DE10231370B4 - Thiophene glycoside derivatives, medicaments containing these compounds and methods of making these medicaments - Google Patents
Thiophene glycoside derivatives, medicaments containing these compounds and methods of making these medicaments Download PDFInfo
- Publication number
- DE10231370B4 DE10231370B4 DE10231370A DE10231370A DE10231370B4 DE 10231370 B4 DE10231370 B4 DE 10231370B4 DE 10231370 A DE10231370 A DE 10231370A DE 10231370 A DE10231370 A DE 10231370A DE 10231370 B4 DE10231370 B4 DE 10231370B4
- Authority
- DE
- Germany
- Prior art keywords
- alkyl
- phenyl
- compounds
- conh
- replaced
- Prior art date
- Legal status (The legal status is an assumption and is not a legal conclusion. Google has not performed a legal analysis and makes no representation as to the accuracy of the status listed.)
- Expired - Fee Related
Links
Classifications
-
- C—CHEMISTRY; METALLURGY
- C07—ORGANIC CHEMISTRY
- C07H—SUGARS; DERIVATIVES THEREOF; NUCLEOSIDES; NUCLEOTIDES; NUCLEIC ACIDS
- C07H17/00—Compounds containing heterocyclic radicals directly attached to hetero atoms of saccharide radicals
-
- A—HUMAN NECESSITIES
- A61—MEDICAL OR VETERINARY SCIENCE; HYGIENE
- A61K—PREPARATIONS FOR MEDICAL, DENTAL OR TOILETRY PURPOSES
- A61K45/00—Medicinal preparations containing active ingredients not provided for in groups A61K31/00 - A61K41/00
- A61K45/06—Mixtures of active ingredients without chemical characterisation, e.g. antiphlogistics and cardiaca
-
- A—HUMAN NECESSITIES
- A61—MEDICAL OR VETERINARY SCIENCE; HYGIENE
- A61K—PREPARATIONS FOR MEDICAL, DENTAL OR TOILETRY PURPOSES
- A61K31/00—Medicinal preparations containing organic active ingredients
- A61K31/70—Carbohydrates; Sugars; Derivatives thereof
- A61K31/7042—Compounds having saccharide radicals and heterocyclic rings
-
- A—HUMAN NECESSITIES
- A61—MEDICAL OR VETERINARY SCIENCE; HYGIENE
- A61P—SPECIFIC THERAPEUTIC ACTIVITY OF CHEMICAL COMPOUNDS OR MEDICINAL PREPARATIONS
- A61P11/00—Drugs for disorders of the respiratory system
- A61P11/06—Antiasthmatics
-
- A—HUMAN NECESSITIES
- A61—MEDICAL OR VETERINARY SCIENCE; HYGIENE
- A61P—SPECIFIC THERAPEUTIC ACTIVITY OF CHEMICAL COMPOUNDS OR MEDICINAL PREPARATIONS
- A61P13/00—Drugs for disorders of the urinary system
- A61P13/12—Drugs for disorders of the urinary system of the kidneys
-
- A—HUMAN NECESSITIES
- A61—MEDICAL OR VETERINARY SCIENCE; HYGIENE
- A61P—SPECIFIC THERAPEUTIC ACTIVITY OF CHEMICAL COMPOUNDS OR MEDICINAL PREPARATIONS
- A61P17/00—Drugs for dermatological disorders
- A61P17/06—Antipsoriatics
-
- A—HUMAN NECESSITIES
- A61—MEDICAL OR VETERINARY SCIENCE; HYGIENE
- A61P—SPECIFIC THERAPEUTIC ACTIVITY OF CHEMICAL COMPOUNDS OR MEDICINAL PREPARATIONS
- A61P19/00—Drugs for skeletal disorders
- A61P19/08—Drugs for skeletal disorders for bone diseases, e.g. rachitism, Paget's disease
- A61P19/10—Drugs for skeletal disorders for bone diseases, e.g. rachitism, Paget's disease for osteoporosis
-
- A—HUMAN NECESSITIES
- A61—MEDICAL OR VETERINARY SCIENCE; HYGIENE
- A61P—SPECIFIC THERAPEUTIC ACTIVITY OF CHEMICAL COMPOUNDS OR MEDICINAL PREPARATIONS
- A61P25/00—Drugs for disorders of the nervous system
-
- A—HUMAN NECESSITIES
- A61—MEDICAL OR VETERINARY SCIENCE; HYGIENE
- A61P—SPECIFIC THERAPEUTIC ACTIVITY OF CHEMICAL COMPOUNDS OR MEDICINAL PREPARATIONS
- A61P25/00—Drugs for disorders of the nervous system
- A61P25/18—Antipsychotics, i.e. neuroleptics; Drugs for mania or schizophrenia
-
- A—HUMAN NECESSITIES
- A61—MEDICAL OR VETERINARY SCIENCE; HYGIENE
- A61P—SPECIFIC THERAPEUTIC ACTIVITY OF CHEMICAL COMPOUNDS OR MEDICINAL PREPARATIONS
- A61P25/00—Drugs for disorders of the nervous system
- A61P25/28—Drugs for disorders of the nervous system for treating neurodegenerative disorders of the central nervous system, e.g. nootropic agents, cognition enhancers, drugs for treating Alzheimer's disease or other forms of dementia
-
- A—HUMAN NECESSITIES
- A61—MEDICAL OR VETERINARY SCIENCE; HYGIENE
- A61P—SPECIFIC THERAPEUTIC ACTIVITY OF CHEMICAL COMPOUNDS OR MEDICINAL PREPARATIONS
- A61P27/00—Drugs for disorders of the senses
- A61P27/02—Ophthalmic agents
-
- A—HUMAN NECESSITIES
- A61—MEDICAL OR VETERINARY SCIENCE; HYGIENE
- A61P—SPECIFIC THERAPEUTIC ACTIVITY OF CHEMICAL COMPOUNDS OR MEDICINAL PREPARATIONS
- A61P29/00—Non-central analgesic, antipyretic or antiinflammatory agents, e.g. antirheumatic agents; Non-steroidal antiinflammatory drugs [NSAID]
-
- A—HUMAN NECESSITIES
- A61—MEDICAL OR VETERINARY SCIENCE; HYGIENE
- A61P—SPECIFIC THERAPEUTIC ACTIVITY OF CHEMICAL COMPOUNDS OR MEDICINAL PREPARATIONS
- A61P3/00—Drugs for disorders of the metabolism
- A61P3/04—Anorexiants; Antiobesity agents
-
- A—HUMAN NECESSITIES
- A61—MEDICAL OR VETERINARY SCIENCE; HYGIENE
- A61P—SPECIFIC THERAPEUTIC ACTIVITY OF CHEMICAL COMPOUNDS OR MEDICINAL PREPARATIONS
- A61P3/00—Drugs for disorders of the metabolism
- A61P3/08—Drugs for disorders of the metabolism for glucose homeostasis
- A61P3/10—Drugs for disorders of the metabolism for glucose homeostasis for hyperglycaemia, e.g. antidiabetics
-
- A—HUMAN NECESSITIES
- A61—MEDICAL OR VETERINARY SCIENCE; HYGIENE
- A61P—SPECIFIC THERAPEUTIC ACTIVITY OF CHEMICAL COMPOUNDS OR MEDICINAL PREPARATIONS
- A61P31/00—Antiinfectives, i.e. antibiotics, antiseptics, chemotherapeutics
-
- A—HUMAN NECESSITIES
- A61—MEDICAL OR VETERINARY SCIENCE; HYGIENE
- A61P—SPECIFIC THERAPEUTIC ACTIVITY OF CHEMICAL COMPOUNDS OR MEDICINAL PREPARATIONS
- A61P31/00—Antiinfectives, i.e. antibiotics, antiseptics, chemotherapeutics
- A61P31/12—Antivirals
- A61P31/14—Antivirals for RNA viruses
- A61P31/18—Antivirals for RNA viruses for HIV
-
- A—HUMAN NECESSITIES
- A61—MEDICAL OR VETERINARY SCIENCE; HYGIENE
- A61P—SPECIFIC THERAPEUTIC ACTIVITY OF CHEMICAL COMPOUNDS OR MEDICINAL PREPARATIONS
- A61P35/00—Antineoplastic agents
-
- A—HUMAN NECESSITIES
- A61—MEDICAL OR VETERINARY SCIENCE; HYGIENE
- A61P—SPECIFIC THERAPEUTIC ACTIVITY OF CHEMICAL COMPOUNDS OR MEDICINAL PREPARATIONS
- A61P37/00—Drugs for immunological or allergic disorders
- A61P37/02—Immunomodulators
-
- A—HUMAN NECESSITIES
- A61—MEDICAL OR VETERINARY SCIENCE; HYGIENE
- A61P—SPECIFIC THERAPEUTIC ACTIVITY OF CHEMICAL COMPOUNDS OR MEDICINAL PREPARATIONS
- A61P7/00—Drugs for disorders of the blood or the extracellular fluid
-
- A—HUMAN NECESSITIES
- A61—MEDICAL OR VETERINARY SCIENCE; HYGIENE
- A61P—SPECIFIC THERAPEUTIC ACTIVITY OF CHEMICAL COMPOUNDS OR MEDICINAL PREPARATIONS
- A61P7/00—Drugs for disorders of the blood or the extracellular fluid
- A61P7/02—Antithrombotic agents; Anticoagulants; Platelet aggregation inhibitors
-
- A—HUMAN NECESSITIES
- A61—MEDICAL OR VETERINARY SCIENCE; HYGIENE
- A61P—SPECIFIC THERAPEUTIC ACTIVITY OF CHEMICAL COMPOUNDS OR MEDICINAL PREPARATIONS
- A61P9/00—Drugs for disorders of the cardiovascular system
- A61P9/08—Vasodilators for multiple indications
-
- A—HUMAN NECESSITIES
- A61—MEDICAL OR VETERINARY SCIENCE; HYGIENE
- A61P—SPECIFIC THERAPEUTIC ACTIVITY OF CHEMICAL COMPOUNDS OR MEDICINAL PREPARATIONS
- A61P9/00—Drugs for disorders of the cardiovascular system
- A61P9/10—Drugs for disorders of the cardiovascular system for treating ischaemic or atherosclerotic diseases, e.g. antianginal drugs, coronary vasodilators, drugs for myocardial infarction, retinopathy, cerebrovascula insufficiency, renal arteriosclerosis
Landscapes
- Health & Medical Sciences (AREA)
- Chemical & Material Sciences (AREA)
- Life Sciences & Earth Sciences (AREA)
- General Health & Medical Sciences (AREA)
- Organic Chemistry (AREA)
- Pharmacology & Pharmacy (AREA)
- Veterinary Medicine (AREA)
- Public Health (AREA)
- Animal Behavior & Ethology (AREA)
- Medicinal Chemistry (AREA)
- Engineering & Computer Science (AREA)
- Chemical Kinetics & Catalysis (AREA)
- General Chemical & Material Sciences (AREA)
- Nuclear Medicine, Radiotherapy & Molecular Imaging (AREA)
- Bioinformatics & Cheminformatics (AREA)
- Diabetes (AREA)
- Molecular Biology (AREA)
- Neurology (AREA)
- Hematology (AREA)
- Biomedical Technology (AREA)
- Neurosurgery (AREA)
- Epidemiology (AREA)
- Biotechnology (AREA)
- Rheumatology (AREA)
- Physical Education & Sports Medicine (AREA)
- Biochemistry (AREA)
- Genetics & Genomics (AREA)
- Virology (AREA)
- Pulmonology (AREA)
- Urology & Nephrology (AREA)
- Psychiatry (AREA)
- Communicable Diseases (AREA)
- Oncology (AREA)
- Cardiology (AREA)
- Heart & Thoracic Surgery (AREA)
- Immunology (AREA)
- Obesity (AREA)
- Orthopedic Medicine & Surgery (AREA)
- AIDS & HIV (AREA)
- Ophthalmology & Optometry (AREA)
Abstract
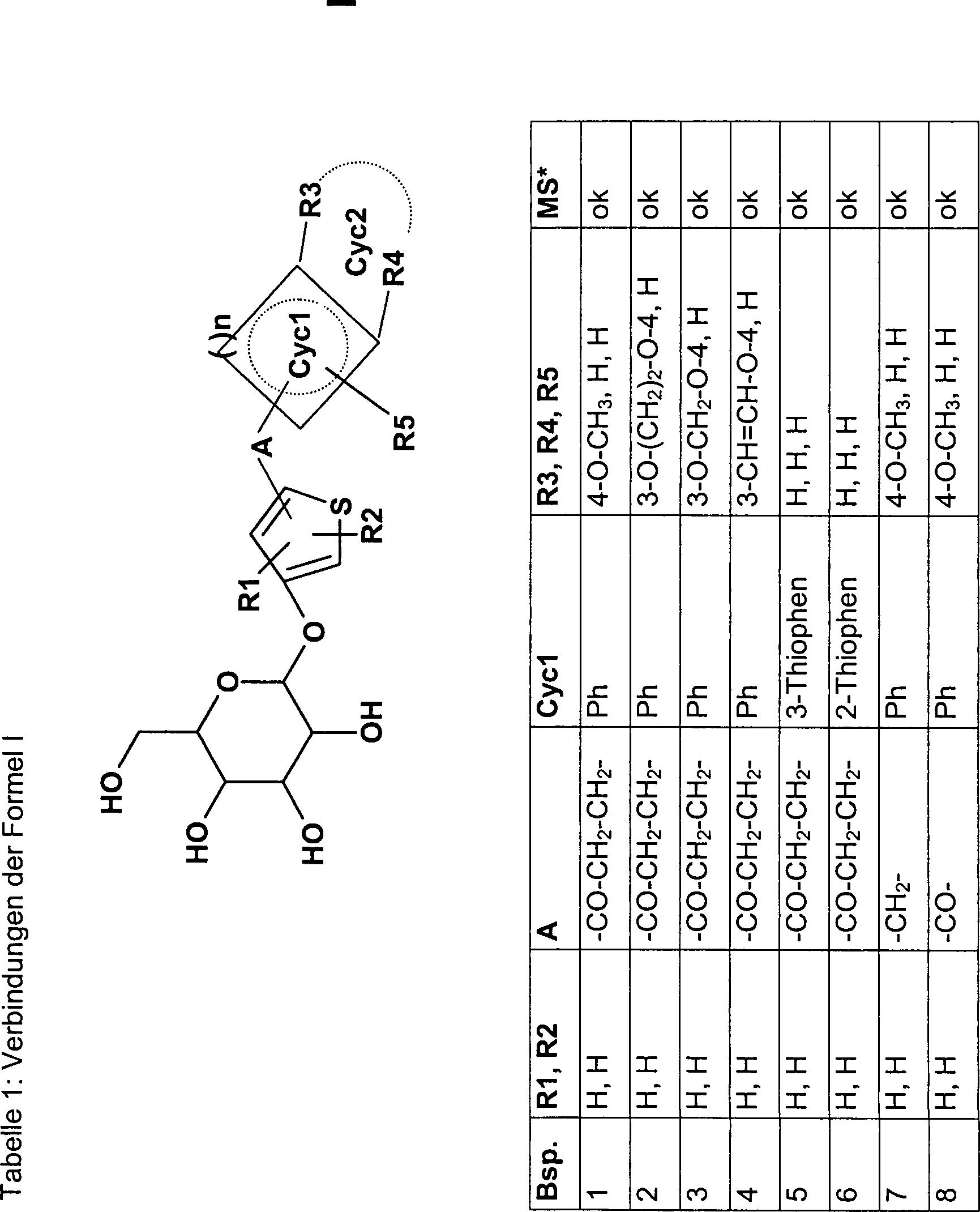
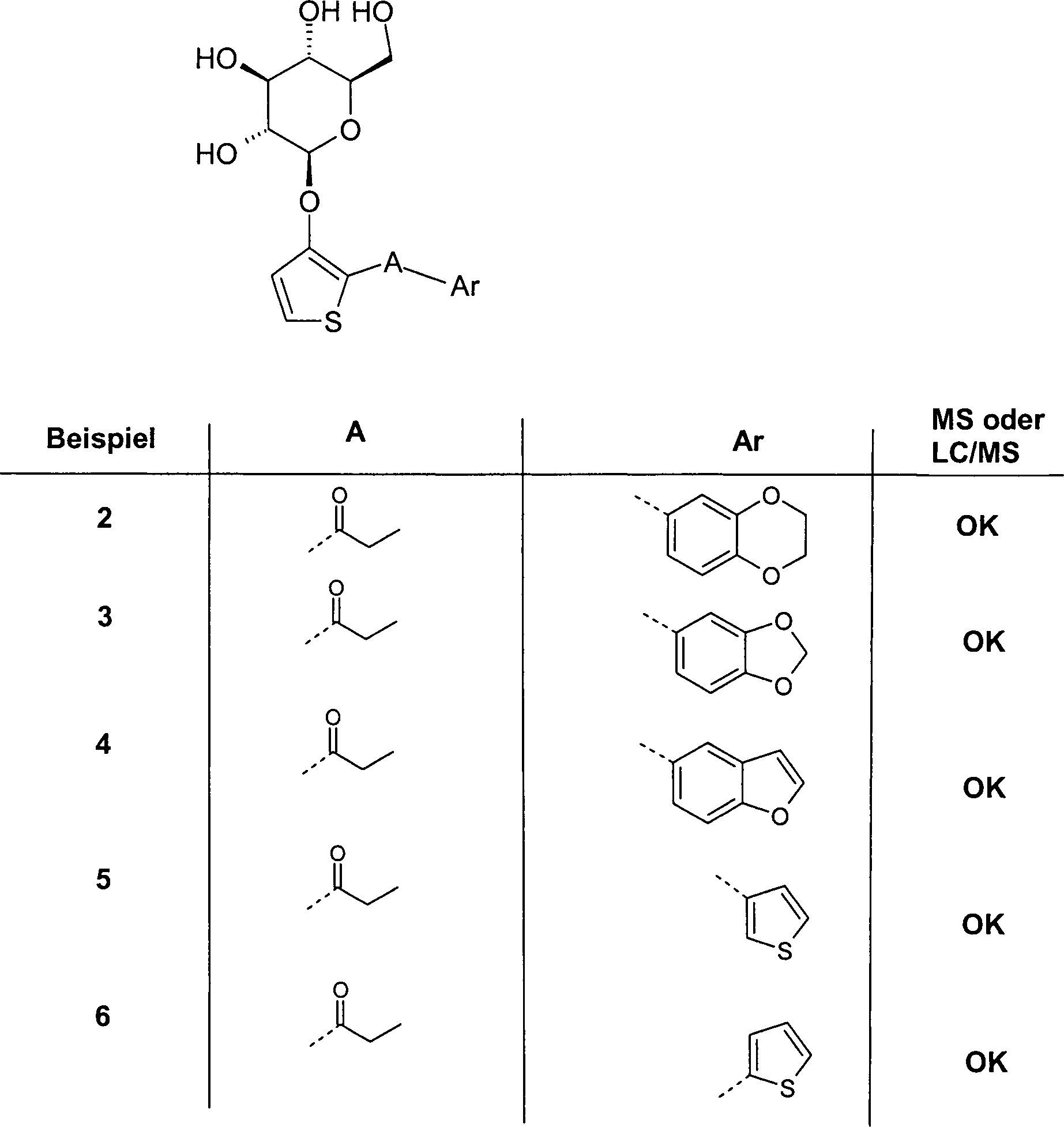
Verbindungen
der Formel I, worin bedeuten
R1, R2
Wasserstoff, F, Cl, Br, J, OH, CF3, NO2, CN, COOH, CO(C1-C6)-Alkyl, COO(C1-C6)-Alkyl, CONH2, CONH(C1-C6)-Alkyl, CON[(C1-C6)-Alkyl]2, (C1-C6)-Alkyl, (C2-C6)-Alkenyl, (C2-C6)-Alkinyl, (C1-C6)-Alkoxy, HO-(C1-C6)-Alkyl, (C1-C6)-Alkoxy-(C1-C6)-alkyl, Phenyl, Benzyl, (C1-C4)-Alkylcarbonyl,
wobei in den Alkylresten ein, mehrere, oder alle Wasserstoff(e)
durch Fluor ersetzt sein können;
SO2-NH2, SO2NH(C1-C6)-Alkyl,
SO2N[(C1-C6)-Alkyl]2, S-(C1-C6)-Alkyl, S-(CH2)o-Phenyl, SO-(C1-C6)-Alkyl, SO-(CH2)o-Phenyl, SO2-(C1-C6)-Alkyl, SO2-(CH2)o-Phenyl, wobei
o = 0–6
sein kann und der Phenylrest bis zu zweifach mit F, Cl, Br, OH,
CF3, NO2, CN, OCF3, O-(C1-C6)-Alkyl, (C1-C6)-Alkyl,
NH2 substituiert sein kann;
NH2, NH-(C1-C6)-Alkyl, N((C1-C6)-Alkyl)2, NH(C1-C7)-Acyl, Phenyl,
O-(CH2)o-Phenyl, wobei o = 0–6 sein kann, wobei der Phenylring
ein bis 3-fach substituiert sein kann mit F, Cl, Br, J, OH, CF3, NO2, CN, OCF3, O-(C1-C6)-Alkyl, (C1-C6)-Alkyl, NH2, NH(C1-C6)-Alkyl, N((C1-C6)-Alkyl)2, SO2-CH3, COOH, COO-(C1-C6)-Alkyl, CONH2;
A
(C0-C15)-Alkandiyl,
wobei ein oder mehrere C-Atome des Alkandiylrests unabhängig voneinander
durch -O-, -(C=O)-, -CH=CH-, -C≡C-,
-S-, -CH(OH)-, -CHF-, -CF2-, -(S=O)-, -(SO2)-, -N((C1-C6)-Alkyl)-,...Compounds of the formula I, in which mean
R 1 , R 2 is hydrogen, F, Cl, Br, J, OH, CF 3 , NO 2 , CN, COOH, CO (C 1 -C 6 ) -alkyl, COO (C 1 -C 6 ) -alkyl, CONH 2 , CONH (C 1 -C 6 ) -alkyl, CON [(C 1 -C 6 ) -alkyl] 2 , (C 1 -C 6 ) -alkyl, (C 2 -C 6 ) -alkenyl, (C 2 -C 6 ) alkynyl, (C 1 -C 6 ) alkoxy, HO- (C 1 -C 6 ) alkyl, (C 1 -C 6 ) alkoxy (C 1 -C 6 ) alkyl, phenyl, benzyl , (C 1 -C 4 ) -alkylcarbonyl, where in the alkyl radicals one, more, or all hydrogen (s) may be replaced by fluorine;
SO 2 -NH 2 , SO 2 NH (C 1 -C 6 ) -alkyl, SO 2 N [(C 1 -C 6 ) -alkyl] 2 , S- (C 1 -C 6 ) -alkyl, S- ( CH 2 ) o -phenyl, SO- (C 1 -C 6 ) -alkyl, SO- (CH 2 ) o -phenyl, SO 2 - (C 1 -C 6 ) -alkyl, SO 2 - (CH 2 ) o Phenyl, where o = 0-6 and the phenyl radical can be up to twice with F, Cl, Br, OH, CF 3 , NO 2 , CN, OCF 3 , O- (C 1 -C 6 ) -alkyl, ( C 1 -C 6 ) alkyl, NH 2 may be substituted;
NH 2 , NH- (C 1 -C 6 ) -alkyl, N ((C 1 -C 6 ) -alkyl) 2 , NH (C 1 -C 7 ) -acyl, phenyl, O- (CH 2 ) o - Phenyl, where o = 0-6, where the phenyl ring can be substituted one to three times by F, Cl, Br, J, OH, CF 3 , NO 2 , CN, OCF 3 , O- (C 1 - C 6 ) -alkyl, (C 1 -C 6 ) -alkyl, NH 2 , NH (C 1 -C 6 ) -alkyl, N ((C 1 -C 6 ) -alkyl) 2 , SO 2 -CH 3 , COOH, COO- (C 1 -C 6 ) -alkyl, CONH 2 ;
A (C 0 -C 15 ) -alkanediyl, where one or more carbon atoms of the alkanediyl radical are independently of one another denoted by -O-, - (C =O) -, -CH = CH-, -C≡C-, -S- , -CH (OH) -, -CHF-, -CF 2 -, - (S = O) -, - (SO 2 ) -, -N ((C 1 -C 6 ) -alkyl) -,
Description
Die Erfindung betrifft substituierte Thiophenglycosidderivate, deren physiologisch verträgliche Salze sowie physiologisch funktionelle Derivate, diese Verbindungen enthaltende Arzneimittel und Verfahren zur Herstellung diese Arzneimittel den Patentansprüchen.The The invention relates to substituted thiophene glycoside derivatives whose physiologically compatible Salts and physiologically functional derivatives, these compounds containing drugs and methods of making these drugs the claims.
Der Erfindung lag die Aufgabe zugrunde, neue Verbindungen zur Verfügung zu stellen, mit denen eine Prävention und Behandlung von Diabetes Typ 1 und Typ 2 möglich ist.Of the Invention had the object of providing new compounds available pose with which prevention and treatment of diabetes type 1 and type 2 is possible.
Die
Erfindung betrifft daher Verbindungen der Formel I, worin
bedeuten
R1 , R2 Wasserstoff, F, Cl, Br, J, OH, CF3,
NO2, CN, COOH, CO(C1-C6)-Alkyl, COO(C1-C6)-Alkyl, CONH2, CONH(C1-C6)-Alkyl, CON[(C1-C6)-Alkyl]2, (C1-C6)
Alkyl, (C2-C6)-Alkenyl,
(C2-C6)-Alkinyl,
(C1-C6)-Alkoxy, HO-(C1-C6)-Alkyl, (C1-C6)-Alkoxy-(C1-C6)-alkyl, Phenyl, Benzyl, (C1-C4)-Alkylcarbonyl,
wobei in den Alkylresten ein, mehrere, oder alle Wasserstoffe) durch
Fluor ersetzt sein können;
SO2-NH2, SO2NH(C1-C6)-Alkyl,
SO2N[(C1-C6)-Alkyl]2 , S-(C1-C6)-Alkyl, S-(CH2)o-Phenyl, SO-(C1-C6)-Alkyl, SO-(CH2)o-Phenyl, SO2-(C1-C6)-Alkyl, SO2-(CH2)o-Phenyl,
wobei o = 0–6
sein kann und der Phenylrest bis zu zweifach mit F, Cl, Br, OH,
CF3, NO2, CN, OCF3, O-(C1-C6)-Alkyl, (C1-C6)-Alkyl,
NH2 substituiert sein kann;
NH2, NH-(C1-C6)-Alkyl, N((C1-C6)-Alkyl)2, NH(C1-C7)-Acyl, Phenyl,
O-(CH2)o-Phenyl, wobei o = 0–6 sein kann, wobei der Phenylring
ein bis 3-fach substituiert sein kann mit F, Cl, Br, J, OH, CF3, NO2, CN, OCF3, O-(C1-C6)-Alkyl, (C1-C6)-Alkyl, NH2, NH(C1-C6)-Alkyl, N((C1-C6)-Alkyl)2, SO2-CH3, COOH, COO-(C1-C6)-Alkyl, CONH2;
A
(C0-C15)-Alkandiyl,
wobei ein oder mehrere C-Atome des Alkandiylrests unabhängig voneinander
durch -O-, -(C=O)-, -CH=CH-, -C≡C-,
-S-, -CH(OH)-, -CHF-, -CF2-, -(S=O)-, -(SO2)-, -N((C1-C6)-Alkyl)-, -N((C1-C6)-Alkyl-Phenyl)-
oder -NH- ersetzt sein können;
n
eine Zahl von 0 bis 4;
Cyc1 ein 3 bis 7 gliedriger gesättigter,
teilweise gesättigter
oder ungesättigter
Ring, wobei 1 C-Atom durch O oder S ersetzt sein kann;
R3,
R4, R5 Wasserstoff, F, Cl, Br, J, OH, CF3,
NO2, CN, COOH, COO(C1-C6)-Alkyl, CO(C1-C4)-Alkyl, CONH2, CONH(C1-C6)-Alkyl, CON[(C1-C6)-Alkyl]2, (C1-C6)-Alkyl,
(C2-C6)-Alkenyl,
(C2-C6)-Alkinyl,
O-(C1-C6)-Alkyl, HO-(C1-C6)-Alkyl, (C1-C6)-Alkoxy-(C1-C6)-alkyl, wobei
in den Alkylresten ein, mehrere, oder alle Wasserstoffe) durch Fluor
ersetzt sein können;
SO2-NH2, SO2NH(C1-C6)-Alkyl,
SO2N[(C1-C6)-Alkyl]2 , S-(C1-C6)-Alkyl, S-(CH2)o Phenyl, SO-(C1-C6)-Alkyl, SO-(CH2)o-Phenyl, SO2-(C1-C6)-Alkyl, SO2-(CH2)o-Phenyl,
wobei o = 0–6
sein kann und der Phenylrest bis zu zweifach mit F, Cl, Br, OH,
CF3, NO2, CN, OCF3, O-(C1-C6)-Alkyl, (C1-C6)-Alkyl,
NH2 substituiert sein kann;
NH2, NH-(C1-C6)-Alkyl, N((C1-C6)-Alkyl)2, NH(C1-C7)-Acyl, Phenyl,
O-(CH2)o Phenyl, wobei o = 0–6 sein kann, wobei der Phenylring
ein bis 3-fach substituiert sein kann mit F, Cl, Br, J, OH, CF3, NO2, CN, OCF3, (C1-C8)-Alkoxy,
(C1-C6)-Alkyl, NH2, NH(C1-C6)-Alkyl, N((C1-C6)-Alkyl)2, SO2-CH3, COOH, COO-(C1-C6)-Alkyl, CONH2; oder
R3 und R4 gemeinsam mit den
sie tragenden C-Atomen ein 5 bis 7 gliedrigen, gesättigter,
teilweise oder vollständig
ungesättigter
Ring Cyc2, wobei 1 oder 2 C-Atome) des Ringes auch durch N, O oder
S ersetzt sein können
und Cyc2 gegebenenfalls durch (C1-C6)-Alkyl, (C2-C5)-Alkenyl, (C2-C5)-Alkinyl, wobei jeweils eine CH2-Gruppe durch O ersetzt sein kann, oder
durch H, F, Cl, OH, CF3, NO2,
CN, COO(C1-C4)-Alkyl,
CONH2, CONH(C1-C4)-Alkyl, OCF3 substituiert
sein kann;
sowie deren pharmazeutisch verträglichen Salze.The invention therefore relates to compounds of the formula I, in which mean
R 1 , R 2 is hydrogen, F, Cl, Br, J, OH, CF 3 , NO 2 , CN, COOH, CO (C 1 -C 6 ) -alkyl, COO (C 1 -C 6 ) -alkyl, CONH 2 , CONH (C 1 -C 6 ) -alkyl, CON [(C 1 -C 6 ) -alkyl] 2 , (C 1 -C 6 ) -alkyl, (C 2 -C 6 ) -alkenyl, (C 2 -C 6 ) Alkynyl, (C 1 -C 6 ) alkoxy, HO- (C 1 -C 6 ) alkyl, (C 1 -C 6 ) alkoxy (C 1 -C 6 ) alkyl, phenyl, benzyl, (C 1 -C 4 ) -alkylcarbonyl, where in the alkyl radicals one, more, or all hydrogens) may be replaced by fluorine;
SO 2 -NH 2 , SO 2 NH (C 1 -C 6 ) -alkyl, SO 2 N [(C 1 -C 6 ) -alkyl] 2 , S- (C 1 -C 6 ) -alkyl, S- ( CH 2 ) o -phenyl, SO- (C 1 -C 6 ) -alkyl, SO- (CH 2 ) o -phenyl, SO 2 - (C 1 -C 6 ) -alkyl, SO 2 - (CH 2 ) o Phenyl, where o = 0-6 and the phenyl radical can be up to twice with F, Cl, Br, OH, CF 3 , NO 2 , CN, OCF 3 , O- (C 1 -C 6 ) -alkyl, ( C 1 -C 6 ) alkyl, NH 2 may be substituted;
NH 2 , NH- (C 1 -C 6 ) -alkyl, N ((C 1 -C 6 ) -alkyl) 2 , NH (C 1 -C 7 ) -acyl, phenyl, O- (CH 2 ) o - Phenyl, where o = 0-6, where the phenyl ring can be substituted one to three times by F, Cl, Br, J, OH, CF 3 , NO 2 , CN, OCF 3 , O- (C 1 - C 6 ) -alkyl, (C 1 -C 6 ) -alkyl, NH 2 , NH (C 1 -C 6 ) -alkyl, N ((C 1 -C 6 ) -alkyl) 2 , SO 2 -CH 3 , COOH, COO- (C 1 -C 6 ) -alkyl, CONH 2 ;
A (C 0 -C 15 ) -alkanediyl, where one or more carbon atoms of the alkanediyl radical are independently of one another denoted by -O-, - (C =O) -, -CH = CH-, -C≡C-, -S- , -CH (OH) -, -CHF-, -CF 2 -, - (S = O) -, - (SO 2 ) -, -N ((C 1 -C 6 ) -alkyl) -, -N ( (C 1 -C 6 ) -alkyl-phenyl) - or -NH- may be replaced;
n is a number from 0 to 4;
Cyc1 is a 3 to 7-membered saturated, partially saturated or unsaturated ring, wherein 1 C atom may be replaced by O or S;
R 3 , R 4 , R 5 are hydrogen, F, Cl, Br, J, OH, CF 3 , NO 2 , CN, COOH, COO (C 1 -C 6 ) -alkyl, CO (C 1 -C 4 ) -alkyl, CONH 2 , CONH (C 1 -C 6 ) -alkyl, CON [(C 1 -C 6 ) -alkyl] 2 , (C 1 -C 6 ) -alkyl, (C 2 -C 6 ) -alkenyl, (C 2 -C 6 ) -alkynyl, O- (C 1 -C 6 ) -alkyl, HO- (C 1 -C 6 ) -alkyl, (C 1 -C 6 ) -alkoxy- (C 1 -C 6 ) -alkyl in which one, several or all hydrogens in the alkyl radicals may be replaced by fluorine;
SO 2 -NH 2 , SO 2 NH (C 1 -C 6 ) -alkyl, SO 2 N [(C 1 -C 6 ) -alkyl] 2 , S- (C 1 -C 6 ) -alkyl, S- ( CH 2 ) o phenyl, SO- (C 1 -C 6 ) -alkyl, SO- (CH 2 ) o -phenyl, SO 2 - (C 1 -C 6 ) -alkyl, SO 2 - (CH 2 ) o - phenyl, where o may be 0-6 and the phenyl radical, up to two times by F, Cl, Br, OH, CF 3, NO 2, CN, OCF 3, O- (C 1 -C 6) alkyl, (C 1 -C 6 ) -alkyl, NH 2 may be substituted;
NH 2 , NH- (C 1 -C 6 ) -alkyl, N ((C 1 -C 6 ) -alkyl) 2 , NH (C 1 -C 7 ) -acyl, phenyl, O- (CH 2 ) o -phenyl where o = 0-6, where the phenyl ring can be substituted one to three times by F, Cl, Br, J, OH, CF 3 , NO 2 , CN, OCF 3 , (C 1 -C 8 ) Alkoxy, (C 1 -C 6 ) alkyl, NH 2 , NH (C 1 -C 6 ) alkyl, N ((C 1 -C 6 ) alkyl) 2 , SO 2 -CH 3 , COOH, COO - (C 1 -C 6 ) -alkyl, CONH 2 ; or
R3 and R4 together with the C atoms carrying them a 5 to 7-membered, saturated, partially or fully unsaturated ring Cyc2, wherein 1 or 2 C-atoms) of the ring may also be replaced by N, O or S and Cyc2 optionally by (C 1 -C 6 ) -alkyl, (C 2 -C 5 ) -alkenyl, (C 2 -C 5 ) -alkynyl, where in each case a CH 2 group may be replaced by O, or by H, F, Cl , OH, CF 3 , NO 2 , CN, COO (C 1 -C 4 ) alkyl, CONH 2 , CONH (C 1 -C 4 ) alkyl, OCF 3 may be substituted;
and their pharmaceutically acceptable salts.
Bevorzugt
sind Verbindungen der Formel I, worin bedeuten
R1, R2 Wasserstoff,
F, Cl, Br, J, OH, CF3, NO2,
CN, COOH, CO(C1-C6)-Alkyl,
COO(C1-C6)-Alkyl,
CONH2, CONH(C1-C6)-Alkyl, CON[(C1-C6)-Alkyl]2, (C1-C6)-Alkyl, (C2-C6)-Alkenyl, (C2-C6)-Alkinyl, (C1-C6)-Alkoxy, HO-(C1-C6)-Alkyl, (C1-C6)-Alkoxy-(C1-C6)-alkyl, Phenyl, Benzyl, (C1-C4)-Alkylcarbonyl,
SO-(C1-C6)-Alkyl,
wobei in den Alkylresten ein, mehrere, oder alle Wasserstoffe) durch
Fluor ersetzt sein können;
A
(C0-C15)-Alkandiyl,
wobei ein oder mehrere C-Atome) des Alkandiylrests unabhängig voneinander
durch -O-, -(C=O)-, -CH=CH-, -C-C-, -S-, -CH(OH)-, -CHF-, -CF2-, -(S=O)-, -(SO2)-,
-N((C1-C6)-Alkyl)-,
-N((C1-C6)-Alkyl-Phenyl)-
oder -NH- ersetzt sein können;
n
eine Zahl 2 oder 3;
Cyc1 ein 3 bis 7 gliedriger gesättigter,
teilweise gesättigter
oder ungesättigter
Ring, wobei 1 C-Atom durch O oder S ersetzt sein kann;
R3,
R4, R5 Wasserstoff, F, Cl, Br, J, OH, CF3,
NO2, CN, COOH, COO(C1-C6)-Alkyl, CO(C1-C4)-Alkyl, CONH2, CONH(C1-C6)-Alkyl, CON[(C1-C6)-Alkyl]2, (C1-C6)-Alkyl,
(C2-C6)-Alkenyl,
(C2-C6)-Alkinyl,
(C1-C8)-Alkoxy, HO-(C1-C6)-Alkyl, (C1-C6)-Alkoxy-(C1-C6)-alkyl, SO-(C1-C6)-Alkyl, wobei
in den Alkylresten ein, mehrere, oder alle Wasserstoffe) durch Fluor
ersetzt sein können;
oder
R3 und R4 gemeinsam mit den sie tragenden C-Atomen ein
5 bis 7 gliedrigen, gesättigter,
teilweise oder vollständig
ungesättigter
Ring Cyc2, wobei 1 oder 2 C-Atome) des Ringes auch durch N, O oder
S ersetzt sein können
und Cyc2 gegebenenfalls durch (C1-C6)-Alkyl, (C2-C5)-Alkenyl, (C2-C5)-Alkinyl, wobei jeweils eine CH2-Gruppe durch O ersetzt sein kann, oder
durch H, F, Cl, OH, CF3, NO2,
CN, COO(C1-C4)-Alkyl,
CONH2, CONH(C1-C4)-Alkyl, OCF3 substituiert
sein kann.Preference is given to compounds of the formula I in which
R 1 , R 2 is hydrogen, F, Cl, Br, J, OH, CF 3 , NO 2 , CN, COOH, CO (C 1 -C 6 ) -alkyl, COO (C 1 -C 6 ) -alkyl, CONH 2 , CONH (C 1 -C 6 ) -alkyl, CON [(C 1 -C 6 ) -alkyl] 2 , (C 1 -C 6 ) -alkyl, (C 2 -C 6 ) -alkenyl, (C 2 -C 6 ) alkynyl, (C 1 -C 6 ) -alkoxy, HO- (C 1 -C 6 ) -alkyl, (C 1 -C 6 ) -alkoxy- (C 1 -C 6 ) -alkyl, phenyl, benzyl, (C 1 -C 4 ) -alkylcarbonyl, SO- (C C 1 -C 6 ) -alkyl, where in the alkyl radicals one, more, or all hydrogens) may be replaced by fluorine;
A (C 0 -C 15 ) -alkanediyl, wherein one or more carbon atoms of the alkanediyl radical are independently of one another by -O-, - (C = O) -, -CH = CH-, -CC-, -S-, -CH (OH) -, -CHF-, -CF 2 -, - (S = O) -, - (SO 2 ) -, -N ((C 1 -C 6 ) -alkyl) -, -N (( C 1 -C 6 ) -alkyl-phenyl) - or -NH- may be replaced;
n is a number 2 or 3;
Cyc1 is a 3 to 7-membered saturated, partially saturated or unsaturated ring, wherein 1 C atom may be replaced by O or S;
R 3 , R 4 , R 5 are hydrogen, F, Cl, Br, J, OH, CF 3 , NO 2 , CN, COOH, COO (C 1 -C 6 ) -alkyl, CO (C 1 -C 4 ) -alkyl, CONH 2 , CONH (C 1 -C 6 ) -alkyl, CON [(C 1 -C 6 ) -alkyl] 2 , (C 1 -C 6 ) -alkyl, (C 2 -C 6 ) -alkenyl, (C 2 -C 6 ) alkynyl, (C 1 -C 8 ) alkoxy, HO (C 1 -C 6 ) alkyl, (C 1 -C 6 ) alkoxy (C 1 -C 6 ) alkyl, SO - (C 1 -C 6 ) -alkyl, wherein in the alkyl radicals one, more, or all hydrogens) may be replaced by fluorine; or
R3 and R4 together with the C atoms carrying them a 5 to 7-membered, saturated, partially or fully unsaturated ring Cyc2, wherein 1 or 2 C-atoms) of the ring may also be replaced by N, O or S and Cyc2 optionally by (C 1 -C 6 ) -alkyl, (C 2 -C 5 ) -alkenyl, (C 2 -C 5 ) -alkynyl, where in each case a CH 2 group may be replaced by O, or by H, F, Cl , OH, CF 3 , NO 2 , CN, COO (C 1 -C 4 ) alkyl, CONH 2 , CONH (C 1 -C 4 ) alkyl, OCF 3 may be substituted.
Besonders
bevorzugt sind Verbindungen der Formel I, worin
R1, R2 Wasserstoff,
(C1-C5)-Alkyl, (C1-C4)-Alkoxy, HO-(C1-C4)-Alkyl, (C1-C4)-Alkoxy-(C1-C4)-alkyl, F, Cl,
CF3, OCF3, OCH2CF3 (C1-C4)-Alkyl-CF2-, Phenyl,
Benzyl, (C1-C4)-Alkylcarbonyl,
(C2-C4)-Alkenyl,
(C2-C4)-Alkinyl, COO(C1-C4)-Alkyl;
A
-CH2-CH=CH- oder (C1-C4)-Alkandiyl, wobei eine CH2-Gruppe
auch ersetzt sein kann durch -(C=O)-, -CH(OH)-, -CHF-, -CF2-, -O-;
n eine Zahl 2 oder 3;
Cyc1
ungesättigter
Ring, wobei 1 C-Atom durch O oder S ersetzt sein kann;
R3,
R4, R5 Wasserstoff, (C1-C4)-Alkyl,
(C1-C8)-Alkoxy,
OCF3, OCH2CF3 , O , HO-(C1-C4)-Alkyl, (C1-C4)-Alkoxy-(C1-C4)-alkyl, oder
R3 und R4 gemeinsam -CH=CH-O-,
-CH=CH-S-, -O-(CH2)p-O-,
mit p = 1 oder 2 und
R5 Wasserstoff bedeuten.Particular preference is given to compounds of the formula I in which
R 1, R 2 are hydrogen, (C 1 -C 5 ) -alkyl, (C 1 -C 4 ) -alkoxy, HO- (C 1 -C 4 ) -alkyl, (C 1 -C 4 ) -alkoxy- (C 1 -C 4 ) -alkyl, F, Cl, CF 3 , OCF 3 , OCH 2 CF 3 (C 1 -C 4 ) -alkyl-CF 2 -, phenyl, benzyl, (C 1 -C 4 ) -alkylcarbonyl, ( C 2 -C 4 ) alkenyl, (C 2 -C 4 ) alkynyl, COO (C 1 -C 4 ) alkyl;
A is -CH 2 -CH = CH- or (C 1 -C 4 ) -alkanediyl, where a CH 2 group may also be replaced by - (C =O) -, -CH (OH) -, -CHF-, -CF 2 -, -O-;
n is a number 2 or 3;
Cyc1 unsaturated ring, wherein 1 C atom may be replaced by O or S;
R 3 , R 4, R 5 are hydrogen, (C 1 -C 4 ) -alkyl, (C 1 -C 8 ) -alkoxy, OCF 3 , OCH 2 CF 3 , O, HO- (C 1 -C 4 ) -alkyl, ( C 1 -C 4 ) alkoxy (C 1 -C 4 ) alkyl, or
R3 and R4 together denote -CH = CH-O-, -CH = CH-S-, -O- (CH 2) p -O-, with p = 1 or 2 and
R5 is hydrogen.
Ganz
besonders bevorzugt sind Verbindungen der Formel I, worin
R1,
R2 Wasserstoff, CF3, (C1-C3)-Alkyl,
A -CH2-,
-C2H4-, -C3H6, -CH(OH)-, -(C=O)-
oder -CO-CH2-CH2-;
n
eine Zahl 2 oder 3;
Cyc1 ungesättigter Ring, wobei 1 C-Atom
durch S ersetzt sein kann;
R3, R4, R5 Wasserstoff, (C1-C4)-Alkyl, (C1-C7)-Alkoxy, OCF3 oder
R3 und R4 gemeinsam -CH=CH-O-,
-O-(CH2)p-O-, mit
p = 1 oder 2, und
R5 Wasserstoff bedeuten.Very particular preference is given to compounds of the formula I in which
R 1, R 2 is hydrogen, CF 3 , (C 1 -C 3 ) -alkyl,
A is -CH 2 -, -C 2 H 4 -, -C 3 H 6 , -CH (OH) -, - (C = O) - or -CO-CH 2 -CH 2 -;
n is a number 2 or 3;
Cyc1 unsaturated ring, where 1 C atom may be replaced by S;
R 3 , R 4, R 5 are hydrogen, (C 1 -C 4 ) -alkyl, (C 1 -C 7 ) -alkoxy, OCF 3 or
R3 and R4 together denote -CH = CH-O-, -O- (CH 2) p -O-, with p = 1 or 2, and
R5 is hydrogen.
Die Erfindung bezieht sich auf Verbindungen der Formel I, in Form ihrer Racemate, racemischen Mischungen und reinen Enantiomere sowie auf ihre Diastereomere und Mischungen davon.The The invention relates to compounds of the formula I, in the form of their Racemates, racemic mixtures and pure enantiomers as well their diastereomers and mixtures thereof.
Die Alkylreste in den Substituenten R1, R2, R3, R4 und R5 können sowohl geradkettig wie verzweigt sein.The Alkyl radicals in the substituents R1, R2, R3, R4 and R5 can both be straight-chain or branched.
Pharmazeutisch verträgliche Salze sind aufgrund ihrer höheren Wasserlöslichkeit gegenüber den Ausgangs- bzw. Basisverbindungen besonders geeignet für medizinische Anwendungen. Diese Salze müssen ein pharmazeutisch verträgliches Anion oder Kation aufweisen. Geeignete pharmazeutisch verträgliche Säureadditionssalze der erfindungsgemäßen Verbindungen sind Salze anorganischer Säuren, wie Salzsäure, Bromwasserstoff-, Phosphor-, Metaphosphor-, Salpeter- und Schwefelsäure sowie organischer Säuren, wie z.B. Essigsäure, Benzolsulfon-, Benzoe-, Zitronen-, Ethansulfon-, Fumar-, Glucon-, Glykol-, Isethion-, Milch-, Lactobion-, Malein-, Äpfel-, Methansulfon-, Bernstein-, p-Toluolsulfon- und Weinsäure. Geeignete pharmazeutisch verträgliche basische Salze sind Ammoniumsalze, Alkalimetallsalze (wie Natrium- und Kaliumsalze), Erdalkalisalze (wie Magnesium- und Calciumsalze), Trometamol (2-Amino-2-hydroxymethyl-1,3-propandiol), Diethanolamin, Lysin oder Ethylendiamin.pharmaceutical compatible Salts are due to their higher Water across from the starting or basic compounds particularly suitable for medical Applications. These salts need a pharmaceutically acceptable Anion or cation. Suitable pharmaceutically acceptable acid addition salts the compounds of the invention are salts of inorganic acids, like hydrochloric acid, Hydrobromic, phosphoric, metaphosphoric, nitric and sulfuric acid as well organic acids, such as. Acetic acid, Benzenesulfonic, benzoic, citric, ethanesulfonic, fumaric, gluconic, Glycol, Isethione, Milk, Lactobion, Malein, Apples, Methanesulfone, Succinic, p-toluenesulfonic and tartaric acid. Suitable pharmaceutically acceptable basic Salts are ammonium salts, alkali metal salts (such as sodium and potassium salts), Alkaline earth salts (such as magnesium and calcium salts), trometamol (2-amino-2-hydroxymethyl-1,3-propanediol), Diethanolamine, lysine or ethylenediamine.
Salze mit einem nicht pharmazeutisch verträglichen Anion, wie zum Beispiel Trifluoracetat, gehören ebenfalls in den Rahmen der Erfindung als nützliche Zwischenprodukte für die Herstellung oder Reinigung pharmazeutisch verträglicher Salze und/oder für die Verwendung in nicht-therapeutischen, zum Beispiel in-vitro-Anwendungen.Salts with a non-pharmaceutically acceptable anion, such as trifluoroacetate, are also within the scope of the invention as useful intermediates for the preparation or purification of pharmaceutically acceptable salts and / or for use in non-therapeutic, for example, in vi tro applications.
Der hier verwendete Begriff "physiologisch funktionelles Derivat" bezeichnet jedes physiologisch verträgliche Derivat einer erfindungsgemäßen Verbindung der Formel I, z.B. einen Ester, der bei Verabreichung an einen Säuger, wie z.B. den Menschen, in der Lage ist, (direkt oder indirekt) eine Verbindung der Formel I oder einen aktiven Metaboliten hiervon zu bilden.Of the term used herein "physiological functional derivative " each physiologically acceptable Derivative of a compound of the invention of the formula I, e.g. an ester which, when administered to a mammal, such as e.g. the human being, who is able (directly or indirectly) one Compound of formula I or an active metabolite thereof form.
Zu den physiologisch funktionellen Derivaten zählen auch Prodrugs der erfindungsgemäßen Verbindungen, wie zum Beispiel in H. Okada et al., Chem. Pharm. Bull. 1994, 42, 57–61 beschrieben. Solche Prodrugs können in vivo zu einer erfindungsgemäßen Verbindung metabolisiert werden. Diese Prodrugs können selbst wirksam sein oder nicht.To the physiologically functional derivatives also include prodrugs of the compounds according to the invention, as described, for example, in H. Okada et al., Chem. Pharm. Bull. 1994, 42, 57-61 described. Such prodrugs can in vivo to a compound of the invention be metabolized. These prodrugs can be effective themselves or Not.
Die erfindungsgemäßen Verbindungen können auch in verschiedenen polymorphen Formen vorliegen, z.B. als amorphe und kristalline polymorphe Formen. Alle polymorphen Formen der erfindungsgemäßen Verbindungen gehören in den Rahmen der Erfindung und sind ein weiterer Aspekt der Erfindung.The Compounds of the invention can also in different polymorphic forms, e.g. as amorphous and crystalline polymorphic forms. All polymorphic forms of the compounds of the invention belong within the scope of the invention and are a further aspect of the invention.
Nachfolgend beziehen sich alle Verweise auf "Verbindung(en) gemäß Formel I" auf Verbindungen) der Formel I wie vorstehend beschrieben, sowie ihre Salze, Solvate und physiologisch funktionellen Derivate wie hierin beschrieben.following all references to "compound (s) according to formula I "on connections) of the formula I as described above, and their salts, solvates and physiologically functional derivatives as described herein.
Die Verbindungen) der Formel (I) können auch in Kombination mit weiteren Wirkstoffen verabreicht werden.The Compounds) of formula (I) can also be administered in combination with other active ingredients.
Die Menge einer Verbindung gemäß Formel I, die erforderlich ist, um den gewünschten biologischen Effekt zu erreichen, ist abhängig von einer Reihe von Faktoren, z.B. der gewählten spezifischen Verbindung, der beabsichtigten Verwendung, der Art der Verabreichung und dem klinischen Zustand des Patienten. Im allgemeinen liegt die Tagesdosis im Bereich von 0,3 mg bis 100 mg (typischerweise von 3 mg und 50 mg) pro Tag pro Kilogramm Körpergewicht, z.B. 3–10 mg/kg/Tag. Eine intravenöse Dosis kann z.B. im Bereich von 0,3 mg bis 1,0 mg/kg liegen, die geeigneterweise als Infusion von 10 ng bis 100 ng pro Kilogramm pro Minute verabreicht werden kann. Geeignete Infusionslösungen für diese Zwecke können z.B. von 0,1 ng bis 10 mg, typischerweise von 1 ng bis 10 mg pro Milliliter, enthalten. Einzeldosen können z.B. von 1 mg bis 10 g des Wirkstoffs enthalten. Somit können Ampullen für Injektionen beispielsweise von 1 mg bis 100 mg, und oral verabreichbare Einzeldosisformulierungen, wie zum Beispiel Tabletten oder Kapseln, können beispielsweise von 1,0 bis 1000 mg, typischerweise von 10 bis 600 mg enthalten. Zur Therapie der oben genannten Zustände können die Verbindungen gemäß Formel I selbst als Verbindung verwendet werden, vorzugsweise liegen sie jedoch mit einem verträglichen Träger in Form einer pharmazeutischen Zusammensetzung vor. Der Träger muss natürlich verträglich sein, in dem Sinne, dass er mit den anderen Bestandteilen der Zusammensetzung kompatibel ist und nicht gesundheitsschädlich für den Patienten ist. Der Träger kann ein Feststoff oder eine Flüssigkeit oder beides sein und wird vorzugsweise mit der Verbindung als Einzeldosis formuliert, beispielsweise als Tablette, die von 0,05% bis 95 Gew.-% des Wirkstoffs enthalten kann. Weitere pharmazeutisch aktive Substanzen können ebenfalls vorhanden sein, einschließlich weiterer Verbindungen gemäß Formel I. Die erfindungsgemäßen pharmazeutischen Zusammensetzungen können nach einer der bekannten pharmazeutischen Methoden hergestellt werden, die im wesentlichen darin bestehen, dass die Bestandteile mit pharmakologisch verträglichen Träger- und/oder Hilfsstoffen gemischt werden.The Quantity of a compound according to formula I, which is required to achieve the desired biological effect to reach is dependent from a number of factors, e.g. the chosen specific compound, the intended use, route of administration and clinical use Condition of the patient. In general, the daily dose is in the range from 0.3 mg to 100 mg (typically 3 mg and 50 mg) per day per kilogram of body weight, e.g. 3-10 mg / kg / day. An intravenous Dose can e.g. in the range of 0.3 mg to 1.0 mg / kg, the suitably as an infusion from 10 ng to 100 ng per kilogram can be administered per minute. Suitable infusion solutions for these Purposes can e.g. from 0.1 ng to 10 mg, typically from 1 ng to 10 mg per Milliliters, included. Single doses may e.g. from 1 mg to 10 g of the active ingredient. Thus, ampoules for injections for example from 1 mg to 100 mg, and orally administrable single dose formulations, such as tablets or capsules, for example, from 1.0 to 1000 mg, typically from 10 to 600 mg. For therapy the above states can they Compounds according to formula I myself are used as a compound, preferably they are but with a tolerable carrier in the form of a pharmaceutical composition. The carrier must Naturally compatible be, in the sense that he is with the other constituents of the composition is compatible and is not harmful to the patient. The carrier can a solid or a liquid or be both and preferably with the compound as a single dose formulated, for example as a tablet, from 0.05% to 95% by weight. may contain the active ingredient. Other pharmaceutically active substances can also be present, including other compounds according to formula I. The pharmaceutical according to the invention Compositions can produced according to one of the known pharmaceutical methods, which consist essentially in that the ingredients with pharmacologically acceptable Carrier and / or auxiliaries be mixed.
Erfindungsgemäße pharmazeutische Zusammensetzungen sind solche, die für orale, rektale, topische, perorale (z.B. sublinguale) und parenterale (z.B. subkutane, intramuskuläre, intradermale oder intravenöse) Verabreichung geeignet sind, wenngleich die geeignetste Verabreichungsweise in jedem Einzelfall von der Art und Schwere des zu behandelnden Zustandes und von der Art der jeweils verwendeten Verbindung gemäß Formel I abhängig ist. Auch dragierte Formulierungen und dragierte Retardformulierungen gehören in den Rahmen der Erfindung. Bevorzugt sind säure- und magensaftresistente Formulierungen. Geeignete magensaftresistente Beschichtungen umfassen Celluloseacetatphthalat, Poylvinylacetatphthalat, Hydroxypropylmethylcellulosephthalat und anionische Polymere von Methacrylsäure und Methacrylsäuremethylester.Inventive pharmaceutical Compositions are those suitable for oral, rectal, topical, peroral (e.g., sublingual) and parenteral (e.g., subcutaneous, intramuscular, intradermal or intravenous) Administration, although the most suitable route of administration in each individual case of the nature and severity of the treatment Condition and of the type of compound used in each case according to the formula I dependent is. Also coated formulations and coated slow release formulations belong within the scope of the invention. Preference is given to acid and gastric juice-resistant Formulations. Suitable enteric coatings include Cellulose acetate phthalate, polyvinyl acetate phthalate, hydroxypropylmethylcellulose phthalate and anionic polymers of methacrylic acid and methyl methacrylate.
Geeignete pharmazeutische Verbindungen für die orale Verabreichung können in separaten Einheiten vorliegen, wie zum Beispiel Kapseln, Oblatenkapseln, Lutschtabletten oder Tabletten, die jeweils eine bestimmte Menge der Verbindung gemäß Formel I enthalten; als Pulver oder Granulate; als Lösung oder Suspension in einer wässrigen oder nicht-wässrigen Flüssigkeit; oder als eine Öl-in-Wasser- oder Wasser-in-Öl-Emulsion. Diese Zusammensetzungen können, wie bereits erwähnt, nach jeder geeigneten pharmazeutischen Methode zubereitet werden, die einen Schritt umfasst, bei dem der Wirkstoff und der Träger (der aus einem oder mehreren zusätzlichen Bestandteilen bestehen kann) in Kontakt gebracht werden. Im allgemeinen werden die Zusammensetzungen durch gleichmäßiges und homogenes Vermischen des Wirkstoffs mit einem flüssigen und/oder feinverteilten festen Träger hergestellt, wonach das Produkt, falls erforderlich, geformt wird. So kann beispielsweise eine Tablette hergestellt werden, indem ein Pulver oder Granulat der Verbindung verpresst oder geformt wird, gegebenenfalls mit einem oder mehreren zusätzlichen Bestandteilen. Gepresste Tabletten können durch tablettieren der Verbindung in frei fließender Form, wie beispielsweise einem Pulver oder Granulat, gegebenenfalls gemischt mit einem Bindemittel, Gleitmittel, inertem Verdünner und/oder einem (mehreren) oberflächenaktiven/dispergierenden Mittel in einer geeigneten Maschine hergestellt werden. Geformte Tabletten können durch Formen der pulverförmigen, mit einem inerten flüssigen Verdünnungsmittel befeuchteten Verbindung in einer geeigneten Maschine hergestellt werden.Suitable pharmaceutical compounds for oral administration may be in separate units, such as capsules, cachets, lozenges or tablets, each containing a certain amount of the compound of formula I; as a powder or granules; as a solution or suspension in an aqueous or non-aqueous liquid; or as an oil-in-water or water-in-oil emulsion. As already mentioned, these compositions can be prepared by any suitable pharmaceutical method comprising a step in which the active ingredient and the carrier (the can consist of one or more additional components) are brought into contact. In general, the compositions are prepared by uniformly and homogeneously mixing the active ingredient with a liquid and / or finely divided solid carrier, after which the product is molded, if necessary. For example, a tablet can be made by compressing or molding a powder or granules of the compound, optionally with one or more additional ingredients. Compressed tablets can be prepared by tableting the compound in free-flowing form, such as a powder or granules, optionally mixed with a binder, lubricant, inert diluent and / or surfactant / dispersant in a suitable machine. Molded tablets may be prepared by shaping the powdered compound moistened with an inert liquid diluent in a suitable machine.
Pharmazeutische Zusammensetzungen, die für eine perorale (sublinguale) Verabreichung geeignet sind, umfassen Lutschtabletten, die eine Verbindung gemäß Formel I mit einem Geschmacksstoff enthalten, üblicherweise Saccharose und Gummi arabicum oder Tragant, und Pastillen, die die Verbindung in einer inerten Basis wie Gelatine und Glycerin oder Saccharose und Gummi arabicum umfassen.pharmaceutical Compositions for peroral (sublingual) administration Lozenges containing a compound of formula I with a flavor usually Sucrose and gum arabic or tragacanth, and lozenges containing the Compound in an inert base such as gelatin and glycerin or Sucrose and gum arabic.
Geeignete pharmazeutische Zusammensetzungen für die parenterale Verabreichung umfassen vorzugsweise sterile wässrige Zubereitungen einer Verbindung gemäß Formel I, die vorzugsweise isotonisch mit dem Blut des vorgesehenen Empfängers sind. Diese Zubereitungen werden vorzugsweise intravenös verabreicht, wenngleich die Verabreichung auch subkutan, intramuskulär oder intradermal als Injektion erfolgen kann. Diese Zubereitungen können vorzugsweise hergestellt werden, indem die Verbindung mit Wasser gemischt wird und die erhaltene Lösung steril und mit dem Blut isotonisch gemacht wird. Injizierbare erfindungsgemäße Zusammensetzungen enthalten im allgemeinen von 0,1 bis 5 Gew.-% der aktiven Verbindung.suitable pharmaceutical compositions for parenteral administration preferably comprise sterile aqueous Preparations of a compound according to formula I, preferably isotonic with the blood of the intended recipient. These preparations are preferably intravenous although administered also subcutaneously, intramuscularly or intradermally can be done as an injection. These preparations may preferably can be prepared by mixing the compound with water and the resulting solution sterile and isotonic with the blood. Injectable compositions of the invention generally contain from 0.1 to 5% by weight of the active compound.
Geeignete pharmazeutische Zusammensetzungen für die rektale Verabreichung liegen vorzugsweise als Einzeldosis-Zäpfchen vor. Diese können hergestellt werden, indem man eine Verbindung gemäß Formel I mit einem oder mehreren herkömmlichen festen Trägern, beispielsweise Kakaobutter, mischt und das entstehende Gemisch in Form bringt.suitable pharmaceutical compositions for rectal administration are preferably present as single-dose suppositories. These can be made be prepared by adding a compound according to formula I with one or more usual solid straps, For example, cocoa butter, mixes and the resulting mixture in Form brings.
Geeignete pharmazeutische Zusammensetzungen für die topische Anwendung auf der Haut liegen vorzugsweise als Salbe, Creme, Lotion, Paste, Spray, Aerosol oder Öl vor. Als Träger können Vaseline, Lanolin, Polyethylenglykole, Alkohole und Kombinationen von zwei oder mehreren dieser Substanzen verwendet werden. Der Wirkstoff ist im allgemeinen in einer Konzentration von 0,1 bis 15 Gew.-% der Zusammensetzung vorhanden, beispielsweise von 0,5 bis 2%.suitable pharmaceutical compositions for topical application the skin are preferably as ointment, cream, lotion, paste, spray, Aerosol or oil in front. As a carrier can Vaseline, lanolin, polyethylene glycols, alcohols and combinations used by two or more of these substances. The active substance is generally in a concentration of 0.1 to 15 wt .-% of the composition, for example from 0.5 to 2%.
Auch eine transdermale Verabreichung ist möglich. Geeignete pharmazeutische Zusammensetzungen für transdermale Anwendungen können als einzelne Pflaster vorliegen, die für einen langzeitigen engen Kontakt mit der Epidermis des Patienten geeignet sind. Solche Pflaster enthalten geeigneterweise den Wirkstoff in einer gegebenenfalls gepufferten wässrigen Lösung, gelöst und/oder dispergiert in einem Haftmittel oder dispergiert in einem Polymer. Eine geeignete Wirkstoff-Konzentration beträgt ca. 1 % bis 35%, vorzugsweise ca. 3% bis 15%. Als eine besondere Möglichkeit kann der Wirkstoff, wie beispielsweise in Pharmaceutical Research, 2(6): 318 (1986) beschrieben, durch Elektrotransport oder Iontophorese freigesetzt werden.Also transdermal administration is possible. Suitable pharmaceutical Compositions for transdermal applications can as single patches exist, for a long-term close contact are suitable with the epidermis of the patient. Such patches contain suitably the active ingredient in an optionally buffered aqueous Solution, solved and / or dispersed in an adhesive or dispersed in one Polymer. A suitable active ingredient concentration is about 1 % to 35%, preferably about 3% to 15%. As a special possibility For example, the active ingredient, such as in Pharmaceutical Research, 2 (6): 318 (1986), by electrotransport or iontophoresis be released.
Als
weitere Wirkstoffe für
die Kombinationspräparate
sind geeignet:
Alle Antidiabetika, die in der Roten Liste 2001,
Kapitel 12 genannt sind. Sie können
mit den erfindungsgemäßen Verbindungen
der Formel I insbesondere zur synergistischen Wirkungsverbesserung
kombiniert werden. Die Verabreichung der Wirkstoffkombination kann
entweder durch getrennte Gabe der Wirkstoffe an den Patienten oder
in Form von Kombinationspräparaten,
worin mehrere Wirkstoffe in einer pharmazeutischen Zubereitung vorliegen,
erfolgen. Die meisten der nachfolgend aufgeführten Wirkstoffe sind in USP
Dictionary of USAN and International Drug Names, US Pharmacopeia,
Rockville 2001, offenbart.As further active ingredients for the combination preparations are suitable:
All antidiabetic medicines mentioned in the Red List 2001, chapter 12. They can be combined with the compounds of the formula I according to the invention in particular for the synergistic effect improvement. The administration of the active ingredient combination can be carried out either by separate administration of the active ingredients to the patient or in the form of combination preparations in which several active ingredients are present in a pharmaceutical preparation. Most of the drugs listed below are disclosed in USP Dictionary of USAN and International Drug Names, US Pharmacopeia, Rockville 2001.
Antidiabetika
umfassen Insulin und Insulinderivate, wie z.B. Lantus® (siehe
www.lantus.com) oder HMR 1964, schnell wirkende Insuline (siehe
Die oral wirksamen hypoglykämischen Wirkstoffe umfassen vorzugsweise Sulphonylfharnstoffe, Biguanidine, Meglitinide, Oxadiazolidindione, Thiazolidindione, Glukosidase-Inhibitoren, Glukagon-Antagonisten, GLP-1-Agonisten, Kaliumkanalöffner, wie z.B. diejenigen, die in WO 97/26265 und WO 99/03861 von Novo Nordisk A/S offenbart wurden, Insulin-Sensitizer, Inhibitoren von Leberenzymen, die an der Stimulation der Glukoneogenese und/oder Glykogenolyse beteiligt sind, Modulatoren der Glukoseaufnahme, den Fettstoffwechsel verändernde Verbindungen wie antihyperlipidämische Wirkstoffe und antilipidämische Wirkstoffe, Verbindungen, die die Nahrungsmitteleinnahme verringern, PPAR- und PXR-Agonisten und Wirkstoffe, die auf den ATP-abhängigen Kaliumkanal der Betazellen wirken.The orally active hypoglycemic agents preferably include sulfonylureas, biguanidines, meglitinides, oxadiazolidinediones, thiazolidinediones, glucosidase inhibitors, glucagon antagonists, GLP-1 agonists, potassium channel openers such as those described in WO 97/26265 and WO 99/03861 of Novo Nordisk A / S, insulin sensitizers, inhibitors of liver enzymes involved in the stimulation of gluconeogenesis and / or glycogenolysis, modulators of glucose uptake, the fatty substance mutagenic compounds such as antihyperlipidemic agents and antilipidemic agents, compounds that reduce food intake, PPAR and PXR agonists, and drugs that act on the ATP-dependent potassium channel of beta cells.
Bei einer Ausführungsform der Erfindung werden die Verbindungen der Formel I in Kombination mit einem HMGCoA-Reduktase Inhibitor wie Simvastatin, Fluvastatin, Pravastatin, Lovastatin, Atorvastatin, Cerivastatin, Rosuvastatin verabreicht.at an embodiment The invention relates to the compounds of the formula I in combination with an HMGCoA reductase inhibitor such as simvastatin, fluvastatin, Pravastatin, lovastatin, atorvastatin, cerivastatin, rosuvastatin administered.
Bei einer Ausführungsform der Erfindung werden die Verbindungen der Formel I in Kombination mit einem Cholesterinresorptionsinhibitor, wie z.B. Ezetimibe, Tiqueside, Pamaqueside, verabreicht.at an embodiment The invention relates to the compounds of the formula I in combination with a cholesterol absorption inhibitor, e.g. Ezetimibe, Tiqueside, Pamaqueside administered.
Bei einer Ausführungsform der Erfindung werden die Verbindungen der Formel I in Kombination mit einem PPAR gamma Agonist, wie z.B. Rosiglitazon, Pioglitazon, JTT-501, GI 262570, verabreicht.at an embodiment The invention relates to the compounds of the formula I in combination with a PPAR gamma agonist, e.g. Rosiglitazone, pioglitazone, JTT-501, GI 262570.
Bei einer Ausführungsform der Erfindung werden die Verbindungen der Formel I in Kombination mit PPAR alpha Agonist, wie z.B. GW 9578, GW 7647, verabreicht.at an embodiment The invention relates to the compounds of the formula I in combination with PPAR alpha agonist, e.g. GW 9578, GW 7647.
Bei einer Ausführungsform der Erfindung werden die Verbindungen der Formel I in Kombination mit einem gemischten PPAR alpha/gamma Agonisten, wie z.B. GW 1536, AVE 8042, AVE 8134, AVE 0847, oder wie in PCT/US 11833, PCT/US 11490, DE10142734.4 beschrieben verabreicht.at an embodiment The invention relates to the compounds of the formula I in combination with a mixed PPAR alpha / gamma agonist, e.g. GW 1536, AVE 8042, AVE 8134, AVE 0847, or as in PCT / US 11833, PCT / US 11490, DE10142734.4 described.
Bei einer Ausführungsform der Erfindung werden die Verbindungen der Formel I in Kombination mit einem Fibrat, wie z.B. Fenofibrat, Clofibrat, Bezafibrat, verabreicht.at an embodiment The invention relates to the compounds of the formula I in combination with a fibrate, e.g. Fenofibrate, clofibrate, bezafibrate.
Bei einer Ausführungsform der Erfindung werden die Verbindungen der Formel I in Kombination mit einem MTP-Inhibitor, wie z.B. Implitapide , BMS-201038, R-103757, verabreicht.at an embodiment The invention relates to the compounds of the formula I in combination with an MTP inhibitor, e.g. Implitapide, BMS-201038, R-103757, administered.
Bei
einer Ausführungsform
der Erfindung werden die Verbindungen der Formel I in Kombination
mit Gallensäureresorptionsinhibitor
(siehe z.B.
Bei einer Ausführungsform der Erfindung werden die Verbindungen der Formel I in Kombination mit einem CETP-Inhibitor, wie z.B. JTT-705 , verabreicht.at an embodiment The invention relates to the compounds of the formula I in combination with a CETP inhibitor, e.g. JTT-705.
Bei einer Ausführungsform der Erfindung werden die Verbindungen der Formel I in Kombination mit einem polymeren Gallensäureadsorber, wie z.B. Cholestyramin, Colesevelam, verabreicht.at an embodiment The invention relates to the compounds of the formula I in combination with a polymeric bile acid adsorber, such as. Cholestyramine, colesevelam.
Bei
einer Ausführungsform
der Erfindung werden die Verbindungen der Formel I in Kombination
mit einem LDL-Rezeptorinducer (siehe
Bei einer Ausführungsform der Erfindung werden die Verbindungen der Formel I in Kombination mit einem ACAT-Inhibitor, wie z.B. Avasimibe, verabreicht.at an embodiment The invention relates to the compounds of the formula I in combination with an ACAT inhibitor, e.g. Avasimibe, administered.
Bei einer Ausführungsform der Erfindung werden die Verbindungen der Formel I in Kombination mit einem Antioxidans, wie z.B. OPC-14117, verabreicht.at an embodiment The invention relates to the compounds of the formula I in combination with an antioxidant, e.g. OPC-14117 administered.
Bei einer Ausführungsform der Erfindung werden die Verbindungen der Formel I in Kombination mit einem Lipoprotein-Lipase Inhibitor, wie z.B. NO-1886, verabreicht.at an embodiment The invention relates to the compounds of the formula I in combination with a lipoprotein lipase inhibitor, e.g. NO-1886, administered.
Bei einer Ausführungsform der Erfindung werden die Verbindungen der Formel I in Kombination mit einem ATP-Citrat-Lyase Inhibitor, wie z.B. SB-204990, verabreicht.at an embodiment The invention relates to the compounds of the formula I in combination with an ATP citrate lyase inhibitor, e.g. SB-204990 administered.
Bei einer Ausführungsform der Erfindung werden die Verbindungen der Formel I in Kombination mit einem Squalen Synthetase Inhibitor, wie z.B. BMS-188494, verabreicht.at an embodiment The invention relates to the compounds of the formula I in combination with a squalene synthetase inhibitor, e.g. BMS-188494.
Bei einer Ausführungsform der Erfindung werden die Verbindungen der Formel I in Kombination mit einem Lipoprotein(a) antagonist, wie z.B. Cl-1027 oder Nicotinsäure, verabreicht.at an embodiment The invention relates to the compounds of the formula I in combination with a lipoprotein (a) antagonist, e.g. Cl-1027 or nicotinic acid.
Bei einer Ausführungsform der Erfindung werden die Verbindungen der Formel I in Kombination mit einem Lipase Inhibitor, wie z.B. Orlistat, verabreicht.at an embodiment The invention relates to the compounds of the formula I in combination with a lipase inhibitor, e.g. Orlistat, administered.
Bei einer Ausführungsform der Erfindung werden die Verbindungen der Formel I in Kombination mit Insulin verabreicht.at an embodiment The invention relates to the compounds of the formula I in combination administered with insulin.
Bei einer Ausführungsform werden die Verbindungen der Formel I in Kombination mit einem Sulphonylharnstoff, wie z.B. Tolbutamid, Glibenclamid, Glipizid oder Glimepirid verabreicht.at an embodiment the compounds of the formula I in combination with a sulphonylurea, such as. Tolbutamide, glibenclamide, glipizide or glimepiride.
Bei einer Ausführungsform werden die Verbindungen der Formel I in Kombination mit einem Biguanid, wie z.B. Metformin, verabreicht.at an embodiment are the compounds of formula I in combination with a biguanide, such as e.g. Metformin, administered.
Bei wieder einer Ausführungsform werden die Verbindungen der Formel I in Kombination mit einem Meglitinid, wie z.B. Repaglinid, verabreicht.at again an embodiment are the compounds of the formula I in combination with a meglitinide, such as. Repaglinide, administered.
Bei einer Ausführungsform werden die Verbindungen der Formel I in Kombination mit einem Thiazolidindion, wie z.B. Troglitazon, Ciglitazon, Pioglitazon, Rosiglitazon oder den in WO 97/41097 von Dr. Reddy's Research Foundation offenbarten Verbindungen, insbesondere 5-[[4-[(3,4-Dihydro-3-methyl-4-oxo-2-chinazolinylmethoxy]phenyl]methyl]-2,4-thiazolidindion, verabreicht.at an embodiment are the compounds of the formula I in combination with a thiazolidinedione, such as. Troglitazone, ciglitazone, pioglitazone, rosiglitazone or in WO 97/41097 by Dr. med. Reddy's Research Disclosed compounds, in particular 5 - [[4 - [(3,4-dihydro-3-methyl-4-oxo-2-quinazolinylmethoxy) phenyl] methyl] -2,4-thiazolidinedione, administered.
Bei einer Ausführungsform werden die Verbindungen der Formel I in Kombination mit einem α-Glukosidase-Inhibitor, wie z.B. Miglitol oder Acarbose, verabreicht.at an embodiment are the compounds of the formula I in combination with an α-glucosidase inhibitor, such as. Miglitol or acarbose, administered.
Bei einer Ausführungsform werden die Verbindungen der Formel I in Kombination mit einem Wirkstoff verabreicht, der auf den ATP-abhängigen Kaliumkanal der Betazellen wirkt, wie z.B. Tolbutamid, Glibenclamid, Glipizid, Glimepirid oder Repaglinid.at an embodiment the compounds of the formula I are administered in combination with an active substance, on the ATP-dependent Potassium channel of the beta cells acts, e.g. Tolbutamide, glibenclamide, glipizide, Glimepiride or repaglinide.
Bei einer Ausführungsform werden die Verbindungen der Formel I in Kombination mit mehr als einer der vorstehend genannten Verbindungen, z.B. in Kombination mit einem Sulphonylharnstoff und Metformin, einem Sulphonylharnstoff und Acarbose, Repaglinid und Metformin, Insulin und einem Sulphonylharnstoff, Insulin und Metformin, Insulin und Troglitazon, Insulin und Lovastatin, etc. verabreicht.at an embodiment the compounds of the formula I in combination with more than one of the aforementioned compounds, e.g. in combination with a sulphonylurea and metformin, a sulphonylurea and acarbose, repaglinide and metformin, insulin and a sulphonylurea, Insulin and metformin, insulin and troglitazone, insulin and lovastatin, etc. administered.
Bei
einer weiteren Ausführungsform
werden die Verbindungen der Formel I in Kombination mit CART-Modulatoren
(siehe "Cocaine-amphetamine-regulated
transcript influences energy metabolism, anxiety and gastric emptying
in mice" Asakawa,
A, et al., M.:Hormone and Metabolic Research (2001), 33(9), 554–558), NPY-Antagonisten
z.B. Naphthalin-1-sulfonsäure
{4-[(4-amino-quinazolin-2-ylamino)- methyl]-cyclohexylmethyl}-amid; hydrochlorid
(CGP 71683A)), MC4-Agonisten (z.B. 1-Amino-1,2,3,4-tetrahydro-naphthalin-2-carbonsäure [2-(3a-benzyl-2-methyl-3-oxo-2,3,3a,4,6,7-hexahydro-pyrazolo[4,3-c]pyridin-5-yl)-1-(4-chloro-phenyl)-2-oxo-ethyl]-amid; (WO 01/91752))
, Orexin-Antagonisten (z.B. 1-(2-Methyl-benzoxazol-6-yl)-3-[1,5]naphthyridin-4-yl-harnstoff;
hydrochloride (SB-334867-A)), H3-Agonisten (3-Cyclohexyl-1-(4,4-dimethyl-1,4,6,7-tetrahydro-imidazo[4,5-c]pyridin-5-yl)-propan-1-on Oxalsäuresalz
(WO 00 / 63208)); TNF-Agonisten, CRF-Antagonisten (z.B. [2-Methyl-9-(2,4,6-timethyl-phenyl)-9H-1,3,9-triaza-fluoren-4-yl]-dipropyl-amin
(WO 00/66585)), CRF BP-Antagonisten (z.B. Urocortin), Urocortin-Agonisten, β3-Agonisten (z.B. 1-(4-Chloro-3-methanesulfonylmethyl-phenyl)-2-[2-(2,3-dimethyl-1H-indol-6-yloxy)-ethylamino]-ethanol;
hydrochloride (WO 01/83451)), MSH (Melanocytstimulierendes Hormon)-Agonisten,
CCK-A Agonisten (z.B. {2-[4-(4-Chloro-2,5-dimethoxy-phenyl)-5-(2-cyclohexyl-ethyl)-thiazol-2-ylcarbamoyl]-5,7-dimethyl-indol-1-yl}-acetic acid Trifluoressigsäuresalz
(WO 99/15525)); Serotonin-Wiederaufnahme-Inhibitoren (z.B. Dexfenfluramine),
gemischte Sertonin- und noradrenerge Verbindungen (z.B. WO 00/71549),
5HT-Agonisten z.B. 1-(3-Ethyl-benzofuran-7-yl)-piperazin Oxalsäuresalz (WO 01/09111), Bombesin-Agonisten,
Galanin-Antagonisten,
Wachstumshormon (z.B. humanes Wachstumshormon), Wachstumshormon
freisetzende Verbindungen (6-Benzyloxy-1-(2-diisopropylaminoethylcarbamoyl)-3,4-dihydro-1H-isoquinoline-2-
carboxylic acid tert-butyl ester (WO 01/85695)), TRH-Agonisten (siehe
z.B.
Bei einer Ausführungsform der Erfindung ist der weitere Wirkstoff Leptin; siehe z.B. "Perspectives in the therapeutic use of leptin", Salvador, Javier; Gomez-Ambrosi, Javier; Fruhbeck, Gema, Expert Opinion on Pharmacotherapy (2001), 2(10), 1615–1622.at an embodiment the invention is the further active ingredient leptin; see, e.g. "Perspectives in the therapeutic use of leptin ", Salvador, Javier; Gomez-Ambrosi, Javier; Fruhbeck, Gema, Expert Opinion on Pharmacotherapy (2001), 2 (10), 1615-1622.
Bei einer Ausführungsform ist der weitere Wirkstoff Dexamphatamin oder Amphetamin.at an embodiment is the other active ingredient dexamphatamine or amphetamine.
Bei einer Ausführungsform ist der weitere Wirkstoff Fenfluramin oder Dexfenfluramin.at an embodiment is the other active ingredient fenfluramine or dexfenfluramine.
Bei noch einer Ausführungsform ist der weitere Wirkstoff Sibutramin.at yet another embodiment is the other active substance sibutramine.
Bei einer Ausführungsform ist der weitere Wirkstoff Orlistat. Bei einer Ausführungsform ist der weitere Wirkstoff Mazindol oder Phentermin.at an embodiment is the other active substance orlistat. In one embodiment is the other ingredient mazindol or phentermine.
Bei einer Ausführungsform werden die Verbindungen der Formel I in Kombination mit Ballaststoffen, vorzugsweise unlöslichen Ballaststoffen (siehe z.B. Carob/Caromax® (Zunft H J; et al., Carob pulp preparation for treatment of hypercholesterolemia, ADVANCES IN THERAPY (2001 Sep-Oct), 18(5), 230-6.) Caromax ist ein Carob enthaltendes Produkt der Fa. Nutrinova, Nutrition Specialties &Food Ingredients GmbH, Industriepark Höchst, 65926 Frankfurt/Main)) verabreicht. Die Kombination mit Caromax® kann in einer Zubereitung erfolgen, oder durch getrennte Gabe von Verbindungen der Formel I und Caromax®. Caromax® kann dabei auch in Form von Lebensmitteln, wie z.B. in Backwaren oder Müsliriegeln, verabreicht werden.In one embodiment, the compounds of formula I in combination with bulking agents, preferably insoluble bulking agents (see, for example, carob / Caromax ® (Zunft HJ; et al, Carob pulp preparation for treatment of hypercholesterolemia, ADVANCES IN THERAPY (2001 Sep-Oct). 18 (5), 230-6.) Caromax is a carob-containing product of the company Nutrinova, Nutrition Specialties & Food Ingredients GmbH, Industriepark Höchst, 65926 Frankfurt / Main)) administered. Combination with Caromax ® is possible in one preparation or by separate administration of compounds of the formula I and Caromax ®. Caromax ® can also be administered in the form of food, such as in baked goods or muesli bars.
Es versteht sich, dass jede geeignete Kombination der erfindungsgemäßen Verbindungen mit einer oder mehreren der vorstehend genannten Verbindungen und wahlweise einer oder mehreren weiteren pharmakologisch wirksamen Substanzen als unter den Schutzbereich der vorliegenden Erfindung fallend angesehen wird.It it is understood that any suitable combination of the compounds of the invention with one or more of the aforementioned compounds and optionally one or more other pharmacologically active Substances than within the scope of the present invention is considered falling.
Die nachfolgend aufgeführten Beispiele dienen zur Erläuterung der Erfindung, ohne diese jedoch einzuschränken The following examples serve to illustrate the invention, but without limiting it
Die Verbindungen der Formel I zeichnen sich durch günstige Wirkungen auf den Glucosestoffwechsel aus, sie senken insbesondere den Blutzuckerspiegel und sind zur Behandlung von Typ 1 und Typ 2 Diabetes geeignet. Die Verbindungen können daher allein oder in Kombination mit weiteren Blutzucker-senkenden Wirkstoffen (Antidiabetika) eingesetzt werden.The compounds of the formula I are distinguished by favorable effects on the glucose metabolism, in particular they lower the blood sugar level and are suitable for the treatment of type 1 and type 2 diabetes. The compounds may therefore be used alone or in combination with other blood sugar lowering agents substances (antidiabetics).
Die Verbindungen der Formel I eignen sich weiterhin zur Prävention und Behandlung von Diabetischen Spätschäden, wie z.B. Nephropatie, Retinopathie, Neuropathie sowie Syndrom X, Obesitas, Herzinfarkt, Myocardialem Infarkt, peripheren arteriellen Verschlusskrankheiten, Thrombosen, Arteriosklerose, Entzündungen, Immunkrankheiten, Autoimmunkrankheiten, wie z.B. AIDS, Asthma, Osteoporose, Krebs, Psoriasis, Alzheimer, Schizophrenie und Infektionskrankheiten, bevorzugt ist die Behandlung von Typ 1 und Typ 2 Diabetes sowie die Prävention und Behandlung von Diabetischen Spätschäden, Syndrom X und Obesitas.The Compounds of the formula I are also suitable for prevention and treatment of diabetic late damage, such as nephropathy, Retinopathy, neuropathy and syndrome X, obesity, myocardial infarction, Myocardial infarction, peripheral arterial disease, Thrombosis, arteriosclerosis, inflammation, immune diseases, Autoimmune diseases, e.g. AIDS, asthma, osteoporosis, cancer, Psoriasis, Alzheimer's, schizophrenia and infectious diseases, preferred is the treatment of type 1 and type 2 diabetes as well as prevention and Treatment of Diabetic Late Disease, Syndrome X and Obesity.
Die Wirksamkeit der Verbindungen wurde wie folgt getestet:The Effectiveness of the compounds was tested as follows:
Präparation von Bürstensaummembran-Vesikeln aus dem Dünndarm von Kaninchen, Ratte und SchweinPreparation of brush border membrane vesicles from the small intestine of rabbit, rat and pig
Die Präparation von Bürstensaummembran-Vesikeln aus den Darmzellen des Dünndarms erfolgte mit der sog. Mg2+-Präzipitationsmethode. Die Mucosa aus dem Dünndarm wurde abgeschabt und in 60 ml eiskaltem Tris/HCl-Puffer (ph 7,1)/300 mM Mannit, 5 mM EGTA suspendiert. Nach dem Verdünnen auf 300 ml mit eiskaltem destilliertem Wasser wurde mit einem Ultraturrax (18-Stab, IKA Werk Staufen, BRD) 2 × 1 Minute bei 75 % max. Leistung unter Eiskühlung homogenisiert. Nach Zugabe von 3 ml 1 M MgCl2-Lösung (Endkonzentration 10 mM) lässt man exakt 15 Minuten bei 0° C stehen. Durch die Zugabe von Mg2+ aggregieren die Zell-membranen und präzipitieren, mit Ausnahme der Bürstensaummembranen. Nach einer 15-minütigen Zentrifugation bei 3 000 × g (5 000 rpm, SS-34-Rotor) wird der Niederschlag verworfen und der Überstand, der die Bürstensaummembranen enthält, 30 Minuten bei 26 700 × g (15 000 rpm, SS-34-Rotor) zentrifugiert. Der Überstand wird verworfen, der Niederschlag in 60 ml 12 mM Tris/HCl-Puffer (ph 7,1)/60 mM Mannit, 5 mM EGTA mit einem Potter Elvejhem Homogenisator (Braun, Melsungen, 900 rpm, 10 Hübe) rehomogenisiert. Nach Zugabe von 0,1 ml 1M MgCl2-Lösung und 15-minütiger Inkubation bei 0°C wird erneut 15 Minuten bei 3 000 × g zentrifugiert. Der Überstand wird anschließend nochmals 30 Minuten bei 46 000 × g (20 000 rpm, SS-34-Rotor) zentrifugiert. Der Niederschlag wird in 30 ml 20 mM Tris/Hepes-Puffer (pH 7,4)/280 mM Mannit aufgenommen und durch 20 Hübe in einem Potter Elveihem Homogenisator bei 1 000 rpm homogen resuspendiert. Nach 30-minütiger Zentrifugation bei 48 000 × g (20 000 rpm, SS-34-Rotor) wurde der Niederschlag in 0,5 bis 2 ml Tris/Hepes-Puffer (pH 7,4)/280 mM Mannit (Endkonzentration 20 mg/ml) aufgenommen und mit Hilfe einer Tuberkulinspritze mit einer 27 Gauge-Nadel resuspendiert.The preparation of brush border membrane vesicles from the intestinal cells of the small intestine was carried out by the so-called Mg 2+ precipitation method. The mucosa from the small intestine was scraped off and suspended in 60 ml of ice-cold Tris / HCl buffer (pH 7.1) / 300 mM mannitol, 5 mM EGTA. After dilution to 300 ml with ice-cold distilled water was with an Ultraturrax (18-rod, IKA plant Staufen, Germany) 2 × 1 minute at 75% max. Power homogenized with ice cooling. After addition of 3 ml of 1 M MgCl 2 solution (final concentration 10 mM), the mixture is allowed to stand at 0 ° C. for exactly 15 minutes. By adding Mg 2+, the cell membranes aggregate and precipitate, with the exception of brush border membranes. After centrifugation at 3,000 x g (5,000 rpm, SS-34 rotor) for 15 minutes, the precipitate is discarded and the supernatant containing the brush border membranes is incubated for 30 minutes at 26,700 x g (15,000 rpm, SS-34 -Rotor) centrifuged. The supernatant is discarded, the precipitate rehomogenized in 60 ml of 12 mM Tris / HCl buffer (pH 7.1) / 60 mM mannitol, 5 mM EGTA with a Potter Elvejhem homogenizer (Braun, Melsungen, 900 rpm, 10 strokes). After addition of 0.1 ml of 1M MgCl 2 solution and incubation at 0 ° C for 15 minutes, it is centrifuged again at 3,000 × g for 15 minutes. The supernatant is then centrifuged for another 30 minutes at 46,000 x g (20,000 rpm, SS-34 rotor). The precipitate is taken up in 30 ml of 20 mM Tris / Hepes buffer (pH 7.4) / 280 mM mannitol and homogeneously resuspended by 20 strokes in a Potter Elveihem homogenizer at 1000 rpm. After centrifugation at 48,000 x g (20,000 rpm, SS-34 rotor) for 30 minutes, the precipitate was dissolved in 0.5 to 2 ml Tris / Hepes buffer (pH 7.4) / 280 mM mannitol (final concentration 20 mg / ml) and resuspended using a tuberculin syringe with a 27 gauge needle.
Die Vesikel wurden entweder unmittelbar nach der Präparation für Markierungs- oder Transportuntersuchungen verwendet oder wurden bei – 196°C in 4 mg Portionen in flüssigem Stickstoff aufbewahrt.The Vesicles were either immediately after preparation for labeling or transport studies used or were at - 196 ° C in 4 mg Portions in liquid Kept nitrogen.
Für die Präparation von Bürstensaummembranvesikeln aus Rattendünndarm wurden 6 bis 10 männliche Wistar-Ratten (Tierzucht Kastengrund, Aventis Pharma), durch zervikale Dislokation getötet, die Dünndärme entnommen und mit kalter isotonischer Kochsalzlösung gespült. Die Därme wurden aufgeschnitten und die Mucosa abgeschabt. Die Aufarbeitung zur Isolierung von Bürstensaummembranen erfolgte wie oben beschrieben. Zur Abtrennung von Cytoskelettanteilen wurden die Bürstensaummembranvesikel aus Rattendünndarm mit KSCN als chaotropem Ion behandelt.For the preparation of brush border membrane vesicles from rat small intestine were 6 to 10 male Wistar rats (animal husbandry chest reason, Aventis Pharma), by cervical Dislocation killed, the small intestines removed and rinsed with cold isotonic saline. The intestines were cut open and the Mucosa scraped off. The work-up for the isolation of brush border membranes took place as described above. For the separation of cytoskeleton components became the brush border membrane vesicles from rat small intestine treated with KSCN as a chaotropic ion.
Für die Präparation von Bürstensaummembranen aus Kaninchendünndarm wurden Kaninchen durch intravenöse Injektion von 0,5 ml einer wässrigen Lösung von 2,5 mg Tetracain-HCl, 100 mg m-Butramid und 25 mg Mebezoniumjodid getötet. Die Dünndärme wurden entnommen, mit eiskalter physiologischer Kochsalzlösung gespült und in Kunststoffbeutel unter Stickstoff bei – 80 °C eingefroren und 4 bis 12 Wochen gelagert. Zur Präparation der Membranvesikel wurden die eingefrorenen Därme bei 30°C im Wasserbad aufgetaut und anschließend die Mucosa abgeschabt. Die Aufarbeitung zu Membranvesikeln erfolgte wie oben beschrieben.For the preparation of brush border membranes from rabbit's small intestine Rabbits were given by intravenous Inject 0.5 ml of an aqueous solution of 2.5 mg tetracaine HCl, 100 mg of m-butramide and 25 mg of mezoconium iodide killed. The small intestines were rinsed, rinsed with ice cold physiological saline and in Frozen plastic bag under nitrogen at - 80 ° C and 4 to 12 weeks stored. For preparation the membranes vesicles were thawed the frozen intestines at 30 ° C in a water bath and then the Mucosa scraped off. The workup to membrane vesicles was carried out as described above.
Zur Präparation von Bürstennsaummembranvesikeln aus Schweinedarm wurden Jejunumsegmente eines frisch geschlachteten Schweines mit eiskalter isotonischer Kochsalzlösung gespült und in Plastikbeuteln unter Stickstoff bei – 80°C eingefroren. Die Präparation der Membranvesikel erfolgte wie oben beschrieben.to preparation of brushed-seam membrane vesicles from pig intestine were jejunum segments of a freshly slaughtered Pork rinsed with ice-cold isotonic saline and put in plastic bags under Nitrogen at - 80 ° C frozen. The preparation the membrane vesicle was as described above.
Präparation von Bürstensaummembranvesikeln aus dem Nierenkortex der RattennierePreparation of brush border membrane vesicles from the renal cortex of the rat kidney
Die Präparation der Bürstensaummembranvesikel aus dem Kortex der Rattenniere erfolgte nach der Methode von Biber et al. Die Nieren von 6 bis 8 Ratten (200 bis 250 g) wurden entnommen und von jeder Niere wurde der Kortex als ca. 1 mm starke Schicht abgetragen. Die Nieren wurden in 30 ml eiskaltem 12 mM Tris/HCl-Puffer (pH 7,4)/300mM Mannit aufgenommen und unter Eiskühlung 4 × 30 Sekunden mit einem Ultraturraxstab (Stufe 180 V) homogenisiert. Nach der Zugabe von 42 ml eiskaltem destilliertem Wasser wurden 850 μl einer 1 M MgCl2-Lösung zugegeben. Nach 15-minütiger Inkubation bei 0°C wurde 15 Minuten bei 4 500 rpm (Sorvall SS-34-Rotor) zentrifugiert. Der Niederschlag wurde verworfen, der Überstand 30 Minuten bei 16 000 rpm zentrifugiert. Nach Resuspendierung des Niederschlags in 60 ml 6 mM Tris/HCl-Puffer (pH 7,4)/150 mM Mannit/2,5 mM EGTA durch 10 Hübe in einem Potter-Elvejhem Homogenisator (900 rpm) wurde nach Zugabe von 720 μl 1 mM MgCl2-Lösung 15 Minuten bei 0°C inkubiert. Nach 15-minütiger Zentrifugation bei 4 500 rpm (SS-34-Rotor) wurde der resultierende Überstand 30 Minuten bei 16000 rpm zentrifugiert. Der Überstand wurde durch 10 Hübe in 60 ml 20 mM Tris/Hepes-Puffer (pH 7,4)/280 mM Mannit homogenisiert und die entstehende Suspension anschließend 30 Minuten bei 20 000 rpm zentrifugiert. Der Niederschlag wurde mit Hilfe einer Tuberkulinspritze mit einer 27 Gauge-Nadel in 20 mM Tris/HCl-Puffer (pH 7,4)/280 mM Mannit resuspendiert und auf eine Proteinkonzentration von 20 mg/ml eingestellt.The brush border membrane vesicles were prepared from the cortex of the rat kidney by the method of Biber et al. The kidneys of 6 to 8 rats (200 to 250 g) were removed and from each kidney, the cortex was removed as a layer about 1 mm thick. The kidneys were taken up in 30 ml of ice-cold 12 mM Tris / HCl buffer (pH 7.4) / 300 mM Mannitol and homogenized with ice cooling for 4 × 30 seconds using an Ultraturrax rod (180 V step). After adding 42 ml of ice-cold distilled water 850 μl of a 1M MgCl 2 solution added. After 15 minutes incubation at 0 ° C, centrifugation was carried out at 4,500 rpm (Sorvall SS-34 rotor) for 15 minutes. The precipitate was discarded, the supernatant centrifuged for 30 minutes at 16,000 rpm. After resuspending the precipitate in 60 ml of 6 mM Tris / HCl buffer (pH 7.4) / 150 mM mannitol / 2.5 mM EGTA by 10 strokes in a Potter-Elvejhem homogenizer (900 rpm), 720 μl of 1 were added mM MgCl 2 solution for 15 minutes at 0 ° C incubated. After 15 minutes of centrifugation at 4,500 rpm (SS-34 rotor), the resulting supernatant was centrifuged for 30 minutes at 16,000 rpm. The supernatant was homogenized by 10 strokes in 60 ml of 20 mM Tris / Hepes buffer (pH 7.4) / 280 mM mannitol and the resulting suspension was then centrifuged for 30 minutes at 20,000 rpm. The precipitate was resuspended by means of a tuberculin syringe with a 27 gauge needle in 20 mM Tris / HCl buffer (pH 7.4) / 280 mM mannitol and adjusted to a protein concentration of 20 mg / ml.
Messung der Glukoseaufnahme durch Bürstensaummembranvesikelmeasurement of Glucose uptake by brush border membrane vesicles
Die Aufnahme von [14C]-markierter Glukose in Bürstensaummembranvesikel wurde mittels der Membranfiltrationsmethode gemessen. 10 μl der Bürstensaummembranvesikelsuspension in 10 mM Tris/Hepes-Puffer (pH 7.4)/300 mM Mannitol wurden bei 20°C zu 90 μl einer Lösung von 10 pM [14C]D-Glukose und den entsprechenden Konzentrationen der betreffenden Hemmstoffe (5-200 μM) in 10 mM Tris/Hepes-Puffer (pH 7.4)/100 mM NaCl/100 mM gegeben.Uptake of [ 14 C] -labeled glucose in brush border membrane vesicles was measured by the membrane filtration method. 10 μl of the brush border membrane vesicle suspension in 10 mM Tris / Hepes buffer (pH 7.4) / 300 mM mannitol was added at 20 ° C. to 90 μl of a solution of 10 pM [ 14 C] D-glucose and the corresponding concentrations of the relevant inhibitors (5- 200 μM) in 10 mM Tris / Hepes buffer (pH 7.4) / 100 mM NaCl / 100 mM.
Nach 15 sec. Inkubation wurde der Transportprozess durch Zugabe von 1 ml eiskalter Stopplösung (10 mM Tris/Hepes-Puffer (pH 7.4)/150 mM KCl) angehalten und die Vesikelsuspension wurde sofort bei einem Vakuum von 25 bis 35 mbar über ein Membranfilter aus Cellulosenitrat (0,45 μm, 25 mm Durchmesser, Schleicher & Schüll) abgesaugt. Der Filter wurde mit 5 ml eiskalter Stopplösung nachgewaschen.To 15 sec. Incubation was the transport process by adding 1 ml ice-cold stopper solution (10 mM Tris / Hepes buffer (pH 7.4) / 150 mM KCl) and the vesicle suspension was immediately over at a vacuum of 25 to 35 mbar Membrane filter made of cellulose nitrate (0.45 μm, 25 mm diameter, Schleicher & Schüll) aspirated. The filter was rinsed with 5 ml ice-cold stop solution.
Jeder Messpunkt wurde als Doppel- oder Dreifachbestimmung ausgeführt.Everyone Measuring point was carried out as a double or triple determination.
Zur Messung der Aufnahme radioaktiv markierter Substrate wurde der Membranfilter in 4 ml eines entsprechenden Szintillators (Quickszint 361, Zinsser Analytik GmbH, Frankfurt am Main) aufgelöst und die Radioaktivität durch Flüssigkeisszintillationsmessung bestimmt. Die gemessenen Werte wurden nach Eichung des Gerätes mit Hilfe von Standardproben und nach Korrektur evtl. vorhandener Chemilumiszenz als dpm (Decompositions per minute) erhalten.to Measurement of the uptake of radiolabeled substrates became the membrane filter in 4 ml of a suitable scintillator (Quickszint 361, Zinsser Analytik GmbH, Frankfurt am Main) and the radioactivity by Flüssigkeisszintillationsmessung certainly. The measured values were recorded after calibration of the device Assistance of standard samples and after correction of possibly existing chemiluminescence received as dpm (Decompositions per minute).
Der
Aktivitätsvergleich
der Wirkstoffe wird anhand von IC25 Daten
durchgeführt,
die im Transport-Assay an Nierenkortex- Bürstensaummembranvesikeln des
Kaninchens für
ausgewählte
Substanzen erhalten wurden. (Die Absolutwerte können Spezies- und Versuchs-abhängig sein)
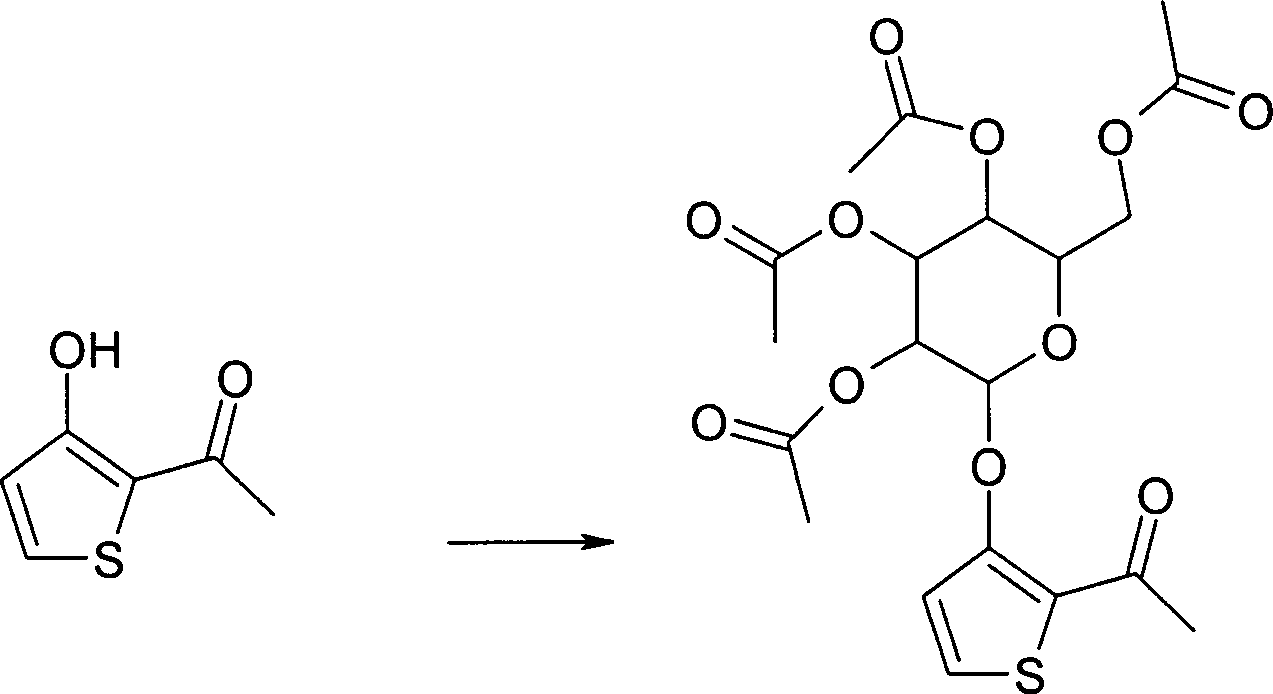
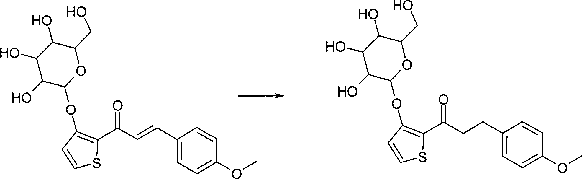
Nachfolgend wird die Herstellung verschiedener Beispiele detailliert beschrieben, die übrigen Verbindungen der Formel I wurden analog erhalten:following the preparation of various examples is described in detail, the remaining Compounds of the formula I were obtained analogously:
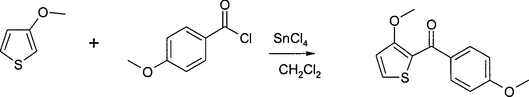
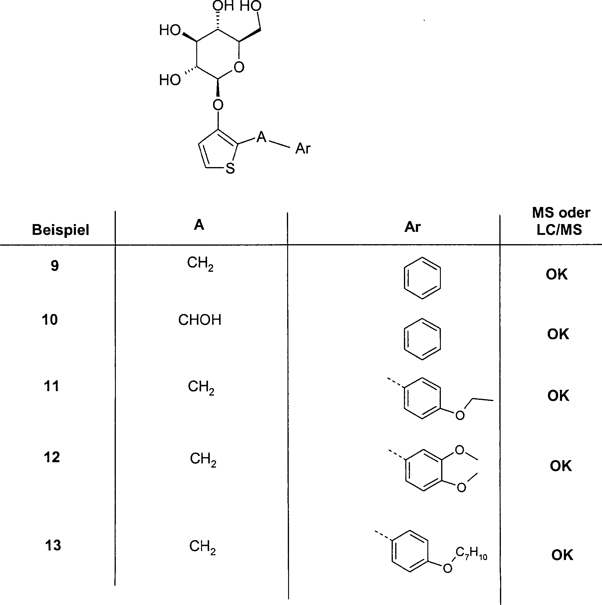
Experimenteller Teil:Experimental part:
Beispiel 1: 3-(4-Methoxy-phenyl)-1-[3-(3,4,5-trihydroxy-6-hydroxymethyl-tetrahydro-pyran-2-yloxy)-thiophen-2-yl]-propan-1-on Example 1: 3- (4-methoxy-phenyl) -1- [3- (3,4,5-trihydroxy-6-hydroxymethyl-tetrahydro-pyran-2-yloxy) -thiophene-2-yl] -propan-1-one
a) Essigsäure-4,5-diacetoxy-6-acetoxymethyl-2-(2-acetyl-thiophen-3-yloxy)-tetrahydro-pyran-3-yl-estera) Acetic acid 4,5-diacetoxy-6-acetoxymethyl-2- (2-acetyl-thiophen-3-yloxy) -tetrahydro-pyran-3-yl-ester
2 g 1-(3-Hydroxy-thiophen-2-yl)-ethanon werden in 120 ml Dichlormethan gelöst und mit 6.4 g Essigsäure-4,5-diacetoxy-6-acetoxymethyl-2-bromo-tetrahydro-pyran-3-yl-ester, 1.4 g Benzyl-tributylammoniumchlorid, 6.4 g Kaliumcarbonat und 1.2 ml Wasser 20 Std. bei 22°C gerührt. Man filtriert von unlöslichen Bestandteilen ab, engt ein und reinigt die Rohproduktmischung durch Säulenchromatographie (SiO2, Ethylacetat/n-Heptan = 1:1). Man erhält das Produkt mit dem Molekulargewicht 472.5 (C20H24O11S), MS (Cl): 473 (M+H+).2 g of 1- (3-hydroxy-thiophen-2-yl) -ethanone are dissolved in 120 ml of dichloromethane and treated with 6.4 g of acetic acid-4,5-diacetoxy-6-acetoxymethyl-2-bromo-tetrahydro-pyran-3-yl ester, 1.4 g of benzyl tributylammonium chloride, 6.4 g of potassium carbonate and 1.2 ml of water for 20 hrs. At 22 ° C stirred. It is filtered off from insoluble constituents, concentrated and the crude product mixture is purified by column chromatography (SiO 2 , ethyl acetate / n-heptane = 1: 1). The product is obtained with the molecular weight 472.5 (C 20 H 24 O 11 S), MS (Cl): 473 (M + H + ).
b) 3-(4-Methoxy-phenyl)-1-[3-(3,4,5-trihydroxy-6-hydroxymethyl-tetrahydro-pyran-2-yloxy)-thiophen-2-yl]-propenonb) 3- (4-Methoxy-phenyl) -1- [3- (3,4,5-trihydroxy-6-hydroxymethyl-tetrahydro-pyran-2-yloxy) -thiophen-2-yl] -propenone
472 mg Essigsäure-4,5-diacetoxy-6-acetoxymethyl-2-(2-acetyl-thiophen-3-yloxy)-tetrahydro-pyran-3-yl ester werden in 20 ml Methanol gelöst und mit 5 ml 1N NaOCH3-Lösung in Methanol versetzt. Man gibt 410 mg 4-Methoxy-benzaldehyd dazu und rührt 20 Std. bei 22°C. Der Ansatz wird mit wenig verdünnter methanolischer Salzsäure neutralisiert, eingeengt und der Rückstand über eine Kieselgelsäule chromatographisch (Dichlormethan/Methanol = 6:1) gereinigt. Man erhält das Produkt mit dem Molekulargewicht 422.5 (C20H22O8S), MS (ESI): 423 (M+H+).472 mg of acetic acid 4,5-diacetoxy-6-acetoxymethyl-2- (2-acetyl-thiophen-3-yloxy) tetrahydro-pyran-3-yl ester are dissolved in 20 ml of methanol and treated with 5 ml of 1N NaOCH 3 . Solution mixed in methanol. 410 mg of 4-methoxy-benzaldehyde are added and the mixture is stirred at 22 ° C. for 20 hours. The mixture is neutralized with a little dilute methanolic hydrochloric acid, concentrated and the residue is purified by chromatography on a silica gel column (dichloromethane / methanol = 6: 1). The product is obtained with the molecular weight 422.5 (C 20 H 22 O 8 S), MS (ESI): 423 (M + H + ).
c) 3-(4-Methoxy-phenyl)-1-[3-(3,4,5-trihydroxy-6-hydroxymethyl-tetrahydro-pyran-2-yloxy)-thiophen-2-yl]-propan-1-onc) 3- (4-Methoxy-phenyl) -1- [3- (3,4,5-trihydroxy-6-hydroxymethyl-tetrahydro-pyran-2-yloxy) -thiophen-2-yl] -propane-1 on
100 mg 3-(4-Methoxy-phenyl)-1-[3-(3,4,5-trihydroxy-6-hydroxymethyl-tetrahydropyran-2-yloxy)-thiophen-2-yl]-propenon werden gelöst in 10 ml Ethanol mit ca. 20 mg 5proz. Palladium auf Kohle in eine Schüttelente bei leichtem Überdruck hydriert (ca. 4 Std, DC-Kontrolle). Man filtriert vom Katalysator ab, engt ein und reinigt den Rückstand durch Säulenfiltration (SiO2, Dichlormethan/Methanol = 6:1).100 mg of 3- (4-methoxy-phenyl) -1- [3- (3,4,5-trihydroxy-6-hydroxymethyl-tetrahydropyran-2-yloxy) -thiophen-2-yl] -propenone are dissolved in 10 ml Ethanol with approx. 20 mg 5proz. Hydrogenated palladium on charcoal in a shaking teapot at a slight overpressure (about 4 hours, TLC control). It is filtered from the catalyst, concentrated and the residue is purified by column filtration (SiO 2 , dichloromethane / methanol = 6: 1).
Man erhält das Produkt mit dem Molekulargewicht 424.5 (C20H24O8S), MS (ESI): 447 (M+Na+).The product is obtained with the molecular weight 424.5 (C 20 H 24 O 8 S), MS (ESI): 447 (M + Na + ).
Auf dem gleichen Syntheseweg werden die nachfolgenden Beispiel-Substanzen 2 bis 6 hergestellt: Beispiel 7 2-Hydroxymethyl-6-[2-(4-methoxy-benzyl)-thiophen-3-yloxy]-tetrahydro-pyran-3,4,5-triol In the same synthetic way, the following example substances 2 to 6 are prepared: Example 7 2-Hydroxymethyl-6- [2- (4-methoxy-benzyl) -thiophene-3-yloxy] -tetrahydro-pyran-3,4,5-triol
a) (4-Methoxy-phenyl)-(3-methoxy-thiophen-2-yl)-methanona) (4-Methoxy-phenyl) - (3-methoxy-thiophen-2-yl) -methanone
Zu einer Lösung von 2.3 g 3-Methoxy-thiophen und 3.4 g 4-Methoxybenzoylchlorid in 50 ml Dichlormethan gibt man unter Eiskühlung 2.7 ml Zinntetrachlorid. Der Ansatz wird über Nacht bei Raumtemp. gerührt. Zur Aufarbeitung versetzt man mit 75 ml 2N Salzsäure und schüttelt dreimal mit Dichlormethan aus. Die vereinten organischen Phasen werden je zweimal mit 2N Natriumcarbonat-Lösung und Wasser gewaschen, dann entfernt man das Lösemittel i.Vak. und reinigt das Rohprodukt durch Säulenfiltration (SiO2, Ethylacetat/n-Heptan = 1:2). Man erhält das Produkt mit dem Molekulargewicht 248.3 (C13H12O3S), MS (Cl): 249 (M+H+) 2.7 ml of tin tetrachloride are added to a solution of 2.3 g of 3-methoxy-thiophene and 3.4 g of 4-methoxybenzoyl chloride in 50 ml of dichloromethane while cooling with ice. The approach is overnight at room temp. touched. For working up, it is mixed with 75 ml of 2N hydrochloric acid and extracted three times with dichloromethane. The combined organic phases are washed twice each with 2N sodium carbonate solution and water, then the solvent is removed i.Vak. and purifies the crude product by column filtration (SiO 2, ethyl acetate / n-heptane = 1: 2). The product is obtained with the molecular weight 248.3 (C 13 H 12 O 3 S), MS (Cl): 249 (M + H + )
b) (3-Hydroxy-thiophen-2-yl)-(4-methoxy-phenyl)-methanonb) (3-Hydroxy-thiophen-2-yl) - (4-methoxyphenyl) -methanone
993 mg (4-Methoxy-phenyl)-(3-methoxy-thiophen-2-yl)-methanon werden in 20 ml trockenem Dichlormethan gelöst und mit 7 ml Bortribromid-Dimethylsulfid-Komplex versetzt. Die Mischung wird bis zur Vervollständigung der Umsetzung bei Raumtemp. gerührt (DC-Kontrolle). Danach gießt man auf Wasser und schüttelt mehrfach mit Dichlormethan aus. Die organische Phase wird getrocknet, eingeengt und der Rückstand wird durch Säulenchromatographie gereinigt (SiO2, Ethylacetat/n-Heptan = 1:4). Man erhält das Produkt mit dem Molekulargewicht 234.3 (C12H10O3S), MS (Cl): 235 (M+H+).993 mg of (4-methoxy-phenyl) - (3-methoxy-thiophen-2-yl) -methanone are dissolved in 20 ml of dry dichloromethane and mixed with 7 ml of boron tribromide-dimethylsulfide complex. The mixture is allowed to complete the reaction at room temp. stirred (TLC control). Then pour into water and shake several times with dichloromethane. The organic phase is dried, concentrated and the residue is purified by column chromatography (SiO 2 , ethyl acetate / n-heptane = 1: 4). The product is obtained with the molecular weight 234.3 (C 12 H 10 O 3 S), MS (Cl): 235 (M + H + ).
c) (4-Methoxy-phenyl)-[3-(3,4,5-trihydroxy-6-hydroxymethyl-tetrahydro-pyran-2-yloxy)-thiophen-2-yl]-methanon = Beispiel 8c) (4-Methoxyphenyl) - [3- (3,4,5-trihydroxy-6-hydroxymethyl-tetrahydro-pyran-2-yloxy) -thiophen-2-yl] -methanone = Example 8
2.8 g (3-Hydroxy-thiophen-2-yl)-(4-methoxy-phenyl)-methanon werden in 350 ml Dichlormethan gelöst und mit 12.64g Essigsäure-3,4,5-triacetoxy-6-brom-tetrahydropyran-2-ylmethylester, 15.4 g Kaliumcarbonat, 3.6 g Benzyl-tributylammoniumchlorid und zuletzt 3 ml Wasser versetzt. Die Mischung wird 20h bei Raumtemp. intensiv gerührt. Nach beendeter Reaktion wird filtriert, eingeengt und der Rückstand über SiO2 mit Ethylacetat/Heptan = 1:2 filtriert. Man entfernt das Lösemittel und nimmt den Rückstand in ca. 300 ml Methanol auf, versetzt mit 35 ml 1N NaOCH3-Lösung in Methanol und rührt 1 Std. bei Raumtemp. Danach neutralisiert man mit 7proz. methanolischer Salzsäure (ca. 35 ml), setzt ca. 100 ml Laufmittelgemisch Dichlormethan/Methanol/konz.Ammoniak = 30:5:0.1 dazu und rührt 5 min. Danach wird eingeengt, der Rückstand mit gleichem Laufmittelgemisch aufgenommen und die Lösung vom unlöslichen Salz abgetrennt. Man erhält nach Chromatographie über Kieselgel das Produkt mit dem Molekulargewicht 396.42 (C18H20O8S), MS (ESI): 397 (M+H+), 235 (M+H+-gluc).2.8 g of (3-hydroxy-thiophen-2-yl) - (4-methoxyphenyl) -methanone are dissolved in 350 ml of dichloromethane and treated with 12.64 g of acetic acid-3,4,5-triacetoxy-6-bromo-tetrahydropyran-2 -yl methyl ester, 15.4 g of potassium carbonate, 3.6 g of benzyl tributylammonium chloride and finally 3 ml of water. The mixture is 20h at room temp. intensely stirred. After the reaction is filtered, concentrated and the residue over SiO 2 with ethyl acetate / heptane = 1: 2 filtered. The solvent is removed and the residue is taken up in about 300 ml of methanol, mixed with 35 ml of 1N NaOCH 3 solution in methanol and stirred for 1 hour at room temp. Then neutralized with 7proz. Methanolic hydrochloric acid (about 35 ml), is about 100 ml of solvent mixture dichloromethane / methanol / conc.Ammoniak = 30: 5: 0.1 and stirred for 5 min. It is then concentrated, the residue taken up with the same eluent mixture and the solution separated from the insoluble salt. After chromatography on silica gel to obtain the product with the molecular weight 396.42 (C 18 H 20 O 8 S), MS (ESI): 397 (M + H +), 235 (M + H + -gluc).
d) 2-Hydroxymethyl-6-[2-(4-methoxy-benzyl)-thiophen-3-yloxy]-tetrahydro-pyran-3,4,5-triold) 2-hydroxymethyl-6- [2- (4-methoxy-benzyl) -thiophen-3-yloxy] -tetrahydropyran-3,4,5-triol
4.1 g (4-Methoxy-phenyl)-[3-(3,4,5-trihydroxy-6-hydroxymethyl-tetrahydro-pyran-2-yloxy)-thiophen-2-yl]-methanon werden in 200 ml Tetrahydrofuran + 20 ml Methanol gelöst und mit 500 mg Natriumborhydrid versetzt. Nach vollständiger Umsetzung (DC-Kontrolle, Dichlormethan/Methanol/konz. Ammoniak= 30:5:0.1; ca. 30–60 min) wird mit Wasser versetzt und dreimal mit Ethylacetat ausgeschüttelt. Die vereinten organischen Phasen werden getrocknet und eingeengt.4.1 g (4-methoxyphenyl) - [3- (3,4,5-trihydroxy-6-hydroxymethyl-tetrahydro-pyran-2-yloxy) -thiophen-2-yl] -methanone are dissolved in 200 ml of tetrahydrofuran + 20 ml of methanol and washed with 500 mg of sodium borohydride added. After complete reaction (TLC control, Dichloromethane / methanol / conc. Ammonia = 30: 5: 0.1; about 30-60 minutes) is mixed with water and extracted by shaking three times with ethyl acetate. The Combined organic phases are dried and concentrated.
Man erhält 2-{2-[Hydroxy-(4-methoxy-phenyl)-methyl]-thiophen-3-yloxy}-6-hydroxymethyl-tetrahydro-pyran-3,4,5-triol als Rohprodukt, das durch Chromatographie gereinigt wird. Für die Folgereaktion wird es wird ohne weitere Reinigung eingesetzt.you receives 2- {2- [hydroxy- (4-methoxy-phenyl) -methyl] -thiophene-3-yloxy} -6-hydroxymethyl-tetrahydro-pyran-3,4,5-triol as a crude product, which is purified by chromatography. For the follow-up action it will be used without further purification.
Die gesamte Menge wird in ca. 800 ml trockenem Ethanol gelöst, und man sättigt die Lösung in einer Schüttelente mit Argon. Dann gibt man trockenes Palladium auf Kohle als Katalysator hinzu und hydriert die Mischung unter kräftigem Schütteln 6–7 Std. bei Raumtemp. und Normaldruck. Nach beendeter Umsetzung saugt man über eine Klärschicht ab und entfernt das Lösemittel i.Vak. Der Rückstand wird durch Chromatographie an Kieselgel mit Dichlormethan/Methanol = 9:1 gereinigt. (Entwicklung der DC-Platten mit 10proz. Schwefelsäure). Man erhält 2-Hydroxymethyl-6-[2-(4-methoxy-benzyl)-thiophen-3-yloxy]-tetrahydro-pyran-3,4,5-triol mit dem Molekulargewicht 382.44 (C18H22O7S), MS (ESI): 383 (M+H+), 221 (M+H+-gluc).The entire amount is dissolved in about 800 ml of dry ethanol, and the solution is saturated in a shaker with argon. Then add dry palladium on carbon as catalyst and hydrogenate the mixture with vigorous shaking 6-7 hrs. At room temp. and normal pressure. After completion of the reaction, the mixture is filtered off with suction through a clearing layer and the solvent is removed in vacuo. The residue is purified by chromatography on silica gel with dichloromethane / methanol = 9: 1. (Development of TLC plates with 10% sulfuric acid). This gives 2-hydroxymethyl-6- [2- (4-methoxy-benzyl) -thiophen-3-yloxy] tetrahydro-pyran-3,4,5-triol having the molecular weight 382.44 (C 18 H 22 O 7 S) , MS (ESI): 383 (M + H + ), 221 (M + H + -gluc).
Auf dem gleichen Syntheseweg werden folgende Beispiel-Substanzen 9 bis 13 hergestellt: The following example substances 9 to 13 are prepared in the same way:
Claims (4)
Priority Applications (53)
| Application Number | Priority Date | Filing Date | Title |
|---|---|---|---|
| DE10231370A DE10231370B4 (en) | 2002-07-11 | 2002-07-11 | Thiophene glycoside derivatives, medicaments containing these compounds and methods of making these medicaments |
| JOP/2003/0068A JO2707B1 (en) | 2002-07-11 | 2003-06-23 | Novel thiophene glycoside derivatives, processes for their preparation, medicaments comprising these compounds and the use thereof |
| JP2004520429A JP4511927B2 (en) | 2002-07-11 | 2003-06-27 | Novel thiophene glycoside derivative, process for producing the same, medicament containing the compound and use thereof |
| DE50310783T DE50310783D1 (en) | 2002-07-11 | 2003-06-27 | NEW THIOPHENE GLYCOSIDE DERIVATIVES, METHOD FOR THE PRODUCTION THEREOF, AND THE MEDICAMENTS CONTAINING THESE COMPOUNDS AND THEIR USE |
| BR0312513-0A BR0312513A (en) | 2002-07-11 | 2003-06-27 | Thiophene glycoside derivatives, processes for their production, medicines containing these compounds and their use |
| DK03763662T DK1523488T3 (en) | 2002-07-11 | 2003-06-27 | Novel Thiophenglycoside Derivatives, Methods for their Preparation, Drugs Containing These Compounds and Their Use |
| CA2493391A CA2493391C (en) | 2002-07-11 | 2003-06-27 | Novel thiophene glycoside derivatives, methods for production thereof, medicaments comprising said compounds and use thereof |
| OA1200500001A OA12880A (en) | 2002-07-11 | 2003-06-27 | Novel thiophenylglycoside derivatives, methods forproduction thereof, medicaments comprising said c ompounds and use thereof. |
| CNB038165325A CN100384863C (en) | 2002-07-11 | 2003-06-27 | Novel thienyl glycoside derivatives, method for the production thereof, medicaments containing said compounds and the use thereof |
| AU2003246620A AU2003246620B2 (en) | 2002-07-11 | 2003-06-27 | Novel thiophenylglycoside derivatives, methods for production thereof, medicaments comprising said compounds and use thereof |
| HK06100362.4A HK1080482B (en) | 2002-07-11 | 2003-06-27 | Novel thiophenylglycoside derivatives, methods for production thereof, medicaments comprising said compounds and use thereof |
| EP08009226A EP1964845B1 (en) | 2002-07-11 | 2003-06-27 | New thiophen glycoside derivatives, method for their manufacture, medicines containing these compounds and their application |
| PT03763662T PT1523488E (en) | 2002-07-11 | 2003-06-27 | Novel thiophenylglycoside derivatives, methods for production thereof, medicaments comprising said compounds and use thereof |
| EP03763662A EP1523488B1 (en) | 2002-07-11 | 2003-06-27 | Novel thiophenylglycoside derivatives, methods for production thereof, medicaments comprising said compounds and use thereof |
| AT08008079T ATE479697T1 (en) | 2002-07-11 | 2003-06-27 | NEW THIOPHENE GLYCOSIDE DERIVATIVES, METHOD FOR THE PRODUCTION THEREOF, MEDICINAL PRODUCTS CONTAINING THESE COMPOUNDS AND THEIR USE |
| YUP-1150/04A RS51002B (en) | 2002-07-11 | 2003-06-27 | NEW THIOPHENGLYCOSIDE DERIVATIVES, THE PROCEDURE FOR THEIR PRODUCTION, THE MEDICINAL PRODUCTS CONTAINING THESE COMPOUNDS AND THEIR USE |
| PCT/EP2003/006841 WO2004007517A1 (en) | 2002-07-11 | 2003-06-27 | Novel thiophenylglycoside derivatives, methods for production thereof, medicaments comprising said compounds and use thereof |
| EP08008232A EP1967523B1 (en) | 2002-07-11 | 2003-06-27 | New thiophen glycoside derivatives, method for their manufacture, medicines containing these compounds and their application |
| MEP-607/08A MEP60708A (en) | 2002-07-11 | 2003-06-27 | Novel thiophenylglycoside derivatives, methods for production thereof, medicaments comprising said compounds and use thereof |
| UAA200501215A UA78823C2 (en) | 2002-07-11 | 2003-06-27 | Thiophen glycoside derivatives and their use |
| AT03763662T ATE414095T1 (en) | 2002-07-11 | 2003-06-27 | NEW THIOPHENE GLYCOSIDE DERIVATIVES, METHOD FOR THE PRODUCTION THEREOF, MEDICINAL PRODUCTS CONTAINING THESE COMPOUNDS AND THEIR USE |
| MXPA05000044A MXPA05000044A (en) | 2002-07-11 | 2003-06-27 | Novel thiophenylglycoside derivatives, methods for production thereof, medicaments comprising said compounds and use thereof. |
| KR10-2005-7000500A KR20050021452A (en) | 2002-07-11 | 2003-06-27 | Novel thiophenylglycoside derivatives, methods for production thereof, medicaments comprising said compounds and use thereof |
| ES03763662T ES2316818T3 (en) | 2002-07-11 | 2003-06-27 | NEW DERIVATIVES OF THIOPHEN GLYCOSIDE, PROCEDURE FOR PREPARATION, MEDICATIONS CONTAINING THESE COMPOUNDS AND THEIR USE. |
| AT08009226T ATE477265T1 (en) | 2002-07-11 | 2003-06-27 | NEW THIOPHENE GLYCOSIDE DERIVATIVES, METHOD FOR THE PRODUCTION THEREOF, MEDICINAL PRODUCTS CONTAINING THESE COMPOUNDS AND THEIR USE |
| PL03372931A PL372931A1 (en) | 2002-07-11 | 2003-06-27 | Novel thiophenylglycoside derivatives, methods for production thereof, medicaments comprising said compounds and use thereof |
| DE50312984T DE50312984D1 (en) | 2002-07-11 | 2003-06-27 | Novel thiophene glycoside derivatives, process for their preparation, medicaments containing these compounds and their use |
| SI200331500T SI1523488T1 (en) | 2002-07-11 | 2003-06-27 | Novel thiophenylglycoside derivatives, methods for production thereof, medicaments comprising said compounds and use thereof |
| AT08008232T ATE477266T1 (en) | 2002-07-11 | 2003-06-27 | NEW THIOPHENE GLYCOSIDE DERIVATIVES, METHOD FOR THE PRODUCTION THEREOF, MEDICINAL PRODUCTS CONTAINING THESE COMPOUNDS AND THEIR USE |
| DE50312983T DE50312983D1 (en) | 2002-07-11 | 2003-06-27 | Novel thiophene glycoside derivatives, process for their preparation, medicaments containing these compounds and their use |
| HR20050014A HRP20050014A2 (en) | 2002-07-11 | 2003-06-27 | Novel thiophenylglycoside derivatives, methods for production thereof, medicaments comprising said compounds and use thereof |
| EP08008079A EP1964844B1 (en) | 2002-07-11 | 2003-06-27 | New thiophen glycoside derivatives, method for their manufacture, medicines containing these compounds and their application |
| CNA2008100828971A CN101240000A (en) | 2002-07-11 | 2003-06-27 | Novel thienyl glycoside derivatives, methods for their preparation, medicaments containing the compounds and uses thereof |
| RU2005103602/04A RU2317300C2 (en) | 2002-07-11 | 2003-06-27 | Derivatives of thiophene glycoside, medicinal agents comprising these compounds and their using |
| DE50313056T DE50313056D1 (en) | 2002-07-11 | 2003-06-27 | Novel thiophene glycoside derivatives, process for their preparation, medicaments containing these compounds and their use |
| AR20030102456A AR040474A1 (en) | 2002-07-11 | 2003-07-08 | THIOPHENOLGLYCOSIDE DERIVATIVES, PROCEDURES FOR THE PREPARATION OF THE SAME, MEDICINES CONTAINING THESE COMPOUNDS, AND THE USE OF THE SAME |
| TW092118657A TWI318981B (en) | 2002-07-11 | 2003-07-09 | Novel thiophene glycoside derivatives, processes for their preparation , medicaments comprising these compounds, and the use thereof |
| PE2003000688A PE20040655A1 (en) | 2002-07-11 | 2003-07-09 | NEW THIOPHENE GLYCOSIDE DERIVATIVES, PROCEDURES FOR THEIR PREPARATION AND DRUGS CONTAINING THEM |
| MYPI20032596A MY137039A (en) | 2002-07-11 | 2003-07-10 | Thiophene glycoside derivatives, processes for the preparation, medicaments comprising these compounds, and the use thereof |
| PA20038577101A PA8577101A1 (en) | 2002-07-11 | 2003-07-10 | NEW DERIVATIVES OF THIOPHEN GLYCOSIDE, PROCEDURES FOR THE PREPARATION OF THE SAME, MEDICINES CONTAINING THESE COMPOUNDS, AND THE USE OF THE SAME |
| HN2003000215A HN2003000215A (en) | 2002-07-11 | 2003-07-10 | NEW DERIVATIVES OF THIOPHEN GLYCROCYDE, PROCEDURES FOR THE PREPARATION OF THE SAME, MEDICINES CONTAINING THESE COMPOUNDS, AND THE USE OF THEM. |
| US10/616,945 US7101856B2 (en) | 2002-07-11 | 2003-07-11 | Thiophene glycoside derivatives, processes for the preparation, medicaments comprising these compounds, and the use thereof |
| UY27891A UY27891A1 (en) | 2002-07-11 | 2003-07-11 | NEW DERIVATIVES OF THIOPHEN GLYCOSIDE, PROCEDURES FOR THE PREPARATION OF THE SAME, MEDICINES CONTAINING THESE COMPOUNDS, AND THE USE OF THEM. |
| ZA200409779A ZA200409779B (en) | 2002-07-11 | 2004-12-02 | Novel thiophenylglycoside derivatives, methods for production thereof, medicaments comprising said compounds and use thereof |
| MA28004A MA27366A1 (en) | 2002-07-11 | 2004-12-14 | NOVEL THIOPHENYLGLYCOSIDE DERIVATIVES, METHODS FOR THE PRODUCTION THEREOF, MEDICAMENTS CONTAINING SAID COMPOUNDS AND THEIR USE |
| IL16605804A IL166058A0 (en) | 2002-07-11 | 2004-12-23 | Novel thiophenylglycoside derivatives methods for production thereof medicaments comprising said compounds and use thereof |
| TNP2005000007A TNSN05007A1 (en) | 2002-07-11 | 2005-01-10 | Novel thiophenylglycoside derivatives, methods for production thereof, medicaments comprising said compounds and use thereof. |
| EC2005005531A ECSP055531A (en) | 2002-07-11 | 2005-01-11 | "NEW DERIVATIVES OF THIOPHEN GLYCOSIDE, METHODS FOR THE PREPARATION OF THE SAME, DRUGS THAT INCLUDE SUCH COMPOUNDS, AND THEIR USE" |
| NO20050649A NO20050649L (en) | 2002-07-11 | 2005-02-07 | New Thiophenyl Glycoside Derivatives, Methods of Preparation thereof, Medicaments comprising These Compounds and Use thereof |
| CR7718A CR7718A (en) | 2002-07-11 | 2005-03-07 | NEW DERIVATIVES OF THIOPHEN GLYCOSIDE, METHODS FOR THE PREPARATION OF THE SAME, MEDICINES THAT INCLUDE SUCH COMPOUNDS, AND ITS USE |
| US11/464,338 US7666848B2 (en) | 2002-07-11 | 2006-08-14 | Thiophene glycoside derivatives, processes for the preparation, medicaments comprising these compounds, and the use thereof |
| IL191926A IL191926A0 (en) | 2002-07-11 | 2008-06-03 | Novel thiophenylglycoside derivatives, methods for production thereof, medicaments comprising said compounds and use thereof |
| CY20091100138T CY1108754T1 (en) | 2002-07-11 | 2009-02-05 | NEW THIOPHEINOPHYLGOSCID PRODUCTS, METHOD FOR THEIR PREPARATION, MEDICINAL CONTENTS THESE COMPOUNDS AND THEIR USE |
Applications Claiming Priority (1)
| Application Number | Priority Date | Filing Date | Title |
|---|---|---|---|
| DE10231370A DE10231370B4 (en) | 2002-07-11 | 2002-07-11 | Thiophene glycoside derivatives, medicaments containing these compounds and methods of making these medicaments |
Publications (2)
| Publication Number | Publication Date |
|---|---|
| DE10231370A1 DE10231370A1 (en) | 2004-02-05 |
| DE10231370B4 true DE10231370B4 (en) | 2006-04-06 |
Family
ID=30009905
Family Applications (5)
| Application Number | Title | Priority Date | Filing Date |
|---|---|---|---|
| DE10231370A Expired - Fee Related DE10231370B4 (en) | 2002-07-11 | 2002-07-11 | Thiophene glycoside derivatives, medicaments containing these compounds and methods of making these medicaments |
| DE50310783T Expired - Lifetime DE50310783D1 (en) | 2002-07-11 | 2003-06-27 | NEW THIOPHENE GLYCOSIDE DERIVATIVES, METHOD FOR THE PRODUCTION THEREOF, AND THE MEDICAMENTS CONTAINING THESE COMPOUNDS AND THEIR USE |
| DE50312983T Expired - Lifetime DE50312983D1 (en) | 2002-07-11 | 2003-06-27 | Novel thiophene glycoside derivatives, process for their preparation, medicaments containing these compounds and their use |
| DE50312984T Expired - Lifetime DE50312984D1 (en) | 2002-07-11 | 2003-06-27 | Novel thiophene glycoside derivatives, process for their preparation, medicaments containing these compounds and their use |
| DE50313056T Expired - Lifetime DE50313056D1 (en) | 2002-07-11 | 2003-06-27 | Novel thiophene glycoside derivatives, process for their preparation, medicaments containing these compounds and their use |
Family Applications After (4)
| Application Number | Title | Priority Date | Filing Date |
|---|---|---|---|
| DE50310783T Expired - Lifetime DE50310783D1 (en) | 2002-07-11 | 2003-06-27 | NEW THIOPHENE GLYCOSIDE DERIVATIVES, METHOD FOR THE PRODUCTION THEREOF, AND THE MEDICAMENTS CONTAINING THESE COMPOUNDS AND THEIR USE |
| DE50312983T Expired - Lifetime DE50312983D1 (en) | 2002-07-11 | 2003-06-27 | Novel thiophene glycoside derivatives, process for their preparation, medicaments containing these compounds and their use |
| DE50312984T Expired - Lifetime DE50312984D1 (en) | 2002-07-11 | 2003-06-27 | Novel thiophene glycoside derivatives, process for their preparation, medicaments containing these compounds and their use |
| DE50313056T Expired - Lifetime DE50313056D1 (en) | 2002-07-11 | 2003-06-27 | Novel thiophene glycoside derivatives, process for their preparation, medicaments containing these compounds and their use |
Country Status (39)
| Country | Link |
|---|---|
| US (2) | US7101856B2 (en) |
| EP (4) | EP1523488B1 (en) |
| JP (1) | JP4511927B2 (en) |
| KR (1) | KR20050021452A (en) |
| CN (2) | CN101240000A (en) |
| AR (1) | AR040474A1 (en) |
| AT (4) | ATE414095T1 (en) |
| AU (1) | AU2003246620B2 (en) |
| BR (1) | BR0312513A (en) |
| CA (1) | CA2493391C (en) |
| CR (1) | CR7718A (en) |
| CY (1) | CY1108754T1 (en) |
| DE (5) | DE10231370B4 (en) |
| DK (1) | DK1523488T3 (en) |
| EC (1) | ECSP055531A (en) |
| ES (1) | ES2316818T3 (en) |
| HN (1) | HN2003000215A (en) |
| HR (1) | HRP20050014A2 (en) |
| IL (2) | IL166058A0 (en) |
| JO (1) | JO2707B1 (en) |
| MA (1) | MA27366A1 (en) |
| ME (1) | MEP60708A (en) |
| MX (1) | MXPA05000044A (en) |
| MY (1) | MY137039A (en) |
| NO (1) | NO20050649L (en) |
| OA (1) | OA12880A (en) |
| PA (1) | PA8577101A1 (en) |
| PE (1) | PE20040655A1 (en) |
| PL (1) | PL372931A1 (en) |
| PT (1) | PT1523488E (en) |
| RS (1) | RS51002B (en) |
| RU (1) | RU2317300C2 (en) |
| SI (1) | SI1523488T1 (en) |
| TN (1) | TNSN05007A1 (en) |
| TW (1) | TWI318981B (en) |
| UA (1) | UA78823C2 (en) |
| UY (1) | UY27891A1 (en) |
| WO (1) | WO2004007517A1 (en) |
| ZA (1) | ZA200409779B (en) |
Families Citing this family (120)
| Publication number | Priority date | Publication date | Assignee | Title |
|---|---|---|---|---|
| CN1020944C (en) | 1990-01-30 | 1993-05-26 | 阿图尔-费希尔股份公司费希尔厂 | Fastening element |
| DE10258008B4 (en) * | 2002-12-12 | 2006-02-02 | Sanofi-Aventis Deutschland Gmbh | Heterocyclic fluoroglycoside derivatives, medicaments containing these compounds and methods of making these medicaments |
| DE10308353A1 (en) | 2003-02-27 | 2004-12-02 | Aventis Pharma Deutschland Gmbh | Diarylcycloalkyl derivatives, processes for their preparation and their use as medicines |
| US7439232B2 (en) | 2003-04-01 | 2008-10-21 | Taisho Pharmaceutical Co., Ltd. | Heteroaryl 5-thio-β-D-glucopyranoside derivatives and therapeutic agents for diabetes containing the same |
| EA015104B1 (en) | 2003-08-01 | 2011-06-30 | Мицубиси Танабе Фарма Корпорейшн | Novel compounds having inhibitory activity against sodium-dependant transporter |
| US8785403B2 (en) | 2003-08-01 | 2014-07-22 | Mitsubishi Tanabe Pharma Corporation | Glucopyranoside compound |
| TW200606129A (en) | 2004-07-26 | 2006-02-16 | Chugai Pharmaceutical Co Ltd | Novel cyclohexane derivative, its prodrug, its salt and diabetic therapeutic agent containing the same |
| WO2006010379A1 (en) | 2004-07-29 | 2006-02-02 | Actelion Pharmaceuticals Ltd. | Novel thiophene derivatives as immunosuppressive agents |
| DE102004063099B4 (en) * | 2004-12-22 | 2009-02-12 | Sanofi-Aventis Deutschland Gmbh | Process for the preparation of thiophene glycoside derivatives |
| TW200637869A (en) | 2005-01-28 | 2006-11-01 | Chugai Pharmaceutical Co Ltd | The spiroketal derivatives and the use as therapeutical agent for diabetes of the same |
| TWI365186B (en) | 2005-01-31 | 2012-06-01 | Mitsubishi Tanabe Pharma Corp | Indole derivatives |
| AR053329A1 (en) * | 2005-01-31 | 2007-05-02 | Tanabe Seiyaku Co | INDOL DERIVATIVES USEFUL AS INHIBITORS OF GLUCOSE CONVEYORS DEPENDENT ON SODIUM (SGLT) |
| CA2602478A1 (en) | 2005-03-23 | 2006-09-28 | Actelion Pharmaceuticals Ltd | Novel thiophene derivatives |
| US7772191B2 (en) | 2005-05-10 | 2010-08-10 | Boehringer Ingelheim International Gmbh | Processes for preparing of glucopyranosyl-substituted benzyl-benzene derivatives and intermediates therein |
| DE102005026762A1 (en) | 2005-06-09 | 2006-12-21 | Sanofi-Aventis Deutschland Gmbh | Azolopyridin-2-one derivatives as inhibitors of lipases and phospholipases |
| EP1896446A1 (en) * | 2005-06-24 | 2008-03-12 | Actelion Pharmaceuticals Ltd. | Novel thiophene derivatives |
| EP1979345B1 (en) | 2006-01-24 | 2009-11-04 | Actelion Pharmaceuticals Ltd. | Novel pyridine derivatives |
| PE20080697A1 (en) | 2006-05-03 | 2008-08-05 | Boehringer Ingelheim Int | BENZONITRILE DERIVATIVES SUBSTITUTED WITH GLUCOPYRANOSIL, PHARMACEUTICAL COMPOSITIONS CONTAINING COMPOUNDS OF THIS TYPE, THEIR USE AND PROCEDURE FOR THEIR MANUFACTURE |
| TWI432446B (en) | 2006-07-27 | 2014-04-01 | Chugai Pharmaceutical Co Ltd | Fused ring spiroketal derivative and use thereof as anti-diabetic drug |
| TWI418556B (en) | 2006-07-27 | 2013-12-11 | Mitsubishi Tanabe Pharma Corp | Indole derivatives |
| TWI403516B (en) | 2006-07-27 | 2013-08-01 | Chugai Pharmaceutical Co Ltd | To replace spirocyclic alcohol derivatives, and its use as a therapeutic agent for diabetes |
| JP2010500300A (en) | 2006-08-08 | 2010-01-07 | サノフィ−アベンティス | Arylaminoaryl-alkyl-substituted imidazolidine-2,4-diones, processes for their preparation, agents containing these compounds, and uses thereof |
| MX2009003927A (en) * | 2006-10-13 | 2009-04-23 | Chugai Pharmaceutical Co Ltd | Thioglucose spiroketal derivative and use thereof as therapeutic agent for diabetes. |
| UY30730A1 (en) | 2006-12-04 | 2008-07-03 | Mitsubishi Tanabe Pharma Corp | CRYSTAL FORM OF HEMIHYDRATE 1- (B (BETA) -D-GLUCOPYRANOSIL) -4-METHYL-3- [5- (4-FLUOROPHENYL) -2-TIENYLMETHYL] BENZENE |
| US7666845B2 (en) | 2006-12-04 | 2010-02-23 | Janssen Pharmaceutica N.V. | Compounds having inhibitory activity against sodium-dependent glucose transporter |
| EP2025674A1 (en) | 2007-08-15 | 2009-02-18 | sanofi-aventis | Substituted tetra hydro naphthalines, method for their manufacture and their use as drugs |
| CL2008002427A1 (en) | 2007-08-16 | 2009-09-11 | Boehringer Ingelheim Int | Pharmaceutical composition comprising 1-chloro-4- (bd-glucopyranos-1-yl) -2- [4 - ((s) -tetrahydrofuran-3-yloxy) benzyl] -benzene combined with 1 - [(4-methylquinazolin- 2-yl) methyl] -3-methyl-7- (2-butyn-1-yl) -8- (3- (r) -aminopiperidin-1-yl) xanthine; and its use to treat type 2 diabetes mellitus. |
| CN101801371B (en) | 2007-09-10 | 2012-11-28 | 詹森药业有限公司 | Process for the preparation of compounds useful as SGLT inhibitors |
| CL2008003653A1 (en) | 2008-01-17 | 2010-03-05 | Mitsubishi Tanabe Pharma Corp | Use of a glucopyranosyl-derived sglt inhibitor and a selected dppiv inhibitor to treat diabetes; and pharmaceutical composition. |
| WO2009138195A2 (en) * | 2008-05-16 | 2009-11-19 | Sanofi-Aventis Deutschland Gmbh | Use of thiophene glycoside derivatives for producing medicaments for treatment of hypertension |
| WO2010003624A2 (en) | 2008-07-09 | 2010-01-14 | Sanofi-Aventis | Heterocyclic compounds, processes for their preparation, medicaments comprising these compounds, and the use thereof |
| EP2334687B9 (en) * | 2008-08-28 | 2012-08-08 | Pfizer Inc. | Dioxa-bicyclo[3.2.1.]octane-2,3,4-triol derivatives |
| US9056850B2 (en) | 2008-10-17 | 2015-06-16 | Janssen Pharmaceutica N.V. | Process for the preparation of compounds useful as inhibitors of SGLT |
| WO2010068601A1 (en) | 2008-12-08 | 2010-06-17 | Sanofi-Aventis | A crystalline heteroaromatic fluoroglycoside hydrate, processes for making, methods of use and pharmaceutical compositions thereof |
| PT2395983T (en) | 2009-02-13 | 2020-07-03 | Boehringer Ingelheim Int | Pharmaceutical composition comprising a sglt2 inhibitor, a dpp-iv inhibitor and optionally a further antidiabetic agent and uses thereof |
| CN102316875A (en) | 2009-02-13 | 2012-01-11 | 贝林格尔.英格海姆国际有限公司 | SGLT-2 inhibitors for the treatment of type 1 diabetes, type 2 diabetes, impaired glucose tolerance or hyperglycemia |
| US20110009347A1 (en) | 2009-07-08 | 2011-01-13 | Yin Liang | Combination therapy for the treatment of diabetes |
| DK2451797T3 (en) | 2009-07-10 | 2013-06-24 | Janssen Pharmaceutica Nv | Crystallization Process for 1- (b-D-GLUCOPYRANOSYL) -4-METHYL-3- [5- (4-fluorophenyl) -2-thienylmethyl] benzene |
| KR20120060207A (en) | 2009-08-26 | 2012-06-11 | 사노피 | Novel crystalline heteroaromatic fluoroglycoside hydrates, pharmaceuticals comprising these compounds and their use |
| EA020798B1 (en) | 2009-09-30 | 2015-01-30 | Бёрингер Ингельхайм Интернациональ Гмбх | Method for the preparation of a crystalline form of 1-chloro-4-(beta-d-glucopyranos-1-yl)-2-[4-((s)-tetrahydrofuran-3-yloxy)benzyl]benzene |
| ES2546762T3 (en) | 2009-09-30 | 2015-09-28 | Boehringer Ingelheim International Gmbh | Procedures for preparing glucopyranosyl substituted benzyl benzene derivatives |
| UY32919A (en) | 2009-10-02 | 2011-04-29 | Boehringer Ingelheim Int | Pharmaceutical composition, pharmaceutical dosage form, procedure for its preparation, methods for its treatment and its uses |
| RS55909B1 (en) | 2009-10-14 | 2017-09-29 | Janssen Pharmaceutica Nv | PROCESS FOR PREPARING UNITS USEFUL AS SGLT2 INHIBITORS |
| US8163704B2 (en) | 2009-10-20 | 2012-04-24 | Novartis Ag | Glycoside derivatives and uses thereof |
| WO2011048148A2 (en) | 2009-10-20 | 2011-04-28 | Novartis Ag | Glycoside derivative and uses thereof |
| KR101426180B1 (en) | 2009-11-02 | 2014-07-31 | 화이자 인코포레이티드 | Dioxa-bicyclo[3.2.1]octane-2,3,4-triol derivatives |
| WO2011107494A1 (en) | 2010-03-03 | 2011-09-09 | Sanofi | Novel aromatic glycoside derivatives, medicaments containing said compounds, and the use thereof |
| WO2011120923A1 (en) | 2010-03-30 | 2011-10-06 | Boehringer Ingelheim International Gmbh | Pharmaceutical composition comprising an sglt2 inhibitor and a ppar- gamma agonist and uses thereof |
| JP2013523819A (en) | 2010-04-06 | 2013-06-17 | アリーナ ファーマシューティカルズ, インコーポレイテッド | GPR119 receptor modulators and treatment of disorders related thereto |
| NZ703128A (en) | 2010-05-11 | 2016-04-29 | Janssen Pharmaceutica Nv | Pharmaceutical formulations comprising 1 - (beta-d-glucopyranosyl) - 2 -thienylmethylbenzene derivatives as inhibitors of sglt |
| WO2011157827A1 (en) | 2010-06-18 | 2011-12-22 | Sanofi | Azolopyridin-3-one derivatives as inhibitors of lipases and phospholipases |
| US8530413B2 (en) | 2010-06-21 | 2013-09-10 | Sanofi | Heterocyclically substituted methoxyphenyl derivatives with an oxo group, processes for preparation thereof and use thereof as medicaments |
| TW201215387A (en) | 2010-07-05 | 2012-04-16 | Sanofi Aventis | Spirocyclically substituted 1,3-propane dioxide derivatives, processes for preparation thereof and use thereof as a medicament |
| TW201221505A (en) | 2010-07-05 | 2012-06-01 | Sanofi Sa | Aryloxyalkylene-substituted hydroxyphenylhexynoic acids, process for preparation thereof and use thereof as a medicament |
| TW201215388A (en) | 2010-07-05 | 2012-04-16 | Sanofi Sa | (2-aryloxyacetylamino)phenylpropionic acid derivatives, processes for preparation thereof and use thereof as medicaments |
| EP2619198A1 (en) | 2010-09-22 | 2013-07-31 | Arena Pharmaceuticals, Inc. | Modulators of the gpr119 receptor and the treatment of disorders related thereto |
| US20120283169A1 (en) | 2010-11-08 | 2012-11-08 | Boehringer Ingelheim International Gmbh | Pharmaceutical composition, methods for treating and uses thereof |
| CA2824175A1 (en) * | 2011-01-11 | 2012-07-19 | The University Of Texas M.D. Anderson Cancer | Monosaccharide-based compounds for the treatment of proliferative and inflammatory dermatological diseases |
| US20130035281A1 (en) | 2011-02-09 | 2013-02-07 | Boehringer Ingelheim International Gmbh | Pharmaceutical composition, methods for treating and uses thereof |
| UY33937A (en) | 2011-03-07 | 2012-09-28 | Boehringer Ingelheim Int | PHARMACEUTICAL COMPOSITIONS CONTAINING DPP-4 AND / OR SGLT-2 AND METFORMIN INHIBITORS |
| US8828994B2 (en) | 2011-03-08 | 2014-09-09 | Sanofi | Di- and tri-substituted oxathiazine derivatives, method for the production thereof, use thereof as medicine and drug containing said derivatives and use thereof |
| EP2766349B1 (en) | 2011-03-08 | 2016-06-01 | Sanofi | Oxathiazine derivatives substituted with carbocycles or heterocycles, method for producing same, drugs containing said compounds, and use thereof |
| WO2012120056A1 (en) | 2011-03-08 | 2012-09-13 | Sanofi | Tetrasubstituted oxathiazine derivatives, method for producing them, their use as medicine and drug containing said derivatives and the use thereof |
| WO2012120055A1 (en) | 2011-03-08 | 2012-09-13 | Sanofi | Di- and tri-substituted oxathiazine derivates, method for the production thereof, use thereof as medicine and drug containing said derivatives and use thereof |
| WO2012120057A1 (en) | 2011-03-08 | 2012-09-13 | Sanofi | Novel substituted phenyl-oxathiazine derivatives, method for producing them, drugs containing said compounds and the use thereof |
| US8828995B2 (en) | 2011-03-08 | 2014-09-09 | Sanofi | Branched oxathiazine derivatives, method for the production thereof, use thereof as medicine and drug containing said derivatives and use thereof |
| EP2683702B1 (en) | 2011-03-08 | 2014-12-24 | Sanofi | New substituted phenyl oxathiazine derivatives, method for their manufacture, medicines containing these compounds and their application |
| EP2683701B1 (en) | 2011-03-08 | 2014-12-24 | Sanofi | Oxathiazine derivatives substituted with benzyl or heteromethylene groups, method for their preparation, their usage as medicament, medicament containing same and its use |
| WO2012120051A1 (en) | 2011-03-08 | 2012-09-13 | Sanofi | Benzyl-oxathiazine derivates substituted with adamantane or noradamantane, medicaments containing said compounds and use thereof |
| US20140018371A1 (en) | 2011-04-01 | 2014-01-16 | Arena Pharmaceuticals, Inc. | Modulators Of The GPR119 Receptor And The Treatment Of Disorders Related Thereto |
| EP2697218B1 (en) | 2011-04-13 | 2016-05-25 | Janssen Pharmaceutica NV | Process for the preparation of compounds useful as inhibitors of sglt2 |
| CN103619862A (en) | 2011-04-14 | 2014-03-05 | 诺瓦提斯公司 | Glycoside derivatives and uses thereof |
| US8614195B2 (en) | 2011-04-14 | 2013-12-24 | Novartis Ag | Glycoside derivatives and uses thereof |
| US20140066369A1 (en) | 2011-04-19 | 2014-03-06 | Arena Pharmaceuticals, Inc. | Modulators Of The GPR119 Receptor And The Treatment Of Disorders Related Thereto |
| WO2012145603A1 (en) | 2011-04-22 | 2012-10-26 | Arena Pharmaceuticals, Inc. | Modulators of the gpr119 receptor and the treatment of disorders related thereto |
| US20140051714A1 (en) | 2011-04-22 | 2014-02-20 | Arena Pharmaceuticals, Inc. | Modulators Of The GPR119 Receptor And The Treatment Of Disorders Related Thereto |
| US9035044B2 (en) | 2011-05-09 | 2015-05-19 | Janssen Pharmaceutica Nv | L-proline and citric acid co-crystals of (2S, 3R, 4R, 5S,6R)-2-(3-((5-(4-fluorophenyl)thiopen-2-yl)methyl)4-methylphenyl)-6-(hydroxymethyl)tetrahydro-2H-pyran-3,4,5-triol |
| WO2012163990A1 (en) | 2011-06-03 | 2012-12-06 | Boehringer Ingelheim International Gmbh | Sglt-2 inhibitors for treating metabolic disorders in patients treated with neuroleptic agents |
| WO2012170702A1 (en) | 2011-06-08 | 2012-12-13 | Arena Pharmaceuticals, Inc. | Modulators of the gpr119 receptor and the treatment of disorders related thereto |
| WO2013037390A1 (en) | 2011-09-12 | 2013-03-21 | Sanofi | 6-(4-hydroxy-phenyl)-3-styryl-1h-pyrazolo[3,4-b]pyridine-4-carboxylic acid amide derivatives as kinase inhibitors |
| EP2760862B1 (en) | 2011-09-27 | 2015-10-21 | Sanofi | 6-(4-hydroxy-phenyl)-3-alkyl-1h-pyrazolo[3,4-b]pyridine-4-carboxylic acid amide derivatives as kinase inhibitors |
| WO2013055910A1 (en) | 2011-10-12 | 2013-04-18 | Arena Pharmaceuticals, Inc. | Modulators of the gpr119 receptor and the treatment of disorders related thereto |
| US9555001B2 (en) | 2012-03-07 | 2017-01-31 | Boehringer Ingelheim International Gmbh | Pharmaceutical composition and uses thereof |
| US9192617B2 (en) | 2012-03-20 | 2015-11-24 | Boehringer Ingelheim International Gmbh | Pharmaceutical composition, methods for treating and uses thereof |
| WO2014074668A1 (en) | 2012-11-08 | 2014-05-15 | Arena Pharmaceuticals, Inc. | Modulators of gpr119 and the treatment of disorders related thereto |
| EP2774619B1 (en) | 2013-03-04 | 2016-05-18 | BioActive Food GmbH | Composition for the treatment of hyperglycaemic diseases |
| PT3466431T (en) | 2013-03-14 | 2024-01-26 | Msd Int Gmbh | Crystalline forms and methods for preparing sglt2 inhibitors |
| PT2981269T (en) | 2013-04-04 | 2023-10-10 | Boehringer Ingelheim Vetmedica Gmbh | Treatment of metabolic disorders in equine animals |
| HK1213818A1 (en) | 2013-04-05 | 2016-07-15 | 勃林格殷格翰国际有限公司 | Therapeutic uses of empagliflozin |
| JP6545660B2 (en) | 2013-04-05 | 2019-07-17 | ボード・オブ・リージエンツ,ザ・ユニバーシテイ・オブ・テキサス・システム | Esters of 2-deoxy-monosaccharides with antiproliferative activity |
| ES2702174T3 (en) | 2013-04-05 | 2019-02-27 | Boehringer Ingelheim Int | Therapeutic uses of empagliflozin |
| CA2812519A1 (en) | 2013-04-05 | 2014-10-05 | Boehringer Ingelheim International Gmbh | Pharmaceutical composition, methods for treating and uses thereof |
| US11813275B2 (en) | 2013-04-05 | 2023-11-14 | Boehringer Ingelheim International Gmbh | Pharmaceutical composition, methods for treating and uses thereof |
| DK2986304T3 (en) | 2013-04-18 | 2022-04-04 | Boehringer Ingelheim Int | PHARMACEUTICAL COMPOSITION, TREATMENT PROCEDURES AND USES. |
| CN111494357A (en) | 2013-12-17 | 2020-08-07 | 勃林格殷格翰动物保健有限公司 | Treatment of metabolic disorders in felines |
| ES2712860T3 (en) | 2014-01-23 | 2019-05-16 | Boehringer Ingelheim Vetmedica Gmbh | Treatment of metabolic disorders in canine animals |
| FI3721882T3 (en) | 2014-04-01 | 2024-09-24 | Boehringer Ingelheim Vetmedica Gmbh | Treatment of pituitary pars intermedia dysfunction in equine animals |
| EP2944311A1 (en) | 2014-05-16 | 2015-11-18 | BioActive Food GmbH | Combination of biologically active substances for treating hyperglycemic diseases |
| EP3197429B1 (en) | 2014-09-25 | 2024-05-22 | Boehringer Ingelheim Vetmedica GmbH | Combination treatment of sglt2 inhibitors and dopamine agonists for preventing metabolic disorders in equine animals |
| CN104478968A (en) * | 2015-01-14 | 2015-04-01 | 佛山市赛维斯医药科技有限公司 | O-galactoside derivative with thiazolyl and preparation method and application thereof |
| CN104478966A (en) * | 2015-01-14 | 2015-04-01 | 佛山市赛维斯医药科技有限公司 | O-galactoside derivative with aniline thiazolyl and preparation method and application thereof |
| US20170071970A1 (en) | 2015-09-15 | 2017-03-16 | Janssen Pharmaceutica Nv | Co-therapy comprising canagliflozin and phentermine for the treatment of obesity and obesity related disorders |
| EA201990951A1 (en) | 2016-10-19 | 2019-11-29 | COMBINATIONS CONTAINING SSAO / VAP-1 INHIBITOR AND SGLT2 INHIBITOR, AND THEIR APPLICATION | |
| CN109922813A (en) | 2016-11-10 | 2019-06-21 | 勃林格殷格翰国际有限公司 | Pharmaceutical composition, treatment method and application thereof |
| CN111989103A (en) | 2018-04-17 | 2020-11-24 | 勃林格殷格翰国际有限公司 | Pharmaceutical compositions, methods of treatment and uses thereof |
| WO2020039394A1 (en) | 2018-08-24 | 2020-02-27 | Novartis Ag | New drug combinations |
| US12213970B2 (en) | 2018-10-29 | 2025-02-04 | Boehringer Ingelheim International Gmbh | Pyridinyl sulfonamide derivatives, pharmaceutical compositions and uses thereof |
| US12178809B2 (en) | 2018-10-29 | 2024-12-31 | Boehringer Ingelheim International Gmbh | Pyridinyl sulfonamide derivatives, pharmaceutical compositions and uses thereof |
| AU2020394498A1 (en) | 2019-11-28 | 2022-06-09 | Boehringer Ingelheim Vetmedica Gmbh | Use of SGLT-2 inhibitors in the drying-off of non-human mammals |
| KR20220143732A (en) | 2020-02-17 | 2022-10-25 | 베링거잉겔하임베트메디카게엠베하 | Use of SGLT-2 inhibitors to prevent and/or treat heart disease in felines |
| AU2022319909A1 (en) | 2021-07-28 | 2024-02-22 | Boehringer Ingelheim Vetmedica Gmbh | Use of sglt-2 inhibitors for the prevention and/or treatment of cardiac diseases in non-human mammals excluding felines, in particular canines |
| WO2023006745A1 (en) | 2021-07-28 | 2023-02-02 | Boehringer Ingelheim Vetmedica Gmbh | Use of sglt-2 inhibitors for the prevention and/or treatment of hypertension in non-human mammals |
| JP2024525981A (en) | 2021-07-28 | 2024-07-12 | ベーリンガー インゲルハイム フェトメディカ ゲーエムベーハー | Use of SGLT-2 inhibitors for the prevention and/or treatment of renal disease in non-human mammals - Patents.com |
| EP4456872A1 (en) | 2021-12-30 | 2024-11-06 | NewAmsterdam Pharma B.V. | Obicetrapib and sglt2 inhibitor combination |
| US20230381101A1 (en) | 2022-05-25 | 2023-11-30 | Boehringer Ingelheim Vetmedica Gmbh | Aqueous pharmaceutical compositions comprising sglt-2 inhibitors |
| KR20240109921A (en) | 2023-01-05 | 2024-07-12 | 아주대학교산학협력단 | Method for preparing the GPTC |
| TW202500160A (en) | 2023-03-06 | 2025-01-01 | 德商百靈佳殷格翰維美迪加股份有限公司 | Systems and methods for delivery of liquid pharmaceutical compositions in particular comprising one or more sglt-2 inhibitor(s) |
| TW202446389A (en) | 2023-04-24 | 2024-12-01 | 荷蘭商新阿姆斯特丹製藥公司 | Amorphous obicetrapib and sglt2 inhibitor combination |
| TW202508455A (en) | 2023-05-24 | 2025-03-01 | 德商百靈佳殷格翰維美迪加股份有限公司 | Combination treatment and/or prevention of renal diseases and/or hypertension in non-human mammals comprising one or more sglt-2 inhibitors and telmisartan |
| WO2024240632A1 (en) | 2023-05-24 | 2024-11-28 | Boehringer Ingelheim Vetmedica Gmbh | Combination treatment and/or prevention of cardiac diseases in non-human mammals comprising one or more sglt-2 inhibitors and pimobendan and/or telmisartan |
Family Cites Families (20)
| Publication number | Priority date | Publication date | Assignee | Title |
|---|---|---|---|---|
| CA165448A (en) | 1914-10-23 | 1915-10-12 | Otto F. Hornschuch | Ironing board |
| FR2663336B1 (en) | 1990-06-18 | 1992-09-04 | Adir | NOVEL PEPTIDE DERIVATIVES, THEIR PREPARATION PROCESS AND THE PHARMACEUTICAL COMPOSITIONS CONTAINING THE SAME. |
| CA2241567A1 (en) | 1996-01-17 | 1997-07-24 | Novo Nordisk A/S | Fused 1,2,4-thiadiazine and fused 1,4-thiazine derivatives, their preparation and use |
| KR100556067B1 (en) | 1996-08-30 | 2006-03-07 | 노보 노르디스크 에이/에스 | Glp-1 derivatives |
| IL127296A (en) | 1996-12-31 | 2003-01-12 | Reddy Research Foundation | Heterocyclic compounds, process for their preparation and pharmaceutical compositions containing them |
| DE19726167B4 (en) | 1997-06-20 | 2008-01-24 | Sanofi-Aventis Deutschland Gmbh | Insulin, process for its preparation and pharmaceutical preparation containing it |
| RU2215004C2 (en) | 1997-07-16 | 2003-10-27 | Ново Нордиск А/С | Condensed derivative of 1,2,4-thiadiazine, pharmaceutical composition and method for preparing medicine |
| CO4970713A1 (en) | 1997-09-19 | 2000-11-07 | Sanofi Synthelabo | DERIVATIVES OF CARBOXAMIDOTIAZOLES, THEIR PREPARATION, PHARMACEUTICAL COMPOSITIONS THAT CONTAIN THEM |
| GB9900416D0 (en) | 1999-01-08 | 1999-02-24 | Alizyme Therapeutics Ltd | Inhibitors |
| CN1331862C (en) | 1999-04-28 | 2007-08-15 | 萨诺费-阿文蒂斯德国有限公司 | Diarylic Acid Derivatives as PPAR Receptor Ligands |
| CZ20013834A3 (en) | 1999-04-28 | 2002-04-17 | Aventis Pharma Deutschland Gmbh | Derivatives of acids with three aryl radicals as ligands of PPAR receptors and pharmaceutical preparations in which they are comprised |
| CA2371271A1 (en) | 1999-04-30 | 2000-11-09 | Neurogen Corporation | 9h-pyrimido[4,5-b]indole derivatives: crf1 specific ligands |
| GB9911863D0 (en) | 1999-05-21 | 1999-07-21 | Knoll Ag | Therapeutic agents |
| DE60029446T2 (en) | 1999-06-18 | 2007-02-08 | Merck & Co., Inc. | ARYLTHIAZOLIDEINDIONE AND ARYLOXAZOIDIDE DERIVATIVES |
| US6967201B1 (en) | 1999-07-29 | 2005-11-22 | Eli Lilly And Company | Benzofurylpiperazines and benzofurylhomopiperazines: serotonin agonists |
| US6324512B1 (en) | 1999-08-26 | 2001-11-27 | Matsushita Electric Industrial Co., Ltd. | System and method for allowing family members to access TV contents and program media recorder over telephone or internet |
| UA71994C2 (en) * | 1999-08-31 | 2005-01-17 | Kissei Pharmaceutical | Glucopyranosyloxypyrazole derivatives, a pharmaceutical composition containing these derivatives and intermediate compounds for the preparation thereof |
| WO2001083451A1 (en) | 2000-04-28 | 2001-11-08 | Asahi Kasei Kabushiki Kaisha | Novel bicyclic compounds |
| WO2001085695A1 (en) | 2000-05-11 | 2001-11-15 | Bristol-Myers Squibb Co. | Tetrahydroisoquinoline analogs useful as growth hormone secretagogues |
| WO2001091752A1 (en) | 2000-05-30 | 2001-12-06 | Merck & Co., Inc. | Melanocortin receptor agonists |
-
2002
- 2002-07-11 DE DE10231370A patent/DE10231370B4/en not_active Expired - Fee Related
-
2003
- 2003-06-23 JO JOP/2003/0068A patent/JO2707B1/en active
- 2003-06-27 BR BR0312513-0A patent/BR0312513A/en not_active IP Right Cessation
- 2003-06-27 AT AT03763662T patent/ATE414095T1/en not_active IP Right Cessation
- 2003-06-27 SI SI200331500T patent/SI1523488T1/en unknown
- 2003-06-27 RU RU2005103602/04A patent/RU2317300C2/en not_active IP Right Cessation
- 2003-06-27 AU AU2003246620A patent/AU2003246620B2/en not_active Ceased
- 2003-06-27 OA OA1200500001A patent/OA12880A/en unknown
- 2003-06-27 DE DE50310783T patent/DE50310783D1/en not_active Expired - Lifetime
- 2003-06-27 HR HR20050014A patent/HRP20050014A2/en not_active Application Discontinuation
- 2003-06-27 EP EP03763662A patent/EP1523488B1/en not_active Expired - Lifetime
- 2003-06-27 CN CNA2008100828971A patent/CN101240000A/en active Pending
- 2003-06-27 EP EP08009226A patent/EP1964845B1/en not_active Expired - Lifetime
- 2003-06-27 CA CA2493391A patent/CA2493391C/en not_active Expired - Fee Related
- 2003-06-27 PT PT03763662T patent/PT1523488E/en unknown
- 2003-06-27 DE DE50312983T patent/DE50312983D1/en not_active Expired - Lifetime
- 2003-06-27 AT AT08009226T patent/ATE477265T1/en active
- 2003-06-27 CN CNB038165325A patent/CN100384863C/en not_active Expired - Fee Related
- 2003-06-27 ME MEP-607/08A patent/MEP60708A/en unknown
- 2003-06-27 AT AT08008079T patent/ATE479697T1/en active
- 2003-06-27 PL PL03372931A patent/PL372931A1/en not_active Application Discontinuation
- 2003-06-27 AT AT08008232T patent/ATE477266T1/en active
- 2003-06-27 WO PCT/EP2003/006841 patent/WO2004007517A1/en not_active Ceased
- 2003-06-27 KR KR10-2005-7000500A patent/KR20050021452A/en not_active Ceased
- 2003-06-27 DK DK03763662T patent/DK1523488T3/en active
- 2003-06-27 RS YUP-1150/04A patent/RS51002B/en unknown
- 2003-06-27 EP EP08008232A patent/EP1967523B1/en not_active Expired - Lifetime
- 2003-06-27 ES ES03763662T patent/ES2316818T3/en not_active Expired - Lifetime
- 2003-06-27 DE DE50312984T patent/DE50312984D1/en not_active Expired - Lifetime
- 2003-06-27 MX MXPA05000044A patent/MXPA05000044A/en active IP Right Grant
- 2003-06-27 UA UAA200501215A patent/UA78823C2/en unknown
- 2003-06-27 DE DE50313056T patent/DE50313056D1/en not_active Expired - Lifetime
- 2003-06-27 EP EP08008079A patent/EP1964844B1/en not_active Expired - Lifetime
- 2003-06-27 JP JP2004520429A patent/JP4511927B2/en not_active Expired - Fee Related
- 2003-07-08 AR AR20030102456A patent/AR040474A1/en unknown
- 2003-07-09 PE PE2003000688A patent/PE20040655A1/en not_active Application Discontinuation
- 2003-07-09 TW TW092118657A patent/TWI318981B/en active
- 2003-07-10 PA PA20038577101A patent/PA8577101A1/en unknown
- 2003-07-10 MY MYPI20032596A patent/MY137039A/en unknown
- 2003-07-10 HN HN2003000215A patent/HN2003000215A/en unknown
- 2003-07-11 US US10/616,945 patent/US7101856B2/en not_active Expired - Lifetime
- 2003-07-11 UY UY27891A patent/UY27891A1/en unknown
-
2004
- 2004-12-02 ZA ZA200409779A patent/ZA200409779B/en unknown
- 2004-12-14 MA MA28004A patent/MA27366A1/en unknown
- 2004-12-23 IL IL16605804A patent/IL166058A0/en not_active IP Right Cessation
-
2005
- 2005-01-10 TN TNP2005000007A patent/TNSN05007A1/en unknown
- 2005-01-11 EC EC2005005531A patent/ECSP055531A/en unknown
- 2005-02-07 NO NO20050649A patent/NO20050649L/en unknown
- 2005-03-07 CR CR7718A patent/CR7718A/en not_active Application Discontinuation
-
2006
- 2006-08-14 US US11/464,338 patent/US7666848B2/en not_active Expired - Fee Related
-
2008
- 2008-06-03 IL IL191926A patent/IL191926A0/en unknown
-
2009
- 2009-02-05 CY CY20091100138T patent/CY1108754T1/en unknown
Non-Patent Citations (3)
| Title |
|---|
| H.G. Fouda et al.: "Disposition and metabolism of tenidap in the rat". In: Drug Metabolism and Dis- position, ISSN 0090-9556, 1997, 25, 140-148. In: CA-Online 1997, Accession No.: 1997-:165448 * |
| J. Fuentes et al., Tetrahedron Asymmetry, 1998, 9, 2517-2532 |
| J. Fuentes et al., Tetrahedron Asymmetry, 1998, 9,2517-2532 * |
Also Published As
Similar Documents
| Publication | Publication Date | Title |
|---|---|---|
| DE10231370B4 (en) | Thiophene glycoside derivatives, medicaments containing these compounds and methods of making these medicaments | |
| DE10258008B4 (en) | Heterocyclic fluoroglycoside derivatives, medicaments containing these compounds and methods of making these medicaments | |
| DE10258007B4 (en) | Aromatic fluoroglycoside derivatives, medicaments containing these compounds and methods for the preparation of these medicaments | |
| EP1758914B1 (en) | Novel fluoroglycoside derivatives of pyrazoles, medicaments containing these compounds, and the use thereof | |
| DE102005012873B4 (en) | Aminocarbonyl-substituted 8-N-benzimidazoles, process for their preparation and their use as pharmaceuticals | |
| DE10333935A1 (en) | New bicyclic cyano-heterocycles, process for their preparation and their use as pharmaceuticals | |
| DE10215907A1 (en) | Acyl-4-carboxyphenyl-urea derivatives, processes for their preparation and their use | |
| DE102005012874A1 (en) | Amide-substituted 8-N-benzimidazoles, process for their preparation and their use as pharmaceuticals | |
| DE102004037554A1 (en) | Substituted 8-aminoalkylthio-xanthines, process for their preparation and their use as medicaments | |
| DE10215908B4 (en) | Acyl-3-carboxyphenyl-urea derivatives and their use as medicaments | |
| DE102004004972B3 (en) | Heterocyclic substituted 7-amino-4-quinolone-3-carboxylic acid derivatives, process for their preparation and their use as medicaments | |
| DE102004004971B3 (en) | Cycloalkyl substituted 7-amino-4-quinolone-3-carboxylic acid derivatives, process for their preparation and their use as Arnzeimittel | |
| DE10309929B4 (en) | Substituted benzoylureidopyridyl-piperidine and -pyrrolidine-carboxylic acid derivatives, process for their preparation and their use | |
| DE10246434B4 (en) | Carboxyalkoxy-substituted acyl-carboxyphenyl-urea derivatives and their use as pharmaceuticals | |
| DE10335092B3 (en) | Substituted benzoylureido-o-benzoylamides, process for their preparation and their use | |
| DE102004004973A1 (en) | New 7-phenylamino-quinolone or 1,8-naphthyridone derivatives, useful e.g. for treating type II diabetes or arteriosclerosis, are inhibitors of glycogen phosphorylase | |
| DE102004060041A1 (en) | Use of substituted cyclopropane acid derivative having dopamine receptor ligand activity to e.g. treat metabolic syndrome; reduce lipid in the plasma; lower free fatty acid in the plasma; and treat diabetic dyslipidemia | |
| HK1123307A (en) | Novel thiophenylglycoside derivatives, methods for production thereof, medicaments comprising said compounds and use thereof |
Legal Events
| Date | Code | Title | Description |
|---|---|---|---|
| OP8 | Request for examination as to paragraph 44 patent law | ||
| 8127 | New person/name/address of the applicant |
Owner name: SANOFI-AVENTIS DEUTSCHLAND GMBH, 65929 FRANKFURT, |
|
| 8364 | No opposition during term of opposition | ||
| R119 | Application deemed withdrawn, or ip right lapsed, due to non-payment of renewal fee |
Effective date: 20130201 |
















