US20020172693A1 - Compositions and methods for treating hair loss using non-naturally occurring prostaglandins - Google Patents
Compositions and methods for treating hair loss using non-naturally occurring prostaglandins Download PDFInfo
- Publication number
- US20020172693A1 US20020172693A1 US09/774,557 US77455701A US2002172693A1 US 20020172693 A1 US20020172693 A1 US 20020172693A1 US 77455701 A US77455701 A US 77455701A US 2002172693 A1 US2002172693 A1 US 2002172693A1
- Authority
- US
- United States
- Prior art keywords
- group
- substituted
- composition
- heteroaromatic
- monovalent hydrocarbon
- Prior art date
- Legal status (The legal status is an assumption and is not a legal conclusion. Google has not performed a legal analysis and makes no representation as to the accuracy of the status listed.)
- Abandoned
Links
- 0 *ccCccC[C@H]1[C@@H](O)C[C@@H](O)[C@@H]1ccC(*C)O[2*].CC.CC.[1*]CCCCCC[C@H]1[C@@H](O)C[C@@H](O)[C@@H]1CCC(*C)O[2*] Chemical compound *ccCccC[C@H]1[C@@H](O)C[C@@H](O)[C@@H]1ccC(*C)O[2*].CC.CC.[1*]CCCCCC[C@H]1[C@@H](O)C[C@@H](O)[C@@H]1CCC(*C)O[2*] 0.000 description 13
- FUUQYYSQBLWYLA-KWQQHVHJSA-N O=C(O)CCCCCC[C@H]1[C@@H](O)C[C@@H](O)[C@@H]1CCC(O)C1=NC2=C(C=CC=C2)S1 Chemical compound O=C(O)CCCCCC[C@H]1[C@@H](O)C[C@@H](O)[C@@H]1CCC(O)C1=NC2=C(C=CC=C2)S1 FUUQYYSQBLWYLA-KWQQHVHJSA-N 0.000 description 3
- OFKKYXCIPGTEPM-MEYGQTPLSA-N CC1=CC(C(=O)C(O)CC[C@H]2[C@H](O)C[C@H](O)[C@@H]2CCCCCCC(=O)O)=CC(Cl)=C1 Chemical compound CC1=CC(C(=O)C(O)CC[C@H]2[C@H](O)C[C@H](O)[C@@H]2CCCCCCC(=O)O)=CC(Cl)=C1 OFKKYXCIPGTEPM-MEYGQTPLSA-N 0.000 description 2
- AHIWCRRKPJBZMW-IAQWILHHSA-N CC1=CC=C(/C=C/C(O)CC[C@H]2[C@H](O)C[C@H](O)[C@@H]2CCCCCCC(=O)O)C(F)=C1 Chemical compound CC1=CC=C(/C=C/C(O)CC[C@H]2[C@H](O)C[C@H](O)[C@@H]2CCCCCCC(=O)O)C(F)=C1 AHIWCRRKPJBZMW-IAQWILHHSA-N 0.000 description 2
- WZZCTSUZRXEAAK-IGWIHCKFSA-N O=C(CCCCCC[C@@H]1[C@@H](O)C[C@@H](O)[C@@H]1CCC(O)/C=C/C1=C(F)C=CC=C1)NO Chemical compound O=C(CCCCCC[C@@H]1[C@@H](O)C[C@@H](O)[C@@H]1CCC(O)/C=C/C1=C(F)C=CC=C1)NO WZZCTSUZRXEAAK-IGWIHCKFSA-N 0.000 description 2
- GIOAESSKWUWUKL-HPWWWTOWSA-N O=C(O)CCCCCC[C@H]1[C@@H](O)C[C@@H](O)[C@@H]1CCC(O)/C=C/C1=C(F)C=CC=C1 Chemical compound O=C(O)CCCCCC[C@H]1[C@@H](O)C[C@@H](O)[C@@H]1CCC(O)/C=C/C1=C(F)C=CC=C1 GIOAESSKWUWUKL-HPWWWTOWSA-N 0.000 description 2
- QLOSEJCBGSTJNX-TVIJTFOQSA-N O=C(O)CCCCCC[C@H]1[C@@H](O)C[C@@H](O)[C@@H]1CCC(O)C#CC1=C(F)C=CC=C1 Chemical compound O=C(O)CCCCCC[C@H]1[C@@H](O)C[C@@H](O)[C@@H]1CCC(O)C#CC1=C(F)C=CC=C1 QLOSEJCBGSTJNX-TVIJTFOQSA-N 0.000 description 2
- FHPCPBCUFJRTNH-GECPZMRISA-N O=C(O)CCCCCC[C@H]1[C@@H](O)C[C@@H](O)[C@@H]1CCC(O)C(=O)C1=CC(F)=CC(F)=C1 Chemical compound O=C(O)CCCCCC[C@H]1[C@@H](O)C[C@@H](O)[C@@H]1CCC(O)C(=O)C1=CC(F)=CC(F)=C1 FHPCPBCUFJRTNH-GECPZMRISA-N 0.000 description 2
- OGSAWFRQDLELMY-GECPZMRISA-N O=C(O)CCCCCC[C@H]1[C@@H](O)C[C@@H](O)[C@@H]1CCC(O)C1=CC2=C(C=CC=C2)S1 Chemical compound O=C(O)CCCCCC[C@H]1[C@@H](O)C[C@@H](O)[C@@H]1CCC(O)C1=CC2=C(C=CC=C2)S1 OGSAWFRQDLELMY-GECPZMRISA-N 0.000 description 2
- DEEKBLUDVGZTLE-PYIJOLGTSA-N O=C(O)CCCCCC[C@H]1[C@@H](O)C[C@@H](O)[C@@H]1CC[C@H](O)C1=C(F)C=CC=C1 Chemical compound O=C(O)CCCCCC[C@H]1[C@@H](O)C[C@@H](O)[C@@H]1CC[C@H](O)C1=C(F)C=CC=C1 DEEKBLUDVGZTLE-PYIJOLGTSA-N 0.000 description 2
- JGZRPRSJSQLFBO-FWPUOYPASA-N CC(C)OC(=O)CCC/C=C\C[C@H]1[C@@H](O)C[C@@H](O)[C@@H]1/C=C/[C@@H](O)CCC1=CC=CC=C1 Chemical compound CC(C)OC(=O)CCC/C=C\C[C@H]1[C@@H](O)C[C@@H](O)[C@@H]1/C=C/[C@@H](O)CCC1=CC=CC=C1 JGZRPRSJSQLFBO-FWPUOYPASA-N 0.000 description 1
- PEENDXIERAOKOK-OFQYZJKJSA-N CC(C)OC(=O)CCCCCC[C@H]1[C@@H](O)C[C@@H](O)[C@@H]1CCC(O)C#CC1=CC=CC=C1 Chemical compound CC(C)OC(=O)CCCCCC[C@H]1[C@@H](O)C[C@@H](O)[C@@H]1CCC(O)C#CC1=CC=CC=C1 PEENDXIERAOKOK-OFQYZJKJSA-N 0.000 description 1
- KFZWHYMWTUKKNP-SBJLQEHUSA-N CC(C)OC(=O)CCCCCC[C@H]1[C@@H](O)C[C@@H](O)[C@@H]1CCC(O)C1=C(F)C=NC=C1 Chemical compound CC(C)OC(=O)CCCCCC[C@H]1[C@@H](O)C[C@@H](O)[C@@H]1CCC(O)C1=C(F)C=NC=C1 KFZWHYMWTUKKNP-SBJLQEHUSA-N 0.000 description 1
- NJKMLFPFODVQHG-PCYYLRNMSA-N CC(C)OC(=O)CCCCCC[C@H]1[C@@H](O)C[C@@H](O)[C@@H]1CCC(O)C1=NC2=C(C=CC(F)=C2)S1 Chemical compound CC(C)OC(=O)CCCCCC[C@H]1[C@@H](O)C[C@@H](O)[C@@H]1CCC(O)C1=NC2=C(C=CC(F)=C2)S1 NJKMLFPFODVQHG-PCYYLRNMSA-N 0.000 description 1
- PDEWGFOBCLSBQB-LADFINLISA-N CC(CC[C@H]([C@@H](CCCCCC(C(O)=O)c1cc(C)cc(F)c1C)[C@H](C1)O)[C@@H]1O)O Chemical compound CC(CC[C@H]([C@@H](CCCCCC(C(O)=O)c1cc(C)cc(F)c1C)[C@H](C1)O)[C@@H]1O)O PDEWGFOBCLSBQB-LADFINLISA-N 0.000 description 1
- LJXJWIFYDMXWDI-CIALLKDMSA-N CC1=CC(F)=C(Cl)C=C1C(O)CC[C@H]1[C@H](O)C[C@H](O)[C@@H]1CCCCCCC(=O)O Chemical compound CC1=CC(F)=C(Cl)C=C1C(O)CC[C@H]1[C@H](O)C[C@H](O)[C@@H]1CCCCCCC(=O)O LJXJWIFYDMXWDI-CIALLKDMSA-N 0.000 description 1
- FIDHWXAJCRMXOD-WKFSIMFOSA-N CC1=CC2=C(C=C1)C=C(C(O)CC[C@H]1[C@H](O)C[C@H](O)[C@@H]1CCCCCCC(=O)O)C=C2 Chemical compound CC1=CC2=C(C=C1)C=C(C(O)CC[C@H]1[C@H](O)C[C@H](O)[C@@H]1CCCCCCC(=O)O)C=C2 FIDHWXAJCRMXOD-WKFSIMFOSA-N 0.000 description 1
- HEFMWNUEVOPGSP-OCQIDRNCSA-N CC1=CC=C(C#CC(O)CC[C@H]2[C@H](O)C[C@H](O)[C@@H]2CCCCCCC(=O)O)C(F)=C1 Chemical compound CC1=CC=C(C#CC(O)CC[C@H]2[C@H](O)C[C@H](O)[C@@H]2CCCCCCC(=O)O)C(F)=C1 HEFMWNUEVOPGSP-OCQIDRNCSA-N 0.000 description 1
- GBXDPSBJLYREOJ-VZLBGKQBSA-N CC1=CC=C(C#CC(O)CC[C@H]2[C@H](O)C[C@H](O)[C@@H]2CCCCCCC(=O)O)C=C1 Chemical compound CC1=CC=C(C#CC(O)CC[C@H]2[C@H](O)C[C@H](O)[C@@H]2CCCCCCC(=O)O)C=C1 GBXDPSBJLYREOJ-VZLBGKQBSA-N 0.000 description 1
- ALYZNZDSFLHORX-MEYGQTPLSA-N CC1=CC=C(C(O)CC[C@H]2[C@H](O)C[C@H](O)[C@@H]2CCCCCCC(=O)O)C=C1 Chemical compound CC1=CC=C(C(O)CC[C@H]2[C@H](O)C[C@H](O)[C@@H]2CCCCCCC(=O)O)C=C1 ALYZNZDSFLHORX-MEYGQTPLSA-N 0.000 description 1
- PXGPLTODNUVGFL-YNNPMVKQSA-N CCCCC[C@H](O)/C=C/[C@H]1[C@H](O)C[C@H](O)[C@@H]1C/C=C\CCCC(=O)O Chemical compound CCCCC[C@H](O)/C=C/[C@H]1[C@H](O)C[C@H](O)[C@@H]1C/C=C\CCCC(=O)O PXGPLTODNUVGFL-YNNPMVKQSA-N 0.000 description 1
- GYYBZANIXKTXOK-NTHVSDAKSA-N CCOC(=O)CCCCCC[C@H]1[C@@H](O)C[C@@H](O)[C@@H]1CCC(O)C#CC1=CC=C(F)C=C1 Chemical compound CCOC(=O)CCCCCC[C@H]1[C@@H](O)C[C@@H](O)[C@@H]1CCC(O)C#CC1=CC=C(F)C=C1 GYYBZANIXKTXOK-NTHVSDAKSA-N 0.000 description 1
- UZWHLKIDNBTEIK-NUIBLQIESA-N CCOC(=O)CCCCCC[C@H]1[C@@H](O)C[C@@H](O)[C@@H]1CCC(O)C1=CC(F)=CC(F)=C1 Chemical compound CCOC(=O)CCCCCC[C@H]1[C@@H](O)C[C@@H](O)[C@@H]1CCC(O)C1=CC(F)=CC(F)=C1 UZWHLKIDNBTEIK-NUIBLQIESA-N 0.000 description 1
- GUTJMTPGHBSQRQ-UWJFWDBLSA-N CCOC(C(CCCCC[C@H]([C@@H](CCC(C)O)[C@@H](C1)O)[C@H]1O)c1c(C)ccc(F)c1)=O Chemical compound CCOC(C(CCCCC[C@H]([C@@H](CCC(C)O)[C@@H](C1)O)[C@H]1O)c1c(C)ccc(F)c1)=O GUTJMTPGHBSQRQ-UWJFWDBLSA-N 0.000 description 1
- AGEXXWKMDBPWDX-VJYBUWKSSA-N CO1(O)SN1C(=O)CCCCCC[C@H]1[C@@H](O)C[C@@H](O)[C@@H]1CCC(O)/C=N/C1=CC=CS1 Chemical compound CO1(O)SN1C(=O)CCCCCC[C@H]1[C@@H](O)C[C@@H](O)[C@@H]1CCC(O)/C=N/C1=CC=CS1 AGEXXWKMDBPWDX-VJYBUWKSSA-N 0.000 description 1
- ORBXLQUSZNREPS-OWEKAKITSA-N COC(=O)CCC/C=C\C[C@H]1[C@@H](O)C[C@@H](O)[C@@H]1/C=C/[C@@H](O)COC1=CC=CC(C(F)(F)F)=C1 Chemical compound COC(=O)CCC/C=C\C[C@H]1[C@@H](O)C[C@@H](O)[C@@H]1/C=C/[C@@H](O)COC1=CC=CC(C(F)(F)F)=C1 ORBXLQUSZNREPS-OWEKAKITSA-N 0.000 description 1
- IBLODKJVBDMTJV-VZLBGKQBSA-N COC(=O)CCCCCC[C@H]1[C@@H](O)C[C@@H](O)[C@@H]1CCC(O)C#CC1=CC=CC(F)=C1 Chemical compound COC(=O)CCCCCC[C@H]1[C@@H](O)C[C@@H](O)[C@@H]1CCC(O)C#CC1=CC=CC(F)=C1 IBLODKJVBDMTJV-VZLBGKQBSA-N 0.000 description 1
- JAQWSGFNEJJFEJ-OCQIDRNCSA-N COC(=O)CCCCCC[C@H]1[C@@H](O)C[C@@H](O)[C@@H]1CCC(O)C#CC1=CC=CC=C1F Chemical compound COC(=O)CCCCCC[C@H]1[C@@H](O)C[C@@H](O)[C@@H]1CCC(O)C#CC1=CC=CC=C1F JAQWSGFNEJJFEJ-OCQIDRNCSA-N 0.000 description 1
- KHUCPHRWVBQFKW-NUIBLQIESA-N COC(=O)CCCCCC[C@H]1[C@@H](O)C[C@@H](O)[C@@H]1CCC(O)C1=CC2=C(C=C1)OC=C2 Chemical compound COC(=O)CCCCCC[C@H]1[C@@H](O)C[C@@H](O)[C@@H]1CCC(O)C1=CC2=C(C=C1)OC=C2 KHUCPHRWVBQFKW-NUIBLQIESA-N 0.000 description 1
- AVJGUYWNXQWZKN-OSKLNTDESA-N COC(=O)CCCCCC[C@H]1[C@@H](O)C[C@@H](O)[C@@H]1CCC(O)C1=CC=C(C2=CC=CC=C2)C=C1 Chemical compound COC(=O)CCCCCC[C@H]1[C@@H](O)C[C@@H](O)[C@@H]1CCC(O)C1=CC=C(C2=CC=CC=C2)C=C1 AVJGUYWNXQWZKN-OSKLNTDESA-N 0.000 description 1
- FDYHGBFJANJDDF-QOUJEHLOSA-N COC1=CC=CC(/C=C/C(O)CC[C@H]2[C@H](O)C[C@H](O)[C@@H]2CCCCCCC(=O)O)=C1F Chemical compound COC1=CC=CC(/C=C/C(O)CC[C@H]2[C@H](O)C[C@H](O)[C@@H]2CCCCCCC(=O)O)=C1F FDYHGBFJANJDDF-QOUJEHLOSA-N 0.000 description 1
- BKJNVYQXGHSFGT-WSCSCYJOSA-N O=C(CCCCCC[C@@H]1[C@@H](O)C[C@@H](O)[C@@H]1CCC(O)C(=O)C1=CC(F)=CC(F)=C1)NO Chemical compound O=C(CCCCCC[C@@H]1[C@@H](O)C[C@@H](O)[C@@H]1CCC(O)C(=O)C1=CC(F)=CC(F)=C1)NO BKJNVYQXGHSFGT-WSCSCYJOSA-N 0.000 description 1
- SMCMEFBIZSBVQP-QDZSPARRSA-N O=C(CCCCCC[C@H]1[C@@H](O)C[C@@H](O)[C@@H]1CCC(O)/C=N/C1=CC=CO1)NO Chemical compound O=C(CCCCCC[C@H]1[C@@H](O)C[C@@H](O)[C@@H]1CCC(O)/C=N/C1=CC=CO1)NO SMCMEFBIZSBVQP-QDZSPARRSA-N 0.000 description 1
- MXFUAMKEVJNOGT-UNNYMQTOSA-N O=C(CCCCCC[C@H]1[C@@H](O)C[C@@H](O)[C@@H]1CCC(O)/C=N\C1=CC=CC(Cl)=C1)NO Chemical compound O=C(CCCCCC[C@H]1[C@@H](O)C[C@@H](O)[C@@H]1CCC(O)/C=N\C1=CC=CC(Cl)=C1)NO MXFUAMKEVJNOGT-UNNYMQTOSA-N 0.000 description 1
- NCRGDGYXKVZZPA-GECPZMRISA-N O=C(CCCCCC[C@H]1[C@@H](O)C[C@@H](O)[C@@H]1CCC(O)C(=O)NC1=CC(Cl)=CC=C1)NO Chemical compound O=C(CCCCCC[C@H]1[C@@H](O)C[C@@H](O)[C@@H]1CCC(O)C(=O)NC1=CC(Cl)=CC=C1)NO NCRGDGYXKVZZPA-GECPZMRISA-N 0.000 description 1
- WXACDQUMOSQCID-YZZCSLRSSA-N O=C(CCCCCC[C@H]1[C@@H](O)C[C@@H](O)[C@@H]1CCC(O)C(=O)NC1=CC=C(F)C(F)=C1)NO Chemical compound O=C(CCCCCC[C@H]1[C@@H](O)C[C@@H](O)[C@@H]1CCC(O)C(=O)NC1=CC=C(F)C(F)=C1)NO WXACDQUMOSQCID-YZZCSLRSSA-N 0.000 description 1
- WMSPXQJUXIBGKJ-KWQQHVHJSA-N O=C(CCCCCC[C@H]1[C@@H](O)C[C@@H](O)[C@@H]1CCC(O)C1=NC2=C(C=CC=C2)S1)NO Chemical compound O=C(CCCCCC[C@H]1[C@@H](O)C[C@@H](O)[C@@H]1CCC(O)C1=NC2=C(C=CC=C2)S1)NO WMSPXQJUXIBGKJ-KWQQHVHJSA-N 0.000 description 1
- XQBFNRBVKVOQND-VTRJNKFISA-N O=C(O)CCCCCCC1[C@@H](O)CC(O)[C@@H]1CCC(O)C#CC1=CC=C(C2=CC=CC=C2)C=C1 Chemical compound O=C(O)CCCCCCC1[C@@H](O)CC(O)[C@@H]1CCC(O)C#CC1=CC=C(C2=CC=CC=C2)C=C1 XQBFNRBVKVOQND-VTRJNKFISA-N 0.000 description 1
- IRAMRRKUILUNCL-JAMPWESASA-N O=C(O)CCCCCC[C@H]1[C@@H](O)CC(O)[C@@H]1CCC(O)C(=O)C1=CC=CC=C1 Chemical compound O=C(O)CCCCCC[C@H]1[C@@H](O)CC(O)[C@@H]1CCC(O)C(=O)C1=CC=CC=C1 IRAMRRKUILUNCL-JAMPWESASA-N 0.000 description 1
- VSADBNPMSNCSKM-JAMPWESASA-N O=C(O)CCCCCC[C@H]1[C@@H](O)CC(O)[C@@H]1CCC(O)C(=O)NC1=CC=CC=C1 Chemical compound O=C(O)CCCCCC[C@H]1[C@@H](O)CC(O)[C@@H]1CCC(O)C(=O)NC1=CC=CC=C1 VSADBNPMSNCSKM-JAMPWESASA-N 0.000 description 1
- LJXQGYRBDOBAOV-HLUWQOEYSA-N O=C(O)CCCCCC[C@H]1[C@@H](O)CC(O)[C@@H]1CCC(O)C(=O)NC1=CC=CO1 Chemical compound O=C(O)CCCCCC[C@H]1[C@@H](O)CC(O)[C@@H]1CCC(O)C(=O)NC1=CC=CO1 LJXQGYRBDOBAOV-HLUWQOEYSA-N 0.000 description 1
- GQIYUDLPXXJBNU-CTFRIIQPSA-N O=C(O)CCCCCC[C@H]1[C@@H](O)CC(O)[C@@H]1CCC(O)C(=O)OC1=CC=CC=C1F Chemical compound O=C(O)CCCCCC[C@H]1[C@@H](O)CC(O)[C@@H]1CCC(O)C(=O)OC1=CC=CC=C1F GQIYUDLPXXJBNU-CTFRIIQPSA-N 0.000 description 1
- NJLMORMBLUVOMJ-OEZWXAPISA-N O=C(O)CCCCCC[C@H]1[C@@H](O)C[C@@H](O)[C@@H]1CCC(O)/C=C/C1=C(Cl)C=C(Cl)C=C1 Chemical compound O=C(O)CCCCCC[C@H]1[C@@H](O)C[C@@H](O)[C@@H]1CCC(O)/C=C/C1=C(Cl)C=C(Cl)C=C1 NJLMORMBLUVOMJ-OEZWXAPISA-N 0.000 description 1
- SRXMEKJQBSGEQX-JLXVDMCCSA-N O=C(O)CCCCCC[C@H]1[C@@H](O)C[C@@H](O)[C@@H]1CCC(O)/C=C/C1=C(F)C(Cl)=CC=C1 Chemical compound O=C(O)CCCCCC[C@H]1[C@@H](O)C[C@@H](O)[C@@H]1CCC(O)/C=C/C1=C(F)C(Cl)=CC=C1 SRXMEKJQBSGEQX-JLXVDMCCSA-N 0.000 description 1
- SXUMXFJAGAGLIO-GQCDALJUSA-N O=C(O)CCCCCC[C@H]1[C@@H](O)C[C@@H](O)[C@@H]1CCC(O)/C=C/C1=C(F)C=CC(Cl)=C1 Chemical compound O=C(O)CCCCCC[C@H]1[C@@H](O)C[C@@H](O)[C@@H]1CCC(O)/C=C/C1=C(F)C=CC(Cl)=C1 SXUMXFJAGAGLIO-GQCDALJUSA-N 0.000 description 1
- ZDGZXHUBUKQZIY-GQCDALJUSA-N O=C(O)CCCCCC[C@H]1[C@@H](O)C[C@@H](O)[C@@H]1CCC(O)/C=C/C1=C(F)C=CC(F)=C1 Chemical compound O=C(O)CCCCCC[C@H]1[C@@H](O)C[C@@H](O)[C@@H]1CCC(O)/C=C/C1=C(F)C=CC(F)=C1 ZDGZXHUBUKQZIY-GQCDALJUSA-N 0.000 description 1
- WIKRMIMGWCHUEG-IKSBHOJWSA-N O=C(O)CCCCCC[C@H]1[C@@H](O)C[C@@H](O)[C@@H]1CCC(O)/C=C/C1=CC(C(F)(F)F)=CC=C1 Chemical compound O=C(O)CCCCCC[C@H]1[C@@H](O)C[C@@H](O)[C@@H]1CCC(O)/C=C/C1=CC(C(F)(F)F)=CC=C1 WIKRMIMGWCHUEG-IKSBHOJWSA-N 0.000 description 1
- GIOAESSKWUWUKL-OECDPDAHSA-N O=C(O)CCCCCC[C@H]1[C@@H](O)C[C@@H](O)[C@@H]1CCC(O)/C=C\c1ccccc1F Chemical compound O=C(O)CCCCCC[C@H]1[C@@H](O)C[C@@H](O)[C@@H]1CCC(O)/C=C\c1ccccc1F GIOAESSKWUWUKL-OECDPDAHSA-N 0.000 description 1
- ACHYVHURLYUYAH-DPPFTYEXSA-N O=C(O)CCCCCC[C@H]1[C@@H](O)C[C@@H](O)[C@@H]1CCC(O)/C=N/C1=C(F)C=CC=C1 Chemical compound O=C(O)CCCCCC[C@H]1[C@@H](O)C[C@@H](O)[C@@H]1CCC(O)/C=N/C1=C(F)C=CC=C1 ACHYVHURLYUYAH-DPPFTYEXSA-N 0.000 description 1
- GNBMVRDTOOOZQY-CVXGDPDLSA-N O=C(O)CCCCCC[C@H]1[C@@H](O)C[C@@H](O)[C@@H]1CCC(O)/C=N/C1=CC=CC=C1 Chemical compound O=C(O)CCCCCC[C@H]1[C@@H](O)C[C@@H](O)[C@@H]1CCC(O)/C=N/C1=CC=CC=C1 GNBMVRDTOOOZQY-CVXGDPDLSA-N 0.000 description 1
- SKAIJHRKWHCRQM-QDZSPARRSA-N O=C(O)CCCCCC[C@H]1[C@@H](O)C[C@@H](O)[C@@H]1CCC(O)/C=N/C1=CC=CO1 Chemical compound O=C(O)CCCCCC[C@H]1[C@@H](O)C[C@@H](O)[C@@H]1CCC(O)/C=N/C1=CC=CO1 SKAIJHRKWHCRQM-QDZSPARRSA-N 0.000 description 1
- PWAXJWVOSFAGAP-UNNYMQTOSA-N O=C(O)CCCCCC[C@H]1[C@@H](O)C[C@@H](O)[C@@H]1CCC(O)/C=N\C1=CC=CC(F)=C1 Chemical compound O=C(O)CCCCCC[C@H]1[C@@H](O)C[C@@H](O)[C@@H]1CCC(O)/C=N\C1=CC=CC(F)=C1 PWAXJWVOSFAGAP-UNNYMQTOSA-N 0.000 description 1
- DPNJJGWKLZQJNF-TVIJTFOQSA-N O=C(O)CCCCCC[C@H]1[C@@H](O)C[C@@H](O)[C@@H]1CCC(O)C#CC1=C(Cl)C=CC=C1 Chemical compound O=C(O)CCCCCC[C@H]1[C@@H](O)C[C@@H](O)[C@@H]1CCC(O)C#CC1=C(Cl)C=CC=C1 DPNJJGWKLZQJNF-TVIJTFOQSA-N 0.000 description 1
- YGJUBZDNZVTIMO-IQRXXKDYSA-N O=C(O)CCCCCC[C@H]1[C@@H](O)C[C@@H](O)[C@@H]1CCC(O)C#CC1=C(F)C(F)=CC=C1 Chemical compound O=C(O)CCCCCC[C@H]1[C@@H](O)C[C@@H](O)[C@@H]1CCC(O)C#CC1=C(F)C(F)=CC=C1 YGJUBZDNZVTIMO-IQRXXKDYSA-N 0.000 description 1
- NOPADQGHSKYYLE-TVIJTFOQSA-N O=C(O)CCCCCC[C@H]1[C@@H](O)C[C@@H](O)[C@@H]1CCC(O)C#CC1=C(F)C=C(F)C=C1 Chemical compound O=C(O)CCCCCC[C@H]1[C@@H](O)C[C@@H](O)[C@@H]1CCC(O)C#CC1=C(F)C=C(F)C=C1 NOPADQGHSKYYLE-TVIJTFOQSA-N 0.000 description 1
- SLKMIQQTZRTFQX-TVIJTFOQSA-N O=C(O)CCCCCC[C@H]1[C@@H](O)C[C@@H](O)[C@@H]1CCC(O)C#CC1=C(F)C=CC(F)=C1 Chemical compound O=C(O)CCCCCC[C@H]1[C@@H](O)C[C@@H](O)[C@@H]1CCC(O)C#CC1=C(F)C=CC(F)=C1 SLKMIQQTZRTFQX-TVIJTFOQSA-N 0.000 description 1
- NSZNFNIBBNLOCX-ZILNPUCOSA-N O=C(O)CCCCCC[C@H]1[C@@H](O)C[C@@H](O)[C@@H]1CCC(O)C#CC1=CC(F)=C(F)C=C1 Chemical compound O=C(O)CCCCCC[C@H]1[C@@H](O)C[C@@H](O)[C@@H]1CCC(O)C#CC1=CC(F)=C(F)C=C1 NSZNFNIBBNLOCX-ZILNPUCOSA-N 0.000 description 1
- YVUOAAGJVGMKJE-XNDCSVHZSA-N O=C(O)CCCCCC[C@H]1[C@@H](O)C[C@@H](O)[C@@H]1CCC(O)C#CC1=CC(F)=CC(F)=C1 Chemical compound O=C(O)CCCCCC[C@H]1[C@@H](O)C[C@@H](O)[C@@H]1CCC(O)C#CC1=CC(F)=CC(F)=C1 YVUOAAGJVGMKJE-XNDCSVHZSA-N 0.000 description 1
- CMIALVOQIGUPHK-XNDCSVHZSA-N O=C(O)CCCCCC[C@H]1[C@@H](O)C[C@@H](O)[C@@H]1CCC(O)C#CC1=CC=C(Cl)C=C1 Chemical compound O=C(O)CCCCCC[C@H]1[C@@H](O)C[C@@H](O)[C@@H]1CCC(O)C#CC1=CC=C(Cl)C=C1 CMIALVOQIGUPHK-XNDCSVHZSA-N 0.000 description 1
- IVKYUAKBIIDXSH-VZLBGKQBSA-N O=C(O)CCCCCC[C@H]1[C@@H](O)C[C@@H](O)[C@@H]1CCC(O)C#CCC1=CC=CC=C1 Chemical compound O=C(O)CCCCCC[C@H]1[C@@H](O)C[C@@H](O)[C@@H]1CCC(O)C#CCC1=CC=CC=C1 IVKYUAKBIIDXSH-VZLBGKQBSA-N 0.000 description 1
- IDOPSIAVCDKURK-OCQIDRNCSA-N O=C(O)CCCCCC[C@H]1[C@@H](O)C[C@@H](O)[C@@H]1CCC(O)C#CCC1=CC=CC=C1F Chemical compound O=C(O)CCCCCC[C@H]1[C@@H](O)C[C@@H](O)[C@@H]1CCC(O)C#CCC1=CC=CC=C1F IDOPSIAVCDKURK-OCQIDRNCSA-N 0.000 description 1
- NMTGTBNYEJWUBC-GECPZMRISA-N O=C(O)CCCCCC[C@H]1[C@@H](O)C[C@@H](O)[C@@H]1CCC(O)C(=O)C1=CC2=C(C=C(F)C=C2)O1 Chemical compound O=C(O)CCCCCC[C@H]1[C@@H](O)C[C@@H](O)[C@@H]1CCC(O)C(=O)C1=CC2=C(C=C(F)C=C2)O1 NMTGTBNYEJWUBC-GECPZMRISA-N 0.000 description 1
- MQZMPJMASABMRL-GECPZMRISA-N O=C(O)CCCCCC[C@H]1[C@@H](O)C[C@@H](O)[C@@H]1CCC(O)C(=O)C1=CC2=C(C=CC=C2)S1 Chemical compound O=C(O)CCCCCC[C@H]1[C@@H](O)C[C@@H](O)[C@@H]1CCC(O)C(=O)C1=CC2=C(C=CC=C2)S1 MQZMPJMASABMRL-GECPZMRISA-N 0.000 description 1
- HZVDOBMCPKFRJR-QNSJUHLCSA-N O=C(O)CCCCCC[C@H]1[C@@H](O)C[C@@H](O)[C@@H]1CCC(O)C(=O)C1=CC=CC1 Chemical compound O=C(O)CCCCCC[C@H]1[C@@H](O)C[C@@H](O)[C@@H]1CCC(O)C(=O)C1=CC=CC1 HZVDOBMCPKFRJR-QNSJUHLCSA-N 0.000 description 1
- KSEYCBNYLKXKDT-KWQQHVHJSA-N O=C(O)CCCCCC[C@H]1[C@@H](O)C[C@@H](O)[C@@H]1CCC(O)C(=O)C1=NC2=C(C=CC=C2)S1 Chemical compound O=C(O)CCCCCC[C@H]1[C@@H](O)C[C@@H](O)[C@@H]1CCC(O)C(=O)C1=NC2=C(C=CC=C2)S1 KSEYCBNYLKXKDT-KWQQHVHJSA-N 0.000 description 1
- XFJBCMKWJUMTRH-YZZCSLRSSA-N O=C(O)CCCCCC[C@H]1[C@@H](O)C[C@@H](O)[C@@H]1CCC(O)C(=O)NC1=C(F)C=CC=C1 Chemical compound O=C(O)CCCCCC[C@H]1[C@@H](O)C[C@@H](O)[C@@H]1CCC(O)C(=O)NC1=C(F)C=CC=C1 XFJBCMKWJUMTRH-YZZCSLRSSA-N 0.000 description 1
- BOGXDDHGNODKCB-CUGQGSCQSA-N O=C(O)CCCCCC[C@H]1[C@@H](O)C[C@@H](O)[C@@H]1CCC(O)C(=O)NC1=CC=C(C2=CC=CC=C2)C=C1 Chemical compound O=C(O)CCCCCC[C@H]1[C@@H](O)C[C@@H](O)[C@@H]1CCC(O)C(=O)NC1=CC=C(C2=CC=CC=C2)C=C1 BOGXDDHGNODKCB-CUGQGSCQSA-N 0.000 description 1
- MKUUESADUISYHL-YZZCSLRSSA-N O=C(O)CCCCCC[C@H]1[C@@H](O)C[C@@H](O)[C@@H]1CCC(O)C(=O)NC1=CC=C(F)C(F)=C1 Chemical compound O=C(O)CCCCCC[C@H]1[C@@H](O)C[C@@H](O)[C@@H]1CCC(O)C(=O)NC1=CC=C(F)C(F)=C1 MKUUESADUISYHL-YZZCSLRSSA-N 0.000 description 1
- HVHYYMHUSDRTJI-GECPZMRISA-N O=C(O)CCCCCC[C@H]1[C@@H](O)C[C@@H](O)[C@@H]1CCC(O)C(=O)OC1=CC=CC(C(F)(F)F)=C1 Chemical compound O=C(O)CCCCCC[C@H]1[C@@H](O)C[C@@H](O)[C@@H]1CCC(O)C(=O)OC1=CC=CC(C(F)(F)F)=C1 HVHYYMHUSDRTJI-GECPZMRISA-N 0.000 description 1
- UJIFEUYBDDAUJQ-GECPZMRISA-N O=C(O)CCCCCC[C@H]1[C@@H](O)C[C@@H](O)[C@@H]1CCC(O)C(=O)OC1=CC=CC=C1 Chemical compound O=C(O)CCCCCC[C@H]1[C@@H](O)C[C@@H](O)[C@@H]1CCC(O)C(=O)OC1=CC=CC=C1 UJIFEUYBDDAUJQ-GECPZMRISA-N 0.000 description 1
- ROJYBSXGGGOJGC-YZZCSLRSSA-N O=C(O)CCCCCC[C@H]1[C@@H](O)C[C@@H](O)[C@@H]1CCC(O)C1=C(Cl)C=CC=C1 Chemical compound O=C(O)CCCCCC[C@H]1[C@@H](O)C[C@@H](O)[C@@H]1CCC(O)C1=C(Cl)C=CC=C1 ROJYBSXGGGOJGC-YZZCSLRSSA-N 0.000 description 1
- DEEKBLUDVGZTLE-YZZCSLRSSA-N O=C(O)CCCCCC[C@H]1[C@@H](O)C[C@@H](O)[C@@H]1CCC(O)C1=C(F)C=CC=C1 Chemical compound O=C(O)CCCCCC[C@H]1[C@@H](O)C[C@@H](O)[C@@H]1CCC(O)C1=C(F)C=CC=C1 DEEKBLUDVGZTLE-YZZCSLRSSA-N 0.000 description 1
- FVMVMMTXALYEBU-YRROVBCYSA-N O=C(O)CCCCCC[C@H]1[C@@H](O)C[C@@H](O)[C@@H]1CCC(O)C1=C2=CC=CC(F)=C2=CC=C1 Chemical compound O=C(O)CCCCCC[C@H]1[C@@H](O)C[C@@H](O)[C@@H]1CCC(O)C1=C2=CC=CC(F)=C2=CC=C1 FVMVMMTXALYEBU-YRROVBCYSA-N 0.000 description 1
- RCVRUUIWIIGAST-GECPZMRISA-N O=C(O)CCCCCC[C@H]1[C@@H](O)C[C@@H](O)[C@@H]1CCC(O)C1=CC(C(F)(F)F)=CC=C1 Chemical compound O=C(O)CCCCCC[C@H]1[C@@H](O)C[C@@H](O)[C@@H]1CCC(O)C1=CC(C(F)(F)F)=CC=C1 RCVRUUIWIIGAST-GECPZMRISA-N 0.000 description 1
- SJOMUDYNXLVITH-GECPZMRISA-N O=C(O)CCCCCC[C@H]1[C@@H](O)C[C@@H](O)[C@@H]1CCC(O)C1=CC2=C(C=C(F)C=C2)S1 Chemical compound O=C(O)CCCCCC[C@H]1[C@@H](O)C[C@@H](O)[C@@H]1CCC(O)C1=CC2=C(C=C(F)C=C2)S1 SJOMUDYNXLVITH-GECPZMRISA-N 0.000 description 1
- YQOMPXDELSHSPV-MEYGQTPLSA-N O=C(O)CCCCCC[C@H]1[C@@H](O)C[C@@H](O)[C@@H]1CCC(O)C1=CC2=C(C=C1)SC=C2 Chemical compound O=C(O)CCCCCC[C@H]1[C@@H](O)C[C@@H](O)[C@@H]1CCC(O)C1=CC2=C(C=C1)SC=C2 YQOMPXDELSHSPV-MEYGQTPLSA-N 0.000 description 1
- MLKZJHLPWQSGHM-JYIDZMCVSA-N O=C(O)CCCCCC[C@H]1[C@@H](O)C[C@@H](O)[C@@H]1CCC(O)C1=CC2=C(C=C1)SC=N2 Chemical compound O=C(O)CCCCCC[C@H]1[C@@H](O)C[C@@H](O)[C@@H]1CCC(O)C1=CC2=C(C=C1)SC=N2 MLKZJHLPWQSGHM-JYIDZMCVSA-N 0.000 description 1
- TYTLNXWDRBIRHM-GKASCSKRSA-N O=C(O)CCCCCC[C@H]1[C@@H](O)C[C@@H](O)[C@@H]1CCC(O)C1=CC2=C(C=CC=C2C(F)(F)F)C=C1 Chemical compound O=C(O)CCCCCC[C@H]1[C@@H](O)C[C@@H](O)[C@@H]1CCC(O)C1=CC2=C(C=CC=C2C(F)(F)F)C=C1 TYTLNXWDRBIRHM-GKASCSKRSA-N 0.000 description 1
- IZQJDEVUOHLUBO-GKASCSKRSA-N O=C(O)CCCCCC[C@H]1[C@@H](O)C[C@@H](O)[C@@H]1CCC(O)C1=CC2=C(C=CC=C2F)C=C1 Chemical compound O=C(O)CCCCCC[C@H]1[C@@H](O)C[C@@H](O)[C@@H]1CCC(O)C1=CC2=C(C=CC=C2F)C=C1 IZQJDEVUOHLUBO-GKASCSKRSA-N 0.000 description 1
- UYQKCFQKUYBPCN-GECPZMRISA-N O=C(O)CCCCCC[C@H]1[C@@H](O)C[C@@H](O)[C@@H]1CCC(O)C1=CC=C(C(F)(F)F)C=C1 Chemical compound O=C(O)CCCCCC[C@H]1[C@@H](O)C[C@@H](O)[C@@H]1CCC(O)C1=CC=C(C(F)(F)F)C=C1 UYQKCFQKUYBPCN-GECPZMRISA-N 0.000 description 1
- WBFVQZVMHDOPAA-GECPZMRISA-N O=C(O)CCCCCC[C@H]1[C@@H](O)C[C@@H](O)[C@@H]1CCC(O)C1=CC=CC=C1 Chemical compound O=C(O)CCCCCC[C@H]1[C@@H](O)C[C@@H](O)[C@@H]1CCC(O)C1=CC=CC=C1 WBFVQZVMHDOPAA-GECPZMRISA-N 0.000 description 1
- NPHQIGDXRHBCPL-QNSJUHLCSA-N O=C(O)CCCCCC[C@H]1[C@@H](O)C[C@@H](O)[C@@H]1CCC(O)C1=CN=CC=C1 Chemical compound O=C(O)CCCCCC[C@H]1[C@@H](O)C[C@@H](O)[C@@H]1CCC(O)C1=CN=CC=C1 NPHQIGDXRHBCPL-QNSJUHLCSA-N 0.000 description 1
- RLCCRPCXZSVRCH-PDVXFVOMSA-N O=C(O)CCCCCC[C@H]1[C@@H](O)C[C@@H](O)[C@@H]1CCC(O)C1=NC2=C(S1)C(F)=CC=C2 Chemical compound O=C(O)CCCCCC[C@H]1[C@@H](O)C[C@@H](O)[C@@H]1CCC(O)C1=NC2=C(S1)C(F)=CC=C2 RLCCRPCXZSVRCH-PDVXFVOMSA-N 0.000 description 1
- LKUYUNSABUHEQF-XNDCSVHZSA-N O=C(O)CCCCCC[C@H]1[C@@H](O)C[C@@H](O)[C@@H]1CCC(O)C=CC1=CC(F)=CC=C1 Chemical compound O=C(O)CCCCCC[C@H]1[C@@H](O)C[C@@H](O)[C@@H]1CCC(O)C=CC1=CC(F)=CC=C1 LKUYUNSABUHEQF-XNDCSVHZSA-N 0.000 description 1
- JMDJSYKTPLCWLR-XNDCSVHZSA-N O=C(O)CCCCCC[C@H]1[C@@H](O)C[C@@H](O)[C@@H]1CCC(O)C=CC1=CC=C(Cl)C=C1 Chemical compound O=C(O)CCCCCC[C@H]1[C@@H](O)C[C@@H](O)[C@@H]1CCC(O)C=CC1=CC=C(Cl)C=C1 JMDJSYKTPLCWLR-XNDCSVHZSA-N 0.000 description 1
- KBFDHPGQUNWNLL-XNDCSVHZSA-N O=C(O)CCCCCC[C@H]1[C@@H](O)C[C@@H](O)[C@@H]1CCC(O)C=CC1=CC=CC=C1 Chemical compound O=C(O)CCCCCC[C@H]1[C@@H](O)C[C@@H](O)[C@@H]1CCC(O)C=CC1=CC=CC=C1 KBFDHPGQUNWNLL-XNDCSVHZSA-N 0.000 description 1
- SQGUTRPRKHMHCP-VBRDFVIOSA-N O=C(O)CCCCCC[C@H]1[C@@H](O)C[C@@H](O)[C@@H]1CC[C@H](O)C1=C(F)C2=C(C=CC=C2)C=C1 Chemical compound O=C(O)CCCCCC[C@H]1[C@@H](O)C[C@@H](O)[C@@H]1CC[C@H](O)C1=C(F)C2=C(C=CC=C2)C=C1 SQGUTRPRKHMHCP-VBRDFVIOSA-N 0.000 description 1
- TUQONDLCQSBQOU-HYRCONPASA-N OC(CCC([C@@H](CCCCCCC(NO)=O)[C@H](C1)O)[C@@H]1O)/C=C/c1ccccc1 Chemical compound OC(CCC([C@@H](CCCCCCC(NO)=O)[C@H](C1)O)[C@@H]1O)/C=C/c1ccccc1 TUQONDLCQSBQOU-HYRCONPASA-N 0.000 description 1
- KBFDHPGQUNWNLL-IGLPTAFFSA-N OC(CC[C@H]([C@@H](CCCCCCC(O)=O)[C@H](C1)O)[C@@H]1O)/C=C/c1ccccc1 Chemical compound OC(CC[C@H]([C@@H](CCCCCCC(O)=O)[C@H](C1)O)[C@@H]1O)/C=C/c1ccccc1 KBFDHPGQUNWNLL-IGLPTAFFSA-N 0.000 description 1
- CJKMWDSOWNUGTQ-ZILNPUCOSA-N OC(CC[C@H]([C@@H](CCCCCCC(O)=O)[C@H](C1)O)[C@@H]1O)CCc(cc1F)ccc1F Chemical compound OC(CC[C@H]([C@@H](CCCCCCC(O)=O)[C@H](C1)O)[C@@H]1O)CCc(cc1F)ccc1F CJKMWDSOWNUGTQ-ZILNPUCOSA-N 0.000 description 1
- MSVAXHPDTFOZEJ-OCQIDRNCSA-N [H]C(=CC1=C(F)C=C(F)C=C1)=CC(O)CC[C@H]1[C@H](O)C[C@H](O)[C@@H]1CCCCCCC(=O)O Chemical compound [H]C(=CC1=C(F)C=C(F)C=C1)=CC(O)CC[C@H]1[C@H](O)C[C@H](O)[C@@H]1CCCCCCC(=O)O MSVAXHPDTFOZEJ-OCQIDRNCSA-N 0.000 description 1
- GWOPGZHNMJDTST-OCQIDRNCSA-N [H]C(=CC1=C(F)C=CC=C1)=CC(O)CC[C@H]1[C@H](O)C[C@H](O)[C@@H]1CCCCCCC(=O)O Chemical compound [H]C(=CC1=C(F)C=CC=C1)=CC(O)CC[C@H]1[C@H](O)C[C@H](O)[C@@H]1CCCCCCC(=O)O GWOPGZHNMJDTST-OCQIDRNCSA-N 0.000 description 1
- DUCCUYMPSLGSCM-VZLBGKQBSA-N [H]C(=CC1=CC(C(F)(F)F)=CC=C1)=CC(O)CC[C@H]1[C@H](O)C[C@H](O)[C@@H]1CCCCCCC(=O)O Chemical compound [H]C(=CC1=CC(C(F)(F)F)=CC=C1)=CC(O)CC[C@H]1[C@H](O)C[C@H](O)[C@@H]1CCCCCCC(=O)O DUCCUYMPSLGSCM-VZLBGKQBSA-N 0.000 description 1
- VITDYOAVISMYCK-SVGSHXIVSA-N [H]C(=CC1=CC=C(OC)C=C1)=CC(O)CC[C@H]1[C@H](O)C[C@H](O)[C@@H]1CCCCCCC(=O)O Chemical compound [H]C(=CC1=CC=C(OC)C=C1)=CC(O)CC[C@H]1[C@H](O)C[C@H](O)[C@@H]1CCCCCCC(=O)O VITDYOAVISMYCK-SVGSHXIVSA-N 0.000 description 1
- VNFYGRVBQCXZGQ-VZLBGKQBSA-N [H]C(=CC1=CC=CC=C1)=CC(O)CC[C@H]1[C@H](O)C[C@H](O)[C@@H]1CCCCCCC(=O)NO Chemical compound [H]C(=CC1=CC=CC=C1)=CC(O)CC[C@H]1[C@H](O)C[C@H](O)[C@@H]1CCCCCCC(=O)NO VNFYGRVBQCXZGQ-VZLBGKQBSA-N 0.000 description 1
- AGHKPIYGERNYLJ-VZLBGKQBSA-N [H]C(=CC1=CC=CC=C1)=CC(O)CC[C@H]1[C@H](O)C[C@H](O)[C@@H]1CCCCCCC(=O)O Chemical compound [H]C(=CC1=CC=CC=C1)=CC(O)CC[C@H]1[C@H](O)C[C@H](O)[C@@H]1CCCCCCC(=O)O AGHKPIYGERNYLJ-VZLBGKQBSA-N 0.000 description 1
- DYXHEPJOJDEXFN-KUGZKTKKSA-N [H]C1=C(C(O)CC[C@H]2[C@H](O)C[C@H](O)[C@@H]2CCCCCCC(=O)OC(C)C)C=CC2=C1C(C(F)(F)F)=CC=C2 Chemical compound [H]C1=C(C(O)CC[C@H]2[C@H](O)C[C@H](O)[C@@H]2CCCCCCC(=O)OC(C)C)C=CC2=C1C(C(F)(F)F)=CC=C2 DYXHEPJOJDEXFN-KUGZKTKKSA-N 0.000 description 1
- LDPXSPJWDLQOCM-XNDCSVHZSA-N [H]C1=CC=CC=C1C#CC(O)CC[C@H]1[C@H](O)C[C@H](O)[C@@H]1CCCCCCC(=O)NO Chemical compound [H]C1=CC=CC=C1C#CC(O)CC[C@H]1[C@H](O)C[C@H](O)[C@@H]1CCCCCCC(=O)NO LDPXSPJWDLQOCM-XNDCSVHZSA-N 0.000 description 1
- GTMQSMUISUYCMJ-YABFVIAUSA-N [H]N(C(=O)CCCCCC[C@H]1[C@@H](O)C[C@@H](O)[C@@H]1CCC(O)/C=C/C1=CC=CC(F)=C1)S(C)(=O)=O Chemical compound [H]N(C(=O)CCCCCC[C@H]1[C@@H](O)C[C@@H](O)[C@@H]1CCC(O)/C=C/C1=CC=CC(F)=C1)S(C)(=O)=O GTMQSMUISUYCMJ-YABFVIAUSA-N 0.000 description 1
- HEZCWDGLFVPOOZ-MEYGQTPLSA-N [H]N(C(=O)CCCCCC[C@H]1[C@@H](O)C[C@@H](O)[C@@H]1CCC(O)C(=O)C1=CC2=C(C=CC=C2)S1)S(C)(=O)=O Chemical compound [H]N(C(=O)CCCCCC[C@H]1[C@@H](O)C[C@@H](O)[C@@H]1CCC(O)C(=O)C1=CC2=C(C=CC=C2)S1)S(C)(=O)=O HEZCWDGLFVPOOZ-MEYGQTPLSA-N 0.000 description 1
- CTJHUBWHYCRBPM-MEYGQTPLSA-N [H]N(C(=O)CCCCCC[C@H]1[C@@H](O)C[C@@H](O)[C@@H]1CCC(O)C(=O)NC1=CC=CC=C1)S(C)(=O)=O Chemical compound [H]N(C(=O)CCCCCC[C@H]1[C@@H](O)C[C@@H](O)[C@@H]1CCC(O)C(=O)NC1=CC=CC=C1)S(C)(=O)=O CTJHUBWHYCRBPM-MEYGQTPLSA-N 0.000 description 1
- YAWVQNMVIBIOLC-MEYGQTPLSA-N [H]N(C(=O)CCCCCC[C@H]1[C@@H](O)C[C@@H](O)[C@@H]1CCC(O)C1=CC2=C(C=CC=C2)S1)S(C)(=O)=O Chemical compound [H]N(C(=O)CCCCCC[C@H]1[C@@H](O)C[C@@H](O)[C@@H]1CCC(O)C1=CC2=C(C=CC=C2)S1)S(C)(=O)=O YAWVQNMVIBIOLC-MEYGQTPLSA-N 0.000 description 1
- UCNGWMIMIKCGDA-MEYGQTPLSA-N [H]N(O)C(=O)CCCCCC[C@H]1[C@@H](O)C[C@@H](O)[C@@H]1CCC(O)C(=O)C1=CC=C(C)C=C1 Chemical compound [H]N(O)C(=O)CCCCCC[C@H]1[C@@H](O)C[C@@H](O)[C@@H]1CCC(O)C(=O)C1=CC=C(C)C=C1 UCNGWMIMIKCGDA-MEYGQTPLSA-N 0.000 description 1
- RPSMLKITRRUIBZ-YZZCSLRSSA-N [H]N(O)C(=O)CCCCCC[C@H]1[C@@H](O)C[C@@H](O)[C@@H]1CCC(O)C1=CC2=C(C=CC=C2F)S1 Chemical compound [H]N(O)C(=O)CCCCCC[C@H]1[C@@H](O)C[C@@H](O)[C@@H]1CCC(O)C1=CC2=C(C=CC=C2F)S1 RPSMLKITRRUIBZ-YZZCSLRSSA-N 0.000 description 1
Classifications
-
- A—HUMAN NECESSITIES
- A61—MEDICAL OR VETERINARY SCIENCE; HYGIENE
- A61K—PREPARATIONS FOR MEDICAL, DENTAL OR TOILETRY PURPOSES
- A61K8/00—Cosmetics or similar toiletry preparations
- A61K8/18—Cosmetics or similar toiletry preparations characterised by the composition
- A61K8/30—Cosmetics or similar toiletry preparations characterised by the composition containing organic compounds
- A61K8/49—Cosmetics or similar toiletry preparations characterised by the composition containing organic compounds containing heterocyclic compounds
-
- A—HUMAN NECESSITIES
- A61—MEDICAL OR VETERINARY SCIENCE; HYGIENE
- A61K—PREPARATIONS FOR MEDICAL, DENTAL OR TOILETRY PURPOSES
- A61K31/00—Medicinal preparations containing organic active ingredients
- A61K31/185—Acids; Anhydrides, halides or salts thereof, e.g. sulfur acids, imidic, hydrazonic or hydroximic acids
- A61K31/19—Carboxylic acids, e.g. valproic acid
-
- A—HUMAN NECESSITIES
- A61—MEDICAL OR VETERINARY SCIENCE; HYGIENE
- A61K—PREPARATIONS FOR MEDICAL, DENTAL OR TOILETRY PURPOSES
- A61K31/00—Medicinal preparations containing organic active ingredients
- A61K31/185—Acids; Anhydrides, halides or salts thereof, e.g. sulfur acids, imidic, hydrazonic or hydroximic acids
- A61K31/19—Carboxylic acids, e.g. valproic acid
- A61K31/192—Carboxylic acids, e.g. valproic acid having aromatic groups, e.g. sulindac, 2-aryl-propionic acids, ethacrynic acid
-
- A—HUMAN NECESSITIES
- A61—MEDICAL OR VETERINARY SCIENCE; HYGIENE
- A61K—PREPARATIONS FOR MEDICAL, DENTAL OR TOILETRY PURPOSES
- A61K31/00—Medicinal preparations containing organic active ingredients
- A61K31/33—Heterocyclic compounds
- A61K31/38—Heterocyclic compounds having sulfur as a ring hetero atom
- A61K31/381—Heterocyclic compounds having sulfur as a ring hetero atom having five-membered rings
-
- A—HUMAN NECESSITIES
- A61—MEDICAL OR VETERINARY SCIENCE; HYGIENE
- A61K—PREPARATIONS FOR MEDICAL, DENTAL OR TOILETRY PURPOSES
- A61K31/00—Medicinal preparations containing organic active ingredients
- A61K31/33—Heterocyclic compounds
- A61K31/395—Heterocyclic compounds having nitrogen as a ring hetero atom, e.g. guanethidine or rifamycins
- A61K31/41—Heterocyclic compounds having nitrogen as a ring hetero atom, e.g. guanethidine or rifamycins having five-membered rings with two or more ring hetero atoms, at least one of which being nitrogen, e.g. tetrazole
- A61K31/425—Thiazoles
- A61K31/428—Thiazoles condensed with carbocyclic rings
-
- A—HUMAN NECESSITIES
- A61—MEDICAL OR VETERINARY SCIENCE; HYGIENE
- A61K—PREPARATIONS FOR MEDICAL, DENTAL OR TOILETRY PURPOSES
- A61K31/00—Medicinal preparations containing organic active ingredients
- A61K31/557—Eicosanoids, e.g. leukotrienes or prostaglandins
- A61K31/5575—Eicosanoids, e.g. leukotrienes or prostaglandins having a cyclopentane, e.g. prostaglandin E2, prostaglandin F2-alpha
-
- A—HUMAN NECESSITIES
- A61—MEDICAL OR VETERINARY SCIENCE; HYGIENE
- A61K—PREPARATIONS FOR MEDICAL, DENTAL OR TOILETRY PURPOSES
- A61K31/00—Medicinal preparations containing organic active ingredients
- A61K31/557—Eicosanoids, e.g. leukotrienes or prostaglandins
- A61K31/558—Eicosanoids, e.g. leukotrienes or prostaglandins having heterocyclic rings containing oxygen as the only ring hetero atom, e.g. thromboxanes
-
- A—HUMAN NECESSITIES
- A61—MEDICAL OR VETERINARY SCIENCE; HYGIENE
- A61K—PREPARATIONS FOR MEDICAL, DENTAL OR TOILETRY PURPOSES
- A61K31/00—Medicinal preparations containing organic active ingredients
- A61K31/557—Eicosanoids, e.g. leukotrienes or prostaglandins
- A61K31/559—Eicosanoids, e.g. leukotrienes or prostaglandins having heterocyclic rings containing hetero atoms other than oxygen
-
- A—HUMAN NECESSITIES
- A61—MEDICAL OR VETERINARY SCIENCE; HYGIENE
- A61K—PREPARATIONS FOR MEDICAL, DENTAL OR TOILETRY PURPOSES
- A61K45/00—Medicinal preparations containing active ingredients not provided for in groups A61K31/00 - A61K41/00
- A61K45/06—Mixtures of active ingredients without chemical characterisation, e.g. antiphlogistics and cardiaca
-
- A—HUMAN NECESSITIES
- A61—MEDICAL OR VETERINARY SCIENCE; HYGIENE
- A61K—PREPARATIONS FOR MEDICAL, DENTAL OR TOILETRY PURPOSES
- A61K8/00—Cosmetics or similar toiletry preparations
- A61K8/18—Cosmetics or similar toiletry preparations characterised by the composition
- A61K8/30—Cosmetics or similar toiletry preparations characterised by the composition containing organic compounds
- A61K8/33—Cosmetics or similar toiletry preparations characterised by the composition containing organic compounds containing oxygen
- A61K8/36—Carboxylic acids; Salts or anhydrides thereof
- A61K8/365—Hydroxycarboxylic acids; Ketocarboxylic acids
-
- A—HUMAN NECESSITIES
- A61—MEDICAL OR VETERINARY SCIENCE; HYGIENE
- A61K—PREPARATIONS FOR MEDICAL, DENTAL OR TOILETRY PURPOSES
- A61K8/00—Cosmetics or similar toiletry preparations
- A61K8/18—Cosmetics or similar toiletry preparations characterised by the composition
- A61K8/30—Cosmetics or similar toiletry preparations characterised by the composition containing organic compounds
- A61K8/33—Cosmetics or similar toiletry preparations characterised by the composition containing organic compounds containing oxygen
- A61K8/37—Esters of carboxylic acids
-
- A—HUMAN NECESSITIES
- A61—MEDICAL OR VETERINARY SCIENCE; HYGIENE
- A61K—PREPARATIONS FOR MEDICAL, DENTAL OR TOILETRY PURPOSES
- A61K8/00—Cosmetics or similar toiletry preparations
- A61K8/18—Cosmetics or similar toiletry preparations characterised by the composition
- A61K8/30—Cosmetics or similar toiletry preparations characterised by the composition containing organic compounds
- A61K8/49—Cosmetics or similar toiletry preparations characterised by the composition containing organic compounds containing heterocyclic compounds
- A61K8/4986—Cosmetics or similar toiletry preparations characterised by the composition containing organic compounds containing heterocyclic compounds with sulfur as the only hetero atom
-
- A—HUMAN NECESSITIES
- A61—MEDICAL OR VETERINARY SCIENCE; HYGIENE
- A61P—SPECIFIC THERAPEUTIC ACTIVITY OF CHEMICAL COMPOUNDS OR MEDICINAL PREPARATIONS
- A61P17/00—Drugs for dermatological disorders
- A61P17/14—Drugs for dermatological disorders for baldness or alopecia
-
- A—HUMAN NECESSITIES
- A61—MEDICAL OR VETERINARY SCIENCE; HYGIENE
- A61P—SPECIFIC THERAPEUTIC ACTIVITY OF CHEMICAL COMPOUNDS OR MEDICINAL PREPARATIONS
- A61P43/00—Drugs for specific purposes, not provided for in groups A61P1/00-A61P41/00
-
- A—HUMAN NECESSITIES
- A61—MEDICAL OR VETERINARY SCIENCE; HYGIENE
- A61Q—SPECIFIC USE OF COSMETICS OR SIMILAR TOILETRY PREPARATIONS
- A61Q7/00—Preparations for affecting hair growth
Definitions
- This invention relates to compositions and methods for treating hair loss in mammals. More particularly, this invention relates to compositions and methods for arresting or reversing hair loss, or both, and promoting hair growth.
- Hair loss is a common problem which is, for example, naturally occurring or chemically promoted through the use of certain therapeutic drugs designed to alleviate conditions such as cancer. Often such hair loss is accompanied by lack of hair re-growth which causes partial or full baldness.
- Hair growth on the scalp does not occur continuously, but rather occurs by a cycle of activity involving alternating periods of growth and rest.
- This cycle is divided into three main stages; anagen, catagen, and telogen.
- Anagen is the growth phase of the cycle and is characterized by penetration of the hair follicle deep into the dermis with rapid proliferation of cells which are differentiating to form hair.
- the next phase is catagen, which is a transitional stage marked by the cessation of cell division, and during which the hair follicle regresses through the dermis and hair growth ceases.
- the next phase, telogen is characterized as the resting stage during which the regressed follicle contains a germ with tightly packed dermal papilla cells.
- telogen the initiation of a new anagen phase is caused by rapid cell proliferation in the germ, expansion of the dermal papilla, and elaboration of basement membrane components.
- hair growth ceases, most of the hair follicles reside in telogen and anagen is not engaged, thus causing the onset of full or partial baldness.
- T4 The thyroid hormone thyroxine
- T3 thyronine
- Selenium deficiency causes a decrease in T3 levels due to a decrease in deiodinase I activity; this reduction in T3 levels is strongly associated with hair loss.
- hair growth is a reported side effect of administration of T4. See, e.g., Berman, “Peripheral Effects of L-Thyroxine on Hair Growth and Coloration in Cattle”, Journal of Endocrinology, Vol. 20, pp.
- T3 and T4 have been the subject of several patent publications relating to treatment of hair loss. See, e.g., Fischer et al., DE 1,617,477, published Jan. 8, 1970; Mortimer, GB 2,138,286, published Oct. 24, 1984; and Lindenbaum, WO 96/25943, assigned to Life Medical Sciences, Inc., published Aug. 29, 1996.
- T3 or T4 to treat hair loss is often not practicable because these thyroid hormones can induce significant cardiotoxicity. See, e.g., Walker et al., U.S. Pat. No. 5,284,971, assigned to Syntex, issued Feb. 8, 1994 and Emmett et al., U.S. Pat. No. 5,061,798, assigned to Smith Kline & French Laboratories, issued Oct. 29, 1991.
- prostaglandins have been proposed to promote hair growth because prostaglandins may have a similar benefit to thyroid hormones, i.e., increasing hair length and changing pigmentation.
- Naturally occurring prostaglandins e.g., PGA 2 , PGB 2 , PGE 1 , PGF 2 ⁇ , and PGI 2
- PGF 2 ⁇ the naturally occurring Prostaglandin F analog in humans, is characterized by hydroxyl groups at the C9 and C11 positions on the alicyclic ring, a cis-double bond between C5 and C6, and a trans-double bond between C13 and C14.
- PGF 2 ⁇ has the formula:
- PGE 2 has the following properties: a) regulator of cell proliferation, b) regulator of cytokine synthesis, c) regulator of immune responses and d) inducer of vasodilatation.
- Vasodilatation is thought to be one of the mechanisms of how minoxidil provides a hair growth benefit.
- In vitro results in the literature also indicate some anti-inflammatory properties of the prostaglandins. c. f.; Tanaka, H. Br J. Pharm. 116, 2298, (1995).
- prostaglandins to promote hair growth have been unsuccessful.
- Different prostaglandin analogs can bind to multiple receptors at various concentrations with a biphasic effect.
- administration of naturally occurring prostaglandins can cause side effects such as inflammation, surface irritation, smooth muscle contraction, pain, and bronchoconstriction. Therefore, it is an object of this invention to provide methods for using prostaglandin analogs to grow hair and to provide compositions that promote hair growth in humans and lower animals. It is a further object of this invention to provide a selection of appropriate prostaglandin analogs that will promote hair growth and that do not cause significant undesirable side effects.
- compositions and methods for treating hair loss comprise administering the compositions comprising specific prostaglandin analogs that interact strongly with hair-selective receptors, such as the FP receptor.
- the choice of prostaglandin analog is important because the prostaglandin analogs must selectively activate the FP receptor and not activate any other receptors that would negate the effect of activating the FP receptor.
- the compositions comprise: component A) the prostaglandin analog, component B) a carrier, and optionally component C) an activity enhancer.
- This invention relates to compositions and methods using prostaglandin F analogs (“PGF's”) to treat hair loss in mammals.
- PPF's prostaglandin F analogs
- Treating hair loss includes arresting hair loss or reversing hair loss, or both, and promoting hair growth.
- Activate means binding and signal transduction of a receptor.
- acyl group means a monovalent group suitable for acylating a nitrogen atom to form an amide or carbamate, an alcohol to form a carbonate, or an oxygen atom to form an ester group.
- Preferred acyl groups include benzoyl, acetyl, tert-butyl acetyl, para-phenyl benzoyl, and trifluoroacetyl. More preferred acyl groups include acetyl and benzoyl. The most preferred acyl group is acetyl.
- “Aromatic group” means a monovalent group having a monocyclic ring structure or fused bicyclic ring structure.
- Monocyclic aromatic groups contain 5 to 10 carbon atoms, preferably 5 to 7 carbon atoms, and more preferably 5 to 6 carbon atoms in the ring.
- Bicyclic aromatic groups contain 8 to 12 carbon atoms, preferably 9 or 10 carbon atoms in the ring.
- Aromatic groups are unsubstituted. The most preferred aromatic group is phenyl.
- Bicyclic aromatic groups include ring systems wherein one ring in the system is aromatic.
- Preferred bicyclic aromatic groups are ring systems wherein both rings in the system are aromatic.
- Preferred aromatic rings include naphthyl and phenyl. The most preferred aromatic ring is phenyl.
- Carbocyclic group means a monovalent saturated or unsaturated hydrocarbon ring.
- Carbocyclic groups are monocyclic.
- Carbocyclic groups contain 4 to 10 carbon atoms, preferably 4 to 7 carbon atoms, and more preferably 5 to 6 carbon atoms in the ring.
- Carbocyclic groups are unsubstituted.
- Preferred carbocyclic groups include cyclopentyl, cyclohexyl, cyclohexenyl, cycloheptyl, and cyclooctyl. More preferred carbocyclic groups include cyclohexyl, cycloheptyl, and cyclooctyl. The most preferred carbocyclic group is cycloheptyl.
- Carbocyclic groups are not aromatic.
- FP agonist means a compound that activates the FP receptor.
- FP receptor means known human FP receptors, their splice variants, and undescribed receptors that have similar binding and activation profiles as the known human FP receptors. “FP” means the receptor is of the class which has the highest affinity for PGF 2 ⁇ of all the naturally occurring prostaglandins. FP refers to a known protein.
- Halogen atom means F, Cl, Br, or I.
- the halogen atom is F, Cl, or Br; more preferably Cl or F; and most preferably F.
- Halogenated heterogenous group means a substituted heterogenous group or a substituted heterocyclic group, wherein at least one substituent is a halogen atom.
- Halogenated heterogenous groups can have a straight, branched, or cyclic structure.
- Preferred halogenated heterogenous groups have 1 to 12 carbon atoms, more preferably 1 to 6 carbon atoms, and most preferably 1 to 3 carbon atoms.
- Preferred halogen atom substituents are Cl and F.
- Halogenated hydrocarbon group means a substituted monovalent hydrocarbon group or a substituted carbocyclic group, wherein at least one substituent is a halogen atom.
- Halogenated hydrocarbon groups can have a straight, branched, or cyclic structure.
- Preferred halogenated hydrocarbon groups have 1 to 12 carbon atoms, more preferably 1 to 6 carbon atoms, and most preferably 1 to 3 carbon atoms.
- Preferred halogen atom substituents are Cl and F.
- the most preferred halogenated hydrocarbon group is trifluoromethyl.
- Heteroaromatic group means an aromatic ring containing carbon and 1 to 4 heteroatoms in the ring.
- Heteroaromatic groups are monocyclic or fused bicyclic rings.
- Monocyclic heteroaromatic groups contain 5 to 10 member atoms (i.e., carbon and heteroatoms), preferably 5 to 7, and more preferably 5 to 6 in the ring.
- Bicyclic heteroaromatic rings contain 8 to 12 member atoms, preferably 9 or 10 in the ring.
- Heteroaromatic groups are unsubstituted.
- Bicyclic heteroaromatic groups include ring systems in which only one ring is aromatic.
- Preferred bicyclic heteroaromatic groups are ring systems in which both rings are aromatic.
- Preferred monocyclic heteroaromatic groups include thienyl, thiazolyl, purinyl, pyrimidyl, pyridyl, and furanyl. More preferred monocyclic heteroaromatic groups include thienyl, furanyl, and pyridyl. The most preferred monocyclic heteroaromatic group is thienyl.
- Preferred bicyclic heteroaromatic rings include benzothiazolyl, benzothiophenyl, quinolinyl, quinoxalinyl, benzofuranyl, benzimidazolyl, benzoxazolyl, indolyl, and anthranilyl. More preferred bicyclic heteroaromatic rings include benzothiazolyl, benzothiophenyl, and benzoxazolyl.
- Heteroatom means an atom other than carbon in the ring of a heterocyclic group or the chain of a heterogeneous group.
- heteroatoms are selected from the group consisting of nitrogen, sulfur, and oxygen atoms.
- Groups containing more than one heteroatom may contain different heteroatoms.
- Heterocyclic group means a saturated or unsaturated ring structure containing carbon and 1 to 4 heteroatoms in the ring. No two heteroatoms are adjacent in the ring, and no carbon in the ring that has a heteroatom bonded to it also has a hydroxyl, amino, or thiol group bonded to it. Heterocyclic groups are not aromatic. Heterocyclic groups are monocyclic. Heterocyclic groups contain 4 to 10 member atoms (i.e., including both carbon atoms and at least 1 heteroatom), preferably 4 to 7, and more preferably 5 to 6 in the ring. Heterocyclic groups are unsubstituted. Preferred heterocyclic groups include piperzyl, morpholinyl, tetrahydrofuranyl, tetrahydropyranyl, and piperdyl.
- Heterogeneous group means a saturated or unsaturated chain containing 1 to 18 member atoms (i.e., including both carbon and at least one heteroatom). No two heteroatoms are adjacent. Preferably, the chain contains 1 to 12 member atoms, more preferably 1 to 6. “Lower heterogeneous” means a heterogeneous group having 1 to 6, preferably 1 to 3, member atoms. The chain may be straight or branched. Preferred branched heterogeneous groups have one or two branches, preferably one branch. Preferred heterogeneous groups are saturated. Unsaturated heterogeneous groups have one or more double bonds, one or more triple bonds, or both. Preferred unsaturated heterogeneous groups have one or two double bonds or one triple bond. More preferably, the unsaturated heterogeneous group has one double bond. Heterogeneous groups are unsubstituted.
- “Monovalent hydrocarbon group” means a chain of 1 to 18, preferably 1 to 12, carbon atoms. “Lower monovalent hydrocarbon group” means a monovalent hydrocarbon group having 1 to 6, preferably 1 to 3, carbon atoms. Monovalent hydrocarbon groups may have a straight chain or branched chain structure. Preferred monovalent hydrocarbon groups have one or two branches, preferably I branch. Preferred monovalent hydrocarbon groups are saturated. Unsaturated monovalent hydrocarbon groups have one or more double bonds, one or more triple bonds, or combinations thereof. Preferred unsaturated monovalent hydrocarbon groups have one or two double bonds or one triple bond; more preferred unsaturated monovalent hydrocarbon groups have one double bond.
- “Pharmaceutically acceptable” means suitable for use in a human or other mammal.
- Prostaglandin means a fatty acid derivative which has a variety of potent biological activities of a hormonal or regulatory nature.
- Protecting group is a group that replaces the active hydrogen of a hydroxyl moiety thus preventing undesired side reaction at the hydroxyl moiety.
- Use of protecting groups in organic synthesis is well known in the art. Examples of protecting groups are found in Chapter 2 Protecting Groups in Organic Synthesis by Greene, T. W. and Wuts, P. G. M., 2 nd ed., Wiley & Sons, Inc., 1991.
- Preferred protecting groups include silyl ethers, alkoxymethyl ethers, tetrahydropyranyl, tetrahydrofuranyl, esters, and substituted or unsubstituted benzyl ethers.
- Safe and effective amount means a quantity of a prostaglandin high enough to provide a significant positive modification of the subject's condition to be treated, but low enough to avoid serious side effects (at a reasonable benefit/risk ratio).
- “Selective” means having a binding or activation preference for a specific receptor over other receptors which can be quantitated based upon receptor binding or activation assays.
- Subject means a living, vertebrate, hair- or fur-bearing animal such as a mammal (preferably human) in need of treatment.
- “Substituted aromatic group” means an aromatic group wherein 1 to 4 of the hydrogen atoms bonded to carbon atoms in the ring have been replaced with other substituents.
- Preferred substituents include: halogen atoms, cyano groups, monovalent hydrocarbon groups, substituted monovalent hydrocarbon groups, heterogeneous groups, substituted heterogeneous groups, aromatic groups, substituted aromatic groups, or any combination thereof. More preferred substituents include halogen atoms, halogenated monovalent hydrocarbon groups, phenyl groups, and phenoxy groups.
- Preferred substituted aromatic groups include naphthyl.
- the substituents may be substituted at the ortho, meta, or para position on the ring, or any combination thereof.
- the preferred substitution pattern on the ring is ortho or meta. The most preferred substitution pattern is ortho.
- “Substituted carbocyclic group” means a carbocyclic group wherein 1 to 4 hydrogen atoms bonded to carbon atoms in the ring have been replaced with other substituents.
- Preferred substituents include: halogen atoms, cyano groups, monovalent hydrocarbon groups, monovalent heterogeneous groups, substituted monovalent hydrocarbon groups, substituted heterogeneous groups, aromatic groups, substituted aromatic groups, or any combination thereof. More preferred substituents include halogen atoms, halogenated monovalent hydrocarbon groups, phenyl groups, and phenoxy groups.
- “Substituted heteroaromatic group” means a heteroaromatic group wherein 1 to 4 hydrogen atoms bonded to carbon atoms in the ring have been replaced with other substituents.
- the substituents include halogen atoms, acyl groups, cyano groups, monovalent hydrocarbon groups, substituted monovalent hydrocarbon groups, heterogeneous groups, substituted heterogeneous groups, aromatic groups, substituted aromatic groups, heteroaromatic groups, substituted heteroaromatic groups, and any combination thereof.
- Preferred substituents include halogen atoms, cyano groups, monovalent hydrocarbon groups, substituted monovalent hydrocarbon groups, heterogeneous groups, substituted heterogeneous groups, phenyl groups, phenoxy groups, or any combination thereof. More preferred substituents include halogen atoms, halogenated hydrocarbon groups, monovalent hydrocarbon groups, halogenated heterogenous groups, and phenyl groups.
- “Substituted heterocyclic group” means a heterocyclic group wherein 1 to 4 hydrogen atoms bonded to carbon atoms in the ring have been replaced with other substituents.
- Preferred substituents include: halogen atoms, cyano groups, monovalent hydrocarbon groups, substituted monovalent hydrocarbon groups, heterogeneous groups, substituted heterogeneous groups, aromatic groups, substituted aromatic groups, or any combination thereof. More preferred substituents include halogen atoms, halogenated hydrocarbon groups, phenyl groups, phenoxy groups, or any combination thereof.
- Substituted heterocyclic groups are not aromatic.
- Substituted heterogeneous group means a heterogeneous group, wherein 1 to 4 of the hydrogen atoms bonded to carbon atoms in the chain have been replaced with other substituents.
- Preferably substituted heterogeneous groups are mono, di, or trisubstituted.
- Preferred substituents include halogen atoms, hydroxy groups, carboxy groups, aryloxy groups (e.g., phenoxy, chlorophenoxy, tolyloxy, methoxyphenoxy, benzyloxy, alkyloxycarbonylphenoxy, and acyloxyphenoxy), acyloxy groups (e.g., propionyloxy, benzoyloxy, and acetoxy), aromatic groups (e.g., phenyl and tolyl), substituted aromatic groups (e.g., alkoxyphenyl, alkoxycarbonylphenyl, and halophenyl), heterocyclic groups, heteroaromatic groups, substituted heterocyclic groups, and amino groups (e.g., amino, mono- and di- alkylamino having 1 to 3 carbon atoms, methylphenylamino, methylbenzylamino, alkanylamido groups of 1 to 3 carbon atoms, carbamamido, ureido, and guanidin
- Substituted monovalent hydrocarbon group means a monovalent hydrocarbon group wherein 1 to 4 of the hydrogen atoms bonded to carbon atoms in the chain have been replaced with other substituents. Preferred substituted monovalent hydrocarbon groups are mono, di, or trisubstituted.
- Preferred substituents include halogen atoms; lower monovalent hydrocarbon groups; hydroxy groups; aryloxy groups (e.g., phenoxy, chlorophenoxy, tolyloxy, methoxyphenoxy, benzyloxy, alkyloxycarbonylphenoxy, and acyloxyphenoxy); acyloxy groups (e.g., propionyloxy, benzoyloxy, and acetoxy); carboxy groups; monocyclic aromatic groups; monocyclic heteroaromatic groups; monocyclic carbocyclic groups, monocyclic heterocyclic groups, and amino groups (e.g., amino, mono- and di-alkanylamino groups of 1 to 3 carbon atoms, methylphenylamino, methylbenzylamino, alkanylamido groups of 1 to 3 carbon atoms, carbamamido, ureido, and guanidino).
- aryloxy groups e.g., phenoxy, chlorophenoxy, tolyloxy,
- This invention relates to the use of prostaglandin F analogs (PGF's) to treat hair loss.
- PGF's prostaglandin F analogs
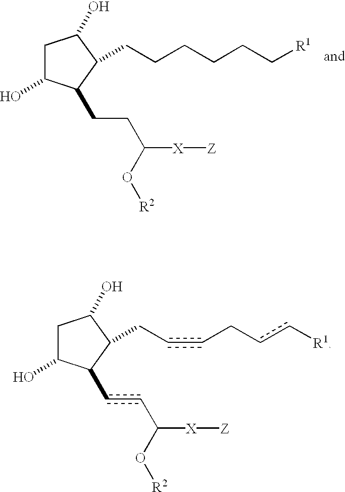
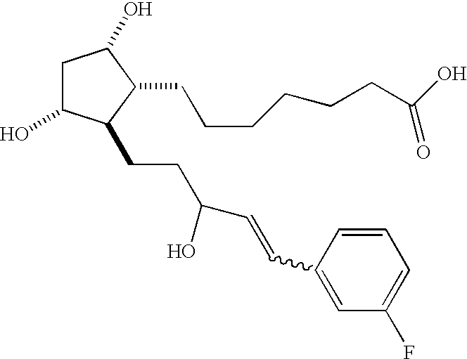
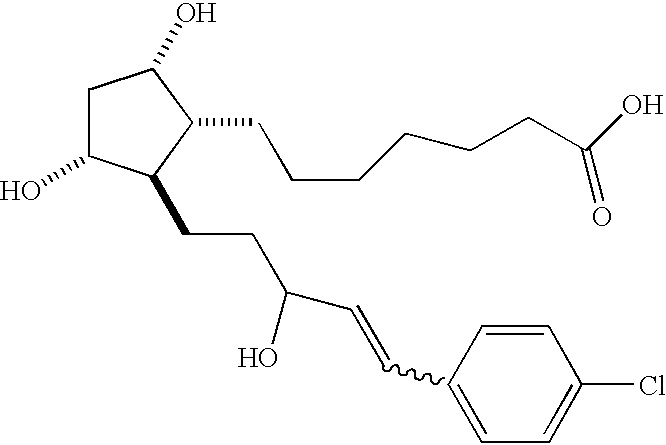
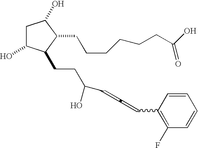
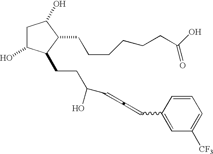
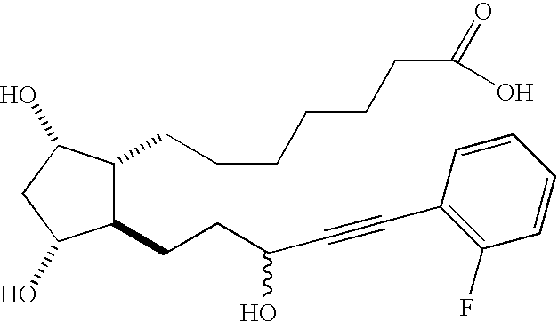
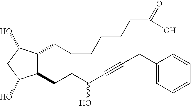
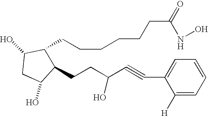
- Suitable PGF's can have a structure selected from the group consisting of:
- the PGF can also be selected from the group consisting of pharmaceutically acceptable salts and hydrates of the structures above; biohydrolyzable amides, esters, and imides of the structures above; and optical isomers, diastereomers, and enantiomers of the structures above.
- stereochemistry is not defined (C 11 , C 12 , and C 15 )
- both epimers are envisioned.
- Preferred stereochemistry at all such stereocenters of the compounds of the invention mimic that of naturally occurring PGF 2 ⁇ .
- a combination of two or more PGF's can also be used.
- R 1 is selected from the group consisting of C(O)OH, C(O)NHOH, C(O)OR 3 , CH 2 OH, S(O) 2 R 3 , C(O)NHR 3 , C(O)NHS(O) 2 R 4 , tetrazole, a cationic salt moiety, a pharmaceutically acceptable amine or ester comprising 2 to 13 carbon atoms, and a biometabolizable amine or ester comprising 2 to 13 atoms.
- R 1 is selected from the group consisting of CO 2 H, C(O)NHOH, CO 2 R 3 , C(O)NHS(O) 2 R 4 , and tetrazole. More preferably, R 1 is selected from the group consisting of CO 2 H and CO 2 R 3 .
- R 2 is selected from the group consisting of a hydrogen atom, a lower heterogenous group, and lower monovalent hydrocarbon groups.
- R 2 is a hydrogen atom.
- R 3 is selected from the group consisting of a monovalent hydrocarbon group, a heterogeneous group, a carbocyclic group, a heterocyclic group, an aromatic group, a heteroaromatic group, a substituted monovalent hydrocarbon group, a substituted heterogeneous group, a substituted carbocyclic group, a substituted heterocyclic group, a substituted aromatic group, and a substituted heteroaromatic group.
- R 3 is selected from the group consisting of methyl, ethyl, and isopropyl
- R 4 is selected from the group consisting of a monovalent hydrocarbon group, a heterogeneous group, a carbocyclic group, a heterocyclic group, an aromatic group, a heteroaromatic group, a substituted monovalent hydrocarbon group, a substituted heterogeneous group, a substituted carbocyclic group, a substituted heterocyclic group, a substituted aromatic group, and a substituted heteroaromatic group.
- R 4 is a phenyl group.
- X is divalent.
- X is selected from the group consisting of —C ⁇ C—, a covalent bond, —CH ⁇ C ⁇ CH—, —CH ⁇ CH—, —CH ⁇ N—, —C(O)—, —C(O)Y—, —(CH 2 ) n —, wherein n is 2 to 4, —CH 2 NH—, —CH 2 S—, and —CH 2 O—.
- Y is selected from the group consisting of O, S, and NH.
- Z is selected from the group consisting of a carbocyclic group, a heterocyclic group, an aromatic group, a heteroaromatic group, a substituted carbocyclic group, a substituted heterocyclic group, a substituted aromatic group, and a substituted heteroaromatic group.
- Z is selected from the group consisting of an aromatic group, a heteroaromatic group, a substituted aromatic group, and a substituted heteroaromatic group. More preferably, when X is a covalent bond, Z is a bicyclic heteroaromatic group.
- Z is a monocyclic aromatic group. More preferably, when X is —C ⁇ C—, Z is selected from the group consisting of furanyl, thienyl, and phenyl.
- Bonds shown as dashed lines in the second structure above indicate that those bonds may optionally be double or triple bonds.
- R 1 is C(O)OH in the structure:
- the bond at the C2-C3 position may be a single bond or a double bond.
- the bond at the C5-C6 position may be a single, double, or triple bond.
- the bond at the C13-C14 position may be a single, double, or triple bond.
- the PGF's in Table 1 can be prepared using conventional organic syntheses. Preferred syntheses are carried out using reaction schemes 1, 2, and 3.
- Scheme 1 describes a general reaction scheme for making PGFs wherein X is —CH ⁇ CH— (Formula I) or —CH ⁇ C ⁇ CH— (Formula II).
- Scheme 2 describes a general reaction scheme for making PGFs wherein X is —C(O)— (Formula III) or —C(O)Y— (Formula IV).
- Scheme 3 describes a general reaction scheme for making PGFs wherein X is —CH ⁇ N— (Formula V).
- R 1 and Z are as defined above.
- the methyl 7(3-(R)-hydroxy-5-oxo-1-cyclopent-1-yl) heptanoate (S1a) depicted as starting material for Scheme 1 is commercially available (such as from Sumitomo Chemical or Cayman Chemical).
- methyl 7-(3-(R)-hydroxy-5-oxo-1-cyclopent-1-yl) heptanoate (S1a) is reacted with a silylating agent and base in a solvent that will allow the silylation to proceed.
- silylating agents include tert-butyldimethylsilyl chloride and tert-butyldimethylsilyl trifluoromethanesulphonate.
- the most preferred silylating agent is tert-butyldimethylsilyl trifluoromethanesulphonate.
- Preferred bases include triethylamine, trimethylamine, and 2,6-lutidine.
- More preferred bases include triethylamine and 2,6-lutidine.
- the most preferred base is 2,6-lutidine.
- Preferred solvents include halogenated hydrocarbon solvents with dichloromethane being the most preferred solvent. The reaction is allowed to proceed at a temperature of preferably ⁇ 100° C. to 100° C., more preferably ⁇ 80° C. to 80° C., and most preferably ⁇ 70° C. to 23° C.
- the resulting silylated compound is isolated by methods known to one of ordinary skill in the art. Such methods include extraction, solvent evaporation, distillation, and crystallization. Preferably, the silyl ether is purified after isolation by distillation under vacuum.
- Preferred alkenyl bromides include 4-bromo-1-butene, 4-bromo-1-butyne, 4-bromo-2-methyl-1-butene, and 4-bromo-2-ethyl-1-butene.
- the most preferred alkenyl bromide is 4-bromo-1-butene.
- Preferred solvents include ethereal solvents, of which diethyl ether and tetrahydrofuran are preferred.
- the most preferred solvent is tetrahydrofuran.
- the Grignard reagent is allowed to form at a temperature of 100° C. to 23° C., more preferably 85° C. to 30° C., and most preferably 75° C. to 65° C.
- the reaction time is preferably 1 to 6 hours, more preferably 2 to 5 hours, and most preferably 3 to 4 hours.
- the cuprate is generated from the alkenyl magnesium species.
- the temperature range for cuprate formation is ⁇ 100° C. to 0° C.
- the preferred temperature range is ⁇ 80° C. to ⁇ 20° C.
- the more preferred temperature range is ⁇ 75° C. to ⁇ 50° C.
- the preferred reaction time is 30 minutes to 6 hours, more preferably 45 minutes to 3 hours.
- the most preferred reaction time is 1 to 1.5 hours.
- the alkene thus formed is isolated by methods known to one of ordinary skill in the art. Such methods include extraction, solvent evaporation, distillation, and crystallization. Preferably, the alkene is purified by flash chromatography on silica gel (Merck, 230-400 mesh) using 10% EtOAc/hexanes as the eluent. (EtOAc represents ethyl acetate.)
- the alkene is then reacted with a hydride reducing agent and a polar, protic solvent to give the C-9 alcohol.
- Preferred reducing agents include lithium aluminum hydride, sodium borohydride, and L-selectride. More preferred reducing agents include sodium borohydride, and L-selectride. The most preferred reducing agent is sodium borohydride.
- Preferred solvents include methanol, ethanol, and butanol. The most preferred solvent is methanol.
- the reduction is carried out at a temperature of ⁇ 100° C. to 23° C.
- the preferred temperature range is ⁇ 60° C. to 0° C.
- the most preferred temperature range is ⁇ 45° C. to ⁇ 20° C.
- the resulting alcohol is isolated by methods known to one of ordinary skill in the art. Such methods include extraction, solvent evaporation, distillation, and crystallization. Preferably, the alcohol is purified by flash chromatography on silica gel (Merck, 230-400 mesh) using 20% EtOAc/hexanes as the eluent.
- Preferred silylating agents in this case also include tert-butyldimethylsilyl chloride and tert-butyldimethylsilyl trifluoromethanesulfonate.
- the most preferred silylating agent is tert-butyldimethylsilyl trifluoromethanesulfonate.
- Preferred bases include triethylamine, trimethylamine, and 2,6-lutidine. More preferred bases include triethylamine and 2,6-lutidine. The most preferred base is 2,6-lutidine.
- Preferred solvents include halogenated hydrocarbon solvents with dichloromethane being the most preferred solvent. The reaction is allowed to proceed at a temperature of preferably ⁇ 100° C. to 100° C., more preferably ⁇ 80° C. to 80° C., and most preferably ⁇ 70° C. to 23° C.
- the resulting silylated compound, S 1 b is isolated by methods known to one of ordinary skill in the art. Such methods include extraction, solvent evaporation, distillation, and crystallization. Preferably, the silyl ether is purified after isolation by distillation under vacuum, giving compound S1b.
- the protected alcohol is then treated with a form of osmium and sodium periodate in a solvent in which both are soluble.
- Preferred forms of osmium include osmium tetraoxide and potassium osmate.
- Preferred solvent systems include 1:1 mixtures of acetic acid and water and 1:1:2 mixtures of water, acetic acid and THF. (THF represents tetrahydrofuran.)
- THF represents tetrahydrofuran.
- the compound S1c is isolated by methods known to one of ordinary skill in the art. Such methods include extraction, solvent evaporation, distillation, and crystallization. Preferably, S1c is purified by flash chromatography on silica gel (Merck, 230-400 mesh) using 20% EtOAc/hexanes as the eluent.
- the key intermediate aldehyde depicted as S1c can be reacted with a variety of unsaturated alkenyl anion nucleophiles to provide the C-9 and C-11-protected 13,14-dihydro-prostaglandin F 1 ⁇ derivatives.
- the resulting compounds can be isolated, but are generally deprotected using techniques known to one of ordinary skill in the art, and optionally, manipulated at C-1 to provide the desired acid derivative at R 1 .
- the condensation of a methyl ester with an amine or a hydroxylamine provides an amide or a hydroxamic acid compound, respectively.
- the compounds are isolated as the final 13,14-dihydro-15-substituted-15-pentanor prostaglandin F 1 ⁇ derivative, Formula I.
- Compounds depicted by Formula II can be made directly from intermediate S1c in a manner similar to that for compounds depicted by Formula I substituting the appropriate allene anion.
- the reaction is carried out preferably at ⁇ 80° C. to 0° C., more preferably ⁇ 80° C. to ⁇ 20° C, and most preferably ⁇ 80° C. to ⁇ 40° C.
- Preferred bases for the reaction include n-butyl lithium, s-butyl lithium, and t-butyl lithium. The most preferred base is n-butyl lithium.
- Preferred solvents for the reaction are ether solvents. Preferred solvents include diethyl ether, and tetrahydrofuran.
- the most preferred solvent is tetrahydrofuran.
- preferred solvents include ethereal solvents. More preferred ethereal solvents include diethyl ether, dibutyl ether and tetrahydrofuran. The most preferred ethereal solvent is tetrahydrofuran.
- R 1 , Y, and Z are as defined above.
- the protected alcohol S1b (from Scheme 1) is treated with a hydroborating reagent in an ethereal solvent, followed by oxidative removal of the boron reagent with a suitable oxidant to give a compound of the type S2a.
- Preferred hydroborating reagents include monochloroborane-dimethylsulfide, diborane, borane-tetrahydrofuran and borane-dimethylsulfide.
- the most preferred hydroborating reagent is borane-dimethylsulfide.
- Preferred ethereal solvents include THF and diethyl ether. The most preferred solvent is THF.
- the reaction is carried out from about 1 to about 24 hours at a temperature of about ⁇ 20° C. to about +30° C.
- the preferred temperature range is about 0° C. to about +20° C.
- the hydroborated product of this reaction may then be oxidatively removed to the alcohol using alkaline hydrogen peroxide (See Boranes in Organic Chemistry , H. C. Brown, Cornell University Press, Ithaca, N.Y. 1972, pp. 321-325), which may then be oxidized to either the aldehyde (W ⁇ H) or to the acid (W ⁇ OH) using methods known to one of ordinary skill in the art.
- the hydroborated product may be directly oxidized to the aldehyde or acid by treatment with chromic acid or a Cr(VI) salt.
- chromic acid or a Cr(VI) salt include pyridinium chlorochromate (PCC) and dichlorochromate. See Brown, H. C.; Kulkarni, Rao, and Patil, Tetrahedron, 1986, 45515.
- PCC pyridinium chlorochromate
- dichlorochromate See Brown, H. C.; Kulkarni, Rao, and Patil, Tetrahedron, 1986, 45515.
- the preferred method is treatment of the hydroborated product with PCC in dichloromethane at room temperature. The result of these manipulations is a compound of the type S2a.
- the compound S2a is isolated by methods known to one of ordinary skill in the art. Such methods include extraction, solvent evaporation, distillation, and crystallization. Preferably, S2a is purified by flash chromatography on silica gel (Merck, 230-400 mesh) using 20% EtOAc/hexanes as the eluent with 0.1% acetic acid added if W ⁇ OH.
- the reaction is carried out preferably at ⁇ 80° C. to 0° C., more preferably ⁇ 80° C. to ⁇ 20° C., and most preferably ⁇ 80° C. to ⁇ 40° C.
- Preferred bases for the reaction include n-butyl lithium, s-butyl lithium, lithium diisopropylamide, and t-butyl lithium. The most preferred base is n-butyl lithium.
- Preferred solvents for the reaction are ether solvents. Preferred solvents include diethyl ether, and tetrahydrofuran. The most preferred solvent is tetrahydrofuran.
- preferred solvents include ethereal solvents. More preferred ethereal solvents include diethyl ether, dibutyl ether and tetrahydrofuran. The most preferred ethereal solvent is tetrahydrofuran.
- the resulting alcohol can be isolated, but is generally oxidized as a crude isolate.
- the oxidation of benzylic alcohols to benzylic ketones is well known in the art.
- the preferred reagents to effect this reaction include KMnO 4 , MnO 2 , chromic acid, Jones' reagent, Collins' reagent, and PCC.
- the most preferred method is oxidation at room temperature in dichloromethane with PCC for about 4 hours.
- the ketones are isolated by column chromatography using 20% hexanes/ethyl acetate as solvent. The ester is then removed using standard conditions. See Greene and Wuts, Protecting Groups in Organic Synthesis, Wiley Interscience, NY pp. 224-276.
- the free acid is then treated with 2.1 equivalents of a strong nitrogen base to effect deprotonation both of the acid and adjacent to the benzylic ketone.
- bases include LDA.
- This enolate is reacted with a peroxidizing agent which has the effect of oxidizing the compound to deliver the alpha-hydroxy ketone.
- reagents include meta-chloroperoxybenzoic acid, dimethyl dioxirane, Davis' reagent and peracetic acid.
- the crude product may be isolated or the remaining protecting groups may be removed. At this point manipulation of the acid at C-1 may take place. For example, re-esterifying, making the amide, the hydroxamic acid or the sulfonamide using methods known to one of ordinary skill in the art may be performed to yield compounds according to Formula III.
- R 1 and Z are as defined above.
- the alkene S1b (from Scheme 1) is treated with an osmium salt and with an optional catalyst reoxidant, preferably N-methyl morpholine N-oxide (“NMO”), to give the diol.
- NMO N-methyl morpholine N-oxide
- This diol is isolated by extraction and purified by silica gel chromatography.
- the diol is then oxidized selectively to the alpha hydroxy aldehyde. This may be accomplished in several ways. For example, a selective oxidant such as DMSO-oxalyl chloride may be used.
- DMSO dimethylsulfoxide.
- the primary alcohol may be selectively protected, then the secondary alcohol protected, then the protection on the primary alcohol may then be removed and the alcohol oxidized as described above in Scheme II.
- the preferred method is the addition of a o-bromo-benzyl bromide protecting group, which can be removed with concomitant oxidation by tributyl tin hydride and like reagents. This technique yields compounds of the type S3a, wherein Q ⁇ H. From this step follows the condensation of the aldehyde with an amine to form an imine of the type S3b. Appropriate removal of protecting groups and manipulation of C-1L as stated above in Schemes I and II yields compounds of Formula V.
- the PGR's in Table 2 can be prepared by conventional organic syntheses.
- a preferred synthesis is reaction scheme 4 .
- the C 11 alcohol of methyl 7-(3-(R)-hydroxy-5-oxo-1-cyclopent-1-yl) heptanoate (S4a) is protected with a suitable protecting group.
- the most preferred protecting group is a silyl group.
- methyl 7-(3-(R)-hydroxy-5-oxo-1-cyclopent-1-yl) heptanoate (S4a) is reacted with a silylating agent and base in a solvent that will allow the silylation to proceed.
- Preferred silylating agents include tert-butyldimethylsilyl chloride and tert-butyldimethylsilyl trifluoromethanesulphonate.
- the most preferred silylating agent is tert-butyldimethylsilyl trifluoromethanesulphonate.
- Preferred bases include triethylamine, trimethylamine, and 2,6-lutidine. More preferred bases include triethylamine and 2,6-lutidine. The most preferred base is 2,6-lutidine.
- Preferred solvents include halogenated hydrocarbon solvents with dichloromethane being the most preferred solvent. The reaction is allowed to proceed at a temperature of preferably ⁇ 100° C. to 100° C., more preferably ⁇ 80° C. to 80° C., and most preferably ⁇ 70° C. to 23° C.
- the resulting silylated compound is isolated by methods known to those of ordinary skill in the art. Such methods include extraction, solvent evaporation, distillation, and crystallization. Preferably, the silyl ether is purified after isolation by distillation under vacuum.
- Preferred alkenyl bromides include 4-bromo-1-butene, 4-bromo-1-butyne, 4-bromo-2-methyl-1-butene, and 4-bromo-2-ethyl-1-butene.
- the most preferred alkenyl bromide is 4-bromo-1-butene.
- Preferred solvents include ethereal solvents, of which diethyl ether and tetrahydrofuran are preferred.
- the most preferred solvent is tetrahydrofuran.
- the Grignard reagent is allowed to form at a temperature of 100° C. to 23° C., more preferably 85° C. to 30° C., and most preferably 75° C. to 65° C.
- the reaction time is preferably 1 to 6 hours, more preferably 2 to 5 hours, and most preferably 3 to 4 hours.
- the cuprate is generated from the alkenyl magnesium species.
- the temperature range for cuprate formation is ⁇ 100° C. and 0° C.
- the preferred temperature range is ⁇ 80° C. to ⁇ 20° C., more preferably ⁇ 75° C. to ⁇ 50° C.
- the preferred reaction time is 30 minutes to 6 hours, more preferably 45 minutes to 3 hours, and most preferably 1 to 1.5 hours.
- the alkene thus formed is isolated by methods known to one of ordinary skill in the art. Such methods include, but are not limited to, extraction, solvent evaporation, distillation, and crystallization. Preferably, the alkene is purified by flash chromatography on silica gel (Merck, 230-400 mesh) using 10% EtOAc/hexanes as the eluent. The alkene is then reacted with a hydride reducing agent and a polar, protic solvent to give the C-9 alcohol.
- Preferred reducing agents include lithium aluminum hydride, sodium borohydride, and L-selectride. More preferred reducing agents include sodium borohydride, and L-selectride.
- the most preferred reducing agent is sodium borohydride.
- Preferred solvents include methanol, ethanol, and butanol.
- the most preferred solvent is methanol.
- the reduction is carried out at a temperature between ⁇ 100° C. and 23° C.
- the preferred temperature range is ⁇ 60° C. to 0° C.
- the most preferred temperature range is ⁇ 45° C. to ⁇ 20° C.
- the resulting alcohol is isolated by methods known to one of ordinary skill in the art. Such methods include, but are not limited to, extraction, solvent evaporation, distillation, and crystallization. Preferably, the alcohol is purified by flash chromatography on silica gel (Merck, 230-400 mesh) using 20% EtOAc/hexanes as the eluent.
- Preferred silylating agents in this case also include tert-butyldimethylsilyl chloride and tert-butyldimethylsilyl trifluoromethanesulfonate.
- the most preferred silylating agent is tert-butyldimethylsilyl trifluoromethanesulfonate.
- Preferred bases include triethylamine, trimethylamine, and 2,6-lutidine. More preferred bases include triethylamine and 2,6-lutidine. The most preferred base is 2,6-lutidine.
- Preferred solvents include halogenated hydrocarbon solvents with dichloromethane being the most preferred solvent. The reaction is allowed to proceed at a temperature of preferably ⁇ 100° C. to 100° C., more preferably ⁇ 80° C. to 80° C., and most preferably ⁇ 70° C. to 23° C.
- the resulting silylated compound is isolated by methods known to those of ordinary skill in the art. Such methods include, but are not limited to, extraction, solvent evaporation, distillation, and crystallization. Preferably, the silyl ether is purified after isolation by distillation under vacuum
- the protected or alcohol is then treated with a form of osmium, and sodium periodate in a solvent where they are both soluble.
- Preferred forms of osmium include osmium tetraoxide and potassium osmate.
- Preferred solvent systems include 1:1 mixtures of acetic acid and water and 1:1:2 mixtures of water, acetic acid and THF. The result of this treatment is the aldehyde, S4b.
- the compound S4b is isolated by methods known to one of ordinary skill in the art. Such methods include, but are not limited to, extraction, solvent evaporation, distillation, and crystallization. Preferably, S4b is purified by flash chromatography on silica gel (Merck, 230-400 mesh) using 20% EtOAc/hexanes as the eluent.
- the reaction is carried out preferably at ⁇ 80° C. to 0° C., more preferably ⁇ 80° C. to ⁇ 20° C., and most preferably ⁇ 80° C. to ⁇ 40° C.
- Preferred bases for the reaction include n-butyl lithium, s-butyl lithium, t-butyl lithium, and lithium diisopropyl amide (“LDA”).
- Preferred solvents for the reaction are ether solvents.
- Preferred solvents include diethyl ether, and tetrahydrofuran. The most preferred solvent is tetrahydrofuran.
- preferred solvents include ethereal solvents. More preferred ethereal solvents include diethyl ether, dibutyl ether and tetrahydrofuran. The most preferred ethereal solvent is tetrahydrofuran.
- Compounds depicted by Formula VII can be made directly from the C-9 and C-11-protected 13,14-dihydro-16-tetranor prostaglandin F 1 ⁇ derivatives depicted as S4c by methods known to one of ordinary skill in the art. For example, the condensation of methyl esters of S4c with amines or hydroxylamine provides compounds depicted by Formula VII. These compounds are isolated by methods known to one of ordinary skill in the art. Such methods include extraction, solvent evaporation, distillation, and crystallization.
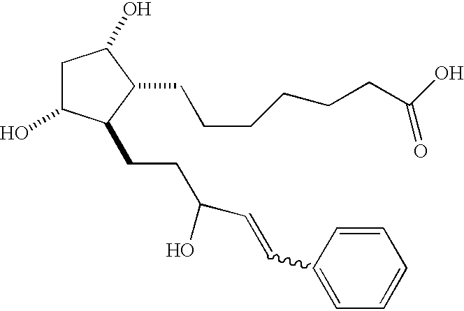
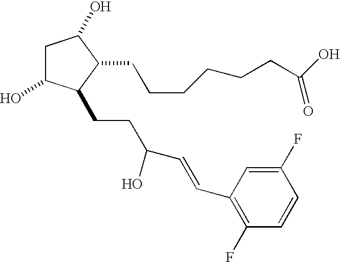
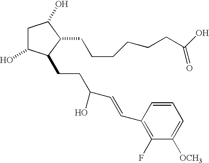
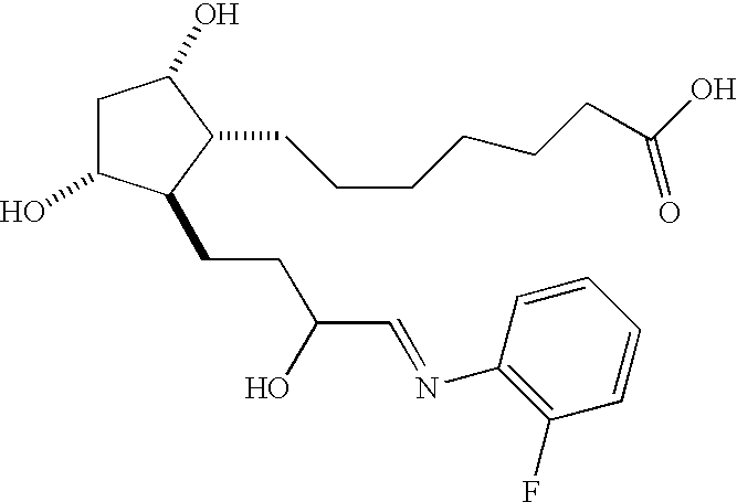
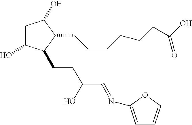
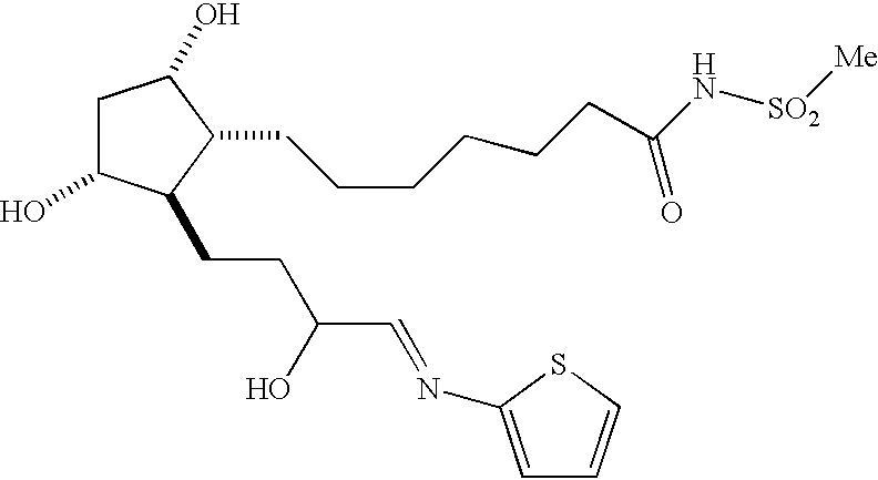
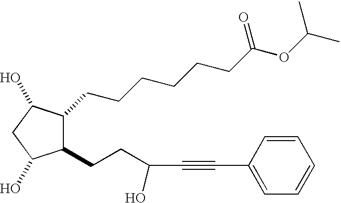
- [0098] which are suitable for component A) include: cloprostenol (estrumate), fluprostenol (equimate), tiaprost, alfaprostol, delprostenate, froxiprost, 9-alpha, 11-alpha, 15-alpha-trihydroxy-16-(3-chlorophenoxy)-omega-tetranor-prosta-4-cis-13-trans-dienoic acid, latanoprost and their analogs; and 13,14-dihydro-16-((3-trifluoromethyl)phenoxy)-16-tetranor prostaglandin F 1 ⁇ , 17-((3-trifluoromethyl)phenyl)-17-trinor-prostaglandin F 2 ⁇ and its analogs, 13,14-dihydro-18-thienyl-18-dinor prostaglandin F 1 ⁇ and their analogs.
- Preferred PGF's of the present invention are further selective for the FP receptor over an excitatory prostaglandin receptor in a ratio of 1:10, preferably from 1:20, more preferably from 1:50.
- This invention further relates to a composition for treating hair loss.
- Treating hair loss means arresting hair loss, reversing hair loss, or both, and promoting hair growth.
- the composition comprises component A) the PGF described above and component B) a carrier.
- the composition may further comprise component C) one or more optional activity enhancers.
- composition can be a pharmaceutical or cosmetic composition, administered for treatment or prophylaxis of hair loss.
- Standard pharmaceutical formulation techniques are used, such as those disclosed in Remington's Pharmaceutical Sciences, Mack Publishing Company, Easton, Pa (1990).
- the composition further comprises component B) a carrier.
- Carrier means one or more compatible substances that are suitable for administration to a mammal. Carrier includes solid or liquid diluents, hydrotopes, surface-active agents, and encapsulating substances.
- Cosmetic means that the components of the composition are capable of being commingled with the PGF's, and with each other, in a manner such that there is no interaction which would substantially reduce the efficacy of the composition under ordinary use situations. Carriers must be of sufficiently high purity and sufficiently low toxicity to render them suitable for administration to the mammal being treated. The carrier can be inert, or it can possess pharmaceutical benefits, cosmetic benefits, or both.
- composition B) depends on the route by which A) the PGF will be administered and the form of the composition.
- the composition may be in a variety of forms, suitable, for example, for systemic administration (e.g., oral, rectal, nasal, sublingual, buccal, or parenteral) or topical administration (e.g., local application on the skin, ocular, liposome delivery systems, or iontophoresis). Topical administration directly to the locus of desired hair growth is preferred.
- Carriers for systemic administration typically comprise one or more ingredients selected from the group consisting of a) diluents, b) lubricants, c) binders, d) disintegrants, e) colorants, f) flavors, g) sweeteners, h) antioxidants, j) preservatives, k) glidants, m) solvents, n) suspending agents, o) surfactants, combinations thereof, and others.
- Ingredient a) is a diluent.
- Suitable diluents include sugars such as glucose, lactose, dextrose, and sucrose; polyols such as propylene glycol; calcium carbonate; sodium carbonate; glycerin; mannitol; sorbitol; and maltodextrin.
- Ingredient b) is a lubricant.
- Suitable lubricants are exemplified by solid lubricants including silica, talc, stearic acid and its magnesium salts and calcium salts, calcium sulfate; and liquid lubricants such as polyethylene glycol and vegetable oils such as peanut oil, cottonseed oil, sesame oil, olive oil, corn oil and oil of theobroma.
- Ingredient c) is a binder.
- Suitable binders include polyvinylpyrrolidone; magnesium aluminum silicate; starches such as corn starch and potato starch; gelatin; tragacanth; and cellulose and its derivatives, such as sodium carboxymethylcellulose, ethylcellulose, methylcellulose, microcrystalline cellulose, and hydroxypropylmethylcellulose; carbomer; providone; acacia; guar gum; and xanthan gum.
- Ingredient d) is a disintegrant.
- Suitable disintegrants include agar, alginic acid and the sodium salt thereof, effervescent mixtures, croscarmelose, crospovidone, sodium carboxymethyl starch, sodium starch glycolate, clays, and ion exchange resins.
- Ingredient e) is a colorant such as an FD&C dye.
- Ingredient f) is a flavor such as menthol, peppermint, and fruit flavors.
- Ingredient g) is a sweetener such as saccharin and aspartame.
- Ingredient h) is an antioxidant such as butylated hydroxyanisole, butylated hydroxytoluene, and vitamin E.
- Ingredient j) is a preservative such as phenol, alkyl esters of parahydroxybenzoic acid, benzoic acid and the salts thereof, boric acid and the salts thereof, sorbic acid and the salts thereof, chorbutanol, benzyl alcohol, thimerosal, phenylmercuric acetate and nitrate, nitromersol, benzalkonium chloride, cetylpyridinium chloride, methyl paraben, and propyl paraben. Particularly preferred are the salts of benzoic acid, cetylpyridinium chloride, methyl paraben and propyl paraben, and sodium benzoate.
- phenol alkyl esters of parahydroxybenzoic acid
- benzoic acid and the salts thereof boric acid and the salts thereof
- sorbic acid and the salts thereof chorbutanol
- benzyl alcohol thimerosal
- phenylmercuric acetate and nitrate nitro
- Ingredient k) is a glidant such as silicon dioxide.
- Ingredient m) is a solvent, such as water, isotonic saline, ethyl oleate, alcohols such as ethanol, glycerin, glycols (e.g., polypropylene glycol and polyethylene glycol), and buffer solutions (e.g., phosphate, potassium acetate, boric carbonic, phosphoric, succinic, malic, tartaric, citric, acetic, benzoic, lactic, glyceric, gluconic, glutaric and glutamic).
- solvent such as water, isotonic saline, ethyl oleate, alcohols such as ethanol, glycerin, glycols (e.g., polypropylene glycol and polyethylene glycol), and buffer solutions (e.g., phosphate, potassium acetate, boric carbonic, phosphoric, succinic, malic, tartaric, citric, acetic, benzoic, lactic, glyceric
- Ingredient n) is a suspending agent.
- Suitable suspending agents include AVICEL® RC-591 from FMC Corporation of Philadelphia, Pa. and sodium alginate.
- Ingredient o) is a surfactant such as lecithin, polysorbate 80, sodium lauryl sulfate, polyoxyethylene sorbitan fatty acid esters, polyoxyethylene monoalkyl ethers, sucrose monoesters, lanolin esters, and lanolin ethers.
- Suitable surfactants are known in the art and commercially available, e.g., the TWEENS® from Atlas Powder Company of Wilmington, Del.
- compositions for parenteral administration typically comprise A) 0.1 to 10% of a PGF and B) 90 to 99.9% of a carrier comprising a) a diluent, and m) a solvent.
- a carrier comprising a) a diluent, and m) a solvent.
- component a) is propylene glycol and m) is ethanol Or ethyl oleate.
- compositions for oral administration can have various dosage forms.
- solid forms include tablets, capsules, granules, and bulk powders.
- These oral dosage forms comprise a safe and effective amount, usually at least 5%, and preferably from 25% to 50%, of A) the PGF.
- the oral dosage compositions further comprise B) 50 to 95% of a carrier, preferably 50 to 75%.
- Tablets can be compressed, tablet triturates, enteric-coated, sugar-coated, film-coated, or multiple-compressed. Tablets typically comprise A) the PGF, and B) a carrier comprising ingredients selected from the group consisting of a) diluents, b) lubricants, c) binders, d) disintegrants, e) colorants, f) flavors, g) sweeteners, k) glidants, and combinations thereof.
- Preferred diluents include calcium carbonate, sodium carbonate, mannitol, lactose and cellulose.
- Preferred binders include starch, gelatin, and sucrose.
- Preferred disintegrants include alginic acid, and croscarmelose.
- Preferred lubricants include magnesium stearate, stearic acid, and talc.
- Preferred colorants are the FD&C dyes, which can be added for appearance.
- Chewable tablets preferably contain g) sweeteners such as aspartame and saccharin, or f) flavors such as menthol, peppermint, and fruit flavors.
- Capsules typically comprise A) the PGF, and B) a carrier comprising one or more a) diluents disclosed above in a capsule comprising gelatin.
- Granules typically comprise A) the PGF, and preferably further comprise k) glidants such as silicon dioxide to improve flow characteristics.
- the solid compositions may also be coated by conventional methods, typically with pH or time-dependent coatings, such that A) the PGF is released in the gastrointestinal tract at various times to extend the desired action.
- the coatings typically comprise one or more components selected from the group consisting of cellulose acetate phthalate, polyvinylacetate phthalate, hydroxypropyl methyl cellulose phthalate, ethyl cellulose, acrylic resins such as EUDRAGIT® coatings (available from Rohm & Haas G.M.B.H.
- Dri-Klear manufactured by Crompton & Knowles Corp., Mahwah, N.J. or OPADRY® manufactured by Colorcon, Inc., of West Point, Pa.
- compositions for oral administration can also have liquid forms.
- suitable liquid forms include aqueous solutions, emulsions, suspensions, solutions reconstituted from non-effervescent granules, suspensions reconstituted from non-effervescent granules, effervescent preparations reconstituted from effervescent granules, elixirs, tinctures, syrups, and the like.
- Liquid orally administered compositions typically comprise A) the PGF and B) a carrier comprising ingredients selected from the group consisting of a) diluents, e) colorants, and f) flavors, g) sweeteners, j) preservatives, m) solvents, n) suspending agents, and o) surfactants.
- Peroral liquid compositions preferably comprise one or more ingredients selected from the group consisting of e) colorants, f) flavors, and g) sweeteners.
- compositions useful for attaining systemic delivery of the subject compounds include sublingual, buccal and nasal dosage forms.
- Such compositions typically comprise one or more of soluble filler substances such as a) diluents including sucrose, sorbitol and mannitol; and c) binders such as acacia, microcrystalline cellulose, carboxymethylcellulose, and hydroxypropylmethylcellulose.
- Such compositions may further comprise b) lubricants, e) colorants, f) flavors, g) sweeteners, h) antioxidants, and k) glidants.
- compositions may further comprise component C) an optional activity enhancer.
- Component C) is preferably selected from the group consisting of i) hair growth stimulants (other than the PGF) and ii) penetration enhancers.
- Component i) is an optional hair growth stimulant.
- Component i) is exemplified by vasodilators, antiandrogens, cyclosporins, cyclosporin analogs, antimicrobials, anti-inflammatories, thyroid hormones, thyroid hormone derivatives, and thyroid hormone analogs, non-selective prostaglandin agonists or antagonists, retinoids, triterpenes, combinations thereof, and others.
- “Non-selective prostaglandin” agonists and antagonists differ from component A) in that they do not selectively activate the FP receptor, and they may activate other receptors.
- Vasodilators such as potassium channel agonists including minoxidil and minoxidil derivatives such as aminexil and those described in U.S. Pat. Ser. Nos. 3,382,247, 5,756,092, 5,772,990, 5,760,043, 5,466,694, 5,438,058, 4,973,474, and cromakalin and diazoxide can be used as optional hair growth stimulants in the composition.
- Suitable antiandrogens include 5- ⁇ -reductase inhibitors such as finasteride and those described in U.S. Pat. No. 5,516,779, and in Nane et al., Cancer Research 58, “Effects of Some Novel Inhibitors of C17,20-Lyase and 5 ⁇ -Reductase in vitro and in vivo and Their Potential Role in the Treatment of Prostate Cancer,” as well as cyproterone acetate, azelaic acid and its derivatives and those compounds described in U.S. Pat. No. 5,480,913, flutamide, and those compounds described in U.S. Pat. Ser. Nos. 5,411,981, 5,565,467, and 4,910,226.
- 5- ⁇ -reductase inhibitors such as finasteride and those described in U.S. Pat. No. 5,516,779, and in Nane et al., Cancer Research 58, “Effects of Some Novel Inhibitors of C17
- Antimicrobials include selenium sulfide, ketoconazole, triclocarbon, triclosan, zinc pyrithione, itraconazole, asiatic acid, hinokitiol, mipirocin and those described in EPA 0,680,745, clinacycin hydrochloride, benzoyl peroxide, benzyl peroxide and minocyclin.
- glucocorticoids such as hydrocortisone, mometasone furoate and prednisolone
- nonsteroidal anti-inflammatories including cyclooxygenase or lipoxygenase inhibitors such as those described in U.S. Pat. Ser. No. 5,756,092, and benzydamine, salicylic acid, and those compounds described in EPA 0,770,399, published May 2, 1997, WO 94/06434, published Mar. 31, 1994, and FR 2,268,523, published Nov. 21, 1975.
- 3,5,3′-Triiodothyronine is an example of a suitable thyroid hormone.
- Suitable non-selective prostaglandins agonists and antagonists include compounds such as those described in WO 98/33497, Johnstone, published Aug. 6, 1998, WO 95/11003, Stjernschantz, published Apr. 27, 1995, JP 97-100091, Ueno and JP 96-134242, Nakamura.
- Suitable retinoids include isotretinoin, acitretin, and tazarotene.
- Other optional hair growth stimulants for component i) include benzalkonium chloride, benzethonium chloride, phenol, estradiol, chlorpheniramine maleate, chlorophyllin derivatives, cholesterol, salicylic acid, cysteine, methionine, red pepper tincture, benzyl nicotinate, D,L—menthol, peppermint oil, calcium pantothenate, panthenol, castor oil, prednisolone, resorcinol, chemical activators of protein kinase C, glycosaminoglycan chain cellular uptake inhibitors, inhibitors of glycosidase activity, glycosaminoglycanase inhibitors, esters of pyroglutarylic acid, hexosaccharic acids or acylated hexosaccharic acids, aryl-substituted ethylenes, N-acylated amino acids, flavinoids, ascomycin derivatives and analogs, his
- estrogen agonists and antagonists include estrogen agonists and antagonists, pseudoterins, cytokine and growth factor promoters, analogs or inhibitors such as interleukin1 inhibitors, interleukin-6 inhibitors, interleukin-10 promoters, and tumor necrosis factor inhibitors, vitamins such as vitamin D analogs and parathyroid hormone antagonists, Vitamin B 12 analogs and panthenol, interferon agonists and antagonists, hydroxyacids such as those described in U.S. Pat. No. 5,550,158, benzophenones, and hydantoin anticonvulsants such as phenytoin, and combinations thereof.
- the most preferred activity enhancers are minoxidil and finasteride, most preferably minoxidil.
- Component ii) is a penetration enhancer that can be added to all of the compositions for systemic administration.
- the amount of component ii), when present in the composition, is typically 1 to 5%.
- penetration enhancers include 2-methyl propan-2-ol, propan-2-ol, ethyl-2-hydroxypropanoate, hexan-2,5-diol, polyoxyethylene(2) ethyl ether, di(2-hydroxypropyl) ether, pentan-2,4-diol, acetone, polyoxyethylene(2) methyl ether, 2-hydroxypropionic acid, 2-hydroxyoctanoic acid, propan-1-ol, 1,4-dioxane, tetrahydrofuran, butan-1,4-diol, propylene glycol dipelargonate, polyoxypropylene 15 stearyl ether, octyl alcohol, polyoxyethylene ester of oleyl alcohol, oleyl alcohol, lau
- Topical compositions that can be applied locally to the skin may be in any form including solutions, oils, creams, ointments, gels, lotions, shampoos, leave-on and rinse-out hair conditioners, milks, cleansers, moisturizers, sprays, skin patches, and the like.
- Topical compositions comprise: component A) the PGF described above and component B) a carrier.
- the carrier of the topical composition preferably aids penetration of the PGF's into the skin to reach the environment of the hair follicle.
- Topical compositions preferably further comprise C) one or more of the optional activity enhancers described above.
- each component in the topical composition depends on various factors.
- the amount of component A) depends on the IC 50 of the PGF selected. “IC 50 ” means inhibitory concentration 50 th percentile.
- the amount of component A) added to the topical composition is:
- IC 50 is expressed in nanomolar units. For example, if the IC 50 of the PGF is 1 nM, the amount of component A) will be 0.001 to 0.01%. If the IC 50 of the PGF is 10 nM, the amount of component A) will be 0.01 to 0.1%. If the IC 50 of the PGF is 100 nM, the amount of component A) will be 0.1 to 1.0%. If the IC 50 of the PGF is 1000 nM, the amount of component A) will be 1.0 to 10%, preferably 1.0 to 5%. If the amount of component A) is outside the ranges specified above (i.e., either higher or lower), efficacy of the treatment may be reduced. IC 50 can be calculated according to the method in Reference Example 1, below. One skilled in the art can calculate IC 50 without undue experimentation.
- the topical composition preferably further comprises 1 to 20% component C), and a sufficient amount of component B) such that the amounts of components A), B), and C), combined equal 100%.
- the amount of B) the carrier employed in conjunction with the PGF is sufficient to provide a practical quantity of composition for administration per unit dose of the compound.
- Component B) the carrier may comprise a single ingredient or a combination of two or more ingredients.
- component B) is a topical carrier.
- Preferred topical carriers comprise one or more ingredients selected from the group consisting of water, alcohols, aloe vera gel, allantoin, glycerin, vitamin A and E oils, mineral oil, propylene glycol, polypropylene glycol-2 myristyl propionate, dimethyl isosorbide, combinations thereof, and the like. More preferred carriers include propylene glycol, dimethyl isosorbide, and water.
- the topical carrier may comprise one or more ingredients selected from the group consisting of q) emollients, r) propellants, s) solvents, t) humectants, u) thickeners, v) powders, and w) fragrances in addition to, or instead of, the preferred topical carrier ingredients listed above.
- q) emollients r) propellants
- solvents s) solvents
- t) humectants u) thickeners
- v) powders v) powders
- fragrances in addition to, or instead of, the preferred topical carrier ingredients listed above.
- One skilled in the art would be able to optimize carrier ingredients for the topical compositions without undue experimentation.
- Ingredient q) is an emollient.
- the amount of ingredient q) in the topical composition is typically 5 to 95%.
- Suitable emollients include stearyl alcohol, glyceryl monoricinoleate, glyceryl monostearate, propane-1,2-diol, butane-1,3-diol, mink oil, cetyl alcohol, isopropyl isostearate, stearic acid, isobutyl palmitate, isocetyl stearate, oleyl alcohol, isopropyl laurate, hexyl laurate, decyl oleate, octadecan-2-ol, isocetyl alcohol, cetyl palmitate, di-n-butyl sebacate, isopropyl myristate, isopropyl palmitate, isopropyl stearate, butyl stearate, polyethylene glycol, triethylene glycol, lanolin,
- Ingredient r) is a propellant.
- the amount of ingredient r) in the topical composition is typically 5 to 95%.
- Suitable propellants include propane, butane, isobutane, dimethyl ether, carbon dioxide, nitrous oxide, and combinations thereof.
- Ingredient s) is a solvent.
- the amount of ingredient s) in the topical composition is typically 5 to 95%.
- suitable solvents include water, ethyl alcohol, methylene chloride, isopropanol, castor oil, ethylene glycol monoethyl ether, diethylene glycol monobutyl ether, diethylene glycol monoethyl ether, dimethylsulfoxide, dimethyl formamide, tetrahydrofuran, and combinations thereof.
- Preferred solvents include ethyl alcohol.
- Ingredient t) is a humectant.
- the amount of ingredient t) in the topical composition is typically 5 to 95%.
- Suitable humectants include glycerin, sorbitol, sodium 2-pyrrolidone-5-carboxylate, soluble collagen, dibutyl phthalate, gelatin, and combinations thereof.
- Preferred humectants include glycerin.
- Ingredient u) is a thickener.
- the amount of ingredient u) in the topical composition is typically 0 to 95%.
- Ingredient v) is a powder.
- the amount of ingredient v) in the topical composition is typically 0 to 95%.
- Suitable powders include chalk, talc, fullers earth, kaolin, starch, gums, colloidal silicon dioxide, sodium polyacrylate, tetra alkyl ammonium smectites, trialkyl aryl ammonium smectites, chemically modified magnesium aluminum silicate, organically modified montmorillonite clay, hydrated aluminum silicate, fumed silica, carboxyvinyl polymer, sodium carboxymethyl cellulose, ethylene glycol monostearate, and combinations thereof.
- Ingredient w) is a fragrance.
- the amount of ingredient w) in the topical composition is typically 0.001 to 0.5%, preferably 0.001 to 0.1%.
- Component C) the optional activity enhancer is as described above. Any of the i) hair growth stimulants and ii) penetration enhancers may be added to the topical compositions.
- the topical composition comprises 0.01 to 15% of component i) the optional hair growth stimulant. More preferably, the composition comprises 0.1 to 10%, and most preferably 0.5 to 5% of component i). Preferably, the topical composition comprises 1 to 5% of component ii).
- Topical pharmaceutical compositions for ocular administration are prepared by conventional methods.
- Topical pharmaceutical compositions for ocular administration typically comprise A) a PGF, B) a carrier, such as purified water, and one or more ingredients selected from the group consisting of y) sugars such as dextrans, particularly dextran 70, z) cellulose or a derivative thereof, aa) a salt, bb) disodium EDTA (Edetate disodium), and cc) a pH adjusting additive.
- Examples of z) cellulose derivatives suitable for use in the topical pharmaceutical composition for ocular administration include sodium carboxymethyl cellulose, ethyl cellulose, methyl cellulose, and hydroxypropylmethylcellulose. Hydroxypropylmethylcellulose is preferred.
- Examples of aa) salts suitable for use in the for use in the topical pharmaceutical composition for ocular administration include sodium chloride, potassium chloride, and combinations thereof.
- pH adjusting additives include HCl or NaOH in amounts sufficient to adjust the pH of the topical pharmaceutical composition for ocular administration to 7.2-7.5.
- This invention further relates to a method for darkening hair, thickening hair, and reversing hair graying.
- the method comprises applying the topical composition for treating hair loss to hair, to skin in the locus of hair, or both.
- the topical composition may be applied to hair growing on the scalp or eyelashes.
- the topical composition can be, for example, a cosmetic composition prepared as described above.
- An example of a composition that may be applied to eyelashes is a mascara.
- the PGF may be added to mascara compositions known in the art, such as the mascara described in U.S. Pat. No. 5,874,072, which is hereby incorporated by reference.
- the mascara further comprises dd) a water-insoluble material, ee) a water-soluble, film-forming polymer, ff) a wax, o) a surfactant, gg) a pigment, and s) a solvent.
- Ingredient dd) is a water-insoluble material selected from the group consisting of acrylate copolymers; styrene/acrylate/methacrylate copolymers; acrylic latex; styrene/acrylic ester copolymer latex; polyvinylacetate latex; vinyl acetate/ethylene copolymer latex; styrene/butadiene copolymer latex; polyurethane latex; butadiene/acrylonitrile copolymer latex; styrene/acrylate/acrylonitrile copolymer latex; and mixtures thereof, wherein the acrylate copolymers, and the styrene/acrylate/methacrylate copolymers additionally comprise ammonia, propylene glycol, a preservative and a surfactant.
- acrylate copolymers and the styrene/acrylate/methacrylate copolymers additionally comprise ammonia, propylene glycol,
- Ingredient ee) is a water-soluble, film-forming polymer.
- Ingredient ee) is selected from the group consisting of vinyl alcohol/poly(alkyleneoxy)acrylate, vinyl alcohol/vinyl acetate/poly-(alkyleneoxy)acrylate, polyethylene oxide, polypropylene oxide, acrylates/octyl-acrylamide copolymers and mixtures thereof.
- Ingredient ff) is a wax.
- “Wax” means a lower-melting organic mixture or compound of high molecular weight, solid at room temperature and generally similar in composition to fats and oils except that they contain no glycerides. Some are hydrocarbons, others are esters of fatty acids and alcohols. Waxes useful in this invention are selected from the group consisting of animal waxes, vegetable waxes, mineral waxes, various fractions of natural waxes, synthetic waxes, petroleum waxes, ethylenic polymers, hydrocarbon types such as Fischer-Tropsch waxes, silicone waxes, and mixtures thereof wherein the waxes have a melting point between 55 and 100° C.
- Ingredient o) is surfactant, as described above.
- Ingredient o) in the mascara is preferably a surfactant having an HLB from 3 to 15.
- Suitable surfactants include those disclosed in the C.T.F.A. Cosmetic Ingredient Handbook, pp. 587-592 (1992); Remington's Pharmaceutical Sciences, 15 th ed., pp. 335-337 (1975); and McCutcheon's Volume 1, Emulsifiers & Detergents, North American Edition, pp. 236-239 (1994).
- Ingredient gg) is a pigment.
- Suitable pigments include inorganic pigments, organic lake pigments, pearlescent pigments, and mixtures thereof.
- Inorganic pigments useful in this invention include those selected from the group consisting of rutile or anatase titanium dioxide, coded in the Color Index under the reference CI 77,891; black, yellow, red and brown iron oxides, coded under references CI 77,499, 77,492 and, 77,491; manganese violet (CI 77,742); ultramarine blue (CI 77,007); chromium oxide (CI 77,288); chromium hydrate (CI 77,289); and ferric blue (CI 77,510); and mixtures thereof.
- the organic pigments and lakes useful in this invention include those selected from the group consisting of D&C Red No. 19 (CI 45,170), D&C Red No. 9 (CI 15,585), D&C Red No. 21 (CI 45,380), D&C Orange No. 4 (CI 15,510), D&C Orange No. 5 (CI 45,370), D&C Red No. 27 (CI 45,410), D&C Red No. 13 (CI 15,630), D&C Red No. 7 (CI 15,850), D&C Red No. 6 (CI 15,850), D&C Yellow No. 5 (CI 19,140), D&C Red No. 36 (CI 12,085), D&C Orange No. 10 (CI 45,425), D&C Yellow No. 6 (CI 15,985), D&C Red No. 30 (CI 73,360), D&C Red No. 3 (CI 45,430:), and the dye or lakes based on Cochineal Carmine (CI 75,570), and mixtures thereof.
- D&C Red No. 19 CI 45,170
- the pearlescent pigments useful in this invention include those selected from the group consisting of the white pearlescent pigments such as mica coated with titanium oxide, bismuth oxychloride, colored pearlescent pigments such as titanium mica with iron oxides, titanium mica with ferric blue, chromium oxide and the like, titanium mica with an organic pigment of the above-mentioned type as well as those based on bismuth oxychloride and mixtures thereof.
- Ingredient s) is a solvent described above, preferably water.
- the PGF's may also be administered in the form of liposome delivery systems, such as small unilamellar vesicles, large unilamellar vesicles, and multilamellar vesicles.
- Liposomes can be formed from a variety of phospholipids, such as cholesterol, stearylamine or phosphatidylcholines.
- a preferred formulation for topical delivery of the present compounds uses liposomes as described in Dowton et al., “Influence of Liposomal Composition on Topical Delivery of Encapsulated Cyclosporin A: I. An in vitro Study Using Hairless Mouse Skin”, S.T.P. Pharma Sciences, Vol. 3, pp.
- the PGF's may also be administered by iontophoresis. See, e.g., Internet site www.unipr.it/arpa/dipfarm/erasmus/erasm14.html; Banga et al., “Hydrogel-based Iontotherapeutic Delivery Devices for Transdermal Delivery of Peptide/Protein Drugs”, Pharm. Res., Vol. 10 (5), pp. 697-702 (1993); Ferry, “Theoretical Model of Iontophoresis Utilized in Transdermal Drug Delivery”, Pharmaceutical Acta Helvetiae, Vol 70, pp.
- kits comprising a PGF, a systemic or topical composition described above, or both; and information, instructions, or both that use of the kit will provide treatment for hair loss in mammals (particularly humans).
- the information and instructions may be in the form of words, pictures, or both, and the like.
- the kit may comprise a PGF, a composition, or both; and information, instructions, or both, regarding methods of application of the PGF or composition, preferably with the benefit of treating hair loss in mammals.
- This invention further relates to a method for treating hair loss in mammals.
- the method comprises administering to a mammal (preferably a human) suffering from hair loss, a PGF described above.
- a mammal diagnosed with alopecia including male pattern baldness and female pattern baldness can be treated by the methods of this invention.
- a systemic or topical composition comprising A) the PGF and B) a carrier is administered to the mammal. More preferably, the composition is a topical composition comprising A) the PGF, B) the carrier, and C) an optional activity enhancer.
- the dosage of the PGF administered depends on the method of administration.
- systemic administration e.g., oral, rectal, nasal, sublingual, buccal, or parenteral
- These dosage ranges are merely exemplary, and daily administration can be adjusted depending on various factors.
- the specific dosage of the PGF to be administered, as well as the duration of treatment, and whether the treatment is topical or systemic are interdependent.
- the dosage and treatment regimen will also depend upon such factors as the specific PGF used, the treatment indication, the efficacy of the compound, the personal attributes of the subject (such as, for example, weight, age, sex, and medical condition of the subject), compliance with the treatment regimen, and the presence and severity of any side effects of the treatment.
- topical composition For topical administration (e.g., local application on the skin, ocular, liposome delivery systems, or iontophoresis), the topical composition is typically administered once per day.
- the topical compositions are administered daily for a relatively short amount of time (i.e., on the order of weeks). Generally, 6 to 12 weeks is sufficient.
- the topical compositions are preferably leave-on compositions. In general, the topical composition should not be removed for at least several hours after administration.
- the inventors have surprisingly found that the PGF's in the compositions and methods of this invention also darken and thicken hair and may reverse hair graying.
- This invention further relates to a method for darkening and thickening hair.
- the method comprises applying the topical composition for treating hair loss to growing hair and skin in the locus of the growing hair.
- the topical composition such as the mascara composition described above, is applied to eyelashes.
- IC 50 of a PGF can be determined relative to PGF 2 ⁇ using the Radioligand Binding Assay.
- the IC 50 for PGF 2 ⁇ itself should be no lower than 1.0 nM and no higher than 5.0 nM.
- COS-7 cells are transiently transfected with the hFP recombinant plasmid using LipofectAMINE Reagent. Forty-eight hours later, the tranfected cells are washed with Hank's Balanced Salt Solution (HBSS, without CaCl 2 , MgCl 2 , MgSO 4 , or phenol red). The cells are detached with versene, and HBSS is added. The mixture is centrifuged at 200 g for 10 minutes, at 4° C. to pellet the cells. The pellet is resuspended in Phosphate-Buffered Saline-EDTA buffer (PBS; 1 mM EDTA; pH 7.4; 4° C.).
- PBS Phosphate-Buffered Saline-EDTA buffer
- the cells are disrupted by nitrogen cavitation (Parr model 4639), at 800 psi, for 15 minutes at 4° C.
- the mixture is centrifuged at 1000 g for 10 minutes at 4° C.
- the supernatant is centrifuged at 100,000 g for 60 minutes at 4° C.
- the pellet is resuspended to 1 mg protein/mL TME buffer (50 mM Tris; 10 mM MgCl 2 ; 1 mM EDTA; pH 6.0; 4° C.) based on protein levels measured using the Pierce BCA Protein Assay kit.
- the homogenate is mixed for 10 seconds using a Kinematica POLYTRON® (available from KINEMATICA AG, Luzernerstrasse147A CH-6014 Littau, Switzerland).
- the membrane preparations are then stored at ⁇ 80° C., until thawed for assay use.
- the receptor competition binding assays are developed in a 96 well format. Each well contains 100 g of hFP membrane, 5 nM (3 H) FPGF2, and the various competing compounds in a total volume of 200 L. The plates are incubated at 23° C. for 1 hour. The incubation is terminated by rapid filtration using the Packard Filtermate 196 harvester through Packard UNIFILTER® GF/B filters (available from Packard Instrument Co., Inc. of Downers Grove Ill.) pre-wetted with TME buffer. The filter is washed four times with TME buffer. Packard Microscint 20, a high efficiency liquid scintillation cocktail, is added to the filter plate wells and the plates remain at room temperature for three hours prior to counting. The plates are read on a Packard TOPCOUNT® Microplate Scintillation Counter (also available from Packard Instrument Co., Inc.)
- PGF's are tested for their potential to grow hair using the Telogen Conversion Assay.
- the Telogen Conversion Assay measures the potential of a PGF to convert mice in the resting stage of the hair growth cycle (“telogen”), to the growth stage of the hair growth cycle (“anagen”).
- telogen there are three principal phases of the hair growth cycle: anagen, catagen, and telogen. It is believed that there is a longer telogen period in C3H mice (Harlan Sprague Dawley, Inc., Indianapolis, Ind.) from approximately 40 days of age until about 75 days of age, when hair growth is synchronized. It is believed that after 75 days of age, hair growth is no longer synchronized. Wherein about 40 day-old mice with dark fur (brown or black) are used in hair growth experiments, melanogenesis occurs along with hair (fur) growth wherein the topical application of hair growth inducers are evaluated.
- the Telogen Conversion Assay herein is used to screen PGF's for potential hair growth by measuring melanogenesis.
- mice Three groups of 44 day-old C3H mice are used: a vehicle control group, a positive control group, and a test PGF group, wherein the test PGF group is administered a PGF used in the method of this invention.
- the length of the assay is 24 days with 15 treatment days (wherein the treatment days occur Mondays through Fridays). Day 1 is the first day of treatment.
- a typical study design is shown in Table 3 below. Typical dosage concentrations are set forth in Table 3, however the skilled artisan will readily understand that such concentrations may be modified.
- mice are treated topically Monday through Friday on their lower back (base of tail to the lower rib).
- a pipettor and tip are used to deliver 400 ⁇ L to each mouse's back.
- the 400 ⁇ L application is applied slowly while moving hair on the mouse to allow the application to reach the skin.
- Latanoprost having the structure:
- a composition containing 0.01% of a T3 compound was prepared and tested according to the method of Reference Example 1. The T3 compound grew hair.
- compositions for topical administration comprising: Component 3-1 3-2 3-3 PGF (wt %) 0.019 0.027 0.045 IC 50 the PGF (nM) 19 27 45 Ethanol (wt %) 59.988 59.983 59.973 Propylene Glycol (wt %) 19.996 19.995 19.991 Dimethyl Isosorbide (wt %) 19.996 19.995 19.991
- the PGFs in the compositions are as follows: Sample PGF 3-1 3-2 3-3
- a human male subject suffering from male pattern baldness is treated by a method of this invention. Specifically, for 6 weeks, one of the above compositions is daily administered topically to the subject to induce hair growth.
- a composition for topical administration is made according to the method of Dowton et al., “Influence of Liposomal Composition on Topical Delivery of Encapsulated Cyclosporin A: I. An in vitro Study Using Hairless Mouse Skin”, S.T.P. Pharma Sciences, Vol. 3, pp. 404-407 (1993), using a PGF in lieu of cyclosporin A and using the NOVASOME® 1 (available from Micro-Pak, Inc. of Wilmington, Delaware) for the non-ionic liposomal formulation.
- a human male subject suffering from male pattern baldness is treated each day with the above composition. Specifically, for 6 weeks, the above composition is administered topically to the subject.
- the PGF having IC 50 of 19 nM is the same as that in Example 3-1.
- the PGF having IC 50 of 45 nM is the same as that in Example 3-3.
- a human subject suffering from male pattern baldness is treated by a method of this invention. Specifically, for 12 weeks, a shampoo described above is used daily by the subject.
- a mascara composition is prepared.
- the composition comprises: Component % W/W WATER, DEIONIZED, USP q.s. BLACK 1080 MICRONIZED TYPE 10.000 GLYCERYL MONOSTEARATE (2400 TYPE) 8.500 C18-36 ACID TRIGLYCERIDE 5.500 STEARIC ACID, TRIPLE PRESSED, LIQUID 4.000 ETHYL ALCOHOL SD 40-B, 190 PROOF/SERIAL #: 4.000 BEESWAX WHITE, FLAKES 3.250 SHELLAC, NF 3.000 LECITHIN, GRANULAR (TYPE 6450) 2.500 TRIETHANOLAMINE 99% - TANK 2.470 PARAFFIN WAX 2.250 PARAFFIN WAX 118/125 2.250 CARNAUBA WAX, NF 2.000 POTASSIUM CETYL PHOSPHATE 1.000 PHENOXYETHANOL 0.800 OLEIC ACID NF 0.750 DL-PANTHENOL 0.350 PVP/VA CO
- the PGF is the same as that used in Example 3-1.
- a human female subject applies the composition each day. Specifically, for 6 weeks, the above composition is administered topically to the subject to darken and thicken eyelashes.
- compositions in the form of tablets are prepared by conventional methods, such as mixing and direct compaction, formulated as follows: Ingredient Quantity (mg per tablet) PGF 0.5 Microcrystalline Cellulose 100 Sodium Starch Glycollate 30 Magnesium Stearate 3
- the PGF is the same as that used in Example 3-3.
- composition is administered orally to a subject once daily for 6 to 12 weeks to promote hair growth.
- compositions in liquid form are prepared by conventional methods, formulated as follows: Ingredient Quantity PGF 0.1 mg Phosphate buffered physiological saline 10 ml Methyl Paraben 0.05 ml
- the PGF is the same as that used in Example 3-3.
- a topical pharmaceutical composition is prepared by conventional methods and formulated as follows: Ingredient Amount (wt %) PGF 0.004 Dextran 70 0.1 Hydroxypropyl methylcellulose 0.3 Sodium Chloride 0.77 Potassium chloride 0.12 Disodium EDTA (Edetate disodium) 0.05 Benzalkonium chloride 0.01 HCL and/or NaOH pH 7.2-7.5 Purified water q.s. to 100%
- the PGF is the same as that used in Example 3-3.
- composition is administered ocularly to a subject once per day for 6 to 12 weeks to promote eyelash growth.
- compositions and methods herein provide a cosmetic benefit with respect to hair growth and appearance in subjects desiring such treatment.
Landscapes
- Health & Medical Sciences (AREA)
- Life Sciences & Earth Sciences (AREA)
- General Health & Medical Sciences (AREA)
- Veterinary Medicine (AREA)
- Public Health (AREA)
- Animal Behavior & Ethology (AREA)
- Epidemiology (AREA)
- Chemical & Material Sciences (AREA)
- Medicinal Chemistry (AREA)
- Pharmacology & Pharmacy (AREA)
- Birds (AREA)
- Emergency Medicine (AREA)
- Dermatology (AREA)
- Organic Chemistry (AREA)
- Nuclear Medicine, Radiotherapy & Molecular Imaging (AREA)
- Engineering & Computer Science (AREA)
- General Chemical & Material Sciences (AREA)
- Chemical Kinetics & Catalysis (AREA)
- Bioinformatics & Cheminformatics (AREA)
- Pharmaceuticals Containing Other Organic And Inorganic Compounds (AREA)
- Cosmetics (AREA)
- Medicinal Preparation (AREA)
- Medicines That Contain Protein Lipid Enzymes And Other Medicines (AREA)
Abstract
Description
- This invention relates to compositions and methods for treating hair loss in mammals. More particularly, this invention relates to compositions and methods for arresting or reversing hair loss, or both, and promoting hair growth.
- Hair loss is a common problem which is, for example, naturally occurring or chemically promoted through the use of certain therapeutic drugs designed to alleviate conditions such as cancer. Often such hair loss is accompanied by lack of hair re-growth which causes partial or full baldness.
- Hair growth on the scalp does not occur continuously, but rather occurs by a cycle of activity involving alternating periods of growth and rest. This cycle is divided into three main stages; anagen, catagen, and telogen. Anagen is the growth phase of the cycle and is characterized by penetration of the hair follicle deep into the dermis with rapid proliferation of cells which are differentiating to form hair. The next phase is catagen, which is a transitional stage marked by the cessation of cell division, and during which the hair follicle regresses through the dermis and hair growth ceases. The next phase, telogen, is characterized as the resting stage during which the regressed follicle contains a germ with tightly packed dermal papilla cells. At telogen, the initiation of a new anagen phase is caused by rapid cell proliferation in the germ, expansion of the dermal papilla, and elaboration of basement membrane components. When hair growth ceases, most of the hair follicles reside in telogen and anagen is not engaged, thus causing the onset of full or partial baldness.
- Attempts to invoke the re-growth of hair have been made by, for example, the promotion or prolongation of anagen. Currently, there are two drugs approved by the United States Food and Drug Administration for the treatment of male pattern baldness: topical minoxidil (marketed as ROGAINE® by Pharmacia & Upjohn), and oral finasteride (marketed as PROPECIA® by Merck & Co., Inc.). However, the search for efficacious hair growth inducers is ongoing due to factors including safety concerns and limited efficacy.
- The thyroid hormone thyroxine (“T4”) converts to thyronine (“T3”) in human skin by deiodinase I, a selenoprotein. Selenium deficiency causes a decrease in T3 levels due to a decrease in deiodinase I activity; this reduction in T3 levels is strongly associated with hair loss. Consistent with this observation, hair growth is a reported side effect of administration of T4. See, e.g., Berman, “Peripheral Effects of L-Thyroxine on Hair Growth and Coloration in Cattle”, Journal of Endocrinology, Vol. 20, pp. 282-292 (1960); and Gunaratnam, “The Effects of Thyroxine on Hair Growth in the Dog”, J. Small Anim. Pract., Vol. 27, pp. 17-29 (1986). Furthermore, T3 and T4 have been the subject of several patent publications relating to treatment of hair loss. See, e.g., Fischer et al., DE 1,617,477, published Jan. 8, 1970; Mortimer, GB 2,138,286, published Oct. 24, 1984; and Lindenbaum, WO 96/25943, assigned to Life Medical Sciences, Inc., published Aug. 29, 1996.
- Unfortunately, however, administration of T3 or T4, or both, to treat hair loss is often not practicable because these thyroid hormones can induce significant cardiotoxicity. See, e.g., Walker et al., U.S. Pat. No. 5,284,971, assigned to Syntex, issued Feb. 8, 1994 and Emmett et al., U.S. Pat. No. 5,061,798, assigned to Smith Kline & French Laboratories, issued Oct. 29, 1991.
- In an alternative approach, prostaglandins have been proposed to promote hair growth because prostaglandins may have a similar benefit to thyroid hormones, i.e., increasing hair length and changing pigmentation. Naturally occurring prostaglandins (e.g., PGA 2, PGB2, PGE1, PGF2α, and PGI2) are C-20 unsaturated fatty acids. PGF2α, the naturally occurring Prostaglandin F analog in humans, is characterized by hydroxyl groups at the C9 and C11 positions on the alicyclic ring, a cis-double bond between C5 and C6, and a trans-double bond between C13 and C14. PGF2α has the formula:
- Analogs of naturally occurring Prostaglandin F are known in the art. For example, see U.S. Pat. No. 4,024,179 issued to Bindra and Johnson on May 17, 1977; German Patent No. DT-002,460,990 issued to Beck, Lerch, Seeger, and Teufel published on Jul. 1, 1976; U.S. Pat. Ser. No.4,128,720 issued to Hayashi, Kori, and Miyake on Dec. 5, 1978; U.S. Pat. No. 4,011,262 issued to Hess, Johnson, Bindra, and Schaaf on Mar. 8, 1977; U.S. Pat. No. 3,776,938 issued to Bergstrom and Sjovall on Dec. 4, 1973; P. W. Collins and S. W. Djuric, “Synthesis of Therapeutically Useful Prostaglandin and Prostacyclin Analogs”, Chem. Rev., Vol. 93, pp. 1533-1564 (1993); G. L. Bundy and F. H. Lincoln, “Synthesis of 17-Phenyl-18,19,20-Trinorprostaglandins: I. The PG1 Series”, Prostaglandin, Vol, 9 No. 1, pp. 1-4 (1975); W. Bartman, G. Beck, U. Lerch, H. Teufel, and B. Scholkens, “Luteolytic Prostaglandin: Synthesis and Biological Activity”, Prostaglandin, Vol. 17 No. 2, pp. 301-311 (1979); C. Iiljebris, G. Selen, B. Resul, J. Sternschantz, and U. Hacksell, “Derivatives of 17-Phenyl-18, 19,20-trinorprostaglandin F2α. Isopropyl Ester: Potential Antiglaucoma Agents”, Journal of Medicinal Chemistry, Vol. 38, No. 2, pp. 289-304 (1995).
- Prostaglandins in general have a wide range of biological activities. For example, PGE 2 has the following properties: a) regulator of cell proliferation, b) regulator of cytokine synthesis, c) regulator of immune responses and d) inducer of vasodilatation. Vasodilatation is thought to be one of the mechanisms of how minoxidil provides a hair growth benefit. In vitro results in the literature also indicate some anti-inflammatory properties of the prostaglandins. c. f.; Tanaka, H. Br J. Pharm. 116, 2298, (1995).
- However, previous attempts at using prostaglandins to promote hair growth have been unsuccessful. Different prostaglandin analogs can bind to multiple receptors at various concentrations with a biphasic effect. Furthermore, administration of naturally occurring prostaglandins can cause side effects such as inflammation, surface irritation, smooth muscle contraction, pain, and bronchoconstriction. Therefore, it is an object of this invention to provide methods for using prostaglandin analogs to grow hair and to provide compositions that promote hair growth in humans and lower animals. It is a further object of this invention to provide a selection of appropriate prostaglandin analogs that will promote hair growth and that do not cause significant undesirable side effects.
- This invention relates to compositions and methods for treating hair loss. The methods comprise administering the compositions comprising specific prostaglandin analogs that interact strongly with hair-selective receptors, such as the FP receptor. The choice of prostaglandin analog is important because the prostaglandin analogs must selectively activate the FP receptor and not activate any other receptors that would negate the effect of activating the FP receptor. The compositions comprise: component A) the prostaglandin analog, component B) a carrier, and optionally component C) an activity enhancer.
- This invention relates to compositions and methods using prostaglandin F analogs (“PGF's”) to treat hair loss in mammals. “Treating hair loss” includes arresting hair loss or reversing hair loss, or both, and promoting hair growth.
- Publications and patents are referred to throughout this disclosure. All U.S. Patents cited herein are hereby incorporated by reference.
- All percentages, ratios, and proportions used herein are by weight unless otherwise specified.
- The following is a list of definitions for terms, as used herein:
- “Activate” means binding and signal transduction of a receptor.
- “Acyl group” means a monovalent group suitable for acylating a nitrogen atom to form an amide or carbamate, an alcohol to form a carbonate, or an oxygen atom to form an ester group. Preferred acyl groups include benzoyl, acetyl, tert-butyl acetyl, para-phenyl benzoyl, and trifluoroacetyl. More preferred acyl groups include acetyl and benzoyl. The most preferred acyl group is acetyl.
- “Aromatic group” means a monovalent group having a monocyclic ring structure or fused bicyclic ring structure. Monocyclic aromatic groups contain 5 to 10 carbon atoms, preferably 5 to 7 carbon atoms, and more preferably 5 to 6 carbon atoms in the ring. Bicyclic aromatic groups contain 8 to 12 carbon atoms, preferably 9 or 10 carbon atoms in the ring. Aromatic groups are unsubstituted. The most preferred aromatic group is phenyl. Bicyclic aromatic groups include ring systems wherein one ring in the system is aromatic. Preferred bicyclic aromatic groups are ring systems wherein both rings in the system are aromatic. Preferred aromatic rings include naphthyl and phenyl. The most preferred aromatic ring is phenyl.
- “Carbocyclic group” means a monovalent saturated or unsaturated hydrocarbon ring. Carbocyclic groups are monocyclic. Carbocyclic groups contain 4 to 10 carbon atoms, preferably 4 to 7 carbon atoms, and more preferably 5 to 6 carbon atoms in the ring. Carbocyclic groups are unsubstituted. Preferred carbocyclic groups include cyclopentyl, cyclohexyl, cyclohexenyl, cycloheptyl, and cyclooctyl. More preferred carbocyclic groups include cyclohexyl, cycloheptyl, and cyclooctyl. The most preferred carbocyclic group is cycloheptyl. Carbocyclic groups are not aromatic.
- “FP agonist” means a compound that activates the FP receptor.
- “FP receptor” means known human FP receptors, their splice variants, and undescribed receptors that have similar binding and activation profiles as the known human FP receptors. “FP” means the receptor is of the class which has the highest affinity for PGF 2α of all the naturally occurring prostaglandins. FP refers to a known protein.
- “Halogen atom” means F, Cl, Br, or I. Preferably, the halogen atom is F, Cl, or Br; more preferably Cl or F; and most preferably F.
- “Halogenated heterogenous group” means a substituted heterogenous group or a substituted heterocyclic group, wherein at least one substituent is a halogen atom. Halogenated heterogenous groups can have a straight, branched, or cyclic structure. Preferred halogenated heterogenous groups have 1 to 12 carbon atoms, more preferably 1 to 6 carbon atoms, and most preferably 1 to 3 carbon atoms. Preferred halogen atom substituents are Cl and F.
- “Halogenated hydrocarbon group” means a substituted monovalent hydrocarbon group or a substituted carbocyclic group, wherein at least one substituent is a halogen atom. Halogenated hydrocarbon groups can have a straight, branched, or cyclic structure. Preferred halogenated hydrocarbon groups have 1 to 12 carbon atoms, more preferably 1 to 6 carbon atoms, and most preferably 1 to 3 carbon atoms. Preferred halogen atom substituents are Cl and F. The most preferred halogenated hydrocarbon group is trifluoromethyl.
- “Heteroaromatic group” means an aromatic ring containing carbon and 1 to 4 heteroatoms in the ring. Heteroaromatic groups are monocyclic or fused bicyclic rings. Monocyclic heteroaromatic groups contain 5 to 10 member atoms (i.e., carbon and heteroatoms), preferably 5 to 7, and more preferably 5 to 6 in the ring. Bicyclic heteroaromatic rings contain 8 to 12 member atoms, preferably 9 or 10 in the ring. Heteroaromatic groups are unsubstituted. Bicyclic heteroaromatic groups include ring systems in which only one ring is aromatic. Preferred bicyclic heteroaromatic groups are ring systems in which both rings are aromatic. Preferred monocyclic heteroaromatic groups include thienyl, thiazolyl, purinyl, pyrimidyl, pyridyl, and furanyl. More preferred monocyclic heteroaromatic groups include thienyl, furanyl, and pyridyl. The most preferred monocyclic heteroaromatic group is thienyl. Preferred bicyclic heteroaromatic rings include benzothiazolyl, benzothiophenyl, quinolinyl, quinoxalinyl, benzofuranyl, benzimidazolyl, benzoxazolyl, indolyl, and anthranilyl. More preferred bicyclic heteroaromatic rings include benzothiazolyl, benzothiophenyl, and benzoxazolyl.
- “Heteroatom” means an atom other than carbon in the ring of a heterocyclic group or the chain of a heterogeneous group. Preferably, heteroatoms are selected from the group consisting of nitrogen, sulfur, and oxygen atoms. Groups containing more than one heteroatom may contain different heteroatoms.
- “Heterocyclic group” means a saturated or unsaturated ring structure containing carbon and 1 to 4 heteroatoms in the ring. No two heteroatoms are adjacent in the ring, and no carbon in the ring that has a heteroatom bonded to it also has a hydroxyl, amino, or thiol group bonded to it. Heterocyclic groups are not aromatic. Heterocyclic groups are monocyclic. Heterocyclic groups contain 4 to 10 member atoms (i.e., including both carbon atoms and at least 1 heteroatom), preferably 4 to 7, and more preferably 5 to 6 in the ring. Heterocyclic groups are unsubstituted. Preferred heterocyclic groups include piperzyl, morpholinyl, tetrahydrofuranyl, tetrahydropyranyl, and piperdyl.
- “Heterogeneous group” means a saturated or unsaturated chain containing 1 to 18 member atoms (i.e., including both carbon and at least one heteroatom). No two heteroatoms are adjacent. Preferably, the chain contains 1 to 12 member atoms, more preferably 1 to 6. “Lower heterogeneous” means a heterogeneous group having 1 to 6, preferably 1 to 3, member atoms. The chain may be straight or branched. Preferred branched heterogeneous groups have one or two branches, preferably one branch. Preferred heterogeneous groups are saturated. Unsaturated heterogeneous groups have one or more double bonds, one or more triple bonds, or both. Preferred unsaturated heterogeneous groups have one or two double bonds or one triple bond. More preferably, the unsaturated heterogeneous group has one double bond. Heterogeneous groups are unsubstituted.
- “Monovalent hydrocarbon group” means a chain of 1 to 18, preferably 1 to 12, carbon atoms. “Lower monovalent hydrocarbon group” means a monovalent hydrocarbon group having 1 to 6, preferably 1 to 3, carbon atoms. Monovalent hydrocarbon groups may have a straight chain or branched chain structure. Preferred monovalent hydrocarbon groups have one or two branches, preferably I branch. Preferred monovalent hydrocarbon groups are saturated. Unsaturated monovalent hydrocarbon groups have one or more double bonds, one or more triple bonds, or combinations thereof. Preferred unsaturated monovalent hydrocarbon groups have one or two double bonds or one triple bond; more preferred unsaturated monovalent hydrocarbon groups have one double bond.
- “Pharmaceutically acceptable” means suitable for use in a human or other mammal.
- “Prostaglandin” means a fatty acid derivative which has a variety of potent biological activities of a hormonal or regulatory nature.
- “Protecting group” is a group that replaces the active hydrogen of a hydroxyl moiety thus preventing undesired side reaction at the hydroxyl moiety. Use of protecting groups in organic synthesis is well known in the art. Examples of protecting groups are found in Chapter 2 Protecting Groups in Organic Synthesis by Greene, T. W. and Wuts, P. G. M., 2nd ed., Wiley & Sons, Inc., 1991. Preferred protecting groups include silyl ethers, alkoxymethyl ethers, tetrahydropyranyl, tetrahydrofuranyl, esters, and substituted or unsubstituted benzyl ethers.
- “Safe and effective amount” means a quantity of a prostaglandin high enough to provide a significant positive modification of the subject's condition to be treated, but low enough to avoid serious side effects (at a reasonable benefit/risk ratio).
- “Selective” means having a binding or activation preference for a specific receptor over other receptors which can be quantitated based upon receptor binding or activation assays.
- “Subject” means a living, vertebrate, hair- or fur-bearing animal such as a mammal (preferably human) in need of treatment.
- “Substituted aromatic group” means an aromatic group wherein 1 to 4 of the hydrogen atoms bonded to carbon atoms in the ring have been replaced with other substituents. Preferred substituents include: halogen atoms, cyano groups, monovalent hydrocarbon groups, substituted monovalent hydrocarbon groups, heterogeneous groups, substituted heterogeneous groups, aromatic groups, substituted aromatic groups, or any combination thereof. More preferred substituents include halogen atoms, halogenated monovalent hydrocarbon groups, phenyl groups, and phenoxy groups. Preferred substituted aromatic groups include naphthyl. The substituents may be substituted at the ortho, meta, or para position on the ring, or any combination thereof. The preferred substitution pattern on the ring is ortho or meta. The most preferred substitution pattern is ortho.
- “Substituted carbocyclic group” means a carbocyclic group wherein 1 to 4 hydrogen atoms bonded to carbon atoms in the ring have been replaced with other substituents. Preferred substituents include: halogen atoms, cyano groups, monovalent hydrocarbon groups, monovalent heterogeneous groups, substituted monovalent hydrocarbon groups, substituted heterogeneous groups, aromatic groups, substituted aromatic groups, or any combination thereof. More preferred substituents include halogen atoms, halogenated monovalent hydrocarbon groups, phenyl groups, and phenoxy groups.
- “Substituted heteroaromatic group” means a heteroaromatic group wherein 1 to 4 hydrogen atoms bonded to carbon atoms in the ring have been replaced with other substituents. The substituents include halogen atoms, acyl groups, cyano groups, monovalent hydrocarbon groups, substituted monovalent hydrocarbon groups, heterogeneous groups, substituted heterogeneous groups, aromatic groups, substituted aromatic groups, heteroaromatic groups, substituted heteroaromatic groups, and any combination thereof. Preferred substituents include halogen atoms, cyano groups, monovalent hydrocarbon groups, substituted monovalent hydrocarbon groups, heterogeneous groups, substituted heterogeneous groups, phenyl groups, phenoxy groups, or any combination thereof. More preferred substituents include halogen atoms, halogenated hydrocarbon groups, monovalent hydrocarbon groups, halogenated heterogenous groups, and phenyl groups.
- “Substituted heterocyclic group” means a heterocyclic group wherein 1 to 4 hydrogen atoms bonded to carbon atoms in the ring have been replaced with other substituents. Preferred substituents include: halogen atoms, cyano groups, monovalent hydrocarbon groups, substituted monovalent hydrocarbon groups, heterogeneous groups, substituted heterogeneous groups, aromatic groups, substituted aromatic groups, or any combination thereof. More preferred substituents include halogen atoms, halogenated hydrocarbon groups, phenyl groups, phenoxy groups, or any combination thereof. Substituted heterocyclic groups are not aromatic.
- “Substituted heterogeneous group” means a heterogeneous group, wherein 1 to 4 of the hydrogen atoms bonded to carbon atoms in the chain have been replaced with other substituents. Preferably substituted heterogeneous groups are mono, di, or trisubstituted. Preferred substituents include halogen atoms, hydroxy groups, carboxy groups, aryloxy groups (e.g., phenoxy, chlorophenoxy, tolyloxy, methoxyphenoxy, benzyloxy, alkyloxycarbonylphenoxy, and acyloxyphenoxy), acyloxy groups (e.g., propionyloxy, benzoyloxy, and acetoxy), aromatic groups (e.g., phenyl and tolyl), substituted aromatic groups (e.g., alkoxyphenyl, alkoxycarbonylphenyl, and halophenyl), heterocyclic groups, heteroaromatic groups, substituted heterocyclic groups, and amino groups (e.g., amino, mono- and di- alkylamino having 1 to 3 carbon atoms, methylphenylamino, methylbenzylamino, alkanylamido groups of 1 to 3 carbon atoms, carbamamido, ureido, and guanidino).
- “Substituted monovalent hydrocarbon group” means a monovalent hydrocarbon group wherein 1 to 4 of the hydrogen atoms bonded to carbon atoms in the chain have been replaced with other substituents. Preferred substituted monovalent hydrocarbon groups are mono, di, or trisubstituted. Preferred substituents include halogen atoms; lower monovalent hydrocarbon groups; hydroxy groups; aryloxy groups (e.g., phenoxy, chlorophenoxy, tolyloxy, methoxyphenoxy, benzyloxy, alkyloxycarbonylphenoxy, and acyloxyphenoxy); acyloxy groups (e.g., propionyloxy, benzoyloxy, and acetoxy); carboxy groups; monocyclic aromatic groups; monocyclic heteroaromatic groups; monocyclic carbocyclic groups, monocyclic heterocyclic groups, and amino groups (e.g., amino, mono- and di-alkanylamino groups of 1 to 3 carbon atoms, methylphenylamino, methylbenzylamino, alkanylamido groups of 1 to 3 carbon atoms, carbamamido, ureido, and guanidino).
-
- The PGF can also be selected from the group consisting of pharmaceutically acceptable salts and hydrates of the structures above; biohydrolyzable amides, esters, and imides of the structures above; and optical isomers, diastereomers, and enantiomers of the structures above. Thus, at all stereocenters where stereochemistry is not defined (C 11, C12, and C15), both epimers are envisioned. Preferred stereochemistry at all such stereocenters of the compounds of the invention mimic that of naturally occurring PGF2α. A combination of two or more PGF's can also be used.
- R 1 is selected from the group consisting of C(O)OH, C(O)NHOH, C(O)OR3, CH2OH, S(O)2R3, C(O)NHR3, C(O)NHS(O)2R4, tetrazole, a cationic salt moiety, a pharmaceutically acceptable amine or ester comprising 2 to 13 carbon atoms, and a biometabolizable amine or ester comprising 2 to 13 atoms. Preferably, R1 is selected from the group consisting of CO2H, C(O)NHOH, CO2R3, C(O)NHS(O)2R4, and tetrazole. More preferably, R1 is selected from the group consisting of CO2H and CO2R3.
- R 2 is selected from the group consisting of a hydrogen atom, a lower heterogenous group, and lower monovalent hydrocarbon groups. Preferably, R2 is a hydrogen atom.
- R 3 is selected from the group consisting of a monovalent hydrocarbon group, a heterogeneous group, a carbocyclic group, a heterocyclic group, an aromatic group, a heteroaromatic group, a substituted monovalent hydrocarbon group, a substituted heterogeneous group, a substituted carbocyclic group, a substituted heterocyclic group, a substituted aromatic group, and a substituted heteroaromatic group. Preferably, R3 is selected from the group consisting of methyl, ethyl, and isopropyl
- R 4 is selected from the group consisting of a monovalent hydrocarbon group, a heterogeneous group, a carbocyclic group, a heterocyclic group, an aromatic group, a heteroaromatic group, a substituted monovalent hydrocarbon group, a substituted heterogeneous group, a substituted carbocyclic group, a substituted heterocyclic group, a substituted aromatic group, and a substituted heteroaromatic group. Preferably, R4is a phenyl group.
- X is divalent. X is selected from the group consisting of —C≡C—, a covalent bond, —CH═C═CH—, —CH═CH—, —CH═N—, —C(O)—, —C(O)Y—, —(CH 2)n—, wherein n is 2 to 4, —CH2NH—, —CH2S—, and —CH2O—.
- Y is selected from the group consisting of O, S, and NH.
- Z is selected from the group consisting of a carbocyclic group, a heterocyclic group, an aromatic group, a heteroaromatic group, a substituted carbocyclic group, a substituted heterocyclic group, a substituted aromatic group, and a substituted heteroaromatic group.
- Preferably, when X is a covalent bond, Z is selected from the group consisting of an aromatic group, a heteroaromatic group, a substituted aromatic group, and a substituted heteroaromatic group. More preferably, when X is a covalent bond, Z is a bicyclic heteroaromatic group.
- Preferably, when X is —C≡C—, Z is a monocyclic aromatic group. More preferably, when X is —C≡C—, Z is selected from the group consisting of furanyl, thienyl, and phenyl.
-
- The bond at the C2-C3 position may be a single bond or a double bond. The bond at the C5-C6 position may be a single, double, or triple bond. The bond at the C13-C14 position may be a single, double, or triple bond.
-
- which are suitable for component A) are shown below in Tables 1 and 2.
TABLE 1 Examples of Suitable PGF's for Component A) 13,14-dihydro-16,17-Z-didehydro-17- 13,14-dihydro-16,17-Z-didehydro-17- (2-fluorophenyl)-17-trinor PGF1α (2-fluorophenyl)-17-trinor PGF1α 13,14-dihydro-E-16,17-didehydro-17- 13,14-dihydro-E-16,17-didehydro-17- phenyl-17-trinor PGF1α (2,4-dichlorophenyl)-17-trinor PGF1α 13,14-dihydro-E-16,17-didehydro-17- 13,14-dihydro-E-16,17-didehydro-17- (2-fluoro-4-methylphenyl)-17-trinor (2-fluoro-5-chlorophenyl)-17-trimor PGF1α PGF1α 13,14-dihydro-E-16,17-didehydro-17- 13,14-dihydro-E-16,17-didehydro-17- (2,5-difluorophenyl)-17-trinor PGF1α (2-fluoro-3-chlorophenyl)-17-trinor PGF1α 13,14-dihydro-E-16,17-didehydro-17- 13,-14dihydro-16,17-didehydro-17- (2-fluoro-3-methoxyphenyl)-17-trinor (3-fluorophenyl)-17-trinor PGF1α PGF1α 13,14-dihydro-16,17-didehydro-17-(4- 13,14-dihydro-E-16,17-didehydro-17- fluorophenyl)-17-trinor PGF1α (3-trifluoromethylphenyl)-17-trinor PGF1α 13,14-dihydro-16,17,17,18-dienyl-18- 13,14-dihydro-16,17,17,18-dienyl- phenyl-18-dinor PGF1α 18-(2-fluorophenyl)-18-dinor PGF1α 13,14-dihydro-16,17,17,18-dienyl-18- 13,14-dihydro-16,17,17,18-dienyl- (2,4-difluorophenyl)-18-dinor PGF1α 18-(3-trifluoromethylphenyl)-18- dinor PGF1α 13,14-dihydro-16,17,17,18-dienyl-18- 13,14-dihydro-16,17-didehydro-17- (4-methoxyphenyl)-18-dinor PGF1α (2-fluorophenyl)-17-trinor PGF1α 1- hydroxamic acid 13,14-dihydro-16,17,17,18-dienyl-18- 13,14-dihydro-16,17-didehydro-17- phenyl-18-dinorPGF2α 1-hydroxamic 3-fluorophenyl-17-trinor PGF1α 1-N- acid methanesulfonamide 13,14-dihydro-16-oxo-16-phenyl-16- 13,14-dihydro-16-oxo-16-(3,5- tetranorPGF1α difluorophenyl)-16-tetranor PGF1α 13,14-dihydro-16-oxo-(2-furanyl)- 13,14-dihydro-16-oxo-16-(3-chloro- 16-tetranor PGF1α 5-methylphenyl)-16-tetranor PGF1α 13,14-dihydro-16-oxo-16-(6- 13,14-dihydro-16-oxo-16-(2- fluorobenzo-[b]-furanyl-16-(tetranor benzo[b]thienyl)-16-tetranor PGF1α PGF1α 13,14-dihydro-16-oxo16-(2- 13,14-dihydro-16-oxo-16-(3,5- benzothiazolyl)-16-tetranor PGF1α difluorophenyl)-16-tetranor PGF1α 1-hydroxamic acid 13,14-dihydro-16-oxo-16-(4- 13,14-dihydro-16-oxo-16-(2- methylphenyl)-16-tetranor PGF1α1- benzo[b]thienyl)-16-tetranor PGF1α hydroxamic acid 1-N-methanesulfonamide 13,14-dihydro-16-oxo-17-aza-17- 13,14-dihydro-16-oxo-17-aza-17- phenyl-17-trinor PGF1α (3,4-difluorophenyl)-17-trimor PGF1α 13,14-dihydro-16-oxo-17-aza-17-(2- 13,14-dihydro-16-oxo-17-aza-17-(2- furnyl)-17-trinor PGF1α fluorophenyl)-17-trinor PGF1α 13,14-dihydro-16-oxo-16-phenoxy-16- 13,14-dihydro-16-oxo-16-(2- tetranor PGF1α fluorophenoxy)-16-tetranor PGF1α 13,14-dihydro-16-oxo-16-(3- 13,14-dihydro-16-oxo-17-aza-17- trifluoromethylphenoxy)-16-tetranor (3,4-difluorophenyl)-17-trinor PGF1α PGF1α 1-hydroxamic acid 13,14-dihydro-16-oxo-17-amino-17- 13,14-dihydro-16-oxo-17-amino-17- (3-chlorophenyl)-17-trinor PGF1α 1- phenyl-17-trinor PGF1α 1-methane hydroxamic acid sulfonamide 13,14-dihydro-16,17-didehydro-17- 13,14-dihydro-16,17-didehydro-17- aza-17-phenyl-17-trinor PGF1α aza-17-(2-fluorophenyl)-17-trinor PGF1α 13,14-dihydro-16,17-didehydro-17- 13,14-dihydro-16-oxo-17-aza-17- aza-17-(2-furanyl)-17-trinor PGF1α (4-phenylphenyl)-17-trinor PGF1α 13,14-dihydro-16,17-didehydro-17- 13,14-dihydro-16,17-didehydro-17- aza-17-(3-fluorophenyl)-17-trinor aza-17-(2-furanyl)-17-trinor PGF1α PGF1α 1-hydroxamic acid 13,14-dihydro-16,17-didehydro-17- 13,14-dihydro-16,17-didehydro-17- aza-17-(3-chlorophenyl)-17-trinor aza-17-(2-thienyl)-17-trinor PGF1α PGF1α 1-hydroxamic acid 1-methanesulfonamide - Where Me in the table above represents a methyl group.
- The PGF's in Table 1 can be prepared using conventional organic syntheses. Preferred syntheses are carried out using reaction schemes 1, 2, and 3. Scheme 1 describes a general reaction scheme for making PGFs wherein X is —CH═CH— (Formula I) or —CH═C═CH— (Formula II). Scheme 2 describes a general reaction scheme for making PGFs wherein X is —C(O)— (Formula III) or —C(O)Y— (Formula IV). Scheme 3 describes a general reaction scheme for making PGFs wherein X is —CH═N— (Formula V).
- In Scheme 1, R 1 and Z are as defined above. The methyl 7(3-(R)-hydroxy-5-oxo-1-cyclopent-1-yl) heptanoate (S1a) depicted as starting material for Scheme 1 is commercially available (such as from Sumitomo Chemical or Cayman Chemical).
- In Scheme 1, methyl 7-(3-(R)-hydroxy-5-oxo-1-cyclopent-1-yl) heptanoate (S1a) is reacted with a silylating agent and base in a solvent that will allow the silylation to proceed. Preferred silylating agents include tert-butyldimethylsilyl chloride and tert-butyldimethylsilyl trifluoromethanesulphonate. The most preferred silylating agent is tert-butyldimethylsilyl trifluoromethanesulphonate. Preferred bases include triethylamine, trimethylamine, and 2,6-lutidine. More preferred bases include triethylamine and 2,6-lutidine. The most preferred base is 2,6-lutidine. Preferred solvents include halogenated hydrocarbon solvents with dichloromethane being the most preferred solvent. The reaction is allowed to proceed at a temperature of preferably −100° C. to 100° C., more preferably −80° C. to 80° C., and most preferably −70° C. to 23° C.
- The resulting silylated compound is isolated by methods known to one of ordinary skill in the art. Such methods include extraction, solvent evaporation, distillation, and crystallization. Preferably, the silyl ether is purified after isolation by distillation under vacuum.
- The silylated compound is then reacted with the cuprate generated via Grignard formation of the appropriate alkenyl bromide as disclosed, for example, in the following references: H. O. House et. al., “The Chemistry of Carbanions: A Convenient Precursor for the Generation of Lithium Organocuprates”, J. Org. Chem. Vol. 40 (1975) pp. 1460-69; and P. Knochel et. al., “Zinc and Copper Carbenoids as Efficient and Selective a′/d′ Multicoupling Reagents”, J. Amer. Chem. Soc. Vol. 111 (1989) p. 6474-76. Preferred alkenyl bromides include 4-bromo-1-butene, 4-bromo-1-butyne, 4-bromo-2-methyl-1-butene, and 4-bromo-2-ethyl-1-butene. The most preferred alkenyl bromide is 4-bromo-1-butene. Preferred solvents include ethereal solvents, of which diethyl ether and tetrahydrofuran are preferred. The most preferred solvent is tetrahydrofuran. The Grignard reagent is allowed to form at a temperature of 100° C. to 23° C., more preferably 85° C. to 30° C., and most preferably 75° C. to 65° C. The reaction time is preferably 1 to 6 hours, more preferably 2 to 5 hours, and most preferably 3 to 4 hours.
- Once the Grignard reagent is formed, the cuprate is generated from the alkenyl magnesium species. The temperature range for cuprate formation is −100° C. to 0° C. The preferred temperature range is −80° C. to −20° C. The more preferred temperature range is −75° C. to −50° C. The preferred reaction time is 30 minutes to 6 hours, more preferably 45 minutes to 3 hours. The most preferred reaction time is 1 to 1.5 hours.
- The alkene thus formed is isolated by methods known to one of ordinary skill in the art. Such methods include extraction, solvent evaporation, distillation, and crystallization. Preferably, the alkene is purified by flash chromatography on silica gel (Merck, 230-400 mesh) using 10% EtOAc/hexanes as the eluent. (EtOAc represents ethyl acetate.)
- The alkene is then reacted with a hydride reducing agent and a polar, protic solvent to give the C-9 alcohol. Preferred reducing agents include lithium aluminum hydride, sodium borohydride, and L-selectride. More preferred reducing agents include sodium borohydride, and L-selectride. The most preferred reducing agent is sodium borohydride. Preferred solvents include methanol, ethanol, and butanol. The most preferred solvent is methanol. The reduction is carried out at a temperature of −100° C. to 23° C. The preferred temperature range is −60° C. to 0° C. The most preferred temperature range is −45° C. to −20° C.
- The resulting alcohol is isolated by methods known to one of ordinary skill in the art. Such methods include extraction, solvent evaporation, distillation, and crystallization. Preferably, the alcohol is purified by flash chromatography on silica gel (Merck, 230-400 mesh) using 20% EtOAc/hexanes as the eluent.
- The resultant alcohol can be protected as described previously herein. Preferred silylating agents in this case also include tert-butyldimethylsilyl chloride and tert-butyldimethylsilyl trifluoromethanesulfonate. The most preferred silylating agent is tert-butyldimethylsilyl trifluoromethanesulfonate. Preferred bases include triethylamine, trimethylamine, and 2,6-lutidine. More preferred bases include triethylamine and 2,6-lutidine. The most preferred base is 2,6-lutidine. Preferred solvents include halogenated hydrocarbon solvents with dichloromethane being the most preferred solvent. The reaction is allowed to proceed at a temperature of preferably −100° C. to 100° C., more preferably −80° C. to 80° C., and most preferably −70° C. to 23° C.
- The resulting silylated compound, S 1b is isolated by methods known to one of ordinary skill in the art. Such methods include extraction, solvent evaporation, distillation, and crystallization. Preferably, the silyl ether is purified after isolation by distillation under vacuum, giving compound S1b.
- The protected alcohol is then treated with a form of osmium and sodium periodate in a solvent in which both are soluble. Preferred forms of osmium include osmium tetraoxide and potassium osmate. Preferred solvent systems include 1:1 mixtures of acetic acid and water and 1:1:2 mixtures of water, acetic acid and THF. (THF represents tetrahydrofuran.) The result of this treatment is the aldehyde, S1c.
- The compound S1c is isolated by methods known to one of ordinary skill in the art. Such methods include extraction, solvent evaporation, distillation, and crystallization. Preferably, S1c is purified by flash chromatography on silica gel (Merck, 230-400 mesh) using 20% EtOAc/hexanes as the eluent.
- The key intermediate aldehyde depicted as S1c can be reacted with a variety of unsaturated alkenyl anion nucleophiles to provide the C-9 and C-11-protected 13,14-dihydro-prostaglandin F 1α derivatives.
- The resulting compounds can be isolated, but are generally deprotected using techniques known to one of ordinary skill in the art, and optionally, manipulated at C-1 to provide the desired acid derivative at R 1. For example, the condensation of a methyl ester with an amine or a hydroxylamine provides an amide or a hydroxamic acid compound, respectively. After any such manipulation at C-1, the compounds are isolated as the final 13,14-dihydro-15-substituted-15-pentanor prostaglandin F1α derivative, Formula I.
- Compounds depicted by Formula II can be made directly from intermediate S1c in a manner similar to that for compounds depicted by Formula I substituting the appropriate allene anion. With allene nucleophiles, the reaction is carried out preferably at −80° C. to 0° C., more preferably −80° C. to −20° C, and most preferably −80° C. to −40° C. Preferred bases for the reaction include n-butyl lithium, s-butyl lithium, and t-butyl lithium. The most preferred base is n-butyl lithium. Preferred solvents for the reaction are ether solvents. Preferred solvents include diethyl ether, and tetrahydrofuran. The most preferred solvent is tetrahydrofuran. With heterocyclic nucleophiles, preferred solvents include ethereal solvents. More preferred ethereal solvents include diethyl ether, dibutyl ether and tetrahydrofuran. The most preferred ethereal solvent is tetrahydrofuran. After isolation, similar C-1 manipulations and/or deprotection of the functional groups ensues using techniques known to one of ordinary skill in the art.
- In Scheme 2, R 1, Y, and Z are as defined above. The protected alcohol S1b (from Scheme 1) is treated with a hydroborating reagent in an ethereal solvent, followed by oxidative removal of the boron reagent with a suitable oxidant to give a compound of the type S2a. Preferred hydroborating reagents include monochloroborane-dimethylsulfide, diborane, borane-tetrahydrofuran and borane-dimethylsulfide. The most preferred hydroborating reagent is borane-dimethylsulfide. Preferred ethereal solvents include THF and diethyl ether. The most preferred solvent is THF. The reaction is carried out from about 1 to about 24 hours at a temperature of about −20° C. to about +30° C. The preferred temperature range is about 0° C. to about +20° C. The hydroborated product of this reaction may then be oxidatively removed to the alcohol using alkaline hydrogen peroxide (See Boranes in Organic Chemistry, H. C. Brown, Cornell University Press, Ithaca, N.Y. 1972, pp. 321-325), which may then be oxidized to either the aldehyde (W═H) or to the acid (W═OH) using methods known to one of ordinary skill in the art. Alternatively, the hydroborated product may be directly oxidized to the aldehyde or acid by treatment with chromic acid or a Cr(VI) salt. Such salts include pyridinium chlorochromate (PCC) and dichlorochromate. See Brown, H. C.; Kulkarni, Rao, and Patil, Tetrahedron, 1986, 45515. The preferred method is treatment of the hydroborated product with PCC in dichloromethane at room temperature. The result of these manipulations is a compound of the type S2a.
- The compound S2a is isolated by methods known to one of ordinary skill in the art. Such methods include extraction, solvent evaporation, distillation, and crystallization. Preferably, S2a is purified by flash chromatography on silica gel (Merck, 230-400 mesh) using 20% EtOAc/hexanes as the eluent with 0.1% acetic acid added if W═OH.
- The key intermediate aldehyde depicted as S2a can be reacted with a variety unsaturated carbon nucleophiles to provide the C-9 and C-11-protected 13,14-dihydro-16-tetranor prostaglandin F 1α derivatives of Formula III.
- With aromatic and heteroaromatic nucleophiles, the reaction is carried out preferably at −80° C. to 0° C., more preferably −80° C. to −20° C., and most preferably −80° C. to −40° C. Preferred bases for the reaction include n-butyl lithium, s-butyl lithium, lithium diisopropylamide, and t-butyl lithium. The most preferred base is n-butyl lithium. Preferred solvents for the reaction are ether solvents. Preferred solvents include diethyl ether, and tetrahydrofuran. The most preferred solvent is tetrahydrofuran. With heterocyclic nucleophiles, preferred solvents include ethereal solvents. More preferred ethereal solvents include diethyl ether, dibutyl ether and tetrahydrofuran. The most preferred ethereal solvent is tetrahydrofuran.
- The resulting alcohol can be isolated, but is generally oxidized as a crude isolate. The oxidation of benzylic alcohols to benzylic ketones is well known in the art. The preferred reagents to effect this reaction include KMnO 4, MnO2, chromic acid, Jones' reagent, Collins' reagent, and PCC. The most preferred method is oxidation at room temperature in dichloromethane with PCC for about 4 hours. The ketones are isolated by column chromatography using 20% hexanes/ethyl acetate as solvent. The ester is then removed using standard conditions. See Greene and Wuts, Protecting Groups in Organic Synthesis, Wiley Interscience, NY pp. 224-276. The free acid is then treated with 2.1 equivalents of a strong nitrogen base to effect deprotonation both of the acid and adjacent to the benzylic ketone. Such bases include LDA. This enolate is reacted with a peroxidizing agent which has the effect of oxidizing the compound to deliver the alpha-hydroxy ketone. Such reagents include meta-chloroperoxybenzoic acid, dimethyl dioxirane, Davis' reagent and peracetic acid. The crude product may be isolated or the remaining protecting groups may be removed. At this point manipulation of the acid at C-1 may take place. For example, re-esterifying, making the amide, the hydroxamic acid or the sulfonamide using methods known to one of ordinary skill in the art may be performed to yield compounds according to Formula III.
- Compounds depicted by Formula IV can be made from intermediate S2b. In this case, condensation of the free acid is readily achieved with a variety of alcohols and amines, either by the use of coupling agents such as dicyclohexylcarbodiimide (“DCC”), or by activating the acid with, for example, oxalyl chloride. Following this is the selective removal of the methyl esters as described in Greene and Wuts, Protecting Groups in Organic Synthesis, Wiley Interscience, NY pp. 224-276, and the oxidation of the ester enolates using the same technique described above for the ketone intermediates. Similarly, as described above, the remaining protecting groups are removed and the desired manipulation of C-1 is effected, yielding compounds of Formula IV.
- In Scheme 3, R 1 and Z are as defined above. The alkene S1b (from Scheme 1) is treated with an osmium salt and with an optional catalyst reoxidant, preferably N-methyl morpholine N-oxide (“NMO”), to give the diol. This diol is isolated by extraction and purified by silica gel chromatography. The diol is then oxidized selectively to the alpha hydroxy aldehyde. This may be accomplished in several ways. For example, a selective oxidant such as DMSO-oxalyl chloride may be used. (“DMSO” represents dimethylsulfoxide.) Alternatively, the primary alcohol may be selectively protected, then the secondary alcohol protected, then the protection on the primary alcohol may then be removed and the alcohol oxidized as described above in Scheme II. However, the preferred method is the addition of a o-bromo-benzyl bromide protecting group, which can be removed with concomitant oxidation by tributyl tin hydride and like reagents. This technique yields compounds of the type S3a, wherein Q═H. From this step follows the condensation of the aldehyde with an amine to form an imine of the type S3b. Appropriate removal of protecting groups and manipulation of C-1L as stated above in Schemes I and II yields compounds of Formula V.
TABLE 2 Examples of Suitable PGF's 13,14-dihydro-15-(2-benzothienyl)-15- 13,14-dihydro-15-(2-benzothiazolyl)- pentanor PGF1α 15-pentanor PGF1α 13,14-dihydro-15-(8-fluoro-2- 13,14-dihydro-16,17-ynyl17-(2,5- benzothiazolyl)-15- pentanor PGF1α difluorophenyl)-17-trinor PGF1α 13,14-dihydro-16,17-ynyl-17-(2,3- 13,14-dihydro-16,17-ynyl-17-(3,5- difluorophenyl)-17-trinor difluorophenyl)-17-trinor PGF1α PGF1α 13,14-dihydro-16,17-ynyl-17-(3,4- 13,14-dihydro-15-(6-fluoro-2- difluorophenyl)-17-trinor benzothienyl)-15-pentanor PGF1α PGF1α 3,14-dihydro-16,17-ynyl-17-(2,4- 13,14-dihydro-16,17-ynyl-17-(3- difluorophenyl)-17-trinor PGF1α fluorophenyl)-17-trinor PGF1α methyl ester 13,14-dihydro-16,17-ynyl-17-(2- 13,14-dihydro-16,17-ynyl-17-(4- fluoro-4-methylphenyl)-17-trinor chlorophenyl)-17-trinor PGF1α PGF1α 13,14-dihydro-16,17-ynyl-17-phenyl- 13,14-dihydro-16,17-ynyl-17-(4- 17-trinor PGF1α isopropyl ester fluorophenyl)-17-trinor PGF1α ethyl ester 13,14-dihydro-15-(5-fluoro-2- 13,14-dihydro-16,17-ynyl-17-(2- benzothiazolyl)-15-pentanor PGF1α chlorophenyl)-17-trinor isopropyl ester PGF1α 13,14-dihydro-16,17-ynyl-17-(2- 13,14-dihydro-16,17-ynyl-17-(2- fluorophenyl)-17-trinor PGF1α methyl fluorophenyl)-17-trinor ester PGF1α 13,14-dihydro-16,17-ynyl-17-(4- 13,14-dihydro-16,17-ynyl-18-phenyl- phenyl-phenyl)-17-trinor PGF1α 18-dinor PGF1α 13,14-dihydro-16,17-ynyl-17-(4- 13,14-dihydro-16,17-ynyl-18-(2- methylphenyl)-17-trinor PGF1α fluorophenyl)-18-dinor PGF1α 13,14-dihydro-15-phenyl-15-pentanor 13,14-dihydro-15-(4-methylphenyl)- PGF1α 15-pentanor PGF1α 13,14-dihydro-15-(4- 13,14-dihydro-15-(3- trifluoromethylphenyl)-15-pentanor trifluoromethylphenyl)-15-pentanor PGF1α PGF1α 13,14-dihydro-15-(2-fluorophenyl)-15- 13,14-dihydro-15-(3,5 pentanor PGF1α difluorophenyl)-15-pentanor PGF1α ethyl ester 13,14-dihydro-15-(3-chloro-4-fluoro-6- 13,14-dihydro-15-(3-pyridinyl)-15- methylphenyl)-15pentanor PGF1α pentanor PGF1α 13,14-dihydro-15-(2-chlorophenyl)-15- 13,14-dihydro-15-(4-phenylphenyl)- pentanor PGF1α 15-pentanor PGF1α methyl ester 13,14-dihydro-15-S-(2-fluorophenyl)- 13,14-dihydro-15-S-(2- 15-pentanor PGF1α fluoronaphthyl)-15-pentanor PGF1α 13,14-dihydro-15-(3-fluoro-4-pyridyl)- 13,14-dihydro-15-(6-methylnaphth- 15-pentanor PGF1α isopropyl ester 2-yl)-15-pentanor PGF1α 13,14-dihydro-15-benzo(b)thiophen- 13,14-dihydro-15-(6-benzothiazol-5- 5-yl)-15-pentanor PGF1α yl)-15-pentanor PGF1α 13,14-dihydro-15-(benzofuran-5-yl)- 13,14-dihydro-15-(5-fluoronaphth-1- 15-pentanor PGF1α methyl ester yl)-15-pentanor PGF1α 13,14-dihydro-15-(8-fluoro-2- 13,14-dihydro-15-(8-trifluoromethyl- naphthyl)-15-pentanor PGF1α 2-naphthyl)-15-pentanor PGF1α 13,14-dihydro-15-(1-fluoro-3- 13,14-dihydro-16,17-ynyl-17-(2- trifluoromethyl-2-naphthyl)-15- fluorophenyl)-17-trinor PGF1α 1- pentanor PGF1α isopropyl ester hydroxamic acid 13,14-dihydro-15-(benzothiazolyl)-15- 13,14-dihydro-15-(4-fluoro-2- pentanor PGF1α 1-hydroxamic acid benzothienyl)-15-pentanor PGF1α 1- hydroxamic acid 13,14-dihydro-15-(2-benzothienyl)-15-pentanor PGF1α 1-N-methanesulfonamide -
- In Scheme 4, R 1, R2, X, and Z are as defined above. The methyl 7(3-(R)-hydroxy-5-oxo-1-cyclopent-1-yl) heptanoate (S4a) depicted as starting material for Scheme 4 is commercially available (such as from Sumitomo Chemical or Cayman Chemical).
- The C 11 alcohol of methyl 7-(3-(R)-hydroxy-5-oxo-1-cyclopent-1-yl) heptanoate (S4a) is protected with a suitable protecting group. The most preferred protecting group is a silyl group. In the above Scheme 4, methyl 7-(3-(R)-hydroxy-5-oxo-1-cyclopent-1-yl) heptanoate (S4a) is reacted with a silylating agent and base in a solvent that will allow the silylation to proceed. Preferred silylating agents include tert-butyldimethylsilyl chloride and tert-butyldimethylsilyl trifluoromethanesulphonate. The most preferred silylating agent is tert-butyldimethylsilyl trifluoromethanesulphonate. Preferred bases include triethylamine, trimethylamine, and 2,6-lutidine. More preferred bases include triethylamine and 2,6-lutidine. The most preferred base is 2,6-lutidine. Preferred solvents include halogenated hydrocarbon solvents with dichloromethane being the most preferred solvent. The reaction is allowed to proceed at a temperature of preferably −100° C. to 100° C., more preferably −80° C. to 80° C., and most preferably −70° C. to 23° C.
- The resulting silylated compound is isolated by methods known to those of ordinary skill in the art. Such methods include extraction, solvent evaporation, distillation, and crystallization. Preferably, the silyl ether is purified after isolation by distillation under vacuum.
- The silylated compound is then reacted with the cuprate generated via Grignard formation of the appropriate alkenyl bromide as disclosed, for example, in the following references: H.O. House et. al., “The Chemistry of Carbanions: A Convenient Precursor for the Generation of Lithium Organocuprates”, J. Org. Chem., Vol. 40, pp. 1460-69 (1975); and P. Knochel et. al., “Zinc and Copper Carbenoids as Efficient and Selective a′/d′ Multicoupling Reagents”, J. Amer. Chem. Soc., Vol. 111, p. 6474-76 (1989). Preferred alkenyl bromides include 4-bromo-1-butene, 4-bromo-1-butyne, 4-bromo-2-methyl-1-butene, and 4-bromo-2-ethyl-1-butene. The most preferred alkenyl bromide is 4-bromo-1-butene. Preferred solvents include ethereal solvents, of which diethyl ether and tetrahydrofuran are preferred. The most preferred solvent is tetrahydrofuran. The Grignard reagent is allowed to form at a temperature of 100° C. to 23° C., more preferably 85° C. to 30° C., and most preferably 75° C. to 65° C. The reaction time is preferably 1 to 6 hours, more preferably 2 to 5 hours, and most preferably 3 to 4 hours.
- Once the Grignard reagent is formed, the cuprate is generated from the alkenyl magnesium species. The temperature range for cuprate formation is −100° C. and 0° C. The preferred temperature range is −80° C. to −20° C., more preferably −75° C. to −50° C. The preferred reaction time is 30 minutes to 6 hours, more preferably 45 minutes to 3 hours, and most preferably 1 to 1.5 hours.
- The alkene thus formed is isolated by methods known to one of ordinary skill in the art. Such methods include, but are not limited to, extraction, solvent evaporation, distillation, and crystallization. Preferably, the alkene is purified by flash chromatography on silica gel (Merck, 230-400 mesh) using 10% EtOAc/hexanes as the eluent. The alkene is then reacted with a hydride reducing agent and a polar, protic solvent to give the C-9 alcohol. Preferred reducing agents include lithium aluminum hydride, sodium borohydride, and L-selectride. More preferred reducing agents include sodium borohydride, and L-selectride. The most preferred reducing agent is sodium borohydride. Preferred solvents include methanol, ethanol, and butanol. The most preferred solvent is methanol. The reduction is carried out at a temperature between −100° C. and 23° C. The preferred temperature range is −60° C. to 0° C. The most preferred temperature range is −45° C. to −20° C.
- The resulting alcohol is isolated by methods known to one of ordinary skill in the art. Such methods include, but are not limited to, extraction, solvent evaporation, distillation, and crystallization. Preferably, the alcohol is purified by flash chromatography on silica gel (Merck, 230-400 mesh) using 20% EtOAc/hexanes as the eluent.
- The resultant alcohol can be protected as described previously herein. Preferred silylating agents in this case also include tert-butyldimethylsilyl chloride and tert-butyldimethylsilyl trifluoromethanesulfonate. The most preferred silylating agent is tert-butyldimethylsilyl trifluoromethanesulfonate. Preferred bases include triethylamine, trimethylamine, and 2,6-lutidine. More preferred bases include triethylamine and 2,6-lutidine. The most preferred base is 2,6-lutidine. Preferred solvents include halogenated hydrocarbon solvents with dichloromethane being the most preferred solvent. The reaction is allowed to proceed at a temperature of preferably −100° C. to 100° C., more preferably −80° C. to 80° C., and most preferably −70° C. to 23° C.
- The resulting silylated compound is isolated by methods known to those of ordinary skill in the art. Such methods include, but are not limited to, extraction, solvent evaporation, distillation, and crystallization. Preferably, the silyl ether is purified after isolation by distillation under vacuum
- The protected or alcohol is then treated with a form of osmium, and sodium periodate in a solvent where they are both soluble. Preferred forms of osmium include osmium tetraoxide and potassium osmate. Preferred solvent systems include 1:1 mixtures of acetic acid and water and 1:1:2 mixtures of water, acetic acid and THF. The result of this treatment is the aldehyde, S4b.
- The compound S4b is isolated by methods known to one of ordinary skill in the art. Such methods include, but are not limited to, extraction, solvent evaporation, distillation, and crystallization. Preferably, S4b is purified by flash chromatography on silica gel (Merck, 230-400 mesh) using 20% EtOAc/hexanes as the eluent.
- The key intermediate aldehyde depicted as S4b can be reacted with a variety unsaturated carbon nucleophiles to provide the C-9 and C-11-protected 13,14-dihydro-16-tetranor prostaglandin F 1α derivatives depicted as S4c.
- With alkyne nucleophiles, the reaction is carried out preferably at −80° C. to 0° C., more preferably −80° C. to −20° C., and most preferably −80° C. to −40° C. Preferred bases for the reaction include n-butyl lithium, s-butyl lithium, t-butyl lithium, and lithium diisopropyl amide (“LDA”). Preferred solvents for the reaction are ether solvents. Preferred solvents include diethyl ether, and tetrahydrofuran. The most preferred solvent is tetrahydrofuran. With heterocyclic nucleophiles, preferred solvents include ethereal solvents. More preferred ethereal solvents include diethyl ether, dibutyl ether and tetrahydrofuran. The most preferred ethereal solvent is tetrahydrofuran.
- The resulting compounds depicted as S4c can then be deprotected using techniques known to one of ordinary skill in the art, and isolated yielding the 13,14-dihydro-15-substituted-15-pentanor prostaglandin F 1α derivatives depicted by Formula VI.
- Compounds depicted by Formula VII can be made directly from the C-9 and C-11-protected 13,14-dihydro-16-tetranor prostaglandin F 1α derivatives depicted as S4c by methods known to one of ordinary skill in the art. For example, the condensation of methyl esters of S4c with amines or hydroxylamine provides compounds depicted by Formula VII. These compounds are isolated by methods known to one of ordinary skill in the art. Such methods include extraction, solvent evaporation, distillation, and crystallization.
-
- which are suitable for component A) include: cloprostenol (estrumate), fluprostenol (equimate), tiaprost, alfaprostol, delprostenate, froxiprost, 9-alpha, 11-alpha, 15-alpha-trihydroxy-16-(3-chlorophenoxy)-omega-tetranor-prosta-4-cis-13-trans-dienoic acid, latanoprost and their analogs; and 13,14-dihydro-16-((3-trifluoromethyl)phenoxy)-16-tetranor prostaglandin F 1α, 17-((3-trifluoromethyl)phenyl)-17-trinor-prostaglandin F2α and its analogs, 13,14-dihydro-18-thienyl-18-dinor prostaglandin F1α and their analogs. Additional PGF's are also disclosed in CRC Handbook of Eicosanoids: Prostaglandins and Related Lipids, Volume I, Chemical and Biochemical Aspects, Part B. Ed. by Anthony L. Willis, CRC Press, Boca Raton, Table Four, pp. 80-97 (1987) and references therein.
- Preferred PGF's of the present invention are further selective for the FP receptor over an excitatory prostaglandin receptor in a ratio of 1:10, preferably from 1:20, more preferably from 1:50.
- This invention further relates to a composition for treating hair loss. “Treating hair loss” means arresting hair loss, reversing hair loss, or both, and promoting hair growth. The composition comprises component A) the PGF described above and component B) a carrier. The composition may further comprise component C) one or more optional activity enhancers.
- The composition can be a pharmaceutical or cosmetic composition, administered for treatment or prophylaxis of hair loss. Standard pharmaceutical formulation techniques are used, such as those disclosed in Remington's Pharmaceutical Sciences, Mack Publishing Company, Easton, Pa (1990).
- The composition further comprises component B) a carrier. “Carrier” means one or more compatible substances that are suitable for administration to a mammal. Carrier includes solid or liquid diluents, hydrotopes, surface-active agents, and encapsulating substances. “Compatible” means that the components of the composition are capable of being commingled with the PGF's, and with each other, in a manner such that there is no interaction which would substantially reduce the efficacy of the composition under ordinary use situations. Carriers must be of sufficiently high purity and sufficiently low toxicity to render them suitable for administration to the mammal being treated. The carrier can be inert, or it can possess pharmaceutical benefits, cosmetic benefits, or both.
- The choice of carrier for component B) depends on the route by which A) the PGF will be administered and the form of the composition. The composition may be in a variety of forms, suitable, for example, for systemic administration (e.g., oral, rectal, nasal, sublingual, buccal, or parenteral) or topical administration (e.g., local application on the skin, ocular, liposome delivery systems, or iontophoresis). Topical administration directly to the locus of desired hair growth is preferred.
- Carriers for systemic administration typically comprise one or more ingredients selected from the group consisting of a) diluents, b) lubricants, c) binders, d) disintegrants, e) colorants, f) flavors, g) sweeteners, h) antioxidants, j) preservatives, k) glidants, m) solvents, n) suspending agents, o) surfactants, combinations thereof, and others.
- Ingredient a) is a diluent. Suitable diluents include sugars such as glucose, lactose, dextrose, and sucrose; polyols such as propylene glycol; calcium carbonate; sodium carbonate; glycerin; mannitol; sorbitol; and maltodextrin.
- Ingredient b) is a lubricant. Suitable lubricants are exemplified by solid lubricants including silica, talc, stearic acid and its magnesium salts and calcium salts, calcium sulfate; and liquid lubricants such as polyethylene glycol and vegetable oils such as peanut oil, cottonseed oil, sesame oil, olive oil, corn oil and oil of theobroma.
- Ingredient c) is a binder. Suitable binders include polyvinylpyrrolidone; magnesium aluminum silicate; starches such as corn starch and potato starch; gelatin; tragacanth; and cellulose and its derivatives, such as sodium carboxymethylcellulose, ethylcellulose, methylcellulose, microcrystalline cellulose, and hydroxypropylmethylcellulose; carbomer; providone; acacia; guar gum; and xanthan gum.
- Ingredient d) is a disintegrant. Suitable disintegrants include agar, alginic acid and the sodium salt thereof, effervescent mixtures, croscarmelose, crospovidone, sodium carboxymethyl starch, sodium starch glycolate, clays, and ion exchange resins.
- Ingredient e) is a colorant such as an FD&C dye.
- Ingredient f) is a flavor such as menthol, peppermint, and fruit flavors.
- Ingredient g) is a sweetener such as saccharin and aspartame.
- Ingredient h) is an antioxidant such as butylated hydroxyanisole, butylated hydroxytoluene, and vitamin E.
- Ingredient j) is a preservative such as phenol, alkyl esters of parahydroxybenzoic acid, benzoic acid and the salts thereof, boric acid and the salts thereof, sorbic acid and the salts thereof, chorbutanol, benzyl alcohol, thimerosal, phenylmercuric acetate and nitrate, nitromersol, benzalkonium chloride, cetylpyridinium chloride, methyl paraben, and propyl paraben. Particularly preferred are the salts of benzoic acid, cetylpyridinium chloride, methyl paraben and propyl paraben, and sodium benzoate.
- Ingredient k) is a glidant such as silicon dioxide.
- Ingredient m) is a solvent, such as water, isotonic saline, ethyl oleate, alcohols such as ethanol, glycerin, glycols (e.g., polypropylene glycol and polyethylene glycol), and buffer solutions (e.g., phosphate, potassium acetate, boric carbonic, phosphoric, succinic, malic, tartaric, citric, acetic, benzoic, lactic, glyceric, gluconic, glutaric and glutamic).
- Ingredient n) is a suspending agent. Suitable suspending agents include AVICEL® RC-591 from FMC Corporation of Philadelphia, Pa. and sodium alginate.
- Ingredient o) is a surfactant such as lecithin, polysorbate 80, sodium lauryl sulfate, polyoxyethylene sorbitan fatty acid esters, polyoxyethylene monoalkyl ethers, sucrose monoesters, lanolin esters, and lanolin ethers. Suitable surfactants are known in the art and commercially available, e.g., the TWEENS® from Atlas Powder Company of Wilmington, Del.
- Compositions for parenteral administration typically comprise A) 0.1 to 10% of a PGF and B) 90 to 99.9% of a carrier comprising a) a diluent, and m) a solvent. Preferably, component a) is propylene glycol and m) is ethanol Or ethyl oleate.
- Compositions for oral administration can have various dosage forms. For example, solid forms include tablets, capsules, granules, and bulk powders. These oral dosage forms comprise a safe and effective amount, usually at least 5%, and preferably from 25% to 50%, of A) the PGF. The oral dosage compositions further comprise B) 50 to 95% of a carrier, preferably 50 to 75%.
- Tablets can be compressed, tablet triturates, enteric-coated, sugar-coated, film-coated, or multiple-compressed. Tablets typically comprise A) the PGF, and B) a carrier comprising ingredients selected from the group consisting of a) diluents, b) lubricants, c) binders, d) disintegrants, e) colorants, f) flavors, g) sweeteners, k) glidants, and combinations thereof. Preferred diluents include calcium carbonate, sodium carbonate, mannitol, lactose and cellulose. Preferred binders include starch, gelatin, and sucrose. Preferred disintegrants include alginic acid, and croscarmelose. Preferred lubricants include magnesium stearate, stearic acid, and talc. Preferred colorants are the FD&C dyes, which can be added for appearance. Chewable tablets preferably contain g) sweeteners such as aspartame and saccharin, or f) flavors such as menthol, peppermint, and fruit flavors.
- Capsules (including time release and sustained release formulations) typically comprise A) the PGF, and B) a carrier comprising one or more a) diluents disclosed above in a capsule comprising gelatin. Granules typically comprise A) the PGF, and preferably further comprise k) glidants such as silicon dioxide to improve flow characteristics.
- The selection of ingredients in the carrier for oral compositions depends on secondary considerations like taste, cost, and shelf stability, which are not critical for the purposes of this invention. One skilled in the art can optimize appropriate ingredients without undue experimentation.
- The solid compositions may also be coated by conventional methods, typically with pH or time-dependent coatings, such that A) the PGF is released in the gastrointestinal tract at various times to extend the desired action. The coatings typically comprise one or more components selected from the group consisting of cellulose acetate phthalate, polyvinylacetate phthalate, hydroxypropyl methyl cellulose phthalate, ethyl cellulose, acrylic resins such as EUDRAGIT® coatings (available from Rohm & Haas G.M.B.H. of Darmstadt, Germany), waxes, shellac, polyvinylpyrrolidone, and other commercially available film-coating preparations such as Dri-Klear, manufactured by Crompton & Knowles Corp., Mahwah, N.J. or OPADRY® manufactured by Colorcon, Inc., of West Point, Pa.
- Compositions for oral administration can also have liquid forms. For example, suitable liquid forms include aqueous solutions, emulsions, suspensions, solutions reconstituted from non-effervescent granules, suspensions reconstituted from non-effervescent granules, effervescent preparations reconstituted from effervescent granules, elixirs, tinctures, syrups, and the like. Liquid orally administered compositions typically comprise A) the PGF and B) a carrier comprising ingredients selected from the group consisting of a) diluents, e) colorants, and f) flavors, g) sweeteners, j) preservatives, m) solvents, n) suspending agents, and o) surfactants. Peroral liquid compositions preferably comprise one or more ingredients selected from the group consisting of e) colorants, f) flavors, and g) sweeteners.
- Other compositions useful for attaining systemic delivery of the subject compounds include sublingual, buccal and nasal dosage forms. Such compositions typically comprise one or more of soluble filler substances such as a) diluents including sucrose, sorbitol and mannitol; and c) binders such as acacia, microcrystalline cellulose, carboxymethylcellulose, and hydroxypropylmethylcellulose. Such compositions may further comprise b) lubricants, e) colorants, f) flavors, g) sweeteners, h) antioxidants, and k) glidants.
- The compositions may further comprise component C) an optional activity enhancer. Component C) is preferably selected from the group consisting of i) hair growth stimulants (other than the PGF) and ii) penetration enhancers.
- Component i) is an optional hair growth stimulant. Component i) is exemplified by vasodilators, antiandrogens, cyclosporins, cyclosporin analogs, antimicrobials, anti-inflammatories, thyroid hormones, thyroid hormone derivatives, and thyroid hormone analogs, non-selective prostaglandin agonists or antagonists, retinoids, triterpenes, combinations thereof, and others. “Non-selective prostaglandin” agonists and antagonists differ from component A) in that they do not selectively activate the FP receptor, and they may activate other receptors.
- Vasodilators such as potassium channel agonists including minoxidil and minoxidil derivatives such as aminexil and those described in U.S. Pat. Ser. Nos. 3,382,247, 5,756,092, 5,772,990, 5,760,043, 5,466,694, 5,438,058, 4,973,474, and cromakalin and diazoxide can be used as optional hair growth stimulants in the composition.
- Examples of suitable antiandrogens include 5-α-reductase inhibitors such as finasteride and those described in U.S. Pat. No. 5,516,779, and in Nane et al., Cancer Research 58, “Effects of Some Novel Inhibitors of C17,20-Lyase and 5α-Reductase in vitro and in vivo and Their Potential Role in the Treatment of Prostate Cancer,” as well as cyproterone acetate, azelaic acid and its derivatives and those compounds described in U.S. Pat. No. 5,480,913, flutamide, and those compounds described in U.S. Pat. Ser. Nos. 5,411,981, 5,565,467, and 4,910,226.
- Antimicrobials include selenium sulfide, ketoconazole, triclocarbon, triclosan, zinc pyrithione, itraconazole, asiatic acid, hinokitiol, mipirocin and those described in EPA 0,680,745, clinacycin hydrochloride, benzoyl peroxide, benzyl peroxide and minocyclin.
- Examples of suitable anti-inflammatories include glucocorticoids such as hydrocortisone, mometasone furoate and prednisolone, nonsteroidal anti-inflammatories including cyclooxygenase or lipoxygenase inhibitors such as those described in U.S. Pat. Ser. No. 5,756,092, and benzydamine, salicylic acid, and those compounds described in EPA 0,770,399, published May 2, 1997, WO 94/06434, published Mar. 31, 1994, and FR 2,268,523, published Nov. 21, 1975.
- 3,5,3′-Triiodothyronine is an example of a suitable thyroid hormone.
- Examples of suitable non-selective prostaglandins agonists and antagonists include compounds such as those described in WO 98/33497, Johnstone, published Aug. 6, 1998, WO 95/11003, Stjernschantz, published Apr. 27, 1995, JP 97-100091, Ueno and JP 96-134242, Nakamura.
- Suitable retinoids include isotretinoin, acitretin, and tazarotene.
- Other optional hair growth stimulants for component i) include benzalkonium chloride, benzethonium chloride, phenol, estradiol, chlorpheniramine maleate, chlorophyllin derivatives, cholesterol, salicylic acid, cysteine, methionine, red pepper tincture, benzyl nicotinate, D,L—menthol, peppermint oil, calcium pantothenate, panthenol, castor oil, prednisolone, resorcinol, chemical activators of protein kinase C, glycosaminoglycan chain cellular uptake inhibitors, inhibitors of glycosidase activity, glycosaminoglycanase inhibitors, esters of pyroglutarylic acid, hexosaccharic acids or acylated hexosaccharic acids, aryl-substituted ethylenes, N-acylated amino acids, flavinoids, ascomycin derivatives and analogs, histamine antagonists such as diphenhydramine hydrochloride, triterpenes such as oleanolic acid and ursolic acid and those described in U.S. Pat. Ser. Nos. 5,529,769, 5,468,888, 5,631,282, and 5,679,705, JP 10017431, WO 95/35103, JP 09067253, WO 92/09262, JP 62093215, and JP 08193094; saponins such as those described in EP 0,558,509 to Bonte et al., published Sep. 8, 1993 and WO 97/01346 to Bonte et al, published Jan. 16, 1997, proteoglycanase or glycosaminoglycanase inhibitors such as those described in U.S. Pat. Ser. Nos. 5,015,470, 5,300,284, and 5,185,325, estrogen agonists and antagonists, pseudoterins, cytokine and growth factor promoters, analogs or inhibitors such as interleukin1 inhibitors, interleukin-6 inhibitors, interleukin-10 promoters, and tumor necrosis factor inhibitors, vitamins such as vitamin D analogs and parathyroid hormone antagonists, Vitamin B 12 analogs and panthenol, interferon agonists and antagonists, hydroxyacids such as those described in U.S. Pat. No. 5,550,158, benzophenones, and hydantoin anticonvulsants such as phenytoin, and combinations thereof.
- Other additional hair growth stimulants are described in JP 09-157,139 to Tsuji et al., published Jun. 17, 1997; EP 0277455 A1 to Mirabeau, published Aug. 10, 1988; WO 97/05887 to Cabo Soler et al., published Feb. 20, 1997; WO 92/16186 to Bonte et al., published Mar. 13, 1992; JP 62-93215 to Okazaki et al., published Apr. 28, 1987; U.S. Pat. No. 4,987,150 to Kurono et al., issued Jan. 22, 1991; JP 290811 to Ohba et al., published Oct. 15, 1992; JP 05-286,835 to Tanaka et al., published Nov. 2, 1993, FR 2,723,313 to Greff, published Aug. 2, 1994, U.S. Pat. No. 5,015,470 to Gibson, issued May 14, 1991, U.S. Pat. No. 5,559,092, issued Sep. 24, 1996, U.S. Pat. No. 5,536,751, issued Jul. 16, 1996, U.S. Pat. No. 5,714,515, issued Feb. 3, 1998, EPA 0,319,991, published Jun. 14, 1989, EPA 0,357,630, published Oct. 6, 1988, EPA 0,573,253, published Dec. 8, 1993, JP 61-260010, published Nov. 18, 1986, U.S. Pat. No. 5,772,990, issued Jun. 30, 1998, U.S. Pat. No. 5,053, 410, issued Oct. 1, 1991, and U.S. Pat. No. 4,761,401, issued Aug. 2, 1988.
- The most preferred activity enhancers are minoxidil and finasteride, most preferably minoxidil.
- Component ii) is a penetration enhancer that can be added to all of the compositions for systemic administration. The amount of component ii), when present in the composition, is typically 1 to 5%. Examples of penetration enhancers include 2-methyl propan-2-ol, propan-2-ol, ethyl-2-hydroxypropanoate, hexan-2,5-diol, polyoxyethylene(2) ethyl ether, di(2-hydroxypropyl) ether, pentan-2,4-diol, acetone, polyoxyethylene(2) methyl ether, 2-hydroxypropionic acid, 2-hydroxyoctanoic acid, propan-1-ol, 1,4-dioxane, tetrahydrofuran, butan-1,4-diol, propylene glycol dipelargonate, polyoxypropylene 15 stearyl ether, octyl alcohol, polyoxyethylene ester of oleyl alcohol, oleyl alcohol, lauryl alcohol, dioctyl adipate, dicapryl adipate, di-isopropyl adipate, di-isopropyl sebacate, dibutyl sebacate, diethyl sebacate, dimethyl sebacate, dioctyl sebacate, dibutyl suberate, dioctyl azelate, dibenzyl sebacate, dibutyl phthalate, dibutyl azelate, ethyl myristate, dimethyl azelate, butyl myristate, dibutyl succinate, didecyl phthalate, decyl oleate, ethyl caproate, ethyl salicylate, isopropyl palmitate, ethyl laurate, 2-ethyl-hexyl pelargonate, isopropyl isostearate, butyl laurate, benzyl benzoate, butyl benzoate, hexyl laurate, ethyl caprate, ethyl caprylate, butyl stearate, benzyl salicylate, 2-hydroxypropanoic acid, 2-hydroxyoctanoic acid, dimethyl sulphoxide, N,N-dimethyl acetamide, N,N-dimethyl formamide, 2-pyrrolidone, 1-methyl-2-pyrrolidone, 5-methyl-2-pyrrolidone, 1,5-dimethyl-2-pyrrolidone, 1-ethyl-2-pyrrolidone, phosphine oxides, sugar esters, tetrahydrofurfural alcohol, urea, diethyl-m-toluamide, 1-dodecylazacyloheptan-2-one, omega three fatty acids and fish oils, and combinations thereof.
- In a preferred embodiment of the invention, the PGF's are topically administered. Topical compositions that can be applied locally to the skin may be in any form including solutions, oils, creams, ointments, gels, lotions, shampoos, leave-on and rinse-out hair conditioners, milks, cleansers, moisturizers, sprays, skin patches, and the like. Topical compositions comprise: component A) the PGF described above and component B) a carrier. The carrier of the topical composition preferably aids penetration of the PGF's into the skin to reach the environment of the hair follicle. Topical compositions preferably further comprise C) one or more of the optional activity enhancers described above.
- The exact amounts of each component in the topical composition depend on various factors. The amount of component A) depends on the IC 50 of the PGF selected. “IC50” means inhibitory concentration 50th percentile. The amount of component A) added to the topical composition is:
- IC50×10−2≧% of component A)≧IC50×10−3,
- where IC 50 is expressed in nanomolar units. For example, if the IC50 of the PGF is 1 nM, the amount of component A) will be 0.001 to 0.01%. If the IC50 of the PGF is 10 nM, the amount of component A) will be 0.01 to 0.1%. If the IC50 of the PGF is 100 nM, the amount of component A) will be 0.1 to 1.0%. If the IC50 of the PGF is 1000 nM, the amount of component A) will be 1.0 to 10%, preferably 1.0 to 5%. If the amount of component A) is outside the ranges specified above (i.e., either higher or lower), efficacy of the treatment may be reduced. IC50 can be calculated according to the method in Reference Example 1, below. One skilled in the art can calculate IC50 without undue experimentation.
- The topical composition preferably further comprises 1 to 20% component C), and a sufficient amount of component B) such that the amounts of components A), B), and C), combined equal 100%. The amount of B) the carrier employed in conjunction with the PGF is sufficient to provide a practical quantity of composition for administration per unit dose of the compound. Techniques and compositions for making dosage forms useful in the methods of this invention are described in the following references: Modern Pharmaceutics, Chapters 9 and 10, Banker & Rhodes, eds. (1979); Lieberman et al., Pharmaceutical Dosage Forms: Tablets (1981); and Ansel, Introduction to Pharmaceutical Dosage Forms, 2nd Ed., (1976).
- Component B) the carrier may comprise a single ingredient or a combination of two or more ingredients. In the topical compositions, component B) is a topical carrier. Preferred topical carriers comprise one or more ingredients selected from the group consisting of water, alcohols, aloe vera gel, allantoin, glycerin, vitamin A and E oils, mineral oil, propylene glycol, polypropylene glycol-2 myristyl propionate, dimethyl isosorbide, combinations thereof, and the like. More preferred carriers include propylene glycol, dimethyl isosorbide, and water.
- The topical carrier may comprise one or more ingredients selected from the group consisting of q) emollients, r) propellants, s) solvents, t) humectants, u) thickeners, v) powders, and w) fragrances in addition to, or instead of, the preferred topical carrier ingredients listed above. One skilled in the art would be able to optimize carrier ingredients for the topical compositions without undue experimentation.
- Ingredient q) is an emollient. The amount of ingredient q) in the topical composition is typically 5 to 95%. Suitable emollients include stearyl alcohol, glyceryl monoricinoleate, glyceryl monostearate, propane-1,2-diol, butane-1,3-diol, mink oil, cetyl alcohol, isopropyl isostearate, stearic acid, isobutyl palmitate, isocetyl stearate, oleyl alcohol, isopropyl laurate, hexyl laurate, decyl oleate, octadecan-2-ol, isocetyl alcohol, cetyl palmitate, di-n-butyl sebacate, isopropyl myristate, isopropyl palmitate, isopropyl stearate, butyl stearate, polyethylene glycol, triethylene glycol, lanolin, sesame oil, coconut oil, arachis oil, castor oil, acetylated lanolin alcohols, petrolatum, mineral oil, butyl myristate, isostearic acid, palmitic acid, isopropyl linoleate, lauryl lactate, myristyl lactate, decyl oleate, myristyl myristate, polydimethylsiloxane, and combinations thereof. Preferred emollients include stearyl alcohol and polydimethylsiloxane.
- Ingredient r) is a propellant. The amount of ingredient r) in the topical composition is typically 5 to 95%. Suitable propellants include propane, butane, isobutane, dimethyl ether, carbon dioxide, nitrous oxide, and combinations thereof.
- Ingredient s) is a solvent. The amount of ingredient s) in the topical composition is typically 5 to 95%. Suitable solvents include water, ethyl alcohol, methylene chloride, isopropanol, castor oil, ethylene glycol monoethyl ether, diethylene glycol monobutyl ether, diethylene glycol monoethyl ether, dimethylsulfoxide, dimethyl formamide, tetrahydrofuran, and combinations thereof. Preferred solvents include ethyl alcohol.
- Ingredient t) is a humectant. The amount of ingredient t) in the topical composition is typically 5 to 95%. Suitable humectants include glycerin, sorbitol, sodium 2-pyrrolidone-5-carboxylate, soluble collagen, dibutyl phthalate, gelatin, and combinations thereof. Preferred humectants include glycerin.
- Ingredient u) is a thickener. The amount of ingredient u) in the topical composition is typically 0 to 95%.
- Ingredient v) is a powder. The amount of ingredient v) in the topical composition is typically 0 to 95%. Suitable powders include chalk, talc, fullers earth, kaolin, starch, gums, colloidal silicon dioxide, sodium polyacrylate, tetra alkyl ammonium smectites, trialkyl aryl ammonium smectites, chemically modified magnesium aluminum silicate, organically modified montmorillonite clay, hydrated aluminum silicate, fumed silica, carboxyvinyl polymer, sodium carboxymethyl cellulose, ethylene glycol monostearate, and combinations thereof.
- Ingredient w) is a fragrance. The amount of ingredient w) in the topical composition is typically 0.001 to 0.5%, preferably 0.001 to 0.1%.
- Component C) the optional activity enhancer is as described above. Any of the i) hair growth stimulants and ii) penetration enhancers may be added to the topical compositions. Preferably, the topical composition comprises 0.01 to 15% of component i) the optional hair growth stimulant. More preferably, the composition comprises 0.1 to 10%, and most preferably 0.5 to 5% of component i). Preferably, the topical composition comprises 1 to 5% of component ii).
- In an alternative embodiment of the invention, topical pharmaceutical compositions for ocular administration are prepared by conventional methods. Topical pharmaceutical compositions for ocular administration typically comprise A) a PGF, B) a carrier, such as purified water, and one or more ingredients selected from the group consisting of y) sugars such as dextrans, particularly dextran 70, z) cellulose or a derivative thereof, aa) a salt, bb) disodium EDTA (Edetate disodium), and cc) a pH adjusting additive.
- Examples of z) cellulose derivatives suitable for use in the topical pharmaceutical composition for ocular administration include sodium carboxymethyl cellulose, ethyl cellulose, methyl cellulose, and hydroxypropylmethylcellulose. Hydroxypropylmethylcellulose is preferred.
- Examples of aa) salts suitable for use in the for use in the topical pharmaceutical composition for ocular administration include sodium chloride, potassium chloride, and combinations thereof.
- Examples of cc) pH adjusting additives include HCl or NaOH in amounts sufficient to adjust the pH of the topical pharmaceutical composition for ocular administration to 7.2-7.5.
- This invention further relates to a method for darkening hair, thickening hair, and reversing hair graying. The method comprises applying the topical composition for treating hair loss to hair, to skin in the locus of hair, or both. For example, the topical composition may be applied to hair growing on the scalp or eyelashes. The topical composition can be, for example, a cosmetic composition prepared as described above. An example of a composition that may be applied to eyelashes is a mascara. The PGF may be added to mascara compositions known in the art, such as the mascara described in U.S. Pat. No. 5,874,072, which is hereby incorporated by reference. The mascara further comprises dd) a water-insoluble material, ee) a water-soluble, film-forming polymer, ff) a wax, o) a surfactant, gg) a pigment, and s) a solvent.
- Ingredient dd) is a water-insoluble material selected from the group consisting of acrylate copolymers; styrene/acrylate/methacrylate copolymers; acrylic latex; styrene/acrylic ester copolymer latex; polyvinylacetate latex; vinyl acetate/ethylene copolymer latex; styrene/butadiene copolymer latex; polyurethane latex; butadiene/acrylonitrile copolymer latex; styrene/acrylate/acrylonitrile copolymer latex; and mixtures thereof, wherein the acrylate copolymers, and the styrene/acrylate/methacrylate copolymers additionally comprise ammonia, propylene glycol, a preservative and a surfactant.
- Ingredient ee) is a water-soluble, film-forming polymer. Ingredient ee) is selected from the group consisting of vinyl alcohol/poly(alkyleneoxy)acrylate, vinyl alcohol/vinyl acetate/poly-(alkyleneoxy)acrylate, polyethylene oxide, polypropylene oxide, acrylates/octyl-acrylamide copolymers and mixtures thereof.
- Ingredient ff) is a wax. “Wax” means a lower-melting organic mixture or compound of high molecular weight, solid at room temperature and generally similar in composition to fats and oils except that they contain no glycerides. Some are hydrocarbons, others are esters of fatty acids and alcohols. Waxes useful in this invention are selected from the group consisting of animal waxes, vegetable waxes, mineral waxes, various fractions of natural waxes, synthetic waxes, petroleum waxes, ethylenic polymers, hydrocarbon types such as Fischer-Tropsch waxes, silicone waxes, and mixtures thereof wherein the waxes have a melting point between 55 and 100° C.
- Ingredient o) is surfactant, as described above. Ingredient o) in the mascara is preferably a surfactant having an HLB from 3 to 15. Suitable surfactants include those disclosed in the C.T.F.A. Cosmetic Ingredient Handbook, pp. 587-592 (1992); Remington's Pharmaceutical Sciences, 15th ed., pp. 335-337 (1975); and McCutcheon's Volume 1, Emulsifiers & Detergents, North American Edition, pp. 236-239 (1994).
- Ingredient gg) is a pigment. Suitable pigments include inorganic pigments, organic lake pigments, pearlescent pigments, and mixtures thereof. Inorganic pigments useful in this invention include those selected from the group consisting of rutile or anatase titanium dioxide, coded in the Color Index under the reference CI 77,891; black, yellow, red and brown iron oxides, coded under references CI 77,499, 77,492 and, 77,491; manganese violet (CI 77,742); ultramarine blue (CI 77,007); chromium oxide (CI 77,288); chromium hydrate (CI 77,289); and ferric blue (CI 77,510); and mixtures thereof.
- The organic pigments and lakes useful in this invention include those selected from the group consisting of D&C Red No. 19 (CI 45,170), D&C Red No. 9 (CI 15,585), D&C Red No. 21 (CI 45,380), D&C Orange No. 4 (CI 15,510), D&C Orange No. 5 (CI 45,370), D&C Red No. 27 (CI 45,410), D&C Red No. 13 (CI 15,630), D&C Red No. 7 (CI 15,850), D&C Red No. 6 (CI 15,850), D&C Yellow No. 5 (CI 19,140), D&C Red No. 36 (CI 12,085), D&C Orange No. 10 (CI 45,425), D&C Yellow No. 6 (CI 15,985), D&C Red No. 30 (CI 73,360), D&C Red No. 3 (CI 45,430:), and the dye or lakes based on Cochineal Carmine (CI 75,570), and mixtures thereof.
- The pearlescent pigments useful in this invention include those selected from the group consisting of the white pearlescent pigments such as mica coated with titanium oxide, bismuth oxychloride, colored pearlescent pigments such as titanium mica with iron oxides, titanium mica with ferric blue, chromium oxide and the like, titanium mica with an organic pigment of the above-mentioned type as well as those based on bismuth oxychloride and mixtures thereof.
- Ingredient s) is a solvent described above, preferably water.
- The amount of A) the PGF added to the mascara is as described above for topical compositions.
- The PGF's may also be administered in the form of liposome delivery systems, such as small unilamellar vesicles, large unilamellar vesicles, and multilamellar vesicles. Liposomes can be formed from a variety of phospholipids, such as cholesterol, stearylamine or phosphatidylcholines. A preferred formulation for topical delivery of the present compounds uses liposomes as described in Dowton et al., “Influence of Liposomal Composition on Topical Delivery of Encapsulated Cyclosporin A: I. An in vitro Study Using Hairless Mouse Skin”, S.T.P. Pharma Sciences, Vol. 3, pp. 404-407 (1993); Wallach and Philippot, “New Type of Lipid Vesicle: Novasome®”, Liposome Technology, Vol. 1, pp. 141-156 (1993); Wallach, U.S. Pat. No. 4,911,928, assigned to Micro-Pak, Inc., issued Mar. 27, 1990; and Weiner et al., U.S. Pat. No. 5,834,014, assigned to The University of Michigan and Micro-Pak, Inc., issued Nov. 10, 1998 (with respect to Weiner et al., with a compound as described herein administered in lieu of, or in addition to, minoxidil).
- The PGF's may also be administered by iontophoresis. See, e.g., Internet site www.unipr.it/arpa/dipfarm/erasmus/erasm14.html; Banga et al., “Hydrogel-based Iontotherapeutic Delivery Devices for Transdermal Delivery of Peptide/Protein Drugs”, Pharm. Res., Vol. 10 (5), pp. 697-702 (1993); Ferry, “Theoretical Model of Iontophoresis Utilized in Transdermal Drug Delivery”, Pharmaceutical Acta Helvetiae, Vol 70, pp. 279-287 (1995); Gangarosa et al., “Modern Iontophoresis for Local Drug Delivery”, Int. J. Pharm., Vol. 123, pp. 159-171 (1995); Green et al., “Iontophoretic Delivery of a Series of Tripeptides Across the Skin in vitro”, Pharm. Res., Vol 8, pp. 1121-1127 (1991); Jadoul et al., “Quantification and Localization of Fentanyl and TRH Delivered by Iontophoresis in the Skin”, Int. J. Pharm., Vol. 120, pp. 221-8 (1995); O'Brien et al., “An Updated Review of its Antiviral Activity, Pharmacokinetic Properties and Therapeutic Efficacy”, Drugs, Vol. 37, pp. 233-309 (1989); Parry et al., “Acyclovir Biovailability in Human Skin”, J. Invest. Dermatol., Vol. 98 (6), pp. 856-63 (1992); Santi et al., “Drug Reservoir Composition and Transport of Salmon Calcitonin in Transdermal Iontophoresis”, Pharm. Res., Vol 14 (1), pp. 63-66 (1997); Santi et al., “Reverse Iontophoresis—Parameters Determining Electroosmotic Flow: I. pH and Ionic Strength”, J. Control. Release, Vol. 38, pp. 159-165 (1996); Santi et al., “Reverse Iontophoresis—Parameters Determining Electroosmotic Flow: II. Electrode Chamber Formulation”, J. Control. Release, Vol. 42, pp. 29-36 (1996); Rao et al., “Reverse Iontophoresis: Noninvasive Glucose Monitoring in vivo in Humans”, Pharm. Res., Vol. 12 (12), pp. 1869-1873 (1995); Thysman et al., “Human Calcitonin Delivery in Rats by Iontophoresis”, J. Pharm. Pharmacol., Vol. 46, pp. 725-730 (1994); and Volpato et al., “Iontophoresis Enhances the Transport of Acyclovir through Nude Mouse Skin by Electrorepulsion and Electroosmosis”, Pharm. Res., Vol. 12 (11), pp. 1623-1627 (1995).
- The PGF's may be included in kits comprising a PGF, a systemic or topical composition described above, or both; and information, instructions, or both that use of the kit will provide treatment for hair loss in mammals (particularly humans). The information and instructions may be in the form of words, pictures, or both, and the like. In addition or in the alternative, the kit may comprise a PGF, a composition, or both; and information, instructions, or both, regarding methods of application of the PGF or composition, preferably with the benefit of treating hair loss in mammals.
- This invention further relates to a method for treating hair loss in mammals. The method comprises administering to a mammal (preferably a human) suffering from hair loss, a PGF described above. For example, a mammal diagnosed with alopecia including male pattern baldness and female pattern baldness can be treated by the methods of this invention. Preferably, a systemic or topical composition comprising A) the PGF and B) a carrier is administered to the mammal. More preferably, the composition is a topical composition comprising A) the PGF, B) the carrier, and C) an optional activity enhancer.
- The dosage of the PGF administered depends on the method of administration. For systemic administration, (e.g., oral, rectal, nasal, sublingual, buccal, or parenteral), typically, 0.5 mg to 300 mg, preferably 0.5 mg to 100 mg, more preferably 0.1 mg to 10 mg, of a PGF described above is administered per day. These dosage ranges are merely exemplary, and daily administration can be adjusted depending on various factors. The specific dosage of the PGF to be administered, as well as the duration of treatment, and whether the treatment is topical or systemic are interdependent. The dosage and treatment regimen will also depend upon such factors as the specific PGF used, the treatment indication, the efficacy of the compound, the personal attributes of the subject (such as, for example, weight, age, sex, and medical condition of the subject), compliance with the treatment regimen, and the presence and severity of any side effects of the treatment.
- For topical administration (e.g., local application on the skin, ocular, liposome delivery systems, or iontophoresis), the topical composition is typically administered once per day. The topical compositions are administered daily for a relatively short amount of time (i.e., on the order of weeks). Generally, 6 to 12 weeks is sufficient. The topical compositions are preferably leave-on compositions. In general, the topical composition should not be removed for at least several hours after administration.
- In addition to the benefits in treating hair loss, the inventors have surprisingly found that the PGF's in the compositions and methods of this invention also darken and thicken hair and may reverse hair graying. This invention further relates to a method for darkening and thickening hair. The method comprises applying the topical composition for treating hair loss to growing hair and skin in the locus of the growing hair. In a preferred embodiment of the invention, the topical composition, such as the mascara composition described above, is applied to eyelashes.
- These examples are intended to illustrate the invention to those skilled in the art and should not be interpreted as limiting the scope of the invention set forth in the claims.
- IC 50 of a PGF can be determined relative to PGF2α using the Radioligand Binding Assay. As a control, the IC50 for PGF2α itself should be no lower than 1.0 nM and no higher than 5.0 nM.
- In this assay, COS-7 cells are transiently transfected with the hFP recombinant plasmid using LipofectAMINE Reagent. Forty-eight hours later, the tranfected cells are washed with Hank's Balanced Salt Solution (HBSS, without CaCl 2, MgCl2, MgSO4, or phenol red). The cells are detached with versene, and HBSS is added. The mixture is centrifuged at 200 g for 10 minutes, at 4° C. to pellet the cells. The pellet is resuspended in Phosphate-Buffered Saline-EDTA buffer (PBS; 1 mM EDTA; pH 7.4; 4° C.). The cells are disrupted by nitrogen cavitation (Parr model 4639), at 800 psi, for 15 minutes at 4° C. The mixture is centrifuged at 1000 g for 10 minutes at 4° C. The supernatant is centrifuged at 100,000 g for 60 minutes at 4° C. The pellet is resuspended to 1 mg protein/mL TME buffer (50 mM Tris; 10 mM MgCl2; 1 mM EDTA; pH 6.0; 4° C.) based on protein levels measured using the Pierce BCA Protein Assay kit. The homogenate is mixed for 10 seconds using a Kinematica POLYTRON® (available from KINEMATICA AG, Luzernerstrasse147A CH-6014 Littau, Switzerland). The membrane preparations are then stored at −80° C., until thawed for assay use.
- The receptor competition binding assays are developed in a 96 well format. Each well contains 100 g of hFP membrane, 5 nM (3 H) FPGF2, and the various competing compounds in a total volume of 200 L. The plates are incubated at 23° C. for 1 hour. The incubation is terminated by rapid filtration using the Packard Filtermate 196 harvester through Packard UNIFILTER® GF/B filters (available from Packard Instrument Co., Inc. of Downers Grove Ill.) pre-wetted with TME buffer. The filter is washed four times with TME buffer. Packard Microscint 20, a high efficiency liquid scintillation cocktail, is added to the filter plate wells and the plates remain at room temperature for three hours prior to counting. The plates are read on a Packard TOPCOUNT® Microplate Scintillation Counter (also available from Packard Instrument Co., Inc.)
- PGF's are tested for their potential to grow hair using the Telogen Conversion Assay. The Telogen Conversion Assay measures the potential of a PGF to convert mice in the resting stage of the hair growth cycle (“telogen”), to the growth stage of the hair growth cycle (“anagen”).
- Without intending to be limited by theory, there are three principal phases of the hair growth cycle: anagen, catagen, and telogen. It is believed that there is a longer telogen period in C3H mice (Harlan Sprague Dawley, Inc., Indianapolis, Ind.) from approximately 40 days of age until about 75 days of age, when hair growth is synchronized. It is believed that after 75 days of age, hair growth is no longer synchronized. Wherein about 40 day-old mice with dark fur (brown or black) are used in hair growth experiments, melanogenesis occurs along with hair (fur) growth wherein the topical application of hair growth inducers are evaluated. The Telogen Conversion Assay herein is used to screen PGF's for potential hair growth by measuring melanogenesis.
- Three groups of 44 day-old C3H mice are used: a vehicle control group, a positive control group, and a test PGF group, wherein the test PGF group is administered a PGF used in the method of this invention. The length of the assay is 24 days with 15 treatment days (wherein the treatment days occur Mondays through Fridays). Day 1 is the first day of treatment. A typical study design is shown in Table 3 below. Typical dosage concentrations are set forth in Table 3, however the skilled artisan will readily understand that such concentrations may be modified.
TABLE 3 Assay Parameters Group Animal Concen- Application Length of # # Compound tration volume Study 1 1-10 Test 0.01% in 400 μL topical 26 days Compound vehicle** 2 11-20 Positive 0.01% in 400 μL topical 26 days Control vehicle** (T3)* 3 21-30 Vehicle** N/A 400 μL topical 26 days - The mice are treated topically Monday through Friday on their lower back (base of tail to the lower rib). A pipettor and tip are used to deliver 400 μL to each mouse's back. The 400 μL application is applied slowly while moving hair on the mouse to allow the application to reach the skin.
- While each treatment is being applied to the mouse topically, a visual grade of from 0 to 4 will be given to the skin color in the application area of each animal. As a mouse converts from telogen to anagen, its skin color will become more bluish-black. As indicated in Table 4, the grades 0 to 4 represent the following visual observations as the skin progresses from white to bluish-black.
TABLE 4 Evaluation Criteria Visual Observation Grade Whitish Skin Color 0 Skin is light gray (indication of initiation of anagen) 1 Appearance of Blue Spots 2 Blue Spots are aggregating to form one large blue area 3 Skin is dark blue (almost black) with color covering majority of 4 treatment area (indication of mouse in full anagen) -
- was tested according to the method Reference Example 1. 13,14-dihydro-15-(2-benzathiozolyl) pentanor Prostaglandin F 1α grew hair and had IC50 of 45 nM.
-
- was tested according to the method Reference Example 1. Latanoprost was active at 0.01% and 0.1%. Grades representing the average animal score on day 26 are reported in Table 5.
-
- was tested according to the method Reference Example 1. Fluprostenol grew hair at 0.01% and 0.1%. Grades representing the average animal score on day 26 are reported in Table 5.
TABLE 5 Grades Example PGF 0.01% 0.1% Comparative latanaprost 0.71 2.9 Example 1 Example 2 fluprostenol methyl ester 3.9 2.6 - A composition containing 0.01% of a T3 compound was prepared and tested according to the method of Reference Example 1. The T3 compound grew hair.
- Compositions for topical administration are made, comprising:
Component 3-1 3-2 3-3 PGF (wt %) 0.019 0.027 0.045 IC50 the PGF (nM) 19 27 45 Ethanol (wt %) 59.988 59.983 59.973 Propylene Glycol (wt %) 19.996 19.995 19.991 Dimethyl Isosorbide (wt %) 19.996 19.995 19.991 -
- A human male subject suffering from male pattern baldness is treated by a method of this invention. Specifically, for 6 weeks, one of the above compositions is daily administered topically to the subject to induce hair growth.
- A composition for topical administration is made according to the method of Dowton et al., “Influence of Liposomal Composition on Topical Delivery of Encapsulated Cyclosporin A: I. An in vitro Study Using Hairless Mouse Skin”, S.T.P. Pharma Sciences, Vol. 3, pp. 404-407 (1993), using a PGF in lieu of cyclosporin A and using the NOVASOME® 1 (available from Micro-Pak, Inc. of Wilmington, Delaware) for the non-ionic liposomal formulation.
- A human male subject suffering from male pattern baldness is treated each day with the above composition. Specifically, for 6 weeks, the above composition is administered topically to the subject.
- Shampoos are made, comprising:
Ex. 5-1 Ex. 5-2 Ex. 5-3 Ex. 5-4 Component Ammonium Lauryl Sulfate 11.5% 11.5% 9.5% 7.5% Ammonium Laureth Sulfate 4% 3% 2% 2% Cocamide MEA 2% 2% 2% 2% Ethylene Glycol Distearate 2% 2% 2% 2% Cetyl Alcohol 2% 2% 2% 2% Stearyl Alcohol 1.2% 1.2% 1.2% 1.2% Glycerin 1% 1% 1% 1% Polyquaternium 10 0.5% 0.25% — — Polyquaternium 24 — — 0.5% 0.25% Sodium Chloride 0.1% 0.1% 0.1% 0.1% Sucrose Polyesters of 3% 3% — — Cottonate Fatty Acid Sucrose Polyesters of 2% 3% — — Behenate Fatty Acid Polydimethl Siloxane — — 3% 2% Cocaminopropyl Betaine — 1% 3% 3% Lauryl Dimethyl Amine 1.5% 1.5% 1.5% 1.5% Oxide Decyl Polyglucose — — 1% 1% DMDM Hydantoin 0.15% 0.15% 0.15% 0.15% PGF having IC50 of 19 nM — 0.019% 0.019% — PGF having IC50 of 45 nM 0.045% — — 0.045% Minoxidil 3% 2% Phenoxyethanol 0.5% 0.5% 0.5% 0.5% Fragrance 0.5% 0.5% 0.5% 0.5% Water q.s. q.s. q.s. q.s. - The PGF having IC 50 of 19 nM is the same as that in Example 3-1.
- The PGF having IC 50 of 45 nM is the same as that in Example 3-3.
- A human subject suffering from male pattern baldness is treated by a method of this invention. Specifically, for 12 weeks, a shampoo described above is used daily by the subject.
- A mascara composition is prepared. The composition comprises:
Component % W/W WATER, DEIONIZED, USP q.s. BLACK 1080 MICRONIZED TYPE 10.000 GLYCERYL MONOSTEARATE (2400 TYPE) 8.500 C18-36 ACID TRIGLYCERIDE 5.500 STEARIC ACID, TRIPLE PRESSED, LIQUID 4.000 ETHYL ALCOHOL SD 40-B, 190 PROOF/SERIAL #: 4.000 BEESWAX WHITE, FLAKES 3.250 SHELLAC, NF 3.000 LECITHIN, GRANULAR (TYPE 6450) 2.500 TRIETHANOLAMINE 99% - TANK 2.470 PARAFFIN WAX 2.250 PARAFFIN WAX 118/125 2.250 CARNAUBA WAX, NF 2.000 POTASSIUM CETYL PHOSPHATE 1.000 PHENOXYETHANOL 0.800 OLEIC ACID NF 0.750 DL-PANTHENOL 0.350 PVP/VA COPOLYMER 0.250 METHYLPARABEN, NF 0.200 DIAZOLIDINYL UREA 0.200 SIMETHICONE 0.200 ETHYLPARABEN NF 0.150 PENTAERYTHRITYL HYDROGENATED ROSINATE 0.150 PROPYLPARABEN, NF 0.100 TRISODIUM EDTA 0.100 PGF having IC50 of 19 nM 0.019 - The PGF is the same as that used in Example 3-1.
- A human female subject applies the composition each day. Specifically, for 6 weeks, the above composition is administered topically to the subject to darken and thicken eyelashes.
- Pharmaceutical compositions in the form of tablets are prepared by conventional methods, such as mixing and direct compaction, formulated as follows:
Ingredient Quantity (mg per tablet) PGF 0.5 Microcrystalline Cellulose 100 Sodium Starch Glycollate 30 Magnesium Stearate 3 - The PGF is the same as that used in Example 3-3.
- The above composition is administered orally to a subject once daily for 6 to 12 weeks to promote hair growth.
- Pharmaceutical compositions in liquid form are prepared by conventional methods, formulated as follows:
Ingredient Quantity PGF 0.1 mg Phosphate buffered physiological saline 10 ml Methyl Paraben 0.05 ml - The PGF is the same as that used in Example 3-3.
- 1.0 ml of the above composition is administered subcutaneously once daily at the site of hair loss for 6 to 12 weeks to promote hair growth.
- A topical pharmaceutical composition is prepared by conventional methods and formulated as follows:
Ingredient Amount (wt %) PGF 0.004 Dextran 70 0.1 Hydroxypropyl methylcellulose 0.3 Sodium Chloride 0.77 Potassium chloride 0.12 Disodium EDTA (Edetate disodium) 0.05 Benzalkonium chloride 0.01 HCL and/or NaOH pH 7.2-7.5 Purified water q.s. to 100% - The PGF is the same as that used in Example 3-3.
- The above composition is administered ocularly to a subject once per day for 6 to 12 weeks to promote eyelash growth.
- The compositions and methods herein provide a cosmetic benefit with respect to hair growth and appearance in subjects desiring such treatment.
Claims (32)
Priority Applications (10)
| Application Number | Priority Date | Filing Date | Title |
|---|---|---|---|
| US09/774,557 US20020172693A1 (en) | 2000-03-31 | 2001-01-31 | Compositions and methods for treating hair loss using non-naturally occurring prostaglandins |
| US11/138,097 US7388029B2 (en) | 2000-03-31 | 2005-05-26 | Compositions and methods for treating hair loss using non-naturally occurring prostaglandins |
| US11/967,423 US20080103184A1 (en) | 2000-03-31 | 2007-12-31 | Compositions and methods for treating hair loss using non-naturally occurring prostaglandins |
| US12/535,513 US8541466B2 (en) | 2000-03-31 | 2009-08-04 | Compositions and methods for treating hair loss using non-naturally occurring prostaglandins |
| US14/034,372 US8906962B2 (en) | 2000-03-31 | 2013-09-23 | Compositions and methods for treating hair loss using non-naturally occurring prostaglandins |
| US14/510,089 US20150238469A1 (en) | 2000-03-31 | 2014-10-08 | Compositions and methods for treating hair loss using non-naturally occurring prostaglandins |
| US14/958,334 US9579270B2 (en) | 2000-03-31 | 2015-12-03 | Compositions and methods for treating hair loss using non-naturally occurring prostaglandins |
| US15/409,494 US20170348214A1 (en) | 2000-03-31 | 2017-01-18 | Compositions and methods for treating hair loss using non-naturally occurring prostaglandins |
| US16/031,596 US20190175475A1 (en) | 2000-03-31 | 2018-07-10 | Compositions and methods for treating hair loss using non-naturally occurring prostaglandins |
| US16/808,278 US20200330479A1 (en) | 2000-03-31 | 2020-03-03 | Compositions and methods for treating hair loss using non-naturally occurring prostaglandins |
Applications Claiming Priority (2)
| Application Number | Priority Date | Filing Date | Title |
|---|---|---|---|
| US19364500P | 2000-03-31 | 2000-03-31 | |
| US09/774,557 US20020172693A1 (en) | 2000-03-31 | 2001-01-31 | Compositions and methods for treating hair loss using non-naturally occurring prostaglandins |
Related Child Applications (2)
| Application Number | Title | Priority Date | Filing Date |
|---|---|---|---|
| US11/138,097 Division US7388029B2 (en) | 2000-03-31 | 2005-05-26 | Compositions and methods for treating hair loss using non-naturally occurring prostaglandins |
| US11/138,097 Continuation US7388029B2 (en) | 2000-03-31 | 2005-05-26 | Compositions and methods for treating hair loss using non-naturally occurring prostaglandins |
Publications (1)
| Publication Number | Publication Date |
|---|---|
| US20020172693A1 true US20020172693A1 (en) | 2002-11-21 |
Family
ID=22714441
Family Applications (10)
| Application Number | Title | Priority Date | Filing Date |
|---|---|---|---|
| US09/774,557 Abandoned US20020172693A1 (en) | 2000-03-31 | 2001-01-31 | Compositions and methods for treating hair loss using non-naturally occurring prostaglandins |
| US11/138,097 Expired - Lifetime US7388029B2 (en) | 2000-03-31 | 2005-05-26 | Compositions and methods for treating hair loss using non-naturally occurring prostaglandins |
| US11/967,423 Abandoned US20080103184A1 (en) | 2000-03-31 | 2007-12-31 | Compositions and methods for treating hair loss using non-naturally occurring prostaglandins |
| US12/535,513 Expired - Fee Related US8541466B2 (en) | 2000-03-31 | 2009-08-04 | Compositions and methods for treating hair loss using non-naturally occurring prostaglandins |
| US14/034,372 Expired - Fee Related US8906962B2 (en) | 2000-03-31 | 2013-09-23 | Compositions and methods for treating hair loss using non-naturally occurring prostaglandins |
| US14/510,089 Abandoned US20150238469A1 (en) | 2000-03-31 | 2014-10-08 | Compositions and methods for treating hair loss using non-naturally occurring prostaglandins |
| US14/958,334 Expired - Fee Related US9579270B2 (en) | 2000-03-31 | 2015-12-03 | Compositions and methods for treating hair loss using non-naturally occurring prostaglandins |
| US15/409,494 Abandoned US20170348214A1 (en) | 2000-03-31 | 2017-01-18 | Compositions and methods for treating hair loss using non-naturally occurring prostaglandins |
| US16/031,596 Abandoned US20190175475A1 (en) | 2000-03-31 | 2018-07-10 | Compositions and methods for treating hair loss using non-naturally occurring prostaglandins |
| US16/808,278 Abandoned US20200330479A1 (en) | 2000-03-31 | 2020-03-03 | Compositions and methods for treating hair loss using non-naturally occurring prostaglandins |
Family Applications After (9)
| Application Number | Title | Priority Date | Filing Date |
|---|---|---|---|
| US11/138,097 Expired - Lifetime US7388029B2 (en) | 2000-03-31 | 2005-05-26 | Compositions and methods for treating hair loss using non-naturally occurring prostaglandins |
| US11/967,423 Abandoned US20080103184A1 (en) | 2000-03-31 | 2007-12-31 | Compositions and methods for treating hair loss using non-naturally occurring prostaglandins |
| US12/535,513 Expired - Fee Related US8541466B2 (en) | 2000-03-31 | 2009-08-04 | Compositions and methods for treating hair loss using non-naturally occurring prostaglandins |
| US14/034,372 Expired - Fee Related US8906962B2 (en) | 2000-03-31 | 2013-09-23 | Compositions and methods for treating hair loss using non-naturally occurring prostaglandins |
| US14/510,089 Abandoned US20150238469A1 (en) | 2000-03-31 | 2014-10-08 | Compositions and methods for treating hair loss using non-naturally occurring prostaglandins |
| US14/958,334 Expired - Fee Related US9579270B2 (en) | 2000-03-31 | 2015-12-03 | Compositions and methods for treating hair loss using non-naturally occurring prostaglandins |
| US15/409,494 Abandoned US20170348214A1 (en) | 2000-03-31 | 2017-01-18 | Compositions and methods for treating hair loss using non-naturally occurring prostaglandins |
| US16/031,596 Abandoned US20190175475A1 (en) | 2000-03-31 | 2018-07-10 | Compositions and methods for treating hair loss using non-naturally occurring prostaglandins |
| US16/808,278 Abandoned US20200330479A1 (en) | 2000-03-31 | 2020-03-03 | Compositions and methods for treating hair loss using non-naturally occurring prostaglandins |
Country Status (10)
| Country | Link |
|---|---|
| US (10) | US20020172693A1 (en) |
| EP (1) | EP1267807B1 (en) |
| JP (7) | JP2003528899A (en) |
| CN (3) | CN100384425C (en) |
| AT (1) | ATE309775T1 (en) |
| AU (1) | AU2001253039A1 (en) |
| CA (1) | CA2401731C (en) |
| DE (1) | DE60115000T2 (en) |
| ES (1) | ES2252215T3 (en) |
| WO (1) | WO2001074315A2 (en) |
Cited By (30)
| Publication number | Priority date | Publication date | Assignee | Title |
|---|---|---|---|---|
| US20030147823A1 (en) * | 2002-02-04 | 2003-08-07 | Allergan, Inc. | Method of enhancing hair growth |
| US20030199590A1 (en) * | 2002-07-25 | 2003-10-23 | Cagle Gerald D | Prostaglandin analogues for promotion of hair growth |
| US20060135609A1 (en) * | 2004-10-21 | 2006-06-22 | Duke University | Ophthamological drugs |
| US20070254920A1 (en) * | 2006-04-26 | 2007-11-01 | Aerie Pharmaceuticals, Inc. | Prodrug derivatives of acids using alcohols with homotopic hydroxy groups and methods for their preparation and use |
| US20080033036A1 (en) * | 2003-08-12 | 2008-02-07 | Ryuji Ueno | Composition and Method for Promoting Hair Growth |
| US7407987B2 (en) | 2000-03-31 | 2008-08-05 | Duke University | Compositions and methods for treating hair loss using C16-C20 aromatic tetrahydro prostaglandins |
| US7514474B1 (en) | 2007-10-31 | 2009-04-07 | Meta Cosmetics, Llc | Prostaglandin analog compositions and methods to treat epithelial-related conditions |
| US20100074857A1 (en) * | 2008-09-23 | 2010-03-25 | Pamela Lipkin | Compositions and methods to treat epithelial-related conditions |
| US20100166841A1 (en) * | 2008-05-14 | 2010-07-01 | Peter Thomas Roth | Prostaglandin Based Compositions and Method of Use Thereof |
| US20100204335A1 (en) * | 2008-12-01 | 2010-08-12 | Allergan, Inc. | Kit and composition for eyelash growth |
| US20110124736A1 (en) * | 2009-11-09 | 2011-05-26 | Allergan, Inc. | Compositions and methods for stimulating hair growth |
| USRE43372E1 (en) | 1999-03-05 | 2012-05-08 | Duke University | C16 unsaturated FP-selective prostaglandins analogs |
| US8541466B2 (en) | 2000-03-31 | 2013-09-24 | Duke University | Compositions and methods for treating hair loss using non-naturally occurring prostaglandins |
| US8623918B2 (en) | 2008-10-29 | 2014-01-07 | Novaer Holdings, Inc. | Amino acid salts of prostaglandins |
| US8722739B2 (en) | 2008-10-29 | 2014-05-13 | Novaer Holdings, Inc. | Amino acid salts of prostaglandins |
| US8758733B2 (en) | 2002-02-04 | 2014-06-24 | Allergan, Inc. | Topical treatment for chemotherapy induced eyelash loss or hypotrichosis using prostamide F2 alpha agonists |
| US8859616B2 (en) | 2011-01-21 | 2014-10-14 | Allergan, Inc. | Compounds and methods for enhancing hair growth |
| US9006291B2 (en) | 2009-02-03 | 2015-04-14 | Pharma Patent Holding Inc. | Composition, method and kit for enhancing hair |
| US9089720B2 (en) | 2008-09-04 | 2015-07-28 | Santen Pharmaceutical Co., Ltd. | Hair growth promoting agent containing 15,15-difluoroprostaglandin F2α derivative as active ingredient |
| US9149484B2 (en) | 2009-11-09 | 2015-10-06 | Allergan, Inc. | Compositions and methods for stimulating hair growth |
| US9216183B2 (en) | 2002-02-04 | 2015-12-22 | Allergan, Inc. | Topical treatment for chemotherapy induced eyelash loss or hypotrichosis using prostamide F2 alpha agonists |
| US20160067263A1 (en) * | 2013-05-15 | 2016-03-10 | Topokine Therapeutics, Inc. | Methods and compositions for topical delivery of prostaglandins to subcutaneous fat |
| US9346837B2 (en) | 2000-03-31 | 2016-05-24 | Duke University | Cosmetic and pharmaceutical compositions and methods using 2-decarboxy-2-phosphinico derivatives |
| DE102016110381A1 (en) * | 2016-06-06 | 2017-12-07 | Edwin Kohl | Cosmetic composition, in particular for promoting hair growth |
| US9849179B2 (en) | 2013-05-10 | 2017-12-26 | Topokine Therapeutics, Inc. | Methods for topical delivery of prostaglandins to subcutaneous fat |
| US9861641B2 (en) | 2011-12-19 | 2018-01-09 | Topokine Therapeutics, Inc. | Methods for reducing body fat using tafluprost and analogs thereof |
| US10188661B2 (en) | 2014-06-27 | 2019-01-29 | Topokine Therapeutics, Inc. | Topical dosage regimen |
| US10285995B2 (en) | 2006-03-23 | 2019-05-14 | Topokine Therapeutics, Inc. | Compositions and methods for reducing body fat |
| US10335418B2 (en) | 2011-01-19 | 2019-07-02 | Topokine Therapeutics, Inc. | Methods and compositions for treating metabolic syndrome |
| US10561593B2 (en) * | 2015-12-28 | 2020-02-18 | Johnson & Johnson Consumer Inc. | Hair growth composition and method |
Families Citing this family (39)
| Publication number | Priority date | Publication date | Assignee | Title |
|---|---|---|---|---|
| US20020146439A1 (en) * | 2000-03-31 | 2002-10-10 | Delong Mitchell Anthony | Compositions and methods for treating hair loss using oximyl and hydroxylamino prostaglandins |
| WO2003009820A2 (en) * | 2001-07-25 | 2003-02-06 | Alcon, Inc. | Methods for promotion of hair growth comprising topical application of prostaglandin analogues |
| US7326717B2 (en) | 2003-05-06 | 2008-02-05 | L'oreal | Pyrimidine n-oxide compounds for stimulating the growth of keratin fibers and/or reducing loss thereof |
| JP5780690B2 (en) * | 2005-08-25 | 2015-09-16 | 大正製薬株式会社 | Hair growth composition |
| US7879910B1 (en) * | 2006-10-10 | 2011-02-01 | Jan Marini Skin Research, Inc. | Compositions and methods for promoting lush hair growth |
| US20080097070A1 (en) * | 2006-10-19 | 2008-04-24 | L'oreal | Aqueous polyamine-containing systems for water-insoluble materials |
| US20080096782A1 (en) * | 2006-10-19 | 2008-04-24 | L'oreal | Aqueous systems containing phospholipid, surfactant and phosphate ester for water-insoluble materials |
| ITMI20071073A1 (en) * | 2007-05-25 | 2008-11-26 | Ctg Pharma S R L | PHARMACEUTICAL COMPOSITIONS OF PROSTAGLANDINE |
| FR2920309B1 (en) | 2007-08-28 | 2010-05-28 | Galderma Res & Dev | USE OF TRAVOPROST TO TREAT THE FALL OF HAIR |
| WO2009045908A2 (en) * | 2007-09-28 | 2009-04-09 | Cayman Chemical Company | A method for screening of prostaglandin compounds comprising an optimal formulation for the enhancement of hair growth and the stimulation of follicular anagen and formulations resulting therefrom |
| US7744995B2 (en) * | 2007-12-18 | 2010-06-29 | Toyota Motor Engineering & Manufacturing North America, Inc. | Multi-layer coatings for substrates |
| EP2153836A1 (en) * | 2008-08-04 | 2010-02-17 | Polichem S.A. | Film-forming liquid formulations for drug release to hair and scalp |
| WO2010064203A1 (en) | 2008-12-02 | 2010-06-10 | L'oreal | Combination of reduced glutathione and amino acids for improving the quality of the hair in women |
| CA2769512C (en) | 2009-07-29 | 2019-07-09 | Duke University | Compositions comprising fp receptor antagonists and their use for inhibiting hair growth |
| FR2949052B1 (en) | 2009-08-13 | 2015-03-27 | Oreal | PROCESS FOR COSMETIC TREATMENT OF SCALP. |
| US8445445B2 (en) | 2009-09-15 | 2013-05-21 | Five Prime Therapeutics, Inc. | Method of promoting hair growth using FGFR4 extracellular domains |
| EP2512501A4 (en) | 2009-12-17 | 2014-01-01 | Five Prime Therapeutics Inc | Hair growth methods using fgfr3 extracellular domains |
| US8481038B2 (en) | 2010-11-15 | 2013-07-09 | Five Prime Therapeutics, Inc. | Treatment of cancer with elevated dosages of soluble FGFR1 fusion proteins |
| US20120184894A1 (en) * | 2010-12-31 | 2012-07-19 | Mir Imran | Patches and Methods for the Transdermal Delivery of Agents to Treat Hair Loss |
| US9790233B2 (en) | 2012-04-16 | 2017-10-17 | Case Western Reserve University | Compositions and methods of modulating 15-PGDH activity |
| US20150164765A1 (en) * | 2012-05-17 | 2015-06-18 | Steven G. Yoelin | Compositions and methods for hair growth |
| WO2013180229A1 (en) * | 2012-05-30 | 2013-12-05 | 旭硝子株式会社 | Composition for hair growth |
| US20160128926A1 (en) * | 2013-05-10 | 2016-05-12 | Topical Solutions, Inc. | Compositions and methods for treating nails, claws, and hoofs |
| CA2927730A1 (en) | 2013-10-15 | 2015-05-07 | Case Western Reserve University | Compositions and methods of modulating short-chain dehydrogenase activity |
| CA2935957C (en) * | 2014-01-10 | 2023-01-03 | Manistee Partners Llc | Treatment of migraines using topical administration of prostaglandin f2alpha analogs |
| CN107645951B (en) * | 2014-11-25 | 2021-05-04 | 艾克思摩尔有限公司 | Compositions and methods for delivering one or more biologically active agents |
| WO2017068604A1 (en) * | 2015-10-22 | 2017-04-27 | Deltahex Innovation Pvt. Ltd | Hair growth stimulant and preparation method thereof |
| US10136438B2 (en) * | 2016-01-22 | 2018-11-20 | Space Systems/Loral, Inc. | Flexible bandwidth assignment to spot beams |
| EP3496662A4 (en) | 2016-08-12 | 2019-10-30 | Silk Technologies Ltd. | PROTEIN DERIVED FROM SILK FOR THE TREATMENT OF INFLAMMATION |
| JP7595413B2 (en) | 2016-11-30 | 2024-12-06 | ケース ウエスタン リザーブ ユニバーシティ | Combination of 15-PGDH inhibitors with corticosteroids and/or TNF inhibitors and uses thereof - Patents.com |
| CA3052466A1 (en) | 2017-02-06 | 2018-08-09 | Case Western Reserve University | Compositions and methods of modulating short-chain dehydrogenase activity |
| US11185530B2 (en) | 2017-03-09 | 2021-11-30 | Ajou University Industry-Academic Cooperation Foundation | Composition for preventing or treating hearing loss, containing atorvastatin as active ingredient |
| KR101831947B1 (en) * | 2017-09-20 | 2018-02-23 | 아주대학교산학협력단 | Composition Comprising Atorvastatin for Preventing or Treating Hearing Loss |
| US11541120B2 (en) | 2017-12-05 | 2023-01-03 | Anthos Partners, Lp | Phosphonium-based ionic drug conjugates |
| CA3120858A1 (en) | 2018-11-21 | 2020-05-28 | Case Western Reserve University | Compositions and methods of modulating short-chain dehydrogenase activity |
| US12539302B2 (en) | 2019-08-07 | 2026-02-03 | Aneira Pharma, Inc. | Methods and compositions for the treatment of hair loss |
| US10993944B2 (en) | 2019-08-07 | 2021-05-04 | Aneira Pharma, Inc. | Methods and compositions for the treatment of hair loss |
| MX2022014637A (en) | 2020-05-20 | 2023-03-03 | Rodeo Therapeutics Corp | COMPOSITIONS AND METHODS TO MODULATE THE ACTIVITY OF SHORT CHAIN DEHYDROGENASES. |
| US11850300B2 (en) | 2022-03-17 | 2023-12-26 | Rally Guide | Topical lotion composition, methods of use, and methods of preparation |
Citations (10)
| Publication number | Priority date | Publication date | Assignee | Title |
|---|---|---|---|---|
| US3966792A (en) * | 1973-02-28 | 1976-06-29 | Ono Pharmaceutical Co., Ltd. | Prostaglandin compounds |
| US4004020A (en) * | 1973-12-21 | 1977-01-18 | Schering Aktiengesellschaft | Novel prostanoic acid derivatives and process for the preparation thereof |
| US4073934A (en) * | 1975-04-18 | 1978-02-14 | Schering Aktiengesellschaft | Novel acetylenic prostaglandin analogs |
| US4171331A (en) * | 1978-06-05 | 1979-10-16 | Miles Laboratories, Inc. | 1 And 2-substituted analogues of certain prostaglandins |
| US4217360A (en) * | 1975-02-27 | 1980-08-12 | Schering Aktiengesellschaft | Novel 1,3-benzodioxaneprostanoic acid derivatives and process for the preparation thereof |
| US5500230A (en) * | 1987-01-23 | 1996-03-19 | The General Hospital Corporation | Method for treatment of glaucoma with nitrogen containing guanylate cyclase activators |
| US5578618A (en) * | 1988-09-06 | 1996-11-26 | Pharmacia Aktiebolag | Prostaglandin derivatives for the treatment of glaucoma or ocular hypertension |
| US5587391A (en) * | 1993-12-28 | 1996-12-24 | Allergan | Cyclopentane(ene) heptenoic or heptanoic acids and derivatives thereof useful as therapeutic agents |
| US6048895A (en) * | 1997-09-09 | 2000-04-11 | The Procter & Gamble Company | Aromatic C16-C20 substituted tetrahydro prostaglandins useful as FP agonists |
| US6262105B1 (en) * | 1997-02-04 | 2001-07-17 | Murray A. Johnstone | Method of enhancing hair growth |
Family Cites Families (315)
| Publication number | Priority date | Publication date | Assignee | Title |
|---|---|---|---|---|
| US37914A (en) * | 1863-03-17 | Improved automatic nose-bag | ||
| US37913A (en) * | 1863-03-17 | Improvement in sewing-machines | ||
| US13294A (en) * | 1855-07-17 | Improved apparatus for cooling repeating fire-arms | ||
| US146439A (en) * | 1874-01-13 | Improvement in pruning-shears | ||
| DE1617477U (en) | 1950-09-27 | 1950-12-14 | Heinrich Dressel | WHEEL HOLDER FOR BIKES, FOR EXAMPLE FOR BABY CARRIAGES AND SMALL VEHICLES. |
| US3776939A (en) | 1958-05-28 | 1973-12-04 | S Bergstrom | Dihydro-pgf1a |
| US3776938A (en) | 1958-05-28 | 1973-12-04 | S Bergstrom | Dihydro-pge1 |
| US3839409A (en) * | 1958-05-28 | 1974-10-01 | Kemiska Inst Karolinska I | Pge3 esters and alkanoates |
| US3069322A (en) | 1958-05-28 | 1962-12-18 | Bergstrom Sune | Pge and pgf |
| DE1801750U (en) | 1959-07-07 | 1959-12-10 | H L Wahrendorf Betonwerk | TROUGH FOR ACCOMMODATION OF SWITCH BARRIER OF RAILWAY TRACKS. |
| US3461461A (en) * | 1965-11-01 | 1969-08-12 | Upjohn Co | 6-amino-4-(substituted amino)-1,2-dihydro-1-hydroxy-2-iminopyrimidines |
| US3435053A (en) * | 1966-06-06 | 1969-03-25 | Upjohn Co | Cyclopenta(b)pyrans |
| US3524867A (en) * | 1966-06-06 | 1970-08-18 | Upjohn Co | Process for producing cyclopenta (b)pyrans |
| US3538120A (en) | 1967-05-22 | 1970-11-03 | Ciba Geigy Corp | Cyclopentyl-alkanoic acids |
| US3636120A (en) | 1967-10-09 | 1972-01-18 | Upjohn Co | Prostaglandin e primary alcohols |
| GB1285371A (en) | 1968-08-29 | 1972-08-16 | Upjohn Co | Improvements in or relating to therapeutic methods using prostaglandins |
| GB1251750A (en) | 1968-11-12 | 1971-10-27 | ||
| DE1910561A1 (en) | 1969-03-01 | 1970-09-10 | Herten Dr Med Kurt | Hair loss prevention agents |
| BE755555A (en) * | 1969-09-02 | 1971-03-01 | Richardson Merrell Inc | QUINOXALINE DERIVATIVES |
| US3882241A (en) * | 1969-12-01 | 1975-05-06 | Upjohn Co | Use of prostaglandins E and F for prevention of pregnancy in humans |
| US3896156A (en) * | 1970-06-30 | 1975-07-22 | Upjohn Co | Dihydroprostaglandin e, analogs |
| IT1012505B (en) | 1970-09-28 | 1977-03-10 | Imes C Spa | SEA URCHIN EXTRACT |
| GB1324737A (en) | 1970-11-02 | 1973-07-25 | Upjohn Co | Prostaglandins and the preparation thereof |
| US4124720A (en) | 1970-11-09 | 1978-11-07 | Wenmaekers Georges E J | Therapeutic hydrodispersible emulsion |
| JPS5212919Y2 (en) | 1971-06-14 | 1977-03-23 | ||
| BE791369A (en) | 1971-11-16 | 1973-05-14 | American Cyanamid Co | TRIS- (META-HYDROXYBENZYL) CYANURATES SUBJECT TO STERIC PREVENTION AND USE AS ANTI-OXIDANTS |
| JPS525744Y2 (en) | 1972-03-18 | 1977-02-05 | ||
| US3798275A (en) * | 1972-04-05 | 1974-03-19 | Ciba Geigy Corp | Etherified mercapto-methoxyamines |
| US4304907A (en) | 1972-05-10 | 1981-12-08 | The Upjohn Company | Bicyclo lactone intermediates for prostaglandin analogs |
| US3974213A (en) * | 1972-07-13 | 1976-08-10 | Pfizer Inc. | 13,14-Dihydro-15-substituted-ω-pentanorprostaglandins |
| US4011262A (en) * | 1972-07-13 | 1977-03-08 | Pfizer Inc. | 13,14-Dihydro-15-substituted-ω-pentanorprostaglandins of the two series |
| JPS4969636U (en) | 1972-09-29 | 1974-06-18 | ||
| JPS5220141Y2 (en) | 1972-10-13 | 1977-05-10 | ||
| US3882245A (en) * | 1972-11-01 | 1975-05-06 | Upjohn Co | Use of prostaglandins in combating shock |
| DD118856A5 (en) | 1972-11-08 | 1976-03-20 | ||
| US4024179A (en) * | 1972-11-08 | 1977-05-17 | Pfizer Inc. | Substituted ω-pentanorprostaglandins |
| US4152527A (en) * | 1972-11-08 | 1979-05-01 | Pfizer Inc. | 15-Substituted-ω-pentanorprostaglandins |
| US3984424A (en) * | 1972-11-08 | 1976-10-05 | Pfizer Inc. | P-biphenyl esters of 15-substituted-ω-pentanorprostaglandins |
| IL50310A (en) | 1972-11-08 | 1977-08-31 | Pfizer | Dimethyl ketophosphonates |
| JPS4993342U (en) | 1972-12-05 | 1974-08-13 | ||
| JPS5253841Y2 (en) | 1972-12-12 | 1977-12-07 | ||
| JPS49100071U (en) | 1972-12-20 | 1974-08-28 | ||
| JPS49101356U (en) | 1972-12-20 | 1974-08-31 | ||
| JPS5320995Y2 (en) | 1972-12-23 | 1978-06-02 | ||
| US3984455A (en) * | 1973-07-16 | 1976-10-05 | The Upjohn Company | Prostaglandin E1 analogs |
| JPS5118118Y2 (en) | 1973-07-17 | 1976-05-14 | ||
| FR2239458A1 (en) | 1973-07-31 | 1975-02-28 | Aries Robert | Prostaglandin amides - with antilipolytic, gonadotrophic, luteolytic, hypotensive and other activities associated with prostaglandins |
| US3931282A (en) | 1974-02-21 | 1976-01-06 | Syntex (U.S.A.) Inc. | 11α-Hydroxymethyl prostaglandins |
| US3928588A (en) | 1974-02-22 | 1975-12-23 | Upjohn Co | Method of reducing the undesirable gastrointestinal effects of prostaglandin synthetase inhibitors |
| DE2416193C2 (en) | 1974-04-03 | 1985-08-14 | Hoechst Ag, 6230 Frankfurt | Prostaglandin analogs, processes for their preparation and their use as cytoprotective agents |
| GB1458315A (en) * | 1974-04-22 | 1976-12-15 | Ici Ltd | Prostanoic acid derivatives |
| JPS50142539U (en) | 1974-05-13 | 1975-11-25 | ||
| JPS50157344U (en) | 1974-06-12 | 1975-12-26 | ||
| DE2460990A1 (en) | 1974-12-21 | 1976-07-01 | Hoechst Ag | NEW PROSTAGLANDIN ANALOGS AND PROCEDURES FOR THEIR PRODUCTION |
| JPS5186449U (en) | 1974-12-30 | 1976-07-10 | ||
| GB1507211A (en) | 1975-02-14 | 1978-04-12 | Ono Pharmaceutical Co | Prostaglandin analogues |
| US3934013A (en) | 1975-02-21 | 1976-01-20 | Syntex (U.S.A.) Inc. | Pharmaceutical composition |
| GB1506817A (en) * | 1975-03-31 | 1978-04-12 | Upjohn Co | Prostaglandins |
| JPS5328160Y2 (en) | 1975-05-16 | 1978-07-15 | ||
| GB1520522A (en) | 1975-06-16 | 1978-08-09 | Ono Pharmaceutical Co | 16-methyleneprostaglandins |
| ES449162A1 (en) | 1975-06-23 | 1977-12-16 | Syntex Inc | A PROCEDURE FOR THE PREPARATION OF A RACEMI-CO U 8R-ANTIMERIC COMPOUND. |
| US4005133A (en) | 1975-10-14 | 1977-01-25 | The Upjohn Company | PGF2.sub.α, L-Arginine salt |
| US4128577A (en) | 1975-12-29 | 1978-12-05 | The Upjohn Company | 15-Methyl- and 16-phenoxy-PGF2 α, amides |
| US4158667A (en) * | 1976-02-04 | 1979-06-19 | The Upjohn Company | 6-Keto PGF analogs |
| US4139619A (en) * | 1976-05-24 | 1979-02-13 | The Upjohn Company | 6-Amino-4-(substituted amino)-1,2-dihydro-1-hydroxy-2-iminopyrimidine, topical compositions and process for hair growth |
| US4596812A (en) * | 1976-05-24 | 1986-06-24 | The Upjohn Company | Methods and solutions for treating male pattern alopecia |
| US4051238A (en) * | 1976-06-03 | 1977-09-27 | The Upjohn Company | Treatment of genital tract diseases of domestic animals with prostaglandins |
| US4268522A (en) * | 1976-06-14 | 1981-05-19 | Pfizer Inc. | 13,14-Dihydro-15-alkenyl- and 13,14-dihydro-15-alkynyl prostaglandins and analogs thereof |
| DE2635985A1 (en) * | 1976-08-06 | 1978-02-09 | Schering Ag | PROSTANIC ACID DERIVATIVE AND PROCESS FOR THEIR PRODUCTION |
| DE2737807A1 (en) | 1976-08-27 | 1978-03-09 | Pfizer | C LOW 1 -P-BIPHENYLESTER OF OMEGA-PENTANORPROSTAGLANDINES |
| DE2737808A1 (en) | 1976-08-27 | 1978-03-16 | Pfizer | 2-SUBSTITUTED ARYL HETEROCYCLIC OMEGA PENTANOR PROSTAGLANDIN |
| US4123441A (en) * | 1976-09-22 | 1978-10-31 | The Upjohn Company | Enlarged-hetero-ring prostacyclin analogs |
| US4499293A (en) * | 1976-09-22 | 1985-02-12 | The Upjohn Company | PGI2 Salts |
| US4089885A (en) * | 1976-11-05 | 1978-05-16 | American Home Products Corporation | Prostaglandin derivatives |
| US4178457A (en) | 1978-07-10 | 1979-12-11 | Syntex (U.S.A.) Inc. | (dl)-16-Phenoxy- and 16-substituted phenoxy-9-keto prostatrienoic acid derivatives and processes for the production thereof |
| US4206151A (en) * | 1978-12-21 | 1980-06-03 | American Cyanamid Company | 15-Deoxy-16-hydroxy-16-vinyl or cyclopropyl prostan-1-ols of the E, A and F series |
| US4311707A (en) * | 1979-02-12 | 1982-01-19 | American Cyanamid Company | Process for topically producing cutaneous vasodilation for the treatment of vasospastic or ischemic conditions |
| GB2048254B (en) | 1979-04-02 | 1983-05-25 | Upjohn Co | 19,20 -didehydro-19-hydroxy and 19-oxo-prostaglandin derivatives |
| JPS5829710Y2 (en) | 1979-05-25 | 1983-06-29 | スガツネ工業株式会社 | lock |
| US4225508A (en) * | 1979-07-05 | 1980-09-30 | The Upjohn Company | 19-Hydroxy-PGI2 compounds |
| US4225507A (en) * | 1979-07-05 | 1980-09-30 | The Upjohn Company | 19-Hydroxy-19-methyl-PGI2 compounds |
| US4296504A (en) * | 1980-07-07 | 1981-10-27 | Lawson Daniel C | Toilet seat lock |
| JPS6032763Y2 (en) | 1980-09-06 | 1985-09-30 | 日興エンジニアリング株式会社 | liquid filling equipment |
| JPH0222226Y2 (en) | 1981-02-04 | 1990-06-14 | ||
| US4621100A (en) | 1981-09-25 | 1986-11-04 | The Upjohn Company | Treatment of osteoporosis with prostaglandins |
| CH656877A5 (en) | 1981-11-27 | 1986-07-31 | Erba Farmitalia | OPTICALLY ACTIVE OR RACEMIC PROSTAGLAND DERIVATIVES. |
| US4599353A (en) * | 1982-05-03 | 1986-07-08 | The Trustees Of Columbia University In The City Of New York | Use of eicosanoids and their derivatives for treatment of ocular hypertension and glaucoma |
| US4912235A (en) | 1983-12-22 | 1990-03-27 | Syntex (U.S.A.) Inc. | Processes and intermediates for making 16-phenoxy- and 16-substituted phenoxy-prostatrienoic acid derivatives and their stereoisomers |
| EP0187854A4 (en) | 1984-07-13 | 1987-01-22 | Gail S Bazzano | Substituted pyrimidine oxides useful for hair growth promotion. |
| JPS6134778U (en) | 1984-07-31 | 1986-03-03 | 株式会社明電舎 | electrical equipment storage box |
| JPS6147459A (en) | 1984-07-31 | 1986-03-07 | シンテツクス(ユー・エス・エイ)インコーポレイテツド | 11-substituted-16-phenoxyprostatrienoic acid derivative |
| JPS61126069A (en) * | 1984-11-21 | 1986-06-13 | Res Dev Corp Of Japan | Prostaglandin derivative |
| JPS61218510A (en) * | 1985-03-22 | 1986-09-29 | Dai Ichi Seiyaku Co Ltd | Agent for hair |
| US4757089A (en) * | 1985-06-14 | 1988-07-12 | Massachusetts Eye And Ear Infirmary | Increasing aqueous humor outflow |
| US5863948A (en) * | 1985-06-14 | 1999-01-26 | Massachusetts Eye And Ear Infirmary | Increasing aqueous humor outflow |
| US4704386A (en) | 1985-08-29 | 1987-11-03 | G. D. Searle & Co. | 8-chlorodibenz[b,f][1,4]oxazepine-10(11H)-carboxylic acid, 2-[(phenylsulfinyl-, and phenylsulfonyl)alkanoyl]hydrazides |
| US4883819A (en) | 1986-07-31 | 1989-11-28 | The Trustees Of Columbia University In The City Of New York | Use of A, B and C prostaglandins and derivatives thereof to treat ocular hypertension and glaucoma |
| FI872552A7 (en) * | 1986-06-09 | 1987-12-10 | American Cyanamid Co | A topical prostaglandin composition. |
| US4889845A (en) | 1986-06-09 | 1989-12-26 | American Cyanamid Company | Vehicle for topical application of pharmaceuticals |
| US5041439A (en) * | 1986-06-13 | 1991-08-20 | The Procter & Gamble Company | Penetrating topical pharmaceutical compositions |
| US5663203A (en) * | 1986-09-11 | 1997-09-02 | Schering Aktiengesellschaft | Agents containing prostacyclin derivatives for topical application |
| US5219885A (en) | 1987-02-16 | 1993-06-15 | Froelich Juergen | Prostaglandin E1 derivatives as pharmaceutically active agents, and pharmaceutical compositions containing these compounds, especially for transcutaneous administration |
| JPS63211231A (en) | 1987-02-27 | 1988-09-02 | Sumitomo Pharmaceut Co Ltd | Treatment for male infertile animals |
| US4952581A (en) | 1987-04-03 | 1990-08-28 | The Trustees Of Columbia University In The City Of New York | Use of a prostaglandin in combination with an adrenergic blocking agent for reduction of intraocular pressure |
| US5591887A (en) * | 1987-04-30 | 1997-01-07 | R-Tech Ueno, Ltd. | Prostaglandins of the F series |
| GB8713747D0 (en) * | 1987-06-12 | 1987-07-15 | Unilever Plc | Skin treatment composition |
| US5166178B1 (en) | 1987-09-18 | 1998-07-21 | R Tech Ueno Ltd | Ocular hypotensive agents |
| ATE108330T1 (en) | 1987-09-18 | 1994-07-15 | R Tech Ueno Ltd | HYPOTENSIVE OCULAR MEDIUM. |
| SE8703854D0 (en) | 1987-10-07 | 1987-10-07 | Pharmacia Ab | PROSTAGLAND INGREDIENTS FOR TREATMENT OF GLAUCOME OR OCULAR HYPERTENSION |
| AU619543B2 (en) | 1988-05-11 | 1992-01-30 | Sucampo Ag | Use of 15-ketoprostaglandin e or f compounds for uterine contraction |
| US6187813B1 (en) * | 1990-04-10 | 2001-02-13 | Pharmacia & Upjohn Aktiebolag | Prostaglandin derivatives for the treatment of glaucoma or ocular hypertension |
| US5296504A (en) * | 1988-09-06 | 1994-03-22 | Kabi Pharmacia | Prostaglandin derivatives for the treatment of glaucoma or ocular hypertension |
| US5321128A (en) * | 1988-09-06 | 1994-06-14 | Kabi Pharmacia Ab | Prostaglandin derivatives for the treatment of glaucoma or ocular hypertension |
| US4891961A (en) | 1988-09-09 | 1990-01-09 | Anton Tsamas | Key ring |
| US5194429A (en) * | 1988-10-01 | 1993-03-16 | K.K. Ueno Seiyaku Oyo Kenkyujo | Ocular hypotensive agents |
| US4968812A (en) | 1989-06-23 | 1990-11-06 | Shell Oil Company | Spirolactonelactams |
| JPH0737389B2 (en) | 1989-08-29 | 1995-04-26 | 久光製薬株式会社 | Ointment containing prostaglandin E1 |
| JPH0737390B2 (en) | 1989-08-29 | 1995-04-26 | 久光製薬株式会社 | Ointment composition |
| CA1339132C (en) | 1989-09-12 | 1997-07-29 | Johan W. Stjernschantz | Prostaglandin derivatives for the treatment of glaucoma or ocular hypertension |
| CA2030345C (en) * | 1989-11-22 | 1998-12-08 | Ryuji Ueno | Use of 15-keto-prostaglandin compound for improvement of encephalic function |
| JPH0627942Y2 (en) | 1989-12-14 | 1994-07-27 | 松下電器産業株式会社 | Condenser with fuse holder |
| JPH0720909Y2 (en) | 1989-12-14 | 1995-05-15 | 松下電器産業株式会社 | condenser |
| TW249226B (en) * | 1990-04-04 | 1995-06-11 | Aderk Ueno Kk | |
| US5063057A (en) | 1990-09-26 | 1991-11-05 | Elizabeth Arden Co., Division Of Conopco, Inc. | Cosmetic capsules |
| US5302617A (en) * | 1990-04-27 | 1994-04-12 | Kabushikikaisha Ueno Seiyaku Oyo Kenkyuio | Biochemical treatment with 15-dehydroxy-16-oxoprostaglandin compounds |
| DE4024347A1 (en) | 1990-07-27 | 1992-01-30 | Schering Ag | CYCLOPENTANE DERIVATIVES, METHOD FOR THE PRODUCTION THEREOF AND THEIR PHARMACEUTICAL USE |
| JPH04300833A (en) | 1991-03-29 | 1992-10-23 | Green Cross Corp:The | Prostaglandin e1-containing fat emulsion-loaded aerosol |
| US5378840A (en) | 1992-04-16 | 1995-01-03 | G. D. Searle & Co. | Substituted dibenzoxazepine compounds |
| US5312832A (en) * | 1991-05-17 | 1994-05-17 | Allergan, Inc. | Ocular hypotensive 2-decarboxyl-2-acylthioalkyl prostaglandin derivatives |
| US5288754A (en) * | 1992-02-04 | 1994-02-22 | Allergan, Inc. | Polar C-1 esters of prostaglandins |
| US5641494A (en) * | 1992-03-20 | 1997-06-24 | Janssen Pharmaceutica N.V. | Agent for regulating the greasiness of the skin |
| US5578643A (en) | 1992-05-20 | 1996-11-26 | Loyola University Of Chicago | Protective prostaglandins for use in conjunction with chemotherapeutic agents |
| US5422371A (en) * | 1992-05-27 | 1995-06-06 | Arch Development Corp. | Methods and compositions for inhibiting 5α-reductase activity |
| JP3102141B2 (en) * | 1992-05-29 | 2000-10-23 | 東レ株式会社 | Hair restorer |
| US5817694A (en) * | 1992-06-08 | 1998-10-06 | New Pharma International Corp. | 16-methyl-11,16-dihydroxy-9-oxoprost-2,13-dien-1-oic acid and derivatives |
| US5409911A (en) * | 1992-09-11 | 1995-04-25 | Merck & Co., Inc. | Prostaglandin analog for treating osteoporosis |
| US5688819A (en) | 1992-09-21 | 1997-11-18 | Allergan | Cyclopentane heptanoic acid, 2-cycloalkyl or arylalkyl derivatives as therapeutic agents |
| US5352708A (en) * | 1992-09-21 | 1994-10-04 | Allergan, Inc. | Non-acidic cyclopentane heptanoic acid, 2-cycloalkyl or arylalkyl derivatives as therapeutic agents |
| US5834498A (en) | 1992-09-21 | 1998-11-10 | Allergan | Cyclopentane heptan(ene)oic acid, 2-heteroarylalkenyl derivatives as therapeutic agents |
| US5972991A (en) * | 1992-09-21 | 1999-10-26 | Allergan | Cyclopentane heptan(ene) oic acid, 2-heteroarylalkenyl derivatives as therapeutic agents |
| EP0664707B1 (en) | 1992-10-13 | 1997-06-04 | Alcon Laboratories, Inc. | Combinations of prostaglandins and clonidine derivatives for the treatment of glaucoma |
| US5332730A (en) * | 1992-10-16 | 1994-07-26 | Allergan, Inc. | Azido derivatives of cyclopentane heptanoic or heptenoic acid |
| US5340813A (en) * | 1992-11-09 | 1994-08-23 | Cell Therapeutics, Inc. | Substituted aminoalkyl xanthine compounds |
| DE4238830A1 (en) | 1992-11-17 | 1994-05-19 | Anton Felder | Process for hydraulically branching an open flow and hydraulically operating channel branching |
| US5670506A (en) * | 1993-04-05 | 1997-09-23 | Cell Therapeutics, Inc. | Halogen, isothiocyanate or azide substituted xanthines |
| US5395932A (en) * | 1993-04-30 | 1995-03-07 | G. D. Searle & Co. | 2,3-,4-,5-,6-,7-,8-,9- and/or 10-substituted dibenzoxazepine compounds, pharmaceutical compositions and methods of use |
| US5985597A (en) | 1993-05-26 | 1999-11-16 | Merck Frosst Canada, Inc. | DNA encoding prostaglandin receptor EP1 |
| US5869281A (en) | 1993-06-25 | 1999-02-09 | Merck Frosst Canada Inc. | DNA encoding prostaglandin receptor FP |
| AU6991994A (en) | 1993-06-25 | 1995-01-17 | Merck Frosst Canada Inc. | Prostaglandin receptor ep3 and dna encoding it |
| US5510383A (en) * | 1993-08-03 | 1996-04-23 | Alcon Laboratories, Inc. | Use of cloprostenol, fluprostenol and their salts and esters to treat glaucoma and ocular hypertension |
| US5605814A (en) * | 1993-08-31 | 1997-02-25 | Merck Frosst Canada Inc. | DNA encoding human prostaglandin receptor EP2 |
| US5516652A (en) * | 1993-10-06 | 1996-05-14 | Merck Frosst Canada Inc. | DNA encoding prostaglandin receptor IP |
| FR2711060B1 (en) | 1993-10-13 | 1995-11-17 | Oreal | Method for modifying the growth of hair and / or hair and compositions which can be used for this purpose. |
| SE9303444D0 (en) | 1993-10-20 | 1993-10-20 | Kabi Pharmacia Ab | New use of prostaglandins |
| WO1995011033A1 (en) | 1993-10-22 | 1995-04-27 | Commonwealth Scientific And Industrial Research Organisation | Polyoxometallates in the treatment of flavivirus infections |
| SE9303627D0 (en) * | 1993-11-03 | 1993-11-03 | Kabi Pharmacia Ab | Method and means for the prevention of cataract |
| US5431881A (en) | 1993-12-10 | 1995-07-11 | Palacios; Henry J. | Treatment of hair loss and dermatological problems |
| DK0736018T3 (en) * | 1993-12-20 | 2000-09-18 | Fujisawa Pharmaceutical Co | 4,5-Diaryloxazole derivatives |
| US6124344A (en) | 1993-12-28 | 2000-09-26 | Allergan Sales, Inc. | Cyclopentane heptan(ene)oic acid, 2-heteroarylalkenyl derivatives as therapeutic agents |
| US5458883A (en) | 1994-01-12 | 1995-10-17 | Duke University | Method of treating disorders of the eye |
| US5462968A (en) | 1994-01-19 | 1995-10-31 | Allergan, Inc. | EP2 -receptor agonists as agents for lowering intraocular pressure |
| SE9403158D0 (en) * | 1994-09-21 | 1994-09-21 | Pharmacia Ab | New use of prostaglandins |
| US5698733A (en) | 1994-09-30 | 1997-12-16 | Alcon Laboratories, Inc. | Use of 9-deoxy prostaglandin derivatives to treat glaucoma |
| US5885974A (en) * | 1994-12-06 | 1999-03-23 | Michael M. Danielov | Therapeutic methods utilizing naturally derived bio-active complexes and delivery systems therefor |
| AU714054B2 (en) * | 1995-01-06 | 1999-12-16 | Toray Industries, Inc. | Benzene-fused heterocyclic derivatives and use of the same |
| EP0812353A2 (en) * | 1995-01-26 | 1997-12-17 | Merck Frosst Canada Inc. | Prostaglandin receptor dp |
| FR2730811B1 (en) | 1995-02-17 | 1997-03-21 | Oreal | METHOD FOR DIAGNOSING AND / OR MONITORING THE EVOLUTION OF A HAIR DISORDER AND / OR MEASURING THE EFFECTIVENESS OF A TREATMENT APPLIED TO COMBAT A HAIR DISORDER |
| US5885766A (en) * | 1995-02-17 | 1999-03-23 | Societe L'oreal S.A. | Method of screening of substances for their effect on the expression of mediators of inflammation in a hair follicle |
| CA2221110C (en) | 1995-05-18 | 2009-08-04 | Allergan | Cyclopentane heptan(ene)oic acid, 2-heteroarylalkenyl derivatives as therapeutic agents for the treatment of ocular hypertension |
| AU7672096A (en) | 1995-06-07 | 1998-06-03 | Alcon Laboratories, Inc. | Conformationally rigid aryl- or heteroaryl prostaglandins for use in glaucoma therapy |
| US5990346A (en) | 1995-06-26 | 1999-11-23 | Teijin Limited | Prostaglandins and processes for production thereof |
| TW401408B (en) | 1995-07-21 | 2000-08-11 | Fujisawa Pharmaceutical Co | Heterocyclic compounds having prostaglandin I2 agonism |
| HUP9601442A3 (en) * | 1995-07-25 | 1999-03-29 | Panacea Biotec Ltd | Nes antinflammatory and analgetic pharmaceutical compositions, containing nimesulid for transdermal use, and process for producing them |
| US5661178A (en) | 1995-09-01 | 1997-08-26 | Allergan | Method for effecting vasodilation with (1,5-inter)aryl prostaglandin derivatives |
| US6251436B1 (en) | 1995-09-29 | 2001-06-26 | L.A.M. Pharmaceutical Corporation | Drug preparations for treating sexual dysfunction |
| WO1997015319A1 (en) | 1995-10-23 | 1997-05-01 | Queen's University At Kingston | Method and pharmaceutical composition for chondrostimulation with a prostaglandin (e.g. misoprostol) and tgf-beta, optionally in combination with igf-1 |
| US6441047B2 (en) | 1995-11-17 | 2002-08-27 | Alcon Manufacturing Ltd.. | Combination therapy for treating glaucoma |
| US5866602A (en) | 1995-12-22 | 1999-02-02 | Alcon Laboratories, Inc. | Keto-substituted tetrahydrofuran analogs of prostaglandins as ocular hypotensives |
| WO1997023226A1 (en) | 1995-12-22 | 1997-07-03 | Alcon Laboratories, Inc. | Combinations of prostaglandins and miotics for lowering intraocular pressure |
| WO1997023225A1 (en) | 1995-12-22 | 1997-07-03 | Alcon Laboratories, Inc. | Combinations of dp and fp type prostaglandins for lowering iop |
| AU714272B2 (en) * | 1995-12-22 | 1999-12-23 | Alcon Laboratories, Inc. | Substituted tetrahydrofuran analogs of prostaglandins as ocular hypotensives |
| US5814660A (en) | 1995-12-22 | 1998-09-29 | Alcon Laboratories, Inc. | 9-oxa prostaglandin analogs as ocular hypotensives |
| AUPN814496A0 (en) | 1996-02-19 | 1996-03-14 | Monash University | Dermal penetration enhancer |
| US5703108A (en) | 1996-02-28 | 1997-12-30 | Pfizer Inc. | Bone deposition by certain prostaglandin agonists |
| US5741810A (en) * | 1996-02-29 | 1998-04-21 | Allergan | Cyclopentane heptan(ene)oic acid, 2- heteroarylalkenyl derivatives as therapeutic agents |
| US5658897A (en) * | 1996-04-08 | 1997-08-19 | Allergan | Cyclopentane(ene) heptanoic or cyclopentane(ene) heptenoic acid, 2-hydrocarbyl phosphinyloxyalkyl or phosphonamidoalkyl as therapeutic agents |
| US5990168A (en) | 1996-04-18 | 1999-11-23 | Alberta Cancer Board | Methods and compositions for the treatment of ataxia telangiectasia |
| JP3049593B2 (en) * | 1996-05-01 | 2000-06-05 | 株式会社ビメーク | Hair restorer |
| DK0857718T3 (en) | 1996-06-10 | 2002-12-16 | Sucampo Ag | endothelin antagonist |
| WO1998000100A1 (en) | 1996-07-03 | 1998-01-08 | The Board Of Regents Of The University Of Oklahoma | Enhancement of skin pigmentation by prostaglandins |
| US5792851A (en) * | 1996-09-03 | 1998-08-11 | Albert Einstin College Of Medicine Of Yeshiva University, A Division Of Yeshiva University | Human prostaglandin transporter |
| JP4004109B2 (en) | 1996-09-17 | 2007-11-07 | 参天製薬株式会社 | Fluorine-containing prostaglandin derivatives and pharmaceuticals |
| ATE221048T1 (en) | 1996-09-17 | 2002-08-15 | Asahi Glass Co Ltd | FLUORINATED PROSTAGLAND DERIVATIVES AND MEDICATIONS |
| US5827508A (en) | 1996-09-27 | 1998-10-27 | The Procter & Gamble Company | Stable photoprotective compositions |
| CA2270349A1 (en) | 1996-11-01 | 1998-05-14 | Jesse A. May | Use of a combination of carbonic anhydrase inhibitors and prostaglandins for treating glaucoma |
| AU5436198A (en) | 1996-11-12 | 1998-06-03 | Alcon Laboratories, Inc. | 11-halo prostaglandins for the treatment of glaucoma or ocular hypertension |
| WO1998020881A1 (en) | 1996-11-12 | 1998-05-22 | Alcon Laboratories, Inc | 15-ketal prostaglandins for the treatment of glaucoma or ocular hypertension |
| CA2269853A1 (en) | 1996-11-12 | 1998-05-22 | Paul W. Zinke | Use of cis-.delta.4 analogs of prostaglandins as ocular hypotensives |
| DE69705421T2 (en) | 1996-11-12 | 2002-05-16 | Alcon Laboratories, Inc. | 15-FLUORO-PROSTAGLANDINE AS AN EYE PRESSURING AGENT |
| TW523506B (en) | 1996-12-18 | 2003-03-11 | Ono Pharmaceutical Co | Sulfonamide or carbamide derivatives and drugs containing the same as active ingredients |
| EP0951282B1 (en) | 1996-12-20 | 2008-04-02 | Pfizer Inc. | Prevention and treatment of skeletal disorder with ep2 receptor subtype selective prostaglandin e2 agonists |
| UA59384C2 (en) | 1996-12-20 | 2003-09-15 | Пфайзер, Інк. | Preventing bone mass loss and recovery thereof by means of prostaglandin agonists |
| JPH10265454A (en) * | 1997-01-27 | 1998-10-06 | Ono Pharmaceut Co Ltd | 3,7dithiaprostanoic acid derivative, its production and medicine containing the same derivative as active ingredient |
| NO317155B1 (en) * | 1997-02-04 | 2004-08-30 | Ono Pharmaceutical Co | <Omega> -cycloalkyl-prostaglandin-E <N> 2 </ N> derivatives |
| US6288119B1 (en) | 1997-02-10 | 2001-09-11 | Ono Pharmaceuticals Co., Ltd. | 11,15-O-dialkylprostaglandin E derivatives, process for producing the same, and drugs containing the same as the active ingredient |
| KR20000065039A (en) | 1997-02-27 | 2000-11-06 | 히라이 가쯔히꼬 | Pulmonary circulation improving agent |
| CA2276666A1 (en) | 1997-03-07 | 1998-09-11 | Alcon Laboratories, Inc. | 13-thia prostaglandins for use in glaucoma therapy |
| US6030959A (en) * | 1997-04-04 | 2000-02-29 | Monsanto Company | Gastro-specific prodrugs |
| JP3217293B2 (en) * | 1997-04-17 | 2001-10-09 | 株式会社アールテック・ウエノ | Hair growth / hair restorer |
| IT1291633B1 (en) | 1997-04-22 | 1999-01-11 | Pharmaconsult S A S | USE OF ALPHA-METHYL-P-THYROSINE TO INHIBIT THE PRODUCTION OF MELANIN IN THE MELANOCYTES OF THE IRIS |
| EP1007028A4 (en) * | 1997-05-09 | 2002-06-05 | 8-iso-prostaglandins for glaucoma therapy | |
| JP2002501533A (en) | 1997-05-30 | 2002-01-15 | メルク エンド カンパニー インコーポレーテッド | Ophthalmic composition for the treatment of ocular hypertension |
| AU7349298A (en) | 1997-06-23 | 1999-01-04 | Pfizer Inc. | Prostaglandin agonists |
| SE9702706D0 (en) | 1997-07-11 | 1997-07-11 | Pharmacia & Upjohn Ab | Prostaglandin derivatives devoid of side effects for the treatment of glaucoma |
| WO1999012556A1 (en) | 1997-09-08 | 1999-03-18 | The Public Health Research Institute Of The City Of New York, Inc. | HIV-1 gp120 V1/V2 DOMAIN EPITOPES CAPABLE OF GENERATING NEUTRALIZING ANTIBODIES |
| AU9374198A (en) | 1997-09-08 | 1999-03-29 | Idec Pharmaceuticals Corporation | Methods for producing human antibodies in scid mice using dendritic cells |
| WO1999012899A1 (en) | 1997-09-09 | 1999-03-18 | The Procter & Gamble Company | A process for making prostaglandin f analogs |
| CN1269785A (en) | 1997-09-09 | 2000-10-11 | 普罗克特和甘保尔公司 | Aromatic C16-C20 substituted tetrahydro prostaglandius useful as EP agonists |
| AU9305798A (en) | 1997-09-09 | 1999-03-29 | Procter & Gamble Company, The | A process for making epoxide intermediates |
| WO1999012560A1 (en) | 1997-09-09 | 1999-03-18 | Creative Biomolecules, Inc. | Synergistic effects of op/bmp morphogens and gdnf/ngf neurotrophic factors |
| AU9774698A (en) | 1997-09-09 | 1999-03-29 | Regents Of The University Of California, The | Inhibition of apoptotis using prosaposin receptor agonists |
| AUPO907697A0 (en) | 1997-09-09 | 1997-10-02 | Day, Robert Edward | Chemical supplementation of bone |
| BR9811774A (en) | 1997-09-09 | 2000-08-29 | Procter & Gamble | Aromatic tetrahydroprostaglandins substituted by c16-c20 useful as fp agonists |
| CN1269720A (en) | 1997-09-09 | 2000-10-11 | 普罗克特和甘保尔公司 | Method of increasing bone volume |
| CZ298701B6 (en) | 1997-09-09 | 2007-12-27 | F. Hoffman-La Roche Ag | Medicament for healing bones and repair of fractures |
| JP2001515864A (en) | 1997-09-09 | 2001-09-25 | ザ プロクター アンド ギャンブル カンパニー | Method for increasing bone volume using non-natural FP selective agonist |
| AU9312598A (en) | 1997-09-10 | 1999-03-29 | Allegheny University Of The Health Sciences | Inhibitors of collagen assembly |
| AU731842B2 (en) | 1997-09-10 | 2001-04-05 | Merck & Co., Inc. | 9a-azalides as veterinary antimicrobial agents |
| JP2001515706A (en) | 1997-09-11 | 2001-09-25 | パーデュー・リサーチ・ファウンデーション | Galactosidase-modified submucosal tissue |
| JP2001515869A (en) | 1997-09-11 | 2001-09-25 | アメリカ合衆国 | Mucosal cytotoxic T lymphocyte response |
| US6326170B1 (en) | 1997-09-12 | 2001-12-04 | Smithkline Beecham Corp. | Prokaryotic polynucleotides, polypeptides and their uses |
| EP0970697A4 (en) | 1997-09-17 | 2001-02-21 | Toray Industries | Cervical maturing agent |
| AU8998298A (en) | 1997-09-19 | 1999-04-12 | Shionogi & Co., Ltd. | Compounds having (2.2.1)bicyclo skeleton |
| US6124314A (en) | 1997-10-10 | 2000-09-26 | Pfizer Inc. | Osteoporosis compounds |
| UA67754C2 (en) | 1997-10-10 | 2004-07-15 | Пфайзер, Інк. | Prostaglandin agonists and use thereof for the treatment of bone disorders |
| EP1027057A4 (en) | 1997-10-28 | 2003-01-02 | Vivus Inc | Treatment of female sexual dysfunction |
| AUPP010397A0 (en) | 1997-10-30 | 1997-11-20 | Vaisman, Jakov | Method and composition for treatment of sexual dysfunction |
| DE69822665T2 (en) | 1997-11-14 | 2005-02-17 | United Therapeutics Corp. | USE OF 9-DESOXY-2 ', 9-ALPHA-METHANO-3-OXA-4,5,6-TRINOR-3,7- (1', 3'-INTERPHENYLENE) -13,14-DIHYDROPROSTAGLANDIN-F1 FOR TREATMENT OF PERIPHERAL VASCULAR DISEASES |
| US5877211A (en) * | 1997-11-21 | 1999-03-02 | Allergan | EP2 receptor agonists as neuroprotective agents for the eye |
| CN1282249A (en) | 1997-12-18 | 2001-01-31 | 内森·厄尔·斯科特 | Combination prostaglandin E2/F2α for treating impotence and enhancing sexual arousal |
| US6099870A (en) | 1997-12-18 | 2000-08-08 | Johnson & Johnson Consumer Companies, Inc. | Methods for improving the health of hair and scalp |
| US5955575A (en) | 1997-12-22 | 1999-09-21 | Hopital Sainte-Justine | Antagonists of G-protein-coupled receptor |
| US6232344B1 (en) * | 1997-12-22 | 2001-05-15 | Alcon Laboratories, Inc. | 13-Oxa prostaglandins for the treatment of glaucoma and ocular hypertension |
| US6436643B1 (en) | 1997-12-22 | 2002-08-20 | Unilever Patent Holdings Bv | Process for site-directed integration of multiple copies of a gene in a mould |
| DE69821987T2 (en) | 1997-12-25 | 2004-12-16 | Ono Pharmaceutical Co. Ltd. | OMEGA CYCLOALKYL PROSTAGLANDIN E2 DERIVATIVES |
| GB2330307A (en) | 1998-02-07 | 1999-04-21 | Glaxo Group Ltd | EP4 Receptor antagonists as bone resorption inhibitors |
| WO1999047497A2 (en) | 1998-03-13 | 1999-09-23 | Merck Frosst Canada & Co. | Carboxylic acids and acylsulfonamides, compositions containing such compounds and methods of treatment |
| US6444840B1 (en) | 1998-03-31 | 2002-09-03 | The Procter & Gamble Co. | C11 oxymyl and hydroxylamino prostaglandins useful as FP agonists |
| ATE296284T1 (en) | 1998-03-31 | 2005-06-15 | Univ Duke | C11 OXYMYL AND HYDROXYLAMINO PROSTAGLANDINS USABLE AS FP AGONISTS |
| DE69918433T2 (en) | 1998-03-31 | 2005-09-01 | Duke University | C11-OXYMYL- AND HYDROXYLAMINO-PROSTAGLANDINE AND ITS USE AS A MEDICAMENT |
| CN1144588C (en) | 1998-05-25 | 2004-04-07 | 大正制药株式会社 | Sleep inducing agent |
| US6458549B2 (en) | 1998-06-11 | 2002-10-01 | Winthrop-University Hospital | Methods of diagnosing renal salt wasting syndrome and Alzheimer's disease and methods of treating the same |
| US5942545A (en) | 1998-06-15 | 1999-08-24 | Macrochem Corporation | Composition and method for treating penile erectile dysfunction |
| US6187818B1 (en) | 1998-06-17 | 2001-02-13 | Pharmacia & Upjohn Company | Prostaglandins formulation and process |
| WO2000002450A1 (en) | 1998-07-08 | 2000-01-20 | Fibrogen, Inc. | Method for treatment of fibrosis related diseases by the administration of prostacyclin derivatives |
| DE69922916T2 (en) | 1998-07-14 | 2005-06-09 | Alcon Manufacturing Ltd., Fort Worth | POLYPROPYLENE BASED CONTAINERS FOR PROSTAGLANDIN CONTAINING PRODUCTS |
| TWI249520B (en) | 1998-07-15 | 2006-02-21 | Ono Pharmaceutical Co | 5-Thia-omega-substituted phenyl prostaglandin E derivatives, method for producing the same and medicines containing the same as the active ingredient |
| AU5114499A (en) | 1998-07-21 | 2000-02-14 | Merck & Co., Inc. | Ophthalmic compositions for treating ocular hypertension |
| EP1109546A1 (en) | 1998-07-21 | 2001-06-27 | Merck & Co., Inc. | Ophthalmic compositions for treating ocular hypertension |
| US6284234B1 (en) * | 1998-08-04 | 2001-09-04 | Johnson & Johnson Consumer Companies, Inc. | Topical delivery systems for active agents |
| AU5196699A (en) | 1998-08-12 | 2000-03-06 | Kazusa Dna Research Institute Foundation | Novel gene and protein pgth encoded thereby |
| KR20010074981A (en) | 1998-09-14 | 2001-08-09 | 우에노 도시오 | ω-SUBSTITUTED PHENYL-PROSTAGLANDIN E DERIVATIVES AND DRUGS CONTAINING THE SAME AS THE ACTIVE INGREDIENT |
| AUPP608898A0 (en) | 1998-09-23 | 1998-10-15 | Fujisawa Pharmaceutical Co., Ltd. | New use of prostaglandin E2 antagonists |
| US6121253A (en) * | 1998-11-20 | 2000-09-19 | Merck Frosst Canada & Co. | Prostaglandin conjugates for treating or preventing bone disease |
| ES2223454T3 (en) | 1999-03-01 | 2005-03-01 | Pfizer Products Inc. | OXAMIC ACIDS AND DERIVATIVES AS LIGANDOS OF THYROID RECEPTORS. |
| CN1350521A (en) | 1999-03-05 | 2002-05-22 | 宝洁公司 | C16 unsaturated FP-selective prostaglanding analogs |
| EP1159265B1 (en) | 1999-03-05 | 2004-11-24 | Duke University | C-16 unsaturated fp-selective prostaglandins analogs |
| HK1040184A1 (en) | 1999-03-12 | 2002-05-31 | Alcon Laboratories, Inc. | Combination therapy for treating glaucoma |
| US6894175B1 (en) * | 1999-08-04 | 2005-05-17 | The Procter & Gamble Company | 2-Decarboxy-2-phosphinico prostaglandin derivatives and methods for their preparation and use |
| EP1202999B1 (en) * | 1999-08-04 | 2003-06-18 | The Procter & Gamble Company | Novel 2-decarboxy-2-phosphinico prostaglandin f analogs |
| US6548535B2 (en) * | 2000-01-18 | 2003-04-15 | Merck & Co., Inc. | Method for treating ocular hypertension |
| IL143477A (en) | 2001-05-31 | 2009-07-20 | Finetech Pharmaceutical Ltd | Process for the preparation of 17-phenyl-18,19,20-trinor-pgf2?? and its derivatives |
| US20020146439A1 (en) | 2000-03-31 | 2002-10-10 | Delong Mitchell Anthony | Compositions and methods for treating hair loss using oximyl and hydroxylamino prostaglandins |
| US20020172693A1 (en) * | 2000-03-31 | 2002-11-21 | Delong Michell Anthony | Compositions and methods for treating hair loss using non-naturally occurring prostaglandins |
| US20020013294A1 (en) | 2000-03-31 | 2002-01-31 | Delong Mitchell Anthony | Cosmetic and pharmaceutical compositions and methods using 2-decarboxy-2-phosphinico derivatives |
| AU4466901A (en) * | 2000-03-31 | 2001-10-08 | Toray Industries, Inc. | Hair growth or hair formation controlling agents |
| US20020037914A1 (en) * | 2000-03-31 | 2002-03-28 | Delong Mitchell Anthony | Compositions and methods for treating hair loss using C16-C20 aromatic tetrahydro prostaglandins |
| FR2812190B1 (en) * | 2000-07-28 | 2003-01-31 | Oreal | USE OF NON-PROSTANOIC AGONISTS OF EP-2 AND / OR EP-4 PROSTAGLANDIN RECEPTORS AS A COSMETIC AGENT FOR MITIGATING, DECREASING OR STOPPING HAIR AND HAIR LOSS |
| FR2812193B1 (en) | 2000-07-28 | 2003-10-24 | Oreal | USE OF AN ANTAGONIST OF PROSTAGLANDIN EP-2 AND / OR EP-4 RECEPTORS TO ATTENUATE, DECREASE OR STOP HAIR AND HAIR GROWTH IN COSMETIC PREPARATIONS |
| FR2812191B1 (en) | 2000-07-28 | 2003-10-17 | Oreal | USE OF PROSTAGLANDIN E2 RECEPTOR AGONISTS (EP-3) TO ATTENUATE, DECREASE OR STOP HAIR AND HAIR GROWTH IN COSMETIC PREPARATIONS |
| EP1361867B1 (en) | 2001-02-22 | 2007-03-21 | Jagotec AG | Fibrate-statin combinations with reduced fed-fasted effects |
| EP1298223A3 (en) | 2001-09-28 | 2003-07-23 | Pfizer Products Inc. | Methods related to the A-C repeat Z-sequence upstream from the aldose reductase gene |
| SE0104334D0 (en) | 2001-12-19 | 2001-12-19 | Astrazeneca Ab | Therapeutic agents |
| US20040082013A1 (en) | 2002-01-24 | 2004-04-29 | Regan John W | Methods for screening for substances which inhibit fp prostanoid receptor interaction with a compound having pgf2alpha activity and methods of treating cancer |
| US8758733B2 (en) | 2002-02-04 | 2014-06-24 | Allergan, Inc. | Topical treatment for chemotherapy induced eyelash loss or hypotrichosis using prostamide F2 alpha agonists |
| US7351404B2 (en) * | 2002-02-04 | 2008-04-01 | Allergan, Inc. | Method of enhancing hair growth |
| CA2478653A1 (en) | 2002-03-18 | 2003-09-25 | Pfizer Products Inc. | Methods of treatment with selective ep4 receptor agonists |
| US7186707B2 (en) * | 2002-04-01 | 2007-03-06 | University Of Florida | Prodrugs for use as ophthalmic agents |
| GB0208785D0 (en) | 2002-04-17 | 2002-05-29 | Medical Res Council | Treatment methtods |
| US7320967B2 (en) | 2002-04-23 | 2008-01-22 | L'oreal | Cosmetic composition, method of cosmetic treatment and preparation of a composition for promoting the growth and/or preventing or delaying the loss of hair |
| US6573294B1 (en) * | 2002-05-14 | 2003-06-03 | Allergan, Inc. | 8-azaprostaglandin analogs as agents for lowering intraocular pressure |
| US7521530B2 (en) | 2002-06-11 | 2009-04-21 | Universite De Montreal | Peptides and peptidomimetics useful for inhibiting the activity of prostaglandin F2α receptor |
| US20030199590A1 (en) | 2002-07-25 | 2003-10-23 | Cagle Gerald D | Prostaglandin analogues for promotion of hair growth |
| JP4300833B2 (en) | 2003-03-17 | 2009-07-22 | ソニー株式会社 | Manufacturing method of semiconductor light emitting device |
| US7589233B2 (en) | 2003-07-29 | 2009-09-15 | Signature R&D Holdings, Llc | L-Threonine derivatives of high therapeutic index |
| US7045634B2 (en) | 2003-09-05 | 2006-05-16 | Allergan, Inc. | Prostamide receptor antagonists |
| US20050058614A1 (en) * | 2003-09-15 | 2005-03-17 | Allergan, Inc. | Methods for the treatment of gray hair using cyclopentane(ene) heptan(en)oic acid amides |
| US7070768B2 (en) | 2003-09-25 | 2006-07-04 | Allergan, Inc. | Method for imparting artificial tan to human skin |
| US20050112075A1 (en) | 2003-11-25 | 2005-05-26 | Hwang Cheng S. | Reduction of hair growth |
| EP1722780A4 (en) | 2003-11-26 | 2008-12-17 | Univ Duke | TECHNIQUE FOR PREVENTING OR TREATING GLAUCOMA |
| US7288029B1 (en) | 2005-01-19 | 2007-10-30 | Gkn Driveline North America, Inc. | Propshaft with crash-worthiness |
| JP2008517941A (en) * | 2004-10-21 | 2008-05-29 | デューク・ユニバーシティー | Ophthalmic drugs |
| GB0506759D0 (en) | 2005-04-02 | 2005-05-11 | Medical Res Council | Combination treatment methods |
| WO2007123818A2 (en) | 2006-04-18 | 2007-11-01 | Nitromed, Inc. | Organic nitric oxide enhancing salts of prostaglandins, compositions and methods of use |
| JP5141552B2 (en) | 2006-04-24 | 2013-02-13 | Jsr株式会社 | Polymer and photosensitive resin composition containing the same |
| US20070254920A1 (en) | 2006-04-26 | 2007-11-01 | Aerie Pharmaceuticals, Inc. | Prodrug derivatives of acids using alcohols with homotopic hydroxy groups and methods for their preparation and use |
| US7868032B2 (en) | 2006-10-18 | 2011-01-11 | Allergan, Inc. | Prostamide receptor antagonists |
| JP5095269B2 (en) | 2007-06-05 | 2012-12-12 | 北海道エア・ウォーター株式会社 | Communications system |
| US20090018204A1 (en) | 2007-07-13 | 2009-01-15 | Brinkenhoff Michael C | Composition and method for enhancing hair growth |
| US8623918B2 (en) * | 2008-10-29 | 2014-01-07 | Novaer Holdings, Inc. | Amino acid salts of prostaglandins |
| CA2739571A1 (en) | 2008-10-29 | 2010-08-26 | Aerie Pharmaceuticals, Inc. | Amino acid salts of prostaglandins |
| US8722739B2 (en) * | 2008-10-29 | 2014-05-13 | Novaer Holdings, Inc. | Amino acid salts of prostaglandins |
| WO2010108012A1 (en) | 2009-03-18 | 2010-09-23 | Duke University | Compositions and methods for promoting nasal patency and treating neurogenic bladder using prostaglandins |
| CA2769512C (en) | 2009-07-29 | 2019-07-09 | Duke University | Compositions comprising fp receptor antagonists and their use for inhibiting hair growth |
| WO2011119748A1 (en) | 2010-03-24 | 2011-09-29 | Allergan, Inc. | Compositions comprising a prosamide for treating hair loss, hair thinning, hair color loss |
-
2001
- 2001-01-31 US US09/774,557 patent/US20020172693A1/en not_active Abandoned
- 2001-03-30 CA CA002401731A patent/CA2401731C/en not_active Expired - Lifetime
- 2001-03-30 AT AT01926506T patent/ATE309775T1/en not_active IP Right Cessation
- 2001-03-30 CN CNB018073557A patent/CN100384425C/en not_active Expired - Lifetime
- 2001-03-30 CN CN2010101934871A patent/CN101897700A/en active Pending
- 2001-03-30 ES ES01926506T patent/ES2252215T3/en not_active Expired - Lifetime
- 2001-03-30 CN CNA2008100815488A patent/CN101229171A/en active Pending
- 2001-03-30 DE DE60115000T patent/DE60115000T2/en not_active Expired - Lifetime
- 2001-03-30 AU AU2001253039A patent/AU2001253039A1/en not_active Abandoned
- 2001-03-30 EP EP01926506A patent/EP1267807B1/en not_active Expired - Lifetime
- 2001-03-30 JP JP2001572061A patent/JP2003528899A/en active Pending
- 2001-03-30 WO PCT/US2001/010370 patent/WO2001074315A2/en not_active Ceased
-
2005
- 2005-05-26 US US11/138,097 patent/US7388029B2/en not_active Expired - Lifetime
-
2007
- 2007-12-31 US US11/967,423 patent/US20080103184A1/en not_active Abandoned
-
2009
- 2009-08-04 US US12/535,513 patent/US8541466B2/en not_active Expired - Fee Related
-
2011
- 2011-11-30 JP JP2011262344A patent/JP2012046546A/en not_active Withdrawn
-
2013
- 2013-09-23 US US14/034,372 patent/US8906962B2/en not_active Expired - Fee Related
- 2013-10-30 JP JP2013225759A patent/JP2014043451A/en active Pending
-
2014
- 2014-10-08 US US14/510,089 patent/US20150238469A1/en not_active Abandoned
-
2015
- 2015-04-28 JP JP2015092240A patent/JP2015134831A/en active Pending
- 2015-12-03 US US14/958,334 patent/US9579270B2/en not_active Expired - Fee Related
-
2017
- 2017-01-18 US US15/409,494 patent/US20170348214A1/en not_active Abandoned
- 2017-03-08 JP JP2017044302A patent/JP2017101083A/en active Pending
-
2018
- 2018-07-10 US US16/031,596 patent/US20190175475A1/en not_active Abandoned
- 2018-10-10 JP JP2018192139A patent/JP2019001828A/en active Pending
-
2019
- 2019-11-14 JP JP2019206482A patent/JP2020023579A/en active Pending
-
2020
- 2020-03-03 US US16/808,278 patent/US20200330479A1/en not_active Abandoned
Patent Citations (10)
| Publication number | Priority date | Publication date | Assignee | Title |
|---|---|---|---|---|
| US3966792A (en) * | 1973-02-28 | 1976-06-29 | Ono Pharmaceutical Co., Ltd. | Prostaglandin compounds |
| US4004020A (en) * | 1973-12-21 | 1977-01-18 | Schering Aktiengesellschaft | Novel prostanoic acid derivatives and process for the preparation thereof |
| US4217360A (en) * | 1975-02-27 | 1980-08-12 | Schering Aktiengesellschaft | Novel 1,3-benzodioxaneprostanoic acid derivatives and process for the preparation thereof |
| US4073934A (en) * | 1975-04-18 | 1978-02-14 | Schering Aktiengesellschaft | Novel acetylenic prostaglandin analogs |
| US4171331A (en) * | 1978-06-05 | 1979-10-16 | Miles Laboratories, Inc. | 1 And 2-substituted analogues of certain prostaglandins |
| US5500230A (en) * | 1987-01-23 | 1996-03-19 | The General Hospital Corporation | Method for treatment of glaucoma with nitrogen containing guanylate cyclase activators |
| US5578618A (en) * | 1988-09-06 | 1996-11-26 | Pharmacia Aktiebolag | Prostaglandin derivatives for the treatment of glaucoma or ocular hypertension |
| US5587391A (en) * | 1993-12-28 | 1996-12-24 | Allergan | Cyclopentane(ene) heptenoic or heptanoic acids and derivatives thereof useful as therapeutic agents |
| US6262105B1 (en) * | 1997-02-04 | 2001-07-17 | Murray A. Johnstone | Method of enhancing hair growth |
| US6048895A (en) * | 1997-09-09 | 2000-04-11 | The Procter & Gamble Company | Aromatic C16-C20 substituted tetrahydro prostaglandins useful as FP agonists |
Cited By (80)
| Publication number | Priority date | Publication date | Assignee | Title |
|---|---|---|---|---|
| USRE43372E1 (en) | 1999-03-05 | 2012-05-08 | Duke University | C16 unsaturated FP-selective prostaglandins analogs |
| US9675539B2 (en) | 2000-03-31 | 2017-06-13 | Duke University | Cosmetic and pharmaceutical compositions and methods using 2-decarboxy-2-phosphinico derivatives |
| US7407987B2 (en) | 2000-03-31 | 2008-08-05 | Duke University | Compositions and methods for treating hair loss using C16-C20 aromatic tetrahydro prostaglandins |
| US8541466B2 (en) | 2000-03-31 | 2013-09-24 | Duke University | Compositions and methods for treating hair loss using non-naturally occurring prostaglandins |
| US8906962B2 (en) | 2000-03-31 | 2014-12-09 | Duke University | Compositions and methods for treating hair loss using non-naturally occurring prostaglandins |
| US9346837B2 (en) | 2000-03-31 | 2016-05-24 | Duke University | Cosmetic and pharmaceutical compositions and methods using 2-decarboxy-2-phosphinico derivatives |
| US9579270B2 (en) | 2000-03-31 | 2017-02-28 | Duke University | Compositions and methods for treating hair loss using non-naturally occurring prostaglandins |
| US8618086B2 (en) | 2000-03-31 | 2013-12-31 | Duke University | Compositions and methods for treating hair loss using C16-C20 aromatic tetrahydro prostaglandins |
| US20090203659A1 (en) * | 2002-02-04 | 2009-08-13 | Allergan, Inc. | Method of enhancing hair growth |
| US9216183B2 (en) | 2002-02-04 | 2015-12-22 | Allergan, Inc. | Topical treatment for chemotherapy induced eyelash loss or hypotrichosis using prostamide F2 alpha agonists |
| US10188591B2 (en) | 2002-02-04 | 2019-01-29 | Allergan, Inc. | Method of enhancing hair growth |
| US10159631B2 (en) | 2002-02-04 | 2018-12-25 | Allergan, Inc. | Method of enhancing hair growth |
| US7351404B2 (en) | 2002-02-04 | 2008-04-01 | Allergan, Inc. | Method of enhancing hair growth |
| US20030147823A1 (en) * | 2002-02-04 | 2003-08-07 | Allergan, Inc. | Method of enhancing hair growth |
| US20080070988A1 (en) * | 2002-02-04 | 2008-03-20 | Allergan, Inc. | Method of Enhancing Hair Growth |
| US8101161B2 (en) | 2002-02-04 | 2012-01-24 | Allergan, Inc. | Method of enhancing hair growth |
| US9226931B2 (en) | 2002-02-04 | 2016-01-05 | Allergan, Inc. | Topical treatment for chemotherapy induced eyelash loss or hypotrichosis using prostamide F2 alpha agonists |
| US8632760B2 (en) | 2002-02-04 | 2014-01-21 | Allergan, Inc. | Method of enhancing hair growth |
| US8986715B2 (en) | 2002-02-04 | 2015-03-24 | Allergan, Inc. | Method of enhancing hair growth |
| US8926953B2 (en) | 2002-02-04 | 2015-01-06 | Allergan, Inc. | Method of enhancing hair growth |
| US20070282006A1 (en) * | 2002-02-04 | 2007-12-06 | Woodward David F | Method of enhancing hair growth |
| US8298518B2 (en) | 2002-02-04 | 2012-10-30 | Allergan, Inc. | Method of enhancing hair growth |
| US8758733B2 (en) | 2002-02-04 | 2014-06-24 | Allergan, Inc. | Topical treatment for chemotherapy induced eyelash loss or hypotrichosis using prostamide F2 alpha agonists |
| US8038988B2 (en) | 2002-02-04 | 2011-10-18 | Allergan, Inc. | Method of enhancing hair growth |
| US8263054B2 (en) | 2002-02-04 | 2012-09-11 | Allergan, Inc. | Method of enhancing hair growth |
| US20030199590A1 (en) * | 2002-07-25 | 2003-10-23 | Cagle Gerald D | Prostaglandin analogues for promotion of hair growth |
| US20080033036A1 (en) * | 2003-08-12 | 2008-02-07 | Ryuji Ueno | Composition and Method for Promoting Hair Growth |
| US8686035B2 (en) | 2003-08-12 | 2014-04-01 | R-Tech Ueno, Ltd. | Composition and method for promoting hair growth |
| US20090318542A1 (en) * | 2004-10-21 | 2009-12-24 | Toone Eric J | Ophthamological drugs |
| US20060135609A1 (en) * | 2004-10-21 | 2006-06-22 | Duke University | Ophthamological drugs |
| US8642644B2 (en) | 2004-10-21 | 2014-02-04 | Duke University | Ophthamological drugs |
| US10285995B2 (en) | 2006-03-23 | 2019-05-14 | Topokine Therapeutics, Inc. | Compositions and methods for reducing body fat |
| US20070254920A1 (en) * | 2006-04-26 | 2007-11-01 | Aerie Pharmaceuticals, Inc. | Prodrug derivatives of acids using alcohols with homotopic hydroxy groups and methods for their preparation and use |
| US7553874B2 (en) | 2007-10-31 | 2009-06-30 | Meta Cosmetics, Llc | Prostaglandin analog compositions and methods to treat epithelial-related conditions |
| US20090111889A1 (en) * | 2007-10-31 | 2009-04-30 | Pamela Lipkin | Prostaglandin Analog Compositions To Treat Epithelial-Related Conditions |
| US7514474B1 (en) | 2007-10-31 | 2009-04-07 | Meta Cosmetics, Llc | Prostaglandin analog compositions and methods to treat epithelial-related conditions |
| US7517912B1 (en) | 2007-10-31 | 2009-04-14 | Meta Cosmetics, Llc | Prostaglandin analog compositions and methods to treat epithelial-related conditions |
| US20090111883A1 (en) * | 2007-10-31 | 2009-04-30 | Pamela Lipkin | Prostaglandin Analog Compositions To Treat Epithelial-Related Conditions |
| US7649021B2 (en) * | 2007-10-31 | 2010-01-19 | Meta Cosmetics, Llc | Prostaglandin analog compositions to treat epithelial-related conditions |
| US7638557B2 (en) | 2007-10-31 | 2009-12-29 | Meta Cosmetics, Llc | Prostaglandin analog compositions to treat epithelial-related conditions |
| US7645800B2 (en) | 2007-10-31 | 2010-01-12 | Meta Cosmetics, Llc | Prostaglandin analog compositions to treat epithelial-related conditions |
| US20090111882A1 (en) * | 2007-10-31 | 2009-04-30 | Pamela Lipkin | Prostaglandin analog compositions and methods to treat epithelial-related conditions |
| US20090111881A1 (en) * | 2007-10-31 | 2009-04-30 | Pamela Lipkin | Prostaglandin Analog Compositions To Treat Epithelial-Related Conditions |
| US7635720B2 (en) | 2007-10-31 | 2009-12-22 | Meta Cosmetics, Llc | Prostaglandin analog compositions to treat epithelial-related conditions |
| US7632867B2 (en) | 2007-10-31 | 2009-12-15 | Meta Cosmetics, Llc | Prostaglandin analog compositions to treat epithelial-related conditions |
| US7632868B2 (en) | 2007-10-31 | 2009-12-15 | Meta Cosmetics, Llc | Prostaglandin analog compositions to treat epithelial-related conditions |
| US20090111885A1 (en) * | 2007-10-31 | 2009-04-30 | Pamela Lipkin | Prostaglandin Analog Compositions To Treat Epithelial-Related Conditions |
| US7553875B2 (en) | 2007-10-31 | 2009-06-30 | Meta Cosmetics, Llc | Prostaglandin analog compositions and methods to treat epithelial-related conditions |
| US20090111887A1 (en) * | 2007-10-31 | 2009-04-30 | Pamela Lipkin | Prostaglandin Analog Compositions To Treat Epithelial-Related Conditions |
| US7550508B2 (en) | 2007-10-31 | 2009-06-23 | Meta Cosmetics, Llc | Prostaglandin analog compositions and methods to treat epithelial-related conditions |
| US7541382B2 (en) | 2007-10-31 | 2009-06-02 | Meta Cosmetics, Llc | Prostaglandin analog compositions and methods to treat epithelial-related conditions |
| US20090111761A1 (en) * | 2007-10-31 | 2009-04-30 | Pamela Lipkin | Prostaglandin Analog Compositions And Methods To Treat Epithelial-Related Conditions |
| US20090111891A1 (en) * | 2007-10-31 | 2009-04-30 | Pamela Lipkin | Prostaglandin Analog Compositions To Treat Epithelial-Related Conditions |
| US20100166841A1 (en) * | 2008-05-14 | 2010-07-01 | Peter Thomas Roth | Prostaglandin Based Compositions and Method of Use Thereof |
| US9089720B2 (en) | 2008-09-04 | 2015-07-28 | Santen Pharmaceutical Co., Ltd. | Hair growth promoting agent containing 15,15-difluoroprostaglandin F2α derivative as active ingredient |
| US20100074857A1 (en) * | 2008-09-23 | 2010-03-25 | Pamela Lipkin | Compositions and methods to treat epithelial-related conditions |
| US8722739B2 (en) | 2008-10-29 | 2014-05-13 | Novaer Holdings, Inc. | Amino acid salts of prostaglandins |
| US8623918B2 (en) | 2008-10-29 | 2014-01-07 | Novaer Holdings, Inc. | Amino acid salts of prostaglandins |
| US20100204335A1 (en) * | 2008-12-01 | 2010-08-12 | Allergan, Inc. | Kit and composition for eyelash growth |
| US9006291B2 (en) | 2009-02-03 | 2015-04-14 | Pharma Patent Holding Inc. | Composition, method and kit for enhancing hair |
| US9849140B2 (en) | 2009-11-09 | 2017-12-26 | Allergan, Inc. | Topical compositions comprising bimatoprost and methods for stimulating hair growth therewith |
| US9149484B2 (en) | 2009-11-09 | 2015-10-06 | Allergan, Inc. | Compositions and methods for stimulating hair growth |
| US9763959B2 (en) | 2009-11-09 | 2017-09-19 | Allergan, Inc. | Compositions and methods for stimulating hair growth |
| US9750750B2 (en) | 2009-11-09 | 2017-09-05 | Allergan, Inc. | Compositions and methods for stimulating hair growth |
| US20110124736A1 (en) * | 2009-11-09 | 2011-05-26 | Allergan, Inc. | Compositions and methods for stimulating hair growth |
| US10335418B2 (en) | 2011-01-19 | 2019-07-02 | Topokine Therapeutics, Inc. | Methods and compositions for treating metabolic syndrome |
| US8859616B2 (en) | 2011-01-21 | 2014-10-14 | Allergan, Inc. | Compounds and methods for enhancing hair growth |
| US9861641B2 (en) | 2011-12-19 | 2018-01-09 | Topokine Therapeutics, Inc. | Methods for reducing body fat using tafluprost and analogs thereof |
| US10556012B2 (en) | 2013-05-10 | 2020-02-11 | Topokine Therapeutics, Inc. | Compositions and methods for topical delivery of prostaglandins to subcutaneous fat |
| US9849179B2 (en) | 2013-05-10 | 2017-12-26 | Topokine Therapeutics, Inc. | Methods for topical delivery of prostaglandins to subcutaneous fat |
| US10869874B2 (en) | 2013-05-15 | 2020-12-22 | Topokine Therapeutics, Inc. | Methods and compositions for topical delivery of prostaglandins to subcutaneous fat |
| US20160067263A1 (en) * | 2013-05-15 | 2016-03-10 | Topokine Therapeutics, Inc. | Methods and compositions for topical delivery of prostaglandins to subcutaneous fat |
| US9820993B2 (en) * | 2013-05-15 | 2017-11-21 | Topokine Therapeutics, Inc. | Methods and compositions for topical delivery of prostaglandins to subcutaneous fat |
| US10188661B2 (en) | 2014-06-27 | 2019-01-29 | Topokine Therapeutics, Inc. | Topical dosage regimen |
| US10561593B2 (en) * | 2015-12-28 | 2020-02-18 | Johnson & Johnson Consumer Inc. | Hair growth composition and method |
| US10925824B2 (en) | 2015-12-28 | 2021-02-23 | Johnson & Johnson Consumer Inc. | Hair growth composition and method |
| US11039996B2 (en) | 2015-12-28 | 2021-06-22 | Johnson & Johnson Consumer Inc. | Hair growth composition and method |
| US11185487B2 (en) | 2015-12-28 | 2021-11-30 | Johnson & Johnson Consumer Inc. | Hair growth composition and method |
| US11666520B2 (en) * | 2015-12-28 | 2023-06-06 | Johnson & Johnson Consumer Inc. | Hair growth composition and method |
| DE102016110381A1 (en) * | 2016-06-06 | 2017-12-07 | Edwin Kohl | Cosmetic composition, in particular for promoting hair growth |
Also Published As
Similar Documents
| Publication | Publication Date | Title |
|---|---|---|
| US9579270B2 (en) | Compositions and methods for treating hair loss using non-naturally occurring prostaglandins | |
| US8618086B2 (en) | Compositions and methods for treating hair loss using C16-C20 aromatic tetrahydro prostaglandins | |
| EP1267806B1 (en) | Use of cosmetic and pharmaceutical compositions comprising 2-decarboxy-2-phosphinico derivatives of prostaglandins | |
| US20020146439A1 (en) | Compositions and methods for treating hair loss using oximyl and hydroxylamino prostaglandins |
Legal Events
| Date | Code | Title | Description |
|---|---|---|---|
| AS | Assignment |
Owner name: PROCTER & GAMBLE COMPANY, THE, OHIO Free format text: ASSIGNMENT OF ASSIGNORS INTEREST;ASSIGNORS:DELONG, MITCHELL ANTHONY;MCIVER, JOHN MCMILLAN;YOUNGQUIST, ROBERT SCOTT;REEL/FRAME:012943/0834 Effective date: 20010126 |
|
| AS | Assignment |
Owner name: DUKE UNIVERSITY, NORTH CAROLINA Free format text: ASSIGNMENT OF ASSIGNORS INTEREST;ASSIGNOR:PROCTER & GAMBLE COMPANY, THE;REEL/FRAME:014462/0584 Effective date: 20040323 |
|
| STCB | Information on status: application discontinuation |
Free format text: ABANDONED -- FAILURE TO RESPOND TO AN OFFICE ACTION |

















































































































