ES2903529T3 - Métodos de síntesis química de compuestos de diaminofenotiazinio, incluyendo cloruro de metiltioninio (MTC) - Google Patents
Métodos de síntesis química de compuestos de diaminofenotiazinio, incluyendo cloruro de metiltioninio (MTC) Download PDFInfo
- Publication number
- ES2903529T3 ES2903529T3 ES18181405T ES18181405T ES2903529T3 ES 2903529 T3 ES2903529 T3 ES 2903529T3 ES 18181405 T ES18181405 T ES 18181405T ES 18181405 T ES18181405 T ES 18181405T ES 2903529 T3 ES2903529 T3 ES 2903529T3
- Authority
- ES
- Spain
- Prior art keywords
- optionally substituted
- disubstituted
- amino
- salt
- reaction
- Prior art date
- Legal status (The legal status is an assumption and is not a legal conclusion. Google has not performed a legal analysis and makes no representation as to the accuracy of the status listed.)
- Active
Links
- 238000000034 method Methods 0.000 title claims abstract description 85
- 229960000907 methylthioninium chloride Drugs 0.000 title description 85
- 238000003786 synthesis reaction Methods 0.000 title description 21
- KPYHKEZPEDJERZ-UHFFFAOYSA-N 10h-phenothiazine-1,2-diamine Chemical class C1=CC=C2NC3=C(N)C(N)=CC=C3SC2=C1 KPYHKEZPEDJERZ-UHFFFAOYSA-N 0.000 title description 10
- RBTBFTRPCNLSDE-UHFFFAOYSA-N 3,7-bis(dimethylamino)phenothiazin-5-ium Chemical compound C1=CC(N(C)C)=CC2=[S+]C3=CC(N(C)C)=CC=C3N=C21 RBTBFTRPCNLSDE-UHFFFAOYSA-N 0.000 title 2
- 150000003839 salts Chemical class 0.000 claims abstract description 64
- 150000001875 compounds Chemical class 0.000 claims abstract description 62
- 239000002253 acid Substances 0.000 claims abstract description 46
- 238000006798 ring closing metathesis reaction Methods 0.000 claims abstract description 43
- 230000015572 biosynthetic process Effects 0.000 claims abstract description 41
- -1 substituted-4-nitrosyl aniline Chemical class 0.000 claims abstract description 40
- 238000005691 oxidative coupling reaction Methods 0.000 claims abstract description 39
- PAYRUJLWNCNPSJ-UHFFFAOYSA-N N-phenyl amine Natural products NC1=CC=CC=C1 PAYRUJLWNCNPSJ-UHFFFAOYSA-N 0.000 claims abstract description 33
- 239000003795 chemical substances by application Substances 0.000 claims abstract description 28
- 230000009635 nitrosylation Effects 0.000 claims abstract description 23
- 125000004178 (C1-C4) alkyl group Chemical group 0.000 claims abstract description 19
- 239000007800 oxidant agent Substances 0.000 claims abstract description 19
- 230000009467 reduction Effects 0.000 claims abstract description 18
- 230000003213 activating effect Effects 0.000 claims abstract description 17
- UHOVQNZJYSORNB-UHFFFAOYSA-N benzene Substances C1=CC=CC=C1 UHOVQNZJYSORNB-UHFFFAOYSA-N 0.000 claims abstract description 16
- JOPOVCBBYLSVDA-UHFFFAOYSA-N chromium(6+) Chemical compound [Cr+6] JOPOVCBBYLSVDA-UHFFFAOYSA-N 0.000 claims abstract description 12
- MWUXSHHQAYIFBG-UHFFFAOYSA-N Nitric oxide Chemical group O=[N] MWUXSHHQAYIFBG-UHFFFAOYSA-N 0.000 claims abstract description 11
- 125000006656 (C2-C4) alkenyl group Chemical group 0.000 claims abstract description 10
- DHCDFWKWKRSZHF-UHFFFAOYSA-N sulfurothioic S-acid Chemical compound OS(O)(=O)=S DHCDFWKWKRSZHF-UHFFFAOYSA-N 0.000 claims abstract description 7
- 125000002924 primary amino group Chemical group [H]N([H])* 0.000 claims abstract description 6
- 230000002194 synthesizing effect Effects 0.000 claims abstract description 6
- 125000002490 anilino group Chemical class [H]N(*)C1=C([H])C([H])=C([H])C([H])=C1[H] 0.000 claims abstract 3
- 125000001997 phenyl group Chemical class [H]C1=C([H])C([H])=C(*)C([H])=C1[H] 0.000 claims abstract 3
- 238000006243 chemical reaction Methods 0.000 claims description 111
- VEXZGXHMUGYJMC-UHFFFAOYSA-M Chloride anion Chemical compound [Cl-] VEXZGXHMUGYJMC-UHFFFAOYSA-M 0.000 claims description 47
- 238000001914 filtration Methods 0.000 claims description 38
- 150000003841 chloride salts Chemical class 0.000 claims description 20
- 238000000746 purification Methods 0.000 claims description 10
- 238000002955 isolation Methods 0.000 claims description 8
- 239000001913 cellulose Substances 0.000 claims description 7
- 229920002678 cellulose Polymers 0.000 claims description 7
- TYYRFZAVEXQXSN-UHFFFAOYSA-H aluminium sulfate hexadecahydrate Chemical compound O.O.O.O.O.O.O.O.O.O.O.O.O.O.O.O.[Al+3].[Al+3].[O-]S([O-])(=O)=O.[O-]S([O-])(=O)=O.[O-]S([O-])(=O)=O TYYRFZAVEXQXSN-UHFFFAOYSA-H 0.000 claims description 5
- 238000010189 synthetic method Methods 0.000 claims description 5
- 125000000217 alkyl group Chemical group 0.000 claims description 4
- ZCDOYSPFYFSLEW-UHFFFAOYSA-N chromate(2-) Chemical compound [O-][Cr]([O-])(=O)=O ZCDOYSPFYFSLEW-UHFFFAOYSA-N 0.000 claims description 2
- 125000005843 halogen group Chemical group 0.000 claims 1
- JIAARYAFYJHUJI-UHFFFAOYSA-L zinc dichloride Chemical compound [Cl-].[Cl-].[Zn+2] JIAARYAFYJHUJI-UHFFFAOYSA-L 0.000 abstract description 11
- 235000005074 zinc chloride Nutrition 0.000 abstract description 6
- 239000011592 zinc chloride Substances 0.000 abstract description 6
- 150000004820 halides Chemical class 0.000 abstract description 3
- CXKWCBBOMKCUKX-UHFFFAOYSA-M methylene blue Chemical compound [Cl-].C1=CC(N(C)C)=CC2=[S+]C3=CC(N(C)C)=CC=C3N=C21 CXKWCBBOMKCUKX-UHFFFAOYSA-M 0.000 description 91
- 238000011282 treatment Methods 0.000 description 90
- 239000000243 solution Substances 0.000 description 73
- 239000000203 mixture Substances 0.000 description 70
- XLYOFNOQVPJJNP-UHFFFAOYSA-N water Substances O XLYOFNOQVPJJNP-UHFFFAOYSA-N 0.000 description 60
- 229910001868 water Inorganic materials 0.000 description 57
- FAPWRFPIFSIZLT-UHFFFAOYSA-M Sodium chloride Chemical compound [Na+].[Cl-] FAPWRFPIFSIZLT-UHFFFAOYSA-M 0.000 description 43
- VEXZGXHMUGYJMC-UHFFFAOYSA-N Hydrochloric acid Chemical compound Cl VEXZGXHMUGYJMC-UHFFFAOYSA-N 0.000 description 42
- 239000000047 product Substances 0.000 description 42
- 239000011541 reaction mixture Substances 0.000 description 40
- 239000000706 filtrate Substances 0.000 description 35
- YMWUJEATGCHHMB-UHFFFAOYSA-N Dichloromethane Chemical group ClCCl YMWUJEATGCHHMB-UHFFFAOYSA-N 0.000 description 28
- KCXVZYZYPLLWCC-UHFFFAOYSA-N EDTA Chemical compound OC(=O)CN(CC(O)=O)CCN(CC(O)=O)CC(O)=O KCXVZYZYPLLWCC-UHFFFAOYSA-N 0.000 description 27
- UCKMPCXJQFINFW-UHFFFAOYSA-N Sulphide Chemical compound [S-2] UCKMPCXJQFINFW-UHFFFAOYSA-N 0.000 description 25
- XEEYBQQBJWHFJM-UHFFFAOYSA-N iron Substances [Fe] XEEYBQQBJWHFJM-UHFFFAOYSA-N 0.000 description 25
- MZGNSEAPZQGJRB-UHFFFAOYSA-N dimethyldithiocarbamic acid Chemical compound CN(C)C(S)=S MZGNSEAPZQGJRB-UHFFFAOYSA-N 0.000 description 22
- 238000001953 recrystallisation Methods 0.000 description 20
- 239000011780 sodium chloride Substances 0.000 description 20
- QAOWNCQODCNURD-UHFFFAOYSA-N Sulfuric acid Chemical compound OS(O)(=O)=O QAOWNCQODCNURD-UHFFFAOYSA-N 0.000 description 19
- 230000002378 acidificating effect Effects 0.000 description 19
- 239000003960 organic solvent Substances 0.000 description 19
- 239000002244 precipitate Substances 0.000 description 19
- WYURNTSHIVDZCO-UHFFFAOYSA-N Tetrahydrofuran Chemical compound C1CCOC1 WYURNTSHIVDZCO-UHFFFAOYSA-N 0.000 description 18
- 239000012535 impurity Substances 0.000 description 18
- 239000000725 suspension Substances 0.000 description 18
- JLTDJTHDQAWBAV-UHFFFAOYSA-N N,N-dimethylaniline Chemical compound CN(C)C1=CC=CC=C1 JLTDJTHDQAWBAV-UHFFFAOYSA-N 0.000 description 17
- 238000000605 extraction Methods 0.000 description 15
- 238000005406 washing Methods 0.000 description 15
- BVKZGUZCCUSVTD-UHFFFAOYSA-L Carbonate Chemical compound [O-]C([O-])=O BVKZGUZCCUSVTD-UHFFFAOYSA-L 0.000 description 14
- 239000007864 aqueous solution Substances 0.000 description 14
- 230000035484 reaction time Effects 0.000 description 14
- 239000007787 solid Substances 0.000 description 14
- 238000009472 formulation Methods 0.000 description 13
- 239000002699 waste material Substances 0.000 description 13
- XEKOWRVHYACXOJ-UHFFFAOYSA-N Ethyl acetate Chemical compound CCOC(C)=O XEKOWRVHYACXOJ-UHFFFAOYSA-N 0.000 description 12
- 238000001035 drying Methods 0.000 description 12
- 229910052742 iron Inorganic materials 0.000 description 12
- 230000008569 process Effects 0.000 description 12
- 239000000546 pharmaceutical excipient Substances 0.000 description 11
- 238000003756 stirring Methods 0.000 description 11
- CDBYLPFSWZWCQE-UHFFFAOYSA-L Sodium Carbonate Chemical compound [Na+].[Na+].[O-]C([O-])=O CDBYLPFSWZWCQE-UHFFFAOYSA-L 0.000 description 10
- 239000012736 aqueous medium Substances 0.000 description 10
- LPXPTNMVRIOKMN-UHFFFAOYSA-M sodium nitrite Chemical compound [Na+].[O-]N=O LPXPTNMVRIOKMN-UHFFFAOYSA-M 0.000 description 10
- 230000008901 benefit Effects 0.000 description 9
- 239000003638 chemical reducing agent Substances 0.000 description 9
- 230000007170 pathology Effects 0.000 description 9
- KIEOKOFEPABQKJ-UHFFFAOYSA-N sodium dichromate Chemical compound [Na+].[Na+].[O-][Cr](=O)(=O)O[Cr]([O-])(=O)=O KIEOKOFEPABQKJ-UHFFFAOYSA-N 0.000 description 9
- 238000001308 synthesis method Methods 0.000 description 9
- YLQBMQCUIZJEEH-UHFFFAOYSA-N tetrahydrofuran Natural products C=1C=COC=1 YLQBMQCUIZJEEH-UHFFFAOYSA-N 0.000 description 9
- 239000003085 diluting agent Substances 0.000 description 8
- 239000000975 dye Substances 0.000 description 8
- DHCDFWKWKRSZHF-UHFFFAOYSA-L thiosulfate(2-) Chemical compound [O-]S([S-])(=O)=O DHCDFWKWKRSZHF-UHFFFAOYSA-L 0.000 description 8
- 239000011260 aqueous acid Substances 0.000 description 7
- 239000007900 aqueous suspension Substances 0.000 description 7
- 210000004369 blood Anatomy 0.000 description 7
- 239000008280 blood Substances 0.000 description 7
- 238000001556 precipitation Methods 0.000 description 7
- 239000000523 sample Substances 0.000 description 7
- AKHNMLFCWUSKQB-UHFFFAOYSA-L sodium thiosulfate Chemical compound [Na+].[Na+].[O-]S([O-])(=O)=S AKHNMLFCWUSKQB-UHFFFAOYSA-L 0.000 description 7
- 235000019345 sodium thiosulphate Nutrition 0.000 description 7
- 238000002560 therapeutic procedure Methods 0.000 description 7
- IOVCWXUNBOPUCH-UHFFFAOYSA-M Nitrite anion Chemical compound [O-]N=O IOVCWXUNBOPUCH-UHFFFAOYSA-M 0.000 description 6
- 208000034799 Tauopathies Diseases 0.000 description 6
- 239000003153 chemical reaction reagent Substances 0.000 description 6
- 150000004985 diamines Chemical class 0.000 description 6
- 239000003937 drug carrier Substances 0.000 description 6
- 239000004615 ingredient Substances 0.000 description 6
- 201000004792 malaria Diseases 0.000 description 6
- 239000000463 material Substances 0.000 description 6
- 239000002904 solvent Substances 0.000 description 6
- 208000024827 Alzheimer disease Diseases 0.000 description 5
- RTZKZFJDLAIYFH-UHFFFAOYSA-N Diethyl ether Chemical compound CCOCC RTZKZFJDLAIYFH-UHFFFAOYSA-N 0.000 description 5
- 201000011240 Frontotemporal dementia Diseases 0.000 description 5
- 208000005176 Hepatitis C Diseases 0.000 description 5
- 241000710886 West Nile virus Species 0.000 description 5
- 239000000969 carrier Substances 0.000 description 5
- 239000007788 liquid Substances 0.000 description 5
- 229910052751 metal Inorganic materials 0.000 description 5
- 239000002184 metal Substances 0.000 description 5
- 238000000643 oven drying Methods 0.000 description 5
- 244000052769 pathogen Species 0.000 description 5
- 239000008194 pharmaceutical composition Substances 0.000 description 5
- 229910000029 sodium carbonate Inorganic materials 0.000 description 5
- 235000010288 sodium nitrite Nutrition 0.000 description 5
- 235000011149 sulphuric acid Nutrition 0.000 description 5
- 239000003826 tablet Substances 0.000 description 5
- 230000003612 virological effect Effects 0.000 description 5
- JHWIEAWILPSRMU-UHFFFAOYSA-N 2-methyl-3-pyrimidin-4-ylpropanoic acid Chemical compound OC(=O)C(C)CC1=CC=NC=N1 JHWIEAWILPSRMU-UHFFFAOYSA-N 0.000 description 4
- 125000003903 2-propenyl group Chemical group [H]C([*])([H])C([H])=C([H])[H] 0.000 description 4
- BZORFPDSXLZWJF-UHFFFAOYSA-N N,N-dimethyl-1,4-phenylenediamine Chemical compound CN(C)C1=CC=C(N)C=C1 BZORFPDSXLZWJF-UHFFFAOYSA-N 0.000 description 4
- 238000007605 air drying Methods 0.000 description 4
- 229910052782 aluminium Inorganic materials 0.000 description 4
- 125000004432 carbon atom Chemical group C* 0.000 description 4
- 238000002425 crystallisation Methods 0.000 description 4
- 230000008025 crystallization Effects 0.000 description 4
- 125000002147 dimethylamino group Chemical group [H]C([H])([H])N(*)C([H])([H])[H] 0.000 description 4
- 201000010099 disease Diseases 0.000 description 4
- 208000037265 diseases, disorders, signs and symptoms Diseases 0.000 description 4
- 239000003814 drug Substances 0.000 description 4
- 230000000694 effects Effects 0.000 description 4
- HFTNNOZFRQLFQB-UHFFFAOYSA-N ethenoxy(trimethyl)silane Chemical compound C[Si](C)(C)OC=C HFTNNOZFRQLFQB-UHFFFAOYSA-N 0.000 description 4
- NUJOXMJBOLGQSY-UHFFFAOYSA-N manganese dioxide Chemical compound O=[Mn]=O NUJOXMJBOLGQSY-UHFFFAOYSA-N 0.000 description 4
- 230000003647 oxidation Effects 0.000 description 4
- 238000007254 oxidation reaction Methods 0.000 description 4
- 229910052979 sodium sulfide Inorganic materials 0.000 description 4
- GRVFOGOEDUUMBP-UHFFFAOYSA-N sodium sulfide (anhydrous) Chemical compound [Na+].[Na+].[S-2] GRVFOGOEDUUMBP-UHFFFAOYSA-N 0.000 description 4
- 241000894007 species Species 0.000 description 4
- 230000001225 therapeutic effect Effects 0.000 description 4
- 239000003981 vehicle Substances 0.000 description 4
- 239000011701 zinc Substances 0.000 description 4
- 238000006418 Brown reaction Methods 0.000 description 3
- JPVYNHNXODAKFH-UHFFFAOYSA-N Cu2+ Chemical compound [Cu+2] JPVYNHNXODAKFH-UHFFFAOYSA-N 0.000 description 3
- ZGTMUACCHSMWAC-UHFFFAOYSA-L EDTA disodium salt (anhydrous) Chemical compound [Na+].[Na+].OC(=O)CN(CC([O-])=O)CCN(CC(O)=O)CC([O-])=O ZGTMUACCHSMWAC-UHFFFAOYSA-L 0.000 description 3
- PEDCQBHIVMGVHV-UHFFFAOYSA-N Glycerine Chemical compound OCC(O)CO PEDCQBHIVMGVHV-UHFFFAOYSA-N 0.000 description 3
- 241001465754 Metazoa Species 0.000 description 3
- VYPSYNLAJGMNEJ-UHFFFAOYSA-N Silicium dioxide Chemical compound O=[Si]=O VYPSYNLAJGMNEJ-UHFFFAOYSA-N 0.000 description 3
- YXFVVABEGXRONW-UHFFFAOYSA-N Toluene Chemical compound CC1=CC=CC=C1 YXFVVABEGXRONW-UHFFFAOYSA-N 0.000 description 3
- DIZPMCHEQGEION-UHFFFAOYSA-H aluminium sulfate (anhydrous) Chemical compound [Al+3].[Al+3].[O-]S([O-])(=O)=O.[O-]S([O-])(=O)=O.[O-]S([O-])(=O)=O DIZPMCHEQGEION-UHFFFAOYSA-H 0.000 description 3
- 239000002775 capsule Substances 0.000 description 3
- 239000011651 chromium Substances 0.000 description 3
- 229910000365 copper sulfate Inorganic materials 0.000 description 3
- ARUVKPQLZAKDPS-UHFFFAOYSA-L copper(II) sulfate Chemical compound [Cu+2].[O-][S+2]([O-])([O-])[O-] ARUVKPQLZAKDPS-UHFFFAOYSA-L 0.000 description 3
- WIVXEZIMDUGYRW-UHFFFAOYSA-L copper(i) sulfate Chemical compound [Cu+].[Cu+].[O-]S([O-])(=O)=O WIVXEZIMDUGYRW-UHFFFAOYSA-L 0.000 description 3
- 238000010586 diagram Methods 0.000 description 3
- 229940079593 drug Drugs 0.000 description 3
- 150000002148 esters Chemical class 0.000 description 3
- 239000012065 filter cake Substances 0.000 description 3
- 239000007924 injection Substances 0.000 description 3
- 238000002347 injection Methods 0.000 description 3
- RBTARNINKXHZNM-UHFFFAOYSA-K iron trichloride Chemical compound Cl[Fe](Cl)Cl RBTARNINKXHZNM-UHFFFAOYSA-K 0.000 description 3
- 229910052748 manganese Inorganic materials 0.000 description 3
- 239000011572 manganese Substances 0.000 description 3
- 201000001441 melanoma Diseases 0.000 description 3
- 150000007523 nucleic acids Chemical class 0.000 description 3
- 230000001717 pathogenic effect Effects 0.000 description 3
- 229950000688 phenothiazine Drugs 0.000 description 3
- 238000002360 preparation method Methods 0.000 description 3
- JVBXVOWTABLYPX-UHFFFAOYSA-L sodium dithionite Chemical compound [Na+].[Na+].[O-]S(=O)S([O-])=O JVBXVOWTABLYPX-UHFFFAOYSA-L 0.000 description 3
- 102000013498 tau Proteins Human genes 0.000 description 3
- 108010026424 tau Proteins Proteins 0.000 description 3
- 229910052725 zinc Inorganic materials 0.000 description 3
- WHTVZRBIWZFKQO-AWEZNQCLSA-N (S)-chloroquine Chemical compound ClC1=CC=C2C(N[C@@H](C)CCCN(CC)CC)=CC=NC2=C1 WHTVZRBIWZFKQO-AWEZNQCLSA-N 0.000 description 2
- WJFKNYWRSNBZNX-UHFFFAOYSA-N 10H-phenothiazine Chemical compound C1=CC=C2NC3=CC=CC=C3SC2=C1 WJFKNYWRSNBZNX-UHFFFAOYSA-N 0.000 description 2
- 241000282693 Cercopithecidae Species 0.000 description 2
- HEDRZPFGACZZDS-UHFFFAOYSA-N Chloroform Chemical compound ClC(Cl)Cl HEDRZPFGACZZDS-UHFFFAOYSA-N 0.000 description 2
- 208000011990 Corticobasal Degeneration Diseases 0.000 description 2
- 108020004414 DNA Proteins 0.000 description 2
- ROSDSFDQCJNGOL-UHFFFAOYSA-N Dimethylamine Chemical compound CNC ROSDSFDQCJNGOL-UHFFFAOYSA-N 0.000 description 2
- 241000725303 Human immunodeficiency virus Species 0.000 description 2
- 229910021578 Iron(III) chloride Inorganic materials 0.000 description 2
- 241000223960 Plasmodium falciparum Species 0.000 description 2
- 208000000453 Skin Neoplasms Diseases 0.000 description 2
- UIIMBOGNXHQVGW-UHFFFAOYSA-M Sodium bicarbonate Chemical compound [Na+].OC([O-])=O UIIMBOGNXHQVGW-UHFFFAOYSA-M 0.000 description 2
- 241000700605 Viruses Species 0.000 description 2
- HCHKCACWOHOZIP-UHFFFAOYSA-N Zinc Chemical compound [Zn] HCHKCACWOHOZIP-UHFFFAOYSA-N 0.000 description 2
- 230000009471 action Effects 0.000 description 2
- 239000004480 active ingredient Substances 0.000 description 2
- 239000013543 active substance Substances 0.000 description 2
- 229910052783 alkali metal Inorganic materials 0.000 description 2
- 239000003963 antioxidant agent Substances 0.000 description 2
- 230000001580 bacterial effect Effects 0.000 description 2
- 230000005540 biological transmission Effects 0.000 description 2
- 239000000872 buffer Substances 0.000 description 2
- 229910052793 cadmium Inorganic materials 0.000 description 2
- MVPPADPHJFYWMZ-UHFFFAOYSA-N chlorobenzene Chemical compound ClC1=CC=CC=C1 MVPPADPHJFYWMZ-UHFFFAOYSA-N 0.000 description 2
- 229960003677 chloroquine Drugs 0.000 description 2
- WHTVZRBIWZFKQO-UHFFFAOYSA-N chloroquine Natural products ClC1=CC=C2C(NC(C)CCCN(CC)CC)=CC=NC2=C1 WHTVZRBIWZFKQO-UHFFFAOYSA-N 0.000 description 2
- 229910052804 chromium Inorganic materials 0.000 description 2
- 229940075614 colloidal silicon dioxide Drugs 0.000 description 2
- 239000003086 colorant Substances 0.000 description 2
- 229940125898 compound 5 Drugs 0.000 description 2
- 230000001010 compromised effect Effects 0.000 description 2
- 229910052802 copper Inorganic materials 0.000 description 2
- 239000010949 copper Substances 0.000 description 2
- JZCCFEFSEZPSOG-UHFFFAOYSA-L copper(II) sulfate pentahydrate Chemical compound O.O.O.O.O.[Cu+2].[O-]S([O-])(=O)=O JZCCFEFSEZPSOG-UHFFFAOYSA-L 0.000 description 2
- 239000013078 crystal Substances 0.000 description 2
- 230000034994 death Effects 0.000 description 2
- 231100000517 death Toxicity 0.000 description 2
- 230000007850 degeneration Effects 0.000 description 2
- 238000003745 diagnosis Methods 0.000 description 2
- 239000002552 dosage form Substances 0.000 description 2
- 230000008030 elimination Effects 0.000 description 2
- 238000003379 elimination reaction Methods 0.000 description 2
- 210000003754 fetus Anatomy 0.000 description 2
- 239000006260 foam Substances 0.000 description 2
- 125000005456 glyceride group Chemical group 0.000 description 2
- 229910052737 gold Inorganic materials 0.000 description 2
- 239000010931 gold Substances 0.000 description 2
- 230000036541 health Effects 0.000 description 2
- 230000002779 inactivation Effects 0.000 description 2
- 208000015181 infectious disease Diseases 0.000 description 2
- 125000001449 isopropyl group Chemical group [H]C([H])([H])C([H])(*)C([H])([H])[H] 0.000 description 2
- 229910052745 lead Inorganic materials 0.000 description 2
- 229910052750 molybdenum Inorganic materials 0.000 description 2
- 229910052759 nickel Inorganic materials 0.000 description 2
- PXHVJJICTQNCMI-UHFFFAOYSA-N nickel Substances [Ni] PXHVJJICTQNCMI-UHFFFAOYSA-N 0.000 description 2
- 108020004707 nucleic acids Proteins 0.000 description 2
- 102000039446 nucleic acids Human genes 0.000 description 2
- 210000000056 organ Anatomy 0.000 description 2
- 239000002245 particle Substances 0.000 description 2
- 150000004686 pentahydrates Chemical class 0.000 description 2
- 239000003755 preservative agent Substances 0.000 description 2
- 239000000651 prodrug Substances 0.000 description 2
- 229940002612 prodrug Drugs 0.000 description 2
- 201000002212 progressive supranuclear palsy Diseases 0.000 description 2
- 230000000069 prophylactic effect Effects 0.000 description 2
- 238000011321 prophylaxis Methods 0.000 description 2
- 230000009257 reactivity Effects 0.000 description 2
- 230000001172 regenerating effect Effects 0.000 description 2
- 230000010076 replication Effects 0.000 description 2
- 201000000849 skin cancer Diseases 0.000 description 2
- PODWXQQNRWNDGD-UHFFFAOYSA-L sodium thiosulfate pentahydrate Chemical compound O.O.O.O.O.[Na+].[Na+].[O-]S([S-])(=O)=O PODWXQQNRWNDGD-UHFFFAOYSA-L 0.000 description 2
- 239000003381 stabilizer Substances 0.000 description 2
- 239000007858 starting material Substances 0.000 description 2
- 238000003860 storage Methods 0.000 description 2
- 238000001356 surgical procedure Methods 0.000 description 2
- 208000024891 symptom Diseases 0.000 description 2
- 229940006280 thiosulfate ion Drugs 0.000 description 2
- 229910052718 tin Inorganic materials 0.000 description 2
- 238000004448 titration Methods 0.000 description 2
- 125000000391 vinyl group Chemical group [H]C([*])=C([H])[H] 0.000 description 2
- XEEQGYMUWCZPDN-DOMZBBRYSA-N (-)-(11S,2'R)-erythro-mefloquine Chemical compound C([C@@H]1[C@@H](O)C=2C3=CC=CC(=C3N=C(C=2)C(F)(F)F)C(F)(F)F)CCCN1 XEEQGYMUWCZPDN-DOMZBBRYSA-N 0.000 description 1
- WSLDOOZREJYCGB-UHFFFAOYSA-N 1,2-Dichloroethane Chemical compound ClCCCl WSLDOOZREJYCGB-UHFFFAOYSA-N 0.000 description 1
- SARMGXPVOFNNNG-UHFFFAOYSA-N 1-[amino-(4-chloroanilino)methylidene]-2-propan-2-ylguanidine;hydron;chloride Chemical compound Cl.CC(C)N=C(N)N=C(N)NC1=CC=C(Cl)C=C1 SARMGXPVOFNNNG-UHFFFAOYSA-N 0.000 description 1
- YWFSXFXMEXDVTH-UHFFFAOYSA-N 1-amino-4-(dimethylamino)-2-sulfosulfanylbenzene Chemical compound CN(C)C1=CC=C(N)C(SS(O)(=O)=O)=C1 YWFSXFXMEXDVTH-UHFFFAOYSA-N 0.000 description 1
- QUKZBUCPOSYYFO-UHFFFAOYSA-N 10,13-dimethyl-2,3,4,5,6,7,8,9,11,12,14,15,16,17-tetradecahydro-1h-cyclopenta[a]phenanthren-17-ol Chemical compound C1CCCC2(C)C3CCC(C)(C(CC4)O)C4C3CCC21 QUKZBUCPOSYYFO-UHFFFAOYSA-N 0.000 description 1
- WDYVUKGVKRZQNM-UHFFFAOYSA-N 6-phosphonohexylphosphonic acid Chemical compound OP(O)(=O)CCCCCCP(O)(O)=O WDYVUKGVKRZQNM-UHFFFAOYSA-N 0.000 description 1
- ALJHHTHBYJROOG-UHFFFAOYSA-N 7-(dimethylamino)phenothiazin-3-one Chemical compound C1=CC(=O)C=C2SC3=CC(N(C)C)=CC=C3N=C21 ALJHHTHBYJROOG-UHFFFAOYSA-N 0.000 description 1
- 229910002016 Aerosil® 200 Inorganic materials 0.000 description 1
- QGZKDVFQNNGYKY-UHFFFAOYSA-O Ammonium Chemical compound [NH4+] QGZKDVFQNNGYKY-UHFFFAOYSA-O 0.000 description 1
- 241000256186 Anopheles <genus> Species 0.000 description 1
- 241000271566 Aves Species 0.000 description 1
- 208000035143 Bacterial infection Diseases 0.000 description 1
- 201000004569 Blindness Diseases 0.000 description 1
- 241000282817 Bovidae Species 0.000 description 1
- 229910000906 Bronze Inorganic materials 0.000 description 1
- UDSRSBRDGVZIAE-UHFFFAOYSA-N CN(C=1C=CC=2NC3=CC=C(C=C3[S+](C2C1)Cl)N(C)C)C Chemical compound CN(C=1C=CC=2NC3=CC=C(C=C3[S+](C2C1)Cl)N(C)C)C UDSRSBRDGVZIAE-UHFFFAOYSA-N 0.000 description 1
- 241000700199 Cavia porcellus Species 0.000 description 1
- 208000006154 Chronic hepatitis C Diseases 0.000 description 1
- 206010010071 Coma Diseases 0.000 description 1
- 206010010904 Convulsion Diseases 0.000 description 1
- 241000699800 Cricetinae Species 0.000 description 1
- VMQMZMRVKUZKQL-UHFFFAOYSA-N Cu+ Chemical compound [Cu+] VMQMZMRVKUZKQL-UHFFFAOYSA-N 0.000 description 1
- 206010012289 Dementia Diseases 0.000 description 1
- RWSOTUBLDIXVET-UHFFFAOYSA-N Dihydrogen sulfide Chemical compound S RWSOTUBLDIXVET-UHFFFAOYSA-N 0.000 description 1
- 241000255925 Diptera Species 0.000 description 1
- 206010059866 Drug resistance Diseases 0.000 description 1
- 241000792859 Enema Species 0.000 description 1
- 241000289695 Eutheria Species 0.000 description 1
- 241000282326 Felis catus Species 0.000 description 1
- 206010016654 Fibrosis Diseases 0.000 description 1
- 241000282575 Gorilla Species 0.000 description 1
- 206010019233 Headaches Diseases 0.000 description 1
- 241000711549 Hepacivirus C Species 0.000 description 1
- 241000282412 Homo Species 0.000 description 1
- 241000282620 Hylobates sp. Species 0.000 description 1
- 208000004044 Hypesthesia Diseases 0.000 description 1
- 206010022004 Influenza like illness Diseases 0.000 description 1
- 208000000913 Kidney Calculi Diseases 0.000 description 1
- 241000283953 Lagomorpha Species 0.000 description 1
- 238000005684 Liebig rearrangement reaction Methods 0.000 description 1
- 241000289581 Macropus sp. Species 0.000 description 1
- 241000124008 Mammalia Species 0.000 description 1
- PWHULOQIROXLJO-UHFFFAOYSA-N Manganese Chemical compound [Mn] PWHULOQIROXLJO-UHFFFAOYSA-N 0.000 description 1
- 241000289390 Monotremata Species 0.000 description 1
- 241001529936 Murinae Species 0.000 description 1
- 208000010428 Muscle Weakness Diseases 0.000 description 1
- 206010028372 Muscular weakness Diseases 0.000 description 1
- CMEWLCATCRTSGF-UHFFFAOYSA-N N,N-dimethyl-4-nitrosoaniline Chemical compound CN(C)C1=CC=C(N=O)C=C1 CMEWLCATCRTSGF-UHFFFAOYSA-N 0.000 description 1
- 206010029148 Nephrolithiasis Diseases 0.000 description 1
- 108091093105 Nuclear DNA Proteins 0.000 description 1
- 108020003217 Nuclear RNA Proteins 0.000 description 1
- 241000289371 Ornithorhynchus anatinus Species 0.000 description 1
- 241000283973 Oryctolagus cuniculus Species 0.000 description 1
- 241000282577 Pan troglodytes Species 0.000 description 1
- 241001504519 Papio ursinus Species 0.000 description 1
- 206010033799 Paralysis Diseases 0.000 description 1
- 241001494479 Pecora Species 0.000 description 1
- 208000000609 Pick Disease of the Brain Diseases 0.000 description 1
- 241000224016 Plasmodium Species 0.000 description 1
- 241000223821 Plasmodium malariae Species 0.000 description 1
- 206010035501 Plasmodium malariae infection Diseases 0.000 description 1
- 241001505293 Plasmodium ovale Species 0.000 description 1
- 206010035502 Plasmodium ovale infection Diseases 0.000 description 1
- 241000223810 Plasmodium vivax Species 0.000 description 1
- 241000282405 Pongo abelii Species 0.000 description 1
- 241000288906 Primates Species 0.000 description 1
- XBDQKXXYIPTUBI-UHFFFAOYSA-M Propionate Chemical compound CCC([O-])=O XBDQKXXYIPTUBI-UHFFFAOYSA-M 0.000 description 1
- 206010037660 Pyrexia Diseases 0.000 description 1
- 241000700159 Rattus Species 0.000 description 1
- 239000008156 Ringer's lactate solution Substances 0.000 description 1
- 241000283984 Rodentia Species 0.000 description 1
- GVLNGXFZXBLCTC-UHFFFAOYSA-N S(=S)(=O)O.NC1=CC=C(N(C)C)C=C1 Chemical compound S(=S)(=O)O.NC1=CC=C(N(C)C)C=C1 GVLNGXFZXBLCTC-UHFFFAOYSA-N 0.000 description 1
- NINIDFKCEFEMDL-UHFFFAOYSA-N Sulfur Chemical compound [S] NINIDFKCEFEMDL-UHFFFAOYSA-N 0.000 description 1
- 206010044565 Tremor Diseases 0.000 description 1
- 208000036142 Viral infection Diseases 0.000 description 1
- 241000289674 Vombatidae Species 0.000 description 1
- AZFNGPAYDKGCRB-XCPIVNJJSA-M [(1s,2s)-2-amino-1,2-diphenylethyl]-(4-methylphenyl)sulfonylazanide;chlororuthenium(1+);1-methyl-4-propan-2-ylbenzene Chemical compound [Ru+]Cl.CC(C)C1=CC=C(C)C=C1.C1=CC(C)=CC=C1S(=O)(=O)[N-][C@@H](C=1C=CC=CC=1)[C@@H](N)C1=CC=CC=C1 AZFNGPAYDKGCRB-XCPIVNJJSA-M 0.000 description 1
- IVNALXNJOCZGMK-UHFFFAOYSA-M [4-[4-(dimethylamino)phenyl]iminocyclohexa-2,5-dien-1-ylidene]-dimethylazanium;chloride Chemical compound [Cl-].C1=CC(N(C)C)=CC=C1N=C1C=CC(=[N+](C)C)C=C1 IVNALXNJOCZGMK-UHFFFAOYSA-M 0.000 description 1
- 230000001594 aberrant effect Effects 0.000 description 1
- 230000002159 abnormal effect Effects 0.000 description 1
- 238000009825 accumulation Methods 0.000 description 1
- KXKVLQRXCPHEJC-UHFFFAOYSA-N acetic acid trimethyl ester Natural products COC(C)=O KXKVLQRXCPHEJC-UHFFFAOYSA-N 0.000 description 1
- 231100000354 acute hepatitis Toxicity 0.000 description 1
- 239000002671 adjuvant Substances 0.000 description 1
- 239000000443 aerosol Substances 0.000 description 1
- 230000002776 aggregation Effects 0.000 description 1
- 238000004220 aggregation Methods 0.000 description 1
- 150000001298 alcohols Chemical class 0.000 description 1
- 229910000288 alkali metal carbonate Inorganic materials 0.000 description 1
- 150000008041 alkali metal carbonates Chemical class 0.000 description 1
- 229910001514 alkali metal chloride Inorganic materials 0.000 description 1
- 229910052977 alkali metal sulfide Inorganic materials 0.000 description 1
- 125000003342 alkenyl group Chemical group 0.000 description 1
- 208000026935 allergic disease Diseases 0.000 description 1
- RMRFFCXPLWYOOY-UHFFFAOYSA-N allyl radical Chemical compound [CH2]C=C RMRFFCXPLWYOOY-UHFFFAOYSA-N 0.000 description 1
- AZDRQVAHHNSJOQ-UHFFFAOYSA-N alumane Chemical class [AlH3] AZDRQVAHHNSJOQ-UHFFFAOYSA-N 0.000 description 1
- XAGFODPZIPBFFR-UHFFFAOYSA-N aluminium Chemical compound [Al] XAGFODPZIPBFFR-UHFFFAOYSA-N 0.000 description 1
- 150000001408 amides Chemical class 0.000 description 1
- 238000005576 amination reaction Methods 0.000 description 1
- 150000001448 anilines Chemical class 0.000 description 1
- 150000001450 anions Chemical class 0.000 description 1
- 238000010913 antigen-directed enzyme pro-drug therapy Methods 0.000 description 1
- 239000004599 antimicrobial Substances 0.000 description 1
- QVGXLLKOCUKJST-UHFFFAOYSA-N atomic oxygen Chemical compound [O] QVGXLLKOCUKJST-UHFFFAOYSA-N 0.000 description 1
- KUCQYCKVKVOKAY-CTYIDZIISA-N atovaquone Chemical compound C1([C@H]2CC[C@@H](CC2)C2=C(C(C3=CC=CC=C3C2=O)=O)O)=CC=C(Cl)C=C1 KUCQYCKVKVOKAY-CTYIDZIISA-N 0.000 description 1
- 229960003159 atovaquone Drugs 0.000 description 1
- 244000052616 bacterial pathogen Species 0.000 description 1
- 150000001555 benzenes Chemical class 0.000 description 1
- 239000012503 blood component Substances 0.000 description 1
- 210000001124 body fluid Anatomy 0.000 description 1
- 239000010839 body fluid Substances 0.000 description 1
- 230000037396 body weight Effects 0.000 description 1
- 210000004556 brain Anatomy 0.000 description 1
- 239000010974 bronze Substances 0.000 description 1
- 230000005587 bubbling Effects 0.000 description 1
- BPKIGYQJPYCAOW-FFJTTWKXSA-I calcium;potassium;disodium;(2s)-2-hydroxypropanoate;dichloride;dihydroxide;hydrate Chemical compound O.[OH-].[OH-].[Na+].[Na+].[Cl-].[Cl-].[K+].[Ca+2].C[C@H](O)C([O-])=O BPKIGYQJPYCAOW-FFJTTWKXSA-I 0.000 description 1
- 229910052799 carbon Inorganic materials 0.000 description 1
- 210000004027 cell Anatomy 0.000 description 1
- 210000002421 cell wall Anatomy 0.000 description 1
- 210000003169 central nervous system Anatomy 0.000 description 1
- 230000009920 chelation Effects 0.000 description 1
- 239000007795 chemical reaction product Substances 0.000 description 1
- 238000002512 chemotherapy Methods 0.000 description 1
- 229940010635 chloroquine / proguanil Drugs 0.000 description 1
- 150000001844 chromium Chemical class 0.000 description 1
- BFGKITSFLPAWGI-UHFFFAOYSA-N chromium(3+) Chemical compound [Cr+3] BFGKITSFLPAWGI-UHFFFAOYSA-N 0.000 description 1
- 210000000349 chromosome Anatomy 0.000 description 1
- 230000007882 cirrhosis Effects 0.000 description 1
- 208000019425 cirrhosis of liver Diseases 0.000 description 1
- 238000002648 combination therapy Methods 0.000 description 1
- 238000011284 combination treatment Methods 0.000 description 1
- 239000002131 composite material Substances 0.000 description 1
- 229940126214 compound 3 Drugs 0.000 description 1
- 239000000356 contaminant Substances 0.000 description 1
- 238000011109 contamination Methods 0.000 description 1
- BERDEBHAJNAUOM-UHFFFAOYSA-N copper(I) oxide Inorganic materials [Cu]O[Cu] BERDEBHAJNAUOM-UHFFFAOYSA-N 0.000 description 1
- 239000012043 crude product Substances 0.000 description 1
- ZXJXZNDDNMQXFV-UHFFFAOYSA-M crystal violet Chemical compound [Cl-].C1=CC(N(C)C)=CC=C1[C+](C=1C=CC(=CC=1)N(C)C)C1=CC=C(N(C)C)C=C1 ZXJXZNDDNMQXFV-UHFFFAOYSA-M 0.000 description 1
- KRFJLUBVMFXRPN-UHFFFAOYSA-N cuprous oxide Chemical compound [O-2].[Cu+].[Cu+] KRFJLUBVMFXRPN-UHFFFAOYSA-N 0.000 description 1
- 125000004122 cyclic group Chemical group 0.000 description 1
- 125000001995 cyclobutyl group Chemical group [H]C1([H])C([H])([H])C([H])(*)C1([H])[H] 0.000 description 1
- 125000001559 cyclopropyl group Chemical group [H]C1([H])C([H])([H])C1([H])* 0.000 description 1
- 230000003111 delayed effect Effects 0.000 description 1
- 230000002939 deleterious effect Effects 0.000 description 1
- 210000001947 dentate gyrus Anatomy 0.000 description 1
- 230000001627 detrimental effect Effects 0.000 description 1
- SFQOCJXNHZJOJN-UHFFFAOYSA-H dialuminum;dioxido-oxo-sulfanylidene-$l^{6}-sulfane Chemical compound [Al+3].[Al+3].[O-]S([O-])(=O)=S.[O-]S([O-])(=O)=S.[O-]S([O-])(=O)=S SFQOCJXNHZJOJN-UHFFFAOYSA-H 0.000 description 1
- SOCTUWSJJQCPFX-UHFFFAOYSA-N dichromate(2-) Chemical compound [O-][Cr](=O)(=O)O[Cr]([O-])(=O)=O SOCTUWSJJQCPFX-UHFFFAOYSA-N 0.000 description 1
- 150000004683 dihydrates Chemical class 0.000 description 1
- 238000004090 dissolution Methods 0.000 description 1
- 229960003722 doxycycline Drugs 0.000 description 1
- XQTWDDCIUJNLTR-CVHRZJFOSA-N doxycycline monohydrate Chemical compound O.O=C1C2=C(O)C=CC=C2[C@H](C)[C@@H]2C1=C(O)[C@]1(O)C(=O)C(C(N)=O)=C(O)[C@@H](N(C)C)[C@@H]1[C@H]2O XQTWDDCIUJNLTR-CVHRZJFOSA-N 0.000 description 1
- 239000000890 drug combination Substances 0.000 description 1
- 239000007920 enema Substances 0.000 description 1
- 229940095399 enema Drugs 0.000 description 1
- 210000003743 erythrocyte Anatomy 0.000 description 1
- 230000007717 exclusion Effects 0.000 description 1
- 230000029142 excretion Effects 0.000 description 1
- 239000003889 eye drop Substances 0.000 description 1
- 229940012356 eye drops Drugs 0.000 description 1
- 239000000945 filler Substances 0.000 description 1
- 239000000796 flavoring agent Substances 0.000 description 1
- 235000013355 food flavoring agent Nutrition 0.000 description 1
- 230000037406 food intake Effects 0.000 description 1
- 235000003599 food sweetener Nutrition 0.000 description 1
- 239000013505 freshwater Substances 0.000 description 1
- 238000001415 gene therapy Methods 0.000 description 1
- 238000010914 gene-directed enzyme pro-drug therapy Methods 0.000 description 1
- 230000005182 global health Effects 0.000 description 1
- 239000008187 granular material Substances 0.000 description 1
- 229910052736 halogen Inorganic materials 0.000 description 1
- 230000026030 halogenation Effects 0.000 description 1
- 238000005658 halogenation reaction Methods 0.000 description 1
- 231100000869 headache Toxicity 0.000 description 1
- 238000010438 heat treatment Methods 0.000 description 1
- 208000006454 hepatitis Diseases 0.000 description 1
- 208000010710 hepatitis C virus infection Diseases 0.000 description 1
- 239000008241 heterogeneous mixture Substances 0.000 description 1
- 239000012456 homogeneous solution Substances 0.000 description 1
- 208000034783 hypoesthesia Diseases 0.000 description 1
- 238000003018 immunoassay Methods 0.000 description 1
- 238000009169 immunotherapy Methods 0.000 description 1
- 238000002513 implantation Methods 0.000 description 1
- 230000006872 improvement Effects 0.000 description 1
- 238000000338 in vitro Methods 0.000 description 1
- 230000000415 inactivating effect Effects 0.000 description 1
- 230000005764 inhibitory process Effects 0.000 description 1
- 229910017053 inorganic salt Inorganic materials 0.000 description 1
- 239000000138 intercalating agent Substances 0.000 description 1
- 238000001361 intraarterial administration Methods 0.000 description 1
- 238000007918 intramuscular administration Methods 0.000 description 1
- 238000007912 intraperitoneal administration Methods 0.000 description 1
- 238000007913 intrathecal administration Methods 0.000 description 1
- 238000001990 intravenous administration Methods 0.000 description 1
- 230000007794 irritation Effects 0.000 description 1
- 238000009533 lab test Methods 0.000 description 1
- 125000000400 lauroyl group Chemical group O=C([*])C([H])([H])C([H])([H])C([H])([H])C([H])([H])C([H])([H])C([H])([H])C([H])([H])C([H])([H])C([H])([H])C([H])([H])C([H])([H])[H] 0.000 description 1
- 239000002502 liposome Substances 0.000 description 1
- 210000004185 liver Anatomy 0.000 description 1
- 201000007270 liver cancer Diseases 0.000 description 1
- 208000019423 liver disease Diseases 0.000 description 1
- 208000014018 liver neoplasm Diseases 0.000 description 1
- 239000000314 lubricant Substances 0.000 description 1
- 210000004072 lung Anatomy 0.000 description 1
- 238000004519 manufacturing process Methods 0.000 description 1
- 241001515942 marmosets Species 0.000 description 1
- 230000000873 masking effect Effects 0.000 description 1
- 229960001962 mefloquine Drugs 0.000 description 1
- 239000012528 membrane Substances 0.000 description 1
- 229910052976 metal sulfide Inorganic materials 0.000 description 1
- 150000002739 metals Chemical class 0.000 description 1
- MYWUZJCMWCOHBA-VIFPVBQESA-N methamphetamine Chemical compound CN[C@@H](C)CC1=CC=CC=C1 MYWUZJCMWCOHBA-VIFPVBQESA-N 0.000 description 1
- 208000005135 methemoglobinemia Diseases 0.000 description 1
- 238000002156 mixing Methods 0.000 description 1
- LGDPTPLJZGPOJL-UHFFFAOYSA-N n,n-dimethyl-2-nitrosoaniline Chemical compound CN(C)C1=CC=CC=C1N=O LGDPTPLJZGPOJL-UHFFFAOYSA-N 0.000 description 1
- 239000007783 nanoporous material Substances 0.000 description 1
- 239000007922 nasal spray Substances 0.000 description 1
- 229940097496 nasal spray Drugs 0.000 description 1
- 210000000478 neocortex Anatomy 0.000 description 1
- 208000015122 neurodegenerative disease Diseases 0.000 description 1
- 230000007935 neutral effect Effects 0.000 description 1
- 125000004433 nitrogen atom Chemical group N* 0.000 description 1
- 150000002832 nitroso derivatives Chemical class 0.000 description 1
- GQPLMRYTRLFLPF-UHFFFAOYSA-N nitrous oxide Inorganic materials [O-][N+]#N GQPLMRYTRLFLPF-UHFFFAOYSA-N 0.000 description 1
- 231100000862 numbness Toxicity 0.000 description 1
- 238000011275 oncology therapy Methods 0.000 description 1
- 230000003287 optical effect Effects 0.000 description 1
- 150000002894 organic compounds Chemical class 0.000 description 1
- 230000008520 organization Effects 0.000 description 1
- 230000001590 oxidative effect Effects 0.000 description 1
- 229910052760 oxygen Inorganic materials 0.000 description 1
- 239000001301 oxygen Substances 0.000 description 1
- 238000007911 parenteral administration Methods 0.000 description 1
- 230000008506 pathogenesis Effects 0.000 description 1
- 230000001575 pathological effect Effects 0.000 description 1
- 125000006340 pentafluoro ethyl group Chemical group FC(F)(F)C(F)(F)* 0.000 description 1
- 239000003208 petroleum Substances 0.000 description 1
- 229940124531 pharmaceutical excipient Drugs 0.000 description 1
- 150000002990 phenothiazines Chemical class 0.000 description 1
- 238000002428 photodynamic therapy Methods 0.000 description 1
- 229920005862 polyol Polymers 0.000 description 1
- 150000003077 polyols Chemical class 0.000 description 1
- 235000010289 potassium nitrite Nutrition 0.000 description 1
- 239000004304 potassium nitrite Substances 0.000 description 1
- 230000003389 potentiating effect Effects 0.000 description 1
- 239000000843 powder Substances 0.000 description 1
- 230000035935 pregnancy Effects 0.000 description 1
- 230000002265 prevention Effects 0.000 description 1
- 229960005179 primaquine Drugs 0.000 description 1
- INDBQLZJXZLFIT-UHFFFAOYSA-N primaquine Chemical compound N1=CC=CC2=CC(OC)=CC(NC(C)CCCN)=C21 INDBQLZJXZLFIT-UHFFFAOYSA-N 0.000 description 1
- 210000002763 pyramidal cell Anatomy 0.000 description 1
- 230000001698 pyrogenic effect Effects 0.000 description 1
- 238000001959 radiotherapy Methods 0.000 description 1
- 239000002994 raw material Substances 0.000 description 1
- 239000000376 reactant Substances 0.000 description 1
- 239000012429 reaction media Substances 0.000 description 1
- 238000004064 recycling Methods 0.000 description 1
- 239000002824 redox indicator Substances 0.000 description 1
- 239000012266 salt solution Substances 0.000 description 1
- 238000007493 shaping process Methods 0.000 description 1
- 239000002002 slurry Substances 0.000 description 1
- 229910000030 sodium bicarbonate Inorganic materials 0.000 description 1
- 235000017557 sodium bicarbonate Nutrition 0.000 description 1
- 239000008354 sodium chloride injection Substances 0.000 description 1
- VMSRVIHUFHQIAL-UHFFFAOYSA-N sodium;dimethylcarbamodithioic acid Chemical compound [Na+].CN(C)C(S)=S VMSRVIHUFHQIAL-UHFFFAOYSA-N 0.000 description 1
- 238000007920 subcutaneous administration Methods 0.000 description 1
- 239000000126 substance Substances 0.000 description 1
- 229910052717 sulfur Inorganic materials 0.000 description 1
- 239000011593 sulfur Substances 0.000 description 1
- 239000000829 suppository Substances 0.000 description 1
- 239000004094 surface-active agent Substances 0.000 description 1
- 239000000375 suspending agent Substances 0.000 description 1
- 238000013268 sustained release Methods 0.000 description 1
- 239000012730 sustained-release form Substances 0.000 description 1
- 239000003765 sweetening agent Substances 0.000 description 1
- 210000000225 synapse Anatomy 0.000 description 1
- 208000011580 syndromic disease Diseases 0.000 description 1
- 229940066767 systemic antihistamines phenothiazine derivative Drugs 0.000 description 1
- 238000012360 testing method Methods 0.000 description 1
- 239000002562 thickening agent Substances 0.000 description 1
- 210000001519 tissue Anatomy 0.000 description 1
- 231100000331 toxic Toxicity 0.000 description 1
- 230000002588 toxic effect Effects 0.000 description 1
- 231100000419 toxicity Toxicity 0.000 description 1
- 230000001988 toxicity Effects 0.000 description 1
- 229910052723 transition metal Inorganic materials 0.000 description 1
- 238000011269 treatment regimen Methods 0.000 description 1
- 239000000083 urinary anti-infective agent Substances 0.000 description 1
- 210000002700 urine Anatomy 0.000 description 1
- 238000003828 vacuum filtration Methods 0.000 description 1
- 235000015112 vegetable and seed oil Nutrition 0.000 description 1
- 239000008158 vegetable oil Substances 0.000 description 1
- 229920002554 vinyl polymer Polymers 0.000 description 1
- 230000009385 viral infection Effects 0.000 description 1
- 244000052613 viral pathogen Species 0.000 description 1
- 230000003253 viricidal effect Effects 0.000 description 1
- 230000004393 visual impairment Effects 0.000 description 1
- 239000002351 wastewater Substances 0.000 description 1
- 239000008215 water for injection Substances 0.000 description 1
- 239000000080 wetting agent Substances 0.000 description 1
- 150000003751 zinc Chemical class 0.000 description 1
Classifications
-
- C—CHEMISTRY; METALLURGY
- C07—ORGANIC CHEMISTRY
- C07D—HETEROCYCLIC COMPOUNDS
- C07D279/00—Heterocyclic compounds containing six-membered rings having one nitrogen atom and one sulfur atom as the only ring hetero atoms
- C07D279/10—1,4-Thiazines; Hydrogenated 1,4-thiazines
- C07D279/14—1,4-Thiazines; Hydrogenated 1,4-thiazines condensed with carbocyclic rings or ring systems
- C07D279/18—[b, e]-condensed with two six-membered rings
-
- C—CHEMISTRY; METALLURGY
- C07—ORGANIC CHEMISTRY
- C07C—ACYCLIC OR CARBOCYCLIC COMPOUNDS
- C07C209/00—Preparation of compounds containing amino groups bound to a carbon skeleton
- C07C209/30—Preparation of compounds containing amino groups bound to a carbon skeleton by reduction of nitrogen-to-oxygen or nitrogen-to-nitrogen bonds
- C07C209/38—Preparation of compounds containing amino groups bound to a carbon skeleton by reduction of nitrogen-to-oxygen or nitrogen-to-nitrogen bonds by reduction of nitroso groups
-
- C—CHEMISTRY; METALLURGY
- C07—ORGANIC CHEMISTRY
- C07C—ACYCLIC OR CARBOCYCLIC COMPOUNDS
- C07C209/00—Preparation of compounds containing amino groups bound to a carbon skeleton
- C07C209/68—Preparation of compounds containing amino groups bound to a carbon skeleton from amines, by reactions not involving amino groups, e.g. reduction of unsaturated amines, aromatisation, or substitution of the carbon skeleton
-
- C—CHEMISTRY; METALLURGY
- C07—ORGANIC CHEMISTRY
- C07C—ACYCLIC OR CARBOCYCLIC COMPOUNDS
- C07C381/00—Compounds containing carbon and sulfur and having functional groups not covered by groups C07C301/00 - C07C337/00
- C07C381/02—Thiosulfates
-
- Y—GENERAL TAGGING OF NEW TECHNOLOGICAL DEVELOPMENTS; GENERAL TAGGING OF CROSS-SECTIONAL TECHNOLOGIES SPANNING OVER SEVERAL SECTIONS OF THE IPC; TECHNICAL SUBJECTS COVERED BY FORMER USPC CROSS-REFERENCE ART COLLECTIONS [XRACs] AND DIGESTS
- Y02—TECHNOLOGIES OR APPLICATIONS FOR MITIGATION OR ADAPTATION AGAINST CLIMATE CHANGE
- Y02A—TECHNOLOGIES FOR ADAPTATION TO CLIMATE CHANGE
- Y02A50/00—TECHNOLOGIES FOR ADAPTATION TO CLIMATE CHANGE in human health protection, e.g. against extreme weather
- Y02A50/30—Against vector-borne diseases, e.g. mosquito-borne, fly-borne, tick-borne or waterborne diseases whose impact is exacerbated by climate change
Landscapes
- Chemical & Material Sciences (AREA)
- Organic Chemistry (AREA)
- Chemical Kinetics & Catalysis (AREA)
- Pharmaceuticals Containing Other Organic And Inorganic Compounds (AREA)
- Nitrogen- Or Sulfur-Containing Heterocyclic Ring Compounds With Rings Of Six Or More Members (AREA)
- Organic Low-Molecular-Weight Compounds And Preparation Thereof (AREA)
- Acyclic And Carbocyclic Compounds In Medicinal Compositions (AREA)
- Heterocyclic Carbon Compounds Containing A Hetero Ring Having Oxygen Or Sulfur (AREA)
Abstract
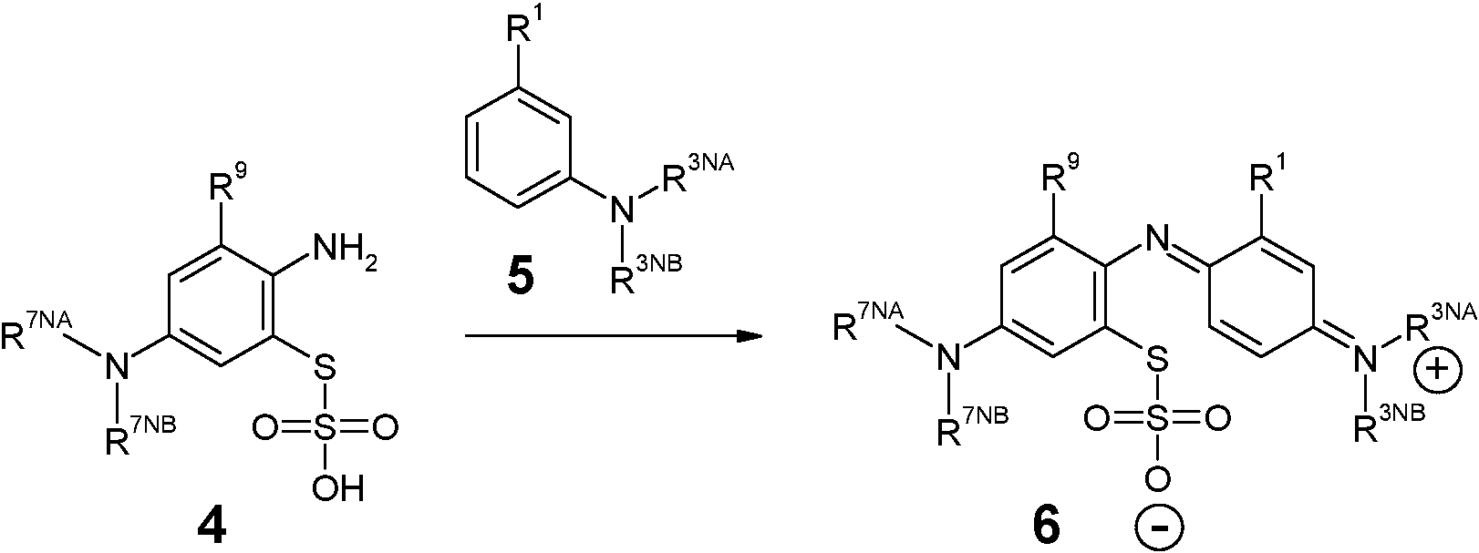
Un método para sintetizar una sal de 3,7-bis(amino disustituido)-1,9-(opcionalmente sustituido)-fenotiazin-5-io, 7, comprendiendo el método las etapas de, en orden: nitrosilación (NOS), en la que una anilina N,N-disustituida-3-opcionalmente sustituida, 1, es 4-nitrosilada para dar dicha N,N-disustituida-3-opcionalmente sustituida-4-nitrosil anilina, 2, **(Ver fórmula)** , reducción de nitrosilo (NR), en la que una N,N-disustituida-3-opcionalmente sustituida-4-nitrosil anilina, 2, es reducida para formar dicho benceno N,N-disustituido-1,4-diamino-5-opcionalmente sustituido, 3: **(Ver fórmula)** , formación de ácido tiosulfónico (TSAF), en la que un benceno N,N-disustituido-1,4-diamino-5-opcionalmente sustituido, 3, es oxidado en presencia de un tiosulfato para proporcionar dicho S-{2-(amino)-3-(opcionalmente sustituido)-5-(amino disustituido)-fenil}-éster de ácido tiosulfúrico, 4: **(Ver fórmula)** , en donde durante o antes de la formación del ácido tiosulfónico se añade un agente activador, acoplamiento oxidativo (OC), en el que un S-{2-(amino)-3-(opcionalmente sustituido)-5-(amino disustituido)-fenil} éster del ácido tiosulfúrico, 4, es acoplado oxidativamente a una N,N-disustituida-3-opcionalmente sustituida- anilina, 5, usando un agente oxidante que es o que comprende Cr(VI), para proporcionar un amonio [4-{2- (tiosulfato)-4-(amino disustituido)-6-(opcionalmente sustituido)-fenil-imino}-3-(opcionalmente sustituido)- ciclohexa-2,5-dieniliden]-N,N-disustituido, 6: **(Ver fórmula)** , cierre de anillo (RC), en el que dicho amonio [4-{2-(tiosulfato)-4-(amino disustituido)-6-(opcionalmente sustituido)- fenil-imino}-3-(opcionalmente sustituido)-ciclohexa-2,5-dieniliden]-N,N-disustituido, 6, es sometido a un cierre de anillo para proporcionar una sal de 3,7-bis(amino-disustituido)-1,9-(opcionalmente sustituido)-fenotiazin-5-io, 7: **(Ver fórmula)** en donde; cada uno de R1 y R9 es seleccionado independientemente entre: -H; alquilo C1-4; alquenilo C2-4; y alquilo C1-4 halogenado; cada uno de R3NA y R3NB es seleccionado independientemente entre: alquilo C1-4; alquenilo C2-4; y alquilo C1-4 halogenado; cada uno de R7NA y R7NB es seleccionado independientemente entre: alquilo C1-4; alquenilo C2-4; y alquilo C1-4 halogenado; y, X- es un contraión haluro con la condición de que el compuesto 7 no sea una sal mixta de ZnCl2; y en donde el agente activador es o comprende Al(lll) y en donde la relación molar de Al (AIII) al benceno N,N- disustituido-1,4-diamino-5-opcionalmente sustituido, 3, es de 0,05 a 1,0.
Description
DESCRIPCIÓN
Métodos de síntesis química de compuestos de diaminofenotiazinio, incluyendo cloruro de metiltioninio (MTC) Campo técnico
La presente invención se refiere en general al campo de la síntesis y purificación química y, más específicamente, a métodos para la síntesis y la purificación de determinados compuestos de 3,7-diamino-fenotiazin-5-io (denominados en el presente documento "compuestos de diaminofenotiazinio") incluyendo el cloruro de metiltioninio (MTC) (también conocido como azul de metileno). La presente invención también se refiere a los compuestos resultantes (alta pureza), las composiciones que los comprenden (por ejemplo, comprimidos, cápsulas) y su uso en métodos de inactivación de patógenos y métodos de tratamiento médico y diagnóstico, etc., por ejemplo, para taupatías, la enfermedad de Alzheimer (Ea ), el cáncer de piel, el melanoma, enfermedades víricas, enfermedades bacterianas y enfermedades protozoarias.
Antecedentes
En toda la presente memoria descriptiva, incluyendo las reivindicaciones a continuación, a menos que el contexto requiera lo contrario, se entenderá que la palabra "comprende" y las variaciones tales como "comprenden" y "que comprende" implican la inclusión de un número entero, etapa o grupo de números enteros o etapas declarado, pero no la exclusión de cualquier otro número entero o etapa o grupo de números enteros o etapas.
Debe observarse que, como se usa en la memoria descriptiva y en cualquier reivindicación adjunta, las formas singulares "un", "una", "el" y "la" incluyen los referentes plurales, a menos que el contexto indique claramente lo contrario. Por tanto, por ejemplo, la referencia a "un vehículo farmacéutico" incluye mezclas de dos o más de dichos vehículos y similares.
Los intervalos se expresan con frecuencia en el presente documento como de "aproximadamente" un valor particular y/o a "aproximadamente" otro valor particular. Cuando se expresa dicho intervalo, otra realización incluye de un valor particular y/o a otro valor particular. De forma similar, cuando los valores se expresan como aproximaciones, mediante el uso del antecedente "aproximadamente", se entenderá que el valor particular forma otra realización. Cloruro de metiltioninio (MTC) (también conocido como azul de metileno)
El cloruro de metiltioninio (MTC) (también conocido como azul de metileno (MB); cloruro de metiltionina; cloruro de tetrametiltionina; cloruro de 3,7-bis(dimetilamino)fenotiazin-5-io; Azul 9; cloruro de tetrametiltionina; cloruro de 3,7-bis(dimetilamino)fenazationio; azul suizo; I.C. 52015; I.C. Disolvente Azul 8; violeta de anilina; y Urolene Blue®) compuesto orgánico tricíclico hidrosoluble, que tiene un peso molecular bajo (319,86), de la siguiente fórmula:
El cloruro de metiltioninio (MTC) (también conocido como azul de metileno), quizás el colorante de fenotiazina e indicador de redox mejor conocido, también se ha usado como una sonda óptica de sistemas biofísicos, como un intercalador en materiales nanoporosos, como mediador redox y en imágenes fotoelectroquímicas.
Véase, por ejemplo, Índice de Color (Vol. 4, 3a edición, 1971) y Lillie et al., 1979 y las referencias citadas en el mismo.
El MTC se usa actualmente para tratar la metahemoglobinemia (una afección que se produce cuando la sangre no puede suministrar oxígeno donde se necesita en el cuerpo). El MTC también se usa como un colorante médico (por ejemplo, para teñir determinadas partes del cuerpo antes o durante la cirugía); un diagnóstico (por ejemplo, tal como un colorante indicador para detectar determinados compuestos presentes en la orina); un antiséptico urinario leve; un estimulante para las superficies mucosas; un tratamiento y un preventivo para los cálculos renales; y en el diagnóstico y el tratamiento del melanoma.
El MTC se ha usado para tratar la malaria ya sea individualmente (Guttmann & Ehrlich, 1891) o en combinación con cloroquina (Schirmer et al. 2003; Rengelhausen et al. 2004).
La malaria en los seres humanos es provocada por una de las cuatro especies de protozoos del género Plasmodium: P. falciparum, P. vivax, P. ovale o P. malariae. Todas las especies se transmiten por la picadura de un mosquito Anopheles hembra infectado. Ocasionalmente, la transmisión se produce por transfusión de sangre, trasplante de órganos, intercambio de agujas o congénitamente de la madre al feto. La malaria provoca 300-500 millones de infecciones en todo el mundo y aproximadamente 1 millón de muertes al año. Sin embargo, la resistencia a los fármacos es una preocupación importante y es mayor para P. falciparum, la especie que representa casi todas las muertes relacionadas con la malaria. Los fármacos o combinaciones de fármacos que se recomiendan actualmente para la profilaxis de la malaria incluyen clorhidrato de cloroquina/proguanilo, mefloquina, doxiciclina y primaquina.
El MTC (con el nombre Virostat, de Bioenvision Inc., Nueva York) ha deque se muestra una potente actividad viricida in vitro. Específicamente, Virostat es eficaz contra virus tales como el VIH y el Virus del Nilo Occidental en ensayos de laboratorio. El virus del Nilo Occidental (VNO) es una enfermedad potencialmente grave que afecta al sistema nervioso central. La gran mayoría de las personas infectadas no mostrarán síntomas visibles o mostrarán síntomas leves parecidos a la gripe, tales como fiebre y dolor de cabeza. Aproximadamente uno de cada 150 desarrollará síntomas graves, tal como temblores, convulsiones, debilidad muscular, pérdida de la visión, entumecimiento, parálisis o coma. En general, el VNO se transmite por la picadura de un mosquito infectado, pero también puede propagarse a través de transfusiones de sangre, trasplantes de órganos, lactancia materna o durante el embarazo de madre a hijo. Virostat también se encuentra actualmente en ensayos clínicos para el tratamiento de la hepatitis C crónica. La hepatitis C es una infección vírica del hígado. El virus, el VHC, es una causa importante de hepatitis aguda y de enfermedad hepática crónica, que incluye la cirrosis y el cáncer de hígado. El VHC se transmite principalmente por contacto directo con la sangre humana. Las principales causas de infección por el VHC en todo el mundo son el uso de transfusiones de sangre no examinadas y la reutilización de agujas y jeringuillas que no se han esterilizado adecuadamente. La Organización Mundial de la Salud ha declarado que la hepatitis C es un problema de salud mundial, con aproximadamente el 3 % de la población mundial infectada con el VHC y varía considerablemente según la región. La prevalencia en los EE.UU. se estima en el 1,3% o aproximadamente 3,5 millones de personas. Egipto contiene la prevalencia más alta de hepatitis C en el mundo, estimada en más del 20 % de los aproximadamente 62 millones de habitantes de la nación.
El MTC, cuando se combina con la luz, puede evitar la replicación de ácidos nucleicos (ADN o ARN). El plasma, las plaquetas y los glóbulos rojos no contienen ADN o ARN nuclear. Cuando el MTC se introduce en los componentes de la sangre, atraviesa las paredes celulares bacterianas o la membrana vírica y después se mueve hacia el interior de la estructura del ácido nucleico. Cuando se activan con la luz, los compuestos se unen al ácido nucleico del patógeno vírico o bacteriano, evitando la replicación del ADN o ARN. Debido a que el MTC está diseñado para desactivar patógenos, tiene el potencial de reducir el riesgo de transmisión de patógenos que no se detectarían mediante ensayos.
Se ha descubierto que el MTC y los derivados del mismo (por ejemplo, "compuestos de diaminofenotiazinio") son útiles en el tratamiento de taupatías (tales como, pero no limitadas a, la enfermedad de Alzheimer) (véase, por ejemplo, Wischik, C.M., et al., 1996, 2002).
El MTC se describió por primera vez en una Patente alemana en 1877 (Badische Anilin- und Soda-Fabrik, 1877). En esa Patente, el MTC se sintetizó mediante nitrosilación de dimetilanilina, reducción posterior para formar N,N-dimetil-1,4-diaminobenceno y posterior acoplamiento oxidativo en presencia de sulfuro de hidrógeno (H2S) y cloruro de hierro (III) (FeCl3).
Bernthsen describió estudios posteriores de MTC y métodos para su síntesis (véase Bernthsen, 1885a, 1885b, 1889).
Fierz-David y Blangley, 1949, también describen métodos para la síntesis de MTC a partir de dimetilanilina, como se ilustra en el siguiente esquema.
Esquema 1
dimetilanilina p-mtroso-dimetilanilina p-amino-dimetilamlina
Acido tiosu fonico de Acido tiosu romeo de p-amino-dimetilanihna verde de Bindschedler
MTC
En la etapa (a), la nitrosodimetilanilina se prepara a partir de dimetilanilina por tratamiento con nitrito (NaNO2) en solución acuosa de ácido (HCI). En la etapa (b), el compuesto nitroso se reduce para formar p-aminodimetilanilina usando solución acuosa de ácido (HCl) adicional usando polvo de cinc. El residuo metálico después de la etapa (b) se retira por filtración y el filtrado es oxidado en presencia de ácido tiosulfónico, ácido sulfúrico y solución de cloruro de cinc no reductor, etapa (c). La oxidación adicional en presencia de dimetilanilina da como resultado el ácido tiosulfónico de Verde de Bindschedlers, etapa (d). Después se cierra el anillo usando dióxido de manganeso o sulfato de cobre para formar azul de metileno. Más específicamente, se acidifica (H2SO4) una solución neutra transparente de p-aminodimetilanilina, y se añade una solución de cloruro de cinc no reductor (ZnCh con Na2Cr2O7). Se añaden sulfato de aluminio acuoso (Ah(SO4)) y tiosulfato de sodio cristalino (Na2S2O3) y dicromato de sodio acuoso (Na2Cr2O7). La mezcla se calienta con vapor seco. Después se añade dimetilanilina ácida (HCI) acuosa. Se añade dicromato de sodio acuoso (Na2Cr2O7). La mezcla se calienta con vapor seco y se vuelve de color azul verdoso oscuro debido a la formación del ácido tiosulfónico de verde Bindschedler. Se añade una suspensión acuosa de dióxido de manganeso o sulfato de cobre y la mezcla se calienta con vapor seco, y el colorante precipita de la solución concentrada de cloruro de cinc. Para recuperar el colorante de la mezcla, se enfría y se acidifica (H2SO4) para disolver las sales de aluminio, manganeso y cromo. La mezcla se enfría adicionalmente y el colorante en bruto se recoge por filtración. La purificación a partir de agua, cloruro de sodio y cloruro de cinc proporciona la sal doble de cinc del azul de metileno en forma de cristales de color rojo-bronce.
Se describen métodos de síntesis muy similares en el Índice de Color (Vol. 4, 3a edición, 1971), pág. 4470.
Masuya et al., 1992, describen determinados derivados de fenotiazina y métodos para su preparación y uso en la terapia fotodinámica del cáncer y en inmunoensayos que usan quimioluminiscencia. Los compuestos se preparan por vías similares a las analizadas anteriormente.
Leventis et al., 1997, describen métodos para la síntesis de determinados análogos de MTC, que emplean fenotiazina como material de partida y que añaden los sustituyentes-3,7 deseados por halogenación seguida de aminación. Los autores afirman que el MTC se sintetiza comercialmente mediante oxidación de N,N-dimetil-pfenilendiamina con Na2Cr2O7 en presencia de Na2S2O3, seguida de una oxidación adicional en presencia de N,N-dimetilamina.
Fierz-David et al., 1949, describe la síntesis de la sal doble de cloruro de cinc de MTC y la eliminación de cinc por quelación con carbonato de sodio seguida de filtración para generar azul de metileno sin cinc. Sin embargo, los autores reconocen que esta técnica no puede usarse a gran escala, porque los rendimientos son bajos.
Los métodos para sintetizar MTC de alta pureza y sus derivados se han propuesto en el documento WO 2006/032879. Los compuestos se sintetizan de acuerdo con el siguiente esquema:
Estas etapas pueden resumirse de la siguiente manera: (i) nitrosilación (NOS, por sus siglas en inglés), (ii) reducción de nitrosilo (NR, por sus siglas en inglés), (iii) formación de ácido tiosulfónico (TSAF, por sus siglas en inglés), (iv) acoplamiento oxidativo (OC, por sus siglas en inglés), (v) cierre de anillo (RC, por sus siglas en inglés) y recristalización (RX, por sus siglas en inglés). También se describe una variante, en la que el ácido tiosulfónico del intermedio Verde de Bindshedler (compuesto 5) no es aislado por filtración.
Bernthsen A, Justus Liebigs Annalen Der Chemie, vol 251, páginas 1-97,1889 describe estudios sobre el azul de metileno. Este documento divulga métodos de síntesis para preparar colorantes, incluido el azul de metileno.
El documento WO 2007/110629 divulga una síntesis similar a la del documento WO 2006/032879 para el MTC y compuestos relacionados en los ejemplos.
Los inventores han desarrollado métodos alternativos y mejorados para la síntesis de compuestos de diaminofenotiazinio (incluyendo, en particular, MTC). Los nuevos métodos dan como resultado rendimientos más altos, tiempos de reacción más cortos y un rendimiento más alto, requieren menos energía y generan menos desechos. Los compuestos obtenidos tienen altos niveles de pureza.
Sumario de la invención
Un aspecto de la presente invención se refiere a métodos de síntesis de compuestos de diaminofenotiazinio. Los métodos de la invención se definen en las reivindicaciones.
Como apreciará un experto en la materia, las características y realizaciones preferidas de un aspecto de la invención también se referirán a otros aspectos de la invención.
Divulgación detallada
COMPUESTOS
En general, la presente invención se refiere a métodos para la preparación de determinados compuestos de 3,7-diamino-fenotiazin-5-io de la siguiente fórmula, denominados en conjunto en el presente documento "compuestos de diaminofenotiazinio":
en la que:
cada uno de R1 y R9 es seleccionado independientemente entre: -H; alquilo C1-4; alquenilo C2-4; y alquilo C1-4 halogenado;
cada uno de R3NA y R3NB es seleccionado independientemente entre: alquilo C1-4; alquenilo C2-4; y alquilo C1-4 halogenado;
cada uno de R7NA y R7NB es seleccionado independientemente entre: alquilo C1-4; alquenilo C2-4; y alquilo C1-4 halogenado; y
X es un contraión de haluro.
La estructura anterior es solo una de las muchas estructuras de resonancia equivalentes, algunas de las cuales se muestran a continuación, y todas las cuales tienen por objetivo ser abarcadas por la estructura anterior:
En algunas realizaciones, los grupos alquilo C1-4 son seleccionados entre: grupos alquilo C1-4 lineales, tales como -Me, -Et, -nPr, -iPr y -nBu; grupos alquilo C3-4 ramificados, tales como -iPr, -iBu, -sBu y -tBu; y grupos alquilo C3-4 cíclicos, tales como -cPr y -cBu.
En algunas realizaciones, los grupos alquenilo C2-4 son seleccionados entre grupos alquenilo C1-4 lineales, tales como -CH=CH2 (vinilo) y -CH2-CH=CH2 (alilo).
En algunas realizaciones, los grupos alquilo C1-4 halogenados son seleccionados entre: -CF3, -CH2CF3 y -CF2CF3. En algunas realizaciones, cada uno de R1 y R9 es independientemente -H, -Me, -Et, o-CF3.
En algunas realizaciones, cada uno de R1 y R9 es independientemente -H, -Me o -Et.
En algunas realizaciones, cada uno de R1 y R9 es independientemente -H.
En algunas realizaciones, cada uno de R1 y R9 es independientemente -Me.
En algunas realizaciones, cada uno de R1 y R9 es independientemente -Et.
En algunas realizaciones, R1 y R9 son iguales.
En algunas realizaciones, R1 y R9 son diferentes.
En algunas realizaciones, cada uno de R3NA y R3NB es independientemente -Me, -Et, -nPr, -nBu, -CH2-CH=CH2 o -CF3.
En algunas realizaciones, cada uno de R3NA y R3NB es independientemente -Me o -Et.
En algunas realizaciones, cada uno de R3NA y R3NB es independientemente -Me.
En algunas realizaciones, cada uno de R3NA y R3NB es independientemente -Et.
En algunas realizaciones, R3NA y R3NB son iguales.
En algunas realizaciones, R3NA y R3NB son diferentes.
En algunas realizaciones, cada uno de R7NA y R7NB es independientemente -Me, -Et, -nPr, -nBu, -CH2-CH=CH2 o -CF3.
En algunas realizaciones, cada uno de R7NA y R7NB es independientemente -Me o -Et.
En algunas realizaciones, cada uno de R7NA y R7NB es independientemente -Me.
En algunas realizaciones, cada uno de R7NA y R7NB es independientemente -Et.
En algunas realizaciones, R7NA y R7NB son iguales.
En algunas realizaciones, R7NA y R7NB son diferentes.
En algunas realizaciones, R3NA y R3NB y R7NA y R7NB son iguales.
En algunas realizaciones, los grupos -N(R3NA)(R3NB) y -N(R7NA)(R7NB) son iguales.
En algunas realizaciones, los grupos -N(R3NA)(R3NB) y -N(R7NA)(R7NB) son iguales y son seleccionados entre: -NMe2, -NEt2, -N(nPr)2, -N(Bu)2, -NMeEt, -NMe(nPr) y -N(CH2CH=CH2)2.
En algunas realizaciones, los grupos -N(R3NA)(R3NB) y -N(R7NA)(R7NB)son iguales y son seleccionados entre: -NMe2 y -NEt2.
En algunas realizaciones, los grupos -N(R3NA)(R3NB) y -N(R7NA)(R7NB) son distintos de -NMe2.
En algunas realizaciones, uno o más de los átomos de carbono son 11C o 13C.
En algunas realizaciones, uno o más de los átomos de carbono son 11C.
En algunas realizaciones, uno o más de los átomos de carbono son 13C.
En algunas realizaciones, uno o más de los átomos de nitrógeno son 15N.
En algunas realizaciones, uno o más o todos los átomos de carbono de uno o más o todos los grupos R3NA, R3NB, R7NA y R7NB son 13C.
En algunas realizaciones, cada uno de los grupos -N(R3NA)(R3NB) y -N(R7NA)(R7NB) es -N(13CH3)2.
En algunas realizaciones, cada uno de R1 y R9 es -H y cada uno de los grupos -N(R3NA)(R3NB) y -N(R7NA)(R7NB) es -N(13CH3)2.
En algunas realizaciones, cada uno de R1 y R9 es -H; cada uno de los grupos -N(R3NA)(R3NB) y -N(R7NA)(R7NB) es -N(13CH3)2; y X- is Cl-.
En algunas realizaciones, X' es independientemente un anión halógeno (es decir, haluro).
En algunas realizaciones, X- es independientemente Cl-, Br- o I-.
En algunas realizaciones, X- es independientemente Cl-.
En los métodos de la invención, X- es como se ha definido anteriormente, en el que el compuesto 7 no es una sal mixta de ZnCh.
Los ejemplos de dichos compuestos incluyen los siguientes:
continuación
Pureza
Los métodos que se describen en el presente documento pueden producir compuestos de diaminofenotiazinio de alta pureza.
Por ejemplo, muchos de los métodos que se describen en el presente documento producen un MTC de muy alta pureza con niveles extremadamente bajos de ambas impurezas orgánicas (por ejemplo, de Azure B y Violeta de Metileno de Bernthsen (MVB)) e impurezas metálicas (por ejemplo, que cumplen o exceden los límites de la Farmacopea Europea).
En algunas realizaciones, el compuesto (por ejemplo, MTC) tiene una pureza superior al 98 %.
En algunas realizaciones, el compuesto (por ejemplo, MTC) tiene una pureza superior al 97 %.
En algunas realizaciones, el compuesto (por ejemplo, MTC) tiene una pureza superior al 96 %.
En algunas realizaciones, e compuesto (por ejemplo, MTC) tiene una pureza superior al 95 %.
En algunas realizaciones, e compuesto (por ejemplo, MTC) tiene una pureza superior al 94 %.
En algunas realizaciones, e compuesto (por ejemplo, MTC) tiene una pureza superior al 93 %.
En algunas realizaciones, e compuesto (por ejemplo, MTC) tiene una pureza superior al 92 %.
En algunas realizaciones, e compuesto tiene menos del 6 % de Azure B como impureza.
En algunas realizaciones, e compuesto tiene menos del 5 % de Azure B como impureza.
En algunas realizaciones, e compuesto tiene menos del 4 % de Azure B como impureza.
En algunas realizaciones, e compuesto tiene menos del 3 % de Azure B como impureza.
En algunas realizaciones, e compuesto tiene menos del 2 % de Azure B como impureza.
En algunas realizaciones, e compuesto tiene menos del 1 % de Azure B como impureza.
En algunas realizaciones, e compuesto tiene menos del 0,15 % de MVB como impureza.
En algunas realizaciones, e compuesto tiene menos del 0,14 % de MVB como impureza.
En algunas realizaciones, e compuesto tiene menos del 0,13 % de MVB como impureza.
En algunas realizaciones, e compuesto tiene menos del 0,10 % de MVB como impureza.
En algunas realizaciones, e compuesto tiene menos del 0,05 % de MVB como impureza.
(Todos los porcentajes de pureza mencionados en el presente documento son en peso, a menos que se especifique lo contrario).
En algunas realizaciones, el compuesto (por ejemplo, MTC) tiene una pureza elemental (por ejemplo, para Al, Cr, Zn, Cu, Fe, Mn, Ni, Mo, Cd, Sn y Pb) que es mejor que los límites de la Farmacopea Europea (EP, por sus siglas en inglés).
La expresión "pureza elemental" a la que se hace referencia en el presente documento se refiere a las cantidades de los once (11) metales especificados por la Farmacopea Europea: Al, Cr, Zn, Cu, Fe, Mn, Ni, Mo, Cd, Sn y Pb.
Los límites de la Farmacopea Europea a los que se hace referencia en el presente documento se establecen en la siguiente tabla:
En algunas realizaciones, el compuesto (por ejemplo, MTC) tiene una pureza elemental que es mejor que 0,9 veces el límite de la Farmacopea Europea (EP).
En algunas realizaciones, el compuesto (por ejemplo, MTC) tiene una pureza elemental que es mejor que 0,5 veces los límites de la Farmacopea Europea (EP).
En algunas realizaciones, el compuesto (por ejemplo, MTC) tiene una pureza elemental que es mejor que 0,2 veces los límites de la Farmacopea Europea (EP).
En algunas realizaciones, el compuesto (por ejemplo, MTC) tiene una pureza elemental que es mejor que 0,1 veces los límites de la Farmacopea Europea (EP).
(Por ejemplo, 0,5 veces los límites más recientes de la Farmacopea Europea (EP) es 50 |jg/g de Al, 50 |jg/g de Cr, 50 jg/g de Zn, etc.)
En el presente documento se desvelan todas las combinaciones plausibles y compatibles de los grados de pureza anteriores como si cada combinación individual fuera recitada específica y explícitamente.
MÉTODOS DE SÍNTESIS
Los presentes inventores han identificado diversos métodos mejorados de síntesis de MTC y otros compuestos de diaminofenotiazinio. En particular, han identificado mejoras en los métodos del documento WO2006/032879.
Rendimiento
Los métodos de síntesis que se describen en el presente documento proporcionan altos rendimientos de compuestos de diaminofenotiazinio.
En algunas realizaciones, el rendimiento es superior al 35 %.
En algunas realizaciones, el rendimiento es superior al 37,5 %.
En algunas realizaciones, el rendimiento es superior al 40 %.
En algunas realizaciones, el rendimiento es superior al 42,5 %.
En algunas realizaciones, el rendimiento es superior al 45 %.
En algunas realizaciones, el rendimiento es superior al 47,5 %.
Preferentemente, el rendimiento notificado es puramente el del compuesto de diaminofenotiazinio y, por tanto, tiene en cuenta el perfil de impurezas y el contenido de humedad de la muestra. En algunas realizaciones, los rendimientos se calculan basándose en el peso anhidro.
En un aspecto de la presente invención, se proporcionan métodos eficaces de síntesis de compuestos de diaminofenotiazinio.
Una característica importante de estos métodos es que pueden completarse varias etapas en el mismo recipiente de reacción.
Por ejemplo, la etapa de reducción de nitrosilo (NR) (ii), la etapa de formación de ácido tiosulfónico (TSAF) (iii) y la etapa de acoplamiento oxidativo (OC) (iv) se pueden realizar en el mismo recipiente de reacción. No se realiza filtración entre las etapas (ii) y (iii).
En general, cuando se dice que las etapas posteriores en una síntesis se producen en el "mismo recipiente de reacción" o en el "mismo recipiente", esto significa que las etapas de reacción se producen en el mismo recipiente. Los reactivos para las etapas posteriores de la síntesis se añaden simplemente al producto de la etapa anterior, sin transferir el producto a otro recipiente. En particular, se excluye la transferencia de un producto de reacción a otro recipiente a través de un filtro. Para una reacción que se produce completamente en el mismo recipiente de reacción, la reacción puede denominarse método de 1 solo recipiente. De manera similar, cuando hay una sola transferencia de un primer recipiente a un segundo recipiente, esto puede denominarse un método de 2 recipientes. Una síntesis en la que hay dos transferencias puede denominarse método de 3 recipientes, etc.
La omisión de la filtración entre las etapas (ii) y (iii) ahorra tiempo y, por tanto, aumenta el rendimiento de la reacción. También significa que se requieren menos recipientes de reacción en comparación con el método de la técnica anterior. Se genera menos agua de desecho, ya que no se lava el sólido filtrado. Adicionalmente, se ha observado que la eliminación de esta etapa de filtración conduce a un aumento del rendimiento del producto de MTC, en relación con las reacciones en las que se realiza una filtración de este tipo. En casos preferidos, la pureza del compuesto del producto no se ve comprometida.
Se usa Cr(VI) (al menos) en la etapa de acoplamiento oxidativo (OC). Es altamente tóxico y la contaminación por Cr(VI) es inaceptable en productos destinados a la farmacia. Además, puede desestabilizar el intermedio zwitteriónico e impedir la posterior etapa de cierre del anillo (RC), reduciendo de este modo el rendimiento del compuesto final de diaminofenotiazinio. En el método del documento WO2006/032879, por tanto, es necesario reducir el Cr(VI) residual a Cr (III) mediante la adición de hidrosulfito de sodio (Na2S2O4) o mediante un ajuste del pH.
En el presente método, la omisión de la etapa de filtración entre las etapas de NR y de TSAF, significa que el agente reductor utilizado en la reducción de nitrosilo (NR) no se retira. Los presentes inventores han descubierto sorprendentemente que este agente reductor puede usarse para reducir el Cr(VI) después del acoplamiento oxidativo (OC).
En consecuencia, en algunos casos, la etapa de reducción de cromato después del acoplamiento oxidativo puede tener lugar en el mismo recipiente de reacción que las etapas de NR, de TSAF y de OC. En estos casos no es necesario añadir un agente reductor adicional (tal como Na2S2O4) o ajustar el pH. Por tanto, se usan menos materiales y se generan menos desechos. En casos preferidos, la pureza del compuesto del producto no se ve comprometida.
En algunos casos, la etapa de nitrosilación (NO) y/o el cierre del anillo (RC) también pueden completarse en el mismo recipiente de reacción que las etapas de reducción de nitrosilo (NR), de formación de ácido tiosulfónico (TSAF) y de acoplamiento oxidativo (OC).
Completar la etapa de cierre de anillo (RC) en el mismo recipiente de reacción es particularmente ventajoso, ya que elimina otra etapa de filtración del método del documento WO2006/032879, reduciendo de este modo los desechos, aumentando el rendimiento y ahorrando tiempo. Además, la eliminación de la presente etapa de filtración significa que no hay necesidad de añadir ácido clorhídrico acuoso al producto filtrado sólido de color verde para formar una suspensión (tal como en la etapa (v) del documento WO2006/032879, como se ha mostrado anteriormente). Esto reduce adicionalmente el uso de material y el desecho.
En algunas realizaciones, opcionalmente, el intermedio zwitteriónico formado en la etapa de acoplamiento oxidativo (OC) se aísla y purifica, por ejemplo por filtración, antes de someterlo a la etapa de cierre del anillo (RC).
En algunas realizaciones, el método de síntesis comprende las etapas de, en orden:
nitrosilación (NOS);
reducción de nitrosilo (NR);
formación de ácido tiosulfónico (TSAF);
acoplamiento oxidativo (OC);
cierre de anillo (RC);
en el que estas etapas se completan en el mismo recipiente de reacción.
En algunas realizaciones, las etapas de NO, NR, TSAF y OC se completan en un primer recipiente de reacción, la etapa de cierre del anillo (RC) se completa en un segundo recipiente de reacción y la formación de sal (CSF) (y opcionalmente la recristalización (RX)) se completa en un tercer recipiente de reacción. En otras palabras, este es un método de 'tres recipientes'.
En algunas realizaciones, las etapas de NO, NR, TSAF, OC y RC se completan en un primer recipiente de reacción y la formación de sal (por ejemplo, la formación de sal de cloruro CSF) (y opcionalmente la recristalización (RX)) se completa en un segundo recipiente. En otras palabras, este es un 'método de dos recipientes'.
El método de síntesis comprende las etapas de, en orden:
nitrosilación (NOS);
reducción de nitrosilo (NR);
formación de ácido tiosulfónico (TSAF);
acoplamiento oxidativo (OC);
cierre de anillo (RC);
en el que durante o antes de la etapa de formación de ácido tiosulfónico (TSAF) se añade un agente activador. En algunas realizaciones, opcionalmente, el intermedio Zwitteriónico formado en la etapa de acoplamiento oxidativo (OC) es aislado y es purificado, por ejemplo, mediante filtración, antes de someterlo a la etapa de cierre del anillo (RC).
El compuesto de diaminofenotiazinio no es una sal doble de ZnCh.
Nitrosilación (NOS)
En esta etapa, una anilina N,N-disustituida-3-opcionalmente sustituida, 1, se 4-nitrosila para proporcionar una N,N-disustituida-3-opcionalmente sustituida-4-nitrosil anilina, 2, como se ilustra en el siguiente esquema:
En algunas realizaciones, una N,N-dimetil anilina, 1', se 4-nitrosila para proporcionar una N,N-dimetil-4-nitrosil anilina, 2', como se ilustra en el siguiente esquema:
En algunas realizaciones, el nitrito es o comprende NO2'.
En algunas realizaciones, el nitrito es o comprende nitrito de metal alcalino.
En algunas realizaciones, el nitrito es o comprende nitrito de sodio o nitrito de potasio.
En algunas realizaciones, el nitrito es nitrito de sodio (NaNO2).
En algunas realizaciones, la relación molar de nitrito a anilina, 1, es de 0,8 a 1,5.
En algunas realizaciones, la relación molar es de 1,0 a 1,5.
En algunas realizaciones, la relación molar es 1,1 a 1,5.
En algunas realizaciones, la relación molar es 1,1 a 1,3.
En algunas realizaciones, la nitrosilación se realiza en condiciones ácidas.
En algunas realizaciones, la nitrosilación se realiza a un pH de 1 o menos.
En algunas realizaciones, la nitrosilación se realiza a un pH de 1 a -1.
En algunas realizaciones, la nitrosilación se realiza a un pH de 1 a 0.
(A menos que se especifique lo contrario, todos los valores de pH se miden a temperatura ambiente).
En algunas realizaciones, las condiciones ácidas se obtienen usando un ácido fuerte.
En algunas realizaciones, las condiciones ácidas se obtienen usando HCI (que tiene un protón ácido fuerte).
En algunas realizaciones, la relación molar de protones ácidos a anilina, 1, es de 1 a 4.
En algunas realizaciones, el intervalo es de 2 a 4.
En algunas realizaciones, el intervalo es de 3 a 4.
En algunas realizaciones, la relación es de aproximadamente 3,2.
En algunas realizaciones, el intervalo es de 2 a 3.
En algunas realizaciones, el intervalo es de 2,25 a 2,75.
En algunas realizaciones, la relación es de aproximadamente 2,5.
En algunas realizaciones, la reacción se realiza en un medio acuoso.
En algunas realizaciones, la temperatura de reacción es de 2 a 25 °C.
En algunas realizaciones, la temperatura de reacción es de 2 a 15 °C.
En algunas realizaciones, la temperatura de reacción es de 2 a 10 °C.
En algunas realizaciones, la temperatura de reacción es de aproximadamente 5 °C.
En algunas realizaciones, el tiempo de reacción es de 10 a 240 minutos.
En algunas realizaciones, el tiempo de reacción es de 30 a 120 minutos.
En algunas realizaciones, el tiempo de reacción es de aproximadamente 60 minutos.
En algunas realizaciones, la mezcla de reacción se agita durante la etapa de reacción.
Reducción de nitrosilo (NR)
En esta etapa, una W,A/-disustituida-3-opcionalmente sustituida-4-nitrosil anilina, 2, se reduce para formar un benceno W,A/-disustituido-1,4-diamino-5-opcionalmente sustituido, 3, como se ilustra en el siguiente esquema:
En algunas realizaciones, una W,A/-dimetil-4-nitrosil anilina, 2', se reduce para formar un W,A/-dimetil-1,4-diaminobenceno, 3', como se ilustra en el siguiente esquema:
En algunas realizaciones, la reducción es por reacción con un agente reductor.
En algunas realizaciones, el agente reductor es o comprende Fe(0).
En algunas realizaciones, el agente reductor es o comprende hierro metálico.
En algunas realizaciones, el agente reductor es hierro metálico.
El hierro metálico puede obtenerse en el mercado, por ejemplo, en forma de limaduras metálicas.
En algunas realizaciones, la relación molar de Fe(0) a anilina, 1, es de 1,0 a 4,0.
En algunas realizaciones, el intervalo es de 1,5 a 4,0.
En algunas realizaciones, el intervalo es de 1,5 a 3,0.
En algunas realizaciones, el intervalo es de 1,5 a 2,5.
En algunas realizaciones, el intervalo es de 1,5 a 3,5.
En algunas realizaciones, el intervalo es de 2,0 a 3,0.
En algunas realizaciones, la relación es de aproximadamente 2,4.
En algunas realizaciones, el exceso de agente reductor utilizado es suficiente para reducir cualquier Cr(VI) residual de la siguiente etapa de acoplamiento oxidativo (OC).
En algunas realizaciones, las condiciones ácidas se obtienen usando un ácido fuerte.
En algunas realizaciones, las condiciones ácidas se obtienen usando HCI (que tiene un protón ácido fuerte).
En algunas realizaciones, la relación molar de protones ácidos a anilina, 1, es de 1 a 4.
En algunas realizaciones, el intervalo es de 2 a 4.
En algunas realizaciones, el intervalo es de 3 a 4.
En algunas realizaciones, la relación es de aproximadamente 3,2.
En algunas realizaciones, el intervalo es de 2 a 3.
En algunas realizaciones, el intervalo es de 2,25 a 2,75.
En algunas realizaciones, la relación es de aproximadamente 2,5
En algunas realizaciones, la reacción se realiza en un medio acuoso.
En algunas realizaciones, la reacción realiza durante un tiempo de aproximadamente 120 minutos. En algunas realizaciones, la mezcla de reacción se agita durante la etapa de reacción.
A diferencia de los métodos del documento WO2006/032879, cuando el agente reductor es hierro metálico, el exceso de hierro metálico no se retira de la mezcla de reacción después de completar la reacción por filtración. Formación de ácido tiosulfónico (TSAF)
En esta etapa, un benceno W,A/-disustituido-1,4-diamino-5-opcionalmente sustituido, 3, es oxidado en presencia de un tiosulfato para proporcionar un S-{2-(amino)-3-(opcionalmente sustituido)-5-(amino disustituido)-fenil} éster del ácido tiosulfúrico, 4, como se ilustra en el siguiente esquema:
En algunas realizaciones, un A/,W-d¡met¡M,4-diam¡no-benceno, 3' , es oxidado en presencia de un tiosulfato para proporcionar un S-p^amino^^dimetilaminoHenil} éster del ácido tiosulfúrico, 4', como se ilustra en el siguiente esquema:
El tiosulfato es o comprende S2O3-2
En algunas realizaciones, el tiosulfato es o comprende Na2S2O3.
En algunas realizaciones, el tiosulfato es Na2S2O3 o un hidrato del mismo.
Puede obtenerse Na2S2O3 en el mercado, por ejemplo, en forma de la sal anhidra o como el pentahidrato.
En algunas realizaciones, la relación molar de tiosulfato a diamina, 3, es de 0,8 a 1,5.
En algunas realizaciones, la relación molar es de 1,0 a 1,5.
En algunas realizaciones, la relación molar es 1,1 a 1,5.
En algunas realizaciones, la relación molar es 1,1 a 1,3.
En algunas realizaciones, la oxidación es por reacción con un agente oxidante.
En algunas realizaciones, el agente oxidante es o comprende Cr(VI).
En algunas realizaciones, el agente oxidante es o comprende Cr2O7-2.
En algunas realizaciones, el agente oxidante es o comprende Na2Cr2O7.
En algunas realizaciones, el agente oxidante es Na2Cr2O7 o un hidrato del mismo.
Puede obtenerse Na2Cr2O7 en el mercado, por ejemplo, en forma de un dihidrato.
En algunas realizaciones, la relación molar de Cr(VI) a diamina, 3, es de 0,2 a 2,0.
En algunas realizaciones, la relación molar es de 0,2 a 1,0.
En algunas realizaciones, la relación molar es de 0,2 a 0,8.
En algunas realizaciones, la relación molar es de 0,3 a 0,7.
En los métodos que se describen en el presente documento, se añade un agente activador antes o durante la etapa de formación del ácido tiosulfónico. Esto activa el ion tiosulfato, aumentando su reactividad. El rendimiento del compuesto final de diaminofenotiazinio aumenta. En algunos casos, el rendimiento aumenta en al menos aproximadamente el 10 %, preferentemente aproximadamente el 20 % y más preferentemente aproximadamente el 25 %, en relación con las reacciones en las que se omite el agente activador.
Sin desear quedar ligado a teoría alguna, se cree que el agente activador promueve la nucleofilia del ion tiosulfato, aumentando de este modo el rendimiento del ácido tiosulfónico (en la etapa de TSAF).
El agente activador comprende o consiste en un compuesto que comprende Al(III). El compuesto es preferentemente una sal de aluminio hidrosoluble. La naturaleza del anión no es fundamental, a condición de que no interfiera con la reacción. Dichos compuestos incluyen, pero no se limitan a, sulfato de aluminio. Sin desear quedar ligado a teoría alguna, se piensa que el tiosulfato de aluminio está tan altamente disociado que reacciona de manera eficaz como un ácido tiosulfúrico libre (véase "The Fundamental Processes Of Dye Chemistry', del Dr. Hans Eduard Fierz-David).
Por ejemplo, un agente activador que consiste en hexadecahidrato de sulfato de aluminio puede aumentar el rendimiento en aproximadamente un 25 %.
Se añaden entre aproximadamente 0,05 y aproximadamente 1,0 equivalentes molares de agente activante a la mezcla, en relación con el número de moles de materiales de partida reactivos (es decir, la W,A/-dialquilanilina). En consecuencia, la reacción se realiza en presencia de un agente activador.
El agente activador comprende Al(III).
En algunas realizaciones, el agente activador comprende Ah(SO4)3.
En algunas realizaciones, el agente de activación comprende un hidrato de Ah(SO4)3.
En algunas realizaciones, el agente de activación comprende hexadecahidrato de Ah(SO4)3.
La relación molar de Al(III) con respecto a la diamina es de aproximadamente 0,05 a aproximadamente 1,0.
En algunas realizaciones, la relación molar es de aproximadamente 0,10 a aproximadamente 1,0. En algunas realizaciones, la relación molar es de aproximadamente 0,05 a aproximadamente 0,8. En algunas realizaciones, la relación molar es de aproximadamente 0,10 a aproximadamente 0,8. En algunas realizaciones, la relación molar es de aproximadamente 0,05 a aproximadamente 0,6. En algunas realizaciones, la relación molar es de aproximadamente 0,10 a aproximadamente 0,6. En algunas realizaciones, la relación molar es de aproximadamente 0,15 a aproximadamente 0,5. En algunas realizaciones, la relación molar es de aproximadamente 0,15.
En algunas realizaciones, la relación molar es de aproximadamente 0,5.
En algunas realizaciones, la reacción se realiza en presencia de un ácido fuerte. Opcionalmente, el ácido puede añadirse al agente oxidante.
Como alternativa, el ácido puede añadirse a la diamina antes del tratamiento con el agente oxidante.
En algunas realizaciones, el ácido fuerte es ácido sulfúrico (H2SO4) (que tiene dos protones ácidos fuertes).
En algunas realizaciones, la relación molar de protones ácidos a diamina, 15, es de 1,0 a 4,0.
En algunas realizaciones, el intervalo es de 1,5 a 2,5.
En algunas realizaciones, el intervalo es aproximadamente 2,0.
En algunas realizaciones, la reacción se realiza en un medio acuoso.
En algunas realizaciones, la temperatura de reacción es de 2 a 25 °C.
En algunas realizaciones, la temperatura de reacción es de 2 a 15 °C.
En algunas realizaciones, la temperatura de reacción es de 2 a 10 °C.
En algunas realizaciones, la temperatura de reacción es de aproximadamente 5 °C.
En algunas realizaciones, el tiempo de reacción es de 10 a 240 minutos.
En algunas realizaciones, el tiempo de reacción es de 30 a 120 minutos.
En algunas realizaciones, el tiempo de reacción es de aproximadamente 60 minutos.
En algunas realizaciones, la mezcla de reacción se agita durante la etapa de reacción.
Acoplamiento oxidativo (OC)
En esta etapa, un S-{2-(amino)-3-(opcionalmente sustituido)-5-(amino disustituido)-fenil} éster del ácido tiosulfúrico, 4, se acopla oxidativamente a una W,W-disustituida-3-opcionalmente sustituida-anilina, 5, usando un agente oxidante que es o comprende Cr(VI), para proporcionar un amonio [4-{2-(tiosulfato)-4-(amino disustituido)-6-(opcionalmente sustituido)-fenil-imino}-3-(opcionalmente sustituido)-ciclohexa-2,5-dieniliden]-W,A/-disustituido, 6, como se ilustra en el siguiente esquema:
En algunas realizaciones, un S-{2-(amino)-5-(dimetilamino)-fenil} éster del ácido tiosulfúrico, 4', se acopla oxidativamente a una W,A/-dimetil-anilina, 5', usando un agente oxidante que es o comprende Cr(VI), para proporcionar un [4-{2-(tiosulfato)-4-(dimetilamino)-fenil-imino}-ciclohexa-2,5-dieniliden]-A/,W-dimetil amonio, 6', como se ilustra en el siguiente esquema:
En algunas realizaciones, el éster, 4, se añade en primer lugar, antes de que se añada la anilina, 5.
En algunas realizaciones, el agente oxidante es o comprende Cr2O72
En algunas realizaciones, el agente oxidante es o comprende Na2Cr2O7.
En algunas realizaciones, el agente oxidante es Na2Cr2O7.
En algunas realizaciones, la relación molar del éster, 4, con respecto a la anilina, 5, es de 0,5 a 1,5.
En algunas realizaciones, el intervalo es de 0,8 a 1,2.
En algunas realizaciones, el intervalo es aproximadamente 1,0.
En algunas realizaciones, la relación molar de Cr(VI) con respecto a la anilina, 5, es de 0,4 a 4,0.
En algunas realizaciones, el intervalo es de 0,6 a 3,0.
En algunas realizaciones, el intervalo es de 0,8 a 3,0.
En algunas realizaciones, el intervalo es aproximadamente 1,0.
En algunas realizaciones, la reacción se realiza en condiciones ácidas.
En algunas realizaciones, la reacción se realiza a un pH de 1 o menos.
En algunas realizaciones, la reacción se realiza a un pH de 1 a -1.
En algunas realizaciones, la reacción se realiza a un pH de 1 a 0.
En algunas realizaciones, el pH al final de la etapa de reacción es de 2 a 6.
En algunas realizaciones, el pH al final de la etapa de reacción es 3 a 5.
En algunas realizaciones, el pH al final de la etapa de reacción es de aproximadamente 4.
En algunas realizaciones, el pH al final de la etapa de reacción es de aproximadamente 3,94.
En algunas realizaciones, las condiciones ácidas se obtienen usando un ácido fuerte.
En algunas realizaciones, las condiciones ácidas se obtienen usando H2SO4 (que tiene dos protones ácidos fuertes). En algunas realizaciones, la relación molar de protones ácidos con respecto a la anilina, 5, es de 1,0 a 4,0.
En algunas realizaciones, el intervalo es de 1,5 a 2,5.
En algunas realizaciones, el intervalo es de aproximadamente 2,0.
En algunas realizaciones, la reacción se realiza en un medio acuoso.
En algunas realizaciones, la temperatura de reacción es de 2 a 20 °C.
En algunas realizaciones, la temperatura de reacción es de 2 a 15 °C.
En algunas realizaciones, la temperatura de reacción es de aproximadamente 5 °C.
En algunas realizaciones, el tiempo de reacción es de 10 minutos a 12 horas.
En algunas realizaciones, el tiempo de reacción es de 30 minutos a 4 horas.
En algunas realizaciones, el tiempo de reacción es de aproximadamente 2 horas.
En algunas realizaciones, la mezcla de reacción se agita durante la etapa de reacción.
En algunas realizaciones, la anilina, 5, es igual que la anilina, 1.
Aislamiento y purificación del intermedio zwitteriónico (IAPOZI)
En esta etapa, cuando está presente, el intermedio zwitteriónico, 6 , es aislado y es purificado.
En algunas realizaciones, el aislamiento y la purificación es por filtración.
En algunas realizaciones, el aislamiento y la purificación se realizan por filtración seguida de lavado.
En algunas realizaciones, el lavado es lavado con H2O.
En algunas realizaciones, el lavado es lavado con H2O y tetrahidrofurano (THF).
En algunas realizaciones, la relación en volumen de H2O a THF es de 1:1 a 10:1, preferentemente 4:1.
En algunas realizaciones, el aislamiento y la purificación se realizan por filtración seguida de lavado y secado.
En algunas realizaciones, el secado es secado al aire.
En algunas realizaciones, el secado es secado al aire durante 2 a 72 horas.
En algunas realizaciones, el secado es secado al aire durante 2 a 48 horas.
En algunas realizaciones, el secado es secado al aire durante 2 a 24 horas.
En algunas realizaciones, el secado es secado en horno.
En algunas realizaciones, el secado es secado en horno durante 2 a 72 horas.
En algunas realizaciones, el secado es secado en horno durante 2 a 48 horas.
En algunas realizaciones, el secado es secado en horno durante 2 a 24 horas.
En algunas realizaciones, el secado es secado en horno a 30 a 60 °C durante 2 a 48 horas.
Por ejemplo, en algunas realizaciones, la mezcla de reacción se filtra y el residuo (por ejemplo, -100°mmol de producto en bruto) se lava con H2O (por ejemplo, 4x250 cm3) y/o THF (por ejemplo, 100°cm3), y después se seca al aire durante la noche.
Por ejemplo, en algunas realizaciones, la mezcla de reacción se filtra (por ejemplo, a través de un filtro Buchner al vacío), el sólido se retira, se añade a otro recipiente con agua dulce, la mezcla se agita vigorosamente y se filtra nuevamente. El proceso de "filtrar-recuperar-resuspender" puede repetirse varias veces. El sólido obtenido finalmente puede usarse en etapas posteriores.
En algunas realizaciones, se añade un agente de filtro antes de la filtración. Esto puede mejorar la facilidad de filtración y reducir la pérdida de producto en la filtración.
Un agente de filtro adecuado comprende o consiste en celulosa. La celulosa es una materia prima regenerativa y, por tanto, puede desecharse por incineración mientras se mantiene un ciclo de CO2 cerrado.
En algunas realizaciones, a la filtración le sigue el lavado del producto filtrado con un "volumen de lavado" de agua. En algunas realizaciones de este tipo, el volumen total de lavado es inferior a aproximadamente 100 volúmenes (100 vol.) de agua (en relación con la cantidad de anilina), inferior a aproximadamente 50vol., inferior a aproximadamente 30 vol., inferior a aproximadamente 20 vol. o inferior a o de aproximadamente 10 vol.
En algunas realizaciones, el volumen de lavado total se usa en porciones (por ejemplo, 10 vol., 4 veces, para proporcionar un volumen de lavado total de 40 vol.).
Se observa que estos volúmenes de lavado son significativamente más bajos que los volúmenes de lavado utilizados durante las filtraciones en el documento WO2006/032879.
El método del documento WO2006/032879 usa aproximadamente 250 volúmenes de agua en total para la reacción. Usando los métodos de la presente invención, es posible reducir esto a, por ejemplo, aproximadamente 53 volúmenes de agua.
La reducción en el volumen de lavado reduce el desecho de agua al final de la reacción y es ventajoso ya que reduce significativamente el volumen de desecho. Los volúmenes de desechos más pequeños tienen la ventaja de un almacenamiento y transporte más fáciles y, por tanto, pueden representar un ahorro de costes. Adicionalmente,
un volumen de lavado más pequeño significa que el régimen de filtración será más corto en general, con el consiguiente ahorro de tiempo y energía. Adicionalmente, puesto que los volúmenes de lavado pueden calentarse para este procedimiento, un volumen general más pequeño tiene ventajas adicionales en términos de ahorro de energía y costes.
En algunas realizaciones, el resto filtrado se usa directamente en la siguiente etapa sin tratamiento adicional.
Cierre de anillo (RC)
En esta etapa, un amonio [4-{2-(tiosulfato)-4-(amino disustituido)-6-(opcionalmente sustituido)-fenilimino}-3-(opcionalmente sustituido)-ciclohexa-2,5-dieniliden]-A/,W-disustituido, 6, es sometido a un cierre de anillo para proporcionar una sal de 3,7-bis(amino-disustituido)-1,9-(opcionalmente sustituido)-fenotiazin-5-io, 7, como se ilustra en el siguiente esquema:
En algunas realizaciones, un [{2-(tiosulfato)-4-(dimetilamino)-fenilimino}-ciclohexa-2,5-dieniliden]-W,A/-dimetil amonio, 6', es sometido a un cierre de anillo para proporcionar una sal de 3,7-bis(dimetilamino)-fenotiazin-5-io, 7', como se ilustra en el siguiente esquema:
En algunas realizaciones, el cierre de anillo se consigue mediante tratamiento con un agente oxidante.
En algunas realizaciones, el agente oxidante es o comprende Cu(II).
En algunas realizaciones, el agente oxidante es o comprende sulfato de Cu(II).
En algunas realizaciones, el agente oxidante es sulfato de Cu(II) o un hidrato del mismo.
El sulfato de Cu(II) puede obtenerse en el mercado, por ejemplo, en forma de un pentahidrato.
Sin desear quedar ligado a teoría particular alguna, se cree que el Cu(II) se convierte en Cu(I) en la reacción y precipita como Cu2O insoluble.
En algunas realizaciones, el cierre del anillo se realiza en condiciones ácidas.
En algunas realizaciones, el cierre del anillo se realiza a un pH de 1 a 5.
En algunas realizaciones, el cierre del anillo se realiza a un pH de 2 a 5.
En algunas realizaciones, el cierre del anillo se realiza a un pH de 3 a 4,5.
En algunas realizaciones, el cierre del anillo se realiza a un pH de 3,5 a 4,1.
En algunas realizaciones, el cierre del anillo se realiza a un pH de aproximadamente 3,8.
En algunas realizaciones, el pH deseado se obtiene mediante la adición de ácido fuerte.
En algunas realizaciones, el pH deseado se obtiene mediante la adición de HCl.
En algunas realizaciones, la relación molar de Cu(II) con respecto al amonio, 6, es de 0,02 a 0,15.
En algunas realizaciones, el intervalo es de 0,03 a 0,12
En algunas realizaciones, el intervalo es de aproximadamente 0,10.
En algunas realizaciones, la reacción se realiza en un medio acuoso.
En algunas realizaciones, la reacción se realiza suspendiendo el amonio [4-{2-(tiosulfato)-4-(amino disustituido)-6-(opcionalmente sustituido)-fenil-imino}-3-(opcionalmente sustituido)-ciclohexa-2,5-dieniliden]-A/,W-disustituido, 6 (por ejemplo, como se obtiene de la etapa de acoplamiento oxidativo (OC)) en una solución acuosa de ácido clorhídrico, añadiendo el agente oxidante y después calentando.
En algunas realizaciones de este tipo, el volumen de suspensión utilizado es de aproximadamente 15 a aproximadamente 30 equivalentes volumétricos (de 15 vol. a 30 vol.), en relación con la anilina, es decir, para 10,0 g de anilina (aproximadamente 10 ml), el volumen de la suspensión sería de aproximadamente 150 a 300 ml.
En algunas realizaciones, el volumen de la suspensión es de aproximadamente 25 vol.
Este volumen de suspensión se reduce significativamente en comparación con el volumen de suspensión utilizado en el método del documento W02006/032879. Sin desear quedar ligado a teoría alguna, se cree que la reducción significativa del volumen de la suspensión utilizada en esta etapa puede ser ventajosa por varias razones. En primer lugar, tiene la ventaja de que se requiere una capacidad reducida del reactor, lo que significa que se requiere un recipiente de reactor más pequeño para la síntesis usando la misma masa de intermedio Verde de Bindschedler, o se podría usar una masa más grande en el tamaño convencional del recipiente utilizado. Esto puede tener beneficios en términos de rendimiento. En segundo lugar, la etapa de cierre de anillo tiene lugar a una temperatura elevada (85 °C), por tanto, un volumen de disolvente más pequeño puede ser ventajoso, puesto que llevará un tiempo más corto alcanzar la temperatura óptima y requerirá una menor entrada de energía para alcanzar esa temperatura, dando como resultado un ahorro tanto de energía como de costes. El uso de un volumen de suspensión más pequeño también puede conducir a un aumento en el rendimiento del producto. El coste de la eliminación, el tratamiento y el transporte de desechos también se reduce si finalmente se obtiene un volumen más pequeño de efluente al final del proceso.
En algunas realizaciones, la temperatura de reacción es de 30 a 95 °C.
En algunas realizaciones, la temperatura de reacción es de 50 a 90 °C.
En algunas realizaciones, la temperatura de reacción es de 60 a 90 °C.
En algunas realizaciones, la temperatura de reacción es de aproximadamente 85 °C.
En algunas realizaciones, el tiempo de reacción es de 10 a 120 minutos.
En algunas realizaciones, el tiempo de reacción es de 20 a 90 minutos.
En algunas realizaciones, el tiempo de reacción es de aproximadamente 60 minutos.
En algunas realizaciones, la reacción se realiza hasta que la mezcla de reacción cambia de color, por ejemplo, se vuelve de un color azul profundo.
En algunas realizaciones, la mezcla de reacción se agita durante la etapa de reacción.
En algunas realizaciones, después de la reacción, la mezcla de reacción se filtra y se recoge el filtrado. (El filtrado contiene el producto deseado en solución).
En algunas realizaciones, la filtración se realiza a una temperatura próxima a la temperatura de reacción, para proporcionar un filtrado "en caliente".
En algunas realizaciones, la mezcla de reacción se enfría primero y la filtración se realiza aproximadamente a temperatura ambiente, para proporcionar un filtrado "en frío".
En algunas realizaciones, se añade un agente de filtro antes de la filtración. Esto puede mejorar la facilidad de filtración y reducir la pérdida de producto en la filtración.
Un agente de filtro adecuado comprende o consiste en celulosa. La celulosa es una materia prima regenerativa y,
por tanto, puede desecharse por incineración mientras se mantiene un ciclo de CO2 cerrado.
En algunas realizaciones, a la filtración le sigue el lavado del producto filtrado con un "volumen de lavado" de agua. En algunas realizaciones de este tipo, el volumen total de lavado es inferior a aproximadamente 200 volúmenes (200 vol.) en agua (en relación con la cantidad de anilina), inferior a aproximadamente 150 vol., inferior a aproximadamente 100 vol., inferior a aproximadamente 50 vol., inferior a aproximadamente 25 vol. o inferior a o de aproximadamente 20 vol.
En algunas realizaciones, el volumen total de lavado se usa en porciones (por ejemplo, 10 vol., 4 veces, para proporcionar un volumen total de lavado de 40 vol., o 5 vol. 4 veces, para proporcionar un volumen total de lavado de 20 vol.).
Se observa que estos volúmenes de lavado son significativamente menores que los volúmenes de lavado utilizados durante las filtraciones en el documento WO2006/032879.
Como se ha mencionado anteriormente, el método del documento W02006/032879 usa aproximadamente 250 volúmenes de agua en total para la reacción. Usando los métodos de la presente invención, es posible reducir esto a, por ejemplo, aproximadamente 53 volúmenes de agua.
La reducción en el volumen de lavado reduce el desecho de agua al final de la reacción y es ventajoso ya que reduce significativamente el volumen de desecho. Los volúmenes de desechos más pequeños tienen la ventaja de un almacenamiento y transporte más fáciles y, por tanto, pueden representar un ahorro de costes. Adicionalmente, un volumen de lavado más pequeño significa que el régimen de filtración será más corto en general, con el consiguiente ahorro de tiempo y energía. Adicionalmente, puesto que los volúmenes de lavado pueden calentarse para este procedimiento, un volumen general más pequeño tiene ventajas adicionales en términos de ahorro de energía y costes.
Ventajosamente, en algunas realizaciones, el filtrado final de desechos obtenido después de la filtración descrita anteriormente puede usarse, con ajuste al pH pertinente, como disolvente de suspensión para esta etapa en reacciones posteriores durante al menos 2 ciclos de reacción. Esto es ventajoso puesto que permite el reciclaje de lo que es un producto de desecho, pero también conduce a mayores rendimientos de producto.
Formación de sal de cloruro (CSF)
En esta etapa, una sal de 3,7-bis(amino disustituido)-1,9-(opcionalmente sustituida)-fenotiazin-5-io, 7, se hace reaccionar con cloruro, para proporcionar una sal de cloruro de 3,7-bis(amino disustituido)-1,9-(opcionalmente sustituido)-fenotiazin-5-io, 8, como se ilustra en el siguiente esquema:
En algunas realizaciones, una sal de 3,7-bis(dimetilamino)-fenotiazin-5-io, 7', se hace reaccionar con cloruro, para proporcionar una sal de cloruro de 3,7-bis(dimetilamino)-fenotiazin-5-io, 8' (es decir, MTC), como se ilustra en el siguiente esquema:
Tratamiento con ácido clorhídrico como fuente de cloruro:
En algunas realizaciones, el cloruro es ácido clorhídrico.
En algunas realizaciones, la reacción se realiza a un pH relativamente bajo.
En algunas realizaciones, el pH relativamente bajo es de -1 a 3.
En algunas realizaciones, el pH relativamente bajo es de 0 a 3.
En algunas realizaciones, el pH relativamente bajo es de 0 a 2.
En algunas realizaciones, el pH relativamente bajo es de aproximadamente 1.
En algunas realizaciones, el pH se ajusta al pH relativamente bajo lentamente.
En algunas realizaciones, el pH se ajusta durante un período de 5 a 120 minutos.
En algunas realizaciones, el pH se ajusta durante un período de 5 a 60 minutos.
En algunas realizaciones, el pH se ajusta durante un período de 5 a 30 minutos.
En algunas realizaciones, el pH se ajusta durante un período de aproximadamente 10 minutos.
En algunas realizaciones, la reacción se realiza a una temperatura relativamente fría.
En algunas realizaciones, la temperatura relativamente fría es de 2 a 40 °C.
En algunas realizaciones, la temperatura relativamente fría es de 2 a 30 °C.
En algunas realizaciones, la temperatura relativamente fría es de 5 a 30 °C.
En algunas realizaciones, la temperatura relativamente fría es de 10 a 30 °C.
En algunas realizaciones, la temperatura relativamente fría es de 15 a 30 °C.
En algunas realizaciones, la temperatura relativamente fría es de 20 a 30 °C.
En algunas realizaciones, la temperatura relativamente fría es de aproximadamente 25 °C.
En algunas realizaciones, la reacción se realiza hasta que la mezcla de reacción (inicialmente, por ejemplo, de un color azul profundo) se vuelve de color azul claro a incolora.
En algunas realizaciones, la mezcla de reacción se agita durante la etapa de reacción.
Tratamiento con una sal de cloruro como fuente de cloruro:
En algunas realizaciones, el cloruro es sal de cloruro.
En algunas realizaciones, el cloruro es cloruro de metal alcalino.
En algunas realizaciones, el cloruro es cloruro de sodio.
En algunas realizaciones, hay un gran exceso molar de cloruro (de sodio).
En algunas realizaciones, la relación molar del cloruro con respecto a la sal, 7, es de 5 a 200.
En algunas realizaciones, la relación molar es de 10 a 150.
En algunas realizaciones, la relación molar es de 10 a 100.
En algunas realizaciones, la relación molar es de aproximadamente 50.
En algunas realizaciones, la reacción se realiza en un medio acuoso.
En algunas realizaciones, la temperatura de reacción es de 20 a 95 °C.
En algunas realizaciones, la temperatura de reacción es de 30 a 95 °C.
En algunas realizaciones, la temperatura de reacción es de 50 a 80 °C.
En algunas realizaciones, la temperatura de reacción es de aproximadamente 65 °C.
En algunas realizaciones, la temperatura de reacción es de aproximadamente la temperatura ambiente.
En algunas realizaciones, el tiempo de reacción es de 10 a 30 minutos.
En algunas realizaciones, la reacción se realiza hasta que la mezcla de reacción (inicialmente, por ejemplo, de un color azul profundo) se vuelve de color azul claro a incolora.
En algunas realizaciones, la mezcla de reacción se agita durante la etapa de reacción.
En algunas realizaciones, la mezcla de reacción se deja enfriar después de la adición del cloruro, para producir el producto en forma de un precipitado.
En algunas realizaciones, el compuesto de diaminofenotiazinio final se lava con ácido acuoso después de la precipitación/cristalización.
Sin desear quedar ligado a teoría alguna, este lavado con ácido adicional puede ayudar a retirar los contaminantes de sales inorgánicas y, por tanto, puede dar como resultado un producto de diaminofenotiazinio más puro. El lavado con ácido descompone el producto de diaminofenotiazinio cuando está en el filtro, retirando de este modo el medio de reacción residual, que puede contener altos niveles de sales y otras impurezas.
En algunas realizaciones, el lavado con ácido se realiza con una solución acuosa de ácido clorhídrico.
En algunas realizaciones, el lavado con ácido se realiza con una solución acuosa al 5 % de ácido clorhídrico.
En algunas realizaciones, el lavado con ácido se realiza con una solución acuosa de ácido clorhídrico.
En algunas realizaciones, el lavado con ácido se realiza con de aproximadamente 1 a aproximadamente 3 volúmenes (de 1 vol. a 3 vol.) de la solución ácida acuosa.
En algunas realizaciones, el lavado con ácido se realiza con aproximadamente 2 volúmenes (2 vol.) de solución ácida acuosa.
En algunas realizaciones, el lavado con ácido se realiza con 1 vol., 2 veces, de la solución ácida acuosa.
Después de la etapa de formación de sal de cloruro (CSF), puede realizarse una o más etapas adicionales de tratamiento o purificación (es decir, ST, DT, CT, EDTAT, OE), como se describe más adelante. Si se realizan dos o más de estas etapas de tratamiento, pueden realizarse en cualquier orden. Estas etapas de tratamiento dan lugar a una pureza mejorada, especialmente un contenido de metal reducido y un contenido de impureza orgánica reducido. Tratamiento adicional
En algunas realizaciones, el método de síntesis comprende adicionalmente una etapa posterior seleccionada entre: tratamiento con sulfuro (ST, por sus siglas en inglés);
tratamiento con dimetilditiocarbamato (DT, por sus siglas en inglés);
tratamiento con carbonato (CT, por sus siglas en inglés); y
tratamiento con ácido etilendiaminotetraacético (EDTAT, por sus siglas en inglés).
En algunas realizaciones, el método de síntesis comprende adicionalmente una etapa posterior seleccionada entre: tratamiento con sulfuro (ST);
tratamiento con dimetilditiocarbamato (DT);
tratamiento con carbonato (CT);
tratamiento con ácido etilendiaminotetraacético (EDTAT); y
extracción orgánica (OE, por sus siglas en inglés).
En algunas realizaciones, el método de síntesis comprende adicionalmente una etapa posterior seleccionada entre: tratamiento con sulfuro (ST);
tratamiento con dimetilditiocarbamato (DT);
tratamiento con carbonato (CT); y
tratamiento con ácido etilendiaminotetraacético (EDTAT);
seguida de la etapa posterior de:
extracción orgánica (OE).
En algunas realizaciones, el método de síntesis comprende adicionalmente una etapa posterior seleccionada entre: tratamiento con sulfuro (ST);
seguido de la etapa posterior de
extracción orgánica (OE).
En algunas realizaciones, el método de síntesis comprende adicionalmente la etapa posterior de:
extracción orgánica (OE).
En algunas realizaciones, el método de síntesis comprende adicionalmente la etapa posterior de: recristalización (RX).
Por tanto, en algunas realizaciones, el método de síntesis comprende las etapas de, en orden:
nitrosilación (NOS);
reducción de nitrosilo (NR);
formación de ácido tiosulfónico (TSAF);
acoplamiento oxidativo (OC);
opcionalmente, aislamiento y purificación del intermedio zwitteriónico (IAPOZI);
cierre de anillo (RC);
formación de sales de cloruro (LCR);
uno o más de:
tratamiento con sulfuro (ST);
tratamiento con dimetilditiocarbamato (DT);
tratamiento con carbonato (CT); y
tratamiento con ácido etilendiaminotetraacético (EDTAT);
extracción orgánica (OE);
recristalización (RX).
En algunas realizaciones, se realizan una o más etapas de tratamiento adicionales seleccionados entre ST, DT, CT y EDTAT, seguidas de OE.
Tratamiento con sulfuro (ST)
En esta etapa, una sal de 3,7-bis(amino disustituido)-1,9-(opcionalmente sustituido)-fenotiazin-5-io, 7, o una sal de cloruro de 3,7-bis(amino disustituido)-1,9-(opcionalmente sustituido)-fenotiazin-5-io, 8, se trata con un sulfuro.
En algunas realizaciones, la sal, 7, se trata con un sulfuro.
En algunas realizaciones, la sal de cloruro, 8, se trata con un sulfuro.
El sulfuro es o comprende S2-.
En algunas realizaciones, el sulfuro es un sulfuro de metal.
En algunas realizaciones, el sulfuro es un sulfuro de metal alcalino.
En algunas realizaciones, el sulfuro es o comprende Na2S.
En algunas realizaciones, el sulfuro es Na2S.
En algunas realizaciones, el sulfuro es un sulfuro de metal de transición.
En algunas realizaciones, el sulfuro es o comprende ZnS.
En algunas realizaciones, el sulfuro es ZnS.
En algunas realizaciones, la cantidad de sulfuro es de 0,01 a 0,20 equivalentes.
En algunas realizaciones, el intervalo es de 0,05 a 0,15 equivalentes.
En algunas realizaciones, el intervalo es de aproximadamente 0,1 equivalentes.
En algunas realizaciones, la concentración (inicial) de sal 7 u 8 es de 0,005 a 0,25 M.
En algunas realizaciones, el intervalo es de 0,02 a 0,30 M.
En algunas realizaciones, el intervalo es de 0,05 a 0,20 M.
En algunas realizaciones, la concentración (inicial) es de aproximadamente 0,10 M.
En algunas realizaciones, el tratamiento es un tratamiento con un sulfuro y un cloruro.
En algunas realizaciones, el cloruro es o comprende NaCl.
En algunas realizaciones, el cloruro es NaCl.
En algunas realizaciones, hay un exceso molar de cloruro.
En algunas realizaciones, la cantidad de cloruro es de 5 a 300 equivalentes.
En algunas realizaciones, la cantidad de cloruro es de 5 a 40 equivalentes.
En algunas realizaciones, la cantidad de cloruro es de 5 a 30 equivalentes.
En algunas realizaciones, el tratamiento se realiza a una temperatura de 2 a 20 °C.
En algunas realizaciones, el intervalo de temperatura es de 2 a 15 °C.
En algunas realizaciones, el intervalo de temperatura es de 5 a 15 °C.
En algunas realizaciones, la temperatura es de aproximadamente 10 °C (por ejemplo, 10 ± 2 °C).
En algunas realizaciones, el tratamiento se realiza en un medio acuoso.
En algunas realizaciones, el tratamiento se realiza en condiciones básicas.
En algunas realizaciones, el tratamiento se realiza a un pH de 9 a 12.
En algunas realizaciones, el tratamiento se realiza a un pH de 10 a 11.
En algunas realizaciones, el tratamiento se realiza a un pH de aproximadamente 10,5.
En algunas realizaciones, el tratamiento se realiza de manera que el pH de la mezcla de reacción alcance al menos 9 a 12.
En algunas realizaciones, el tratamiento se realiza de manera que el pH de la mezcla de reacción alcance al menos 10 a 11.
En algunas realizaciones, el tratamiento se realiza de manera que el pH de la mezcla de reacción alcance al menos aproximadamente 10,5.
En algunas realizaciones, el tratamiento se realiza a una temperatura de aproximadamente 10 °C (por ejemplo, 10 ± 2 °C) y a un pH de aproximadamente 10,5, o se realiza de manera que el pH de la mezcla de reacción alcance al menos aproximadamente 10,5.
En algunas realizaciones, la mezcla de reacción se agita durante la etapa de reacción.
Por ejemplo, en algunas realizaciones, el producto de MTC en bruto se disuelve completamente en agua a una concentración de aproximadamente 0,1 M a una temperatura de aproximadamente 65 °C. La solución se enfría. La solución enfriada se filtra opcionalmente. La solución se trata con aproximadamente 0,1 equivalentes de sulfuro de sodio acuoso o una cantidad suficiente para conseguir un pH de aproximadamente 10,5 (por ejemplo, 10,5 ± 0,5). La mezcla resultante se agita (por ejemplo, durante aproximadamente 10 minutos), se filtra y el filtrado se recoge. En
algunas realizaciones, se añade un gran exceso de cloruro de sodio (por ejemplo, aproximadamente 23 equivalentes) al filtrado con agitación y se recoge el precipitado resultante. Como alternativa, en otra realización, el pH de la solución fría (por ejemplo, a aproximadamente 20 °C) se ajusta a aproximadamente pH 1 usando HCl y se recoge el precipitado resultante.
En algunas realizaciones, después del tratamiento con sulfuro (por ejemplo, y antes del tratamiento con cloruro), el producto (por ejemplo, en solución) se lava adicionalmente con un disolvente orgánico.
En algunas realizaciones, el disolvente orgánico es seleccionado entre diclorometano, 1,2-dicloroetano, cloroformo, acetato de etilo, éter dietílico, clorobenceno, éter de petróleo (por ejemplo, 40:60), benceno, tolueno y acetato de metilo. En algunas realizaciones, el disolvente orgánico es diclorometano.
En algunas realizaciones, por ejemplo, después del lavado con un disolvente orgánico, el pH de la solución del producto lavado se ajusta a aproximadamente 4,5, a aproximadamente 5,5 o aproximadamente 5,0. En algunas realizaciones, la solución (por ejemplo, adicionalmente) se calienta/enfría a aproximadamente 20 °C y después es sometido a recristalización en ácido frío (por ejemplo, se ajusta el pH a aproximadamente 1 usando HCl y se recoge el precipitado resultante). En una realización alternativa, la solución se calienta (por ejemplo, adicionalmente) a aproximadamente 65 °C y es sometido a precipitación en caliente.
Por ejemplo, en algunas realizaciones, el producto de MTC en bruto se disuelve completamente en agua a una concentración de aproximadamente 0,06 M a una temperatura de aproximadamente 60 °C. La solución se enfría. La solución enfriada se filtra opcionalmente. La solución se trata con aproximadamente 0,07 equivalentes de sulfuro de sodio acuoso. La mezcla resultante se agita (por ejemplo, durante aproximadamente 15 minutos), se filtra y el filtrado se recoge. El filtrado se lava con diclorometano (por ejemplo, varias veces). En algunas realizaciones, el filtrado lavado se calienta a aproximadamente 60 °C y se añade un gran exceso de cloruro de sodio (por ejemplo, aproximadamente 260 equivalentes) al filtrado (caliente) con agitación. La solución caliente se deja enfriar muy lentamente y se recoge el precipitado (altamente cristalino) (por ejemplo, "precipitación en caliente"). Como alternativa, en otra realización, el pH del filtrado lavado (por ejemplo, aproximadamente 20 °C) se ajusta a aproximadamente pH 1 usando HCl y se recoge el precipitado resultante.
Tratamiento con dimetilditiocarbamato (DT)
En esta etapa, una sal de 3,7-bis(amino disustituido)-1,9-(opcionalmente sustituido)-fenotiazin-5-io, 7, o una sal de cloruro de 3,7-bis(amino disustituido)-1,9-(opcionalmente sustituido)-fenotiazin-5-io, 8, se trata con un dimetilditiocarbamato.
En algunas realizaciones, la sal, 7, se trata con un dimetilditiocarbamato.
En algunas realizaciones, la sal de cloruro, 8, se trata con un dimetilditiocarbamato.
El dimetilditiocarbamato es o comprende (CH3)2NCS2".
En algunas realizaciones, el dimetilditiocarbamato es o comprende (CH3)2NCS2Na.
En algunas realizaciones, el dimetilditiocarbamato es (CH3)2NCS2Na.
En algunas realizaciones, la cantidad de dimetilditiocarbamato es de 0,01 a 0,20 equivalentes.
En algunas realizaciones, el intervalo es de 0,05 a 0,15 equivalentes.
En algunas realizaciones, el intervalo es de aproximadamente 0,1 equivalentes.
En algunas realizaciones, la concentración (inicial) de sal 7 u 8 es de 0,005 a 0,25 M.
En algunas realizaciones, el intervalo es de 0,02 a 0,30 M.
En algunas realizaciones, el intervalo es de 0,05 a 0,20 M.
En algunas realizaciones, la concentración (inicial) es de aproximadamente 0,10 M.
En algunas realizaciones, el tratamiento es un tratamiento con un dimetilditiocarbamato y un cloruro.
En algunas realizaciones, el cloruro es o comprende NaCl.
En algunas realizaciones, el cloruro es NaCl.
En algunas realizaciones, hay un exceso molar de cloruro.
En algunas realizaciones, la cantidad de cloruro aproximadamente 20 equivalentes. En algunas realizaciones, el tratamiento se realiza en un medio acuoso.
En algunas realizaciones, la mezcla de reacción se agita durante la etapa de reacción.
Por ejemplo, en algunas realizaciones, el producto de MTC en bruto se disuelve completamente en agua a una concentración de aproximadamente 1 M a una temperatura de aproximadamente 65 °C. La solución se enfría. La solución enfriada se filtra opcionalmente. La solución se trata con aproximadamente 0,1 equivalentes de ácido dimetilditiocarbámico acuoso, sal de sodio. La mezcla resultante se agita (por ejemplo, durante aproximadamente 10 minutos), se filtra y el filtrado se recoge. Se añade un gran exceso de cloruro de sodio (por ejemplo, aproximadamente 23 equivalentes) al filtrado con agitación y se recoge el precipitado resultante.
En algunas realizaciones, después del tratamiento con dimetilditiocarbamato (por ejemplo, y antes del tratamiento con cloruro), el producto (por ejemplo, en solución) se lava adicionalmente con un disolvente orgánico, tal como se ha descrito anteriormente para el tratamiento con sulfuro.
En algunas realizaciones, por ejemplo, después del lavado con un disolvente orgánico, el pH de la solución del producto lavado se ajusta a aproximadamente 4,5, a aproximadamente 5,5 o a aproximadamente 5,0, como se ha descrito anteriormente para el tratamiento con sulfuro.
Tratamiento con carbonato (CT)
En esta etapa, una sal de 3,7-bis(amino disustituido)-1,9-(opcionalmente sustituido)-fenotiazin-5-io, 7, o una sal de cloruro de 3,7-bis(amino disustituido)-1,9-(opcionalmente sustituido)-fenotiazin-5-io, 8, se trata con un carbonato. En algunas realizaciones, la sal, 7, se trata con un carbonato.
En algunas realizaciones, la sal de cloruro, 8, se trata con un carbonato.
El carbonato es o comprende CO32"
En algunas realizaciones, el carbonato es o comprende carbonato de metal alcalino.
En algunas realizaciones, el carbonato es o comprende carbonato de sodio.
En algunas realizaciones, el carbonato es carbonato de sodio.
En algunas realizaciones, la cantidad de carbonato de sodio es de 0,01 a 0,20 equivalentes.
En algunas realizaciones, el intervalo es de 0,05 a 0,15 equivalentes.
En algunas realizaciones, la cantidad es de aproximadamente 0,1 equivalentes.
En algunas realizaciones, la concentración (inicial) de sal 7 u 8 es de 0,005 a 0,25 M.
En algunas realizaciones, el intervalo es de 0,02 a 0,30 M.
En algunas realizaciones, el intervalo es de 0,05 a 0,20 M.
En algunas realizaciones, la concentración (inicial) es de aproximadamente 0,10 M.
En algunas realizaciones, el tratamiento es un tratamiento con un carbonato y un cloruro.
En algunas realizaciones, el cloruro es o comprende NaCl.
En algunas realizaciones, el cloruro es NaCl.
En algunas realizaciones, hay un exceso molar de cloruro.
En algunas realizaciones, la cantidad de cloruro es de 5 a 40 equivalentes.
En algunas realizaciones, la cantidad de cloruro es de 5 a 30 equivalentes.
En algunas realizaciones, la cantidad de cloruro es de aproximadamente 20 equivalentes.
En algunas realizaciones, el tratamiento se realiza en un medio acuoso.
En algunas realizaciones, la mezcla de reacción se agita durante la etapa de reacción.
Por ejemplo, en algunas realizaciones, el producto de MTC en bruto se disuelve completamente en agua a una concentración de aproximadamente 0,1 M a una temperatura de aproximadamente 65 °C. La solución se enfría. La solución enfriada se filtra opcionalmente. La solución se trata con aproximadamente 0,1 equivalentes de carbonato de sodio acuoso. La mezcla resultante se agita (por ejemplo, durante aproximadamente 10 minutos), se filtra y el filtrado se recoge. Se añade un gran exceso de cloruro de sodio (por ejemplo, aproximadamente 23 equivalentes) al filtrado con agitación y se recoge el precipitado resultante.
En algunas realizaciones, después del tratamiento con carbonato (por ejemplo, y antes del tratamiento con cloruro), el producto (por ejemplo, en solución) se lava adicionalmente con un disolvente orgánico, como se ha descrito anteriormente para el tratamiento con sulfuro.
En algunas realizaciones, por ejemplo, después del lavado con un disolvente orgánico, el pH de la solución del producto lavado se ajusta a aproximadamente 4,5, a aproximadamente 5,5 o aproximadamente 5,0, como se ha descrito anteriormente para el tratamiento con sulfuro.
Tratamiento con ácido etilendiaminotetraacético (EDTAT)
En esta etapa, una sal de 3,7-bis(amino disustituido)-1,9-(opcionalmente sustituido)-fenotiazin-5-io, 7, o una sal de cloruro de 3,7-bis(amino disustituido)-1,9-(opcionalmente sustituido)-fenotiazin-5-io, 8, se trata con ácido etilendiaminotetraacético (EDTA) o una sal de EDTA.
En algunas realizaciones, la sal, 7, se trata con EDTA o una sal de EDTA.
En algunas realizaciones, la sal de cloruro, 8, se trata con EDTA o una sal de EDTA.
En algunas realizaciones, la sal de EDTA es o comprende sal de metal alcalino de EDTA.
En algunas realizaciones, la sal de EDTA es o comprende sal disódica de EDTA.
En algunas realizaciones, la sal de EDTA es sal disódica de EDTA.
En algunas realizaciones, la cantidad de EDTA es de 0,01 a 0,20 equivalentes.
En algunas realizaciones, el intervalo es de 0,05 a 0,15 equivalentes.
En algunas realizaciones, la cantidad es de aproximadamente 0,1 equivalentes.
En algunas realizaciones, la concentración (inicial) de sal 7 u 8 es de 0,005 a 0,25 M.
En algunas realizaciones, el intervalo es de 0,02 a 0,30 M.
En algunas realizaciones, el intervalo es de 0,05 a 0,20 M.
En algunas realizaciones, la concentración (inicial) es de aproximadamente 0,10 M.
En algunas realizaciones, el tratamiento es un tratamiento con EDTA o una sal de EDTA y un cloruro. En algunas realizaciones, el cloruro es o comprende NaCl.
En algunas realizaciones, el cloruro es NaCl.
En algunas realizaciones, hay un exceso molar de cloruro.
En algunas realizaciones, la cantidad de cloruro es de 5 a 40 equivalentes.
En algunas realizaciones, la cantidad de cloruro es de 5 a 30 equivalentes.
En algunas realizaciones, la cantidad de cloruro es de aproximadamente 10 equivalentes.
En algunas realizaciones, el tratamiento se realiza en un medio acuoso.
En algunas realizaciones, la mezcla de reacción se agita durante la etapa de reacción.
Por ejemplo, en algunas realizaciones, el producto de MTC en bruto se disuelve completamente en agua a una concentración de aproximadamente 0,1 M a una temperatura de aproximadamente 65 °C. La solución se enfría a temperatura ambiente y después la solución se trata con aproximadamente 0,1 equivalentes de sal disódica de EDTA acuoso. La mezcla resultante se agita (por ejemplo, durante aproximadamente 1 hora), se filtra y el filtrado se recoge. Se añade un gran exceso de cloruro de sodio (por ejemplo, aproximadamente 10 equivalentes) al filtrado con agitación y se recoge el precipitado resultante.
En algunas realizaciones, después del tratamiento con EDTA (por ejemplo, y antes del tratamiento con cloruro), el producto (por ejemplo, en solución) se lava adicionalmente con un disolvente orgánico, como se ha descrito anteriormente para el tratamiento con sulfuro.
En algunas realizaciones, por ejemplo, después del lavado con un disolvente orgánico, el pH de la solución del producto lavado se ajusta a aproximadamente 4,5, a aproximadamente 5,5 o aproximadamente 5,0, como se ha descrito anteriormente para el tratamiento con sulfuro.
Extracción orgánica (OE)
En esta etapa, una sal de 3,7-bis(amino disustituido)-1,9-(opcionalmente sustituida)-fenotiazin-5-io, 7, o una sal de cloruro de 3,7-bis(amino disustituido)-1,9-(opcionalmente sustituido)-fenotiazin-5-io, 8, en solución o suspensión acuosa, se trata con (por ejemplo, se lava con) un disolvente orgánico.
En algunas realizaciones, la sal, 7, en solución o suspensión acuosa, se trata con (por ejemplo, se lava con) un disolvente orgánico.
En algunas realizaciones, la sal de cloruro, 8, en solución o suspensión acuosa, se trata con (por ejemplo, se lava con) un disolvente orgánico.
En algunas realizaciones, el disolvente orgánico es diclorometano (CH2Ch, DCM).
El DCM es un producto químico de "clase 2", con una exposición diaria permitida (PDE, por sus siglas en inglés) de 6 mg/día.
En algunas realizaciones, la relación de volumen de la solución acuosa o la suspensión de sal, 7 u 8, con respecto al disolvente orgánico (por ejemplo, DCM) es de 0,1 a 10.
En algunas realizaciones, la relación es de 0,5 a 5.
En algunas realizaciones, la proporción es 0,5 a 2.
En algunas realizaciones, el tratamiento (por ejemplo, el lavado) se realiza de manera iterativa usando una pluralidad de alícuotas del disolvente orgánico (por ejemplo, DCM).
Por ejemplo, en algunas realizaciones, se lavan 250 ml de solución acuosa de la sal, 7 u 8, con 50 ml de DCM, cinco veces, para un volumen total de 250 ml de DCM y una relación de volumen de 1.
En algunas realizaciones la solución o suspensión acuosa de sal, 7 u 8, tiene un pH de 8 a 12. En algunas realizaciones, el intervalo de pH es de 9 a 12.
En algunas realizaciones, el intervalo de pH es de 9 a 11.
En algunas realizaciones, el intervalo de pH es de aproximadamente 10,8.
En algunas realizaciones, el tratamiento (por ejemplo, el lavado) se realiza a una temperatura de 2 a 20 °C.
En algunas realizaciones, el intervalo de temperatura es de 2 a 15 °C.
En algunas realizaciones, la temperatura es de aproximadamente 10 °C.
El tratamiento (por ejemplo, el lavado) puede realizarse, por ejemplo, usando un recipiente de reacción equipado con un agitador mecánico superior fijado a un eje con una paleta, así como una llave de descarga en el fondo del matraz.
La solución acuosa o la suspensión de sal, 7 u 8, se coloca en el recipiente y se añade una parte alícuota de disolvente orgánico (por ejemplo, DCM) y la mezcla heterogénea se agita durante un período adecuado. Se permite que las capas se separen y la capa inferior (disolvente orgánico) se desechag a través de la llave de descarga. Se añade otra alícuota de disolvente orgánico (por ejemplo, DCM) y el proceso se repite, por ejemplo, varias veces. La extracción orgánica (OE) es particularmente eficaz para reducir en gran medida los niveles de impureza orgánica del producto sólido (por ejemplo, cristalino) que se obtiene en última instancia.
En algunas realizaciones, en primer lugar se realizan una o más etapas de tratamiento seleccionadas entre ST, DT, CT y EDTAT, seguidas de extracción orgánica (OE).
Recristalización (RX)
En esta etapa, una sal de 3,7-bis(amino disustituido)-1,9-(opcionalmente sustituido)-fenotiazin-5-io, 7, o una sal de cloruro de 3,7-bis(amino disustituido)-1,9-(opcionalmente sustituido)-fenotiazin-5-io, 8, se recristaliza.
En algunas realizaciones, la sal, 7, se recristaliza.
En algunas realizaciones, la sal de cloruro, 8, se recristaliza.
La etapa de recristalización mejora adicionalmente la pureza y también proporciona un producto con un tamaño de partícula adecuado, por ejemplo, un tamaño de partícula adecuado para su uso en la formulación farmacéutica posterior.
Para evitar dudas, obsérvese que "cristalización" y "recristalización" se usan indistintamente en el presente documento para significar la formación de un precipitado sólido (por ejemplo, cristales) en una solución o suspensión, y que "re" en el término "recristalización" no requiere que el producto recién cristalizado haya estado anteriormente en forma sólida o cristalina.
En algunas realizaciones, después de la recristalización, el producto cristalino se filtra y después se lava sobre el filtro con una solución de lavado.
En algunas realizaciones, la solución de lavado es un ácido acuoso diluido.
En algunas realizaciones, la solución de lavado es agua fría, acidificada.
En algunas realizaciones, la solución de lavado está a un pH de aproximadamente 1.
En algunas realizaciones, la solución de lavado está a una temperatura de aproximadamente 5 °C.
En algunas realizaciones, el lavado se realiza con aproximadamente 1 a aproximadamente 5 volúmenes (de 1 vol. a 5 vol.) de la solución de lavado.
En algunas realizaciones, el lavado con ácido se realiza con aproximadamente 4 volúmenes (4 vol.) de solución de ceniza.
En algunas realizaciones, el lavado con ácido se realiza con 4 vol., 2 veces, de la solución de lavado.
Recristalización ácida en frío (RX-CAR):
En algunas realizaciones, la recristalización es la recristalización en agua (por ejemplo, en una solución acuosa o suspensión acuosa) a una temperatura relativamente fría ajustando el pH a un pH relativamente bajo (por ejemplo, "cristalización ácida en frío").
En algunas realizaciones, la temperatura relativamente fría es de 2 a 40 °C.
En algunas realizaciones, la temperatura relativamente fría es de 2 a 30 °C.
En algunas realizaciones, la temperatura relativamente fría es de 5 a 30 °C.
En algunas realizaciones, la temperatura relativamente fría es de 10 a 30 °C.
En algunas realizaciones, la temperatura relativamente fría es de 15 a 30 °C.
En algunas realizaciones, la temperatura relativamente fría es de 20 a 30 °C.
En algunas realizaciones, la temperatura relativamente fría es de aproximadamente 25 °C.
En algunas realizaciones, el pH relativamente bajo es de -1 a 3.
En algunas realizaciones, el pH relativamente bajo es de 0 a 3.
En algunas realizaciones, el pH relativamente bajo es de 0 a 2.
En algunas realizaciones, el pH relativamente bajo es de aproximadamente 1.
En algunas realizaciones, el pH se ajusta al pH relativamente bajo lentamente.
En algunas realizaciones, el pH se ajusta durante un período de 5 a 120 minutos.
En algunas realizaciones, el pH se ajusta durante período de aproximadamente 10 minutos. La recristalización ácida en frío (RX-CAR) es particularmente eficaz para reducir en gran medida el contenido de metal del producto sólido resultante (por ejemplo, cristalino).
Precipitación en caliente (RX-HSO):
En algunas realizaciones, la recristalización es recristalización en agua (por ejemplo, en una solución acuosa o suspensión acuosa) a una temperatura elevada inicial, en presencia de un cloruro, tal como el cloruro de sodio (por ejemplo, "precipitación en caliente").
En algunas realizaciones, la concentración (inicial) de sal 7 u 8 es de 0,002 a 0,05 M.
En algunas realizaciones, el intervalo es de 0,005 a 0,04 M.
En algunas realizaciones, el intervalo es de 0,01 a 0,04 M.
En algunas realizaciones, la concentración (inicial) es de aproximadamente 0,03 M.
En algunas realizaciones, la temperatura elevada inicial es de 30 a 90 °C.
En algunas realizaciones, el intervalo es de 40 a 80 °C.
En algunas realizaciones, el intervalo es de 50 a 80 °C.
En algunas realizaciones, la temperatura elevada inicial es de aproximadamente 65 °C.
En algunas realizaciones, la concentración (inicial) de cloruro de (sodio) es de 0,1 a 3,0 M.
En algunas realizaciones, el intervalo es de 0,5 a 2,5 M.
En algunas realizaciones, el intervalo es de 1,0 a 2,2 M.
En algunas realizaciones, la concentración (inicial) es de aproximadamente 2,0 M.
En algunas realizaciones, hay un gran exceso molar de cloruro de sodio.
En algunas realizaciones, la relación molar de cloruro de (sodio) con respecto a la sal, 7 u 8, es de 5 a 100.
En algunas realizaciones, la relación molar es de 20 a 80.
En algunas realizaciones, la relación molar es de 50 a 80.
En algunas realizaciones, la relación molar es de aproximadamente 65.
En algunas realizaciones, la recristalización incluye el secado posterior del precipitado recristalizado (altamente
cristalino), por ejemplo, en un horno a una temperatura adecuada (por ejemplo, de 50 a 120 °C) durante un tiempo adecuado (por ejemplo, de 1 a 24 horas).
Por ejemplo, en algunas realizaciones, el producto de MTC en bruto o el producto de MTC en bruto tratado se disuelve en H2O a una concentración de aproximadamente 0,03 M y aproximadamente a 65 °C. Opcionalmente, la solución se filtra. Se añade cloruro de sodio. La mezcla se deja enfriar, por ejemplo, a aproximadamente la temperatura ambiente, lentamente, por ejemplo, durante 1 a 10 horas. El precipitado resultante (altamente cristalino) se recoge y, opcionalmente, se seca, por ejemplo, en un horno (por ejemplo, a aproximadamente 75 °C) durante un tiempo adecuado (por ejemplo, aproximadamente 16 horas).
Titulación (RX-TRIT):
En algunas realizaciones, la recristalización es recristalización en agua (por ejemplo, en una solución acuosa o suspensión acuosa) a una temperatura elevada inicial, en presencia de tetrahidrofurano (THF) (por ejemplo, titulación).
En algunas realizaciones, la concentración (inicial) de sal 7 u 8 es de 0,002 a 0,20 M.
En algunas realizaciones, el intervalo es de 0,01 a 0,20 M.
En algunas realizaciones, el intervalo es de 0,05 a 0,15 M.
En algunas realizaciones, la concentración (inicial) es de aproximadamente 0,13 M.
En algunas realizaciones, la temperatura elevada inicial es de 30 a 90 °C.
En algunas realizaciones, el intervalo es de 40 a 80 °C.
En algunas realizaciones, el intervalo es de 50 a 80 °C.
En algunas realizaciones, la temperatura elevada inicial es de aproximadamente 65 °C.
En algunas realizaciones, la proporción de agua con respecto a THF es de 20:1 a 2:1, en volumen.
En algunas realizaciones, el intervalo es de 10:1 a 2:1.
En algunas realizaciones, el intervalo es de 7:1 a 3:1.
En algunas realizaciones, la relación es de aproximadamente 5:1.
En algunas realizaciones, la recristalización incluye el secado posterior del precipitado recristalizado (altamente cristalino), por ejemplo, en un horno a una temperatura adecuada (por ejemplo, de 50 a 120 °C) durante un tiempo adecuado (por ejemplo, de 1 a 24 horas).
Por ejemplo, en algunas realizaciones, el producto de MTC en bruto o el producto de MTC en bruto tratado se disuelve en agua a una concentración de aproximadamente 0,13 M y a aproximadamente 65 °C. Opcionalmente, la solución se filtra. La mezcla se deja enfriar lentamente y se añade THF cuando la temperatura alcanza aproximadamente 25 °C, en una relación de volumen de agua:THF de aproximadamente 5:1. La mezcla se deja enfriar nuevamente, por ejemplo, a aproximadamente 5 °C, lentamente, por ejemplo, durante de 1 a 10 horas. El precipitado resultante (altamente cristalino) se recoge y, opcionalmente, se seca, por ejemplo, en un horno (por ejemplo, a aproximadamente 100 °C) durante un tiempo adecuado (por ejemplo, aproximadamente 2 horas).
Composiciones
Un compuesto de diaminofenotiazinio que se obtiene mediante un método como se describe en el presente documento puede proporcionarse en una composición.
La composición puede comprender adicionalmente un vehículo, diluyente o excipiente farmacéuticamente aceptable. Métodos de inactivación de patógenos
Un compuesto de diaminofenotiazinio, que se obtiene mediante un método como se describe en el presente documento, puede usarse en un método de inactivación de un patógeno en una muestra (por ejemplo, una muestra de sangre o plasma), comprendiendo el método introducir el compuesto en la muestra y exponer la muestra a la luz.
Métodos de tratamiento médico
Un compuesto de diaminofenotiazinio, que se obtiene mediante un método como se describe en el presente documento, puede ser para su uso en un método de tratamiento (por ejemplo, de una patología) del cuerpo humano o animal mediante terapia.
Patologías
Un compuesto de diaminofenotiazinio puede ser para su uso en el tratamiento de una patología que puede ser una taupatía.
Una "taupatía" es una afección en la que la proteína tau (y la función aberrante o el procesamiento de la misma) desempeña un papel. La enfermedad de Alzheimer es un ejemplo de una taupatía. La patogenia de los trastornos neurodegenerativos, tales como la enfermedad de Pick y la parálisis supranuclear progresiva (PSP) parece correlacionarse con una acumulación de agregados de tau truncados patológicos en el giro dentado y las células piramidales estrelladas del neocórtex, respectivamente. Otras demencias incluyen la demencia fronto-temporal (DFT); la demencia fronto-temporal con parkinsonismo vinculada al cromosoma 17 (DFTP-17); complejo de desinhibición-demencia-parkinsonismo-amiotrofia (CDDPA); degeneración palido-ponto-nigral (DPPN); síndrome de Guam-ALS; degeneración palido-nigro-luisiana (DPNL); degeneración cortico-basal (CDB) y otros (véase, por ejemplo, Wischik et al., 2000, especialmente la Tabla 5.1 en el mismo). Cada una de estas enfermedades, que se caracteriza principalmente o parcialmente por una agregación tau anormal, se denomina en el presente documento una "taupatía".
La patología puede ser la enfermedad de Alzheimer (EA).
La patología puede ser el cáncer de piel.
La patología puede ser el melanoma.
La patología puede ser vírica, bacteriana o protozoaria.
La patología protozoaria puede ser la malaria. El tratamiento puede ser en combinación con otro agente antimicrobiano, por ejemplo, en combinación con cloroquina o atovacuona.
La patología vírica puede estar provocada por la hepatitis C, el VIH o el virus del Nilo Occidental.
Tratamiento
El término "tratamiento", como se usa en el presente documento en el contexto del tratamiento de una afección, se refiere generalmente al tratamiento y la terapia, ya sea de un ser humano o de un animal (por ejemplo, en aplicaciones veterinarias), en el que se consigue algún efecto terapéutico deseado, por ejemplo, la inhibición del progreso de la afección, e incluye una reducción en la tasa de progreso, un alto en la tasa de progreso, una regresión de la afección, una mejoría de la afección y una curación de la afección. También se incluye el tratamiento como medida profiláctica (es decir, profilaxis, prevención).
La expresión "cantidad terapéuticamente eficaz", como se usa en el presente documento, se refiere a esa cantidad de un compuesto activo o un material, composición o forma de dosificación que comprende un compuesto activo, que es eficaz para producir algún efecto terapéutico deseado, proporcionado con una relación beneficio/riesgo razonable, cuando se administra de acuerdo con una pauta de tratamiento deseado.
El término "tratamiento" incluye tratamientos combinados y terapias, en las que se combinan dos o más tratamientos o terapias, por ejemplo, secuencial o simultáneamente.
Los ejemplos de tratamientos y terapias incluyen, pero no se limitan a, quimioterapia (la administración de agentes activos, incluyendo, por ejemplo, fármacos, anticuerpos (por ejemplo, como en inmunoterapia), profármacos (por ejemplo, como en terapia fotodinámica, GDEPT, ADEPT, etc. cirugía, radioterapia y terapia génica.
Vías de administración
El compuesto de diaminofenotiazinio, obtenido por un método descrito en el presente documento, o la composición farmacéutica que lo comprende, puede administrarse a un sujeto/paciente mediante cualquier vía de administración conveniente, ya sea por vía sistémica/por vía periférica o por vía tópica (es decir, en el sitio de acción deseado). Las vías de administración incluyen, pero no se limitan a, la oral (por ejemplo, mediante ingestión); bucal; sublingual; transdérmica (incluyendo, por ejemplo, mediante un parche, apósito, etc.); transmucosa (incluyendo, por ejemplo, mediante un parche, apósito, etc.); intranasal (por ejemplo, mediante pulverización nasal); ocular (por ejemplo, mediante colirios); pulmonar (por ejemplo, mediante inhalación o terapia de insuflación usando, por ejemplo, un
aerosol, por ejemplo, a través de la boca o la nariz); rectal (por ejemplo, mediante supositorio o enema); vaginal (por ejemplo, mediante pesario); parenteral, por ejemplo, mediante inyección, incluyendo subcutánea, intradérmica, intramuscular, intravenosa, intraarterial, intracardíaca, intratecal, intraespinal, intracapsular, subcapsular, intraorbital, intraperitoneal, intratraqueal, subcuticular, intraarticular, subaracnoidea e intraesternal en el cerebro); mediante implante de un depósito o reservorio, por ejemplo, por vía subcutánea o intramuscular.
El sujeto/paciente
El sujeto/paciente puede ser un animal, un mamífero, un mamífero placentario, un marsupial (por ejemplo, canguro, uombat), un monotrema (por ejemplo, ornitorrinco), un roedor (por ejemplo, una cobaya, un hámster, una rata, un ratón), un múrido (por ejemplo, un ratón), un lagomorfo (por ejemplo, un conejo), un ave (por ejemplo, un pájaro), un cánido (por ejemplo, un perro), un félido (por ejemplo, un gato), un équido (por ejemplo, un caballo), un porcino (por ejemplo, un cerdo), un óvido (por ejemplo, una oveja), un bóvido (por ejemplo, una vaca), un primate, simio (por ejemplo, un mono o simio), un mono (por ejemplo, tití, babuino), un simio (por ejemplo, gorila, chimpancé, orangután, gibón) o un ser humano.
Además, el sujeto/paciente puede ser cualquiera de sus formas de desarrollo, por ejemplo, un feto.
El sujeto/paciente puede ser un ser humano.
Formulaciones
Si bien es posible que el compuesto de diaminofenotiazinio se use (por ejemplo, se administre) solo, con frecuencia es preferible presentarlo como una composición o formulación.
La composición puede ser una composición farmacéutica (por ejemplo, formulación, preparación, medicamento) que comprende un compuesto de diaminofenotiazinio, como se describe en el presente documento y un vehículo, diluyente o excipiente farmacéuticamente aceptable.
La composición puede ser una composición farmacéutica que comprende al menos un compuesto de diaminofenotiazinio, como se describe en el presente documento, junto con uno o más ingredientes farmacéuticamente aceptables bien conocidos por los expertos en la materia, incluyendo, pero no limitada a, vehículos farmacéuticamente aceptables, diluyentes, excipientes, adyuvantes, cargas, tampones, conservantes, antioxidantes, lubricantes, estabilizantes, solubilizantes, tensioactivos (por ejemplo, agentes humectantes), agentes enmascaradores, agentes colorantes, agentes aromatizantes y agentes edulcorantes.
La composición puede comprender adicionalmente otros agentes activos, por ejemplo, otros agentes terapéuticos o profilácticos.
Pueden encontrarse vehículos, diluyentes, excipientes, etc. adecuados en textos farmacéuticos convencionales. Véase, por ejemplo, el Handbook of Pharmaceutical Additives, 2a edición (editores M. Ash e I. Ash), 2001 (Synapse Information Resources, Inc., Endicott, Nueva York, EE.UU.), Remington's Pharmaceutical Sciences, 20a edición, Publicación. Lippincott, Williams & Wilkins, 2000; y el Handbook of Pharmaceutical Excipientes, segunda edición, 1994.
Los métodos de fabricación de una composición farmacéutica pueden comprender mezclar al menos un compuesto fenotiazínico [11C]-radiomarcado o de tipo fenotiazínico, como se define en el presente documento, junto con uno o más ingredientes farmacéuticamente aceptables bien conocidos por los expertos en la materia, por ejemplo, vehículos, diluyentes, excipientes, etc. Si se formulan como unidades individuales (por ejemplo, comprimidos, etc.), cada unidad contiene una cantidad predeterminada (dosis) de compuesto activo.
La expresión "farmacéuticamente aceptable", como se usa en el presente documento, se refiere a compuestos, ingredientes, materiales, composiciones, formas de dosificación, etc., que son, dentro del alcance del criterio médico, adecuados para su uso en contacto con los tejidos del sujeto en cuestión (por ejemplo, un ser humano) sin toxicidad excesiva, irritación, respuesta alérgica u otro problema o complicación, en proporción con una relación razonable de riesgo/beneficio. Cada vehículo, diluyente, excipiente, etc. también debe ser "aceptable" en el sentido de ser compatible con los otros ingredientes de la formulación.
Las formulaciones pueden prepararse mediante cualquier método bien conocido en la técnica de la farmacia. Dichos métodos incluyen la etapa de asociar el compuesto activo a un vehículo que constituye uno o más ingredientes accesorios. En general, las formulaciones se preparan asociando de manera uniforme e íntima el compuesto activo a los vehículos (por ejemplo, vehículos líquidos, vehículos sólidos finamente divididos, etc.) y después moldeando el producto, si es necesario.
La formulación puede prepararse para proporcionar una liberación rápida o lenta; una liberación inmediata, retardada, temporalizada o sostenida; o una combinación de las mismas.
Las formulaciones adecuadas para la administración parenteral (por ejemplo, mediante inyección), incluyen líquidos estériles acuosos o no acuosos, isotónicos, apirógenos (por ejemplo, soluciones, suspensiones), en donde el principio activo se disuelve, se suspende o se proporciona de otro modo (por ejemplo, en un liposoma u otro material microparticulado). Dichos líquidos pueden contener otros ingredientes farmacéuticamente aceptables, tales como antioxidantes, tampones, conservantes, estabilizantes, bacteriostáticos, agentes de suspensión, agentes espesantes y solutos que hacen que la formulación sea isotónica con la sangre (u otro fluido corporal relevante) del recipiente. Los ejemplos de excipientes incluyen, por ejemplo, agua, alcoholes, polioles, glicerol, aceites vegetales y similares. Los ejemplos de vehículos isotónicos adecuados para su uso en dichas formulaciones incluyen la inyección de cloruro de sodio, la solución de Ringer o la inyección de Ringer lactato. Normalmente, la concentración del principio activo en el líquido es de aproximadamente 1 ng/ml a aproximadamente 10mg/ml, por ejemplo, de aproximadamente 10 ng/ml a aproximadamente 1 mg/ml. Las formulaciones pueden presentarse en recipientes sellados de dosis unitarias o de dosis múltiples, por ejemplo, ampollas y viales, y pueden almacenarse en un estado secado por congelación (liofilizado) que requiera solo la adición del vehículo líquido estéril, por ejemplo, agua para inyecciones, inmediatamente antes de su uso. Las soluciones y suspensiones para inyección extemporáneas pueden prepararse a partir de polvos, gránulos y comprimidos estériles.
Ejemplos de formulaciones preferidas
Una unidad de dosificación (por ejemplo, un comprimido o cápsula farmacéutica) puede comprender de 20 a 300 mg de un compuesto de diaminofenotiazinio como se describe en el presente documento (por ejemplo, obtenido mediante un método como el descrito en el presente documento; etc.) y un vehículo, diluyente o excipiente farmacéuticamente aceptable.
La unidad de dosificación puede ser un comprimido.
La unidad de dosificación puede ser una cápsula.
La cantidad puede ser de 30 a 200 mg.
La cantidad puede ser de aproximadamente 30 mg.
La cantidad puede ser de aproximadamente 60 mg.
La cantidad puede ser de aproximadamente 100 mg.
La cantidad puede ser de aproximadamente 150 mg.
La cantidad puede ser de aproximadamente 200 mg.
El vehículo, diluyente o excipiente farmacéuticamente aceptable puede ser o puede comprender uno o ambos de entre un glicérido (por ejemplo, Gelucire 44/14 ®; glicéridos de lauroíl macrogol-32 PhEur, USP) y dióxido de silicio coloidal (por ejemplo, Aerosil 200 ® al 2 %; dióxido de silicio coloidal, PhEur, USP).
Dosificación
Un experto en la materia apreciará que las dosificaciones adecuadas del compuesto de diaminofenotiazinio y las composiciones que comprenden el compuesto de diaminofenotiazinio, pueden variar de un paciente a otro. La determinación de la dosis óptima generalmente implicará el equilibrio del nivel de beneficio terapéutico contra cualquier riesgo o efecto secundario perjudicial. El nivel de dosificación seleccionado dependerá de diversos factores incluyendo, pero no limitados a, la actividad del compuesto particular, la vía de administración, el tiempo de administración, la tasa de excreción del compuesto, la duración del tratamiento, otros fármacos, compuestos y/o materiales utilizados en combinación, la gravedad de la afección y la especie, el sexo, la edad, el peso, la afección, la salud general y el historial médico previo del paciente. La cantidad de compuesto y la vía de administración serán en última instancia a criterio del médico, veterinario o clínico, aunque generalmente la dosis es seleccionadorá para conseguir concentraciones locales en el sitio de acción que consigan el efecto deseado sin provocar efectos secundarios sustanciales o perjudiciales.
La administración puede efectuarse en una dosis, de forma continua o intermitente (por ejemplo, en dosis divididas a intervalos adecuados) a lo largo del tratamiento. Los métodos de determinación de los medios más eficaces y la dosis de administración son bien conocidos por los expertos en la materia y variarán con la formulación utilizada para la terapia, el propósito de la terapia, la célula o células diana que se están tratando y el sujeto que se está tratando. Las administraciones únicas o múltiples pueden realizarse con el nivel de dosis y el patrón seleccionado por el especialista, veterinario o clínico.
En general, una dosis adecuada del compuesto activo está en el intervalo de aproximadamente 100 ng a
aproximadamente 25 mg (más normalmente de aproximadamente 1 |jg a aproximadamente 10 mg) por kilogramo de peso corporal del sujeto por día. Cuando el compuesto activo es una sal, un éster, una amida, un profármaco o similar, la cantidad administrada se calcula sobre la base del compuesto original y, por tanto, el peso real que se usa aumenta proporcionalmente.
El compuesto activo (por ejemplo, MTC) se puede administrar a un paciente humano de acuerdo con la siguiente pauta de dosificación: aproximadamente 100 mg, 3 veces al día.
El compuesto activo (por ejemplo, MTC) se puede administrar a un paciente humano de acuerdo con la siguiente pauta de dosificación: aproximadamente 150 mg, 2 veces al día.
El compuesto activo (por ejemplo, MTC) se puede administrar a un paciente humano de acuerdo con la siguiente pauta de dosificación: aproximadamente 200 mg, 2 veces al día.
Ejemplos
Los siguientes son ejemplos que se proporcionan únicamente para ilustrar la presente invención y no pretenden limitar el alcance de la invención, como se describe en el presente documento.
Ejemplo 1
Este es un método de 3 recipientes, tal como se muestra en el Esquema 1, a continuación.
La Tabla 1 esboza las cantidades de reactivos y disolventes utilizados para producir MTC en una escala de 10g (es decir, a partir de 10 g de dimetilanilina).
Tabla 1 cantidades de reactivo utilizadas en cada eta a de síntesis
Síntesis de N,N-dimetil-p-fenilendiamina (compuesto 3, etapas uno y dos)
Aun matraz de fondo redondo de 1 litro de 3 bocas equipado con un embudo de adición y termómetro, y mantenido en un baño de hielo, se le añadieron agua (100 ml) y dimetilanilina (PM 121,18, 10,00 g, 82,52°mmol). La mezcla se agitó hasta que la temperatura fue de 5 °C (± 2 °C) y se añadió ácido clorhídrico concentrado (32%, 24,00 ml, 2,4 vol.) durante un período de 5 minutos. Una vez que la temperatura volvió a 5 °C (± 2 °C) y la dimetilanilina se disolvió completamente, se añadió una solución de nitrito de sodio (PM 69,00, 6,30 g, 91,30°mmol) en agua (50 ml, 5,0 vol.) al embudo de adición. La solución incolora se añadió gota a gota durante un período de 25 minutos, lo que llevó a que la mezcla de reacción se volviera turbia y de color naranja. Una vez completada la adición, la mezcla se agitó durante 1 hora a 5 °C (± 2 °C). Al final de este período, comenzó la etapa 2. Se añadió ácido clorhídrico concentrado (32%, 24,0 ml, 2,4 vol.) a la mezcla en una porción. La adición de hierro en porciones (PM 63,50, 12,10 g, 190,55°mmol) comenzó después en un período de 25 minutos. Durante la adición, se observó espuma burbujeante sobre la superficie de la mezcla y la temperatura subió a 10 °C. Una vez finalizada la adición de hierro, la mezcla se en agitación y se mantuvo a una temperatura de 10-12 °C durante 2 horas. Normalmente, la reacción se dejó agitando durante la noche y se obtuvo una solución de color marrón rojizo oscuro.
Síntesis del ácido tiosulfónico de N,N-dimetil-p-fenilendiamina (compuesto 4, etapa tres)
La reacción continuó en el mismo recipiente que el descrito anteriormente, sin filtración de los residuos de hierro. El matraz de fondo redondo se mantuvo en un baño de hielo para bajar la temperatura a 5 °C (± 2 °C). Se añadió hexadecahidrato de sulfato de aluminio (PM 630,39, 7,80 g, 12,38°mmol) en forma de un sólido seco y la mezcla se
dejó agitar durante 5 minutos para permitir que se produjera la disolución. Después se añadió una solución de pentahidrato de tiosulfato de sodio (PM 248,10, 22,52 g, 90,77°mmol) en agua (25,0 ml, 2,5 vol.), en una porción y la mezcla se agitó durante otros 5 minutos. Después se añadió una solución de dihidrato de dicromato de sodio (PM 298,00, 10,08 g, 33,83°mmol) en agua (40,0 ml, 4,0 vol.) al embudo de adición y la solución se añadió gota a gota a la mezcla de reacción durante un período de 25 minutos. Durante este proceso, la temperatura de la mezcla aumentó ligeramente (generalmente a 9 °C). Una vez finalizado el proceso de adición, la mezcla de reacción se agitó durante 1 hora. Al final de este período, la siguiente etapa se realizó directamente en el mismo matraz.
Síntesis del ácido tiosulfónico de verde de Bindschedler (compuesto 5, etapa cuatro)
Se preparó una solución de dimetilanilina (PM 121,18, 10,00 g, 82,52°mmol), agua (10,0 ml, 1,0 vol.) y ácido sulfúrico mediante la adición en porciones de ácido sulfúrico a una mezcla enfriada con hielo de dimetilanilina y agua. La temperatura se controló durante toda la adición, de modo que no se permitió que subiera por encima de 15 °C. Al añadir la porción final de ácido, la solución se dejó enfriar a 5 °C (± 2 °C). La solución se añadió después a la mezcla de reacción en una porción y se añadió una solución de dihidrato de dicromato de sodio (PM 298,00, 27,05 g, 90,77°mmol) en agua (70,0 ml, 7,0 vol.) al embudo de adición. La adición gota a gota de la solución de dicromato se realizó durante un período de 25 minutos y el proceso de adición se acompañó de un brillo de la superficie de color púrpura y una coloración verde que apareció en la mezcla de reacción a granel. La mezcla se dejó en agitación a 5 °C (± 2 °C) durante 2 horas. Al final de este período, se añadió al matraz agente de filtro de celulosa SCAR-O-FLOC (10,0 g) y la mezcla se agitó hasta que se formó una suspensión suave. La suspensión se filtró después y el resto se lavó con agua (100,0 ml, 10,0 vol.). El resto se usó directamente en la siguiente etapa sin tratamiento adicional.
Síntesis del cloruro de metiltioninio (compuesto 6, etapa cinco)
El residuo verde obtenido se volvió a suspender en ácido clorhídrico 0,01 M (250,0 ml, 25,0 vol.) y se devolvió a un matraz de fondo redondo de 1 litro equipado con un termómetro, condensador y tapón. Se añadió pentahidrato de sulfato de cobre (PM 249,69, 2,06 g, 8,25°mmol) a la suspensión en el matraz y la mezcla de color verde oscuro se calentó a 85 °C durante 1 hora. Al final de este período, la mezcla se había vuelto de color azul oscuro, lo que indicaba que se había formado azul de metileno.
Aislamiento de cloruro de metiltioninio (compuesto 6, etapa seis) mediante "precipitación por adición de sal" La mezcla de reacción se filtró en caliente (a la temperatura de reacción, 85 °C) produciendo un filtrado de color azul oscuro y un residuo de color azul oscuro. El residuo se lavó después con agua caliente (~60 °C, 100,0 ml, 4 veces, 10,0 vol., 4 veces) y los filtrados combinados se añadieron a un vaso de precipitados.
Se añadió cloruro de sodio (PM 58,44, 100,00 g, 1,71 mol) a los filtrados combinados en un vaso de precipitados y la mezcla se colocó en una placa caliente, pero se apagó y se dejó agitar durante un mínimo de tres horas, pero normalmente durante la noche, para permitir que el MTC cristalizara.
Después, el producto se aisló por filtración proporcionando un sólido de color verde oscuro/azul/oro, que se secó en un horno de vacío a 50 °C durante 16 horas.
Se obtuvo MTC con un rendimiento del 55 % (52 %). [El rendimiento entre paréntesis representa la pureza del reactivo y/o del producto].
Ejemplo 2
El proceso del Ejemplo 1 se aumentó a escala para usar 20 g de dimetilanilina. Al final de la síntesis (usando un proceso de "precipitación por adición de sal" de cloruro de sodio) se obtuvo MTC con un rendimiento del 63 % (56 %). [El rendimiento entre paréntesis representa la reactividad y/o la pureza del producto].
Ejemplo 3
Se usó el proceso del Ejemplo 1, excepto porque el aislamiento de MTC (etapa final) se consiguió mediante el siguiente proceso.
La mezcla de reacción se filtró en caliente (a la temperatura de reacción, 85 °C) produciendo un filtrado de color azul oscuro y un residuo de color azul oscuro. El residuo se lavó después con agua caliente (~60 °C, 100,0 ml, 4 veces, 10 vol., 4 veces) y los filtrados combinados se añadieron a un vaso de precipitados.
El pH de los filtrados combinados se ajustaría a pH = 1 usando ácido clorhídrico concentrado y la mezcla se dejó en agitación a temperatura ambiente durante un mínimo de tres horas, pero normalmente durante la noche, para permitir que el MTC cristalizara.
El producto se aisló después por filtración proporcionando un sólido de color verde oscuro/azul/oro, que se secó en un horno de vacío a 50 °C durante 16 horas.
El MTC se obtuvo con un rendimiento del 44 % (39 %).
Ejemplo 4
El proceso del Ejemplo 3 se aumentó a escala para usar 20 g de dimetilanilina, con la excepción de que se utilizó un volumen de la suspensión de 25,0 vol. en la etapa cinco. Al final de la síntesis (usando un proceso de "precipitación por adición de sal" con ácido clorhídrico) se obtuvo un MTC con un rendimiento del 56 % (50 %).
Ejemplo 5a
Este es un método de 2 recipientes, como se muestra en el Esquema 2a, a continuación:
La Tabla 2a resume las cantidades de reactivos y disolventes utilizados para producir MTC en una escala de 10 g (es decir, a partir de 10 g de dimetilanilina) usando el método del Ejemplo 5a.
Tabla 2a: Cantidades de reactivos
continuación
A un matraz de fondo redondo (MFR) se le añadieron A/^-dimetilanilina (C6HsN(CH3)2, PM 121,2, 10 g, 0,0825 mol), agua (150°cm3) y HCl (32%, 24°cm3). La mezcla se enfrió a ~5 °C. A esta mezcla se le añadió gota a gota una solución acuosa de nitrito de sodio (NaNO2, PM 69,0, 6,3 g, 00,0913 mol) en agua (100°cm3) durante un período de 25 minutos. La suspensión resultante se agitó a baja temperatura (5-10 °C) durante 1 hora. La mezcla se enfrió a aproximadamente 5 °C. Se añadió HCl (32 %, 24°cm3) en una alícuota. Se añadieron limaduras de hierro (Fe, PM 55,85, 12,1 g, 0,217 mol) en porciones de una alícuota. La mezcla se agitó durante 2 horas a una temperatura inferior a 30 °C.
La mezcla se enfrió a aproximadamente 5 °C. La mezcla se trató con hexadecahidrato de sulfato de aluminio (Al2(SO4)3.16H2O, PM 630,42, 26 g, 0,412 mol). La mezcla se trató con una solución de pentahidrato de tiosulfato de sodio (Na2S2O3^5H2O, PM 248,2, 22,5 g, 0,0907 mol) en agua (25°cm3). Se añadió gota a gota una solución de dihidrato de dicromato de sodio (Na2Cr2Oz^2H2O, pM 298,0, 10,0 g, 0,0336°mmol) en agua (40°cm3) durante un período de 30 minutos. La solución se agitó después a baja temperatura (aproximadamente 5 °C) durante 1 hora. Después se añadió una solución homogénea de tyW-dimetilanilina (C6HsN(CH3)2, PM 121,2, 10 g, 0,0825 mol), agua (10 cm3) y H2SO4 (98 %, 8 g) a la solución enfriada. Después, se añadió gota a gota una solución de dihidrato de dicromato de sodio (Na2Cr2Oz^2H2O, PM 298,0, 26,0 g, 0,0872°mmol) en agua (70°cm3) durante un período de 30 minutos. La mezcla se agitó a aproximadamente 5 °C durante 2 horas.
Se añadió pentahidrato de sulfato de cobre (II) (CuSO4^5H2O, PM 249,7, 2,06 g, 8,25°mmol) a la mezcla de reacción. La temperatura aumentó a 85 °C. La mezcla se agitó a esta temperatura durante 1 hora. Se formó un color azul profundo. La mezcla se enfrió a temperatura ambiente. La mezcla se filtró. El residuo se lavó con agua (80°cm3, 2 veces). El filtrado se recogió. El filtrado se trató con ácido clorhídrico para obtener un pH de 1, lo que precipitó el cloruro de metiltioninio en bruto. La mezcla se agitó hasta que desapareció el color azul profundo. La mezcla se filtró para proporcionar cloruro de metiltioninio (MTC) en bruto en forma de un sólido (10,62 g, 40 % basado en el peso anhidro).
Este es un método de 2 recipientes, como se muestra en el Esquema 2b, a continuación:
Esquem a 2b: Proceso de MTC en dos reactores
La Tabla 2b esboza las cantidades de reactivos y disolventes utilizados para producir MTC en una escala de 10 g (es decir, a partir de 10g de dimetilanilina) usando el método del Ejemplo 5b.
T l 2 : n i r iv
Etapa i
1. Se añade WW-dimetilanilina (10,0 g, 0,0825 mol) al matraz de reacción.
2. Se añade una mezcla de ácido clorhídrico al 32 % (24°cm3) y agua (150°cm3) al matraz de reacción.
3. La solución se agita para garantizar la homogeneidad.
4. La mezcla de reacción se enfría a 5 °C (± 2 °C).
5. Se añade una solución de un nitrito de sodio acuoso [(6,3 g, 0,0913 mol) en agua (50°cm3) durante 30 minutos. Se observará una temperatura máxima de 10°C, durante la cual se obtiene una mezcla de reacción marrón con un precipitado de color naranja.
6. La reacción debe agitarse durante 60 minutos adicionales, mientras se mantiene una temperatura de 5 °C (±2 °C).
Etapa ii
7. Adición de ácido clorhídrico al 32 % (24°cm3)
8. Adición de limaduras de hierro (12,1 g, 0,217 mol) durante 60 minutos, garantizando que la temperatura permanezca por debajo de 35 °C.
9. La reacción se deja agitar durante aproximadamente 17 horas. (± 1 h), a aprox. 20 °C. Durante este tiempo, el precipitado de color naranja desaparecerá, se formará espuma de la mezcla de reacción y quedará un licor de reacción de color marrón homogéneo que contiene restos de limaduras de hierro residuales).
[Método de CCF: neutralizar una muestra de mezcla de reacción con NaHCO3 y extraer en acetato de etilo, manchar la capa de acetato de etilo y desarrollar la TLC con acetato de etilo, hexano 1:3. El nitroso se desarrolla con un Fr = -0,3 (mancha de color naranja) y la diamina en la línea basal (mancha de color marrón)].
Etapa iii
10. La mezcla de reacción se enfría a 5 °C (± 1 °C)
11. Adición de sulfato de aluminio sólido (26,0 g, 0,0423 mol).
12. La mezcla de reacción se agita durante 5 minutos.
13. Adición de solución de tiosulfato de sodio [(22,5 g, 0,0907 mol) en agua (25°cm3)] en una alícuota.
14. La mezcla de reacción se agita durante cinco minutos.
15. Adición de solución de dicromato de sodio [(10,0 g, 0,0336 mol) en agua (40°cm3) gota a gota durante 30 minutos. Se mantiene una temperatura no superior a 12 °C (± 1 °C). El precipitado de color marrón aparece durante esta etapa, con un ligero aclaramiento en el color de la mezcla de reacción de color marrón.
16. La reacción se agita durante 1 h a 5 °C (± 2 °C).
Etapa iv
17. Se prepara una solución de A/,W-dimetilanilina [(10,0 g, 0,0825 mol) en agua (10°cm3) y ácido sulfúrico (8 g)] mediante la adición de ácido sulfúrico gota a gota a una mezcla fría de A/,W-dimetilanilina y agua. Se debe tener precaución durante la adición de ácido ya que es extremadamente exotérmica.
18. La solución de W,A/-dimetilanilina [(10,0 g, 0,0825 mol) en agua (10°cm3) y ácido sulfúrico (8 g)] se añade después al matraz de reacción como una sola alícuota.
19. Adición de una solución de dicromato de sodio [(26,0 g, 0,0872 mol) en agua (70°cm3)] gota a gota durante 30 minutos, mientras se mantiene la temperatura por debajo de 12 °C.
20. La reacción se agita durante 2 h adicionales. 5 °C (± 2 °C).
21. Adición de 10 g de coadyuvante de filtración de celulosa (BW SCAR-O-FLOC).
Etapa v
22. Adición de sulfato de cobre (2,0 g, 8,03°mmol).
23. La reacción se calienta a 85 °C y se agita durante 1 h. La reacción se volverá de color púrpura metálico, después de color azul.
24. Los compuestos insolubles se recogen por filtración mientras todavía se encuentran a 85 °C.
25. La torta del filtro se lava con agua precalentada (60 °C) (100°cm3, 4 veces). Cada filtrado de un lavado se combina con el filtrado de reacción. [Un tiempo de reposo, de al menos 2 minutos, entre la adición del lavado en el filtro y el lavado a través de la torta del filtro, permite que la torta se empape por completo.]
26. El filtrado combinado se enfría a 20 °C.
27. El filtrado se ajusta a pH 1 usando ácido clorhídrico (32 %) (aprox. 12°cm3).
28. El filtrado se agita durante 18 horas adicionales para garantizar una cristalización completa.
29. El cloruro de metiltioninio cristalino se recoge por filtración al vacío.
30. La torta del filtro se lava con agua (20°cm3, 2 veces) preenfriada (5 °C); acidificada (pH 1).
31. Después, el cloruro de metiltioninio cristalino se seca en un horno a 40 °C durante 18 horas.
Rendimiento = 48 % (± 3 %) *
* (Rendimiento teniendo en cuenta las sales, las impurezas orgánicas y el contenido de agua)
Lo anterior ha descrito los principios, las realizaciones preferidas y los modos de operación de la presente invención. Sin embargo, la invención no debe interpretarse limitada a las realizaciones particulares analizadas. En su lugar, las realizaciones descritas anteriormente deben considerarse ilustrativas en lugar de restrictivas, y debe apreciarse que los expertos en la materia pueden realizar variaciones en esas realizaciones sin apartarse del alcance de la presente invención como se define en las reivindicaciones adjuntas.
Claims (7)
1. Un método para sintetizar una sal de 3,7-bis(amino disustituido)-1,9-(opcionalmente sustituido)-fenotiazin-5-io, 7, comprendiendo el método las etapas de, en orden:
nitrosilación (NOS), en la que una anilina W,W-disustituida-3-opcionalmente sustituida, 1, es 4-nitrosilada para dar
reducción de nitrosilo (NR), en la que una W,W-disustituida-3-opcionalmente sustituida-4-nitrosil anilina, 2, es reducida para formar dicho benceno W,W-disustituido-1,4-diamino-5-opcionalmente sustituido, 3:
formación de ácido tiosulfónico (TSAF), en la que un benceno W,A/-disustituido-1,4-diamino-5-opcionalmente sustituido, 3, es oxidado en presencia de un tiosulfato para proporcionar dicho S-{2-(amino)-3-(opcionalmente sustituido)-5-(amino disustituido)-fenil}-éster de ácido tiosulfúrico, 4:
en donde durante o antes de la formación del ácido tiosulfónico se añade un agente activador,
acoplamiento oxidativo (OC), en el que un S-{2-(amino)-3-(opcionalmente sustituido)-5-(amino disustituido)-fenil} éster del ácido tiosulfúrico, 4, es acoplado oxidativamente a una W,W-disustituida-3-opcionalmente sustituidaanilina, 5, usando un agente oxidante que es o que comprende Cr(VI), para proporcionar un amonio [4-{2-(tiosulfato)-4-(amino disustituido)-6-(opcionalmente sustituido)-fenil-imino}-3-(opcionalmente sustituido)-ciclohexa-2,5-dieniliden]-A/,W-disustituido, 6:
cierre de anillo (RC), en el que dicho amonio [4-{2-(tiosulfato)-4-(amino disustituido)-6-(opcionalmente sustituido)-fenil-imino}-3-(opcionalmente sustituido)-ciclohexa-2,5-dieniliden]-N,N-disustituido, 6 , es sometido a un cierre de anillo para proporcionar una sal de 3,7-bis(amino-disustituido)-1,9-(opcionalmente sustituido)-fenotiazin-5-io, 7:
en donde;
cada uno de R1 y R5 *9 es seleccionado independientemente entre: -H; alquilo C1-4; alquenilo C2-4; y alquilo C1.4 halogenado;
cada uno de R3NA y R3NB es seleccionado independientemente entre: alquilo C1-4; alquenilo C2-4; y alquilo C1.4 halogenado;
cada uno de R7NA y R7NB es seleccionado independientemente entre: alquilo C1-4; alquenilo C2-4; y alquilo C1-4 halogenado; y,
X' es un contraión haluro
con la condición de que el compuesto 7 no sea una sal mixta de ZnCh;
y en donde el agente activador es o comprende Al(lll) y en donde la relación molar de Al (AIII) al benceno N,N-disustituido-1,4-diamino-5-opcionalmente sustituido, 3, es de 0,05 a 1,0.
2. Un método de acuerdo con la reivindicación 1, en el que el agente activador es o comprende hexadecahidrato de sulfato de aluminio.
3. Un método de acuerdo con la reivindicación 1 o la reivindicación 2, en el que la etapa de reducción de nitrosilo (NR), la etapa de formación de ácido tiosulfónico (TSAF) y la etapa de acoplamiento oxidativo (OC) se completan todas en el mismo recipiente.
4. Un método de acuerdo con una cualquiera de las reivindicaciones 1 a 3, que comprende además,
después de dicha etapa de acoplamiento oxidativo (OC), y
después de dicha etapa de reducción de cromato (CR), si está presente, y
antes de dicha etapa de cierre de anillo (RC),
aislamiento y purificación del intermedio zwitteriónico (IAPOZI), en las que dicho amonio [4-{2-(tiosulfato)-4-(amino disustituido)-6-(opcionalmente sustituido)-fenil-imino}-3-(opcionalmente sustituido)-ciclohexa-2,5-dieniliden]-N,N-disustituido, 6 , es aislado y es purificado.
5. Un método de síntesis de acuerdo con una cualquiera de las reivindicaciones 1 a 4, que comprende además, después de dicha etapa de cierre del anillo (RC), la etapa adicional de:
formación de sal de cloruro (CSF), en la que dicha sal de 3,7-bis(amino disustituido)-1,9-(opcionalmente sustituido)-fenotiazin-5-io, 7, se hace reaccionar con cloruro, para proporcionar una sal de cloruro de 3,7-bis(amino disustituido)-1,9-(opcionalmente sustituido)-fenotiazin-5-io, 8:
6. Un método de acuerdo con una cualquiera de las reivindicaciones 1 a 5, en donde el método comprende al menos una filtración, y en el que se añade un agente de filtración al recipiente de reacción antes de dicha filtración.
7. Un método de acuerdo con la reivindicación 6, en el que el agente de filtración es o comprende celulosa.
Applications Claiming Priority (1)
| Application Number | Priority Date | Filing Date | Title |
|---|---|---|---|
| GBGB1317702.7A GB201317702D0 (en) | 2013-10-07 | 2013-10-07 | Methods of chemical synthesis of diaminophenothiazinium compounds including methylthioninium chloride (MTC) |
Publications (1)
| Publication Number | Publication Date |
|---|---|
| ES2903529T3 true ES2903529T3 (es) | 2022-04-04 |
Family
ID=49630291
Family Applications (2)
| Application Number | Title | Priority Date | Filing Date |
|---|---|---|---|
| ES18181405T Active ES2903529T3 (es) | 2013-10-07 | 2014-10-06 | Métodos de síntesis química de compuestos de diaminofenotiazinio, incluyendo cloruro de metiltioninio (MTC) |
| ES14789349T Active ES2713324T3 (es) | 2013-10-07 | 2014-10-06 | Métodos de síntesis química de compuestos de diaminofenotiazinio, incluyendo cloruro de metiltioninio (MTC) |
Family Applications After (1)
| Application Number | Title | Priority Date | Filing Date |
|---|---|---|---|
| ES14789349T Active ES2713324T3 (es) | 2013-10-07 | 2014-10-06 | Métodos de síntesis química de compuestos de diaminofenotiazinio, incluyendo cloruro de metiltioninio (MTC) |
Country Status (19)
| Country | Link |
|---|---|
| US (3) | US9765042B2 (es) |
| EP (3) | EP3415505B1 (es) |
| JP (1) | JP6505091B2 (es) |
| CN (3) | CN110092764B (es) |
| AU (3) | AU2014333610B2 (es) |
| CA (3) | CA3207522A1 (es) |
| DK (2) | DK3055291T3 (es) |
| ES (2) | ES2903529T3 (es) |
| GB (1) | GB201317702D0 (es) |
| HR (2) | HRP20190374T1 (es) |
| MX (3) | MX373105B (es) |
| MY (3) | MY200570A (es) |
| PL (2) | PL3415505T3 (es) |
| PT (2) | PT3415505T (es) |
| SG (3) | SG10201913293PA (es) |
| SI (2) | SI3055291T1 (es) |
| TR (1) | TR201902152T4 (es) |
| TW (2) | TWI626237B (es) |
| WO (1) | WO2015052496A1 (es) |
Families Citing this family (4)
| Publication number | Priority date | Publication date | Assignee | Title |
|---|---|---|---|---|
| CN105130926B (zh) * | 2015-07-31 | 2018-02-13 | 江苏恒润制药有限公司 | 一种亚甲基蓝的制备方法 |
| GB201621817D0 (en) * | 2016-12-21 | 2017-02-01 | Wista Lab Ltd | Methods of chemical synthesis |
| US12215234B2 (en) * | 2019-09-21 | 2025-02-04 | RK Pharma Solutions LLC | Process for the purification of methylene blue |
| CN114989113A (zh) * | 2022-06-01 | 2022-09-02 | 山东科源制药股份有限公司 | 一种药用亚甲基蓝的精制方法 |
Family Cites Families (17)
| Publication number | Priority date | Publication date | Assignee | Title |
|---|---|---|---|---|
| US204796A (en) | 1878-06-11 | Improvement in the production of dye-stuffs from methyl-aniline | ||
| DE1886C (de) | 1877-12-15 | 1877-12-15 | Basf Ag | Verfahren zur darstellung blauer farbstoffe aus dimethylanilin und anderen tertiaeren aromatischen monaminen |
| US4212971A (en) * | 1979-03-08 | 1980-07-15 | American Cyanamid Company | Process for preparing methylene blue |
| CH640146A5 (de) * | 1979-05-14 | 1983-12-30 | Meyer Maschinenfabrik Ag | Filtrationsverfahren. |
| US5344928A (en) | 1991-04-26 | 1994-09-06 | Takeda Chemical Industries, Ltd. | Phenothiazine derivatives, their production and use |
| GB9506197D0 (en) | 1995-03-27 | 1995-05-17 | Hoffmann La Roche | Inhibition of tau-tau association. |
| CA2278245A1 (en) | 1997-01-21 | 1998-07-23 | The American National Red Cross | Intracellular and extracellular decontamination of whole blood and blood components by amphiphilic phenothiazin-5-ium dyes plus light |
| FR2810318B1 (fr) | 2000-06-15 | 2005-09-23 | Laurent Galey | Derives de diamano-phenothiazine |
| GB0101049D0 (en) | 2001-01-15 | 2001-02-28 | Univ Aberdeen | Materials and methods relating to protein aggregation in neurodegenerative disease |
| GB2373787A (en) | 2001-03-08 | 2002-10-02 | Univ Central Lancashire | Phenothiazinium derivatives and their use to reduce pathogenic contaminants |
| CA2579169C (en) | 2004-09-23 | 2018-03-06 | Wista Laboratories Ltd. | Methods of chemical synthesis and purification of diaminophenothiazinium compounds including methylthioninium chloride (mtc) |
| US7790881B2 (en) * | 2004-09-23 | 2010-09-07 | Wista Laboratories Ltd. | Methods of chemical synthesis and purification of diaminophenothiazinium compounds including methylthioninium chloride (MTC) |
| JP5654748B2 (ja) * | 2006-03-29 | 2015-01-14 | ウイスタ・ラボラトリーズ・リミテッドWista Laboratories Ltd. | タンパク質凝集の阻害物質 |
| DK2853293T3 (en) * | 2006-03-29 | 2018-01-22 | Wista Lab Ltd | Thioninium compounds and their use |
| DK2057136T3 (da) * | 2006-07-11 | 2013-08-26 | Wista Lab Ltd | Fremgangsmåde til syntese og/eller oprensning af diaminophenothiazinium forbindelser |
| CN100436431C (zh) * | 2006-12-15 | 2008-11-26 | 贵州同济堂制药有限公司 | 药用亚甲蓝的合成方法 |
| PT2430007E (pt) | 2009-05-12 | 2014-04-14 | Wista Lab Ltd | Métodos de síntese química de compostos de diaminofenotiazínio que envolvem a utilização de oxidantes de persulfato |
-
2013
- 2013-10-07 GB GBGB1317702.7A patent/GB201317702D0/en not_active Ceased
-
2014
- 2014-10-06 SI SI201431094T patent/SI3055291T1/sl unknown
- 2014-10-06 PT PT181814054T patent/PT3415505T/pt unknown
- 2014-10-06 CA CA3207522A patent/CA3207522A1/en active Pending
- 2014-10-06 US US15/027,400 patent/US9765042B2/en active Active
- 2014-10-06 JP JP2016520050A patent/JP6505091B2/ja active Active
- 2014-10-06 SG SG10201913293PA patent/SG10201913293PA/en unknown
- 2014-10-06 SG SG10201907363Y patent/SG10201907363YA/en unknown
- 2014-10-06 MY MYPI2020004693A patent/MY200570A/en unknown
- 2014-10-06 CA CA3131803A patent/CA3131803C/en active Active
- 2014-10-06 TW TW103134782A patent/TWI626237B/zh active
- 2014-10-06 SG SG11201602650XA patent/SG11201602650XA/en unknown
- 2014-10-06 WO PCT/GB2014/053007 patent/WO2015052496A1/en not_active Ceased
- 2014-10-06 MX MX2019002620A patent/MX373105B/es active IP Right Grant
- 2014-10-06 AU AU2014333610A patent/AU2014333610B2/en active Active
- 2014-10-06 TW TW107113518A patent/TWI675829B/zh active
- 2014-10-06 HR HRP20190374TT patent/HRP20190374T1/hr unknown
- 2014-10-06 CN CN201910293813.7A patent/CN110092764B/zh active Active
- 2014-10-06 CN CN202310997777.9A patent/CN117209450A/zh active Pending
- 2014-10-06 SI SI201431945T patent/SI3415505T1/sl unknown
- 2014-10-06 CA CA2925801A patent/CA2925801C/en active Active
- 2014-10-06 TR TR2019/02152T patent/TR201902152T4/tr unknown
- 2014-10-06 PT PT14789349T patent/PT3055291T/pt unknown
- 2014-10-06 PL PL18181405T patent/PL3415505T3/pl unknown
- 2014-10-06 ES ES18181405T patent/ES2903529T3/es active Active
- 2014-10-06 ES ES14789349T patent/ES2713324T3/es active Active
- 2014-10-06 EP EP18181405.4A patent/EP3415505B1/en active Active
- 2014-10-06 MX MX2016004229A patent/MX363102B/es unknown
- 2014-10-06 EP EP14789349.9A patent/EP3055291B1/en active Active
- 2014-10-06 PL PL14789349T patent/PL3055291T3/pl unknown
- 2014-10-06 MX MX2020004348A patent/MX380797B/es unknown
- 2014-10-06 DK DK14789349.9T patent/DK3055291T3/en active
- 2014-10-06 DK DK18181405.4T patent/DK3415505T3/da active
- 2014-10-06 MY MYPI2020004692A patent/MY200569A/en unknown
- 2014-10-06 HR HRP20220102TT patent/HRP20220102T1/hr unknown
- 2014-10-06 MY MYPI2016701234A patent/MY177815A/en unknown
- 2014-10-06 EP EP21203620.6A patent/EP4032880A3/en active Pending
- 2014-10-06 CN CN201480054610.8A patent/CN105683171B/zh active Active
-
2017
- 2017-07-17 AU AU2017206141A patent/AU2017206141B2/en active Active
- 2017-08-10 US US15/674,229 patent/US10047062B2/en active Active
-
2018
- 2018-07-20 US US16/040,964 patent/US10421733B2/en active Active
-
2019
- 2019-05-17 AU AU2019203490A patent/AU2019203490B2/en active Active
Also Published As
Similar Documents
| Publication | Publication Date | Title |
|---|---|---|
| ES2409683T3 (es) | Procedimientos de síntesis química y purificación de compuestos de diaminofenotiazinio que incluyen cloruro de metiltioninio (CMT) | |
| CN101084204B (zh) | 包括亚甲蓝(mtc)在内的二氨基吩噻嗪鎓化合物的化学合成和纯化方法 | |
| ES2903529T3 (es) | Métodos de síntesis química de compuestos de diaminofenotiazinio, incluyendo cloruro de metiltioninio (MTC) | |
| HK40075811A (en) | Methods of chemical synthesis of diaminophenothiazinium compounds including methylthioninium chloride (mtc) | |
| BR122023024801B1 (pt) | Métodos para síntese química de compostos de diaminofenotiazínio incluindo cloreto de metiltionínio (mtc) | |
| BR112016007618B1 (pt) | Métodos de síntese química de compostos de diaminofenotiazínio incluindo cloreto de metiltionínio (mtc) | |
| HK1261429A1 (en) | Methods of chemical synthesis of diaminophenothiazinium compounds including methylthioninium chloride (mtc) | |
| HK1261429B (en) | Methods of chemical synthesis of diaminophenothiazinium compounds including methylthioninium chloride (mtc) | |
| HK1222175B (en) | Methods of chemical synthesis of diaminophenothiazinium compounds including methylthioninium chloride (mtc) |




































