KR102387509B1 - 화합물, 유기 전기발광 소자용 재료, 유기 전기발광 소자, 및 전자 기기 - Google Patents
화합물, 유기 전기발광 소자용 재료, 유기 전기발광 소자, 및 전자 기기 Download PDFInfo
- Publication number
- KR102387509B1 KR102387509B1 KR1020167002841A KR20167002841A KR102387509B1 KR 102387509 B1 KR102387509 B1 KR 102387509B1 KR 1020167002841 A KR1020167002841 A KR 1020167002841A KR 20167002841 A KR20167002841 A KR 20167002841A KR 102387509 B1 KR102387509 B1 KR 102387509B1
- Authority
- KR
- South Korea
- Prior art keywords
- group
- compound
- formula
- ring
- carbon atoms
- Prior art date
- Legal status (The legal status is an assumption and is not a legal conclusion. Google has not performed a legal analysis and makes no representation as to the accuracy of the status listed.)
- Active
Links
Images
Classifications
-
- C—CHEMISTRY; METALLURGY
- C07—ORGANIC CHEMISTRY
- C07C—ACYCLIC OR CARBOCYCLIC COMPOUNDS
- C07C211/00—Compounds containing amino groups bound to a carbon skeleton
- C07C211/43—Compounds containing amino groups bound to a carbon skeleton having amino groups bound to carbon atoms of six-membered aromatic rings of the carbon skeleton
- C07C211/57—Compounds containing amino groups bound to a carbon skeleton having amino groups bound to carbon atoms of six-membered aromatic rings of the carbon skeleton having amino groups bound to carbon atoms of six-membered aromatic rings being part of condensed ring systems of the carbon skeleton
- C07C211/61—Compounds containing amino groups bound to a carbon skeleton having amino groups bound to carbon atoms of six-membered aromatic rings of the carbon skeleton having amino groups bound to carbon atoms of six-membered aromatic rings being part of condensed ring systems of the carbon skeleton with at least one of the condensed ring systems formed by three or more rings
-
- C—CHEMISTRY; METALLURGY
- C07—ORGANIC CHEMISTRY
- C07D—HETEROCYCLIC COMPOUNDS
- C07D209/00—Heterocyclic compounds containing five-membered rings, condensed with other rings, with one nitrogen atom as the only ring hetero atom
- C07D209/56—Ring systems containing three or more rings
- C07D209/80—[b, c]- or [b, d]-condensed
- C07D209/82—Carbazoles; Hydrogenated carbazoles
-
- C—CHEMISTRY; METALLURGY
- C07—ORGANIC CHEMISTRY
- C07D—HETEROCYCLIC COMPOUNDS
- C07D209/00—Heterocyclic compounds containing five-membered rings, condensed with other rings, with one nitrogen atom as the only ring hetero atom
- C07D209/56—Ring systems containing three or more rings
- C07D209/80—[b, c]- or [b, d]-condensed
- C07D209/82—Carbazoles; Hydrogenated carbazoles
- C07D209/86—Carbazoles; Hydrogenated carbazoles with only hydrogen atoms, hydrocarbon or substituted hydrocarbon radicals, directly attached to carbon atoms of the ring system
-
- C—CHEMISTRY; METALLURGY
- C07—ORGANIC CHEMISTRY
- C07D—HETEROCYCLIC COMPOUNDS
- C07D307/00—Heterocyclic compounds containing five-membered rings having one oxygen atom as the only ring hetero atom
- C07D307/77—Heterocyclic compounds containing five-membered rings having one oxygen atom as the only ring hetero atom ortho- or peri-condensed with carbocyclic rings or ring systems
- C07D307/91—Dibenzofurans; Hydrogenated dibenzofurans
-
- C—CHEMISTRY; METALLURGY
- C07—ORGANIC CHEMISTRY
- C07D—HETEROCYCLIC COMPOUNDS
- C07D333/00—Heterocyclic compounds containing five-membered rings having one sulfur atom as the only ring hetero atom
- C07D333/50—Heterocyclic compounds containing five-membered rings having one sulfur atom as the only ring hetero atom condensed with carbocyclic rings or ring systems
- C07D333/76—Dibenzothiophenes
-
- C—CHEMISTRY; METALLURGY
- C07—ORGANIC CHEMISTRY
- C07D—HETEROCYCLIC COMPOUNDS
- C07D405/00—Heterocyclic compounds containing both one or more hetero rings having oxygen atoms as the only ring hetero atoms, and one or more rings having nitrogen as the only ring hetero atom
- C07D405/02—Heterocyclic compounds containing both one or more hetero rings having oxygen atoms as the only ring hetero atoms, and one or more rings having nitrogen as the only ring hetero atom containing two hetero rings
- C07D405/12—Heterocyclic compounds containing both one or more hetero rings having oxygen atoms as the only ring hetero atoms, and one or more rings having nitrogen as the only ring hetero atom containing two hetero rings linked by a chain containing hetero atoms as chain links
-
- C—CHEMISTRY; METALLURGY
- C09—DYES; PAINTS; POLISHES; NATURAL RESINS; ADHESIVES; COMPOSITIONS NOT OTHERWISE PROVIDED FOR; APPLICATIONS OF MATERIALS NOT OTHERWISE PROVIDED FOR
- C09K—MATERIALS FOR MISCELLANEOUS APPLICATIONS, NOT PROVIDED FOR ELSEWHERE
- C09K11/00—Luminescent, e.g. electroluminescent, chemiluminescent materials
- C09K11/06—Luminescent, e.g. electroluminescent, chemiluminescent materials containing organic luminescent materials
-
- H01L51/006—
-
- H01L51/0061—
-
- H01L51/0072—
-
- H01L51/5012—
-
- H01L51/5056—
-
- H—ELECTRICITY
- H10—SEMICONDUCTOR DEVICES; ELECTRIC SOLID-STATE DEVICES NOT OTHERWISE PROVIDED FOR
- H10K—ORGANIC ELECTRIC SOLID-STATE DEVICES
- H10K50/00—Organic light-emitting devices
-
- H—ELECTRICITY
- H10—SEMICONDUCTOR DEVICES; ELECTRIC SOLID-STATE DEVICES NOT OTHERWISE PROVIDED FOR
- H10K—ORGANIC ELECTRIC SOLID-STATE DEVICES
- H10K50/00—Organic light-emitting devices
- H10K50/10—OLEDs or polymer light-emitting diodes [PLED]
- H10K50/11—OLEDs or polymer light-emitting diodes [PLED] characterised by the electroluminescent [EL] layers
-
- H—ELECTRICITY
- H10—SEMICONDUCTOR DEVICES; ELECTRIC SOLID-STATE DEVICES NOT OTHERWISE PROVIDED FOR
- H10K—ORGANIC ELECTRIC SOLID-STATE DEVICES
- H10K50/00—Organic light-emitting devices
- H10K50/10—OLEDs or polymer light-emitting diodes [PLED]
- H10K50/14—Carrier transporting layers
- H10K50/15—Hole transporting layers
-
- H—ELECTRICITY
- H10—SEMICONDUCTOR DEVICES; ELECTRIC SOLID-STATE DEVICES NOT OTHERWISE PROVIDED FOR
- H10K—ORGANIC ELECTRIC SOLID-STATE DEVICES
- H10K50/00—Organic light-emitting devices
- H10K50/10—OLEDs or polymer light-emitting diodes [PLED]
- H10K50/17—Carrier injection layers
-
- H—ELECTRICITY
- H10—SEMICONDUCTOR DEVICES; ELECTRIC SOLID-STATE DEVICES NOT OTHERWISE PROVIDED FOR
- H10K—ORGANIC ELECTRIC SOLID-STATE DEVICES
- H10K85/00—Organic materials used in the body or electrodes of devices covered by this subclass
- H10K85/60—Organic compounds having low molecular weight
- H10K85/615—Polycyclic condensed aromatic hydrocarbons, e.g. anthracene
-
- H—ELECTRICITY
- H10—SEMICONDUCTOR DEVICES; ELECTRIC SOLID-STATE DEVICES NOT OTHERWISE PROVIDED FOR
- H10K—ORGANIC ELECTRIC SOLID-STATE DEVICES
- H10K85/00—Organic materials used in the body or electrodes of devices covered by this subclass
- H10K85/60—Organic compounds having low molecular weight
- H10K85/615—Polycyclic condensed aromatic hydrocarbons, e.g. anthracene
- H10K85/622—Polycyclic condensed aromatic hydrocarbons, e.g. anthracene containing four rings, e.g. pyrene
-
- H—ELECTRICITY
- H10—SEMICONDUCTOR DEVICES; ELECTRIC SOLID-STATE DEVICES NOT OTHERWISE PROVIDED FOR
- H10K—ORGANIC ELECTRIC SOLID-STATE DEVICES
- H10K85/00—Organic materials used in the body or electrodes of devices covered by this subclass
- H10K85/60—Organic compounds having low molecular weight
- H10K85/615—Polycyclic condensed aromatic hydrocarbons, e.g. anthracene
- H10K85/626—Polycyclic condensed aromatic hydrocarbons, e.g. anthracene containing more than one polycyclic condensed aromatic rings, e.g. bis-anthracene
-
- H—ELECTRICITY
- H10—SEMICONDUCTOR DEVICES; ELECTRIC SOLID-STATE DEVICES NOT OTHERWISE PROVIDED FOR
- H10K—ORGANIC ELECTRIC SOLID-STATE DEVICES
- H10K85/00—Organic materials used in the body or electrodes of devices covered by this subclass
- H10K85/60—Organic compounds having low molecular weight
- H10K85/631—Amine compounds having at least two aryl rest on at least one amine-nitrogen atom, e.g. triphenylamine
- H10K85/633—Amine compounds having at least two aryl rest on at least one amine-nitrogen atom, e.g. triphenylamine comprising polycyclic condensed aromatic hydrocarbons as substituents on the nitrogen atom
-
- H—ELECTRICITY
- H10—SEMICONDUCTOR DEVICES; ELECTRIC SOLID-STATE DEVICES NOT OTHERWISE PROVIDED FOR
- H10K—ORGANIC ELECTRIC SOLID-STATE DEVICES
- H10K85/00—Organic materials used in the body or electrodes of devices covered by this subclass
- H10K85/60—Organic compounds having low molecular weight
- H10K85/631—Amine compounds having at least two aryl rest on at least one amine-nitrogen atom, e.g. triphenylamine
- H10K85/636—Amine compounds having at least two aryl rest on at least one amine-nitrogen atom, e.g. triphenylamine comprising heteroaromatic hydrocarbons as substituents on the nitrogen atom
-
- H—ELECTRICITY
- H10—SEMICONDUCTOR DEVICES; ELECTRIC SOLID-STATE DEVICES NOT OTHERWISE PROVIDED FOR
- H10K—ORGANIC ELECTRIC SOLID-STATE DEVICES
- H10K85/00—Organic materials used in the body or electrodes of devices covered by this subclass
- H10K85/60—Organic compounds having low molecular weight
- H10K85/649—Aromatic compounds comprising a hetero atom
- H10K85/657—Polycyclic condensed heteroaromatic hydrocarbons
- H10K85/6572—Polycyclic condensed heteroaromatic hydrocarbons comprising only nitrogen in the heteroaromatic polycondensed ring system, e.g. phenanthroline or carbazole
-
- H—ELECTRICITY
- H10—SEMICONDUCTOR DEVICES; ELECTRIC SOLID-STATE DEVICES NOT OTHERWISE PROVIDED FOR
- H10K—ORGANIC ELECTRIC SOLID-STATE DEVICES
- H10K85/00—Organic materials used in the body or electrodes of devices covered by this subclass
- H10K85/60—Organic compounds having low molecular weight
- H10K85/649—Aromatic compounds comprising a hetero atom
- H10K85/657—Polycyclic condensed heteroaromatic hydrocarbons
- H10K85/6574—Polycyclic condensed heteroaromatic hydrocarbons comprising only oxygen in the heteroaromatic polycondensed ring system, e.g. cumarine dyes
-
- H—ELECTRICITY
- H10—SEMICONDUCTOR DEVICES; ELECTRIC SOLID-STATE DEVICES NOT OTHERWISE PROVIDED FOR
- H10K—ORGANIC ELECTRIC SOLID-STATE DEVICES
- H10K85/00—Organic materials used in the body or electrodes of devices covered by this subclass
- H10K85/60—Organic compounds having low molecular weight
- H10K85/649—Aromatic compounds comprising a hetero atom
- H10K85/657—Polycyclic condensed heteroaromatic hydrocarbons
- H10K85/6576—Polycyclic condensed heteroaromatic hydrocarbons comprising only sulfur in the heteroaromatic polycondensed ring system, e.g. benzothiophene
-
- C—CHEMISTRY; METALLURGY
- C07—ORGANIC CHEMISTRY
- C07C—ACYCLIC OR CARBOCYCLIC COMPOUNDS
- C07C2603/00—Systems containing at least three condensed rings
- C07C2603/02—Ortho- or ortho- and peri-condensed systems
- C07C2603/04—Ortho- or ortho- and peri-condensed systems containing three rings
- C07C2603/06—Ortho- or ortho- and peri-condensed systems containing three rings containing at least one ring with less than six ring members
- C07C2603/10—Ortho- or ortho- and peri-condensed systems containing three rings containing at least one ring with less than six ring members containing five-membered rings
- C07C2603/12—Ortho- or ortho- and peri-condensed systems containing three rings containing at least one ring with less than six ring members containing five-membered rings only one five-membered ring
- C07C2603/18—Fluorenes; Hydrogenated fluorenes
-
- C—CHEMISTRY; METALLURGY
- C07—ORGANIC CHEMISTRY
- C07C—ACYCLIC OR CARBOCYCLIC COMPOUNDS
- C07C2603/00—Systems containing at least three condensed rings
- C07C2603/02—Ortho- or ortho- and peri-condensed systems
- C07C2603/40—Ortho- or ortho- and peri-condensed systems containing four condensed rings
- C07C2603/42—Ortho- or ortho- and peri-condensed systems containing four condensed rings containing only six-membered rings
-
- C—CHEMISTRY; METALLURGY
- C09—DYES; PAINTS; POLISHES; NATURAL RESINS; ADHESIVES; COMPOSITIONS NOT OTHERWISE PROVIDED FOR; APPLICATIONS OF MATERIALS NOT OTHERWISE PROVIDED FOR
- C09K—MATERIALS FOR MISCELLANEOUS APPLICATIONS, NOT PROVIDED FOR ELSEWHERE
- C09K2211/00—Chemical nature of organic luminescent or tenebrescent compounds
- C09K2211/10—Non-macromolecular compounds
- C09K2211/1003—Carbocyclic compounds
- C09K2211/1007—Non-condensed systems
-
- C—CHEMISTRY; METALLURGY
- C09—DYES; PAINTS; POLISHES; NATURAL RESINS; ADHESIVES; COMPOSITIONS NOT OTHERWISE PROVIDED FOR; APPLICATIONS OF MATERIALS NOT OTHERWISE PROVIDED FOR
- C09K—MATERIALS FOR MISCELLANEOUS APPLICATIONS, NOT PROVIDED FOR ELSEWHERE
- C09K2211/00—Chemical nature of organic luminescent or tenebrescent compounds
- C09K2211/10—Non-macromolecular compounds
- C09K2211/1003—Carbocyclic compounds
- C09K2211/1011—Condensed systems
-
- C—CHEMISTRY; METALLURGY
- C09—DYES; PAINTS; POLISHES; NATURAL RESINS; ADHESIVES; COMPOSITIONS NOT OTHERWISE PROVIDED FOR; APPLICATIONS OF MATERIALS NOT OTHERWISE PROVIDED FOR
- C09K—MATERIALS FOR MISCELLANEOUS APPLICATIONS, NOT PROVIDED FOR ELSEWHERE
- C09K2211/00—Chemical nature of organic luminescent or tenebrescent compounds
- C09K2211/10—Non-macromolecular compounds
- C09K2211/1003—Carbocyclic compounds
- C09K2211/1014—Carbocyclic compounds bridged by heteroatoms, e.g. N, P, Si or B
-
- C—CHEMISTRY; METALLURGY
- C09—DYES; PAINTS; POLISHES; NATURAL RESINS; ADHESIVES; COMPOSITIONS NOT OTHERWISE PROVIDED FOR; APPLICATIONS OF MATERIALS NOT OTHERWISE PROVIDED FOR
- C09K—MATERIALS FOR MISCELLANEOUS APPLICATIONS, NOT PROVIDED FOR ELSEWHERE
- C09K2211/00—Chemical nature of organic luminescent or tenebrescent compounds
- C09K2211/10—Non-macromolecular compounds
- C09K2211/1018—Heterocyclic compounds
-
- C—CHEMISTRY; METALLURGY
- C09—DYES; PAINTS; POLISHES; NATURAL RESINS; ADHESIVES; COMPOSITIONS NOT OTHERWISE PROVIDED FOR; APPLICATIONS OF MATERIALS NOT OTHERWISE PROVIDED FOR
- C09K—MATERIALS FOR MISCELLANEOUS APPLICATIONS, NOT PROVIDED FOR ELSEWHERE
- C09K2211/00—Chemical nature of organic luminescent or tenebrescent compounds
- C09K2211/10—Non-macromolecular compounds
- C09K2211/1018—Heterocyclic compounds
- C09K2211/1022—Heterocyclic compounds bridged by heteroatoms, e.g. N, P, Si or B
-
- C—CHEMISTRY; METALLURGY
- C09—DYES; PAINTS; POLISHES; NATURAL RESINS; ADHESIVES; COMPOSITIONS NOT OTHERWISE PROVIDED FOR; APPLICATIONS OF MATERIALS NOT OTHERWISE PROVIDED FOR
- C09K—MATERIALS FOR MISCELLANEOUS APPLICATIONS, NOT PROVIDED FOR ELSEWHERE
- C09K2211/00—Chemical nature of organic luminescent or tenebrescent compounds
- C09K2211/10—Non-macromolecular compounds
- C09K2211/1018—Heterocyclic compounds
- C09K2211/1025—Heterocyclic compounds characterised by ligands
- C09K2211/1029—Heterocyclic compounds characterised by ligands containing one nitrogen atom as the heteroatom
-
- C—CHEMISTRY; METALLURGY
- C09—DYES; PAINTS; POLISHES; NATURAL RESINS; ADHESIVES; COMPOSITIONS NOT OTHERWISE PROVIDED FOR; APPLICATIONS OF MATERIALS NOT OTHERWISE PROVIDED FOR
- C09K—MATERIALS FOR MISCELLANEOUS APPLICATIONS, NOT PROVIDED FOR ELSEWHERE
- C09K2211/00—Chemical nature of organic luminescent or tenebrescent compounds
- C09K2211/10—Non-macromolecular compounds
- C09K2211/1018—Heterocyclic compounds
- C09K2211/1025—Heterocyclic compounds characterised by ligands
- C09K2211/1088—Heterocyclic compounds characterised by ligands containing oxygen as the only heteroatom
-
- C—CHEMISTRY; METALLURGY
- C09—DYES; PAINTS; POLISHES; NATURAL RESINS; ADHESIVES; COMPOSITIONS NOT OTHERWISE PROVIDED FOR; APPLICATIONS OF MATERIALS NOT OTHERWISE PROVIDED FOR
- C09K—MATERIALS FOR MISCELLANEOUS APPLICATIONS, NOT PROVIDED FOR ELSEWHERE
- C09K2211/00—Chemical nature of organic luminescent or tenebrescent compounds
- C09K2211/10—Non-macromolecular compounds
- C09K2211/1018—Heterocyclic compounds
- C09K2211/1025—Heterocyclic compounds characterised by ligands
- C09K2211/1092—Heterocyclic compounds characterised by ligands containing sulfur as the only heteroatom
-
- H—ELECTRICITY
- H10—SEMICONDUCTOR DEVICES; ELECTRIC SOLID-STATE DEVICES NOT OTHERWISE PROVIDED FOR
- H10K—ORGANIC ELECTRIC SOLID-STATE DEVICES
- H10K2101/00—Properties of the organic materials covered by group H10K85/00
- H10K2101/10—Triplet emission
-
- H—ELECTRICITY
- H10—SEMICONDUCTOR DEVICES; ELECTRIC SOLID-STATE DEVICES NOT OTHERWISE PROVIDED FOR
- H10K—ORGANIC ELECTRIC SOLID-STATE DEVICES
- H10K50/00—Organic light-emitting devices
- H10K50/10—OLEDs or polymer light-emitting diodes [PLED]
- H10K50/14—Carrier transporting layers
- H10K50/15—Hole transporting layers
- H10K50/156—Hole transporting layers comprising a multilayered structure
-
- H—ELECTRICITY
- H10—SEMICONDUCTOR DEVICES; ELECTRIC SOLID-STATE DEVICES NOT OTHERWISE PROVIDED FOR
- H10K—ORGANIC ELECTRIC SOLID-STATE DEVICES
- H10K50/00—Organic light-emitting devices
- H10K50/10—OLEDs or polymer light-emitting diodes [PLED]
- H10K50/14—Carrier transporting layers
- H10K50/16—Electron transporting layers
-
- H—ELECTRICITY
- H10—SEMICONDUCTOR DEVICES; ELECTRIC SOLID-STATE DEVICES NOT OTHERWISE PROVIDED FOR
- H10K—ORGANIC ELECTRIC SOLID-STATE DEVICES
- H10K50/00—Organic light-emitting devices
- H10K50/10—OLEDs or polymer light-emitting diodes [PLED]
- H10K50/17—Carrier injection layers
- H10K50/171—Electron injection layers
Landscapes
- Chemical & Material Sciences (AREA)
- Organic Chemistry (AREA)
- Physics & Mathematics (AREA)
- Engineering & Computer Science (AREA)
- Materials Engineering (AREA)
- Spectroscopy & Molecular Physics (AREA)
- Optics & Photonics (AREA)
- Electroluminescent Light Sources (AREA)
- Furan Compounds (AREA)
- Organic Low-Molecular-Weight Compounds And Preparation Thereof (AREA)
- Indole Compounds (AREA)
- Plural Heterocyclic Compounds (AREA)
Abstract
Description
2: 기판
3: 양극
4: 음극
5: 발광층
6: 양극측 유기 박막층
7: 음극측 유기 박막층
10: 발광 유닛
Claims (29)
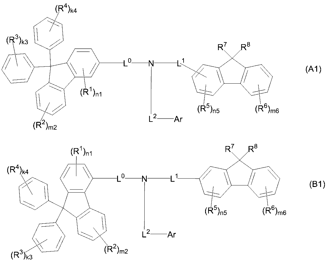
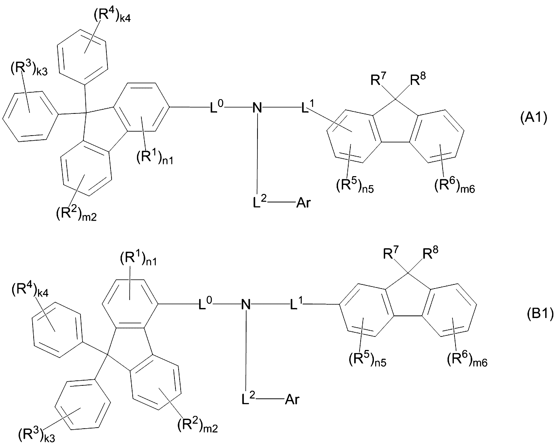
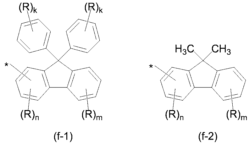
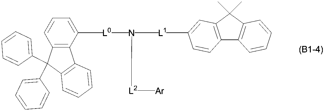
- 하기 화학식(A1) 또는 (B1)로 표시되는 화합물.
〔식(A1) 및 (B1)에 있어서, R1∼R6은, 각각 독립적으로, 비치환된 환형성 탄소수 6∼12의 아릴기를 나타낸다.
R1∼R6을 복수 갖는 경우, 해당 복수의 R1∼R6은, 서로 동일해도 상이해도 된다. 또한, R5 및 R6은, 서로 결합하여 환구조를 형성해도 된다.
R7 및 R8은, 서로 동일하고, 치환 또는 비치환된 탄소수 1∼20의 알킬기를 나타낸다. R7 및 R8은, 서로 결합하여 포화 지방족환을 형성해도 된다.
k3, k4, m2, m6, n1, 및 n5는, 각각 독립적으로, 0∼1의 정수이다.
식(A1)에 있어서, L0는, 단일결합, 또는 페닐렌기이고,
식(B1)에 있어서, L0는, 단일결합이다.
L1은, 각각 독립적으로, 단일결합, 또는 페닐렌기이고,
L2는, 단일결합, 치환 또는 비치환된 환형성 탄소수 6∼12의 아릴렌기, 또는 치환 또는 비치환된 환형성 원자수 5∼13의 헤테로아릴렌기이다.
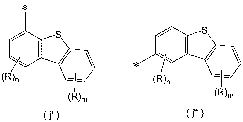
Ar은, 하기 화학식(a)∼(k) 중 어느 하나로 표시된다.
〔식(a)∼(k)에 있어서, R은, 비치환된 환형성 탄소수 6∼12의 아릴기를 나타내고, R을 복수 갖는 경우, 해당 복수의 R은, 서로 동일해도 상이해도 된다.
Ra, 및 Rb는, 각각 독립적으로, 비치환된 환형성 탄소수 6∼12의 아릴기 또는 비치환된 탄소수 1∼8의 알킬기를 나타낸다.
Rc는, 수소 원자, 비치환된 탄소수 1∼8의 알킬기, 비치환된 환형성 탄소수 6∼12의 아릴기, 비치환된 환형성 원자수 5∼13의 헤테로아릴기를 나타낸다.
식(f)∼(k)에 있어서, R을 복수 갖는 경우, 복수의 R로부터 선택되는 2개가, 서로 결합하여 환구조를 형성해도 된다.
식(f)에 있어서, 복수의 R, Ra, 및 Rb로부터 선택되는 2개가, 서로 결합하여 환구조를 형성해도 된다.
k, m은, 각각 독립적으로, 0∼1의 정수이며, n은, 0∼3의 정수이다.
*는, L2 또는 질소 원자와의 결합 위치를 나타낸다.〕
「치환 또는 비치환」이라는 기재에 있어서의 치환기는, 탄소수 1∼50의 알킬기; 환형성 탄소수 3∼50의 사이클로알킬기; 환형성 탄소수 6∼50의 아릴기; 환형성 탄소수 6∼50의 아릴기를 갖는 탄소수 7∼51의 아르알킬기; 탄소수 1∼50의 알킬기를 갖는 알콕시기; 환형성 탄소수 6∼50의 아릴기를 갖는 아릴옥시기; 탄소수 1∼50의 알킬기 및 환형성 탄소수 6∼50의 아릴기로부터 선택되는 치환기를 갖는 모노치환, 다이치환 또는 트라이치환 실릴기; 환형성 원자수 5∼50의 헤테로아릴기; 탄소수 1∼50의 할로알킬기; 할로젠 원자; 사이아노기; 알킬설폰일옥시기; 아릴설폰일옥시기; 알킬카보닐옥시기; 아릴카보닐옥시기; 붕소 함유기; 규소 함유기; 하이드록시기; 알킬 치환 또는 아릴 치환 카보닐기; 바이닐기; 및 (메트)아크릴로일기로 이루어지는 군으로부터 선택된다.
단, 이하의 화합물은 제외한다.
〕 - 삭제
- 제 1 항에 있어서,
상기 Ar이, 상기 화학식(a)∼(d) 및 (f)∼(j) 중 어느 하나로 표시되는 기인 화합물. - 삭제
- 삭제
- 삭제
- 삭제
- 제 1 항 내지 제 6 항, 제 8 항, 제 11 항 및 제 13 항 내지 제 15 항 중 어느 한 항에 있어서,
L2가, 단일결합, 또는 하기 화학식(i) 및 (ii) 중 어느 하나로 표시되는 기인 화합물.
〔식(i)∼(ii)에 있어서, R은, 각각 독립적으로, 제 1 항에 기재된 R1의 규정과 동일하고, R을 복수 갖는 경우, 해당 복수의 R은, 서로 동일해도 상이해도 되고, 복수의 R로부터 선택되는 2개가, 서로 결합하여 환구조를 형성해도 된다. m은, 각각 독립적으로, 0∼4의 정수이다. *, **는, 결합 위치를 나타낸다.〕 - 제 1 항 내지 제 6 항, 제 8 항, 제 11 항, 제 13 항 내지 제 15 항, 제 22 항 및 제 23 항 중 어느 한 항에 기재된 화합물로 이루어지는, 유기 전기발광 소자용 재료.
- 음극, 양극, 및 해당 음극과 해당 양극 사이에 배치된 일층 이상의 유기 박막층을 갖고, 해당 일층 이상의 유기 박막층이 발광층을 포함하는 유기 전기발광 소자로서,
상기 일층 이상의 유기 박막층의 적어도 1층이, 제 1 항 내지 제 6 항, 제 8 항, 제 11 항, 제 13 항 내지 제 15 항, 제 22 항 및 제 23 항 중 어느 한 항에 기재된 화합물을 포함하는 층인, 유기 전기발광 소자. - 제 25 항에 있어서,
상기 일층 이상의 유기 박막층이, 상기 화합물을 포함하는 정공 주입층 및 상기 화합물을 포함하는 정공 수송층의 적어도 한쪽을 포함하는 유기 전기발광 소자. - 제 25 항에 있어서,
상기 일층 이상의 유기 박막층이, 양극측으로부터 순차로 제 1 정공 수송층 및 제 2 정공 수송층을 갖고, 제 1 정공 수송층이 상기 화합물을 포함하는 유기 전기발광 소자. - 제 25 항에 있어서,
상기 일층 이상의 유기 박막층이, 양극측으로부터 순차로 제 1 정공 수송층 및 제 2 정공 수송층을 갖고, 제 2 정공 수송층이 상기 화합물을 포함하는 유기 전기발광 소자. - 제 25 항에 기재된 유기 전기발광 소자를 탑재한, 전자 기기.
Applications Claiming Priority (11)
| Application Number | Priority Date | Filing Date | Title |
|---|---|---|---|
| JPJP-P-2014-143249 | 2014-07-11 | ||
| JPJP-P-2014-143248 | 2014-07-11 | ||
| JP2014143249 | 2014-07-11 | ||
| JP2014143248 | 2014-07-11 | ||
| JPJP-P-2014-255559 | 2014-12-17 | ||
| JPJP-P-2014-255562 | 2014-12-17 | ||
| JPJP-P-2014-255565 | 2014-12-17 | ||
| JP2014255559 | 2014-12-17 | ||
| JP2014255562 | 2014-12-17 | ||
| JP2014255565 | 2014-12-17 | ||
| PCT/JP2015/070046 WO2016006710A1 (ja) | 2014-07-11 | 2015-07-13 | 化合物、有機エレクトロルミネッセンス素子用材料、有機エレクトロルミネッセンス素子、及び電子機器 |
Publications (2)
| Publication Number | Publication Date |
|---|---|
| KR20170027691A KR20170027691A (ko) | 2017-03-10 |
| KR102387509B1 true KR102387509B1 (ko) | 2022-04-15 |
Family
ID=55064333
Family Applications (3)
| Application Number | Title | Priority Date | Filing Date |
|---|---|---|---|
| KR1020167002768A Active KR102398726B1 (ko) | 2014-07-11 | 2015-07-13 | 화합물, 유기 전기발광 소자용 재료, 유기 전기발광 소자, 및 전자 기기 |
| KR1020167002762A Active KR102545858B1 (ko) | 2014-07-11 | 2015-07-13 | 화합물, 유기 전기발광 소자용 재료, 유기 전기발광 소자, 및 전자 기기 |
| KR1020167002841A Active KR102387509B1 (ko) | 2014-07-11 | 2015-07-13 | 화합물, 유기 전기발광 소자용 재료, 유기 전기발광 소자, 및 전자 기기 |
Family Applications Before (2)
| Application Number | Title | Priority Date | Filing Date |
|---|---|---|---|
| KR1020167002768A Active KR102398726B1 (ko) | 2014-07-11 | 2015-07-13 | 화합물, 유기 전기발광 소자용 재료, 유기 전기발광 소자, 및 전자 기기 |
| KR1020167002762A Active KR102545858B1 (ko) | 2014-07-11 | 2015-07-13 | 화합물, 유기 전기발광 소자용 재료, 유기 전기발광 소자, 및 전자 기기 |
Country Status (6)
| Country | Link |
|---|---|
| US (3) | US10516112B2 (ko) |
| EP (3) | EP3018128B1 (ko) |
| JP (3) | JP6601627B2 (ko) |
| KR (3) | KR102398726B1 (ko) |
| CN (3) | CN105431408B (ko) |
| WO (3) | WO2016006710A1 (ko) |
Families Citing this family (28)
| Publication number | Priority date | Publication date | Assignee | Title |
|---|---|---|---|---|
| JP5849160B2 (ja) * | 2012-08-31 | 2016-01-27 | 出光興産株式会社 | 芳香族アミン誘導体およびこれを用いた有機エレクトロルミネッセンス素子 |
| WO2015082056A1 (de) | 2013-12-06 | 2015-06-11 | Merck Patent Gmbh | Verbindungen und organische elektronische vorrichtungen |
| KR102851400B1 (ko) | 2016-03-03 | 2025-08-29 | 메르크 파텐트 게엠베하 | 유기 전계 발광 장치용 재료 |
| KR102639784B1 (ko) | 2016-10-25 | 2024-02-26 | 삼성디스플레이 주식회사 | 모노아민 화합물 및 이를 포함하는 유기 전계 발광 소자 |
| KR102700186B1 (ko) * | 2016-12-27 | 2024-08-29 | 주식회사 동진쎄미켐 | 신규 화합물 및 이를 포함하는 유기 발광 소자 |
| WO2018154740A1 (ja) * | 2017-02-24 | 2018-08-30 | 富士電機株式会社 | 電子写真用感光体、その製造方法およびそれを用いた電子写真装置 |
| CN110382488B (zh) | 2017-03-08 | 2023-11-03 | 出光兴产株式会社 | 化合物、有机电致发光元件用材料、有机电致发光元件和电子设备 |
| JP2020093979A (ja) | 2017-03-08 | 2020-06-18 | 出光興産株式会社 | 化合物、有機エレクトロルミネッセンス素子用材料、有機エレクトロルミネッセンス素子、及び電子機器 |
| KR102154386B1 (ko) * | 2017-06-16 | 2020-09-09 | 주식회사 엘지화학 | 화합물, 이를 포함하는 코팅 조성물, 이를 이용한 유기 발광 소자 및 이의 제조방법 |
| KR102142676B1 (ko) * | 2017-10-24 | 2020-08-07 | 주식회사 엘지화학 | 신규한 화합물 및 이를 이용한 유기발광 소자 |
| WO2019083122A1 (ko) * | 2017-10-24 | 2019-05-02 | 주식회사 엘지화학 | 신규한 화합물 및 이를 이용한 유기발광 소자 |
| KR102578544B1 (ko) | 2017-12-11 | 2023-09-13 | 엘지디스플레이 주식회사 | 전계발광 표시장치 |
| EP3502107B1 (en) * | 2017-12-20 | 2022-01-26 | Samsung Display Co., Ltd. | 1-aminodibenzofuran-based compound and organic light-emitting device including the same |
| KR102240075B1 (ko) * | 2018-02-28 | 2021-04-13 | 주식회사 엘지화학 | 유기 발광 소자 |
| CN110317140B (zh) * | 2018-03-29 | 2022-05-13 | 江苏三月科技股份有限公司 | 一种以芳胺接双二甲基芴为核心的化合物及其应用 |
| WO2019185060A1 (zh) * | 2018-03-29 | 2019-10-03 | 江苏三月光电科技有限公司 | 一种以芳胺接双二甲基芴为核心的化合物及其应用 |
| US12534446B2 (en) | 2018-04-04 | 2026-01-27 | Merck Patent Gmbh | Materials for electronic devices |
| JP2021167278A (ja) * | 2018-05-10 | 2021-10-21 | 出光興産株式会社 | 化合物、有機エレクトロルミネッセンス素子用材料、有機エレクトロルミネッセンス素子、及び電子機器 |
| KR102559633B1 (ko) * | 2018-05-31 | 2023-08-02 | 주식회사 동진쎄미켐 | 신규 화합물 및 이를 포함하는 유기발광 소자 |
| WO2020075964A1 (ko) * | 2018-10-10 | 2020-04-16 | 주식회사 엘지화학 | 신규한 화합물 및 이를 포함하는 유기발광 소자 |
| CN109293516B (zh) * | 2018-11-03 | 2022-01-14 | 长春海谱润斯科技股份有限公司 | 一种三芳胺类化合物及其有机发光器件 |
| WO2020111251A1 (ja) | 2018-11-30 | 2020-06-04 | 出光興産株式会社 | 化合物、有機エレクトロルミネッセンス素子用材料、有機エレクトロルミネッセンス素子、及び、電子機器 |
| EP3898605A2 (de) | 2018-12-20 | 2021-10-27 | Merck Patent GmbH | Materialien für elektronische vorrichtungen |
| WO2021149954A1 (ko) * | 2020-01-23 | 2021-07-29 | 주식회사 엘지화학 | 유기 발광 소자 |
| KR20220086754A (ko) | 2020-12-16 | 2022-06-24 | 삼성디스플레이 주식회사 | 유기 전계 발광 소자 및 유기 전계 발광 소자용 아민 화합물 |
| US20230422604A1 (en) * | 2021-01-11 | 2023-12-28 | Lg Chem, Ltd. | Compound, Coating Composition Comprising Same, Organic Light-Emitting Device Using Same And Manufacturing Method Therefor |
| CN117343078A (zh) | 2021-11-25 | 2024-01-05 | 北京夏禾科技有限公司 | 有机电致发光材料和器件 |
| CN116283725B (zh) * | 2023-01-16 | 2025-06-24 | 烟台显华科技集团股份有限公司 | 一种芳胺取代的二苯并五元环化合物及其应用 |
Citations (3)
| Publication number | Priority date | Publication date | Assignee | Title |
|---|---|---|---|---|
| WO2013182263A1 (de) * | 2012-06-06 | 2013-12-12 | Merck Patent Gmbh | Phenanthrenverbindungen für organische elektronische vorrichtungen |
| WO2014015937A1 (de) * | 2012-07-23 | 2014-01-30 | Merck Patent Gmbh | Verbindungen und organische elektrolumineszierende vorrichtungen |
| WO2015082056A1 (de) * | 2013-12-06 | 2015-06-11 | Merck Patent Gmbh | Verbindungen und organische elektronische vorrichtungen |
Family Cites Families (39)
| Publication number | Priority date | Publication date | Assignee | Title |
|---|---|---|---|---|
| JP2981348B2 (ja) * | 1992-09-21 | 1999-11-22 | キヤノン株式会社 | 電子写真感光体、該電子写真感光体を備えた電子写真装置並びにファクシミリ |
| JP3824385B2 (ja) | 1996-08-02 | 2006-09-20 | 三井化学株式会社 | 有機電界発光素子 |
| JP3838766B2 (ja) * | 1997-11-06 | 2006-10-25 | 三井化学株式会社 | 有機電界発光素子 |
| JPH11184119A (ja) | 1997-12-17 | 1999-07-09 | Canon Inc | 電子写真感光体、該電子写真感光体を有するプロセスカ−トリッジ及び電子写真装置 |
| KR100577179B1 (ko) | 2001-10-30 | 2006-05-10 | 엘지전자 주식회사 | 유기 전계 발광 소자 |
| KR20040072004A (ko) | 2003-02-07 | 2004-08-16 | 삼성에스디아이 주식회사 | 유기 전계 발광 소자용 발광 화합물 및 그를 이용한 유기전계발광 소자 |
| KR101267114B1 (ko) | 2005-04-18 | 2013-05-23 | 이데미쓰 고산 가부시키가이샤 | 방향족 트라이아민 화합물 및 그것을 이용한 유기 전기발광소자 |
| JP5268247B2 (ja) | 2005-12-20 | 2013-08-21 | キヤノン株式会社 | 4−アミノフルオレン化合物及び有機発光素子 |
| KR101453109B1 (ko) | 2006-04-26 | 2014-10-27 | 이데미쓰 고산 가부시키가이샤 | 방향족 아민 유도체 및 그들을 이용한 유기 전기 발광 소자 |
| JP2008300503A (ja) | 2007-05-30 | 2008-12-11 | Sony Corp | 有機電界発光素子および表示装置 |
| JP2009010364A (ja) | 2007-05-30 | 2009-01-15 | Sony Corp | 有機電界発光素子および表示装置 |
| JP5709752B2 (ja) | 2009-08-19 | 2015-04-30 | 出光興産株式会社 | 芳香族アミン誘導体及びそれを用いた有機エレクトロルミネッセンス素子 |
| WO2011040531A1 (ja) | 2009-10-01 | 2011-04-07 | 日立化成工業株式会社 | 有機エレクトロニクス用材料、有機エレクトロニクス素子、有機エレクトロルミネセンス素子、及びそれを用いた表示素子、照明装置、表示装置 |
| KR101097339B1 (ko) | 2010-03-08 | 2011-12-23 | 삼성모바일디스플레이주식회사 | 유기 발광 소자 및 이의 제조 방법 |
| KR101311935B1 (ko) | 2010-04-23 | 2013-09-26 | 제일모직주식회사 | 유기광전소자용 화합물 및 이를 포함하는 유기광전소자 |
| KR101432247B1 (ko) | 2010-07-23 | 2014-08-22 | 고려대학교 산학협력단 | 염료감응 태양전지용 준고체 고분자 전해질, 그에 포함되는 정공수송물질, 및 그 전해질을 포함하는 염료감응 태양전지 |
| KR20120011445A (ko) * | 2010-07-29 | 2012-02-08 | 롬엔드하스전자재료코리아유한회사 | 신규한 유기 발광 화합물 및 이를 포함하는 유기 전계 발광 소자 |
| JP2012224618A (ja) | 2011-04-08 | 2012-11-15 | Fujifilm Corp | 有機材料の精製方法、有機エレクトロニクス用材料、光電変換素子、光センサ、撮像素子、及び有機電界発光素子 |
| KR20130096334A (ko) * | 2011-06-24 | 2013-08-30 | 덕산하이메탈(주) | 유기전기소자, 및 유기전기소자용 화합물 |
| EP2791105B1 (de) | 2011-12-12 | 2020-03-18 | Merck Patent GmbH | Verbindungen für elektronische vorrichtungen |
| KR102357439B1 (ko) * | 2012-02-14 | 2022-02-08 | 메르크 파텐트 게엠베하 | 유기 전계발광 소자용 스피로비플루오렌 화합물 |
| KR102098061B1 (ko) * | 2012-03-19 | 2020-04-08 | 덕산네오룩스 주식회사 | 유기전기소자용 화합물, 이를 이용한 유기전기소자 및 그 전자 장치 |
| KR20130121597A (ko) | 2012-04-27 | 2013-11-06 | (주)위델소재 | 트리페닐아민을 사용한 정공 수송 물질 및 이를 포함한 유기 전계 발광 소자 |
| KR20210076207A (ko) | 2012-07-23 | 2021-06-23 | 메르크 파텐트 게엠베하 | 플루오렌 및 이를 함유하는 전자 소자 |
| US9291301B2 (en) * | 2012-08-06 | 2016-03-22 | Donald Allan Brinkmann | Support device |
| KR102128702B1 (ko) * | 2012-08-21 | 2020-07-02 | 롬엔드하스전자재료코리아유한회사 | 신규한 유기 전계 발광 화합물 및 이를 포함하는 유기 전계 발광 소자 |
| JP5849160B2 (ja) | 2012-08-31 | 2016-01-27 | 出光興産株式会社 | 芳香族アミン誘導体およびこれを用いた有機エレクトロルミネッセンス素子 |
| WO2014088285A1 (ko) * | 2012-12-06 | 2014-06-12 | 덕산하이메탈(주) | 유기전기 소자용 화합물, 이를 이용한 유기전기소자 및 그 전자 장치 |
| KR101453424B1 (ko) * | 2013-01-17 | 2014-10-22 | 희성소재 (주) | 질소함유 다환고리 화합물 및 이를 이용한 유기발광소자 |
| KR102265677B1 (ko) | 2013-01-31 | 2021-06-16 | 덕산네오룩스 주식회사 | 유기전기 소자용 화합물, 이를 이용한 유기전기소자 및 그 전자 장치 |
| KR102399864B1 (ko) | 2013-03-26 | 2022-05-20 | 가부시키가이샤 한도오따이 에네루기 켄큐쇼 | 유기 화합물, 발광 소자, 발광 장치, 표시 장치, 전자 기기 및 조명 장치 |
| KR102137429B1 (ko) | 2013-07-11 | 2020-07-24 | 덕산네오룩스 주식회사 | 유기전기 소자용 화합물을 이용한 유기전기소자 및 그 전자 장치 |
| KR102072756B1 (ko) | 2013-09-17 | 2020-02-03 | 덕산네오룩스 주식회사 | 유기전기 소자용 화합물을 이용한 유기전기소자 및 그 전자 장치 |
| KR101389527B1 (ko) | 2013-09-17 | 2014-04-25 | 덕산하이메탈(주) | 유기전기 소자용 화합물을 이용한 유기전기소자 및 그 전자 장치 |
| CN103755574A (zh) | 2014-01-26 | 2014-04-30 | 黑龙江省科学院石油化学研究院 | 一种具有多光子吸收性质的三(9,9-二烷基-9h-芴基)胺的合成方法 |
| JP2017135127A (ja) | 2014-04-21 | 2017-08-03 | 出光興産株式会社 | 有機エレクトロルミネッセンス素子 |
| KR102283457B1 (ko) | 2014-06-03 | 2021-07-30 | 삼성디스플레이 주식회사 | 유기 발광 소자 |
| KR101530049B1 (ko) * | 2014-10-24 | 2015-06-18 | 덕산네오룩스 주식회사 | 유기전기소자용 조성물을 이용한 디스플레이 장치 및 유기전기소자 |
| KR101535606B1 (ko) | 2015-01-29 | 2015-07-09 | 덕산네오룩스 주식회사 | 유기전기 소자용 화합물, 이를 이용한 유기전기소자 및 그 전자 장치 |
-
2015
- 2015-07-13 KR KR1020167002768A patent/KR102398726B1/ko active Active
- 2015-07-13 KR KR1020167002762A patent/KR102545858B1/ko active Active
- 2015-07-13 CN CN201580001554.6A patent/CN105431408B/zh active Active
- 2015-07-13 JP JP2016504413A patent/JP6601627B2/ja active Active
- 2015-07-13 US US14/910,156 patent/US10516112B2/en active Active
- 2015-07-13 WO PCT/JP2015/070046 patent/WO2016006710A1/ja not_active Ceased
- 2015-07-13 US US14/909,930 patent/US10944057B2/en active Active
- 2015-07-13 JP JP2016504820A patent/JP6611055B2/ja active Active
- 2015-07-13 CN CN201580001555.0A patent/CN105431417A/zh active Pending
- 2015-07-13 JP JP2015560883A patent/JP6611043B2/ja active Active
- 2015-07-13 CN CN201580001549.5A patent/CN105658619A/zh active Pending
- 2015-07-13 KR KR1020167002841A patent/KR102387509B1/ko active Active
- 2015-07-13 US US15/308,461 patent/US10854822B2/en active Active
- 2015-07-13 WO PCT/JP2015/070047 patent/WO2016006711A1/ja not_active Ceased
- 2015-07-13 EP EP15819013.2A patent/EP3018128B1/en active Active
- 2015-07-13 EP EP15818619.7A patent/EP3018120B1/en active Active
- 2015-07-13 EP EP15818448.1A patent/EP3127894B1/en active Active
- 2015-07-13 WO PCT/JP2015/070045 patent/WO2016006709A1/ja not_active Ceased
Patent Citations (3)
| Publication number | Priority date | Publication date | Assignee | Title |
|---|---|---|---|---|
| WO2013182263A1 (de) * | 2012-06-06 | 2013-12-12 | Merck Patent Gmbh | Phenanthrenverbindungen für organische elektronische vorrichtungen |
| WO2014015937A1 (de) * | 2012-07-23 | 2014-01-30 | Merck Patent Gmbh | Verbindungen und organische elektrolumineszierende vorrichtungen |
| WO2015082056A1 (de) * | 2013-12-06 | 2015-06-11 | Merck Patent Gmbh | Verbindungen und organische elektronische vorrichtungen |
Also Published As
Similar Documents
| Publication | Publication Date | Title |
|---|---|---|
| KR102387509B1 (ko) | 화합물, 유기 전기발광 소자용 재료, 유기 전기발광 소자, 및 전자 기기 | |
| JP6696091B2 (ja) | 化合物、有機エレクトロルミネッセンス素子用材料、有機エレクトロルミネッセンス素子、及び電子機器 | |
| JP7253502B2 (ja) | 化合物及びそれを用いた有機エレクトロルミネッセンス素子 | |
| KR102404303B1 (ko) | 화합물, 유기 전기발광 소자용 재료, 유기 전기발광 소자 및 전자 기기 | |
| JPWO2016204150A1 (ja) | 化合物、有機エレクトロルミネッセンス素子用材料、有機エレクトロルミネッセンス素子及び電子機器 | |
| JPWO2016133097A1 (ja) | 化合物、有機エレクトロルミネッセンス素子用材料、有機エレクトロルミネッセンス素子、及び電子機器 |
Legal Events
| Date | Code | Title | Description |
|---|---|---|---|
| PA0105 | International application |
Patent event date: 20160201 Patent event code: PA01051R01D Comment text: International Patent Application |
|
| PG1501 | Laying open of application | ||
| A201 | Request for examination | ||
| PA0201 | Request for examination |
Patent event code: PA02012R01D Patent event date: 20200401 Comment text: Request for Examination of Application |
|
| E902 | Notification of reason for refusal | ||
| PE0902 | Notice of grounds for rejection |
Comment text: Notification of reason for refusal Patent event date: 20210618 Patent event code: PE09021S01D |
|
| E90F | Notification of reason for final refusal | ||
| PE0902 | Notice of grounds for rejection |
Comment text: Final Notice of Reason for Refusal Patent event date: 20211124 Patent event code: PE09021S02D |
|
| E701 | Decision to grant or registration of patent right | ||
| PE0701 | Decision of registration |
Patent event code: PE07011S01D Comment text: Decision to Grant Registration Patent event date: 20220125 |
|
| GRNT | Written decision to grant | ||
| PR0701 | Registration of establishment |
Comment text: Registration of Establishment Patent event date: 20220413 Patent event code: PR07011E01D |
|
| PR1002 | Payment of registration fee |
Payment date: 20220413 End annual number: 3 Start annual number: 1 |
|
| PG1601 | Publication of registration |



















































































































































