclopropylamino)carbonyl)amino)phenoxy)-7-((2R)-2-hydroxy-3-(1-pyrrolidino)propoxy)-6-quinolinecarboxamide;
N6-methyl-4-(3-chloro-4-(((methylamino)carbonyl)amino)phenoxy)-7-((2R)-3-diethylamino-2-hydroxypropoxy)-6-quinolinecarboxamide;
N6-methyl-4-(3-chloro-4-(((ethylamino)carbonyl)amino)phenoxy)-7-((2R)-3-diethylamino-2-hydroxypropoxy)-6-quinolinecarboxamide;
N6-methyl-4-(3-chloro-4-(((methylamino)carbonyl)amino)phenoxy)-7-((2R)-2-hydroxy-3-(1-pyrrolidino)propoxy)-6-quinolinecarboxamide;
N6-methyl-4-(3-chloro-4-(((ethylaminocarbonyl)amino)phenoxy)-7-((2R)-2-hydroxy-3-(1-pyrrolidino)propoxy)-6-quinolinecarboxamide;
N6-methyl-4-(3-chloro-4-(((methylamino)carbonyl)amino)phenoxy)-7-((1-methyl-4-piperidyl)methoxy)-6-quinolinecarboxamide;
N6-methyl-4-(3-chloro-4-(((ethylamino)carbonyl)amino)phenoxy)-7-((1-methyl-4-piperidyl)methoxy)-6-quinolinecarboxamide;
N-(4-(6-cyano-7-(2-methoxyethoxy)-4-quinolyl)oxy-2-fluorophenyl)-N′-cyclopropylurea;
N-(4-(6-cyano-7-(3-(4-morpholino)propoxy)-4-quinolyl)oxyphenyl)-N′-(3-(methylsulfonyl)phenyl)urea;
4-(4-((cyclopropylamino)carbonyl)aminophenoxy)-7-methoxy-6-quinolinecarboxamide;
4-(3-fluoro-4-((2-fluoroethylamino)carbonyl)aminophenoxy)-7-methoxy-6-quinolinecarboxamide;
N6-(2-ethoxyethyl)-4-(3-chloro-4-(((methylamino)carbonyl)amino)phenoxy)-7-methoxy-6-quinolinecarboxamide;
4-(4-(3 ethylureido)-3-fluoro-phenoxy)-7-methoxyquinoline-6-carboxylic acid (2-cyanoethyl)amide; and
N-(4-(6-(2-cyanoethyl)carbamoyl-7-methoxy-4-quinolyl)oxy-2-fluorophenyl)-N′-cyclopropylurea,
a pharmacologically acceptable salt thereof or a solvate thereof.
14. A pharmaceutical composition according to claim 1 , wherein the compound represented by Formula (I), a pharmacologically acceptable salt thereof or a solvate thereof is at least one compound selected from the group consisting of:
4-(3-chloro-4-(cyclopropylaminocarbonyl)aminophenoxy)-7-methoxy-6-quinolinecarboxamide;
4-(3-chloro-4-(ethylaminocarbonyl)aminophenoxy)-7-methoxy-6-quinolinecarboxamide;
N6-methoxy-4-(3-chloro-4-(((cyclopropylamino)carbonyl)amino)phenoxy)-7-methoxy-6-quinolinecarboxamide;
4-(3-chloro-4-(methylaminocarbonyl)aminophenoxy)-7-methoxy-6-quinolinecarboxamide; and
N6-methoxy-4-(3-chloro-4-(((ethylamino)carbonyl)amino)phenoxy)-7-methoxy-6-quinolinecarboxamide,
a pharmacologically acceptable salt thereof or a solvate thereof.
15. A pharmaceutical composition according to claim 1 , wherein the compound represented by Formula (I), a pharmacologically acceptable salt thereof, or a solvate thereof is 4-(3-chloro-4-(cyclopropylaminocarbonyl)aminophenoxy)-7-methoxy-6-quinolinecarboxamide, a pharmacologically acceptable salt thereof, or a solvate thereof.
16. A pharmaceutical composition according to claim 1 , wherein the compound represented by Formula (I), a pharmacologically acceptable salt thereof, or a solvate thereof is methanesulfonate of 4-(3-chloro-4-(cyclopropylaminocarbonyl)aminophenoxy)-7-methoxy-6-quinolinecarboxamide.
17. A pharmaceutical composition according to claim 1 , wherein the substance having a c-kit kinase-inhibiting activity is at least one compound selected from the group consisting of:
(1) 4-(4-methylpiperazine-1-ylmethyl)-N-[4-methyl-3-[4-(3-pyridyl)pyrimidine-2-ylamino]phenyl]benzenamide;
(2) 3-[(2,4-dimethylpyrrole-5-yl)methylene]-2-indolinone;
(3) (Z)-3-[(2,4-dimethyl-5-(2-oxo-1,2-dihydroindole-3-ylidenemethyl)-1H-pyrrole-3-yl)-propionic acid;
(4) 5-(5-fluoro-2-oxo-1,2-dihydroindole-3-ylidenemethyl)-2,4-dimethyl-1H-pyrrole-3-carboxylic acid (2-diethylaminoethyl)amide;
(5) N-{2-chloro-4-[(6,7-dimethoxy-4-quinazolinyl)oxy]phenyl}-N′-propylurea;
(6) 1-(4-chloroanilino)-4-(4-pyridylmethyl)phthalazine;
(7) N-{2-chloro-4-[(6,7-dimethoxy-4-quinolyl)oxy]phenyl}-N′-(5-methyl-3-isoxazolyl)urea;
(8) 4-[(4-fluoro-2-methylindole-5-yl)oxy]-6-methoxy-7-[3-(pyrrolidine-1-yl)propoxy]quinazoline;
(9) 6-[2-(methylcarbamoyl)phenylsulfanil]-3-E-[2-(pyridine-2-yl)ethenyl]indazole;
(10) N-(3-trifluoromethyl-4-chlorophenyl)-N′-(4-(2-methylcarbamoylpyridine-4-yl)oxyphenyl)urea;
(11) [6-[4-[(4-ethylpiperazine-1-yl)methyl]phenyl]-7H-pyrrolo[2,3-d]pyrimidine-4-yl]-((R)-1-phenylethyl)amine;
(12) 6-(2,6-dichloro-phenyl)-2-(4-fluoro-3-methyl-phenylamino)-8-methyl8H-pyrido[2,3-d]pyrimidine-7-one;
(13) 6-(2,6-dichlorophenyl)-8-methyl-2-(3-methylsulfanilphenylamino)-8H-pyrido[2,3-/d/]pyrimidine-7-one;
(14) 4-[6-methoxy-7-(3-piperidine-1-yl-propoxy)quinazoline-4-yl]piperazine-1-carboxylic acid(4-isopropoxyphenyl)amide; and
(15) N-(2-chloro-6-methylphenyl)-2-[[6-[4-(2-hydroxyethyl)piperazine-1-yl]-2-methylpyrimidine-4-yl]amino]thiazole-5-carboxamide,
a pharmacologically acceptable salt thereof or a solvate thereof.
18. A pharmaceutical composition according to claim 1 , wherein the substance having a c-kit kinase-inhibiting activity is 4-(4-methylpiperazine-1-ylmethyl)-N-[4-methyl-3-[4-(3-pyridyl)pyrimidine-2-ylamino]phenyl]benzenamide, a pharmacologically acceptable salt thereof, or a solvate thereof.
19. A pharmaceutical composition according to claim 1 , wherein the substance having a c-kit kinase-inhibiting activity is an anti-c-kit kinase antibody.
20. A pharmaceutical composition according to claim 1 , wherein a pharmaceutical composition is a pharmaceutical composition for cancer treatment.
21. A kit comprising: (a) at least one selected from the group consisting of a package, an instruction and an attached document describing combined use of a compound represented by Formula (I), a pharmacologically acceptable salt thereof or a solvate thereof with a substance having a c-kit kinase-inhibiting activity; and (b) a pharmaceutical composition comprising a compound represented by Formula (I), a pharmacologically acceptable salt thereof or a solvate thereof:
[wherein, R1 represents group represented by Formula —V1—V2—V3 (wherein, V1 represents C1-6 alkylene group that may have a substituent; V2 represents a single bond, an oxygen atom, a sulfur atom, carbonyl group, sulfinyl group, sulfonyl group, group represented by Formula —CONR6—, group represented by Formula —SO2NR6—, group represented by Formula —NR6SO2—, group represented by Formula —NR6CO— or group represented by Formula —NR6— (wherein, R6 represents a hydrogen atom, C1-6 alkyl group that may have a substituent or C3-8 cycloalkyl group that may have a substituent); V3 represents a hydrogen, atom, C1-6 alkyl group that may have a substituent, C2-6 alkenyl group that may have a substituent, C2-6 alkynyl group that may have a substituent, C3-8 cycloalkyl group that may have a substituent, C6-10 aryl group that may have a substituent, 5-10-membered heteroaryl group that may have a substituent or 3-10-membered nonaromatic heterocyclic group that may have a substituent);
R2 represents cyano group, C1-6 alkoxy group that may have a substituent, carboxyl group, C2-7 alkoxycarbonyl group that may have a substituent or group represented by Formula —CONVa11Va12 (wherein, Va11 represents a hydrogen atom, C1-6 alkyl group that may have a substituent, C2-6 alkenyl group that may have a substituent, C2-6 alkynyl group that may have a substituent, C3-8 cycloalkyl group that may have a substituent, C6-10 aryl group that may have a substituent, 5-10-membered heteroaryl group that may have a substituent or 3-10-membered nonaromatic heterocyclic group that may have a substituent; Va12 represents a hydrogen atom, C1-6 alkyl group that may have a substituent, C2-6 alkenyl group that may have a substituent, C2-6 alkynyl group that may have a substituent, C3-8 cycloalkyl group that may have a substituent, C6-10 aryl group that may have a substituent, 5-10-membered heteroaryl group that may have a substituent, 3-10-membered nonaromatic heterocyclic group that may have a substituent, hydroxyl group, C1-6 alkoxy group that may have a substituent or C3-8 cycloalkoxy group that may have a substituent);
Y1 represents group represented by Formula
(wherein, R7 and R8 each independently represent a hydrogen atom, a halogen atom, cyano group, nitro group, amino group, C1-6 alkyl group that may have a substituent, C3-8 cycloalkyl group that may have a substituent, C1-6 alkoxy group that may have a substituent, C1-6 alkylthio group that may have a substituent, formyl group, C2-7 acyl group that may have a substituent, C2-7 alkoxycarbonyl group that may have a substituent or group represented by Formula —CONVd1Vd2 (wherein, Vd1 and Vd2 each independently represent a hydrogen atom or C1-6 alkyl group that may have a substituent);
W1 and W2 each independently represent a carbon atom or a nitrogen atom that may have a substituent);
R3 and R4 each independently represent a hydrogen atom, C1-6 alkyl group that may have a substituent, C2-6 alkenyl group that may have a substituent, C2-6 alkynyl group that may have a substituent, C3-8 cycloalkyl group that may have a substituent, C2-7 acyl group that may have a substituent or C2-7 alkoxycarbonyl group that may have a substituent;
R5 represents a hydrogen atom, C1-6 alkyl group that may have a substituent, C2-6 alkenyl group that may have a substituent, C2-6 alkynyl group that may have a substituent, C3-8 cycloalkyl group that may have a substituent, C6-10 aryl group that may have a substituent, 5-10-membered heteroaryl group that may have a substituent or 3-10-membered nonaromatic heterocyclic group that may have a substituent].
22. A kit according to claim 21 , wherein R1 is C1-6 alkyl group (where, R1 may have a substituent selected from 3-10-membered nonaromatic heterocyclic group that may have C1-6 alkyl group, hydroxyl group, C1-6 alkoxy group, amino group, mono-C1-6 alkylamino group and di-C1-6 alkylamino group).
23. A kit according to claim 21 , wherein R1 is methyl group or group represented by any one of the following Formulae
24. A kit according to claim 21 , wherein R1 is methyl group or 2-methoxyethyl group.
25. A kit according to claim 21 , wherein R2 is cyano group or group represented by Formula —CONVa11Va12 (wherein, Va11 represents a hydrogen atom, C1-6 alkyl group that may have a substituent, C2-6 alkenyl group that may have a substituent, C2-6 alkynyl group that may have a substituent C3-8 cycloalkyl group that may have a substituent, C6-10 aryl group that may have a substituent, 5-10-membered heteroaryl group that may have a substituent or 3-10-membered nonaromatic heterocyclic group that may have a substituent; Va12 represents a hydrogen atom, C1-6 alkyl group that may have a substituent, C2-6 alkenyl group that may have a substituent, C2-6 alkynyl group that may have a substituent, C3-8 cycloalkyl group that may have a substituent, C6-10 aryl group that may have a substituent, 5-10-membered heteroaryl group that may have a substituent, 3-10-membered nonaromatic heterocyclic group that may have a substituent, hydroxyl group, C1-6 alkoxy group that may have a substituent or C3-8 cycloalkoxy group that may have a substituent).
26. A kit according to claim 21 , wherein R2 is cyano group or group represented by Formula —CONHVa16 (wherein, Va16 represents a hydrogen atom, C1-6 alkyl group, C3-8 cycloalkyl group, C1-6 alkoxy group or C3-8 cycloalkoxy group, where Va16 may have a substituent selected from a halogen atom, cyano group, hydroxyl group and C1-6 alkoxy group).
27. A kit according to claim 21 , wherein R2 is group represented by Formula —CONHVa17 (wherein, Va17 represents a hydrogen atom, C1-6 alkyl group or C1-6 alkoxy group).
28. A kit according to claim 21 , wherein R2 is group represented by Formula —CONHVa18 (wherein, Va18 represents a hydrogen atom, methyl group or methoxy group).
30. A kit according to claim 21 , wherein R3 and R4 are hydrogen atoms.
31. A kit according to claim 21 , wherein R5 is a hydrogen atom, C1-6 alkyl group, C3-8 cycloalkyl group or C6-10 aryl group (where, R5 may have a substituent selected from a halogen atom and methanesulfonyl group).
32. A kit according to claim 21 , wherein R5 is methyl group, ethyl group or cyclopropyl group.
33. A kit according to claim 21 , wherein the compound represented by Formula (I), a pharmacologically acceptable salt thereof or a solvate thereof is at least one compound selected from the group consisting of:
N-(4-(6-cyano-7-(2-methoxyethoxy)-4-quinolyl)oxy-2-fluorophenyl)-N′-(4-fluorophenyl)urea;
N-(2-chloro-4-((6-cyano-7-((1-methyl-4-piperidyl)methoxy)-4-quinolyl)oxy)phenyl)-N′-cyclopropylurea;
N-(4-((6-cyano-7-(((2R)-3-(diethylamino)-2-hydroxypropyl)oxy)-4-quinolyl)oxy)phenyl)-N′-(4-fluorophenyl)urea;
N-(4-((6-cyano-7-(((2R)-2-hydroxy-3-(1-pyrrolidino)propyl)oxy)-4-quinolyl)oxy)phenyl)-N′-(4-fluorophenyl)urea;
4-(3-chloro-4-(cyclopropylaminocarbonyl)aminophenoxy)-7-methoxy-6-quinolinecarboxamide;
4-(3-chloro-4-(cyclopropylaminocarbonyl)aminophenoxy)-7-(2-methoxyethoxy)-6-quinolinecarboxamide;
N6-cyclopropyl-4-(3-chloro-4-(((cyclopropylamino)carbonyl)amino)phenoxy)-7-methoxy-6-quinolinecarboxamide;
N6-(2-methoxyethyl)-4-(3-chloro-4-(((cyclopropylamino)cabonyl)amino)phenoxy)-7-methoxy-6-quinolinecarboxamide;
N6-(2-fluoroethyl)-4-(3-chloro-4-(((cyclopropylamino)carbonyl)amino)phenoxy)-7-methoxy-6-quinolinecarboxamide;
N6-methoxy-4-(3-chloro-4-(((cyclopropylamino)carbonyl)amino)phenoxy)-7-methoxy-6-quinolinecarboxamide;
N6-methyl-4-(3-chloro-4-(((cyclopropylamino)carbonyl)amino)phenoxy)-7-methoxy-6-quinolinecarboxamide;
N6-ethyl-4-(3-chloro-4-(((cyclopropylamino)carbonyl)amino)phenoxy)-7-methoxy-6-quinolinecarboxamide;
4-(3-fluoro-4-(cyclopropylaminocarbonyl)aminophenoxy)-7-(2-methoxyethoxy)-6-quinolinecarboxamide;
4-(3-chloro-4-(cyclopropylaminocarbonyl)aminophenoxy)-7-(2-hydroxyethoxy)-6-quinolinecarboxamide;
4-(3-chloro-4-(cyclopropylaminocarbonyl)aminophenoxy)-7-((2S)-2,3-dihydroxypropyl)oxy-6-quinolinecarboxamide;
4-(3-chloro-4-(methylaminocarbonyl)aminophenoxy)-7-methoxy-6-quinolinecarboxamide;
4-(3-chloro-4-(ethylaminocarbonyl)aminophenoxy)-7-methoxy-6-quinolinecarboxamide;
N6-methoxy-4-(3-chloro-4-(((ethylamino)carbonyl)amino)phenoxy)-7-methoxy-6-quinolinecarboxamide;
4-(3-chloro-4-(cyclopropylaminocarbonyl)aminophenoxy)-7-(2-ethoxyethoxy)-6-quinolinecarboxamide;
4-(4-((cyclopropylamino)carbonyl)aminophenoxy)-7-(2-methoxyethoxy)-6-quinolinecarboxamide;
N-(2-fluoro-4-((6-carbamoyl-7-methoxy-4-quinolyl)oxy)phenyl)-N′-cyclopropylurea;
N6-(2-hydroxyethyl)-4-(3-chloro-4-(((cyclopropylamino)carbonyl)amino)phenoxy)-7-methoxy-6-quinolinecarboxamide;
4-(3-chloro-4-(1-propylaminocarbonyl)aminophenoxy)-7-methoxy-6-quinolinecarboxamide;
4-(3-chloro-4-(cis-2-fluoro-cyclopropylaminocarbonyl)aminophenoxy)-7-methoxy-6-quinolinecarboxamide;
N6-methyl-4-(3-chloro-4-(((cyclopropylamino)carbonyl)amino)phenoxy)-7-(2-methoxyethoxy)-6-quinolinecarboxamide;
N6-methyl-4-(3-chloro-4-(((ethylamino)carbonyl)amino)phenoxy)-7-methoxy-6-quinolinecarboxamide;
4-(3-chloro-4-(cyclopropylaminocarbonyl)aminophenoxy)-7-(2-(4-morpholino)ethoxy)-6-quinolinecarboxamide;
4-(3-chloro-4-(2-fluoroethylaminocarbonyl)aminophenoxy)-7-methoxy-6-quinolinecarboxamide;
N6-((2R)tetrahydro-2-furanylmethyl)-4-(3-chloro-4-(((methylamino)carbonyl)amino)phenoxy)-7-methoxy-6-quinolinecarboxamide;
4-(3-fluoro-4-(ethylaminocarbonyl)aminophenoxy)-7-methoxy-6-quinolinecarboxamide;
4-(3-chloro-4-(((cyclopropylamino)carbonyl)amino)phenoxy)-7-(2R)-2-hydroxy-3-(1-pyrrolidino)propoxy)-6-quinolinecarboxamide;
N6-methyl-4-(3-chloro-4-(((methylamino)carbonyl)amino)phenoxy)-7-((2R)-3-diethylamino-2-hydroxypropoxy)-6-quinolinecarboxamide;
N6-methyl-4-(3-chloro-4-(((ethylamino)carbonyl)amino)phenoxy)-7-((2R)-3-diethylamino-2-hydroxypropoxy)-6-quinolinecarboxamide;
N6-methyl-4-(3-chloro-4-(((methylamino)carbonyl)amino)phenoxy)-7-((2R)-2-hydroxy-3-(1-pyrrolidino)propoxy)-6-quinolinecarboxamide;
N6-methyl-4-(3-chloro-4-(((ethylamino)carbonyl)amino)phenoxy-7-((2R)-2-hydroxy-3-(1-pyrrolidino)propoxy)-6-quinolinecarboxamide;
N6-methyl-4-(3-chloro-4-(((methylamino)carbonyl)amino)phenoxy)-7-((1-methyl-4-piperidyl)methoxy)-6-quinolinecarboxamide;
N6-methyl-4-(3-chloro-4-(((ethylamino)carbonyl)amino)phenoxy)-7-((1-methyl-4-piperidyl)methoxy)-6-quinolinecarboxamide;
N-(4-(6-cyano-7-(2-methoxyethoxy)-4-quinolyl)oxy-2-fluorophenyl)-N′-cyclopropylurea;
N-(4-(6-cyano-7-(3-(4-morpholino)propoxy)-4-quinolyl)oxyphenyl)-N′-(3-(methylsulfonyl)phenyl)urea;
4-(4-((cyclopropylamino)carbonyl)aminophenoxy-7-methoxy-6-quinolinecarboxamide;
4-(3-fluoro-4-((2-fluoroethylamino)carbonyl)aminophenoxy)-7-methoxy-6-quinolinecarboxamide;
N6-(2-ethoxyethyl)-4-(3-chloro-4-(((methylamino)carbonyl)amino)phenoxy)-7-methoxy-6-quinolinecarboxamide;
4-(4-(3-ethylureido)-3-fluoro-phenoxy)-7-methoxyquinoline-6-carboxylic acid (2-cyanoethyl)amide; and
N-(4-(6-(2-cyanoethyl)carbamoyl-7-methoxy-4-quinolyl)oxy-2-fluorophenyl)-N′-cyclopropylurea,
a pharmacologically acceptable salt thereof, or a solvate thereof.
34. A kit according to claim 21 , wherein the compound represented by Formula (I), a pharmacologically acceptable salt thereof or a solvate thereof is at least one compound selected from the group consisting of:
4-(3-chloro-4-(cyclopropylaminocarbonyl)aminophenoxy)-7-methoxy-6-quinolinecarboxamide;
4-(3-chloro-4-(ethylaminocarbonyl)aminophenoxy)-7-methoxy-6-quinolinecarboxamide,
N6-methoxy-4-(3-chloro-4-(((cyclopropylamino)carbonyl)amino)phenoxy)-7-methoxy-6-quinolinecarboxamide;
4-(3-chloro-4-(methylaminocarbonyl)aminophenoxy)-7-methoxy-6-quinolinecarboxamide; and
N6-methoxy-4-(3-chloro-4-(((ethylamino)carbonyl)amino)phenoxy)-7-methoxy-6-quinolinecarboxamide;
a pharmacologically acceptable salt thereof, or a solvate thereof.
35. A kit according to claim 21 , wherein the compound represented by Formula (I), a pharmacologically acceptable salt thereof or a solvate thereof is 4-(3-chloro-4-(cyclopropylaminocarbonyl)aminophenoxy)-7-methoxy-6-quinolinecarboxamide, a pharmacologically acceptable salt thereof or a solvate thereof.
36. A kit according to claim 21 , wherein the compound represented by Formula (I), a pharmacologically acceptable salt thereof or a solvate thereof is methanesulfonate of 4-(3-chloro-4-(cyclopropylaminocarbonyl)aminophenoxy)-7-methoxy-6-quinolinecarboxamide.
37. A kit according to claim 21 , wherein the substance having a c-kit kinase-inhibiting activity is at least one compound selected from the group consisting of:
(1) 4-(4-methylpiperazine-1-ylmethyl)-N-[4-methyl-3-[4-(3-pyridyl)pyrimidine-2-ylamino]phenyl]benzenamide;
(2) 3-[(2,4-dimethylpyrrole-5-yl)methylene]-2-indolinone;
(3) (Z)-3-[(2,4-dimethyl-5-(2-oxo-1,2-dihydroindole-3-ylidenemethyl)-1H-pyrrole-3-yl)-propionic acid;
(4) 5-(5-fluoro-2-oxo-1,2-dihydroindole-3-ylidenemethyl)-2,4-dimethyl-1H-pyrrole-3-carboxylic acid (2-diethylaminoethyl)amide;
(5) N-{2-chloro-4-[(6,7-dimethoxy-4-quinazolinyl)oxy]phenyl}-N′-propylurea;
(6) 1-(4-chloroanilino)-4-(4-pyridylmethyl)phthalazine;
(7) N-{2-chloro-4-[(6,7-dimethoxy-4-quinolyl)oxy]phenyl}-N′-(5-methyl-3-isoxazolyl)urea;
(8) 4-[(4-fluoro-2-methylindol-5-yl)oxy]-6-methoxy-7-[3-(pyrrolidine-1-yl)propoxy]quinazoline;
(9) 6-[2-(methylcarbamoyl)phenylsulfanil]-3-E-[2-(pyridine-2-yl)ethenyl]indazole;
(10) N-(3-trifluoromethyl-4-chlorophenyl)-N′-(4-(2-methylcarbamoylpyridine-4-yl)oxyphenyl)urea;
(11) [6-[4-[(4-ethylpiperazine-1-yl)methyl]phenyl]-7H-pyrrolo[2,3-d]pyrimidine-4-yl]-((R)-1-phenylethyl)amine;
(12) 6-(2,6-dichloro-phenyl)-2-(4-fluoro-3-methyl-phenylamino)-8-methyl8H-pyrido[2,3-d]pyrimidine-7-one;
(13) 6-(2,6-dichlorophenyl)-8-methyl-2-(3-methylsulfanilphenylamino)-8H-pyrido[2,3-/d/]pyrimidine-7-one;
(14) 4-[6-methoxy-7-(3-piperidine-1-yl-propoxy)quinazoline-4-yl]piperazine-1-carboxylic acid(4-isopropoxyphenyl)amide; and
(15) N-(2-chloro-6-methylphenyl)-2-[[6-[4-(2-hydroxyethyl)piperazine-1-yl]-2-methylpyrimidine-4-yl]amino]thiazole-5-carboxamide,
a pharmacologically acceptable salt thereof, or a solvate thereof.
38. A kit according to claim 21 , wherein the substance having a c-kit kinase-inhibiting activity is 4-(4-methylpiperazine-1-ylmethyl)-N-[4-methyl-3-[4-(3-pyridyl)pyrimidine-2-ylamino]phenyl]benzenamide, a pharmacologically acceptable salt thereof or a solvate thereof.
39. A kit according to claim 21 , wherein the substance having a c-kit kinase-inhibiting activity is an anti-c-kit kinase antibody.
40. A kit according to claim 21 , which is a kit for cancer treatment.
41. A kit comprising a set of a formulation containing the compound represented by Formula (I), a pharmacologically acceptable salt thereof or a solvate thereof, and a formulation containing a substance having a c-kit kinase-inhibiting activity:
[wherein, R1 represents group represented by Formula —V1—V2—V3 (wherein, V1 represents C1-6 alkylene group that may have a substituent; V2 represents a single bond, an oxygen atom, a sulfur atom, carbonyl group, sulfinyl group, sulfonyl group, group represented by Formula —CONR6—, group represented by Formula —SO2NR6—, group represented by Formula —NR6SO2—, group represented by Formula —NR6CO— or group represented by Formula —NR6— (wherein, R6 represents a hydrogen atom, C1-6 alkyl group that may have a substituent or C3-8 cycloalkyl group that may have a substituent); V3 represents a hydrogen atom, C1-6 alkyl group that may have a substituent, C2-6 alkenyl group that may have a substituent, C2-6 alkynyl group that may have a substituent, C3-8 cycloalkyl group that may have a substituent, C6-10 aryl group that may have a substituent, 5-10-membered heteroaryl group that may have a substituent or 3-10-membered nonaromatic heterocyclic group that may have a substituent);
R2 represents cyano group, C1-6 alkoxy group that may have a substituent, carboxyl group, C2-7 alkoxycarbonyl group that may have a substituent or group represented by Formula —CONVa11Va12 (wherein, Va11 represents a hydrogen atom, C1-6 alkyl group that may have a substituent, C2-6 alkenyl group that may have a substituent, C2-6 alkynyl group that may have a substituent, C3-8 cycloalkyl group that may have a substituent, C6-10 aryl group that may have a substituent, 5-10-membered heteroaryl group that may have a substituent or 3-10-membered nonaromatic heterocyclic group that may have a substituent; Va12 represents a hydrogen atom, C1-6 alkyl group that may have a substituent, C2-6 alkenyl group that may have a substituent, C2-6 alkynyl group that may have a substituent, C3-8 cycloalkyl group that may have a substituent, C6-10 aryl group that may have a substituent, 5-10-membered heteroaryl group that may have a substituent, 3-10-membered nonaromatic heterocyclic group that may have a substituent, hydroxyl group, C1-6 alkoxy group that may have a substituent or C3-8 cycloalkoxy group that may have a substituent);
Y1 represents group represented by Formula
(wherein, R7 and R8 each independently represent a hydrogen atom, a halogen atom, cyano group, nitro group, amino group, C1-6 allyl group that may have a substituent, C3-8 cycloalkyl group that may have a substituent, C1-6 alkoxy group that may have a substituent, C1-6 alkylthio group that may have a substituent, formyl group, C2-7 acyl group that may have a substituent, C2-7 alkoxycarbonyl group that may have a substituent or group represented by Formula —CONVd1Vd2 (wherein, Vd1 and Vd2 each independently represent a hydrogen atom or C1-6 alkyl group that may have a substituent);
W1 and W2 each independently represent a carbon atom or a nitrogen atom that may have a substituent);
R3 and R4 each independently represent a hydrogen atom, C1-6 alkyl group that may have a substituent, C2-6 alkenyl group that may have a substituent, C2-6 alkynyl group that may have a substituent, C3-8 cycloalkyl group that may have a substituent, C2-7 acyl group that may have a substituent or C2-7 alkoxycarbonyl group that may have a substituent;
R5 represents a hydrogen atom, C1-6 alkyl group that may have a substituent, C2-6 alkenyl group that may have a substituent, C2-6 alkynyl group that may have a substituent, C3-8 cycloalkyl group that may have a substituent, C6-10 aryl group that may have a substituent, 5-10-membered heteroaryl group that may have a substituent; 3-10-membered nonaromatic heterocyclic group that may have a substituent].
42. A kit according to claim 41 , wherein R1 is C1-6 alkyl group (where, R1 may have a substituent selected from 3-10-membered nonaromatic heterocyclic group that may have C1-6 alkyl group, hydroxyl group, C1-6 alkoxy group, amino group, mono-C1-6 alkylamino group and di-C1-6 alkylamino group).
43. A kit according to claim 41 , wherein R1 is methyl group or group represented by any of the following Formulae
44. A kit according to claim 41 , wherein R1 is methyl group or 2-methoxyethyl group.
45. A kit according to claim 41 , wherein R1 is cyano group or group represented by Formula —CONVa11Va12 (wherein, Va11 represents a hydrogen atom, C1-6 alkyl group that may have a substituent, C2-6 alkenyl group that may have a substituent, C2-6 alkynyl group that may have a substituent, C3-8 cycloalkyl group that may have a substituent, C6-10 aryl group that may have a substituent, 5-10-membered heteroaryl group that may have a substituent or 3-10-membered nonaromatic heterocyclic group that may have a substituent; Va12 represents a hydrogen atom, C1-6 alkyl group that may have a substituent, C2-6 alkenyl group that may have a substituent, C2-6 alkynyl group that may have a substituent, C3-8 cycloalkyl group that may have a substituent, C6-10 aryl group that may have a substituent, 5-10-membered heteroaryl group that may have a substituent, 3-10-membered nonaromatic heterocyclic group that may have a substituent, hydroxyl group, C1-6 alkoxy group that may have a substituent or C3-8 cycloalkoxy group that may have a substituent).
46. A kit according to claim 41 , wherein R2 represents cyano group or group represented by Formula —CONHVa16 (wherein, Va16 represents a hydrogen atom, C1-6 alkyl group, C3-8 cycloalkyl group, C1-6 alkoxy group or C3-8 cycloalkoxy group, where Va16 may have a substituent selected from a halogen atom, cyano group, hydroxyl group and C1-6 alkoxy group).
47. A kit according to claim 41 , wherein R2 is group represented by Formula —CONHVa17 (wherein, Va17 represents a hydrogen atom, C1-6 alkyl group or C1-6 alkoxy group).
48. A kit according to claim 41 , wherein R2 is group represented by Formula —CONHVa18 (wherein, Va18 represents a hydrogen atom, methyl group or methoxy group).
50. A kit according to claim 41 , wherein R3 and R4 are hydrogen atoms.
51. A kit according to claim 41 , wherein R5 is a hydrogen atom, C1-6 alkyl group, C3-8 cycloalkyl group or C6-10 aryl group (where R5 may have a substituent selected from a halogen atom and methanesulfonyl group).
52. A kit according to claim 41 , wherein R5 is methyl group, ethyl group or cyclopropyl group.
53. A kit according to claim 41 , wherein the compound represented by Formula (I), a pharmacologically acceptable salt thereof or a solvate thereof is at least one compound selected from the group consisting of:
N-(4-(6-cyano-7-(2-methoxyethoxy)-4-quinolyl)oxy-2-fluorophenyl)-N′-(4-fluorophenyl)urea;
N-(2-chloro-4-((6-cyano-7-((1-methyl-4-piperidyl)methoxy)-4-quinolyl)oxy)phenyl)-N′-cyclopropylurea;
N-(4-((6-cyano-7-(((2R)-3-(diethylamino)-2-hydroxypropyl)oxy)-4-quinolyl)oxy)phenyl)-N′-(4-fluorophenyl)urea;
N-(4-((6-cyano-7-(((2R)-2-hydroxy-3-(1-pyrrolidino)propyl)oxy)-4-quinolyl)oxy)phenyl)-N′-(4-fluorophenyl)urea;
4-(3-chloro-4-(cyclopropylaminocarbonyl)aminophenoxy)-7-methoxy-6-quinolinecarboxamide;
4-(3-chloro-4-(cyclopropylaminocarbonyl)aminophenoxy)-7-(2-methoxyethoxy)-6-quinolinecarboxamide;
N6-cyclopropyl-4-(3-chloro-4-(((cyclopropylamino)carbonyl)amino)phenoxy)-7-methoxy-6-quinolinecarboxamide;
N6-(2-methoxyethyl)-4-(3-chloro-4-(((cyclopropylamino)carbonyl)amino)phenoxy)-7-methoxy-6-quinolinecarboxamide;
N6-(2-fluoroethyl)-4-(3-chloro-4-(((cyclopropylamino)carbonyl)amino)phenoxy)-7-methoxy-6-quinolinecarboxamide;
N6-methoxy-4-(3-chloro-4-(((cyclopropylamino)carbonyl)amino)phenoxy)-7-methoxy-6-quinolinecarboxamide;
N6-methyl-4-(3-chloro-4-(((cyclopropylamino)carbonyl)amino)phenoxy)-7-methoxy-6-quinolinecarboxamide;
N6-ethyl-4-(3-chloro-4-(((cyclopropylamino)carbonyl)amino)phenoxy)-7-methoxy-6-quinolinecarboxamide;
4-(3-fluoro-4-(cyclopropylaminocarbonyl)aminophenoxy)-7-(2-methoxyethoxy)-6-quinolinecarboxamide;
4-(3-chloro-4-(cyclopropylaminocarbonyl)aminophenoxy)-7-(2-hydroxyethoxy)-6-quinolinecarboxamide;
4-(3-chloro-4-(cyclopropylaminocarbonyl)aminophenoxy)-7-((2S)-2,3-dihydroxypropyl)oxy-6-quinolinecarboxamide;
4-(3-chloro-4-(methylaminocarbonyl)aminophenoxy)-7-methoxy-6-quinolinecarboxamide;
4-(3-chloro-4-(ethylaminocarbonyl)aminophenoxy)-7-methoxy-6-quinolinecarboxamide;
N6-methoxy-4-(3-chloro-4-(((ethylamino)carbonyl)amino)phenoxy)-7-methoxy-6-quinolinecarboxamide;
4-(3-chloro-4-(cyclopropylaminocarbonyl)aminophenoxy)-7-(2-ethoxyethoxy)-6-quinolinecarboxamide;
4-(4-((cyclopropylamino)carbonyl)aminophenoxy)-7-(2-methoxyethoxy)-6-quinolinecarboxamide;
N-(2-fluoro-4-((6-carbamoyl-7-methoxy-4-quinolyl)oxy)phenyl)-N′-cyclopropylurea;
N6-(2-hydroxyethyl)-4-(3-chloro-4-(((cyclopropylamino)carbonyl)amino)phenoxy)-7-methoxy-6-quinolinecarboxamide;
4-(3-chloro-4-(1-propylaminocarbonyl)aminophenoxy)-7-methoxy-6-quinolinecarboxamide;
4-(3-chloro-4-(cis-2-fluoro-cyclopropylaminocarbonyl)aminophenoxy)-7-methoxy-6-quinolinecarboxamide;
N6-methyl-4-(3-chloro-4-(((cyclopropylamino)carbonyl)amino)phenoxy)-7-(2-methoxyethoxy)-6-quinolinecarboxamide;
N6-methyl-4-(3-chloro-4-(((ethylamino)carbonyl)amino)phenoxy)-7-methoxy-6-quinolinecarboxamide;
4-(3-chloro-4-(cyclopropylaminocarbonyl)aminophenoxy)-7-(2-(4-morpholino)ethoxy)-6-quinolinecarboxamide;
4-(3-chloro-4-(2-fluoroethylaminocarbonyl)aminophenoxy)-7-methoxy-6-quinolinecarboxamide;
N6-((2R)tetrahydro-2-furanylmethyl)-4-(3-chloro-4-(((methylamino)carbonylamino)phenoxy)-7-methoxy-6-quinolinecarboxamide;
4-(3-fluoro-4-(ethylaminocarbonyl)aminophenoxy)-7-methoxy-6-quinolinecarboxamide;
4-(3-chloro-4-(((cyclopropylamino)carbonyl)amino)phenoxy)-7-((2R)-2-hydroxy-3-(1-pyrrolidino)propoxy)-6-quinolinecarboxamide;
N6-methyl-4-(3-chloro-4-(((methylamino)carbonyl)amino)phenoxy)-7-((2R)-3-diethylamino-2-hydroxypropoxy)-6-quinolinecarboxamide;
N6-methyl-4-(3-chloro-4-(((ethylamino)carbonyl)amino)phenoxy)-7-((2R)-3-diethylamino-2-hydroxypropoxy)-6-quinolinecarboxamide;
N6-methyl-4-(3-chloro-4-(((methylamino)carbonyl)amino)phenoxy)-7-((2R)-2-hydroxy-3-(1-pyrrolidino)propoxy)-6-quinolinecarboxamide;
N6-methyl-4-(3-chloro-4-(((ethylamino)carbonyl)amino)phenoxy)-7-((2R)-2-hydroxy-3-(1-pyrrolidino)propoxy)-6-quinolinecarboxamide;
N6-methyl-4-(3-chloro-4-(((methylamino)carbonyl)amino)phenoxy)-7-((1-methyl-4-piperidyl)methoxy)-6-quinolinecarboxamide;
N6-methyl-4-(3-chloro-4 (((ethylamino)carbonyl)amino)phenoxy)-7-((1-methyl-4-piperidyl)methoxy)-6-quinolinecarboxamide;
N-(4-(6-cyano-7-(2-methoxyethoxy)-4-quinolyl)oxy-2-fluorophenyl)-N′ cyclopropylurea;
N-(4-(6-cyano-7-(3-(4-morpholino)propoxy)-4-quinolyl)oxyphenyl)-N′-(3-(methylsulfonyl)phenyl)urea;
4-(4-((cyclopropylamino)carbonyl)aminophenoxy)-7-methoxy-6-quinolinecarboxamide;
4-(3-fluoro-4-((2-fluoroethylamino)carbonyl)aminophenoxy)-7-methoxy-6-quinolinecarboxamide;
N6-(2-ethoxyethyl)-4-(3-chloro-4-(((methylamino)carbonyl)amino)phenoxy)-7-methoxy-6-quinolinecarboxamide;
4-(4-(3-ethylureido)-3-fluoro-phenoxy)-7-methoxyquinoline-6-carboxylic acid (2-cyanoethyl)amide; and
N-(4-(6-(2-cyanoethyl)carbamoyl-7-methoxy-4-quinolyl)oxy-2-fluorophenyl)-N′-cyclopropylurea,
a pharmacologically acceptable salt thereof, or a solvate thereof.
54. A kit according to claim 41 , wherein the compound represented by Formula (I), a pharmacologically acceptable salt thereof or a solvate thereof is at least one compound selected from the group consisting of: 4-(3-chloro-4-(cyclopropylaminocarbonyl)aminophenoxy)-7-methoxy-6-quinolinecarboxamide;
4-(3-chloro-4-(ethylaminocarbonyl)aminophenoxy)-7-methoxy-6-quinolinecarboxamide;
N6-methoxy-4-(3-chloro-4-(((cyclopropylamino)carbonyl)amino)phenoxy)-7-methoxy-6-quinolinecarboxamide;
4-(3-chloro-4-(methylaminocarbonyl)aminophenoxy)-7-methoxy-6-quinolinecarboxamide; and
N6-methoxy-4-(3-chloro-4-(((ethylamino)carbonyl)amino)phenoxy)-7-methoxy-6-quinolinecarboxamide,
a pharmacologically acceptable salt thereof, or a solvate thereof.
55. A kit according to claim 41 , wherein the compound represented by Formula (I), a pharmacologically acceptable salt thereof or a solvate thereof is 4-(3-chloro-4-(cyclopropylaminocarbonyl)aminophenoxy)-7-methoxy-6-quinolinecarboxamide, a pharmacologically acceptable salt thereof, or a solvate thereof.
56. A kit according to claim 41 , wherein the compound represented by Formula (I), a pharmacologically acceptable salt thereof or a solvate thereof is methanesulfonate of 4-(3-chloro-4-(cyclopropylaminocarbonyl)aminophenoxy)-7-methoxy-6-quinolinecarboxamide.
57. A kit according to claim 41 , wherein the substance having a c-kit kinase-inhibiting activity is at least one compound selected from the group consisting of:
(1) 4-(4-methylpiperazine-1-ylmethyl)-N-[4-methyl-3-[4-(3-pyridyl)pyrimidine-2-ylamino]phenyl]benzenamide;
(2) 3-[(2,4-dimethylpyrrole-5-yl)methylene]-2-indolinone;
(3) (Z)-3-[(2,4-dimethyl-5-(2-oxo-1,2-dihydroindole-3-ylidenemethyl)-1H-pyrrole-3-yl)-propionic acid;
(4) 5-(5-fluoro-2-oxo-1,2-dihydroindole-3-ylidenemethyl)-2,4-dimethyl-1H-pyrrole-3-carboxylic acid (2-diethylaminoethyl)amide;
(5) N-{2-chloro-4-[(6,7-dimethoxy-4-quinazolinyl)oxy]phenyl}-N′-propylurea,
(6) 1-(4-chloroanilino)-4-(4-pyridylmethyl)phthalazine;
(7) N-{2-chloro-4-[(6,7-dimethoxy-4-quinolyl)oxy]phenyl}-N′-(5-methyl-3-isoxazolyl)urea;
(8) 4-[(4-fluoro-2-methylindole-5-yl)oxy]-6-methoxy-7-[3-(pyrrolidine-1-yl)propoxy]quinazoline;
(9) 6-[2-(methylcarbamoyl)phenylsulfanil]-3-E-[2-(pyridine-2-yl)ethenyl]indazole;
(10) N-(3-trifluoromethyl-4-chlorophenyl)-N′-(4-(2-methylcarbamoylpyridine-4-yl)oxyphenyl)urea;
(11) [6-[4-[(4-ethylpiperazine-1-yl)methyl]phenyl]-7H-pyrrolo[2,3-d]pyrimidine-4-yl]-((R)-1-phenylethyl)amine;
(12) 6-(2,6-dichloro-phenyl)-2-(4-fluoro-3-methyl-phenylamino)-8-methyl8H-pyrido[2,3-d]pyrimidine-7-one;
(13) 6-(2,6-dichlorophenyl)-8-methyl-2-(3-methylsulfanilphenylamino)-8H-pyrido[2,3-/d/]pyrimidine-7-one;
(14) 4-[6-methoxy-7-(3-piperidine-1-yl-propoxy)quinazoline-4-yl]piperazine-1-carboxylic acid(4-isopropoxyphenyl)amide; and
(15) N-(2-chloro-6-methylphenyl)-2-[[6-[4-(2-hydroxyethyl)piperazine-1-yl]-2-methylpyrimidine-4-yl]amino]thiazole-5-carboxamide,
a pharmacologically acceptable salt thereof, or a solvate thereof.
58. A kit according to claim 41 , wherein the substance having a c-kit kinase-inhibiting activity is 4-(4-methylpiperazine-1-ylmethyl)-N-[4-methyl-3-[4-(3-pyridyl)pyrimidine-2-ylamino]phenyl]benzenamide, a pharmacologically acceptable salt thereof or a solvate thereof.
59. A kit according to claim 41 , wherein the substance having a c-kit kinase-inhibiting activity is an anti-c-kit kinase antibody.
60. A kit according to claim 41 , wherein the kit is for cancer treatment.
61. A pharmaceutical composition comprising a compound represented by Formula (I), a pharmacologically acceptable salt thereof or a solvate thereof, which is administered simultaneously or separately to a patient with a substance having a c-kit kinase-inhibiting activity:
[wherein, R1 represents group represented by Formula —V1—V2—V3 (wherein, V1 represents C1-6 alkylene group that may have a substituent; V2 represents a single bond, an oxygen atom, a sulfur atom, carbonyl group, sulfinyl group, sulfonyl group, group represented by Formula —CONR6—, group represented by Formula —SO2NR6—, group represented by Formula —NR6SO2—, group represented by Formula —NR6CO— or group represented by Formula —NR6— (wherein, R6 represents a hydrogen atom, C1-6 alkyl group that may have a substituent or C3-8 cycloalkyl group that may have a substituent); V3 represents a hydrogen atom, C1-6 alkyl group that may have a substituent, C2-6 alkenyl group that may have a substituent, C2-6 alkynyl group that may have a substituent, C3-8 cycloalkyl group that may have a substituent, C6-10 aryl group that may have a substituent, 5-10-membered heteroaryl group that may have a substituent or 3-10-membered nonaromatic heterocyclic group that may have a substituent);
R2 represents cyano group, C1-6 alkoxy group that may have a substituent, carboxyl group, C2-7 alkoxycarbonyl group that may have a substituent or group represented by Formula —CONVa11Va12 (wherein, Va11 represents a hydrogen atom, C1-6 alkyl group that may have a substituent, C2-6 alkenyl group that may have a substituent, C2-6 alkynyl group that may have a substituent, C3-8 cycloalkyl group that may have a substituent, C6-10 aryl group that may have a substituent, 5-10-membered heteroaryl group that may have a substituent or 3-10-membered nonaromatic heterocyclic group that, may have a substituent; Va12 represents a hydrogen atom, C1-6 alkyl group that may have a substituent, C2-6 alkenyl group that may have a substituent, C2-6 alkynyl group that may have a substituent, C3-8 cycloalkyl group that may have a substituent; C6-10 aryl group that may have a substituent, 5-10-membered heteroaryl group that may have a substituent, 3-10-membered nonaromatic heterocyclic group that may have a substituent, hydroxyl group C1-6 alkoxy group that may have a substituent or C3-8 cycloalkoxy group that may have a substituent);
Y1 represents group represented by Formula
(wherein, R7 and R8 each independently represent a hydrogen atom, a halogen atom, cyano group, nitro group, amino group, C1-6 alkyl group that may have a substituent, C3-8 cycloalkyl group that may have a substituent, C1-6 alkoxy group that may have a substituent, C1-6 alkylthio group that may have a substituent, formyl group, C2-7 acyl group that may have a substituent, C2-7 alkoxycarbonyl group that may have a substituent or group represented by Formula —CONVd1Vd2 (wherein, Vd1 and Vd2 each independently represent a hydrogen atom or C1-6 alkyl group that may have a substituent);
W1 and W2 each independently represent a carbon atom or a nitrogen atom that may have a substituent);
R3 and R4 each independently represent a hydrogen atom, C1-6 alkyl group that may have a substituent, C2-6 alkenyl group that may have a substituent, C2-4 alkynyl group that may have a substituent, C3-8 cycloalkyl group that may have a substituent, C2-7 acyl group that may have a substituent or C2-7 alkoxycarbonyl group that may have a substituent;
R5 represents a hydrogen atom, C1-6 alkyl group that may have a substituent, C2-6 alkenyl group that may have a substituent, C2-6 alkynyl group that may have a substituent, C3-8 cycloalkyl group that may have a substituent, C6-10 aryl group that may have a substituent, 5-10-membered heteroaryl group that may have a substituent or 3-10-membered nonaromatic heterocyclic group that may have a substituent].
62. A pharmaceutical composition according to claim 61 , wherein R1 is C1-6 alkyl group (where R1 may have a substituent selected from 3-10-membered nonaromatic heterocyclic group that may have C1-6 alkyl group, hydroxyl group, C1-6 alkoxy group, amino group, mono-C1-6 alkylamino group and di-C1-6 alkylamino group).
63. A pharmaceutical composition according to claim 61 , wherein R1 is methyl group or group represented by any one of the following Formulae
64. A pharmaceutical composition according to claim 61 , wherein R1 is methyl group or 2-methoxyethyl group.
65. A pharmaceutical composition according to claim 61 , wherein R2 is cyano group or group represented by Formula —CONVa11Va12 (wherein, Va11 represents a hydrogen atom, C1-6 alkyl group that may have a substituent, C2-6 alkenyl group that may have a substituent, C2-6 alkynyl group that may have a substituent, C3-8 cycloalkyl group that may have a substituent, C6-10 aryl group that may have a substituent, 5-10-membered heteroaryl group that may have a substituent or 3-10-membered nonaromatic heterocyclic group that may have a substituent; Va12 represents a hydrogen atom, C1-6 alkyl group that may have a substituent, C2-6 alkenyl group that may have a substituent, C2-6 alkynyl group that may have a substituent, C3-8 cycloalkyl group that may have a substituent, C6-10 aryl group that may have a substituent, 5-10-membered heteroaryl group that may have a substituent, 3-10-membered nonaromatic heterocyclic group that may have a substituent, hydroxyl group, C1-6 alkoxy group that may have a substituent or C3-8 cycloalkoxy group that may have a substituent).
66. A pharmaceutical composition according to claim 61 , wherein R2 represents cyano group or group represented by Formula —CONHVa16 (wherein, Va16 represents a hydrogen atom, C1-6 alkyl group, C3-8 cycloalkyl group, C1-6 alkoxy group or C3-8 cycloalkoxy group, where Va16 may have a substituent selected from a halogen atom, cyano group, hydroxyl group and C1-6 alkoxy group).
67. A pharmaceutical composition according to claim 61 , wherein R2 is group represented by Formula —CONHVa17 (wherein, Va17 represents a hydrogen atom, C1-6 alkyl group or C1-6 alkoxy group).
68. A pharmaceutical composition according to claim 61 , wherein R2 is group represented by Formula —CONHVa18 (wherein, Va18 represents a hydrogen atom, methyl group or methoxy group).
70. A pharmaceutical composition according to claim 61 , wherein R3 and R4 are hydrogen atoms.
71. A pharmaceutical composition according to claim 61 , wherein R5 is a hydrogen atom, C1-6 alkyl group, C3-8 cycloalkyl group or C6-10 aryl group (where, R5 may have a substituent selected from a halogen atom and methanesulfonyl group).
72. A pharmaceutical composition according to claim 61 , wherein R5 is methyl group, ethyl group or cyclopropyl group.
73. A pharmaceutical composition according to claim 61 , wherein the compound represented by Formula (I), a pharmacologically acceptable salt thereof or a solvate thereof is at least one compound selected from, the group consisting, of:
N-(4-(6-cyano-7-(2-methoxyethoxy)-4-quinolyl)oxy-2-fluorophenyl)-N′-(4-fluorophenyl)urea;
N-(2-chloro-4-((6-cyano-7-((1-methyl-4-piperidyl)methoxy)oxy)phenyl)-N′-cyclopropylurea;
N-(4-((6-cyano-7-(((2R)-3-(diethylamino)-2-hydroxypropyl)oxy)-4-quinolyl)oxy)phenyl)-N′-(4-fluorophenyl)urea;
N-(4-((6-cyano-7-(((2R)-2-hydroxy-3-(1-pyrrolidino)propyl)oxy)-4-quinolyl)oxy)phenyl)-N′-(4-fluorophenyl)urea;
4-(3-chloro-4-(cyclopropylamino)carbonyl)aminophenoxy)-7-methoxy-6-quinolinecarboxamide;
4-(3-chloro-4-(cyclopropylamino)carbonyl)aminophenoxy)-7-(2-methoxyethoxy)-6-quinolinecarboxamide;
N6-cyclopropyl-4-(3-chloro-4-(((cyclopropylamino)carbonyl)amino)phenoxy)-7-methoxy-6-quinolinecarboxamide;
N6-(2-methoxyethyl)-4-(3-chloro-4-(((cyclopropylamino)amino)phenoxy)-7-methoxy-6-quinolinecarboxamide;
N6-(2-fluoroethyl)-4-(3-chloro-4-(((cyclopropylamino)carbonyl)amino)phenoxy)-7-methoxy-6-quinolinecarboxamide;
N6-methoxy-4-(3-chloro-4-(((cyclopropylamino)carbonyl)amino)phenoxy)-7-methoxy-6-quinolinecarboxamide;
N6-methyl-4-(3-chloro-4-(((cyclopropylamino)carbonyl)amino)phenoxy)-7-methoxy-6-quinolinecarboxamide;
N6-ethyl-4-(3-chloro-4-(((cyclopropylamino)carbonyl)amino)phenoxy)-7-methoxy-6-quinolinecarboxamide;
4-(3-fluoro-4-(cyclopropylaminocarbonyl)aminophenoxy)-7-(2-methoxyethoxy)-6-quinolinecarboxamide;
4-(3-chloro-4-(cyclopropylaminocarbonyl)aminophenoxy)-7-(2-hydroxyethoxy)-6-quinolinecarboxamide;
4-(3-chloro-4-(cyclopropylaminocarbonyl)aminophenoxy)-7-((2S)-2,3-dihydroxypropyl)oxy-6-quinolinecarboxamide;
4-(3-chloro-4-(methylaminocarbonyl)aminophenoxy)-7-methoxy-6-quinolinecarboxamide;
4-(3-chloro-4-(ethylaminocarbonyl)aminophenoxy)-7-methoxy-6-quinolinecarboxamide,
N6-methoxy-4-(3-chloro-4-(((ethylamino)carbonyl)amino)phenoxy)-7-methoxy-6-quinolinecarboxamide;
4-(3-chloro-4-(cyclopropylaminocarbonyl)aminophenoxy)-7-(2-ethoxyethoxy)-6-quinolinecarboxamide;
4-(4-((cyclopropylamino)carbonyl)aminophenoxy)-7-(2-methoxyethoxy)-6-quinolinecarboxamide;
N-(2-fluoro-4-((6-carbonyl-7-methoxy-4-quinolyl)oxy)phenyl)-N′-cyclopropylurea;
N6-(2-hydroxyethyl)-4-(3-chloro-4-(((cyclopropylamino)carbonyl)amino)phenoxy)-7-methoxy-6-quinolinecarboxamide;
4-(3-chloro-4-(1-propylaminocarbonyl)aminophenoxy)-7-methoxy-6-quinolinecarboxamide;
4-(3-chloro-4-(cis-2-fluoro-cyclopropylaminocarbonyl)aminophenoxy)-7-methoxy-6-quinolinecarboxamide;
N6-methyl-4-(3-chloro-4-(((cyclopropylamino)carbonyl)amino)phenoxy)-7-(2-methoxyethoxy)-6-quinolinecarboxamide;
N6-methyl-4-(3-chloro-4-(((ethylamino)carbonyl)amino)phenoxy)-7-methoxy-6-quinolinecarboxamide;
4-(3-chloro-4-(cyclopropylaminocarbonyl)aminophenoxy)-7-(2-(4-morpholino)ethoxy)-6-quinolinecarboxamide;
4-(3-chloro-4-(2-fluoroethylaminocarbonyl)aminophenoxy)-7-methoxy-6-quinolinecarboxamide;
N6-((2R)tetrahydro-2-furanylmethyl)-4-(3-chloro-4-(((methylamino)carbonyl)amino)phenoxy)-7-methoxy-6-quinolinecarboxamide;
4-(3-fluoro-4-(ethylaminocarbonyl)aminophenoxy)-7-methoxy-6-quinolinecarboxamide;
4-(3-chloro-4-(((cyclopropylamino)carbonyl)amino)phenoxy)-7-((2R)-2-hydroxy-3-(1-pyrrolidino)propoxy)-6-quinolinecarboxamide;
N6-methyl-4-(3-chloro-4-(((methylamino)cabonyl)amino)phenoxy)-7-((2R)-3-diethylamino-2-hydroxypropoxy)-6-quinolinecarboxamide;
N6-methyl-4-(3-chloro-4-(((ethylamino)carbonyl)amino)phenoxy)-7-((2R)-3-diethylamino-2-hydroxypropoxy)-6-quinolinecarboxamide;
N6-methyl-4-(3-chloro-4-(((methylamino)carbonyl)amino)phenoxy)-7-((2R)-2-hydroxy-3-(1-pyrrolidino)propoxy)-6-quinolinecarboxamide;
N6-methyl-4-(3-chloro-4-(((ethylamino)carbonyl)amino)phenoxy)-7-((2R)-2-hydroxy-3-(1-pyrrolidino)propoxy)-6-quinolinecarboxamide;
N6-methyl-4-(3-chloro-4-(((methylamino)carbonyl)amino)phenoxy)-7-((1-methyl-4-piperidyl)methoxy)-6-quinolinecarboxamide;
N6-methyl-4-(3-chloro-4-(((ethylamino)carbonyl)amino)phenoxy)-7-((1-methyl-4-piperidyl)methoxy)-6-quinolinecarboxamide;
N-(4-(6-cyano-7-(2-methoxyethoxy)-4-quinolyl)oxy-2-fluorophenyl)-N′-cyclopropylurea;
N-(4-(6-cyano-7-(3-(4-morpholino)propoxy)-4-quinolyl)oxyphenyl)-N′-(3-(methylsulfonyl)phenyl)urea;
4-(4-((cyclopropylamino)carbonyl)aminophenoxy)-7-methoxy-6-quinolinecarboxamide;
4-(3-fluoro-4-((2-fluoroethylamino)carbonyl)aminophenoxy)-7-methoxy-6-quinolinecarboxamide;
N6-(2-ethoxyethyl)-4-(3-chloro-4-(((methylamino)carbonyl)amino)phenoxy)-7-methoxy-6-quinolinecarboxamide;
4-(4-(3-ethylureido)-3 fluoro-phenoxy)-7-methoxyquinoline-6-carboxylic acid (2-cyanoethyl)amide; and
N-(4-(6-(2-cyanoethyl)carbamoyl-7-methoxy-4-quinolyl)oxy-2-fluorophenyl)-N′-cyclopropylurea,
a pharmacologically acceptable salt thereof or a solvate thereof.
74. A pharmaceutical composition according to claim 61 , wherein the compound represented by Formula (I), a pharmacologically acceptable salt thereof or a solvate thereof is at least one compound selected from the group consisting of:
4-(3-chloro-4-(6-cyclopropylaminocarbonyl)aminophenoxy)-7-methoxy-6-quinolinecarboxamide;
4-(3-chloro-4-(ethylaminocarbonyl)aminophenoxy)-7-methoxy-6-quinolinecarboxamide;
N6-methoxy-4-(3-chloro-4-(((cyclopropylamino)carbonyl)amino)phenoxy)-7-methoxy-6-quinolinecarboxamide;
4-(3-chloro-4-(methylaminocarbonyl)aminophenoxy)-7-methoxy-6-quinolinecarboxamide; and
N6-methoxy-4-(3-chloro-4-(((ethylamino)carbonyl)amino)phenoxy)-7-methoxy-6-quinolinecarboxamide,
a pharmacologically acceptable salt thereof or a solvate thereof.
75. A pharmaceutical composition according to claim 61 , wherein the compound represented by Formula (I), a pharmacologically acceptable salt thereof or a solvate thereof is 4-(3-chloro-4 (cyclopropylaminocarbonyl)aminophenoxy)-7-methoxy-6-quinolinecarboxamide, a pharmacologically acceptable salt thereof or a solvate thereof.
76. A pharmaceutical composition according to claim 61 , wherein the compound represented by Formula (I), a pharmacologically acceptable salt thereof or a solvate thereof is methanesulfonate of 4-(3-chloro-4-(cyclopropylaminocarbonyl)aminophenoxy)-7-methoxy-6-quinolinecarboxamide.
77. A pharmaceutical composition according to claim 61 , wherein the substance haying a c-kit kinase-inhibiting activity is at least one compound selected from the group consisting of:
(1) 4-(4-methylpiperazine-1-ylmethyl)-N-[4-methyl-3-[4-(3-pyridyl)pyrimidine-2-ylamino]phenyl]benzenamide;
(2) 3-[(2,4-dimethylpyrrole-5-yl)methylene]-2-indolinone;
(3) (Z)-3-[(2,4-dimethyl-5-(2-oxo-1,2-dihydroindole-3-ylidenemethyl)-1H-pyrrole-3-yl)-propionic acid;
(4) 5-(5-fluoro-2-oxo-1,2-dihydroindole-3-ylidenemethyl)-2,4-dimethyl-1H-pyrrole-3-carboxylic acid (2-diethylaminoethyl)amide;
(5) N-{2-chloro-4-[(6,7-dimethoxy-4-quinazolinyl)oxy]phenyl}-N′-propylurea;
(6) 1-(4-chloroanilino)-4-(4-pyridylmethyl)phthalazine;
(7) N-{2-chloro-4-[(6,7-dimethoxy-4-quinolyl)oxy]phenyl}-N′-(5-methyl-3-isoxazolyl)urea;
(8) 4-[(4-fluoro-2-methylindole-5-yl)oxy]-6-methoxy-7-[3-(pyrrolidine-1-yl)propoxy]quinazoline;
(9) 6-[2-(methylcarbamoyl)phenylsulfanil]-3-E-[2-(pyridine-2-yl)ethenyl]indazole;
(10) N-(3-trifluoromethyl-4-chlorophenyl)-N′-(4-(2-methylcarbamoylpyridine-4-yl)oxyphenyl)urea;
(11) [6-[4-[(4-ethylpiperazine-1-yl)methyl]phenyl]-7H-pyrrolo[2,3-d]pyrimidine-4-yl]-((R)-1-phenylethyl)amine;
(12) 6-(2,6-dichloro-phenyl)-2-(4-fluoro-3-methyl-phenylamino)-8-methyl8H-pyrido[2,3-d]pyrimidine-7-one;
(13) 6-(2,6-dichlorophenyl)-8-methyl-2-(3-methylsulfanilphenylamino)-8H-pyrido[2,3-/d/]pyrimidine-7-one;
(14) 4-[6-methoxy-7-(3-piperidine-1-yl-propoxy)quinazoline-4-yl]piperazine-1-carboxylic acid(4-isopropoxyphenyl)amide; and
(15) N-(2-chloro-6-methylphenyl)-2-[[6-[4-(2-hydroxyethyl)piperazine-1-yl]-2-methylpyrimidine-4-yl]amino]thiazole-5-carboxamide,
a pharmacologically acceptable salt thereof or a solvate thereof.
78. A pharmaceutical composition according to claim 61 , wherein the substance having a c-kit kinase-inhibiting activity is 4-(4-methylpiperazine-1-ylmethyl)-N-[4-methyl-3-[4-(3-pyridyl)pyrimidine-2-ylamino]phenyl]benzenamide, a pharmacologically acceptable salt thereof, or a solvate thereof.
79. A pharmaceutical composition according to claim 61 , wherein the substance having a c-kit kinase-inhibiting activity is an anti-c-kit kinase antibody.
80. A pharmaceutical composition according to claim 61 , wherein the pharmaceutical composition is a pharmaceutical composition for cancer treatment.
81. A method for treating cancer comprising administering an effective amount of a compound represented by Formula (I), a pharmacologically acceptable salt thereof or a solvate thereof and an effective amount of a substance having a c-kit kinase-inhibiting activity to a patient:
[wherein, R1 represents group represented by Formula —V1—V2—V3 (wherein, V1 represents C1-6 alkylene group that may have a substituent; V2 represents a single bond, an oxygen atom, a sulfur atom, carbonyl group, sulfinyl group, sulfonyl group, group represented by Formula —CONR6—, group represented by Formula —SO2NR6—, group represented by Formula —NR6SO2—, group represented by Formula —NR6CO— or group represented by Formula —NR6— (wherein, R6 represents a hydrogen atom, C1-6 alkyl group that may have a substituent, or C3-8 cycloalkyl group that may have a substituent); V3 represents a hydrogen atom, C1-6 alkyl group that may have a substituent, C2-6 alkenyl group that may have a substituent, C2-6 alkynyl group that may have a substituent, C3-8 cycloalkyl group that may have a substituent, C6-10 aryl group that may have a substituent, 5-10-membered heteroaryl group that may have a substituent or 3-10-membered nonaromatic heterocyclic group that may have a substituent);
R2 represents cyano group, C1-6 alkoxy group that may have a substituent, carboxyl group, C2-7 alkoxycarbonyl group that may have a substituent or group represented by Formula —CONVa11Va12 (Wherein, Va11 represents a hydrogen atom, C1-6 alkyl group that may have a substituent, C2-6 alkenyl group that may have a substituent, C2-6 alkynyl group that may have a substituent, C3-8 cycloalkyl group that may have a substituent, C6-10 aryl group that may have a substituent, 5-10-membered heteroaryl group that may have a substituent or 3-10-membered nonaromatic heterocyclic group that may have a substituent; Va12 represents a hydrogen atom, C1-6 alkyl group that may have a substituent, C2-6 alkenyl group that may have a substituent, C2-6 alkynyl group that may have a substituent, C3-8 cycloalkyl group that may have a substituent, C6-10 aryl group that may have a substituent, 5-10-membered heteroaryl group that may have a substituent, 3-10-membered nonaromatic heterocyclic group that may have a substituent, hydroxyl group, C1-6 alkoxy group that may have a substituent or C3-8 cycloalkoxy group that may have a substituent);
Y1 represents group represented by Formula
(wherein, R7 and R8 each independently represent a hydrogen atom, a halogen atom, cyano group, nitro group, amino group, C1-6 alkyl group that may have a substituent, C3-8 cycloalkyl group that may have a substituent, C1-6 alkoxy group, that may have a substituent, C1-6 alkylthio group that may have a substituent, formyl group, C2-7 acyl group that may have a substituent, C2-7 alkoxycarbonyl group that may have a substituent or group represented by Formula —CONVd1Vd2 (wherein, Vd1 and Vd2 each independently represent a hydrogen atom or C1-6 alkyl group that may have a substituent);
W1 and W2 each independently represent a carbon atom or a nitrogen atom that may have a substituent);
R3 and R4 each independently represent a hydrogen atom, C1-6 alkyl group that may have a substituent, C2-6 alkenyl group that may have a substituent, C2-6 alkynyl group that may have a substituent, C3-8 cycloalkyl group that may have a substituent, C2-7 acyl group that may have a substituent or C2-7 alkoxycarbonyl group that may have a substituent;
R5 represents a hydrogen atom, C1-6 alkyl group that may have a substituent, C2-6 alkenyl group that may have a substituent, C2-6 alkynyl group that may have a substituent, C3-8 cycloalkyl group that may have a substituent, C6-10 aryl group that may have a substituent, 5-10-membered heteroaryl group that may have a substituent and 3-10-membered nonaromatic heterocyclic group that may have a substituent].
82. Use of a compound represented by Formula (I), a pharmacologically acceptable salt thereof or a solvate thereof for producing a pharmaceutical composition in combination with a substance having a c-kit kinase-inhibiting activity:
[wherein, R1 represents group represented by Formula —V1—V2—V3 (wherein, V1 represents C1-6 alkylene group that may have a substituent; V2 represents a single bond, an oxygen atom, a sulfur atom, carbonyl group, sulfinyl group, sulfonyl group, group represented by Formula —CONR6—, group represented by Formula —SO2NR6—, group represented by Formula —NR6SO2—, group represented by Formula —NR6CO— or group represented by Formula —NR6— (wherein, R6 represents a hydrogen atom, C1-6 alkyl group that may have a substituent or C3-8 cycloalkyl group that may have a substituent); V3 represents a hydrogen atom, C1-6 alkyl group that may have a substituent, C2-6 alkenyl group that may have a substituent, C2-6 alkynyl group that may have a substituent, C3-8 cycloalkyl group that may have a substituent, C6-10 aryl group that may have a substituent, 5-10-membered heteroaryl group that may have a substituent or 3-10-membered nonaromatic heterocyclic group that may have a substituent);
R2 represents cyano group, C1-6 alkoxy group that may have a substituent, carboxyl group, C2-7 alkoxycarbonyl group that may have a substituent or group represented by Formula —CONVa11Va12 (wherein, Va11 represents a hydrogen atom, C1-6 alkyl group that may have a substituent, C2-6 alkenyl group that may have a substituent, C2-6 alkynyl group that may have a substituent, C3-8 cycloalkyl group that may have a substituent, C6-10 aryl group that may have a substituent, 5-10-membered heteroaryl group that may have a substituent or 3-10-membered nonaromatic heterocyclic group that may have a substituent; Va12 represents a hydrogen atom, C1-6 alkyl group that may have a substituent, C2-6 alkenyl group that may have a substituent, C2-6 alkynyl group that may have a substituent, C3-8 cycloalkyl group that may have a substituent, C6-10 aryl group that may have a substituent, 5-10-membered heteroaryl group that may have a substituent, 3-10-membered nonaromatic heterocyclic group that may have a substituent, hydroxyl group, C1-6 alkoxy group that may have a substituent or C3-8 cycloalkoxy group that may have a substituent),
Y1 represents group represented by Formula
(wherein, R7 and R8 each independently represent a hydrogen atom, a halogen atom, cyano group, nitro group, amino group, C1-6 alkyl group that may have a substituent, C3-8 cycloalkyl group that may have a substituent, C1-6 alkoxy group that may have a substituent, C1-6 alkylthio group that may have a substituent, formyl group, C2-7 acyl group that may have a substituent, C2-7 alkoxycarbonyl group that may have a substituent or group represented by Formula CONVd1Vd2 (wherein, Vd1 and Vd2 each independently represent a hydrogen atom or C1-6 alkyl group that may have a substituent);
W1 and W2 each independently represent a carbon atom or a nitrogen atom that may have a substituent);
R3 and R4 each independently represent a hydrogen atom, C1-6 alkyl group that may have a substituent, C2-6 alkenyl group that may have a substituent, C2-6 alkynyl group that may have a substituent, C3-8 cycloalkyl group that may have a substituent, C2-7 acyl group that may have a substituent or C2-7 alkoxycarbonyl group that may have a substituent;
R5 represents a hydrogen atom, C1-6 alkyl group that may have a substituent, C2-6 alkenyl group that may have a substituent, C2-6 alkynyl group that may have a substituent, C3-8 cycloalkyl group that may have a substituent, C6-10 aryl group that may have a substituent, 5-10-membered heteroaryl group that may have a substituent or 3-10-membered nonaromatic heterocyclic group that may have a substituent].
83. A compound represented by Formula (I), a pharmacologically acceptable salt thereof or a solvate thereof for providing a pharmaceutical composition in combination with a substance having a c-kit kinase-inhibiting activity:
Formula (I)
[wherein, R1 represents group represented by Formula —V1—V2—V3 (wherein, V1 represents C1-6 alkylene group that may have a substituent; V2 represents a single bond, an oxygen atom, a sulfur atom, carbonyl group, sulfinyl group, sulfonyl group, group represented by Formula —CONR6—, group represented by Formula —SO2NR6—, group represented by Formula —NR6SO2—, group represented by Formula —NR6CO— or group represented by Formula —NR6— (wherein, R6 represents a hydrogen atom, C1-6 alkyl group that may have a substituent or C3-8 cycloalkyl group that may have a substituent); V3 represents a hydrogen atom, C1-6 alkyl group that may have a substituent, C2-6 alkenyl group that may have a substituent, C2-6 alkynyl group that may have a substituent, C3-8 cycloalkyl group that may have a substituent, C6-10 aryl group that may have a substituent, 5-10-membered heteroaryl group that may have a substituent or 3-10-membered nonaromatic heterocyclic group that may have a substituent);
R2 represents cyano group, C1-6 alkoxy group that may have a substituent, carboxyl group, C2-7 alkoxycarbonyl group that may have a substituent or group represented by Formula —CONVa11Va12 (wherein, Va11 represents a hydrogen atom, C1-6 alkyl group that may have a substituent, C2-6 alkenyl group that may have a substituent, C2-6 alkynyl group that may have a substituent, C3-8 cycloalkyl group that may have a substituent, C6-10 aryl group that may have a substituent, 5-10-membered heteroaryl group that may have a substituent or 3-10-membered nonaromatic heterocyclic group that may have a substituent; Va12 represents a hydrogen atom, C1-6 alkyl group that may have a substituent, C2-6 alkenyl group that may have a substituent, C1-6 alkynyl group that may have a substituent, C3-8 cycloalkyl group that may have a substituent, C6-10 aryl group that may have a substituent, 5-10-membered heteroaryl group that may have a substituent, 3-10-membered nonaromatic heterocyclic group that may have a substituent, hydroxyl group, C1-6 alkoxy group that may have a substituent or C3-8 cycloalkoxy group that may have a substituent);
Y1 represents group represented by Formula
(wherein, R7 and R8 each independently represent a hydrogen atom, a halogen atom, cyano group, nitro group, amino group, C1-6 alkyl group that may have a substituent, C3-8 cycloalkyl group that may have a substituent, C1-6 alkoxy group that may have a substituent, C1-6 alkylthio group that may have a substituent, formyl group, C2-7 acyl group that may have a substituent, C2-7 alkoxycarbonyl group that may have a substituent or group represented by Formula —CONVd1Vd2 (wherein, Vd1 and Vd2 each independently represent a hydrogen atom or C1-6 alkyl group that may have a substituent);
W1 and W2 each independently represent a carbon atom or a nitrogen atom that may have a substituent);
R3 and R4 each independently represent a hydrogen atom, C1-6 alkyl group that may have a substituent, C2-6 alkenyl group that may have a substituent, C2-6 alkynyl group that may have a substituent, C3-8 cycloalkyl group that may have a substituent, C2-7 acyl group that may have a substituent or C2-7 alkoxycarbonyl group that may have a substituent;
R5 represents a hydrogen atom, C1-6 alkyl group that may have a substituent, C2-6 alkenyl group that may have a substituent, C2-6 alkynyl group that may have a substituent, C3-8 cycloalkyl group that may have a substituent, C6-10 aryl group that may have a substituent, 5-10-membered heteroaryl group that may have a substituent or 3-10-membered nonaromatic heterocyclic group that may have a substituent].
Applications Claiming Priority (3)
| Application Number | Priority Date | Filing Date | Title |
|---|---|---|---|
| JP2005-322946 | 2005-11-07 | ||
| JP2005322946 | 2005-11-07 | ||
| PCT/JP2006/322514 WO2007052849A1 (en) | 2005-11-07 | 2006-11-07 | USE OF COMBINATION OF ANTI-ANGIOGENIC SUBSTANCE AND c-kit KINASE INHIBITOR |
Related Parent Applications (1)
| Application Number | Title | Priority Date | Filing Date |
|---|---|---|---|
| PCT/JP2006/322514 A-371-Of-International WO2007052849A1 (en) | 2005-11-07 | 2006-11-07 | USE OF COMBINATION OF ANTI-ANGIOGENIC SUBSTANCE AND c-kit KINASE INHIBITOR |
Related Child Applications (1)
| Application Number | Title | Priority Date | Filing Date |
|---|---|---|---|
| US13/205,328 Division US8815241B2 (en) | 2005-11-07 | 2011-08-08 | Use of combination of anti-angiogenic substance and c-kit kinase inhibitor |
Publications (1)
| Publication Number | Publication Date |
|---|---|
| US20090053236A1 true US20090053236A1 (en) | 2009-02-26 |
Family
ID=38005990
Family Applications (2)
| Application Number | Title | Priority Date | Filing Date |
|---|---|---|---|
| US12/092,539 Abandoned US20090053236A1 (en) | 2005-11-07 | 2006-11-07 | USE OF COMBINATION OF ANTI-ANGIOGENIC SUBSTANCE AND c-kit KINASE INHIBITOR |
| US13/205,328 Expired - Fee Related US8815241B2 (en) | 2005-11-07 | 2011-08-08 | Use of combination of anti-angiogenic substance and c-kit kinase inhibitor |
Family Applications After (1)
| Application Number | Title | Priority Date | Filing Date |
|---|---|---|---|
| US13/205,328 Expired - Fee Related US8815241B2 (en) | 2005-11-07 | 2011-08-08 | Use of combination of anti-angiogenic substance and c-kit kinase inhibitor |
Country Status (8)
| Country | Link |
|---|---|
| US (2) | US20090053236A1 (en) |
| EP (1) | EP1949902B1 (en) |
| JP (1) | JPWO2007052849A1 (en) |
| KR (1) | KR101353763B1 (en) |
| CN (1) | CN101316590B (en) |
| AU (1) | AU2006309551B2 (en) |
| CA (1) | CA2627598C (en) |
| WO (2) | WO2007052849A1 (en) |
Cited By (32)
| Publication number | Priority date | Publication date | Assignee | Title |
|---|---|---|---|---|
| US20080214557A1 (en) * | 2005-09-01 | 2008-09-04 | Eisai R&D Management Co., Ltd. | Method for preparation of pharmaceutical composition having improved disintegratability and pharmaceutical composition manufactured by same method |
| US20080214604A1 (en) * | 2004-09-17 | 2008-09-04 | Hisao Furitsu | Medicinal Composition |
| US20090171112A1 (en) * | 2003-11-11 | 2009-07-02 | Toshihiko Naito | Urea derivative and process for preparing the same |
| US20090247576A1 (en) * | 2005-11-22 | 2009-10-01 | Eisai R & D Management Co., Ltd. | Anti-tumor agent for multiple myeloma |
| US20090264464A1 (en) * | 2006-08-28 | 2009-10-22 | Eisai R & D Management Co., Ltd. | Antitumor agent for undifferentiated gastric cancer |
| US20100048620A1 (en) * | 2007-01-29 | 2010-02-25 | Yuji Yamamoto | Composition for treatment of undifferentiated gastric cancer |
| US20100105031A1 (en) * | 2005-08-01 | 2010-04-29 | Esai R & D Management Co., Ltd. | Method for prediction of the efficacy of vascularization inhibitor |
| US20100197911A1 (en) * | 2000-10-20 | 2010-08-05 | Eisai R&D Management Co., Ltd. | Nitrogen-Containing Aromatic Derivatives |
| US20100324087A1 (en) * | 2008-01-29 | 2010-12-23 | Eisai R&D Management Co., Ltd. | Combined use of angiogenesis inhibitor and taxane |
| US20110207756A1 (en) * | 2006-05-18 | 2011-08-25 | Eisai R&D Management Co., Ltd. | Antitumor agent for thyroid cancer |
| US20130123274A1 (en) * | 2010-06-25 | 2013-05-16 | Eisai R&D Management Co., Ltd. | Antitumor Agent Using Compounds Having Kinase Inhibitory Effect in Combination |
| US8759530B2 (en) | 2011-03-29 | 2014-06-24 | Eisai R&D Management Co., Ltd. | Method for producing phenoxypyridine derivative |
| US8815241B2 (en) | 2005-11-07 | 2014-08-26 | Eisai R&D Management Co., Ltd. | Use of combination of anti-angiogenic substance and c-kit kinase inhibitor |
| US8952035B2 (en) | 2007-11-09 | 2015-02-10 | Eisai R&D Management Co., Ltd. | Combination of anti-angiogenic substance and anti-tumor platinum complex |
| US8962650B2 (en) | 2011-04-18 | 2015-02-24 | Eisai R&D Management Co., Ltd. | Therapeutic agent for tumor |
| US8969344B2 (en) | 2005-08-02 | 2015-03-03 | Eisai R&D Management Co., Ltd. | Method for assay on the effect of vascularization inhibitor |
| US20160000913A1 (en) * | 2012-02-29 | 2016-01-07 | University Hospitals Cleveland Medical Center | Targeted treatment of anerobic cancer |
| US9334239B2 (en) | 2012-12-21 | 2016-05-10 | Eisai R&D Management Co., Ltd. | Amorphous form of quinoline derivative, and method for producing same |
| US9945862B2 (en) | 2011-06-03 | 2018-04-17 | Eisai R&D Management Co., Ltd. | Biomarkers for predicting and assessing responsiveness of thyroid and kidney cancer subjects to lenvatinib compounds |
| US10259791B2 (en) | 2014-08-28 | 2019-04-16 | Eisai R&D Management Co., Ltd. | High-purity quinoline derivative and method for manufacturing same |
| US10487091B2 (en) | 2015-10-05 | 2019-11-26 | The Trustees Of Columbia University In The City Of New York | Activators of autophagic flux and phospholipase D and clearance of protein aggregates including tau and treatment of proteinopathies |
| US10517861B2 (en) | 2013-05-14 | 2019-12-31 | Eisai R&D Management Co., Ltd. | Biomarkers for predicting and assessing responsiveness of endometrial cancer subjects to lenvatinib compounds |
| US10525152B2 (en) | 2009-10-09 | 2020-01-07 | Signablok, Inc. | Methods and compositions for targeted imaging |
| US11090386B2 (en) | 2015-02-25 | 2021-08-17 | Eisai R&D Management Co., Ltd. | Method for suppressing bitterness of quinoline derivative |
| US11369623B2 (en) | 2015-06-16 | 2022-06-28 | Prism Pharma Co., Ltd. | Anticancer combination of a CBP/catenin inhibitor and an immune checkpoint inhibitor |
| US11542259B2 (en) * | 2018-01-26 | 2023-01-03 | Exelixis, Inc. | Compounds for the treatment of kinase-dependent disorders |
| US11547705B2 (en) | 2015-03-04 | 2023-01-10 | Merck Sharp & Dohme Llc | Combination of a PD-1 antagonist and a VEGF-R/FGFR/RET tyrosine kinase inhibitor for treating cancer |
| US11673897B2 (en) | 2018-01-26 | 2023-06-13 | Exelixis, Inc. | Compounds for the treatment of kinase-dependent disorders |
| US12220398B2 (en) | 2015-08-20 | 2025-02-11 | Eisai R&D Management Co., Ltd. | Tumor therapeutic agent |
| US12226409B2 (en) | 2017-05-16 | 2025-02-18 | Eisai R&D Management Co., Ltd. | Treatment of hepatocellular carcinoma |
| US12303505B2 (en) | 2017-02-08 | 2025-05-20 | Eisai R&D Management Co., Ltd. | Tumor-treating pharmaceutical composition |
| US12508313B2 (en) | 2009-08-19 | 2025-12-30 | Eisai R&D Management Co., Ltd. | Quinoline derivative-containing pharmaceutical composition |
Families Citing this family (10)
| Publication number | Priority date | Publication date | Assignee | Title |
|---|---|---|---|---|
| JPWO2004080462A1 (en) | 2003-03-10 | 2006-06-08 | エーザイ株式会社 | c-Kit kinase inhibitor |
| EP1859804B1 (en) * | 2005-02-10 | 2016-12-07 | Oncolys BioPharma, Inc. | Anticancer agent combination therapy |
| CN101723894B (en) * | 2009-12-03 | 2011-12-28 | 南京大学 | N-quinoline amide derivatives and preparation method and application thereof |
| ES2705698T3 (en) | 2013-06-26 | 2019-03-26 | Eisai R&D Man Co Ltd | Combination therapy for cancer treatment comprising eribulin and lenvatinib |
| WO2017028660A1 (en) * | 2015-08-17 | 2017-02-23 | 江苏恒瑞医药股份有限公司 | Pharmaceutical composition containing quinoline derivative or salt thereof |
| US20180325976A1 (en) * | 2015-11-26 | 2018-11-15 | Daiwa Pharmaceutical Co., Ltd | Angiogenesis inhibitor |
| CN106496116A (en) * | 2016-10-21 | 2017-03-15 | 沈阳药科大学 | Quinolines containing double aryl urea structures and application thereof |
| CN108530455B (en) | 2017-03-01 | 2021-01-12 | 北京赛特明强医药科技有限公司 | Urea substituted aromatic ring connecting dioxane and quinazoline compound or medicinal salt or hydrate and application as tyrosine kinase inhibitor |
| US11479559B2 (en) | 2018-02-11 | 2022-10-25 | Beijing Scitech-Mq Pharmaceuticals Limited | Urea-substituted aromatic ring-linked dioxinoquinoline compounds, preparation method and uses thereof |
| JP7642531B2 (en) | 2018-05-11 | 2025-03-10 | ビーム セラピューティクス インク. | Methods for replacing pathogenic amino acids using a programmable base editor system |
Citations (62)
| Publication number | Priority date | Publication date | Assignee | Title |
|---|---|---|---|---|
| US4526988A (en) * | 1983-03-10 | 1985-07-02 | Eli Lilly And Company | Difluoro antivirals and intermediate therefor |
| US4742003A (en) * | 1984-02-17 | 1988-05-03 | Genentech, Inc. | Human transforming growth factor |
| US4764454A (en) * | 1985-12-20 | 1988-08-16 | Fuji Photo Film Co., Ltd. | Color photographic material with color forming ligand compounds and a method of processing |
| US5180818A (en) * | 1990-03-21 | 1993-01-19 | The University Of Colorado Foundation, Inc. | Site specific cleavage of single-stranded dna |
| US5464826A (en) * | 1984-12-04 | 1995-11-07 | Eli Lilly And Company | Method of treating tumors in mammals with 2',2'-difluoronucleosides |
| US5487889A (en) * | 1992-06-03 | 1996-01-30 | The Metrohealth System | Bandage for continuous application of biologicals |
| US5624937A (en) * | 1995-03-02 | 1997-04-29 | Eli Lilly And Company | Chemical compounds as inhibitors of amyloid beta protein production |
| US5650376A (en) * | 1994-11-07 | 1997-07-22 | International Superconductivity Technology Center | (Nd, Ba)3 Cu3 O7-d superconductor film |
| US5656454A (en) * | 1994-10-04 | 1997-08-12 | President And Fellows Of Harvard College | Endothelial cell-specific enhancer |
| US5658374A (en) * | 1995-02-28 | 1997-08-19 | Buckman Laboratories International, Inc. | Aqueous lecithin-based release aids and methods of using the same |
| US5733913A (en) * | 1994-11-14 | 1998-03-31 | Blankley; Clifton John | 6-Aryl pyrido 2,3-d! pyrimidines and naphthyridines for inhibiting protein tyrosine kinase mediated cellular proliferation |
| US5747651A (en) * | 1991-04-02 | 1998-05-05 | The Trustees Of Princeton University | Antibodies against tyrosine kinase receptor flk-1 |
| US5750376A (en) * | 1991-07-08 | 1998-05-12 | Neurospheres Holdings Ltd. | In vitro growth and proliferation of genetically modified multipotent neural stem cells and their progeny |
| US5770599A (en) * | 1995-04-27 | 1998-06-23 | Zeneca Limited | Quinazoline derivatives |
| US5792783A (en) * | 1995-06-07 | 1998-08-11 | Sugen, Inc. | 3-heteroaryl-2-indolinone compounds for the treatment of disease |
| US5891996A (en) * | 1972-09-17 | 1999-04-06 | Centro De Inmunologia Molecular | Humanized and chimeric monoclonal antibodies that recognize epidermal growth factor receptor (EGF-R); diagnostic and therapeutic use |
| US6143764A (en) * | 1995-11-07 | 2000-11-07 | Kirin Beer Kabushiki Kaisha | Quinoline and quinazoline derivatives inhibiting platelet-derived growth factor receptor autophosphorylation and pharmaceutical compositions containing the same |
| US6156522A (en) * | 1997-06-30 | 2000-12-05 | University Of Maryland Baltimore | Heparin binding--epidermal growth factor-like growth factor in the diagnosis of Interstitial Cystitis |
| US6217866B1 (en) * | 1988-09-15 | 2001-04-17 | Rhone-Poulenc Rorer International (Holdings), Inc. | Monoclonal antibodies specific to human epidermal growth factor receptor and therapeutic methods employing same |
| US20020010203A1 (en) * | 1999-12-22 | 2002-01-24 | Ken Lipson | Methods of modulating c-kit tyrosine protein kinase function with indolinone compounds |
| US6346398B1 (en) * | 1995-10-26 | 2002-02-12 | Ribozyme Pharmaceuticals, Inc. | Method and reagent for the treatment of diseases or conditions related to levels of vascular endothelial growth factor receptor |
| US20020040127A1 (en) * | 2000-06-09 | 2002-04-04 | Yuqiu Jiang | Compositions and methods for the therapy and diagnosis of colon cancer |
| US6476040B1 (en) * | 1999-03-31 | 2002-11-05 | Pfizer Inc. | Processes and intermediates for preparing anti-cancer compounds |
| US6524583B1 (en) * | 1999-04-28 | 2003-02-25 | Board Of Regents, The University Of Texas System | Antibody methods for selectively inhibiting VEGF |
| US6534535B1 (en) * | 1999-08-12 | 2003-03-18 | Millennium Pharmaceuticals, Inc. | Inhibitors of factor Xa |
| US20030087907A1 (en) * | 2001-04-27 | 2003-05-08 | Kirin Beer Kabushiki Kaisha | Quinoline derivatives and quinazoline derivatives having azolyl group |
| US20030113713A1 (en) * | 2001-09-10 | 2003-06-19 | Meso Scale Technologies, Llc | Methods and apparatus for conducting multiple measurements on a sample |
| US20030215523A1 (en) * | 2000-10-31 | 2003-11-20 | Yoichi Ozawa | Medicinal compositions for concomitant use as anticancer agent |
| US20040009965A1 (en) * | 2002-06-14 | 2004-01-15 | Agouron Pharmaceuticals, Inc. | Benzofused heterozryl amide derivatives of thienopyridines useful as therapeutic agents, pharmaceutical compositions including the same, and methods for their use |
| US20040034026A1 (en) * | 2000-11-22 | 2004-02-19 | Wood Jeannette M | Combination comprising an agent decreasing vegf activity and an agent decreasing egf activity |
| US20040053908A1 (en) * | 2000-10-20 | 2004-03-18 | Yasuhiro Funahashi | Nitrogen-containing aromatic derivatives |
| US20040132727A1 (en) * | 1999-12-24 | 2004-07-08 | Teruyuki Sakai | Quinoline and quinazoline derivatives and drugs containing the same |
| US20040152759A1 (en) * | 2002-11-15 | 2004-08-05 | Sugen, Inc. | Combination administration of an indolinone with a chemotherapeutic agent for cell proliferation disorders |
| US6797823B1 (en) * | 1999-01-22 | 2004-09-28 | Kirin Beer Kabushiki Kaisha | Quinoline derivatives and quinazoline derivatives |
| US20040191254A1 (en) * | 2001-10-09 | 2004-09-30 | Fagin James Alexander | Method of treatment of thyroid cancer |
| US6811779B2 (en) * | 1994-02-10 | 2004-11-02 | Imclone Systems Incorporated | Methods for reducing tumor growth with VEGF receptor antibody combined with radiation and chemotherapy |
| US20040242506A1 (en) * | 2001-08-09 | 2004-12-02 | Barges Causeret Nathalie Claude Marianne | Paroxetine glycyrrhizinate |
| US20040253205A1 (en) * | 2003-03-10 | 2004-12-16 | Yuji Yamamoto | c-Kit kinase inhibitor |
| US20050014727A1 (en) * | 2003-03-05 | 2005-01-20 | Muller George W. | Diphenylethylene compounds and uses thereof |
| US20050049264A1 (en) * | 2001-10-17 | 2005-03-03 | Kirin Beer Kabushiki Kaisha | Quinoline or quinazoline derivatives inhibiting auto-phosphorylation of fibroblast growth factor receptors |
| US20050119303A1 (en) * | 2002-03-05 | 2005-06-02 | Eisai Co., Ltd | Antitumor agent comprising combination of sulfonamide-containing heterocyclic compound with an angiogenesis inhibitor |
| US20050176802A1 (en) * | 2000-02-15 | 2005-08-11 | Sugen, Inc. & Pharmacia & Upjohn Co. | Pyrrole substituted 2-indolinone protein kinase inhibitors |
| US20050187236A1 (en) * | 2002-08-30 | 2005-08-25 | Akihiko Tsuruoka | Nitrogen-containing aromatic derivatives |
| US20050272688A1 (en) * | 2004-06-03 | 2005-12-08 | Brian Higgins | Combined treatment with gemcitabine and an epidermal growth factor receptor kinase inhibitor |
| US20050277652A1 (en) * | 2004-02-27 | 2005-12-15 | Eisai Co., Ltd. | Novel pyridine derivative and pyrimidine derivative |
| US20060004017A1 (en) * | 1999-02-10 | 2006-01-05 | Astrazeneca Ab | Quinazoline derivatives as angiogenesis inhibitors |
| US7005430B2 (en) * | 1999-12-24 | 2006-02-28 | Kyowa Hakko Kogyo Co., Ltd. | Fused purine derivatives |
| US20060057195A1 (en) * | 2002-10-16 | 2006-03-16 | Takeda Pharmaceutical Company Limited | Stable solid preparations |
| US20060079494A1 (en) * | 2004-09-27 | 2006-04-13 | Santi Daniel V | Specific kinase inhibitors |
| US20060135486A1 (en) * | 2004-09-13 | 2006-06-22 | Eisai Co., Ltd. | Use of sulfonamide-including compounds in combination with angiogenesis inhibitors |
| US20070004773A1 (en) * | 2005-06-23 | 2007-01-04 | Eisai R&D Management Co., Ltd. | Amorphous salt of 4-(3-chiloro-4-(cycloproplylaminocarbonyl)aminophenoxy)-7-method-6-quinolinecarboxamide and process for preparing the same |
| US20070032521A1 (en) * | 2003-08-15 | 2007-02-08 | Ab Science | Use of c-kit inhibitors for treating type II diabetes |
| US20070037849A1 (en) * | 2003-11-11 | 2007-02-15 | Toshihiko Naito | Urea derivative and process for producing the same |
| US20070078159A1 (en) * | 2003-12-25 | 2007-04-05 | Tomohiro Matsushima | A crystalline form of the salt of 4-(3-chloro-4-(cyclopropylaminocarbonyl)amin ophenoxy)-7-methoxy-6-quinolinecarboxamide or the solvate of the salt and a process for preparing the same |
| US20070117842A1 (en) * | 2003-04-22 | 2007-05-24 | Itaru Arimoto | Polymorph of 4-[3-chloro-4-(cyclopropylaminocarbonyl)aminophenoxy]-7-methoxy-6- quinolinecarboxamide and a process for the preparation of the same |
| US20070214604A1 (en) * | 2006-03-20 | 2007-09-20 | Samsung Electronics Co., Ltd | Portable electronic device having triaxial hinge structure |
| US20080214604A1 (en) * | 2004-09-17 | 2008-09-04 | Hisao Furitsu | Medicinal Composition |
| US20080241835A1 (en) * | 1999-11-01 | 2008-10-02 | Genentech, Inc. | Differentially expressed genes involved in angiogenesis, the polypeptides encoded thereby, and methods of using the same |
| US7435590B2 (en) * | 2003-03-14 | 2008-10-14 | Taisho Pharmaceutical Co., Ltd. | Monoclonal antibody and hybridoma producing the same |
| US20090047365A1 (en) * | 2005-02-28 | 2009-02-19 | Eisai R & D Management Co., Ltd. | Novel Concomitant Use of Sulfonamide Compound with Anti-Cancer Agent |
| US20090047278A1 (en) * | 2005-02-28 | 2009-02-19 | Eisai R & D Management Co., Ltd. | Novel Combinational Use of Sulfonamide Compound |
| US20100092490A1 (en) * | 2005-08-02 | 2010-04-15 | Eisai R&D Management Co., Ltd. | Method for assay on the effect of vascularization inhibitor |
Family Cites Families (65)
| Publication number | Priority date | Publication date | Assignee | Title |
|---|---|---|---|---|
| US4582789A (en) | 1984-03-21 | 1986-04-15 | Cetus Corporation | Process for labeling nucleic acids using psoralen derivatives |
| US4563417A (en) | 1984-08-31 | 1986-01-07 | Miles Laboratories, Inc. | Nucleic acid hybridization assay employing antibodies to intercalation complexes |
| US5143854A (en) | 1989-06-07 | 1992-09-01 | Affymax Technologies N.V. | Large scale photolithographic solid phase synthesis of polypeptides and receptor binding screening thereof |
| WO1992010588A1 (en) | 1990-12-06 | 1992-06-25 | Affymax Technologies N.V. | Sequencing by hybridization of a target nucleic acid to a matrix of defined oligonucleotides |
| GB9105677D0 (en) | 1991-03-19 | 1991-05-01 | Ici Plc | Heterocyclic compounds |
| US6027880A (en) | 1995-08-02 | 2000-02-22 | Affymetrix, Inc. | Arrays of nucleic acid probes and methods of using the same for detecting cystic fibrosis |
| US6156501A (en) | 1993-10-26 | 2000-12-05 | Affymetrix, Inc. | Arrays of modified nucleic acid probes and methods of use |
| US5948438A (en) | 1995-01-09 | 1999-09-07 | Edward Mendell Co., Inc. | Pharmaceutical formulations having improved disintegration and/or absorptivity |
| EP2163546B1 (en) | 1995-03-30 | 2016-06-01 | Pfizer Products Inc. | Quinazoline derivatives |
| US6057100A (en) | 1996-06-07 | 2000-05-02 | Eos Biotechnology, Inc. | Oligonucleotide arrays |
| JP3040486U (en) | 1997-02-13 | 1997-08-19 | 有限会社ザップ | Fishing jacket |
| JP3270834B2 (en) | 1999-01-27 | 2002-04-02 | ファイザー・プロダクツ・インク | Heteroaromatic bicyclic derivatives useful as anticancer agents |
| JP2000328080A (en) | 1999-03-12 | 2000-11-28 | Shin Etsu Chem Co Ltd | Low friction treatment for seat belts |
| US6762180B1 (en) | 1999-10-13 | 2004-07-13 | Boehringer Ingelheim Pharma Kg | Substituted indolines which inhibit receptor tyrosine kinases |
| JP2001131071A (en) | 1999-10-29 | 2001-05-15 | Meiji Seika Kaisha Ltd | Amorphous substance and medical composition containing amorphous substance |
| AU784338B2 (en) | 1999-11-01 | 2006-03-16 | Curagen Corporation | Differentially expressed genes involved in angiogenesis, the polypeptides encoded thereby, and methods of using the same |
| JP3657203B2 (en) | 2000-04-21 | 2005-06-08 | エーザイ株式会社 | Copper chlorophyllin salt-containing liquid composition |
| AU2002247248B2 (en) | 2001-03-02 | 2007-07-05 | University Of Pittsburgh Of The Commonwealth System Of Higher Education | PCR method |
| WO2002085926A2 (en) | 2001-04-19 | 2002-10-31 | GESELLSCHAFT FüR BIOTECHNOLOGISCHE FORSCHUNG MBH (GBF) | Method for producing stable, regeneratable antibody arrays |
| JP3602513B2 (en) | 2001-04-27 | 2004-12-15 | 麒麟麦酒株式会社 | Quinoline derivatives and quinazoline derivatives having an azolyl group |
| JP2003026576A (en) | 2001-05-09 | 2003-01-29 | Eisai Co Ltd | Medicine having improved taste |
| US6812341B1 (en) | 2001-05-11 | 2004-11-02 | Ambion, Inc. | High efficiency mRNA isolation methods and compositions |
| WO2002092091A1 (en) * | 2001-05-16 | 2002-11-21 | Novartis Ag | Combination comprising n-{5-[4-(4-methyl-piperazino-methyl)-benzoylamido]-2-methylphenyl}-4-(3-pyridyl)-2pyrimidine-amine and a chemotherapeutic agent |
| KR100883731B1 (en) | 2001-06-22 | 2009-02-12 | 기린 파마 가부시끼가이샤 | Quinoline derivatives and quinazoline derivatives that inhibit hepatocellular growth factor receptor autophosphorylation and pharmaceutical compositions containing them |
| US20030013208A1 (en) | 2001-07-13 | 2003-01-16 | Milagen, Inc. | Information enhanced antibody arrays |
| EP1432422A2 (en) | 2001-09-27 | 2004-06-30 | Novartis AG | Use of c-kit inhibitors for the treatment of myeloma |
| GB0201508D0 (en) * | 2002-01-23 | 2002-03-13 | Novartis Ag | Organic compounds |
| US20050233991A1 (en) * | 2002-03-20 | 2005-10-20 | Ravi Salgia | Methods and compositions for the identification, assessment, and therapy of small cell lung cancer |
| WO2003093238A1 (en) | 2002-05-01 | 2003-11-13 | Kirin Beer Kabushiki Kaisha | Quinoline derivatives and quinazoline derivatives inhibiting autophosphorylation of macrophage colony stimulating factor receptor |
| CA2490989A1 (en) * | 2002-05-13 | 2003-11-20 | Beth Israel Deaconess Medical Center | Methods and compositions for the treatment of graft failure |
| US7252976B2 (en) | 2002-08-28 | 2007-08-07 | Board Of Regents The University Of Texas System | Quantitative RT-PCR to AC133 to diagnose cancer and monitor angiogenic activity in a cell sample |
| JP4749660B2 (en) | 2002-10-16 | 2011-08-17 | 武田薬品工業株式会社 | Stable solid formulation |
| AU2003280599A1 (en) | 2002-10-29 | 2004-05-25 | Kirin Beer Kabushiki Kaisha | QUINOLINE DERIVATIVES AND QUINAZOLINE DERIVATIVES INHIBITING AUTOPHOSPHORYLATION OF Flt3 AND MEDICINAL COMPOSITIONS CONTAINING THE SAME |
| DE10250711A1 (en) | 2002-10-31 | 2004-05-19 | Degussa Ag | Pharmaceutical and cosmetic preparations |
| AU2004206860B2 (en) | 2003-01-14 | 2010-03-18 | Cytokinetics, Inc. | Compounds, compositions and methods |
| JP2005008534A (en) | 2003-06-17 | 2005-01-13 | Soc De Conseils De Recherches & D'applications Scientifiques (Scras) | Anticancer agent and cancer treatment method |
| ATE478671T1 (en) | 2003-07-10 | 2010-09-15 | Astrazeneca Ab | USE OF THE QUINAZOLINE DERIVATIVE ZD6474 IN COMBINATION WITH PLATINUM COMPOUNDS AND OPTIONAL IONIZING RADIATION IN THE TREATMENT OF DISEASES ASSOCIATED WITH ANGIOGENESIS AND/OR INCREASED VASCULAR PERMEABILITY |
| US7485658B2 (en) | 2003-08-21 | 2009-02-03 | Osi Pharmaceuticals, Inc. | N-substituted pyrazolyl-amidyl-benzimidazolyl c-Kit inhibitors |
| WO2005021531A1 (en) | 2003-08-21 | 2005-03-10 | Osi Pharmaceuticals, Inc. | N-substituted benzimidazolyl c-kit inhibitors |
| MXPA06002017A (en) | 2003-08-21 | 2006-05-31 | Osi Pharm Inc | N-substituted pyrazolyl-amidyl-benzimidazolyl c-kit inhibitors. |
| KR20060097000A (en) * | 2003-09-23 | 2006-09-13 | 노파르티스 아게 | Combinations of Chemotherapy Agents and VEUF Inhibitors |
| EP2364699A1 (en) | 2004-09-13 | 2011-09-14 | Eisai R&D Management Co., Ltd. | Joint use of sulfonamide based compound with angiogenesis inhibitor |
| CN101233111A (en) | 2005-06-23 | 2008-07-30 | 卫材R&D管理有限公司 | Amorphous salt of 4- (3-chloro-4- (cyclopropylaminocarbonyl) aminophenoxy) -7-methoxy-6-quinolinecarboxylic acid amide and process for producing the same |
| JP2008546821A (en) | 2005-06-29 | 2008-12-25 | ロゼリ、 パトリツィア | Compounds that regulate VEGF receptors and uses thereof |
| WO2007015569A1 (en) | 2005-08-01 | 2007-02-08 | Eisai R & D Management Co., Ltd. | Method for prediction of the efficacy of vascularization inhibitor |
| WO2007023768A1 (en) | 2005-08-24 | 2007-03-01 | Eisai R & D Management Co., Ltd. | Novel pyridine derivative and pyrimidine derivative (3) |
| US20090053236A1 (en) | 2005-11-07 | 2009-02-26 | Eisai R & D Management Co., Ltd. | USE OF COMBINATION OF ANTI-ANGIOGENIC SUBSTANCE AND c-kit KINASE INHIBITOR |
| US20090247576A1 (en) | 2005-11-22 | 2009-10-01 | Eisai R & D Management Co., Ltd. | Anti-tumor agent for multiple myeloma |
| AR059066A1 (en) | 2006-01-27 | 2008-03-12 | Amgen Inc | COMBINATIONS OF THE ANGIOPOYETINE INHIBITOR -2 (ANG2) AND THE VASCULAR ENDOTELIAL GROWTH FACTOR INHIBITOR (VEGF) |
| AU2007288793B2 (en) | 2006-08-23 | 2012-04-19 | Eisai R & D Management Co., Ltd. | Salt of phenoxypyridine derivative or crystal thereof and process for producing the same |
| EP2065372B1 (en) | 2006-08-28 | 2012-11-28 | Eisai R&D Management Co., Ltd. | Antitumor agent for undifferentiated gastric cancer |
| KR20090108086A (en) | 2007-01-19 | 2009-10-14 | 에자이 알앤드디 매니지먼트 가부시키가이샤 | Pancreatic cancer treatment composition |
| JP5319306B2 (en) | 2007-01-29 | 2013-10-16 | エーザイ・アール・アンド・ディー・マネジメント株式会社 | Composition for treatment of undifferentiated gastric cancer |
| CA2680122A1 (en) | 2007-03-05 | 2008-09-18 | Kyowa Hakko Kirin Co., Ltd. | Pharmaceutical composition |
| JPWO2008108386A1 (en) | 2007-03-05 | 2010-06-17 | 協和発酵キリン株式会社 | Pharmaceutical composition |
| CN101848895B (en) | 2007-11-09 | 2013-10-23 | 卫材R&D管理有限公司 | Combined use of angiogenesis inhibitory substance and antitumor platinum complex |
| JP2009132660A (en) | 2007-11-30 | 2009-06-18 | Eisai R & D Management Co Ltd | Composition for treating esophageal cancer |
| EP2248804A4 (en) | 2008-01-29 | 2014-09-10 | Eisai R&D Man Co Ltd | Combined use of angiogenesis inhibitor and taxane |
| JP2011516412A (en) | 2008-03-05 | 2011-05-26 | ビカス セラピューティクス,エルエルシー | Compositions and methods for the treatment of cancer and mucositis |
| JP5699075B2 (en) | 2008-05-14 | 2015-04-08 | アムジエン・インコーポレーテツド | Combinations of VEGF (R) inhibitors and hepatocyte growth factor (C-MET) inhibitors for the treatment of cancer |
| AU2010285740C1 (en) | 2009-08-19 | 2016-03-17 | Eisai R&D Management Co., Ltd. | Quinoline derivative-containing pharmaceutical composition |
| EP2467491A4 (en) | 2009-08-21 | 2014-04-02 | Sinai School Medicine | METHODS OF USING CD44 FUSION PROTEINS TO TREAT CANCER |
| RU2568258C2 (en) | 2011-02-28 | 2015-11-20 | Саншайн Лейк Фарма Ко., Лтд | Substituted quinoline compounds and methods of their application |
| CA2864394C (en) | 2011-03-02 | 2021-10-19 | Jack Roth | A method of predicting a response to a tusc2 therapy |
| CN103476943A (en) | 2011-03-10 | 2013-12-25 | 普罗维克图斯药品公司 | Combination of local and systemic immunomodulative therapies for enhanced treatment of cancer |
-
2006
- 2006-11-07 US US12/092,539 patent/US20090053236A1/en not_active Abandoned
- 2006-11-07 AU AU2006309551A patent/AU2006309551B2/en not_active Ceased
- 2006-11-07 KR KR1020087013685A patent/KR101353763B1/en not_active Expired - Fee Related
- 2006-11-07 WO PCT/JP2006/322514 patent/WO2007052849A1/en not_active Ceased
- 2006-11-07 CN CN2006800413559A patent/CN101316590B/en not_active Expired - Fee Related
- 2006-11-07 EP EP06832529A patent/EP1949902B1/en active Active
- 2006-11-07 WO PCT/JP2006/322516 patent/WO2007052850A1/en not_active Ceased
- 2006-11-07 CA CA2627598A patent/CA2627598C/en not_active Expired - Fee Related
- 2006-11-07 JP JP2007542863A patent/JPWO2007052849A1/en active Pending
-
2011
- 2011-08-08 US US13/205,328 patent/US8815241B2/en not_active Expired - Fee Related
Patent Citations (73)
| Publication number | Priority date | Publication date | Assignee | Title |
|---|---|---|---|---|
| US5891996A (en) * | 1972-09-17 | 1999-04-06 | Centro De Inmunologia Molecular | Humanized and chimeric monoclonal antibodies that recognize epidermal growth factor receptor (EGF-R); diagnostic and therapeutic use |
| US4526988A (en) * | 1983-03-10 | 1985-07-02 | Eli Lilly And Company | Difluoro antivirals and intermediate therefor |
| US4742003A (en) * | 1984-02-17 | 1988-05-03 | Genentech, Inc. | Human transforming growth factor |
| US5464826A (en) * | 1984-12-04 | 1995-11-07 | Eli Lilly And Company | Method of treating tumors in mammals with 2',2'-difluoronucleosides |
| US4764454A (en) * | 1985-12-20 | 1988-08-16 | Fuji Photo Film Co., Ltd. | Color photographic material with color forming ligand compounds and a method of processing |
| US6217866B1 (en) * | 1988-09-15 | 2001-04-17 | Rhone-Poulenc Rorer International (Holdings), Inc. | Monoclonal antibodies specific to human epidermal growth factor receptor and therapeutic methods employing same |
| US5180818A (en) * | 1990-03-21 | 1993-01-19 | The University Of Colorado Foundation, Inc. | Site specific cleavage of single-stranded dna |
| US5747651A (en) * | 1991-04-02 | 1998-05-05 | The Trustees Of Princeton University | Antibodies against tyrosine kinase receptor flk-1 |
| US5750376A (en) * | 1991-07-08 | 1998-05-12 | Neurospheres Holdings Ltd. | In vitro growth and proliferation of genetically modified multipotent neural stem cells and their progeny |
| US5487889A (en) * | 1992-06-03 | 1996-01-30 | The Metrohealth System | Bandage for continuous application of biologicals |
| US6811779B2 (en) * | 1994-02-10 | 2004-11-02 | Imclone Systems Incorporated | Methods for reducing tumor growth with VEGF receptor antibody combined with radiation and chemotherapy |
| US5656454A (en) * | 1994-10-04 | 1997-08-12 | President And Fellows Of Harvard College | Endothelial cell-specific enhancer |
| US5650376A (en) * | 1994-11-07 | 1997-07-22 | International Superconductivity Technology Center | (Nd, Ba)3 Cu3 O7-d superconductor film |
| US5733913A (en) * | 1994-11-14 | 1998-03-31 | Blankley; Clifton John | 6-Aryl pyrido 2,3-d! pyrimidines and naphthyridines for inhibiting protein tyrosine kinase mediated cellular proliferation |
| US5658374A (en) * | 1995-02-28 | 1997-08-19 | Buckman Laboratories International, Inc. | Aqueous lecithin-based release aids and methods of using the same |
| US5624937A (en) * | 1995-03-02 | 1997-04-29 | Eli Lilly And Company | Chemical compounds as inhibitors of amyloid beta protein production |
| US5770599A (en) * | 1995-04-27 | 1998-06-23 | Zeneca Limited | Quinazoline derivatives |
| US5792783A (en) * | 1995-06-07 | 1998-08-11 | Sugen, Inc. | 3-heteroaryl-2-indolinone compounds for the treatment of disease |
| US6346398B1 (en) * | 1995-10-26 | 2002-02-12 | Ribozyme Pharmaceuticals, Inc. | Method and reagent for the treatment of diseases or conditions related to levels of vascular endothelial growth factor receptor |
| US6143764A (en) * | 1995-11-07 | 2000-11-07 | Kirin Beer Kabushiki Kaisha | Quinoline and quinazoline derivatives inhibiting platelet-derived growth factor receptor autophosphorylation and pharmaceutical compositions containing the same |
| US6156522A (en) * | 1997-06-30 | 2000-12-05 | University Of Maryland Baltimore | Heparin binding--epidermal growth factor-like growth factor in the diagnosis of Interstitial Cystitis |
| US20070027318A1 (en) * | 1999-01-22 | 2007-02-01 | Kirin Beer Kabushiki Kaisha | Quinoline derivatives and quinazoline derivatives |
| US6797823B1 (en) * | 1999-01-22 | 2004-09-28 | Kirin Beer Kabushiki Kaisha | Quinoline derivatives and quinazoline derivatives |
| US7169789B2 (en) * | 1999-01-22 | 2007-01-30 | Kirin Beer Kabushiki Kaisha | Quinoline derivatives and quinazoline derivatives |
| US20060004017A1 (en) * | 1999-02-10 | 2006-01-05 | Astrazeneca Ab | Quinazoline derivatives as angiogenesis inhibitors |
| US6476040B1 (en) * | 1999-03-31 | 2002-11-05 | Pfizer Inc. | Processes and intermediates for preparing anti-cancer compounds |
| US6524583B1 (en) * | 1999-04-28 | 2003-02-25 | Board Of Regents, The University Of Texas System | Antibody methods for selectively inhibiting VEGF |
| US6676941B2 (en) * | 1999-04-28 | 2004-01-13 | Board Of Regents, The University Of Texas System | Antibody conjugate formulations for selectively inhibiting VEGF |
| US6534535B1 (en) * | 1999-08-12 | 2003-03-18 | Millennium Pharmaceuticals, Inc. | Inhibitors of factor Xa |
| US20080241835A1 (en) * | 1999-11-01 | 2008-10-02 | Genentech, Inc. | Differentially expressed genes involved in angiogenesis, the polypeptides encoded thereby, and methods of using the same |
| US20020010203A1 (en) * | 1999-12-22 | 2002-01-24 | Ken Lipson | Methods of modulating c-kit tyrosine protein kinase function with indolinone compounds |
| US7135466B2 (en) * | 1999-12-24 | 2006-11-14 | Kirin Beer Kabushiki Kaisha | Quinoline and quinazoline derivatives and drugs containing the same |
| US7005430B2 (en) * | 1999-12-24 | 2006-02-28 | Kyowa Hakko Kogyo Co., Ltd. | Fused purine derivatives |
| US20040132727A1 (en) * | 1999-12-24 | 2004-07-08 | Teruyuki Sakai | Quinoline and quinazoline derivatives and drugs containing the same |
| US20050176802A1 (en) * | 2000-02-15 | 2005-08-11 | Sugen, Inc. & Pharmacia & Upjohn Co. | Pyrrole substituted 2-indolinone protein kinase inhibitors |
| US20020040127A1 (en) * | 2000-06-09 | 2002-04-04 | Yuqiu Jiang | Compositions and methods for the therapy and diagnosis of colon cancer |
| US20060160832A1 (en) * | 2000-10-20 | 2006-07-20 | Yosuhiro Funahashi | Nitrogen-containing aromatic derivatives |
| US7253286B2 (en) * | 2000-10-20 | 2007-08-07 | Eisai Co., Ltd | Nitrogen-containing aromatic derivatives |
| US20040053908A1 (en) * | 2000-10-20 | 2004-03-18 | Yasuhiro Funahashi | Nitrogen-containing aromatic derivatives |
| US7612092B2 (en) * | 2000-10-20 | 2009-11-03 | Eisai R & D Management Co., Ltd. | Nitrogen-containing aromatic derivatives |
| US20030215523A1 (en) * | 2000-10-31 | 2003-11-20 | Yoichi Ozawa | Medicinal compositions for concomitant use as anticancer agent |
| US20040034026A1 (en) * | 2000-11-22 | 2004-02-19 | Wood Jeannette M | Combination comprising an agent decreasing vegf activity and an agent decreasing egf activity |
| US20030087907A1 (en) * | 2001-04-27 | 2003-05-08 | Kirin Beer Kabushiki Kaisha | Quinoline derivatives and quinazoline derivatives having azolyl group |
| US6821987B2 (en) * | 2001-04-27 | 2004-11-23 | Kirin Beer Kabushiki Kaisha | Quinoline derivatives and quinazoline derivatives having azolyl group |
| US20040242506A1 (en) * | 2001-08-09 | 2004-12-02 | Barges Causeret Nathalie Claude Marianne | Paroxetine glycyrrhizinate |
| US20030113713A1 (en) * | 2001-09-10 | 2003-06-19 | Meso Scale Technologies, Llc | Methods and apparatus for conducting multiple measurements on a sample |
| US20040191254A1 (en) * | 2001-10-09 | 2004-09-30 | Fagin James Alexander | Method of treatment of thyroid cancer |
| US7495104B2 (en) * | 2001-10-17 | 2009-02-24 | Kirin Beer Kabushiki Kaisha | Quinoline or quinazoline derivatives inhibiting auto-phosphorylation of fibroblast growth factor receptors |
| US20050049264A1 (en) * | 2001-10-17 | 2005-03-03 | Kirin Beer Kabushiki Kaisha | Quinoline or quinazoline derivatives inhibiting auto-phosphorylation of fibroblast growth factor receptors |
| US20050119303A1 (en) * | 2002-03-05 | 2005-06-02 | Eisai Co., Ltd | Antitumor agent comprising combination of sulfonamide-containing heterocyclic compound with an angiogenesis inhibitor |
| US20040009965A1 (en) * | 2002-06-14 | 2004-01-15 | Agouron Pharmaceuticals, Inc. | Benzofused heterozryl amide derivatives of thienopyridines useful as therapeutic agents, pharmaceutical compositions including the same, and methods for their use |
| US20050187236A1 (en) * | 2002-08-30 | 2005-08-25 | Akihiko Tsuruoka | Nitrogen-containing aromatic derivatives |
| US20060004029A1 (en) * | 2002-08-30 | 2006-01-05 | Akihiko Tsuruoka | Nitrogen-containing aromatic derivatives |
| US20060057195A1 (en) * | 2002-10-16 | 2006-03-16 | Takeda Pharmaceutical Company Limited | Stable solid preparations |
| US20040152759A1 (en) * | 2002-11-15 | 2004-08-05 | Sugen, Inc. | Combination administration of an indolinone with a chemotherapeutic agent for cell proliferation disorders |
| US20050014727A1 (en) * | 2003-03-05 | 2005-01-20 | Muller George W. | Diphenylethylene compounds and uses thereof |
| US20040253205A1 (en) * | 2003-03-10 | 2004-12-16 | Yuji Yamamoto | c-Kit kinase inhibitor |
| US7435590B2 (en) * | 2003-03-14 | 2008-10-14 | Taisho Pharmaceutical Co., Ltd. | Monoclonal antibody and hybridoma producing the same |
| US20070117842A1 (en) * | 2003-04-22 | 2007-05-24 | Itaru Arimoto | Polymorph of 4-[3-chloro-4-(cyclopropylaminocarbonyl)aminophenoxy]-7-methoxy-6- quinolinecarboxamide and a process for the preparation of the same |
| US20070032521A1 (en) * | 2003-08-15 | 2007-02-08 | Ab Science | Use of c-kit inhibitors for treating type II diabetes |
| US20070037849A1 (en) * | 2003-11-11 | 2007-02-15 | Toshihiko Naito | Urea derivative and process for producing the same |
| US20070078159A1 (en) * | 2003-12-25 | 2007-04-05 | Tomohiro Matsushima | A crystalline form of the salt of 4-(3-chloro-4-(cyclopropylaminocarbonyl)amin ophenoxy)-7-methoxy-6-quinolinecarboxamide or the solvate of the salt and a process for preparing the same |
| US7612208B2 (en) * | 2003-12-25 | 2009-11-03 | Eisai R&D Management Co., Ltd. | Crystalline form of the salt of 4-(3-chloro-4-(cyclopropylaminocarbonyl)aminophenoxy)-7-methoxy-6-quinolinecarboxamide or the solvate of the salt and a process for preparing the same |
| US20050277652A1 (en) * | 2004-02-27 | 2005-12-15 | Eisai Co., Ltd. | Novel pyridine derivative and pyrimidine derivative |
| US20050272688A1 (en) * | 2004-06-03 | 2005-12-08 | Brian Higgins | Combined treatment with gemcitabine and an epidermal growth factor receptor kinase inhibitor |
| US20060135486A1 (en) * | 2004-09-13 | 2006-06-22 | Eisai Co., Ltd. | Use of sulfonamide-including compounds in combination with angiogenesis inhibitors |
| US20080214604A1 (en) * | 2004-09-17 | 2008-09-04 | Hisao Furitsu | Medicinal Composition |
| US20060079494A1 (en) * | 2004-09-27 | 2006-04-13 | Santi Daniel V | Specific kinase inhibitors |
| US20090047365A1 (en) * | 2005-02-28 | 2009-02-19 | Eisai R & D Management Co., Ltd. | Novel Concomitant Use of Sulfonamide Compound with Anti-Cancer Agent |
| US20090047278A1 (en) * | 2005-02-28 | 2009-02-19 | Eisai R & D Management Co., Ltd. | Novel Combinational Use of Sulfonamide Compound |
| US20070004773A1 (en) * | 2005-06-23 | 2007-01-04 | Eisai R&D Management Co., Ltd. | Amorphous salt of 4-(3-chiloro-4-(cycloproplylaminocarbonyl)aminophenoxy)-7-method-6-quinolinecarboxamide and process for preparing the same |
| US20100092490A1 (en) * | 2005-08-02 | 2010-04-15 | Eisai R&D Management Co., Ltd. | Method for assay on the effect of vascularization inhibitor |
| US20070214604A1 (en) * | 2006-03-20 | 2007-09-20 | Samsung Electronics Co., Ltd | Portable electronic device having triaxial hinge structure |
Cited By (55)
| Publication number | Priority date | Publication date | Assignee | Title |
|---|---|---|---|---|
| US20110118470A1 (en) * | 2000-10-20 | 2011-05-19 | Yasuhiro Funahashi | Nitrogen-containing aromatic derivatives |
| US8372981B2 (en) | 2000-10-20 | 2013-02-12 | Eisai R&D Management Co., Ltd. | Nitrogen-containing aromatic derivatives |
| US20100197911A1 (en) * | 2000-10-20 | 2010-08-05 | Eisai R&D Management Co., Ltd. | Nitrogen-Containing Aromatic Derivatives |
| US7973160B2 (en) | 2000-10-20 | 2011-07-05 | Eisai R&D Management Co., Ltd. | Nitrogen-containing aromatic derivatives |
| US20090171112A1 (en) * | 2003-11-11 | 2009-07-02 | Toshihiko Naito | Urea derivative and process for preparing the same |
| US8058474B2 (en) | 2003-11-11 | 2011-11-15 | Eisai R&D Management Co., Ltd. | Urea derivative and process for preparing the same |
| US20080214604A1 (en) * | 2004-09-17 | 2008-09-04 | Hisao Furitsu | Medicinal Composition |
| US8969379B2 (en) | 2004-09-17 | 2015-03-03 | Eisai R&D Management Co., Ltd. | Pharmaceutical compositions of 4-(3-chloro-4-(cyclopropylaminocarbonyl)aminophenoxy)-7=methoxy-6-quinolinecarboxide |
| US9504746B2 (en) | 2004-09-17 | 2016-11-29 | Eisai R&D Management Co., Ltd. | Pharmaceutical compositions of 4-(3-chloro-4-(cyclopropylaminocarbonyl)aminophenoxy)-7-methoxy-6-quinolinecarboxamide |
| US20100105031A1 (en) * | 2005-08-01 | 2010-04-29 | Esai R & D Management Co., Ltd. | Method for prediction of the efficacy of vascularization inhibitor |
| US9006240B2 (en) | 2005-08-02 | 2015-04-14 | Eisai R&D Management Co., Ltd. | Method for assay on the effect of vascularization inhibitor |
| US8969344B2 (en) | 2005-08-02 | 2015-03-03 | Eisai R&D Management Co., Ltd. | Method for assay on the effect of vascularization inhibitor |
| US20080214557A1 (en) * | 2005-09-01 | 2008-09-04 | Eisai R&D Management Co., Ltd. | Method for preparation of pharmaceutical composition having improved disintegratability and pharmaceutical composition manufactured by same method |
| US8815241B2 (en) | 2005-11-07 | 2014-08-26 | Eisai R&D Management Co., Ltd. | Use of combination of anti-angiogenic substance and c-kit kinase inhibitor |
| US20090247576A1 (en) * | 2005-11-22 | 2009-10-01 | Eisai R & D Management Co., Ltd. | Anti-tumor agent for multiple myeloma |
| US20110207756A1 (en) * | 2006-05-18 | 2011-08-25 | Eisai R&D Management Co., Ltd. | Antitumor agent for thyroid cancer |
| US9006256B2 (en) | 2006-05-18 | 2015-04-14 | Eisai R&D Management Co., Ltd. | Antitumor agent for thyroid cancer |
| US20090264464A1 (en) * | 2006-08-28 | 2009-10-22 | Eisai R & D Management Co., Ltd. | Antitumor agent for undifferentiated gastric cancer |
| US8865737B2 (en) | 2006-08-28 | 2014-10-21 | Eisai R&D Management Co., Ltd. | Antitumor agent for undifferentiated gastric cancer |
| US20100048620A1 (en) * | 2007-01-29 | 2010-02-25 | Yuji Yamamoto | Composition for treatment of undifferentiated gastric cancer |
| US8962655B2 (en) | 2007-01-29 | 2015-02-24 | Eisai R&D Management Co., Ltd. | Composition for treatment of undifferentiated gastric cancer |
| US8952035B2 (en) | 2007-11-09 | 2015-02-10 | Eisai R&D Management Co., Ltd. | Combination of anti-angiogenic substance and anti-tumor platinum complex |
| US20100324087A1 (en) * | 2008-01-29 | 2010-12-23 | Eisai R&D Management Co., Ltd. | Combined use of angiogenesis inhibitor and taxane |
| US12508313B2 (en) | 2009-08-19 | 2025-12-30 | Eisai R&D Management Co., Ltd. | Quinoline derivative-containing pharmaceutical composition |
| US10525152B2 (en) | 2009-10-09 | 2020-01-07 | Signablok, Inc. | Methods and compositions for targeted imaging |
| AU2011270165B2 (en) * | 2010-06-25 | 2015-12-24 | Eisai R&D Management Co., Ltd. | Antitumor agent using compounds having kinase inhibitory effect in combination |
| US9012458B2 (en) * | 2010-06-25 | 2015-04-21 | Eisai R&D Management Co., Ltd. | Antitumor agent using compounds having kinase inhibitory effect in combination |
| US20130123274A1 (en) * | 2010-06-25 | 2013-05-16 | Eisai R&D Management Co., Ltd. | Antitumor Agent Using Compounds Having Kinase Inhibitory Effect in Combination |
| US8759530B2 (en) | 2011-03-29 | 2014-06-24 | Eisai R&D Management Co., Ltd. | Method for producing phenoxypyridine derivative |
| US8962650B2 (en) | 2011-04-18 | 2015-02-24 | Eisai R&D Management Co., Ltd. | Therapeutic agent for tumor |
| US9945862B2 (en) | 2011-06-03 | 2018-04-17 | Eisai R&D Management Co., Ltd. | Biomarkers for predicting and assessing responsiveness of thyroid and kidney cancer subjects to lenvatinib compounds |
| US11598776B2 (en) | 2011-06-03 | 2023-03-07 | Eisai R&D Management Co., Ltd. | Biomarkers for predicting and assessing responsiveness of thyroid and kidney cancer subjects to lenvatinib compounds |
| US20160000913A1 (en) * | 2012-02-29 | 2016-01-07 | University Hospitals Cleveland Medical Center | Targeted treatment of anerobic cancer |
| US9480745B2 (en) * | 2012-02-29 | 2016-11-01 | University Hospitals Cleveland Medical Center | Targeted treatment of anerobic cancer |
| US9918950B2 (en) | 2012-02-29 | 2018-03-20 | University Hospitals Cleveland Medical Center | Targeted treatment of anerobic cancer |
| US9334239B2 (en) | 2012-12-21 | 2016-05-10 | Eisai R&D Management Co., Ltd. | Amorphous form of quinoline derivative, and method for producing same |
| US10517861B2 (en) | 2013-05-14 | 2019-12-31 | Eisai R&D Management Co., Ltd. | Biomarkers for predicting and assessing responsiveness of endometrial cancer subjects to lenvatinib compounds |
| US10407393B2 (en) | 2014-08-28 | 2019-09-10 | Eisai R&D Management Co., Ltd. | High-purity quinoline derivative and method for manufacturing same |
| US10822307B2 (en) | 2014-08-28 | 2020-11-03 | Eisai R&D Management Co., Ltd. | High-purity quinoline derivative and method for manufacturing same |
| US11186547B2 (en) | 2014-08-28 | 2021-11-30 | Eisai R&D Management Co., Ltd. | High-purity quinoline derivative and method for manufacturing same |
| US10259791B2 (en) | 2014-08-28 | 2019-04-16 | Eisai R&D Management Co., Ltd. | High-purity quinoline derivative and method for manufacturing same |
| US11090386B2 (en) | 2015-02-25 | 2021-08-17 | Eisai R&D Management Co., Ltd. | Method for suppressing bitterness of quinoline derivative |
| US11547705B2 (en) | 2015-03-04 | 2023-01-10 | Merck Sharp & Dohme Llc | Combination of a PD-1 antagonist and a VEGF-R/FGFR/RET tyrosine kinase inhibitor for treating cancer |
| US12083112B2 (en) | 2015-03-04 | 2024-09-10 | Eisai R&D Management Co., Ltd. | Combination of a PD-1 antagonist and a VEGFR/FGFR/RET tyrosine kinase inhibitor for treating cancer |
| US11369623B2 (en) | 2015-06-16 | 2022-06-28 | Prism Pharma Co., Ltd. | Anticancer combination of a CBP/catenin inhibitor and an immune checkpoint inhibitor |
| US12220398B2 (en) | 2015-08-20 | 2025-02-11 | Eisai R&D Management Co., Ltd. | Tumor therapeutic agent |
| US11230558B2 (en) | 2015-10-05 | 2022-01-25 | The Trustees Of Columbia University In The City Of New York | Activators of autophagic flux and phospholipase D and clearance of protein aggregates including tau and treatment of proteinopathies |
| US11261199B2 (en) | 2015-10-05 | 2022-03-01 | The Trustees Of Columbia University In The City Of New York | Activators of autophagic flux and phospholipase d and clearance of protein aggregates including tau and treatment of proteinopathies |
| US11008341B2 (en) | 2015-10-05 | 2021-05-18 | The Trustees Of Columbia University In The City Of New York | Activators of autophagic flux and phospholipase D and clearance of protein aggregates including tau and treatment of proteinopathies |
| US10865214B2 (en) | 2015-10-05 | 2020-12-15 | The Trustees of Columbia University in they City of New York | Activators of autophagic flux and phospholipase D and clearance of protein aggregates including tau and treatment of proteinopathies |
| US10487091B2 (en) | 2015-10-05 | 2019-11-26 | The Trustees Of Columbia University In The City Of New York | Activators of autophagic flux and phospholipase D and clearance of protein aggregates including tau and treatment of proteinopathies |
| US12303505B2 (en) | 2017-02-08 | 2025-05-20 | Eisai R&D Management Co., Ltd. | Tumor-treating pharmaceutical composition |
| US12226409B2 (en) | 2017-05-16 | 2025-02-18 | Eisai R&D Management Co., Ltd. | Treatment of hepatocellular carcinoma |
| US11542259B2 (en) * | 2018-01-26 | 2023-01-03 | Exelixis, Inc. | Compounds for the treatment of kinase-dependent disorders |
| US11673897B2 (en) | 2018-01-26 | 2023-06-13 | Exelixis, Inc. | Compounds for the treatment of kinase-dependent disorders |
Also Published As
| Publication number | Publication date |
|---|---|
| KR20080065698A (en) | 2008-07-14 |
| US8815241B2 (en) | 2014-08-26 |
| CN101316590B (en) | 2011-08-03 |
| EP1949902A4 (en) | 2009-08-26 |
| WO2007052849A1 (en) | 2007-05-10 |
| EP1949902A1 (en) | 2008-07-30 |
| WO2007052850A1 (en) | 2007-05-10 |
| CA2627598C (en) | 2013-06-25 |
| CA2627598A1 (en) | 2007-05-10 |
| AU2006309551B2 (en) | 2012-04-19 |
| EP1949902B1 (en) | 2012-06-27 |
| AU2006309551A1 (en) | 2007-05-10 |
| CN101316590A (en) | 2008-12-03 |
| KR101353763B1 (en) | 2014-01-21 |
| JPWO2007052849A1 (en) | 2009-04-30 |
| US20110293615A1 (en) | 2011-12-01 |
Similar Documents
| Publication | Publication Date | Title |
|---|---|---|
| US8815241B2 (en) | Use of combination of anti-angiogenic substance and c-kit kinase inhibitor | |
| US8962655B2 (en) | Composition for treatment of undifferentiated gastric cancer | |
| US20100324087A1 (en) | Combined use of angiogenesis inhibitor and taxane | |
| US8952035B2 (en) | Combination of anti-angiogenic substance and anti-tumor platinum complex | |
| US20100048503A1 (en) | Composition for treatment of pancreatic cancer | |
| JP4989476B2 (en) | Methods for assaying the effects of angiogenesis inhibitors | |
| US8772269B2 (en) | Use of sulfonamide-including compounds in combination with angiogenesis inhibitors |
Legal Events
| Date | Code | Title | Description |
|---|---|---|---|
| AS | Assignment |
Owner name: EISAI R&D MANAGEMENT CO., LTD., JAPAN Free format text: ASSIGNMENT OF ASSIGNORS INTEREST;ASSIGNOR:YAMAMOTO, YUJI;REEL/FRAME:020900/0346 Effective date: 20080328 |
|
| STCB | Information on status: application discontinuation |
Free format text: ABANDONED -- FAILURE TO RESPOND TO AN OFFICE ACTION |











































