CN101896493A - 具有桥连碳烯配体的过渡金属配合物及其在oled中的用途 - Google Patents
具有桥连碳烯配体的过渡金属配合物及其在oled中的用途 Download PDFInfo
- Publication number
- CN101896493A CN101896493A CN2008801201867A CN200880120186A CN101896493A CN 101896493 A CN101896493 A CN 101896493A CN 2008801201867 A CN2008801201867 A CN 2008801201867A CN 200880120186 A CN200880120186 A CN 200880120186A CN 101896493 A CN101896493 A CN 101896493A
- Authority
- CN
- China
- Prior art keywords
- group
- unsubstituted
- replacement
- preferred
- alkyl
- Prior art date
- Legal status (The legal status is an assumption and is not a legal conclusion. Google has not performed a legal analysis and makes no representation as to the accuracy of the status listed.)
- Granted
Links
Classifications
-
- H—ELECTRICITY
- H10—SEMICONDUCTOR DEVICES; ELECTRIC SOLID-STATE DEVICES NOT OTHERWISE PROVIDED FOR
- H10K—ORGANIC ELECTRIC SOLID-STATE DEVICES
- H10K85/00—Organic materials used in the body or electrodes of devices covered by this subclass
- H10K85/30—Coordination compounds
- H10K85/341—Transition metal complexes, e.g. Ru(II)polypyridine complexes
- H10K85/342—Transition metal complexes, e.g. Ru(II)polypyridine complexes comprising iridium
-
- C—CHEMISTRY; METALLURGY
- C07—ORGANIC CHEMISTRY
- C07F—ACYCLIC, CARBOCYCLIC OR HETEROCYCLIC COMPOUNDS CONTAINING ELEMENTS OTHER THAN CARBON, HYDROGEN, HALOGEN, OXYGEN, NITROGEN, SULFUR, SELENIUM OR TELLURIUM
- C07F15/00—Compounds containing elements of Groups 8, 9, 10 or 18 of the Periodic Table
- C07F15/0006—Compounds containing elements of Groups 8, 9, 10 or 18 of the Periodic Table compounds of the platinum group
- C07F15/0033—Iridium compounds
-
- C—CHEMISTRY; METALLURGY
- C09—DYES; PAINTS; POLISHES; NATURAL RESINS; ADHESIVES; COMPOSITIONS NOT OTHERWISE PROVIDED FOR; APPLICATIONS OF MATERIALS NOT OTHERWISE PROVIDED FOR
- C09K—MATERIALS FOR MISCELLANEOUS APPLICATIONS, NOT PROVIDED FOR ELSEWHERE
- C09K11/00—Luminescent, e.g. electroluminescent, chemiluminescent materials
- C09K11/06—Luminescent, e.g. electroluminescent, chemiluminescent materials containing organic luminescent materials
-
- H—ELECTRICITY
- H05—ELECTRIC TECHNIQUES NOT OTHERWISE PROVIDED FOR
- H05B—ELECTRIC HEATING; ELECTRIC LIGHT SOURCES NOT OTHERWISE PROVIDED FOR; CIRCUIT ARRANGEMENTS FOR ELECTRIC LIGHT SOURCES, IN GENERAL
- H05B33/00—Electroluminescent light sources
- H05B33/12—Light sources with substantially two-dimensional radiating surfaces
- H05B33/14—Light sources with substantially two-dimensional radiating surfaces characterised by the chemical or physical composition or the arrangement of the electroluminescent material, or by the simultaneous addition of the electroluminescent material in or onto the light source
-
- C—CHEMISTRY; METALLURGY
- C09—DYES; PAINTS; POLISHES; NATURAL RESINS; ADHESIVES; COMPOSITIONS NOT OTHERWISE PROVIDED FOR; APPLICATIONS OF MATERIALS NOT OTHERWISE PROVIDED FOR
- C09K—MATERIALS FOR MISCELLANEOUS APPLICATIONS, NOT PROVIDED FOR ELSEWHERE
- C09K2211/00—Chemical nature of organic luminescent or tenebrescent compounds
- C09K2211/10—Non-macromolecular compounds
- C09K2211/1003—Carbocyclic compounds
- C09K2211/1007—Non-condensed systems
-
- C—CHEMISTRY; METALLURGY
- C09—DYES; PAINTS; POLISHES; NATURAL RESINS; ADHESIVES; COMPOSITIONS NOT OTHERWISE PROVIDED FOR; APPLICATIONS OF MATERIALS NOT OTHERWISE PROVIDED FOR
- C09K—MATERIALS FOR MISCELLANEOUS APPLICATIONS, NOT PROVIDED FOR ELSEWHERE
- C09K2211/00—Chemical nature of organic luminescent or tenebrescent compounds
- C09K2211/10—Non-macromolecular compounds
- C09K2211/1018—Heterocyclic compounds
- C09K2211/1025—Heterocyclic compounds characterised by ligands
- C09K2211/1029—Heterocyclic compounds characterised by ligands containing one nitrogen atom as the heteroatom
-
- C—CHEMISTRY; METALLURGY
- C09—DYES; PAINTS; POLISHES; NATURAL RESINS; ADHESIVES; COMPOSITIONS NOT OTHERWISE PROVIDED FOR; APPLICATIONS OF MATERIALS NOT OTHERWISE PROVIDED FOR
- C09K—MATERIALS FOR MISCELLANEOUS APPLICATIONS, NOT PROVIDED FOR ELSEWHERE
- C09K2211/00—Chemical nature of organic luminescent or tenebrescent compounds
- C09K2211/10—Non-macromolecular compounds
- C09K2211/1018—Heterocyclic compounds
- C09K2211/1025—Heterocyclic compounds characterised by ligands
- C09K2211/1059—Heterocyclic compounds characterised by ligands containing three nitrogen atoms as heteroatoms
-
- C—CHEMISTRY; METALLURGY
- C09—DYES; PAINTS; POLISHES; NATURAL RESINS; ADHESIVES; COMPOSITIONS NOT OTHERWISE PROVIDED FOR; APPLICATIONS OF MATERIALS NOT OTHERWISE PROVIDED FOR
- C09K—MATERIALS FOR MISCELLANEOUS APPLICATIONS, NOT PROVIDED FOR ELSEWHERE
- C09K2211/00—Chemical nature of organic luminescent or tenebrescent compounds
- C09K2211/18—Metal complexes
- C09K2211/185—Metal complexes of the platinum group, i.e. Os, Ir, Pt, Ru, Rh or Pd
Landscapes
- Chemical & Material Sciences (AREA)
- Organic Chemistry (AREA)
- Engineering & Computer Science (AREA)
- Materials Engineering (AREA)
- Crystallography & Structural Chemistry (AREA)
- Inorganic Chemistry (AREA)
- Electroluminescent Light Sources (AREA)
- Nitrogen Condensed Heterocyclic Rings (AREA)
Abstract
本发明涉及桥连的环金属化碳烯配合物,一种制备桥连的环金属化碳烯配合物的方法,桥连的环金属化碳烯配合物在有机发光二极管中的用途,包含至少一种桥连的环金属化碳烯配合物的有机发光二极管,包含至少一种桥连的环金属化碳烯配合物的发光层,包含至少一种所述发光层的有机发光二极管以及包含至少一种所述有机发光二极管的器件。
Description
本发明涉及桥连的环金属化(cyclometalated)碳烯配合物,一种制备桥连的环金属化碳烯配合物的方法,桥连的环金属化碳烯配合物在有机发光二极管中的用途,包含至少一种本发明桥连的环金属化碳烯配合物的有机发光二极管,包含至少一种本发明桥连的环金属化碳烯配合物的发光层,包含至少一种本发明发光层的有机发光二极管以及包含至少一种本发明有机发光二极管的器件。
有机发光二极管(OLED)利用了材料在受到电流激发时的发光性能。作为阴极射线管和液晶显示器的替代品以生产平面可视显示单元,OLED尤其受到关注。包含OLED的器件由于非常紧密的构造和固有的低能耗,它们特别适于移动应用,例如用于移动电话、笔记本电脑等。
OLED工作方式的基本原理和合适的OLED构造(层)例如描述于WO2005/113704和其中引用的文献中。
现有技术已经提出了许多在受到电流激发时发光的材料。
WO 2005/019373首次公开包含至少一种碳烯配体的不带电荷的过渡金属配合物在OLED中的用途。根据WO 2005/019373,这些过渡金属配合物可用于OLED的任何层,其中配体结构或中心金属是可变化的,以用于调节至过渡金属配合物的所需性能。例如,过渡金属配合物可用于OLED的电子阻挡层、激子阻挡层、空穴阻挡层或发光层,其中优选将过渡金属配合物作为发光体分子用于OLED。
WO 2006/056418公开了不带电荷的过渡金属碳烯配合物的用途,其中所用碳烯配体可以是桥连的碳烯配体。合适的桥连碳烯配体具有如下通式:
其中星号表示n-键接的乙烯碳原子α位的桥A的碳原子或合适的杂原子,和B表示由烷基、链烯基、炔基、芳基或杂芳基(Y1)和化学单键,C(Y4)2、C(O)、O、S、S(O)、SO2或NY5组成的桥。
WO 2005/113704涉及用于OLED的碳烯-金属配合物。在所述许多合适的碳烯配体中,提及了两种桥连配体:
具有较早优先权日但在本申请的优先权日还未公开的申请WO2007/115981公开了包含碳烯配体和杂环非碳烯配体的杂(heteroleptic)碳烯配合物。碳烯配体可以是桥连的碳烯配体,和所述桥连碳烯配体包括具有下式的那些:
WO 2007/095118涉及环金属化咪唑并[1,2-f]菲啶和二咪唑并[1,2-a:1’,2’-c]喹唑啉配体的金属配合物,及其等电子体和苯并稠合类似物。根据WO 2007/095118,提供了具有延长寿命的发蓝色磷光的OLED。
尽管特别是作为发光物质适用于OLED的桥连碳烯配合物是已知的,提供可在工业上使用的更稳定和/或更有效的化合物还是需要的。
在本发明上下文中,电致发光应理解为指电致发荧光(electrofluorescence)和电致发磷光(electrophosphorescence)两者。
因此,本申请的目的是提供适用于OLED的桥连碳烯配合物。尤其需要提供具有比现有过渡金属配合物改善的性能谱,如改善的效率和/或改善的寿命/稳定性的过渡金属配合物。
该目的通过提供通式(I)的桥连的环金属化碳烯配合物而实现:
其中符号各自如下所定义:
M为选自元素周期表(CAS版)第IB、IIB、IIIB、IVB、VB、VIB、VIIB、VIIIB族,镧系元素和第IIIA族金属的金属原子,它们处于合适金属原子可能的任何氧化态;优选Fe、Os、Co、Rh、Ir、Ni、Ru、Pd和Pt、Cu、Au、Ce、Tb、Eu,更优选Os、Ru、Rh、Ir和Pt,最优选Ir、Os和Pt;
K为不带电荷的单齿或双齿配体;
L为单阴离子或双阴离子配体,优选单阴离子配体,其可以是单齿或双齿的;
X为CR1或N,优选N;
Y为NR2或CR2 2;
A、D、G、E、A’、D’、G’和E’各自独立地为CH、CR3或N;
R1为F、CN、C1-C20烷氧基、C6-C30芳氧基、C1-C20烷硫基、C6-C30芳硫基、取代或未取代的C6-C30芳基或具有5-30个环原子的取代或未取代的杂芳基;
R2、R3各自独立地为取代或未取代的C1-C20烷基、取代或未取代的C5-C20环烷基、取代或未取代的C5-C20环烯基、具有5-30个环原子的取代或未取代的杂环烷基、具有5-30个环原子的取代或未取代的杂环烯基、取代或未取代的C2-C20链烯基、取代或未取代的C2-C20炔基、取代或未取代的C6-C30芳基、具有5-30个环原子的取代或未取代的杂芳基或选自如下的具有给体或受体作用的取代基:C1-C20烷氧基、C6-C30芳氧基、C1-C20烷硫基、C6-C30芳硫基、SiR4R5R6、卤素基团、卤代C1-C20烷基、羰基(-CO(R4))、羰硫基(-C=O(SR4))、羰氧基(-C=O(OR4))、氧羰基(-OC=O(R4))、硫羰基(-SC=O(R4))、氨基(-NR4R5)、OH、拟卤素基团、酰胺基(-C=O(NR4R5))、-NR4C=O(R5)、膦酸根(-P(O)(OR4)2)、磷酸根(-OP(O)(OR4)2)、膦(-PR4R5)、氧化膦(-P(O)R4 2)、硫酸根(-OS(O)2OR4)、亚砜(-S(O)R4)、磺酸根(-S(O)2OR4)、磺酰基(-S(O)2R4)、磺酰胺(-S(O)2NR4R5)、NO2、有机硼酸酯(-B(OR4)2)、亚氨基(-C=NR4R5)、硼烷基团、锡烷基团、肼基、腙基、肟基、亚硝基、重氮基、乙烯基、亚砜亚胺、铝烷、锗烷、环硼氧烷(boroxine)和环硼氮烷;
或
两个相邻R3基团一起形成饱和或不饱和、取代或未取代的包含3-6个原子的桥,以使R3基团与单元A=D、D-E、A’=D’、D’-E’、E’=G’之一一起形成5-8元环;
或
位于G’和A位置的R3基团一起形成饱和或不饱和、取代或未取代的包含1-4个原子的桥,以使R3基团与单元-G’-C-C-A-一起形成5-8元环;
R4、R5、R6各自独立地为H、取代或未取代的C1-C20烷基或取代或未取代的C6-C30芳基或具有5-30个环原子的取代或未取代的杂芳基;
n为碳烯配体的数目,其中n至少为1,并且当n>1时,式I配合物中的碳烯配体可以相同或不同;
m是配体K的数目,其中m可以为0或≥1,并且当m>1时,配体K可以相同或不同;
o是配体L的数量,其中o可以为0或≥1,并且当o>1时,配体L可以相同或不同;
其中n+m+o之和取决于所用金属原子的氧化态和配位数,取决于配体L和K的齿数以及取决于配体L上的电荷,条件是n至少为1。
本发明式I的桥连环金属化碳烯配合物的显著之处在于它们具有碳烯配体桥,以及尤其是在X位置具有氮原子或-C-F、-C-CN、-C-C1-C20烷氧基、-C-C6-C30芳氧基、-C-C1-C20烷硫基、-C-C6-C30芳硫基、取代或未取代的-C-C6-C30芳基或取代或未取代的-C-具有5-30个碳原子的杂芳基。已经发现式I的本发明碳烯配合物的显著之处在于良好稳定性以及借助式I的本发明碳烯配合物,可得到具有改进的性能谱,例如改进的效率和/或改进的寿命的OLED。
取代或未取代的C1-C20烷基应理解为指具有1-20个碳原子的烷基。优选C1-C10烷基,特别优选C1-C6烷基。烷基可为直链或支化的。此外,烷基可被一个或多个选自如下的取代基取代:C1-C20烷基、C1-C20烷氧基,卤素,优选F,C1-C20卤代烷基,如CF3,以及C6-C30芳基,其又可以是取代或未取代的。合适的芳基取代基和合适的烷氧基和卤素取代基如下所述。合适的烷基的实例为甲基、乙基、丙基、丁基、戊基、己基、庚基和辛基,以及由C1-C20烷基、C1-C20卤代烷基、C6-C30芳基、C1-C20烷氧基和/或卤素,特别是F,取代的所述烷基的衍生物,例如CF3。还包括所述基团的正异构体,以及支化异构体如异丙基、异丁基、异戊基、仲丁基、叔丁基、新戊基、3,3-二甲基丁基、3-乙基己基等。优选烷基为甲基、乙基、异丙基、叔丁基和CF3。
取代或未取代的C5-C20环烷基应理解为指在基础骨架(环)中具有5-20,优选5-10,更优选5-8个碳原子的环烷基。合适的取代基为对烷基提及的取代基。合适的可未被取代或被对烷基所述的基团取代的环烷基的实例为环戊基、环己基、环庚基、环辛基、环壬基和环癸基。合适的话,它们也可以是多环体系如十氢化萘基、降冰片烷基、莰烷基或金刚烷基。
取代或未取代的C5-C20环烯基应理解为指在基础骨架(环)中具有5-20,优选5-10,更优选5-8个碳原子的环烯基。合适的取代基为对烷基提及的取代基。在环烯基环中,环烯基可具有一个双键或取决于环尺寸可具有超过一个双键。双键可以是共轭或非共轭的。优选环烯基在环烯基环内具有一个双键。合适的环烯基的实例为环戊烯基、环己烯基、环庚烯基、环辛烯基、环壬烯基和环癸烯基,它们可以未被取代或被对烷基所述的基团取代。合适的话,它们也可为多环体系,此时至少一个环为环烯基环。
具有5-30个环原子的取代或未取代的杂环烷基应理解为指具有5-30,优选5-10,更优选5-8个环原子的杂环烷基,其中在杂环烷基基础骨架中的至少一个碳原子被杂原子替换。优选杂原子为N、O和S。合适的取代基为对烷基提及的取代基。可未被取代或被对烷基所述的基团取代的合适的杂环烷基的实例为源自如下杂环的基团:吡咯烷、四氢噻吩(thiolane)、四氢呋喃、1,2-氧硫杂环戊烷(1,2-oxathiolane)、噁唑烷、哌啶、硫杂环己烷(thiane)、噁烷、二噁烷、1,3-二噻烷、吗啉、哌嗪。合适的话,它们也可以是多环体系。
具有5-30个环原子的取代或未取代的杂环烯基应理解为指具有5-30,优选5-10,更优选5-8个环原子的杂环烯基,其中在杂环烯基基础骨架中的至少一个碳原子被杂原子替换且至少一个双键存在于杂环烯基基础骨架中。在杂环烯基环中,杂环烯基可具有一个双键或取决于环尺寸可具有超过一个双键。双键可以是共轭或非共轭的。优选杂环烯基在杂环烯基环内具有一个双键。优选杂原子为N、O和S。合适的取代基为对烷基提及的取代基。
取代或未取代的C2-C20链烯基应理解为指具有2-20个碳原子的链烯基。优选C2-C10链烯基,特别优选C2-C6链烯基。链烯基可以是直链或支化的。此外,链烯基可被一个或多个对烷基提及的取代基取代。取决于链长度,链烯基可具有一个或多个双键,此时双键可以相互共轭或相互独立。合适的链烯基的实例为乙烯基、丙烯基、丁烯基、戊烯基、己烯基、庚烯基和辛烯基,其中双键可存在于上述基团的任意位置,还有被C1-C20烷基、C1-C20卤代烷基、C6-C30芳基、C1-C20烷氧基和/或卤素,尤其是F取代的所述链烯基的衍生物。
取代或未取代的C2-C20炔基应理解为指具有2-20个碳原子的炔基。优选C2-C10炔基,特别优选C2-C6炔基。炔基可以是直链或支化的。此外,炔基可被一个或多个对烷基提及的取代基取代。取决于链长度,炔基可具有一个或多个叁键,此时叁键可以相互共轭或相互独立。合适的炔基的实例为乙炔基、丙炔基、丁炔基、戊炔基、己炔基、庚炔基和辛炔基,其中叁键可存在于上述基团的任意位置,还有被C1-C20烷基、C1-C20卤代烷基、C6-C30芳基、C1-C20烷氧基和/或卤素,尤其是F取代的所述炔基的衍生物。
合适的C1-C20烷氧基和C1-C20烷硫基相应衍生于上述C1-C20烷基。此处,实例包括OCH3、OC2H5、OC3H7、OC4H9和OC8H17,和SCH3、SC2H5、SC3H7、SC4H9和SC8H17。C3H7、C4H9和C8H17包括正异构体和支化异构体,如异丙基、异丁基、仲丁基、叔丁基和2-乙基己基。特别优选的烷氧基或烷硫基为甲氧基、乙氧基、正辛基氧基、2-乙基己氧基和SCH3。
在本发明上下文中,合适的卤素基团或卤素取代基为氟、氯、溴和碘,优选氟、氯和溴,更优选氟和氯,最优选氟。
在本发明上下文中,合适的拟卤素基团为CN、SCN、OCN、N3和SeCN,优选CN和SCN。非常特别优选CN。
在本发明中,C6-C30芳基指衍生自单环、双环或三环芳烃的不含任何环杂原子的基团。当体系不是单环体系时,术语“芳基”中的第二环也可以为饱和形式(全氢化形式)或部分不饱和形式(例如二氢化形式或四氢化形式),其中具体形式已知且稳定。这意味着在本发明中术语芳基例如还包括其中两个或所有三个基团均为芳族的双环或三环基团,以及其中仅有一个环为芳族的双环或三环基团,以及其中两个环为芳族的三环基团。芳基的实例为:苯基、萘基、2,3-二氢化茚基、1,2-二氢萘次甲基、1,4-二氢萘次甲基、茚基、蒽基、菲基或1,2,3,4-四氢萘基。特别优选C6-C10芳基,例如苯基或萘基,非常特别优选C6芳基,如苯基。
C6-C30芳基可以是未取代的或被一个或多个其它基团取代。合适的其它基团选自C1-C20烷基、C6-C30芳基或具有给体或受体作用的取代基,其中具有给体或受体作用的合适取代基如下所述。C6-C30芳基优选未取代或被一个或多个C1-C20烷基、C1-C20烷氧基、CN、CF3、F或氨基(NR4R5,其中合适的R4和R5基团如上所述)取代。C6-C30芳基的其它优选取代基取决于通式(I)的化合物的最终用途且如下所述。
合适的C6-C30芳氧基、C6-C30芳硫基相应衍生于上述C6-C30芳基。特别优选苯氧基和苯硫基。
具有5-30个环原子的未取代或取代的杂芳基应理解为指可部分衍生于上述芳基的单环、双环或三环杂芳族基团,其中芳基基础骨架中的至少一个碳原子被杂原子替代。优选杂原子为N、O和S。杂芳基更优选具有5-13个环原子。特别优选杂芳基的基础骨架选自如下体系:如吡啶和五元杂芳族化合物如噻酚、吡咯、咪唑、噻唑、噁唑或呋喃。该基础骨架可任选与一个或两个六元芳基稠合。合适的稠合的杂芳基为咔唑基、苯并咪唑基、苯并呋喃基、苯并噻唑基、苯并噁唑基、二苯并呋喃基或二苯并噻吩基。
基础骨架可在一个、多于一个或所有可被取代的位置被取代,其中合适的取代基与在定义C6-C30芳基时描述的取代基相同。然而,杂芳基优选未被取代。合适的杂芳基例如为吡啶-2-基、吡啶-3-基、吡啶-4-基、噻酚-2-基、噻酚-3-基、吡咯-2-基、吡咯-3-基、呋喃-2-基、呋喃-3-基、噻唑-2-基、噁唑-2-基和咪唑-2-基,以及相应的苯并稠合基团,特别是咔唑基、苯并咪唑基、苯并呋喃基、苯并噻唑基、苯并噁唑基、二苯并呋喃基或二苯并噻吩基。
对本申请而言,具有给体或受体作用的基团应理解为指如下基团:
C1-C20烷氧基、C6-C30芳氧基、C1-C20烷硫基、C6-C30芳硫基、SiR4R5R6、卤素基团、卤代C1-C20烷基、羰基(-CO(R4))、羧硫基(-C=O(SR4))、羰氧基(-C=O(OR4))、氧羰基(-OC=O(R4))、硫羰基(-SC=O(R4))、氨基(-NR4R5)、OH、拟卤素基团、酰胺基(-C=O(NR4R5))、-NR4C=O(R5)、膦酸根(-P(O)(OR4)2)、磷酸根(-OP(O)(OR4)2)、膦(-PR4R5)、氧化膦(-P(O)R4 2)、硫酸根(-OS(O)2OR4)、亚砜(-S(O)R4)、磺酸根(-S(O)2OR4)、磺酰基(-S(O)2R4)、磺酰胺(-S(O)2NR4R5)、NO2、有机硼酸酯(-OB(OR4)2)、亚氨基(-C=NR4R5)、硼烷基团、锡烷基团、肼基、腙基、肟基、亚硝基、重氮基、乙烯基、亚砜亚胺、铝烷、锗烷、环硼氧烷和环硼氮烷。
优选的具有给体或受体作用的取代基选自:
C1-C20烷氧基,优选C1-C6烷氧基,更优选乙氧基或甲氧基;C6-C30芳氧基,优选C6-C10芳氧基,更优选苯氧基;SiR4R5R6,其中R4、R5和R6优选各自独立地为取代或未取代的烷基或取代或未取代的苯基,中合适的取代基如上所述;卤素基团,优选F、Cl、Br,更优选F或Cl,最优选F,卤代C1-C20烷基,优选卤代C1-C6烷基,最优选氟代C1-C6烷基,如CF3、CH2F、CHF2或C2F5;氨基,优选二甲基氨基、二乙基氨基或二苯基氨基;OH、拟卤素基团,优选CN、SCN或OCN,更优选CN、-C(O)OC1-C4烷基,优选-C(O)OMe、P(O)R2,优选P(O)Ph2,和SO2R2,优选SO2Ph。
非常特别优选的具有给体或受体作用的取代基选自如下:甲氧基、苯氧基,卤代C1-C4烷基,优选CF3、CH2F、CHF2、C2F5、卤素,优选F、CN,其中合适的R4、R5和R6基团已经被提及的SiR4R5R6,二苯基氨基、-C(O)OC1-C4烷基,优选-C(O)OMe、P(O)Ph2和SO2Ph。
上述具有给体或受体作用的基团并没有排除也可具有给体或受体作用的其它上述基团的可能性。例如,上述杂芳基同样具有给体或受体作用,而C1-C20烷基具有给体作用。
在上述具有给体或受体作用的基团中提及的基团R4、R5和R6各自如上文所定义,即R4、R5和R6各自独立地为:
氢、取代或未取代的C1-C20烷基或取代或未取代的C6-C30芳基或具有5-30个环原子的取代或未取代的杂芳基,合适和优选的烷基和芳基如上所述。更优选R4、R5和R6基团各自为C1-C6烷基,如甲基、乙基、异丙基、叔丁基,或者苯基或吡啶基。
在通式I的本发明桥连环金属化碳烯配合物中的金属原子M选自元素周期表(CAS版)第IB、IIB、IIIB、IVB、VB、VIB、VIIB、VIIIB族,镧系元素和第IIIA族金属,它们处于合适金属原子可能的任何氧化态;优选Fe、Os、Co、Rh、Ir、Ni、Ru、Pd和Pt、Cu、Au、Ce、Tb、Eu,更优选Os、Ru、Rh、Ir和Pt,最优选Ir、Os和Pt,它们处于合适金属原子可能的任何氧化态。
更优选金属M选自Ir、Os和Pt,优选Os(Ⅱ)、Ir(Ⅲ)和Pt(Ⅱ)。特别优选Ir(Ⅲ)。
碳烯配体数目n和任何存在的配体K和L的数目m和o取决于金属M的氧化态和配位数以及取决于配体L的齿数和电荷,其中至少一个碳烯配体存在于本发明式I的碳烯配合物中,即n至少为1。
取决于所用金属M的电荷和配位数的式I的本发明碳烯配合物的优选实施方案如下所述:
在M为具有配位数4的金属(如Pt(Ⅱ)或Pd(Ⅱ)、Ir(Ⅰ)、Rh(Ⅰ))的情况下,本发明的式I碳烯配合物具有一个或两个碳烯配体,即n为1或2,其中在n为1和M为具有配位数4的金属的情况下,在本发明碳烯配合物中存在一个单阴离子双齿配体L以及碳烯配体,即o为1。在M为具有配位数6的金属(如Ir(Ⅲ)、Co(Ⅱ)、Co(Ⅲ)、Rh(Ⅲ)、Os(Ⅱ)、Pt(Ⅳ))的情况下,本发明的式I碳烯配合物取决于它们的电荷优选具有1、2或3个,优选2或3个通式I的碳烯配体(它们可以是相同或不同的),即n为1、2或3,优选2或3。例如,在Ir(Ⅲ)、Co(Ⅲ)或Rh(Ⅲ)的情况下,n通常为1、2或3,其中在n=1的情况下,存在两个额外的单阴离子双齿配体L,即o为2。在n=2的情况下,上述碳烯配合物具有一个额外的单阴离子双齿配体L,即o为1。在特别优选的n=3的情况下,上述碳烯配合物不具有任何其它配体K和L,即m和o各自为0。在Os(Ⅱ)的情况下,n通常为1或2,其中在n=1的情况下,存在一个额外的单阴离子双齿配体L和一个额外的不带电荷的双齿配体K,即o为1且m为1。在特别优选的n=2的情况下,上述碳烯配合物具有一个额外的不带电荷的双齿配体K,即m为1。当金属原子M具有配位数8或更高时,本发明通式I的碳烯配合物,除了1、2或3个碳烯配体外可具有一个或多个其它碳烯配体和/或一个或多个额外的配体K和/或L。在优选实施方案中,本发明涉及通式I的桥连环金属化碳烯配合物,其具有配位数6的金属M,优选优选Ir(Ⅲ),其中n=3且m和o各自为0。
取决于所用金属M的配位数、所用碳烯配体的数目n和可使用的额外配体K和L的数目m和o,可以存在具有相同金属M和相同性质的所用碳烯配体和额外配体的相应金属配合物的不同异构体。例如在配合物具有的金属M的配位数为6(即八面体配合物)的情况下,例如对于Ir(Ⅲ)配合物,当配合物为具有通用组成M(AB)3的那些时,面式/经式异构体是可能的,其中AB为双齿配体。在本申请上下文中,“面式-经式异构体”应理解为指如下所示的异构体:
面式异构体 经式异构体
在具有配位数4的金属M的正方平面配合物如Pt(Ⅱ)配合物的情况下,当配合物为具有通用组成M(AB)2的那些时,顺/反异构体是可能的,其中AB为双齿配体。在本申请上下文中,“异构体”理解为指如下所示的异构体:
反式异构体 顺式异构体
符号A和B各自为配体的一个连接位置,其中仅存在双齿配体。根据上述通用组成,双齿配体具有2个基团A和两个基团B。
本领域熟练技术人员原则上理解顺式/反式和面-经式异构体的意义。在组成为MA3B3的配合物情况下,相同类型的三个基团可以占据一个八面体面的角(面式异构体)或者占据经线,即三个配体的结合点中的两个相互呈反式(经式异构体)。对于八面体金属配合物中顺式/反式异构体和面-经式异构体的定义,例如参见J.Huheey,E.Keiter,R.Keiter,AnorganischeChemie:Prinzipien von Struktur und[无机化学:结构和反应性原理],第2版,新修订版,被翻译成德文并且由Ralf Steudel扩展,Berlin;New York:de Gruyter,1995,第575、576页。
在正方平面配合物的情况下,顺式异构体是指在组成为MA2B2的配合物中,两个A基团和两个B基团均占据正方形的相邻角,而在反式异构体的情况下,两个A基团和两个B基团各自占据正方形的两个相互的斜对角。对于正方平面金属配合物中顺式/反式异构体的定义,例如参见J.Huheey,E.Keiter,R,Keiter,Anorganische Chemie:Prinzipien von Struktur und第2版,新修订版,被翻译成德文并且由Ralf Steudel扩展,Berlin;New York:de Gruyter,1995,第557-559页。
通常而言,本发明的式I的碳烯配合物的不同异构体可以通过本领域熟练技术人员已知的方法,例如通过色谱法、升华或结晶而分离。
本发明因此涉及式I的碳烯配合物的在每种情况下的单个异构体以及不同异构体以任何混合比的混合物。
在其中过渡金属M具有配位数6且氧化态III的本发明式I的桥连环金属化碳烯配合物中,碳烯配体数目n优选3,其中对于过渡金属M特别优选为Ir(Ⅲ),并且在这些配合物中额外配体K和L的数目m和o优选各自为0。
在其中过渡金属M具有配位数6且氧化态II的本发明式I的桥连环金属化碳烯配合物中,碳烯配体数目n优选2,其中对于过渡金属M特别优选为Os(Ⅱ),此时存在一个额外的不带电荷的双齿配体K,即m优选为1。在这些配合物中o优选为0。
在其中过渡金属M具有配位数4的本发明式I的桥连环金属化碳烯配合物(对于过渡金属M特别优选为Pt(Ⅱ))中,碳烯配体数目n优选为1或2,其中在n=1的情况下,优选存在一个额外的单阴离子双齿配体L,即o同样优选为1且m优选为0。在n=2的情况下,m和o优选各自为0。
在非常特别优选的实施方案中,式I碳烯配合物中的M为Ir(Ⅲ),n为3且m和o各自为0。
在碳烯配合物中,当n>1时n个碳烯配体可以相同或不同。它们优选相同,即在M=Ir(Ⅲ)和n=3的情况下,三个碳烯配体优选相同。
合适的可以是单齿或双齿的单阴离子或双阴离子配体L,优选单阴离子配体L为通常作为单齿或双齿的单阴离子或双阴离子配体使用的配体。
合适的单阴离子单齿配体例如为卤离子,尤其是Cl-和Br-,拟卤离子,尤其是CN-,环戊二烯基(Cp-),氢离子,烷氧基,芳氧基,经由σ键键接于过渡金属M上的烷基,例如CH3,经由σ键键接于过渡金属M1上的烷基芳基,例如苄基。
合适的单阴离子二齿配体例如为乙酰丙酮酸根及其衍生物、甲基吡啶酸根、席夫碱、氨基酸、芳基唑类,如苯基吡啶,以及WO 02/15645中所述的其它二齿单阴离子配体,其中优选乙酰丙酮酸根和甲基吡啶酸根。
合适的双阴离子二齿配体例如为二醇盐离子、二碳酸根、二羧酸根、二酰胺、二酰亚胺、二硫醇盐离子、双环戊二烯基、二膦酸根、二磺酸根和3-苯基吡唑。
合适的不带电荷的单齿或二齿配体K优选选自膦(单膦和双膦两者);磷酸酯(单磷酸酯和双磷酸酯两者)及其衍生物,砷酸酯(单砷酸酯和双砷酸酯两者)及其衍生物;亚磷酸酯(单亚磷酸酯和双亚磷酸酯两者),CO,吡啶类(单吡啶和联吡啶两者),腈,二腈,烯丙基,二亚胺,与M1形成π-配合物的非共轭二烯和共轭二烯。特别优选的不带电荷的单齿或二齿配体K选自膦,包括单膦和双膦,优选三烷基膦、三芳基膦或烷基芳基膦,更优选PAr3,其中Ar为取代或未取代的芳基并且PAr3中的三个芳基可相同或不同,更优选PPh3、PEt3、PnBu3、PEt2Ph、PMe2Ph、PnBu2Ph;膦酸酯及其衍生物,砷酸酯及其衍生物,亚磷酸酯,CO;吡啶,包括单吡啶和联吡啶,其中吡啶可被烷基或芳基取代;与M1形成π-配合物的腈和二烯,优选η4-联苯-1,3-丁二烯、η4-1,3-戊二烯、η4-1-苯基-1,3-戊二烯、η4-1,4-二苄基-1,3-丁二烯、η4-2,4-己二烯、η4-3-甲基-1,3-戊二烯、η4-1,4-二甲苯基-1,3-丁二烯、η4-1,4-双(三甲基甲硅烷基)-1,3-丁二烯和η2-或η4-环辛二烯(在每种情况下1,3和在每种情况下1,5),更优选1,4-联笨-1,3-丁二烯、1-苯基-1,3-戊二烯、2,4-己二烯、丁二烯、η2-环辛烯、η4-1,3-环辛二烯和η4-1,5-环辛二烯。非常特别优选的不带电荷的单齿配体选自PPh3、P(OPh)3、AsPh3、CO、吡啶、腈及其衍生物。合适的不带电荷的单齿或双齿配体优选为1,4-联苯-1,3-丁二烯、1-苯基-1,3-戊二烯、2,4-己二烯、η4-环辛二烯和η2-环辛二烯(在每种情况下1,3和在每种情况下1,5)。
在式I的桥连环金属化碳烯配合物中的X基团的R1基团为F、CN、C1-C20烷氧基、C6-C30芳氧基、C1-C20烷硫基、C6-C30芳硫基、取代或未取代的C6-C30芳基或具有5-30个环原子的取代或未取代的杂芳基。X基团的R1基团优选为F、CN、C1-C4烷氧基,更优选甲氧基,C6-C10芳氧基,更优选苯氧基,C1-C4烷硫基,更优选SCH3、C6-C10芳硫基、取代或未取代的苯基,更优选未取代的苯基,甲苯基,二甲基苯基,三甲基苯基,F-、CN-、甲氧基-和/或CF3-取代的苯基或取代或未取代的具有5-13个环原子的杂芳基,更优选吡啶基、噻吩基、吡咯基、呋喃基、噻唑基、噁唑基、吡唑基或咪唑基。最优选R1基团为F、CN或甲氧基、苯基、吡啶基。
在式I的环金属化碳烯配合物中的X基团优选为N,即R1基团不存在。
在式I的桥连环金属化碳烯配合物中,R2和R3基团各自独立地为取代或未取代的C1-C20烷基、取代或未取代的C5-C20环烷基、取代或未取代的C5-C20环烯基、具有5-30个环原子的取代或未取代的杂环烷基、具有5-30个环原子的取代或未取代的杂环烯基、取代或未取代的C2-C20链烯基、取代或未取代的C2-C20炔基、取代或未取代的C6-C30芳基、具有5-30个环原子的取代或未取代的杂芳基或选自如下的具有给体或受体作用的取代基:C1-C20烷氧基、C6-C30芳氧基、C1-C20烷硫基、C6-C30芳硫基、SiR4R5R6、卤素基团、卤代C1-C20烷基、羰基(-CO(R4))、羰硫基(-C=O(SR4))、羰氧基(-C=O(OR4))、氧羰基(-OC=O(R4))、硫羰基(-SC=O(R4))、氨基(-NR4R5)、OH、拟卤素基团、酰胺基(-C=O(NR4R5))、-NR4C=O(R5)、膦酸根(-P(O)(OR4)2、磷酸根(-OP(O)(OR4)2)、膦(-PR4R5)、氧化膦(-P(O)R4 2)、硫酸根(-OS(O)2OR4)、亚砜(-S(O)R4)、磺酸根(-S(O)2OR4)、磺酰基(-S(O)2R4)、磺酰胺(-S(O)2NR4R5)、NO2、有机硼酸酯(-B(OR4)2)、亚氨基(-C=NR4R5)、硼烷基团、锡烷基团、肼基、腙基、肟基、亚硝基、重氮基、乙烯基、亚砜亚胺、铝烷、锗烷、环硼氧烷和环硼氮烷;
或
两个相邻R3基团一起形成饱和或不饱和、取代或未取代的包含3-6个原子的桥,以使R3基团与单元A=D、D-E、A’=D’、D’-E’、E’=G’之一一起形成5-8元环;
或
位于G’和A位置的R3基团一起形成饱和或不饱和、取代或未取代的包含1-4个原子的桥,以使R3基团与单元-G’-C-C-A-一起形成5-8元环;
桥优选未被取代(即所有可取代位置被氢取代)或被一个或多个选自如下的基团取代:C1-C4烷基,更优选甲基、乙基、正丙基、异丙基、正丁基、异丁基、仲丁基或叔丁基,取代或未取代的苯基,优选未取代的苯基,甲苯基,二甲基苯基,三甲基苯基,F-、CN-、甲氧基-和/或CF3-取代的苯基,取代或未取代的具有5-13个环原子的杂芳基,优选吡啶基、噻吩基、吡咯基、呋喃基或咪唑基,C1-C4烷氧基,更优选甲氧基、C6-C10芳氧基,特别是苯氧基,C1-C4烷硫基,优选SCH3、C6-C10芳硫基,优选SPh、SiR4R5R6,优选SiMe3或SiPh3、F、Cl、Br,优选F、卤代C1-C10烷基,优选CF3,和拟卤素基团,优选CN;其中桥优选由碳原子和任选1或2个杂原子,优选1或2个氮原子形成。
在优选实施方案中,R2和R3各自独立地选自取代或未取代的C1-C20烷基、取代或未取代的C2-C20链烯基、取代或未取代的C2-C20炔基、取代或未取代的C6-C30芳基、具有5-30个环原子的取代或未取代的杂芳基、C1-C20烷氧基、C6-C30芳氧基、C1-C20烷硫基、C6-C30芳硫基、SiR4R5R6、卤素基团、卤代C1-C20烷基和拟卤素基团。更优选R2和R3各自独立地选自取代或未取代的C1-C20烷基,优选C1-C4烷基,更优选甲基、乙基、正丙基、异丙基、正丁基、异丁基、仲丁基或叔丁基、取代或未取代的C6-C30芳基,优选取代或未取代的苯基,更优选未取代的苯基、甲苯基、二甲基苯基、三甲基苯基、F-、CN-、甲氧基-和/或CF3-取代的苯基,具有5-30个环原子的取代或未取代的杂芳基,优选取代或未取代的具有5-13个环原子的杂芳基,更优选吡啶基、噻吩基、吡咯基、呋喃基、噻唑基、噁唑基、吡唑基或咪唑基,C1-C20烷氧基,优选C1-C4烷氧基,更优选甲氧基、C6-C30芳氧基,优选C6-C10芳氧基,更优选苯氧基、C1-C20烷硫基,优选C1-C4烷硫基,更优选SCH3、C6-C30芳硫基,优选C6-C10芳硫基,更优选SPh、SiR4R5R6,优选SiMe3或SiPh3、卤素基团,优选F、Cl、Br,更优选F、卤代C1-C20烷基,优选卤代C1-C10烷基,更优选CF3,和拟卤素基团,优选CN;
或
两个相邻R3基团一起形成饱和或不饱和的,甲基-、苯基-、甲氧基-、SiMe3-、SiPh3-、F-、CF3-或CN-取代或未取代的,包含3或4个碳原子的桥,以使R3基团与单元A=D、D-E、A’=D’、D’-E’、E’=G’之一一起形成5或6环;
或
在G’和A位置的R3基团一起形成饱和或不饱和的,甲基-、苯基-、甲氧基-、SiMe3-、SiPh3-、F-、CF3-或CN-取代或未取代的,包含1或2个碳原子的桥,以使R3基团与单元-G’-C-C-A-一起形成5或6元环。
在特别优选的实施方案中,R1(如果存在R1基团)和R3各自如上对R1所定义且R3和R2选自取代或未取代的C1-C20烷基,其在1-位支化,优选异丙基、异丁基、异戊基、仲丁基或叔丁基;取代或未取代的C6芳基,优选未取代的苯基或在2-和/或6-位被取代的苯基,优选被甲基、甲氧基、CF3、CN和/或F取代;更优选2-甲苯基、2-甲氧基苯基、2-氰基苯基、2-三氟甲基苯基、2,6-二氟苯基,2,3-、2,4-、2,5-或2,6-二甲基苯基或2,4,6-、2,3,4-或2,3,5-三甲基苯基;取代或未取代的具有5-13个环原子的杂芳基,优选吡啶-2-基、吡啶-3-基、吡啶-4-基、噻吩-2-基、噻吩-3-基、吡咯-2-基、吡咯-3-基、呋喃-2-基、呋喃-3-基、噻唑-2-基、噁唑-2-基、吡唑-3-基或咪唑-2-基和相应的苯并稠合基团。
已经发现具有上述特别优选的R2基团的式I的碳烯配合物具有特别好的稳定性。
在优选实施方案中,本发明涉及其中X为N的式I的桥连的环金属化碳烯配合物。Y优选为NR2,其中合适的R2基团如上所定义。因此特别优选如下式I的碳烯配合物,其中:
X为N,和
Y为NR2
其中R2如上所定义。
在式I碳烯配合物中的A、D、G、E、A’、D’、G’和E’基团各自独立地为CH、CR3或N。优选0、1或2个,更优选0或1个选自A、D、G和E基团或选自A’、D’、G’和E’基团的基团为N。在特别优选的实施方案中,A、D、G、E、A’、D’、G’和E’基团各自为CH或CR3,最优选CH。合适的R3基团如上所述。
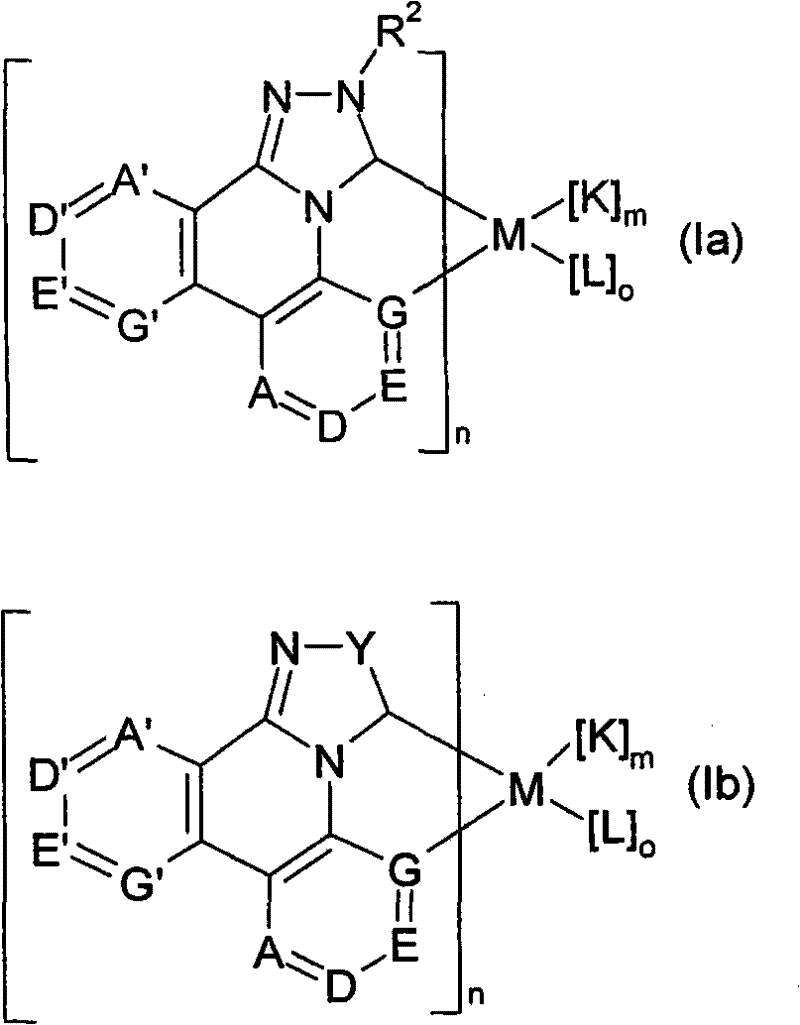
特别优选的式I的碳烯配合物选自式Ia和Ib的碳烯配合物:
其中:
A、D、G、E、A’、D’、G’和E’各自独立地为CH、CR3或N,优选CH或CR3,更优选CH;
R2、R3各自独立地为取代或未取代的C1-C20烷基、取代或未取代的C5-C20环烷基、取代或未取代的C5-C20环烯基、具有5-30个环原子的取代或未取代的杂环烷基、具有5-30个环原子的取代或未取代的杂环烯基、取代或未取代的C2-C20链烯基、取代或未取代的C2-C20炔基、取代或未取代的C6-C30芳基、具有5-30个环原子的取代或未取代的杂芳基或选自如下的具有给体或受体作用的取代基:C1-C20烷氧基、C6-C30芳氧基、C1-C20烷硫基、C6-C30芳硫基、SiR4R5R6、卤素基团、卤代C1-C20烷基、羰基(-CO(R4))、羰硫基(-C=O(SR4))、羰氧基(-C=O(OR4))、氧羰基(-OC=O(R4))、硫羰基(-SC=O(R4))、氨基(-NR4R5)、OH、拟卤素基团、酰胺基(-C=O(NR4R5))、-NR4C=O(R5)、膦酸根(-P(O)(OR4))2、磷酸根(-OP(O)(OR4)2)、膦(-PR4R5)、氧化膦(-P(O)R4 2)、硫酸根(-OS(O)2OR4)、亚砜(-S(O)R4)、磺酸根(-S(O)2OR4)、磺酰基(-S(O)2R4)、磺酰胺(-S(O)2NR4R5)、NO2、有机硼酸酯(-B(OR4)2)、亚氨基(-C=NR4R5)、硼烷基团、锡烷基团、肼基、腙基、肟基、亚硝基、重氮基、乙烯基、亚砜亚胺、铝烷、锗烷、环硼氧烷和环硼氮烷;
或
两个相邻R3基团一起形成饱和或不饱和、取代或未取代的包含3-6个原子的桥,以使R3基团与单元A=D、D-E、A’=D’、D’-E’、E’=G’之一一起形成5-8元环;
或
位于G’和A位置的R3基团一起形成饱和或不饱和、取代或未取代的包含1-4个原子的桥,以使R3基团与单元-G’-C-C-A-一起形成5-8元环;
其中R2优选选自取代或未取代的C1-C20烷基,其在1-位支化,优选异丙基、异丁基、异戊基、仲丁基或叔丁基;取代或未取代的C6芳基,优选未取代的苯基或在2-和/或6-位被取代的苯基,优选被甲基、甲氧基、CF3、CN和/或F取代;更优选2-甲苯基、2-甲氧基苯基、2-氰基苯基、2-三氟甲基苯基、2,6-二氟苯基,2,3-、2,4-、2,5-或2,6-二甲基苯基或2,4,6-、2,3,4-或2,3,5-三甲基苯基;取代或未取代的具有5-13个环原子的杂芳基,优选吡啶-2-基、吡啶-3-基、吡啶-4-基、噻吩-2-基、噻吩-3-基、吡咯-2-基、吡咯-3-基、呋喃-2-基、呋喃-3-基、噻唑-2-基、噁唑-2-基、吡唑-3-基或咪唑-2-基和相应的苯并稠合基团。
R4、R5、R6各自独立地为H、取代或未取代的C1-C20烷基或取代或未取代的C6-C30芳基,或具有5-30个环原子的取代或未取代的杂芳基;
Y为CR2 2;
M为Ir、Os或Pt;优选Ir(Ⅲ)、Os(Ⅱ)或Pt(Ⅱ),更优选Ir(Ⅲ);
K为不带电荷的双齿配体;
L为单阴离子双齿配体;
n为碳烯配体数目,其中在Ir的情况下n为3,在Os的情况下n为2,在Pt情况下n为1或2,并且在式Ia、Ib、Ic和Id的配合物中的碳烯配体可以相同或不同;
在M=Ir或Pt的情况下m为0,在Os的情况下,m为1;
在M=Ir或Os的情况下以及在Pt且n=2的情况下o为0,在Pt的情况下且在n=1的情况下o为1。
特别优选的基团和指数M、R2、R3、R4、R5、R6、A、D、G、E、A’、D’、G’、E’、Y、M、K、L、n、m和o如上所述。最优选,在式Ia、Ib、Ic和Id的碳烯配体中的M为Ir(Ⅲ),n为3和m和o各自为0。
非常特别优选下式的碳烯配合物:
上述化合物可根据通式I的定义任选被一个或多个的其它取代基取代。
本发明的式I的桥连的环金属化碳烯配合物原则上可以类似于本领域熟练技术人员已知的方法制备。合适的制备碳烯配合物的方法例如详述于综述文章W.A.Hermann等,Advances in Organometallic Chemistry(有机金属化学进展),2001,第48卷,第1-69页,W.A.Hermann等,Angew.Chem.1997,109,第2256-2282页和G.Bertrand等,Chem.Rev.2000,100,第39-91页以及其中所引用的文献中,以及描述于WO 2005/113704、WO 2005/019373和WO 2007/088093。
在一个实施方案中,本发明的式I的桥连环金属化碳烯配合物由对应于碳烯配体的配体前体和包含所需金属的合适的基体配合物制备。
合适的碳烯配体的配体前体对本领域熟练技术人员是已知的。它们优选为通式III的碳烯配体的阳离子前体:
其中
Q-为单阴离子抗衡离子,优选卤离子,拟卤离子,BF4 -、BPh4 -、PF6 -、AsF6 -或SbF6 -;
和
在通式III的配体前体中的其它基团、符号和指数各自如上所定义。
通式III的配体前体可类似于本领域熟练技术人员已知的方法制备。合适的方法例如描述于WO 2005/019373以及其中引用的文献中,如Organic Letters,1999,1,953-956;Angewandte Chemie,2000,112,1672-1674。其它合适的方法例如描述于T.Weskamp等,J.Organometal.Chem.2000,600,12-22;G.Xu等,Org.Lett.2005,7,4605-4608;V.Lavallo等,Angew.Chem.Int.Ed.2005,44,5705-5709。
在优选实施方案中,本发明涉及一种制备本发明的通式I的桥连环金属化碳烯配合物的方法,其中该制备包括如下步骤:
使至少一种通式(III)的配体前体与包含至少一种金属M的金属配合物反应:
其中
Q-为单阴离子抗衡离子,优选卤离子,拟卤离子,BF4 -,BPh4 -,PF6 -,AsF6 -或SbF6 -;
和
在通式III的配体前体中的其它符号各自如下所定义:
X为CR1或N,优选N;
Y为NR2或CR2 2;
A、D、G、E、A’、D’、G’或E’各自独立地为CH、CR3或N;
R1为F、CN、C1-C20烷氧基、C6-C30芳氧基、C1-C20烷硫基、C6-C30芳硫基、取代或未取代的C6-C30芳基或具有5-30个环原子的取代或未取代的杂芳基;
R2、R3各自独立地为取代或未取代的C1-C20烷基、取代或未取代的C5-C20环烷基、取代或未取代的C5-C20环烯基、具有5-30个环原子的取代或未取代的杂环烷基、具有5-30个环原子的取代或未取代的杂环烯基、取代或未取代的C2-C20链烯基、取代或未取代的C2-C20炔基、取代或未取代的C6-C30芳基、具有5-30个环原子的取代或未取代的杂芳基或选自如下的具有给体或受体作用的取代基:C1-C20烷氧基、C6-C30芳氧基、C1-C20烷硫基、C6-C30芳硫基、SiR4R5R6、卤素基团、卤代C1-C20烷基、羰基(-CO(R4))、羰硫基(-C=O(SR4))、羰氧基(-C=O(OR4))、氧羰基(-OC=O(R4))、硫羰基(-SC=O(R4))、氨基(-NR4R5)、OH、拟卤素基团、酰胺基(-C=O(NR4R5))、-NR4C=O(R5)、膦酸根(-P(O)(OR4)2)、磷酸根(-OP(O)(OR4)2)、膦(-PR4R5)、氧化膦(-P(O)R4 2)、硫酸根(-OS(O)2OR4)、亚砜(-S(O)R4)、磺酸根(-S(O)2OR4)、磺酰基(-S(O)2R4)、磺酰胺(-S(O)2NR4R5)、NO2、有机硼酸酯(-B(OR4)2)、亚氨基(-C=NR4R5)、硼烷基团、锡烷基团、肼基、腙基、肟基、亚硝基、重氮基、乙烯基、亚砜亚胺、铝烷、锗烷、环硼氧烷和环硼氮烷;
或
两个相邻R3基团一起形成饱和或不饱和、取代或未取代的包含3-6个原子的桥,以使R3基团与单元A=D、D-E、A’=D’、D’-E’、E’=G’之一一起形成5-8元环;
或
位于G’和A位置的R3基团一起形成饱和或不饱和、取代或未取代的包含1-4个原子的桥,以使R3基团与单元-G’-C-C-A-一起形成5-8元环;
和
R4、R5、R6各自独立地为H、取代或未取代的C1-C20烷基或取代或未取代的C6-C30芳基或具有5-30个环原子的取代或未取代的杂芳基;
其中M如下所定义:
M为选自元素周期表(CAS版)第IB、IIB、IIIB、IVB、VB、VIB、VIIB、VIIIB族,镧系元素和第IIIA族金属的金属原子,它们处于合适金属原子可能的任何氧化态;优选Fe、Os、Co、Rh、Ir、Ni、Ru、Pd和Pt、Cu、Au、Ce、Tb、Eu,更优选Os、Ru、Rh、Ir和Pt,最优选Ir、Os和Pt。
特别优选的基团和指数M、R2、R3、R4、R5、R6、A、D、G、E、A’、D’、G’、E’、Y、M、K、L、n、m和o如上所述。
如果式I的碳烯配合物中的m和/或o不为0,合适的话,式III的配体前体与金属配合物的本发明反应在合适的配体K和/或L的配体前体存在下进行(“一锅法”)。配体K和L的合适的配体前体对本领域熟练技术人员是已知的。或者,如果m和/或o不为0,进行顺序反应。顺序反应可通过在第一步中使金属配合物与至少一种通式III的碳烯配体前体反应而进行,此时具有至少一个呈环金属化或非环金属化形式的碳烯配体且具有至少一个用于至少一个其它二齿配体K和/或L的其它配位方式(此时其它配位方式通过金属M上的自由配位位置或通过其它配体的脱离而存在)的碳烯配合物首先作为中间体制备;或通过在第一步中使金属配合物与至少一种用于配体K和/或L的配体前体反应而进行,此时具有至少一个配体K和/或L和至少一个用于至少一个二齿碳烯配体的其它配位方式(此时其它配位方式通过金属M’上的自由配位位置或通过其它配体的脱离而存在)的配合物首先作为中间体制备。在第一步之后的第二步中,使第一步中得到的特定配合物与配K和/L的至少一种配体前体(当至少一种碳烯配体前体已经用于第一步时),或与至少一种通式III的碳烯配体前体(当配体K和/或L的至少一种配体前体用于第一步时)反应而进行。
在特别优选的情况中,本发明式I的碳烯配合物中的金属M为配位数是6的Ir(Ⅲ)且n=3以及m和o各自为0,用式III的一种碳烯配体前体或不同的碳烯配体前体进行反应。当使用式III的不同的碳烯配体前体时,反应可以“一锅法反应”或顺序(如上所述使用碳烯配体前体和用于配体K和L的配体前体)的形式进行。在式I的碳烯配合物中的碳烯配体优选相同,以使式III的碳烯配体前体的反应用合适的金属配合物进行。
对于非常特别优选的情况(M=Ir(Ⅲ),n=3),金属:配体前体的化学计量通常为1∶3-1∶9,优选1∶3-1∶6。
在碳烯配体存在于本发明式I碳烯配合物且金属原子为Ir(Ⅲ)(M=Ir(Ⅲ),n=1)的情况下,金属:配体前体的化学计量通常为1∶1-1∶3,优选1∶1-1∶2。
包含至少一种金属M的金属配合物为包含至少一种选自下列的金属的金属配合物:元素周期表(CAS版)第IB、IIB、IIIB、IVB、VB、VIB、VIIB、VIIIB族,镧系元素和第IIIA族金属,它们处于合适金属原子可能的任何氧化态;优选Fe、Os、Co、Rh、Ir、Ni、Ru、Pd和Pt、Cu、Au、Ce、Tb、Eu,更优选Os、Ru、Rh、Ir和Pt,最优选Ir、Os和Pt。优选在金属配合物中使用Pt(Ⅱ)、Os(Ⅱ)、Ir(Ⅰ)或Ir(Ⅲ)以用于本发明方法,特别优选Ir(Ⅰ)和Ir(Ⅲ),非常特别优选Ir(Ⅰ)。合适的金属配合物对本领域熟练技术人员是已知的。合适的金属配合物的实例为Pt(cod)Cl2、Pt(cod)Me2、Pt(acac)2、Pt(PPh3)2Cl2、PtCl2、[Rh(cod)Cl]2、Rh(acac)CO(PPh3)、Rh(acac)(CO)2、Rh(cod)2BF4、RhCl(PPh3)3、RhCl3x n H2O、Rh(acac)3、[Os(CO)3I2]2、[Os3(CO)12]、OsH4(PPH3)3、Cp2Os、Cp* 2Os、H2OsCl6 x 6H2O、OsCl3x H2O)和[(μ-Cl)Ir(η4-1,5-cod)]2、[(μ-Cl)Ir(η2-coe)2]2、Ir(acac)3、IrCl3x n H2O、(tht)3IrCl3、Ir(η3-烯丙基)3、Ir(η3-甲代烯丙基)3,其中cod为环辛二烯,coe为环辛烯,acac为乙酰丙酮酸根以及tht为四氢噻吩。金属配合物可通过本领域熟练技术人员已知的方法制备或可市购。
在制备通式I的铱(Ⅲ)配合物的情况下(式I中的M为Ir)(根据本申请这是特别优选的),可使用上述铱(Ⅰ)或(Ⅲ)配合物,特别是[(μ-Cl)Ir(η4-1,5-cod)]2、[(μ-Cl)Ir(η2-coe)2]2、Ir(acac)3、IrCl3x n H2O、(tht)3IrCl3、Ir(η3-烯丙基)3、Ir(η3-甲代烯丙基)3,非常特别优选使用[(μ-Cl)Ir(η4-1,5-cod)]2,其中cod为环辛二烯,coe为环辛烯,acac为乙酰丙酮酸根以及tht为四氢噻吩。
特别优选在碱和辅助试剂或碱性辅助试剂存在下使式III的碳烯配体前体与合适的金属配合物进行本发明反应,此时碱性辅助试剂或辅助试剂包含至少一种选自Ag、Hg、Sb、Mg、B和Al的金属;优选在Ag2O存在下进行本发明反应。可相应用于制备本发明的式I碳烯配合物的合适方法例如公开于WO 2007/088093。
在Y为NR2的情况下,合适的式III的配体前体例如如下制备,通过烷基化,如通过用MeI或Me3OBF4甲基化由式IVa的配体前体进行,或通过环化,如用CH(OEt)3环化由式IVb的配体前体进行:
其中符号各自如上所定义。
制备其中Y为NR2的式III的配体前体的其它方法也是可行的,例如如下文所示。
式IVa和IVb的化合物可通过本领域熟练技术人员已知的方法制备,合适的方法在下文所述的文献中提及。
制备非常特别优选的本发明的式I碳烯配合物的制备方法例如在下文中描述,下文中实例包括由市售化合物或可通过本领域熟练技术人员已知的方法制备的那些化合物来制备合适的式IVa和IVb的化合物和制备合适的式III的配体前体。下述实例中所述的化合物是阐述性的并且可根据式I化合物的取代方式取代和/或根据式I化合物在它们的环体系中具有杂原子。
由1,2,4-三唑并[4,3-f]菲啶合成基于三唑并菲啶的配合物2-烷基(A.G.Mikhailovskii,V.S.Shklyaev,Chem.Heterocycl.Comp.1992,445):
由6-氯菲啶合成基于三唑并菲啶的配合物2-芳基(A.G.Mikhailovskii,V.S.Shklyaev,Chem.Heterocycl.Comp.1992,445):
在反应之后,将本发明的式I的环金属化桥连碳烯配合物后处理,以及合适的话通过本领域熟练技术人员已知的方法纯化。后处理和纯化通常通过本领域熟练技术人员已知的萃取、柱色谱法和/或再结晶方法进行。
本发明的式I环金属化桥连碳烯配合物极其适合作为发磷光物质,因为它们在电磁光谱的可见区,优选在电磁光谱的蓝光区发光(电致发光)。借助作为发光体物质的本发明式I的碳烯配合物,可以提供具有良好效率的电致发光的化合物,本发明碳烯配合物的显著之处在于在器件中的良好稳定性。同时,量子产率高。
此外,本发明的式I碳烯配合物适合在OLED中作为电子阻挡剂、激子阻挡剂或空穴阻挡剂或空穴导体、电子导体、空穴注入层或基质材料,这通常取决于所用配体和所用中心金属。
因此,本发明进一步提供了本发明的式I的环金属化桥连碳烯配合物在有机发光二极管中,优选作为发光体材料、基质材料、电荷阻挡材料和/或电荷传输材料,更优选作为发光体材料,最优选作为蓝光发光体的用途。
有机发光二极管(OLED)原则上由几层组成,例如:
1.阳极(1)
2.空穴传输层(2)
3.发光层(3)
4.电子传输层(4)
5.阴极(5)
然而,OLED还可以不具有所有所述层;例如具有层(1)(阳极)、(3)(发光层)和(5)(阴极)的OLED同样是合适的,此时层(2)(空穴传输层)和(4)(电子传输层)的功能由相邻层承担。具有层(1)、(2)、(3)和(5)或层(1)、(3)、(4)和(5)的OLED同样是合适的。
本发明式I的环金属化桥连碳烯配合物可用于OLED的不同层。式I的碳烯配合物可用于OLED的一个层中,但是同样可将两种或更多种不同的式I的碳烯配合物用于OLED的一个或多个层中。例如,OLED发光层中的发光体材料和基质材料均可包括式I碳烯配合物,此时用作发光体材料的式I碳烯配合物和用作基质材料的式I碳烯配合物通常是不同的。发光体材料和空穴导体材料同样可包含式I碳烯配合物,此时式I碳烯配合物通常是不同的。不同碳烯配合物的其它组合也是可行的并且可由本领域熟练技术人员确定。因此,本发明进一步提供了包含至少一种本发明式I的环金属化桥连碳烯配合物的OLED。本发明式I的环金属化桥连碳烯配合物优选用于发光层,如作为基质分子或发光体分子,更优选作为发光体分子。因此,本发明进一步提供了包含至少一种本发明式I的环金属化桥连碳烯配合物(优选作为发光体分子)的发光层。优选的本发明式I的环金属化桥连碳烯配合物如上所述。
本发明的式I环金属化桥连碳烯配合物可以直接,即没有其他添加剂,存在于OLED的发光层或另一层中,优选存在于发光层中。然而,同样可能且优选的是除了按照本发明的式I环金属化桥连碳烯配合物外,其他化合物可以存在于包含至少一种本发明的式I环金属化桥连碳烯配合物的层中,优选存在于发光层中。例如,发光层中可以存在荧光染料以改变用作发光体分子的式I环金属化桥连碳烯配合物的发光颜色。此外,在优选实施方案中,可以使用稀释剂材料。该稀释剂材料可以是聚合物,例如聚(N-乙烯基咔唑)或聚硅烷。然而,稀释剂材料同样可以是小分子,例如4,4’-N,N’-二咔唑基联苯(CDP=CBP)或叔芳族胺。此外,发光层中的式I碳烯配合物可与基质材料一起使用,合适的基质材料如上所述。本发明的式I碳烯配合物作为基质材料(与将式I的碳烯配合物用作发光体材料的用途一起(此时用作基质材料的碳烯配合物和用作发光体材料的碳烯配合物通常不同))的用途已经在上文描述。
OLED的上述各层又可以由两层或更多层形成。例如,空穴传输层可以由将空穴从电极注入其中的层和将空穴从空穴注入层传输到发光层的层形成。电子传输层同样可以由多层组成,例如由通过电极将电子注入其中的层和从电子注入层接收电子并将它们传输到发光层中的层组成。本领域熟练技术人员能够选择OLED的结构,以使其与根据本发明使用的本发明式I碳烯配合物最佳匹配,其中式I碳烯配合物优选用作发光体物质。
为了得到特别有效的OLED,应使空穴传输层的HOMO(最高被占分子轨道)与阳极的功函匹配并使电子传输层的LUMO(最低未占分子轨道)与阴极的功函匹配。
本申请还提供了一种包含至少一种本发明的发光层的OLED。该OLED中的其他层可以由任何常用于该类层中且为本领域熟练技术人员已知的材料组成。
适用于上述层的材料(阳极、阴极、空穴和电子注入材料、空穴和电子传输材料以及空穴和电子阻挡剂材料、基质材料、荧光和磷光发光体)对本领域熟练技术人员是已知的并且例如描述于H.Meng,N.Herron,OrganicSmall Molecule Materials for Organic Light-Emitting Devices in OrganicLight-Emitting Materials and Devices(在有机发光材料和器件中用于有机发光器件的有机小分子材料),编辑:Z.Li,H.Meng,Taylor & Francis,2007,第3章,第295-411页。
阳极(1)是提供正电荷载体的电极。它例如可以由包含金属、不同金属的混合物、金属合金、金属氧化物或不同金属氧化物的混合物的材料构成。或者,阳极可以是导电聚合物。合适的金属包括元素周期表第11、4、5和6族金属以及第8-10族过渡金属。当阳极要透明时,则通常使用元素周期表第12、13和14族的混合金属氧化物,例如铟-锡氧化物(ITO)。阳极(1)同样可以包含有机材料,如聚苯胺,例如如Nature,第357卷,第477-479页(1992年6月11日)所述。阳极或阴极中的至少一种应至少部分透明以使所产生的光能被发射。
用于本发明OLED的层(2)的合适空穴传输材料例如公开于Kirk-Othmer Encyclopedia of Chemical Technology,第4版,第18卷,第837-860页,1996中。空穴传输分子或聚合物可以用作空穴传输材料。通常使用的空穴传输分子选自4,4’-双[N-(1-萘基)-N-苯基氨基]联苯(α-NPD)、N,N’-二苯基-N,N’-双(3-甲基苯基)[1,1’-联苯基]-4,4’-二胺(TPD)、1,1-双[(二-4-甲苯基氨基)苯基]环己烷(TAPC)、N,N’-双(4-甲基苯基)-N,N’-双(4-乙基苯基)-[1,1’-(3,3’-二甲基)联苯基]-4,4’-二胺(ETPD)、四(3-甲基苯基)-N,N,N’,N’-2,5-苯二胺(PDA)、α-苯基-4-N,N-二苯基氨基苯乙烯(TPS)、对-(二乙氨基)苯甲醛二苯基腙(DEH)、三苯基胺(TPA)、双[4-(N,N-二乙氨基)-2-甲基苯基](4-甲基苯基)甲烷(MPMP)、1-苯基-3-[对-(二乙氨基)苯乙烯基]-5-[对-(二乙氨基)苯基]吡唑啉(PPR或DEASP)、1,2-反式-双(9H-咔唑-9-基)环丁烷(DCZB)、N,N,N’,N’-四(4-甲基苯基)-(1,1’-联苯基)-4,4’-二胺(TTB)、4’,4’,4”-三(N,N-二苯基氨基)三苯基胺(TDTA)、4,4′,4″-三(N-3-甲基苯基-N-苯基氨基)三苯基胺(m-MTDATA)、2,2,7,7-四(二苯基胺)-9,9-螺二芴(Spiro-TAD)、4,4′,4″-三(咔唑-9-基)三苯基胺(TCTA)和卟啉化合物,以及酞菁如酞菁铜。常用的空穴传输聚合物选自聚乙烯基咔唑、(苯基甲基)聚硅烷,PEDOT(聚(3,4-亚乙二氧基噻吩)),优选掺杂有PSS(聚苯乙烯磺酸盐)的PEDOT,以及聚苯胺。同样可以通过将空穴传输分子掺杂到聚合物如聚苯乙烯和聚碳酸酯中而得到空穴传输聚合物。合适的空穴传输分子是上述分子。
用于本发明OLED的层(4)的合适电子传输材料包括与oxinoid化合物螯合的金属如三(8-羟基喹啉根合)铝(Alq3)或二(2-甲基-8-喹啉根合)-(对苯基喹啉根合)铝(BALq),基于菲咯啉的化合物如2,9-二甲基-4,7-二苯基-1,10-菲咯啉(DDPA=BCP)或4,7-二苯基-1,10-菲咯啉(BPhen)以及唑类化合物如2-(4-联苯基)-5-(4-叔丁基苯基)-1,3,4-噁二唑(PBD)和3-(4-联苯基)-4-苯基-5-(4-叔丁基苯基)-1,2,4-三唑(TAZ)、1,3-二(4-叔丁基苯基-1,3,4-噁二唑基)苯(OXD7)、2,2′,2″-(1,3,5-苯三基)-三(1-苯基苯并咪唑)(TPBI)。层(4)可以同时用于促进电子传输和用作缓冲层或阻挡层以防止激子在OLED各层的界面处的猝灭。该层(4)优选改进电子的迁移性并降低激子的猝灭。
在上述作为空穴传输材料和电子传输材料的材料中,某些可以满足多种功能。例如,导电材料中的一些在具有低位HOMO时同时为空穴阻挡材料。
还可以将电荷传输层进行电子掺杂以改善所用材料的传输性能,首先使层厚更大(避免针孔/短路),其次使器件的操作电压降至最小。例如,空穴传输材料可以掺杂电子受体;例如,酞菁或芳基胺如TPD或TDTA可以掺杂有四氟四氰基醌二甲烷(F4-TCNQ)。电子传输材料例如可以掺杂碱金属,例如用锂掺杂Alq3。电子掺杂对本领域熟练技术人员是已知的且例如公开于W.Gao,A.Kahn,J.Appl.Phys.,第94卷,第1期,2003年7月1日(p-掺杂的有机层);A.G.Werner,F.Li,K.Harada,M.Pfeiffer,T.Fritz,K.Leo,Appl.Phys.Lett.,第82卷,第25期,2003年6月23日和Pfeiffer等,Organic Electronics 2003,4,89-103和K.Walzer,B.Maennig,M.Pfeiffer,K.Leo,Chem.Soc.Rev.2007,107,1233。
合适的基质材料原则上为作为空穴和电子传输材料提及的材料,以及碳烯配合物,如式I碳烯配合物或WO 2005/019373中提及的碳烯配合物。特别合适的基质材料为咔唑衍生物,如4,4′-二(咔唑-9-基)-2,2′-二甲基联苯(CDBP)、4,4′-二(咔唑-9-基)联苯(CBP)、1,3-二(N-咔唑基)苯(mCP),以及在本申请的优先权日还未公开且具有如下申请号PCT/EP2007/059648,EP07 111 824.4.的申请中提及的基质材料。
在至少一种发光体材料与至少一种基质材料一起用于本发明OLED的发光层中的情况下,本发明OLED的发光层中的至少一种基质材料的比例通常为10-99重量%,优选50-99重量%,更优选70-97重量%。发光层中的至少一种发光体材料的比例通常为1-90重量%,优选1-50重量%,更优选3-30重量%,其中至少一种基质材料和至少一种发光体材料的比例之和为100重量%。然而,除了至少一种基质材料和至少一种发光体材料外,发光层也可包含其它物质,如其它稀释剂材料,其中其它稀释剂材料如上所述。
阴极(5)是用于引入电子或负电荷载体的电极。阴极可以是具有比阳极低的功函的任何金属或非金属。合适的阴极材料选自元素周期表第1族碱金属,如Li、Cs,第2族碱土金属,第12族金属,其包括稀土金属和镧系和锕系元素。此外,还可以使用诸如铝、铟、钙、钡、钐和镁的金属及其组合。此外,还可以在有机层和阴极之间施加含锂的有机金属化合物或LiF以降低操作电压。
本发明的OLED可以额外包含本领域熟练技术人员已知的其他层。例如,可以在层(2)和发光层(3)之间施加促进传输正电荷和/或使各层的带隙相互匹配的层。或者,该其他层可以用作保护层。以类似方式可以在发光层(3)和层(4)之间存在额外层,以促进传输负电荷和/或使各层的带隙相互匹配。或者,该层可以用作保护层。
在优选实施方案中,本发明的OLED除了层(1)-(5)外还包含至少一个下述其他层:
-在阳极(1)和空穴传输层(2)之间的空穴注入层;
-在空穴传输层(2)和发光层(3)之间的电子和/或激子阻挡层;
-在发光层(3)和电子传输层(4)之间的空穴和/或激子阻挡层;
-在电子传输层(4)和阴极(5)之间的电子注入层。
然而,如上所述还可能的是OLED不具有所有的所述层(1)-(5);例如,具有层(1)(阳极)、(3)(发光层)和(5)(阴极)的OLED同样是合适的,此时层(2)(空穴传输层)和(4)(电子传输层)的功能由相邻层承担。具有层(1)、(2)、(3)和(5)或层(1)、(3)、(4)和(5)的OLED同样是合适的。
本领域熟练技术人员知道如何选择合适的材料(例如基于电化学研究)。用于各层的合适材料和合适的OLED的结构对本领域熟练技术人员是已知的且例如公开于WO 2005/113704中。
此外,本发明OLED的上述各层可以由两层或更多层组成。此外,层(1)、(2)、(3)、(4)和(5)中的一些或所有可以进行表面处理以增加电荷载体的传输效率。所述各层的材料选择优选应通过得到具有高效率的OLED而确定。
本发明的OLED可以通过本领域熟练技术人员已知的方法生产。通常通过在合适的基材上依次气相沉积各层而生产OLED。合适的基材例如包括玻璃或聚合物膜。对于气相沉积,可以使用常规技术如热蒸发、化学气相沉积和其他技术。在替换方法中,可以由在合适溶剂中的溶液或分散体而施涂有机层,此时使用本领域熟练技术人员已知的涂敷技术。在OLED的各层之一,优选发光层中通常将除了至少一种本发明的式I的环金属化桥连碳烯配合物外还具有聚合材料的组合物借助溶液加工方法作为层施加。
通常而言,不同层具有如下厚度:阳极(2)500-5000优选1000-2000空穴传输层(3)50-1000优选200-800发光层(4)10-1000优选100-800电子传输层(5)50-1000优选200-800阴极(7)200-10000优选300-5000在本发明的OLED中空穴和电子的复合区的位置以及因此OLED的发光光谱可能受各层的相对厚度的影响。这意味着电子传输层的厚度的选择优选应使电子/空穴复合区位于发光层中。OLED中各层的层厚之比取决于所用材料。任何所用额外层的层厚对本领域熟练技术人员是已知的。
式I的本发明环金属化桥连碳烯配合物在本发明OLED的至少一层中的使用,优选在本发明OLED的发光层中作为发光体分子的使用,使得可以得到具有高效率和长寿命的OLED。此外,本发明OLED的效率可以通过优化其他层而得以额外改进。例如,可以使用高效的阴极如Ca、Ba或LiF。同样可以在本发明OLED中使用降低操作电压或增加外部量子效率的成型基材和新型空穴传输材料。此外,在OLED中可以存在额外层以调节不同层的能级并促进电致发光。
本发明OLED可以用于其中电致发光是有用的所有器件中。合适的器件优选选自静止和移动可视显示单元以及照明装置。静止的可视显示单元例如为计算机、电视的可视显示单元,打印机、厨房用具、广告板、照明和信息板中的可视显示单元。移动可视显示单元例如包括移动电话、手提电脑、数码相机、车辆以及公共汽车和火车上的目的地显示中的可视显示单元。照明装置例如为LCD的背景照明、发光表面,如发光壁纸。
在优选实施方案中,本发明式I的环金属化碳烯配合物,特别是在本申请所述的本发明的式I环金属化碳烯配合物的优选和特别优选的实施方案可用于申请PCT/EP2008/058106中所述的OLED中(该申请在本申请的优先权日还未公开),此时本发明的通式I的环金属化碳烯配合物优选替换存在于PCT/EP2008/058106所述的发光层中的通式I的碳烯配合物。本发明的环金属化碳烯配合物可作为磷光发光体物质用于根据PCT/EP2008/058106的OLED。然而,取决于所用中心金属和所用配体,以及取决于用于OLED的其它材料,本发明的式I的环金属化碳烯配合物还可用作电子阻挡剂、激子阻挡剂或空穴阻挡剂,或空穴导体、电子导体、空穴注入层或基质材料(特别是作为发光层中的基质材料)。
此外本发明的式I的环金属化桥连碳烯配合物可用于具有反转结构的OLED中。本发明的式I的环金属化桥连碳烯配合物可优选在这些反转OLED中又用于发光层中。反转OLED的结构和常用于其中的材料对本领域熟练技术人员是已知的。
上述本发明的式I的环金属化桥连碳烯配合物除了用于OLED中外还可以用作着色剂,其在光辐照时在电磁光谱的可见区发光(光致发光)。
本发明因此进一步提供了上述本发明的式I的环金属化桥连碳烯配合物在聚合物材料整体着色中的用途。
合适的聚合物材料是聚氯乙烯、乙酸纤维素、聚碳酸酯、聚酰胺、聚氨酯、聚酰亚胺、聚苯并咪唑、蜜胺树脂、聚硅氧烷、聚酯、聚醚、聚苯乙烯、聚甲基丙烯酸甲酯、聚乙烯、聚丙烯、聚乙酸乙烯酯、聚丙烯腈、聚丁二烯、聚氯丁二烯、聚异戊二烯以及所列单体的共聚物。
此外,上述本发明的式I的环金属化桥连碳烯配合物可以用于下列应用中:
-本发明的式I的环金属化桥连碳烯配合物作为翁染料或在翁染料中的用途,例如用于对天然材料着色;实例是纸张、木材、稻草、皮革、毛皮或天然纤维材料如棉花、羊毛、丝、黄麻、剑麻、大麻、亚麻或动物毛发(例如马毛)及其转化产品如粘胶纤维、硝化丝或铜氨螺萦。
-本发明的式I的环金属化桥连碳烯配合物作为着色剂的用途,例如用于对油漆、清漆和其他表面涂料组合物、纸张油墨、印刷油墨、其他油墨以及用于绘画和书写目的的着色剂的着色。
-本发明的式I的环金属化桥连碳烯配合物作为着色染料的用途,例如用于对油漆、清漆和其他表面涂料组合物、纸张油墨、印刷油墨、用于绘画和书写目的的油墨和其他着色剂的着色。
-本发明的式I的环金属化桥连碳烯配合物在静电复印中作为颜料的用途:例如用于干式复印系统(Xerox方法)和激光打印机。
-本发明的式I的环金属化桥连碳烯配合物在安全标记目的中的用途,对该目的而言物质的高化学和光化学稳定性以及合适的话还有发光性是重要的。这优选用于检查、检查卡片、支票、联票、文件、识别纸等,其中必需实现特殊的不会弄错的颜色印记。
-本发明的式I的环金属化桥连碳烯配合物作为其他着色剂的添加剂的用途,其中需要实现特殊色调;优选特别亮的着色。
-本发明的式I的环金属化桥连碳烯配合物在制备使用发光而在机器中识别的制品中的用途,优选机器识别用于分类的制品,包括例如用于塑料再循环的制品。
-本发明的式I的环金属化桥连碳烯配合物作为机器可读标记的发光染料的用途;优选字母数字标记或条形码。
-本发明的式I的环金属化桥连碳烯配合物在调节光频率中的用途,例如将短波长光转化成更长波长的可见光。
-本发明的式I的环金属化桥连碳烯配合物在任何种类的显示、信息和标记目的的显示元件中的用途,例如用于无源显示元件、信息信号和交通信号如交通灯。
-本发明的式I的环金属化桥连碳烯配合物在喷墨打印机中的用途,优选作为发光油墨用于均相溶液中。
-本发明的式I的环金属化桥连碳烯配合物作为超导有机材料的原料的用途。
-本发明的式I的环金属化桥连碳烯配合物在固态发光标记中的用途。
-本发明的式I的环金属化桥连碳烯配合物在装饰性目的中的用途。
-本发明的式I的环金属化桥连碳烯配合物在示踪剂目的中的用途,例如用于生物化学、药物、工程和自然科学中。在该用途中,染料可以共价键合于基材上或经由次级价键如氢键或疏水性相互作用(吸附)而键合。
-本发明的式I的环金属化桥连碳烯配合物在高感度检测方法中作为发光染料的用途(参见C.Aubert,J.Fünfschilling,I.Zschocke-和H.Langhals,Z.Analyt.Chem.320(1985)361)。
-本发明的式I的环金属化桥连碳烯配合物在闪烁器件中作为发光染料的用途。
-本发明的式I的环金属化桥连碳烯配合物在光学光聚集系统中作为染料或发光染料的用途。
-本发明的式I的环金属化桥连碳烯配合物在发光太阳能聚光器中作为染料或发光染料的用途(参见Langhals,Nachr.Chem.Tech.Lab.28(1980)716)。
-本发明的式I的环金属化桥连碳烯配合物在发光活化的显示中作为染料或发光染料的用途(参见W.Greubel和G.Baur,Elektronik 26(1977)6)。
-本发明的式I的环金属化桥连碳烯配合物在用于光诱导聚合以生产塑料的冷光源中作为染料或发光染料的用途。
-本发明的式I的环金属化桥连碳烯配合物作为材料测试用染料或发光染料的用途,例如在半导体电路的生产中。
-本发明的式I的环金属化桥连碳烯配合物作为集成半导体组件的微结构研究用染料或发光染料的用途。
-本发明的式I的环金属化桥连碳烯配合物在光电导体中作为染料或发光染料的用途。
-本发明的式I的环金属化桥连碳烯配合物在照相工艺中作为染料或发光染料的用途。
-本发明的式I的环金属化桥连碳烯配合物在显示、照明或图象转换系统中作为染料或发光染料的用途,其中借助电子、离子或UV辐射激发,例如用于发光显示器、Braun管或荧光管中。
-本发明的式I的环金属化桥连碳烯配合物作为染料或发光染料用作集成半导体电路的一部分的用途,其中染料直接使用或与其他半导体结合使用,例如以外延形式。
-本发明的式I的环金属化桥连碳烯配合物在化学发光系统中作为染料或发光染料的用途,例如在化学发光照明棒、发光免疫分析或其他发光检测方法中。
-本发明的式I的环金属化桥连碳烯配合物作为染料或发光染料用作信号着色剂的用途,优选用于题词和图画或其他图形产品的光学强调,用于个性化信号和其中需要实现特殊光学颜色印记的其他制品。
-本发明的式I的环金属化桥连碳烯配合物在染料激光中作为染料或发光染料的用途,优选作为产生激光光束的发光染料。
-本发明的式I的环金属化桥连碳烯配合物作为非线性镜片的活性物质的用途,例如用于激光的频率倍增和频率三倍增。
-本发明的式I的环金属化桥连碳烯配合物作为流变改进剂的用途。
-本发明的式I的环金属化桥连碳烯配合物在将电磁辐射转化成电能的光伏阵列中作为染料的用途。
下列实施例对本发明提供额外说明。
实施例
I)合成方法
具有三唑并菲啶的配体的配合物
合成2-甲基
1-甲基-1,2,4-三唑并[4,3-f]菲啶鎓四氟硼酸盐
将1,2,4-三唑并[4,3-f]菲啶(A.G.Mikhailovskii,V.S.Shklyaev,Chem.Heterocycl.Comp.1992,445)(5.9g,27mmol)在二氯甲烷(200ml)和甲醇(20ml)中的溶液在氩气和2℃下与三甲基氧鎓四氟硼酸盐(4.3g,29mmol)混合,并在2℃下搅拌1小时以及在室温下搅拌16小时。将所得沉淀过滤并用二氯甲烷、甲醇和石油醚洗涤。产率:5.9g(69%)。
1H NMR(d6-DMSO,400MHz):δ=4.39(s,3H),7.84-7.98(m,3H),8.04(td,1H),8.41(dd,1H),8.54(dd,1H),8.83(dd,1H),8.86(dd,1H),11.47(s,1H)。
1-甲基-1,2,4-三唑并[4,3-f]菲啶鎓碘化物
将1-甲基-1,2,4-三唑并[4,3-f]菲啶鎓四氟硼酸盐(4.7g,5.9mmol)在甲醇(80ml)中的悬浮液在氩气下与四丁基碘化铵(6.5g,17.6mmol)混合并在回流下搅拌11小时。在冷却至室温后,将所得沉淀过滤并用甲醇洗涤。产率:4.1g碘化物和四氟硼酸盐(3∶1,83%)的混合物。
元素分析:对C14H13IN3/C14H13BF4N3(3∶1)计算:C 51.44,H 3.46,N 12.00,I 26.36;实测:C 51.4,H 3.5,N 12.0,I 26.3。
经式-三[1-甲基-1,2,4-三唑并[4,3-f]菲啶-5-亚基-C5,C6]铱(III)
将1-甲基-1,2,4-三唑并[4,3-f]菲啶鎓碘化物(4.0g,11.0mmol)和氧化银(I)(1.3g,5.5mmol)在甲醇(200ml)中的悬浮液在氩气和室温下搅拌16小时。将混合物用甲醇(70ml)稀释并再搅拌5小时。将沉淀过滤并用甲醇和石油醚洗涤。产率:4.9g(94%)。将银碳烯(4.8g,5.1mmol)和1,5-环辛二烯铱(I)氯化物二聚体(0.7g,1.1mmol)在1,3,5-三甲基苯(200ml)中的混合物在回流和氩气下搅拌20小时。在冷却至室温之后,将沉淀过滤并用甲苯洗涤。将合并的滤液浓缩至干并通过柱色谱法提纯(氧化铝,4∶1二氯甲烷/甲苯)。产率:1.4g(75%)。
1H NMR(d6-DMSO,400MHz):δ=3.47(s,3H),3.60(s,3H),3.68(s,3H),6.81(d,1H),6.93(d,1H),7.00-7.09(m,5H),7.18(d,1H),7.25(d,1H),7.68-7.76(m,3H),7.81-7.96(m,6H),8.30-8.38(m,3H),8.56-8.64(m,3H)。
合成2-邻甲苯基
N-菲啶-6-基-N’-邻甲苯基肼盐酸盐
将邻甲苯基肼盐酸盐(7.6g,47mmol)在二氯甲烷(450ml)中的溶液通过每次用饱和碳酸氢钠水溶液(每次90ml)和软化水振摇三次而萃取。将有机相经硫酸钠干燥、过滤并浓缩至干。产率:4.9g(86%)。将肼(4.8g,39mmol)溶于乙醇(100ml)并在氩气下与6-氯菲啶(A.G.Mikhailovskii,V.S.Shklyaev,Chem.Heterocycl.Comp.1992,445)(7.0g,33mmol)混合。将混合物在回流下搅拌16小时。在冷却至室温后,将所得沉淀过滤,并用乙醇和石油醚洗涤。产率:9.3g(85%)。
1H NMR(d6-DMSO,400MHz):δ=2.41(s,3H),6.90(t,1H),6.97(d,1H),7.11(t,1H),7.20(d,1H),7.60(t,1H),7.74(t,1H),7.92(t,1H),8.16(t,1H),8.24(d,1H),8.30(br s,1H),8.71(d,1H),8.88(d,1H),8.89(d,1H),12.23(br s,1H),13.02(br s,1H)。
1-邻甲苯基-1,2,4-三唑并[4,3-f]菲啶鎓氯化物
将N-菲啶-6-基-N’-邻甲苯基肼盐酸盐(9.0g,27mmol)在原甲酸三乙酯(360ml)中的悬浮液在回流和氩气下搅拌17小时。在冷却至室温之后,将沉淀过滤并用原甲酸三乙酯和冷丙酮洗涤。产率:8.2g(88%)。
1H NMR(d6-DMSO,400MHz):δ=2.47(s,3H),7.56-7.73(m,3H),7.81(d,1H),7.90-8.02(m,3H),8.09(t,1H),8.63(d,1H),8.70(d,1H),8.90(d,1H),8.93(d,1H),12.22(s,1H)。
经式-三[1-邻甲苯基-1,2,4-三唑并[4,3-f]菲啶-5-亚基-C5,C6]铱(III)
将1-邻甲苯基-1,2,4-三唑并[4,3-f]菲啶鎓氯化物(10.0g,28.8mmol)和氧化银(I)(3.3g,14.4mmol)在甲醇(1200ml)中的悬浮液在氩气和室温下搅拌44小时。将沉淀过滤并用甲醇和石油醚洗涤。产率:10.5g(80%)。将银碳烯(10.5g,11.6mmol)和1,5-环辛二烯铱(I)氯化物二聚体(1.6g,2.3mmol在1,3,5-三甲基苯(420ml)中的混合物在回流和氩气下搅拌16小时。在冷却至室温之后,将沉淀过滤并用二氯甲烷洗涤。将合并的滤液浓缩至干并通过柱色谱法(氧化铝,1∶1二氯甲烷/环己烷)提纯残留物。产率:1.6g(25%)面式-异构体和1.5g(25%)经式异构体。
面式-异构体:1H NMR(CD2Cl2,400MHz):δ=1.51(s,9H),6.47(brs,3H),6.65(mc,6H),6.73(d,3H),6.94(dd,3H),7.01(dd,3H),7.59(dd,3H),7.76(d,3H),7.80(dd,3H),8.23(d,3H),8.45(d,3H)。经式-异构体:1H NMR(CD2Cl2,400MHz):δ=1.02(s,3H),1.51(s,3H),1.71(s,3H),5.85(br s,1H),6.22(br s,1H),6.29(d,1H),6.44(br s,1H),6.52-6.74(m,7H),6.80(dd,1H),6.82(dd,1H),7.00-7.14(m,3H),7.31(br s,1H),7.40(d,1H),7.49(d,1H),7.56(dd,1H),7.58(dd,1H),7.64(dd,1H),7.69-7.84(m,5H),8.28-8.43(m,6H)。
合成2-苯基
N-菲啶-6-基-N’-苯基肼盐酸盐
将苯基肼(1.3g,12mmol)溶于乙醇(50ml)并在氩气下与6-氯菲啶(A.G.Mikhailovskii,V.S.Shklyaev,Chem.Heterocycl.Comp.1992,445)(2.1g,10mmol)混合。将混合物在回流下搅拌16小时。在冷却至室温之后,将混合物浓缩并将所得沉淀过滤并用甲基叔丁基醚洗涤。产率2.6g(82%)。
1H NMR(d6-DMSO,400MHz):δ=6.95(t,1H),7.10(d,2H),7.29(t,2H),7.55(br s,1H),7.69(br t,1H),7.88(br t,1H),8.11(br s,1H),8.17(br s,1H),8.65(br s,1H),8.84(br s,2H),8.99(br s,1H),12.30(br s,1H),13.05(br s,1H)。
1-苯基-1,2,4-三唑并[4,3-f]菲啶鎓氯化物
将N-菲啶-6-基-N’-苯基肼盐酸盐(2.0g,6.2mmol)在原甲酸三乙酯(100ml)中的悬浮液在回流和氩气下搅拌17小时。在冷却至室温之后,将混合物浓缩并将沉淀过滤以及用石油醚、甲基叔丁基醚和丙酮洗涤。产率:1.2g(57%)。
1H NMR(d6-DMSO,400MHz):δ=7.74(t,1H),7.82(t,2H),7.88-8.01(m,3H),8.08(t,1H),8.31(d,2H),8.68(d,1H),8.80(d,1H),8.86(d,1H),8.88(d,1H),12.62(s,1H)。
经式-三[1-苯基-1,2,4-三唑并[4,3-f]菲啶-5-亚基-C5,C6]铱(III)
将1-苯基-1,2,4-三唑并[4,3-f]菲啶鎓氯化物(1.18g,3.6mmol)和氧化银(I)(0.42g,1.8mmol)在甲醇(200ml)中的悬浮液在氩气和室温下搅拌32小时。将沉淀过滤并用甲醇洗涤。产率:1.24g(78%)。将银碳烯(1.24g,1.4mmol)和1,5-环辛二烯铱(I)氯化物二聚体(0.19g,0.3mmol)在1,3,5-三甲基苯(100ml)中的混合物在回流和氩气下搅拌16小时。在冷却至室温之后,将沉淀过滤并用乙酸乙酯洗涤。将合并的滤液浓缩至干并将残留物通过柱色谱法(硅胶,1∶1乙酸乙酯/环己烷)提纯。产率:0.03g(5%)面式-异构体,0.01g(2%)经式-异构体和0.34g(57%)异构体混合物。
面式-异构体:1H NMR(CD2Cl2,400MHz):δ=6.16(d,6H),6.88(d,3H),6.93(dd,6H),7.11(dd,3H),7.26(dd,3H),7.63(dd,3H),7.80(dd,3H),7.87(d,3H),8.35(d,3H),8.49(d,3H)。ESI-MS:m/z=1074.2786(计算,对于M+H+:1074.2778)。经式-异构体:1H NMR(CD2Cl2,400MHz):δ=6.29-6.37(m,2H),6.44(d,1H),6.47(dd,1H),6.54(dd,2H),6.66(d,1H),6.78(dd,1H),6.95(dd,2H),7.00-7.23(m,9H),7.55-7.79(m,8H),7.84(d,1H),8.15(d,1H),8.29(d,1H),8.34(d,1H),8.39(d,1H),8.43(dd,2H),8.55(d,1H),8.98(d,1H)。
合成2-异丙基
类似于合成2-甲基由1,2,4-三唑并[4,3-f]菲啶(A.G.Mikhailovskii,V.S.Shklyaev,Chem.Heterocycl.Comp.1992,445)制备配合物2-异丙基。
ESI-MS:m/z=973(计算,对于M+H+:973)。
合成2-对吡啶基
类似于合成2-苯基由氯菲啶(A.G.Mikhailovskii,V.S.Shklyaev,Chem.Heterocycl.Comp.1992,445)和4-肼基吡啶(E.M.Isin,M.Jonge,N.Castagnoli,J.Org.Chem.2001,66,4220)制备配合物2-对吡啶基。
2-对吡啶基:ESI-MS:m/z=1078(计算,对于M+H+:1078)。
II)光物理表征
发光配合物的光致发光在具有2%的发光体掺杂的PMMA(聚甲基丙烯酸甲酯)薄膜中进行。该膜如下制备:将2mg/l发光体溶于10%的PMMA二氯甲烷溶液(Mw 120kD)中并用60μm的刮刀施加于显微镜载玻片上。激发在325nm波长(HeCd激光器)下以与显微镜用载玻片成直角进行,并且借助纤维光学在二极管阵列光谱仪中以45°角测定发射。
| 配合物 | λmax[nm] | QA[%] | CIE x | CIE y |
| 2-甲基(经式-异构体) | 448,481 | 45 | 0.15 | 0.18 |
| 2-苯基(面式-异构体) | 448,475 | 45 | 0.15 | 0.17 |
| 2-苯基(经式-异构体) | 452,478 | 65 | 0.15 | 0.18 |
| 2-邻甲苯基(面式-异构体) | 445,473 | 71 | 0.15 | 0.15 |
| 2-邻甲苯基(经式-异构体) | 449,475 | 49 | 0.15 | 0.18 |
III)OLED器件测试
III.1)发光层:式I化合物+甲硅烷基咔唑
用作阳极的ITO基材首先用LCD生产用市售洗涤剂(20NS和25ORGAN-中和剂)清洁,然后在超声浴中在丙酮/异丙醇混合物中清洁。为了除去可能的有机残余物,再在臭氧箱中将基材暴露于连续的臭氧流25分钟。该处理也改善了该ITO的空穴注入性能。
然后通过在0.5-5.0nm/min的速率和约10-8毫巴下的气相沉积将下述有机材料施用于已清洁的基材上。作为空穴导体和激子阻挡剂,首先将化合物V1以45nm的层厚施用于基材上:
(对于化合物V1的制备,参见WO 2005/019373中的Ir配合物(7)。)
随后,通过气相沉积以40nm的厚度施加6.5重量%化合物2-甲基:
和93.5重量%化合物V2:
的混合物。(对于化合物V2的制备,参见申请EP 07 111 824.4中的实施例(4b),该申请在本申请的优先权日还未出版(标题:“包含至少一种选自二甲硅烷基咔唑、二甲硅烷基二苯并呋喃、二甲硅烷基二苯并噻吩、二甲硅烷基二苯并磷杂环戊二烯、二甲硅烷基二苯并噻吩S-氧化物和二甲硅烷基二苯并噻吩S,S-二氧化物的二甲硅烷基化合物的有机发光二极管”),其中2-甲基作为发光体和V2作为基质材料。然后,通过气相沉积以10nm的厚度施加包含V2的激子阻挡层。
然后,通过气相沉积以45nm的厚度施加包含BCP(2,9-二甲基-4,7-二苯基-1,10-菲咯啉)的电子输送层,然后施加0.7nm厚的氟化锂层,最后施加100nm厚的Al电极。
为表征OLED,记录了在各种电流和电压下的电致发光光谱。此外,结合发射光的输出而测量特征电流-电压。光输出可通过光度计的校准而转化为光度参数。为测定寿命,在恒定的电流密度下操作OLED并记录光输出的降低。寿命定义为亮度降低至起始亮度一半时所需的时间。
对于所述OLED,得到下列电光数据:
| 最大发射 | 452,479nm |
| CIE(x,y) | 0.15;0.18 |
| 光度效率 | 13.4cd/A(最大) |
| 外部量子产率 | 7.2%(最大) |
| 最大亮度 | 1300cd/m2(最大) |
III.2)发光层:式I化合物+Ir(dpbic)3
用作阳极的ITO基材首先用LCD生产用市售洗涤剂(20NS和25ORGAN-中和剂)清洁,然后在超声浴中在丙酮/异丙醇混合物中清洁。为了除去可能的有机残余物,再在臭氧箱中将基材暴露于连续的臭氧流25分钟。该处理也改善了该ITO的空穴注入性能。
然后通过在0.5-5.0nm/min的速率和约10-8毫巴下的气相沉积将下述有机材料施用于已清洁的基材上。施加至基材上的空穴导体和激子阻挡剂为以45nm的厚度的Ir(dpbic)3:
(对于制备参见申请WO 2005/019373中的Ir配合物(7))。
随后,通过气相沉积以40nm的厚度施加7重量%化合物2-R:
和93重量%化合物Ir(dpbic)3的混合物,前一化合物用作发光体,后一化合物用作基质材料。
随后,通过气相沉积以10nm的厚度施加材料9-苯基-3,6-二(三苯基甲硅烷基)9-H咔唑作为激子和空穴阻挡剂:
9-苯基-3,6-二(三苯基甲硅烷基)9-H咔唑。
随后,通过气相沉积以45nm的厚度施加电子输送剂BCP(2,9-二甲基-4,7-二苯基-1,10-菲咯啉),然后施加0.75nm厚的氟化锂层,最后施加110nm厚的Al电极。
为表征OLED,记录了在各种电流和电压下的电致发光光谱。此外,结合发射光的输出而测量特征电流-电压。光输出可通过光度计的校准而转化为光度参数。
对于所述OLED,得到下列电光数据:
Claims (14)
1.一种通式(I)的环金属化碳烯配合物:
其中符号各自如下所定义:
M为选自元素周期表(CAS版)第IB、IIB、IIIB、IVB、VB、VIB、VIIB、VIIIB族,镧系元素和第IIIA族金属的金属原子,它们处于合适金属原子可能的任何氧化态;优选Fe、Os、Co、Rh、Ir、Ni、Ru、Pd和Pt、Cu、Au、Ce、Tb、Eu,更优选Os、Ru、Rh、Ir和Pt,最优选Ir、Os和Pt;
K为不带电荷的单齿或双齿配体;
L为单阴离子或双阴离子配体,优选单阴离子配体,其可以是单齿或双齿的;
X为CR1或N,优选N;
Y为NR2或CR2 2;
A、D、G、E、A’、D’、G’和E’各自独立地为CH、CR3或N;
R1为F、CN、C1-C20烷氧基、C6-C30芳氧基、C1-C20烷硫基、C6-C30芳硫基、取代或未取代的C6-C30芳基或具有5-30个环原子的取代或未取代的杂芳基;
R2、R3各自独立地为取代或未取代的C1-C20烷基、取代或未取代的C5-C20环烷基、取代或未取代的C5-C20环烯基、具有5-30个环原子的取代或未取代的杂环烷基、具有5-30个环原子的取代或未取代的杂环烯基、取代或未取代的C2-C20链烯基、取代或未取代的C2-C20炔基、取代或未取代的C6-C30芳基、具有5-30个环原子的取代或未取代的杂芳基或选自如下的具有给体或受体作用的取代基:C1-C20烷氧基、C6-C30芳氧基、C1-C20烷硫基、C6-C30芳硫基、SiR4R5R6、卤素基团、卤代C1-C20烷基、羰基(-CO(R4))、羰硫基(-C=O(SR4))、羰氧基(-C=O(OR4))、氧羰基(-OC=O(R4))、硫羰基(-SC=O(R4))、氨基(-NR4R5)、OH、拟卤素基团、酰胺基(-C=O(NR4R5))、-NR4C=O(R5)、膦酸根(-P(O)(OR4)2)、磷酸根(-OP(O)(OR4)2)、膦(-PR4R5)、氧化膦(-P(O)R4 2)、硫酸根(-OS(O)2OR4)、亚砜(-S(O)R4)、磺酸根(-S(O)2OR4)、磺酰基(-S(O)2R4)、磺酰胺(-S(O)2NR4R5)、NO2、有机硼酸酯(-B(OR4)2)、亚氨基(-C=NR4R5)、硼烷基团、锡烷基团、肼基、腙基、肟基、亚硝基、重氮基、乙烯基、亚砜亚胺、铝烷、锗烷、环硼氧烷和环硼氮烷;
或
两个相邻R3基团一起形成饱和或不饱和、取代或未取代的包含3-6个原子的桥,以使R3基团与单元A=D、D-E、A’=D’、D’-E’、E’=G’之一一起形成5-8元环;
或
位于G’和A位置的R3基团一起形成饱和或不饱和、取代或未取代的包含1-4个原子的桥,以使R3基团与单元-G’-C-C-A-一起形成5-8元环;R4、R5、R6各自独立地为H、取代或未取代的C1-C20烷基或取代或未取代的C6-C30芳基或具有5-30个环原子的取代或未取代的杂芳基;
n为碳烯配体的数目,其中n至少为1,并且当n>1时,式I配合物中的碳烯配体可以相同或不同;
m是配体K的数目,其中m可以为0或≥1,并且当m>1时,配体K可以相同或不同;
o是配体L的数量,其中o可以为0或≥1,并且当o>1时,配体L可以相同或不同;
其中n+m+o之和取决于所用金属原子的氧化态和配位数,取决于配体L和K的齿数以及取决于配体L上的电荷,条件是n至少为1。
2.根据权利要求1的碳烯配合物,其中:
M为Ir(III),
n为3,和
m、o各自为0。
3.根据权利要求1或2的碳烯配合物,其中
R1、R2和R3各自独立地选自取代或未取代的C1-C20烷基、取代或未取代的C2-C20链烯基、取代或未取代的C2-C20炔基、取代或未取代的C6-C30芳基、具有5-30个环原子的取代或未取代的杂芳基、C1-C20烷氧基、C6-C30芳氧基、C1-C20烷硫基、C6-C30芳硫基、SiR4R5R6、卤素基团、卤代C1-C20烷基和拟卤素基团;更优选R2和R3各自独立地选自取代或未取代的C1-C20烷基,优选C1-C4烷基,更优选甲基、乙基、正丙基、异丙基、正丁基、异丁基、仲丁基或叔丁基、取代或未取代的C6-C30芳基,优选取代或未取代的苯基,更优选未取代的苯基、甲苯基、二甲基苯基、三甲基苯基、F-、CN-、甲氧基-和/或CF3-取代的苯基,具有5-30个环原子的取代或未取代的杂芳基,优选取代或未取代的具有5-13个环原子的杂芳基,更优选吡啶基、噻吩基、吡咯基、呋喃基、噻唑基、噁唑基、吡唑基或咪唑基,C1-C20烷氧基,优选C1-C4烷氧基,更优选甲氧基、C6-C30芳氧基,优选C6-C10芳氧基,更优选苯氧基、C1-C20烷硫基,优选C1-C4烷硫基,更优选SCH3、C6-C30芳硫基,优选C6-C10芳硫基,更优选SPh、SiR4R5R6,优选SiMe3或SiPh3、卤素基团,优选F、Cl、Br,更优选F、卤代C1-C20烷基,优选卤代C1-C10烷基,更优选CF3,和拟卤素基团,优选CN;
或
两个相邻R3基团一起形成饱和或不饱和的,甲基-、甲氧基-、苯基-、SiMe3-、SiPh3-、F-、CF3-或CN-取代或未取代的,包含3或4个碳原子的桥,以使R3基团与单元A=D、D-E、A’=D’、D’-E’、E’=G’之一一起形成5或6环;
或
在G’和A位置的R3基团一起形成饱和或不饱和的,甲基-、甲氧基-、苯基-、SiMe3-、SiPh3-、F-、CF3-或CN-取代或未取代的,包含1或2个碳原子的桥,以使R3基团与单元-G’-C-C-A-一起形成5或6元环。
4.根据权利要求1-3中任一项的碳烯配合物,其中
R2选自取代或未取代的C1-C20烷基,其在1-位支化,优选异丙基、异丁基、异戊基、仲丁基或叔丁基;取代或未取代的C6芳基,优选未取代的苯基或在2-和/或6-位被取代的苯基,优选被甲基、甲氧基、CF3、CN和/或F取代;更优选2-甲苯基、2-甲氧基苯基、2-氰基苯基、2-三氟甲基苯基、2,6-二氟苯基,2,3-、2,4-、2,5-或2,6-二甲基苯基或2,4,6-、2,3,4-或2,3,5-三甲基苯基;取代或未取代的具有5-13个环原子的杂芳基,优选吡啶-2-基、吡啶-3-基、吡啶-4-基、噻吩-2-基、噻吩-3-基、吡咯-2-基、吡咯-3-基、呋喃-2-基、呋喃-3-基、噻唑-2-基、噁唑-2-基、吡唑-3-基或咪唑-2-基和相应的苯并稠合基团。
5.根据权利要求1-4中任一项的碳烯配合物,其中
X为N,和
Y为NR2。
6.根据权利要求1-5中任一项的碳烯配合物,其中
A、D、G、E、A’、D’、G’和E’各自为CH或CR3,优选CH。
7.根据权利要求1-6中任一项的碳烯配合物,其选自:
其中:
A、D、G、E、A’、D’、G’和E’各自独立地为CH、CR3或N,优选CH或CR3,更优选CH;
R2、R3各自独立地为取代或未取代的C1-C20烷基、取代或未取代的C5-C20环烷基、取代或未取代的C5-C20环烯基、具有5-30个环原子的取代或未取代的杂环烷基、具有5-30个环原子的取代或未取代的杂环烯基、取代或未取代的C2-C20链烯基、取代或未取代的C2-C20炔基、取代或未取代的C6-C30芳基、具有5-30个环原子的取代或未取代的杂芳基或选自如下的具有给体或受体作用的取代基:C1-C20烷氧基、C6-C30芳氧基、C1-C20烷硫基、C6-C30芳硫基、SiR4R5R6、卤素基团、卤代C1-C20烷基、羰基(-CO(R4))、羰硫基(-C=O(SR4))、羰氧基(-C=O(OR4))、氧羰基(-OC=O(R4))、硫羰基(-SC=O(R4))、氨基(-NR4R5)、OH、拟卤素基团、酰胺基(-C=O(NR4R5))、-NR4C=O(R5)、膦酸根(-P(O)(OR4))2、磷酸根(-OP(O)(OR4)2)、膦(-PR4R5)、氧化膦(-P(O)R4 2)、硫酸根(-OS(O)2OR4)、亚砜(-S(O)R4)、磺酸根(-S(O)2OR4)、磺酰基(-S(O)2R4)、磺酰胺(-S(O)2NR4R5)、NO2、有机硼酸酯(-B(OR4)2)、亚氨基(-C=NR4R5)、硼烷基团、锡烷基团、肼基、腙基、肟基、亚硝基、重氮基、乙烯基、亚砜亚胺、铝烷、锗烷、环硼氧烷和环硼氮烷;
或
两个相邻R3基团一起形成饱和或不饱和、取代或未取代的包含3-6个原子的桥,以使R3基团与单元A=D、D-E、A’=D’、D’-E’、E’=G’之一一起形成5-8元环;
或
位于G’和A位置的R3基团一起形成饱和或不饱和、取代或未取代的包含1-4个原子的桥,以使R3基团与单元-G’-C-C-A-一起形成5-8元环;
其中R2优选选自取代或未取代的C1-C20烷基,其在1-位支化,优选异丙基、异丁基、异戊基、仲丁基或叔丁基;取代或未取代的C6芳基,优选未取代的苯基或在2-和/或6-位被取代的苯基,优选被甲基、甲氧基、CF3、CN和/或F取代;更优选2-甲苯基、2-甲氧基苯基、2-氰基苯基、2-三氟甲基苯基、2,6-二氟苯基,2,3-、2,4-、2,5-或2,6-二甲基苯基或2,4,6-、2,3,4-或2,3,5-三甲基苯基;取代或未取代的具有5-13个环原子的杂芳基,优选吡啶-2-基、吡啶-3-基、吡啶-4-基、噻吩-2-基、噻吩-3-基、吡咯-2-基、吡咯-3-基、呋喃-2-基、呋喃-3-基、噻唑-2-基、噁唑-2-基、吡唑-3-基或咪唑-2-基和相应的苯并稠合基团;
R4、R5、R6各自独立地为H、取代或未取代的C1-C20烷基或取代或未取代的C6-C30芳基,或具有5-30个环原子的取代或未取代的杂芳基;
Y为CR2 2;
M为Ir、Os或Pt;优选Ir(III)、Os(II)或Pt(II),更优选Ir(III);
K为不带电荷的双齿配体;
L为单阴离子双齿配体;
n为碳烯配体数目,其中在Ir的情况下n为3,在Os的情况下n为2,在Pt情况下n为1或2,并且在式Ia、Ib、Ic和Id的配合物中的碳烯配体可以相同或不同;
在M=Ir或Pt的情况下m为0,在Os的情况下,m为1;
在M=Ir或Os的情况下以及在Pt且n=2的情况下o为0,在Pt的情况下且在n=1的情况下0为1。
8.一种制备根据权利要求1-7中任一项的碳烯配合物的方法,包括:
使至少一种式(III)的配体前体与包含至少一种金属M的金属配合物反应:
其中
Q-为单阴离子抗衡离子,优选卤离子,拟卤离子,BF4 -,BPh4 -,PF6 -,AsF6 -或SbF6 -;
和
在通式III的配体前体中的其它符号各自如下所定义:
X为CR1或N,优选N;
Y为NR2或CR2 2;
A、D、G、E、A’、D’、G’或E’各自独立地为CH、CR3或N;
R1为F、CN、C1-C20烷氧基、C6-C30芳氧基、C1-C20烷硫基、C6-C30芳硫基、取代或未取代的C6-C30芳基或具有5-30个环原子的取代或未取代的杂芳基;
R2、R3各自独立地为取代或未取代的C1-C20烷基、取代或未取代的C5-C20环烷基、取代或未取代的C5-C20环烯基、具有5-30个环原子的取代或未取代的杂环烷基、具有5-30个环原子的取代或未取代的杂环烯基、取代或未取代的C2-C20链烯基、取代或未取代的C2-C20炔基、取代或未取代的C6-C30芳基、具有5-30个环原子的取代或未取代的杂芳基或选自如下的具有给体或受体作用的取代基:C1-C20烷氧基、C6-C30芳氧基、C1-C20烷硫基、C6-C30芳硫基、SiR4R5R6、卤素基团、卤代C1-C20烷基、羰基(-CO(R4))、羰硫基(-C=O(SR4))、羰氧基(-C=O(OR4))、氧羰基(-OC=O(R4))、硫羰基(-SC=O(R4))、氨基(-NR4R5)、OH、拟卤素基团、酰胺基(-C=O(NR4R5))、-NR4C=O(R5)、膦酸根(-P(O)(OR4)2)、磷酸根(-OP(O)(OR4)2)、膦(-PR4R5)、氧化膦(-P(O)R4 2)、硫酸根(-OS(O)2OR4)、亚砜(-S(O)R4)、磺酸根(-S(O)2OR4)、磺酰基(-S(O)2R4)、磺酰胺(-S(O)2NR4R5)、NO2、有机硼酸酯(-B(OR4)2)、亚氨基(-C=NR4R5)、硼烷基团、锡烷基团、肼基、腙基、肟基、亚硝基、重氮基、乙烯基、亚砜亚胺、铝烷、锗烷、环硼氧烷和环硼氮烷;
或
两个相邻R3基团一起形成饱和或不饱和、取代或未取代的包含3-6个原子的桥,以使R3基团与单元A=D、D-E、A’=D’、D’-E’、E’=G’之一一起形成5-8元环;
或
位于G’和A位置的R3基团一起形成饱和或不饱和、取代或未取代的包含1-4个原子的桥,以使R3基团与单元-G’-C-C-A-一起形成5-8元环;
和
R4、R5、R6各自独立地为H、取代或未取代的C1-C20烷基或取代或未取代的C6-C30芳基或具有5-30个环原子的取代或未取代的杂芳基;
其中M如下所定义:
M为选自元素周期表(CAS版)第IB、IIB、IIIB、IVB、VB、VIB、VIIB、VIIIB族,镧系元素和第IIIA族金属的金属原子,它们处于合适金属原子可能的任何氧化态;优选Fe、Os、Co、Rh、Ir、Ni、Ru、Pd和Pt、Cu、Au、Ce、Tb、Eu,更优选Os、Ru、Rh、Ir和Pt,最优选Ir、Os和Pt。
9.根据权利要求8的方法,其中所用金属M为Ir、Os或Pt。
10.根据权利要求1-7中任一项的碳烯配合物或根据权利要求8或9制备的碳烯配合物在有机发光二极管中,优选作为发光体材料、基质材料、电荷阻挡材料和/或电荷传输材料,更优选作为发光体材料,最优选作为蓝光发光体的用途。
11.一种包含至少一种根据权利要求1-7中任一项的碳烯配合物或根据权利要求8或9制备的碳烯配合物的有机发光二极管。
12.一种包含至少一种根据权利要求1-7中任一项的碳烯配合物或根据权利要求8或9制备的碳烯配合物的发光层。
13.一种包含至少一种根据权利要求12的发光层的有机发光二极管。
14.一种包含至少一种根据权利要求11或13的有机发光二极管的选自如下的器件:静止可视显示单元如计算机、电视的可视显示单元,打印机、厨房用具和广告板、照明、信息板中的可视显示单元以及移动可视显示单元如移动电话、便携式电脑、数码相机、车辆以及公共汽车和火车中的目的地显示中的可视显示单元,以及照明装置。
Applications Claiming Priority (5)
| Application Number | Priority Date | Filing Date | Title |
|---|---|---|---|
| EP07118675 | 2007-10-17 | ||
| EP07118675.3 | 2007-10-17 | ||
| EP08153303 | 2008-03-26 | ||
| EP08153303.6 | 2008-03-26 | ||
| PCT/EP2008/064064 WO2009050281A1 (de) | 2007-10-17 | 2008-10-17 | Übergangsmetallkomplexe mit verbrückten carbenliganden und deren verwendung in oleds |
Publications (2)
| Publication Number | Publication Date |
|---|---|
| CN101896493A true CN101896493A (zh) | 2010-11-24 |
| CN101896493B CN101896493B (zh) | 2015-04-08 |
Family
ID=40206483
Family Applications (1)
| Application Number | Title | Priority Date | Filing Date |
|---|---|---|---|
| CN200880120186.7A Active CN101896493B (zh) | 2007-10-17 | 2008-10-17 | 具有桥连碳烯配体的过渡金属配合物及其在oled中的用途 |
Country Status (7)
| Country | Link |
|---|---|
| US (1) | US8258297B2 (zh) |
| EP (1) | EP2205615B1 (zh) |
| JP (1) | JP5615178B2 (zh) |
| KR (1) | KR101612135B1 (zh) |
| CN (1) | CN101896493B (zh) |
| AT (1) | ATE554095T1 (zh) |
| WO (1) | WO2009050281A1 (zh) |
Cited By (7)
| Publication number | Priority date | Publication date | Assignee | Title |
|---|---|---|---|---|
| CN104945400A (zh) * | 2014-03-31 | 2015-09-30 | 联邦科学和工业研究组织 | 用于磷光性二氮杂硼杂环戊二烯金属配合物的苯二胺化合物 |
| CN109762019A (zh) * | 2019-02-22 | 2019-05-17 | 台州泰捷化工科技有限公司 | 一种具有抗肿瘤活性的炔基膦酸双苄基锡配合物 |
| WO2020088187A1 (zh) * | 2018-11-02 | 2020-05-07 | 广州华睿光电材料有限公司 | 有机金属配合物、包含其的高聚物、混合物、组合物及有机电子器件 |
| WO2020088186A1 (zh) * | 2018-11-02 | 2020-05-07 | 广州华睿光电材料有限公司 | 有机金属配合物、包含其的高聚物、混合物、组合物及有机电子器件 |
| CN111134359A (zh) * | 2019-12-25 | 2020-05-12 | 云南中烟工业有限责任公司 | 一种天然氮-硫杂环化合物在降低卷烟烟气重金属中的应用 |
| CN111278842A (zh) * | 2017-12-28 | 2020-06-12 | 广州华睿光电材料有限公司 | 一种有机金属配合物,包含其的聚合物、混合物和组合物,及其在电子器件中的应用 |
| CN111668392A (zh) * | 2015-06-03 | 2020-09-15 | Udc 爱尔兰有限责任公司 | 具有极短衰减时间的高效oled装置 |
Families Citing this family (132)
| Publication number | Priority date | Publication date | Assignee | Title |
|---|---|---|---|---|
| KR101600624B1 (ko) * | 2006-02-10 | 2016-03-21 | 유니버셜 디스플레이 코포레이션 | 시클로금속화 이미다조[1,2-f]페난트리딘 및디이미다조[1,2-a:1',2'-c]퀴나졸린 리간드, 및 이의등전자성 및 벤즈고리화된 유사체의 금속 착체 |
| JP2011500648A (ja) * | 2007-10-17 | 2011-01-06 | ビーエーエスエフ ソシエタス・ヨーロピア | 架橋カルベンリガンドを有する遷移金属錯体およびoledにおけるその使用 |
| KR101986469B1 (ko) | 2009-10-28 | 2019-06-05 | 유디씨 아일랜드 리미티드 | 이종 리간드 카르벤 착체 및 유기 전자장치에서의 이의 용도 |
| JP2013200939A (ja) | 2010-06-08 | 2013-10-03 | Idemitsu Kosan Co Ltd | 有機エレクトロルミネッセンス素子 |
| JP2013201153A (ja) | 2010-06-08 | 2013-10-03 | Idemitsu Kosan Co Ltd | 有機エレクトロルミネッセンス素子 |
| US9067919B2 (en) | 2010-07-08 | 2015-06-30 | Basf Se | Use of dibenzofurans and dibenzothiophenes substituted by nitrogen-bonded five-membered heterocyclic rings in organic electronics |
| WO2012017842A1 (en) * | 2010-08-02 | 2012-02-09 | Semiconductor Energy Laboratory Co., Ltd. | Triazole derivative, heterocyclic compound, light-emitting element, light-emitting device, electronic device and lighting device |
| US9806270B2 (en) | 2011-03-25 | 2017-10-31 | Udc Ireland Limited | 4H-imidazo[1,2-a]imidazoles for electronic applications |
| CN114315840A (zh) | 2011-03-25 | 2022-04-12 | Udc 爱尔兰有限责任公司 | 用于电子应用的4H-咪唑并[1,2-a]咪唑 |
| CN108299439B (zh) | 2011-11-10 | 2021-02-09 | Udc 爱尔兰有限责任公司 | 用于电子应用的4H-咪唑并[1,2-a]咪唑 |
| CN108191870A (zh) | 2012-07-10 | 2018-06-22 | Udc 爱尔兰有限责任公司 | 用于电子应用的苯并咪唑并[1,2-a]苯并咪唑衍生物 |
| EP2882764B1 (en) | 2012-08-02 | 2017-03-01 | Roche Diagnostics GmbH | New iridium-based complexes for ecl |
| EP2880042B1 (en) | 2012-08-02 | 2017-02-01 | Roche Diagnostics GmbH | New iridium-based complexes for ecl |
| WO2014019709A2 (en) | 2012-08-02 | 2014-02-06 | Roche Diagnostics Gmbh | New iridium-based complexes for ecl |
| CA2879089C (en) | 2012-08-02 | 2019-11-12 | F. Hoffmann-La Roche Ag | Iridium-based complexes for ecl |
| CA2879093C (en) | 2012-08-02 | 2020-10-20 | F. Hoffmann-La Roche Ag | Bis-iridium-complexes for manufacturing of ecl-labels |
| CN104662023B (zh) | 2012-09-20 | 2017-08-18 | Udc 爱尔兰有限责任公司 | 供电子应用的氮杂二苯并呋喃 |
| US10374172B2 (en) | 2013-03-20 | 2019-08-06 | Udc Ireland Limited | Azabenzimidazole carbene complexes as efficiency booster in OLEDs |
| WO2014156922A1 (ja) | 2013-03-29 | 2014-10-02 | コニカミノルタ株式会社 | 異性体混合金属錯体組成物、有機エレクトロルミネッセンス素子、照明装置及び表示装置 |
| JP6506272B2 (ja) | 2013-07-02 | 2019-04-24 | ユー・ディー・シー アイルランド リミテッド | 有機発光ダイオードにおいて使用するための一置換されたジアザベンゾイミダゾールカルベン金属錯体 |
| JP6486353B2 (ja) | 2013-07-31 | 2019-03-20 | ユー・ディー・シー アイルランド リミテッド | 発光性ジアザベンゾイミダゾールカルベン金属錯体 |
| EP3063153B1 (en) | 2013-10-31 | 2018-03-07 | Idemitsu Kosan Co., Ltd. | Azadibenzothiophenes for electronic applications |
| WO2015091716A1 (en) | 2013-12-20 | 2015-06-25 | Basf Se | Highly efficient oled devices with very short decay times |
| CN106661068A (zh) | 2014-03-31 | 2017-05-10 | Udc 爱尔兰有限责任公司 | 包含具有o‑取代非环金属化芳基的碳烯配位体的金属络合物和其在有机发光二极管中的用途 |
| EP3174885B1 (en) | 2014-07-28 | 2019-10-02 | Idemitsu Kosan Co., Ltd. | 2,9-functionalized benzimidazolo[1,2-a]benzimidazoles as hosts for organic light emitting diodes (oleds) |
| EP2982676B1 (en) | 2014-08-07 | 2018-04-11 | Idemitsu Kosan Co., Ltd. | Benzimidazo[2,1-B]benzoxazoles for electronic applications |
| EP2993215B1 (en) | 2014-09-04 | 2019-06-19 | Idemitsu Kosan Co., Ltd. | Azabenzimidazo[2,1-a]benzimidazoles for electronic applications |
| EP3015469B1 (en) | 2014-10-30 | 2018-12-19 | Idemitsu Kosan Co., Ltd. | 5-(benzimidazol-2-yl)benzimidazo[1,2-a]benzimidazoles for electronic applications |
| WO2016079667A1 (en) | 2014-11-17 | 2016-05-26 | Idemitsu Kosan Co., Ltd. | Indole derivatives for electronic applications |
| EP3034506A1 (en) | 2014-12-15 | 2016-06-22 | Idemitsu Kosan Co., Ltd | 4-functionalized carbazole derivatives for electronic applications |
| EP3034507A1 (en) | 2014-12-15 | 2016-06-22 | Idemitsu Kosan Co., Ltd | 1-functionalized dibenzofurans and dibenzothiophenes for organic light emitting diodes (OLEDs) |
| EP3053918B1 (en) | 2015-02-06 | 2018-04-11 | Idemitsu Kosan Co., Ltd. | 2-carbazole substituted benzimidazoles for electronic applications |
| EP3054498B1 (en) | 2015-02-06 | 2017-09-20 | Idemitsu Kosan Co., Ltd. | Bisimidazodiazocines |
| US9929361B2 (en) | 2015-02-16 | 2018-03-27 | Universal Display Corporation | Organic electroluminescent materials and devices |
| EP3061759B1 (en) | 2015-02-24 | 2019-12-25 | Idemitsu Kosan Co., Ltd | Nitrile substituted dibenzofurans |
| US11056657B2 (en) | 2015-02-27 | 2021-07-06 | University Display Corporation | Organic electroluminescent materials and devices |
| EP3070144B1 (en) | 2015-03-17 | 2018-02-28 | Idemitsu Kosan Co., Ltd. | Seven-membered ring compounds |
| EP3072943B1 (en) | 2015-03-26 | 2018-05-02 | Idemitsu Kosan Co., Ltd. | Dibenzofuran/carbazole-substituted benzonitriles |
| EP3075737B1 (en) | 2015-03-31 | 2019-12-04 | Idemitsu Kosan Co., Ltd | Benzimidazolo[1,2-a]benzimidazole carrying aryl- or heteroarylnitril groups for organic light emitting diodes |
| US9859510B2 (en) | 2015-05-15 | 2018-01-02 | Universal Display Corporation | Organic electroluminescent materials and devices |
| US10418568B2 (en) | 2015-06-01 | 2019-09-17 | Universal Display Corporation | Organic electroluminescent materials and devices |
| US11127905B2 (en) | 2015-07-29 | 2021-09-21 | Universal Display Corporation | Organic electroluminescent materials and devices |
| US10672996B2 (en) | 2015-09-03 | 2020-06-02 | Universal Display Corporation | Organic electroluminescent materials and devices |
| EP3150604B1 (en) | 2015-10-01 | 2021-07-14 | Idemitsu Kosan Co., Ltd. | Benzimidazolo[1,2-a]benzimidazole carrying benzimidazolo[1,2-a]benzimidazolylyl groups, carbazolyl groups, benzofurane groups or benzothiophene groups for organic light emitting diodes |
| EP3150606B1 (en) | 2015-10-01 | 2019-08-14 | Idemitsu Kosan Co., Ltd. | Benzimidazolo[1,2-a]benzimidazoles carrying benzofurane or benzothiophene groups for organic light emitting diodes |
| WO2017056055A1 (en) | 2015-10-01 | 2017-04-06 | Idemitsu Kosan Co., Ltd. | Benzimidazolo[1,2-a]benzimidazole carrying triazine groups for organic light emitting diodes |
| WO2017056053A1 (en) | 2015-10-01 | 2017-04-06 | Idemitsu Kosan Co., Ltd. | Benzimidazolo[1,2-a]benzimidazole carrying benzimidazolo[1,2-a]benzimidazolyl groups, carbazolyl groups, benzofurane groups or benzothiophene groups for organic light emitting diodes |
| KR20180079328A (ko) | 2015-11-04 | 2018-07-10 | 이데미쓰 고산 가부시키가이샤 | 벤즈이미다졸 축합 헤테로아릴 |
| WO2017093958A1 (en) | 2015-12-04 | 2017-06-08 | Idemitsu Kosan Co., Ltd. | Benzimidazolo[1,2-a]benzimidazole derivatives for organic light emitting diodes |
| US20170229663A1 (en) | 2016-02-09 | 2017-08-10 | Universal Display Corporation | Organic electroluminescent materials and devices |
| US10236456B2 (en) | 2016-04-11 | 2019-03-19 | Universal Display Corporation | Organic electroluminescent materials and devices |
| WO2017178864A1 (en) | 2016-04-12 | 2017-10-19 | Idemitsu Kosan Co., Ltd. | Seven-membered ring compounds |
| US10672997B2 (en) | 2016-06-20 | 2020-06-02 | Universal Display Corporation | Organic electroluminescent materials and devices |
| US11482683B2 (en) | 2016-06-20 | 2022-10-25 | Universal Display Corporation | Organic electroluminescent materials and devices |
| US10862054B2 (en) | 2016-06-20 | 2020-12-08 | Universal Display Corporation | Organic electroluminescent materials and devices |
| US10608186B2 (en) | 2016-09-14 | 2020-03-31 | Universal Display Corporation | Organic electroluminescent materials and devices |
| US10680187B2 (en) | 2016-09-23 | 2020-06-09 | Universal Display Corporation | Organic electroluminescent materials and devices |
| US11196010B2 (en) | 2016-10-03 | 2021-12-07 | Universal Display Corporation | Organic electroluminescent materials and devices |
| US11011709B2 (en) | 2016-10-07 | 2021-05-18 | Universal Display Corporation | Organic electroluminescent materials and devices |
| US12317745B2 (en) | 2016-11-09 | 2025-05-27 | Universal Display Corporation | Organic electroluminescent materials and devices |
| US10680188B2 (en) | 2016-11-11 | 2020-06-09 | Universal Display Corporation | Organic electroluminescent materials and devices |
| US11780865B2 (en) | 2017-01-09 | 2023-10-10 | Universal Display Corporation | Organic electroluminescent materials and devices |
| US10844085B2 (en) | 2017-03-29 | 2020-11-24 | Universal Display Corporation | Organic electroluminescent materials and devices |
| US10944060B2 (en) | 2017-05-11 | 2021-03-09 | Universal Display Corporation | Organic electroluminescent materials and devices |
| US12098157B2 (en) | 2017-06-23 | 2024-09-24 | Universal Display Corporation | Organic electroluminescent materials and devices |
| US11228010B2 (en) | 2017-07-26 | 2022-01-18 | Universal Display Corporation | Organic electroluminescent materials and devices |
| US11744142B2 (en) | 2017-08-10 | 2023-08-29 | Universal Display Corporation | Organic electroluminescent materials and devices |
| KR102526927B1 (ko) * | 2017-08-24 | 2023-04-28 | 바스프 에스이 | 데이터를 전송하고 가시 스펙트럼 범위에서의 전자기 방사선을 방출하기 위한 전송기 및 데이터 전송 시스템 |
| US12180230B2 (en) | 2017-11-28 | 2024-12-31 | University Of Southern California | Carbene compounds and organic electroluminescent devices |
| EP3492480B1 (en) | 2017-11-29 | 2021-10-20 | Universal Display Corporation | Organic electroluminescent materials and devices |
| US11937503B2 (en) | 2017-11-30 | 2024-03-19 | Universal Display Corporation | Organic electroluminescent materials and devices |
| US11542289B2 (en) | 2018-01-26 | 2023-01-03 | Universal Display Corporation | Organic electroluminescent materials and devices |
| US11165028B2 (en) | 2018-03-12 | 2021-11-02 | Universal Display Corporation | Organic electroluminescent materials and devices |
| US12453279B2 (en) | 2018-08-22 | 2025-10-21 | Universal Display Corporation | Organic electroluminescent materials and devices |
| TWI826522B (zh) | 2018-09-12 | 2023-12-21 | 德商麥克專利有限公司 | 電致發光裝置 |
| TW202030902A (zh) | 2018-09-12 | 2020-08-16 | 德商麥克專利有限公司 | 電致發光裝置 |
| JP7459065B2 (ja) | 2018-09-12 | 2024-04-01 | メルク パテント ゲーエムベーハー | 有機エレクトロルミネッセンスデバイス用の材料 |
| US11737349B2 (en) | 2018-12-12 | 2023-08-22 | Universal Display Corporation | Organic electroluminescent materials and devices |
| US11780829B2 (en) | 2019-01-30 | 2023-10-10 | The University Of Southern California | Organic electroluminescent materials and devices |
| US12477890B2 (en) | 2019-02-01 | 2025-11-18 | Universal Display Corporation | Organic electroluminescent materials and devices |
| US20220127286A1 (en) | 2019-03-04 | 2022-04-28 | Merck Patent Gmbh | Ligands for nano-sized materials |
| JP2020158491A (ja) | 2019-03-26 | 2020-10-01 | ユニバーサル ディスプレイ コーポレイション | 有機エレクトロルミネセンス材料及びデバイス |
| WO2020208051A1 (en) | 2019-04-11 | 2020-10-15 | Merck Patent Gmbh | Materials for organic electroluminescent devices |
| US12281128B2 (en) | 2019-07-30 | 2025-04-22 | Universal Display Corporation | Organic electroluminescent materials and devices |
| US12139501B2 (en) | 2019-08-16 | 2024-11-12 | Universal Display Corporation | Organic electroluminescent materials and devices |
| US20210135130A1 (en) | 2019-11-04 | 2021-05-06 | Universal Display Corporation | Organic electroluminescent materials and devices |
| CN114641482A (zh) | 2019-11-04 | 2022-06-17 | 默克专利有限公司 | 用于有机电致发光器件的材料 |
| TW202134252A (zh) | 2019-11-12 | 2021-09-16 | 德商麥克專利有限公司 | 有機電致發光裝置用材料 |
| TW202136181A (zh) | 2019-12-04 | 2021-10-01 | 德商麥克專利有限公司 | 有機電致發光裝置用的材料 |
| US12538698B2 (en) | 2020-01-06 | 2026-01-27 | Universal Display Corporation | Organic electroluminescent materials and devices |
| US12426495B2 (en) | 2020-01-28 | 2025-09-23 | Universal Display Corporation | Organic electroluminescent materials and devices |
| CN115052865A (zh) | 2020-01-29 | 2022-09-13 | 默克专利有限公司 | 苯并咪唑衍生物 |
| EP4126884B1 (en) | 2020-03-23 | 2025-07-09 | Merck Patent GmbH | Materials for organic electroluminescent devices |
| EP3937268B1 (en) | 2020-07-10 | 2025-05-07 | Universal Display Corporation | Plasmonic oleds and vertical dipole emitters |
| US12187748B2 (en) | 2020-11-02 | 2025-01-07 | Universal Display Corporation | Organic electroluminescent materials and devices |
| US20220158096A1 (en) | 2020-11-16 | 2022-05-19 | Universal Display Corporation | Organic electroluminescent materials and devices |
| US20220165967A1 (en) | 2020-11-24 | 2022-05-26 | Universal Display Corporation | Organic electroluminescent materials and devices |
| US12325717B2 (en) | 2020-11-24 | 2025-06-10 | Universal Display Corporation | Organic electroluminescent materials and devices |
| US20220271241A1 (en) | 2021-02-03 | 2022-08-25 | Universal Display Corporation | Organic electroluminescent materials and devices |
| EP4060758A3 (en) | 2021-02-26 | 2023-03-29 | Universal Display Corporation | Organic electroluminescent materials and devices |
| EP4059915B1 (en) | 2021-02-26 | 2025-12-24 | Universal Display Corporation | Organic electroluminescent materials and devices |
| US20220298192A1 (en) | 2021-03-05 | 2022-09-22 | Universal Display Corporation | Organic electroluminescent materials and devices |
| US12428599B2 (en) | 2021-03-09 | 2025-09-30 | Universal Display Corporation | Organic electroluminescent materials and devices |
| US20220298190A1 (en) | 2021-03-12 | 2022-09-22 | Universal Display Corporation | Organic electroluminescent materials and devices |
| US12421262B2 (en) | 2021-03-15 | 2025-09-23 | Universal Display Corporation | Organic electroluminescent materials and devices |
| US20220340607A1 (en) | 2021-04-05 | 2022-10-27 | Universal Display Corporation | Organic electroluminescent materials and devices |
| US12480042B2 (en) | 2021-04-09 | 2025-11-25 | Universal Display Corporation | Organic electroluminescent materials and devices |
| EP4075531A1 (en) | 2021-04-13 | 2022-10-19 | Universal Display Corporation | Plasmonic oleds and vertical dipole emitters |
| US20220352478A1 (en) | 2021-04-14 | 2022-11-03 | Universal Display Corporation | Organic eletroluminescent materials and devices |
| US20220407020A1 (en) | 2021-04-23 | 2022-12-22 | Universal Display Corporation | Organic electroluminescent materials and devices |
| US20230006149A1 (en) | 2021-04-23 | 2023-01-05 | Universal Display Corporation | Organic electroluminescent materials and devices |
| US20230133787A1 (en) | 2021-06-08 | 2023-05-04 | University Of Southern California | Molecular Alignment of Homoleptic Iridium Phosphors |
| EP4151699A1 (en) | 2021-09-17 | 2023-03-22 | Universal Display Corporation | Organic electroluminescent materials and devices |
| US12473318B2 (en) | 2021-10-08 | 2025-11-18 | Universal Display Corporation | Organic electroluminescent materials and devices |
| US12509628B2 (en) | 2021-12-16 | 2025-12-30 | Universal Display Corporation | Organic electroluminescent materials and devices |
| EP4231804A3 (en) | 2022-02-16 | 2023-09-20 | Universal Display Corporation | Organic electroluminescent materials and devices |
| US20230292592A1 (en) | 2022-03-09 | 2023-09-14 | Universal Display Corporation | Organic electroluminescent materials and devices |
| US20230337516A1 (en) | 2022-04-18 | 2023-10-19 | Universal Display Corporation | Organic electroluminescent materials and devices |
| US20230389421A1 (en) | 2022-05-24 | 2023-11-30 | Universal Display Corporation | Organic electroluminescent materials and devices |
| EP4293001A1 (en) | 2022-06-08 | 2023-12-20 | Universal Display Corporation | Organic electroluminescent materials and devices |
| US20240016051A1 (en) | 2022-06-28 | 2024-01-11 | Universal Display Corporation | Organic electroluminescent materials and devices |
| KR102822074B1 (ko) * | 2022-07-22 | 2025-06-17 | 고려대학교 세종산학협력단 | 트리아졸로페난트리딘 킬레이트 리간드가 배위된 이리듐 착물을 포함하는 청색 인광 화합물 및 이를 이용한 유기발광소자 |
| US20240107880A1 (en) | 2022-08-17 | 2024-03-28 | Universal Display Corporation | Organic electroluminescent materials and devices |
| US20240180025A1 (en) | 2022-10-27 | 2024-05-30 | Universal Display Corporation | Organic electroluminescent materials and devices |
| US20240188316A1 (en) | 2022-10-27 | 2024-06-06 | Universal Display Corporation | Organic electroluminescent materials and devices |
| US20240188419A1 (en) | 2022-10-27 | 2024-06-06 | Universal Display Corporation | Organic electroluminescent materials and devices |
| US20240188319A1 (en) | 2022-10-27 | 2024-06-06 | Universal Display Corporation | Organic electroluminescent materials and devices |
| US20240196730A1 (en) | 2022-10-27 | 2024-06-13 | Universal Display Corporation | Organic electroluminescent materials and devices |
| WO2024105066A1 (en) | 2022-11-17 | 2024-05-23 | Merck Patent Gmbh | Materials for organic electroluminescent devices |
| US20240247017A1 (en) | 2022-12-14 | 2024-07-25 | Universal Display Corporation | Organic electroluminescent materials and devices |
| US20250204239A1 (en) | 2023-12-15 | 2025-06-19 | Universal Display Corporation | Organic electroluminescent materials and devices |
| US20250204238A1 (en) | 2023-12-15 | 2025-06-19 | Universal Display Corporation | Organic electroluminscent materials and devices |
Citations (1)
| Publication number | Priority date | Publication date | Assignee | Title |
|---|---|---|---|---|
| US20050258433A1 (en) * | 2004-05-18 | 2005-11-24 | Entire Interest | Carbene metal complexes as OLED materials |
Family Cites Families (11)
| Publication number | Priority date | Publication date | Assignee | Title |
|---|---|---|---|---|
| CN101924190B (zh) | 2000-08-11 | 2012-07-04 | 普林斯顿大学理事会 | 有机金属化合物和发射转换有机电致磷光 |
| DE10338550A1 (de) * | 2003-08-19 | 2005-03-31 | Basf Ag | Übergangsmetallkomplexe mit Carbenliganden als Emitter für organische Licht-emittierende Dioden (OLEDs) |
| WO2005113704A2 (en) | 2004-05-18 | 2005-12-01 | The University Of Southern California | Luminescent compounds with carbene ligands |
| DE102004057072A1 (de) | 2004-11-25 | 2006-06-01 | Basf Ag | Verwendung von Übergangsmetall-Carbenkomplexen in organischen Licht-emittierenden Dioden (OLEDs) |
| EP2338593B1 (de) * | 2006-01-31 | 2013-06-19 | Basf Se | Verfahren zur Herstellung von Übergangsmetall-Carbenkomplexen |
| KR101600624B1 (ko) * | 2006-02-10 | 2016-03-21 | 유니버셜 디스플레이 코포레이션 | 시클로금속화 이미다조[1,2-f]페난트리딘 및디이미다조[1,2-a:1',2'-c]퀴나졸린 리간드, 및 이의등전자성 및 벤즈고리화된 유사체의 금속 착체 |
| KR20090007389A (ko) * | 2006-04-04 | 2009-01-16 | 바스프 에스이 | 1개의 비카르벤 리간드 및 1 또는 2 개의 카르벤 리간드를 포함하는 전이 금속 착체 및 이의 oled에서의 용도 |
| US8241764B2 (en) | 2006-09-21 | 2012-08-14 | Basf Aktiengesellschaft | OLED display with extended lifetime |
| US8373159B2 (en) * | 2007-07-05 | 2013-02-12 | Basf Se | Organic light-emitting diodes comprising carbene-transition metal complex emitter, and at least one compound selected from disilylcarbazoles, disilyldibenzofurans, disilyldibenzothiophenes, disilyldibenzophospholes, disilyldibenzothiophene s-oxides and disilyldibe |
| EP3345983B1 (de) | 2007-07-05 | 2020-08-26 | UDC Ireland Limited | Verbindungen enthaltend mindestens eine disilylverbindung ausgewählt aus disilylcarbazolen, disilyldibenzofuranen, disilyldibenzothiophenen, disilyldibenzophospholen, disilyldibenzothiophen-s-oxiden und disilyldibenzothiophen-s, s-dioxiden |
| JP2011500648A (ja) * | 2007-10-17 | 2011-01-06 | ビーエーエスエフ ソシエタス・ヨーロピア | 架橋カルベンリガンドを有する遷移金属錯体およびoledにおけるその使用 |
-
2008
- 2008-10-17 KR KR1020107010659A patent/KR101612135B1/ko active Active
- 2008-10-17 US US12/738,104 patent/US8258297B2/en active Active
- 2008-10-17 JP JP2010529402A patent/JP5615178B2/ja active Active
- 2008-10-17 AT AT08840571T patent/ATE554095T1/de active
- 2008-10-17 CN CN200880120186.7A patent/CN101896493B/zh active Active
- 2008-10-17 EP EP08840571A patent/EP2205615B1/de active Active
- 2008-10-17 WO PCT/EP2008/064064 patent/WO2009050281A1/de not_active Ceased
Patent Citations (1)
| Publication number | Priority date | Publication date | Assignee | Title |
|---|---|---|---|---|
| US20050258433A1 (en) * | 2004-05-18 | 2005-11-24 | Entire Interest | Carbene metal complexes as OLED materials |
Cited By (12)
| Publication number | Priority date | Publication date | Assignee | Title |
|---|---|---|---|---|
| CN104945400A (zh) * | 2014-03-31 | 2015-09-30 | 联邦科学和工业研究组织 | 用于磷光性二氮杂硼杂环戊二烯金属配合物的苯二胺化合物 |
| CN111668392A (zh) * | 2015-06-03 | 2020-09-15 | Udc 爱尔兰有限责任公司 | 具有极短衰减时间的高效oled装置 |
| CN111668392B (zh) * | 2015-06-03 | 2024-01-23 | Udc 爱尔兰有限责任公司 | 具有极短衰减时间的高效oled装置 |
| CN111278842A (zh) * | 2017-12-28 | 2020-06-12 | 广州华睿光电材料有限公司 | 一种有机金属配合物,包含其的聚合物、混合物和组合物,及其在电子器件中的应用 |
| WO2020088187A1 (zh) * | 2018-11-02 | 2020-05-07 | 广州华睿光电材料有限公司 | 有机金属配合物、包含其的高聚物、混合物、组合物及有机电子器件 |
| WO2020088186A1 (zh) * | 2018-11-02 | 2020-05-07 | 广州华睿光电材料有限公司 | 有机金属配合物、包含其的高聚物、混合物、组合物及有机电子器件 |
| CN112533930A (zh) * | 2018-11-02 | 2021-03-19 | 广州华睿光电材料有限公司 | 有机金属配合物、包含其的高聚物、混合物、组合物及有机电子器件 |
| CN112585144A (zh) * | 2018-11-02 | 2021-03-30 | 广州华睿光电材料有限公司 | 有机金属配合物、包含其的高聚物、混合物、组合物及有机电子器件 |
| CN112533930B (zh) * | 2018-11-02 | 2024-02-13 | 广州华睿光电材料有限公司 | 有机金属配合物、包含其的高聚物、混合物、组合物及有机电子器件 |
| CN109762019A (zh) * | 2019-02-22 | 2019-05-17 | 台州泰捷化工科技有限公司 | 一种具有抗肿瘤活性的炔基膦酸双苄基锡配合物 |
| CN109762019B (zh) * | 2019-02-22 | 2021-03-16 | 成都欣科医药有限公司 | 一种具有抗肿瘤活性的炔基膦酸双苄基锡配合物 |
| CN111134359A (zh) * | 2019-12-25 | 2020-05-12 | 云南中烟工业有限责任公司 | 一种天然氮-硫杂环化合物在降低卷烟烟气重金属中的应用 |
Also Published As
| Publication number | Publication date |
|---|---|
| US20100264405A1 (en) | 2010-10-21 |
| EP2205615A1 (de) | 2010-07-14 |
| WO2009050281A1 (de) | 2009-04-23 |
| KR20100090259A (ko) | 2010-08-13 |
| KR101612135B1 (ko) | 2016-04-12 |
| US8258297B2 (en) | 2012-09-04 |
| EP2205615B1 (de) | 2012-04-18 |
| CN101896493B (zh) | 2015-04-08 |
| JP2011500644A (ja) | 2011-01-06 |
| JP5615178B2 (ja) | 2014-10-29 |
| ATE554095T1 (de) | 2012-05-15 |
Similar Documents
| Publication | Publication Date | Title |
|---|---|---|
| CN101896493A (zh) | 具有桥连碳烯配体的过渡金属配合物及其在oled中的用途 | |
| US8728632B2 (en) | Metal complexes comprising bridged carbene ligands and use thereof in OLEDs | |
| CN101460515B (zh) | 杂配过渡金属-碳烯配合物以及它们在有机发光二极管(oled)中的用途 | |
| CN100573961C (zh) | 作为有机发光二极管(oled)的发射体的包含碳烯配体的过渡金属配合物 | |
| CN103880891A (zh) | 含有一个非碳烯配体和一个或两个碳烯配体的过渡金属配合物及它们在oled中的用途 | |
| KR20070090953A (ko) | 유기 발광 다이오드(oled)에서의 전이 금속 카르벤착체의 용도 | |
| CN101426802A (zh) | 金属络合物、高分子化合物及含有它们的元件 |
Legal Events
| Date | Code | Title | Description |
|---|---|---|---|
| C06 | Publication | ||
| PB01 | Publication | ||
| C10 | Entry into substantive examination | ||
| SE01 | Entry into force of request for substantive examination | ||
| C14 | Grant of patent or utility model | ||
| GR01 | Patent grant | ||
| C41 | Transfer of patent application or patent right or utility model | ||
| TR01 | Transfer of patent right |
Effective date of registration: 20161116 Address after: Dublin, Ireland Patentee after: UDC?IRELAND?LIMITED Address before: Ludwigshafen, Germany Patentee before: BASF SE |











































