CN101035432A - 增效杀真菌组合物 - Google Patents
增效杀真菌组合物 Download PDFInfo
- Publication number
- CN101035432A CN101035432A CNA2005800342544A CN200580034254A CN101035432A CN 101035432 A CN101035432 A CN 101035432A CN A2005800342544 A CNA2005800342544 A CN A2005800342544A CN 200580034254 A CN200580034254 A CN 200580034254A CN 101035432 A CN101035432 A CN 101035432A
- Authority
- CN
- China
- Prior art keywords
- formula
- compound
- methyl
- spp
- group
- Prior art date
- Legal status (The legal status is an assumption and is not a legal conclusion. Google has not performed a legal analysis and makes no representation as to the accuracy of the status listed.)
- Granted
Links
Classifications
-
- A—HUMAN NECESSITIES
- A01—AGRICULTURE; FORESTRY; ANIMAL HUSBANDRY; HUNTING; TRAPPING; FISHING
- A01N—PRESERVATION OF BODIES OF HUMANS OR ANIMALS OR PLANTS OR PARTS THEREOF; BIOCIDES, e.g. AS DISINFECTANTS, AS PESTICIDES OR AS HERBICIDES; PEST REPELLANTS OR ATTRACTANTS; PLANT GROWTH REGULATORS
- A01N43/00—Biocides, pest repellants or attractants, or plant growth regulators containing heterocyclic compounds
- A01N43/48—Biocides, pest repellants or attractants, or plant growth regulators containing heterocyclic compounds having rings with two nitrogen atoms as the only ring hetero atoms
- A01N43/56—1,2-Diazoles; Hydrogenated 1,2-diazoles
-
- A—HUMAN NECESSITIES
- A01—AGRICULTURE; FORESTRY; ANIMAL HUSBANDRY; HUNTING; TRAPPING; FISHING
- A01N—PRESERVATION OF BODIES OF HUMANS OR ANIMALS OR PLANTS OR PARTS THEREOF; BIOCIDES, e.g. AS DISINFECTANTS, AS PESTICIDES OR AS HERBICIDES; PEST REPELLANTS OR ATTRACTANTS; PLANT GROWTH REGULATORS
- A01N37/00—Biocides, pest repellants or attractants, or plant growth regulators containing organic compounds containing a carbon atom having three bonds to hetero atoms with at the most two bonds to halogen, e.g. carboxylic acids
- A01N37/36—Biocides, pest repellants or attractants, or plant growth regulators containing organic compounds containing a carbon atom having three bonds to hetero atoms with at the most two bonds to halogen, e.g. carboxylic acids containing at least one carboxylic group or a thio analogue, or a derivative thereof, and a singly bound oxygen or sulfur atom attached to the same carbon skeleton, this oxygen or sulfur atom not being a member of a carboxylic group or of a thio analogue, or of a derivative thereof, e.g. hydroxy-carboxylic acids
-
- A—HUMAN NECESSITIES
- A01—AGRICULTURE; FORESTRY; ANIMAL HUSBANDRY; HUNTING; TRAPPING; FISHING
- A01N—PRESERVATION OF BODIES OF HUMANS OR ANIMALS OR PLANTS OR PARTS THEREOF; BIOCIDES, e.g. AS DISINFECTANTS, AS PESTICIDES OR AS HERBICIDES; PEST REPELLANTS OR ATTRACTANTS; PLANT GROWTH REGULATORS
- A01N37/00—Biocides, pest repellants or attractants, or plant growth regulators containing organic compounds containing a carbon atom having three bonds to hetero atoms with at the most two bonds to halogen, e.g. carboxylic acids
- A01N37/36—Biocides, pest repellants or attractants, or plant growth regulators containing organic compounds containing a carbon atom having three bonds to hetero atoms with at the most two bonds to halogen, e.g. carboxylic acids containing at least one carboxylic group or a thio analogue, or a derivative thereof, and a singly bound oxygen or sulfur atom attached to the same carbon skeleton, this oxygen or sulfur atom not being a member of a carboxylic group or of a thio analogue, or of a derivative thereof, e.g. hydroxy-carboxylic acids
- A01N37/38—Biocides, pest repellants or attractants, or plant growth regulators containing organic compounds containing a carbon atom having three bonds to hetero atoms with at the most two bonds to halogen, e.g. carboxylic acids containing at least one carboxylic group or a thio analogue, or a derivative thereof, and a singly bound oxygen or sulfur atom attached to the same carbon skeleton, this oxygen or sulfur atom not being a member of a carboxylic group or of a thio analogue, or of a derivative thereof, e.g. hydroxy-carboxylic acids having at least one oxygen or sulfur atom attached to an aromatic ring system
-
- A—HUMAN NECESSITIES
- A01—AGRICULTURE; FORESTRY; ANIMAL HUSBANDRY; HUNTING; TRAPPING; FISHING
- A01N—PRESERVATION OF BODIES OF HUMANS OR ANIMALS OR PLANTS OR PARTS THEREOF; BIOCIDES, e.g. AS DISINFECTANTS, AS PESTICIDES OR AS HERBICIDES; PEST REPELLANTS OR ATTRACTANTS; PLANT GROWTH REGULATORS
- A01N37/00—Biocides, pest repellants or attractants, or plant growth regulators containing organic compounds containing a carbon atom having three bonds to hetero atoms with at the most two bonds to halogen, e.g. carboxylic acids
- A01N37/36—Biocides, pest repellants or attractants, or plant growth regulators containing organic compounds containing a carbon atom having three bonds to hetero atoms with at the most two bonds to halogen, e.g. carboxylic acids containing at least one carboxylic group or a thio analogue, or a derivative thereof, and a singly bound oxygen or sulfur atom attached to the same carbon skeleton, this oxygen or sulfur atom not being a member of a carboxylic group or of a thio analogue, or of a derivative thereof, e.g. hydroxy-carboxylic acids
- A01N37/38—Biocides, pest repellants or attractants, or plant growth regulators containing organic compounds containing a carbon atom having three bonds to hetero atoms with at the most two bonds to halogen, e.g. carboxylic acids containing at least one carboxylic group or a thio analogue, or a derivative thereof, and a singly bound oxygen or sulfur atom attached to the same carbon skeleton, this oxygen or sulfur atom not being a member of a carboxylic group or of a thio analogue, or of a derivative thereof, e.g. hydroxy-carboxylic acids having at least one oxygen or sulfur atom attached to an aromatic ring system
- A01N37/40—Biocides, pest repellants or attractants, or plant growth regulators containing organic compounds containing a carbon atom having three bonds to hetero atoms with at the most two bonds to halogen, e.g. carboxylic acids containing at least one carboxylic group or a thio analogue, or a derivative thereof, and a singly bound oxygen or sulfur atom attached to the same carbon skeleton, this oxygen or sulfur atom not being a member of a carboxylic group or of a thio analogue, or of a derivative thereof, e.g. hydroxy-carboxylic acids having at least one oxygen or sulfur atom attached to an aromatic ring system having at least one carboxylic group or a thio analogue, or a derivative thereof, and one oxygen or sulfur atom attached to the same aromatic ring system
-
- A—HUMAN NECESSITIES
- A01—AGRICULTURE; FORESTRY; ANIMAL HUSBANDRY; HUNTING; TRAPPING; FISHING
- A01N—PRESERVATION OF BODIES OF HUMANS OR ANIMALS OR PLANTS OR PARTS THEREOF; BIOCIDES, e.g. AS DISINFECTANTS, AS PESTICIDES OR AS HERBICIDES; PEST REPELLANTS OR ATTRACTANTS; PLANT GROWTH REGULATORS
- A01N43/00—Biocides, pest repellants or attractants, or plant growth regulators containing heterocyclic compounds
- A01N43/34—Biocides, pest repellants or attractants, or plant growth regulators containing heterocyclic compounds having rings with one nitrogen atom as the only ring hetero atom
- A01N43/40—Biocides, pest repellants or attractants, or plant growth regulators containing heterocyclic compounds having rings with one nitrogen atom as the only ring hetero atom six-membered rings
-
- A—HUMAN NECESSITIES
- A01—AGRICULTURE; FORESTRY; ANIMAL HUSBANDRY; HUNTING; TRAPPING; FISHING
- A01N—PRESERVATION OF BODIES OF HUMANS OR ANIMALS OR PLANTS OR PARTS THEREOF; BIOCIDES, e.g. AS DISINFECTANTS, AS PESTICIDES OR AS HERBICIDES; PEST REPELLANTS OR ATTRACTANTS; PLANT GROWTH REGULATORS
- A01N43/00—Biocides, pest repellants or attractants, or plant growth regulators containing heterocyclic compounds
- A01N43/48—Biocides, pest repellants or attractants, or plant growth regulators containing heterocyclic compounds having rings with two nitrogen atoms as the only ring hetero atoms
- A01N43/54—1,3-Diazines; Hydrogenated 1,3-diazines
-
- A—HUMAN NECESSITIES
- A01—AGRICULTURE; FORESTRY; ANIMAL HUSBANDRY; HUNTING; TRAPPING; FISHING
- A01N—PRESERVATION OF BODIES OF HUMANS OR ANIMALS OR PLANTS OR PARTS THEREOF; BIOCIDES, e.g. AS DISINFECTANTS, AS PESTICIDES OR AS HERBICIDES; PEST REPELLANTS OR ATTRACTANTS; PLANT GROWTH REGULATORS
- A01N43/00—Biocides, pest repellants or attractants, or plant growth regulators containing heterocyclic compounds
- A01N43/64—Biocides, pest repellants or attractants, or plant growth regulators containing heterocyclic compounds having rings with three nitrogen atoms as the only ring hetero atoms
- A01N43/647—Triazoles; Hydrogenated triazoles
- A01N43/653—1,2,4-Triazoles; Hydrogenated 1,2,4-triazoles
-
- A—HUMAN NECESSITIES
- A01—AGRICULTURE; FORESTRY; ANIMAL HUSBANDRY; HUNTING; TRAPPING; FISHING
- A01N—PRESERVATION OF BODIES OF HUMANS OR ANIMALS OR PLANTS OR PARTS THEREOF; BIOCIDES, e.g. AS DISINFECTANTS, AS PESTICIDES OR AS HERBICIDES; PEST REPELLANTS OR ATTRACTANTS; PLANT GROWTH REGULATORS
- A01N45/00—Biocides, pest repellants or attractants, or plant growth regulators, containing compounds having three or more carbocyclic rings condensed among themselves, at least one ring not being a six-membered ring
- A01N45/02—Biocides, pest repellants or attractants, or plant growth regulators, containing compounds having three or more carbocyclic rings condensed among themselves, at least one ring not being a six-membered ring having three carbocyclic rings
-
- A—HUMAN NECESSITIES
- A01—AGRICULTURE; FORESTRY; ANIMAL HUSBANDRY; HUNTING; TRAPPING; FISHING
- A01N—PRESERVATION OF BODIES OF HUMANS OR ANIMALS OR PLANTS OR PARTS THEREOF; BIOCIDES, e.g. AS DISINFECTANTS, AS PESTICIDES OR AS HERBICIDES; PEST REPELLANTS OR ATTRACTANTS; PLANT GROWTH REGULATORS
- A01N47/00—Biocides, pest repellants or attractants, or plant growth regulators containing organic compounds containing a carbon atom not being member of a ring and having no bond to a carbon or hydrogen atom, e.g. derivatives of carbonic acid
- A01N47/08—Biocides, pest repellants or attractants, or plant growth regulators containing organic compounds containing a carbon atom not being member of a ring and having no bond to a carbon or hydrogen atom, e.g. derivatives of carbonic acid the carbon atom having one or more single bonds to nitrogen atoms
- A01N47/10—Carbamic acid derivatives, i.e. containing the group —O—CO—N<; Thio analogues thereof
- A01N47/24—Carbamic acid derivatives, i.e. containing the group —O—CO—N<; Thio analogues thereof containing the groups, or; Thio analogues thereof
Landscapes
- Life Sciences & Earth Sciences (AREA)
- Agronomy & Crop Science (AREA)
- Pest Control & Pesticides (AREA)
- Plant Pathology (AREA)
- Health & Medical Sciences (AREA)
- Engineering & Computer Science (AREA)
- Dentistry (AREA)
- General Health & Medical Sciences (AREA)
- Wood Science & Technology (AREA)
- Zoology (AREA)
- Environmental Sciences (AREA)
- Agricultural Chemicals And Associated Chemicals (AREA)
Abstract
一种防治有益植物或其繁殖材料上的植物致病性病害的方法,该方法包括向有益植物、其所在地或其繁殖材料施用增效有效量的成分A)和B)的组合,其中成分A)是式I化合物或该化合物的互变异构体,其中:R1是二氟甲基或三氟甲基;Y是-CHR2-或式(DD)和R2是氢或C1-C6烷基;成分B)选自已知具有杀真菌和/或杀虫活性的化合物,所述方法在控制或预防有用植物的真菌病害中特别有效。
Description
本发明涉及新的杀真菌组合物,用于治疗有益植物的植物致病性病害,特别是植物致病性真菌,和涉及防治有益植物上的植物致病性病害的方法。
从WO04/035589中已知某些三环羧酰胺衍生物对植物致病性真菌具有生物活性。另一方面,已知属于不同化合物类别的多种杀真菌化合物可作为植物杀真菌剂施用于各种栽培植物的作物。但是,作物的耐受性和对植物致病性植物真菌的活性不总是能满足许多情况和方面下的农业实践的需要。
因此,本发明提出一种防治有益植物或其繁殖材料上的植物致病性病害的方法,该方法包括向有益植物、其所在地或其繁殖材料施用增效有效量的成分A)和B)的组合物,其中成分A)是式I化合物或该化合物的互变异构体
其中
R1是二氟甲基或三氟甲基;Y是-CHR2-或
和R2是氢或C1-C6烷基;和
成分B)是选自下组的化合物:
甲氧基丙烯酸酯类杀真菌剂,如嘧菌酯(47),嘧菌胺(226),氟嘧菌酯(382),醚菌酯(485),苯氧菌胺(551),肟醚菌胺,啶氧菌酯(647),唑菌胺酯(690);肟菌酯(832);和式B-6的化合物
唑类杀真菌剂,如氧环唑(40),糠菌唑(96),环丙唑醇(207),苯醚甲环唑(247),烯唑醇(267),烯唑醇-M(267),氟环唑(298),腈苯唑(329),氟喹唑(385),氟硅唑(393),粉唑醇(397),己唑醇(435),抑霉唑(449),亚胺唑(457),种菌唑(468),叶菌唑(525),腈菌唑(564),恶咪唑(607),稻瘟酯(618),戊菌唑(619),咪鲜胺(659),丙环唑(675),丙硫菌唑(685),硅氟唑(731),戊唑醇(761),四氟醚唑(778),三唑酮(814),三唑醇(815),氟菌唑(834)灭菌唑(842),苄氯三唑醇(1068),乙环唑(1129),呋菌唑(1198),顺式呋菌唑(1199)和唑喹菌酮(1378);
苯基吡咯杀真菌剂,如拌种咯(341)和咯菌腈(368);
苯胺基-嘧啶杀真菌剂,如嘧菌环胺(208),嘧菌胺(508)和嘧霉胺(705);
吗啉杀真菌剂,如Aldimorph,十二环吗啉(288),丁苯吗啉(344),十三吗啉(830),苯锈啶(343),螺环菌胺(740);病花灵(648);和式B-7化合物
式F-1化合物
式F-2化合物
式F-3化合物
式F-4化合物
式F-5化合物
式F-6化合物
式F-7(反式)外消旋化合物
式F-8(顺式)外消旋化合物
式F-9化合物
该式代表了式F-7(反式)和F-8(顺式)外消旋化合物的混合物,其中式F-7(反式)外消旋化合物与式F-8(顺式)外消旋化合物的比率是2∶1至100∶1;
抗倒酯(841);矮壮素(137);乙烯利(307);环己酮酸钙(664);助壮素(509);Proquinazid(682);百菌清(142);恶唑菌酮(322);咪唑菌酮(325);苯菌灵(62);多菌灵(116);麦穗宁(419);噻菌灵(790);硫菌灵(1435);甲基托布津(802);乙菌利(149);异菌脲(470);腐霉利(660);乙烯菌核利(849);联苯三唑醇(84);氯苯嘧啶醇(327);氟苯嘧啶醇(587);啶斑肟(703);嗪胺灵(838);苯霜灵(56);呋霜灵(410);甲霜灵(516);精甲霜灵(甲霜灵-M)(517);呋酰胺(592);恶霜灵(601);敌瘟磷(290);异稻瘟净(IBP)(469);稻瘟灵(474);吡菌磷(693);麦锈灵(896);萎锈灵(120);甲呋酰胺(333);氟酰胺(396);呋吡唑灵(411);灭锈胺(510);氧化萎锈灵(608);噻氟菌胺(796);乙嘧酚磺酸酯(98);二甲嘧酚(1082);乙嘧酚(1133);乙霉威(245);喹氧灵(715);联苯(81);地茂散(139);氯硝胺(240);土菌灵(321);五氯硝基苯(PCNB)(716);四氯硝基苯(TCNB)(767);甲基立枯磷(808);烯酰吗啉(263);氯环丙酰胺(122);双氯氰菌胺(237);氰菌胺(338);四氯苯酞(643);咯喹酮(710);三环唑(828);环酰菌胺(334);多抗霉素(654);戊菌隆(620);氰霜唑(185);苯酰菌胺(857);杀稻瘟菌素(85);春雷霉素(483);链霉素(744);有效霉素(846);霜脲氰(200);Iodocarb(3-碘代-2-丙炔基丁基氨基甲酸酯);霜霉威(668);硫菌威(1361);二硝酯(270);氟啶胺(363);三苯基乙酸锡(347);三苯锡氯;毒菌锡(347);恶喹酸(606);土菌消;辛噻酮(590);藻菌磷(407);磷酸;叶枯酞;咪唑嗪(821);磺菌胺(394);嘧菌腙(351);哒菌酮(239);敌菌灵(878);砷酸盐;敌菌丹(113);克菌丹(114);百菌清(142);铜(不同的盐);碳酸铵铜;辛酸铜(170);油酸铜;硫酸铜(87;172;173);氢氧化铜(169);苯氟磺胺(230);二氰蒽醌(279);多果定(289);福美铁(350);灭菌丹(400);双胍盐(422);双胍辛胺(459);代森锰锌(496);代森锰(497);水银;代森联(546);丙森辛(676);硫磺(754);福美双(804);甲苯氟磺胺(810);代森锌(855);福美锌(856);噻二唑素(6);烯丙苯噻唑(658);Benthiavalicarb;Benthiavalicarb-isopropyl(68);异丙菌胺(471);氟嘧菌胺(253);噻唑菌胺(304);磺菌胺(394);磺菌威(528);硅噻菌胺(729);短小芽孢杆菌GB34;短小芽孢杆菌菌株QST 2808;枯草芽孢杆菌(50);枯草芽孢杆菌+PCNB+甲霜灵(50;716;516);氯化铬;二硫化碳(945);波尔多混合剂(87);雪松叶油;氯;桂皮醛;放线菌酮(1022);敌磺钠(1144);苯线磷(326);二氯丙烯(233);二氯萘醌(1052);甲醛(404);变绿胶霉GL-21(417);果绿啶(1205);六氯苯(434);异丙菌胺(471);二甲基二硫代氨基甲酸锰;氯化汞(511);代森钠(566);印楝油(疏水提取物);土霉素(611);灭螨猛(126);多聚甲醛;五氯硝基苯(716);五氯苯酚(623);石蜡油(628);多抗霉素D锌盐(654);碳酸氢钠;碳酸氢钾;二乙酸钠;丙酸钠;清菌噻唑;苯霜灵-M;啶酰菌胺(88);己唑醇(435);表苯菌酮;喹啉酮(605);吡噻菌胺;Perfurazoate;对甲抑菌灵;哈茨木霉(825);毒菌锡(347);田野黄单胞菌(852);多效唑(612);1,1-双(4-氯苯基)-2-乙氧基乙醇(IUPAC-名称)(910);2,4-二氯苯基苯磺酸酯(IUPAC-/化学文摘-名称)(1059);2-氟-N-甲基-N-1-萘乙酰胺(IUPAC-名称)(1295);4-氯苯基苯基砜(IUPAC-名称)(981);阿维菌素(1);灭螨醌(3);乙酰虫腈[CCN];氟丙菊酯(9);涕灭威(16);涕灭砜威(863);高效氯氰菊酯(202);赛硫磷(870);amidoflumet[CCN];果螨磷(872);胺吸磷(875);胺吸磷草酸氢盐(875);双甲脒(24);杀螨特(881);三氧化二砷(882);AVI 382(化合物代码);AZ 60541(化合物代码);益棉磷(44);保棉磷(45);偶氮苯(IUPAC-名称)(888);三唑锡(46);偶氮磷(889);苯菌灵(62);benoxafos(别名)[CCN];苯螨特(71);苯甲酸苄酯(IUPAC-名称)[CCN];联苯肼酯(74);氟氯菊酯(76);乐杀螨(907);溴灭菊酯(别名);溴烯杀(918);溴硫磷(920);乙基溴硫磷(921);溴螨酯(94);噻嗪酮(99);丁酮威(103);丁酮砜威(104);哒螨酮(别名);石硫合剂(IUPAC-名称)(111);毒杀芬(941);氯灭杀威(943);甲萘威(115);克百威(118);三硫磷(947);噻螨胺(研究代码)(125);灭螨猛(126);杀螨醚(959);杀虫脒(964);杀虫脒盐酸盐(964);溴虫腈(130);杀螨醇(968);杀螨酯(970);敌螨特(971);毒虫畏(131);乙酯杀螨醇(975);伊托明(977);灭虫脲(978);丙酯杀螨醇(983);毒死蜱(145);甲基毒死蜱(146);虫螨磷(994);瓜菊酯I(696);瓜菊酯II(696);瓜叶菊素(696);四螨嗪(158);氯氰碘柳胺(别名)[CCN];蝇毒磷(174);克罗米通(别名)[CCN];巴毒磷(1010);硫杂灵(1013);果虫磷(1020);氯氟氰菊酯(196);三环锡(199);氯氰菊酯(201);杀螨醚(1032);滴滴涕(219);田乐磷(1037);田乐磷-O(1037);田乐磷-S(1037);内吸磷(1038);甲基内吸磷(224);内吸磷-O(1038);内吸磷-O-甲基(224);内吸磷-S(1038);甲基内吸磷(224);砜吸磷(1039);丁醚脲(226);氯亚胺硫磷(1042);二嗪农(227);苯氟磺胺(230);敌敌畏(236);dicliphos(别名);三氯杀螨醇(242);百治磷(243);遍地克(1071);甲氟磷(1081);乐果(262);二活菌素(别名)(653);消螨酚(1089);消螨酚-diclexine(1089);消螨通(269);二硝酯(270);二硝酯-4[CCN];二硝酯-6[CCN];二硝酯(1090);硝戊酯(1092);硝辛酯(1097);硝丁酯(1098);敌恶磷(1102);二苯砜(IUPAC-名称)(1103);二硫化四乙基秋兰姆(别名)[CCN];乙拌磷(278);二硝甲酚(282);苯氧炔螨(1113);多拉菌素(别名)[CCN];硫丹(294);因毒磷(1121);苯硫磷(297);埃普利诺菌素(别名)[CCN];乙硫磷(309);益果(1134);乙螨唑(320);乙嘧硫磷(1142);抗螨唑(1147);喹螨醚(328);苯丁锡(330);苯硫威(337);甲氰菊酯(342);fenpyrad(别名);唑螨酯(345);芬螨酯(1157);氟硝二苯胺(1161);氰戊菊酯(349);氟虫腈(354);嘧螨酯(360);啶蜱脲(1166);氟螨噻(1167);氟螨脲(366);氟氰戊菊酯(367);联氟螨(1169);氟虫脲(370);氟氯苯菊酯(372);氟杀螨(1174);氟胺氰菊酯(1184);FMC1137(研究代码)(1185);伐虫脒(405);伐虫脒盐酸盐(405);安硫磷(1192);胺甲威(1193);林丹(430);果绿啶(1205);苄螨醚(424);庚烯磷(432);环丙烷羧酸十六烷酯(IUPAC-/化学文摘名称)(1216);噻螨铜(441);碘甲烷(IUPAC-名称)(542);水胺硫磷(别名)(473);O-(甲氧基氨基硫代磷酰基)水杨酸异丙酯(IUPAC-名称)(473);伊维菌素(别名)[CCN];茉酮菊素I(696);茉酮菊素II(696);碘硫磷(1248);林丹(430);虱螨脲(490);马拉硫磷(492);苄丙二腈(1254);灭蚜磷(502);地胺磷(1261);mesulfen(别名)[CCN];虫螨畏(1266);甲胺磷(527);杀扑磷(529);甲硫威(530);灭多威(531);溴甲烷(537);速灭威(550);速灭磷(556);自克(1290);弥拜菌素(557);美贝霉素肟(别名)[CCN];丙胺氟(1293);久效磷(561);茂硫磷(1300);莫西菌素(别名)[CCN];二溴磷(567);NC-184(化合物代码);氟蚊灵(1309);华光霉素(别名)[CCN];戊氰威(1313);戊氰威1∶1氯化锌复合物(1313);NNI-0101(化合物代码);NNI-0250(化合物代码);氧乐果(594);杀线威(602);亚异砜磷(1324);砜拌磷(1325);滴滴涕(219);对硫磷(615);氯菊酯(626);石油(别名)(628);芬硫磷(1330);稻丰散(631);甲拌磷(636);伏杀硫磷(637);硫环磷(1338);亚胺硫磷(638);磷胺(639);辛硫磷(642);虫螨磷(652);聚氯萜烯(惯用名)(1347);杀螨霉素(别名)(653);丙氯醇(1350);丙溴磷(662);蜱虱威(1354);炔螨特(671);胺丙畏(673);残杀威(678);乙噻唑磷(1360);发硫磷(1362);除虫菊酯I(696);除虫菊酯II(696);除虫菊素(696);哒螨灵(699);哒嗪硫磷(701);嘧螨醚(706);嘧啶磷(1370);喹硫磷(711);喹涕福(1381);甲基三硫磷(研究代码)(1382);甘氨硫磷(研究代码)(1383);鱼藤酮(722);八甲磷(1389);硫线磷(别名);塞拉菌素(别名)[CCN];SI-0009(化合物代码);苏硫磷(1402);螺螨酯(738);螺甲螨酯(739);苯硅螨锡(研究代码)(1404);sulfiram(别名)[CCN];氟虫胺(750);治螟磷(753);硫磺(754);SZI-121(研究代码)(757);氟胺氰菊酯(398);吡螨胺(763);特普(1417);叔丁威(别名);杀虫威(777);四氯杀螨砜(786);四抗菌素(别名)(653);杀螨硫醚(1425);thiafenox(别名);抗虫威(1431);久效威(800);甲基乙拌磷(801);克杀螨(1436);敌贝特(别名)[CCN];威菌磷(1441);苯螨噻(1443);三唑磷(820);triazuron(别名);敌百虫(824);氯苯乙丙磷(1455);三活菌素(别名)(653);蚜灭磷(847);氟吡唑虫[CCN];YI-5302(化合物代码);bethoxazin[CCN];二辛酸铜(IUPAC-名称)(170);硫酸铜(172);cybutryne[CCN];二氯萘醌(1052);双氯酚(232);菌多酸(295);三苯锡(347);熟石灰[CCN];代森钠(566);灭藻醌(714);醌萍胺(1379);西玛津(730);薯瘟锡(IUPAC-名称)(347);毒菌锡(IUPAC-名称)(347);阿维菌素(1);育畜磷(1011);多拉菌素(别名)[CCN];埃玛菌素(291);甲胺基甲维菌素苯甲酸盐(291);埃普利诺菌素(别名)[CCN];伊维菌素(别名)[CCN];美贝霉素肟(别名)[CCN];莫西菌素(别名)[CCN];哌嗪[CCN];塞拉菌素(别名)[CCN];多杀菌素(737);硫菌灵(1435);氯醛糖(127);异狄氏剂(1122);倍硫磷(346);吡啶-4-胺(IUPAC-名称)(23);番木鳖碱(745);1-羟基-1H-吡啶-2-硫酮(IUPAC-名称)(1222);4-(喹喔啉-2-基氨基)苯磺酰胺(IUPAC-名称)(748);8-羟基喹啉硫酸盐(446);溴硝醇(97);二辛酸铜(IUPAC-名称)(170);氢氧化铜(IUPAC-名称)(169);甲酚[CCN];双氯酚(232);吡菌硫(1105);多敌菌(1112);敌磺钠(1144);甲醛(404);hydrargaphen(别名)[CCN];春雷霉素(483);春雷霉素盐酸盐水合物(483);双(二甲基二硫代氨基甲酸)镍(IUPAC-名称)(1308);三氯甲基吡啶(580);辛噻酮(590);恶喹酸(606);土霉素(611);羟基喹啉硫酸钾(446);烯丙苯噻唑(658);链霉素(744);链霉素倍半硫酸盐(744);叶枯酞(766);硫柳汞(别名)[CCN];溴甲烷(537);唑磷嗪[CCN];bisazir(别名)[CCN];白消安(别名)[CCN];除虫脲(250);dimatif(别名)[CCN];六甲蜜胺[CCN];六甲磷[CCN];三膦化氧[CCN];甲硫涕巴[CCN];唑磷嗪甲酯[CCN];不孕啶[CCN];氟幼脲(别名)[CCN];绝育磷[CCN];硫代六甲磷(别名)[CCN];硫涕巴(别名)[CCN];不孕津(别名)[CCN];uredepa(别名)[CCN];(E)-癸-5-烯-1-基乙酸酯与(E)-癸-5-烯-1-醇(IUPAC-名称)(222);(E)-三癸-4烯-1-基乙酸酯(IUPAC-名称)(829);(E)-6-甲基庚-2-烯-4-醇(IUPAC-名称)(541);(E,Z)-十四-4,10-二烯-1基乙酸酯(IUPAC-名称)(779);(Z)-十二-7-烯-1基乙酸酯(IUPAC-名称)(285);(Z)-十六-11-烯醇(IUPAC-名称)(436);(Z)-十六-11-烯-1-基乙酸酯(IUPAC-名称)(437);(Z)-十六-13-烯-11-炔-1-基乙酸酯(IUPAC-名称)(438);(Z)-二十碳-13-烯-10-酮(IUPAC-名称)(448);(Z)-十四-7-烯-1-醇(IUPAC-名称)(782);(Z)-十四-9-烯-1-醇(IUPAC-名称)(783);(Z)-十四-9-烯-1-基乙酸酯(IUPAC-名称)(784);(7E,9Z)-十二-7,9-二烯-1-基乙酸酯(IUPAC-名称)(283);(9Z,11E)-十四-9,11-二烯-1-基乙酸酯(IUPAC-名称)(780);(9Z,12E)-十四-9,12-二烯-1-基乙酸酯(IUPAC-名称)(781);14-甲基十八-1-烯(IUPAC-名称)(545);4-甲基壬-5-醇与4-甲基壬-5-酮(IUPAC-名称)(544);α-波纹小蠹素(别名)[CCN];西松大小蠹素(别名)[CCN];十二碳二烯醇(别名)[CCN];十二碳二烯醇(别名)(167);诱蝇酮(别名)(179);环氧十九烷(277);十二-8-烯-1-基乙酸酯(IUPAC-名称)(286);十二-9-烯-1-基乙酸酯(IUPAC-名称)(287);十二-8,10-二烯-1-基乙酸酯(IUPAC-名称)(284);dominicalure(别名)[CCN];4-甲基辛酸乙酯(IUPAC-名称)(317);丁子香酚(别名)[CCN];frontalin(别名)[CCN];诱虫十六酯(别名)(420);诱杀烯混剂(421);诱杀烯混剂I(别名)(421);诱杀烯混剂II(别名)(421);诱杀烯混剂III(别名)(421);诱杀烯混剂IV(别名)(421);醋酸十六烯酯[CCN];小蠹二烯醇(别名)[CCN];小蠹烯醇(别名)[CCN];日本金龟子性诱剂(别名)(481);黑条木小蠹素(别名)[CCN];litlure(别名)[CCN];罗捕诱(别名)[CCN];诱杀酯[CCN];megatomoic acid(别名)[CCN];丁香油酚甲醚(别名)(540);诱虫烯(563);十八-2,13-二烯-1-基乙酸酯(IUPAC-名称)(588);十八-3,13-二烯-1-基乙酸酯(IUPAC-名称)(589);贺康彼(别名)[CCN];oryctalure(别名)(317);非乐康(别名)[CCN];诱虫环[CCN];sordidin(别名)(736);sulcatol(别名)[CCN];十四-11-烯-1-基乙酸酯(IUPAC-名称)(785);特诱酮(839);特诱酮A(别名)(839);特诱酮B1(别名)(839);特诱酮B2(别名)(839);特诱酮C(别名)(839);trunc-call(别名)[CCN];2-(辛基硫)乙醇(IUPAC-名称)(591);避蚊酮(933);丁氧基(聚丙二醇)(936);驱虫威(IUPAC-名称)(1046);驱虫特(1047);丁二酸二丁酯(IUPAC-名称)(1048);避蚊胺[CCN];驱蚊灵[CCN];避蚊酯[CCN];驱蚊醇(1137);己酰胺[CCN];甲喹丁(1276);甲基新癸酰胺[CCN];oxamate[CCN];picaridin[CCN];1,1-二氯-1-硝基乙烷(IUPAC-/化学文摘名称)(1058);1,1-二氯-2,2-双(4-乙基苯基)乙烷(IUPAC-名称)(1056);1,2-二氯丙烷(IUPAC-/化学文摘名称)(1062);1,2-二氯丙烷与1,3-二氯丙烯(IUPAC-名称)(1063);1-溴-2-氯乙烷(IUPAC-/化学文摘名称)(916);2,2,2-三氯-1-(3,4-双氯酚基)乙基乙酸酯(IUPAC-名称)(1451);2,2-二氯乙烯基2-以及亚磺酰基乙基甲基磷酸酯(IUPAC-名称)(1066);2-(1,3-二硫戊环-2-基)苯基二甲基氨基甲酸酯(IUPAC-/化学文摘名称)(1109);2-(2-丁氧基乙氧基)乙基硫氰酸酯(IUPAC-/化学文摘名称)(935);2-(4,5-二甲基-1,3-二氧戊环-2-基)苯基氨基甲酸甲酯(IUPAC-/化学文摘名称)(1084);2-(4-氯-3,5-二甲苯氧)乙醇(IUPAC-名称)(986);2-氯乙烯基二乙基磷酸酯(IUPAC-名称)(984);2-咪唑烷酮(IUPAC-名称)(1225);2-异戊酰2,3-二氢-1,3-茚二酮(IUPAC-名称)(1246);2-甲基(丙-2-炔基)氨基苯基氨基甲酸甲酯(IUPAC-名称)(1284);2-硫氰基乙基月桂酸酯(IUPAC-名称)(1433);3-溴-1-氯丙-1-烯(IUPAC-名称)(917);3-甲基-1-苯基吡唑-5-基氨基甲酸二甲酯(IUPAC-名称)(1283);4-甲基(丙-2-炔基)氨基-3,5-二甲苯基氨基甲酸甲酯(IUPAC-名称)(1285);5,5-二甲基-3-氧环己-1-烯基氨基甲酸二甲酯(IUPAC-名称)(1085);阿维菌素(1);乙酰甲胺磷(2);啶虫脒(4);家蝇磷(别名)[CCN];乙酰虫腈[CCN];氟丙菊酯(9);丙烯腈(IUPAC-名称)(861);棉铃威(15);涕灭威(16);涕灭砜威(863);艾氏剂(864);烯丙菊酯(17);allosamidin(别名)[CCN];除害威(866);高效氯氰菊酯(202);α-蜕皮素(别名)[CCN];磷化铝(640);赛硫磷(870);果螨磷(872);灭害威(873);胺吸磷(875);胺吸磷草酸氢盐(875);双甲脒(24);新烟碱(877);艾赛达松(883);AVI 382(化合物代码);AZ60541(化合物代码);印楝素(别名)(41);甲基吡恶磷(42);益棉磷(44);保棉磷(45);偶氮磷(889);苏云金芽孢杆菌δ内毒素(别名)(52);六氟硅酸钡(别名)[CCN];多硫化钡(IUPAC-/化学文摘名称)(892);熏虫菊[CCN];BAS 320 I(化合物代码);氯硫磷(研究代码)(893);萘氨磷(研究代码)(894);恶虫威(58);丙硫克百威(60);杀虫磺(66);高效氟氯氰菊酯(194);高效氯氰菊酯(203);氟氯菊酯(76);生物烯丙菊酯(78);生物烯丙菊酯S-环戊烯基异构体(别名)(79);bioethanomethrin[CCN];生物氯菊酯(908);生物苄呋菊酯(80);双(2-氯乙基)醚(IUPAC-名称)(909);双三氟虫脲(83);硼砂(86);溴灭菊酯(别名);溴苯烯磷(914);溴烯杀(918);溴代-滴滴涕(别名)[CCN];溴硫磷(920);乙基溴硫磷(921);合必威(924);噻嗪酮(99);畜虫威(926);特嘧硫磷(927);丁酮威(103);丁酯磷(932);丁酮砜威(104);哒螨酮(别名);硫线磷(109);砷酸钙[CCN];氰化钙(444);石硫合剂(IUPAC-名称)(111);毒杀芬(941);氯灭杀威(943);甲萘威(115);克百威(118);二硫化碳(IUPAC-/化学文摘名称)(945);四氯化碳(IUPAC-名称)(946);三硫磷(947);丁硫克百威(119);杀螟丹(123);巴丹(123);藜芦碱(别名)(725);冰片丹(960);氯丹(128);十氯酮(963);杀虫脒(964);杀虫脒盐酸盐(964);氯氧磷(129);溴虫腈(130);毒虫畏(131);定虫隆(132);氯甲硫磷(136);氯仿[CCN];氯化苦(141);氯辛硫磷(989);氯吡唑磷(990);毒死蜱(145);甲基毒死蜱(146);虫螨磷(994);环虫酰肼(150);瓜菊酯I(696);瓜菊酯II(696);瓜叶菊素(696);顺式苄呋菊酯(别名);拟除虫菊酯(80);功夫菊酯(别名);除线威(999);氯氰碘柳胺(别名)[CCN];噻虫胺(165);巴黎绿[CCN];砷酸铜[CCN];油酸铜[CCN];蝇毒磷(174);畜虫磷(1006);克罗米通(别名)[CCN];巴毒磷(1010);育畜磷(1011);冰晶石(别名)(177);硝滴涕(研究代码)(1012);苯腈磷(1019);杀螟腈(184);果虫磷(1020);环虫菊[CCN];乙氰菊酯(188);氟氯氰菊酯(193);氯氟氰菊酯(196);氯氰菊酯(201);苯醚氰菊酯(206);灭蝇胺(209);畜蜱磷(别名)[CCN];d-柠檬油精(别名)[CCN];d-胺菊酯(别名)(788);敌磷(1031);棉隆(216);滴滴涕(219);甲呋喃丹(1034);溴氰菊酯(223);田乐磷(1037);田乐磷-O(1037);田乐磷-S(1037);内吸磷(1038);甲基内吸磷(224);内吸磷-O(1038);内吸磷-O-甲基(224);内吸磷-S(1038);甲基内吸磷(224);砜吸磷(1039);丁醚脲(226);氯亚胺硫磷(1042);除线特(1044);二嗪农(227);异氯磷(1050);除线磷(1051);敌敌畏(236);dicliphos(别名);dicresyl(别名)[CCN];百治磷(243);环虫腈(244);狄氏剂(1070);5-甲基吡唑-3-基磷酸二乙酯(IUPAC-名称)(1076);除虫脲(250);双羟丙茶碱(别名)[CCN];dimefluthrin[CCN];甲氟磷(1081);地麦威(1085);乐果(262);苄菊酯(1083);甲基毒虫畏(265);敌蝇威(1086);消螨酚(1089);消螨酚-diclexine(1089);硝丙酚(1093);戊硝酚(1094);地乐酚(1095);呋虫胺(271);苯虫醚(1099);蔬果磷(1100);二氧威(1101);敌恶磷(1102);乙拌磷(278);噻喃磷(1108);二硝甲酚(282);多拉菌素(别名)[CCN];胺线磷(1115);脱皮甾酮(别名)[CCN];氨叉威(研究代码)(1118);埃玛菌素(291);甲胺基甲维菌素苯甲酸盐(291);多杀威(1120);右旋烯炔菊酯(292);硫丹(294);因毒磷(1121);异狄氏剂(1122);氯苯磷(1123);苯硫磷(297);保幼醚(1124);埃普利诺菌素(别名)[CCN];S-氰戊菊酯(302);etaphos(别名)[CCN];乙硫苯威(308);乙硫磷(309);乙硫虫腈(310);益果(1134);灭线磷(312);甲酸乙酯(IUPAC-名称)[CCN];乙滴滴(别名)(1056);二溴乙烯(316);二氯乙烯(化学名)(1136);乙撑氧[CCN];醚菊酯(319);乙嘧硫磷(1142);草必散(1143);伐灭磷(323);苯线磷(326);抗螨唑(1147);皮蝇磷(1148);二乙基苯酚甲基氨基甲酸酯(1149);五氟苯菊酯(1150);杀螟硫磷(335);仲丁威(336);fenoxacrim(1153);苯氧威(340);吡氯氰菊酯(1155);甲氰菊酯(342);fenpyrad(别名);丰索磷(1158);倍硫磷(346);乙基倍硫磷[CCN];氰戊菊酯(349);氟虫腈(354);flonicamid(358);氟氯双苯隆(1168);氟螨脲(366);氟氰戊菊酯(367);联氟螨(1169);flufenerim[CCN];氟虫脲(370);三氟醚菊酯(1171);氟氯苯菊酯(372);氟胺氰菊酯(1184);四硫特普(研究代码)(1185);地虫硫磷(1191);伐虫脒(405);伐虫脒盐酸盐(405);安硫磷(1192);胺甲威(1193);丁苯硫磷(1194);磷吡酯(1195);噻唑磷(408);丁硫环磷(1196);呋线威(412);糠醛菊酯(1200);γ-氯氟氰菊酯(197);林丹(430);双胍盐(422);双胍辛乙酸盐(422);四硫钠(研究代码)(423);苄螨醚(424);氯虫酰肼(425);六六六(430);狄氏剂(1070);七氯(1211);庚烯磷(432);速杀硫磷[CCN];氟铃脲(439);艾氏剂(864);伏蚁腙(443);氢氰酸(444);烯虫乙酯(445);喹啉威(1223);吡虫啉(458);咪炔菊酯(460);茚虫威(465);丰丙磷(1229);氯唑磷(1231);碳氯灵(1232);水胺硫磷(别名)(473);异艾氏剂(1235);异柳磷(1236);异索威(1237);异丙威(472);O-(甲氧基氨基硫代磷酰基)水杨酸异丙酯(IUPAC-名称)(473);稻瘟灵(474);异拌磷(1244);恶唑磷(480);伊维菌素(别名)[CCN];茉酮菊素I(696);茉酮菊素II(696);碘硫磷(1248);保幼激素I(别名)[CCN];保幼激素II(别名)[CCN];保幼激素III(别名)[CCN];克来范(1249);烯虫炔酯(484);λ-氯氟氰菊酯(198);砷酸铅[CCN];溴苯磷(1250);林丹(430);啶虫磷(1251);虱螨脲(490);噻唑磷(1253);间-枯烯基氨基甲酸甲酯(IUPAC-名称)(1014);磷化镁(IUPAC-名称)(640);马拉硫磷(492);苄丙二腈(1254);叠氮磷(1255);灭蚜磷(502);甲基灭蚜磷(1258);灭蚜硫磷(1260);地胺磷(1261);甘汞(513);甲亚砜磷(1263);威百亩(519);威百亩钾盐(别名)(519);威百亩钠盐(519);虫螨畏(1266);甲胺磷(527);甲基磺酰氟(IUPAC-/化学文摘名称)(1268);杀扑磷(529);甲硫威(530);丁烯胺磷(1273);灭多威(531);烯虫酯(532);甲喹丁(1276);甲醚菊酯(别名)(533);甲氧滴滴涕(534);甲氧虫酰肼(535);溴甲烷(537);异硫氰酸甲酯(543);甲基氯仿(别名)[CCN];二氯甲烷[CCN];甲氧苄氟菊酯[CCN];速灭威(550);恶虫酮(1288);速灭磷(556);自克(1290);弥拜菌素(557);美贝霉素肟(别名)[CCN];丙胺氟(1293);灭蚁灵(1294);久效磷(561);茂硫磷(1300);莫西菌素(别名)[CCN];萘酞磷(别名)[CCN];二溴磷(567);萘(IUPAC-/化学文摘名称)(1303);哒幼酮(研究代码)(1306);NC-184(化合物代码);烟碱(578);硫酸烟碱(578);氟蚊灵(1309);烯啶虫胺(579);硝虫噻嗪(1311);戊氰威(1313);戊氰威1∶1氯化锌复合物(1313);NNI-0101(化合物代码);NNI-0250(化合物代码);降烟碱(惯用名)(1319);氟酰脲(585);noviflumuron(586);O-2,5-二氯-4-碘代苯基O-乙基乙基硫代磷酸酯(IUPAC-名称)(1057);O,O-二乙基O-4-甲基-2-氧-2H-色烯-7-基硫代磷酸酯(IUPAC-名称)(1074);O,O-二乙基O-6-甲基-2-丙基嘧啶-4-基硫代磷酸酯(IUPAC-名称)(1075);O,O,O′,O′-四丙基二硫代焦磷酸酯(IUPAC-名称)(1424);油酸(IUPAC-名称)(593);氧乐果(594);杀线威(602);砜吸磷(609);亚异砜磷(1324);砜拌磷(1325);滴滴涕(219);对-二氯苯[CCN];对硫磷(615);甲基对硫磷(616);氟幼脲(别名)[CCN];五氯苯酚(623);月桂酸五氯苯酯(IUPAC-名称)(623);氯菊酯(626);石油(别名)(628);氯脲杀(研究代码)(1328);芬硫磷(1330);苯醚菊酯(630);稻丰散(631);甲拌磷(636);伏杀硫磷(637);硫环磷(1338);亚胺硫磷(638);对氯硫磷(1339);磷胺(639);磷化氢(IUPAC-名称)(640);辛硫磷(642);甲基辛硫磷(1340);甲胺嘧磷(1344);抗蚜威(651);嘧啶磷(1345);虫螨磷(652);聚氯二环戊二烯异构体(IUPAC-名称)(1346);聚氯萜烯(惯用名)(1347);亚砷酸钾[CCN];硫氰酸钾[CCN];右旋炔丙菊酯(655);早熟素I(别名)[CCN];早熟素II(别名)[CCN];早熟素III(别名)[CCN];酰胺嘧啶磷(1349);丙溴磷(662);丙氟菊酯[CCN];蜱虱威(1354);猛杀威(1355);丙虫磷(1356);胺丙畏(673);残杀威(678);乙噻唑磷(1360);丙硫磷(686);发硫磷(1362);丙苯烃菊酯[CCN];吡蚜酮(688);吡唑硫磷(689);吡菌磷(693);反灭虫菊(1367);除虫菊酯I(696);除虫菊酯II(696);除虫菊素(696);哒螨灵(699);pyridalyl(700);哒嗪硫磷(701);嘧螨醚(706);嘧啶磷(1370);吡丙醚(708);苦木药(别名)[CCN];喹硫磷(711);甲基喹硫磷(1376);喹赛昂(1380);喹涕福(1381);甲基三苯磷(研究代码)(1382);rafoxanide(别名)[CCN];苄呋菊酯(719);鱼藤酮(722);噻嗯菊酯(研究代码)(723);氯溴氰菊酯(研究代码)(1386);鱼尼汀(别名)(1387);鱼尼汀(惯用名)(1387);沙巴达(别名)(725);八甲磷(1389);硫线磷(别名);塞拉菌素(别名)[CCN];SI-0009(化合物代码);氟硅菊酯(728);蛾蝇腈(研究代码)(1397);亚砷酸钠[CCN];氰化钠(444);氟化钠(IUPAC-/化学文摘名称)(1399);六氟硅酸钠(1400);五氯苯氧化钠(623);硒酸钠(IUPAC-名称)(1401);硫氰酸钠[CCN];苏硫磷(1402);多杀菌素(737);螺甲螨酯(739);磺苯醚隆(746);磺苯醚隆钠盐(746);氟虫胺(750);治螟磷(753);硫酰氟(756);硫丙磷(1408);重焦油(别名)(758);氟胺氰菊酯(398);噻螨威(1412);滴滴滴(1414);虫酰肼(762);吡螨胺(763);丁基嘧啶磷(764);氟苯脲(768);七氟菊酯(769);双硫磷(770);特普(1417);环戊烯丙菊酯(1418);叔丁威(别名);特丁磷(773);四氯乙烷[CCN];杀虫威(777);胺菊酯(787);θ-氯氰菊酯(204);噻虫啉(791);thiafenox(别名);噻虫嗪(792);噻氯磷(1428);抗虫威(1431);杀虫环(798);杀虫环草酸氢盐(798);硫双威(799);久效威(800);甲基乙拌磷(801);虫线磷(1434);杀虫双(803);杀虫双钠盐(803);敌贝特(别名)[CCN];唑虫酰胺(809);四溴菊酯(812);四氟苯菊酯(813);顺式氯菊酯(1440);威菌磷(1441);唑蚜威(818);三唑磷(820);triazuron(别名);敌百虫(824);三氯对硫磷-3(别名)[CCN];毒壤磷(1452);氯苯乙丙磷(1455);杀铃脲(835);混杀威(840);烯虫硫酯(1459);蚜灭磷(847);氟吡唑虫[CCN];藜芦定(别名)(725);藜芦碱(别名)(725);二甲威(853);灭杀威(854);YI-5302(化合物代码);ξ-氯氰菊酯(205);zetamethrin(别名);磷化锌(640);zolaprofos(1469)和ZXI 8901(研究代码)(858);
式A-1化合物
式A-2化合物
式A-3化合物
式A-4化合物
式A-5化合物
式A-6化合物
式A-7化合物
式A-8化合物
式A-9化合物
式A-10化合物
式A-11化合物
式A-12化合物
式A-13化合物
式A-14化合物
式A-15化合物
式A-15A化合物
式(A-16)化合物
式(A-17)化合物
式(A-18)化合物
式(A-19)化合物
式(A-20)化合物
式(A-21)化合物
式(A-22)化合物
式(A-23)化合物
式(A-24)化合物
式(A-25)化合物
式(A-26)化合物
氧化二(三丁基锡)(IUPAC-名称)(913);溴乙酰胺[CCN];砷酸钙[CCN];除线威(999);巴黎绿[CCN];硫酸铜(172);三苯锡(347);磷酸铁(IUPAC-名称)(352);四聚乙醛(518);甲硫威(530);杀螺安(576);贝螺杀(576);五氯苯酚(623);五氯苯氧化钠(623);噻螨威(1412);硫双威(799);丁蜗锡(913);杀螺吗啉(1454);混杀威(840);薯瘟锡(IUPAC-名称)(347);毒菌锡(IUPAC-名称)(347);1,2-二溴-3-氯丙烷(IUPAC-/化学文摘名称)(1045);1,2-二氯丙烷(IUPAC-/化学文摘名称)(1062);1,2-二氯丙烷和1,3-二氯丙烯(IUPAC-名称)(1063);1,3-二氯丙烯(233);3,4-二氯四氢噻吩1,1-二氧化物(IUPAC-/化学文摘名称)(1065);3-(4-氯苯基)-5-甲基绕丹宁(IUPAC-名称)(980);5-甲基-6-硫代-1,3,5-噻二嗪烷-3-基乙酸(IUPAC-名称)(1286);6-异戊烯氨基嘌呤(别名)(210);阿维菌素(1);乙酰虫腈[CCN];棉铃成(15);涕灭威(16);涕灭砜威(863);AZ60541(化合物代码);benclothiaz[CCN];苯菌灵(62);哒螨酮(别名);硫线磷(109);克百威(118);二硫化碳(945);丁硫克百威(119);氯化苦(141);毒死蜱(145);除线威(999);细胞分裂素(别名)(210);棉隆(216);二溴氯丙烷(1045);二氯异丙醚(218);除线特(1044);除线磷(1051);dicliphos(别名);乐果(262);多拉菌素(别名)[CCN];埃玛菌素(291);甲胺基甲维菌素苯甲酸盐(291);埃普利诺菌素(别名)[CCN];灭线磷(312);二溴乙烯(316);苯线磷(326);fenpyrad(别名);丰索磷(1158);噻唑磷(408);丁硫环磷(1196);糠醛(别名)[CCN];GY-81(研究代码)(423);速杀硫磷[CCN];isamidofos(1230);氯唑磷(1231);伊维菌素(别名)[CCN];糠氨基嘌呤(别名)(210);甲基灭蚜磷(1258);威百亩(519);威百亩钾盐(别名)(519);威百亩钠盐(519);溴甲烷(537);异硫氰酸甲酯(543);美贝霉素肟(别名)[CCN];莫西菌素(别名)[CCN];Myrothecium verrucaria组合物(别名)(565);NC-184(化合物代码);杀线威(602);甲拌磷(636);磷胺(639);磷虫威[CCN];硫线磷(别名);塞拉菌素(别名)[CCN];多杀菌素(737);叔丁威(别名);特丁磷(773);四氯噻吩(IUPAC-/化学文摘名称)(1422);thiafenox(别名);虫线磷(1434);三唑磷(820);triazuron(别名);二甲苯酚[CCN];YI-5302(化合物代码);玉米素(别名)(210);乙基黄原酸钾[CCN];三氯甲基吡啶(580);噻二唑素(6);噻二唑素(6);烯丙苯噻唑(658);Reynoutria sachalinensis提取物(别名)(720);2-异戊酰2,3-二氢-1,3-茚二酮(IUPAC-名称)(1246);4-(喹喔啉-2-基氨基)苯磺酰胺(IUPAC-名称)(748);α-氯乙醇[CCN];磷化铝(640);安妥(880);三氧化二砷(882);碳酸钡(891);双鼠脲(912);溴鼠灵(89);溴敌隆(91);溴鼠胺(92);氰化钙(444);氯醛糖(127);氯鼠酮(140);维生素D3(别名)(850);氯灭鼠灵(1004);克鼠灵(1005);杀鼠醚(175);鼠立死(1009);鼠得克(246);噻鼠灵(249);敌鼠(273);麦角钙化醇(301);氟鼠灵(357);氟乙酰胺(379);氟鼠啶(1183);氟鼠啶盐酸盐(1183);林丹(430);六六六(430);氢氰酸(444);林丹(430);磷化镁(IUPAC-名称)(640);溴甲烷(537);鼠特灵(1318);毒鼠磷(1336);磷化氢(IUPAC-名称)(640);磷[CCN];杀鼠酮(1341);亚砷酸钾[CCN];灭鼠优(1371);海葱素(1390);亚砷酸钠[CCN];氰化钠(444);氟乙酸钠(735);番木鳖碱(745);硫酸铊[CCN];杀鼠灵(851);磷化锌(640);2-(2-丁氧基乙氧基)乙基胡椒基酯(IUPAC-名称)(934);5-(1,3-苯并间二氧杂环戊烯-5-基)-3-己基环己-2-烯酮(IUPAC-名称)(903);金合欢醇和橙花叔醇(别名)(324);增效炔醚(研究代码)(498);S-反丙烯除虫菊(研究代码)(296);增效醚(649);增效醛(1343);增效酯(1358);四氯丙醚(研究代码)(724);增效散(1393);芝麻啉(1394);增效砜(1406);蒽醌(32);氯醛糖(127);环烷酸铜[CCN];王铜(171);二嗪农(227);二环戊二烯(化学名)(1069);双胍盐(422);双胍辛乙酸盐(422);甲硫威(530);吡啶-4-胺(IUPAC-Name)(23);福美双(804);混杀威(840);环烷酸锌[CCN];福美锌(856);imanin(别名)[CCN];病毒唑(别名)[CCN];氧化汞(512);辛噻酮(590);甲基托布津(802);式B-1A化合物
其中R’是氢,C1-4烷基或C1-4卤代烷基;
式B-2化合物
式B-3化合物
式B-4化合物
式B-5化合物
式B-8化合物
和式B-9化合物
现已意外地发现本发明的活性成分混合物不仅进一步增加了对通常期望受到防治的植物病原体的作用谱,而且获得了增效作用,这在两方面扩大了化合物(A)和化合物(B)的作用范围。首先,降低了化合物(A)和化合物(B)的施用量,同时其作用仍同样保持良好。其次,即使两种单个化合物在如此低的施用量范围下变得完全无效,活性成分混合物仍旧获得了高度的植物病原体防治作用。这一方面实质上扩大了可以防治的植物病原体谱,并且另一方面提高了使用安全性。
然而,除了对杀真菌活性的实际增效作用外,本发明农药组合物还具有其它出人意料的有利性能,该有利性能也可以在广义上描述为增效活性。可提及的所述有利性能的实例是:拓宽对其他植物病原体例如抗性菌株的杀真菌作用谱;降低活性成分的用量;对动物害虫的增效作用,例如昆虫或蜱螨目;拓宽对其他动物害虫如抗性动物害虫的杀虫作用谱;通过本发明的组合物实现充分的害虫防治,即使是在单一化合物完全无效的用量下;在配成制剂和/或施用中的有利特性,例如在研磨、筛选、乳化、溶解或分散中;增强储藏稳定性;改善对光的稳定性;更有利的降解性;改善的毒性和/或环境毒性;改善有益植物的特性,包括:发芽,作物产量,更发达的根系,分蘖增加,植物高度增加,更大的叶片,更少的死基叶,更强的分蘖枝,更绿的叶色,需要较少的肥料,需要较少的种子,更多产的分蘖枝,较早开花,谷物早熟,较少植物节(倒伏),枝条生长增强,植物活力改善,和早萌发;或本领域技术人员熟知的其他任何优点。
取代基定义中出现的烷基可以是直连或支链的,例如甲基、乙基、正丙基、异丙基、正丁基、仲丁基、异丁基、叔丁基、戊基、己基和戊基与己基的支化异构体,优选的烷基是甲基、异丙基和叔丁基,最优选的烷基是异丙基。
式I化合物以不同的立体异构体形式出现,所述异构体描述于式II和III中:
其中R1和Y如式I中定义。本发明包括所有上述立体异构体及其任何比例的混合物。
由于式I化合物的取代基Y的定义中也可能含有不对称碳原子,因此还包括所有的立体异构体、所有的顺(syn)-和反(anti)-形式和所有的手性<R>和<S>形式。
成分(B)是已知的。在成分(B)被纳入″The Pesticide Manual″[The Pesticide Manual-A World Compendium;Thirteenth Edition;Editor:C.D.S.Tomlin;The British Crop Protection Council]时,它们在其中描述于上文给出的特定成分(B)的圆括号中的条目下;例如化合物″阿维菌素″描述于编号(1)下。当上文中对特定的成分(B)加上″[CCN]″时,所述成分(B)被纳入″
Compendium of Pesticide Common Names″中,其可在互联网[A.Wood;Compendium of PesticideCommon Names,Copyright1995-2004]中查到;例如,化合物″乙酰虫腈″描述于网址
http://www.alanwood.net/pesticides/ acetoprole.html中。
多数成分(B)通过上文中所谓的“通用名”来表示,在不同的情形中使用相应的“ISO通用名”或其它“通用名”。若其名称不是“通用名”,则替代使用的名称种类在特定成分(B)的圆括号中给出;在该情形下,使用IUPAC名称、IUPAC/化学文摘名称、“化学名”、“惯用名”、“化合物名称”或“研究代码”,或若既不使用指定名称也不使用“通用名”,则使用“别名”。
下列成分B)以CAS-登记号登记:Aldimorph(CAS 91315-15-0);Iodocarb(3-碘代-2-丙炔基丁基氨基甲酸酯)(CAS 55406-53-6);三苯锡氯(CAS 668-34-8);土菌消(CAS 10004-44-1);磷酸(CAS7664-38-2);叶枯酞(CAS 76280-91-6);砷酸盐(CAS 1327-53-3);碳酸铵铜(CAS 33113-08-5);油酸铜(CAS 1120-44-1);水银(CAS7487-94-7;21908-53-2;7546-30-7);Benthiavalicarb(CAS413615-35-7);氯化铬(CAS 10108-64-2);雪松叶油(CAS 8007-20-3);氯(CAS 7782-50-5);桂皮醛(CAS:104-55-2);二甲基二硫代氨基甲酸锰(CAS 15339-36-3);印楝油(疏水提取物)(CAS 8002-65-1);多聚甲醛(CAS 30525-89-4);碳酸氢钠(CAS 144-55-8);碳酸氢钾(CAS298-14-6);二乙酸钠(CAS 127-09-3);丙酸钠(CAS137-40-6);TCMTB(CAS 21564-17-0);苯霜灵-M(CAS 98243-83-5);表苯菌酮(CAS 220899-03-6);吡噻菌胺(CAS 183675-82-3)和对甲抑菌灵(CAS 731-27-1)。
式F-2、F-3、F-4、F-5和F-6化合物描述于WO 04/058723中。式F-7、F-8和F-9化合物描述于WO 03/074491中。
式A-1,A-2,A-3,A-4,A-5,A-6,A-7,A-8,A-9,A-10,A-11,A-12,A-13,A-14,A-15,A-18,A-19,A-20,A-21和A-22化合物描述于WO-03/015519中。式A-15A化合物描述于EP-A-1 006 107。式A-16,A-17,A-23,A-24,A-25和A-26化合物描述于WO-04/067528。
短小芽孢杆菌GB34和短小芽孢杆菌菌株QST在U.S.Environmental Protection Agency分别以U.S.EPA PC Code 006493和U.S.EPA PC Code 006485描述(见:http://www.epa.gov/)。
式F-1化合物描述于WO 01/87822。式B-1A化合物和式B-1化合物描述于WO 98/46607。式B-2化合物描述于WO 99/042447。式B-3化合物描述于WO 96/19442。式B-4化合物描述于WO 99/14187。式B-5化合物描述于US-5,945,423和WO 94/26722。式B-6化合物描述于EP-0-936-213。式B-7化合物描述于US-6,020,332,CN-1-167-568,CN-1-155-977和EP-0-860-438。式B-8化合物以CAS登记号325156-49-8登记,也被称为Pyribencarb。式B-9化合物以CAS登记号348635-87-0登记,也被称为Ambromdole或Amisulbrom。
根据本发明,“外消旋化合物”表示两种对映异构体基本上50∶50的比率的混合物。
在此文件中,“组合物”代表成分A)和B)的各种组合,例如以单一的“掺水即可使用”形式,以单一活性成分的单独制剂构成的合并喷洒混合物形式,例如“桶混物”,和当活性成分以连续的方式施用,即间隔适度的短周期如几小时或几天的一个接一个地施用时,单一的活性成分的合并使用的形式。成分A)和B)的施用顺序不是实施本发明的关键。
本发明的组合物还可含有多种活性成分B),例如如果需要拓宽植物致病性病害防治谱时。例如,在农业实践中,将两种或三种成分B)与式I的任何化合物或与式I化合物组的任何优选成分合并可能是有利的。
本发明的优选实施方案为含有式I化合物作为成分A)和一种如上所述的成分B)的那些组合物,所述式I化合物中R1是二氟甲基或三氟甲基;Y是-CHR2-,R2是氢或C1-C6烷基。
本发明的优选实施方案为含有作为成分A)的式I化合物和一种如上所述的成分B)的那些组合物,所述式I化合物中R1是三氟甲基。
本发明的优选实施方案为含有作为成分A)的式I化合物和一种如上所述的成分B)的那些组合物代表,所述式I化合物中R1是二氟甲基。
本发明的优选实施方案为含有作为成分A)的式I化合物和一种如上所述的成分B)的那些组合物代表,所述式I化合物中R1是二氟甲基和R2是C1-C6烷基。
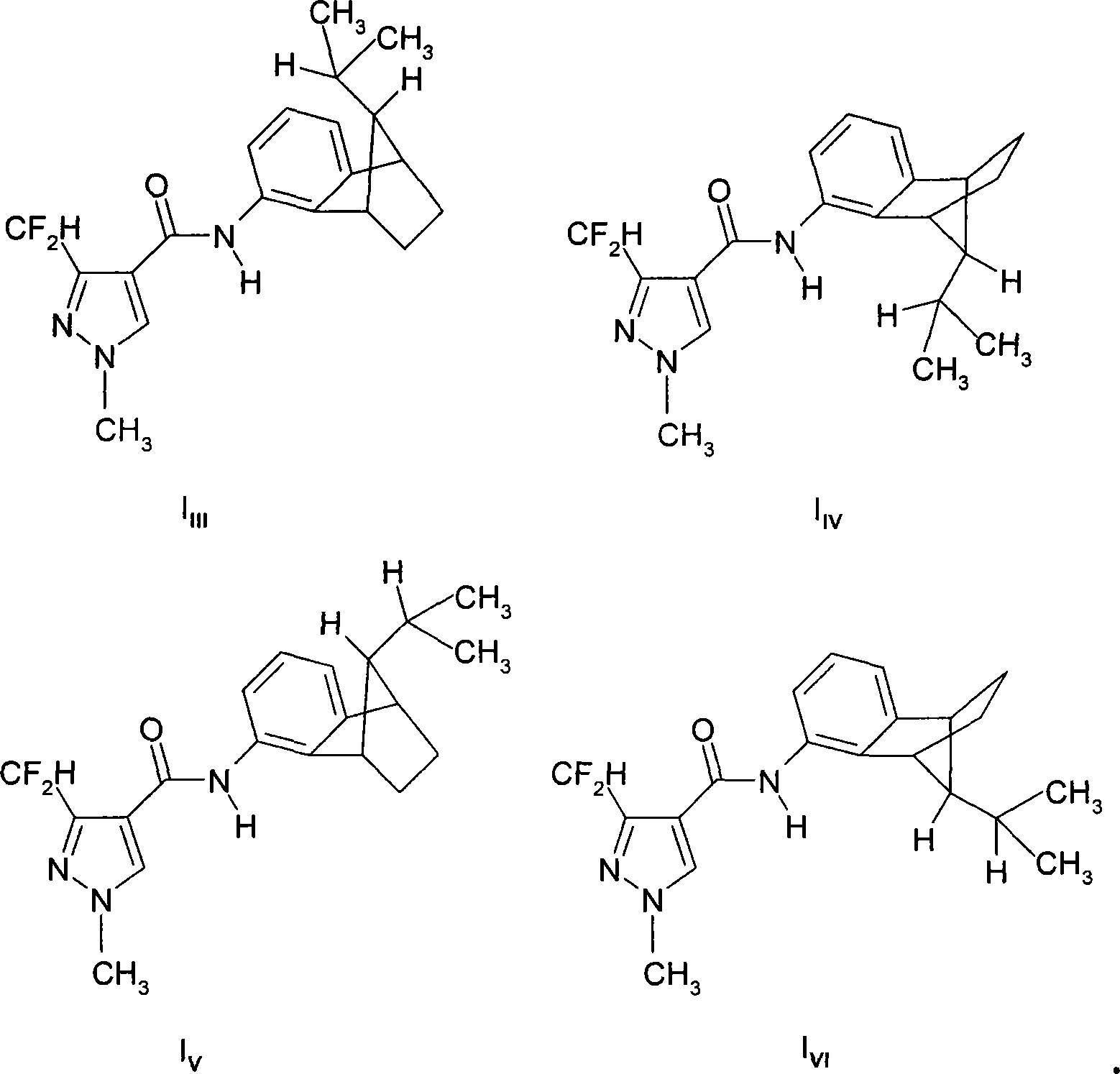
本发明的优选实施方案为含有作为活性成分A)的式I化合物(其中R1是二氟甲基,Y是-CHR2-和R2是异丙基)和一种如上所述的成分B)的组合物。在本发明的此实施方案中,式I化合物以不同的立体异构体形式存在,所述异构体描述为式IIII、IIV、IV和IVI的单个的对映异构体:
本发明包括所有这些单个的对映异构体及其任何比率的混合物。
式I化合物及其从已知的市售化合物开始的制备方法描述于WO04/035589。特别是在WO 04/035589中描述了由结构式Ia代表的优选的式I化合物(其中R1是二氟甲基,Y是-CHR2-,R2是异丙基)
可由式II的酰氯
与式III的胺反应制备
式IV的酸
用于通过WO 04/035589中所述反应步骤制造式II的酰氯。在用所述方法制造式IV的酸时,可能形成式IVA,IVB和/或IVC的杂质:
当将所述制造方法用于式Ia化合物时,通过所述制造方法的不同步骤可能含有一些/所有这些杂质。然后这可导致形成相应的酰氯(IIA,IIB和/或IIC)
和形成相应的酰胺(VA,VB和/或VC)
成为式Ia化合物的其他杂质。根据所用的纯化步骤,在所述式Ia化合物的制备中,所述杂质的存在/量会改变。
式IIIB的胺
其中R1’和R2’都独立地是氢或C1-C5烷基,但R1’和R2’均以使组合-CHR1’R2’整体是C1-C6烷基的方式进行选择。所述组合-CHR1’R2’代表式I化合物的取代基R2的优选定义。
所述式IIIB的胺可按照方案1制造。
方案1:使用6-硝基邻氨基苯甲酸合成IIIB
式D’的9-亚烷基-5-硝基-苯并降冰片二烯,其中R1’和R2’如式IIIB化合物中定义,可如L.Paquette等,J.Amer.Chem.Soc.99,3734(1977)所述,通过原位产生的苯炔B’[例如由式(A’)的6-硝基邻氨基苯甲酸开始,通过亚硝酸异戊基或叔丁基酯重氮化],或由其他适宜的前体[见H.Pellissier等.Tetrahedron,59,701(2003),R.Muneyuki和H.Tanida,J.Org.Chem.31,1988(1966)]按照R.Muneyuki和H.Tanida,J.Org.Chem.31,1988(1966),P.Knochel等,Angew.Chem.116,4464(2004),J.W.Coe等,Organic Letters6,1589(2004),L.Paquette等,J.Amer.Chem.Soc.99,3734(1977),R.N.Warrener等.Molecules,6,353(2001),R.N.Warrener等.Molecules,6,194(2001)所述或类似的方法与6-烷基-或6,6-二烷基亚甲基环戊二烯Diels-Alder加成来合成。适用于此步骤的质子惰性溶剂是例如二乙醚、丁基甲基醚、乙酸乙酯、二氯甲烷、丙酮、四氢呋喃、甲苯、2-丁酮或二甲氧基乙烷。反应温度范围是自室温至100℃,优选35-80℃。
式C’的6-烷基-或6,6-二烷基亚甲基环戊二烯可按照M.Neuenschwander等,Helv.Chim.Acta,54,1037(1971),ibid 48,955(1965).R.D.Little等,J.Org.Chem.49,1849(1984),I.Erden等,J.Org.Chem.60,813(1995)和S.Collins等,J.Org.Chem.55,3395(1990)所述获得。
方案2:两步加氢
式E’的苯胺可按照方案2通过部分氢解D’获得,例如通过4当量后中断H2吸收。适宜的溶剂包括四氢呋喃、乙酸乙酯、甲醇、乙醇、甲苯或苯等。催化剂是例如Ra/Ni、Rh/C或Pd/C。压力∶大气压或压力至多6巴,优选大气压。温度范围自室温至至多50℃,优选20-30℃。
式IIIB的苯胺可由式E’的苯胺通过加氢作用获得。适宜的溶剂是例如四氢呋喃、甲醇、乙醇、甲苯、二氯甲烷、乙酸乙酯。优选的溶剂是四氢呋喃和甲醇。温度范围10-50℃,优选20-30℃,更优选室温。压力∶大气压至150巴,优选大气压至100巴。催化剂的选择影响顺式/反式比率。催化剂如Rh/C、Ra/Al2O3、Rh2O3、Pt/C或PtO2导致富顺式(优选Rh/C)。催化剂如Ra/Ni、Ir(COD)Py(Pcy)或Pd/C导致富反式(优选Pd/C)。
式IIIB的苯胺也可按照方案3制备。
方案3:一锅加氢
IIIB苯胺可通过一锅反应由式D’化合物经过完全氢化(方案3)获得。适宜的溶剂是例如四氢呋喃、甲醇、乙醇、甲苯或乙酸乙酯。优选的溶剂是四氢呋喃或甲醇。温度范围从室温至50℃,优选室温至30℃,最优选室温。压力:大气压至100巴,更优选50巴,更加优选20巴,最优选大气压至4-6巴。同样,如上述方案2所述,催化剂的选择影响顺式/反式比率。催化剂如Rh/C、Rh/Al2O3、Rh2O3、Pt/C或PtO2导致富顺式。催化剂如Pd/C、Ir(COD)Py(Pcy)或Ra/Ni导致富反式(优选Pd/C)。
下列式D’化合物可用于制造优选的式I化合物。
表1:式D’化合物
| 化合物编号. | R1’ | R2’ | 备注 |
| Z1.01 | H | CH3 | E/Z-混合物 |
| Z1.02 | H | C2H5 | E/Z-混合物 |
| Z1.03 | H | 正-C3H7 | E/Z-混合物 |
| Z1.04 | H | 异-C3H7 | E/Z-混合物 |
| Z1.05 | H | c-C3H5 | E/Z-混合物 |
| Z1.06 | H | 正-C4H9 | E/Z-混合物 |
| Z1.07 | H | 异-C4H9 | E/Z-混合物 |
| Z1.08 | H | 仲-C4H9 | E/Z-混合物 |
| Z1.09 | H | 叔-C4H9 | E/Z-混合物 |
| Z1.10 | H | 正-C5H11 | E/Z-混合物 |
| Z1.11 | CH3 | CH3 | |
| Z1.12 | C2H5 | C2H5 | |
| Z1.13 | CH3 | C2H5 | E/Z-混合物 |
| Z1.14 | CH3 | 正-C3H7 | E/Z-混合物 |
| Z1.15 | CH3 | 异-C3H7 | E/Z-混合物 |
| Z1.16 | CH3 | c-C3H5 | E/Z-混合物 |
| Z1.17 | H | H |
下列E’化合物可用于制造优选的式I化合物。
表2:式E’化合物
| 化合物编号 | R1’ | R2’ | 备注 |
| Z2.01 | H | CH3 | E/Z-混合物 |
| Z2.02 | H | C2H5 | E/Z-混合物 |
| Z2.03 | H | 正-C3H7 | E/Z-混合物 |
| Z2.04 | H | 异-C3H7 | E/Z-混合物 |
| Z2.05 | H | c-C3H5 | E/Z-混合物 |
| Z2.06 | H | 正-C4H9 | E/Z-混合物 |
| Z2.07 | H | 异-C4H9 | E/Z-混合物 |
| Z2.08 | H | 仲-C4H9 | E/Z-混合物 |
| Z2.09 | H | 叔-C4H9 | E/Z-混合物 |
| Z2.10 | H | 正-C5H11 | E/Z-混合物 |
| Z2.11 | CH3 | CH3 | |
| Z2.12 | C2H5 | C2H5 | |
| Z2.13 | CH3 | C2H5 | E/Z-混合物 |
| Z2.14 | CH3 | 正-C3H7 | E/Z-混合物 |
| Z2.15 | CH3 | 异-C3H7 | E/Z-混合物 |
| Z2.16 | CH3 | c-C3H5 | E/Z-混合物 |
| Z2.17 | H | H |
下列式IIIB化合物用于制造优选的式I化合物。
表3:式IIIB化合物
| 化合物编号 | R1’ | R2’ | 备注 |
| Z3.01 | H | CH3 | 顺式/反式-混合物 |
| Z3.02 | H | C2H5 | 顺式/反式-混合物 |
| Z3.03 | H | 正-C3H7 | 顺式/反式-混合物 |
| Z3.04 | H | 异-C3H7 | 顺式/反式-混合物 |
| Z3.05 | H | c-C3H5 | 顺式/反式-混合物 |
| Z3.06 | H | 正-C4H9 | 顺式/反式-混合物 |
| Z3.07 | H | 异-C4H9 | 顺式/反式-混合物 |
| Z3.08 | H | 仲-C4H9 | 顺式/反式-混合物 |
| Z3.09 | H | 叔-C4H9 | 顺式/反式-混合物 |
| Z3.10 | H | 正-C5H11 | 顺式/反式-混合物 |
| Z3.11 | CH3 | CH3 | 顺式/反式-混合物 |
| Z3.12 | C2H5 | C2H5 | 顺式/反式-混合物 |
| Z3.13 | CH3 | C2H5 | 顺式/反式-混合物 |
| Z3.14 | CH3 | 正-C3H7 | 顺式/反式-混合物 |
| Z3.15 | CH3 | 异-C3H7 | 顺式/反式-混合物 |
| Z3.16 | CH3 | c-C3H5 | 顺式/反式-混合物 |
| Z3.17 | H | H | 顺式/反式-混合物 |
下列实施例举例说明了式IIIB化合物的制备。
a)苯炔加合物
实施例H1:9-异亚丙基-5-硝基-苯并降冰片二烯(化合物编号.Z1.11):
在氮气氛下72℃和20分钟内,将6-硝基邻氨基苯甲酸(110.4g,0.6mol)和6,6-二甲基亚甲基环戊二烯(98.5g,1.5当量)在700ml二甲氧基乙烷中的混合物滴加到亚硝酸叔丁基酯(96.3g,1.4当量)在2L1,2-二甲氧基乙烷中的溶液中。立即开始剧烈形成气体,并且温度升至79℃。30分钟后气体形成停止。在回流温度下3小时后,将混合物冷却至室温,蒸发和在硅胶上纯化,用己烷-乙酸乙酯95∶5洗脱,得到76.7g 9-异亚丙基-5-硝基-苯并降冰片二烯黄色固体(熔点94-95℃).1H-NMR(CDCl3),ppm:7.70(d,1H),7.43(d,1H),7.06(t,1H),6.99(m,2H),5.34(brd s,1H),4.47(brd s,1H),1.57(2d,6H).13C-NMR(CDCl3),ppm:159.83,154.30,147.33,144.12,142.89,141.93,125.23(2x),119.32,105.68,50.51,50.44,19.05,18.90。
b)两步加氢
实施例H2:9-异亚丙基-5-氨基-苯并降冰片烯(化合物编号Z2.11):
使5.0g 9-异亚丙基-5-硝基-苯并降冰片二烯(化合物编号Z1.11)(22mmol)在50ml四氢呋喃中在1.5g 5%Rh/C的存在下于25℃和大气压下氢化。吸收4当量的氢气(2.01L或理论的102%)后,将混合物过滤,蒸发和硅胶上纯化,用己烷-乙酸乙酯-6∶1洗脱,产生2.76g9-异亚丙基-5-氨基-苯并降冰片烯固体(熔点81-82℃;产率:理论的62.9%)。1H-NMR(CDCl3),ppm:6.90(t,1H),6.67(d,1H),6.46(d,1H),3.77(m,1H),3.73(m,1H),3.35(brd,可用D2O交换,2H),1.89(m,2H),1.63(2s,6H),1.26(m,2H)。13C-NMR(CDCl3),ppm:148.73,147.65,138.30,131.75,126.19,113.12,110.89,110.19,43.97,39.44,26.98,26.06,19.85,19.75。
实施例H3:9-异丙基-5-氨基-苯并降冰片烯(化合物编号Z3.11):
200mg 9-异亚丙基-5-氨基-苯并降冰片烯(化合物编号Z2.11)在100mg 5%Rh/C的存在下在40ml四氢呋喃中在不锈钢高压釜中于室温下100巴压力下氢化,得到油状的9-异丙基-5-氨基-苯并降冰片烯(顺/反-比9∶1)。顺式-差向异构体:1H-NMR(CDCl3),ppm:6.91(t,1H),6.64(d,1H),6.48(d,1H),3.54(brd,可用D2O交换,2H),3.20(m,1H),3.15(m,1H),1.92(m,2H),1.53(d,1H),1.18(m,2H),1.02(m,1H),0.81(m,6H);13C-NMR(CDCl3),ppm:147.73,140.03,130.15,126.41,113.35,112.68,69.00,46.62,42.06,27.74,26.83,25.45,22.32,22.04;反式-差向异构体:1H-NMR(CDCl3),ppm:6.89(t,1H),6.63(d,1H),6.46(d,1H),3.55(brd,可用D2O交换,2H),3.16(m,1H),3.13(m,1H),1.87(m,2H),1.48(d,1H),1.42(m,1H),1.12(m,2H),0.90(m,6H);13C-NMR(CDCl3),ppm:150.72,138.74,133.63,126.15,112.94,111.53,68.05,45.21,40.61,26.25,24.47,23.55,20.91(2x)。峰归属基于NOE-NMR-实验。
c)一锅加氢:
实施例H4:9-异丙基-5-氨基-苯并降冰片烯(化合物编号Z3.11):富顺式
在25g 5%Rh/C的存在下,35.9g 9-异亚丙基-5-硝基-苯并降冰片二烯(化合物编号Z1.11)在400ml四氢呋喃中经过106小时完全氢化。过滤并蒸发溶剂,得到32.15g油状的9-异丙基-5-氨基-苯并降冰片烯(化合物编号Z3.11)(顺/反-比9∶1;产率:理论的97.4%)。NMR数据:见上文。
实施例H5:9-异丙基-5-氨基-苯并降冰片烯(化合物编号Z3.11):富反式
在22g 5%Pd/C的存在下以及室温和大气压下,41.41g 9-异亚丙基-5-硝基-苯并降冰片二烯(化合物编号Z1.11)在1L四氢呋喃中完全氢化。过滤和蒸发,接着在硅胶上纯化,以己烷-乙酸乙酯-7∶1洗脱,产生29.91g油状的9-异丙基-5-氨基-苯并降冰片烯(化合物编号Z3.11)(顺/反-比3∶7;产率:81.5%)。NMR数据:见上文。
本发明优选的实施方案为含有作为成分A)的式Ia(顺式)化合物和如上所述的成分B)的那些组合物
上式代表了式的IIII的单一对映异构体,式IIV的单一对映异构体,或式IIII和IIV的单一对映异构体以任何比例的混合物。
在本发明的实施方案中,优选的是含有式Ia(顺式)外消旋化合物作为成分A)和如上所述的成分B)的那些组合物,式Ia(顺式)外消旋化合物代表了式IIII和IIV的单一对映异构体的外消旋混合物。
本发明另一优选的实施方案为含有作为成分A)的式Ib(反式)化合物和如上所述的成分B)的那些组合物
上式代表了式IV的单一对映异构体,式IVI的单一对映异构体或式IV和IVI的单一对映异构体以任何比例的混合物。
本发明的另一优选实施方案为含有作为成分A)的式Ib(反式)外消旋化合物和如上所述的成分B)的那些组合物,该式代表了式IV和IVI的单一对映异构体的外消旋混合物。
本发明另一优选实施方案由这些组合物代表,所述组合物含有作为成分A)的式Ic化合物和一种如上所述的成分B)的那些组合物代表
上式代表了式Ia(顺式)和Ib(反式)的外消旋化合物的差向异构体混合物,其中式Ia(顺式)外消旋化合物与式Ib(反式)外消旋化合物的比值是1000∶1至1∶1000,式Ia(顺式)外消旋化合物代表了式IIII和IIV的单一对映异构体的外消旋混合物,式Ib(反式)外消旋化合物代表了式IV和IVI的单一对映异构体的外消旋混合物。
本发明另一优选实施方案由这些组合物代表,所述组合物含有作为成分A)的式Ic化合物和一种如上所述的成分B)的组合物代表,式Ic化合物代表了式Ia(顺式)和Ib(反式)外消旋化合物的差向异构体混合物,其中式Ia(顺式)外消旋化合物的含量是80-99wt%,优选85-90wt%,所述式Ia(顺式)外消旋化合物代表了式IIII和IIV的单一对映异构体的外消旋混合物。
本发明另一优选实施方案由这些组合物代表,所述组合物含有作为成分A)的式Ic化合物和一种如上所述的成分B)的那些组合物代表,式Ic化合物代表了式Ia(顺式)和Ib(反式)外消旋化合物的差向异构体混合物,其中式Ib(反式)外消旋化合物的含量是60-99wt%,优选64-70wt%,所述式Ib(反式)外消旋化合物代表了式IV和IVI的单一对映异构体的外消旋混合物。
本发明再一优选实施方案由含有作为成分A)的式I化合物和一种如上所述的成分B)的那些组合物代表,在式I化合物中R1是二氟甲基,R2是氢。在本发明的此实施方案中,式I化合物以描述为式IVII和IVIII的单一对映异构体的两种对映异构体形式存在:
本发明包括所有这些单一对映异构体及其任何比率的混合物。
本发明的另一优选实施方案由含有作为成分A)的式IVII的单一对映异构体和一种如上所述的成分B)的组合物代表。
本发明的另一优选实施方案由含有作为成分A)的式IVIII的单一对映异构体和一种如上所述的成分B)的组合物代表。
本发明另一优选实施方案由这些组合物代表,所述组合物含有作为成分A)的式Id化合物和一种如上所述的成分B)的组合物代表
上式代表了式IVII和IVIII的单一对映异构体的混合物,其中式IVII的单一对映异构体与式IVIII的单一对映异构体的比率是1000∶1至1∶1000。
本发明的另一优选实施方案由含有作为成分A)的式I化合物,其中Y
且R1是二氟甲基;和一种如上所述的成分B)的组合物代表。在本发明的此实施方案中,式I化合物以描述为式IIX和IX的单一对映异构体的两种对映异构体形式存在:
本发明包括所有上述单一对映异构体及其任何比率的混合物。
根据本发明,两种对映异构体的“外消旋混合物”或“外消旋化合物”表示两种单一对映异构体以基本上50∶50比率混合的混合物。
优选的成分B)选自下组
甲氧基丙烯酸酯类杀真菌剂,选自嘧菌酯,嘧菌胺,氟嘧菌酯,醚菌酯,苯氧菌胺,肟醚菌胺,啶氧菌酯,唑菌胺酯;肟菌酯;和式B-6化合物
唑类杀真菌剂,选自氧环唑,糠菌唑,环丙唑醇,苯醚甲环唑,烯唑醇,烯唑醇-M,氟环唑,腈苯唑,氟喹唑,氟硅唑,粉唑醇,己唑醇,抑霉唑,亚胺唑,种菌唑,叶菌唑,腈菌唑,恶咪唑,稻瘟酯,戊菌唑,咪鲜胺,丙环唑,丙硫菌唑,硅氟唑,戊唑醇,四氟醚唑,三唑酮,三唑醇,氟菌唑,灭菌唑,苄氯三唑醇,乙环唑,呋菌唑,顺式呋菌唑和唑喹菌酮;
苯基吡咯杀真菌剂,选自拌种咯和咯菌腈;
苯胺基-嘧啶杀真菌剂,选自嘧菌环胺,嘧菌胺和嘧霉胺;
吗啉杀真菌剂,选自Aldimorph,十二环吗啉,丁苯吗啉,十三吗啉,苯锈啶,螺环菌胺;病花灵和式B-7化合物
式F-1化合物
式B-1化合物
百菌清;恶唑菌酮;咪唑菌酮;活化酯;苯霜灵;苯霜灵-M;苯菌灵;联苯三唑醇;啶酰菌胺;萎锈灵;环丙酰菌胺;铜;氰霜唑;霜脲氰;乙霉威;二氰蒽醌;环酰菌胺;苯氧威;氟啶胺;氟酰胺;灭菌丹;双胍盐;土菌消;异菌脲;虱螨脲;代森锰锌;甲霜灵;精甲霜灵;表苯菌酮;氟苯嘧啶醇;多效唑;戊菌隆;吡噻菌胺;腐霉利;咯喹酮;喹氧灵;硅噻菌胺;硫磺;噻菌灵;福美双;咪唑嗪;三环唑;阿维菌素;甲胺基甲维菌素苯甲酸盐;七氟菊酯和噻虫嗪。
优选的成分B)选自下组
甲氧基丙烯酸酯类杀真菌剂,选自嘧菌酯,氟嘧菌酯,啶氧菌酯和唑菌胺酯;
唑类杀真菌剂,选自环丙唑醇,苯醚甲环唑,氟环唑,粉唑醇,叶菌唑,丙环唑,丙硫菌唑,四氟醚唑;
咯菌腈,嘧菌环胺,丁苯吗啉,苯锈啶,式F-1化合物
式B-1化合物
和百菌清
更优选的成分B)是嘧菌酯;啶氧菌酯;环丙唑醇;苯醚甲环唑;丙环唑;咯菌腈;嘧菌环胺;丁苯吗啉;苯锈啶;式F-1化合物
式B-1化合物
百菌清,氟环唑或丙硫菌唑。
进一步优选的成分B)是嘧菌酯;啶氧菌酯;环丙唑醇;苯醚甲环唑;丙环唑;咯菌腈;嘧菌环胺;丁苯吗啉;苯锈啶;式F-1化合物
或百菌清。
本发明的优选实施方案由含有作为成分A)的式I化合物,其中R1是三氟甲基;和一种选自下组的成分B)
甲氧基丙烯酸酯类杀真菌剂,选自嘧菌酯,嘧菌胺,氟嘧菌酯,醚菌酯,苯氧菌胺,肟醚菌胺,啶氧菌酯,唑菌胺酯;肟菌酯;和式B-6化合物;
唑类杀真菌剂,选自氧环唑,糠菌唑,环丙唑醇,苯醚甲环唑,烯唑醇,烯唑醇-M,氟环唑,腈苯唑,氟喹唑,氟硅唑,粉唑醇,己唑醇,抑霉唑,亚胺唑,种菌唑,叶菌唑,腈菌唑,恶咪唑,稻瘟酯,戊菌唑,咪鲜胺,丙环唑,丙硫菌唑,硅氟唑,戊唑醇,四氟醚唑,三唑酮,三唑醇,氟菌唑,灭菌唑,苄氯三唑醇,乙环唑,呋菌唑,顺式呋菌唑和唑喹菌酮;
苯基吡咯杀真菌剂,选自拌种咯和咯菌腈;
苯胺基-嘧啶杀真菌剂,选自嘧菌环胺,嘧菌胺和嘧霉胺;
吗啉杀真菌剂,选自Aldimorph,十二环吗啉,丁苯吗啉,十三吗啉,苯锈啶,螺环菌胺;病花灵和式B-7化合物;
式F-1化合物;式B-1化合物;百菌清;恶唑菌酮;咪唑菌酮;活化酯;苯霜灵;苯霜灵-M;苯菌灵;联苯三唑醇;啶酰菌胺;萎锈灵;环丙酰菌胺;铜;氰霜唑;霜脲氰;乙霉威;二氰蒽醌;环酰菌胺;苯氧威;氟啶胺;氟酰胺;灭菌丹;双胍盐;土菌消;异菌脲;虱螨脲;代森锰锌;甲霜灵;精甲霜灵;表苯菌酮;氟苯嘧啶醇;多效唑;戊菌隆;吡噻菌胺;腐霉利;咯喹酮;喹氧灵;硅噻菌胺;硫磺;噻菌灵;福美双;咪唑嗪;三环唑;阿维菌素;甲胺基甲维菌素苯甲酸盐;七氟菊酯和噻虫嗪。
本发明的优选实施方案由含有作为成分A)的式I化合物,其中R1是二氟甲基;和一种选自下组的成分B)
甲氧基丙烯酸酯类杀真菌剂,选自嘧菌酯,嘧菌胺,氟嘧菌酯,醚菌酯,苯氧菌胺,肟醚菌胺,啶氧菌酯,唑菌胺酯;肟菌酯;和式B-6化合物;
唑类杀真菌剂,选自氧环唑,糠菌唑,环丙唑醇,苯醚甲环唑,烯唑醇,烯唑醇-M,氟环唑,腈苯唑,氟喹唑,氟硅唑,粉唑醇,己唑醇,抑霉唑,亚胺唑,种菌唑,叶菌唑,腈菌唑,恶咪唑,稻瘟酯,戊菌唑,咪鲜胺,丙环唑,丙硫菌唑,硅氟唑,戊唑醇,四氟醚唑,三唑酮,三唑醇,氟菌唑,灭菌唑,苄氯三唑醇,乙环唑,呋菌唑,顺式呋菌唑和唑喹菌酮;
苯基吡咯杀真菌剂,选自拌种咯和咯菌腈;
苯胺基-嘧啶杀真菌剂,选自嘧菌环胺,嘧菌胺和嘧霉胺;
吗啉杀真菌剂,选自Aldimorph,十二环吗啉,丁苯吗啉,十三吗啉,苯锈啶,螺环菌胺;病花灵和式B-7化合物;
式F-1化合物;式B-1化合物;百菌清;恶唑菌酮;咪唑菌酮;活化酯;苯霜灵;苯霜灵-M;苯菌灵;联苯三唑醇;啶酰菌胺;萎锈灵;环丙酰菌胺;铜;氰霜唑;霜脲氰;乙霉威;二氰蒽醌;环酰菌胺;苯氧威;氟啶胺;氟酰胺;灭菌丹;双胍盐;土菌消;异菌脲;虱螨脲;代森锰锌;甲霜灵;精甲霜灵;表苯菌酮;氟苯嘧啶醇;多效唑;戊菌隆;吡噻菌胺;腐霉利;咯喹酮;喹氧灵;硅噻菌胺;硫磺;噻菌灵;福美双;咪唑嗪;三环唑;阿维菌素;甲胺基甲维菌素苯甲酸盐;七氟菊酯和噻虫嗪。
本发明的优选实施方案由含有作为成分A)的式I化合物,其中R1是二氟甲基;R2是C1-C6烷基,和一种选自下组的成分B)
甲氧基丙烯酸酯类杀真菌剂,选自嘧菌酯,嘧菌胺,氟嘧菌酯,醚菌酯,苯氧菌胺,肟醚菌胺,啶氧菌酯,唑菌胺酯;肟菌酯;和式B-6化合物;
唑类杀真菌剂,选自氧环唑,糠菌唑,环丙唑醇,苯醚甲环唑,烯唑醇,烯唑醇-M,氟环唑,腈苯唑,氟喹唑,氟硅唑,粉唑醇,己唑醇,抑霉唑,亚胺唑,种菌唑,叶菌唑,腈菌唑,恶咪唑,稻瘟酯,戊菌唑,咪鲜胺,丙环唑,丙硫菌唑,硅氟唑,戊唑醇,四氟醚唑,三唑酮,三唑醇,氟菌唑,灭菌唑,苄氯三唑醇,乙环唑,呋菌唑,顺式呋菌唑和唑喹菌酮;
苯基吡咯杀真菌剂,选自拌种咯和咯菌腈;
苯胺基-嘧啶杀真菌剂,选自嘧菌环胺,嘧菌胺和嘧霉胺;
吗啉杀真菌剂,选自Aldimorph,十二环吗啉,丁苯吗啉,十三吗啉,苯锈啶,螺环菌胺;病花灵和式B-7化合物;
式F-1化合物;式B-1化合物;百菌清;恶唑菌酮;咪唑菌酮;活化酯;苯霜灵;苯霜灵-M;苯菌灵;联苯三唑醇;啶酰菌胺;萎锈灵;环丙酰菌胺;铜;氰霜唑;霜脲氰;乙霉威;二氰蒽醌;环酰菌胺;苯氧威;氟啶胺;氟酰胺;灭菌丹;双胍盐;土菌消;异菌脲;虱螨脲;代森锰锌;甲霜灵;精甲霜灵;表苯菌酮;氟苯嘧啶醇;多效唑;戊菌隆;吡噻菌胺;腐霉利;咯喹酮;喹氧灵;硅噻菌胺;硫磺;噻菌灵;福美双;咪唑嗪;三环唑;阿维菌素;甲胺基甲维菌素苯甲酸盐;七氟菊酯和噻虫嗪。
本发明优选的实施方案由这些组合物代表,所述组合物含有作为成分A的式I化合物,其中R1是二氟甲基,Y是-CHR2-和R2是异丙基;和一种选自下组的成分B)
甲氧基丙烯酸酯类杀真菌剂,选自嘧菌酯,嘧菌胺,氟嘧菌酯,醚菌酯,苯氧菌胺,肟醚菌胺,啶氧菌酯,唑菌胺酯;肟菌酯;和式B-6化合物;
唑类杀真菌剂,选自氧环唑,糠菌唑,环丙唑醇,苯醚甲环唑,烯唑醇,烯唑醇-M,氟环唑,腈苯唑,氟喹唑,氟硅唑,粉唑醇,己唑醇,抑霉唑,亚胺唑,种菌唑,叶菌唑,腈菌唑,恶咪唑,稻瘟酯,戊菌唑,咪鲜胺,丙环唑,丙硫菌唑,硅氟唑,戊唑醇,四氟醚唑,三唑酮,三唑醇,氟菌唑,灭菌唑,苄氯三唑醇,乙环唑,呋菌唑,顺式呋菌唑和唑喹菌酮;
苯基吡咯杀真菌剂,选自拌种咯和咯菌腈;
苯胺基-嘧啶杀真菌剂,选自嘧菌环胺,嘧菌胺和嘧霉胺;
吗啉杀真菌剂,选自Aldimorph,十二环吗啉,丁苯吗啉,十三吗啉,苯锈啶,螺环菌胺;病花灵和式B-7化合物;
式F-1化合物;式B-1化合物;百菌清;恶唑菌酮;咪唑菌酮;活化酯;苯霜灵;苯霜灵-M;苯菌灵;联苯三唑醇;啶酰菌胺;萎锈灵;环丙酰菌胺;铜;氰霜唑;霜脲氰;乙霉威;二氰蒽醌;环酰菌胺;苯氧威;氟啶胺;氟酰胺;灭菌丹;双胍盐;土菌消;异菌脲;虱螨脲;代森锰锌;甲霜灵;精甲霜灵;表苯菌酮;氟苯嘧啶醇;多效唑;戊菌隆;吡噻菌胺;腐霉利;咯喹酮;喹氧灵;硅噻菌胺;硫磺;噻菌灵;福美双;咪唑嗪;三环唑;阿维菌素;甲胺基甲维菌素苯甲酸盐;七氟菊酯和噻虫嗪。
本发明优选的实施方案由这些组合物代表,所述组合物含有作为成分A)的式Ia(顺式)化合物
上式代表式IIII的单一对映异构体、式IIV的单一对映异构体或式IIII和IIV的单一对映异构体的任何比率的混合物;和一种选自下组的成分B)
甲氧基丙烯酸酯类杀真菌剂,选自嘧菌酯,嘧菌胺,氟嘧菌酯,醚菌酯,苯氧菌胺,肟醚菌胺,啶氧菌酯,唑菌胺酯;肟菌酯;和式B-6化合物;
唑类杀真菌剂,选自氧环唑,糠菌唑,环丙唑醇,苯醚甲环唑,烯唑醇,烯唑醇-M,氟环唑,腈苯唑,氟喹唑,氟硅唑,粉唑醇,己唑醇,抑霉唑,亚胺唑,种菌唑,叶菌唑,腈菌唑,恶咪唑,稻瘟酯,戊菌唑,咪鲜胺,丙环唑,丙硫菌唑,硅氟唑,戊唑醇,四氟醚唑,三唑酮,三唑醇,氟菌唑,灭菌唑,苄氯三唑醇,乙环唑,呋菌唑,顺式呋菌唑和唑喹菌酮;
苯基吡咯杀真菌剂,选自拌种咯和咯菌腈;
苯胺基-嘧啶杀真菌剂,选自嘧菌环胺,嘧菌胺和嘧霉胺;
吗啉杀真菌剂,选自Aldimorph,十二环吗啉,丁苯吗啉,十三吗啉,苯锈啶,螺环菌胺;病花灵和式B-7化合物;
式F-1化合物;式B-1化合物;百菌清;恶唑菌酮;咪唑菌酮;活化酯;苯霜灵;苯霜灵-M;苯菌灵;联苯三唑醇;啶酰菌胺;萎锈灵;环丙酰菌胺;铜;氰霜唑;霜脲氰;乙霉威;二氰蒽醌;环酰菌胺;苯氧威;氟啶胺;氟酰胺;灭菌丹;双胍盐;土菌消;异菌脲;虱螨脲;代森锰锌;甲霜灵;精甲霜灵;表苯菌酮;氟苯嘧啶醇;多效唑;戊菌隆;吡噻菌胺;腐霉利;咯喹酮;喹氧灵;硅噻菌胺;硫磺;噻菌灵;福美双;咪唑嗪;三环唑;阿维菌素;甲胺基甲维菌素苯甲酸盐;七氟菊酯和噻虫嗪。
本发明优选的实施方案由这些组合物代表,所述组合物含有作为成分A)的式Ia(顺式)的外消旋化合物,这代表了式IIII和IIV的单一对映异构体的外消旋混合物;和一种选自下组的成分B)
甲氧基丙烯酸酯类杀真菌剂,选自嘧菌酯,嘧菌胺,氟嘧菌酯,醚菌酯,苯氧菌胺,肟醚菌胺,啶氧菌酯,唑菌胺酯;肟菌酯;和式B-6化合物;
唑类杀真菌剂,选自氧环唑,糠菌唑,环丙唑醇,苯醚甲环唑,烯唑醇,烯唑醇-M,氟环唑,腈苯唑,氟喹唑,氟硅唑,粉唑醇,己唑醇,抑霉唑,亚胺唑,种菌唑,叶菌唑,腈菌唑,恶咪唑,稻瘟酯,戊菌唑,咪鲜胺,丙环唑,丙硫菌唑,硅氟唑,戊唑醇,四氟醚唑,三唑酮,三唑醇,氟菌唑,灭菌唑,苄氯三唑醇,乙环唑,呋菌唑,顺式呋菌唑和唑喹菌酮;
苯基吡咯杀真菌剂,选自拌种咯和咯菌腈;
苯胺基-嘧啶杀真菌剂,选自嘧菌环胺,嘧菌胺和嘧霉胺;
吗啉杀真菌剂,选自Aldimorph,十二环吗啉,丁苯吗啉,十三吗啉,苯锈啶,螺环菌胺;病花灵和式B-7化合物;
式F-1化合物;式B-1化合物;百菌清;恶唑菌酮;咪唑菌酮;活化酯;苯霜灵;苯霜灵-M;苯菌灵;联苯三唑醇;啶酰菌胺;萎锈灵;环丙酰菌胺;铜;氰霜唑;霜脲氰;乙霉威;二氰蒽醌;环酰菌胺;苯氧威;氟啶胺;氟酰胺;灭菌丹;双胍盐;土菌消;异菌脲;虱螨脲;代森锰锌;甲霜灵;精甲霜灵;表苯菌酮;氟苯嘧啶醇;多效唑;戊菌隆;吡噻菌胺;腐霉利;咯喹酮;喹氧灵;硅噻菌胺;硫磺;噻菌灵;福美双;咪唑嗪;三环唑;阿维菌素;甲胺基甲维菌素苯甲酸盐;七氟菊酯和噻虫嗪。
本发明另一优选实施方案由这些组合物代表,所述组合物含有作为成分A)的式Ib(反式)化合物
这代表式IV的单一对映异构体、式IVI的单一对映异构体或式IV和IVI的单一对映异构体的任何比率的混合物;和一种选自下组的成分B)
甲氧基丙烯酸酯类杀真菌剂,选自嘧菌酯,嘧菌胺,氟嘧菌酯,醚菌酯,苯氧菌胺,肟醚菌胺,啶氧菌酯,唑菌胺酯;肟菌酯;和式B-6化合物;
唑类杀真菌剂,选自氧环唑,糠菌唑,环丙唑醇,苯醚甲环唑,烯唑醇,烯唑醇-M,氟环唑,腈苯唑,氟喹唑,氟硅唑,粉唑醇,己唑醇,抑霉唑,亚胺唑,种菌唑,叶菌唑,腈菌唑,恶咪唑,稻瘟酯,戊菌唑,咪鲜胺,丙环唑,丙硫菌唑,硅氟唑,戊唑醇,四氟醚唑,三唑酮,三唑醇,氟菌唑,灭菌唑,苄氯三唑醇,乙环唑,呋菌唑,顺式呋菌唑和唑喹菌酮;
苯基吡咯杀真菌剂,选自拌种咯和咯菌腈;
苯胺基-嘧啶杀真菌剂,选自嘧菌环胺,嘧菌胺和嘧霉胺;
吗啉杀真菌剂,选自Aldimorph,十二环吗啉,丁苯吗啉,十三吗啉,苯锈啶,螺环菌胺;病花灵和式B-7化合物;
式F-1化合物;式B-1化合物;百菌清;恶唑菌酮;咪唑菌酮;活化酯;苯霜灵;苯霜灵-M;苯菌灵;联苯三唑醇;啶酰菌胺;萎锈灵;环丙酰菌胺;铜;氰霜唑;霜脲氰;乙霉威;二氰蒽醌;环酰菌胺;苯氧威;氟啶胺;氟酰胺;灭菌丹;双胍盐;土菌消;异菌脲;虱螨脲;代森锰锌;甲霜灵;精甲霜灵;表苯菌酮;氟苯嘧啶醇;多效唑;戊菌隆;吡噻菌胺;腐霉利;咯喹酮;喹氧灵;硅噻菌胺;硫磺;噻菌灵;福美双;咪唑嗪;三环唑;阿维菌素;甲胺基甲维菌素苯甲酸盐;七氟菊酯和噻虫嗪。
本发明另一优选实施方案由这些组合物代表,所述组合物含有作为成分A)的式Ib(反式)外消旋化合物,其代表式IV和IVI的单一对映异构体的外消旋混合物;和一种选自下组的成分B)
甲氧基丙烯酸酯类杀真菌剂,选自嘧菌酯,嘧菌胺,氟嘧菌酯,醚菌酯,苯氧菌胺,肟醚菌胺,啶氧菌酯,唑菌胺酯;肟菌酯;和式B-6化合物;
唑类杀真菌剂,选自氧环唑,糠菌唑,环丙唑醇,苯醚甲环唑,烯唑醇,烯唑醇-M,氟环唑,腈苯唑,氟喹唑,氟硅唑,粉唑醇,己唑醇,抑霉唑,亚胺唑,种菌唑,叶菌唑,腈菌唑,恶咪唑,稻瘟酯,戊菌唑,咪鲜胺,丙环唑,丙硫菌唑,硅氟唑,戊唑醇,四氟醚唑,三唑酮,三唑醇,氟菌唑,灭菌唑,苄氯三唑醇,乙环唑,呋菌唑,顺式呋菌唑和唑喹菌酮;
苯基吡咯杀真菌剂,选自拌种咯和咯菌腈;
苯胺基-嘧啶杀真菌剂,选自嘧菌环胺,嘧菌胺和嘧霉胺;
吗啉杀真菌剂,选自Aldimorph,十二环吗啉,丁苯吗啉,十三吗啉,苯锈啶,螺环菌胺;病花灵和式B-7化合物;
式F-1化合物;式B-1化合物;百菌清;恶唑菌酮;咪唑菌酮;活化酯;苯霜灵;苯霜灵-M;苯菌灵;联苯三唑醇;啶酰菌胺;萎锈灵;环丙酰菌胺;铜;氰霜唑;霜脲氰;乙霉威;二氰蒽醌;环酰菌胺;苯氧威;氟啶胺;氟酰胺;灭菌丹;双胍盐;土菌消;异菌脲;虱螨脲;代森锰锌;甲霜灵;精甲霜灵;表苯菌酮;氟苯嘧啶醇;多效唑;戊菌隆;吡噻菌胺;腐霉利;咯喹酮;喹氧灵;硅噻菌胺;硫磺;噻菌灵;福美双;咪唑嗪;三环唑;阿维菌素;甲胺基甲维菌素苯甲酸盐;七氟菊酯和噻虫嗪。
本发明另一优选实施方案由这些组合物代表,所述组合物含有作为成分A)的式Ic化合物
其代表式Ia(顺式)和Ib(反式)外消旋化合物的差向异构体混合物,其中代表式IIII和IIV的单一对映异构体的外消旋混合物的式Ia(顺式)外消旋化合物与代表式IV和IVI的单一对映异构体的外消旋混合物的式Ib(反式)外消旋化合物的比值是1000∶1至1∶1000;和一种选自下组的成分B)代表
甲氧基丙烯酸酯类杀真菌剂,选自嘧菌酯,嘧菌胺,氟嘧菌酯,醚菌酯,苯氧菌胺,肟醚菌胺,啶氧菌酯,唑菌胺酯;肟菌酯;和式B-6化合物;
唑类杀真菌剂,选自氧环唑,糠菌唑,环丙唑醇,苯醚甲环唑,烯唑醇,烯唑醇-M,氟环唑,腈苯唑,氟喹唑,氟硅唑,粉唑醇,己唑醇,抑霉唑,亚胺唑,种菌唑,叶菌唑,腈菌唑,恶咪唑,稻瘟酯,戊菌唑,咪鲜胺,丙环唑,丙硫菌唑,硅氟唑,戊唑醇,四氟醚唑,三唑酮,三唑醇,氟菌唑,灭菌唑,苄氯三唑醇,乙环唑,呋菌唑,顺式呋菌唑和唑喹菌酮;
苯基吡咯杀真菌剂,选自拌种咯和咯菌腈;
苯胺基-嘧啶杀真菌剂,选自嘧菌环胺,嘧菌胺和嘧霉胺;
吗啉杀真菌剂,选自Aldimorph,十二环吗啉,丁苯吗啉,十三吗啉,苯锈啶,螺环菌胺;病花灵和式B-7化合物;
式F-1化合物;式B-1化合物;百菌清;恶唑菌酮;咪唑菌酮;活化酯;苯霜灵;苯霜灵-M;苯菌灵;联苯三唑醇;啶酰菌胺;萎锈灵;环丙酰菌胺;铜;氰霜唑;霜脲氰;乙霉威;二氰蒽醌;环酰菌胺;苯氧威;氟啶胺;氟酰胺;灭菌丹;双胍盐;土菌消;异菌脲;虱螨脲;代森锰锌;甲霜灵;精甲霜灵;表苯菌酮;氟苯嘧啶醇;多效唑;戊菌隆;吡噻菌胺;腐霉利;咯喹酮;喹氧灵;硅噻菌胺;硫磺;噻菌灵;福美双;咪唑嗪;三环唑;阿维菌素;甲胺基甲维菌素苯甲酸盐;七氟菊酯和噻虫嗪。
本发明另一优选实施方案由这些组合物代表,所述组合物含有作为成分A)的式Ic化合物,其代表式Ia(顺式)和Ib(反式)外消旋化合物的差向异构体混合物,其中代表了式IIII和IIV的单一对映异构体的外消旋混合物的式Ia(顺式)外消旋化合物的含量是80-99wt%,优选85-90wt%;和一种选自下组的成分B)
甲氧基丙烯酸酯类杀真菌剂,选自嘧菌酯,嘧菌胺,氟嘧菌酯,醚菌酯,苯氧菌胺,肟醚菌胺,啶氧菌酯,唑菌胺酯;肟菌酯;和式B-6化合物;
唑类杀真菌剂,选自氧环唑,糠菌唑,环丙唑醇,苯醚甲环唑,烯唑醇,烯唑醇-M,氟环唑,腈苯唑,氟喹唑,氟硅唑,粉唑醇,己唑醇,抑霉唑,亚胺唑,种菌唑,叶菌唑,腈菌唑,恶咪唑,稻瘟酯,戊菌唑,咪鲜胺,丙环唑,丙硫菌唑,硅氟唑,戊唑醇,四氟醚唑,三唑酮,三唑醇,氟菌唑,灭菌唑,苄氯三唑醇,乙环唑,呋菌唑,顺式呋菌唑和唑喹菌酮;
苯基吡咯杀真菌剂,选自拌种咯和咯菌腈;
苯胺基-嘧啶杀真菌剂,选自嘧菌环胺,嘧菌胺和嘧霉胺;
吗啉杀真菌剂,选自Aldimorph,十二环吗啉,丁苯吗啉,十三吗啉,苯锈啶,螺环菌胺;病花灵和式B-7化合物;
式F-1化合物;式B-1化合物;百菌清;恶唑菌酮;咪唑菌酮;活化酯;苯霜灵;苯霜灵-M;苯菌灵;联苯三唑醇;啶酰菌胺;萎锈灵;环丙酰菌胺;铜;氰霜唑;霜脲氰;乙霉威;二氰蒽醌;环酰菌胺;苯氧威;氟啶胺;氟酰胺;灭菌丹;双胍盐;土菌消;异菌脲;虱螨脲;代森锰锌;甲霜灵;精甲霜灵;表苯菌酮;氟苯嘧啶醇;多效唑;戊菌隆;吡噻菌胺;腐霉利;咯喹酮;喹氧灵;硅噻菌胺;硫磺;噻菌灵;福美双;咪唑嗪;三环唑;阿维菌素;甲胺基甲维菌素苯甲酸盐;七氟菊酯和噻虫嗪。
本发明另一优选实施方案由这些组合物代表,所述组合物含有作为成分A)的式Ic化合物,其代表了式Ia(顺式)和Ib(反式)外消旋化合物的差向异构体混合物,其中代表了式IV和IVI的单一对映异构体的外消旋混合物的式Ib(反式)外消旋化合物的含量是60-99wt%,优选64-70wt%;和一种选自下组的成分B)
甲氧基丙烯酸酯类杀真菌剂,选自嘧菌酯,嘧菌胺,氟嘧菌酯,醚菌酯,苯氧菌胺,肟醚菌胺,啶氧菌酯,唑菌胺酯;肟菌酯;和式B-6化合物;
唑类杀真菌剂,选自氧环唑,糠菌唑,环丙唑醇,苯醚甲环唑,烯唑醇,烯唑醇-M,氟环唑,腈苯唑,氟喹唑,氟硅唑,粉唑醇,己唑醇,抑霉唑,亚胺唑,种菌唑,叶菌唑,腈菌唑,恶咪唑,稻瘟酯,戊菌唑,咪鲜胺,丙环唑,丙硫菌唑,硅氟唑,戊唑醇,四氟醚唑,三唑酮,三唑醇,氟菌唑,灭菌唑,苄氯三唑醇,乙环唑,呋菌唑,顺式呋菌唑和唑喹菌酮;
苯基吡咯杀真菌剂,选自拌种咯和咯菌腈;
苯胺基-嘧啶杀真菌剂,选自嘧菌环胺,嘧菌胺和嘧霉胺;
吗啉杀真菌剂,选自Aldimorph,十二环吗啉,丁苯吗啉,十三吗啉,苯锈啶,螺环菌胺;病花灵和式B-7化合物;
式F-1化合物;式B-1化合物;百菌清;恶唑菌酮;咪唑菌酮;活化酯;苯霜灵;苯霜灵-M;苯菌灵;联苯三唑醇;啶酰菌胺;萎锈灵;环丙酰菌胺;铜;氰霜唑;霜脲氰;乙霉威;二氰蒽醌;环酰菌胺;苯氧威;氟啶胺;氟酰胺;灭菌丹;双胍盐;土菌消;异菌脲;虱螨脲;代森锰锌;甲霜灵;精甲霜灵;表苯菌酮;氟苯嘧啶醇;多效唑;戊菌隆;吡噻菌胺;腐霉利;咯喹酮;喹氧灵;硅噻菌胺;硫磺;噻菌灵;福美双;咪唑嗪;三环唑;阿维菌素;甲胺基甲维菌素苯甲酸盐;七氟菊酯和噻虫嗪。
本发明另一优选实施方案由这些组合物代表,所述组合物含有作为成分A)的式I化合物,其中R1是二氟甲基和R2是氢;和一种选自下组的成分B)
甲氧基丙烯酸酯类杀真菌剂,选自嘧菌酯,嘧菌胺,氟嘧菌酯,醚菌酯,苯氧菌胺,肟醚菌胺,啶氧菌酯,唑菌胺酯;肟菌酯;和式B-6化合物;
唑类杀真菌剂,选自氧环唑,糠菌唑,环丙唑醇,苯醚甲环唑,烯唑醇,烯唑醇-M,氟环唑,腈苯唑,氟喹唑,氟硅唑,粉唑醇,己唑醇,抑霉唑,亚胺唑,种菌唑,叶菌唑,腈菌唑,恶咪唑,稻瘟酯,戊菌唑,咪鲜胺,丙环唑,丙硫菌唑,硅氟唑,戊唑醇,四氟醚唑,三唑酮,三唑醇,氟菌唑,灭菌唑,苄氯三唑醇,乙环唑,呋菌唑,顺式呋菌唑和唑喹菌酮;
苯基吡咯杀真菌剂,选自拌种咯和咯菌腈;
苯胺基-嘧啶杀真菌剂,选自嘧菌环胺,嘧菌胺和嘧霉胺;
吗啉杀真菌剂,选自Aldimorph,十二环吗啉,丁苯吗啉,十三吗啉,苯锈啶,螺环菌胺;病花灵和式B-7化合物;
式F-1化合物;式B-1化合物;百菌清;恶唑菌酮;咪唑菌酮;活化酯;苯霜灵;苯霜灵-M;苯菌灵;联苯三唑醇;啶酰菌胺;萎锈灵;环丙酰菌胺;铜;氰霜唑;霜脲氰;乙霉威;二氰蒽醌;环酰菌胺;苯氧威;氟啶胺;氟酰胺;灭菌丹;双胍盐;土菌消;异菌脲;虱螨脲;代森锰锌;甲霜灵;精甲霜灵;表苯菌酮;氟苯嘧啶醇;多效唑;戊菌隆;吡噻菌胺;腐霉利;咯喹酮;喹氧灵;硅噻菌胺;硫磺;噻菌灵;福美双;咪唑嗪;三环唑;阿维菌素;甲胺基甲维菌素苯甲酸盐;七氟菊酯和噻虫嗪。
本发明另一优选实施方案由这些组合物代表,所述组合物含有作为成分A)的式IVII的单一对映异构体;和一种选自下组的成分B)
甲氧基丙烯酸酯类杀真菌剂,选自嘧菌酯,嘧菌胺,氟嘧菌酯,醚菌酯,苯氧菌胺,肟醚菌胺,啶氧菌酯,唑菌胺酯;肟菌酯;和式B-6化合物;
唑类杀真菌剂,选自氧环唑,糠菌唑,环丙唑醇,苯醚甲环唑,烯唑醇,烯唑醇-M,氟环唑,腈苯唑,氟喹唑,氟硅唑,粉唑醇,己唑醇,抑霉唑,亚胺唑,种菌唑,叶菌唑,腈菌唑,恶咪唑,稻瘟酯,戊菌唑,咪鲜胺,丙环唑,丙硫菌唑,硅氟唑,戊唑醇,四氟醚唑,三唑酮,三唑醇,氟菌唑,灭菌唑,苄氯三唑醇,乙环唑,呋菌唑,顺式呋菌唑和唑喹菌酮;
苯基吡咯杀真菌剂,选自拌种咯和咯菌腈;
苯胺基-嘧啶杀真菌剂,选自嘧菌环胺,嘧菌胺和嘧霉胺;
吗啉杀真菌剂,选自Aldimorph,十二环吗啉,丁苯吗啉,十三吗啉,苯锈啶,螺环菌胺;病花灵和式B-7化合物;
式F-1化合物;式B-1化合物;百菌清;恶唑菌酮;咪唑菌酮;活化酯;苯霜灵;苯霜灵-M;苯菌灵;联苯三唑醇;啶酰菌胺;萎锈灵;环丙酰菌胺;铜;氰霜唑;霜脲氰;乙霉威;二氰蒽醌;环酰菌胺;苯氧威;氟啶胺;氟酰胺;灭菌丹;双胍盐;土菌消;异菌脲;虱螨脲;代森锰锌;甲霜灵;精甲霜灵;表苯菌酮;氟苯嘧啶醇;多效唑;戊菌隆;吡噻菌胺;腐霉利;咯喹酮;喹氧灵;硅噻菌胺;硫磺;噻菌灵;福美双;咪唑嗪;三环唑;阿维菌素;甲胺基甲维菌素苯甲酸盐;七氟菊酯和噻虫嗪。
本发明另一优选实施方案由这些组合物代表,所述组合物含有作为成分A)的式IVIII的单一对映异构体;和一种选自下组的成分B)
甲氧基丙烯酸酯类杀真菌剂,选自嘧菌酯,嘧菌胺,氟嘧菌酯,醚菌酯,苯氧菌胺,肟醚菌胺,啶氧菌酯,唑菌胺酯;肟菌酯;和式B-6化合物;
唑类杀真菌剂,选自氧环唑,糠菌唑,环丙唑醇,苯醚甲环唑,烯唑醇,烯唑醇-M,氟环唑,腈苯唑,氟喹唑,氟硅唑,粉唑醇,己唑醇,抑霉唑,亚胺唑,种菌唑,叶菌唑,腈菌唑,恶咪唑,稻瘟酯,戊菌唑,咪鲜胺,丙环唑,丙硫菌唑,硅氟唑,戊唑醇,四氟醚唑,三唑酮,三唑醇,氟菌唑,灭菌唑,苄氯三唑醇,乙环唑,呋菌唑,顺式呋菌唑和唑喹菌酮;
苯基吡咯杀真菌剂,选自拌种咯和咯菌腈;
苯胺基-嘧啶杀真菌剂,选自嘧菌环胺,嘧菌胺和嘧霉胺;
吗啉杀真菌剂,选自Aldimorph,十二环吗啉,丁苯吗啉,十三吗啉,苯锈啶,螺环菌胺;病花灵和式B-7化合物;
式F-1化合物;式B-1化合物;百菌清;恶唑菌酮;咪唑菌酮;活化酯;苯霜灵;苯霜灵-M;苯菌灵;联苯三唑醇;啶酰菌胺;萎锈灵;环丙酰菌胺;铜;氰霜唑;霜脲氰;乙霉威;二氰蒽醌;环酰菌胺;苯氧威;氟啶胺;氟酰胺;灭菌丹;双胍盐;土菌消;异菌脲;虱螨脲;代森锰锌;甲霜灵;精甲霜灵;表苯菌酮;氟苯嘧啶醇;多效唑;戊菌隆;吡噻菌胺;腐霉利;咯喹酮;喹氧灵;硅噻菌胺;硫磺;噻菌灵;福美双;咪唑嗪;三环唑;阿维菌素;甲胺基甲维菌素苯甲酸盐;七氟菊酯和噻虫嗪。
本发明另一优选实施方案由这些组合物代表,所述组合物含有作为成分A)的式Id化合物
这代表了式IVII和IVIII的单一对映异构体的混合物,其中式IVII的单一对映异构体与式IVIII的单一对映异构体的比是1000∶1至1∶1000;和一种选自下组的成分B)
甲氧基丙烯酸酯类杀真菌剂,选自嘧菌酯,嘧菌胺,氟嘧菌酯,醚菌酯,苯氧菌胺,肟醚菌胺,啶氧菌酯,唑菌胺酯;肟菌酯;和式B-6化合物;
唑类杀真菌剂,选自氧环唑,糠菌唑,环丙唑醇,苯醚甲环唑,烯唑醇,烯唑醇-M,氟环唑,腈苯唑,氟喹唑,氟硅唑,粉唑醇,己唑醇,抑霉唑,亚胺唑,种菌唑,叶菌唑,腈菌唑,恶咪唑,稻瘟酯,戊菌唑,咪鲜胺,丙环唑,丙硫菌唑,硅氟唑,戊唑醇,四氟醚唑,三唑酮,三唑醇,氟菌唑,灭菌唑,苄氯三唑醇,乙环唑,呋菌唑,顺式呋菌唑和唑喹菌酮;
苯基吡咯杀真菌剂,选自拌种咯和咯菌腈;
苯胺基-嘧啶杀真菌剂,选自嘧菌环胺,嘧菌胺和嘧霉胺;
吗啉杀真菌剂,选自Aldimorph,十二环吗啉,丁苯吗啉,十三吗啉,苯锈啶,螺环菌胺;病花灵和式B-7化合物;
式F-1化合物;式B-1化合物;百菌清;恶唑菌酮;咪唑菌酮;活化酯;苯霜灵;苯霜灵-M;苯菌灵;联苯三唑醇;啶酰菌胺;萎锈灵;环丙酰菌胺;铜;氰霜唑;霜脲氰;乙霉威;二氰蒽醌;环酰菌胺;苯氧威;氟啶胺;氟酰胺;灭菌丹;双胍盐;土菌消;异菌脲;虱螨脲;代森锰锌;甲霜灵;精甲霜灵;表苯菌酮;氟苯嘧啶醇;多效唑;戊菌隆;吡噻菌胺;腐霉利;咯喹酮;喹氧灵;硅噻菌胺;硫磺;噻菌灵;福美双;咪唑嗪;三环唑;阿维菌素;甲胺基甲维菌素苯甲酸盐;七氟菊酯和噻虫嗪。
甲氧基丙烯酸酯类杀真菌剂,选自嘧菌酯,嘧菌胺,氟嘧菌酯,醚菌酯,苯氧菌胺,肟醚菌胺,啶氧菌酯,唑菌胺酯;肟菌酯;和式B-6化合物;
唑类杀真菌剂,选自氧环唑,糠菌唑,环丙唑醇,苯醚甲环唑,烯唑醇,烯唑醇-M,氟环唑,腈苯唑,氟喹唑,氟硅唑,粉唑醇,己唑醇,抑霉唑,亚胺唑,种菌唑,叶菌唑,腈菌唑,恶咪唑,稻瘟酯,戊菌唑,咪鲜胺,丙环唑,丙硫菌唑,硅氟唑,戊唑醇,四氟醚唑,三唑酮,三唑醇,氟菌唑,灭菌唑,苄氯三唑醇,乙环唑,呋菌唑,顺式呋菌唑和唑喹菌酮;
苯基吡咯杀真菌剂,选自拌种咯和咯菌腈;
苯胺基-嘧啶杀真菌剂,选自嘧菌环胺,嘧菌胺和嘧霉胺;
吗啉杀真菌剂,选自Aldimorph,十二环吗啉,丁苯吗啉,十三吗啉,苯锈啶,螺环菌胺;病花灵和式B-7化合物;
式F-1化合物;式B-1化合物;百菌清;恶唑菌酮;咪唑菌酮;活化酯;苯霜灵;苯霜灵-M;苯菌灵;联苯三唑醇;啶酰菌胺;萎锈灵;环丙酰菌胺;铜;氰霜唑;霜脲氰;乙霉威;二氰蒽醌;环酰菌胺;苯氧威;氟啶胺;氟酰胺;灭菌丹;双胍盐;土菌消;异菌脲;虱螨脲;代森锰锌;甲霜灵;精甲霜灵;表苯菌酮;氟苯嘧啶醇;多效唑;戊菌隆;吡噻菌胺;腐霉利;咯喹酮;喹氧灵;硅噻菌胺;硫磺;噻菌灵;福美双;咪唑嗪;三环唑;阿维菌素;甲胺基甲维菌素苯甲酸盐;七氟菊酯和噻虫嗪。
本发明优选的实施方案由这些组合物代表,所述组合物含有作为成分A)的式I化合物,其中R1是三氟甲基;和一种选自下组的成分B)
甲氧基丙烯酸酯类杀真菌剂,选自嘧菌酯,氟嘧菌酯,啶氧菌酯和唑菌胺酯;
唑类杀真菌剂,选自环丙唑醇,苯醚甲环唑,氟环唑,粉唑醇,叶菌唑,丙环唑,丙硫菌唑,四氟醚唑;
咯菌腈,嘧菌环胺,丁苯吗啉,苯锈啶,式F-1化合物;式B-1化合物和百菌清。
本发明优选的实施方案由这些组合物代表,所述组合物含有作为成分A)的式I化合物,其中R1是二氟甲基;和一种选自下组的成分B)
甲氧基丙烯酸酯类杀真菌剂,选自嘧菌酯,氟嘧菌酯,啶氧菌酯和唑菌胺酯;
唑类杀真菌剂,选自环丙唑醇,苯醚甲环唑,氟环唑,粉唑醇,叶菌唑,丙环唑,丙硫菌唑,四氟醚唑;
咯菌腈,嘧菌环胺,丁苯吗啉,苯锈啶,式F-1化合物;式B-1化合物和百菌清。
本发明优选的实施方案由这些组合物代表,所述组合物含有作为成分A)的式I化合物,其中R1是二氟甲基;和R2是C1-C6烷基,和一种选自下组的成分B)
甲氧基丙烯酸酯类杀真菌剂,选自嘧菌酯,氟嘧菌酯,啶氧菌酯和唑菌胺酯;
唑类杀真菌剂,选自环丙唑醇,苯醚甲环唑,氟环唑,粉唑醇,叶菌唑,丙环唑,丙硫菌唑,四氟醚唑;
咯菌腈,嘧菌环胺,丁苯吗啉,苯锈啶,式F-1化合物;式B-1化合物和百菌清。
本发明优选的实施方案由这些组合物代表,所述组合物含有作为成分A)的式I化合物,其中R1是二氟甲基,Y是-CHR2-和R2是异丙基;和一种选自下组的成分B)
甲氧基丙烯酸酯类杀真菌剂,选自嘧菌酯,氟嘧菌酯,啶氧菌酯和唑菌胺酯;
唑类杀真菌剂,选自环丙唑醇,苯醚甲环唑,氟环唑,粉唑醇,叶菌唑,丙环唑,丙硫菌唑,四氟醚唑;
咯菌腈,嘧菌环胺,丁苯吗啉,苯锈啶,式F-1化合物;式B-1化合物和百菌清。
本发明优选的实施方案由这些组合物代表,所述组合物含有作为成分A)的式Ia(顺式)化合物
这代表了式IIII的单一对映异构体、式IIV的单一对映异构体或式IIII和IIV的单一对映异构体的任何比率的混合物;和一种选自下组的成分B)
甲氧基丙烯酸酯类杀真菌剂,选自嘧菌酯,氟嘧菌酯,啶氧菌酯和唑菌胺酯;
唑类杀真菌剂,选自环丙唑醇,苯醚甲环唑,氟环唑,粉唑醇,叶菌唑,丙环唑,丙硫菌唑,四氟醚唑;
咯菌腈,嘧菌环胺,丁苯吗啉,苯锈啶,式F-1化合物;式B-1化合物和百菌清。
本发明优选的实施方案由这些组合物代表,所述组合物含有作为成分A)的式Ia(顺式)的外消旋化合物,这代表了式III和IIV的单一对映异构体的外消旋混合物;和一种选自下组的成分B)
甲氧基丙烯酸酯类杀真菌剂,选自嘧菌酯,氟嘧菌酯,啶氧菌酯和唑菌胺酯;
唑类杀真菌剂,选自环丙唑醇,苯醚甲环唑,氟环唑,粉唑醇,叶菌唑,丙环唑,丙硫菌唑,四氟醚唑;
咯菌腈,嘧菌环胺,丁苯吗啉,苯锈啶,式F-1化合物;式B-1化合物和百菌清。
本发明另一优选实施方案由这些组合物代表,所述组合物含有作为成分A)的式Ib(反式)化合物
这代表的式IV的单一对映异构体、式IVI的单一对映异构体或式IV和IVI的单一对映异构体的任何比率的混合物;和一种选自下组的成分B)
甲氧基丙烯酸酯类杀真菌剂,选自嘧菌酯,氟嘧菌酯,啶氧菌酯和唑菌胺酯;
唑类杀真菌剂,选自环丙唑醇,苯醚甲环唑,氟环唑,粉唑醇,叶菌唑,丙环唑,丙硫菌唑,四氟醚唑;
咯菌腈,嘧菌环胺,丁苯吗啉,苯锈啶,式F-1化合物;式B-1化合物和百菌清。
本发明另一优选实施方案由这些组合物代表,所述组合物含有作为成分A)的式Ib(反式)外消旋化合物,这代表了式IV和IVI的单一对映异构体的外消旋混合物;和一种选自下组的成分B)
甲氧基丙烯酸酯类杀真菌剂,选自嘧菌酯,氟嘧菌酯,啶氧菌酯和唑菌胺酯;
唑类杀真菌剂,选自环丙唑醇,苯醚甲环唑,氟环唑,粉唑醇,叶菌唑,丙环唑,丙硫菌唑,四氟醚唑;
咯菌腈,嘧菌环胺,丁苯吗啉,苯锈啶,式F-1化合物;式B-1化合物和百菌清。
本发明另一优选实施方案由这些组合物代表,所述组合物含有作为成分A)的式Ic化合物
这代表了式Ia(顺式)和Ib(反式)外消旋化合物的差向异构体混合物,其中代表了式IIIII和IIV的单一对映异构体的外消旋混合物的式Ia(顺式)外消旋化合物与代表了式IV和IVI的单一对映异构体的外消旋混合物的式Ib(反式)外消旋化合物的比值是1000∶1至1∶1000;和一种选自下组的成分B)代表
甲氧基丙烯酸酯类杀真菌剂,选自嘧菌酯,氟嘧菌酯,啶氧菌酯和唑菌胺酯;
唑类杀真菌剂,选自环丙唑醇,苯醚甲环唑,氟环唑,粉唑醇,叶菌唑,丙环唑,丙硫菌唑,四氟醚唑;
咯菌腈,嘧菌环胺,丁苯吗啉,苯锈啶,式F-1化合物;式B-1化合物和百菌清。
本发明另一优选实施方案由这些组合物代表,所述组合物含有作为成分A)的式Ic化合物,这代表了式Ia(顺式)和Ib(反式)外消旋化合物的差向异构体混合物,其中代表了式IIII和IIV的单一对映异构体的外消旋混合物的式Ia(顺式)外消旋化合物的含量是80-99wt%,优选85-90wt%;和一种选自下组的成分B)
甲氧基丙烯酸酯类杀真菌剂,选自嘧菌酯,氟嘧菌酯,啶氧菌酯和唑菌胺酯;
唑类杀真菌剂,选自环丙唑醇,苯醚甲环唑,氟环唑,粉唑醇,叶菌唑,丙环唑,丙硫菌唑,四氟醚唑;
咯菌腈,嘧菌环胺,丁苯吗啉,苯锈啶,式F-1化合物;式B-1化合物和百菌清。
本发明另一优选实施方案由这些组合物代表,所述组合物含有作为成分A)的式Ic化合物,这代表了式Ia(顺式)和Ib(反式)外消旋化合物的差向异构体混合物,其中代表了式IV和IVI的单一对映异构体的外消旋混合物的式Ib(反式)外消旋化合物的含量是60-99wt%,优选64-70wt%;和一种选自下组的成分B)
甲氧基丙烯酸酯类杀真菌剂,选自嘧菌酯,氟嘧菌酯,啶氧菌酯和唑菌胺酯;
唑类杀真菌剂,选自环丙唑醇,苯醚甲环唑,氟环唑,粉唑醇,叶菌唑,丙环唑,丙硫菌唑,四氟醚唑;
咯菌腈,嘧菌环胺,丁苯吗啉,苯锈啶,式F-1化合物;式B-1化合物和百菌清。
本发明另一优选实施方案由这些组合物代表,所述组合物含有作为成分A)的式I化合物,其中R1是二氟甲基和R2是氢;和一种选自下组的成分B)
甲氧基丙烯酸酯类杀真菌剂,选自嘧菌酯,氟嘧菌酯,啶氧菌酯和唑菌胺酯;
唑类杀真菌剂,选自环丙唑醇,苯醚甲环唑,氟环唑,粉唑醇,叶菌唑,丙环唑,丙硫菌唑,四氟醚唑;
咯菌腈,嘧菌环胺,丁苯吗啉,苯锈啶,式F-1化合物;式B-1化合物和百菌清。
本发明另一优选实施方案由这些组合物代表,所述组合物含有作为成分A)的式IVII的单一对映异构体;和一种选自下组的成分B)
甲氧基丙烯酸酯类杀真菌剂,选自嘧菌酯,氟嘧菌酯,啶氧菌酯和唑菌胺酯;
唑类杀真菌剂,选自环丙唑醇,苯醚甲环唑,氟环唑,粉唑醇,叶菌唑,丙环唑,丙硫菌唑,四氟醚唑;
咯菌腈,嘧菌环胺,丁苯吗啉,苯锈啶,式F-1化合物;式B-1化合物和百菌清。
本发明另一优选实施方案由这些组合物代表,所述组合物含有作为成分A)的式IVIII的单一对映异构体;和一种选自下组的成分B)
甲氧基丙烯酸酯类杀真菌剂,选自嘧菌酯,氟嘧菌酯,啶氧菌酯和唑菌胺酯;
唑类杀真菌剂,选自环丙唑醇,苯醚甲环唑,氟环唑,粉唑醇,叶菌唑,丙环唑,丙硫菌唑,四氟醚唑;
咯菌腈,嘧菌环胺,丁苯吗啉,苯锈啶,式F-1化合物;式B-1化合物和百菌清。
本发明另一优选实施方案由这些组合物代表,所述组合物含有作为成分A)的式Id化合物
这代表了式IVII和IVIII的单一对映异构体的混合物,其中式IVII的单一对映异构体与式IVIII的单一对映异构体的比是1000∶1至1∶1000;和一种选自下组的成分B)
甲氧基丙烯酸酯类杀真菌剂,选自嘧菌酯,氟嘧菌酯,啶氧菌酯和唑菌胺酯;
唑类杀真菌剂,选自环丙唑醇,苯醚甲环唑,氟环唑,粉唑醇,叶菌唑,丙环唑,丙硫菌唑,四氟醚唑;
咯菌腈,嘧菌环胺,丁苯吗啉,苯锈啶,式F-1化合物;式B-1化合物和百菌清。
甲氧基丙烯酸酯类杀真菌剂,选自嘧菌酯,氟嘧菌酯,啶氧菌酯和唑菌胺酯;
唑类杀真菌剂,选自环丙唑醇,苯醚甲环唑,氟环唑,粉唑醇,叶菌唑,丙环唑,丙硫菌唑,四氟醚唑;
咯菌腈,嘧菌环胺,丁苯吗啉,苯锈啶,式F-1化合物;式B-1化合物和百菌清。
本发明优选的实施方案由这些组合物代表,所述组合物含有作为成分A)的式I化合物,其中R1是三氟甲基;和一种选自下组的成分B)嘧菌酯;啶氧菌酯;环丙唑醇;苯醚甲环唑;丙环唑;咯菌腈;嘧菌环胺;丁苯吗啉;苯锈啶;式F-1化合物;式B-1化合物;百菌清,氟环唑和丙硫菌唑。
本发明优选的实施方案由这些组合物代表,所述组合物含有作为成分A)的式I化合物,其中R1是二氟甲基;和一种选自下组的成分B)嘧菌酯;啶氧菌酯;环丙唑醇;苯醚甲环唑;丙环唑;咯菌腈;嘧菌环胺;丁苯吗啉;苯锈啶;式F-1化合物;式B-1化合物;百菌清,氟环唑和丙硫菌唑。
本发明优选的实施方案由这些组合物代表,所述组合物含有作为成分A)的式I化合物,其中R1是二氟甲基;和R2是C1-C6烷基,和一种选自下组的成分B)
嘧菌酯;啶氧菌酯;环丙唑醇;苯醚甲环唑;丙环唑;咯菌腈;嘧菌环胺;丁苯吗啉;苯锈啶;式F-1化合物;式B-1化合物;百菌清,氟环唑和丙硫菌唑。
本发明优选的实施方案由这些组合物代表,所述组合物含有作为成分A)的式I化合物,其中R1是二氟甲基,Y是-CHR2-和R2是异丙基;和一种选自下组的成分B)
嘧菌酯;啶氧菌酯;环丙唑醇;苯醚甲环唑;丙环唑;咯菌腈;嘧菌环胺;丁苯吗啉;苯锈啶;式F-1化合物;式B-1化合物;百菌清,氟环唑和丙硫菌唑。
本发明优选的实施方案由这些组合物代表,所述组合物含有作为成分A)的式Ia(顺式)化合物
上式代表式IIII的单一对映异构体、式IIV的单一对映异构体或式IIII和IIV的单一对映异构体的任何比率的混合物;和一种选自下组的成分B)
嘧菌酯;啶氧菌酯;环丙唑醇;苯醚甲环唑;丙环唑;咯菌腈;嘧菌环胺;丁苯吗啉;苯锈啶;式F-1化合物;式B-1化合物;百菌清,氟环唑和丙硫菌唑。
本发明优选的实施方案由这些组合物代表,所述组合物含有作为成分A)的式Ia(顺式)的外消旋化合物,这代表了式IIII和IIV的单一对映异构体的外消旋混合物;和一种选自下组的成分B)
嘧菌酯;啶氧菌酯;环丙唑醇;苯醚甲环唑;丙环唑;咯菌腈;嘧菌环胺;丁苯吗啉;苯锈啶;式F-1化合物;式B-1化合物;百菌清,氟环唑和丙硫菌唑。
本发明另一优选实施方案由这些组合物代表,所述组合物含有作为成分A)的式Ib(反式)化合物
这代表的式IV的单一对映异构体、式IVI的单一对映异构体或式IV和IVI的单一对映异构体的任何比率的混合物;和一种选自下组的成分B)
嘧菌酯;啶氧菌酯;环丙唑醇;苯醚甲环唑;丙环唑;咯菌腈;嘧菌环胺;丁苯吗啉;苯锈啶;式F-1化合物;式B-1化合物;百菌清,氟环唑和丙硫菌唑。
本发明另一优选实施方案由这些组合物代表,所述组合物含有作为成分A)的式Ib(反式)外消旋化合物,这代表了式IV和IVI的单一对映异构体的外消旋混合物;和一种选自下组的成分B)
嘧菌酯;啶氧菌酯;环丙唑醇;苯醚甲环唑;丙环唑;咯菌腈;嘧菌环胺;丁苯吗啉;苯锈啶;式F-1化合物;式B-1化合物;百菌清,氟环唑和丙硫菌唑。
本发明另一优选实施方案由这些组合物代表,所述组合物含有作为成分A)的式Ic化合物
这代表了式Ia(顺式)和Ib(反式)外消旋化合物的差向异构体混合物,其中代表了式IIII和IIV的单一对映异构体的外消旋混合物的式Ia(顺式)外消旋化合物与代表了式IV和IVI的单一对映异构体的外消旋混合物的式Ib(反式)外消旋化合物的比值是1000∶1至1∶1000;和一种选自下组的成分B)代表
嘧菌酯;啶氧菌酯;环丙唑醇;苯醚甲环唑;丙环唑;咯菌腈;嘧菌环胺;丁苯吗啉;苯锈啶;式F-1化合物;式B-1化合物;百菌清,氟环唑和丙硫菌唑。
本发明另一优选实施方案由这些组合物代表,所述组合物含有作为成分A)的式Ic化合物,这代表了式Ia(顺式)和Ib(反式)外消旋化合物的差向异构体混合物,其中代表了式IIII和IIV的单一对映异构体的外消旋混合物的式Ia(顺式)外消旋化合物的含量是80-99wt%,优选85-90wt%;和一种选自下组的成分B)
嘧菌酯;啶氧菌酯;环丙唑醇;苯醚甲环唑;丙环唑;咯菌腈;嘧菌环胺;丁苯吗啉;苯锈啶;式F-1化合物;式B-1化合物;百菌清,氟环唑和丙硫菌唑。
本发明另一优选实施方案由这些组合物代表,所述组合物含有作为成分A)的式Ic化合物,这代表了式Ia(顺式)和Ib(反式)外消旋化合物的差向异构体混合物,其中代表了式IV和IVI的单一对映异构体的外消旋混合物的式Ib(反式)外消旋化合物的含量是60-99wt%,优选64-70wt%;和一种选自下组的成分B)
嘧菌酯;啶氧菌酯;环丙唑醇;苯醚甲环唑;丙环唑;咯菌腈;嘧菌环胺;丁苯吗啉;苯锈啶;式F-1化合物;式B-1化合物;百菌清,氟环唑和丙硫菌唑。
本发明另一优选实施方案由这些组合物代表,所述组合物含有作为成分A)的式I化合物,其中R1是二氟甲基和R2是氢;和一种选自下组的成分B)
嘧菌酯;啶氧菌酯;环丙唑醇;苯醚甲环唑;丙环唑;咯菌腈;嘧菌环胺;丁苯吗啉;苯锈啶;式F-1化合物;式B-1化合物;百菌清,氟环唑和丙硫菌唑。
本发明另一优选实施方案由这些组合物代表,所述组合物含有作为成分A)的式IVII的单一对映异构体;和一种选自下组的成分B)
嘧菌酯;啶氧菌酯;环丙唑醇;苯醚甲环唑;丙环唑;咯菌腈;嘧菌环胺;丁苯吗啉;苯锈啶;式F-1化合物;式B-1化合物;百菌清,氟环唑和丙硫菌唑。
本发明另一优选实施方案由这些组合物代表,所述组合物含有作为成分A)的式IVIII的单一对映异构体;和一种选自下组的成分B)
嘧菌酯;啶氧菌酯;环丙唑醇;苯醚甲环唑;丙环唑;咯菌腈;嘧菌环胺;丁苯吗啉;苯锈啶;式F-1化合物;式B-1化合物;百菌清,氟环唑和丙硫菌唑。
本发明另一优选实施方案由这些组合物代表,所述组合物含有作为成分A)的式Id化合物
这代表了式IVII和IVIII的单一对映异构体的混合物,其中式IVII的单一对映异构体与式IVIII的单一对映异构体的比是1000∶1至1∶1000;和一种选自下组的成分B)
嘧菌酯;啶氧菌酯;环丙唑醇;苯醚甲环唑;丙环唑;咯菌腈;嘧菌环胺;丁苯吗啉;苯锈啶;式F-1化合物;式B-1化合物;百菌清,氟环唑和丙硫菌唑。
本发明的优选实施方案由含有作为成分A)的式I化合物,其中Y是和R1是二氟甲基;和一种选自下组的成分B)
嘧菌酯;啶氧菌酯;环丙唑醇;苯醚甲环唑;丙环唑;咯菌腈;嘧菌环胺;丁苯吗啉;苯锈啶;式F-1化合物;式B-1化合物;百菌清,氟环唑和丙硫菌唑。
本发明优选的实施方案由这些组合物代表,所述组合物含有作为成分A)的式I化合物,其中R1是三氟甲基;和一种选自下组的成分B)
嘧菌酯;啶氧菌酯;环丙唑醇;苯醚甲环唑;丙环唑;咯菌腈;嘧菌环胺;丁苯吗啉;苯锈啶;式F-1化合物和百菌清。
本发明优选的实施方案由这些组合物代表,所述组合物含有作为成分A)的式I化合物,其中R1是二氟甲基;和一种选自下组的成分B)
嘧菌酯;啶氧菌酯;环丙唑醇;苯醚甲环唑;丙环唑;咯菌腈;嘧菌环胺;丁苯吗啉;苯锈啶;式F-1化合物和百菌清。
本发明优选的实施方案由这些组合物代表,所述组合物含有作为成分A)的式I化合物,其中R1是二氟甲基;和R2是C1-C6烷基,和一种选自下组的成分B)
嘧菌酯;啶氧菌酯;环丙唑醇;苯醚甲环唑;丙环唑;咯菌腈;嘧菌环胺;丁苯吗啉;苯锈啶;式F-1化合物和百菌清。
本发明优选的实施方案由这些组合物代表,所述组合物含有作为成分A)的式I化合物,其中R1是二氟甲基,Y是-CHR2-和R2是异丙基;和一种选自下组的成分B)
嘧菌酯;啶氧菌酯;环丙唑醇;苯醚甲环唑;丙环唑;咯菌腈;嘧菌环胺;丁苯吗啉;苯锈啶;式F-1化合物和百菌清。
本发明优选的实施方案由这些组合物代表,所述组合物含有作为成分A)的式Ia(顺式)化合物
上式代表式IIII的单一对映异构体,式IIV的单一对映异构体或式IIII和IIV的单一对映异构体的任何比率的混合物;和一种选自下组的成分B)
嘧菌酯;啶氧菌酯;环丙唑醇;苯醚甲环唑;丙环唑;咯菌腈;嘧菌环胺;丁苯吗啉;苯锈啶;式F-1化合物和百菌清。
本发明优选的实施方案由这些组合物代表,所述组合物含有作为成分A)的式Ia(顺式)的外消旋化合物,这代表了式IIII和IIV的单一对映异构体的外消旋混合物;和一种选自下组的成分B)
嘧菌酯;啶氧菌酯;环丙唑醇;苯醚甲环唑;丙环唑;咯菌腈;嘧菌环胺;丁苯吗啉;苯锈啶;式F-1化合物和百菌清。
本发明另一优选实施方案由这些组合物代表,所述组合物含有作为成分A)的式Ib(反式)化合物
这代表的式IV的单一对映异构体、式IVI的单一对映异构体或式IV和IVI的单一对映异构体的任何比率的混合物;和一种选自下组的成分B)
嘧菌酯;啶氧菌酯;环丙唑醇;苯醚甲环唑;丙环唑;咯菌腈;嘧菌环胺;丁苯吗啉;苯锈啶;式F-1化合物和百菌清。
本发明另一优选实施方案由这些组合物代表,所述组合物含有作为成分A)的式Ib(反式)外消旋化合物,这代表了式IV和IVI的单一对映异构体的外消旋混合物;和一种选自下组的成分B)
嘧菌酯;啶氧菌酯;环丙唑醇;苯醚甲环唑;丙环唑;咯菌腈;嘧菌环胺;丁苯吗啉;苯锈啶;式F-1化合物和百菌清。
本发明另一优选实施方案由这些组合物代表,所述组合物含有作为成分A)的式Ic化合物
这代表了式Ia(顺式)和Ib(反式)外消旋化合物的差向异构体混合物,其中代表了式IIII和IIV的单一对映异构体的外消旋混合物的式Ia(顺式)外消旋化合物与代表了式IV和IVI的单一对映异构体的外消旋混合物的式Ib(反式)外消旋化合物的比值是1000∶1至1∶1000;和一种选自下组的成分B)代表
嘧菌酯;啶氧菌酯;环丙唑醇;苯醚甲环唑;丙环唑;咯菌腈;嘧菌环胺;丁苯吗啉;苯锈啶;式F-1化合物和百菌清。
本发明另一优选实施方案由这些组合物代表,所述组合物含有作为成分A)的式Ic化合物,这代表了式Ia(顺式)和Ib(反式)外消旋化合物的差向异构体混合物,其中代表了式IIII和IIV的单一对映异构体的外消旋混合物的式Ia(顺式)外消旋化合物的含量是80-99wt%,优选85-90wt%;和一种选自下组的成分B)
嘧菌酯;啶氧菌酯;环丙唑醇;苯醚甲环唑;丙环唑;咯菌腈;嘧菌环胺;丁苯吗啉;苯锈啶;式F-1化合物和百菌清。
本发明另一优选实施方案由这些组合物代表,所述组合物含有作为成分A)的式Ic化合物,这代表了式Ia(顺式)和Ib(反式)外消旋化合物的差向异构体混合物,其中代表了式IV和IVI的单一对映异构体的外消旋混合物的式Ib(反式)外消旋化合物的含量是60-99wt%,优选64-70wt%;和一种选自下组的成分B)
嘧菌酯;啶氧菌酯;环丙唑醇;苯醚甲环唑;丙环唑;咯菌腈;嘧菌环胺;丁苯吗啉;苯锈啶;式F-1化合物和百菌清。
本发明另一优选实施方案由这些组合物代表,所述组合物含有作为成分A)的式I化合物,其中R1是二氟甲基和R2是氢;和一种选自下组的成分B)
嘧菌酯;啶氧菌酯;环丙唑醇;苯醚甲环唑;丙环唑;咯菌腈;嘧菌环胺;丁苯吗啉;苯锈啶;式F-1化合物和百菌清。
本发明另一优选实施方案由这些组合物代表,所述组合物含有作为成分A)的式IVII的单一对映异构体;和一种选自下组的成分B)
嘧菌酯;啶氧菌酯;环丙唑醇;苯醚甲环唑;丙环唑;咯菌腈;嘧菌环胺;丁苯吗啉;苯锈啶;式F-1化合物和百菌清。
本发明另一优选实施方案由这些组合物代表,所述组合物含有作为成分A)的式IVIII的单一对映异构体;和一种选自下组的成分B)
嘧菌酯;啶氧菌酯;环丙唑醇;苯醚甲环唑;丙环唑;咯菌腈;嘧菌环胺;丁苯吗啉;苯锈啶;式F-1化合物和百菌清。
本发明另一优选实施方案由这些组合物代表,所述组合物含有作为成分A)的式Id化合物
这代表了式IVII和IVIII的单一对映异构体的混合物,其中式IVII的单一对映异构体与式IVIII的单一对映异构体的比是1000∶1至1∶1000;和一种选自下组的成分B)
嘧菌酯;啶氧菌酯;环丙唑醇;苯醚甲环唑;丙环唑;咯菌腈;嘧菌环胺;丁苯吗啉;苯锈啶;式F-1化合物和百菌清。
本发明的优选实施方案由含有作为成分A)的式I化合物,其中Y是
和R1是二氟甲基;和一种选自下组的成分B)
嘧菌酯;啶氧菌酯;环丙唑醇;苯醚甲环唑;丙环唑;咯菌腈;嘧菌环胺;丁苯吗啉;苯锈啶;式F-1化合物和百菌清。
本发明的活性成分组合物对有害微生物如引起植物致病性疾病的微生物有效,特别是对植物致病性真菌和细菌有效。
活性成分组合物对属于下列纲的植物致病性真菌特别有效:子囊菌纲(例如黑腥菌属,柄球菌属,白粉菌属,念珠霉属,球腔菌属,钩丝壳霉属);担子菌纲(例如驼孢锈菌属,丝核菌属,柄锈菌属,黑粉菌属,腥黑粉菌属);半知菌(也称为半知菌纲;例如葡萄孢属,长蠕孢属,嘴孢属,镰孢属,壳针孢属,尾孢属,链格孢属,Pyricularia和假尾孢属);卵菌纲(例如疫霉属,霜霉属,假霜霉属,白锈菌属,盘梗霉属,腐霉属,Pseudosclerospora,单轴霉属)。
根据本发明,“有益植物”一般包括下列植物品种:葡萄藤;谷物,如小麦、大麦、黑麦或燕麦;甜菜,如糖用甜菜和饲料甜菜;水果,如梨果、核果或无核小果,例如苹果、梨、李子、桃、杏、樱桃、草莓、覆盆子或黑莓;豆科植物,如蚕豆、小扁豆、豌豆或大豆;油料植物,如油菜、芥菜、罂粟、橄榄、向日葵、椰子、蓖麻油植物、可可豆或落花生;香瓜属植物,如南瓜、黄瓜或甜瓜;纤维植物,如棉花、亚麻、大麻或黄麻;柑橘类水果,如橙、柠檬、藤本植物柚或桔子;蔬菜,如菠菜、莴苣、芦笋、卷心菜、胡萝卜、洋葱、西红柿、马铃薯、葫芦或辣椒;樟科,如鳄梨、肉桂或樟脑;玉米;烟草;坚果;咖啡;甘蔗;茶;藤本植物;蛇麻草;榴莲;香蕉;天然橡胶树;草坪或观赏植物,如花卉、灌木、阔叶树或长绿植物如针叶树。上述列举并不代表任何限制。
术语“有益植物”应理解为还包括由于常规育种方法或基因工程方法使其耐受除草剂如溴苯腈或多类除草剂(如HPPD抑制剂,乙酰乳酸合成酶抑制剂,例如氟嘧磺隆、氟磺隆和三氟啶磺隆,EPSPS(5-烯醇-丙酮酰-莽草酸-3-磷酸合成酶)抑制剂,GS(谷氨酰胺合成酶)抑制剂)的有益植物。已通过常规育种方法(突变形成)使其耐咪唑啉酮类如甲氧咪草烟的作物的实例是Clearfield夏季芸苔(Canola)。通过基因工程方法使之耐除草剂或除草剂类的作物的实例包括抗草甘膦和草铵膦的玉米,该品种可根据商品名RoundupReady、Herculex I和Libertylink从市场上买到。
术语″有益植物″应理解为还包括已通过使用重组DNA技术转化使其能合成一种或多种选择性作用毒素的有益植物,所述毒素如已知来自于毒素产生细菌,特别是芽孢杆菌属的那些细菌。
可通过所述转基因植物表达的毒素包括,例如杀虫蛋白质,例如来自于枯草芽孢杆菌或日本甲虫芽孢杆菌的杀虫蛋白质;或来自于苏云金芽孢杆菌的杀虫蛋白质,如δ-内毒素,例如CryIA(b),CryIA(c),CryIF,CryIF(a2),CryIIA(b),CryIIIA,CryIIIB(b1)或Cry9c,或植物杀虫蛋白质(VIP),例如VIP1、VIP2、VIP3或VIP3A;或细菌-共生线虫的杀虫蛋白质,例如光杆状菌属或致病杆菌属,如发光光杆状菌、嗜线虫致病杆菌;由动物产生的毒素,如蝎毒素、蜘蛛毒素、黄蜂毒素和其他昆虫特异性神经毒素;由真菌产生的毒素,如链霉菌毒素,植物凝集素,如豌豆凝集素、大麦凝集素或雪花莲凝集素;凝集素类;蛋白酶抑制剂,如胰蛋白酶抑制剂、丝氨酸蛋白酶抑制剂、马铃薯贮存蛋白(patatin)、半胱氨酸蛋白酶抑制剂、木瓜蛋白酶抑制剂;核糖体失活蛋白(RIP),如蓖麻蛋白、玉米-RIP、相思豆毒蛋白、丝瓜籽毒蛋白、皂草毒素蛋白或异株泻根毒蛋白;类固醇代谢酶,如3-羟基类固醇氧化酶、蜕皮类固醇-UDP-糖基-转移酶、胆固醇氧化酶、蜕皮激素抑制剂、HMG-COA-还原酶,离子通道阻断剂,如钠通道或钙通道阻断剂,保幼激素酯酶,利尿激素受体、二苯乙烯合成酶、联苄合成酶、几丁酶和葡聚糖酶。
在本发明范围内,δ-内毒素例如CryIA(b),CryIA(c),CryIF,CryIF(a2),CryIIA(b),CryIIIA,CryIIIB(b1)或Cry9c,或植物杀虫蛋白(VIP),例如VIP1,VIP2,VIP3或VIP3A应理解为显然还包括混合毒素、截短(truncated)毒素和改性毒素。混合毒素是通过那些蛋白质的不同功能区的新组合重组产生的(见,例如WO 02/15701)。截短毒素的实例是截短的CryIA(b),如下文所述,其在Syngenta Seeds SAS的Bt11玉米中表达。就改性毒素来说,天然存在的毒素的一个或多个氨基酸被置换。在这种氨基酸置换中,优选将非天然存在的蛋白酶识别序列插入毒素中,例如在CryIIIA055的情况下,一种组织蛋白酶-D-识别序列被插入CryIIIA毒素(见WO 03/018810)。
上述毒素或能合成上述毒素的转基因植物的实例公开于例如EP-A-0 374 753,WO 93/07278,WO 95/34656,EP-A-0427529,EP-A-451878和WO 03/052073。
上述转基因植物的制备方法是本领域技术人员通常已知的,描述于例如上述出版物中。CryI-型脱氧核糖核酸及其制备已知于例如WO95/34656,EP-A-0 367 474,EP-A-0 401 979和WO 90/13651。
转基因植物中所含毒素使得植物对有害昆虫有耐受性。所述昆虫可以存在于任何昆虫分类群,但尤其是通常在甲虫(鞘翅目)、双翅昆虫(双翅目)和蝴蝶(鳞翅目)中发现的。
含有一个或多个编码杀虫剂抗性和表达一种或多种毒素的基因的转基因植物是已知的,其中一些是市场上可买到的。所述植物的实例是:YieldGard(玉米品种,表达CryIA(b)毒素);YieldGardRootworm(玉米品种,表达CryIIIB(b1)毒素);YieldGard Plus(玉米品种,表达CryIA(b)和CryIIIB(b1)毒素);Starlink(玉米品种,表达Cry9(c)毒素);Herculex I(玉米品种,表达CryIF(a2)毒素和酶phosphinothricine N-乙酰基转移酶(PAT),从而获得对除草剂草铵膦铵盐的耐药性);NuCOTN 33B(棉花品种,表达CryIA(c)毒素);Bollgard I(棉花品种,表达CryIA(c)毒素);Bollgard II(棉花品种,表达CryIA(c)和CryIIA(b)毒素);VIPCOT(棉花品种,表达VIP毒素);NewLeaf(马铃薯品种,表达CryIIIA毒素);NatureGard和Protecta。
所述转基因作物的其他实例是:
1.Bt11玉米,来自Syngenta Seeds SAS,Chemin de l′Hobit 27,F-31 790 St.Sauveur,法国,登记号C/FR/96/05/10。遗传改性的玉蜀黍,通过转基因表达截短的CryIA(b)毒素,使之能抵抗欧洲玉米螟(Ostrinia nubilalis和Sesamia nonagrioides)的侵袭。Bt11玉米还转基因表达PAT酶以获得对除草剂草铵膦铵盐的耐受性。
2.Bt176玉米,来自Syngenta Seeds SAS,Chemin de l′Hobit27,F-31 790 St.Sauveur,France,登记号C/FR/96/05/10。遗传改性的玉蜀黍,通过转基因表达CryIA(b)毒素使之能抵抗欧洲玉米螟(Ostrinia nubilalis and Sesamia nonagrioides)的侵袭。Bt176玉米还转基因表达PAT酶以获得对除草剂草铵膦铵盐的耐受性。
3.MIR604玉米,来自Syngenta Seeds SAS,Chemin de l′Hobit27,F-31 790 St.Sauveur,法国,登记号C/FR/96/05/10。通过转基因表达改性的CryIIIA毒素使之具有昆虫抗性的玉米。此毒素是通过插入组织蛋白酶-D-蛋白酶识别序列而改性的Cry3A055。所述转基因玉米的制备描述于WO 03/018810。
4.MON 863玉米,来自Monsanto Europe S.A.270-272 Avenuede Tervuren,B-1150 Brussels,比利时,登记号C/DE/02/9。MON 863表达CryIIIB(b1)毒素,并且对某些鞘翅目昆虫有抗性。
5.IPC 531棉花,来自Monsanto Europe S.A.270-272 Avenuede Tervuren,B-1150 Brussels,比利时,登记号C/ES/96/02。
6.1507玉米,来自Pioneer Overseas Corporation,AvenueTedesco,7B-1160 Brussels,比利时,登记号C/NL/00/10。遗传改性的玉米,表达蛋白质Cry1F以获得对某些鳞翅目昆虫的抗性和PAT蛋白质以获得对除草剂草铵膦铵盐的耐受性。
7.NK603×MON 810玉米,来自Monsanto Europe S.A.270-272Avenue de Tervuren,B-1150 Brussels,比利时,登记号C/GB/02/M3/03。通过遗传改性的品种NK603和MON810杂交,由常规育种的杂交玉米品种构成。NK603×MON 810玉米转基因表达由土壤杆菌属菌株CP4获得的CP4 EPSPS蛋白质,使之耐除草剂Roundup(含有草甘膦),以及由苏云金芽孢杆菌库尔斯塔克亚种获得的CryIA(b)毒素,使之耐某些鳞翅目昆虫,包括欧洲玉米螟。
昆虫抗性植物的转基因作物还描述于BATS(Zentrum fürBiosicherheit und Nachhaltigkeit,Zentrum BATS,Clarastrasse13,4058 Basel,Switzerland)Report 2003,(
http://bats.ch)。
术语“有益植物”应理解为还包括通过使用重组DNA技术转化使之能合成具有选择性作用的抗病原物质例如所谓的″致病相关蛋白″(PRPs,见例如EP-A-0 392 225)的有益植物。所述抗病原物质和能合成所述抗病原物质的转基因植物的实例已知于例如EP-A-0 392225、WO 95/33818和EP-A-0 353 191。所述转基因植物的制造方法是本领域技术人员通常已知的,并且描述于例如上述出版物中。
能被所述转基因植物表达的抗病原物质包括例如离子通道阻断剂,如钠和钙通道的阻断剂,例如病毒性KP1,KP4或KP6毒素;二苯乙烯合成酶;联苄合成酶;几丁酶;葡聚糖酶;所谓的″致病相关蛋白″(PRPs;见例如EP-A-0 392 225);由微生物产生的抗病原物质例如肽抗生素或杂环抗生素(见例如WO 95/33818)或植物病原体防御中涉及的蛋白或多肽因子(所谓的″植物病害抗性基因″,如WO 03/000906所述)。
在本发明中比较重要的有益植物是谷物;大豆;稻;含油种子油菜;梨果;核果;花生;咖啡;茶;草莓;草坪;藤本植物和蔬菜如西红柿、马铃薯、葫芦和莴苣。
本文使用的术语有益植物的“所在地”旨在包括有益植物正在生长的地方,有益植物的植物繁殖材料播种的地方或有益植物的植物繁殖材料将被置于土壤中的地方。所述所在地的实例是作物正在生长的田间。
术语“植物繁殖材料”应理解为表示植物有生殖力的部分如可用于繁殖后者的种子,和营养体材料如插枝和块茎,例如马铃薯。可提及的是例如种子(严格意义上的)、根、果实、块茎、球茎、根茎和植株部分。还可提及的是将在发芽或从土壤中出苗后被移植的发芽的植物和幼苗。这些幼苗可在移植前通过完全或部分浸渍处理进行保护。“植物繁殖材料”优选理解为表示种子。
本发明另一方面是一种保护已自天然生命循环中取出的植物和/或动物源的天然物质和/或其加工形式免于真菌侵袭的方法,该方法包括向所述植物和/或动物源的天然物质或其加工形式施用增效有效量的成分A)和B)的组合物。
根据本发明,术语“已自天然生命循环中取出的植物源的天然物质”表示已从天然生命循环中收获并且是刚收获形式的植物或其部分。所述植物源的天然物质的实例是茎、叶、块茎、种子、果实或谷物。根据本发明,术语“植物源的天然物质的加工形式”应理解为表示植物源的天然物质经过修改加工得到的形式。所述修改加工可用于将植物源的天然物质转化成所述物质的更耐储藏的形式(储藏货物)。所述修改加工的实例是预干燥、润湿、压碎、粉碎、研磨、压缩或烘烤。也属于植物源的天然物质的加工形式定义的是木材,无论是原木形式如建筑木材、电线杆和栅栏,或者是加工过的物品,如家具或由木材制成的物品。
根据本发明,术语“已自天然生命循环中取出的动物源的天然物质和/或其加工形式”应理解为表示动物源的物质,如表皮、生皮、熟皮、毛皮、毛发等。
本发明的组合物可预防不利影响如腐烂、褪色或发霉。
优选的实施方案是一种保护已自天然生命循环中取出的植物源的天然物质和/或其加工形式对抗真菌侵袭的方法,该方法包括向所述植物和/或动物源的天然物质或其加工形式施用增效有效量的成分A)和B)的组合物。
另一优选实施方案是一种保护已自天然生命循环中取出的水果如梨果、核果、无核小水果和柑橘类水果和/或其加工形式的方法,该方法包括向所述水果和/或其加工形式施用增效有效量的成分A)和B)的组合物。
本发明的组合物还可用于保护工业材料对抗真菌侵袭的领域。根据本发明,术语“工业材料”表示制备用于工业应用的无生命材料。例如,旨在保护其对抗真菌侵袭的工业材料可以是粘结剂,胶水,纸,板,织物,地毯,皮革,木材,建筑物,涂料,塑料制品,冷却润滑剂,含水液压液和能被微生物感染或分解的其他材料。在欲保护的材料中还可提及的是可因微生物的繁殖受到损害的冷却和加热系统、通风和空调系统和生产装置的各部分例如冷却水循环系统。本发明的组合物可预防不利影响如腐烂,脱色或发霉。
本发明组合物还可用于保护技术材料(technical material)对抗真菌侵袭的领域。根据本发明,术语“技术材料”包括纸;地毯;建筑;冷却和加热系统;通风和空调系统等。本发明的组合物可预防不利影响如腐烂,脱色或发霉。
本发明的组合物对白粉病、锈病、叶斑病物种;早疫病和霉菌;特别是对谷物中的壳针孢属、柄锈菌属、白粉菌属、核腔菌属和Tapesia;大豆中的层锈菌属;咖啡中的驼孢锈菌属;玫瑰中的多胞锈菌属;马铃薯、西红柿和葫芦中的链格孢属;草坪、蔬菜、向日葵和含油种子油菜中的核盘菌属;藤本植物中的黑腐病、red fire、白粉病、灰霉病和枝枯病;水果中的灰葡萄孢;水果中的链核盘菌属和水果中的青霉属特别有效。
本发明的组合物还能特别有效地对抗种传或土传病害,如链格孢属,壳二孢属,灰葡萄孢,尾孢属,麦角菌,禾旋孢腔菌,毛盘孢属,附球菌属,禾本科镰孢,串珠镰孢,尖镰孢,层出镰刀菌,马特腐皮镰孢,胶孢镰孢,禾顶囊壳菌,长蠕孢属,雪腐镰孢,茎点霉属,麦类核腔菌,稻瘟病菌,立枯丝核菌,小麦纹枯病菌,核盘菌属,壳针孢属,丝轴黑粉菌,腥黑粉菌属,肉孢核瑚菌,隐条黑粉菌,黑粉菌属或轮枝孢属;特别是对抗谷物的病原体,如小麦、大麦、黑麦或燕麦;玉米;稻;棉花;大豆;草坪;糖用甜菜;含油种子油菜;马铃薯;豆类作物,如豌豆,扁豆或鹰嘴豆;和向日葵。
本发明组合物还能特别有效地对抗收获后病害,如灰葡萄孢,香蕉炭疽菌,弯孢,半裸镰孢,白地霉,桃褐腐病菌,果生链核盘菌,核果链核盘菌,梨形毛霉,意大利青霉,离生青霉,加州指状青霉或扩展青霉,特别是对抗水果病原体,如梨果,例如苹果和梨,核果,例如桃和李子、柑橘、瓜类、木瓜、猕猴桃、芒果,浆果,例如草莓、鳄梨、石榴和香蕉,和坚果。
本发明组合物的用量取决于各种因素,如所使用的化合物;处理的对象,例如植物、土壤或种子;处理的类型,例如喷雾、喷粉或拌种;处理的目的,例如预防或治疗;欲防治的真菌的类型或施用时间。
已发现将成分B)结合式I化合物使用意外地和显著地增强了后者对真菌的效力,反之亦然。此外,本发明的方法可有效对抗更广谱的真菌,所述真菌是当此方法的活性成分单独使用时可对抗的真菌。
选择A)∶B)的重量比以产生增效作用。通常A)∶B)重量比是2000∶1至1∶1000,优选100∶1至1∶100,更优选20∶1至1∶50。
由A)+B)组合物的杀真菌活性大于A)和B)的杀真菌活性的总和的事实可见组合物的增效作用。
本发明的方法包括向有益植物、其所在地或其繁殖材料以混合物形式或分别施用增效有效总量的式I化合物和成分B)化合物。
本发明所述组合物中的一些具有内吸作用,可用作叶片、土壤和种子处理杀真菌剂。
使用本发明的组合物可能抑制或破坏出现在不同的有益植物的植物或植物部分(果实、花、叶、茎、块茎、根)中的植物致病性微生物,同时也能保护之后长出的植物部分免于植物致病性微生物的侵袭。
本发明的组合物对防治各种有益植物或其种子中的许多真菌特别重要,特别是大田作物如马铃薯、烟草和糖用甜菜,和小麦、黑麦、大麦、燕麦、稻、玉米、草坪、棉花、大豆、含油种子油菜、豆类作物、向日葵、咖啡、甘蔗、水果和园艺观赏植物和葡萄栽培,蔬菜如黄瓜属、豆类和葫芦科。
本发明组合物通过用增效有效量的成分A)和成分B)的组合物处理真菌、有益植物、其所在地、其繁殖材料、已自天然生命循环中取出的植物和/或动物源的天然物质和/或其加工形式、或受真菌侵袭威胁的工业材料进行施用。
本发明的组合物可在有益植物、其繁殖材料、已自天然生命循环中取出的植物和/或动物源的天然物质和/或其加工形式、或工业材料被真菌感染之前或之后施用。
本发明的组合物对防治下列植物病害特别有效:
水果和蔬菜中的链格孢属,
豆类作物中的壳二孢属,
草莓、西红柿、向日葵、豆类作物、蔬菜和葡萄中的灰色葡萄孢(灰霉),
花生中的花生尾孢,
谷物中的禾旋孢霉,
豆类作物中的毛盘孢属,
谷物中的白粉菌属,
葫芦中的二孢白粉菌和苍耳单丝壳菌,
谷物和玉米中的镰孢属,
谷物和草坪中的禾顶囊壳菌,
玉米、稻和马铃薯中的长蠕孢属,
咖啡上的咖啡驼孢锈菌,
小麦和黑麦中的微结节菌属,
大豆中的层锈菌属,
谷物、阔叶作物和多年生植物中的柄锈菌属,
谷物中的假尾孢属,
玫瑰中的短尖多胞锈菌,
水果中的柄球菌属,
大麦中的核腔菌属,
稻中的稻瘟病菌,
大麦中的Ramularia collo-cygni,
棉花、大豆、谷物、玉米、马铃薯、稻和草坪中的丝核菌属,
大麦和黑麦中的嘴孢属,
草坪、莴苣、蔬菜和含油种子油菜中的核盘菌属,
谷物、大豆和蔬菜中的壳针孢属,
玉米中的高粱轴黑粉菌,
谷物中的腥黑粉菌属,
藤本植物中的葡萄白粉病钩丝壳霉,皮委里氏球座菌和葡萄拟茎点霉,
黑麦中的隐藏条黑粉菌,
谷物和玉米中的黑粉菌属,
水果中的黑星菌属,
水果上的念珠霉属,
柑橘和苹果上的青霉属。
在有害生物防治领域,本发明组合物是有预防和/或治疗价值的活性成分,即使是在低用量下,具有非常有利的杀生谱并受到温血生物、鱼和植物的良好耐受。本发明的活性成分部分已知其不仅对所有或部分发育阶段的常规敏感的动物害虫,而且对抗性动物害虫,例如蜱螨目的昆虫或典型生物有杀虫作用。本发明组合物的杀虫或杀螨活性可以直接显示,即以立即出现或仅经过一段时间例如在蜕皮期间出现的害虫死亡率来显示,或以例如减少产卵和/或孵化率来间接显示,良好活性相当于消灭率(死亡率)至少50至60%。
上述动物害虫的实例是:
蜱螨目(Acarina),例如
粗脚粉螨(Acarus siro)、柑橘瘤瘿螨(Aceria sheldoni)、斯氏针刺瘿螨(Aculus schlechtendali)、花蜱属(Amblyomma spp.)、隐喙蚍属(Argas spp.)、牛蜱属(Boophilus spp.)、短须螨属(Brevipalpus spp.)、苜宿苔螨(Bryobia praetiosa)、Calipitrimerus spp.,恙螨(Chorioptes spp.)、鸡皮刺螨(Dermanyssus gallinae)、鹅耳枥始叶螨(Eotetranychus carpini)、瘿螨属(Eriophyes spp.)、玻眼蜱属(Hyalomma spp.)、硬蚍属(Ixodes spp.)、Olygonychus pratensis,喙蜱属(Ornithodorosspp.)、红蜘蛛属(Panonychus spp.)、橘锈螨(Phyllocoptrutaoleivora)、侧多食跗线螨(Polyphagotarsonemus latus)、瘁螨属(Psoroptes spp.)、扇头蜱属(Rhipicephalus spp.)、根螨属(Rhizoglyphus spp.)、疥螨属(Sarcoptes spp.)、线螨属(Tarsonemus spp.)和红叶螨属(Tetranychus spp.);
虱目(Anoplura),例如
血虱属(Haematopinus spp.)、长颚虱属(Linognathus spp.)、虱属(Pediculus spp.)、瘿绵蚜属(Pemphigus spp.)和根瘤蚜属(Phylloxera spp.);
鞘翅目(Coleoptera),例如
扣甲属(Agriotes spp.)、花象甲属(Anthonomus spp.)、甜菜隐食甲(Atomaria linearis)、甜菜茎跳甲(Chaetocnema tibialis)、香蕉根象甲属(Cosmopolites spp.)、象虫属(Curculio spp.)、皮蠹属(Dermestes spp.)、条叶甲属(Diabrotica spp.)、植瓢虫属(Epilachna spp.)、Eremnus spp.、马铃薯甲虫(Leptinotarsadecemlineata)、稻象甲属(Lissorhoptrus spp.)、鳃金龟属(Melolontha spp.)、Orycaephilus spp.、草莓根象甲(Otiorhynchusspp.)、Phlyctinus spp.、丽金龟属(Popillia spp.)、跳甲属(Psylliodes spp.)、动根蠹属(Rhizopertha spp.)、金龟甲科(Scarabeidae)、米象属(Sitophilus spp.)、麦蛾属(Sitotrogaspp.)、拟步行虫属(Tenebrio spp.)、拟谷温属(Tribolium spp.)和皮蠹属(Trogoderma spp.);
双翅目(Diptera),例如
伊蚊属(Aedes spp.)、Antherigona soccata、Bibio hortulanus、丽蝇属(Calliphora erythrocephala)、实蝇属(Ceratitis spp.)、金蝇属(Chrysomyia spp.)、库蚊属(Culex spp.)、疽蝇属(Cuterebraspp.)、实蝇属(Dacus spp.)、黄猩猩果蝇(Drosophilamelanogaster)、厕蝇属(Fannia spp.)、马蝇属(Gastrophilus spp.)、舌蝇属(Glossina spp.)、皮蝇属(Hypoderma spp.)、Hyppobosca spp.、潜蝇属(Liriomyza spp.)、绿蝇属(Lucilia spp.)、豆干黑潜蝇属(Melanagromyza spp.)、苍蝇属(Musca ssp.)、狂蝇属(Oestrus spp.)、Orseolia spp.、瑞典麦杆蝇(Oscinella frit)、甜菜潜叶蝇(Pegomyiahyoscyami)、春麦蝇属(Phorbia spp.)、苹实蝇(Rhagoletispomonella)、蕈蝇属(Sciara spp.)、螫蝇属(Stomoxys spp.)、虻属(Tabanus spp.)、Tannia spp.和大蚊属(Tipula spp.);
异翅亚目(Heteroptera),例如
臭虫属(Cimex spp.)、可可瘤盲蝽(Distantiella theobroma)、红蝽属(Dysdercus spp.)、Euchistus spp.、褐盾蝽属(Eurygasterspp.)、稻缘蝽属(Leptocorisa spp.)、绿蝽属(Nezara spp.)、网蝽属(Piesma spp.)、红腹猎蝽属(Rhodnius spp.)、可可褐盲蝽(Sahlbergella singularis)、稻黑蝽属(Scotinophara spp.)和锥蝽属(Triatoma spp.);
同翅目(Homoptera),例如
绵纷虱(Aleurothrixus floccosus)、粉虱属(Aleyrodesbrassicae)、圆盔蚧属(Aonidiella spp.)、蚜科(Aphididae)、蚜虫属(Aphis spp.)、圆盾蚧属(Aspidiotus spp.)、甘薯粉虱(Bemisiatabaci)、蜡蚧属(Ceroplaster spp.)、茶褐圆蚧(Chrysomphalusaonidium)、蔷薇轮蚧(Chrysomphalus dictyospermi)、褐软蚧(Coccushesperidum)、微叶蝉属(Empoasca spp.)、苹果绵蚜(Eriosomalarigerum)、红斑叶蝉属(Erythroneura spp.)、Gascardia spp.、灰稻虱属(Laodelphax spp.)、欧果坚球蚧、蛎蚧属(Lepidosaphesspp.)、Macrosiphus spp.、瘤额蚜属(Myzus spp.)、黑尾叶蝉属、褐飞虱属(Nilaparvata spp.)、片盾蚧属、瘿绵蚜属(Pemphigusspp.)、臀纹粉蚧属(Planococcus spp.)、桑白蚧属(Pseudaulacaspisspp.)、粉蚧属(Pseudococcus spp.)、叶虱属(Psylla spp.)、棉蚧(Pulvinaria aethiopica)、圆盾蚧属(Quadraspidiotus spp.)、缢管属(Rhopalosiphum spp.)、盔蚧属(Saissetia spp.)、叶蝉属(Scaphoideus spp.)、麦二叉蚜属(Schizaphis spp.)、Sitobion spp.、温室粉虱(Trialeurodes vaporariorum)、木虱(Trioza erytreae)和桔盾蚧(Unaspis citri);
膜翅目(Hymenoptera),例如
Acromyrmex、切叶蚁属(Atta spp.)、茎蜂属(Cephus spp.)、叶蜂属(Diprion spp.)、锯节叶蜂科(Diprionidae)、云杉叶蜂(Gilpiniapolytoma)、叶蜂属(Hoplocampa spp.)、田蚁属(Lasius spp.)、蚁属(Monomorium pharaonis)、锯角叶蜂属(Neodiprion spp)、水蚁属(Solenopsis spp.)和胡蜂属(Vespa spp.);
等翅目(Isoptera),例如
散白蚁属;
鳞翅目(Lepidoptera),例如
长翅卷蛾属(Acleris spp.)、小卷蛾属(Adoxophyes spp.)、透翅蛾属(Aegeria spp.)、地老虎属(Agrotis spp.)、棉叶波纹夜蛾(Alabama argillaceae)、Amylois spp.、黎豆夜蛾(Anticarsiagemma talis)、黄卷蛾属(Archips spp.)、银带卷叶蛾属(Argyrotaeniaspp.)、夜蛾属(Autographa spp.)、玉米楷夜蛾(Busseola fusca)、粉斑螟(Cadra cautella)、桃小食心虫(Carposina nipponensis)、禾草螟属(Chilo spp.)、卷蛾属(Choristoneura spp.)、葡萄果蠹蛾(Clysia ambiguella)、稻纵卷螟属(Cnaphalocrocis spp.)、卷叶蛾属(Cnephasia spp.)、Cochylis spp.、鞘蛾属(Coleophora spp.)、泛非绒毛螟、苹果异形小卷蛾(Cryptophlebia leucotreta)、豆小卷蛾属(Cydia spp.)、异草螟属(Diatraea spp.)、展叶松夜蛾(Diparopsis castanea)、金刚钻属(Earias spp.)、粉斑螟属(Ephestia spp.)、松花小卷蛾属(Eucosma spp.)、Eupoeciliaambiguella、黄毒蛾属(Euproctis spp.)、切根虫属(Euxoa spp.)、小卷叶额属(Grapholita spp.)、Hedya nubiferana、棉铃虫属(Heliothis spp.)、菜心野螟(Hellula undalis)、美国白蛾(Hyphantria cunea)、番茄蠹蛾(Keiferia lycopersicella)、旋纹潜蛾(Leucoptera scitella)、细蛾属(Lithocollethis spp.)、花翅小卷蛾(Lobesia botrana)、毒蛾属(Lymantria spp.)、潜蛾属(Lyonetia spp.)、天幕毛虫属(Malacosoma spp.)、甘蓝夜蛾(Mamestra brassicae)、烟草天蛾(Manduca sexta)、冬尺蛾属(Operophtera spp.)、玉米螟(Ostrinia nubilalis)、超小卷蛾属(Pammene spp.)、褐卷蛾属(Pandemis spp.)、小眼夜蛾(Panolisflammea)、棉红铃虫(Pectinophora gossypiela)、马铃薯麦蛾(Phthorimaea operculella)、菜粉蝶(Pieris rapae)、菜粉蝶属(Pieris spp.)、小菜蛾(Plutella xylostella)、巢蛾属(Prays spp.)、三化螟属(Scirpophaga spp.)、大螟属(Sesamia spp.)、长须卷蛾属(Sparganothis spp.)、斜纹夜蛾属(Spodoptera spp.)、透翅蛾属(Synanthedon spp.)、带蛾属(Thaumetopoea spp.)、卷叶蛾属(Tortrix spp.)、粉纹夜蛾(Trichoplusia ni)和巢蛾属(Yponomeutaspp.);
食毛目(Mallophaga),例如
Damalinea spp.和啮毛虱属(Trichodectes spp.);
直翅目(Orthoptera),例如
蜚蠊属(Blatta spp.)、小蠊属(Blattella spp.)、蝼蛄属(Gryllotalpa spp.)、马得拉蜚蠊(Leucophaea maderae)、飞蝗属(Locusta spp.)、大蠊属(Periplaneta spp.)和蚱蜢属(Schistocercaspp.);
啮虫目(Psocoptera),例如
粉啮虫属(Liposcelis spp.);
蚤目(Siphonaptera),例如
角叶蚤属(Ceratophyllus spp.)、栉首蚤属(Ctenocephalidesspp.)和印鼠客蚤(Xenopsylla cheopis);
缨翅目(Thysanoptera),例如
花蓟马属(Frankliniella spp.)、条蓟马属(Hercinothripsspp.)、非洲桔硬蓟马(Scirtothrips aurantii)、带蓟马属(Taeniothrips spp.)、棕黄蓟马(Thrips palmi)和棉蓟马(Thripstabaci);
缨尾目(Thysanura),例如
西洋衣鱼(Lepisma saccharina);
线虫,例如根结线虫、茎线虫和叶线虫;
特别是胞囊属(Heterodera),例如甜菜胞囊线虫(Heteroderaschachtii)、燕麦胞囊线虫(Heterodera avenae)和三叶草胞囊线虫(Heterodera trifolii);球异皮属(Globodera spp.),例如马铃薯异皮线虫(Globodera rostochiensis);根结属(Meloidogyne spp.),例如南方根结线虫(Meloidogyne incoginita)和爪哇根结线虫(Meloidogyne javanica);穿孔属(Radopholus spp.),例如相似穿孔线虫(Radopholus similis);短体属(Pratylenchus),例如落选短体线虫(Pratylenchus neglectans)和穿刺短体线虫(Pratylenchuspenetrans);小垫刃属(Tylenchulus),例如半穿刺线虫(Tylenchulussemipenetrans);长针属(Longidorus),毛刺属(Trichodorus),剑属(Xiphinema),茎属(Ditylenchus),滑刃属(Aphelenchoides)和鳗属(Anguina);
十字花科跳甲(菜跳甲属(Phyllotreta spp.));
根蛆(地种蝇属(Delia spp.));和
甘蓝荚象甲(Ceutorhynchus spp.)。
本发明组合物可以用于防治,即抑制或消灭出现在农业、园艺和林业中的有益植物或有益植物的器官例如果实、花、叶、茎、块茎或根上的上述类型的动物害虫,在某些情形下,甚至能保护后来形成的有益植物的器官免受这些动物害虫的侵害。
当施用于有益植物时,式I化合物以5-2000g有效成分/ha,特别是10-1000g有效成分/ha,例如50、75、100或200g有效成分/ha的用量,并根据用作成分B)的化合物的种类结合1-5000g有效成分/ha,特别是2-2000g有效成分/ha,例如100、250、500、800、1000、1500g有效成分/ha的成分B)化合物施用。
在农业实践中,本发明的组合物的用量取决于预期效果的类型,通常范围是20-4000g组合物总量/ha。
当本发明的组合物用于处理种子,0.001-50g式I化合物/kg种子,优选0.01-10g/kg种子,和0.001-50g成分B)化合物/kg种子,优选0.01-10g/kg种子通常足矣。
本发明还提供含有增效有效量的式I化合物和成分B)化合物的杀真菌组合物。
本发明组合物可以任何常规形式使用,例如对包(twin pack),种子处理干粉剂(DS),种子处理乳剂(ES),种子处理悬浮剂(FS),种子处理液剂(LS),种子处理可分散粉剂(WS),种子处理微囊悬浮剂(CF),种子处理凝胶(GF),乳油(EC),悬浮剂(SC),悬乳剂(SE),微囊悬浮剂(CS),水分散粒剂(WG),乳粒剂(EG),油乳剂(EO),水乳剂(EW),微乳剂(ME),油分散体(OD),油悬浮剂(OF),油剂(OL),可溶液剂(SL),超低容量微囊悬浮剂(SU),超低容量液剂(UL),母药(TK),可分散液剂(DC),可湿性粉剂(WP)或结合农业上可接受的助剂的任何技术上可行的制剂。
所述组合物可以常规方式制造,例如通过将活性成分与适宜的制剂惰性物质(稀释剂、溶剂、填料和任选的其他制剂成分如表面活性剂、杀生剂、防冻剂、粘着剂、增稠剂和提供辅助效果的化合物)混合制备。在需要持久效力时,还可采用常规的缓释制剂。将以喷雾形式施用的特殊制剂,如水分散液剂(例如EC,SC,DC,OD,SE,EW,EO等)、可湿性粉剂和颗粒剂,可含有表面活性剂如润湿剂和分散剂和能提供辅助效果的其他化合物,例如甲醛与萘磺酸盐的缩合物,烷芳基磺酸盐,木质素磺酸盐,脂肪烷基硫酸盐,和乙氧基化烷基酚和乙氧基化脂肪醇。
拌种制剂使用本发明的组合物和稀释剂以适宜的拌种制剂形式,例如水分散体或对种子有良好附着力的干粉剂形式,以本身已知的方式施用于种子。所述拌种制剂是本领域已知的。拌种制剂可含有包囊形式的单一的活性成分或活性成分的组合物,所述包囊形式例如缓释胶囊或微囊。
通常,制剂含有0.01至90wt%的活性试剂,0-20%农业上可接受的表面活性剂和10-99.99%固体或液体制剂惰性物质和助剂,活性试剂由至少一种式I化合物连同成分B)化合物,和任选的其他活性试剂特别是杀微生物剂或防腐剂等组成。组合物的浓缩形式通常含有大约2-80wt%,优选大约5-70wt%活性试剂。制剂的施用形式可含有例如0.01-20wt%,优选0.01-5wt%活性试剂。尽管商品优选配制成浓缩物,但最终用户通常使用稀释制剂。
下列实施例用于说明本发明,″活性成分″表示式I化合物和成分B)化合物以特定混合比的混合物。
制剂实施例
可湿性粉剂 a) b) c)
活性成分[I∶成分B)=1∶3(a),25% 50% 75%
1∶2(b),1∶1(c)]
木质素磺酸钠 5% 5% -
月桂基硫酸钠 3% - 5%
二异丁基萘磺酸钠 - 6% 10%
苯酚聚乙二醇醚 - 2% -
(7-8mol环氧乙烷)
高度分散的硅酸 5% 10% 10%
高岭土 62% 27% -
将活性成分与助剂充分混合,将混合物在适宜的磨中充分研磨,产生可湿性粉剂,其可用水稀释得到希望浓度的悬浮剂。
种子处理干粉剂 a) b) c)
活性成分[I∶成分B)=1∶3(a), 25% 50% 75%
1∶2(b),1∶1(c)]
轻质矿物油 5% 5% 5%
高度分散的硅酸 5% 5% -
高岭土 65% 40% -
滑石 - 20
将活性成分与助剂充分混合,将混合物在适宜的磨中充分研磨,产生可直接用于种子处理的粉剂。
乳油
活性成分(I∶成分B)=1∶6) 10%
辛基酚聚乙二醇醚 3%
(4-5mol环氧乙烷)
十二烷基苯磺酸钙 3%
蓖麻油聚乙二醇醚(35摩尔环氧乙烷) 4%
环己酮 30%
混二甲苯 50%
用水稀释此浓缩物可获得任何需要稀释度的乳剂,该乳剂可用于植物保护。
粉剂 a) b) c)
活性成分[I∶成分B)=1∶6(a), 5% 6% 4%
1∶2(b),1∶10(c)]
滑石 95% - -
高岭土 - 94% -
矿石填料 - - 96%
将活性成分与载体混合并将混合物在适宜的磨中研磨可获得即可使用的粉剂。所述粉剂还可用于种子的干拌种。
挤出颗粒剂
活性成分(I∶成分B)=2∶1) 15%
木质素磺酸钠 2%
羧甲基纤维素 1%
高岭土 82%
将活性成分与助剂混合并研磨,用水润湿混合物。将混合物挤出,然后在气流中干燥。
涂敷颗粒剂
活性成分(I∶成分B)=1∶10) 8%
聚乙二醇(分子量200) 3%
高岭土 89%
在混合器中,将细研磨的活性成分均匀地涂敷到用聚乙二醇润湿的高岭土上。以此方式获得无尘涂敷颗粒剂。
胶悬剂
活性成分(I∶成分B)=1∶8) 40%
丙二醇 10%
壬基酚聚乙二醇醚(15摩尔环氧乙烷) 6%
木质素磺酸钠 10%
羧甲基纤维素 1%
硅油(在水中的75%乳液形式) 1%
水 32%
将细研磨的活性成分与助剂直接混合,产生胶悬剂,用水稀释可获得任何希望的稀释度的悬浮剂。通过使用所述稀释物喷洒、浇灌或浸渍可处理活的植物以及植物繁殖材料并保护其免于微生物的侵染。
种子处理悬浮剂
活性成分(I∶成分B)=1∶8) 40%
丙二醇 5%
丁醇PO/EO共聚物 2%
具有10-20摩尔EO的三苯乙烯基苯酚 2%
1,2-苯并异噻唑啉-3-酮(在水中的20%溶液形式) 0.5%
单偶氮颜料钙盐 5%
硅油(在水中的75%乳液形式) 0.2%
水 45.3%
将细研磨的活性成分与助剂直接混合,产生胶悬剂,用水稀释可获得任何希望的稀释度的悬浮剂。通过使用所述稀释物喷洒、浇灌或浸渍可处理活的植物以及植物繁殖材料并保护其免于微生物的侵染。
缓释胶囊悬浮剂
28份式I化合物和成分B)的组合物或各化合物分别与2份芳族溶剂和7份甲苯二异氰酸酯/聚亚甲基-聚苯基异氰酸酯-混合物(8∶1)混合。将此混合物在1.2份聚乙烯醇、0.05份消泡剂和51.6份水的混合物中乳化直至达到希望的粒径。向此乳液中添加2.8份1,6-二氨基己烷在5.3份水中的混合物。搅拌混合物直至完成聚合反应。
通过添加0.25份增稠剂和3份分散剂稳定所得胶囊悬浮液。胶囊悬浮剂含有28%活性成分。胶囊中值直径是8-15微米。
将所得制剂在适用于此目的的装置中作为水分散体施用于种子。
生物实施例
当活性成分组合物的作用大于单一成分作用的总和时存在增效作用。
给定的活性成分组合物的预期作用E遵循所谓的COLBY公式,可如下计算(COLBY,S.R.″Calculating synergistic and antagonisticresponses of herbicide combination″.Weeds,第15卷,第20-22页;1967):
ppm=每升喷洒混合物中活性成分(=a.i.)的毫克数
X=使用p ppm活性成分的活性成分A)的作用%
Y=使用q ppm活性成分的活性成分B)的作用%。
根据COLBY,使用p+q ppm活性成分A)+B)的预期(加成)作用是
如果实际观察到的作用(O)大于预期作用(E),则组合物的作用是超加成的,即有增效作用。以数学的观点,增效因子SF对应于O/E。在农业实践中,≥1.2的SF说明有超过单纯的互补加成活性(预期活性)的显著改善,而在实际应用中,≤0.9的SF标志比预期活性低的活性。
实施例B-1:对葡萄上的灰色葡萄孢(Botrytis cinerea)的作用
a)真菌生长分析
将冷冻储藏的真菌的分生孢子直接混入培养基(PDB马铃薯葡萄糖液体培养基)。将测试化合物的(DMSO)溶液加入微量滴定板(96孔规格)后,添加含有真菌孢子的培养基。将试验板在24℃孵育,48-72小时后光度计测定生长抑制。组合物中杀真菌剂的相互作用按照COLBY方法计算。
| 防治灰色葡萄孢 | ||||
| 剂量以mg活性成分/升终介质表示 | ||||
| 化合物Icppm | 嘧菌酯ppm | 预期防治%(%Cexp) | 观察到的防治%(%Cobs) | 增效因子SF=%Cobs/%Cexp |
| [mg/L] | [mg/L] | 预期 | 观察 | 因子 |
| 0.0222 | - | - | 23 | - |
| 0.0074 | - | - | 10 | - |
| 0.0025 | - | - | 0 | - |
| - | 1.80 | - | 14 | - |
| - | 0.60 | - | 7 | - |
| 0.0222 | 1.80 | 34 | 54 | 1.6 |
| 0.0074 | 1.80 | 22 | 34 | 1.5 |
| 0.0025 | 1.80 | 14 | 27 | 1.9 |
| 0.0222 | 0.60 | 28 | 43 | 1.5 |
| 0.0074 | 0.60 | 16 | 31 | 1.9 |
| 0.0025 | 0.60 | 7 | 16 | 2.2 |
| 防治灰色葡萄孢 | ||||
| 剂量以mg活性成分/升终介质表示 | ||||
| 化合物Icppm | 丙硫菌唑ppm | 预期防治%(%Cexp) | 观察到的防治%(%Cobs) | 增效因子SF=%Cobs/%Cexp |
| [mg/L] | [mg/L] | 预期 | 观察 | 因子 |
| - | 0.2000 | - | 52 | - |
| - | 0.0667 | - | 17 | - |
| - | 0.0222 | - | 8 | - |
| 0.0667 | - | - | 35 | - |
| 0.0222 | - | - | 18 | - |
| 0.0222 | 0.2000 | 60 | 94 | 1.5 |
| 防治灰色葡萄孢 | ||||
| 剂量以mg活性成分/升终介质表示 | ||||
| 化合物Icppm | 啶氧菌酯ppm | 预期防治%(%Cexp) | 观察到的防治%(%Cobs) | 增效因子SF=%Cobs/%Cexp |
| [mg/L] | [mg/L] | 预期 | 观察 | 因子 |
| - | 0.6000 | - | 20 | - |
| - | 0.2000 | - | 12 | - |
| - | 0.0667 | - | 6 | - |
| - | 0.0222 | - | 0 | - |
| 0.2000 | - | - | 71 | - |
| 0.0667 | - | - | 28 | - |
| 0.0222 | - | - | 12 | - |
| 0.0222 | 0.6000 | 29 | 88 | 3.0 |
| 0.0222 | 0.2000 | 22 | 88 | 4.0 |
| 0.0222 | 0.0667 | 17 | 85 | 4.9 |
在比较实施例B-1至B-8中,使用式Ic的特定化合物作为成分A)。所述式Ic化合物是式Ic化合物,其代表式Ia(顺式)和Ib(反式)外消旋化合物的差向异构体混合物,其中式Ia(顺式)(代表式IIII和IIV的单一对映异构体的外消旋混合物)与式Ib(反式)(代表式IV和IVI的单一对映异构体的外消旋混合物)的比值是9∶1。
b)预防处理
在喷雾室内用配制好的测试化合物(0.02%活性成分)处理5周龄的葡萄幼苗栽培品种Gutedel。施药2天后,通过将孢子悬浮液(1×106分生孢子/ml)喷洒在测试植物上对葡萄植株接种。在21℃和95%相对湿度的温室中孵育4天后,评价发病率。组合物中杀真菌剂的相互作用按照COLBY方法计算。
实施例B-2:对小麦上的小麦壳针孢(Septoria tritici)的作用
a)真菌生长分析
将冷冻储藏的真菌的分生孢子直接混入培养基(PDB马铃薯葡萄糖液体培养基)。将测试化合物的(DMSO)溶液加入微量滴定板(96孔规格)后,添加含有真菌孢子的培养基。将试验板在24℃孵育,72小时后光度计测定对生长的抑制。组合物中杀真菌剂的相互作用按照COLBY方法计算。
| 防治小麦壳针孢 | ||||
| 化合物Icppm | 丙环唑ppm | 预期防治%(%Cexp) | 观察到的防治%(%Cobs) | 增效因子SF=%Cobs/%Cexp |
| [mg/L] | [mg/L] | 预期 | 观察 | 因子 |
| 0.0008 | - | - | 13 | - |
| 0.0001 | - | - | 1 | - |
| - | 0.067 | - | 7 | - |
| - | 0.007 | - | 0 | - |
| 0.0008 | 0.067 | 19 | 34 | 1.8 |
| 0.0001 | 0.007 | 1 | 8 | 6.4 |
b)预防处理
在喷雾室内用配制好的测试化合物(0.2%活性成分)处理2周龄的小麦栽培品种Riband。施药1天后,通过将孢子悬浮液(10×105分生孢子/ml)喷洒在测试植物上对小麦植株接种。在23℃和95%相对湿度的温室中孵育1天后,将植物在23℃和60%相对湿度下保持16天。接种18天后评价发病率。组合物中杀真菌剂的相互作用按照COLBY方法计算。
实施例B-3:对稻上的稻瘟病菌(Pyricularia oryzae)的作用
a)真菌生长分析
将冷冻储藏的真菌的分生孢子直接混入培养基(PDB马铃薯葡萄糖液体培养基)。将测试化合物的(DMSO)溶液加入微量滴定板(96孔规格)后,添加含有真菌孢子的培养基。将试验板在24℃孵育,72小时后光度计测定对生长的抑制。组合物中杀真菌剂的相互作用按照COLBY方法计算。
| 防治稻瘟病菌 | ||||
| 剂量以mg活性成分/升终介质表示 | ||||
| 化合物Icppm | 嘧菌环胺ppm | 预期防治%(%Cexp) | 观察到的防治%(%Cobs) | 增效因子SF=%Cobs/%Cexp |
| [mg/L] | [mg/L] | 预期 | 观察 | 因子 |
| 0.0222 | - | - | 59 | - |
| 0.0074 | - | - | 33 | - |
| 0.0025 | - | - | 13 | - |
| - | 0.067 | - | 0 | - |
| - | 0.007 | - | 0 | - |
| - | 0.002 | - | 0 | - |
| 0.0074 | 0.067 | 33 | 42 | 1.3 |
| 0.0074 | 0.007 | 33 | 40 | 1.2 |
| 0.0074 | 0.002 | 33 | 41 | 1.3 |
| 防治稻瘟病菌 | ||||
| 剂量以mg活性成分/升终介质表示 | ||||
| 化合物Icppm | 百菌清ppm | 预期防治%(%Cexp) | 观察到的防治%(%Cobs) | 增效因子SF=%Cobs/%Cexp |
| [mg/L] | [mg/L] | 预期 | 观察 | 因子 |
| 0.0222 | - | - | 59 | - |
| 0.0074 | - | - | 33 | - |
| 0.0025 | - | - | 13 | - |
| - | 0.067 | - | 0 | - |
| - | 0.007 | - | 0 | - |
| - | 0.002 | - | 0 | - |
| 0.0074 | 0.067 | 33 | 42 | 1.3 |
| 0.0074 | 0.007 | 33 | 40 | 1.2 |
| 0.0074 | 0.002 | 33 | 41 | 1.3 |
| 防治稻瘟病菌 | ||||
| 化合物Icppm | 环丙唑醇ppm | 预期防治%(%Cexp) | 观察到的防治%(%Cobs) | 增效因子SF=%Cobs/%Cexp |
| [mg/L] | [mg/L] | 预期 | 观察 | 因子 |
| 0.0025 | - | - | 6 | - |
| 0.0008 | - | - | 3 | - |
| 0.0001 | - | - | 2 | - |
| - | 0.200 | - | 0 | - |
| - | 0.022 | - | 0 | - |
| 0.0025 | 0.200 | 6 | 11 | 1.8 |
| 0.0008 | 0.200 | 3 | 9 | 3.2 |
| 0.0001 | 0.200 | 2 | 4 | 2.0 |
| 0.0025 | 0.022 | 6 | 16 | 2.7 |
| 0.0008 | 0.022 | 3 | 5 | 1.7 |
| 0.0001 | 0.022 | 2 | 3 | 1.2 |
b)预防处理
将稻叶节置于多孔板(24孔规格)内的琼脂上,并用测试溶液喷洒。干燥后,将叶片接种真菌的孢子悬浮液。经过适当的孵育后,接种96小时后评价化合物的活性作为预防杀真菌活性。组合物中杀真菌剂的相互作用按照COLBY方法计算。
实施例B-4:对马铃薯早疫病链格孢(Alternaria solani)的作用(早疫病)
a)真菌生长分析
将从真菌的新长出的菌落中取得的分生孢子直接混入培养基(PDB马铃薯葡萄糖液体培养基)。将测试化合物的(DMSO)溶液加入微量滴定板(96孔规格)后,添加含有真菌孢子的培养基。将试验板在24℃孵育,48小时后光度计测定对生长的抑制。组合物中杀真菌剂的相互作用按照COLBY方法计算。
| 防治马铃薯早疫病链格孢 | ||||
| 剂量以mg活性成分/升终介质表示 | ||||
| 化合物Icppm | 咯菌腈ppm | 预期防治%(%Cexp) | 观察到的防治%(%Cobs) | 增效因子SF=%Cobs/%Cexp |
| [mg/L] | [mg/L] | 预期 | 观察 | 因子 |
| 0.0074 | - | - | 27 | - |
| 0.0025 | - | - | 8 | - |
| - | 0.067 | - | 24 | - |
| - | 0.022 | - | 1 | - |
| 0.0074 | 0.067 | 44 | 62 | 1.4 |
| 0.0025 | 0.067 | 30 | 45 | 1.5 |
| 0.0074 | 0.022 | 27 | 37 | 1.3 |
| 0.0025 | 0.022 | 9 | 11 | 1.3 |
b)预防处理
在喷雾室内用配制好的测试化合物(0.02%活性成分)处理4周龄的西红柿栽培品种Roter Gnom。施药2天后,通过将孢子悬浮液(2×105分生孢子/ml)喷洒在测试植物上对西红柿植株接种。在20℃和95%相对湿度的生长室中孵育3天后,评价发病率。组合物中杀真菌剂的相互作用按照COLBY方法计算。
实施例B-5:对圆核腔菌(Pyrenophora teres)的作用(网斑病)
a)真菌生长分析
将冷冻储藏的真菌的分生孢子直接混入培养基(PDB马铃薯葡萄糖液体培养基)。将测试化合物的(DMSO)溶液加入微量滴定板(96孔规格)后,添加含有真菌孢子的培养基。将试验板在24℃孵育,48小时后光度计测定对生长的抑制。组合物中杀真菌剂的相互作用按照COLBY方法计算。
| 防治圆核腔菌 | ||||
| 化合物Icppm | 化合物F-1ppm | 预期防治%(%Cexp) | 观察到的防治%(%Cobs) | 增效因子SF=%Cobs/%Cexp |
| [mg/L] | [mg/L] | 预期 | 观察 | 因子 |
| - | 16.2 | - | 6 | - |
| - | 5.4 | - | 2 | - |
| 0.2000 | - | - | 55 | - |
| 0.0667 | - | - | 37 | - |
| 0.2000 | 16.2 | 58 | 73 | 1.3 |
| 0.2000 | 5.4 | 56 | 72 | 1.3 |
| 0.0667 | 16.2 | 41 | 56 | 1.4 |
| 0.0667 | 5.4 | 38 | 57 | 1.5 |
b)预防处理
将大麦叶节置于多孔板(24孔规格)内的琼脂上,并用测试溶液喷洒。干燥后,将叶片接种真菌的孢子悬浮液。经过适当的孵育后,接种96小时后评价化合物的活性作为预防杀真菌活性。组合物中杀真菌剂的相互作用按照COLBY方法计算。
实施例B-6:对苹果上的苹果黑星菌(Venturia inaequalis)的作用
a)真菌生长分析
将冷冻储藏的真菌的分生孢子直接混入培养基(PDB马铃薯葡萄糖液体培养基)。将测试化合物的(DMSO)溶液加入微量滴定板(96孔规格)后,添加含有真菌孢子的培养基。将试验板在24℃孵育,144小时后光度计测定对生长的抑制。组合物中杀真菌剂的相互作用按照COLBY方法计算。
| 防治苹果黑星菌 | ||||
| 化合物Icppm | 化合物B-1ppm | 预期防治%(%Cexp) | 观察到的防治%(%Cobs) | 增效因子SF=%Cobs/%Cexp |
| [mg/L] | [mg/L] | 预期 | 观察 | 因子 |
| - | 0.0074 | - | 61 | - |
| - | 0.0025 | - | 32 | - |
| - | 0.0008 | - | 17 | - |
| 0.2000 | - | - | 59 | - |
| 0.0667 | - | - | 18 | - |
| 0.0222 | - | - | 6 | - |
| 0.0667 | 0.0025 | 44 | 55 | 1.2 |
| 0.0667 | 0.0008 | 32 | 57 | 1.8 |
| 防治苹果黑星菌 | ||||
| 化合物Icppm | 丁苯吗啉(Fenpropi-morph)ppm | 预期防治%(%Cexp) | 观察到的防治%(%Cobs) | 增效因子SF=%Cobs/%Cexp |
| [mg/L] | [mg/L] | 预期 | 观察 | 因子 |
| - | 0.0222 | - | 33 | - |
| - | 0.0025 | - | 0 | - |
| 0.0667 | - | - | 18 | - |
| 0.0222 | - | - | 10 | - |
| 0.0222 | 0.0222 | 39 | 53 | 1.3 |
| 0.0222 | 0.0025 | 10 | 33 | 3.4 |
b)预防处理
在喷雾室内用配制好的测试化合物(0.02%活性成分)处理4周龄的苹果幼苗栽培品种McIntosh。施药1天后,通过将孢子悬浮液(4×105分生孢子/ml)喷洒在测试植物上对苹果植株接种。在21℃和95%相对湿度的温室中孵育4天后,将植株在21℃和60%相对湿度下放置4天。再在21℃和95%相对湿度下孵育4天后,评价发病率。组合物中杀真菌剂的相互作用按照COLBY方法计算。
实施例B-7:对终极腐霉(Pythium ultimum)的作用(猝倒病)-真菌生长分析
将由新鲜的液体培养物制备的真菌的菌丝体片段直接混入培养基(PDB马铃薯葡萄糖液体培养基)。将测试化合物的(DMSO)溶液加入微量滴定板(96孔规格)后,添加含有真菌孢子的培养基。将试验板在24℃孵育,48小时后光度计测定对生长的抑制。组合物中杀真菌剂的相互作用按照COLBY方法计算。
| 防治终极腐霉 | ||||
| 化合物Icppm | 苯锈啶ppm | 预期防治%(%Cexp) | 观察到的防治%(%Cobs) | 增效因子SF=%Cobs/%Cexp |
| [mg/L] | [mg/L] | 预期 | 观察 | 因子 |
| - | 16.2000 | - | 34 | - |
| - | 5.4000 | - | 11 | - |
| 0.6000 | - | - | 0 | - |
| 0.2000 | - | - | 0 | - |
| 0.0667 | - | - | 0 | - |
| 0.2000 | 16.2000 | 34 | 48 | 1.4 |
实施例B-8:对小麦颖枯小球腔菌(Leptosphaeria nodorum)(小麦颖枯病)的作用-真菌生长分析
将冷冻储藏的真菌的分生孢子直接混入培养基(PDB马铃薯葡萄糖液体培养基)。将测试化合物的(DMSO)溶液加入微量滴定板(96孔规格)后,添加含有真菌孢子的培养基。将试验板在24℃孵育,48小时后光度计测定对生长的抑制。组合物中杀真菌剂的相互作用按照COLBY方法计算。
| 防治小麦颖枯小球腔菌 | ||||
| 化合物Icppm | 氟环唑ppm | 预期防治%(%Cexp) | 观察到的防治%(%Cobs) | 增效因子SF=%Cobs/%Cexp |
| [mg/L] | [mg/L] | 预期 | 观察 | 因子 |
| - | 0.0222 | - | 39 | - |
| - | 0.0025 | - | 9 | - |
| 0.0667 | - | - | 0 | - |
| 0.0222 | - | - | 0 | - |
| 0.0222 | 0.0222 | 39 | 91 | 2.3 |
| 0.0222 | 0.0025 | 9 | 21 | 2.3 |
| 防治小麦颖枯小球腔菌 | ||||
| 化合物Icppm | 苯醚甲环唑ppm | 预期防治%(%Cexp) | 观察到的防治%(%Cobs) | 增效因子SF=%Cobs/%Cexp |
| [mg/L] | [mg/L] | 预期 | 观察 | 因子 |
| - | 0.0074 | - | 73 | - |
| - | 0.0025 | - | 16 | - |
| - | 0.0008 | - | 5 | - |
| 0.2000 | - | - | 0 | - |
| 0.0667 | - | - | 0 | - |
| 0.2000 | 0.0025 | 16 | 88 | 5.5 |
| 0.2000 | 0.0008 | 5 | 74 | 13.8 |
| 0.0667 | 0.0025 | 16 | 21 | 1.3 |
| 0.0667 | 0.0008 | 5 | 10 | 1.8 |
实施例B-9:对Pseudocercosporella herpotrichoides var.acuformis(眼斑病/谷物)的作用-真菌生长分析
将冷冻储藏的真菌的分生孢子直接混入培养基(PDB马铃薯葡萄糖液体培养基)。将测试化合物的(DMSO)溶液加入微量滴定板(96孔规格)后,添加含有真菌孢子的培养基。将试验板在24℃孵育,72小时后光度计测定对生长的抑制。组合物中杀真菌剂的相互作用按照COLBY方法计算。
实施例B-10:对玉蜀黍黑粉菌(Ustilago maydis)(玉米黑粉病)的作用-真菌生长分析
将冷冻储藏的真菌的分生孢子直接混入培养基(PDB马铃薯葡萄糖液体培养基)。将测试化合物的(DMSO)溶液加入微量滴定板(96孔规格)后,添加含有真菌孢子的培养基。将试验板在24℃孵育,48小时后光度计测定对生长的抑制。组合物中杀真菌剂的相互作用按照COLBY方法计算。
实施例B-11:对西红柿上的蔓延疫霉(Phytophthora infestans)的作用(晚疫病)-预防处理
将西红柿叶碟置于多孔板(24孔规格)内的琼脂上,并用测试溶液喷洒。干燥后,将叶碟接种真菌的孢子悬浮液。经过适当的孵育后,接种96小时后评价化合物的活性作为预防杀真菌活性。组合物中杀真菌剂的相互作用按照COLBY方法计算。
实施例B-12:对葡萄上的葡萄生单轴霉(Plasmopara viticola)(霜霉病)的作用-预防处理
将葡萄叶碟置于多孔板(24孔规格)内的琼脂上,并用测试溶液喷洒。干燥后,将叶碟接种真菌的孢子悬浮液。经过适当的孵育后,接种7天后评价化合物的活性作为预防杀真菌活性。组合物中杀真菌剂的相互作用按照COLBY方法计算。
实施例B-13:对菜豆上的灰色葡萄孢(Botrytis cinerea)(灰霉病)的作用-预防处理
将菜豆叶碟置于多孔板(24孔规格)内的琼脂上,并用测试溶液喷洒。干燥后,将叶碟接种真菌的孢子悬浮液。经过适当的孵育后,接种96小时后评价化合物的活性作为预防杀真菌活性。组合物中杀真菌剂的相互作用按照COLBY方法计算。
实施例B-14:对大麦上的大麦白粉病菌(Erysiphe graminis f.sphorde)(大麦白粉病)的作用-预防处理
将大麦叶碟置于多孔板(24孔规格)内的琼脂上,并用测试溶液喷洒。干燥后,将叶碟接种真菌的孢子悬浮液。经过适当的孵育后,接种96小时后评价化合物的活性作为预防杀真菌活性。组合物中杀真菌剂的相互作用按照COLBY方法计算。
实施例B-15:对大麦上的小麦白粉病菌(小麦白粉病)的作用-预防处理
将大麦叶碟置于多孔板(24孔规格)内的琼脂上,并用测试溶液喷洒。干燥后,将叶碟接种真菌的孢子悬浮液。经过适当的孵育后,接种96小时后评价化合物的活性作为预防杀真菌活性。组合物中杀真菌剂的相互作用按照COLBY方法计算。
实施例B-16:对小麦上的隐匿柄锈菌(褐锈病)的作用
a)叶节的预防处理
将小麦叶节置于多孔板(24孔规格)内的琼脂上,并用测试溶液喷洒。干燥后,将叶碟接种真菌的孢子悬浮液。经过适当的孵育后,接种9天后评价化合物的活性作为预防杀真菌活性。组合物中杀真菌剂的相互作用按照COLBY方法计算。
b)植物的预防处理
在喷雾室内用配制好的测试化合物(0.02%活性成分)处理1周龄的小麦植物栽培品种Arina。施药1天后,通过将孢子悬浮液(1×105分生孢子/ml)喷洒在测试植物上对小麦植株接种。在20℃和95%相对湿度的温室中孵育2天后,将植株在20℃和60%相对湿度下放置8天。接种10天后,评价发病率。组合物中杀真菌剂的相互作用按照COLBY方法计算。
实施例B-17:对小麦上的颖枯壳针孢的作用
a)叶节的预防处理
将小麦叶节置于多孔板(24孔规格)内的琼脂上,并用测试溶液喷洒。干燥后,将叶碟接种真菌的孢子悬浮液。经过适当的孵育后,接种96小时后评价化合物的活性作为预防杀真菌活性。组合物中杀真菌剂的相互作用按照COLBY方法计算。
b)植物的预防处理
在喷雾室内用配制好的测试化合物(0.02%活性成分)处理1周龄的小麦植物栽培品种Arina。施药1天后,通过将孢子悬浮液(5×105分生孢子/ml)喷洒在测试植物上对小麦植株接种。在20℃和95%相对湿度的温室中孵育1天后,将植株在20℃和60%相对湿度下放置10天。接种11天后,评价发病率。组合物中杀真菌剂的相互作用按照COLBY方法计算。
实施例B-18:对苹果上的苹果白粉病柄球菌(白粉病)的作用-预防处理
在喷雾室内用配制好的测试化合物(0.02%活性成分)处理5周龄的苹果幼苗栽培品种McIntosh。施药1天后,通过在测试植物上方摇动被苹果白粉菌感染的植物对苹果植物接种。在22℃和60%相对湿度且14/10小时(光照/黑暗)的光照制度下孵育12天后,评价发病率。组合物中杀真菌剂的相互作用按照COLBY方法计算。
实施例B-19:对大麦上的禾白粉菌(白粉病)的作用-预防处理
在喷雾室内用配制好的测试化合物(0.02%活性成分)处理1周龄的大麦植物栽培品种Regina。施药1天后,通过在测试植物上方摇动被白粉菌感染的植物对大麦植物接种。在20℃/18℃(昼/夜)和60%相对湿度的温室内孵育6天后,评价发病率。组合物中杀真菌剂的相互作用按照COLBY方法计算。
实施例B-20:对西红柿上的灰色葡萄孢的作用-预防处理
在喷雾室内用配制好的测试化合物(0.02%活性成分)处理4周龄的西红柿植物栽培品种Roter Gnom。施药2天后,通过将孢子悬浮液(1×105分生孢子/ml)喷洒在测试植物上对西红柿植物接种。在20℃和95%相对湿度的生长室内孵育4天后,评价发病率。组合物中杀真菌剂的相互作用按照COLBY方法计算。
实施例B-21:对大麦上的圆长蠕孢(网斑病)的作用-预防处理
在喷雾室内用配制好的测试化合物(0.02%活性成分)处理1周龄的大麦植物栽培品种Regina。施药2天后,通过将孢子悬浮液(3×104分生孢子/ml)喷洒在测试植物上对大麦植物接种。在20℃和95%相对湿度的温室内孵育4天后,评价发病率。组合物中杀真菌剂的相互作用按照COLBY方法计算。
实施例B-22:对葡萄上的葡萄白粉病钩丝壳霉(白粉病)的作用-预防处理
在喷雾室内用配制好的测试化合物(0.02%活性成分)处理5周龄的葡萄幼苗栽培品种Gutedel。施药1天后,通过在测试植物上方摇动被葡萄白粉菌感染的植物对葡萄植物接种。在26℃和60%相对湿度且14/10小时(光照/黑暗)的光照制度下孵育7天后,评价发病率。组合物中杀真菌剂的相互作用按照COLBY方法计算。
本发明的组合物在所有上述实施例中均显示出良好的活性。
本发明另一方面是一种防治有益植物或其植物繁殖材料上的植物致病性病害的方法,该方法包括向所述繁殖材料,优选种子,施用杀真菌有效量的式I化合物;特别是式Ia(顺式)外消旋化合物
式Ib(反式)外消旋化合物(反式)
式Ic化合物
其代表了式Ia(顺式)和Ib(反式)外消旋化合物的差向异构体混合物,其中式Ia(顺式)外消旋化合物与式Ib(反式)外消旋化合物的比值是1000∶1至1∶1000;
式I化合物,其中R1是二氟甲基和Y是
式Id化合物
或所述化合物的互变异构体。
Claims (13)
1.一种防治有益植物或其繁殖材料上的植物致病性病害的方法,该方法包括向有益植物、其所在地或其繁殖材料施用增效有效量的成分A)和B)的组合,其中成分A)是式I化合物或该化合物的互变异构体
其中
成分B)选自下组
甲氧基丙烯酸酯类杀真菌剂;唑类杀真菌剂;苯基吡咯杀真菌剂;苯胺基-嘧啶杀真菌剂;吗啉杀真菌剂;
式F-1化合物
式F-2化合物
式F-3化合物
式F-4化合物
式F-5化合物
式F-6化合物
式F-7(反式)外消旋化合物
式F-8(顺式)外消旋化合物
式F-9化合物
其代表了式F-7(反式)和F-8(顺式)外消旋化合物的混合物,其中式F-7(反式)外消旋化合物与式F-8(顺式)外消旋化合物的比值是2∶1至100∶1;
抗倒酯;矮壮素;乙烯利;环己酮酸钙;助壮素;Proquinazid;百菌清;恶唑菌酮;咪唑菌酮;苯菌灵;多菌灵;麦穗宁;噻菌灵;硫菌灵;甲基托布津;乙菌利;异菌脲;腐霉利;乙烯菌核利;联苯三唑醇;氯苯嘧啶醇;氟苯嘧啶醇;啶斑肟;嗪胺灵;苯霜灵;呋霜灵;甲霜灵;精甲霜灵(甲霜灵-M);呋酰胺;恶霜灵;敌瘟磷;异稻瘟净(IBP);稻瘟灵;吡菌磷;麦锈灵;萎锈灵;甲呋酰胺;氟酰胺;呋吡唑灵;灭锈胺;氧化萎锈灵;噻氟菌胺;乙嘧酚磺酸酯;二甲嘧酚;乙嘧酚;乙霉威;喹氧灵;联苯;地茂散;氯硝胺;土菌灵;五氯硝基苯(PCNB);四氯硝基苯(TCNB);甲基立枯磷;烯酰吗啉;氯环丙酰胺;双氯氰菌胺;氰菌胺;四氯苯酞;咯喹酮;三环唑;环酰菌胺;多抗霉素;戊菌隆;氰霜唑;苯酰菌胺;杀稻瘟菌素;春雷霉素;链霉素;有效霉素;霜脲氰;Iodocarb;霜霉威;硫菌威;二硝酯;氟啶胺;三苯基乙酸锡;三苯锡氯;毒菌锡;恶喹酸;土菌消;辛噻酮;藻菌磷;磷酸;叶枯酞;咪唑嗪;磺菌胺;嘧菌腙;哒菌酮;敌菌灵;砷酸盐;敌菌丹;克菌丹;百菌清;铜(不同的盐);碳酸铵铜;辛酸铜;油酸铜;硫酸铜;氢氧化铜;苯氟磺胺;二氰蒽醌;多果定;福美铁;灭菌丹;双胍盐;双胍辛胺;代森锰锌;代森锰;水银;代森联;丙森辛;硫磺;福美双;甲苯氟磺胺;代森锌;福美锌;噻二唑素;烯丙苯噻唑;Benthiavalicarb;异丙菌胺;氟嘧菌胺;噻唑菌胺;磺菌胺;磺菌威;硅噻菌胺;短小芽孢杆菌GB34;短小芽孢杆菌菌株QST 2808;枯草芽孢杆菌;枯草芽孢杆菌+PCNB+甲霜灵;氯化铬;二硫化碳;波尔多混合剂;雪松叶油;氯;桂皮醛;放线菌酮;敌磺钠;苯线磷;二氯丙烯;二氯萘醌;甲醛;变绿胶霉GL-21;果绿啶;六氯苯;异丙菌胺;二甲基二硫代氨基甲酸锰;氯化汞;代森钠;印楝油(疏水提取物);土霉素;灭螨猛;多聚甲醛;五氯硝基苯;五氯苯酚;石蜡油;多抗霉素D锌盐;碳酸氢钠;碳酸氢钾;二乙酸钠;丙酸钠;清菌噻唑;苯霜灵-M;啶酰菌胺;氟嘧菌酯;己唑醇;表苯菌酮;喹啉酮;吡噻菌胺;Perfurazoate;对甲抑菌灵;哈茨木霉;毒菌锡;田野黄单胞菌;多效唑;1,1-双(4-氯苯基)-2-乙氧基乙醇;2,4-二氯苯基苯磺酸酯;2-氟-N-甲基-N-1-萘乙酰胺;4-氯苯基苯基砜;阿维菌素;灭螨醌;乙酰虫腈;氟丙菊酯;涕灭威;涕灭砜威;高效氯氰菊酯;赛硫磷;amidoflumet;果螨磷;胺吸磷;胺吸磷草酸氢盐;双甲脒;杀螨特;三氧化二砷;AVI 382;AZ 60541;益棉磷;保棉磷;偶氮苯;三唑锡;偶氮磷;苯菌灵;benoxafos;苯螨特;苯甲酸苄酯;联苯肼酯;氟氯菊酯;乐杀螨;溴灭菊酯;溴烯杀;溴硫磷;乙基溴硫磷;溴螨酯;噻嗪酮;丁酮威;丁酮砜威;哒螨酮;石硫合剂;毒杀芬;氯灭杀威;甲萘威;克百威;三硫磷;噻螨胺;灭螨猛;杀螨醚;杀虫脒;杀虫脒盐酸盐;溴虫腈;杀螨醇;杀螨酯;敌螨特;毒虫畏;乙酯杀螨醇;伊托明;灭虫脲;丙酯杀螨醇;毒死蜱;甲基毒死蜱;虫螨磷;瓜菊酯I;瓜菊酯II;瓜叶菊素;四螨嗪;氯氰碘柳胺;蝇毒磷;克罗米通;巴毒磷;硫杂灵;果虫磷;氯氟氰菊酯;三环锡;氯氰菊酯;杀螨醚;滴滴涕;田乐磷;田乐磷-O;乐磷-S;内吸磷;甲基内吸磷;内吸磷-O;内吸磷-O-甲基;内吸磷-S;甲基内吸磷;砜吸磷;丁醚脲;氯亚胺硫磷;二嗪农;苯氟磺胺;敌敌畏;dicliphos;三氯杀螨醇;百治磷;遍地克;甲氟磷;乐果;二活菌素;消螨酚;消螨酚-diclexine;消螨通;二硝酯;二硝酯-4;二硝酯-6;二硝酯;硝戊酯;硝辛酯;硝丁酯;敌恶磷;二苯砜;二硫化四乙基秋兰姆;乙拌磷;二硝甲酚;苯氧炔螨;多拉菌素;硫丹;因毒磷;苯硫磷;埃普利诺菌素;乙硫磷;益果;乙螨唑;乙嘧硫磷;抗螨唑;喹螨醚;苯丁锡;苯硫威;甲氰菊酯;fenpyrad;唑螨酯;芬螨酯;氟硝二苯胺;氰戊菊酯;氟虫腈;嘧螨酯;啶蜱脲;氟螨噻;氟螨脲;氟氰戊菊酯;联氟螨;氟虫脲;氟氯苯菊酯;氟杀螨;氟胺氰菊酯;FMC 1137;伐虫脒;伐虫脒盐酸盐;安硫磷;胺甲威;林丹;果绿啶;苄螨醚;庚烯磷;环丙烷羧酸十六烷酯;噻螨铜;碘甲烷;水胺硫磷;O-(甲氧基氨基硫代磷酰基)水杨酸异丙酯;伊维菌素;茉酮菊素I;茉酮菊素II;碘硫磷;林丹;虱螨脲;马拉硫磷;苄丙二腈;灭蚜磷;地胺磷;mesulfen;虫螨畏;甲胺磷;杀扑磷;甲硫威;灭多威;溴甲烷;速灭威;速灭磷;自克;弥拜菌素;美贝霉素肟;丙胺氟;久效磷;茂硫磷;莫西菌素;二溴磷;NC-184;氟蚊灵;华光霉素;戊氰威;戊氰威1∶1氯化锌复合物;NNI-0101;NNI-0250;氧乐果;杀线威;亚异砜磷;砜拌磷;滴滴涕;对硫磷;氯菊酯;石油;芬硫磷;稻丰散;甲拌磷;伏杀硫磷;硫环磷;亚胺硫磷;磷胺;辛硫磷;虫螨磷;聚氯萜烯(惯用名);杀螨霉素;丙氯醇;丙溴磷;蜱虱威;炔螨特;胺丙畏;残杀威;乙噻唑磷;发硫磷;除虫菊酯I;除虫菊酯II;除虫菊素;哒螨灵;哒嗪硫磷;嘧螨醚;嘧啶磷;喹硫磷;喹涕福;甲基二硫磷;甘氨硫磷;鱼藤酮;八甲磷;硫线磷;塞拉菌素;SI-0009;苏硫磷;螺螨酯;螺甲螨酯;苯硅螨锡;sulfiram;氟虫胺;治螟磷;硫磺;SZI-121;氟胺氰菊酯;吡螨胺;特普;叔丁威;杀虫威;四氯杀螨砜;四抗菌素;杀螨硫醚;thiafenox;抗虫威;久效威;甲基乙拌磷;克杀螨;敌贝特;威菌磷;苯螨噻;三唑磷;triazuron;敌百虫;氯苯乙丙磷;三活菌素;蚜灭磷;氟吡唑虫;YI-5302;bethoxazin;二辛酸铜;硫酸铜;cybutryne;二氯萘醌;双氯酚;菌多酸;三苯锡;熟石灰;代森钠;灭藻醌;醌萍胺;西玛津;薯瘟锡;毒菌锡;阿维菌素;育畜磷;多拉菌素;埃玛菌素;甲胺基甲维菌素苯甲酸盐;埃普利诺菌素;伊维菌素;美贝霉素肟;莫西菌素;哌嗪;塞拉菌素;多杀菌素;硫菌灵;氯醛糖;异狄氏剂;倍硫磷;吡啶-4-胺;番木鳖碱;1-羟基-1H-吡啶-2-硫酮;4-(喹喔啉-2-基氨基)苯磺酰胺;8-羟基喹啉硫酸盐;溴硝醇;二辛酸铜;氢氧化铜;甲酚;双氯酚;吡菌硫;多敌菌;敌磺钠;甲醛;hydrargaphen;春雷霉素;春雷霉素盐酸盐水合物;双(二甲基二硫代氨基甲酸)镍;三氯甲基吡啶;辛噻酮;恶喹酸;土霉素;羟基喹啉硫酸钾;烯丙苯噻唑;链霉素;链霉素倍半硫酸盐;叶枯酞;硫柳汞;溴甲烷;唑磷嗪;bisazir;白消安;除虫脲;dimatif;六甲蜜胺;六甲磷;三膦化氧;甲硫涕巴;唑磷嗪甲酯;不孕啶;氟幼脲;绝育磷;硫代六甲磷;硫涕巴;不孕津;uredepa;(E)-癸-5-烯-1-基乙酸酯与(E)-癸-5-烯-1-醇;(E)-三癸-4-烯-1-基乙酸酯;(E)-6-甲基庚-2-烯-4-醇;(E,Z)-十四-4,10-二烯-1基乙酸酯;(Z)-十二-7-烯-1基乙酸酯;(Z)-十六-11-烯醇;(Z)-十六-11-烯-1-基乙酸酯;(Z)-十六-13-烯-11-炔-1-基乙酸酯;(Z)-二十碳-13-烯-10-酮;(Z)-十四-7-烯-1-醇;(Z)-十四-9-烯-1-醇;(Z)-十四-9-烯-1-基乙酸酯;(7E,9Z)-十二-7,9-二烯-1-基乙酸酯;(9Z,11E)-十四-9,11-二烯-1-基乙酸酯;(9Z,12E)-十四-9,12-二烯-1-基乙酸酯;14-甲基十八-1-烯;4-甲基壬-5-醇与4-甲基壬-5-酮;α-波纹小蠹素;西松大小蠹素;十二碳二烯醇;十二碳二烯醇;诱蝇酮;环氧十九烷;十二-8-烯-1-基乙酸酯;十二-9-烯-1-基乙酸酯;十二-8,10-二烯-1-基乙酸酯;dominicalure;4-甲基辛酸乙酯;丁子香酚;frontalin;诱虫十六酯;诱杀烯混剂;诱杀烯混剂I;诱杀烯混剂II;诱杀烯混剂III;诱杀烯混剂IV;醋酸十六烯酯;小蠹二烯醇;小蠹烯醇;日本金龟子性诱剂;黑条木小蠹素;litlure;罗捕诱;诱杀酯;megatomoic acid;丁香油酚甲醚;诱虫烯;十八-2,13-二烯-1-基乙酸酯;十八-3,13-二烯-1-基乙酸酯;贺康彼;oryctalure;非乐康;诱虫环;sordidin;sulcatol;十四-11-烯-1-基乙酸酯;特诱酮;特诱酮A;特诱酮B1;特诱酮B2;特诱酮C;trunc-call;2-(辛基硫)乙醇;避蚊酮;丁氧基(聚丙二醇);驱虫威;驱虫特;丁二酸二丁酯;避蚊胺;驱蚊灵;避蚊酯;驱蚊醇;己酰胺;甲喹丁;甲基新癸酰胺;oxamate;picaridin;1,1-二氯-1-硝基乙烷;1,1-二氯-2,2-双(4-乙基苯基)乙烷;1,2-二氯丙烷;1,2-二氯丙烷与1,3-二氯丙烯;1-溴-2-氯乙烷;2,2,2-三氯-1-(3,4-双氯酚基)乙基乙酸酯;2,2-二氯乙烯基2-以及亚磺酰基乙基甲基磷酸酯;2-(1,3-二硫戊环-2-基)苯基二甲基氨基甲酸酯;2-(2-丁氧基乙氧基)乙基硫氰酸酯;2-(4,5-二甲基-1,3-二氧戊环-2-基)苯基氨基甲酸甲酯;2-(4-氯-3,5-二甲苯氧)乙醇;2-氯乙烯基二乙基磷酸酯;2-咪唑烷酮;2-异戊酰2,3-二氢-1,3-茚二酮;2-甲基(丙-2-炔基)氨基苯基氨基甲酸甲酯;2-硫氰基乙基月桂酸酯;3-溴-1-氯丙-1-烯;3-甲基-1-苯基吡唑-5-基氨基甲酸二甲酯;4-甲基(丙-2-炔基)氨基-3,5-二甲苯基氨基甲酸甲酯;5,5-二甲基-3-氧环己-1-烯基氨基甲酸二甲酯;阿维菌素;乙酰甲胺磷;啶虫脒;家蝇磷;乙酰虫腈;氟丙菊酯;丙烯腈;棉铃威;涕灭威);涕灭砜威;艾氏剂;烯丙菊酯;allosamidin;除害威;高效氯氰菊酯;α-蜕皮素;磷化铝;赛硫磷;果螨磷;灭害威;胺吸磷;胺吸磷草酸氢盐;双甲脒;新烟碱;艾赛达松;AVI 382;AZ 60541;印楝素;甲基吡恶磷;益棉磷;保棉磷;偶氮磷;苏云金芽孢杆菌δ内毒素;六氟硅酸钡;多硫化钡;熏虫菊;BAS 320I;氯硫磷;萘氨磷;恶虫威;丙硫克百威;杀虫磺;高效氟氯氰菊酯;高效氯氰菊酯;氟氯菊酯;生物烯丙菊酯;生物烯丙菊酯S-环戊烯基异构体;bioethanomethrin;生物氯菊酯;生物苄呋菊酯;双(2-氯乙基)醚;双三氟虫脲;硼砂;溴灭菊酯;溴苯烯磷;溴烯杀;溴代-滴滴涕;溴硫磷;乙基溴硫磷;合必威;噻嗪酮;畜虫威;特嘧硫磷;丁酮威;丁酯磷;丁酮砜威;哒螨酮;硫线磷;砷酸钙;氰化钙;石硫合剂;毒杀芬;氯灭杀威;甲萘威;克百威;二硫化碳;四氯化碳;三硫磷;丁硫克百威;杀螟丹;巴丹;藜芦碱;冰片丹;氯丹;十氯酮;杀虫脒;杀虫脒盐酸盐;氯氧磷;溴虫腈;毒虫畏;定虫隆;氯甲硫磷;氯仿;氯化苦;氯辛硫磷;氯吡唑磷;毒死蜱;甲基毒死蜱;虫螨磷;环虫酰肼;瓜菊酯I;瓜菊酯II;瓜叶菊素;顺式苄呋菊酯;拟除虫菊酯;功夫菊酯;除线威;氯氰碘柳胺;噻虫胺;巴黎绿;砷酸铜;油酸铜;蝇毒磷;畜虫磷;克罗米通;巴毒磷;育畜磷;冰晶石;硝滴涕;苯腈磷;杀螟腈;果虫磷;环虫菊;乙氰菊酯;氟氯氰菊酯;氯氟氰菊酯;氯氰菊酯;苯醚氰菊酯;灭蝇胺;畜蜱磷;d-柠檬油精;d-胺菊酯;敌磷;棉隆;滴滴涕;甲呋喃丹;溴氰菊酯;田乐磷;田乐磷-O;乐磷-S;内吸磷;甲基内吸磷;内吸磷-O;内吸磷-O-甲基;内吸磷-S;甲基内吸磷;砜吸磷;丁醚脲;氯亚胺硫磷;除线特;二嗪农;异氯磷;除线磷;敌敌畏;dicliphos;dicresyl;百治磷;环虫腈;狄氏剂;5-甲基吡唑-3-基磷酸二乙酯;除虫脲;双羟丙茶碱;dimefluthrin;甲氟磷;地麦威;乐果;苄菊酯;甲基毒虫畏;敌蝇威;消螨酚;消螨酚-diclexine;硝丙酚;戊硝酚;地乐酚;呋虫胺;苯虫醚;蔬果磷;二氧威;敌恶磷;乙拌磷;噻喃磷;二硝甲酚;多拉菌素;胺线磷;脱皮甾酮;氨叉威;埃玛菌素;甲胺基甲维菌素苯甲酸盐;多杀威;右旋烯炔菊酯;硫丹;因毒磷;异狄氏剂;氯苯磷;苯硫磷;保幼醚;埃普利诺菌素;S-氰戊菊酯;etaphos;乙硫苯威;乙硫磷;乙硫虫腈;益果;灭线磷;甲酸乙酯;乙滴滴;二溴乙烯;二氯乙烯(化学名);乙撑氧;醚菊酯;乙嘧硫磷;草必散;伐灭磷;苯线磷;抗螨唑;皮蝇磷;二乙基苯酚甲基氨基甲酸酯;五氟苯菊酯;杀螟硫磷;仲丁威;fenoxacrim;苯氧威;吡氯氰菊酯;甲氰菊酯;fenpyrad;丰索磷;倍硫磷;乙基倍硫磷;氰戊菊酯;氟虫腈;flonicamid;氟氯双苯隆;氟螨脲;氟氰戊菊酯;联氟螨;flufenerim;氟虫脲;三氟醚菊酯;氟氯苯菊酯;氟胺氰菊酯;四硫特普;地虫硫磷;伐虫脒;伐虫脒盐酸盐;安硫磷;胺甲威;丁苯硫磷;磷吡酯;噻唑磷;丁硫环磷;呋线威;糠醛菊酯;γ-氯氟氰菊酯;林丹;双胍盐;双胍辛乙酸盐;四硫钠;苄螨醚;氯虫酰肼;六六六;狄氏剂;七氯;庚烯磷;速杀硫磷;氟铃脲;艾氏剂;伏蚁腙;氢氰酸;烯虫乙酯;喹啉威;吡虫啉;咪炔菊酯;茚虫威;丰丙磷;氯唑磷;碳氯灵;水胺硫磷;异艾氏剂;异柳磷;异索威;异丙威;O-(甲氧基氨基硫代磷酰基)水杨酸异丙酯;稻瘟灵;异拌磷;恶唑磷;伊维菌素;茉酮菊素I;茉酮菊素II;碘硫磷;保幼激素I;保幼激素II;保幼激素III;克来范;烯虫炔酯;λ-氯氟氰菊酯;砷酸铅;溴苯磷;林丹;啶虫磷;虱螨脲;噻唑磷;间-枯烯基氨基甲酸甲酯;磷化镁;马拉硫磷;苄丙二腈;叠氮磷;灭蚜磷;甲基灭蚜磷;灭蚜硫磷;地胺磷;甘汞;甲亚砜磷;威百亩;威百亩钾盐;威百亩钠盐;虫螨畏;甲胺磷;甲基磺酰氟;杀扑磷;甲硫威;丁烯胺磷;灭多威;烯虫酯;甲喹丁;甲醚菊酯;甲氧滴滴涕;甲氧虫酰肼;溴甲烷;异硫氰酸甲酯;甲基氯仿;二氯甲烷;甲氧苄氟菊酯;速灭成;恶虫酮;速灭磷;自克;弥拜菌素;美贝霉素肟;丙胺氟;灭蚁灵;久效磷;茂硫磷;莫西菌素;萘酞磷;二溴磷;萘;哒幼酮;NC-184;烟碱;硫酸烟碱;氟蚊灵;烯啶虫胺;硝虫噻嗪;戊氰威;戊氰威1∶1氯化锌复合物;NNI-0101;NNI-0250;降烟碱;氟酰脲;noviflumuron;O-2,5-二氯-4-碘代苯基O-乙基乙基硫代磷酸酯;O,O-二乙基O-4-甲基-2-氧-2H-色烯-7-基硫代磷酸酯;O,O-二乙基O-6-甲基-2-丙基嘧啶-4-基硫代磷酸酯;O,O,O′,O′-四丙基二硫代焦磷酸酯;油酸;氧乐果;杀线威;砜吸磷;亚异砜磷;砜拌磷;滴滴涕;对-二氯苯;对硫磷;甲基对硫磷;氟幼脲;五氯苯酚;月桂酸五氯苯酯;氯菊酯;石油;氰脲杀;芬硫磷;苯醚菊酯;稻丰散;甲拌磷;伏杀硫磷;硫环磷;亚胺硫磷;对氯硫磷;磷胺;磷化氢;辛硫磷;甲基辛硫磷;甲胺嘧磷;抗蚜威;嘧啶磷;虫螨磷;聚氯二环戊二烯异构体;聚氯萜烯;亚砷酸钾;硫氰酸钾;右旋炔丙菊酯;早熟素I;早熟素II;早熟素III;酰胺嘧啶磷;丙溴磷;丙氟菊酯;蜱虱威;猛杀威;丙虫磷;胺丙畏;残杀威;乙噻唑磷;丙硫磷;发硫磷;丙苯烃菊酯;吡蚜酮;吡唑硫磷;吡菌磷;反灭虫菊;除虫菊酯I;除虫菊酯II;除虫菊素;哒螨灵;pyridalyl;哒嗪硫磷;嘧螨醚;嘧啶磷;吡丙醚;苦木药;喹硫磷;甲基喹硫磷;喹赛昂;喹涕福;甲基三苯磷;rafoxanide;苄呋菊酯;鱼藤酮;噻嗯菊酯;氯溴氰菊酯;鱼尼汀;鱼尼汀;沙巴达;八甲磷;硫线磷;塞拉菌素;SI-0009;氟硅菊酯;蛾蝇腈;亚砷酸钠;氰化钠;氟化钠;六氟硅酸钠;五氯苯氧化钠;硒酸钠;硫氰酸钠;苏硫磷;多杀菌素;螺甲螨酯;磺苯醚隆;磺苯醚隆钠盐;氟虫胺;治螟磷;硫酰氟;硫丙磷;重焦油;氟胺氰菊酯;噻螨威;滴滴滴;虫酰肼;吡螨胺;丁基嘧啶磷;氟苯脲;七氟菊酯;双硫磷;特普;环戊烯丙菊酯;叔丁威;特丁磷;四氯乙烷;杀虫威;胺菊酯;θ-氯氰菊酯;噻虫啉;thiafenox;噻虫嗪;噻氯磷;抗虫威;杀虫环;杀虫环草酸氢盐;硫双威;久效威;甲基乙拌磷;虫线磷;杀虫双;杀虫双钠盐;敌贝特;唑虫酰胺;四溴菊酯;四氟苯菊酯;顺式氯菊酯;威菌磷;唑蚜威;三唑磷;triazuron;敌百虫;三氯对硫磷-3;毒壤磷;氯苯乙丙磷;杀铃脲;混杀威;烯虫硫酯;蚜灭磷;氟吡唑虫;藜芦定;藜芦碱;二甲威;灭杀威;YI-5302;ξ-氯氰菊酯;zetamethrin;磷化锌;zolaprofos和ZXI 8901;
式A-1化合物
式A-2化合物
式A-3化合物
式A-4化合物
式A-5化合物
式A-6化合物
式A-7化合物
式A-8化合物
式A-9化合物
式A-10化合物
式A-11化合物
式A-12化合物
式A-13化合物
式A-14化合物
式A-15化合物
式A-15A化合物
式(A-16)化合物
式(A-17)化合物
式(A-18)化合物
式(A-19)化合物
式(A-20)化合物
式(A-21)化合物
式(A-22)化合物
式(A-23)化合物
式(A-24)化合物
式(A-25)化合物
式(A-26)化合物
氧化二(三丁基锡);溴乙酰胺;砷酸钙;除线威;巴黎绿;硫酸铜;三苯锡;磷酸铁;四聚乙醛;甲硫威;杀螺安;贝螺杀;五氯苯酚;五氯苯氧化钠;噻螨威;硫双威;丁蜗锡;杀螺吗啉;混杀威;薯瘟锡;毒菌锡;1,2-二溴-3-氯丙烷;1,2-二氯丙烷;1,2-二氯丙烷和1,3-二氯丙烯;1,3-二氯丙烯;3,4-二氯四氢噻吩1,1-二氧化物;3-(4-氯苯基)-5-甲基绕丹宁;5-甲基-6-硫代-1,3,5-噻二嗪烷-3-基乙酸;6-异戊烯氨基嘌呤;阿维菌素;乙酰虫腈;棉铃威;涕灭威;涕灭砜威;AZ60541;benclothiaz;苯菌灵;哒螨酮;硫线磷;克百成;二硫化碳;丁硫克百威;氯化苦;毒死蜱;除线威;细胞分裂素;棉隆;二溴氯丙烷;二氯异丙醚;除线特;除线磷;dicliphos;乐果;多拉菌素;埃玛菌素;甲胺基甲维菌素苯甲酸盐;埃普利诺菌素;灭线磷;二溴乙烯;苯线磷;fenpyrad;丰索磷;噻唑磷;丁硫环磷;糠醛;GY-81;速杀硫磷;isamidofos;氯唑磷;伊维菌素;糠氨基嘌呤;甲基灭蚜磷;成百亩;威百亩钾盐;威百亩钠盐;溴甲烷;异硫氰酸甲酯;美贝霉素肟;莫西菌素;Myrothecium verrucaria组合物;NC-184;杀线威;甲拌磷;磷胺;磷虫威;硫线磷;塞拉菌素;多杀菌素;叔丁威;特丁磷;四氯噻吩;thiafenox;虫线磷;三唑磷;triazuron;二甲苯酚;YI-5302;玉米素;乙基黄原酸钾;三氯甲基吡啶;噻二唑素;噻二唑素;烯丙苯噻唑;Reynoutria sachalinensis提取物;2-异戊酰2,3-二氢-1,3-茚二酮;4-(喹喔啉-2-基氨基)苯磺酰胺;α-氯乙醇;磷化铝;安妥;三氧化二砷;碳酸钡;双鼠脲;溴鼠灵;溴敌隆;溴鼠胺;氰化钙;氯醛糖;氯鼠酮;维生素D3;氯灭鼠灵;克鼠灵;杀鼠醚;鼠立死;鼠得克;噻鼠灵;敌鼠;麦角钙化醇;氟鼠灵;氟乙酰胺;氟鼠啶;氟鼠啶盐酸盐;林丹;六六六;氢氰酸;林丹;磷化镁;溴甲烷;鼠特灵;毒鼠磷;磷化氢;磷;杀鼠酮;亚砷酸钾;灭鼠优;海葱素;亚砷酸钠;氰化钠;氟乙酸钠;番木鳖碱;硫酸铊;杀鼠灵;磷化锌;2-(2-丁氧基乙氧基)乙基胡椒基酯;5-(1,3-苯并间二氧杂环戊烯-5-基)-3-己基环己-2-烯酮;;金合欢醇和橙花叔醇;增效炔醚;S-反丙烯除虫菊;增效醚;增效醛;增效酯;四氯丙醚;增效散;芝麻啉;增效砜;蒽醌;氯醛糖;环烷酸铜;王铜;二嗪农;二环戊二烯;双胍盐;双胍辛乙酸盐;甲硫威;吡啶-4-胺;福美双;混杀威;环烷酸锌;福美锌;imanin;病毒唑;氧化汞;辛噻酮;甲基托布津;
式B-1A化合物
其中R’是氢,C1-4烷基或C1-4卤代烷基;
式B-2化合物
式B-3化合物
式B-4化合物
式B-5化合物
式B-8化合物
和式B-9化合物
2.权利要求1所述方法,其中成分A)是式I化合物,其中R1是二氟甲基或三氟甲基;Y是-CHR2-和R2是氢或C1-C6烷基。
3.权利要求1所述方法,其中成分A)是式I化合物,其中R1是二氟甲基,Y是-CHR2-和R2是异丙基。
5.权利要求4所述方法,其中式Ia(顺式)外消旋化合物的含量是80-99wt%。
6.权利要求1所述方法,其中成分A)是式I化合物,其中R1是二氟甲基和R2是氢。
8.权利要求1所述方法,其中成分B)选自下组
甲氧基丙烯酸酯类杀真菌剂,选自嘧菌酯,嘧菌胺,氟嘧菌酯,醚菌酯,苯氧菌胺,肟醚菌胺,啶氧菌酯,唑菌胺酯;肟菌酯;和式B-6化合物
唑类杀真菌剂,选自氧环唑,糠菌唑,环丙唑醇,苯醚甲环唑,烯唑醇,烯唑醇-M,氟环唑,腈苯唑,氟喹唑,氟硅唑,粉唑醇,己唑醇,抑霉唑,亚胺唑,种菌唑,叶菌唑,腈菌唑,恶咪唑,稻瘟酯,戊菌唑,咪鲜胺,丙环唑,丙硫菌唑,硅氟唑,戊唑醇,四氟醚唑,三唑酮,三唑醇,氟菌唑,灭菌唑,苄氯三唑醇,乙环唑,呋菌唑,顺式呋菌唑和唑喹菌酮;
苯基吡咯杀真菌剂,选自拌种咯和咯菌腈;
苯胺基-嘧啶杀真菌剂,选自嘧菌环胺,嘧菌胺和嘧霉胺;
吗啉杀真菌剂,选自Aldimorph,十二环吗啉,丁苯吗啉,十三吗啉,苯锈啶,螺环菌胺;病花灵和式B-7化合物
式F-1化合物
式B-1化合物
百菌清;恶唑菌酮;咪唑菌酮;活化酯;苯霜灵;苯霜灵-M;苯菌灵;联苯三唑醇;啶酰菌胺;萎锈灵;环丙酰菌胺;铜;氰霜唑;霜脲氰;乙霉威;二氰蒽醌;环酰菌胺;苯氧威;氟啶胺;氟酰胺;灭菌丹;双胍盐;土菌消;异菌脲;虱螨脲;代森锰锌;甲霜灵;精甲霜灵;表苯菌酮;氟苯嘧啶醇;多效唑;戊菌隆;吡噻菌胺;腐霉利;咯喹酮;喹氧灵;硅噻菌胺;硫磺;噻菌灵;福美双;咪唑嗪;三环唑;阿维菌素;甲胺基甲维菌素苯甲酸盐;七氟菊酯和噻虫嗪。
11.一种杀真菌组合物,含有增效有效量的如权利要求1所述的成分A)和B)的组合,和农业上可接受的载体,和任选的表面活性剂。
12.一种杀真菌组合物,含有如权利要求1所述的成分A)和B)的组合,和农业上可接受的载体,和任选的表面活性剂,其中A)与B)的重量比是2000∶1至1∶1000。
13.一种保护已自天然生命循环中取出的植物和/或动物源的天然物质和/或其加工形式的方法,包括向所述植物和/或动物源的天然物质和/或其加工形式施用增效有效量的如权利要求1所述的成分A)和B)的组合。
Applications Claiming Priority (2)
| Application Number | Priority Date | Filing Date | Title |
|---|---|---|---|
| GB0422401.0 | 2004-10-08 | ||
| GBGB0422401.0A GB0422401D0 (en) | 2004-10-08 | 2004-10-08 | Fungicidal compositions |
Related Child Applications (7)
| Application Number | Title | Priority Date | Filing Date |
|---|---|---|---|
| CN2009101597860A Division CN101622993B (zh) | 2004-10-08 | 2005-10-06 | 增效杀真菌组合物 |
| CN200910159784A Division CN101611714A (zh) | 2004-10-08 | 2005-10-06 | 增效杀真菌组合物 |
| CN2009101597856A Division CN101611715B (zh) | 2004-10-08 | 2005-10-06 | 增效杀真菌组合物 |
| CN2009101597818A Division CN101611711B (zh) | 2004-10-08 | 2005-10-06 | 增效杀真菌组合物 |
| CN2009101597875A Division CN101622994B (zh) | 2004-10-08 | 2005-10-06 | 增效杀真菌组合物 |
| CN200910159783A Division CN101611713A (zh) | 2004-10-08 | 2005-10-06 | 增效杀真菌组合物 |
| CN2009101597822A Division CN101611712B (zh) | 2004-10-08 | 2005-10-06 | 增效杀真菌组合物 |
Publications (2)
| Publication Number | Publication Date |
|---|---|
| CN101035432A true CN101035432A (zh) | 2007-09-12 |
| CN100539843C CN100539843C (zh) | 2009-09-16 |
Family
ID=33443614
Family Applications (8)
| Application Number | Title | Priority Date | Filing Date |
|---|---|---|---|
| CN2009101597818A Expired - Lifetime CN101611711B (zh) | 2004-10-08 | 2005-10-06 | 增效杀真菌组合物 |
| CN200910159784A Pending CN101611714A (zh) | 2004-10-08 | 2005-10-06 | 增效杀真菌组合物 |
| CN200910159783A Pending CN101611713A (zh) | 2004-10-08 | 2005-10-06 | 增效杀真菌组合物 |
| CNB2005800342544A Expired - Lifetime CN100539843C (zh) | 2004-10-08 | 2005-10-06 | 增效杀真菌组合物 |
| CN2009101597860A Expired - Lifetime CN101622993B (zh) | 2004-10-08 | 2005-10-06 | 增效杀真菌组合物 |
| CN2009101597875A Expired - Lifetime CN101622994B (zh) | 2004-10-08 | 2005-10-06 | 增效杀真菌组合物 |
| CN2009101597856A Expired - Lifetime CN101611715B (zh) | 2004-10-08 | 2005-10-06 | 增效杀真菌组合物 |
| CN2009101597822A Expired - Lifetime CN101611712B (zh) | 2004-10-08 | 2005-10-06 | 增效杀真菌组合物 |
Family Applications Before (3)
| Application Number | Title | Priority Date | Filing Date |
|---|---|---|---|
| CN2009101597818A Expired - Lifetime CN101611711B (zh) | 2004-10-08 | 2005-10-06 | 增效杀真菌组合物 |
| CN200910159784A Pending CN101611714A (zh) | 2004-10-08 | 2005-10-06 | 增效杀真菌组合物 |
| CN200910159783A Pending CN101611713A (zh) | 2004-10-08 | 2005-10-06 | 增效杀真菌组合物 |
Family Applications After (4)
| Application Number | Title | Priority Date | Filing Date |
|---|---|---|---|
| CN2009101597860A Expired - Lifetime CN101622993B (zh) | 2004-10-08 | 2005-10-06 | 增效杀真菌组合物 |
| CN2009101597875A Expired - Lifetime CN101622994B (zh) | 2004-10-08 | 2005-10-06 | 增效杀真菌组合物 |
| CN2009101597856A Expired - Lifetime CN101611715B (zh) | 2004-10-08 | 2005-10-06 | 增效杀真菌组合物 |
| CN2009101597822A Expired - Lifetime CN101611712B (zh) | 2004-10-08 | 2005-10-06 | 增效杀真菌组合物 |
Country Status (46)
Cited By (48)
| Publication number | Priority date | Publication date | Assignee | Title |
|---|---|---|---|---|
| CN101642112A (zh) * | 2009-09-08 | 2010-02-10 | 深圳诺普信农化股份有限公司 | 一种含四氟醚唑的杀菌组合物及其应用 |
| CN101980601A (zh) * | 2008-03-27 | 2011-02-23 | 拜耳作物科学公司 | 季酮酸衍生物通过地面喷洒、滴灌施用或浸涂施用于抗昆虫和红蜘蛛螨的应用 |
| CN102067866A (zh) * | 2011-01-07 | 2011-05-25 | 陕西美邦农药有限公司 | 一种含联苯三唑醇的杀菌组合物 |
| CN101697736B (zh) * | 2009-11-09 | 2012-04-25 | 江苏省农业科学院 | 枯草芽孢杆菌丙环唑复配可湿性杀菌粉剂及其应用 |
| CN101273734B (zh) * | 2008-02-01 | 2012-06-13 | 康可新 | 一种应用于食/药用菌生产的杀菌用烟剂 |
| CN101743997B (zh) * | 2008-12-12 | 2012-06-27 | 中国检验检疫科学研究院 | 一种熏蒸剂的复配方法及复配熏蒸剂 |
| CN102548418A (zh) * | 2009-07-30 | 2012-07-04 | 玛珑生物创新有限公司 | 植物病原体抑制剂组合和使用方法 |
| CN101700013B (zh) * | 2009-11-03 | 2012-08-22 | 安阳市小康农药有限责任公司 | 保叶剂及其制备方法 |
| CN102726451A (zh) * | 2012-06-21 | 2012-10-17 | 江苏绿叶农化有限公司 | 含嘧菌酯的杀菌组合物及其应用 |
| CN102726405A (zh) * | 2007-04-25 | 2012-10-17 | 先正达参股股份有限公司 | 杀真菌组合物 |
| CN101653121B (zh) * | 2009-08-12 | 2012-12-19 | 东莞市瑞德丰生物科技有限公司 | 一种含氟啶胺的杀菌组合物 |
| CN103202302A (zh) * | 2013-05-09 | 2013-07-17 | 陕西农心作物科技有限公司 | 一种含壬菌铜和吡唑萘菌胺的杀菌组合物 |
| CN103210930A (zh) * | 2013-05-23 | 2013-07-24 | 陕西上格之路生物科学有限公司 | 一种含吡唑萘菌胺的杀菌组合物 |
| CN103250738A (zh) * | 2013-05-16 | 2013-08-21 | 湖州厉华妤婕联合纺织有限公司 | 一种新型衣物杀菌剂 |
| CN103300016A (zh) * | 2012-03-07 | 2013-09-18 | 陕西韦尔奇作物保护有限公司 | 一种含活化酯与二氰蒽醌的杀菌组合物 |
| CN101356922B (zh) * | 2008-09-24 | 2013-12-18 | 陕西标正作物科学有限公司 | 含有吡蚜酮和吡虫啉具有增效杀虫作用的组合物 |
| CN103891724A (zh) * | 2012-12-31 | 2014-07-02 | 江苏丰登农药有限公司 | 一种含吡唑萘菌胺和肟菌酯的复合增效杀菌组合物及其应用 |
| CN103891725A (zh) * | 2012-12-31 | 2014-07-02 | 江苏丰登农药有限公司 | 一种含吡唑萘菌胺和醚菌酯的杀菌组合物及其应用 |
| CN103891723A (zh) * | 2012-12-31 | 2014-07-02 | 江苏丰登农药有限公司 | 一种含吡唑萘菌胺和啶氧菌酯的杀菌组合物及其应用 |
| CN103891729A (zh) * | 2012-12-31 | 2014-07-02 | 江苏丰登农药有限公司 | 一种含吡唑萘菌胺和丙硫菌唑的杀菌组合物及其应用 |
| CN103907617A (zh) * | 2012-12-31 | 2014-07-09 | 江苏丰登农药有限公司 | 一种含吡唑萘菌胺和苯醚甲环唑的杀菌组合物及其应用 |
| CN103907606A (zh) * | 2012-12-31 | 2014-07-09 | 江苏丰登农药有限公司 | 一种含啶酰菌胺和吡唑萘菌胺的复合增效杀菌组合物及其应用 |
| CN103907604A (zh) * | 2012-12-31 | 2014-07-09 | 江苏丰登农药有限公司 | 一种含吡唑萘菌胺和嘧菌酯的复合增效杀菌组合物及其应用 |
| CN103918659A (zh) * | 2014-04-11 | 2014-07-16 | 柳州市惠农化工有限公司 | 一种含唑虫酰胺和氟啶胺的农药组合物及其制备方法和用途 |
| CN104012540A (zh) * | 2014-06-11 | 2014-09-03 | 深圳诺普信农化股份有限公司 | 一种增效杀菌组合物及其应用 |
| CN104026139A (zh) * | 2014-06-27 | 2014-09-10 | 中国农业科学院植物保护研究所 | 一种二甲基二硫、氯化苦和阿维菌素复配的土壤熏蒸剂 |
| CN104054747A (zh) * | 2014-06-27 | 2014-09-24 | 中国农业科学院植物保护研究所 | 一种二甲基二硫、氯化苦和噻唑磷复配的土壤熏蒸剂 |
| CN104430379A (zh) * | 2014-11-14 | 2015-03-25 | 浙江威尔达化工有限公司 | 一种吡唑萘菌胺和四氟醚唑的杀菌组合物及其应用 |
| CN104705304A (zh) * | 2013-12-11 | 2015-06-17 | 上海中冠生物科技有限公司 | 一种复配杀菌剂及其制备方法 |
| CN104855389A (zh) * | 2015-05-02 | 2015-08-26 | 广东中迅农科股份有限公司 | 一种含有吡唑萘菌胺和氟菌唑的杀菌组合物 |
| CN105145592A (zh) * | 2014-05-29 | 2015-12-16 | 深圳诺普信农化股份有限公司 | 杀菌组合物 |
| CN105284832A (zh) * | 2014-05-29 | 2016-02-03 | 深圳诺普信农化股份有限公司 | 杀菌组合物 |
| CN105309458A (zh) * | 2014-07-30 | 2016-02-10 | 深圳诺普信农化股份有限公司 | 一种增效杀菌组合物及其应用 |
| CN105309444A (zh) * | 2014-07-11 | 2016-02-10 | 深圳诺普信农化股份有限公司 | 一种含吡唑萘菌胺的杀菌组合物 |
| CN105325434A (zh) * | 2014-08-11 | 2016-02-17 | 深圳诺普信农化股份有限公司 | 杀菌组合物 |
| CN105746534A (zh) * | 2016-04-22 | 2016-07-13 | 南京华洲药业有限公司 | 一种含吡唑萘菌胺和异噻菌胺的杀菌组合物及其应用 |
| CN105746525A (zh) * | 2016-04-26 | 2016-07-13 | 南京华洲药业有限公司 | 一种含吡唑萘菌胺和嘧菌胺的杀菌组合物及其应用 |
| CN105746545A (zh) * | 2016-04-22 | 2016-07-13 | 南京华洲药业有限公司 | 一种含吡唑萘菌胺和噻呋酰胺的杀菌组合物及其应用 |
| CN105766955A (zh) * | 2016-04-26 | 2016-07-20 | 南京华洲药业有限公司 | 一种含吡唑萘菌胺和霜霉威的杀菌组合物及其应用 |
| CN105794791A (zh) * | 2016-04-26 | 2016-07-27 | 南京华洲药业有限公司 | 一种含吡唑萘菌胺和苯酰菌胺的杀菌组合物及其应用 |
| CN106508945A (zh) * | 2016-11-11 | 2017-03-22 | 山东农业大学 | 一种含吡唑萘菌胺和异菌脲的杀菌组合物及其制剂与应用 |
| CN106561664A (zh) * | 2016-10-10 | 2017-04-19 | 江苏辉丰农化股份有限公司 | 含有吡唑萘菌胺和苯菌酮的杀菌组合物 |
| CN109452269A (zh) * | 2018-12-21 | 2019-03-12 | 硅羿科技(上海)有限公司 | 阿维菌素乳液制剂及其制备方法及应用 |
| CN109526978A (zh) * | 2017-08-07 | 2019-03-29 | 江苏龙灯化学有限公司 | 一种杀菌组合物 |
| CN109730074A (zh) * | 2019-01-14 | 2019-05-10 | 兴农药业(中国)有限公司 | 一种含有吡唑萘菌胺和戊唑醇的农药组合物 |
| CN110476991A (zh) * | 2019-09-05 | 2019-11-22 | 安徽华星化工有限公司 | 含有吡唑萘菌胺的复配农药杀菌组合物及制剂 |
| CN114617128A (zh) * | 2022-03-28 | 2022-06-14 | 青岛奥迪斯生物科技有限公司 | 一种含喹啉铜的农药组合物及其应用 |
| CN117770250A (zh) * | 2022-05-20 | 2024-03-29 | 青岛海利尔生物科技有限公司 | 一种含溴硝醇的杀菌组合物及其用途 |
Families Citing this family (102)
| Publication number | Priority date | Publication date | Assignee | Title |
|---|---|---|---|---|
| MY140912A (en) * | 2004-07-26 | 2010-01-29 | Du Pont | Mixtures of anthranilamide invertebrate pest control agents |
| DE102005009458A1 (de) | 2005-03-02 | 2006-09-07 | Bayer Cropscience Ag | Pyrazolylcarboxanilide |
| DE102005025989A1 (de) * | 2005-06-07 | 2007-01-11 | Bayer Cropscience Ag | Carboxamide |
| WO2007003643A1 (de) * | 2005-07-06 | 2007-01-11 | Basf Aktiengesellschaft | Fungizide mischungen auf der basis von 3,4-disubstituierten pyrazolcarbonsäurebiphenylamiden |
| BRPI0616238B1 (pt) * | 2005-09-16 | 2016-01-19 | Syngenta Ltd | processo para a produção de amidas |
| CA2626312C (en) | 2005-10-25 | 2014-10-07 | Hans Tobler | Heterocyclic amide derivatives useful as microbiocides |
| CA2647882A1 (en) * | 2006-04-06 | 2007-10-18 | Ulrich Johannes Haas | Fungicidal compositions |
| WO2007124907A2 (en) * | 2006-04-27 | 2007-11-08 | Syngenta Participations Ag | Heterocyclyl-carboxylic acid (benzonorbornene-5-yl)amide derivatives as fungicides for agrochemical use |
| TW200817354A (en) | 2006-07-17 | 2008-04-16 | Syngenta Participations Ag | Novel pyridazine derivatives |
| CA2663997A1 (en) * | 2006-09-28 | 2008-04-03 | Syngenta Participations Ag | Process for the preparation of amines |
| CA2667398A1 (en) | 2006-10-25 | 2008-05-02 | Syngenta Participations Ag | Novel pyridazine derivatives |
| GB0622071D0 (en) * | 2006-11-06 | 2006-12-13 | Syngenta Participations Ag | Flowers |
| WO2008071714A1 (en) * | 2006-12-15 | 2008-06-19 | Rohm And Haas Company | Mixtures comprising 1-methylcyclopropene |
| PT2120577E (pt) * | 2007-03-16 | 2014-12-22 | Syngenta Ltd | Nova forma sólida de um microbiocida |
| US20100099559A1 (en) * | 2007-03-20 | 2010-04-22 | Basf Se | Method for protecting soybeans from being infected by fungi |
| AU2013201951B2 (en) * | 2007-04-25 | 2013-08-01 | Syngenta Participations Ag | Fungicidal compositions |
| KR20100080905A (ko) * | 2007-09-11 | 2010-07-13 | 바스프 에스이 | 폴리글리세롤 항미생물제 및 조성물 |
| AU2013202477B2 (en) * | 2007-09-12 | 2014-11-20 | Bayer Cropscience Aktiengesellschaft | Post-harvest treatment |
| EP2036438A1 (en) * | 2007-09-12 | 2009-03-18 | Bayer CropScience AG | Post-harvest treatment |
| ES2766951T3 (es) | 2007-09-20 | 2020-06-15 | Bayer Cropscience Lp | Combinaciones que comprenden una cepa fungicida y al menos un fungicida adicional |
| EP2053045A1 (en) | 2007-10-26 | 2009-04-29 | Syngenta Participations AG | Novel imidazole derivatives |
| EP2053046A1 (en) | 2007-10-26 | 2009-04-29 | Syngeta Participations AG | Novel imidazole derivatives |
| EP2053044A1 (en) | 2007-10-26 | 2009-04-29 | Syngenta Participations AG | Novel imidazole derivatives |
| AU2008320809A1 (en) * | 2007-11-02 | 2009-05-07 | Basf Se | Method for protecting cereals from being infected by fungi |
| GB0800762D0 (en) | 2008-01-16 | 2008-02-27 | Syngenta Participations Ag | Novel pyridazine derivatives |
| EP3586631B1 (en) * | 2008-02-05 | 2024-05-15 | Basf Se | Plant health composition |
| AU2009211411A1 (en) * | 2008-02-05 | 2009-08-13 | Basf Se | Plant health composition |
| US8231887B2 (en) | 2008-04-11 | 2012-07-31 | Basf Corporation | Pesticidal compositions |
| MX2010012093A (es) * | 2008-05-14 | 2010-12-07 | Basf Se | Agentes y composiciones antimicrobianos derivados de polioles. |
| BRPI0914606B1 (pt) * | 2008-07-04 | 2023-11-21 | Basf Se | Mistura para controlar fungos nocivos fitopatogênicos, composição, método para controlar fungos nocivos fitopatogênicos e usos dos componentes (1) e (2) |
| MX343039B (es) * | 2008-10-21 | 2016-10-21 | Basf Se | Uso de carboxamidas en plantas cultivadas. |
| GB0903955D0 (en) | 2009-03-06 | 2009-04-22 | Syngenta Participations Ag | Fungicidal compositions |
| GB0904315D0 (en) | 2009-03-12 | 2009-04-22 | Syngenta Participations Ag | Novel imidazole derivatives |
| BR112012004174A2 (pt) | 2009-08-26 | 2016-03-29 | Basf Se | método para alcançar um efeito antimicrobiano, conservante e/ou inibitório de adesão de microorganismo, e, uso do composto |
| AR080551A1 (es) | 2009-10-05 | 2012-04-18 | Marrone Bio Innovations | Derivados que contienen antraquinona como productos agricolas bioquimicos |
| JP2013512934A (ja) | 2009-12-08 | 2013-04-18 | ビーエーエスエフ ソシエタス・ヨーロピア | 殺害虫混合物 |
| GB0922376D0 (en) | 2009-12-22 | 2010-02-03 | Syngenta Participations Ag | Novel compounds |
| WO2011082913A1 (en) | 2010-01-08 | 2011-07-14 | Syngenta Participations Ag | Fungicidal compositions containing isopyrazam, azoxystrobin and cyproconazole |
| US8658644B2 (en) | 2010-02-04 | 2014-02-25 | Syngenta Crop Protection, Llc | Pyridazine derivatives, processes for their preparation and their use as fungicides |
| WO2011095459A1 (en) | 2010-02-04 | 2011-08-11 | Syngenta Participations Ag | Pyridazine derivatives, process for their preparation and their use as fungicides |
| BR112012021135A2 (pt) | 2010-02-24 | 2016-06-21 | Syngenta Participations Ag | microbicidas |
| WO2011107411A1 (en) | 2010-03-02 | 2011-09-09 | Basf Se | Pyranopyranone derivatives as antimicrobial agents |
| CN102858167B (zh) | 2010-04-27 | 2016-03-16 | 住友化学株式会社 | 杀虫组合物及其用途 |
| JP5712504B2 (ja) | 2010-04-27 | 2015-05-07 | 住友化学株式会社 | 有害生物防除組成物およびその用途 |
| ES2603614T3 (es) * | 2010-04-27 | 2017-02-28 | Sumitomo Chemical Company, Limited | Composición pesticida y su uso |
| JP5724210B2 (ja) | 2010-04-28 | 2015-05-27 | 住友化学株式会社 | 植物病害防除組成物およびその用途 |
| CN102858172A (zh) * | 2010-04-28 | 2013-01-02 | 住友化学株式会社 | 植物病害组合物及其用途 |
| JP5789918B2 (ja) * | 2010-04-28 | 2015-10-07 | 住友化学株式会社 | 植物病害防除組成物およびその用途 |
| MX337182B (es) | 2010-04-28 | 2016-02-16 | Sumitomo Chemical Co | Composicion plaguicida y su uso. |
| JP5724211B2 (ja) * | 2010-04-28 | 2015-05-27 | 住友化学株式会社 | 植物病害防除組成物およびその用途 |
| JP5724212B2 (ja) * | 2010-04-28 | 2015-05-27 | 住友化学株式会社 | 植物病害防除組成物およびその用途 |
| WO2011135835A1 (en) * | 2010-04-28 | 2011-11-03 | Sumitomo Chemical Company, Limited | Plant disease control composition and its use |
| EP2588456A1 (en) | 2010-07-02 | 2013-05-08 | Syngenta Participations AG | Novel microbiocidal dioxime ether derivatives |
| EP2598487A1 (en) | 2010-07-29 | 2013-06-05 | Syngenta Participations AG | Novel microbiocidal dioxime ether derivatives |
| PL3058824T3 (pl) * | 2010-08-05 | 2018-11-30 | Bayer Cropscience Ag | Kombinacje związków aktywnych zawierające protiokonazol i fluksapyroksad do zwalczania chorób kukurydzy |
| EP2603085A4 (en) * | 2010-08-11 | 2014-01-22 | Bayer Cropscience Lp | PROCESS FOR IMPROVED PLANT GROWTH THROUGH THE REDUCTION OF FUNGI INFECTIONS |
| BR112013003037A2 (pt) * | 2010-08-26 | 2016-06-14 | Makhteshim Chem Works Ltd | composição fungícida e método para controlar doenças causadas por fungos fitopatogênicos |
| AR083112A1 (es) | 2010-10-01 | 2013-01-30 | Syngenta Participations Ag | Metodo para controlar enfermedades fitopatogenas y composiciones fungicidas utiles para dicho control |
| AR083482A1 (es) * | 2010-10-21 | 2013-02-27 | Syngenta Ltd | Concentrados agroquimicos con isopirazam |
| SI2635119T1 (en) | 2010-11-04 | 2018-08-31 | Marrone Bio Innovations, Inc. | Use of a composition comprising parieten as growth promoters |
| WO2012066122A1 (en) | 2010-11-18 | 2012-05-24 | Syngenta Participations Ag | 2 - (pyridin- 2 -yl) -quinazoline derivatives and their use as microbicides |
| WO2012069652A2 (en) | 2010-11-26 | 2012-05-31 | Syngenta Participations Ag | Fungicide mixtures |
| WO2012084670A1 (en) * | 2010-12-20 | 2012-06-28 | Basf Se | Pesticidal active mixtures comprising pyrazole compounds |
| JP5997931B2 (ja) | 2011-05-25 | 2016-09-28 | 石原産業株式会社 | 農園芸用殺菌剤組成物及び植物病害の防除方法 |
| WO2013011010A1 (en) | 2011-07-19 | 2013-01-24 | Syngenta Participations Ag | Fungizide mixtures |
| UY34279A (es) | 2011-08-23 | 2013-04-05 | Syngenta Participations Ag | Compuestos heterocíclicos activos como microbiocidas, intermediarios, composiciones y usos |
| WO2014016279A1 (en) * | 2012-07-26 | 2014-01-30 | Syngenta Participations Ag | Fungicidal compositions |
| CN103053579A (zh) * | 2012-09-21 | 2013-04-24 | 吉林省八达农药有限公司 | 一种含有丁香菌酯与异菌脲的农用杀菌组合物 |
| CN103688962B (zh) * | 2012-09-27 | 2015-04-15 | 陕西美邦农药有限公司 | 一种含氟唑活化酯的杀菌组合物 |
| WO2014060177A1 (en) | 2012-10-16 | 2014-04-24 | Syngenta Participations Ag | Fungicidal compositions |
| CN104902756B (zh) | 2012-11-22 | 2018-11-27 | 巴斯夫公司 | 农药混合物 |
| CN103858886A (zh) * | 2012-12-14 | 2014-06-18 | 深圳诺普信农化股份有限公司 | 一种含吡唑萘菌胺的杀菌组合物 |
| CN103891728A (zh) * | 2012-12-31 | 2014-07-02 | 江苏丰登农药有限公司 | 一种含吡唑萘菌胺和粉唑醇的杀菌组合物及其应用 |
| CN103891730B (zh) * | 2012-12-31 | 2016-03-30 | 江苏丰登作物保护股份有限公司 | 一种含吡唑萘菌胺和氟环唑的杀菌组合物及其应用 |
| CN103907615B (zh) * | 2012-12-31 | 2016-01-20 | 江苏丰登作物保护股份有限公司 | 一种含吡唑萘菌胺和戊唑醇的复合增效杀菌组合物及其应用 |
| CN103053590B (zh) * | 2013-01-18 | 2014-05-07 | 山东农业大学 | 一种含噻虫胺和氟铃脲的农药组合物 |
| CN103210925B (zh) * | 2013-05-09 | 2015-02-04 | 陕西农心作物科技有限公司 | 一种含吡唑萘菌胺的杀菌组合物 |
| CN103210931A (zh) * | 2013-05-23 | 2013-07-24 | 陕西上格之路生物科学有限公司 | 一种含吡唑萘菌胺和十三吗啉的杀菌组合物 |
| CN103222465B (zh) * | 2013-05-23 | 2015-05-13 | 陕西上格之路生物科学有限公司 | 一种含吡唑萘菌胺和三唑类杀菌剂的杀菌组合物 |
| CN104557884A (zh) * | 2013-10-13 | 2015-04-29 | 西北大学 | 苯醚甲环唑铜配合物及其制备方法和应用 |
| CN105076149A (zh) * | 2014-05-21 | 2015-11-25 | 深圳诺普信农化股份有限公司 | 一种杀菌组合物 |
| EP3214937B1 (en) | 2014-11-07 | 2024-07-03 | Basf Se | Pesticidal mixtures |
| CN104430380A (zh) * | 2014-11-14 | 2015-03-25 | 浙江威尔达化工有限公司 | 一种吡唑萘菌胺和己唑醇的杀菌组合物悬浮剂及其应用 |
| CN104823981A (zh) * | 2015-04-29 | 2015-08-12 | 广东中迅农科股份有限公司 | 一种含有吡唑萘菌胺和咯菌腈的杀菌组合物 |
| CN105475275A (zh) * | 2016-01-20 | 2016-04-13 | 河北天发化工科技有限公司 | 甲维茚虫威悬浮剂及其制备方法 |
| UA125210C2 (uk) | 2016-03-16 | 2022-02-02 | Басф Се | Застосування тетразолінонів для боротьби зі стійкими фітопатогенними грибами на злакових культурах |
| US11241012B2 (en) | 2016-03-16 | 2022-02-08 | Basf Se | Use of tetrazolinones for combating resistant phytopathogenic fungi on soybean |
| US11425909B2 (en) | 2016-03-16 | 2022-08-30 | Basf Se | Use of tetrazolinones for combating resistant phytopathogenic fungi on fruits |
| CN105766929A (zh) * | 2016-03-31 | 2016-07-20 | 广东中迅农科股份有限公司 | 含有吡唑萘菌胺和嘧菌环胺的杀菌组合物 |
| CN105831125A (zh) * | 2016-05-06 | 2016-08-10 | 江苏丰登作物保护股份有限公司 | 一种含叶菌唑和吡唑萘菌胺的杀菌组合物及其应用 |
| CN105941436A (zh) * | 2016-06-27 | 2016-09-21 | 青岛润生农化有限公司 | 含阿维菌素与乙酰虫腈的杀虫组合物 |
| EP3534711A4 (en) | 2016-11-04 | 2020-11-18 | UPL Ltd | FUNGICIDE COMBINATIONS |
| EP4555862A3 (en) | 2017-03-07 | 2025-10-15 | UPL Ltd | Fungicidal combinations |
| US10470468B2 (en) | 2017-04-11 | 2019-11-12 | Mclaughlin Gormley King Company | Mixtures of sabadilla oil and fungicides and uses thereof |
| WO2018191210A1 (en) * | 2017-04-11 | 2018-10-18 | Mclaughlin Gormley King Company | Sabadilla oil and uses thereof |
| CN107814644A (zh) * | 2017-12-11 | 2018-03-20 | 沈阳化工研究院有限公司 | 一种低温稳定的清液型大量元素水溶肥及其制备方法 |
| WO2019166252A1 (en) * | 2018-02-28 | 2019-09-06 | Basf Se | Fungicidal mixtures comprising fenpropidin |
| CN108484572A (zh) * | 2018-04-29 | 2018-09-04 | 江苏省农用激素工程技术研究中心有限公司 | 新型双酰胺类化合物及其制备方法和应用 |
| SG11202103072RA (en) | 2018-10-16 | 2021-04-29 | Niacet Corp | Methods for fungi inhibition on live plants using carboxylic acids and their salts |
| KR102140537B1 (ko) * | 2018-11-01 | 2020-08-03 | 전남대학교산학협력단 | 병해 또는 충해 방제용 조성물 및 그를 이용한 병해 또는 충해의 방제방법 |
| AR120687A1 (es) | 2019-12-05 | 2022-03-09 | Upl Corporation Ltd | Combinaciones fungicidas |
| CN117502452B (zh) * | 2022-09-09 | 2025-09-09 | 广西壮族自治区亚热带作物研究所(广西亚热带农产品加工研究所) | 一种防治菠萝蜜果腐病的增效杀菌组合物 |
Family Cites Families (48)
| Publication number | Priority date | Publication date | Assignee | Title |
|---|---|---|---|---|
| BR8600161A (pt) | 1985-01-18 | 1986-09-23 | Plant Genetic Systems Nv | Gene quimerico,vetores de plasmidio hibrido,intermediario,processo para controlar insetos em agricultura ou horticultura,composicao inseticida,processo para transformar celulas de plantas para expressar uma toxina de polipeptideo produzida por bacillus thuringiensis,planta,semente de planta,cultura de celulas e plasmidio |
| CA1340685C (en) | 1988-07-29 | 1999-07-27 | Frederick Meins | Dna sequences encoding polypeptides having beta-1,3-glucanase activity |
| US5169629A (en) | 1988-11-01 | 1992-12-08 | Mycogen Corporation | Process of controlling lepidopteran pests, using bacillus thuringiensis isolate denoted b.t ps81gg |
| EP0374753A3 (de) | 1988-12-19 | 1991-05-29 | American Cyanamid Company | Insektizide Toxine, Gene, die diese Toxine kodieren, Antikörper, die sie binden, sowie transgene Pflanzenzellen und transgene Pflanzen, die diese Toxine exprimieren |
| ES2199931T3 (es) | 1989-03-24 | 2004-03-01 | Syngenta Participations Ag | Plantas transgenicas resistentes a enfermedades. |
| GB8910624D0 (en) | 1989-05-09 | 1989-06-21 | Ici Plc | Bacterial strains |
| CA2015951A1 (en) | 1989-05-18 | 1990-11-18 | Mycogen Corporation | Novel bacillus thuringiensis isolates active against lepidopteran pests, and genes encoding novel lepidopteran-active toxins |
| ES2074547T3 (es) | 1989-11-07 | 1995-09-16 | Pioneer Hi Bred Int | Lectinas larvicidas, y resistencia inducida de las plantas a los insectos. |
| US5639949A (en) | 1990-08-20 | 1997-06-17 | Ciba-Geigy Corporation | Genes for the synthesis of antipathogenic substances |
| UA48104C2 (uk) | 1991-10-04 | 2002-08-15 | Новартіс Аг | Фрагмент днк, який містить послідовність,що кодує інсектицидний протеїн, оптимізовану для кукурудзи,фрагмент днк, який забезпечує направлену бажану для серцевини стебла експресію зв'язаного з нею структурного гена в рослині, фрагмент днк, який забезпечує специфічну для пилку експресію зв`язаного з нею структурного гена в рослині, рекомбінантна молекула днк, спосіб одержання оптимізованої для кукурудзи кодуючої послідовності інсектицидного протеїну, спосіб захисту рослин кукурудзи щонайменше від однієї комахи-шкідника |
| BR9406662A (pt) | 1993-05-12 | 1996-02-06 | Du Pont | Composto metodo de controle de doenças de plantas composição fungicida e método de controle de mildio de pó de trigo |
| US5530195A (en) | 1994-06-10 | 1996-06-25 | Ciba-Geigy Corporation | Bacillus thuringiensis gene encoding a toxin active against insects |
| CN1070845C (zh) | 1994-12-19 | 2001-09-12 | 日本曹达株式会社 | 苄胺肟衍生物及其制备方法和农业及园艺用杀菌剂 |
| US5498624A (en) * | 1995-05-03 | 1996-03-12 | Monsanto Company | Selected pyrazolyl derivatives |
| IL122399A0 (en) * | 1995-08-17 | 1998-06-15 | Basf Ag | Fungicidal mixtures of an oximether carboxylic acid amide with anilinopyrimidines |
| CN1155977A (zh) | 1995-08-28 | 1997-08-06 | 化学工业部沈阳化工研究院 | 含氟二苯基丙烯酰胺类杀菌剂 |
| CN1043720C (zh) | 1995-08-28 | 1999-06-23 | 化学工业部沈阳化工研究院 | 含氟二苯基丙烯酰胺类杀菌剂 |
| TW384208B (en) * | 1995-09-22 | 2000-03-11 | Basf Ag | Compositions and methods for controlling harmful fungi |
| US6020332A (en) | 1997-02-20 | 2000-02-01 | Shenyang Research Institute Of Chemical Industry | Fluorine-containing diphenyl acrylamide antimicrobial agents |
| ES2189918T3 (es) | 1997-02-21 | 2003-07-16 | Shenyang Res Inst Chemical Ind | Agentes antimicrobianos de difenilacrilamida que contienen fluor. |
| TWI252231B (en) | 1997-04-14 | 2006-04-01 | American Cyanamid Co | Fungicidal trifluorophenyl-triazolopyrimidines |
| DE19722223A1 (de) * | 1997-05-28 | 1998-12-03 | Basf Ag | Fungizide Mischungen |
| UA65574C2 (uk) * | 1997-06-19 | 2004-04-15 | Басф Акцієнгезелльшафт | Фунгіцидна суміш та спосіб боротьби з фітопатогенними грибами |
| NZ503594A (en) | 1997-09-18 | 2001-08-31 | Basf Ag | (Phenyl, thienyl or pyrazolyl)-substituted and alkyl-substituted benzamidoxime derivatives, and benzonitrile intermediates, useful as fungicides |
| DE69906170T2 (de) | 1998-02-10 | 2003-10-23 | Dow Agrosciences Llc, Indianapolis | Ungesättigte Oxim-Ether und ihre Verwendung als Fungizide oder Insectizide |
| TW575562B (en) | 1998-02-19 | 2004-02-11 | Agrevo Uk Ltd | Fungicides |
| CN1149924C (zh) * | 1998-03-24 | 2004-05-19 | 巴斯福股份公司 | 基于三(肟醚)衍生物和其它嗜球果伞素的杀真菌混合物 |
| JP3856561B2 (ja) * | 1998-04-15 | 2006-12-13 | 三井化学株式会社 | 植物病害防除剤組成物 |
| JP3963570B2 (ja) * | 1998-04-24 | 2007-08-22 | 三井化学株式会社 | 植物病害防除剤組成物 |
| CZ299375B6 (cs) | 1998-11-30 | 2008-07-09 | Nihon Nohyaku Co., Ltd. | Ftalamidové deriváty nebo jejich soli, zemedelsko-zahradnický insekticid je obsahující a jeho použití |
| CN1233395A (zh) * | 1998-12-16 | 1999-11-03 | 余永功 | 异菌脲与百菌清复配剂 |
| JP2001072507A (ja) * | 1999-09-03 | 2001-03-21 | Mitsui Chemicals Inc | 植物病害防除剤組成物 |
| JP2001072510A (ja) * | 1999-09-03 | 2001-03-21 | Mitsui Chemicals Inc | 植物病害防除剤組成物 |
| JP2001072508A (ja) * | 1999-09-03 | 2001-03-21 | Mitsui Chemicals Inc | 植物病害防除剤組成物 |
| GB0011944D0 (en) | 2000-05-17 | 2000-07-05 | Novartis Ag | Organic compounds |
| GB0016444D0 (en) * | 2000-07-04 | 2000-08-23 | Novartis Ag | Organic compounds |
| CN100353846C (zh) | 2000-08-25 | 2007-12-12 | 辛根塔参与股份公司 | 新的来自苏云金芽孢杆菌杀虫晶体蛋白的杀虫毒素 |
| US7777097B2 (en) | 2001-06-22 | 2010-08-17 | Syngenta Participations Ag | Plant disease resistance genes |
| AR036872A1 (es) | 2001-08-13 | 2004-10-13 | Du Pont | Compuesto de antranilamida, composicion que lo comprende y metodo para controlar una plaga de invertebrados |
| US7230167B2 (en) | 2001-08-31 | 2007-06-12 | Syngenta Participations Ag | Modified Cry3A toxins and nucleic acid sequences coding therefor |
| WO2003052073A2 (en) | 2001-12-17 | 2003-06-26 | Syngenta Participations Ag | Novel corn event |
| HK1079785B (zh) | 2002-03-05 | 2007-08-10 | 辛根塔参与股份公司 | 邻环丙基-n-甲酰苯胺及其作为杀菌剂的用途 |
| GB0224316D0 (en) * | 2002-10-18 | 2002-11-27 | Syngenta Participations Ag | Chemical compounds |
| DK1567011T3 (da) * | 2002-11-15 | 2007-05-07 | Basf Ag | Fungicide blandinger på basis af et triazolopyrimidinderivat og amidforbindelser |
| GB0230155D0 (en) | 2002-12-24 | 2003-02-05 | Syngenta Participations Ag | Chemical compounds |
| CN1255030C (zh) * | 2002-12-30 | 2006-05-10 | 江苏苏化集团新沂农化有限公司 | 含有烯酰吗啉的杀菌组合物 |
| EP1599463B1 (en) | 2003-01-28 | 2013-06-05 | E.I. Du Pont De Nemours And Company | Cyano anthranilamide insecticides |
| DE10349501A1 (de) * | 2003-10-23 | 2005-05-25 | Bayer Cropscience Ag | Synergistische fungizide Wirkstoffkombinationen |
-
2004
- 2004-10-08 GB GBGB0422401.0A patent/GB0422401D0/en not_active Ceased
-
2005
- 2005-10-05 MY MYPI20054699A patent/MY145628A/en unknown
- 2005-10-05 UY UY29152A patent/UY29152A1/es not_active Application Discontinuation
- 2005-10-06 WO PCT/EP2005/010755 patent/WO2006037632A1/en not_active Ceased
- 2005-10-06 AR ARP050104216A patent/AR052313A1/es active IP Right Grant
- 2005-10-06 DE DE602005027227T patent/DE602005027227D1/de not_active Expired - Lifetime
- 2005-10-06 ES ES11156571.9T patent/ES2616067T3/es not_active Expired - Lifetime
- 2005-10-06 CA CA3052613A patent/CA3052613C/en not_active Expired - Lifetime
- 2005-10-06 AU AU2005291423A patent/AU2005291423B2/en not_active Expired
- 2005-10-06 CA CA3120562A patent/CA3120562C/en not_active Expired - Lifetime
- 2005-10-06 CN CN2009101597818A patent/CN101611711B/zh not_active Expired - Lifetime
- 2005-10-06 CN CN200910159784A patent/CN101611714A/zh active Pending
- 2005-10-06 DK DK05798443.7T patent/DK1802198T3/da active
- 2005-10-06 EP EP05798443A patent/EP1802198B1/en not_active Expired - Lifetime
- 2005-10-06 CN CN200910159783A patent/CN101611713A/zh active Pending
- 2005-10-06 PE PE2005001192A patent/PE20060886A1/es active IP Right Grant
- 2005-10-06 CA CA2879760A patent/CA2879760C/en not_active Expired - Lifetime
- 2005-10-06 MX MX2007003636A patent/MX2007003636A/es active IP Right Grant
- 2005-10-06 JP JP2007535083A patent/JP5243032B2/ja not_active Expired - Lifetime
- 2005-10-06 CN CNB2005800342544A patent/CN100539843C/zh not_active Expired - Lifetime
- 2005-10-06 PT PT05798443T patent/PT1802198E/pt unknown
- 2005-10-06 BR BR122014008802-7A patent/BR122014008802B1/pt not_active IP Right Cessation
- 2005-10-06 CA CA2944816A patent/CA2944816C/en not_active Expired - Lifetime
- 2005-10-06 CN CN2009101597860A patent/CN101622993B/zh not_active Expired - Lifetime
- 2005-10-06 CA CA3003083A patent/CA3003083C/en not_active Expired - Lifetime
- 2005-10-06 ME MEP-2011-115A patent/ME01328B/me unknown
- 2005-10-06 GE GEAP200510052A patent/GEP20115155B/en unknown
- 2005-10-06 CA CA2580245A patent/CA2580245C/en not_active Expired - Lifetime
- 2005-10-06 RS RS20110283A patent/RS51801B/sr unknown
- 2005-10-06 ES ES05798443T patent/ES2364158T3/es not_active Expired - Lifetime
- 2005-10-06 SI SI200531323T patent/SI1802198T1/sl unknown
- 2005-10-06 CN CN2009101597875A patent/CN101622994B/zh not_active Expired - Lifetime
- 2005-10-06 KR KR1020077007997A patent/KR101276549B1/ko not_active Expired - Lifetime
- 2005-10-06 HR HR20110476T patent/HRP20110476T1/hr unknown
- 2005-10-06 BR BRPI0516575-0A patent/BRPI0516575B1/pt active IP Right Grant
- 2005-10-06 CN CN2009101597856A patent/CN101611715B/zh not_active Expired - Lifetime
- 2005-10-06 CA CA 2790809 patent/CA2790809C/en not_active Expired - Lifetime
- 2005-10-06 EP EP11156571.9A patent/EP2347655B1/en not_active Expired - Lifetime
- 2005-10-06 EA EA200700769A patent/EA013074B1/ru active Protection Beyond IP Right Term
- 2005-10-06 AT AT05798443T patent/ATE503385T1/de active
- 2005-10-06 CN CN2009101597822A patent/CN101611712B/zh not_active Expired - Lifetime
- 2005-10-06 PL PL05798443T patent/PL1802198T3/pl unknown
- 2005-10-06 NZ NZ553940A patent/NZ553940A/en not_active IP Right Cessation
- 2005-10-06 TW TW094134918A patent/TWI407909B/zh not_active IP Right Cessation
- 2005-10-06 UA UAA200704624A patent/UA88924C2/ru unknown
- 2005-10-06 US US11/576,719 patent/US8124566B2/en active Active
- 2005-10-07 GT GT200500278A patent/GT200500278A/es unknown
- 2005-10-07 PA PA20058649101A patent/PA8649101A1/es unknown
- 2005-10-07 HN HN2005000778AA patent/HN2005000778A/es unknown
-
2007
- 2007-03-15 IL IL181961A patent/IL181961A/en active IP Right Grant
- 2007-03-19 ZA ZA200702278A patent/ZA200702278B/xx unknown
- 2007-03-27 NO NO20071611A patent/NO338388B1/no unknown
- 2007-03-29 CR CR9028A patent/CR9028A/es unknown
- 2007-04-02 TN TNP2007000121A patent/TNSN07121A1/fr unknown
- 2007-04-03 EG EGNA2007000336 patent/EG25251A/xx active
- 2007-04-04 EC EC2007007371A patent/ECSP077371A/es unknown
- 2007-04-05 US US11/696,908 patent/US8124567B2/en active Active
- 2007-04-06 MA MA29805A patent/MA28920B1/fr unknown
-
2011
- 2011-06-29 CY CY20111100625T patent/CY1113001T1/el unknown
-
2013
- 2013-05-07 HU HUS1300016C patent/HUS1300016I1/hu unknown
-
2015
- 2015-11-26 BE BE2015C063C patent/BE2015C063I2/fr unknown
-
2018
- 2018-06-05 FR FR18C1025C patent/FR18C1025I2/fr active Active
-
2019
- 2019-02-21 BE BE2019C506C patent/BE2019C506I2/nl unknown
- 2019-07-18 NL NL350096C patent/NL350096I2/nl unknown
Cited By (67)
| Publication number | Priority date | Publication date | Assignee | Title |
|---|---|---|---|---|
| CN102726405A (zh) * | 2007-04-25 | 2012-10-17 | 先正达参股股份有限公司 | 杀真菌组合物 |
| CN102726405B (zh) * | 2007-04-25 | 2014-07-02 | 先正达参股股份有限公司 | 杀真菌组合物 |
| US10143201B2 (en) | 2007-04-25 | 2018-12-04 | Syngenta Crop Protection, Llc | Fungicidal compositions |
| US11647749B2 (en) | 2007-04-25 | 2023-05-16 | Syngenta Participations Ag | Fungicidal compositions |
| US9642365B2 (en) | 2007-04-25 | 2017-05-09 | Syngenta Crop Protection, Llc | Fungicidal compositions |
| US9314022B2 (en) | 2007-04-25 | 2016-04-19 | Syngenta Crop Protection, Llc | Fungicidal compositions |
| CN102726417B (zh) * | 2007-04-25 | 2014-07-02 | 先正达参股股份有限公司 | 杀真菌组合物 |
| CN101273734B (zh) * | 2008-02-01 | 2012-06-13 | 康可新 | 一种应用于食/药用菌生产的杀菌用烟剂 |
| CN101980601A (zh) * | 2008-03-27 | 2011-02-23 | 拜耳作物科学公司 | 季酮酸衍生物通过地面喷洒、滴灌施用或浸涂施用于抗昆虫和红蜘蛛螨的应用 |
| CN101356922B (zh) * | 2008-09-24 | 2013-12-18 | 陕西标正作物科学有限公司 | 含有吡蚜酮和吡虫啉具有增效杀虫作用的组合物 |
| CN101743997B (zh) * | 2008-12-12 | 2012-06-27 | 中国检验检疫科学研究院 | 一种熏蒸剂的复配方法及复配熏蒸剂 |
| CN105028505A (zh) * | 2009-07-30 | 2015-11-11 | 马罗内生物创新公司 | 植物病原体抑制剂组合和使用方法 |
| CN102548418B (zh) * | 2009-07-30 | 2015-06-24 | 马罗内生物创新公司 | 植物病原体抑制剂组合和使用方法 |
| CN102548418A (zh) * | 2009-07-30 | 2012-07-04 | 玛珑生物创新有限公司 | 植物病原体抑制剂组合和使用方法 |
| CN105028505B (zh) * | 2009-07-30 | 2018-02-09 | 马罗内生物创新公司 | 植物病原体抑制剂组合和使用方法 |
| CN101653121B (zh) * | 2009-08-12 | 2012-12-19 | 东莞市瑞德丰生物科技有限公司 | 一种含氟啶胺的杀菌组合物 |
| CN101642112A (zh) * | 2009-09-08 | 2010-02-10 | 深圳诺普信农化股份有限公司 | 一种含四氟醚唑的杀菌组合物及其应用 |
| CN101642112B (zh) * | 2009-09-08 | 2012-09-12 | 深圳诺普信农化股份有限公司 | 一种含四氟醚唑的杀菌组合物及其应用 |
| CN101700013B (zh) * | 2009-11-03 | 2012-08-22 | 安阳市小康农药有限责任公司 | 保叶剂及其制备方法 |
| CN101697736B (zh) * | 2009-11-09 | 2012-04-25 | 江苏省农业科学院 | 枯草芽孢杆菌丙环唑复配可湿性杀菌粉剂及其应用 |
| CN102067866A (zh) * | 2011-01-07 | 2011-05-25 | 陕西美邦农药有限公司 | 一种含联苯三唑醇的杀菌组合物 |
| CN103300016A (zh) * | 2012-03-07 | 2013-09-18 | 陕西韦尔奇作物保护有限公司 | 一种含活化酯与二氰蒽醌的杀菌组合物 |
| CN103300016B (zh) * | 2012-03-07 | 2015-11-25 | 陕西韦尔奇作物保护有限公司 | 一种含活化酯与二氰蒽醌的杀菌组合物 |
| CN102726451A (zh) * | 2012-06-21 | 2012-10-17 | 江苏绿叶农化有限公司 | 含嘧菌酯的杀菌组合物及其应用 |
| CN103891724B (zh) * | 2012-12-31 | 2015-09-30 | 江苏丰登作物保护股份有限公司 | 一种含吡唑萘菌胺和肟菌酯的复合增效杀菌组合物及其应用 |
| CN103907604A (zh) * | 2012-12-31 | 2014-07-09 | 江苏丰登农药有限公司 | 一种含吡唑萘菌胺和嘧菌酯的复合增效杀菌组合物及其应用 |
| CN103907617A (zh) * | 2012-12-31 | 2014-07-09 | 江苏丰登农药有限公司 | 一种含吡唑萘菌胺和苯醚甲环唑的杀菌组合物及其应用 |
| CN103891729A (zh) * | 2012-12-31 | 2014-07-02 | 江苏丰登农药有限公司 | 一种含吡唑萘菌胺和丙硫菌唑的杀菌组合物及其应用 |
| CN103891723A (zh) * | 2012-12-31 | 2014-07-02 | 江苏丰登农药有限公司 | 一种含吡唑萘菌胺和啶氧菌酯的杀菌组合物及其应用 |
| CN103891725A (zh) * | 2012-12-31 | 2014-07-02 | 江苏丰登农药有限公司 | 一种含吡唑萘菌胺和醚菌酯的杀菌组合物及其应用 |
| CN103907606A (zh) * | 2012-12-31 | 2014-07-09 | 江苏丰登农药有限公司 | 一种含啶酰菌胺和吡唑萘菌胺的复合增效杀菌组合物及其应用 |
| CN103891724A (zh) * | 2012-12-31 | 2014-07-02 | 江苏丰登农药有限公司 | 一种含吡唑萘菌胺和肟菌酯的复合增效杀菌组合物及其应用 |
| CN103891725B (zh) * | 2012-12-31 | 2016-04-06 | 江苏丰登作物保护股份有限公司 | 一种含吡唑萘菌胺和醚菌酯的杀菌组合物及其应用 |
| CN103202302A (zh) * | 2013-05-09 | 2013-07-17 | 陕西农心作物科技有限公司 | 一种含壬菌铜和吡唑萘菌胺的杀菌组合物 |
| CN103250738A (zh) * | 2013-05-16 | 2013-08-21 | 湖州厉华妤婕联合纺织有限公司 | 一种新型衣物杀菌剂 |
| CN103210930B (zh) * | 2013-05-23 | 2014-10-29 | 陕西上格之路生物科学有限公司 | 一种含吡唑萘菌胺的杀菌组合物 |
| CN103210930A (zh) * | 2013-05-23 | 2013-07-24 | 陕西上格之路生物科学有限公司 | 一种含吡唑萘菌胺的杀菌组合物 |
| CN104705304A (zh) * | 2013-12-11 | 2015-06-17 | 上海中冠生物科技有限公司 | 一种复配杀菌剂及其制备方法 |
| CN103918659A (zh) * | 2014-04-11 | 2014-07-16 | 柳州市惠农化工有限公司 | 一种含唑虫酰胺和氟啶胺的农药组合物及其制备方法和用途 |
| CN103918659B (zh) * | 2014-04-11 | 2016-01-27 | 柳州市惠农化工有限公司 | 一种含唑虫酰胺和氟啶胺的农药组合物及其制备方法和用途 |
| CN105284832A (zh) * | 2014-05-29 | 2016-02-03 | 深圳诺普信农化股份有限公司 | 杀菌组合物 |
| CN105145592A (zh) * | 2014-05-29 | 2015-12-16 | 深圳诺普信农化股份有限公司 | 杀菌组合物 |
| CN104012540A (zh) * | 2014-06-11 | 2014-09-03 | 深圳诺普信农化股份有限公司 | 一种增效杀菌组合物及其应用 |
| CN104026139A (zh) * | 2014-06-27 | 2014-09-10 | 中国农业科学院植物保护研究所 | 一种二甲基二硫、氯化苦和阿维菌素复配的土壤熏蒸剂 |
| CN104054747A (zh) * | 2014-06-27 | 2014-09-24 | 中国农业科学院植物保护研究所 | 一种二甲基二硫、氯化苦和噻唑磷复配的土壤熏蒸剂 |
| CN105309444A (zh) * | 2014-07-11 | 2016-02-10 | 深圳诺普信农化股份有限公司 | 一种含吡唑萘菌胺的杀菌组合物 |
| CN105309458A (zh) * | 2014-07-30 | 2016-02-10 | 深圳诺普信农化股份有限公司 | 一种增效杀菌组合物及其应用 |
| CN105325434A (zh) * | 2014-08-11 | 2016-02-17 | 深圳诺普信农化股份有限公司 | 杀菌组合物 |
| CN104430379A (zh) * | 2014-11-14 | 2015-03-25 | 浙江威尔达化工有限公司 | 一种吡唑萘菌胺和四氟醚唑的杀菌组合物及其应用 |
| CN104855389A (zh) * | 2015-05-02 | 2015-08-26 | 广东中迅农科股份有限公司 | 一种含有吡唑萘菌胺和氟菌唑的杀菌组合物 |
| CN105746534A (zh) * | 2016-04-22 | 2016-07-13 | 南京华洲药业有限公司 | 一种含吡唑萘菌胺和异噻菌胺的杀菌组合物及其应用 |
| CN105746545A (zh) * | 2016-04-22 | 2016-07-13 | 南京华洲药业有限公司 | 一种含吡唑萘菌胺和噻呋酰胺的杀菌组合物及其应用 |
| CN105794791A (zh) * | 2016-04-26 | 2016-07-27 | 南京华洲药业有限公司 | 一种含吡唑萘菌胺和苯酰菌胺的杀菌组合物及其应用 |
| CN105766955A (zh) * | 2016-04-26 | 2016-07-20 | 南京华洲药业有限公司 | 一种含吡唑萘菌胺和霜霉威的杀菌组合物及其应用 |
| CN105746525A (zh) * | 2016-04-26 | 2016-07-13 | 南京华洲药业有限公司 | 一种含吡唑萘菌胺和嘧菌胺的杀菌组合物及其应用 |
| CN106561664A (zh) * | 2016-10-10 | 2017-04-19 | 江苏辉丰农化股份有限公司 | 含有吡唑萘菌胺和苯菌酮的杀菌组合物 |
| CN106561664B (zh) * | 2016-10-10 | 2019-03-12 | 江苏辉丰农化股份有限公司 | 含有吡唑萘菌胺和苯菌酮的杀菌组合物 |
| CN106508945B (zh) * | 2016-11-11 | 2019-02-19 | 山东农业大学 | 一种含吡唑萘菌胺和异菌脲的杀菌组合物及其制剂与应用 |
| CN106508945A (zh) * | 2016-11-11 | 2017-03-22 | 山东农业大学 | 一种含吡唑萘菌胺和异菌脲的杀菌组合物及其制剂与应用 |
| CN109526978A (zh) * | 2017-08-07 | 2019-03-29 | 江苏龙灯化学有限公司 | 一种杀菌组合物 |
| CN109452269A (zh) * | 2018-12-21 | 2019-03-12 | 硅羿科技(上海)有限公司 | 阿维菌素乳液制剂及其制备方法及应用 |
| CN109452269B (zh) * | 2018-12-21 | 2021-06-01 | 硅羿科技(上海)有限公司 | 阿维菌素乳液制剂及其制备方法及应用 |
| CN109730074A (zh) * | 2019-01-14 | 2019-05-10 | 兴农药业(中国)有限公司 | 一种含有吡唑萘菌胺和戊唑醇的农药组合物 |
| CN110476991A (zh) * | 2019-09-05 | 2019-11-22 | 安徽华星化工有限公司 | 含有吡唑萘菌胺的复配农药杀菌组合物及制剂 |
| CN114617128A (zh) * | 2022-03-28 | 2022-06-14 | 青岛奥迪斯生物科技有限公司 | 一种含喹啉铜的农药组合物及其应用 |
| CN117770250A (zh) * | 2022-05-20 | 2024-03-29 | 青岛海利尔生物科技有限公司 | 一种含溴硝醇的杀菌组合物及其用途 |
| CN117770250B (zh) * | 2022-05-20 | 2025-06-27 | 青岛海利尔生物科技有限公司 | 一种含溴硝醇的杀菌组合物及其用途 |
Also Published As
Similar Documents
| Publication | Publication Date | Title |
|---|---|---|
| CN101035432A (zh) | 增效杀真菌组合物 | |
| CN101060781A (zh) | 杀真菌组合物 | |
| CN100548122C (zh) | 杀真菌组合物 | |
| JP6508836B2 (ja) | 殺菌・殺カビ組成物 | |
| CN102076216A (zh) | 杀真菌组合物 | |
| BR112013006531B1 (pt) | Método de controle de doenças fitopatogênicas em plantas úteis ou em seu material de propagação e composição fungicida | |
| CN1220435C (zh) | 类新烟碱对转基因植物的应用 | |
| CN1291863A (zh) | 杀虫剂在转基因植物上的应用 | |
| CN1879482A (zh) | 类新烟碱对转基因植物的应用 |
Legal Events
| Date | Code | Title | Description |
|---|---|---|---|
| C06 | Publication | ||
| PB01 | Publication | ||
| C10 | Entry into substantive examination | ||
| SE01 | Entry into force of request for substantive examination | ||
| C14 | Grant of patent or utility model | ||
| GR01 | Patent grant | ||
| TR01 | Transfer of patent right | ||
| TR01 | Transfer of patent right |
Effective date of registration: 20221026 Address after: Basel, SUI Patentee after: SYNGENTA PARTICIPATIONS AG Patentee after: Syngenta Group Inc. Address before: Basel, SUI Patentee before: SYNGENTA PARTICIPATIONS AG |
|
| CX01 | Expiry of patent term | ||
| CX01 | Expiry of patent term |
Granted publication date: 20090916 |




































































































































