US20020037914A1 - Compositions and methods for treating hair loss using C16-C20 aromatic tetrahydro prostaglandins - Google Patents
Compositions and methods for treating hair loss using C16-C20 aromatic tetrahydro prostaglandins Download PDFInfo
- Publication number
- US20020037914A1 US20020037914A1 US09/774,555 US77455501A US2002037914A1 US 20020037914 A1 US20020037914 A1 US 20020037914A1 US 77455501 A US77455501 A US 77455501A US 2002037914 A1 US2002037914 A1 US 2002037914A1
- Authority
- US
- United States
- Prior art keywords
- group
- groups
- substituted
- heteroaromatic
- carbocyclic
- Prior art date
- Legal status (The legal status is an assumption and is not a legal conclusion. Google has not performed a legal analysis and makes no representation as to the accuracy of the status listed.)
- Abandoned
Links
- 239000000203 mixture Substances 0.000 title claims abstract description 145
- 238000000034 method Methods 0.000 title claims abstract description 50
- 201000004384 Alopecia Diseases 0.000 title claims abstract description 40
- 230000003676 hair loss Effects 0.000 title claims abstract description 33
- 208000024963 hair loss Diseases 0.000 title claims abstract description 31
- 150000003180 prostaglandins Chemical class 0.000 title description 26
- 229940094443 oxytocics prostaglandins Drugs 0.000 title description 9
- DZUXGQBLFALXCR-UHFFFAOYSA-N (+)-(9alpha,11alpha,13E,15S)-9,11,15-trihydroxyprost-13-en-1-oic acid Natural products CCCCCC(O)C=CC1C(O)CC(O)C1CCCCCCC(O)=O DZUXGQBLFALXCR-UHFFFAOYSA-N 0.000 claims abstract description 27
- 241000124008 Mammalia Species 0.000 claims abstract description 14
- 150000002430 hydrocarbons Chemical group 0.000 claims description 88
- -1 polypropylene Polymers 0.000 claims description 82
- 125000003118 aryl group Chemical group 0.000 claims description 74
- 125000002837 carbocyclic group Chemical group 0.000 claims description 67
- 125000001072 heteroaryl group Chemical group 0.000 claims description 66
- 239000004615 ingredient Substances 0.000 claims description 58
- 125000000623 heterocyclic group Chemical group 0.000 claims description 48
- 230000000699 topical effect Effects 0.000 claims description 48
- DNIAPMSPPWPWGF-UHFFFAOYSA-N Propylene glycol Chemical compound CC(O)CO DNIAPMSPPWPWGF-UHFFFAOYSA-N 0.000 claims description 28
- 229910002092 carbon dioxide Inorganic materials 0.000 claims description 28
- 150000002148 esters Chemical class 0.000 claims description 26
- 125000004435 hydrogen atom Chemical group [H]* 0.000 claims description 26
- 125000002496 methyl group Chemical group [H]C([H])([H])* 0.000 claims description 24
- 210000004209 hair Anatomy 0.000 claims description 23
- 230000000694 effects Effects 0.000 claims description 20
- LFQSCWFLJHTTHZ-UHFFFAOYSA-N Ethanol Chemical compound CCO LFQSCWFLJHTTHZ-UHFFFAOYSA-N 0.000 claims description 18
- PEDCQBHIVMGVHV-UHFFFAOYSA-N Glycerine Chemical compound OCC(O)CO PEDCQBHIVMGVHV-UHFFFAOYSA-N 0.000 claims description 18
- QUPDWYMUPZLYJZ-UHFFFAOYSA-N ethyl Chemical compound C[CH2] QUPDWYMUPZLYJZ-UHFFFAOYSA-N 0.000 claims description 17
- 229910052717 sulfur Inorganic materials 0.000 claims description 14
- 125000003178 carboxy group Chemical group [H]OC(*)=O 0.000 claims description 13
- 235000019441 ethanol Nutrition 0.000 claims description 13
- 239000002904 solvent Substances 0.000 claims description 13
- ZMXDDKWLCZADIW-UHFFFAOYSA-N N,N-Dimethylformamide Chemical compound CN(C)C=O ZMXDDKWLCZADIW-UHFFFAOYSA-N 0.000 claims description 12
- 125000002252 acyl group Chemical group 0.000 claims description 12
- 125000004429 atom Chemical group 0.000 claims description 12
- 229910052739 hydrogen Inorganic materials 0.000 claims description 12
- 150000003839 salts Chemical class 0.000 claims description 12
- XLYOFNOQVPJJNP-UHFFFAOYSA-N water Substances O XLYOFNOQVPJJNP-UHFFFAOYSA-N 0.000 claims description 12
- 239000003623 enhancer Substances 0.000 claims description 11
- 239000003921 oil Substances 0.000 claims description 11
- 235000019198 oils Nutrition 0.000 claims description 11
- 239000001993 wax Substances 0.000 claims description 11
- 229910020008 S(O) Inorganic materials 0.000 claims description 10
- VYPSYNLAJGMNEJ-UHFFFAOYSA-N Silicium dioxide Chemical compound O=[Si]=O VYPSYNLAJGMNEJ-UHFFFAOYSA-N 0.000 claims description 10
- 125000004430 oxygen atom Chemical group O* 0.000 claims description 10
- 229960004063 propylene glycol Drugs 0.000 claims description 10
- 235000013772 propylene glycol Nutrition 0.000 claims description 10
- 239000004094 surface-active agent Substances 0.000 claims description 10
- 235000011187 glycerol Nutrition 0.000 claims description 9
- 239000000049 pigment Substances 0.000 claims description 9
- 229920003171 Poly (ethylene oxide) Polymers 0.000 claims description 8
- NINIDFKCEFEMDL-UHFFFAOYSA-N Sulfur Chemical compound [S] NINIDFKCEFEMDL-UHFFFAOYSA-N 0.000 claims description 8
- WYURNTSHIVDZCO-UHFFFAOYSA-N Tetrahydrofuran Chemical compound C1CCOC1 WYURNTSHIVDZCO-UHFFFAOYSA-N 0.000 claims description 8
- AUYYCJSJGJYCDS-LBPRGKRZSA-N Thyrolar Chemical class IC1=CC(C[C@H](N)C(O)=O)=CC(I)=C1OC1=CC=C(O)C(I)=C1 AUYYCJSJGJYCDS-LBPRGKRZSA-N 0.000 claims description 8
- GVJHHUAWPYXKBD-UHFFFAOYSA-N d-alpha-tocopherol Natural products OC1=C(C)C(C)=C2OC(CCCC(C)CCCC(C)CCCC(C)C)(C)CCC2=C1C GVJHHUAWPYXKBD-UHFFFAOYSA-N 0.000 claims description 8
- DOIRQSBPFJWKBE-UHFFFAOYSA-N dibutyl phthalate Chemical compound CCCCOC(=O)C1=CC=CC=C1C(=O)OCCCC DOIRQSBPFJWKBE-UHFFFAOYSA-N 0.000 claims description 8
- 229940124563 hair growth stimulant Drugs 0.000 claims description 8
- BXWNKGSJHAJOGX-UHFFFAOYSA-N hexadecan-1-ol Chemical compound CCCCCCCCCCCCCCCCO BXWNKGSJHAJOGX-UHFFFAOYSA-N 0.000 claims description 8
- JVTAAEKCZFNVCJ-UHFFFAOYSA-N lactic acid Chemical compound CC(O)C(O)=O JVTAAEKCZFNVCJ-UHFFFAOYSA-N 0.000 claims description 8
- QJGQUHMNIGDVPM-UHFFFAOYSA-N nitrogen group Chemical group [N] QJGQUHMNIGDVPM-UHFFFAOYSA-N 0.000 claims description 8
- GLDOVTGHNKAZLK-UHFFFAOYSA-N octadecan-1-ol Chemical compound CCCCCCCCCCCCCCCCCCO GLDOVTGHNKAZLK-UHFFFAOYSA-N 0.000 claims description 8
- 239000011593 sulfur Substances 0.000 claims description 8
- 150000001408 amides Chemical class 0.000 claims description 7
- 125000001620 monocyclic carbocycle group Chemical group 0.000 claims description 7
- 125000002911 monocyclic heterocycle group Chemical group 0.000 claims description 7
- ALSTYHKOOCGGFT-KTKRTIGZSA-N (9Z)-octadecen-1-ol Chemical compound CCCCCCCC\C=C/CCCCCCCCO ALSTYHKOOCGGFT-KTKRTIGZSA-N 0.000 claims description 6
- VBICKXHEKHSIBG-UHFFFAOYSA-N 1-monostearoylglycerol Chemical compound CCCCCCCCCCCCCCCCCC(=O)OCC(O)CO VBICKXHEKHSIBG-UHFFFAOYSA-N 0.000 claims description 6
- HBAQYPYDRFILMT-UHFFFAOYSA-N 8-[3-(1-cyclopropylpyrazol-4-yl)-1H-pyrazolo[4,3-d]pyrimidin-5-yl]-3-methyl-3,8-diazabicyclo[3.2.1]octan-2-one Chemical class C1(CC1)N1N=CC(=C1)C1=NNC2=C1N=C(N=C2)N1C2C(N(CC1CC2)C)=O HBAQYPYDRFILMT-UHFFFAOYSA-N 0.000 claims description 6
- PMATZTZNYRCHOR-CGLBZJNRSA-N Cyclosporin A Chemical compound CC[C@@H]1NC(=O)[C@H]([C@H](O)[C@H](C)C\C=C\C)N(C)C(=O)[C@H](C(C)C)N(C)C(=O)[C@H](CC(C)C)N(C)C(=O)[C@H](CC(C)C)N(C)C(=O)[C@@H](C)NC(=O)[C@H](C)NC(=O)[C@H](CC(C)C)N(C)C(=O)[C@H](C(C)C)NC(=O)[C@H](CC(C)C)N(C)C(=O)CN(C)C1=O PMATZTZNYRCHOR-CGLBZJNRSA-N 0.000 claims description 6
- YMWUJEATGCHHMB-UHFFFAOYSA-N Dichloromethane Chemical compound ClCCl YMWUJEATGCHHMB-UHFFFAOYSA-N 0.000 claims description 6
- LCGLNKUTAGEVQW-UHFFFAOYSA-N Dimethyl ether Chemical compound COC LCGLNKUTAGEVQW-UHFFFAOYSA-N 0.000 claims description 6
- IAZDPXIOMUYVGZ-UHFFFAOYSA-N Dimethylsulphoxide Chemical compound CS(C)=O IAZDPXIOMUYVGZ-UHFFFAOYSA-N 0.000 claims description 6
- KFZMGEQAYNKOFK-UHFFFAOYSA-N Isopropanol Chemical compound CC(C)O KFZMGEQAYNKOFK-UHFFFAOYSA-N 0.000 claims description 6
- POJWUDADGALRAB-UHFFFAOYSA-N allantoin Chemical compound NC(=O)NC1NC(=O)NC1=O POJWUDADGALRAB-UHFFFAOYSA-N 0.000 claims description 6
- SASYSVUEVMOWPL-NXVVXOECSA-N decyl oleate Chemical compound CCCCCCCCCCOC(=O)CCCCCCC\C=C/CCCCCCCC SASYSVUEVMOWPL-NXVVXOECSA-N 0.000 claims description 6
- 239000003974 emollient agent Substances 0.000 claims description 6
- 239000003906 humectant Substances 0.000 claims description 6
- 150000004677 hydrates Chemical class 0.000 claims description 6
- 150000003949 imides Chemical class 0.000 claims description 6
- 125000001449 isopropyl group Chemical group [H]C([H])([H])C([H])(*)C([H])([H])[H] 0.000 claims description 6
- 229940055577 oleyl alcohol Drugs 0.000 claims description 6
- XMLQWXUVTXCDDL-UHFFFAOYSA-N oleyl alcohol Natural products CCCCCCC=CCCCCCCCCCCO XMLQWXUVTXCDDL-UHFFFAOYSA-N 0.000 claims description 6
- 230000003287 optical effect Effects 0.000 claims description 6
- 239000000843 powder Substances 0.000 claims description 6
- 239000005495 thyroid hormone Substances 0.000 claims description 6
- 229940036555 thyroid hormone Drugs 0.000 claims description 6
- MEJYDZQQVZJMPP-ULAWRXDQSA-N (3s,3ar,6r,6ar)-3,6-dimethoxy-2,3,3a,5,6,6a-hexahydrofuro[3,2-b]furan Chemical compound CO[C@H]1CO[C@@H]2[C@H](OC)CO[C@@H]21 MEJYDZQQVZJMPP-ULAWRXDQSA-N 0.000 claims description 5
- CSCPPACGZOOCGX-UHFFFAOYSA-N Acetone Chemical compound CC(C)=O CSCPPACGZOOCGX-UHFFFAOYSA-N 0.000 claims description 5
- 108010010803 Gelatin Proteins 0.000 claims description 5
- 229920002472 Starch Polymers 0.000 claims description 5
- 235000021355 Stearic acid Nutrition 0.000 claims description 5
- 150000001298 alcohols Chemical class 0.000 claims description 5
- 239000001768 carboxy methyl cellulose Substances 0.000 claims description 5
- 239000004359 castor oil Substances 0.000 claims description 5
- 235000019438 castor oil Nutrition 0.000 claims description 5
- 239000003205 fragrance Substances 0.000 claims description 5
- 239000000499 gel Substances 0.000 claims description 5
- 229920000159 gelatin Polymers 0.000 claims description 5
- 239000008273 gelatin Substances 0.000 claims description 5
- 235000019322 gelatine Nutrition 0.000 claims description 5
- 235000011852 gelatine desserts Nutrition 0.000 claims description 5
- ZEMPKEQAKRGZGQ-XOQCFJPHSA-N glycerol triricinoleate Natural products CCCCCC[C@@H](O)CC=CCCCCCCCC(=O)OC[C@@H](COC(=O)CCCCCCCC=CC[C@@H](O)CCCCCC)OC(=O)CCCCCCCC=CC[C@H](O)CCCCCC ZEMPKEQAKRGZGQ-XOQCFJPHSA-N 0.000 claims description 5
- CBOIHMRHGLHBPB-UHFFFAOYSA-N hydroxymethyl Chemical compound O[CH2] CBOIHMRHGLHBPB-UHFFFAOYSA-N 0.000 claims description 5
- 239000002480 mineral oil Substances 0.000 claims description 5
- 235000010446 mineral oil Nutrition 0.000 claims description 5
- QIQXTHQIDYTFRH-UHFFFAOYSA-N octadecanoic acid Chemical compound CCCCCCCCCCCCCCCCCC(O)=O QIQXTHQIDYTFRH-UHFFFAOYSA-N 0.000 claims description 5
- OQCDKBAXFALNLD-UHFFFAOYSA-N octadecanoic acid Natural products CCCCCCCC(C)CCCCCCCCC(O)=O OQCDKBAXFALNLD-UHFFFAOYSA-N 0.000 claims description 5
- 239000003380 propellant Substances 0.000 claims description 5
- 235000019698 starch Nutrition 0.000 claims description 5
- 239000008117 stearic acid Substances 0.000 claims description 5
- 235000000346 sugar Nutrition 0.000 claims description 5
- 150000003536 tetrazoles Chemical class 0.000 claims description 5
- PUPZLCDOIYMWBV-UHFFFAOYSA-N (+/-)-1,3-Butanediol Chemical compound CC(O)CCO PUPZLCDOIYMWBV-UHFFFAOYSA-N 0.000 claims description 4
- QMMJWQMCMRUYTG-UHFFFAOYSA-N 1,2,4,5-tetrachloro-3-(trifluoromethyl)benzene Chemical compound FC(F)(F)C1=C(Cl)C(Cl)=CC(Cl)=C1Cl QMMJWQMCMRUYTG-UHFFFAOYSA-N 0.000 claims description 4
- XDOFQFKRPWOURC-UHFFFAOYSA-N 16-methylheptadecanoic acid Chemical compound CC(C)CCCCCCCCCCCCCCC(O)=O XDOFQFKRPWOURC-UHFFFAOYSA-N 0.000 claims description 4
- NAKFRQULMGLXBT-UHFFFAOYSA-N 6-methoxyquinolin-8-ol Chemical compound N1=CC=CC2=CC(OC)=CC(O)=C21 NAKFRQULMGLXBT-UHFFFAOYSA-N 0.000 claims description 4
- ZCTQGTTXIYCGGC-UHFFFAOYSA-N Benzyl salicylate Chemical compound OC1=CC=CC=C1C(=O)OCC1=CC=CC=C1 ZCTQGTTXIYCGGC-UHFFFAOYSA-N 0.000 claims description 4
- CURLTUGMZLYLDI-UHFFFAOYSA-N Carbon dioxide Chemical compound O=C=O CURLTUGMZLYLDI-UHFFFAOYSA-N 0.000 claims description 4
- 229930105110 Cyclosporin A Natural products 0.000 claims description 4
- 108010036949 Cyclosporine Proteins 0.000 claims description 4
- FBPFZTCFMRRESA-FSIIMWSLSA-N D-Glucitol Natural products OC[C@H](O)[C@H](O)[C@@H](O)[C@H](O)CO FBPFZTCFMRRESA-FSIIMWSLSA-N 0.000 claims description 4
- FBPFZTCFMRRESA-JGWLITMVSA-N D-glucitol Chemical compound OC[C@H](O)[C@@H](O)[C@H](O)[C@H](O)CO FBPFZTCFMRRESA-JGWLITMVSA-N 0.000 claims description 4
- PYGXAGIECVVIOZ-UHFFFAOYSA-N Dibutyl decanedioate Chemical compound CCCCOC(=O)CCCCCCCCC(=O)OCCCC PYGXAGIECVVIOZ-UHFFFAOYSA-N 0.000 claims description 4
- RTZKZFJDLAIYFH-UHFFFAOYSA-N Diethyl ether Chemical compound CCOCC RTZKZFJDLAIYFH-UHFFFAOYSA-N 0.000 claims description 4
- CMBYOWLFQAFZCP-UHFFFAOYSA-N Hexyl dodecanoate Chemical compound CCCCCCCCCCCC(=O)OCCCCCC CMBYOWLFQAFZCP-UHFFFAOYSA-N 0.000 claims description 4
- 239000004166 Lanolin Substances 0.000 claims description 4
- GQPLMRYTRLFLPF-UHFFFAOYSA-N Nitrous Oxide Chemical compound [O-][N+]#N GQPLMRYTRLFLPF-UHFFFAOYSA-N 0.000 claims description 4
- 239000002202 Polyethylene glycol Substances 0.000 claims description 4
- ATUOYWHBWRKTHZ-UHFFFAOYSA-N Propane Chemical compound CCC ATUOYWHBWRKTHZ-UHFFFAOYSA-N 0.000 claims description 4
- 229930003427 Vitamin E Natural products 0.000 claims description 4
- DPXJVFZANSGRMM-UHFFFAOYSA-N acetic acid;2,3,4,5,6-pentahydroxyhexanal;sodium Chemical compound [Na].CC(O)=O.OCC(O)C(O)C(O)C(O)C=O DPXJVFZANSGRMM-UHFFFAOYSA-N 0.000 claims description 4
- 125000000217 alkyl group Chemical group 0.000 claims description 4
- 230000003110 anti-inflammatory effect Effects 0.000 claims description 4
- SESFRYSPDFLNCH-UHFFFAOYSA-N benzyl benzoate Chemical compound C=1C=CC=CC=1C(=O)OCC1=CC=CC=C1 SESFRYSPDFLNCH-UHFFFAOYSA-N 0.000 claims description 4
- XSIFPSYPOVKYCO-UHFFFAOYSA-N butyl benzoate Chemical compound CCCCOC(=O)C1=CC=CC=C1 XSIFPSYPOVKYCO-UHFFFAOYSA-N 0.000 claims description 4
- DHAZIUXMHRHVMP-UHFFFAOYSA-N butyl tetradecanoate Chemical compound CCCCCCCCCCCCCC(=O)OCCCC DHAZIUXMHRHVMP-UHFFFAOYSA-N 0.000 claims description 4
- 229960001777 castor oil Drugs 0.000 claims description 4
- 229960001265 ciclosporin Drugs 0.000 claims description 4
- ALOUNLDAKADEEB-UHFFFAOYSA-N dimethyl sebacate Chemical compound COC(=O)CCCCCCCCC(=O)OC ALOUNLDAKADEEB-UHFFFAOYSA-N 0.000 claims description 4
- 229960001760 dimethyl sulfoxide Drugs 0.000 claims description 4
- RGXWDWUGBIJHDO-UHFFFAOYSA-N ethyl decanoate Chemical compound CCCCCCCCCC(=O)OCC RGXWDWUGBIJHDO-UHFFFAOYSA-N 0.000 claims description 4
- SHZIWNPUGXLXDT-UHFFFAOYSA-N ethyl hexanoate Chemical compound CCCCCC(=O)OCC SHZIWNPUGXLXDT-UHFFFAOYSA-N 0.000 claims description 4
- MMXKVMNBHPAILY-UHFFFAOYSA-N ethyl laurate Chemical compound CCCCCCCCCCCC(=O)OCC MMXKVMNBHPAILY-UHFFFAOYSA-N 0.000 claims description 4
- MMKRHZKQPFCLLS-UHFFFAOYSA-N ethyl myristate Chemical compound CCCCCCCCCCCCCC(=O)OCC MMKRHZKQPFCLLS-UHFFFAOYSA-N 0.000 claims description 4
- WIGCFUFOHFEKBI-UHFFFAOYSA-N gamma-tocopherol Natural products CC(C)CCCC(C)CCCC(C)CCCC1CCC2C(C)C(O)C(C)C(C)C2O1 WIGCFUFOHFEKBI-UHFFFAOYSA-N 0.000 claims description 4
- IPCSVZSSVZVIGE-UHFFFAOYSA-N hexadecanoic acid Chemical compound CCCCCCCCCCCCCCCC(O)=O IPCSVZSSVZVIGE-UHFFFAOYSA-N 0.000 claims description 4
- 229940100463 hexyl laurate Drugs 0.000 claims description 4
- NNPPMTNAJDCUHE-UHFFFAOYSA-N isobutane Chemical compound CC(C)C NNPPMTNAJDCUHE-UHFFFAOYSA-N 0.000 claims description 4
- 229940093629 isopropyl isostearate Drugs 0.000 claims description 4
- XUGNVMKQXJXZCD-UHFFFAOYSA-N isopropyl palmitate Chemical compound CCCCCCCCCCCCCCCC(=O)OC(C)C XUGNVMKQXJXZCD-UHFFFAOYSA-N 0.000 claims description 4
- NLYAJNPCOHFWQQ-UHFFFAOYSA-N kaolin Chemical compound O.O.O=[Al]O[Si](=O)O[Si](=O)O[Al]=O NLYAJNPCOHFWQQ-UHFFFAOYSA-N 0.000 claims description 4
- 235000019388 lanolin Nutrition 0.000 claims description 4
- 229940039717 lanolin Drugs 0.000 claims description 4
- GOQYKNQRPGWPLP-UHFFFAOYSA-N n-heptadecyl alcohol Natural products CCCCCCCCCCCCCCCCCO GOQYKNQRPGWPLP-UHFFFAOYSA-N 0.000 claims description 4
- 229940060184 oil ingredients Drugs 0.000 claims description 4
- 235000019271 petrolatum Nutrition 0.000 claims description 4
- 229920001223 polyethylene glycol Polymers 0.000 claims description 4
- 229920000642 polymer Polymers 0.000 claims description 4
- 229920001451 polypropylene glycol Polymers 0.000 claims description 4
- BDERNNFJNOPAEC-UHFFFAOYSA-N propan-1-ol Chemical compound CCCO BDERNNFJNOPAEC-UHFFFAOYSA-N 0.000 claims description 4
- NEOZOXKVMDBOSG-UHFFFAOYSA-N propan-2-yl 16-methylheptadecanoate Chemical compound CC(C)CCCCCCCCCCCCCCC(=O)OC(C)C NEOZOXKVMDBOSG-UHFFFAOYSA-N 0.000 claims description 4
- 239000002453 shampoo Substances 0.000 claims description 4
- 235000019812 sodium carboxymethyl cellulose Nutrition 0.000 claims description 4
- 229920001027 sodium carboxymethylcellulose Polymers 0.000 claims description 4
- 239000000600 sorbitol Substances 0.000 claims description 4
- 239000008107 starch Substances 0.000 claims description 4
- 125000004434 sulfur atom Chemical group 0.000 claims description 4
- 230000009885 systemic effect Effects 0.000 claims description 4
- 239000000454 talc Substances 0.000 claims description 4
- 229910052623 talc Inorganic materials 0.000 claims description 4
- 235000012222 talc Nutrition 0.000 claims description 4
- YLQBMQCUIZJEEH-UHFFFAOYSA-N tetrahydrofuran Natural products C=1C=COC=1 YLQBMQCUIZJEEH-UHFFFAOYSA-N 0.000 claims description 4
- 239000002562 thickening agent Substances 0.000 claims description 4
- 235000019165 vitamin E Nutrition 0.000 claims description 4
- 229940046009 vitamin E Drugs 0.000 claims description 4
- 239000011709 vitamin E Substances 0.000 claims description 4
- FPIPGXGPPPQFEQ-UHFFFAOYSA-N 13-cis retinol Natural products OCC=C(C)C=CC=C(C)C=CC1=C(C)CCCC1(C)C FPIPGXGPPPQFEQ-UHFFFAOYSA-N 0.000 claims description 3
- POJWUDADGALRAB-PVQJCKRUSA-N Allantoin Natural products NC(=O)N[C@@H]1NC(=O)NC1=O POJWUDADGALRAB-PVQJCKRUSA-N 0.000 claims description 3
- 244000144927 Aloe barbadensis Species 0.000 claims description 3
- 235000002961 Aloe barbadensis Nutrition 0.000 claims description 3
- 239000004743 Polypropylene Substances 0.000 claims description 3
- 229920002125 Sokalan® Polymers 0.000 claims description 3
- XSQUKJJJFZCRTK-UHFFFAOYSA-N Urea Chemical compound NC(N)=O XSQUKJJJFZCRTK-UHFFFAOYSA-N 0.000 claims description 3
- FPIPGXGPPPQFEQ-BOOMUCAASA-N Vitamin A Natural products OC/C=C(/C)\C=C\C=C(\C)/C=C/C1=C(C)CCCC1(C)C FPIPGXGPPPQFEQ-BOOMUCAASA-N 0.000 claims description 3
- FPIPGXGPPPQFEQ-OVSJKPMPSA-N all-trans-retinol Chemical compound OC\C=C(/C)\C=C\C=C(/C)\C=C\C1=C(C)CCCC1(C)C FPIPGXGPPPQFEQ-OVSJKPMPSA-N 0.000 claims description 3
- 229960000458 allantoin Drugs 0.000 claims description 3
- 235000011399 aloe vera Nutrition 0.000 claims description 3
- 230000002280 anti-androgenic effect Effects 0.000 claims description 3
- 239000000051 antiandrogen Substances 0.000 claims description 3
- 239000004599 antimicrobial Substances 0.000 claims description 3
- 229960000541 cetyl alcohol Drugs 0.000 claims description 3
- 229960005150 glycerol Drugs 0.000 claims description 3
- 229940075507 glyceryl monostearate Drugs 0.000 claims description 3
- 239000002198 insoluble material Substances 0.000 claims description 3
- 239000001788 mono and diglycerides of fatty acids Substances 0.000 claims description 3
- 229940078555 myristyl propionate Drugs 0.000 claims description 3
- 229920001155 polypropylene Polymers 0.000 claims description 3
- 239000008159 sesame oil Substances 0.000 claims description 3
- 235000011803 sesame oil Nutrition 0.000 claims description 3
- 239000000243 solution Substances 0.000 claims description 3
- YRZGMTHQPGNLEK-UHFFFAOYSA-N tetradecyl propionate Chemical compound CCCCCCCCCCCCCCOC(=O)CC YRZGMTHQPGNLEK-UHFFFAOYSA-N 0.000 claims description 3
- 150000003648 triterpenes Chemical class 0.000 claims description 3
- 229940124549 vasodilator Drugs 0.000 claims description 3
- 239000003071 vasodilator agent Substances 0.000 claims description 3
- 235000019155 vitamin A Nutrition 0.000 claims description 3
- 239000011719 vitamin A Substances 0.000 claims description 3
- 229940045997 vitamin a Drugs 0.000 claims description 3
- WJTCHBVEUFDSIK-NWDGAFQWSA-N (2r,5s)-1-benzyl-2,5-dimethylpiperazine Chemical compound C[C@@H]1CN[C@@H](C)CN1CC1=CC=CC=C1 WJTCHBVEUFDSIK-NWDGAFQWSA-N 0.000 claims description 2
- RGCVYEOTYJCNOS-UHFFFAOYSA-N (4-cyano-2-methylphenyl)boronic acid Chemical compound CC1=CC(C#N)=CC=C1B(O)O RGCVYEOTYJCNOS-UHFFFAOYSA-N 0.000 claims description 2
- RYHBNJHYFVUHQT-UHFFFAOYSA-N 1,4-Dioxane Chemical compound C1COCCO1 RYHBNJHYFVUHQT-UHFFFAOYSA-N 0.000 claims description 2
- FILVIKOEJGORQS-UHFFFAOYSA-N 1,5-dimethylpyrrolidin-2-one Chemical compound CC1CCC(=O)N1C FILVIKOEJGORQS-UHFFFAOYSA-N 0.000 claims description 2
- RLPSARLYTKXVSE-UHFFFAOYSA-N 1-(1,3-thiazol-5-yl)ethanamine Chemical compound CC(N)C1=CN=CS1 RLPSARLYTKXVSE-UHFFFAOYSA-N 0.000 claims description 2
- AZUXKVXMJOIAOF-UHFFFAOYSA-N 1-(2-hydroxypropoxy)propan-2-ol Chemical compound CC(O)COCC(C)O AZUXKVXMJOIAOF-UHFFFAOYSA-N 0.000 claims description 2
- ZFPGARUNNKGOBB-UHFFFAOYSA-N 1-Ethyl-2-pyrrolidinone Chemical compound CCN1CCCC1=O ZFPGARUNNKGOBB-UHFFFAOYSA-N 0.000 claims description 2
- KBPLFHHGFOOTCA-UHFFFAOYSA-N 1-Octanol Chemical compound CCCCCCCCO KBPLFHHGFOOTCA-UHFFFAOYSA-N 0.000 claims description 2
- HBXWUCXDUUJDRB-UHFFFAOYSA-N 1-octadecoxyoctadecane Chemical compound CCCCCCCCCCCCCCCCCCOCCCCCCCCCCCCCCCCCC HBXWUCXDUUJDRB-UHFFFAOYSA-N 0.000 claims description 2
- LGEZTMRIZWCDLW-UHFFFAOYSA-N 14-methylpentadecyl octadecanoate Chemical compound CCCCCCCCCCCCCCCCCC(=O)OCCCCCCCCCCCCCC(C)C LGEZTMRIZWCDLW-UHFFFAOYSA-N 0.000 claims description 2
- HDIFHQMREAYYJW-FMIVXFBMSA-N 2,3-dihydroxypropyl (e)-12-hydroxyoctadec-9-enoate Chemical compound CCCCCCC(O)C\C=C\CCCCCCCC(=O)OCC(O)CO HDIFHQMREAYYJW-FMIVXFBMSA-N 0.000 claims description 2
- PACBIGNRUWABMA-UHFFFAOYSA-N 2-(2,3-dihydro-1,3-benzothiazol-2-yl)-6-dodecyl-4-methylphenol Chemical compound CCCCCCCCCCCCC1=CC(C)=CC(C2SC3=CC=CC=C3N2)=C1O PACBIGNRUWABMA-UHFFFAOYSA-N 0.000 claims description 2
- FLPJVCMIKUWSDR-UHFFFAOYSA-N 2-(4-formylphenoxy)acetamide Chemical compound NC(=O)COC1=CC=C(C=O)C=C1 FLPJVCMIKUWSDR-UHFFFAOYSA-N 0.000 claims description 2
- ZNQVEEAIQZEUHB-UHFFFAOYSA-N 2-ethoxyethanol Chemical compound CCOCCO ZNQVEEAIQZEUHB-UHFFFAOYSA-N 0.000 claims description 2
- CCFWAONPPYWNDM-UHFFFAOYSA-N 2-ethylhexyl nonanoate Chemical compound CCCCCCCCC(=O)OCC(CC)CCCC CCFWAONPPYWNDM-UHFFFAOYSA-N 0.000 claims description 2
- RFVNOJDQRGSOEL-UHFFFAOYSA-N 2-hydroxyethyl octadecanoate Chemical compound CCCCCCCCCCCCCCCCCC(=O)OCCO RFVNOJDQRGSOEL-UHFFFAOYSA-N 0.000 claims description 2
- OJIBJRXMHVZPLV-UHFFFAOYSA-N 2-methylpropyl hexadecanoate Chemical compound CCCCCCCCCCCCCCCC(=O)OCC(C)C OJIBJRXMHVZPLV-UHFFFAOYSA-N 0.000 claims description 2
- SGRCVQDBWHCTIS-UHFFFAOYSA-N 2-nonanoyloxypropyl nonanoate Chemical compound CCCCCCCCC(=O)OCC(C)OC(=O)CCCCCCCC SGRCVQDBWHCTIS-UHFFFAOYSA-N 0.000 claims description 2
- VRUFTFZZSSSPML-UHFFFAOYSA-N 3-hydroxyoxolane-2-carbaldehyde Chemical compound OC1CCOC1C=O VRUFTFZZSSSPML-UHFFFAOYSA-N 0.000 claims description 2
- HIQIXEFWDLTDED-UHFFFAOYSA-N 4-hydroxy-1-piperidin-4-ylpyrrolidin-2-one Chemical compound O=C1CC(O)CN1C1CCNCC1 HIQIXEFWDLTDED-UHFFFAOYSA-N 0.000 claims description 2
- AMEMLELAMQEAIA-UHFFFAOYSA-N 6-(tert-butyl)thieno[3,2-d]pyrimidin-4(3H)-one Chemical compound N1C=NC(=O)C2=C1C=C(C(C)(C)C)S2 AMEMLELAMQEAIA-UHFFFAOYSA-N 0.000 claims description 2
- 239000005995 Aluminium silicate Substances 0.000 claims description 2
- 235000003911 Arachis Nutrition 0.000 claims description 2
- 244000105624 Arachis hypogaea Species 0.000 claims description 2
- 239000004358 Butane-1, 3-diol Substances 0.000 claims description 2
- NDKYEUQMPZIGFN-UHFFFAOYSA-N Butyl dodecanoate Chemical compound CCCCCCCCCCCC(=O)OCCCC NDKYEUQMPZIGFN-UHFFFAOYSA-N 0.000 claims description 2
- 102000008186 Collagen Human genes 0.000 claims description 2
- 108010035532 Collagen Proteins 0.000 claims description 2
- YUXIBTJKHLUKBD-UHFFFAOYSA-N Dibutyl succinate Chemical compound CCCCOC(=O)CCC(=O)OCCCC YUXIBTJKHLUKBD-UHFFFAOYSA-N 0.000 claims description 2
- ZDQWESQEGGJUCH-UHFFFAOYSA-N Diisopropyl adipate Chemical compound CC(C)OC(=O)CCCCC(=O)OC(C)C ZDQWESQEGGJUCH-UHFFFAOYSA-N 0.000 claims description 2
- GYCKQBWUSACYIF-UHFFFAOYSA-N Ethyl salicylate Chemical compound CCOC(=O)C1=CC=CC=C1O GYCKQBWUSACYIF-UHFFFAOYSA-N 0.000 claims description 2
- 239000004909 Moisturizer Substances 0.000 claims description 2
- FXHOOIRPVKKKFG-UHFFFAOYSA-N N,N-Dimethylacetamide Chemical compound CN(C)C(C)=O FXHOOIRPVKKKFG-UHFFFAOYSA-N 0.000 claims description 2
- MMOXZBCLCQITDF-UHFFFAOYSA-N N,N-diethyl-m-toluamide Chemical compound CCN(CC)C(=O)C1=CC=CC(C)=C1 MMOXZBCLCQITDF-UHFFFAOYSA-N 0.000 claims description 2
- 241000772415 Neovison vison Species 0.000 claims description 2
- DRUKNYVQGHETPO-UHFFFAOYSA-N Nonanedioic acid dimethyl ester Natural products COC(=O)CCCCCCCC(=O)OC DRUKNYVQGHETPO-UHFFFAOYSA-N 0.000 claims description 2
- 235000021314 Palmitic acid Nutrition 0.000 claims description 2
- 239000004264 Petrolatum Substances 0.000 claims description 2
- 239000004146 Propane-1,2-diol Substances 0.000 claims description 2
- DKGAVHZHDRPRBM-UHFFFAOYSA-N Tert-Butanol Chemical compound CC(C)(C)O DKGAVHZHDRPRBM-UHFFFAOYSA-N 0.000 claims description 2
- GANNOFFDYMSBSZ-UHFFFAOYSA-N [AlH3].[Mg] Chemical class [AlH3].[Mg] GANNOFFDYMSBSZ-UHFFFAOYSA-N 0.000 claims description 2
- 229940048299 acetylated lanolin alcohols Drugs 0.000 claims description 2
- 235000012211 aluminium silicate Nutrition 0.000 claims description 2
- 229960002903 benzyl benzoate Drugs 0.000 claims description 2
- ZFMQKOWCDKKBIF-UHFFFAOYSA-N bis(3,5-difluorophenyl)phosphane Chemical compound FC1=CC(F)=CC(PC=2C=C(F)C=C(F)C=2)=C1 ZFMQKOWCDKKBIF-UHFFFAOYSA-N 0.000 claims description 2
- 239000001273 butane Substances 0.000 claims description 2
- 235000019437 butane-1,3-diol Nutrition 0.000 claims description 2
- WERYXYBDKMZEQL-UHFFFAOYSA-N butane-1,4-diol Chemical compound OCCCCO WERYXYBDKMZEQL-UHFFFAOYSA-N 0.000 claims description 2
- 239000004202 carbamide Substances 0.000 claims description 2
- 239000001569 carbon dioxide Substances 0.000 claims description 2
- 229940074979 cetyl palmitate Drugs 0.000 claims description 2
- 239000003240 coconut oil Substances 0.000 claims description 2
- 235000019864 coconut oil Nutrition 0.000 claims description 2
- 229920001436 collagen Polymers 0.000 claims description 2
- 229940075614 colloidal silicon dioxide Drugs 0.000 claims description 2
- 239000006071 cream Substances 0.000 claims description 2
- 229930182912 cyclosporin Natural products 0.000 claims description 2
- 239000007933 dermal patch Substances 0.000 claims description 2
- GUJOJGAPFQRJSV-UHFFFAOYSA-N dialuminum;dioxosilane;oxygen(2-);hydrate Chemical class O.[O-2].[O-2].[O-2].[Al+3].[Al+3].O=[Si]=O.O=[Si]=O.O=[Si]=O.O=[Si]=O GUJOJGAPFQRJSV-UHFFFAOYSA-N 0.000 claims description 2
- RISLXYINQFKFRL-UHFFFAOYSA-N dibutyl nonanedioate Chemical compound CCCCOC(=O)CCCCCCCC(=O)OCCCC RISLXYINQFKFRL-UHFFFAOYSA-N 0.000 claims description 2
- LBXQUCHUHCBNTC-UHFFFAOYSA-N dibutyl octanedioate Chemical compound CCCCOC(=O)CCCCCCC(=O)OCCCC LBXQUCHUHCBNTC-UHFFFAOYSA-N 0.000 claims description 2
- 229960002097 dibutylsuccinate Drugs 0.000 claims description 2
- HCQHIEGYGGJLJU-UHFFFAOYSA-N didecyl hexanedioate Chemical compound CCCCCCCCCCOC(=O)CCCCC(=O)OCCCCCCCCCC HCQHIEGYGGJLJU-UHFFFAOYSA-N 0.000 claims description 2
- 229940028356 diethylene glycol monobutyl ether Drugs 0.000 claims description 2
- XXJWXESWEXIICW-UHFFFAOYSA-N diethylene glycol monoethyl ether Chemical compound CCOCCOCCO XXJWXESWEXIICW-UHFFFAOYSA-N 0.000 claims description 2
- 229940075557 diethylene glycol monoethyl ether Drugs 0.000 claims description 2
- 229940014772 dimethyl sebacate Drugs 0.000 claims description 2
- MIMDHDXOBDPUQW-UHFFFAOYSA-N dioctyl decanedioate Chemical compound CCCCCCCCOC(=O)CCCCCCCCC(=O)OCCCCCCCC MIMDHDXOBDPUQW-UHFFFAOYSA-N 0.000 claims description 2
- XWVQUJDBOICHGH-UHFFFAOYSA-N dioctyl nonanedioate Chemical compound CCCCCCCCOC(=O)CCCCCCCC(=O)OCCCCCCCC XWVQUJDBOICHGH-UHFFFAOYSA-N 0.000 claims description 2
- XFKBBSZEQRFVSL-UHFFFAOYSA-N dipropan-2-yl decanedioate Chemical compound CC(C)OC(=O)CCCCCCCCC(=O)OC(C)C XFKBBSZEQRFVSL-UHFFFAOYSA-N 0.000 claims description 2
- LQZZUXJYWNFBMV-UHFFFAOYSA-N dodecan-1-ol Chemical compound CCCCCCCCCCCCO LQZZUXJYWNFBMV-UHFFFAOYSA-N 0.000 claims description 2
- QQQMUBLXDAFBRH-UHFFFAOYSA-N dodecyl 2-hydroxypropanoate Chemical compound CCCCCCCCCCCCOC(=O)C(C)O QQQMUBLXDAFBRH-UHFFFAOYSA-N 0.000 claims description 2
- LZCLXQDLBQLTDK-UHFFFAOYSA-N ethyl 2-hydroxypropanoate Chemical compound CCOC(=O)C(C)O LZCLXQDLBQLTDK-UHFFFAOYSA-N 0.000 claims description 2
- 229940005667 ethyl salicylate Drugs 0.000 claims description 2
- 229910000286 fullers earth Inorganic materials 0.000 claims description 2
- 229910021485 fumed silica Inorganic materials 0.000 claims description 2
- YVIVRJLWYJGJTJ-UHFFFAOYSA-N gamma-Valerolactam Chemical compound CC1CCC(=O)N1 YVIVRJLWYJGJTJ-UHFFFAOYSA-N 0.000 claims description 2
- PXDJXZJSCPSGGI-UHFFFAOYSA-N hexadecanoic acid hexadecyl ester Natural products CCCCCCCCCCCCCCCCOC(=O)CCCCCCCCCCCCCCC PXDJXZJSCPSGGI-UHFFFAOYSA-N 0.000 claims description 2
- OHMBHFSEKCCCBW-UHFFFAOYSA-N hexane-2,5-diol Chemical compound CC(O)CCC(C)O OHMBHFSEKCCCBW-UHFFFAOYSA-N 0.000 claims description 2
- 239000001282 iso-butane Substances 0.000 claims description 2
- 229940078545 isocetyl stearate Drugs 0.000 claims description 2
- 229940033357 isopropyl laurate Drugs 0.000 claims description 2
- 229940074928 isopropyl myristate Drugs 0.000 claims description 2
- 229940075495 isopropyl palmitate Drugs 0.000 claims description 2
- 229940089456 isopropyl stearate Drugs 0.000 claims description 2
- 235000014655 lactic acid Nutrition 0.000 claims description 2
- 239000006210 lotion Substances 0.000 claims description 2
- 235000013336 milk Nutrition 0.000 claims description 2
- 210000004080 milk Anatomy 0.000 claims description 2
- 229940042472 mineral oil Drugs 0.000 claims description 2
- 230000001333 moisturizer Effects 0.000 claims description 2
- 229940078812 myristyl myristate Drugs 0.000 claims description 2
- WQEPLUUGTLDZJY-UHFFFAOYSA-N n-Pentadecanoic acid Natural products CCCCCCCCCCCCCCC(O)=O WQEPLUUGTLDZJY-UHFFFAOYSA-N 0.000 claims description 2
- IJDNQMDRQITEOD-UHFFFAOYSA-N n-butane Chemical compound CCCC IJDNQMDRQITEOD-UHFFFAOYSA-N 0.000 claims description 2
- OFBQJSOFQDEBGM-UHFFFAOYSA-N n-pentane Natural products CCCCC OFBQJSOFQDEBGM-UHFFFAOYSA-N 0.000 claims description 2
- 239000001272 nitrous oxide Substances 0.000 claims description 2
- OXGBCSQEKCRCHN-UHFFFAOYSA-N octadecan-2-ol Chemical compound CCCCCCCCCCCCCCCCC(C)O OXGBCSQEKCRCHN-UHFFFAOYSA-N 0.000 claims description 2
- KSCKTBJJRVPGKM-UHFFFAOYSA-N octan-1-olate;titanium(4+) Chemical compound [Ti+4].CCCCCCCC[O-].CCCCCCCC[O-].CCCCCCCC[O-].CCCCCCCC[O-] KSCKTBJJRVPGKM-UHFFFAOYSA-N 0.000 claims description 2
- YYZUSRORWSJGET-UHFFFAOYSA-N octanoic acid ethyl ester Natural products CCCCCCCC(=O)OCC YYZUSRORWSJGET-UHFFFAOYSA-N 0.000 claims description 2
- 239000002674 ointment Substances 0.000 claims description 2
- MPQXHAGKBWFSNV-UHFFFAOYSA-N oxidophosphanium Chemical class [PH3]=O MPQXHAGKBWFSNV-UHFFFAOYSA-N 0.000 claims description 2
- JCGNDDUYTRNOFT-UHFFFAOYSA-N oxolane-2,4-dione Chemical compound O=C1COC(=O)C1 JCGNDDUYTRNOFT-UHFFFAOYSA-N 0.000 claims description 2
- 239000003961 penetration enhancing agent Substances 0.000 claims description 2
- GTCCGKPBSJZVRZ-UHFFFAOYSA-N pentane-2,4-diol Chemical compound CC(O)CC(C)O GTCCGKPBSJZVRZ-UHFFFAOYSA-N 0.000 claims description 2
- 229940066842 petrolatum Drugs 0.000 claims description 2
- 229920001495 poly(sodium acrylate) polymer Polymers 0.000 claims description 2
- XEIOPEQGDSYOIH-MURFETPASA-N propan-2-yl (9z,12z)-octadeca-9,12-dienoate Chemical compound CCCCC\C=C/C\C=C/CCCCCCCC(=O)OC(C)C XEIOPEQGDSYOIH-MURFETPASA-N 0.000 claims description 2
- ZPWFUIUNWDIYCJ-UHFFFAOYSA-N propan-2-yl octadecanoate Chemical compound CCCCCCCCCCCCCCCCCC(=O)OC(C)C ZPWFUIUNWDIYCJ-UHFFFAOYSA-N 0.000 claims description 2
- 239000001294 propane Substances 0.000 claims description 2
- HNJBEVLQSNELDL-UHFFFAOYSA-N pyrrolidin-2-one Chemical compound O=C1CCCN1 HNJBEVLQSNELDL-UHFFFAOYSA-N 0.000 claims description 2
- NNMHYFLPFNGQFZ-UHFFFAOYSA-M sodium polyacrylate Chemical compound [Na+].[O-]C(=O)C=C NNMHYFLPFNGQFZ-UHFFFAOYSA-M 0.000 claims description 2
- CRPCXAMJWCDHFM-UHFFFAOYSA-M sodium;5-oxopyrrolidine-2-carboxylate Chemical compound [Na+].[O-]C(=O)C1CCC(=O)N1 CRPCXAMJWCDHFM-UHFFFAOYSA-M 0.000 claims description 2
- 239000007921 spray Substances 0.000 claims description 2
- 229960004274 stearic acid Drugs 0.000 claims description 2
- 125000005207 tetraalkylammonium group Chemical group 0.000 claims description 2
- BORJONZPSTVSFP-UHFFFAOYSA-N tetradecyl 2-hydroxypropanoate Chemical compound CCCCCCCCCCCCCCOC(=O)C(C)O BORJONZPSTVSFP-UHFFFAOYSA-N 0.000 claims description 2
- DZKXJUASMGQEMA-UHFFFAOYSA-N tetradecyl tetradecanoate Chemical compound CCCCCCCCCCCCCCOC(=O)CCCCCCCCCCCCC DZKXJUASMGQEMA-UHFFFAOYSA-N 0.000 claims description 2
- 230000008719 thickening Effects 0.000 claims description 2
- ZIBGPFATKBEMQZ-UHFFFAOYSA-N triethylene glycol Chemical compound OCCOCCOCCO ZIBGPFATKBEMQZ-UHFFFAOYSA-N 0.000 claims description 2
- 239000004480 active ingredient Substances 0.000 claims 4
- SECXISVLQFMRJM-UHFFFAOYSA-N N-Methylpyrrolidone Chemical compound CN1CCCC1=O SECXISVLQFMRJM-UHFFFAOYSA-N 0.000 claims 1
- 230000000845 anti-microbial effect Effects 0.000 claims 1
- 239000002089 prostaglandin antagonist Substances 0.000 claims 1
- 239000002522 prostaglandin receptor stimulating agent Substances 0.000 claims 1
- 150000004492 retinoid derivatives Chemical class 0.000 claims 1
- 230000003779 hair growth Effects 0.000 abstract description 26
- 230000002441 reversible effect Effects 0.000 abstract description 5
- DZUXGQBLFALXCR-CDIPTNKSSA-N prostaglandin F1alpha Chemical compound CCCCC[C@H](O)\C=C\[C@H]1[C@H](O)C[C@H](O)[C@@H]1CCCCCCC(O)=O DZUXGQBLFALXCR-CDIPTNKSSA-N 0.000 description 60
- 125000004432 carbon atom Chemical group C* 0.000 description 30
- 210000003491 skin Anatomy 0.000 description 19
- 125000001424 substituent group Chemical group 0.000 description 19
- 238000011282 treatment Methods 0.000 description 17
- 150000001875 compounds Chemical class 0.000 description 14
- 125000005843 halogen group Chemical group 0.000 description 14
- 102000005962 receptors Human genes 0.000 description 13
- 108020003175 receptors Proteins 0.000 description 13
- 239000002253 acid Substances 0.000 description 12
- 230000003797 telogen phase Effects 0.000 description 12
- 230000003698 anagen phase Effects 0.000 description 11
- 125000005842 heteroatom Chemical group 0.000 description 11
- 239000003085 diluting agent Substances 0.000 description 10
- 125000001997 phenyl group Chemical group [H]C1=C([H])C([H])=C(*)C([H])=C1[H] 0.000 description 10
- ZFMITUMMTDLWHR-UHFFFAOYSA-N Minoxidil Chemical compound NC1=[N+]([O-])C(N)=CC(N2CCCCC2)=N1 ZFMITUMMTDLWHR-UHFFFAOYSA-N 0.000 description 9
- 238000003556 assay Methods 0.000 description 9
- 238000012384 transportation and delivery Methods 0.000 description 9
- 0 *[Y]C(C)(C)C(*)(C)CC[C@@H]1C(CCCCCCC)[C@@H](O)C[C@H]1O Chemical compound *[Y]C(C)(C)C(*)(C)CC[C@@H]1C(CCCCCCC)[C@@H](O)C[C@H]1O 0.000 description 8
- PPBRXRYQALVLMV-UHFFFAOYSA-N Styrene Chemical compound C=CC1=CC=CC=C1 PPBRXRYQALVLMV-UHFFFAOYSA-N 0.000 description 8
- 230000008901 benefit Effects 0.000 description 8
- 229920001577 copolymer Polymers 0.000 description 8
- 150000008282 halocarbons Chemical group 0.000 description 8
- 239000004816 latex Substances 0.000 description 8
- 229920000126 latex Polymers 0.000 description 8
- 239000007788 liquid Substances 0.000 description 8
- KCXVZYZYPLLWCC-UHFFFAOYSA-N EDTA Chemical compound OC(=O)CN(CC(O)=O)CCN(CC(O)=O)CC(O)=O KCXVZYZYPLLWCC-UHFFFAOYSA-N 0.000 description 7
- 241000699666 Mus <mouse, genus> Species 0.000 description 7
- FAPWRFPIFSIZLT-UHFFFAOYSA-M Sodium chloride Chemical compound [Na+].[Cl-] FAPWRFPIFSIZLT-UHFFFAOYSA-M 0.000 description 7
- 239000003086 colorant Substances 0.000 description 7
- 239000000796 flavoring agent Substances 0.000 description 7
- 235000019634 flavors Nutrition 0.000 description 7
- 235000003599 food sweetener Nutrition 0.000 description 7
- 239000003112 inhibitor Substances 0.000 description 7
- 239000000314 lubricant Substances 0.000 description 7
- LXCFILQKKLGQFO-UHFFFAOYSA-N methylparaben Chemical compound COC(=O)C1=CC=C(O)C=C1 LXCFILQKKLGQFO-UHFFFAOYSA-N 0.000 description 7
- 229960003632 minoxidil Drugs 0.000 description 7
- 239000003765 sweetening agent Substances 0.000 description 7
- 239000003826 tablet Substances 0.000 description 7
- 102000000471 Prostaglandin F receptors Human genes 0.000 description 6
- 108050008995 Prostaglandin F receptors Proteins 0.000 description 6
- HEMHJVSKTPXQMS-UHFFFAOYSA-M Sodium hydroxide Chemical compound [OH-].[Na+] HEMHJVSKTPXQMS-UHFFFAOYSA-M 0.000 description 6
- CZMRCDWAGMRECN-UGDNZRGBSA-N Sucrose Chemical compound O[C@H]1[C@H](O)[C@@H](CO)O[C@@]1(CO)O[C@@H]1[C@H](O)[C@@H](O)[C@H](O)[C@@H](CO)O1 CZMRCDWAGMRECN-UGDNZRGBSA-N 0.000 description 6
- 229930006000 Sucrose Natural products 0.000 description 6
- 239000000556 agonist Substances 0.000 description 6
- 206010068168 androgenetic alopecia Diseases 0.000 description 6
- 239000005557 antagonist Substances 0.000 description 6
- 239000011230 binding agent Substances 0.000 description 6
- 235000014113 dietary fatty acids Nutrition 0.000 description 6
- 229940079593 drug Drugs 0.000 description 6
- 239000003814 drug Substances 0.000 description 6
- 239000000194 fatty acid Substances 0.000 description 6
- 229930195729 fatty acid Natural products 0.000 description 6
- 239000002502 liposome Substances 0.000 description 6
- QELSKZZBTMNZEB-UHFFFAOYSA-N propylparaben Chemical compound CCCOC(=O)C1=CC=C(O)C=C1 QELSKZZBTMNZEB-UHFFFAOYSA-N 0.000 description 6
- 239000005720 sucrose Substances 0.000 description 6
- 238000003786 synthesis reaction Methods 0.000 description 6
- 239000012049 topical pharmaceutical composition Substances 0.000 description 6
- PXGPLTODNUVGFL-BRIYLRKRSA-N (E,Z)-(1R,2R,3R,5S)-7-(3,5-Dihydroxy-2-((3S)-(3-hydroxy-1-octenyl))cyclopentyl)-5-heptenoic acid Chemical compound CCCCC[C@H](O)C=C[C@H]1[C@H](O)C[C@H](O)[C@@H]1CC=CCCCC(O)=O PXGPLTODNUVGFL-BRIYLRKRSA-N 0.000 description 5
- NIXOWILDQLNWCW-UHFFFAOYSA-M Acrylate Chemical compound [O-]C(=O)C=C NIXOWILDQLNWCW-UHFFFAOYSA-M 0.000 description 5
- OKTJSMMVPCPJKN-UHFFFAOYSA-N Carbon Chemical compound [C] OKTJSMMVPCPJKN-UHFFFAOYSA-N 0.000 description 5
- 241000699670 Mus sp. Species 0.000 description 5
- WPYMKLBDIGXBTP-UHFFFAOYSA-N benzoic acid Chemical compound OC(=O)C1=CC=CC=C1 WPYMKLBDIGXBTP-UHFFFAOYSA-N 0.000 description 5
- 229910052799 carbon Inorganic materials 0.000 description 5
- 229910052801 chlorine Inorganic materials 0.000 description 5
- 238000007796 conventional method Methods 0.000 description 5
- 125000004093 cyano group Chemical group *C#N 0.000 description 5
- 239000007884 disintegrant Substances 0.000 description 5
- 239000002552 dosage form Substances 0.000 description 5
- 229910052731 fluorine Inorganic materials 0.000 description 5
- 239000008187 granular material Substances 0.000 description 5
- 229930195733 hydrocarbon Natural products 0.000 description 5
- 125000002887 hydroxy group Chemical group [H]O* 0.000 description 5
- 235000010979 hydroxypropyl methyl cellulose Nutrition 0.000 description 5
- 239000001866 hydroxypropyl methyl cellulose Substances 0.000 description 5
- 229920003088 hydroxypropyl methyl cellulose Polymers 0.000 description 5
- UFVKGYZPFZQRLF-UHFFFAOYSA-N hydroxypropyl methyl cellulose Chemical compound OC1C(O)C(OC)OC(CO)C1OC1C(O)C(O)C(OC2C(C(O)C(OC3C(C(O)C(O)C(CO)O3)O)C(CO)O2)O)C(CO)O1 UFVKGYZPFZQRLF-UHFFFAOYSA-N 0.000 description 5
- 238000000338 in vitro Methods 0.000 description 5
- 230000035515 penetration Effects 0.000 description 5
- 125000006239 protecting group Chemical group 0.000 description 5
- 229920006395 saturated elastomer Polymers 0.000 description 5
- 125000001544 thienyl group Chemical group 0.000 description 5
- 238000011200 topical administration Methods 0.000 description 5
- FJKROLUGYXJWQN-UHFFFAOYSA-N 4-hydroxybenzoic acid Chemical compound OC(=O)C1=CC=C(O)C=C1 FJKROLUGYXJWQN-UHFFFAOYSA-N 0.000 description 4
- IJGRMHOSHXDMSA-UHFFFAOYSA-N Atomic nitrogen Chemical compound N#N IJGRMHOSHXDMSA-UHFFFAOYSA-N 0.000 description 4
- VTYYLEPIZMXCLO-UHFFFAOYSA-L Calcium carbonate Chemical compound [Ca+2].[O-]C([O-])=O VTYYLEPIZMXCLO-UHFFFAOYSA-L 0.000 description 4
- 239000004215 Carbon black (E152) Substances 0.000 description 4
- 241000282412 Homo Species 0.000 description 4
- TWRXJAOTZQYOKJ-UHFFFAOYSA-L Magnesium chloride Chemical compound [Mg+2].[Cl-].[Cl-] TWRXJAOTZQYOKJ-UHFFFAOYSA-L 0.000 description 4
- 241001465754 Metazoa Species 0.000 description 4
- ISWSIDIOOBJBQZ-UHFFFAOYSA-N Phenol Chemical compound OC1=CC=CC=C1 ISWSIDIOOBJBQZ-UHFFFAOYSA-N 0.000 description 4
- WCUXLLCKKVVCTQ-UHFFFAOYSA-M Potassium chloride Chemical compound [Cl-].[K+] WCUXLLCKKVVCTQ-UHFFFAOYSA-M 0.000 description 4
- CDBYLPFSWZWCQE-UHFFFAOYSA-L Sodium Carbonate Chemical compound [Na+].[Na+].[O-]C([O-])=O CDBYLPFSWZWCQE-UHFFFAOYSA-L 0.000 description 4
- 230000015572 biosynthetic process Effects 0.000 description 4
- 239000000872 buffer Substances 0.000 description 4
- 239000000969 carrier Substances 0.000 description 4
- 235000010980 cellulose Nutrition 0.000 description 4
- 229920002678 cellulose Polymers 0.000 description 4
- 239000001913 cellulose Substances 0.000 description 4
- 238000006243 chemical reaction Methods 0.000 description 4
- HVYWMOMLDIMFJA-DPAQBDIFSA-N cholesterol Chemical compound C1C=C2C[C@@H](O)CC[C@]2(C)[C@@H]2[C@@H]1[C@@H]1CC[C@H]([C@H](C)CCCC(C)C)[C@@]1(C)CC2 HVYWMOMLDIMFJA-DPAQBDIFSA-N 0.000 description 4
- 239000002537 cosmetic Substances 0.000 description 4
- 210000000720 eyelash Anatomy 0.000 description 4
- DBEPLOCGEIEOCV-WSBQPABSSA-N finasteride Chemical compound N([C@@H]1CC2)C(=O)C=C[C@]1(C)[C@@H]1[C@@H]2[C@@H]2CC[C@H](C(=O)NC(C)(C)C)[C@@]2(C)CC1 DBEPLOCGEIEOCV-WSBQPABSSA-N 0.000 description 4
- 238000009472 formulation Methods 0.000 description 4
- 230000012010 growth Effects 0.000 description 4
- 210000003780 hair follicle Anatomy 0.000 description 4
- HQKMJHAJHXVSDF-UHFFFAOYSA-L magnesium stearate Chemical compound [Mg+2].CCCCCCCCCCCCCCCCCC([O-])=O.CCCCCCCCCCCCCCCCCC([O-])=O HQKMJHAJHXVSDF-UHFFFAOYSA-L 0.000 description 4
- 239000010445 mica Substances 0.000 description 4
- 229910052618 mica group Inorganic materials 0.000 description 4
- 125000002950 monocyclic group Chemical group 0.000 description 4
- 239000003755 preservative agent Substances 0.000 description 4
- 235000018102 proteins Nutrition 0.000 description 4
- 102000004169 proteins and genes Human genes 0.000 description 4
- 108090000623 proteins and genes Proteins 0.000 description 4
- YGSDEFSMJLZEOE-UHFFFAOYSA-N salicylic acid Chemical compound OC(=O)C1=CC=CC=C1O YGSDEFSMJLZEOE-UHFFFAOYSA-N 0.000 description 4
- 239000007787 solid Substances 0.000 description 4
- 239000000126 substance Substances 0.000 description 4
- 239000000375 suspending agent Substances 0.000 description 4
- 238000007910 systemic administration Methods 0.000 description 4
- GWEVSGVZZGPLCZ-UHFFFAOYSA-N titanium dioxide Inorganic materials O=[Ti]=O GWEVSGVZZGPLCZ-UHFFFAOYSA-N 0.000 description 4
- 239000003981 vehicle Substances 0.000 description 4
- FBPFZTCFMRRESA-KVTDHHQDSA-N D-Mannitol Chemical compound OC[C@@H](O)[C@@H](O)[C@H](O)[C@H](O)CO FBPFZTCFMRRESA-KVTDHHQDSA-N 0.000 description 3
- NOOLISFMXDJSKH-UHFFFAOYSA-N DL-menthol Natural products CC(C)C1CCC(C)CC1O NOOLISFMXDJSKH-UHFFFAOYSA-N 0.000 description 3
- 239000001856 Ethyl cellulose Substances 0.000 description 3
- ZZSNKZQZMQGXPY-UHFFFAOYSA-N Ethyl cellulose Chemical compound CCOCC1OC(OC)C(OCC)C(OCC)C1OC1C(O)C(O)C(OC)C(CO)O1 ZZSNKZQZMQGXPY-UHFFFAOYSA-N 0.000 description 3
- WQZGKKKJIJFFOK-GASJEMHNSA-N Glucose Natural products OC[C@H]1OC(O)[C@H](O)[C@@H](O)[C@@H]1O WQZGKKKJIJFFOK-GASJEMHNSA-N 0.000 description 3
- 239000012981 Hank's balanced salt solution Substances 0.000 description 3
- 229930195725 Mannitol Natural products 0.000 description 3
- 229920000168 Microcrystalline cellulose Polymers 0.000 description 3
- RTAQQCXQSZGOHL-UHFFFAOYSA-N Titanium Chemical compound [Ti] RTAQQCXQSZGOHL-UHFFFAOYSA-N 0.000 description 3
- 125000002777 acetyl group Chemical group [H]C([H])([H])C(*)=O 0.000 description 3
- 230000004913 activation Effects 0.000 description 3
- 239000003963 antioxidant agent Substances 0.000 description 3
- 235000006708 antioxidants Nutrition 0.000 description 3
- 229960000686 benzalkonium chloride Drugs 0.000 description 3
- CADWTSSKOVRVJC-UHFFFAOYSA-N benzyl(dimethyl)azanium;chloride Chemical compound [Cl-].C[NH+](C)CC1=CC=CC=C1 CADWTSSKOVRVJC-UHFFFAOYSA-N 0.000 description 3
- WQZGKKKJIJFFOK-VFUOTHLCSA-N beta-D-glucose Chemical compound OC[C@H]1O[C@@H](O)[C@H](O)[C@@H](O)[C@@H]1O WQZGKKKJIJFFOK-VFUOTHLCSA-N 0.000 description 3
- 230000004071 biological effect Effects 0.000 description 3
- 239000002775 capsule Substances 0.000 description 3
- 230000003778 catagen phase Effects 0.000 description 3
- 238000000576 coating method Methods 0.000 description 3
- 125000000582 cycloheptyl group Chemical group [H]C1([H])C([H])([H])C([H])([H])C([H])([H])C([H])(*)C([H])([H])C1([H])[H] 0.000 description 3
- 239000004205 dimethyl polysiloxane Substances 0.000 description 3
- 235000013870 dimethyl polysiloxane Nutrition 0.000 description 3
- 239000000975 dye Substances 0.000 description 3
- 238000005370 electroosmosis Methods 0.000 description 3
- 235000019325 ethyl cellulose Nutrition 0.000 description 3
- 229920001249 ethyl cellulose Polymers 0.000 description 3
- 150000004665 fatty acids Chemical class 0.000 description 3
- 229960004039 finasteride Drugs 0.000 description 3
- 230000031774 hair cycle Effects 0.000 description 3
- 239000000411 inducer Substances 0.000 description 3
- 239000000594 mannitol Substances 0.000 description 3
- 235000010355 mannitol Nutrition 0.000 description 3
- 235000010270 methyl p-hydroxybenzoate Nutrition 0.000 description 3
- 239000004292 methyl p-hydroxybenzoate Substances 0.000 description 3
- 229960002216 methylparaben Drugs 0.000 description 3
- 229940016286 microcrystalline cellulose Drugs 0.000 description 3
- 235000019813 microcrystalline cellulose Nutrition 0.000 description 3
- 239000008108 microcrystalline cellulose Substances 0.000 description 3
- 229910052757 nitrogen Inorganic materials 0.000 description 3
- 239000008188 pellet Substances 0.000 description 3
- 239000008194 pharmaceutical composition Substances 0.000 description 3
- 229920000435 poly(dimethylsiloxane) Polymers 0.000 description 3
- 238000002360 preparation method Methods 0.000 description 3
- 230000001737 promoting effect Effects 0.000 description 3
- 235000010232 propyl p-hydroxybenzoate Nutrition 0.000 description 3
- 239000004405 propyl p-hydroxybenzoate Substances 0.000 description 3
- 229960003415 propylparaben Drugs 0.000 description 3
- 239000000377 silicon dioxide Substances 0.000 description 3
- 239000011780 sodium chloride Substances 0.000 description 3
- 229940032147 starch Drugs 0.000 description 3
- 238000012360 testing method Methods 0.000 description 3
- 239000010936 titanium Substances 0.000 description 3
- 229910052719 titanium Inorganic materials 0.000 description 3
- 230000000007 visual effect Effects 0.000 description 3
- NOOLISFMXDJSKH-KXUCPTDWSA-N (-)-Menthol Chemical compound CC(C)[C@@H]1CC[C@@H](C)C[C@H]1O NOOLISFMXDJSKH-KXUCPTDWSA-N 0.000 description 2
- LNAZSHAWQACDHT-XIYTZBAFSA-N (2r,3r,4s,5r,6s)-4,5-dimethoxy-2-(methoxymethyl)-3-[(2s,3r,4s,5r,6r)-3,4,5-trimethoxy-6-(methoxymethyl)oxan-2-yl]oxy-6-[(2r,3r,4s,5r,6r)-4,5,6-trimethoxy-2-(methoxymethyl)oxan-3-yl]oxyoxane Chemical compound CO[C@@H]1[C@@H](OC)[C@H](OC)[C@@H](COC)O[C@H]1O[C@H]1[C@H](OC)[C@@H](OC)[C@H](O[C@H]2[C@@H]([C@@H](OC)[C@H](OC)O[C@@H]2COC)OC)O[C@@H]1COC LNAZSHAWQACDHT-XIYTZBAFSA-N 0.000 description 2
- IIZPXYDJLKNOIY-JXPKJXOSSA-N 1-palmitoyl-2-arachidonoyl-sn-glycero-3-phosphocholine Chemical compound CCCCCCCCCCCCCCCC(=O)OC[C@H](COP([O-])(=O)OCC[N+](C)(C)C)OC(=O)CCC\C=C/C\C=C/C\C=C/C\C=C/CCCCC IIZPXYDJLKNOIY-JXPKJXOSSA-N 0.000 description 2
- FZWBNHMXJMCXLU-UHFFFAOYSA-N 2,3,4,5-tetrahydroxy-6-[3,4,5-trihydroxy-6-[[3,4,5-trihydroxy-6-(hydroxymethyl)oxan-2-yl]oxymethyl]oxan-2-yl]oxyhexanal Chemical compound OC1C(O)C(O)C(CO)OC1OCC1C(O)C(O)C(O)C(OCC(O)C(O)C(O)C(O)C=O)O1 FZWBNHMXJMCXLU-UHFFFAOYSA-N 0.000 description 2
- QCDWFXQBSFUVSP-UHFFFAOYSA-N 2-phenoxyethanol Chemical compound OCCOC1=CC=CC=C1 QCDWFXQBSFUVSP-UHFFFAOYSA-N 0.000 description 2
- NIXOWILDQLNWCW-UHFFFAOYSA-N Acrylic acid Chemical compound OC(=O)C=C NIXOWILDQLNWCW-UHFFFAOYSA-N 0.000 description 2
- GUBGYTABKSRVRQ-XLOQQCSPSA-N Alpha-Lactose Chemical compound O[C@@H]1[C@@H](O)[C@@H](O)[C@@H](CO)O[C@H]1O[C@@H]1[C@@H](CO)O[C@H](O)[C@H](O)[C@H]1O GUBGYTABKSRVRQ-XLOQQCSPSA-N 0.000 description 2
- QGZKDVFQNNGYKY-UHFFFAOYSA-N Ammonia Chemical compound N QGZKDVFQNNGYKY-UHFFFAOYSA-N 0.000 description 2
- 108010011485 Aspartame Proteins 0.000 description 2
- 238000012935 Averaging Methods 0.000 description 2
- 239000005711 Benzoic acid Substances 0.000 description 2
- KAKZBPTYRLMSJV-UHFFFAOYSA-N Butadiene Chemical compound C=CC=C KAKZBPTYRLMSJV-UHFFFAOYSA-N 0.000 description 2
- 238000011735 C3H mouse Methods 0.000 description 2
- 102000004127 Cytokines Human genes 0.000 description 2
- 108090000695 Cytokines Proteins 0.000 description 2
- SNPLKNRPJHDVJA-ZETCQYMHSA-N D-panthenol Chemical compound OCC(C)(C)[C@@H](O)C(=O)NCCCO SNPLKNRPJHDVJA-ZETCQYMHSA-N 0.000 description 2
- XUIIKFGFIJCVMT-GFCCVEGCSA-N D-thyroxine Chemical compound IC1=CC(C[C@@H](N)C(O)=O)=CC(I)=C1OC1=CC(I)=C(O)C(I)=C1 XUIIKFGFIJCVMT-GFCCVEGCSA-N 0.000 description 2
- 239000003109 Disodium ethylene diamine tetraacetate Substances 0.000 description 2
- LVGKNOAMLMIIKO-UHFFFAOYSA-N Elaidinsaeure-aethylester Natural products CCCCCCCCC=CCCCCCCCC(=O)OCC LVGKNOAMLMIIKO-UHFFFAOYSA-N 0.000 description 2
- IMROMDMJAWUWLK-UHFFFAOYSA-N Ethenol Chemical compound OC=C IMROMDMJAWUWLK-UHFFFAOYSA-N 0.000 description 2
- 101000685323 Homo sapiens Succinate dehydrogenase [ubiquinone] flavoprotein subunit, mitochondrial Proteins 0.000 description 2
- VEXZGXHMUGYJMC-UHFFFAOYSA-N Hydrochloric acid Chemical compound Cl VEXZGXHMUGYJMC-UHFFFAOYSA-N 0.000 description 2
- 102000011845 Iodide peroxidase Human genes 0.000 description 2
- 108010036012 Iodide peroxidase Proteins 0.000 description 2
- GUBGYTABKSRVRQ-QKKXKWKRSA-N Lactose Natural products OC[C@H]1O[C@@H](O[C@H]2[C@H](O)[C@@H](O)C(O)O[C@@H]2CO)[C@H](O)[C@@H](O)[C@H]1O GUBGYTABKSRVRQ-QKKXKWKRSA-N 0.000 description 2
- 240000007472 Leucaena leucocephala Species 0.000 description 2
- 235000010643 Leucaena leucocephala Nutrition 0.000 description 2
- CSNNHWWHGAXBCP-UHFFFAOYSA-L Magnesium sulfate Chemical compound [Mg+2].[O-][S+2]([O-])([O-])[O-] CSNNHWWHGAXBCP-UHFFFAOYSA-L 0.000 description 2
- 244000246386 Mentha pulegium Species 0.000 description 2
- 235000016257 Mentha pulegium Nutrition 0.000 description 2
- 235000004357 Mentha x piperita Nutrition 0.000 description 2
- 229910019142 PO4 Inorganic materials 0.000 description 2
- 229920000289 Polyquaternium Polymers 0.000 description 2
- 229920001800 Shellac Polymers 0.000 description 2
- WGLPBDUCMAPZCE-UHFFFAOYSA-N Trioxochromium Chemical compound O=[Cr](=O)=O WGLPBDUCMAPZCE-UHFFFAOYSA-N 0.000 description 2
- 206010047141 Vasodilatation Diseases 0.000 description 2
- XTXRWKRVRITETP-UHFFFAOYSA-N Vinyl acetate Chemical compound CC(=O)OC=C XTXRWKRVRITETP-UHFFFAOYSA-N 0.000 description 2
- 125000003668 acetyloxy group Chemical group [H]C([H])([H])C(=O)O[*] 0.000 description 2
- 229960004150 aciclovir Drugs 0.000 description 2
- 150000007513 acids Chemical class 0.000 description 2
- 125000004423 acyloxy group Chemical group 0.000 description 2
- 125000005035 acylthio group Chemical group 0.000 description 2
- 239000000654 additive Substances 0.000 description 2
- 235000010443 alginic acid Nutrition 0.000 description 2
- 229920000615 alginic acid Polymers 0.000 description 2
- 239000000783 alginic acid Substances 0.000 description 2
- 229960001126 alginic acid Drugs 0.000 description 2
- 150000004781 alginic acids Chemical class 0.000 description 2
- 125000003545 alkoxy group Chemical group 0.000 description 2
- 125000005036 alkoxyphenyl group Chemical group 0.000 description 2
- 125000004414 alkyl thio group Chemical group 0.000 description 2
- 125000003277 amino group Chemical group 0.000 description 2
- 229940121363 anti-inflammatory agent Drugs 0.000 description 2
- 239000002260 anti-inflammatory agent Substances 0.000 description 2
- 229940030495 antiandrogen sex hormone and modulator of the genital system Drugs 0.000 description 2
- 125000005110 aryl thio group Chemical group 0.000 description 2
- 125000004104 aryloxy group Chemical group 0.000 description 2
- 239000000605 aspartame Substances 0.000 description 2
- IAOZJIPTCAWIRG-QWRGUYRKSA-N aspartame Chemical compound OC(=O)C[C@H](N)C(=O)N[C@H](C(=O)OC)CC1=CC=CC=C1 IAOZJIPTCAWIRG-QWRGUYRKSA-N 0.000 description 2
- 235000010357 aspartame Nutrition 0.000 description 2
- 229960003438 aspartame Drugs 0.000 description 2
- 235000010233 benzoic acid Nutrition 0.000 description 2
- 125000003236 benzoyl group Chemical group [H]C1=C([H])C([H])=C(C([H])=C1[H])C(*)=O 0.000 description 2
- CNBGNNVCVSKAQZ-UHFFFAOYSA-N benzydamine Chemical compound C12=CC=CC=C2C(OCCCN(C)C)=NN1CC1=CC=CC=C1 CNBGNNVCVSKAQZ-UHFFFAOYSA-N 0.000 description 2
- KVYGGMBOZFWZBQ-UHFFFAOYSA-N benzyl nicotinate Chemical compound C=1C=CN=CC=1C(=O)OCC1=CC=CC=C1 KVYGGMBOZFWZBQ-UHFFFAOYSA-N 0.000 description 2
- FUWUEFKEXZQKKA-UHFFFAOYSA-N beta-thujaplicin Chemical compound CC(C)C=1C=CC=C(O)C(=O)C=1 FUWUEFKEXZQKKA-UHFFFAOYSA-N 0.000 description 2
- 125000002619 bicyclic group Chemical group 0.000 description 2
- 229940073609 bismuth oxychloride Drugs 0.000 description 2
- 229910000019 calcium carbonate Inorganic materials 0.000 description 2
- OSGAYBCDTDRGGQ-UHFFFAOYSA-L calcium sulfate Chemical compound [Ca+2].[O-]S([O-])(=O)=O OSGAYBCDTDRGGQ-UHFFFAOYSA-L 0.000 description 2
- 125000001951 carbamoylamino group Chemical group C(N)(=O)N* 0.000 description 2
- 230000004663 cell proliferation Effects 0.000 description 2
- 229960001927 cetylpyridinium chloride Drugs 0.000 description 2
- NFCRBQADEGXVDL-UHFFFAOYSA-M cetylpyridinium chloride monohydrate Chemical compound O.[Cl-].CCCCCCCCCCCCCCCC[N+]1=CC=CC=C1 NFCRBQADEGXVDL-UHFFFAOYSA-M 0.000 description 2
- 235000012000 cholesterol Nutrition 0.000 description 2
- 229910000423 chromium oxide Inorganic materials 0.000 description 2
- 125000004122 cyclic group Chemical group 0.000 description 2
- 125000000113 cyclohexyl group Chemical group [H]C1([H])C([H])([H])C([H])([H])C([H])(*)C([H])([H])C1([H])[H] 0.000 description 2
- 125000000640 cyclooctyl group Chemical group [H]C1([H])C([H])([H])C([H])([H])C([H])([H])C([H])(*)C([H])([H])C([H])([H])C1([H])[H] 0.000 description 2
- 210000004207 dermis Anatomy 0.000 description 2
- 229940119743 dextran 70 Drugs 0.000 description 2
- 235000019301 disodium ethylene diamine tetraacetate Nutrition 0.000 description 2
- 229940124274 edetate disodium Drugs 0.000 description 2
- 230000002500 effect on skin Effects 0.000 description 2
- LVGKNOAMLMIIKO-QXMHVHEDSA-N ethyl oleate Chemical compound CCCCCCCC\C=C/CCCCCCCC(=O)OCC LVGKNOAMLMIIKO-QXMHVHEDSA-N 0.000 description 2
- 229940093471 ethyl oleate Drugs 0.000 description 2
- 239000008369 fruit flavor Substances 0.000 description 2
- 125000002541 furyl group Chemical group 0.000 description 2
- 239000008103 glucose Substances 0.000 description 2
- KWIUHFFTVRNATP-UHFFFAOYSA-N glycine betaine Chemical compound C[N+](C)(C)CC([O-])=O KWIUHFFTVRNATP-UHFFFAOYSA-N 0.000 description 2
- 125000002795 guanidino group Chemical group C(N)(=N)N* 0.000 description 2
- 235000001050 hortel pimenta Nutrition 0.000 description 2
- 102000046038 human SDHA Human genes 0.000 description 2
- JYGXADMDTFJGBT-VWUMJDOOSA-N hydrocortisone Chemical compound O=C1CC[C@]2(C)[C@H]3[C@@H](O)C[C@](C)([C@@](CC4)(O)C(=O)CO)[C@@H]4[C@@H]3CCC2=C1 JYGXADMDTFJGBT-VWUMJDOOSA-N 0.000 description 2
- 238000001727 in vivo Methods 0.000 description 2
- 230000000977 initiatory effect Effects 0.000 description 2
- 239000001023 inorganic pigment Substances 0.000 description 2
- UQSXHKLRYXJYBZ-UHFFFAOYSA-N iron oxide Inorganic materials [Fe]=O UQSXHKLRYXJYBZ-UHFFFAOYSA-N 0.000 description 2
- 235000013980 iron oxide Nutrition 0.000 description 2
- VBMVTYDPPZVILR-UHFFFAOYSA-N iron(2+);oxygen(2-) Chemical class [O-2].[Fe+2] VBMVTYDPPZVILR-UHFFFAOYSA-N 0.000 description 2
- 239000008101 lactose Substances 0.000 description 2
- 235000010445 lecithin Nutrition 0.000 description 2
- 239000000787 lecithin Substances 0.000 description 2
- 229940067606 lecithin Drugs 0.000 description 2
- 229910001629 magnesium chloride Inorganic materials 0.000 description 2
- 235000019359 magnesium stearate Nutrition 0.000 description 2
- 230000003061 melanogenesis Effects 0.000 description 2
- 238000002844 melting Methods 0.000 description 2
- 239000012528 membrane Substances 0.000 description 2
- 210000004379 membrane Anatomy 0.000 description 2
- 229940041616 menthol Drugs 0.000 description 2
- 229920000609 methyl cellulose Polymers 0.000 description 2
- BDJRBEYXGGNYIS-UHFFFAOYSA-N nonanedioic acid Chemical compound OC(=O)CCCCCCCC(O)=O BDJRBEYXGGNYIS-UHFFFAOYSA-N 0.000 description 2
- 239000012860 organic pigment Substances 0.000 description 2
- BWOROQSFKKODDR-UHFFFAOYSA-N oxobismuth;hydrochloride Chemical compound Cl.[Bi]=O BWOROQSFKKODDR-UHFFFAOYSA-N 0.000 description 2
- 229940101267 panthenol Drugs 0.000 description 2
- 239000011619 pantothenol Substances 0.000 description 2
- 235000020957 pantothenol Nutrition 0.000 description 2
- 239000012188 paraffin wax Substances 0.000 description 2
- 230000036961 partial effect Effects 0.000 description 2
- 125000004115 pentoxy group Chemical group [*]OC([H])([H])C([H])([H])C([H])([H])C(C([H])([H])[H])([H])[H] 0.000 description 2
- 239000007967 peppermint flavor Substances 0.000 description 2
- 229960003742 phenol Drugs 0.000 description 2
- 125000000951 phenoxy group Chemical group [H]C1=C([H])C([H])=C(O*)C([H])=C1[H] 0.000 description 2
- 229960005323 phenoxyethanol Drugs 0.000 description 2
- 239000010452 phosphate Substances 0.000 description 2
- NBIIXXVUZAFLBC-UHFFFAOYSA-K phosphate Chemical compound [O-]P([O-])([O-])=O NBIIXXVUZAFLBC-UHFFFAOYSA-K 0.000 description 2
- 229920000728 polyester Polymers 0.000 description 2
- SCVFZCLFOSHCOH-UHFFFAOYSA-M potassium acetate Chemical compound [K+].CC([O-])=O SCVFZCLFOSHCOH-UHFFFAOYSA-M 0.000 description 2
- 239000001103 potassium chloride Substances 0.000 description 2
- 235000011164 potassium chloride Nutrition 0.000 description 2
- OIGNJSKKLXVSLS-VWUMJDOOSA-N prednisolone Chemical compound O=C1C=C[C@]2(C)[C@H]3[C@@H](O)C[C@](C)([C@@](CC4)(O)C(=O)CO)[C@@H]4[C@@H]3CCC2=C1 OIGNJSKKLXVSLS-VWUMJDOOSA-N 0.000 description 2
- 229960005205 prednisolone Drugs 0.000 description 2
- 230000002335 preservative effect Effects 0.000 description 2
- 125000002924 primary amino group Chemical group [H]N([H])* 0.000 description 2
- KAQKFAOMNZTLHT-OZUDYXHBSA-N prostaglandin I2 Chemical compound O1\C(=C/CCCC(O)=O)C[C@@H]2[C@@H](/C=C/[C@@H](O)CCCCC)[C@H](O)C[C@@H]21 KAQKFAOMNZTLHT-OZUDYXHBSA-N 0.000 description 2
- 239000008213 purified water Substances 0.000 description 2
- 125000004076 pyridyl group Chemical group 0.000 description 2
- 238000003653 radioligand binding assay Methods 0.000 description 2
- GHMLBKRAJCXXBS-UHFFFAOYSA-N resorcinol Chemical compound OC1=CC=CC(O)=C1 GHMLBKRAJCXXBS-UHFFFAOYSA-N 0.000 description 2
- 230000000284 resting effect Effects 0.000 description 2
- CVHZOJJKTDOEJC-UHFFFAOYSA-N saccharin Chemical compound C1=CC=C2C(=O)NS(=O)(=O)C2=C1 CVHZOJJKTDOEJC-UHFFFAOYSA-N 0.000 description 2
- 235000019204 saccharin Nutrition 0.000 description 2
- 229940081974 saccharin Drugs 0.000 description 2
- 239000000901 saccharin and its Na,K and Ca salt Substances 0.000 description 2
- 229960004889 salicylic acid Drugs 0.000 description 2
- 210000004761 scalp Anatomy 0.000 description 2
- 239000004208 shellac Substances 0.000 description 2
- 229940113147 shellac Drugs 0.000 description 2
- 235000013874 shellac Nutrition 0.000 description 2
- ZLGIYFNHBLSMPS-ATJNOEHPSA-N shellac Chemical compound OCCCCCC(O)C(O)CCCCCCCC(O)=O.C1C23[C@H](C(O)=O)CCC2[C@](C)(CO)[C@@H]1C(C(O)=O)=C[C@@H]3O ZLGIYFNHBLSMPS-ATJNOEHPSA-N 0.000 description 2
- 235000012239 silicon dioxide Nutrition 0.000 description 2
- 229910000029 sodium carbonate Inorganic materials 0.000 description 2
- RMLUKZWYIKEASN-UHFFFAOYSA-M sodium;2-amino-9-(2-hydroxyethoxymethyl)purin-6-olate Chemical compound [Na+].O=C1[N-]C(N)=NC2=C1N=CN2COCCO RMLUKZWYIKEASN-UHFFFAOYSA-M 0.000 description 2
- 238000006467 substitution reaction Methods 0.000 description 2
- 150000008163 sugars Chemical class 0.000 description 2
- 239000000725 suspension Substances 0.000 description 2
- 230000001360 synchronised effect Effects 0.000 description 2
- 125000003718 tetrahydrofuranyl group Chemical group 0.000 description 2
- 125000001412 tetrahydropyranyl group Chemical group 0.000 description 2
- 125000003396 thiol group Chemical group [H]S* 0.000 description 2
- 229940034208 thyroxine Drugs 0.000 description 2
- XUIIKFGFIJCVMT-UHFFFAOYSA-N thyroxine-binding globulin Natural products IC1=CC(CC([NH3+])C([O-])=O)=CC(I)=C1OC1=CC(I)=C(O)C(I)=C1 XUIIKFGFIJCVMT-UHFFFAOYSA-N 0.000 description 2
- 125000003944 tolyl group Chemical group 0.000 description 2
- 238000011269 treatment regimen Methods 0.000 description 2
- 239000002691 unilamellar liposome Substances 0.000 description 2
- 230000024883 vasodilation Effects 0.000 description 2
- JWZZKOKVBUJMES-UHFFFAOYSA-N (+-)-Isoprenaline Chemical compound CC(C)NCC(O)C1=CC=C(O)C(O)=C1 JWZZKOKVBUJMES-UHFFFAOYSA-N 0.000 description 1
- XMAYWYJOQHXEEK-OZXSUGGESA-N (2R,4S)-ketoconazole Chemical compound C1CN(C(=O)C)CCN1C(C=C1)=CC=C1OC[C@@H]1O[C@@](CN2C=NC=C2)(C=2C(=CC(Cl)=CC=2)Cl)OC1 XMAYWYJOQHXEEK-OZXSUGGESA-N 0.000 description 1
- NDDLLTAIKYHPOD-ISLYRVAYSA-N (2e)-6-chloro-2-(6-chloro-4-methyl-3-oxo-1-benzothiophen-2-ylidene)-4-methyl-1-benzothiophen-3-one Chemical compound S/1C2=CC(Cl)=CC(C)=C2C(=O)C\1=C1/SC(C=C(Cl)C=C2C)=C2C1=O NDDLLTAIKYHPOD-ISLYRVAYSA-N 0.000 description 1
- WCGUUGGRBIKTOS-GPOJBZKASA-N (3beta)-3-hydroxyurs-12-en-28-oic acid Chemical compound C1C[C@H](O)C(C)(C)[C@@H]2CC[C@@]3(C)[C@]4(C)CC[C@@]5(C(O)=O)CC[C@@H](C)[C@H](C)[C@H]5C4=CC[C@@H]3[C@]21C WCGUUGGRBIKTOS-GPOJBZKASA-N 0.000 description 1
- TVZCRIROJQEVOT-LSDHHAIUSA-N (3r,4s)-3-hydroxy-2,2-dimethyl-4-(2-oxopyrrolidin-1-yl)-3,4-dihydrochromene-6-carbonitrile Chemical compound N1([C@H]2C3=CC(=CC=C3OC([C@@H]2O)(C)C)C#N)CCCC1=O TVZCRIROJQEVOT-LSDHHAIUSA-N 0.000 description 1
- FFTVPQUHLQBXQZ-KVUCHLLUSA-N (4s,4as,5ar,12ar)-4,7-bis(dimethylamino)-1,10,11,12a-tetrahydroxy-3,12-dioxo-4a,5,5a,6-tetrahydro-4h-tetracene-2-carboxamide Chemical compound C1C2=C(N(C)C)C=CC(O)=C2C(O)=C2[C@@H]1C[C@H]1[C@H](N(C)C)C(=O)C(C(N)=O)=C(O)[C@@]1(O)C2=O FFTVPQUHLQBXQZ-KVUCHLLUSA-N 0.000 description 1
- WRIDQFICGBMAFQ-UHFFFAOYSA-N (E)-8-Octadecenoic acid Natural products CCCCCCCCCC=CCCCCCCC(O)=O WRIDQFICGBMAFQ-UHFFFAOYSA-N 0.000 description 1
- JCIIKRHCWVHVFF-UHFFFAOYSA-N 1,2,4-thiadiazol-5-amine;hydrochloride Chemical compound Cl.NC1=NC=NS1 JCIIKRHCWVHVFF-UHFFFAOYSA-N 0.000 description 1
- XLTMWFMRJZDFFD-UHFFFAOYSA-N 1-[(2-chloro-4-nitrophenyl)diazenyl]naphthalen-2-ol Chemical compound OC1=CC=C2C=CC=CC2=C1N=NC1=CC=C([N+]([O-])=O)C=C1Cl XLTMWFMRJZDFFD-UHFFFAOYSA-N 0.000 description 1
- HMUNWXXNJPVALC-UHFFFAOYSA-N 1-[4-[2-(2,3-dihydro-1H-inden-2-ylamino)pyrimidin-5-yl]piperazin-1-yl]-2-(2,4,6,7-tetrahydrotriazolo[4,5-c]pyridin-5-yl)ethanone Chemical compound C1C(CC2=CC=CC=C12)NC1=NC=C(C=N1)N1CCN(CC1)C(CN1CC2=C(CC1)NN=N2)=O HMUNWXXNJPVALC-UHFFFAOYSA-N 0.000 description 1
- IXPNQXFRVYWDDI-UHFFFAOYSA-N 1-methyl-2,4-dioxo-1,3-diazinane-5-carboximidamide Chemical compound CN1CC(C(N)=N)C(=O)NC1=O IXPNQXFRVYWDDI-UHFFFAOYSA-N 0.000 description 1
- YFHHIZGZVLHBQZ-KDACTHKWSA-N 17-phenyl-trinor-prostaglandin F2alpha Chemical class C([C@H](O)\C=C\[C@@H]1[C@H]([C@@H](O)C[C@H]1O)C\C=C/CCCC(O)=O)CC1=CC=CC=C1 YFHHIZGZVLHBQZ-KDACTHKWSA-N 0.000 description 1
- VOXZDWNPVJITMN-ZBRFXRBCSA-N 17β-estradiol Chemical compound OC1=CC=C2[C@H]3CC[C@](C)([C@H](CC4)O)[C@@H]4[C@@H]3CCC2=C1 VOXZDWNPVJITMN-ZBRFXRBCSA-N 0.000 description 1
- CIVCELMLGDGMKZ-UHFFFAOYSA-N 2,4-dichloro-6-methylpyridine-3-carboxylic acid Chemical compound CC1=CC(Cl)=C(C(O)=O)C(Cl)=N1 CIVCELMLGDGMKZ-UHFFFAOYSA-N 0.000 description 1
- VHVPQPYKVGDNFY-DFMJLFEVSA-N 2-[(2r)-butan-2-yl]-4-[4-[4-[4-[[(2r,4s)-2-(2,4-dichlorophenyl)-2-(1,2,4-triazol-1-ylmethyl)-1,3-dioxolan-4-yl]methoxy]phenyl]piperazin-1-yl]phenyl]-1,2,4-triazol-3-one Chemical compound O=C1N([C@H](C)CC)N=CN1C1=CC=C(N2CCN(CC2)C=2C=CC(OC[C@@H]3O[C@](CN4N=CN=C4)(OC3)C=3C(=CC(Cl)=CC=3)Cl)=CC=2)C=C1 VHVPQPYKVGDNFY-DFMJLFEVSA-N 0.000 description 1
- NEAQRZUHTPSBBM-UHFFFAOYSA-N 2-hydroxy-3,3-dimethyl-7-nitro-4h-isoquinolin-1-one Chemical compound C1=C([N+]([O-])=O)C=C2C(=O)N(O)C(C)(C)CC2=C1 NEAQRZUHTPSBBM-UHFFFAOYSA-N 0.000 description 1
- ZKYCLDTVJCJYIB-UHFFFAOYSA-N 2-methylidenedecanamide Chemical compound CCCCCCCCC(=C)C(N)=O ZKYCLDTVJCJYIB-UHFFFAOYSA-N 0.000 description 1
- AUYYCJSJGJYCDS-UHFFFAOYSA-N 2/3/6893 Natural products IC1=CC(CC(N)C(O)=O)=CC(I)=C1OC1=CC=C(O)C(I)=C1 AUYYCJSJGJYCDS-UHFFFAOYSA-N 0.000 description 1
- LQJBNNIYVWPHFW-UHFFFAOYSA-N 20:1omega9c fatty acid Natural products CCCCCCCCCCC=CCCCCCCCC(O)=O LQJBNNIYVWPHFW-UHFFFAOYSA-N 0.000 description 1
- DSVUBXQDJGJGIC-UHFFFAOYSA-N 3',6'-dihydroxy-4',5'-diiodospiro[2-benzofuran-3,9'-xanthene]-1-one Chemical compound O1C(=O)C2=CC=CC=C2C21C1=CC=C(O)C(I)=C1OC1=C(I)C(O)=CC=C21 DSVUBXQDJGJGIC-UHFFFAOYSA-N 0.000 description 1
- YTKGAYFHUZTLCI-UHFFFAOYSA-N 3-hydroxy-2-iminopyrimidin-4-amine Chemical compound NC1=CC=NC(=N)N1O YTKGAYFHUZTLCI-UHFFFAOYSA-N 0.000 description 1
- MIJYXULNPSFWEK-GTOFXWBISA-N 3beta-hydroxyolean-12-en-28-oic acid Chemical compound C1C[C@H](O)C(C)(C)[C@@H]2CC[C@@]3(C)[C@]4(C)CC[C@@]5(C(O)=O)CCC(C)(C)C[C@H]5C4=CC[C@@H]3[C@]21C MIJYXULNPSFWEK-GTOFXWBISA-N 0.000 description 1
- ZDTNHRWWURISAA-UHFFFAOYSA-N 4',5'-dibromo-3',6'-dihydroxyspiro[2-benzofuran-3,9'-xanthene]-1-one Chemical compound O1C(=O)C2=CC=CC=C2C21C1=CC=C(O)C(Br)=C1OC1=C(Br)C(O)=CC=C21 ZDTNHRWWURISAA-UHFFFAOYSA-N 0.000 description 1
- 229940090248 4-hydroxybenzoic acid Drugs 0.000 description 1
- 239000002677 5-alpha reductase inhibitor Substances 0.000 description 1
- ODHCTXKNWHHXJC-VKHMYHEASA-N 5-oxo-L-proline Chemical compound OC(=O)[C@@H]1CCC(=O)N1 ODHCTXKNWHHXJC-VKHMYHEASA-N 0.000 description 1
- QSBYPNXLFMSGKH-UHFFFAOYSA-N 9-Heptadecensaeure Natural products CCCCCCCC=CCCCCCCCC(O)=O QSBYPNXLFMSGKH-UHFFFAOYSA-N 0.000 description 1
- 229920001817 Agar Polymers 0.000 description 1
- 241000416162 Astragalus gummifer Species 0.000 description 1
- 238000000035 BCA protein assay Methods 0.000 description 1
- 239000004342 Benzoyl peroxide Substances 0.000 description 1
- OMPJBNCRMGITSC-UHFFFAOYSA-N Benzoylperoxide Chemical compound C=1C=CC=CC=1C(=O)OOC(=O)C1=CC=CC=C1 OMPJBNCRMGITSC-UHFFFAOYSA-N 0.000 description 1
- 241000283690 Bos taurus Species 0.000 description 1
- 206010006482 Bronchospasm Diseases 0.000 description 1
- 239000004255 Butylated hydroxyanisole Substances 0.000 description 1
- 239000004322 Butylated hydroxytoluene Substances 0.000 description 1
- NLZUEZXRPGMBCV-UHFFFAOYSA-N Butylhydroxytoluene Chemical compound CC1=CC(C(C)(C)C)=C(O)C(C(C)(C)C)=C1 NLZUEZXRPGMBCV-UHFFFAOYSA-N 0.000 description 1
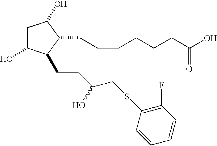
- KYMLOUKUUHQTFV-UHFFFAOYSA-N CC(C)OC(=O)CCCCCCC1C(O)CC(O)C1CCC(O)CSC1=CC=CC=C1 Chemical compound CC(C)OC(=O)CCCCCCC1C(O)CC(O)C1CCC(O)CSC1=CC=CC=C1 KYMLOUKUUHQTFV-UHFFFAOYSA-N 0.000 description 1
- VQBHWOIREBREKA-OCAHFIFXSA-N CC(O)(CC[C@H]1[C@H](O)C[C@H](O)[C@@H]1CCCCCCC(=O)O)CSC1=CC=CC=C1 Chemical compound CC(O)(CC[C@H]1[C@H](O)C[C@H](O)[C@@H]1CCCCCCC(=O)O)CSC1=CC=CC=C1 VQBHWOIREBREKA-OCAHFIFXSA-N 0.000 description 1
- PXGPLTODNUVGFL-YDZORUSYSA-N CCCCC[C@H](O)/C=C/[C@@H]1C(C/C=C\CCCC(=O)O)[C@@H](O)C[C@H]1O Chemical compound CCCCC[C@H](O)/C=C/[C@@H]1C(C/C=C\CCCC(=O)O)[C@@H](O)C[C@H]1O PXGPLTODNUVGFL-YDZORUSYSA-N 0.000 description 1
- OSWFLUBWOWNXDR-UHFFFAOYSA-N COC(=O)CCCCCCC1C(O)CC(O)C1CCC(O)CSC1=CC=CC=C1Br Chemical compound COC(=O)CCCCCCC1C(O)CC(O)C1CCC(O)CSC1=CC=CC=C1Br OSWFLUBWOWNXDR-UHFFFAOYSA-N 0.000 description 1
- UXVMQQNJUSDDNG-UHFFFAOYSA-L Calcium chloride Chemical compound [Cl-].[Cl-].[Ca+2] UXVMQQNJUSDDNG-UHFFFAOYSA-L 0.000 description 1
- 240000004160 Capsicum annuum Species 0.000 description 1
- 235000008534 Capsicum annuum var annuum Nutrition 0.000 description 1
- 235000007862 Capsicum baccatum Nutrition 0.000 description 1
- KXDHJXZQYSOELW-UHFFFAOYSA-M Carbamate Chemical compound NC([O-])=O KXDHJXZQYSOELW-UHFFFAOYSA-M 0.000 description 1
- BVKZGUZCCUSVTD-UHFFFAOYSA-L Carbonate Chemical compound [O-]C([O-])=O BVKZGUZCCUSVTD-UHFFFAOYSA-L 0.000 description 1
- 229920002134 Carboxymethyl cellulose Polymers 0.000 description 1
- 206010048610 Cardiotoxicity Diseases 0.000 description 1
- 229920000623 Cellulose acetate phthalate Polymers 0.000 description 1
- DBAKFASWICGISY-BTJKTKAUSA-N Chlorpheniramine maleate Chemical compound OC(=O)\C=C/C(O)=O.C=1C=CC=NC=1C(CCN(C)C)C1=CC=C(Cl)C=C1 DBAKFASWICGISY-BTJKTKAUSA-N 0.000 description 1
- 108010066551 Cholestenone 5 alpha-Reductase Proteins 0.000 description 1
- 229920002261 Corn starch Polymers 0.000 description 1
- 108010036941 Cyclosporins Proteins 0.000 description 1
- 229920000727 Decyl polyglucose Polymers 0.000 description 1
- 229920002307 Dextran Polymers 0.000 description 1
- QZKRHPLGUJDVAR-UHFFFAOYSA-K EDTA trisodium salt Chemical compound [Na+].[Na+].[Na+].OC(=O)CN(CC([O-])=O)CCN(CC([O-])=O)CC([O-])=O QZKRHPLGUJDVAR-UHFFFAOYSA-K 0.000 description 1
- JKLISIRFYWXLQG-UHFFFAOYSA-N Epioleonolsaeure Natural products C1CC(O)C(C)(C)C2CCC3(C)C4(C)CCC5(C(O)=O)CCC(C)(C)CC5C4CCC3C21C JKLISIRFYWXLQG-UHFFFAOYSA-N 0.000 description 1
- FPVVYTCTZKCSOJ-UHFFFAOYSA-N Ethylene glycol distearate Chemical compound CCCCCCCCCCCCCCCCCC(=O)OCCOC(=O)CCCCCCCCCCCCCCCCC FPVVYTCTZKCSOJ-UHFFFAOYSA-N 0.000 description 1
- 229920003134 Eudragit® polymer Polymers 0.000 description 1
- 229920002683 Glycosaminoglycan Polymers 0.000 description 1
- 102000005744 Glycoside Hydrolases Human genes 0.000 description 1
- 108010031186 Glycoside Hydrolases Proteins 0.000 description 1
- 229920002907 Guar gum Polymers 0.000 description 1
- 101000741445 Homo sapiens Calcitonin Proteins 0.000 description 1
- UFHFLCQGNIYNRP-UHFFFAOYSA-N Hydrogen Chemical compound [H][H] UFHFLCQGNIYNRP-UHFFFAOYSA-N 0.000 description 1
- 229940124790 IL-6 inhibitor Drugs 0.000 description 1
- 206010061218 Inflammation Diseases 0.000 description 1
- 102000014150 Interferons Human genes 0.000 description 1
- 108010050904 Interferons Proteins 0.000 description 1
- 102000000589 Interleukin-1 Human genes 0.000 description 1
- 108010002352 Interleukin-1 Proteins 0.000 description 1
- 102000003814 Interleukin-10 Human genes 0.000 description 1
- 108090000174 Interleukin-10 Proteins 0.000 description 1
- SHGAZHPCJJPHSC-NUEINMDLSA-N Isotretinoin Chemical compound OC(=O)C=C(C)/C=C/C=C(C)C=CC1=C(C)CCCC1(C)C SHGAZHPCJJPHSC-NUEINMDLSA-N 0.000 description 1
- XUJNEKJLAYXESH-REOHCLBHSA-N L-Cysteine Chemical compound SC[C@H](N)C(O)=O XUJNEKJLAYXESH-REOHCLBHSA-N 0.000 description 1
- FFEARJCKVFRZRR-BYPYZUCNSA-N L-methionine Chemical compound CSCC[C@H](N)C(O)=O FFEARJCKVFRZRR-BYPYZUCNSA-N 0.000 description 1
- KKCIOUWDFWQUBT-AWEZNQCLSA-N L-thyronine Chemical compound C1=CC(C[C@H](N)C(O)=O)=CC=C1OC1=CC=C(O)C=C1 KKCIOUWDFWQUBT-AWEZNQCLSA-N 0.000 description 1
- XUIIKFGFIJCVMT-LBPRGKRZSA-N L-thyroxine Chemical compound IC1=CC(C[C@H]([NH3+])C([O-])=O)=CC(I)=C1OC1=CC(I)=C(O)C(I)=C1 XUIIKFGFIJCVMT-LBPRGKRZSA-N 0.000 description 1
- 239000000867 Lipoxygenase Inhibitor Substances 0.000 description 1
- WHNWPMSKXPGLAX-UHFFFAOYSA-N N-Vinyl-2-pyrrolidone Chemical compound C=CN1CCCC1=O WHNWPMSKXPGLAX-UHFFFAOYSA-N 0.000 description 1
- 229910002651 NO3 Inorganic materials 0.000 description 1
- 206010028980 Neoplasm Diseases 0.000 description 1
- NHNBFGGVMKEFGY-UHFFFAOYSA-N Nitrate Chemical compound [O-][N+]([O-])=O NHNBFGGVMKEFGY-UHFFFAOYSA-N 0.000 description 1
- QUKPIZUVCZLSFZ-CEWLUGNJSA-N O=C(O)CCCCCC[C@H]1[C@@H](O)C[C@@H](O)[C@@H]1CCC(O)CSC1=C(F)C=CC=C1 Chemical compound O=C(O)CCCCCC[C@H]1[C@@H](O)C[C@@H](O)[C@@H]1CCC(O)CSC1=C(F)C=CC=C1 QUKPIZUVCZLSFZ-CEWLUGNJSA-N 0.000 description 1
- YTZPMGSDIYCPCW-HOPUUNBDSA-N O=C(O)CCCCCC[C@H]1[C@@H](O)C[C@@H](O)[C@@H]1CCC(O)CSC1=CC=CC(F)=C1 Chemical compound O=C(O)CCCCCC[C@H]1[C@@H](O)C[C@@H](O)[C@@H]1CCC(O)CSC1=CC=CC(F)=C1 YTZPMGSDIYCPCW-HOPUUNBDSA-N 0.000 description 1
- REYJJPSVUYRZGE-UHFFFAOYSA-N Octadecylamine Chemical compound CCCCCCCCCCCCCCCCCCN REYJJPSVUYRZGE-UHFFFAOYSA-N 0.000 description 1
- YBRJHZPWOMJYKQ-UHFFFAOYSA-N Oleanolic acid Natural products CC1(C)CC2C3=CCC4C5(C)CCC(O)C(C)(C)C5CCC4(C)C3(C)CCC2(C1)C(=O)O YBRJHZPWOMJYKQ-UHFFFAOYSA-N 0.000 description 1
- MIJYXULNPSFWEK-UHFFFAOYSA-N Oleanolinsaeure Natural products C1CC(O)C(C)(C)C2CCC3(C)C4(C)CCC5(C(O)=O)CCC(C)(C)CC5C4=CCC3C21C MIJYXULNPSFWEK-UHFFFAOYSA-N 0.000 description 1
- 239000005642 Oleic acid Substances 0.000 description 1
- ZQPPMHVWECSIRJ-UHFFFAOYSA-N Oleic acid Natural products CCCCCCCCC=CCCCCCCCC(O)=O ZQPPMHVWECSIRJ-UHFFFAOYSA-N 0.000 description 1
- 102000003982 Parathyroid hormone Human genes 0.000 description 1
- 108090000445 Parathyroid hormone Proteins 0.000 description 1
- 235000019483 Peanut oil Nutrition 0.000 description 1
- BELBBZDIHDAJOR-UHFFFAOYSA-N Phenolsulfonephthalein Chemical compound C1=CC(O)=CC=C1C1(C=2C=CC(O)=CC=2)C2=CC=CC=C2S(=O)(=O)O1 BELBBZDIHDAJOR-UHFFFAOYSA-N 0.000 description 1
- CXOFVDLJLONNDW-UHFFFAOYSA-N Phenytoin Chemical compound N1C(=O)NC(=O)C1(C=1C=CC=CC=1)C1=CC=CC=C1 CXOFVDLJLONNDW-UHFFFAOYSA-N 0.000 description 1
- 229920001214 Polysorbate 60 Polymers 0.000 description 1
- 229940127343 Potassium Channel Agonists Drugs 0.000 description 1
- 102000004005 Prostaglandin-endoperoxide synthases Human genes 0.000 description 1
- 108090000459 Prostaglandin-endoperoxide synthases Proteins 0.000 description 1
- 206010060862 Prostate cancer Diseases 0.000 description 1
- 208000000236 Prostatic Neoplasms Diseases 0.000 description 1
- 102000001708 Protein Isoforms Human genes 0.000 description 1
- 108010029485 Protein Isoforms Proteins 0.000 description 1
- 102000003923 Protein Kinase C Human genes 0.000 description 1
- 108090000315 Protein Kinase C Proteins 0.000 description 1
- ODHCTXKNWHHXJC-GSVOUGTGSA-N Pyroglutamic acid Natural products OC(=O)[C@H]1CCC(=O)N1 ODHCTXKNWHHXJC-GSVOUGTGSA-N 0.000 description 1
- 241000700159 Rattus Species 0.000 description 1
- 241000220010 Rhode Species 0.000 description 1
- 206010039921 Selenium deficiency Diseases 0.000 description 1
- 102000008114 Selenoproteins Human genes 0.000 description 1
- 108010074686 Selenoproteins Proteins 0.000 description 1
- DBMJMQXJHONAFJ-UHFFFAOYSA-M Sodium laurylsulphate Chemical compound [Na+].CCCCCCCCCCCCOS([O-])(=O)=O DBMJMQXJHONAFJ-UHFFFAOYSA-M 0.000 description 1
- 240000006474 Theobroma bicolor Species 0.000 description 1
- 229920001615 Tragacanth Polymers 0.000 description 1
- XEFQLINVKFYRCS-UHFFFAOYSA-N Triclosan Chemical compound OC1=CC(Cl)=CC=C1OC1=CC=C(Cl)C=C1Cl XEFQLINVKFYRCS-UHFFFAOYSA-N 0.000 description 1
- GSEJCLTVZPLZKY-UHFFFAOYSA-N Triethanolamine Chemical compound OCCN(CCO)CCO GSEJCLTVZPLZKY-UHFFFAOYSA-N 0.000 description 1
- 239000007983 Tris buffer Substances 0.000 description 1
- 241000251539 Vertebrata <Metazoa> Species 0.000 description 1
- 229930003316 Vitamin D Natural products 0.000 description 1
- QYSXJUFSXHHAJI-XFEUOLMDSA-N Vitamin D3 Natural products C1(/[C@@H]2CC[C@@H]([C@]2(CCC1)C)[C@H](C)CCCC(C)C)=C/C=C1\C[C@@H](O)CCC1=C QYSXJUFSXHHAJI-XFEUOLMDSA-N 0.000 description 1
- OGQICQVSFDPSEI-UHFFFAOYSA-N Zorac Chemical compound N1=CC(C(=O)OCC)=CC=C1C#CC1=CC=C(SCCC2(C)C)C2=C1 OGQICQVSFDPSEI-UHFFFAOYSA-N 0.000 description 1
- CQPFMGBJSMSXLP-UHFFFAOYSA-M acid orange 7 Chemical compound [Na+].OC1=CC=C2C=CC=CC2=C1N=NC1=CC=C(S([O-])(=O)=O)C=C1 CQPFMGBJSMSXLP-UHFFFAOYSA-M 0.000 description 1
- ODHCTXKNWHHXJC-UHFFFAOYSA-N acide pyroglutamique Natural products OC(=O)C1CCC(=O)N1 ODHCTXKNWHHXJC-UHFFFAOYSA-N 0.000 description 1
- 229960005339 acitretin Drugs 0.000 description 1
- 229920006322 acrylamide copolymer Polymers 0.000 description 1
- 150000001252 acrylic acid derivatives Chemical class 0.000 description 1
- 230000009471 action Effects 0.000 description 1
- 230000003213 activating effect Effects 0.000 description 1
- 239000012190 activator Substances 0.000 description 1
- 230000000996 additive effect Effects 0.000 description 1
- 239000008272 agar Substances 0.000 description 1
- 230000004931 aggregating effect Effects 0.000 description 1
- 125000002723 alicyclic group Chemical group 0.000 description 1
- 150000001346 alkyl aryl ethers Chemical class 0.000 description 1
- 125000005907 alkyl ester group Chemical group 0.000 description 1
- IHUNBGSDBOWDMA-AQFIFDHZSA-N all-trans-acitretin Chemical compound COC1=CC(C)=C(\C=C\C(\C)=C\C=C\C(\C)=C\C(O)=O)C(C)=C1C IHUNBGSDBOWDMA-AQFIFDHZSA-N 0.000 description 1
- 231100000360 alopecia Toxicity 0.000 description 1
- TUFYVOCKVJOUIR-UHFFFAOYSA-N alpha-Thujaplicin Natural products CC(C)C=1C=CC=CC(=O)C=1O TUFYVOCKVJOUIR-UHFFFAOYSA-N 0.000 description 1
- SNAAJJQQZSMGQD-UHFFFAOYSA-N aluminum magnesium Chemical compound [Mg].[Al] SNAAJJQQZSMGQD-UHFFFAOYSA-N 0.000 description 1
- 235000001014 amino acid Nutrition 0.000 description 1
- 150000001413 amino acids Chemical class 0.000 description 1
- 229910021529 ammonia Inorganic materials 0.000 description 1
- BTBJBAZGXNKLQC-UHFFFAOYSA-N ammonium lauryl sulfate Chemical compound [NH4+].CCCCCCCCCCCCOS([O-])(=O)=O BTBJBAZGXNKLQC-UHFFFAOYSA-N 0.000 description 1
- 229940063953 ammonium lauryl sulfate Drugs 0.000 description 1
- 239000012164 animal wax Substances 0.000 description 1
- 230000000840 anti-viral effect Effects 0.000 description 1
- 229940125681 anticonvulsant agent Drugs 0.000 description 1
- 239000001961 anticonvulsive agent Substances 0.000 description 1
- 239000000030 antiglaucoma agent Substances 0.000 description 1
- 239000000739 antihistaminic agent Substances 0.000 description 1
- 230000003078 antioxidant effect Effects 0.000 description 1
- 238000013459 approach Methods 0.000 description 1
- 239000007864 aqueous solution Substances 0.000 description 1
- ZDQSOHOQTUFQEM-PKUCKEGBSA-N ascomycin Chemical class C/C([C@H]1OC(=O)[C@@H]2CCCCN2C(=O)C(=O)[C@]2(O)O[C@@H]([C@H](C[C@H]2C)OC)[C@@H](OC)C[C@@H](C)C\C(C)=C/[C@H](C(C[C@H](O)[C@H]1C)=O)CC)=C\[C@@H]1CC[C@@H](O)[C@H](OC)C1 ZDQSOHOQTUFQEM-PKUCKEGBSA-N 0.000 description 1
- JXSVIVRDWWRQRT-UYDOISQJSA-N asiatic acid Chemical compound C1[C@@H](O)[C@H](O)[C@@](C)(CO)[C@@H]2CC[C@@]3(C)[C@]4(C)CC[C@@]5(C(O)=O)CC[C@@H](C)[C@H](C)[C@H]5C4=CC[C@@H]3[C@]21C JXSVIVRDWWRQRT-UYDOISQJSA-N 0.000 description 1
- 229940011658 asiatic acid Drugs 0.000 description 1
- LBGFKBYMNRAMFC-PYSQTNCISA-N asiatic acid Natural products C[C@@H]1CC[C@@]2(CC[C@]3(C)C(=CC[C@@H]4[C@@]5(C)C[C@@H](O)[C@H](O)[C@@](C)(CO)[C@@H]5CC[C@@]34C)[C@]2(C)[C@H]1C)C(=O)O LBGFKBYMNRAMFC-PYSQTNCISA-N 0.000 description 1
- UHHXUPJJDHEMGX-UHFFFAOYSA-K azanium;manganese(3+);phosphonato phosphate Chemical compound [NH4+].[Mn+3].[O-]P([O-])(=O)OP([O-])([O-])=O UHHXUPJJDHEMGX-UHFFFAOYSA-K 0.000 description 1
- IRERQBUNZFJFGC-UHFFFAOYSA-L azure blue Chemical compound [Na+].[Na+].[Na+].[Na+].[Na+].[Na+].[Na+].[Na+].[Al+3].[Al+3].[Al+3].[Al+3].[Al+3].[Al+3].[S-]S[S-].[O-][Si]([O-])([O-])[O-].[O-][Si]([O-])([O-])[O-].[O-][Si]([O-])([O-])[O-].[O-][Si]([O-])([O-])[O-].[O-][Si]([O-])([O-])[O-].[O-][Si]([O-])([O-])[O-] IRERQBUNZFJFGC-UHFFFAOYSA-L 0.000 description 1
- POJOORKDYOPQLS-UHFFFAOYSA-L barium(2+) 5-chloro-2-[(2-hydroxynaphthalen-1-yl)diazenyl]-4-methylbenzenesulfonate Chemical compound [Ba+2].C1=C(Cl)C(C)=CC(N=NC=2C3=CC=CC=C3C=CC=2O)=C1S([O-])(=O)=O.C1=C(Cl)C(C)=CC(N=NC=2C3=CC=CC=C3C=CC=2O)=C1S([O-])(=O)=O POJOORKDYOPQLS-UHFFFAOYSA-L 0.000 description 1
- 210000002469 basement membrane Anatomy 0.000 description 1
- 235000013871 bee wax Nutrition 0.000 description 1
- 239000012166 beeswax Substances 0.000 description 1
- 229940116224 behenate Drugs 0.000 description 1
- UKMSUNONTOPOIO-UHFFFAOYSA-M behenate Chemical compound CCCCCCCCCCCCCCCCCCCCCC([O-])=O UKMSUNONTOPOIO-UHFFFAOYSA-M 0.000 description 1
- UREZNYTWGJKWBI-UHFFFAOYSA-M benzethonium chloride Chemical compound [Cl-].C1=CC(C(C)(C)CC(C)(C)C)=CC=C1OCCOCC[N+](C)(C)CC1=CC=CC=C1 UREZNYTWGJKWBI-UHFFFAOYSA-M 0.000 description 1
- 229960001950 benzethonium chloride Drugs 0.000 description 1
- 229960004365 benzoic acid Drugs 0.000 description 1
- 239000012965 benzophenone Substances 0.000 description 1
- 150000008366 benzophenones Chemical class 0.000 description 1
- 235000019400 benzoyl peroxide Nutrition 0.000 description 1
- 229960000333 benzydamine Drugs 0.000 description 1
- 229950004580 benzyl nicotinate Drugs 0.000 description 1
- KQNZLOUWXSAZGD-UHFFFAOYSA-N benzylperoxymethylbenzene Chemical compound C=1C=CC=CC=1COOCC1=CC=CC=C1 KQNZLOUWXSAZGD-UHFFFAOYSA-N 0.000 description 1
- 229960003237 betaine Drugs 0.000 description 1
- 125000002527 bicyclic carbocyclic group Chemical group 0.000 description 1
- 125000002618 bicyclic heterocycle group Chemical group 0.000 description 1
- 230000002051 biphasic effect Effects 0.000 description 1
- KGBXLFKZBHKPEV-UHFFFAOYSA-N boric acid Chemical compound OB(O)O KGBXLFKZBHKPEV-UHFFFAOYSA-N 0.000 description 1
- 239000004327 boric acid Substances 0.000 description 1
- 229910052794 bromium Inorganic materials 0.000 description 1
- DBZJJPROPLPMSN-UHFFFAOYSA-N bromoeosin Chemical compound O1C(=O)C2=CC=CC=C2C21C1=CC(Br)=C(O)C(Br)=C1OC1=C(Br)C(O)=C(Br)C=C21 DBZJJPROPLPMSN-UHFFFAOYSA-N 0.000 description 1
- 230000007885 bronchoconstriction Effects 0.000 description 1
- 239000007853 buffer solution Substances 0.000 description 1
- 125000000484 butyl group Chemical group [H]C([*])([H])C([H])([H])C([H])([H])C([H])([H])[H] 0.000 description 1
- 235000019282 butylated hydroxyanisole Nutrition 0.000 description 1
- CZBZUDVBLSSABA-UHFFFAOYSA-N butylated hydroxyanisole Chemical compound COC1=CC=C(O)C(C(C)(C)C)=C1.COC1=CC=C(O)C=C1C(C)(C)C CZBZUDVBLSSABA-UHFFFAOYSA-N 0.000 description 1
- 229940043253 butylated hydroxyanisole Drugs 0.000 description 1
- 235000010354 butylated hydroxytoluene Nutrition 0.000 description 1
- 229940095259 butylated hydroxytoluene Drugs 0.000 description 1
- 229940098781 c18-36 acid triglyceride Drugs 0.000 description 1
- BBBFJLBPOGFECG-VJVYQDLKSA-N calcitonin Chemical compound N([C@H](C(=O)N[C@@H](CC(C)C)C(=O)NCC(=O)N[C@@H](CCCCN)C(=O)N[C@@H](CC(C)C)C(=O)N[C@@H](CO)C(=O)N[C@@H](CCC(N)=O)C(=O)N[C@@H](CCC(O)=O)C(=O)N[C@@H](CC(C)C)C(=O)N[C@@H](CC=1NC=NC=1)C(=O)N[C@@H](CCCCN)C(=O)N[C@@H](CC(C)C)C(=O)N[C@@H](CCC(N)=O)C(=O)N[C@@H]([C@@H](C)O)C(=O)N[C@@H](CC=1C=CC(O)=CC=1)C(=O)N1[C@@H](CCC1)C(=O)N[C@@H](CCCNC(N)=N)C(=O)N[C@@H]([C@@H](C)O)C(=O)N[C@@H](CC(N)=O)C(=O)N[C@@H]([C@@H](C)O)C(=O)NCC(=O)N[C@@H](CO)C(=O)NCC(=O)N[C@@H]([C@@H](C)O)C(=O)N1[C@@H](CCC1)C(N)=O)C(C)C)C(=O)[C@@H]1CSSC[C@H](N)C(=O)N[C@@H](CO)C(=O)N[C@@H](CC(N)=O)C(=O)N[C@@H](CC(C)C)C(=O)N[C@@H](CO)C(=O)N[C@@H]([C@@H](C)O)C(=O)N1 BBBFJLBPOGFECG-VJVYQDLKSA-N 0.000 description 1
- 229960003773 calcitonin (salmon synthetic) Drugs 0.000 description 1
- FAPWYRCQGJNNSJ-UBKPKTQASA-L calcium D-pantothenic acid Chemical compound [Ca+2].OCC(C)(C)[C@@H](O)C(=O)NCCC([O-])=O.OCC(C)(C)[C@@H](O)C(=O)NCCC([O-])=O FAPWYRCQGJNNSJ-UBKPKTQASA-L 0.000 description 1
- 239000001110 calcium chloride Substances 0.000 description 1
- 229910001628 calcium chloride Inorganic materials 0.000 description 1
- 229960002079 calcium pantothenate Drugs 0.000 description 1
- 159000000007 calcium salts Chemical class 0.000 description 1
- 201000011510 cancer Diseases 0.000 description 1
- 239000001728 capsicum frutescens Substances 0.000 description 1
- 229960001631 carbomer Drugs 0.000 description 1
- 235000010948 carboxy methyl cellulose Nutrition 0.000 description 1
- 239000008112 carboxymethyl-cellulose Substances 0.000 description 1
- 231100000259 cardiotoxicity Toxicity 0.000 description 1
- DGQLVPJVXFOQEV-JNVSTXMASA-N carminic acid Chemical compound OC1=C2C(=O)C=3C(C)=C(C(O)=O)C(O)=CC=3C(=O)C2=C(O)C(O)=C1[C@@H]1O[C@H](CO)[C@@H](O)[C@H](O)[C@H]1O DGQLVPJVXFOQEV-JNVSTXMASA-N 0.000 description 1
- 239000004203 carnauba wax Substances 0.000 description 1
- 235000013869 carnauba wax Nutrition 0.000 description 1
- 230000032823 cell division Effects 0.000 description 1
- 230000004700 cellular uptake Effects 0.000 description 1
- 229940081734 cellulose acetate phthalate Drugs 0.000 description 1
- OIQPTROHQCGFEF-UHFFFAOYSA-L chembl1371409 Chemical compound [Na+].[Na+].OC1=CC=C2C=C(S([O-])(=O)=O)C=CC2=C1N=NC1=CC=C(S([O-])(=O)=O)C=C1 OIQPTROHQCGFEF-UHFFFAOYSA-L 0.000 description 1
- PZTQVMXMKVTIRC-UHFFFAOYSA-L chembl2028348 Chemical compound [Ca+2].[O-]S(=O)(=O)C1=CC(C)=CC=C1N=NC1=C(O)C(C([O-])=O)=CC2=CC=CC=C12 PZTQVMXMKVTIRC-UHFFFAOYSA-L 0.000 description 1
- ZLWLTDZLUVBSRJ-UHFFFAOYSA-K chembl2360149 Chemical compound [Na+].[Na+].[Na+].O=C1C(N=NC=2C=CC(=CC=2)S([O-])(=O)=O)=C(C(=O)[O-])NN1C1=CC=C(S([O-])(=O)=O)C=C1 ZLWLTDZLUVBSRJ-UHFFFAOYSA-K 0.000 description 1
- 239000003153 chemical reaction reagent Substances 0.000 description 1
- 239000003795 chemical substances by application Substances 0.000 description 1
- 239000007910 chewable tablet Substances 0.000 description 1
- 229940099898 chlorophyllin Drugs 0.000 description 1
- 235000019805 chlorophyllin Nutrition 0.000 description 1
- 229940046978 chlorpheniramine maleate Drugs 0.000 description 1
- QFSKIUZTIHBWFR-UHFFFAOYSA-N chromium;hydrate Chemical compound O.[Cr] QFSKIUZTIHBWFR-UHFFFAOYSA-N 0.000 description 1
- AGVAZMGAQJOSFJ-WZHZPDAFSA-M cobalt(2+);[(2r,3s,4r,5s)-5-(5,6-dimethylbenzimidazol-1-yl)-4-hydroxy-2-(hydroxymethyl)oxolan-3-yl] [(2r)-1-[3-[(1r,2r,3r,4z,7s,9z,12s,13s,14z,17s,18s,19r)-2,13,18-tris(2-amino-2-oxoethyl)-7,12,17-tris(3-amino-3-oxopropyl)-3,5,8,8,13,15,18,19-octamethyl-2 Chemical class [Co+2].N#[C-].[N-]([C@@H]1[C@H](CC(N)=O)[C@@]2(C)CCC(=O)NC[C@@H](C)OP(O)(=O)O[C@H]3[C@H]([C@H](O[C@@H]3CO)N3C4=CC(C)=C(C)C=C4N=C3)O)\C2=C(C)/C([C@H](C\2(C)C)CCC(N)=O)=N/C/2=C\C([C@H]([C@@]/2(CC(N)=O)C)CCC(N)=O)=N\C\2=C(C)/C2=N[C@]1(C)[C@@](C)(CC(N)=O)[C@@H]2CCC(N)=O AGVAZMGAQJOSFJ-WZHZPDAFSA-M 0.000 description 1
- 238000005056 compaction Methods 0.000 description 1
- 235000005687 corn oil Nutrition 0.000 description 1
- 239000002285 corn oil Substances 0.000 description 1
- 239000008120 corn starch Substances 0.000 description 1
- 239000008406 cosmetic ingredient Substances 0.000 description 1
- 235000012343 cottonseed oil Nutrition 0.000 description 1
- 239000002385 cottonseed oil Substances 0.000 description 1
- 229960000913 crospovidone Drugs 0.000 description 1
- 125000000596 cyclohexenyl group Chemical group C1(=CCCCC1)* 0.000 description 1
- 125000001511 cyclopentyl group Chemical group [H]C1([H])C([H])([H])C([H])([H])C([H])(*)C1([H])[H] 0.000 description 1
- UWFYSQMTEOIJJG-FDTZYFLXSA-N cyproterone acetate Chemical compound C1=C(Cl)C2=CC(=O)[C@@H]3C[C@@H]3[C@]2(C)[C@@H]2[C@@H]1[C@@H]1CC[C@@](C(C)=O)(OC(=O)C)[C@@]1(C)CC2 UWFYSQMTEOIJJG-FDTZYFLXSA-N 0.000 description 1
- 229960000978 cyproterone acetate Drugs 0.000 description 1
- XUJNEKJLAYXESH-UHFFFAOYSA-N cysteine Natural products SCC(N)C(O)=O XUJNEKJLAYXESH-UHFFFAOYSA-N 0.000 description 1
- 235000018417 cysteine Nutrition 0.000 description 1
- 229940075479 d & c red no. 27 Drugs 0.000 description 1
- 229940086624 d&c orange no. 10 Drugs 0.000 description 1
- 229940099449 d&c orange no. 4 Drugs 0.000 description 1
- 229940090962 d&c orange no. 5 Drugs 0.000 description 1
- 229940058010 d&c red no. 21 Drugs 0.000 description 1
- 229940075484 d&c red no. 30 Drugs 0.000 description 1
- 229940075493 d&c red no. 6 Drugs 0.000 description 1
- 229940057946 d&c red no. 7 Drugs 0.000 description 1
- 238000013461 design Methods 0.000 description 1
- 239000003599 detergent Substances 0.000 description 1
- 239000008121 dextrose Substances 0.000 description 1
- SOROIESOUPGGFO-UHFFFAOYSA-N diazolidinylurea Chemical compound OCNC(=O)N(CO)C1N(CO)C(=O)N(CO)C1=O SOROIESOUPGGFO-UHFFFAOYSA-N 0.000 description 1
- 229960001083 diazolidinylurea Drugs 0.000 description 1
- 229960004042 diazoxide Drugs 0.000 description 1
- MHDVGSVTJDSBDK-UHFFFAOYSA-N dibenzyl ether Chemical class C=1C=CC=CC=1COCC1=CC=CC=C1 MHDVGSVTJDSBDK-UHFFFAOYSA-N 0.000 description 1
- XEYBRNLFEZDVAW-ARSRFYASSA-N dinoprostone Chemical compound CCCCC[C@H](O)\C=C\[C@H]1[C@H](O)CC(=O)[C@@H]1C\C=C/CCCC(O)=O XEYBRNLFEZDVAW-ARSRFYASSA-N 0.000 description 1
- AMTWCFIAVKBGOD-UHFFFAOYSA-N dioxosilane;methoxy-dimethyl-trimethylsilyloxysilane Chemical compound O=[Si]=O.CO[Si](C)(C)O[Si](C)(C)C AMTWCFIAVKBGOD-UHFFFAOYSA-N 0.000 description 1
- 229960000525 diphenhydramine hydrochloride Drugs 0.000 description 1
- KPUWHANPEXNPJT-UHFFFAOYSA-N disiloxane Chemical class [SiH3]O[SiH3] KPUWHANPEXNPJT-UHFFFAOYSA-N 0.000 description 1
- VPWFPZBFBFHIIL-UHFFFAOYSA-L disodium 4-[(4-methyl-2-sulfophenyl)diazenyl]-3-oxidonaphthalene-2-carboxylate Chemical compound [Na+].[Na+].[O-]S(=O)(=O)C1=CC(C)=CC=C1N=NC1=C(O)C(C([O-])=O)=CC2=CC=CC=C12 VPWFPZBFBFHIIL-UHFFFAOYSA-L 0.000 description 1
- RAGZEDHHTPQLAI-UHFFFAOYSA-L disodium;2',4',5',7'-tetraiodo-3-oxospiro[2-benzofuran-1,9'-xanthene]-3',6'-diolate Chemical compound [Na+].[Na+].O1C(=O)C2=CC=CC=C2C21C1=CC(I)=C([O-])C(I)=C1OC1=C(I)C([O-])=C(I)C=C21 RAGZEDHHTPQLAI-UHFFFAOYSA-L 0.000 description 1
- SNPLKNRPJHDVJA-UHFFFAOYSA-N dl-panthenol Chemical compound OCC(C)(C)C(O)C(=O)NCCCO SNPLKNRPJHDVJA-UHFFFAOYSA-N 0.000 description 1
- WSDISUOETYTPRL-UHFFFAOYSA-N dmdm hydantoin Chemical compound CC1(C)N(CO)C(=O)N(CO)C1=O WSDISUOETYTPRL-UHFFFAOYSA-N 0.000 description 1
- SYELZBGXAIXKHU-UHFFFAOYSA-N dodecyldimethylamine N-oxide Chemical compound CCCCCCCCCCCC[N+](C)(C)[O-] SYELZBGXAIXKHU-UHFFFAOYSA-N 0.000 description 1
- 238000012377 drug delivery Methods 0.000 description 1
- 239000003995 emulsifying agent Substances 0.000 description 1
- 239000000839 emulsion Substances 0.000 description 1
- 229960001123 epoprostenol Drugs 0.000 description 1
- CLXOLTFMHAXJST-UHFFFAOYSA-N esculentic acid Natural products C12CC=C3C4CC(C)(C(O)=O)CCC4(C(O)=O)CCC3(C)C1(C)CCC1C2(C)CCC(O)C1(CO)C CLXOLTFMHAXJST-UHFFFAOYSA-N 0.000 description 1
- 125000004185 ester group Chemical group 0.000 description 1
- 229960005309 estradiol Drugs 0.000 description 1
- 229930182833 estradiol Natural products 0.000 description 1
- 229940011871 estrogen Drugs 0.000 description 1
- 239000000262 estrogen Substances 0.000 description 1
- BEFDCLMNVWHSGT-UHFFFAOYSA-N ethenylcyclopentane Chemical compound C=CC1CCCC1 BEFDCLMNVWHSGT-UHFFFAOYSA-N 0.000 description 1
- 150000002170 ethers Chemical class 0.000 description 1
- 229960004667 ethyl cellulose Drugs 0.000 description 1
- 125000001495 ethyl group Chemical group [H]C([H])([H])C([H])([H])* 0.000 description 1
- 229960001617 ethyl hydroxybenzoate Drugs 0.000 description 1
- 235000010944 ethyl methyl cellulose Nutrition 0.000 description 1
- 239000001761 ethyl methyl cellulose Substances 0.000 description 1
- 235000010228 ethyl p-hydroxybenzoate Nutrition 0.000 description 1
- 239000004403 ethyl p-hydroxybenzoate Substances 0.000 description 1
- 229920001038 ethylene copolymer Polymers 0.000 description 1
- 125000000816 ethylene group Chemical class [H]C([H])([*:1])C([H])([H])[*:2] 0.000 description 1
- NUVBSKCKDOMJSU-UHFFFAOYSA-N ethylparaben Chemical compound CCOC(=O)C1=CC=C(O)C=C1 NUVBSKCKDOMJSU-UHFFFAOYSA-N 0.000 description 1
- 238000011156 evaluation Methods 0.000 description 1
- 238000002474 experimental method Methods 0.000 description 1
- 239000003925 fat Substances 0.000 description 1
- 235000019197 fats Nutrition 0.000 description 1
- 229960002428 fentanyl Drugs 0.000 description 1
- IVLVTNPOHDFFCJ-UHFFFAOYSA-N fentanyl citrate Chemical compound OC(=O)CC(O)(C(O)=O)CC(O)=O.C=1C=CC=CC=1N(C(=O)CC)C(CC1)CCN1CCC1=CC=CC=C1 IVLVTNPOHDFFCJ-UHFFFAOYSA-N 0.000 description 1
- 239000000945 filler Substances 0.000 description 1
- 238000001914 filtration Methods 0.000 description 1
- 229940013317 fish oils Drugs 0.000 description 1
- 229960002074 flutamide Drugs 0.000 description 1
- MKXKFYHWDHIYRV-UHFFFAOYSA-N flutamide Chemical compound CC(C)C(=O)NC1=CC=C([N+]([O-])=O)C(C(F)(F)F)=C1 MKXKFYHWDHIYRV-UHFFFAOYSA-N 0.000 description 1
- 210000001035 gastrointestinal tract Anatomy 0.000 description 1
- 239000003862 glucocorticoid Substances 0.000 description 1
- 125000005456 glyceride group Chemical group 0.000 description 1
- 150000002334 glycols Chemical class 0.000 description 1
- 239000003102 growth factor Substances 0.000 description 1
- 235000010417 guar gum Nutrition 0.000 description 1
- 239000000665 guar gum Substances 0.000 description 1
- 229960002154 guar gum Drugs 0.000 description 1
- 230000003648 hair appearance Effects 0.000 description 1
- 230000003054 hormonal effect Effects 0.000 description 1
- 229940045644 human calcitonin Drugs 0.000 description 1
- WJRBRSLFGCUECM-UHFFFAOYSA-N hydantoin Chemical compound O=C1CNC(=O)N1 WJRBRSLFGCUECM-UHFFFAOYSA-N 0.000 description 1
- 229940091173 hydantoin Drugs 0.000 description 1
- 229960000890 hydrocortisone Drugs 0.000 description 1
- 239000000017 hydrogel Substances 0.000 description 1
- 239000001257 hydrogen Substances 0.000 description 1
- 150000001261 hydroxy acids Chemical class 0.000 description 1
- 229920003132 hydroxypropyl methylcellulose phthalate Polymers 0.000 description 1
- 229940031704 hydroxypropyl methylcellulose phthalate Drugs 0.000 description 1
- 230000028993 immune response Effects 0.000 description 1
- 238000011534 incubation Methods 0.000 description 1
- 230000004054 inflammatory process Effects 0.000 description 1
- 230000002401 inhibitory effect Effects 0.000 description 1
- 230000003993 interaction Effects 0.000 description 1
- 229940079322 interferon Drugs 0.000 description 1
- 229940076144 interleukin-10 Drugs 0.000 description 1
- 239000003456 ion exchange resin Substances 0.000 description 1
- 229920003303 ion-exchange polymer Polymers 0.000 description 1
- 230000007794 irritation Effects 0.000 description 1
- QXJSBBXBKPUZAA-UHFFFAOYSA-N isooleic acid Natural products CCCCCCCC=CCCCCCCCCC(O)=O QXJSBBXBKPUZAA-UHFFFAOYSA-N 0.000 description 1
- 229960005280 isotretinoin Drugs 0.000 description 1
- 229960004130 itraconazole Drugs 0.000 description 1
- 229960004125 ketoconazole Drugs 0.000 description 1
- BWHLPLXXIDYSNW-UHFFFAOYSA-N ketorolac tromethamine Chemical compound OCC(N)(CO)CO.OC(=O)C1CCN2C1=CC=C2C(=O)C1=CC=CC=C1 BWHLPLXXIDYSNW-UHFFFAOYSA-N 0.000 description 1
- 229950008325 levothyroxine Drugs 0.000 description 1
- 230000000670 limiting effect Effects 0.000 description 1
- 150000002632 lipids Chemical class 0.000 description 1
- 235000010187 litholrubine BK Nutrition 0.000 description 1
- 230000004807 localization Effects 0.000 description 1
- 231100000053 low toxicity Toxicity 0.000 description 1
- 239000010687 lubricating oil Substances 0.000 description 1
- 230000003529 luteolytic effect Effects 0.000 description 1
- 159000000003 magnesium salts Chemical class 0.000 description 1
- 229910052943 magnesium sulfate Inorganic materials 0.000 description 1
- 239000000463 material Substances 0.000 description 1
- 230000007246 mechanism Effects 0.000 description 1
- 230000008018 melting Effects 0.000 description 1
- 239000001525 mentha piperita l. herb oil Substances 0.000 description 1
- HNQIVZYLYMDVSB-UHFFFAOYSA-N methanesulfonimidic acid Chemical compound CS(N)(=O)=O HNQIVZYLYMDVSB-UHFFFAOYSA-N 0.000 description 1
- 229930182817 methionine Natural products 0.000 description 1
- 235000006109 methionine Nutrition 0.000 description 1
- 235000010981 methylcellulose Nutrition 0.000 description 1
- 239000001923 methylcellulose Substances 0.000 description 1
- 239000012184 mineral wax Substances 0.000 description 1
- 238000002156 mixing Methods 0.000 description 1
- 238000012986 modification Methods 0.000 description 1
- 230000004048 modification Effects 0.000 description 1
- 229960002744 mometasone furoate Drugs 0.000 description 1
- WOFMFGQZHJDGCX-ZULDAHANSA-N mometasone furoate Chemical compound O([C@]1([C@@]2(C)C[C@H](O)[C@]3(Cl)[C@@]4(C)C=CC(=O)C=C4CC[C@H]3[C@@H]2C[C@H]1C)C(=O)CCl)C(=O)C1=CC=CO1 WOFMFGQZHJDGCX-ZULDAHANSA-N 0.000 description 1
- 238000012544 monitoring process Methods 0.000 description 1
- 125000002757 morpholinyl group Chemical group 0.000 description 1
- BOUCRWJEKAGKKG-UHFFFAOYSA-N n-[3-(diethylaminomethyl)-4-hydroxyphenyl]acetamide Chemical compound CCN(CC)CC1=CC(NC(C)=O)=CC=C1O BOUCRWJEKAGKKG-UHFFFAOYSA-N 0.000 description 1
- 125000001624 naphthyl group Chemical group 0.000 description 1
- 150000002825 nitriles Chemical group 0.000 description 1
- 125000004433 nitrogen atom Chemical group N* 0.000 description 1
- UEHLXXJAWYWUGI-UHFFFAOYSA-M nitromersol Chemical compound CC1=CC=C([N+]([O-])=O)C2=C1O[Hg]2 UEHLXXJAWYWUGI-UHFFFAOYSA-M 0.000 description 1
- 229940118238 nitromersol Drugs 0.000 description 1
- 239000000041 non-steroidal anti-inflammatory agent Substances 0.000 description 1
- 238000011580 nude mouse model Methods 0.000 description 1
- 229940100243 oleanolic acid Drugs 0.000 description 1
- ZQPPMHVWECSIRJ-KTKRTIGZSA-N oleic acid Chemical compound CCCCCCCC\C=C/CCCCCCCC(O)=O ZQPPMHVWECSIRJ-KTKRTIGZSA-N 0.000 description 1
- 239000004006 olive oil Substances 0.000 description 1
- 235000008390 olive oil Nutrition 0.000 description 1
- 239000006186 oral dosage form Substances 0.000 description 1
- 229910052760 oxygen Inorganic materials 0.000 description 1
- 230000036407 pain Effects 0.000 description 1
- 239000000199 parathyroid hormone Substances 0.000 description 1
- 229960001319 parathyroid hormone Drugs 0.000 description 1
- 238000007911 parenteral administration Methods 0.000 description 1
- 239000000312 peanut oil Substances 0.000 description 1
- 235000019477 peppermint oil Nutrition 0.000 description 1
- 230000002093 peripheral effect Effects 0.000 description 1
- 239000012169 petroleum derived wax Substances 0.000 description 1
- 235000019381 petroleum wax Nutrition 0.000 description 1
- 239000000546 pharmaceutical excipient Substances 0.000 description 1
- 229960003531 phenolsulfonphthalein Drugs 0.000 description 1
- WVDDGKGOMKODPV-ZQBYOMGUSA-N phenyl(114C)methanol Chemical compound O[14CH2]C1=CC=CC=C1 WVDDGKGOMKODPV-ZQBYOMGUSA-N 0.000 description 1
- 229940096826 phenylmercuric acetate Drugs 0.000 description 1
- 229960002036 phenytoin Drugs 0.000 description 1
- ZYIBVBKZZZDFOY-UHFFFAOYSA-N phloxine O Chemical compound O1C(=O)C(C(=C(Cl)C(Cl)=C2Cl)Cl)=C2C21C1=CC(Br)=C(O)C(Br)=C1OC1=C(Br)C(O)=C(Br)C=C21 ZYIBVBKZZZDFOY-UHFFFAOYSA-N 0.000 description 1
- 150000008105 phosphatidylcholines Chemical class 0.000 description 1
- 150000003904 phospholipids Chemical class 0.000 description 1
- 239000002504 physiological saline solution Substances 0.000 description 1
- 230000019612 pigmentation Effects 0.000 description 1
- 239000013612 plasmid Substances 0.000 description 1
- 229920005862 polyol Polymers 0.000 description 1
- 150000003077 polyols Chemical class 0.000 description 1
- 235000010482 polyoxyethylene sorbitan monooleate Nutrition 0.000 description 1
- 239000000244 polyoxyethylene sorbitan monooleate Substances 0.000 description 1
- 229920001296 polysiloxane Polymers 0.000 description 1
- 229920000136 polysorbate Polymers 0.000 description 1
- 229940068968 polysorbate 80 Drugs 0.000 description 1
- 229920000053 polysorbate 80 Polymers 0.000 description 1
- 229920002635 polyurethane Polymers 0.000 description 1
- 239000004814 polyurethane Substances 0.000 description 1
- 229920002689 polyvinyl acetate Polymers 0.000 description 1
- 239000011118 polyvinyl acetate Substances 0.000 description 1
- 229940100467 polyvinyl acetate phthalate Drugs 0.000 description 1
- 235000013809 polyvinylpolypyrrolidone Nutrition 0.000 description 1
- 229920000523 polyvinylpolypyrrolidone Polymers 0.000 description 1
- 239000001267 polyvinylpyrrolidone Substances 0.000 description 1
- 229920000036 polyvinylpyrrolidone Polymers 0.000 description 1
- 235000013855 polyvinylpyrrolidone Nutrition 0.000 description 1
- 239000013641 positive control Substances 0.000 description 1
- 235000011056 potassium acetate Nutrition 0.000 description 1
- RMGVATURDVPNOZ-UHFFFAOYSA-M potassium;hexadecyl hydrogen phosphate Chemical compound [K+].CCCCCCCCCCCCCCCCOP(O)([O-])=O RMGVATURDVPNOZ-UHFFFAOYSA-M 0.000 description 1
- 229920001592 potato starch Polymers 0.000 description 1
- 230000003389 potentiating effect Effects 0.000 description 1
- 108090000765 processed proteins & peptides Proteins 0.000 description 1
- 230000035755 proliferation Effects 0.000 description 1
- 229940117382 propecia Drugs 0.000 description 1
- 238000011321 prophylaxis Methods 0.000 description 1
- 125000001436 propyl group Chemical group [H]C([*])([H])C([H])([H])C([H])([H])[H] 0.000 description 1
- HZLWUYJLOIAQFC-UHFFFAOYSA-N prosapogenin PS-A Natural products C12CC(C)(C)CCC2(C(O)=O)CCC(C2(CCC3C4(C)C)C)(C)C1=CCC2C3(C)CCC4OC1OCC(O)C(O)C1O HZLWUYJLOIAQFC-UHFFFAOYSA-N 0.000 description 1
- MYHXHCUNDDAEOZ-FOSBLDSVSA-N prostaglandin A2 Chemical compound CCCCC[C@H](O)\C=C\[C@H]1C=CC(=O)[C@@H]1C\C=C/CCCC(O)=O MYHXHCUNDDAEOZ-FOSBLDSVSA-N 0.000 description 1
- PRFXRIUZNKLRHM-HKVRTXJWSA-N prostaglandin B2 Chemical compound CCCCC[C@H](O)\C=C\C1=C(C\C=C/CCCC(O)=O)C(=O)CC1 PRFXRIUZNKLRHM-HKVRTXJWSA-N 0.000 description 1
- GMVPRGQOIOIIMI-DWKJAMRDSA-N prostaglandin E1 Chemical compound CCCCC[C@H](O)\C=C\[C@H]1[C@H](O)CC(=O)[C@@H]1CCCCCCC(O)=O GMVPRGQOIOIIMI-DWKJAMRDSA-N 0.000 description 1
- 239000002599 prostaglandin synthase inhibitor Substances 0.000 description 1
- 238000000159 protein binding assay Methods 0.000 description 1
- 125000000561 purinyl group Chemical group N1=C(N=C2N=CNC2=C1)* 0.000 description 1
- 125000000714 pyrimidinyl group Chemical group 0.000 description 1
- 238000011002 quantification Methods 0.000 description 1
- 230000009467 reduction Effects 0.000 description 1
- 230000002829 reductive effect Effects 0.000 description 1
- 230000001105 regulatory effect Effects 0.000 description 1
- 238000011160 research Methods 0.000 description 1
- 229960001755 resorcinol Drugs 0.000 description 1
- 238000012552 review Methods 0.000 description 1
- PYWVYCXTNDRMGF-UHFFFAOYSA-N rhodamine B Chemical compound [Cl-].C=12C=CC(=[N+](CC)CC)C=C2OC2=CC(N(CC)CC)=CC=C2C=1C1=CC=CC=C1C(O)=O PYWVYCXTNDRMGF-UHFFFAOYSA-N 0.000 description 1
- 229940107889 rogaine Drugs 0.000 description 1
- 108010068072 salmon calcitonin Proteins 0.000 description 1
- 229930182490 saponin Natural products 0.000 description 1
- 150000007949 saponins Chemical class 0.000 description 1
- 235000017709 saponins Nutrition 0.000 description 1
- 229930195734 saturated hydrocarbon Natural products 0.000 description 1
- VIDTVPHHDGRGAF-UHFFFAOYSA-N selenium sulfide Chemical compound [Se]=S VIDTVPHHDGRGAF-UHFFFAOYSA-N 0.000 description 1
- 229960005265 selenium sulfide Drugs 0.000 description 1
- 238000007086 side reaction Methods 0.000 description 1
- 230000019491 signal transduction Effects 0.000 description 1
- 229940083037 simethicone Drugs 0.000 description 1
- 230000016160 smooth muscle contraction Effects 0.000 description 1
- 239000011734 sodium Substances 0.000 description 1
- 229910052708 sodium Inorganic materials 0.000 description 1
- 235000010413 sodium alginate Nutrition 0.000 description 1
- 239000000661 sodium alginate Substances 0.000 description 1
- 229940005550 sodium alginate Drugs 0.000 description 1
- WXMKPNITSTVMEF-UHFFFAOYSA-M sodium benzoate Chemical class [Na+].[O-]C(=O)C1=CC=CC=C1 WXMKPNITSTVMEF-UHFFFAOYSA-M 0.000 description 1
- 239000004299 sodium benzoate Chemical class 0.000 description 1
- 235000010234 sodium benzoate Nutrition 0.000 description 1
- 229960003885 sodium benzoate Drugs 0.000 description 1
- 235000019333 sodium laurylsulphate Nutrition 0.000 description 1
- 159000000000 sodium salts Chemical class 0.000 description 1
- 229940080313 sodium starch Drugs 0.000 description 1
- 229920003109 sodium starch glycolate Polymers 0.000 description 1
- 239000008109 sodium starch glycolate Substances 0.000 description 1
- 229940079832 sodium starch glycolate Drugs 0.000 description 1
- 239000008247 solid mixture Substances 0.000 description 1
- 235000010199 sorbic acid Nutrition 0.000 description 1
- 239000004334 sorbic acid Substances 0.000 description 1
- 229940075582 sorbic acid Drugs 0.000 description 1
- 125000003003 spiro group Chemical group 0.000 description 1
- 238000012453 sprague-dawley rat model Methods 0.000 description 1
- 229920003048 styrene butadiene rubber Polymers 0.000 description 1
- 239000006228 supernatant Substances 0.000 description 1
- 238000013268 sustained release Methods 0.000 description 1
- 239000012730 sustained-release form Substances 0.000 description 1
- 239000006188 syrup Substances 0.000 description 1
- 235000020357 syrup Nutrition 0.000 description 1
- 238000012385 systemic delivery Methods 0.000 description 1
- 229940037128 systemic glucocorticoids Drugs 0.000 description 1
- 229960000565 tazarotene Drugs 0.000 description 1
- 229940126585 therapeutic drug Drugs 0.000 description 1
- 230000001225 therapeutic effect Effects 0.000 description 1
- 125000000335 thiazolyl group Chemical group 0.000 description 1
- RTKIYNMVFMVABJ-UHFFFAOYSA-L thimerosal Chemical compound [Na+].CC[Hg]SC1=CC=CC=C1C([O-])=O RTKIYNMVFMVABJ-UHFFFAOYSA-L 0.000 description 1
- 229940033663 thimerosal Drugs 0.000 description 1
- 230000036962 time dependent Effects 0.000 description 1
- 229940098465 tincture Drugs 0.000 description 1
- OGIDPMRJRNCKJF-UHFFFAOYSA-N titanium oxide Inorganic materials [Ti]=O OGIDPMRJRNCKJF-UHFFFAOYSA-N 0.000 description 1
- 235000010487 tragacanth Nutrition 0.000 description 1
- 239000000196 tragacanth Substances 0.000 description 1
- 229940116362 tragacanth Drugs 0.000 description 1
- 230000037317 transdermal delivery Effects 0.000 description 1
- 238000013271 transdermal drug delivery Methods 0.000 description 1
- 229960003500 triclosan Drugs 0.000 description 1
- 125000004044 trifluoroacetyl group Chemical group FC(C(=O)*)(F)F 0.000 description 1
- 125000002023 trifluoromethyl group Chemical group FC(F)(F)* 0.000 description 1
- LENZDBCJOHFCAS-UHFFFAOYSA-N tris Chemical compound OCC(N)(CO)CO LENZDBCJOHFCAS-UHFFFAOYSA-N 0.000 description 1
- 229940046728 tumor necrosis factor alpha inhibitor Drugs 0.000 description 1
- 239000002451 tumor necrosis factor inhibitor Substances 0.000 description 1
- 229910052721 tungsten Inorganic materials 0.000 description 1
- 235000013799 ultramarine blue Nutrition 0.000 description 1
- 150000004670 unsaturated fatty acids Chemical class 0.000 description 1
- 235000021122 unsaturated fatty acids Nutrition 0.000 description 1
- 229930195735 unsaturated hydrocarbon Natural products 0.000 description 1
- 229940096998 ursolic acid Drugs 0.000 description 1
- PLSAJKYPRJGMHO-UHFFFAOYSA-N ursolic acid Natural products CC1CCC2(CCC3(C)C(C=CC4C5(C)CCC(O)C(C)(C)C5CCC34C)C2C1C)C(=O)O PLSAJKYPRJGMHO-UHFFFAOYSA-N 0.000 description 1
- 235000015112 vegetable and seed oil Nutrition 0.000 description 1
- 239000008158 vegetable oil Substances 0.000 description 1
- 239000012178 vegetable wax Substances 0.000 description 1
- 235000013343 vitamin Nutrition 0.000 description 1
- 239000011782 vitamin Substances 0.000 description 1
- 229930003231 vitamin Natural products 0.000 description 1
- 229940088594 vitamin Drugs 0.000 description 1
- 235000019166 vitamin D Nutrition 0.000 description 1
- 239000011710 vitamin D Substances 0.000 description 1
- 150000003710 vitamin D derivatives Chemical class 0.000 description 1
- 229940046008 vitamin d Drugs 0.000 description 1
- 235000010493 xanthan gum Nutrition 0.000 description 1
- 239000000230 xanthan gum Substances 0.000 description 1
- 229920001285 xanthan gum Polymers 0.000 description 1
- 229940082509 xanthan gum Drugs 0.000 description 1
- 229940043810 zinc pyrithione Drugs 0.000 description 1
- PICXIOQBANWBIZ-UHFFFAOYSA-N zinc;1-oxidopyridine-2-thione Chemical compound [Zn+2].[O-]N1C=CC=CC1=S.[O-]N1C=CC=CC1=S PICXIOQBANWBIZ-UHFFFAOYSA-N 0.000 description 1
- 229930007845 β-thujaplicin Natural products 0.000 description 1
Classifications
-
- A—HUMAN NECESSITIES
- A61—MEDICAL OR VETERINARY SCIENCE; HYGIENE
- A61Q—SPECIFIC USE OF COSMETICS OR SIMILAR TOILETRY PREPARATIONS
- A61Q7/00—Preparations for affecting hair growth
-
- A—HUMAN NECESSITIES
- A61—MEDICAL OR VETERINARY SCIENCE; HYGIENE
- A61K—PREPARATIONS FOR MEDICAL, DENTAL OR TOILETRY PURPOSES
- A61K31/00—Medicinal preparations containing organic active ingredients
- A61K31/557—Eicosanoids, e.g. leukotrienes or prostaglandins
- A61K31/5575—Eicosanoids, e.g. leukotrienes or prostaglandins having a cyclopentane, e.g. prostaglandin E2, prostaglandin F2-alpha
-
- A—HUMAN NECESSITIES
- A61—MEDICAL OR VETERINARY SCIENCE; HYGIENE
- A61K—PREPARATIONS FOR MEDICAL, DENTAL OR TOILETRY PURPOSES
- A61K8/00—Cosmetics or similar toiletry preparations
- A61K8/18—Cosmetics or similar toiletry preparations characterised by the composition
- A61K8/30—Cosmetics or similar toiletry preparations characterised by the composition containing organic compounds
- A61K8/33—Cosmetics or similar toiletry preparations characterised by the composition containing organic compounds containing oxygen
- A61K8/36—Carboxylic acids; Salts or anhydrides thereof
- A61K8/365—Hydroxycarboxylic acids; Ketocarboxylic acids
-
- A—HUMAN NECESSITIES
- A61—MEDICAL OR VETERINARY SCIENCE; HYGIENE
- A61K—PREPARATIONS FOR MEDICAL, DENTAL OR TOILETRY PURPOSES
- A61K8/00—Cosmetics or similar toiletry preparations
- A61K8/18—Cosmetics or similar toiletry preparations characterised by the composition
- A61K8/30—Cosmetics or similar toiletry preparations characterised by the composition containing organic compounds
- A61K8/46—Cosmetics or similar toiletry preparations characterised by the composition containing organic compounds containing sulfur
-
- A—HUMAN NECESSITIES
- A61—MEDICAL OR VETERINARY SCIENCE; HYGIENE
- A61P—SPECIFIC THERAPEUTIC ACTIVITY OF CHEMICAL COMPOUNDS OR MEDICINAL PREPARATIONS
- A61P17/00—Drugs for dermatological disorders
- A61P17/14—Drugs for dermatological disorders for baldness or alopecia
-
- A—HUMAN NECESSITIES
- A61—MEDICAL OR VETERINARY SCIENCE; HYGIENE
- A61P—SPECIFIC THERAPEUTIC ACTIVITY OF CHEMICAL COMPOUNDS OR MEDICINAL PREPARATIONS
- A61P43/00—Drugs for specific purposes, not provided for in groups A61P1/00-A61P41/00
Definitions
- This invention relates to compositions and methods for treating hair loss in mammals. More particularly, this invention relates to compositions and methods for arresting or reversing hair loss, or both, and promoting hair growth.
- Hair loss is a common problem which is, for example, naturally occurring or chemically promoted through the use of certain therapeutic drugs designed to alleviate conditions such as cancer. Often such hair loss is accompanied by lack of hair re-growth which causes partial or full baldness.
- Hair growth on the scalp does not occur continuously, but rather occurs by a cycle of activity involving alternating periods of growth and rest.
- This cycle is divided into three main stages; anagen, catagen, and telogen.
- Anagen is the growth phase of the cycle and is characterized by penetration of the hair follicle deep into the dermis with rapid proliferation of cells which are differentiating to form hair.
- the next phase is catagen, which is a transitional stage marked by the cessation of cell division, and during which the hair follicle regresses through the dermis and hair growth ceases.
- the next phase, telogen is characterized as the resting stage during which the regressed follicle contains a germ with tightly packed dermal papilla cells.
- telogen the initiation of a new anagen phase is caused by rapid cell proliferation in the germ, expansion of the dermal papilla, and elaboration of basement membrane components.
- hair growth ceases, most of the hair follicles reside in telogen and anagen is not engaged, thus causing the onset of full or partial baldness.
- T4 The thyroid hormone thyroxine
- T3 thyronine
- Selenium deficiency causes a decrease in T3 levels due to a decrease in deiodinase I activity; this reduction in T3 levels is strongly associated with hair loss.
- hair growth is a reported side effect of administration of T4. See, e.g., Berman, “Peripheral Effects of L-Thyroxine on Hair Growth and Coloration in Cattle”, Journal of Endocrinology, Vol. 20, pp.
- T3 and T4 have been the subject of several patent publications relating to treatment of hair loss. See, e.g., Fischer et al., DE 1,617,477, published Jan. 8, 1970; Mortimer, GB 2,138,286, published Oct. 24, 1984; and Lindenbaum, WO 96/25943, assigned to Life Medical Sciences, Inc., published Aug. 29, 1996.
- T3 or T4 to treat hair loss is often not practicable because these thyroid hormones can induce significant cardiotoxicity. See, e.g., Walker et al., U.S. Pat. No. 5,284,971, assigned to Syntex, issued Feb. 8, 1994 and Emmett et al., U.S. Pat. No. 5,061,798, assigned to Smith Kline & French Laboratories, issued Oct. 29, 1991.
- prostaglandins have been proposed to promote hair growth because prostaglandins may have a similar benefit to thyroid hormones, i.e., increasing hair length and changing pigmentation.
- Naturally occurring prostaglandins e.g., PGA 2 , PGB 2 , PGE 1 , PGF 2 ⁇ , and PGI 2
- PGF 2 ⁇ the naturally occurring Prostaglandin F analog in humans, is characterized by hydroxyl groups at the C9 and C11 positions on the alicyclic ring, a cis-double bond between C5 and C6, and a trans-double bond between C 13 and C 14.
- PGF 2 ⁇ has the formula:
- PGE 2 has the following properties: a) regulator of cell proliferation, b) regulator of cytokine synthesis, c) regulator of immune responses and d) inducer of vasodilatation.
- Vasodilatation is thought to be one of the mechanisms of how minoxidil provides a hair growth benefit.
- In vitro results in the literature also indicate some anti-inflammatory properties of the prostaglandins. c.f.; Tanaka, H., Br J. Pharm., 116, 2298, (1995).
- prostaglandins to promote hair growth have been unsuccessful.
- Different prostaglandin analogs can bind to multiple receptors at various concentrations with a biphasic effect.
- administration of naturally occurring prostaglandins can cause side effects such as inflammation, surface irritation, smooth muscle contraction, pain, and bronchoconstriction. Therefore, it is an object of this invention to provide methods for using prostaglandin analogs to grow hair and to provide compositions that promote hair growth in humans and lower animals. It is a further object of this invention to provide a selection of appropriate prostaglandin analogs that will promote hair growth and that do not cause significant undesirable side effects.
- compositions and methods for treating hair loss comprise administering the compositions comprising specific prostaglandin F analogs that interact strongly with hair-selective receptors, such as the FP receptor.
- the choice of prostaglandin F analog is important because it must selectively activate the FP receptor and not activate any other receptors that would negate the effect of activating the FP receptor.
- the compositions comprise: component A) the prostaglandin F analog, component B) a carrier, and optionally component C) an activity enhancer.
- PEF's Suitable prostaglandin F analogs
- R 1 is preferably CO 2 H or CO 2 CH 3 ;
- R 2 is preferably H;
- R 3 and R 4 are preferably H or CH 3 ;
- X is preferably OH;
- Y is selected from the group consisting of a divalent hydrocarbon group, O, S, S(O), S(O) 2 , and NR 11 , wherein R 11 is preferably a hydrogen atom or a methyl group; and
- Z is preferably thienyl or phenyl.
- Other suitable PGF's are pharmaceutically acceptable salts, hydrates, and biohydrolyzable amides, esters, and imides of the general formula above.
- Optical isomers, diastereomers, and enantiomers of the structure described above are also suitable for this invention. At all stereocenters where stereochemistry is not defined (i.e., C11, C12, C15, and C16), both epimers are envisioned with the epimer that corresponds to the naturally-occurring one being preferred.
- This invention relates to compositions comprising prostaglandin F analogs (“PGF's”) to treat hair loss in mammals.
- PPF's prostaglandin F analogs
- Treating hair loss includes arresting hair loss or reversing hair loss, or both, and promoting hair growth.
- Activate means binding and signal transduction of a receptor.
- acyl group means a monovalent group suitable for acylating a nitrogen atom to form an amide or carbamate, an alcohol to form a carbonate, or an oxygen atom to form an ester group.
- Preferred acyl groups include benzoyl, acetyl, tert-butyl acetyl, para-phenyl benzoyl, and trifluoroacetyl. More preferred acyl groups include acetyl and benzoyl. The most preferred acyl group is acetyl.
- “Aromatic group” means a monovalent group having a monocyclic ring structure or fused bicyclic ring structure.
- Monocyclic aromatic groups contain 5 to 10 carbon atoms, preferably 5 to 7 carbon atoms, and more preferably 5 to 6 carbon atoms in the ring.
- Bicyclic aromatic groups contain 8 to 12 carbon atoms, preferably 9 or 10 carbon atoms in the ring.
- Aromatic groups are unsubstituted. The most preferred aromatic group is phenyl.
- Carbocyclic group means a monovalent saturated or unsaturated hydrocarbon ring.
- Carbocyclic groups are monocyclic, or are fused, spiro, or bridged bicyclic ring systems.
- Monocyclic carbocyclic groups contain 4 to 10 carbon atoms, preferably 4 to 7 carbon atoms, and more preferably 5 to 6 carbon atoms in the ring.
- Bicyclic carbocyclic groups contain 8 to 12 carbon atoms, preferably 9 to 10 carbon atoms in the ring.
- Carbocyclic groups are unsubstituted.
- Preferred carbocyclic groups include cyclopentyl, cyclohexyl, cyclohexenyl, cycloheptyl, and cyclooctyl. More preferred carbocyclic groups include cyclohexyl, cycloheptyl, and cyclooctyl. The most preferred carbocyclic group is cycloheptyl. Carbocyclic groups are not aromatic.
- Cyano group means a group containing a nitrile functionality.
- FP agonist means a compound that activates the FP receptor.
- FP receptor means known human FP receptors, their splice variants, and undescribed receptors that have similar binding and activation profiles as the known human FP receptors. “FP” means the receptor is of the class which has the highest affinity for PGF 2 ⁇ of all the naturally occurring prostaglandins. FP refers to a known protein.
- Halogen atom means F, Cl, Br, or I.
- the halogen atom is F, Cl, or Br; more preferably Cl or F; and most preferably F.
- Halogenated heterogenous group means a substituted heterogenous group or a substituted heterocyclic group, wherein at least one substituent is a halogen atom.
- Halogenated heterogenous groups can have a straight, branched, or cyclic structure.
- Preferred halogenated heterogenous groups have 1 to 12 carbon atoms, more preferably 1 to 6 carbon atoms, and most preferably 1 to 3 carbon atoms.
- Preferred halogen atom substituents are Cl and F.
- Halogenated hydrocarbon group means a substituted monovalent hydrocarbon group or a substituted carbocyclic group, wherein at least one substituent is a halogen atom.
- Halogenated hydrocarbon groups can have a straight, branched, or cyclic structure.
- Preferred halogenated hydrocarbon groups have 1 to 12 carbon atoms, more preferably 1 to 6 carbon atoms, and most preferably 1 to 3 carbon atoms.
- Preferred halogen atom substituents are Cl and F.
- the most preferred halogenated hydrocarbon group is trifluoromethyl.
- Heteroaromatic group means an aromatic ring containing carbon and 1 to 4 heteroatoms in the ring. Heteroaromatic groups are monocyclic or fused bicyclic rings. Monocyclic heteroaromatic groups contain 5 to 10 member atoms (i.e., carbon and heteroatoms), preferably 5 to 7, and more preferably 5 to 6 in the ring. Bicyclic heteroaromatic rings contain 8 to 12 member atoms, preferably 9 or 10 in the ring. Heteroaromatic groups are unsubstituted. Preferred heteroaromatic groups include thienyl, thiazolyl, purinyl, pyrimidyl, pyridyl, and furanyl. More preferred heteroaromatic groups include thienyl, furanyl, and pyridyl. The most preferred heteroaromatic group is thienyl.
- Heteroatom means an atom other than carbon in the ring of a heterocyclic group or the chain of a heterogeneous group.
- heteroatoms are selected from the group consisting of nitrogen, sulfur, and oxygen atoms.
- Groups containing more than one heteroatom may contain different heteroatoms.
- Heterocyclic group means a saturated or unsaturated ring structure containing carbon and 1 to 4 heteroatoms in the ring. No two heteroatoms are adjacent in the ring. Heterocyclic groups are not aromatic. Heterocyclic groups are monocyclic, or are fused or bridged bicyclic ring systems. Monocyclic heterocyclic groups contain 4 to 10 member atoms (i.e., including both carbon atoms and at least 1 heteroatom), preferably 4 to 7, and more preferably 5 to 6 in the ring. Bicyclic heterocyclic groups contain 8 to 12 member atoms, preferably 9 or 10 in the ring. Heterocyclic groups are unsubstituted. Preferred heterocyclic groups include piperzyl, morpholinyl, tetrahydrofuranyl, tetrahydropyranyl, and piperdyl.
- Heterogeneous group means a saturated or unsaturated chain containing 1 to 18 member atoms (i.e., including both carbon and at least one heteroatom). No two heteroatoms are adjacent. Preferably, the chain contains 1 to 12 member atoms, more preferably 1 to 6, and most preferably 1 to 4. The chain may be straight or branched. Preferred branched heterogeneous groups have one or two branches, preferably one branch. Preferred heterogeneous groups are saturated. Unsaturated heterogeneous groups have one or more double bonds, one or more triple bonds, or both. Preferred unsaturated heterogeneous groups have one or two double bonds or one triple bond. More preferably, the unsaturated heterogeneous group has one double bond. Heterogeneous groups are unsubstituted.
- “Monovalent hydrocarbon group” means a chain of 1 to 18 carbon atoms, preferably 1 to 12 carbon atoms.
- “Lower monovalent hydrocarbon group” means a monovalent hydrocarbon group having 1 to 6, preferably 1 to 4 carbon atoms.
- Monovalent hydrocarbon groups may have a straight chain or branched chain structure.
- Preferred monovalent hydrocarbon groups have one or two branches, preferably 1 branch.
- Preferred monovalent hydrocarbon groups are saturated.
- Unsaturated monovalent hydrocarbon groups have one or more double bonds, one or more triple bonds, or combinations thereof.
- Preferred unsaturated monovalent hydrocarbon groups have one or two double bonds or one triple bond; more preferred unsaturated monovalent hydrocarbon groups have one double bond.
- “Pharmaceutically acceptable” means suitable for use in a human or other mammal.
- PEF means a prostaglandin F analog
- Prostaglandin means a fatty acid derivative which has a variety of potent biological activities of a hormonal or regulatory nature.
- Protecting group is a group that replaces the active hydrogen of a hydroxyl moiety thus preventing undesired side reaction at the hydroxyl moiety.
- Use of protecting groups in organic synthesis is well known in the art. Examples of protecting groups are found in Chapter 2 Protecting Groups in Organic Synthesis by Greene, T. W. and Wuts, P. G. M., 2 nd ed., Wiley & Sons, Inc., 1991.
- Preferred protecting groups include silyl ethers, alkoxymethyl ethers, tetrahydropyranyl, tetrahydrofuranyl, esters, and substituted or unsubstituted benzyl ethers.
- Safe and effective amount means a quantity of a prostaglandin high enough to provide a significant positive modification of the subject's condition to be treated, but low enough to avoid serious side effects (at a reasonable benefit/risk ratio).
- “Selective” means having a binding or activation preference for a specific receptor over other receptors which can be quantitated based upon receptor binding or activation assays.
- Subject means a living, vertebrate, hair- or fur-bearing animal such as a mammal (preferably human) in need of treatment.
- “Substituted aromatic group” means an aromatic group wherein 1 to 4 of the hydrogen atoms bonded to carbon atoms in the ring have been replaced with other substituents.
- Preferred substituents include: halogen atoms, cyano groups, monovalent hydrocarbon groups, substituted monovalent hydrocarbon groups, heterogeneous groups, aromatic groups, substituted aromatic groups, or any combination thereof. More preferred substituents include halogen atoms, monovalent hydrocarbon groups, and substituted monovalent hydrocarbon groups.
- Preferred substituted aromatic groups include naphthyl.
- the substituents may be substituted at the ortho, meta, or para position on the ring, or any combination thereof.
- the preferred substitution pattern on the ring is ortho or meta. The most preferred substitution pattern is ortho.
- “Substituted carbocyclic group” means a carbocyclic group wherein 1 to 4 hydrogen atoms bonded to carbon atoms in the ring have been replaced with other substituents.
- Preferred substituents include: halogen atoms, cyano groups, monovalent hydrocarbon groups, monovalent heterogeneous groups, substituted monovalent hydrocarbon groups, aromatic groups, substituted aromatic groups, or any combination thereof. More preferred substituents include halogen atoms and substituted monovalent hydrocarbon groups.
- Carbocyclic group does not include aromatic rings.
- “Substituted heteroaromatic group” means a heteroaromatic group wherein 1 to 4 hydrogen atoms bonded to carbon atoms in the ring have been replaced with other substituents.
- Preferred substituents include: halogen atoms, cyano groups, monovalent hydrocarbon groups, substituted monovalent hydrocarbon groups, heterogeneous groups, substituted heterogeneous groups, phenyl groups, phenoxy groups, or any combination thereof. More preferred substituents include halogen atoms, halogenated hydrocarbon groups, halogenated heterogenous groups, monovalent hydrocarbon groups, and phenyl groups.
- “Substituted heterocyclic group” means a heterocyclic group wherein 1 to 4 hydrogen atoms bonded to carbon atoms in the ring have been replaced with other substituents.
- Preferred substituents include: halogen atoms, cyano groups, monovalent hydrocarbon groups, substituted monovalent hydrocarbon groups, heterogeneous groups, substituted heterogeneous groups, halogenated hydrocarbon groups, halogenated heterogenous groups, phenyl groups, phenoxy groups, or any combination thereof. More preferred substituents include halogen atoms and halogenated hydrocarbon groups.
- Substituted heterocyclic groups are not aromatic.
- “Substituted heterogeneous group” means a heterogeneous group, wherein 1 to 4 of the hydrogen atoms bonded to carbon atoms in the chain have been replaced with other substituents.
- Preferred substituents include halogen atoms, hydroxy groups, alkoxy groups (e.g., methoxy, ethoxy, propoxy, butoxy, and pentoxy), aryloxy groups (e.g., phenoxy, chlorophenoxy, tolyloxy, methoxyphenoxy, benzyloxy, alkyloxycarbonylphenoxy, and acyloxyphenoxy), acyloxy groups (e.g., propionyloxy, benzoyloxy, and acetoxy), carbamoyloxy groups, carboxy groups, mercapto groups, alkylthio groups, acylthio groups, arylthio groups (e.g., phenylthio, chlorophenylthio, alkylphenylthio, al
- Substituted monovalent hydrocarbon group means a monovalent hydrocarbon group wherein 1 to 4 of the hydrogen atoms bonded to carbon atoms in the chain have been replaced with other substituents.
- Preferred substituents include halogen atoms; halogenated hydrocarbon groups; halogenated heterogneous groups; alkyl groups (e.g., methyl, ethyl, propyl, and butyl); hydroxy groups; alkoxy groups (e.g., methoxy, ethoxy, propoxy, butoxy, and pentoxy); aryloxy groups (e.g., phenoxy, chlorophenoxy, tolyloxy, methoxyphenoxy, benzyloxy, alkyloxycarbonylphenoxy, and acyloxyphenoxy); acyloxy groups (e.g., propionyloxy, benzoyloxy, and acetoxy); carbamoyloxy groups; carboxy groups; mercapto groups; alkylthio groups;
- This invention relates to the use of prostaglandin F analogs (PGFs) to treat hair loss.
- PGFs prostaglandin F analogs
- “Treating hair loss” means arresting hair loss, reversing hair loss, or both, and promoting hair growth.
- Suitable PGFs for use in this invention are selected from the group consisting of PGFs having the structure:
- R 1 is selected from the group consisting of CO 2 H, C(O)NHOH, CO 2 R 5 , CH 2 OH, S(O) 2 R 5 , C(O)NHR 5 , C(O)NHS(O) 2 R 5 , and tetrazole.
- R 5 is selected from the group consisting of monovalent hydrocarbon groups, substituted monovalent hydrocarbon groups, aromatic groups, substituted aromatic groups, carbocyclic groups, substituted carbocyclic groups, heterogeneous groups, substituted heterogeneous groups, heterocyclic groups, substituted heterocyclic groups, heteroaromatic groups, and substituted heteroaromatic groups.
- R 5 is selected from the group consisting of CH 3 , C 2 H 5 , and C 3 H 7 .
- R 1 is selected from the group consisting of CO 2 H, CO 2 CH 3 , CO 2 C 2 H 5 , CO 2 C 3 H 7 , CO 2 C 4 H 9 , CO 2 C 3 H 7 O 2 , and C(O)NHS(O) 2 R 5 . More preferably, R 1 is selected from the group consisting of CO 2 H, CO 2 CH 3 , CO 2 C 2 H 5 , and CO 2 C 3 H 7 . Most preferably, R 1 is selected from the group consisting of CO 2 H, CO 2 CH 3 , and CO 2 C 3 H 7 .
- R 2 is a hydrogen atom or a lower monovalent hydrocarbon group.
- R 2 is preferably a hydrogen atom or a methyl group.
- R 3 and R 4 are each independently selected from the group consisting of H, CH 3 , C 2 H 5 , OR 10 , SR 10 , and OH; with the proviso that both R 3 and R 4 are not OH.
- R 10 is selected from the group consisting of a monovalent hydrocarbon group, a substituted monovalent hydrocarbon group, a heterogeneous group, a substituted heterogeneous group, a carbocyclic group, a substituted carbocyclic group, an aromatic group, a substituted aromatic group, a heteroaromatic group, and a substituted heteroaromatic group; with the proviso that R 10 has 1 to 8 member atoms.
- R 3 and R 4 are both hydrogen atoms.
- X is selected from the group consisting of NR 6 R 7 , OR 8 , SR 9 , S(O)R 9 , and S(O) 2 R 9 .
- X is selected from the group consisting of NR 6 R 7 and OR 8 . More preferably, X is OH.
- R 6 , R 7 , and R 8 are each independently selected from the group consisting of hydrogen atoms, acyl groups, monovalent hydrocarbon groups, substituted monovalent hydrocarbon groups, heterogeneous groups, substituted heterogeneous groups, carbocyclic groups, substituted carbocyclic groups, aromatic groups, substituted aromatic groups, heteroaromatic groups, and substituted heteroaromatic groups.
- R 6 and R 7 are selected from the group consisting of H, CH 3 , and C 2 H 5 .
- R 8 is selected from the group consisting of H, CH 3 , C 2 H 5 , and C 3 H 7 .
- R 9 is selected from the group consisting of monovalent hydrocarbon groups, substituted monovalent hydrocarbon groups, heterogeneous groups, substituted heterogeneous groups, carbocyclic groups, substituted carbocyclic groups, heterocyclic groups, substituted heterocyclic groups, aromatic groups, substituted aromatic groups, heteroaromatic groups, and substituted heteroaromatic groups.
- R 9 is selected from the group consisting of CH 3 , and C 2 H 5 .
- Y is selected from the group consisting of an oxygen atom, a divalent hydrocarbon group, a sulfur-containing moiety, and a nitrogen-containing group.
- the divalent hydrocarbon group has the formula (CH 2 ) n , wherein n is an integer with a value of 0 to 3. Preferably, n is 0, 1, or 2; more preferably, n is 1.
- the sulfur-containing moiety for Y is selected from the group consisting of a sulfur atom, S(O), and S(O) 2 .
- Y is a sulfur-containing moiety, it preferably is a sulfur atom.
- the nitrogen-containing group for Y has the formula NR 11 .
- R 11 is selected from the group consisting of a hydrogen atom, an acyl group, a monovalent hydrocarbon group, a substituted monovalent hydrocarbon group, a heterogeneous group, a substituted heterogeneous group, a carbocyclic group, a substituted carbocyclic group, a heterocyclic group, a substituted heterocyclic group, an aromatic group, a substituted aromatic group, a heteroaromatic group, and a substituted heteroaromatic group.
- R 11 is H or CH 3 .
- Z is selected from the group consisting of a carbocyclic group, a substituted carbocyclic group, a heterocyclic group, a substituted heterocyclic group, an aromatic group, a substituted aromatic group, a heteroaromatic group, and a substituted heteroaromatic group.
- Z is selected from the group consisting of a monocyclic carbocyclic group, a substituted monocyclic carbocyclic group, a monocyclic heterocyclic group, a substituted monocyclic heterocyclic group, a monocyclic aromatic group, a substituted monocyclic aromatic group, a monocyclic heteroaromatic group, and a substituted monocyclic heteroaromatic group.
- Z is selected from the group consisting of a monocyclic aromatic group, a substituted monocyclic aromatic group, a monocyclic heteroaromatic group, and a substituted monocyclic heteroaromatic group. Most preferably, Z is thienyl or phenyl.
- PGF's having the formula above wherein Y is selected from the group consisting of NR 11 , S, S(O), and S(O) 2 include:
- PGF's having the formula above wherein Y is a divalent hydrocarbon group include:
- Examples of suitable PGF's having the formula above wherein Y is an oxygen atom include:
- Suitable PGF's are known in the art. Examples of suitable PGF's and methods for their preparation are disclosed in International Published Patent Application Numbers WO 99/12895A1, WO 99/12896A1, and WO 99/12899A1, and in U.S. Pat. No. 5,977,173.
- This invention further relates to a composition for treating hair loss.
- the composition comprises A) the PGF described above and B) a carrier.
- the composition may further comprise C) one or more optional activity enhancers.
- the composition can be a pharmaceutical or cosmetic composition, administered for treatment or prophylaxis of hair loss. Standard pharmaceutical formulation techniques are used, such as those disclosed in Remington's Pharmaceutical Sciences, Mack Publishing Company, Easton, Pa. (1990).
- the composition further comprises component B) a carrier.
- Carrier means one or more compatible substances that are suitable for administration to a mammal. Carrier includes solid or liquid diluents, hydrotopes, surface-active agents, and encapsulating substances.
- Cosmetic means that the components of the composition are capable of being commingled with the PGF's, and with each other, in a manner such that there is no interaction which would substantially reduce the efficacy of the composition under ordinary use situations. Carriers must be of sufficiently high purity and sufficiently low toxicity to render them suitable for administration to the mammal being treated. The carrier can be inert, or it can possess pharmaceutical benefits, cosmetic benefits, or both.
- composition B) depends on the route by which A) the PGF will be administered and the form of the composition.
- the composition may be in a variety of forms, suitable, for example, for systemic administration (e.g., oral, rectal, nasal, sublingual, buccal, or parenteral) or topical administration directly to the locus of desired hair growth (e.g., local application on the skin, ocular, liposome delivery systems, or iontophoresis). Topical administration is preferred.
- Carriers for systemic administration typically comprise one or more ingredients selected from the group consisting of a) diluents, b) lubricants, c) binders, d) disintegrants, e) colorants, f) flavors, g) sweeteners, h) antioxidants, j) preservatives, k) glidants, m) solvents, n) suspending agents, o) surfactants, combinations thereof, and others.
- Ingredient a) is a diluent.
- Suitable diluents include sugars such as glucose, lactose, dextrose, and sucrose; polyols such as propylene glycol; calcium carbonate; sodium carbonate; glycerin; mannitol; and sorbitol.
- Ingredient b) is a lubricant.
- Suitable lubricants are exemplified by solid lubricants including silica, talc, stearic acid and its magnesium salts and calcium salts, calcium sulfate; and liquid lubricants such as polyethylene glycol and vegetable oils such as peanut oil, cottonseed oil, sesame oil, olive oil, corn oil and oil of theobroma.
- Ingredient c) is a binder.
- Suitable binders include polyvinylpyrrolidone; magnesium aluminum silicate; starches such as corn starch and potato starch; gelatin; tragacanth; and cellulose and its derivatives, such as ethyl cellulose, methylcellulose, hydroxypropylmethylcellulose, microcrystalline cellulose, and sodium carboxymethylcellulose; carbomer; providone; acacia; guar gum; and xanthan gum.
- Ingredient d) is a disintegrant.
- Suitable disintegrants include agar, alginic acid and the sodium salt thereof, effervescent mixtures, croscarmelose, crospovidone, sodium carboxymethyl starch, sodium starch glycolate, clays, and ion exchange resins.
- Ingredient e) is a colorant such as an FD&C dye.
- Ingredient f) is a flavor such as menthol, peppermint, and fruit flavors.
- Ingredient g) is a sweetener such as aspartame and saccharin.
- Ingredient h) is an antioxidant such as butylated hydroxyanisole, butylated hydroxytoluene, and vitamin E.
- Ingredient j) is a preservative such as phenol, alkyl esters of parahydroxybenzoic acid, benzoic acid and the salts thereof, boric acid and the salts thereof, sorbic acid and the salts thereof, chorbutanol, benzyl alcohol, thimerosal, phenylmercuric acetate and nitrate, nitromersol, benzalkonium chloride, cetylpyridinium chloride, methyl paraben, and propyl paraben. Particularly preferred are the salts of benzoic acid, cetylpyridinium chloride, methyl paraben and propyl paraben, and sodium benzoate.
- phenol alkyl esters of parahydroxybenzoic acid
- benzoic acid and the salts thereof boric acid and the salts thereof
- sorbic acid and the salts thereof chorbutanol
- benzyl alcohol thimerosal
- phenylmercuric acetate and nitrate nitro
- Ingredient k) is a glidant such as silicon dioxide.
- Ingredient m) is a solvent, such as water, isotonic saline, ethyl oleate, alcohols such as ethanol, glycerin, glycols (e.g., polypropylene glycol and polyethylene glycol), and buffer solutions (e.g., phosphate, potassium acetate, boric carbonic, phosphoric, succinic, malic, tartaric, citric, acetic, benzoic, lactic, glyceric, gluconic, glutaric and glutamic).
- solvent such as water, isotonic saline, ethyl oleate, alcohols such as ethanol, glycerin, glycols (e.g., polypropylene glycol and polyethylene glycol), and buffer solutions (e.g., phosphate, potassium acetate, boric carbonic, phosphoric, succinic, malic, tartaric, citric, acetic, benzoic, lactic, glyceric
- Ingredient n) is a suspending agent.
- Suitable suspending agents include AVICEL® RC-591 from FMC Corporation of Philadelphia, Pa. and sodium alginate.
- compositions for parenteral administration typically comprise A) 0.1 to 10% of a PGF and B) 90 to 99.9% of a carrier comprising a) a diluent and m) a solvent.
- a carrier comprising a) a diluent and m) a solvent.
- component a) is propylene glycol and m) is ethanol or ethyl oleate.
- compositions for oral administration can have various dosage forms.
- solid forms include tablets, capsules, granules, and bulk powders.
- These oral dosage forms comprise a safe and effective amount, usually at least 5%, and preferably from 25% to 50%, of A) the PGF.
- the oral dosage compositions further comprise B) 50 to 95% of a carrier, preferably 50 to 75%.
- Tablets can be compressed, tablet triturates, enteric-coated, sugar-coated, film-coated, or multiple-compressed. Tablets typically comprise A) the PGF, and B) a carrier comprising ingredients selected from the group consisting of a) diluents, b) lubricants, c) binders, d) disintegrants, e) colorants, f) flavors, g) sweeteners, k) glidants, and combinations thereof.
- Preferred diluents include calcium carbonate, sodium carbonate, mannitol, lactose and cellulose.
- Preferred binders include starch, gelatin, and sucrose.
- Preferred disintegrants include alginic acid, and croscarmelose.
- Preferred lubricants include magnesium stearate, stearic acid, and talc.
- Preferred colorants are the FD&C dyes, which can be added for appearance.
- Chewable tablets preferably contain g) sweeteners such as aspartame and saccharin, or f) flavors such as menthol, peppermint, and fruit flavors.
- Capsules typically comprise A) the PGF, and B) a carrier comprising one or more a) diluents disclosed above in a capsule comprising gelatin.
- Granules typically comprise A) the PGF, and preferably further comprise k) glidants such as silicon dioxide to improve flow characteristics.
- ingredients in the carrier for oral compositions depends on secondary considerations like taste, cost, and shelf stability, which are not critical for the purposes of this invention. One skilled in the art can optimize appropriate ingredients without undue experimentation.
- the solid compositions may also be coated by conventional methods, typically with pH or time-dependent coatings, such that A) the PGF is released in the gastrointestinal tract at various times to extend the desired action.
- the coatings typically comprise one or more components selected from the group consisting of cellulose acetate phthalate, polyvinylacetate phthalate, hydroxypropyl methyl cellulose phthalate, ethyl cellulose, EUDRAGIT® coatings (available from Rohm & Haas G.M.B.H. of Darmstadt, Germany), waxes and shellac.
- compositions for oral administration can also have liquid forms.
- suitable liquid forms include aqueous solutions, emulsions, suspensions, solutions reconstituted from non-effervescent granules, suspensions reconstituted from non-effervescent granules, effervescent preparations reconstituted from effervescent granules, elixirs, tinctures, syrups, and the like.
- Liquid orally administered compositions typically comprise A) the PGF and B) a carrier comprising ingredients selected from the group consisting of a) diluents, e) colorants, and f) flavors, g) sweeteners, j) preservatives, m) solvents, n) suspending agents, and o) surfactants.
- Peroral liquid compositions preferably comprise one or more ingredients selected from the group consisting of e) colorants, f) flavors, and g) sweeteners.
- compositions useful for attaining systemic delivery of the subject compounds include sublingual, buccal and nasal dosage forms.
- Such compositions typically comprise one or more of soluble filler substances such as a) diluents including sucrose, sorbitol and mannitol; and c) binders such as acacia, microcrystalline cellulose, carboxymethyl cellulose, and hydroxypropyl methyl cellulose.
- Such compositions may further comprise b) lubricants, e) colorants, f) flavors, g) sweeteners, h) antioxidants, and k) glidants.
- compositions may further comprise component C) an optional activity enhancer.
- Component C) is preferably selected from the group consisting of i) hair growth stimulants (other than the PGF) and ii) penetration enhancers.
- Component i) is an optional hair growth stimulant.
- Component i) is exemplified by vasodilators, antiandrogens, cyclosporins, cyclosporin analogs, antimicrobials, anti-inflammatories, thyroid hormones, thyroid hormone derivatives, and thyroid hormone analogs, non-selective prostaglandin agonists or antagonists, retinoids, triterpenes, combinations thereof, and others.
- “Non-selective prostaglandin” agonists and antagonists differ from component A) in that they do not selectively activate the FP receptor, and they may activate other receptors.
- Vasodilators such as potassium channel agonists including minoxidil and minoxidil derivatives such as aminexil and those described in U.S. Pat. Nos. 3,382,247, 5,756,092, 5,772,990, 5,760,043, 5,466,694, 5,438,058, 4,973,474, and cromakalin and diazoxide can be used as optional hair growth stimulants in the composition.
- Suitable antiandrogens include 5- ⁇ -reductase inhibitors such as finasteride and those described in U.S. Pat. No. 5,516,779, and in Nane et al., Cancer Research 58, “Effects of Some Novel Inhibitors of C17,20-Lyase and 5 ⁇ -Reductase in vitro and in vivo and Their Potential Role in the Treatment of Prostate Cancer,” as well as cyproterone acetate, azelaic acid and its derivatives and those compounds described in U.S. Pat. No. 5,480,913, flutamide, and those compounds described in U.S. Pat. Nos. 5,411,981, 5,565,467, and 4,910,226.
- 5- ⁇ -reductase inhibitors such as finasteride and those described in U.S. Pat. No. 5,516,779, and in Nane et al., Cancer Research 58, “Effects of Some Novel Inhibitors of C17,20
- Antimicrobials include selenium sulfide, ketoconazole, triclocarbon, triclosan, zinc pyrithione, itraconazole, asiatic acid, hinokitiol, mipirocin and those described in EPA 0,680,745, clinacycin hydrochloride, benzoyl peroxide, benzyl peroxide and minocyclin.
- glucocorticoids such as hydrocortisone, mometasone furoate and prednisolone
- nonsteroidal anti-inflammatories including cyclooxygenase or lipoxygenase inhibitors such as those described in U.S. Pat. No. 5,756,092, and benzydamine, salicylic acid, and those compounds described in EPA 0,770,399, published May 2, 1997, WO 94/06434, published Mar. 31, 1994, and FR 2,268,523, published Nov. 21, 1975.
- 3,5,3′-Triiodothyronine is an example of a suitable thyroid hormone.
- Suitable non-selective prostaglandin agonists and antagonists include compounds such as those described in WO 98/33497, Johnstone, published Aug. 6, 1998, WO 95/11003, Stjernschantz, published Apr. 27, 1995, JP 97-100091, Ueno and JP 96-134242, Nakamura.
- Suitable retinoids include isotretinoin, acitretin, and tazarotene.
- Other optional hair growth stimulants for component i) include benzalkonium chloride, benzethonium chloride, phenol, estradiol, chlorpheniramine maleate, chlorophyllin derivatives, cholesterol, salicylic acid, cysteine, methionine, red pepper tincture, benzyl nicotinate, D,L-menthol, peppermint oil, calcium pantothenate, panthenol, castor oil, prednisolone, resorcinol, chemical activators of protein kinase C, glycosaminoglycan chain cellular uptake inhibitors, inhibitors of glycosidase activity, glycosaminoglycanase inhibitors, esters of pyroglutamic acid, hexosaccharic acids or acylated hexosaccharic acids, aryl-substituted ethylenes, N-acylated amino acids, flavinoids, ascomycin derivatives and analogs, hist
- estrogen agonists and antagonists include estrogen agonists and antagonists, pseudoterins, cytokine and growth factor promoters, analogs or inhibitors such as interleukin 1 inhibitors, interleukin-6 inhibitors, interleukin-10 promoters, and tumor necrosis factor inhibitors, vitamins such as vitamin D analogs and parathyroid hormone antagonists, Vitamin B12 analogs and panthenol, interferon agonists and antagonists, hydroxyacids such as those described in U.S. Pat. No. 5,550,158, benzophenones, and hydantoin anticonvulsants such as phenytoin, and combinations thereof.
- the most preferred activity enhancers are minoxidil and finasteride, most preferably minoxidil.
- Component ii) is a penetration enhancer that can be added to all of the compositions for systemic administration.
- the amount of component ii), when present in the composition, is typically 1 to 5%.
- penetration enhancers include 2-methyl propan-2-ol, propan-2-ol, ethyl-2-hydroxypropanoate, hexan-2,5-diol, polyoxyethylene(2) ethyl ether, di(2-hydroxypropyl) ether, pentan-2,4-diol, acetone, polyoxyethylene(2) methyl ether, 2-hydroxypropionic acid, 2-hydroxyoctanoic acid, propan-1-ol, 1,4-dioxane, tetrahydrofuran, butan-1,4-diol, propylene glycol dipelargonate, polyoxypropylene 15 stearyl ether, octyl alcohol, polyoxyethylene ester of oleyl alcohol, oleyl alcohol, lau
- Topical compositions that can be applied locally to the skin may be in any form including solutions, oils, creams, ointments, gels, lotions, shampoos, leave-on and rinse-out hair conditioners, milks, cleansers, moisturizers, sprays, skin patches, and the like.
- Topical compositions comprise: component A) the PGF described above and component B) a carrier.
- the carrier of the topical composition preferably aids penetration of the PGF's into the skin to reach the environment of the hair follicle.
- Component B) may further comprise one or more optional components.
- Topical compositions preferably further comprise C) one or more of the optional activity enhancers described above.
- each component in the topical composition depends on various factors.
- the amount of component A) depends on the IC 50 of the PGF selected. “IC 50 ” means inhibitory concentration 50 th percentile.
- the amount of component A) added to the topical composition is:
- IC 50 is expressed in nanomolar units. For example, if the IC 50 of the PGF is 1 nM, the amount of component A) will be 0.001 to 0.01%. If the IC 50 of the PGF is 10 nM, the amount of component A) will be 0.01 to 0.1%. If the IC 50 of the PGF is 100 nM, the amount of component A) will be 0.1 to 1.0%. If the IC 50 of the PGF is 1000 nM, the amount of component A) will be 1.0 to 10%, preferably 1.0 to 5%. If the amount of component A) is outside the ranges specified above (i.e., either higher or lower), efficacy of the treatment may be reduced. IC 50 can be calculated according to the method in Reference Example 1, below. One skilled in the art can calculate IC 50 without undue experimentation.
- the topical composition preferably further comprises 1 to 20% component C), and a sufficient amount of component B) such that the amounts of components A), B), and C), combined equal 100%.
- the amount of B) the carrier employed in conjunction with the PGF is sufficient to provide a practical quantity of material for administration per unit dose of the compound.
- Component B) the carrier may comprise a single ingredient or a combination of two or more ingredients.
- component B) is a topical carrier.
- Preferred topical carriers comprise one or more ingredients selected from the group consisting of water, alcohols, aloe vera gel, allantoin, glycerin, vitamin A and E oils, mineral oil, propylene glycol, polypropylene glycol-2 myristyl propionate, dimethyl isosorbide, combinations thereof, and the like. More preferred carriers include propylene glycol, dimethyl isosorbide, and water.
- the topical carrier may comprise one or more ingredients selected from the group consisting of q) emollients, r) propellants, s) solvents, t) humectants, u) thickeners, v) powders, and w) fragrances in addition to, or instead of, the preferred topical carrier ingredients listed above.
- q) emollients r) propellants
- solvents s) solvents
- t) humectants u) thickeners
- v) powders v) powders
- fragrances in addition to, or instead of, the preferred topical carrier ingredients listed above.
- One skilled in the art would be able to optimize carrier ingredients for the topical compositions without undue experimentation.
- Ingredient q) is an emollient.
- the amount of ingredient q) in the topical composition is typically 5 to 95%.
- Suitable emollients include stearyl alcohol, glyceryl monoricinoleate, glyceryl monostearate, propane-1,2-diol, butane-1,3-diol, mink oil, cetyl alcohol, isopropyl isostearate, stearic acid, isobutyl palmitate, isocetyl stearate, oleyl alcohol, isopropyl laurate, hexyl laurate, decyl oleate, octadecan-2-ol, isocetyl alcohol, cetyl palmitate, di-n-butyl sebacate, isopropyl myristate, isopropyl palmitate, isopropyl stearate, butyl stearate, polyethylene glycol, triethylene glycol, lanolin,
- Ingredient r) is a propellant.
- the amount of ingredient r) in the topical composition is typically 5 to 95%.
- Suitable propellants include propane, butane, isobutane, dimethyl ether, carbon dioxide, nitrous oxide, and combinations thereof.
- Ingredient s) is a solvent.
- the amount of ingredient s) in the topical composition is typically 5 to 95%.
- Suitable solvents include water, ethyl alcohol, methylene chloride, isopropanol, castor oil, ethylene glycol monoethyl ether, diethylene glycol monobutyl ether, diethylene glycol monoethyl ether, dimethylsulfoxide, dimethyl formamide, tetrahydrofuran, and combinations thereof.
- Preferred solvents include ethyl alcohol.
- Ingredient t) is a humectant.
- the amount of ingredient t) in the topical composition is typically 5 to 95%.
- Suitable humectants include glycerin, sorbitol, sodium 2-pyrrolidone-5-carboxylate, soluble collagen, dibutyl phthalate, gelatin, and combinations thereof.
- Preferred humectants include glycerin.
- Ingredient u) is a thickener.
- the amount of ingredient u) in the topical composition is typically 0 to 95%.
- Ingredient v) is a powder.
- the amount of ingredient v) in the topical composition is typically 0 to 95%.
- Suitable powders include chalk, talc, fullers earth, kaolin, starch, gums, colloidal silicon dioxide, sodium polyacrylate, tetra alkyl ammonium smectites, trialkyl aryl ammonium smectites, chemically modified magnesium aluminum silicate, organically modified montmorillonite clay, hydrated aluminum silicate, fumed silica, carboxyvinyl polymer, sodium carboxymethyl cellulose, ethylene glycol monostearate, and combinations thereof.
- Ingredient w) is a fragrance.
- the amount of ingredient w) in the topical composition is typically 0.001 to 0.5%, preferably 0.001 to 0.1%.
- Component C) the optional activity enhancer is as described above. Any of the i) hair growth stimulants and ii) penetration enhancers may be added to the topical compositions.
- the topical composition comprises 0.01 to 15% of component i) the optional hair growth stimulant. More preferably, the composition comprises 0.1 to 10%, and most preferably 0.5 to 5% of component i).
- the topical composition comprises 1 to 5% of component ii).
- Topical pharmaceutical compositions for ocular administration are prepared by conventional methods.
- Topical pharmaceutical compositions for ocular administration typically comprise A) a PGF, B) a carrier, such as purified water, and one or more ingredients selected from the group consisting of y) sugars such as dextrans, particularly dextran 70, z) cellulose or a derivative thereof, aa) a salt, bb) disodium EDTA (Edetate disodium), and cc) a pH adjusting additive.
- Examples of z) cellulose derivatives suitable for use in the topical pharmaceutical composition for ocular administration include sodium carboxymethyl cellulose, ethyl cellulose, methyl cellulose, and hydroxypropylmethylcellulose. Hydroxypropylmethylcellulose is preferred.
- Examples of aa) salts suitable for use in the for use in the topical pharmaceutical composition for ocular administration include sodium chloride, potassium chloride, and combinations thereof.
- pH adjusting additives include HCl or NaOH in amounts sufficient to adjust the pH of the topical pharmaceutical composition for ocular administration to 7.2-7.5.
- This invention further relates to a method for darkening hair, thickening hair, and reversing hair graying.
- the method comprises applying the topical composition for treating hair loss to hair, to skin in the locus of hair, or both.
- the topical composition may be applied to hair growing on the scalp or eyelashes.
- the topical composition can be, for example, a cosmetic composition prepared as described above.
- An example of a composition that may be applied to eyelashes is a mascara.
- the prostaglandin may be added to mascara compositions known in the art, such as the mascara described in U.S. Pat. No. 5,874,072, which is hereby incorporated by reference.
- the mascara comprises dd) a water-insoluble material, ee) a water-soluble, film-forming polymer, ff) a wax, o) a surfactant, gg) a pigment, and s) a solvent.
- Ingredient dd) is a water-insoluble material selected from the group consisting of acrylate copolymers; styrene/acrylate/methacrylate copolymers; acrylic latex; styrene/acrylic ester copolymer latex; polyvinylacetate latex; vinyl acetate/ethylene copolymer latex; styrene/butadiene copolymer latex; polyurethane latex; butadiene/acrylonitrile copolymer latex; styrene/acrylate/acrylonitrile copolymer latex; and mixtures thereof, wherein the acrylate copolymers, and the styrene/acrylate/methacrylate copolymers additionally comprise ammonia, propylene glycol, a preservative and a surfactant.
- acrylate copolymers and the styrene/acrylate/methacrylate copolymers additionally comprise ammonia, propylene glycol,
- Ingredient ee) is a water-soluble, film-forming polymer.
- Ingredient ee) is selected from the group consisting of vinyl alcohol/poly(alkyleneoxy)acrylate, vinyl alcohol/vinyl acetate/poly-(alkyleneoxy)acrylate, polyethylene oxide, polypropylene oxide, acrylates/octyl-acrylamide copolymers and mixtures thereof.
- Ingredient ff) is a wax.
- “Wax” means a lower-melting organic mixture or compound of high molecular weight, solid at room temperature and generally similar in composition to fats and oils except that they contain no glycerides. Some are hydrocarbons, others are esters of fatty acids and alcohols. Waxes useful in this invention are selected from the group consisting of animal waxes, vegetable waxes, mineral waxes, various fractions of natural waxes, synthetic waxes, petroleum waxes, ethylenic polymers, hydrocarbon types such as Fischer-Tropsch waxes, silicone waxes, and mixtures thereof wherein the waxes have a melting point between 55 and 100° C.
- Ingredient o) is surfactant, as described above.
- Ingredient o) in the mascara is preferably a surfactant having an HLB from 3 to 15.
- Suitable surfactants include those disclosed in the C.T.F.A. Cosmetic Ingredient Handbook, pp.587-592 (1992); Remington's Pharmaceutical Sciences, 15th Ed. pp. 335-337 (1975); and McCutcheon's Volume 1, Emulsifiers & Detergents, North American Edition, pp. 236-239 (1994).
- Ingredient gg) is a pigment.
- Suitable pigments include inorganic pigments, organic lake pigments, pearlescent pigments, and mixtures thereof.
- Inorganic pigments useful in this invention include those selected from the group consisting of rutile or anatase titanium dioxide, coded in the Color Index under the reference CI 77,891; black, yellow, red and brown iron oxides, coded under references CI 77,499, 77,492 and, 77,491; manganese violet (CI 77,742); ultramarine blue (CI 77,007); chromium oxide (CI 77,288); chromium hydrate (CI 77,289); and ferric blue (CI 77,510) and mixtures thereof.
- the organic pigments and lakes useful in this invention include those selected from the group consisting of D&C Red No. 19 (CI 45,170), D&C Red No. 9 (CI 15,585), D&C Red No. 21 (CI 45,380), D&C Orange No. 4 (CI 15,510), D&C Orange No. 5 (CI 45,370), D&C Red No. 27 (CI 45,410), D&C Red No. 13 (CI 15,630), D&C Red No. 7 (CI 15,850), D&C Red No. 6 (CI 15,850), D&C Yellow No. 5 (CI 19,140), D&C Red No. 36 (CI 12,085), D&C Orange No. 10 (CI 45,425), D&C Yellow No. 6 (CI 15,985), D&C Red No. 30 (CI 73,360), D&C Red No. 3 (CI 45,430) and the dye or lakes based on Cochineal Carmine (Cl 75,570) and mixtures thereof.
- D&C Red No. 19 CI 45,170
- the pearlescent pigments useful in this invention include those selected from the group consisting of the white pearlescent pigments such as mica coated with titanium oxide, bismuth oxychloride, colored pearlescent pigments such as titanium mica with iron oxides, titanium mica with ferric blue, chromium oxide and the like, titanium mica with an organic pigment of the above-mentioned type as well as those based on bismuth oxychloride and mixtures thereof.
- Ingredient s) is a solvent described above, preferably water.
- the PGF's may also be administered in the form of liposome delivery systems, such as small unilamellar vesicles, large unilamellar vesicles, and multilamellar vesicles.
- Liposomes can be formed from a variety of phospholipids, such as cholesterol, stearylamine or phosphatidylcholines.
- a preferred formulation for topical delivery of the present compounds uses liposomes as described in Dowton et al., “Influence of Liposomal Composition on Topical Delivery of Encapsulated Cyclosporin A: I. An in vitro Study Using Hairless Mouse Skin”, S.T.P. Pharma Sciences, Vol. 3, pp.
- the PGF's may also be administered by iontophoresis. See, e.g., Internet site www.unipr.it/arpa/dipfarm/erasmus/erasm14.html; Banga et al., “Hydrogel-based lontotherapeutic Delivery Devices for Transdermal Delivery of Peptide/Protein Drugs”, Pharm. Res., Vol. 10 (5), pp. 697-702 (1993); Ferry, “Theoretical Model of Iontophoresis Utilized in Transdermal Drug Delivery”, Pharmaceutical Acta Helvetiae, Vol 70, pp.
- kits comprising a PGF, a systemic or topical composition described above, or both; and information, instructions, or both that use of the kit will provide treatment for hair loss in mammals (particularly humans).
- the information and instructions may be in the form of words, pictures, or both, and the like.
- the kit may comprise a PGF, a composition, or both; and information, instructions, or both, regarding methods of application of the PGF or composition, preferably with the benefit of treating hair loss in mammals.
- the PGF's can be used alone or in combinations of two or more PGF's.
- the compositions may further comprise additional drugs or excipients as appropriate for the indication.
- This invention further relates to a method for treating hair loss in mammals.
- the method comprises administering to a mammal (preferably a human) suffering from hair loss, a PGF described above.
- a mammal diagnosed with alopecia including male pattern baldness and female pattern baldness can be treated by the methods of this invention.
- a systemic or topical composition comprising A) the PGF and B) a carrier is administered to the mammal. More preferably, the composition is a topical composition comprising A) the PGF, B) the carrier, and C) an optional activity enhancer.
- the dosage of the PGF administered depends on the method of administration.
- systemic administration e.g., oral, rectal, nasal, sublingual, buccal, or parenteral
- These dosage ranges are merely exemplary, and daily administration can be adjusted depending on various factors.
- the specific dosage of the PGF to be administered, as well as the duration of treatment, and whether the treatment is topical or systemic are interdependent.
- the dosage and treatment regimen will also depend upon such factors as the specific PGF used, the treatment indication, the efficacy of the compound, the personal attributes of the subject (such as, for example, weight, age, sex, and medical condition of the subject), compliance with the treatment regimen, and the presence and severity of any side effects of the treatment.
- topical composition For topical administration (e.g., local application on the skin, ocular, liposome delivery systems, or iontophoresis), the topical composition is typically administered once per day.
- the topical compositions are administered daily for a relatively short amount of time (i.e., on the order of weeks). Generally, 6 to 12 weeks is sufficient.
- the topical compositions are preferably leave-on compositions. In general, the topical composition should not be removed for at least several hours after administration.
- the inventors have surprisingly found that the PGF's in the compositions and methods of this invention also darken and thicken hair and may reverse hair graying.
- IC 50 of a PGF can be determined relative to PGF 2 ⁇ using the Radioligand Binding Assay.
- the IC 50 for PGF 2 ⁇ itself should be no lower than 1.0 nM and no higher than 5.0 nM.
- COS-7 cells are transiently transfected with the hFP recombinant plasmid using LipofectAlNE Reagent. Forty-eight hours later, the tranfected cells are washed with Hank's Balanced Salt Solution (HBSS, without CaCl 2 , MgCl 2 , MgSO 4 , or phenol red). The cells are detached with versene, and HBSS is added. The mixture is centrifuged at 200g for 10 minutes, at 4° C. to pellet the cells. The pellet is resuspended in Phosphate-Buffered Saline-EDTA buffer (PBS; 1 mM EDTA; pH 7.4; 4° C.).
- PBS Phosphate-Buffered Saline-EDTA buffer
- the cells are disrupted by nitrogen cavitation (Parr model 4639), at 800 psi, for 15 minutes at 4° C.
- the mixture is centrifuged at 1000 g for 10 minutes at 4° C.
- the supernatant is centrifuged at 100,000 g for 60 minutes at 4° C.
- the pellet is resuspended to 1 mg protein/mL TME buffer (50 mM Tris; 10 mM MgCl2; 1 mM EDTA; pH 6.0; 4° C.) based on protein levels measured using the Pierce BCA Protein Assay kit.
- the homogenate is mixed for 10 seconds using a Kinematica POLYTRON® (available from KINEMATICA AG, Luzernerstrassel47A CH-6014 Littau, Switzerland).
- the membrane preparations are then stored at -80° C., until thawed for assay use.
- the receptor competition binding assays are developed in a 96 well format. Each well contains 100 g of hFP membrane, 5 nM (3 H) PGF2, and the various competing compounds in a total volume of 200 L. The plates are incubated at 23° C. for 1 hour. The incubation is terminated by rapid filtration using the Packard Filtermate 196 harvester through Packard UNIFILTER® GFIB filters (available from Packard Instrument Co., Inc. of Downers Grove Ill.) pre-wetted with TME buffer. The filter is washed four times with TME buffer. Packard Microscint 20, a high efficiency liquid scintillation cocktail, is added to the filter plate wells and the plates remain at room temperature for three hours prior to counting. The plates are read on a Packard TOPCOUNT® Microplate Scintillation Counter (also available from Packard Instrument Co., Inc.)
- PGF's are tested for their potential to grow hair using the Telogen Conversion Assay.
- the Telogen Conversion Assay measures the potential of a PGF to convert mice in the resting stage of the hair growth cycle (“telogen”), to the growth stage of the hair growth cycle (“anagen”).
- telogen there are three principal phases of the hair growth cycle: anagen, catagen, and telogen. It is believed that there is a longer telogen period in C3H mice (Harlan Sprague Dawley, Inc., Indianapolis, Ind.) from approximately 40 days of age until about 75 days of age, when hair growth is synchronized. It is believed that after 75 days of age, hair growth is no longer synchronized. Wherein about 40 day-old mice with dark fur (brown or black) are used in hair growth experiments, melanogenesis occurs along with hair (fur) growth wherein the topical application of hair growth inducers are evaluated.
- the Telogen Conversion Assay herein is used to screen PGF's for potential hair growth by measuring melanogenesis.
- Three groups of 44 day-old C3H mice are used: a vehicle control group, a positive control group, and a test PGF group, wherein the test PGF group is administered a PGF used in the method of this invention.
- the length of the assay is 24 days with 15 treatment days (wherein the treatment days occur Mondays through Fridays). Day 1 is the first day of treatment.
- a typical study design is shown in Table 1 below. Typical dosage concentrations are set forth in Table 1, however the skilled artisan will readily understand that such concentrations may be modified.
- mice are treated topically Monday through Friday on their lower back (base of tail to the lower rib).
- a pipettor and tip are used to deliver 400 A to each mouse's back.
- the 400 ⁇ L application is applied slowly while moving hair on the mouse to allow the application to reach the skin.
- compositions for topical administration comprising: Component 3-1 3-2 3-3 PGF (wt %) 0.07 0.1 2.4 IC 50 the PGF (nM) 7 10 24 Ethanol (wt %) 59.958 59.9 58.6 Propylene Glycol (wt %) 19.986 20.0 19.5 Dimethyl Isosorbide (wt %) 19.986 20.0 19.5
- the PGFs in the compositions are as follows: Sample PGF 3-1 3-2 3-3
- a human male subject suffering from male pattern baldness is treated by a method of this invention. Specifically, for 6 weeks, one of the above compositions is daily administered topically to the subject to induce hair growth.
- a composition for topical administration is made according to the method of Dowton et al., “Influence of Liposomal Composition on Topical Delivery of Encapsulated Cyclosporin A: I. An in vitro Study Using Hairless Mouse Skin”, S.T.P. Pharma Sciences, Vol. 3, pp. 404-407 (1993), using a PGF in lieu of cyclosporin A and using the NOVASOME® 1 (available from Micro-Pak, Inc. of Wilmington, Del.) for the non-ionic liposomal formulation.
- a human male subject suffering from male pattern baldness is treated each day with the above composition. Specifically, for 6 weeks, the above composition is administered topically to the subject.
- a human subject suffering from male pattern baldness is treated by a method of this invention. Specifically, for 12 weeks, a shampoo described above is used daily by the subject.
- a mascara composition is prepared.
- the composition comprises: Component % W/W WATER, DEIONIZED, USP q.s. BLACK 1080 MICRONIZED TYPE 10.000 GLYCERYL MONOSTEARATE (2400 TYPE) 8.500 C18-36 ACID TRIGLYCERIDE 5.500 STEARIC ACID, TRIPLE PRESSED, LIQUID 4.000 ETHYL ALCOHOL SD 40-B, 190 PROOF/SERIAL #: 4.000 BEESWAX WHITE, FLAKES 3.250 SHELLAC, NF 3.000 LECITHIN, GRANULAR (TYPE 6450) 2.500 TRIETHANOLAMINE 99% - TANK 2.470 PARAFFIN WAX 2.250 PARAFFIN WAX 118/125 2.250 CARNAUBA WAX, NF 2.000 POTASSIUM CETYL PHOSPHATE 1.000 PHENOXYETHANOL 0.800 OLEIC ACID NF 0.750 DL-PANTHENOL 0.350 PVPIVA COPO
- the PGF is the same as that in Example 3-1.
- a human female subject applies the composition each day. Specifically, for 6 weeks, the above composition is administered topically to the subject to darken and thicken eyelashes.
- compositions in the form of tablets are prepared by conventional methods, such as mixing and direct compaction, formulated as follows: Ingredient Quantity (mg per tablet) PGF 0.5 Microcrystalline Cellulose 100 Sodium Starch Glycollate 30 Magnesium Stearate 3
- the prostaglandin is the same as that in Example 3-3.
- composition is administered orally to a subject once daily for 6 to 12 weeks to promote hair growth.
- compositions in liquid form are prepared by conventional methods, formulated as follows: Ingredient Quantity PGF 0.1 mg Phosphate buffered physiological saline 10 ml Methyl Paraben 0.05 ml
- the prostaglandin is the same as that in Example 3 - 3 .
- 1.0 ml of the above composition is administered subcutaneously at the site of hair loss once daily for 6 to 12 weeks to promote hair growth.
- a topical pharmaceutical composition is prepared by conventional methods and formulated as follows: Ingredient Amount (wt %) PGF 0.004 Dextran 70 0.1 Hydroxypropyl methylcellulose 0.3 Sodium Chloride 0.77 Potassium chloride 0.12 Disodium EDTA (Edetate disodium) 0.05 Benzalkonium chloride 0.01 HCL and/or NaOH pH 7.2-7.5 Purified water q.s. to 100%
- the prostaglandin is the same as that in Example 3-3.
- composition is administered ocularly to a subject once per day for 6 to 12 weeks to promote eyelash growth.
- compositions and methods herein provide a cosmetic benefit with respect to hair growth and appearance in subjects desiring such treatment.
Landscapes
- Health & Medical Sciences (AREA)
- Life Sciences & Earth Sciences (AREA)
- Veterinary Medicine (AREA)
- Public Health (AREA)
- General Health & Medical Sciences (AREA)
- Animal Behavior & Ethology (AREA)
- Epidemiology (AREA)
- Medicinal Chemistry (AREA)
- Chemical & Material Sciences (AREA)
- Pharmacology & Pharmacy (AREA)
- Birds (AREA)
- Dermatology (AREA)
- General Chemical & Material Sciences (AREA)
- Chemical Kinetics & Catalysis (AREA)
- Organic Chemistry (AREA)
- Emergency Medicine (AREA)
- Engineering & Computer Science (AREA)
- Bioinformatics & Cheminformatics (AREA)
- Nuclear Medicine, Radiotherapy & Molecular Imaging (AREA)
- Pharmaceuticals Containing Other Organic And Inorganic Compounds (AREA)
- Cosmetics (AREA)
- Medicines That Contain Protein Lipid Enzymes And Other Medicines (AREA)
- Organic Low-Molecular-Weight Compounds And Preparation Thereof (AREA)
- Medicinal Preparation (AREA)
Abstract
Description
- This invention relates to compositions and methods for treating hair loss in mammals. More particularly, this invention relates to compositions and methods for arresting or reversing hair loss, or both, and promoting hair growth.
- Hair loss is a common problem which is, for example, naturally occurring or chemically promoted through the use of certain therapeutic drugs designed to alleviate conditions such as cancer. Often such hair loss is accompanied by lack of hair re-growth which causes partial or full baldness.
- Hair growth on the scalp does not occur continuously, but rather occurs by a cycle of activity involving alternating periods of growth and rest. This cycle is divided into three main stages; anagen, catagen, and telogen. Anagen is the growth phase of the cycle and is characterized by penetration of the hair follicle deep into the dermis with rapid proliferation of cells which are differentiating to form hair. The next phase is catagen, which is a transitional stage marked by the cessation of cell division, and during which the hair follicle regresses through the dermis and hair growth ceases. The next phase, telogen, is characterized as the resting stage during which the regressed follicle contains a germ with tightly packed dermal papilla cells. At telogen, the initiation of a new anagen phase is caused by rapid cell proliferation in the germ, expansion of the dermal papilla, and elaboration of basement membrane components. When hair growth ceases, most of the hair follicles reside in telogen and anagen is not engaged, thus causing the onset of full or partial baldness.
- Attempts to invoke the re-growth of hair have been made by, for example, the promotion or prolongation of anagen. Currently, there are two drugs approved by the United States Food and Drug Administration for the treatment of male pattern baldness: topical minoxidil (marketed as ROGAINE® by Pharmacia & Upjohn), and oral finasteride (marketed as PROPECIA® by Merck & Co., Inc.). However, the search for efficacious hair growth inducers is ongoing due to factors including safety concerns and limited efficacy.
- The thyroid hormone thyroxine (“T4”) converts to thyronine (“T3”) in human skin by deiodinase I, a selenoprotein. Selenium deficiency causes a decrease in T3 levels due to a decrease in deiodinase I activity; this reduction in T3 levels is strongly associated with hair loss. Consistent with this observation, hair growth is a reported side effect of administration of T4. See, e.g., Berman, “Peripheral Effects of L-Thyroxine on Hair Growth and Coloration in Cattle”, Journal of Endocrinology, Vol. 20, pp. 282-292 (1960); and Gunaratnam, “The Effects of Thyroxine on Hair Growth in the Dog”, J. Small Anim. Pract., Vol. 27, pp. 17-29 (1986). Furthermore, T3 and T4 have been the subject of several patent publications relating to treatment of hair loss. See, e.g., Fischer et al., DE 1,617,477, published Jan. 8, 1970; Mortimer, GB 2,138,286, published Oct. 24, 1984; and Lindenbaum, WO 96/25943, assigned to Life Medical Sciences, Inc., published Aug. 29, 1996.
- Unfortunately, however, administration of T3 or T4, or both, to treat hair loss is often not practicable because these thyroid hormones can induce significant cardiotoxicity. See, e.g., Walker et al., U.S. Pat. No. 5,284,971, assigned to Syntex, issued Feb. 8, 1994 and Emmett et al., U.S. Pat. No. 5,061,798, assigned to Smith Kline & French Laboratories, issued Oct. 29, 1991.
- In an alternative approach, prostaglandins have been proposed to promote hair growth because prostaglandins may have a similar benefit to thyroid hormones, i.e., increasing hair length and changing pigmentation. Naturally occurring prostaglandins (e.g., PGA 2, PGB2, PGE1, PGF2α, and PGI2) are C-20 unsaturated fatty acids. PGF2α, the naturally occurring Prostaglandin F analog in humans, is characterized by hydroxyl groups at the C9 and C11 positions on the alicyclic ring, a cis-double bond between C5 and C6, and a trans-double bond between C 13 and C 14. PGF2αhas the formula:
- Analogs of naturally occurring Prostaglandin F are known in the art. For example, see U.S. Pat. No. 4,024,179 issued to Bindra and Johnson on May 17, 1977; German Patent No. DT-002,460,990 issued to Beck, Lerch, Seeger, and Teufel published on Jul. 1, 1976; U.S. Pat. No. 4,128,720 issued to Hayashi, Kori, and Miyake on Dec. 5, 1978; U.S. Pat. No. 4,011,262 issued to Hess, Johnson, Bindra, and Schaaf on Mar. 8, 1977; U.S. Pat. No. 3,776,938 issued to Bergstrom and Sjovall on Dec. 4, 1973; P. W. Collins and S. W. Djuric, “Synthesis of Therapeutically Useful Prostaglandin and Prostacyclin Analogs”, Chem. Rev., Vol. 93, pp. 1533-1564 (1993); G. L. Bundy and F. H. Lincoln, “Synthesis of 17-Phenyl-18,19,20-Trinorprostaglandins: I. The PG1 Series”, Prostaglandin, Vol. 9 No. 1, pp. 1-4 (1975); W. Bartman, G. Beck, U. Lerch, H. Teufel, and B. Scholkens, “Luteolytic Prostaglandin: Synthesis and Biological Activity”, Prostaglandin, Vol. 17 No. 2, pp. 301-311 (1979); C. Iiljebris, G. Selen, B. Resul, J. Sternschantz, and U. Hacksell, “Derivatives of 17-Phenyl-18, 19,20-trinorprostaglandin F2α. Isopropyl Ester: Potential Antiglaucoma Agents”, Journal of Medicinal Chemistry, Vol. 38, No. 2, pp. 289-304, (1995).
- Prostaglandins in general have a wide range of biological activities. For example, PGE 2 has the following properties: a) regulator of cell proliferation, b) regulator of cytokine synthesis, c) regulator of immune responses and d) inducer of vasodilatation. Vasodilatation is thought to be one of the mechanisms of how minoxidil provides a hair growth benefit. In vitro results in the literature also indicate some anti-inflammatory properties of the prostaglandins. c.f.; Tanaka, H., Br J. Pharm., 116, 2298, (1995).
- However, previous attempts at using prostaglandins to promote hair growth have been unsuccessful. Different prostaglandin analogs can bind to multiple receptors at various concentrations with a biphasic effect. Furthermore, administration of naturally occurring prostaglandins can cause side effects such as inflammation, surface irritation, smooth muscle contraction, pain, and bronchoconstriction. Therefore, it is an object of this invention to provide methods for using prostaglandin analogs to grow hair and to provide compositions that promote hair growth in humans and lower animals. It is a further object of this invention to provide a selection of appropriate prostaglandin analogs that will promote hair growth and that do not cause significant undesirable side effects.
- This invention relates to compositions and methods for treating hair loss. The methods comprise administering the compositions comprising specific prostaglandin F analogs that interact strongly with hair-selective receptors, such as the FP receptor. The choice of prostaglandin F analog is important because it must selectively activate the FP receptor and not activate any other receptors that would negate the effect of activating the FP receptor. The compositions comprise: component A) the prostaglandin F analog, component B) a carrier, and optionally component C) an activity enhancer.
-
- wherein R 1 is preferably CO2H or CO2CH3; R2 is preferably H; R3 and R4 are preferably H or CH3; X is preferably OH; Y is selected from the group consisting of a divalent hydrocarbon group, O, S, S(O), S(O)2, and NR11, wherein R11 is preferably a hydrogen atom or a methyl group; and Z is preferably thienyl or phenyl. Other suitable PGF's are pharmaceutically acceptable salts, hydrates, and biohydrolyzable amides, esters, and imides of the general formula above. Optical isomers, diastereomers, and enantiomers of the structure described above are also suitable for this invention. At all stereocenters where stereochemistry is not defined (i.e., C11, C12, C15, and C16), both epimers are envisioned with the epimer that corresponds to the naturally-occurring one being preferred.
- This invention relates to compositions comprising prostaglandin F analogs (“PGF's”) to treat hair loss in mammals. “Treating hair loss” includes arresting hair loss or reversing hair loss, or both, and promoting hair growth.
- Publications and patents are referred to throughout this disclosure. All U.S. patents cited herein are hereby incorporated by reference.
- All percentages, ratios, and proportions used herein are by weight unless otherwise specified.
- The following is a list of definitions for terms, as used herein:
- “Activate” means binding and signal transduction of a receptor.
- “Acyl group” means a monovalent group suitable for acylating a nitrogen atom to form an amide or carbamate, an alcohol to form a carbonate, or an oxygen atom to form an ester group. Preferred acyl groups include benzoyl, acetyl, tert-butyl acetyl, para-phenyl benzoyl, and trifluoroacetyl. More preferred acyl groups include acetyl and benzoyl. The most preferred acyl group is acetyl.
- “Aromatic group” means a monovalent group having a monocyclic ring structure or fused bicyclic ring structure. Monocyclic aromatic groups contain 5 to 10 carbon atoms, preferably 5 to 7 carbon atoms, and more preferably 5 to 6 carbon atoms in the ring. Bicyclic aromatic groups contain 8 to 12 carbon atoms, preferably 9 or 10 carbon atoms in the ring. Aromatic groups are unsubstituted. The most preferred aromatic group is phenyl.
- “Carbocyclic group” means a monovalent saturated or unsaturated hydrocarbon ring. Carbocyclic groups are monocyclic, or are fused, spiro, or bridged bicyclic ring systems. Monocyclic carbocyclic groups contain 4 to 10 carbon atoms, preferably 4 to 7 carbon atoms, and more preferably 5 to 6 carbon atoms in the ring. Bicyclic carbocyclic groups contain 8 to 12 carbon atoms, preferably 9 to 10 carbon atoms in the ring. Carbocyclic groups are unsubstituted. Preferred carbocyclic groups include cyclopentyl, cyclohexyl, cyclohexenyl, cycloheptyl, and cyclooctyl. More preferred carbocyclic groups include cyclohexyl, cycloheptyl, and cyclooctyl. The most preferred carbocyclic group is cycloheptyl. Carbocyclic groups are not aromatic.
- “Cyano group” means a group containing a nitrile functionality.
- “FP agonist” means a compound that activates the FP receptor.
- “FP receptor” means known human FP receptors, their splice variants, and undescribed receptors that have similar binding and activation profiles as the known human FP receptors. “FP” means the receptor is of the class which has the highest affinity for PGF 2αof all the naturally occurring prostaglandins. FP refers to a known protein.
- “Halogen atom” means F, Cl, Br, or I. Preferably, the halogen atom is F, Cl, or Br; more preferably Cl or F; and most preferably F.
- “Halogenated heterogenous group” means a substituted heterogenous group or a substituted heterocyclic group, wherein at least one substituent is a halogen atom. Halogenated heterogenous groups can have a straight, branched, or cyclic structure. Preferred halogenated heterogenous groups have 1 to 12 carbon atoms, more preferably 1 to 6 carbon atoms, and most preferably 1 to 3 carbon atoms. Preferred halogen atom substituents are Cl and F.
- “Halogenated hydrocarbon group” means a substituted monovalent hydrocarbon group or a substituted carbocyclic group, wherein at least one substituent is a halogen atom. Halogenated hydrocarbon groups can have a straight, branched, or cyclic structure. Preferred halogenated hydrocarbon groups have 1 to 12 carbon atoms, more preferably 1 to 6 carbon atoms, and most preferably 1 to 3 carbon atoms. Preferred halogen atom substituents are Cl and F. The most preferred halogenated hydrocarbon group is trifluoromethyl.
- “Heteroaromatic group” means an aromatic ring containing carbon and 1 to 4 heteroatoms in the ring. Heteroaromatic groups are monocyclic or fused bicyclic rings. Monocyclic heteroaromatic groups contain 5 to 10 member atoms (i.e., carbon and heteroatoms), preferably 5 to 7, and more preferably 5 to 6 in the ring. Bicyclic heteroaromatic rings contain 8 to 12 member atoms, preferably 9 or 10 in the ring. Heteroaromatic groups are unsubstituted. Preferred heteroaromatic groups include thienyl, thiazolyl, purinyl, pyrimidyl, pyridyl, and furanyl. More preferred heteroaromatic groups include thienyl, furanyl, and pyridyl. The most preferred heteroaromatic group is thienyl.
- “Heteroatom” means an atom other than carbon in the ring of a heterocyclic group or the chain of a heterogeneous group. Preferably, heteroatoms are selected from the group consisting of nitrogen, sulfur, and oxygen atoms. Groups containing more than one heteroatom may contain different heteroatoms.
- “Heterocyclic group” means a saturated or unsaturated ring structure containing carbon and 1 to 4 heteroatoms in the ring. No two heteroatoms are adjacent in the ring. Heterocyclic groups are not aromatic. Heterocyclic groups are monocyclic, or are fused or bridged bicyclic ring systems. Monocyclic heterocyclic groups contain 4 to 10 member atoms (i.e., including both carbon atoms and at least 1 heteroatom), preferably 4 to 7, and more preferably 5 to 6 in the ring. Bicyclic heterocyclic groups contain 8 to 12 member atoms, preferably 9 or 10 in the ring. Heterocyclic groups are unsubstituted. Preferred heterocyclic groups include piperzyl, morpholinyl, tetrahydrofuranyl, tetrahydropyranyl, and piperdyl.
- “Heterogeneous group” means a saturated or unsaturated chain containing 1 to 18 member atoms (i.e., including both carbon and at least one heteroatom). No two heteroatoms are adjacent. Preferably, the chain contains 1 to 12 member atoms, more preferably 1 to 6, and most preferably 1 to 4. The chain may be straight or branched. Preferred branched heterogeneous groups have one or two branches, preferably one branch. Preferred heterogeneous groups are saturated. Unsaturated heterogeneous groups have one or more double bonds, one or more triple bonds, or both. Preferred unsaturated heterogeneous groups have one or two double bonds or one triple bond. More preferably, the unsaturated heterogeneous group has one double bond. Heterogeneous groups are unsubstituted.
- “Monovalent hydrocarbon group” means a chain of 1 to 18 carbon atoms, preferably 1 to 12 carbon atoms. “Lower monovalent hydrocarbon group” means a monovalent hydrocarbon group having 1 to 6, preferably 1 to 4 carbon atoms. Monovalent hydrocarbon groups may have a straight chain or branched chain structure. Preferred monovalent hydrocarbon groups have one or two branches, preferably 1 branch. Preferred monovalent hydrocarbon groups are saturated. Unsaturated monovalent hydrocarbon groups have one or more double bonds, one or more triple bonds, or combinations thereof. Preferred unsaturated monovalent hydrocarbon groups have one or two double bonds or one triple bond; more preferred unsaturated monovalent hydrocarbon groups have one double bond.
- “Pharmaceutically acceptable” means suitable for use in a human or other mammal.
- “PGF” means a prostaglandin F analog.
- “Prostaglandin” means a fatty acid derivative which has a variety of potent biological activities of a hormonal or regulatory nature.
- “Protecting group” is a group that replaces the active hydrogen of a hydroxyl moiety thus preventing undesired side reaction at the hydroxyl moiety. Use of protecting groups in organic synthesis is well known in the art. Examples of protecting groups are found in Chapter 2 Protecting Groups in Organic Synthesis by Greene, T. W. and Wuts, P. G. M., 2nd ed., Wiley & Sons, Inc., 1991. Preferred protecting groups include silyl ethers, alkoxymethyl ethers, tetrahydropyranyl, tetrahydrofuranyl, esters, and substituted or unsubstituted benzyl ethers.
- “Safe and effective amount” means a quantity of a prostaglandin high enough to provide a significant positive modification of the subject's condition to be treated, but low enough to avoid serious side effects (at a reasonable benefit/risk ratio).
- “Selective” means having a binding or activation preference for a specific receptor over other receptors which can be quantitated based upon receptor binding or activation assays.
- “Subject” means a living, vertebrate, hair- or fur-bearing animal such as a mammal (preferably human) in need of treatment.
- “Substituted aromatic group” means an aromatic group wherein 1 to 4 of the hydrogen atoms bonded to carbon atoms in the ring have been replaced with other substituents. Preferred substituents include: halogen atoms, cyano groups, monovalent hydrocarbon groups, substituted monovalent hydrocarbon groups, heterogeneous groups, aromatic groups, substituted aromatic groups, or any combination thereof. More preferred substituents include halogen atoms, monovalent hydrocarbon groups, and substituted monovalent hydrocarbon groups. Preferred substituted aromatic groups include naphthyl. The substituents may be substituted at the ortho, meta, or para position on the ring, or any combination thereof. The preferred substitution pattern on the ring is ortho or meta. The most preferred substitution pattern is ortho.
- “Substituted carbocyclic group” means a carbocyclic group wherein 1 to 4 hydrogen atoms bonded to carbon atoms in the ring have been replaced with other substituents. Preferred substituents include: halogen atoms, cyano groups, monovalent hydrocarbon groups, monovalent heterogeneous groups, substituted monovalent hydrocarbon groups, aromatic groups, substituted aromatic groups, or any combination thereof. More preferred substituents include halogen atoms and substituted monovalent hydrocarbon groups. Carbocyclic group does not include aromatic rings.
- “Substituted heteroaromatic group” means a heteroaromatic group wherein 1 to 4 hydrogen atoms bonded to carbon atoms in the ring have been replaced with other substituents. Preferred substituents include: halogen atoms, cyano groups, monovalent hydrocarbon groups, substituted monovalent hydrocarbon groups, heterogeneous groups, substituted heterogeneous groups, phenyl groups, phenoxy groups, or any combination thereof. More preferred substituents include halogen atoms, halogenated hydrocarbon groups, halogenated heterogenous groups, monovalent hydrocarbon groups, and phenyl groups.
- “Substituted heterocyclic group” means a heterocyclic group wherein 1 to 4 hydrogen atoms bonded to carbon atoms in the ring have been replaced with other substituents. Preferred substituents include: halogen atoms, cyano groups, monovalent hydrocarbon groups, substituted monovalent hydrocarbon groups, heterogeneous groups, substituted heterogeneous groups, halogenated hydrocarbon groups, halogenated heterogenous groups, phenyl groups, phenoxy groups, or any combination thereof. More preferred substituents include halogen atoms and halogenated hydrocarbon groups. Substituted heterocyclic groups are not aromatic.
- “Substituted heterogeneous group” means a heterogeneous group, wherein 1 to 4 of the hydrogen atoms bonded to carbon atoms in the chain have been replaced with other substituents. Preferred substituents include halogen atoms, hydroxy groups, alkoxy groups (e.g., methoxy, ethoxy, propoxy, butoxy, and pentoxy), aryloxy groups (e.g., phenoxy, chlorophenoxy, tolyloxy, methoxyphenoxy, benzyloxy, alkyloxycarbonylphenoxy, and acyloxyphenoxy), acyloxy groups (e.g., propionyloxy, benzoyloxy, and acetoxy), carbamoyloxy groups, carboxy groups, mercapto groups, alkylthio groups, acylthio groups, arylthio groups (e.g., phenylthio, chlorophenylthio, alkylphenylthio, alkoxyphenylthio, benzylthio, and alkyloxycarbonylphenylthio), aromatic groups (e.g., phenyl and tolyl), substituted aromatic groups (e.g., alkoxyphenyl, alkoxycarbonylphenyl, and halogenated phenyl), heterocyclic groups, heteroaromatic groups, and amino groups (e.g., amino, mono- and di-alkylamino having 1 to 3 carbon atoms, methylphenylamino, methylbenzylamino, alkanylamido groups of 1 to 3 carbon atoms, carbamamido, ureido, and guanidino).
- “Substituted monovalent hydrocarbon group” means a monovalent hydrocarbon group wherein 1 to 4 of the hydrogen atoms bonded to carbon atoms in the chain have been replaced with other substituents. Preferred substituents include halogen atoms; halogenated hydrocarbon groups; halogenated heterogneous groups; alkyl groups (e.g., methyl, ethyl, propyl, and butyl); hydroxy groups; alkoxy groups (e.g., methoxy, ethoxy, propoxy, butoxy, and pentoxy); aryloxy groups (e.g., phenoxy, chlorophenoxy, tolyloxy, methoxyphenoxy, benzyloxy, alkyloxycarbonylphenoxy, and acyloxyphenoxy); acyloxy groups (e.g., propionyloxy, benzoyloxy, and acetoxy); carbamoyloxy groups; carboxy groups; mercapto groups; alkylthio groups; acylthio groups; arylthio groups (e.g., phenylthio, chlorophenylthio, alkylphenylthio, alkoxyphenylthio, benzylthio, and alkyloxycarbonylphenylthio); aromartic groups (e.g., phenyl and tolyl); susbstituted aromatic groups (e.g., alkoxyphenyl, alkoxycarbonylphenyl, and halogenated phenyl); heterocyclic groups; heteroaryl groups; and amino groups (e.g., amino, mono- and di-alkanylamino groups of 1 to 3 carbon atoms, methylphenylamino, methylbenzylamino, alkanylamido groups of 1 to 3 carbon atoms, carbamamido, ureido, and guanidino).
- This invention relates to the use of prostaglandin F analogs (PGFs) to treat hair loss. “Treating hair loss” means arresting hair loss, reversing hair loss, or both, and promoting hair growth. Suitable PGFs for use in this invention are selected from the group consisting of PGFs having the structure:
- and pharmaceutically acceptable salts, hydrates, and biohydrolyzable amides, esters, and imides thereof.
- R 1 is selected from the group consisting of CO2H, C(O)NHOH, CO2R5, CH2OH, S(O)2R5, C(O)NHR5, C(O)NHS(O)2R5, and tetrazole. R5 is selected from the group consisting of monovalent hydrocarbon groups, substituted monovalent hydrocarbon groups, aromatic groups, substituted aromatic groups, carbocyclic groups, substituted carbocyclic groups, heterogeneous groups, substituted heterogeneous groups, heterocyclic groups, substituted heterocyclic groups, heteroaromatic groups, and substituted heteroaromatic groups. Preferably, R5 is selected from the group consisting of CH3, C2H5, and C3H7. Preferably, R1 is selected from the group consisting of CO2H, CO2CH3, CO2C2H5, CO2C3H7, CO2C4H9, CO2C3H7O2, and C(O)NHS(O)2R5. More preferably, R1 is selected from the group consisting of CO2H, CO2CH3, CO2C2H5, and CO2C3H7. Most preferably, R1 is selected from the group consisting of CO2H, CO2CH3, and CO2C3H7.
- R 2 is a hydrogen atom or a lower monovalent hydrocarbon group. R2 is preferably a hydrogen atom or a methyl group.
- R 3 and R4 are each independently selected from the group consisting of H, CH3, C2H5, OR10, SR10, and OH; with the proviso that both R3 and R4 are not OH. R10 is selected from the group consisting of a monovalent hydrocarbon group, a substituted monovalent hydrocarbon group, a heterogeneous group, a substituted heterogeneous group, a carbocyclic group, a substituted carbocyclic group, an aromatic group, a substituted aromatic group, a heteroaromatic group, and a substituted heteroaromatic group; with the proviso that R10 has 1 to 8 member atoms. Preferably, R3 and R4 are both hydrogen atoms.
- X is selected from the group consisting of NR 6R7, OR8, SR9, S(O)R9, and S(O)2R9. Preferably, X is selected from the group consisting of NR6R7 and OR8. More preferably, X is OH.
- R 6, R7, and R8 are each independently selected from the group consisting of hydrogen atoms, acyl groups, monovalent hydrocarbon groups, substituted monovalent hydrocarbon groups, heterogeneous groups, substituted heterogeneous groups, carbocyclic groups, substituted carbocyclic groups, aromatic groups, substituted aromatic groups, heteroaromatic groups, and substituted heteroaromatic groups. Preferably, R6 and R7 are selected from the group consisting of H, CH3, and C2H5. Preferably, R8 is selected from the group consisting of H, CH3, C2H5, and C3H7.
- R 9 is selected from the group consisting of monovalent hydrocarbon groups, substituted monovalent hydrocarbon groups, heterogeneous groups, substituted heterogeneous groups, carbocyclic groups, substituted carbocyclic groups, heterocyclic groups, substituted heterocyclic groups, aromatic groups, substituted aromatic groups, heteroaromatic groups, and substituted heteroaromatic groups. Preferably, R9 is selected from the group consisting of CH3, and C2H5.
- Y is selected from the group consisting of an oxygen atom, a divalent hydrocarbon group, a sulfur-containing moiety, and a nitrogen-containing group. The divalent hydrocarbon group has the formula (CH 2)n, wherein n is an integer with a value of 0 to 3. Preferably, n is 0, 1, or 2; more preferably, n is 1.
- The sulfur-containing moiety for Y is selected from the group consisting of a sulfur atom, S(O), and S(O) 2. When Y is a sulfur-containing moiety, it preferably is a sulfur atom.
- The nitrogen-containing group for Y has the formula NR 11. R11 is selected from the group consisting of a hydrogen atom, an acyl group, a monovalent hydrocarbon group, a substituted monovalent hydrocarbon group, a heterogeneous group, a substituted heterogeneous group, a carbocyclic group, a substituted carbocyclic group, a heterocyclic group, a substituted heterocyclic group, an aromatic group, a substituted aromatic group, a heteroaromatic group, and a substituted heteroaromatic group. Preferably R11 is H or CH3.
- Z is selected from the group consisting of a carbocyclic group, a substituted carbocyclic group, a heterocyclic group, a substituted heterocyclic group, an aromatic group, a substituted aromatic group, a heteroaromatic group, and a substituted heteroaromatic group. Preferably Z is selected from the group consisting of a monocyclic carbocyclic group, a substituted monocyclic carbocyclic group, a monocyclic heterocyclic group, a substituted monocyclic heterocyclic group, a monocyclic aromatic group, a substituted monocyclic aromatic group, a monocyclic heteroaromatic group, and a substituted monocyclic heteroaromatic group. More preferably, Z is selected from the group consisting of a monocyclic aromatic group, a substituted monocyclic aromatic group, a monocyclic heteroaromatic group, and a substituted monocyclic heteroaromatic group. Most preferably, Z is thienyl or phenyl.
- Optical isomers, diastereomers, and enantiomers of the structure described above are also suitable for use in this invention. At all stereocenters where stereochemistry is not defined (i.e., C11, C12, C15, and C16), both epimers are envisioned.
- Examples of suitable PGF's having the formula above wherein Y is selected from the group consisting of NR 11, S, S(O), and S(O)2 include:
- 13,14-dihydro-16-(3-methylphenylthio)-16-tetranor Prostaglandin F 1α methyl ester;
- 13,14-dihydro-16-(3-methylphenylthio)-16-tetranor Prostaglandin F 1α;
- 3,14-dihydro-16-(3-fluorophenylthio)-16-tetranor Prostaglandin F 1α;
- 13,14-dihydro-16-(3-fluorophenylthio)-16-tetranor Prostaglandin F 1α methyl ester;
- 13,14-dihydro-16-(3-fluorophenylthio)-16-tetranor Prostaglandin F 1α isopropyl ester;
- 13,14-dihydro-16-(2,6-difluorophenylthio)-16-tetranor Prostaglandin F 1α methyl ester;
- 13,14-dihydro-16-(3,5-difluorophenylthio)-16-tetranor Prostaglandin F 1α;
- 13,14-dihydro-16-(2-methylphenylthio)-16-tetranor Prostaglandin F 1α methyl ester;
- 13,14-dihydro-16-(4-methylphenylthio)-16-tetranor Prostaglandin F 1α methyl ester;
- 13,14-dihydro-16-(4-methylphenylthio)-16-tetranor Prostaglandin F 1α;
- 13,14-dihydro-16-(2-fluorophenylthio)-16-tetranor Prostaglandin F 1α methyl ester;
- 13,14-dihydro-16-(2-fluorophenylthio)-16-tetranor Prostaglandin F 1α;
- 13,14-dihydro-15-methyl-16-(3-fluorophenylthio)-16-tetranor Prostaglandin F 1α methyl ester;
- 13,14-dihydro-15-methyl-16-(3-fluorophenylthio)-16-tetranor Prostaglandin F 1α;
- 13,14-dihydro-15-methyl-16-(2-methylphenylthio)-16tetranor Prostaglandin F 1α methyl ester;
- 13,14-dihydro-15-methyl-16-(2-methylphenylthio)-16-tetranor Prostaglandin F 1α;
- 13,14-dihydro-16-(3-fluorophenylsulfonyl)-16-tetranor Prostaglan din F 1α;
- 13,14-dihydro-16-(3-methylphenylatino)-16-tetranor prostaglandin F 1α methyl ester;
- 13,14-dihydro-16-(3-methylphenylamino)-16-tetranor prostaglandin F 1α;
- 13,14-dihydro-16-(2-methylphenylamino)-16-tetranor prostaglandin F 1α methyl ester;
- 13,14-dihydro-16-(2-methylphenylamino)-16-tetranor prostaglandin F 1α;
- 13,14-dihydro-16-(2-fluorophenylthio)-16-tetranor prostaglandin F 1α 1-hydroxamic acid;
- 13,14-dihydro-16-(3-chlorophenylamino)-16-tetranor prostaglandin F 1α 1-hydroxamic acid;
- 13,14-dihydro-16-(3-trifluoromethylphenylthio)-16-tetranor Prostaglandin F 1α methyl ester;
- 13,14-dihydro-16-(3-trifluoromethylphenylthio)-16-tetranor Prostaglandin F 1α;
- 13,14-dihydro-16-(3-trifluoromethylphenylthio)-16-tetranor prostaglandin F 1α 1-hydroxamic acid;
- 13,14-dihydro-16-(phenylthio)-16-tetranor Prostaglandin F 1α methyl ester;
- 13,14-dihydro-16-(phenylthio)-16-tetranor Prostaglandin F 1α isopropyl ester;
- 13,14-dihydro-15-methyl-16-(phenylthio)-16-tetranor Prostaglandin F 1α methyl ester;
- 13,14-dihydro-15-methyl-16-(phenylthio)-16-tetranor Prostaglandin F 1α;
- 13,14-dihydro-16-(phenylamino)-16-tetranor prostaglandin F 1α methyl ester;
- 13,14-dihydro-16-(phenylamino)-16-tetranor prostaglandin F 1α;
- 13,14-dihydro-16-(2-thienylthio)-16-tetranor prostaglandin F 1α methyl ester;
- 13,14-dihydro-16-(2-thienylthio)-16-tetranor prostaglandin F 1α;
- 13,14-dihydro-16-(1-napthylthio)-16-tetranor Prostaglandin F 1α isopropyl ester;
- 13,14-dihydro-16-(1-napthylthio)-16-tetranor Prostaglandin F 1α; and
- 13,14-dihydro-15-butoxy-15-dehydroxy-16-(phenylthio)-16-tetranor prostaglandin F 1α methyl ester.
- Examples of suitable PGF's having the formula above wherein Y is a divalent hydrocarbon group include:
- 13,14-dihydro-17-(2,4-difluorophenyl)-17-trinor prostaglandin F 1α methyl ester;
- 13,14-dihydro-17-(2,4-difluorophenyl)-17-trinor prostaglandin F 1α;
- 13,14-dihydro-17-(2-fluorophenyl)-17-trinor prostaglandin F1α methyl ester;
- 13,14-dihydro-17-(2-fluorophenyl)-17-trinor prostaglandin F 1α;
- 13,14-dihydro-1 7-(3-fluorophenyl)-17-trinor prostaglandin F1α methyl ester;
- 13,14-dihydro-17-(3-fluorophenyl)-17-trinor prostaglandin F 1α;
- 13,14-dihydro-17-(4-fluorophenyl)-17-trinor prostaglandin F1α methyl ester;
- 13,14-dihydro-17-(4-fluorophenyl)-17-trinor prostaglandin F 1α;
- 13,14-dihydro-17-(2-methoxyphenyl)-17-trinor prostaglandin F 1α methyl ester;
- 13,14-dihydro-17-(2-methoxyphenyl)-17-trinor prostaglandin F 1α;
- 13,14-dihydro-17-(3-methoxyphenyl)-17-trinor prostaglandin F 1α methyl ester;
- 13,14-dihydro-17-(3-methoxyphenyl)-17-trinor prostaglandin F 1α;
- 13,14-dihydro-17-(4-methoxyphenyl)-17-trinor prostaglandin F 1α methyl ester;
- 13,14-dihydro-1 7-(4-methoxyphenyl)-17-trinor prostaglandin F 1α;
- 13,14-dihydro-17-(3,5-difluorophenyl)-17-trinor prostaglandin F 1α isopropyl ester;
- 13,14-dihydro-18-(2-thienyl)-18-dinor prostaglandin F 1α methyl ester;
- 13,14-dihydro-18-(2-thienyl)-18-dinor prostaglandin F 1α isopropyl ester;
- 13,14-dihydro-17-((2-trifluoromethyl)phenyl)-17-trinor prostaglandin F 1α methyl ester;
- 13,14-dihydro-17-((2-trifluoromethyl)phenyl)-17-trinor prostaglandin F 1α;
- 13,14-dihydro-17-((3-trifluoromethyl)phenyl)-17-trinor prostaglandin F 1α methyl ester;
- 13,14-dihydro-17-((3-trifluoromethyl)phenyl)-17-trinor prostaglandin F 1α;
- 13,14-dihydro-17-((4-trifluoromethyl)phenyl)-17-trinor prostaglandin F 1α methyl ester;
- 13,14-dihydro-17-((4-trifluoromethyl)phenyl)-17-trinor prostaglandin F 1α;
- 13,14-dihydro-17-(2-methylphenyl)-17-trinor prostaglandin F 1α methyl ester;
- 13,14-dihydro-17-(2-methylphenyl)-17-trinor prostaglandin F 1α;
- 13,14-dihydro-17-(3-methylphenyl)-17-trinor prostaglandin F 1α methyl ester;
- 13,14-dihydro-17-(3-methylphenyl)-17-trinor prostaglandin F 1α;
- 13,14-dihydro-17-(4-methylphenyl)-17-trinor prostaglandin F 1α methyl ester; and
- 13,14-dihydro-17-(4-methylphenyl)-17-trinor prostaglandin F 1α.
- Examples of suitable PGF's having the formula above wherein Y is an oxygen atom include:
- 13,14-dihydro-16,16-dimethyl-16-(2-fluorophenoxy)-16-tetranor prostaglandin F 1α;
- 13,14-dihydro-16,16-dimethyl-16-(2-methylphenoxy)-16-tetranor Prostaglandin F 1α;
- 13,14-dihydro-16,16-dimethyl-16-(2,3 difluorophenoxy)-16-tetranor Prostaglandin F 1α;
- 13,14-dihydro-16-(2,5 difluorophenoxy)-16-tetranor Prostaglandin F 1α;
- 13,14-dihydro-16-(3-fluoro-5-trifluoromethyl phenoxy)-16-tetranor Prostaglandin F 1α isopropyl ester;
- 13,14-dihydro-16,16-dimethyl-16-(4-chlorophenoxy)-16-tetranor Prostaglandin F 1α;
- 13,14-dihydro-16-methyl-16-(3-chlorophenoxy)-16-tetranor Prostaglandin F 1α isopropyl ester;
- 13,14-dihydro-1 6-isopropyl-16-(2-fluorophenoxy)-16-tetranor prostaglandin F1α;
- 13,14-dihydro-16-ethyl-1 6-(2-methylphenoxy)-1 6-tetranor Prostaglandin F 1α isopropyl ester;
- 13,14-dihydro-16-(hydroxymethyl)-16-phenoxy-16-tetranor Prostaglandin F 1α;
- 13,14-dihydro-16-methyl-16-(4-ethylphenoxy)-16-tetranor Prostaglandin F 1α;
- 13,14-dihydro-16-methyl-16-(3-chlorophenoxy)-16-tetranor Prostaglandin F 1α methyl ester;
- 13,14-dihydro-16-methyl-16-(4-phenylphenoxy)-16-tetranor Prostaglandin F 1α isopropy ester;
- 13,14-dihydro-16,16-dimethyl-16-(4-phenoxyphenoxy)-16-tetranor Prostaglandin F 1α isopropyl ester;
- 13,14-dihydro-16,16-dimethyl-16-(2-fluorophenoxy)-16-tetranor Prostaglandin F 1α hydroxamic acid;
- 13,14-dihydro-16-methyl-16-(3-chlorophenoxy)-16-tetranor Prostaglandin F 1α 1-hydroxamic acid;
- 13,14-dihydro-16-methoxymethyl-16-(2,3-difluorophenoxy)-16-tetranor Prostaglandin F 1α 1-hydroxamic acid;
- 13,14-dihydro-16-phenoxy-16-tetranor Prostaglandin F 1α methanesulfonamide;
- 13,14-dihydro-15-fluoro-16-(2-fluorophenoxy)-16-tetranor Prostaglandin F 1α methyl ester;
- 13,14-dihydro-15-methyl-16,16-dimethyl-16-(2-fluorophenoxy)-16-tetranor Prostaglandin F 1α;
- 13,14-dihydro-15-fluoro-16-(2,3-difluorophenoxy)-16-tetranor Prostaglandin F 1α 1-hydroxamic acid;
- 13,14-dihydro-15-methylthio-15-dehydroxy-16-(2-methylphenoxy)-16-tetranor Prostaglandin F 1α;
- 13,14-dihydro-15-methylthio-15-dehydroxy-16-methyl-16-(2-methylphenoxy) 16-tetranor Prostaglandin Floe 1-hydroxamic acid;
- 13,14-dihydro-15-methoxy-16,16-dimethyl-16-(2-fluorophenoxy)-16-tetranor Prostaglandin F 1α 1-hydroxamic acid;
- 13,14-dihydro-15-ethoxy-15-dehydroxy-16-phenoxy-16-tetranor Prostaglandin F 1α isopropyl ester;
- 13,14-dihydro-15-sulfonylmethyl-15-dehydroxy-16-methyl-16-(2-methylphenoxy)-16-tetranor Prostaglandin F 1α methyl ester;
- 13,14-dihydro-15-sulfoxylmethyl-15-dehydroxy-16-methyl-16-(2-methylphenoxy)-16-tetranor Prostaglandin F 1α methyl ester;
- 13,14-dihydro-15-methyl-15-methylamino-15-dehydroxy-16,16-dimethyl-16-(2-fluorophenoxy)-16-tetranor Prostaglandin F 1α methyl ester;
- 13,14-dihydro-15-methyl-15-methylamino-15-dehydroxy-16-methyl-16-(2-methylphenoxy)-16-tetranor Prostaglandin F 1α 1-hydroxamic acid;
- 13,14-dihydro-15-methyl-15-(N,N-dimethylamino)-16-ethyl-16-(2-fluorophenoxy)-16-tetranor Prostaglandin F 1α isopropyl ester; and
- 13,14-dihydro-16(2,6-difluorophenoxy)-16-tetranor Prostaglandin F 1α glyceryl ester.
- Suitable PGF's are known in the art. Examples of suitable PGF's and methods for their preparation are disclosed in International Published Patent Application Numbers WO 99/12895A1, WO 99/12896A1, and WO 99/12899A1, and in U.S. Pat. No. 5,977,173.
- This invention further relates to a composition for treating hair loss. The composition comprises A) the PGF described above and B) a carrier. The composition may further comprise C) one or more optional activity enhancers. The composition can be a pharmaceutical or cosmetic composition, administered for treatment or prophylaxis of hair loss. Standard pharmaceutical formulation techniques are used, such as those disclosed in Remington's Pharmaceutical Sciences, Mack Publishing Company, Easton, Pa. (1990).
- The composition further comprises component B) a carrier. “Carrier” means one or more compatible substances that are suitable for administration to a mammal. Carrier includes solid or liquid diluents, hydrotopes, surface-active agents, and encapsulating substances. “Compatible” means that the components of the composition are capable of being commingled with the PGF's, and with each other, in a manner such that there is no interaction which would substantially reduce the efficacy of the composition under ordinary use situations. Carriers must be of sufficiently high purity and sufficiently low toxicity to render them suitable for administration to the mammal being treated. The carrier can be inert, or it can possess pharmaceutical benefits, cosmetic benefits, or both.
- The choice of carrier for component B) depends on the route by which A) the PGF will be administered and the form of the composition. The composition may be in a variety of forms, suitable, for example, for systemic administration (e.g., oral, rectal, nasal, sublingual, buccal, or parenteral) or topical administration directly to the locus of desired hair growth (e.g., local application on the skin, ocular, liposome delivery systems, or iontophoresis). Topical administration is preferred.
- Carriers for systemic administration typically comprise one or more ingredients selected from the group consisting of a) diluents, b) lubricants, c) binders, d) disintegrants, e) colorants, f) flavors, g) sweeteners, h) antioxidants, j) preservatives, k) glidants, m) solvents, n) suspending agents, o) surfactants, combinations thereof, and others.
- Ingredient a) is a diluent. Suitable diluents include sugars such as glucose, lactose, dextrose, and sucrose; polyols such as propylene glycol; calcium carbonate; sodium carbonate; glycerin; mannitol; and sorbitol.
- Ingredient b) is a lubricant. Suitable lubricants are exemplified by solid lubricants including silica, talc, stearic acid and its magnesium salts and calcium salts, calcium sulfate; and liquid lubricants such as polyethylene glycol and vegetable oils such as peanut oil, cottonseed oil, sesame oil, olive oil, corn oil and oil of theobroma.
- Ingredient c) is a binder. Suitable binders include polyvinylpyrrolidone; magnesium aluminum silicate; starches such as corn starch and potato starch; gelatin; tragacanth; and cellulose and its derivatives, such as ethyl cellulose, methylcellulose, hydroxypropylmethylcellulose, microcrystalline cellulose, and sodium carboxymethylcellulose; carbomer; providone; acacia; guar gum; and xanthan gum.
- Ingredient d) is a disintegrant. Suitable disintegrants include agar, alginic acid and the sodium salt thereof, effervescent mixtures, croscarmelose, crospovidone, sodium carboxymethyl starch, sodium starch glycolate, clays, and ion exchange resins.
- Ingredient e) is a colorant such as an FD&C dye.
- Ingredient f) is a flavor such as menthol, peppermint, and fruit flavors.
- Ingredient g) is a sweetener such as aspartame and saccharin.
- Ingredient h) is an antioxidant such as butylated hydroxyanisole, butylated hydroxytoluene, and vitamin E.
- Ingredient j) is a preservative such as phenol, alkyl esters of parahydroxybenzoic acid, benzoic acid and the salts thereof, boric acid and the salts thereof, sorbic acid and the salts thereof, chorbutanol, benzyl alcohol, thimerosal, phenylmercuric acetate and nitrate, nitromersol, benzalkonium chloride, cetylpyridinium chloride, methyl paraben, and propyl paraben. Particularly preferred are the salts of benzoic acid, cetylpyridinium chloride, methyl paraben and propyl paraben, and sodium benzoate.
- Ingredient k) is a glidant such as silicon dioxide.
- Ingredient m) is a solvent, such as water, isotonic saline, ethyl oleate, alcohols such as ethanol, glycerin, glycols (e.g., polypropylene glycol and polyethylene glycol), and buffer solutions (e.g., phosphate, potassium acetate, boric carbonic, phosphoric, succinic, malic, tartaric, citric, acetic, benzoic, lactic, glyceric, gluconic, glutaric and glutamic).
- Ingredient n) is a suspending agent. Suitable suspending agents include AVICEL® RC-591 from FMC Corporation of Philadelphia, Pa. and sodium alginate.
- Ingredient o) lecithin, polysorbate 80, sodium lauryl sulfate, polyoxyethylene sorbitan fatty acid esters, polyoxyethylene monoalkyl ethers, sucrose monoesters, lanolin esters, and lanolin ethers. Suitable surfactants are known in the art and commercially available, e.g., the TWEENS® from Atlas Powder Company of Wilmington, Del.
- Compositions for parenteral administration typically comprise A) 0.1 to 10% of a PGF and B) 90 to 99.9% of a carrier comprising a) a diluent and m) a solvent. Preferably, component a) is propylene glycol and m) is ethanol or ethyl oleate.
- Compositions for oral administration can have various dosage forms. For example, solid forms include tablets, capsules, granules, and bulk powders. These oral dosage forms comprise a safe and effective amount, usually at least 5%, and preferably from 25% to 50%, of A) the PGF. The oral dosage compositions further comprise B) 50 to 95% of a carrier, preferably 50 to 75%.
- Tablets can be compressed, tablet triturates, enteric-coated, sugar-coated, film-coated, or multiple-compressed. Tablets typically comprise A) the PGF, and B) a carrier comprising ingredients selected from the group consisting of a) diluents, b) lubricants, c) binders, d) disintegrants, e) colorants, f) flavors, g) sweeteners, k) glidants, and combinations thereof. Preferred diluents include calcium carbonate, sodium carbonate, mannitol, lactose and cellulose. Preferred binders include starch, gelatin, and sucrose. Preferred disintegrants include alginic acid, and croscarmelose. Preferred lubricants include magnesium stearate, stearic acid, and talc. Preferred colorants are the FD&C dyes, which can be added for appearance. Chewable tablets preferably contain g) sweeteners such as aspartame and saccharin, or f) flavors such as menthol, peppermint, and fruit flavors.
- Capsules (including time release and sustained release formulations) typically comprise A) the PGF, and B) a carrier comprising one or more a) diluents disclosed above in a capsule comprising gelatin. Granules typically comprise A) the PGF, and preferably further comprise k) glidants such as silicon dioxide to improve flow characteristics.
- The selection of ingredients in the carrier for oral compositions depends on secondary considerations like taste, cost, and shelf stability, which are not critical for the purposes of this invention. One skilled in the art can optimize appropriate ingredients without undue experimentation.
- The solid compositions may also be coated by conventional methods, typically with pH or time-dependent coatings, such that A) the PGF is released in the gastrointestinal tract at various times to extend the desired action. The coatings typically comprise one or more components selected from the group consisting of cellulose acetate phthalate, polyvinylacetate phthalate, hydroxypropyl methyl cellulose phthalate, ethyl cellulose, EUDRAGIT® coatings (available from Rohm & Haas G.M.B.H. of Darmstadt, Germany), waxes and shellac.
- Compositions for oral administration can also have liquid forms. For example, suitable liquid forms include aqueous solutions, emulsions, suspensions, solutions reconstituted from non-effervescent granules, suspensions reconstituted from non-effervescent granules, effervescent preparations reconstituted from effervescent granules, elixirs, tinctures, syrups, and the like. Liquid orally administered compositions typically comprise A) the PGF and B) a carrier comprising ingredients selected from the group consisting of a) diluents, e) colorants, and f) flavors, g) sweeteners, j) preservatives, m) solvents, n) suspending agents, and o) surfactants. Peroral liquid compositions preferably comprise one or more ingredients selected from the group consisting of e) colorants, f) flavors, and g) sweeteners.
- Other compositions useful for attaining systemic delivery of the subject compounds include sublingual, buccal and nasal dosage forms. Such compositions typically comprise one or more of soluble filler substances such as a) diluents including sucrose, sorbitol and mannitol; and c) binders such as acacia, microcrystalline cellulose, carboxymethyl cellulose, and hydroxypropyl methyl cellulose. Such compositions may further comprise b) lubricants, e) colorants, f) flavors, g) sweeteners, h) antioxidants, and k) glidants.
- The compositions may further comprise component C) an optional activity enhancer. Component C) is preferably selected from the group consisting of i) hair growth stimulants (other than the PGF) and ii) penetration enhancers.
- Component i) is an optional hair growth stimulant. Component i) is exemplified by vasodilators, antiandrogens, cyclosporins, cyclosporin analogs, antimicrobials, anti-inflammatories, thyroid hormones, thyroid hormone derivatives, and thyroid hormone analogs, non-selective prostaglandin agonists or antagonists, retinoids, triterpenes, combinations thereof, and others. “Non-selective prostaglandin” agonists and antagonists differ from component A) in that they do not selectively activate the FP receptor, and they may activate other receptors.
- Vasodilators such as potassium channel agonists including minoxidil and minoxidil derivatives such as aminexil and those described in U.S. Pat. Nos. 3,382,247, 5,756,092, 5,772,990, 5,760,043, 5,466,694, 5,438,058, 4,973,474, and cromakalin and diazoxide can be used as optional hair growth stimulants in the composition.
- Examples of suitable antiandrogens include 5-α-reductase inhibitors such as finasteride and those described in U.S. Pat. No. 5,516,779, and in Nane et al., Cancer Research 58, “Effects of Some Novel Inhibitors of C17,20-Lyase and 5α-Reductase in vitro and in vivo and Their Potential Role in the Treatment of Prostate Cancer,” as well as cyproterone acetate, azelaic acid and its derivatives and those compounds described in U.S. Pat. No. 5,480,913, flutamide, and those compounds described in U.S. Pat. Nos. 5,411,981, 5,565,467, and 4,910,226. Antimicrobials include selenium sulfide, ketoconazole, triclocarbon, triclosan, zinc pyrithione, itraconazole, asiatic acid, hinokitiol, mipirocin and those described in EPA 0,680,745, clinacycin hydrochloride, benzoyl peroxide, benzyl peroxide and minocyclin.
- Examples of suitable anti-inflammatories include glucocorticoids such as hydrocortisone, mometasone furoate and prednisolone, nonsteroidal anti-inflammatories including cyclooxygenase or lipoxygenase inhibitors such as those described in U.S. Pat. No. 5,756,092, and benzydamine, salicylic acid, and those compounds described in EPA 0,770,399, published May 2, 1997, WO 94/06434, published Mar. 31, 1994, and FR 2,268,523, published Nov. 21, 1975.
- 3,5,3′-Triiodothyronine is an example of a suitable thyroid hormone.
- Examples of suitable non-selective prostaglandin agonists and antagonists include compounds such as those described in WO 98/33497, Johnstone, published Aug. 6, 1998, WO 95/11003, Stjernschantz, published Apr. 27, 1995, JP 97-100091, Ueno and JP 96-134242, Nakamura.
- Suitable retinoids include isotretinoin, acitretin, and tazarotene.
- Other optional hair growth stimulants for component i) include benzalkonium chloride, benzethonium chloride, phenol, estradiol, chlorpheniramine maleate, chlorophyllin derivatives, cholesterol, salicylic acid, cysteine, methionine, red pepper tincture, benzyl nicotinate, D,L-menthol, peppermint oil, calcium pantothenate, panthenol, castor oil, prednisolone, resorcinol, chemical activators of protein kinase C, glycosaminoglycan chain cellular uptake inhibitors, inhibitors of glycosidase activity, glycosaminoglycanase inhibitors, esters of pyroglutamic acid, hexosaccharic acids or acylated hexosaccharic acids, aryl-substituted ethylenes, N-acylated amino acids, flavinoids, ascomycin derivatives and analogs, histamine antagonists such as diphenhydramine hydrochloride, triterpenes such as oleanolic acid and ursolic acid and those described in U.S. Pat. Nos. 5,529,769, 5,468,888, 5,631,282, and 5,679,705, JP 10017431, WO 95/35103, JP 09067253, WO 92/09262, JP 62093215, and JP 08193094; saponins such as those described in EP 0,558,509 to Bonte et al., published Sep. 8, 1993 and WO 97/01346 to Bonte et al, published Jan. 16, 1997, proteoglycanase or glycosaminoglycanase inhibitors such as those described in U.S. Pat. Nos. 5,015,470, 5,300,284, and 5,185,325, estrogen agonists and antagonists, pseudoterins, cytokine and growth factor promoters, analogs or inhibitors such as interleukin 1 inhibitors, interleukin-6 inhibitors, interleukin-10 promoters, and tumor necrosis factor inhibitors, vitamins such as vitamin D analogs and parathyroid hormone antagonists, Vitamin B12 analogs and panthenol, interferon agonists and antagonists, hydroxyacids such as those described in U.S. Pat. No. 5,550,158, benzophenones, and hydantoin anticonvulsants such as phenytoin, and combinations thereof.
- Other additional hair growth stimulants are described in JP 09-157,139 to Tsuji et al., published Jun. 17, 1997; EP 0277455 A1 to Mirabeau, published Aug. 10, 1988; WO 97/05887 to Cabo Soler et al., published Feb. 20, 1997; WO 92/16186 to Bonte et al., published Mar. 13, 1992; JP 62-93215 to Okazaki et al., published Apr. 28, 1987; U.S. Pat. No. 4,987,150 to Kurono et al., issued Jan. 22, 1991; JP 290811 to Ohba et al., published Oct. 15, 1992; JP 05-286,835 to Tanaka et al., published Nov. 2, 1993, FR 2,723,313 to Greff, published Aug. 2, 1994, U.S. Pat. No. 5,015,470 to Gibson, issued May 14, 1991, U.S. Pat. No. 5,559,092, issued Sep. 24, 1996, U.S. Pat. No. 5,536,751, issued Jul. 16, 1996, U.S. Pat. No. 5,714,515, issued Feb. 3, 1998, EPA 0,319,991, published Jun. 14, 1989, EPA 0,357,630, published Oct. 6, 1988, EPA 0,573,253, published Dec. 8, 1993, JP 61-260010, published Nov. 18, 1986, U.S. Pat. No. 5,772,990, issued Jun. 30, 1998, U.S. Pat. No. 5,053, 410, issued Oct. 1, 1991, and U.S. Pat. No. 4,761,401, issued Aug. 2, 1988.
- The most preferred activity enhancers are minoxidil and finasteride, most preferably minoxidil.
- Component ii) is a penetration enhancer that can be added to all of the compositions for systemic administration. The amount of component ii), when present in the composition, is typically 1 to 5%. Examples of penetration enhancers include 2-methyl propan-2-ol, propan-2-ol, ethyl-2-hydroxypropanoate, hexan-2,5-diol, polyoxyethylene(2) ethyl ether, di(2-hydroxypropyl) ether, pentan-2,4-diol, acetone, polyoxyethylene(2) methyl ether, 2-hydroxypropionic acid, 2-hydroxyoctanoic acid, propan-1-ol, 1,4-dioxane, tetrahydrofuran, butan-1,4-diol, propylene glycol dipelargonate, polyoxypropylene 15 stearyl ether, octyl alcohol, polyoxyethylene ester of oleyl alcohol, oleyl alcohol, lauryl alcohol, dioctyl adipate, dicapryl adipate, di-isopropyl adipate, di-isopropyl sebacate, dibutyl sebacate, diethyl sebacate, dimethyl sebacate, dioctyl sebacate, dibutyl suberate, dioctyl azelate, dibenzyl sebacate, dibutyl phthalate, dibutyl azelate, ethyl myristate, dimethyl azelate, butyl myristate, dibutyl succinate, didecyl phthalate, decyl oleate, ethyl caproate, ethyl salicylate, isopropyl palmitate, ethyl laurate, 2-ethyl-hexyl pelargonate, isopropyl isostearate, butyl laurate, benzyl benzoate, butyl benzoate, hexyl laurate, ethyl caprate, ethyl caprylate, butyl stearate, benzyl salicylate, 2-hydroxypropanoic acid, 2-hydroxyoctanoic acid, dimethyl sulphoxide, N,N-dimethyl acetamide, N,N-dimethyl formamide, 2-pyrrolidone, 1-methyl-2-pyrrolid(one, 5-methyl-2-pyrrolidone, 1,5-dimethyl-2-pyrrolidone, 1-ethyl-2-pyrrolidone, phosphine oxides, sugar esters, tetrahydrofurfural alcohol, urea, diethyl-m-toluamide, 1-dodecylazacyloheptan-2-one, omega three fatty acids and fish oils, and combinations thereof.
- In a preferred embodiment of the invention, the PGF's are topically administered. Topical compositions that can be applied locally to the skin may be in any form including solutions, oils, creams, ointments, gels, lotions, shampoos, leave-on and rinse-out hair conditioners, milks, cleansers, moisturizers, sprays, skin patches, and the like. Topical compositions comprise: component A) the PGF described above and component B) a carrier. The carrier of the topical composition preferably aids penetration of the PGF's into the skin to reach the environment of the hair follicle. Component B) may further comprise one or more optional components. Topical compositions preferably further comprise C) one or more of the optional activity enhancers described above.
- The exact amounts of each component in the topical composition depend on various factors. The amount of component A) depends on the IC 50 of the PGF selected. “IC50” means inhibitory concentration 50th percentile. The amount of component A) added to the topical composition is:
- IC 50×10−2≧% of component A)≧IC 50×10−3,
- where IC 50 is expressed in nanomolar units. For example, if the IC50 of the PGF is 1 nM, the amount of component A) will be 0.001 to 0.01%. If the IC50 of the PGF is 10 nM, the amount of component A) will be 0.01 to 0.1%. If the IC50 of the PGF is 100 nM, the amount of component A) will be 0.1 to 1.0%. If the IC50 of the PGF is 1000 nM, the amount of component A) will be 1.0 to 10%, preferably 1.0 to 5%. If the amount of component A) is outside the ranges specified above (i.e., either higher or lower), efficacy of the treatment may be reduced. IC50 can be calculated according to the method in Reference Example 1, below. One skilled in the art can calculate IC50 without undue experimentation.
- The topical composition preferably further comprises 1 to 20% component C), and a sufficient amount of component B) such that the amounts of components A), B), and C), combined equal 100%. The amount of B) the carrier employed in conjunction with the PGF is sufficient to provide a practical quantity of material for administration per unit dose of the compound. Techniques and compositions for making dosage forms useful in the methods of this invention are described in the following references: Modern Pharmaceutics, Chapters 9 and 10, Banker & Rhodes, eds. (1979); Lieberman et al., Pharmaceutical Dosage Forms: Tablets (1981); and Ansel, Introduction to Pharmaceutical Dosage Forms, 2nd Ed., (1976).
- Component B) the carrier may comprise a single ingredient or a combination of two or more ingredients. In the topical compositions, component B) is a topical carrier. Preferred topical carriers comprise one or more ingredients selected from the group consisting of water, alcohols, aloe vera gel, allantoin, glycerin, vitamin A and E oils, mineral oil, propylene glycol, polypropylene glycol-2 myristyl propionate, dimethyl isosorbide, combinations thereof, and the like. More preferred carriers include propylene glycol, dimethyl isosorbide, and water.
- The topical carrier may comprise one or more ingredients selected from the group consisting of q) emollients, r) propellants, s) solvents, t) humectants, u) thickeners, v) powders, and w) fragrances in addition to, or instead of, the preferred topical carrier ingredients listed above. One skilled in the art would be able to optimize carrier ingredients for the topical compositions without undue experimentation.
- Ingredient q) is an emollient. The amount of ingredient q) in the topical composition is typically 5 to 95%. Suitable emollients include stearyl alcohol, glyceryl monoricinoleate, glyceryl monostearate, propane-1,2-diol, butane-1,3-diol, mink oil, cetyl alcohol, isopropyl isostearate, stearic acid, isobutyl palmitate, isocetyl stearate, oleyl alcohol, isopropyl laurate, hexyl laurate, decyl oleate, octadecan-2-ol, isocetyl alcohol, cetyl palmitate, di-n-butyl sebacate, isopropyl myristate, isopropyl palmitate, isopropyl stearate, butyl stearate, polyethylene glycol, triethylene glycol, lanolin, sesame oil, coconut oil, arachis oil, castor oil, acetylated lanolin alcohols, petrolatum, mineral oil, butyl myristate, isostearic acid, palmitic acid, isopropyl linoleate, lauryl lactate, myristyl lactate, decyl oleate, myristyl myristate, polydimethylsiloxane, and combinations thereof. Preferred emollients include stearyl alcohol and polydimethylsiloxane.
- Ingredient r) is a propellant. The amount of ingredient r) in the topical composition is typically 5 to 95%. Suitable propellants include propane, butane, isobutane, dimethyl ether, carbon dioxide, nitrous oxide, and combinations thereof. Ingredient s) is a solvent. The amount of ingredient s) in the topical composition is typically 5 to 95%. Suitable solvents include water, ethyl alcohol, methylene chloride, isopropanol, castor oil, ethylene glycol monoethyl ether, diethylene glycol monobutyl ether, diethylene glycol monoethyl ether, dimethylsulfoxide, dimethyl formamide, tetrahydrofuran, and combinations thereof. Preferred solvents include ethyl alcohol.
- Ingredient t) is a humectant. The amount of ingredient t) in the topical composition is typically 5 to 95%. Suitable humectants include glycerin, sorbitol, sodium 2-pyrrolidone-5-carboxylate, soluble collagen, dibutyl phthalate, gelatin, and combinations thereof. Preferred humectants include glycerin.
- Ingredient u) is a thickener. The amount of ingredient u) in the topical composition is typically 0 to 95%.
- Ingredient v) is a powder. The amount of ingredient v) in the topical composition is typically 0 to 95%. Suitable powders include chalk, talc, fullers earth, kaolin, starch, gums, colloidal silicon dioxide, sodium polyacrylate, tetra alkyl ammonium smectites, trialkyl aryl ammonium smectites, chemically modified magnesium aluminum silicate, organically modified montmorillonite clay, hydrated aluminum silicate, fumed silica, carboxyvinyl polymer, sodium carboxymethyl cellulose, ethylene glycol monostearate, and combinations thereof.
- Ingredient w) is a fragrance. The amount of ingredient w) in the topical composition is typically 0.001 to 0.5%, preferably 0.001 to 0.1%.
- Component C) the optional activity enhancer is as described above. Any of the i) hair growth stimulants and ii) penetration enhancers may be added to the topical compositions. Preferably, the topical composition comprises 0.01 to 15% of component i) the optional hair growth stimulant. More preferably, the composition comprises 0.1 to 10%, and most preferably 0.5 to 5% of component i). Preferably, the topical composition comprises 1 to 5% of component ii).
- In an alternative embodiment of the invention, topical pharmaceutical compositions for ocular administration are prepared by conventional methods. Topical pharmaceutical compositions for ocular administration typically comprise A) a PGF, B) a carrier, such as purified water, and one or more ingredients selected from the group consisting of y) sugars such as dextrans, particularly dextran 70, z) cellulose or a derivative thereof, aa) a salt, bb) disodium EDTA (Edetate disodium), and cc) a pH adjusting additive.
- Examples of z) cellulose derivatives suitable for use in the topical pharmaceutical composition for ocular administration include sodium carboxymethyl cellulose, ethyl cellulose, methyl cellulose, and hydroxypropylmethylcellulose. Hydroxypropylmethylcellulose is preferred.
- Examples of aa) salts suitable for use in the for use in the topical pharmaceutical composition for ocular administration include sodium chloride, potassium chloride, and combinations thereof.
- Examples of cc) pH adjusting additives include HCl or NaOH in amounts sufficient to adjust the pH of the topical pharmaceutical composition for ocular administration to 7.2-7.5.
- This invention further relates to a method for darkening hair, thickening hair, and reversing hair graying. The method comprises applying the topical composition for treating hair loss to hair, to skin in the locus of hair, or both. For example, the topical composition may be applied to hair growing on the scalp or eyelashes. The topical composition can be, for example, a cosmetic composition prepared as described above. An example of a composition that may be applied to eyelashes is a mascara. The prostaglandin may be added to mascara compositions known in the art, such as the mascara described in U.S. Pat. No. 5,874,072, which is hereby incorporated by reference. The mascara comprises dd) a water-insoluble material, ee) a water-soluble, film-forming polymer, ff) a wax, o) a surfactant, gg) a pigment, and s) a solvent.
- Ingredient dd) is a water-insoluble material selected from the group consisting of acrylate copolymers; styrene/acrylate/methacrylate copolymers; acrylic latex; styrene/acrylic ester copolymer latex; polyvinylacetate latex; vinyl acetate/ethylene copolymer latex; styrene/butadiene copolymer latex; polyurethane latex; butadiene/acrylonitrile copolymer latex; styrene/acrylate/acrylonitrile copolymer latex; and mixtures thereof, wherein the acrylate copolymers, and the styrene/acrylate/methacrylate copolymers additionally comprise ammonia, propylene glycol, a preservative and a surfactant.
- Ingredient ee) is a water-soluble, film-forming polymer. Ingredient ee) is selected from the group consisting of vinyl alcohol/poly(alkyleneoxy)acrylate, vinyl alcohol/vinyl acetate/poly-(alkyleneoxy)acrylate, polyethylene oxide, polypropylene oxide, acrylates/octyl-acrylamide copolymers and mixtures thereof.
- Ingredient ff) is a wax. “Wax” means a lower-melting organic mixture or compound of high molecular weight, solid at room temperature and generally similar in composition to fats and oils except that they contain no glycerides. Some are hydrocarbons, others are esters of fatty acids and alcohols. Waxes useful in this invention are selected from the group consisting of animal waxes, vegetable waxes, mineral waxes, various fractions of natural waxes, synthetic waxes, petroleum waxes, ethylenic polymers, hydrocarbon types such as Fischer-Tropsch waxes, silicone waxes, and mixtures thereof wherein the waxes have a melting point between 55 and 100° C.
- Ingredient o) is surfactant, as described above. Ingredient o) in the mascara is preferably a surfactant having an HLB from 3 to 15. Suitable surfactants include those disclosed in the C.T.F.A. Cosmetic Ingredient Handbook, pp.587-592 (1992); Remington's Pharmaceutical Sciences, 15th Ed. pp. 335-337 (1975); and McCutcheon's Volume 1, Emulsifiers & Detergents, North American Edition, pp. 236-239 (1994).
- Ingredient gg) is a pigment. Suitable pigments include inorganic pigments, organic lake pigments, pearlescent pigments, and mixtures thereof. Inorganic pigments useful in this invention include those selected from the group consisting of rutile or anatase titanium dioxide, coded in the Color Index under the reference CI 77,891; black, yellow, red and brown iron oxides, coded under references CI 77,499, 77,492 and, 77,491; manganese violet (CI 77,742); ultramarine blue (CI 77,007); chromium oxide (CI 77,288); chromium hydrate (CI 77,289); and ferric blue (CI 77,510) and mixtures thereof.
- The organic pigments and lakes useful in this invention include those selected from the group consisting of D&C Red No. 19 (CI 45,170), D&C Red No. 9 (CI 15,585), D&C Red No. 21 (CI 45,380), D&C Orange No. 4 (CI 15,510), D&C Orange No. 5 (CI 45,370), D&C Red No. 27 (CI 45,410), D&C Red No. 13 (CI 15,630), D&C Red No. 7 (CI 15,850), D&C Red No. 6 (CI 15,850), D&C Yellow No. 5 (CI 19,140), D&C Red No. 36 (CI 12,085), D&C Orange No. 10 (CI 45,425), D&C Yellow No. 6 (CI 15,985), D&C Red No. 30 (CI 73,360), D&C Red No. 3 (CI 45,430) and the dye or lakes based on Cochineal Carmine (Cl 75,570) and mixtures thereof.
- The pearlescent pigments useful in this invention include those selected from the group consisting of the white pearlescent pigments such as mica coated with titanium oxide, bismuth oxychloride, colored pearlescent pigments such as titanium mica with iron oxides, titanium mica with ferric blue, chromium oxide and the like, titanium mica with an organic pigment of the above-mentioned type as well as those based on bismuth oxychloride and mixtures thereof.
- Ingredient s) is a solvent described above, preferably water.
- The amount of A) the PGF added to the mascara is as described above for topical compositions.
- The PGF's may also be administered in the form of liposome delivery systems, such as small unilamellar vesicles, large unilamellar vesicles, and multilamellar vesicles. Liposomes can be formed from a variety of phospholipids, such as cholesterol, stearylamine or phosphatidylcholines. A preferred formulation for topical delivery of the present compounds uses liposomes as described in Dowton et al., “Influence of Liposomal Composition on Topical Delivery of Encapsulated Cyclosporin A: I. An in vitro Study Using Hairless Mouse Skin”, S.T.P. Pharma Sciences, Vol. 3, pp. 404-407 (1993); Wallach and Philippot, “New Type of Lipid Vesicle: Novasome®”, Liposome Technology, Vol. 1, pp. 141-156 (1993); Wallach, U.S. Pat. No. 4,911,928, assigned to Micro-Pak, Inc., issued Mar. 27, 1990; and Weiner et al., U.S. Pat. No. 5,834,014, assigned to The University of Michigan and Micro-Pak, Inc., issued November 10, 1998 (with respect to Weiner et al., with a compound as described herein administered in lieu of, or in addition to, minoxidil).
- The PGF's may also be administered by iontophoresis. See, e.g., Internet site www.unipr.it/arpa/dipfarm/erasmus/erasm14.html; Banga et al., “Hydrogel-based lontotherapeutic Delivery Devices for Transdermal Delivery of Peptide/Protein Drugs”, Pharm. Res., Vol. 10 (5), pp. 697-702 (1993); Ferry, “Theoretical Model of Iontophoresis Utilized in Transdermal Drug Delivery”, Pharmaceutical Acta Helvetiae, Vol 70, pp. 279-287 (1995); Gangarosa et al., “Modern Iontophoresis for Local Drug Delivery”, Int. J. Pharm, Vol. 123, pp. 159-171 (1995); Green et al., “Iontophoretic Delivery of a Series of Tripeptides Across the Skin in vitro”, Pharm. Res., Vol 8, pp. 1121-1127 (1991); Jadoul et al., “Quantification and Localization of Fentanyl and TRH Delivered by Iontophoresis in the Skin”, Int. J. Pharm., Vol. 120, pp. 221-8 (1995); O'Brien et al., “An Updated Review of its Antiviral Activity, Pharmacokinetic Properties and Therapeutic Efficacy”, Drugs, Vol. 37, pp. 233-309 (1989); Parry et al., “Acyclovir Biovailability in Human Skin”, J. Invest. Dermatol., Vol. 98 (6), pp. 856-63 (1992); Santi et al., “Drug Reservoir Composition and Transport of Salmon Calcitonin in Transdermal lontophoresis”, Pharm. Res., Vol 14 (1), pp. 63-66 (1997); Santi et al., “Reverse Iontophoresis—Parameters Determining Electroosmotic Flow: I. pH and Ionic Strength”, J. Control. Release, Vol. 38, pp. 159-165 (1996); Santi et al., “Reverse Iontophoresis—Parameters Determining Electroosmotic Flow: II. Electrode Chamber Formulation”, J. Control. Release, Vol. 42, pp. 29-36 (1996); Rao et al., “Reverse lontophoresis: Noninvasive Glucose Monitoring in vivo in Humans”, Pharm. Res., Vol. 12 (12), pp. 1869-1873 (1995); Thysman et al., “Human Calcitonin Delivery in Rats by lontophoresis”, J. Pharm. Pharmacol., Vol. 46, pp. 725-730 (1994); and Volpato et al., “Iontophoresis Enhances the Transport of Acyclovir through Nude Mouse Skin by Electrorepulsion and Electroosmosis”, Pharm. Res., Vol. 12 (11), pp. 1623-1627 (1995).
- The PGF's may be included in kits comprising a PGF, a systemic or topical composition described above, or both; and information, instructions, or both that use of the kit will provide treatment for hair loss in mammals (particularly humans). The information and instructions may be in the form of words, pictures, or both, and the like. In addition or in the alternative, the kit may comprise a PGF, a composition, or both; and information, instructions, or both, regarding methods of application of the PGF or composition, preferably with the benefit of treating hair loss in mammals.
- In all of the foregoing compositions, and for all routes of administration, the PGF's can be used alone or in combinations of two or more PGF's. The compositions may further comprise additional drugs or excipients as appropriate for the indication.
- This invention further relates to a method for treating hair loss in mammals. The method comprises administering to a mammal (preferably a human) suffering from hair loss, a PGF described above. For example, a mammal diagnosed with alopecia including male pattern baldness and female pattern baldness can be treated by the methods of this invention. Preferably, a systemic or topical composition comprising A) the PGF and B) a carrier is administered to the mammal. More preferably, the composition is a topical composition comprising A) the PGF, B) the carrier, and C) an optional activity enhancer.
- The dosage of the PGF administered depends on the method of administration. For systemic administration, (e.g., oral, rectal, nasal, sublingual, buccal, or parenteral), typically, 0.5 mg to 300 mg, preferably 0.5 mg to 100 mg, more preferably 0.1 mg to 10 mg, of a PGF described above is administered per day. These dosage ranges are merely exemplary, and daily administration can be adjusted depending on various factors. The specific dosage of the PGF to be administered, as well as the duration of treatment, and whether the treatment is topical or systemic are interdependent. The dosage and treatment regimen will also depend upon such factors as the specific PGF used, the treatment indication, the efficacy of the compound, the personal attributes of the subject (such as, for example, weight, age, sex, and medical condition of the subject), compliance with the treatment regimen, and the presence and severity of any side effects of the treatment.
- For topical administration (e.g., local application on the skin, ocular, liposome delivery systems, or iontophoresis), the topical composition is typically administered once per day. The topical compositions are administered daily for a relatively short amount of time (i.e., on the order of weeks). Generally, 6 to 12 weeks is sufficient. The topical compositions are preferably leave-on compositions. In general, the topical composition should not be removed for at least several hours after administration.
- In addition to the benefits in treating hair loss, the inventors have surprisingly found that the PGF's in the compositions and methods of this invention also darken and thicken hair and may reverse hair graying.
- These examples are intended to illustrate the invention to those skilled in the art and should not be interpreted as limiting the scope of the invention set forth in the claims.
- IC 50 of a PGF can be determined relative to PGF2α using the Radioligand Binding Assay. As a control, the IC50 for PGF2α itself should be no lower than 1.0 nM and no higher than 5.0 nM.
- In this assay, COS-7 cells are transiently transfected with the hFP recombinant plasmid using LipofectAlNE Reagent. Forty-eight hours later, the tranfected cells are washed with Hank's Balanced Salt Solution (HBSS, without CaCl 2, MgCl2, MgSO4, or phenol red). The cells are detached with versene, and HBSS is added. The mixture is centrifuged at 200g for 10 minutes, at 4° C. to pellet the cells. The pellet is resuspended in Phosphate-Buffered Saline-EDTA buffer (PBS; 1 mM EDTA; pH 7.4; 4° C.). The cells are disrupted by nitrogen cavitation (Parr model 4639), at 800 psi, for 15 minutes at 4° C. The mixture is centrifuged at 1000 g for 10 minutes at 4° C. The supernatant is centrifuged at 100,000 g for 60 minutes at 4° C. The pellet is resuspended to 1 mg protein/mL TME buffer (50 mM Tris; 10 mM MgCl2; 1 mM EDTA; pH 6.0; 4° C.) based on protein levels measured using the Pierce BCA Protein Assay kit. The homogenate is mixed for 10 seconds using a Kinematica POLYTRON® (available from KINEMATICA AG, Luzernerstrassel47A CH-6014 Littau, Switzerland). The membrane preparations are then stored at -80° C., until thawed for assay use.
- The receptor competition binding assays are developed in a 96 well format. Each well contains 100 g of hFP membrane, 5 nM (3 H) PGF2, and the various competing compounds in a total volume of 200 L. The plates are incubated at 23° C. for 1 hour. The incubation is terminated by rapid filtration using the Packard Filtermate 196 harvester through Packard UNIFILTER® GFIB filters (available from Packard Instrument Co., Inc. of Downers Grove Ill.) pre-wetted with TME buffer. The filter is washed four times with TME buffer. Packard Microscint 20, a high efficiency liquid scintillation cocktail, is added to the filter plate wells and the plates remain at room temperature for three hours prior to counting. The plates are read on a Packard TOPCOUNT® Microplate Scintillation Counter (also available from Packard Instrument Co., Inc.)
- PGF's are tested for their potential to grow hair using the Telogen Conversion Assay. The Telogen Conversion Assay measures the potential of a PGF to convert mice in the resting stage of the hair growth cycle (“telogen”), to the growth stage of the hair growth cycle (“anagen”).
- Without intending to be limited by theory, there are three principal phases of the hair growth cycle: anagen, catagen, and telogen. It is believed that there is a longer telogen period in C3H mice (Harlan Sprague Dawley, Inc., Indianapolis, Ind.) from approximately 40 days of age until about 75 days of age, when hair growth is synchronized. It is believed that after 75 days of age, hair growth is no longer synchronized. Wherein about 40 day-old mice with dark fur (brown or black) are used in hair growth experiments, melanogenesis occurs along with hair (fur) growth wherein the topical application of hair growth inducers are evaluated. The Telogen Conversion Assay herein is used to screen PGF's for potential hair growth by measuring melanogenesis.
- Three groups of 44 day-old C3H mice are used: a vehicle control group, a positive control group, and a test PGF group, wherein the test PGF group is administered a PGF used in the method of this invention. The length of the assay is 24 days with 15 treatment days (wherein the treatment days occur Mondays through Fridays). Day 1 is the first day of treatment. A typical study design is shown in Table 1 below. Typical dosage concentrations are set forth in Table 1, however the skilled artisan will readily understand that such concentrations may be modified.
TABLE 1 Assay Parameters Appli- Concen- cation Length Group # Animal # Compound tration volume of Study 1 1-10 Test 0.01% in 400 μL 26 days Compound vehicle** topical 2 11-20 Positive 0.01% in 400 μL 26 days Control vehicle** topical (T3)* 3 21-30 Vehicle** N/A 400 μL 26 days topical - The mice are treated topically Monday through Friday on their lower back (base of tail to the lower rib). A pipettor and tip are used to deliver 400 A to each mouse's back. The 400 μL application is applied slowly while moving hair on the mouse to allow the application to reach the skin.
- While each treatment is being applied to the mouse topically, a visual grade of from 0 to 4 will be given to the skin color in the application area of each animal. As a mouse converts from telogen to anagen, its skin color will become more bluish-black. As indicated in Table 2, the grades 0 to 4 represent the following visual observations as the skin progresses from white to bluish-black.
TABLE 2 Evaluation Criteria Visual Observation Grade Whitish Skin Color 0 Skin is light gray (indication of initiation of anagen) 1 Appearance of Blue Spots 2 Blue Spots are aggregating to form one large blue area 3 Skin is dark blue (almost black) with color covering majority of 4 treatment area (indication of mouse in full anagen) -
- was tested according to the method of Reference Example 1. The average grade was calculated by averaging the grades of 7 mice after 23 days, 25 days, and 26 days. The results are in Table 3. The PGF grew hair.
-
- was tested according to the method of Reference Example 1. The average grade was calculated by averaging the grades of 7 mice after 23 days. The results are in Table 3. The PGF grew hair.
TABLE 3 Average Grades Example 23 Days 25 Days 26 Days 1 0.4 0.1 0.7 2 0.1 not measured not measured - Compositions for topical administration are made, comprising:
Component 3-1 3-2 3-3 PGF (wt %) 0.07 0.1 2.4 IC50 the PGF (nM) 7 10 24 Ethanol (wt %) 59.958 59.9 58.6 Propylene Glycol (wt %) 19.986 20.0 19.5 Dimethyl Isosorbide (wt %) 19.986 20.0 19.5 -
- A human male subject suffering from male pattern baldness is treated by a method of this invention. Specifically, for 6 weeks, one of the above compositions is daily administered topically to the subject to induce hair growth.
- A composition for topical administration is made according to the method of Dowton et al., “Influence of Liposomal Composition on Topical Delivery of Encapsulated Cyclosporin A: I. An in vitro Study Using Hairless Mouse Skin”, S.T.P. Pharma Sciences, Vol. 3, pp. 404-407 (1993), using a PGF in lieu of cyclosporin A and using the NOVASOME® 1 (available from Micro-Pak, Inc. of Wilmington, Del.) for the non-ionic liposomal formulation.
- A human male subject suffering from male pattern baldness is treated each day with the above composition. Specifically, for 6 weeks, the above composition is administered topically to the subject.
- Shampoos are made, comprising:
Component Ex. 5-1 Ex. 5-2 Ex. 5-3 Ex. 5-4 Ammonium Lauryl Sulfate 11.5% 11.5% 9.5% 7.5% Ammonium Laureth Sulfate 4% 3% 2% 2% Cocamide MEA 2% 2% 2% 2% Ethylene Glycol Distearate 2% 2% 2% 2% Cetyl Alcohol 2% 2% 2% 2% Stearyl Alcohol 1.2% 1.2% 1.2% 1.2% Glycerin 1% 1% 1% 1% Polyquaternium 10 0.5% 0.25% — — Polyquaternium 24 — — 0.5% 0.25% Sodium Chloride 0.1% 0.1% 0.1% 0.1% Sucrose Polyesters of Cottonate 3% 3% — — Fatty Acid Sucrose Polyesters of Behenate 2% 3% — — Fatty Acid Polydimethyl Siloxane — — 3% 2% Cocaminopropyl Betaine — 1% 3% 3% Lauryl Dimethyl Amine Oxide 1.5% 1.5% 1.5% 1.5% Decyl Polyglucose — — 1% 1% DMDM Hydantoin 0.15% 0.15% 0.15% 0.15% PGF having IC50 of 7 nM — 0.007% 0.007% — PGF having IC50 of 24 nM 0.024% — — 0.024% Minoxidil 3% 2% Phenoxyethanol 0.5% 0.5% 0.5% 0.5% Fragrance 0.5% 0.5% 0.5% 0.5% Water q.s. q.s. q.s. q.s. - A human subject suffering from male pattern baldness is treated by a method of this invention. Specifically, for 12 weeks, a shampoo described above is used daily by the subject.
- A mascara composition is prepared. The composition comprises:
Component % W/W WATER, DEIONIZED, USP q.s. BLACK 1080 MICRONIZED TYPE 10.000 GLYCERYL MONOSTEARATE (2400 TYPE) 8.500 C18-36 ACID TRIGLYCERIDE 5.500 STEARIC ACID, TRIPLE PRESSED, LIQUID 4.000 ETHYL ALCOHOL SD 40-B, 190 PROOF/SERIAL #: 4.000 BEESWAX WHITE, FLAKES 3.250 SHELLAC, NF 3.000 LECITHIN, GRANULAR (TYPE 6450) 2.500 TRIETHANOLAMINE 99% - TANK 2.470 PARAFFIN WAX 2.250 PARAFFIN WAX 118/125 2.250 CARNAUBA WAX, NF 2.000 POTASSIUM CETYL PHOSPHATE 1.000 PHENOXYETHANOL 0.800 OLEIC ACID NF 0.750 DL-PANTHENOL 0.350 PVPIVA COPOLYMER 0.250 METHYLPARABEN, NF 0.200 DIAZOLIDINYL UREA 0.200 SIMETHICONE 0.200 ETHYLPARABEN NF 0.150 PENTAERYTHRITYL HYDROGENATED ROSINATE 0.150 PROPYLPARABEN. NF 0.100 TRISODIUM EDTA 0.100 PGF having IC50 of 7 nM 0.007 - The PGF is the same as that in Example 3-1.
- A human female subject applies the composition each day. Specifically, for 6 weeks, the above composition is administered topically to the subject to darken and thicken eyelashes.
- Pharmaceutical compositions in the form of tablets are prepared by conventional methods, such as mixing and direct compaction, formulated as follows:
Ingredient Quantity (mg per tablet) PGF 0.5 Microcrystalline Cellulose 100 Sodium Starch Glycollate 30 Magnesium Stearate 3 - The prostaglandin is the same as that in Example 3-3.
- The above composition is administered orally to a subject once daily for 6 to 12 weeks to promote hair growth.
- Pharmaceutical compositions in liquid form are prepared by conventional methods, formulated as follows:
Ingredient Quantity PGF 0.1 mg Phosphate buffered physiological saline 10 ml Methyl Paraben 0.05 ml - The prostaglandin is the same as that in Example 3-3.
- 1.0 ml of the above composition is administered subcutaneously at the site of hair loss once daily for 6 to 12 weeks to promote hair growth.
- A topical pharmaceutical composition is prepared by conventional methods and formulated as follows:
Ingredient Amount (wt %) PGF 0.004 Dextran 70 0.1 Hydroxypropyl methylcellulose 0.3 Sodium Chloride 0.77 Potassium chloride 0.12 Disodium EDTA (Edetate disodium) 0.05 Benzalkonium chloride 0.01 HCL and/or NaOH pH 7.2-7.5 Purified water q.s. to 100% - The prostaglandin is the same as that in Example 3-3.
- The above composition is administered ocularly to a subject once per day for 6 to 12 weeks to promote eyelash growth.
- The compositions and methods herein provide a cosmetic benefit with respect to hair growth and appearance in subjects desiring such treatment.
Claims (44)
Priority Applications (3)
| Application Number | Priority Date | Filing Date | Title |
|---|---|---|---|
| US09/774,555 US20020037914A1 (en) | 2000-03-31 | 2001-01-31 | Compositions and methods for treating hair loss using C16-C20 aromatic tetrahydro prostaglandins |
| US11/565,297 US7407987B2 (en) | 2000-03-31 | 2006-11-30 | Compositions and methods for treating hair loss using C16-C20 aromatic tetrahydro prostaglandins |
| US12/138,733 US8618086B2 (en) | 2000-03-31 | 2008-06-13 | Compositions and methods for treating hair loss using C16-C20 aromatic tetrahydro prostaglandins |
Applications Claiming Priority (2)
| Application Number | Priority Date | Filing Date | Title |
|---|---|---|---|
| US19384600P | 2000-03-31 | 2000-03-31 | |
| US09/774,555 US20020037914A1 (en) | 2000-03-31 | 2001-01-31 | Compositions and methods for treating hair loss using C16-C20 aromatic tetrahydro prostaglandins |
Related Child Applications (1)
| Application Number | Title | Priority Date | Filing Date |
|---|---|---|---|
| US11/565,297 Division US7407987B2 (en) | 2000-03-31 | 2006-11-30 | Compositions and methods for treating hair loss using C16-C20 aromatic tetrahydro prostaglandins |
Publications (1)
| Publication Number | Publication Date |
|---|---|
| US20020037914A1 true US20020037914A1 (en) | 2002-03-28 |
Family
ID=22715257
Family Applications (3)
| Application Number | Title | Priority Date | Filing Date |
|---|---|---|---|
| US09/774,555 Abandoned US20020037914A1 (en) | 2000-03-31 | 2001-01-31 | Compositions and methods for treating hair loss using C16-C20 aromatic tetrahydro prostaglandins |
| US11/565,297 Expired - Lifetime US7407987B2 (en) | 2000-03-31 | 2006-11-30 | Compositions and methods for treating hair loss using C16-C20 aromatic tetrahydro prostaglandins |
| US12/138,733 Expired - Fee Related US8618086B2 (en) | 2000-03-31 | 2008-06-13 | Compositions and methods for treating hair loss using C16-C20 aromatic tetrahydro prostaglandins |
Family Applications After (2)
| Application Number | Title | Priority Date | Filing Date |
|---|---|---|---|
| US11/565,297 Expired - Lifetime US7407987B2 (en) | 2000-03-31 | 2006-11-30 | Compositions and methods for treating hair loss using C16-C20 aromatic tetrahydro prostaglandins |
| US12/138,733 Expired - Fee Related US8618086B2 (en) | 2000-03-31 | 2008-06-13 | Compositions and methods for treating hair loss using C16-C20 aromatic tetrahydro prostaglandins |
Country Status (10)
| Country | Link |
|---|---|
| US (3) | US20020037914A1 (en) |
| EP (1) | EP1267803B1 (en) |
| JP (2) | JP2003528897A (en) |
| CN (1) | CN1206976C (en) |
| AT (1) | ATE312587T1 (en) |
| AU (1) | AU2001251166A1 (en) |
| CA (1) | CA2401718C (en) |
| DE (1) | DE60115869T2 (en) |
| ES (1) | ES2254395T3 (en) |
| WO (1) | WO2001074313A2 (en) |
Cited By (14)
| Publication number | Priority date | Publication date | Assignee | Title |
|---|---|---|---|---|
| US20020183399A1 (en) * | 2001-05-09 | 2002-12-05 | Sewon Kang | Method and compositions for treating rosacea |
| US20060121069A1 (en) * | 2000-03-31 | 2006-06-08 | Duke University | Compositions and methods for treating hair loss using oximyl and hydroxylamino prostaglandins |
| US20060135609A1 (en) * | 2004-10-21 | 2006-06-22 | Duke University | Ophthamological drugs |
| US20060247214A1 (en) * | 2000-03-31 | 2006-11-02 | Duke University | Cosmetic and pharmaceutical compositions and methods using 2-decarboxy-2-phosphinico derivatives |
| US20070254920A1 (en) * | 2006-04-26 | 2007-11-01 | Aerie Pharmaceuticals, Inc. | Prodrug derivatives of acids using alcohols with homotopic hydroxy groups and methods for their preparation and use |
| US20080033036A1 (en) * | 2003-08-12 | 2008-02-07 | Ryuji Ueno | Composition and Method for Promoting Hair Growth |
| US20090286769A1 (en) * | 2000-03-31 | 2009-11-19 | Duke University | Compositions and methods for treating hair loss using non-naturally occurring prostaglandins |
| US20100105775A1 (en) * | 2008-10-29 | 2010-04-29 | Delong Mitchell A | Amino acid salts of prostaglandins |
| US20100221197A1 (en) * | 2007-11-27 | 2010-09-02 | Taiyo Corporation | Antimicrobial agent and external preparation for skin containing the same |
| USRE43372E1 (en) | 1999-03-05 | 2012-05-08 | Duke University | C16 unsaturated FP-selective prostaglandins analogs |
| US8618086B2 (en) | 2000-03-31 | 2013-12-31 | Duke University | Compositions and methods for treating hair loss using C16-C20 aromatic tetrahydro prostaglandins |
| US8722739B2 (en) | 2008-10-29 | 2014-05-13 | Novaer Holdings, Inc. | Amino acid salts of prostaglandins |
| US9006291B2 (en) | 2009-02-03 | 2015-04-14 | Pharma Patent Holding Inc. | Composition, method and kit for enhancing hair |
| US10925824B2 (en) | 2015-12-28 | 2021-02-23 | Johnson & Johnson Consumer Inc. | Hair growth composition and method |
Families Citing this family (16)
| Publication number | Priority date | Publication date | Assignee | Title |
|---|---|---|---|---|
| US7326717B2 (en) | 2003-05-06 | 2008-02-05 | L'oreal | Pyrimidine n-oxide compounds for stimulating the growth of keratin fibers and/or reducing loss thereof |
| FR2920309B1 (en) | 2007-08-28 | 2010-05-28 | Galderma Res & Dev | USE OF TRAVOPROST TO TREAT THE FALL OF HAIR |
| US8455547B2 (en) * | 2008-02-05 | 2013-06-04 | Allergan, Inc. | Substituted cyclopentanes having prostaglandin activity |
| US7964596B2 (en) * | 2008-03-07 | 2011-06-21 | Allergan, Inc. | Therapeutic compounds |
| WO2010064203A1 (en) | 2008-12-02 | 2010-06-10 | L'oreal | Combination of reduced glutathione and amino acids for improving the quality of the hair in women |
| CA2769512C (en) | 2009-07-29 | 2019-07-09 | Duke University | Compositions comprising fp receptor antagonists and their use for inhibiting hair growth |
| FR2949052B1 (en) | 2009-08-13 | 2015-03-27 | Oreal | PROCESS FOR COSMETIC TREATMENT OF SCALP. |
| RU2567792C2 (en) | 2009-11-09 | 2015-11-10 | Аллерган, Инк. | Compositions and methods for hair growth stimulation |
| US9790233B2 (en) | 2012-04-16 | 2017-10-17 | Case Western Reserve University | Compositions and methods of modulating 15-PGDH activity |
| CA2927730A1 (en) | 2013-10-15 | 2015-05-07 | Case Western Reserve University | Compositions and methods of modulating short-chain dehydrogenase activity |
| US20150190383A1 (en) * | 2014-01-08 | 2015-07-09 | Aida Kalley | Hair care composition with analgesic |
| JP7595413B2 (en) | 2016-11-30 | 2024-12-06 | ケース ウエスタン リザーブ ユニバーシティ | Combination of 15-PGDH inhibitors with corticosteroids and/or TNF inhibitors and uses thereof - Patents.com |
| CA3052466A1 (en) | 2017-02-06 | 2018-08-09 | Case Western Reserve University | Compositions and methods of modulating short-chain dehydrogenase activity |
| CA3120858A1 (en) | 2018-11-21 | 2020-05-28 | Case Western Reserve University | Compositions and methods of modulating short-chain dehydrogenase activity |
| EP3991734B1 (en) * | 2019-06-28 | 2024-11-27 | Gurus BioPharm Inc. | Agent for the treatment of alopecia and promoting hair growth |
| MX2022014637A (en) | 2020-05-20 | 2023-03-03 | Rodeo Therapeutics Corp | COMPOSITIONS AND METHODS TO MODULATE THE ACTIVITY OF SHORT CHAIN DEHYDROGENASES. |
Citations (75)
| Publication number | Priority date | Publication date | Assignee | Title |
|---|---|---|---|---|
| US3435053A (en) * | 1966-06-06 | 1969-03-25 | Upjohn Co | Cyclopenta(b)pyrans |
| US3524867A (en) * | 1966-06-06 | 1970-08-18 | Upjohn Co | Process for producing cyclopenta (b)pyrans |
| US3598858A (en) * | 1958-05-28 | 1971-08-10 | Sune Bergstrom | Pge2 and pge3 |
| US3776939A (en) * | 1958-05-28 | 1973-12-04 | S Bergstrom | Dihydro-pgf1a |
| US3776938A (en) * | 1958-05-28 | 1973-12-04 | S Bergstrom | Dihydro-pge1 |
| US3839409A (en) * | 1958-05-28 | 1974-10-01 | Kemiska Inst Karolinska I | Pge3 esters and alkanoates |
| US3882245A (en) * | 1972-11-01 | 1975-05-06 | Upjohn Co | Use of prostaglandins in combating shock |
| US3882241A (en) * | 1969-12-01 | 1975-05-06 | Upjohn Co | Use of prostaglandins E and F for prevention of pregnancy in humans |
| US3896156A (en) * | 1970-06-30 | 1975-07-22 | Upjohn Co | Dihydroprostaglandin e, analogs |
| US3928588A (en) * | 1974-02-22 | 1975-12-23 | Upjohn Co | Method of reducing the undesirable gastrointestinal effects of prostaglandin synthetase inhibitors |
| US3966792A (en) * | 1973-02-28 | 1976-06-29 | Ono Pharmaceutical Co., Ltd. | Prostaglandin compounds |
| US3984455A (en) * | 1973-07-16 | 1976-10-05 | The Upjohn Company | Prostaglandin E1 analogs |
| US4004020A (en) * | 1973-12-21 | 1977-01-18 | Schering Aktiengesellschaft | Novel prostanoic acid derivatives and process for the preparation thereof |
| US4011262A (en) * | 1972-07-13 | 1977-03-08 | Pfizer Inc. | 13,14-Dihydro-15-substituted-ω-pentanorprostaglandins of the two series |
| US4024179A (en) * | 1972-11-08 | 1977-05-17 | Pfizer Inc. | Substituted ω-pentanorprostaglandins |
| US4061671A (en) * | 1974-04-03 | 1977-12-06 | Hoechst Aktiengesellschaft | Analogues of prostaglandins |
| US4073934A (en) * | 1975-04-18 | 1978-02-14 | Schering Aktiengesellschaft | Novel acetylenic prostaglandin analogs |
| US4089885A (en) * | 1976-11-05 | 1978-05-16 | American Home Products Corporation | Prostaglandin derivatives |
| US4123441A (en) * | 1976-09-22 | 1978-10-31 | The Upjohn Company | Enlarged-hetero-ring prostacyclin analogs |
| US4128720A (en) * | 1975-02-14 | 1978-12-05 | Ono Pharmaceutical Company | Prostaglandin analogues |
| US4158667A (en) * | 1976-02-04 | 1979-06-19 | The Upjohn Company | 6-Keto PGF analogs |
| US4171331A (en) * | 1978-06-05 | 1979-10-16 | Miles Laboratories, Inc. | 1 And 2-substituted analogues of certain prostaglandins |
| US4217360A (en) * | 1975-02-27 | 1980-08-12 | Schering Aktiengesellschaft | Novel 1,3-benzodioxaneprostanoic acid derivatives and process for the preparation thereof |
| US4225507A (en) * | 1979-07-05 | 1980-09-30 | The Upjohn Company | 19-Hydroxy-19-methyl-PGI2 compounds |
| US4225508A (en) * | 1979-07-05 | 1980-09-30 | The Upjohn Company | 19-Hydroxy-PGI2 compounds |
| US4284646A (en) * | 1976-08-06 | 1981-08-18 | Schering Aktiengesellschaft | Prostanoic acid derivatives and their preparation |
| US4499293A (en) * | 1976-09-22 | 1985-02-12 | The Upjohn Company | PGI2 Salts |
| US4621100A (en) * | 1981-09-25 | 1986-11-04 | The Upjohn Company | Treatment of osteoporosis with prostaglandins |
| US4704386A (en) * | 1985-08-29 | 1987-11-03 | G. D. Searle & Co. | 8-chlorodibenz[b,f][1,4]oxazepine-10(11H)-carboxylic acid, 2-[(phenylsulfinyl-, and phenylsulfonyl)alkanoyl]hydrazides |
| US4889845A (en) * | 1986-06-09 | 1989-12-26 | American Cyanamid Company | Vehicle for topical application of pharmaceuticals |
| US5063057A (en) * | 1990-09-26 | 1991-11-05 | Elizabeth Arden Co., Division Of Conopco, Inc. | Cosmetic capsules |
| US5219885A (en) * | 1987-02-16 | 1993-06-15 | Froelich Juergen | Prostaglandin E1 derivatives as pharmaceutically active agents, and pharmaceutical compositions containing these compounds, especially for transcutaneous administration |
| US5340813A (en) * | 1992-11-09 | 1994-08-23 | Cell Therapeutics, Inc. | Substituted aminoalkyl xanthine compounds |
| US5422371A (en) * | 1992-05-27 | 1995-06-06 | Arch Development Corp. | Methods and compositions for inhibiting 5α-reductase activity |
| US5500230A (en) * | 1987-01-23 | 1996-03-19 | The General Hospital Corporation | Method for treatment of glaucoma with nitrogen containing guanylate cyclase activators |
| US5508303A (en) * | 1992-05-29 | 1996-04-16 | Toray Industries, Inc. | Hair-growing composition |
| US5516652A (en) * | 1993-10-06 | 1996-05-14 | Merck Frosst Canada Inc. | DNA encoding prostaglandin receptor IP |
| US5567079A (en) * | 1992-11-17 | 1996-10-22 | Felder; Anton | Method for the hydraulic branching of an open stream and hydraulically working channel branch |
| US5576315A (en) * | 1991-05-03 | 1996-11-19 | G.D. Searle & Co. | Substituted dibenzoxazepine compounds and methods for treating osteoporosis and ischemia |
| US5578643A (en) * | 1992-05-20 | 1996-11-26 | Loyola University Of Chicago | Protective prostaglandins for use in conjunction with chemotherapeutic agents |
| US5587391A (en) * | 1993-12-28 | 1996-12-24 | Allergan | Cyclopentane(ene) heptenoic or heptanoic acids and derivatives thereof useful as therapeutic agents |
| US5605814A (en) * | 1993-08-31 | 1997-02-25 | Merck Frosst Canada Inc. | DNA encoding human prostaglandin receptor EP2 |
| US5641494A (en) * | 1992-03-20 | 1997-06-24 | Janssen Pharmaceutica N.V. | Agent for regulating the greasiness of the skin |
| US5658897A (en) * | 1996-04-08 | 1997-08-19 | Allergan | Cyclopentane(ene) heptanoic or cyclopentane(ene) heptenoic acid, 2-hydrocarbyl phosphinyloxyalkyl or phosphonamidoalkyl as therapeutic agents |
| US5663203A (en) * | 1986-09-11 | 1997-09-02 | Schering Aktiengesellschaft | Agents containing prostacyclin derivatives for topical application |
| US5670506A (en) * | 1993-04-05 | 1997-09-23 | Cell Therapeutics, Inc. | Halogen, isothiocyanate or azide substituted xanthines |
| US5703108A (en) * | 1996-02-28 | 1997-12-30 | Pfizer Inc. | Bone deposition by certain prostaglandin agonists |
| US5716609A (en) * | 1995-07-25 | 1998-02-10 | Panacea Biotec Limited | Therapeutic anti-inflammatory and analgesic composition containing nimesulide for use transdermally and a process for the manufacture thereof |
| US5719140A (en) * | 1993-04-30 | 1998-02-17 | G.D. Searle & Co. | 2, 3-, 4-, 5-, 6-, 7-, 8-, 9- and /or 10-substituted dibenzoxazepine compounds, pharmaceutical compositions and methods of use |
| US5770759A (en) * | 1987-04-30 | 1998-06-23 | R-Tech Ueno, Ltd. | Prostaglandins of the F series |
| US5792851A (en) * | 1996-09-03 | 1998-08-11 | Albert Einstin College Of Medicine Of Yeshiva University, A Division Of Yeshiva University | Human prostaglandin transporter |
| US5834498A (en) * | 1992-09-21 | 1998-11-10 | Allergan | Cyclopentane heptan(ene)oic acid, 2-heteroarylalkenyl derivatives as therapeutic agents |
| US5840847A (en) * | 1993-06-25 | 1998-11-24 | Merck Frosst Canada, Inc. | Purified prostaglandin receptor FP |
| US5877211A (en) * | 1997-11-21 | 1999-03-02 | Allergan | EP2 receptor agonists as neuroprotective agents for the eye |
| US5885974A (en) * | 1994-12-06 | 1999-03-23 | Michael M. Danielov | Therapeutic methods utilizing naturally derived bio-active complexes and delivery systems therefor |
| US5885766A (en) * | 1995-02-17 | 1999-03-23 | Societe L'oreal S.A. | Method of screening of substances for their effect on the expression of mediators of inflammation in a hair follicle |
| US5889052A (en) * | 1993-08-03 | 1999-03-30 | Alcon Laboraties, Inc. | Use of cloprostenol and fluprostenol analogues to treat glaucoma and ocular hypertension |
| US5892099A (en) * | 1997-01-27 | 1999-04-06 | Ono Pharmaceutical Co., Ltd. | 3,7-dithiaprostanoic acid derivative |
| US5958723A (en) * | 1995-01-26 | 1999-09-28 | Merck Frosst Canada & Co. | DNA encoding prostaglandin receptor DP |
| US5972965A (en) * | 1995-07-21 | 1999-10-26 | Fujisawa Pharmaceutical Co., Ltd. | 4,5-diaryl oxazole derivatives |
| US5977173A (en) * | 1997-09-09 | 1999-11-02 | Wos; John August | Aromatic C16 -C20 -substituted tetrahydro prostaglandins useful as FP agonists |
| US5985597A (en) * | 1993-05-26 | 1999-11-16 | Merck Frosst Canada, Inc. | DNA encoding prostaglandin receptor EP1 |
| US5990346A (en) * | 1995-06-26 | 1999-11-23 | Teijin Limited | Prostaglandins and processes for production thereof |
| US5994397A (en) * | 1995-12-22 | 1999-11-30 | Alcon Laboratories, Inc. | Substituted tetrahydrofuran analogs of prostaglandins as ocular hypotensives |
| US6013823A (en) * | 1992-06-08 | 2000-01-11 | New Pharma International Corp. | Trans-pentavalent 2-15-deoxy-16-hydroxy-16-methyl-PGE1 methyl ester (B-407) |
| US6025375A (en) * | 1993-12-20 | 2000-02-15 | Fujisawa Pharmaceutical Co., Ltd. | 4,5-diaryloxazole derivatives |
| US6030959A (en) * | 1997-04-04 | 2000-02-29 | Monsanto Company | Gastro-specific prodrugs |
| US6030999A (en) * | 1988-09-06 | 2000-02-29 | Pharmacia & Upjohn Aktiebolag | Prostaglandin derivatives for the treatment of glaucoma or ocular hypertension |
| US6031001A (en) * | 1994-09-21 | 2000-02-29 | Synphra Ab | Use of prostaglandins |
| US6037368A (en) * | 1997-05-09 | 2000-03-14 | Mount Sinai School Of Medicine | 8-iso- prostaglandins for glaucoma therapy |
| US6037364A (en) * | 1992-09-21 | 2000-03-14 | Allergan Sales, Inc. | Cyclopentane heptan(ene)oic acid, 2-heteroarylalkenyl derivatives as therapeutic agents |
| US6043264A (en) * | 1995-01-06 | 2000-03-28 | Toray Industries, Inc. | Benzene-condensed heterocyclic derivatives and their uses |
| US6048895A (en) * | 1997-09-09 | 2000-04-11 | The Procter & Gamble Company | Aromatic C16-C20 substituted tetrahydro prostaglandins useful as FP agonists |
| US6110969A (en) * | 1997-02-04 | 2000-08-29 | Ono Pharmaceutical Co. Ltd. | Cycloalkyl-prostaglandin E2 derivatives |
| US6262105B1 (en) * | 1997-02-04 | 2001-07-17 | Murray A. Johnstone | Method of enhancing hair growth |
Family Cites Families (224)
| Publication number | Priority date | Publication date | Assignee | Title |
|---|---|---|---|---|
| US13294A (en) | 1855-07-17 | Improved apparatus for cooling repeating fire-arms | ||
| US37914A (en) | 1863-03-17 | Improved automatic nose-bag | ||
| US37913A (en) | 1863-03-17 | Improvement in sewing-machines | ||
| US146439A (en) | 1874-01-13 | Improvement in pruning-shears | ||
| DE1617477U (en) | 1950-09-27 | 1950-12-14 | Heinrich Dressel | WHEEL HOLDER FOR BIKES, FOR EXAMPLE FOR BABY CARRIAGES AND SMALL VEHICLES. |
| DE1801750U (en) | 1959-07-07 | 1959-12-10 | H L Wahrendorf Betonwerk | TROUGH FOR ACCOMMODATION OF SWITCH BARRIER OF RAILWAY TRACKS. |
| US3461461A (en) | 1965-11-01 | 1969-08-12 | Upjohn Co | 6-amino-4-(substituted amino)-1,2-dihydro-1-hydroxy-2-iminopyrimidines |
| US3538120A (en) | 1967-05-22 | 1970-11-03 | Ciba Geigy Corp | Cyclopentyl-alkanoic acids |
| US3636120A (en) | 1967-10-09 | 1972-01-18 | Upjohn Co | Prostaglandin e primary alcohols |
| GB1285371A (en) | 1968-08-29 | 1972-08-16 | Upjohn Co | Improvements in or relating to therapeutic methods using prostaglandins |
| GB1251750A (en) | 1968-11-12 | 1971-10-27 | ||
| DE1910561A1 (en) | 1969-03-01 | 1970-09-10 | Herten Dr Med Kurt | Hair loss prevention agents |
| BE755555A (en) | 1969-09-02 | 1971-03-01 | Richardson Merrell Inc | QUINOXALINE DERIVATIVES |
| IT1012505B (en) | 1970-09-28 | 1977-03-10 | Imes C Spa | SEA URCHIN EXTRACT |
| BE791369A (en) | 1971-11-16 | 1973-05-14 | American Cyanamid Co | TRIS- (META-HYDROXYBENZYL) CYANURATES SUBJECT TO STERIC PREVENTION AND USE AS ANTI-OXIDANTS |
| US3798275A (en) | 1972-04-05 | 1974-03-19 | Ciba Geigy Corp | Etherified mercapto-methoxyamines |
| US4304907A (en) | 1972-05-10 | 1981-12-08 | The Upjohn Company | Bicyclo lactone intermediates for prostaglandin analogs |
| US3974213A (en) | 1972-07-13 | 1976-08-10 | Pfizer Inc. | 13,14-Dihydro-15-substituted-ω-pentanorprostaglandins |
| DD118856A5 (en) | 1972-11-08 | 1976-03-20 | ||
| US3984424A (en) | 1972-11-08 | 1976-10-05 | Pfizer Inc. | P-biphenyl esters of 15-substituted-ω-pentanorprostaglandins |
| US4152527A (en) | 1972-11-08 | 1979-05-01 | Pfizer Inc. | 15-Substituted-ω-pentanorprostaglandins |
| IL50310A (en) | 1972-11-08 | 1977-08-31 | Pfizer | Dimethyl ketophosphonates |
| JPS49101356U (en) | 1972-12-20 | 1974-08-31 | ||
| JPS5320995Y2 (en) | 1972-12-23 | 1978-06-02 | ||
| FR2239458A1 (en) | 1973-07-31 | 1975-02-28 | Aries Robert | Prostaglandin amides - with antilipolytic, gonadotrophic, luteolytic, hypotensive and other activities associated with prostaglandins |
| US3931282A (en) | 1974-02-21 | 1976-01-06 | Syntex (U.S.A.) Inc. | 11α-Hydroxymethyl prostaglandins |
| US4069885A (en) * | 1974-03-27 | 1978-01-24 | Klockner-Humboldt-Deutz Aktiengesellschaft | Tractor-implement arrangement for establishing frictional engagement therebetween |
| GB1458315A (en) | 1974-04-22 | 1976-12-15 | Ici Ltd | Prostanoic acid derivatives |
| DE2460990A1 (en) | 1974-12-21 | 1976-07-01 | Hoechst Ag | NEW PROSTAGLANDIN ANALOGS AND PROCEDURES FOR THEIR PRODUCTION |
| US3934013A (en) | 1975-02-21 | 1976-01-20 | Syntex (U.S.A.) Inc. | Pharmaceutical composition |
| GB1506817A (en) | 1975-03-31 | 1978-04-12 | Upjohn Co | Prostaglandins |
| GB1520522A (en) | 1975-06-16 | 1978-08-09 | Ono Pharmaceutical Co | 16-methyleneprostaglandins |
| ES449162A1 (en) | 1975-06-23 | 1977-12-16 | Syntex Inc | A PROCEDURE FOR THE PREPARATION OF A RACEMI-CO U 8R-ANTIMERIC COMPOUND. |
| US4005133A (en) | 1975-10-14 | 1977-01-25 | The Upjohn Company | PGF2.sub.α, L-Arginine salt |
| US4128577A (en) | 1975-12-29 | 1978-12-05 | The Upjohn Company | 15-Methyl- and 16-phenoxy-PGF2 α, amides |
| US4139619A (en) | 1976-05-24 | 1979-02-13 | The Upjohn Company | 6-Amino-4-(substituted amino)-1,2-dihydro-1-hydroxy-2-iminopyrimidine, topical compositions and process for hair growth |
| US4596812A (en) | 1976-05-24 | 1986-06-24 | The Upjohn Company | Methods and solutions for treating male pattern alopecia |
| US4051238A (en) | 1976-06-03 | 1977-09-27 | The Upjohn Company | Treatment of genital tract diseases of domestic animals with prostaglandins |
| US4268522A (en) | 1976-06-14 | 1981-05-19 | Pfizer Inc. | 13,14-Dihydro-15-alkenyl- and 13,14-dihydro-15-alkynyl prostaglandins and analogs thereof |
| DE2737807A1 (en) | 1976-08-27 | 1978-03-09 | Pfizer | C LOW 1 -P-BIPHENYLESTER OF OMEGA-PENTANORPROSTAGLANDINES |
| DE2737808A1 (en) | 1976-08-27 | 1978-03-16 | Pfizer | 2-SUBSTITUTED ARYL HETEROCYCLIC OMEGA PENTANOR PROSTAGLANDIN |
| US4178457A (en) | 1978-07-10 | 1979-12-11 | Syntex (U.S.A.) Inc. | (dl)-16-Phenoxy- and 16-substituted phenoxy-9-keto prostatrienoic acid derivatives and processes for the production thereof |
| US4206151A (en) | 1978-12-21 | 1980-06-03 | American Cyanamid Company | 15-Deoxy-16-hydroxy-16-vinyl or cyclopropyl prostan-1-ols of the E, A and F series |
| US4311707A (en) | 1979-02-12 | 1982-01-19 | American Cyanamid Company | Process for topically producing cutaneous vasodilation for the treatment of vasospastic or ischemic conditions |
| GB2048254B (en) | 1979-04-02 | 1983-05-25 | Upjohn Co | 19,20 -didehydro-19-hydroxy and 19-oxo-prostaglandin derivatives |
| US4296504A (en) | 1980-07-07 | 1981-10-27 | Lawson Daniel C | Toilet seat lock |
| JPH0222226Y2 (en) | 1981-02-04 | 1990-06-14 | ||
| CH656877A5 (en) | 1981-11-27 | 1986-07-31 | Erba Farmitalia | OPTICALLY ACTIVE OR RACEMIC PROSTAGLAND DERIVATIVES. |
| US4599353A (en) | 1982-05-03 | 1986-07-08 | The Trustees Of Columbia University In The City Of New York | Use of eicosanoids and their derivatives for treatment of ocular hypertension and glaucoma |
| US4912235A (en) | 1983-12-22 | 1990-03-27 | Syntex (U.S.A.) Inc. | Processes and intermediates for making 16-phenoxy- and 16-substituted phenoxy-prostatrienoic acid derivatives and their stereoisomers |
| EP0187854A4 (en) | 1984-07-13 | 1987-01-22 | Gail S Bazzano | Substituted pyrimidine oxides useful for hair growth promotion. |
| JPS6147459A (en) | 1984-07-31 | 1986-03-07 | シンテツクス(ユー・エス・エイ)インコーポレイテツド | 11-substituted-16-phenoxyprostatrienoic acid derivative |
| JPS61126069A (en) | 1984-11-21 | 1986-06-13 | Res Dev Corp Of Japan | Prostaglandin derivative |
| JPS61218510A (en) * | 1985-03-22 | 1986-09-29 | Dai Ichi Seiyaku Co Ltd | Agent for hair |
| US5863948A (en) | 1985-06-14 | 1999-01-26 | Massachusetts Eye And Ear Infirmary | Increasing aqueous humor outflow |
| US4757089A (en) | 1985-06-14 | 1988-07-12 | Massachusetts Eye And Ear Infirmary | Increasing aqueous humor outflow |
| US4883819A (en) | 1986-07-31 | 1989-11-28 | The Trustees Of Columbia University In The City Of New York | Use of A, B and C prostaglandins and derivatives thereof to treat ocular hypertension and glaucoma |
| FI872552A7 (en) * | 1986-06-09 | 1987-12-10 | American Cyanamid Co | A topical prostaglandin composition. |
| US5041439A (en) | 1986-06-13 | 1991-08-20 | The Procter & Gamble Company | Penetrating topical pharmaceutical compositions |
| US4952581A (en) | 1987-04-03 | 1990-08-28 | The Trustees Of Columbia University In The City Of New York | Use of a prostaglandin in combination with an adrenergic blocking agent for reduction of intraocular pressure |
| GB8713747D0 (en) | 1987-06-12 | 1987-07-15 | Unilever Plc | Skin treatment composition |
| ATE108330T1 (en) | 1987-09-18 | 1994-07-15 | R Tech Ueno Ltd | HYPOTENSIVE OCULAR MEDIUM. |
| US5166178B1 (en) | 1987-09-18 | 1998-07-21 | R Tech Ueno Ltd | Ocular hypotensive agents |
| US5296504A (en) | 1988-09-06 | 1994-03-22 | Kabi Pharmacia | Prostaglandin derivatives for the treatment of glaucoma or ocular hypertension |
| US5321128A (en) | 1988-09-06 | 1994-06-14 | Kabi Pharmacia Ab | Prostaglandin derivatives for the treatment of glaucoma or ocular hypertension |
| US6187813B1 (en) | 1990-04-10 | 2001-02-13 | Pharmacia & Upjohn Aktiebolag | Prostaglandin derivatives for the treatment of glaucoma or ocular hypertension |
| US5194429A (en) | 1988-10-01 | 1993-03-16 | K.K. Ueno Seiyaku Oyo Kenkyujo | Ocular hypotensive agents |
| US4968812A (en) | 1989-06-23 | 1990-11-06 | Shell Oil Company | Spirolactonelactams |
| JPH0737389B2 (en) | 1989-08-29 | 1995-04-26 | 久光製薬株式会社 | Ointment containing prostaglandin E1 |
| CA1339132C (en) | 1989-09-12 | 1997-07-29 | Johan W. Stjernschantz | Prostaglandin derivatives for the treatment of glaucoma or ocular hypertension |
| CA2030345C (en) | 1989-11-22 | 1998-12-08 | Ryuji Ueno | Use of 15-keto-prostaglandin compound for improvement of encephalic function |
| JPH0627942Y2 (en) | 1989-12-14 | 1994-07-27 | 松下電器産業株式会社 | Condenser with fuse holder |
| WO1991013207A1 (en) | 1990-02-21 | 1991-09-05 | Pulp And Paper Research Institute Of Canada | POLY-β-HYDROXYALKANOATES FOR USE IN FIBRE CONSTRUCTS AND FILMS |
| TW249226B (en) | 1990-04-04 | 1995-06-11 | Aderk Ueno Kk | |
| US5302617A (en) | 1990-04-27 | 1994-04-12 | Kabushikikaisha Ueno Seiyaku Oyo Kenkyuio | Biochemical treatment with 15-dehydroxy-16-oxoprostaglandin compounds |
| DE4024347A1 (en) | 1990-07-27 | 1992-01-30 | Schering Ag | CYCLOPENTANE DERIVATIVES, METHOD FOR THE PRODUCTION THEREOF AND THEIR PHARMACEUTICAL USE |
| JPH04300833A (en) | 1991-03-29 | 1992-10-23 | Green Cross Corp:The | Prostaglandin e1-containing fat emulsion-loaded aerosol |
| US5312832A (en) | 1991-05-17 | 1994-05-17 | Allergan, Inc. | Ocular hypotensive 2-decarboxyl-2-acylthioalkyl prostaglandin derivatives |
| US5288754A (en) | 1992-02-04 | 1994-02-22 | Allergan, Inc. | Polar C-1 esters of prostaglandins |
| US5409911A (en) | 1992-09-11 | 1995-04-25 | Merck & Co., Inc. | Prostaglandin analog for treating osteoporosis |
| US5352708A (en) | 1992-09-21 | 1994-10-04 | Allergan, Inc. | Non-acidic cyclopentane heptanoic acid, 2-cycloalkyl or arylalkyl derivatives as therapeutic agents |
| US5688819A (en) | 1992-09-21 | 1997-11-18 | Allergan | Cyclopentane heptanoic acid, 2-cycloalkyl or arylalkyl derivatives as therapeutic agents |
| EP0664707B1 (en) | 1992-10-13 | 1997-06-04 | Alcon Laboratories, Inc. | Combinations of prostaglandins and clonidine derivatives for the treatment of glaucoma |
| US5332730A (en) | 1992-10-16 | 1994-07-26 | Allergan, Inc. | Azido derivatives of cyclopentane heptanoic or heptenoic acid |
| AU6991994A (en) | 1993-06-25 | 1995-01-17 | Merck Frosst Canada Inc. | Prostaglandin receptor ep3 and dna encoding it |
| FR2711060B1 (en) | 1993-10-13 | 1995-11-17 | Oreal | Method for modifying the growth of hair and / or hair and compositions which can be used for this purpose. |
| SE9303444D0 (en) | 1993-10-20 | 1993-10-20 | Kabi Pharmacia Ab | New use of prostaglandins |
| WO1995011033A1 (en) | 1993-10-22 | 1995-04-27 | Commonwealth Scientific And Industrial Research Organisation | Polyoxometallates in the treatment of flavivirus infections |
| SE9303627D0 (en) | 1993-11-03 | 1993-11-03 | Kabi Pharmacia Ab | Method and means for the prevention of cataract |
| US5431881A (en) | 1993-12-10 | 1995-07-11 | Palacios; Henry J. | Treatment of hair loss and dermatological problems |
| US6124344A (en) | 1993-12-28 | 2000-09-26 | Allergan Sales, Inc. | Cyclopentane heptan(ene)oic acid, 2-heteroarylalkenyl derivatives as therapeutic agents |
| US5458883A (en) | 1994-01-12 | 1995-10-17 | Duke University | Method of treating disorders of the eye |
| US5462968A (en) | 1994-01-19 | 1995-10-31 | Allergan, Inc. | EP2 -receptor agonists as agents for lowering intraocular pressure |
| ZA95627B (en) | 1994-01-28 | 1995-10-05 | Procter & Gamble | Biodegradable copolymers and plastic articles comprising biodegradable copolymers |
| US5476372A (en) | 1994-02-10 | 1995-12-19 | Yang; Hsi-Kung | Manual pump |
| US5698733A (en) | 1994-09-30 | 1997-12-16 | Alcon Laboratories, Inc. | Use of 9-deoxy prostaglandin derivatives to treat glaucoma |
| FR2730811B1 (en) | 1995-02-17 | 1997-03-21 | Oreal | METHOD FOR DIAGNOSING AND / OR MONITORING THE EVOLUTION OF A HAIR DISORDER AND / OR MEASURING THE EFFECTIVENESS OF A TREATMENT APPLIED TO COMBAT A HAIR DISORDER |
| CA2221110C (en) | 1995-05-18 | 2009-08-04 | Allergan | Cyclopentane heptan(ene)oic acid, 2-heteroarylalkenyl derivatives as therapeutic agents for the treatment of ocular hypertension |
| AU7672096A (en) | 1995-06-07 | 1998-06-03 | Alcon Laboratories, Inc. | Conformationally rigid aryl- or heteroaryl prostaglandins for use in glaucoma therapy |
| US5661178A (en) | 1995-09-01 | 1997-08-26 | Allergan | Method for effecting vasodilation with (1,5-inter)aryl prostaglandin derivatives |
| US6251436B1 (en) | 1995-09-29 | 2001-06-26 | L.A.M. Pharmaceutical Corporation | Drug preparations for treating sexual dysfunction |
| WO1997015319A1 (en) | 1995-10-23 | 1997-05-01 | Queen's University At Kingston | Method and pharmaceutical composition for chondrostimulation with a prostaglandin (e.g. misoprostol) and tgf-beta, optionally in combination with igf-1 |
| US6441047B2 (en) | 1995-11-17 | 2002-08-27 | Alcon Manufacturing Ltd.. | Combination therapy for treating glaucoma |
| US5866602A (en) | 1995-12-22 | 1999-02-02 | Alcon Laboratories, Inc. | Keto-substituted tetrahydrofuran analogs of prostaglandins as ocular hypotensives |
| US5814660A (en) | 1995-12-22 | 1998-09-29 | Alcon Laboratories, Inc. | 9-oxa prostaglandin analogs as ocular hypotensives |
| WO1997023225A1 (en) | 1995-12-22 | 1997-07-03 | Alcon Laboratories, Inc. | Combinations of dp and fp type prostaglandins for lowering iop |
| WO1997023226A1 (en) | 1995-12-22 | 1997-07-03 | Alcon Laboratories, Inc. | Combinations of prostaglandins and miotics for lowering intraocular pressure |
| AUPN814496A0 (en) | 1996-02-19 | 1996-03-14 | Monash University | Dermal penetration enhancer |
| US5741810A (en) | 1996-02-29 | 1998-04-21 | Allergan | Cyclopentane heptan(ene)oic acid, 2- heteroarylalkenyl derivatives as therapeutic agents |
| US5990168A (en) | 1996-04-18 | 1999-11-23 | Alberta Cancer Board | Methods and compositions for the treatment of ataxia telangiectasia |
| JP3049593B2 (en) * | 1996-05-01 | 2000-06-05 | 株式会社ビメーク | Hair restorer |
| WO1998000100A1 (en) | 1996-07-03 | 1998-01-08 | The Board Of Regents Of The University Of Oklahoma | Enhancement of skin pigmentation by prostaglandins |
| ATE221048T1 (en) | 1996-09-17 | 2002-08-15 | Asahi Glass Co Ltd | FLUORINATED PROSTAGLAND DERIVATIVES AND MEDICATIONS |
| US5827508A (en) | 1996-09-27 | 1998-10-27 | The Procter & Gamble Company | Stable photoprotective compositions |
| JP3537274B2 (en) | 1996-10-29 | 2004-06-14 | 鐘淵化学工業株式会社 | Biodegradable laminate |
| CA2270349A1 (en) | 1996-11-01 | 1998-05-14 | Jesse A. May | Use of a combination of carbonic anhydrase inhibitors and prostaglandins for treating glaucoma |
| CA2269853A1 (en) | 1996-11-12 | 1998-05-22 | Paul W. Zinke | Use of cis-.delta.4 analogs of prostaglandins as ocular hypotensives |
| AU5436198A (en) | 1996-11-12 | 1998-06-03 | Alcon Laboratories, Inc. | 11-halo prostaglandins for the treatment of glaucoma or ocular hypertension |
| WO1998020881A1 (en) | 1996-11-12 | 1998-05-22 | Alcon Laboratories, Inc | 15-ketal prostaglandins for the treatment of glaucoma or ocular hypertension |
| DE69705421T2 (en) | 1996-11-12 | 2002-05-16 | Alcon Laboratories, Inc. | 15-FLUORO-PROSTAGLANDINE AS AN EYE PRESSURING AGENT |
| TW523506B (en) | 1996-12-18 | 2003-03-11 | Ono Pharmaceutical Co | Sulfonamide or carbamide derivatives and drugs containing the same as active ingredients |
| EP0951282B1 (en) | 1996-12-20 | 2008-04-02 | Pfizer Inc. | Prevention and treatment of skeletal disorder with ep2 receptor subtype selective prostaglandin e2 agonists |
| UA59384C2 (en) | 1996-12-20 | 2003-09-15 | Пфайзер, Інк. | Preventing bone mass loss and recovery thereof by means of prostaglandin agonists |
| US6288119B1 (en) | 1997-02-10 | 2001-09-11 | Ono Pharmaceuticals Co., Ltd. | 11,15-O-dialkylprostaglandin E derivatives, process for producing the same, and drugs containing the same as the active ingredient |
| KR20000065039A (en) | 1997-02-27 | 2000-11-06 | 히라이 가쯔히꼬 | Pulmonary circulation improving agent |
| CA2276666A1 (en) | 1997-03-07 | 1998-09-11 | Alcon Laboratories, Inc. | 13-thia prostaglandins for use in glaucoma therapy |
| JP3217293B2 (en) * | 1997-04-17 | 2001-10-09 | 株式会社アールテック・ウエノ | Hair growth / hair restorer |
| JP2002501533A (en) | 1997-05-30 | 2002-01-15 | メルク エンド カンパニー インコーポレーテッド | Ophthalmic composition for the treatment of ocular hypertension |
| AU7349298A (en) | 1997-06-23 | 1999-01-04 | Pfizer Inc. | Prostaglandin agonists |
| SE9702706D0 (en) | 1997-07-11 | 1997-07-11 | Pharmacia & Upjohn Ab | Prostaglandin derivatives devoid of side effects for the treatment of glaucoma |
| WO1999012556A1 (en) | 1997-09-08 | 1999-03-18 | The Public Health Research Institute Of The City Of New York, Inc. | HIV-1 gp120 V1/V2 DOMAIN EPITOPES CAPABLE OF GENERATING NEUTRALIZING ANTIBODIES |
| AU9374198A (en) | 1997-09-08 | 1999-03-29 | Idec Pharmaceuticals Corporation | Methods for producing human antibodies in scid mice using dendritic cells |
| CZ298701B6 (en) | 1997-09-09 | 2007-12-27 | F. Hoffman-La Roche Ag | Medicament for healing bones and repair of fractures |
| CN1269720A (en) | 1997-09-09 | 2000-10-11 | 普罗克特和甘保尔公司 | Method of increasing bone volume |
| AU9774698A (en) | 1997-09-09 | 1999-03-29 | Regents Of The University Of California, The | Inhibition of apoptotis using prosaposin receptor agonists |
| CN1269785A (en) | 1997-09-09 | 2000-10-11 | 普罗克特和甘保尔公司 | Aromatic C16-C20 substituted tetrahydro prostaglandius useful as EP agonists |
| JP2001515864A (en) | 1997-09-09 | 2001-09-25 | ザ プロクター アンド ギャンブル カンパニー | Method for increasing bone volume using non-natural FP selective agonist |
| WO1999012560A1 (en) | 1997-09-09 | 1999-03-18 | Creative Biomolecules, Inc. | Synergistic effects of op/bmp morphogens and gdnf/ngf neurotrophic factors |
| WO1999012899A1 (en) * | 1997-09-09 | 1999-03-18 | The Procter & Gamble Company | A process for making prostaglandin f analogs |
| AUPO907697A0 (en) | 1997-09-09 | 1997-10-02 | Day, Robert Edward | Chemical supplementation of bone |
| AU9305798A (en) | 1997-09-09 | 1999-03-29 | Procter & Gamble Company, The | A process for making epoxide intermediates |
| AU9312598A (en) | 1997-09-10 | 1999-03-29 | Allegheny University Of The Health Sciences | Inhibitors of collagen assembly |
| AU731842B2 (en) | 1997-09-10 | 2001-04-05 | Merck & Co., Inc. | 9a-azalides as veterinary antimicrobial agents |
| JP2001515869A (en) | 1997-09-11 | 2001-09-25 | アメリカ合衆国 | Mucosal cytotoxic T lymphocyte response |
| JP2001515706A (en) | 1997-09-11 | 2001-09-25 | パーデュー・リサーチ・ファウンデーション | Galactosidase-modified submucosal tissue |
| US6326170B1 (en) | 1997-09-12 | 2001-12-04 | Smithkline Beecham Corp. | Prokaryotic polynucleotides, polypeptides and their uses |
| EP0970697A4 (en) | 1997-09-17 | 2001-02-21 | Toray Industries | Cervical maturing agent |
| AU8998298A (en) | 1997-09-19 | 1999-04-12 | Shionogi & Co., Ltd. | Compounds having (2.2.1)bicyclo skeleton |
| US6124314A (en) | 1997-10-10 | 2000-09-26 | Pfizer Inc. | Osteoporosis compounds |
| UA67754C2 (en) | 1997-10-10 | 2004-07-15 | Пфайзер, Інк. | Prostaglandin agonists and use thereof for the treatment of bone disorders |
| EP1027057A4 (en) | 1997-10-28 | 2003-01-02 | Vivus Inc | Treatment of female sexual dysfunction |
| AUPP010397A0 (en) | 1997-10-30 | 1997-11-20 | Vaisman, Jakov | Method and composition for treatment of sexual dysfunction |
| DE69822665T2 (en) | 1997-11-14 | 2005-02-17 | United Therapeutics Corp. | USE OF 9-DESOXY-2 ', 9-ALPHA-METHANO-3-OXA-4,5,6-TRINOR-3,7- (1', 3'-INTERPHENYLENE) -13,14-DIHYDROPROSTAGLANDIN-F1 FOR TREATMENT OF PERIPHERAL VASCULAR DISEASES |
| CN1282249A (en) | 1997-12-18 | 2001-01-31 | 内森·厄尔·斯科特 | Combination prostaglandin E2/F2α for treating impotence and enhancing sexual arousal |
| US6099870A (en) | 1997-12-18 | 2000-08-08 | Johnson & Johnson Consumer Companies, Inc. | Methods for improving the health of hair and scalp |
| US5955575A (en) | 1997-12-22 | 1999-09-21 | Hopital Sainte-Justine | Antagonists of G-protein-coupled receptor |
| US6436643B1 (en) | 1997-12-22 | 2002-08-20 | Unilever Patent Holdings Bv | Process for site-directed integration of multiple copies of a gene in a mould |
| US6232344B1 (en) | 1997-12-22 | 2001-05-15 | Alcon Laboratories, Inc. | 13-Oxa prostaglandins for the treatment of glaucoma and ocular hypertension |
| DE69821987T2 (en) | 1997-12-25 | 2004-12-16 | Ono Pharmaceutical Co. Ltd. | OMEGA CYCLOALKYL PROSTAGLANDIN E2 DERIVATIVES |
| GB2330307A (en) | 1998-02-07 | 1999-04-21 | Glaxo Group Ltd | EP4 Receptor antagonists as bone resorption inhibitors |
| WO1999047497A2 (en) | 1998-03-13 | 1999-09-23 | Merck Frosst Canada & Co. | Carboxylic acids and acylsulfonamides, compositions containing such compounds and methods of treatment |
| US6444840B1 (en) | 1998-03-31 | 2002-09-03 | The Procter & Gamble Co. | C11 oxymyl and hydroxylamino prostaglandins useful as FP agonists |
| DE69918433T2 (en) | 1998-03-31 | 2005-09-01 | Duke University | C11-OXYMYL- AND HYDROXYLAMINO-PROSTAGLANDINE AND ITS USE AS A MEDICAMENT |
| ATE296284T1 (en) | 1998-03-31 | 2005-06-15 | Univ Duke | C11 OXYMYL AND HYDROXYLAMINO PROSTAGLANDINS USABLE AS FP AGONISTS |
| CN1144588C (en) | 1998-05-25 | 2004-04-07 | 大正制药株式会社 | Sleep inducing agent |
| US6458549B2 (en) | 1998-06-11 | 2002-10-01 | Winthrop-University Hospital | Methods of diagnosing renal salt wasting syndrome and Alzheimer's disease and methods of treating the same |
| US5942545A (en) | 1998-06-15 | 1999-08-24 | Macrochem Corporation | Composition and method for treating penile erectile dysfunction |
| US6187818B1 (en) | 1998-06-17 | 2001-02-13 | Pharmacia & Upjohn Company | Prostaglandins formulation and process |
| WO2000002450A1 (en) | 1998-07-08 | 2000-01-20 | Fibrogen, Inc. | Method for treatment of fibrosis related diseases by the administration of prostacyclin derivatives |
| DE69922916T2 (en) | 1998-07-14 | 2005-06-09 | Alcon Manufacturing Ltd., Fort Worth | POLYPROPYLENE BASED CONTAINERS FOR PROSTAGLANDIN CONTAINING PRODUCTS |
| TWI249520B (en) | 1998-07-15 | 2006-02-21 | Ono Pharmaceutical Co | 5-Thia-omega-substituted phenyl prostaglandin E derivatives, method for producing the same and medicines containing the same as the active ingredient |
| AU5114499A (en) | 1998-07-21 | 2000-02-14 | Merck & Co., Inc. | Ophthalmic compositions for treating ocular hypertension |
| EP1109546A1 (en) | 1998-07-21 | 2001-06-27 | Merck & Co., Inc. | Ophthalmic compositions for treating ocular hypertension |
| US6284234B1 (en) * | 1998-08-04 | 2001-09-04 | Johnson & Johnson Consumer Companies, Inc. | Topical delivery systems for active agents |
| AU5196699A (en) | 1998-08-12 | 2000-03-06 | Kazusa Dna Research Institute Foundation | Novel gene and protein pgth encoded thereby |
| KR20010074981A (en) | 1998-09-14 | 2001-08-09 | 우에노 도시오 | ω-SUBSTITUTED PHENYL-PROSTAGLANDIN E DERIVATIVES AND DRUGS CONTAINING THE SAME AS THE ACTIVE INGREDIENT |
| AUPP608898A0 (en) | 1998-09-23 | 1998-10-15 | Fujisawa Pharmaceutical Co., Ltd. | New use of prostaglandin E2 antagonists |
| US6121253A (en) | 1998-11-20 | 2000-09-19 | Merck Frosst Canada & Co. | Prostaglandin conjugates for treating or preventing bone disease |
| ES2223454T3 (en) | 1999-03-01 | 2005-03-01 | Pfizer Products Inc. | OXAMIC ACIDS AND DERIVATIVES AS LIGANDOS OF THYROID RECEPTORS. |
| EP1159265B1 (en) | 1999-03-05 | 2004-11-24 | Duke University | C-16 unsaturated fp-selective prostaglandins analogs |
| CN1350521A (en) | 1999-03-05 | 2002-05-22 | 宝洁公司 | C16 unsaturated FP-selective prostaglanding analogs |
| US6894175B1 (en) | 1999-08-04 | 2005-05-17 | The Procter & Gamble Company | 2-Decarboxy-2-phosphinico prostaglandin derivatives and methods for their preparation and use |
| EP1202999B1 (en) | 1999-08-04 | 2003-06-18 | The Procter & Gamble Company | Novel 2-decarboxy-2-phosphinico prostaglandin f analogs |
| CA2393471C (en) | 1999-12-30 | 2008-09-02 | The Procter & Gamble Company | Biodegradable plastic food service items |
| US6548535B2 (en) | 2000-01-18 | 2003-04-15 | Merck & Co., Inc. | Method for treating ocular hypertension |
| IL143477A (en) | 2001-05-31 | 2009-07-20 | Finetech Pharmaceutical Ltd | Process for the preparation of 17-phenyl-18,19,20-trinor-pgf2?? and its derivatives |
| US20020013294A1 (en) | 2000-03-31 | 2002-01-31 | Delong Mitchell Anthony | Cosmetic and pharmaceutical compositions and methods using 2-decarboxy-2-phosphinico derivatives |
| AU4466901A (en) | 2000-03-31 | 2001-10-08 | Toray Industries, Inc. | Hair growth or hair formation controlling agents |
| US20020037914A1 (en) | 2000-03-31 | 2002-03-28 | Delong Mitchell Anthony | Compositions and methods for treating hair loss using C16-C20 aromatic tetrahydro prostaglandins |
| US20020146439A1 (en) | 2000-03-31 | 2002-10-10 | Delong Mitchell Anthony | Compositions and methods for treating hair loss using oximyl and hydroxylamino prostaglandins |
| US20020172693A1 (en) | 2000-03-31 | 2002-11-21 | Delong Michell Anthony | Compositions and methods for treating hair loss using non-naturally occurring prostaglandins |
| FR2812190B1 (en) | 2000-07-28 | 2003-01-31 | Oreal | USE OF NON-PROSTANOIC AGONISTS OF EP-2 AND / OR EP-4 PROSTAGLANDIN RECEPTORS AS A COSMETIC AGENT FOR MITIGATING, DECREASING OR STOPPING HAIR AND HAIR LOSS |
| FR2812193B1 (en) | 2000-07-28 | 2003-10-24 | Oreal | USE OF AN ANTAGONIST OF PROSTAGLANDIN EP-2 AND / OR EP-4 RECEPTORS TO ATTENUATE, DECREASE OR STOP HAIR AND HAIR GROWTH IN COSMETIC PREPARATIONS |
| FR2812191B1 (en) | 2000-07-28 | 2003-10-17 | Oreal | USE OF PROSTAGLANDIN E2 RECEPTOR AGONISTS (EP-3) TO ATTENUATE, DECREASE OR STOP HAIR AND HAIR GROWTH IN COSMETIC PREPARATIONS |
| EP1298223A3 (en) | 2001-09-28 | 2003-07-23 | Pfizer Products Inc. | Methods related to the A-C repeat Z-sequence upstream from the aldose reductase gene |
| US20040082013A1 (en) | 2002-01-24 | 2004-04-29 | Regan John W | Methods for screening for substances which inhibit fp prostanoid receptor interaction with a compound having pgf2alpha activity and methods of treating cancer |
| US7351404B2 (en) | 2002-02-04 | 2008-04-01 | Allergan, Inc. | Method of enhancing hair growth |
| US7186707B2 (en) | 2002-04-01 | 2007-03-06 | University Of Florida | Prodrugs for use as ophthalmic agents |
| GB0208785D0 (en) | 2002-04-17 | 2002-05-29 | Medical Res Council | Treatment methtods |
| US7320967B2 (en) | 2002-04-23 | 2008-01-22 | L'oreal | Cosmetic composition, method of cosmetic treatment and preparation of a composition for promoting the growth and/or preventing or delaying the loss of hair |
| US6573294B1 (en) | 2002-05-14 | 2003-06-03 | Allergan, Inc. | 8-azaprostaglandin analogs as agents for lowering intraocular pressure |
| US7521530B2 (en) | 2002-06-11 | 2009-04-21 | Universite De Montreal | Peptides and peptidomimetics useful for inhibiting the activity of prostaglandin F2α receptor |
| US20030199590A1 (en) | 2002-07-25 | 2003-10-23 | Cagle Gerald D | Prostaglandin analogues for promotion of hair growth |
| JP4300833B2 (en) | 2003-03-17 | 2009-07-22 | ソニー株式会社 | Manufacturing method of semiconductor light emitting device |
| US7589233B2 (en) | 2003-07-29 | 2009-09-15 | Signature R&D Holdings, Llc | L-Threonine derivatives of high therapeutic index |
| US7045634B2 (en) | 2003-09-05 | 2006-05-16 | Allergan, Inc. | Prostamide receptor antagonists |
| US20050058614A1 (en) | 2003-09-15 | 2005-03-17 | Allergan, Inc. | Methods for the treatment of gray hair using cyclopentane(ene) heptan(en)oic acid amides |
| US7070768B2 (en) | 2003-09-25 | 2006-07-04 | Allergan, Inc. | Method for imparting artificial tan to human skin |
| US20050112075A1 (en) | 2003-11-25 | 2005-05-26 | Hwang Cheng S. | Reduction of hair growth |
| EP1722780A4 (en) | 2003-11-26 | 2008-12-17 | Univ Duke | TECHNIQUE FOR PREVENTING OR TREATING GLAUCOMA |
| US7288029B1 (en) | 2005-01-19 | 2007-10-30 | Gkn Driveline North America, Inc. | Propshaft with crash-worthiness |
| JP2008517941A (en) | 2004-10-21 | 2008-05-29 | デューク・ユニバーシティー | Ophthalmic drugs |
| GB0506759D0 (en) | 2005-04-02 | 2005-05-11 | Medical Res Council | Combination treatment methods |
| WO2007123818A2 (en) | 2006-04-18 | 2007-11-01 | Nitromed, Inc. | Organic nitric oxide enhancing salts of prostaglandins, compositions and methods of use |
| JP5141552B2 (en) | 2006-04-24 | 2013-02-13 | Jsr株式会社 | Polymer and photosensitive resin composition containing the same |
| US20070254920A1 (en) | 2006-04-26 | 2007-11-01 | Aerie Pharmaceuticals, Inc. | Prodrug derivatives of acids using alcohols with homotopic hydroxy groups and methods for their preparation and use |
| US7868032B2 (en) | 2006-10-18 | 2011-01-11 | Allergan, Inc. | Prostamide receptor antagonists |
| JP5095269B2 (en) | 2007-06-05 | 2012-12-12 | 北海道エア・ウォーター株式会社 | Communications system |
| US20090018204A1 (en) | 2007-07-13 | 2009-01-15 | Brinkenhoff Michael C | Composition and method for enhancing hair growth |
| CA2739571A1 (en) | 2008-10-29 | 2010-08-26 | Aerie Pharmaceuticals, Inc. | Amino acid salts of prostaglandins |
| US8722739B2 (en) | 2008-10-29 | 2014-05-13 | Novaer Holdings, Inc. | Amino acid salts of prostaglandins |
| US8623918B2 (en) | 2008-10-29 | 2014-01-07 | Novaer Holdings, Inc. | Amino acid salts of prostaglandins |
| WO2010108012A1 (en) | 2009-03-18 | 2010-09-23 | Duke University | Compositions and methods for promoting nasal patency and treating neurogenic bladder using prostaglandins |
| JP5331025B2 (en) | 2010-02-18 | 2013-10-30 | 八千代工業株式会社 | Sunroof device guide pipe holding structure |
-
2001
- 2001-01-31 US US09/774,555 patent/US20020037914A1/en not_active Abandoned
- 2001-03-30 CN CNB018073514A patent/CN1206976C/en not_active Expired - Fee Related
- 2001-03-30 AT AT01924517T patent/ATE312587T1/en not_active IP Right Cessation
- 2001-03-30 AU AU2001251166A patent/AU2001251166A1/en not_active Abandoned
- 2001-03-30 JP JP2001572059A patent/JP2003528897A/en active Pending
- 2001-03-30 CA CA002401718A patent/CA2401718C/en not_active Expired - Lifetime
- 2001-03-30 ES ES01924517T patent/ES2254395T3/en not_active Expired - Lifetime
- 2001-03-30 DE DE60115869T patent/DE60115869T2/en not_active Expired - Lifetime
- 2001-03-30 WO PCT/US2001/010368 patent/WO2001074313A2/en not_active Ceased
- 2001-03-30 EP EP01924517A patent/EP1267803B1/en not_active Expired - Lifetime
-
2006
- 2006-11-30 US US11/565,297 patent/US7407987B2/en not_active Expired - Lifetime
-
2008
- 2008-06-13 US US12/138,733 patent/US8618086B2/en not_active Expired - Fee Related
-
2011
- 2011-11-30 JP JP2011262337A patent/JP5579158B2/en not_active Expired - Lifetime
Patent Citations (89)
| Publication number | Priority date | Publication date | Assignee | Title |
|---|---|---|---|---|
| US3852337A (en) * | 1958-05-28 | 1974-12-03 | Kemiska Institutionen Karolins | Pgf tetraols and alkanoyl esters |
| US3598858A (en) * | 1958-05-28 | 1971-08-10 | Sune Bergstrom | Pge2 and pge3 |
| US3691216A (en) * | 1958-05-28 | 1972-09-12 | Sune Bergstrom | Pge2 methyl ester and pge2 methyl ester diacetate |
| US3706789A (en) * | 1958-05-28 | 1972-12-19 | Sune Bergstrom | Pgf{11 {60 |
| US3776939A (en) * | 1958-05-28 | 1973-12-04 | S Bergstrom | Dihydro-pgf1a |
| US3776938A (en) * | 1958-05-28 | 1973-12-04 | S Bergstrom | Dihydro-pge1 |
| US3839409A (en) * | 1958-05-28 | 1974-10-01 | Kemiska Inst Karolinska I | Pge3 esters and alkanoates |
| US3435053A (en) * | 1966-06-06 | 1969-03-25 | Upjohn Co | Cyclopenta(b)pyrans |
| US3524867A (en) * | 1966-06-06 | 1970-08-18 | Upjohn Co | Process for producing cyclopenta (b)pyrans |
| US3882241A (en) * | 1969-12-01 | 1975-05-06 | Upjohn Co | Use of prostaglandins E and F for prevention of pregnancy in humans |
| US3896156A (en) * | 1970-06-30 | 1975-07-22 | Upjohn Co | Dihydroprostaglandin e, analogs |
| US4011262A (en) * | 1972-07-13 | 1977-03-08 | Pfizer Inc. | 13,14-Dihydro-15-substituted-ω-pentanorprostaglandins of the two series |
| US3882245A (en) * | 1972-11-01 | 1975-05-06 | Upjohn Co | Use of prostaglandins in combating shock |
| US4024179A (en) * | 1972-11-08 | 1977-05-17 | Pfizer Inc. | Substituted ω-pentanorprostaglandins |
| US3966792A (en) * | 1973-02-28 | 1976-06-29 | Ono Pharmaceutical Co., Ltd. | Prostaglandin compounds |
| US3984455A (en) * | 1973-07-16 | 1976-10-05 | The Upjohn Company | Prostaglandin E1 analogs |
| US4004020A (en) * | 1973-12-21 | 1977-01-18 | Schering Aktiengesellschaft | Novel prostanoic acid derivatives and process for the preparation thereof |
| US3928588A (en) * | 1974-02-22 | 1975-12-23 | Upjohn Co | Method of reducing the undesirable gastrointestinal effects of prostaglandin synthetase inhibitors |
| US4061671A (en) * | 1974-04-03 | 1977-12-06 | Hoechst Aktiengesellschaft | Analogues of prostaglandins |
| US4128720A (en) * | 1975-02-14 | 1978-12-05 | Ono Pharmaceutical Company | Prostaglandin analogues |
| US4217360A (en) * | 1975-02-27 | 1980-08-12 | Schering Aktiengesellschaft | Novel 1,3-benzodioxaneprostanoic acid derivatives and process for the preparation thereof |
| US4073934A (en) * | 1975-04-18 | 1978-02-14 | Schering Aktiengesellschaft | Novel acetylenic prostaglandin analogs |
| US4158667A (en) * | 1976-02-04 | 1979-06-19 | The Upjohn Company | 6-Keto PGF analogs |
| US4284646A (en) * | 1976-08-06 | 1981-08-18 | Schering Aktiengesellschaft | Prostanoic acid derivatives and their preparation |
| US4489092A (en) * | 1976-08-06 | 1984-12-18 | Schering Aktiengesellschaft | Prostanoic acid derivatives and their preparation |
| US4123441A (en) * | 1976-09-22 | 1978-10-31 | The Upjohn Company | Enlarged-hetero-ring prostacyclin analogs |
| US4499293A (en) * | 1976-09-22 | 1985-02-12 | The Upjohn Company | PGI2 Salts |
| US4089885A (en) * | 1976-11-05 | 1978-05-16 | American Home Products Corporation | Prostaglandin derivatives |
| US4171331A (en) * | 1978-06-05 | 1979-10-16 | Miles Laboratories, Inc. | 1 And 2-substituted analogues of certain prostaglandins |
| US4225507A (en) * | 1979-07-05 | 1980-09-30 | The Upjohn Company | 19-Hydroxy-19-methyl-PGI2 compounds |
| US4225508A (en) * | 1979-07-05 | 1980-09-30 | The Upjohn Company | 19-Hydroxy-PGI2 compounds |
| US4621100A (en) * | 1981-09-25 | 1986-11-04 | The Upjohn Company | Treatment of osteoporosis with prostaglandins |
| US4704386A (en) * | 1985-08-29 | 1987-11-03 | G. D. Searle & Co. | 8-chlorodibenz[b,f][1,4]oxazepine-10(11H)-carboxylic acid, 2-[(phenylsulfinyl-, and phenylsulfonyl)alkanoyl]hydrazides |
| US4889845A (en) * | 1986-06-09 | 1989-12-26 | American Cyanamid Company | Vehicle for topical application of pharmaceuticals |
| US5280018A (en) * | 1986-06-09 | 1994-01-18 | American Cyanamid Company | Vehicle for optical application of pharmaceuticals |
| US5663203A (en) * | 1986-09-11 | 1997-09-02 | Schering Aktiengesellschaft | Agents containing prostacyclin derivatives for topical application |
| US5500230A (en) * | 1987-01-23 | 1996-03-19 | The General Hospital Corporation | Method for treatment of glaucoma with nitrogen containing guanylate cyclase activators |
| US5464868A (en) * | 1987-02-16 | 1995-11-07 | Froelich; Juergen C. | Prostaglandin E1 derivatives for transdermal administration and methods of treatment therewith |
| US5973002A (en) * | 1987-02-16 | 1999-10-26 | Froelich; Juergen C. | Prostaglandin E1 derivatives as pharmacologically active agents, especially for transcutaneous administration |
| US5219885A (en) * | 1987-02-16 | 1993-06-15 | Froelich Juergen | Prostaglandin E1 derivatives as pharmaceutically active agents, and pharmaceutical compositions containing these compounds, especially for transcutaneous administration |
| US5681850A (en) * | 1987-02-16 | 1997-10-28 | Froelich; Juergen C. | Method of treatment of impotence with prostaglandin E1 derivatives |
| US5770759A (en) * | 1987-04-30 | 1998-06-23 | R-Tech Ueno, Ltd. | Prostaglandins of the F series |
| US6030999A (en) * | 1988-09-06 | 2000-02-29 | Pharmacia & Upjohn Aktiebolag | Prostaglandin derivatives for the treatment of glaucoma or ocular hypertension |
| US5063057A (en) * | 1990-09-26 | 1991-11-05 | Elizabeth Arden Co., Division Of Conopco, Inc. | Cosmetic capsules |
| US5576315A (en) * | 1991-05-03 | 1996-11-19 | G.D. Searle & Co. | Substituted dibenzoxazepine compounds and methods for treating osteoporosis and ischemia |
| US5641494A (en) * | 1992-03-20 | 1997-06-24 | Janssen Pharmaceutica N.V. | Agent for regulating the greasiness of the skin |
| US5578643A (en) * | 1992-05-20 | 1996-11-26 | Loyola University Of Chicago | Protective prostaglandins for use in conjunction with chemotherapeutic agents |
| US5605931A (en) * | 1992-05-20 | 1997-02-25 | Loyola University Of Chicago | Protective prostaglandins for use in conjunction with chemotherapeutic agents |
| US5578640A (en) * | 1992-05-20 | 1996-11-26 | Loyola University Of Chicago | Protective prostaglandins for use in conjunction with chemotherapeutic agents |
| US5422371A (en) * | 1992-05-27 | 1995-06-06 | Arch Development Corp. | Methods and compositions for inhibiting 5α-reductase activity |
| US5508303A (en) * | 1992-05-29 | 1996-04-16 | Toray Industries, Inc. | Hair-growing composition |
| US6013823A (en) * | 1992-06-08 | 2000-01-11 | New Pharma International Corp. | Trans-pentavalent 2-15-deoxy-16-hydroxy-16-methyl-PGE1 methyl ester (B-407) |
| US6037364A (en) * | 1992-09-21 | 2000-03-14 | Allergan Sales, Inc. | Cyclopentane heptan(ene)oic acid, 2-heteroarylalkenyl derivatives as therapeutic agents |
| US5834498A (en) * | 1992-09-21 | 1998-11-10 | Allergan | Cyclopentane heptan(ene)oic acid, 2-heteroarylalkenyl derivatives as therapeutic agents |
| US5340813A (en) * | 1992-11-09 | 1994-08-23 | Cell Therapeutics, Inc. | Substituted aminoalkyl xanthine compounds |
| US5567079A (en) * | 1992-11-17 | 1996-10-22 | Felder; Anton | Method for the hydraulic branching of an open stream and hydraulically working channel branch |
| US5670506A (en) * | 1993-04-05 | 1997-09-23 | Cell Therapeutics, Inc. | Halogen, isothiocyanate or azide substituted xanthines |
| US5719140A (en) * | 1993-04-30 | 1998-02-17 | G.D. Searle & Co. | 2, 3-, 4-, 5-, 6-, 7-, 8-, 9- and /or 10-substituted dibenzoxazepine compounds, pharmaceutical compositions and methods of use |
| US5985597A (en) * | 1993-05-26 | 1999-11-16 | Merck Frosst Canada, Inc. | DNA encoding prostaglandin receptor EP1 |
| US6031079A (en) * | 1993-05-26 | 2000-02-29 | Merck Frosst Canada, Inc. | Purified prostaglandin receptor EP1 |
| US5869281A (en) * | 1993-06-25 | 1999-02-09 | Merck Frosst Canada Inc. | DNA encoding prostaglandin receptor FP |
| US5840847A (en) * | 1993-06-25 | 1998-11-24 | Merck Frosst Canada, Inc. | Purified prostaglandin receptor FP |
| US5889052A (en) * | 1993-08-03 | 1999-03-30 | Alcon Laboraties, Inc. | Use of cloprostenol and fluprostenol analogues to treat glaucoma and ocular hypertension |
| US5605814A (en) * | 1993-08-31 | 1997-02-25 | Merck Frosst Canada Inc. | DNA encoding human prostaglandin receptor EP2 |
| US5759789A (en) * | 1993-08-31 | 1998-06-02 | Merck Frosst Canada, Inc. | Prostaglandin receptor EP2 |
| US5516652A (en) * | 1993-10-06 | 1996-05-14 | Merck Frosst Canada Inc. | DNA encoding prostaglandin receptor IP |
| US6025375A (en) * | 1993-12-20 | 2000-02-15 | Fujisawa Pharmaceutical Co., Ltd. | 4,5-diaryloxazole derivatives |
| US5587391A (en) * | 1993-12-28 | 1996-12-24 | Allergan | Cyclopentane(ene) heptenoic or heptanoic acids and derivatives thereof useful as therapeutic agents |
| US6031001A (en) * | 1994-09-21 | 2000-02-29 | Synphra Ab | Use of prostaglandins |
| US5885974A (en) * | 1994-12-06 | 1999-03-23 | Michael M. Danielov | Therapeutic methods utilizing naturally derived bio-active complexes and delivery systems therefor |
| US6043264A (en) * | 1995-01-06 | 2000-03-28 | Toray Industries, Inc. | Benzene-condensed heterocyclic derivatives and their uses |
| US5958723A (en) * | 1995-01-26 | 1999-09-28 | Merck Frosst Canada & Co. | DNA encoding prostaglandin receptor DP |
| US5885766A (en) * | 1995-02-17 | 1999-03-23 | Societe L'oreal S.A. | Method of screening of substances for their effect on the expression of mediators of inflammation in a hair follicle |
| US5990346A (en) * | 1995-06-26 | 1999-11-23 | Teijin Limited | Prostaglandins and processes for production thereof |
| US5972965A (en) * | 1995-07-21 | 1999-10-26 | Fujisawa Pharmaceutical Co., Ltd. | 4,5-diaryl oxazole derivatives |
| US5716609A (en) * | 1995-07-25 | 1998-02-10 | Panacea Biotec Limited | Therapeutic anti-inflammatory and analgesic composition containing nimesulide for use transdermally and a process for the manufacture thereof |
| US5994397A (en) * | 1995-12-22 | 1999-11-30 | Alcon Laboratories, Inc. | Substituted tetrahydrofuran analogs of prostaglandins as ocular hypotensives |
| US6025392A (en) * | 1995-12-22 | 2000-02-15 | Alcon Laboratories, Inc. | substituted tetrahydrofuran analogs of prostaglandins as ocular hypotensives |
| US5703108A (en) * | 1996-02-28 | 1997-12-30 | Pfizer Inc. | Bone deposition by certain prostaglandin agonists |
| US5658897A (en) * | 1996-04-08 | 1997-08-19 | Allergan | Cyclopentane(ene) heptanoic or cyclopentane(ene) heptenoic acid, 2-hydrocarbyl phosphinyloxyalkyl or phosphonamidoalkyl as therapeutic agents |
| US5792851A (en) * | 1996-09-03 | 1998-08-11 | Albert Einstin College Of Medicine Of Yeshiva University, A Division Of Yeshiva University | Human prostaglandin transporter |
| US5892099A (en) * | 1997-01-27 | 1999-04-06 | Ono Pharmaceutical Co., Ltd. | 3,7-dithiaprostanoic acid derivative |
| US6110969A (en) * | 1997-02-04 | 2000-08-29 | Ono Pharmaceutical Co. Ltd. | Cycloalkyl-prostaglandin E2 derivatives |
| US6262105B1 (en) * | 1997-02-04 | 2001-07-17 | Murray A. Johnstone | Method of enhancing hair growth |
| US6030959A (en) * | 1997-04-04 | 2000-02-29 | Monsanto Company | Gastro-specific prodrugs |
| US6037368A (en) * | 1997-05-09 | 2000-03-14 | Mount Sinai School Of Medicine | 8-iso- prostaglandins for glaucoma therapy |
| US5977173A (en) * | 1997-09-09 | 1999-11-02 | Wos; John August | Aromatic C16 -C20 -substituted tetrahydro prostaglandins useful as FP agonists |
| US6048895A (en) * | 1997-09-09 | 2000-04-11 | The Procter & Gamble Company | Aromatic C16-C20 substituted tetrahydro prostaglandins useful as FP agonists |
| US5877211A (en) * | 1997-11-21 | 1999-03-02 | Allergan | EP2 receptor agonists as neuroprotective agents for the eye |
Cited By (28)
| Publication number | Priority date | Publication date | Assignee | Title |
|---|---|---|---|---|
| USRE43372E1 (en) | 1999-03-05 | 2012-05-08 | Duke University | C16 unsaturated FP-selective prostaglandins analogs |
| US8618086B2 (en) | 2000-03-31 | 2013-12-31 | Duke University | Compositions and methods for treating hair loss using C16-C20 aromatic tetrahydro prostaglandins |
| US20060247214A1 (en) * | 2000-03-31 | 2006-11-02 | Duke University | Cosmetic and pharmaceutical compositions and methods using 2-decarboxy-2-phosphinico derivatives |
| US9579270B2 (en) | 2000-03-31 | 2017-02-28 | Duke University | Compositions and methods for treating hair loss using non-naturally occurring prostaglandins |
| US9346837B2 (en) | 2000-03-31 | 2016-05-24 | Duke University | Cosmetic and pharmaceutical compositions and methods using 2-decarboxy-2-phosphinico derivatives |
| US20090286769A1 (en) * | 2000-03-31 | 2009-11-19 | Duke University | Compositions and methods for treating hair loss using non-naturally occurring prostaglandins |
| US8541466B2 (en) | 2000-03-31 | 2013-09-24 | Duke University | Compositions and methods for treating hair loss using non-naturally occurring prostaglandins |
| US8906962B2 (en) | 2000-03-31 | 2014-12-09 | Duke University | Compositions and methods for treating hair loss using non-naturally occurring prostaglandins |
| US9675539B2 (en) | 2000-03-31 | 2017-06-13 | Duke University | Cosmetic and pharmaceutical compositions and methods using 2-decarboxy-2-phosphinico derivatives |
| US20060121069A1 (en) * | 2000-03-31 | 2006-06-08 | Duke University | Compositions and methods for treating hair loss using oximyl and hydroxylamino prostaglandins |
| US20020183399A1 (en) * | 2001-05-09 | 2002-12-05 | Sewon Kang | Method and compositions for treating rosacea |
| US7078048B2 (en) * | 2001-05-09 | 2006-07-18 | The Regents Of The University Of Michigan | Method and compositions for treating rosacea |
| US7795302B2 (en) | 2001-05-09 | 2010-09-14 | The Regents Of The University Of Michigan | Use of compositions for treating rosacea |
| US8686035B2 (en) | 2003-08-12 | 2014-04-01 | R-Tech Ueno, Ltd. | Composition and method for promoting hair growth |
| US20080033036A1 (en) * | 2003-08-12 | 2008-02-07 | Ryuji Ueno | Composition and Method for Promoting Hair Growth |
| US20060135609A1 (en) * | 2004-10-21 | 2006-06-22 | Duke University | Ophthamological drugs |
| US8642644B2 (en) | 2004-10-21 | 2014-02-04 | Duke University | Ophthamological drugs |
| US20090318542A1 (en) * | 2004-10-21 | 2009-12-24 | Toone Eric J | Ophthamological drugs |
| US20070254920A1 (en) * | 2006-04-26 | 2007-11-01 | Aerie Pharmaceuticals, Inc. | Prodrug derivatives of acids using alcohols with homotopic hydroxy groups and methods for their preparation and use |
| US20100221197A1 (en) * | 2007-11-27 | 2010-09-02 | Taiyo Corporation | Antimicrobial agent and external preparation for skin containing the same |
| US8623918B2 (en) | 2008-10-29 | 2014-01-07 | Novaer Holdings, Inc. | Amino acid salts of prostaglandins |
| US8722739B2 (en) | 2008-10-29 | 2014-05-13 | Novaer Holdings, Inc. | Amino acid salts of prostaglandins |
| US20100105775A1 (en) * | 2008-10-29 | 2010-04-29 | Delong Mitchell A | Amino acid salts of prostaglandins |
| US9006291B2 (en) | 2009-02-03 | 2015-04-14 | Pharma Patent Holding Inc. | Composition, method and kit for enhancing hair |
| US10925824B2 (en) | 2015-12-28 | 2021-02-23 | Johnson & Johnson Consumer Inc. | Hair growth composition and method |
| US11039996B2 (en) | 2015-12-28 | 2021-06-22 | Johnson & Johnson Consumer Inc. | Hair growth composition and method |
| US11185487B2 (en) | 2015-12-28 | 2021-11-30 | Johnson & Johnson Consumer Inc. | Hair growth composition and method |
| US11666520B2 (en) | 2015-12-28 | 2023-06-06 | Johnson & Johnson Consumer Inc. | Hair growth composition and method |
Also Published As
| Publication number | Publication date |
|---|---|
| WO2001074313A3 (en) | 2002-02-21 |
| ATE312587T1 (en) | 2005-12-15 |
| EP1267803B1 (en) | 2005-12-14 |
| CA2401718A1 (en) | 2001-10-11 |
| CN1419437A (en) | 2003-05-21 |
| DE60115869D1 (en) | 2006-01-19 |
| AU2001251166A1 (en) | 2001-10-15 |
| ES2254395T3 (en) | 2006-06-16 |
| US20070092466A1 (en) | 2007-04-26 |
| US7407987B2 (en) | 2008-08-05 |
| JP2003528897A (en) | 2003-09-30 |
| DE60115869T2 (en) | 2006-07-06 |
| US20080241078A1 (en) | 2008-10-02 |
| WO2001074313A2 (en) | 2001-10-11 |
| US8618086B2 (en) | 2013-12-31 |
| JP2012046545A (en) | 2012-03-08 |
| CA2401718C (en) | 2007-05-29 |
| JP5579158B2 (en) | 2014-08-27 |
| EP1267803A2 (en) | 2003-01-02 |
| CN1206976C (en) | 2005-06-22 |
Similar Documents
| Publication | Publication Date | Title |
|---|---|---|
| US8618086B2 (en) | Compositions and methods for treating hair loss using C16-C20 aromatic tetrahydro prostaglandins | |
| US9877908B2 (en) | Cosmetic and pharmaceutical compositions and methods using 2-decarboxy-2-phosphinico derivatives | |
| EP1267807B1 (en) | The use of prostaglandin F analogs for the preparation of compositions for the treatment of hair loss. | |
| US20020146439A1 (en) | Compositions and methods for treating hair loss using oximyl and hydroxylamino prostaglandins |
Legal Events
| Date | Code | Title | Description |
|---|---|---|---|
| AS | Assignment |
Owner name: PROCTER & GAMBLE COMPANY, THE, OHIO Free format text: ASSIGNMENT OF ASSIGNORS INTEREST;ASSIGNORS:DELONG, MITCHELL ANTHONY;MOLVER, JOHN MCMILLAN;YOUNGQUIST, ROBERT SCOTT;REEL/FRAME:012943/0837 Effective date: 20010126 |
|
| AS | Assignment |
Owner name: DUKE UNIVERSITY, NORTH CAROLINA Free format text: ASSIGNMENT OF ASSIGNORS INTEREST;ASSIGNOR:PROCTER & GAMBLE COMPANY, THE;REEL/FRAME:014462/0584 Effective date: 20040323 |
|
| STCB | Information on status: application discontinuation |
Free format text: ABANDONED -- FAILURE TO RESPOND TO AN OFFICE ACTION |











