BR112018070468B1 - Composição de detergente líquida aquosa para lavagem de roupas e método doméstico de tratamento de um tecido - Google Patents
Composição de detergente líquida aquosa para lavagem de roupas e método doméstico de tratamento de um tecido Download PDFInfo
- Publication number
- BR112018070468B1 BR112018070468B1 BR112018070468-7A BR112018070468A BR112018070468B1 BR 112018070468 B1 BR112018070468 B1 BR 112018070468B1 BR 112018070468 A BR112018070468 A BR 112018070468A BR 112018070468 B1 BR112018070468 B1 BR 112018070468B1
- Authority
- BR
- Brazil
- Prior art keywords
- weight
- detergent composition
- laundry detergent
- aqueous
- composition according
- Prior art date
Links
- 239000000203 mixture Substances 0.000 title claims abstract description 59
- 239000003599 detergent Substances 0.000 title claims description 27
- 239000007788 liquid Substances 0.000 title claims description 18
- 239000004744 fabric Substances 0.000 title claims description 12
- 238000000034 method Methods 0.000 title description 10
- 229920002873 Polyethylenimine Polymers 0.000 claims abstract description 30
- 229920000642 polymer Polymers 0.000 claims abstract description 27
- 239000004094 surface-active agent Substances 0.000 claims abstract description 11
- -1 alkylbenzene sulfonate Chemical class 0.000 claims description 54
- 125000000217 alkyl group Chemical group 0.000 claims description 16
- 239000002736 nonionic surfactant Substances 0.000 claims description 14
- 239000003945 anionic surfactant Substances 0.000 claims description 13
- LFQSCWFLJHTTHZ-UHFFFAOYSA-N Ethanol Chemical compound CCO LFQSCWFLJHTTHZ-UHFFFAOYSA-N 0.000 claims description 8
- 150000001298 alcohols Chemical class 0.000 claims description 8
- 229920000728 polyester Polymers 0.000 claims description 8
- KKEYFWRCBNTPAC-UHFFFAOYSA-L terephthalate(2-) Chemical compound [O-]C(=O)C1=CC=C(C([O-])=O)C=C1 KKEYFWRCBNTPAC-UHFFFAOYSA-L 0.000 claims description 8
- IAYPIBMASNFSPL-UHFFFAOYSA-N Ethylene oxide Chemical compound C1CO1 IAYPIBMASNFSPL-UHFFFAOYSA-N 0.000 claims description 7
- 238000007046 ethoxylation reaction Methods 0.000 claims description 7
- 229920006395 saturated elastomer Polymers 0.000 claims description 5
- 239000007864 aqueous solution Substances 0.000 claims description 4
- 239000002689 soil Substances 0.000 claims description 4
- DNIAPMSPPWPWGF-GSVOUGTGSA-N (R)-(-)-Propylene glycol Chemical compound C[C@@H](O)CO DNIAPMSPPWPWGF-GSVOUGTGSA-N 0.000 claims description 3
- 125000003178 carboxy group Chemical group [H]OC(*)=O 0.000 claims description 3
- 238000001035 drying Methods 0.000 claims description 2
- 239000000243 solution Substances 0.000 claims description 2
- 238000005008 domestic process Methods 0.000 claims 1
- 238000009472 formulation Methods 0.000 abstract description 17
- 239000000975 dye Substances 0.000 description 24
- 102000035195 Peptidases Human genes 0.000 description 17
- 108091005804 Peptidases Proteins 0.000 description 17
- 239000003205 fragrance Substances 0.000 description 14
- 108090000787 Subtilisin Proteins 0.000 description 11
- 239000004365 Protease Substances 0.000 description 10
- 108010056079 Subtilisins Proteins 0.000 description 9
- 102000005158 Subtilisins Human genes 0.000 description 9
- 125000002496 methyl group Chemical group [H]C([H])([H])* 0.000 description 9
- 101000740449 Bacillus subtilis (strain 168) Biotin/lipoyl attachment protein Proteins 0.000 description 8
- 102000004882 Lipase Human genes 0.000 description 8
- 108090001060 Lipase Proteins 0.000 description 8
- 239000003795 chemical substances by application Substances 0.000 description 8
- 235000018102 proteins Nutrition 0.000 description 8
- 102000004169 proteins and genes Human genes 0.000 description 8
- 108090000623 proteins and genes Proteins 0.000 description 8
- 102000004190 Enzymes Human genes 0.000 description 7
- 108090000790 Enzymes Proteins 0.000 description 7
- 239000004367 Lipase Substances 0.000 description 7
- 229920001577 copolymer Polymers 0.000 description 7
- 229940088598 enzyme Drugs 0.000 description 7
- 235000019421 lipase Nutrition 0.000 description 7
- 235000019419 proteases Nutrition 0.000 description 7
- PEDCQBHIVMGVHV-UHFFFAOYSA-N Glycerine Chemical compound OCC(O)CO PEDCQBHIVMGVHV-UHFFFAOYSA-N 0.000 description 6
- DNIAPMSPPWPWGF-UHFFFAOYSA-N Propylene glycol Chemical compound CC(O)CO DNIAPMSPPWPWGF-UHFFFAOYSA-N 0.000 description 6
- 239000000463 material Substances 0.000 description 6
- 102000012479 Serine Proteases Human genes 0.000 description 5
- 108010022999 Serine Proteases Proteins 0.000 description 5
- 101710135785 Subtilisin-like protease Proteins 0.000 description 5
- 241000193830 Bacillus <bacterium> Species 0.000 description 4
- 241001328119 Bacillus gibsonii Species 0.000 description 4
- 241000193422 Bacillus lentus Species 0.000 description 4
- 241000194103 Bacillus pumilus Species 0.000 description 4
- 235000014469 Bacillus subtilis Nutrition 0.000 description 4
- 229920002125 Sokalan® Polymers 0.000 description 4
- YTPLMLYBLZKORZ-UHFFFAOYSA-N Thiophene Chemical compound C=1C=CSC=1 YTPLMLYBLZKORZ-UHFFFAOYSA-N 0.000 description 4
- 238000004140 cleaning Methods 0.000 description 4
- 150000001875 compounds Chemical class 0.000 description 4
- 108010020132 microbial serine proteinases Proteins 0.000 description 4
- 108010065511 Amylases Proteins 0.000 description 3
- 102000013142 Amylases Human genes 0.000 description 3
- 241000304886 Bacilli Species 0.000 description 3
- 241000193744 Bacillus amyloliquefaciens Species 0.000 description 3
- 241000194108 Bacillus licheniformis Species 0.000 description 3
- UHOVQNZJYSORNB-UHFFFAOYSA-N Benzene Chemical class C1=CC=CC=C1 UHOVQNZJYSORNB-UHFFFAOYSA-N 0.000 description 3
- HEMHJVSKTPXQMS-UHFFFAOYSA-M Sodium hydroxide Chemical compound [OH-].[Na+] HEMHJVSKTPXQMS-UHFFFAOYSA-M 0.000 description 3
- 239000002253 acid Substances 0.000 description 3
- 150000001336 alkenes Chemical class 0.000 description 3
- 235000019418 amylase Nutrition 0.000 description 3
- 229940025131 amylases Drugs 0.000 description 3
- KRKNYBCHXYNGOX-UHFFFAOYSA-N citric acid Chemical compound OC(=O)CC(O)(C(O)=O)CC(O)=O KRKNYBCHXYNGOX-UHFFFAOYSA-N 0.000 description 3
- 230000000536 complexating effect Effects 0.000 description 3
- 239000007850 fluorescent dye Substances 0.000 description 3
- 239000004615 ingredient Substances 0.000 description 3
- 125000001449 isopropyl group Chemical group [H]C([H])([H])C([H])(*)C([H])([H])[H] 0.000 description 3
- 230000035772 mutation Effects 0.000 description 3
- 239000002304 perfume Substances 0.000 description 3
- 229920002689 polyvinyl acetate Polymers 0.000 description 3
- 239000011118 polyvinyl acetate Substances 0.000 description 3
- 150000003839 salts Chemical class 0.000 description 3
- 238000005406 washing Methods 0.000 description 3
- 239000002888 zwitterionic surfactant Substances 0.000 description 3
- 229920002126 Acrylic acid copolymer Polymers 0.000 description 2
- ZCTQGTTXIYCGGC-UHFFFAOYSA-N Benzyl salicylate Chemical compound OC1=CC=CC=C1C(=O)OCC1=CC=CC=C1 ZCTQGTTXIYCGGC-UHFFFAOYSA-N 0.000 description 2
- FKUPPRZPSYCDRS-UHFFFAOYSA-N Cyclopentadecanolide Chemical compound O=C1CCCCCCCCCCCCCCO1 FKUPPRZPSYCDRS-UHFFFAOYSA-N 0.000 description 2
- DGAQECJNVWCQMB-PUAWFVPOSA-M Ilexoside XXIX Chemical compound C[C@@H]1CC[C@@]2(CC[C@@]3(C(=CC[C@H]4[C@]3(CC[C@@H]5[C@@]4(CC[C@@H](C5(C)C)OS(=O)(=O)[O-])C)C)[C@@H]2[C@]1(C)O)C)C(=O)O[C@H]6[C@@H]([C@H]([C@@H]([C@H](O6)CO)O)O)O.[Na+] DGAQECJNVWCQMB-PUAWFVPOSA-M 0.000 description 2
- 241000579835 Merops Species 0.000 description 2
- ZOZIRNMDEZKZHM-UHFFFAOYSA-N Phenethyl phenylacetate Chemical compound C=1C=CC=CC=1CCOC(=O)CC1=CC=CC=C1 ZOZIRNMDEZKZHM-UHFFFAOYSA-N 0.000 description 2
- 229920003171 Poly (ethylene oxide) Polymers 0.000 description 2
- KWYUFKZDYYNOTN-UHFFFAOYSA-M Potassium hydroxide Chemical compound [OH-].[K+] KWYUFKZDYYNOTN-UHFFFAOYSA-M 0.000 description 2
- ATUOYWHBWRKTHZ-UHFFFAOYSA-N Propane Chemical group CCC ATUOYWHBWRKTHZ-UHFFFAOYSA-N 0.000 description 2
- 241000589516 Pseudomonas Species 0.000 description 2
- JUJWROOIHBZHMG-UHFFFAOYSA-N Pyridine Chemical compound C1=CC=NC=C1 JUJWROOIHBZHMG-UHFFFAOYSA-N 0.000 description 2
- ULUAUXLGCMPNKK-UHFFFAOYSA-N Sulfobutanedioic acid Chemical compound OC(=O)CC(C(O)=O)S(O)(=O)=O ULUAUXLGCMPNKK-UHFFFAOYSA-N 0.000 description 2
- 241000223258 Thermomyces lanuginosus Species 0.000 description 2
- 229940022663 acetate Drugs 0.000 description 2
- 229910052783 alkali metal Inorganic materials 0.000 description 2
- 125000003545 alkoxy group Chemical group 0.000 description 2
- 150000004996 alkyl benzenes Chemical class 0.000 description 2
- 108090000637 alpha-Amylases Proteins 0.000 description 2
- 102000004139 alpha-Amylases Human genes 0.000 description 2
- PYKYMHQGRFAEBM-UHFFFAOYSA-N anthraquinone Natural products CCC(=O)c1c(O)c2C(=O)C3C(C=CC=C3O)C(=O)c2cc1CC(=O)OC PYKYMHQGRFAEBM-UHFFFAOYSA-N 0.000 description 2
- 239000001000 anthraquinone dye Substances 0.000 description 2
- 150000004056 anthraquinones Chemical class 0.000 description 2
- 230000001580 bacterial effect Effects 0.000 description 2
- QUKGYYKBILRGFE-UHFFFAOYSA-N benzyl acetate Chemical compound CC(=O)OCC1=CC=CC=C1 QUKGYYKBILRGFE-UHFFFAOYSA-N 0.000 description 2
- 230000015572 biosynthetic process Effects 0.000 description 2
- KGBXLFKZBHKPEV-UHFFFAOYSA-N boric acid Chemical compound OB(O)O KGBXLFKZBHKPEV-UHFFFAOYSA-N 0.000 description 2
- 150000007942 carboxylates Chemical class 0.000 description 2
- HQKQRXZEXPXXIG-VJOHVRBBSA-N chembl2333940 Chemical compound C1[C@]23[C@H](C)CC[C@H]3C(C)(C)[C@H]1[C@@](OC(C)=O)(C)CC2 HQKQRXZEXPXXIG-VJOHVRBBSA-N 0.000 description 2
- QMVPMAAFGQKVCJ-UHFFFAOYSA-N citronellol Chemical compound OCCC(C)CCC=C(C)C QMVPMAAFGQKVCJ-UHFFFAOYSA-N 0.000 description 2
- ZYGHJZDHTFUPRJ-UHFFFAOYSA-N coumarin Chemical compound C1=CC=C2OC(=O)C=CC2=C1 ZYGHJZDHTFUPRJ-UHFFFAOYSA-N 0.000 description 2
- 125000004122 cyclic group Chemical group 0.000 description 2
- HFJRKMMYBMWEAD-UHFFFAOYSA-N dodecanal Chemical compound CCCCCCCCCCCC=O HFJRKMMYBMWEAD-UHFFFAOYSA-N 0.000 description 2
- 239000000796 flavoring agent Substances 0.000 description 2
- 235000019634 flavors Nutrition 0.000 description 2
- 230000002538 fungal effect Effects 0.000 description 2
- JARKCYVAAOWBJS-UHFFFAOYSA-N hexanal Chemical compound CCCCCC=O JARKCYVAAOWBJS-UHFFFAOYSA-N 0.000 description 2
- CPJRRXSHAYUTGL-UHFFFAOYSA-N isopentenyl alcohol Chemical compound CC(=C)CCO CPJRRXSHAYUTGL-UHFFFAOYSA-N 0.000 description 2
- JVTAAEKCZFNVCJ-UHFFFAOYSA-N lactic acid Chemical compound CC(O)C(O)=O JVTAAEKCZFNVCJ-UHFFFAOYSA-N 0.000 description 2
- CDOSHBSSFJOMGT-UHFFFAOYSA-N linalool Chemical compound CC(C)=CCCC(C)(O)C=C CDOSHBSSFJOMGT-UHFFFAOYSA-N 0.000 description 2
- 230000014759 maintenance of location Effects 0.000 description 2
- YDSWCNNOKPMOTP-UHFFFAOYSA-N mellitic acid Chemical class OC(=O)C1=C(C(O)=O)C(C(O)=O)=C(C(O)=O)C(C(O)=O)=C1C(O)=O YDSWCNNOKPMOTP-UHFFFAOYSA-N 0.000 description 2
- NYGZLYXAPMMJTE-UHFFFAOYSA-M metanil yellow Chemical group [Na+].[O-]S(=O)(=O)C1=CC=CC(N=NC=2C=CC(NC=3C=CC=CC=3)=CC=2)=C1 NYGZLYXAPMMJTE-UHFFFAOYSA-M 0.000 description 2
- 125000004108 n-butyl group Chemical group [H]C([H])([H])C([H])([H])C([H])([H])C([H])([H])* 0.000 description 2
- 125000004123 n-propyl group Chemical group [H]C([H])([H])C([H])([H])C([H])([H])* 0.000 description 2
- NUJGJRNETVAIRJ-UHFFFAOYSA-N octanal Chemical compound CCCCCCCC=O NUJGJRNETVAIRJ-UHFFFAOYSA-N 0.000 description 2
- OSORMYZMWHVFOZ-UHFFFAOYSA-N phenethyl benzoate Chemical compound C=1C=CC=CC=1C(=O)OCCC1=CC=CC=C1 OSORMYZMWHVFOZ-UHFFFAOYSA-N 0.000 description 2
- 229920005646 polycarboxylate Polymers 0.000 description 2
- 229920001444 polymaleic acid Polymers 0.000 description 2
- 230000000379 polymerizing effect Effects 0.000 description 2
- 125000002924 primary amino group Chemical group [H]N([H])* 0.000 description 2
- 108090000765 processed proteins & peptides Proteins 0.000 description 2
- 235000019833 protease Nutrition 0.000 description 2
- 239000003352 sequestering agent Substances 0.000 description 2
- 239000000344 soap Substances 0.000 description 2
- 229910052708 sodium Inorganic materials 0.000 description 2
- 239000011734 sodium Substances 0.000 description 2
- 159000000000 sodium salts Chemical class 0.000 description 2
- 239000003381 stabilizer Substances 0.000 description 2
- 239000000126 substance Substances 0.000 description 2
- 238000003786 synthesis reaction Methods 0.000 description 2
- 125000000999 tert-butyl group Chemical group [H]C([H])([H])C(*)(C([H])([H])[H])C([H])([H])[H] 0.000 description 2
- 229930192474 thiophene Natural products 0.000 description 2
- NPNUFJAVOOONJE-ZIAGYGMSSA-N β-(E)-Caryophyllene Chemical compound C1CC(C)=CCCC(=C)[C@H]2CC(C)(C)[C@@H]21 NPNUFJAVOOONJE-ZIAGYGMSSA-N 0.000 description 2
- PSQYTAPXSHCGMF-BQYQJAHWSA-N β-ionone Chemical compound CC(=O)\C=C\C1=C(C)CCCC1(C)C PSQYTAPXSHCGMF-BQYQJAHWSA-N 0.000 description 2
- SFEOKXHPFMOVRM-UHFFFAOYSA-N (+)-(S)-gamma-ionone Natural products CC(=O)C=CC1C(=C)CCCC1(C)C SFEOKXHPFMOVRM-UHFFFAOYSA-N 0.000 description 1
- FINOAUDUYKVGDS-UHFFFAOYSA-N (2-tert-butylcyclohexyl) acetate Chemical compound CC(=O)OC1CCCCC1C(C)(C)C FINOAUDUYKVGDS-UHFFFAOYSA-N 0.000 description 1
- 239000001490 (3R)-3,7-dimethylocta-1,6-dien-3-ol Substances 0.000 description 1
- VXWBQOJISHAKKM-UHFFFAOYSA-N (4-formylphenyl)boronic acid Chemical compound OB(O)C1=CC=C(C=O)C=C1 VXWBQOJISHAKKM-UHFFFAOYSA-N 0.000 description 1
- 239000001306 (7E,9E,11E,13E)-pentadeca-7,9,11,13-tetraen-1-ol Substances 0.000 description 1
- QMVPMAAFGQKVCJ-SNVBAGLBSA-N (R)-(+)-citronellol Natural products OCC[C@H](C)CCC=C(C)C QMVPMAAFGQKVCJ-SNVBAGLBSA-N 0.000 description 1
- CDOSHBSSFJOMGT-JTQLQIEISA-N (R)-linalool Natural products CC(C)=CCC[C@@](C)(O)C=C CDOSHBSSFJOMGT-JTQLQIEISA-N 0.000 description 1
- XEJGJTYRUWUFFD-FNORWQNLSA-N (e)-1-(2,6,6-trimethyl-1-cyclohex-3-enyl)but-2-en-1-one Chemical compound C\C=C\C(=O)C1C(C)C=CCC1(C)C XEJGJTYRUWUFFD-FNORWQNLSA-N 0.000 description 1
- 125000001989 1,3-phenylene group Chemical group [H]C1=C([H])C([*:1])=C([H])C([*:2])=C1[H] 0.000 description 1
- BLFZMXOCPASACY-UHFFFAOYSA-N 1,4-bis(propan-2-ylamino)anthracene-9,10-dione Chemical compound O=C1C2=CC=CC=C2C(=O)C2=C1C(NC(C)C)=CC=C2NC(C)C BLFZMXOCPASACY-UHFFFAOYSA-N 0.000 description 1
- VEPOHXYIFQMVHW-XOZOLZJESA-N 2,3-dihydroxybutanedioic acid (2S,3S)-3,4-dimethyl-2-phenylmorpholine Chemical compound OC(C(O)C(O)=O)C(O)=O.C[C@H]1[C@@H](OCCN1C)c1ccccc1 VEPOHXYIFQMVHW-XOZOLZJESA-N 0.000 description 1
- OVSKIKFHRZPJSS-UHFFFAOYSA-N 2,4-D Chemical compound OC(=O)COC1=CC=C(Cl)C=C1Cl OVSKIKFHRZPJSS-UHFFFAOYSA-N 0.000 description 1
- CFPOJWPDQWJEMO-UHFFFAOYSA-N 2-(1,2-dicarboxyethoxy)butanedioic acid Chemical class OC(=O)CC(C(O)=O)OC(C(O)=O)CC(O)=O CFPOJWPDQWJEMO-UHFFFAOYSA-N 0.000 description 1
- SMZOUWXMTYCWNB-UHFFFAOYSA-N 2-(2-methoxy-5-methylphenyl)ethanamine Chemical compound COC1=CC=C(C)C=C1CCN SMZOUWXMTYCWNB-UHFFFAOYSA-N 0.000 description 1
- NIXOWILDQLNWCW-UHFFFAOYSA-N 2-Propenoic acid Natural products OC(=O)C=C NIXOWILDQLNWCW-UHFFFAOYSA-N 0.000 description 1
- IEPUABWMJBVAAN-UHFFFAOYSA-N 2-[4-[[4-[4-[2-(2-methylprop-2-enoyloxy)ethyl]anilino]-9,10-dioxoanthracen-1-yl]amino]phenyl]ethyl 2-methylprop-2-enoate Chemical compound C1=CC(CCOC(=O)C(=C)C)=CC=C1NC(C=1C(=O)C2=CC=CC=C2C(=O)C=11)=CC=C1NC1=CC=C(CCOC(=O)C(C)=C)C=C1 IEPUABWMJBVAAN-UHFFFAOYSA-N 0.000 description 1
- SUSSMAWGVJTGOM-UHFFFAOYSA-N 2-[[4-[2-(2-methylprop-2-enoyloxy)ethylamino]-9,10-dioxoanthracen-1-yl]amino]ethyl 2-methylprop-2-enoate Chemical compound O=C1C2=CC=CC=C2C(=O)C2=C1C(NCCOC(=O)C(C)=C)=CC=C2NCCOC(=O)C(=C)C SUSSMAWGVJTGOM-UHFFFAOYSA-N 0.000 description 1
- MSWZFWKMSRAUBD-IVMDWMLBSA-N 2-amino-2-deoxy-D-glucopyranose Chemical compound N[C@H]1C(O)O[C@H](CO)[C@@H](O)[C@@H]1O MSWZFWKMSRAUBD-IVMDWMLBSA-N 0.000 description 1
- ZPSJGADGUYYRKE-UHFFFAOYSA-N 2H-pyran-2-one Chemical compound O=C1C=CC=CO1 ZPSJGADGUYYRKE-UHFFFAOYSA-N 0.000 description 1
- JRJBVWJSTHECJK-PKNBQFBNSA-N 3-Methyl-4-(2,6,6-trimethyl-2-cyclohexen-1-yl)-3-buten-2-one Chemical compound CC(=O)C(\C)=C\C1C(C)=CCCC1(C)C JRJBVWJSTHECJK-PKNBQFBNSA-N 0.000 description 1
- ZXVONLUNISGICL-UHFFFAOYSA-N 4,6-dinitro-o-cresol Chemical compound CC1=CC([N+]([O-])=O)=CC([N+]([O-])=O)=C1O ZXVONLUNISGICL-UHFFFAOYSA-N 0.000 description 1
- MXMWUQAFMKOTIQ-UHFFFAOYSA-N 4-(carboxymethoxy)-4-oxobutanoic acid Chemical class OC(=O)CCC(=O)OCC(O)=O MXMWUQAFMKOTIQ-UHFFFAOYSA-N 0.000 description 1
- UHPMCKVQTMMPCG-UHFFFAOYSA-N 5,8-dihydroxy-2-methoxy-6-methyl-7-(2-oxopropyl)naphthalene-1,4-dione Chemical compound CC1=C(CC(C)=O)C(O)=C2C(=O)C(OC)=CC(=O)C2=C1O UHPMCKVQTMMPCG-UHFFFAOYSA-N 0.000 description 1
- YGUMVDWOQQJBGA-VAWYXSNFSA-N 5-[(4-anilino-6-morpholin-4-yl-1,3,5-triazin-2-yl)amino]-2-[(e)-2-[4-[(4-anilino-6-morpholin-4-yl-1,3,5-triazin-2-yl)amino]-2-sulfophenyl]ethenyl]benzenesulfonic acid Chemical compound C=1C=C(\C=C\C=2C(=CC(NC=3N=C(N=C(NC=4C=CC=CC=4)N=3)N3CCOCC3)=CC=2)S(O)(=O)=O)C(S(=O)(=O)O)=CC=1NC(N=C(N=1)N2CCOCC2)=NC=1NC1=CC=CC=C1 YGUMVDWOQQJBGA-VAWYXSNFSA-N 0.000 description 1
- WGPCZPLRVAWXPW-NSHDSACASA-N 5-octyloxolan-2-one Chemical compound CCCCCCCC[C@H]1CCC(=O)O1 WGPCZPLRVAWXPW-NSHDSACASA-N 0.000 description 1
- QTBSBXVTEAMEQO-UHFFFAOYSA-M Acetate Chemical compound CC([O-])=O QTBSBXVTEAMEQO-UHFFFAOYSA-M 0.000 description 1
- QTBSBXVTEAMEQO-UHFFFAOYSA-N Acetic acid Chemical group CC(O)=O QTBSBXVTEAMEQO-UHFFFAOYSA-N 0.000 description 1
- 101100313763 Arabidopsis thaliana TIM22-2 gene Proteins 0.000 description 1
- 108091005504 Asparagine peptide lyases Proteins 0.000 description 1
- 108091005502 Aspartic proteases Proteins 0.000 description 1
- 102000035101 Aspartic proteases Human genes 0.000 description 1
- 108010062877 Bacteriocins Proteins 0.000 description 1
- BTBUEUYNUDRHOZ-UHFFFAOYSA-N Borate Chemical compound [O-]B([O-])[O-] BTBUEUYNUDRHOZ-UHFFFAOYSA-N 0.000 description 1
- 241000283690 Bos taurus Species 0.000 description 1
- 241000589513 Burkholderia cepacia Species 0.000 description 1
- 229920002134 Carboxymethyl cellulose Polymers 0.000 description 1
- 241000218645 Cedrus Species 0.000 description 1
- 102000005575 Cellulases Human genes 0.000 description 1
- 108010084185 Cellulases Proteins 0.000 description 1
- 108090000317 Chymotrypsin Proteins 0.000 description 1
- KRKNYBCHXYNGOX-UHFFFAOYSA-K Citrate Chemical compound [O-]C(=O)CC(O)(CC([O-])=O)C([O-])=O KRKNYBCHXYNGOX-UHFFFAOYSA-K 0.000 description 1
- 229920000742 Cotton Polymers 0.000 description 1
- 108010005843 Cysteine Proteases Proteins 0.000 description 1
- 102000005927 Cysteine Proteases Human genes 0.000 description 1
- 102000016559 DNA Primase Human genes 0.000 description 1
- 108010092681 DNA Primase Proteins 0.000 description 1
- QXNVGIXVLWOKEQ-UHFFFAOYSA-N Disodium Chemical compound [Na][Na] QXNVGIXVLWOKEQ-UHFFFAOYSA-N 0.000 description 1
- KCXVZYZYPLLWCC-UHFFFAOYSA-N EDTA Chemical compound OC(=O)CN(CC(O)=O)CCN(CC(O)=O)CC(O)=O KCXVZYZYPLLWCC-UHFFFAOYSA-N 0.000 description 1
- 108010067770 Endopeptidase K Proteins 0.000 description 1
- OTMSDBZUPAUEDD-UHFFFAOYSA-N Ethane Chemical group CC OTMSDBZUPAUEDD-UHFFFAOYSA-N 0.000 description 1
- FXNFFCMITPHEIT-UHFFFAOYSA-N Ethyl 10-undecenoate Chemical compound CCOC(=O)CCCCCCCCC=C FXNFFCMITPHEIT-UHFFFAOYSA-N 0.000 description 1
- HZPKNSYIDSNZKW-UHFFFAOYSA-N Ethyl 2-methylpentanoate Chemical compound CCCC(C)C(=O)OCC HZPKNSYIDSNZKW-UHFFFAOYSA-N 0.000 description 1
- 241000223218 Fusarium Species 0.000 description 1
- 241000193385 Geobacillus stearothermophilus Species 0.000 description 1
- 108091005503 Glutamic proteases Proteins 0.000 description 1
- PDEQKAVEYSOLJX-UHFFFAOYSA-N Hexahydronerolidol Natural products C1C2C3(C)C2CC1C3(C)CCC=C(CO)C PDEQKAVEYSOLJX-UHFFFAOYSA-N 0.000 description 1
- 101001054807 Homo sapiens Importin subunit alpha-6 Proteins 0.000 description 1
- 241000223198 Humicola Species 0.000 description 1
- 241001480714 Humicola insolens Species 0.000 description 1
- 102100027007 Importin subunit alpha-6 Human genes 0.000 description 1
- KFZMGEQAYNKOFK-UHFFFAOYSA-N Isopropanol Chemical group CC(C)O KFZMGEQAYNKOFK-UHFFFAOYSA-N 0.000 description 1
- 102100027612 Kallikrein-11 Human genes 0.000 description 1
- 101710172072 Kexin Proteins 0.000 description 1
- QPCDCPDFJACHGM-UHFFFAOYSA-N N,N-bis{2-[bis(carboxymethyl)amino]ethyl}glycine Chemical compound OC(=O)CN(CC(O)=O)CCN(CC(=O)O)CCN(CC(O)=O)CC(O)=O QPCDCPDFJACHGM-UHFFFAOYSA-N 0.000 description 1
- OVRNDRQMDRJTHS-UHFFFAOYSA-N N-acelyl-D-glucosamine Natural products CC(=O)NC1C(O)OC(CO)C(O)C1O OVRNDRQMDRJTHS-UHFFFAOYSA-N 0.000 description 1
- OVRNDRQMDRJTHS-FMDGEEDCSA-N N-acetyl-beta-D-glucosamine Chemical compound CC(=O)N[C@H]1[C@H](O)O[C@H](CO)[C@@H](O)[C@@H]1O OVRNDRQMDRJTHS-FMDGEEDCSA-N 0.000 description 1
- MBLBDJOUHNCFQT-LXGUWJNJSA-N N-acetylglucosamine Natural products CC(=O)N[C@@H](C=O)[C@@H](O)[C@H](O)[C@H](O)CO MBLBDJOUHNCFQT-LXGUWJNJSA-N 0.000 description 1
- 229910004727 OSO3H Inorganic materials 0.000 description 1
- PCNDJXKNXGMECE-UHFFFAOYSA-N Phenazine Natural products C1=CC=CC2=NC3=CC=CC=C3N=C21 PCNDJXKNXGMECE-UHFFFAOYSA-N 0.000 description 1
- 229920002504 Poly(2-vinylpyridine-N-oxide) Polymers 0.000 description 1
- ZLMJMSJWJFRBEC-UHFFFAOYSA-N Potassium Chemical compound [K] ZLMJMSJWJFRBEC-UHFFFAOYSA-N 0.000 description 1
- 241000168225 Pseudomonas alcaligenes Species 0.000 description 1
- 241000589540 Pseudomonas fluorescens Species 0.000 description 1
- 241000589630 Pseudomonas pseudoalcaligenes Species 0.000 description 1
- 241000589614 Pseudomonas stutzeri Species 0.000 description 1
- 241000577556 Pseudomonas wisconsinensis Species 0.000 description 1
- 101710081551 Pyrolysin Proteins 0.000 description 1
- NSDSIQGBHACTLY-UHFFFAOYSA-N Reactive Blue 5 Chemical compound C1=2C(=O)C3=CC=CC=C3C(=O)C=2C(N)=C(S(O)(=O)=O)C=C1NC(C=1)=CC=C(S(O)(=O)=O)C=1NC(N=1)=NC(Cl)=NC=1NC1=CC=CC(S(O)(=O)=O)=C1 NSDSIQGBHACTLY-UHFFFAOYSA-N 0.000 description 1
- 102220528606 Ribonuclease P/MRP protein subunit POP5_S99D_mutation Human genes 0.000 description 1
- MTCFGRXMJLQNBG-UHFFFAOYSA-N Serine Natural products OCC(N)C(O)=O MTCFGRXMJLQNBG-UHFFFAOYSA-N 0.000 description 1
- DBMJMQXJHONAFJ-UHFFFAOYSA-M Sodium laurylsulphate Chemical compound [Na+].CCCCCCCCCCCCOS([O-])(=O)=O DBMJMQXJHONAFJ-UHFFFAOYSA-M 0.000 description 1
- 241000223257 Thermomyces Species 0.000 description 1
- 108091005501 Threonine proteases Proteins 0.000 description 1
- 102000035100 Threonine proteases Human genes 0.000 description 1
- 108090000631 Trypsin Proteins 0.000 description 1
- 102000004142 Trypsin Human genes 0.000 description 1
- 101710152431 Trypsin-like protease Proteins 0.000 description 1
- QLRICECRKJGSKQ-SDNWHVSQSA-N [(2e)-3,7-dimethylocta-2,6-dienyl] 2-aminobenzoate Chemical compound CC(C)=CCC\C(C)=C\COC(=O)C1=CC=CC=C1N QLRICECRKJGSKQ-SDNWHVSQSA-N 0.000 description 1
- 238000010521 absorption reaction Methods 0.000 description 1
- 150000007513 acids Chemical class 0.000 description 1
- 125000001931 aliphatic group Chemical group 0.000 description 1
- 239000003513 alkali Substances 0.000 description 1
- 150000001340 alkali metals Chemical class 0.000 description 1
- 150000008051 alkyl sulfates Chemical class 0.000 description 1
- PDEQKAVEYSOLJX-AIEDFZFUSA-N alpha-Santalol Natural products CC(=CCC[C@@]1(C)[C@H]2C[C@@H]3[C@H](C2)[C@]13C)CO PDEQKAVEYSOLJX-AIEDFZFUSA-N 0.000 description 1
- PDEQKAVEYSOLJX-BKKZDLJQSA-N alpha-santalol Chemical compound C1C2[C@]3(C)C2C[C@H]1[C@@]3(C)CC/C=C(CO)/C PDEQKAVEYSOLJX-BKKZDLJQSA-N 0.000 description 1
- 229940062909 amyl salicylate Drugs 0.000 description 1
- 125000000129 anionic group Chemical group 0.000 description 1
- 125000004429 atom Chemical group 0.000 description 1
- 239000000987 azo dye Substances 0.000 description 1
- 125000000751 azo group Chemical group [*]N=N[*] 0.000 description 1
- 239000002585 base Substances 0.000 description 1
- 229940007550 benzyl acetate Drugs 0.000 description 1
- MSWZFWKMSRAUBD-UHFFFAOYSA-N beta-D-galactosamine Natural products NC1C(O)OC(CO)C(O)C1O MSWZFWKMSRAUBD-UHFFFAOYSA-N 0.000 description 1
- NPNUFJAVOOONJE-UHFFFAOYSA-N beta-cariophyllene Natural products C1CC(C)=CCCC(=C)C2CC(C)(C)C21 NPNUFJAVOOONJE-UHFFFAOYSA-N 0.000 description 1
- JGQFVRIQXUFPAH-UHFFFAOYSA-N beta-citronellol Natural products OCCC(C)CCCC(C)=C JGQFVRIQXUFPAH-UHFFFAOYSA-N 0.000 description 1
- 230000008033 biological extinction Effects 0.000 description 1
- 239000007844 bleaching agent Substances 0.000 description 1
- 239000004327 boric acid Substances 0.000 description 1
- 235000012745 brilliant blue FCF Nutrition 0.000 description 1
- 102220350531 c.80A>G Human genes 0.000 description 1
- 125000004432 carbon atom Chemical group C* 0.000 description 1
- 239000001768 carboxy methyl cellulose Substances 0.000 description 1
- 235000010948 carboxy methyl cellulose Nutrition 0.000 description 1
- 239000008112 carboxymethyl-cellulose Substances 0.000 description 1
- NPNUFJAVOOONJE-UONOGXRCSA-N caryophyllene Natural products C1CC(C)=CCCC(=C)[C@@H]2CC(C)(C)[C@@H]21 NPNUFJAVOOONJE-UONOGXRCSA-N 0.000 description 1
- 125000002091 cationic group Chemical group 0.000 description 1
- SVURIXNDRWRAFU-OGMFBOKVSA-N cedrol Chemical compound C1[C@]23[C@H](C)CC[C@H]3C(C)(C)[C@@H]1[C@@](O)(C)CC2 SVURIXNDRWRAFU-OGMFBOKVSA-N 0.000 description 1
- 229940026455 cedrol Drugs 0.000 description 1
- PCROEXHGMUJCDB-UHFFFAOYSA-N cedrol Natural products CC1CCC2C(C)(C)C3CC(C)(O)CC12C3 PCROEXHGMUJCDB-UHFFFAOYSA-N 0.000 description 1
- 238000006243 chemical reaction Methods 0.000 description 1
- 150000001860 citric acid derivatives Chemical class 0.000 description 1
- 235000000484 citronellol Nutrition 0.000 description 1
- 239000008139 complexing agent Substances 0.000 description 1
- 239000002537 cosmetic Substances 0.000 description 1
- 229960000956 coumarin Drugs 0.000 description 1
- 235000001671 coumarin Nutrition 0.000 description 1
- NUQDJSMHGCTKNL-UHFFFAOYSA-N cyclohexyl 2-hydroxybenzoate Chemical compound OC1=CC=CC=C1C(=O)OC1CCCCC1 NUQDJSMHGCTKNL-UHFFFAOYSA-N 0.000 description 1
- 230000008021 deposition Effects 0.000 description 1
- HBGGXOJOCNVPFY-UHFFFAOYSA-N diisononyl phthalate Chemical compound CC(C)CCCCCCOC(=O)C1=CC=CC=C1C(=O)OCCCCCCC(C)C HBGGXOJOCNVPFY-UHFFFAOYSA-N 0.000 description 1
- ZUOUZKKEUPVFJK-UHFFFAOYSA-N diphenyl Chemical class C1=CC=CC=C1C1=CC=CC=C1 ZUOUZKKEUPVFJK-UHFFFAOYSA-N 0.000 description 1
- PMPJQLCPEQFEJW-HPKCLRQXSA-L disodium;2-[(e)-2-[4-[4-[(e)-2-(2-sulfonatophenyl)ethenyl]phenyl]phenyl]ethenyl]benzenesulfonate Chemical group [Na+].[Na+].[O-]S(=O)(=O)C1=CC=CC=C1\C=C\C1=CC=C(C=2C=CC(\C=C\C=3C(=CC=CC=3)S([O-])(=O)=O)=CC=2)C=C1 PMPJQLCPEQFEJW-HPKCLRQXSA-L 0.000 description 1
- VUJGKADZTYCLIL-YHPRVSEPSA-L disodium;5-[(4-anilino-6-morpholin-4-yl-1,3,5-triazin-2-yl)amino]-2-[(e)-2-[4-[(4-anilino-6-morpholin-4-yl-1,3,5-triazin-2-yl)amino]-2-sulfonatophenyl]ethenyl]benzenesulfonate Chemical compound [Na+].[Na+].C=1C=C(\C=C\C=2C(=CC(NC=3N=C(N=C(NC=4C=CC=CC=4)N=3)N3CCOCC3)=CC=2)S([O-])(=O)=O)C(S(=O)(=O)[O-])=CC=1NC(N=C(N=1)N2CCOCC2)=NC=1NC1=CC=CC=C1 VUJGKADZTYCLIL-YHPRVSEPSA-L 0.000 description 1
- VTIIJXUACCWYHX-UHFFFAOYSA-L disodium;carboxylatooxy carbonate Chemical compound [Na+].[Na+].[O-]C(=O)OOC([O-])=O VTIIJXUACCWYHX-UHFFFAOYSA-L 0.000 description 1
- GMSCBRSQMRDRCD-UHFFFAOYSA-N dodecyl 2-methylprop-2-enoate Chemical compound CCCCCCCCCCCCOC(=O)C(C)=C GMSCBRSQMRDRCD-UHFFFAOYSA-N 0.000 description 1
- 125000003438 dodecyl group Chemical group [H]C([H])([H])C([H])([H])C([H])([H])C([H])([H])C([H])([H])C([H])([H])C([H])([H])C([H])([H])C([H])([H])C([H])([H])C([H])([H])C([H])([H])* 0.000 description 1
- 125000001301 ethoxy group Chemical group [H]C([H])([H])C([H])([H])O* 0.000 description 1
- NYNCZOLNVTXTTP-UHFFFAOYSA-N ethyl 2-(1,3-dioxoisoindol-2-yl)acetate Chemical compound C1=CC=C2C(=O)N(CC(=O)OCC)C(=O)C2=C1 NYNCZOLNVTXTTP-UHFFFAOYSA-N 0.000 description 1
- 125000001495 ethyl group Chemical group [H]C([H])([H])C([H])([H])* 0.000 description 1
- 235000013305 food Nutrition 0.000 description 1
- WGPCZPLRVAWXPW-LLVKDONJSA-N gamma-Dodecalactone Natural products CCCCCCCC[C@@H]1CCC(=O)O1 WGPCZPLRVAWXPW-LLVKDONJSA-N 0.000 description 1
- 229960002442 glucosamine Drugs 0.000 description 1
- 229920000578 graft copolymer Polymers 0.000 description 1
- 125000000623 heterocyclic group Chemical group 0.000 description 1
- 125000002887 hydroxy group Chemical group [H]O* 0.000 description 1
- SVURIXNDRWRAFU-UHFFFAOYSA-N juniperanol Natural products C1C23C(C)CCC3C(C)(C)C1C(O)(C)CC2 SVURIXNDRWRAFU-UHFFFAOYSA-N 0.000 description 1
- 239000004310 lactic acid Substances 0.000 description 1
- 235000014655 lactic acid Nutrition 0.000 description 1
- 229930007744 linalool Natural products 0.000 description 1
- 239000012669 liquid formulation Substances 0.000 description 1
- 229910003002 lithium salt Inorganic materials 0.000 description 1
- 159000000002 lithium salts Chemical class 0.000 description 1
- 150000002690 malonic acid derivatives Chemical class 0.000 description 1
- 108010003855 mesentericopeptidase Proteins 0.000 description 1
- 108010009355 microbial metalloproteinases Proteins 0.000 description 1
- 230000004048 modification Effects 0.000 description 1
- 238000012986 modification Methods 0.000 description 1
- 239000000178 monomer Substances 0.000 description 1
- 229950006780 n-acetylglucosamine Drugs 0.000 description 1
- MGFYIUFZLHCRTH-UHFFFAOYSA-N nitrilotriacetic acid Chemical compound OC(=O)CN(CC(O)=O)CC(O)=O MGFYIUFZLHCRTH-UHFFFAOYSA-N 0.000 description 1
- OSLCPZYIPCXBMS-UHFFFAOYSA-N octa-1,6-dien-3-ol Chemical compound CC=CCCC(O)C=C OSLCPZYIPCXBMS-UHFFFAOYSA-N 0.000 description 1
- 230000003287 optical effect Effects 0.000 description 1
- 229960003330 pentetic acid Drugs 0.000 description 1
- 150000004965 peroxy acids Chemical class 0.000 description 1
- 150000002988 phenazines Chemical class 0.000 description 1
- HXITXNWTGFUOAU-UHFFFAOYSA-N phenylboronic acid Chemical class OB(O)C1=CC=CC=C1 HXITXNWTGFUOAU-UHFFFAOYSA-N 0.000 description 1
- 125000000843 phenylene group Chemical group C1(=C(C=CC=C1)*)* 0.000 description 1
- 239000000049 pigment Substances 0.000 description 1
- 229920002006 poly(N-vinylimidazole) polymer Polymers 0.000 description 1
- 229920000196 poly(lauryl methacrylate) Polymers 0.000 description 1
- 229920000058 polyacrylate Polymers 0.000 description 1
- 239000004584 polyacrylic acid Substances 0.000 description 1
- 229920001515 polyalkylene glycol Polymers 0.000 description 1
- 229920001223 polyethylene glycol Polymers 0.000 description 1
- 229920000139 polyethylene terephthalate Polymers 0.000 description 1
- 239000005020 polyethylene terephthalate Substances 0.000 description 1
- 229920005862 polyol Polymers 0.000 description 1
- 150000003077 polyols Chemical class 0.000 description 1
- 229920005996 polystyrene-poly(ethylene-butylene)-polystyrene Polymers 0.000 description 1
- 229920002451 polyvinyl alcohol Polymers 0.000 description 1
- 229910052700 potassium Inorganic materials 0.000 description 1
- 239000011591 potassium Substances 0.000 description 1
- 102000004196 processed proteins & peptides Human genes 0.000 description 1
- BDERNNFJNOPAEC-UHFFFAOYSA-N propan-1-ol Chemical compound CCCO BDERNNFJNOPAEC-UHFFFAOYSA-N 0.000 description 1
- 239000001294 propane Chemical group 0.000 description 1
- 125000002572 propoxy group Chemical group [*]OC([H])([H])C(C([H])([H])[H])([H])[H] 0.000 description 1
- 150000003219 pyrazolines Chemical class 0.000 description 1
- 238000005956 quaternization reaction Methods 0.000 description 1
- KUIXZSYWBHSYCN-UHFFFAOYSA-L remazol brilliant blue r Chemical compound [Na+].[Na+].C1=C(S([O-])(=O)=O)C(N)=C2C(=O)C3=CC=CC=C3C(=O)C2=C1NC1=CC=CC(S(=O)(=O)CCOS([O-])(=O)=O)=C1 KUIXZSYWBHSYCN-UHFFFAOYSA-L 0.000 description 1
- 102200131574 rs11556620 Human genes 0.000 description 1
- 102220036452 rs137882485 Human genes 0.000 description 1
- 102200065573 rs140660066 Human genes 0.000 description 1
- 102200118280 rs33918343 Human genes 0.000 description 1
- 102220243297 rs374524755 Human genes 0.000 description 1
- 102200034374 rs6092 Human genes 0.000 description 1
- 102220289974 rs757282628 Human genes 0.000 description 1
- 102200025035 rs786203989 Human genes 0.000 description 1
- 102220099575 rs878853725 Human genes 0.000 description 1
- 229920005573 silicon-containing polymer Polymers 0.000 description 1
- 229960001922 sodium perborate Drugs 0.000 description 1
- 229940045872 sodium percarbonate Drugs 0.000 description 1
- AXMCIYLNKNGNOT-UHFFFAOYSA-N sodium;3-[[4-[(4-dimethylazaniumylidenecyclohexa-2,5-dien-1-ylidene)-[4-[ethyl-[(3-sulfophenyl)methyl]amino]phenyl]methyl]-n-ethylanilino]methyl]benzenesulfonate Chemical compound [Na+].C=1C=C(C(=C2C=CC(C=C2)=[N+](C)C)C=2C=CC(=CC=2)N(CC)CC=2C=C(C=CC=2)S([O-])(=O)=O)C=CC=1N(CC)CC1=CC=CC(S(O)(=O)=O)=C1 AXMCIYLNKNGNOT-UHFFFAOYSA-N 0.000 description 1
- RBYJOOWYRXEJAM-UHFFFAOYSA-M sodium;5,9-dianilino-7-phenylbenzo[a]phenazin-7-ium-4,10-disulfonate Chemical compound [Na+].C=1C=CC=CC=1[N+]1=C2C=C(NC=3C=CC=CC=3)C(S(=O)(=O)[O-])=CC2=NC(C2=CC=CC(=C22)S([O-])(=O)=O)=C1C=C2NC1=CC=CC=C1 RBYJOOWYRXEJAM-UHFFFAOYSA-M 0.000 description 1
- YKLJGMBLPUQQOI-UHFFFAOYSA-M sodium;oxidooxy(oxo)borane Chemical compound [Na+].[O-]OB=O YKLJGMBLPUQQOI-UHFFFAOYSA-M 0.000 description 1
- 238000010186 staining Methods 0.000 description 1
- 238000006467 substitution reaction Methods 0.000 description 1
- 239000000758 substrate Substances 0.000 description 1
- 150000003900 succinic acid esters Chemical class 0.000 description 1
- 150000005846 sugar alcohols Chemical class 0.000 description 1
- 230000001180 sulfating effect Effects 0.000 description 1
- BDHFUVZGWQCTTF-UHFFFAOYSA-M sulfonate Chemical compound [O-]S(=O)=O BDHFUVZGWQCTTF-UHFFFAOYSA-M 0.000 description 1
- 150000003871 sulfonates Chemical class 0.000 description 1
- 108010075550 termamyl Proteins 0.000 description 1
- 239000004753 textile Substances 0.000 description 1
- 108010031354 thermitase Proteins 0.000 description 1
- 125000005270 trialkylamine group Chemical group 0.000 description 1
- 150000003852 triazoles Chemical class 0.000 description 1
- AAAQKTZKLRYKHR-UHFFFAOYSA-N triphenylmethane Chemical compound C1=CC=CC=C1C(C=1C=CC=CC=1)C1=CC=CC=C1 AAAQKTZKLRYKHR-UHFFFAOYSA-N 0.000 description 1
- ZUCXUTRTSQLRCV-UHFFFAOYSA-K trisodium;1-amino-4-[3-[[4-chloro-6-(3-sulfonatoanilino)-1,3,5-triazin-2-yl]amino]-2,4,6-trimethyl-5-sulfonatoanilino]-9,10-dioxoanthracene-2-sulfonate Chemical compound [Na+].[Na+].[Na+].CC1=C(S([O-])(=O)=O)C(C)=C(NC=2C=3C(=O)C4=CC=CC=C4C(=O)C=3C(N)=C(C=2)S([O-])(=O)=O)C(C)=C1NC(N=1)=NC(Cl)=NC=1NC1=CC=CC(S([O-])(=O)=O)=C1 ZUCXUTRTSQLRCV-UHFFFAOYSA-K 0.000 description 1
- VZPXDCIISFTYOM-UHFFFAOYSA-K trisodium;1-amino-4-[4-[[4-chloro-6-(3-sulfonatoanilino)-1,3,5-triazin-2-yl]amino]-3-sulfonatoanilino]-9,10-dioxoanthracene-2-sulfonate Chemical compound [Na+].[Na+].[Na+].C1=2C(=O)C3=CC=CC=C3C(=O)C=2C(N)=C(S([O-])(=O)=O)C=C1NC(C=C1S([O-])(=O)=O)=CC=C1NC(N=1)=NC(Cl)=NC=1NC1=CC=CC(S([O-])(=O)=O)=C1 VZPXDCIISFTYOM-UHFFFAOYSA-K 0.000 description 1
- 239000012588 trypsin Substances 0.000 description 1
Classifications
-
- C—CHEMISTRY; METALLURGY
- C11—ANIMAL OR VEGETABLE OILS, FATS, FATTY SUBSTANCES OR WAXES; FATTY ACIDS THEREFROM; DETERGENTS; CANDLES
- C11D—DETERGENT COMPOSITIONS; USE OF SINGLE SUBSTANCES AS DETERGENTS; SOAP OR SOAP-MAKING; RESIN SOAPS; RECOVERY OF GLYCEROL
- C11D1/00—Detergent compositions based essentially on surface-active compounds; Use of these compounds as a detergent
- C11D1/66—Non-ionic compounds
- C11D1/83—Mixtures of non-ionic with anionic compounds
-
- C—CHEMISTRY; METALLURGY
- C11—ANIMAL OR VEGETABLE OILS, FATS, FATTY SUBSTANCES OR WAXES; FATTY ACIDS THEREFROM; DETERGENTS; CANDLES
- C11D—DETERGENT COMPOSITIONS; USE OF SINGLE SUBSTANCES AS DETERGENTS; SOAP OR SOAP-MAKING; RESIN SOAPS; RECOVERY OF GLYCEROL
- C11D3/00—Other compounding ingredients of detergent compositions covered in group C11D1/00
- C11D3/16—Organic compounds
- C11D3/37—Polymers
- C11D3/3703—Macromolecular compounds obtained otherwise than by reactions only involving carbon-to-carbon unsaturated bonds
- C11D3/3715—Polyesters or polycarbonates
-
- C—CHEMISTRY; METALLURGY
- C11—ANIMAL OR VEGETABLE OILS, FATS, FATTY SUBSTANCES OR WAXES; FATTY ACIDS THEREFROM; DETERGENTS; CANDLES
- C11D—DETERGENT COMPOSITIONS; USE OF SINGLE SUBSTANCES AS DETERGENTS; SOAP OR SOAP-MAKING; RESIN SOAPS; RECOVERY OF GLYCEROL
- C11D3/00—Other compounding ingredients of detergent compositions covered in group C11D1/00
- C11D3/16—Organic compounds
- C11D3/37—Polymers
- C11D3/3703—Macromolecular compounds obtained otherwise than by reactions only involving carbon-to-carbon unsaturated bonds
- C11D3/3723—Polyamines or polyalkyleneimines
-
- C—CHEMISTRY; METALLURGY
- C11—ANIMAL OR VEGETABLE OILS, FATS, FATTY SUBSTANCES OR WAXES; FATTY ACIDS THEREFROM; DETERGENTS; CANDLES
- C11D—DETERGENT COMPOSITIONS; USE OF SINGLE SUBSTANCES AS DETERGENTS; SOAP OR SOAP-MAKING; RESIN SOAPS; RECOVERY OF GLYCEROL
- C11D1/00—Detergent compositions based essentially on surface-active compounds; Use of these compounds as a detergent
- C11D1/02—Anionic compounds
- C11D1/04—Carboxylic acids or salts thereof
- C11D1/06—Ether- or thioether carboxylic acids
-
- C—CHEMISTRY; METALLURGY
- C11—ANIMAL OR VEGETABLE OILS, FATS, FATTY SUBSTANCES OR WAXES; FATTY ACIDS THEREFROM; DETERGENTS; CANDLES
- C11D—DETERGENT COMPOSITIONS; USE OF SINGLE SUBSTANCES AS DETERGENTS; SOAP OR SOAP-MAKING; RESIN SOAPS; RECOVERY OF GLYCEROL
- C11D1/00—Detergent compositions based essentially on surface-active compounds; Use of these compounds as a detergent
- C11D1/02—Anionic compounds
- C11D1/12—Sulfonic acids or sulfuric acid esters; Salts thereof
- C11D1/22—Sulfonic acids or sulfuric acid esters; Salts thereof derived from aromatic compounds
-
- C—CHEMISTRY; METALLURGY
- C11—ANIMAL OR VEGETABLE OILS, FATS, FATTY SUBSTANCES OR WAXES; FATTY ACIDS THEREFROM; DETERGENTS; CANDLES
- C11D—DETERGENT COMPOSITIONS; USE OF SINGLE SUBSTANCES AS DETERGENTS; SOAP OR SOAP-MAKING; RESIN SOAPS; RECOVERY OF GLYCEROL
- C11D1/00—Detergent compositions based essentially on surface-active compounds; Use of these compounds as a detergent
- C11D1/02—Anionic compounds
- C11D1/12—Sulfonic acids or sulfuric acid esters; Salts thereof
- C11D1/29—Sulfates of polyoxyalkylene ethers
-
- C—CHEMISTRY; METALLURGY
- C11—ANIMAL OR VEGETABLE OILS, FATS, FATTY SUBSTANCES OR WAXES; FATTY ACIDS THEREFROM; DETERGENTS; CANDLES
- C11D—DETERGENT COMPOSITIONS; USE OF SINGLE SUBSTANCES AS DETERGENTS; SOAP OR SOAP-MAKING; RESIN SOAPS; RECOVERY OF GLYCEROL
- C11D1/00—Detergent compositions based essentially on surface-active compounds; Use of these compounds as a detergent
- C11D1/66—Non-ionic compounds
- C11D1/72—Ethers of polyoxyalkylene glycols
Landscapes
- Chemical & Material Sciences (AREA)
- Life Sciences & Earth Sciences (AREA)
- Engineering & Computer Science (AREA)
- Chemical Kinetics & Catalysis (AREA)
- Oil, Petroleum & Natural Gas (AREA)
- Wood Science & Technology (AREA)
- Organic Chemistry (AREA)
- Detergent Compositions (AREA)
- Macromolecular Compounds Obtained By Forming Nitrogen-Containing Linkages In General (AREA)
Abstract
A presente invenção provê uma formulação de um polímero de polietilenoimina alcoxilada e de tensoativo para uso na lavagem doméstica de roupas.
Description
[0001] A presente invenção provê uma formulação de um polímero de polietilenoimina alcoxilada e de tensoativo para uso na lavagem doméstica de roupas.
[0002] A formulação líquida aquosa de detergente para lavagem doméstica de roupas contendo tensoativo aniônico de sulfonato de alquilbenzeno linear com altos níveis de um tensoativo não iônico de álcool etoxilado é onipresente. Para potencializar o desempenho de limpeza, são adicionados polímeros de polietilenoimina alcoxilada, preferivelmente em combinação com polímero de tereftalato de polietileno para remoção de sujeira. A adição destes polímeros reduz significativamente a viscosidade da formulação. São necessários métodos eficazes para aumentar a viscosidade da formulação, os quais preferivelmente melhorem o desempenho de limpeza.
[0003] O documento WO2013/087286 (Unilever) revela formulações líquidas contendo ácidos carboxílicos de éter alquílico, betaínas, tensoativo aniônico e tensoativo não iônico para prover benefícios de amaciamento.
[0004] O documento WO2014/060235 (Unilever) revela uma composição de detergente para lavagem de roupas compreendendo (a) tensoativo não iônico, (b) tensoativo aniônico, (c) ácido carboxílico de éter alquílico ou sal carboxilato destes, e, (d) uma poliglucosamina ou um copolímero de glucosamina e N- acetilglucosamina; e para seu uso para amaciar tecidos.
[0005] Encontramos que a adição de tensoativo aniônico de ácido carboxílico de éter alquílico aumenta a viscosidade da formulação.
[0006] Em um aspecto, a presente invenção provê uma composição líquida aquosa de detergente para lavagem de roupas compreendendo: (i) de 2 a 12% em peso, preferivelmente de 4 a 8% em peso de um tensoativo de sulfonato aniônico de alquilbenzeno linear; (ii) de 0,5 a 8% em peso, preferivelmente de 2 a 4% em peso de um tensoativo não iônico de álcool etoxilado, preferivelmente selecionado de: álcoois alifáticos primários e secundários C10 a C16 etoxilados com uma média de 6 a 10 mols de óxido de etileno por mol de álcool, com a máxima preferência um álcool alifático primário C12 a C15 com 7 a 9 mols de óxido de etileno por mol de álcool, preferivelmente a fração em peso entre o tensoativo não iônico de álcool etoxilado e o tensoativo aniônico de sulfonato de alquilbenzeno linear varia de 0,4 a 1,6, mais preferivelmente de 0,5 a 1,0; (iii) de 1 a 8% em peso, preferivelmente de 2 a 5% em peso de uma polietilenoimina alcoxilada, preferivelmente polietilenoimina etoxilada; (iv) de 1 a 10% em peso, preferivelmente de 2 a 6% em peso, com a máxima preferência de 3 a 5% em peso de um tensoativo aniônico de ácido carboxílico de éter alquílico da seguinte estrutura: R2-(OCH2CH2)n-OCH2-COOH, em que: R2 é selecionado de cadeias alquílicas lineares ou ramificadas saturadas ou monoinsaturadas C10 a C26, preferivelmente cadeias alquílicas lineares C12 a C20, mais preferivelmente uma cadeia alquílica linear C16 a C18 e em que n é selecionado de: 2 a 20, preferivelmente de 7 a 13, mais preferivelmente de 8 a 12, com a máxima preferência de 9,5 a 10,5; (v) de 0 a 4% em peso, preferivelmente de 0,1 a 3% em peso de, mais preferivelmente 0,5 a 1,5% em peso de um polímero de poliéster tereftalato para remoção de sujeira; (vi) de 0,0 a 6% em peso, preferivelmente de 2 a 5% em peso, de um sulfato de éter alquílico com uma média molar de 1 a 4,5 mols, preferivelmente de 2 a 4, de etoxilação por molécula de tensoativo, em que a fração em peso entre o sulfato de éter alquílico e o tensoativo não iônico é menor que 1, preferivelmente menor que 0,4.
[0007] Em outro aspecto adicional, a presente invenção provê um método de tratamento doméstico de um tecido, o método compreendendo as etapas de: (i) tratar um tecido com a partir de 1 g/L da solução aquosa da composição de detergente para lavagem de roupas; e, (ii) permitir que a dita solução aquosa de detergente para lavagem de roupas permaneça em contato com o tecido durante 10 minutos até 2 dias e, então, enxáguar e secar o tecido.
[0008] Nos aspectos do método da presente invenção, o tensoativo usado é preferivelmente conforme preferido para os aspectos da composição da presente invenção.
[0009] Os métodos domésticos são conduzidos preferivelmente em uma máquina de lavar doméstica ou por meio de lavagem manual. A temperatura da lavagem é preferivelmente de 285 a 333K. O tempo de lavagem principal é preferivelmente de 10 a 60 minutos.
[0010] O tecido é preferivelmente um item de vestuário, roupa de cama ou toalha de mesa. Os itens preferidos de vestuário são camisas, calças, roupa íntima e camisolas que contêm algodão.
[0011] Os pesos de sulfonato de alquilbenzeno linear são calculados como a forma protonada. O sulfonato de alquilbenzeno linear possui um comprimento de cadeia alquílica C8 a C15, preferivelmente C12 a C14.
[0012] O sulfonato de aquilbenzeno linear (LAS) pode ser obtido por meio da sulfonação do alquilbenzeno linear (LAB) comercialmente disponível; o LAB adequado inclui LAB baixo 2-fenil, como aqueles fornecidos pela Sasol sob a marca comercial Isochem® ou aqueles fornecidos pela Petresa sob a marca comercial Petrelab®, outro LAB adequado inclui LAB alto 2-fenil, como aqueles fornecidos pela Sasol sob a marca comercial Hyblene®. Outra via adequada é o sulfonato de alquilbenzeno que é obtido pelo processo catalisado DETAL, que possui preferivelmente 8 a 15 átomos de carbono. Outras vias de síntese, como HF, também podem ser adequadas.
[0013] O detergente líquido aquoso para lavagem de roupas compreende um tensoativo não iônico de álcool etoxilado, preferivelmente selecionado entre: álcoois alifáticos etoxilados primários e secundários C10-C15 com uma média de 6 a 10 mols de óxido de etileno por mol de álcool, com a máxima preferência um álcool alifático primário C12-C15 com 7 a 9 mols de óxido de etileno por mol de álcool, em que a fração em peso entre o tensoativo não iônico de álcool etoxilado e o tensoativo aniônico de sulfonato de alquilbenzeno linear varia de 0,4 a 1,6, preferivelmente de 0,5 a 1,0, com a máxima preferência de 0,6 a 0,9.
[0014] Os pesos de ácido carboxílico de éter alquílico são calculados como a forma protonada, R2-(OCH2CH2)n-OCH2COOH. Estas podem ser utilizadas como uma versão de sal, por exemplo, sal de sódio ou sal de amina.
[0015] A cadeia alquílica pode ser linear ou ramificada, preferivelmente é linear.
[0016] A cadeia alquílica pode ser alifática ou conter uma ligação dupla cis ou trans.
[0017] A cadeia alquílica é, de preferência, selecionada dentre: CH3(CH2)11, CH3(CH2)15, CH3(CH2)17, e CH3(CH2)7CH=CH(CH2)8-.
[0018] Com a máxima preferência, o ácido carboxílico de éter alquílico tem a estrutura: CH3(CH2)7CH=CH(CH2)8(OCH2CH2)10OCH2COOH.
[0019] O ácido carboxílico de éter alquílico está disponível junto à Kao (Akypo®), Huntsman (Empicol®) e Clariant (Emulsogen®). O sal de sódio do carboxilato de éter alquílico pode ser utilizado.
[0020] A polietilenoimina alcoxilada compreende uma estrutura principal (“backbone”) de polietilenoimina em que a modificação da estrutura principal de polietilenoimina pretende deixar o polímero sem quaternização. Estes materiais podem ser representados como PEI(X) YAO, onde X representa o peso molecular do PEI não modificado e Y representa a média de mols de alcoxilação (AO) por NH disponível na estrutura principal de polietilenoimina não substituída. Y é preferivelmente de 7 a 40, mais preferivelmente está na faixa de 16 a 26, com a máxima preferência de 18 a 22. X é selecionado como sendo de 300 a aproximadamente 10000 o peso molecular médio e é preferivelmente de aproximadamente 500 a 800.
[0021] A alcoxilação é selecionada preferivelmente entre etoxilação ou propoxilação, ou uma combinação das duas, com a máxima preferência a etoxilação. As cadeias alcóxi podem ser limitadas a grupos com selecionados entre: H; CH3; SO3-; CH2COO-; PO32-; C2H5; n-propil, i-propil; n-butil; t-butil; e sulfosuccinato, mais preferivelmente H.
[0022] Com a máxima preferência, o PEI alcoxilado é PEI (600)20EO.
[0023] Outros exemplos são PEI (600)10EO7PO; PEI (1600)19EO; e, PEI80024EO16PO.
[0024] Para melhorar o desempenho, pode ser adicionado um copolímero possível de se obter pela polimerização de um alceno tendo um grupo sulfonato substituinte com um alceno tendo uma cadeia de polioxialquileno e um alceno tendo um substituinte carbóxi em uma razão em peso de 5:1 a 1:5 com uma polietilenoimina alcoxilada. Preferivelmente, o copolímero é obtido pela polimerização de 5 a 15% em peso de 3-aliloxi-2- sulfonato de hidroxipropano com 30- a 5% em peso de 3-metilbut-3-en-1-ol que foi reagido com 20 a 40 mols de óxido de etileno; e 25 a 55% de ácido acrílico ou sais deste. Esses polímeros são descritos no documento WO2016/045518 (Nippon Shokubai).
[0025] O polímero de poliéster tereftalato para remoção de sujeira compreende polímeros de ácidos dicarboxílico aromáticos e alquileno glicóis (inclusive polímeros contendo polialquileno glicóis), conforme descrito nos documentos WO2009/153184, EP2692842 e WO2014/019903.
[0026] Exemplos de Polímero de Poliéster Tereftalato para Remoção de Sujeira são a linha REPEL-O-TEX® de polímeros fornecida pela Rhodia, incluindo REPEL-O-TEX® SRP6 e REPEL-O-TEX® SF-2. Outros polímeros para remoção de sujeira adequados incluem os polímeros TexCare®, inclusive TexCare® SRA-100, TexCare® SRA-300, TexCare® SRN-100, TexCare® SRN-170, TexCare® SRN-240, TexCare® SRN-300 e TexCare® SRN-325, todos fornecidos pela Clariant.
[0027] As estruturas preferidas são -[(Z)a-O-OC-Ar-CO-]b e (Z)a-O-OC-[Ar- CO-O-C3H6-O-OC]b-Ar-CO-O-(Z)a, em que Ar é selecionado entre fenileno 1,4 substituído e fenileno 1,3 substituído na posição 5 por um grupo de sulfonatos (SO3-); Z é selecionado entre etóxi, propóxi e misturas de etóxi e propóxi; a é de 5 a 100 e b de 2 a 40. C3H6 é i-propil.
[0028] As cadeias alcoxi são fechadas com grupos selecionados entre H; CH3; SO3-; CH2COO-; PO32-; C2H5; n-propil, i-propil; n-butil; t-butil; e sulfosuccinato.
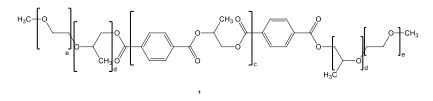
[0029] Com a máxima preferência, o polímero de poliéster tereftalato para remoção de sujeira é: em que c é de 4 a 9; d é de 1 a 3; e é de 40 a 50.
[0030] Os pesos de sulfato de éter alquílico são calculados como a forma protonada, R1-(OCH2CH2)m-OSO3H. Preferivelmente, R1 é a cadeia alquílica linear saturada ou insaturada C10 a C22, mais preferivelmente uma cadeia alquílica linear C12 a C16 saturada, com a máxima preferência a cadeia alquílica linear C12 (lauril). O número médio de mols de etoxilação por mol de tensoativo é m, sendo m preferivelmente de 2 a 4, com a máxima preferência de 2,5 a 3,5.
[0031] O detergente líquido aquoso para lavagem de roupas pode compreender de 0 a 4% em peso de outros tensoativos, por exemplo, aqueles descritos em Anionic Surfactants: Organic Chemistry edited by Helmut W. Stache (Marcel Dekker 1996).
[0032] Os exemplos de compostos detergentes aniônicos adicionais adequados são: sulfatos alquílicos, especialmente aqueles obtidos pela sulfatação de álcoois lineares ou ramificados C8 a C18, sabões; sulfonatos de éster alquílico (preferivelmente metílico), e misturas destes. Sabões são particularmente preferidos, preferivelmente em uma faixa de 0,5 a 2% em peso.
[0033] Os tensoativos ramificados são preferivelmente ramificados com grupos metil ou etil.
[0034] O tensoativo zwitteriônico contém uma cadeia alquílica alifática linear C8 a C16 e um átomo com uma carga formal positiva e uma carga formal negativa dentro da molécula do tensoativo. Tensoativos zwiteriônicos exemplificadores são as betaínas. Os tensoativos zwiteriônicos estão preferivelmente presentes em níveis menores que 0,2% em peso, com a máxima preferência em níveis menores que 0,05% em peso, ainda mais preferivelmente ausentes da formulação.
[0035] Sarcosinatos, glicinatos e taurinatos estão preferivelmente ausentes da formulação.
[0036] A composição pode compreender um ou mais dos polímeros a seguir. Os exemplos são carboximetilcelulose, polieteraminas, poli(etilenoglicol), álcool (poli)vinílico, policarboxilatos, como poliacrilatos, copolímeros de ácido maleico/acrílico e copolímeros de ácidos lauril metacrilato/acrílico. Os copolímeros conforme descritos no documento WO2014/082955 (Unilever) podem estar presentes.
[0037] Podem estar presentes polímeros para evitar depósito de corante, por exemplo, poli(vinilpirrolidona), poli(vinilpiridina-N-óxido) e poli(vinilimidazol). Os copolímeros de enxerto aleatório são preferidos, preferivelmente um copolímero de óxido de polietileno enxertado com acetato de polivinila, com a máxima preferência uma estrutura principal de óxido de polietileno de peso molecular variando de 4000 a 8000, enxertado com múltiplas cadeias laterais de acetato de polivinila, de modo que a razão em peso entre a estrutura principal de polietileno e o acetato de polivinila varia de 35 a 65 e com não mais que 1 ponto de enxerto a cada 50 unidades monoméricas de óxido de etileno. Esta está comercialmente disponível junto à Sokalan PG101® (BASF).
[0038] Estes polímeros estão presentes preferivelmente em níveis menores que 0,5% em peso.
[0039] A composição é preferivelmente desprovida de polímeros de silicone e polímeros portadores de grupos N quaternizados N.
[0040] As composições detergentes também podem conter opcionalmente níveis relativamente baixos de material complexante ou sequestrante de detergente orgânico. Os exemplos incluem metal alcalino, citratos, succinatos, malonatos, succinatos de carboximetil, carboxilatos, policarboxilatos e carboxilatos de poliacetila. Os exemplos específicos incluem sais de sódio, potássio e lítio de ácido oxidisuccínico, ácido melítico, ácidos benzeno policarboxílicos, ácido etilenodiamina tetra acético, ácido dietilenotriamina penta acético, ácido alquil- ou alquenilsuccínico, ácido nitrilotriacético e ácido cítrico. Os demais exemplos são DEQUEST™, agentes sequestrantes tipo fosfonato orgânico comercializados pela Monsanto e fosfonatos alcano-hidróxi.
[0041] Os demais complexantes orgânicos adequados incluem os polímeros de peso molecular mais elevado e copolímeros conhecidos por apresentar propriedades de complexação. Por exemplo, estes materiais incluem ácido poliacrílico adequado, ácido polimaleico e copolímeros de ácido poliacrílico/polimaleico e seus sais, como aqueles comercializados pela BASF sob o nome SOKALAN™.
[0042] A composição líquida aquosa de detergente preferivelmente compreende de 0,0% a 2,0% em peso de material complexante e sequestrante. O citrato é o mais preferido.
[0043] O pH da composição líquida aquosa de detergente varia preferivelmente de 6,5 a 8,5, com a máxima preferência de 6,8 a 7,5. O pH pode ser obtido pela adição de um álcali, por exemplo, NaOH, KOH, trialquilamina, alcanolaminas e misturas destas.
[0044] Os corantes são descritos em Color Chemistry Synthesis, Properties and Applications of Organic Dyes and Pigments, (H Zollinger, Wiley VCH, Zürich, 2003) e, Industrial Dyes Chemistry, Properties Applications. (K Hunger (ed), Wiley-VCH Weinheim 2003).
[0045] Os corantes tonalizantes para uso em detergentes para lavagem de roupas preferivelmente possuem um coeficiente de extinção na máxima absorção na região do visível (400 a 700 nm) maior que 5000 L mol-1 cm-1, preferivelmente maior que 10000 L mol-1 cm-1. Os corantes são de cor azul ou violeta.
[0046] Os cromóforos de corante tonalizante preferidos são azo, azina, antraquinona e trifenilmetano. Os corantes monoazo preferidos contêm um anel heterocíclico e são, com a máxima preferência, corantes de tiofeno. Os corantes mono-azo são preferivelmente alcoxilados e são preferivelmente não carregados ou anionicamente carregados em pH=7. Os corantes de tiofeno alcoxilados são discutidos nos documentos WO/2013/142495 e WO/2008/087497.
[0047] O corante de azina é preferivelmente selecionado a partir de corantes de fenazina sulfonados e corantes de fenazina catiônicos. Exemplos preferidos são azul ácido 98, violeta ácido 50, corante com CAS No. 72749-805, azul ácido 59.
[0048] O corante tonalizante está presente na composição na faixa de 0,0001 a 0,5% em peso, preferivelmente 0,001 a 0,1% em peso. Dependendo da natureza do corante tonalizante, existem faixas preferidas dependendo da eficácia do corante tonalizante, que depende da classe e da eficácia em particular dentro de uma classe em particular. Conforme descrito acima, o corante tonalizante é um corante tonalizante azul ou violeta.
[0049] Uma mistura de corantes tonalizantes pode ser utilizada.
[0050] Com a máxima preferência, o corante tonalizante é um corante de antraquinona azul reativo covalentemente ligado a uma polietilenoimina alcoxilada. A alcoxilação é preferivelmente selecionada de etoxilação e propoxilação, com a máxima preferência a propoxilação. Preferivelmente, 80 a 95% em mol dos grupos N-H na polietilenoimina são substituídos com grupos álcool isopropílico por propoxilação. Preferivelmente, a polietilenoimina, antes da reação com o corante e a propoxilação, tem um peso molecular de 600 a 1800.
[0051] Um exemplo de estrutura de uma antraquinona reativa preferida covalentemente ligada a uma polietilenoimina propoxilada é:
[0052] Os corantes de antraquinona reativos preferidos são: Azul reativo 1; Azul reativo 2; Azul reativo 4; Azul reativo 5; Azul reativo 6; Azul reativo 12; Azul reativo 16; azul reativo 19; Azul reativo 24; Azul reativo 27; Azul reativo 29; Azul reativo 36; Azul reativo 44; Azul reativo 46; Azul reativo 47; Azul reativo 49; Azul reativo 50; Azul reativo 53; Azul reativo 55; Azul reativo 61; Azul reativo 66; Azul reativo 68; Azul reativo 69; Azul reativo 74; Azul reativo 86; Azul reativo 93; Azul reativo 94; Azul reativo 101; Azul reativo 103; Azul reativo 114; Azul reativo 117; Azul reativo 125; Azul reativo 141; Azul reativo 142; Azul reativo 145; Azul reativo 149; Azul reativo 155; Azul reativo 164; Azul reativo 166; Azul reativo 177; Azul reativo 181; Azul reativo 185; Azul reativo 188; Azul reativo 189; Azul reativo 206; Azul reativo 208; Azul reativo 246; Azul reativo 247; Azul reativo 258; Azul reativo 261; Azul reativo 262; Azul reativo 263; e Azul reativo 172.
[0053] Os corantes são listados de acordo com a classificação do Índice de Cor (Society of Dyers and Colourists/American Association of Textile Chemists and Colorists).
[0054] A formulação da invenção reduziu o manchamento por corantes em contato direto com o tecido.
[0055] Preferivelmente, a composição compreende uma enzima protease em um nível de 0,002 a 0,05% em peso de proteína pura. A combinação de enzima protease e carboxilato de éter alquílico aumenta sinergicamente a limpeza. As enzimas protease hidrolisam as ligações dentro dos peptídeos e proteínas; no contexto de lavagem de roupas, isto resulta em maior remoção de manchas contendo proteína ou peptídeo. Exemplos de famílias de proteases adequadas incluem proteases aspárticas; cisteíno proteases; proteases glutâmicas; asparagina peptídeo liase; serino proteases e treonina proteases. Essas famílias de protease são descritas na base de dados de peptidase MEROPS (http://merops.sanger.ac.uk/). Serino proteases são preferidas. Serino proteases do tipo subtilase são mais preferidas. O termo “subtilases” se refere a um subgrupo de serino protease de acordo com Siezen et al., Protein Engng. 4 (1991) 719-737 e Siezen et al. Protein Science 6 (1997) 501-523. As serino proteases são um subgrupo de proteases caracterizadas por ter uma serina no sítio ativo, que forma um aduto covalente com o substrato. As subtilases podem ser divididas em 6 subdivisões, a saber, a família Subtilisina, a família Termitase, a família Proteinase K, a família Peptidase Lantibiótica, a família Kexina e a família Pirolisina.
[0056] Exemplos de subtilases são aquelas derivadas de bacilos, tais como Bacillus lentus, B. alkalophilus, B. subtilis, B. amyloliquefaciens, Bacillus pumilus e Bacillus gibsonii descritos nos documentos US7262042 e WO09/021867, e subtilisina lentus, subtilisina Novo, subtilisina Carlsberg, Bacillus licheniformis, subtilisina BPN', subtilisina 309, subtilisina 147 e subtilisina 168 descritos no documento WO89/06279 e protease PD138 descrita no documento WO93/18140. Outras proteases úteis podem ser aquelas descritas nos documentos WO92/175177, WO01/016285, WO02/026024 e WO02/016547. Exemplos de proteases tipo tripsina são tripsina (por exemplo, de origem suína ou bovina) e a Fusarium protease descrita nos documentos WO89/06270, WO94/25583 e WO05/040372, e as quimotripsina proteases derivadas de Cellumonas descritas nos documentos WO05/052161 e WO05/052146.
[0057] Outros exemplos de proteases úteis são as variantes descritas em: WO92/19729, WO96/034946, WO98/20115, WO98/20116, WO99/01 1768, WO01/44452, WO03/006602, WO04/03186, WO04/041979, WO07/006305, WO11/036263, WO11/036264, especialmente as variantes com substituições em uma ou mais das seguintes posições: 3, 4, 9, 15, 27, 36, 57, 68, 76, 87, 95, 96, 97, 98, 99, 100, 101, 102, 103, 104, 106, 118, 120, 123, 128, 129, 130, 160, 167, 170, 194, 195, 199, 205, 206, 217, 218, 222, 224, 232, 235, 236, 245, 248, 252 e 274 utilizando a numeração BPN'. As variantes de subtilase mais preferidas podem compreender as mutações: S3T, V4I, S9R, A15T, K27R, *36D, V68A, N76D, N87S,R, *97E, A98S, S99G,D,A, S99AD, S101 G,M,R S103A, V104I,Y,N, S106A, G1 18V,R, H120D,N, N123S, S128L, P129Q, S130A, G160D, Y167A, R170S, A194P, G195E, V199M, V205I, L217D, N218D, M222S, A232V, K235L, Q236H, Q245R, N252K, T274A (utilizando numeração BPN').
[0058] Com a máxima preferência, a protease é uma subtilisina (EC 3.4.21.62).
[0059] Exemplos de subtilases são aquelas derivadas de bacilos, tais como Bacillus lentus, B. alkalophilus, B. subtilis, B. amyloliquefaciens, Bacillus pumilus e Bacillus gibsonii descritos nos documentos US7262042 e WO09/021867, e subtilisina lentus, subtilisina Novo, subtilisina Carlsberg, Bacillus licheniformis, subtilisina BPN', subtilisina 309, subtilisina 147 e subtilisina 168 descritos no documento WO89/06279 e protease PD138 descrita no documento WO93/18140. Preferivelmente, a subsilisina é derivada de bacilos, preferivelmente Bacillus lentus, B. alkalophilus, B. subtilis, B. amyloliquefaciens, Bacillus pumilus e Bacillus gibsonii conforme descritos nos documentos US 6.312.936 BI, US 5.679.630, US 4.760.025, US7.262.042 e WO09/021867. Com a máxima preferência, a subtilisina é derivada de Bacillus gibsonii ou Bacillus lentus.
[0060] As enzimas protease adequadas comercialmente disponíveis incluem aquelas comercializadas sob as denominações comerciais Alcalase®, Blaze®; DuralaseTm, DurazymTm, Relase®, Relase® Ultra, Savinase®, Savinase® Ultra, Primase®, Polarzyme®, Kannase®, Liquanase®, Liquanase® Ultra, Ovozyme®, Coronase®, Coronase® Ultra, Neutrase®, Everlase® e Esperase®, todas poderiam ser comercializadas como Ultra® ou Evity® (Novozymes A/S).
[0061] Aquelas comercializadas sob as denominações comerciais Maxatase®, Maxacal®, Maxapem®, Properase®, Purafect®, Purafect Prime®, Purafect Ox®, FN3®, FN4®, Excellase® e Purafect OXP® pela Genencor International.
[0062] Aquelas comercializadas sob as denominações comerciais Maxatase®, Maxacal®, Maxapem®, Purafect®, Purafect Prime®, PreferenzTm, Purafect MA®, Purafect Ox®, Purafect OxP®, Puramax®, Properase®, EffectenzTm, FN2®, FN3®, FN4®, Excellase®, Opticlean® e Optimase® (Danisco/DuPont), Axapem™ (Gist-Brocases N.V.).
[0063] Aquelas disponíveis pela Henkel/Kemira, a saber, BLAP (sequência mostrada na Figura 29 do documento US 5.352.604 com as seguintes mutações S99D + SlOl R + S103A + V104I + G159S, daqui em diante denominadas BLAP), BLAP R (BLAP com S3T + V4I + V199M + V205I + L217D), BLAP X (BLAP com S3T + V4I + V205I) e BLAP F49 (BLAP com S3T + V4I + A194P + V199M + V205I + L217D) - todas da Henkel/Kemira; e KAP (subtilisina de Bacillus alkalophilus com mutações A230V + S256G + S259N) da Kao.
[0064] A inclusão de protease na formulação potencializa a limpeza.
[0065] Uma ou mais outras enzimas estão preferivelmente presentes em uma composição para lavagem de roupas da invenção e ao praticar um método da invenção.
[0066] Preferivelmente, o nível de cada enzima na composição para lavagem de roupas da invenção varia de 0,0001% em peso a 0,1% em peso de proteína.
[0067] Preferivelmente, a enzima adicional é selecionada dentre: alfa- amilases; lipases e celulases.
[0068] As lipases adequadas incluem aquelas de origem bacteriana ou fúngica. Mutantes quimicamente modificados ou de proteína modificada por engenharia genética estão incluídos. Os exemplos de lipases úteis incluem lipases de Humicola (sinônimo de Thermomyces), por exemplo, de H. lanuginosa (T. lanuginosus) conforme descrito nos documentos EP 258 068 e EP 305 216 ou de H. insolens conforme descrito no documento WO 96/13580, uma lipase de Pseudomonas, por exemplo, de P. alcaligenes ou P. pseudoalcaligenes (EP 218 272), P. cepacia (EP 331 376), P. stutzeri (GB 1.372.034), P. fluorescens, cepa da espécie Pseudomonas SD 705 (WO 95/06720 e WO 96/27002), P. wisconsinensis (WO 96/12012), uma lipase de Bacillus, por exemplo, de B. subtilis (Dartois et al. (1993), Biochemica et Biophysica Acta, 1131, 253-360), B. stearothermophilus (JP 64/744992) ou B. pumilus (WO 91/16422).
[0069] Outros exemplos são variantes de lipase, como aquelas descritas nos documentos WO 92/05249, WO 94/01541, EP 407 225, EP 260 105, WO 95/35381, WO 96/00292, WO 95/30744, WO 94/25578, WO 95/14783, WO 95/22615, WO 97/04079 e WO 97/07202 e WO 00/60063.
[0070] As enzimas de lipase preferidas comercialmente disponíveis incluem Lipolase™ e Lipolase Ultra™, Lipex™ e Lipoclean TM (Novozymes A/S).
[0071] As amilases adequadas (alfa e/ou beta) incluem aquelas de origem bacteriana ou fúngica. Mutantes quimicamente modificados ou de proteína modificada por engenharia genética estão incluídos. As amilases incluem, por exemplo, alfa-amilases obtidas de Bacillus, por exemplo, uma cepa especial de B. licheniformis, descrita mais detalhadamente em GB 1.296.839, ou as cepas da espécie Bacillus reveladas no documento WO 95/026397 ou WO 00/060060. As amilases comercialmente disponíveis são Duramyl™, Termamyl™, Termamyl Ultra™, Natalase™, Stainzyme™, Fungamyl™ e BAN™ (Novozymes A/S), Rapidase™ e Purastar™ (da Genencor International Inc.).
[0072] As enzimas adequadas adicionais para uso são discutidas nos documentos WO2009/087524, WO2009/090576, WO2009/107091, WO2009/111258 e WO2009/148983.
[0073] Qualquer enzima presente na composição pode ser estabilizada usando-se agentes estabilizantes convencionais, por exemplo, um poliol, como propilenoglicol ou glicerol, um açúcar ou álcool de açúcar, ácido láctico, ácido bórico ou um derivado de ácido bórico, por exemplo, um borato de éster aromático, ou um derivado de ácido fenilborônico, como ácido 4- formilfenilborônico, e a composição pode ser formulada conforme descrito, por exemplo, nos documentos WO 92/19709 e WO 92/19708.
[0074] Quando os grupos alquila forem suficientemente longos para formar cadeias ramificadas ou cíclicas, estes englobarão cadeias alquila ramificadas, cíclicas e lineares. Os grupos alquila são preferivelmente lineares ou ramificados, com a máxima preferência lineares.
[0075] A composição compreende preferivelmente um agente fluorescente (branqueador óptico). Os agentes fluorescentes são bem conhecidos e muitos desses agentes fluorescentes estão comercialmente disponíveis. Normalmente, estes agentes fluorescentes são fornecidos e usados na forma de seus sais de metal alcalino, por exemplo, os sais de sódio.
[0076] As classes preferidas de agentes fluorescentes são: Compostos de diestiril bifenila, por exemplo, Tinopal (Marca Comercial) CBS-X, compostos de ácido dissulfônico diamino estilbeno, por exemplo, Tinopal DMS Pure Xtra e Blankophor (Marca Comercial) HRH, e compostos de pirazolina, por exemplo, Blankophor SN.
[0077] Os agentes fluorescentes preferidos são: 2-(4-estiril-3-sulfofenil)-2H- naptol[1,2-d]triazol de sódio, dissulfonato 4,4'-bis{[(4-anilino-6-(N-metil-N-2 hidroxietil) amino 1,3,5-triazina-2-il)]amino}estilbeno-2-2', dissulfonato 4,4'- bis{[(4-anilino-6-morfolino-1,3,5-triazina-2-il)]amino} estilbeno-2-2' dissódico e 4,4'-bis(2-sulfoestiril)bifenil dissódico.
[0078] A quantidade total do agente fluorescente ou agentes usados na composição é preferivelmente de 0,0001 a 0,5% em peso, mais preferivelmente de 0,005 a 2% em peso, com a máxima preferência de 0,05 a 0,25% em peso.
[0079] A solução aquosa usada no método tem um agente fluorescente presente. O agente fluorescente está presente na solução aquosa usada no método, preferivelmente na faixa de 0,0001 g/L a 0,1 g/L, mais preferivelmente 0,001 a 0,02 g/L.
[0080] Com a máxima preferência, a composição compreende uma fragrância. A fragrância está preferivelmente na faixa de 0,001 a 3% em peso, mais preferivelmente de 0,05 a 0,5% em peso, com a máxima preferência de 0,1 a 1% em peso. Muitos exemplos apropriados de fragrâncias são providos em CTFA (Cosmetic, Toiletry and Fragrance Association) 1992 International Buyers Guide, publicado por CFTA Publications e OPD 1993 Chemicals Buyers Directory 80th Annual Edition, publicado pela Schnell Publishing Co.
[0081] Preferivelmente, a fragrância compreende pelo menos uma nota (composto) entre: alfa-isometilionona, salicilato de benzila; citronelol; cumarina; hexil cinamal; linalol; ácido pentanoico, 2-metil-, etil éster; octanal; acetato de benzila; 1,6-octadieno-3-ol, 3,7-dimetil-, 3-acetato; ciclohexanol, 2-(1,1- dimetiletil)-, 1-acetato; delta-damascona; beta-ionona; acetato de verdila; dodecanal; aldeído hexil cinâmico; ciclopentadecanolida; ácido benzeno acético, 2-feniletil éster; amil salicilato; beta-cariofileno; etil undecilenato; antranilato de geranila; alfa-pirona; benzoato de beta-feniletila; alfa-santalol; cedrol; acetato de cedrila; formato de cedro; salicilato de ciclohexila; gama- dodecalactona e acetato de beta feniletilfenila.
[0082] Os compostos úteis da fragrância incluem materiais de origem natural e sintética. Eles incluem compostos e misturas únicos. Os exemplos específicos destes componentes podem ser encontrados na literatura atual, por exemplo, em Fenaroli's Handbook of Flavor Ingredients, 1975, CRC Press; Synthetic Food Adjuncts, 1947 por M. B. Jacobs, editado por Van Nostrand; ou Perfume and Flavor Chemicals por S. Arctander 1969, Montclair, N.J. (EUA).
[0083] É comum que uma pluralidade de componentes de fragrância esteja presente em uma formulação. Nas composições da presente invenção, contempla-se que haverá quatro ou mais, preferivelmente cinco ou mais, mais preferivelmente seis ou mais, ou mesmo sete ou mais diferentes componentes de fragrância.
[0084] A Associação Internacional de Fragrância publicou uma lista de ingredientes de fragrância (perfumes) em 2011. (http://www.ifraorg.org/en- us/ingredients#.U7Z4hPldWzk).
[0085] O Instituto de Pesquisa para Materiais de Fragrância provê uma base de dados de perfumes (fragrâncias) com informações de segurança.
[0086] Parte ou toda a fragrância pode ser encapsulada.
[0087] É preferido que a composição de tratamento para lavagem de roupas não contenha um alvejante de peroxigênio, por exemplo, percarbonato de sódio, perborato de sódio e perácido.
[0088] O artigo indefinido “um” ou “uma” e seu artigo definido correspondente “o(a)”, conforme aqui utilizados, significam pelo menos um, ou um ou mais, exceto se especificado de outro modo.
[0089] Um álcool à base de etano ou propano substituído por 2 a 3 grupos OH, preferivelmente selecionados entre glicerol e propilenoglicol, está preferivelmente presente na formulação em níveis de 1 a 5% em peso.
[0091] O EPEI (Polietilenoimina Etoxilada) usado foi um PEI de 600 de peso molecular com 20 mols de etoxilado por NH no PEI base; está disponível junto à Sokalan HP20, ex BASF.
[0093] O SRP é conforme descrito no documento WO2014/019903 (Unilever).
[0094] A viscosidade da formulação foi medida usando um Paar Physica MCR300, que é um reômetro de tensão comercialmente disponível. Os valores são mostrados em centipoise cP.
[0095] Os resultados são apresentados na tabela abaixo para as formulações da invenção feitas de carboxilato de éter oleílico com diferentes níveis de etoxilação e as formulações de controle.
[0096] As formulações da invenção contendo o ácido carboxílico de éter alquílico têm maior viscosidade do que o controle.
Claims (12)
1. Composição de detergente líquida aquosa para lavagem de roupas, caracterizada por compreender: (i) de 2% a 12% em peso de tensoativo aniônico de sulfonato de alquilbenzeno linear; (ii) de 0,5% a 8% em peso de um tensoativo não iônico de álcool etoxilado; (iii) de 1% a 8% em peso de uma polietilenoimina alcoxilada, preferivelmente polietilenoimina etoxilada; (iv) de 1% a 10% em peso de um tensoativo aniônico de ácido carboxílico de éter alquílico de estrutura a seguir: R2-(OCH2CH2)n-OCH2-COOH, em que: R2 é selecionado de cadeias alquílicas lineares ou ramificadas saturadas e monoinsaturadas C10 a C26; e em que n é selecionado de: 2 a 20; (v) de 0 a 4% em peso de um polímero de poliéster tereftalato para remoção de sujeira; (vi) de 0,0 a 6% em peso de um sulfato de éter alquílico com uma média molar de 1 a 4,5 mols de etoxilação por molécula de tensoativo, em que a fração em peso entre o sulfato de éter alquílico e o tensoativo não iônico é menor que 1.
2. Composição líquida aquosa de detergente para lavagem de roupas, de acordo com a reivindicação 1, caracterizada pela fração em peso entre o tensoativo não iônico de álcool etoxilado e o tensoativo aniônico de sulfonato de alquilbenzeno linear variar de 0,4 a 1,6.
3. Composição de detergente aquosa líquida para lavagem de roupas, de acordo com qualquer uma das reivindicações 1 ou 2, caracterizada pela composição compreender de 2% a 4% em peso do tensoativo não iônico de álcool etoxilado.
4. Composição de detergente aquosa líquida para lavagem de roupas, de acordo com qualquer uma das reivindicações 1 a 3, caracterizada pela composição compreender de 2% a 6% em peso de um tensoativo aniônico de ácido carboxílico de éter alquílico.
5. Composição de detergente aquosa líquida para lavagem de roupas, de acordo qualquer uma das reivindicações 1 a 4, caracterizada pela composição compreender de 4% a 8% em peso de um tensoativo aniônico de sulfonato de alquilbenzeno linear.
6. Composição de detergente aquosa líquida para lavagem de roupas, de acordo qualquer uma das reivindicações 1 a 5, caracterizada pela polietilenoimina alcoxilada ser uma polietilenoimina etoxilada.
7. Composição de detergente aquosa líquida para lavagem de roupas, de acordo qualquer uma das reivindicações 1 a 6, caracterizada pela composição compreender de 0,5% a 1,5% em peso de um polímero de poliéster tereftalato para remoção de sujeira.
9. Composição de detergente aquosa líquida para lavagem de roupas, de acordo qualquer uma das reivindicações 1 a 8, caracterizada por n ser selecionado entre 7 a 13 e R2 ser selecionado da cadeia alquílica linear saturada ou monoinsaturada C16 a C18.
10. Composição líquida aquosa de detergente para lavagem de roupas, de acordo qualquer uma das reivindicações 1 a 9, caracterizada pelo tensoativo não iônico de álcool etoxilado ser um álcool alifático primário C12 a C15 com 7 a 9 mols de óxido de etileno por mol de álcool.
11. Composição líquida aquosa de detergente para lavagem de roupas, de acordo qualquer uma das reivindicações 1 a 10, caracterizada pela polietilenoimina alcoxilada ter uma média de mols de alcoxilação (AO) por NH disponível na estrutura principal de polietilenoimina não substituída de 16 a 26 e a estrutura principal de polietilenoimina não substituída tem um peso molecular de 500 a 800.
12. Método doméstico de tratamento de um tecido, caracterizado por compreender as etapas de: (i) tratar um tecido com a partir de 1 g/L de uma solução aquosa da composição de detergente para lavagem de roupas conforme definida em qualquer uma das reivindicações 1 a 11; e, (ii) permitir que a dita solução aquosa de detergente para lavagem de roupas permaneça em contato com o tecido durante 10 minutos até 2 dias e, então, enxaguar e secar o tecido.
Applications Claiming Priority (3)
| Application Number | Priority Date | Filing Date | Title |
|---|---|---|---|
| EP16164561.9 | 2016-04-08 | ||
| EP16164561 | 2016-04-08 | ||
| PCT/EP2017/053799 WO2017174251A1 (en) | 2016-04-08 | 2017-02-20 | Laundry detergent composition |
Publications (2)
| Publication Number | Publication Date |
|---|---|
| BR112018070468A2 BR112018070468A2 (pt) | 2019-01-29 |
| BR112018070468B1 true BR112018070468B1 (pt) | 2022-07-12 |
Family
ID=55701865
Family Applications (1)
| Application Number | Title | Priority Date | Filing Date |
|---|---|---|---|
| BR112018070468-7A BR112018070468B1 (pt) | 2016-04-08 | 2017-02-20 | Composição de detergente líquida aquosa para lavagem de roupas e método doméstico de tratamento de um tecido |
Country Status (5)
| Country | Link |
|---|---|
| EP (1) | EP3440172B1 (pt) |
| CN (1) | CN108779416B (pt) |
| AR (1) | AR108174A1 (pt) |
| BR (1) | BR112018070468B1 (pt) |
| WO (1) | WO2017174251A1 (pt) |
Families Citing this family (4)
| Publication number | Priority date | Publication date | Assignee | Title |
|---|---|---|---|---|
| WO2019238350A1 (en) * | 2018-06-14 | 2019-12-19 | Unilever Plc | Detergent |
| ES2910348T3 (es) | 2018-08-10 | 2022-05-12 | Unilever Ip Holdings B V | Detergente |
| CN113874484A (zh) * | 2019-05-16 | 2021-12-31 | 联合利华知识产权控股有限公司 | 洗衣组合物 |
| EP3990605A1 (en) * | 2019-06-28 | 2022-05-04 | The Procter & Gamble Company | Cleaning composition |
Family Cites Families (75)
| Publication number | Priority date | Publication date | Assignee | Title |
|---|---|---|---|---|
| GB1296839A (pt) | 1969-05-29 | 1972-11-22 | ||
| GB1372034A (en) | 1970-12-31 | 1974-10-30 | Unilever Ltd | Detergent compositions |
| US4760025A (en) | 1984-05-29 | 1988-07-26 | Genencor, Inc. | Modified enzymes and methods for making same |
| JPH0697997B2 (ja) | 1985-08-09 | 1994-12-07 | ギスト ブロカデス ナ−ムロ−ゼ フエンノ−トチヤツプ | 新規の酵素的洗浄剤添加物 |
| ES2058119T3 (es) | 1986-08-29 | 1994-11-01 | Novo Nordisk As | Aditivo detergente enzimatico. |
| NZ221627A (en) | 1986-09-09 | 1993-04-28 | Genencor Inc | Preparation of enzymes, modifications, catalytic triads to alter ratios or transesterification/hydrolysis ratios |
| DE3854249T2 (de) | 1987-08-28 | 1996-02-29 | Novonordisk As | Rekombinante Humicola-Lipase und Verfahren zur Herstellung von rekombinanten Humicola-Lipasen. |
| JPS6474992A (en) | 1987-09-16 | 1989-03-20 | Fuji Oil Co Ltd | Dna sequence, plasmid and production of lipase |
| WO1989006270A1 (en) | 1988-01-07 | 1989-07-13 | Novo-Nordisk A/S | Enzymatic detergent |
| DK6488D0 (da) | 1988-01-07 | 1988-01-07 | Novo Industri As | Enzymer |
| JP3079276B2 (ja) | 1988-02-28 | 2000-08-21 | 天野製薬株式会社 | 組換え体dna、それを含むシュードモナス属菌及びそれを用いたリパーゼの製造法 |
| US5269960A (en) * | 1988-09-25 | 1993-12-14 | The Clorox Company | Stable liquid aqueous enzyme detergent |
| GB8915658D0 (en) | 1989-07-07 | 1989-08-23 | Unilever Plc | Enzymes,their production and use |
| DE69033388T2 (de) | 1989-08-25 | 2000-05-11 | Henkel Research Corp., Santa Rosa | Alkalisches proteolytisches enzym und verfahren zur herstellung |
| KR100236540B1 (ko) | 1990-04-14 | 2000-01-15 | 레클로우크스 라우에르 | 알카리성 바실러스-리파제, 이를 코-딩하는 dna 서열 및 리파제를 생산하는 바실러스 균주 |
| DK0548228T3 (da) | 1990-09-13 | 1999-05-10 | Novo Nordisk As | Lipasevarianter |
| DK58491D0 (da) | 1991-04-03 | 1991-04-03 | Novo Nordisk As | Hidtil ukendte proteaser |
| EP0511456A1 (en) | 1991-04-30 | 1992-11-04 | The Procter & Gamble Company | Liquid detergents with aromatic borate ester to inhibit proteolytic enzyme |
| ES2085024T3 (es) | 1991-04-30 | 1996-05-16 | Procter & Gamble | Detergentes liquidos reforzados con complejo de acido borico-poliol para inhibir la enzima proteolitica. |
| ES2121014T3 (es) | 1991-05-01 | 1998-11-16 | Novo Nordisk As | Enzimas estabilizadas y composiciones detergentes. |
| US6096768A (en) * | 1992-01-28 | 2000-08-01 | Rhone-Poulenc Rorer Limited | Compounds containing phenyl linked to aryl or heteroaryl by an aliphatic- or heteroatom-containing linking group |
| DK28792D0 (da) | 1992-03-04 | 1992-03-04 | Novo Nordisk As | Nyt enzym |
| DK88892D0 (da) | 1992-07-06 | 1992-07-06 | Novo Nordisk As | Forbindelse |
| AU673078B2 (en) | 1993-04-27 | 1996-10-24 | Genencor International, Inc. | New lipase variants for use in detergent applications |
| DK52393D0 (pt) | 1993-05-05 | 1993-05-05 | Novo Nordisk As | |
| JP2859520B2 (ja) | 1993-08-30 | 1999-02-17 | ノボ ノルディスク アクティーゼルスカブ | リパーゼ及びそれを生産する微生物及びリパーゼ製造方法及びリパーゼ含有洗剤組成物 |
| CA2173105C (en) | 1993-10-14 | 2003-05-27 | Andre Baeck | Protease-containing cleaning compositions |
| JPH07143883A (ja) | 1993-11-24 | 1995-06-06 | Showa Denko Kk | リパーゼ遺伝子及び変異体リパーゼ |
| ATE222604T1 (de) | 1994-02-22 | 2002-09-15 | Novozymes As | Methode zur herstellung einer variante eines lipolytischen enzymes |
| DE69534464T2 (de) | 1994-03-29 | 2006-09-28 | Novozymes A/S | Alkalische amylase aus bacellus |
| WO1995030744A2 (en) | 1994-05-04 | 1995-11-16 | Genencor International Inc. | Lipases with improved surfactant resistance |
| WO1995035381A1 (en) | 1994-06-20 | 1995-12-28 | Unilever N.V. | Modified pseudomonas lipases and their use |
| WO1996000292A1 (en) | 1994-06-23 | 1996-01-04 | Unilever N.V. | Modified pseudomonas lipases and their use |
| BE1008998A3 (fr) | 1994-10-14 | 1996-10-01 | Solvay | Lipase, microorganisme la produisant, procede de preparation de cette lipase et utilisations de celle-ci. |
| AU3697995A (en) | 1994-10-26 | 1996-05-23 | Novo Nordisk A/S | An enzyme with lipolytic activity |
| JPH08228778A (ja) | 1995-02-27 | 1996-09-10 | Showa Denko Kk | 新規なリパーゼ遺伝子及びそれを用いたリパーゼの製造方法 |
| BR9608149B1 (pt) | 1995-05-05 | 2012-01-24 | processos para efetuar mutação no dna que codifica uma enzima de subtilase ou sua pré- ou pré-pró-enzima e para a manufatura de uma enzima de subtilase mutante. | |
| WO1997007202A1 (en) | 1995-08-11 | 1997-02-27 | Novo Nordisk A/S | Novel lipolytic enzymes |
| WO1997004078A1 (en) | 1995-07-14 | 1997-02-06 | Novo Nordisk A/S | A modified enzyme with lipolytic activity |
| CN1530443A (zh) | 1996-11-04 | 2004-09-22 | ŵ����÷������˾ | 枯草杆菌酶变异体和组合物 |
| AU4772697A (en) | 1996-11-04 | 1998-05-29 | Novo Nordisk A/S | Subtilase variants and compositions |
| DE69839076T2 (de) | 1997-08-29 | 2009-01-22 | Novozymes A/S | Proteasevarianten und zusammensetzungen |
| MA25044A1 (fr) | 1997-10-23 | 2000-10-01 | Procter & Gamble | Compositions de lavage contenant des variants de proteases multisubstituees. |
| GB2338242A (en) * | 1998-06-10 | 1999-12-15 | Reckitt & Colman Inc | Germicidal laundry detergent |
| KR20010108379A (ko) | 1999-03-31 | 2001-12-07 | 피아 스타르 | 리파제 변이체 |
| ES2532606T3 (es) | 1999-03-31 | 2015-03-30 | Novozymes A/S | Polipéptidos con actividad de alfa-amilasa alcalina y ácidos nucleicos que los codifican |
| EP1214426A2 (en) | 1999-08-31 | 2002-06-19 | Novozymes A/S | Novel proteases and variants thereof |
| CN101974375B (zh) | 1999-12-15 | 2014-07-02 | 诺沃奇梅兹有限公司 | 对蛋渍具有改进洗涤性能的枯草杆菌酶变体 |
| CN1337553A (zh) | 2000-08-05 | 2002-02-27 | 李海泉 | 地下观光游乐园 |
| CA2419896C (en) | 2000-08-21 | 2014-12-09 | Novozymes A/S | Subtilase enzymes |
| DK200101090A (da) | 2001-07-12 | 2001-08-16 | Novozymes As | Subtilase variants |
| DE10162728A1 (de) | 2001-12-20 | 2003-07-10 | Henkel Kgaa | Neue Alkalische Protease aus Bacillus gibsonii (DSM 14393) und Wasch-und Reinigungsmittel enthaltend diese neue Alkalische Protease |
| CN101597601B (zh) | 2002-06-26 | 2013-06-05 | 诺维信公司 | 具有改变的免疫原性的枯草杆菌酶和枯草杆菌酶变体 |
| TWI319007B (en) | 2002-11-06 | 2010-01-01 | Novozymes As | Subtilase variants |
| CN1871344A (zh) | 2003-10-23 | 2006-11-29 | 诺和酶股份有限公司 | 在洗涤剂中具有改善稳定性的蛋白酶 |
| AU2004293826B2 (en) | 2003-11-19 | 2009-09-17 | Danisco Us Inc. | Serine proteases, nucleic acids encoding serine enzymes and vectors and host cells incorporating same |
| CN101218343B (zh) | 2005-07-08 | 2013-11-06 | 诺维信公司 | 枯草蛋白酶变体 |
| CA2673239C (en) | 2007-01-19 | 2012-07-24 | The Procter & Gamble Company | Laundry care composition comprising a whitening agent having an azo-thiophene or triphenylmethane colorant moiety and a polyoxyalkylene moiety |
| DE102007038031A1 (de) | 2007-08-10 | 2009-06-04 | Henkel Ag & Co. Kgaa | Mittel enthaltend Proteasen |
| EP2242830B2 (en) | 2008-01-04 | 2020-03-11 | The Procter & Gamble Company | Enzyme and fabric hueing agent containing compositions |
| EP2085070A1 (en) | 2008-01-11 | 2009-08-05 | Procter & Gamble International Operations SA. | Cleaning and/or treatment compositions |
| AR070497A1 (es) | 2008-02-29 | 2010-04-07 | Procter & Gamble | Composicion detergente que comprende lipasa |
| MX2010009457A (es) | 2008-02-29 | 2010-09-24 | Procter & Gamble | Composicion detergente que comprende lipasa. |
| EP2300588B1 (en) | 2008-06-06 | 2019-02-06 | The Procter and Gamble Company | Detergent composition comprising a variant of a family 44 xyloglucanase |
| EP2300586B1 (en) | 2008-06-16 | 2015-04-08 | Unilever PLC | Improvements relating to fabric cleaning |
| CA2775045A1 (en) | 2009-09-25 | 2011-03-31 | Novozymes A/S | Subtilase variants for use in detergent and cleaning compositions |
| US20120252106A1 (en) | 2009-09-25 | 2012-10-04 | Novozymes A/S | Use of Protease Variants |
| EP2791310B1 (en) | 2011-12-12 | 2017-01-18 | Unilever Plc. | Laundry compositions |
| CN103975049A (zh) * | 2011-12-12 | 2014-08-06 | 荷兰联合利华有限公司 | 洗衣组合物 |
| BR112014023153B1 (pt) | 2012-03-19 | 2021-02-23 | Milliken & Company | corantes de carboxilato |
| US9365806B2 (en) * | 2012-07-31 | 2016-06-14 | Conopco Inc. | Alkaline liquid laundry detergent compositions comprising polyesters |
| EP2692842B1 (en) | 2012-07-31 | 2014-07-30 | Unilever PLC | Concentrated liquid detergent compositions |
| EP2909295B1 (en) * | 2012-10-17 | 2016-08-03 | Unilever PLC | Laundry compositions |
| BR112015012322B1 (pt) | 2012-11-29 | 2021-07-13 | Unilever Ip Holdings B.V. | Líquido detergente aquoso espessado e processo de fabricação de composição detergente |
| WO2016045026A1 (en) | 2014-09-25 | 2016-03-31 | The Procter & Gamble Company | Laundry detergents and cleaning compositions comprising sulfonate group-containing polymers |
-
2017
- 2017-02-20 BR BR112018070468-7A patent/BR112018070468B1/pt active IP Right Grant
- 2017-02-20 CN CN201780019398.5A patent/CN108779416B/zh active Active
- 2017-02-20 EP EP17705155.4A patent/EP3440172B1/en active Active
- 2017-02-20 WO PCT/EP2017/053799 patent/WO2017174251A1/en not_active Ceased
- 2017-04-05 AR ARP170100867A patent/AR108174A1/es active IP Right Grant
Also Published As
| Publication number | Publication date |
|---|---|
| BR112018070468A2 (pt) | 2019-01-29 |
| EP3440172B1 (en) | 2019-08-21 |
| WO2017174251A1 (en) | 2017-10-12 |
| CN108779416B (zh) | 2021-01-05 |
| AR108174A1 (es) | 2018-07-25 |
| EP3440172A1 (en) | 2019-02-13 |
| CN108779416A (zh) | 2018-11-09 |
Similar Documents
| Publication | Publication Date | Title |
|---|---|---|
| EP3440170B1 (en) | Laundry detergent composition | |
| CN107592883B (zh) | 洗衣洗涤剂组合物 | |
| CN108138082B (zh) | 洗衣洗涤剂组合物 | |
| EP3433346B1 (en) | Laundry detergent composition | |
| BR112018070468B1 (pt) | Composição de detergente líquida aquosa para lavagem de roupas e método doméstico de tratamento de um tecido | |
| BR112017026234B1 (pt) | Composição de detergente para lavagem de roupas e método de tratamento doméstico de um tecido | |
| BR112018006161B1 (pt) | Formulação aquosa detergente líquida isotrópica para lavagem de roupas e método de tratamento doméstico de um tecido | |
| EP3555255B1 (en) | Laundry detergent composition | |
| BR112017027402B1 (pt) | Composição de detergente para lavagem de roupas e método de tratamento doméstico de um tecido | |
| CN108603140B (zh) | 增白组合物 | |
| EP3303536B1 (en) | Laundry detergent composition | |
| BR112019023390B1 (pt) | Composição líquida aquosa de detergente para lavagem de tecidos e método doméstico de tratamento de um tecido | |
| BR112020000205A2 (pt) | composição de limpeza para a lavagem de tecidos e método doméstico de tratamento de um tecido |
Legal Events
| Date | Code | Title | Description |
|---|---|---|---|
| B25A | Requested transfer of rights approved |
Owner name: UNILEVER IP HOLDINGS B.V. (PB) |
|
| B06W | Patent application suspended after preliminary examination (for patents with searches from other patent authorities) chapter 6.23 patent gazette] | ||
| B350 | Update of information on the portal [chapter 15.35 patent gazette] | ||
| B09A | Decision: intention to grant [chapter 9.1 patent gazette] | ||
| B16A | Patent or certificate of addition of invention granted [chapter 16.1 patent gazette] |
Free format text: PRAZO DE VALIDADE: 20 (VINTE) ANOS CONTADOS A PARTIR DE 20/02/2017, OBSERVADAS AS CONDICOES LEGAIS |





