CN102471191A - 用于有机电致发光器件的新颖的材料 - Google Patents
用于有机电致发光器件的新颖的材料 Download PDFInfo
- Publication number
- CN102471191A CN102471191A CN2010800335787A CN201080033578A CN102471191A CN 102471191 A CN102471191 A CN 102471191A CN 2010800335787 A CN2010800335787 A CN 2010800335787A CN 201080033578 A CN201080033578 A CN 201080033578A CN 102471191 A CN102471191 A CN 102471191A
- Authority
- CN
- China
- Prior art keywords
- group
- general formula
- compound
- anthracene
- benzo
- Prior art date
- Legal status (The legal status is an assumption and is not a legal conclusion. Google has not performed a legal analysis and makes no representation as to the accuracy of the status listed.)
- Granted
Links
- 0 *c1cccc(C(c2c3ccc4c2cccc4C(F)(F)F)=O)c1C3=O Chemical compound *c1cccc(C(c2c3ccc4c2cccc4C(F)(F)F)=O)c1C3=O 0.000 description 1
- QKALYHRAJGHRQR-UHFFFAOYSA-N CC(Oc1c(ccc2ccccc22)c2cc2c1c(Br)ccc2)=O Chemical compound CC(Oc1c(ccc2ccccc22)c2cc2c1c(Br)ccc2)=O QKALYHRAJGHRQR-UHFFFAOYSA-N 0.000 description 1
- LRVYUECSSPYQSD-UHFFFAOYSA-N Cc(c1c(c(F)c2Cl)Cl)c(ccc3ccccc33)c3c(C)c1c2F Chemical compound Cc(c1c(c(F)c2Cl)Cl)c(ccc3ccccc33)c3c(C)c1c2F LRVYUECSSPYQSD-UHFFFAOYSA-N 0.000 description 1
- DFFCQIQYRCRVRG-UHFFFAOYSA-N Fc(c1cc(c2ccccc2cc2)c2cc1c(Cl)c1F)c1Cl Chemical compound Fc(c1cc(c2ccccc2cc2)c2cc1c(Cl)c1F)c1Cl DFFCQIQYRCRVRG-UHFFFAOYSA-N 0.000 description 1
- BRNOLTOYEDOJMP-UHFFFAOYSA-N Nc1cccc(C(c2c(cccc3)c3ccc22)=O)c1C2=O Chemical compound Nc1cccc(C(c2c(cccc3)c3ccc22)=O)c1C2=O BRNOLTOYEDOJMP-UHFFFAOYSA-N 0.000 description 1
- JSXHSLMWEPZTFC-UHFFFAOYSA-N O=C(c1cccc(Br)c11)c(c2c(cc3)c(Br)ccc2)c3C1=O Chemical compound O=C(c1cccc(Br)c11)c(c2c(cc3)c(Br)ccc2)c3C1=O JSXHSLMWEPZTFC-UHFFFAOYSA-N 0.000 description 1
Classifications
-
- C—CHEMISTRY; METALLURGY
- C07—ORGANIC CHEMISTRY
- C07C—ACYCLIC OR CARBOCYCLIC COMPOUNDS
- C07C15/00—Cyclic hydrocarbons containing only six-membered aromatic rings as cyclic parts
- C07C15/20—Polycyclic condensed hydrocarbons
- C07C15/27—Polycyclic condensed hydrocarbons containing three rings
- C07C15/28—Anthracenes
-
- C—CHEMISTRY; METALLURGY
- C07—ORGANIC CHEMISTRY
- C07C—ACYCLIC OR CARBOCYCLIC COMPOUNDS
- C07C15/00—Cyclic hydrocarbons containing only six-membered aromatic rings as cyclic parts
- C07C15/40—Cyclic hydrocarbons containing only six-membered aromatic rings as cyclic parts substituted by unsaturated carbon radicals
- C07C15/56—Cyclic hydrocarbons containing only six-membered aromatic rings as cyclic parts substituted by unsaturated carbon radicals polycyclic condensed
- C07C15/62—Cyclic hydrocarbons containing only six-membered aromatic rings as cyclic parts substituted by unsaturated carbon radicals polycyclic condensed containing four rings
-
- C—CHEMISTRY; METALLURGY
- C07—ORGANIC CHEMISTRY
- C07C—ACYCLIC OR CARBOCYCLIC COMPOUNDS
- C07C211/00—Compounds containing amino groups bound to a carbon skeleton
- C07C211/43—Compounds containing amino groups bound to a carbon skeleton having amino groups bound to carbon atoms of six-membered aromatic rings of the carbon skeleton
- C07C211/57—Compounds containing amino groups bound to a carbon skeleton having amino groups bound to carbon atoms of six-membered aromatic rings of the carbon skeleton having amino groups bound to carbon atoms of six-membered aromatic rings being part of condensed ring systems of the carbon skeleton
- C07C211/60—Compounds containing amino groups bound to a carbon skeleton having amino groups bound to carbon atoms of six-membered aromatic rings of the carbon skeleton having amino groups bound to carbon atoms of six-membered aromatic rings being part of condensed ring systems of the carbon skeleton containing a ring other than a six-membered aromatic ring forming part of at least one of the condensed ring systems
-
- C—CHEMISTRY; METALLURGY
- C07—ORGANIC CHEMISTRY
- C07C—ACYCLIC OR CARBOCYCLIC COMPOUNDS
- C07C211/00—Compounds containing amino groups bound to a carbon skeleton
- C07C211/43—Compounds containing amino groups bound to a carbon skeleton having amino groups bound to carbon atoms of six-membered aromatic rings of the carbon skeleton
- C07C211/57—Compounds containing amino groups bound to a carbon skeleton having amino groups bound to carbon atoms of six-membered aromatic rings of the carbon skeleton having amino groups bound to carbon atoms of six-membered aromatic rings being part of condensed ring systems of the carbon skeleton
- C07C211/61—Compounds containing amino groups bound to a carbon skeleton having amino groups bound to carbon atoms of six-membered aromatic rings of the carbon skeleton having amino groups bound to carbon atoms of six-membered aromatic rings being part of condensed ring systems of the carbon skeleton with at least one of the condensed ring systems formed by three or more rings
-
- C—CHEMISTRY; METALLURGY
- C09—DYES; PAINTS; POLISHES; NATURAL RESINS; ADHESIVES; COMPOSITIONS NOT OTHERWISE PROVIDED FOR; APPLICATIONS OF MATERIALS NOT OTHERWISE PROVIDED FOR
- C09B—ORGANIC DYES OR CLOSELY-RELATED COMPOUNDS FOR PRODUCING DYES, e.g. PIGMENTS; MORDANTS; LAKES
- C09B1/00—Dyes with anthracene nucleus not condensed with any other ring
-
- C—CHEMISTRY; METALLURGY
- C09—DYES; PAINTS; POLISHES; NATURAL RESINS; ADHESIVES; COMPOSITIONS NOT OTHERWISE PROVIDED FOR; APPLICATIONS OF MATERIALS NOT OTHERWISE PROVIDED FOR
- C09B—ORGANIC DYES OR CLOSELY-RELATED COMPOUNDS FOR PRODUCING DYES, e.g. PIGMENTS; MORDANTS; LAKES
- C09B3/00—Dyes with an anthracene nucleus condensed with one or more carbocyclic rings
- C09B3/78—Other dyes in which the anthracene nucleus is condensed with one or more carbocyclic rings
-
- C—CHEMISTRY; METALLURGY
- C09—DYES; PAINTS; POLISHES; NATURAL RESINS; ADHESIVES; COMPOSITIONS NOT OTHERWISE PROVIDED FOR; APPLICATIONS OF MATERIALS NOT OTHERWISE PROVIDED FOR
- C09B—ORGANIC DYES OR CLOSELY-RELATED COMPOUNDS FOR PRODUCING DYES, e.g. PIGMENTS; MORDANTS; LAKES
- C09B57/00—Other synthetic dyes of known constitution
-
- C—CHEMISTRY; METALLURGY
- C09—DYES; PAINTS; POLISHES; NATURAL RESINS; ADHESIVES; COMPOSITIONS NOT OTHERWISE PROVIDED FOR; APPLICATIONS OF MATERIALS NOT OTHERWISE PROVIDED FOR
- C09B—ORGANIC DYES OR CLOSELY-RELATED COMPOUNDS FOR PRODUCING DYES, e.g. PIGMENTS; MORDANTS; LAKES
- C09B57/00—Other synthetic dyes of known constitution
- C09B57/008—Triarylamine dyes containing no other chromophores
-
- C—CHEMISTRY; METALLURGY
- C09—DYES; PAINTS; POLISHES; NATURAL RESINS; ADHESIVES; COMPOSITIONS NOT OTHERWISE PROVIDED FOR; APPLICATIONS OF MATERIALS NOT OTHERWISE PROVIDED FOR
- C09B—ORGANIC DYES OR CLOSELY-RELATED COMPOUNDS FOR PRODUCING DYES, e.g. PIGMENTS; MORDANTS; LAKES
- C09B6/00—Anthracene dyes not provided for above
-
- C—CHEMISTRY; METALLURGY
- C09—DYES; PAINTS; POLISHES; NATURAL RESINS; ADHESIVES; COMPOSITIONS NOT OTHERWISE PROVIDED FOR; APPLICATIONS OF MATERIALS NOT OTHERWISE PROVIDED FOR
- C09K—MATERIALS FOR MISCELLANEOUS APPLICATIONS, NOT PROVIDED FOR ELSEWHERE
- C09K11/00—Luminescent, e.g. electroluminescent, chemiluminescent materials
- C09K11/06—Luminescent, e.g. electroluminescent, chemiluminescent materials containing organic luminescent materials
-
- H—ELECTRICITY
- H05—ELECTRIC TECHNIQUES NOT OTHERWISE PROVIDED FOR
- H05B—ELECTRIC HEATING; ELECTRIC LIGHT SOURCES NOT OTHERWISE PROVIDED FOR; CIRCUIT ARRANGEMENTS FOR ELECTRIC LIGHT SOURCES, IN GENERAL
- H05B33/00—Electroluminescent light sources
- H05B33/12—Light sources with substantially two-dimensional radiating surfaces
- H05B33/14—Light sources with substantially two-dimensional radiating surfaces characterised by the chemical or physical composition or the arrangement of the electroluminescent material, or by the simultaneous addition of the electroluminescent material in or onto the light source
-
- H—ELECTRICITY
- H10—SEMICONDUCTOR DEVICES; ELECTRIC SOLID-STATE DEVICES NOT OTHERWISE PROVIDED FOR
- H10K—ORGANIC ELECTRIC SOLID-STATE DEVICES
- H10K85/00—Organic materials used in the body or electrodes of devices covered by this subclass
- H10K85/60—Organic compounds having low molecular weight
- H10K85/615—Polycyclic condensed aromatic hydrocarbons, e.g. anthracene
- H10K85/622—Polycyclic condensed aromatic hydrocarbons, e.g. anthracene containing four rings, e.g. pyrene
-
- H—ELECTRICITY
- H10—SEMICONDUCTOR DEVICES; ELECTRIC SOLID-STATE DEVICES NOT OTHERWISE PROVIDED FOR
- H10K—ORGANIC ELECTRIC SOLID-STATE DEVICES
- H10K85/00—Organic materials used in the body or electrodes of devices covered by this subclass
- H10K85/60—Organic compounds having low molecular weight
- H10K85/615—Polycyclic condensed aromatic hydrocarbons, e.g. anthracene
- H10K85/626—Polycyclic condensed aromatic hydrocarbons, e.g. anthracene containing more than one polycyclic condensed aromatic rings, e.g. bis-anthracene
-
- H—ELECTRICITY
- H10—SEMICONDUCTOR DEVICES; ELECTRIC SOLID-STATE DEVICES NOT OTHERWISE PROVIDED FOR
- H10K—ORGANIC ELECTRIC SOLID-STATE DEVICES
- H10K85/00—Organic materials used in the body or electrodes of devices covered by this subclass
- H10K85/60—Organic compounds having low molecular weight
- H10K85/649—Aromatic compounds comprising a hetero atom
- H10K85/654—Aromatic compounds comprising a hetero atom comprising only nitrogen as heteroatom
-
- C—CHEMISTRY; METALLURGY
- C07—ORGANIC CHEMISTRY
- C07C—ACYCLIC OR CARBOCYCLIC COMPOUNDS
- C07C2603/00—Systems containing at least three condensed rings
- C07C2603/02—Ortho- or ortho- and peri-condensed systems
- C07C2603/40—Ortho- or ortho- and peri-condensed systems containing four condensed rings
-
- C—CHEMISTRY; METALLURGY
- C09—DYES; PAINTS; POLISHES; NATURAL RESINS; ADHESIVES; COMPOSITIONS NOT OTHERWISE PROVIDED FOR; APPLICATIONS OF MATERIALS NOT OTHERWISE PROVIDED FOR
- C09K—MATERIALS FOR MISCELLANEOUS APPLICATIONS, NOT PROVIDED FOR ELSEWHERE
- C09K2211/00—Chemical nature of organic luminescent or tenebrescent compounds
- C09K2211/10—Non-macromolecular compounds
- C09K2211/1003—Carbocyclic compounds
- C09K2211/1011—Condensed systems
-
- H—ELECTRICITY
- H10—SEMICONDUCTOR DEVICES; ELECTRIC SOLID-STATE DEVICES NOT OTHERWISE PROVIDED FOR
- H10K—ORGANIC ELECTRIC SOLID-STATE DEVICES
- H10K50/00—Organic light-emitting devices
- H10K50/10—OLEDs or polymer light-emitting diodes [PLED]
- H10K50/11—OLEDs or polymer light-emitting diodes [PLED] characterised by the electroluminescent [EL] layers
-
- H—ELECTRICITY
- H10—SEMICONDUCTOR DEVICES; ELECTRIC SOLID-STATE DEVICES NOT OTHERWISE PROVIDED FOR
- H10K—ORGANIC ELECTRIC SOLID-STATE DEVICES
- H10K50/00—Organic light-emitting devices
- H10K50/10—OLEDs or polymer light-emitting diodes [PLED]
- H10K50/14—Carrier transporting layers
-
- Y—GENERAL TAGGING OF NEW TECHNOLOGICAL DEVELOPMENTS; GENERAL TAGGING OF CROSS-SECTIONAL TECHNOLOGIES SPANNING OVER SEVERAL SECTIONS OF THE IPC; TECHNICAL SUBJECTS COVERED BY FORMER USPC CROSS-REFERENCE ART COLLECTIONS [XRACs] AND DIGESTS
- Y02—TECHNOLOGIES OR APPLICATIONS FOR MITIGATION OR ADAPTATION AGAINST CLIMATE CHANGE
- Y02E—REDUCTION OF GREENHOUSE GAS [GHG] EMISSIONS, RELATED TO ENERGY GENERATION, TRANSMISSION OR DISTRIBUTION
- Y02E10/00—Energy generation through renewable energy sources
- Y02E10/50—Photovoltaic [PV] energy
- Y02E10/549—Organic PV cells
Landscapes
- Chemical & Material Sciences (AREA)
- Organic Chemistry (AREA)
- Engineering & Computer Science (AREA)
- Materials Engineering (AREA)
- Physics & Mathematics (AREA)
- Spectroscopy & Molecular Physics (AREA)
- Electroluminescent Light Sources (AREA)
- Organic Low-Molecular-Weight Compounds And Preparation Thereof (AREA)
- Polyoxymethylene Polymers And Polymers With Carbon-To-Carbon Bonds (AREA)
Abstract
本发明涉及取代的苯并[a]蒽衍生物,其制备和在有机电致发光器件中的用途,本发明还涉及有机电致发光器件,特别是发蓝色光的器件,其中这些化合物用作发光层中的基质材料或掺杂剂和/或用作空穴传输材料和/或用作电子传输材料。
Description
技术领域
本发明涉及取代的苯并[a]蒽衍生物,其制备和在电子器件中的用途,本发明还涉及电子器件,特别是发蓝色光的有机电致发光器件,其中这些化合物用作发光层中的基质材料或掺杂剂和/或用作空穴传输材料和/或用作电子传输材料。
背景技术
正在开发用于许多不同类型的电子应用场合的有机半导体。例如在US 4539507、US 5151629、EP 0676461和WO 98/27136中描述了其中这些有机半导体用作功能材料的有机电致发光器件(OLED)的结构。然而,在这些器件能用于高质量和长寿命的显示器之前,仍有必要将其进一步改进。因此,特别是,目前发蓝色光有机电致发光器件不足的寿命和不足的效率仍然代表了还没有被令人满意地解决的问题。此外,对于化合物,必要的是具有高的热稳定性和高的玻璃化转变温度以及可以在不分解的情况下升华。特别是对于高温应用,高的玻璃化转变温度对于实现长的寿命是必不可少的。
对于荧光OLED,主要是稠合的芳族化合物,特别是蒽衍生物,在现有技术中用作主体材料,特别是对于发蓝色光的电致发光器件,例如9,10-双(2-萘基)蒽(US 5935721)。WO 03/095445和CN 1362464公开了用于OLED中的9,10-双(1-萘基)蒽衍生物。其它的蒽衍生物公开在WO 01/076323、WO 01/021729、WO 04/013073、WO 04/018588、WO 03/087023、WO 04/01858、WO 07/02111、WO 08/145239和WO07/114358中。基于芳基取代的芘和的基质材料公开在WO 04/016575中。对于高质量的应用场合,有必要提供改进的基质材料。
在发蓝色光化合物(发光体、掺杂剂)的情况下,可以提及的现有技术是使用芳基乙烯基胺(例如WO 04/013073、WO 04/016575、WO 04/018587)。然而,这些化合物是热不稳定的,在没有分解的情况下不能蒸发,对于OLED制造这需要高的技术复杂性,因此代表一种技术上的缺点。对于高品质的应用场合,因此有必要提供改进的特别是在器件和升华作用稳定性和发光颜色方面改进的发光材料。
因此,仍旧需要改进的材料,特别是用于荧光发光体,尤其是用于发蓝色荧光发光体的基质材料,和热稳定的导致有机电子器件中良好的效率同时长寿命的荧光材料,它们在器件的制造与操作期间产生可再现的结果并容易合成得到。在空穴和电子传输材料的情况下也需要进一步的改进。
令人惊讶地已经发现在8、9或11位,特别是8或11位至少之一,被芳族或杂芳族基团、二芳基氨基基团、如下定义的其它基团之一取代的苯并[a]蒽衍生物非常高度地适合用于有机电致发光器件中。和现有技术的材料相比,这些化合物能够增加器件的效率,尤其是寿命。这特别是适用于蓝色荧光器件。此外,这些化合物具有高的热稳定性。通常,因为这些材料具有高的玻璃化转变温度,因此其非常适合用于电子器件中,特别是用于有机电致发光器件中。因此,本发明涉及这些材料及其在电子器件中的用途。
在这些位置被芳族取代基取代的苯并[a]蒽衍生物已经被分散地描述在文献中(例如K.Maruyama等人,Chem.Lett.1975,(1),87-88;C.L.L.Chai等人,Austr.J.Chem.1995,48(3),577-591,M.C.Kloetzel等人,J.Org.Chem.1961,26,1748-1754等)。然而,仅研究了这些化合物的合成和反应性。没有提出在有机电子器件中使用这些化合物。此外,WO 05/090365已经公开了尤其是同样用于有机电致发光器件中的多个含有多环芳族基团的有机硅烷化合物,同样除许多其它的化合物之外,也包括芳基取代的苯并蒽化合物。此处将这些化合物特别的效用归因于有机甲硅烷基基团的存在而非取代的苯并蒽骨架。
为了清楚起见,苯并[a]蒽的结构和编号显示如下:
发明内容
本发明涉及如下通式(1)或通式(2)的化合物:
其中作为非特定键画出的横线旨在表示基团Ar、X或Y在每种情况下彼此独立地经由各自苯并[a]蒽的8、9或11位之一被键合,相应地在该位置处没有键合基团R,其中如下适用于所述符号和标记:
Ar在每次出现时相同或者不同地是具有5至60个芳族环原子的二价单或多环的芳族或杂芳族环系,它们可被一个或多个基团R取代;
取决于标记p和q,X、Y在每次出现时相同或者不同地是具有5至60个芳族环原子的单、二、三、四、五或六价的单或多环的芳族或杂芳族环系,它们可被一个或多个基团R取代;或如果p=0和/或q=0,则X和/或Y是N(Ar1)2基团;或如果p=1和/或q=1,则X和/或Y是单键、C=O、O、S、SO、SO2、NR1、NAr1、P(=O)Ar1、O-B(Ar1)-O、O-BR1-O、具有1至20个C原子的亚烷基基团,它们在每种情况下也可被一个或多个基团R1取代,其中一个或多个非相邻的CH2基团可被R1C=CR1、C≡C、Si(R1)2、Ge(R1)2、Sn(R1)2、C=O、C=S、C=Se、C=NR1、P(=O)(R1)、SO、SO2、NR1、O、S或CONR1代替,和其中一个或多个H原子可被D、F、Cl、Br、I、CN或NO2代替;或如果p=2和/或q=2,则X和/或Y等于N或P=O;
R在每次出现时相同或不同地是H,D,F,Cl,Br,I,CHO,N(R1)2,N(Ar1)2,C(=O)Ar1,P(=O)(Ar1)2,S(=O)Ar1,S(=O)2Ar1,CR1=CR1Ar1,CN,NO2,Si(R1)3,B(OAr1)2,B(OR1)2,OSO2R1,OH,具有1至40个C原子的直链烷基、烷氧基或者硫代烷基基团,或具有3至40个C原子的支链或环状的烷基、烷氧基或硫代烷基基团,或具有2至40个C原子的烯基基团,它们各自可被一个或多个基团R1取代,其中一个或多个非相邻的CH2基团可被R1C=CR1、C≡C、Si(R1)2、Ge(R1)2、Sn(R1)2、C=O、C=S、C=Se、C=NR1、P(=O)(R1)、SO、SO2、NR1、O、S或CONR1代替,和其中一个或多个H原子可被D、F、Cl、Br、I、CN或NO2代替,或具有5至60个芳族环原子的单或多环的芳族或杂芳族环系,它们在每种情况下可以被一个或多个非芳族基团R取代,或具有5至60个芳族环原子的芳氧基或杂芳氧基基团,它们可以被一个或多个非芳族基团R取代,或这些体系的组合;此处两个或多个相邻的取代基R也可以彼此连接形成单或多环的脂族环系;
Ar1在每次出现时相同或者不同地是具有5至30个芳族环原子的单或多环的芳族或杂芳族环系,它们可以被一个或多个非芳族基团R取代;此处键合至同一氮或磷原子的两个基团Ar1也可以通过单键或通过桥连基彼此连接,所述桥连基选自B(R1)、C(R1)2、Si(R1)2、C=O、C=NR1、C=C(R1)2、O、S、S=O、SO2、N(R1)、P(R1)和P(=O)R1;
R1在每次出现时相同或者不同地是H,D,具有1至20个C原子的脂族、芳族和/或杂芳族烃基,其中另外,一个或多个H原子可被F代替,此处两个或多个相邻的取代基R1也可以彼此形成单或多环的脂族或芳族环系;
k、l、m、n在每次出现时相同或不同地是0或1;
p、q在每次出现时相同或不同地是0、1、2、3或4;
条件是排除如下通式(1)或(2)的化合物:
在本发明的优选实施方式中,通式(1)和(2)的化合物是不带电荷的。
通式(1)或通式(2)化合物优选的玻璃化转变温度Tg大于70℃,特别优选大于100℃,非常特别优选大于130℃。
单、双、三、四或五价的单或多环的芳族或杂芳族环系优选包含5至60个、特别优选5至40个、更优选5至30个、甚至更优选5至20个、甚至更优选6至14个和最优选6至10个芳族环原子。在本发明意义上的芳族环系在环系中包含6至60个C原子。在本发明意义上的杂芳族环系在环系中包含2至60个C原子和至少一个杂原子,条件是C原子和杂原子的总和至少为5。所述杂原子优选选自N、O和/或S。在本发明意义上的芳族或杂芳族环系旨在被认为是指不必仅包含芳基或杂芳基基团的体系,而是其中多个芳基或杂芳基基团也可被短的非芳族单元(优选小于非H原子的10%)间断,为了本发明的目的,例如,sp3-杂化的C原子,N原子或O原子。因此,例如9,9′-螺二芴、9,9-二芳基芴、三芳基胺、二芳基醚、茋、二苯甲酮等体系,同样旨在被认为是指芳族环系。同样,芳族或杂芳族化合物环系被认为是指其中多个芳基或杂芳基基团通过单键彼此连接的体系,例如联苯、三联苯或联吡啶。然而,所述芳族或杂芳族环系最优选是完全稠合的体系。
在每种情况下也可以被如上提及的基团R取代,优选被基团R的非芳族代表物取代,并可以通过芳族或杂芳族环系上的任何希望的位置连接的本发明的芳族或杂芳族环系的例子包括:苯、萘、蒽、菲、芘、苝、荧蒽、并四苯、并五苯、苯并蒽、苯并菲、二苯并蒽、苯并芘、联苯、偶苯、三联苯、三亚苯、芴、螺二芴、二氢菲、二氢芘、四氢芘、顺式或反式茚并芴、三聚茚、异三聚茚、螺三聚茚、螺异三聚茚、呋喃、苯并呋喃、异苯并呋喃、二苯并呋喃、噻吩、苯并噻吩、异苯并噻吩、硫芴、吡咯、吲哚、异吲哚、咔唑、吡啶、喹啉、异喹啉、吖啶、菲啶、苯并-5,6-喹啉、苯并-6,7-喹啉、苯并-7,8-喹啉、吩噻嗪、吩嗪、吡唑、吲唑、咪唑、苯并咪唑、萘并咪唑、菲并咪唑、吡啶并咪唑、吡嗪并咪唑、喹喔啉并咪唑、唑、苯并唑、萘并唑、蒽并唑、菲并唑、异唑、1,2-噻唑、1,3-噻唑、苯并噻唑、哒嗪、苯并哒嗪、嘧啶、苯并嘧啶、喹喔啉、1,5-二氮杂蒽、2,7-二氮杂芘、2,3-二氮杂芘、1,6-二氮杂芘、1,8-二氮杂芘、4,5-二氮杂芘、4,5,9,10-四氮杂苝、吡嗪、吩嗪、吩嗪、吩噻嗪、荧红环、二氮杂萘、氮杂咔唑、苯并咔啉、菲咯啉、1,2,3-三唑、1,2,4-三唑、苯并三唑、1,2,3-二唑、1,2,4-二唑、1,2,5-二唑、1,3,4-二唑、1,2,3-噻二唑、1,2,4-噻二唑、1,2,5-噻二唑、1,3,4-噻二唑、1,3,5-三嗪、1,2,4-三嗪、1,2,3-三嗪、四唑、1,2,4,5-四嗪、1,2,3,4-四嗪、1,2,3,5-四嗪、嘌呤、蝶啶、吲嗪和苯并噻二唑。
为了本发明的目的,直链、支链或环状的烷基被认为是指烷基、烯基或炔基基团,分别地优选具有1至40个C原子、更优选1至20个C原子、或3至40个C原子、更优选3至20个C原子。环状的烷基基团能够是单、双或多环的烷基。单独的-CH-或-CH2-基团可被N、NH、O或S代替。优选基团甲基、乙基、正丙基、异丙基、正丁基、异丁基、仲丁基、叔丁基、2-甲基丁基、正戊基、仲戊基、叔戊基、环戊基、正己基、环己基、正庚基、环庚基、正辛基、环辛基、2-乙基己基、三氟甲基、五氟乙基、2,2,2-三氟乙基、乙烯基、丙烯基、丁烯基、戊烯基、环戊烯基、己烯基、环己烯基、庚烯基、环庚烯基、辛烯基、环辛烯基、乙炔基、丙炔基、丁炔基、戊炔基、己炔基、庚炔基或辛炔基。
直链、支链或环状的烷氧基或硫代烷氧基基团被认为是指如上定义的通过O或S原子与化合物剩余部分键合的烷基。
优选的烷氧基是甲氧基、三氟甲氧基、乙氧基、正丙氧基、异丙氧基、正丁氧基、异丁氧基、仲丁氧基、叔丁氧基、正戊氧基、仲戊氧基、2-甲基丁氧基、正己氧基、环己氧基、正庚氧基、环庚氧基、正辛氧基、环辛氧基、2-乙基己氧基、五氟乙氧基和2,2,2-三氟乙氧基。
优选的硫代烷氧基基团是甲硫基、乙硫基、正丙硫基、异丙硫基、正丁硫基、异丁硫基、仲丁硫基、叔丁硫基、正戊硫基、仲戊硫基、正己硫基、环己硫基、正庚硫基、环庚硫基、正辛硫基、环辛硫基、2-乙基己硫基、三氟甲硫基、五氟乙硫基、2,2,2-三氟乙硫基、乙烯硫基、丙烯硫基、丁烯硫基、戊烯硫基、环戊烯硫基、己烯硫基、环己烯硫基、庚烯硫基、环庚烯硫基、辛烯硫基、环辛烯硫基、乙炔硫基、丙炔硫基、丁炔硫基、戊炔硫基、己炔硫基、庚炔硫基和辛炔硫基。
具有5至60个、优选5至40个、特别优选5至20个、最优选6至14个芳族环原子的芳氧基或杂芳氧基基团被认为是指经由O原子载带如上定义的单或多环的芳族或杂芳族基团的基团。
亚烷基基团被认为是指饱和或不饱和的脂族烃,它们可以是直链的、支链的或环状的,分别地优选包含1至20或3至20个碳原子、更优选1至6或3至6个碳原子,其中另外,一个或多个CH2基团可被NH、NR1、O或S代替,和另外,一个或多个H原子可被F代替。此处更优选具有1至6个碳原子的直链饱和烃。具有1至10个碳原子的脂族烃的例子包括:亚甲基、亚乙基、亚正丙基、亚异丙基、亚正丁基、亚异丁基、亚仲丁基(1-甲基亚丙基)、亚叔丁基、亚异戊基、亚正戊基、亚叔戊基(1,1-二甲基丙基)、1,2-二甲基亚丙基、2,2-二甲基亚丙基(新戊基)、1-乙基亚丙基、2-甲基亚丁基、亚正己基、亚异己基、1,2-二甲基亚丁基、1-乙基-1-甲基亚丙基、1-乙基-2-甲基亚丙基、1,1,2-三甲基亚丙基、1,2,2-三甲基亚丙基、1-乙基亚丁基、1-甲基亚丁基、1,1-二甲基亚丁基、2,2-二甲基亚丁基、1,3-二甲基亚丁基、2,3-二甲基亚丁基、3,3-二甲基亚丁基、2-乙基亚丁基、1-甲基亚戊基、2-甲基亚戊基、3-甲基亚戊基、亚环戊基、亚环己基、亚环庚基、亚环辛基、2-乙基亚己基、三氟亚甲基、五氟亚乙基、2,2,2-三氟亚乙基、亚乙烯基、亚丙烯基、亚丁烯基、亚戊烯基、亚环戊烯基、亚己烯基、亚环己烯基、亚庚烯基、亚环庚烯基、亚辛烯基和亚环辛烯基。
本发明中具有1至20个碳原子的脂族烃优选是直链的、支链的或环状的烷基基团,烯基基团或炔基基团,其中一个或多个碳原子可被O、N或S代替。另外,一个或多个氢原子可被氟代替。具有1至20个碳原子的脂族烃的例子包括:甲基、乙基、正丙基、异丙基、正丁基、异丁基、仲丁基(1-甲基丙基)、叔丁基、异戊基、正戊基、叔戊基(1,1-二甲基丙基)、1,2-二甲基丙基、2,2-二甲基丙基(新戊基)、1-乙基丙基、2-甲基丁基、正己基、异己基、1,2-二甲基丁基、1-乙基-1-甲基丙基、1-乙基-2-甲基丙基、1,1,2-三甲基丙基、1,2,2-三甲基丙基、1-乙基丁基、1-甲基丁基、1,1-二甲基丁基、2,2-二甲基丁基、1,3-二甲基丁基、2,3-二甲基丁基、3,3-二甲基丁基、2-乙基丁基、1-甲基戊基、2-甲基戊基、3-甲基戊基、环戊基、环己基、环庚基、环辛基、2-乙基己基、三氟甲基、五氟乙基、2,2,2-三氟乙基、乙烯基、丙烯基、丁烯基、戊烯基、环戊烯基、己烯基、环己烯基、庚烯基、环庚烯基、辛烯基、环辛烯基、乙炔基、丙炔基、丁炔基、戊炔基、己炔基和辛炔基。
芳族或杂芳族烃优选包含5至20个、更优选5至10个和最优选5或6个芳族环原子。如果所述单元是芳族单元,则它优选包含6至20个、更优选6至10个和最优选6个碳原子作为环原子。如果所述单元是杂芳族单元,则它包含5至20个、更优选5至10个和最优选5或6个芳族环原子,其中至少一个是杂原子。所述杂原子优选选自N、O和/或S。此处芳族或杂芳族单元被认为是指或者是简单的芳族环,即,苯,或者是简单的杂芳族环,例如,吡啶、嘧啶、噻吩等,或者是稠合的芳基或杂芳基基团,例如,萘、蒽、菲、喹啉、异喹啉、苯并噻吩、苯并呋喃和吲哚等。
因此本发明的芳族或杂芳族单元的例子是:苯、萘、蒽、菲、芘、苯并蒽、苯并菲、苝、并四苯、并五苯、苯并芘、呋喃、苯并呋喃、异苯并呋喃、二苯并呋喃、噻吩、苯并噻吩、异苯并噻吩、硫芴、吡咯、吲哚、异吲哚、吡啶、喹啉、异喹啉、吖啶、菲啶、苯并-5,6-喹啉、苯并-6,7-喹啉、苯并-7,8-喹啉、吩噻嗪、吩嗪、吡唑、吲唑、咪唑、苯并咪唑、萘并咪唑、菲并咪唑、吡啶并咪唑、吡嗪并咪唑、喹喔啉并咪唑、唑、苯并唑、萘并唑、蒽并唑、菲并唑、异唑、1,2-噻唑、1,3-噻唑、苯并噻唑、哒嗪、苯并哒嗪、嘧啶、苯并嘧啶、喹喔啉、1,5-二氮杂蒽、2,7-二氮杂芘、2,3-二氮杂芘、1,6-二氮杂芘、1,8-二氮杂芘、4,5-二氮杂芘、4,5,9,10-四氮杂苝、吡嗪、吩嗪、吩嗪、吩噻嗪、荧红环、二氮杂萘、苯并咔啉、菲咯啉、1,2,3-三唑、1,2,4-三唑、苯并三唑、1,2,3-二唑、1,2,4-二唑、1,2,5-二唑、1,3,4-二唑、1,2,3-噻二唑、1,2,4-噻二唑、1,2,5-噻二唑、1,3,4-噻二唑、1,3,5-三嗪、1,2,4-三嗪、1,2,3-三嗪、四唑、1,2,4,5-四嗪、1,2,3,4-四嗪、1,2,3,5-四嗪、嘌呤、蝶啶、吲嗪和苯并噻二唑。
二价或多价的脂族单元优选是-CH2-(CH2)h-CH2-基团,其中在二价单元情况下,h等于0、1、2或3,在多价优选三价或四价单元的情况下,脂族基团具有4至10个碳原子。这些单元中的一个或多个CH2基团、优选一个CH2基团可被NH、O或S代替,和一个或多个、优选一个CH基团可被N代替。此外,一个或多个H原子可被R1取代。
如上所述的,基团Ar或X或Y经由8、9或11位键合至苯并[a]蒽。如果通式(1)或(2)的化合物包含多个苯并[a]蒽单元,即,如果标记p和/或q等于或大于1,则这些单元各自可以经由苯并[a]蒽的相同位置键合或经由苯并[a]蒽的不同位置键合。经由苯并[a]蒽的相同位置键合具有更易合成得到所述化合物的优点。经由苯并[a]蒽的不同位置键合导致非对称的化合物,这通常具有更高的溶解度和更高的玻璃化转变温度的优点。在本发明另外的实施方式中,通式(1)或通式(2)中的基团Ar、X或Y在每种情况下优选彼此独立地经由苯并[a]蒽的8和11位之一被键合,相应地在该位置处没有键合基团R。在这些情况下-与在9位键合相反-在大体积的基团Ar、X或Y例如蒽的情况下,可能形成围绕苯并[a]蒽-Ar或苯并[a]蒽-Y键的阻转异构体。
在本发明又一另外的实施方式中,通式(2)的化合物优选是其中当q=0,Y是N(Ar1)2基团情况下的化合物。
在本发明另外的实施方式中,在通式(1)或(2)化合物中苯并[a]蒽1、2、3、4、5和6位上的各个基团R优选等于H。在这一点上(in thisconnection),可能仅在存在的多个苯并蒽基团之一中是这种情形。然而,也可能存在的两个或多个或所有的苯并蒽基团具有这种取代。
在本发明另外的实施方式中,通式(1)或(2)的化合物优选准确地在2、3、4、5或6位,优选在4或5位之一处包含不同于氢的基团R。该基团R优选是如上定义的芳族或杂芳族环系。
在本发明另外的实施方式中,分别在通式(1)或(2)化合物中的苯并[a]蒽,或如果适当,多个或所有的苯并[a]蒽的7和12位的两个基团R,优选两者等于H或两者不等于H。如果在7和12位的基团不等于H,则它们优选是相同的基团,特别是甲基、苯基、萘基或联苯基,它们各自可被一个或多个非芳族基团R取代。
在本发明又一另外的实施方式中,通式(1)或(2)的化合物选自如下通式(3)至(8):
其中基团Ar或X或Y经由苯并[a]蒽,或如果适当,多个苯并[a]蒽的8、9或11,优选8或11位之一被键合,和其中所述符号和标记具有如在上述实施方式中描述的相同的含义,其中R2具有如R相同的含义,条件是苯并[a]蒽中的两个R2等于H或D,或两个R2不等于H和D。
在通式(3)至(8)的结构中,在苯并蒽上或在多个或所有的苯并蒽上的1-位的取代基R优选是氢。同样特别优选所有的取代基R等于氢。
在本发明又一另外的实施方式中,上述实施方式的化合物优选选自通式(9)至(21),
其中所述符号和标记具有如上述实施方式中描述的相同的含义,其中在通式(9)和(10)中的基团X以及通式(14)至(17)中的基团Y,在每种情况下,代表一价芳族或杂芳族环系或基团N(Ar1)2,其中R2具有如R相同的含义,条件是苯并[a]蒽中的两个R2等于H或不等于H,和其中W是如下通式(22)或(23)的基团:
其中通式(22)或(23)中的虚线表示该基团与Ar或Y键合的位置。
在通式(9)至(23)的化合物中,在每种情况下,不同于氢的另外的取代基R可以在苯并蒽的4位或5位上被键合。
在本发明又一另外的实施方式中,上述实施方式的基团X和/或Y优选构造自基团苯、萘、蒽、咔唑、菲、苯并蒽、、芘、菲咯啉、菲并咪唑、1,3,5-三嗪、苯并咪唑、噻吩、苯并噻吩、吡嗪、嘧啶、哒嗪或三芳基胺,特别是三苯基胺,或如果p=0和/或q=0,则代表基团N(Ar1)2。
在本发明又一另外的实施方式中,其中p=0的化合物中的基团X和其中q=0的化合物中的基团Y选自如下通式(24)至(36)的单元:
其中R和R1具有上述实施方式中指明的含义,和此外:
Ar2是具有5至16个芳族环原子的芳基或杂芳基基团,优选苯基、1-萘基、2-萘基、9-蒽基、基、1-芘基、2-芘基、2-菲基、3-菲基、9-菲基、2-苯并咪唑、2-芴基、2-螺二芴基、荧蒽基、2-苯并[a]蒽基、3-苯并[a]蒽基、4-苯并[a]蒽基、5-苯并[a]蒽基或6-苯并[a]蒽基,它们各自可被一个或多个基团R1取代,或在通式(24)中,是通式(31)或(32)的基团;
Ar3在每次出现时相同或不同地是具有5至20个芳族环原子的芳基或杂芳基基团,或具有15至30个芳族环原子的三芳基胺基团,它们各自可被一个或多个基团R1取代,优选具有6至14个芳族环原子的芳基或杂芳基基团,或具有18至30个芳族环原子、优选具有18至22个芳族环原子的三芳基胺基团,它们各自可被一个或多个基团R1取代;此处两个基团Ar3也可以通过基团E桥接;
E代表单键、O、S、N(R1)或C(R1)2,其中在基团C(R1)2上的两个基团R1也可以通过成环作用形成螺环系;
t是1、2或者3;
s在每次出现时相同或者不同地是0或1,
其中t旨在表示连续存在有多少个基团Ar2,即,在其中t等于1的情况下,Ar2是末端一价基团,在其中t等于2的情况下,基团Ar2是第二基团Ar1作为一价末端基团被键合至的二价基团,或在其中t等于3的情况下,彼此连接的第一和第二单元Ar2各自是二价单元,和键合至第二基团Ar2的第三基团Ar2是末端一价单元。特别优选的t=2的体系是邻联苯基、间联苯基、对联苯基、亚苯基-1-萘基、亚苯基-2-萘基、N-苯基-2-苯并咪唑、2-芴基和2-螺二芴基。
通式(32)中的Ar3特别优选相同或不同地代表苯基、1-萘基、2-萘基、2-,3-或4-三苯基胺、1-或2-萘基二苯基胺,它们在每种情况下可以经由萘基或苯基被键合,或1-或2-二萘基苯基胺,它们各自可以经由萘基或苯基被键合。这些基团各自可以被一个或多个具有1至4个C原子的烷基取代,或被一个或多个具有3至8个C原子的环状的或双环的烷基取代,或被氟或氰基取代。
此外,优选上述实施方式的化合物,其中,在通式(1)至(23)的化合物中,符号Ar在每次出现时相同或不同地代表亚芳基或亚杂芳基基团,选自1,2-亚苯基、1,3-亚苯基、1,4-亚苯基、1,4-亚萘基、9,10-亚蒽基、2,7-亚菲基、3,6-亚菲基、1,6-亚芘基、2,7-亚芘基、2,6-亚吡啶基、2,5-亚吡啶基、2,2′-联苯基、3,3′-联苯基、4,4′-联苯基、2,7-芴基或2,7-螺二芴基。在这一点上应当明确地强调能够选择在通式(1)至(8)和(11)至(21)中的基团Ar为相同或不同。
在本发明又一另外的实施方式中,优选其中p=1和/或q=1的通式(1)至(8)化合物的符号X和/或Y,或通式(11)至(21)化合物中的符号X和/或Y各自彼此独立地代表单键,或二价基团,所述二价基团选自:C=O,O,NAr1,POAr1,O-B(Ar1)-O,具有1至6个C原子的二价亚烷基基团,或具有5至14个芳族环原子的二价芳族或杂芳族环系;优选其中p=2和/或q=2的通式(1)至(8)化合物中的符号X和/或Y代表N,或具有5至14个芳族环原子的三价芳族或杂芳族环系,特别是代表1,3,5-苯或1,3,5-三嗪;优选其中p>2和/或q>2的通式(1)和(2)化合物中的符号X和/或Y代表相应地更高化合价的具有5至14个芳族环原子的芳族或杂芳族环系。
在通式(1)、(3)、(5)、(7)和(11)至(13)的化合物中,可以选择所有的标记m和n相同,这导致对称的化合物,或可以选择其不同,这导致非对称的化合物。如以上已经提及的,对称的化合物具有更容易的合成易得性的优点和非对称的化合物具有通常更加适当的物理性能的优点。
此外,优选通式(1)至(23)的化合物,其中标记m、n、k和l代表0。
此外,优选通式(1)至(23)的化合物,其中标记p或q代表0、1或2,特别优选0或1。
如果基团R代表N(Ar1)2基团,则该基团优选选自如上描绘的通式(31)或通式(32)的基团。
通式(1)和(2)化合物的例子显示如下。
本发明通式(1)或通式(2)的化合物能够通过本领域普通技术人员通常熟知的那些合成步骤制备。使用的起始化合物例如能够是相应的溴代苯并[a]蒽醌,其合成是已知的(8-溴代苯并[a]蒽醌:J.L.Wood等人,J.Am.Chem.Soc.1951,73(9),4494-4495,9-bromobenz[a]anthraquinone;M.C.Kloetzel等人,J.Org.Chem.1961,26(6),1748-1754,8-and 11-bromobenz[a]anthraquinon;V.Snieckus等人,TetrahedronLett.1985,26(9),1145-1148)。被相应的离去基团例如氯、碘、三氟甲磺酸酯或甲苯磺酸酯取代的苯并[a]蒽醌同样能够作为起始化合物。然后可以将苯并[a]蒽醌衍生物还原成相应的苯并[a]蒽,如在方案1中以实例8-溴代苯并[a]蒽所示的。
方案1
在方案1中的化合物也可以被一个或多个基团R取代,其中R具有如上在通式(1)或通式(2)下所述的相同的含义。
或者,所述蒽醌衍生物能够被偶联,然后还原成相应的烃,如方案2中以实例8-溴代苯并[a]蒽醌所示的。不通过简单的芳构化,而是此处通过有机金属试剂,例如有机锂化合物或格利雅化合物的加成反应,然后使其芳构化,也可以合成相应的7,12-取代的苯并[a]蒽衍生物。
方案2
在方案2中的化合物也可以被一个或多个基团R取代,其中R具有如上在通式(1)或通式(2)中所述的相同的含义。
衍生于这些化合物的硼酸或硼酸衍生物能够经如下方式获得:例如使用正丁基锂在四氢呋喃中在-78℃下进行金属交换,然后使形成为中间体的锂代苯并[a]蒽与硼酸三甲酯反应,任选随后酯化,如在方案3中以实例参考4-溴代苯并[a]蒽所显示的。此外,可以通过与亲电试剂例如苄腈反应将锂化的化合物转变为酮,随后酸性水解,或使用氯代二芳基膦将其转变为氧化膦,随后氧化。锂化的化合物与其它亲电试剂的反应同样是可能的。
方案3
在方案3中的化合物也可以被一个或多个基团R取代,其中R具有如上在通式(1)或通式(2)中所述的相同的含义。
硼酸或硼酸衍生物与芳基溴的Suzuki偶联导致一大类不同的芳族和杂芳族化合物。这以方案4a)至e)中的例子表明,从苯并[a]蒽-4-硼酸开始,而且以同样的方式适用于其它的取代方式。此外,所有的结构也可以被一个或多个基团R取代,其中R具有如上所述在通式(1)或通式(2)中的相同的含义。
方案4
通过Hartwig-Buchwald方法,钯助催化的胺化溴化物给出相应的胺化的苯并[a]蒽(方案6)。相应地在苯并[a]蒽其它位置上的胺化是可能的。与其它离去基团,例如氯、碘、三氟甲磺酸酯、甲苯磺酸酯等相应的反应是可能的。
方案5
在方案4和5中的化合物也可以被一个或多个基团R取代,其中R具有如上在通式(1)或通式(2)中所述的相同的含义。
此外,硼酸能够与二醇、寡羟基化合物和多羟基化合物反应给出硼酸酯,或在甲苯中使用水分离器通过回流给出酸酐(方案6)。相应地在苯并[a]蒽上的9和11位进行反应。
方案6
在方案6中的化合物也可以被一个或多个基团R取代,其中R具有如上所述的在通式(1)或通式(2)中的相同的含义。
此外,本发明还涉及制备通式(1)或通式(2)化合物的方法,包括:使被反应性离去基团特别是氯、溴、碘、三氟甲磺酸酯、甲苯磺酸酯、硼酸或硼酸酯取代的苯并[a]蒽与官能化的芳族化合物或单或二取代的胺偶联。所述反应性离去基团优选是溴。在通式(1)或通式(2)骨架和芳基取代基之间的适当的偶联反应特别是过渡金属催化的偶联反应,特别是用钯催化剂的Suzuki偶联,从而使得此处硼酸衍生物与卤素衍生物的偶联是特别适当的。与单或二取代胺的适当的偶联反应特别是通过Hartwig-Buchwald方法的钯催化偶联。此外,Ullmann偶联适合于该目的。这种反应的反应条件笼统而言为有机合成领域普通技术人员所熟知。
如上描述的苯并[a]蒽醌衍生物可以另外被溴化,给出双官能化的苯并[a]蒽醌。这以8-溴代苯并[a]蒽醌的溴化为例显示于方案7中。被相应的离去基团例如氯、碘、三氟甲磺酸酯或甲苯磺酸酯取代的苯并[a]蒽醌同样能够作为原料化合物,给出具有两个不同离去基团的苯并[a]蒽醌衍生物。
方案7
在方案7中的化合物也可以被一个或多个基团R取代,其中R具有如上所述的在通式(1)或通式(2)中的相同的含义。
如以4,8-二溴苯并[a]蒽为例在方案8中所示,然后可以将双官能化的苯并[a]蒽醌衍生物还原成相应的苯并[a]蒽。
方案8
在方案8中的化合物也可以被一个或多个基团R取代,其中R具有如上所述的在通式(1)或通式(2)中的相同的含义。
或者,类似于方案2,所述蒽醌衍生物能够被偶联,然后还原成相应的烃,给出二取代的苯并[a]蒽。不通过简单的芳构化,而是此处通过有机金属试剂,例如有机锂化合物或格利雅化合物的加成反应,然后将其芳构化,也可以合成相应的7,12-取代的苯并[a]蒽衍生物。
衍生于这些化合物的硼酸或硼酸衍生物能够经如下方式获得:例如使用正丁基锂在四氢呋喃中在-78℃下进行金属交换,随后使形成为中间体的锂代苯并[a]蒽与硼酸三甲酯反应,任选随后酯化,如在方案9中以4,8-二溴苯并[a]蒽为例所显示的。此外,能够通过与亲电试剂例如苄腈反应将锂化的化合物转变为酮,随后酸性水解,或通过与氯代二芳基膦反应将其转化为氧化膦,随后氧化。锂化的化合物与其它亲电试剂的反应同样是可能的。取决于反应条件,此处单锂化或二锂化是可能的。
方案9
在方案9中的化合物也可以被一个或多个基团R取代,其中R具有如上所述的在通式(1)或通式(2)中的相同的含义。
类似于在方案4和5中描述的单官能化的苯并[a]蒽的合成,也可以从双官能化的苯并[a]蒽获得许多不同的芳族和杂芳族化合物。因此,本发明还涉及制备通式(1)或通式(2)化合物的方法,所述方法包括使被两个反应性离去基团特别是氯、溴、碘、三氟甲磺酸酯、甲苯磺酸酯、硼酸或硼酸酯取代的双官能化的苯并[a]蒽,与官能化的芳族化合物或单或二取代的胺偶联。所述反应性离去基团优选是溴。在通式(1)或通式(2)和芳基取代基或胺之间的适当的偶联反应是如上已经提及的反应类型。
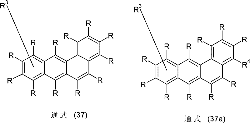
因此,本发明还涉及如下通式(37)或(37a)的化合物,它们代表通式(1)或通式(2)化合物合成中的重要的中间体,
其中R、R1和Ar1具有如上所述的对于通式(1)或通式(2)化合物的相同的含义,和R3在苯并[a]蒽的8、9或11位被键合,相应地在该位置处没有键合基团R,和此外:
R3、R4代表Cl、Br、I、B(OR1)2或B(OAr1)2;
将如下化合物从本发明中排除:
此外,本发明涉及通式(37)或(37a)的化合物用于制备通式(1)或通式(2)化合物的用途。
此外,如在WO 06/117052中概括描述的,同样可以使用通式(37)或(37a)的硼酸衍生物直接作为电子器件中的活性化合物。
上面描述的本发明的化合物,特别是那些被反应性离去基团例如溴、碘、硼酸或硼酸酯取代的化合物能够用作制备相应低聚物、树枝型聚合物或聚合物的单体。此处低聚或聚合优选经由卤素官能团或硼酸官能团发生。
因此,本发明还涉及含有一种或多种通式(1)或通式(2)化合物的低聚物、聚合物或树枝型聚合物,其中一个或多个基团R或R2或Ar或X或Y代表从通式(1)或通式(2)的化合物到聚合物、低聚物或树枝型聚合物的键。取决于通式I的化合物的连接,因此,苯并[a]蒽单元形成低聚物或聚合物的侧链,或被连接到主链中。为了本发明的目的,低聚物被认为是指包含至少三个苯并[a]蒽单元的化合物。所述聚合物、低聚物或树枝型聚合物可以是共轭的、部分共轭或非共轭的。所述低聚物或聚合物可以是线性的、支链的或树枝状的。在以线性方式连接的结构中,通式(1)或通式(2)的单元能够彼此直接地连接,或它们彼此能够通过二价基团连接,例如通过取代或未取代的亚烷基基团连接,通过杂原子,或通过二价芳族或杂芳族基团连接。在支链和树状结构中,通式(1)或通式(2)的三个或更多个单元例如可以经由三价或多价基团连接,例如经由三价或多价芳族或杂芳族基团连接,以给出支链或树枝状的低聚物或聚合物。通式(1)或通式(2)的单元优选经由苯并[a]蒽的4和8、4和9、或4和11位连接成为低聚物、树枝型聚合物或聚合物。此外优选经由两个位置与基团R,或与基团X,或与基团Y连接。
对于低聚物、树枝型聚合物和聚合物中的通式(1)或通式(2)的重复单元,适用如上所述相同的优选。
为制备所述低聚物或聚合物,将本发明的单体与另外的单体均聚或共聚。适当的和优选的共聚单体选自芴(例如根据EP 842208或WO00/22026)、螺二芴(例如根据EP 707020、EP 894107或WO 06/061181)、对苯撑(例如根据WO 92/18552)、咔唑(例如根据WO 04/070772或WO 04/113468)、噻吩(例如根据EP 1028136)、二氢菲(例如根据WO 05/014689或WO 07/006383)、顺式-和反式-茚并芴(例如根据WO 04/041901或WO 04/113412)、酮(例如根据WO 05/040302)、菲(例如根据WO 05/104264或WO 07/017066)或同样多个这些单元。所述聚合物、低聚物和树枝型聚合物通常也包含其它的单元,例如发光(荧光或磷光)单元,例如乙烯基三芳基胺(例如,根据WO07/068325),或磷光金属络合物(例如,根据WO 06/003000),和/或电荷传输单元,特别是基于三芳基胺的那些。
本发明另外的实施方式是如下化合物在电子器件中,特别是在有机电致发光器件中的用途,所述化合物为如下通式(38)或通式(39)的化合物,或通式(37)的化合物,或包括一种或多种通式(1)或通式(2)化合物的低聚物、树枝型聚合物或聚合物,其中一个或多个基团R或R2或Ar或X或Y代表从通式(1)或通式(2)的化合物到聚合物、低聚物或树枝型聚合物的键:
其中使用的符号和标记旨在具有如上述实施方式中的相同的含义。
通式(1)或通式(2)的化合物和相应的低聚物、树枝型聚合物和聚合物适合用于电子器件中,特别是用于有机电致发光器件(OLED、PLED)中。取决于取代,将化合物用于不同的功能和层中。
因此,本发明还涉及通式(1)或通式(2)化合物和相应的低聚物、树枝型聚合物或聚合物在电子器件中,特别是在有机电致发光器件中的用途。如上提及的优选的通式(3)至(21)的化合物特别适合于该目的。
本发明还涉及包括至少一种通式(1)或通式(2)化合物,或至少一种相应的低聚物、树枝型聚合物或聚合物的电子器件,特别是包括阳极、阴极和至少一个发光层的有机电致发光器件,其特征在于至少一个有机层,可以是发光层或另外的层,包括至少一种通式(1)或通式(2)的化合物或至少一种相应的低聚物、树枝型聚合物或聚合物。如上提及的优选的通式(3)至(21)的化合物特别适合于该目的。
除所述阴极、阳极和发光层之外,所述有机电致发光器件也可以包括另外的层。这些例如是在每种情况下选自一个或多个空穴注入层、空穴传输层、电子传输层、电子注入层、有机或无机p/n结和/或电荷产生层(IDMC2003,Taiwan;Session 21 OLED(5),T.Matsumoto,T.Nakada,J.Endo,K.Mori,N.Kawamura,A.Yokoi,J.Kido,MultiphotonOrganic EL Device Having Charge Generation Layer)。然而,应当指出这些层不必各个都存在。
有机电致发光领域的普通技术人员知道能够使用哪些材料用于这些另外的层。通常,如现有技术中使用的所有的材料都适合于所述另外的层,且本领域普通技术人员能在不付出创造性劳动的情况下,在有机电致发光器件中将这些材料与本发明的材料结合。可用于本发明电致发光器件中空穴传输或空穴注入层中的优选的空穴传输材料的例子是茚并芴胺和相关的衍生物(例如根据WO 06/122630或WO06/100896)、公开在EP 1661888中的胺衍生物、六氮杂苯并菲衍生物(例如根据WO 01/049806)、含有稠合芳族环的胺衍生物(例如根据US 5,061,569)、公开在WO 95/09147中的胺衍生物、一苯并茚并芴胺(例如根据WO 08/006449)或二苯并茚并芴胺(例如根据WO07/140847)。
在本发明另外优选的实施方式中,所述有机电致发光器件包括两个或多个发光层,其中至少一个有机层包括至少一种通式(1)或通式(2)的化合物。这些发光层特别优选在380nm和750nm之间具有多个发光峰值,总体上导致白色发光,即,在所述发光层中使用能够发荧光或发磷光和发蓝色光、发黄色光、发橙色光或发红色光的多种发光化合物。此处优选将通式(1)或通式(2)的化合物用于发蓝色光的层中。特别优选三层体系,即,具有三个发光层的体系,其中这些层的至少一个包括至少一种通式(1)或通式(2)的化合物,其中所述三层显示蓝色、绿色和橙色或者红色发光(对于基本结构,例如见WO 05/011013)。此处使用的绿色和橙色或红色发光体优选是磷光化合物。那些具有宽带发光,因此显示白色发光的发光体同样适合于白色发光。
在本发明的一个实施方式中,将通式(1)至(21)的化合物用作荧光掺杂剂、特别是蓝色荧光掺杂剂的基质材料。在这种情况下,通式(1)至(10)和(14)至(17)中的一个或多个基团Ar和/或X和/或Y优选选自简单或稠合的芳基或杂芳基基团,特别是苯基蒽基或1-或2-萘基蒽基。在通式(1)至(8)和(11)至(21)中的一个或多个基团Ar和/或X和/或Y进一步优选选自稠合的亚芳基基团,特别是9,10-亚蒽基。
在包括基质和掺杂剂的体系中,基质材料被认为是指以较高的比例存在于体系中的组分。在包括一种基质和多种掺杂剂的体系中,所述基质被认为是指在混合物中具有最高比例的组分。此外,也可以使用多种基质材料的混合物。
发光层中通式(1)或通式(2)的基质材料的比例为50.0至99.9重量%、优选为80.0至99.5重量%、特别优选为90.0至99.0重量%。相应地,在每种情况下基于100%的全部发光层,掺杂剂的比例为0.01至50.0重量%、优选为0.5至20.0重量%、特别优选为1至10重量%。
此外,也可以使用多种基质材料的混合物,其中一种基质材料是通式(1)或(2)的化合物。可与本发明化合物结合的适当的另外的基质材料选自芳基胺、蒽衍生物,特别是被至少一种稠合的芳基取代的蒽衍生物,芳族烃或电子传导化合物,特别是包含至少一个缺电子杂芳族环系的化合物。
优选的能够用与上述提到的基质组合的掺杂物,选自单苯乙烯基胺、二苯乙烯基胺、三苯乙烯基胺、四苯乙烯基胺、苯乙烯基膦、苯乙烯基醚和芳基胺类。单苯乙烯基胺被认为是指包含一个取代或未取代苯乙烯基和至少一种胺优选芳族胺的化合物。二苯乙烯基胺被认为是指包含两个取代或未取代的苯乙烯基和至少一种胺优选芳族胺的化合物。三苯乙烯基胺被认为是指包含三个取代或未取代的苯乙烯基和至少一种胺优选芳族胺的化合物。四苯乙烯基胺被认为是指包含四个取代或未取代的苯乙烯基和至少一种胺优选芳族胺的化合物。苯乙烯基特别优选是茋,其也可以被进一步取代。类似于胺,定义相应的膦和醚。为了本发明的目的,芳基胺或芳族胺被认为是指包含三个直接与氮键合的取代的或未取代的芳族或杂芳族环系的化合物。至少一个这些芳族或者杂芳族环系优选是稠环系,其特别优选具有至少14个芳族环原子。其优选的例子是芳族蒽胺、芳族蒽二胺、芳族芘胺、芳族芘二胺、芳族胺或者芳族二胺。芳族蒽胺被认为是指其中一个二芳基氨基直接与蒽基团优选在9-位键合的化合物。芳族蒽二胺被认为是指其中两个二芳基氨基直接与蒽基团优选在9,10-位键合的化合物。类似地定义芳族芘胺、芘二胺、胺和二胺,其中二芳基氨基优选与芘在1-位或在1,6-位键合。另外优选的掺杂剂选自茚并芴胺或者茚并芴二胺,例如根据WO 06/122630,苯并茚并芴胺或者苯并茚并芴二胺,例如根据WO 08/006449,和二苯并茚并芴胺或者二苯并茚并芴二胺,例如根据WO 07/140847。来自苯乙烯基胺类的掺杂剂例子是取代或者未取代的三茋胺,或者公开于WO 06/000388、WO 06/058737、WO 06/000389、WO 07/065549和WO 07/115610中的掺杂剂。此外也优选如下所述本发明的掺杂物。此外优选的荧光掺杂物是稠合芳族烃,例如,公开在DE 102008035413中的化合物。
在本发明的一个另外的实施方式中,将通式(1)或通式(2)的化合物用作发光材料。如果通式(1)至(21)化合物中的至少一个Ar和/或X和/或Y基团包含至少一个芳基氨基单元时,该化合物特别适合作为发光化合物。优选的芳基氨基单元是如上描绘的通式(31)和(32)的基团。如果通式(1)至(21)化合物中的基团X或基团Y代表N或NAr1,该化合物进一步适合作为发光化合物。然而,不包含氨基的化合物也可以用作发光化合物。
在发光层混合物中通式(1)或通式(2)的化合物的比例为0.1至50.0重量%、优选为0.5至20.0重量%、特别优选为1.0至10.0重量%。相应地,在每种情况下基于100%的混合物作为整体,基质材料的比例为50.0至99.9重量%、优选为80.0至99.5重量%、特别优选为90.0至99.0重量%。
在这种情况下适当的基质材料是来自不同物质类别的材料。优选的基质材料选自如下类物质:低聚亚芳基(例如在EP 676461中描述的2,2’,7,7’-四苯基螺二芴,或二萘基蒽),特别是含有稠合芳族基团的低聚亚芳基,低聚亚芳基亚乙烯基(例如根据EP 676461的DPVBi或螺-DPVBi),苯并蒽衍生物(例如根据WO 08/145239),苯并菲衍生物(例如根据WO 09/069566或未公开的申请DE 102009005746.3),多足金属络合物(例如根据WO 04/081017),空穴传导化合物(例如根据WO 04/058911),电子传导化合物,特别是酮、氧化膦、亚砜等(例如根据WO 05/084081和WO 05/084082),阻转异构体(例如根据WO06/048268)或硼酸衍生物(例如根据WO 06/117052)。此外,适当的基质材料也是本发明如上描述的苯并[a]蒽化合物。除本发明的化合物之外,特别优选的基质材料选自如下的类别:含萘、蒽和/或芘或者这些化合物的阻转异构体的低聚亚芳基,低聚亚芳基亚乙烯基,酮,氧化膦和亚砜。除本发明的苯并[a]蒽化合物之外,非常特别优选的基质材料选自含有蒽和/或芘或这些化合物阻转异构体的低聚亚芳基,氧化膦和亚砜。为了本发明的目的,低聚亚芳基旨在被认为是指其中至少三个芳基或亚芳基基团彼此键合的化合物。
在本发明又一另外的实施方式中,将通式(1)或通式(2)的化合物用作空穴传输材料或空穴注入材料。然后所述化合物优选被至少一个N(Ar1)2基团取代;至少一个基团R特别优选代表N(Ar1)2基团。所述N(Ar1)2基团优选选自如上描述的通式(31)和(32)。如果通式(1)至(21)化合物中的基团X或基团Y代表N或NAr1,则该化合物是进一步优选的。所述化合物优选用于空穴传输或空穴注入层中。为了本发明的目的,空穴注入层是与阳极直接相邻的层。为了本发明的目的,空穴传输层是位于空穴注入层和发光层或电子阻挡层之间的层。如果将通式(1)或通式(2)的化合物用作空穴传输材料或空穴注入材料,则可能优选将它们用电子接受体化合物掺杂,例如用F4-TCNQ或如在EP 1476881或EP 1596445中描述的化合物掺杂。
在本发明又一另外的实施方式中,将通式(1)或通式(2)的化合物用作电子传输材料。此处优选一个或多个取代基R和/或R1包含至少一个C=O、P(=O)和/或SO2单元,所述单元优选直接键合至苯并[a]蒽。此处同样优选一个或多个取代基R和/或R1包含缺电子杂环,例如,咪唑、三嗪、嘧啶、吡嗪、哒嗪、吡唑、噻唑、苯并咪唑、苯并噻唑、三唑、二唑、苯并噻二唑、菲咯啉等。同样优选通式(1)至(21)化合物中的一个或多个Ar1基团代表缺电子杂环,例如,咪唑、三嗪、嘧啶、吡嗪、哒嗪、吡唑、噻唑、苯并咪唑、苯并噻唑、三唑、二唑、苯并噻二唑、菲咯啉等,和/或基团Y代表该类型的缺电子杂环,或代表C=O、POAr1、SO或SO2。进一步优选将所述化合物用电子供体化合物掺杂。
也可以将通式(1)或通式(2)的重复单元用于聚合物中作为聚合物骨架、作为发光单元、作为空穴传输单元和/或作为电子传输单元。此处优选的取代方式对应于如上描述的那些。
进一步优选如下有机电致发光器件,其特征在于通过升华方法施加一个或多个层,其中在真空升华设备中,在低于10-5毫巴、优选低于10-6毫巴的初压下气相沉积所述材料。然而,初压也可以甚至更低,例如低于10-7毫巴。
同样优选如下有机电致发光器件,其特征在于通过OVPD(有机气相沉积)方法或者借助于载气升华施加一个或多个层,其中在10-5毫巴至1巴的压力下施加所述材料。
进一步优选如下有机电致发光器件,其特征在于从溶液中例如通过旋涂,或者通过任何希望的印刷方法例如丝网印刷、柔性版印刷或者平版印刷,但是特别优选LITI(光引发热成像、热转印)或者喷墨印刷产生一个或多个层。可溶的化合物对于该目的是必要的。可通过适当取代该化合物实现高的溶解性。
也可以使用如上提及的多种工艺,例如,从溶液中施加一个或多个层以及通过气相沉积施加一个或多个另外的层。
对于从溶液中施加,本发明化合物的溶液或制剂是必要的。因此,本发明还涉及包含至少一种通式(1)或(2)的化合物和至少一种溶剂优选有机溶剂的溶液或制剂。
当用于有机电致发光器件中时本发明的化合物具有增加的效率和显著更长的寿命,使得本发明的有机电致发光器件比包含现有技术材料的那些有机电致发光器件更加适合用于高质量和长寿命的显示器中。此外,本发明的化合物具有高的热稳定性和高的玻璃化转变温度,能够在不分解的情况下升华。
本申请文本涉及本发明化合物在OLED和PLED中和相应显示器中的用途。尽管描述是有限的,但本领域普通技术人员在不需要进一步创造性劳动的情况下,也可以将本发明的化合物用于其它电子器件中,例如,有机场效应晶体管(O-FET)、有机薄膜晶体管(O-TFT)、有机发光晶体管(O-LET)、有机集成电路(O-IC)、有机太阳能电池(O-SC)、有机场猝熄器件(O-FQD)、发光电化学电池(LEC)、有机激光器二极管(O-laser)或有机光感受器。
本发明同样涉及本发明化合物在相应的器件中的用途且涉及这些器件本身。
能够依照要求将本发明所述的实施方式或优选的范围或定义彼此结合是本发明的一部分。
现在通过如下实施例更详细地解释本发明,而不希望由此限制本发明。在不需要创造性劳动的情况下,本领域普通技术人员能够在遍及公开的范围内利用给出的详细描述实施本发明,制备本发明的另外的化合物,并将它们用于电子器件中或使用本发明的方法。
具体实施方式
实施例
除非另外指明,如下合成在保护气体气氛下进行。原料购买自ALDRICH或ABCR,或通过文献方法制备。8-溴苯并[a]蒽-7,12-二酮:J.L.Wood等人,J.Am.Chem.Soc.1951,73(9),4494-4495,9-溴苯并[a]蒽-7,12-二酮:M.C.Kloetzel等人,J.Org.Chem.1961,26(6),1748-1754,8-和11-溴代溴苯并[a]蒽-7,12-二酮:V.Snieckus等人,Tetrahedron Lett.1985,26(9),1145-1148。
实施例1:8-溴苯并[a]蒽的合成
将200ml次磷酸(50%)加入75g(200.2mmol)8-溴苯并[a]蒽-7,12-二酮在900ml冰醋酸的悬浮液中,逐滴加入400ml氢碘酸(57%)。将该反应混合物加热回流16小时。冷却之后,利用抽吸过滤掉沉淀的固体,用分别500ml的水、乙醇/水(1∶1,v/v)和乙醇洗涤。通过在乙醇中煮沸洗涤粗产物,然后从甲苯/冰醋酸(1∶1,v/v,约15ml/g)中重结晶。干燥得到35.8g(115.4mmol)57.6%的产物,纯度99%。
实施例2:合成苯并[a]蒽-8-硼酸
将52ml(130mmol)正丁基锂(在正己烷中2.5M)在强烈搅拌下在-78℃下逐滴加入30.7g(100mmol)8-溴苯并蒽在1000ml四氢呋喃中的悬浮液中,将该混合物搅拌另外的2h。将16.7ml(150mmol)硼酸三甲酯在强烈搅拌下以一份加入到红色溶液中,将该混合物在-78℃下搅拌另外的30分钟,然后在3h时间内使其温热到室温,加入300ml水,将该混合物搅拌30分钟。分离去有机相,在真空下蒸发至干。将固体溶于100ml正己烷中,用抽吸过滤,用100ml己烷洗涤一次,在真空下干燥。硼酸产率:23.7g(87mmol),87%,纯度约90%(NMR),其中硼酸酐和硼酸的量变化。硼酸能够以该形式在不另外纯化的情况下使用。
类似于实施例2从相应的溴化物(实施例3和4)获得相应的硼酸。
实施例5:合成9-(萘-2-基)-10-(苯并[a]蒽-8-基)蒽
将913mg(3mmol)三邻甲苯基膦,然后112mg(0.5mmol)乙酸钯(II)加入充分搅拌的19.2g(50mmol)9-溴代-10-(2-萘基)蒽、15.0g(55mmol)苯并[a]蒽-8-硼酸、25.5g(120mmol)磷酸三钾在300ml甲苯、100ml二烷和400ml水混合物中的悬浮液中,然后将该混合物加热回流16小时。冷却之后,用抽吸过滤掉沉淀的固体,将其用50ml甲苯洗涤三次,用50ml乙醇∶水(1∶1,V∶V)洗涤三次,和用100ml乙醇洗涤三次,将其从氯苯(约10ml/g)中重结晶三次,然后升华两次(p=5×10-5毫巴,T=340℃)。产率:14.8g(27.5mmol),55.0%,纯度99.9%(HPLC)。
类似于实施例5从相应的溴化物和硼酸获得本发明的如下化合物(实施例6至11)。
实施例12:合成1-苯基-2-(4-苯并[a]蒽-8-基苯基)苯并咪唑
类似于实施例7制备。用17.5g(50mmol)1-苯基-2-(4-溴苯基)苯并咪唑代替19.2g(50mmol)9-溴代-10-(2-萘基)蒽。在已经将反应混合物冷却之后,分离去有机相,将其用300ml的水洗涤三次,通过硅胶过滤,并蒸发至干。将玻璃状的残余物溶于50ml煮沸的甲苯中,将100ml乙醇加入该溶液中。在放置12小时之后,用抽吸过滤掉无色的晶体,然后用硅胶通过纯二氯甲烷(Rf=0.32)色谱分离。最后,将产物再次从甲苯/乙醇中重结晶。升华(p=5×10-5毫巴,T=305℃)。产率:16.7g(33.4mmol),66.8%,纯度>99.9%(HPLC)。
实施例13:合成8-(双(4-甲基苯基)氨基)苯并[a]蒽
将190μL(1mmol)氯代二叔丁基膦,然后112mg(0.5mmol)乙酸钯(II)加入15.4g(50mmol)8-溴苯并[a]蒽、11.8g(60mmol)双(4-甲基苯基)胺和7.7g(80mmol)叔丁醇钠在500ml甲苯中的悬浮液中,然后将该混合物加热回流5小时。在已经将混合物冷却到60℃之后,加入500ml水,分离去有机相,将其经由硅胶过滤,在真空下在80℃下蒸发至基本干燥,然后加入300ml乙醇。冷却之后,用抽吸过滤去固体。从甲苯/乙醇(1∶1,v/v,约10ml/g)中重结晶产物五次;升华(p=5×10-5毫巴,T=240℃)。产率:10.1g(23.8mmol),47.5%,纯度>99.9%(HPLC)。
实施例14:合成4,8-二溴苯并[a]蒽-7,12-二酮
将38ml(740mmol)溴逐滴缓慢加入到温热至140℃的125g(370mmol)8-溴苯并[a]蒽-7,12-二酮在500ml硝基苯的溶液中。当溴化氢放出已经减弱(约4小时)和冷却之后,用500ml乙醇稀释混合物,用抽吸过滤掉沉淀的固体,并用大量乙醇洗涤。通过在1L的乙醇中煮沸洗涤和干燥得到140g(336.5mmol)90.8%的纯度约90%(NMR)的产物,它们能够无需进一步纯化以该形式使用。
实施例15:合成4,8-二溴苯并[a]蒽
将200ml次磷酸(50%)加入83.2g(200mmol)4,8-二溴苯并[a]蒽-7,12-二酮在900ml冰醋酸中的悬浮液中,逐滴加入400ml氢碘酸(57%)。将该反应混合物加热回流36小时。冷却之后,利用抽吸过滤掉沉淀的固体,用分别500ml的水、乙醇/水(1∶1,v/v)和乙醇洗涤。通过在乙醇中煮沸洗涤粗产物,随后从甲苯/冰醋酸(1∶1,v/v,约12ml/g)中重结晶。干燥得到48.6g(125.9mmol)62.9%,纯度为99%的产物。
实施例16:合成苯并[a]蒽-4,8-二硼酸
将104ml(260mmol)正丁基锂(在正己烷中2.5M)在强烈搅拌下在-78℃下逐滴加入38.6g(100mmol)4,8-二溴苯并[a]蒽在1000ml四氢呋喃的悬浮液中,将该混合物搅拌另外的2小时。将33.4ml(300mmol)硼酸三甲酯以一份的方式在强烈搅拌下加入到红色溶液中,将该混合物在-78℃下搅拌另外的30分钟,然后在3小时的时间内使其温热到室温,加入500ml水,将该混合物搅拌30分钟。分离去有机相,将其在真空下蒸发至干。将固体溶于100ml正己烷中,用抽吸过滤,用100ml己烷洗涤一次,在真空下干燥。二硼酸产率:26.5g(84mmol),84%,纯度约90%(NMR),其中硼酸酐和硼酸的量变化。二硼酸能够以该形式使用而无需另外的纯化。
实施例17:合成4,8-双(萘-2-基)苯并[a]蒽
将1.83g(6mmol)三邻甲苯基膦,然后224mg(1mmol)乙酸钯(II)加入到剧烈搅拌的15.8g(50mmol)苯并[a]蒽-4,8-二硼酸和22.8g(110mmol)2-溴萘、50.1g(240mmol)磷酸三钾在300ml甲苯、100ml二烷和400ml水的混合物的悬浮液中,然后将该混合物加热回流16小时。冷却之后,用1000ml乙醇稀释该混合物,用抽吸过滤掉沉淀的固体,用50ml乙醇∶水(1∶1,V∶V)洗涤三次,用100ml乙醇洗涤三次。从二烷(约7ml/g)中重结晶粗产物四次,然后升华两次(p=5×10-5毫巴,T=380℃)。产率:10.3g(21.5mmol),43.0%,纯度99.9%(HPLC)。
实施例18:制造OLED
通过如WO 04/058911中描述的一般的方法制造OLED,在个别情况下要进行改造以适应特定的情形(例如变化层厚度以实现最佳效率或颜色)。
以下的实施例19至32显示了不同的OLED的结果。涂覆有结构化的ITO(氧化铟锡)的玻璃板形成OLED的基底。对于改进的加工处理,将20nm PEDOT(从水中通过旋涂施加;购买自H.C.Starck,Goslar,德国;聚(3,4-亚乙基二氧基-2,5-噻吩))施加到所述基底。所述OLED由如下层序列组成:基底/PEDOT/空穴传输层(HTM)40nm/发光层(EML)30nm/电子传输层(ETM)20nm和最后的阴极。在真空室中热气相沉积除PEDOT之外的材料。此处发光层总是由基质材料(主体)和掺杂剂组成,通过共蒸发将所述掺杂剂与基质材料混合。由厚度为1nm的LiF层以及沉积在其上的厚度为100nm的铝层形成所述阴极。
表1显示了用于构造OLED的材料的化学结构。
通过标准方法表征这些OLED;为此目的确定电致发光光谱、效率(以cd/A测定)、作为亮度函数的由电流/电压/亮度特性线(IUL特性线)计算的功率效率(以1m/W测定),以及寿命。所述寿命定义为从6000cd/m2的初始亮度下降到一半之后所用的时间。
表2显示了一些OLED(实施例19至30)的结果。实施例5、6和11的化合物用作本发明的基质材料。现有技术的基质材料H1用作比较。
表3显示了包含实施例12的化合物作为本发明电子传输材料的OLED(实施例31和32)的结果。作为比较,将AlQ3用作现有技术的电子传输材料。
表1
表2
表3
从以上给出的实施例显而易见,包含本发明化合物作为基质材料的本发明的有机电致发光器件比现有技术的器件具有更高的效率和更长的寿命。如果,另外,使用本发明的材料而不是AlQ3作为电子传输材料,如以上实施例84中所示的,能够进一步改进器件的效率,并降低电压。
Claims (16)
1.通式(1)或通式(2)的化合物,
其中作为非特定键画出的横线旨在表示基团Ar、X或Y在每种情况下彼此独立地经由各自苯并[a]蒽的8、9或11位之一被键合,相应地在该位置处没有键合基团R,其中如下适用于所述符号和标记:
Ar在每次出现时相同或者不同地是具有5至60个芳族环原子的二价单或多环的芳族或杂芳族环系,它们可被一个或多个基团R取代;
取决于标记p和q,X、Y在每次出现时相同或者不同地是具有5至60个芳族环原子的单、二、三、四、五或六价的单或多环的芳族或杂芳族环系,它们可被一个或多个基团R取代;或如果p=0和/或q=0,则X和/或Y是N(Ar1)2基团;或如果p=1和/或q=1,则X和/或Y是单键、C=O、O、S、SO、SO2、NR1、NAr1、P(=O)Ar1、O-B(Ar1)-O、O-BR1-O或具有1至20个C原子的亚烷基基团,它们在每种情况下也可被一个或多个基团R1取代,其中一个或多个非相邻的CH2基团可被R1C=CR1、C≡C、Si(R1)2、Ge(R1)2、Sn(R1)2、C=O、C=S、C=Se、C=NR1、P(=O)(R1)、SO、SO2、NR1、O、S或CONR1代替,和其中一个或多个H原子可被D、F、Cl、Br、I、CN或NO2代替;或如果p=2和/或q=2,则X和/或Y等于N或P=O;
R在每次出现时相同或不同地是H,D,F,Cl,Br,I,CHO,N(R1)2,N(Ar1)2,C(=O)Ar1,P(=O)(Ar1)2,S(=O)Ar1,S(=O)2Ar1,CR1=CR1Ar1,CN,NO2,Si(R1)3,B(OAr1)2,B(OR1)2,OSO2R1,OH,具有1至40个C原子的直链烷基、烷氧基或者硫代烷基基团,或具有3至40个C原子的支链或环状的烷基、烷氧基或硫代烷基基团,或具有2至40个C原子的烯基基团,它们各自可被一个或多个基团R1取代,其中一个或多个非相邻的CH2基团可被R1C=CR1、C≡C、Si(R1)2、Ge(R1)2、Sn(R1)2、C=O、C=S、C=Se、C=NR1、P(=O)(R1)、SO、SO2、NR1、O、S或CONR1代替,和其中一个或多个H原子可被D、F、Cl、Br、I、CN或NO2代替,或具有5至60个芳族环原子的单或多环的芳族或杂芳族环系,它们在每种情况下可以被一个或多个非芳族基团R取代,或具有5至60个芳族环原子的芳氧基或杂芳氧基基团,它们在每种情况下可以被一个或多个非芳族基团R取代,或这些体系的组合;此处两个或多个相邻的取代基R也可以彼此连接形成单或多环的脂族环系;
Ar1在每次出现时相同或者不同地是具有5至30个芳族环原子的单或多环的芳族或杂芳族环系,它们可以被一个或多个非芳族基团R取代;此处键合至同一氮或磷原子的两个基团Ar1也可以通过单键或通过桥连基彼此连接,所述桥连基选自B(R1)、C(R1)2、Si(R1)2、C=O、C=NR1、C=C(R1)2、O、S、S=O、SO2、N(R1)、P(R1)和P(=O)R1;
R1在每次出现时相同或者不同地是H,D,或具有1至20个C原子的脂族、芳族和/或杂芳族烃基,其中另外,一个或多个H原子可被F代替;此处两个或多个相邻的取代基R1也可以彼此形成单或多环的脂族或芳族环系;
k、l、m、n在每次出现时相同或不同地是0或1;
p、q在每次出现时相同或不同地是0、1、2、3或4;
条件是排除如下化合物:
2.根据权利要求1所述的化合物,其特征在于在每种情况下基团Ar、X或Y彼此独立地经由苯并[a]蒽的8和11位之一被键合,相应地在该位置处没有键合基团R。
3.根据权利要求1或2所述的化合物,其特征在于在苯并[a]蒽的1、2、3、4、5和6位上的基团R各自等于H,或其特征在于准确地在2、3、4、5或6位之一上,优选在4或5位上存在不同于氢的基团R,和/或其特征在于在苯并[a]蒽,或如果适当,多个苯并[a]蒽或所有的苯并[a]蒽的7和12位上的两个基团R,或者都等于H或者不等于H。
7.根据权利要求1至6中的一项或多项所述的化合物,其特征在于其中p=0的化合物中的基团X,和其中q=0的化合物中的基团Y,选自如下通式(24)至(36)的单元:
其中R和R1具有在权利要求1中指明的含义,和此外:
Ar2是具有5至16个芳族环原子的芳基或杂芳基基团,优选苯基、1-萘基、2-萘基、9-蒽基、基、1-芘基、2-芘基、2-菲基、3-菲基、9-菲基、2-苯并咪唑、2-芴基、2-螺二芴基、荧蒽基、2-苯并[a]蒽基、3-苯并[a]蒽基、4-苯并[a]蒽基、5-苯并[a]蒽基或6-苯并[a]蒽基,它们各自可被一个或多个基团R1取代,或在通式(24)中,其为通式(31)或(32)的基团;
Ar3在每次出现时相同或不同地是具有5至20个芳族环原子的芳基或杂芳基基团,或具有15至30个芳族环原子的三芳基胺基团,它们各自可被一个或多个基团R1取代,优选具有6至14个芳族环原子的芳基或杂芳基基团,或具有18至30个芳族环原子、优选具有18至22个芳族环原子的三芳基胺基团,它们各自可被一个或多个基团R1取代;此处两个基团Ar3也可以通过基团E桥接;
E代表单键、O、S、N(R1)或C(R1)2,其中在基团C(R1)2上的两个基团R1也可以通过成环作用形成螺环系;
t是1,2或3;
s在每次出现时相同或者不同地是0或1,
其中t旨在表示存在多少连续的基团Ar2。
8.根据权利要求1至7中的一项或多项所述的化合物,其特征在于在通式(1)至(23)的化合物中,符号Ar在每次出现时相同或不同地代表亚芳基或亚杂芳基基团,其选自1,2-亚苯基、1,3-亚苯基、1,4-亚苯基、1,4-亚萘基、9,10-亚蒽基、2,7-亚菲基、3,6-亚菲基、1,6-亚芘基、2,7-亚芘基、2,6-亚吡啶基、2,5-亚吡啶基、2,2′-联苯基、3,3′-联苯基、4,4′-联苯基、2,7-芴基或2,7-螺二芴基。
9.根据权利要求1至8中的一项或多项所述的化合物,其特征在于其中p=1和/或q=1的通式(1)至(8)的化合物,或通式(11)至(21)的化合物中的符号X和/或Y,各自彼此独立代表单键,或选自C=O、O、NAr1、POAr1、O-B(Ar1)-O的二价基团,具有1至6个C原子的二价亚烷基基团,或具有5至14个芳族环原子的二价芳族或杂芳族环系;和其特征在于,其中p=2和/或q=2的通式(1)至(8)的化合物中的符号X和/或Y代表N,或具有5至14个芳族环原子的三价芳族或杂芳族环系,特别是代表1,3,5-苯或1,3,5-三嗪;和其特征在于,其中p>2和/或q>2的通式(1)和(2)的化合物中的符号X和/或Y代表具有5至14个芳族环原子的相应更高化合价的芳族或杂芳族环系。
10.一种制备权利要求1至9中的一项或多项所述的化合物的方法,其特征在于将在8、9或11位上被反应性离去基团,特别是氯、溴、碘、三氟甲磺酸酯、甲苯磺酸酯、硼酸或硼酸酯取代的苯并[a]蒽与官能化的芳族化合物或单或二取代的胺偶联。
12.低聚物、聚合物或树枝型聚合物,其包括一种或多种根据权利要求1至9中的一项或多项所述的化合物,其中一个或多个基团R或R2或Ar或X或Y代表从根据权利要求1至9中的一项或多项所述的化合物到聚合物、低聚物或树枝型聚合物的键。
14.一种电子器件,其优选选自有机电致发光器件(OLED、PLED)、有机场效应晶体管(O-FET)、有机薄膜晶体管(O-TFT)、有机发光晶体管(O-LET)、有机集成电路(O-IC)、有机太阳能电池(O-SC)、有机场猝熄器件(O-FQD)、发光电化学电池(LEC)、有机激光二极管(O-laser)或有机光感受器,其包括至少一种根据权利要求1至9中的一项或多项所述的化合物或根据权利要求11所述的化合物,或至少一种根据权利要求12所述的低聚物、聚合物或树枝型聚合物。
15.根据权利要求14所述的有机电致发光器件,其特征在于根据权利要求1至9中的一项或多项所述的化合物或根据权利要求11所述的化合物用作荧光掺杂剂的基质材料,其中所述荧光掺杂剂优选选自如下类物质:单苯乙烯基胺、二苯乙烯基胺、三苯乙烯基胺、四苯乙烯基胺、苯乙烯基膦、苯乙烯基醚、芳基胺,特别是含有稠合芳族基团的芳基胺,和稠合芳族烃,或其特征在于,根据权利要求1至9中的一项或多项所述的化合物或根据权利要求11所述的化合物用作发光材料(掺杂物),用作空穴传输材料,用作空穴注入材料,或用作电子传输材料。
16.一种溶液或制剂,其包括至少一种根据权利要求1至9中的一项或多项所述的化合物或根据权利要求11所述的化合物,或根据权利要求12所述的低聚物、树枝型聚合物或聚合物,和至少一种溶剂。
Applications Claiming Priority (3)
| Application Number | Priority Date | Filing Date | Title |
|---|---|---|---|
| DE102009034625A DE102009034625A1 (de) | 2009-07-27 | 2009-07-27 | Neue Materialien für organische Elektrolumineszenzvorrichtungen |
| DE102009034625.2 | 2009-07-27 | ||
| PCT/EP2010/004054 WO2011012212A1 (de) | 2009-07-27 | 2010-07-05 | Neue materialien für organische elektrolumineszenzvorrichtungen |
Publications (2)
| Publication Number | Publication Date |
|---|---|
| CN102471191A true CN102471191A (zh) | 2012-05-23 |
| CN102471191B CN102471191B (zh) | 2015-05-20 |
Family
ID=42732172
Family Applications (1)
| Application Number | Title | Priority Date | Filing Date |
|---|---|---|---|
| CN201080033578.7A Active CN102471191B (zh) | 2009-07-27 | 2010-07-05 | 用于有机电致发光器件的新颖的材料 |
Country Status (7)
| Country | Link |
|---|---|
| US (1) | US9499459B2 (zh) |
| JP (1) | JP5763066B2 (zh) |
| KR (1) | KR101748455B1 (zh) |
| CN (1) | CN102471191B (zh) |
| DE (2) | DE102009034625A1 (zh) |
| TW (1) | TW201127783A (zh) |
| WO (1) | WO2011012212A1 (zh) |
Cited By (2)
| Publication number | Priority date | Publication date | Assignee | Title |
|---|---|---|---|---|
| CN110256195A (zh) * | 2019-04-03 | 2019-09-20 | 武汉理工大学 | 一种并四苯结构的稠环芳烃的制备方法 |
| CN113527032A (zh) * | 2014-04-16 | 2021-10-22 | 默克专利有限公司 | 用于电子器件的材料 |
Families Citing this family (31)
| Publication number | Priority date | Publication date | Assignee | Title |
|---|---|---|---|---|
| DE102009041289A1 (de) | 2009-09-16 | 2011-03-17 | Merck Patent Gmbh | Organische Elektrolumineszenzvorrichtung |
| DE102010010481A1 (de) | 2010-03-06 | 2011-09-08 | Merck Patent Gmbh | Organische Elektrolumineszenzvorrichtung |
| DE102010020044A1 (de) | 2010-05-11 | 2011-11-17 | Merck Patent Gmbh | Organische Elektrolumineszenzvorrichtung |
| DE102010048608A1 (de) | 2010-10-15 | 2012-04-19 | Merck Patent Gmbh | Materialien für organische Elektrolumineszenzvorrichtungen |
| TWI465441B (zh) * | 2011-08-12 | 2014-12-21 | Ind Tech Res Inst | 含乙烯官能基之咪唑衍生物及其用於電致發光元件之用途 |
| KR102051790B1 (ko) | 2011-08-22 | 2019-12-04 | 메르크 파텐트 게엠베하 | 유기 전계발광 디바이스 |
| US9356242B2 (en) | 2011-10-06 | 2016-05-31 | Merck Patent Gmbh | Organic electroluminescent device |
| KR102269132B1 (ko) | 2014-06-10 | 2021-06-25 | 삼성디스플레이 주식회사 | 반방향족성 화합물 및 이를 포함하는 유기 발광 소자 |
| US10084141B2 (en) | 2014-06-13 | 2018-09-25 | Samsung Display Co., Ltd. | Antiaromatic compound and organic light-emitting device including the same |
| KR20250005542A (ko) | 2015-10-26 | 2025-01-09 | 오티아이 루미오닉스 인크. | 표면 상에 코팅을 패턴화하는 방법 및 패턴화된 코팅을 포함하는 디바이스 |
| WO2017170313A1 (ja) | 2016-03-29 | 2017-10-05 | 住友化学株式会社 | 発光素子 |
| EP3478030A4 (en) | 2016-06-24 | 2020-01-22 | Sumitomo Chemical Company, Limited | LIGHT-EMITTING ELEMENT |
| CN110301053B (zh) | 2016-12-02 | 2024-05-10 | Oti照明公司 | 包括设置在发射区域上面的导电涂层的器件及其方法 |
| TWI791481B (zh) * | 2017-01-30 | 2023-02-11 | 德商麥克專利有限公司 | 形成有機電致發光(el)元件之方法 |
| JP2020518107A (ja) | 2017-04-26 | 2020-06-18 | オーティーアイ ルミオニクス インコーポレーテッドOti Lumionics Inc. | 表面上のコーティングをパターン化する方法およびパターン化されたコーティングを含むデバイス |
| CN116997204A (zh) | 2017-05-17 | 2023-11-03 | Oti照明公司 | 在图案化涂层上选择性沉积传导性涂层的方法和包括传导性涂层的装置 |
| US11751415B2 (en) | 2018-02-02 | 2023-09-05 | Oti Lumionics Inc. | Materials for forming a nucleation-inhibiting coating and devices incorporating same |
| KR102868464B1 (ko) | 2018-05-07 | 2025-10-10 | 오티아이 루미오닉스 인크. | 보조 전극을 제공하는 방법 및 보조 전극을 포함하는 장치 |
| DE112019002747T5 (de) | 2018-05-31 | 2021-02-25 | Semiconductor Energy Laboratory Co., Ltd. | Organische Verbindung, Licht emittierendes Element, Licht emittierende Vorrichtung, elektronisches Gerät und Beleuchtungsvorrichtung |
| JP7325731B2 (ja) | 2018-08-23 | 2023-08-15 | 国立大学法人九州大学 | 有機エレクトロルミネッセンス素子 |
| WO2020105015A1 (en) | 2018-11-23 | 2020-05-28 | Oti Lumionics Inc. | Optoelectronic device including a light transmissive region |
| CN116456753A (zh) | 2019-03-07 | 2023-07-18 | Oti照明公司 | 一种光电子器件 |
| WO2020212953A1 (en) | 2019-04-18 | 2020-10-22 | Oti Lumionics Inc. | Materials for forming a nucleation-inhibiting coating and devices incorporating the same |
| JP7576337B2 (ja) | 2019-05-08 | 2024-11-01 | オーティーアイ ルミオニクス インコーポレーテッド | 核生成抑制コーティングを形成するための材料およびそれを組み込んだデバイス |
| US11832473B2 (en) | 2019-06-26 | 2023-11-28 | Oti Lumionics Inc. | Optoelectronic device including light transmissive regions, with light diffraction characteristics |
| CN117500334A (zh) | 2019-06-26 | 2024-02-02 | Oti照明公司 | 包括具有光衍射特征的光透射区域的光电设备 |
| KR102818817B1 (ko) | 2019-08-09 | 2025-06-11 | 오티아이 루미오닉스 인크. | 보조 전극 및 파티션을 포함하는 광전자 디바이스 |
| CN115552643B (zh) | 2019-12-24 | 2025-08-19 | Oti照明公司 | 包含覆盖层的发光装置和其制造方法 |
| US12113279B2 (en) | 2020-09-22 | 2024-10-08 | Oti Lumionics Inc. | Device incorporating an IR signal transmissive region |
| WO2022123431A1 (en) | 2020-12-07 | 2022-06-16 | Oti Lumionics Inc. | Patterning a conductive deposited layer using a nucleation inhibiting coating and an underlying metallic coating |
| CN120712254A (zh) * | 2023-03-31 | 2025-09-26 | 出光兴产株式会社 | 化合物、有机电致发光元件用材料、有机电致发光元件和电子设备 |
Citations (3)
| Publication number | Priority date | Publication date | Assignee | Title |
|---|---|---|---|---|
| EP0728828A2 (en) * | 1995-02-24 | 1996-08-28 | SANYO ELECTRIC Co., Ltd. | Organic electroluminescent device |
| WO2007114358A1 (ja) * | 2006-04-03 | 2007-10-11 | Idemitsu Kosan Co., Ltd. | ベンズアントラセン誘導体、及びそれを用いた有機エレクトロルミネッセンス素子 |
| WO2008145239A2 (de) * | 2007-05-29 | 2008-12-04 | Merck Patent Gmbh | Benzanthracen-derivate für organische elektrolumineszenzvorrichtungen |
Family Cites Families (69)
| Publication number | Priority date | Publication date | Assignee | Title |
|---|---|---|---|---|
| US4539507A (en) | 1983-03-25 | 1985-09-03 | Eastman Kodak Company | Organic electroluminescent devices having improved power conversion efficiencies |
| JPH02242879A (ja) | 1989-03-16 | 1990-09-27 | Asahi Chem Ind Co Ltd | 有機el素子 |
| JP3069139B2 (ja) * | 1990-03-16 | 2000-07-24 | 旭化成工業株式会社 | 分散型電界発光素子 |
| US5061569A (en) | 1990-07-26 | 1991-10-29 | Eastman Kodak Company | Electroluminescent device with organic electroluminescent medium |
| DE4111878A1 (de) | 1991-04-11 | 1992-10-15 | Wacker Chemie Gmbh | Leiterpolymere mit konjugierten doppelbindungen |
| US5151629A (en) | 1991-08-01 | 1992-09-29 | Eastman Kodak Company | Blue emitting internal junction organic electroluminescent device (I) |
| DE69432054T2 (de) | 1993-09-29 | 2003-10-09 | Idemitsu Kosan Co | Organische elektrolumineszenzelemente und arylendiaminderivate |
| EP0676461B1 (de) | 1994-04-07 | 2002-08-14 | Covion Organic Semiconductors GmbH | Spiroverbindungen und ihre Verwendung als Elektrolumineszenzmaterialien |
| DE4436773A1 (de) | 1994-10-14 | 1996-04-18 | Hoechst Ag | Konjugierte Polymere mit Spirozentren und ihre Verwendung als Elektrolumineszenzmaterialien |
| WO1997005184A1 (en) | 1995-07-28 | 1997-02-13 | The Dow Chemical Company | 2,7-aryl-9-substituted fluorenes and 9-substituted fluorene oligomers and polymers |
| DE19614971A1 (de) | 1996-04-17 | 1997-10-23 | Hoechst Ag | Polymere mit Spiroatomen und ihre Verwendung als Elektrolumineszenzmaterialien |
| DE19652261A1 (de) | 1996-12-16 | 1998-06-18 | Hoechst Ag | Arylsubstituierte Poly(p-arylenvinylene), Verfahren zur Herstellung und deren Verwendung in Elektroluminszenzbauelementen |
| US5935721A (en) | 1998-03-20 | 1999-08-10 | Eastman Kodak Company | Organic electroluminescent elements for stable electroluminescent |
| DE19846766A1 (de) | 1998-10-10 | 2000-04-20 | Aventis Res & Tech Gmbh & Co | Konjugierte Polymere, enthaltend spezielle Fluorenbausteine mit verbesserten Eigenschaften |
| US6166172A (en) | 1999-02-10 | 2000-12-26 | Carnegie Mellon University | Method of forming poly-(3-substituted) thiophenes |
| KR100799799B1 (ko) | 1999-09-21 | 2008-02-01 | 이데미쓰 고산 가부시키가이샤 | 유기 전자발광 소자 및 유기 발광 매체 |
| KR100377321B1 (ko) | 1999-12-31 | 2003-03-26 | 주식회사 엘지화학 | 피-형 반도체 성질을 갖는 유기 화합물을 포함하는 전기소자 |
| JP4094203B2 (ja) | 2000-03-30 | 2008-06-04 | 出光興産株式会社 | 有機エレクトロルミネッセンス素子及び有機発光媒体 |
| CN1239447C (zh) | 2002-01-15 | 2006-02-01 | 清华大学 | 一种有机电致发光材料 |
| DE10207859A1 (de) | 2002-02-20 | 2003-09-04 | Univ Dresden Tech | Dotiertes organisches Halbleitermaterial sowie Verfahren zu dessen Herstellung |
| JP4170655B2 (ja) | 2002-04-17 | 2008-10-22 | 出光興産株式会社 | 新規芳香族化合物及びそれを利用した有機エレクトロルミネッセンス素子 |
| TWI314947B (en) * | 2002-04-24 | 2009-09-21 | Eastman Kodak Compan | Organic light emitting diode devices with improved operational stability |
| JP2005531552A (ja) | 2002-05-07 | 2005-10-20 | エルジー・ケム・リミテッド | 新たな有機発光化合物及びこれを利用した有機発光素子 |
| DE60230335D1 (de) | 2002-06-21 | 2009-01-22 | Kyosemi Corp | Lichtempfangs- oder lichtemissionseinrichtung und verfahren zu ihrer herstellung |
| EP2199361B2 (en) | 2002-07-19 | 2016-06-15 | Idemitsu Kosan Co., Ltd. | Organic electroluminescent devices and organic luminescent medium |
| JP4025137B2 (ja) | 2002-08-02 | 2007-12-19 | 出光興産株式会社 | アントラセン誘導体及びそれを利用した有機エレクトロルミネッセンス素子 |
| JP2004075567A (ja) | 2002-08-12 | 2004-03-11 | Idemitsu Kosan Co Ltd | オリゴアリーレン誘導体及びそれを利用した有機エレクトロルミネッセンス素子 |
| KR100924462B1 (ko) | 2002-08-23 | 2009-11-03 | 이데미쓰 고산 가부시키가이샤 | 유기 전기발광 소자 및 안트라센 유도체 |
| GB0226010D0 (en) | 2002-11-08 | 2002-12-18 | Cambridge Display Tech Ltd | Polymers for use in organic electroluminescent devices |
| JP2006511939A (ja) | 2002-12-23 | 2006-04-06 | コビオン・オーガニック・セミコンダクターズ・ゲーエムベーハー | 有機エレクトロルミネセンス素子 |
| DE10304819A1 (de) | 2003-02-06 | 2004-08-19 | Covion Organic Semiconductors Gmbh | Carbazol-enthaltende konjugierte Polymere und Blends, deren Darstellung und Verwendung |
| DE10310887A1 (de) | 2003-03-11 | 2004-09-30 | Covion Organic Semiconductors Gmbh | Matallkomplexe |
| EP1491568A1 (en) | 2003-06-23 | 2004-12-29 | Covion Organic Semiconductors GmbH | Semiconductive Polymers |
| DE10328627A1 (de) | 2003-06-26 | 2005-02-17 | Covion Organic Semiconductors Gmbh | Neue Materialien für die Elektrolumineszenz |
| DE10333232A1 (de) | 2003-07-21 | 2007-10-11 | Merck Patent Gmbh | Organisches Elektrolumineszenzelement |
| DE10337346A1 (de) | 2003-08-12 | 2005-03-31 | Covion Organic Semiconductors Gmbh | Konjugierte Polymere enthaltend Dihydrophenanthren-Einheiten und deren Verwendung |
| US7659540B2 (en) | 2003-10-22 | 2010-02-09 | Merck Patent Gmbh | Materials for electroluminescence and the utilization thereof |
| DE10357044A1 (de) | 2003-12-04 | 2005-07-14 | Novaled Gmbh | Verfahren zur Dotierung von organischen Halbleitern mit Chinondiiminderivaten |
| DE102004008304A1 (de) | 2004-02-20 | 2005-09-08 | Covion Organic Semiconductors Gmbh | Organische elektronische Vorrichtungen |
| WO2005090365A1 (ja) | 2004-03-18 | 2005-09-29 | Sharp Kabushiki Kaisha | 有機シラン化合物、その製造方法及びその用途 |
| KR100787425B1 (ko) | 2004-11-29 | 2007-12-26 | 삼성에스디아이 주식회사 | 페닐카바졸계 화합물 및 이를 이용한 유기 전계 발광 소자 |
| JP2005302667A (ja) * | 2004-04-15 | 2005-10-27 | Idemitsu Kosan Co Ltd | 有機エレクトロルミネッセンス素子 |
| DE102004020298A1 (de) | 2004-04-26 | 2005-11-10 | Covion Organic Semiconductors Gmbh | Elektrolumineszierende Polymere und deren Verwendung |
| TW200613515A (en) | 2004-06-26 | 2006-05-01 | Merck Patent Gmbh | Compounds for organic electronic devices |
| DE102004031000A1 (de) | 2004-06-26 | 2006-01-12 | Covion Organic Semiconductors Gmbh | Organische Elektrolumineszenzvorrichtungen |
| DE102004032527A1 (de) | 2004-07-06 | 2006-02-02 | Covion Organic Semiconductors Gmbh | Elektrolumineszierende Polymere |
| EP1655359A1 (de) | 2004-11-06 | 2006-05-10 | Covion Organic Semiconductors GmbH | Organische Elektrolumineszenzvorrichtung |
| TW200639140A (en) | 2004-12-01 | 2006-11-16 | Merck Patent Gmbh | Compounds for organic electronic devices |
| EP1669386A1 (de) | 2004-12-06 | 2006-06-14 | Covion Organic Semiconductors GmbH | Teilkonjugierte Polymere, deren Darstellung und Verwendung |
| WO2006100896A1 (ja) | 2005-03-18 | 2006-09-28 | Idemitsu Kosan Co., Ltd. | 芳香族アミン誘導体及びそれを用いた有機エレクトロルミネッセンス素子 |
| CN101171320B (zh) | 2005-05-03 | 2013-04-10 | 默克专利有限公司 | 有机电致发光器件 |
| DE102005023437A1 (de) | 2005-05-20 | 2006-11-30 | Merck Patent Gmbh | Verbindungen für organische elektronische Vorrichtungen |
| BRPI0613785A2 (pt) | 2005-07-08 | 2011-02-01 | Unilever Nv | produto alimentìcio que contém amido, processo para a preparação de células vegetais intactas contendo amido e processo para a preparação do produto alimentìcio que contém amido |
| JP2007039406A (ja) * | 2005-08-05 | 2007-02-15 | Idemitsu Kosan Co Ltd | 含窒素複素環誘導体及びそれを用いた有機エレクトロルミネッセンス素子 |
| DE102005037734B4 (de) | 2005-08-10 | 2018-02-08 | Merck Patent Gmbh | Elektrolumineszierende Polymere, ihre Verwendung und bifunktionelle monomere Verbindungen |
| KR100788254B1 (ko) * | 2005-08-16 | 2007-12-27 | (주)그라쎌 | 녹색 발광 화합물 및 이를 발광재료로서 채용하고 있는발광소자 |
| DE102005058543A1 (de) | 2005-12-08 | 2007-06-14 | Merck Patent Gmbh | Organische Elektrolumineszenzvorrichtungen |
| DE102005060473A1 (de) | 2005-12-17 | 2007-06-28 | Merck Patent Gmbh | Konjugierte Polymere, deren Darstellung und Verwendung |
| DE102006015183A1 (de) | 2006-04-01 | 2007-10-04 | Merck Patent Gmbh | Materialien für organische Elektrolumineszenzvorrichtungen |
| DE102006025846A1 (de) | 2006-06-02 | 2007-12-06 | Merck Patent Gmbh | Neue Materialien für organische Elektrolumineszenzvorrichtungen |
| DE102006031990A1 (de) | 2006-07-11 | 2008-01-17 | Merck Patent Gmbh | Neue Materialien für organische Elektrolumineszenzvorrichtungen |
| JP4811314B2 (ja) * | 2007-03-27 | 2011-11-09 | セイコーエプソン株式会社 | 有機elデバイス |
| KR100933229B1 (ko) * | 2007-11-12 | 2009-12-22 | 다우어드밴스드디스플레이머티리얼 유한회사 | 신규한 적색 인광 화합물 및 이를 발광재료로서 채용하고있는 유기발광소자 |
| US8507106B2 (en) | 2007-11-29 | 2013-08-13 | Idemitsu Kosan Co., Ltd. | Benzophenanthrene derivative and organic electroluminescent device employing the same |
| KR101467615B1 (ko) * | 2007-12-27 | 2014-12-01 | 이데미쓰 고산 가부시키가이샤 | 질소 함유 헤테로환 유도체 및 그것을 이용한 유기 전기발광 소자 |
| DE102008035413A1 (de) | 2008-07-29 | 2010-02-04 | Merck Patent Gmbh | Verbindungen für organische elektronische Vorrichtungen |
| JP2010165977A (ja) * | 2009-01-19 | 2010-07-29 | Sony Corp | 有機電界発光素子、表示装置、および電子機器 |
| DE102009005746A1 (de) | 2009-01-23 | 2010-07-29 | Merck Patent Gmbh | Materialien für organische Elektrolumineszenzvorrichtungen |
| CN102239141A (zh) * | 2009-12-16 | 2011-11-09 | 出光兴产株式会社 | 芳香族胺衍生物和使用其的有机电致发光元件 |
-
2009
- 2009-07-27 DE DE102009034625A patent/DE102009034625A1/de active Pending
-
2010
- 2010-07-05 US US13/387,429 patent/US9499459B2/en active Active
- 2010-07-05 DE DE112010003082.0T patent/DE112010003082B4/de active Active
- 2010-07-05 KR KR1020127004968A patent/KR101748455B1/ko active Active
- 2010-07-05 WO PCT/EP2010/004054 patent/WO2011012212A1/de not_active Ceased
- 2010-07-05 JP JP2012521992A patent/JP5763066B2/ja active Active
- 2010-07-05 CN CN201080033578.7A patent/CN102471191B/zh active Active
- 2010-07-22 TW TW099124162A patent/TW201127783A/zh unknown
Patent Citations (4)
| Publication number | Priority date | Publication date | Assignee | Title |
|---|---|---|---|---|
| EP0728828A2 (en) * | 1995-02-24 | 1996-08-28 | SANYO ELECTRIC Co., Ltd. | Organic electroluminescent device |
| WO2007114358A1 (ja) * | 2006-04-03 | 2007-10-11 | Idemitsu Kosan Co., Ltd. | ベンズアントラセン誘導体、及びそれを用いた有機エレクトロルミネッセンス素子 |
| CN101415663A (zh) * | 2006-04-03 | 2009-04-22 | 出光兴产株式会社 | 苯并蒽衍生物及使用了它的有机电致发光元件 |
| WO2008145239A2 (de) * | 2007-05-29 | 2008-12-04 | Merck Patent Gmbh | Benzanthracen-derivate für organische elektrolumineszenzvorrichtungen |
Cited By (2)
| Publication number | Priority date | Publication date | Assignee | Title |
|---|---|---|---|---|
| CN113527032A (zh) * | 2014-04-16 | 2021-10-22 | 默克专利有限公司 | 用于电子器件的材料 |
| CN110256195A (zh) * | 2019-04-03 | 2019-09-20 | 武汉理工大学 | 一种并四苯结构的稠环芳烃的制备方法 |
Also Published As
| Publication number | Publication date |
|---|---|
| CN102471191B (zh) | 2015-05-20 |
| DE112010003082A5 (de) | 2012-08-23 |
| TW201127783A (en) | 2011-08-16 |
| KR20120038530A (ko) | 2012-04-23 |
| US9499459B2 (en) | 2016-11-22 |
| DE102009034625A1 (de) | 2011-02-03 |
| WO2011012212A1 (de) | 2011-02-03 |
| KR101748455B1 (ko) | 2017-06-16 |
| US20120126180A1 (en) | 2012-05-24 |
| DE112010003082B4 (de) | 2018-09-20 |
| JP5763066B2 (ja) | 2015-08-12 |
| JP2013500281A (ja) | 2013-01-07 |
Similar Documents
| Publication | Publication Date | Title |
|---|---|---|
| CN102471191B (zh) | 用于有机电致发光器件的新颖的材料 | |
| CN101679855B (zh) | 用于有机电致发光器件的新材料 | |
| CN106279229B (zh) | 用于有机电致发光器件的基于苯并菲的材料 | |
| CN102317408B (zh) | 有机电子器件 | |
| CN103946215B (zh) | 螺二氢吖啶衍生物和其作为有机电致发光器件用材料的用途 | |
| CN102076814B (zh) | 用于有机电致发光器件的新颖的材料 | |
| KR101797772B1 (ko) | 유기 전계발광 소자용 물질 | |
| KR101772371B1 (ko) | 화합물 및 유기 전자 소자 | |
| KR102143742B1 (ko) | 전자 소자용 접속부 | |
| TWI646171B (zh) | 化合物與有機電子裝置 | |
| CN101248156B (zh) | 用于有机电致发光器件的新材料 | |
| CN101460434B (zh) | 用于有机电致发光器件的新材料 | |
| CN104327003B (zh) | 用于有机电致发光器件的氟衍生物 | |
| CN102007194B (zh) | 用于有机电致发光器件的新材料 | |
| CN103502388B (zh) | 用于电子器件的化合物 | |
| CN101490207A (zh) | 用于有机电致发光器件的新材料 | |
| KR101699086B1 (ko) | 유기 전계발광 소자용 재료 |
Legal Events
| Date | Code | Title | Description |
|---|---|---|---|
| C06 | Publication | ||
| PB01 | Publication | ||
| C10 | Entry into substantive examination | ||
| SE01 | Entry into force of request for substantive examination | ||
| C14 | Grant of patent or utility model | ||
| GR01 | Patent grant | ||
| TR01 | Transfer of patent right |
Effective date of registration: 20250624 Address after: Tokyo, Japan Patentee after: IDEMITSU KOSAN Co.,Ltd. Country or region after: Japan Address before: Darmstadt Patentee before: MERCK PATENT GmbH Country or region before: Germany |
|
| TR01 | Transfer of patent right |



























































































