KR102283457B1 - 유기 발광 소자 - Google Patents
유기 발광 소자 Download PDFInfo
- Publication number
- KR102283457B1 KR102283457B1 KR1020140067790A KR20140067790A KR102283457B1 KR 102283457 B1 KR102283457 B1 KR 102283457B1 KR 1020140067790 A KR1020140067790 A KR 1020140067790A KR 20140067790 A KR20140067790 A KR 20140067790A KR 102283457 B1 KR102283457 B1 KR 102283457B1
- Authority
- KR
- South Korea
- Prior art keywords
- group
- substituted
- unsubstituted
- salt
- aromatic condensed
- Prior art date
- Legal status (The legal status is an assumption and is not a legal conclusion. Google has not performed a legal analysis and makes no representation as to the accuracy of the status listed.)
- Active
Links
- 230000000903 blocking effect Effects 0.000 claims abstract description 80
- 239000000463 material Substances 0.000 claims abstract description 47
- -1 pentalenyl group Chemical group 0.000 claims description 285
- 239000010410 layer Substances 0.000 claims description 232
- 150000003839 salts Chemical class 0.000 claims description 177
- 125000003118 aryl group Chemical group 0.000 claims description 171
- NBIIXXVUZAFLBC-UHFFFAOYSA-N Phosphoric acid Chemical compound OP(O)(O)=O NBIIXXVUZAFLBC-UHFFFAOYSA-N 0.000 claims description 118
- 125000003367 polycyclic group Chemical group 0.000 claims description 106
- YZCKVEUIGOORGS-OUBTZVSYSA-N Deuterium Chemical compound [2H] YZCKVEUIGOORGS-OUBTZVSYSA-N 0.000 claims description 63
- 229910052805 deuterium Inorganic materials 0.000 claims description 63
- 150000001875 compounds Chemical class 0.000 claims description 61
- LSNNMFCWUKXFEE-UHFFFAOYSA-M Bisulfite Chemical compound OS([O-])=O LSNNMFCWUKXFEE-UHFFFAOYSA-M 0.000 claims description 60
- 150000001732 carboxylic acid derivatives Chemical class 0.000 claims description 60
- 229910000147 aluminium phosphate Inorganic materials 0.000 claims description 59
- 125000003277 amino group Chemical group 0.000 claims description 59
- 125000003739 carbamimidoyl group Chemical group C(N)(=N)* 0.000 claims description 59
- 125000004093 cyano group Chemical group *C#N 0.000 claims description 59
- OAKJQQAXSVQMHS-UHFFFAOYSA-N hydrazine group Chemical group NN OAKJQQAXSVQMHS-UHFFFAOYSA-N 0.000 claims description 59
- 125000005597 hydrazone group Chemical group 0.000 claims description 59
- 125000002887 hydroxy group Chemical group [H]O* 0.000 claims description 59
- 125000000449 nitro group Chemical group [O-][N+](*)=O 0.000 claims description 59
- 125000001072 heteroaryl group Chemical group 0.000 claims description 54
- 238000002347 injection Methods 0.000 claims description 50
- 239000007924 injection Substances 0.000 claims description 50
- 125000006743 (C1-C60) alkyl group Chemical group 0.000 claims description 48
- 125000006749 (C6-C60) aryl group Chemical group 0.000 claims description 46
- 125000006747 (C2-C10) heterocycloalkyl group Chemical group 0.000 claims description 43
- 125000006717 (C3-C10) cycloalkenyl group Chemical group 0.000 claims description 43
- 125000006376 (C3-C10) cycloalkyl group Chemical group 0.000 claims description 43
- 230000005525 hole transport Effects 0.000 claims description 43
- 125000001997 phenyl group Chemical group [H]C1=C([H])C([H])=C(*)C([H])=C1[H] 0.000 claims description 42
- 125000006748 (C2-C10) heterocycloalkenyl group Chemical group 0.000 claims description 38
- 125000001624 naphthyl group Chemical group 0.000 claims description 38
- 125000001792 phenanthrenyl group Chemical group C1(=CC=CC=2C3=CC=CC=C3C=CC12)* 0.000 claims description 38
- 125000002676 chrysenyl group Chemical group C1(=CC=CC=2C3=CC=C4C=CC=CC4=C3C=CC12)* 0.000 claims description 37
- 125000004585 polycyclic heterocycle group Chemical group 0.000 claims description 37
- 125000001725 pyrenyl group Chemical group 0.000 claims description 37
- 125000003983 fluorenyl group Chemical group C1(=CC=CC=2C3=CC=CC=C3CC12)* 0.000 claims description 34
- 125000006745 (C2-C60) alkynyl group Chemical group 0.000 claims description 33
- 125000000609 carbazolyl group Chemical group C1(=CC=CC=2C3=CC=CC=C3NC12)* 0.000 claims description 33
- 125000004076 pyridyl group Chemical group 0.000 claims description 33
- 125000006746 (C1-C60) alkoxy group Chemical group 0.000 claims description 32
- 125000002178 anthracenyl group Chemical group C1(=CC=CC2=CC3=CC=CC=C3C=C12)* 0.000 claims description 32
- 125000005299 dibenzofluorenyl group Chemical group C1(=CC=CC2=C3C(=C4C=5C=CC=CC5CC4=C21)C=CC=C3)* 0.000 claims description 32
- 125000002183 isoquinolinyl group Chemical group C1(=NC=CC2=CC=CC=C12)* 0.000 claims description 31
- 125000002098 pyridazinyl group Chemical group 0.000 claims description 30
- 125000000714 pyrimidinyl group Chemical group 0.000 claims description 30
- 125000002294 quinazolinyl group Chemical group N1=C(N=CC2=CC=CC=C12)* 0.000 claims description 30
- 125000001567 quinoxalinyl group Chemical group N1=C(C=NC2=CC=CC=C12)* 0.000 claims description 30
- 125000006744 (C2-C60) alkenyl group Chemical group 0.000 claims description 29
- 125000003373 pyrazinyl group Chemical group 0.000 claims description 29
- 125000002943 quinolinyl group Chemical group N1=C(C=CC2=CC=CC=C12)* 0.000 claims description 29
- 229910052739 hydrogen Inorganic materials 0.000 claims description 28
- 239000001257 hydrogen Substances 0.000 claims description 28
- 125000001424 substituent group Chemical group 0.000 claims description 27
- 125000004306 triazinyl group Chemical group 0.000 claims description 27
- 125000002080 perylenyl group Chemical group C1(=CC=C2C=CC=C3C4=CC=CC5=CC=CC(C1=C23)=C45)* 0.000 claims description 25
- 125000001828 phenalenyl group Chemical group C1(C=CC2=CC=CC3=CC=CC1=C23)* 0.000 claims description 25
- 125000001935 tetracenyl group Chemical group C1(=CC=CC2=CC3=CC4=CC=CC=C4C=C3C=C12)* 0.000 claims description 25
- 125000003336 coronenyl group Chemical group C1(=CC2=CC=C3C=CC4=CC=C5C=CC6=CC=C1C1=C6C5=C4C3=C21)* 0.000 claims description 24
- 150000002431 hydrogen Chemical class 0.000 claims description 24
- 239000012044 organic layer Substances 0.000 claims description 24
- JQQSUOJIMKJQHS-UHFFFAOYSA-N pentaphenyl group Chemical group C1=CC=CC2=CC3=CC=C4C=C5C=CC=CC5=CC4=C3C=C12 JQQSUOJIMKJQHS-UHFFFAOYSA-N 0.000 claims description 24
- 125000003454 indenyl group Chemical group C1(C=CC2=CC=CC=C12)* 0.000 claims description 23
- GBXQPDCOMJJCMJ-UHFFFAOYSA-M trimethyl-[6-(trimethylazaniumyl)hexyl]azanium;bromide Chemical compound [Br-].C[N+](C)(C)CCCCCC[N+](C)(C)C GBXQPDCOMJJCMJ-UHFFFAOYSA-M 0.000 claims description 23
- 125000003837 (C1-C20) alkyl group Chemical group 0.000 claims description 22
- 125000000499 benzofuranyl group Chemical group O1C(=CC2=C1C=CC=C2)* 0.000 claims description 22
- 125000005509 dibenzothiophenyl group Chemical group 0.000 claims description 22
- 125000001633 hexacenyl group Chemical group C1(=CC=CC2=CC3=CC4=CC5=CC6=CC=CC=C6C=C5C=C4C=C3C=C12)* 0.000 claims description 22
- 125000003453 indazolyl group Chemical group N1N=C(C2=C1C=CC=C2)* 0.000 claims description 22
- 125000001041 indolyl group Chemical group 0.000 claims description 22
- 125000003933 pentacenyl group Chemical group C1(=CC=CC2=CC3=CC4=CC5=CC=CC=C5C=C4C=C3C=C12)* 0.000 claims description 22
- 125000000168 pyrrolyl group Chemical group 0.000 claims description 22
- 125000000641 acridinyl group Chemical group C1(=CC=CC2=NC3=CC=CC=C3C=C12)* 0.000 claims description 21
- 125000003828 azulenyl group Chemical group 0.000 claims description 21
- 125000004196 benzothienyl group Chemical group S1C(=CC2=C1C=CC=C2)* 0.000 claims description 21
- 125000002541 furyl group Chemical group 0.000 claims description 21
- 125000002192 heptalenyl group Chemical group 0.000 claims description 21
- 125000003427 indacenyl group Chemical group 0.000 claims description 21
- 125000001786 isothiazolyl group Chemical group 0.000 claims description 21
- 125000000842 isoxazolyl group Chemical group 0.000 claims description 21
- 125000004593 naphthyridinyl group Chemical group N1=C(C=CC2=CC=CN=C12)* 0.000 claims description 21
- 125000001715 oxadiazolyl group Chemical group 0.000 claims description 21
- 125000002971 oxazolyl group Chemical group 0.000 claims description 21
- 125000004934 phenanthridinyl group Chemical group C1(=CC=CC2=NC=C3C=CC=CC3=C12)* 0.000 claims description 21
- 125000001791 phenazinyl group Chemical group C1(=CC=CC2=NC3=CC=CC=C3N=C12)* 0.000 claims description 21
- 125000001388 picenyl group Chemical group C1(=CC=CC2=CC=C3C4=CC=C5C=CC=CC5=C4C=CC3=C21)* 0.000 claims description 21
- 125000000561 purinyl group Chemical group N1=C(N=C2N=CNC2=C1)* 0.000 claims description 21
- 125000003226 pyrazolyl group Chemical group 0.000 claims description 21
- 125000003831 tetrazolyl group Chemical group 0.000 claims description 21
- 125000001544 thienyl group Chemical group 0.000 claims description 21
- 125000001425 triazolyl group Chemical group 0.000 claims description 21
- 125000003960 triphenylenyl group Chemical group C1(=CC=CC=2C3=CC=CC=C3C3=CC=CC=C3C12)* 0.000 claims description 21
- 125000006751 (C6-C60) aryloxy group Chemical group 0.000 claims description 20
- 125000003860 C1-C20 alkoxy group Chemical group 0.000 claims description 20
- 125000003914 fluoranthenyl group Chemical group C1(=CC=C2C=CC=C3C4=CC=CC=C4C1=C23)* 0.000 claims description 20
- 125000002883 imidazolyl group Chemical group 0.000 claims description 20
- 125000004625 phenanthrolinyl group Chemical group N1=C(C=CC2=CC=C3C=CC=NC3=C12)* 0.000 claims description 20
- 125000004592 phthalazinyl group Chemical group C1(=NN=CC2=CC=CC=C12)* 0.000 claims description 20
- 125000000335 thiazolyl group Chemical group 0.000 claims description 20
- 125000000904 isoindolyl group Chemical group C=1(NC=C2C=CC=CC12)* 0.000 claims description 19
- 125000001113 thiadiazolyl group Chemical group 0.000 claims description 17
- 239000000126 substance Substances 0.000 claims description 16
- 125000006752 (C6-C60) arylthio group Chemical group 0.000 claims description 15
- KAKZBPTYRLMSJV-UHFFFAOYSA-N Butadiene Chemical group C=CC=C KAKZBPTYRLMSJV-UHFFFAOYSA-N 0.000 claims description 14
- 125000004429 atom Chemical group 0.000 claims description 14
- 125000000596 cyclohexenyl group Chemical group C1(=CCCCC1)* 0.000 claims description 14
- 125000000113 cyclohexyl group Chemical group [H]C1([H])C([H])([H])C([H])([H])C([H])(*)C([H])([H])C1([H])[H] 0.000 claims description 14
- 125000002433 cyclopentenyl group Chemical group C1(=CCCC1)* 0.000 claims description 14
- 125000001511 cyclopentyl group Chemical group [H]C1([H])C([H])([H])C([H])([H])C([H])(*)C1([H])[H] 0.000 claims description 14
- 125000000582 cycloheptyl group Chemical group [H]C1([H])C([H])([H])C([H])([H])C([H])([H])C([H])(*)C([H])([H])C1([H])[H] 0.000 claims description 13
- 125000005549 heteroarylene group Chemical group 0.000 claims description 13
- 125000004857 imidazopyridinyl group Chemical group N1C(=NC2=C1C=CC=N2)* 0.000 claims description 13
- 125000005576 pyrimidinylene group Chemical group 0.000 claims description 13
- 125000006761 (C6-C60) arylene group Chemical group 0.000 claims description 12
- 241001122767 Theaceae Species 0.000 claims description 12
- 125000004541 benzoxazolyl group Chemical group O1C(=NC2=C1C=CC=C2)* 0.000 claims description 12
- 125000004957 naphthylene group Chemical group 0.000 claims description 12
- 125000005724 cycloalkenylene group Chemical group 0.000 claims description 11
- 125000002993 cycloalkylene group Chemical group 0.000 claims description 11
- 125000006588 heterocycloalkylene group Chemical group 0.000 claims description 11
- 125000000843 phenylene group Chemical group C1(=C(C=CC=C1)*)* 0.000 claims description 11
- 125000004653 anthracenylene group Chemical group 0.000 claims description 10
- 239000000872 buffer Substances 0.000 claims description 10
- 125000005584 chrysenylene group Chemical group 0.000 claims description 10
- 125000005560 phenanthrenylene group Chemical group 0.000 claims description 10
- 125000005550 pyrazinylene group Chemical group 0.000 claims description 10
- 125000005548 pyrenylene group Chemical group 0.000 claims description 10
- 125000005730 thiophenylene group Chemical group 0.000 claims description 10
- 125000005872 benzooxazolyl group Chemical group 0.000 claims description 9
- 229910052760 oxygen Inorganic materials 0.000 claims description 9
- 229910052698 phosphorus Inorganic materials 0.000 claims description 9
- 125000005551 pyridylene group Chemical group 0.000 claims description 9
- 229910052717 sulfur Inorganic materials 0.000 claims description 9
- 125000005558 triazinylene group Chemical group 0.000 claims description 9
- 125000005559 triazolylene group Chemical group 0.000 claims description 9
- 125000004054 acenaphthylenyl group Chemical group C1(=CC2=CC=CC3=CC=CC1=C23)* 0.000 claims description 8
- 125000005566 carbazolylene group Chemical group 0.000 claims description 8
- 125000005565 oxadiazolylene group Chemical group 0.000 claims description 8
- 125000005564 oxazolylene group Chemical group 0.000 claims description 8
- MHAUGLFOVCQYNR-UHFFFAOYSA-N pentaphenylene Chemical group C1=CC=C2C3=CC=CC=C3C3=CC=CC=C3C3=CC=CC=C3C3=CC=CC=C3C2=C1 MHAUGLFOVCQYNR-UHFFFAOYSA-N 0.000 claims description 8
- 125000005563 perylenylene group Chemical group 0.000 claims description 8
- 125000005557 thiazolylene group Chemical group 0.000 claims description 8
- 125000005567 fluorenylene group Chemical group 0.000 claims description 6
- 125000001820 oxy group Chemical group [*:1]O[*:2] 0.000 claims description 6
- 125000003342 alkenyl group Chemical group 0.000 claims description 5
- XNKVIGSNRYAOQZ-UHFFFAOYSA-N dibenzofluorene Chemical compound C12=CC=CC=C2C2=CC=CC=C2C2=C1CC1=CC=CC=C12 XNKVIGSNRYAOQZ-UHFFFAOYSA-N 0.000 claims description 5
- YJTKZCDBKVTVBY-UHFFFAOYSA-N 1,3-Diphenylbenzene Chemical group C1=CC=CC=C1C1=CC=CC(C=2C=CC=CC=2)=C1 YJTKZCDBKVTVBY-UHFFFAOYSA-N 0.000 claims description 4
- UFHFLCQGNIYNRP-UHFFFAOYSA-N Hydrogen Chemical compound [H][H] UFHFLCQGNIYNRP-UHFFFAOYSA-N 0.000 claims description 4
- OAICVXFJPJFONN-UHFFFAOYSA-N Phosphorus Chemical compound [P] OAICVXFJPJFONN-UHFFFAOYSA-N 0.000 claims description 4
- HXGDTGSAIMULJN-UHFFFAOYSA-N acetnaphthylene Natural products C1=CC(C=C2)=C3C2=CC=CC3=C1 HXGDTGSAIMULJN-UHFFFAOYSA-N 0.000 claims description 4
- 125000000259 cinnolinyl group Chemical group N1=NC(=CC2=CC=CC=C12)* 0.000 claims description 4
- 125000001153 fluoro group Chemical group F* 0.000 claims description 4
- IJGRMHOSHXDMSA-UHFFFAOYSA-N nitrogen Substances N#N IJGRMHOSHXDMSA-UHFFFAOYSA-N 0.000 claims description 4
- 239000011574 phosphorus Substances 0.000 claims description 4
- 125000006736 (C6-C20) aryl group Chemical group 0.000 claims description 3
- 229910052757 nitrogen Inorganic materials 0.000 claims description 3
- ZOXJGFHDIHLPTG-UHFFFAOYSA-N Boron Chemical compound [B] ZOXJGFHDIHLPTG-UHFFFAOYSA-N 0.000 claims description 2
- 229910052796 boron Inorganic materials 0.000 claims description 2
- QJGQUHMNIGDVPM-UHFFFAOYSA-N nitrogen group Chemical group [N] QJGQUHMNIGDVPM-UHFFFAOYSA-N 0.000 claims description 2
- 150000002391 heterocyclic compounds Chemical class 0.000 claims 1
- 238000000034 method Methods 0.000 description 46
- 239000000543 intermediate Substances 0.000 description 25
- 229940125904 compound 1 Drugs 0.000 description 17
- 238000000151 deposition Methods 0.000 description 16
- 239000002019 doping agent Substances 0.000 description 16
- 238000003786 synthesis reaction Methods 0.000 description 16
- 230000015572 biosynthetic process Effects 0.000 description 15
- 238000001771 vacuum deposition Methods 0.000 description 15
- 239000011248 coating agent Substances 0.000 description 13
- 238000000576 coating method Methods 0.000 description 13
- 230000008021 deposition Effects 0.000 description 13
- 238000000921 elemental analysis Methods 0.000 description 13
- UHOVQNZJYSORNB-UHFFFAOYSA-N monobenzene Natural products C1=CC=CC=C1 UHOVQNZJYSORNB-UHFFFAOYSA-N 0.000 description 13
- 238000004528 spin coating Methods 0.000 description 12
- 239000000758 substrate Substances 0.000 description 12
- CSNNHWWHGAXBCP-UHFFFAOYSA-L Magnesium sulfate Chemical compound [Mg+2].[O-][S+2]([O-])([O-])[O-] CSNNHWWHGAXBCP-UHFFFAOYSA-L 0.000 description 10
- UFWIBTONFRDIAS-UHFFFAOYSA-N Naphthalene Chemical compound C1=CC=CC2=CC=CC=C21 UFWIBTONFRDIAS-UHFFFAOYSA-N 0.000 description 10
- 125000004432 carbon atom Chemical group C* 0.000 description 10
- NIHNNTQXNPWCJQ-UHFFFAOYSA-N fluorene Chemical compound C1=CC=C2CC3=CC=CC=C3C2=C1 NIHNNTQXNPWCJQ-UHFFFAOYSA-N 0.000 description 10
- XEKOWRVHYACXOJ-UHFFFAOYSA-N Ethyl acetate Chemical compound CCOC(C)=O XEKOWRVHYACXOJ-UHFFFAOYSA-N 0.000 description 9
- HEMHJVSKTPXQMS-UHFFFAOYSA-M Sodium hydroxide Chemical compound [OH-].[Na+] HEMHJVSKTPXQMS-UHFFFAOYSA-M 0.000 description 9
- 230000000052 comparative effect Effects 0.000 description 9
- 239000003446 ligand Substances 0.000 description 9
- 238000001931 thermography Methods 0.000 description 9
- MWPLVEDNUUSJAV-UHFFFAOYSA-N anthracene Chemical compound C1=CC=CC2=CC3=CC=CC=C3C=C21 MWPLVEDNUUSJAV-UHFFFAOYSA-N 0.000 description 8
- WDECIBYCCFPHNR-UHFFFAOYSA-N chrysene Chemical compound C1=CC=CC2=CC=C3C4=CC=CC=C4C=CC3=C21 WDECIBYCCFPHNR-UHFFFAOYSA-N 0.000 description 8
- GVEPBJHOBDJJJI-UHFFFAOYSA-N fluoranthrene Natural products C1=CC(C2=CC=CC=C22)=C3C2=CC=CC3=C1 GVEPBJHOBDJJJI-UHFFFAOYSA-N 0.000 description 8
- 239000000203 mixture Substances 0.000 description 8
- YNPNZTXNASCQKK-UHFFFAOYSA-N phenanthrene Chemical compound C1=CC=C2C3=CC=CC=C3C=CC2=C1 YNPNZTXNASCQKK-UHFFFAOYSA-N 0.000 description 8
- GBROPGWFBFCKAG-UHFFFAOYSA-N picene Chemical compound C1=CC2=C3C=CC=CC3=CC=C2C2=C1C1=CC=CC=C1C=C2 GBROPGWFBFCKAG-UHFFFAOYSA-N 0.000 description 8
- BBEAQIROQSPTKN-UHFFFAOYSA-N pyrene Chemical compound C1=CC=C2C=CC3=CC=CC4=CC=C1C2=C43 BBEAQIROQSPTKN-UHFFFAOYSA-N 0.000 description 8
- 229910052799 carbon Inorganic materials 0.000 description 7
- RAXXELZNTBOGNW-UHFFFAOYSA-N imidazole Natural products C1=CNC=N1 RAXXELZNTBOGNW-UHFFFAOYSA-N 0.000 description 7
- 229920000767 polyaniline Polymers 0.000 description 7
- QTBSBXVTEAMEQO-UHFFFAOYSA-N Acetic acid Chemical compound CC(O)=O QTBSBXVTEAMEQO-UHFFFAOYSA-N 0.000 description 6
- KFZMGEQAYNKOFK-UHFFFAOYSA-N Isopropanol Chemical compound CC(C)O KFZMGEQAYNKOFK-UHFFFAOYSA-N 0.000 description 6
- HEDRZPFGACZZDS-MICDWDOJSA-N Trichloro(2H)methane Chemical compound [2H]C(Cl)(Cl)Cl HEDRZPFGACZZDS-MICDWDOJSA-N 0.000 description 6
- 238000007641 inkjet printing Methods 0.000 description 6
- 238000007648 laser printing Methods 0.000 description 6
- 239000007787 solid Substances 0.000 description 6
- XLYOFNOQVPJJNP-UHFFFAOYSA-N water Chemical compound O XLYOFNOQVPJJNP-UHFFFAOYSA-N 0.000 description 6
- RTZKZFJDLAIYFH-UHFFFAOYSA-N Diethyl ether Chemical compound CCOCC RTZKZFJDLAIYFH-UHFFFAOYSA-N 0.000 description 5
- 238000005266 casting Methods 0.000 description 5
- 238000001704 evaporation Methods 0.000 description 5
- 239000011521 glass Substances 0.000 description 5
- 125000005842 heteroatom Chemical group 0.000 description 5
- 229910052943 magnesium sulfate Inorganic materials 0.000 description 5
- 235000019341 magnesium sulphate Nutrition 0.000 description 5
- 238000010898 silica gel chromatography Methods 0.000 description 5
- 239000000243 solution Substances 0.000 description 5
- 239000002904 solvent Substances 0.000 description 5
- FCEHBMOGCRZNNI-UHFFFAOYSA-N 1-benzothiophene Chemical class C1=CC=C2SC=CC2=C1 FCEHBMOGCRZNNI-UHFFFAOYSA-N 0.000 description 4
- 238000005160 1H NMR spectroscopy Methods 0.000 description 4
- HKMTVMBEALTRRR-UHFFFAOYSA-N Benzo[a]fluorene Chemical compound C1=CC=CC2=C3CC4=CC=CC=C4C3=CC=C21 HKMTVMBEALTRRR-UHFFFAOYSA-N 0.000 description 4
- OKTJSMMVPCPJKN-UHFFFAOYSA-N Carbon Chemical compound [C] OKTJSMMVPCPJKN-UHFFFAOYSA-N 0.000 description 4
- SLGBZMMZGDRARJ-UHFFFAOYSA-N Triphenylene Natural products C1=CC=C2C3=CC=CC=C3C3=CC=CC=C3C2=C1 SLGBZMMZGDRARJ-UHFFFAOYSA-N 0.000 description 4
- WZJYKHNJTSNBHV-UHFFFAOYSA-N benzo[h]quinoline Chemical class C1=CN=C2C3=CC=CC=C3C=CC2=C1 WZJYKHNJTSNBHV-UHFFFAOYSA-N 0.000 description 4
- 239000011575 calcium Substances 0.000 description 4
- 238000006243 chemical reaction Methods 0.000 description 4
- 239000012153 distilled water Substances 0.000 description 4
- DDTGNKBZWQHIEH-UHFFFAOYSA-N heptalene Chemical compound C1=CC=CC=C2C=CC=CC=C21 DDTGNKBZWQHIEH-UHFFFAOYSA-N 0.000 description 4
- 239000011777 magnesium Substances 0.000 description 4
- 125000002950 monocyclic group Chemical group 0.000 description 4
- CSHWQDPOILHKBI-UHFFFAOYSA-N peryrene Natural products C1=CC(C2=CC=CC=3C2=C2C=CC=3)=C3C2=CC=CC3=C1 CSHWQDPOILHKBI-UHFFFAOYSA-N 0.000 description 4
- XDJOIMJURHQYDW-UHFFFAOYSA-N phenalene Chemical compound C1=CC(CC=C2)=C3C2=CC=CC3=C1 XDJOIMJURHQYDW-UHFFFAOYSA-N 0.000 description 4
- 239000002356 single layer Substances 0.000 description 4
- IFLREYGFSNHWGE-UHFFFAOYSA-N tetracene Chemical compound C1=CC=CC2=CC3=CC4=CC=CC=C4C=C3C=C21 IFLREYGFSNHWGE-UHFFFAOYSA-N 0.000 description 4
- 125000005580 triphenylene group Chemical group 0.000 description 4
- BCMCBBGGLRIHSE-UHFFFAOYSA-N 1,3-benzoxazole Chemical class C1=CC=C2OC=NC2=C1 BCMCBBGGLRIHSE-UHFFFAOYSA-N 0.000 description 3
- OKKJLVBELUTLKV-UHFFFAOYSA-N Methanol Chemical compound OC OKKJLVBELUTLKV-UHFFFAOYSA-N 0.000 description 3
- MZRVEZGGRBJDDB-UHFFFAOYSA-N N-Butyllithium Chemical compound [Li]CCCC MZRVEZGGRBJDDB-UHFFFAOYSA-N 0.000 description 3
- 229920001609 Poly(3,4-ethylenedioxythiophene) Polymers 0.000 description 3
- 239000007864 aqueous solution Substances 0.000 description 3
- 230000000694 effects Effects 0.000 description 3
- 239000011159 matrix material Substances 0.000 description 3
- 229910052751 metal Inorganic materials 0.000 description 3
- 239000002184 metal Substances 0.000 description 3
- BASFCYQUMIYNBI-UHFFFAOYSA-N platinum Chemical compound [Pt] BASFCYQUMIYNBI-UHFFFAOYSA-N 0.000 description 3
- 229920006395 saturated elastomer Polymers 0.000 description 3
- 238000003756 stirring Methods 0.000 description 3
- 125000006758 (C2-C60) alkyl group Chemical group 0.000 description 2
- HYZJCKYKOHLVJF-UHFFFAOYSA-N 1H-benzimidazole Chemical class C1=CC=C2NC=NC2=C1 HYZJCKYKOHLVJF-UHFFFAOYSA-N 0.000 description 2
- YBYIRNPNPLQARY-UHFFFAOYSA-N 1H-indene Natural products C1=CC=C2CC=CC2=C1 YBYIRNPNPLQARY-UHFFFAOYSA-N 0.000 description 2
- KAESVJOAVNADME-UHFFFAOYSA-N 1H-pyrrole Natural products C=1C=CNC=1 KAESVJOAVNADME-UHFFFAOYSA-N 0.000 description 2
- IXHWGNYCZPISET-UHFFFAOYSA-N 2-[4-(dicyanomethylidene)-2,3,5,6-tetrafluorocyclohexa-2,5-dien-1-ylidene]propanedinitrile Chemical compound FC1=C(F)C(=C(C#N)C#N)C(F)=C(F)C1=C(C#N)C#N IXHWGNYCZPISET-UHFFFAOYSA-N 0.000 description 2
- LYTMVABTDYMBQK-UHFFFAOYSA-N 2-benzothiophene Chemical class C1=CC=CC2=CSC=C21 LYTMVABTDYMBQK-UHFFFAOYSA-N 0.000 description 2
- ZSLUVFAKFWKJRC-IGMARMGPSA-N 232Th Chemical compound [232Th] ZSLUVFAKFWKJRC-IGMARMGPSA-N 0.000 description 2
- OSQXTXTYKAEHQV-WXUKJITCSA-N 4-methyl-n-[4-[(e)-2-[4-[4-[(e)-2-[4-(4-methyl-n-(4-methylphenyl)anilino)phenyl]ethenyl]phenyl]phenyl]ethenyl]phenyl]-n-(4-methylphenyl)aniline Chemical compound C1=CC(C)=CC=C1N(C=1C=CC(\C=C\C=2C=CC(=CC=2)C=2C=CC(\C=C\C=3C=CC(=CC=3)N(C=3C=CC(C)=CC=3)C=3C=CC(C)=CC=3)=CC=2)=CC=1)C1=CC=C(C)C=C1 OSQXTXTYKAEHQV-WXUKJITCSA-N 0.000 description 2
- ZCYVEMRRCGMTRW-UHFFFAOYSA-N 7553-56-2 Chemical compound [I] ZCYVEMRRCGMTRW-UHFFFAOYSA-N 0.000 description 2
- KXZQISAMEOLCJR-UHFFFAOYSA-N 7H-indeno[2,1-a]anthracene Chemical compound C1=CC=C2C=C3C4=CC5=CC=CC=C5CC4=CC=C3C2=C1 KXZQISAMEOLCJR-UHFFFAOYSA-N 0.000 description 2
- CSCPPACGZOOCGX-UHFFFAOYSA-N Acetone Chemical compound CC(C)=O CSCPPACGZOOCGX-UHFFFAOYSA-N 0.000 description 2
- 229910001148 Al-Li alloy Inorganic materials 0.000 description 2
- NLXLAEXVIDQMFP-UHFFFAOYSA-N Ammonia chloride Chemical compound [NH4+].[Cl-] NLXLAEXVIDQMFP-UHFFFAOYSA-N 0.000 description 2
- VWXNPOMFDZSCQR-UHFFFAOYSA-N C1=CC=C2C=CC=C3C4=CC=CC=C4C1=C23.[F] Chemical compound C1=CC=C2C=CC=C3C4=CC=CC=C4C1=C23.[F] VWXNPOMFDZSCQR-UHFFFAOYSA-N 0.000 description 2
- OYPRJOBELJOOCE-UHFFFAOYSA-N Calcium Chemical compound [Ca] OYPRJOBELJOOCE-UHFFFAOYSA-N 0.000 description 2
- 0 Cc1nc(c(*)c(-c(c([Si]2(C)C)c3*)c(*)c4c3[s]c(C)n4)c2c2*)c2[s]1 Chemical compound Cc1nc(c(*)c(-c(c([Si]2(C)C)c3*)c(*)c4c3[s]c(C)n4)c2c2*)c2[s]1 0.000 description 2
- TXCDCPKCNAJMEE-UHFFFAOYSA-N Dibenzofuran Natural products C1=CC=C2C3=CC=CC=C3OC2=C1 TXCDCPKCNAJMEE-UHFFFAOYSA-N 0.000 description 2
- YTPLMLYBLZKORZ-UHFFFAOYSA-N Divinylene sulfide Natural products C=1C=CSC=1 YTPLMLYBLZKORZ-UHFFFAOYSA-N 0.000 description 2
- LFQSCWFLJHTTHZ-UHFFFAOYSA-N Ethanol Chemical compound CCO LFQSCWFLJHTTHZ-UHFFFAOYSA-N 0.000 description 2
- VEXZGXHMUGYJMC-UHFFFAOYSA-N Hydrochloric acid Chemical compound Cl VEXZGXHMUGYJMC-UHFFFAOYSA-N 0.000 description 2
- FYYHWMGAXLPEAU-UHFFFAOYSA-N Magnesium Chemical compound [Mg] FYYHWMGAXLPEAU-UHFFFAOYSA-N 0.000 description 2
- CBENFWSGALASAD-UHFFFAOYSA-N Ozone Chemical compound [O-][O+]=O CBENFWSGALASAD-UHFFFAOYSA-N 0.000 description 2
- PCNDJXKNXGMECE-UHFFFAOYSA-N Phenazine Natural products C1=CC=CC2=NC3=CC=CC=C3N=C21 PCNDJXKNXGMECE-UHFFFAOYSA-N 0.000 description 2
- XYFCBTPGUUZFHI-UHFFFAOYSA-N Phosphine Chemical compound P XYFCBTPGUUZFHI-UHFFFAOYSA-N 0.000 description 2
- KYQCOXFCLRTKLS-UHFFFAOYSA-N Pyrazine Natural products C1=CN=CC=N1 KYQCOXFCLRTKLS-UHFFFAOYSA-N 0.000 description 2
- FAPWRFPIFSIZLT-UHFFFAOYSA-M Sodium chloride Chemical compound [Na+].[Cl-] FAPWRFPIFSIZLT-UHFFFAOYSA-M 0.000 description 2
- 229910052776 Thorium Inorganic materials 0.000 description 2
- JHYLKGDXMUDNEO-UHFFFAOYSA-N [Mg].[In] Chemical compound [Mg].[In] JHYLKGDXMUDNEO-UHFFFAOYSA-N 0.000 description 2
- 229910052782 aluminium Inorganic materials 0.000 description 2
- XAGFODPZIPBFFR-UHFFFAOYSA-N aluminium Chemical compound [Al] XAGFODPZIPBFFR-UHFFFAOYSA-N 0.000 description 2
- SMWDFEZZVXVKRB-UHFFFAOYSA-N anhydrous quinoline Natural products N1=CC=CC2=CC=CC=C21 SMWDFEZZVXVKRB-UHFFFAOYSA-N 0.000 description 2
- RFRXIWQYSOIBDI-UHFFFAOYSA-N benzarone Chemical group CCC=1OC2=CC=CC=C2C=1C(=O)C1=CC=C(O)C=C1 RFRXIWQYSOIBDI-UHFFFAOYSA-N 0.000 description 2
- 150000001555 benzenes Chemical class 0.000 description 2
- LPTWEDZIPSKWDG-UHFFFAOYSA-N benzenesulfonic acid;dodecane Chemical compound OS(=O)(=O)C1=CC=CC=C1.CCCCCCCCCCCC LPTWEDZIPSKWDG-UHFFFAOYSA-N 0.000 description 2
- XSCHRSMBECNVNS-UHFFFAOYSA-N benzopyrazine Natural products N1=CC=NC2=CC=CC=C21 XSCHRSMBECNVNS-UHFFFAOYSA-N 0.000 description 2
- 229910052791 calcium Inorganic materials 0.000 description 2
- 125000002915 carbonyl group Chemical group [*:2]C([*:1])=O 0.000 description 2
- 230000008859 change Effects 0.000 description 2
- 229940125898 compound 5 Drugs 0.000 description 2
- 238000001816 cooling Methods 0.000 description 2
- 150000001923 cyclic compounds Chemical class 0.000 description 2
- 150000004826 dibenzofurans Chemical class 0.000 description 2
- IYYZUPMFVPLQIF-UHFFFAOYSA-N dibenzothiophene Chemical class C1=CC=C2C3=CC=CC=C3SC2=C1 IYYZUPMFVPLQIF-UHFFFAOYSA-N 0.000 description 2
- ZUOUZKKEUPVFJK-UHFFFAOYSA-N diphenyl Chemical compound C1=CC=CC=C1C1=CC=CC=C1 ZUOUZKKEUPVFJK-UHFFFAOYSA-N 0.000 description 2
- 229940060296 dodecylbenzenesulfonic acid Drugs 0.000 description 2
- 125000001495 ethyl group Chemical group [H]C([H])([H])C([H])([H])* 0.000 description 2
- 238000000605 extraction Methods 0.000 description 2
- 150000002220 fluorenes Chemical class 0.000 description 2
- 150000002240 furans Chemical class 0.000 description 2
- 150000002430 hydrocarbons Chemical group 0.000 description 2
- 150000002460 imidazoles Chemical class 0.000 description 2
- 230000008676 import Effects 0.000 description 2
- AWJUIBRHMBBTKR-UHFFFAOYSA-N iso-quinoline Natural products C1=NC=CC2=CC=CC=C21 AWJUIBRHMBBTKR-UHFFFAOYSA-N 0.000 description 2
- 150000003854 isothiazoles Chemical class 0.000 description 2
- 150000002545 isoxazoles Chemical class 0.000 description 2
- 229910052749 magnesium Inorganic materials 0.000 description 2
- SJCKRGFTWFGHGZ-UHFFFAOYSA-N magnesium silver Chemical compound [Mg].[Ag] SJCKRGFTWFGHGZ-UHFFFAOYSA-N 0.000 description 2
- 229910044991 metal oxide Inorganic materials 0.000 description 2
- 150000004706 metal oxides Chemical class 0.000 description 2
- 125000002496 methyl group Chemical group [H]C([H])([H])* 0.000 description 2
- VLKZOEOYAKHREP-UHFFFAOYSA-N n-Hexane Chemical compound CCCCCC VLKZOEOYAKHREP-UHFFFAOYSA-N 0.000 description 2
- 150000002790 naphthalenes Chemical class 0.000 description 2
- 239000013110 organic ligand Substances 0.000 description 2
- 150000004866 oxadiazoles Chemical class 0.000 description 2
- 150000002916 oxazoles Chemical class 0.000 description 2
- NRZWYNLTFLDQQX-UHFFFAOYSA-N p-tert-Amylphenol Chemical compound CCC(C)(C)C1=CC=C(O)C=C1 NRZWYNLTFLDQQX-UHFFFAOYSA-N 0.000 description 2
- BWHMMNNQKKPAPP-UHFFFAOYSA-L potassium carbonate Chemical compound [K+].[K+].[O-]C([O-])=O BWHMMNNQKKPAPP-UHFFFAOYSA-L 0.000 description 2
- 125000002568 propynyl group Chemical group [*]C#CC([H])([H])[H] 0.000 description 2
- 150000003216 pyrazines Chemical class 0.000 description 2
- 150000004892 pyridazines Chemical class 0.000 description 2
- JUJWROOIHBZHMG-UHFFFAOYSA-N pyridine Substances C1=CC=NC=C1 JUJWROOIHBZHMG-UHFFFAOYSA-N 0.000 description 2
- UMJSCPRVCHMLSP-UHFFFAOYSA-N pyridine Natural products COC1=CC=CN=C1 UMJSCPRVCHMLSP-UHFFFAOYSA-N 0.000 description 2
- 150000003222 pyridines Chemical class 0.000 description 2
- 150000003230 pyrimidines Chemical class 0.000 description 2
- 150000003233 pyrroles Chemical class 0.000 description 2
- 150000003248 quinolines Chemical class 0.000 description 2
- 150000004059 quinone derivatives Chemical class 0.000 description 2
- 230000004044 response Effects 0.000 description 2
- YLQBMQCUIZJEEH-UHFFFAOYSA-N tetrahydrofuran Natural products C=1C=COC=1 YLQBMQCUIZJEEH-UHFFFAOYSA-N 0.000 description 2
- 150000003557 thiazoles Chemical class 0.000 description 2
- 229930192474 thiophene Natural products 0.000 description 2
- 150000003577 thiophenes Chemical class 0.000 description 2
- 239000010936 titanium Substances 0.000 description 2
- TVIVIEFSHFOWTE-UHFFFAOYSA-K tri(quinolin-8-yloxy)alumane Chemical compound [Al+3].C1=CN=C2C([O-])=CC=CC2=C1.C1=CN=C2C([O-])=CC=CC2=C1.C1=CN=C2C([O-])=CC=CC2=C1 TVIVIEFSHFOWTE-UHFFFAOYSA-K 0.000 description 2
- 150000003918 triazines Chemical class 0.000 description 2
- 150000003852 triazoles Chemical class 0.000 description 2
- 238000009281 ultraviolet germicidal irradiation Methods 0.000 description 2
- 125000000008 (C1-C10) alkyl group Chemical group 0.000 description 1
- 125000006833 (C1-C5) alkylene group Chemical group 0.000 description 1
- 125000006759 (C2-C60) alkenylene group Chemical group 0.000 description 1
- 125000006760 (C2-C60) alkynylene group Chemical group 0.000 description 1
- DSSYKIVIOFKYAU-XCBNKYQSSA-N (R)-camphor Chemical compound C1C[C@@]2(C)C(=O)C[C@@H]1C2(C)C DSSYKIVIOFKYAU-XCBNKYQSSA-N 0.000 description 1
- MIOPJNTWMNEORI-GMSGAONNSA-N (S)-camphorsulfonic acid Chemical compound C1C[C@@]2(CS(O)(=O)=O)C(=O)C[C@@H]1C2(C)C MIOPJNTWMNEORI-GMSGAONNSA-N 0.000 description 1
- POILWHVDKZOXJZ-ARJAWSKDSA-M (z)-4-oxopent-2-en-2-olate Chemical compound C\C([O-])=C\C(C)=O POILWHVDKZOXJZ-ARJAWSKDSA-M 0.000 description 1
- SWJPEBQEEAHIGZ-UHFFFAOYSA-N 1,4-dibromobenzene Chemical compound BrC1=CC=C(Br)C=C1 SWJPEBQEEAHIGZ-UHFFFAOYSA-N 0.000 description 1
- IYZMXHQDXZKNCY-UHFFFAOYSA-N 1-n,1-n-diphenyl-4-n,4-n-bis[4-(n-phenylanilino)phenyl]benzene-1,4-diamine Chemical compound C1=CC=CC=C1N(C=1C=CC(=CC=1)N(C=1C=CC(=CC=1)N(C=1C=CC=CC=1)C=1C=CC=CC=1)C=1C=CC(=CC=1)N(C=1C=CC=CC=1)C=1C=CC=CC=1)C1=CC=CC=C1 IYZMXHQDXZKNCY-UHFFFAOYSA-N 0.000 description 1
- 238000001644 13C nuclear magnetic resonance spectroscopy Methods 0.000 description 1
- NOIXNOMHHWGUTG-UHFFFAOYSA-N 2-[[4-[4-pyridin-4-yl-1-(2,2,2-trifluoroethyl)pyrazol-3-yl]phenoxy]methyl]quinoline Chemical class C=1C=C(OCC=2N=C3C=CC=CC3=CC=2)C=CC=1C1=NN(CC(F)(F)F)C=C1C1=CC=NC=C1 NOIXNOMHHWGUTG-UHFFFAOYSA-N 0.000 description 1
- FXSCJZNMWILAJO-UHFFFAOYSA-N 2-bromo-9h-fluorene Chemical compound C1=CC=C2C3=CC=C(Br)C=C3CC2=C1 FXSCJZNMWILAJO-UHFFFAOYSA-N 0.000 description 1
- JHWIEAWILPSRMU-UHFFFAOYSA-N 2-methyl-3-pyrimidin-4-ylpropanoic acid Chemical compound OC(=O)C(C)CC1=CC=NC=N1 JHWIEAWILPSRMU-UHFFFAOYSA-N 0.000 description 1
- QZTQQBIGSZWRGI-UHFFFAOYSA-N 2-n',7-n'-bis(3-methylphenyl)-2-n',7-n'-diphenyl-9,9'-spirobi[fluorene]-2',7'-diamine Chemical compound CC1=CC=CC(N(C=2C=CC=CC=2)C=2C=C3C4(C5=CC=CC=C5C5=CC=CC=C54)C4=CC(=CC=C4C3=CC=2)N(C=2C=CC=CC=2)C=2C=C(C)C=CC=2)=C1 QZTQQBIGSZWRGI-UHFFFAOYSA-N 0.000 description 1
- ZDAWFMCVTXSZTC-UHFFFAOYSA-N 2-n',7-n'-dinaphthalen-1-yl-2-n',7-n'-diphenyl-9,9'-spirobi[fluorene]-2',7'-diamine Chemical compound C1=CC=CC=C1N(C=1C2=CC=CC=C2C=CC=1)C1=CC=C(C=2C(=CC(=CC=2)N(C=2C=CC=CC=2)C=2C3=CC=CC=C3C=CC=2)C23C4=CC=CC=C4C4=CC=CC=C43)C2=C1 ZDAWFMCVTXSZTC-UHFFFAOYSA-N 0.000 description 1
- VQGHOUODWALEFC-UHFFFAOYSA-N 2-phenylpyridine Chemical compound C1=CC=CC=C1C1=CC=CC=N1 VQGHOUODWALEFC-UHFFFAOYSA-N 0.000 description 1
- OBAJPWYDYFEBTF-UHFFFAOYSA-N 2-tert-butyl-9,10-dinaphthalen-2-ylanthracene Chemical compound C1=CC=CC2=CC(C3=C4C=CC=CC4=C(C=4C=C5C=CC=CC5=CC=4)C4=CC=C(C=C43)C(C)(C)C)=CC=C21 OBAJPWYDYFEBTF-UHFFFAOYSA-N 0.000 description 1
- URZZLPLGTZFNST-UHFFFAOYSA-N 4,5-dimethyl-1h-pyrazole-3-carboxylic acid Chemical compound CC=1NN=C(C(O)=O)C=1C URZZLPLGTZFNST-UHFFFAOYSA-N 0.000 description 1
- HXWWMGJBPGRWRS-CMDGGOBGSA-N 4- -2-tert-butyl-6- -4h-pyran Chemical compound O1C(C(C)(C)C)=CC(=C(C#N)C#N)C=C1\C=C\C1=CC(C(CCN2CCC3(C)C)(C)C)=C2C3=C1 HXWWMGJBPGRWRS-CMDGGOBGSA-N 0.000 description 1
- AWXGSYPUMWKTBR-UHFFFAOYSA-N 4-carbazol-9-yl-n,n-bis(4-carbazol-9-ylphenyl)aniline Chemical compound C12=CC=CC=C2C2=CC=CC=C2N1C1=CC=C(N(C=2C=CC(=CC=2)N2C3=CC=CC=C3C3=CC=CC=C32)C=2C=CC(=CC=2)N2C3=CC=CC=C3C3=CC=CC=C32)C=C1 AWXGSYPUMWKTBR-UHFFFAOYSA-N 0.000 description 1
- AZFHXIBNMPIGOD-UHFFFAOYSA-N 4-hydroxypent-3-en-2-one iridium Chemical compound [Ir].CC(O)=CC(C)=O.CC(O)=CC(C)=O.CC(O)=CC(C)=O AZFHXIBNMPIGOD-UHFFFAOYSA-N 0.000 description 1
- ZOKIJILZFXPFTO-UHFFFAOYSA-N 4-methyl-n-[4-[1-[4-(4-methyl-n-(4-methylphenyl)anilino)phenyl]cyclohexyl]phenyl]-n-(4-methylphenyl)aniline Chemical compound C1=CC(C)=CC=C1N(C=1C=CC(=CC=1)C1(CCCCC1)C=1C=CC(=CC=1)N(C=1C=CC(C)=CC=1)C=1C=CC(C)=CC=1)C1=CC=C(C)C=C1 ZOKIJILZFXPFTO-UHFFFAOYSA-N 0.000 description 1
- DIVZFUBWFAOMCW-UHFFFAOYSA-N 4-n-(3-methylphenyl)-1-n,1-n-bis[4-(n-(3-methylphenyl)anilino)phenyl]-4-n-phenylbenzene-1,4-diamine Chemical compound CC1=CC=CC(N(C=2C=CC=CC=2)C=2C=CC(=CC=2)N(C=2C=CC(=CC=2)N(C=2C=CC=CC=2)C=2C=C(C)C=CC=2)C=2C=CC(=CC=2)N(C=2C=CC=CC=2)C=2C=C(C)C=CC=2)=C1 DIVZFUBWFAOMCW-UHFFFAOYSA-N 0.000 description 1
- AOQKGYRILLEVJV-UHFFFAOYSA-N 4-naphthalen-1-yl-3,5-diphenyl-1,2,4-triazole Chemical compound C1=CC=CC=C1C(N1C=2C3=CC=CC=C3C=CC=2)=NN=C1C1=CC=CC=C1 AOQKGYRILLEVJV-UHFFFAOYSA-N 0.000 description 1
- LTUJKAYZIMMJEP-UHFFFAOYSA-N 9-[4-(4-carbazol-9-yl-2-methylphenyl)-3-methylphenyl]carbazole Chemical compound C12=CC=CC=C2C2=CC=CC=C2N1C1=CC=C(C=2C(=CC(=CC=2)N2C3=CC=CC=C3C3=CC=CC=C32)C)C(C)=C1 LTUJKAYZIMMJEP-UHFFFAOYSA-N 0.000 description 1
- MSDMPJCOOXURQD-UHFFFAOYSA-N C545T Chemical compound C1=CC=C2SC(C3=CC=4C=C5C6=C(C=4OC3=O)C(C)(C)CCN6CCC5(C)C)=NC2=C1 MSDMPJCOOXURQD-UHFFFAOYSA-N 0.000 description 1
- UJOBWOGCFQCDNV-UHFFFAOYSA-N Carbazole Natural products C1=CC=C2C3=CC=CC=C3NC2=C1 UJOBWOGCFQCDNV-UHFFFAOYSA-N 0.000 description 1
- CURLTUGMZLYLDI-UHFFFAOYSA-N Carbon dioxide Chemical compound O=C=O CURLTUGMZLYLDI-UHFFFAOYSA-N 0.000 description 1
- UGFAIRIUMAVXCW-UHFFFAOYSA-N Carbon monoxide Chemical compound [O+]#[C-] UGFAIRIUMAVXCW-UHFFFAOYSA-N 0.000 description 1
- 241000723346 Cinnamomum camphora Species 0.000 description 1
- YMWUJEATGCHHMB-UHFFFAOYSA-N Dichloromethane Chemical compound ClCCl YMWUJEATGCHHMB-UHFFFAOYSA-N 0.000 description 1
- 229910052693 Europium Inorganic materials 0.000 description 1
- 229910004003 H5IO6 Inorganic materials 0.000 description 1
- 101000837344 Homo sapiens T-cell leukemia translocation-altered gene protein Proteins 0.000 description 1
- SIKJAQJRHWYJAI-UHFFFAOYSA-N Indole Chemical compound C1=CC=C2NC=CC2=C1 SIKJAQJRHWYJAI-UHFFFAOYSA-N 0.000 description 1
- 229910018068 Li 2 O Inorganic materials 0.000 description 1
- WHXSMMKQMYFTQS-UHFFFAOYSA-N Lithium Chemical compound [Li] WHXSMMKQMYFTQS-UHFFFAOYSA-N 0.000 description 1
- 229910006404 SnO 2 Inorganic materials 0.000 description 1
- 102100028692 T-cell leukemia translocation-altered gene protein Human genes 0.000 description 1
- 229910052771 Terbium Inorganic materials 0.000 description 1
- FZWLAAWBMGSTSO-UHFFFAOYSA-N Thiazole Chemical compound C1=CSC=N1 FZWLAAWBMGSTSO-UHFFFAOYSA-N 0.000 description 1
- RTAQQCXQSZGOHL-UHFFFAOYSA-N Titanium Chemical compound [Ti] RTAQQCXQSZGOHL-UHFFFAOYSA-N 0.000 description 1
- XLOMVQKBTHCTTD-UHFFFAOYSA-N Zinc monoxide Chemical compound [Zn]=O XLOMVQKBTHCTTD-UHFFFAOYSA-N 0.000 description 1
- 150000001338 aliphatic hydrocarbons Chemical class 0.000 description 1
- 125000004450 alkenylene group Chemical group 0.000 description 1
- 125000000217 alkyl group Chemical group 0.000 description 1
- 125000002947 alkylene group Chemical group 0.000 description 1
- 229910045601 alloy Inorganic materials 0.000 description 1
- 239000000956 alloy Substances 0.000 description 1
- 235000019270 ammonium chloride Nutrition 0.000 description 1
- 125000005110 aryl thio group Chemical group 0.000 description 1
- 125000000732 arylene group Chemical group 0.000 description 1
- QVQLCTNNEUAWMS-UHFFFAOYSA-N barium oxide Inorganic materials [Ba]=O QVQLCTNNEUAWMS-UHFFFAOYSA-N 0.000 description 1
- WPYMKLBDIGXBTP-UHFFFAOYSA-N benzoic acid Chemical compound OC(=O)C1=CC=CC=C1 WPYMKLBDIGXBTP-UHFFFAOYSA-N 0.000 description 1
- 239000004305 biphenyl Substances 0.000 description 1
- 235000010290 biphenyl Nutrition 0.000 description 1
- 125000004369 butenyl group Chemical group C(=CCC)* 0.000 description 1
- XJHCXCQVJFPJIK-UHFFFAOYSA-M caesium fluoride Inorganic materials [F-].[Cs+] XJHCXCQVJFPJIK-UHFFFAOYSA-M 0.000 description 1
- 229960000846 camphor Drugs 0.000 description 1
- 229930008380 camphor Natural products 0.000 description 1
- 150000001716 carbazoles Chemical class 0.000 description 1
- 150000001721 carbon Chemical group 0.000 description 1
- 235000011089 carbon dioxide Nutrition 0.000 description 1
- 239000000969 carrier Substances 0.000 description 1
- 229910052801 chlorine Inorganic materials 0.000 description 1
- 238000004140 cleaning Methods 0.000 description 1
- 239000003086 colorant Substances 0.000 description 1
- 238000004440 column chromatography Methods 0.000 description 1
- 229940125773 compound 10 Drugs 0.000 description 1
- VBVAVBCYMYWNOU-UHFFFAOYSA-N coumarin 6 Chemical compound C1=CC=C2SC(C3=CC4=CC=C(C=C4OC3=O)N(CC)CC)=NC2=C1 VBVAVBCYMYWNOU-UHFFFAOYSA-N 0.000 description 1
- 238000005859 coupling reaction Methods 0.000 description 1
- 125000001995 cyclobutyl group Chemical group [H]C1([H])C([H])([H])C([H])(*)C1([H])[H] 0.000 description 1
- 125000001162 cycloheptenyl group Chemical group C1(=CCCCCC1)* 0.000 description 1
- 125000001559 cyclopropyl group Chemical group [H]C1([H])C([H])([H])C1([H])* 0.000 description 1
- 238000010586 diagram Methods 0.000 description 1
- IYYZUPMFVPLQIF-ALWQSETLSA-N dibenzothiophene Chemical class C1=CC=CC=2[34S]C3=C(C=21)C=CC=C3 IYYZUPMFVPLQIF-ALWQSETLSA-N 0.000 description 1
- 238000009792 diffusion process Methods 0.000 description 1
- 125000005594 diketone group Chemical group 0.000 description 1
- 238000010790 dilution Methods 0.000 description 1
- 239000012895 dilution Substances 0.000 description 1
- 125000001301 ethoxy group Chemical group [H]C([H])([H])C([H])([H])O* 0.000 description 1
- 125000002534 ethynyl group Chemical group [H]C#C* 0.000 description 1
- OGPBJKLSAFTDLK-UHFFFAOYSA-N europium atom Chemical compound [Eu] OGPBJKLSAFTDLK-UHFFFAOYSA-N 0.000 description 1
- 238000011156 evaluation Methods 0.000 description 1
- 230000005281 excited state Effects 0.000 description 1
- 239000000706 filtrate Substances 0.000 description 1
- 229910052731 fluorine Inorganic materials 0.000 description 1
- 230000005283 ground state Effects 0.000 description 1
- 229910052735 hafnium Inorganic materials 0.000 description 1
- VBJZVLUMGGDVMO-UHFFFAOYSA-N hafnium atom Chemical compound [Hf] VBJZVLUMGGDVMO-UHFFFAOYSA-N 0.000 description 1
- 229910052736 halogen Inorganic materials 0.000 description 1
- 150000002367 halogens Chemical class 0.000 description 1
- 238000010438 heat treatment Methods 0.000 description 1
- 125000003187 heptyl group Chemical group [H]C([*])([H])C([H])([H])C([H])([H])C([H])([H])C([H])([H])C([H])([H])C([H])([H])[H] 0.000 description 1
- 125000004051 hexyl group Chemical group [H]C([H])([H])C([H])([H])C([H])([H])C([H])([H])C([H])([H])C([H])([H])* 0.000 description 1
- 230000006872 improvement Effects 0.000 description 1
- AMGQUBHHOARCQH-UHFFFAOYSA-N indium;oxotin Chemical compound [In].[Sn]=O AMGQUBHHOARCQH-UHFFFAOYSA-N 0.000 description 1
- 229910052740 iodine Inorganic materials 0.000 description 1
- 239000011630 iodine Substances 0.000 description 1
- 229910052741 iridium Inorganic materials 0.000 description 1
- GKOZUEZYRPOHIO-UHFFFAOYSA-N iridium atom Chemical group [Ir] GKOZUEZYRPOHIO-UHFFFAOYSA-N 0.000 description 1
- 125000000959 isobutyl group Chemical group [H]C([H])([H])C([H])(C([H])([H])[H])C([H])([H])* 0.000 description 1
- 150000002527 isonitriles Chemical class 0.000 description 1
- 125000001972 isopentyl group Chemical group [H]C([H])([H])C([H])(C([H])([H])[H])C([H])([H])C([H])([H])* 0.000 description 1
- ZLVXBBHTMQJRSX-VMGNSXQWSA-N jdtic Chemical compound C1([C@]2(C)CCN(C[C@@H]2C)C[C@H](C(C)C)NC(=O)[C@@H]2NCC3=CC(O)=CC=C3C2)=CC=CC(O)=C1 ZLVXBBHTMQJRSX-VMGNSXQWSA-N 0.000 description 1
- 125000005647 linker group Chemical group 0.000 description 1
- 229910052744 lithium Inorganic materials 0.000 description 1
- DLEDOFVPSDKWEF-UHFFFAOYSA-N lithium butane Chemical compound [Li+].CCC[CH2-] DLEDOFVPSDKWEF-UHFFFAOYSA-N 0.000 description 1
- PQXKHYXIUOZZFA-UHFFFAOYSA-M lithium fluoride Inorganic materials [Li+].[F-] PQXKHYXIUOZZFA-UHFFFAOYSA-M 0.000 description 1
- IMKMFBIYHXBKRX-UHFFFAOYSA-M lithium;quinoline-2-carboxylate Chemical compound [Li+].C1=CC=CC2=NC(C(=O)[O-])=CC=C21 IMKMFBIYHXBKRX-UHFFFAOYSA-M 0.000 description 1
- 238000004519 manufacturing process Methods 0.000 description 1
- 125000000956 methoxy group Chemical group [H]C([H])([H])O* 0.000 description 1
- 238000012986 modification Methods 0.000 description 1
- 230000004048 modification Effects 0.000 description 1
- 229910000476 molybdenum oxide Inorganic materials 0.000 description 1
- IBHBKWKFFTZAHE-UHFFFAOYSA-N n-[4-[4-(n-naphthalen-1-ylanilino)phenyl]phenyl]-n-phenylnaphthalen-1-amine Chemical compound C1=CC=CC=C1N(C=1C2=CC=CC=C2C=CC=1)C1=CC=C(C=2C=CC(=CC=2)N(C=2C=CC=CC=2)C=2C3=CC=CC=C3C=CC=2)C=C1 IBHBKWKFFTZAHE-UHFFFAOYSA-N 0.000 description 1
- BLFVVZKSHYCRDR-UHFFFAOYSA-N n-[4-[4-(n-naphthalen-2-ylanilino)phenyl]phenyl]-n-phenylnaphthalen-2-amine Chemical compound C1=CC=CC=C1N(C=1C=C2C=CC=CC2=CC=1)C1=CC=C(C=2C=CC(=CC=2)N(C=2C=CC=CC=2)C=2C=C3C=CC=CC3=CC=2)C=C1 BLFVVZKSHYCRDR-UHFFFAOYSA-N 0.000 description 1
- 230000007935 neutral effect Effects 0.000 description 1
- 239000012299 nitrogen atmosphere Substances 0.000 description 1
- QGLKJKCYBOYXKC-UHFFFAOYSA-N nonaoxidotritungsten Chemical compound O=[W]1(=O)O[W](=O)(=O)O[W](=O)(=O)O1 QGLKJKCYBOYXKC-UHFFFAOYSA-N 0.000 description 1
- 230000003287 optical effect Effects 0.000 description 1
- 239000011368 organic material Substances 0.000 description 1
- 125000002524 organometallic group Chemical group 0.000 description 1
- TWLXDPFBEPBAQB-UHFFFAOYSA-N orthoperiodic acid Chemical compound OI(O)(O)(O)(O)=O TWLXDPFBEPBAQB-UHFFFAOYSA-N 0.000 description 1
- 229910052762 osmium Inorganic materials 0.000 description 1
- SYQBFIAQOQZEGI-UHFFFAOYSA-N osmium atom Chemical compound [Os] SYQBFIAQOQZEGI-UHFFFAOYSA-N 0.000 description 1
- PQQKPALAQIIWST-UHFFFAOYSA-N oxomolybdenum Chemical compound [Mo]=O PQQKPALAQIIWST-UHFFFAOYSA-N 0.000 description 1
- NFHFRUOZVGFOOS-UHFFFAOYSA-N palladium;triphenylphosphane Chemical compound [Pd].C1=CC=CC=C1P(C=1C=CC=CC=1)C1=CC=CC=C1.C1=CC=CC=C1P(C=1C=CC=CC=1)C1=CC=CC=C1.C1=CC=CC=C1P(C=1C=CC=CC=1)C1=CC=CC=C1.C1=CC=CC=C1P(C=1C=CC=CC=1)C1=CC=CC=C1 NFHFRUOZVGFOOS-UHFFFAOYSA-N 0.000 description 1
- 125000001147 pentyl group Chemical group C(CCCC)* 0.000 description 1
- ANRQGKOBLBYXFM-UHFFFAOYSA-M phenylmagnesium bromide Chemical compound Br[Mg]C1=CC=CC=C1 ANRQGKOBLBYXFM-UHFFFAOYSA-M 0.000 description 1
- OJMIONKXNSYLSR-UHFFFAOYSA-N phosphorous acid Chemical compound OP(O)O OJMIONKXNSYLSR-UHFFFAOYSA-N 0.000 description 1
- 229910000073 phosphorus hydride Inorganic materials 0.000 description 1
- SIOXPEMLGUPBBT-UHFFFAOYSA-M picolinate Chemical compound [O-]C(=O)C1=CC=CC=N1 SIOXPEMLGUPBBT-UHFFFAOYSA-M 0.000 description 1
- 229920003023 plastic Polymers 0.000 description 1
- 229910052697 platinum Inorganic materials 0.000 description 1
- 229920000137 polyphosphoric acid Polymers 0.000 description 1
- 235000015320 potassium carbonate Nutrition 0.000 description 1
- 229910000027 potassium carbonate Inorganic materials 0.000 description 1
- 125000004368 propenyl group Chemical group C(=CC)* 0.000 description 1
- 125000001436 propyl group Chemical group [H]C([*])([H])C([H])([H])C([H])([H])[H] 0.000 description 1
- 150000003217 pyrazoles Chemical class 0.000 description 1
- 239000011541 reaction mixture Substances 0.000 description 1
- 238000010992 reflux Methods 0.000 description 1
- 229930195734 saturated hydrocarbon Natural products 0.000 description 1
- 125000002914 sec-butyl group Chemical group [H]C([H])([H])C([H])([H])C([H])(*)C([H])([H])[H] 0.000 description 1
- VSZWPYCFIRKVQL-UHFFFAOYSA-N selanylidenegallium;selenium Chemical compound [Se].[Se]=[Ga].[Se]=[Ga] VSZWPYCFIRKVQL-UHFFFAOYSA-N 0.000 description 1
- 239000011780 sodium chloride Substances 0.000 description 1
- 125000003003 spiro group Chemical group 0.000 description 1
- 238000004544 sputter deposition Methods 0.000 description 1
- QAOWNCQODCNURD-UHFFFAOYSA-N sulfuric acid Substances OS(O)(=O)=O QAOWNCQODCNURD-UHFFFAOYSA-N 0.000 description 1
- 230000002194 synthesizing effect Effects 0.000 description 1
- GZCRRIHWUXGPOV-UHFFFAOYSA-N terbium atom Chemical compound [Tb] GZCRRIHWUXGPOV-UHFFFAOYSA-N 0.000 description 1
- 125000000999 tert-butyl group Chemical group [H]C([H])([H])C(*)(C([H])([H])[H])C([H])([H])[H] 0.000 description 1
- 125000003718 tetrahydrofuranyl group Chemical group 0.000 description 1
- 125000003507 tetrahydrothiofenyl group Chemical group 0.000 description 1
- 239000010409 thin film Substances 0.000 description 1
- XOLBLPGZBRYERU-UHFFFAOYSA-N tin dioxide Chemical compound O=[Sn]=O XOLBLPGZBRYERU-UHFFFAOYSA-N 0.000 description 1
- 229910001887 tin oxide Inorganic materials 0.000 description 1
- 229910052719 titanium Inorganic materials 0.000 description 1
- WRECIMRULFAWHA-UHFFFAOYSA-N trimethyl borate Chemical compound COB(OC)OC WRECIMRULFAWHA-UHFFFAOYSA-N 0.000 description 1
- 229910001930 tungsten oxide Inorganic materials 0.000 description 1
- 125000000391 vinyl group Chemical group [H]C([*])=C([H])[H] 0.000 description 1
- 238000005406 washing Methods 0.000 description 1
- YVTHLONGBIQYBO-UHFFFAOYSA-N zinc indium(3+) oxygen(2-) Chemical compound [O--].[Zn++].[In+3] YVTHLONGBIQYBO-UHFFFAOYSA-N 0.000 description 1
Images
Classifications
-
- H—ELECTRICITY
- H10—SEMICONDUCTOR DEVICES; ELECTRIC SOLID-STATE DEVICES NOT OTHERWISE PROVIDED FOR
- H10K—ORGANIC ELECTRIC SOLID-STATE DEVICES
- H10K85/00—Organic materials used in the body or electrodes of devices covered by this subclass
- H10K85/60—Organic compounds having low molecular weight
- H10K85/631—Amine compounds having at least two aryl rest on at least one amine-nitrogen atom, e.g. triphenylamine
- H10K85/636—Amine compounds having at least two aryl rest on at least one amine-nitrogen atom, e.g. triphenylamine comprising heteroaromatic hydrocarbons as substituents on the nitrogen atom
-
- H—ELECTRICITY
- H10—SEMICONDUCTOR DEVICES; ELECTRIC SOLID-STATE DEVICES NOT OTHERWISE PROVIDED FOR
- H10K—ORGANIC ELECTRIC SOLID-STATE DEVICES
- H10K50/00—Organic light-emitting devices
-
- C—CHEMISTRY; METALLURGY
- C09—DYES; PAINTS; POLISHES; NATURAL RESINS; ADHESIVES; COMPOSITIONS NOT OTHERWISE PROVIDED FOR; APPLICATIONS OF MATERIALS NOT OTHERWISE PROVIDED FOR
- C09K—MATERIALS FOR MISCELLANEOUS APPLICATIONS, NOT PROVIDED FOR ELSEWHERE
- C09K11/00—Luminescent, e.g. electroluminescent, chemiluminescent materials
- C09K11/06—Luminescent, e.g. electroluminescent, chemiluminescent materials containing organic luminescent materials
-
- H—ELECTRICITY
- H10—SEMICONDUCTOR DEVICES; ELECTRIC SOLID-STATE DEVICES NOT OTHERWISE PROVIDED FOR
- H10K—ORGANIC ELECTRIC SOLID-STATE DEVICES
- H10K85/00—Organic materials used in the body or electrodes of devices covered by this subclass
- H10K85/60—Organic compounds having low molecular weight
- H10K85/615—Polycyclic condensed aromatic hydrocarbons, e.g. anthracene
-
- H—ELECTRICITY
- H10—SEMICONDUCTOR DEVICES; ELECTRIC SOLID-STATE DEVICES NOT OTHERWISE PROVIDED FOR
- H10K—ORGANIC ELECTRIC SOLID-STATE DEVICES
- H10K85/00—Organic materials used in the body or electrodes of devices covered by this subclass
- H10K85/60—Organic compounds having low molecular weight
- H10K85/631—Amine compounds having at least two aryl rest on at least one amine-nitrogen atom, e.g. triphenylamine
- H10K85/633—Amine compounds having at least two aryl rest on at least one amine-nitrogen atom, e.g. triphenylamine comprising polycyclic condensed aromatic hydrocarbons as substituents on the nitrogen atom
-
- H—ELECTRICITY
- H10—SEMICONDUCTOR DEVICES; ELECTRIC SOLID-STATE DEVICES NOT OTHERWISE PROVIDED FOR
- H10K—ORGANIC ELECTRIC SOLID-STATE DEVICES
- H10K85/00—Organic materials used in the body or electrodes of devices covered by this subclass
- H10K85/60—Organic compounds having low molecular weight
- H10K85/649—Aromatic compounds comprising a hetero atom
- H10K85/657—Polycyclic condensed heteroaromatic hydrocarbons
- H10K85/6572—Polycyclic condensed heteroaromatic hydrocarbons comprising only nitrogen in the heteroaromatic polycondensed ring system, e.g. phenanthroline or carbazole
-
- H—ELECTRICITY
- H10—SEMICONDUCTOR DEVICES; ELECTRIC SOLID-STATE DEVICES NOT OTHERWISE PROVIDED FOR
- H10K—ORGANIC ELECTRIC SOLID-STATE DEVICES
- H10K85/00—Organic materials used in the body or electrodes of devices covered by this subclass
- H10K85/60—Organic compounds having low molecular weight
- H10K85/658—Organoboranes
-
- H—ELECTRICITY
- H10—SEMICONDUCTOR DEVICES; ELECTRIC SOLID-STATE DEVICES NOT OTHERWISE PROVIDED FOR
- H10K—ORGANIC ELECTRIC SOLID-STATE DEVICES
- H10K50/00—Organic light-emitting devices
- H10K50/10—OLEDs or polymer light-emitting diodes [PLED]
- H10K50/18—Carrier blocking layers
-
- H—ELECTRICITY
- H10—SEMICONDUCTOR DEVICES; ELECTRIC SOLID-STATE DEVICES NOT OTHERWISE PROVIDED FOR
- H10K—ORGANIC ELECTRIC SOLID-STATE DEVICES
- H10K50/00—Organic light-emitting devices
- H10K50/10—OLEDs or polymer light-emitting diodes [PLED]
- H10K50/18—Carrier blocking layers
- H10K50/181—Electron blocking layers
Landscapes
- Chemical & Material Sciences (AREA)
- Physics & Mathematics (AREA)
- Engineering & Computer Science (AREA)
- Materials Engineering (AREA)
- Spectroscopy & Molecular Physics (AREA)
- Organic Chemistry (AREA)
- Optics & Photonics (AREA)
- Electroluminescent Light Sources (AREA)
Abstract
HBL T1 > EBL T1 ≥ Host T1 (1)
HBL T1 - EBL T1 ≥ 0.2 eV (2)
Description
| 전압 | 효율 | T95 수명 (hr @100㎃/㎠) | |
| 실시예 1 | 7.22 | 18.2 | 761 |
| 실시예 2 | 7.26 | 18.3 | 791 |
| 실시예 3 | 7.30 | 19.0 | 743 |
| 실시예 4 | 7.43 | 19.2 | 699 |
| 실시예 5 | 7.32 | 21.9 | 804 |
| 실시예 6 | 7.84 | 22.0 | 821 |
| 실시예 7 | 6.93 | 17.9 | 897 |
| 실시예 8 | 7.21 | 18.8 | 853 |
| 실시예 9 | 7.37 | 20.1 | 821 |
| 실시예 10 | 7.45 | 20.4 | 882 |
| 실시예 11 | 7.52 | 22 | 823 |
| 실시예 12 | 7.02 | 21.4 | 822 |
| 실시예 13 | 7.26 | 19.8 | 861 |
| 실시예 14 | 6.1 | 22.4 | 943 |
| 실시예 15 | 6.42 | 26.1 | 937 |
| 실시예 16 | 5.95 | 25.7 | 912 |
| 실시예 17 | 5.5 | 2.1 | 104 |
| 실시예 18 | 5.1 | 2.5 | 115 |
| 실시예 19 | 4.9 | 2.8 | 214 |
| 실시예 20 | 4.8 | 2.7 | 205 |
| 비교예 1 | 7.9 | 12.7 | 559 |
| 비교예 2 | 7.23 | 15.8 | 601 |
| 비교예 3 | 6.5 | 1.8 | 54 |
| 비교예 4 | 5.9 | 2.1 | 64 |
110: 제1전극
150: 유기층
190: 제2전극
Claims (20)
- 제1전극;
상기 제1전극에 대향된 제2전극; 및
상기 제1전극과 상기 제2전극 사이에 개재되고 발광층을 포함한 유기층; 을 포함하고,
상기 유기층이, i) 상기 제1전극과 상기 발광층 사이에 개재되며, 전자 저지층(EBL); 및 정공 주입층, 정공 수송층 및 버퍼층 중 적어도 하나;를 포함한 정공 수송 영역 및 ii) 상기 발광층과 상기 제2전극 사이에 개재되며, 정공 저지층(HBL); 및 전자 수송층 및 전자 주입층 중 적어도 하나;를 포함한 전자 수송 영역을 포함하며,
상기 전자 저지층(EBL) 물질의 삼중항 에너지(EBL T1) 및 정공 저지층(HBL) 물질의 삼중항 에너지(HBL T1)가 다음 관계를 만족하고,
EBL T1 > HBL T1 (1)
상기 전자 저지층(EBL) 물질이 하기 화학식 1로 나타내지는 화합물이고,
<화학식 1>
상기 화학식 1 중,
Ar, Z, R1, R2, R' 및 R"은 서로 독립적으로,
수소, 중수소, -F, -Cl, -Br, -I, 히드록실기, 시아노기, 니트로기, 아미노기, 아미디노기, 히드라진기, 히드라존기, 카르복실산 또는 이의 염, 술폰산 또는 이의 염, 인산 또는 이의 염, 치환 또는 비치환된 C1-C60알킬기, 치환 또는 비치환된 C3-C10시클로알킬기, 치환 또는 비치환된 C2-C10헤테로시클로알킬기, 치환 또는 비치환된 C3-C10시클로알케닐기, 치환 또는 비치환된 C2-C10헤테로시클로알케닐기, 치환 또는 비치환된 C6-C60아릴기, 치환 또는 비치환된 C2-C60헤테로아릴기, 치환 또는 비치환된 1가 비-방향족 축합다환 그룹 및 치환 또는 비치환된 1가 비-방향족 헤테로축합다환 그룹 중에서 선택되고;
X는 질소(N), 붕소(B) 또는 인(P)을 나타내고,
Y는 단일결합, 치환 또는 비치환된 C3-C10시클로알킬렌기, 치환 또는 비치환된 C2-C10헤테로시클로알킬렌기, 치환 또는 비치환된 C3-C10시클로알케닐렌기, 치환 또는 비치환된 C2-C10헤테로시클로알케닐렌기, 치환 또는 비치환된 C6-C60아릴렌기, 치환 또는 비치환된 C2-C60헤테로아릴렌기, 치환 또는 비치환된 2가 비-방향족 축합다환 그룹(substituted or unsubstituted divalent non-aromatic condensed polycyclic group) 및 치환 또는 비치환된 2가 비-방향족 헤테로축합다환 그룹(substituted or unsubstituted divalent non-aromatic hetero-condensed polycyclic group) 중에서 선택되며,
선택적으로, 상기 치환기 Y는 상술한 치환기들 중 2 이상이 연결된 것이며;
상기 치환된 C3-C10시클로알킬렌기, 치환된 C2-C10헤테로시클로알킬렌기, 치환된 C3-C10시클로알케닐렌기, 치환된 C2-C10헤테로시클로알케닐렌기, 치환된 C6-C60아릴렌기, 치환된 C2-C60헤테로아릴렌기, 치환된 2가 비-방향족 축합다환 그룹, 치환된 2가 비-방향족 헤테로축합다환 그룹, 치환된 C1-C60알킬기, 치환된 C3-C10시클로알킬기, 치환된 C2-C10헤테로시클로알킬기, 치환된 C3-C10시클로알케닐기, 치환된 C2-C10헤테로시클로알케닐기, 치환된 C6-C60아릴기, 치환된 C2-C60헤테로아릴기, 치환된 1가 비-방향족 축합다환 그룹 및 치환된 1가 비-방향족 헤테로축합다환 그룹 중 적어도 하나의 치환기는,
중수소, -F, -Cl, -Br, -I, 히드록실기, 시아노기, 니트로기, 아미노기, 아미디노기, 히드라진기, 히드라존기, 카르복실산 또는 이의 염, 술폰산 또는 이의 염, 인산 또는 이의 염, C1-C60알킬기, C2-C60알케닐기, C2-C60알키닐기 및 C1-C60알콕시기;
중수소, -F, -Cl, -Br, -I, 히드록실기, 시아노기, 니트로기, 아미노기, 아미디노기, 히드라진기, 히드라존기, 카르복실산 또는 이의 염, 술폰산 또는 이의 염, 인산 또는 이의 염, C3-C10시클로알킬기, C2-C10헤테로시클로알킬기, C3-C10시클로알케닐기, C2-C10헤테로시클로알케닐기, C6-C60아릴기, C6-C60아릴옥시기(aryloxy), C6-C60아릴티오기(arylthio), C2-C60헤테로아릴기, 1가 비-방향족 축합다환 그룹, 1가 비-방향족 헤테로축합다환 그룹, -N(Q11)(Q12), -Si(Q13)(Q14)(Q15) 및 -B(Q16)(Q17) 중 적어도 하나로 치환된, C1-C60알킬기, C2-C60알케닐기, C2-C60알키닐기 및 C1-C60알콕시기;
C3-C10시클로알킬기, C2-C10헤테로시클로알킬기, C3-C10시클로알케닐기, C2-C10헤테로시클로알케닐기, C6-C60아릴기, C6-C60아릴옥시기, C6-C60아릴티오기, C2-C60헤테로아릴기, 1가 비-방향족 축합다환 그룹 및 1가 비-방향족 헤테로축합다환 그룹;
중수소, -F, -Cl, -Br, -I, 히드록실기, 시아노기, 니트로기, 아미노기, 아미디노기, 히드라진기, 히드라존기, 카르복실산 또는 이의 염, 술폰산 또는 이의 염, 인산 또는 이의 염, C1-C60알킬기, C2-C60알케닐기, C2-C60알키닐기, C1-C60알콕시기, C3-C10시클로알킬기, C2-C10헤테로시클로알킬기, C3-C10시클로알케닐기, C2-C10헤테로시클로알케닐기, C6-C60아릴기, C6-C60아릴옥시기, C6-C60아릴티오기, C2-C60헤테로아릴기, 1가 비-방향족 축합다환 그룹, 1가 비-방향족 헤테로축합다환 그룹, -N(Q21)(Q22), -Si(Q23)(Q24)(Q25) 및 -B(Q26)(Q27) 중 적어도 하나로 치환된, C3-C10시클로알킬기, C2-C10헤테로시클로알킬기, C3-C10시클로알케닐기, C2-C10헤테로시클로알케닐기, C6-C60아릴기, C6-C60아릴옥시기, C6-C60아릴티오기, C2-C60헤테로아릴기, 1가 비-방향족 축합다환 그룹 및 1가 비-방향족 헤테로축합다환 그룹; 및
-N(Q31)(Q32), -Si(Q33)(Q34)(Q35) 및 -B(Q36)(Q37); 중에서 선택되고;
상기 Q11 내지 Q17, Q21 내지 Q27 및 Q31 내지 Q37은 서로 독립적으로, 수소, 중수소, -F, -Cl, -Br, -I, 히드록실기, 시아노기, 니트로기, 아미노기, 아미디노기, 히드라진기, 히드라존기, 카르복실산 또는 이의 염, 술폰산 또는 이의 염, 인산 또는 이의 염, C1-C60알킬기, C2-C60알케닐기, C2-C60알키닐기, C1-C60알콕시기, C3-C10시클로알킬기, C2-C10헤테로시클로알킬기, C3-C10시클로알케닐기, C2-C10헤테로시클로알케닐기, C6-C60아릴기, C2-C60헤테로아릴기, 1가 비-방향족 축합다환 그룹 및 1가 비-방향족 헤테로축합다환 그룹 중에서 선택되고,
상기 정공 저지층(HBL) 물질이 하기 화학식 5로 나타내지는 화합물인 유기 발광 소자:
<화학식 5>
상기 화학식 1 중,
X는 CR1R2, SiR3R4, S 또는 O 이고;
Y, Z는 NAr3, S 또는 O 이며;
R1 내지 R8, Ar1 내지 Ar3는 서로 독립적으로 수소, 중수소, -F, -Cl, -Br, -I, 히드록실기, 시아노기, 니트로기, 아미노기, 아미디노기, 히드라진기, 히드라존기, 카르복실산 또는 이의 염, 술폰산 또는 이의 염, 인산 또는 이의 염, 치환 또는 비치환된 C1-C60알킬기, 치환 또는 비치환된 C3-C10시클로알킬기, 치환 또는 비치환된 C2-C10헤테로시클로알킬기, 치환 또는 비치환된 C3-C10시클로알케닐기, 치환 또는 비치환된 C2-C10헤테로시클로알케닐기, 치환 또는 비치환된 C6-C60아릴기, 치환 또는 비치환된 C2-C60헤테로아릴기, 치환 또는 비치환된 1가 비-방향족 축합다환 그룹 및 치환 또는 비치환된 1가 비-방향족 헤테로축합다환 그룹 중에서 선택되고;
L1 및 L2는 서로 독립적으로 단일 결합, 치환 또는 비치환된 C3-C10시클로알킬렌기, 치환 또는 비치환된 C2-C10헤테로시클로알킬렌기, 치환 또는 비치환된 C3-C10시클로알케닐렌기, 치환 또는 비치환된 C2-C10헤테로시클로알케닐렌기, 치환 또는 비치환된 C6-C60아릴렌기, 치환 또는 비치환된 C2-C60헤테로아릴렌기, 치환 또는 비치환된 2가 비-방향족 축합다환 그룹(substituted or unsubstituted divalent non-aromatic condensed polycyclic group) 및 치환 또는 비치환된 2가 비-방향족 헤테로축합다환 그룹(substituted or unsubstituted divalent non-aromatic hetero-condensed polycyclic group) 중에서 선택되며;
m 및 n은 각각 독립적으로 0 내지 3의 정수이며(단, m 및 n이 동시에 0인 경우는 제외한다);
상기 치환된 C3-C10시클로알킬렌기, 치환된 C2-C10헤테로시클로알킬렌기, 치환된 C3-C10시클로알케닐렌기, 치환된 C2-C10헤테로시클로알케닐렌기, 치환된 C6-C60아릴렌기, 치환된 C2-C60헤테로아릴렌기, 치환된 2가 비-방향족 축합다환 그룹, 치환된 2가 비-방향족 헤테로축합다환 그룹, 치환된 C1-C60알킬기, 치환된 C3-C10시클로알킬기, 치환된 C2-C10헤테로시클로알킬기, 치환된 C3-C10시클로알케닐기, 치환된 C2-C10헤테로시클로알케닐기, 치환된 C6-C60아릴기, 치환된 C2-C60헤테로아릴기, 치환된 1가 비-방향족 축합다환 그룹 및 치환된 1가 비-방향족 헤테로축합다환 그룹 중 적어도 하나의 치환기는,
중수소, -F, -Cl, -Br, -I, 히드록실기, 시아노기, 니트로기, 아미노기, 아미디노기, 히드라진기, 히드라존기, 카르복실산 또는 이의 염, 술폰산 또는 이의 염, 인산 또는 이의 염, C1-C60알킬기, C2-C60알케닐기, C2-C60알키닐기 및 C1-C60알콕시기;
중수소, -F, -Cl, -Br, -I, 히드록실기, 시아노기, 니트로기, 아미노기, 아미디노기, 히드라진기, 히드라존기, 카르복실산 또는 이의 염, 술폰산 또는 이의 염, 인산 또는 이의 염, C3-C10시클로알킬기, C2-C10헤테로시클로알킬기, C3-C10시클로알케닐기, C2-C10헤테로시클로알케닐기, C6-C60아릴기, C6-C60아릴옥시기(aryloxy), C6-C60아릴티오기(arylthio), C2-C60헤테로아릴기, 1가 비-방향족 축합다환 그룹, 1가 비-방향족 헤테로축합다환 그룹, -N(Q11)(Q12), -Si(Q13)(Q14)(Q15) 및 -B(Q16)(Q17) 중 적어도 하나로 치환된, C1-C60알킬기, C2-C60알케닐기, C2-C60알키닐기 및 C1-C60알콕시기;
C3-C10시클로알킬기, C2-C10헤테로시클로알킬기, C3-C10시클로알케닐기, C2-C10헤테로시클로알케닐기, C6-C60아릴기, C6-C60아릴옥시기, C6-C60아릴티오기, C2-C60헤테로아릴기, 1가 비-방향족 축합다환 그룹 및 1가 비-방향족 헤테로축합다환 그룹;
중수소, -F, -Cl, -Br, -I, 히드록실기, 시아노기, 니트로기, 아미노기, 아미디노기, 히드라진기, 히드라존기, 카르복실산 또는 이의 염, 술폰산 또는 이의 염, 인산 또는 이의 염, C1-C60알킬기, C2-C60알케닐기, C2-C60알키닐기, C1-C60알콕시기, C3-C10시클로알킬기, C2-C10헤테로시클로알킬기, C3-C10시클로알케닐기, C2-C10헤테로시클로알케닐기, C6-C60아릴기, C6-C60아릴옥시기, C6-C60아릴티오기, C2-C60헤테로아릴기, 1가 비-방향족 축합다환 그룹, 1가 비-방향족 헤테로축합다환 그룹, -N(Q21)(Q22), -Si(Q23)(Q24)(Q25) 및 -B(Q26)(Q27) 중 적어도 하나로 치환된, C3-C10시클로알킬기, C2-C10헤테로시클로알킬기, C3-C10시클로알케닐기, C2-C10헤테로시클로알케닐기, C6-C60아릴기, C6-C60아릴옥시기, C6-C60아릴티오기, C2-C60헤테로아릴기, 1가 비-방향족 축합다환 그룹 및 1가 비-방향족 헤테로축합다환 그룹; 및
-N(Q31)(Q32), -Si(Q33)(Q34)(Q35) 및 -B(Q36)(Q37); 중에서 선택되고;
상기 Q11 내지 Q17, Q21 내지 Q27 및 Q31 내지 Q37은 서로 독립적으로, 수소, 중수소, -F, -Cl, -Br, -I, 히드록실기, 시아노기, 니트로기, 아미노기, 아미디노기, 히드라진기, 히드라존기, 카르복실산 또는 이의 염, 술폰산 또는 이의 염, 인산 또는 이의 염, C1-C60알킬기, C2-C60알케닐기, C2-C60알키닐기, C1-C60알콕시기, C3-C10시클로알킬기, C2-C10헤테로시클로알킬기, C3-C10시클로알케닐기, C2-C10헤테로시클로알케닐기, C6-C60아릴기, C2-C60헤테로아릴기, 1가 비-방향족 축합다환 그룹 및 1가 비-방향족 헤테로축합다환 그룹 중에서 선택된다. - 삭제
- 제1항에 있어서,
화학식 1의 Ar, Z, R1, R2, R' 및 R"은 서로 독립적으로, 수소, 중수소, -F, -Cl, -Br, -I, 히드록실기, 시아노기, 니트로기, 아미노기, 아미디노기, 히드라진기, 히드라존기, 카르복실산 또는 이의 염, 술폰산 또는 이의 염, 인산 또는 이의 염, C1-C60알킬기, C6-C60아릴기, C2-C60헤테로아릴기, 1가 비-방향족 축합다환 그룹, 또는 1가 비-방향족 헤테로축합다환 그룹인 유기 발광 소자. - 제1항에 있어서,
화학식 1의 Ar, Z, R1, R2, R' 및 R"은 서로 독립적으로, 수소, 중수소, -F, -Cl, -Br, -I, 히드록실기, 시아노기, 니트로기, 아미노기, 아미디노기, 히드라진기, 히드라존기, 카르복실산 또는 이의 염, 술폰산 또는 이의 염, 인산 및 이의 염, C1-C60알킬기;
페닐기(phenyl), 펜탈레닐기(pentalenyl), 인데닐기(indenyl), 나프틸기(naphthyl), 아줄레닐기(azulenyl), 헵탈레닐기(heptalenyl), 인다세닐기(indacenyl), 아세나프틸기(acenaphthyl), 플루오레닐기(fluorenyl), 스파이로-플루오레닐기, 벤조플루오레닐기, 디벤조플루오레닐기, 페날레닐기(phenalenyl), 페난트레닐기(phenanthrenyl), 안트라세닐기(anthracenyl), 플루오란테닐기(fluoranthenyl), 트리페닐레닐기(triphenylenyl), 파이레닐기(pyrenyl), 크라이세닐기(chrysenyl), 나프타세닐기(naphthacenyl), 피세닐기(picenyl), 페릴레닐기(perylenyl), 펜타페닐기(pentaphenyl), 헥사세닐기(hexacenyl), 펜타세닐기(pentacenyl), 루비세닐기(rubicenyl), 코로네닐기(coronenyl), 오발레닐기(ovalenyl), 피롤일기(pyrrolyl), 티오페닐기(thiophenyl), 퓨라닐기(furanyl), 이미다졸일기(imidazolyl), 피라졸일기(pyrazolyl), 티아졸일기(thiazolyl), 이소티아졸일기(isothiazolyl), 옥사졸일기(oxazolyl), 이속사졸일기(isooxazolyl), 피리디닐기(pyridinyl), 피라지닐기(pyrazinyl), 피리미디닐기(pyrimidinyl), 피리다지닐기(pyridazinyl), 이소인돌일기(isoindolyl), 인돌일기(indolyl), 인다졸일기(indazolyl), 푸리닐기(purinyl), 퀴놀리닐기(quinolinyl), 이소퀴놀리닐기(isoquinolinyl), 벤조퀴놀리닐기(benzoquinolinyl), 프탈라지닐기(phthalazinyl), 나프티리디닐기(naphthyridinyl), 퀴녹살리닐기(quinoxalinyl), 퀴나졸리닐기(quinazolinyl), 시놀리닐기(cinnolinyl), 카바졸일기(carbazolyl), 페난트리디닐기(phenanthridinyl), 아크리디닐기(acridinyl), 페난트롤리닐기(phenanthrolinyl), 페나지닐기(phenazinyl), 벤조이미다졸일기(benzoimidazolyl), 벤조퓨라닐기(benzofuranyl), 벤조티오페닐기(benzothiophenyl), 이소벤조티아졸일기(isobenzothiazolyl), 벤조옥사졸일기(benzooxazolyl), 이소벤조옥사졸일기(isobenzooxazolyl), 트리아졸일기(triazolyl), 테트라졸일기(tetrazolyl), 옥사디아졸일기(oxadiazolyl), 트리아지닐기(triazinyl), 디벤조퓨라닐기(dibenzofuranyl), 디벤조티오페닐기(dibenzothiophenyl), 벤조카바졸일기, 디벤조카바졸일기, 티아디아졸일기, 이미다조피리디닐기 및 이미다조피리미디닐기;
중수소, -F, -Cl, -Br, -I, 히드록실기, 시아노기, 니트로기, 아미노기, 아미디노기, 히드라진기, 히드라존기, 카르복실산 또는 이의 염, 술폰산 또는 이의 염, 인산 또는 이의 염, C1-C20알킬기, C1-C20알콕시기, 시클로펜틸기, 시클로헥실기, 시클로헵틸기, 시클로펜테닐기, 시클로헥세닐기, 페닐기, 펜탈레닐기, 인데닐기, 나프틸기, 아줄레닐기, 헵탈레닐기, 인다세닐기, 아세나프틸기, 플루오레닐기, 스파이로-플루오레닐기, 벤조플루오레닐기, 디벤조플루오레닐기, 페날레닐기, 페난트레닐기, 안트라세닐기, 플루오란테닐기, 트리페닐레닐기, 파이레닐기, 크라이세닐기, 나프타세닐기, 피세닐기, 페릴레닐기, 펜타페닐기, 헥사세닐기, 펜타세닐기, 루비세닐기, 코로네닐기, 오발레닐기, 피롤일기, 티오페닐기, 퓨라닐기, 이미다졸일기, 피라졸일기, 티아졸일기, 이소티아졸일기, 옥사졸일기, 이속사졸일기, 피리디닐기, 피라지닐기, 피리미디닐기, 피리다지닐기, 이소인돌일기, 인돌일기, 인다졸일기, 푸리닐기, 퀴놀리닐기, 이소퀴놀리닐기, 벤조퀴놀리닐기, 프탈라지닐기, 나프티리디닐기, 퀴녹살리닐기, 퀴나졸리닐기, 시놀리닐기, 카바졸일기, 페난트리디닐기, 아크리디닐기, 페난트롤리닐기, 페나지닐기, 벤조이미다졸일기, 벤조퓨라닐기, 벤조티오페닐기, 이소벤조티아졸일기, 벤조옥사졸일기, 이소벤조옥사졸일기, 트리아졸일기, 테트라졸일기, 옥사디아졸일기, 트리아지닐기, 디벤조퓨라닐기, 디벤조티오페닐기, 벤조카바졸일기 및 디벤조카바졸일기, 티아디아졸일기, 이미다조피리디닐기 및 이미다조피리미디닐기 중 적어도 하나로 치환된, 페닐기, 펜탈레닐기, 인데닐기, 나프틸기, 아줄레닐기, 헵탈레닐기, 인다세닐기, 아세나프틸기, 플루오레닐기, 스파이로-플루오레닐기, 벤조플루오레닐기, 디벤조플루오레닐기, 페날레닐기, 페난트레닐기, 안트라세닐기, 플루오란테닐기, 트리페닐레닐기, 파이레닐기, 크라이세닐기, 나프타세닐기, 피세닐기, 페릴레닐기, 펜타페닐기, 헥사세닐기, 펜타세닐기, 루비세닐기, 코로네닐기, 오발레닐기, 피롤일기, 티오페닐기, 퓨라닐기, 이미다졸일기, 피라졸일기, 티아졸일기, 이소티아졸일기, 옥사졸일기, 이속사졸일기, 피리디닐기, 피라지닐기, 피리미디닐기, 피리다지닐기, 이소인돌일기, 인돌일기, 인다졸일기, 푸리닐기, 퀴놀리닐기, 이소퀴놀리닐기, 벤조퀴놀리닐기, 프탈라지닐기, 나프티리디닐기, 퀴녹살리닐기, 퀴나졸리닐기, 시놀리닐기, 카바졸일기, 페난트리디닐기, 아크리디닐기, 페난트롤리닐기, 페나지닐기, 벤조이미다졸일기, 벤조퓨라닐기, 벤조티오기페닐기, 이소벤조티아졸일기, 벤조옥사졸일기, 이소벤조옥사졸일기, 트리아졸일기, 테트라졸일기, 옥사디아졸일기, 트리아지닐기, 디벤조퓨라닐기, 디벤조티오페닐기, 벤조카바졸일기, 디벤조카바졸일기, 티아디아졸일기, 이미다조피리디닐기 및 이미다조피리미디닐기; 및
Si(Q3)(Q4)(Q5) (여기서, Q3 내지 Q5는 서로 독립적으로, C1-C20알킬기, C1-C20알콕시기, 페닐기 및 나프틸기 중에서 선택됨) 중에서 선택되는 유기 발광 소자. - 제1항에 있어서,
R' 및 R"은 서로 독립적으로 수소, 또는 중수소인 유기 발광 소자. - 제1항에 있어서,
R1 및 R2는 서로 독립적으로 C1-C60알킬기, 또는 C6-C60아릴기인 유기 발광 소자. - 제1항에 있어서,
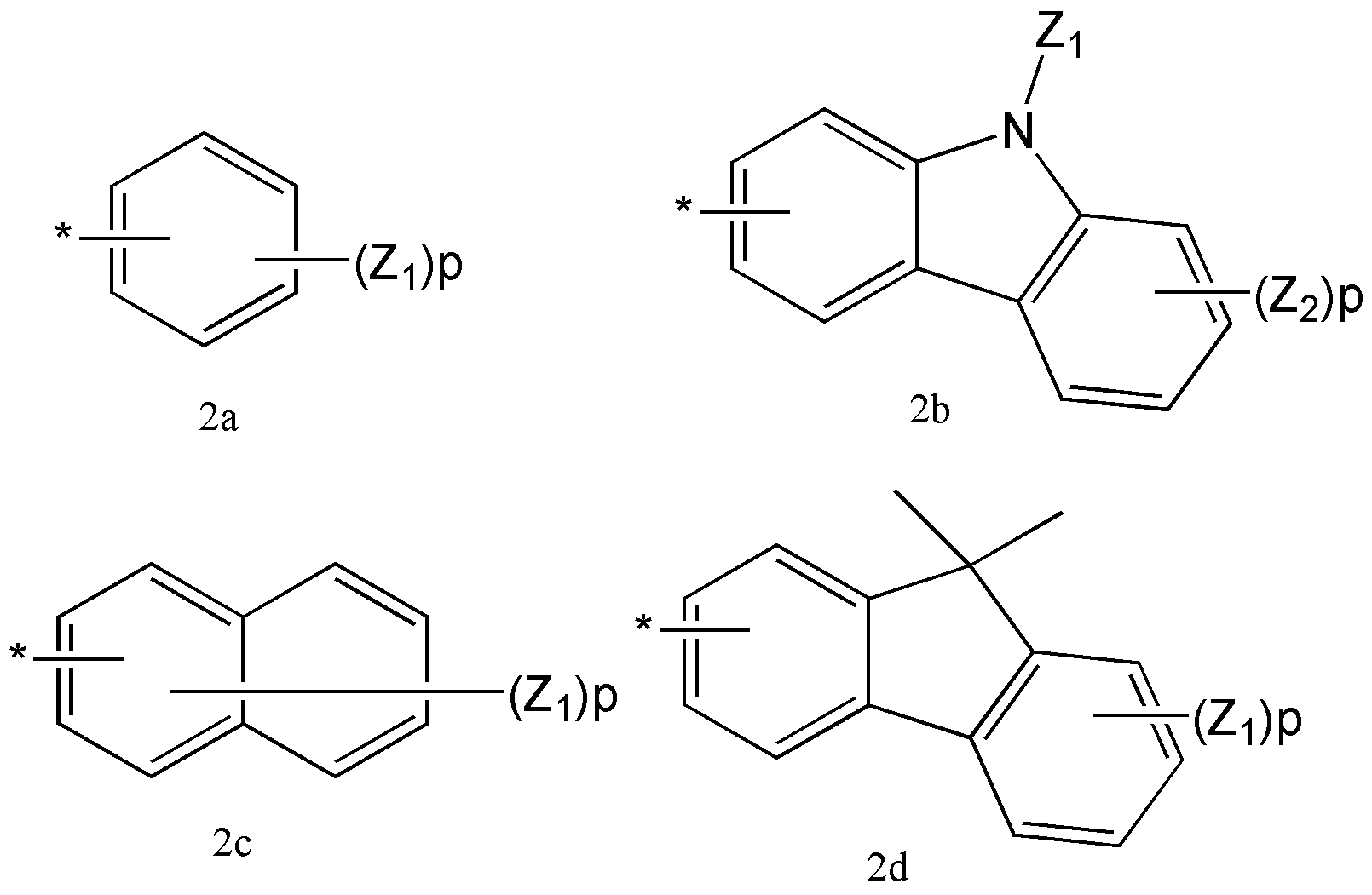
화학식 1의 Ar 및 Z는 하기 화학식 중 어느 하나인 유기 발광 소자:
상기 화학식 중, Z1 및 Z2는 각각 독립적으로 수소, 중수소, -F, -Cl, -Br, -I, 히드록실기, 시아노기, 니트로기, 아미노기, 아미디노기, 히드라진기, 히드라존기, 카르복실산 또는 이의 염, 술폰산 또는 이의 염, 인산 또는 이의 염, 치환 또는 비치환된 탄소수 1 내지 20의 알킬기, 치환 또는 비치환된 탄소수 6 내지 20의 아릴기, 치환 또는 비치환된 탄소수 1 내지 20의 헤테로아릴기, 치환 또는 비치환된 1가 비-방향족 축합다환 그룹(substituted or unsubstituted monovalent non-aromatic condensed polycyclic group), 및 치환 또는 비치환된 1가 비-방향족 헤테로축합다환 그룹(substituted or unsubstituted moonovalent non-aromatic hetero-condensed polycyclic group) 중에서 선택되고;
p는 1 내지 7의 정수이고;
p가 2 이상인 경우, 복수개의 Z1 및 Z2는 서로 다르거나 같을 수 있고;
*은 이웃한 원자와의 결합 사이트이다. - 제1항에 있어서,
화학식 1의 Y는 단일 결합, 페닐렌기(phenylene), 펜탈레닐렌기(pentalenylene), 인데닐렌기(indenylene), 나프틸렌기(naphthylene), 아줄레닐렌기(azulenylene), 헵탈레닐렌기(heptalenylene), 인다세닐렌기(indacenylene), 아세나프틸렌기(acenaphthylene), 플루오레닐렌기(fluorenylene), 스파이로-플루오레닐렌기, 벤조플루오레닐렌기, 디벤조플루오레닐렌기, 페날레닐렌기(phenalenylene), 페난트레닐렌기(phenanthrenylene), 안트라세닐렌기(anthracenylene), 플루오란테닐렌기(fluoranthenylene), 트리페닐레닐렌기(triphenylenylene), 파이레닐렌기(pyrenylene), 크라이세닐렌기(chrysenylene), 나프타세닐렌기(naphthacenylene), 피세닐렌기(picenylene), 페릴레닐렌기(perylenylene), 펜타페닐렌기(pentaphenylene), 헥사세닐렌기(hexacenylene), 펜타세닐렌기(pentacenylene), 루비세닐렌기(rubicenylene), 코로네닐기렌기(coronenylene), 오발레닐기렌기(ovalenylene), 피롤일렌기(pyrrolylene), 티오페닐렌기(thiophenylene), 퓨라닐렌기(furanylene), 이미다졸일렌기(imidazolylene), 피라졸일렌기(pyrazolylene), 티아졸일렌기(thiazolylene), 이소티아졸일렌기(isothiazolylene), 옥사졸일렌기(oxazolylene), 이속사졸일렌기(isooxazolylene), 피리디닐렌기(pyridinylene), 피라지닐렌기(pyrazinylene), 피리미디닐렌기(pyrimidinylene), 피리다지닐렌기(pyridazinylene), 이소인돌일렌기(isoindolylene), 인돌일렌기(indolylene), 인다졸일렌기(indazolylene), 푸리닐렌기(purinylene), 퀴놀리닐렌기(quinolinylene), 이소퀴놀리닐렌기(isoquinolinylene), 벤조퀴놀리닐렌기(benzoquinolinylene), 프탈라지닐렌기(phthalazinylene), 나프티리디닐렌기(naphthyridinylene), 퀴녹살리닐렌기(quinoxalinylene), 퀴나졸리닐렌기(quinazolinylene), 시놀리닐렌기(cinnolinylene), 카바졸일렌기(carbazolylene), 페난트리디닐렌기(phenanthridinylene), 아크리디닐렌기(acridinylene), 페난트롤리닐렌기(phenanthrolinylene), 페나지닐렌기(phenazinylene), 벤조이미다졸일렌기(benzoimidazolylene), 벤조퓨라닐렌기(benzofuranylene), 벤조티오페닐렌기(benzothiophenylene), 이소벤조티아졸일렌기(isobenzothiazolylene), 벤조옥사졸일렌기(benzooxazolylene), 이소벤조옥사졸일렌기(isobenzooxazolylene), 트리아졸일렌기(triazolylene), 테트라졸일렌기(tetrazolylene), 옥사디아졸일렌기(oxadiazolylene), 트리아지닐렌기(triazinylene), 디벤조퓨라닐렌기(dibenzofuranylene), 디벤조티오페닐렌기(dibenzothiophenylene), 벤조카바졸일렌기, 디벤조카바졸일렌기, 티아디아졸일렌기, 이미다조피리디닐렌기 및 이미다조피리미디닐렌기; 및
중수소, -F, -Cl, -Br, -I, 히드록실기, 시아노기, 니트로기, 아미노기, 아미디노기, 히드라진기, 히드라존기, 카르복실산 또는 이의 염, 술폰산 또는 이의 염, 인산 또는 이의 염, C1-C20알킬기, C1-C20알콕시기, 시클로펜틸기, 시클로헥실기, 시클로헵틸기, 시클로펜테닐기, 시클로헥세닐기, 페닐기, 펜탈레닐기, 인데닐기, 나프틸기, 아줄레닐기, 헵탈레닐기, 인다세닐기, 아세나프틸기, 플루오레닐기, 스파이로-플루오레닐기, 벤조플루오레닐기, 디벤조플루오레닐기, 페날레닐기, 페난트레닐기, 안트라세닐기, 플루오란테닐기, 트리페닐기레닐기, 파이레닐기, 크라이세닐기, 나프타세닐기, 피세닐기, 페릴기레닐기, 펜타페닐기, 헥사세닐기, 펜타세닐기, 루비세닐기, 코로네닐기, 오발레닐기, 피롤일기, 티오페닐기, 퓨라닐기, 이미다졸일기, 피라졸일기, 티아졸일기, 이소티아졸일기, 옥사졸일기, 이속사졸일기, 피리디닐기, 피라지닐기, 피리미디닐기, 피리다지닐기, 이소인돌일기, 인돌일기, 인다졸일기, 푸리닐기, 퀴놀리닐기, 이소퀴놀리닐기, 벤조퀴놀리닐기, 프탈라지닐기, 나프티리디닐기, 퀴녹살리닐기, 퀴나졸리닐기, 시놀리닐기, 카바졸일기, 페난트리디닐기, 아크리디닐기, 페난트롤리닐기, 페나지닐기, 벤조이미다졸일기, 벤조퓨라닐기, 벤조티오페닐기, 이소벤조티아졸일기, 벤조옥사졸일기, 이소벤조옥사졸일기, 트리아졸일기, 테트라졸일기, 옥사디아졸일기, 트리아지닐기, 디벤조퓨라닐기, 디벤조티오페닐기, 벤조카바졸일기, 디벤조카바졸일기, 티아디아졸일기, 이미다조피리디닐기 및 이미다조피리미디닐기 중 적어도 하나로 치환된, 페닐렌기, 펜탈레닐렌기, 인데닐렌기, 나프틸렌기, 아줄레닐렌기, 헵탈레닐렌기, 인다세닐렌기, 아세나프틸렌기, 플루오레닐렌기, 스파이로-플루오레닐렌기, 벤조플루오레닐렌기, 디벤조플루오레닐렌기, 페날레닐렌기, 페난트레닐렌기, 안트라세닐렌기, 플루오란테닐렌기, 트리페닐레닐렌기, 파이레닐렌기, 크라이세닐렌기, 나프타세닐렌기, 피세닐렌기, 페릴레닐렌기, 펜타페닐렌기, 헥사세닐렌기, 펜타세닐렌기, 루비세닐렌기, 코로네닐렌기, 오발레닐렌기, 피롤일렌기, 티오페닐렌기, 퓨라닐렌기, 이미다졸일렌기, 피라졸일렌기, 티아졸일렌기, 이소티아졸일렌기, 옥사졸일렌기, 이속사졸일렌기, 피리디닐렌기, 피라지닐렌기, 피리미디닐렌기, 피리다지닐렌기, 이소인돌일렌기, 인돌일렌기, 인다졸일렌기, 푸리닐렌기, 퀴놀리닐렌기, 이소퀴놀리닐렌기, 벤조퀴놀리닐렌기, 프탈라지닐렌기, 나프티리디닐렌기, 퀴녹살리닐렌기, 퀴나졸리닐렌기, 시놀리닐렌기, 카바졸일렌기, 페난트리디닐렌기, 아크리디닐렌기, 페난트롤리닐렌기, 페나지닐렌기, 벤조이미다졸일렌기, 벤조퓨라닐렌기, 벤조티오페닐렌기, 이소벤조티아졸일렌기, 벤조옥사졸일렌기, 이소벤조옥사졸일렌기, 트리아졸일렌기, 테트라졸일렌기, 옥사디아졸일렌기, 트리아지닐렌기, 디벤조퓨라닐렌기, 디벤조티오페닐렌기, 벤조카바졸일렌기, 디벤조카바졸일렌기, 티아디아졸일렌기, 이미다조피리디닐렌기 및 이미다조피리미디닐렌기; 중에서 선택되며,
선택적으로, 상술한 치환기들 중 2 이상이 연결된 유기 발광 소자. - 삭제
- 제1항에 있어서,
상기 화학식 5 중, R5 내지 R8이 각각 독립적으로 수소, 또는 중수소인 유기 발광 소자. - 제1항에 있어서,
상기 화학식 5 중, R1 내지 R4, Ar1 내지 Ar3는 서로 독립적으로 수소, 중수소, -F, -Cl, -Br, -I, 히드록실기, 시아노기, 니트로기, 아미노기, 아미디노기, 히드라진기, 히드라존기, 카르복실산 또는 이의 염, 술폰산 또는 이의 염, 인산 또는 이의 염, C1-C60알킬기, C6-C60아릴기, C2-C60헤테로아릴기, 1가 비-방향족 축합다환 그룹, 또는 1가 비-방향족 헤테로축합다환 그룹인 유기 발광 소자. - 제1항에 있어서,
상기 화학식 5 중, R1 내지 R4, Ar1 내지 Ar3는 서로 독립적으로 수소, 중수소, -F, -Cl, -Br, -I, 히드록실기, 시아노기, 니트로기, 아미노기, 아미디노기, 히드라진기, 히드라존기, 카르복실산 또는 이의 염, 술폰산 또는 이의 염, 인산 및 이의 염, C1-C60알킬기;
페닐기(phenyl), 펜탈레닐기(pentalenyl), 인데닐기(indenyl), 나프틸기(naphthyl), 아줄레닐기(azulenyl), 헵탈레닐기(heptalenyl), 인다세닐기(indacenyl), 아세나프틸기(acenaphthyl), 플루오레닐기(fluorenyl), 스파이로-플루오레닐기, 벤조플루오레닐기, 디벤조플루오레닐기, 페날레닐기(phenalenyl), 페난트레닐기(phenanthrenyl), 안트라세닐기(anthracenyl), 플루오란테닐기(fluoranthenyl), 트리페닐레닐기(triphenylenyl), 파이레닐기(pyrenyl), 크라이세닐기(chrysenyl), 나프타세닐기(naphthacenyl), 피세닐기(picenyl), 페릴레닐기(perylenyl), 펜타페닐기(pentaphenyl), 헥사세닐기(hexacenyl), 펜타세닐기(pentacenyl), 루비세닐기(rubicenyl), 코로네닐기(coronenyl), 오발레닐기(ovalenyl), 피롤일기(pyrrolyl), 티오페닐기(thiophenyl), 퓨라닐기(furanyl), 이미다졸일기(imidazolyl), 피라졸일기(pyrazolyl), 티아졸일기(thiazolyl), 이소티아졸일기(isothiazolyl), 옥사졸일기(oxazolyl), 이속사졸일기(isooxazolyl), 피리디닐기(pyridinyl), 피라지닐기(pyrazinyl), 피리미디닐기(pyrimidinyl), 피리다지닐기(pyridazinyl), 이소인돌일기(isoindolyl), 인돌일기(indolyl), 인다졸일기(indazolyl), 푸리닐기(purinyl), 퀴놀리닐기(quinolinyl), 이소퀴놀리닐기(isoquinolinyl), 벤조퀴놀리닐기(benzoquinolinyl), 프탈라지닐기(phthalazinyl), 나프티리디닐기(naphthyridinyl), 퀴녹살리닐기(quinoxalinyl), 퀴나졸리닐기(quinazolinyl), 시놀리닐기(cinnolinyl), 카바졸일기(carbazolyl), 페난트리디닐기(phenanthridinyl), 아크리디닐기(acridinyl), 페난트롤리닐기(phenanthrolinyl), 페나지닐기(phenazinyl), 벤조이미다졸일기(benzoimidazolyl), 벤조퓨라닐기(benzofuranyl), 벤조티오페닐기(benzothiophenyl), 이소벤조티아졸일기(isobenzothiazolyl), 벤조옥사졸일기(benzooxazolyl), 이소벤조옥사졸일기(isobenzooxazolyl), 트리아졸일기(triazolyl), 테트라졸일기(tetrazolyl), 옥사디아졸일기(oxadiazolyl), 트리아지닐기(triazinyl), 디벤조퓨라닐기(dibenzofuranyl), 디벤조티오페닐기(dibenzothiophenyl), 벤조카바졸일기, 디벤조카바졸일기, 티아디아졸일기, 이미다조피리디닐기 및 이미다조피리미디닐기;
중수소, -F, -Cl, -Br, -I, 히드록실기, 시아노기, 니트로기, 아미노기, 아미디노기, 히드라진기, 히드라존기, 카르복실산 또는 이의 염, 술폰산 또는 이의 염, 인산 또는 이의 염, C1-C20알킬기, C1-C20알콕시기, 시클로펜틸기, 시클로헥실기, 시클로헵틸기, 시클로펜테닐기, 시클로헥세닐기, 페닐기, 펜탈레닐기, 인데닐기, 나프틸기, 아줄레닐기, 헵탈레닐기, 인다세닐기, 아세나프틸기, 플루오레닐기, 스파이로-플루오레닐기, 벤조플루오레닐기, 디벤조플루오레닐기, 페날레닐기, 페난트레닐기, 안트라세닐기, 플루오란테닐기, 트리페닐레닐기, 파이레닐기, 크라이세닐기, 나프타세닐기, 피세닐기, 페릴레닐기, 펜타페닐기, 헥사세닐기, 펜타세닐기, 루비세닐기, 코로네닐기, 오발레닐기, 피롤일기, 티오페닐기, 퓨라닐기, 이미다졸일기, 피라졸일기, 티아졸일기, 이소티아졸일기, 옥사졸일기, 이속사졸일기, 피리디닐기, 피라지닐기, 피리미디닐기, 피리다지닐기, 이소인돌일기, 인돌일기, 인다졸일기, 푸리닐기, 퀴놀리닐기, 이소퀴놀리닐기, 벤조퀴놀리닐기, 프탈라지닐기, 나프티리디닐기, 퀴녹살리닐기, 퀴나졸리닐기, 시놀리닐기, 카바졸일기, 페난트리디닐기, 아크리디닐기, 페난트롤리닐기, 페나지닐기, 벤조이미다졸일기, 벤조퓨라닐기, 벤조티오페닐기, 이소벤조티아졸일기, 벤조옥사졸일기, 이소벤조옥사졸일기, 트리아졸일기, 테트라졸일기, 옥사디아졸일기, 트리아지닐기, 디벤조퓨라닐기, 디벤조티오페닐기, 벤조카바졸일기 및 디벤조카바졸일기, 티아디아졸일기, 이미다조피리디닐기 및 이미다조피리미디닐기 중 적어도 하나로 치환된, 페닐기, 펜탈레닐기, 인데닐기, 나프틸기, 아줄레닐기, 헵탈레닐기, 인다세닐기, 아세나프틸기, 플루오레닐기, 스파이로-플루오레닐기, 벤조플루오레닐기, 디벤조플루오레닐기, 페날레닐기, 페난트레닐기, 안트라세닐기, 플루오란테닐기, 트리페닐레닐기, 파이레닐기, 크라이세닐기, 나프타세닐기, 피세닐기, 페릴레닐기, 펜타페닐기, 헥사세닐기, 펜타세닐기, 루비세닐기, 코로네닐기, 오발레닐기, 피롤일기, 티오페닐기, 퓨라닐기, 이미다졸일기, 피라졸일기, 티아졸일기, 이소티아졸일기, 옥사졸일기, 이속사졸일기, 피리디닐기, 피라지닐기, 피리미디닐기, 피리다지닐기, 이소인돌일기, 인돌일기, 인다졸일기, 푸리닐기, 퀴놀리닐기, 이소퀴놀리닐기, 벤조퀴놀리닐기, 프탈라지닐기, 나프티리디닐기, 퀴녹살리닐기, 퀴나졸리닐기, 시놀리닐기, 카바졸일기, 페난트리디닐기, 아크리디닐기, 페난트롤리닐기, 페나지닐기, 벤조이미다졸일기, 벤조퓨라닐기, 벤조티오기페닐기, 이소벤조티아졸일기, 벤조옥사졸일기, 이소벤조옥사졸일기, 트리아졸일기, 테트라졸일기, 옥사디아졸일기, 트리아지닐기, 디벤조퓨라닐기, 디벤조티오페닐기, 벤조카바졸일기, 디벤조카바졸일기, 티아디아졸일기, 이미다조피리디닐기 및 이미다조피리미디닐기; 및
Si(Q3)(Q4)(Q5) (여기서, Q3 내지 Q5는 서로 독립적으로, C1-C20알킬기, C1-C20알콕시기, 페닐기 및 나프틸기 중에서 선택됨) 중에서 선택되는 유기 발광 소자. - 제1항에 있어서,
상기 화학식 5 중, Ar1 및 Ar2는 각각 독립적으로 하기 화학식 중 어느 하나인 헤테로고리 화합물:
상기 화학식 중,
Y1 내지 Y3는 각각 독립적으로 CH, 또는 N을 나타내고;
Q1은 SiR50R51를 나타내고;
Q2는 S 또는 NR60를 나타내고;
R50, R51, R60 및 Z1은 수소, 중수소, -F, -Cl, -Br, -I, 히드록실기, 시아노기, 니트로기, 아미노기, 아미디노기, 히드라진기, 히드라존기, 카르복실산 또는 이의 염, 술폰산 또는 이의 염, 인산 또는 이의 염, 치환 또는 비치환된 탄소수 1 내지 20의 알킬기, 치환 또는 비치환된 탄소수 6 내지 20의 아릴기, 치환 또는 비치환된 탄소수 1 내지 20의 헤테로아릴기, 치환 또는 비치환된 1가 비-방향족 축합다환 그룹(substituted or unsubstituted monovalent non-aromatic condensed polycyclic group), 및 치환 또는 비치환된 1가 비-방향족 헤테로축합다환 그룹(substituted or unsubstituted moonovalent non-aromatic hetero-condensed polycyclic group) 중에서 선택되고, Z1이 복수 개인 경우 각각의 Z1은 서로 다르거나 또는 동일하며;
p는 1 내지 7의 정수이고;
*은 이웃한 원자와의 결합 사이트이다. - 제1항에 있어서,
상기 화학식 5 중, L1 및 L2는 서로 독립적으로 단일 결합, 페닐렌기(phenylene), 펜탈레닐렌기(pentalenylene), 인데닐렌기(indenylene), 나프틸렌기(naphthylene), 아줄레닐렌기(azulenylene), 헵탈레닐렌기(heptalenylene), 인다세닐렌기(indacenylene), 아세나프틸렌기(acenaphthylene), 플루오레닐렌기(fluorenylene), 스파이로-플루오레닐렌기, 벤조플루오레닐렌기, 디벤조플루오레닐렌기, 페날레닐렌기(phenalenylene), 페난트레닐렌기(phenanthrenylene), 안트라세닐렌기(anthracenylene), 플루오란테닐렌기(fluoranthenylene), 트리페닐레닐렌기(triphenylenylene), 파이레닐렌기(pyrenylene), 크라이세닐렌기(chrysenylene), 나프타세닐렌기(naphthacenylene), 피세닐렌기(picenylene), 페릴레닐렌기(perylenylene), 펜타페닐렌기(pentaphenylene), 헥사세닐렌기(hexacenylene), 펜타세닐렌기(pentacenylene), 루비세닐렌기(rubicenylene), 코로네닐기렌기(coronenylene), 오발레닐기렌기(ovalenylene), 피롤일렌기(pyrrolylene), 티오페닐렌기(thiophenylene), 퓨라닐렌기(furanylene), 이미다졸일렌기(imidazolylene), 피라졸일렌기(pyrazolylene), 티아졸일렌기(thiazolylene), 이소티아졸일렌기(isothiazolylene), 옥사졸일렌기(oxazolylene), 이속사졸일렌기(isooxazolylene), 피리디닐렌기(pyridinylene), 피라지닐렌기(pyrazinylene), 피리미디닐렌기(pyrimidinylene), 피리다지닐렌기(pyridazinylene), 이소인돌일렌기(isoindolylene), 인돌일렌기(indolylene), 인다졸일렌기(indazolylene), 푸리닐렌기(purinylene), 퀴놀리닐렌기(quinolinylene), 이소퀴놀리닐렌기(isoquinolinylene), 벤조퀴놀리닐렌기(benzoquinolinylene), 프탈라지닐렌기(phthalazinylene), 나프티리디닐렌기(naphthyridinylene), 퀴녹살리닐렌기(quinoxalinylene), 퀴나졸리닐렌기(quinazolinylene), 시놀리닐렌기(cinnolinylene), 카바졸일렌기(carbazolylene), 페난트리디닐렌기(phenanthridinylene), 아크리디닐렌기(acridinylene), 페난트롤리닐렌기(phenanthrolinylene), 페나지닐렌기(phenazinylene), 벤조이미다졸일렌기(benzoimidazolylene), 벤조퓨라닐렌기(benzofuranylene), 벤조티오페닐렌기(benzothiophenylene), 이소벤조티아졸일렌기(isobenzothiazolylene), 벤조옥사졸일렌기(benzooxazolylene), 이소벤조옥사졸일렌기(isobenzooxazolylene), 트리아졸일렌기(triazolylene), 테트라졸일렌기(tetrazolylene), 옥사디아졸일렌기(oxadiazolylene), 트리아지닐렌기(triazinylene), 디벤조퓨라닐렌기(dibenzofuranylene), 디벤조티오페닐렌기(dibenzothiophenylene), 벤조카바졸일렌기, 디벤조카바졸일렌기, 티아디아졸일렌기, 이미다조피리디닐렌기 및 이미다조피리미디닐렌기; 및
중수소, -F, -Cl, -Br, -I, 히드록실기, 시아노기, 니트로기, 아미노기, 아미디노기, 히드라진기, 히드라존기, 카르복실산 또는 이의 염, 술폰산 또는 이의 염, 인산 또는 이의 염, C1-C20알킬기, C1-C20알콕시기, 시클로펜틸기, 시클로헥실기, 시클로헵틸기, 시클로펜테닐기, 시클로헥세닐기, 페닐기, 펜탈레닐기, 인데닐기, 나프틸기, 아줄레닐기, 헵탈레닐기, 인다세닐기, 아세나프틸기, 플루오레닐기, 스파이로-플루오레닐기, 벤조플루오레닐기, 디벤조플루오레닐기, 페날레닐기, 페난트레닐기, 안트라세닐기, 플루오란테닐기, 트리페닐기레닐기, 파이레닐기, 크라이세닐기, 나프타세닐기, 피세닐기, 페릴기레닐기, 펜타페닐기, 헥사세닐기, 펜타세닐기, 루비세닐기, 코로네닐기, 오발레닐기, 피롤일기, 티오페닐기, 퓨라닐기, 이미다졸일기, 피라졸일기, 티아졸일기, 이소티아졸일기, 옥사졸일기, 이속사졸일기, 피리디닐기, 피라지닐기, 피리미디닐기, 피리다지닐기, 이소인돌일기, 인돌일기, 인다졸일기, 푸리닐기, 퀴놀리닐기, 이소퀴놀리닐기, 벤조퀴놀리닐기, 프탈라지닐기, 나프티리디닐기, 퀴녹살리닐기, 퀴나졸리닐기, 시놀리닐기, 카바졸일기, 페난트리디닐기, 아크리디닐기, 페난트롤리닐기, 페나지닐기, 벤조이미다졸일기, 벤조퓨라닐기, 벤조티오페닐기, 이소벤조티아졸일기, 벤조옥사졸일기, 이소벤조옥사졸일기, 트리아졸일기, 테트라졸일기, 옥사디아졸일기, 트리아지닐기, 디벤조퓨라닐기, 디벤조티오페닐기, 벤조카바졸일기, 디벤조카바졸일기, 티아디아졸일기, 이미다조피리디닐기 및 이미다조피리미디닐기 중 적어도 하나로 치환된, 페닐렌기, 펜탈레닐렌기, 인데닐렌기, 나프틸렌기, 아줄레닐렌기, 헵탈레닐렌기, 인다세닐렌기, 아세나프틸렌기, 플루오레닐렌기, 스파이로-플루오레닐렌기, 벤조플루오레닐렌기, 디벤조플루오레닐렌기, 페날레닐렌기, 페난트레닐렌기, 안트라세닐렌기, 플루오란테닐렌기, 트리페닐레닐렌기, 파이레닐렌기, 크라이세닐렌기, 나프타세닐렌기, 피세닐렌기, 페릴레닐렌기, 펜타페닐렌기, 헥사세닐렌기, 펜타세닐렌기, 루비세닐렌기, 코로네닐렌기, 오발레닐렌기, 피롤일렌기, 티오페닐렌기, 퓨라닐렌기, 이미다졸일렌기, 피라졸일렌기, 티아졸일렌기, 이소티아졸일렌기, 옥사졸일렌기, 이속사졸일렌기, 피리디닐렌기, 피라지닐렌기, 피리미디닐렌기, 피리다지닐렌기, 이소인돌일렌기, 인돌일렌기, 인다졸일렌기, 푸리닐렌기, 퀴놀리닐렌기, 이소퀴놀리닐렌기, 벤조퀴놀리닐렌기, 프탈라지닐렌기, 나프티리디닐렌기, 퀴녹살리닐렌기, 퀴나졸리닐렌기, 시놀리닐렌기, 카바졸일렌기, 페난트리디닐렌기, 아크리디닐렌기, 페난트롤리닐렌기, 페나지닐렌기, 벤조이미다졸일렌기, 벤조퓨라닐렌기, 벤조티오페닐렌기, 이소벤조티아졸일렌기, 벤조옥사졸일렌기, 이소벤조옥사졸일렌기, 트리아졸일렌기, 테트라졸일렌기, 옥사디아졸일렌기, 트리아지닐렌기, 디벤조퓨라닐렌기, 디벤조티오페닐렌기, 벤조카바졸일렌기, 디벤조카바졸일렌기, 티아디아졸일렌기, 이미다조피리디닐렌기 및 이미다조피리미디닐렌기; 중에서 선택되며,
선택적으로, 상술한 치환기들 중 2 이상이 연결된 유기 발광 소자.
Priority Applications (4)
| Application Number | Priority Date | Filing Date | Title |
|---|---|---|---|
| KR1020140067790A KR102283457B1 (ko) | 2014-06-03 | 2014-06-03 | 유기 발광 소자 |
| US14/549,461 US9768392B2 (en) | 2014-06-03 | 2014-11-20 | Organic light-emitting device |
| US15/684,852 US10340463B2 (en) | 2014-06-03 | 2017-08-23 | Organic light-emitting device |
| KR1020210094460A KR102369677B1 (ko) | 2014-06-03 | 2021-07-19 | 유기 발광 소자 |
Applications Claiming Priority (1)
| Application Number | Priority Date | Filing Date | Title |
|---|---|---|---|
| KR1020140067790A KR102283457B1 (ko) | 2014-06-03 | 2014-06-03 | 유기 발광 소자 |
Related Child Applications (1)
| Application Number | Title | Priority Date | Filing Date |
|---|---|---|---|
| KR1020210094460A Division KR102369677B1 (ko) | 2014-06-03 | 2021-07-19 | 유기 발광 소자 |
Publications (2)
| Publication Number | Publication Date |
|---|---|
| KR20150139709A KR20150139709A (ko) | 2015-12-14 |
| KR102283457B1 true KR102283457B1 (ko) | 2021-07-30 |
Family
ID=54702808
Family Applications (2)
| Application Number | Title | Priority Date | Filing Date |
|---|---|---|---|
| KR1020140067790A Active KR102283457B1 (ko) | 2014-06-03 | 2014-06-03 | 유기 발광 소자 |
| KR1020210094460A Active KR102369677B1 (ko) | 2014-06-03 | 2021-07-19 | 유기 발광 소자 |
Family Applications After (1)
| Application Number | Title | Priority Date | Filing Date |
|---|---|---|---|
| KR1020210094460A Active KR102369677B1 (ko) | 2014-06-03 | 2021-07-19 | 유기 발광 소자 |
Country Status (2)
| Country | Link |
|---|---|
| US (2) | US9768392B2 (ko) |
| KR (2) | KR102283457B1 (ko) |
Families Citing this family (16)
| Publication number | Priority date | Publication date | Assignee | Title |
|---|---|---|---|---|
| KR102398726B1 (ko) | 2014-07-11 | 2022-05-16 | 이데미쓰 고산 가부시키가이샤 | 화합물, 유기 전기발광 소자용 재료, 유기 전기발광 소자, 및 전자 기기 |
| CN105418515A (zh) * | 2015-12-09 | 2016-03-23 | 上海大学 | 芴并咪唑类衍生物及其制备方法 |
| US10573692B2 (en) | 2016-04-06 | 2020-02-25 | Samsung Display Co., Ltd. | Organic light-emitting device having a sealing thin film encapsulation portion |
| KR102606277B1 (ko) * | 2016-04-06 | 2023-11-27 | 삼성디스플레이 주식회사 | 유기 발광 소자 |
| US11056541B2 (en) | 2016-04-06 | 2021-07-06 | Samsung Display Co., Ltd. | Organic light-emitting device |
| KR102798572B1 (ko) * | 2017-01-02 | 2025-04-23 | 주식회사 동진쎄미켐 | 신규 화합물 및 이를 포함하는 유기 발광 소자 |
| KR102401011B1 (ko) * | 2017-08-16 | 2022-05-24 | 삼성디스플레이 주식회사 | 유기 발광 소자 및 이를 포함한 장치 |
| WO2019039402A1 (ja) * | 2017-08-23 | 2019-02-28 | 保土谷化学工業株式会社 | インデノベンゾアゾール環構造を有する化合物および有機エレクトロルミネッセンス素子 |
| KR102813012B1 (ko) * | 2018-06-25 | 2025-05-26 | 호도가야 가가쿠 고교 가부시키가이샤 | 트리아릴아민 구조를 갖는 화합물 및 유기 일렉트로 루미네선스 소자 |
| KR102668688B1 (ko) * | 2018-07-23 | 2024-05-24 | 삼성디스플레이 주식회사 | 유기 발광 소자 |
| WO2020067823A1 (ko) | 2018-09-28 | 2020-04-02 | 주식회사 엘지화학 | 유기 전계 발광 소자 |
| CN110459688B (zh) * | 2019-07-29 | 2023-03-24 | 云谷(固安)科技有限公司 | 蓝光发光器件和显示装置 |
| CN111072674B (zh) * | 2019-12-06 | 2023-04-18 | 宁波卢米蓝新材料有限公司 | 一种有机化合物及其制备方法和应用 |
| US11818947B2 (en) | 2020-03-18 | 2023-11-14 | Samsung Display Co., Ltd. | Development of material for hole blocking layer with high efficiency and long lifespan, and organic light-emitting device and electronic apparatus utilizing the same |
| KR102743698B1 (ko) * | 2020-12-29 | 2024-12-17 | 엘지디스플레이 주식회사 | 유기 발광 다이오드 소자와 이를 이용한 표시장치 |
| CN113097400B (zh) * | 2021-04-06 | 2024-05-07 | 京东方科技集团股份有限公司 | 一种有机发光二极管结构和显示装置 |
Citations (2)
| Publication number | Priority date | Publication date | Assignee | Title |
|---|---|---|---|---|
| WO2011110262A1 (de) | 2010-03-06 | 2011-09-15 | Merck Patent Gmbh | Organische elektrolumineszenzvorrichtung |
| US20140183486A1 (en) | 2011-05-11 | 2014-07-03 | Idemitsu Kosan Co., Ltd | Novel compound, material for organic electroluminescence device, and organic electroluminescence device |
Family Cites Families (12)
| Publication number | Priority date | Publication date | Assignee | Title |
|---|---|---|---|---|
| US6821643B1 (en) | 2000-01-21 | 2004-11-23 | Xerox Corporation | Electroluminescent (EL) devices |
| WO2010131855A2 (ko) | 2009-05-13 | 2010-11-18 | 덕산하이메탈(주) | 오원자 헤테로고리를 포함하는 화합물 및 이를 이용한 유기전기소자, 그 단말 |
| KR20110058248A (ko) | 2009-11-26 | 2011-06-01 | 덕산하이메탈(주) | 오원자 헤테로 고리를 포함하는 화합물 및 이를 이용한 유기전기소자, 그 단말 |
| JPWO2009041635A1 (ja) | 2007-09-28 | 2011-01-27 | 出光興産株式会社 | 有機el素子 |
| KR101050459B1 (ko) * | 2008-09-03 | 2011-07-20 | 삼성모바일디스플레이주식회사 | 플루오렌 화합물 및 이를 이용한 유기 전계 발광 장치 |
| TWI477579B (zh) | 2010-02-12 | 2015-03-21 | Nippon Steel & Sumikin Chem Co | Organic electroluminescent elements |
| KR101423173B1 (ko) | 2010-11-04 | 2014-07-25 | 제일모직 주식회사 | 유기광전소자용 화합물 및 이를 포함하는 유기광전소자 |
| CN102668160B (zh) * | 2010-11-22 | 2016-06-22 | 出光兴产株式会社 | 有机电致发光器件 |
| KR101434018B1 (ko) | 2011-07-15 | 2014-08-25 | 주식회사 엘지화학 | 새로운 화합물 및 이를 이용한 유기 발광 소자 |
| KR101469484B1 (ko) * | 2011-09-20 | 2014-12-05 | 엘지디스플레이 주식회사 | 백색 유기 발광 소자 |
| KR101451586B1 (ko) * | 2011-09-20 | 2014-10-16 | 엘지디스플레이 주식회사 | 백색 유기 발광 소자 |
| KR102154705B1 (ko) | 2013-04-25 | 2020-09-11 | 삼성디스플레이 주식회사 | 헤테로고리 화합물 및 이를 포함한 유기 발광 소자 |
-
2014
- 2014-06-03 KR KR1020140067790A patent/KR102283457B1/ko active Active
- 2014-11-20 US US14/549,461 patent/US9768392B2/en active Active
-
2017
- 2017-08-23 US US15/684,852 patent/US10340463B2/en active Active
-
2021
- 2021-07-19 KR KR1020210094460A patent/KR102369677B1/ko active Active
Patent Citations (2)
| Publication number | Priority date | Publication date | Assignee | Title |
|---|---|---|---|---|
| WO2011110262A1 (de) | 2010-03-06 | 2011-09-15 | Merck Patent Gmbh | Organische elektrolumineszenzvorrichtung |
| US20140183486A1 (en) | 2011-05-11 | 2014-07-03 | Idemitsu Kosan Co., Ltd | Novel compound, material for organic electroluminescence device, and organic electroluminescence device |
Also Published As
| Publication number | Publication date |
|---|---|
| US20170373254A1 (en) | 2017-12-28 |
| KR102369677B1 (ko) | 2022-03-04 |
| US10340463B2 (en) | 2019-07-02 |
| KR20150139709A (ko) | 2015-12-14 |
| KR20210095820A (ko) | 2021-08-03 |
| US20150349266A1 (en) | 2015-12-03 |
| US9768392B2 (en) | 2017-09-19 |
Similar Documents
| Publication | Publication Date | Title |
|---|---|---|
| KR102369677B1 (ko) | 유기 발광 소자 | |
| KR102244071B1 (ko) | 유기 발광 소자 | |
| KR20250072569A (ko) | 유기 발광 소자 | |
| KR102261640B1 (ko) | 축합환 화합물 및 이를 포함한 유기 발광 소자 | |
| KR102552274B1 (ko) | 축합환 화합물 및 이를 포함한 유기 발광 소자 | |
| KR102806395B1 (ko) | 유기 발광 소자 | |
| KR102830964B1 (ko) | 축합환 화합물 및 이를 포함한 유기 발광 소자 | |
| KR102318417B1 (ko) | 유기 발광 소자 | |
| KR102230191B1 (ko) | 유기 발광 소자 | |
| KR102510392B1 (ko) | 카바졸계 화합물 및 이를 포함한 유기 발광 소자 | |
| KR102572715B1 (ko) | 축합환 화합물 및 이를 포함한 유기 발광 소자 | |
| KR102332593B1 (ko) | 화합물 및 이를 포함하는 유기 발광 소자 | |
| KR102253441B1 (ko) | 화합물 및 이를 포함한 유기 발광 소자 | |
| KR20240032798A (ko) | 유기금속 화합물 및 이를 포함한 유기 발광 소자 | |
| KR102396300B1 (ko) | 광효율 개선층을 구비한 유기 발광 소자 | |
| KR102364221B1 (ko) | 축합환 화합물 및 이를 포함한 유기 발광 소자 | |
| KR102304716B1 (ko) | 아민계 화합물 및 이를 포함한 유기 발광 소자 | |
| KR102349284B1 (ko) | 아민계 화합물 및 이를 포함한 유기 발광 소자 | |
| KR102167045B1 (ko) | 실란계 화합물 및 이를 포함한 유기 발광 소자 | |
| KR102421581B1 (ko) | 화합물 및 이를 포함하는 유기 발광 소자 | |
| KR102420082B1 (ko) | 축합환 화합물 및 이를 포함한 유기 발광 소자 | |
| KR102273045B1 (ko) | 유기 발광 소자 | |
| KR102343147B1 (ko) | 유기 발광 소자 | |
| KR102798319B1 (ko) | 유기 발광 소자 | |
| KR102283458B1 (ko) | 화합물 및 이를 포함한 유기 발광 소자 |
Legal Events
| Date | Code | Title | Description |
|---|---|---|---|
| PA0109 | Patent application |
Patent event code: PA01091R01D Comment text: Patent Application Patent event date: 20140603 |
|
| PG1501 | Laying open of application | ||
| PA0201 | Request for examination |
Patent event code: PA02012R01D Patent event date: 20190508 Comment text: Request for Examination of Application Patent event code: PA02011R01I Patent event date: 20140603 Comment text: Patent Application |
|
| E902 | Notification of reason for refusal | ||
| PE0902 | Notice of grounds for rejection |
Comment text: Notification of reason for refusal Patent event date: 20210108 Patent event code: PE09021S01D |
|
| E701 | Decision to grant or registration of patent right | ||
| PE0701 | Decision of registration |
Patent event code: PE07011S01D Comment text: Decision to Grant Registration Patent event date: 20210501 |
|
| A107 | Divisional application of patent | ||
| PA0107 | Divisional application |
Comment text: Divisional Application of Patent Patent event date: 20210719 Patent event code: PA01071R01D |
|
| PR0701 | Registration of establishment |
Comment text: Registration of Establishment Patent event date: 20210723 Patent event code: PR07011E01D |
|
| PR1002 | Payment of registration fee |
Payment date: 20210726 End annual number: 3 Start annual number: 1 |
|
| PG1601 | Publication of registration | ||
| PR1001 | Payment of annual fee |
Payment date: 20240625 Start annual number: 4 End annual number: 4 |












































































































