WO2018108627A1 - Use of substituted indolinylmethyl sulfonamides, or the salts thereof for increasing the stress tolerance of plants - Google Patents
Use of substituted indolinylmethyl sulfonamides, or the salts thereof for increasing the stress tolerance of plants Download PDFInfo
- Publication number
- WO2018108627A1 WO2018108627A1 PCT/EP2017/081511 EP2017081511W WO2018108627A1 WO 2018108627 A1 WO2018108627 A1 WO 2018108627A1 EP 2017081511 W EP2017081511 W EP 2017081511W WO 2018108627 A1 WO2018108627 A1 WO 2018108627A1
- Authority
- WO
- WIPO (PCT)
- Prior art keywords
- alkyl
- methyl
- aryl
- butenyl
- heteroaryl
- Prior art date
- Legal status (The legal status is an assumption and is not a legal conclusion. Google has not performed a legal analysis and makes no representation as to the accuracy of the status listed.)
- Ceased
Links
- 0 CS(N(*)C(*)(*)c(c(*)c1C(*)(*)C2(*)*)c(*)c(*)c1N2C(CC*)=*)(=O)=O Chemical compound CS(N(*)C(*)(*)c(c(*)c1C(*)(*)C2(*)*)c(*)c(*)c1N2C(CC*)=*)(=O)=O 0.000 description 2
Classifications
-
- A—HUMAN NECESSITIES
- A01—AGRICULTURE; FORESTRY; ANIMAL HUSBANDRY; HUNTING; TRAPPING; FISHING
- A01N—PRESERVATION OF BODIES OF HUMANS OR ANIMALS OR PLANTS OR PARTS THEREOF; BIOCIDES, e.g. AS DISINFECTANTS, AS PESTICIDES OR AS HERBICIDES; PEST REPELLANTS OR ATTRACTANTS; PLANT GROWTH REGULATORS
- A01N43/00—Biocides, pest repellants or attractants, or plant growth regulators containing heterocyclic compounds
- A01N43/34—Biocides, pest repellants or attractants, or plant growth regulators containing heterocyclic compounds having rings with one nitrogen atom as the only ring hetero atom
- A01N43/36—Biocides, pest repellants or attractants, or plant growth regulators containing heterocyclic compounds having rings with one nitrogen atom as the only ring hetero atom five-membered rings
- A01N43/38—Biocides, pest repellants or attractants, or plant growth regulators containing heterocyclic compounds having rings with one nitrogen atom as the only ring hetero atom five-membered rings condensed with carbocyclic rings
-
- A—HUMAN NECESSITIES
- A01—AGRICULTURE; FORESTRY; ANIMAL HUSBANDRY; HUNTING; TRAPPING; FISHING
- A01N—PRESERVATION OF BODIES OF HUMANS OR ANIMALS OR PLANTS OR PARTS THEREOF; BIOCIDES, e.g. AS DISINFECTANTS, AS PESTICIDES OR AS HERBICIDES; PEST REPELLANTS OR ATTRACTANTS; PLANT GROWTH REGULATORS
- A01N43/00—Biocides, pest repellants or attractants, or plant growth regulators containing heterocyclic compounds
- A01N43/34—Biocides, pest repellants or attractants, or plant growth regulators containing heterocyclic compounds having rings with one nitrogen atom as the only ring hetero atom
- A01N43/40—Biocides, pest repellants or attractants, or plant growth regulators containing heterocyclic compounds having rings with one nitrogen atom as the only ring hetero atom six-membered rings
Definitions
- the invention relates to the use of substituted indolinylmethylsulfonamides or their salts for increasing the stress tolerance in plants to abiotic stress, to increase the
- Plant growth and / or increase the plant yield Plant growth and / or increase the plant yield.
- arylsulfonamides for example 2-cyanobenzenesulfonamides
- have insecticidal properties compare, for example, EP0033984 and WO2005 / 035486, WO2006 / 056433, WO2007 / 060220.
- 2-Cyanobenzenesulfonamides having particular heterocyclic substituents are described in EP2065370.
- certain aryl- and heteroaryl-substituted sulfonamides can be used as active substances against abiotic plant stress (cf.
- Benzylsulfonamidocarboxylic acids, carboxylic acid esters, carboxamides and carbonitriles against abiotic plant stress are described in WO 2012/089721 and WO 2012/089722.
- the preparation of sulfamidoalkanecarboxylic acids and sulfamidoalkanecarbonitrile is described in DE847006.
- the use of selected arylsulfonamides having alkylcarboxyl substituents as growth regulators, especially for limiting the growth length of rice and wheat plants with the aim of minimizing the weather-related kinking is described in DE2544859, while the fungicidal action of certain N-Cyanoalkylsulfonamide in EP 176327 AI is described. It is also known that substituted N-sulfonylaminoacetonitriles can be used to control parasites in warm-blooded animals (see WO2004 / 000798).
- WO2006 / 124875, WO96 / 36595) and substituted hetarylsulfonamides can be used as pharmaceutical active ingredients.
- WO2003 / 007931 likewise describes the pharmaceutical use of substituted naphthylsulfonamides, while in Eur. J. Med. Chem. 2010, 45, 1760 naphthylsulfonyl-substituted glutamic acid amides and their antitumor action are described.
- pyrrolidinyl-substituted arylsulfonamides can be used as cathepsin C inhibitors in the treatment of respiratory diseases (WO2009 / 026197) or as anti-infective agents in the treatment of hepatitis C (WO2007 / 092588).
- the pharmaceutical use of N-arylsulfonyl derivatives of various other amino acids, for example as urokinase inhibitors (see WO2000 / 05214), as Agents for the treatment of diabetes (see WO2003 / 091211), as analgesics (see WO2008 / 131947) and as D-secretase modulators (see WO2010 / 108067) is also described.
- Dihydrooxindolylsulfonamiden is described. It is also known that certain substituted oxindolyl derivatives, such as.
- pyrrolobenzimidazolones can be used as pharmaceutical agents, for example as antiproliferative substances (cf .. EP 1598353 AI), as CB2 agonists (see WO2010 / 077839) or as antiarrhythmic and cardiotonic agents (see.
- EP 0431943 AI shows synthetic routes for the preparation of substituted amino-dihydrooxindoles. It is furthermore known that oxotetrahydroquinolinylsulfonamides can be used as Rho-kinase inhibitors (compare Eur. J. Med. Chem. 2008, 43, 1730). It is known that plants are affected by natural stress conditions, such as cold, heat, drought stress (stress caused by drought and / or lack of water), wounding,
- Pathogen infestation (viruses, bacteria, fungi, insects) etc. but also on herbicides with specific or nonspecific defense mechanisms can react [Plant Biochemistry, pp. 393-462, Spektrum Akademischer Verlag, Heidelberg, Berlin, Oxford, Hans W. Heidt, 1996; Biochemistry and Molecular Biology of Plants, pp. 1102-1203, American Society of Plant Physiologists, Rockville, Maryland, eds. Buchanan, Gruissem, Jones, 2000].
- abiotic stress defense reactions e.g., cold, heat, drought, salt, flooding
- signal transduction chains e.g., transcription factors, kinases, phosphatases
- the signal chain genes of the abiotic stress reaction include, among others.
- LSA Proteins Embryogenesis Abundant Proteins
- ROS reactive oxygen species
- HSF Heat Shock Factors
- HSP Heat Shock Proteins
- Naphthylsulfamidocarboxylic acid N - [(4-bromo-1-naphthyl) sulfonyl] -5-methoxynorvaline
- osmolytes e.g. Glycine betaine or its biochemical precursors, e.g. Choline derivatives have been observed (Chen et al., 2000, Plant Cell Environ 23: 609-618, Bergmann et al., DE4103253).
- the action of antioxidants such as naphthols and xanthines to increase the abiotic stress tolerance in plants has also been described (Bergmann et al., DD277832, Bergmann et al., DD277835).
- the molecular causes of the anti-stress effects of these substances are largely unknown.
- PARP poly-ADP-ribose polymerases
- PARG poly (ADP-ribose) glycohydrolases
- substituted dihydrooxindolylsulfonamides can lead to an increase in the resistance of plants to abiotic stress factors
- the object of the present invention to provide compounds which further increase the tolerance to abiotic stress in plants, a strengthening of the
- Plant growth and / or contribute to increase the plant yield Plant growth and / or contribute to increase the plant yield.
- tolerance to abiotic stress is associated with tolerance to cold, heat, drought stress (stress caused by drought and / or lack of water), salting and flooding, but not explicitly the increased resistance to buckling of the plants or components thereof such as, for example understood during or after heavy rains and thunderstorms.
- substituted Indolmylmethylsulfonamide or salts thereof can be used to increase the tolerance in plants to abiotic stress, as well as to increase plant growth and / or increase the plant yield.
- R 1 is hydrogen, (C 1 -C 8 ) -alkyl, (C 1 -C 8 ) -haloalkyl, (C 1 -C 8 ) -haloalkoxy- (C 1 -C 8 ) -alkyl, (C 1 -C 8 ) -haloalkylsulfonylalkyl, hydroxy (Ci-C 8) alkyl, cyano (Ci-C 8) alkyl, (C 3 -C 8) cycloalkyl, halo (C 3 -C 8) cycloalkyl, (C 3 -C 8 ) cycloalkyl (C 2 -C 8) alkyl, aryl (Ci-C 8) alkyl, heteroaryl (Ci-C 8) - alkyl, heterocyclyl- (Ci-C 8) alkyl, (Ci- C 8) alkoxy (Ci-C 8) alkyl, (Ci-C
- R 5 independently of one another represent hydrogen, halogen, (Ci-Cg) -alkyl, (Ci-Cg) -haloalkyl, (C 3 -Cg) -Halocycloalkyl, (C 3 -Cg) -cycloalkyl, (C 3 -Cg) - Cycloalkyl- (Ci-Cg) -alkyl, aryl- (Ci-Cg) -alkyl, heteroaryl- (Ci-Cg) -alkyl, heterocyclyl- (Ci-Cg) -alkyl hydroxy- (Ci-Cg) -alkyl, cyano (Ci-Cg) -alkyl, (Ci-Cg) -alkoxy (Ci-Cg) -alkyl, (Ci-Cg) -alkylthio (Ci-Cg) -alkyl,
- R 6 , R 7 and R 8 independently of one another represent hydrogen, halogen, (C 1 -C 8 ) -alkyl, (C 1 -C 8 ) -haloalkyl, aryl- (C 1 -C 8 ) -alkyl, heteroaryl- (C 1 -C 8 ) alkyl, heterocyclyl (Ci-C8) alkyl, (C 3 -C 8) -cycloalkyl, (C 3 -C 8) cycloalkyl (C 2 -C 8) alkyl, (Ci-C8) alkoxy (Ci-C8) alkoxy (Ci-C 8) alkyl, (C 4 -C 8) - cycloalkenyl, (Ci-C 8) alkyl, (C 2 -C 8) alkenyl, aryl (C 2 -C 8) alkenyl, heteroaryl (C 2 -C 8) alkenyl, (C 3 -C
- R 9 , R 10 independently of one another represent hydrogen, (C 1 -C 8 ) -alkyl, (C 1 -C 8 ) -haloalkyl, hydroxy- (C 1 -C 8 ) -alkyl, cyano- (C 1 -C 8 ) -alkyl, (C 3 -C 8) cycloalkyl, (Ci-C8) alkoxy- (Ci-C 8) alkyl, (Ci-C 8) - Alkylthio (Ci-C8) alkyl, ammonium (Ci-C 8) alkyl, (Ci-C 8) alkylamino (Ci-C8) alkyl, (C 3 -C 8) - (cycloalkylamino C 1 -C 8) -alkyl, aryl- (C 1 -C 8) -alkylamino- (C 1 -C 8) -alkyl, heteroaryl- (C 1 -C
- Heterocyclyl (C 1 -C 8 ) -alkyl, (C 2 -C 8 ) -alkenyl, (C 2 -C 8 ) -haloalkenyl, (C 4 -C 10) -cycloalkenyl, (C 4 -C 10) -halocycloalkenyl, ( C 2 -C 8 ) -alkynyl, (C 2 -C 8 ) -haloalkynyl, aryl, heteroaryl,
- Heterocyclyl and R 15 are identical or different and are each, independently of one another, hydrogen, (C 1 -C 8 ) -alkyl, (C 1 -C 8 ) -cycloalkyl, (C 1 -C 10) -haloalkyl, (C 3 -C 10) -cycloalkyl, (C 3 -Cio) halocycloalkyl, (Ci-C 8) alkoxy (Ci-C 8) alkyl, (Ci-C8) haloalkoxy (Ci-C 8) alkyl, (Ci-C 8 ) alkylthio (Ci-C8) - alkyl, (Ci-C 8) -Haloalkylthio- (Ci-C 8) alkyl, aryl (Ci-C 8) alkyl, heteroaryl (Ci-C 8) alkyl, (C 3 -Cio) cycloalkyl- (Ci-C
- Heteroaryl is, and stands for oxygen or sulfur.
- the compounds of the general formula (I) can be prepared by addition of a suitable inorganic or organic acid, such as, for example, HCl, HBr, H 2 SO 4, H 3 PO 4 or HNO 3, or organic acids, for example carboxylic acids, such as formic acid, acetic acid, propionic acid, oxalic acid, Lactic acid or salicylic acid or sulfonic acids, such as p-toluenesulfonic acid, to form a basic group such as amino, alkylamino, dialkylamino, piperidino, morpholino or pyridino, salts. These salts then contain the conjugate base of the acid as an anion. Suitable substituents which in deprotonated form, such as sulfonic acids, certain
- Sulfonklareamide or carboxylic acids may form internal salts with their turn protonatable groups, such as amino groups. Salt formation can also be due to the action of a base
- Suitable bases are, for example, organic amines, such as trialkylamines, morpholine, piperidine and pyridine and ammonium, alkali or
- Potassium hydroxide, sodium and potassium carbonate and sodium and potassium bicarbonate are compounds in which the acidic hydrogen is replaced by a cation suitable for agriculture, for example metal salts, in particular alkali metal salts or
- Alkaline earth metal salts in particular sodium and potassium salts, or else ammonium salts, salts with organic amines or quaternary ammonium salts, for example with cations of the formula
- R a to R d are each independently an organic radical, in particular alkyl, aryl, aralkyl or alkylaryl. Also suitable are alkylsulfonium and
- Alkylsulfoxoniumsalze such as (Ci-C4) -trialkylsulfonium and (Ci-C4) -Trialkylsulfoxoniumsalze.
- R 1 represents hydrogen, (C 1 -C 4) -alkyl, (C 1 -C 4) -haloalkyl, (C 1 -C 7 ) -haloalkoxy- (C 1 -C 7 ) -alkyl, (C 1 -C 7 ) -haloalkylsulfonylalkyl, hydroxy- ( Ci-C7) alkyl, cyano (Ci-C7) alkyl, (C 3 -C 7) cycloalkyl, halo (C 3 -C 7) cycloalkyl, (C 3 -C 7) cycloalkyl - (C 2 -C 7) alkyl, aryl (Ci-C7) alkyl, heteroaryl (Ci-C7) - alkyl, heterocyclyl- (Ci-C7) alkyl, (Ci-C7) alkoxy (Ci-C7) alkyl, (Ci-C7) -alkylthio
- R 2 and R 3 independently of one another represent hydrogen, halogen, (C 1 -C 7 ) -alkyl, (C 1 -C 7 ) -haloalkyl, (C 3 -C 7 ) -halocycloalkyl, (C 3 -C 7 ) -cycloalkyl, (C 3 -C 7) cycloalkyl (Ci-C7) alkyl, aryl (Ci-C7) - alkyl, heteroaryl (Ci-C7) alkyl, heterocyclyl (Ci-C7) alkyl hydroxy- ( Ci-C7) alkyl, cyano (Ci-C7) alkyl, (Ci-C7) alkoxy (Ci-C7) alkyl (C 2 -C 7) alkenyl, (C 2 -C 7 ) alkynyl, aryl,
- R 4 and R 5 independently of one another represent hydrogen, halogen, (C 1 -C 7 ) -alkyl, (C 1 -C 7 ) -haloalkyl, (C 3 -C 7 ) -halocycloalkyl, (C 3 -C 7 ) -cycloalkyl, (C 3 -C 7) cycloalkyl (Ci-C7) alkyl, aryl (Ci-C7) - alkyl, heteroaryl (Ci-C7) alkyl, heterocyclyl (Ci-C7) alkyl hydroxy- ( Ci-C7) alkyl, cyano (Ci-C7) alkyl, (Ci-C7) alkoxy (Ci-C7) alkyl (C 2 -C 7) alkenyl, (C 2 -C 7 ) alkynyl, aryl,
- R 6 , R 7 and R 8 independently of one another represent hydrogen, halogen, (C 1 -C 7 ) -alkyl, (C 1 -C 7 ) -haloalkyl, aryl- (C 1 -C 7 ) -alkyl, heteroaryl- (C 1 -C 4 ) -alkyl 7 ) -alkyl, heterocyclyl (Ci-C 7 ) -alkyl, (C 3 -C 7 ) -cycloalkyl, (C 3 -C 7 ) -cycloalkyl- (C 2 -C 7 ) -alkyL (Ci-C 7 ) alkoxy (Ci-C7) alkoxy (Ci-C7) alkyl (C4-C7) - cycloalkenyl (Ci-C7) alkyl, (C 2 -C 7) alkenyl, aryl - (C 2 -C 7 ) -alkenyl, heteroary
- R 9 , R 10 independently of one another represent hydrogen, (C 1 -C 7) -alkyl, or
- R 11 is hydrogen, (C 1 -C 7 ) -alkyl, (C 3 -C 7 ) -cycloalkyl, (C 3 -C 9 ) -halocycloalkyl, (C 3 -C 7 ) -
- R 12 is (Ci-C7) alkyl, (C 3 -C 7) -cycloalkyl, (C 3 -C 7) cycloalkyl (Ci-C7) alkyl (Ci-C7) haloalkyl, ( C 3 -C 7) halocycloalkyl, aryl (Ci-C7) alkyl, heteroaryl (Ci-C7) alkyl, heterocyclyl (Ci-C7) - alkyl, (Ci-C7) alkoxy - (Ci-C 7 ) -alkyL (Ci-C 7 ) -Alkoxy- (Ci-C 7 ) -haloalkyl, (Ci-C 7 ) -Alkoxy- (Ci-C 7 ) -alkoxy- (Ci-C 7 ) alkyl, aryloxy (Ci-C7) alkyl, heteroaryloxy- (Ci-C7) alkyl, (C 4 -
- Heterocyclyl (C 1 -C 7 ) -alkyl, (C 2 -C 7 ) -alkenyl, (C 2 -C 7 ) -haloalkenyl, (C 4 -C 9 ) -cycloalkenyl, (C 4 -C 9 ) -halocycloalkenyl, (C 2 -C 7 ) -alkynyl, (C 2 -C 7 ) -haloalkynyl, aryl, heteroaryl, heterocyclyl, and R 15 are identical or different and independently of one another represent hydrogen, (C 1 -C 7 ) -alkyl, (C 1 -C 4 ) -alkyl 7) cyanoalkyl, (Ci-C 9) -haloalkyl, (C 3 -C 9) -cycloalkyl, (C 3 -C 9) halocycloalkyl, (Ci-C7) alkoxy (C
- R 1 represents hydrogen, (Ci-C 6) -alkyl, (Ci-C 6) -haloalkyl, hydroxy (Ci-C 6) alkyl, cyano (Ci-C 6) alkyl, (C 3 -C 6) -cycloalkyl, halo- (C 3 -C 6) -cycloalkyl, (C3-C6) cycloalkyl (C 2 -C 6) alkyl, aryl (Ci-C 6) - alkyl, heteroaryl (C -C 6) alkyl, heterocyclyl (Ci-C 6) alkyl, (Ci-C6) alkoxy (Ci-C 6) alkyl, (Ci-C 6) alkylthio (Ci-C 6 ) alkyl, amino (Ci-C 6) alkyl, (Ci-C6) alkylamino (Ci)
- R 2 and R 3 independently of one another represent hydrogen, halogen, (C 1 -C 6 ) -alkyl, (C 1 -C 6 ) -haloalkyl, (C 3 -C 6 ) -halocycloalkyl, (C 3 -C 6 ) -cycloalkyl, (C3 -C 6 ) -cycloalkyl- (C 1 -C 6 ) -alkyl, aryl- (C 1 -C 6 ) -alkyl, heteroaryl- (C 1 -C 6 ) -alkyl, heterocyclyl- (C 1 -C 6 ) -alkyl, hydroxy (Ci C6) alkyl, cyano (Ci-C 6) alkyl, (Ci-C6) alkoxy (Ci-C 6) alkyl, (C 2 -C 6) alkenyl, (C 2 -C 6 ) alkynyl, aryl,
- R 4 and R 5 independently of one another represent hydrogen, halogen, (C 1 -C 6 ) -alkyl, (C 1 -C 6 ) -haloalkyl, (C 3 -C 6 ) -halocycloalkyl, (C 3 -C 6 ) -cycloalkyl, (C 3 -C 6) -cycloalkyl- (Ci-C 6) alkyl, aryl (Ci-C 6) - alkyl, heteroaryl (Ci-C6) alkyl, heterocyclyl (Ci-C6) alkyl hydroxy- ( Ci-C6) alkyl, cyano (Ci-C 6) alkyl, (Ci-C6) alkoxy (Ci-C 6) alkyl, (C 2 -C 6) alkenyl, (C 2 - C 6 ) alkynyl, aryl,
- R 6 , R 7 and R 8 independently of one another represent hydrogen, halogen, (C 1 -C 6 ) -alkyl, (C 1 -C 6 ) -haloalkyl, (C 3 -C 6 ) -cycloalkyl, aryl, heteroaryl, heterocyclyl, (C 1 -C 6 ) -cycloalkyl, C 6 ) -alkylthio, OR 13 , C (O) R 13 ,
- R 9 , R 10 independently of one another represent hydrogen, (C 1 -C 6) -alkyl, or with the carbon atom to which they are attached form a fully saturated or partially saturated, optionally interrupted by heteroatoms and optionally further substituted 3 to 7-membered monocyclic or bicyclic ring, or together with the atom to which they are attached form a carbonyl group, represents hydrogen, (Ci-C6) alkyl, is (Ci-C 6) -alkyl, (C 3 -C 6) -cycloalkyl, (C3-C6) cycloalkyl (Ci-C 6) alkyl, (Ci-C 6) -haloalkyl, (C 3 -C 6) halocycloalkyl, aryl (Ci-C 6) alkyl, heteroaryl (Ci-C 6) alkyl, heterocyclyl (Ci-C 6) - alkyl, (C 1 -C 6 ) -alkoxy-
- Heterocyclyl (C 1 -C 6 ) -alkyl, (C 2 -C 6 ) -alkenyl, (C 2 -C 6 ) -haloalkenyl, (C 4 -C 8 ) -cycloalkenyl, (C 4 -C 8 ) -halocycloalkenyl, (C 2 -C 6) -alkynyl, (C 2 -C 6) -haloalkynyl, aryl, heteroaryl, heterocyclyl, and R 15 are identical or different and independently of one another represent hydrogen, (C 1 -C 6) -alkyl, (C 1 -C 6 ) cyanoalkyl, (Ci-C8) -haloalkyl, (C 3 -C 8) -cycloalkyl, (C 3 -C 8) halocycloalkyl, (Ci-C6) alkoxy (Ci-C 6) alkyl, (C
- R 16 is (C 1 -C 6 ) -alkyl , (Ci-C 6) cyanoalkyl, (Ci-C8) -haloalkyl, (C 3 -C 8) -cycloalkyl, (C 3 -C 8) -
- Halocycloalkyl (Ci-C6) alkoxy (Ci-C 6) alkyl, (Ci-C6) alkoxy (Ci-C 6) -haloalkyl, aryl (Ci-C 6) - alkyl, heteroaryl (C 1 -C 6 ) -alkyl, heterocyclyl- (C 1 -C 6 ) -alkyl, (C 3 -C 8 ) -cycloalkyl- (C 1 -C 6 ) -alkyl, (C 4 -C 8 ) -cycloalkenyl- (Ci-C 6) alkyl, (C 2 -C 6) - alkenyl, (C 2 -C 6) haloalkenyl, (C 4 -C 8) - cycloalkenyl, (C 4 -C 8) -Halocycloalkenyl, ( C 2 -C 6) alkynyl, (C 2 -
- X is oxygen or sulfur, preferably oxygen.
- R 1 represents hydrogen, (Ci-C 6) -alkyl, (Ci-C 6) -haloalkyl, aryl, (C 3 -C 6) cycloalkyl (C 2 -C 6) -alkyl, R 2, R 3 are hydrogen,
- R 4 , R 5 independently of one another represent hydrogen or (C 1 -C 6 ) -alkyl
- R 6 , R 7 , R 8 independently of one another represent hydrogen
- R 9 , R 10 represent hydrogen
- R 11 represents hydrogen
- R 12 is (Ci-C 6) -alkyl, (C 3 -C 6) -cycloalkyl, (C 3 -C 6) -cycloalkyl- (Ci-C 6) alkyl, (Ci-C 6) -haloalkyl, (C 3 -C 6) halocycloalkyl, aryl (Ci-C 6) alkyl, heteroaryl (Ci-C 6) alkyl, heterocyclyl (Ci-C 6) - alkyl, (Ci-C 6) - Alkoxy- (C 1 -C 6 ) -alkyl, (C 1 -C 6 ) -alkoxy- (C 1 -C 6 ) -haloalkyl, (C 1 -C 6 ) -alkoxy- (C 1 -C 6 ) -alkoxy- (ci) C 6 ) -alkyl, aryloxy- (C 1 -C 6 )
- Heterocyclyl (C 1 -C 6 ) -alkyl, (C 2 -C 6 ) -alkenyl, (C 2 -C 6 ) -haloalkenyl, (C 4 -C 8 ) -cycloalkenyl, (C 4 -C 8 ) -halocycloalkenyl, (C 2 -C 6) -alkynyl, (C 2 -C 6) -haloalkynyl, aryl, heteroaryl, heterocyclyl, and R 15 are identical or different and independently of one another represent hydrogen, (C 1 -C 6) -alkyl, (C 1 -C 6 ) cyanoalkyl, (Ci-C8) -haloalkyl, (C 3 -C 8) -cycloalkyl, (C 3 -C 8) halocycloalkyl, (Ci-C6) alkoxy (Ci-C 6) alkyl, (C
- R 1 is hydrogen, methyl, ethyl, n-propyl, 1-methylethyl, n-butyl, 1-methylpropyl, 2-
- R 4 , R 5 independently of one another represent hydrogen, methyl, ethyl, n-propyl, 1-methylethyl, n-butyl, 1-methylpropyl, 2-methylpropyl, 1, 1-dimethylethyl, n-pentyl, 1-methylbutyl, 2 Methylbutyl, 3-methylbutyl, 1, 1-dimethylpropyl, 1, 2-dimethylpropyl, 2,2-dimethylpropyl, 1-ethylpropyl, n-hexyl, 1-methylpentyl, 2-methylpentyl, 3-methylpentyl, 4-methylpentyl, 1, 1-dimethylbutyl,
- R 6 , R 7 , R 8 independently of one another represent hydrogen, fluorine, chlorine, bromine or iodine,
- R 9 , R 10 are hydrogen
- R 11 is hydrogen
- R 12 is methyl, ethyl, n -propyl, 1-methylethyl, n-butyl, 1-methylpropyl, 2-methylpropyl, 1, 1-dimethylethyl, n-pentyl, 1-methylbutyl, 2-methylbutyl, 3-methylbutyl, 1 , 1-dimethylpropyl, 1, 2-dimethylpropyl, 2,2-dimethylpropyl, 1-ethylpropyl, n-hexyl, 1-methylpentyl, 2-methylpentyl, 3-methylpentyl, 4-methylpentyl, 1, 1-dimethylbutyl, 1, 2 Dimethylbutyl, 1,3-dimethylbutyl, 2,2-dimethylbutyl, 2,3-dimethylbutyl, 3,3-dimethylbutyl, 1-ethylbutyl, 2-
- Ethyl butyl 1, 1, 2-trimethylpropyl, 1, 2,2-trimethylpropyl, 1-ethyl-1-methylpropyl, 1-ethyl-2-methylpropyl, cyclopropyl, cyclobutyl, cyclopentyl, cyclohexyl, 1-methylcycloprop-1-yl, 2 Methylcycloprop-1-yl, 2,2-dimethylcycloprop-1-yl, 2,3-dimethylcyclopropyl,
- R 1 is hydrogen, (C 1 -C 8 ) -haloalkyl, (C 1 -C 8 ) -haloalkoxy- (C 1 -C 8 ) -alkyl, (C 1 -C 8 ) -
- R 2 and R 3 are each independently hydrogen, halogen, (Ci-C 8) -alkyl, (Ci-C8) -haloalkyl, (C 3 -C 8) halocycloalkyl, (C 3 -C 8) -cycloalkyl, (C 3 -C 8) -cycloalkyl- (Ci-C 8) alkyl, aryl (Ci-C8) - alkyl, heteroaryl (Ci-C 8) alkyl, heterocyclyl (Ci-C8) - alkyl hydroxy- (C 1 -C 8 ) -alkyl, cyano- (C 1 -C 8 ) -alkyl, (C 1 -C 8 ) -alkoxy- (C 1 -C 8 ) -alkyl, (C 1 -C 8 ) -alkylthio- (C 1 -C 8 ) -alkyl,
- R 5 independently represent hydrogen, halogen, (Ci-C 8) -alkyl, (Ci-C8) -haloalkyl, (C 3 -C 8) halocycloalkyl, (C 3 -C 8) cycloalkyl, (C3- C 8) cycloalkyl (Ci-C8) alkyl, aryl (Ci-C8) - alkyl, heteroaryl (Ci-C 8) alkyl, heterocyclyl (Ci-C8) alkyl hydroxy ( C 1 -C 8 ) -alkyl, cyano- (C 1 -C 8 ) -alkyl, (C 1 -C 8 ) -alkoxy- (C
- R 6 , R 7 and R 8 independently of one another represent hydrogen, halogen, (C 1 -C 8 ) -alkyl, (C 1 -C 8 ) -haloalkyl, aryl- (C 1 -C 8 ) -alkyl, heteroaryl- (C 1 -C 8 ) -alkyl 8 ) -alkyl, heterocyclyl (Ci-C 8 ) -alkyl, (C 3 -C 8 ) -cycloalkyl, (C 3 -C 8 ) -cycloalkyl- (C 2 -C 8 ) -alkyl, (Ci-C 8) alkoxy- (Ci-C 8) alkoxy (Ci-C 8) alkoxy (Ci-C 8) alkoxy (Ci-C 8) alkoxy (Ci-C 8) alkoxy (Ci-C 8) alkoxy (Ci-C 8) alkoxy (Ci-C 8) al
- R 9, R 10 are independently hydrogen, (Ci-C 8) -alkyl, (Ci-C8) -haloalkyl, hydroxy (Ci-C 8) - alkyl, cyano- (Ci-C 8) alkyl, ( C 3 -C 8) cycloalkyl, (Ci-C 8) alkoxy (Ci-C 8) alkyl, (Ci-C 8) - alkylthio (Ci-C8) alkyl, amino (Ci- C 8) alkyl, (Ci-C 8) alkylamino (Ci-C8) alkyl, (C 3 -C 8) - cycloalkylamino (Ci-C 8) alkyl, aryl (Ci-C 8 ) -alkylamino- (C 1 -C 8 ) -alkyl, heteroaryl- (C 1 -C 8 ) -alkylamino- (C 1 -C 8 ) -
- R 11 is hydrogen, (C 1 -C 8 ) -alkyl, (C 3 -C 8 ) -cycloalkyl, (C 3 -C 10) -hio-cycloalkyl, (C 3 -C 8 ) -
- Heterocyclyl (C 1 -C 8 ) -alkyl, (C 2 -C 8 ) -alkenyl, (C 2 -C 8 ) -haloalkenyl, (C 4 -C 10) -cycloalkenyl, (C 4 -C 10) -halocycloalkenyl, ( C 2 -C 8 ) -alkynyl, (C 2 -C 8 ) -haloalkynyl, aryl, heteroaryl,
- Heterocyclyl, and R 15 are identical or different and are each, independently of one another, hydrogen, (C 1 -C 5) -cycloalkyl, (C 1 -C 10) -haloalkyl, (C 3 -C 10) -cycloalkyl, (C 3 -C 10) -halocycloalkyl, (Ci-C 8) alkoxy (Ci-C 8) alkyl, (Ci-C8) haloalkoxy (Ci-C 8) alkyl, (Ci-C8) alkylthio (Ci-C 8 ) alkyl, (Ci-C 8) - Haloalkylthio- (Ci-C 8) alkyl, aryl (Ci-C 8) alkyl, heteroaryl (Ci-C 8) alkyl, (C 3 -Cio) cycloalkyl (Ci-C8) alkyl, (C 4 -Cio) cycloalkeny
- R is (C 1 -C 8 ) -alkyl, (C 1 -C 8 ) -cyanoalkyl, (C 1 -C 10) -haloalkyl, (C 3 -C 10) -cycloalkyl, (C 3 -C 10) -
- R 1 is hydrogen, (C 1 -C 4) -haloalkyl, (C 1 -C 7 ) -haloalkoxy- (C 1 -C 7 ) -alkyl, (C 1 -C 7 ) -
- R 2 and R 3 are each independently hydrogen, halogen, (Ci-C7) alkyl, (Ci-C7) haloalkyl, (C 3 -C 7) halocycloalkyl, (C 3 -C 7) cycloalkyl, (C 3 -C 7) cycloalkyl (Ci-C7) alkyl, aryl (Ci-C7) - alkyl, heteroaryl (Ci-C7) alkyl, heterocyclyl (Ci-C7) - alkyl hydroxy- (Ci-C7) alkyl, cyano (Ci-C7) alkyl, (Ci-C7) alkoxy (Ci-C7) alkyl, (C 2 -C 7) alkenyl , (C 2 -C 7 ) -alkynyl, aryl,
- R 4 and R 5 are independently hydrogen, halogen, (Ci-C7) alkyl, (Ci-C7) haloalkyl, (C 3 -C 7) halocycloalkyl, (C 3 -C 7) cycloalkyl, (C3-C7) -cycloalkyl- (Ci-C7) alkyl, aryl (Ci-C7) - alkyl, heteroaryl (Ci-C7) alkyl, heterocyclyl (Ci-C7) alkyl hydroxy- (Ci-C7) alkyl, cyano (Ci-C7) alkyl, (Ci-C7) alkoxy (Ci-C7) alkyl, (C 2 -C 7) alkenyl, (C 2 -C 7 ) alkynyl, aryl,
- R 6 , R 7 and R 8 independently of one another represent hydrogen, halogen, (C 1 -C 7 ) -alkyl, (C 1 -C 7 ) -haloalkyl, aryl- (C 1 -C 7 ) -alkyl, heteroaryl- (C 1 -C 4 ) -alkyl 7 ) alkyl, heterocyclyl (Ci-C 7 ) alkyl, (C 3 -C 7 ) cycloalkyl, (C 3 -C 7 ) cycloalkyl (C 2 -C 7 ) alkyl, (Ci-C 7) alkoxy (Ci-C7) alkoxy (Ci-C7) alkyl, (C4-C7) - cycloalkenyl (Ci-C7) alkyl, (C 2 -C 7) alkenyl, Aryl- (C 2 -C 7 ) -alkenyl, heteroaryl- (C 2 -C 7
- R 9 , R 10 independently of one another represent hydrogen, (C 1 -C 7 ) -alkyl, or
- Heterocyclyl (C 1 -C 7 ) -alkyl, (C 2 -C 7 ) -alkenyl, (C 2 -C 7 ) -haloalkenyl, (C 4 -C 9 ) -cycloalkenyl, (C 4 -C 9 ) -halocycloalkenyl , (C 2 -C 7 ) -alkynyl, (C 2 -C 7 ) -haloalkynyl, aryl, heteroaryl, heterocyclyl, and R 15 are identical or different and independently of one another represent hydrogen, (C 1 -C 7 ) -cycloalkyl, ( Ci-C 9 ) -haloalkyl, (C 3 -C 9 ) -cycloalkyl, (C 3 -C 9 ) -halocycloalkyl, (Ci-C 7 ) -alkoxy- (Ci-C 7 ) -alkyl,
- R 16 is (Ci-Cv) alkyl, (Ci-Cv) cyanoalkyl, (Ci-C 9) -haloalkyl, (C 3 -C 9) -cycloalkyl, (C3-C9) -
- Halocycloalkyl (Ci-C7) alkoxy (Ci-C7) alkyl, (Ci-C7) alkoxy (Ci-C7) haloalkyl, aryl (Ci-C7) - alkyl, heteroaryl (C 1 -C 7 ) -alkyl, heterocyclyl- (C 1 -C 7 ) -alkyl, (C 3 -C 9 ) -cycloalkyl- (C 1 -C 7 ) -alkyl, (C 4 -C 9 ) -cycloalkenyl- (Ci-C7) alkyl, (C 2 -C 7) alkenyl, (C 2 -C 7) haloalkenyl, (C4-C9) - cycloalkenyl, (C4-C9) -Halocycloalkenyl, (C 2 - C 7 ) alkynyl, (C 2 -C 7 ) haloalkyn
- X is oxygen or sulfur
- R 1 represents hydrogen, (Ci-C 6) -haloalkyl, hydroxy (Ci-C 6) alkyl, cyano (Ci-C 6) alkyl, halo (C 3 -C 6) - cycloalkyl, (C3 C6) cycloalkyl (C 2 -C 6) alkyl, aryl (Ci-C 6) alkyl, heteroaryl (Ci-C 6) alkyl, heterocyclyl (Ci-C 6) alkyl, ( C 1 -C 6 -alkoxy- (C 1 -C 6 ) -alkyl, (C 1 -C 6 ) -alkylthio (C 1 -C 6 ) -alkyl, amino- (C 1 -C 6 ) -alkyl, (C 1 -C 6 ) ) alkylamino (Ci-C 6) alkyl, (C 2 -C 6) alkenyl, (C 4 -
- R 2 and R 3 independently of one another represent hydrogen, halogen, (C 1 -C 6 ) -alkyl, (C 1 -C 6 ) -haloalkyl, (C 3 -C 6 ) -halocycloalkyl, (C 3 -C 6 ) -cycloalkyl, (C 3 -C 6) -cycloalkyl- (Ci-C 6) alkyl, aryl (Ci-C 6) - alkyl, heteroaryl (Ci-C6) alkyl, heterocyclyl (Ci-C6) alkyl hydroxy- ( Ci-C6) alkyl, cyano (Ci-C 6) alkyl, (Ci-C6) alkoxy (Ci-C 6) alkyl, (C 2 -C 6) alkenyl, (C 2 - C 6 ) alkynyl, aryl,
- R 4 and R 5 independently of one another represent hydrogen, halogen, (C 1 -C 6 ) -alkyl, (C 1 -C 6 ) -haloalkyl, (C 3 -C 6 ) -halocycloalkyl, (C 3 -C 6 ) -cycloalkyl, (C 3 -C 6) -cycloalkyl- (Ci-C 6) alkyl, aryl (Ci-C 6) - alkyl, heteroaryl- (C 1 -C 6 ) -alkyl, heterocyclyl- (C 1 -C 6 ) -alkyl, hydroxy- (C 1 -C 6 ) -alkyl, cyano- (C 1 -C 6 ) -alkyl, (C 1 -C 6 ) -alkoxy - (Ci-C 6) alkyl, (C 2 -C 6) alkenyl, (C 2 -C 6) alkyn
- R 6 , R 7 and R 8 independently of one another represent hydrogen, halogen, (C 1 -C 6 ) -alkyl, (C 1 -C 6 ) -haloalkyl, (C 3 -C 6 ) -cycloalkyl, aryl, heteroaryl, heterocyclyl, (C 1 -C 6 ) -cycloalkyl, C 6) alkylthio, OR 13, C (0) R 13, C (0) OR 13, C (0) NR 14 R 15, NR 14 R 15, S0 2 R 16,
- R 9 , R 10 independently of one another represent hydrogen, (C 1 -C 6) -alkyl, or
- Halocycloalkyl (Ci-C6) alkoxy (Ci-C 6) alkyl, (Ci-C6) alkoxy (Ci-C 6) -haloalkyl, aryl (Ci-C 6) - alkyl, heteroaryl (Ci-C 6) alkyl, (C3-C8) -cycloalkyl- (Ci-C 6) alkyl, (C 4 -C 8) cycloalkenyl (Ci-C6) alkyl, (Ci-C6) Alkoxycarbonyl- (C 1 -C 6) -alkyl, (C 2 -C 6) -alkenyloxycarbonyl- (C 1 -C 6) -alkyl, aryl- (C 1 -C 6) -alkoxycarbonyl- (C 1 -C 6) -alkyl, hydroxycarbonyl- (Ci C6) alkyl,
- Heterocyclyl (C 1 -C 6 ) -alkyl, (C 2 -C 6 ) -alkenyl, (C 2 -C 6 ) -haloalkenyl, (C 4 -C 8 ) -cycloalkenyl, (C 4 -C 8 ) -halocycloalkenyl, (C 2 -C 6) -alkynyl, (C 2 -C 6) -haloalkynyl, aryl, heteroaryl, heterocyclyl,
- R 14 and R 15 are identical or different and are each independently hydrogen, (Ci-Ce) - cyanoalkyl, (Ci-C8) -haloalkyl, (C 3 -C 8) -cycloalkyl, (C 3 -C 8) - Halocycloalkyl, (C 1 -C 6 ) -alkoxy- (C 1 -C 6 ) -alkyl, (C 1 -C 6 ) -haloalkoxy- (C 1 -C 6 ) -alkyl, (C 1 -C 6 ) -alkylthio (ci) C 6 ) -alkyl, (C 1 -C 6 ) -haloalkylthio (C 1 -C 6 ) -alkyl, aryl- (C 1 -C 6 ) -alkyl, heteroaryl- (C 1 -C 6 ) -alkyl, (C 3 - C 8) cycloal
- R 16 is (Ci-C 6) -alkyl, (Ci-C 6) cyanoalkyl, (Ci-C8) -haloalkyl, (C 3 -C 8) -cycloalkyl, (C 3 -C 8) -
- Halocycloalkyl (Ci-C6) alkoxy (Ci-C 6) alkyl, (Ci-C6) alkoxy (Ci-C 6) -haloalkyl, aryl (Ci-C 6) - alkyl, heteroaryl (C 1 -C 6 ) -alkyl, heterocyclyl- (C 1 -C 6 ) -alkyl, (C 3 -C 8 ) -cycloalkyl- (C 1 -C 6 ) -alkyl, (C 4 -C 8 ) -cycloalkenyl- (Ci-C 6) alkyl, (C 2 -C 6) alkenyl, (C 2 -C 6) haloalkenyl, (C 4 -C 8) - cycloalkenyl, (C 4 -C 8) -Halocycloalkenyl, ( C 2 -C 6) alkynyl, (C 2 -C
- X is oxygen or sulfur, preferably oxygen.
- R represents hydrogen, (Ci-C 6) -haloalkyl, (C 3 -C 6) cycloalkyl (C 2 -C 6) alkyl 1
- R 2 , R 3 are hydrogen
- R 4 , R 5 independently of one another represent hydrogen
- R 6 , R 7 , R 8 independently of one another represent hydrogen or halogen
- R 9 , R 10 represent hydrogen
- R 11 represents hydrogen
- R 12 is (C 3 -C 6) -cycloalkyl, (C3-C6) cycloalkyl (Ci-C 6) alkyl, (Ci-C 6) -haloalkyl, (C 3 -C 6) -
- R 13 is (Ci-C 6) -alkyl, (Ci-C 6) cyanoalkyl, (Ci-C8) -haloalkyl, (C 3 -C 8) -cycloalkyl, (C 3 -C 8) -
- Halocycloalkyl (Ci-C6) alkoxy (Ci-C 6) alkyl, (Ci-C6) alkoxy (Ci-C 6) -haloalkyl, aryl (Ci-C 6) - alkyl, heteroaryl - (Ci-C 6) alkyl, (C3-C8) -cycloalkyl- (Ci-C 6) alkyl, (C 4 -C 8) cycloalkenyl (Ci-C6) alkyl, (Ci-C6 ) -Alkoxycarbonyl- (C 1 -C 6) -alkyl, (C 2 -C 6) -alkenyloxycarbonyl- (C 1 -C 6) -alkyl, aryl- (C 1 -C 6) -alkoxycarbonyl- (C 1 -C 6) -alkyl, hydroxycarbonyl- (Ci C6) alkyl,
- Heterocyclyl (C 1 -C 6 ) -alkyl, (C 2 -C 6 ) -alkenyl, (C 2 -C 6 ) -haloalkenyl, (C 4 -C 8 ) -cycloalkenyl, (C 4 -C 8 ) -halocycloalkenyl, (C 2 -C 6) -alkynyl, (C 2 -C 6) -haloalkynyl, aryl, heteroaryl, heterocyclyl,
- R 14 and R 15 are identical or different and are each independently hydrogen, (Ci-Ce) - cyanoalkyl, (Ci-C8) -haloalkyl, (C 3 -C 8) -cycloalkyl, (C 3 -C 8) - Halocycloalkyl, (C 1 -C 6 ) -alkoxy- (C 1 -C 6 ) -alkyl, (C 1 -C 6 ) -haloalkoxy- (C 1 -C 6 ) -alkyl, (C 1 -C 6 ) -alkylthio (ci) C 6 ) -alkyl, (C 1 -C 6 ) -haloalkylthio (C 1 -C 6 ) -alkyl, aryl- (C 1 -C 6 ) -alkyl, heteroaryl- (C 1 -C 6 ) -alkyl, (C 3 - C 8 ) cyclo
- R 16 is (Ci-C 6) -alkyl, (Ci-C 6) cyanoalkyl, (Ci-C8) -haloalkyl, (C 3 -C 8) -cycloalkyl, (C 3 -C 8) -
- Halocycloalkyl (Ci-C6) alkoxy (Ci-C 6) alkyl, (Ci-C6) alkoxy (Ci-C 6) -haloalkyl, aryl (Ci-C 6) - alkyl, heteroaryl (C 1 -C 6 ) -alkyl, heterocyclyl- (C 1 -C 6 ) -alkyl, (C 3 -C 8 ) -cycloalkyl- (C 1 -C 6 ) -alkyl, (C 4 -C 8 ) -cycloalkenyl- (Ci-C 6) alkyl, (C 2 -C 6) alkenyl, (C 2 -C 6) haloalkenyl, (C 4 -C 8) - cycloalkenyl, (C 4 -C 8) -Halocycloalkenyl, ( C 2 -C 6) alkynyl, (C 2 -C
- R 1 is hydrogen, trifluoromethyl, pentafluoroethyl, 1, 1, 2,2-tetrafluoroethyl, heptafluoropropyl,
- Nonafluorobutyl chlorodifluoromethyl, bromodifluoromethyl, dichlorofluoromethyl, iododifluoromethyl, bromofluoromethyl, 1-fluoroethyl, 2-fluoroethyl, fluoromethyl, difluoromethyl, 2,2-difluoroethyl, 2,2,2-trifluoroethyl, 3,3-difluoro-n-propyl, 3, 3,3-trifluoro-n-propyl, 4,4-difluoro-n-butyl, 4,4,4-trifluoro-n-butyl, cyclopropylmethyl, cyclobutylmethyl, cyclopentylmethyl, cyclohexylmethyl,
- R 2 , R 3 are hydrogen
- R 4 , R 5 independently of one another represent hydrogen, methyl, ethyl, n-propyl, 1-methylethyl, n-butyl, 1-methylpropyl, 2-methylpropyl, 1, 1-dimethylethyl, n-pentyl, 1-methylbutyl, 2 Methylbutyl, 3-methylbutyl, 1, 1-dimethylpropyl, 1, 2-dimethylpropyl, 2,2-dimethylpropyl, 1-ethylpropyl, n-hexyl, 1-methylpentyl, 2-methylpentyl, 3-methylpentyl, 4-methylpentyl, 1, 1-dimethylbutyl, 1, 2-dimethylbutyl, 1, 3-dimethylbutyl, 2,2-dimethylbutyl, 2,3-dimethylbutyl, 3,3-dimethylbutyl, 1-ethylbutyl, 2-ethylbutyl, 1, 1, 2 Trimethylpropyl, 1, 2,2-trimethyl
- R 11 is hydrogen
- R 12 is cyclopropyl, cyclobutyl, cyclopentyl, cyclohexyl, cyclopropylmethyl, cyclobutylmethyl, cyclopentylmethyl, cyclohexylmethyl, trifluoromethyl, pentafluoroethyl, 1, 1,2,2-tetrafluoroethyl, heptafluoropropyl, nonafluorobutyl, chlorodifluoromethyl, bromodifluoromethyl,
- arylsulfonyl is optionally substituted phenylsulfonyl or optionally substituted polycyclic arylsulfonyl, here in particular optionally
- substituted naphthylsulfonyl for example substituted by fluorine, chlorine, bromine, iodine, cyano, nitro, alkyl, haloalkyl, haloalkoxy, amino, alkylamino, alkylcarbonylamino, dialkylamino or alkoxy groups.
- cycloalkylsulfonyl alone or as part of a chemical group - represents optionally substituted cycloalkylsulfonyl, preferably of 3 to 6
- Carbon atoms such as cyclopropylsulfonyl, cyclobutylsulfonyl, cyclopentylsulfonyl or cyclohexylsulfonyl.
- alkylsulfonyl alone or as part of a chemical group - is straight-chain or branched alkylsulfonyl, preferably with 1 to 8, or with 1 to 6
- Carbon atoms for example (but not limited to) (C 1 -C 6) alkylsulfonyl, such as methylsulfonyl, ethylsulfonyl, propylsulfonyl, 1-methylethylsulfonyl, butylsulfonyl, 1-methylpropylsulfonyl, 2 Methylpropylsulfonyl, 1,1-dimethylethylsulfonyl, pentylsulfonyl, 1-methylbutylsulfonyl, 2-methylbutylsulfonyl, 3-methylbutylsulfonyl, 1,1-dimethylpropylsulfonyl, 1,2-dimethylpropylsulfonyl, 2,2-dimethylpropylsulfonyl, 1-ethylpropylsulfonyl, hexylsulfonyl, 1-methylpent
- heteroarylsulfonyl is optionally substituted pyridylsulfonyl, pyrimidinylsulfonyl, pyrazinylsulfonyl or optionally substituted polycyclic
- Heteroarylsulfonyl here in particular optionally substituted quinolinylsulfonyl, for example substituted by fluorine, chlorine, bromine, iodine, cyano, nitro, alkyl, haloalkyl, haloalkoxy, amino, alkylamino, alkylcarbonylamino, dialkylamino or alkoxy groups.
- alkylthio alone or as part of a chemical group - is straight-chain or branched S-alkyl, preferably with 1 to 8, or with 1 to 6
- Carbon atoms such as (Ci-Cio) -, (CI-C ⁇ ) - or (Ci-C4) -alkylthio, e.g. (but not limited to) (ci-Ce) alkylthio such as methylthio, ethylthio, propylthio, 1-methylethylthio, butylthio, 1-methylpropylthio, 2-methylpropylthio, 1,1-dimethylethylthio, pentylthio, 1-methylbutylthio, 2-methylbutylthio, 3-methylbutylthio, 1,1-dimethylpropylthio, 1, 2-dimethylpropylthio, 2,2-dimethylpropylthio, 1-ethylpropylthio, hexylthio, 1-methylpentylthio, 2-methylpentylthio, 3-methylpentylthio, 4-methylpentylthio, 1,1-dimethyl
- alkenylthio means an alkenyl radical bonded via a sulfur atom
- alkynylthio means an alkynyl radical bonded via a sulfur atom
- cycloalkylthio means a cycloalkyl radical bonded via a sulfur atom
- cycloalkenylthio means a cycloalkenyl radical bonded via a sulfur atom
- alkenylsulfinyl and alkynylsulfinyl defined according to the invention as alkenyl or
- alkenylsulfonyl and alkynylsulfonyl are defined according to the invention as alkenyl or
- Alkoxy means an alkyl radical bonded through an oxygen atom, for example (but not limited to) (C 1 -C 6) alkoxy, such as methoxy, ethoxy, propoxy, 1-methylethoxy, butoxy, 1-methylpropoxy, 2-methylpropoxy, 1 , 1-dimethylethoxy, pentoxy, 1-methylbutoxy, 2-methylbutoxy, 3-methylbutoxy, 1,1-dimethylpropoxy, 1, 2-dimethylpropoxy, 2,2-dimethylpropoxy, 1-ethylpropoxy, hexoxy, 1-methylpentoxy, 2 Methylpentoxy, 3-methylpentoxy, 4-methylpentoxy, 1,1-dimethylbutoxy, 1,2-dimethylbutoxy, 1,3-dimethylbutoxy, 2,2-dimethylbutoxy, 2,3-dimethylbutoxy, 3,3-dimethylbutoxy, 1 - Ethylbutoxy, 2-ethylbutoxy, 1, 1, 2-trimethylpropoxy, 1,2,2-trimethylpropoxy, 1-
- Cycloalkyloxy means a cycloalkyl radical bonded via an oxygen atom
- cycloalkenyloxy means a cycloalkenyl radical bonded via an oxygen atom
- the number of C atoms here refers to the alkyl radical in the alkylcarbonyl group.
- the number of C atoms refers to the alkenyl or alkynyl radical in the alkenyl or alkynylcarbonyl group.
- the number of C atoms refers to the alkyl radical in the alkoxycarbonyl group.
- the number of C atoms refers to the alkenyl or alkynyl radical in the alkene or alkynyloxycarbonyl group.
- the number of C atoms here refers to the alkyl radical in the alkylcarbonyloxy group.
- the number of C atoms refers to the alkenyl or alkynyl radical in the alkenyl or alkynylcarbonyloxy group.
- aryl means an optionally substituted mono-, bi- or polycyclic aromatic system having preferably 6 to 14, in particular 6 to 10 ring C atoms, for example phenyl, naphthyl, anthryl, phenanthrenyl, and the like, preferably phenyl.
- optionally substituted aryl also includes polycyclic systems, such as
- Preferred aryl substituents here are, for example, hydrogen, halogen, alkyl, cycloalkyl, cycloalkylalkyl, cycloalkenyl, halocycloalkyl, alkenyl, alkynyl, aryl, arylalkyl, arylalkenyl, heteroaryl, heteroarylalkyl, heterocyclyl, heterocyclylalkyl, alkoxyalkyl, alkylthio , Haloalkylthio, haloalkyl, alkoxy, haloalkoxy, cycloalkoxy, cycloalkylalkoxy, aryloxy, heteroaryloxy, alkoxyalkoxy, alkynylalkoxy, alkenyloxy, bis-alkylaminoalkoxy, tris [alkylsilyl, bis [alkyl] arylsilyl, bis [alkyl] alkylsilyl, tris [alkyl
- Alkylaminocarbonyl cycloalkylaminocarbonyl, bis-alkylaminocarbonyl, heteroarylalkoxy,
- heterocyclic radical contains at least one heterocyclic ring
- ( carbocyclic ring in which at least one C atom is replaced by a heteroatom, preferably by a heteroatom from the group N, O, S, P) which is saturated, unsaturated, partially saturated or heteroaromatic and may be unsubstituted or substituted, wherein the binding site is located on a ring atom.
- the heterocyclyl or heterocyclic ring is optionally substituted, it may be fused with other carbocyclic or heterocyclic rings.
- heterocyclyl In the case of optionally substituted heterocyclyl, more cyclic systems are also included, for example 8-azabicyclo [3.2.1] octanyl, 8-azabicyclo [2.2.2] octanyl or 1-azabicyclo [2.2.1] heptyl. In the case of optionally substituted heterocyclyl also become
- the heterocyclic ring preferably contains 3 to 9 ring atoms, in particular 3 to 6 ring atoms, and one or more, preferably 1 to 4, in particular 1, 2 or 3 heteroatoms in the heterocyclic ring, preferably from the group N, O, and S, but not two
- Oxygen atoms are to be directly adjacent, such as with a heteroatom from the group N, O and S 1 - or 2- or 3-pyrrolidinyl, 3,4-dihydro-2H-pyrrol-2 or 3-yl, 2,3- dihydro-lH-pyrrole
- 3-membered and 4-membered heterocycles are, for example, 1- or 2-aziridinyl, oxiranyl, thiiranyl, 1- or 2- or 3-azetidinyl,
- heterocyclyl are a partially or completely hydrogenated heterocyclic radical having two heteroatoms from the group consisting of N, O and S, such as, for example, 1- or 2- or 3- or 4-pyrazolidinyl; 4,5-dihydro-3H-pyrazole-3 or 4 or 5-yl; 4,5-dihydro-1H-pyrazole-1 - or 3 or 4 or 5-yl; 2,3-dihydro-1H-pyrazole-1 - or 2 - or
- 6-yl 1, 4,5, 6-tetrahydropyridazine-1 - or 3 or 4 or 5 or 6-yl; 3,4,5,6-tetrahydropyridazine-3- or 4- or 5-yl; 4,5-dihydropyridazine-3 or 4-yl; 3,4-dihydropyridazine-3- or 4- or 5- or 6-yl; 3,6-dihydropyridazine-3 or 4-yl; 1,6-dihydropyriazine-1 - or 3- or 4- or 5- or 6-yl;
- heterocyclyl are a partially or fully hydrogenated heterocyclic radical having 3 heteroatoms from the group N, O and S, such as, for example, l, 4,2-dioxazolidin-2 or 3 or 5-yl; l, 4,2-dioxazol-3 or 5-yl; 1,2,2-dioxazinane-2- or -3- or 5- or 6-yl; 5,6-dihydro-l, 4,2-dioxazine-3 or 5 or 6-yl; l, 4,2-dioxazine-3- or 5- or 6-yl; l, 4,2-dioxazepan-2 or 3 or 5 or 6 or 7-yl; 6,7-dihydro-5H-l, 4,2-dioxazepine-3 or 5 or 6 or 7-yl; 2,3-dihydro-7H-l, 4,2-dioxazepin-2 or 3 or 5 or 6 or 7-yl; 2,3-dihydro-5H-1,
- heterocycles listed above are preferably, for example, hydrogen, halogen, alkyl, haloalkyl, hydroxy, alkoxy, cycloalkoxy, aryloxy, alkoxyalkyl, alkoxyalkoxy, cycloalkyl,
- Alkylaminocarbonyl bis-alkylaminocarbonyl, cycloalkylaminocarbonyl,
- Suitable substituents for a substituted heterocyclic radical are the substituents mentioned below, in addition to oxo and thioxo.
- the oxo group as a substituent on a ring C atom then means, for example, a carbonyl group in the heterocyclic ring.
- lactones and lactams are preferably also included.
- the oxo group may also be attached to the hetero ring atoms, which may exist in different oxidation states, e.g. in the case of N and S, for example, the divalent groups N (O), S (O) (also known as SO) and S (O) 2 (also abbreviated to SO 2) occur and form in the heterocyclic ring.
- N (O) also known as SO
- S (O) 2 also abbreviated to SO 2
- heteroaryl stands for heteroaromatic compounds, ie.
- heteroaryls are, for example, 1H-pyrrol-1-yl; lH-pyrrol-2-yl; lH-pyrrole
- Carbon atoms part of another aromatic ring they are fused heteroaromatic systems, such as benzo-fused or multiply fused heteroaromatic.
- quinolines e.g., quinolin-2-yl, quinolin-3-yl, quinolin-4-yl, quinolin-5-yl, quinolin-6-yl, quinolin-7-yl, quinolin-8-yl
- Isoquinolines e.g., isoquinolin-1-yl, isoquinolin-3-yl, isoquinolin-4-yl, isoquinolin-5-yl, isoquinolin-6-yl, isoquinolin-7-yl, isoquinolin-8-yl
- quinoxaline quinazoline
- cinnoline 1,5-naphthyridine; 1,6-naphthyridine; 1,7-naphthyridine; 1,8-naphthyridine; 2,6-naphthyridine; 2,7-naphthyridine; phthalazine; Pyridopyrazine
- heteroaryl are also 5- or 6-membered benzo-fused rings from the group 1H-indol-1-yl, 1H-indol-2-yl, 1H-indol-3-yl, 1H-indol-4-yl, 1H- Indol-5-yl, 1H-indol-6-yl, 1H-indol-7-yl, 1-benzofuran-2-yl, 1-benzofuran-3-yl, 1-benzofuran-4-yl, 1-benzofuran 5-yl, 1-benzofuran-6-yl, 1-benzofuran-7-yl, 1-benzothiophene-2-yl, 1-benzothiophen-3-yl, 1-benzothiophene-4-yl, 1-benzothiophene-5 yl, 1-benzothiophene-6-yl, 1-benzothiophene-7-yl, 1H-indazole
- halogen means, for example, fluorine, chlorine, bromine or iodine.
- halogen means, for example, a fluorine, chlorine, bromine or iodine atom.
- alkyl means a straight-chain or branched, open-chain, saturated
- Hydrocarbon radical which is optionally mono- or polysubstituted.
- Preferred substituents are halogen, alkoxy, haloalkoxy, cyano, alkylthio, haloalkylthio, amino or
- Nitro groups particularly preferred are methoxy, methyl, fluoroalkyl, cyano, nitro, fluorine, chlorine, bromine or iodine.
- the prefix "bis” also includes the combination of different alkyl radicals, eg.
- Haloalkyl denote by identical or different halogen atoms, partially or completely substituted alkyl, alkenyl or alkynyl, for example monohaloalkyl
- ( Monohaloalkyl) such.
- B. CH 2 CH 2 C1, CH 2 CH 2 Br, CHCICH3, CH 2 C1, CH 2 F; Perhaloalkyl such.
- Polyhaloalkyl such. CH 2 CHFC1, CF 2 CC1FH, CF 2 CBrFH, CH 2 CF 3;
- perhaloalkyl also encompasses the term perfluoroalkyl.
- Partially fluorinated alkyl is a straight-chain or branched, saturated hydrocarbon which is monosubstituted or polysubstituted by fluorine, wherein the corresponding fluorine atoms may be present as substituents on one or more different carbon atoms of the straight-chain or branched hydrocarbon chain, such as. B. CHFCH3, CH 2 CH 2 F, CH 2 CH 2 CF 3, CHF 2, CH 2 F, CF 3 CHFCF 2
- Partially fluorinated haloalkyl means a straight-chain or branched, saturated hydrocarbon which is substituted by various halogen atoms having at least one fluorine atom, all other optional halogen atoms are selected from the group fluorine, chlorine or bromine, iodine.
- the corresponding halogen atoms may be present as substituents on one or more different carbon atoms of the straight-chain or branched hydrocarbon chain.
- Partially fluorinated haloalkyl also includes the complete substitution of halogen with the participation of at least one fluorine atom of the straight-chain or branched chain.
- Haloalkoxy is eg OCF 3 , OCHF 2 , OCH 2 F, OCF 2 CF 3 , OCH 2 CF 3 and 0CH 2 CH 2 Cl; The same applies to haloalkenyl and other halogen-substituted radicals.
- (C 1 -C 4) -alkyl denotes a short notation for straight-chain or branched alkyl having one to four carbon atoms corresponding to the formula
- Range indication for C atoms, d. H. includes the radicals methyl, ethyl, 1-propyl, 2-propyl, 1-butyl, 2-butyl, 2-methylpropyl or tert-butyl.
- General alkyl radicals having a larger specified range of carbon atoms eg. As "(Ci-C6) alkyl", accordingly also include straight-chain or branched alkyl radicals having a larger number of C atoms, d. H. according to example, the alkyl radicals with 5 and 6 carbon atoms.
- the lower carbon skeletons for example having 1 to 6 carbon atoms or in unsaturated groups having 2 to 6 carbon atoms, are preferred.
- Alkyl radicals including in the assembled radicals such as alkoxy, haloalkyl, etc., mean, for example, methyl, ethyl, n- or i-propyl, n-, i-, t- or 2-butyl, pentyls, hexyls, such as n-hexyl, i Hexyl and 1,3-dimethylbutyl, heptyls such as n-heptyl, 1-methylhexyl and 1, 4-dimethylpentyl;
- Alkenyl and alkynyl radicals have the meaning of the alkyl radicals corresponding possible unsaturated radicals, wherein at least one double bond or triple bond is included. Preference is given to radicals having a double bond or
- alkenyl in particular also includes straight-chain or branched open-chain
- Hydrocarbon radicals having more than one double bond such as 1,3-butadienyl and 1,4-pentadienyl, but also allenyl or cumulenyl radicals having one or more cumulated double bonds, such as, for example, allenyl (1,2-propadienyl), 1, 2-butadienyl and 1,2,3-pentatrienyl.
- Alkenyl is, for example, vinyl, which may optionally be substituted by further alkyl radicals, for example (but not limited to) (C 2 -C 6) alkenyl, such as ethenyl, 1-propenyl, 2-propenyl, 1-methylethenyl, 1-butenyl , 2-butenyl, 3
- Butenyl 1-methyl-1-propenyl, 2-methyl-1-propenyl, 1-methyl-2-propenyl, 2-methyl-2-propenyl, 1-pentenyl, 2-pentenyl, 3-pentenyl, 4-pentenyl, 1-methyl-1-butenyl, 2-methyl-1-butenyl, 3-methyl-1-butenyl, 1-methyl-2-butenyl, 2-methyl-2-butenyl, 3-methyl-2-butenyl, 1 - Methyl 3-butenyl, 2-methyl-3-butenyl, 3-methyl-3-butenyl, 1, 1-dimethyl-2-propenyl, 1, 2-dimethyl-1-propenyl, 1, 2-dimethyl-2 propenyl, 1-ethyl-1-propenyl, 1-ethyl-2-propenyl, 1-hexenyl, 2-hexenyl, 3-hexenyl, 4-hexenyl, 5-
- Hexenyl 1-methyl-1-pentenyl, 2-methyl-1-pentenyl, 3-methyl-1-pentenyl, 4-methyl-1-pentenyl, 1-methyl-2-pentenyl, 2-methyl-2- pentenyl, 3-methyl-2-pentenyl, 4-methyl-2-pentenyl, 1-methyl-3-pentenyl, 2-methyl-3-pentenyl, 3-methyl-3-pentenyl, 4-methyl-3-pentenyl, 1-methyl-4-pentenyl, 2-methyl-4-pentenyl, 3-methyl-4-pentenyl, 4-methyl-4-pentenyl, 1, 1-dimethyl-2-butenyl, 1, 1-dimethyl-3 - butenyl, 1, 2-dimethyl-1-butenyl, 1,2-dimethyl-2-butenyl, 1,2-dimethyl-3-butenyl, 1,3-dimethyl-1-1-butenyl, 1,3-dimethyl-1-butenyl, 1,3-dimethyl-1- 2 -butenyl, 1,
- alkynyl in particular also includes straight-chain or branched open-chain
- C 2 -C 6) -alkynyl is, for example, ethynyl, 1-propynyl, 2-propynyl, 1-butynyl, 2-butynyl, 3-butynyl, 1-methyl-2-propynyl, 1-pentynyl, 2-pentynyl, 3 Pentynyl, 4-pentynyl, 1-methyl-2-butynyl, 1-methyl-3-butynyl, 2-methyl-3-butynyl, 3-methyl-1-butynyl, 1, 1-dimethyl-2-propynyl, 1 - ethyl
- cycloalkyl means a carbocyclic saturated ring system preferably having 3-8 ring carbon atoms, eg cyclopropyl, cyclobutyl, cyclopentyl or cyclohexyl
- optionally substituted cycloalkyl includes cyclic systems having substituents, wherein also substituents having a double bond on the cycloalkyl, z.
- substituents such as methylidene
- substituents having a double bond on the cycloalkyl, z As an alkylidene group such as methylidene, are included.
- optionally substituted cycloalkyl also more cyclic aliphatic systems are included, such as, for example, bicyclo [1.1.0] butan-1-yl,
- spirocyclic aliphatic systems are also included, such as spiro [2.2] pent-1-yl, spiro [2.3] hex-1-yl, spiro [2.3] hex-4-yl, 3-spiro [2.3] hex-5-yl.
- Cycloalkenyl means a carbocyclic, non-aromatic, partially unsaturated ring system preferably having 4-8 C atoms, eg 1-cyclobutenyl, 2-cyclobutenyl, 1-cyclopentenyl, 2-cyclopentenyl, 3-cyclopentenyl, or 1-cyclohexenyl, 2- Cyclohexenyl, 3-cyclohexenyl, 1, 3-cyclohexadienyl or 1, 4-cyclohexadienyl, wherein substituents having a double bond on the cycloalkenyl radical, for example an alkylidene group such as methylidene, are also included in the case of optionally substituted cycloalkenyl the explanations for substituted Corresponding to cycloalkyl.
- substituents having a double bond on the cycloalkenyl radical for example an alkylidene group such as methylidene
- the compounds of general formula (I) may vary depending on the nature and linkage of the substituents exist as stereoisomers.
- the possible stereoisomers defined by their specific spatial form, such as enantiomers, diastereomers, Z and E isomers, are all encompassed by the formula (I). If, for example, one or more alkenyl groups are present, diastereomers (Z and E isomers) can occur. For example, if one or more asymmetric carbon atoms are present, enantiomers and diastereomers may occur.
- Stereoisomers can be distinguished from those in the
- stereoisomers can be selectively prepared by using stereoselective reactions using optically active sources and / or adjuvants.
- the invention thus also relates to all stereoisomers which comprises the general formula (I) but are not specified with their specific stereoform, and mixtures thereof.
- Substituted indolinylmethylsulfonamides of the general formula (I) can be prepared by the methods described below.
- the starting materials for the preparation of the compounds indicated are either commercially available or listed by the following
- the optionally further substituted indolinylphthalimides of the general formula (V) according to the invention can be prepared by known processes.
- the synthetic routes used and investigated are based on commercially available or easily produced indolines of type (I).
- the indolines of type (II) are either commercially available or can be prepared by synthesis methods according to known methods: a) Y. Miyake, Y. Kikugawa, J. Heterocyclic. Chem. 1983, 20, 349; b) WO2014 / 089324.
- indolinylphthalimides of type (V) For the preparation of the indolinylphthalimides of type (V), the nitrogen of the indoline of type (II) is first formylated as described in Scheme 1. The corresponding reaction product of type (III) is then subjected to a Cherniac unicorn reaction using an acid catalyst such as. HF, H2SO4 or CF3SO3H converted to indolinylphthalimides of type (IV).
- an acid catalyst such as. HF, H2SO4 or CF3SO3H converted to indolinylphthalimides of type (IV).
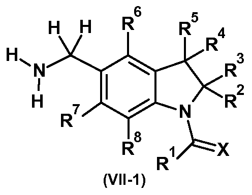
- the preparation of the substituted indolinylmethylamines (VII-2) as described in Scheme 3 can be started from an optionally further substituted indoline of type (II) via Friedel-Crafts acylation followed by reductive amination or formation of the nitrile of the type (X. ) respectively.
- Aryl and heteroarylsulfonyl chloride precursors can be prepared, for example, by direct chlorosulfonation of the corresponding substituted aromatics and heteroaromatics (see Eur J. Med. Chem., 2010, 45, 1760) or via diazotization of an amino-substituted aromatic or heteroaromatic compound and subsequent chlorosulfonation (cf., WO2005 / 035486).
- Ia-128 isopropyl H H H 3 - (trifluoromethyl) phenyl
- Ia-354 isobutyl H H H 3 -bromo-2-thienyl
- Ia-361 isobutyl H H H 4,5-dichloro-2-thienyl
- Ia-378 isobutyl H H H 2- (4-chlorophenyl) ethyl
Landscapes
- Life Sciences & Earth Sciences (AREA)
- Agronomy & Crop Science (AREA)
- Pest Control & Pesticides (AREA)
- Plant Pathology (AREA)
- Health & Medical Sciences (AREA)
- Engineering & Computer Science (AREA)
- Dentistry (AREA)
- General Health & Medical Sciences (AREA)
- Wood Science & Technology (AREA)
- Zoology (AREA)
- Environmental Sciences (AREA)
- Pharmaceuticals Containing Other Organic And Inorganic Compounds (AREA)
- Plural Heterocyclic Compounds (AREA)
Abstract
Description
Verwendung substituierter Indolinylmethylsulfonamide oder deren Salze zur Steigerung der Use of substituted indolinylmethylsulfonamides or their salts for increasing the
Stresstoleranz in Pflanzen. Beschreibung Stress tolerance in plants. description
Die Erfindung betrifft die Verwendung substituierter Indolinylmethylsulfonamide oder deren Salze zur Steigerung der Stresstoleranz in Pflanzen gegenüber abiotischem Stress, zur Steigerung des The invention relates to the use of substituted indolinylmethylsulfonamides or their salts for increasing the stress tolerance in plants to abiotic stress, to increase the
Pflanzenwachstums und/oder zur Erhöhung des Pflanzenertrags. Plant growth and / or increase the plant yield.
Es ist bekannt, dass bestimmte Arylsulfonamide wie beispielsweise 2-Cyanobenzolsulfonamide Insektizide Eigenschaften besitzen (vgl. z. B. EP0033984 und WO2005/035486, WO2006/056433, WO2007/060220). 2-Cyanobenzolsulfonamide mit besonderen heterocyclischen Substitutenten werden in EP2065370 beschrieben. Es ist weiter bekannt, daß bestimmte Aryl- und Heteroaryl-substituierte Sulfonamide als Wirkstoffe gegen abiotischen Pflanzenstress eingesetzt werden können (vgl. It is known that certain arylsulfonamides, for example 2-cyanobenzenesulfonamides, have insecticidal properties (compare, for example, EP0033984 and WO2005 / 035486, WO2006 / 056433, WO2007 / 060220). 2-Cyanobenzenesulfonamides having particular heterocyclic substituents are described in EP2065370. It is also known that certain aryl- and heteroaryl-substituted sulfonamides can be used as active substances against abiotic plant stress (cf.
WO2011/113861). Die Wirkung von bestimmten Aryl-, Heteroaryl- und WO2011 / 113861). The effect of certain aryl, heteroaryl and
Benzylsulfonamidocarbonsäuren, -carbonsäureestern, -carbonsäureamiden und -carbonitrilen gegen abiotischen Pflanzenstress wird in WO 2012/089721 und WO 2012/089722 beschrieben. Die Herstellung von Sulfamidoalkancarbonsäuren und Sulfamidoalkancarbon-säurenitrilen wird in DE847006 beschrieben. Die Verwendung ausgewählter Arylsulfonamide mit Alkylcarboxyl- Substituenten als Wuchsregulatoren vor allem zur Beschränkung der Wuchslänge von Reis- und Weizenpflanzen mit dem Ziel der Minimierung des wetterbedingten Umknickens wird in DE2544859 beschrieben, während die fungizide Wirkung bestimmter N-Cyanoalkylsulfonamide in EP 176327 AI beschrieben wird. Es ist außerdem bekannt, daß substituierte N-Sulfonylaminoacetonitrile zur Kontrolle von Parasiten in Warmblütern eingesetzt werden können (vg. WO2004/000798). Benzylsulfonamidocarboxylic acids, carboxylic acid esters, carboxamides and carbonitriles against abiotic plant stress are described in WO 2012/089721 and WO 2012/089722. The preparation of sulfamidoalkanecarboxylic acids and sulfamidoalkanecarbonitrile is described in DE847006. The use of selected arylsulfonamides having alkylcarboxyl substituents as growth regulators, especially for limiting the growth length of rice and wheat plants with the aim of minimizing the weather-related kinking is described in DE2544859, while the fungicidal action of certain N-Cyanoalkylsulfonamide in EP 176327 AI is described. It is also known that substituted N-sulfonylaminoacetonitriles can be used to control parasites in warm-blooded animals (see WO2004 / 000798).
Es ist außerdem bekannt, dass substituierte Arylsulfonamide (vgl. z. B. WO2009/105774, It is also known that substituted arylsulfonamides (cf., for example, WO2009 / 105774, US Pat.
WO2006/124875, W096/36595) und substitituierte Hetarylsulfonamide (vgl. WO2009/113600, WO2007/122219) als pharmazeutische Wirkstoffe verwendet werden können. WO2003/007931 beschreibt ebenfalls die pharmazeutische Verwendung von substituierten Naphthylsulfonamiden, während in Eur. J. Med. Chem. 2010, 45, 1760 Naphthylsulfonyl-substituierte Glutaminsäureamide und ihre Antitumorwirkung beschrieben werden. Weiterhin ist bekannt, daß Pyrrolidinyl-substituierte Arylsulfonamide als Cathepsin C-Inhibitoren bei der Behandlung von Atemwegserkrankungen (WO2009/026197) oder als Antiinfektiva bei der Behandlung von Hepatitis C (WO2007/092588) eingesetzt werden können. Die pharmazeutische Verwendung von N-Arylsulfonylderivaten verschiedener weiterer Aminosäuren, z.B. als Urokinaseinhibitoren (vgl. WO2000/05214), als Wirkstoffe zur Behandlung von Diabetes (vgl. WO2003/091211), als Analgetika (vgl. WO2008/131947) und als D-Sekretasemodulatoren (vgl. WO2010/108067) ist ebenfalls beschrieben. WO2006 / 124875, WO96 / 36595) and substituted hetarylsulfonamides (cf., WO2009 / 113600, WO2007 / 122219) can be used as pharmaceutical active ingredients. WO2003 / 007931 likewise describes the pharmaceutical use of substituted naphthylsulfonamides, while in Eur. J. Med. Chem. 2010, 45, 1760 naphthylsulfonyl-substituted glutamic acid amides and their antitumor action are described. Furthermore, it is known that pyrrolidinyl-substituted arylsulfonamides can be used as cathepsin C inhibitors in the treatment of respiratory diseases (WO2009 / 026197) or as anti-infective agents in the treatment of hepatitis C (WO2007 / 092588). The pharmaceutical use of N-arylsulfonyl derivatives of various other amino acids, for example as urokinase inhibitors (see WO2000 / 05214), as Agents for the treatment of diabetes (see WO2003 / 091211), as analgesics (see WO2008 / 131947) and as D-secretase modulators (see WO2010 / 108067) is also described.
Die Herstellung von bestimmten N-Methyl-substituierten Dihydrooxindolylsulfon-amiden wird z.B. in DE2159362 sowie J. Chem. Soc. C (1971), 952-955 beschrieben, während in ACS Combinatorial Science (2012), 14, 218 die Herstellung von Spiro-pyrrolidinonyl-substituierten The preparation of certain N-methyl substituted dihydrooxindolylsulfone amides is e.g. in DE2159362 and J. Chem. Soc. C (1971), 952-955, while in ACS Combinatorial Science (2012), 14, 218 describe the preparation of spiro-pyrrolidinonyl-substituted
Dihydrooxindolylsulfonamiden beschrieben wird. Es ist ebenfalls bekannt, dass bestimmte substituierte Oxindolylderivate, wie z. B. Pyrrolobenzimidazolone, als pharmazeutische Wirkstoffe verwendet werden können, beispielsweise als antiproliferative Substanzen (vgl. EP 1598353 AI), als CB2- Agonisten (vgl. WO2010/077839) oder als antiarrhythmische und cardiotonische Wirkstoffe (vgl. Dihydrooxindolylsulfonamiden is described. It is also known that certain substituted oxindolyl derivatives, such as. As pyrrolobenzimidazolones, can be used as pharmaceutical agents, for example as antiproliferative substances (cf .. EP 1598353 AI), as CB2 agonists (see WO2010 / 077839) or as antiarrhythmic and cardiotonic agents (see.
EP 0431943 AI). In EP 1598353 AI werden Synthesewege zur Herstellung von substituierten Amino- dihydrooxindolen aufgezeigt. Es ist weiterhin bekannt, daß Oxotetrahydrochinolinylsulfonamide als Rho-Kinaseinhibitoren eingesetzt werden können (vgl. Eur. J. Med. Chem. 2008, 43, 1730). Es ist bekannt, dass Pflanzen auf natürliche Stressbedingungen, wie beispielsweise Kälte-, Hitze-, Trockenstress (Stress verursacht durch Trockenheit und/oder Wassermangel), Verwundung, EP 0431943 AI). EP 1598353 A1 shows synthetic routes for the preparation of substituted amino-dihydrooxindoles. It is furthermore known that oxotetrahydroquinolinylsulfonamides can be used as Rho-kinase inhibitors (compare Eur. J. Med. Chem. 2008, 43, 1730). It is known that plants are affected by natural stress conditions, such as cold, heat, drought stress (stress caused by drought and / or lack of water), wounding,
Pathogenbefall (Viren, Bakterien, Pilze, Insekten) etc. aber auch auf Herbizide mit spezifischen oder unspezifischen Abwehrmechanismen reagieren können [Pflanzenbiochemie, S. 393-462 , Spektrum Akademischer Verlag, Heidelberg, Berlin, Oxford, Hans W. Heidt, 1996.; Biochemistry and Molecular Biology of Plants, S. 1102-1203, American Society of Plant Physiologists, Rockville, Maryland, eds. Buchanan, Gruissem, Jones, 2000] . Pathogen infestation (viruses, bacteria, fungi, insects) etc. but also on herbicides with specific or nonspecific defense mechanisms can react [Plant Biochemistry, pp. 393-462, Spektrum Akademischer Verlag, Heidelberg, Berlin, Oxford, Hans W. Heidt, 1996; Biochemistry and Molecular Biology of Plants, pp. 1102-1203, American Society of Plant Physiologists, Rockville, Maryland, eds. Buchanan, Gruissem, Jones, 2000].
In Pflanzen sind zahlreiche Proteine und die sie codierenden Gene bekannt, die an Abwehrreaktionen gegen abiotischen Stress (z.B. Kälte, Hitze, Trockenheit, Salz, Überflutung) beteiligt sind. Diese gehören teilweise zu Signaltransduktionsketten (z.B. Transkriptionsfaktoren, Kinasen, Phosphatasen) oder bewirken eine physiologische Antwort der Pflanzenzelle (z.B. Ionentransport, Entgiftung reaktiver Sauerstoff-Spezies). Zu den Signalkettengenen der abiotischen Stressreaktion gehören u.a. In plants, numerous proteins and the genes encoding them are involved, which are involved in abiotic stress defense reactions (e.g., cold, heat, drought, salt, flooding). These partially belong to signal transduction chains (e.g., transcription factors, kinases, phosphatases) or cause a physiological response of the plant cell (e.g., ion transport, detoxification of reactive oxygen species). The signal chain genes of the abiotic stress reaction include, among others.
Transkriptionsfaktoren der Klassen DREB und CBF (Jaglo-Ottosen et al., 1998, Science 280: 104-106). An der Reaktion auf Salzstress sind Phosphatasen vom Typ ATPK und MP2C beteiligt. Ferner wird bei Salzstress häufig die Biosynthese von Osmolyten wie Prolin oder Sucrose aktiviert. Beteiligt sind hier z.B. die Sucrose-Synthase und Prolin-Transporter (Hasegawa et al., 2000, Annu Rev Plant Physiol Plant Mol Biol 51: 463-499). Die Stressabwehr der Pflanzen gegen Kälte und Trockenheit benutzt z.T. die gleichen molekularen Mechanismen. Bekannt ist die Akkumulation von sogenannten Late Transcription factors of classes DREB and CBF (Jaglo-Ottosen et al., 1998, Science 280: 104-106). The response to salt stress involves phosphatases of the ATPK and MP2C types. Furthermore, in salt stress the biosynthesis of osmolytes such as proline or sucrose is often activated. Involved here are e.g. the sucrose synthase and proline transporters (Hasegawa et al., 2000, Annu Rev Plant Physiol Plant Mol Biol 51: 463-499). The stress defense of the plants against cold and drought uses z.T. the same molecular mechanisms. The accumulation of so-called Late is known
Embryogenesis Abundant Proteins (LEA-Proteine), zu denen als wichtige Klasse die Dehydrine gehören (Ingram and Bartels, 1996, Annu Rev Plant Physiol Plant Mol Biol 47: 277-403, Close, 1997, Physiol Plant 100: 291-296). Es handelt sich dabei um Chaperone, die Vesikel, Proteine und Membranstrukturen in gestressten Pflanzen stabilisieren (Bray, 1993, Plant Physiol 103: 1035-1040). Außerdem erfolgt häufig eine Induktion von Aldehyd-Deydrogenasen, welche die bei oxidativem Stress entstehenden reaktiven Sauerstoff-Spezies (ROS) entgiften (Kirch et al., 2005, Plant Mol Biol 57: 315-332). Embryogenesis Abundant Proteins (LEA Proteins), which include the dehydrins as an important class (Ingram and Bartels, 1996, Annu Rev Plant Physiol Plant Mol Biol 47: 277-403, Close, 1997, Physiol Plant 100: 291-296). These are chaperones that stabilize vesicles, proteins and membrane structures in stressed plants (Bray, 1993, Plant Physiol 103: 1035-1040). Also done frequently induce aldehyde dehydrogenases which detoxify the reactive oxygen species (ROS) produced by oxidative stress (Kirch et al., 2005, Plant Mol Biol 57: 315-332).
Heat Shock Faktoren (HSF) und Heat Shock Proteine (HSP) werden bei Hitzestress aktiviert und spielen hier als Chaperone eine ähnliche Rolle wie die Dehydrine bei Kälte- und Trockenstress (Yu et al., 2005, Mol Cells 19: 328-333). Heat Shock Factors (HSF) and Heat Shock Proteins (HSP) are activated by heat stress and act as chaperones in a similar role to dehydrins in cold and dry stress (Yu et al., 2005, Mol Cells 19: 328-333).
Eine Reihe von pflanzenendogenen Signalstoffen, die in die Stresstoleranz bzw. die Pathogenabwehr involviert sind, sind bereits bekannt. Zu nennen sind hier beispielsweise Salicylsäure, Benzoesäure, Jasmonsäure oder Ethylen [Biochemistry and Molecular Biology of Plants, S. 850-929, American Society of Plant Physiologists, Rockville, Maryland, eds. Buchanan, Gruissem, Jones, 2000]. Einige dieser Substanzen oder deren stabile synthetische Derivate und abgeleitete Strukturen sind auch bei externer Applikation auf Pflanzen oder Saatgutbeizung wirksam und aktivieren Abwehrreaktionen, die eine erhöhte Stress- bzw. Pathogentoleranz der Pflanze zur Folge haben [Sembdner, and Parthier, 1993, Ann. Rev. Plant Physiol. Plant Mol. Biol. 44: 569-589]. A number of plant endogenous signaling substances involved in stress tolerance and pathogen defense are already known. These include, for example, salicylic acid, benzoic acid, jasmonic acid or ethylene [Biochemistry and Molecular Biology of Plants, pp. 850-929, American Society of Plant Physiologists, Rockville, Maryland, eds. Buchanan, Gruissem, Jones, 2000]. Some of these substances or their stable synthetic derivatives and derived structures are also effective when applied externally to plants or seed dressing and activate defense reactions that result in increased stress tolerance or pathogen tolerance of the plant [Sembdner, and Parthier, 1993, Ann. Rev. Plant Physiol. Plant Mol. Biol. 44: 569-589].
Es ist weiter bekannt, dass chemische Substanzen die Toleranz von Pflanzen gegen abiotischen Stress erhöhen können. Derartige Substanzen werden dabei entweder durch Saatgut-Beizung, durch It is also known that chemical substances can increase the tolerance of plants to abiotic stress. Such substances are thereby either by seed dressing, by
Blattspritzung oder durch Bodenbehandung appliziert. So wird eine Erhöhung der abiotischen Blade spraying or applied by soil treatment. So will an increase in the abiotic
Stresstoleranz von Kulturpflanzen durch Behandlung mit Elicitoren der Systemic Acquired Resistance (SAR) oder Abscisinsäure-Derivaten beschrieben (Schading and Wei, WO200028055; Abrams and Gusta, US 5,201,931 ; Abrams et al, W097/23441, Churchill et al., 1998, Plant Growth Regul 25: 35- 45). Desweiteren wurden Effekte von Wachstumsregulatoren auf die Stresstoleranz von Kulturpflanzen beschrieben (Morrison and Andrews, 1992, J Plant Growth Regul 11: 113-117, RD-259027). In diesem Zusammenhang ist ebenfalls bekannt, dass ein wachstumsregulierendes Naphthylsulfonamid (4-Brom- N-(pyridin-2-ylmethyl)naphthalin-l -Sulfonamid) die Keimung von Pflanzensamen in der gleichen Weise wie Abscisinsäure beeinflusst (Park et al. Science 2009, 324, 1068-1071). Weiterhin zeigt eine Stress tolerance of crop plants by treatment with systemic acquired resistance (SAR) or abscisic acid derivatives elicitors (Schading and Wei, WO200028055, Abrams and Gusta, US 5,201,931, Abrams et al, WO97 / 23441, Churchill et al., 1998, Plant Growth Regulation 25: 35-45). Furthermore, effects of growth regulators on the stress tolerance of crop plants have been described (Morrison and Andrews, 1992, J Plant Growth Regul 11: 113-117, RD-259027). In this context, it is also known that a growth-regulating naphthylsulfonamide (4-bromo-N- (pyridin-2-ylmethyl) naphthalene-1-sulfonamide) influences the germination of plant seeds in the same manner as abscisic acid (Park et al., Science 2009, 324, 1068-1071). Furthermore, one shows
Naphthylsulfamidocarbonsäure (N-[(4-Brom-l-naphthyl)sulfonyl]-5-methoxynorvalin) eine Naphthylsulfamidocarboxylic acid (N - [(4-bromo-1-naphthyl) sulfonyl] -5-methoxynorvaline)
Wirkungsweise in biochemischen Rezeptortests, die mit 4-Brom-N-(pyridin-2-ylmethyl)naphthalin-l- sulfonamid vergleichbar ist (Melcher et al. Nature Structural & Molecular Biology 2010, 17, 1102- 1108). Außerdem ist bekannt, dass ein weiteres Naphthylsulfonamid, N-(6-aminohexyl)-5- chlornaphthalin-1 -Sulfonamid, den Calcium-Spiegel in Pflanzen beeinflusst, die einem Kälteschock ausgesetzt wurden (Cholewa et al. Can. J. Botany 1997, 75, 375-382). Mode of action in biochemical receptor assays comparable to 4-bromo-N- (pyridin-2-ylmethyl) naphthalene-l-sulfonamide (Melcher et al., Nature Structural & Molecular Biology 2010, 17, 1102-1108). In addition, it is known that another naphthylsulfonamide, N- (6-aminohexyl) -5-chloronaphthalene-1-sulfonamide, affects calcium levels in plants that have been cold shocked (Cholewa et al., Can. J. Botany 1997, 75, 375-382).
Auch bei Anwendung von Fungiziden, insbesondere aus der Gruppe der Strobilurine oder der Succinat Dehydrogenase Inhibitoren werden ähnliche Effekte beobachtet, die häufig auch mit einer Even with the use of fungicides, in particular from the group of strobilurins or succinate dehydrogenase inhibitors similar effects are observed, often with a
Ertragssteigerung einhergehen (Draber et al., DE3534948, Bartlett et al., 2002, Pest Manag Sei 60: 309). Es ist ebenfalls bekannt, dass das Herbizid Glyphosat in niedriger Dosierung das Wachstum einiger Pflanzenarten stimuliert (Cedergreen, Env. Pollution 2008, 156, 1099). Increased yield (Draber et al., DE3534948, Bartlett et al., 2002, Pest Management 60: 309). It is also known that the low dose herbicide glyphosate stimulates the growth of some plant species (Cedergreen, Env. Pollution 2008, 156, 1099).
Bei osmotischem Stress ist eine Schutzwirkung durch Applikation von Osmolyten wie z.B. Glycinbetain oder deren biochemischen Vorstufen, z.B. Cholin-Derivate beobachtet worden (Chen et al., 2000, Plant Cell Environ 23: 609-618, Bergmann et al., DE4103253). Auch die Wirkung von Antioxidantien wie z.B Naphthole und Xanthine zur Erhöhung der abiotischen Stresstoleranz in Pflanzen wurde bereits beschrieben (Bergmann et al., DD277832, Bergmann et al., DD277835). Die molekularen Ursachen der Anti-Stress-Wirkung dieser Substanzen sind jedoch weitgehend unbekannt. At osmotic stress, a protective effect is provided by the application of osmolytes, e.g. Glycine betaine or its biochemical precursors, e.g. Choline derivatives have been observed (Chen et al., 2000, Plant Cell Environ 23: 609-618, Bergmann et al., DE4103253). The action of antioxidants such as naphthols and xanthines to increase the abiotic stress tolerance in plants has also been described (Bergmann et al., DD277832, Bergmann et al., DD277835). However, the molecular causes of the anti-stress effects of these substances are largely unknown.
Es ist weiter bekannt, dass die Toleranz von Pflanzen gegenüber abiotischem Stress durch eine Modifikation der Aktivität von endogenen Poly-ADP-ribose Polymerasen (PARP) oder Poly-(ADP- ribose) glycohydrolasen (PARG) erhöht werden kann (de Block et al., The Plant Journal, 2004, 41, 95; Levine et al., FEBS Lett. 1998, 440, 1 ; WO2000/04173; WO2004/090140). It is further known that the tolerance of plants to abiotic stress can be increased by a modification of the activity of endogenous poly-ADP-ribose polymerases (PARP) or poly (ADP-ribose) glycohydrolases (PARG) (de Block et al. , The Plant Journal, 2004, 41, 95; Levine et al., FEBS Lett. 1998, 440, 1, WO2000 / 04173, WO2004 / 090140).
Weiterhin ist bekannt, dass substituierte Dihydrooxindolylsulfonamide zu einer Steigerung der Widerstandsfähigkeit von Pflanzen gegenüber abiotischen Stressfaktoren führen können Furthermore, it is known that substituted dihydrooxindolylsulfonamides can lead to an increase in the resistance of plants to abiotic stress factors
(WO2015/049351). Somit ist bekannt, dass Pflanzen über mehrere endogene Reaktionsmechanismen verfügen, die eine wirksame Abwehr gegenüber verschiedensten Schadorganismen und/oder natürlichem abiotischem Stress bewirken können. Da sich die ökologischen und ökonomischen Anforderungen an moderne Pflanzenbehandlungsmittel laufend erhöhen, beispielsweise was deren Toxizität, Selektivität, (WO2015 / 049351). Thus, it is known that plants have several endogenous reaction mechanisms that can effectively prevent various harmful organisms and / or natural abiotic stress. As the ecological and economic requirements of modern plant treatment products are constantly increasing, for example as regards their toxicity, selectivity,
Aufwandmenge, Rückstandsbildung und günstige Herstellbarkeit angeht, besteht die ständige Aufgabe, neue Pflanzenbehandlungsmittel zu entwickeln, die zumindest in Teilbereichen Vorteile gegenüber den bekannten aufweisen. Applied rate, residue formation and cheap manufacturability, there is the constant task of developing new plant treatment agents that have advantages over the known at least in some areas.
Daher bestand die Aufgabe der vorliegenden Erfindung darin, Verbindungen bereitzustellen, die die Toleranz gegenüber abiotischem Stress in Pflanzen weiter erhöhen, eine Stärkung des Therefore, the object of the present invention to provide compounds which further increase the tolerance to abiotic stress in plants, a strengthening of the
Pflanzenwachstums bewirken und/oder zur Erhöhung des Pflanzenertrags beitragen. In diesem Plant growth and / or contribute to increase the plant yield. In this
Zusammenhang wird unter Toleranz gegenüber abiotischem Stress beispielsweise die Toleranz gegenüber Kälte-, Hitze-, Trockenstress (Stress verursacht durch Trockenheit und/oder Wassermangel), Salzen und Überflutung, explizit aber nicht die erhöhte Widerstandskraft gegen das Umknicken der Pflanzen oder von Bestandteilen derselbigen wie beispielsweise bei oder nach schweren Regenfällen und Gewitterstürmen verstanden. Überraschenderweise wurde nun gefunden, daß substituierte Indolmylmethylsulfonamide oder deren Salze zur Steigerung der Toleranz in Pflanzen gegenüber abiotischem Stress, sowie zur Steigerung des Pflanzenwachstums und/oder zur Erhöhung des Pflanzenertrags verwendet werden können. For example, tolerance to abiotic stress is associated with tolerance to cold, heat, drought stress (stress caused by drought and / or lack of water), salting and flooding, but not explicitly the increased resistance to buckling of the plants or components thereof such as, for example understood during or after heavy rains and thunderstorms. Surprisingly, it has now been found that substituted Indolmylmethylsulfonamide or salts thereof can be used to increase the tolerance in plants to abiotic stress, as well as to increase plant growth and / or increase the plant yield.
Gegenstand der vorliegenden Erfindung ist demnach die Verwendung substituierter The subject of the present invention is therefore the use of substituted
Indolmylmethylsulfonamide der allgemeinen Formel (I) oder deren Salzen Indolmethylmethylsulfonamides of the general formula (I) or salts thereof
zur Erhöhung der Toleranz in Pflanzen gegenüber abiotischem Stress und/oder zur Erhöhung des Pflanzenertrags, worin to increase tolerance in plants to abiotic stress and / or to increase plant yield, in which
R1 für Wasserstoff, (Ci-C8)-Alkyl, (Ci-C8)-Haloalkyl, (Ci-C8)-Haloalkoxy-(Ci-C8)-alkyl, (Ci-C8)- Haloalkylsulfonylalkyl, Hydroxy-(Ci-C8)-alkyl, Cyano-(Ci-C8)-alkyl, (C3-C8)-Cycloalkyl, Halo- (C3-C8)-Cycloalkyl, (C3-C8)-Cycloalkyl-(C2-C8)-alkyl, Aryl-(Ci-C8)-alkyl, Heteroaryl-(Ci-C8)- alkyl, Heterocyclyl-(Ci-C8)-alkyl, (Ci-C8)-Alkoxy-(Ci-C8)-alkyl, (Ci-C8)-Alkylthio-(Ci-C8)- alkyl, Amino-(Ci-C8)-alkyl, (Ci-C8)-Alkylamino-(Ci-C8)-alkyl, (C3-C8)-Cycloalkylamino- (Ci-C8)-alkyl, Aryl-(Ci-C8)-alkylamino-(Ci-C8)-alkyl, Heteroaryl-(Ci-C8)-alkylamino-(Ci-C8)- alkyl, Heterocyclyl-(Ci-C8)-alkylamino-(Ci-C8)-alkyl, Heterocyclylamino-(Ci-C8)-alkyl, Heteroarylamino-(Ci-C8)-alkyl, (Ci-C8)-Alkoxycarbonylamino-(Ci-C8)-alkyl, Arylamino- (Ci-C8)-alkyl, Aryl-(Ci-C8)-alkoxycarbonylamino-(Ci-C8)-alkyl, (C3-C8)- Cycloalkoxycarbonylamino-(Ci-C8)-alkyl, (C3-C8)-Cycloalkyl-(Ci-C8)-alkoxycarbonylamino- (Ci-C8)-alkyl, Heteroaryl-(Ci-C8)-alkoxycarbonylamino-(Ci-C8)-alkyl, (Ci-Cs)- Alkylcarbonylamino-(Ci-C8)-alkyl, (C3-C8)-Cycloalkylcarbonylamino-(Ci-C8)-alkyl, R 1 is hydrogen, (C 1 -C 8 ) -alkyl, (C 1 -C 8 ) -haloalkyl, (C 1 -C 8 ) -haloalkoxy- (C 1 -C 8 ) -alkyl, (C 1 -C 8 ) -haloalkylsulfonylalkyl, hydroxy (Ci-C 8) alkyl, cyano (Ci-C 8) alkyl, (C 3 -C 8) cycloalkyl, halo (C 3 -C 8) cycloalkyl, (C 3 -C 8 ) cycloalkyl (C 2 -C 8) alkyl, aryl (Ci-C 8) alkyl, heteroaryl (Ci-C 8) - alkyl, heterocyclyl- (Ci-C 8) alkyl, (Ci- C 8) alkoxy (Ci-C 8) alkyl, (Ci-C8) alkylthio (Ci-C8) - alkyl, amino (Ci-C 8) alkyl, (Ci-C 8) -Alkylamino- (C 1 -C 8 ) -alkyl, (C 3 -C 8 ) -cycloalkylamino- (C 1 -C 8 ) -alkyl, aryl- (C 1 -C 8 ) -alkylamino- (C 1 -C 8 ) -alkyl, heteroaryl- (Ci-C 8) alkylamino (Ci-C8) - alkyl, heterocyclyl- (Ci-C 8) alkylamino (Ci-C8) alkyl, heterocyclylamino (Ci-C 8) -alkyl , Heteroarylamino- (C 1 -C 8 ) -alkyl, (C 1 -C 8 ) -alkoxycarbonylamino- (C 1 -C 8 ) -alkyl, arylamino- (C 1 -C 8 ) -alkyl, aryl- (C 1 -C 8 ) - alkoxycarbonylamino (Ci-C 8) alkyl, (C3-C8) - Cycloalkoxycarbonylamino- (Ci-C 8) alkyl, (C3-C8) -cycloalkyl- (Ci-C8) alkoxycarbonylamino (Ci C 8 ) alkyl, Hete roaryl- (Ci-C8) alkoxycarbonylamino (Ci-C 8) alkyl, (Ci-Cs) - alkylcarbonylamino (Ci-C 8) alkyl, (C3-C8) -Cycloalkylcarbonylamino- (Ci-C 8 ) -alkyl,
Arylcarbonylamino-(Ci-C8)-alkyl, Heteroarylcarbonylamino-(Ci-C8)-alkyl, Arylcarbonylamino (C 1 -C 8 ) -alkyl, heteroarylcarbonylamino (C 1 -C 8 ) -alkyl,
Heterocyclylcarbonylamino-(Ci-C8)-alkyl, (C2-C8)-Alkenyloxycarbonylamino-(Ci-C8)-alkyl, Aryl-(C2-C8)-Alkenylamino-(Ci-C8)-alkyl, Arylsulfonyl-(Ci-C8)-alkyl, Heteroarylsulfonyl- (Ci-C8)-alkyl, (Ci-C8)-Alkylsulfonyl-(Ci-C8)-alkyl, (C3-C8)-Cycloalkylsulfonyl-(Ci-C8)-alkyl, Arylsulfinyl-(Ci-C8)-alkyl, Heteroarylsulfmyl-(Ci-C8)-alkyl, (Ci-C8)-Alkylsulfinyl-(Ci-C8)- alkyl, (C3-C8)-Cycloalkylsulfmyl-(Ci-C8)-alkyl, Bis[(Ci-C8)-alkyl]amino-(Ci-C8)-alkyl, (C2-C8)- Alkenyl, (C4-C8)-Cycloalkenyl, (C2-C8)-Alkinyl, Aryl, Heteroaryl, Heterocyclyl, OR13, NR14R15 steht, R unabhängig voneinander für Wasserstoff, Halogen, (Ci-Cg)-Alkyl, (Ci-Cg)-Haloalkyl, (C3-Cg)-Halocycloalkyl, (C3-Cg)-Cycloalkyl, (C3-Cg)-Cycloalkyl-(Ci-Cg)-alkyl, Aryl-(Ci-Cg)- alkyl, Heteroaryl-(Ci-Cg)-alkyl, Heterocyclyl-(Ci-Cg)-alkyl Hydroxy-(Ci-Cg)-alkyl, Cyano- (Ci-Cg)-alkyl, (Ci-Cg)-Alkoxy-(Ci-Cg)-alkyl, (Ci-Cg)-Alkylthio-(Ci-Cg)-alkyl, Heterocyclylcarbonylamino- (Ci-C 8) alkyl, (C 2 -C 8) -Alkenyloxycarbonylamino- (Ci-C 8) alkyl, aryl (C 2 -C 8) -Alkenylamino- (Ci-C 8) -alkyl , arylsulfonyl (Ci-C 8) alkyl, heteroarylsulfonyl (Ci-C 8) alkyl, (Ci-C8) alkylsulfonyl (Ci-C 8) alkyl, (C 3 -C 8) cycloalkylsulfonyl - (Ci-C 8) alkyl, arylsulfinyl (Ci-C 8) alkyl, Heteroarylsulfmyl- (Ci-C 8) alkyl, (Ci-C8) alkylsulfinyl (Ci-C 8) - alkyl, (C 3 -C 8) -Cycloalkylsulfmyl- (Ci-C 8) alkyl, bis [(Ci-C 8) alkyl] amino- (Ci-C 8) alkyl, (C 2 -C 8) - alkenyl , (C 4 -C 8 ) -cycloalkenyl, (C 2 -C 8 ) -alkynyl, aryl, heteroaryl, heterocyclyl, OR 13 , NR 14 R 15 , R independently of one another are hydrogen, halogen, (Ci-Cg) -alkyl, (Ci-Cg) -haloalkyl, (C 3 -Cg) -halocycloalkyl, (C 3 -Cg) -cycloalkyl, (C 3 -Cg) -cycloalkyl (Ci-Cg) -alkyl, aryl- (Ci-Cg) -alkyl, heteroaryl- (Ci-Cg) -alkyl, heterocyclyl- (Ci-Cg) -alkyl hydroxy- (Ci-Cg) -alkyl, cyano- (Ci-Cg) -alkyl, (Ci-Cg) -alkoxy (Ci-Cg) -alkyl, (Ci-Cg) -alkylthio (Ci-Cg) -alkyl,
Hydroxycarbonyl-(Ci-Cg)-alkyl, (Ci-Cg)-Alkoxycarbonyl-(Ci-Cg)-alkyl, (C2-Cg)- Alkenyloxycarbonyl-(Ci-Cg)-alkyl, Aryl-(Ci-Cg)-Alkoxycarbonyl-(Ci-Cg)-alkyl, Heteroaryl- (Ci-Cg)-Alkoxycarbonyl-(Ci-Cg)-alkyl, Aryloxycarbonyl-(Ci-Cg)-alkyl, Arylcarbonyl-(Ci-Cg)- alkyl, (Ci-Cg)-Alkylcarbonyl-(Ci-Cg)-alkyl, Heteroarylcarbonyl-(Ci-Cg)-alkyl, Hydroxycarbonyl- (Ci-Cg) -alkyl, (Ci-Cg) -alkoxycarbonyl- (Ci-Cg) -alkyl, (C 2 -Cg) -alkenyloxycarbonyl- (Ci-Cg) -alkyl, aryl- (Ci-Cg) Alkoxycarbonyl- (Ci-Cg) -alkyl, heteroaryl- (Ci-Cg) -alkoxycarbonyl- (Ci-Cg) -alkyl, aryloxycarbonyl- (Ci-Cg) -alkyl, arylcarbonyl- (Ci-Cg) -alkyl, ( Ci-Cg) -alkylcarbonyl (Ci-Cg) -alkyl, heteroarylcarbonyl (Ci-Cg) -alkyl,
Heterocyclylcarbonyl-(Ci-Cg)-alkyl, Amino-(Ci-Cg)-alkyl, (Ci-Cg)-Alkylamino-(Ci-Cg)-alkyl, (C3-Cg)-Cycloalkylamino-(Ci-Cg)-alkyl, Arylamino-(Ci-Cg)-alkyl, Aryl-(Ci-Cg)-alkylamino- (Ci-Cg)-alkyl, Heteroarylamino-(Ci-Cg)-alkyl, Heteroaryl-(Ci-Cg)-alkylamino-(Ci-Cg)-alkyl, Heterocyclylamino-(Ci-Cg)-alkyl, Heterocyclyl-(Ci-Cg)-alkylamino-(Ci-Cg)-alkyl, (Ci-Cg)- Alkoxycarbonylamino-(Ci-Cg)-alkyl, Aryl-(Ci-Cg)-alkoxycarbonylamino-(Ci-Cg)-alkyl, (C3-Cg)-Cycloalkoxycarbonylamino-(Ci-Cg)-alkyl, (C3-Cg)-Cycloalkyl-(Ci-Cg)- alkoxycarbonylamino-(Ci-Cg)-alkyl, Heteroaryl-(Ci-Cg)-alkoxycarbonylamino-(Ci-Cg)-alkyl, (Ci-Cg)-Alkylcarbonylamino-(Ci-Cg)-alkyl, (C3-Cg)-Cycloalkylcarbonylamino-(Ci-Cg)-alkyl, Arylcarbonylamino-(Ci-Cg)-alkyl, Heteroarylcarbonylamino-(Ci-Cg)-alkyl, Heterocyclylcarbonyl- (Ci-Cg) -alkyl, amino- (Ci-Cg) -alkyl, (Ci-Cg) -alkylamino- (Ci-Cg) -alkyl, (C3-Cg) -cycloalkylamino- (Ci-Cg) - alkyl, arylamino (Ci-Cg) -alkyl, aryl- (Ci-Cg) -alkylamino- (Ci-Cg) -alkyl, heteroarylamino- (Ci-Cg) -alkyl, heteroaryl- (Ci-Cg) -alkylamino- (Ci-Cg) -alkyl, heterocyclylamino- (Ci-Cg) -alkyl, heterocyclyl- (Ci-Cg) -alkylamino- (Ci-Cg) -alkyl, (Ci-Cg) - alkoxycarbonylamino- (Ci-Cg) - alkyl, aryl- (Ci-Cg) -alkoxycarbonylamino- (Ci-Cg) -alkyl, (C3-Cg) -cycloalkoxycarbonylamino- (Ci-Cg) -alkyl, (C3-Cg) -cycloalkyl- (Ci-Cg) - alkoxycarbonylamino- (Ci-Cg) -alkyl, heteroaryl- (Ci-Cg) -alkoxycarbonylamino- (Ci-Cg) -alkyl, (Ci-Cg) -alkylcarbonylamino- (Ci-Cg) -alkyl, (C3-Cg) - Cycloalkylcarbonylamino- (Ci-Cg) -alkyl, arylcarbonylamino- (Ci-Cg) -alkyl, heteroarylcarbonylamino- (Ci-Cg) -alkyl,
Heterocyclylcarbonylamino-(Ci-Cg)-alkyl, (C2-Cg)-Alkenyloxycarbonylamino-(Ci-Cg)-alkyl, Aryl-(C2-Cg)-Alkenylamino-(Ci-Cg)-alkyl, Arylsulfonyl-(Ci-Cg)-alkyl, Heteroarylsulfonyl- (Ci-Cg)-alkyl, (Ci-Cg)-Alkylsulfonyl-(Ci-Cg)-alkyl, (C3-Cg)-Cycloalkylsulfonyl-(Ci-Cg)-alkyl, Arylsulfmyl-(Ci-Cg)-alkyl, Heteroarylsulfmyl-(Ci-Cg)-alkyl, (Ci-Cg)-Alkylsulfinyl-(Ci-Cg)- alkyl, (C3-Cg)-Cycloalkylsulfmyl-(Ci-Cg)-alkyl, Bis[(Ci-Cg)-alkyl]amino-(Ci-Cg)-alkyl, (C2-Cg)- Alkenyl, (C4-Cg)-Cycloalkenyl, (C2-Cg)-Alkinyl, Aryl, Heteroaryl, Heterocyclyl, Cyano, Hydroxy, OR13, C(0)R13, C(0)OR13, C(0)NR14R15, NR14R15, S02R16 stehen, oder Heterocyclylcarbonylamino- (Ci-Cg) -alkyl, (C 2 -Cg) -alkenyloxycarbonylamino- (Ci-Cg) -alkyl, aryl- (C 2 -Cg) -alkenylamino- (Ci-Cg) -alkyl, arylsulfonyl- (Ci -Cg) -alkyl, heteroarylsulfonyl- (Ci-Cg) -alkyl, (Ci-Cg) -alkylsulfonyl- (Ci-Cg) -alkyl, (C 3 -Cg) -cycloalkylsulfonyl- (Ci-Cg) -alkyl, arylsulfmyl (Ci-Cg) -alkyl, heteroarylsulfmyl (Ci-Cg) -alkyl, (Ci-Cg) -alkylsulfinyl- (Ci-Cg) -alkyl, (C 3 -Cg) -cycloalkylsulfmyl- (Ci-Cg) - alkyl, bis [(Ci-Cg) -alkyl] amino- (Ci-Cg) -alkyl, (C 2 -Cg) -alkenyl, (C4-Cg) -cycloalkenyl, (C 2 -Cg) -alkynyl, aryl, Heteroaryl, heterocyclyl, cyano, hydroxy, OR 13 , C (O) R 13 , C (O) OR 13 , C (O) NR 14 R 15 , NR 14 R 15 , SO 2 R 16 , or
mit dem Kohlenstoffatom, an das sie gebunden sind, einen vollständig gesättigten oder teilgesättigten, gegebenenfalls durch Heteroatome unterbrochenen und gegebenenfalls weiter substituierten 3 bis 7-gliedrigen monocyclischen oder bicyclischen Ring bilden oder gemeinsam mit dem Atom, an das sie gebunden sind eine Carbonylgruppe bilden, with the carbon atom to which they are attached form a fully saturated or partially saturated, optionally interrupted by heteroatoms and optionally further substituted 3 to 7-membered monocyclic or bicyclic ring or together with the atom to which they are attached form a carbonyl group,
R5 unabhängig voneinander für Wasserstoff, Halogen, (Ci-Cg)-Alkyl, (Ci-Cg)-Haloalkyl, (C3-Cg)-Halocycloalkyl, (C3-Cg)-Cycloalkyl, (C3-Cg)-Cycloalkyl-(Ci-Cg)-alkyl, Aryl-(Ci-Cg)- alkyl, Heteroaryl-(Ci-Cg)-alkyl, Heterocyclyl-(Ci-Cg)-alkyl Hydroxy-(Ci-Cg)-alkyl, Cyano- (Ci-Cg)-alkyl, (Ci-Cg)-Alkoxy-(Ci-Cg)-alkyl, (Ci-Cg)-Alkylthio-(Ci-Cg)-alkyl, R 5 independently of one another represent hydrogen, halogen, (Ci-Cg) -alkyl, (Ci-Cg) -haloalkyl, (C 3 -Cg) -Halocycloalkyl, (C 3 -Cg) -cycloalkyl, (C 3 -Cg) - Cycloalkyl- (Ci-Cg) -alkyl, aryl- (Ci-Cg) -alkyl, heteroaryl- (Ci-Cg) -alkyl, heterocyclyl- (Ci-Cg) -alkyl hydroxy- (Ci-Cg) -alkyl, cyano (Ci-Cg) -alkyl, (Ci-Cg) -alkoxy (Ci-Cg) -alkyl, (Ci-Cg) -alkylthio (Ci-Cg) -alkyl,
Hydroxycarbonyl-(Ci-Cg)-alkyl, (Ci-Cg)-Alkoxycarbonyl-(Ci-Cg)-alkyl, (C2-Cg)- Alkenyloxycarbonyl-(Ci-Cg)-alkyl, Aryl-(Ci-Cg)-Alkoxycarbonyl-(Ci-Cg)-alkyl, Heteroaryl- (Ci-Cg)-Alkoxycarbonyl-(Ci-Cg)-alkyl, Aryloxycarbonyl-(Ci-Cg)-alkyl, Arylcarbonyl-(Ci-Cg)- alkyl, (Ci-Cg)-Alkylcarbonyl-(Ci-Cg)-alkyl, Heteroarylcarbonyl-(Ci-Cg)-alkyl, Heterocyclylcarbonyl-(Ci-Cg)-alkyl, Amino-(Ci-C8)-alkyl, (Ci-C8)-Alkylamino-(Ci-C8)-alkyl, (C3-C8)-Cycloalkylamino-(Ci-C8)-alkyl, Arylamino-(Ci-C8)-alkyl, Aryl-(Ci-C8)-alkylamino- (Ci-C8)-alkyl, Heteroarylamino-(Ci-C8)-alkyl, Heteroaryl-(Ci-C8)-alkylamino-(Ci-C8)-alkyl, Heterocyclylamino-(Ci-C8)-alkyl, Heterocyclyl-(Ci-C8)-alkylamino-(Ci-C8)-alkyl, (Ci-C8)- Alkoxycarbonylamino-(Ci-C8)-alkyl, Aryl-(Ci-C8)-alkoxycarbonylamino-(Ci-C8)-alkyl, (C3-C8)-Cycloalkoxycarbonylamino-(Ci-C8)-alkyl, (C3-C8)-Cycloalkyl-(Ci-C8)- alkoxycarbonylamino-(Ci-C8)-alkyl, Heteroaryl-(Ci-C8)-alkoxycarbonylamino-(Ci-C8)-alkyl, (Ci-C8)-Alkylcarbonylamino-(Ci-C8)-alkyl, (C3-C8)-Cycloalkylcarbonylamino-(Ci-C8)-alkyl, Arylcarbonylamino-(Ci-C8)-alkyl, Heteroarylcarbonylamino-(Ci-C8)-alkyl, Hydroxycarbonyl- (Ci-Cg) -alkyl, (Ci-Cg) -alkoxycarbonyl- (Ci-Cg) -alkyl, (C 2 -Cg) -alkenyloxycarbonyl- (Ci-Cg) -alkyl, aryl- (Ci-Cg) Alkoxycarbonyl- (Ci-Cg) -alkyl, heteroaryl- (Ci-Cg) -alkoxycarbonyl- (Ci-Cg) -alkyl, aryloxycarbonyl- (Ci-Cg) -alkyl, arylcarbonyl- (Ci-Cg) -alkyl, ( Ci-Cg) -alkylcarbonyl (Ci-Cg) -alkyl, heteroarylcarbonyl (Ci-Cg) -alkyl, Heterocyclylcarbonyl- (Ci-Cg) -alkyl, amino- (Ci-C8) -alkyl, (Ci-C8) -alkylamino- (Ci-C8) -alkyl, (C3-C8) -cycloalkylamino- (Ci-C8) - alkyl, arylamino (C 1 -C 8) -alkyl, aryl- (C 1 -C 8) -alkylamino- (C 1 -C 8) -alkyl, heteroarylamino- (C 1 -C 8) -alkyl, heteroaryl- (C 1 -C 8) -alkylamino (C 1 -C 8) -alkyl, heterocyclylamino- (C 1 -C 8) -alkyl, heterocyclyl- (C 1 -C 8 ) -alkylamino- (C 1 -C 8 ) -alkyl, (C 1 -C 8 ) -alkoxycarbonylamino- (C 1 -C 8 ) -alkyl, aryl- (C 1 -C 8) -alkoxycarbonylamino- (C 1 -C 8) -alkyl, (C 3 -C 8) -cycloalkoxycarbonylamino- (C 1 -C 8) -alkyl, (C 3 -C 8) -cycloalkyl- (C 1 -C 8) alkoxycarbonylamino- (C 1 -C 8) -alkyl, heteroaryl- (C 1 -C 8) -alkoxycarbonylamino- (C 1 -C 8) -alkyl, (C 1 -C 8) -alkylcarbonylamino- (C 1 -C 8) -alkyl, (C 3 -C 8) Cycloalkylcarbonylamino- (C 1 -C 8) -alkyl, arylcarbonylamino- (C 1 -C 8) -alkyl, heteroarylcarbonylamino- (C 1 -C 8) -alkyl,
Heterocyclylcarbonylamino-(Ci-C8)-alkyl, (C2-C8)-Alkenyloxycarbonylamino-(Ci-C8)-alkyl, Aryl-(C2-C8)-Alkenylamino-(Ci-C8)-alkyl, Arylsulfonyl-(Ci-C8)-alkyl, Heteroarylsulfonyl- (Ci-C8)-alkyl, (Ci-C8)-Alkylsulfonyl-(Ci-C8)-alkyL (C3-C8)-Cycloalkylsulfonyl-(Ci-C8)-alkyl, Arylsulfmyl-(Ci-C8)-alkyl, Heteroarylsulfmyl-(Ci-C8)-alkyl, (Ci-C8)-Alkylsulfinyl-(Ci-C8)- alkyl, (C3-C8)-Cycloalkylsulfmyl-(Ci-C8)-alkyl, Bis[(Ci-C8)-alkyl]amino-(Ci-C8)-alkyl, (C2-C8)- Alkenyl, (C4-C8)-Cycloalkenyl, (C2-C8)-Alkinyl, Aryl, Heteroaryl, Heterocyclyl, Cyano, Hydroxy, OR13, C(0)R13, C(0)OR13, C(0)NR14R15, NR14R15, S02R16 stehen, oder Heterocyclylcarbonylamino- (C 1 -C 8) -alkyl, (C 2 -C 8) -alkenyloxycarbonylamino- (C 1 -C 8) -alkyl, aryl- (C 2 -C 8) -alkenylamino- (C 1 -C 8) -alkyl, arylsulfonyl- (Ci -C 8) -alkyl, heteroarylsulfonyl- (C 1 -C 8 ) -alkyl, (C 1 -C 8 ) -alkylsulfonyl- (C 1 -C 8 ) -alkyL (C 3 -C 8 ) -cycloalkylsulfonyl- (C 1 -C 8 ) -alkyl, Arylsulfmyl- (C 1 -C 8 ) -alkyl, heteroarylsulfmyl- (C 1 -C 8 ) -alkyl, (C 1 -C 8 ) -alkylsulfinyl- (C 1 -C 8 ) -alkyl, (C 3 -C 8 ) -cycloalkylsulfmyl- (C 1 -C 8 ) -alkyl C8) alkyl, bis [(Ci-C 8) alkyl] amino- (Ci-C8) alkyl, (C 2 -C 8) - alkenyl, (C4-C8) cycloalkenyl, (C 2 -C 8) Alkynyl, aryl, heteroaryl, heterocyclyl, cyano, hydroxy, OR 13 , C (O) R 13 , C (O) OR 13 , C (O) NR 14 R 15 , NR 14 R 15 , SO 2 R 16 , or
mit dem Kohlenstoffatom, an das sie gebunden sind, einen vollständig gesättigten oder teilgesättigten, gegebenenfalls durch Heteroatome unterbrochenen und gegebenenfalls weiter substituierten 3 bis 7-gliedrigen monocyclischen oder bicyclischen Ring bilden oder gemeinsam mit dem Atom, an das sie gebunden sind eine Carbonylgruppe bilden, with the carbon atom to which they are attached form a fully saturated or partially saturated, optionally interrupted by heteroatoms and optionally further substituted 3 to 7-membered monocyclic or bicyclic ring or together with the atom to which they are attached form a carbonyl group,
R6, R7 und R8 unabhängig voneinander für Wasserstoff, Halogen, (Ci-C8)-Alkyl, (Ci-C8)-Haloalkyl, Aryl-(Ci-C8)-alkyl, Heteroaryl-(Ci-C8)-alkyl, Heterocyclyl-(Ci-C8)-alkyl, (C3-C8)-Cycloalkyl, (C3-C8)-Cycloalkyl-(C2-C8)-alkyl, (Ci-C8)-Alkoxy-(Ci-C8)-alkoxy-(Ci-C8)-alkyl, (C4-C8)- Cycloalkenyl-(Ci-C8)-alkyl, (C2-C8)-Alkenyl, Aryl-(C2-C8)-alkenyl, Heteroaryl-(C2-C8)-alkenyl, (C3-C8)-Cycloalkyl-(C2-C8)-alkenyl, (C2-C8)-Haloalkenyl, (C4-C8)-Cycloalkenyl, (C2-C8)- Alkinyl, Aryl-(Ci-C8)-alkinyl, Tris-[(Ci-C8)-alkyl]silyl-(C2-C8)-alkinyl, Bis-[(G-C8)- alkyl](aryl)silyl-(C2-C8)-alkinyl, Bis-aryl[(Ci-C8)-alkyl]silyl-(C2-C8)-alkinyl, (C3-C8)- Cycloalkyl-(C2-C8)-alkinyl, (C2-C8)-Haloalkinyl, Aryl, Heteroaryl, Heterocyclyl, Formyl, Hydroxy, Nitro, Hydroxyiminomethyl, (Ci-C8)-Alkoxyiminomethyl, (C3-C8)- Cycloalkoxyiminomethyl, Aryloxyiminomethyl, (C3-C8)-Cycloalkyl-(Ci-C8)- alkoxyiminomethyl, Thiocyanato, Isothiocyanato, Hydrothio, (Ci-C8)-Alkylthio, (Ci-C8)- Haloalkylthio, (Ci-C8)-Alkylsulfmyl, Arylsulfmyl, Heteroarylsulfmyl, OR13, C(0)R13, R 6 , R 7 and R 8 independently of one another represent hydrogen, halogen, (C 1 -C 8 ) -alkyl, (C 1 -C 8 ) -haloalkyl, aryl- (C 1 -C 8 ) -alkyl, heteroaryl- (C 1 -C 8 ) alkyl, heterocyclyl (Ci-C8) alkyl, (C 3 -C 8) -cycloalkyl, (C 3 -C 8) cycloalkyl (C 2 -C 8) alkyl, (Ci-C8) alkoxy (Ci-C8) alkoxy (Ci-C 8) alkyl, (C 4 -C 8) - cycloalkenyl, (Ci-C 8) alkyl, (C 2 -C 8) alkenyl, aryl (C 2 -C 8) alkenyl, heteroaryl (C 2 -C 8) alkenyl, (C 3 -C 8) cycloalkyl (C 2 -C 8) alkenyl, (C 2 -C 8) -haloalkenyl, (C 4 -C 8 ) -cycloalkenyl, (C 2 -C 8 ) -alkynyl, aryl- (C 1 -C 8 ) -alkynyl, tris - [(C 1 -C 8 ) -alkyl] silyl- (C 2 -C 8) -alkynyl, bis - [(GC 8 ) alkyl] (aryl) silyl (C 2 -C 8) alkynyl, bis-aryl [(Ci-C8) alkyl] silyl (C 2 -C 8) alkynyl, (C 3 - C 8 ) - cycloalkyl- (C 2 -C 8) -alkynyl, (C 2 -C 8) -haloalkynyl, aryl, heteroaryl, heterocyclyl, formyl, hydroxy, nitro, hydroxyiminomethyl, (C 1 -C 8) -alkoxyiminomethyl, (C 3 -C 8 ) - cycloalkoxyiminomethyl, aryloxyiminomethyl, (C 3 -C 8 ) -cycloalkyl- (C 1 -C 8 ) -alkoxyiminomethyl, thiocyanato, isothiocyanato, hydrothio , (C 1 -C 8 ) -alkylthio, (C 1 -C 8 ) -haloalkylthio, (C 1 -C 8 ) -alkylsulfmyl, arylsulfmyl, heteroarylsulfmyl, OR 13 , C (O) R 13 ,
C(0)OR13, C(0)NR14R15, NR14R15, S02R16 stehen, C (O) OR 13 , C (O) NR 14 R 15 , NR 14 R 15 , SO 2 R 16 are
R9, R10 unabhängig voneinander für Wasserstoff, (Ci-C8)-Alkyl, (Ci-C8)-Haloalkyl, Hydroxy-(Ci-C8)- alkyl, Cyano-(Ci-C8)-alkyl, (C3-C8)-Cycloalkyl, (Ci-C8)-Alkoxy-(Ci-C8)-alkyl, (Ci-C8)- Alkylthio-(Ci-C8)-alkyl, Ammo-(Ci-C8)-alkyl, (Ci-C8)-Alkylamino-(Ci-C8)-alkyl, (C3-C8)- Cycloalkylamino-(Ci-C8)-alkyl, Aryl-(Ci-C8)-alkylamino-(Ci-C8)-alkyl, Heteroaryl-(Ci-C8)- alkylamino-(Ci-C8)-alkyl, Heterocyclyl-(Ci-C8)-alkylamino-(Ci-C8)-alkyl, Heterocyclylamino- (Ci-C8)-alkyl, Heteroarylamino-(Ci-C8)-alkyl, (Ci-C8)-Alkoxycarbonylamino-(Ci-C8)-alkyl, Arylamino-(Ci-C8)-alkyl, Aryl-(Ci-C8)-alkoxycarbonylamino-(Ci-C8)-alkyl, (C3-C8)- Cycloalkoxycarbonylamino-(Ci-C8)-alkyl, (C3-C8)-Cycloalkyl-(Ci-C8)-alkoxycarbonylamino- (Ci-C8)-alkyl, Heteroaryl-(Ci-C8)-alkoxycarbonylamino-(Ci-C8)-alkyl, (Ci-Cs)- Alkylcarbonylamino-(Ci-C8)-alkyl, (C3-C8)-Cycloalkylcarbonylamino-(Ci-C8)-alkyl, R 9 , R 10 independently of one another represent hydrogen, (C 1 -C 8 ) -alkyl, (C 1 -C 8 ) -haloalkyl, hydroxy- (C 1 -C 8 ) -alkyl, cyano- (C 1 -C 8 ) -alkyl, (C 3 -C 8) cycloalkyl, (Ci-C8) alkoxy- (Ci-C 8) alkyl, (Ci-C 8) - Alkylthio (Ci-C8) alkyl, ammonium (Ci-C 8) alkyl, (Ci-C 8) alkylamino (Ci-C8) alkyl, (C 3 -C 8) - (cycloalkylamino C 1 -C 8) -alkyl, aryl- (C 1 -C 8) -alkylamino- (C 1 -C 8) -alkyl, heteroaryl- (C 1 -C 8) -alkylamino- (C 1 -C 8) -alkyl, heterocyclyl- (C 1 -C 8) -alkylamino- (C 1 -C 8) -alkyl, heterocyclylamino- (C 1 -C 8) -alkyl, heteroarylamino- (C 1 -C 8) -alkyl, (C 1 -C 8) -alkoxycarbonylamino- (C 1 -C 8) -alkyl, arylamino ( C 1 -C 8) -alkyl, aryl- (C 1 -C 8) -alkoxycarbonylamino- (C 1 -C 8) -alkyl, (C 3 -C 8) -cycloalkoxycarbonylamino- (C 1 -C 8) -alkyl, (C 3 -C 8) -cycloalkyl- (C 1 -C 8) -alkyl C 1 -C 8) -alkoxycarbonylamino- (C 1 -C 8) -alkyl, heteroaryl- (C 1 -C 8) -alkoxycarbonylamino- (C 1 -C 8) -alkyl, (C 1 -C 5) -alkylcarbonylamino- (C 1 -C 8) -alkyl, ( C3-C8) -Cycloalkylcarbonylamino- (Ci-C8) alkyl,
Arylcarbonylamino-(Ci-C8)-alkyl, Heteroarylcarbonylamino-(Ci-C8)-alkyl, Arylcarbonylamino (C 1 -C 8) -alkyl, heteroarylcarbonylamino (C 1 -C 8) -alkyl,
Heterocyclylcarbonylamino-(Ci-C8)-alkyl, (C2-C8)-Alkenyloxycarbonylamino-(Ci-C8)-alkyl, Aryl-(C2-C8)-Alkenylamino-(Ci-C8)-alkyl, Arylsulfonyl-(Ci-C8)-alkyl, Heteroarylsulfonyl- (Ci-C8)-alkyl, (Ci-C8)-Alkylsulfonyl-(Ci-C8)-alkyl, (C3-C8)-Cycloalkylsulfonyl-(Ci-C8)-alkyl, Arylsulfmyl-(Ci-C8)-alkyl, Heteroarylsulfmyl-(Ci-C8)-alkyl, (Ci-C8)-Alkylsulfinyl-(Ci-C8)- alkyl, (C3-C8)-Cycloalkylsulfmyl-(Ci-C8)-alkyl, Bis[(Ci-C8)-alkyl]amino-(Ci-C8)-alkyl, (C2-C8)- Alkenyl, (C4-C8)-Cycloalkenyl, (C2-C8)-Alkinyl, Aryl, Heteroaryl, Heterocyclyl stehen, oder mit dem Kohlenstoffatom, an das sie gebunden sind, einen vollständig gesättigten oder teilgesättigten, gegebenenfalls durch Heteroatome unterbrochenen und gegebenenfalls weiter substituierten 3 bis 7-gliedrigen monocyclischen oder bicyclischen Ring bilden oder gemeinsam mit dem Atom, an das sie gebunden sind eine Carbonylgruppe bilden, für Wasserstoff, (Ci-C8)-Alkyl, (C3-C8)-Cycloalkyl, (C3-Cio)-Halocycloalkyl, (C3-C8)- Cycloalkyl-(Ci-C8)-alkyl, (Ci-C8)-Cyanoalkyl, (Ci-C8)-Haloalkyl, (Ci-C8)-Hydroxyalkyl, (Ci-C8)-Alkoxy-(Ci-C8)-alkyl, Aryl-(Ci-C8)-alkyl, Heteroaryl-(Ci-C8)-alkyl, Heterocyclyl- (Ci-C8)-alkyl, (C2-C8)-Alkenyl, Halo-(C2-C8)-alkenyl, (C2-C8)-Alkinyl, Halo-(C2-C8)-alkinyl, Aryl, Heteroaryl, Heterocyclyl steht, für (Ci-C8)-Alkyl, (C3-C8)-Cycloalkyl, (C3-C8)-Cycloalkyl-(Ci-C8)-alkyl, (Ci-C8)-Haloalkyl, (C3-C8)-Halocycloalkyl, Aryl-(Ci-C8)-alkyl, Heteroaryl-(Ci-C8)-alkyl, Heterocyclyl-(Ci-C8)- alkyl, (Ci-C8)-Alkoxy-(Ci-C8)-alkyl, (Ci-C8)-Alkoxy-(Ci-C8)-haloalkyl, (Ci-C8)-Alkoxy- (Ci-C8)-alkoxy-(Ci-C8)-alkyl, Aryloxy-(Ci-C8)-alkyl, Heteroaryloxy-(Ci-C8)-alkyl, (C4-C7)- Cycloalkenyl-(Ci-C8)-alkyl, (Ci-C8)-Alkylthio-(Ci-C8)-alkyl, (Ci-C8)-Cyanoalkyl, (Ci-C8)- Alkylcarbonyl-(Ci-C8)-alkyl, (Ci-C8)-Alkoxycarbonyl-(Ci-C8)-alkyl, Aryloxycarbonyl-(Ci-C8)- alkyl, Aryl-(Ci-C8)-alkoxycarbonyl-(Ci-C8)-alkyl, (C3-C8)-Cycloalkoxycarbonyl-(Ci-C8)-alkyl, (C3-C8)-Cycloalkyl-(Ci-C8)-alkoxycarbonyl-(Ci-C8)-alkyl, Heteroaryloxycarbonyl-(Ci-C8)- alkyl, Heteroaryl-(Ci-C8)-alkoxycarbonyl-(Ci-C8)-alkyl, Aminocarbonyl-(Ci-C8)-alkyl, (Ci-Cs)- Alkylaminocarbonyl-(Ci-C8)-alkyl, Bis[(Ci-C8)-alkyl]aminocarbonyl-(Ci-C8)-alkyl, (C3-C8)- Cycloalkylaminocarbonyl-(Ci-C8)-alkyl, Aryl-(Ci-C8)-alkylaminocarbonyl-(Ci-C8)-alkyl, (C2-C8)-Alkenyl, (C4-C8)-Cycloalkenyl, (C2-C8)-Haloalkenyl, (C4-C8)-Halocycloalkenyl, Aryl- (C2-C8)-alkenyl, Heteroaryl-(C2-C8)-alkenyl, Heterocyclyl-(C2-C8)-alkenyl, (C2-C8)-Alkinyl, (C2-C8)-Haloalkinyl, Aryl, Heteroaryl, Heterocyclyl, NR14R15 steht, für (Ci-C8)-Alkyl, (Ci-C8)-Cyanoalkyl, (Ci-Cio)-Haloalkyl, (C3-Cio)-Cycloalkyl, (C3-C10)- Halocycloalkyl, (Ci-C8)-Alkoxy-(Ci-C8)-alkyl, (Ci-C8)-Alkoxy-(Ci-C8)-haloalkyl, Aryl-(Ci-C8)- alkyl, Heteroaryl-(Ci-C8)-alkyl, (C3-Cio)-Cycloalkyl-(Ci-C8)-alkyl, (C4-Cio)-Cycloalkenyl- (Ci-C8)-alkyl, (Ci-C8)-Alkoxycarbonyl-(Ci-C8)-alkyl, (C2-C8)-Alkenyloxycarbonyl-(Ci-C8)- alkyl, Aryl-(Ci-C8)-Alkoxycarbonyl-(Ci-C8)-alkyl, Hydroxycarbonyl-(Ci-C8)-alkyl, Heterocyclylcarbonylamino- (C 1 -C 8) -alkyl, (C 2 -C 8) -alkenyloxycarbonylamino- (C 1 -C 8) -alkyl, aryl- (C 2 -C 8) -alkenylamino- (C 1 -C 8) -alkyl, arylsulfonyl- (Ci -C8) alkyl, heteroarylsulfonyl- (Ci-C 8 ) alkyl, (Ci-C8) -alkylsulfonyl- (Ci-C 8 ) -alkyl, (C3-C8) -cycloalkylsulfonyl- (Ci-C 8 ) -alkyl , Arylsulfmyl- (C 1 -C 8 ) -alkyl, heteroarylsulfmyl- (C 1 -C 8) -alkyl, (C 1 -C 8) -alkylsulfinyl- (C 1 -C 8) -alkyl, (C 3 -C 8) -cycloalkylsulfmyl- (C 1 -C 8 ) -alkyl, C8) alkyl, bis [(Ci-C8) alkyl] amino- (Ci-C8) alkyl, (C 2 -C 8) - alkenyl, (C4-C8) cycloalkenyl, (C 2 -C 8) - Alkynyl, aryl, heteroaryl, heterocyclyl or with the carbon atom to which they are attached form a completely saturated or partially saturated, optionally interrupted by heteroatoms and optionally further substituted 3 to 7-membered monocyclic or bicyclic ring or together with the atom, to which they are attached form a carbonyl group, for hydrogen, (Ci-C 8 ) -alkyl, (C 3 -C 8 ) -cycloalkyl, (C 3 -Cio) -halocycloalkyl, (C 3 -C 8) - cycloalkyl, (Ci-C 8) alkyl, (Ci-C 8) cyanoalkyl, (Ci-C 8) haloalkyl, (Ci-C8) hydroxyalkyl, (Ci-C8) - alkoxy (Ci-C 8) alkyl, aryl (Ci-C 8) alkyl, heteroaryl (Ci-C 8) alkyl, heterocyclyl (Ci-C8) alkyl, (C 2 -C 8 ) Alkenyl, halo (C 2 -C 8) alkenyl, (C 2 -C 8) alkynyl, halo (C 2 -C 8) alkynyl, aryl, heteroaryl, heterocyclyl, for (Ci-C 8 ) - alkyl, (C 3 -C 8) -cycloalkyl, (C3-C8) -cycloalkyl- (Ci-C8) alkyl, (Ci-C8) -haloalkyl, (C3-C 8) halocycloalkyl, aryl ( Ci-C 8) alkyl, heteroaryl (Ci-C 8) alkyl, heterocyclyl (Ci-C8) - alkyl, (Ci-C8) alkoxy- (Ci-C 8) alkyl, (Ci- C8) -alkoxy- (C 1 -C 8 ) -haloalkyl, (C 1 -C 8 ) -alkoxy- (C 1 -C 8 ) -alkoxy- (C 1 -C 8 ) -alkyl, aryloxy- (C 1 -C 8 ) -alkyl , heteroaryloxy- (Ci-C 8) alkyl, (C4-C7) - cycloalkenyl (Ci-C 8) alkyl, (Ci-C8) alkylthio (Ci-C8) alkyl, (Ci-C 8 ) -cyanoalkyl, (C 1 -C 8 ) -alkylcarbonyl- (C 1 -C 8 ) -alkyl, (C 1 -C 8 ) -alkoxycarbonyl- (C 1 -C 8 ) -alkyl, aryloxycarbonyl- (C 1 -C 8 ) -alkyl, aryl- (C 1 -C 8) -alkoxycarbonyl- (C 1 -C 8) -alkyl, (C 3 -C 8) -cycloalkoxycarb onyl- (Ci-C8) -alkyl, (C3-C8) -cycloalkyl- (Ci-C8) -alkoxycarbonyl- (Ci-C8) -alkyl, heteroaryloxycarbonyl- (Ci-C8) -alkyl, heteroaryl- (Ci-C8 ) -alkoxycarbonyl- (C 1 -C 8) -alkyl, aminocarbonyl- (C 1 -C 8) -alkyl, (C 1 -C 5) -alkylaminocarbonyl- (C 1 -C 8) -alkyl, bis [(C 1 -C 8) -alkyl] aminocarbonyl- (C 1 -C 8) -alkyl, (C 3 -C 8) -cycloalkylaminocarbonyl- (C 1 -C 8) -alkyl, aryl- (C 1 -C 8) -alkylaminocarbonyl- (C 1 -C 8) -alkyl, (C 2 -C 8 ) -alkenyl, (C 4 -C 8 ) -cycloalkenyl, (C 2 -C 8 ) -haloalkenyl, (C 4 -C 8 ) -halocycloalkenyl, aryl- (C 2 -C 8 ) -alkenyl , heteroaryl (C2-C8) alkenyl, heterocyclyl- (C2-C8) alkenyl, (C2-C8) -alkynyl, (C 2 -C 8) haloalkynyl, aryl, heteroaryl, heterocyclyl, NR 14 R 15 is (C 1 -C 8 ) -alkyl, (C 1 -C 8 ) -cyanoalkyl, (C 1 -C 10) -haloalkyl, (C 3 -C 10) -cycloalkyl, (C 3 -C 10) -halocycloalkyl, (Ci -C 8) alkoxy- (Ci-C 8) alkyl, (Ci-C 8) alkoxy (Ci-C 8) haloalkyl, aryl (Ci-C8) - alkyl, heteroaryl (Ci- C 8) alkyl, (C 3 -Cio) cycloalkyl- (Ci-C 8) alkyl, (C 4 -Cio) cycloalkenyl (Ci-C 8) alkyl, (Ci-C 8) alkoxycarbonyl - (Ci-C 8) alkyl, (C 2 -C 8) -Alkenyloxycarbonyl- (Ci-C 8) - alkyl, aryl (Ci-C8) alkoxycarbonyl (Ci-C 8) alkyl, hydroxycarbonyl - (C 1 -C 8 ) -alkyl,
Heterocyclyl-(Ci-C8)-alkyl, (C2-C8)-Alkenyl, (C2-C8)-Haloalkenyl, (C4-Cio)-Cycloalkenyl, (C4-Cio)-Halocycloalkenyl, (C2-C8)-Alkinyl, (C2-C8)-Haloalkinyl, Aryl, Heteroaryl, Heterocyclyl (C 1 -C 8 ) -alkyl, (C 2 -C 8 ) -alkenyl, (C 2 -C 8 ) -haloalkenyl, (C 4 -C 10) -cycloalkenyl, (C 4 -C 10) -halocycloalkenyl, ( C 2 -C 8 ) -alkynyl, (C 2 -C 8 ) -haloalkynyl, aryl, heteroaryl,
Heterocyclyl steht, und R15 gleich oder verschieden sind und unabhängig voneinander für Wasserstoff, (Ci-Cs)- Alkyl, (Ci-C8)-Cyanoalkyl, (Ci-Cio)-Haloalkyl, (C3-Cio)-Cycloalkyl, (C3-Cio)-Halocycloalkyl, (Ci-C8)-Alkoxy-(Ci-C8)-alkyl, (Ci-C8)-Haloalkoxy-(Ci-C8)-alkyl, (Ci-C8)-Alkylthio-(Ci-C8)- alkyl, (Ci-C8)-Haloalkylthio-(Ci-C8)-alkyl, Aryl-(Ci-C8)-alkyl, Heteroaryl-(Ci-C8)-alkyl, (C3-Cio)-Cycloalkyl-(Ci-C8)-alkyl, (C4-Cio)-Cycloalkenyl-(Ci-C8)-alkyl, (Ci-C8)- Alkoxycarbonyl-(Ci-C8)-alkyl, Aryl-(Ci-C8)-Alkoxycarbonyl-(Ci-C8)-alkyl, Heterocyclyl- (Ci-C8)-alkyl, (C2-C8)-Alkenyl, (C2-C8)-Haloalkenyl, (C4-Cio)-Cycloalkenyl, (C4-C10)- Halocycloalkenyl, (C2-C8)-Alkinyl, (C2-C8)-Haloalkinyl, Aryl, Heteroaryl, Heterocyclyl, COR13, SO2R16, (Ci-C8)-Alkyl-HN02S-, (C3-Cio)-Cycloalkyl-HN02S-, (Ci-C8)-Alkoxycarbonyl, Aryl- (Ci-C8)-Alkoxycarbonyl, Heteroaryl-(Ci-C8)-Alkoxycarbonyl, (C2-C8)-Alkenyloxycarbonyl, (C2-C8)-Alkinyloxycarbonyl stehen, oder Heterocyclyl and R 15 are identical or different and are each, independently of one another, hydrogen, (C 1 -C 8 ) -alkyl, (C 1 -C 8 ) -cycloalkyl, (C 1 -C 10) -haloalkyl, (C 3 -C 10) -cycloalkyl, (C 3 -Cio) halocycloalkyl, (Ci-C 8) alkoxy (Ci-C 8) alkyl, (Ci-C8) haloalkoxy (Ci-C 8) alkyl, (Ci-C 8 ) alkylthio (Ci-C8) - alkyl, (Ci-C 8) -Haloalkylthio- (Ci-C 8) alkyl, aryl (Ci-C 8) alkyl, heteroaryl (Ci-C 8) alkyl, (C 3 -Cio) cycloalkyl- (Ci-C 8) alkyl, (C 4 -Cio) cycloalkenyl (Ci-C 8) alkyl, (Ci-C8) - alkoxycarbonyl (C -C 8) alkyl, aryl (Ci-C8) alkoxycarbonyl (Ci-C 8) alkyl, heterocyclyl (Ci-C8) alkyl, (C 2 -C 8) alkenyl, (C 2 -C 8) -haloalkenyl, (C 4 -Cio) cycloalkenyl, (C4-C10) - Halocycloalkenyl, (C2-C8) -alkynyl, (C2-C8) haloalkynyl, aryl, heteroaryl, heterocyclyl, COR 13, SO2R 16, (Ci-C8) alkyl-S- HN0 2, (C 3 -Cio) cycloalkyl HN0 2 S-, (Ci-C8) alkoxycarbonyl, aryl (Ci-C 8) Alkoxycarbonyl, heteroaryl (C 1 -C 8 ) alkoxycarbonyl, (C 2 -C 8 ) alkenyloxycarbonyl, (C 2 -C 8 ) -A lkinyloxycarbonyl, or
mit dem Atom, an das sie gebunden sind, einen vollständig gesättigten, oder teilgesättigten, durch mindestens ein und optional bis zu drei Heteroatomen unterbrochenen und gegebenenfalls weiter substituierten 3-7-gliedrigen Ring bilden, für (Ci-C8)-Alkyl, (Ci-C8)-Cyanoalkyl, (Ci-Cio)-Haloalkyl, (C3-Cio)-Cycloalkyl, (C3-C10)- Halocycloalkyl, (Ci-C8)-Alkoxy-(Ci-C8)-alkyl, (Ci-C8)-Alkoxy-(Ci-C8)-haloalkyl, Aryl-(Ci-C8)- alkyl, Heteroaryl-(Ci-C8)-alkyl, Heterocyclyl-(Ci-C8)-alkyl, (C3-Cio)-Cycloalkyl-(Ci-C8)-alkyl, (C4-Cio)-Cycloalkenyl-(Ci-C8)-alkyl, (C2-C8)-Alkenyl, (C2-C8)-Haloalkenyl, (C4-C10)- Cycloalkenyl, (C4-Cio)-Halocycloalkenyl, (C2-C8)-Alkinyl, (C2-C8)-Haloalkinyl, Aryl, with the atom to which they are attached form a completely saturated or partially saturated 3-7 membered ring interrupted by at least one and optionally up to three heteroatoms and optionally further substituted, for (C 1 -C 8 ) -alkyl, ( Ci-C 8 ) -cyanoalkyl, (Ci-Cio) -haloalkyl, (C 3 -Cio) -cycloalkyl, (C3-C10) -halocycloalkyl, (Ci-C 8 ) -alkoxy- (Ci-C 8 ) -alkyl , (Ci-C 8) alkoxy (Ci-C 8) haloalkyl, aryl (Ci-C8) - alkyl, heteroaryl (Ci-C 8) alkyl, heterocyclyl (Ci-C8) - alkyl, (C 3 -Cio) cycloalkyl- (Ci-C 8) alkyl, (C 4 -Cio) cycloalkenyl (Ci-C 8) alkyl, (C 2 -C 8) alkenyl, (C 2 C 8) haloalkenyl, (C4-C10) - cycloalkenyl, (C 4 -Cio) -Halocycloalkenyl, (C2-C8) -alkynyl, (C2-C8) haloalkynyl, aryl,
Heteroaryl steht, und für Sauerstoff oder Schwefel steht. Die Verbindungen der allgemeinen Formel (I) können durch Anlagerung einer geeigneten anorganischen oder organischen Säure, wie beispielsweise Mineralsäuren, wie beispielsweise HCl, HBr, H2SO4, H3PO4 oder HNO3, oder organische Säuren, z.B. Carbonsäuren, wie Ameisensäure, Essigsäure, Propionsäure, Oxalsäure, Milchsäure oder Salicylsäure oder Sulfonsäuren, wie zum Beispiel p- Toluolsulfonsäure, an eine basische Gruppe, wie z.B. Amino, Alkylamino, Dialkylamino, Piperidino, Morpholino oder Pyridino, Salze bilden. Diese Salze enthalten dann die konjugierte Base der Säure als Anion. Geeignete Substituenten, die in deprotonierter Form, wie z.B. Sulfonsäuren, bestimmte Heteroaryl is, and stands for oxygen or sulfur. The compounds of the general formula (I) can be prepared by addition of a suitable inorganic or organic acid, such as, for example, HCl, HBr, H 2 SO 4, H 3 PO 4 or HNO 3, or organic acids, for example carboxylic acids, such as formic acid, acetic acid, propionic acid, oxalic acid, Lactic acid or salicylic acid or sulfonic acids, such as p-toluenesulfonic acid, to form a basic group such as amino, alkylamino, dialkylamino, piperidino, morpholino or pyridino, salts. These salts then contain the conjugate base of the acid as an anion. Suitable substituents which in deprotonated form, such as sulfonic acids, certain
Sulfonsäureamide oder Carbonsäuren, vorliegen, können innere Salze mit ihrerseits protonierbaren Gruppen, wie Aminogruppen bilden. Salzbildung kann auch durch Einwirkung einer Base auf Sulfonsäureamide or carboxylic acids, may form internal salts with their turn protonatable groups, such as amino groups. Salt formation can also be due to the action of a base
Verbindungen der allgemeinen Formel (I) erfolgen. Geeignete Basen sind beispielsweise organische Amine, wie Trialkylamine, Morpholin, Piperidin und Pyridin sowie Ammonium-, Alkali- oder Compounds of the general formula (I) take place. Suitable bases are, for example, organic amines, such as trialkylamines, morpholine, piperidine and pyridine and ammonium, alkali or
Erdalkalimetallhydroxide, -carbonate und -hydrogencarbonate, insbesondere Natrium- und Alkaline earth metal hydroxides, carbonates and bicarbonates, in particular sodium and
Kaliumhydroxid, Natrium- und Kaliumcarbonat und Natrium- und Kaliumhydrogencarbonat. Diese Salze sind Verbindungen, in denen der acide Wasserstoff durch ein für die Landwirtschaft geeignetes Kation ersetzt wird, beispielsweise Metallsalze, insbesondere Alkalimetall-salze oder Potassium hydroxide, sodium and potassium carbonate and sodium and potassium bicarbonate. These salts are compounds in which the acidic hydrogen is replaced by a cation suitable for agriculture, for example metal salts, in particular alkali metal salts or
Erdalkalimetallsalze, insbesondere Natrium- und Kaliumsalze, oder auch Ammoniumsalze, Salze mit organischen Aminen oder quartäre Ammoniumsalze, zum Beispiel mit Kationen der Formel Alkaline earth metal salts, in particular sodium and potassium salts, or else ammonium salts, salts with organic amines or quaternary ammonium salts, for example with cations of the formula
[NRaRbRcRd]+ worin Ra bis Rd jeweils unabhängig voneinander einen organischen Rest, insbesondere Alkyl, Aryl, Aralkyl oder Alkylaryl darstellen. Infrage kommen auch Alkylsulfonium- und [NR a R b R c R d ] + wherein R a to R d are each independently an organic radical, in particular alkyl, aryl, aralkyl or alkylaryl. Also suitable are alkylsulfonium and
Alkylsulfoxoniumsalze, wie (Ci-C4)-Trialkylsulfonium- und (Ci-C4)-Trialkylsulfoxoniumsalze. Alkylsulfoxoniumsalze, such as (Ci-C4) -trialkylsulfonium and (Ci-C4) -Trialkylsulfoxoniumsalze.
Im Folgenden werden die Verbindungen der Formel (I) und ihre Salze "Verbindungen der allgemeinen Formel (I)" bezeichnet. Bevorzugt ist die erfindungsgemäße Verwendung von Verbindungen der allgemeinen Formel (I), worin In the following, the compounds of the formula (I) and their salts are referred to as "compounds of the general formula (I)". Preference is given to the use according to the invention of compounds of the general formula (I) in which
R1 für Wasserstoff, (Ci-Cv)-Alkyl, (Ci-Cv)-Haloalkyl, (Ci-C7)-Haloalkoxy-(Ci-C7)-alkyl, (C1-C7)- Haloalkylsulfonylalkyl, Hydroxy-(Ci-C7)-alkyl, Cyano-(Ci-C7)-alkyl, (C3-C7)-Cycloalkyl, Halo- (C3-C7)-Cycloalkyl, (C3-C7)-Cycloalkyl-(C2-C7)-alkyl, Aryl-(Ci-C7)-alkyl, Heteroaryl-(Ci-C7)- alkyl, Heterocyclyl-(Ci-C7)-alkyl, (Ci-C7)-Alkoxy-(Ci-C7)-alkyl, (Ci-C7)-Alkylthio-(Ci-C7)- alkyl, Amino-(Ci-C7)-alkyl, (Ci-C7)-Alkylamino-(Ci-C7)-alkyl, (C3-C7)-Cycloalkylamino- (Ci-C7)-alkyl, Aryl-(Ci-C7)-alkylamino-(Ci-C7)-alkyl, Heteroaryl-(Ci-C7)-alkylamino-(Ci-C7)- alkyl, Heterocyclyl-(Ci-C7)-alkylamino-(Ci-C7)-alkyl, Heterocyclylamino-(Ci-C7)-alkyl, Heteroarylamino-(Ci-C7)-alkyl, (Ci-C7)-Alkoxycarbonylamino-(Ci-C7)-alkyl, Arylamino- (Ci-C7)-alkyl, Aryl-(Ci-C7)-alkoxycarbonylamino-(Ci-C7)-alkyl, (C3-C7)-R 1 represents hydrogen, (C 1 -C 4) -alkyl, (C 1 -C 4) -haloalkyl, (C 1 -C 7 ) -haloalkoxy- (C 1 -C 7 ) -alkyl, (C 1 -C 7 ) -haloalkylsulfonylalkyl, hydroxy- ( Ci-C7) alkyl, cyano (Ci-C7) alkyl, (C 3 -C 7) cycloalkyl, halo (C 3 -C 7) cycloalkyl, (C 3 -C 7) cycloalkyl - (C 2 -C 7) alkyl, aryl (Ci-C7) alkyl, heteroaryl (Ci-C7) - alkyl, heterocyclyl- (Ci-C7) alkyl, (Ci-C 7) alkoxy (Ci-C7) alkyl, (Ci-C7) -alkylthio (Ci-C 7) - alkyl, amino (Ci-C7) alkyl, (Ci-C7) alkylamino (C 1 -C 7 ) -alkyl, (C 3 -C 7 ) -cycloalkylamino (C 1 -C 7 ) -alkyl, aryl- (C 1 -C 7 ) -alkylamino- (C 1 -C 7 ) -alkyl, heteroaryl- ( Ci-C7) alkylamino (Ci-C7) - alkyl, heterocyclyl- (Ci-C7) alkylamino (Ci-C7) alkyl, heterocyclylamino (Ci-C7) alkyl, heteroarylamino (C 1 -C 7 ) -alkyl, (C 1 -C 7 ) -alkoxycarbonylamino (C 1 -C 7 ) -alkyl, arylamino (C 1 -C 7 ) -alkyl, aryl- (C 1 -C 7 ) -alkoxycarbonylamino- (C 1 -C 7 ) -alkyl, C 1 -C 7 ) -alkyl, (C 3 -C 7 ) -
Cycloalkoxycarbonylamino-(Ci-C7)-alkyl, (C3-C7)-Cycloalkyl-(Ci-C7)-alkoxycarbonylamino- (Ci-C7)-alkyl, Heteroaryl-(Ci-C7)-alkoxycarbonylamino-(Ci-C7)-alkyl, (C1-C7)- Alkylcarbonylamino-(Ci-Cv)-alkyl, (C3-C7)-Cycloalkylcarbonylamino-(Ci-C7)-alkyl, Cycloalkoxycarbonylamino- (C 1 -C 7 ) -alkyl, (C 3 -C 7 ) -cycloalkyl- (C 1 -C 7 ) -alkoxycarbonylamino- (C 1 -C 7 ) -alkyl, heteroaryl- (C 1 -C 7 ) -alkoxycarbonyl-amino- ( C 1 -C 7 ) -alkyl, (C 1 -C 7 ) - Alkylcarbonylamino (C 1 -C 4) -alkyl, (C 3 -C 7) -cycloalkylcarbonylamino (C 1 -C 7) -alkyl,
Arylcarbonylamino-(Ci-C7)-alkyl, Heteroarylcarbonylamino-(Ci-C7)-alkyl, Arylcarbonylamino (C 1 -C 7) -alkyl, heteroarylcarbonylamino (C 1 -C 7) -alkyl,
Heterocyclylcarbonylamino-(Ci-C7)-alkyl, (C2-C7)-Alkenyloxycarbonylamino-(Ci-C7)-alkyl, Aryl-(C2-C7)-Alkenylamino-(Ci-C7)-alkyl, Arylsulfonyl-(Ci-C7)-alkyl, Heteroarylsulfonyl- (Ci-C7)-alkyl, (Ci-C7)-Alkylsulfonyl-(Ci-C7)-alkyL (C3-C7)-Cycloalkylsulfonyl-(Ci-C7)-alkyl, Arylsulfinyl-(Ci-C7)-alkyl, Heteroaiylsulfinyl-(Ci-C7)-alkyl, (Ci-C7)-Alkylsulfinyl-(Ci-C7)- alkyl, (C3-C7)-Cycloalkylsulfinyl-(Ci-C7)-alkyl, Bis[(Ci-C7)-alkyl]amino-(Ci-C7)-alkyl, (C2-C7)- Alkenyl, (C4-C7)-Cycloalkenyl, (C2-C7)-Alkinyl, Aryl, Heteroaryl, Heterocyclyl, OR13, NR14R15 steht, Heterocyclylcarbonylamino- (C 1 -C 7) -alkyl, (C 2 -C 7) -alkenyloxycarbonylamino- (C 1 -C 7) -alkyl, aryl- (C 2 -C 7) -alkenylamino- (C 1 -C 7) -alkyl, arylsulfonyl- (Ci C7) alkyl, heteroarylsulfonyl (C 7) alkyl, (Ci-C7) alkylsulfonyl (Ci-C 7) alkyl (C 3 -C 7) -Cycloalkylsulfonyl- (Ci-C 7) alkyl, arylsulfinyl (Ci-C7) alkyl, Heteroaiylsulfinyl- (Ci-C7) alkyl, (Ci-C 7) alkylsulfinyl (Ci-C7) - alkyl, (C 3 -C 7) -Cycloalkylsulfinyl- (C 1 -C 7 ) -alkyl, bis [(C 1 -C 7 ) -alkyl] amino- (C 1 -C 7 ) -alkyl, (C 2 -C 7 ) -alkenyl, (C 4 -C 7 ) - Cycloalkenyl, (C 2 -C 7 ) alkynyl, aryl, heteroaryl, heterocyclyl, OR 13 , NR 14 R 15 ,
R2 und R3 unabhängig voneinander für Wasserstoff, Halogen, (Ci-C7)-Alkyl, (Ci-C7)-Haloalkyl, (C3-C7)-Halocycloalkyl, (C3-C7)-Cycloalkyl, (C3-C7)-Cycloalkyl-(Ci-C7)-alkyl, Aryl-(Ci-C7)- alkyl, Heteroaryl-(Ci-C7)-alkyl, Heterocyclyl-(Ci-C7)-alkyl Hydroxy-(Ci-C7)-alkyl, Cyano- (Ci-C7)-alkyl, (Ci-C7)-Alkoxy-(Ci-C7)-alkyL (C2-C7)-Alkenyl, (C2-C7)-Alkinyl, Aryl, R 2 and R 3 independently of one another represent hydrogen, halogen, (C 1 -C 7 ) -alkyl, (C 1 -C 7 ) -haloalkyl, (C 3 -C 7 ) -halocycloalkyl, (C 3 -C 7 ) -cycloalkyl, (C 3 -C 7) cycloalkyl (Ci-C7) alkyl, aryl (Ci-C7) - alkyl, heteroaryl (Ci-C7) alkyl, heterocyclyl (Ci-C7) alkyl hydroxy- ( Ci-C7) alkyl, cyano (Ci-C7) alkyl, (Ci-C7) alkoxy (Ci-C7) alkyl (C 2 -C 7) alkenyl, (C 2 -C 7 ) alkynyl, aryl,
Heteroaryl, Heterocyclyl, Cyano, Hydroxy, OR13, C(0)R13, C(0)OR13, C(0)NR14R15, NR14R15, SO2R16 stehen, oder Heteroaryl, heterocyclyl, cyano, hydroxy, OR 13 , C (O) R 13 , C (O) OR 13 , C (O) NR 14 R 15 , NR 14 R 15 , SO 2 R 16 , or
mit dem Kohlenstoffatom, an das sie gebunden sind, einen vollständig gesättigten oder teilgesättigten, gegebenenfalls durch Heteroatome unterbrochenen und gegebenenfalls weiter substituierten 3 bis 7-gliedrigen monocyclischen oder bicyclischen Ring bilden, oder gemeinsam mit dem Atom, an das sie gebunden sind eine Carbonylgruppe bilden, with the carbon atom to which they are attached form a fully saturated or partially saturated, optionally interrupted by heteroatoms and optionally further substituted 3 to 7-membered monocyclic or bicyclic ring, or together with the atom to which they are attached form a carbonyl group,
R4 und R5 unabhängig voneinander für Wasserstoff, Halogen, (Ci-C7)-Alkyl, (Ci-C7)-Haloalkyl, (C3-C7)-Halocycloalkyl, (C3-C7)-Cycloalkyl, (C3-C7)-Cycloalkyl-(Ci-C7)-alkyl, Aryl-(Ci-C7)- alkyl, Heteroaryl-(Ci-C7)-alkyl, Heterocyclyl-(Ci-C7)-alkyl Hydroxy-(Ci-C7)-alkyl, Cyano- (Ci-C7)-alkyl, (Ci-C7)-Alkoxy-(Ci-C7)-alkyL (C2-C7)-Alkenyl, (C2-C7)-Alkinyl, Aryl, R 4 and R 5 independently of one another represent hydrogen, halogen, (C 1 -C 7 ) -alkyl, (C 1 -C 7 ) -haloalkyl, (C 3 -C 7 ) -halocycloalkyl, (C 3 -C 7 ) -cycloalkyl, (C 3 -C 7) cycloalkyl (Ci-C7) alkyl, aryl (Ci-C7) - alkyl, heteroaryl (Ci-C7) alkyl, heterocyclyl (Ci-C7) alkyl hydroxy- ( Ci-C7) alkyl, cyano (Ci-C7) alkyl, (Ci-C7) alkoxy (Ci-C7) alkyl (C 2 -C 7) alkenyl, (C 2 -C 7 ) alkynyl, aryl,
Heteroaryl, Heterocyclyl, Cyano, Hydroxy, OR13, C(0)R13, C(0)OR13, C(0)NR14R15, NR14R15, SO2R16 stehen, oder Heteroaryl, heterocyclyl, cyano, hydroxy, OR 13 , C (O) R 13 , C (O) OR 13 , C (O) NR 14 R 15 , NR 14 R 15 , SO 2 R 16 , or
mit dem Kohlenstoffatom, an das sie gebunden sind, einen vollständig gesättigten oder teilgesättigten, gegebenenfalls durch Heteroatome unterbrochenen und gegebenenfalls weiter substituierten 3 bis 7-gliedrigen monocyclischen oder bicyclischen Ring bilden, oder gemeinsam mit dem Atom, an das sie gebunden sind eine Carbonylgruppe bilden, with the carbon atom to which they are attached form a fully saturated or partially saturated, optionally interrupted by heteroatoms and optionally further substituted 3 to 7-membered monocyclic or bicyclic ring, or together with the atom to which they are attached form a carbonyl group,
R6, R7 und R8 unabhängig voneinander für Wasserstoff, Halogen, (Ci-C7)-Alkyl, (Ci-C7)-Haloalkyl, Aryl-(Ci-C7)-alkyl, Heteroaryl-(Ci-C7)-alkyl, Heterocyclyl-(Ci-C7)-alkyl, (C3-C7)-Cycloalkyl, (C3-C7)-Cycloalkyl-(C2-C7)-alkyL (Ci-C7)-Alkoxy-(Ci-C7)-alkoxy-(Ci-C7)-alkyL (C4-C7)- Cycloalkenyl-(Ci-C7)-alkyl, (C2-C7)-Alkenyl, Aryl-(C2-C7)-alkenyl, Heteroaryl-(C2-C7)-alkenyl, (C3-C7)-Cycloalkyl-(C2-C7)-alkenyl, (C2-C7)-Haloalkenyl, (C4-C7)-Cycloalkenyl, (C2-C7)- Alkinyl, Aryl-(Ci-C7)-alkinyl, Tris-[(Ci-C7)-alkyl]silyl-(C2-C7)-alkinyl, Bis-[(Ci-C7)- alkyl](aryl)silyl-(C2-C7)-alkmyl, Bis-aiyl[(Ci-C7)-alkyl]süyl-(C2-C7)-alkinyl, (C3-C7)- Cycloalkyl-(C2-C7)-alkinyl, (C2-Cv)-Haloalkinyl, Aryl, Heteroaryl, Heterocyclyl, Formyl, Hydroxy, Nitro, Hydroxyiminomethyl, (Ci-C7)-Alkoxyiminomethyl, (C3-C7)- Cycloalkoxyiminomethyl, Aryloxyiminomethyl, (C3-C7)-Cycloalkyl-(C 1 -C7)- alkoxyiminomethyl, Thiocyanato, Isothiocyanato, Hydrothio, (Ci-C7)-Alkylthio, (C1-C7)- Haloalkylthio, (Ci-C7)-Alkylsulfinyl, Arylsulfmyl, Heteroarylsulfmyl, OR13, C(0)R13, C(0)OR13, C(0)NR14R15, NR14R15, S02R16 stehen, R 6 , R 7 and R 8 independently of one another represent hydrogen, halogen, (C 1 -C 7 ) -alkyl, (C 1 -C 7 ) -haloalkyl, aryl- (C 1 -C 7 ) -alkyl, heteroaryl- (C 1 -C 4 ) -alkyl 7 ) -alkyl, heterocyclyl (Ci-C 7 ) -alkyl, (C 3 -C 7 ) -cycloalkyl, (C 3 -C 7 ) -cycloalkyl- (C 2 -C 7 ) -alkyL (Ci-C 7 ) alkoxy (Ci-C7) alkoxy (Ci-C7) alkyl (C4-C7) - cycloalkenyl (Ci-C7) alkyl, (C 2 -C 7) alkenyl, aryl - (C 2 -C 7 ) -alkenyl, heteroaryl- (C 2 -C 7 ) -alkenyl, (C 3 -C 7 ) -cycloalkyl- (C 2 -C 7 ) -alkenyl, (C 2 -C 7 ) Haloalkenyl, (C 4 -C 7 ) -cycloalkenyl, (C 2 -C 7 ) - Alkynyl, aryl (C 1 -C 7 ) alkynyl, tris - [(C 1 -C 7 ) alkyl] silyl (C 2 -C 7 ) alkynyl, bis [(C 1 -C 7 ) alkyl] (aryl ) silyl (C 2 -C 7) -alkmyl, bis-aiyl [(Ci-C 7) alkyl] süyl- (C 2 -C 7) -alkynyl, (C3-C7) - cycloalkyl- (C 2 - C7) -alkynyl, (C 2 -Cb) -haloalkynyl, aryl, heteroaryl, heterocyclyl, formyl, hydroxy, nitro, hydroxyiminomethyl, (C 1 -C 7) -alkoxyiminomethyl, (C 3 -C 7) -cycloalkoxyiminomethyl, aryloxyiminomethyl, (C 3 -C 7) ) -Cycloalkyl- (C 1 -C 7) -alkoxyiminomethyl, thiocyanato, isothiocyanato, hydrothio, (C 1 -C 7) -alkylthio, (C 1 -C 7) -haloalkylthio, (C 1 -C 7 ) -alkylsulfinyl, arylsulfmyl, heteroarylsulfmyl, OR 13 , C (O) R 13 , C (O) OR 13 , C (O) NR 14 R 15 , NR 14 R 15 , SO 2 R 16 ,
R9, R10 unabhängig voneinander für Wasserstoff, (Ci-C7)-Alkyl stehen, oder R 9 , R 10 independently of one another represent hydrogen, (C 1 -C 7) -alkyl, or
mit dem Kohlenstoffatom, an das sie gebunden sind, einen vollständig gesättigten oder teilgesättigten, gegebenenfalls durch Heteroatome unterbrochenen und gegebenenfalls weiter substituierten 3 bis 7-gliedrigen monocyclischen oder bicyclischen Ring bilden, oder gemeinsam mit dem Atom, an das sie gebunden sind eine Carbonylgruppe bilden, with the carbon atom to which they are attached form a fully saturated or partially saturated, optionally interrupted by heteroatoms and optionally further substituted 3 to 7-membered monocyclic or bicyclic ring, or together with the atom to which they are attached form a carbonyl group,
R11 für Wasserstoff, (Ci-C7)-Alkyl, (C3-C7)-Cycloalkyl, (C3-C9)-Halocycloalkyl, (C3-C7)-R 11 is hydrogen, (C 1 -C 7 ) -alkyl, (C 3 -C 7 ) -cycloalkyl, (C 3 -C 9 ) -halocycloalkyl, (C 3 -C 7 ) -
Cycloalkyl-(Ci-C7)-alkyl, (Ci-C7)-Cyanoalkyl, (Ci-C7)-Haloalkyl, (Ci-C7)-Hydroxyalkyl, (Ci-C7)-Alkoxy-(Ci-C7)-alkyl, Aryl-(Ci-C7)-alkyl, Heteroaryl-(Ci-C7)-alkyl, Heterocyclyl- (Ci-C7)-alkyl, (C2-C7)-Alkenyl, Halo-(C2-C7)-alkenyl, (C2-C7)-Alkinyl, Halo-(C2-C7)-alkinyl, Aryl, Heteroaryl, Heterocyclyl steht, Cycloalkyl- (Ci-C7) alkyl, (Ci-C 7) cyanoalkyl, (Ci-C7) haloalkyl, (Ci-C7) hydroxyalkyl, (Ci-C7) alkoxy (Ci- C 7) alkyl, aryl (Ci-C7) alkyl, heteroaryl (Ci-C7) alkyl, heterocyclyl (Ci-C7) alkyl, (C 2 -C 7) alkenyl, halo - (C 2 -C 7) alkenyl, (C 2 -C 7) alkynyl, halo (C2-C7) alkynyl, aryl, heteroaryl, heterocyclyl,
R12 für (Ci-C7)-Alkyl, (C3-C7)-Cycloalkyl, (C3-C7)-Cycloalkyl-(Ci-C7)-alkyL (Ci-C7)-Haloalkyl, (C3-C7)-Halocycloalkyl, Aryl-(Ci-C7)-alkyl, Heteroaryl-(Ci-C7)-alkyl, Heterocyclyl-(Ci-C7)- alkyl, (Ci-C7)-Alkoxy-(Ci-C7)-alkyL (Ci-C7)-Alkoxy-(Ci-C7)-haloalkyl, (Ci-C7)-Alkoxy- (Ci-C7)-alkoxy-(Ci-C7)-alkyl, Aryloxy-(Ci-C7)-alkyl, Heteroaryloxy-(Ci-C7)-alkyl, (C4-C6)- Cycloalkenyl-(Ci-C6)-alkyl, (Ci-C7)-Alkylthio-(Ci-C7)-alkyl, (Ci-C7)-Cyanoalkyl, (C1-C7)- Alkylcarbonyl-(Ci-C7)-alkyl, (Ci-C7)-Alkoxycarbonyl-(Ci-C7)-alkyl, Aryloxycarbonyl-(Ci-C7)- alkyl, Aryl-(Ci-C7)-alkoxycarbonyl-(Ci-C7)-alkyl, (C3-C7)-Cycloalkoxycarbonyl-(Ci-C7)-alkyl, (C3-C7)-Cycloalkyl-(Ci-C7)-alkoxycarbonyl-(Ci-C7)-alkyl, Heteroaryloxycarbonyl-(Ci-C7)- alkyl, Heteroaryl-(Ci-C7)-alkoxycarbonyl-(Ci-C7)-alkyl, Aminocarbonyl-(Ci-C7)-alkyl, (C1-C7)- Alkylaminocarbonyl-(Ci-C7)-alkyl, Bis[(Ci-C7)-alkyl]aminocarbonyl-(Ci-C7)-alkyl, (C3-C7)- Cycloalkylaminocarbonyl-(Ci-C7)-alkyl, Aryl-(Ci-C7)-alkylaminocarbonyl-(Ci-C7)-alkyl, (C2-C7)-Alkenyl, (C4-C7)-Cycloalkenyl, (C2-C7)-Haloalkenyl, (C4-C7)-Halocycloalkenyl, Aryl- (C2-C7)-alkenyl, Heteroaryl-(C2-C7)-alkenyl, Heterocyclyl-(C2-C7)-alkenyl, (C2-C7)-Alkinyl, (C2-C7)-Haloalkinyl, Aryl, Heteroaryl, Heterocyclyl, NR14R15 steht, für (Ci-Cv)-Alkyl, (Ci-Cv)-Cyanoalkyl, (Ci-C9)-Haloalkyl, (C3-C9)-Cycloalkyl, (C3-C9)- Halocycloalkyl, (Ci-C7)-Alkoxy-(Ci-C7)-alkyl, (Ci-C7)-Alkoxy-(Ci-C7)-haloalkyl, Aryl-(Ci-Cv)- alkyl, Heteroaryl-(Ci-C7)-alkyl, (C3-C9)-Cycloalkyl-(Ci-C7)-alkyl, (C4-C9)-Cycloalkenyl- (Ci-Cv)-alkyl, (Ci-C7)-Alkoxycarbonyl-(Ci-C7)-alkyl, (C2-C7)-Alkenyloxycarbonyl-(Ci-C7)- alkyl, Aryl-(Ci-C7)-Alkoxycarbonyl-(Ci-C7)-alkyl, Hydroxycarbonyl-(Ci-C7)-alkyl, R 12 is (Ci-C7) alkyl, (C 3 -C 7) -cycloalkyl, (C 3 -C 7) cycloalkyl (Ci-C7) alkyl (Ci-C7) haloalkyl, ( C 3 -C 7) halocycloalkyl, aryl (Ci-C7) alkyl, heteroaryl (Ci-C7) alkyl, heterocyclyl (Ci-C7) - alkyl, (Ci-C7) alkoxy - (Ci-C 7 ) -alkyL (Ci-C 7 ) -Alkoxy- (Ci-C 7 ) -haloalkyl, (Ci-C 7 ) -Alkoxy- (Ci-C 7 ) -alkoxy- (Ci-C 7 ) alkyl, aryloxy (Ci-C7) alkyl, heteroaryloxy- (Ci-C7) alkyl, (C 4 -C 6) - cycloalkenyl, (Ci-C 6) alkyl, (Ci-C 7 ) Alkylthio (C 1 -C 7 ) -alkyl, (C 1 -C 7 ) -cyanoalkyl, (C 1 -C 7 ) -alkylcarbonyl- (C 1 -C 7 ) -alkyl, (C 1 -C 7 ) -alkoxycarbonyl- (C 1 -C 7 ) -alkyl ) -alkyl, aryloxycarbonyl- (C 1 -C 7) -alkyl, aryl- (C 1 -C 7) -alkoxycarbonyl- (C 1 -C 7) -alkyl, (C 3 -C 7) -cycloalkoxycarbonyl- (C 1 -C 7) -alkyl, ( C 3 -C 7) -cycloalkyl- (C 1 -C 7) -alkoxycarbonyl- (C 1 -C 7) -alkyl, heteroaryloxycarbonyl- (C 1 -C 7) -alkyl, heteroaryl- (C 1 -C 7) -alkoxycarbonyl- (C 1 -C 7) - alkyl, aminocarbonyl- (C 1 -C 7) -alkyl, (C 1 -C 7) -alkylaminocarbonyl- (C 1 -C 7) -alkyl, bis [(C 1 -C 7) -alkyl] aminocarbonyl- (C 1 -C 7) -alkyl, ( C3-C7) - cycloalkylaminocarbonyl- (Ci -C 7 ) -alkyl, aryl- (C 1 -C 7 ) -alkylaminocarbonyl (C 1 -C 7 ) -alkyl, (C 2 -C 7 ) -alkenyl, (C 4 -C 7 ) -cycloalkenyl, (C 2 -C 7 ) Haloalkenyl, (C 4 -C 7 ) -halocycloalkenyl, aryl- (C 2 -C 7 ) -alkenyl, heteroaryl- (C 2 -C 7 ) -alkenyl, heterocyclyl- (C 2 -C 7 ) -alkenyl, (C 2 -C 7 ) -alkynyl, (C 2 -C 7 ) -haloalkynyl, aryl, heteroaryl, heterocyclyl, NR 14 R 15 , for (Ci-Cv) alkyl, (Ci-Cv) cyanoalkyl, (Ci-C 9) -haloalkyl, (C 3 -C 9) -cycloalkyl, (C3-C9) - halocycloalkyl, (Ci-C 7) Alkoxy- (C 1 -C 7 ) -alkyl, (C 1 -C 7 ) -alkoxy- (C 1 -C 7 ) -haloalkyl, aryl- (C 1 -C 4 ) -alkyl, heteroaryl- (C 1 -C 7 ) -alkyl, (C3-C9) cycloalkyl (Ci-C7) alkyl, (C 4 -C 9) cycloalkenyl (Ci-Cv) alkyl, (Ci-C 7) alkoxycarbonyl (Ci-C 7 ) alkyl, (C 2 -C 7) -Alkenyloxycarbonyl- (Ci-C7) - alkyl, aryl- (Ci-C7) alkoxycarbonyl (Ci-C7) alkyl, hydroxycarbonyl- (Ci-C 7 ) alkyl,
Heterocyclyl-(Ci-C7)-alkyl, (C2-C7)-Alkenyl, (C2-C7)-Haloalkenyl, (C4-C9)-Cycloalkenyl, (C4-C9)-Halocycloalkenyl, (C2-C7)-Alkinyl, (C2-C7)-Haloalkinyl, Aryl, Heteroaryl, Heterocyclyl steht, und R15 gleich oder verschieden sind und unabhängig voneinander für Wasserstoff, (C1-C7)- Alkyl, (Ci-C7)-Cyanoalkyl, (Ci-C9)-Haloalkyl, (C3-C9)-Cycloalkyl, (C3-C9)-Halocycloalkyl, (Ci-C7)-Alkoxy-(Ci-C7)-alkyl, (Ci-C7)-Haloalkoxy-(Ci-C7)-alkyl, (Ci-C7)-Alkylthio-(Ci-C7)- alkyl, (Ci-C7)-Haloalkylthio-(Ci-C7)-alkyl, Aryl-(Ci-C7)-alkyl, Heteroaryl-(Ci-C7)-alkyl, (C3-C9)-Cycloalkyl-(Ci-C7)-alkyl, (C4-C9)-Cycloalkenyl-(Ci-C7)-alkyl, (Ci-C7)-Alkoxycarbonyl- (Ci-C7)-alkyl, Aryl-(Ci-C7)-Alkoxycarbonyl-(Ci-C7)-alkyl, Heterocyclyl-(Ci-C7)-alkyl, (C2-C7)- Alkenyl, (C2-C7)-Haloalkenyl, (C4-C9)-Cycloalkenyl, (C4-C9)-Halocycloalkenyl, (C2-C7)- Alkinyl, (C2-C7)-Haloalkinyl, Aryl, Heteroaryl, Heterocyclyl, COR13, SO2R16, (Ci-C7)-Alkyl- HNO2S-, (C3-C9)-Cycloalkyl-HN02S-, (Ci-C7)-Alkoxycarbonyl, Aryl-(Ci-C7)-Alkoxycarbonyl, Heteroaryl-(C i-C7)-Alkoxycarbonyl, (C2-C7)-Alkenyloxycarbonyl, (C2-C7)-Alkinyloxycarbonyl stehen, oder Heterocyclyl (C 1 -C 7 ) -alkyl, (C 2 -C 7 ) -alkenyl, (C 2 -C 7 ) -haloalkenyl, (C 4 -C 9 ) -cycloalkenyl, (C 4 -C 9 ) -halocycloalkenyl, (C 2 -C 7 ) -alkynyl, (C 2 -C 7 ) -haloalkynyl, aryl, heteroaryl, heterocyclyl, and R 15 are identical or different and independently of one another represent hydrogen, (C 1 -C 7 ) -alkyl, (C 1 -C 4 ) -alkyl 7) cyanoalkyl, (Ci-C 9) -haloalkyl, (C 3 -C 9) -cycloalkyl, (C 3 -C 9) halocycloalkyl, (Ci-C7) alkoxy (Ci-C7) - alkyl, (Ci-C7) haloalkoxy (Ci-C7) alkyl, (Ci-C7) -alkylthio (Ci-C 7) - alkyl, (Ci-C 7) -Haloalkylthio- (Ci- C 7 ) -alkyl, aryl- (C 1 -C 7 ) -alkyl, heteroaryl- (C 1 -C 7 ) -alkyl, (C 3 -C 9 ) -cycloalkyl- (C 1 -C 7 ) -alkyl, (C 4 -C 9 ) -cycloalkenyl- (Ci-C 7 ) -alkyl, (Ci-C 7 ) -alkoxycarbonyl (Ci-C 7 ) -alkyl, aryl- (Ci-C 7 ) -alkoxycarbonyl- (Ci-C 7 ) alkyl, heterocyclyl (Ci-C7) alkyl, (C2-C7) - alkenyl, (C 2 -C 7) haloalkenyl, (C 4 -C 9) cycloalkenyl, (C 4 -C 9) -Halocycloalkenyl, (C 2 -C 7 ) -alkynyl, (C 2 -C 7 ) -haloalkynyl, aryl, heteroaryl, heterocyclyl, COR 13 , SO 2 R 16 , (Ci-C7) alkyl- HNO2S-, (C 3 -C 9) cycloalkyl HN0 2 S-, (Ci-C 7) alkoxycarbonyl, aryl (Ci-C 7) alkoxycarbonyl, heteroaryl- ( C iC 7 ) -alkoxycarbonyl, (C 2 -C 7 ) -alkenyloxycarbonyl, (C 2 -C 7 ) -alkynyloxycarbonyl, or
mit dem Atom, an das sie gebunden sind, einen vollständig gesättigten oder teilgesättigten, durch mindestens ein und optional bis zu drei Heteroatomen unterbrochenen und gegebenenfalls weiter substituierten 3-7-gliedrigen Ring bilden, für (Ci-C7)-Alkyl, (Ci-C7)-Cyanoalkyl, (Ci-C9)-Haloalkyl, (C3-C9)-Cycloalkyl, (C3-C9)- Halocycloalkyl, (Ci-C7)-Alkoxy-(Ci-C7)-alkyl, (Ci-C7)-Alkoxy-(Ci-C7)-haloalkyl, Aryl-(Ci-C7)- alkyl, Heteroaryl-(Ci-C7)-alkyl, Heterocyclyl-(Ci-C7)-alkyl, (C3-C9)-Cycloalkyl-(Ci-C7)-alkyl, (C4-C9)-Cycloalkenyl-(Ci-C7)-alkyl, (C2-C7)-Alkenyl, (C2-C7)-Haloalkenyl, (C4-C9)- Cycloalkenyl, (C4-C9)-Halocycloalkenyl, (C2-C7)-Alkinyl, (C2-C7)-Haloalkinyl, Aryl, Heteroaryl steht, und für Sauerstoff oder Schwefel steht. with the atom to which they are attached form a fully saturated or partially saturated 3-7 membered ring interrupted by at least one and optionally up to three heteroatoms and optionally further substituted, for (Ci-C 7 ) -alkyl, (Ci -C 7) cyanoalkyl, (Ci-C 9) -haloalkyl, (C 3 -C 9) -cycloalkyl, (C3-C9) - halocycloalkyl, (Ci-C7) alkoxy (Ci-C7) - alkyl, (Ci-C7) alkoxy (Ci-C7) haloalkyl, aryl (Ci-C7) - alkyl, heteroaryl (Ci-C7) alkyl, heterocyclyl (Ci-C 7) alkyl, (C 3 -C 9) cycloalkyl (Ci-C7) alkyl, (C 4 -C 9) cycloalkenyl (C 7) alkyl, (C 2 -C 7) alkenyl , (C 2 -C 7) haloalkenyl, (C4-C9) - cycloalkenyl, (C 4 -C 9) -Halocycloalkenyl, (C2-C7) alkynyl, (C2-C7) haloalkynyl, aryl, heteroaryl stands, and stands for oxygen or sulfur.
Besonders bevorzugt ist die erfindungsgemäße Verwendung von Verbindungen der allgemeinen Formel (I), worin R1 für Wasserstoff, (Ci-C6)-Alkyl, (Ci-C6)-Haloalkyl, Hydroxy-(Ci-C6)-alkyl, Cyano-(Ci-C6)-alkyl, (C3-C6)-Cycloalkyl, Halo-(C3-C6)-Cycloalkyl, (C3-C6)-Cycloalkyl-(C2-C6)-alkyl, Aryl-(Ci-C6)- alkyl, Heteroaryl-(Ci-C6)-alkyl, Heterocyclyl-(Ci-C6)-alkyl, (Ci-C6)-Alkoxy-(Ci-C6)-alkyl, (Ci-C6)-Alkylthio-(Ci-C6)-alkyl, Amino-(Ci-C6)-alkyl, (Ci-C6)-Alkylamino-(Ci-C6)-alkyl, (C2-C6)-Alkenyl, (C4-C6)-Cycloalkenyl, (C2-C6)-Alkinyl, Aryl, Heteroaryl, Heterocyclyl, OR13, NR14R15 steht, Particularly preferred is the use according to the invention of compounds of general formula (I) wherein R 1 represents hydrogen, (Ci-C 6) -alkyl, (Ci-C 6) -haloalkyl, hydroxy (Ci-C 6) alkyl, cyano (Ci-C 6) alkyl, (C 3 -C 6) -cycloalkyl, halo- (C 3 -C 6) -cycloalkyl, (C3-C6) cycloalkyl (C 2 -C 6) alkyl, aryl (Ci-C 6) - alkyl, heteroaryl (C -C 6) alkyl, heterocyclyl (Ci-C 6) alkyl, (Ci-C6) alkoxy (Ci-C 6) alkyl, (Ci-C 6) alkylthio (Ci-C 6 ) alkyl, amino (Ci-C 6) alkyl, (Ci-C6) alkylamino (Ci-C 6) alkyl, (C 2 -C 6) alkenyl, (C 4 -C 6) - Cycloalkenyl, (C 2 -C 6 ) -alkynyl, aryl, heteroaryl, heterocyclyl, OR 13 , NR 14 R 15 ,
R2 und R3 unabhängig voneinander für Wasserstoff, Halogen, (Ci-C6)-Alkyl, (Ci-C6)-Haloalkyl, (C3-C6)-Halocycloalkyl, (C3-C6)-Cycloalkyl, (C3-C6)-Cycloalkyl-(Ci-C6)-alkyl, Aryl-(Ci-C6)- alkyl, Heteroaryl-(Ci-C6)-alkyl, Heterocyclyl-(Ci-C6)-alkyl Hydroxy-(Ci-C6)-alkyl, Cyano- (Ci-C6)-alkyl, (Ci-C6)-Alkoxy-(Ci-C6)-alkyl, (C2-C6)-Alkenyl, (C2-C6)-Alkinyl, Aryl, R 2 and R 3 independently of one another represent hydrogen, halogen, (C 1 -C 6 ) -alkyl, (C 1 -C 6 ) -haloalkyl, (C 3 -C 6 ) -halocycloalkyl, (C 3 -C 6 ) -cycloalkyl, (C3 -C 6 ) -cycloalkyl- (C 1 -C 6 ) -alkyl, aryl- (C 1 -C 6 ) -alkyl, heteroaryl- (C 1 -C 6 ) -alkyl, heterocyclyl- (C 1 -C 6 ) -alkyl, hydroxy (Ci C6) alkyl, cyano (Ci-C 6) alkyl, (Ci-C6) alkoxy (Ci-C 6) alkyl, (C 2 -C 6) alkenyl, (C 2 -C 6 ) alkynyl, aryl,
Heteroaryl, Heterocyclyl, Cyano, Hydroxy, OR13, C(0)R13, C(0)OR13, C(0)NR14R15, NR14R15, S02R16 stehen, oder Heteroaryl, heterocyclyl, cyano, hydroxy, OR 13 , C (O) R 13 , C (O) OR 13 , C (O) NR 14 R 15 , NR 14 R 15 , SO 2 R 16 , or
mit dem Kohlenstoffatom, an das sie gebunden sind, einen vollständig gesättigten oder teilgesättigten, gegebenenfalls durch Heteroatome unterbrochenen und gegebenenfalls weiter substituierten 3 bis 7-gliedrigen monocyclischen oder bicyclischen Ring bilden, oder gemeinsam mit dem Atom, an das sie gebunden sind eine Carbonylgruppe bilden, with the carbon atom to which they are attached form a fully saturated or partially saturated, optionally interrupted by heteroatoms and optionally further substituted 3 to 7-membered monocyclic or bicyclic ring, or together with the atom to which they are attached form a carbonyl group,
R4 und R5 unabhängig voneinander für Wasserstoff, Halogen, (Ci-C6)-Alkyl, (Ci-C6)-Haloalkyl, (C3-C6)-Halocycloalkyl, (C3-C6)-Cycloalkyl, (C3-C6)-Cycloalkyl-(Ci-C6)-alkyl, Aryl-(Ci-C6)- alkyl, Heteroaryl-(Ci-C6)-alkyl, Heterocyclyl-(Ci-C6)-alkyl Hydroxy-(Ci-C6)-alkyl, Cyano- (Ci-C6)-alkyl, (Ci-C6)-Alkoxy-(Ci-C6)-alkyl, (C2-C6)-Alkenyl, (C2-C6)-Alkinyl, Aryl, R 4 and R 5 independently of one another represent hydrogen, halogen, (C 1 -C 6 ) -alkyl, (C 1 -C 6 ) -haloalkyl, (C 3 -C 6 ) -halocycloalkyl, (C 3 -C 6 ) -cycloalkyl, (C 3 -C 6) -cycloalkyl- (Ci-C 6) alkyl, aryl (Ci-C 6) - alkyl, heteroaryl (Ci-C6) alkyl, heterocyclyl (Ci-C6) alkyl hydroxy- ( Ci-C6) alkyl, cyano (Ci-C 6) alkyl, (Ci-C6) alkoxy (Ci-C 6) alkyl, (C 2 -C 6) alkenyl, (C 2 - C 6 ) alkynyl, aryl,
Heteroaryl, Heterocyclyl, Cyano, Hydroxy, OR13, C(0)R13, C(0)OR13, C(0)NR14R15, NR14R15, S02R16 stehen, oder Heteroaryl, heterocyclyl, cyano, hydroxy, OR 13 , C (O) R 13 , C (O) OR 13 , C (O) NR 14 R 15 , NR 14 R 15 , SO 2 R 16 , or
mit dem Kohlenstoffatom, an das sie gebunden sind, einen vollständig gesättigten oder teilgesättigten, gegebenenfalls durch Heteroatome unterbrochenen und gegebenenfalls weiter substituierten 3 bis 7-gliedrigen monocyclischen oder bicyclischen Ring bilden, oder gemeinsam mit dem Atom, an das sie gebunden sind eine Carbonylgruppe bilden, with the carbon atom to which they are attached form a fully saturated or partially saturated, optionally interrupted by heteroatoms and optionally further substituted 3 to 7-membered monocyclic or bicyclic ring, or together with the atom to which they are attached form a carbonyl group,
R6, R7 und R8 unabhängig voneinander für Wasserstoff, Halogen, (Ci-C6)-Alkyl, (Ci-C6)-Haloalkyl, (C3-C6)-Cycloalkyl, Aryl, Heteroaryl, Heterocyclyl, (Ci-C6)-Alkylthio, OR13, C(0)R13, R 6 , R 7 and R 8 independently of one another represent hydrogen, halogen, (C 1 -C 6 ) -alkyl, (C 1 -C 6 ) -haloalkyl, (C 3 -C 6 ) -cycloalkyl, aryl, heteroaryl, heterocyclyl, (C 1 -C 6 ) -cycloalkyl, C 6 ) -alkylthio, OR 13 , C (O) R 13 ,
C(0)OR13, C(0)NR14R15, NR14R15, S02R16 stehen, C (O) OR 13 , C (O) NR 14 R 15 , NR 14 R 15 , SO 2 R 16 are
R9, R10 unabhängig voneinander für Wasserstoff, (Ci-C6)-Alkyl stehen, oder mit dem Kohlenstoffatom, an das sie gebunden sind, einen vollständig gesättigten oder teilgesättigten, gegebenenfalls durch Heteroatome unterbrochenen und gegebenenfalls weiter substituierten 3 bis 7-gliedrigen monocyclischen oder bicyclischen Ring bilden, oder gemeinsam mit dem Atom, an das sie gebunden sind eine Carbonylgruppe bilden, für Wasserstoff, (Ci-C6)-Alkyl steht, für (Ci-C6)-Alkyl, (C3-C6)-Cycloalkyl, (C3-C6)-Cycloalkyl-(Ci-C6)-alkyl, (Ci-C6)-Haloalkyl, (C3-C6)-Halocycloalkyl, Aryl-(Ci-C6)-alkyl, Heteroaryl-(Ci-C6)-alkyl, Heterocyclyl-(Ci-C6)- alkyl, (Ci-C6)-Alkoxy-(Ci-C6)-alkyl, (Ci-C6)-Alkoxy-(Ci-C6)-haloalkyl, (Ci-C6)-Alkoxy- (Ci-C6)-alkoxy-(Ci-C6)-alkyl, Aryloxy-(Ci-C6)-alkyl, Heteroaryloxy-(Ci-C6)-alkyl, (C4-C7)- Cycloalkenyl-(Ci-C7)-alkyl, (Ci-C6)-Alkylthio-(Ci-C6)-alkyl, (Ci-C6)-Cyanoalkyl, (Ci-C6)- Alkylcarbonyl-(Ci-C6)-alkyl, (Ci-C6)-Alkoxycarbonyl-(Ci-C6)-alkyl, Aryloxycarbonyl-(Ci-C6)- alkyl, Aryl-(Ci-C6)-alkoxycarbonyl-(Ci-C6)-alkyl, (C3-C6)-Cycloalkoxycarbonyl-(Ci-C6)-alkyl, (C3-C6)-Cycloalkyl-(Ci-C6)-alkoxycarbonyl-(Ci-C6)-alkyl, Heteroaryloxycarbonyl-(Ci-C6)- alkyl, Heteroaryl-(Ci-C6)-alkoxycarbonyl-(Ci-C6)-alkyl, Aminocarbonyl-(Ci-C6)-alkyl, (CI-CÖ)- Alkylaminocarbonyl-(Ci-C6)-alkyl, Bis[(Ci-C6)-alkyl]aminocarbonyl-(Ci-C6)-alkyl, (C3-Ce)- Cycloalkylaminocarbonyl-(Ci-C6)-alkyl, Aryl-(Ci-C6)-alkylaminocarbonyl-(Ci-C6)-alkyl, (C2-C6)-Alkenyl, (C4-C6)-Cycloalkenyl, (C2-C6)-Haloalkenyl, (C4-C7)-Halocycloalkenyl, Aryl- (C2-C6)-alkenyl, Heteroaryl-(C2-C6)-alkenyl, Heterocyclyl-(C2-C6)-alkenyl, (C2-C6)-Alkinyl, (C2-C6)-Haloalkinyl, Aryl, Heteroaryl, Heterocyclyl, NR14R15 steht, für (Ci-C6)-Alkyl, (Ci-C6)-Cyanoalkyl, (Ci-C8)-Haloalkyl, (C3-C8)-Cycloalkyl, (C3-C8)- Halocycloalkyl, (Ci-C6)-Alkoxy-(Ci-C6)-alkyl, (Ci-C6)-Alkoxy-(Ci-C6)-haloalkyl, Aryl-(Ci-C6)- alkyl, Heteroaryl-(Ci-C6)-alkyl, (C3-C8)-Cycloalkyl-(Ci-C6)-alkyl, (C4-C8)-Cycloalkenyl- (Ci-C6)-alkyl, (Ci-C6)-Alkoxycarbonyl-(Ci-C6)-alkyl, (C2-C6)-Alkenyloxycarbonyl-(Ci-C6)- alkyl, Aryl-(Ci-C6)-Alkoxycarbonyl-(Ci-C6)-alkyl, Hydroxycarbonyl-(Ci-C6)-alkyl, R 9 , R 10 independently of one another represent hydrogen, (C 1 -C 6) -alkyl, or with the carbon atom to which they are attached form a fully saturated or partially saturated, optionally interrupted by heteroatoms and optionally further substituted 3 to 7-membered monocyclic or bicyclic ring, or together with the atom to which they are attached form a carbonyl group, represents hydrogen, (Ci-C6) alkyl, is (Ci-C 6) -alkyl, (C 3 -C 6) -cycloalkyl, (C3-C6) cycloalkyl (Ci-C 6) alkyl, (Ci-C 6) -haloalkyl, (C 3 -C 6) halocycloalkyl, aryl (Ci-C 6) alkyl, heteroaryl (Ci-C 6) alkyl, heterocyclyl (Ci-C 6) - alkyl, (C 1 -C 6 ) -alkoxy- (C 1 -C 6 ) -alkyl, (C 1 -C 6 ) -alkoxy- (C 1 -C 6 ) -haloalkyl, (C 1 -C 6 ) -alkoxy- (C 1 -C 4 ) -alkyl C 6 ) alkoxy- (C 1 -C 6 ) -alkyl, aryloxy- (C 1 -C 6 ) -alkyl, heteroaryloxy- (C 1 -C 6 ) -alkyl, (C 4 -C 7 ) -cycloalkenyl- (C 1 -C 4 ) -alkyl, C 7 ) -alkyl, (C 1 -C 6 ) -alkylthio (C 1 -C 6 ) -alkyl, (C 1 -C 6 ) -cyanoalkyl, (C 1 -C 6 ) -alkylcarbonyl (C 1 -C 6 ) -alkyl, (C 1 -C 6) -alkoxycarbonyl- (C 1 -C 6) -alkyl, aryloxycarbonyl- (C 1 -C 6) -alkyl, aryl- (C 1 -C 6) - alkoxycarbonyl- (C 1 -C 6) -alkyl, (C 3 -C 6) -cycloalkoxycarbonyl- (C 1 -C 6) -alkyl, (C 3 -C 6) -cycloalkyl- (C 1 -C 6) -alkoxycarbonyl- (C 1 -C 6) -alkyl, heteroaryloxycarbonyl, (Ci-C6) - alkyl, heteroaryl (Ci-C6) alkoxycarbonyl (Ci-C6) alkyl, aminocarbonyl (Ci-C6) alkyl, (CI-C O) - (Ci alkylaminocarbonyl C6) alkyl, bis [(Ci-C6) alkyl] aminocarbonyl (Ci-C6) alkyl, (C3 -Ce) - cycloalkylaminocarbonyl (Ci-C6) alkyl, aryl (Ci-C6) - alkylaminocarbonyl (C 1 -C 6) -alkyl, (C 2 -C 6) -alkenyl, (C 4 -C 6) -cycloalkenyl, (C 2 -C 6) -haloalkenyl, (C 4 -C 7 ) -halocycloalkenyl, aryl- (C 2 -C 6) alkenyl, heteroaryl (C 2 -C 6 ) alkenyl, heterocyclyl (C 2 -C 6 ) alkenyl, (C 2 -C 6 ) alkynyl, (C 2 -C 6 ) -haloalkynyl, aryl, heteroaryl, heterocyclyl, NR 14 R 15 , represents (Ci-C 6) -alkyl, (Ci-C 6) cyanoalkyl, (Ci-C8) -haloalkyl, (C 3 -C 8) -cycloalkyl, (C 3 -C 8) - halocycloalkyl, (Ci-C6) alkoxy (Ci-C 6) alkyl, (Ci-C6) alkoxy (Ci-C 6) -haloalkyl, aryl (Ci-C 6) - alkyl, heteroaryl ( Ci-C 6) alkyl, (C3-C8) -cycloalkyl- (Ci-C 6) alkyl, (C 4 -C 8) cycloalkenyl (C 1 -C 6) -alkyl, (C 1 -C 6) -alkoxycarbonyl- (C 1 -C 6) -alkyl, (C 2 -C 6) -alkenyloxycarbonyl- (C 1 -C 6) -alkyl, aryl- (C 1 -C 6) -alkoxycarbonyl- (C 1 -C 6) -alkyl, hydroxycarbonyl- (C 1 -C 6) -alkyl,
Heterocyclyl-(Ci-C6)-alkyl, (C2-C6)-Alkenyl, (C2-C6)-Haloalkenyl, (C4-C8)-Cycloalkenyl, (C4-C8)-Halocycloalkenyl, (C2-C6)-Alkinyl, (C2-C6)-Haloalkinyl, Aryl, Heteroaryl, Heterocyclyl steht, und R15 gleich oder verschieden sind und unabhängig voneinander für Wasserstoff, (Ci-Ce)- Alkyl, (Ci-C6)-Cyanoalkyl, (Ci-C8)-Haloalkyl, (C3-C8)-Cycloalkyl, (C3-C8)-Halocycloalkyl, (Ci-C6)-Alkoxy-(Ci-C6)-alkyl, (Ci-C6)-Haloalkoxy-(Ci-C6)-alkyl, (Ci-C6)-Alkylthio-(Ci-C6)- alkyl, (Ci-C6)-Haloalkylthio-(Ci-C6)-alkyl, Aryl-(Ci-C6)-alkyl, Heteroaryl-(Ci-C6)-alkyl, (C3-C8)-Cycloalkyl-(Ci-C6)-alkyl, (C4-C8)-Cycloalkenyl-(Ci-C6)-alkyl, (Ci-C6)-Alkoxycarbonyl- (Ci-C6)-alkyl, Aryl-(Ci-C6)-Alkoxycarbonyl-(Ci-C6)-alkyl, Heterocyclyl-(Ci-C6)-alkyl, (C2-C6)- Alkenyl, (C2-C6)-Haloalkenyl, (C4-C8)-Cycloalkenyl, (C4-C8)-Halocycloalkenyl, (C2-C6)- Alkinyl, (C2-C6)-Haloalkinyl, Aryl, Heteroaryl, Heterocyclyl, COR13, S02R16, (Ci-C6)-Alkyl- HN02S-, (C3-C8)-Cycloalkyl-HN02S-, (Ci-C6)-Alkoxycarbonyl, Aryl-(Ci-C6)-Alkoxycarbonyl, Heteroaryl-(C i-Ce)-Alkoxycarbonyl, (C2-C6)-Alkenyloxycarbonyl, (C2-C6)-Alkinyloxycarbonyl stehen, oder Heterocyclyl (C 1 -C 6 ) -alkyl, (C 2 -C 6 ) -alkenyl, (C 2 -C 6 ) -haloalkenyl, (C 4 -C 8 ) -cycloalkenyl, (C 4 -C 8 ) -halocycloalkenyl, (C 2 -C 6) -alkynyl, (C 2 -C 6) -haloalkynyl, aryl, heteroaryl, heterocyclyl, and R 15 are identical or different and independently of one another represent hydrogen, (C 1 -C 6) -alkyl, (C 1 -C 6 ) cyanoalkyl, (Ci-C8) -haloalkyl, (C 3 -C 8) -cycloalkyl, (C 3 -C 8) halocycloalkyl, (Ci-C6) alkoxy (Ci-C 6) alkyl, (Ci-C 6) haloalkoxy (Ci-C 6) alkyl, (Ci-C 6) alkylthio (Ci-C 6) - alkyl, (Ci-C 6) -Haloalkylthio- (Ci-C 6 ) -alkyl, aryl- (C 1 -C 6 ) -alkyl, heteroaryl- (C 1 -C 6 ) -alkyl, (C 3 -C 8 ) -cycloalkyl- (C 1 -C 6 ) -alkyl, (C 4 -C 8 ) -cycloalkenyl- (C 1 -C 6 ) -alkyl, (C 1 -C 6 ) -alkoxycarbonyl- (C 1 -C 6 ) -alkyl, aryl- (C 1 -C 6 ) -alkoxycarbonyl- (C 1 -C 6 ) - alkyl, heterocyclyl (Ci-C 6) alkyl, (C 2 -C 6) - Alkenyl, (C 2 -C 6 ) -haloalkenyl, (C 4 -C 8 ) -cycloalkenyl, (C 4 -C 8 ) -halocycloalkenyl, (C 2 -C 6 ) -alkynyl, (C 2 -C 6 ) - Haloalkynyl, aryl, heteroaryl, heterocyclyl, COR 13 , SO 2 R 16 , (C 1 -C 6 ) -alkyl-HNO 2 S-, (C 3 -C 8 ) -cycloalkyl-HNO 2 S-, (Ci-C 6 ) Alkoxycarbonyl, aryl- (C 1 -C 6 ) -alkoxycarbonyl, heteroaryl- (C 1 -C 6 ) -alkoxycarbonyl, (C 2 -C 6) -alkenyloxycarbonyl, (C 2 -C 6) -alkynyloxycarbonyl, or
mit dem Atom, an das sie gebunden sind, einen vollständig gesättigten, oder teilgesättigten, durch mindestens ein und optional bis zu drei Heteroatomen unterbrochenen und gegebenenfalls weiter substituierten 3-7-gliedrigen Ring bilden, R16 für (Ci-C6)-Alkyl, (Ci-C6)-Cyanoalkyl, (Ci-C8)-Haloalkyl, (C3-C8)-Cycloalkyl, (C3-C8)-with the atom to which they are attached form a fully saturated or partially saturated 3-7 membered ring interrupted by at least one and optionally up to three heteroatoms and optionally further substituted, R 16 is (C 1 -C 6 ) -alkyl , (Ci-C 6) cyanoalkyl, (Ci-C8) -haloalkyl, (C 3 -C 8) -cycloalkyl, (C 3 -C 8) -
Halocycloalkyl, (Ci-C6)-Alkoxy-(Ci-C6)-alkyl, (Ci-C6)-Alkoxy-(Ci-C6)-haloalkyl, Aryl-(Ci-C6)- alkyl, Heteroaryl-(Ci-C6)-alkyl, Heterocyclyl-(Ci-C6)-alkyl, (C3-C8)-Cycloalkyl-(Ci-C6)-alkyl, (C4-C8)-Cycloalkenyl-(Ci-C6)-alkyl, (C2-C6)- Alkenyl, (C2-C6)-Haloalkenyl, (C4-C8)- Cycloalkenyl, (C4-C8)-Halocycloalkenyl, (C2-C6)-Alkinyl, (C2-C6)-Haloalkinyl, Aryl, Heteroaryl steht, und Halocycloalkyl, (Ci-C6) alkoxy (Ci-C 6) alkyl, (Ci-C6) alkoxy (Ci-C 6) -haloalkyl, aryl (Ci-C 6) - alkyl, heteroaryl (C 1 -C 6 ) -alkyl, heterocyclyl- (C 1 -C 6 ) -alkyl, (C 3 -C 8 ) -cycloalkyl- (C 1 -C 6 ) -alkyl, (C 4 -C 8 ) -cycloalkenyl- (Ci-C 6) alkyl, (C 2 -C 6) - alkenyl, (C 2 -C 6) haloalkenyl, (C 4 -C 8) - cycloalkenyl, (C 4 -C 8) -Halocycloalkenyl, ( C 2 -C 6) alkynyl, (C 2 -C 6) -haloalkynyl, aryl, heteroaryl, and
X für Sauerstoff oder Schwefel, bevorzugt Sauerstoff, steht. X is oxygen or sulfur, preferably oxygen.
Ganz besonders bevorzugt ist die erfindungsgemäße Verwendung von Verbindungen der allgemeinen Formel (I), worin Very particular preference is given to the use according to the invention of compounds of the general formula (I) in which
R1 für Wasserstoff, (Ci-C6)-Alkyl, (Ci-C6)-Haloalkyl, Aryl, (C3-C6)-Cycloalkyl-(C2-C6)-alkyl steht, R2, R3 für Wasserstoff stehen, R 1 represents hydrogen, (Ci-C 6) -alkyl, (Ci-C 6) -haloalkyl, aryl, (C 3 -C 6) cycloalkyl (C 2 -C 6) -alkyl, R 2, R 3 are hydrogen,
R4, R5 unabhängig voneinander für Wasserstoff oder (Ci-C6)-Alkyl stehen, R6, R7, R8 unabhängig voneinander für Wasserstoff, Halogen stehen, R9, R10 für Wasserstoff stehen, R11 für Wasserstoff steht, R 4 , R 5 independently of one another represent hydrogen or (C 1 -C 6 ) -alkyl, R 6 , R 7 , R 8 independently of one another represent hydrogen, halogen, R 9 , R 10 represent hydrogen, R 11 represents hydrogen,
R12 für (Ci-C6)-Alkyl, (C3-C6)-Cycloalkyl, (C3-C6)-Cycloalkyl-(Ci-C6)-alkyl, (Ci-C6)-Haloalkyl, (C3-C6)-Halocycloalkyl, Aryl-(Ci-C6)-alkyl, Heteroaryl-(Ci-C6)-alkyl, Heterocyclyl-(Ci-C6)- alkyl, (Ci-C6)-Alkoxy-(Ci-C6)-alkyl, (Ci-C6)-Alkoxy-(Ci-C6)-haloalkyl, (Ci-C6)-Alkoxy- (Ci-C6)-alkoxy-(Ci-C6)-alkyl, Aryloxy-(Ci-C6)-alkyl, Heteroaryloxy-(Ci-C6)-alkyl, (C4-C6)- Cycloalkenyl-(Ci-C6)-alkyl, (Ci-C6)-Alkylthio-(Ci-C6)-alkyl, (Ci-C6)-Cyanoalkyl, (Ci-C6)- Alkylcarbonyl-(Ci-C6)-alkyl, (Ci-C6)-Alkoxycarbonyl-(Ci-C6)-alkyl, Aryloxycarbonyl-(Ci-C6)- alkyl, Aryl-(Ci-C6)-alkoxycarbonyl-(Ci-C6)-alkyl, (C3-C6)-Cycloalkoxycarbonyl-(Ci-C6)-alkyl, (C3-C6)-Cycloalkyl-(Ci-C6)-alkoxycarbonyl-(Ci-C6)-alkyl, Heteroaryloxycarbonyl-(Ci-C6)- alkyl, Heteroaryl-(Ci-C6)-alkoxycarbonyl-(Ci-C6)-alkyl, Aminocarbonyl-(Ci-C6)-alkyl, (CI-CÖ)- Alkylaminocarbonyl-(Ci-C6)-alkyl, Bis[(Ci-C6)-alkyl]aminocarbonyl-(Ci-C6)-alkyl, (C3-C6)- Cycloalkylaminocarbonyl-(Ci-C6)-alkyl, Aryl-(Ci-C6)-alkylaminocarbonyl-(Ci-C6)-alkyl, (C2-C6)-Alkenyl, (C4-C6)-Cycloalkenyl, (C2-C6)-Haloalkenyl, (C4-C6)-Halocycloalkenyl, Aryl- (C2-C6)-alkenyl, Heteroaryl-(C2-C6)-alkenyl, Heterocyclyl-(C2-C6)-alkenyl, (C2-C6)-Alkinyl, (C2-C6)-Haloalkinyl, Aryl, Heteroaryl, Heterocyclyl, NR14R15 steht, oder für (Ci-C6)-Alkyl, (Ci-C6)-Cyanoalkyl, (Ci-C8)-Haloalkyl, (C3-C8)-Cycloalkyl, (C3-C8)- Halocycloalkyl, (Ci-C6)-Alkoxy-(Ci-C6)-alkyl, (Ci-C6)-Alkoxy-(Ci-C6)-haloalkyl, Aryl-(Ci-C6)- alkyl, Heteroaryl-(Ci-C6)-alkyl, (C3-C8)-Cycloalkyl-(Ci-C6)-alkyl, (C4-C8)-Cycloalkenyl- (Ci-C6)-alkyl, (Ci-C6)-Alkoxycarbonyl-(Ci-C6)-alkyl, (C2-C6)-Alkenyloxycarbonyl-(Ci-C6)- alkyl, Aryl-(Ci-C6)-Alkoxycarbonyl-(Ci-C6)-alkyl, Hydroxycarbonyl-(Ci-C6)-alkyl, R 12 is (Ci-C 6) -alkyl, (C 3 -C 6) -cycloalkyl, (C 3 -C 6) -cycloalkyl- (Ci-C 6) alkyl, (Ci-C 6) -haloalkyl, (C 3 -C 6) halocycloalkyl, aryl (Ci-C 6) alkyl, heteroaryl (Ci-C 6) alkyl, heterocyclyl (Ci-C 6) - alkyl, (Ci-C 6) - Alkoxy- (C 1 -C 6 ) -alkyl, (C 1 -C 6 ) -alkoxy- (C 1 -C 6 ) -haloalkyl, (C 1 -C 6 ) -alkoxy- (C 1 -C 6 ) -alkoxy- (ci) C 6 ) -alkyl, aryloxy- (C 1 -C 6 ) -alkyl, heteroaryloxy- (C 1 -C 6 ) -alkyl, (C 4 -C 6 ) - Cycloalkenyl- (C 1 -C 6 ) -alkyl, (C 1 -C 6 ) -alkylthio (C 1 -C 6 ) -alkyl, (C 1 -C 6 ) -cyanoalkyl, (C 1 -C 6 ) -alkylcarbonyl- (C 1 -C 4 ) -cycloalkyl C 6) -alkyl, (C 1 -C 6) -alkoxycarbonyl- (C 1 -C 6) -alkyl, aryloxycarbonyl- (C 1 -C 6) -alkyl, aryl- (C 1 -C 6) -alkoxycarbonyl- (C 1 -C 6) -alkyl, ( C 3 -C 6) -cycloalkoxycarbonyl- (C 1 -C 6) -alkyl, (C 3 -C 6) -cycloalkyl- (C 1 -C 6) -alkoxycarbonyl- (C 1 -C 6) -alkyl, heteroaryloxycarbonyl- (C 1 -C 6) -alkyl, heteroaryl - (Ci-C6) alkoxycarbonyl (Ci-C6) alkyl, aminocarbonyl (Ci-C6) alkyl, (CI-C Ö) - alkylaminocarbonyl (Ci-C6) alkyl, bis [(Ci-C6 ) -alkyl] aminocarbonyl- (C 1 -C 6) -alkyl, (C 3 -C 6) -cycloalkylaminocarbonyl- (C 1 -C 6) -alkyl, aryl- (C 1 -C 6) -alkylaminocarbonyl- (C 1 -C 6) -alkyl, (C2 -C 6) alkenyl, (C 4 -C 6) cycloalkenyl, (C 2 -C 6) haloalkenyl, (C 4 -C 6) -halocycloalkenyl, aryl- (C 2 -C 6) -alkenyl, heteroaryl- (C 2 -C 6) -alkenyl , Heterocyclyl (C 2 -C 6 ) -alkenyl, (C 2 -C 6 ) -alkynyl, (C 2 -C 6 ) -haloalkynyl, aryl, heteroaryl, heterocyclyl, NR 14 R 15 , or (C 1 -C 6 ) -alkyl , (Ci-C 6) cyanoalkyl, (Ci-C8) -haloalkyl, (C 3 -C 8) cycloalkyl, ( C 3 -C 8) - halocycloalkyl, (Ci-C6) alkoxy (Ci-C 6) alkyl, (Ci-C6) alkoxy (Ci-C 6) -haloalkyl, aryl (Ci- C 6) - alkyl, heteroaryl (Ci-C 6) alkyl, (C3-C8) -cycloalkyl- (Ci-C 6) alkyl, (C 4 -C 8) cycloalkenyl (Ci-C6) alkyl, (C 1 -C 6) -alkoxycarbonyl- (C 1 -C 6) -alkyl, (C 2 -C 6) -alkenyloxycarbonyl- (C 1 -C 6) -alkyl, aryl- (C 1 -C 6) -alkoxycarbonyl- (C 1 -C 6) alkyl, hydroxycarbonyl- (C 1 -C 6) -alkyl,
Heterocyclyl-(Ci-C6)-alkyl, (C2-C6)-Alkenyl, (C2-C6)-Haloalkenyl, (C4-C8)-Cycloalkenyl, (C4-C8)-Halocycloalkenyl, (C2-C6)-Alkinyl, (C2-C6)-Haloalkinyl, Aryl, Heteroaryl, Heterocyclyl steht, und R15 gleich oder verschieden sind und unabhängig voneinander für Wasserstoff, (Ci-Ce)- Alkyl, (Ci-C6)-Cyanoalkyl, (Ci-C8)-Haloalkyl, (C3-C8)-Cycloalkyl, (C3-C8)-Halocycloalkyl, (Ci-C6)-Alkoxy-(Ci-C6)-alkyl, (Ci-C6)-Haloalkoxy-(Ci-C6)-alkyl, (Ci-C6)-Alkylthio-(Ci-C6)- alkyl, (Ci-C6)-Haloalkylthio-(Ci-C6)-alkyl, Aryl-(Ci-C6)-alkyl, Heteroaryl-(Ci-C6)-alkyl, (C3-C8)-Cycloalkyl-(Ci-C6)-alkyl, (C4-C8)-Cycloalkenyl-(Ci-C6)-alkyl, (Ci-C6)-Alkoxycarbonyl- (Ci-C6)-alkyl, Aryl-(Ci-C6)-Alkoxycarbonyl-(Ci-C6)-alkyl, Heterocyclyl-(Ci-C6)-alkyl, (C2-C6)- Alkenyl, (C2-C6)-Haloalkenyl, (C4-C8)-Cycloalkenyl, (C4-C8)-Halocycloalkenyl, (C2-C6)- Alkinyl, (C2-C6)-Haloalkinyl, Aryl, Heteroaryl, Heterocyclyl, COR13, SO2R16, (Ci-C6)-Alkyl- HNO2S-, (C3-Cio)-Cycloalkyl-HN02S-, (Ci-C6)-Alkoxycarbonyl, Aryl-(Ci-C6)-Alkoxycarbonyl, Heteroaryl-(C i-Ce)-Alkoxycarbonyl, (C2-C6)-Alkenyloxycarbonyl, (C2-C6)-Alkinyloxycarbonyl stehen, oder Heterocyclyl (C 1 -C 6 ) -alkyl, (C 2 -C 6 ) -alkenyl, (C 2 -C 6 ) -haloalkenyl, (C 4 -C 8 ) -cycloalkenyl, (C 4 -C 8 ) -halocycloalkenyl, (C 2 -C 6) -alkynyl, (C 2 -C 6) -haloalkynyl, aryl, heteroaryl, heterocyclyl, and R 15 are identical or different and independently of one another represent hydrogen, (C 1 -C 6) -alkyl, (C 1 -C 6 ) cyanoalkyl, (Ci-C8) -haloalkyl, (C 3 -C 8) -cycloalkyl, (C 3 -C 8) halocycloalkyl, (Ci-C6) alkoxy (Ci-C 6) alkyl, (Ci-C 6) haloalkoxy (Ci-C 6) alkyl, (Ci-C 6) alkylthio (Ci-C 6) - alkyl, (Ci-C 6) -Haloalkylthio- (Ci-C 6 ) -alkyl, aryl- (C 1 -C 6 ) -alkyl, heteroaryl- (C 1 -C 6 ) -alkyl, (C 3 -C 8 ) -cycloalkyl- (C 1 -C 6 ) -alkyl, (C 4 -C 8 ) -cycloalkenyl- (C 1 -C 6 ) -alkyl, (C 1 -C 6 ) -alkoxycarbonyl- (C 1 -C 6 ) -alkyl, aryl- (C 1 -C 6 ) -alkoxycarbonyl- (C 1 -C 6 ) - alkyl, heterocyclyl (Ci-C 6) alkyl, (C 2 -C 6) - alkenyl, (C 2 -C 6) haloalkenyl, (C 4 -C 8) cycloalkenyl, (C 4 -C 8) -Halocycloalkenyl, (C 2 -C 6 ) -alkynyl, (C 2 -C 6 ) -haloalkynyl, aryl, heteroaryl, heterocyclyl, COR 13 , SO 2 R 16, (Ci-C 6) alkyl HNO2S-, (C 3 -Cio) cycloalkyl HN0 2 S-, (Ci-C 6) alkoxycarbonyl, aryl (Ci-C 6) alkoxycarbonyl, heteroaryl- (C 1 -C 6) -alkoxycarbonyl, (C 2 -C 6) -alkenyloxycarbonyl, (C 2 -C 6) -alkynyloxycarbonyl, or
mit dem Atom, an das sie gebunden sind, einen vollständig gesättigten oder teilgesättigten, durch mindestens ein und optional bis zu drei Heteroatomen unterbrochenen und gegebenenfalls weiter substituierten 3-7-gliedrigen Ring bilden, für (Ci-C6)-Alkyl, (Ci-C6)-Cyanoalkyl, (Ci-C8)-Haloalkyl, (C3-C8)-Cycloalkyl, (C3-C8)- Halocycloalkyl, (Ci-C6)-Alkoxy-(Ci-C6)-alkyl, (Ci-C6)-Alkoxy-(Ci-C6)-haloalkyl, Aryl-(Ci-C6)- alkyl, Heteroaryl-(Ci-C6)-alkyl, Heterocyclyl-(Ci-C6)-alkyl, (C3-C8)-Cycloalkyl-(Ci-C6)-alkyl, (C4-C8)-Cycloalkenyl-(Ci-C6)-alkyl, (C2-C6)-Alkenyl, (C2-C6)-Haloalkenyl, (C4-C8)- Cycloalkenyl, (C4-Cg)-Halocycloalkenyl, (C2-C6)-Alkinyl, (C2-C6)-Haloalkinyl, Aryl, Heteroaryl steht, und with the atom to which they are attached form a fully saturated or partially saturated 3-7 membered ring interrupted by at least one and optionally up to three heteroatoms and optionally further substituted, for (Ci-C 6 ) -alkyl, (Ci -C 6 ) -cyanoalkyl, (Ci-C 8 ) -haloalkyl, (C 3 -C 8 ) -cycloalkyl, (C 3 -C 8 ) -halocycloalkyl, (Ci-C 6 ) -alkoxy- (Ci-C 6 ) -alkyl, (C 1 -C 6 ) -alkoxy- (C 1 -C 6 ) -haloalkyl, aryl- (C 1 -C 6 ) - alkyl, heteroaryl- (C 1 -C 6 ) -alkyl, heterocyclyl- (C 1 -C 6 ) -alkyl, (C 3 -C 8 ) -cycloalkyl- (C 1 -C 6 ) -alkyl, (C 4 -C 8) -cycloalkenyl - (C 1 -C 6 ) -alkyl, (C 2 -C 6 ) -alkenyl, (C 2 -C 6 ) -haloalkenyl, (C 4 -C 8 ) -cycloalkenyl, (C 4 -C 9) -halocycloalkenyl, (C 2 -C 6) alkynyl, (C 2 -C 6) -haloalkynyl, aryl, heteroaryl, and
X für Sauerstoff steht. X stands for oxygen.
Im Speziellen bevorzugt ist die erfindungsgemäße Verwendung von Verbindungen der allgemeinen Formel (I), worin Especially preferred is the use according to the invention of compounds of general formula (I) wherein
R1 für Wasserstoff, Methyl, Ethyl, n-Propyl, 1 -Methylethyl, n-Butyl, 1 -Methylpropyl, 2-R 1 is hydrogen, methyl, ethyl, n-propyl, 1-methylethyl, n-butyl, 1-methylpropyl, 2-
Methylpropyl, 1 , 1 -Dimethylethyl, n-Pentyl, 1 -Methylbutyl, 2-Methylbutyl, 3-Methylbutyl, 1 , 1 - Dimethylpropyl, 1 ,2-Dimethylpropyl, 2,2-Dimethylpropyl, 1 -Ethylpropyl, n-Hexyl, 1 - Methylpentyl, 2-Methylpentyl, 3-Methylpentyl, 4-Methylpentyl, 1 ,1 -Dimethylbutyl, 1 ,2- Dimethylbutyl, 1 ,3-Di-methylbutyl, 2,2-Dimethylbutyl, 2,3-Dimethylbutyl, 3,3-Dimethylbutyl, 1 -Ethylbutyl, 2-Ethylbutyl, 1 , 1 ,2-Trimethylpropyl, 1 ,2,2-Trimethylpropyl, 1 -Ethyl- 1 - methylpropyl, 1 -Ethyl-2-methylpropyl„ Trifluormethyl, Pentafluorethyl, 1 ,1 ,2,2-Tetrafluorethyl, Heptafluorpropyl, Nonafluorbutyl, Chlordifluormethyl, Bromdifluormethyl, Methylpropyl, 1, 1-dimethylethyl, n-pentyl, 1-methylbutyl, 2-methylbutyl, 3-methylbutyl, 1, 1-dimethylpropyl, 1, 2-dimethylpropyl, 2,2-dimethylpropyl, 1-ethylpropyl, n-hexyl, 1 - methylpentyl, 2-methylpentyl, 3-methylpentyl, 4-methylpentyl, 1, 1-dimethylbutyl, 1, 2-dimethylbutyl, 1, 3-dimethylbutyl, 2,2-dimethylbutyl, 2,3-dimethylbutyl, 3, 3-dimethylbutyl, 1-ethylbutyl, 2-ethylbutyl, 1, 1, 2-trimethylpropyl, 1, 2,2-trimethylpropyl, 1-ethyl-1-methylpropyl, 1-ethyl-2-methylpropyl "trifluoromethyl, pentafluoroethyl, 1, 1, 2,2-tetrafluoroethyl, heptafluoropropyl, nonafluorobutyl, chlorodifluoromethyl, bromodifluoromethyl,
Dichlorfluormethyl, Ioddifluormethyl, Bromfluormethyl, 1 -Fluorethyl, 2-Fluorethyl, Dichlorofluoromethyl, iododifluoromethyl, bromofluoromethyl, 1-fluoroethyl, 2-fluoroethyl,
Fluormethyl, Difluormethyl, 2,2-Difluorethyl, 2,2,2-Trifluorethyl, 3,3-Difluor-n-propyl, 3,3,3- Trifluor-n-propyl, 4,4-Difluor-n-butyl, 4,4,4-Trifluor-n-butyl,Phenyl, 2-Fluor-Phenyl, 3-Fluor- Phenyl, 4-Fluor-Phenyl, 2,4-Difluor-Phenyl, 2,5-Difluor-Phenyl, 2,6-Difluor-Phenyl, 2,3- Difluor-Phenyl, 3,4-Difluor-Phenyl, 3,5-Difluor-Phenyl, 2,4,5-Trifluor-Phenyl, 3,4,5-Trifluor- Phenyl, 2-Chlor-Phenyl, 3-Chlor-Phenyl, 4-Chlor-Phenyl, 2,4-Dichlor-Phenyl, 2,5-Dichlor- Phenyl, 2,6-Dichlor-Phenyl, 2,3-Dichlor-Phenyl, 3,4-Dichlor-Phenyl, 3,5-Dichlor-Phenyl, 2,4,5- Trichlor-Phenyl, 3,4,5-Trichlor-Phenyl, 2,4,6-Trichlor-Phenyl, 2-Brom-Phenyl, 3-Brom-Phenyl, 4-Brom-Phenyl, 2-Iod-Phenyl, 3-Iod-Phenyl, 4-Iod-Phenyl, 2-Brom-4-Fluor-Phenyl, 2-Brom-4- Chlor-Phenyl, 3-Brom-4-Fluor-Phenyl, 3-Brom-4-Chlor-Phenyl, 3-Brom-5-Fluor-Phenyl, 3- Brom-5-Chlor-Phenyl, 2-Fluor-4-Brom-Phenyl, 2-Chlor-4-Brom-Phenyl, 3-Fluor-4-Brom- Phenyl, 3-Chlor-4-Brom-Phenyl, 2-Chlor-4-Fluor-Phenyl, 3-Chlor-4-Fluor-Phenyl, 2-Fluor-3- Chlor-Phenyl, 2-Fluor-4-Chlor-Phenyl, 2-Fluor-5-Chlor-Phenyl, 3-Fluor-4-Chlor-Phenyl, 3- Fluor-5-Chlor-Phenyl, 2-Fluor-6-Chlor-Phenyl, 2-Methyl-Phenyl, 3-Methyl-Phenyl, 4-Methyl- Phenyl, 2,4-Dimethyl-Phenyl, 2,5-Dimethyl-Phenyl, 2,6-Dimethyl-Phenyl, 2,3-Dimethyl- Phenyl, 3,4-Dimethyl-Phenyl, 3,5-Dimethyl-Phenyl, 2,4,5-Trimethyl-Phenyl, 3,4,5-Trimethyl- Phenyl, 2,4,6-Trimethyl-Phenyl, 2-Methoxy-Phenyl, 3-Methoxy-Phenyl, 4-Methoxy-Phenyl, 2,4-Dimethoxy-Phenyl, 2,5-Dimethoxy-Phenyl, 2,6-Dimethoxy-Phenyl, 2,3-Dimethoxy-Phenyl, 3,4-Dimethoxy-Phenyl, 3,5-Dimethoxy-Phenyl, 2,4,5-Trimethoxy-Phenyl, 3,4,5-Trimethoxy- Phenyl, 2,4,6-Trimethoxy-Phenyl, 2-Trifluormethoxy-Phenyl, 3-Trifluormethoxy-Phenyl, 4- Trifluormethoxy-Phenyl, 2-Difluormethoxy-Phenyl, 3 -Difluormethoxy-Phenyl, 4- Difluormethoxy-Phenyl, 2-Trifluormethyl-Phenyl, 3-Trifluormethyl-Phenyl, 4-Trifluormethyl- Phenyl, 2-Difluormethyl-Phenyl, 3-Difluormethyl-Phenyl, 4-Difluormethyl-Phenyl, 3,5- Bis(Trifluormethyl)-Phenyl, 3-Trifluormethyl-5-Fluor-Phenyl, 3-Trifluormethyl-5-Chlor-Fluoromethyl, difluoromethyl, 2,2-difluoroethyl, 2,2,2-trifluoroethyl, 3,3-difluoro-n-propyl, 3,3,3-trifluoro-n-propyl, 4,4-difluoro-n-butyl, 4,4,4-trifluoro-n-butyl, phenyl, 2-fluoro-phenyl, 3-fluoro-phenyl, 4-fluoro-phenyl, 2,4-difluoro-phenyl, 2,5-difluoro-phenyl, 2, 6-difluoro-phenyl, 2,3-difluoro-phenyl, 3,4-difluoro-phenyl, 3,5-difluoro-phenyl, 2,4,5-trifluoro-phenyl, 3,4,5-trifluoro-phenyl, 2-chlorophenyl, 3-chlorophenyl, 4-chlorophenyl, 2,4-dichlorophenyl, 2,5-dichlorophenyl, 2,6-dichlorophenyl, 2,3-dichlorophenyl, 3,4-dichloro-phenyl, 3,5-dichloro-phenyl, 2,4,5-trichloro-phenyl, 3,4,5-trichloro-phenyl, 2,4,6-trichloro-phenyl, 2-bromo Phenyl, 3-bromo-phenyl, 4-bromo-phenyl, 2-iodo-phenyl, 3-iodo-phenyl, 4-iodo-phenyl, 2-bromo-4-fluoro-phenyl, 2-bromo-4-chloro Phenyl, 3-bromo-4-fluoro-phenyl, 3-bromo-4-chloro-phenyl, 3-bromo-5-fluoro-phenyl, 3-bromo-5-chloro-phenyl, 2-fluoro-4-bromo Phenyl, 2-chloro-4-bromo-phenyl, 3-fluoro-4-bromo-phenyl, 3-chloro-4-bromo-phenyl, 2-chloro-4-fluoro-phenyl, 3-chloro-4-fluoro Phenyl, 2-fluoro-3 - Chloro-phenyl, 2-fluoro-4-chloro-phenyl, 2-fluoro-5-chloro-phenyl, 3-fluoro-4-chloro-phenyl, 3-fluoro-5-chloro-phenyl, 2-fluoro-6 -Chloro-phenyl, 2-methyl-phenyl, 3-methyl-phenyl, 4-methyl-phenyl, 2,4-dimethyl-phenyl, 2,5-dimethyl-phenyl, 2,6-dimethyl-phenyl, 2,3 Dimethyl-phenyl, 3,4-dimethyl-phenyl, 3,5-dimethyl-phenyl, 2,4,5-trimethyl-phenyl, 3,4,5-trimethyl-phenyl, 2,4,6-trimethyl-phenyl , 2-methoxy-phenyl, 3-methoxy-phenyl, 4-methoxy-phenyl, 2,4-dimethoxy-phenyl, 2,5-dimethoxy-phenyl, 2,6-dimethoxy-phenyl, 2,3-dimethoxy-phenyl , 3,4-dimethoxy-phenyl, 3,5-dimethoxy-phenyl, 2,4,5-trimethoxy-phenyl, 3,4,5-trimethoxy Phenyl, 2,4,6-trimethoxy-phenyl, 2-trifluoromethoxy-phenyl, 3-trifluoromethoxy-phenyl, 4-trifluoromethoxy-phenyl, 2-difluoromethoxy-phenyl, 3-difluoromethoxy-phenyl, 4-difluoromethoxy-phenyl, 2- Trifluoromethyl-phenyl, 3-trifluoromethyl-phenyl, 4-trifluoromethyl-phenyl, 2-difluoromethyl-phenyl, 3-difluoromethyl-phenyl, 4-difluoromethyl-phenyl, 3,5-bis (trifluoromethyl) -phenyl, 3-trifluoromethyl-5 Fluorophenyl, 3-trifluoromethyl-5-chloro
Phenyl, 3-Methyl-5-Fluor-Phenyl, 3-Methyl-5-Chlor-Phenyl, 3-Methoxy-5-Fluor-Phenyl, 3- Methoxy-5-Chlor-Phenyl, 3-Trifluormethoxy-5-Chlor-Phenyl, 2-Ethoxy-Phenyl, 3-Ethoxy- Phenyl, 4-Ethoxy-Phenyl, 2-Methylthio-Phenyl, 3-Methylthio-Phenyl, 4-Methylthio-Phenyl, 2- Trifluormethylthio-Phenyl, 3 -Trifluormethylthio-Phenyl, 4-Trifluormethylthio-Phenyl, Methoxycarbonyl, Ethoxycarbonyl, Methoxymethyl, 2-Ethyl-Phenyl, 3-Ethyl-Phenyl, 4-Ethyl-Phenyl, 3-methyl-5-fluoro-phenyl, 3-methyl-5-chloro-phenyl, 3-methoxy-5-fluoro-phenyl, 3-methoxy-5-chloro-phenyl, 3-trifluoromethoxy-5-chloro Phenyl, 2-ethoxy-phenyl, 3-ethoxy-phenyl, 4-ethoxy-phenyl, 2-methylthio-phenyl, 3-methylthio-phenyl, 4-methylthio-phenyl, 2-trifluoromethylthio-phenyl, 3-trifluoromethylthio-phenyl, 4-trifluoromethylthio-phenyl, methoxycarbonyl, ethoxycarbonyl, methoxymethyl, 2-ethyl-phenyl, 3-ethyl-phenyl, 4-ethyl-
Phenyl, 2-Methoxycarbonyl-Phenyl, 3-Methoxycarbonyl-Phenyl, 4-Methoxycarbonyl-Phenyl, 2-Ethoxycarbonyl-Phenyl, 3 -Ethoxycarbonyl-Phenyl, 4-Ethoxycarbonyl-Phenyl, Phenyl, 2-methoxycarbonyl-phenyl, 3-methoxycarbonyl-phenyl, 4-methoxycarbonyl-phenyl, 2-ethoxycarbonyl-phenyl, 3-ethoxycarbonyl-phenyl, 4-ethoxycarbonyl-phenyl,
Cyclopropylmethyl, Cyclobutylmethyl, Cyclopentylmethyl, Cyclohexylmethyl steht, R2, R3 für Wasserstoff stehen, Cyclopropylmethyl, cyclobutylmethyl, cyclopentylmethyl, cyclohexylmethyl, R 2 , R 3 are hydrogen,
R4, R5 unabhängig voneinander für Wasserstoff, Methyl, Ethyl, n-Propyl, 1 -Methylethyl, n-Butyl, 1 - Methylpropyl, 2-Methylpropyl, 1 ,1 -Dimethylethyl, n-Pentyl, 1 -Methylbutyl, 2-Methylbutyl, 3- Methylbutyl, 1 , 1 -Dimethylpropyl, 1 ,2-Dimethylpropyl, 2,2-Dimethylpropyl, 1 -Ethylpropyl, n- Hexyl, 1 -Methylpentyl, 2-Methylpentyl, 3-Methylpentyl, 4-Methylpentyl, 1 ,1 -Dimethylbutyl,R 4 , R 5 independently of one another represent hydrogen, methyl, ethyl, n-propyl, 1-methylethyl, n-butyl, 1-methylpropyl, 2-methylpropyl, 1, 1-dimethylethyl, n-pentyl, 1-methylbutyl, 2 Methylbutyl, 3-methylbutyl, 1, 1-dimethylpropyl, 1, 2-dimethylpropyl, 2,2-dimethylpropyl, 1-ethylpropyl, n-hexyl, 1-methylpentyl, 2-methylpentyl, 3-methylpentyl, 4-methylpentyl, 1, 1-dimethylbutyl,
1 ,2-Dimethylbutyl, 1 ,3-Di-methylbutyl, 2,2-Dimethylbutyl, 2,3-Dimethylbutyl, 3,3- Dimethylbutyl, 1 -Ethylbutyl, 2-Ethylbutyl, 1 , 1 ,2-Trimethylpropyl, 1 ,2,2-Trimethylpropyl, 1 - Ethyl- 1 -methylpropyl, 1 -Ethyl-2-methylpropyl,stehen, R6, R7, R8 unabhängig voneinander für Wasserstoff, Fluor, Chlor, Brom, oder Iod stehen, 1, 2-dimethylbutyl, 1, 3-dimethylbutyl, 2,2-dimethylbutyl, 2,3-dimethylbutyl, 3,3-dimethylbutyl, 1-ethylbutyl, 2-ethylbutyl, 1, 1, 2-trimethylpropyl, 1, 2,2-trimethylpropyl, 1-ethyl-1-methylpropyl, 1-ethyl-2-methylpropyl, R 6 , R 7 , R 8 independently of one another represent hydrogen, fluorine, chlorine, bromine or iodine,
R9, R10 für Wasserstoff stehen, R 9 , R 10 are hydrogen,
R11 für Wasserstoff steht, R 11 is hydrogen,
R12 für Methyl, Ethyl, n-Propyl, 1 -Methylethyl, n-Butyl, 1 -Methylpropyl, 2-Methylpropyl, 1 ,1 - Dimethylethyl, n-Pentyl, 1 -Methylbutyl, 2-Methylbutyl, 3 -Methylbutyl, 1 ,1 -Dimethylpropyl, 1 ,2-Dimethylpropyl, 2,2-Dimethylpropyl, 1 -Ethylpropyl, n-Hexyl, 1 -Methylpentyl, 2- Methylpentyl, 3-Methylpentyl, 4-Methylpentyl, 1 ,1 -Dimethylbutyl, 1 ,2-Dimethylbutyl, 1 ,3-Di- methylbutyl, 2,2-Dimethylbutyl, 2,3-Dimethylbutyl, 3,3-Dimethylbutyl, 1 -Ethylbutyl, 2-R 12 is methyl, ethyl, n -propyl, 1-methylethyl, n-butyl, 1-methylpropyl, 2-methylpropyl, 1, 1-dimethylethyl, n-pentyl, 1-methylbutyl, 2-methylbutyl, 3-methylbutyl, 1 , 1-dimethylpropyl, 1, 2-dimethylpropyl, 2,2-dimethylpropyl, 1-ethylpropyl, n-hexyl, 1-methylpentyl, 2-methylpentyl, 3-methylpentyl, 4-methylpentyl, 1, 1-dimethylbutyl, 1, 2 Dimethylbutyl, 1,3-dimethylbutyl, 2,2-dimethylbutyl, 2,3-dimethylbutyl, 3,3-dimethylbutyl, 1-ethylbutyl, 2-
Ethylbutyl, 1 , 1 ,2-Trimethylpropyl, 1 ,2,2-Trimethylpropyl, 1 -Ethyl- 1 -methylpropyl, l -Ethyl-2- methylpropyl, Cyclopropyl, Cyclobutyl, Cyclopentyl, Cyclohexyl, 1 -Methylcycloprop-l -yl, 2- Methylcycloprop- 1 -yl, 2,2-Dimethylcycloprop- 1 -yl, 2,3 -Dimethylcyclopropyl, Ethyl butyl, 1, 1, 2-trimethylpropyl, 1, 2,2-trimethylpropyl, 1-ethyl-1-methylpropyl, 1-ethyl-2-methylpropyl, cyclopropyl, cyclobutyl, cyclopentyl, cyclohexyl, 1-methylcycloprop-1-yl, 2 Methylcycloprop-1-yl, 2,2-dimethylcycloprop-1-yl, 2,3-dimethylcyclopropyl,
Cyclopropylmethyl, Cyclobutylmethyl, Cyclopentylmethyl, Cyclohexylmethyl Trifluormethyl, Pentafluorethyl, 1 ,1 ,2,2-Tetrafluorethyl, Heptafluor-n-propyl, Heptafluor-iso-propyl, Cyclopropylmethyl, cyclobutylmethyl, cyclopentylmethyl, cyclohexylmethyl, trifluoromethyl, pentafluoroethyl, 1,1,2,2-tetrafluoroethyl, heptafluoro-n-propyl, heptafluoroisopropyl,
Nonafluorbutyl, Chlordifluormethyl, Bromdifluormethyl, Dichlorfluormethyl, loddifluormethyl, Bromfluormethyl, 1 -Fluorethyl, 2-Fluorethyl, Fluormethyl, Difluormethyl, 2,2-Difluorethyl, 2,2,2-Trifluorethyl, Difluor-tert.-butyl, Chlormethyl, Brommethyl, Fluormethyl, 3,3,3-Trifluor- n-propyl, l -(4-Methylphenyl)ethyl, l -(3-Methylphenyl)ethyl, l -(2-Methylphenyl)ethyl, l -(4- Chlorphenyl)ethyl, l -(3-Chlorphenyl)ethyl, 1 -(2-Chlorphenyl)ethyl, (2,4-Dichlorphenyl)ethyl, Benzyl, (4-Fluorphenyl)methyl, (3-Fluorphenyl)methyl, (2-Fluorphenyl)methyl, (2,4- Difluorphenyl)methyl, (3,5-Difluorphenyl)methyl, (2,5-Difluorphenyl)methyl, (2,6- Difluorphenyl)methyl, (2,4,5-Trifluorphenyl)methyl, (2,4,6-Trifluorphenyl)methyl, (4- Chlorphenyl)methyl, (3-Chlorphenyl)methyl, (2-Chlorphenyl)methyl, (2,4- Dichlorphenyl)methyl, (3,5-Dichlorphenyl)methyl, (2,5-Dichlorphenyl)methyl, (2,6- Dichlorphenyl)methyl, (2,4,5-Trichlorphenyl)methyl, (2,4,6-Trichlorphenyl)methyl, (4- Bromphenyl)methyl, (3-Bromphenyl)methyl, (2-Bromphenyl)methyl, (4-Iodphenyl)methyl, (3- Iodphenyl)methyl, (2-Iodphenyl)methyl, (3-Chlor-5-Trifluormethyl-pyridin-2-yl)methyl, (2- Brom-4-Fluorphenl)methyl, (2-Brom-4-Chlorphenyl)methyl, (3-Brom-4-Fluorphenyl)methyl, (3-Brom-4-Chlorphenyl)methyl, (3-Brom-5-Fluorphenyl)methyl, (3-Brom-5- Chlorphenyl)methyl, (2-Fluor-4-Bromphenyl)methyl, (2-Chlor-4-Bromphenyl)methyl, (3-Fluor- 4-Bromphenyl)methyl, (3-Chlor-4-Bromphenyl)methyl, (2-Chlor-4-Fluorphenyl)methyl, (3- Chlor-4-Fluorphenyl)methyl, (2-Fluor-3 -Chlorphenyl)methyl, (2-Fluor-4-Chlorphenyl)methyl, (2-Fluor-5-Chlorphenyl)methyl, (3-Fluor-4-Chlorphenyl)methyl, (3-Fluor-5- Chlorphenyl)methyl, (2-Fluor-6-Chlorphenyl)methyl, Phenylethyl, 3-Trifluormethyl-4- Chlorphenyl, 3-Chlor-4-Trifluormethylphenyl, 2-Chlor-4-Trifluormethylphenyl, 3,5- Dfluorpyridin-2-yl, (3,6-Dichlor-pyridin-2-yl)methyl, (4-Trifluormethylphenyl)methyl, (3- Trifluormethylphenyl)methyl, (2-Trifluormethylphenyl)methyl, (4- Trifluormethoxyphenyl)methyl, (3-Trifluormethoxyphenyl)methyl, (2- Trifluormethoxyphenyl)methyl, (4-Methoxyphenyl)methyl, (3-Methoxyphenyl)methyl, (2- Methoxyphenyl)methyl, (4-Methylphenyl)methyl, (3-Methylphenyl)methyl, (2- Methylphenyl)methyl, (4-Cyanophenyl)methyl, (3-Cyanophenyl)methyl, (2- Cyanophenyl)methyl, (2,4-Diethylphenyl)methyl, (3,5-Diethylphenyl)methyl, (3,4- Dimethylphenyl)methyl, (3,5-Dimethoxyphenyl)methyl, 1 -Phenyleth-l -yl, 2-2-Methoxyprop-2- yl, 2-Ethoxyprop-2-yl, 2-n-Propyloxyprop-2-yl, 2-n-Butyloxyprop-2-yl, 2-Benzyloxyprop-2-yl, 2-Phenylethyloxyprop-2-yl, 2-Trifluormethyloxyprop-2-yl, 2-Difluormethyloxyprop-2-yl, 2,2,2- Trifluorethyloxyprop-2-yl, 2,2-Difluorethyloxyprop-2-yl, 2-(4-Chlorphenylmethoxy)prop-2-yl, 2-(4-Fluorphenylmethoxy)prop-2-yl, 2-(4-Bromphenylmethoxy)prop-2-yl, 2-(4- Trifluormethylphenylmethoxy)prop-2-yl, 2-(4-Methylphenylmethoxy)prop-2-yl, 2-(3 - Chlorphenylmethoxy)prop-2-yl, 2-(3-Fluorphenylmethoxy)prop-2-yl, 2-(3- Bromphenylmethoxy)prop-2-yl, 2-(3 -Trifluormethylphenylmethoxy)prop-2-yl, 2-(3 - Methylphenylmethoxy)prop-2-yl, 2-(2-Chlorphenylmethoxy)prop-2-yl, 2-(2- Fluorphenylmethoxy)prop-2-yl, 2-(2-Bromphenylmethoxy)prop-2-yl, 2-(2- Trifluormethylphenylmethoxy)prop-2-yl, 2-(2-Methylphenylmethoxy)prop-2-yl Cyanomethyl, Cyanoethyl, Cyano-n-propyl, Ethenyl, 1 -Propenyl, 2-Propenyl, 1 -Methyl- ethenyl, 1 -Butenyl, 2- Butenyl, 3-Butenyl, 1 -Methyl- 1 -propenyl, 2-Methyl-l -propenyl, 1 -Methyl-2-propenyl, 2- Methyl-2-propenyl, 1 -Pentenyl, 2-Pentenyl, 3-Pentenyl, 4-Pentenyl, 1 -Methyl- 1 -butenyl, 2- Methyl-l -butenyl, 3 -Methyl- 1 -butenyl, l -Methyl-2-butenyl, 2-Methyl-2-butenyl, 3-Methyl-2- butenyl, l -Methyl-3-butenyl, 2-Methyl-3-butenyl, 3-Methyl-3-butenyl, l , l -Dimethyl-2- propenyl, 1 ,2-Dimethyl- 1 -propenyl, 1 ,2-Dimethyl-2-propenyl, 1 -Ethyl- 1 -propenyl, l -Ethyl-2- propenyl, 1 -Hexenyl, 2-Hexenyl, 3-Hexenyl, 4-Hexenyl, 5-Hexenyl, 1 -Methyl- 1 -pentenyl, 2- Methyl-l -pentenyl, 3 -Methyl- 1 -pentenyl, 4-Methyl- 1 -pentenyl, 1 -Methyl-2-pentenyl, 2-Methyl- 2-pentenyl, 3-Methyl-2-pentenyl, 4-Methyl-2-pentenyl, l -Methyl-3-pentenyl, 2-Methyl-3- pentenyl, 3-Methyl-3-pentenyl, 4-Methyl-3-pentenyl, 1 -Methyl-4-pentenyl, 2-Methyl-4- pentenyl, 3-Methyl-4-pentenyl, 4-Methyl-4-pentenyl, 1 , 1 -Dimethyl-2-butenyl, l , l -Dimethyl-3- butenyl, 1 ,2-Dimethyl- 1 -butenyl, 1 ,2-Dimethyl-2-butenyl, l ,2-Dimethyl-3-butenyl, 1 ,3- Dimethyl- 1 -butenyl, l ,3-Dimethyl-2-butenyl, l ,3-Dimethyl-3-butenyl, 2,2-Dimethyl-3-butenyl,Nonafluorobutyl, chlorodifluoromethyl, bromodifluoromethyl, dichlorofluoromethyl, iododifluoromethyl, bromo-fluoromethyl, 1-fluoroethyl, 2-fluoroethyl, fluoromethyl, difluoromethyl, 2,2-difluoroethyl, 2,2,2-trifluoroethyl, difluoro-tert-butyl, chloromethyl, bromomethyl, fluoromethyl , 3,3,3-trifluoro- n -propyl, 1- (4-methylphenyl) ethyl, 1- (3-methylphenyl) ethyl, 1- (2-methylphenyl) ethyl, 1- (4-chlorophenyl) ethyl, 1 (3-chlorophenyl) ethyl, 1- (2-chlorophenyl) ethyl, (2,4-dichlorophenyl) ethyl, benzyl, (4-fluorophenyl) methyl, (3-fluorophenyl) methyl, (2-fluorophenyl) methyl, ( 2,4-difluorophenyl) methyl, (3,5-difluorophenyl) methyl, (2,5-difluorophenyl) methyl, (2,6-difluorophenyl) methyl, (2,4,5-trifluorophenyl) methyl, (2,4 , 6-trifluorophenyl) methyl, (4-chlorophenyl) methyl, (3-chlorophenyl) methyl, (2-chlorophenyl) methyl, (2,4-dichlorophenyl) methyl, (3,5-dichlorophenyl) methyl, (2.5 Dichlorophenyl) methyl, (2,6-dichlorophenyl) methyl, (2,4,5-trichlorophenyl) methyl, (2,4,6-trichlorophenyl) methyl, (4-bromophenyl) methyl, (3-bromophenyl) methyl 1, (2-bromophenyl) methyl, (4-iodophenyl) methyl, (3-iodophenyl) methyl, (2-iodophenyl) methyl, (3-chloro-5-trifluoromethylpyridin-2-yl) methyl, (2- Bromo-4-fluorophenol) methyl, (2-bromo-4-chlorophenyl) methyl, (3-bromo-4-fluorophenyl) methyl, (3-bromo-4-chlorophenyl) methyl, (3-bromo-5-fluorophenyl) methyl, (3-bromo-5-chlorophenyl) methyl, (2-fluoro-4-bromophenyl) methyl, (2-chloro-4-bromophenyl) methyl, (3-fluoro-4-bromophenyl) methyl, (3-chloro 4-bromophenyl) methyl, (2-chloro-4-fluorophenyl) methyl, (3-chloro-4-fluorophenyl) methyl, (2-fluoro-3-chlorophenyl) methyl, (2-fluoro-4-chlorophenyl) methyl , (2-fluoro-5-chlorophenyl) methyl, (3-fluoro-4-chlorophenyl) methyl, (3-fluoro-5-chlorophenyl) methyl, (2-fluoro-6-chlorophenyl) methyl, phenylethyl, 3-trifluoromethyl -4- Chlorophenyl, 3-chloro-4-trifluoromethylphenyl, 2-chloro-4-trifluoromethylphenyl, 3,5-Dfluoropyridin-2-yl, (3,6-dichloro-pyridin-2-yl) -methyl, (4-trifluoromethylphenyl ) methyl, (3-trifluoromethylphenyl) methyl, (2-trifluoromethylphenyl) methyl, (4-trifluoromethoxyphenyl) methyl, (3-trifluoro methoxyphenyl) methyl, (2-trifluoromethoxyphenyl) methyl, (4-methoxyphenyl) methyl, (3-methoxyphenyl) methyl, (2-methoxyphenyl) methyl, (4-methylphenyl) methyl, (3-methylphenyl) methyl, (2-methylphenyl ) methyl, (4-cyanophenyl) methyl, (3-cyanophenyl) methyl, (2-cyanophenyl) methyl, (2,4-diethylphenyl) methyl, (3,5-diethylphenyl) methyl, (3,4-dimethylphenyl) methyl , (3,5-dimethoxyphenyl) methyl, 1-phenyleth-1-yl, 2-2-methoxyprop-2-yl, 2-ethoxyprop-2-yl, 2-n-propyloxyprop-2-yl, 2-n- Butyloxyprop-2-yl, 2-benzyloxyprop-2-yl, 2-phenylethyloxyprop-2-yl, 2-trifluoromethyloxyprop-2-yl, 2-difluoromethyloxyprop-2-yl, 2,2,2-trifluoroethyloxyprop-2-yl, 2,2-difluoroethyloxyprop-2-yl, 2- (4-chlorophenylmethoxy) prop-2-yl, 2- (4-fluorophenylmethoxy) prop-2-yl, 2- (4-bromophenylmethoxy) prop-2-yl, 2 - (4-trifluoromethylphenylmethoxy) prop-2-yl, 2- (4-methylphenylmethoxy) prop-2-yl, 2- (3 - Chlorophenylmethoxy) prop-2-yl, 2- (3-fluorophenylmethoxy) prop-2-yl, 2- (3-bromophenylmethoxy) prop-2-yl, 2- (3-trifluoromethylphenylmethoxy) prop-2-yl, 2- (3- 3-methylphenylmethoxy) prop-2-yl, 2- (2-chlorophenylmethoxy) prop-2-yl, 2- (2-fluorophenylmethoxy) prop-2-yl, 2- (2-bromophenylmethoxy) prop-2-yl, 2 - (2-trifluoromethylphenylmethoxy) prop-2-yl, 2- (2-methylphenylmethoxy) prop-2-yl cyanomethyl, cyanoethyl, cyano-n-propyl, ethenyl, 1-propenyl, 2-propenyl, 1-methyl-ethenyl, 1-butenyl, 2-butenyl, 3-butenyl, 1-methyl-1-propenyl, 2-methyl-1-propenyl, 1-methyl-2-propenyl, 2-methyl-2-propenyl, 1-pentenyl, 2- Pentenyl, 3-pentenyl, 4-pentenyl, 1-methyl-1-butenyl, 2-methyl-1-butenyl, 3-methyl-1-butenyl, 1-methyl-2-butenyl, 2-methyl-2-butenyl, 3-methyl-2-butenyl, 1-methyl-3-butenyl, 2-methyl-3-butenyl, 3-methyl-3-butenyl, 1, 1-dimethyl-2-propenyl, 1, 2-dimethyl-1 - propenyl, 1, 2-dimethyl-2-propenyl, 1-ethyl-1-propenyl, 1-ethyl-2-propenyl, 1-hexenyl, 2-hexenyl, 3-hexenyl, 4-hexenyl, 5-hexenyl, 1-methyl-1-pentenyl, 2-methyl-1-pentenyl, 3-methyl-1-pentenyl, 4-methyl-1-pentenyl, 1-methyl-2-pentenyl, 2-methyl-2- pentenyl, 3-methyl-2-pentenyl, 4-methyl-2-pentenyl, 1-methyl-3-pentenyl, 2-methyl-3-pentenyl, 3-methyl-3-pentenyl, 4-methyl-3-pentenyl, 1-methyl-4-pentenyl, 2-methyl-4-pentenyl, 3-methyl-4-pentenyl, 4-methyl-4-pentenyl, 1, 1-dimethyl-2-butenyl, 1, l-dimethyl-3 butenyl, 1,2-dimethyl-1-butenyl, 1, 2-dimethyl-2-butenyl, 1,2-dimethyl-3-butenyl, 1,3-dimethyl-1-butenyl, 1,3-dimethyl-2- butenyl, 1,3-dimethyl-3-butenyl, 2,2-dimethyl-3-butenyl,
2.3- Dimethyl-l -butenyl, 2,3-Dimethyl-2-butenyl, 2,3-Dimethyl-3-butenyl, 3,3-Dimethyl-l - butenyl, 3,3-Dimethyl-2-butenyl, 1 -Ethyl- 1 -butenyl, 1 -Ethyl-2-butenyl, l -Ethyl-3-butenyl, 2- Ethyl- 1 -butenyl, 2-Ethyl-2-butenyl, 2-Ethyl-3-butenyl, l , l ,2-Trimethyl-2-propenyl, 1 -Ethyl-l - methyl-2-propenyl, 1 -Ethyl-2-methyl- 1 -propenyl und 1 -Ethyl-2-methyl-2-propenyl, Ethinyl, 1 - Propinyl, 2-Propinyl, 1 -Butinyl, 2-Butinyl, 3-Butinyl, l-Methyl-2-propinyl, 1 -Pentinyl, 2- Pentinyl, 3-Pentinyl, 4-Pentinyl, 1 -Methyl-2-butinyl, l -Methyl-3-butinyl, 2-Methyl-3-butinyl, 3- Methyl-l -butinyl, l , l -Dimethyl-2-propinyl, 1 -Ethyl-2-propinyl, 1 -Hexinyl, 2-Hexinyl, 3- Hexinyl, 4-Hexinyl, 5-Hexinyl, 1 -Methyl-2-pentinyl, l -Methyl-3-pentinyl, 1 -Methyl-4-pentinyl,2.3- dimethyl-1-butenyl, 2,3-dimethyl-2-butenyl, 2,3-dimethyl-3-butenyl, 3,3-dimethyl-1-butenyl, 3,3-dimethyl-2-butenyl, 1 - Ethyl 1-butenyl, 1-ethyl-2-butenyl, 1-ethyl-3-butenyl, 2-ethyl-1-butenyl, 2-ethyl-2-butenyl, 2-ethyl-3-butenyl, 1, l, 2-trimethyl-2-propenyl, 1-ethyl-1-methyl-2-propenyl, 1-ethyl-2-methyl-1-propenyl and 1-ethyl-2-methyl-2-propenyl, ethynyl, 1-propynyl, 2-propynyl, 1-butynyl, 2-butynyl, 3-butynyl, 1-methyl-2-propynyl, 1-pentynyl, 2-pentynyl, 3-pentynyl, 4-pentynyl, 1-methyl-2-butynyl, 1 - Methyl 3-butynyl, 2-methyl-3-butynyl, 3-methyl-1-butynyl, 1, 1-dimethyl-2-propynyl, 1-ethyl-2-propynyl, 1-hexynyl, 2-hexynyl, 3 Hexynyl, 4-hexynyl, 5-hexynyl, 1-methyl-2-pentynyl, 1-methyl-3-pentynyl, 1-methyl-4-pentynyl,
2- Methyl-3-pentinyl, 2-Methyl-4-pentinyl, 3 -Methyl- 1 -pentinyl, 3-Methyl-4-pentinyl, 4-Methyl-2-methyl-3-pentynyl, 2-methyl-4-pentynyl, 3-methyl-1-pentynyl, 3-methyl-4-pentynyl, 4-methyl
1 - pentinyl, 4-Methyl-2-pentinyl, l ,l -Dimethyl-2-butinyl, l , l -Dimethyl-3-butinyl, 1 ,2-Dimethyl-1-pentynyl, 4-methyl-2-pentynyl, 1,1-dimethyl-2-butynyl, 1,1-dimethyl-3-butynyl, 1,2-dimethyl
3- butinyl, 2,2-Dimethyl-3-butinyl, 3,3-Dimethyl-l -butinyl, 1 -Ethyl-2-butinyl, l -Ethyl-3-butinyl,3-butynyl, 2,2-dimethyl-3-butynyl, 3,3-dimethyl-1-butynyl, 1-ethyl-2-butynyl, 1-ethyl-3-butynyl,
2- Ethyl-3-butinyl, 1 -Ethyl- 1 -methyl-2-propinyl, Phenyl, 2-Fluor-Phenyl, 3-Fluor-Phenyl, 4- Fluor-Phenyl, 2,4-Difluor-Phenyl, 2,5-Difluor-Phenyl, 2,6-Difluor-Phenyl, 2,3-Difluor-Phenyl,2-ethyl-3-butynyl, 1-ethyl-1-methyl-2-propynyl, phenyl, 2-fluoro-phenyl, 3-fluoro-phenyl, 4-fluoro-phenyl, 2,4-difluoro-phenyl, 2, 5-difluoro-phenyl, 2,6-difluoro-phenyl, 2,3-difluoro-phenyl,
3.4- Difluor-Phenyl, 3,5-Difluor-Phenyl, 2,4,5-Trifluor-Phenyl, 3,4,5-Trifluor-Phenyl, 2-Chlor- Phenyl, 3-Chlor-Phenyl, 4-Chlor-Phenyl, 2,4-Dichlor-Phenyl, 2,5-Dichlor-Phenyl, 2,6-Dichlor- Phenyl, 2,3-Dichlor-Phenyl, 3,4-Dichlor-Phenyl, 3,5-Dichlor-Phenyl, 2,4,5-Trichlor-Phenyl, 3,4,5-Trichlor-Phenyl, 2,4,6-Trichlor-Phenyl, 2-Brom-Phenyl, 3-Brom-Phenyl, 4-Brom-Phenyl, 2-Iod-Phenyl, 3-Iod-Phenyl, 4-Iod-Phenyl, 2-Brom-4-Fluor-Phenyl, 2-Brom-4-Chlor-Phenyl, 3- Brom-4-Fluor-Phenyl, 3-Brom-4-Chlor-Phenyl, 3-Brom-5-Fluor-Phenyl, 3-Brom-5-Chlor- Phenyl, 2-Fluor-4-Brom-Phenyl, 2-Chlor-4-Brom-Phenyl, 3-Fluor-4-Brom-Phenyl, 3-Chlor-4- Brom-Phenyl, 2-Chlor-4-Fluor-Phenyl, 3-Chlor-4-Fluor-Phenyl, 2-Fluor-3-Chlor-Phenyl, 2- Fluor-4-Chlor-Phenyl, 2-Fluor-5-Chlor-Phenyl, 3-Fluor-4-Chlor-Phenyl, 3-Fluor-5-Chlor- Phenyl, 2-Fluor-6-Chlor-Phenyl, 2-Methyl-Phenyl, 3-Methyl-Phenyl, 4-Methyl-Phenyl, 2,4- Dimethyl-Phenyl, 2,5-Dimethyl-Phenyl, 2,6-Dimethyl-Phenyl, 2,3 -Dimethyl-Phenyl, 3,4- Dimethyl-Phenyl, 3,5-Dimethyl-Phenyl, 2,4,5-Trimethyl-Phenyl, 3,4,5-Trimethyl-Phenyl, 2,4,6- Trimethyl-Phenyl, 2-Methoxy-Phenyl, 3-Methoxy-Phenyl, 4-Methoxy-Phenyl, 2,4-Dimethoxy- Phenyl, 2,5-Dimethoxy-Phenyl, 2,6-Dimethoxy-Phenyl, 2,3-Dimethoxy-Phenyl, 3,4- Dimethoxy-Phenyl, 3,5-Dimethoxy-Phenyl, 2,4,5-Trimethoxy-Phenyl, 3,4,5-Trimethoxy- Phenyl, 2,4,6-Trimethoxy-Phenyl, 2-Trifluormethoxy-Phenyl, 3-Trifluormethoxy-Phenyl, 4- Trifluormethoxy-Phenyl, 2-Difluormethoxy-Phenyl, 3-Difluormethoxy-Phenyl, 4- Difluormethoxy-Phenyl, 2-Trifluormethyl-Phenyl, 3-Trifluormethyl-Phenyl, 4-Trifluormethyl- Phenyl, 2-Difluormethyl-Phenyl, 3-Difluormethyl-Phenyl, 4-Difluormethyl-Phenyl, 3,5- Bis(Trifluormethyl)-Phenyl, 3-Trifluormethyl-5-Fluor- Phenyl, 3-Trifluormethyl-5-Chlor- Phenyl, 3-Methyl-5-Fluor-Phenyl, 3-Methyl-5-Chlor-Phenyl, 3-Methoxy-5-Fluor-Phenyl, 3- Methoxy-5-Chlor-Phenyl, 3-Trifluormethoxy-5-Chlor-Phenyl, 2-Ethoxy-Phenyl, 3-Ethoxy- Phenyl, 4-Ethoxy-Phenyl, 2-Cyano-Phenyl, 3- Cyano -Phenyl, 4- Cyano -Phenyl, 2-Methylthio- Phenyl, 3-Methylthio-Phenyl, 4-Methylthio-Phenyl, 2-Trifluormethylthio-Phenyl, 3- Trifluormethylthio-Phenyl, 4-Trifluormethylthio-Phenyl, Methoxycarbonyl, Ethoxycarbonyl, Methoxymethyl, 2-Ethyl-Phenyl, 3-Ethyl-Phenyl, 4-Ethyl-Phenyl, 2-Methoxycarbonyl-Phenyl, 3-Methoxycarbonyl-Phenyl, 4-Methoxycarbonyl-Phenyl, 2-Ethoxycarbonyl-Phenyl, 3- Ethoxycarbonyl-Phenyl, 4-Ethoxycarbonyl-Phenyl, Pyridin-2-yl, Pyridin-3-yl, Pyridin-4-yl, Pyrazin-2-yl, Pyridazin-3-yl, Pyridazin-4-yl, Pyrimidin-2-yl, Pyrimidin-5-yl, Pyrimidin-4-yl, Pyridazin-3-ylmethyl, Pyridazin-4-ylmethyl, Pyrimidin-2-ylmethyl, Pyrimidin-5-ylmethyl, Pyrimidin-4-ylmethyl, Pyrazin-2-ylmethyl, 3-Chlor-Pyrazin-2-yl, 3-Brom-Pyrazin-2-yl, 3- Methoxy-Pyrazin-2-yl, 3-Ethoxy-Pyrazin-2-yl, 3-Trifluormethylpyrazin-2-yl, 3-Cyanopyrazin-3,4-difluoro-phenyl, 3,5-difluoro-phenyl, 2,4,5-trifluoro-phenyl, 3,4,5-trifluoro-phenyl, 2-chloro-phenyl, 3-chloro-phenyl, 4-chloro Phenyl, 2,4-dichloro-phenyl, 2,5-dichloro-phenyl, 2,6-dichloro-phenyl, 2,3-dichloro-phenyl, 3,4-dichloro-phenyl, 3,5-dichloro-phenyl, 2,4,5-trichloro-phenyl, 3,4,5-trichloro-phenyl, 2,4,6-trichloro-phenyl, 2-bromo-phenyl, 3-bromo-phenyl, 4-bromo-phenyl, 2- Iodine-phenyl, 3-iodo-phenyl, 4-iodo-phenyl, 2-bromo-4-fluoro-phenyl, 2-bromo-4-chloro-phenyl, 3-bromo-4-fluoro-phenyl, 3-bromo 4-chloro-phenyl, 3-bromo-5-fluoro-phenyl, 3-bromo-5-chloro Phenyl, 2-fluoro-4-bromo-phenyl, 2-chloro-4-bromo-phenyl, 3-fluoro-4-bromo-phenyl, 3-chloro-4-bromo-phenyl, 2-chloro-4-fluoro Phenyl, 3-chloro-4-fluoro-phenyl, 2-fluoro-3-chloro-phenyl, 2-fluoro-4-chloro-phenyl, 2-fluoro-5-chloro-phenyl, 3-fluoro-4-chloro Phenyl, 3-fluoro-5-chloro-phenyl, 2-fluoro-6-chloro-phenyl, 2-methyl-phenyl, 3-methyl-phenyl, 4-methyl-phenyl, 2,4-dimethyl-phenyl, 2, 5-dimethyl-phenyl, 2,6-dimethyl-phenyl, 2,3-dimethyl-phenyl, 3,4-dimethyl-phenyl, 3,5-dimethyl-phenyl, 2,4,5-trimethyl-phenyl, 3, 4,5-trimethyl-phenyl, 2,4,6-trimethyl-phenyl, 2-methoxy-phenyl, 3-methoxy-phenyl, 4-methoxy-phenyl, 2,4-dimethoxy-phenyl, 2,5-dimethoxy Phenyl, 2,6-dimethoxy-phenyl, 2,3-dimethoxy-phenyl, 3,4-dimethoxy-phenyl, 3,5-dimethoxy-phenyl, 2,4,5-trimethoxy-phenyl, 3,4,5- Trimethoxy-phenyl, 2,4,6-trimethoxy-phenyl, 2-trifluoromethoxy-phenyl, 3-trifluoromethoxy-phenyl, 4-trifluoromethoxy-phenyl, 2-difluoromethoxy-phenyl, 3-difluoromethoxy-phenyl, 4-difluoromethoxy-phenyl, 2-trifluoromethyl-phenyl, 3-triflu ormethyl-phenyl, 4-trifluoromethyl-phenyl, 2-difluoromethyl-phenyl, 3-difluoromethyl-phenyl, 4-difluoromethyl-phenyl, 3,5-bis (trifluoromethyl) -phenyl, 3-trifluoromethyl-5-fluoro-phenyl, 3 Trifluoromethyl-5-chloro-phenyl, 3-methyl-5-fluoro-phenyl, 3-methyl-5-chloro-phenyl, 3-methoxy-5-fluoro-phenyl, 3-methoxy-5-chloro-phenyl, 3 Trifluoromethoxy-5-chloro-phenyl, 2-ethoxy-phenyl, 3-ethoxy-phenyl, 4-ethoxy-phenyl, 2-cyano-phenyl, 3-cyano-phenyl, 4-cyano-phenyl, 2-methylthio-phenyl , 3-methylthio-phenyl, 4-methylthio-phenyl, 2-trifluoromethylthio-phenyl, 3-trifluoromethylthio-phenyl, 4-trifluoromethylthio-phenyl, methoxycarbonyl, ethoxycarbonyl, methoxymethyl, 2-ethyl-phenyl, 3-ethyl-phenyl, 4 Ethyl-phenyl, 2-methoxycarbonyl-phenyl, 3-methoxycarbonyl-phenyl, 4-methoxycarbonyl-phenyl, 2-ethoxycarbonyl-phenyl, 3-ethoxycarbonyl-phenyl, 4-ethoxycarbonyl-phenyl, pyridin-2-yl, pyridine-3 -yl, pyridin-4-yl, pyrazine-2-yl, pyridazin-3-yl, pyridazin-4-yl, pyrimidin-2-yl, pyrimidin-5-yl, pyrimidin-4-yl, pyrid azin-3-ylmethyl, pyridazin-4-ylmethyl, pyrimidin-2-ylmethyl, pyrimidin-5-ylmethyl, pyrimidin-4-ylmethyl, pyrazine-2-ylmethyl, 3-chloro-pyrazino-2-yl, 3-bromo- Pyrazine-2-yl, 3-methoxy-pyrazine-2-yl, 3-ethoxy-pyrazine-2-yl, 3-trifluoromethylpyrazine-2-yl, 3-cyanopyrazine
2- yl, Naphth-2-yl, Naphth-l -yl, Chinolin-4-yl, Chinolin-6-yl, Chinolin-8-yl, Chinolin-2-yl, Chinoxalin-2-yl, 2-Naphthylmethyl, 1 -Naphthylmethyl, Chinolin-4-ylmethyl, Chinolin-6- ylmethyl, Chinolin-8-ylmethyl, Chinolin-2-ylmethyl, Chinoxalin-2-ylmethyl, Pyrazin-2- ylmethyl, 4-Chloropyridin-2-yl, 3-Chloropyridin-4-yl, 2-Chloropyridin-3-yl, 2-Chloropyridin-4- yl, 2-Chlorpyridin-5-yl, 2,6-Dichlorpyridin-4-yl, 3-Chlorpyridin-5-yl, 3,5-Dichlorpyridin-2-yl,2-yl, naphth-2-yl, naphth-1-yl, quinolin-4-yl, quinolin-6-yl, quinolin-8-yl, quinolin-2-yl, quinoxalin-2-yl, 2-naphthylmethyl, 1-naphthylmethyl, quinolin-4-ylmethyl, quinolin-6-ylmethyl, quinolin-8-ylmethyl, quinolin-2-ylmethyl, quinoxalin-2-ylmethyl, pyrazine-2-ylmethyl, 4-chloropyridin-2-yl, 3 Chloropyridin-4-yl, 2-chloropyridin-3-yl, 2-chloropyridin-4-yl, 2-chloropyridin-5-yl, 2,6-dichloropyridin-4-yl, 3-chloropyridin-5-yl, 3 5-Dichloro-pyridin-2-yl,
3- Chlor-5-Trifluormethylpyridin-2-yl, (4-Chloropyridin-2-yl)methyl, (3-Chloropyridin-4- yl)methyl, (2-Chloropyridin-3-yl)methyl, (2-Chloropyridin-4-yl)methyl, (2-Chlorpyridin-5- yl)methyl, (2,6-Dichlorpyridin-4-yl)methyl, (3-Chlorpyridin-5-yl)methyl, (3,5-Dichlorpyridin-2- yl)methyl, Thiophen-2-yl, Thiophen-3-yl, 5-Methylthiophen-2-yl, 5-Ethylthiophen-2-yl, 5- Chlorthiophen-2-yl, 5-Bromthiophen-2-yl, 5-Iodthiophen-2-yl, 5-Fluorthiophen-3-yl, 4- Methylthiophen-2-yl, 3-Methylthiophen-2-yl, 3,5-Dimethylthiophen-2-yl, 3-Ethylthiophen-2-yl, 4,5-Dimethylthiophen-2-yl, 4,5-Dichlorhiophen-2-yl, 4,5-Dibrom iophen-2-yl, 3,4- Dimethylthiophen-2-yl, 4-Chlorthiophen-2-yl, 4-Bromthiophen-2-yl, 3-Chlorthiophen-2-yl, 3- Bromthiophen-2-yl, l -Benzothiophen-2-yl, Furan-2-yl, 5-Methylfüran-2-yl, 5-Ethylfüran-2-yl, 5-Methoxycarbonylfuran-2-yl, 5-Chlorfuran-2-yl, 5-Bromfüran-2-yl steht, für Methyl, Ethyl, n-Propyl, 1 -Methylethyl, n-Butyl, 1 -Methylpropyl, 2-Methylpropyl, 1 , 1 - Dimethylethyl, n-Pentyl, 1 -Methylbutyl, 2-Methylbutyl, 3-Methylbutyl, 1 ,1 -Dimethylpropyl, 1 ,2-Dimethylpropyl, 2,2-Dimethylpropyl, 1 -Ethylpropyl, n-Hexyl, 1 -Methylpentyl, 2- Methylpentyl, 3-Methylpentyl, 4-Methylpentyl, 1 ,1 -Dimethylbutyl, 1 ,2-Dimethylbutyl, 1 ,3-Di- methylbutyl, 2,2-Dimethylbutyl, 2,3-Dimethylbutyl, 3,3-Dimethylbutyl, 1 -Ethylbutyl, 2- Ethylbutyl, 1 , 1 ,2-Trimethylpropyl, 1 ,2,2-Trimethylpropyl, 1 -Ethyl- 1 -methylpropyl, l -Ethyl-2- methylpropyl, Cyanomethyl, Cyanoethyl, Cyano-n-propyl, Trifluormethyl, Pentafluorethyl, 1 , 1 ,2,2-Tetrafluorethyl, Heptafluor-n-propyl, Heptafluor-iso-propyl, Nonafluorbutyl, 3-chloro-5-trifluoromethylpyridin-2-yl, (4-chloropyridin-2-yl) methyl, (3-chloropyridin-4-yl) methyl, (2-chloropyridin-3-yl) methyl, (2-chloropyridine) 4-yl) methyl, (2-chloropyridin-5-yl) methyl, (2,6-dichloropyridin-4-yl) methyl, (3-chloropyridin-5-yl) methyl, (3,5-dichloropyridine-2-yl) yl) methyl, thiophen-2-yl, thiophen-3-yl, 5-methylthiophene-2-yl, 5-ethylthiophene-2-yl, 5-chlorothiophene-2-yl, 5-bromothiophene-2-yl, 5 Iodothiophene-2-yl, 5-fluorothiophen-3-yl, 4-methylthiophene-2-yl, 3-methylthiophene-2-yl, 3,5-dimethylthiophene-2-yl, 3-ethylthiophene-2-yl, 4,5-dimethylthiophen-2-yl, 4,5-dichloro-phen-2-yl, 4,5-dibromo-iophen-2-yl, 3,4-dimethyl-thiophen-2-yl, 4-chlorothiophen-2-yl, 4 Bromothiophen-2-yl, 3-chlorothiophen-2-yl, 3-bromothiophene-2-yl, 1-benzothiophene-2-yl, furan-2-yl, 5-methyl-furan-2-yl, 5-ethyl-furan-2 -yl, 5-methoxycarbonyl-furan-2-yl, 5-chlorofuran-2-yl, 5-bromofuran-2-yl, is methyl, ethyl, n -propyl, 1-methylethyl, n-butyl, 1-methylpropyl, 2 -Methylpropyl, 1,1-dimethylethyl, n-pentyl, 1-methylbutyl, 2-methylbutyl, 3-methylbutyl, 1, 1-dimethylpropyl, 1, 2-dimethylpropyl, 2,2-dimethylpropyl, 1-ethylpropyl, n-hexyl , 1-methylpentyl, 2-methylpentyl, 3-methylpentyl, 4-methylpentyl, 1, 1-dimethylbutyl, 1, 2-dimethylbutyl, 1, 3-dimethylbutyl, 2,2-dimethylbutyl, 2,3-dimethylbutyl, 3 , 3-dimethylbutyl, 1-ethylbutyl, 2-ethylbutyl, 1, 1, 2-trimethylpropyl, 1, 2,2-trimethylpropyl, 1-ethyl-1-methylpropyl, 1-ethyl-2-methylpropyl, cyanomethyl, cyanoethyl, cyano n-propyl, trifluoromethyl, pentafluoroethyl, 1, 1, 2,2-T etrafluoroethyl, heptafluoro-n-propyl, heptafluoro-isopropyl, nonafluorobutyl,
Chlordifluormethyl, Bromdifluormethyl, Dichlorfluormethyl, Ioddifluormethyl, Chlorodifluoromethyl, bromodifluoromethyl, dichlorofluoromethyl, iododifluoromethyl,
Bromfluormethyl, 1 -Fluorethyl, 2-Fluorethyl, Fluormethyl, Difluormethyl, 2,2-Difluorethyl, 2,2,2-Trifluorethyl, Difluor-tert.-butyl, Chlormethyl, Brommethyl, Fluormethyl, 3,3,3-Trifluor- n-propyl, Cyclopropyl, Cyclobutyl, Cyclopentyl, Cyclohexyl, 1 -Methylcycloprop-l -yl, 2- Methylcycloprop-l -yl, 2,2-Dimethylcycloprop-l -yl, 2,3-Dimethylcyclopropyl, 2-2- Methoxyprop-2-yl, 2-Ethoxyprop-2-yl, 2-n-Propyloxyprop-2-yl, 2-n-Butyloxyprop-2-yl, 2- Benzyloxyprop-2-yl, 2-Phenylethyloxyprop-2-yl, 2-Trifluormethyloxyprop-2-yl, 2- Difluormethyloxyprop-2-yl, 2,2,2-Trifluorethyloxyprop-2-yl, 2,2-Difluorethyloxyprop-2-yl, 2- (4-Chlorphenylmethoxy)prop-2-yl, 2-(4-Fluorphenylmethoxy)prop-2-yl, 2-(4- Bromphenylmethoxy)prop-2-yl, 2-(4-Trifluormethylphenylmethoxy)prop-2-yl, 2-(4- Methylphenylmethoxy)prop-2-yl, 2-(3-Chlorphenylmethoxy)prop-2-yl, 2-(3- Fluorphenylmethoxy)prop-2-yl, 2-(3-Bromphenylmethoxy)prop-2-yl, 2-(3- Trifluormethylphenylmethoxy)prop-2-yl, 2-(3-Methylphenylmethoxy)prop-2-yl, 2-(2- Chlorphenylmethoxy)prop-2-yl, 2-(2-Fluorphenylmethoxy)prop-2-yl, 2-(2- Bromphenylmethoxy)prop-2-yl, 2-(2-Trifluormethylphenylmethoxy)prop-2-yl, 2-(2- Methylphenylmethoxy)prop-2-yl 1 -(4-Methylphenyl)ethyl, l -(3-Methylphenyl)ethyl, l -(2- Methylphenyl)ethyl, 1 -(4-Chlorphenyl)ethyl, l -(3-Chlorphenyl)ethyl, 1 -(2-Chlorphenyl)ethyl, Benzyl, (4-Fluorphenyl)methyl, (3-Fluorphenyl)methyl, (2-Fluorphenyl)methyl, (2,4- Difluorphenyl)methyl, (3,5-Difluorphenyl)methyl, (2,5-Difluorphenyl)methyl, (2,6- Difluorphenyl)methyl, (2,4,5-Trifluorphenyl)methyl, (2,4,6-Trifluorphenyl)methyl, (4- Chlorphenyl)methyl, (3-Chlorphenyl)methyl, (2-Chlorphenyl)methyl, (2,4- Dichlorphenyl)methyl, (3,5-Dichlorphenyl)methyl, (2,5-Dichlorphenyl)methyl, (2,6- Dichlorphenyl)methyl, (2,4,5-Trichlorphenyl)methyl, (2,4,6-Trichlorphenyl)methyl, (4- Bromphenyl)methyl, (3-Bromphenyl)methyl, (2-Bromphenyl)methyl, (4-Iodphenyl)methyl, (3- Iodphenyl)methyl, (2-Iodphenyl)methyl, (3-Chlor-5-Trifluormethyl-pyridin-2-yl)methyl, (2- Brom-4-Fluorphenl)methyl, (2-Brom-4-Chlorphenyl)methyl, (3-Brom-4-Fluorphenyl)methyl, (3-Brom-4-Chlorphenyl)methyl, (3-Brom-5-Fluorphenyl)methyl, (3-Brom-5- Chlorphenyl)methyl, (2-Fluor-4-Bromphenyl)methyl, (2-Chlor-4-Bromphenyl)methyl, (3-Fluor- 4-Bromphenyl)methyl, (3-Chlor-4-Bromphenyl)methyl, (2-Chlor-4-Fluorphenyl)methyl, (3- Chlor-4-Fluorphenyl)methyl, (2-Fluor-3 -Chlorphenyl)methyl, (2-Fluor-4-Chlorphenyl)methyl, (2-Fluor-5-Chlorphenyl)methyl, (3-Fluor-4-Chlorphenyl)methyl, (3-Fluor-5- Chlorphenyl)methyl, (2-Fluor-6-Chlorphenyl)methyl, Phenylethyl, 3-Trifluormethyl-4- Chlorphenyl, 3-Chlor-4-Trifluormethylphenyl, 2-Chlor-4-Trifluormethylphenyl, 3,5- Dfluorpyridin-2-yl, (3,6-Dichlor-pyridin-2-yl)methyl, (4-Trifluormethylphenyl)methyl, (3- Trifluormethylphenyl)methyl, (2-Trifluormethylphenyl)methyl, (4- Trifluormethoxyphenyl)methyl, (3-Trifluormethoxyphenyl)methyl, (2- Trifluormethoxyphenyl)methyl, (4-Methoxyphenyl)methyl, (3-Methoxyphenyl)methyl, (2- Methoxyphenyl)methyl, (4-Methylphenyl)methyl, (3-Methylphenyl)methyl, (2- Methylphenyl)methyl, (4-Cyanophenyl)methyl, (3-Cyanophenyl)methyl, (2- Cyanophenyl)methyl, (2,4-Diethylphenyl)methyl, (3,5-Diethylphenyl)methyl, (3,4- Dimethylphenyl)methyl, (3,5-Dimethoxyphenyl)methyl, l-Phenyleth-l -yl, Cyclopropylmethyl, Cyclobutylmethyl, Cyclopentylmethyl, Cyclohexylmethyl Hydroxycarbonylmethyl, Bromofluoromethyl, 1-fluoroethyl, 2-fluoroethyl, fluoromethyl, difluoromethyl, 2,2-difluoroethyl, 2,2,2-trifluoroethyl, difluoro-tert-butyl, chloromethyl, bromomethyl, fluoromethyl, 3,3,3-trifluoro-n -propyl, cyclopropyl, cyclobutyl, cyclopentyl, cyclohexyl, 1-methylcycloprop-1-yl, 2-methylcycloprop-1-yl, 2,2-dimethylcycloprop-1-yl, 2,3-dimethylcyclopropyl, 2-2-methoxyprop-2 -yl, 2-ethoxyprop-2-yl, 2-n-propyloxyprop-2-yl, 2-n-butyloxyprop-2-yl, 2-benzyloxyprop-2-yl, 2-phenylethyloxyprop-2-yl, 2-trifluoromethyloxyprop -2-yl, 2-difluoromethyloxyprop-2-yl, 2,2,2-trifluoroethyloxyprop-2-yl, 2,2-difluoroethyloxyprop-2-yl, 2- (4-chlorophenylmethoxy) prop-2-yl, 2- (4-fluorophenylmethoxy) prop-2-yl, 2- (4-bromophenylmethoxy) prop-2-yl, 2- (4-trifluoromethylphenylmethoxy) prop-2-yl, 2- (4-methylphenylmethoxy) prop-2-yl, 2- (3-chlorophenylmethoxy) prop-2-yl, 2- (3-fluorophenylmethoxy) prop-2-yl, 2- (3-bromophenylmethoxy) prop-2-yl, 2- (3-trifluoromethylphenylmethoxy) prop-2-yl yl, 2- (3-methylphenylmethoxy) prop-2-yl, 2- (2-chloro phenylmethoxy) prop-2-yl, 2- (2-fluorophenylmethoxy) prop-2-yl, 2- (2-bromophenylmethoxy) prop-2-yl, 2- (2-trifluoromethylphenylmethoxy) prop-2-yl, 2- 2-methylphenylmethoxy) prop-2-yl 1- (4-methylphenyl) ethyl, 1- (3-methylphenyl) ethyl, 1- (2-methylphenyl) ethyl, 1- (4-chlorophenyl) ethyl, 1- (3-methylphenyl) ethyl Chlorophenyl) ethyl, 1- (2-chlorophenyl) ethyl, benzyl, (4-fluorophenyl) methyl, (3-fluorophenyl) methyl, (2-fluorophenyl) methyl, (2,4-difluorophenyl) methyl, (3,5- Difluorophenyl) methyl, (2,5-difluorophenyl) methyl, (2,6-difluorophenyl) methyl, (2,4,5-trifluorophenyl) methyl, (2,4,6-trifluorophenyl) methyl, (4-chlorophenyl) methyl , (3-Chlorophenyl) methyl, (2-chlorophenyl) methyl, (2,4-dichlorophenyl) methyl, (3,5-dichlorophenyl) methyl, (2,5-dichlorophenyl) methyl, (2,6-dichlorophenyl) methyl , (2,4,5-trichlorophenyl) methyl, (2,4,6-trichlorophenyl) methyl, (4-bromophenyl) methyl, (3-bromophenyl) methyl, (2-bromophenyl) methyl, (4-iodophenyl) methyl , (3- Iodophenyl) methyl, (2-iodophenyl) methyl, (3-chloro-5-trifluoromethylpyridin-2-yl) methyl, (2-bromo-4-fluorophenol) methyl, (2-bromo-4-chlorophenyl) methyl, (3-bromo-4-fluorophenyl) methyl, (3-bromo-4-chlorophenyl) methyl, (3-bromo-5-fluorophenyl) methyl, (3-bromo-5-chlorophenyl) methyl, (2-fluoro-4 -Bromphenyl) methyl, (2-chloro-4-bromophenyl) methyl, (3-fluoro-4-bromophenyl) methyl, (3-chloro-4-bromophenyl) methyl, (2-chloro-4-fluorophenyl) methyl, ( 3-chloro-4-fluorophenyl) methyl, (2-fluoro-3-chlorophenyl) methyl, (2-fluoro-4-chlorophenyl) methyl, (2-fluoro-5-chlorophenyl) methyl, (3-fluoro-4- Chlorophenyl) methyl, (3-fluoro-5-chlorophenyl) methyl, (2-fluoro-6-chlorophenyl) methyl, phenylethyl, 3-trifluoromethyl-4-chlorophenyl, 3-chloro-4-trifluoromethylphenyl, 2-chloro-4- Trifluoromethylphenyl, 3,5-difluoropyridin-2-yl, (3,6-dichloropyridin-2-yl) methyl, (4-trifluoromethylphenyl) methyl, (3-trifluoromethylphenyl) methyl, (2-trifluoromethylphenyl) methyl, (4 - trifluoromethoxyphenyl) methyl, (3-trifluoromethoxyphenyl) methyl, (2-trifluoromethoxyphenyl) me ethyl, (4-methoxyphenyl) methyl, (3-methoxyphenyl) methyl, (2-methoxyphenyl) methyl, (4-methylphenyl) methyl, (3-methylphenyl) methyl, (2-methylphenyl) methyl, (4-cyanophenyl) methyl , (3-cyanophenyl) methyl, (2-cyanophenyl) methyl, (2,4-diethylphenyl) methyl, (3,5-diethylphenyl) methyl, (3,4-dimethylphenyl) methyl, (3,5-dimethoxyphenyl) methyl , 1-phenyleth-1-yl, cyclopropylmethyl, cyclobutylmethyl, cyclopentylmethyl, cyclohexylmethyl hydroxycarbonylmethyl,
Hydroxycarbonylethyl, Hydroxycarbonyl-n-propyl, Methoxycarbonylmethyl, Hydroxycarbonylethyl, hydroxycarbonyl-n-propyl, methoxycarbonylmethyl,
Ethoxycarbonylmethyl, n-Propyloxycarbonylmethyl, iso-Propyloxycarbonylmethyl, tert.- Butyloxycarbonylmethyl, Methoxycarbonylethyl, Ethoxycarbonylethyl, n- Propyloxycarbonylethyl, iso-Propyloxycarbonylethyl, tert. -Butyloxycarbonylethyl, Ethoxycarbonylmethyl, n-propyloxycarbonylmethyl, iso-propyloxycarbonylmethyl, tert-butyloxycarbonylmethyl, methoxycarbonylethyl, ethoxycarbonylethyl, n-propyloxycarbonylethyl, iso-propyloxycarbonylethyl, tert. -Butyloxycarbonylethyl,
Methoxycarbonyl-n-propyl, Ethoxycarbonyl-n-propyl, n-Propyloxycarbonyl-n-propyl, iso- Propyloxycarbonyl-n-propyl, tert. -Butyloxycarbonyl-n-propyl, Allyloxycarbonylmethyl, Allyloxycarbonylethyl, Allyloxycarbonyl-n-propyl, Propargyloxycarbonylmethyl, Methoxycarbonyl-n-propyl, ethoxycarbonyl-n-propyl, n-propyloxycarbonyl-n-propyl, iso-propyloxycarbonyl-n-propyl, tert. Butyloxycarbonyl-n-propyl, allyloxycarbonylmethyl, allyloxycarbonylethyl, allyloxycarbonyl-n-propyl, propargyloxycarbonylmethyl,
Propargyloxycarbonylethyl, Propargyloxycarbonyl-n-propyl, Phenylmethyloxycarbonylmethyl, Phenylmethyloxycarbonylethyl, Phenylmethyloxycarbonyl-n-propyl,Ethenyl, 1 -Propenyl, 2- Propenyl, 1-Methyl-ethenyl, 1-Butenyl, 2-Butenyl, 3-Butenyl, 1 -Methyl- 1 -propenyl, 2-Methyl- 1 -propenyl, 1 -Methyl-2-propenyl, 2-Methyl-2-propenyl, 1-Pentenyl, 2-Pentenyl, 3-Pentenyl, 4- Pentenyl, 1 -Methyl- 1 -butenyl, 2-Methyl-l -butenyl, 3 -Methyl- 1 -butenyl, 1 -Methyl-2-butenyl, 2- Methyl-2-butenyl, 3-Methyl-2-butenyl, l-Methyl-3 -butenyl, 2-Methyl-3 -butenyl, 3-Methyl-3- butenyl, l,l-Dimethyl-2-propenyl, 1,2-Dimethyl-l -propenyl, 1 ,2-Dimethyl-2-propenyl, 1-Ethyl-Propargyloxycarbonylethyl, propargyloxycarbonyl-n-propyl, phenylmethyloxycarbonylmethyl, phenylmethyloxycarbonylethyl, phenylmethyloxycarbonyl-n-propyl, ethenyl, 1-propenyl, 2-propenyl, 1-methyl-ethenyl, 1-butenyl, 2-butenyl, 3-butenyl, 1-methyl 1 -propenyl, 2-methyl-1-propenyl, 1-methyl-2-propenyl, 2-methyl-2-propenyl, 1-pentenyl, 2-pentenyl, 3-pentenyl, 4-pentenyl, 1-methyl-1 - butenyl, 2-methyl-1-butenyl, 3-methyl-1-butenyl, 1-methyl-2-butenyl, 2-methyl-2-butenyl, 3-methyl-2-butenyl, 1-methyl-3-butenyl, 2-methyl-3-butenyl, 3-methyl-3-butenyl, 1, 1-dimethyl-2-propenyl, 1,2-dimethyl-1-propenyl, 1, 2-dimethyl-2-propenyl, 1-ethyl
1 - propenyl, 1 -Ethyl-2-propenyl, 1-Hexenyl, 2-Hexenyl, 3-Hexenyl, 4-Hexenyl, 5-Hexenyl, 1- Methyl- 1-pentenyl, 2-Methyl-l -pentenyl, 3 -Methyl- 1-pentenyl, 4-Methyl-l-pentenyl, 1-Methyl-1-propenyl, 1-ethyl-2-propenyl, 1-hexenyl, 2-hexenyl, 3-hexenyl, 4-hexenyl, 5-hexenyl, 1-methyl-1-pentenyl, 2-methyl-1-pentenyl, 3 - Methyl 1-pentenyl, 4-methyl-1-pentenyl, 1-methyl
2- pentenyl, 2-Methyl-2-pentenyl, 3-Methyl-2-pentenyl, 4-Methyl-2-pentenyl, l-Methyl-3- pentenyl, 2-Methyl-3-pentenyl, 3-Methyl-3-pentenyl, 4-Methyl-3-pentenyl, l-Methyl-4- pentenyl, 2-Methyl-4-pentenyl, 3-Methyl-4-pentenyl, 4-Methyl-4-pentenyl, 1 , 1 -Dimethyl-2- butenyl, l ,l -Dimethyl-3 -butenyl, 1 ,2-Dimethyl-l -butenyl, l ,2-Dimethyl-2-butenyl, 1 ,2- Dimethyl-3 -butenyl, 1 , 3 -Dimethy 1-1 -butenyl, l ,3-Dimethyl-2-butenyl, l ,3-Dimethyl-3-butenyl,2-pentenyl, 2-methyl-2-pentenyl, 3-methyl-2-pentenyl, 4-methyl-2-pentenyl, 1-methyl-3-pentenyl, 2-methyl-3-pentenyl, 3-methyl-3 pentenyl, 4-methyl-3-pentenyl, 1-methyl-4-pentenyl, 2-methyl-4-pentenyl, 3-methyl-4-pentenyl, 4-methyl-4-pentenyl, 1, 1-dimethyl-2- butenyl, 1,1-dimethyl-3-butenyl, 1,2-dimethyl-1-butenyl, 1,2-dimethyl-2-butenyl, 1,2-dimethyl-3-butenyl, 1,3-dimethyl-1-1 -butenyl, 1,3-dimethyl-2-butenyl, 1,3-dimethyl-3-butenyl,
2.2- Dimethyl-3 -butenyl, 2,3-Dimethyl-l -butenyl, 2,3-Dimethyl-2-butenyl, 2,3-Dimethyl-3- butenyl, 3,3-Dimethyl-l -butenyl, 3,3-Dimethyl-2-butenyl, l -Ethyl-l -butenyl, 1 -Ethyl-2-butenyl, l -Ethyl-3 -butenyl, 2-Ethyl-l -butenyl, 2-Ethyl-2-butenyl, 2-Ethyl-3 -butenyl, l ,l ,2-Trimethyl-2- propenyl, l -Ethyl-l -methyl-2-propenyl, l -Ethyl-2-methyl-l -propenyl und 1 -Ethyl-2-methyl-2- propenyl, Ethinyl, 1 -Propinyl, 2-Propinyl, 1 -Butinyl, 2-Butinyl, 3-Butinyl, 1 -Methyl-2-propinyl,2.2-dimethyl-3-butenyl, 2,3-dimethyl-1-butenyl, 2,3-dimethyl-2-butenyl, 2,3-dimethyl-3-butenyl, 3,3-dimethyl-1-butenyl, 3, 3-dimethyl-2-butenyl, 1-ethyl-1-butenyl, 1-ethyl-2-butenyl, 1-ethyl-3-butenyl, 2-ethyl-1-butenyl, 2-ethyl-2-butenyl, 2- Ethyl 3 -butenyl, 1, l, 2-trimethyl-2-propenyl, 1-ethyl-1-methyl-2-propenyl, 1-ethyl-2-methyl-1-propenyl, and 1-ethyl-2-methyl 2-propenyl, ethynyl, 1-propynyl, 2-propynyl, 1-butynyl, 2-butynyl, 3-butynyl, 1-methyl-2-propynyl,
1 - Pentinyl, 2-Pentinyl, 3-Pentinyl, 4-Pentinyl, 1 -Methyl-2-butinyl, l -Methyl-3-butinyl, 2- Methyl-3-butinyl, 3 -Methyl- 1 -butinyl, 1 , 1 -Dimethyl-2-propinyl, 1 -Ethyl-2-propinyl, 1 -Hexinyl,1 - pentynyl, 2-pentynyl, 3-pentynyl, 4-pentynyl, 1-methyl-2-butynyl, 1-methyl-3-butynyl, 2-methyl-3-butynyl, 3-methyl-1-butynyl, 1, 1-dimethyl-2-propynyl, 1-ethyl-2-propynyl, 1-hexynyl,
2- Hexinyl, 3-Hexinyl, 4-Hexinyl, 5-Hexinyl, 1 -Methyl-2-pentinyl, l -Methyl-3-pentinyl, 1 - Methyl-4-pentinyl, 2-Methyl-3-pentinyl, 2-Methyl-4-pentinyl, 3 -Methyl- 1 -pentinyl, 3-Methyl-4- pentinyl, 4-Methyl- 1 -pentinyl, 4-Methyl-2-pentinyl, 1 , 1 -Dimethyl-2-butinyl, l , l -Dimethyl-3- butinyl, l ,2-Dimethyl-3-butinyl, 2,2-Dimethyl-3-butinyl, 3, 3 -Dimethyl- 1 -butinyl, l -Ethyl-2- butinyl, l -Ethyl-3 -butinyl, 2-Ethyl-3-butinyl, l -Ethyl-l -methyl-2-propinyl, Phenyl, 2-Fluor- Phenyl, 3-Fluor-Phenyl, 4-Fluor-Phenyl, 2,4-Difluor-Phenyl, 2,5-Difluor-Phenyl, 2,6-Difluor- Phenyl, 2,3-Difluor-Phenyl, 3,4-Difluor-Phenyl, 3,5-Difluor-Phenyl, 2,4,5-Trifluor-Phenyl, 3,4,5-Trifluor-Phenyl, 2-Chlor-Phenyl, 3-Chlor-Phenyl, 4-Chlor-Phenyl, 2,4-Dichlor-Phenyl, 2,5-Dichlor-Phenyl, 2,6-Dichlor-Phenyl, 2,3-Dichlor-Phenyl, 3,4-Dichlor-Phenyl, 3,5-Dichlor- Phenyl, 2,4,5-Trichlor-Phenyl, 3,4,5-Trichlor-Phenyl, 2,4,6-Trichlor-Phenyl, 2-Brom-Phenyl, 3- Brom-Phenyl, 4-Brom-Phenyl, 2-Iod-Phenyl, 3-Iod-Phenyl, 4-Iod-Phenyl, 2-Brom-4-Fluor- Phenyl, 2-Brom-4-Chlor-Phenyl, 3-Brom-4-Fluor-Phenyl, 3-Brom-4-Chlor-Phenyl, 3-Brom-5- Fluor-Phenyl, 3-Brom-5-Chlor-Phenyl, 2-Fluor-4-Brom-Phenyl, 2-Chlor-4-Brom-Phenyl, 3- Fluor-4-Brom-Phenyl, 3-Chlor-4-Brom-Phenyl, 2-Chlor-4-Fluor-Phenyl, 3-Chlor-4-Fluor- Phenyl, 2-Fluor-3-Chlor-Phenyl, 2-Fluor-4-Chlor-Phenyl, 2-Fluor-5-Chlor-Phenyl, 3-Fluor-4- Chlor-Phenyl, 3-Fluor-5-Chlor-Phenyl, 2-Fluor-6-Chlor-Phenyl, 2-Methyl-Phenyl, 3-Methyl- Phenyl, 4-Methyl-Phenyl, 2,4-Dimethyl-Phenyl, 2,5-Dimethyl-Phenyl, 2,6-Dimethyl-Phenyl,2-hexynyl, 3-hexynyl, 4-hexynyl, 5-hexynyl, 1-methyl-2-pentynyl, 1-methyl-3-pentynyl, 1-methyl-4-pentynyl, 2-methyl-3-pentynyl, 2 Methyl 4-pentynyl, 3-methyl-1-pentynyl, 3-methyl-4-pentynyl, 4-methyl-1-pentynyl, 4-methyl-2-pentynyl, 1, 1-dimethyl-2-butynyl, 1, l -dimethyl-3-butynyl, l, 2-dimethyl-3-butynyl, 2,2-dimethyl-3-butynyl, 3, 3-dimethyl-1-butynyl, 1-ethyl-2-butynyl, 1-ethyl 3 -butynyl, 2-ethyl-3-butynyl, 1-ethyl-1-methyl-2-propynyl, phenyl, 2-fluoro-phenyl, 3-fluoro-phenyl, 4-fluoro-phenyl, 2,4-difluoro- Phenyl, 2,5-difluoro-phenyl, 2,6-difluoro-phenyl, 2,3-difluoro-phenyl, 3,4-difluoro-phenyl, 3,5-difluoro-phenyl, 2,4,5-trifluoro-phenyl Phenyl, 3,4,5-trifluoro-phenyl, 2-chloro-phenyl, 3-chloro-phenyl, 4-chloro-phenyl, 2,4-dichloro-phenyl, 2,5-dichloro-phenyl, 2,6- Dichloro-phenyl, 2,3-dichloro-phenyl, 3,4-dichloro-phenyl, 3,5-dichloro-phenyl, 2,4,5-trichloro-phenyl, 3,4,5-trichloro-phenyl, 2, 4,6-trichloro-phenyl, 2-bromo-phenyl, 3-bromo-phenyl, 4-bromo-phenyl, 2-iodo-phenyl, 3-iodo-phen yl, 4-iodo-phenyl, 2-bromo-4-fluoro-phenyl, 2-bromo-4-chloro-phenyl, 3-bromo-4-fluoro-phenyl, 3-bromo-4-chloro-phenyl, 3 Bromo-5-fluoro-phenyl, 3-bromo-5-chloro-phenyl, 2-fluoro-4-bromo-phenyl, 2-chloro-4-bromo-phenyl, 3-fluoro-4-bromo-phenyl, 3 Chloro-4-bromo-phenyl, 2-chloro-4-fluoro-phenyl, 3-chloro-4-fluoro-phenyl, 2-fluoro-3-chloro-phenyl, 2-fluoro-4-chloro-phenyl, 2- Fluorine-5-chloro-phenyl, 3-fluoro-4-chloro-phenyl, 3-fluoro-5-chloro-phenyl, 2-fluoro-6-chloro-phenyl, 2-methyl-phenyl, 3-methyl-phenyl, 4-methyl-phenyl, 2,4-dimethyl-phenyl, 2,5-dimethyl-phenyl, 2,6-dimethyl-phenyl,
2.3- Dimethyl-Phenyl, 3,4-Dimethyl-Phenyl, 3,5-Dimethyl-Phenyl, 2,4,5-Trimethyl-Phenyl, 3,4,5-Trimethyl-Phenyl, 2,4,6-Trimethyl-Phenyl, 2-Methoxy-Phenyl, 3-Methoxy-Phenyl, 4- Methoxy-Phenyl, 2,4-Dimethoxy-Phenyl, 2,5-Dimethoxy-Phenyl, 2,6-Dimethoxy-Phenyl, 2,3- Dimethoxy-Phenyl, 3,4-Dimethoxy-Phenyl, 3,5-Dimethoxy-Phenyl, 2,4,5-Trimethoxy-Phenyl, 3,4,5-Trimethoxy-Phenyl, 2,4,6-Trimethoxy-Phenyl, 2-Trifluormethoxy-Phenyl, 3- Trifluormethoxy-Phenyl, 4-Trifluormethoxy-Phenyl, 2-Difluormethoxy-Phenyl, 3- Difluormethoxy-Phenyl, 4-Difluormethoxy-Phenyl, 2-Trifluormethyl-Phenyl, 3-Trifluormethyl- Phenyl, 4-Trifluormethyl-Phenyl, 2-Difluormethyl-Phenyl, 3-Difluormethyl-Phenyl, 4- Difluormethyl-Phenyl, 3,5-Bis(Trifluormethyl)-Phenyl, 3-Trifluormethyl-5-Fluor-Phenyl, 3- Trifluormethyl-5-Chlor-Phenyl, 3-Methyl-5-Fluor-Phenyl, 3-Methyl-5-Chlor-Phenyl, 3- Methoxy-5-Fluor-Phenyl, 3-Methoxy-5-Chlor-Phenyl, 3-Trifluormethoxy-5-Chlor-Phenyl, 2- Ethoxy-Phenyl, 3-Ethoxy-Phenyl, 4-Ethoxy-Phenyl, 2-Methylthio-Phenyl, 3-Methylthio-Phenyl, 4-Methylthio-Phenyl, 2-Trifluormethylthio-Phenyl, 3-Trifluormethylthio-Phenyl, 4- Trifluormethylthio-Phenyl, Methoxycarbonyl, Ethoxycarbonyl, Methoxymethyl, 2-Ethyl- Phenyl, 3-Ethyl-Phenyl, 4-Ethyl-Phenyl, 2-Methoxycarbonyl-Phenyl, 3-Methoxycarbonyl- Phenyl, 4-Methoxycarbonyl-Phenyl, 2-Ethoxycarbonyl-Phenyl, 3-Ethoxycarbonyl-Phenyl, 4- Ethoxycarbonyl-Phenyl, Pyridin-2-yl, Pyridin-3-yl, Pyridin-4-yl, Pyrazin-2-yl, Pyridazin-3-yl, Pyridazin-4-yl, Pyrimidin-2-yl, Pyrimidin-5-yl, Pyrimidin-4-yl, Pyridazin-3 -ylmethyl, 2.3-dimethyl-phenyl, 3,4-dimethyl-phenyl, 3,5-dimethyl-phenyl, 2,4,5-trimethyl-phenyl, 3,4,5-trimethyl-phenyl, 2,4,6-trimethyl- Phenyl, 2-methoxy-phenyl, 3-methoxy-phenyl, 4-methoxy-phenyl, 2,4-dimethoxy-phenyl, 2,5-dimethoxy-phenyl, 2,6-dimethoxy-phenyl, 2,3-dimethoxy- Phenyl, 3,4-dimethoxy-phenyl, 3,5-dimethoxy-phenyl, 2,4,5-trimethoxy-phenyl, 3,4,5-trimethoxy-phenyl, 2,4,6-trimethoxy-phenyl, 2- Trifluoromethoxy-phenyl, 3-trifluoromethoxy-phenyl, 4-trifluoromethoxy-phenyl, 2-difluoromethoxy-phenyl, 3-difluoromethoxy-phenyl, 4-difluoromethoxy-phenyl, 2-trifluoromethyl-phenyl, 3-trifluoromethyl-phenyl, 4-trifluoromethyl- Phenyl, 2-difluoromethyl-phenyl, 3-difluoromethyl-phenyl, 4-difluoromethyl-phenyl, 3,5-bis (trifluoromethyl) -phenyl, 3-trifluoromethyl-5-fluoro-phenyl, 3-trifluoromethyl-5-chloro-phenyl , 3-methyl-5-fluoro-phenyl, 3-methyl-5-chloro-phenyl, 3-methoxy-5-fluoro-phenyl, 3-methoxy-5-chloro-phenyl, 3-trifluoromethoxy-5-chloro-phenyl , 2- Ethoxy-phenyl, 3-ethoxy-phenyl, 4-ethoxy-phenyl, 2-methylthio-phenyl, 3-methylthio-phenyl, 4-methylthio-phenyl, 2-trifluoromethylthio-phenyl, 3-trifluoromethylthio-phenyl, 4-trifluoromethylthio Phenyl, methoxycarbonyl, ethoxycarbonyl, methoxymethyl, 2-ethyl-phenyl, 3-ethyl-phenyl, 4-ethyl-phenyl, 2-methoxycarbonyl-phenyl, 3-methoxycarbonyl-phenyl, 4-methoxycarbonyl-phenyl, 2-ethoxycarbonyl-phenyl, 3-ethoxycarbonyl-phenyl, 4-ethoxycarbonyl-phenyl, pyridin-2-yl, pyridin-3-yl, pyridin-4-yl, pyrazine-2-yl, pyridazin-3-yl, pyridazin-4-yl, pyrimidine 2-yl, pyrimidin-5-yl, pyrimidin-4-yl, pyridazine-3-ylmethyl,
Pyridazin-4-ylmethyl, Pyrimidin-2 -ylmethyl, Pyrimidin-5-ylmethyl, Pyrimidin-4-ylmethyl, Pyrazin-2-ylmethyl, 3-Chlor-Pyrazin-2-yl, 3-Brom-Pyrazin-2-yl, 3-Methoxy-Pyrazin-2-yl, 3- Ethoxy-Pyrazin-2-yl, 3-Trifluormethylpyrazin-2-yl, 3-Cyanopyrazin-2-yl, Naphth-2-yl, Naphth-Pyridazin-4-ylmethyl, pyrimidin-2-ylmethyl, pyrimidin-5-ylmethyl, pyrimidin-4-ylmethyl, pyrazine-2-ylmethyl, 3-chloro-pyrazine-2-yl, 3-bromo-pyrazine-2-yl, 3-methoxy-pyrazine-2-yl, 3-ethoxy-pyrazine-2-yl, 3-trifluoromethyl-pyrazine-2-yl, 3-cyanopyrazine-2-yl, naphth-2-yl, naphthenyl
1 - yl, Chinolin-4-yl, Chinolin-6-yl, Chinolin-8-yl, Chinolin-2-yl, Chinoxalin-2-yl, 2- Naphthylmethyl, 1 -Naphthylmethyl, Chinolin-4-ylmethyl, Chinolin-6-ylmethyl, Chinolin-8- ylmethyl, Chinolin-2-ylmethyl, Chinoxalin-2 -ylmethyl, Pyrazin-2-ylmethyl, 4-Chloropyridin-2- yl, 3-Chloropyridin-4-yl, 2-Chloropyridin-3-yl, 2-Chloropyridin-4-yl, 2-Chlorpyridin-5-yl, 2,6- Dichlorpyridin-4-yl, 3-Chlorpyridin-5-yl, 3,5-Dichlorpyridin-2-yl, 3-Chlor-5- Trifluormethylpyridin-2-yl, )4-Chloropyridin-2-yl)methyl, (3-Chloropyridin-4-yl)methyl, (2- Chloropyridin-3-yl)methyl, (2-Chloropyridin-4-yl)methyl, (2-Chlorpyridin-5-yl)methyl, (2,6- Dichlorpyridin-4-yl)methyl, (3-Chlorpyridin-5-yl)methyl, (3,5-Dichlorpyridin-2-yl)methyl, Thiophen-2-yl, Thiophen-3-yl, 5-Methylthiophen-2-yl, 5-Ethylthiophen-2-yl, 5-Chlorthiophen-1-yl, quinolin-4-yl, quinolin-6-yl, quinolin-8-yl, quinolin-2-yl, quinoxalin-2-yl, 2-naphthylmethyl, 1-naphthylmethyl, quinolin-4-ylmethyl, quinoline 6-ylmethyl, quinolin-8-ylmethyl, quinolin-2-ylmethyl, quinoxaline-2-ylmethyl, pyrazine-2-ylmethyl, 4-chloropyridin-2-yl, 3-chloropyridin-4-yl, 2-chloropyridine-3 yl, 2-chloropyridin-4-yl, 2-chloropyridin-5-yl, 2,6-dichloropyridin-4-yl, 3-chloropyridin-5-yl, 3,5-dichloropyridin-2-yl, 3-chloro 5-trifluoromethylpyridin-2-yl, 4-chloropyridin-2-yl) methyl, (3-chloropyridin-4-yl) methyl, (2-chloropyridin-3-yl) methyl, (2-chloropyridin-4-yl) methyl, (2-chloropyridin-5-yl) methyl, (2,6-dichloropyridin-4-yl) methyl, (3-chloropyridin-5-yl) methyl, (3,5-dichloropyridin-2-yl) methyl, Thiophen-2-yl, thiophen-3-yl, 5-methylthiophene-2-yl, 5-ethylthiophene-2-yl, 5-chlorothiophene
2- yl, 5-Bromthiophen-2-yl, 4-Methylthiophen-2-yl, 3-Methylthiophen-2-yl, 5-Fluorthiophen-3- yl, 3,5-Dimethylthiophen-2-yl, 3-Ethylthiophen-2-yl, 4,5-Dimethylthiophen-2-yl, 3,4- Dimethylthiophen-2-yl, 4-Chlorthiophen-2-yl, Furan-2-yl, 5-Methylfuran-2-yl, 5-Ethylfüran-2- yl, 5-Methoxycarbonylfuran-2-yl, 5-Chlorfuran-2-yl, 5-Bromfüran-2-yl steht, R15 gleich oder verschieden sind und unabhängig voneinander für Wasserstoff, Methyl,2-yl, 5-bromothiophene-2-yl, 4-methylthiophene-2-yl, 3-methylthiophene-2-yl, 5-fluorothiophene-3-yl, 3,5-dimethylthiophene-2-yl, 3-ethylthiophene 2-yl, 4,5-dimethylthiophene-2-yl, 3,4-dimethylthiophene-2-yl, 4-chlorothiophene-2-yl, furan-2-yl, 5-methylfuran-2-yl, 5-ethyl 2-yl, 5-methoxycarbonyl-furan-2-yl, 5-chlorofuran-2-yl, 5-bromo-furan-2-yl, R 15 are the same or different and are independently hydrogen, methyl,
Ethyl, n-Propyl, 1 -Methylethyl, n-Butyl, 1 -Methylpropyl, 2-Methylpropyl, 1 ,1 -Dimethylethyl, n-Pentyl, 1 -Methylbutyl, 2-Methylbutyl, 3-Methylbutyl, 1 ,1 -Dimethylpropyl, 1 ,2- Dimethylpropyl, 2,2-Dimethylpropyl, 1 -Ethylpropyl, n-Hexyl, 1 -Methylpentyl, 2-Methylpentyl,Ethyl, n-propyl, 1-methylethyl, n-butyl, 1-methylpropyl, 2-methylpropyl, 1, 1-dimethylethyl, n-pentyl, 1-methylbutyl, 2-methylbutyl, 3-methylbutyl, 1, 1-dimethylpropyl, 1, 2-dimethylpropyl, 2,2-dimethylpropyl, 1-ethylpropyl, n-hexyl, 1-methylpentyl, 2-methylpentyl,
3- Methylpentyl, 4-Methylpentyl, 1 ,1 -Dimethylbutyl, 1 ,2-Dimethylbutyl, 1 ,3-Di-methylbutyl, 2,2-Dimethylbutyl, 2,3-Dimethylbutyl, 3,3-Dimethylbutyl, 1 -Ethylbutyl, 2-Ethylbutyl, 1 , 1 ,2- Trimethylpropyl, 1 ,2,2-Trimethylpropyl, 1 -Ethyl- 1 -methylpropyl, 1 -Ethyl-2-methylpropyl, Cyanomethyl, Cyanoethyl, Cyano-n-propyl, Trifluormethyl, Pentafluorethyl, 1 ,1 ,2,2- Tetrafluorethyl, Heptafluor-n-propyl, Heptafluor-iso-propyl, Nonafluorbutyl, 3-methylpentyl, 4-methylpentyl, 1, 1-dimethylbutyl, 1, 2-dimethylbutyl, 1, 3-dimethylbutyl, 2,2-dimethylbutyl, 2,3-dimethylbutyl, 3,3-dimethylbutyl, 1-ethylbutyl, 2-ethylbutyl, 1, 1, 2-trimethylpropyl, 1, 2,2-trimethylpropyl, 1-ethyl-1-methylpropyl, 1-ethyl-2-methylpropyl, cyanomethyl, cyanoethyl, cyano-n-propyl, trifluoromethyl, pentafluoroethyl, 1, 1, 2,2-tetrafluoroethyl, heptafluoro-n-propyl, heptafluoro-isopropyl, nonafluorobutyl,
Chlordifluormethyl, Bromdifluormethyl, Dichlorfluormethyl, Ioddifluormethyl, Chlorodifluoromethyl, bromodifluoromethyl, dichlorofluoromethyl, iododifluoromethyl,
Bromfluormethyl, 1 -Fluorethyl, 2-Fluorethyl, Fluormethyl, Difluormethyl, 2,2-Difluorethyl, 2,2,2-Trifluorethyl, Difluor-tert.-butyl, Chlormethyl, Brommethyl, Fluormethyl, 3,3,3-Trifluor- n-propyl, Cyclopropyl, Cyclobutyl, Cyclopentyl, Cyclohexyl, 1 -Methylcycloprop-l -yl, 2- Methylcycloprop-l -yl, 2,2-Dimethylcycloprop-l -yl, 2,3-Dimethylcyclopropyl, 2-2- Methoxyprop-2-yl, 2-Ethoxyprop-2-yl, 2-n-Propyloxyprop-2-yl, 2-n-Butyloxyprop-2-yl, 2- Benzyloxyprop-2-yl, 2-Phenylethyloxyprop-2-yl, 2-Trifluormethyloxyprop-2-yl, 2- Difluormethyloxyprop-2-yl, 2,2,2-Trifluorethyloxyprop-2-yl, 2,2-Difluorethyloxyprop-2-yl, 2- (4-Chlorphenylmethoxy)prop-2-yl, 2-(4-Fluorphenylmethoxy)prop-2-yl, 2-(4-Bromofluoromethyl, 1-fluoroethyl, 2-fluoroethyl, fluoromethyl, difluoromethyl, 2,2-difluoroethyl, 2,2,2-trifluoroethyl, difluoro-tert-butyl, chloromethyl, bromomethyl, fluoromethyl, 3,3,3-trifluoro-n propyl, cyclopropyl, cyclobutyl, cyclopentyl, cyclohexyl, 1-methylcycloprop-1-yl, 2 Methylcycloprop-1-yl, 2,2-dimethylcycloprop-1-yl, 2,3-dimethylcyclopropyl, 2-2-methoxyprop-2-yl, 2-ethoxyprop-2-yl, 2-n-propyloxyprop-2-yl, 2-n-butyloxyprop-2-yl, 2-benzyloxyprop-2-yl, 2-phenylethyloxyprop-2-yl, 2-trifluoromethyloxyprop-2-yl, 2-difluoromethyloxyprop-2-yl, 2,2,2-trifluoroethyloxypropyl 2-yl, 2,2-difluoroethyloxyprop-2-yl, 2- (4-chlorophenylmethoxy) prop-2-yl, 2- (4-fluorophenylmethoxy) prop-2-yl, 2- (4-
Bromphenylmethoxy)prop-2-yl, 2-(4-Trifluormethylphenylmethoxy)prop-2-yl, 2-(4- Methylphenylmethoxy)prop-2-yl, 2-(3-Chlorphenylmethoxy)prop-2-yl, 2-(3- Fluorphenylmethoxy)prop-2-yl, 2-(3-Bromphenylmethoxy)prop-2-yl, 2-(3- Trifluormethylphenylmethoxy)prop-2-yl, 2-(3-Methylphenylmethoxy)prop-2-yl, 2-(2- Chlorphenylmethoxy)prop-2-yl, 2-(2-Fluorphenylmethoxy)prop-2-yl, 2-(2-Bromophenylmethoxy) prop-2-yl, 2- (4-trifluoromethylphenylmethoxy) prop-2-yl, 2- (4-methylphenylmethoxy) prop-2-yl, 2- (3-chlorophenylmethoxy) prop-2-yl, 2- ( 3-fluorophenylmethoxy) prop-2-yl, 2- (3-bromophenylmethoxy) prop-2-yl, 2- (3-trifluoromethylphenylmethoxy) prop-2-yl, 2- (3-methylphenylmethoxy) prop-2-yl, 2 - (2-chlorophenylmethoxy) prop-2-yl, 2- (2-fluorophenylmethoxy) prop-2-yl, 2- (2-
Bromphenylmethoxy)prop-2-yl, 2-(2-Trifluormethylphenylmethoxy)prop-2-yl, 2-(2- Methylphenylmethoxy)prop-2-yl 1 -(4-Methylphenyl)ethyl, l -(3-Methylphenyl)ethyl, l -(2- Methylphenyl)ethyl, 1 -(4-Chlorphenyl)ethyl, l -(3-Chlorphenyl)ethyl, 1 -(2-Chlorphenyl)ethyl, Benzyl, (4-Fluorphenyl)methyl, (3-Fluorphenyl)methyl, (2-Fluorphenyl)methyl, (2,4- Difluorphenyl)methyl, (3,5-Difluorphenyl)methyl, (2,5-Difluorphenyl)methyl, (2,6-Bromophenylmethoxy) prop-2-yl, 2- (2-trifluoromethylphenylmethoxy) prop-2-yl, 2- (2-methylphenylmethoxy) prop-2-yl 1- (4-methylphenyl) ethyl, 1- (3-methylphenyl) ethyl , 1- (2-methylphenyl) ethyl, 1- (4-chlorophenyl) ethyl, 1- (3-chlorophenyl) ethyl, 1- (2-chlorophenyl) ethyl, benzyl, (4-fluorophenyl) methyl, (3-fluorophenyl ) methyl, (2-fluorophenyl) methyl, (2,4-difluorophenyl) methyl, (3,5-difluorophenyl) methyl, (2,5-difluorophenyl) methyl, (2,6-
Difluorphenyl)methyl, (2,4,5-Trifluorphenyl)methyl, (2,4,6-Trifluorphenyl)methyl, (4- Chlorphenyl)methyl, (3-Chlorphenyl)methyl, (2-Chlorphenyl)methyl, (2,4- Dichlorphenyl)methyl, (3,5-Dichlorphenyl)methyl, (2,5-Dichlorphenyl)methyl, (2,6- Dichlorphenyl)methyl, (2,4,5-Trichlorphenyl)methyl, (2,4,6-Trichlorphenyl)methyl, (4- Bromphenyl)methyl, (3-Bromphenyl)methyl, (2-Bromphenyl)methyl, (4-Iodphenyl)methyl, (3-Difluorophenyl) methyl, (2,4,5-trifluorophenyl) methyl, (2,4,6-trifluorophenyl) methyl, (4-chlorophenyl) methyl, (3-chlorophenyl) methyl, (2-chlorophenyl) methyl, (2, 4-dichlorophenyl) methyl, (3,5-dichlorophenyl) methyl, (2,5-dichlorophenyl) methyl, (2,6-dichlorophenyl) methyl, (2,4,5-trichlorophenyl) methyl, (2,4,6 Trichlorophenyl) methyl, (4-bromophenyl) methyl, (3-bromophenyl) methyl, (2-bromophenyl) methyl, (4-iodophenyl) methyl, (3
Iodphenyl)methyl, (2-Iodphenyl)methyl, (3-Chlor-5-Trifluormethyl-pyridin-2-yl)methyl, (2- Brom-4-Fluorphenl)methyl, (2-Brom-4-Chlorphenyl)methyl, (3-Brom-4-Fluorphenyl)methyl, (3-Brom-4-Chlorphenyl)methyl, (3-Brom-5-Fluorphenyl)methyl, (3-Brom-5- Chlorphenyl)methyl, (2-Fluor-4-Bromphenyl)methyl, (2-Chlor-4-Bromphenyl)methyl, (3-Fluor- 4-Bromphenyl)methyl, (3-Chlor-4-Bromphenyl)methyl, (2-Chlor-4-Fluorphenyl)methyl, (3-Iodophenyl) methyl, (2-iodophenyl) methyl, (3-chloro-5-trifluoromethylpyridin-2-yl) methyl, (2-bromo-4-fluorophenol) methyl, (2-bromo-4-chlorophenyl) methyl, (3-bromo-4-fluorophenyl) methyl, (3-bromo-4-chlorophenyl) methyl, (3-bromo-5-fluorophenyl) methyl, (3-bromo-5-chlorophenyl) methyl, (2-fluoro-4 -Bromphenyl) methyl, (2-chloro-4-bromophenyl) methyl, (3-fluoro-4-bromophenyl) methyl, (3-chloro-4-bromophenyl) methyl, (2-chloro-4-fluorophenyl) methyl, ( 3
Chlor-4-Fluorphenyl)methyl, (2-Fluor-3 -Chlorphenyl)methyl, (2-Fluor-4-Chlorphenyl)methyl, (2-Fluor-5-Chlorphenyl)methyl, (3-Fluor-4-Chlorphenyl)methyl, (3-Fluor-5- Chlorphenyl)methyl, (2-Fluor-6-Chlorphenyl)methyl, Phenylethyl, 3-Trifluormethyl-4- Chlorphenyl, 3-Chlor-4-Trifluormethylphenyl, 2-Chlor-4-Trifluormethylphenyl, 3,5- Dfluorpyridin-2-yl, (3,6-Dichlor-pyridin-2-yl)methyl, (4-Trifluormethylphenyl)methyl, (3-Chloro-4-fluorophenyl) methyl, (2-fluoro-3-chlorophenyl) methyl, (2-fluoro-4-chlorophenyl) methyl, (2-fluoro-5-chlorophenyl) methyl, (3-fluoro-4-chlorophenyl) methyl, (3-fluoro-5-chlorophenyl) methyl, (2-fluoro-6-chlorophenyl) methyl, phenylethyl, 3-trifluoromethyl-4-chlorophenyl, 3-chloro-4-trifluoromethylphenyl, 2-chloro-4-trifluoromethylphenyl, 3,5-Dfluoropyridin-2-yl, (3,6-dichloropyridin-2-yl) methyl, (4-trifluoromethylphenyl) methyl, (3
Trifluormethylphenyl)methyl, (2-Trifluormethylphenyl)methyl, (4- Trifluormethoxyphenyl)methyl, (3-Trifluormethoxyphenyl)methyl, (2- Trifluormethoxyphenyl)methyl, (4-Methoxyphenyl)methyl, (3-Methoxyphenyl)methyl, (2- Methoxyphenyl)methyl, (4-Methylphenyl)methyl, (3-Methylphenyl)methyl, (2- Methylphenyl)methyl, (4-Cyanophenyl)methyl, (3-Cyanophenyl)methyl, (2-Trifluoromethylphenyl) methyl, (2-trifluoromethylphenyl) methyl, (4-trifluoromethoxyphenyl) methyl, (3-trifluoromethoxyphenyl) methyl, (2-trifluoromethoxyphenyl) methyl, (4-methoxyphenyl) methyl, (3-methoxyphenyl) methyl, (2-methoxyphenyl ) methyl, (4-methylphenyl) methyl, (3-methylphenyl) methyl, (2-methylphenyl) methyl, (4-cyanophenyl) methyl, (3-cyanophenyl) methyl, (2-
Cyanophenyl)methyl, (2,4-Diethylphenyl)methyl, (3,5-Diethylphenyl)methyl, (3,4- Dimethylphenyl)methyl, (3,5-Dimethoxyphenyl)methyl, l -Phenyleth-l -yl, Cyclopropylmethyl, Cyclobutylmethyl, Cyclopentylmethyl, Cyclohexylmethyl Ethenyl, 1 -Propenyl, 2-Propenyl, 1 - Methyl- ethenyl, 1 -Butenyl, 2-Butenyl, 3-Butenyl, 1 -Methyl- 1 -propenyl, 2-Methyl-l -propenyl, 1 -Methyl-2-propenyl, 2-Methyl-2-propenyl, 1 -Pentenyl, 2-Pentenyl, 3-Pentenyl, 4-Pentenyl, 1 - Methyl-1 -butenyl, 2-Methyl-l -butenyl, 3 -Methyl- 1 -butenyl, 1 -Methyl-2-butenyl, 2-Methyl-2- butenyl, 3-Methyl-2-butenyl, l -Methyl-3 -butenyl, 2-Methyl-3 -butenyl, 3 -Methyl-3 -butenyl, 1 , 1 - Dimethyl-2-propenyl, 1 ,2-Dimethyl-l -propenyl, 1 ,2-Dimethyl-2-propenyl, 1 -Ethyl-l -propenyl, 1 -Ethyl-2-propenyl, 1 -Hexenyl, 2-Hexenyl, 3-Hexenyl, 4-Hexenyl, 5-Hexenyl, 1 -Methyl-l - pentenyl, 2-Methyl-l -pentenyl, 3 -Methyl- 1 -pentenyl, 4-Methyl-l -pentenyl, l -Methyl-2- pentenyl, 2-Methyl-2-pentenyl, 3-Methyl-2-pentenyl, 4-Methyl-2-pentenyl, 1 -Methyl-3 - pentenyl, 2-Methyl-3 -pentenyl, 3 -Methyl-3 -pentenyl, 4-Methyl-3 -pentenyl, l -Methyl-4- pentenyl, 2-Methyl-4-pentenyl, 3-Methyl-4-pentenyl, 4-Methyl-4-pentenyl, 1 , 1 -Dimethyl-2- butenyl, l ,l -Dimethyl-3 -butenyl, 1 ,2-Dimethyl-l -butenyl, l ,2-Dimethyl-2-butenyl, 1 ,2- Dimethyl-3 -butenyl, 1 , 3 -Dimethy 1-1 -butenyl, l ,3-Dimethyl-2-butenyl, l ,3-Dimethyl-3-butenyl, 2,2-Dimethyl-3 -butenyl, 2,3-Dimethyl-l -butenyl, 2,3-Dimethyl-2-butenyl, 2,3-Dimethyl-3- butenyl, 3,3-Dimethyl-l -butenyl, 3,3-Dimethyl-2-butenyl, l -Ethyl-l -butenyl, 1 -Ethyl-2-butenyl, l -Ethyl-3 -butenyl, 2-Ethyl-l -butenyl, 2-Ethyl-2-butenyl, 2-Ethyl-3 -butenyl, l ,l ,2-Trimethyl-2- propenyl, l -Ethyl-l -methyl-2-propenyl, l -Ethyl-2-methyl-l -propenyl und 1 -Ethyl-2-methyl-2- propenyl, Ethinyl, 1 -Propinyl, 2-Propinyl, 1 -Butinyl, 2-Butinyl, 3-Butinyl, 1 -Methyl-2-propinyl,Cyanophenyl) methyl, (2,4-diethylphenyl) methyl, (3,5-diethylphenyl) methyl, (3,4-dimethylphenyl) methyl, (3,5-dimethoxyphenyl) methyl, 1-phenyleth-1-yl, cyclopropylmethyl, Cyclobutylmethyl, cyclopentylmethyl, cyclohexylmethyl, ethenyl, 1-propenyl, 2-propenyl, 1-methyl-ethenyl, 1-butenyl, 2-butenyl, 3-butenyl, 1-methyl-1-propenyl, 2-methyl-1-propenyl, 1 Methyl 2-propenyl, 2-methyl-2-propenyl, 1-pentenyl, 2-pentenyl, 3-pentenyl, 4-pentenyl, 1-methyl-1-butenyl, 2-methyl-1-butenyl, 3-methyl 1-Butenyl, 1-methyl-2-butenyl, 2-methyl-2-butenyl, 3-methyl-2-butenyl, 1-methyl-3-butenyl, 2-methyl-3-butenyl, 3-methyl-3 -butenyl, 1,1-dimethyl-2-propenyl, 1, 2-dimethyl-1-propenyl, 1, 2-dimethyl-2-propenyl, 1-ethyl-1-propenyl, 1-ethyl-2-propenyl, 1 Hexenyl, 2-hexenyl, 3-hexenyl, 4-hexenyl, 5-hexenyl, 1-methyl-1-pentenyl, 2-methyl-1-pentenyl, 3-methyl-1-pentenyl, 4-methyl-1-pentenyl , 1-methyl-2-pentenyl, 2-methyl-2-pentenyl, 3-methyl-2-pentenyl, 4-methyl-2-pentenyl, 1-methyl-3-pentenyl, 2-methyl-3-pentenyl, 3 Methyl 3-pentenyl, 4-methyl-3-pentenyl, 1-methyl-4-pentenyl, 2-methyl-4-pentenyl, 3-methyl-4-pentenyl, 4-methyl-4 -pentenyl, 1,1-dimethyl-2-butenyl, 1,1-dimethyl-3-butenyl, 1,2-dimethyl-1-butenyl, 1,2-dimethyl-2-butenyl, 1,2-dimethyl-3 -butenyl, 1,3-dimethyl-1-1 -butenyl, 1,3-dimethyl-2-butenyl, 1,3-dimethyl-3-butenyl, 2,2-dimethyl-3-butenyl, 2,3-dimethyl l -butenyl, 2,3-dimethyl-2-butenyl, 2,3-dimethyl-3-butenyl, 3,3-dimethyl-1-butenyl, 3,3-dimethyl-2-butenyl, 1-ethyl-1 L - butenyl, 1-ethyl-2-butenyl, 1-ethyl-3-butenyl, 2-ethyl-1-butenyl, 2-ethyl-2-butenyl, 2-ethyl-3-butenyl, 1,1,2-trimethyl- 2-propenyl, 1-ethyl-1-methyl-2-propenyl, 1-ethyl-2-methyl-1-propenyl and 1-ethyl-2-methyl-2-propenyl, ethynyl, 1-propynyl, 2-propynyl, 1-butynyl, 2-butynyl, 3-butynyl, 1-methyl-2-propynyl,
1 - Pentinyl, 2-Pentinyl, 3-Pentinyl, 4-Pentinyl, 1 -Methyl-2-butinyl, 1 -Methyl-3 -butinyl, 2- Methyl-3-butinyl, 3 -Methyl- 1 -butinyl, 1 , 1 -Dimethyl-2-propinyl, 1 -Ethyl-2-propinyl, 1 -Hexinyl,1 - pentynyl, 2-pentynyl, 3-pentynyl, 4-pentynyl, 1-methyl-2-butynyl, 1-methyl-3-butynyl, 2-methyl-3-butynyl, 3-methyl-1-butynyl, 1, 1-dimethyl-2-propynyl, 1-ethyl-2-propynyl, 1-hexynyl,
2- Hexinyl, 3-Hexinyl, 4-Hexinyl, 5-Hexinyl, 1 -Methyl-2-pentinyl, 1 -Methyl-3 -pentinyl, 1 - Methyl-4-pentinyl, 2-Methyl-3 -pentinyl, 2-Methyl-4-pentinyl, 3 -Methyl- 1 -pentinyl, 3-Methyl-4- pentinyl, 4-Methyl-l -pentinyl, 4-Methyl-2-pentinyl, 1 , 1 -Dimethyl-2-butinyl, l , l -Dimethyl-3- butinyl, 1 ,2-Dimethyl-3 -butinyl, 2,2-Dimethyl-3 -butinyl, 3,3-Dimethyl-l -butinyl, l -Ethyl-2- butinyl, l -Ethyl-3 -butinyl, 2-Ethyl-3 -butinyl, l -Ethyl-l -methyl-2-propinyl, Phenyl, 2-Fluor- Phenyl, 3-Fluor-Phenyl, 4-Fluor-Phenyl, 2,4-Difluor-Phenyl, 2,5-Difluor-Phenyl, 2,6-Difluor- Phenyl, 2,3-Difluor-Phenyl, 3,4-Difluor-Phenyl, 3,5-Difluor-Phenyl, 2,4,5-Trifluor-Phenyl, 3,4,5-Trifluor-Phenyl, 2-Chlor-Phenyl, 3-Chlor-Phenyl, 4-Chlor-Phenyl, 2,4-Dichlor-Phenyl, 2,5-Dichlor-Phenyl, 2,6-Dichlor-Phenyl, 2,3-Dichlor-Phenyl, 3,4-Dichlor-Phenyl, 3,5-Dichlor- Phenyl, 2,4,5-Trichlor-Phenyl, 3,4,5-Trichlor-Phenyl, 2,4,6-Trichlor-Phenyl, 2-Brom-Phenyl, 3- Brom-Phenyl, 4-Brom-Phenyl, 2-Iod-Phenyl, 3-Iod-Phenyl, 4-Iod-Phenyl, 2-Brom-4-Fluor- Phenyl, 2-Brom-4-Chlor-Phenyl, 3-Brom-4-Fluor-Phenyl, 3-Brom-4-Chlor-Phenyl, 3-Brom-5- Fluor-Phenyl, 3-Brom-5-Chlor-Phenyl, 2-Fluor-4-Brom-Phenyl, 2-Chlor-4-Brom-Phenyl, 3- Fluor-4-Brom-Phenyl, 3-Chlor-4-Brom-Phenyl, 2-Chlor-4-Fluor-Phenyl, 3-Chlor-4-Fluor- Phenyl, 2-Fluor-3-Chlor-Phenyl, 2-Fluor-4-Chlor-Phenyl, 2-Fluor-5-Chlor-Phenyl, 3-Fluor-4- Chlor-Phenyl, 3-Fluor-5-Chlor-Phenyl, 2-Fluor-6-Chlor-Phenyl, 2-Methyl-Phenyl, 3-Methyl- Phenyl, 4-Methyl-Phenyl, 2,4-Dimethyl-Phenyl, 2,5-Dimethyl-Phenyl, 2,6-Dimethyl-Phenyl, 2,3-Dimethyl-Phenyl, 3,4-Dimethyl-Phenyl, 3,5-Dimethyl-Phenyl, 2,4,5-Trimethyl-Phenyl, 3,4,5-Trimethyl-Phenyl, 2,4,6-Trimethyl-Phenyl, 2-Methoxy-Phenyl, 3-Methoxy-Phenyl, 4- Methoxy-Phenyl, 2,4-Dimethoxy-Phenyl, 2,5-Dimethoxy-Phenyl, 2,6-Dimethoxy-Phenyl, 2,3- Dimethoxy-Phenyl, 3,4-Dimethoxy-Phenyl, 3,5-Dimethoxy-Phenyl, 2,4,5-Trimethoxy-Phenyl, 3,4,5-Trimethoxy-Phenyl, 2,4,6-Trimethoxy-Phenyl, 2-Trifluormethoxy-Phenyl, 3- Trifluormethoxy-Phenyl, 4-Trifluormethoxy-Phenyl, 2-Difluormethoxy-Phenyl, 3- Difluormethoxy-Phenyl, 4-Difluormethoxy-Phenyl, 2-Trifluormethyl-Phenyl, 3-Trifluormethyl- Phenyl, 4-Trifluormethyl-Phenyl, 2-Difluormethyl-Phenyl, 3-Difluormethyl-Phenyl, 4- Difluormethyl-Phenyl, 3,5-Bis(Trifluormethyl)-Phenyl, 3-Trifluormethyl-5-Fluor-Phenyl, 3- Trifluormethyl-5-Chlor-Phenyl, 3-Methyl-5-Fluor-Phenyl, 3-Methyl-5-Chlor-Phenyl, 3- Methoxy-5-Fluor-Phenyl, 3-Methoxy-5-Chlor-Phenyl, 3-Trifluormethoxy-5-Chlor-Phenyl, 2- Ethoxy-Phenyl, 3-Ethoxy-Phenyl, 4-Ethoxy-Phenyl, 2-Methylthio-Phenyl, 3-Methylthio-Phenyl, 4-Methylthio-Phenyl, 2-Trifluormethylthio-Phenyl, 3-Trifluormethylthio-Phenyl, 4- Trifluormethylthio-Phenyl, Methoxycarbonyl, Ethoxycarbonyl, Methoxymethyl, 2-Ethyl- Phenyl, 3-Ethyl-Phenyl, 4-Ethyl-Phenyl, 2-Methoxycarbonyl-Phenyl, 3-Methoxycarbonyl- Phenyl, 4-Methoxycarbonyl-Phenyl, 2-Ethoxycarbonyl-Phenyl, 3-Ethoxycarbonyl-Phenyl, 4- Ethoxycarbonyl-Phenyl, Pyridin-2-yl, Pyridin-3-yl, Pyridin-4-yl, Pyrazin-2-yl, Pyridazin-3-yl, Pyridazin-4-yl, Pyrimidin-2-yl, Pyrimidin-5-yl, Pyrimidin-4-yl, Pyridazin-3-ylmethyl, 2-hexynyl, 3-hexynyl, 4-hexynyl, 5-hexynyl, 1-methyl-2-pentynyl, 1-methyl-3-pentynyl, 1-methyl-4-pentynyl, 2-methyl-3-pentynyl, 2- Methyl 4-pentynyl, 3-methyl-1-pentynyl, 3-methyl-4-pentynyl, 4-methyl-1-pentynyl, 4-methyl-2-pentynyl, 1, 1-dimethyl-2-butynyl, 1, 1-dimethyl-3-butynyl, 1, 2-dimethyl-3-butynyl, 2,2-dimethyl-3-butynyl, 3,3-dimethyl-1-butinyl, 1-ethyl-2-butynyl, 1-ethyl 3 -butynyl, 2-ethyl-3-butynyl, 1-ethyl-1-methyl-2-propynyl, phenyl, 2-fluoro-phenyl, 3-fluoro-phenyl, 4-fluoro-phenyl, 2,4-difluoro- Phenyl, 2,5-difluoro-phenyl, 2,6-difluoro-phenyl, 2,3-difluoro-phenyl, 3,4-difluoro-phenyl, 3,5-difluoro-phenyl, 2,4,5-trifluoro-phenyl Phenyl, 3,4,5-trifluoro-phenyl, 2-chloro-phenyl, 3-chloro-phenyl, 4-chloro-phenyl, 2,4-dichloro-phenyl, 2,5-dichloro-phenyl, 2,6- Dichloro-phenyl, 2,3-dichloro-phenyl, 3,4-dichloro-phenyl, 3,5-dichloro-phenyl, 2,4,5-trichloro-phenyl, 3,4,5-trichloro-phenyl, 2, 4,6-trichloro-phenyl, 2-bromo-phenyl, 3-bromo-phenyl, 4-bromo-phenyl, 2-iodo-phenyl, 3-iodo-Phe nyl, 4-iodo-phenyl, 2-bromo-4-fluoro-phenyl, 2-bromo-4-chloro-phenyl, 3-bromo-4-fluoro-phenyl, 3-bromo-4-chloro-phenyl, 3 Bromo-5-fluoro-phenyl, 3-bromo-5-chloro-phenyl, 2-fluoro-4-bromo-phenyl, 2-chloro-4-bromo-phenyl, 3-fluoro-4-bromo-phenyl, 3 Chloro-4-bromo-phenyl, 2-chloro-4-fluoro-phenyl, 3-chloro-4-fluoro-phenyl, 2-fluoro-3-chloro-phenyl, 2-fluoro-4-chloro-phenyl, 2- Fluorine-5-chloro-phenyl, 3-fluoro-4-chloro-phenyl, 3-fluoro-5-chloro-phenyl, 2-fluoro-6-chloro-phenyl, 2-methyl-phenyl, 3-methyl-phenyl, 4-methyl-phenyl, 2,4-dimethyl-phenyl, 2,5-dimethyl-phenyl, 2,6-dimethyl-phenyl, 2,3-dimethyl-phenyl, 3,4-dimethyl-phenyl, 3,5-dimethyl-phenyl, 2,4,5-trimethyl-phenyl, 3,4,5-trimethyl-phenyl, 2,4,6- Trimethyl-phenyl, 2-methoxy-phenyl, 3-methoxy-phenyl, 4-methoxy-phenyl, 2,4-dimethoxy-phenyl, 2,5-dimethoxy-phenyl, 2,6-dimethoxy-phenyl, 2,3- Dimethoxy-phenyl, 3,4-dimethoxy-phenyl, 3,5-dimethoxy-phenyl, 2,4,5-trimethoxy-phenyl, 3,4,5-trimethoxy-phenyl, 2,4,6-trimethoxy-phenyl, 2-trifluoromethoxy-phenyl, 3-trifluoromethoxy-phenyl, 4-trifluoromethoxy-phenyl, 2-difluoromethoxy-phenyl, 3-difluoromethoxy-phenyl, 4-difluoromethoxy-phenyl, 2-trifluoromethyl-phenyl, 3-trifluoromethyl-phenyl, 4- Trifluoromethyl-phenyl, 2-difluoromethyl-phenyl, 3-difluoromethyl-phenyl, 4-difluoromethyl-phenyl, 3,5-bis (trifluoromethyl) -phenyl, 3-trifluoromethyl-5-fluoro-phenyl, 3-trifluoromethyl-5-chloro Phenyl, 3-methyl-5-fluoro-phenyl, 3-methyl-5-chloro-phenyl, 3-methoxy-5-fluoro-phenyl, 3-methoxy-5-chloro-phenyl, 3-trifluoromethoxy-5-chloro Phenyl, 2-ethoxy-phenyl, 3-ethoxy-phenyl, 4-ethoxy-phenyl, 2-methylth io-phenyl, 3-methylthio-phenyl, 4-methylthio-phenyl, 2-trifluoromethylthio-phenyl, 3-trifluoromethylthio-phenyl, 4-trifluoromethylthio-phenyl, methoxycarbonyl, ethoxycarbonyl, methoxymethyl, 2-ethyl-phenyl, 3-ethyl Phenyl, 4-ethyl-phenyl, 2-methoxycarbonyl-phenyl, 3-methoxycarbonyl-phenyl, 4-methoxycarbonyl-phenyl, 2-ethoxycarbonyl-phenyl, 3-ethoxycarbonyl-phenyl, 4-ethoxycarbonyl-phenyl, pyridin-2-yl, Pyridin-3-yl, pyridin-4-yl, pyrazine-2-yl, pyridazin-3-yl, pyridazin-4-yl, pyrimidin-2-yl, pyrimidin-5-yl, pyrimidin-4-yl, pyridazine 3-ylmethyl,
Pyridazin-4-ylmethyl, Pyrimidin-2-ylmethyl, Pyrimidin-5-ylmethyl, Pyrimidin-4-ylmethyl, Pyrazin-2-ylmethyl, 3-Chlor-Pyrazin-2-yl, 3-Brom-Pyrazin-2-yl, 3-Methoxy-Pyrazin-2-yl, 3- Ethoxy-Pyrazin-2-yl, 3-Trifluormethylpyrazin-2-yl, 3-Cyanopyrazin-2-yl, Naphth-2-yl, Naphth-Pyridazin-4-ylmethyl, pyrimidin-2-ylmethyl, pyrimidin-5-ylmethyl, pyrimidin-4-ylmethyl, pyrazine-2-ylmethyl, 3-chloro-pyrazine-2-yl, 3-bromo-pyrazine-2-yl, 3-methoxy-pyrazine-2-yl, 3-ethoxy-pyrazine-2-yl, 3-trifluoromethyl-pyrazine-2-yl, 3-cyanopyrazine-2-yl, naphth-2-yl, naphthenyl
1 - yl, Chinolin-4-yl, Chinolin-6-yl, Chinolin-8-yl, Chinolin-2-yl, Chinoxalin-2-yl, 2- Naphthylmethyl, 1 -Naphthylmethyl, Chinolin-4-ylmethyl, Chinolin-6-ylmethyl, Chinolin-8- ylmethyl, Chinolin-2-ylmethyl, Chinoxalin-2-ylmethyl, Pyrazin-2-ylmethyl, 4-Chloropyridin-2- yl, 3-Chloropyridin-4-yl, 2-Chloropyridin-3-yl, 2-Chloropyridin-4-yl, 2-Chlorpyridin-5-yl, 2,6- Dichlorpyridin-4-yl, 3-Chlorpyridin-5-yl, 3,5-Dichlorpyridin-2-yl, 3-Chlor-5- Trifluormethylpyridin-2-yl, )4-Chloropyridin-2-yl)methyl, (3-Chloropyridin-4-yl)methyl, (2- Chloropyridin-3-yl)methyl, (2-Chloropyridin-4-yl)methyl, (2-Chlorpyridin-5-yl)methyl, (2,6- Dichlorpyridin-4-yl)methyl, (3-Chlorpyridin-5-yl)methyl, (3,5-Dichlorpyridin-2-yl)methyl, Thiophen-2-yl, Thiophen-3-yl, 5-Methylthiophen-2-yl, 5-Ethylthiophen-2-yl, 5-Chlorthiophen-1-yl, quinolin-4-yl, quinolin-6-yl, quinolin-8-yl, quinolin-2-yl, quinoxalin-2-yl, 2-naphthylmethyl, 1-naphthylmethyl, quinolin-4-ylmethyl, quinoline 6-ylmethyl, quinolin-8-ylmethyl, quinolin-2-ylmethyl, quinoxalin-2-ylmethyl, pyrazine-2-ylmethyl, 4-chloropyridin-2-yl, 3-chloropyridin-4-yl, 2-chloropyridine-3 yl, 2-chloropyridin-4-yl, 2-chloropyridin-5-yl, 2,6-dichloropyridin-4-yl, 3-chloropyridin-5-yl, 3,5-dichloropyridin-2-yl, 3-chloro 5-trifluoromethylpyridin-2-yl, 4-chloropyridin-2-yl) methyl, (3-chloropyridin-4-yl) methyl, (2-chloropyridin-3-yl) methyl, (2-chloropyridin-4-yl) methyl, (2-chloropyridin-5-yl) methyl, (2,6-dichloropyridin-4-yl) methyl, (3-chloropyridin-5-yl) methyl, (3,5-dichloropyridin-2-yl) methyl, Thiophen-2-yl, thiophen-3-yl, 5-methylthiophene-2-yl, 5-ethylthiophene-2-yl, 5-chlorothiophene
2- yl, 5-Bromthiophen-2-yl, 4-Methylthiophen-2-yl, 3-Methylthiophen-2-yl, 5-Fluorthiophen-3- yl, 3,5-Dimethylthiophen-2-yl, 3-Ethylthiophen-2-yl, 4,5-Dimethylthiophen-2-yl, 3,4- Dimethylthiophen-2-yl, 4-Chlorthiophen-2-yl, Furan-2-yl, 5-Methylfuran-2-yl, 5-Ethylfuran-2- yl, 5-Methoxycarbonylfuran-2-yl, 5-Chlorfuran-2-yl, 5-Bromfuran-2-yl stehen, oder mit dem Atom, an das sie gebunden sind, einen vollständig gesättigten oder teilgesättigten, durch mindestens ein und optional bis zu drei Heteroatomen unterbrochenen und gegebenenfalls weiter substituierten 3-7-gliedrigen Ring bilden, für Methyl, Ethyl, n-Propyl, 1 -Methylethyl, n-Butyl, 1 -Methylpropyl, 2-Methylpropyl, 1 ,1 - Dimethylethyl, n-Pentyl, 1 -Methylbutyl, 2-Methylbutyl, 3-Methylbutyl, 1 ,1 -Dimethylpropyl, 1 ,2-Dimethylpropyl, 2,2-Dimethylpropyl, 1 -Ethylpropyl, n-Hexyl, 1 -Methylpentyl, 2- Methylpentyl, 3-Methylpentyl, 4-Methylpentyl, 1 ,1 -Dimethylbutyl, 1 ,2-Dimethylbutyl, 1 ,3-Di- methylbutyl, 2,2-Dimethylbutyl, 2,3-Dimethylbutyl, 3,3-Dimethylbutyl, 1 -Ethylbutyl, 2- Ethylbutyl, 1 , 1 ,2-Trimethylpropyl, 1 ,2,2-Trimethylpropyl, 1 -Ethyl- 1 -methylpropyl, l -Ethyl-2- methylpropyl, Cyanomethyl, Cyanoethyl, Cyano-n-propyl, Trifluormethyl, Pentafluorethyl, 1 , 1 ,2,2-Tetrafluorethyl, Heptafluor-n-propyl, Heptafluor-iso-propyl, Nonafluorbutyl, 2-yl, 5-bromothiophene-2-yl, 4-methylthiophene-2-yl, 3-methylthiophene-2-yl, 5-fluorothiophene-3-yl, 3,5-dimethylthiophene-2-yl, 3-ethylthiophene 2-yl, 4,5-dimethylthiophene-2-yl, 3,4-dimethylthiophene-2-yl, 4-chlorothiophene-2-yl, furan-2-yl, 5-methyl-furan-2-yl, 5-ethyl-furan 2-yl, 5-methoxycarbonyl-furan-2-yl, 5-chlorofuran-2-yl, 5-bromofuran-2-yl, or with the atom to which they are attached, a fully saturated or partially saturated, by at least one and optionally form interrupted up to three heteroatoms and optionally further substituted 3-7 membered ring, for methyl, ethyl, n -propyl, 1-methylethyl, n-butyl, 1-methylpropyl, 2-methylpropyl, 1, 1-dimethylethyl, n-pentyl, 1-methylbutyl, 2-methylbutyl, 3-methylbutyl, 1, 1 -Dimethylpropyl, 1, 2-dimethylpropyl, 2,2-dimethylpropyl, 1-ethylpropyl, n-hexyl, 1-methylpentyl, 2-methylpentyl, 3-methylpentyl, 4-methylpentyl, 1, 1-dimethylbutyl, 1, 2-dimethylbutyl , 1, 3-dimethylbutyl, 2,2-dimethylbutyl, 2,3-dimethylbutyl, 3,3-dimethylbutyl, 1-ethylbutyl, 2-ethylbutyl, 1, 1, 2-trimethylpropyl, 1, 2,2-trimethylpropyl , 1-ethyl-1-methylpropyl, l-ethyl-2-methylpropyl, cyanomethyl, cyanoethyl, cyano-n-propyl, trifluoromethyl, pentafluoroethyl, 1, 1, 2,2-tetrafluoroethyl, heptafluoro-n-propyl, heptafluoro-iso propyl, nonafluorobutyl,
Chlordifluormethyl, Bromdifluormethyl, Dichlorfluormethyl, Ioddifluormethyl, Chlorodifluoromethyl, bromodifluoromethyl, dichlorofluoromethyl, iododifluoromethyl,
Bromfluormethyl, 1 -Fluorethyl, 2-Fluorethyl, Fluormethyl, Difluormethyl, 2,2-Difluorethyl, 2,2,2-Trifluorethyl, Difluor-tert.-butyl, Chlormethyl, Brommethyl, Fluormethyl, 3,3,3-Trifluor- n-propyl, Cyclopropyl, Cyclobutyl, Cyclopentyl, Cyclohexyl, 1 -Methylcycloprop-l -yl, 2- Methylcycloprop-l -yl, 2,2-Dimethylcycloprop-l -yl, 2,3-Dimethylcyclopropyl, 2-2- Methoxyprop-2-yl, 2-Ethoxyprop-2-yl, 2-n-Propyloxyprop-2-yl, 2-n-Butyloxyprop-2-yl, 2- Benzyloxyprop-2-yl, 2-Phenylethyloxyprop-2-yl, 2-Trifluormethyloxyprop-2-yl, 2- Difluormethyloxyprop-2-yl, 2,2,2-Trifluorethyloxyprop-2-yl, 2,2-Difluorethyloxyprop-2-yl, 2- (4-Chlorphenylmethoxy)prop-2-yl, 2-(4-Fluorphenylmethoxy)prop-2-yl, 2-(4- Bromphenylmethoxy)prop-2-yl, 2-(4-Trifluormethylphenylmethoxy)prop-2-yl, 2-(4- Methylphenylmethoxy)prop-2-yl, 2-(3-Chlorphenylmethoxy)prop-2-yl, 2-(3- Fluorphenylmethoxy)prop-2-yl, 2-(3-Bromphenylmethoxy)prop-2-yl, 2-(3- Trifluormethylphenylmethoxy)prop-2-yl, 2-(3-Methylphenylmethoxy)prop-2-yl, 2-(2- Chlorphenylmethoxy)prop-2-yl, 2-(2-Fluorphenylmethoxy)prop-2-yl, 2-(2- Bromphenylmethoxy)prop-2-yl, 2-(2-Trifluormethylphenylmethoxy)prop-2-yl, 2-(2- Methylphenylmethoxy)prop-2-yl 1 -(4-Methylphenyl)ethyl, l -(3-Methylphenyl)ethyl, l -(2- Methylphenyl)ethyl, 1 -(4-Chlorphenyl)ethyl, l -(3-Chlorphenyl)ethyl, 1 -(2-Chlorphenyl)ethyl, Benzyl, (4-Fluorphenyl)methyl, (3-Fluorphenyl)methyl, (2-Fluorphenyl)methyl, (2,4- Difluorphenyl)methyl, (3,5-Difluorphenyl)methyl, (2,5-Difluorphenyl)methyl, (2,6- Difluorphenyl)methyl, (2,4,5-Trifluorphenyl)methyl, (2,4,6-Trifluorphenyl)methyl, (4- Chlorphenyl)methyl, (3-Chlorphenyl)methyl, (2-Chlorphenyl)methyl, (2,4- Dichlorphenyl)methyl, (3,5-Dichlorphenyl)methyl, (2,5-Dichlorphenyl)methyl, (2,6- Dichlorphenyl)methyl, (2,4,5-Trichlorphenyl)methyl, (2,4,6-Trichlorphenyl)methyl, (4- Bromphenyl)methyl, (3-Bromphenyl)methyl, (2-Bromphenyl)methyl, (4-Iodphenyl)methyl, (3- Iodphenyl)methyl, (2-Iodphenyl)methyl, (3-Chlor-5-Trifluormethyl-pyridin-2-yl)methyl, (2- Brom-4-Fluorphenl)methyl, (2-Brom-4-Chlorphenyl)methyl, (3-Brom-4-Fluorphenyl)methyl, (3-Brom-4-Chlorphenyl)methyl, (3-Brom-5-Fluorphenyl)methyl, (3-Brom-5- Chlorphenyl)methyl, (2-Fluor-4-Bromphenyl)methyl, (2-Chlor-4-Bromphenyl)methyl, (3 -Fluor- 4-Bromphenyl)methyl, (3-Chlor-4-Bromphenyl)methyl, (2-Chlor-4-Fluorphenyl)methyl, (3- Chlor-4-Fluorphenyl)methyl, (2-Fluor-3 -Chlorphenyl)methyl, (2-Fluor-4-Chlorphenyl)methyl, (2-Fluor-5-Chlorphenyl)methyl, (3-Fluor-4-Chlorphenyl)methyl, (3-Fluor-5- Chlorphenyl)methyl, (2-Fluor-6-Chlorphenyl)methyl, Phenylethyl, 3-Trifluormethyl-4- Chlorphenyl, 3-Chlor-4-Trifluormethylphenyl, 2-Chlor-4-Trifluormethylphenyl, 3,5- Dfluorpyridin-2-yl, (3,6-Dichlor-pyridin-2-yl)methyl, (4-Trifluormethylphenyl)methyl, (3- Trifluormethylphenyl)methyl, (2-Trifluormethylphenyl)methyl, (4- Trifluormethoxyphenyl)methyl, (3-Trifluormethoxyphenyl)methyl, (2- Trifluormethoxyphenyl)methyl, (4-Methoxyphenyl)methyl, (3-Methoxyphenyl)methyl, (2- Methoxyphenyl)methyl, (4-Methylphenyl)methyl, (3-Methylphenyl)methyl, (2- Methylphenyl)methyl, (4-Cyanophenyl)methyl, (3-Cyanophenyl)methyl, (2- Cyanophenyl)methyl, (2,4-Diethylphenyl)methyl, (3,5-Diethylphenyl)methyl, (3,4- Dimethylphenyl)methyl, (3,5-Dimethoxyphenyl)methyl, 1 -Phenyleth-l -yl, Cyclopropylmethyl, Cyclobutylmethyl, Cyclopentylmethyl, Cyclohexylmethyl Ethenyl, 1 -Propenyl, 2-Propenyl, 1 - Methyl- ethenyl, 1 -Butenyl, 2-Butenyl, 3-Butenyl, 1 -Methyl- 1 -propenyl, 2-Methyl-l -propenyl, 1 -Methyl-2-propenyl, 2-Methyl-2-propenyl, 1 -Pentenyl, 2-Pentenyl, 3-Pentenyl, 4-Pentenyl, 1 - Methyl-1 -butenyl, 2-Methyl-l -butenyl, 3 -Methyl- 1 -butenyl, 1 -Methyl-2-butenyl, 2-Methyl-2- butenyl, 3-Methyl-2-butenyl, l -Methyl-3 -butenyl, 2-Methyl-3 -butenyl, 3 -Methyl-3 -butenyl, 1 , 1 - Dimethyl-2-propenyl, 1 ,2-Dimethyl-l -propenyl, 1 ,2-Dimethyl-2-propenyl, 1 -Ethyl-l -propenyl, 1 -Ethyl-2-propenyl, 1 -Hexenyl, 2-Hexenyl, 3-Hexenyl, 4-Hexenyl, 5-Hexenyl, 1 -Methyl-l - pentenyl, 2-Methyl-l -pentenyl, 3 -Methyl- 1 -pentenyl, 4-Methyl-l -pentenyl, l -Methyl-2- pentenyl, 2-Methyl-2-pentenyl, 3-Methyl-2-pentenyl, 4-Methyl-2-pentenyl, 1 -Methyl-3 - pentenyl, 2-Methyl-3 -pentenyl, 3 -Methyl-3 -pentenyl, 4-Methyl-3 -pentenyl, l -Methyl-4- pentenyl, 2-Methyl-4-pentenyl, 3-Methyl-4-pentenyl, 4-Methyl-4-pentenyl, 1 , 1 -Dimethyl-2- butenyl, l ,l -Dimethyl-3 -butenyl, 1 ,2-Dimethyl-l -butenyl, l ,2-Dimethyl-2-butenyl, 1 ,2- Dimethyl-3 -butenyl, 1 , 3 -Dimethy 1-1 -butenyl, l ,3-Dimethyl-2-butenyl, l ,3-Dimethyl-3-butenyl, 2,2-Dimethyl-3 -butenyl, 2,3-Dimethyl-l -butenyl, 2,3-Dimethyl-2-butenyl, 2,3-Dimethyl-3- butenyl, 3,3-Dimethyl-l -butenyl, 3,3-Dimethyl-2-butenyl, l -Ethyl-l -butenyl, 1 -Ethyl-2-butenyl, l -Ethyl-3 -butenyl, 2-Ethyl-l -butenyl, 2-Ethyl-2-butenyl, 2-Ethyl-3 -butenyl, l ,l ,2-Trimethyl-2- propenyl, l -Ethyl-l -methyl-2-propenyl, l -Ethyl-2-methyl-l -propenyl und 1 -Ethyl-2-methyl-2- propenyl, Ethinyl, 1 -Propinyl, 2-Propinyl, 1 -Butinyl, 2-Butinyl, 3-Butinyl, 1 -Methyl-2-propinyl,Bromofluoromethyl, 1-fluoroethyl, 2-fluoroethyl, fluoromethyl, difluoromethyl, 2,2-difluoroethyl, 2,2,2-trifluoroethyl, difluoro-tert-butyl, chloromethyl, bromomethyl, fluoromethyl, 3,3,3-trifluoro-n -propyl, cyclopropyl, cyclobutyl, cyclopentyl, cyclohexyl, 1-methylcycloprop-1-yl, 2-methylcycloprop-1-yl, 2,2-dimethylcycloprop-1-yl, 2,3-dimethylcyclopropyl, 2-2-methoxyprop-2 -yl, 2-ethoxyprop-2-yl, 2-n-propyloxyprop-2-yl, 2-n-butyloxyprop-2-yl, 2-benzyloxyprop-2-yl, 2-phenylethyloxyprop-2-yl, 2-trifluoromethyloxyprop -2-yl, 2-difluoromethyloxyprop-2-yl, 2,2,2-trifluoroethyloxyprop-2-yl, 2,2-difluoroethyloxyprop-2-yl, 2- (4-chlorophenylmethoxy) prop-2-yl, 2- (4-fluorophenylmethoxy) prop-2-yl, 2- (4-bromophenylmethoxy) prop-2-yl, 2- (4-trifluoromethylphenylmethoxy) prop-2-yl, 2- (4-methylphenylmethoxy) prop-2-yl, 2- (3-chlorophenylmethoxy) prop-2-yl, 2- (3-fluorophenylmethoxy) prop-2-yl, 2- (3-bromophenylmethoxy) prop-2-yl, 2- (3-trifluoromethylphenylmethoxy) prop-2-yl yl, 2- (3-methylphenylmethoxy) prop-2-yl, 2- (2-chloro phenylmethoxy) prop-2-yl, 2- (2-fluorophenylmethoxy) prop-2-yl, 2- (2-bromophenylmethoxy) prop-2-yl, 2- (2-trifluoromethylphenylmethoxy) prop-2-yl, 2- 2-methylphenylmethoxy) prop-2-yl 1- (4-methylphenyl) ethyl, 1- (3-methylphenyl) ethyl, 1- (2-methylphenyl) ethyl, 1- (4-chlorophenyl) ethyl, 1- (3-methylphenyl) ethyl Chlorophenyl) ethyl, 1- (2-chlorophenyl) ethyl, benzyl, (4-fluorophenyl) methyl, (3-fluorophenyl) methyl, (2-fluorophenyl) methyl, (2,4-difluorophenyl) methyl, (3,5- Difluorophenyl) methyl, (2,5-difluorophenyl) methyl, (2,6-difluorophenyl) methyl, (2,4,5-trifluorophenyl) methyl, (2,4,6-trifluorophenyl) methyl, (4-chlorophenyl) methyl , (3-Chlorophenyl) methyl, (2-chlorophenyl) methyl, (2,4-dichlorophenyl) methyl, (3,5-dichlorophenyl) methyl, (2,5-dichlorophenyl) methyl, (2,6-dichlorophenyl) methyl , (2,4,5-trichlorophenyl) methyl, (2,4,6-trichlorophenyl) methyl, (4-bromophenyl) methyl, (3-bromophenyl) methyl, (2-bromophenyl) methyl, (4-iodophenyl) methyl , (3-iodophenyl) methyl, (2-iodophenyl) methyl, (3-chloro-5-trifluoromethylpyridin-2-yl) methyl, (2-Br om-4-fluorophenol) methyl, (2-bromo-4-chlorophenyl) methyl, (3-bromo-4-fluorophenyl) methyl, (3-bromo-4-chlorophenyl) methyl, (3-bromo-5-fluorophenyl) methyl, (3-bromo-5-chlorophenyl) methyl, (2-fluoro-4-bromophenyl) methyl, (2-chloro-4-bromophenyl) methyl, (3-fluoro) 4-bromophenyl) methyl, (3-chloro-4-bromophenyl) methyl, (2-chloro-4-fluorophenyl) methyl, (3-chloro-4-fluorophenyl) methyl, (2-fluoro-3-chlorophenyl) methyl, (2-fluoro-4-chlorophenyl) methyl, (2-fluoro-5-chlorophenyl) methyl, (3-fluoro-4-chlorophenyl) methyl, (3-fluoro-5-chlorophenyl) methyl, (2-fluoro-6 -Chlorophenyl) methyl, phenylethyl, 3-trifluoromethyl-4-chlorophenyl, 3-chloro-4-trifluoromethylphenyl, 2-chloro-4-trifluoromethylphenyl, 3,5-difluoropyridin-2-yl, (3,6-dichloropyridine). 2-yl) methyl, (4-trifluoromethylphenyl) methyl, (3-trifluoromethylphenyl) methyl, (2-trifluoromethylphenyl) methyl, (4-trifluoromethoxyphenyl) methyl, (3-trifluoromethoxyphenyl) methyl, (2-trifluoromethoxyphenyl) methyl, (4 -Methoxyphenyl) methyl, (3-methoxyphenyl) methyl, (2-methoxyphenyl) methyl, (4-methylphenyl) methyl, (3-methylphenyl) methyl, (2-methylphenyl) methyl, (4-cyanophenyl) methyl, (3 Cyanophenyl) methyl, (2-cyanophenyl) methyl, (2,4-diethylphenyl) methyl, (3,5-diethylphenyl) methyl, (3,4-dimethylphenyl) methyl, (3,5-dimethoxyphenyl) methyl, 1-phenyleth-1-yl, cyclopropylmethyl, cyclobutylmethyl, cyclopentylmethyl, cyclohexylmethyl, ethenyl, 1-propenyl, 2-propenyl, 1-methyl-ethenyl, 1-butenyl, 2-butenyl, 3-butenyl, 1-methyl-1-propenyl , 2-methyl-1-propenyl, 1-methyl-2-propenyl, 2-methyl-2-propenyl, 1-pentenyl, 2-pentenyl, 3-pentenyl, 4-pentenyl, 1-methyl-1-butenyl, 2 -Methyl-1-butenyl, 3-methyl-1-butenyl, 1-methyl-2-butenyl, 2-methyl-2-butenyl, 3-methyl-2-butenyl, 1-methyl-3-butenyl, 2-methyl 3 -butenyl, 3-methyl-3-butenyl, 1,1-dimethyl-2-propenyl, 1, 2-dimethyl-1-propenyl, 1, 2-dimethyl-2-propenyl, 1-ethyl-1-propenyl , 1-ethyl-2-propenyl, 1-hexenyl, 2-hexenyl, 3-hexenyl, 4-hexenyl, 5-hexenyl, 1-methyl-1-pentenyl, 2-methyl-1-pentenyl, 3-methyl-1 pentenyl, 4-methyl-1-pentenyl, 1-methyl-2-pentenyl, 2-methyl-2-pentenyl, 3-methyl-2-pentenyl, 4-methyl-2-pentenyl, 1-methyl-3-pentenyl , 2-methyl-3-pentenyl, 3-methyl-3-pentenyl, 4-methyl-3-pentenyl, 1-methyl-4-pentenyl, 2-methyl-4-pe ntenyl, 3-methyl-4-pentenyl, 4-methyl-4-pentenyl, 1,1-dimethyl-2-butenyl, 1,1-dimethyl-3-butenyl, 1,2-dimethyl-1-butenyl, I, 2-Dimethyl-2-butenyl, 1, 2-dimethyl-3-butenyl, 1, 3-dimethyl-1-1 -butenyl, 1,3-dimethyl-2-butenyl, 1,3-dimethyl-3-butenyl, 2 , 2-Dimethyl-3-butenyl, 2,3-dimethyl-1-butenyl, 2,3-dimethyl-2-butenyl, 2,3-dimethyl-3-butenyl, 3,3-dimethyl-1-butenyl, 3 , 3-dimethyl-2-butenyl, 1-ethyl-1-butenyl, 1-ethyl-2-butenyl, 1-ethyl-3-butenyl, 2-ethyl-1-butenyl, 2-ethyl-2-butenyl, 2 Ethyl 3 -butenyl, 1, 1, 2-trimethyl-2-propenyl, 1-ethyl-1-methyl-2-propenyl, 1-ethyl-2-methyl-1-propenyl and 1-ethyl-2-methyl -2-propenyl, ethynyl, 1-propynyl, 2-propynyl, 1-butynyl, 2-butynyl, 3-butynyl, 1-methyl-2-propynyl,
1 - Pentinyl, 2-Pentinyl, 3-Pentinyl, 4-Pentinyl, 1 -Methyl-2-butinyl, 1 -Methyl-3 -butinyl, 2- Methyl-3-butinyl, 3 -Methyl- 1 -butinyl, 1 , 1 -Dimethyl-2-propinyl, 1 -Ethyl-2-propinyl, 1 -Hexinyl,1 - pentynyl, 2-pentynyl, 3-pentynyl, 4-pentynyl, 1-methyl-2-butynyl, 1-methyl-3-butynyl, 2-methyl-3-butynyl, 3-methyl-1-butynyl, 1, 1-dimethyl-2-propynyl, 1-ethyl-2-propynyl, 1-hexynyl,
2- Hexinyl, 3-Hexinyl, 4-Hexinyl, 5-Hexinyl, 1 -Methyl-2-pentinyl, 1 -Methyl-3 -pentinyl, 1 - Methyl-4-pentinyl, 2-Methyl-3 -pentinyl, 2-Methyl-4-pentinyl, 3 -Methyl- 1 -pentinyl, 3-Methyl-4- pentinyl, 4-Methyl-l -pentinyl, 4-Methyl-2-pentinyl, 1 , 1 -Dimethyl-2-butinyl, l , l -Dimethyl-3- butinyl, 1 ,2-Dimethyl-3 -butinyl, 2,2-Dimethyl-3 -butinyl, 3,3-Dimethyl-l -butinyl, l -Ethyl-2- butinyl, l -Ethyl-3-butinyl, 2-Ethyl-3-butinyl, l -Ethyl-l -methyl-2-propinyl, Phenyl, 2-Fluor- Phenyl, 3-Fluor-Phenyl, 4-Fluor-Phenyl, 2,4-Difluor-Phenyl, 2,5-Difluor-Phenyl, 2,6-Difluor- Phenyl, 2,3-Difluor-Phenyl, 3,4-Difluor-Phenyl, 3,5-Difluor-Phenyl, 2,4,5-Trifluor-Phenyl, 3,4,5-Trifluor-Phenyl, 2-Chlor-Phenyl, 3-Chlor-Phenyl, 4-Chlor-Phenyl, 2,4-Dichlor-Phenyl, 2,5-Dichlor-Phenyl, 2,6-Dichlor-Phenyl, 2,3-Dichlor-Phenyl, 3,4-Dichlor-Phenyl, 3,5-Dichlor- Phenyl, 2,4,5-Trichlor-Phenyl, 3,4,5-Trichlor-Phenyl, 2,4,6-Trichlor-Phenyl, 2-Brom-Phenyl, 3- Brom-Phenyl, 4-Brom-Phenyl, 2-Iod-Phenyl, 3-Iod-Phenyl, 4-Iod-Phenyl, 2-Brom-4-Fluor- Phenyl, 2-Brom-4-Chlor-Phenyl, 3-Brom-4-Fluor-Phenyl, 3-Brom-4-Chlor-Phenyl, 3-Brom-5- Fluor-Phenyl, 3-Brom-5-Chlor-Phenyl, 2-Fluor-4-Brom-Phenyl, 2-Chlor-4-Brom-Phenyl, 3- Fluor-4-Brom-Phenyl, 3-Chlor-4-Brom-Phenyl, 2-Chlor-4-Fluor-Phenyl, 3-Chlor-4-Fluor- Phenyl, 2-Fluor-3-Chlor-Phenyl, 2-Fluor-4-Chlor-Phenyl, 2-Fluor-5-Chlor-Phenyl, 3-Fluor-4- Chlor-Phenyl, 3-Fluor-5-Chlor-Phenyl, 2-Fluor-6-Chlor-Phenyl, 2-Methyl-Phenyl, 3-Methyl- Phenyl, 4-Methyl-Phenyl, 2,4-Dimethyl-Phenyl, 2,5-Dimethyl-Phenyl, 2,6-Dimethyl-Phenyl, 2,3-Dimethyl-Phenyl, 3,4-Dimethyl-Phenyl, 3,5-Dimethyl-Phenyl, 2,4,5-Trimethyl-Phenyl, 3,4,5-Trimethyl-Phenyl, 2,4,6-Trimethyl-Phenyl, 2-Methoxy-Phenyl, 3-Methoxy-Phenyl, 4- Methoxy-Phenyl, 2,4-Dimethoxy-Phenyl, 2,5-Dimethoxy-Phenyl, 2,6-Dimethoxy-Phenyl, 2,3- Dimethoxy-Phenyl, 3,4-Dimethoxy-Phenyl, 3,5-Dimethoxy-Phenyl, 2,4,5-Trimethoxy-Phenyl, 3,4,5-Trimethoxy-Phenyl, 2,4,6-Trimethoxy-Phenyl, 2-Trifluormethoxy-Phenyl, 3- Trifluormethoxy-Phenyl, 4-Trifluormethoxy-Phenyl, 2-Difluormethoxy-Phenyl, 3- Difluormethoxy-Phenyl, 4-Difluormethoxy-Phenyl, 2-Trifluormethyl-Phenyl, 3-Trifluormethyl- Phenyl, 4-Trifluormethyl-Phenyl, 2-Difluormethyl-Phenyl, 3-Difluormethyl-Phenyl, 4- Difluormethyl-Phenyl, 3,5-Bis(Trifluormethyl)-Phenyl, 3-Trifluormethyl-5-Fluor-Phenyl, 3- Trifluormethyl-5-Chlor-Phenyl, 3-Methyl-5-Fluor-Phenyl, 3-Methyl-5-Chlor-Phenyl, 3- Methoxy-5-Fluor-Phenyl, 3-Methoxy-5-Chlor-Phenyl, 3-Trifluormethoxy-5-Chlor-Phenyl, 2- Ethoxy-Phenyl, 3-Ethoxy-Phenyl, 4-Ethoxy-Phenyl, 2-Methylthio-Phenyl, 3-Methylthio-Phenyl, 4-Methylthio-Phenyl, 2-Trifluormethylthio-Phenyl, 3-Trifluormethylthio-Phenyl, 4- Trifluormethylthio-Phenyl, Methoxycarbonyl, Ethoxycarbonyl, Methoxymethyl, 2-Ethyl- Phenyl, 3-Ethyl-Phenyl, 4-Ethyl-Phenyl, 2-Methoxycarbonyl-Phenyl, 3-Methoxycarbonyl- Phenyl, 4-Methoxycarbonyl-Phenyl, 2-Ethoxycarbonyl-Phenyl, 3-Ethoxycarbonyl-Phenyl, 4- Ethoxycarbonyl-Phenyl, Pyridin-2-yl, Pyridin-3-yl, Pyridin-4-yl, Pyrazin-2-yl, Pyridazin-3-yl, Pyridazin-4-yl, Pyrimidin-2-yl, Pyrimidin-5-yl, Pyrimidin-4-yl, Pyridazin-3 -ylmethyl, 2-hexynyl, 3-hexynyl, 4-hexynyl, 5-hexynyl, 1-methyl-2-pentynyl, 1-methyl-3-pentynyl, 1-methyl-4-pentynyl, 2-methyl-3-pentynyl, 2- Methyl 4-pentynyl, 3-methyl-1-pentynyl, 3-methyl-4-pentynyl, 4-methyl-1-pentynyl, 4-methyl-2-pentynyl, 1, 1-dimethyl-2-butynyl, 1, 1-dimethyl-3-butynyl, 1, 2-dimethyl-3-butynyl, 2,2-dimethyl-3-butynyl, 3,3-dimethyl-1-butynyl, 1-ethyl-2-yl butinyl, 1-ethyl-3-butynyl, 2-ethyl-3-butynyl, 1-ethyl-1-methyl-2-propynyl, phenyl, 2-fluoro-phenyl, 3-fluoro-phenyl, 4-fluoro-phenyl, 2,4-difluoro-phenyl, 2,5-difluoro-phenyl, 2,6-difluoro-phenyl, 2,3-difluoro-phenyl, 3,4-difluoro-phenyl, 3,5-difluoro-phenyl, 2, 4,5-trifluoro-phenyl, 3,4,5-trifluoro-phenyl, 2-chloro-phenyl, 3-chloro-phenyl, 4-chloro-phenyl, 2,4-dichloro-phenyl, 2,5-dichloro Phenyl, 2,6-dichloro-phenyl, 2,3-dichloro-phenyl, 3,4-dichloro-phenyl, 3,5-dichloro-phenyl, 2,4,5-trichloro-phenyl, 3,4,5- Trichloro-phenyl, 2,4,6-trichloro-phenyl, 2-bromo-phenyl, 3-bromo-phenyl, 4-bromo-phenyl, 2-iodo-phenyl, 3-iodo-phenyl, 4-iodo-phenyl, 2-bromo-4-fluoro-phenyl, 2-bromo-4-chloro-phenyl, 3-bromo-4-fluoro-phenyl, 3-bromo-4-chloro-phenyl, 3-bromo-5-fluoro-phenyl, 3-bromo-5-chloro-phenyl, 2-fluoro-4-bromo-phenyl, 2-chloro-4-bromo-phenyl, 3-fluoro-4-bromo-phenyl, 3-chloro-4-bromo-phenyl, 2-chloro-4-fluoro-phenyl, 3-chloro-4-fluoro-phenyl, 2-fluoro-3-chloro-phenyl, 2-fluoro-4-chloro-phenyl, 2-fluoro-5-chloro-phenyl, 3-fluoro-4-chloro Phenyl, 3-fluoro-5-chloro-phenyl, 2-fluoro-6-chloro-phenyl, 2-methyl-phenyl, 3-methyl-phenyl, 4-methyl-phenyl, 2,4-dimethyl-phenyl, 2, 5-dimethyl-phenyl, 2,6-dimethyl-phenyl, 2,3-dimethyl-phenyl, 3,4-dimethyl-phenyl, 3,5-dimethyl-phenyl, 2,4,5-trimethyl-phenyl, 3, 4,5-trimethyl-phenyl, 2,4,6-trimethyl-phenyl, 2-methoxy-phenyl, 3-methoxy-phenyl, 4-methoxy-phenyl, 2,4-dimethoxy-phenyl, 2,5-dimethoxy Phenyl, 2,6-dimethoxy-phenyl, 2,3-dimethoxy-phenyl, 3,4-dimethoxy-phenyl, 3,5-dimethoxy-phenyl, 2,4,5-trimethoxy-phenyl, 3,4,5- Trimethoxy-phenyl, 2,4,6-trimethoxy-phenyl, 2-trifluoromethoxy-phenyl, 3-trifluoromethoxy-phenyl, 4-trifluoromethoxy-phenyl, 2-difluoromethoxy-phenyl, 3-difluoromethoxy-phenyl, 4-difluoromethoxy-phenyl, 2-trifluoromethyl-phenyl, 3-trifluoromethyl-phenyl, 4-trifluoromethyl-phenyl, 2-difluoromethyl-phenyl, 3-difluoromethyl-phenyl, 4-difluoromethyl-phenyl, 3,5-bis (trifluoromethyl) -phenyl, 3-trifluoromethyl 5-fluoro-phenyl, 3-trifluoromethyl-5-chloro-phenyl, 3-methyl-5-fluoro-phenyl, 3-M ethyl-5-chloro-phenyl, 3-methoxy-5-fluoro-phenyl, 3-methoxy-5-chloro-phenyl, 3-trifluoromethoxy-5-chloro-phenyl, 2-ethoxy-phenyl, 3-ethoxy-phenyl, 4-ethoxy-phenyl, 2-methylthio-phenyl, 3-methylthio-phenyl, 4-methylthio-phenyl, 2-trifluoromethylthio-phenyl, 3-trifluoromethylthio-phenyl, 4-trifluoromethylthio-phenyl, methoxycarbonyl, ethoxycarbonyl, methoxymethyl, 2 Ethyl phenyl, 3-ethyl-phenyl, 4-ethyl-phenyl, 2-methoxycarbonyl-phenyl, 3-methoxycarbonyl-phenyl, 4-methoxycarbonyl-phenyl, 2-ethoxycarbonyl-phenyl, 3-ethoxycarbonyl-phenyl, 4-ethoxycarbonyl- Phenyl, pyridin-2-yl, pyridin-3-yl, pyridin-4-yl, pyrazine-2-yl, pyridazin-3-yl, pyridazin-4-yl, pyrimidin-2-yl, pyrimidin-5-yl, Pyrimidin-4-yl, pyridazine-3-ylmethyl,
Pyridazin-4-ylmethyl, Pyrimidin-2 -ylmethyl, Pyrimidin-5-ylmethyl, Pyrimidin-4-ylmethyl, Pyrazin-2-ylmethyl, 3-Chlor-Pyrazin-2-yl, 3-Brom-Pyrazin-2-yl, 3-Methoxy-Pyrazin-2-yl, 3- Ethoxy-Pyrazin-2-yl, 3-Trifluormethylpyrazin-2-yl, 3-Cyanopyrazin-2-yl, Naphth-2-yl, Naphth- 1 -yl, Chinolin-4-yl, Chinolin-6-yl, Chinolin-8-yl, Chinolin-2-yl, Chinoxalin-2-yl, 2- Naphthylmethyl, 1 -Naphthylmethyl, Chinolin-4-ylmethyl, Chinolin-6-ylmethyl, Chinolin-8- ylmethyl, Chinolin-2-ylmethyl, Chinoxalin-2 -ylmethyl, Pyrazin-2-ylmethyl, 4-Chloropyridin-2- yl, 3-Chloropyridin-4-yl, 2-Chloropyridin-3-yl, 2-Chloropyridin-4-yl, 2-Chlorpyridin-5-yl, 2,6- Dichlorpyridin-4-yl, 3-Chlorpyridin-5-yl, 3,5-Dichlorpyridin-2-yl, 3-Chlor-5- Trifluormethylpyridin-2-yl, )4-Chloropyridin-2-yl)methyl, (3-Chloropyridin-4-yl)methyl, (2- Chloropyridin-3-yl)methyl, (2-Chloropyridin-4-yl)methyl, (2-Chlorpyridin-5-yl)methyl, (2,6- Dichlorpyridin-4-yl)methyl, (3-Chlorpyridin-5-yl)methyl, (3,5-Dichlorpyridin-2-yl)methyl, Thiophen-2-yl, Thiophen-3-yl, 5-Methylthiophen-2-yl, 5-Ethylthiophen-2-yl, 5-Chlorthiophen- 2-yl, 5-Bromthiophen-2-yl, 4-Methylthiophen-2-yl, 3-Methylthiophen-2-yl, 5-Fluorthiophen-3- yl, 3,5-Dimethylthiophen-2-yl, 3-Ethylthiophen-2-yl, 4,5-Dimethylthiophen-2-yl, 3,4- Dimethylthiophen-2-yl, 4-Chlorthiophen-2-yl, Furan-2-yl, 5-Methylfuran-2-yl, 5-Ethylfuran-2- yl, 5-Methoxycarbonylfuran-2-yl, 5-Chlorfuran-2-yl, 5-Bromfuran-2-yl steht, und Pyridazin-4-ylmethyl, pyrimidin-2-ylmethyl, pyrimidin-5-ylmethyl, pyrimidin-4-ylmethyl, pyrazine-2-ylmethyl, 3-chloro-pyrazine-2-yl, 3-bromo-pyrazine-2-yl, 3-methoxy-pyrazine-2-yl, 3-ethoxy-pyrazine-2-yl, 3-trifluoromethyl-pyrazine-2-yl, 3-cyanopyrazine-2-yl, naphth-2-yl, naphth-1-yl, quinoline 4-yl, quinolin-6-yl, quinolin-8-yl, quinolin-2-yl, quinoxalin-2-yl, 2-naphthylmethyl, 1-naphthylmethyl, quinolin-4-ylmethyl, quinolin-6-ylmethyl, quinoline 8-ylmethyl, quinolin-2-ylmethyl, quinoxaline-2-ylmethyl, pyrazine-2-ylmethyl, 4-chloropyridine-2 yl, 3-chloropyridin-4-yl, 2-chloropyridin-3-yl, 2-chloropyridin-4-yl, 2-chloropyridin-5-yl, 2,6-dichloropyridin-4-yl, 3-chloropyridine-5 yl, 3,5-dichloropyridin-2-yl, 3-chloro-5-trifluoromethylpyridin-2-yl,) 4-chloropyridin-2-yl) methyl, (3-chloropyridin-4-yl) methyl, (2-chloropyridine 3-yl) methyl, (2-chloropyridin-4-yl) methyl, (2-chloropyridin-5-yl) methyl, (2,6-dichloropyridin-4-yl) methyl, (3-chloropyridin-5-yl ) methyl, (3,5-dichloropyridin-2-yl) methyl, thiophen-2-yl, thiophen-3-yl, 5-methylthiophene-2-yl, 5-ethylthiophene-2-yl, 5-chlorothiophene 2- yl, 5-bromothiophene-2-yl, 4-methylthiophene-2-yl, 3-methylthiophene-2-yl, 5-fluorothiophene-3-yl, 3,5-dimethylthiophene-2-yl, 3-ethylthiophene-2 yl, 4,5-dimethylthiophene-2-yl, 3,4-dimethylthiophene-2-yl, 4-chlorothiophene-2-yl, furan-2-yl, 5-methylfuran-2-yl, 5-ethylfuran-2 yl, 5-methoxycarbonyl-furan-2-yl, 5-chlorofuran-2-yl, 5-bromofuran-2-yl, and
X für Sauerstoff steht, X stands for oxygen,
Ebenfalls noch nicht beschrieben und somit weiterer Teil der Erfindung sind die substituierten Also not yet described and thus further part of the invention are the substituted
Indolinylmethylsulfonamide der allgemeinen Formel (I) oder deren Salzen, Indolinylmethylsulfonamides of the general formula (I) or salts thereof,
wonn Wonn
R1 für Wasserstoff, (Ci-C8)-Haloalkyl, (Ci-C8)-Haloalkoxy-(Ci-C8)-alkyl, (Ci-C8)-R 1 is hydrogen, (C 1 -C 8 ) -haloalkyl, (C 1 -C 8 ) -haloalkoxy- (C 1 -C 8 ) -alkyl, (C 1 -C 8 ) -
Haloalkylsulfonylalkyl, Hydroxy-(Ci-C8)-alkyl, Cyano-(Ci-C8)-alkyl, Halo-(C3-C8)-Cycloalkyl, (C3-C8)-Cycloalkyl-(C2-C8)-alkyl, Aryl-(Ci-C8)-alkyl, Heteroaryl-(Ci-C8)-alkyl, Heterocyclyl- (Ci-C8)-alkyl, (Ci-C8)-Alkoxy-(Ci-C8)-alkyl, (Ci-C8)-Alkylthio-(Ci-C8)-alkyl, Amino-(Ci-C8)- alkyl, (Ci-C8)-Alkylamino-(Ci-C8)-alkyl, (C3-C8)-Cycloalkylammo-(Ci-C8)-alkyl, Aryl-(Ci-C8)- alkylamino-(Ci-C8)-alkyl, Heteroaryl-(Ci-C8)-alkylamino-(Ci-C8)-alkyl, Heterocyclyl-(Ci-C8)- alkylamino-(Ci-C8)-alkyl, Heterocyclylamino-(Ci-C8)-alkyl, Heteroarylamino-(Ci-C8)-alkyl, (Ci-C8)-Alkoxycarbonylamino-(Ci-C8)-alkyl, Arylamino-(Ci-C8)-alkyl, Aryl-(Ci-C8)- alkoxycarbonylamino-(Ci-C8)-alkyl, (C3-C8)-Cycloalkoxycarbonylamino-(Ci-C8)-alkyl, (C3-C8)- Cycloalkyl-(Ci-C8)-alkoxycarbonylamino-(Ci-C8)-alkyl, Heteroaryl-(Ci-C8)- alkoxycarbonylamino-(Ci-C8)-alkyl, (Ci-C8)-Alkylcarbonylamino-(Ci-C8)-alkyl, (C3-C8)- Cycloalkylcarbonylamino-(Ci-C8)-alkyl, Arylcarbonylamino-(Ci-C8)-alkyl, (8 Ci-C) alkyl, cyano Haloalkylsulfonylalkyl, hydroxy (Ci-C 8) alkyl, halo (C 3 -C 8) cycloalkyl, (C 3 -C 8) cycloalkyl (C 2 - C 8 ) -alkyl, aryl- (C 1 -C 8 ) -alkyl, heteroaryl- (C 1 -C 8 ) -alkyl, heterocyclyl- (C 1 -C 8 ) -alkyl, (C 1 -C 8 ) -alkoxy- (Ci -C 8) alkyl, (Ci-C8) alkylthio (Ci-C8) alkyl, amino (Ci-C 8) - alkyl, (Ci-C 8) alkylamino (Ci-C 8 ) alkyl, (C 3 -C 8) -Cycloalkylammo- (Ci-C 8) alkyl, aryl (Ci-C8) - alkylamino (Ci-C8) alkyl, heteroaryl (Ci-C 8 ) -alkylamino- (C 1 -C 8 ) -alkyl, heterocyclyl- (C 1 -C 8 ) -alkylamino- (C 1 -C 8 ) -alkyl, heterocyclylamino- (C 1 -C 8 ) -alkyl, heteroarylamino- (C 1 -C 8 -alkyl) 8) alkyl, (Ci-C8) alkoxycarbonylamino (Ci-C 8) alkyl, arylamino (Ci-C 8) alkyl, aryl (Ci-C8) - alkoxycarbonylamino (Ci-C 8 ) alkyl, (C3-C8) -Cycloalkoxycarbonylamino- (Ci-C 8) alkyl, (C3-C8) - cycloalkyl- (Ci-C8) alkoxycarbonylamino (Ci-C 8) alkyl, heteroaryl - (Ci-C 8) - alkoxycarbonylamino (Ci-C 8) alkyl, (Ci-C8) alkylcarbonylamino (Ci-C 8) alkyl, (C3-C8) - Cycloalkylcarbonylamin o- (C 1 -C 8 ) -alkyl, arylcarbonylamino (C 1 -C 8 ) -alkyl,
Heteroarylcarbonylamino-(Ci-C8)-alkyl, Heterocyclylcarbonylamino-(Ci-C8)-alkyl, (C2-C8)- Alkenyloxycarbonylamino-(Ci-C8)-alkyl, Aryl-(C2-C8)-Alkenylamino-(Ci-C8)-alkyl, Heteroarylcarbonylamino (C 1 -C 8 ) -alkyl, heterocyclylcarbonylamino (C 1 -C 8 ) -alkyl, (C 2 -C 8 ) - Alkenyloxycarbonylamino- (C 1 -C 8) -alkyl, aryl- (C 2 -C 8) -alkenylamino- (C 1 -C 8) -alkyl,
Arylsulfonyl-(Ci-C8)-alkyl, Heteroarylsulfonyl-(Ci-C8)-alkyl, (Ci-C8)-Alkylsulfonyl-(Ci-C8)- alkyl, (C3-C8)-Cycloalkylsulfonyl-(Ci-C8)-alkyl, Arylsulfinyl-(Ci-C8)-alkyl, Heteroarylsulfinyl- (Ci-C8)-alkyl, (Ci-C8)-Alkylsulfmyl-(Ci-C8)-alkyl, (C3-C8)-Cycloalkylsulfmyl-(Ci-C8)-alkyl, Bis[(Ci-C8)-alkyl]amino-(Ci-C8)-alkyl, (C2-C8)-Alkenyl, (C4-C8)-Cycloalkenyl, (C2-C8)-Alkinyl, Heteroaryl, Heterocyclyl, OR13, NR14R15 steht, Arylsulfonyl (Ci-C 8) alkyl, heteroarylsulfonyl (Ci-C 8) alkyl, (Ci-C8) alkylsulfonyl (Ci-C 8) - alkyl, (C3-C8) -Cycloalkylsulfonyl- ( Ci-C 8) alkyl, arylsulfinyl (Ci-C 8) alkyl, heteroarylsulphinyl (Ci-C 8) alkyl, (Ci-C 8) -Alkylsulfmyl- (Ci-C 8) alkyl, (C 3 -C 8) -Cycloalkylsulfmyl- (Ci-C 8) alkyl, bis [(Ci-C 8) alkyl] amino- (Ci-C 8) alkyl, (C 2 -C 8) alkenyl, ( C 4 -C 8 ) -cycloalkenyl, (C 2 -C 8 ) -alkynyl, heteroaryl, heterocyclyl, OR 13 , NR 14 R 15 ,
R2 und R3 unabhängig voneinander für Wasserstoff, Halogen, (Ci-C8)-Alkyl, (Ci-C8)-Haloalkyl, (C3-C8)-Halocycloalkyl, (C3-C8)-Cycloalkyl, (C3-C8)-Cycloalkyl-(Ci-C8)-alkyl, Aryl-(Ci-C8)- alkyl, Heteroaryl-(Ci-C8)-alkyl, Heterocyclyl-(Ci-C8)-alkyl Hydroxy-(Ci-C8)-alkyl, Cyano- (Ci-C8)-alkyl, (Ci-C8)-Alkoxy-(Ci-C8)-alkyl, (Ci-C8)-Alkylthio-(Ci-C8)-alkyl, R 2 and R 3 are each independently hydrogen, halogen, (Ci-C 8) -alkyl, (Ci-C8) -haloalkyl, (C 3 -C 8) halocycloalkyl, (C 3 -C 8) -cycloalkyl, (C 3 -C 8) -cycloalkyl- (Ci-C 8) alkyl, aryl (Ci-C8) - alkyl, heteroaryl (Ci-C 8) alkyl, heterocyclyl (Ci-C8) - alkyl hydroxy- (C 1 -C 8 ) -alkyl, cyano- (C 1 -C 8 ) -alkyl, (C 1 -C 8 ) -alkoxy- (C 1 -C 8 ) -alkyl, (C 1 -C 8 ) -alkylthio- (C 1 -C 8 ) -alkyl,
Hydroxycarbonyl-(Ci-C8)-alkyl, (Ci-C8)-Alkoxycarbonyl-(Ci-C8)-alkyl, (C2-Cg)- Alkenyloxycarbonyl-(Ci-C8)-alkyl, Aryl-(Ci-C8)-Alkoxycarbonyl-(Ci-C8)-alkyl, Heteroaryl- (Ci-C8)-Alkoxycarbonyl-(Ci-C8)-alkyl, Aryloxycarbonyl-(Ci-C8)-alkyl, Arylcarbonyl-(Ci-C8)- alkyl, (Ci-C8)-Alkylcarbonyl-(Ci-C8)-alkyl, Heteroarylcarbonyl-(Ci-C8)-alkyl, Hydroxycarbonyl- (Ci-C 8) alkyl, (Ci-C8) alkoxycarbonyl (Ci-C 8) alkyl, (C 2 -CG) - alkenyloxycarbonyl (Ci-C 8) alkyl, aryl ( C 1 -C 8 -alkoxycarbonyl- (C 1 -C 8 ) -alkyl, heteroaryl- (C 1 -C 8 ) -alkoxycarbonyl- (C 1 -C 8 ) -alkyl, aryloxycarbonyl- (C 1 -C 8 ) -alkyl, arylcarbonyl- (Ci-C 8) - alkyl, (Ci-C8) alkylcarbonyl (Ci-C8) alkyl, heteroarylcarbonyl (Ci-C 8) alkyl,
Heterocyclylcarbonyl-(Ci-C8)-alkyl, Amino-(Ci-C8)-alkyl, (Ci-C8)-Alkylamino-(Ci-C8)-alkyl, (C3-C8)-Cycloalkylamino-(Ci-C8)-alkyl, Arylamino-(Ci-C8)-alkyl, Aryl-(Ci-C8)-alkylamino- (Ci-C8)-alkyl, Heteroarylamino-(Ci-C8)-alkyl, Heteroaryl-(Ci-C8)-alkylamino-(Ci-C8)-alkyl, Heterocyclylamino-(Ci-C8)-alkyl, Heterocyclyl-(Ci-C8)-alkylamino-(Ci-C8)-alkyl, (Ci-Cs)- Alkoxycarbonylamino-(Ci-C8)-alkyl, Aryl-(Ci-C8)-alkoxycarbonylamino-(Ci-C8)-alkyl, (C3-C8)-Cycloalkoxycarbonylamino-(Ci-C8)-alkyl, (C3-C8)-Cycloalkyl-(Ci-C8)- alkoxycarbonylamino-(Ci-C8)-alkyl, Heteroaryl-(Ci-C8)-alkoxycarbonylamino-(Ci-C8)-alkyl, (Ci-C8)-Alkylcarbonylamino-(Ci-C8)-alkyl, (C3-C8)-Cycloalkylcarbonylamino-(Ci-C8)-alkyl, Arylcarbonylamino-(Ci-C8)-alkyl, Heteroarylcarbonylamino-(Ci-C8)-alkyl, Heterocyclylcarbonyl (Ci-C 8) alkyl, amino (Ci-C 8) alkyl, (Ci-C 8) alkylamino (Ci-C8) alkyl, (C 3 -C 8) cycloalkylamino- (C 1 -C 8 ) -alkyl, arylamino (C 1 -C 8 ) -alkyl, aryl- (C 1 -C 8 ) -alkylamino- (C 1 -C 8 ) -alkyl, heteroarylamino- (C 1 -C 8 ) -alkyl , Heteroaryl- (C 1 -C 8 ) -alkylamino- (C 1 -C 8 ) -alkyl, heterocyclylamino- (C 1 -C 8 ) -alkyl, heterocyclyl- (C 1 -C 8 ) -alkylamino- (C 1 -C 8 ) - alkyl, (Ci-Cs) - alkoxycarbonylamino (Ci-C 8) alkyl, aryl (Ci-C8) alkoxycarbonylamino (Ci-C 8) alkyl, (C 3 -C 8) -Cycloalkoxycarbonylamino- ( Ci-C 8) alkyl, (C 3 -C 8) -cycloalkyl- (Ci-C8) - alkoxycarbonylamino (Ci-C 8) alkyl, heteroaryl (Ci-C8) alkoxycarbonylamino (Ci C 8) alkyl, (Ci-C8) alkylcarbonylamino (Ci-C 8) alkyl, (C 3 -C 8) -Cycloalkylcarbonylamino- (Ci-C 8) alkyl, arylcarbonylamino (Ci-C 8 ) -alkyl, heteroarylcarbonylamino- (C 1 -C 8 ) -alkyl,
Heterocyclylcarbonylamino-(Ci-C8)-alkyl, (C2-C8)-Alkenyloxycarbonylamino-(Ci-C8)-alkyl, Aryl-(C2-C8)-Alkenylamino-(Ci-C8)-alkyl, Arylsulfonyl-(Ci-C8)-alkyl, Heteroarylsulfonyl- (Ci-C8)-alkyl, (Ci-C8)-Alkylsulfonyl-(Ci-C8)-alkyl, (C3-C8)-Cycloalkylsulfonyl-(Ci-C8)-alkyl, Arylsulfmyl-(Ci-C8)-alkyl, Heteroarylsulfmyl-(Ci-C8)-alkyl, (Ci-C8)-Alkylsulfinyl-(Ci-C8)- alkyl, (C3-C8)-Cycloalkylsulfmyl-(Ci-C8)-alkyl, Bis[(Ci-C8)-alkyl]amino-(Ci-C8)-alkyl, (C2-C8)- Alkenyl, (C4-C8)-Cycloalkenyl, (C2-C8)-Alkinyl, Aryl, Heteroaryl, Heterocyclyl, Cyano, Hydroxy, OR13, C(0)R13, C(0)OR13, C(0)NR14R15, NR14R15, S02R16 stehen, oder Heterocyclylcarbonylamino- (Ci-C 8) alkyl, (C 2 -C 8) -Alkenyloxycarbonylamino- (Ci-C 8) alkyl, aryl (C 2 -C 8) -Alkenylamino- (Ci-C 8) -alkyl , arylsulfonyl (Ci-C 8) alkyl, heteroarylsulfonyl (Ci-C 8) alkyl, (Ci-C8) alkylsulfonyl (Ci-C 8) alkyl, (C 3 -C 8) cycloalkylsulfonyl - (Ci-C 8) alkyl, Arylsulfmyl- (Ci-C 8) alkyl, Heteroarylsulfmyl- (Ci-C 8) alkyl, (Ci-C8) alkylsulfinyl (Ci-C 8) - alkyl, (C 3 -C 8) -Cycloalkylsulfmyl- (Ci-C 8) alkyl, bis [(Ci-C 8) alkyl] amino- (Ci-C 8) alkyl, (C 2 -C 8) - alkenyl , (C 4 -C 8 ) -cycloalkenyl, (C 2 -C 8 ) -alkynyl, aryl, heteroaryl, heterocyclyl, cyano, hydroxy, OR 13 , C (O) R 13 , C (O) OR 13 , C (0 ) NR 14 R 15 , NR 14 R 15 , S0 2 R 16 , or
mit dem Kohlenstoffatom, an das sie gebunden sind, einen vollständig gesättigten oder teilgesättigten, gegebenenfalls durch Heteroatome unterbrochenen und gegebenenfalls weiter substituierten 3 bis 7-gliedrigen monocyclischen oder bicyclischen Ring bilden, oder gemeinsam mit dem Atom, an das sie gebunden sind eine Carbonylgruppe bilden, R5 unabhängig voneinander für Wasserstoff, Halogen, (Ci-C8)-Alkyl, (Ci-C8)-Haloalkyl, (C3-C8)-Halocycloalkyl, (C3-C8)-Cycloalkyl, (C3-C8)-Cycloalkyl-(Ci-C8)-alkyl, Aryl-(Ci-C8)- alkyl, Heteroaryl-(Ci-C8)-alkyl, Heterocyclyl-(Ci-C8)-alkyl Hydroxy-(Ci-C8)-alkyl, Cyano- (Ci-C8)-alkyl, (Ci-C8)-Alkoxy-(Ci-C8)-alkyl, (Ci-C8)-Alkylthio-(Ci-C8)-alkyl, with the carbon atom to which they are attached form a fully saturated or partially saturated, optionally interrupted by heteroatoms and optionally further substituted 3 to 7-membered monocyclic or bicyclic ring, or together with the atom to which they are attached form a carbonyl group, R 5 independently represent hydrogen, halogen, (Ci-C 8) -alkyl, (Ci-C8) -haloalkyl, (C 3 -C 8) halocycloalkyl, (C 3 -C 8) cycloalkyl, (C3- C 8) cycloalkyl (Ci-C8) alkyl, aryl (Ci-C8) - alkyl, heteroaryl (Ci-C 8) alkyl, heterocyclyl (Ci-C8) alkyl hydroxy ( C 1 -C 8 ) -alkyl, cyano- (C 1 -C 8 ) -alkyl, (C 1 -C 8 ) -alkoxy- (C 1 -C 8 ) -alkyl, (C 1 -C 8 ) -alkylthio (C 1 -C 8 ) -alkyl 8 ) -alkyl,
Hydroxycarbonyl-(Ci-C8)-alkyl, (Ci-C8)-Alkoxycarbonyl-(Ci-C8)-alkyl, (C2-Cg)- Alkenyloxycarbonyl-(Ci-C8)-alkyl, Aryl-(Ci-C8)-Alkoxycarbonyl-(Ci-C8)-alkyl, Heteroaryl- (Ci-C8)-Alkoxycarbonyl-(Ci-C8)-alkyl, Aryloxycarbonyl-(Ci-C8)-alkyl, Arylcarbonyl-(Ci-C8)- alkyl, (Ci-C8)-Alkylcarbonyl-(Ci-C8)-alkyl, Heteroarylcarbonyl-(Ci-C8)-alkyl, Hydroxycarbonyl- (Ci-C 8) alkyl, (Ci-C8) alkoxycarbonyl (Ci-C 8) alkyl, (C 2 -CG) - alkenyloxycarbonyl (Ci-C 8) alkyl, aryl ( C 1 -C 8 -alkoxycarbonyl- (C 1 -C 8 ) -alkyl, heteroaryl- (C 1 -C 8 ) -alkoxycarbonyl- (C 1 -C 8 ) -alkyl, aryloxycarbonyl- (C 1 -C 8 ) -alkyl, arylcarbonyl- (Ci-C 8) - alkyl, (Ci-C8) alkylcarbonyl (Ci-C8) alkyl, heteroarylcarbonyl (Ci-C 8) alkyl,
Heterocyclylcarbonyl-(Ci-C8)-alkyl, Amino-(Ci-C8)-alkyl, (Ci-C8)-Alkylamino-(Ci-C8)-alkyl, (C3-C8)-Cycloalkylamino-(Ci-C8)-alkyl, Arylamino-(Ci-C8)-alkyl, Aryl-(Ci-C8)-alkylamino- (Ci-C8)-alkyl, Heteroarylamino-(Ci-C8)-alkyl, Heteroaryl-(Ci-C8)-alkylamino-(Ci-C8)-alkyl, Heterocyclylamino-(Ci-C8)-alkyl, Heterocyclyl-(Ci-C8)-alkylamino-(Ci-C8)-alkyl, (Ci-Cs)- Alkoxycarbonylamino-(Ci-C8)-alkyl, Aryl-(Ci-C8)-alkoxycarbonylamino-(Ci-C8)-alkyl, (C3-C8)-Cycloalkoxycarbonylamino-(Ci-C8)-alkyl, (C3-C8)-Cycloalkyl-(Ci-C8)- alkoxycarbonylamino-(Ci-C8)-alkyl, Heteroaryl-(Ci-C8)-alkoxycarbonylamino-(Ci-C8)-alkyl, (Ci-C8)-Alkylcarbonylamino-(Ci-C8)-alkyl, (C3-C8)-Cycloalkylcarbonylamino-(Ci-C8)-alkyl, Arylcarbonylamino-(Ci-C8)-alkyl, Heteroarylcarbonylamino-(Ci-C8)-alkyl, Heterocycliccarbonyl- (C 1 -C 8 ) -alkyl, amino- (C 1 -C 8 ) -alkyl, (C 1 -C 8 ) -alkylamino- (C 1 -C 8 ) -alkyl, (C 3 -C 8 ) -cycloalkylamino ( C 1 -C 8 ) -alkyl, arylamino- (C 1 -C 8 ) -alkyl, aryl- (C 1 -C 8 ) -alkylamino- (C 1 -C 8 ) -alkyl, heteroarylamino- (C 1 -C 8 ) -alkyl, Heteroaryl- (C 1 -C 8 ) -alkylamino- (C 1 -C 8 ) -alkyl, heterocyclylamino- (C 1 -C 8 ) -alkyl, heterocyclyl- (C 1 -C 8 ) -alkylamino- (C 1 -C 8 ) -alkyl , (Ci-Cs) - alkoxycarbonylamino (Ci-C 8) alkyl, aryl (Ci-C8) alkoxycarbonylamino (Ci-C 8) alkyl, (C3-C8) -Cycloalkoxycarbonylamino- (Ci- C 8) alkyl, (C3-C8) -cycloalkyl- (Ci-C8) - alkoxycarbonylamino (Ci-C 8) alkyl, heteroaryl (Ci-C8) alkoxycarbonylamino (Ci-C 8) (C 1 -C 8 ) -alkylcarbonylamino- (C 1 -C 8 ) -alkyl, (C 3 -C 8 ) -cycloalkylcarbonylamino- (C 1 -C 8 ) -alkyl, arylcarbonylamino- (C 1 -C 8 ) -alkyl, Heteroarylcarbonylamino (C 1 -C 8 ) -alkyl,
Heterocyclylcarbonylamino-(Ci-C8)-alkyl, (C2-C8)-Alkenyloxycarbonylamino-(Ci-C8)-alkyl, Aryl-(C2-C8)-Alkenylamino-(Ci-C8)-alkyl, Arylsulfonyl-(Ci-C8)-alkyl, Heteroarylsulfonyl- (Ci-C8)-alkyl, (Ci-C8)-Alkylsulfonyl-(Ci-C8)-alkyl, (C3-C8)-Cycloalkylsulfonyl-(Ci-C8)-alkyl, Arylsulfmyl-(Ci-C8)-alkyl, Heteroarylsulfmyl-(Ci-C8)-alkyl, (Ci-C8)-Alkylsulfinyl-(Ci-C8)- alkyl, (C3-C8)-Cycloalkylsulfmyl-(Ci-C8)-alkyl, Bis[(Ci-C8)-alkyl]amino-(Ci-C8)-alkyl, (C2-C8)- Alkenyl, (C4-C8)-Cycloalkenyl, (C2-C8)-Alkinyl, Aryl, Heteroaryl, Heterocyclyl, Cyano, Hydroxy, OR13, C(0)R13, C(0)OR13, C(0)NR14R15, NR14R15, S02R16 stehen, oder Heterocyclylcarbonylamino- (Ci-C 8) alkyl, (C 2 -C 8) -Alkenyloxycarbonylamino- (Ci-C 8) alkyl, aryl (C 2 -C 8) -Alkenylamino- (Ci-C 8) -alkyl , arylsulfonyl (Ci-C 8) alkyl, heteroarylsulfonyl (Ci-C 8) alkyl, (Ci-C8) alkylsulfonyl (Ci-C 8) alkyl, (C 3 -C 8) cycloalkylsulfonyl - (Ci-C 8) alkyl, Arylsulfmyl- (Ci-C 8) alkyl, Heteroarylsulfmyl- (Ci-C 8) alkyl, (Ci-C8) alkylsulfinyl (Ci-C 8) - alkyl, (C 3 -C 8) -Cycloalkylsulfmyl- (Ci-C 8) alkyl, bis [(Ci-C 8) alkyl] amino- (Ci-C 8) alkyl, (C 2 -C 8) - alkenyl , (C 4 -C 8 ) -cycloalkenyl, (C 2 -C 8 ) -alkynyl, aryl, heteroaryl, heterocyclyl, cyano, hydroxy, OR 13 , C (O) R 13 , C (O) OR 13 , C (0 ) NR 14 R 15 , NR 14 R 15 , S0 2 R 16 , or
mit dem Kohlenstoffatom, an das sie gebunden sind, einen vollständig gesättigten oder teilgesättigten, gegebenenfalls durch Heteroatome unterbrochenen und gegebenenfalls weiter substituierten 3 bis 7-gliedrigen monocyclischen oder bicyclischen Ring bilden, oder gemeinsam mit dem Atom, an das sie gebunden sind eine Carbonylgruppe bilden, R6, R7 und R8 unabhängig voneinander für Wasserstoff, Halogen, (Ci-C8)-Alkyl, (Ci-C8)-Haloalkyl, Aryl-(Ci-C8)-alkyl, Heteroaryl-(Ci-C8)-alkyl, Heterocyclyl-(Ci-C8)-alkyl, (C3-C8)-Cycloalkyl, (C3-C8)-Cycloalkyl-(C2-C8)-alkyl, (Ci-C8)-Alkoxy-(Ci-C8)-alkoxy-(Ci-C8)-alkyl, (C4-C8)- Cycloalkenyl-(Ci-C8)-alkyl, (C2-C8)-Alkenyl, Aryl-(C2-C8)-alkenyl, Heteroaryl-(C2-C8)-alkenyl, (C3-C8)-Cycloalkyl-(C2-C8)-alkenyl, (C2-C8)-Haloalkenyl, (C4-C8)-Cycloalkenyl, (C2-C8)- Alkinyl, Aryl-(Ci-C8)-alkinyl, Tris-[(Ci-C8)-alkyl]silyl-(C2-C8)-alkinyl, Bis-[(Ci-C8)- alkyl](aryl)silyl-(C2-C8)-alkinyl, Bis-aryl[(Ci-C8)-alkyl]silyl-(C2-C8)-alkinyl, (C3-C8)- Cycloalkyl-(C2-C8)-alkinyl, (C2-C8)-Haloalkinyl, Aryl, Heteroaryl, Heterocyclyl, Formyl, Hydroxy, Nitro, Hydroxyiminomethyl, (Ci-C8)-Alkoxyiminomethyl, (C3-C8)- Cycloalkoxyiminomethyl, Aryloxyiminomethyl, (C3-C8)-Cycloalkyl-(C i -C8)- alkoxyiminomethyl, Thiocyanato, Isothiocyanato, Hydrothio, (Ci-C8)-Alkylthio, (Ci-Cs)- Haloalkylthio, (Ci-C8)-Alkylsulfmyl, Arylsulfmyl, Heteroarylsulfmyl, OR13, C(0)R13, with the carbon atom to which they are attached form a fully saturated or partially saturated, optionally interrupted by heteroatoms and optionally further substituted 3 to 7-membered monocyclic or bicyclic ring, or together with the atom to which they are attached form a carbonyl group, R 6 , R 7 and R 8 independently of one another represent hydrogen, halogen, (C 1 -C 8 ) -alkyl, (C 1 -C 8 ) -haloalkyl, aryl- (C 1 -C 8 ) -alkyl, heteroaryl- (C 1 -C 8 ) -alkyl 8 ) -alkyl, heterocyclyl (Ci-C 8 ) -alkyl, (C 3 -C 8 ) -cycloalkyl, (C 3 -C 8 ) -cycloalkyl- (C 2 -C 8 ) -alkyl, (Ci-C 8) alkoxy- (Ci-C 8) alkoxy (Ci-C 8) alkyl, (C 4 -C 8) - cycloalkenyl, (Ci-C 8) alkyl, (C 2 -C 8) - Alkenyl, aryl- (C 2 -C 8 ) -alkenyl, heteroaryl- (C 2 -C 8 ) -alkenyl, (C 3 -C 8 ) -cycloalkyl- (C 2 -C 8 ) -alkenyl, (C 2 -) C 8) haloalkenyl, (C 4 -C 8) -cycloalkenyl, (C 2 -C 8) - alkynyl, aryl (Ci-C8) -alkynyl, tris - [(Ci-C 8) alkyl] silyl - (C 2 -C 8) -alkynyl, - bis [(Ci-C 8) - alkyl] silyl (aryl) (C 2 -C 8) -alkynyl, bis-aryl [(Ci-C 8) alkyl] silyl (C 2 -C 8) -alkynyl, (C 3 -C 8) - cycloalkyl, (C 2 -C 8) -alkynyl, (C 2 -C 8 ) -haloalkynyl, aryl, heteroaryl, heterocyclyl, formyl, Hydroxy, nitro, hydroxyiminomethyl, (Ci-C8) alkoxyiminomethyl, (C3-C8) - Cycloalkoxyiminomethyl, Aryloxyiminomethyl, (C3-C8) cycloalkyl (C i -C 8) - alkoxyiminomethyl, thiocyanato, isothiocyanato, Hydrothio, (C 1 -C 8 ) -alkylthio, (C 1 -C 5 ) -haloalkylthio, (C 1 -C 8 ) -alkylsulfmyl, arylsulfmyl, heteroarylsulfmyl, OR 13 , C (O) R 13 ,
C(0)OR13, C(0)NR14R15, NR14R15, S02R16 stehen, C (O) OR 13 , C (O) NR 14 R 15 , NR 14 R 15 , SO 2 R 16 are
R9, R10 unabhängig voneinander für Wasserstoff, (Ci-C8)-Alkyl, (Ci-C8)-Haloalkyl, Hydroxy-(Ci-C8)- alkyl, Cyano-(Ci-C8)-alkyl, (C3-C8)-Cycloalkyl, (Ci-C8)-Alkoxy-(Ci-C8)-alkyl, (Ci-C8)- Alkylthio-(Ci-C8)-alkyl, Amino-(Ci-C8)-alkyl, (Ci-C8)-Alkylamino-(Ci-C8)-alkyl, (C3-C8)- Cycloalkylamino-(Ci-C8)-alkyl, Aryl-(Ci-C8)-alkylamino-(Ci-C8)-alkyl, Heteroaryl-(Ci-C8)- alkylamino-(Ci-C8)-alkyl, Heterocyclyl-(Ci-C8)-alkylamino-(Ci-C8)-alkyl, Heterocyclylamino- (Ci-C8)-alkyl, Heteroarylamino-(Ci-C8)-alkyl, (Ci-C8)-Alkoxycarbonylamino-(Ci-C8)-alkyl, Arylamino-(Ci-C8)-alkyl, Aryl-(Ci-C8)-alkoxycarbonylamino-(Ci-C8)-alkyl, (C3-C8)- Cycloalkoxycarbonylamino-(Ci-C8)-alkyl, (C3-C8)-Cycloalkyl-(Ci-C8)-alkoxycarbonylamino- (Ci-C8)-alkyl, Heteroaryl-(Ci-C8)-alkoxycarbonylamino-(Ci-C8)-alkyl, (Ci-Cs)- Alkylcarbonylamino-(Ci-C8)-alkyl, (C3-C8)-Cycloalkylcarbonylamino-(Ci-C8)-alkyl, R 9, R 10 are independently hydrogen, (Ci-C 8) -alkyl, (Ci-C8) -haloalkyl, hydroxy (Ci-C 8) - alkyl, cyano- (Ci-C 8) alkyl, ( C 3 -C 8) cycloalkyl, (Ci-C 8) alkoxy (Ci-C 8) alkyl, (Ci-C 8) - alkylthio (Ci-C8) alkyl, amino (Ci- C 8) alkyl, (Ci-C 8) alkylamino (Ci-C8) alkyl, (C 3 -C 8) - cycloalkylamino (Ci-C 8) alkyl, aryl (Ci-C 8 ) -alkylamino- (C 1 -C 8 ) -alkyl, heteroaryl- (C 1 -C 8 ) -alkylamino- (C 1 -C 8 ) -alkyl, heterocyclyl- (C 1 -C 8 ) -alkylamino- (C 1 -C 8 ) alkyl, heterocyclylamino (Ci-C 8) alkyl, heteroarylamino (Ci-C 8) alkyl, (Ci-C8) alkoxycarbonylamino (Ci-C 8) alkyl, arylamino (Ci-C 8 ) alkyl, aryl (Ci-C8) alkoxycarbonylamino (Ci-C 8) alkyl, (C3-C8) - Cycloalkoxycarbonylamino- (Ci-C 8) alkyl, (C3-C8) cycloalkyl (C 1 -C 8 ) -alkoxycarbonylamino- (C 1 -C 8 ) -alkyl, heteroaryl- (C 1 -C 8 ) -alkoxycarbonylamino- (C 1 -C 8 ) -alkyl, (C 1 -C 8 ) -alkylcarbonylamino- (C 1 -C 4) -alkyl) C 8 ) -alkyl, (C 3 -C 8 ) -cycloalkylcarbonylamino- (C 1 -C 8 ) -alkyl,
Arylcarbonylamino-(Ci-C8)-alkyl, Heteroarylcarbonylamino-(Ci-C8)-alkyl, Arylcarbonylamino (C 1 -C 8 ) -alkyl, heteroarylcarbonylamino (C 1 -C 8 ) -alkyl,
Heterocyclylcarbonylamino-(Ci-C8)-alkyl, (C2-C8)-Alkenyloxycarbonylamino-(Ci-C8)-alkyl, Aryl-(C2-C8)-Alkenylamino-(Ci-C8)-alkyl, Arylsulfonyl-(Ci-C8)-alkyl, Heteroarylsulfonyl- (Ci-C8)-alkyl, (Ci-C8)-Alkylsulfonyl-(Ci-C8)-alkyl, (C3-C8)-Cycloalkylsulfonyl-(Ci-C8)-alkyl, Arylsulfmyl-(Ci-C8)-alkyl, Heteroarylsulfmyl-(Ci-C8)-alkyl, (Ci-C8)-Alkylsulfinyl-(Ci-C8)- alkyl, (C3-C8)-Cycloalkylsulfmyl-(Ci-C8)-alkyl, Bis[(Ci-C8)-alkyl]amino-(Ci-C8)-alkyl, (C2-C8)- Alkenyl, (C4-C8)-Cycloalkenyl, (C2-C8)-Alkinyl, Aryl, Heteroaryl, Heterocyclyl stehen, oder mit dem Kohlenstoffatom, an das sie gebunden sind, einen vollständig gesättigten oder teilgesättigten, gegebenenfalls durch Heteroatome unterbrochenen und gegebenenfalls weiter substituierten 3 bis 7-gliedrigen monocyclischen oder bicyclischen Ring bilden, oder gemeinsam mit dem Atom, an das sie gebunden sind eine Carbonylgruppe bilden, Heterocyclylcarbonylamino- (Ci-C 8) alkyl, (C 2 -C 8) -Alkenyloxycarbonylamino- (Ci-C 8) alkyl, aryl (C 2 -C 8) -Alkenylamino- (Ci-C 8) -alkyl , arylsulfonyl (Ci-C 8) alkyl, heteroarylsulfonyl (Ci-C 8) alkyl, (Ci-C8) alkylsulfonyl (Ci-C 8) alkyl, (C 3 -C 8) cycloalkylsulfonyl - (Ci-C 8) alkyl, Arylsulfmyl- (Ci-C 8) alkyl, Heteroarylsulfmyl- (Ci-C 8) alkyl, (Ci-C8) alkylsulfinyl (Ci-C 8) - alkyl, (C 3 -C 8) -Cycloalkylsulfmyl- (Ci-C 8) alkyl, bis [(Ci-C 8) alkyl] amino- (Ci-C 8) alkyl, (C 2 -C 8) - alkenyl , (C 4 -C 8 ) -cycloalkenyl, (C 2 -C 8 ) -alkynyl, aryl, heteroaryl, heterocyclyl, or with the carbon atom to which they are attached, a fully saturated or partially saturated, optionally interrupted by heteroatoms and optionally form further substituted 3 to 7-membered monocyclic or bicyclic ring, or together with the atom to which they are attached form a carbonyl group,
R11 für Wasserstoff, (Ci-C8)-Alkyl, (C3-C8)-Cycloalkyl, (C3-Cio)-Halocycloalkyl, (C3-C8)-R 11 is hydrogen, (C 1 -C 8 ) -alkyl, (C 3 -C 8 ) -cycloalkyl, (C 3 -C 10) -hio-cycloalkyl, (C 3 -C 8 ) -
Cycloalkyl-(Ci-C8)-alkyl, (Ci-C8)-Cyanoalkyl, (Ci-C8)-Haloalkyl, (Ci-C8)-Hydroxyalkyl, (Ci-C8)-Alkoxy-(Ci-C8)-alkyl, Aryl-(Ci-C8)-alkyl, Heteroaryl-(Ci-C8)-alkyl, Heterocyclyl- (Ci-C8)-alkyl, (C2-C8)-Alkenyl, Halo-(C2-C8)-alkenyl, (C2-C8)-Alkinyl, Halo-(C2-C8)-alkinyl, Aryl, Heteroaryl, Heterocyclyl steht, für (C3-C8)-Cycloalkyl, (C3-C8)-Cycloalkyl-(Ci-C8)-alkyl, (Ci-C8)-Haloalkyl, (C3-C8)- Halocycloalkyl, Aryl-(Ci-C8)-alkyl, Heteroaryl-(Ci-C8)-alkyl, Heterocyclyl-(Ci-C8)-alkyl, (Ci-C8)-Alkoxy-(Ci-C8)-alkyl, (Ci-C8)-Alkoxy-(Ci-C8)-haloalkyl, (Ci-C8)-Alkoxy-(Ci-C8)- alkoxy-(Ci-Cg)-alkyl, Aryloxy-(Ci-Cg)-alkyl, Heteroaryloxy-(Ci-C8)-alkyl, (C4-C7)- Cycloalkenyl-(Ci-C8)-alkyl, (Ci-C8)-Alkylthio-(Ci-C8)-alkyl, (Ci-C8)-Cyanoalkyl, (Ci-C8)- Alkylcarbonyl-(Ci-C8)-alkyl, (Ci-C8)-Alkoxycarbonyl-(Ci-C8)-alkyl, Aryloxycarbonyl-(Ci-C8)- alkyl, Aryl-(Ci-C8)-alkoxycarbonyl-(Ci-C8)-alkyl, (C3-C8)-Cycloalkoxycarbonyl-(Ci-C8)-alkyl, (C3-C8)-Cycloalkyl-(Ci-C8)-alkoxycarbonyl-(Ci-C8)-alkyl, Heteroaryloxycarbonyl-(Ci-C8)- alkyl, Heteroaryl-(Ci-C8)-alkoxycarbonyl-(Ci-C8)-alkyl, Aminocarbonyl-(Ci-C8)-alkyl, (Ci-Cs)- Alkylaminocarbonyl-(Ci-C8)-alkyl, Bis[(Ci-C8)-alkyl]aminocarbonyl-(Ci-C8)-alkyl, (C3-C8)- Cycloalkylaminocarbonyl-(Ci-C8)-alkyl, Aryl-(Ci-C8)-alkylaminocarbonyl-(Ci-C8)-alkyl, (C2-C8)-Alkenyl, (C4-C8)-Cycloalkenyl, (C2-C8)-Haloalkenyl, (C4-C8)-Halocycloalkenyl, Aryl- (C2-C8)-alkenyl, Heteroaryl-(C2-C8)-alkenyl, Heterocyclyl-(C2-C8)-alkenyl, (C2-C8)-Alkinyl, (C2-C8)-Haloalkinyl, Heterocyclyl, NR14R15 steht, für (Ci-C8)-Alkyl, (Ci-C8)-Cyanoalkyl, (Ci-Cio)-Haloalkyl, (C3-Cio)-Cycloalkyl, (C3-C10)- Halocycloalkyl, (Ci-C8)-Alkoxy-(Ci-C8)-alkyl, (Ci-C8)-Alkoxy-(Ci-C8)-haloalkyl, Aryl-(Ci-C8)- alkyl, Heteroaryl-(Ci-C8)-alkyl, (C3-Cio)-Cycloalkyl-(Ci-C8)-alkyl, (C4-Cio)-Cycloalkenyl- (Ci-C8)-alkyl, (Ci-C8)-Alkoxycarbonyl-(Ci-C8)-alkyl, (C2-C8)-Alkenyloxycarbonyl-(Ci-C8)- alkyl, Aryl-(Ci-C8)-Alkoxycarbonyl-(Ci-C8)-alkyl, Hydroxycarbonyl-(Ci-C8)-alkyl, Cycloalkyl (Ci-C8) alkyl, (Ci-C 8) cyanoalkyl, (Ci-C 8) haloalkyl, (Ci-C8) hydroxyalkyl, (Ci-C 8) alkoxy (Ci C 8) alkyl, aryl (Ci-C 8) alkyl, heteroaryl (Ci-C 8) alkyl, heterocyclyl (Ci-C8) alkyl, (C 2 -C 8) alkenyl, halo - (C 2 -C 8 ) -alkenyl, (C 2 -C 8 ) -alkynyl, halo (C 2 -C 8 ) -alkynyl, aryl, heteroaryl, heterocyclyl, for (C 3 -C 8 ) -cycloalkyl , (C 3 -C 8) cycloalkyl (Ci-C8) alkyl, (Ci-C8) -haloalkyl, (C 3 -C 8) - halocycloalkyl, aryl (Ci-C8) alkyl, Heteroaryl (C 1 -C 8 ) -alkyl, heterocyclyl- (C 1 -C 8 ) -alkyl, (C 1 -C 8 ) -alkoxy- (C 1 -C 8 ) -alkyl, (C 1 -C 8 ) -alkoxy- ( C 1 -C 8 ) -haloalkyl, (C 1 -C 8 ) -alkoxy- (C 1 -C 8 ) - alkoxy- (Ci-Cg) -alkyl, aryloxy- (Ci-Cg) -alkyl, heteroaryloxy- (Ci-C 8 ) -alkyl, (C4-C7) - Cycloalkenyl- (Ci-C 8 ) -alkyl, (Ci -C 8) alkylthio (Ci-C8) alkyl, (Ci-C 8) cyanoalkyl, (Ci-C 8) - (alkylcarbonyl Ci-C 8) alkyl, (Ci-C 8) - alkoxycarbonyl (Ci-C 8) alkyl, aryloxycarbonyl (Ci-C 8) - alkyl, aryl (Ci-C8) alkoxycarbonyl (Ci-C 8) alkyl, (C3-C8) -cycloalkoxycarbonyl - (Ci-C 8) alkyl, (C3-C8) -cycloalkyl- (Ci-C8) alkoxycarbonyl (Ci-C 8) alkyl, heteroaryloxycarbonyl, (Ci-C 8) - alkyl, heteroaryl (C 1 -C 8 ) -alkoxycarbonyl- (C 1 -C 8 ) -alkyl, aminocarbonyl- (C 1 -C 8 ) -alkyl, (C 1 -C 5 ) -alkylaminocarbonyl- (C 1 -C 8 ) -alkyl, bis [(Ci C 8 ) alkyl] aminocarbonyl (C 1 -C 8 ) alkyl, (C 3 -C 8 ) cycloalkylaminocarbonyl (C 1 -C 8 ) alkyl, aryl (C 1 -C 8 ) alkylaminocarbonyl (Ci -C 8 ) -alkyl, (C 2 -C 8 ) -alkenyl, (C 4 -C 8 ) -cycloalkenyl, (C 2 -C 8 ) -haloalkenyl, (C 4 -C 8 ) -halocycloalkenyl, aryl- (C 2 -C 8 ) -haloalkenyl, C2-C8) alkenyl, heteroaryl (C2-C8) alkenyl, heterocyclyl- (C2-C8) alkenyl, (C2-C8) -alkynyl, (C 2 -C 8) -Haloal kinyl, heterocyclyl, NR 14 R 15, is (C 1 -C 8 ) -alkyl, (C 1 -C 8 ) -cyanoalkyl, (C 1 -C 10) -haloalkyl, (C 3 -C 10) -cycloalkyl, (C 3 -C 10) ) - Halocycloalkyl, (Ci-C 8 ) -Alkoxy- (Ci-C 8 ) -alkyl, (Ci-C 8 ) -Alkoxy- (Ci-C 8 ) -haloalkyl, Aryl- (Ci-C 8 ) - alkyl , Heteroaryl- (C 1 -C 8 ) -alkyl, (C 3 -C 10) -cycloalkyl- (C 1 -C 8 ) -alkyl, (C 4 -C 10) -cycloalkenyl- (C 1 -C 8 ) -alkyl, (Ci -C 8) alkoxycarbonyl (Ci-C 8) alkyl, (C 2 -C 8) -Alkenyloxycarbonyl- (Ci-C 8) - alkyl, aryl (Ci-C8) alkoxycarbonyl (Ci-C 8 ) -alkyl, hydroxycarbonyl- (C 1 -C 8 ) -alkyl,
Heterocyclyl-(Ci-C8)-alkyl, (C2-C8)-Alkenyl, (C2-C8)-Haloalkenyl, (C4-Cio)-Cycloalkenyl, (C4-Cio)-Halocycloalkenyl, (C2-C8)-Alkinyl, (C2-C8)-Haloalkinyl, Aryl, Heteroaryl, Heterocyclyl (C 1 -C 8 ) -alkyl, (C 2 -C 8 ) -alkenyl, (C 2 -C 8 ) -haloalkenyl, (C 4 -C 10) -cycloalkenyl, (C 4 -C 10) -halocycloalkenyl, ( C 2 -C 8 ) -alkynyl, (C 2 -C 8 ) -haloalkynyl, aryl, heteroaryl,
Heterocyclyl steht, und R15 gleich oder verschieden sind und unabhängig voneinander für Wasserstoff, (Ci-Cs)- Cyanoalkyl, (Ci-Cio)-Haloalkyl, (C3-Cio)-Cycloalkyl, (C3-Cio)-Halocycloalkyl, (Ci-C8)-Alkoxy- (Ci-C8)-alkyl, (Ci-C8)-Haloalkoxy-(Ci-C8)-alkyl, (Ci-C8)-Alkylthio-(Ci-C8)-alkyl, (Ci-C8)- Haloalkylthio-(Ci-C8)-alkyl, Aryl-(Ci-C8)-alkyl, Heteroaryl-(Ci-C8)-alkyl, (C3-Cio)-Cycloalkyl- (Ci-C8)-alkyl, (C4-Cio)-Cycloalkenyl-(Ci-C8)-alkyl, (Ci-C8)-Alkoxycarbonyl-(Ci-C8)-alkyl, Aryl-(Ci-C8)-Alkoxycarbonyl-(Ci-C8)-alkyl, Heterocyclyl-(Ci-C8)-alkyl, (C2-C8)-Alkenyl, (C2-C8)-Haloalkenyl, (C4-Cio)-Cycloalkenyl, (C4-Cio)-Halocycloalkenyl, (C2-C8)-Alkinyl, (C2-C8)-Haloalkinyl, Aryl, Heteroaryl, Heterocyclyl, COR13, SO2R16, (Ci-C8)-Alkyl-HN02S-, (C3-Cio)-Cycloalkyl-HN02S-, (Ci-C8)-Alkoxycarbonyl, Aryl-(Ci-C8)-Alkoxycarbonyl, Heteroaryl-(C i-C8)-Alkoxycarbonyl, (C2-C8)-Alkenyloxycarbonyl, (C2-C8)-Alkinyloxycarbonyl stehen, oder Heterocyclyl, and R 15 are identical or different and are each, independently of one another, hydrogen, (C 1 -C 5) -cycloalkyl, (C 1 -C 10) -haloalkyl, (C 3 -C 10) -cycloalkyl, (C 3 -C 10) -halocycloalkyl, (Ci-C 8) alkoxy (Ci-C 8) alkyl, (Ci-C8) haloalkoxy (Ci-C 8) alkyl, (Ci-C8) alkylthio (Ci-C 8 ) alkyl, (Ci-C 8) - Haloalkylthio- (Ci-C 8) alkyl, aryl (Ci-C 8) alkyl, heteroaryl (Ci-C 8) alkyl, (C 3 -Cio) cycloalkyl (Ci-C8) alkyl, (C 4 -Cio) cycloalkenyl (Ci-C 8) alkyl, (Ci-C8) alkoxycarbonyl (Ci-C 8) alkyl, aryl (Ci-C8) alkoxycarbonyl (Ci-C 8) alkyl, heterocyclyl (Ci-C8) alkyl, (C 2 -C 8) alkenyl, (C2-C8) -haloalkenyl, (C 4 -Cio) cycloalkenyl, (C 4 -Cio) -Halocycloalkenyl, (C2-C8) -alkynyl, (C 2 -C 8) haloalkynyl, aryl, heteroaryl, heterocyclyl, COR 13, SO 2 R 16, (Ci- C 8) alkyl-S- HN0 2, (C 3 -Cio) cycloalkyl HN0 2 S-, (Ci-C8) alkoxycarbonyl, aryl (Ci-C8) alkoxycarbonyl, heteroaryl- (C iC 8 ) alkoxycarbonyl, (C 2 -C 8 ) alkenyloxycarbonyl, (C 2 -C 8 ) alkynyloxycarbonyl stand, or
mit dem Atom, an das sie gebunden sind, einen vollständig gesättigten oder teilgesättigten, durch mindestens ein und optional bis zu drei Heteroatomen unterbrochenen und gegebenenfalls weiter substituierten 3-7-gliedrigen Ring bilden, R für (Ci-C8)-Alkyl, (Ci-C8)-Cyanoalkyl, (Ci-Cio)-Haloalkyl, (C3-Cio)-Cycloalkyl, (C3-C10)-with the atom to which they are attached form a fully saturated or partially saturated 3-7 membered ring interrupted by at least one and optionally up to three heteroatoms and optionally further substituted, R is (C 1 -C 8 ) -alkyl, (C 1 -C 8 ) -cyanoalkyl, (C 1 -C 10) -haloalkyl, (C 3 -C 10) -cycloalkyl, (C 3 -C 10) -
Halocycloalkyl, (Ci-C8)-Alkoxy-(Ci-C8)-alkyl, (Ci-C8)-Alkoxy-(Ci-C8)-haloalkyl, Aryl-(Ci-C8)- alkyl, Heteroaryl-(Ci-C8)-alkyl, Heterocyclyl-(Ci-C8)-alkyl, (C3-Cio)-Cycloalkyl-(Ci-C8)-alkyl, (C4-Cio)-Cycloalkenyl-(Ci-C8)-alkyl, (C2-C8)-Alkenyl, (C2-C8)-Haloalkenyl, (C4-C10)- Cycloalkenyl, (C4-Cio)-Halocycloalkenyl, (C2-C8)-Alkinyl, (C2-C8)-Haloalkinyl, Aryl, Halocycloalkyl, (Ci-C 8) alkoxy (Ci-C 8) alkyl, (Ci-C 8) alkoxy (Ci-C 8) haloalkyl, aryl (Ci-C8) - alkyl, heteroaryl - (C 1 -C 8 ) -alkyl, heterocyclyl- (C 1 -C 8 ) -alkyl, (C 3 -C 10) -cycloalkyl- (C 1 -C 8 ) -alkyl, (C 4 -C 10) -cycloalkenyl- (Ci -C 8) alkyl, (C 2 -C 8) alkenyl, (C 2 -C 8) haloalkenyl, (C4-C10) - cycloalkenyl, (C4-Cio) -Halocycloalkenyl, (C2-C8) - Alkynyl, (C 2 -C 8 ) -haloalkynyl, aryl,
Heteroaryl steht, und Heteroaryl stands, and
X für Sauerstoff oder Schwefel steht. Bevorzugt sind die Verbindungen der allgemeinen Formel (I), worin X is oxygen or sulfur. Preference is given to the compounds of the general formula (I) in which
R1 für Wasserstoff, (Ci-Cv)-Haloalkyl, (Ci-C7)-Haloalkoxy-(Ci-C7)-alkyl, (C1-C7)-R 1 is hydrogen, (C 1 -C 4) -haloalkyl, (C 1 -C 7 ) -haloalkoxy- (C 1 -C 7 ) -alkyl, (C 1 -C 7 ) -
Haloalkylsulfonylalkyl, Hydroxy-(Ci-C7)-alkyl, Cyano-(Ci-C7)-alkyl, Halo-(C3-C7)-Cycloalkyl, (C3-C7)-Cycloalkyl-(C2-C7)-alkyl, Aryl-(Ci-C7)-alkyl, Heteroaryl-(Ci-C7)-alkyl, Heterocyclyl- (Ci-C7)-alkyl, (Ci-C7)-Alkoxy-(Ci-C7)-alkyl, (Ci-C7)-Alkylthio-(Ci-C7)-alkyl, Amino-(Ci-C7)- alkyl, (Ci-C7)-Alkylamino-(Ci-C7)-alkyl, (C3-C7)-Cycloalkylammo-(Ci-C7)-alkyl, Aryl-(Ci-C7)- alkylamino-(Ci-C7)-alkyl, Heteroaryl-(Ci-C7)-alkylamino-(Ci-C7)-alkyl, Heterocyclyl-(Ci-C7)- alkylamino-(Ci-C7)-alkyl, Heterocyclylamino-(Ci-C7)-alkyl, Heteroarylamino-(Ci-C7)-alkyl, (Ci-C7)-Alkoxycarbonylamino-(Ci-C7)-alkyl, Arylamino-(Ci-C7)-alkyl, Aryl-(Ci-C7)- alkoxycarbonylamino-(Ci-C7)-alkyl, (C3-C7)-Cycloalkoxycarbonylamino-(Ci-C7)-alkyl, (C3-C7)-Haloalkylsulfonylalkyl, hydroxy (Ci-C7) alkyl, cyano (Ci-C7) alkyl, halo (C 3 -C 7) -cycloalkyl, (C3-C7) cycloalkyl (C2-C7 ) -alkyl, aryl- (C 1 -C 7 ) -alkyl, heteroaryl- (C 1 -C 7 ) -alkyl, heterocyclyl- (C 1 -C 7 ) -alkyl, (C 1 -C 7 ) -alkoxy- (C 1 -C 4 ) -alkyl 7) alkyl, (Ci-C7) -alkylthio (Ci-C 7) alkyl, amino (Ci-C7) - alkyl, (Ci-C7) alkylamino- (Ci-C7) - alkyl, (C 3 -C 7) -Cycloalkylammo- (Ci-C7) alkyl, aryl (Ci-C7) - alkylamino (Ci-C7) alkyl, heteroaryl (Ci-C7) - alkylamino- (C 1 -C 7 ) -alkyl, heterocyclyl- (C 1 -C 7 ) -alkylamino- (C 1 -C 7 ) -alkyl, heterocyclylamino- (C 1 -C 7 ) -alkyl, heteroarylamino- (C 1 -C 7 ) alkyl, (C 1 -C 7 ) -alkoxycarbonylamino- (C 1 -C 7 ) -alkyl, arylamino- (C 1 -C 7 ) -alkyl, aryl- (C 1 -C 7 ) -alkoxycarbonylamino- (C 1 -C 7 ) - alkyl, (C 3 -C 7 ) -cycloalkoxycarbonylamino- (C 1 -C 7 ) -alkyl, (C 3 -C 7 ) -
Cycloalkyl-(Ci-C7)-alkoxycarbonylamino-(Ci-C7)-alkyl, Heteroaryl-(Ci-C7)- alkoxycarbonylamino-(Ci-C7)-alkyl, (Ci-C7)-Alkylcarbonylamino-(Ci-C7)-alkyl, (C3-C7)- Cycloalkylcarbonylamino-(Ci-C7)-alkyl, Arylcarbonylamino-(Ci-C7)-alkyl, Cycloalkyl- (C 1 -C 7 ) -alkoxycarbonylamino- (C 1 -C 7 ) -alkyl, heteroaryl- (C 1 -C 7 ) -alkoxycarbonylamino- (C 1 -C 7 ) -alkyl, (C 1 -C 7 ) -alkylcarbonylamino ( Ci-C 7) alkyl, (C3-C7) - Cycloalkylcarbonylamino- (Ci-C7) alkyl, arylcarbonylamino (Ci-C7) alkyl,
Heteroarylcarbonylamino-(Ci-C7)-alkyl, Heterocyclylcarbonylamino-(Ci-C7)-alkyl, (C2-C7)- Alkenyloxycarbonylamino-(Ci-C7)-alkyl, Aryl-(C2-C7)-Alkenylamino-(Ci-C7)-alkyl, Heteroarylcarbonylamino- (C 1 -C 7 ) -alkyl, heterocyclylcarbonylamino- (C 1 -C 7 ) -alkyl, (C 2 -C 7 ) -alkenyloxycarbonylamino- (C 1 -C 7 ) -alkyl, aryl- (C 2 -C 7 ) -alkenylamino - (C 1 -C 7 ) -alkyl,
Arylsulfonyl-(Ci-C7)-alkyl, Heteroarylsulfonyl-(Ci-C7)-alkyl, (Ci-C7)-Alkylsulfonyl-(Ci-C7)- alkyl, (C3-C7)-Cycloalkylsulfonyl-(Ci-C7)-alkyl, Arylsulfmyl-(Ci-C7)-alkyl, Heteroarylsulfmyl- (Ci-C7)-alkyl, (Ci-C7)-Alkylsulfmyl-(Ci-C7)-alkyl, (C3-C7)-Cycloalkylsulfmyl-(Ci-C7)-alkyl, Bis[(Ci-C7)-alkyl]amino-(Ci-C7)-alkyl, (C2-C7)-Alkenyl, (C4-C7)-Cycloalkenyl, (C2-C7)-Alkinyl, Heteroaryl, Heterocyclyl, OR13, NR14R15 steht, Arylsulfonyl (Ci-C7) alkyl, heteroarylsulfonyl (C 7) alkyl, (Ci-C7) alkylsulphonyl (Ci-C7) - alkyl, (C3-C 7) -Cycloalkylsulfonyl- ( Ci-C7) alkyl, Arylsulfmyl- (Ci-C7) alkyl, Heteroarylsulfmyl- (Ci-C7) alkyl, (Ci-C 7) -Alkylsulfmyl- (Ci-C7) alkyl, (C 3 -C 7) -Cycloalkylsulfmyl- (Ci-C7) alkyl, bis [(Ci-C 7) alkyl] amino- (Ci-C 7) alkyl, (C 2 -C 7) alkenyl, ( C 4 -C 7 ) -cycloalkenyl, (C 2 -C 7 ) -alkynyl, heteroaryl, heterocyclyl, OR 13 , NR 14 R 15 ,
R2 und R3 unabhängig voneinander für Wasserstoff, Halogen, (Ci-C7)-Alkyl, (Ci-C7)-Haloalkyl, (C3-C7)-Halocycloalkyl, (C3-C7)-Cycloalkyl, (C3-C7)-Cycloalkyl-(Ci-C7)-alkyl, Aryl-(Ci-C7)- alkyl, Heteroaryl-(Ci-C7)-alkyl, Heterocyclyl-(Ci-C7)-alkyl Hydroxy-(Ci-C7)-alkyl, Cyano- (Ci-C7)-alkyl, (Ci-C7)-Alkoxy-(Ci-C7)-alkyl, (C2-C7)-Alkenyl, (C2-C7)-Alkinyl, Aryl, R 2 and R 3 are each independently hydrogen, halogen, (Ci-C7) alkyl, (Ci-C7) haloalkyl, (C 3 -C 7) halocycloalkyl, (C 3 -C 7) cycloalkyl, (C 3 -C 7) cycloalkyl (Ci-C7) alkyl, aryl (Ci-C7) - alkyl, heteroaryl (Ci-C7) alkyl, heterocyclyl (Ci-C7) - alkyl hydroxy- (Ci-C7) alkyl, cyano (Ci-C7) alkyl, (Ci-C7) alkoxy (Ci-C7) alkyl, (C 2 -C 7) alkenyl , (C 2 -C 7 ) -alkynyl, aryl,
Heteroaryl, Heterocyclyl, Cyano, Hydroxy, OR13, C(0)R13, C(0)OR13, C(0)NR14R15, NR14R15, SO2R16 stehen, oder mit dem Kohlenstoffatom, an das sie gebunden sind, einen vollständig gesättigten oder teilgesättigten, gegebenenfalls durch Heteroatome unterbrochenen und gegebenenfalls weiter substituierten 3 bis 7-gliedrigen monocyclischen oder bicyclischen Ring bilden, oder gemeinsam mit dem Atom, an das sie gebunden sind eine Carbonylgruppe bilden, Heteroaryl, heterocyclyl, cyano, hydroxy, OR 13 , C (O) R 13 , C (O) OR 13 , C (O) NR 14 R 15 , NR 14 R 15 , SO 2 R 16 , or with the carbon atom to which they are attached form a fully saturated or partially saturated, optionally interrupted by heteroatoms and optionally further substituted 3 to 7-membered monocyclic or bicyclic ring, or together with the atom to which they are attached form a carbonyl group,
R4 und R5 unabhängig voneinander für Wasserstoff, Halogen, (Ci-C7)-Alkyl, (Ci-C7)-Haloalkyl, (C3-C7)-Halocycloalkyl, (C3-C7)-Cycloalkyl, (C3-C7)-Cycloalkyl-(Ci-C7)-alkyl, Aryl-(Ci-C7)- alkyl, Heteroaryl-(Ci-C7)-alkyl, Heterocyclyl-(Ci-C7)-alkyl Hydroxy-(Ci-C7)-alkyl, Cyano- (Ci-C7)-alkyl, (Ci-C7)-Alkoxy-(Ci-C7)-alkyl, (C2-C7)-Alkenyl, (C2-C7)-Alkinyl, Aryl, R 4 and R 5 are independently hydrogen, halogen, (Ci-C7) alkyl, (Ci-C7) haloalkyl, (C 3 -C 7) halocycloalkyl, (C 3 -C 7) cycloalkyl, (C3-C7) -cycloalkyl- (Ci-C7) alkyl, aryl (Ci-C7) - alkyl, heteroaryl (Ci-C7) alkyl, heterocyclyl (Ci-C7) alkyl hydroxy- (Ci-C7) alkyl, cyano (Ci-C7) alkyl, (Ci-C7) alkoxy (Ci-C7) alkyl, (C 2 -C 7) alkenyl, (C 2 -C 7 ) alkynyl, aryl,
Heteroaryl, Heterocyclyl, Cyano, Hydroxy, OR13, C(0)R13, C(0)OR13, C(0)NR14R15, NR14R15, S02R16 stehen, oder Heteroaryl, heterocyclyl, cyano, hydroxy, OR 13 , C (O) R 13 , C (O) OR 13 , C (O) NR 14 R 15 , NR 14 R 15 , SO 2 R 16 , or
mit dem Kohlenstoffatom, an das sie gebunden sind, einen vollständig gesättigten oder teilgesättigten, gegebenenfalls durch Heteroatome unterbrochenen und gegebenenfalls weiter substituierten 3 bis 7-gliedrigen monocyclischen oder bicyclischen Ring bilden, oder gemeinsam mit dem Atom, an das sie gebunden sind eine Carbonylgruppe bilden, with the carbon atom to which they are attached form a fully saturated or partially saturated, optionally interrupted by heteroatoms and optionally further substituted 3 to 7-membered monocyclic or bicyclic ring, or together with the atom to which they are attached form a carbonyl group,
R6, R7 und R8 unabhängig voneinander für Wasserstoff, Halogen, (Ci-C7)-Alkyl, (Ci-C7)-Haloalkyl, Aryl-(Ci-C7)-alkyl, Heteroaryl-(Ci-C7)-alkyl, Heterocyclyl-(Ci-C7)-alkyl, (C3-C7)-Cycloalkyl, (C3-C7)-Cycloalkyl-(C2-C7)-alkyl, (Ci-C7)-Alkoxy-(Ci-C7)-alkoxy-(Ci-C7)-alkyl, (C4-C7)- Cycloalkenyl-(Ci-C7)-alkyl, (C2-C7)-Alkenyl, Aryl-(C2-C7)-alkenyl, Heteroaryl-(C2-C7)-alkenyl, (C3-C7)-Cycloalkyl-(C2-C7)-alkenyl, (C2-C7)-Haloalkenyl, (C4-C7)-Cycloalkenyl, (C2-C7)- Alkinyl, Aryl-(Ci-C7)-alkinyl, Tris-[(Ci-C7)-alkyl]silyl-(C2-C7)-alkinyl, Bis-[(G-C7)- alkyl](aryl)silyl-(C2-C7)-alkinyl, Bis-aryl[(Ci-C7)-alkyl]silyl-(C2-C7)-alkinyl, (C3-C7)- Cycloalkyl-(C2-C7)-alkinyl, (C2-C7)-Haloalkinyl, Aryl, Heteroaryl, Heterocyclyl, Formyl, Hydroxy, Nitro, Hydroxyiminomethyl, (Ci-C7)-Alkoxyiminomethyl, (C3-C7)- Cycloalkoxyiminomethyl, Aryloxyiminomethyl, (C3-C7)-Cycloalkyl-(C 1 -C7)- alkoxyiminomethyl, Thiocyanato, Isothiocyanato, Hydrothio, (Ci-C7)-Alkylthio, (C1-C7)- Haloalkylthio, (Ci-C7)-Alkylsulfmyl, Arylsulfmyl, Heteroarylsulfmyl, OR13, C(0)R13, R 6 , R 7 and R 8 independently of one another represent hydrogen, halogen, (C 1 -C 7 ) -alkyl, (C 1 -C 7 ) -haloalkyl, aryl- (C 1 -C 7 ) -alkyl, heteroaryl- (C 1 -C 4 ) -alkyl 7 ) alkyl, heterocyclyl (Ci-C 7 ) alkyl, (C 3 -C 7 ) cycloalkyl, (C 3 -C 7 ) cycloalkyl (C 2 -C 7 ) alkyl, (Ci-C 7) alkoxy (Ci-C7) alkoxy (Ci-C7) alkyl, (C4-C7) - cycloalkenyl (Ci-C7) alkyl, (C 2 -C 7) alkenyl, Aryl- (C 2 -C 7 ) -alkenyl, heteroaryl- (C 2 -C 7 ) -alkenyl, (C 3 -C 7 ) -cycloalkyl- (C 2 -C 7 ) -alkenyl, (C 2 -C 7 ) haloalkenyl, (C 4 -C 7) cycloalkenyl, (C2-C7) - alkynyl, aryl (Ci-C7) alkynyl, tris - [(Ci-C 7) alkyl] silyl (C 2 -C 7 ) alkynyl, bis - [(GC 7 ) alkyl] (aryl) silyl (C 2 -C 7 ) alkynyl, bis-aryl [(Ci-C 7 ) alkyl] silyl (C 2 -C 7 ) -alkynyl, (C 3 -C 7 ) -cycloalkyl- (C 2 -C 7 ) -alkynyl, (C 2 -C 7 ) -haloalkynyl, aryl, heteroaryl, heterocyclyl, formyl, hydroxy, nitro, hydroxyiminomethyl, (Ci-C 7) alkoxyiminomethyl, (C 3 -C 7) - Cycloalkoxyiminomethyl, Aryloxyiminomethyl, (C 3 -C 7) -cycloalkyl- (C 1 -C 7) - alkoxyiminomethyl , Thiocyanato, isothiocyanato, hydrothio, (C 1 -C 7 ) -alkylthio, (C 1 -C 7 ) -haloalkylthio, (C 1 -C 7 ) -alkylsulfmyl, arylsulfmyl, heteroarylsulfmyl, OR 13 , C (O) R 13 ,
C(0)OR13, C(0)NR14R15, NR14R15, S02R16 stehen, C (O) OR 13 , C (O) NR 14 R 15 , NR 14 R 15 , SO 2 R 16 are
R9, R10 unabhängig voneinander für Wasserstoff, (Ci-C7)-Alkyl stehen, oder R 9 , R 10 independently of one another represent hydrogen, (C 1 -C 7 ) -alkyl, or
mit dem Kohlenstoffatom, an das sie gebunden sind, einen vollständig gesättigten oder teilgesättigten, gegebenenfalls durch Heteroatome unterbrochenen und gegebenenfalls weiter substituierten 3 bis 7-gliedrigen monocyclischen oder bicyclischen Ring bilden, oder gemeinsam mit dem Atom, an das sie gebunden sind eine Carbonylgruppe bilden, für Wasserstoff, (Ci-Cv)-Alkyl, (C3-C7)-Cycloalkyl, (C3-C9)-Halocycloalkyl, (C3-C7)- Cycloalkyl-(Ci-C7)-alkyl, (Ci-Cv)-Cyanoalkyl, (Ci-Cv)-Haloalkyl, (Ci-C7)-Hydroxyalkyl, (Ci-C7)-Alkoxy-(Ci-C7)-alkyl, Aryl-(Ci-C7)-alkyl, Heteroaryl-(Ci-C7)-alkyl, Heterocyclyl- (Ci-C7)-alkyl, (C2-C7)-Alkenyl, Halo-(C2-C7)-alkenyl, (C2-C7)-Alkinyl, Halo-(C2-C7)-alkinyl, Aryl, Heteroaryl, Heterocyclyl steht, für (C3-C7)-Cycloalkyl, (C3-C7)-Cycloalkyl-(Ci-C7)-alkyl, (Ci-C7)-Haloalkyl, (C3-C7)- Halocycloalkyl, Aryl-(Ci-C7)-alkyl, Heteroaryl-(Ci-C7)-alkyl, Heterocyclyl-(Ci-C7)-alkyl, (Ci-C7)-Alkoxy-(Ci-C7)-alkyl, (Ci-C7)-Alkoxy-(Ci-C7)-haloalkyl, (Ci-C7)-Alkoxy-(Ci-C7)- alkoxy-(Ci-C7)-alkyl, Aryloxy-(Ci-C7)-alkyl, Heteroaryloxy-(Ci-C7)-alkyl, (C4-Ce)- Cycloalkenyl-(Ci-C6)-alkyl, (Ci-C7)-Alkylthio-(Ci-C7)-alkyl, (Ci-C7)-Cyanoalkyl, (C1-C7)- Alkylcarbonyl-(Ci-C7)-alkyl, (Ci-C7)-Alkoxycarbonyl-(Ci-C7)-alkyl, Aryloxycarbonyl-(Ci-C7)- alkyl, Aryl-(Ci-C7)-alkoxycarbonyl-(Ci-C7)-alkyl, (C3-C7)-Cycloalkoxycarbonyl-(Ci-C7)-alkyl, (C3-C7)-Cycloalkyl-(Ci-C7)-alkoxycarbonyl-(Ci-C7)-alkyl, Heteroaryloxycarbonyl-(Ci-C7)- alkyl, Heteroaryl-(Ci-C7)-alkoxycarbonyl-(Ci-C7)-alkyl, Aminocarbonyl-(Ci-C7)-alkyl, (C1-C7)- Alkylaminocarbonyl-(Ci-C7)-alkyl, Bis[(Ci-C7)-alkyl]aminocarbonyl-(Ci-C7)-alkyl, (C3-C7)- Cycloalkylaminocarbonyl-(Ci-C7)-alkyl, Aryl-(Ci-C7)-alkylaminocarbonyl-(Ci-C7)-alkyl, (C2-C7)-Alkenyl, (C4-C7)-Cycloalkenyl, (C2-C7)-Haloalkenyl, (C4-C7)-Halocycloalkenyl, Aryl- (C2-C7)-alkenyl, Heteroaryl-(C2-C7)-alkenyl, Heterocyclyl-(C2-C7)-alkenyl, (C2-C7)-Alkinyl, (C2-C7)-Haloalkinyl, Heterocyclyl, NR14R15 steht, für (Ci-C7)-Alkyl, (Ci-C7)-Cyanoalkyl, (Ci-C9)-Haloalkyl, (C3-C9)-Cycloalkyl, (C3-C9)- Halocycloalkyl, (Ci-C7)-Alkoxy-(Ci-C7)-alkyl, (Ci-C7)-Alkoxy-(Ci-C7)-haloalkyl, Aryl-(Ci-C7)- alkyl, Heteroaryl-(Ci-C7)-alkyl, (C3-C9)-Cycloalkyl-(Ci-C7)-alkyl, (C4-C9)-Cycloalkenyl- (Ci-C7)-alkyl, (Ci-C7)-Alkoxycarbonyl-(Ci-C7)-alkyl, (C2-C7)-Alkenyloxycarbonyl-(Ci-C7)- alkyl, Aryl-(Ci-C7)-Alkoxycarbonyl-(Ci-C7)-alkyl, Hydroxycarbonyl-(Ci-C7)-alkyl, with the carbon atom to which they are attached form a fully saturated or partially saturated, optionally interrupted by heteroatoms and optionally further substituted 3 to 7-membered monocyclic or bicyclic ring, or together with the atom to which they are attached form a carbonyl group, is hydrogen, (C 1 -C 4) -alkyl, (C 3 -C 7 ) -cycloalkyl, (C 3 -C 9 ) -halocycloalkyl, (C 3 -C 7 ) -cycloalkyl- (C 1 -C 7 ) -alkyl, (Ci -Cv) -cyanoalkyl, (Ci-Cv) -haloalkyl, (Ci-C 7 ) -hydroxyalkyl, (Ci-C 7 ) -alkoxy- (Ci-C 7 ) -alkyl, aryl- (Ci-C 7 ) - alkyl, heteroaryl (Ci-C7) alkyl, heterocyclyl (Ci-C7) alkyl, (C 2 -C 7) alkenyl, halo (C 2 -C 7) alkenyl, (C 2 - C 7 ) alkynyl, halo (C 2 -C 7 ) alkynyl, aryl, heteroaryl, heterocyclyl, for (C 3 -C 7 ) -cycloalkyl, (C 3 -C 7 ) -cycloalkyl- (Ci-C 7 ) -alkyl, (C 1 -C 7 ) -haloalkyl, (C 3 -C 7 ) -halocycloalkyl, aryl- (C 1 -C 7 ) -alkyl, heteroaryl- (C 1 -C 7 ) -alkyl, heterocyclyl- (C 1 -C 4 -alkyl) 7 ) -alkyl, (C 1 -C 7 ) -alkoxy- (C 1 -C 7 ) -alkyl, (C 1 -C 7 ) -alkoxy- (C 1 -C 7 ) -haloalkyl, (C 1 -C 7 ) -alkoxy (C 1 -C 7 ) -alkoxy- (C 1 -C 7 ) -alkyl, aryloxy- (C 1 -C 7 ) -alkyl, heteroaryloxy- (C 1 -C 7 ) -alkyl, (C 4 -C 6) -cycloalkenyl ( C 1 -C 6 ) -alkyl, (C 1 -C 7 ) -alkylthio (C 1 -C 7 ) -alkyl, (C 1 -C 7 ) -cyanoalkyl, (C 1 -C 7 ) -alkylcarbonyl (C 1 -C 7 ) - alkyl, (C 1 -C 7 ) -alkoxycarbonyl- (C 1 -C 7 ) -alkyl, aryloxycarb onyl- (Ci-C7) - alkyl, aryl- (Ci-C7) alkoxycarbonyl (Ci-C7) alkyl, (C 3 -C 7) -Cycloalkoxycarbonyl- (Ci-C7) alkyl, (C 3 -C 7) cycloalkyl (Ci-C7) alkoxycarbonyl (Ci-C7) alkyl, heteroaryloxycarbonyl, (Ci-C7) - alkyl, heteroaryl (Ci-C7) alkoxycarbonyl (C 1 -C 7 ) -alkyl, aminocarbonyl- (C 1 -C 7 ) -alkyl, (C 1 -C 7 ) -alkylaminocarbonyl- (C 1 -C 7 ) -alkyl, bis [(C 1 -C 7 ) -alkyl] aminocarbonyl- (Ci-C7) alkyl, (C3-C7) - cycloalkylaminocarbonyl (Ci-C7) alkyl, aryl (Ci-C7) alkylaminocarbonyl (Ci-C7) alkyl, (C 2 - C 7 ) alkenyl, (C 4 -C 7 ) -cycloalkenyl, (C 2 -C 7 ) -haloalkenyl, (C 4 -C 7 ) -halocycloalkenyl, aryl- (C 2 -C 7 ) -alkenyl, heteroaryl- (C 2 -C 7 ) -alkenyl, heterocyclyl- (C 2 -C 7 ) -alkenyl, (C 2 -C 7 ) -alkynyl, (C 2 -C 7 ) -haloalkynyl, heterocyclyl, NR 14 R 15 , for (Ci-C 7 ) -alkyl, (Ci-C 7 ) -cyanoalkyl, (Ci-C 9 ) -haloalkyl, (C 3 -C 9 ) -cycloalkyl, (C3-C9) -halocycloalkyl, (Ci-C 7) alkoxy (Ci-C7) alkyl, (Ci-C7) alkoxy (Ci-C7) haloalkyl, aryl (Ci-C7) - alkyl, heteroaryl (C i-C 7) alkyl, (C 3 -C 9) cycloalkyl (Ci-C7) alkyl, (C 4 -C 9) cycloalkenyl (C 7) alkyl, (Ci-C 7) alkoxycarbonyl (Ci-C7) alkyl, (C 2 -C 7) -Alkenyloxycarbonyl- (Ci-C7) - alkyl, aryl- (Ci-C7) alkoxycarbonyl (Ci-C7) alkyl , Hydroxycarbonyl- (C 1 -C 7 ) -alkyl,
Heterocyclyl-(Ci-C7)-alkyl, (C2-C7)-Alkenyl, (C2-C7)-Haloalkenyl, (C4-C9)-Cycloalkenyl, (C4-C9)-Halocycloalkenyl, (C2-C7)-Alkinyl, (C2-C7)-Haloalkinyl, Aryl, Heteroaryl, Heterocyclyl steht, und R15 gleich oder verschieden sind und unabhängig voneinander für Wasserstoff, (C1-C7)- Cyanoalkyl, (Ci-C9)-Haloalkyl, (C3-C9)-Cycloalkyl, (C3-C9)-Halocycloalkyl, (Ci-C7)-Alkoxy- (Ci-C7)-alkyl, (Ci-C7)-Haloalkoxy-(Ci-C7)-alkyl, (Ci-C7)-Alkylthio-(Ci-C7)-alkyl, (C1-C7)- Haloalkylthio-(Ci-C7)-alkyl, Aryl-(Ci-C7)-alkyl, Heteroaryl-(Ci-C7)-alkyl, (C3-C9)-Cycloalkyl- (Ci-C7)-alkyl, (C4-C9)-Cycloalkenyl-(Ci-C7)-alkyl, (Ci-C7)-Alkoxycarbonyl-(Ci-C7)-alkyl, Aryl- (Ci-C7)-Alkoxycarbonyl-(Ci-C7)-alkyl, Heterocyclyl-(Ci-C7)-alkyl, (C2-C7)-Alkenyl, (C2-C7)- Haloalkenyl, (C4-C9)-Cycloalkenyl, (C4-C9)-Halocycloalkenyl, (C2-C7)-Alkinyl, (C2-C7)- Haloalkinyl, Aryl, Heteroaryl, Heterocyclyl, COR , S02R16, (Ci-C7)-Alkyl-HN02S-, (C3-C9)- Cycloalkyl-HNC S-, (Ci-C7)-Alkoxycarbonyl, Aryl-(Ci-C7)-Alkoxycarbonyl, Heteroaryl- (Ci-C7)-Alkoxycarbonyl, (C2-C7)-Alkenyloxycarbonyl, (C2-C7)-Alkinyloxycarbonyl stehen, oder mit dem Atom, an das sie gebunden sind, einen vollständig gesättigten, oder teilgesättigten, durch mindestens ein und optional bis zu drei Heteroatomen unterbrochenen und gegebenenfalls weiter substituierten 3-7-gliedrigen Ring bilden, Heterocyclyl (C 1 -C 7 ) -alkyl, (C 2 -C 7 ) -alkenyl, (C 2 -C 7 ) -haloalkenyl, (C 4 -C 9 ) -cycloalkenyl, (C 4 -C 9 ) -halocycloalkenyl , (C 2 -C 7 ) -alkynyl, (C 2 -C 7 ) -haloalkynyl, aryl, heteroaryl, heterocyclyl, and R 15 are identical or different and independently of one another represent hydrogen, (C 1 -C 7 ) -cycloalkyl, ( Ci-C 9 ) -haloalkyl, (C 3 -C 9 ) -cycloalkyl, (C 3 -C 9 ) -halocycloalkyl, (Ci-C 7 ) -alkoxy- (Ci-C 7 ) -alkyl, (Ci-C 7) haloalkoxy (Ci-C7) alkyl, (Ci-C7) -alkylthio (Ci-C 7) alkyl, (C1-C7) - Haloalkylthio- (Ci-C7) alkyl, aryl (C 1 -C 7 ) -alkyl, heteroaryl- (C 1 -C 7 ) -alkyl, (C 3 -C 9 ) -cycloalkyl- (C 1 -C 7 ) -alkyl, (C 4 -C 9 ) -cycloalkenyl- (Ci-C7) alkyl, (Ci-C 7) alkoxycarbonyl (Ci-C7) alkyl, aryl (Ci-C7) alkoxycarbonyl (Ci-C7) alkyl, heterocyclyl ( C 1 -C 7 ) -alkyl, (C 2 -C 7 ) -alkenyl, (C 2 -C 7 ) -haloalkenyl, (C 4 -C 9 ) -cycloalkenyl, (C 4 -C 9 ) -halocycloalkenyl, (C 2 -) C 7 ) -alkynyl, (C 2 -C 7 ) - Haloalkynyl, aryl, heteroaryl, heterocyclyl, COR, SO 2 R 16 , (C 1 -C 7 ) -alkyl-HNO 2 -S-, (C 3 -C 9) -cycloalkyl-HNC S-, (C 1 -C 7 ) -alkoxycarbonyl, aryl- (Ci-C 7) alkoxycarbonyl, heteroaryl- (Ci-C7) alkoxycarbonyl, (C 2 -C 7) alkenyloxycarbonyl, (C2-C7) -alkynyloxycarbonyl stand, or with the atom to which they are attached , form a fully saturated or partially saturated 3-7 membered ring interrupted by at least one and optionally up to three heteroatoms and optionally further substituted,
R16 für (Ci-Cv)-Alkyl, (Ci-Cv)-Cyanoalkyl, (Ci-C9)-Haloalkyl, (C3-C9)-Cycloalkyl, (C3-C9)-R 16 is (Ci-Cv) alkyl, (Ci-Cv) cyanoalkyl, (Ci-C 9) -haloalkyl, (C 3 -C 9) -cycloalkyl, (C3-C9) -
Halocycloalkyl, (Ci-C7)-Alkoxy-(Ci-C7)-alkyl, (Ci-C7)-Alkoxy-(Ci-C7)-haloalkyl, Aryl-(Ci-C7)- alkyl, Heteroaryl-(Ci-C7)-alkyl, Heterocyclyl-(Ci-C7)-alkyl, (C3-C9)-Cycloalkyl-(Ci-C7)-alkyl, (C4-C9)-Cycloalkenyl-(Ci-C7)-alkyl, (C2-C7)-Alkenyl, (C2-C7)-Haloalkenyl, (C4-C9)- Cycloalkenyl, (C4-C9)-Halocycloalkenyl, (C2-C7)-Alkinyl, (C2-C7)-Haloalkinyl, Aryl, Heteroaryl steht, und Halocycloalkyl, (Ci-C7) alkoxy (Ci-C7) alkyl, (Ci-C7) alkoxy (Ci-C7) haloalkyl, aryl (Ci-C7) - alkyl, heteroaryl (C 1 -C 7 ) -alkyl, heterocyclyl- (C 1 -C 7 ) -alkyl, (C 3 -C 9 ) -cycloalkyl- (C 1 -C 7 ) -alkyl, (C 4 -C 9 ) -cycloalkenyl- (Ci-C7) alkyl, (C 2 -C 7) alkenyl, (C 2 -C 7) haloalkenyl, (C4-C9) - cycloalkenyl, (C4-C9) -Halocycloalkenyl, (C 2 - C 7 ) alkynyl, (C 2 -C 7 ) haloalkynyl, aryl, heteroaryl, and
X für Sauerstoff oder Schwefel steht, X is oxygen or sulfur,
Besonders bevorzugt sind die Verbindungen der allgemeinen Formel (I), worin Particularly preferred are the compounds of general formula (I) wherein
R1 für Wasserstoff, (Ci-C6)-Haloalkyl, Hydroxy-(Ci-C6)-alkyl, Cyano-(Ci-C6)-alkyl, Halo-(C3-C6)- Cycloalkyl, (C3-C6)-Cycloalkyl-(C2-C6)-alkyl, Aryl-(Ci-C6)-alkyl, Heteroaryl-(Ci-C6)-alkyl, Heterocyclyl-(Ci-C6)-alkyl, (Ci-C6)-Alkoxy-(Ci-C6)-alkyl, (Ci-C6)-Alkylthio-(Ci-C6)-alkyl, Amino-(Ci-C6)-alkyl, (Ci-C6)-Alkylamino-(Ci-C6)-alkyl, (C2-C6)-Alkenyl, (C4-C6)- Cycloalkenyl, (C2-C6)-Alkinyl, Heteroaryl, Heterocyclyl, OR13, NR14R15 steht, R 1 represents hydrogen, (Ci-C 6) -haloalkyl, hydroxy (Ci-C 6) alkyl, cyano (Ci-C 6) alkyl, halo (C 3 -C 6) - cycloalkyl, (C3 C6) cycloalkyl (C 2 -C 6) alkyl, aryl (Ci-C 6) alkyl, heteroaryl (Ci-C 6) alkyl, heterocyclyl (Ci-C 6) alkyl, ( C 1 -C 6 -alkoxy- (C 1 -C 6 ) -alkyl, (C 1 -C 6 ) -alkylthio (C 1 -C 6 ) -alkyl, amino- (C 1 -C 6 ) -alkyl, (C 1 -C 6 ) ) alkylamino (Ci-C 6) alkyl, (C 2 -C 6) alkenyl, (C 4 -C 6) - cycloalkenyl, (C 2 -C 6) alkynyl, heteroaryl, heterocyclyl, OR 13, NR 14 R 15 stands,
R2 und R3 unabhängig voneinander für Wasserstoff, Halogen, (Ci-C6)-Alkyl, (Ci-C6)-Haloalkyl, (C3-C6)-Halocycloalkyl, (C3-C6)-Cycloalkyl, (C3-C6)-Cycloalkyl-(Ci-C6)-alkyl, Aryl-(Ci-C6)- alkyl, Heteroaryl-(Ci-C6)-alkyl, Heterocyclyl-(Ci-C6)-alkyl Hydroxy-(Ci-C6)-alkyl, Cyano- (Ci-C6)-alkyl, (Ci-C6)-Alkoxy-(Ci-C6)-alkyl, (C2-C6)-Alkenyl, (C2-C6)-Alkinyl, Aryl, R 2 and R 3 independently of one another represent hydrogen, halogen, (C 1 -C 6 ) -alkyl, (C 1 -C 6 ) -haloalkyl, (C 3 -C 6 ) -halocycloalkyl, (C 3 -C 6 ) -cycloalkyl, (C 3 -C 6) -cycloalkyl- (Ci-C 6) alkyl, aryl (Ci-C 6) - alkyl, heteroaryl (Ci-C6) alkyl, heterocyclyl (Ci-C6) alkyl hydroxy- ( Ci-C6) alkyl, cyano (Ci-C 6) alkyl, (Ci-C6) alkoxy (Ci-C 6) alkyl, (C 2 -C 6) alkenyl, (C 2 - C 6 ) alkynyl, aryl,
Heteroaryl, Heterocyclyl, Cyano, Hydroxy, OR13, C(0)R13, C(0)OR13, C(0)NR14R15, NR14R15, SO2R16 stehen, oder Heteroaryl, heterocyclyl, cyano, hydroxy, OR 13 , C (O) R 13 , C (O) OR 13 , C (O) NR 14 R 15 , NR 14 R 15 , SO 2 R 16 , or
mit dem Kohlenstoffatom, an das sie gebunden sind, einen vollständig gesättigten oder teilgesättigten, gegebenenfalls durch Heteroatome unterbrochenen und gegebenenfalls weiter substituierten 3 bis 7-gliedrigen monocyclischen oder bicyclischen Ring bilden, oder gemeinsam mit dem Atom, an das sie gebunden sind eine Carbonylgruppe bilden, with the carbon atom to which they are attached form a fully saturated or partially saturated, optionally interrupted by heteroatoms and optionally further substituted 3 to 7-membered monocyclic or bicyclic ring, or together with the atom to which they are attached form a carbonyl group,
R4 und R5 unabhängig voneinander für Wasserstoff, Halogen, (Ci-C6)-Alkyl, (Ci-C6)-Haloalkyl, (C3-C6)-Halocycloalkyl, (C3-C6)-Cycloalkyl, (C3-C6)-Cycloalkyl-(Ci-C6)-alkyl, Aryl-(Ci-C6)- alkyl, Heteroaryl-(Ci-C6)-alkyl, Heterocyclyl-(Ci-C6)-alkyl Hydroxy-(Ci-C6)-alkyl, Cyano- (Ci-C6)-alkyl, (Ci-C6)-Alkoxy-(Ci-C6)-alkyl, (C2-C6)-Alkenyl, (C2-C6)-Alkinyl, Aryl, R 4 and R 5 independently of one another represent hydrogen, halogen, (C 1 -C 6 ) -alkyl, (C 1 -C 6 ) -haloalkyl, (C 3 -C 6 ) -halocycloalkyl, (C 3 -C 6 ) -cycloalkyl, (C 3 -C 6) -cycloalkyl- (Ci-C 6) alkyl, aryl (Ci-C 6) - alkyl, heteroaryl- (C 1 -C 6 ) -alkyl, heterocyclyl- (C 1 -C 6 ) -alkyl, hydroxy- (C 1 -C 6 ) -alkyl, cyano- (C 1 -C 6 ) -alkyl, (C 1 -C 6 ) -alkoxy - (Ci-C 6) alkyl, (C 2 -C 6) alkenyl, (C 2 -C 6) alkynyl, aryl,
Heteroaryl, Heterocyclyl, Cyano, Hydroxy, OR13, C(0)R13, C(0)OR13, C(0)NR14R15, NR14R15, S02R16 stehen, oder Heteroaryl, heterocyclyl, cyano, hydroxy, OR 13 , C (O) R 13 , C (O) OR 13 , C (O) NR 14 R 15 , NR 14 R 15 , SO 2 R 16 , or
mit dem Kohlenstoffatom, an das sie gebunden sind, einen vollständig gesättigten oder teilgesättigten, gegebenenfalls durch Heteroatome unterbrochenen und gegebenenfalls weiter substituierten 3 bis 7-gliedrigen monocyclischen oder bicyclischen Ring bilden, oder gemeinsam mit dem Atom, an das sie gebunden sind eine Carbonylgruppe bilden, R6, R7 und R8 unabhängig voneinander für Wasserstoff, Halogen, (Ci-C6)-Alkyl, (Ci-C6)-Haloalkyl, (C3-C6)-Cycloalkyl, Aryl, Heteroaryl, Heterocyclyl, (Ci-C6)-Alkylthio, OR13, C(0)R13, C(0)OR13, C(0)NR14R15, NR14R15, S02R16 stehen, with the carbon atom to which they are attached form a fully saturated or partially saturated, optionally interrupted by heteroatoms and optionally further substituted 3 to 7-membered monocyclic or bicyclic ring, or together with the atom to which they are attached form a carbonyl group, R 6 , R 7 and R 8 independently of one another represent hydrogen, halogen, (C 1 -C 6 ) -alkyl, (C 1 -C 6 ) -haloalkyl, (C 3 -C 6 ) -cycloalkyl, aryl, heteroaryl, heterocyclyl, (C 1 -C 6 ) -cycloalkyl, C 6) alkylthio, OR 13, C (0) R 13, C (0) OR 13, C (0) NR 14 R 15, NR 14 R 15, S0 2 R 16,
R9, R10 unabhängig voneinander für Wasserstoff, (Ci-C6)-Alkyl stehen, oder R 9 , R 10 independently of one another represent hydrogen, (C 1 -C 6) -alkyl, or
mit dem Kohlenstoffatom, an das sie gebunden sind, einen vollständig gesättigten oder teilgesättigten, gegebenenfalls durch Heteroatome unterbrochenen und gegebenenfalls weiter substituierten 3 bis 7-gliedrigen monocyclischen oder bicyclischen Ring bilden, oder gemeinsam mit dem Atom, an das sie gebunden sind eine Carbonylgruppe bilden, für Wasserstoff, (Ci-C6)-Alkyl steht, für (C3-C6)-Cycloalkyl, (C3-C6)-Cycloalkyl-(Ci-C6)-alkyl, (Ci-C6)-Haloalkyl, (C3-C6)- Halocycloalkyl, Aryl-(Ci-C6)-alkyl, Heteroaryl-(Ci-C6)-alkyl, Heterocyclyl-(Ci-C6)-alkyl, (Ci-C6)-Alkoxy-(Ci-C6)-alkyl, (Ci-C6)-Alkoxy-(Ci-C6)-haloalkyl, (Ci-C6)-Alkoxy-(Ci-C6)- alkoxy-(Ci-C6)-alkyl, Aryloxy-(Ci-C6)-alkyl, Heteroaryloxy-(Ci-C6)-alkyl, (C4-C7)- Cycloalkenyl-(Ci-C7)-alkyl, (Ci-C6)-Alkylthio-(Ci-C6)-alkyl, (Ci-C6)-Cyanoalkyl, (Ci-C6)- Alkylcarbonyl-(Ci-C6)-alkyl, (Ci-C6)-Alkoxycarbonyl-(Ci-C6)-alkyl, Aryloxycarbonyl-(Ci-C6)- alkyl, Aryl-(Ci-C6)-alkoxycarbonyl-(Ci-C6)-alkyl, (C3-C6)-Cycloalkoxycarbonyl-(Ci-C6)-alkyl, (C3-C6)-Cycloalkyl-(Ci-C6)-alkoxycarbonyl-(Ci-C6)-alkyl, Heteroaryloxycarbonyl-(Ci-C6)- alkyl, Heteroaryl-(Ci-C6)-alkoxycarbonyl-(Ci-C6)-alkyl, Aminocarbonyl-(Ci-C6)-alkyl, (Ci-Ce)- Alkylaminocarbonyl-(Ci-C6)-alkyl, Bis[(Ci-C6)-alkyl]aminocarbonyl-(Ci-C6)-alkyl, (C3-C6)- Cycloalkylaminocarbonyl-(Ci-C6)-alkyl, Aryl-(Ci-C6)-alkylaminocarbonyl-(Ci-C6)-alkyl, (C2-C6)-Alkenyl, (C i-Ce Cycloalkenyl, (C2-C6)-Haloalkenyl, (C4-C7)-Halocycloalkenyl, Aryl- (C2-C6)-alkenyl, Heteroaryl-(C2-C6)-alkenyl, Heterocyclyl-(C2-C6)-alkenyl, (C2-C6)-Alkinyl, (C2-C6)-Haloalkinyl, Heterocyclyl, NR14R15 steht, R für (Ci-C6)-Alkyl, (Ci-C6)-Cyanoalkyl, (Ci-C8)-Haloalkyl, (C3-C8)-Cycloalkyl, (C3-C8)-with the carbon atom to which they are attached form a fully saturated or partially saturated, optionally interrupted by heteroatoms and optionally further substituted 3 to 7-membered monocyclic or bicyclic ring, or together with the atom to which they are attached form a carbonyl group, represents hydrogen, (Ci-C6) alkyl, (C 3 -C 6) -cycloalkyl, (C3-C6) cycloalkyl (Ci-C 6) alkyl, (Ci-C 6) -haloalkyl, (C 3 -C 6 ) -halocycloalkyl, aryl- (C 1 -C 6 ) -alkyl, heteroaryl- (C 1 -C 6 ) -alkyl, heterocyclyl- (C 1 -C 6 ) -alkyl, (C 1 -C 6 ) -alkoxy- (C 1 -C 6 ) -alkyl C 1 -C 6 ) -alkyl, (C 1 -C 6 ) -alkoxy- (C 1 -C 6 ) -haloalkyl, (C 1 -C 6 ) -alkoxy- (C 1 -C 6 ) -alkoxy- (C 1 -C 6 ) - alkyl, aryloxy- (C 1 -C 6) -alkyl, heteroaryloxy- (C 1 -C 6) -alkyl, (C 4 -C 7 ) -cycloalkenyl- (C 1 -C 7 ) -alkyl, (C 1 -C 6 ) -alkylthio ( C 1 -C 6 ) -alkyl, (C 1 -C 6 ) -cyanoalkyl, (C 1 -C 6 ) -alkylcarbonyl- (C 1 -C 6 ) -alkyl, (C 1 -C 6 ) -alkoxycarbonyl- (C 1 -C 6 ) -alkyl, Aryloxycarbonyl- (C 1 -C 6) -alkyl, aryl- (C 1 -C 6) -alkoxycarbonyl- (C 1 -C 6) -alkyl, ( C 3 -C 6) -cycloalkoxycarbonyl- (C 1 -C 6) -alkyl, (C 3 -C 6) -cycloalkyl- (C 1 -C 6) -alkoxycarbonyl- (C 1 -C 6) -alkyl, heteroaryloxycarbonyl- (C 1 -C 6) -alkyl, heteroaryl - (C 1 -C 6) -alkoxycarbonyl- (C 1 -C 6) -alkyl, aminocarbonyl- (C 1 -C 6) -alkyl, (C 1 -C 6) -alkylaminocarbonyl- (C 1 -C 6) -alkyl, bis [(C 1 -C 6) -alkyl] aminocarbonyl- (C 1 -C 6) -alkyl, (C 3 -C 6) -cycloalkylaminocarbonyl- (C 1 -C 6) -alkyl, aryl- (C 1 -C 6) -alkylaminocarbonyl- (C 1 -C 6) -alkyl, (C 2 -C 6 ) alkenyl, (C 1 -C 6 cycloalkenyl, (C 2 -C 6) -haloalkenyl, (C 4 -C 7 ) -halocycloalkenyl, aryl- (C 2 -C 6) -alkenyl, heteroaryl- (C 2 -C 6 ) alkenyl, heterocyclyl (C 2 -C 6) alkenyl, (C 2 -C 6) -alkynyl, (C 2 -C 6) haloalkynyl, heterocyclyl, NR 14 R 15, R is (Ci-C 6) -alkyl, (Ci-C 6) cyanoalkyl, (Ci-C8) -haloalkyl, (C 3 -C 8) -cycloalkyl, (C 3 -C 8) -
Halocycloalkyl, (Ci-C6)-Alkoxy-(Ci-C6)-alkyl, (Ci-C6)-Alkoxy-(Ci-C6)-haloalkyl, Aryl-(Ci-C6)- alkyl, Heteroaryl-(Ci-C6)-alkyl, (C3-C8)-Cycloalkyl-(Ci-C6)-alkyl, (C4-C8)-Cycloalkenyl- (Ci-C6)-alkyl, (Ci-C6)-Alkoxycarbonyl-(Ci-C6)-alkyl, (C2-C6)-Alkenyloxycarbonyl-(Ci-C6)- alkyl, Aryl-(Ci-C6)-Alkoxycarbonyl-(Ci-C6)-alkyl, Hydroxycarbonyl-(Ci-C6)-alkyl, Halocycloalkyl, (Ci-C6) alkoxy (Ci-C 6) alkyl, (Ci-C6) alkoxy (Ci-C 6) -haloalkyl, aryl (Ci-C 6) - alkyl, heteroaryl (Ci-C 6) alkyl, (C3-C8) -cycloalkyl- (Ci-C 6) alkyl, (C 4 -C 8) cycloalkenyl (Ci-C6) alkyl, (Ci-C6) Alkoxycarbonyl- (C 1 -C 6) -alkyl, (C 2 -C 6) -alkenyloxycarbonyl- (C 1 -C 6) -alkyl, aryl- (C 1 -C 6) -alkoxycarbonyl- (C 1 -C 6) -alkyl, hydroxycarbonyl- (Ci C6) alkyl,
Heterocyclyl-(Ci-C6)-alkyl, (C2-C6)-Alkenyl, (C2-C6)-Haloalkenyl, (C4-C8)-Cycloalkenyl, (C4-C8)-Halocycloalkenyl, (C2-C6)-Alkinyl, (C2-C6)-Haloalkinyl, Aryl, Heteroaryl, Heterocyclyl steht, Heterocyclyl (C 1 -C 6 ) -alkyl, (C 2 -C 6 ) -alkenyl, (C 2 -C 6 ) -haloalkenyl, (C 4 -C 8 ) -cycloalkenyl, (C 4 -C 8 ) -halocycloalkenyl, (C 2 -C 6) -alkynyl, (C 2 -C 6) -haloalkynyl, aryl, heteroaryl, heterocyclyl,
R14 und R15 gleich oder verschieden sind und unabhängig voneinander für Wasserstoff, (Ci-Ce)- Cyanoalkyl, (Ci-C8)-Haloalkyl, (C3-C8)-Cycloalkyl, (C3-C8)-Halocycloalkyl, (Ci-C6)-Alkoxy- (Ci-C6)-alkyl, (Ci-C6)-Haloalkoxy-(Ci-C6)-alkyl, (Ci-C6)-Alkylthio-(Ci-C6)-alkyl, (Ci-C6)- Haloalkylthio-(Ci-C6)-alkyl, Aryl-(Ci-C6)-alkyl, Heteroaryl-(Ci-C6)-alkyl, (C3-C8)-Cycloalkyl- (Ci-C6)-alkyl, (C4-C8)-Cycloalkenyl-(Ci-C6)-alkyl, (Ci-C6)-Alkoxycarbonyl-(Ci-C6)-alkyl, Aryl- (Ci-C6)-Alkoxycarbonyl-(Ci-C6)-alkyl, Heterocyclyl-(Ci-C6)-alkyl, (C2-C6)-Alkenyl, (C2-C6)- Haloalkenyl, (C4-C8)-Cycloalkenyl, (C4-C8)-Halocycloalkenyl, (C2-C6)-Alkinyl, (C2-C6)- Haloalkinyl, Aryl, Heteroaryl, Heterocyclyl, COR13, S02R16, (Ci-C6)-Alkyl-HN02S-, (C3-C8)- Cycloalkyl-HN02S-, (Ci-C6)-Alkoxycarbonyl, Aryl-(Ci-C6)-Alkoxycarbonyl, Heteroaryl- (Ci-C6)-Alkoxycarbonyl, (C2-C6)-Alkenyloxycarbonyl, (C2-C6)-Alkinyloxycarbonyl stehen, oder mit dem Atom, an das sie gebunden sind, einen vollständig gesättigten, oder teilgesättigten, durch mindestens ein und optional bis zu drei Heteroatomen unterbrochenen und gegebenenfalls weiter substituierten 3-7-gliedrigen Ring bilden, R 14 and R 15 are identical or different and are each independently hydrogen, (Ci-Ce) - cyanoalkyl, (Ci-C8) -haloalkyl, (C 3 -C 8) -cycloalkyl, (C 3 -C 8) - Halocycloalkyl, (C 1 -C 6 ) -alkoxy- (C 1 -C 6 ) -alkyl, (C 1 -C 6 ) -haloalkoxy- (C 1 -C 6 ) -alkyl, (C 1 -C 6 ) -alkylthio (ci) C 6 ) -alkyl, (C 1 -C 6 ) -haloalkylthio (C 1 -C 6 ) -alkyl, aryl- (C 1 -C 6 ) -alkyl, heteroaryl- (C 1 -C 6 ) -alkyl, (C 3 - C 8) cycloalkyl (Ci-C 6) alkyl, (C 4 -C 8) cycloalkenyl (Ci-C 6) alkyl, (Ci-C 6) alkoxycarbonyl (Ci-C 6) - alkyl, aryl (Ci-C 6) alkoxycarbonyl (Ci-C 6) alkyl, heterocyclyl (Ci-C 6) alkyl, (C 2 -C 6) alkenyl, (C 2 -C 6) - haloalkenyl, (C 4 -C 8 ) -cycloalkenyl, (C 4 -C 8 ) -halocycloalkenyl, (C 2 -C 6 ) -alkynyl, (C 2 -C 6 ) -haloalkynyl, aryl, heteroaryl, heterocyclyl, COR 13, S0 2 R 16, (Ci-C 6) alkyl-S- HN0 2, (C 3 -C 8) - cycloalkyl HN0 2 S-, (Ci-C6) alkoxycarbonyl, aryl (Ci-C6 ) -Alkoxycarbonyl, heteroaryl- (C 1 -C 6) -alkoxycarbonyl, (C 2 -C 6) -alkenyloxycarbonyl, (C 2 -C 6) -alkynyloxycarbonyl s Tehen, or form with the atom to which they are attached, a fully saturated, or partially saturated, interrupted by at least one and optionally up to three heteroatoms and optionally further substituted 3-7-membered ring,
R16 für (Ci-C6)-Alkyl, (Ci-C6)-Cyanoalkyl, (Ci-C8)-Haloalkyl, (C3-C8)-Cycloalkyl, (C3-C8)-R 16 is (Ci-C 6) -alkyl, (Ci-C 6) cyanoalkyl, (Ci-C8) -haloalkyl, (C 3 -C 8) -cycloalkyl, (C 3 -C 8) -
Halocycloalkyl, (Ci-C6)-Alkoxy-(Ci-C6)-alkyl, (Ci-C6)-Alkoxy-(Ci-C6)-haloalkyl, Aryl-(Ci-C6)- alkyl, Heteroaryl-(Ci-C6)-alkyl, Heterocyclyl-(Ci-C6)-alkyl, (C3-C8)-Cycloalkyl-(Ci-C6)-alkyl, (C4-C8)-Cycloalkenyl-(Ci-C6)-alkyl, (C2-C6)-Alkenyl, (C2-C6)-Haloalkenyl, (C4-C8)- Cycloalkenyl, (C4-C8)-Halocycloalkenyl, (C2-C6)-Alkinyl, (C2-C6)-Haloalkinyl, Aryl, Heteroaryl steht, und Halocycloalkyl, (Ci-C6) alkoxy (Ci-C 6) alkyl, (Ci-C6) alkoxy (Ci-C 6) -haloalkyl, aryl (Ci-C 6) - alkyl, heteroaryl (C 1 -C 6 ) -alkyl, heterocyclyl- (C 1 -C 6 ) -alkyl, (C 3 -C 8 ) -cycloalkyl- (C 1 -C 6 ) -alkyl, (C 4 -C 8 ) -cycloalkenyl- (Ci-C 6) alkyl, (C 2 -C 6) alkenyl, (C 2 -C 6) haloalkenyl, (C 4 -C 8) - cycloalkenyl, (C 4 -C 8) -Halocycloalkenyl, ( C 2 -C 6) alkynyl, (C 2 -C 6) -haloalkynyl, aryl, heteroaryl, and
X für Sauerstoff oder Schwefel, bevorzugt Sauerstoff, steht. Ganz besonders bevorzugt sind die Verbindungen der allgemeinen Formel (I), worin R1 für Wasserstoff, (Ci-C6)-Haloalkyl, (C3-C6)-Cycloalkyl-(C2-C6)-alkyl steht, R2, R3 für Wasserstoff stehen, R4, R5 unabhängig voneinander für Wasserstoff, (Ci-C6)-Alkyl stehen, R6, R7, R8 unabhängig voneinander für Wasserstoff oder Halogen stehen, R9, R10 für Wasserstoff stehen, R11 für Wasserstoff steht, X is oxygen or sulfur, preferably oxygen. Most preferably, the compounds of the general formula (I) wherein R represents hydrogen, (Ci-C 6) -haloalkyl, (C 3 -C 6) cycloalkyl (C 2 -C 6) alkyl 1, R 2 , R 3 are hydrogen, R 4 , R 5 independently of one another represent hydrogen, (C 1 -C 6 ) -alkyl, R 6 , R 7 , R 8 independently of one another represent hydrogen or halogen, R 9 , R 10 represent hydrogen, R 11 represents hydrogen,
R12 für (C3-C6)-Cycloalkyl, (C3-C6)-Cycloalkyl-(Ci-C6)-alkyl, (Ci-C6)-Haloalkyl, (C3-C6)-R 12 is (C 3 -C 6) -cycloalkyl, (C3-C6) cycloalkyl (Ci-C 6) alkyl, (Ci-C 6) -haloalkyl, (C 3 -C 6) -
Halocycloalkyl, Aryl-(Ci-C6)-alkyl, Heteroaryl-(Ci-C6)-alkyl, Heterocyclyl-(Ci-C6)-alkyl, (Ci-C6)-Alkoxy-(Ci-C6)-alkyl, (Ci-C6)-Alkoxy-(Ci-C6)-haloalkyl, (Ci-C6)-Alkoxy-(Ci-C6)- alkoxy-(Ci-C6)-alkyl, Aryloxy-(Ci-C6)-alkyl, Heteroaryloxy-(Ci-C6)-alkyl, (C4-C6)- Cycloalkenyl-(Ci-C6)-alkyl, (Ci-C6)-Alkylthio-(Ci-C6)-alkyl, (Ci-C6)-Cyanoalkyl, (Ci-C6)- Alkylcarbonyl-(Ci-C6)-alkyl, (Ci-C6)-Alkoxycarbonyl-(Ci-C6)-alkyl, Aryloxycarbonyl-(Ci-C6)- alkyl, Aryl-(Ci-C6)-alkoxycarbonyl-(Ci-C6)-alkyl, (C3-C6)-Cycloalkoxycarbonyl-(Ci-C6)-alkyl, (C3-C6)-Cycloalkyl-(Ci-C6)-alkoxycarbonyl-(Ci-C6)-alkyl, Heteroaryloxycarbonyl-(Ci-C6)- alkyl, Heteroaryl-(Ci-C6)-alkoxycarbonyl-(Ci-C6)-alkyl, Aminocarbonyl-(Ci-C6)-alkyl, (CI-CÖ)- Alkylaminocarbonyl-(Ci-C6)-alkyl, Bis[(Ci-C6)-alkyl]aminocarbonyl-(Ci-C6)-alkyl, (C3-C6)- Cycloalkylaminocarbonyl-(Ci-C6)-alkyl, Aryl-(Ci-C6)-alkylaminocarbonyl-(Ci-C6)-alkyl, (C2-C6)-Alkenyl, (C4-C6)-Cycloalkenyl, (C2-C6)-Haloalkenyl, (C4-C6)-Halocycloalkenyl, Aryl- (C2-C6)-alkenyl, Heteroaryl-(C2-C6)-alkenyl, Heterocyclyl-(C2-C6)-alkenyl, (C2-C6)-Alkinyl, (C2-C6)-Haloalkinyl, Heterocyclyl, NR14R15 steht, Halocycloalkyl, aryl- (C 1 -C 6 ) -alkyl, heteroaryl- (C 1 -C 6 ) -alkyl, heterocyclyl- (C 1 -C 6 ) -alkyl, (C 1 -C 6 ) -alkoxy- (C 1 -C 6 ) -alkyl, (C 1 -C 6 ) -alkoxy- (C 1 -C 6 ) -haloalkyl, (C 1 -C 6 ) -alkoxy- (C 1 -C 6 ) -alkoxy- (C 1 -C 6 ) -alkyl, aryloxy- (C 1 -C 6 ) ) -alkyl, heteroaryloxy- (C 1 -C 6 ) -alkyl, (C 4 -C 6 ) -cycloalkenyl- (C 1 -C 6 ) -alkyl, (C 1 -C 6 ) -alkylthio (C 1 -C 6 ) -alkyl, ( (alkylcarbonyl Ci-C6) alkyl, (Ci-C6) alkoxycarbonyl (Ci-C6) alkyl, aryloxycarbonyl (Ci-C6) - - Ci-C 6) cyanoalkyl, (Ci-C 6) alkyl , Aryl- (C 1 -C 6) alkoxycarbonyl- (C 1 -C 6) alkyl, (C 3 -C 6) cycloalkoxycarbonyl- (C 1 -C 6) alkyl, (C 3 -C 6) cycloalkyl- (C 1 -C 6) alkoxycarbonyl (C 1 -C 6) -alkyl, heteroaryloxycarbonyl- (C 1 -C 6) -alkyl, heteroaryl- (C 1 -C 6) -alkoxycarbonyl- (C 1 -C 6) -alkyl, aminocarbonyl- (C 1 -C 6) -alkyl, (C 1 -C 6) -alkyl, C Ö) - alkylaminocarbonyl (Ci-C6) alkyl, bis [(Ci-C6) alkyl] aminocarbonyl (Ci-C6) alkyl, (C3-C6) - cycloalkylaminocarbonyl (Ci-C6) alkyl, Aryl- (C 1 -C 6) -alkylaminocarbonyl- (C 1 -C 6) -alkyl, (C 2 -C 6) -alkenyl, (C 4 -C 6) -cycloalkenyl, (C 2 -C 6) -haloalkenyl, (C 4 -C 6) -halocycloalkene nyl, aryl- (C 2 -C 6 ) -alkenyl, heteroaryl- (C 2 -C 6 ) -alkenyl, heterocyclyl- (C 2 -C 6 ) -alkenyl, (C 2 -C 6 ) -alkynyl, (C 2 -C 6 ) -haloalkynyl, Heterocyclyl, NR 14 R 15 ,
R13 für (Ci-C6)-Alkyl, (Ci-C6)-Cyanoalkyl, (Ci-C8)-Haloalkyl, (C3-C8)-Cycloalkyl, (C3-C8)-R 13 is (Ci-C 6) -alkyl, (Ci-C 6) cyanoalkyl, (Ci-C8) -haloalkyl, (C 3 -C 8) -cycloalkyl, (C 3 -C 8) -
Halocycloalkyl, (Ci-C6)-Alkoxy-(Ci-C6)-alkyl, (Ci-C6)-Alkoxy-(Ci-C6)-haloalkyl, Aryl-(Ci-C6)- alkyl, Heteroaryl-(Ci-C6)-alkyl, (C3-C8)-Cycloalkyl-(Ci-C6)-alkyl, (C4-C8)-Cycloalkenyl- (Ci-C6)-alkyl, (Ci-C6)-Alkoxycarbonyl-(Ci-C6)-alkyl, (C2-C6)-Alkenyloxycarbonyl-(Ci-C6)- alkyl, Aryl-(Ci-C6)-Alkoxycarbonyl-(Ci-C6)-alkyl, Hydroxycarbonyl-(Ci-C6)-alkyl, Halocycloalkyl, (Ci-C6) alkoxy (Ci-C 6) alkyl, (Ci-C6) alkoxy (Ci-C 6) -haloalkyl, aryl (Ci-C 6) - alkyl, heteroaryl - (Ci-C 6) alkyl, (C3-C8) -cycloalkyl- (Ci-C 6) alkyl, (C 4 -C 8) cycloalkenyl (Ci-C6) alkyl, (Ci-C6 ) -Alkoxycarbonyl- (C 1 -C 6) -alkyl, (C 2 -C 6) -alkenyloxycarbonyl- (C 1 -C 6) -alkyl, aryl- (C 1 -C 6) -alkoxycarbonyl- (C 1 -C 6) -alkyl, hydroxycarbonyl- (Ci C6) alkyl,
Heterocyclyl-(Ci-C6)-alkyl, (C2-C6)-Alkenyl, (C2-C6)-Haloalkenyl, (C4-C8)-Cycloalkenyl, (C4-C8)-Halocycloalkenyl, (C2-C6)-Alkinyl, (C2-C6)-Haloalkinyl, Aryl, Heteroaryl, Heterocyclyl steht, Heterocyclyl (C 1 -C 6 ) -alkyl, (C 2 -C 6 ) -alkenyl, (C 2 -C 6 ) -haloalkenyl, (C 4 -C 8 ) -cycloalkenyl, (C 4 -C 8 ) -halocycloalkenyl, (C 2 -C 6) -alkynyl, (C 2 -C 6) -haloalkynyl, aryl, heteroaryl, heterocyclyl,
R14 und R15 gleich oder verschieden sind und unabhängig voneinander für Wasserstoff, (Ci-Ce)- Cyanoalkyl, (Ci-C8)-Haloalkyl, (C3-C8)-Cycloalkyl, (C3-C8)-Halocycloalkyl, (Ci-C6)-Alkoxy- (Ci-C6)-alkyl, (Ci-C6)-Haloalkoxy-(Ci-C6)-alkyl, (Ci-C6)-Alkylthio-(Ci-C6)-alkyl, (Ci-C6)- Haloalkylthio-(Ci-C6)-alkyl, Aryl-(Ci-C6)-alkyl, Heteroaryl-(Ci-C6)-alkyl, (C3-C8)-Cycloalkyl- (Ci-C6)-alkyl, (C4-C8)-Cycloalkenyl-(Ci-C6)-alkyl, (Ci-C6)-Alkoxycarbonyl-(Ci-C6)-alkyl, Aryl- (Ci-C6)-Alkoxycarbonyl-(Ci-C6)-alkyl, Heterocyclyl-(Ci-C6)-alkyl, (C2-C6)-Alkenyl, (C2-C6)- Haloalkenyl, (C4-C8)-Cycloalkenyl, (C4-C8)-Halocycloalkenyl, (C2-C6)-Alkinyl, (C2-C6)- Haloalkinyl, Aryl, Heteroaryl, Heterocyclyl, COR13, S02R16, (Ci-C6)-Alkyl-HN02S-, (C3-C10)- Cycloalkyl-HN02S-, (Ci-C6)-Alkoxycarbonyl, Aryl-(Ci-C6)-Alkoxycarbonyl, Heteroaryl- (Ci-C6)-Alkoxycarbonyl, (C2-C6)-Alkenyloxycarbonyl, (C2-C6)-Alkinyloxycarbonyl stehen, oder mit dem Atom, an das sie gebunden sind, einen vollständig gesättigten oder teilgesättigten, durch mindestens ein und optional bis zu drei Heteroatomen unterbrochenen und gegebenenfalls weiter substituierten 3-7-gliedrigen Ring bilden, R 14 and R 15 are identical or different and are each independently hydrogen, (Ci-Ce) - cyanoalkyl, (Ci-C8) -haloalkyl, (C 3 -C 8) -cycloalkyl, (C 3 -C 8) - Halocycloalkyl, (C 1 -C 6 ) -alkoxy- (C 1 -C 6 ) -alkyl, (C 1 -C 6 ) -haloalkoxy- (C 1 -C 6 ) -alkyl, (C 1 -C 6 ) -alkylthio (ci) C 6 ) -alkyl, (C 1 -C 6 ) -haloalkylthio (C 1 -C 6 ) -alkyl, aryl- (C 1 -C 6 ) -alkyl, heteroaryl- (C 1 -C 6 ) -alkyl, (C 3 - C 8 ) cycloalkyl (Ci-C 6) alkyl, (C 4 -C 8) cycloalkenyl (Ci-C 6) alkyl, (Ci-C 6) alkoxycarbonyl (Ci-C 6) alkyl, aryl (C -C 6) alkoxycarbonyl (Ci-C 6) alkyl, heterocyclyl (Ci-C 6) alkyl, (C 2 -C 6) alkenyl, (C 2 -C 6) - haloalkenyl, (C 4 -C 8 ) -cycloalkenyl, (C 4 -C 8 ) -halocycloalkenyl, (C 2 -C 6 ) -alkynyl, (C 2 -C 6 ) -haloalkynyl, aryl, heteroaryl, heterocyclyl, COR 13 , SO 2 R 16 , (Ci-C 6) alkyl-S- HN0 2, (C3-C10) - cycloalkyl HN0 2 S-, (Ci-C6) alkoxycarbonyl, aryl (Ci-C6) alkoxycarbonyl, heteroaryl- (Ci -C6) alkoxycarbonyl, (C 2 -C 6) alkenyloxycarbonyl, (C 2 -C 6) alkynyloxycarbonyl, or with the atom to which they are attached, a fully saturated or partially saturated one, by at least one and optionally up to three Form heteroatoms interrupted and optionally further substituted 3-7-membered ring,
R16 für (Ci-C6)-Alkyl, (Ci-C6)-Cyanoalkyl, (Ci-C8)-Haloalkyl, (C3-C8)-Cycloalkyl, (C3-C8)-R 16 is (Ci-C 6) -alkyl, (Ci-C 6) cyanoalkyl, (Ci-C8) -haloalkyl, (C 3 -C 8) -cycloalkyl, (C 3 -C 8) -
Halocycloalkyl, (Ci-C6)-Alkoxy-(Ci-C6)-alkyl, (Ci-C6)-Alkoxy-(Ci-C6)-haloalkyl, Aryl-(Ci-C6)- alkyl, Heteroaryl-(Ci-C6)-alkyl, Heterocyclyl-(Ci-C6)-alkyl, (C3-C8)-Cycloalkyl-(Ci-C6)-alkyl, (C4-C8)-Cycloalkenyl-(Ci-C6)-alkyl, (C2-C6)-Alkenyl, (C2-C6)-Haloalkenyl, (C4-C8)- Cycloalkenyl, (C4-C8)-Halocycloalkenyl, (C2-C6)-Alkinyl, (C2-C6)-Haloalkinyl, Aryl, Heteroaryl steht, und Halocycloalkyl, (Ci-C6) alkoxy (Ci-C 6) alkyl, (Ci-C6) alkoxy (Ci-C 6) -haloalkyl, aryl (Ci-C 6) - alkyl, heteroaryl (C 1 -C 6 ) -alkyl, heterocyclyl- (C 1 -C 6 ) -alkyl, (C 3 -C 8 ) -cycloalkyl- (C 1 -C 6 ) -alkyl, (C 4 -C 8 ) -cycloalkenyl- (Ci-C 6) alkyl, (C 2 -C 6) alkenyl, (C 2 -C 6) haloalkenyl, (C 4 -C 8) - cycloalkenyl, (C 4 -C 8) -Halocycloalkenyl, ( C 2 -C 6) alkynyl, (C 2 -C 6) -haloalkynyl, aryl, heteroaryl, and
X für Sauerstoff steht. X stands for oxygen.
Im Speziellen bevorzugt sind die Verbindungen der allgemeinen Formel (I), worin Especially preferred are the compounds of general formula (I) wherein
R1 für Wasserstoff, Trifluormethyl, Pentafluorethyl, 1 ,1 ,2,2-Tetrafluorethyl, Heptafluorpropyl,R 1 is hydrogen, trifluoromethyl, pentafluoroethyl, 1, 1, 2,2-tetrafluoroethyl, heptafluoropropyl,
Nonafluorbutyl, Chlordifluormethyl, Bromdifluormethyl, Dichlorfluormethyl, loddifluormethyl, Bromfluormethyl, 1 -Fluorethyl, 2-Fluorethyl, Fluormethyl, Difluormethyl, 2,2-Difluorethyl, 2,2,2-Trifluorethyl, 3,3-Difluor-n-propyl, 3,3,3-Trifluor-n-propyl, 4,4-Difluor-n-butyl, 4,4,4- Trifluor-n-butyl, Cyclopropylmethyl, Cyclobutylmethyl, Cyclopentylmethyl, Cyclohexylmethyl steht, Nonafluorobutyl, chlorodifluoromethyl, bromodifluoromethyl, dichlorofluoromethyl, iododifluoromethyl, bromofluoromethyl, 1-fluoroethyl, 2-fluoroethyl, fluoromethyl, difluoromethyl, 2,2-difluoroethyl, 2,2,2-trifluoroethyl, 3,3-difluoro-n-propyl, 3, 3,3-trifluoro-n-propyl, 4,4-difluoro-n-butyl, 4,4,4-trifluoro-n-butyl, cyclopropylmethyl, cyclobutylmethyl, cyclopentylmethyl, cyclohexylmethyl,
R2, R3 für Wasserstoff stehen, R 2 , R 3 are hydrogen,
R4, R5 unabhängig voneinander für Wasserstoff, Methyl, Ethyl, n-Propyl, 1 -Methylethyl, n-Butyl, 1 - Methylpropyl, 2-Methylpropyl, 1 ,1 -Dimethylethyl, n-Pentyl, 1 -Methylbutyl, 2-Methylbutyl, 3- Methylbutyl, 1 , 1 -Dimethylpropyl, 1 ,2-Dimethylpropyl, 2,2-Dimethylpropyl, 1 -Ethylpropyl, n- Hexyl, 1 -Methylpentyl, 2-Methylpentyl, 3-Methylpentyl, 4-Methylpentyl, 1 ,1 -Dimethylbutyl, 1 ,2-Dimethylbutyl, 1 ,3-Di-methylbutyl, 2,2-Dimethylbutyl, 2,3-Dimethylbutyl, 3,3- Dimethylbutyl, 1 -Ethylbutyl, 2-Ethylbutyl, 1 , 1 ,2-Trimethylpropyl, 1 ,2,2-Trimethylpropyl, 1 - Ethyl- 1 -methylpropyl und 1 -Ethyl-2-methylpropyl stehen, R6, R7, R8 unabhängig voneinander für Wasserstoff, Fluor, Chlor, Brom oder Iod stehen, R9, R10 für Wasserstoff stehen, R 4 , R 5 independently of one another represent hydrogen, methyl, ethyl, n-propyl, 1-methylethyl, n-butyl, 1-methylpropyl, 2-methylpropyl, 1, 1-dimethylethyl, n-pentyl, 1-methylbutyl, 2 Methylbutyl, 3-methylbutyl, 1, 1-dimethylpropyl, 1, 2-dimethylpropyl, 2,2-dimethylpropyl, 1-ethylpropyl, n-hexyl, 1-methylpentyl, 2-methylpentyl, 3-methylpentyl, 4-methylpentyl, 1, 1-dimethylbutyl, 1, 2-dimethylbutyl, 1, 3-dimethylbutyl, 2,2-dimethylbutyl, 2,3-dimethylbutyl, 3,3-dimethylbutyl, 1-ethylbutyl, 2-ethylbutyl, 1, 1, 2 Trimethylpropyl, 1, 2,2-trimethylpropyl, 1-ethyl-1-methylpropyl and 1-ethyl-2-methylpropyl, R 6 , R 7 , R 8 independently of one another represent hydrogen, fluorine, chlorine, bromine or iodine, R 9 , R 10 represent hydrogen,
R11 für Wasserstoff steht, R 11 is hydrogen,
R12 für Cyclopropyl, Cyclobutyl, Cyclopentyl, Cyclohexyl,, Cyclopropylmethyl, Cyclobutylmethyl, Cyclopentylmethyl, Cyclohexylmethyl, Trifluormethyl, Pentafluorethyl, 1 , 1,2,2- Tetrafluorethyl, Heptafluorpropyl, Nonafluorbutyl, Chlordifluormethyl, Bromdifluormethyl,R 12 is cyclopropyl, cyclobutyl, cyclopentyl, cyclohexyl, cyclopropylmethyl, cyclobutylmethyl, cyclopentylmethyl, cyclohexylmethyl, trifluoromethyl, pentafluoroethyl, 1, 1,2,2-tetrafluoroethyl, heptafluoropropyl, nonafluorobutyl, chlorodifluoromethyl, bromodifluoromethyl,
Dichlorfluormethyl, Ioddifluormethyl, Bromfluormethyl, 1 -Fluorethyl, 2-Fluorethyl, Dichlorofluoromethyl, iododifluoromethyl, bromofluoromethyl, 1-fluoroethyl, 2-fluoroethyl,
Fluormethyl, Difluormethyl, 2,2-Difluorethyl, 2,2,2-Trifluorethyl, 3,3-Difluor-n-propyl, 3,3,3- Trifluor-n-propyl, 4,4-Difluor-n-butyl, 4,4,4-Trifluor-n-butyl, Benzyl, p-Cl-Benzyl, p-F- Benzyl, p-Methoxybenzyl, p-Methylbenzyl, p-Trifluormethylbenzyl, p-Nitrobenzyl, m-Cl- Benzyl, m-F-Benzyl, m-Methoxybenzyl, m-Methylbenzyl, o-Cl-Benzyl, o-F-Benzyl, o- Fluoromethyl, difluoromethyl, 2,2-difluoroethyl, 2,2,2-trifluoroethyl, 3,3-difluoro-n-propyl, 3,3,3-trifluoro-n-propyl, 4,4-difluoro-n-butyl, 4,4,4-trifluoro-n-butyl, benzyl, p-Cl-benzyl, pF-benzyl, p-methoxybenzyl, p-methylbenzyl, p-trifluoromethylbenzyl, p-nitrobenzyl, m-Cl-benzyl, mF-benzyl, m-methoxybenzyl, m-methylbenzyl, o-Cl-benzyl, oF-benzyl, o-
Methoxybenzyl, o-Methylbenzyl, 1 -Phenyleth-l -yl, 2-Phenyleth-l -yl, l -(o-Chlorphenyl)eth-l - yl, 2-(4-Chlorphenyl)ethyl, l -(o-Fluorphenyl)eth-l -yl, l -(o-Methylphenyl)eth-l -yl, l -(o- Bromphenyl)eth-l -yl, l -(o-Iodphenyl)eth-l -yl, Pyridin-2-ylmethyl, Pyridin-3-ylmethyl, Pyridin-4-ylmethyl, Pyrimidin-2-ylmethyl, Pyrimidin-4-ylmethyl, Tetrahydrofuran-2-ylmethyl, o-Cyanophenylmethyl, m-Cyanophenylmethyl, p-Cyanophenylmethyl, Methoxymethyl,Methoxybenzyl, o-methylbenzyl, 1-phenyleth-1-yl, 2-phenyleth-1-yl, l- (o-chlorophenyl) eth-1-yl, 2- (4-chlorophenyl) ethyl, 1- (o-fluorophenyl ) eth-1-yl, l - (o-methyl-phenyl) -eth-1-yl, l - (o-bromophenyl) -eth-1-yl, 1 - (o-iodophenyl) -eth-1-yl, pyridin-2-yl ylmethyl, pyridin-3-ylmethyl, pyridin-4-ylmethyl, pyrimidin-2-ylmethyl, pyrimidin-4-ylmethyl, tetrahydrofuran-2-ylmethyl, o-cyanophenylmethyl, m-cyanophenylmethyl, p-cyanophenylmethyl, methoxymethyl,
Ethoxymethyl, Ethoxyethyl, Methoxyethyl, Methoxy-n-propyl, Ethoxy-n-propyl, Methoxybutyl, Methoxy-iso-Propyl, iso-Propoxymethyl, iso-Propoxyethyl, Cyanomethyl, Cyanoethyl, Cyano- n-propyl, Cyano-n-butyl, Ethenyl, 1 -Propenyl, 2-Propenyl, 1 -Methyl- ethenyl, 1 -Butenyl, 2- Butenyl, 3-Butenyl, 1 -Methyl- 1 -propenyl, 2-Methyl- 1 -propenyl, 1 -Methyl-2-propenyl, 2- Methyl-2-propenyl, 1 -Pentenyl, 2-Pentenyl, 3-Pentenyl, 4-Pentenyl, 1 -Methyl- 1 -butenyl, 2-Ethoxymethyl, ethoxyethyl, methoxyethyl, methoxy-n-propyl, ethoxy-n-propyl, methoxybutyl, methoxy-isopropyl, isopropoxymethyl, isopropoxyethyl, cyanomethyl, cyanoethyl, cyano-n-propyl, cyano-n-butyl, Ethenyl, 1-propenyl, 2-propenyl, 1-methyl-ethenyl, 1-butenyl, 2-butenyl, 3-butenyl, 1-methyl-1-propenyl, 2-methyl-1-propenyl, 1-methyl-2- propenyl, 2-methyl-2-propenyl, 1-pentenyl, 2-pentenyl, 3-pentenyl, 4-pentenyl, 1-methyl-1-butenyl, 2-
Methyl-l -butenyl, 3 -Methyl- 1 -butenyl, l -Methyl-2-butenyl, 2-Methyl-2-butenyl, 3-Methyl-2- butenyl, l -Methyl-3-butenyl, 2-Methyl-3-butenyl, 3-Methyl-3-butenyl, l , l -Dimethyl-2- propenyl, 1 ,2-Dimethyl- 1 -propenyl, 1 ,2-Dimethyl-2-propenyl, 1 -Ethyl- 1 -propenyl, l -Ethyl-2- propenyl, 1 -Hexenyl, 2-Hexenyl, 3-Hexenyl, 4-Hexenyl, 5-Hexenyl, 1 -Methyl- 1 -pentenyl, 2- Methyl- 1 -pentenyl, 3 -Methyl- 1 -pentenyl, 4-Methyl- 1 -pentenyl, 1 -Methyl-2-pentenyl, 2-Methyl-Methyl-1-butenyl, 3-methyl-1-butenyl, 1-methyl-2-butenyl, 2-methyl-2-butenyl, 3-methyl-2-butenyl, 1-methyl-3-butenyl, 2-methyl 3-butenyl, 3-methyl-3-butenyl, 1, 1-dimethyl-2-propenyl, 1, 2-dimethyl-1-propenyl, 1, 2-dimethyl-2-propenyl, 1-ethyl-1-propenyl, 1-ethyl-2-propenyl, 1-hexenyl, 2-hexenyl, 3-hexenyl, 4-hexenyl, 5-hexenyl, 1-methyl-1-pentenyl, 2-methyl-1-pentenyl, 3-methyl-1 - pentenyl, 4-methyl-1-pentenyl, 1-methyl-2-pentenyl, 2-methyl
2-pentenyl, 3-Methyl-2-pentenyl, 4-Methyl-2-pentenyl, l -Methyl-3 -pentenyl, 2-Methyl-3- pentenyl, 3 -Methyl-3 -pentenyl, 4-Methyl-3 -pentenyl, 1 -Methyl-4-pentenyl, 2-Methyl-4- pentenyl, 3-Methyl-4-pentenyl, 4-Methyl-4-pentenyl, 1 , 1 -Dimethyl-2-butenyl, l , l -Dimethyl-3- butenyl, 1 ,2-Dimethyl- 1 -butenyl, 1 ,2-Dimethyl-2-butenyl, l ,2-Dimethyl-3-butenyl, 1 ,3- Dimethyl-l -butenyl, l ,3-Dimethyl-2-butenyl, l ,3-Dimethyl-3-butenyl, 2,2-Dimethyl-3-butenyl,2-pentenyl, 3-methyl-2-pentenyl, 4-methyl-2-pentenyl, 1-methyl-3-pentenyl, 2-methyl-3-pentenyl, 3-methyl-3-pentenyl, 4-methyl-3 - pentenyl, 1-methyl-4-pentenyl, 2-methyl-4-pentenyl, 3-methyl-4-pentenyl, 4-methyl-4-pentenyl, 1, 1-dimethyl-2-butenyl, 1, l-dimethyl 3-butenyl, 1, 2-dimethyl-1-butenyl, 1, 2-dimethyl-2-butenyl, 1,2-dimethyl-3-butenyl, 1,3-dimethyl-1-butenyl, 1,3-dimethyl 2-butenyl, 1,3-dimethyl-3-butenyl, 2,2-dimethyl-3-butenyl,
2,3-Dimethyl-l -butenyl, 2,3-Dimethyl-2-butenyl, 2,3-Dimethyl-3-butenyl, 3, 3 -Dimethyl-l - butenyl, 3,3-Dimethyl-2-butenyl, 1 -Ethyl- 1 -butenyl, 1 -Ethyl-2-butenyl, l -Ethyl-3-butenyl, 2- Ethyl-l -butenyl, 2-Ethyl-2-butenyl, 2-Ethyl-3-butenyl, l , l ,2-Trimethyl-2-propenyl, 1 -Ethyl-l - methyl-2-propenyl, l -Ethyl-2-methyl-l -propenyl und 1 -Ethyl-2-methyl-2-propenyl, Ethinyl, 1 - Propinyl, 2-Propinyl, 1 -Butinyl, 2-Butinyl, 3-Butinyl, l-Methyl-2-propinyl, 1 -Pentinyl, 2- Pentinyl, 3-Pentinyl, 4-Pentinyl, 1 -Methyl-2-butinyl, l -Methyl-3-butinyl, 2-Methyl-3-butinyl, 3- Methyl-l -butinyl, l , l -Dimethyl-2-propinyl, 1 -Ethyl-2-propinyl, 1 -Hexinyl, 2-Hexinyl, 3- Hexinyl, 4-Hexinyl, 5-Hexinyl, 1 -Methyl-2-pentinyl, l -Methyl-3-pentinyl, 1 -Methyl-4-pentinyl,2,3-dimethyl-1-butenyl, 2,3-dimethyl-2-butenyl, 2,3-dimethyl-3-butenyl, 3,3-dimethyl-1-butenyl, 3,3-dimethyl-2-butenyl, 1-ethyl-1-butenyl, 1-ethyl-2-butenyl, 1-ethyl-3-butenyl, 2- Ethyl 1-butenyl, 2-ethyl-2-butenyl, 2-ethyl-3-butenyl, 1, 1, 2-trimethyl-2-propenyl, 1-ethyl-1-methyl-2-propenyl, 1-ethyl 2-methyl-1-propenyl and 1-ethyl-2-methyl-2-propenyl, ethynyl, 1-propynyl, 2-propynyl, 1-butynyl, 2-butynyl, 3-butynyl, 1-methyl-2-propynyl, 1-pentynyl, 2-pentynyl, 3-pentynyl, 4-pentynyl, 1-methyl-2-butynyl, 1-methyl-3-butynyl, 2-methyl-3-butynyl, 3-methyl-1-butynyl, 1, 1-dimethyl-2-propynyl, 1-ethyl-2-propynyl, 1-hexynyl, 2-hexynyl, 3-hexynyl, 4-hexynyl, 5-hexynyl, 1-methyl-2-pentynyl, 1-methyl-3 pentynyl, 1-methyl-4-pentynyl,
2- Methyl-3-pentinyl, 2-Methyl-4-pentinyl, 3 -Methyl- 1 -pentinyl, 3-Methyl-4-pentinyl, 4-Methyl-2-methyl-3-pentynyl, 2-methyl-4-pentynyl, 3-methyl-1-pentynyl, 3-methyl-4-pentynyl, 4-methyl
1 - pentinyl, 4-Methyl-2-pentinyl, 1 , 1 -Dimethyl-2-butinyl, l , l -Dimethyl-3-butinyl, 1 ,2-Dimethyl-1-pentynyl, 4-methyl-2-pentynyl, 1,1-dimethyl-2-butynyl, 1,1-dimethyl-3-butynyl, 1,2-dimethyl
3- butinyl, 2,2-Dimethyl-3-butinyl, 3,3-Dimethyl-l -butinyl, 1 -Ethyl-2-butinyl, l -Ethyl-3-butinyl,3-butynyl, 2,2-dimethyl-3-butynyl, 3,3-dimethyl-1-butynyl, 1-ethyl-2-butynyl, 1-ethyl-3-butynyl,
2- Ethyl-3-butinyl, l -Ethyl-l -methyl-2-propinyl, steht, für Methyl, Ethyl, n-Propyl, 1 -Methylethyl, n-Butyl, 1 -Methylpropyl, 2-Methylpropyl, 1 ,1 - Dimethylethyl, n-Pentyl, 1 -Methylbutyl, 2-Methylbutyl, 3-Methylbutyl, 1 ,1 -Dimethylpropyl,2-ethyl-3-butynyl, 1-ethyl-1-methyl-2-propynyl, is methyl, ethyl, n -propyl, 1-methylethyl, n-butyl, 1-methylpropyl, 2-methylpropyl, 1, 1 Dimethylethyl, n-pentyl, 1-methylbutyl, 2-methylbutyl, 3-methylbutyl, 1, 1-dimethylpropyl,
1.2- Dimethylpropyl, 2,2-Dimethylpropyl, 1 -Ethylpropyl, n-Hexyl, 1 -Methylpentyl, 2- Methylpentyl, 3 -Methylpentyl, 4-Methylpentyl, 1 ,1 -Dimethylbutyl, 1 ,2-Dimethylbutyl, 1 ,3-Di- methylbutyl, 2,2-Dimethylbutyl, 2,3-Dimethylbutyl, 3,3-Dimethylbutyl, 1 -Ethylbutyl, 2- Ethylbutyl, 1 , 1 ,2-Trimethylpropyl, 1 ,2,2-Trimethylpropyl, 1 -Ethyl- 1 -methylpropyl und 1 -Ethyl- 2-methylpropyl, Cyanomethyl, Cyanoethyl, Cyano-n-propyl, Cyano-n-butyl, Trifluormethyl, Pentafluorethyl, 1 ,1 ,2,2-Tetrafluorethyl, Heptafluorpropyl, Nonafluorbutyl, Chlordifluormethyl, Bromdifluormethyl, Dichlorfluormethyl, Ioddifluormethyl, Bromfluormethyl, 1 -Fluorethyl, 2- Fluorethyl, Fluormethyl, Difluormethyl, 2,2-Difluorethyl, 2,2,2-Trifluorethyl, 3,3-Difluor-n- propyl, 3,3,3-Trifluor-n-propyl, 4,4-Difluor-n-butyl, 4,4,4-Trifluor-n-butyl, Cyclopropyl, Cyclobutyl, Cyclopentyl, Cyclohexyl, , Spiro[2.2]pent- l -yl, Spiro[2.3]hex-l -yl, Spiro [2.3 ]hex-1,2-dimethylpropyl, 2,2-dimethylpropyl, 1-ethylpropyl, n-hexyl, 1-methylpentyl, 2-methylpentyl, 3-methylpentyl, 4-methylpentyl, 1, 1-dimethylbutyl, 1, 2-dimethylbutyl, 1, 3 Dimethylbutyl, 2,2-dimethylbutyl, 2,3-dimethylbutyl, 3,3-dimethylbutyl, 1-ethylbutyl, 2-ethylbutyl, 1, 1, 2-trimethylpropyl, 1, 2,2-trimethylpropyl, 1-ethyl- 1-methylpropyl and 1-ethyl-2-methylpropyl, cyanomethyl, cyanoethyl, cyano-n-propyl, cyano-n-butyl, trifluoromethyl, pentafluoroethyl, 1,1,2,2-tetrafluoroethyl, heptafluoropropyl, nonafluorobutyl, chlorodifluoromethyl, bromodifluoromethyl, Dichlorofluoromethyl, iododifluoromethyl, bromofluoromethyl, 1-fluoroethyl, 2-fluoroethyl, fluoromethyl, difluoromethyl, 2,2-difluoroethyl, 2,2,2-trifluoroethyl, 3,3-difluoro-n-propyl, 3,3,3-trifluoro- n-propyl, 4,4-difluoro-n-butyl, 4,4,4-trifluoro-n-butyl, cyclopropyl, cyclobutyl, cyclopentyl, cyclohexyl, spiro [2.2] pent-1-yl, spiro [2.3] hex -l -yl, spiro [2.3] hexa-
4- yl, 3-Spiro[2.3]hex-5-yl, Spiro[3.3]hept-l -yl, Spiro[3.3]hept-2-yl, Bicyclo[1.1.0]butan-l -yl, Bicyclo[l .1.0]butan-2-yl, Bicyclo[2.1.0]pentan-l -yl, Bicyclo[l .1.1 ]pentan-l -yl, 4-yl, 3-spiro [2.3] hex-5-yl, spiro [3.3] hept-1-yl, spiro [3.3] hept-2-yl, bicyclo [1.1.0] butan-1-yl, bicyclo [ 1: 0] butan-2-yl, bicyclo [2.1.0] pentan-1-yl, bicyclo [1: 1] pentan-1-yl,
Bicyclo[2.1.0]pentan-2-yl, Bicyclo[2.1.0]pentan-5-yl, Bicyclo[2.1.1 ]hexyl, Bicyclo[2.2.1 ]hept- 2-yl, Bicyclo[2.2.2]octan-2-yl, Bicyclo[3.2.1 ]octan-2-yl, Bicyclo[3.2.2]nonan-2-yl, Adamantan- 1 -yl, Adamantan-2-yl, 1 -Methylcyclopropyl, 2-Methylcyclopropyl, 2,2-Dimethylcyclopropyl,Bicyclo [2.1.0] pentan-2-yl, bicyclo [2.1.0] pentan-5-yl, bicyclo [2.1.1] hexyl, bicyclo [2.2.1] hept-2-yl, bicyclo [2.2.2] octan-2-yl, bicyclo [3.2.1] octan-2-yl, bicyclo [3.2.2] nonan-2-yl, adamantane-1-yl, adamantan-2-yl, 1-methylcyclopropyl, 2-methylcyclopropyl, 2,2-dimethylcyclopropyl,
2.3- Dimethylcyclopropyl, l ,l '-Bi(cyclopropyl)-l -yl, l ,l '-Bi(cyclopropyl)-2-yl, 2'-Methyl-l , l '- bi(cyclopropyl)-2-yl, 2-Cyanocyclopropyl, 1 -Methylcyclobutyl, 2-Methylcyclobutyl, 3- Methylcyclobutyl, 2-Cyanocyclobutyl, 3-Cyanocyclobutyl, 3-Methoxycyclobutyl, 1 - Allylcyclopropyl, 1 -Ethylcyclopropyl, 1 -Methylcyclohexyl, 2-Methylcyclohexyl, 3- Methylcyclohexyl, Methoxymethyl, Ethoxymethyl, Ethoxyethyl, Methoxyethyl, Methoxy-n- propyl, Ethoxy-n-propyl, Methoxybutyl, Methoxy-iso-Propyl, iso-Propoxymethyl, iso- Propoxyethyl, Cyclopropylmethyl, Cyclobutylmethyl, Cyclopentylmethyl, Cyclohexylmethyl, Ethenyl, 1 -Propenyl, 2-Propenyl, 1 -Methyl- ethenyl, 1 -Butenyl, 2-Butenyl, 3-Butenyl, 1 -Methyl- 1 -propenyl, 2-Methyl-l -propenyl, 1 -Methyl-2-propenyl, 2-Methyl-2-propenyl, 1 -Pentenyl, 2- Pentenyl, 3 -Pentenyl, 4-Pentenyl, 1 -Methyl- 1 -butenyl, 2-Methyl-l -butenyl, 3 -Methyl- 1 -butenyl,2,3-Dimethylcyclopropyl, 1,1'-bis (cyclopropyl) -1-yl, l, l '-Bi (cyclopropyl) -2-yl, 2'-methyl-1,1'-bi (cyclopropyl) -2-yl , 2-cyanocyclopropyl, 1-methylcyclobutyl, 2-methylcyclobutyl, 3-methylcyclobutyl, 2-cyanocyclobutyl, 3-cyanocyclobutyl, 3-methoxycyclobutyl, 1-allylcyclopropyl, 1-ethylcyclopropyl, 1-methylcyclohexyl, 2-methylcyclohexyl, 3-methylcyclohexyl, methoxymethyl , Ethoxymethyl, ethoxyethyl, methoxyethyl, methoxy-n-propyl, ethoxy-n-propyl, methoxy-butyl, methoxy-iso-propyl, iso-propoxymethyl, iso-propoxyethyl, cyclopropylmethyl, cyclobutylmethyl, cyclopentylmethyl, cyclohexylmethyl, ethenyl, 1 -propenyl, 2 Propenyl, 1-methyl-ethenyl, 1-butenyl, 2-butenyl, 3-butenyl, 1-methyl-1-propenyl, 2-methyl-1-propenyl, 1-methyl-2-propenyl, 2-methyl-2 -propenyl, 1-pentenyl, 2- Pentenyl, 3-pentenyl, 4-pentenyl, 1-methyl-1-butenyl, 2-methyl-1-butenyl, 3-methyl-1-butenyl,
1 - Methyl-2-butenyl, 2-Methyl-2-butenyl, 3-Methyl-2-butenyl, l -Methyl-3 -butenyl, 2-Methyl-3- butenyl, 3 -Methyl-3 -butenyl, 1 , 1 -Dimethyl-2-propenyl, 1 ,2-Dimethyl-l -propenyl, 1 ,2-Dimethyl-1-methyl-2-butenyl, 2-methyl-2-butenyl, 3-methyl-2-butenyl, 1-methyl-3-butenyl, 2-methyl-3-butenyl, 3-methyl-3-butenyl, 1, 1-dimethyl-2-propenyl, 1, 2-dimethyl-1-propenyl, 1, 2-dimethyl
2- propenyl, 1 -Ethyl-l -propenyl, l -Ethyl-2-propenyl, 1 -Hexenyl, 2-Hexenyl, 3-Hexenyl, 4- Hexenyl, 5-Hexenyl, 1 -Methyl- 1 -pentenyl, 2-Methyl-l -pentenyl, 3 -Methyl- 1 -pentenyl, 4- Methyl-1 -pentenyl, l -Methyl-2-pentenyl, 2-Methyl-2-pentenyl, 3-Methyl-2-pentenyl, 4-Methyl- 2-pentenyl, l -Methyl-3 -pentenyl, 2-Methyl-3 -pentenyl, 3 -Methyl-3 -pentenyl, 4-Methyl-3- pentenyl, 1 -Methyl-4-pentenyl, 2-Methyl-4-pentenyl, 3-Methyl-4-pentenyl, 4-Methyl-4- pentenyl, 1 , 1 -Dimethyl-2-butenyl, 1 , 1 -Dimethyl-3 -butenyl, 1 ,2-Dimethyl- 1 -butenyl, 1 ,2- Dimethy 1-2 -butenyl, 1 ,2-Dimethyl-3 -butenyl, 1 , 3 -Dimethyl- 1 -butenyl, l ,3-Dimethyl-2-butenyl, l ,3-Dimethyl-3-butenyl, 2,2-Dimethyl-3 -butenyl, 2,3-Dimethyl-l -butenyl, 2,3-Dimethyl-2- butenyl, 2,3 -Dimethyl-3 -butenyl, 3, 3 -Dimethyl- 1 -butenyl, 3,3-Dimethyl-2-butenyl, 1 -Ethyl-l - butenyl, 1 -Ethyl-2-butenyl, l -Ethyl-3 -butenyl, 2-Ethyl- 1 -butenyl, 2-Ethyl-2-butenyl, 2-Ethyl-3- butenyl, l ,l ,2-Trimethyl-2-propenyl, l -Ethyl-l -methyl-2-propenyl, l -Ethyl-2-methyl-l - propenyl und 1 -Ethyl-2-methyl-2-propenyl, Ethinyl, 1 -Propinyl, 2-Propinyl, 1 -Butinyl, 2- Butinyl, 3 -Butinyl, 1 -Methyl-2-propinyl, 1 -Pentinyl, 2-Pentinyl, 3-Pentinyl, 4-Pentinyl, 1 - Methyl-2-butinyl, l -Methyl-3 -butinyl, 2-Methyl-3 -butinyl, 3 -Methyl- 1 -butinyl, 1 , 1 -Dimethyl-2- propinyl, 1 -Ethyl-2-propinyl, 1 -Hexinyl, 2-Hexinyl, 3-Hexinyl, 4-Hexinyl, 5-Hexinyl, 1 -Methyl- 2-pentinyl, 1 -Methyl-3 -pentinyl, 1 -Methyl-4-pentinyl, 2-Methyl-3-pentinyl, 2-Methyl-4- pentinyl, 3 -Methyl- 1 -pentinyl, 3-Methyl-4-pentinyl, 4-Methyl-l -pentinyl, 4-Methyl-2-pentinyl,2-propenyl, 1-ethyl-1-propenyl, 1-ethyl-2-propenyl, 1-hexenyl, 2-hexenyl, 3-hexenyl, 4-hexenyl, 5-hexenyl, 1-methyl-1-pentenyl, 2- Methyl 1-pentenyl, 3-methyl-1-pentenyl, 4-methyl-1-pentenyl, 1-methyl-2-pentenyl, 2-methyl-2-pentenyl, 3-methyl-2-pentenyl, 4-methyl 2-pentenyl, 1-methyl-3-pentenyl, 2-methyl-3-pentenyl, 3-methyl-3-pentenyl, 4-methyl-3-pentenyl, 1-methyl-4-pentenyl, 2-methyl-4 pentenyl, 3-methyl-4-pentenyl, 4-methyl-4-pentenyl, 1, 1-dimethyl-2-butenyl, 1, 1-dimethyl-3-butenyl, 1, 2-dimethyl-1-butenyl, 1, 2- Dimethyl 1-2 -butenyl, 1,2-dimethyl-3-butenyl, 1,3-dimethyl-1-butenyl, 1,3-dimethyl-2-butenyl, 1,3-dimethyl-3-butenyl, 2 , 2-Dimethyl-3-butenyl, 2,3-dimethyl-1-butenyl, 2,3-dimethyl-2-butenyl, 2,3-dimethyl-3-butenyl, 3,3-dimethyl-1-butenyl, 3 , 3-dimethyl-2-butenyl, 1-ethyl-1-butenyl, 1-ethyl-2-butenyl, 1-ethyl-3-butenyl, 2-ethyl-1-butenyl, 2-ethyl-2-butenyl, 2 Ethyl-3-butenyl, 1, 1, 2-trimethyl-2-propenyl, 1-ethyl-1 -methyl-2-propenyl, 1-ethyl-2-methyl-1-propenyl and 1-ethyl-2-methyl-2-propenyl, ethynyl, 1-propynyl, 2-propynyl, 1-butynyl, 2-butynyl, 3 Butynyl, 1-methyl-2-propynyl, 1-pentynyl, 2-pentynyl, 3-pentynyl, 4-pentynyl, 1-methyl-2-butynyl, 1-methyl-3-butynyl, 2-methyl-3-butynyl , 3-methyl-1-butynyl, 1, 1-dimethyl-2-propynyl, 1-ethyl-2-propynyl, 1-hexynyl, 2-hexynyl, 3-hexynyl, 4-hexynyl, 5-hexynyl, 1-methyl 2-pentynyl, 1-methyl-3-pentynyl, 1-methyl-4-pentynyl, 2-methyl-3-pentynyl, 2-methyl-4-pentynyl, 3-methyl-1-pentynyl, 3-methyl-4 pentynyl, 4-methyl-1-pentynyl, 4-methyl-2-pentynyl,
1 , 1 -Dimethyl-2-butinyl, 1 , 1 -Dimethyl-3 -butinyl, 1 ,2-Dimethyl-3 -butinyl, 2,2-Dimethyl-3- butinyl, 3, 3 -Dimethyl- 1 -butinyl, 1 -Ethyl-2-butinyl, l -Ethyl-3 -butinyl, 2-Ethyl-3 -butinyl, 1 - Ethyl-l -methyl-2-propinyl, Pyridin-2-yl, Pyridin-3-yl, Pyridin-4-yl, 4-Methyl-l , 2,4-triazol-5-yl, 1 -Methyl- l ,2,4-triazol-3-yl, l -Methyltetrazol-5-yl, l -Ethyltetrazol-5-yl, Phenyl, p-Cl-Phenyl, p- F-Phenyl, p-Methoxyphenyl, p-Trifluormethylphenyl, p-Methylphenyl, p-1, 1-dimethyl-2-butynyl, 1, 1-dimethyl-3-butynyl, 1, 2-dimethyl-3-butynyl, 2,2-dimethyl-3-butynyl, 3, 3-dimethyl-1-butynyl, 1-ethyl-2-butynyl, 1-ethyl-3-butynyl, 2-ethyl-3-butynyl, 1-ethyl-1-methyl-2-propynyl, pyridin-2-yl, pyridin-3-yl, pyridine 4-yl, 4-methyl-l, 2,4-triazol-5-yl, 1-methyl-l, 2,4-triazol-3-yl, l -methyltetrazol-5-yl, 1-ethyltetrazol-5 yl, phenyl, p-Cl-phenyl, p-F-phenyl, p-methoxyphenyl, p-trifluoromethylphenyl, p-methylphenyl, p-
Trifluormethoxyphenyl, m-Cl-Phenyl, m-F-Phenyl, m-Methoxyphenyl, m-Trifluormethylphenyl, m-Methylphenyl, m-Trifluormethoxyphenyl, o-Cl-Phenyl, o-F-Phenyl, o-Methoxyphenyl, o- Trifluormethylphenyl, o-Methylphenyl, o-Trifluormethoxyphenyl, Benzyl, p-Cl-Benzyl, p-F- Benzyl, p-Methoxybenzyl, p-Methylbenzyl, p-Trifluormethylbenzyl, p-Nitrobenzyl, m-Cl- Benzyl, m-F-Benzyl, m-Methoxybenzyl, m-Methylbenzyl, o-Cl-Benzyl, o-F-Benzyl, o- Methoxybenzyl, o-Methylbenzyl, 1 -Phenyleth-l -yl, 2-Phenyleth-l -yl, l -(o-Chlorphenyl)eth-l - yl, l -(o-Fluorphenyl)eth-l -yl, l -(o-Methylphenyl)eth-l -yl, l -(o-Bromphenyl)eth-l -yl, l -(o- Iodphenyl)eth-l -yl, Pyridin-2-ylmethyl, Pyridin-3-ylmethyl, Pyridin-4-ylmethyl, Pyrimidin-2- ylmethyl, Pyrimidin-4-ylmethyl, Tetrahydrofuran-2-ylmethyl, o-Cyanophenylmethyl, m- Cyanophenylmethyl, p-Cyanophenylmethyl, steht, R und R gleich oder verschieden sind und unabhängig voneinander für Wasserstoff, Trifluoromethoxyphenyl, m-Cl-phenyl, mF-phenyl, m-methoxyphenyl, m-trifluoromethylphenyl, m-methylphenyl, m-trifluoromethoxyphenyl, o-Cl-phenyl, oF-phenyl, o-methoxyphenyl, o-trifluoromethylphenyl, o-methylphenyl, o-trifluoromethoxyphenyl, benzyl, p-Cl-benzyl, pF-benzyl, p -methoxybenzyl, p -methylbenzyl, p-trifluoromethylbenzyl, p-nitrobenzyl, m -Cl-benzyl, mF-benzyl, m-methoxybenzyl, m-methylbenzyl, o-Cl-benzyl, oF-benzyl, o-methoxybenzyl, o-methylbenzyl, 1-phenyleth-1-yl, 2-phenyleth-1-yl, l - (o-chlorophenyl) eth-1-yl, l - ( o-fluorophenyl) eth-1-yl, l - (o -methylphenyl) eth-1-yl, l - (o-bromophenyl) eth-1-yl, l - (o -iodophenyl) eth-1-yl, pyridine 2-ylmethyl, pyridin-3-ylmethyl, pyridin-4-ylmethyl, pyrimidin-2-ylmethyl, pyrimidin-4-ylmethyl, tetrahydrofuran-2-ylmethyl, o-cyanophenylmethyl, m-cyanophenylmethyl, p-cyanophenylmethyl; R and R are the same or different and independently of one another represent hydrogen,
Cyanomethyl, Cyanoethyl, Cyano-n-propyl, Cyano-n-butyl, Trifluormethyl, Pentafluorethyl, 1 , 1 ,2,2-Tetrafluorethyl, Heptafluorpropyl, Nonafluorbutyl, Chlordifluormethyl, Cyanomethyl, cyanoethyl, cyano-n-propyl, cyano-n-butyl, trifluoromethyl, pentafluoroethyl, 1,1,2,2-tetrafluoroethyl, heptafluoropropyl, nonafluorobutyl, chlorodifluoromethyl,
Bromdifluormethyl, Dichlorfluormethyl, Ioddifluormethyl, Bromfluormethyl, 1 -Fluorethyl, 2- Fluorethyl, Fluormethyl, Difluormethyl, 2,2-Difluorethyl, 2,2,2-Trifluorethyl, 3,3-Difluor-n- propyl, 3,3,3-Trifluor-n-propyl, 4,4-Difluor-n-butyl, 4,4,4-Trifluor-n-butyl, Cyclopropyl, Cyclobutyl, Cyclopentyl, Cyclohexyl, , Spiro[2.2]pent- l -yl, Spiro[2.3]hex-l -yl, Spiro [2.3 ]hex- 4-yl, 3-Spiro[2.3]hex-5-yl, Spiro[3.3]hept-l -yl, Spiro[3.3]hept-2-yl, Bicyclo[1.1.0]butan-l -yl, Bicyclo[l .1.0]butan-2-yl, Bicyclo[2.1.0]pentan-l -yl, Bicyclo[l .1.1 ]pentan-l -yl, Bromodifluoromethyl, dichlorofluoromethyl, iododifluoromethyl, bromofluoromethyl, 1-fluoroethyl, 2-fluoroethyl, fluoromethyl, difluoromethyl, 2,2-difluoroethyl, 2,2,2-trifluoroethyl, 3,3-difluoro-n-propyl, 3,3,3- Trifluoro-n-propyl, 4,4-difluoro-n-butyl, 4,4,4-trifluoro-n-butyl, cyclopropyl, cyclobutyl, cyclopentyl, cyclohexyl, spiro [2.2] pent-1-yl, spiro [2.3 ] hex-1-yl, spiro [2.3] hex-4-yl, 3-spiro [2.3] hex-5-yl, spiro [3.3] hept-1-yl, spiro [3.3] hept-2-yl, bicyclo [1.1.0] butan-1-yl, bicyclo [1-1.0] butan-2-yl, bicyclo [2.1.0] pentan-1-yl, bicyclo [1,11] pentan-1-yl,
Bicyclo[2.1.0]pentan-2-yl, Bicyclo[2.1.0]pentan-5-yl, Bicyclo[2.1.1 ]hexyl, Bicyclo[2.2.1 ]hept- 2-yl, Bicyclo[2.2.2]octan-2-yl, Bicyclo[3.2.1 ]octan-2-yl, Bicyclo[3.2.2]nonan-2-yl, Adamantan- 1 -yl, Adamantan-2-yl, 1 -Methylcyclopropyl, 2-Methylcyclopropyl, 2,2-Dimethylcyclopropyl, 2,3-Dimethylcyclopropyl, l ,l '-Bi(cyclopropyl)-l -yl, l ,l '-Bi(cyclopropyl)-2-yl, 2'-Methyl-l , l '- bi(cyclopropyl)-2-yl, 2-Cyanocyclopropyl, 1 -Methylcyclobutyl, 2-Methylcyclobutyl, 3- Methylcyclobutyl, 2-Cyanocyclobutyl, 3-Cyanocyclobutyl, 3-Methoxycyclobutyl, 1 - Allylcyclopropyl, 1 -Ethylcyclopropyl, 1 -Methylcyclohexyl, 2-Methylcyclohexyl, 3- Methylcyclohexyl, Methoxymethyl, Ethoxymethyl, Ethoxyethyl, Methoxyethyl, Methoxy-n- propyl, Ethoxy-n-propyl, Methoxybutyl, Methoxy-iso-Propyl, iso-Propoxymethyl, iso- Propoxyethyl, Cyclopropylmethyl, Cyclobutylmethyl, Cyclopentylmethyl, Cyclohexylmethyl, Ethenyl, 1 -Propenyl, 2-Propenyl, 1 -Methyl- ethenyl, 1 -Butenyl, 2-Butenyl, 3-Butenyl, 1 -Methyl- 1 -propenyl, 2-Methyl-l -propenyl, 1 -Methyl-2-propenyl, 2-Methyl-2-propenyl, 1 -Pentenyl, 2- Pentenyl, 3 -Pentenyl, 4-Pentenyl, 1 -Methyl- 1 -butenyl, 2-Methyl-l -butenyl, 3 -Methyl- 1 -butenyl, Bicyclo [2.1.0] pentan-2-yl, bicyclo [2.1.0] pentan-5-yl, bicyclo [2.1.1] hexyl, bicyclo [2.2.1] hept-2-yl, bicyclo [2.2.2] octan-2-yl, bicyclo [3.2.1] octan-2-yl, bicyclo [3.2.2] nonan-2-yl, adamantane-1-yl, adamantan-2-yl, 1-methylcyclopropyl, 2-methylcyclopropyl, 2,2-dimethylcyclopropyl, 2,3-dimethylcyclopropyl, 1,1'-bis (cyclopropyl) -1-yl, l, 1'-bis (cyclopropyl) -2-yl, 2'-methyl-1, l '- bi (cyclopropyl) -2-yl, 2-cyanocyclopropyl, 1-methylcyclobutyl, 2-methylcyclobutyl, 3-methylcyclobutyl, 2-cyanocyclobutyl, 3-cyanocyclobutyl, 3-methoxycyclobutyl, 1-allylcyclopropyl, 1-ethylcyclopropyl, 1-methylcyclohexyl, 2 Methylcyclohexyl, 3-methylcyclohexyl, methoxymethyl, ethoxymethyl, ethoxyethyl, methoxyethyl, methoxy-n-propyl, ethoxy-n-propyl, methoxybutyl, methoxy-iso-propyl, iso-propoxymethyl, iso -propoxyethyl, cyclopropylmethyl, cyclobutylmethyl, cyclopentylmethyl, cyclohexylmethyl , Ethenyl, 1-propenyl, 2-propenyl, 1-methyl-ethenyl, 1-butenyl, 2-butenyl, 3-butenyl, 1-methyl-1-propene nyl, 2-methyl-1-propenyl, 1-methyl-2-propenyl, 2-methyl-2-propenyl, 1-pentenyl, 2-pentenyl, 3-pentenyl, 4-pentenyl, 1-methyl-1-butenyl, 2-methyl-1-butenyl, 3-methyl-1-butenyl,
1 - Methyl-2-butenyl, 2-Methyl-2-butenyl, 3-Methyl-2-butenyl, l -Methyl-3 -butenyl, 2-Methyl-3- butenyl, 3 -Methyl-3 -butenyl, 1 , 1 -Dimethyl-2-propenyl, 1 ,2-Dimethyl-l -propenyl, 1 ,2-Dimethyl-1-methyl-2-butenyl, 2-methyl-2-butenyl, 3-methyl-2-butenyl, 1-methyl-3-butenyl, 2-methyl-3-butenyl, 3-methyl-3-butenyl, 1, 1-dimethyl-2-propenyl, 1, 2-dimethyl-1-propenyl, 1, 2-dimethyl
2- propenyl, 1 -Ethyl-l -propenyl, l -Ethyl-2-propenyl, 1 -Hexenyl, 2-Hexenyl, 3-Hexenyl, 4- Hexenyl, 5-Hexenyl, 1 -Methyl- 1 -pentenyl, 2-Methyl-l -pentenyl, 3 -Methyl- 1 -pentenyl, 4- Methyl-1 -pentenyl, l -Methyl-2-pentenyl, 2-Methyl-2-pentenyl, 3-Methyl-2-pentenyl, 4-Methyl- 2-pentenyl, l -Methyl-3-pentenyl, 2-Methyl-3 -pentenyl, 3 -Methyl-3 -pentenyl, 4-Methyl-3- pentenyl, 1 -Methyl-4-pentenyl, 2-Methyl-4-pentenyl, 3-Methyl-4-pentenyl, 4-Methyl-4- pentenyl, 1 , 1 -Dimethyl-2-butenyl, 1 , 1 -Dimethyl-3 -butenyl, 1 ,2-Dimethyl- 1 -butenyl, 1 ,2- Dimethy 1-2 -butenyl, 1 ,2-Dimethyl-3 -butenyl, 1 ,3-Dimethyl-l -butenyl, l ,3-Dimethyl-2-butenyl, l ,3-Dimethyl-3-butenyl, 2,2-Dimethyl-3 -butenyl, 2,3-Dimethyl-l -butenyl, 2,3-Dimethyl-2- butenyl, 2,3 -Dimethyl-3 -butenyl, 3, 3 -Dimethyl- 1 -butenyl, 3,3-Dimethyl-2-butenyl, 1 -Ethyl-l - butenyl, 1 -Ethyl-2-butenyl, l -Ethyl-3 -butenyl, 2-Ethyl- 1 -butenyl, 2-Ethyl-2-butenyl, 2-Ethyl-3- butenyl, l ,l ,2-Trimethyl-2-propenyl, l -Ethyl-l -methyl-2-propenyl, l -Ethyl-2-methyl-l - propenyl und 1 -Ethyl-2-methyl-2-propenyl, Ethinyl, 1 -Propinyl, 2-Propinyl, 1 -Butinyl, 2- Butinyl, 3 -Butinyl, 1 -Methyl-2-propinyl, 1 -Pentinyl, 2-Pentinyl, 3-Pentinyl, 4-Pentinyl, 1 - Methyl-2-butinyl, l -Methyl-3-butinyl, 2-Methyl-3-butinyl, 3 -Methyl- 1 -butinyl, 1 , 1 -Dimethyl-2- propinyl, 1 -Ethyl-2-propinyl, 1 -Hexinyl, 2-Hexinyl, 3-Hexinyl, 4-Hexinyl, 5-Hexinyl, 1 -Methyl- 2-pentinyl, l -Methyl-3-pentinyl, 1 -Methyl-4-pentinyl, 2-Methyl-3-pentinyl, 2-Methyl-4- pentinyl, 3 -Methyl- 1 -pentinyl, 3-Methyl-4-pentinyl, 4-Methyl-l -pentinyl, 4-Methyl-2-pentinyl,2-propenyl, 1-ethyl-1-propenyl, 1-ethyl-2-propenyl, 1-hexenyl, 2-hexenyl, 3-hexenyl, 4-hexenyl, 5-hexenyl, 1-methyl-1-pentenyl, 2- Methyl 1-pentenyl, 3-methyl-1-pentenyl, 4-methyl-1-pentenyl, 1-methyl-2-pentenyl, 2-methyl-2-pentenyl, 3-methyl-2-pentenyl, 4-methyl 2-pentenyl, 1-methyl-3-pentenyl, 2-methyl-3-pentenyl, 3-methyl-3-pentenyl, 4-methyl-3-pentenyl, 1-methyl-4-pentenyl, 2-methyl-4 pentenyl, 3-methyl-4-pentenyl, 4-methyl-4-pentenyl, 1, 1-dimethyl-2-butenyl, 1, 1-dimethyl-3-butenyl, 1, 2-dimethyl-1-butenyl, 1, 2- Dimethy 1-2 -butenyl, 1, 2-dimethyl-3-butenyl, 1, 3-dimethyl-1-butenyl, 1,3-dimethyl-2-butenyl, 1,3-dimethyl-3-butenyl, 2 , 2-Dimethyl-3-butenyl, 2,3-dimethyl-1-butenyl, 2,3-dimethyl-2-butenyl, 2,3-dimethyl-3-butenyl, 3,3-dimethyl-1-butenyl, 3 , 3-dimethyl-2-butenyl, 1-ethyl-1-butenyl, 1-ethyl-2-butenyl, 1-ethyl-3-butenyl, 2-ethyl-1-butenyl, 2-ethyl-2-butenyl, 2 Ethyl-3-butenyl, 1, 1, 2-trimethyl-2-propenyl, 1-ethyl-1-met hyl-2-propenyl, 1-ethyl-2-methyl-1-propenyl and 1-ethyl-2-methyl-2-propenyl, ethynyl, 1-propynyl, 2-propynyl, 1-butynyl, 2-butynyl, 3 - Butinyl, 1-methyl-2-propynyl, 1-pentynyl, 2-pentynyl, 3-pentynyl, 4-pentynyl, 1 - Methyl-2-butynyl, 1-methyl-3-butynyl, 2-methyl-3-butynyl, 3-methyl-1-butynyl, 1, 1-dimethyl-2-propynyl, 1-ethyl-2-propynyl, 1 - Hexynyl, 2-hexynyl, 3-hexynyl, 4-hexynyl, 5-hexynyl, 1-methyl-2-pentynyl, 1-methyl-3-pentynyl, 1-methyl-4-pentynyl, 2-methyl-3-pentynyl, 2-methyl-4-pentynyl, 3-methyl-1-pentynyl, 3-methyl-4-pentynyl, 4-methyl-1-pentynyl, 4-methyl-2-pentynyl,
1.1 - Dimethyl-2-butinyl, l , l -Dimethyl-3-butinyl, l ,2-Dimethyl-3-butinyl, 2,2-Dimethyl-3- butinyl, 3, 3 -Dimethyl- 1 -butinyl, 1 -Ethyl-2-butinyl, l -Ethyl-3-butinyl, 2-Ethyl-3-butinyl, 1 - Ethyl-l -methyl-2-propinyl, Pyridin-2-yl, Pyridin-3-yl, Pyridin-4-yl, 4-Methyl-l ,2,4-triazol-5-yl,1.1 - dimethyl-2-butynyl, 1,1-dimethyl-3-butynyl, 1,2-dimethyl-3-butynyl, 2,2-dimethyl-3-butynyl, 3,3-dimethyl-1-butynyl, 1 - Ethyl 2-butynyl, 1-ethyl-3-butynyl, 2-ethyl-3-butynyl, 1-ethyl-1-methyl-2-propynyl, pyridin-2-yl, pyridin-3-yl, pyridine-4 yl, 4-methyl-l, 2,4-triazol-5-yl,
1 - Methyl- l ,2,4-triazol-3-yl, l -Methyltetrazol-5-yl, l -Ethyltetrazol-5-yl, Phenyl, p-Cl-Phenyl, p- F-Phenyl, p-Methoxyphenyl, p-Trifluormethylphenyl, p-Methylphenyl, p- Trifluormethoxyphenyl, m-Cl-Phenyl, m-F-Phenyl, m-Methoxyphenyl, m-Trifluormethylphenyl, m-Methylphenyl, m-Trifluormethoxyphenyl, o-Cl-Phenyl, o-F-Phenyl, o-Methoxyphenyl, o- Trifluormethylphenyl, o-Methylphenyl, o-Trifluormethoxyphenyl, Benzyl, p-Cl-Benzyl, p-F- Benzyl, p-Methoxybenzyl, p-Methylbenzyl, p-Trifluormethylbenzyl, p-Nitrobenzyl, m-Cl- Benzyl, m-F-Benzyl, m-Methoxybenzyl, m-Methylbenzyl, o-Cl-Benzyl, o-F-Benzyl, o- Methoxybenzyl, o-Methylbenzyl, 1 -Phenyleth-l -yl, 2-Phenyleth-l -yl, l -(o-Chlorphenyl)eth-l - yl, l -(o-Fluorphenyl)eth-l -yl, l -(o-Methylphenyl)eth-l -yl, l -(o-Bromphenyl)eth-l -yl, l -(o- Iodphenyl)eth-l -yl, Pyridin-2-ylmethyl, Pyridin-3-ylmethyl, Pyridin-4-ylmethyl, Pyrimidin-2- ylmethyl, Pyrimidin-4-ylmethyl, Tetrahydrofuran-2-ylmethyl, o-Cyanophenylmethyl, m- Cyanophenylmethyl, p-Cyanophenylmethyl stehen, oder 1-methyl-1, 2,4-triazol-3-yl, 1-methyltetrazol-5-yl, 1-ethyltetrazol-5-yl, phenyl, p-Cl-phenyl, p-F-phenyl, p-methoxyphenyl, p-trifluoromethylphenyl, p-methylphenyl, p-trifluoromethoxyphenyl, m-Cl-phenyl, mF-phenyl, m-methoxyphenyl, m-trifluoromethylphenyl, m-methylphenyl, m-trifluoromethoxyphenyl, o-Cl-phenyl, oF-phenyl, o- Methoxyphenyl, o-trifluoromethylphenyl, o-methylphenyl, o-trifluoromethoxyphenyl, benzyl, p-Cl-benzyl, pF-benzyl, p-methoxybenzyl, p-methylbenzyl, p-trifluoromethylbenzyl, p-nitrobenzyl, m-Cl-benzyl, mF- Benzyl, m-methoxybenzyl, m-methylbenzyl, o-Cl-benzyl, oF-benzyl, o-methoxybenzyl, o-methylbenzyl, 1-phenyleth-1-yl, 2-phenyleth-1-yl, l - (o-chlorophenyl ) eth-1-yl, 1- (o-fluorophenyl) -eth-1-yl, 1 - (o-methylphenyl) -eth-1-yl, 1 - (o-bromophenyl) -eth-1-yl, 1 - (o - iodophenyl) eth-1-yl, pyridin-2-ylmethyl, pyridin-3-ylmethyl, pyridin-4-ylmethyl, pyrimidin-2-ylmethyl, pyrimidin-4-ylmethyl, tetrahydrofuran-2-ylmethyl, o-cyanophenylmethyl, m Cyanophenylmethyl, p-cy anophenylmethyl, or
mit dem Atom, an das sie gebunden sind, einen vollständig gesättigten oder teilgesättigten, durch mindestens ein und optional bis zu drei Heteroatomen unterbrochenen und gegebenenfalls weiter substituierten 3-7-gliedrigen Ring bilden, für Methyl, Ethyl, n-Propyl, 1 -Methylethyl, n-Butyl, 1 -Methylpropyl, 2-Methylpropyl, 1 ,1 - Dimethylethyl, n-Pentyl, 1 -Methylbutyl, 2-Methylbutyl, 3-Methylbutyl, 1 ,1 -Dimethylpropyl,with the atom to which they are attached form a fully saturated or partially saturated 3-7 membered ring interrupted by at least one and optionally up to three heteroatoms and optionally further substituted, for methyl, ethyl, n-propyl, 1-methylethyl , n-butyl, 1-methylpropyl, 2-methylpropyl, 1, 1-dimethylethyl, n-pentyl, 1-methylbutyl, 2-methylbutyl, 3-methylbutyl, 1, 1-dimethylpropyl,
1.2- Dimethylpropyl, 2,2-Dimethylpropyl, 1 -Ethylpropyl, n-Hexyl, 1 -Methylpentyl, 2- Methylpentyl, 3 -Methylpentyl, 4-Methylpentyl, 1 ,1 -Dimethylbutyl, 1 ,2-Dimethylbutyl, 1 ,3-Di- methylbutyl, 2,2-Dimethylbutyl, 2,3-Dimethylbutyl, 3,3-Dimethylbutyl, 1 -Ethylbutyl, 2- Ethylbutyl, 1 , 1 ,2-Trimethylpropyl, 1 ,2,2-Trimethylpropyl, 1 -Ethyl- 1 -methylpropyl und 1 -Ethyl-1,2-dimethylpropyl, 2,2-dimethylpropyl, 1-ethylpropyl, n-hexyl, 1-methylpentyl, 2-methylpentyl, 3-methylpentyl, 4-methylpentyl, 1, 1-dimethylbutyl, 1, 2-dimethylbutyl, 1, 3 Dimethylbutyl, 2,2-dimethylbutyl, 2,3-dimethylbutyl, 3,3-dimethylbutyl, 1-ethylbutyl, 2-ethylbutyl, 1, 1, 2-trimethylpropyl, 1, 2,2-trimethylpropyl, 1-ethyl- 1-methylpropyl and 1-ethyl
2- methylpropyl, Cyanomethyl, Cyanoethyl, Cyano-n-propyl, Cyano-n-butyl, Trifluormethyl, Pentafluorethyl, 1 ,1 ,2,2-Tetrafluorethyl, Heptafluorpropyl, Nonafluorbutyl, Chlordifluormethyl, Bromdifluormethyl, Dichlorfluormethyl, Ioddifluormethyl, Bromfluormethyl, 1 -Fluorethyl, 2- Fluorethyl, Fluormethyl, Difluormethyl, 2,2-Difluorethyl, 2,2,2-Trifluorethyl, 3,3-Difluor-n- propyl, 3,3,3-Trifluor-n-propyl, 4,4-Difluor-n-butyl, 4,4,4-Trifluor-n-butyl, Cyclopropyl, Cyclobutyl, Cyclopentyl, Cyclohexyl, , Spiro[2.2]pent- l -yl, Spiro[2.3]hex-l -yl, Spiro [2.3 ]hex- 4-yl, 3-Spiro[2.3]hex-5-yl, Spiro[3.3]hept-l -yl, Spiro[3.3]hept-2-yl, Bicyclo[1.1.0]butan-l -yl, Bicyclo[l .1.0]butan-2-yl, Bicyclo[2.1.0]pentan-l -yl, Bicyclo[l .1.1 ]pentan-l -yl, Bicyclo[2.1.0]pentan-2-yl, Bicyclo[2.1.0]pentan-5-yl, Bicyclo[2.1.1 ]hexyl, Bicyclo[2.2.1 ]hept- 2-yl, Bicyclo[2.2.2]octan-2-yl, Bicyclo[3.2.1 ]octan-2-yl, Bicyclo[3.2.2]nonan-2-yl, Adamantan- 1 -yl, Adamantan-2-yl, 1 -Methylcyclopropyl, 2-Methylcyclopropyl, 2,2-Dimethylcyclopropyl, 2,3-Dimethylcyclopropyl, l ,l '-Bi(cyclopropyl)-l -yl, l ,l '-Bi(cyclopropyl)-2-yl, 2'-Methyl-l , l '- bi(cyclopropyl)-2-yl, 2-Cyanocyclopropyl, 1 -Methylcyclobutyl, 2-Methylcyclobutyl, 3- Methylcyclobutyl, 2-Cyanocyclobutyl, 3-Cyanocyclobutyl, 3-Methoxycyclobutyl, 1 - Allylcyclopropyl, 1 -Ethylcyclopropyl, 1 -Methylcyclohexyl, 2-Methylcyclohexyl, 3- Methylcyclohexyl, Methoxymethyl, Ethoxymethyl, Ethoxyethyl, Methoxyethyl, Methoxy-n- propyl, Ethoxy-n-propyl, Methoxybutyl, Methoxy-iso-Propyl, iso-Propoxymethyl, iso- Propoxyethyl, , Cyclopropylmethyl, Cyclobutylmethyl, Cyclopentylmethyl, Cyclohexylmethyl, Ethenyl, 1 -Propenyl, 2-Propenyl, 1 -Methyl- ethenyl, 1 -Butenyl, 2-Butenyl, 3 -Butenyl, 1 -Methyl- 1 -propenyl, 2-Methyl-l -propenyl, 1 -Methyl-2-propenyl, 2-Methyl-2-propenyl, 1 -Pentenyl, 2- Pentenyl, 3 -Pentenyl, 4-Pentenyl, 1 -Methyl- 1 -butenyl, 2-Methyl-l -butenyl, 3 -Methyl- 1 -butenyl,2-methylpropyl, cyanomethyl, cyanoethyl, cyano-n-propyl, cyano-n-butyl, trifluoromethyl, pentafluoroethyl, 1,1,2,2-tetrafluoroethyl, heptafluoropropyl, nonafluorobutyl, chlorodifluoromethyl, bromodifluoromethyl, dichlorofluoromethyl, iododifluoromethyl, bromofluoromethyl, 1 - Fluoroethyl, 2-fluoroethyl, fluoromethyl, difluoromethyl, 2,2-difluoroethyl, 2,2,2-trifluoroethyl, 3,3-difluoro-n-propyl, 3,3,3-trifluoro-n-propyl, 4,4- Difluoro-n-butyl, 4,4,4-trifluoro-n-butyl, cyclopropyl, cyclobutyl, cyclopentyl, cyclohexyl, spiro [2.2] pent-1-yl, spiro [2.3] hex-1-yl, spiro [2.3 ] hex-4-yl, 3-spiro [2.3] hex-5-yl, spiro [3.3] hept-1-yl, spiro [3.3] hept-2-yl, bicyclo [1.1.0] butan-1-yl , Bicyclo [1-1.0] butan-2-yl, bicyclo [2.1.0] pentan-1-yl, bicyclo [1,11] pentan-1-yl, Bicyclo [2.1.0] pentan-2-yl, bicyclo [2.1.0] pentan-5-yl, bicyclo [2.1.1] hexyl, bicyclo [2.2.1] hept-2-yl, bicyclo [2.2.2] octan-2-yl, bicyclo [3.2.1] octan-2-yl, bicyclo [3.2.2] nonan-2-yl, adamantane-1-yl, adamantan-2-yl, 1-methylcyclopropyl, 2-methylcyclopropyl, 2,2-dimethylcyclopropyl, 2,3-dimethylcyclopropyl, 1,1'-bis (cyclopropyl) -1-yl, l, 1'-bis (cyclopropyl) -2-yl, 2'-methyl-1, l '- bi (cyclopropyl) -2-yl, 2-cyanocyclopropyl, 1-methylcyclobutyl, 2-methylcyclobutyl, 3-methylcyclobutyl, 2-cyanocyclobutyl, 3-cyanocyclobutyl, 3-methoxycyclobutyl, 1-allylcyclopropyl, 1-ethylcyclopropyl, 1-methylcyclohexyl, 2 Methylcyclohexyl, 3-methylcyclohexyl, methoxymethyl, ethoxymethyl, ethoxyethyl, methoxyethyl, methoxy-n-propyl, ethoxy-n-propyl, methoxy-butyl, methoxy-isopropyl, iso-propoxymethyl, isopropoxyethyl, cyclopropylmethyl, cyclobutylmethyl, cyclopentylmethyl, Cyclohexylmethyl, ethenyl, 1-propenyl, 2-propenyl, 1-methyl-ethenyl, 1-butenyl, 2-butenyl, 3-butenyl, 1-methyl-1-pr 2-methyl-1-propenyl, 1-methyl-2-propenyl, 2-methyl-2-propenyl, 1-pentenyl, 2-pentenyl, 3-pentenyl, 4-pentenyl, 1-methyl-1-butenyl, 2-methyl-1-butenyl, 3-methyl-1-butenyl,
1 - Methyl-2-butenyl, 2-Methyl-2-butenyl, 3-Methyl-2-butenyl, l -Methyl-3 -butenyl, 2-Methyl-3- butenyl, 3 -Methyl-3 -butenyl, 1 , 1 -Dimethyl-2-propenyl, 1 ,2-Dimethyl-l -propenyl, 1 ,2-Dimethyl-1-methyl-2-butenyl, 2-methyl-2-butenyl, 3-methyl-2-butenyl, 1-methyl-3-butenyl, 2-methyl-3-butenyl, 3-methyl-3-butenyl, 1, 1-dimethyl-2-propenyl, 1, 2-dimethyl-1-propenyl, 1, 2-dimethyl
2- propenyl, 1 -Ethyl-l -propenyl, l -Ethyl-2-propenyl, 1 -Hexenyl, 2-Hexenyl, 3-Hexenyl, 4- Hexenyl, 5-Hexenyl, 1 -Methyl- 1 -pentenyl, 2-Methyl-l -pentenyl, 3 -Methyl- 1 -pentenyl, 4- Methyl-1 -pentenyl, l -Methyl-2 -pentenyl, 2-Methyl-2-pentenyl, 3-Methyl-2-pentenyl, 4-Methyl- 2-pentenyl, l -Methyl-3-pentenyl, 2-Methyl-3 -pentenyl, 3 -Methyl-3 -pentenyl, 4-Methyl-3- pentenyl, 1 -Methyl-4-pentenyl, 2-Methyl-4-pentenyl, 3-Methyl-4-pentenyl, 4-Methyl-4- pentenyl, 1 , 1 -Dimethyl-2-butenyl, 1 , 1 -Dimethyl-3 -butenyl, 1 ,2-Dimethyl- 1 -butenyl, 1 ,2- Dimethy 1-2 -butenyl, 1 ,2-Dimethyl-3 -butenyl, 1 , 3 -Dimethyl- 1 -butenyl, l ,3-Dimethyl-2-butenyl, l ,3-Dimethyl-3-butenyl, 2,2-Dimethyl-3 -butenyl, 2,3-Dimethyl-l -butenyl, 2,3-Dimethyl-2- butenyl, 2,3 -Dimethyl-3 -butenyl, 3, 3 -Dimethyl- 1 -butenyl, 3,3-Dimethyl-2-butenyl, 1 -Ethyl-l - butenyl, 1 -Ethyl-2-butenyl, l -Ethyl-3 -butenyl, 2-Ethyl- 1 -butenyl, 2-Ethyl-2-butenyl, 2-Ethyl-3- butenyl, l ,l ,2-Trimethyl-2-propenyl, l -Ethyl-l -methyl-2-propenyl, l -Ethyl-2-methyl-l - propenyl und 1 -Ethyl-2-methyl-2-propenyl, Ethinyl, 1 -Propinyl, 2-Propinyl, 1 -Butinyl, 2- Butinyl, 3 -Butinyl, 1 -Methyl-2-propinyl, 1 -Pentinyl, 2-Pentinyl, 3-Pentinyl, 4-Pentinyl, 1 - Methyl-2-butinyl, l -Methyl-3 -butinyl, 2-Methyl-3 -butinyl, 3 -Methyl- 1 -butinyl, 1 , 1 -Dimethyl-2- propinyl, 1 -Ethyl-2-propinyl, 1 -Hexinyl, 2-Hexinyl, 3-Hexinyl, 4-Hexinyl, 5-Hexinyl, 1 -Methyl- 2-pentinyl, 1 -Methyl-3 -pentinyl, 1 -Methyl-4-pentinyl, 2-Methyl-3-pentinyl, 2-Methyl-4- pentinyl, 3 -Methyl- 1 -pentinyl, 3-Methyl-4-pentinyl, 4-Methyl-l -pentinyl, 4-Methyl-2-pentinyl,2-propenyl, 1-ethyl-1-propenyl, 1-ethyl-2-propenyl, 1-hexenyl, 2-hexenyl, 3-hexenyl, 4-hexenyl, 5-hexenyl, 1-methyl-1-pentenyl, 2- Methyl 1-pentenyl, 3-methyl-1-pentenyl, 4-methyl-1-pentenyl, 1-methyl-2-pentenyl, 2-methyl-2-pentenyl, 3-methyl-2-pentenyl, 4-methyl 2-pentenyl, 1-methyl-3-pentenyl, 2-methyl-3-pentenyl, 3-methyl-3-pentenyl, 4-methyl-3-pentenyl, 1-methyl-4-pentenyl, 2-methyl-4 pentenyl, 3-methyl-4-pentenyl, 4-methyl-4-pentenyl, 1, 1-dimethyl-2-butenyl, 1, 1-dimethyl-3-butenyl, 1, 2-dimethyl-1-butenyl, 1, 2- Dimethyl 1-2 -butenyl, 1,2-dimethyl-3-butenyl, 1,3-dimethyl-1-butenyl, 1,3-dimethyl-2-butenyl, 1,3-dimethyl-3-butenyl, 2 , 2-Dimethyl-3-butenyl, 2,3-dimethyl-1-butenyl, 2,3-dimethyl-2-butenyl, 2,3-dimethyl-3-butenyl, 3,3-dimethyl-1-butenyl, 3 , 3-dimethyl-2-butenyl, 1-ethyl-1-butenyl, 1-ethyl-2-butenyl, 1-ethyl-3-butenyl, 2-ethyl-1-butenyl, 2-ethyl-2-butenyl, 2 Ethyl-3-butenyl, 1, 1, 2-trimethyl-2-propenyl, 1-ethyl-1 -methyl-2-propenyl, 1-ethyl-2-methyl-1-propenyl and 1-ethyl-2-methyl-2-propenyl, ethynyl, 1-propynyl, 2-propynyl, 1-butynyl, 2-butynyl, 3 Butynyl, 1-methyl-2-propynyl, 1-pentynyl, 2-pentynyl, 3-pentynyl, 4-pentynyl, 1-methyl-2-butynyl, 1-methyl-3-butynyl, 2-methyl-3-butynyl , 3-methyl-1-butynyl, 1, 1-dimethyl-2-propynyl, 1-ethyl-2-propynyl, 1-hexynyl, 2-hexynyl, 3-hexynyl, 4-hexynyl, 5-hexynyl, 1-methyl 2-pentynyl, 1-methyl-3-pentynyl, 1-methyl-4-pentynyl, 2-methyl-3-pentynyl, 2-methyl-4-pentynyl, 3-methyl-1-pentynyl, 3-methyl-4 pentynyl, 4-methyl-1-pentynyl, 4-methyl-2-pentynyl,
1 , 1 -Dimethyl-2-butinyl, 1 , 1 -Dimethyl-3 -butinyl, 1 ,2-Dimethyl-3 -butinyl, 2,2-Dimethyl-3- butinyl, 3, 3 -Dimethyl- 1 -butinyl, 1 -Ethyl-2-butinyl, l -Ethyl-3 -butinyl, 2-Ethyl-3 -butinyl, 1 - Ethyl-l -methyl-2-propinyl, Pyridin-2-yl, Pyridin-3-yl, Pyridin-4-yl, 4-Methyl-l , 2,4-triazol-5-yl, 1 -Methyl- l ,2,4-triazol-3-yl, l -Methyltetrazol-5-yl, l -Ethyltetrazol-5-yl, Phenyl, p-Cl-Phenyl, p- F-Phenyl, p-Methoxyphenyl, p-Trifluormethylphenyl, p-Methylphenyl, p- Trifluormethoxyphenyl, m-Cl-Phenyl, m-F-Phenyl, m-Methoxyphenyl, m-Trifluormethylphenyl, m-Methylphenyl, m-Trifluormethoxyphenyl, o-Cl-Phenyl, o-F-Phenyl, o-Methoxyphenyl, o- Trifluormethylphenyl, o-Methylphenyl, o-Trifluormethoxyphenyl, Benzyl, p-Cl-Benzyl, p-F- Benzyl, p-Methoxybenzyl, p-Methylbenzyl, p-Trifluormethylbenzyl, p-Nitrobenzyl, m-Cl- Benzyl, m-F-Benzyl, m-Methoxybenzyl, m-Methylbenzyl, o-Cl-Benzyl, o-F-Benzyl, o- Methoxybenzyl, o-Methylbenzyl, 1 -Phenyleth-l -yl, 2-Phenyleth-l -yl, l -(o-Chlorphenyl)eth-l - yl, l -(o-Fluorphenyl)eth-l -yl, l -(o-Methylphenyl)eth-l -yl, l -(o-Bromphenyl)eth-l -yl, l -(o- Iodphenyl)eth-l -yl, Pyridin-2-ylmethyl, Pyridin-3-ylmethyl, Pyridin-4-ylmethyl, Pyrimidin-2- ylmethyl, Pyrimidin-4-ylmethyl, Tetrahydrofuran-2-ylmethyl, o-Cyanophenylmethyl, m- Cyanophenylmethyl, p-Cyanophenylmethyl steht, und 1, 1-dimethyl-2-butynyl, 1, 1-dimethyl-3-butynyl, 1, 2-dimethyl-3-butynyl, 2,2-dimethyl-3-butynyl, 3, 3-dimethyl-1-butynyl, 1-ethyl-2-butynyl, 1-ethyl-3-butynyl, 2-ethyl-3-butynyl, 1-ethyl-1-methyl-2-propynyl, pyridin-2-yl, pyridin-3-yl, pyridine 4-yl, 4-methyl-l, 2,4-triazol-5-yl, 1-methyl-l, 2,4-triazol-3-yl, l -methyltetrazol-5-yl, 1-ethyltetrazol-5 yl, phenyl, p-Cl-phenyl, p-F-phenyl, p-methoxyphenyl, p-trifluoromethylphenyl, p-methylphenyl, p- Trifluoromethoxyphenyl, m-Cl-phenyl, mF-phenyl, m-methoxyphenyl, m-trifluoromethylphenyl, m-methylphenyl, m-trifluoromethoxyphenyl, o-Cl-phenyl, oF-phenyl, o-methoxyphenyl, o-trifluoromethylphenyl, o-methylphenyl, o-trifluoromethoxyphenyl, benzyl, p-Cl-benzyl, pF-benzyl, p -methoxybenzyl, p -methylbenzyl, p-trifluoromethylbenzyl, p-nitrobenzyl, m -Cl-benzyl, mF-benzyl, m-methoxybenzyl, m-methylbenzyl, o-Cl-benzyl, oF-benzyl, o-methoxybenzyl, o-methylbenzyl, 1-phenyleth-1-yl, 2-phenyleth-1-yl, l - (o-chlorophenyl) eth-1-yl, l - ( o-fluorophenyl) eth-1-yl, l - (o -methylphenyl) eth-1-yl, l - (o-bromophenyl) eth-1-yl, l - (o -iodophenyl) eth-1-yl, pyridine 2-ylmethyl, pyridin-3-ylmethyl, pyridin-4-ylmethyl, pyrimidin-2-ylmethyl, pyrimidin-4-ylmethyl, tetrahydrofuran-2-ylmethyl, o-cyanophenylmethyl, m-cyanophenylmethyl, p-cyanophenylmethyl, and
X für Sauerstoff steht, X stands for oxygen,
Die oben aufgeführten allgemeinen oder in Vorzugsbereichen aufgeführten Restedefinitionen gelten sowohl für die Endprodukte der allgemeinen Formel (I) als auch entsprechend für die jeweils zur Herstellung benötigten Ausgangs- oder Zwischenprodukte. Diese Restedefinitionen können The general or preferred radical definitions given above apply both to the end products of the general formula (I) and correspondingly to the starting materials or intermediates required in each case for the preparation. These remainder definitions can
untereinander, also auch zwischen den angegebenen bevorzugten Bereichen beliebig kombiniert werden. among each other, so also between the specified preferred ranges are arbitrarily combined.
Im Hinblick auf die erfindungsgemäßen Verbindungen werden die vorstehend und weiter unten verwendeten Bezeichnungen erläutert. Diese sind dem Fachmann geläufig und haben insbesondere die im Folgenden erläuterten Bedeutungen: With regard to the compounds according to the invention, the terms used above and below are explained. These are familiar to the person skilled in the art and in particular have the meanings explained below:
Erfindungsgemäß steht "Arylsulfonyl" für gegebenenfalls substituiertes Phenylsulfonyl oder gegebenenfalls substituiertes polycyclisches Arylsulfonyl, hier insbesondere gegebenenfalls According to the invention "arylsulfonyl" is optionally substituted phenylsulfonyl or optionally substituted polycyclic arylsulfonyl, here in particular optionally
substituiertes Naphthyl-sulfonyl, beispielsweise substituiert durch Fluor, Chlor, Brom, Iod, Cyano, Nitro, Alkyl-, Haloalkyl-, Haloalkoxy-, Amino-, Alkylamino-, Alkylcarbonylamino-, Dialkylamino- oder Alkoxy-gruppen. substituted naphthylsulfonyl, for example substituted by fluorine, chlorine, bromine, iodine, cyano, nitro, alkyl, haloalkyl, haloalkoxy, amino, alkylamino, alkylcarbonylamino, dialkylamino or alkoxy groups.
Erfindungsgemäß steht "Cycloalkylsulfonyl" - in Alleinstellung oder als Bestandteil einer chemischen Gruppe - für gegebenenfalls substituiertes Cycloalkylsulfonyl, vorzugsweise mit 3 bis 6 According to the invention, "cycloalkylsulfonyl" - alone or as part of a chemical group - represents optionally substituted cycloalkylsulfonyl, preferably of 3 to 6
Kohlenstoffatomen wie beispielsweise Cyclopropylsulfonyl, Cyclobutylsulfonyl, Cyclopentylsulfonyl oder Cyclohexylsulfonyl. Carbon atoms such as cyclopropylsulfonyl, cyclobutylsulfonyl, cyclopentylsulfonyl or cyclohexylsulfonyl.
Erfindungsgemäß steht "Alkylsulfonyl" - in Alleinstellung oder als Bestandteil einer chemischen Gruppe - für geradkettiges oder verzweigtes Alkylsulfonyl, vorzugsweise mit 1 bis 8, oder mit 1 bis 6 According to the invention "alkylsulfonyl" - alone or as part of a chemical group - is straight-chain or branched alkylsulfonyl, preferably with 1 to 8, or with 1 to 6
Kohlenstoffatomen, z.B. (aber nicht beschränkt auf) (Ci-C6)-Alkylsulfonyl wie Methylsulfonyl, Ethylsulfonyl, Propylsulfonyl, 1 -Methylethylsulfonyl, Butylsulfonyl, 1 -Methylpropylsulfonyl, 2- Methylpropylsulfonyl, 1,1-Dimethylethylsulfonyl, Pentylsulfonyl, 1 -Methylbutylsulfonyl, 2- Methylbutylsulfonyl, 3 -Methylbutylsulfonyl, 1 , 1 -Dimethylpropylsulfonyl, 1 ,2-Dimethylpropylsulfonyl, 2,2-Dimethylpropylsulfonyl, 1 -Ethylpropylsulfonyl, Hexylsulfonyl, 1 -Methylpentylsulfonyl, 2-Methyl- pentylsulfonyl, 3 -Methylpentylsulfonyl, 4-Methylpentylsulfonyl, 1 , 1 -Dimethylbutylsulfonyl, 1,2- Dimethylbutylsulfonyl, 1,3 -Dimethylbutylsulfonyl, 2,2-Dimethylbutylsulfonyl, 2,3-Carbon atoms, for example (but not limited to) (C 1 -C 6) alkylsulfonyl, such as methylsulfonyl, ethylsulfonyl, propylsulfonyl, 1-methylethylsulfonyl, butylsulfonyl, 1-methylpropylsulfonyl, 2 Methylpropylsulfonyl, 1,1-dimethylethylsulfonyl, pentylsulfonyl, 1-methylbutylsulfonyl, 2-methylbutylsulfonyl, 3-methylbutylsulfonyl, 1,1-dimethylpropylsulfonyl, 1,2-dimethylpropylsulfonyl, 2,2-dimethylpropylsulfonyl, 1-ethylpropylsulfonyl, hexylsulfonyl, 1-methylpentylsulfonyl, 2-methylpentylsulfonyl, 3-methylpentylsulfonyl, 4-methylpentylsulfonyl, 1,1-dimethylbutylsulfonyl, 1,2-dimethylbutylsulfonyl, 1,3-dimethylbutylsulfonyl, 2,2-dimethylbutylsulfonyl, 2,3-
Dimethylbutylsulfonyl, 3, 3 -Dimethylbutylsulfonyl, 1 -Ethylbutylsulfonyl, 2-Ethylbutylsulfonyl, 1,1,2- Trimethylpropylsulfonyl, 1 ,2,2-Trimethylpropylsulfonyl, 1-Ethyl-l -methylpropylsulfonyl und 1-Ethyl- 2-methylpropylsulfonyl. Erfindungsgemäß steht "Heteroarylsulfonyl" für gegebenenfalls substituiertes Pyridylsulfonyl, Pyrimidinylsulfonyl, Pyrazinylsulfonyl oder gegebenenfalls substituiertes polycyclisches Dimethylbutylsulfonyl, 3, 3-dimethylbutylsulfonyl, 1-ethylbutylsulfonyl, 2-ethylbutylsulfonyl, 1,1,2-trimethylpropylsulfonyl, 1, 2,2-trimethylpropylsulfonyl, 1-ethyl-1-methylpropylsulfonyl, and 1-ethyl-2-methylpropylsulfonyl. According to the invention "heteroarylsulfonyl" is optionally substituted pyridylsulfonyl, pyrimidinylsulfonyl, pyrazinylsulfonyl or optionally substituted polycyclic
Heteroarylsulfonyl, hier insbesondere gegebenenfalls substituiertes Chinolinylsulfonyl, beispielsweise substituiert durch Fluor, Chlor, Brom, Iod, Cyano, Nitro, Alkyl-, Haloalkyl-, Haloalkoxy-, Amino-, Alkylamino-, Alkylcarbonylamino-, Dialkylamino- oder Alkoxygruppen. Heteroarylsulfonyl, here in particular optionally substituted quinolinylsulfonyl, for example substituted by fluorine, chlorine, bromine, iodine, cyano, nitro, alkyl, haloalkyl, haloalkoxy, amino, alkylamino, alkylcarbonylamino, dialkylamino or alkoxy groups.
Erfindungsgemäß steht "Alkylthio" - in Alleinstellung oder als Bestandteil einer chemischen Gruppe - für geradkettiges oder verzweigtes S-Alkyl, vorzugsweise mit 1 bis 8, oder mit 1 bis 6 According to the invention "alkylthio" - alone or as part of a chemical group - is straight-chain or branched S-alkyl, preferably with 1 to 8, or with 1 to 6
Kohlenstoffatomen, wie (Ci-Cio)-, (CI-CÖ)- oder (Ci-C4)-Alkylthio, z.B. (aber nicht beschränkt auf) (Ci- Ce)-Alkylthio wie Methylthio, Ethylthio, Propylthio, 1 -Methylethylthio, Butylthio, 1 -Methylpropylthio, 2-Methylpropylthio, 1,1-Dimethylethylthio, Pentylthio, 1 -Methylbutylthio, 2-Methylbutylthio, 3- Methylbutylthio, 1,1-Dimethylpropylthio, 1 ,2-Dimethylpropylthio, 2,2-Dimethylpropylthio, 1- Ethylpropylthio, Hexylthio, 1 -Methylpentylthio, 2-Methylpentylthio, 3-Methylpentylthio, 4- Methylpentylthio, 1,1-Dimethylbutylthio, 1 ,2-Dimethylbutylthio, 1,3-Dimethylbutylthio, 2,2- Dimethylbutylthio, 2,3-Dimethylbutylthio, 3,3-Dimethylbutylthio, 1 -Ethylbutylthio, 2-Ethylbutylthio, 1 , 1 ,2-Trimethylpropylthio, 1 ,2,2-Trimethylpropylthio, 1-Ethyl-l -methylpropylthio und l-Ethyl-2- methy lpropy lthio . Carbon atoms, such as (Ci-Cio) -, (CI-CÖ) - or (Ci-C4) -alkylthio, e.g. (but not limited to) (ci-Ce) alkylthio such as methylthio, ethylthio, propylthio, 1-methylethylthio, butylthio, 1-methylpropylthio, 2-methylpropylthio, 1,1-dimethylethylthio, pentylthio, 1-methylbutylthio, 2-methylbutylthio, 3-methylbutylthio, 1,1-dimethylpropylthio, 1, 2-dimethylpropylthio, 2,2-dimethylpropylthio, 1-ethylpropylthio, hexylthio, 1-methylpentylthio, 2-methylpentylthio, 3-methylpentylthio, 4-methylpentylthio, 1,1-dimethylbutylthio, 1, 2-dimethylbutylthio, 1,3-dimethylbutylthio, 2,2-dimethylbutylthio, 2,3-dimethylbutylthio, 3,3-dimethylbutylthio, 1-ethylbutylthio, 2-ethylbutylthio, 1, 1, 2-trimethylpropylthio, 1, 2, 2-trimethylpropylthio, 1-ethyl-1-methylpropylthio and 1-ethyl-2-methylpropylthio.
Alkenylthio bedeutet erfindungsgemäßt ein über ein Schwefelatom gebundenen Alkenylrest, Alkinylthio bedeutet ein über ein Schwefelatom gebundenen Alkinylrest, Cycloalkylthio bedeutet ein über ein Schwefelatom gebundenen Cycloalkylrest und Cycloalkenylthio bedeutet ein über ein Schwefelatom gebundenen Cycloalkenylrest. According to the invention, alkenylthio means an alkenyl radical bonded via a sulfur atom, alkynylthio means an alkynyl radical bonded via a sulfur atom, cycloalkylthio means a cycloalkyl radical bonded via a sulfur atom, and cycloalkenylthio means a cycloalkenyl radical bonded via a sulfur atom.
Alkylsulfinyl (Alkyl-S(=0)-), soweit nicht an anderer Stelle anders definiert steht erfindungsgemäß für Alkylreste, die über -S(=0)- an das Gerüst gebunden sind, wie (Ci-Cio)-, (CI-CÖ)- oder (C1-C4)- Alkylsulfinyl, z. B. (aber nicht beschränkt auf) (Ci-C6)-Alkylsulfinyl wie Methylsulfinyl, Ethylsulfinyl, Propylsulfinyl, 1 -Methylethylsulfinyl, Butylsulfinyl, 1 -Methylpropylsulfinyl, 2-Methylpropylulfinyl, 1 , 1 -Dimethylethylsulfinyl, Pentylsulfinyl, 1 -Methylbutylsulfinyl, 2-Methylbutylsulfinyl, 3- Methylbutylsulfinyl, 1,1-Dimethylpropylsulfinyl, 1 ,2-Dimethylpropylsulfinyl, 2,2- Dimethylpropylsulfinyl, 1 -Ethylpropylsulfinyl, Hexylsulfinyl, 1 -Methylpentylsulfinyl, 2- Methylpentylsulfinyl, 3-Methylpentylsulfinyl, 4-Methylpentylsulfinyl, 1,1-Dimethylbutylsulfinyl, 1,2- Dimethylbutylsulfinyl, 1,3-Dimethylbutylsulfinyl, 2,2-Dimethylbutylsulfinyl, 2,3- Dimethylbutylsulfinyl, 3,3-Dimethylbutylsulfinyl, 1 -Ethylbutylsulfinyl, 2-Ethylbutylsulfinyl, 1,1,2- Trimethylpropylsulfinyl, 1 ,2,2-Trimethylpropylsulfinyl, l-Ethyl-l-methylpropylsulfinyl und l-Ethyl-2- methylpropylsulfinyl. Alkylsulfinyl (alkyl-S (= 0) -), unless otherwise defined elsewhere, according to the invention represents alkyl radicals which are bonded to the skeleton via -S (= O) -, such as (C 1 -C 10) -, CÖ) - or (C 1 -C 4) -alkylsulfinyl, e.g. (But not limited to) (C 1 -C 6 ) alkylsulfinyl such as methylsulfinyl, ethylsulfinyl, propylsulfinyl, 1-methylethylsulfinyl, butylsulfinyl, 1-methylpropylsulfinyl, 2-methylpropylulfinyl, 1, 1-dimethylethylsulfinyl, pentylsulfinyl, 1-methylbutylsulfinyl, 2 -Methylbutylsulfinyl, 3- Methylbutylsulfinyl, 1,1-dimethylpropylsulfinyl, 1, 2-dimethylpropylsulfinyl, 2,2-dimethylpropylsulfinyl, 1-ethylpropylsulfinyl, hexylsulfinyl, 1-methylpentylsulfinyl, 2-methylpentylsulfinyl, 3-methylpentylsulfinyl, 4-methylpentylsulfinyl, 1,1-dimethylbutylsulfinyl, 1, 2-dimethylbutylsulfinyl, 1,3-dimethylbutylsulfinyl, 2,2-dimethylbutylsulfinyl, 2,3-dimethylbutylsulfinyl, 3,3-dimethylbutylsulfinyl, 1-ethylbutylsulfinyl, 2-ethylbutylsulfinyl, 1,1,2-trimethylpropylsulfinyl, 1, 2,2- Trimethylpropylsulfinyl, 1-ethyl-1-methylpropylsulfinyl and 1-ethyl-2-methylpropylsulfinyl.
Analog sind Alkenylsulfinyl und Alkinylsulfinyl, erfindungsgemäß definiert als Alkenyl- bzw. Analogously, alkenylsulfinyl and alkynylsulfinyl, defined according to the invention as alkenyl or
Alkinylreste, die über -S(=0)- an das Gerüst gebunden sind, wie (C2-C10)-, (C2-C6)- oder (C2-C4)- Alkenylsulfmyl bzw. (C3-C10)-, (C3-C6)- oder (C3-C4)-Alkinylsulfinyl. Alkynyl radicals which are linked to the skeleton via -S (= O) -, such as (C 2 -C 10) -, (C 2 -C 6) - or (C 2 -C 4) -alkenylsulfmyl or (C 3 -C 10) -, (C3 -C6) - or (C3-C4) alkynylsulfinyl.
Analog sind Alkenylsulfonyl und Alkinylsulfonyl erfindungsgemäß definiert als Alkenyl- bzw. Analogously, alkenylsulfonyl and alkynylsulfonyl are defined according to the invention as alkenyl or
Alkinylreste, die über -S(=0)2- an das Gerüst gebunden sind, wie (C2-C10)-, (C2-C6)- oder (C2-C4)- Alkenylsulfonyl bzw. (C3-C10)-, (C3-C6)- oder (C3-C4)-Alkinylsulfonyl. Alkynyl radicals attached to the skeleton via -S (= O) 2-, such as (C 2 -C 10) -, (C 2 -C 6) - or (C 2 -C 4) -alkenylsulfonyl or (C 3 -C 10) -, ( C3-C6) - or (C3-C4) -alkynylsulfonyl.
„Alkoxy" bedeutet ein über ein Sauerstoffatom gebundenen Alkylrest, z. B. (aber nicht beschränkt auf) (Ci-Ce)-Alkoxy wie Methoxy, Ethoxy, Propoxy, 1 -Methylethoxy, Butoxy, 1 -Methylpropoxy, 2- Methylpropoxy, 1 , 1 -Dimethylethoxy, Pentoxy, 1 -Methylbutoxy, 2-Methylbutoxy, 3-Methylbutoxy, 1,1- Dimethylpropoxy, 1 ,2-Dimethylpropoxy, 2,2-Dimethylpropoxy, 1 -Ethylpropoxy, Hexoxy, 1 -Methyl- pentoxy, 2-Methylpentoxy, 3-Methylpentoxy, 4-Methylpentoxy, 1,1-Dimethylbutoxy, 1,2-Di- methylbutoxy, 1,3-Dimethylbutoxy, 2,2-Dimethylbutoxy, 2,3-Dimethylbutoxy, 3,3-Dimethylbutoxy, 1- Ethylbutoxy, 2-Ethylbutoxy, 1 , 1 ,2-Trimethylpropoxy, 1,2,2-Trimethylpropoxy, 1-Ethyl-l- methylpropoxy und l-Ethyl-2-methylpropoxy. Alkenyloxy bedeutet ein über ein Sauerstoffatom gebundenen Alkenylrest, Alkinyloxy bedeutet ein über ein Sauerstoffatom gebundenen Alkinylrest wie (C2-C10)-, (C2-C6)- oder (C2-C4)-Alkenoxy bzw. (C3-C10)-, (C3-C6)- oder (C3-C4)-Alkinoxy. "Alkoxy" means an alkyl radical bonded through an oxygen atom, for example (but not limited to) (C 1 -C 6) alkoxy, such as methoxy, ethoxy, propoxy, 1-methylethoxy, butoxy, 1-methylpropoxy, 2-methylpropoxy, 1 , 1-dimethylethoxy, pentoxy, 1-methylbutoxy, 2-methylbutoxy, 3-methylbutoxy, 1,1-dimethylpropoxy, 1, 2-dimethylpropoxy, 2,2-dimethylpropoxy, 1-ethylpropoxy, hexoxy, 1-methylpentoxy, 2 Methylpentoxy, 3-methylpentoxy, 4-methylpentoxy, 1,1-dimethylbutoxy, 1,2-dimethylbutoxy, 1,3-dimethylbutoxy, 2,2-dimethylbutoxy, 2,3-dimethylbutoxy, 3,3-dimethylbutoxy, 1 - Ethylbutoxy, 2-ethylbutoxy, 1, 1, 2-trimethylpropoxy, 1,2,2-trimethylpropoxy, 1-ethyl-l-methylpropoxy and l-ethyl-2-methylpropoxy Alkenyloxy means an alkenyl radical bonded via an oxygen atom, alkynyloxy means an alkynyl radical bonded via an oxygen atom, such as (C 2 -C 10) -, (C 2 -C 6 ) - or (C 2 -C 4 ) -alkenoxy or (C 3 -C 10) -, (C 3 -C 6 ) - or (C 3 -C 4 ) -Alkinoxy.
„Cycloalkyloxy" bedeutet ein über ein Sauerstoffatom gebundenen Cycloalkylrest und Cycloalkenyloxy bedeutet ein über ein Sauerstoffatom gebundenen Cycloalkenylrest. "Cycloalkyloxy" means a cycloalkyl radical bonded via an oxygen atom, and cycloalkenyloxy means a cycloalkenyl radical bonded via an oxygen atom.
„Alkylcarbonyl" (Alkyl-C(=0)-), soweit nicht an anderer Stelle anders definiert, steht erfindungsgemäß für Alkylreste, die über -C(=0)- an das Gerüst gebunden sind, wie (C1-C10)-, (CI-CÖ)- oder (C1-C4)- Alkylcarbonyl. Die Anzahl der C-Atome bezieht sich dabei auf den Alkylrest in der Alkylcarbonyl- gruppe. "Alkylcarbonyl" (alkyl-C (= O) -), unless otherwise defined elsewhere, is according to the invention alkyl radicals which are bonded to the skeleton via -C (= O) -, such as (C 1 -C 10) -, (CI-CÖ) - or (C 1 -C 4) -alkylcarbonyl The number of C atoms here refers to the alkyl radical in the alkylcarbonyl group.
Analog stehen„Alkenylcarbonyl" und„Alkinylcarbonyl", soweit nicht an anderer Stelle anders definiert, erfindungsgemäß für Alkenyl- bzw. Alkinylreste, die über -C(=0)- an das Gerüst gebunden sind, wie (C2-C10)-, (C2-C6)- oder (C2-C4)-Alkenylcarbonyl bzw. (C2-C10)-, (C2-C6)- oder (C2-C4)- Alkinylcarbonyl. Die Anzahl der C-Atome bezieht sich dabei auf den Alkenyl- bzw. Alkinylrest in der Alkenyl- bzw. Alkinylcarbonylgruppe. Analogously, "alkenylcarbonyl" and "alkynylcarbonyl" are, unless otherwise defined elsewhere, according to the invention for alkenyl or alkynyl radicals which are bonded to the skeleton via -C (= O) are, such as (C 2 -C 10) -, (C 2 -C 6) - or (C 2 -C 4) -alkenylcarbonyl or (C 2 -C 10) -, (C 2 -C 6) - or (C 2 -C 4) -alkynylcarbonyl. The number of C atoms refers to the alkenyl or alkynyl radical in the alkenyl or alkynylcarbonyl group.
Alkoxycarbonyl (Alkyl-0-C(=0)-), soweit nicht an anderer Stelle anders definiert: Alkylreste, die über - 0-C(=0)- an das Gerüst gebunden sind, wie (C1-C10)-, (CI-CÖ)- oder (Ci-C i)-Alkoxycarbonyl. Die Anzahl der C-Atome bezieht sich dabei auf den Alkylrest in der Alkoxycarbonylgruppe. Alkoxycarbonyl (alkyl-0-C (= 0) -), unless otherwise defined elsewhere: Alkyl radicals attached to the skeleton via - 0-C (= 0) -, such as (C1-C10) -, ( CI-CÖ) - or (Ci-C i) alkoxycarbonyl. The number of C atoms refers to the alkyl radical in the alkoxycarbonyl group.
Analog stehen„Alkenyloxycarbonyl" und„Alkinyloxycarbonyl", soweit nicht an anderer Stelle anders definiert, erfindungsgemäß für Alkenyl- bzw. Alkinylreste, die über -0-C(=0)- an das Gerüst gebunden sind, wie (C2-C10)-, (C2-C6)- oder (C2-C4)-Alkenyloxycarbonyl bzw. (C3-C10)-, (C3-C6)- oder (C3-C4)- Alkinyloxycarbonyl. Die Anzahl der C-Atome bezieht sich dabei auf den Alkenyl- bzw. Alkinylrest in der Alken- bzw. Alkinyloxycarbonylgruppe. Analogously, "alkenyloxycarbonyl" and "alkynyloxycarbonyl" are, unless otherwise defined elsewhere, according to the invention for alkenyl or alkynyl radicals which are bonded to the skeleton via -O-C (= O) -, such as (C 2 -C 10) - , (C 2 -C 6) - or (C 2 -C 4) -alkenyloxycarbonyl or (C 3 -C 10) -, (C 3 -C 6) - or (C 3 -C 4) -alkynyloxycarbonyl. The number of C atoms refers to the alkenyl or alkynyl radical in the alkene or alkynyloxycarbonyl group.
Der Begriff„Alkylcarbonyloxy" (Alkyl-C(=0)-0-) steht erfindungsgemäß, soweit nicht an anderer Stelle anders definiert, für Alkylreste, die über eine Carbonyloxygruppe (-C(=0)-0-) mit dem Sauerstoff an das Gerüst gebunden sind, wie (C1-C10)-, (CI-CÖ)- oder (Ci-C4)-Alkylcarbonyloxy. Die Anzahl der C- Atome bezieht sich dabei auf den Alkylrest in der Alkylcarbonyloxygruppe. The term "alkylcarbonyloxy" (alkyl-C (= 0) -O-) is according to the invention, unless otherwise defined elsewhere, for alkyl radicals which have a carbonyloxy group (-C (= O) -O-) with the oxygen the skeleton are bonded, such as (C 1 -C 10) -, (C 1 -C 6) - or (C 1 -C 4) -alkylcarbonyloxy The number of C atoms here refers to the alkyl radical in the alkylcarbonyloxy group.
Analog sind„Alkenylcarbonyloxy" und„Alkinylcarbonyloxy" erfindungsgemäß definiert als Alkenyl- bzw. Alkinylreste, die über (-C(=0)-0-) mit dem Sauerstoff an das Gerüst gebunden sind, wie (C2-C10)-, (C2-C6)- oder (C2-C4)- Alkenylcarbonyloxy bzw. (C2-C10)-, (C2-C6)- oder (C2-C4)- Alkinylcarbonyloxy. Die Anzahl der C-Atome bezieht sich dabei auf den Alkenyl- bzw. Alkinylrest in der Alkenyl- bzw. Alkinylcarbonyloxygruppe. Analogously, "alkenylcarbonyloxy" and "alkynylcarbonyloxy" are defined according to the invention as alkenyl or alkynyl radicals which are bonded to the skeleton via (-C (= O) -O-), such as (C 2 -C 10) -, (C 2 -C 4) -C 6) - or (C 2 -C 4) -alkenylcarbonyloxy or (C 2 -C 10) -, (C 2 -C 6) - or (C 2 -C 4) -alkynylcarbonyloxy. The number of C atoms refers to the alkenyl or alkynyl radical in the alkenyl or alkynylcarbonyloxy group.
Der Begriff„Aryl" bedeutet ein gegebenenfalls substituiertes mono-, bi- oder polycyclisches aromatisches System mit vorzugsweise 6 bis 14, insbesondere 6 bis 10 Ring-C- Atomen, beispielsweise Phenyl, Naphthyl, Anthryl, Phenanthrenyl, und ähnliches, vorzugsweise Phenyl. The term "aryl" means an optionally substituted mono-, bi- or polycyclic aromatic system having preferably 6 to 14, in particular 6 to 10 ring C atoms, for example phenyl, naphthyl, anthryl, phenanthrenyl, and the like, preferably phenyl.
Vom Begriff„gegebenenfalls substituiertes Aryl" sind auch mehrcyclische Systeme, wie The term "optionally substituted aryl" also includes polycyclic systems, such as
Tetrahydronaphtyl, Indenyl, Indanyl, Fluorenyl, Biphenylyl, umfasst, wobei die Bindungsstelle am aromatischen System ist. Von der Systematik her ist„Aryl" in der Regel auch von dem BegriffTetrahydronaphthyl, indenyl, indanyl, fluorenyl, biphenylyl, wherein the binding site is on the aromatic system. From the systemic point of view, "aryl" is usually also of the term
„gegebenenfalls substituiertes Phenyl" umfasst. Bevorzugte Aryl-Substituenten sind hier zum Beispiel Wasserstoff, Halogen, Alkyl, Cycloalkyl, Cycloalkylalkyl, Cycloalkenyl, Halocycloalkyl, Alkenyl, Alkinyl, Aryl, Arylalkyl, Arylalkenyl, Heteroaryl, Heteroarylalkyl, Heterocyclyl, Heterocyclylalkyl, Alkoxyalkyl, Alkylthio, Haloalkylthio, Haloalkyl, Alkoxy, Haloalkoxy, Cycloalkoxy, Cycloalkylalkoxy, Aryloxy, Heteroraryloxy, Alkoxyalkoxy, Alkinylalkoxy, Alkenyloxy, Bis-alkylaminoalkoxy, Tris- [alkyljsilyl, Bis- [alkyl] arylsilyl, Bis- [alkyl] alkylsilyl, Tris- [alkyl] silylalkinyl, Arylalkinyl, Preferred aryl substituents here are, for example, hydrogen, halogen, alkyl, cycloalkyl, cycloalkylalkyl, cycloalkenyl, halocycloalkyl, alkenyl, alkynyl, aryl, arylalkyl, arylalkenyl, heteroaryl, heteroarylalkyl, heterocyclyl, heterocyclylalkyl, alkoxyalkyl, alkylthio , Haloalkylthio, haloalkyl, alkoxy, haloalkoxy, cycloalkoxy, cycloalkylalkoxy, aryloxy, heteroaryloxy, alkoxyalkoxy, alkynylalkoxy, alkenyloxy, bis-alkylaminoalkoxy, tris [alkylsilyl, bis [alkyl] arylsilyl, bis [alkyl] alkylsilyl, tris [alkyl ] silylalkynyl, arylalkynyl,
Heteroarylalkinyl, Alkylalkinyl, Cycloalkylalkinyl, Haloalkylalkinyl, Heterocyclyl-N-alkoxy, Nitro, Cyano, Amino, Alkylamino, Bis-alkylamino, Alkylcarbonylamino, Cycloalkylcarbonylamino, Heteroarylalkynyl, alkylalkynyl, cycloalkylalkynyl, haloalkylalkynyl, heterocyclyl-N-alkoxy, nitro, Cyano, amino, alkylamino, bis-alkylamino, alkylcarbonylamino, cycloalkylcarbonylamino,
Arylcarbonylamino, Alkoxycarbonylamino, Alkoxycarbonylalkylamino, Arylcarbonylamino, alkoxycarbonylamino, alkoxycarbonylalkylamino,
Arylalkoxycarbonylalkylamino, Hydroxycarbonyl, Alkoxycarbonyl, Aminocarbonyl, Arylalkoxycarbonylalkylamino, hydroxycarbonyl, alkoxycarbonyl, aminocarbonyl,
Alkylaminocarbonyl, Cycloalkylaminocarbonyl, Bis-Alkylaminocarbonyl, Heteroarylalkoxy, Alkylaminocarbonyl, cycloalkylaminocarbonyl, bis-alkylaminocarbonyl, heteroarylalkoxy,
Arylalkoxy. Arylalkoxy.
Ein heterocyclischer Rest (Heterocyclyl) enthält mindestens einen heterocyclischen Ring A heterocyclic radical (heterocyclyl) contains at least one heterocyclic ring
(=carbocyclischer Ring, in dem mindestens ein C-Atom durch ein Heteroatom ersetzt ist, vorzugsweise durch ein Heteroatom aus der Gruppe N, O, S, P) der gesättigt, ungesättigt, teilgesättigt oder heteroaromatisch ist und dabei unsubstituiert oder substituiert sein kann, wobei die Bindungsstelle an einem Ringatom lokalisiert ist. Ist der Heterocyclylrest oder der heterocyclische Ring gegebenenfalls substituiert, kann er mit anderen carbocyclischen oder heterocyclischen Ringen annelliert sein. Im Falle von gegebenenfalls substituiertem Heterocyclyl werden auch mehrcyclische Systeme umfaßt, wie beispielsweise 8-Aza-bicyclo[3.2.1 ]octanyl, 8-Aza-bicyclo[2.2.2]octanyl oder 1 -Aza- bicyclo[2.2.1 Jheptyl. Im Falle von gegebenenfalls substituiertem Heterocyclyl werden auch (= carbocyclic ring in which at least one C atom is replaced by a heteroatom, preferably by a heteroatom from the group N, O, S, P) which is saturated, unsaturated, partially saturated or heteroaromatic and may be unsubstituted or substituted, wherein the binding site is located on a ring atom. When the heterocyclyl or heterocyclic ring is optionally substituted, it may be fused with other carbocyclic or heterocyclic rings. In the case of optionally substituted heterocyclyl, more cyclic systems are also included, for example 8-azabicyclo [3.2.1] octanyl, 8-azabicyclo [2.2.2] octanyl or 1-azabicyclo [2.2.1] heptyl. In the case of optionally substituted heterocyclyl also become
spirocyclische Systeme umfaßt, wie beispielsweise l -Oxa-5-aza-spiro[2.3]hexyl. Wenn nicht anders definiert, enthält der heterocyclische Ring vorzugsweise 3 bis 9 Ringatome, insbesondere 3 bis 6 Ringatome, und ein oder mehrere, vorzugsweise 1 bis 4, insbesondere 1 , 2 oder 3 Heteroatome im heterocyclischen Ring, vorzugsweise aus der Gruppe N, O, und S, wobei jedoch nicht zwei spiro-cyclic systems such as 1-oxa-5-aza-spiro [2.3] hexyl. Unless defined otherwise, the heterocyclic ring preferably contains 3 to 9 ring atoms, in particular 3 to 6 ring atoms, and one or more, preferably 1 to 4, in particular 1, 2 or 3 heteroatoms in the heterocyclic ring, preferably from the group N, O, and S, but not two
Sauerstoffatome direkt benachbart sein sollen, wie beispielsweise mit einem Heteroatom aus der Gruppe N, O und S 1 - oder 2- oder 3-Pyrrolidinyl, 3,4-Dihydro-2H-pyrrol-2- oder 3-yl, 2,3-Dihydro-lH-pyrrol-Oxygen atoms are to be directly adjacent, such as with a heteroatom from the group N, O and S 1 - or 2- or 3-pyrrolidinyl, 3,4-dihydro-2H-pyrrol-2 or 3-yl, 2,3- dihydro-lH-pyrrole
1 - oder 2- oder 3- oder 4- oder 5-yl; 2,5-Dihydro-lH-pyrrol-l - oder 2- oder 3-yl, 1 - oder 2- oder 3- oder 4-Piperidinyl; 2,3,4,5-Tetrahydropyridin-2- oder 3- oder 4- oder 5-yl oder 6-yl; 1 ,2,3,6- Tetrahydropyridin-1 - oder 2- oder 3- oder 4- oder 5- oder 6-yl; 1 ,2,3,4-Tetrahydropyridin-l - oder 2- oder 3- oder 4- oder 5- oder 6-yl; 1 ,4-Dihydropyridin-l - oder 2- oder 3- oder 4-yl; 2,3-Dihydropyridin-1 or 2 or 3 or 4 or 5-yl; 2,5-dihydro-1H-pyrrole-1 - or 2- or 3-yl, 1- or 2- or 3- or 4-piperidinyl; 2,3,4,5-tetrahydropyridine-2- or 3- or 4- or 5-yl or 6-yl; 1, 2,3,6-tetrahydropyridine-1 - or 2- or 3- or 4- or 5- or 6-yl; 1,2,3,4-tetrahydropyridine-1 - or 2- or 3- or 4- or 5- or 6-yl; 1,4-dihydropyridine-1 - or 2- or 3- or 4-yl; 2,3-dihydropyridine
2- oder 3- oder 4- oder 5- oder 6-yl; 2,5-Dihydropyridin-2- oder 3- oder 4- oder 5- oder 6-yl, 1 - oder 2- oder 3- oder 4-Azepanyl; 2,3,4,5-Tetrahydro-lH-azepin-l - oder 2- oder 3- oder 4- oder 5- oder 6- oder 7-yl; 2,3,4,7-Tetrahydro-lH-azepin-l - oder 2- oder 3- oder 4- oder 5- oder 6- oder 7-yl; 2,3,6,7- Tetrahydro-lH-azepin-1 - oder 2- oder 3- oder 4-yl; 3,4,5,6-Tetrahydro-2H-azepin-2- oder 3- oder 4- oder 5- oder 6- oder 7-yl; 4,5-Dihydro-lH-azepin-l - oder 2- oder 3- oder 4-yl; 2,5-Dihydro-lH-azepin-2- or 3- or 4- or 5- or 6-yl; 2,5-dihydropyridine-2- or 3- or 4- or 5- or 6-yl, 1- or 2- or 3- or 4-azepanyl; 2,3,4,5-tetrahydro-1H-azepine-1 - or 2- or 3- or 4- or 5- or 6- or 7-yl; 2,3,4,7-tetrahydro-1H-azepine-1 - or 2- or 3- or 4- or 5- or 6- or 7-yl; 2,3,6,7-tetrahydro-1H-azepine-1 - or 2- or 3- or 4-yl; 3,4,5,6-tetrahydro-2H-azepine-2 or 3 or 4 or 5 or 6 or 7-yl; 4,5-dihydro-1H-azepine-1 - or 2- or 3- or 4-yl; 2,5-dihydro-lH-azepin-
1 - oder -2- oder 3- oder 4- oder 5- oder 6- oder 7-yl; 2,7-Dihydro-lH-azepin-l - oder -2- oder 3- oder 4- yl; 2,3-Dihydro-lH-azepin-l - oder -2- oder 3- oder 4- oder 5- oder 6- oder 7-yl; 3,4-Dihydro-2H-azepin-1 - or -2 or 3 or 4 or 5 or 6 or 7-yl; 2,7-dihydro-1H-azepine-1 - or -2- or 3-or 4-yl; 2,3-dihydro-1H-azepine-1 or -2 or 3 or 4 or 5 or 6 or 7-yl; 3,4-dihydro-2H-azepine
2- oder 3- oder 4- oder 5- oder 6- oder 7-yl; 3,6-Dihydro-2H-azepin-2- oder 3- oder 4- oder 5- oder 6- oder 7-yl; 5,6-Dihydro-2H-azepin-2- oder 3- oder 4- oder 5- oder 6- oder 7-yl; 4,5-Dihydro-3H-azepin- 2- oder 3- oder 4- oder 5- oder 6- oder 7-yl; 1H-Azepin-1 - oder -2- oder 3- oder 4- oder 5- oder 6- oder 7-yl; 2H-Azepin-2- oder 3- oder 4- oder 5- oder 6- oder 7-yl; 3H-Azepin-2- oder 3- oder 4- oder 5- oder 6- oder 7-yl; 4H-Azepin-2- oder 3- oder 4- oder 5- oder 6- oder 7-yl, 2- oder 3-Oxolanyl (= 2- oder 3- Tetrahydrofüranyl); 2,3-Dihydrofüran-2- oder 3- oder 4- oder 5-yl; 2,5-Dihydrofüran-2- oder 3-yl, 2- oder 3- oder 4-Oxanyl (= 2- oder 3- oder 4-Tetrahydropyranyl); 3,4-Dihydro-2H-pyran-2- oder 3- oder 4- oder 5- oder 6-yl; 3,6-Dihydro-2H-pyran-2- oder 3-oder 4- oder 5- oder 6-yl; 2H-Pyran-2- oder 3- oder 4- oder 5- oder 6-yl; 4H-Pyran-2- oder 3- oder 4-yl, 2- oder 3- oder 4-Oxepanyl; 2,3,4,5- Tetrahydrooxepin-2- oder 3- oder 4- oder 5- oder 6- oder 7-yl; 2,3,4,7-Tetrahydrooxepin-2- oder 3- oder2- or 3- or 4- or 5- or 6- or 7-yl; 3,6-dihydro-2H-azepine-2 or 3 or 4 or 5 or 6 or 7-yl; 5,6-dihydro-2H-azepine-2 or 3 or 4 or 5 or 6 or 7-yl; 4,5-dihydro-3H-azepine 2- or 3- or 4- or 5- or 6- or 7-yl; 1H-azepine-1 or -2 or 3 or 4 or 5 or 6 or 7-yl; 2H-azepine-2- or 3- or 4- or 5- or 6- or 7-yl; 3H-azepine-2- or 3- or 4- or 5- or 6- or 7-yl; 4H-azepine-2- or 3- or 4- or 5- or 6- or 7-yl, 2- or 3-oxolanyl (= 2- or 3- Tetrahydrofüranyl); 2,3-dihydrofuran-2- or 3- or 4- or 5-yl; 2,5-dihydrofuran-2- or 3-yl, 2- or 3- or 4-oxanyl (= 2- or 3- or 4-tetrahydropyranyl); 3,4-dihydro-2H-pyran-2 or 3 or 4 or 5 or 6-yl; 3,6-dihydro-2H-pyran-2 or 3 or 4 or 5 or 6-yl; 2H-pyran-2- or 3- or 4- or 5- or 6-yl; 4H-pyran-2- or 3- or 4-yl, 2- or 3- or 4-oxepanyl; 2,3,4,5-tetrahydrooxepin-2 or 3 or 4 or 5 or 6 or 7-yl; 2,3,4,7-tetrahydrooxepin-2 or 3 or
4- oder 5- oder 6- oder 7-yl; 2,3,6,7-Tetrahydrooxepin-2- oder 3- oder 4-yl; 2,3-Dihydrooxepin-2- oder 3- oder 4- oder 5- oder 6- oder 7-yl; 4,5-Dihydrooxepin-2- oder 3- oder 4-yl; 2,5-Dihydrooxepin-2- oder 3- oder 4- oder 5- oder 6- oder 7-yl; Oxepin-2- oder 3- oder 4- oder 5- oder 6- oder 7-yl; 2- oder 3- Tetrahydrothiophenyl; 2,3-Dihydrothiophen-2- oder 3- oder 4- oder 5-yl; 2,5-Dihydrothiophen-2- oder 3-yl; Tetrahydro-2H-thiopyran-2- oder 3- oder 4-yl; 3,4-Dihydro-2H-thiopyran-2- oder 3- oder 4- oder4- or 5- or 6- or 7-yl; 2,3,6,7-tetrahydrooxepin-2 or 3 or 4-yl; 2,3-dihydrooxepin-2 or 3 or 4 or 5 or 6 or 7-yl; 4,5-dihydrooxepin-2 or 3 or 4-yl; 2,5-dihydrooxepin-2 or 3 or 4 or 5 or 6 or 7-yl; Oxepin-2 or 3 or 4 or 5 or 6 or 7-yl; 2- or 3-tetrahydrothiophenyl; 2,3-dihydrothiophene-2 or 3 or 4 or 5-yl; 2,5-dihydrothiophene-2 or 3-yl; Tetrahydro-2H-thiopyran-2- or 3- or 4-yl; 3,4-dihydro-2H-thiopyran-2 or 3 or 4 or
5- oder 6-yl; 3,6-Dihydro-2H-thiopyran-2- oder 3- oder 4- oder 5- oder 6-yl; 2H-Thiopyran-2- oder 3- oder 4- oder 5- oder 6-yl; 4H-Thiopyran-2- oder 3- oder 4-yl. Bevorzugte 3-Ring und 4-Ring- Heterocyclen sind beispielsweise 1 - oder 2-Aziridinyl, Oxiranyl, Thiiranyl, 1 - oder 2- oder 3-Azetidinyl,5- or 6-yl; 3,6-dihydro-2H-thiopyran-2 or 3 or 4 or 5 or 6-yl; 2H-thiopyran-2 or 3 or 4 or 5 or 6-yl; 4H-thiopyran-2- or 3- or 4-yl. Preferred 3-membered and 4-membered heterocycles are, for example, 1- or 2-aziridinyl, oxiranyl, thiiranyl, 1- or 2- or 3-azetidinyl,
2- oder 3-Oxetanyl, 2- oder 3-Thietanyl, l ,3-Dioxetan-2-yl. Weitere Beispiele für "Heterocyclyl" sind ein partiell oder vollständig hydrierter heterocyclischer Rest mit zwei Heteroatomen aus der Gruppe N, O und S, wie beispielsweise 1 - oder 2- oder 3- oder 4-Pyrazolidinyl; 4,5-Dihydro-3H-pyrazol- 3- oder 4- oder 5-yl; 4,5-Dihydro-lH-pyrazol-l - oder 3- oder 4- oder 5-yl; 2,3-Dihydro-lH-pyrazol-l - oder 2- oder2- or 3-oxetanyl, 2- or 3-thietanyl, 1,3-dioxetan-2-yl. Further examples of "heterocyclyl" are a partially or completely hydrogenated heterocyclic radical having two heteroatoms from the group consisting of N, O and S, such as, for example, 1- or 2- or 3- or 4-pyrazolidinyl; 4,5-dihydro-3H-pyrazole-3 or 4 or 5-yl; 4,5-dihydro-1H-pyrazole-1 - or 3 or 4 or 5-yl; 2,3-dihydro-1H-pyrazole-1 - or 2 - or
3- oder 4- oder 5-yl; 1 - oder 2- oder 3- oder 4- Imidazolidinyl; 2,3-Dihydro-lH-imidazol-l - oder 2- oder3- or 4- or 5-yl; 1- or 2- or 3- or 4-imidazolidinyl; 2,3-dihydro-1H-imidazole-1 - or 2 - or
3- oder 4-yl; 2,5-Dihydro-lH-imidazol-l - oder 2- oder 4- oder 5-yl; 4,5-Dihydro-lH-imidazol-l - oder 2- oder 4- oder 5-yl; Hexahydropyridazin-1 - oder 2- oder 3- oder 4-yl; 1 ,2,3,4-Tetrahydropyridazin-l - oder3- or 4-yl; 2,5-dihydro-1H-imidazole-1 - or 2- or 4- or 5-yl; 4,5-dihydro-1H-imidazole-1 - or 2- or 4- or 5-yl; Hexahydropyridazine-1 - or 2- or 3- or 4-yl; 1, 2,3,4-Tetrahydropyridazin-l - or
2- oder 3- oder 4- oder 5- oder 6-yl; 1 ,2,3, 6-Tetrahydropyridazin-l - oder 2- oder 3- oder 4- oder 5- oder2- or 3- or 4- or 5- or 6-yl; 1, 2,3, 6-tetrahydropyridazine-l - or 2- or 3- or 4- or 5- or
6- yl; 1 ,4,5, 6-Tetrahydropyridazin-l - oder 3- oder 4- oder 5- oder 6-yl; 3,4,5, 6-Tetrahydropyridazin-3- oder 4- oder 5-yl; 4,5-Dihydropyridazin-3- oder 4-yl; 3,4-Dihydropyridazin-3- oder 4- oder 5- oder 6-yl; 3,6-Dihydropyridazin-3- oder 4-yl; 1 ,6-Dihydropyriazin-l - oder 3- oder 4- oder 5- oder 6-yl; 6-yl; 1, 4,5, 6-tetrahydropyridazine-1 - or 3 or 4 or 5 or 6-yl; 3,4,5,6-tetrahydropyridazine-3- or 4- or 5-yl; 4,5-dihydropyridazine-3 or 4-yl; 3,4-dihydropyridazine-3- or 4- or 5- or 6-yl; 3,6-dihydropyridazine-3 or 4-yl; 1,6-dihydropyriazine-1 - or 3- or 4- or 5- or 6-yl;
Hexahydropyrimidin-1 - oder 2- oder 3- oder 4-yl; 1 ,4,5,6-Tetrahydropyrimidin-l - oder 2- oder 4- oder 5- oder 6-yl; 1 ,2,5,6-Tetrahydropyrimidin-l - oder 2- oder 4- oder 5- oder 6-yl; 1 ,2,3,4- Tetrahydropyrimidin-1 - oder 2- oder 3- oder 4- oder 5- oder 6-yl; 1 ,6-Dihydropyrimidin-l - oder 2- oderHexahydropyrimidine-1 - or 2- or 3- or 4-yl; 1, 4,5,6-tetrahydropyrimidine-1 - or 2- or 4- or 5- or 6-yl; 1, 2,5,6-tetrahydropyrimidine-1 - or 2- or 4- or 5- or 6-yl; 1, 2,3,4-tetrahydropyrimidine-1 - or 2- or 3- or 4- or 5- or 6-yl; 1, 6-dihydropyrimidine-1 - or 2- or
4- oder 5- oder 6-yl; 1 ,2-Dihydropyrimidin-l - oder 2- oder 4- oder 5- oder 6-yl; 2,5-Dihydropyrimidin-4- or 5- or 6-yl; 1,2-dihydropyrimidine-1 - or 2- or 4- or 5- or 6-yl; 2,5-dihydropyrimidine
2- oder 4- oder 5-yl; 4,5-Dihydropyrimidin- 4- oder 5- oder 6-yl; 1 ,4-Dihydropyrimidin-l - oder 2- oder 4- oder 5- oder 6-yl; 1 - oder 2- oder 3-Piperazinyl; 1 ,2,3,6-Tetrahydropyrazin-l - oder 2- oder 3- oder 5- oder 6-yl; 1 ,2,3,4-Tetrahydropyrazin-l - oder 2- oder 3- oder 4- oder 5- oder 6-yl; 1 ,2-Dihydropyrazin-l - oder 2- oder 3- oder 5- oder 6-yl; 1 ,4-Dihydropyrazin-l - oder 2- oder 3-yl; 2,3-Dihydropyrazin-2- oder2- or 4- or 5-yl; 4,5-dihydropyrimidine-4- or 5- or 6-yl; 1,4-dihydropyrimidine-1 - or 2- or 4- or 5- or 6-yl; 1- or 2- or 3-piperazinyl; 1,2,3,6-tetrahydropyrazine-1 - or 2- or 3- or 5- or 6-yl; 1,2,3,4-tetrahydropyrazine-1 - or 2- or 3- or 4- or 5- or 6-yl; 1,2-dihydropyrazine-1 - or 2- or 3- or 5- or 6-yl; 1,4-dihydropyrazine-1 - or 2- or 3-yl; 2,3-dihydropyrazine-2-or
3- oder 5- oder 6-yl; 2,5-Dihydropyrazin-2- oder 3-yl; l ,3-Dioxolan-2- oder 4- oder 5-yl; l ,3-Dioxol-2- oder 4-yl; l ,3-Dioxan-2- oder 4- oder 5-yl; 4H-l ,3-Dioxin-2- oder 4- oder 5- oder 6-yl; l ,4-Dioxan-2- oder 3- oder 5- oder 6-yl; 2,3-Dihydro-l ,4-dioxin-2- oder 3- oder 5- oder 6-yl; l ,4-Dioxin-2- oder 3-yl; l ,2-Dithiolan-3- oder 4-yl; 3H-l ,2-Dithiol-3- oder 4- oder 5-yl; l ,3-Dithiolan-2- oder 4-yl; 1 ,3-Dithiol- 2- oder 4-yl; l ,2-Dithian-3- oder 4-yl; 3,4-Dihydro-l ,2-dithiin-3- oder 4- oder 5- oder 6-yl; 3,6-Dihydro- 1.2- dithiin-3- oder 4-yl; l,2-Dithiin-3- oder 4-yl; l,3-Dithian-2- oder 4- oder 5-yl; 4H-l,3-Dithiin-2- oder 4- oder 5- oder 6-yl; Isoxazolidin-2- oder 3- oder 4- oder 5-yl; 2,3-Dihydroisoxazol-2- oder 3- oder 4- oder 5-yl; 2,5-Dihydroisoxazol-2- oder 3- oder 4- oder 5-yl; 4,5-Dihydroisoxazol-3- oder 4- oder 5-yl;3- or 5- or 6-yl; 2,5-dihydropyrazine-2 or 3-yl; l, 3-dioxolane-2- or 4- or 5-yl; l, 3-dioxol-2 or 4-yl; 1, 3-dioxan-2 or 4 or 5-yl; 4H-l, 3-dioxin-2 or 4 or 5 or 6-yl; 1, 4-dioxane-2 or 3 or 5 or 6-yl; 2,3-dihydro-1,4-dioxin-2- or 3- or 5- or 6-yl; l, 4-dioxin-2 or 3-yl; l, 2-dithiolan-3 or 4-yl; 3H-1,2-dithiol-3- or 4- or 5-yl; l, 3-dithiolan-2 or 4-yl; 1,3-dithiol-2- or 4-yl; 1, 2-dithian-3 or 4-yl; 3,4-dihydro-1,2-dithiin-3 or 4 or 5 or 6-yl; 3,6-dihydro- 1,2-dithiin-3 or 4-yl; l, 2-dithiin-3 or 4-yl; l, 3-dithian-2 or 4 or 5-yl; 4H-l, 3-dithiin-2 or 4 or 5 or 6-yl; Isoxazolidine-2 or 3 or 4 or 5-yl; 2,3-dihydroisoxazole-2 or 3 or 4 or 5-yl; 2,5-dihydroisoxazole-2 or 3 or 4 or 5-yl; 4,5-dihydroisoxazole-3 or 4 or 5-yl;
1.3- Oxazolidin-2- oder 3- oder 4- oder 5-yl; 2,3-Dihydro-l,3-oxazol-2- oder 3- oder 4- oder 5-yl; 2,5- Dihydro-l,3-oxazol-2- oder 4- oder 5-yl; 4,5-Dihydro-l,3-oxazol-2- oder 4- oder 5-yl; l,2-Oxazinan-2- oder 3- oder 4- oder 5- oder 6-yl; 3,4-Dihydro-2H-l,2-oxazin-2- oder 3- oder 4- oder 5- oder 6-yl; 3,6- Dihydro-2H-l,2-oxazin-2- oder 3- oder 4- oder 5- oder 6-yl; 5,6-Dihydro-2H-l,2-oxazin-2- oder 3- oder 4- oder 5- oder 6-yl; 5,6-Dihydro-4H-l,2-oxazin-3- oder 4- oder 5- oder 6-yl; 2H-l,2-Oxazin-2- oder 3- oder 4- oder 5- oder 6-yl; 6H-l,2-Oxazin-3- oder 4- oder 5- oder 6-yl; 4H-l,2-Oxazin-3- oder 4- oder 5- oder 6-yl; l,3-Oxazinan-2- oder 3- oder 4- oder 5- oder 6-yl; 3,4-Dihydro-2H-l,3-oxazin-2- oder 3- oder 4- oder 5- oder 6-yl; 3,6-Dihydro-2H-l,3-oxazin-2- oder 3- oder 4- oder 5- oder 6-yl; 5,6-Dihydro-2H- l,3-oxazin-2- oder 4- oder 5- oder 6-yl; 5,6-Dihydro-4H-l,3-oxazin-2- oder 4- oder 5- oder 6-yl; 2H- l,3-Oxazin-2- oder 4- oder 5- oder 6-yl; 6H-l,3-Oxazin-2- oder 4- oder 5- oder 6-yl; 4H-l,3-Oxazin-2- oder 4- oder 5- oder 6-yl; Morpholin-2- oder 3- oder 4-yl; 3,4-Dihydro-2H-l,4-oxazin-2- oder 3- oder 4- oder 5- oder 6-yl; 3,6-Dihydro-2H-l,4-oxazin-2- oder 3- oder 5- oder 6-yl; 2H-l,4-oxazin-2- oder 3- oder 5- oder 6-yl; 4H-l,4-oxazin-2- oder 3-yl; 1 ,2-Oxazepan-2- oder 3- oder 4- oder 5- oder 6- oder 7- yl; 2,3,4,5-Tetrahydro-l,2-oxazepin-2- oder 3- oder 4- oder 5- oder 6- oder 7-yl; 2,3,4,7-Tetrahydro-l,2- oxazepin-2- oder 3- oder 4- oder 5- oder 6- oder 7-yl; 2,3,6,7-Tetrahydro-l,2-oxazepin-2- oder 3- oder 4- oder 5- oder 6- oder 7-yl; 2,5,6,7-Tetrahydro-l,2-oxazepin-2- oder 3- oder 4- oder 5- oder 6- oder 7- yl; 4,5,6,7-Tetrahydro-l,2-oxazepin-3- oder 4- oder 5- oder 6- oder 7-yl; 2,3-Dihydro-l,2-oxazepin-2- oder 3- oder 4- oder 5- oder 6- oder 7-yl; 2,5-Dihydro-l,2-oxazepin-2- oder 3- oder 4- oder 5- oder 6- oder 7-yl; 2,7-Dihydro-l,2-oxazepin-2- oder 3- oder 4- oder 5- oder 6- oder 7-yl; 4,5-Dihydro-l,2- oxazepin-3- oder 4- oder 5- oder 6- oder 7-yl; 4,7-Dihydro-l,2-oxazepin-3- oder 4- oder 5- oder 6- oder 7-yl; 6,7-Dihydro-l,2-oxazepin-3- oder 4- oder 5- oder 6- oder 7-yl; l,2-Oxazepin-3- oder 4- oder 5- oder 6- oder 7-yl; l,3-Oxazepan-2- oder 3- oder 4- oder 5- oder 6- oder 7-yl; 2,3,4,5-Tetrahydro-l,3- oxazepin-2- oder 3- oder 4- oder 5- oder 6- oder 7-yl; 2,3,4,7-Tetrahydro-l,3-oxazepin-2- oder 3- oder 4- oder 5- oder 6- oder 7-yl; 2,3,6,7-Tetrahydro-l,3-oxazepin-2- oder 3- oder 4- oder 5- oder 6- oder 7- yl; 2,5,6,7-Tetrahydro-l,3-oxazepin-2- oder 4- oder 5- oder 6- oder 7-yl; 4,5,6,7-Tetrahydro-l,3- oxazepin-2- oder 4- oder 5- oder 6- oder 7-yl; 2,3-Dihydro-l,3-oxazepin-2- oder 3- oder 4- oder 5- oder 6- oder 7-yl; 2,5-Dihydro-l,3-oxazepin-2- oder 4- oder 5- oder 6- oder 7-yl; 2,7-Dihydro-l,3-oxazepin- 2- oder 4- oder 5- oder 6- oder 7-yl; 4,5-Dihydro-l,3-oxazepin-2- oder 4- oder 5- oder 6- oder 7-yl; 4,7- Dihydro-l,3-oxazepin-2- oder 4- oder 5- oder 6- oder 7-yl; 6,7-Dihydro-l,3-oxazepin-2- oder 4- oder 5- oder 6- oder 7-yl; l,3-Oxazepin-2- oder 4- oder 5- oder 6- oder 7-yl; 1 ,4-Oxazepan-2- oder 3- oder 5- oder 6- oder 7-yl; 2,3,4,5-Tetrahydro-l,4-oxazepin-2- oder 3- oder 4- oder 5- oder 6- oder 7-yl; 2,3,4,7- Tetrahydro-l,4-oxazepin-2- oder 3- oder 4- oder 5- oder 6- oder 7-yl; 2,3,6,7-Tetrahydro-l,4-oxazepin- 2- oder 3- oder 5- oder 6- oder 7-yl; 2,5,6,7-Tetrahydro-l,4-oxazepin-2- oder 3- oder 5- oder 6- oder 7- yl; 4,5,6,7-Tetrahydro-l,4-oxazepin-2- oder 3- oder 4- oder 5- oder 6- oder 7-yl; 2,3-Dihydro-l,4- oxazepin-2- oder 3- oder 5- oder 6- oder 7-yl; 2,5-Dihydro-l,4-oxazepin-2- oder 3- oder 5- oder 6- oder 7-yl; 2,7-Dihydro-l,4-oxazepin-2- oder 3- oder 5- oder 6- oder 7-yl; 4,5-Dihydro-l,4-oxazepin-2- oder 3- oder 4- oder 5- oder 6- oder 7-yl; 4,7-Dihydro-l,4-oxazepin-2- oder 3- oder 4- oder 5- oder 6- oder 7- yl; 6,7-Dihydro-l,4-oxazepin-2- oder 3- oder 5- oder 6- oder 7-yl; 1 ,4-Oxazepin-2- oder 3- oder 5- oder 6- oder 7-yl; Isothiazolidin-2- oder 3- oder 4- oder 5-yl; 2,3-Dihydroisothiazol-2- oder 3- oder 4- oder 5- yl; 2,5-Dihydroisothiazol-2- oder 3- oder 4- oder 5-yl; 4,5-Dihydroisothiazol-3- oder 4- oder 5-yl; 1,3- Thiazolidin-2- oder 3- oder 4- oder 5-yl; 2,3-Dihydro-l ,3-thiazol-2- oder 3- oder 4- oder 5-yl; 2,5- Dihydro-l,3-thiazol-2- oder 4- oder 5-yl; 4,5-Dihydro-l,3-thiazol-2- oder 4- oder 5-yl; l,3-Thiazinan-2- oder 3- oder 4- oder 5- oder 6-yl; 3,4-Dihydro-2H-l,3-thiazin-2- oder 3- oder 4- oder 5- oder 6-yl; 3,6- Dihydro-2H-l,3-thiazin-2- oder 3- oder 4- oder 5- oder 6-yl; 5,6-Dihydro-2H-l,3-thiazin-2- oder 4- oder 5- oder 6-yl; 5,6-Dihydro-4H-l,3-thiazin-2- oder 4- oder 5- oder 6-yl; 2H-l,3-Thiazin-2- oder 4- oder 5- oder 6-yl; 6H-l,3-Thiazin-2- oder 4- oder 5- oder 6-yl; 4H-l,3-Thiazin-2- oder 4- oder 5- oder 6-yl. Weitere Beispiele für "Heterocyclyl" sind ein partiell oder vollständig hydrierter heterocyclischer Rest mit 3 Heteroatomen aus der Gruppe N, O und S, wie beispielsweise l,4,2-Dioxazolidin-2- oder 3- oder 5-yl; l,4,2-Dioxazol-3- oder 5-yl; 1 ,4,2-Dioxazinan-2- oder -3- oder 5- oder 6-yl; 5,6-Dihydro-l,4,2- dioxazin-3- oder 5- oder 6-yl; l,4,2-Dioxazin-3- oder 5- oder 6-yl; l,4,2-Dioxazepan-2- oder 3- oder 5- oder 6- oder 7-yl; 6,7-Dihydro-5H-l,4,2-Dioxazepin-3- oder 5- oder 6- oder 7-yl; 2,3-Dihydro-7H-l,4,2- Dioxazepin-2- oder 3- oder 5- oder 6- oder 7-yl; 2,3-Dihydro-5H-l,4,2-Dioxazepin-2- oder 3- oder 5- oder 6- oder 7-yl; 5H-l,4,2-Dioxazepin-3- oder 5- oder 6- oder 7-yl; 7H-l,4,2-Dioxazepin-3- oder 5- oder 6- oder 7-yl. Strukturbeispiele für gegebenenfalls weiter substituierte Heterocyclen sind auch im Folgenden aufgeführt: 1.3 oxazolidine-2- or 3- or 4- or 5-yl; 2,3-dihydro-1,3-oxazol-2 or 3 or 4 or 5-yl; 2,5-dihydro-1,3-oxazol-2 or 4 or 5-yl; 4,5-dihydro-1,3-oxazol-2 or 4 or 5-yl; 1, 2-oxazinan-2 or 3 or 4 or 5 or 6-yl; 3,4-dihydro-2H-1,2-oxazine-2 or 3 or 4 or 5 or 6-yl; 3,6-dihydro-2H-1,2-oxazine-2 or 3 or 4 or 5 or 6-yl; 5,6-dihydro-2H-1,2-oxazine-2 or 3 or 4 or 5 or 6-yl; 5,6-dihydro-4H-1,2-oxazine-3 or 4 or 5 or 6-yl; 2H-l, 2-oxazine-2 or 3 or 4 or 5 or 6-yl; 6H-l, 2-oxazine-3 or 4 or 5 or 6-yl; 4H-1, 2-oxazine-3 or 4 or 5 or 6-yl; l, 3-oxazinan-2 or 3 or 4 or 5 or 6-yl; 3,4-dihydro-2H-1,3-oxazine-2- or 3- or 4- or 5- or 6-yl; 3,6-dihydro-2H-1,3-oxazine-2 or 3 or 4 or 5 or 6-yl; 5,6-dihydro-2H-1,3-oxazine-2- or 4- or 5- or 6-yl; 5,6-dihydro-4H-1,3-oxazine-2- or 4- or 5- or 6-yl; 2H-, 3-oxazine-2- or 4- or 5- or 6-yl; 6H-1, 3-oxazine-2 or 4 or 5 or 6-yl; 4H-1, 3-oxazine-2 or 4 or 5 or 6-yl; Morpholine-2- or 3- or 4-yl; 3,4-dihydro-2H-1,4-oxazine-2- or 3- or 4- or 5- or 6-yl; 3,6-dihydro-2H-1,4-oxazine-2- or 3- or 5- or 6-yl; 2H-1,4-oxazine-2- or 3- or 5- or 6-yl; 4H-1,4-oxazine-2 or 3-yl; 1, 2-oxazepan-2 or 3 or 4 or 5 or 6 or 7 yl; 2,3,4,5-tetrahydro-1,2-oxazepine-2- or 3- or 4- or 5- or 6- or 7-yl; 2,3,4,7-tetrahydro-1, 2-oxazepine-2 or 3 or 4 or 5 or 6 or 7-yl; 2,3,6,7-tetrahydro-1,2-oxazepine-2- or 3- or 4- or 5- or 6- or 7-yl; 2,5,6,7-tetrahydro-1,2-oxazepine-2- or 3- or 4- or 5- or 6- or 7-yl; 4,5,6,7-tetrahydro-1,2-oxazepine-3- or 4- or 5- or 6- or 7-yl; 2,3-dihydro-1,2-oxazepine-2- or 3- or 4- or 5- or 6- or 7-yl; 2,5-dihydro-1,2-oxazepine-2- or 3- or 4- or 5- or 6- or 7-yl; 2,7-dihydro-1,2-oxazepine-2 or 3 or 4 or 5 or 6 or 7-yl; 4,5-dihydro-1, 2-oxazepine-3 or 4 or 5 or 6 or 7-yl; 4,7-dihydro-1,2-oxazepine-3 or 4 or 5 or 6 or 7-yl; 6,7-dihydro-1,2-oxazepine-3- or 4- or 5- or 6- or 7-yl; 1, 2-oxazepine-3 or 4 or 5 or 6 or 7-yl; l, 3-oxazepan-2 or 3 or 4 or 5 or 6 or 7-yl; 2,3,4,5-tetrahydro-1, 3-oxazepine-2 or 3 or 4 or 5 or 6 or 7-yl; 2,3,4,7-tetrahydro-1,3-oxazepine-2- or 3- or 4- or 5- or 6- or 7-yl; 2,3,6,7-tetrahydro-1,3-oxazepine-2- or 3- or 4- or 5- or 6- or 7-yl; 2,5,6,7-tetrahydro-1,3-oxazepine-2- or 4- or 5- or 6- or 7-yl; 4,5,6,7-tetrahydro-1, 3-oxazepine-2 or 4 or 5 or 6 or 7-yl; 2,3-dihydro-1,3-oxazepine-2- or 3- or 4- or 5- or 6- or 7-yl; 2,5-dihydro-1,3-oxazepine-2- or 4- or 5- or 6- or 7-yl; 2,7-dihydro-1,3-oxazepine 2- or 4- or 5- or 6- or 7-yl; 4,5-dihydro-1,3-oxazepine-2- or 4- or 5- or 6- or 7-yl; 4,7-dihydro-1,3-oxazepine-2- or 4- or 5- or 6- or 7-yl; 6,7-dihydro-1,3-oxazepine-2- or 4- or 5- or 6- or 7-yl; l, 3-oxazepine-2- or 4- or 5- or 6- or 7-yl; 1,4-oxazepan-2- or 3- or 5- or 6- or 7-yl; 2,3,4,5-tetrahydro-1,4-oxazepine-2- or 3- or 4- or 5- or 6- or 7-yl; 2,3,4,7-tetrahydro-l, 4-oxazepine-2 or 3 or 4 or 5 or 6 or 7-yl; 2,3,6,7-tetrahydro-l, 4-oxazepine 2- or 3- or 5- or 6- or 7-yl; 2,5,6,7-tetrahydro-1,4-oxazepine-2- or 3- or 5- or 6- or 7-yl; 4,5,6,7-tetrahydro-l, 4-oxazepine-2 or 3 or 4 or 5 or 6 or 7-yl; 2,3-dihydro-l, 4- oxazepine-2- or 3- or 5- or 6- or 7-yl; 2,5-dihydro-1,4-oxazepine-2- or 3- or 5- or 6- or 7-yl; 2,7-dihydro-1,4-oxazepine-2- or 3- or 5- or 6- or 7-yl; 4,5-dihydro-1,4-oxazepine-2- or 3- or 4- or 5- or 6- or 7-yl; 4,7-dihydro-l, 4-oxazepine-2 or 3 or 4 or 5 or 6 or 7 yl; 6,7-dihydro-1,4-oxazepine-2- or 3- or 5- or 6- or 7-yl; 1,4-oxazepine-2- or 3- or 5- or 6- or 7-yl; Isothiazolidine-2- or 3- or 4- or 5-yl; 2,3-dihydroisothiazole-2 or 3 or 4 or 5 yl; 2,5-dihydroisothiazole-2 or 3 or 4 or 5-yl; 4,5-dihydroisothiazole-3 or 4 or 5-yl; 1,3-thiazolidine-2- or 3- or 4- or 5-yl; 2,3-dihydro-1,3-thiazole-2 or 3 or 4 or 5-yl; 2,5-dihydro-1,3-thiazol-2 or 4 or 5-yl; 4,5-dihydro-1,3-thiazol-2 or 4 or 5-yl; l, 3-thiazinan-2 or 3 or 4 or 5 or 6-yl; 3,4-dihydro-2H-1, 3-thiazine-2 or 3 or 4 or 5 or 6-yl; 3,6-dihydro-2H-l, 3-thiazine-2 or 3 or 4 or 5 or 6-yl; 5,6-dihydro-2H-1, 3-thiazine-2 or 4 or 5 or 6-yl; 5,6-dihydro-4H-1, 3-thiazine-2 or 4 or 5 or 6-yl; 2H-1, 3-thiazine-2 or 4 or 5 or 6-yl; 6H-l, 3-thiazine-2 or 4 or 5 or 6-yl; 4H-l, 3-thiazine-2 or 4 or 5 or 6-yl. Further examples of "heterocyclyl" are a partially or fully hydrogenated heterocyclic radical having 3 heteroatoms from the group N, O and S, such as, for example, l, 4,2-dioxazolidin-2 or 3 or 5-yl; l, 4,2-dioxazol-3 or 5-yl; 1,2,2-dioxazinane-2- or -3- or 5- or 6-yl; 5,6-dihydro-l, 4,2-dioxazine-3 or 5 or 6-yl; l, 4,2-dioxazine-3- or 5- or 6-yl; l, 4,2-dioxazepan-2 or 3 or 5 or 6 or 7-yl; 6,7-dihydro-5H-l, 4,2-dioxazepine-3 or 5 or 6 or 7-yl; 2,3-dihydro-7H-l, 4,2-dioxazepin-2 or 3 or 5 or 6 or 7-yl; 2,3-dihydro-5H-1, 4,2-dioxazepine-2 or 3 or 5 or 6 or 7-yl; 5H-l, 4,2-dioxazepine-3 or 5 or 6 or 7-yl; 7H-l, 4,2-dioxazepine-3 or 5 or 6 or 7-yl. Structural examples of optionally further substituted heterocycles are also listed below:
Die oben aufgeführten Heterocyclen sind bevorzugt beispielsweise durch Wasserstoff, Halogen, Alkyl, Haloalkyl, Hydroxy, Alkoxy, Cycloalkoxy, Aryloxy, Alkoxyalkyl, Alkoxyalkoxy, Cycloalkyl, The heterocycles listed above are preferably, for example, hydrogen, halogen, alkyl, haloalkyl, hydroxy, alkoxy, cycloalkoxy, aryloxy, alkoxyalkyl, alkoxyalkoxy, cycloalkyl,
Halocycloalkyl, Aryl, Arylalkyl, Heteroaryl, Heterocyclyl, Alkenyl, Alkylcarbonyl, Cycloalkylcarbonyl, Arylcarbonyl, Heteroarylcarbonyl, Alkoxycarbonyl, Hydroxycarbonyl, Cycloalkoxycarbonyl, Halocycloalkyl, aryl, arylalkyl, heteroaryl, heterocyclyl, alkenyl, alkylcarbonyl, cycloalkylcarbonyl, arylcarbonyl, heteroarylcarbonyl, alkoxycarbonyl, hydroxycarbonyl, cycloalkoxycarbonyl,
Cycloalkylalkoxycarbonyl, Alkoxycarbonylalkyl, Arylalkoxycarbonyl, Arylalkoxycarbonylalkyl, Alkinyl, Alkinylalkyl, Alkylalkinyl, Tris-alkylsilylalkinyl, Nitro, Amino, Cyano, Haloalkoxy, Cycloalkylalkoxycarbonyl, alkoxycarbonylalkyl, arylalkoxycarbonyl, arylalkoxycarbonylalkyl, alkynyl, alkynylalkyl, alkylalkynyl, trisalkylsilylalkynyl, nitro, amino, cyano, haloalkoxy,
Haloalkylthio, Alkylthio, Hydrothio, Hydroxyalkyl, Oxo, Heteroarylalkoxy, Arylalkoxy, Haloalkylthio, alkylthio, hydrothio, hydroxyalkyl, oxo, heteroarylalkoxy, arylalkoxy,
Heterocyclylalkoxy, Heterocyclylalkylthio, Heterocyclyloxy, Heterocyclylthio, Heteroaryloxy, Bis- alkylamino, Alkylamino, Cycloalkylamino, Hydroxycarbonylalkylamino, Alkoxycarbonylalkylamino, Arylalkoxycarbonylalkylamino, Alkoxycarbonylalkyl(alkyl)amino, Aminocarbonyl, Heterocyclylalkoxy, heterocyclylalkylthio, heterocyclyloxy, heterocyclylthio, heteroaryloxy, bisalkylamino, alkylamino, cycloalkylamino, hydroxycarbonylalkylamino, alkoxycarbonylalkylamino, Arylalkoxycarbonylalkylamino, alkoxycarbonylalkyl (alkyl) amino, aminocarbonyl,
Alkylaminocarbonyl, Bis-alkylaminocarbonyl, Cycloalkylaminocarbonyl, Alkylaminocarbonyl, bis-alkylaminocarbonyl, cycloalkylaminocarbonyl,
Hydroxycarbonylalkylaminocarbonyl, Alkoxycarbonylalkylaminocarbonyl, Hydroxycarbonylalkylaminocarbonyl, alkoxycarbonylalkylaminocarbonyl,
Arylalkoxycarbonylalkylaminocarbonyl substituiert. Arylalkoxycarbonylalkylaminocarbonyl substituted.
Wenn ein Grundkörper "durch einen oder mehrere Reste" aus einer Aufzählung von Resten (= Gruppe) oder einer generisch definierten Gruppe von Resten substituiert ist, so schließt dies jeweils die gleichzeitige Substitution durch mehrere gleiche und/oder strukturell unterschiedliche Reste ein. Handelt es sich es sich um einen teilweise oder vollständig gesättigten Stickstoff-Heterocyclus, so kann dieser sowohl über Kohlenstoff als auch über den Stickstoff mit dem Rest des Moleküls verknüpft sein. If a main body is "substituted by one or more radicals" from an enumeration of radicals (= group) or a generically defined group of radicals, this includes the simultaneous substitution by a plurality of identical and / or structurally different radicals. If it is a partially or fully saturated nitrogen heterocycle, it may be linked to the rest of the molecule via both carbon and nitrogen.
Als Substituenten für einen substituierten heterocyclischen Rest kommen die weiter unten genannten Substituenten in Frage, zusätzlich auch Oxo und Thioxo. Die Oxogruppe als Substituent an einem Ring- C-Atom bedeutet dann beispielsweise eine Carbonylgruppe im heterocyclischen Ring. Dadurch sind vorzugsweise auch Lactone und Lactame umfasst. Die Oxogruppe kann auch an den Heteroringatomen, die in verschiedenen Oxidationsstufen existieren können, z.B. bei N und S, auftreten und bilden dann beispielsweise die divalenten Gruppen N(O) , S(O) (auch kurz SO) und S(0)2 (auch kurz S02) im heterocyclischen Ring. Im Fall von -N(O)- und -S(0)-Gruppen sind jeweils beide Enantiomere umfasst. Suitable substituents for a substituted heterocyclic radical are the substituents mentioned below, in addition to oxo and thioxo. The oxo group as a substituent on a ring C atom then means, for example, a carbonyl group in the heterocyclic ring. As a result, lactones and lactams are preferably also included. The oxo group may also be attached to the hetero ring atoms, which may exist in different oxidation states, e.g. in the case of N and S, for example, the divalent groups N (O), S (O) (also known as SO) and S (O) 2 (also abbreviated to SO 2) occur and form in the heterocyclic ring. In the case of -N (O) and -S (0) groups, both enantiomers are included.
Erfindungsgemäß steht der Ausdruck„Heteroaryl" für heteroaromatische Verbindungen, d. h. According to the invention, the term "heteroaryl" stands for heteroaromatic compounds, ie.
vollständig ungesättigte aromatische heterocyclische Verbindungen, vorzugsweise für 5- bis 7-gliedrige Ringe mit 1 bis 4, vorzugsweise 1 oder 2 gleichen oder verschiedenen Heteroatomen, vorzugsweise O, S oder N. Erfindungsgemäße Heteroaryle sind beispielsweise lH-Pyrrol-l -yl; lH-Pyrrol-2-yl; lH-Pyrrol-completely unsaturated aromatic heterocyclic compounds, preferably for 5- to 7-membered rings having 1 to 4, preferably 1 or 2 identical or different heteroatoms, preferably O, S or N. Heteroaryls according to the invention are, for example, 1H-pyrrol-1-yl; lH-pyrrol-2-yl; lH-pyrrole
3- yl; Furan-2-yl; Furan-3-yl; Thien-2-yl; Thien-3-yl, lH-Imidazol-l -yl; lH-Imidazol-2-yl; lH-Imidazol-3-yl; Furan-2-yl; Furan-3-yl; Thien-2-yl; Thien-3-yl, 1H-imidazol-1-yl; lH-imidazol-2-yl; lH-imidazole
4- yl; lH-Imidazol-5-yl; lH-Pyrazol-l -yl; lH-Pyrazol-3-yl; lH-Pyrazol-4-yl; lH-Pyrazol-5-yl, 1H-1 ,2,3- Triazol-l -yl, lH-l ,2,3-Triazol-4-yl, lH-l ,2,3-Triazol-5-yl, 2H-l ,2,3-Triazol-2-yl, 2H-l ,2,3-Triazol-4-yl, lH-l ,2,4-Triazol-l -yl, lH-l ,2,4-Triazol-3-yl, 4H-l ,2,4-Triazol-4-yl, l ,2,4-Oxadiazol-3-yl, 1 ,2,4- Oxadiazol-5-yl, l ,3,4-Oxadiazol-2-yl, l ,2,3-Oxadiazol-4-yl, l ,2,3-Oxadiazol-5-yl, l ,2,5-Oxadiazol-3-yl, Azepinyl, Pyridin-2-yl, Pyridin-3-yl, Pyridin-4-yl, Pyrazin-2-yl, Pyrazin-3-yl, Pyrimidin-2-yl, 4-yl; lH-imidazol-5-yl; 1H-pyrazol-1-yl; lH-pyrazol-3-yl; lH-pyrazol-4-yl; 1H-pyrazol-5-yl, 1H-1, 2,3-triazol-1-yl, 1H-l, 2,3-triazol-4-yl, 1H-l, 2,3-triazol-5-yl, 2H-l, 2,3-triazol-2-yl, 2H-l, 2,3-triazol-4-yl, lH-l, 2,4-triazol-1-yl, lH-l, 2,4- Triazol-3-yl, 4H-l, 2,4-triazol-4-yl, l, 2,4-oxadiazol-3-yl, 1, 2,4-oxadiazol-5-yl, l, 3,4- Oxadiazol-2-yl, l, 2,3-oxadiazol-4-yl, l, 2,3-oxadiazol-5-yl, l, 2,5-oxadiazol-3-yl, azepinyl, pyridin-2-yl, Pyridin-3-yl, pyridin-4-yl, pyrazine-2-yl, pyrazine-3-yl, pyrimidin-2-yl,
Pyrimidin-4-yl, Pyrimidin-5-yl, Pyridazin-3-yl, Pyridazin-4-yl, l ,3,5-Triazin-2-yl, l ,2,4-Triazin-3-yl, l ,2,4-Triazin-5-yl, 1 ,2,4-Triazin-6-yl, l ,2,3-Triazin-4-yl, l ,2,3-Triazin-5-yl, 1 ,2,4-, 1 ,3,2-, 1 ,3,6- und 1 ,2,6-Oxazinyl, Isoxazol-3-yl, Isoxazol-4-yl, Isoxazol-5-yl, l ,3-Oxazol-2-yl, l ,3-Oxazol-4-yl, 1 ,3- Oxazol-5-yl, Isothiazol-3-yl, Isothiazol-4-yl, Isothiazol-5-yl, l ,3-Thiazol-2-yl, l ,3-Thiazol-4-yl, 1 ,3- Thiazol-5-yl, Oxepinyl, Thiepinyl, 1 ,2,4-Triazolonyl und 1 ,2,4-Diazepinyl, 2H-l ,2,3,4-Tetrazol-5-yl, lH-l ,2,3,4-Tetrazol-5-yl, l ,2,3,4-Oxatriazol-5-yl, l ,2,3,4-Thiatriazol-5-yl, l ,2,3,5-Oxatriazol-4-yl, l,2,3,5-Thiatriazol-4-yl. Die erfindungsgemäßen Heteroarylgruppen können ferner mit einem oder mehreren, gleichen oder verschiedenen Resten substituiert sein. Sind zwei benachbarte Pyrimidin-4-yl, pyrimidin-5-yl, pyridazin-3-yl, pyridazin-4-yl, l, 3,5-triazin-2-yl, l, 2,4-triazin-3-yl, 2,4-triazin-5-yl, 1, 2,4-triazin-6-yl, l, 2,3-triazin-4-yl, l, 2,3-triazin-5-yl, 1, 2, 4-, 1, 3,2-, 1, 3,6- and 1, 2,6-oxazinyl, isoxazol-3-yl, isoxazol-4-yl, isoxazol-5-yl, 1,3-oxazole-2 -yl, 1,3-oxazol-4-yl, 1,3-oxazol-5-yl, isothiazol-3-yl, isothiazol-4-yl, isothiazol-5-yl, l, 3-thiazol-2-yl , 1, 3-Thiazol-4-yl, 1, 3-thiazol-5-yl, oxepinyl, thiepinyl, 1, 2,4-triazolonyl and 1, 2,4-diazepinyl, 2H-l, 2,3,4 -Tetrazol-5-yl, 1H-l, 2,3,4-tetrazol-5-yl, l, 2,3,4-oxatriazol-5-yl, l, 2,3,4-thiatriazol-5-yl , l, 2,3,5-Oxatriazol-4-yl, l, 2,3,5-thiatriazole-4-yl. The heteroaryl groups according to the invention may furthermore be substituted by one or more identical or different radicals. Are two neighbors
Kohlenstoffatome Bestandteil eines weiteren aromatischen Rings, so handelt es sich um annellierte heteroaromatische Systeme, wie benzokondensierte oder mehrfach annellierte Heteroaromaten. Carbon atoms part of another aromatic ring, they are fused heteroaromatic systems, such as benzo-fused or multiply fused heteroaromatic.
Bevorzugt sind beispielsweise Chinoline (z. B. Chinolin-2-yl, Chinolin-3-yl, Chinolin-4-yl, Chinolin-5- yl, Chinolin-6-yl, Chinolin-7-yl, Chinolin-8-yl); Isochinoline (z. B. Isochinolin-l -yl, Isochinolin-3-yl, Isochinolin-4-yl, Isochinolin-5-yl, Isochinolin-6-yl, Isochinolin-7-yl, Isochinolin-8-yl); Chinoxalin; Chinazolin; Cinnolin; 1,5-Naphthyridin; 1 ,6-Naphthyridin; 1 ,7-Naphthyridin; 1,8-Naphthyridin; 2,6- Naphthyridin; 2,7-Naphthyridin; Phthalazin; Pyridopyrazine; Pyridopyrimidine; Pyridopyridazine; Pteridine; Pyrimidopyrimidine. Beispiele für Heteroaryl sind auch 5- oder 6-gliedrige benzokondensierte Ringe aus der Gruppe lH-Indol-l-yl, lH-Indol-2-yl, lH-Indol-3-yl, lH-Indol-4-yl, lH-Indol-5-yl, 1H- Indol-6-yl, lH-Indol-7-yl, l-Benzofuran-2-yl, l-Benzofuran-3-yl, l-Benzofuran-4-yl, l-Benzofuran-5- yl, l-Benzofuran-6-yl, l-Benzofuran-7-yl, l-Benzothiophen-2-yl, l-Benzothiophen-3-yl, 1- Benzothiophen-4-yl, l-Benzothiophen-5-yl, l-Benzothiophen-6-yl, l-Benzothiophen-7-yl, lH-Indazol-Preferred are, for example, quinolines (e.g., quinolin-2-yl, quinolin-3-yl, quinolin-4-yl, quinolin-5-yl, quinolin-6-yl, quinolin-7-yl, quinolin-8-yl ); Isoquinolines (e.g., isoquinolin-1-yl, isoquinolin-3-yl, isoquinolin-4-yl, isoquinolin-5-yl, isoquinolin-6-yl, isoquinolin-7-yl, isoquinolin-8-yl); quinoxaline; quinazoline; cinnoline; 1,5-naphthyridine; 1,6-naphthyridine; 1,7-naphthyridine; 1,8-naphthyridine; 2,6-naphthyridine; 2,7-naphthyridine; phthalazine; Pyridopyrazine; pyridopyrimidines; Pyridopyridazine; pteridines; Pyrimidopyrimidine. Examples of heteroaryl are also 5- or 6-membered benzo-fused rings from the group 1H-indol-1-yl, 1H-indol-2-yl, 1H-indol-3-yl, 1H-indol-4-yl, 1H- Indol-5-yl, 1H-indol-6-yl, 1H-indol-7-yl, 1-benzofuran-2-yl, 1-benzofuran-3-yl, 1-benzofuran-4-yl, 1-benzofuran 5-yl, 1-benzofuran-6-yl, 1-benzofuran-7-yl, 1-benzothiophene-2-yl, 1-benzothiophen-3-yl, 1-benzothiophene-4-yl, 1-benzothiophene-5 yl, 1-benzothiophene-6-yl, 1-benzothiophene-7-yl, 1H-indazole
1- yl, lH-Indazol-3-yl, lH-Indazol-4-yl, lH-Indazol-5-yl, lH-Indazol-6-yl, lH-Indazol-7-yl, 2H-Indazol-1-yl, 1H-indazol-3-yl, 1H-indazol-4-yl, 1H-indazol-5-yl, 1H-indazol-6-yl, 1H-indazol-7-yl, 2H-indazole
2- yl, 2H-Indazol-3-yl, 2H-Indazol-4-yl, 2H-Indazol-5-yl, 2H-Indazol-6-yl, 2H-Indazol-7-yl, 2H- Isoindol-2-yl, 2H-Isoindol-l-yl, 2H-Isoindol-3-yl, 2H-Isoindol-4-yl, 2H-Isoindol-5-yl, 2H-Isoindol-6-yl; 2H-Isoindol-7-yl, lH-Benzimidazol-l-yl, lH-Benzimidazol-2-yl, lH-Benzimidazol-4-yl, 1H- Benzimidazol-5-yl, lH-Benzimidazol-6-yl, lH-Benzimidazol-7-yl, l,3-Benzoxazol-2-yl, 1,3- Benzoxazol-4-yl, l,3-Benzoxazol-5-yl, l,3-Benzoxazol-6-yl, l,3-Benzoxazol-7-yl, l,3-Benzthiazol-2-yl, l,3-Benzthiazol-4-yl, l,3-Benzthiazol-5-yl, l,3-Benzthiazol-6-yl, l,3-Benzthiazol-7-yl, 1,2- Benzisoxazol-3-yl, l,2-Benzisoxazol-4-yl, l,2-Benzisoxazol-5-yl, l,2-Benzisoxazol-6-yl, 1,2- Benzisoxazol-7-yl, l,2-Benzisothiazol-3-yl, l,2-Benzisothiazol-4-yl, l,2-Benzisothiazol-5-yl, 1,2- Benzisothiazol-6-yl, 1 ,2-Benzisothiazol-7-yl. 2-yl, 2H-indazol-3-yl, 2H-indazol-4-yl, 2H-indazol-5-yl, 2H-indazol-6-yl, 2H-indazol-7-yl, 2H-isoindole-2 yl, 2H-isoindol-1-yl, 2H-isoindol-3-yl, 2H-isoindol-4-yl, 2H-isoindol-5-yl, 2H-isoindol-6-yl; 2H-isoindol-7-yl, 1H-benzimidazol-1-yl, 1H-benzimidazol-2-yl, 1H-benzimidazol-4-yl, 1H-benzimidazol-5-yl, 1H-benzimidazol-6-yl, 1H- Benzimidazol-7-yl, 1,3-benzoxazol-2-yl, 1,3-benzoxazol-4-yl, 1,3-benzoxazol-5-yl, 1,3-benzoxazol-6-yl, l, 3 Benzoxazol-7-yl, 1,3-benzthiazol-2-yl, 1,3-benzthiazol-4-yl, 1,3-benzthiazol-5-yl, 1,3-benzthiazol-6-yl, l, 3 Benzothiazol-7-yl, 1,2-benzisoxazol-3-yl, 1,2-benzisoxazol-4-yl, 1,2-benzisoxazol-5-yl, 1,2-benzisoxazol-6-yl, 1,2- Benzisoxazol-7-yl, 1,2-benzisothiazol-3-yl, 1,2-benzisothiazol-4-yl, 1,2-benzisothiazol-5-yl, 1,2-benzisothiazol-6-yl, 1, 2 benzisothiazol-7-yl.
Die Bezeichnung "Halogen" bedeutet beispielsweise Fluor, Chlor, Brom oder Iod. Wird die The term "halogen" means, for example, fluorine, chlorine, bromine or iodine. Will the
Bezeichnung für einen Rest verwendet, dann bedeutet "Halogen" beispielsweise ein Fluor-, Chlor-, Brom- oder Iodatom. Erfindungsgemäß bedeutet„Alkyl" einen geradkettigen oder verzweigten offenkettigen, gesättigtenWhen used to denote a radical, then "halogen" means, for example, a fluorine, chlorine, bromine or iodine atom. According to the invention, "alkyl" means a straight-chain or branched, open-chain, saturated
Kohlenwasserstoffrest, der gegebenenfalls ein- oder mehrfach substituiert ist. Bevorzugte Substituenten sind Halogenatome, Alkoxy-, Haloalkoxy-, Cyano-, Alkylthio, Haloalkylthio-, Amino- oder Hydrocarbon radical which is optionally mono- or polysubstituted. Preferred substituents are halogen, alkoxy, haloalkoxy, cyano, alkylthio, haloalkylthio, amino or
Nitrogruppen, besonders bevorzugt sind Methoxy, Methyl, Fluoralkyl, Cyano, Nitro, Fluor, Chlor, Brom oder Iod. Die Vorsilbe„Bis" schließt auch die Kombination unterschiedlicher Alkylreste ein, z. B. Nitro groups, particularly preferred are methoxy, methyl, fluoroalkyl, cyano, nitro, fluorine, chlorine, bromine or iodine. The prefix "bis" also includes the combination of different alkyl radicals, eg.
Ethyl(Methyl) oder Methyl(Ethyl). „Haloalkyl", ,,-alkenyl" und ,,-alkinyl" bedeuten durch gleiche oder verschiedene Halogenatome, teilweise oder vollständig substituiertes Alkyl, Alkenyl bzw. Alkinyl, z.B. Monohaloalkyl Ethyl (methyl) or methyl (ethyl). "Haloalkyl", "-alkenyl" and "-alkynyl" denote by identical or different halogen atoms, partially or completely substituted alkyl, alkenyl or alkynyl, for example monohaloalkyl
(= Monohalogenalkyl) wie z. B. CH2CH2C1, CH2CH2Br, CHCICH3, CH2C1, CH2F; Perhaloalkyl wie z. B. CCI3, CC1F2, CFC12,CF2CC1F2, CF2CC1FCF3; Polyhaloalkyl wie z. B. CH2CHFC1, CF2CC1FH, CF2CBrFH, CH2CF3; Der Begriff Perhaloalkyl umfasst dabei auch den Begriff Perfluoralkyl. (= Monohaloalkyl) such. B. CH 2 CH 2 C1, CH 2 CH 2 Br, CHCICH3, CH 2 C1, CH 2 F; Perhaloalkyl such. B. CCl 3, CC1F 2, CFC1 2 CF 2 CC1F 2, CF 2 CC1FCF 3; Polyhaloalkyl such. CH 2 CHFC1, CF 2 CC1FH, CF 2 CBrFH, CH 2 CF 3; The term perhaloalkyl also encompasses the term perfluoroalkyl.
Teilfluoriertes Alkyl bedeutet einen geradkettigen oder verzweigten, gesättigten Kohlenwasserstoff, der einfach oder mehrfach durch Fluor substituiert ist, wobei sich die entsprechenden Fluoratome als Substituenten an einem oder mehreren verschiedenen Kohlenstoffatomen der geradkettigen oder verzweigten Kohlenwasserstoffkette befinden können, wie z. B. CHFCH3, CH2CH2F, CH2CH2CF3, CHF2, CH2F, CHFCF2CF3 Partially fluorinated alkyl is a straight-chain or branched, saturated hydrocarbon which is monosubstituted or polysubstituted by fluorine, wherein the corresponding fluorine atoms may be present as substituents on one or more different carbon atoms of the straight-chain or branched hydrocarbon chain, such as. B. CHFCH3, CH 2 CH 2 F, CH 2 CH 2 CF 3, CHF 2, CH 2 F, CF 3 CHFCF 2
Teilfluoriertes Haloalkyl bedeutet einen geradkettigen oder verzweigten, gesättigten Kohlenwasserstoff, der durch verschiedenene Halogenatomen mit mindestens einem Fluoratom substituiert ist, wobei alle anderen gegebenenfalls vorhandenen Halogenatome ausgewählt sind aus der Gruppe Fluor, Chlor oder Brom, Iod. Die entsprechenden Halogenatome können sich dabei als Substituenten an einem oder mehreren verschiedenen Kohlenstoffatomen der geradkettigen oder verzweigten Kohlenwasserstoffkette befinden. Teilfluoriertes Haloalkyl schließt auch die vollständige Substitution der geradkettigen oder verzweigten Kette durch Halogen unter Beteiligung von mindestens einem Fluoratom ein. Partially fluorinated haloalkyl means a straight-chain or branched, saturated hydrocarbon which is substituted by various halogen atoms having at least one fluorine atom, all other optional halogen atoms are selected from the group fluorine, chlorine or bromine, iodine. The corresponding halogen atoms may be present as substituents on one or more different carbon atoms of the straight-chain or branched hydrocarbon chain. Partially fluorinated haloalkyl also includes the complete substitution of halogen with the participation of at least one fluorine atom of the straight-chain or branched chain.
Haloalkoxy ist z.B. OCF3, OCHF2, OCH2F, OCF2CF3, OCH2CF3 und 0CH2CH2C1; Entsprechendes gilt für Haloalkenyl und andere durch Halogen substituierten Reste. Haloalkoxy is eg OCF 3 , OCHF 2 , OCH 2 F, OCF 2 CF 3 , OCH 2 CF 3 and 0CH 2 CH 2 Cl; The same applies to haloalkenyl and other halogen-substituted radicals.
Der hier beispielhaft genannte Ausdruck "(Ci-C4)-Alkyl" bedeutet eine Kurzschreibweise für geradkettiges oder verzweigtes Alkyl mit einem bis 4 Kohlenstoffatomen entsprechend der The term "(C 1 -C 4) -alkyl" given here by way of example denotes a short notation for straight-chain or branched alkyl having one to four carbon atoms corresponding to the formula
Bereichsangabe für C-Atome, d. h. umfasst die Reste Methyl, Ethyl, 1 -Propyl, 2-Propyl, 1 -Butyl, 2-Butyl, 2-Methylpropyl oder tert-Butyl. Allgemeine Alkylreste mit einem größeren angegebenen Bereich von C-Atomen, z. B. "(Ci-C6)-Alkyl", umfassen entsprechend auch geradkettige oder verzweigte Alkylreste mit einer größeren Zahl von C-Atomen, d. h. gemäß Beispiel auch die Alkylreste mit 5 und 6 C-Atomen. Range indication for C atoms, d. H. includes the radicals methyl, ethyl, 1-propyl, 2-propyl, 1-butyl, 2-butyl, 2-methylpropyl or tert-butyl. General alkyl radicals having a larger specified range of carbon atoms, eg. As "(Ci-C6) alkyl", accordingly also include straight-chain or branched alkyl radicals having a larger number of C atoms, d. H. according to example, the alkyl radicals with 5 and 6 carbon atoms.
Wenn nicht speziell angegeben, sind bei den Kohlenwasserstoffresten wie Alkyl-, Alkenyl- und Alkinylresten, auch in zusammengesetzten Resten, die niederen Kohlenstoffgerüste, z.B. mit 1 bis 6 C-Atomen bzw. bei ungesättigten Gruppen mit 2 bis 6 C-Atomen, bevorzugt. Alkylreste, auch in den zusammengesetzten Resten wie Alkoxy, Haloalkyl usw., bedeuten z.B. Methyl, Ethyl, n- oder i-Propyl, n-, i-, t- oder 2-Butyl, Pentyle, Hexyle, wie n-Hexyl, i-Hexyl und 1,3-Dimethylbutyl, Heptyle, wie n-Heptyl, 1 -Methylhexyl und 1 ,4-Dimethylpentyl; Alkenyl- und Alkinylreste haben die Bedeutung der den Alkylresten entsprechenden möglichen ungesättigten Reste, wobei mindestens eine Doppelbindung bzw. Dreifachbindung enthalten ist. Bevorzugt sind Reste mit einer Doppelbindung bzw. Unless specifically stated, in the hydrocarbon radicals such as alkyl, alkenyl and alkynyl, even in composite radicals, the lower carbon skeletons, for example having 1 to 6 carbon atoms or in unsaturated groups having 2 to 6 carbon atoms, are preferred. Alkyl radicals, including in the assembled radicals such as alkoxy, haloalkyl, etc., mean, for example, methyl, ethyl, n- or i-propyl, n-, i-, t- or 2-butyl, pentyls, hexyls, such as n-hexyl, i Hexyl and 1,3-dimethylbutyl, heptyls such as n-heptyl, 1-methylhexyl and 1, 4-dimethylpentyl; Alkenyl and alkynyl radicals have the meaning of the alkyl radicals corresponding possible unsaturated radicals, wherein at least one double bond or triple bond is included. Preference is given to radicals having a double bond or
Dreifachbindung. Der Begriff„Alkenyl" schließt insbesondere auch geradkettige oder verzweigte offenkettige Triple bond. The term "alkenyl" in particular also includes straight-chain or branched open-chain
Kohlenwasserstoffreste mit mehr als einer Doppelbindung ein, wie 1,3-Butadienyl und 1 ,4-Pentadienyl, aber auch Allenyl- oder Kumulenyl-reste mit einer bzw. mehreren kumulierten Doppelbindungen, wie beispielsweise Allenyl (1 ,2-Propadienyl), 1 ,2-Butadienyl und 1 ,2,3-Pentatrienyl. Alkenyl bedeutet z.B. Vinyl, welches ggf. durch weitere Alkylreste substituiert sein kann, z B. (aber nicht beschränkt auf) (C2-C6)- Alkenyl wie Ethenyl, 1 -Propenyl, 2-Propenyl, 1 -Methylethenyl, 1 -Butenyl, 2-Butenyl, 3-Hydrocarbon radicals having more than one double bond, such as 1,3-butadienyl and 1,4-pentadienyl, but also allenyl or cumulenyl radicals having one or more cumulated double bonds, such as, for example, allenyl (1,2-propadienyl), 1, 2-butadienyl and 1,2,3-pentatrienyl. Alkenyl is, for example, vinyl, which may optionally be substituted by further alkyl radicals, for example (but not limited to) (C 2 -C 6) alkenyl, such as ethenyl, 1-propenyl, 2-propenyl, 1-methylethenyl, 1-butenyl , 2-butenyl, 3
Butenyl, 1 -Methyl- 1 -propenyl, 2-Methyl-l -propenyl, 1 -Methyl-2-propenyl, 2-Methyl-2-propenyl, 1 - Pentenyl, 2-Pentenyl, 3-Pentenyl, 4-Pentenyl, 1 -Methyl- 1 -butenyl, 2-Methyl-l -butenyl, 3 -Methyl- 1 - butenyl, 1 -Methyl-2-butenyl, 2-Methyl-2-butenyl, 3-Methyl-2-butenyl, l -Methyl-3 -butenyl, 2-Methyl-3- butenyl, 3 -Methyl-3 -butenyl, 1 , 1 -Dimethyl-2-propenyl, 1 ,2-Dimethyl- 1 -propenyl, 1 ,2-Dimethyl-2- propenyl, 1 -Ethyl- 1 -propenyl, 1 -Ethyl-2-propenyl, 1 -Hexenyl, 2-Hexenyl, 3-Hexenyl, 4-Hexenyl, 5-Butenyl, 1-methyl-1-propenyl, 2-methyl-1-propenyl, 1-methyl-2-propenyl, 2-methyl-2-propenyl, 1-pentenyl, 2-pentenyl, 3-pentenyl, 4-pentenyl, 1-methyl-1-butenyl, 2-methyl-1-butenyl, 3-methyl-1-butenyl, 1-methyl-2-butenyl, 2-methyl-2-butenyl, 3-methyl-2-butenyl, 1 - Methyl 3-butenyl, 2-methyl-3-butenyl, 3-methyl-3-butenyl, 1, 1-dimethyl-2-propenyl, 1, 2-dimethyl-1-propenyl, 1, 2-dimethyl-2 propenyl, 1-ethyl-1-propenyl, 1-ethyl-2-propenyl, 1-hexenyl, 2-hexenyl, 3-hexenyl, 4-hexenyl, 5-
Hexenyl, 1 -Methyl- 1 -pentenyl, 2-Methyl-l -pentenyl, 3-Methyl-l -pentenyl, 4-Methyl-l -pentenyl, 1 -Me- thyl-2-pentenyl, 2-Methyl-2-pentenyl, 3-Methyl-2-pentenyl, 4-Methyl-2-pentenyl, l -Methyl-3 -pentenyl, 2-Methyl-3 -pentenyl, 3 -Methyl-3 -pentenyl, 4-Methyl-3 -pentenyl, 1 -Methyl-4-pentenyl, 2-Methyl-4- pentenyl, 3-Methyl-4-pentenyl, 4-Methyl-4-pentenyl, 1 , 1 -Dimethyl-2-butenyl, 1 , 1 -Dimethyl-3 -butenyl, 1 ,2-Dimethyl- 1 -butenyl, l ,2-Dimethyl-2-butenyl, 1 ,2-Dimethyl-3 -butenyl, 1 , 3 -Dimethy 1-1 -butenyl, 1 ,3- Dimethy 1-2 -butenyl, l ,3-Dimethyl-3-butenyl, 2,2-Dimethyl-3 -butenyl, 2,3-Dimethyl-l -butenyl, 2,3- Dimethy 1-2 -butenyl, 2,3-Dimethyl-3-butenyl, 3,3-Dimethyl-l -butenyl, 3,3-Dimethyl-2-butenyl, 1 -Ethyl-Hexenyl, 1-methyl-1-pentenyl, 2-methyl-1-pentenyl, 3-methyl-1-pentenyl, 4-methyl-1-pentenyl, 1-methyl-2-pentenyl, 2-methyl-2- pentenyl, 3-methyl-2-pentenyl, 4-methyl-2-pentenyl, 1-methyl-3-pentenyl, 2-methyl-3-pentenyl, 3-methyl-3-pentenyl, 4-methyl-3-pentenyl, 1-methyl-4-pentenyl, 2-methyl-4-pentenyl, 3-methyl-4-pentenyl, 4-methyl-4-pentenyl, 1, 1-dimethyl-2-butenyl, 1, 1-dimethyl-3 - butenyl, 1, 2-dimethyl-1-butenyl, 1,2-dimethyl-2-butenyl, 1,2-dimethyl-3-butenyl, 1,3-dimethyl-1-1-butenyl, 1,3-dimethyl-1- 2 -butenyl, 1,3-dimethyl-3-butenyl, 2,2-dimethyl-3-butenyl, 2,3-dimethyl-1-butenyl, 2,3-dimethyl-1-2-butenyl, 2,3-dimethyl 3-butenyl, 3,3-dimethyl-1-butenyl, 3,3-dimethyl-2-butenyl, 1-ethyl
1 - butenyl, 1 -Ethyl-2-butenyl, l -Ethyl-3 -butenyl, 2-Ethyl-l -butenyl, 2-Ethyl-2-butenyl, 2-Ethyl-3- butenyl, 1 , 1 ,2-Trimethyl-2-propenyl, 1 -Ethyl- 1 -methyl-2-propenyl, 1 -Ethyl-2-methyl- 1 -propenyl und 1 - Ethyl-2-methyl-2-propenyl. 1-butenyl, 1-ethyl-2-butenyl, 1-ethyl-3-butenyl, 2-ethyl-1-butenyl, 2-ethyl-2-butenyl, 2-ethyl-3-butenyl, 1, 1, 2 Trimethyl-2-propenyl, 1-ethyl-1-methyl-2-propenyl, 1-ethyl-2-methyl-1-propenyl and 1-ethyl-2-methyl-2-propenyl.
Der Begriff„Alkinyl" schließt insbesondere auch geradkettige oder verzweigte offenkettige The term "alkynyl" in particular also includes straight-chain or branched open-chain
Kohlenwasserstoffreste mit mehr als einer Dreifachbindung oder auch mit einer oder mehreren Hydrocarbon radicals with more than one triple bond or with one or more
Dreifachbindungen und einer oder mehreren Doppelbindungen ein, wie beispielsweise 1 ,3-Butatrienyl bzw. 3-Penten-l -in-l -yl. (C2-C6)-Alkinyl bedeutet z.B. Ethinyl, 1 -Propinyl, 2-Propinyl, 1 -Butinyl, 2- Butinyl, 3-Butinyl, 1 -Methyl-2-propinyl, 1 -Pentinyl, 2-Pentinyl, 3-Pentinyl, 4-Pentinyl, l -Methyl-2- butinyl, 1 -Methyl-3 -butinyl, 2-Methyl-3-butinyl, 3 -Methyl- 1 -butinyl, 1 , 1 -Dimethyl-2-propinyl, 1 -Ethyl-Triple bonds and one or more double bonds, such as 1, 3-butatrienyl and 3-penten-1-yn-1-yl, respectively. (C 2 -C 6) -alkynyl is, for example, ethynyl, 1-propynyl, 2-propynyl, 1-butynyl, 2-butynyl, 3-butynyl, 1-methyl-2-propynyl, 1-pentynyl, 2-pentynyl, 3 Pentynyl, 4-pentynyl, 1-methyl-2-butynyl, 1-methyl-3-butynyl, 2-methyl-3-butynyl, 3-methyl-1-butynyl, 1, 1-dimethyl-2-propynyl, 1 - ethyl
2- propinyl, 1 -Hexinyl, 2-Hexinyl, 3-Hexinyl, 4-Hexinyl, 5-Hexinyl, 1 -Methyl-2-pentinyl, l -Methyl-3- pentinyl, 1 -Methyl-4-pentinyl, 2-Methyl-3-pentinyl, 2-Methyl-4-pentinyl, 3 -Methyl- 1 -pentinyl, 3- Methyl-4-pentinyl, 4-Me^thyl- 1 -pentinyl, 4-Methyl-2-pentinyl, 1 , 1 -Di-methyl-2-butinyl, 1 , 1 -Dimethyl-2-propynyl, 1-hexynyl, 2-hexynyl, 3-hexynyl, 4-hexynyl, 5-hexynyl, 1-methyl-2-pentynyl, 1-methyl-3-pentynyl, 1-methyl-4-pentynyl, 2- Methyl 3-pentynyl, 2-methyl-4-pentynyl, 3-methyl-1-pentynyl, 3-methyl-4-pentynyl, 4-methyl-1-pentynyl, 4-methyl-2-pentynyl, 1, 1 -di-methyl-2-butynyl, 1, 1-dimethyl
3- butinyl, 1 ,2-D Tnethyl-3 -butinyl, 2,2-Dimethyl-3 -butinyl, 3, 3 -Dimethy 1-1 -butinyl, 1 -Ethy 1-2 -butinyl, l -Ethyl-3 -butinyl, 2-Ethyl-3 -butinyl und 1 -Ethyl- 1 -methyl-2-propinyl. Der Begriff„Cycloalkyl" bedeutet ein carbocyclisches, gesättigtes Ringsystem mit vorzugsweise 3-8 Ring-C- Atomen, z.B. Cyclopropyl, Cyclobutyl, Cyclopentyl oder Cyclohexyl. Im Falle von 3-butinyl, 1, 2-D-methyl-3-butynyl, 2,2-dimethyl-3-butynyl, 3,3-dimethyl-1-1 -butynyl, 1-ethyl-1, 2-butynyl, 1-ethyl-3 -butynyl, 2-ethyl-3-butynyl and 1-ethyl-1-methyl-2-propynyl. The term "cycloalkyl" means a carbocyclic saturated ring system preferably having 3-8 ring carbon atoms, eg cyclopropyl, cyclobutyl, cyclopentyl or cyclohexyl
gegebenenfalls substituiertem Cycloalkyl werden cyclische Systeme mit Substituenten umfasst, wobei auch Substituenten mit einer Doppelbindung am Cycloalkylrest, z. B. eine Alkylidengruppe wie Methyliden, umfasst sind. Im Falle von gegebenenfalls substituiertem Cycloalkyl werden auch mehrcyclische aliphatische Systeme umfaßt, wie beispielsweise Bicyclo[1.1.0]butan-l -yl, optionally substituted cycloalkyl includes cyclic systems having substituents, wherein also substituents having a double bond on the cycloalkyl, z. As an alkylidene group such as methylidene, are included. In the case of optionally substituted cycloalkyl, also more cyclic aliphatic systems are included, such as, for example, bicyclo [1.1.0] butan-1-yl,
Bicyclo[l .1.0]butan-2-yl, Bicyclo[2.1.0]pentan-l -yl, Bicyclo[2.1.0]pentan-2-yl, Bicyclo[2.1.0]pentan-5- yl, Bicyclo[2.2.1 ]hept-2-yl (Norbornyl), Bicyclo[2.2.2]octan-2-yl, Adamantan-l -yl und Adamantan-2- yl. Der Ausdruck "(C3-Cv)-Cycloalkyl" bedeutet eine Kurzschreibweise für Cycloalkyl mit drei bis 7 Kohlenstoffatomen entsprechend der Bereichsangabe für C-Atome. Bicyclo [1-1.0] butan-2-yl, bicyclo [2.1.0] pentan-1-yl, bicyclo [2.1.0] pentan-2-yl, bicyclo [2.1.0] pentan-5-yl, bicyclo 2.2.1] hept-2-yl (norbornyl), bicyclo [2.2.2] octan-2-yl, adamantan-1-yl and adamantan-2-yl. The term "(C 3 -C 4) cycloalkyl" means a shorthand notation for cycloalkyl having three to seven carbon atoms corresponding to the range of C atoms.
Im Falle von substituiertem Cycloalkyl werden auch spirocyclische aliphatische Systeme umfaßt, wie beispielsweise Spiro[2.2]pent-l -yl, Spiro[2.3]hex-l -yl, Spiro[2.3]hex-4-yl, 3-Spiro[2.3]hex-5-yl. In the case of substituted cycloalkyl, spirocyclic aliphatic systems are also included, such as spiro [2.2] pent-1-yl, spiro [2.3] hex-1-yl, spiro [2.3] hex-4-yl, 3-spiro [2.3] hex-5-yl.
„Cycloalkenyl" bedeutet ein carbocyclisches, nicht aromatisches, partiell ungesättigtes Ringsystem mit vorzugsweise 4-8 C-Atomen, z.B. 1 -Cyclobutenyl, 2-Cyclobutenyl, 1 -Cyclopentenyl, 2-Cyclopentenyl, 3 -Cyclopentenyl, oder 1 -Cyclohexenyl, 2-Cyclohexenyl, 3-Cyclohexenyl, 1 ,3-Cyclohexadienyl oder 1 ,4-Cyclohexadienyl, wobei auch Substituenten mit einer Doppelbindung am Cycloalkenylrest, z. B. eine Alkylidengruppe wie Methyliden, umfasst sind. Im Falle von gegebenenfalls substituiertem Cycloalkenyl gelten die Erläuterungen für substituiertes Cycloalkyl entsprechend. "Cycloalkenyl" means a carbocyclic, non-aromatic, partially unsaturated ring system preferably having 4-8 C atoms, eg 1-cyclobutenyl, 2-cyclobutenyl, 1-cyclopentenyl, 2-cyclopentenyl, 3-cyclopentenyl, or 1-cyclohexenyl, 2- Cyclohexenyl, 3-cyclohexenyl, 1, 3-cyclohexadienyl or 1, 4-cyclohexadienyl, wherein substituents having a double bond on the cycloalkenyl radical, for example an alkylidene group such as methylidene, are also included in the case of optionally substituted cycloalkenyl the explanations for substituted Corresponding to cycloalkyl.
Der Begriff„Alkyliden", z. B. auch in der Form (Ci-Cio)-Alkyliden, bedeutet den Rest eines geradkettigen oder verzweigten offenkettigen Kohlenwasserstoffrests, der über eine Zweifachbindung gebunden ist. Als Bindungsstelle für Alkyliden kommen naturgemäß nur Positionen am Grundkörper in Frage, an denen zwei H- Atome durch die Doppelbindung ersetzt werden können; Reste sind z. B. =CH2, =CH-CH3, =C(CH3)-CH3, =C(CH3)-C2H5 oder =C(C2H5)-C2H5. Cycloalkyliden bedeutet ein The term "alkylidene", for example also in the form of (C 1 -C 10) -alkylidene, means the radical of a straight-chain or branched open-chain hydrocarbon radical which is bonded via a double bond.As a binding site for alkylidene, only positions on the main body naturally occur Question in which two hydrogen atoms can be replaced by the double bond: radicals are eg = CH 2 , = CH-CH 3 , = C (CH 3 ) -CH 3 , = C (CH 3 ) -C 2 H 5 or = C (C 2 H 5 ) -C 2 H 5. Cycloalkylidene means
carbocyclischer Rest, der über eine Zweifachbindung gebunden ist. Wenn die Verbindungen durch Wasserstoffverschiebung Tautomere bilden können, welche strukturell formal nicht durch die Formel (I) erfasst würden, so sind diese Tautomere gleichwohl von der Definition der erfindungsgemäßen Verbindungen der Formel (I) umfasst, sofern nicht ein bestimmtes Tautomer Gegenstand der Betrachtung ist. So können beispielsweise viele Carbonylverbindungen sowohl in der Ketoform wie auch in der Enolform vorliegen, wobei beide Formen durch die Definition der carbocyclic radical bonded via a double bond. If the compounds can form tautomers by hydrogen shift which would not be structurally formally recognized by the formula (I), these tautomers are nevertheless encompassed by the definition of the compounds of the formula (I) according to the invention, unless a particular tautomer is the subject of consideration. For example, many carbonyl compounds may be present in both the keto form and the enol form, both of which are defined by the definition of
Verbindung der Formel (I) umfasst werden. Compound of formula (I) are included.
Die Verbindungen der allgemeinen Formel (I) können je nach Art und Verknüpfung der Substituenten als Stereoisomere vorliegen. Die durch ihre spezifische Raumform definierten möglichen Stereoisomere, wie Enantiomere, Diastereomere, Z- und E-Isomere sind alle von der Formel (I) umfasst. Sind beispielsweise eine oder mehrere Alkenylgruppen vorhanden, so können Diastereomere (Z- und E- Isomere) auftreten. Sind beispielsweise ein oder mehrere asymmetrische Kohlenstoffatome vorhanden, so können Enantiomere und Diastereomere auftreten. Stereoisomere lassen sich aus den bei der The compounds of general formula (I) may vary depending on the nature and linkage of the substituents exist as stereoisomers. The possible stereoisomers defined by their specific spatial form, such as enantiomers, diastereomers, Z and E isomers, are all encompassed by the formula (I). If, for example, one or more alkenyl groups are present, diastereomers (Z and E isomers) can occur. For example, if one or more asymmetric carbon atoms are present, enantiomers and diastereomers may occur. Stereoisomers can be distinguished from those in the
Herstellung anfallenden Gemischen nach üblichen Trennmethoden erhalten. Die chromatographische Trennung kann sowohl im analytischen Maßstab zur Feststellung des Enantiomerenüberschusses bzw. des Diastereomerenüberschusses, wie auch im präparativen Maßstab zur Herstellung von Prüfmustern für die biologische Ausprüfung erfolgen. Ebenso können Stereoisomere durch Einsatz stereoselektiver Reaktionen unter Verwendung optisch aktiver Ausgangs- und/oder Hilfsstoffe selektiv hergestellt werden. Die Erfindung betrifft somit auch alle Stereoisomeren, die von der allgemeinen Formel (I) umfasst, jedoch nicht mit ihrer spezifischen Stereoform angegeben sind, sowie deren Gemische. Preparation of resulting mixtures obtained by conventional separation methods. The chromatographic separation can be carried out both on an analytical scale to determine the enantiomeric excess or the diastereomeric excess, as well as on a preparative scale for the preparation of test samples for the biological assay. Similarly, stereoisomers can be selectively prepared by using stereoselective reactions using optically active sources and / or adjuvants. The invention thus also relates to all stereoisomers which comprises the general formula (I) but are not specified with their specific stereoform, and mixtures thereof.
Synthese substituierter Indolinylmethylsulfonamide: Synthesis of substituted indolinylmethylsulfonamides:
Substituierte Indolinylmethylsulfonamide der allgemeinen Formel (I) können durch nachfolgende beschriebene Verfahren hergestellt werden. Die Ausgangsstoffe zur Herstellung der angegebenen Verbindungen sind entweder kommerziell erhältlich oder durch die nachfolgend aufgeführten Substituted indolinylmethylsulfonamides of the general formula (I) can be prepared by the methods described below. The starting materials for the preparation of the compounds indicated are either commercially available or listed by the following
Synthesemethoden darstellbar. Die Gruppierungen X, R1, R2, R3 R4, R5, R6, R7, R8 R9, R10, R11 und R12 der allgemeinen Formel (I) haben in den nachfolgenden Schemata die zuvor definierten Bedeutungen, sofern nicht beispielhafte, aber nicht einschränkende, Definitionen erfolgen. Synthesis methods representable. The groupings X, R 1 , R 2 , R 3 R 4 , R 5 , R 6 , R 7 , R 8 R 9 , R 10 , R 11 and R 12 of the general formula (I) have the above in the schemes below defined meanings, unless exemplary, but not limiting definitions.
Die erfindungsgemäßen gegebenenfalls weiter substituierten Indolinylphthalimide der allgemeinen Formel (V) können nach bekannten Verfahren hergestellt werden. Die eingesetzten und untersuchten Syntheserouten gehen dabei von kommerziell erhältlichen oder leicht herstellbaren Indolinen des Typs (I) aus. Die Synthese von substituierten Indolinylphthalimiden, die zur Herstellung der The optionally further substituted indolinylphthalimides of the general formula (V) according to the invention can be prepared by known processes. The synthetic routes used and investigated are based on commercially available or easily produced indolines of type (I). The synthesis of substituted indolinylphthalimides used in the preparation of
erfindungsgemäßen Sulfonamide der allgemeinen Formel (I) benötigt werden, wird im Folgenden erläutert. Sulfonamides according to the invention of general formula (I) are required, is explained below.
Die Indoline des Typs (II) sind entweder kommerziell erhältlich oder durch Synthesemethoden entsprechend bekannter Verfahren darstellbar: a) Y. Miyake, Y. Kikugawa, J. Heterocyclic. Chem. 1983, 20, 349; b) WO2014/089324. The indolines of type (II) are either commercially available or can be prepared by synthesis methods according to known methods: a) Y. Miyake, Y. Kikugawa, J. Heterocyclic. Chem. 1983, 20, 349; b) WO2014 / 089324.
(V) (V)
Schema 1 : Verfahren A zur Darstellung von Indolinylphthalimide des Typs (IV). Verfahren A: Scheme 1: Method A for the preparation of indolinylphthalimides of type (IV). Method A:
Zur Darstellung der Indolinylphthalimide des Typs (V) wird der Stickstoff des Indolins des Typs (II) zuerst, wie in Schema 1 beschrieben, formyliert. Das entsprechende Reaktionsprodukt des Typs (III) wird anschließend in einer Tscherniac-Einhorn Reaktion unter Verwendung eines Säurekatalysators wie zB. HF, H2SO4 oder CF3SO3H zum Indolinylphthalimide des Typs (IV) umgesetzt. Die For the preparation of the indolinylphthalimides of type (V), the nitrogen of the indoline of type (II) is first formylated as described in Scheme 1. The corresponding reaction product of type (III) is then subjected to a Cherniac unicorn reaction using an acid catalyst such as. HF, H2SO4 or CF3SO3H converted to indolinylphthalimides of type (IV). The
Stickstofffunktion der Indolineinheit kann unter basischen Reaktionsbedingungen freigesetzt werden, sodass Indolinylphthalimide des Typs (V) erhalten werden. Diese Synthesemethoden sind u.a. in nachfolgenden Literaturstellen beschrieben: a) J. Tscherniac, DE-134979; b) M. J. Costanzo et al., Bioorg. Med. Chem. Lett. 2008, 18, 2114; c) R. D. Bravo et al., Synth. Commun. 2002, 32, 3675; d) R. Bravo et al., J. Heterocycl. Chem. 1986, 23, 1701 ; e) WO2009/067202 f) WO2008/157762. Nitrogen function of the indoline moiety can be released under basic reaction conditions to yield indolinylphthalimides of type (V). These synthetic methods are described, inter alia, in the following references: a) J. Tscherniac, DE-134979; b) MJ Costanzo et al., Bioorg. Med. Chem. Lett. 2008, 18, 2114; c) RD Bravo et al., Synth. Commun. 2002, 32, 3675; d) R. Bravo et al., J. Heterocycl. Chem. 1986, 23, 1701; e) WO2009 / 067202 f) WO2008 / 157762.
Schema 2: Verfahren B zur Darstellung von Indolinylmethylamine des Typs (VII- 1). Scheme 2: Method B for the preparation of indolinylmethylamines of the type (VII-1).
Verfahren B: Method B:
Zur Darstellung der Indolinylmethylamine des Typs (VII- 1) wird zuerst der Stickstoff des Indolins des Typs (V) unter Verwendung eines geeigneten Säurechlorids oder Thioisocyanat/Isocyanats, wie in Schema 2 beschrieben, acyliert und anschließend die Phthaloyl-Schutzgruppe mit Hilfe von Hydrazin entfernt. Diese Synthesemethoden sind u.a. in nachfolgenden Literaturstellen beschrieben: a) A.To prepare the indolinylmethylamines of type (VII-1), the nitrogen of the indoline of type (V) is first acylated using a suitable acid chloride or thioisocyanate / isocyanate as described in Scheme 2 and then the phthaloyl protecting group is removed with the aid of hydrazine , These synthesis methods are i.a. in the following references: a) A.
Jeanguenat et al., Bioorganic & Medicinal Chemistiy 2016, 24, 403; b) G. J. Roth et al., Journal of Medicinal Chemistiy 2009, 52, 4466.; c) WO2013/026914; d) WO2008/014602. Jeanguenat et al., Bioorganic & Medicinal Chemistry 2016, 24, 403; b) G.J. Roth et al., Journal of Medicinal Chemistry 2009, 52, 4466; c) WO2013 / 026914; d) WO2008 / 014602.
reduktiws reduktiws
Aminierung amination
Schema 3: Verfahren C zur Darstellung von Indolinylbenzylaminen des Typs (VII-2). Verfahren C: Scheme 3: Method C for the preparation of indolinylbenzylamines of type (VII-2). Method C:
Alternativ kann die Darstellung der substituierten Indolinylmethylamine (VII-2), wie in Schema 3 beschrieben, ausgehend von einem gegegebenenfalls weiter substituierten Indolin des Typs (II) über eine Friedel-Crafts Acylierung mit anschließender reduktiver Aminierung oder die Bildung des Nitrils des Typs (X) erfolgen. Alternatively, the preparation of the substituted indolinylmethylamines (VII-2) as described in Scheme 3 can be started from an optionally further substituted indoline of type (II) via Friedel-Crafts acylation followed by reductive amination or formation of the nitrile of the type (X. ) respectively.
Diese Synthesemethoden sind u.a. in nachfolgenden Literaturstellen beschrieben: a) S. Kukolja et al., Journal of Medicinal Chemistry 1985, 28, 1896; b) E. Canales et al.. J. Am. Chem. Soc. 2006, 128, 8712; c) WO2002/014273; d) WO2009/139181. These synthesis methods are i.a. in the following references: a) S. Kukolja et al., Journal of Medicinal Chemistry 1985, 28, 1896; b) E. Canales et al. J. Am. Chem. Soc. 2006, 128, 8712; c) WO2002 / 014273; d) WO2009 / 139181.
Schema 4: Verfahren D zur Darstellung von Indolmylmethylsulfonamiden des Typs (I). Verfahren D: Scheme 4: Method D for the preparation of indolmethylmethylsulfonamides of type (I). Method D:
Aryl- und Heteroarylsulfonylchloridvorstufen können beispielsweise über direkte Chlorsulfonierung der entsprechenden substituierten Aromaten und Heteroaromaten (vgl. Eur J. Med. Chem. 2010, 45, 1760) oder über Diazotierung eines Amino-substituierten Aromaten oder Heteroaromaten und anschließende Chlorsulfonierung hergestellt werden (vgl. WO2005/035486). Die Kupplung der entsprechenden substituierten Sulfonylchloridvorstufen mit den entsprechenden gegebenenfalls weiter substituierten Indolinylmethylamine des Typs (VII) mit Hilfe einer geeigneten Base (zB. Triethylamin, Pyridin oder Natriumhydroxid) in einem geeigneten Lösemittel (zB. Tetrahydrofuran, Acetonitril, DMSO oder Dichlormethan) liefert die erfindungsgemäßen gegebenenfalls weiter substituierten Aryl and heteroarylsulfonyl chloride precursors can be prepared, for example, by direct chlorosulfonation of the corresponding substituted aromatics and heteroaromatics (see Eur J. Med. Chem., 2010, 45, 1760) or via diazotization of an amino-substituted aromatic or heteroaromatic compound and subsequent chlorosulfonation (cf., WO2005 / 035486). The coupling of the corresponding substituted sulfonyl chloride precursors with the corresponding optionally further substituted indolinylmethylamines of type (VII) with the aid of a suitable base (eg triethylamine, pyridine or sodium hydroxide) in a suitable solvent (eg tetrahydrofuran, acetonitrile, DMSO or dichloromethane) gives the inventive compounds optionally further substituted
Indolmylmethylsulfonamiden des Typs (I). R1, R2, R3, R4, R5, R6, R7, R8, R9, R10, R11, R12 und X haben, wie in Schema 4 beschrieben, die zuvor definierten Bedeutungen. Diese Synthesemethoden sind u.a. in nachfolgenden Literaturstellen beschrieben: a) WO2015/049351 ; b) WO2004/073634. Indolmethylmethylsulfonamides of type (I). R 1 , R 2 , R 3 , R 4 , R 5 , R 6 , R 7 , R 8 , R 9 , R 10 , R 11 , R 12 and X have, as described in Scheme 4, the previously defined meanings. These methods of synthesis are described inter alia in the following references: a) WO2015 / 049351; b) WO2004 / 073634.
Synthese von substituierten Indolmylmethylsulfonamiden: Synthesis of substituted indolmethylmethylsulfonamides:
Ausgewählte detaillierte Synthesebeispiele für die erfindungsgemäßen Verbindungen der allgemeinen Formel (I) sind im Folgenden aufgeführt. Die angegebenen Beispielnummern entsprechen den in den nachstehenden Tabellen 1-001 bis 1-484 genannten Numerierungen. Selected detailed synthesis examples of the compounds of the general formula (I) according to the invention are listed below. The given example numbers correspond to the numbers given in Tables 1-001 to 1-484 below.
Die 'H-NMR-, 13C-NMR- und 19F-NMR-spektroskopischen Daten, die für die in den nachfolgenden Abschnitten beschriebenen chemischen Beispiele angegeben sind, (400 MHz bei 'H-NMR und 150 MHz bei 13C-NMR und 375 MHz bei F-NMR, Lösungsmittel CDCI3, CD3OD oder de-DMSO, interner Standard: Tetramethylsilan δ = 0.00 ppm), wurden mit einem Gerät der Firma Broker erhalten, und die bezeichneten Signale haben die nachfolgend aufgeführten Bedeutungen: br = breit(es); s = Singulett, d = Dublett, t = Triplett, dd = Doppeldublett, ddd = Dublett eines Doppeldubletts, m = Multiplett, q = Quartett, quint = Quintett, sext = Sextett, sept = Septett, dq = Doppelquartett, dt = Doppeltriplett. Bei Diastereomerengemischen werden entweder die jeweils signifikanten Signale beider Diastereomere oder das charakteristische Signal des Hauptdiastereomers angegeben. Die verwendeten Abkürzungen für chemische Gruppen haben die nachfolgenden Bedeutungen: Me = CH3, Et = CH2CH3, t-Hex = The 'H-NMR, 13 C-NMR and 19 F-NMR spectroscopic data given for the chemical examples described in the following sections (400 MHz for' H-NMR and 150 MHz in 13 C-NMR and 375 MHz for F-NMR, solvent CDCl 3, CD 3 OD or de-DMSO, internal standard: tetramethylsilane δ = 0.00 ppm) was obtained with an instrument from Broker, and the signals referred to have the following meanings listed: br = broad (es); s = singlet, d = doublet, t = triplet, dd = double doublet, ddd = doublet of double doublet, m = multiplet, q = quartet, quint = quintet, sext = sextet, sept = septet, dq = double quartet, dt = double triplet. For diastereomeric mixtures, either the respective significant signals of both diastereomers or the characteristic signal of the main diastereomer are given. The abbreviations used for chemical groups have the following meanings: Me = CH3, Et = CH2CH3, t-Hex =
C(CH3)2CH(CH3)2, t-Bu = C(CH3)3, n-Bu = unverzweigtes Butyl, n-Pr = unverzweigtes Propyl, c-Hex = Cyclohexyl. C (CH 3) 2 CH (CH 3) 2, t-Bu = C (CH 3) 3, n-Bu = unbranched butyl, n-Pr = unbranched propyl, c-hex = cyclohexyl.
No. III- 1 : 1 -Formylindolin No. III- 1: 1-formylindoline
Indolin (2.00 g, 16.7 mmol, 1 eq) wurde in Toluol (50 mL) gelöst und mit Ameisensäure (3.17 mL, 83.9 mmol, 5 eq) versetzt. Die Reaktionslösung wurde 5 h unter Verwendung einer Dean-Stark-Apparatur uter Rückfluss erhitzt. Das Gemisch wurde auf Raumtemperatur abgekühlt und das Lösungsmittel unter vermindertem Druck entfernt. Der Rückstand wurde in Chloroform aufgenommen, die organische Phase mit 2N NaOH-Lösung gewaschen und über Na2SÜ4 getrocknet. Das Lösungsmittel wurde unter vermindertem Druck entfernt und das Rohprodukt 1 -Formylindolin (1.81 g, 73%) erahlten. 'H-NMR (400 MHz, CDC135, ppm) 8.94 (s, 1H), 7.15-7.26 (m, 3H), 7.00-7.08 (m, 1H), 4.05-4.14 (m, 2H), 3.14- 3.22 (m, 2H). No. IV- 1 : 5-[(l,3-Dioxoisoindolin-2-yl)methyl]-l-formylindolin Indoline (2.00 g, 16.7 mmol, 1 eq) was dissolved in toluene (50 mL) and formic acid (3.17 mL, 83.9 mmol, 5 eq) was added. The reaction solution was refluxed for 5 hours using a Dean-Stark apparatus. The mixture was cooled to room temperature and the solvent removed under reduced pressure. The residue was taken up in chloroform, the organic phase was washed with 2N NaOH solution and dried over Na 2 SO 4. The solvent was removed under reduced pressure and the crude product 1-formylindoline (1.81 g, 73%) was added. 'H-NMR (400 MHz, CDC1 3 5, ppm) 8.94 (s, 1H), 7:15 to 7:26 (m, 3H), 7:00 to 7:08 (m, 1H), 4:05 to 4:14 (m, 2H), 3.14- 3.22 (m, 2H). No. IV- 1: 5 - [(1,3-dioxoisoindolin-2-yl) methyl] -1-formylindoline
1 -Formylindolin (22.52 g, 0.15 mol, 1 eq) wurde bei 0°C in konz. Schwefelsäure (200 mL) gelöst und mit N-(Hydroxymethyl)phthalimid (27.11 g, 153.0 mol) portionsweise versetzt. Das Reaktionsgemisch wurde für 6 h bei 0°C gerührt und weitere 12 h bei Raumtemperatur. Das Gemisch wurde langsam auf Eis gegeben und der ausgefallene Feststoff abfiltriert. Der Filterkuchen wurde in Wasser/Chloroform gelöst und die Lösung vorsichtig mit festem Natriumcarbonat auf pH 10 eingestellt. Die Phasen wurden getrennt und die wässrige Phase wurde mit Chloroform extrahiert. Die vereinten organischen Phasen wurden mit gesättigter NaCl-Lsg. gewaschen, über Na2SÜ4 getrocknet und das Lösungsmittel wurde unter vermindertem Druck entfernt. Der Rückstand wurde mit Aceton/DCM (1 :1) versetzt und für 15 min unter Rückfluss erhitzt. Der Feststoff wurde bei Raumtemperatur abfiltriert und mit Aceton gewaschen. Das Produkt 5-[(l,3-Dioxoisoindolin-2-yl)methyl]-l-formylindolin (29.8 g, 57%) wurde als farbloser Feststoff erhalten. 'H-NMR (400 MHz, CDC13 δ, ppm) 8.89 (s, 1H), 7.82-7.87 (m, 2H), 7.69- 7.74 (m, 2H), 7.26-7.34 (m, 2H), 7.08-7.10 (m, 1H), 4.80 (s, 2H), 4.01-4.11 (m, 2H), 3.09-3.17 (m, 2H). 1-Formylindoline (22.52 g, 0.15 mol, 1 eq) was concentrated at 0 ° C in conc. Dissolved sulfuric acid (200 mL) and treated with N- (hydroxymethyl) phthalimide (27.11 g, 153.0 mol) in portions. The reaction mixture was stirred for 6 h at 0 ° C and a further 12 h at room temperature. The mixture was slowly on Ice was added and the precipitated solid filtered off. The filter cake was dissolved in water / chloroform and the solution carefully adjusted to pH 10 with solid sodium carbonate. The phases were separated and the aqueous phase was extracted with chloroform. The combined organic phases were washed with saturated NaCl soln. washed, dried over Na 2 SO 4 and the solvent was removed under reduced pressure. The residue was treated with acetone / DCM (1: 1) and heated at reflux for 15 min. The solid was filtered off at room temperature and washed with acetone. The product 5 - [(1,3-dioxoisoindolin-2-yl) methyl] -1-formylindoline (29.8 g, 57%) was obtained as a colorless solid. 'H NMR (400 MHz, CDCl3 3 δ, ppm) 8.89 (s, 1H), 7.82-7.87 (m, 2H), 7.69-7.74 (m, 2H), 7.26-7.34 (m, 2H), 7.08- 7.10 (m, 1H), 4.80 (s, 2H), 4.01-4.11 (m, 2H), 3.09-3.17 (m, 2H).
No. V-l : 2-(Indolin-5-ylmethyl)isoindolin-l,3-dion No. V-1: 2- (indolin-5-ylmethyl) isoindoline-1,3-dione
5-[(l,3-Dioxoisoindolin-2-yl)methyl]-l-formylindolin (29.8 g, 0.097 mol, 1 eq) wurde in Methanol (300 mL) gelöst und mit Salzsäure (5.5N in Isopropanol, 50 mL) versetzt. Die Lösung wurde für 4 h unter Rückfluss erhitzt. Das Gemisch wurde auf Raumtemperatur gekühlt und unter vermindertem Druck eingeengt. Der Rückstand wurde mit gesättigter Na2C03-Lsg. (200 mL) versetzt und die wässrige Phase wurde mit CH2CI2 extrahiert. Die organische Phase wurde über Na2SÜ4 getrocknet und das 5 - [(1,3-dioxoisoindolin-2-yl) methyl] -1-formylindoline (29.8 g, 0.097 mol, 1 eq) was dissolved in methanol (300 mL) and washed with hydrochloric acid (5.5 N in isopropanol, 50 mL). added. The solution was refluxed for 4 h. The mixture was cooled to room temperature and concentrated under reduced pressure. The residue was washed with saturated Na 2 CO 3 solution. (200 mL) and the aqueous phase was extracted with CH 2 Cl 2. The organic phase was dried over Na 2 SO 4 and the
Lösungsmittel unter vermindertem Druck entfernt. Das Produkt 2-(Indolin-5-ylmethyl)isoindolin-l,3- dion (25.7 g, 90%) wurde als farbloser Feststoff erhalten. 'H-NMR (400 MHz, CDCI3 δ, ppm) 7.80-7.84 (m, 2H), 7.67-7.70 (m, 2H), 7.22-7.26 (m, 1H), 7.11-7.14 (m, 1H), 6.54-6.56 (d, 1H), 4.73 (s, 2H), 3.50- 3.54 (m, 2H), 2.96-3.00 (m, 2H). No. VI-1 : 2-[(l -(2-Methylpropanoyl)indolin-5-yl)methyl]isoindolin-l,3-dion Solvent removed under reduced pressure. The product 2- (indolin-5-ylmethyl) isoindoline-1,3-dione (25.7 g, 90%) was obtained as a colorless solid. 'H NMR (400 MHz, CDCl3 δ, ppm) 7.80-7.84 (m, 2H), 7.67-7.70 (m, 2H), 7.22-7.26 (m, 1H), 7.11-7.14 (m, 1H), 6.54 -6.56 (d, 1H), 4.73 (s, 2H), 3.50- 3.54 (m, 2H), 2.96-3.00 (m, 2H). No. VI-1: 2 - [(1- (2-methylpropanoyl) indolin-5-yl) methyl] isoindoline-1,3-dione
2-(Indolin-5-ylmethyl)isoindolin-l,3-dion (1.0 g, 3.59 mmol, 1 eq), Et3N (0.75 mL, 5.39 mmol, 1.5 eq) und DMAP (4 mg, 0.03 mmol, 0.01 eq) wurden in CH2CI2 (25 mL) gelöst. 2-Methylpropionylchlorid (0.45 mL, 4.31 mmol, 1.2 eq) in CH2CI2 (5 mL) wurde bei 0°C zur Reaktionslösung getropft. Das Reaktionsgemisch wurde langsam auf Raumtemperature erwärmt und für 4 h gerührt. Die organische Phase wurde mit Wasser gewaschen, über Na2SÜ4 getrocknet und das Lösungsmittel wurde unter vermindertem Druck entfernt. Das Rohprodukt wurde mit Et2Ü versetzt und 10 min unter Rückfluss erhitzt. Das Gemisch wurde auf Raumtemperatur abgekühlt und der Feststoff ab filtriert und mit Et2Ü gewaschen. Das Produkt 2-[(l-(2-Methylpropanoyl)indolin-5-yl)methyl]isoindolin-l,3-dion (1.20 g, 87%) wurde als Feststoff erhalten. 'H-NMR (400 MHz, CDC135, ppm) 8.18-8.20 (m, 1H), 7.81-7.85 (m, 2H), 7.67-7.72 (m, 2H), 7.26-7.28 (m, 2H), 4.81 (s, 2H), 4.08-4.12 (m, 2H), 3.13-3.24 (m, 2H), 2.74 (m, 1H), 1.15-1.27 (m, 6H). 2- (indolin-5-ylmethyl) isoindoline-1,3-dione (1.0 g, 3.59 mmol, 1 eq), Et3N (0.75 mL, 5.39 mmol, 1.5 eq) and DMAP (4 mg, 0.03 mmol, 0.01 eq) were dissolved in CH 2 Cl 2 (25 mL). 2-methylpropionyl (0.45 mL, 4.31 mmol, 1.2 eq) in CH 2 Cl 2 (5 mL) was added dropwise to the reaction solution at 0 ° C. The reaction mixture was warmed slowly to room temperature and stirred for 4 h. The organic phase was washed with water, dried over Na 2 SO 4 and the solvent was removed under reduced pressure. The crude product was mixed with Et 2 Ü and heated under reflux for 10 min. The mixture was cooled to room temperature and the solid filtered off and washed with Et 2 .. The product 2 - [(1- (2-methylpropanoyl) indolin-5-yl) methyl] isoindoline-1,3-dione (1.20 g, 87%) was obtained as a solid. 'H-NMR (400 MHz, CDC1 3 5, ppm) 8:18 to 8:20 (m, 1H), 7.81-7.85 (m, 2H), 7.67-7.72 (m, 2H), 7:26 to 7:28 (m, 2H), 4.81 (s, 2H), 4.08-4.12 (m, 2H), 3.13-3.24 (m, 2H), 2.74 (m, 1H), 1.15-1.27 (m, 6H).
No. VII-1-1 : l-[5-(Aminomethyl)indolin-l-yl]-2-methyl-propan-l-on No. VII-1-1: 1- [5- (aminomethyl) indolin-1-yl] -2-methyl-propan-1-one
2-[(l-(2-Methylpropanoyl)indolin-5-yl)methyl]isoindolin-l,3-dion (1.2 g, 3.44 mmol, 1 eq) wurde in CH2Cl2/MeOH (18 mL, 1.25: 1) gelöst und mit Hydrazinhydrat (0.54 mL, 11.0 mmol, 3.2 eq) versetzt. Das Reaktionsgemisch wurde für 12 h bei Raumtemperatur gerührt. Der ausgefallene Feststoff wurde abfiltriert und mit CLhCL/MeOH gewaschen. Filtrat wurde mit CH2CI2 verdünnt und die organische Phase mehrmals mit Wasser gewaschen. Die organische Phase wurde über Na2SÜ4 getrocknet und das Lösungsmittel wurde unter vermindertem Druck entfernt. Das Rohprodukt l-[5-(Aminomethyl)indolin- l-yl]-2-methyl-propan-l-on (0.6 g, 75%) wurde als Feststoff erhalten. 'H-NMR (400 MHz, CDC135, ppm) 8.20-8.22 (m, 1H), 7.11-7.16 (m, 2H), 4.11-4.16 (m, 2H), 3.81 (s, 2H), 3.17-3.21 (m, 2H), 2.76- 2.79 (m, 1H), 1.20-1.23 (m, 6H). No. Ia-104: N- {[(l-(2-Methylpropanoyl)indolin-5-yl)methyl}phenylsulfonamid 2 - [(1- (2-Methylpropanoyl) indolin-5-yl) methyl] isoindoline-1,3-dione (1.2 g, 3.44 mmol, 1 eq) was dissolved in CH 2 Cl 2 / MeOH (18 mL, 1.25: 1). 1) and mixed with hydrazine hydrate (0.54 mL, 11.0 mmol, 3.2 eq). The reaction mixture was stirred for 12 h at room temperature. The precipitated solid was filtered off and washed with CLhCL / MeOH. Filtrate was diluted with CH 2 Cl 2 and the organic phase was washed several times with water. The organic phase was dried over Na 2 SO 4 and the solvent was removed under reduced pressure. The crude product 1- [5- (aminomethyl) indolin-1-yl] -2-methyl-propan-1-one (0.6 g, 75%) was obtained as a solid. 'H-NMR (400 MHz, CDC1 3 5, ppm) 8.20-8.22 (m, 1H), 7.11-7.16 (m, 2H), 4.11-4.16 (m, 2H), 3.81 (s, 2H), 3.17- 3.21 (m, 2H), 2.76-2.79 (m, 1H), 1.20-1.23 (m, 6H). No. Ia-104: N- {[(1- (2-Methylpropanoyl) indolin-5-yl) methyl} phenylsulfonamide
l-[5-(Aminomethyl)indolin-l-yl]-2-methyl-propan-l -on (0.17 g, 0.77 mmol, 1 eq) und Pyridin (0.19 mL, 2.32 mmol, 3 eq) wurden in MeCN (10 mL) gelöst und mit Benzolsulfonylchlorid (0.10 mL, 0.77 mmol, 1 eq) versetzt. Das Reaktionsgemisch wurde für 5 h bei 70°C gerührt. Zur Reaktionslösung wurde CH2CI2 (10 mL) gegeben und die organische Phase wurde mit 10%-iger Salzsäure (10 mL) gewaschen. Die organische Phase wurde über Na2SÜ4 betrocknet und das Lösunsgmittel wurde unter vermindertem Druck entfernt. Der Rückstand wurde säulenchromatographisch gereinigt (Heptan/EtOAc 10:0 auf 1 :1) und es wurde das Produkt N- {[(1 -(2-Methylpropanoyl)indolin-5- yl)methyl}phenylsulfonamid (0.14 g, 47%) als Feststoff erhalten. 'H-NMR (400 MHz, CDC135, ppm) 8.12-8.14 (m, 1H), 7.87-7.90 (m, 2H), 7.50-7.61 (m, 3H), 7.07 (s, 1H), 6.92-6.94 (d, 1H), 4.63 (s, 1H), 4.08-4.13 (m, 4H), 3.11-3.15 (m, 2H), 2.74-2.77 (m, 1H), 1.21-1.22 (d, 6H). 1- [5- (Aminomethyl) indolin-1-yl] -2-methyl-propan-1-one (0.17 g, 0.77 mmol, 1 eq) and pyridine (0.19 mL, 2.32 mmol, 3 eq) were dissolved in MeCN ( 10 mL) and treated with benzenesulfonyl chloride (0.10 mL, 0.77 mmol, 1 eq). The reaction mixture was stirred for 5 h at 70 ° C. To the reaction solution was added CH 2 Cl 2 (10 mL) and the organic phase was washed with 10% hydrochloric acid (10 mL). The organic phase was dried over Na 2 SO 4 and the solvent was removed under reduced pressure. The residue was purified by column chromatography (heptane / EtOAc 10: 0 to 1: 1) and the product N- {[(1- (2-methylpropanoyl) indolin-5-yl) methyl} phenylsulfonamide (0.14 g, 47%) was obtained. obtained as a solid. 'H-NMR (400 MHz, CDC1 3 5, ppm) 8:12 to 8:14 (m, 1H), 7.87-7.90 (m, 2H), 7.50-7.61 (m, 3H), 7:07 (s, 1H), 6.92- 6.94 (d, 1H), 4.63 (s, 1H), 4.08-4.13 (m, 4H), 3.11-3.15 (m, 2H), 2.74-2.77 (m, 1H), 1.21-1.22 (d, 6H).
In Analogie zu den obigen Herstellungsbeispielen und unter Berücksichtigung der vorstehenden allgemeinen Angaben kann die Herstellung von substituierter Indolinylmethylsulfonamide der allgemeinen Formel (I) erfolgen. In analogy to the above preparation examples and taking into account the above general information, the preparation of substituted indolinylmethylsulfonamides of the general formula (I) can take place.
In der nachfolgenden Tabelle sind die NMR-Daten zu ausgewählten erfindungsgemäßen Verbindungen der allgemeinen Formel (I) angegeben, wobei die Nummerierungen der Tabellen 1-001 bis 1-484 auch hier gelten. In the table below, the NMR data are given to selected compounds of general formula (I) according to the invention, wherein the numbers of Tables 1-001 to 1-484 also apply here.
Tabelle 1 : Table 1 :
Nr. H-NMR # H-NMR
Ia-104 'H-NMR (400 MHz, CDC13 δ, ppm) 8.12-8.14 (m, 1H), 7.87-7.90 (m, 2H), 7.50-7.61 (m, Ia-104 'H-NMR (400 MHz, CDC1 3 δ, ppm) 8.12-8.14 (m, 1H), 7.87-7.90 (m, 2H), 7.50-7.61 (m,
3H), 7.07 (s, 1H), 6.92-6.94 (d, 1H), 4.63 (s, 1H), 4.08-4.13 (m, 4H), 3.11-3.15 (m, 2H), 2.74-2.77 (m, 1H), 1.21-1.22 (d, 6H) 3H), 7.07 (s, 1H), 6.92-6.94 (d, 1H), 4.63 (s, 1H), 4.08-4.13 (m, 4H), 3.11-3.15 (m, 2H), 2.74-2.77 (m, 1H), 1.21-1.22 (d, 6H)
Ia-001 1 H-NMR (400 MHz, CDCI3 δ, ppm) 8.09-8.1 1 (m, 1H), 7.60-7.63 (m, 2H), 7.09-7.1 1 (m, Ia-001 1 H-NMR (400 MHz, CDCl 3 δ, ppm) 8.09-8.1 1 (m, 1H), 7.60-7.63 (m, 2H), 7.09-7.1 1 (m,
2H), 6.98-7.00 (m, 1H), 4.66-4.68 (m, 1H), 4.16-4.17 (m, 2H), 4.04-4.08 (dd, 2H), 3.16-3.18 (dd, 2H), 2.22 (s, 3H) 2H), 6.98-7.00 (m, 1H), 4.66-4.68 (m, 1H), 4.16-4.17 (m, 2H), 4.04-4.08 (dd, 2H), 3.16-3.18 (dd, 2H), 2.22 ( s, 3H)
Ia-004 'H-NMR (400 MHz, CDCI3 δ, ppm) 8.11-8.13 (d, 1H), 7.34-7.35 (m, 1H), 7.00-7.09 (m, 3H), Ia-004 'H NMR (400 MHz, CDCl3 δ, ppm) 8.11-8.13 (d, 1H), 7.34-7.35 (m, 1H), 7.00-7.09 (m, 3H),
4.69 (m, 1H), 4.16-4.17 (d, 2H), 4.04-4.08 (dd, 2H), 3.14-3.19 (dd, 2H), 2.22 (s, 3H) 4.69 (m, 1H), 4.16-4.17 (d, 2H), 4.04-4.08 (dd, 2H), 3.14-3.19 (dd, 2H), 2.22 (s, 3H)
Ia-005 'H-NMR (400 MHz, CDCI3 δ, ppm) 8.12-8.14 (d, 1H), 8.00 (s, 1H), 6.89-7.14 (m, 3H), 4.77- 4.80 (m, 1H), 4.19-4.21 (m, 2H), 4.05-4.09 (m, 2H), 3.16-3.18 (m, 2H), 2.22 (s, 3H) Ia-005 'H NMR (400 MHz, CDCl3 δ, ppm) 8.12-8.14 (d, 1H), 8.00 (s, 1H), 6.89-7.14 (m, 3H), 4.77-4.80 (m, 1H), 4.19-4.21 (m, 2H), 4.05-4.09 (m, 2H), 3.16-3.18 (m, 2H), 2.22 (s, 3H)
Ia-014 'H-NMR (400 MHz, CDCb δ, ppm) 8.09-8.11 (d, 1H), 7.43-7.44 (m, 1H), 7.13 (s, 1H), 6.97- Ia-014 'H-NMR (400 MHz, CDCb δ, ppm) 8.09-8.11 (d, 1H), 7.43-7.44 (m, 1H), 7.13 (s, 1H), 6.97-
7.00 (m, 1H), 6.75-6.76 (m, 1H), 4.61 (m, 1H), 4.13-4.14 (d, 2H), 4.04-4.06 (dd, 2H), 3.14- 3.19 (dd, 2H), 2.55 (s, 3H), 2.22 (s, 3H) 7.00 (m, 1H), 6.75-6.76 (m, 1H), 4.61 (m, 1H), 4.13-4.14 (d, 2H), 4.04-4.06 (dd, 2H), 3.14-3.19 (dd, 2H), 2.55 (s, 3H), 2.22 (s, 3H)
Ia-015 'H-NMR (400 MHz, CDCI3 δ, ppm) 8.07-8.09 (d, 1H), 7.81 -7.86 (m, 2H), 7.44-7.52 (m, 3H), Ia-015 'H NMR (400 MHz, CDCl3 δ, ppm) 8.07-8.09 (d, 1H), 7.81-7.86 (m, 2H), 7.44-7.52 (m, 3H),
6.99-7.25 (m, 2H), 4.74-4.77 (m, 1H), 4.21-4.23 (m, 2H), 3.94-3.98 (m, 2H), 2.96-3.04 (dd, 2H), 2.20 (s, 3H) 6.99-7.25 (m, 2H), 4.74-4.77 (m, 1H), 4.21-4.23 (m, 2H), 3.94-3.98 (m, 2H), 2.96-3.04 (dd, 2H), 2.20 (s, 3H )
Ia-016 'H-NMR (400 MHz, CDCI3 δ, ppm) 8.06-8.08 (d, 1H), 7.87-7.90 (m, 2H), 7.50-7.62 (m, 3H), Ia-016 'H NMR (400 MHz, CDCl3 δ, ppm) 8.06-8.08 (d, 1H), 7.87-7.90 (m, 2H), 7.50-7.62 (m, 3H),
7.07 (s, 1H), 6.92-6.94 (m, 1H), 4.58 (m, 1H), 4.02-4.10 (m, 4H), 3.11-3.16 (dd, 2H), 2.21 (s, 3H) 7.07 (s, 1H), 6.92-6.94 (m, 1H), 4.58 (m, 1H), 4.02-4.10 (m, 4H), 3.11-3.16 (dd, 2H), 2.21 (s, 3H)
Ia-019 'H-NMR (400 MHz, CDCb δ, ppm) 8.08-8.10 (d, 1H), 7.62-7.71 (m, 4H), 6.95-7.00 (m, 2H), Ia-019 'H NMR (400 MHz, CDCb δ, ppm) 8.08-8.10 (d, 1H), 7.62-7.71 (m, 4H), 6.95-7.00 (m, 2H),
4.62-4.65 (m, 1H), 4.03-4.13 (m, 4H), 3.10-3.16 (m, 2H), 2.22 (s, 3H) 4.62-4.65 (m, 1H), 4.03-4.13 (m, 4H), 3.10-3.16 (m, 2H), 2.22 (s, 3H)
Ia-023 'H-NMR (400 MHz, CDCb δ, ppm) 8.07-8.09 (d, 1H), 7.76-7.79 (d, 2H), 7.46 (d, 2H), 6.95- Ia-023 'H-NMR (400 MHz, CDCb δ, ppm) 8.07-8.09 (d, 1H), 7.76-7.79 (d, 2H), 7.46 (d, 2H), 6.95-
7.01 (m, 2H), 4.68 (m, 1H), 4.03-4.11 (m, 4H), 3.10-3.14 (m, 2H), 2.22 (s, 3H)7.01 (m, 2H), 4.68 (m, 1H), 4.03-4.11 (m, 4H), 3.10-3.14 (m, 2H), 2.22 (s, 3H)
Ia-029 'H-NMR (400 MHz, CDCb δ, ppm) 8.07-8.10 (d, 1H), 7.86-7.89 (m, 2H), 7.16-7.21 (m, 2H), Ia-029 'H NMR (400 MHz, CDCb δ, ppm) 8.07-8.10 (d, 1H), 7.86-7.89 (m, 2H), 7.16-7.21 (m, 2H),
7.05 (s, 1H), 6.94-6.96 (m, 1H), 4.66 (m, 1H), 4.03-4.10 (m, 4H), 3.11-3.16 (m, 2H), 2.22 (s, 3H) 7.05 (s, 1H), 6.94-6.96 (m, 1H), 4.66 (m, 1H), 4.03-4.10 (m, 4H), 3.11-3.16 (m, 2H), 2.22 (s, 3H)
Ia-035 'H-NMR (400 MHz, CDCb δ, ppm) 8.05-8.07 (d, 1H), 7.74-7.77 (m, 2H), 7.30-7.33 (m, 2H), Ia-035 'H-NMR (400 MHz, CDCb δ, ppm) 8.05-8.07 (d, 1H), 7.74-7.77 (m, 2H), 7.30-7.33 (m, 2H),
7.08 (s, 1H), 6.92-6.94 (m, 1H), 4.61 (m, 1H), 4.02-4.07 (m, 4H), 3.11-3.15 (m, 2H), 2.44 (s, 3H), 2.21 (s, 3H) 7.08 (s, 1H), 6.92-6.94 (m, 1H), 4.61 (m, 1H), 4.02-4.07 (m, 4H), 3.11-3.15 (m, 2H), 2.44 (s, 3H), 2.21 ( s, 3H)
Ia-032 'H-NMR (400 MHz, CDCb δ, ppm) 8.05-8.07 (d, 1H), 7.92-7.94 (d, 2H), 7.75-7.76 (d, 2H), Ia-O32 'H NMR (400 MHz, CDCb δ, ppm) 8.05-8.07 (d, 1H), 7.92-7.94 (d, 2H), 7.75-7.76 (d, 2H),
6.95-7.00 (m, 2H), 5.04 (m, 1H), 4.03-4.15 (m, 4H), 3.08-3.13 (dd, 2H), 2.22 (s, 3H) 6.95-7.00 (m, 2H), 5.04 (m, 1H), 4.03-4.15 (m, 4H), 3.08-3.13 (dd, 2H), 2.22 (s, 3H)
Ia-031 'H-NMR (400 MHz, CDCb δ, ppm) 8.02-8.05 (m, 2H), 7.92 (s, 1H), 7.78-7.80 (d, 1H), 7.61- 7.7.63 (m, 1H), 7.07 (s, 1H), 6.85-6.87 (m, 1H), 4.82-4.83 (m, 1H), 4.17-4.19 (d, 2H), 4.06- 4.08 (m, 2H), 3.15-3.19 (m, 2H), 2.23 (s, 3H) Ia-O31 'H NMR (400 MHz, CDCb δ, ppm) 8.02-8.05 (m, 2H), 7.92 (s, 1H), 7.78-7.80 (d, 1H), 7.61-7.7.63 (m, 1H ), 7.07 (s, 1H), 6.85-6.87 (m, 1H), 4.82-4.83 (m, 1H), 4.17-4.19 (d, 2H), 4.06-4.40 (m, 2H), 3.15-3.19 (m , 2H), 2.23 (s, 3H)
Ia-041 'H-NMR (400 MHz, CDCb δ, ppm) 7.94-8.07 (m, 5H), 6.96-6.98 (m, 2H), 5.07 (m, 1H), Ia-O41 'H NMR (400 MHz, CDCb δ, ppm) 7.94-8.07 (m, 5H), 6.96-6.98 (m, 2H), 5.07 (m, 1H),
4.13-4.14 (m, 2H), 4.00-4.05 (dd, 2H), 3.06-3.11 (dd, 2H), 2.19-2.21 (s, 3H) 4.13-4.14 (m, 2H), 4.00-4.05 (dd, 2H), 3.06-3.11 (dd, 2H), 2.19-2.21 (s, 3H)
Ia-038 'H-NMR (400 MHz, CDCb δ, ppm) 8.07-8.09 (d, 1H), 7.80-7.82 (d, 2H), 7.08 (s, 1H), 6.93- 6.99 (m, 3H), 4.47 (m, 1H), 4.02-4.07 (m, 4H), 3.88 (s, 3H), 3.12-3.16 (m, 2H), 2.22 (s, 3H) Ia-042 Ή-NMR (400 MHz, CDC13 δ, ppm) 8.69-8.71 (m, IH), 7.99-8.08 (m, 2H), 7.88-7.92 (m, IH), 7.47-7.52 (m, IH), 7.15 (s, IH), 6.97-7.00 (m, IH), 5.13 (m, IH), 4.19-4.21 (d, 2H), 4.03-4.07 (dd, 2H), 3.13-3.17 (dd, 2H), 2.22 (s, 3H) Ia-O38 'H-NMR (400 MHz, CDCb δ, ppm) 8.07-8.09 (d, 1H), 7.80-7.82 (d, 2H), 7.08 (s, 1H), 6.93-6.99 (m, 3H), 4.47 (m, 1H), 4.02-4.07 (m, 4H), 3.88 (s, 3H), 3.12-3.16 (m, 2H), 2.22 (s, 3H) Ia-042 Ή-NMR (400 MHz, CDCl 3 δ, ppm) 8.69-8.71 (m, IH), 7.99-8.08 (m, 2H), 7.88-7.92 (m, IH), 7.47-7.52 (m, IH ), 7.15 (s, IH), 6.97-7.00 (m, IH), 5.13 (m, IH), 4.19-4.21 (d, 2H), 4.03-4.07 (dd, 2H), 3.13-3.17 (dd, 2H ), 2.22 (s, 3H)
Ia-045 'H-NMR (400 MHz, CDCI3 δ, ppm) 8.09-8.14 (m, IH), 7.59-7.63 (m, 2H), 7.09-7.13 (m, Ia-045 'H NMR (400 MHz, CDCl3 δ, ppm) 8.09-8.14 (m, IH), 7.59-7.63 (m, 2H), 7.09-7.13 (m,
2H), 6.96-7.02 (m, IH), 4.66-4.73 (m, IH), 4.16-4.17 (m, 2H), 4.02-4.08 (m, 2H), 3.14-3.18 (m, 2H), 2.41-2.46 (m, 2H), 1.17-1.28 (m, 3H) 2H), 6.96-7.02 (m, IH), 4.66-4.73 (m, IH), 4.16-4.17 (m, 2H), 4.02-4.08 (m, 2H), 3.14-3.18 (m, 2H), 2.41- 2.46 (m, 2H), 1.17-1.28 (m, 3H)
Ia-052 'H-NMR (400 MHz, CDCI3 δ, ppm) 8.14-8.17 (d, IH), 7.36-7.39 (m, IH), 7.00-7.02 (m, IH), Ia-052 'H NMR (400 MHz, CDCl3 δ, ppm) 8.14-8.17 (d, IH), 7.36-7.39 (m, IH), 7.00-7.02 (m, IH),
6.91-6.93 (m, IH), 6.88-6.89 (m, IH), 4.70 (m, IH), 4.16-4.20 (m, 2H), 4.03-4.07 (m, 2H), 3.14-3.18 (m, 2H), 2.42-2.47 (m, 2H), 1.21-1.25 (m, 3H) 6.91-6.93 (m, IH), 6.88-6.89 (m, IH), 4.70 (m, IH), 4.16-4.20 (m, 2H), 4.03-4.07 (m, 2H), 3.14-3.18 (m, 2H ), 2.42-2.47 (m, 2H), 1.21-1.25 (m, 3H)
Ia-049 'H-NMR (400 MHz, CDCI3 δ, ppm) 8.16-8.18 (d, IH), 7.23-7.28 (m, IH), 6.99-7.05 (m, 2H), Ia-049 'H NMR (400 MHz, CDCl3 δ, ppm) 8.16-8.18 (d, IH), 7.23-7.28 (m, IH), 6.99-7.05 (m, 2H),
4.80 (m, IH), 4.19-4.21 (m, 2H), 4.04-4.08 (m, 2H), 3.13-3.17 (m, 2H), 2.42-2.46 (m, 2H), 1.19-1.25 (m, 3H) 4.80 (m, IH), 4.19-4.21 (m, 2H), 4.04-4.08 (m, 2H), 3.13-3.17 (m, 2H), 2.42-2.46 (m, 2H), 1.19-1.25 (m, 3H )
Ia-058 Ή-NMR (400 MHz, CDCI3 δ, ppm) 8.13-8.15 (d, IH), 7.43-7.44 (m, IH), 7.12 (s, IH), 6.97- 7.00 (m, IH), 6.75-6.77 (m, IH), 4.58 (m, IH), 4.13-4.14 (d, 2H), 4.02-4.06 (m, 2H), 3.14- 3.18 (dd, 2H), 2.55 (s, 3H), 2.41-2.47 (m, 2H), 1.21-1.24 (m, 3H) Ia-058 Ή NMR (400 MHz, CDCl3 δ, ppm) 8.13-8.15 (d, IH), 7.43-7.44 (m, IH), 7.12 (s, IH), 6.97-7.00 (m, IH), 6.75 -6.77 (m, IH), 4.58 (m, IH), 4.13-4.14 (d, 2H), 4.02-4.06 (m, 2H), 3.14-3.18 (dd, 2H), 2.55 (s, 3H), 2.41 -2.47 (m, 2H), 1.21-1.24 (m, 3H)
Ia-059 Ή-NMR (400 MHz, CDCI3 δ, ppm) 8.10-8.12 (d, IH), 7.81-7.88 (m, 3H), 7.43-7.52 (m, 2H), Ia-059 Ή-NMR (400 MHz, CDCl3 δ, ppm) 8.10-8.12 (d, IH), 7.81-7.88 (m, 3H), 7.43-7.52 (m, 2H),
7.00-7.05 (m, 2H), 4.79 (m, IH), 4.21-4.22 (m, 2H), 3.93-3.97 (m, 2H), 2.99-3.03 (m, 2H), 2.38-2.44 (m, 2H), 1.20-1.24 (m, 3H) 7.00-7.05 (m, 2H), 4.79 (m, IH), 4.21-4.22 (m, 2H), 3.93-3.97 (m, 2H), 2.99-3.03 (m, 2H), 2.38-2.44 (m, 2H , 1.20-1.24 (m, 3H)
Ia-060 Ή-NMR (400 MHz, CDCI3 δ, ppm) 8.10-8.12 (m, IH), 7.86-7.90 (m, 2H), 7.50-7.62 (m, Ia-060 Ή-NMR (400 MHz, CDCl3 δ, ppm) 8.10-8.12 (m, IH), 7.86-7.90 (m, 2H), 7.50-7.62 (m,
3H), 7.07 (m, IH), 6.92-6.94 (m, IH), 4.55 (m, IH), 4.01-4.10 (m, 4H), 3.11-3.15 (m, 2H), 2.41-2.46 (m, 2H), 1.18-1.24 (m, 3H) 3H), 7.07 (m, IH), 6.92-6.94 (m, IH), 4.55 (m, IH), 4.01-4.10 (m, 4H), 3.11-3.15 (m, 2H), 2.41-2.46 (m, 2H), 1.18-1.24 (m, 3H)
Ia-063 Ή-NMR (400 MHz, CDCI3 δ, ppm) 8.12-8.13 (d, IH), 7.69-7.70 (m, 2H), 7.56-7.64 (m, 2H), Ia-063 Ή-NMR (400 MHz, CDCl3 δ, ppm) 8.12-8.13 (d, IH), 7.69-7.70 (m, 2H), 7.56-7.64 (m, 2H),
6.95-6.99 (m, 2H), 4.64-4.66 (m, IH), 4.10-4.14 (m, 2H), 4.02-4.05 (m, 2H), 3.10-3.13 (m, 2H), 2.42-2.46 (m, 2H), 1.22-1.25 (m, 3H) 6.95-6.99 (m, 2H), 4.64-4.66 (m, IH), 4.10-4.14 (m, 2H), 4.02-4.05 (m, 2H), 3.10-3.13 (m, 2H), 2.42-2.46 (m , 2H), 1.22-1.25 (m, 3H)
Ia-064 Ή-NMR (400 MHz, CDCI3 δ, ppm) 8.20-8.22 (m, IH), 7.48-7.52 (m, 2H), 7.06-7.26 (m, Ia-064 Ή-NMR (400 MHz, CDCl3 δ, ppm) 8.20-8.22 (m, IH), 7.48-7.52 (m, 2H), 7.06-7.26 (m,
4H), 4.04-4.30 (m, 6H), 3.19-3.20 (m, 2H), 2.44-2.46 (m, 2H), 1.22-1.26 (m, 3H) 4H), 4.04-4.30 (m, 6H), 3.19-3.20 (m, 2H), 2.44-2.46 (m, 2H), 1.22-1.26 (m, 3H)
Ia-067 'H-NMR(400 MHZ, CDCI3 δ, ppm) 8.12-8.14 (d, IH), 7.76-7.79 (m, 2H), 7.46-7.52 (m, 2H), Ia-067 'H NMR (400 MHz, CDCl3 δ, ppm) 8.12-8.14 (d, IH), 7.76-7.79 (m, 2H), 7.46-7.52 (m, 2H),
6.95-7.01 (m, 2H), 4.61 (m, IH), 4.02-4.11 (m, 4H), 3.10-3.14 (m, 2H), 2.41-2.47 (m, 2H), 1.21-1.25 (m, 3H) 6.95-7.01 (m, 2H), 4.61 (m, IH), 4.02-4.11 (m, 4H), 3.10-3.14 (m, 2H), 2.41-2.47 (m, 2H), 1.21-1.25 (m, 3H )
Ia-070 Ή-NMR (400 MHz, CDCI3 δ, ppm) 8.20-8.22 (d, IH), 7.24-7.29 (m, 2H), 7.12 (m, IH), Ia-070 Ή-NMR (400 MHz, CDCl3 δ, ppm) 8.20-8.22 (d, IH), 7.24-7.29 (m, 2H), 7.12 (m, IH),
7.06-7.08 (m, 3H), 4.26 (m, IH), 4.17-4.19 (d, 2H), 4.03-4.07 (m, 2H), 3.15-3.19 (m, 4H), 3.02-3.06 (m, 2H), 2.45-2.47 (m, 2H), 1.22-1.26 (m, 3H) 7.06-7.08 (m, 3H), 4.26 (m, IH), 4.17-4.19 (d, 2H), 4.03-4.07 (m, 2H), 3.15-3.19 (m, 4H), 3.02-3.06 (m, 2H ), 2.45-2.47 (m, 2H), 1.22-1.26 (m, 3H)
Ia-073 Ή-NMR (400 MHz, CDCI3 δ, ppm) 8.12-8.14 (d, IH), 7.86-7.89 (m, 2H), 7.16-7.21 (m, 2H), Ia-073 Ή-NMR (400 MHz, CDCl3 δ, ppm) 8.12-8.14 (d, IH), 7.86-7.89 (m, 2H), 7.16-7.21 (m, 2H),
7.04 (s, IH), 6.94-7.00 (m, IH), 4.57 (m, IH), 4.01-4.10 (m, 4H), 3.11-3.15 (m, 2H), 2.41- 2.47 (m, 2H), 1.21-1.24 (m, 3H) 7.04 (s, IH), 6.94-7.00 (m, IH), 4.57 (m, IH), 4.01-4.10 (m, 4H), 3.11-3.15 (m, 2H), 2.41- 2.47 (m, 2H), 1.21-1.24 (m, 3H)
Ia-079 Ή-NMR (400 MHz, CDCI3 δ, ppm) 8.10-8.12 (d, IH), 7.75-7.78 (m, 2H), 7.31-7.33 (m, 2H), Ia-079 Ή-NMR (400 MHz, CDCl3 δ, ppm) 8.10-8.12 (d, IH), 7.75-7.78 (m, 2H), 7.31-7.33 (m, 2H),
7.08 (s, IH), 6.92-6.94 (d, 2H), 4.48 (m, IH), 4.01-4.07 (m, 4H), 3.12-3.16 (m, 2H), 2.41- 2.46 (m, 5H), 1.20-1.24 (m, 3H) 7.08 (s, IH), 6.92-6.94 (d, 2H), 4.48 (m, IH), 4.01-4.07 (m, 4H), 3.12-3.16 (m, 2H), 2.41- 2.46 (m, 5H), 1.20-1.24 (m, 3H)
Ia-076 'H-NMR (400 MHz, CDCI3 δ, ppm) 8.12-8.14 (m, IH), 7.92-7.94 (m, 2H), 7.76-7.79 (m, Ia-076 'H NMR (400 MHz, CDCl3 δ, ppm) 8.12-8.14 (m, IH), 7.92-7.94 (m, 2H), 7.76-7.79 (m,
2H), 6.98-7.00 (m, 2H), 4.73 (IH), 4.14-4.16 (d, 2H), 4.04 (m, 2H), 3.10-3.12 (m, 2H), 2.44- 2.46 (m, 2H), 1.21-1.26 (m, 3H) 2H), 6.98-7.00 (m, 2H), 4.73 (IH), 4.14-4.16 (d, 2H), 4.04 (m, 2H), 3.10-3.12 (m, 2H), 2.44-2.46 (m, 2H) , 1.21-1.26 (m, 3H)
Ia-075 'H-NMR (400 MHz, CDCI3 δ, ppm) 7.90-8.20 (m, 2H), 7.78-7.80 (m, IH), 7.59-7.62 (m, Ia-075 'H NMR (400 MHz, CDCl3 δ, ppm) 7.90-8.20 (m, 2H), 7.78-7.80 (m, IH), 7.59-7.62 (m,
IH), 7.07 (s, IH), 6.85-6.87 (m, IH), 4.79-4.87 (m, IH), 4.02-4.18 (m, 4H), 3.14-3.19 (m, 2H), 2.42-2.47 (m, 2H), 1.21-1.28 (m, 3H) Ia-085 'H-NMR (400 MHz, CDC13 δ, ppm) 8.11-8.13 (m, IH), 7.95-7.97 (m, 2H), 7.74-7.76 (m, 2H), 6.96-7.00 (m, 2H), 4.67-4.69 (m, IH), 4.14-4.15 (d, 2H), 4.00-4.04 (m, 2H), 3.07-3.11 (m, 2H), 2.41-2.46 (m, 2H), 1.21-1.24 (m, 3H) IH), 7.07 (s, IH), 6.85-6.87 (m, IH), 4.79-4.87 (m, IH), 4.02-4.18 (m, 4H), 3.14-3.19 (m, 2H), 2.42-2.47 ( m, 2H), 1.21-1.28 (m, 3H) Ia-085 'H-NMR (400 MHz, CDC1 3 δ, ppm) 8:11 to 8:13 (m, IH), 7.95-7.97 (m, 2H), 7.74-7.76 (m, 2H), 6.96-7.00 (m, 2H), 4.67-4.69 (m, IH), 4.14-4.15 (d, 2H), 4.00-4.04 (m, 2H), 3.07-3.11 (m, 2H), 2.41-2.46 (m, 2H), 1.21- 1.24 (m, 3H)
Ia-082 'H-NMR (400 MHz, CDCI3 δ, ppm) 8.11-8.13 (d, IH), 7.80-7.82 (m, 2H), 7.07 (s, IH), 6.97- 7.00 (m, 4H), 4.45-4.47 (m, IH), 4.01-4.07 (m, 4H), 3.88 (s, 3H), 3.13-3.16 (m, 2H), 2.43- 2.44 (m, 2H), 1.21-1.26 (m, 3H) Ia-082 'H NMR (400 MHz, CDCl3 δ, ppm) 8.11-8.13 (d, IH), 7.80-7.82 (m, 2H), 7.07 (s, IH), 6.97-7.00 (m, 4H), 4.45-4.47 (m, IH), 4.01-4.07 (m, 4H), 3.88 (s, 3H), 3.13-3.16 (m, 2H), 2.43-2.44 (m, 2H), 1.21-1.26 (m, 3H )
Ia-086 'H-NMR (400 MHz, CDCI3 δ, ppm) 8.69-8.70 (d, IH), 8.10-8.12 (d, IH), 7.99-8.01 (m, IH), Ia-086'H-NMR (400 MHz, CDCl3 δ, ppm) 8.69-8.70 (d, IH), 8.10-8.12 (d, IH), 7.99-8.01 (m, IH),
7.88-7.92 (m, IH), 7.47-7.52 (m, IH), 7.15 (s, IH), 6.97-7.00 (m, IH), 5.12 (m, IH), 4.19- 7.88-7.92 (m, IH), 7.47-7.52 (m, IH), 7.15 (s, IH), 6.97-7.00 (m, IH), 5.12 (m, IH), 4.19-
4.21 (d, 2H), 4.01-4.05 (m, 2H), 3.12-3.17 (m, 2H), 2.41-2.46 (m, 2H), 1.21-1.26 (m, 3H)4.21 (d, 2H), 4.01-4.05 (m, 2H), 3.12-3.17 (m, 2H), 2.41-2.46 (m, 2H), 1.21-1.26 (m, 3H)
Ia-177 Ή-NMR (400 MHz, CDCI3 δ, ppm) 8.13-8.15 (d, IH), 7.61-7.64 (m, 2H), 7.00-7.16 (m, 3H), Ia-177 Ή NMR (400 MHz, CDCl3 δ, ppm) 8.13-8.15 (d, IH), 7.61-7.64 (m, 2H), 7.00-7.16 (m, 3H),
4.63-4.67 (m, IH), 4.17-4.19 (d, 2H), 4.08-4.11 (m, 2H), 3.19-3.35 (m, 4H) 4.63-4.67 (m, IH), 4.17-4.19 (d, 2H), 4.08-4.11 (m, 2H), 3.19-3.35 (m, 4H)
Ia-180 Ή-NMR (400 MHz, CDCI3 δ, ppm) 8.15-8.17 (d, IH), 7.34-7.35 (m, IH), 7.13 (s, IH), 7.05- 7.06 (m, 2H), 4.70 (m, IH), 4.18-4.19 (d, 2H), 4.09-4.11 (d, 2H), 3.28-3.36 (m, 2H), 3.19- Ia-180 Ή NMR (400 MHz, CDCl3 δ, ppm) 8.15-8.17 (d, IH), 7.34-7.35 (m, IH), 7.13 (s, IH), 7.05-7.06 (m, 2H), 4.70 (m, IH), 4.18-4.19 (d, 2H), 4.09-4.11 (d, 2H), 3.28-3.36 (m, 2H), 3.19-
3.22 (m, 2H) 3.22 (m, 2H)
Ia-184 Ή-NMR (400 MHz, CDCI3 δ, ppm) 8.15-8.17 (d, IH), 7.39-7.40 (m, IH), 7.14 (s, IH), 7.03- 7.06 (m, IH), 6.92 -6.93 (m, IH), 4.68 (m, IH), 4.18-4.19 (d, 2H), 4.09-4.11 (dd, 2H), 3.20- 3.36 (m, 4H) Ia-184 Ή NMR (400 MHz, CDCl3 δ, ppm) 8.15-8.17 (d, IH), 7.39-7.40 (m, IH), 7.14 (s, IH), 7.03-7.06 (m, IH), 6.92 -6.93 (m, IH), 4.68 (m, IH), 4.18-4.19 (d, 2H), 4.09-4.11 (dd, 2H), 3.20- 3.36 (m, 4H)
Ia-181 'H-NMR (400 MHz, CDCI3 δ, ppm) 8.16-8.18 (m, IH), 7.25-7.29 (m, IH), 7.05-7.09 (m, Ia-181'H-NMR (400 MHz, CDCl3 δ, ppm) 8.16-8.18 (m, IH), 7.25-7.29 (m, IH), 7.05-7.09 (m,
2H), 4.80-4.82 (m, IH), 4.21-4.22 (d, 2H), 4.10-4.14 (dd, 2H), 3.29-3.36 (m, 2H), 3.18-3.22 (m, 2H) 2H), 4.80-4.82 (m, IH), 4.21-4.22 (d, 2H), 4.10-4.14 (dd, 2H), 3.29-3.36 (m, 2H), 3.18-3.22 (m, 2H)
Ia-190 'H-NMR (400 MHz, CDCI3 δ, ppm) 8.13-8.15 (d, IH), 7.43-7.44 (m, IH), 7.18 (s, IH), 7.00- 7.03 (m, IH), 6.75 -6.77 (m, IH), 4.59 (m, IH), 4.09-4.16 (m, 4H), 3.20-3.35 (m, 4H), 2.55 (s, 3H) Ia-190 'H NMR (400 MHz, CDCl3 δ, ppm) 8.13-8.15 (d, IH), 7.43-7.44 (m, IH), 7.18 (s, IH), 7.00-7.03 (m, IH), 6.75-6.77 (m, IH), 4.59 (m, IH), 4.09-4.16 (m, 4H), 3.20-3.35 (m, 4H), 2.55 (s, 3H)
Ia-191 'H-NMR (400 MHz, CDCI3 δ, ppm) 8.10-8.12 (m, IH), 7.80-7.88 (m, 3H), 7.45-7.52 (m, Ia-191 'H NMR (400 MHz, CDCl3 δ, ppm) 8.10-8.12 (m, IH), 7.80-7.88 (m, 3H), 7.45-7.52 (m,
2H), 7.00-7.09 (m, 2H), 4.77-4.80 (m, IH), 4.23-4.24 (m, 2H), 3.90-4.02 (m, 2H), 3.27-3.30 (m, 2H), 3.06-3.08 (m, 2H) 2H), 7.00-7.09 (m, 2H), 4.77-4.80 (m, IH), 4.23-4.24 (m, 2H), 3.90-4.02 (m, 2H), 3.27-3.30 (m, 2H), 3.06- 3.08 (m, 2H)
Ia-192 'H-NMR (400 MHz, CDCI3 δ, ppm) 8.10-8.12 (d, IH), 7.87-7.89 (m, 2H), 7.52-7.62 (m, 3H), Ia-192 'H NMR (400 MHz, CDCl3 δ, ppm) 8.10-8.12 (d, IH), 7.87-7.89 (m, 2H), 7.52-7.62 (m, 3H),
7.12 (s, IH), 6.96-7.00 (m, IH), 4.55-4.57 (m, IH), 4.07-4.12 (m, 4H), 3.27-3.35 (m, 2H), 3.17-3.20 (m, 2H) 7.12 (s, IH), 6.96-7.00 (m, IH), 4.55-4.57 (m, IH), 4.07-4.12 (m, 4H), 3.27-3.35 (m, 2H), 3.17-3.20 (m, 2H )
Ia-195 'H-NMR (400 MHz, CDCI3 δ, ppm) 8.11-8.13 (d, IH), 7.69-7.71 (m, 2H), 7.62-7.64 (d, 2H), Ia-195 'H NMR (400 MHz, CDCl3 δ, ppm) 8.11-8.13 (d, IH), 7.69-7.71 (m, 2H), 7.62-7.64 (d, 2H),
7.24 (s, IH), 6.99-7.05 (m, IH), 4.81 (m, IH), 4.08-4.12 (m, 4H), 3.28-3.35 (m, 2H), 3.13- 7.24 (s, IH), 6.99-7.05 (m, IH), 4.81 (m, IH), 4.08-4.12 (m, 4H), 3.28-3.35 (m, 2H), 3.13-
3.19 (m, 2H) 3.19 (m, 2H)
Ia-199 'H-NMR (400 MHz, CDCI3 δ, ppm) 8.12-8.14 (d, IH), 7.77-7.79 (m, 2H), 7.46-7.48 (d, 2H), Ia-199 'H NMR (400 MHz, CDCl3 δ, ppm) 8.12-8.14 (d, IH), 7.77-7.79 (m, 2H), 7.46-7.48 (d, 2H),
7.21 (s, IH), 6.99-7.01 (m, IH), 4.65 (m, IH), 4.07-4.16 (m, 4H), 3.28-3.35 (m, 2H), 3.16- 7.21 (s, IH), 6.99-7.01 (m, IH), 4.65 (m, IH), 4.07-4.16 (m, 4H), 3.28-3.35 (m, 2H), 3.16-
3.20 (m, 2H) 3.20 (m, 2H)
Ia-205 'H-NMR (400 MHz, CDCI3 δ, ppm) 8.12-8.14 (d, IH), 7.86-7.89 (m, 2H), 7.17-7.21 (m, 2H), Ia-205 'H NMR (400 MHz, CDCl3 δ, ppm) 8.12-8.14 (d, IH), 7.86-7.89 (m, 2H), 7.17-7.21 (m, 2H),
7.10 (s, IH), 6.98-7.00 (m, IH), 4.69 (m, IH), 4.08-4.12 (m, 4H), 3.28-3.35 (m, 2H), 3.17- 7.10 (s, IH), 6.98-7.00 (m, IH), 4.69 (m, IH), 4.08-4.12 (m, 4H), 3.28-3.35 (m, 2H), 3.17-
3.21 (m, 2H) 3.21 (m, 2H)
Ia-211 'H-NMR (400 MHz, CDCI3 δ, ppm) 8.10-8.12 (d, IH), 7.75-7.77 (d, 2H), 7.31-7.33 (d, 2H), Ia-211'H-NMR (400 MHz, CDCl3 δ, ppm) 8.10-8.12 (d, IH), 7.75-7.77 (d, 2H), 7.31-7.33 (d, 2H),
7.14 (s, IH), 6.96 -7.00 (m, IH), 4.55 (m, IH), 4.07-4.12 (m, 4H), 3.30-3.32 (m, 2H), 3.19 (m, 2H), 2.44 (s, 3H) 7.14 (s, IH), 6.96-7.00 (m, IH), 4.55 (m, IH), 4.07-4.12 (m, 4H), 3.30-3.32 (m, 2H), 3.19 (m, 2H), 2.44 ( s, 3H)
Ia-208 'H-NMR (400 MHz, DMSO δ, ppm) 8.40-8.43 (m, IH), 8.02-8.04 (m, 2H), 7.86-7.91 (m, Ia-208 'H NMR (400 MHz, DMSO δ, ppm) 8.40-8.43 (m, IH), 8.02-8.04 (m, 2H), 7.86-7.91 (m,
2H), 7.04 (s, IH), 6.99-7.01 (m, IH), 4.07-4.11 (m, 2H), 3.98-4.00 (m, 2H), 3.74-3.82 (m, 2H), 3.05-3.09 (m, 2H) Ia-207 'H-NMR (400 MHz, DMSO δ, ppm) 8.34 (m, IH), 8.01-8.06 (m, 2H), 7.86-7.88 (m, IH),2H), 7.04 (s, IH), 6.99-7.01 (m, IH), 4.07-4.11 (m, 2H), 3.98-4.00 (m, 2H), 3.74-3.82 (m, 2H), 3.05-3.09 ( m, 2H) Ia-207'H NMR (400 MHz, DMSO δ, ppm) 8.34 (m, IH), 8.01-8.06 (m, 2H), 7.86-7.88 (m, IH),
7.73- 7.77 (m, IH), 7.05 (s, IH), 6.97-6.99 (m, IH), 4.01-4.11 (m, 4H), 3.77-3.79 (m, 2H), 3.04-3.09 (m, 2H) 7.73-7.77 (m, IH), 7.05 (s, IH), 6.97-6.99 (m, IH), 4.01-4.11 (m, 4H), 3.77-3.79 (m, 2H), 3.04-3.09 (m, 2H )
Ia-217 'H-NMR (400 MHz, DMSO δ, ppm) 8.37-8.40 (m, IH), 7.86-7.95 (m, 4H), 6.98-7.03 (m, Ia-217 'H NMR (400 MHz, DMSO δ, ppm) 8.37-8.40 (m, IH), 7.86-7.95 (m, 4H), 6.98-7.03 (m,
2H), 3.99-4.09 (m, 4H), 3.73-3.81 (m, 2H), 3.03-3.07 (m, 2H) 2H), 3.99-4.09 (m, 4H), 3.73-3.81 (m, 2H), 3.03-3.07 (m, 2H)
Ia-214 'H-NMR (400 MHz, DMSO δ, ppm) 7.90-7.95 (m, 2H), 7.69-7.71 (d, 2H), 7.00-7.09 (m, Ia-214 'H NMR (400 MHz, DMSO δ, ppm) 7.90-7.95 (m, 2H), 7.69-7.71 (d, 2H), 7.00-7.09 (m,
3H), 4.07-4.11 (m, 2H), 3.77-3.89 (m, 4H), 3.06-3.10 (m, 2H) 3H), 4.07-4.11 (m, 2H), 3.77-3.89 (m, 4H), 3.06-3.10 (m, 2H)
Ia-218 'H-NMR (400 MHz, DMSO δ, ppm) 8.70-8.71 (m, IH), 8.33-8.36 (m, IH), 8.01-8.05 (m, Ia-218'-H NMR (400 MHz, DMSO δ, ppm) 8.70-8.71 (m, IH), 8.33-8.36 (m, IH), 8.01-8.05 (m,
IH), 7.87-7.90 (m, IH), 7.61-7.64 (m, IH), 7.10 (s, IH), 7.01-7.03 (m, IH), 4.06-4.12 (m, 4H), 3.75-3.83 (m, 2H), 3.06-3.10 (m, 2H) IH), 7.87-7.90 (m, IH), 7.61-7.64 (m, IH), 7.10 (s, IH), 7.01-7.03 (m, IH), 4.06-4.12 (m, 4H), 3.75-3.83 ( m, 2H), 3.06-3.10 (m, 2H)
Ia-089 'H-NMR (400 MHz, CDC13 δ, ppm) 8.15-8.17 (m, IH), 7.60-7.63 (m, 2H), 7.09-7.11 (m, Ia-089 'H NMR (400 MHz, CDCl3 3 δ, ppm) 8.15-8.17 (m, IH), 7.60-7.63 (m, 2H), 7.09-7.11 (m,
2H), 6.96-6.98 (m, IH), 4.66 (m, IH), 4.11-4.17 (m, 4H), 3.14-3.18 (m, 2H), 2.75-2.78 (m, IH), 1.21-1.28 (m, 6H) 2H), 6.96-6.98 (m, IH), 4.66 (m, IH), 4.11-4.17 (m, 4H), 3.14-3.18 (m, 2H), 2.75-2.78 (m, IH), 1.21-1.28 ( m, 6H)
Ia-092 'H-NMR (400 MHz, CDCI3 δ, ppm) 8.17-8.19 (m, IH), 7.34-7.35 (m, IH), 7.00-7.09 (m, Ia-092 'H NMR (400 MHz, CDCl3 δ, ppm) 8.17-8.19 (m, IH), 7.34-7.35 (m, IH), 7.00-7.09 (m,
3H), 4.67 (m, IH), 4.12-4.18 (m, 4H), 3.16-3.18 (m, 2H), 2.77 (m, IH), 1.19-1.26 (m, 6H) 3H), 4.67 (m, IH), 4.12-4.18 (m, 4H), 3.16-3.18 (m, 2H), 2.77 (m, IH), 1.19-1.26 (m, 6H)
Ia-096 'H-NMR (400 MHz, CDCI3 δ, ppm) 8.16-8.18 (d, IH), 7.38-7.39 (m, IH), 7.09 (s, IH), 7.00- 7.02 (d, IH), 6.91-6.92 (d, IH), 4.78 (m, IH), 4.11-4.17 (m, 4H), 3.14-3.18 (m, 2H), 2.74- 2.78 (m, IH), 1.21-1.23 (d, 6H) Ia-096 'H NMR (400 MHz, CDCl3 δ, ppm) 8.16-8.18 (d, IH), 7.38-7.39 (m, IH), 7.09 (s, IH), 7.00-7.02 (d, IH), 6.91-6.92 (d, IH), 4.78 (m, IH), 4.11-4.17 (m, 4H), 3.14-3.18 (m, 2H), 2.74-2.78 (m, IH), 1.21-1.23 (d, 6H )
Ia-093 'H-NMR (400 MHz, CDCI3 δ, ppm) 8.18-8.20 (d, IH), 7.00-7.05 (m, 3H), 4.77-4.80 (m, IH), Ia-093 'H NMR (400 MHz, CDCl3 δ, ppm) 8.18-8.20 (d, IH), 7.00-7.05 (m, 3H), 4.77-4.80 (m, IH),
4.20- 4.21 (d, 2H), 4.12-4.16 (dd, 2H), 3.13-3.17 (m, 2H), 2.76-2.79 (m, IH), 1.22-1.24 (d, 6H) 4.20-4.21 (d, 2H), 4.12-4.16 (dd, 2H), 3.13-3.17 (m, 2H), 2.76-2.79 (m, IH), 1.22-1.24 (d, 6H)
Ia-102 'H-NMR (400 MHz, CDCI3 δ, ppm) 8.16-8.18 (d, IH), 7.43-7.44 (d, IH), 7.13 (s, IH), 6.97- 7.00 (m, IH), 6.75-6.76 (m, IH), 4.56 (m, IH), 4.11-4.15 (m, 4H), 3.14-3.18 (m, 2H), 2.76 (m, IH), 1.21-1.23 (m, 6H) Ia-102 'H NMR (400 MHz, CDCl3 δ, ppm) 8.16-8.18 (d, IH), 7.43-7.44 (d, IH), 7.13 (s, IH), 6.97-7.00 (m, IH), 6.75-6.76 (m, IH), 4.56 (m, IH), 4.11-4.15 (m, 4H), 3.14-3.18 (m, 2H), 2.76 (m, IH), 1.21-1.23 (m, 6H)
Ia-107 'H-NMR (400 MHz, CDCI3 δ, ppm) 8.14-8.16 (d, IH), 7.69-7.71 (d, 2H), 7.61-7.64 (d, IH), Ia-107 'H NMR (400 MHz, CDCl3 δ, ppm) 8.14-8.16 (d, IH), 7.69-7.71 (d, 2H), 7.61-7.64 (d, IH),
6.97-7.00 (m, 2H), 4.59-4.62 (m, IH), 4.10-4.15 (m, 4H), 3.12 (m, 2H), 2.73-2.78 (m, IH), 6.97-7.00 (m, 2H), 4.59-4.62 (m, IH), 4.10-4.15 (m, 4H), 3.12 (m, 2H), 2.73-2.78 (m, IH),
1.21- 1.23 (m, 6H) 1.21- 1.23 (m, 6H)
Ia-111 'H-NMR (400 MHz, CDCI3 δ, ppm) 8.14-8.16 (d, IH), 7.76-7.79 (d, 2H), 7.45-7.52 (d, 2H), Ia-111'H-NMR (400 MHz, CDCl3 δ, ppm) 8.14-8.16 (d, IH), 7.76-7.79 (d, 2H), 7.45-7.52 (d, 2H),
6.95- 7.01 (m, 2H), 4.61-4.64 (m, IH), 4.09-4.14 (m, 4H), 3.10-3.14 (m, 2H), 2.75-2.78 (m, IH), 1.21-1.23 (d, 6H) 6.95-7.01 (m, 2H), 4.61-4.64 (m, IH), 4.09-4.14 (m, 4H), 3.10-3.14 (m, 2H), 2.75-2.78 (m, IH), 1.21-1.23 (i.e. , 6H)
Ia-123 'H-NMR (400 MHz, CDCI3 δ, ppm) 8.12-8.14 (m, IH), 7.74-7.78 (d, 2H), 7.31-7.33 (d, 2H), Ia-123 'H NMR (400 MHz, CDCl3 δ, ppm) 8.12-8.14 (m, IH), 7.74-7.78 (d, 2H), 7.31-7.33 (d, 2H),
7.08 (s, IH), 6.92-6.94 (m, IH), 4.50-4.53 (m, IH), 4.05-4.14 (m, 4H), 3.12-3.16 (m, 2H), 7.08 (s, IH), 6.92-6.94 (m, IH), 4.50-4.53 (m, IH), 4.05-4.14 (m, 4H), 3.12-3.16 (m, 2H),
2.74- 2.78 (m, IH), 1.21-1.22 (m, 6H) 2.74- 2.78 (m, IH), 1.21-1.22 (m, 6H)
Ia-120 'H-NMR (400 MHz, CDCI3 δ, ppm) 8.14-8.16 (m, IH), 7.93-7.95 (d, 2H), 7.77-7.79 (d, 2H), Ia-120 'H NMR (400 MHz, CDCl3 δ, ppm) 8.14-8.16 (m, IH), 7.93-7.95 (d, 2H), 7.77-7.79 (d, 2H),
6.96- 7.00 (m, 2H), 4.57 (m, IH), 4.11-4.15 (m, 4H), 3.09-3.13 (m, 2H), 2.75-2.79 (m, IH), 6.96-7.00 (m, 2H), 4.57 (m, IH), 4.11-4.15 (m, 4H), 3.09-3.13 (m, 2H), 2.75-2.79 (m, IH),
1.22- 1.26 (m, 6H) 1.22- 1.26 (m, 6H)
Ia-119 'H-NMR (400 MHz, CDCI3 δ, ppm) 8.03-8.07 (m, IH), 7.93 (s, IH), 7.78-7.80 (m, IH), Ia-119 'H NMR (400 MHz, CDCl3 δ, ppm) 8.03-8.07 (m, IH), 7.93 (s, IH), 7.78-7.80 (m, IH),
7.59-7.63 (m, IH), 7.07 (s, IH), 6.85-6.87 (m, IH), 4.82-4.84 (m, IH), 4.13-4.19 (m, 4H), 3.17 (m, 2H), 2.76-2.79 (m, IH), 1.22-1.23 (d, 6H) 7.59-7.63 (m, IH), 7.07 (s, IH), 6.85-6.87 (m, IH), 4.82-4.84 (m, IH), 4.13-4.19 (m, 4H), 3.17 (m, 2H), 2.76-2.79 (m, IH), 1.22-1.23 (d, 6H)
Ia-129 'H-NMR (400 MHz, CDCI3 δ, ppm) 8.13-8.15 (m, IH), 7.94-7.96 (d, 2H), 7.74-7.76 (d, 2H), Ia-129 'H NMR (400 MHz, CDCl3 δ, ppm) 8.13-8.15 (m, IH), 7.94-7.96 (d, 2H), 7.74-7.76 (d, 2H),
6.96-7.00 (m, 2H), 4.73 (m, IH), 4.09-4.15 (m, 4H), 3.09 (m, 2H), 2.74-2.77 (m, IH), 1.21- 1.23 (m, 6H) Ia-126 'H-NMR (400 MHz, CDC13 δ, ppm) 8.12-8.14 (m, IH), 7.79-7.81 (d, 2H), 7.07 (s, IH), 6.94- 6.98 (m, 3H), 4.60 (m, IH), 4.04-4.13 (m, 4H), 3.87 (s, 3H), 3.13 (m, 2H), 2.74-2.77 (m, IH), 1.20-1.26 (m, 6H) 6.96-7.00 (m, 2H), 4.73 (m, IH), 4.09-4.15 (m, 4H), 3.09 (m, 2H), 2.74-2.77 (m, IH), 1.21-1.23 (m, 6H) Ia-126 'H NMR (400 MHz, CDCl3 3 δ, ppm) 8.12-8.14 (m, IH), 7.79-7.81 (d, 2H), 7.07 (s, IH), 6.94-6.98 (m, 3H) , 4.60 (m, IH), 4.04-4.13 (m, 4H), 3.87 (s, 3H), 3.13 (m, 2H), 2.74-2.77 (m, IH), 1.20-1.26 (m, 6H)
Ia-130 'H-NMR (400 MHz, CDCI3 δ, ppm) 8.69-8.71 (m, IH), 8.12-8.14 (d, IH), 7.99-8.01 (m, IH), Ia-130 'H NMR (400 MHz, CDCl3 δ, ppm) 8.69-8.71 (m, IH), 8.12-8.14 (d, IH), 7.99-8.01 (m, IH),
7.88-7.92 (m, IH), 7.47-7.51 (m, IH), 7.15 (s, IH), 6.97-7.00 (m, IH), 5.15 (m, IH), 4.19- 4.21 (d, 2H), 4.10-4.14 (dd, 2H), 3.13-3.17 (dd, 2H), 2.75-2.78 (m, IH), 1.21-1.23 (d, 6H) 7.88-7.92 (m, IH), 7.47-7.51 (m, IH), 7.15 (s, IH), 6.97-7.00 (m, IH), 5.15 (m, IH), 4.19-4.21 (d, 2H), 4.10-4.14 (dd, 2H), 3.13-3.17 (dd, 2H), 2.75-2.78 (m, IH), 1.21-1.23 (d, 6H)
Ia-133 'H-NMR (400 MHz, CDCI3 δ, ppm) 8.15-8.17 (d, IH), 7.50-7.63 (m, 2H), 7.09-7.11 (m, 2H), Ia-133 'H NMR (400 MHz, CDCl3 δ, ppm) 8.15-8.17 (d, IH), 7.50-7.63 (m, 2H), 7.09-7.11 (m, 2H),
6.97- 7.00 (m, IH), 4.63-4.66 (m, IH), 4.16-4.17 (d, 2H), 4.00-4.04 (m, 2H), 3.13-3.17 (m, 2H), 2.36-2.37 (m, 2H), 1.15-1.19 (m, IH), 0.60-0.65 (m, 2H), 0.20-0.22 (m, 2H) 6.97-7.00 (m, IH), 4.63-4.66 (m, IH), 4.16-4.17 (d, 2H), 4.00-4.04 (m, 2H), 3.13-3.17 (m, 2H), 2.36-2.37 (m , 2H), 1.15-1.19 (m, IH), 0.60-0.65 (m, 2H), 0.20-0.22 (m, 2H)
Ia-136 Ή-NMR (400 MHz, CDCI3 δ, ppm) 8.16-8.18 (d, IH), 7.34-7.35 (m, IH), 7.00-7.08 (m, 3H), Ia-136 Ή NMR (400 MHz, CDCl3 δ, ppm) 8.16-8.18 (d, IH), 7.34-7.35 (m, IH), 7.00-7.08 (m, 3H),
4.94-4.79 (m, IH), 4.16-4.17 (d, 2H), 4.01-4.05 (m, 2H), 3.13-3.17 (m, 2H), 2.36-2.38 (m, 2H), 1.17-1.26 (m, IH), 0.61-0.65 (m, 2H), 0.19-0.23 (m, 2H) 4.94-4.79 (m, IH), 4.16-4.17 (d, 2H), 4.01-4.05 (m, 2H), 3.13-3.17 (m, 2H), 2.36-2.38 (m, 2H), 1.17-1.26 (m , IH), 0.61-0.65 (m, 2H), 0.19-0.23 (m, 2H)
Ia-140 Ή-NMR (400 MHz, CDCI3 δ, ppm) 8.17-8.19 (m, IH), 7.38-7.39 (m, IH), 7.09 (s, IH), Ia-140 Ή NMR (400 MHz, CDCl3 δ, ppm) 8.17-8.19 (m, IH), 7.38-7.39 (m, IH), 7.09 (s, IH),
7.00-7.02 (m, IH), 6.91-6.92 (m, IH), 4.47-4.79 (m, IH), 4.16-4.17 (d, 2H), 4.01-4.05 (m, 2H), 3.13-3.17 (m, 2H), 2.36-2.38 (m, 2H), 1.16-1.19 (m, IH), 0.61-0.65 (m, 2H), 0.19-0.23 (m, 2H) 7.00-7.02 (m, IH), 6.91-6.92 (m, IH), 4.47-4.79 (m, IH), 4.16-4.17 (d, 2H), 4.01-4.05 (m, 2H), 3.13-3.17 (m , 2H), 2.36-2.38 (m, 2H), 1.16-1.19 (m, IH), 0.61-0.65 (m, 2H), 0.19-0.23 (m, 2H)
Ia-137 'H-NMR (400 MHz, CDCI3 δ, ppm) 8.18-8.20 (m, IH), 7.27-7.27 (m, IH), 7.02-7.04 (m, Ia-137 'H NMR (400 MHz, CDCl3 δ, ppm) 8.18-8.20 (m, IH), 7.27-7.27 (m, IH), 7.02-7.04 (m,
2H), 4.83-4.86 (m, IH), 4.19-4.21 (m, 2H), 4.04 (m, 2H), 3.14 (m, 2H), 2.36-2.38 (m, 2H), 1.16-1.18 (m, IH), 0.61-0.64 (m, 2H), 0.21-0.22 (m, 2H) 2H), 4.83-4.86 (m, 2H), 4.19-4.21 (m, 2H), 4.04 (m, 2H), 3.14 (m, 2H), 2.36-2.38 (m, 2H), 1.16-1.18 (m, IH), 0.61-0.64 (m, 2H), 0.21-0.22 (m, 2H)
Ia-146 'H-NMR (400 MHz, CDCI3 δ, ppm) 8.16-8.18 (m, IH), 7.43-7.44 (m, IH), 7.13 (s, IH), Ia-146 'H NMR (400 MHz, CDCl3 δ, ppm) 8.16-8.18 (m, IH), 7.43-7.44 (m, IH), 7.13 (s, IH),
6.98- 7.00 (m, IH), 6.75-6.77 (m, IH), 4.58 (m, IH), 4.13-4.14 (d, 2H), 4.00-4.04 (m, 2H), 3.13-3.17 (m, 2H), 2.66 (s, 3H), 2.36-2.37 (m, 2H), 1.16-1.19 (m, IH), 0.60-0.65 (m, 2H), 0.19-0.23 (m, 2H) 6.98-7.00 (m, IH), 6.75-6.77 (m, IH), 4.58 (m, IH), 4.13-4.14 (d, 2H), 4.00-4.04 (m, 2H), 3.13-3.17 (m, 2H ), 2.66 (s, 3H), 2.36-2.37 (m, 2H), 1.16-1.19 (m, IH), 0.60-0.65 (m, 2H), 0.19-0.23 (m, 2H)
Ia-147 'H-NMR (400 MHz, CDCI3 δ, ppm) 8.13-8.15 (m, IH), 7.86-7.88 (m, 2H), 7.82 (s, IH), Ia-147'H NMR (400 MHz, CDCl3 δ, ppm) 8.13-8.15 (m, IH), 7.86-7.88 (m, 2H), 7.82 (s, IH),
7.43-7.52 (m, 2H), 7.00-7.05 (m, 2H), 4.74-4.77 (m, IH), 4.21-4.23 (d, 2H), 3.91-3.95 (m, 2H), 2.99-3.03 (m, 2H), 2.33-2.35 (m, 2H), 1.14-1.18 (m, IH), 0.60-0.65 (m, 2H), 0.18-0.22 (m, 2H) 7.43-7.52 (m, 2H), 7.00-7.05 (m, 2H), 4.74-4.77 (m, IH), 4.21-4.23 (d, 2H), 3.91-3.95 (m, 2H), 2.99-3.03 (m , 2H), 2.33-2.35 (m, 2H), 1.14-1.18 (m, IH), 0.60-0.65 (m, 2H), 0.18-0.22 (m, 2H)
Ia-148 'H-NMR (400 MHz, CDCI3 δ, ppm) 8.12-8.14 (m, IH), 7.86-7.89 (m, 2H), 7.50-7.61 (m, Ia-148'H NMR (400 MHz, CDCl3 δ, ppm) 8.12-8.14 (m, IH), 7.86-7.89 (m, 2H), 7.50-7.61 (m,
3H), 7.06 (s, IH), 6.92-6.94 (m, IH), 4.66 (m, IH), 4.08-4.13 (m, 2H), 3.98-4.02 (m, 2H), 3.10-3.14 (m, 2H), 2.35-2.36 (m, 2H), 1.13-1.19 (m, IH), 0.60-0.64 (m, 2H), 0.18-0.22 (m, 2H) 3H), 7.06 (s, IH), 6.92-6.94 (m, IH), 4.66 (m, IH), 4.08-4.13 (m, 2H), 3.98-4.02 (m, 2H), 3.10-3.14 (m, 2H), 2.35-2.36 (m, 2H), 1.13-1.19 (m, IH), 0.60-0.64 (m, 2H), 0.18-0.22 (m, 2H)
Ia-151 'H-NMR (400 MHz, CDCI3 δ, ppm) 8.14-8.16 (m, IH), 7.68-7.71 (m, 2H), 7.61-7.64 (m, Ia-151 'H NMR (400 MHz, CDCl3 δ, ppm) 8.14-8.16 (m, IH), 7.68-7.71 (m, 2H), 7.61-7.64 (m,
2H), 6.96-7.00 (m, 2H), 4.66 (m, IH), 4.09-4.11 (m, 2H), 4.00-4.02 (m, 2H), 3.08-3.12 (m, 2H), 2.36-2.37 (m, 2H), 1.17 (m, IH), 0.61-0.65 (m, 2H), 0.19-0.21 (m, 2H) 2H), 6.96-7.00 (m, 2H), 4.66 (m, IH), 4.09-4.11 (m, 2H), 4.00-4.02 (m, 2H), 3.08-3.12 (m, 2H), 2.36-2.37 ( m, 2H), 1.17 (m, IH), 0.61-0.65 (m, 2H), 0.19-0.21 (m, 2H)
Ia-155 'H-NMR (400 MHz, CDCI3 δ, ppm) 8.15-8.17 (m, IH), 7.77-7.79 (m, 2H), 7.46-7.52 (m, Ia-155 'H NMR (400 MHz, CDCl3 δ, ppm) 8.15-8.17 (m, IH), 7.77-7.79 (m, 2H), 7.46-7.52 (m,
2H), 7.00-7.01 (m, 2H), 4.56-4.60 (m, IH), 4.10-4.11 (m, 2H), 4.00-4.02 (m, 2H), 3.09-3.13 (m, 2H), 2.36-2.37 (m, 2H), 1.16-1.18 (m, IH), 0.62-0.64 (m, 2H), 0.20-0.21 (m, 2H) 2H), 7.00-7.01 (m, 2H), 4.56-4.60 (m, IH), 4.10-4.11 (m, 2H), 4.00-4.02 (m, 2H), 3.09-3.13 (m, 2H), 2.36- 2.37 (m, 2H), 1.16-1.18 (m, IH), 0.62-0.64 (m, 2H), 0.20-0.21 (m, 2H)
Ia-161 'H-NMR (400 MHz, CDCI3 δ, ppm) 8.14-8.17 (m, IH), 7.86-7.89 (m, 2H), 7.16-7.21 (m, Ia-161'-H-NMR (400 MHz, CDCl3 δ, ppm) 8.14-8.17 (m, IH), 7.86-7.89 (m, 2H), 7.16-7.21 (m,
2H), 7.05 (s, IH), 6.95-6.97 (m, IH), 4.53-4.56 (m, IH), 4.09-4.10 (d, 2H), 3.99-4.02 (m, 2H), 3.10-3.15 (m, 2H), 2.36-2.37 (m, 2H), 1.15-1.19 (m, IH), 0.61-0.65 (m, 2H), 0.19-0.23 (m, 2H) 2H), 7.05 (s, IH), 6.95-6.97 (m, IH), 4.53-4.56 (m, IH), 4.09-4.10 (d, 2H), 3.99-4.02 (m, 2H), 3.10-3.15 ( m, 2H), 2.36-2.37 (m, 2H), 1.15-1.19 (m, IH), 0.61-0.65 (m, 2H), 0.19-0.23 (m, 2H)
Ia-167 'H-NMR (400 MHz, CDCI3 δ, ppm) 8.13-8.15 (m, IH), 7.75-7.77 (m, 2H), 7.31-7.33 (m, Ia-167 'H NMR (400 MHz, CDCl3 δ, ppm) 8.13-8.15 (m, IH), 7.75-7.77 (m, 2H), 7.31-7.33 (m,
2H), 7.08 (s, IH), 6.94 (m, IH), 4.47-4.50 (m, IH), 3.99-4.07 (m, 4H), 3.11-3.15 (m, 2H), 2.44 (s, 3H), 2.35-2.37 (m, 2H), 1.26 (m, IH), 0.60-0.65 (m, 2H), 0.20-0.21 (m, 2H) 2H), 7.08 (s, IH), 6.94 (m, IH), 4.47-4.50 (m, IH), 3.99-4.07 (m, 4H), 3.11-3.15 (m, 2H), 2.44 (s, 3H) , 2.35-2.37 (m, 2H), 1.26 (m, IH), 0.60-0.65 (m, 2H), 0.20-0.21 (m, 2H)
Ia-164 'H-NMR (400 MHz, CDCI3 δ, ppm) 8.14-8.16 (m, IH), 7.92-7.94 (m, 2H), 7.76-7.79 (m, 2H), 6.98-7.00 (m, 2H), 4.72-4.75 (m, 1H), 4.14-4.16 (m, 2H), 4.00.4.04 (m, 2H), 3.08-3.12 (m, 2H), 2.36-2.38 (m, 2H), 1.16-1.19 (m, 1H), 0.61-0.64 (m, 2H), 0.19-0.23 (m, 2H)Ia-164 'H NMR (400 MHz, CDCl3 δ, ppm) 8.14-8.16 (m, IH), 7.92-7.94 (m, 2H), 7.76-7.79 (m, 2H), 6.98-7.00 (m, 2H), 4.72-4.75 (m, 1H), 4.14-4.16 (m, 2H), 4.00.4.04 (m, 2H), 3.08-3.12 (m, 2H), 2.36- 2.38 (m, 2H), 1.16-1.19 (m, 1H), 0.61-0.64 (m, 2H), 0.19-0.23 (m, 2H)
Ia-163 'H-NMR (400 MHz, CDC13 δ, ppm) 8.03-8.07 (m, 2H), 7.92 (s, 1H), 7.78-7.80 (m, 1H), Ia-163'-H-NMR (400 MHz, CDC1 3 δ, ppm) 8.03-8.07 (m, 2H), 7.92 (s, 1H), 7.78-7.80 (m, 1H),
7.59-7.63 (m, 1H), 7.07 (s, 1H), 6.85-6.87 (m, 1H), 4.84-4.87 (m, 1H), 4.17-4.19 (d, 2H), 4.02-4.06 (m, 2H), 3.14-3.18 (m, 2H), 2.36-2.38 (m, 2H), 1.15-1.19 (m, 1H), 0.62-0.64 (m, 2H), 0.20-0.22 (m, 2H) 7.59-7.63 (m, 1H), 7.07 (s, 1H), 6.85-6.87 (m, 1H), 4.84-4.87 (m, 1H), 4.17-4.19 (d, 2H), 4.02-4.06 (m, 2H ), 3.14-3.18 (m, 2H), 2.36-2.38 (m, 2H), 1.15-1.19 (m, 1H), 0.62-0.64 (m, 2H), 0.20-0.22 (m, 2H)
Ia-173 'H-NMR (400 MHz, CDCI3 δ, ppm) 8.13 (m, 1H), 7.94-7.97 (m, 2H), 7.74-7.76 (m, 2H), Ia-173'H-NMR (400 MHz, CDCl3 δ, ppm) 8.13 (m, 1H), 7.94-7.97 (m, 2H), 7.74-7.76 (m, 2H),
6.97-7.00 (m, 2H), 4.79 (m, 1H), 4.14-4.15 (m, 2H), 3.98-4.02 (m, 2H), 3.08-3.10 (m, 2H), 2.35-2.37 (m, 2H), 1.15-1.18 (m, 1H), 0.61-0.65 (m, 2H), 0.20-0.21 (m, 2H) 6.97-7.00 (m, 2H), 4.79 (m, 1H), 4.14-4.15 (m, 2H), 3.98-4.02 (m, 2H), 3.08-3.10 (m, 2H), 2.35-2.37 (m, 2H , 1.15-1.18 (m, 1H), 0.61-0.65 (m, 2H), 0.20-0.21 (m, 2H)
Ia-170 'H-NMR (400 MHz, CDCI3 δ, ppm) 8.13-8.15 (m, 1H), 7.79-7.83 (m, 2H), 7.07 (s, 1H), Ia170'H-NMR (400 MHz, CDCl3 δ, ppm) 8.13-8.15 (m, 1H), 7.79-7.83 (m, 2H), 7.07 (s, 1H),
6.93-6.99 (m, 3H), 4.44-4.47 (m, 1H), 3.99-4.07 (m, 4H), 3.88 (s, 3H), 3.11-3.15 (m, 2H), 2.35-2.37 (m, 2H), 1.15-1.18 (m, 1H), 0.60-0.65 (m, 2H), 0.20-0.21 (m, 2H) 6.93-6.99 (m, 3H), 4.44-4.47 (m, 1H), 3.99-4.07 (m, 4H), 3.88 (s, 3H), 3.11-3.15 (m, 2H), 2.35-2.37 (m, 2H , 1.15-1.18 (m, 1H), 0.60-0.65 (m, 2H), 0.20-0.21 (m, 2H)
Ia-174 Ή-NMR (400 MHz, CDCI3 δ, ppm) 8.69-8.71 (m, 1H), 8.12-8.14 (m, 1H), 7.99-8.01 (m, Ia-174 Ή NMR (400 MHz, CDCl3 δ, ppm) 8.69-8.71 (m, 1H), 8.12-8.14 (m, 1H), 7.99-8.01 (m,
2H), 7.88-7.92 (m, 1H), 7.47-7.52 (m, 1H), 7.15 (s, 1H), 6.98-7.00 (m, 1H), 5.14 (m, 1H), 4.19-4.21 (m, 2H), 3.99-4.03 (m, 2H), 3.12-3.16 (m, 2H), 2.36-2.37 (m, 2H), 1.14-1.21 (m, 1H), 0.60-0.65 (m, 2H), 0.19-0.23 (m, 2H) 2H), 7.88-7.92 (m, 1H), 7.47-7.52 (m, 1H), 7.15 (s, 1H), 6.98-7.00 (m, 1H), 5.14 (m, 1H), 4.19-4.21 (m, 2H), 3.99-4.03 (m, 2H), 3.12-3.16 (m, 2H), 2.36-2.37 (m, 2H), 1.14-1.21 (m, 1H), 0.60-0.65 (m, 2H), 0.19- 0.23 (m, 2H)
Ia-309 Ή-NMR (400 MHz, CDCI3 δ, ppm) 8.07-8.12 (m, 1H), 7.58-7.63 (m, 2H), 7.07-7.11 (m, Ia-309 Ή-NMR (400 MHz, CDCl3 δ, ppm) 8.07-8.12 (m, 1H), 7.58-7.63 (m, 2H), 7.07-7.11 (m,
2H), 6.98-7.01 (m, 1H), 4.74 (m, 1H), 4.17-4.20 (m, 2H), 3.75 (s, 2H), 2.39-2.45 (m, 2H), 1.19-1.33 (m, 9H) 2H), 6.98-7.01 (m, 1H), 4.74 (m, 1H), 4.17-4.20 (m, 2H), 3.75 (s, 2H), 2.39-2.45 (m, 2H), 1.19-1.33 (m, 9H)
Ia-265 'H-NMR (400 MHz, CDCI3 δ, ppm) 8.43 (s, 1H), 7.56-7.59 (m, 2H), 7.16 (s, 1H), 7.04-7.07 Ia-265'H NMR (400 MHz, CDCl3 δ, ppm) 8.43 (s, 1H), 7.56-7.59 (m, 2H), 7.16 (s, 1H), 7.04-7.07
(m, 1H), 4.95 (m, 1H), 4.25-4.26 (m, 2H), 4.03-4.07 (dd, 2H), 3.09-3.13 (m, 2H), 2.43-2.45 (m, 2H), 1.20-1.28 (m, 3H) (m, 1H), 4.95 (m, 1H), 4.25-4.26 (m, 2H), 4.03-4.07 (dd, 2H), 3.09-3.13 (m, 2H), 2.43-2.45 (m, 2H), 1.20 -1.28 (m, 3H)
Ia-268 'H-NMR (400 MHz, CDCI3 δ, ppm) 8.44 (s, 1H), 7.26-7.29 (m, 1H), 7.09 (s, 1H), 6.99-7.00 Ia-268'H-NMR (400 MHz, CDCl3 δ, ppm) 8.44 (s, 1H), 7.26-7.29 (m, 1H), 7.09 (s, 1H), 6.99-7.00
(m, 1H), 5.05 (m, 1H), 4.26-4.27 (d, 2H), 4.04-4.09 (dd, 2H), 3.11 (m, 2H), 2.43-2.45 (m, 2H), 1.21-1.24 (m, 3H) (m, 1H), 5.05 (m, 1H), 4.26-4.27 (d, 2H), 4.04-4.09 (dd, 2H), 3.11 (m, 2H), 2.43-2.45 (m, 2H), 1.21-1.24 (m, 3H)
Ia-272 'H-NMR (400 MHz, CDCI3 δ, ppm) 8.44 (s, 1H), 7.32-7.33 (m, 1H), 7.11 (s, 1H), 6.86-6.87 Ia-272'H NMR (400 MHz, CDCl3 δ, ppm) 8.44 (s, 1H), 7.32-7.33 (m, 1H), 7.11 (s, 1H), 6.86-6.87
(m, 1H), 5.04 (m, 1H), 4.26-4.27 (d, 2H), 4.04-4.08 (dd, 2H), 3.09-3.13 (m, 2H), 2.43-2.45 (m, 2H), 1.21-1.24 (m, 3H) (m, 1H), 5.04 (m, 1H), 4.26-4.27 (d, 2H), 4.04-4.08 (dd, 2H), 3.09-3.13 (m, 2H), 2.43-2.45 (m, 2H), 1.21 -1.24 (m, 3H)
Ia-269 'H-NMR (400 MHz, CDCI3 δ, ppm) 8.45 (s, 1H), 7.16 (s, 1H), 7.03 (s, 1H), 5.26-5.29 (m, Ia-269 'H NMR (400 MHz, CDCl3 δ, ppm) 8.45 (s, 1H), 7.16 (s, 1H), 7.03 (s, 1H), 5.26-5.29 (m,
1H), 4.30-4.31 (d, 2H), 4.05-4.09 (m, 2H), 3.10 (m, 2H), 2.43-2.45 (m, 2H), 1.21-1.25 (m, 3H) 1H), 4.30-4.31 (d, 2H), 4.05-4.09 (m, 2H), 3.10 (m, 2H), 2.43-2.45 (m, 2H), 1.21-1.25 (m, 3H)
Ia-280 'H-NMR (400 MHz, CDCI3 δ, ppm) 8.39 (s, 1H), 7.82-7.84 (m, 2H), 7.45-7.54 (m, 3H), 7.10 Ia-280 'H NMR (400 MHz, CDCl3 δ, ppm) 8.39 (s, 1H), 7.82-7.84 (m, 2H), 7.45-7.54 (m, 3H), 7.10
(s, 1H), 4.88 (m, 1H), 4.18-4.19 (d, 2H), 4.01-4.06 (m, 2H), 3.05-3.10 (m, 2H), 2.40-2.46 (m, 2H), 1.20-1.24 (m, 3H) (s, 1H), 4.88 (m, 1H), 4.18-4.19 (d, 2H), 4.01-4.06 (m, 2H), 3.05-3.10 (m, 2H), 2.40-2.46 (m, 2H), 1.20 -1.24 (m, 3H)
Ia-283 'H-NMR (400 MHz, CDCI3 δ, ppm) 8.39 (s, 1H), 7.61-7.63 (d, 2H), 7.54-7.56 (d, 2H), 6.93 Ia-283'H-NMR (400 MHz, CDCl3 δ, ppm) 8.39 (s, 1H), 7.61-7.63 (d, 2H), 7.54-7.56 (d, 2H), 6.93
(s, 1H), 5.07 (m, 1H), 4.20-4.21 (d, 2H), 4.03-4.07 (dd, 2H), 3.01-3.06 (m, 2H), 2.42-2.44 (m, 2H), 1.21-1.24 (t, 3H) (s, 1H), 5.07 (m, 1H), 4.20-4.21 (d, 2H), 4.03-4.07 (dd, 2H), 3.01-3.06 (m, 2H), 2.42-2.44 (m, 2H), 1.21 -1.24 (t, 3H)
Ia-221 'H-NMR (400 MHz, CDCI3 δ, ppm) 7.61-7.64 (m, 2H), 7.52-7.55 (m, 2H), 7.42-7.49 (m, Ia-221'H-NMR (400 MHz, CDCl3 δ, ppm) 7.61-7.64 (m, 2H), 7.52-7.55 (m, 2H), 7.42-7.49 (m,
3H), 7.25-7.27 (m, 2H), 7.10-7.14 (m, 2H), 4.62-4.63 (m, 1H), 4.16-4.18 (d, 2H), 4.07-4.11 (m, 2H), 3.06-3.10 (m, 2H) 3H), 7.25-7.27 (m, 2H), 7.10-7.14 (m, 2H), 4.62-4.63 (m, 1H), 4.16-4.18 (d, 2H), 4.07-4.11 (m, 2H), 3.06- 3.10 (m, 2H)
Ia-225 'H-NMR (400 MHz, CDCI3 δ, ppm) 7.44-7.55 (m, 5H), 7.22-7.27 (m, 3H), 7.24 (s, 1H), Ia-225 'H-NMR (400 MHz, CDCl3 δ, ppm) 7.44-7.55 (m, 5H), 7.22-7.27 (m, 3H), 7.24 (s, 1H),
4.79-4.82 (m, 1H), 4.20-4.21 (d, 2H), 4.08-4.11 (m, 2H), 3.05-3.09 (m, 2H) Ia-234 'H-NMR (400 MHz, CDC13 δ, ppm) 7.44-7.54 (m, 7H), 7.25-7.31 (m, 3H), 7.16 (s, 1H), 6.76-6.77 (m, 1H), 4.53-4.56 (m, 1H), 4.07-4.15 (m, 4H), 3.06-3.11 (m, 2H), 2.55 (s, 3H)4.79-4.82 (m, 1H), 4.20-4.21 (d, 2H), 4.08-4.11 (m, 2H), 3.05-3.09 (m, 2H) Ia-234 'H-NMR (400 MHz, CDC1 3 δ, ppm) 7:44 to 7:54 (m, 7H), 7:25 to 7:31 (m, 3H), 7.16 (s, 1H), 6.76-6.77 (m, 1H) , 4.53-4.56 (m, 1H), 4.07-4.15 (m, 4H), 3.06-3.11 (m, 2H), 2.55 (s, 3H)
Ia-235 'H-NMR (400 MHz, DMSO δ, ppm) 8.74-8.77 (m, 1H), 8.54-8.57 (m, 1H), 8.06-8.08 (m, Ia-235'H NMR (400 MHz, DMSO δ, ppm) 8.74-8.77 (m, 1H), 8.54-8.57 (m, 1H), 8.06-8.08 (m,
1H), 7.95-7.97 (m, 1H), 7.83 (s, 1H), 7.42-7.55 (m, 8H), 7.28 (s, 1H), 7.08 (m, 1H), 4.09-4.11 (m, 2H), 3.82-3.87 (m, 2H), 2.99-3.03 (m, 2H) 1H), 7.95-7.97 (m, 1H), 7.83 (s, 1H), 7.42-7.55 (m, 8H), 7.28 (s, 1H), 7.08 (m, 1H), 4.09-4.11 (m, 2H) , 3.82-3.87 (m, 2H), 2.99-3.03 (m, 2H)
Ia-236 'H-NMR (400 MHz, DMSO δ, ppm) 8.08-8.09 (m, 1H), 7.73-7.80 (m, 2H), 7.47-7.66 (m, Ia-236'H NMR (400 MHz, DMSO δ, ppm) 8.08-8.09 (m, 1H), 7.73-7.80 (m, 2H), 7.47-7.66 (m,
8H), 6.98-7.09 (m, 2H), 3.93-4.04 (m, 4H), 2.98-3.03 (m, 2H) 8H), 6.98-7.09 (m, 2H), 3.93-4.04 (m, 4H), 2.98-3.03 (m, 2H)
Ia-239 'H-NMR (400 MHz, DMSO δ, ppm) 8.20-8.23 (m, 1H), 7.73-7.77 (m, 2H), 7.63-7.65 (m, Ia-239 'H NMR (400 MHz, DMSO δ, ppm) 8.20-8.23 (m, 1H), 7.73-7.77 (m, 2H), 7.63-7.65 (m,
2H), 7.47-7.57 (m, 5H), 6.98-7.03 (m, 2H), 3.96-4.06 (m, 4H), 2.96-3.00 (m, 2H) 2H), 7.47-7.57 (m, 5H), 6.98-7.03 (m, 2H), 3.96-4.06 (m, 4H), 2.96-3.00 (m, 2H)
Ia-243 'H-NMR (400 MHz, DMSO δ, ppm) 8.20-8.23 (m, 1H), 7.72-7.74 (m, 2H), 7.47-7.63 (m, Ia-243'-H-NMR (400 MHz, DMSO δ, ppm) 8.20-8.23 (m, 1H), 7.72-7.74 (m, 2H), 7.47-7.63 (m,
7H), 6.98-7.04 (m, 2H), 3.95-4.04 (m, 4H), 2.97-3.01 (m, 2H) 7H), 6.98-7.04 (m, 2H), 3.95-4.04 (m, 4H), 2.97-3.01 (m, 2H)
Ia-249 'H-NMR (400 MHz, DMSO δ, ppm) 8.12-8.15 (m, 1H), 7.80-7.84 (m, 2H), 7.38-7.58 (m, Ia-249'-H-NMR (400 MHz, DMSO δ, ppm) 8.12-8.15 (m, 1H), 7.80-7.84 (m, 2H), 7.38-7.58 (m,
8H), 7.08 (m, 1H), 4.36-4.38 (m, 1H), 3.94-4.00 (m, 4H), 2.99-3.03 (m, 2H) 8H), 7.08 (m, 1H), 4.36-4.38 (m, 1H), 3.94-4.00 (m, 4H), 2.99-3.03 (m, 2H)
Ia-255 'H-NMR (400 MHz, DMSO δ, ppm) 7.98-8.02 (m, 1H), 7.66-7.68 (m, 2H), 7.49-7.55 (m, Ia-255 'H NMR (400 MHz, DMSO δ, ppm) 7.98-8.02 (m, 1H), 7.66-7.68 (m, 2H), 7.49-7.55 (m,
5H), 7.36-7.38 (m, 2H), 6.98-7.08 (m, 2H), 3.89-4.04 (m, 4H), 2.98-3.03 (m, 2H) 5H), 7.36-7.38 (m, 2H), 6.98-7.08 (m, 2H), 3.89-4.04 (m, 4H), 2.98-3.03 (m, 2H)
Ia-252 'H-NMR (400 MHz, DMSO δ, ppm) 8.41-8.44 (m, 1H), 7.97-8.08 (m, 2H), 7.85-7.87 (m, Ia-252 'H NMR (400 MHz, DMSO δ, ppm) 8.41-8.44 (m, 1H), 7.97-8.08 (m, 2H), 7.85-7.87 (m,
2H), 7.47-7.57 (m, 5H), 6.96-7.03 (m, 2H), 3.95-4.04 (m, 4H), 2.96-3.06 (m, 2H) 2H), 7.47-7.57 (m, 5H), 6.96-7.03 (m, 2H), 3.95-4.04 (m, 4H), 2.96-3.06 (m, 2H)
Ia-251 'H-NMR (400 MHz, DMSO δ, ppm) 8.34-8.37 (m, 1H), 8.01-8.08 (m, 2H), 7.94 (s, 1H), Ia-251'H-NMR (400 MHz, DMSO δ, ppm) 8.34-8.37 (m, 1H), 8.01-8.08 (m, 2H), 7.94 (s, 1H),
7.73-7.81 (m, 1H), 7.46-7.56 (m, 5H), 6.93-7.03 (m, 2H), 4.36-4.38 (d, 1H), 3.95-4.04 (m, 4H), 2.95-3.03 (m, 2H) 7.73-7.81 (m, 1H), 7.46-7.56 (m, 5H), 6.93-7.03 (m, 2H), 4.36-4.38 (d, 1H), 3.95-4.04 (m, 4H), 2.95-3.03 (m , 2H)
Ia-261 'H-NMR (400 MHz, DMSO δ, ppm) 8.40-8.41 (m, 1H), 7.91 (s, 3H), 7.48-7.54 (m, 6H), Ia-261'-H-NMR (400 MHz, DMSO δ, ppm) 8.40-8.41 (m, 1H), 7.91 (s, 3H), 7.48-7.54 (m, 6H),
6.98-7.03 (m, 2H), 3.93-4.02 (m, 4H), 2.94-2.98 (m, 2H) 6.98-7.03 (m, 2H), 3.93-4.02 (m, 4H), 2.94-2.98 (m, 2H)
Ia-258 'H-NMR (400 MHz, DMSO δ, ppm) 7.91-7.94 (m, 1H), 7.69-7.71 (m, 2H), 7.47-7.56 (m, Ia-258'H-NMR (400 MHz, DMSO δ, ppm) 7.91-7.94 (m, 1H), 7.69-7.71 (m, 2H), 7.47-7.56 (m,
6H), 6.98-7.09 (m, 3H), 3.88-4.00 (m, 4H), 3.83 (s, 3H), 2.98-3.03 (m, 2H) 6H), 6.98-7.09 (m, 3H), 3.88-4.00 (m, 4H), 3.83 (s, 3H), 2.98-3.03 (m, 2H)
Ia-262 'H-NMR (400 MHz, DMSO δ, ppm) 8.71-8.72 (m, 1H), 8.35 (m, 1H), 8.02-8.06 (m, 2H), Ia-262'H-NMR (400 MHz, DMSO δ, ppm) 8.71-8.72 (m, 1H), 8.35 (m, 1H), 8.02-8.06 (m, 2H),
7.87-7.89 (m, 2H), 7.49-7.66 (m, 4H), 6.98-7.11 (m, 2H), 4.10 -4.12 (m, 2H), 3.96-3.98 (m, 2H), 2.98-3.02 (m, 2H) 7.87-7.89 (m, 2H), 7.49-7.66 (m, 4H), 6.98-7.11 (m, 2H), 4.10 -4.12 (m, 2H), 3.96-3.98 (m, 2H), 2.98-3.02 (m , 2H)
In Analogie zu den oben angeführten und an entsprechender Stelle rezitierten Herstellungsbeispielen und unter Berücksichtigung der allgemeinen Angaben zur Herstellung von substituierten In analogy to the production examples recited above and recited in the appropriate place and taking into account the general information for the preparation of substituted
Indolmylmethylsulfonamide der allgemeinen Formel (I) erhält man die nachfolgend genannten Indolmethylmethylsulfonamides of the general formula (I) give the following
Verbindungen. Links.
AI . Verbindungen Ia-001 bis Ia-484 der allgemeinen Formel (I), worin R2, R3, R6, R8, R9, R10 und R11 für Wasserstoff, X für O stehen und R1, R4, R5, R7 und R12 den Definitionen (Nr. Ia-001 bis Ia-484) in der folgenden Tabelle 2 entsprechen. AI. Compounds Ia-001 to Ia-484 of the general formula (I) in which R 2 , R 3 , R 6 , R 8 , R 9 , R 10 and R 11 are hydrogen, X is O and R 1 , R 4 , R 5 , R 7 and R 12 correspond to Definitions (Nos. Ia-001 to Ia-484) in the following Table 2.
Tabelle 2: Table 2:
Nr. R1 R4 R5 R7 R12 No. R 1 R 4 R 5 R 7 R 12
Ia-001 Methyl H H H 2-Thienyl Ia-001 methyl H H H 2-thienyl
Ia-002 Methyl H H H 3 -Brom-2-thienylIa-002 Methyl H H H 3 -bromo-2-thienyl
Ia-003 Methyl H H H 4-Brom-2-thienylIa-003 Methyl H H H 4-Bromo-2-thienyl
Ia-004 Methyl H H H 5-Brom-2-thienylIa-004 methyl H H H 5-bromo-2-thienyl
Ia-005 Methyl H H H 4,5 -Dibrom-2 -thienylIa-005 Methyl H H H 4,5-dibromo-2-thienyl
Ia-006 Methyl H H H 3-Chlor-2-thienylIa-006 methyl H H H 3-chloro-2-thienyl
Ia-007 Methyl H H H 4-Chlor-2-thienylIa-007 methyl H H H 4-chloro-2-thienyl
Ia-008 Methyl H H H 5-Chlor-2-thienylIa-008 methyl H H H 5-chloro-2-thienyl
Ia-009 Methyl H H H 4,5-Dichlor-2-thienylIa-009 methyl H H H 4,5-dichloro-2-thienyl
Ia-010 Methyl H H H 5-Flour-2-thienylIa-010 methyl H H H 5-fluoro-2-thienyl
Ia-011 Methyl H H H 5-Iod-2-thienylIa-011 methyl H H H 5-iodo-2-thienyl
Ia-012 Methyl H H H 3-Methyl-2-thienylIa-O12 methyl H H H 3-methyl-2-thienyl
Ia-013 Methyl H H H 4-Methyl-2-thienylIa-O13 methyl H H H 4-methyl-2-thienyl
Ia-014 Methyl H H H 5-Methyl-2-thienylIa-014 methyl H H H 5-methyl-2-thienyl
Ia-015 Methyl H H H 1 -Benzothiophen-2-ylIa-015 methyl H H H -benzothiophen-2-yl
Ia-016 Methyl H H H PhenylIa-016 methyl H H H phenyl
Ia-017 Methyl H H H 2-BromphenylIa-017 methyl H H H 2-bromophenyl
Ia-018 Methyl H H H 3-BromphenylIa-018 methyl H H H 3-bromophenyl
Ia-019 Methyl H H H 4-BromphenylIa-019 methyl H H H 4-bromophenyl
Ia-020 Methyl H H H 4-BrombenzylIa-020 methyl H H H 4-bromobenzyl
Ia-021 Methyl H H H 2-ChlorphenylIa-O21 methyl H H H 2-chlorophenyl
Ia-022 Methyl H H H 3-ChlorphenylIa-022 methyl H H H 3-chlorophenyl
Ia-023 Methyl H H H 4-ChlorphenylIa-023 methyl H H H 4-chlorophenyl
Ia-024 Methyl H H H 2,4-ChlorphenylIa-024 methyl H H H 2,4-chlorophenyl
Ia-025 Methyl H H H 3,4-ChlorphenylIa-025 methyl H H H 3,4-chlorophenyl
Ia-026 Methyl H H H 2-(4-Chlorphenyl)ethylIa-026 methyl H H H 2- (4-chlorophenyl) ethyl
Ia-027 Methyl H H H 2-FluorphenylIa-027 methyl H H H 2-fluorophenyl
Ia-028 Methyl H H H 3-FluorphenylIa-028 methyl H H H 3-fluorophenyl
Ia-029 Methyl H H H 4-FluorphenylIa-029 methyl H H H 4-fluorophenyl
Ia-030 Methyl H H H 2-CyanophenylIa-030 methyl H H H 2-cyanophenyl
Ia-031 Methyl H H H 3-CyanophenylIa-031 methyl H H H 3-cyanophenyl
Ia-032 Methyl H H H 4-CyanophenylIa-032 methyl H H H 4-cyanophenyl
Ia-033 Methyl H H H 2-MethylphenylIa-O33 methyl H H H 2-methylphenyl
Ia-034 Methyl H H H 3-MethylphenylIa-034 methyl H H H 3-methylphenyl
Ia-035 Methyl H H H 4-MethylphenylIa-035 methyl H H H 4-methylphenyl
Ia-036 Methyl H H H 2-MethoxyphenylIa-036 methyl H H H 2-methoxyphenyl
Ia-037 Methyl H H H 3 -MethoxyphenylIa-037 methyl H H H 3 -methoxyphenyl
Ia-038 Methyl H H H 4-Methoxyphenyl Nr. R1 R4 R5 R7 R12 Ia-038 methyl HHH 4-methoxyphenyl No. R 1 R 4 R 5 R 7 R 12
Ia-039 Methyl H H H 2-(Trifluormethyl)phenyl Ia-O39 methyl H H H 2- (trifluoromethyl) phenyl
Ia-040 Methyl H H H 3 -(Trifluormethyl)phenylIa-040 methyl H H H 3 - (trifluoromethyl) phenyl
Ia-041 Methyl H H H 4-(Trifluormethyl)phenylIa-041 methyl H H H 4- (trifluoromethyl) phenyl
Ia-042 Methyl H H H Pyridin-2-ylIa-042 methyl H H H pyridin-2-yl
Ia-043 Methyl H H H Pyridin-3-ylIa-043 methyl H H H pyridin-3-yl
Ia-044 Methyl H H H Pyridin-4-ylIa-044 methyl H H H pyridin-4-yl
Ia-045 Ethyl H H H 2-ThienylIa-045 ethyl H H H 2-thienyl
Ia-046 Ethyl H H H 3 -Brom-2-thienylIa-O46 ethyl H H H 3 -bromo-2-thienyl
Ia-047 Ethyl H H H 4-Brom-2-thienylIa-047 ethyl H H H 4-bromo-2-thienyl
Ia-048 Ethyl H H H 5-Brom-2-thienylIa-048 ethyl H H H 5-bromo-2-thienyl
Ia-049 Ethyl H H H 4,5 -Dibrom-2 -thienylIa-049 ethyl H H H 4,5-dibromo-2-thienyl
Ia-050 Ethyl H H H 3-Chlor-2-thienylIa-O50 ethyl H H H 3-chloro-2-thienyl
Ia-051 Ethyl H H H 4-Chlor-2-thienylIa-051 ethyl H H H 4-chloro-2-thienyl
Ia-052 Ethyl H H H 5-Chlor-2-thienylIa-052 ethyl H H H 5-chloro-2-thienyl
Ia-053 Ethyl H H H 4,5-Dichlor-2-thienylIa-053 ethyl H H H 4,5-dichloro-2-thienyl
Ia-054 Ethyl H H H 5-Flour-2-thienylIa-054 ethyl H H H 5-fluoro-2-thienyl
Ia-055 Ethyl H H H 5-Iod-2-thienylIa-055 ethyl H H H 5-iodo-2-thienyl
Ia-056 Ethyl H H H 3-Methyl-2-thienylIa-056 ethyl H H H 3-methyl-2-thienyl
Ia-057 Ethyl H H H 4-Methyl-2-thienylIa-057 ethyl H H H 4-methyl-2-thienyl
Ia-058 Ethyl H H H 5-Methyl-2-thienylIa-058 ethyl H H H 5-methyl-2-thienyl
Ia-059 Ethyl H H H 1 -Benzothiophen-2-ylIa-059 ethyl H H H -benzothiophen-2-yl
Ia-060 Ethyl H H H PhenylIa-060 ethyl H H H phenyl
Ia-061 Ethyl H H H 2-BromphenylIa-061 ethyl H H H 2-bromophenyl
Ia-062 Ethyl H H H 3-BromphenylIa-062 ethyl H H H 3-bromophenyl
Ia-063 Ethyl H H H 4-BromphenylIa-063 ethyl H H H 4-bromophenyl
Ia-064 Ethyl H H H 4-BrombenzylIa-064 ethyl H H H 4-bromobenzyl
Ia-065 Ethyl H H H 2-ChlorphenylIa-065 ethyl H H H 2-chlorophenyl
Ia-066 Ethyl H H H 3-ChlorphenylIa-066 ethyl H H H 3-chlorophenyl
Ia-067 Ethyl H H H 4-ChlorphenylIa-067 ethyl H H H 4-chlorophenyl
Ia-068 Ethyl H H H 2,4-ChlorphenylIa-O68 ethyl H H H 2,4-chlorophenyl
Ia-069 Ethyl H H H 3,4-ChlorphenylIa-069 ethyl H H H 3,4-chlorophenyl
Ia-070 Ethyl H H H 2-(4-Chlorphenyl)ethylIa-070 ethyl H H H 2- (4-chlorophenyl) ethyl
Ia-071 Ethyl H H H 2-FluorphenylIa-071 ethyl H H H 2-fluorophenyl
Ia-072 Ethyl H H H 3-FluorphenylIa-072 ethyl H H H 3-fluorophenyl
Ia-073 Ethyl H H H 4-FluorphenylIa-073 ethyl H H H 4-fluorophenyl
Ia-074 Ethyl H H H 2-CyanophenylIa-074 ethyl H H H 2-cyanophenyl
Ia-075 Ethyl H H H 3-CyanophenylIa-075 ethyl H H H 3-cyanophenyl
Ia-076 Ethyl H H H 4-CyanophenylIa-076 ethyl H H H 4-cyanophenyl
Ia-077 Ethyl H H H 2-MethylphenylIa-077 ethyl H H H 2-methylphenyl
Ia-078 Ethyl H H H 3-MethylphenylIa-078 ethyl H H H 3-methylphenyl
Ia-079 Ethyl H H H 4-MethylphenylIa-079 ethyl H H H 4-methylphenyl
Ia-080 Ethyl H H H 2-MethoxyphenylIa-080 ethyl H H H 2-methoxyphenyl
Ia-081 Ethyl H H H 3 -MethoxyphenylIa-081 ethyl H H H 3 -methoxyphenyl
Ia-082 Ethyl H H H 4-MethoxyphenylIa-082 ethyl H H H 4-methoxyphenyl
Ia-083 Ethyl H H H 2-(Trifluormethyl)phenylIa-083 ethyl H H H 2- (trifluoromethyl) phenyl
Ia-084 Ethyl H H H 3 -(Trifluormethyl)phenyl Nr. R1 R4 R5 R7 R12 Ia-084 ethyl HHH 3 - (trifluoromethyl) phenyl No. R 1 R 4 R 5 R 7 R 12
Ia-085 Ethyl H H H 4-(Trifluormethyl)phenyl Ia-085 ethyl H H H 4- (trifluoromethyl) phenyl
Ia-086 Ethyl H H H Pyridin-2-ylIa-086 ethyl H H H pyridin-2-yl
Ia-087 Ethyl H H H Pyridin-3-ylIa-087 ethyl H H H pyridin-3-yl
Ia-088 Ethyl H H H Pyridin-4-ylIa-088 ethyl H H H pyridin-4-yl
Ia-089 Isopropyl H H H 2-ThienylIa-089 isopropyl H H H 2-thienyl
Ia-090 Isopropyl H H H 3 -Brom-2-thienylIa-090 isopropyl H H H 3 -bromo-2-thienyl
Ia-091 Isopropyl H H H 4-Brom-2-thienylIa-091 isopropyl H H H 4-bromo-2-thienyl
Ia-092 Isopropyl H H H 5-Brom-2-thienylIa-092 isopropyl H H H 5-bromo-2-thienyl
Ia-093 Isopropyl H H H 4,5 -Dibrom-2 -thienylIa-093 isopropyl H H H 4,5-dibromo-2-thienyl
Ia-094 Isopropyl H H H 3-Chlor-2-thienylIa-094 isopropyl H H H 3-chloro-2-thienyl
Ia-095 Isopropyl H H H 4-Chlor-2-thienylIa-095 isopropyl HHH 4-chloro-2-thienyl
Ia-096 Isopropyl H H H 5-Chlor-2-thienylIa-096 isopropyl H H H 5-chloro-2-thienyl
Ia-097 Isopropyl H H H 4,5-Dichlor-2-thienylIa-097 isopropyl H H H 4,5-dichloro-2-thienyl
Ia-098 Isopropyl H H H 5-Flour-2-thienylIa-098 isopropyl H H H 5-fluoro-2-thienyl
Ia-099 Isopropyl H H H 5-Iod-2-thienylIa-099 isopropyl H H H 5-iodo-2-thienyl
Ia-100 Isopropyl H H H 3-Methyl-2-thienylIa-100 isopropyl H H H 3-methyl-2-thienyl
Ia-101 Isopropyl H H H 4-Methyl-2-thienylIa-101 isopropyl HHH 4-methyl-2-thienyl
Ia-102 Isopropyl H H H 5-Methyl-2-thienylIa-102 isopropyl H H H 5-methyl-2-thienyl
Ia-103 Isopropyl H H H 1 -Benzothiophen-2-ylIa-103 isopropyl H H H -benzothiophene-2-yl
Ia-104 Isopropyl H H H PhenylIa-104 isopropyl HHH phenyl
Ia-105 Isopropyl H H H 2-BromphenylIa-105 isopropyl H H H 2-bromophenyl
Ia-106 Isopropyl H H H 3-BromphenylIa-106 isopropyl H H H 3-bromophenyl
Ia-107 Isopropyl H H H 4-BromphenylIa-107 isopropyl H H H 4-bromophenyl
Ia-108 Isopropyl H H H 4-BrombenzylIa-108 isopropyl H H H 4-bromobenzyl
Ia-109 Isopropyl H H H 2-ChlorphenylIa-109 isopropyl H H H 2-chlorophenyl
Ia-110 Isopropyl H H H 3-ChlorphenylIa-110 isopropyl H H H 3-chlorophenyl
Ia-111 Isopropyl H H H 4-ChlorphenylIa-111 isopropyl HHH 4-chlorophenyl
Ia-112 Isopropyl H H H 2,4-ChlorphenylIa-112 isopropyl HHH 2,4-chlorophenyl
Ia-113 Isopropyl H H H 3,4-ChlorphenylIa-113 isopropyl H H H 3,4-chlorophenyl
Ia-114 Isopropyl H H H 2-(4-Chlorphenyl)ethylIa-114 isopropyl H H H 2- (4-chlorophenyl) ethyl
Ia-115 Isopropyl H H H 2-FluorphenylIa-115 isopropyl H H H 2-fluorophenyl
Ia-116 Isopropyl H H H 3-FluorphenylIa-116 isopropyl H H H 3-fluorophenyl
Ia-117 Isopropyl H H H 4-FluorphenylIa-117 isopropyl H H H 4-fluorophenyl
Ia-118 Isopropyl H H H 2-CyanophenylIa-118 isopropyl H H H 2-cyanophenyl
Ia-119 Isopropyl H H H 3-CyanophenylIa-119 isopropyl H H H 3-cyanophenyl
Ia-120 Isopropyl H H H 4-CyanophenylIa-120 isopropyl H H H 4-cyanophenyl
Ia-121 Isopropyl H H H 2-MethylphenylIa-121 isopropyl H H H 2-methylphenyl
Ia-122 Isopropyl H H H 3-MethylphenylIa-122 isopropyl H H H 3-methylphenyl
Ia-123 Isopropyl H H H 4-MethylphenylIa-123 isopropyl HHH 4-methylphenyl
Ia-124 Isopropyl H H H 2-MethoxyphenylIa-124 isopropyl HHH 2-methoxyphenyl
Ia-125 Isopropyl H H H 3 -MethoxyphenylIa-125 isopropyl H H H 3 -methoxyphenyl
Ia-126 Isopropyl H H H 4-MethoxyphenylIa-126 isopropyl HHH 4-methoxyphenyl
Ia-127 Isopropyl H H H 2-(Trifluormethyl)phenylIa-127 isopropyl H H H 2- (trifluoromethyl) phenyl
Ia-128 Isopropyl H H H 3 -(Trifluormethyl)phenylIa-128 isopropyl H H H 3 - (trifluoromethyl) phenyl
Ia-129 Isopropyl H H H 4-(Trifluormethyl)phenylIa-129 isopropyl HHH 4- (trifluoromethyl) phenyl
Ia-130 Isopropyl H H H Pyridin-2-yl Nr. R1 R4 R5 R7 R12 Ia-130 isopropyl HHH pyridin-2-yl No. R 1 R 4 R 5 R 7 R 12
Ia-131 Isopropyl H H H Pyridin-3-yl Ia-131 isopropyl HHH pyridin-3-yl
Ia-132 Isopropyl H H H Pyridin-4-ylIa-132 isopropyl H H H pyridin-4-yl
Ia-133 Cyclopropylmethyl H H H 2-ThienylIa-133 cyclopropylmethyl H H H 2-thienyl
Ia-134 Cyclopropylmethyl H H H 3 -Brom-2-thienylIa-134 Cyclopropylmethyl H H H 3 -bromo-2-thienyl
Ia-135 Cyclopropylmethyl H H H 4-Brom-2-thienylIa-135 cyclopropylmethyl H H H 4-bromo-2-thienyl
Ia-136 Cyclopropylmethyl H H H 5-Brom-2-thienylIa-136 Cyclopropylmethyl H H H 5-Bromo-2-thienyl
Ia-137 Cyclopropylmethyl H H H 4,5 -Dibrom-2 -thienylIa-137 Cyclopropylmethyl H H H 4,5-dibromo-2-thienyl
Ia-138 Cyclopropylmethyl H H H 3-Chlor-2-thienylIa-138 cyclopropylmethyl H H H 3-chloro-2-thienyl
Ia-139 Cyclopropylmethyl H H H 4-Chlor-2-thienylIa-139 cyclopropylmethyl H H H 4-chloro-2-thienyl
Ia-140 Cyclopropylmethyl H H H 5-Chlor-2-thienylIa-140 cyclopropylmethyl H H H 5-chloro-2-thienyl
Ia-141 Cyclopropylmethyl H H H 4,5-Dichlor-2-thienylIa-141 Cyclopropylmethyl H H H 4,5-dichloro-2-thienyl
Ia-142 Cyclopropylmethyl H H H 5-Flour-2-thienylIa-142 Cyclopropylmethyl H H H 5-fluoro-2-thienyl
Ia-143 Cyclopropylmethyl H H H 5-Iod-2-thienylIa-143 Cyclopropylmethyl H H H 5-iodo-2-thienyl
Ia-144 Cyclopropylmethyl H H H 3-Methyl-2-thienylIa-144 Cyclopropylmethyl H H H 3-methyl-2-thienyl
Ia-145 Cyclopropylmethyl H H H 4-Methyl-2-thienylIa-145 cyclopropylmethyl H H H 4-methyl-2-thienyl
Ia-146 Cyclopropylmethyl H H H 5-Methyl-2-thienylIa-146 Cyclopropylmethyl H H H 5-methyl-2-thienyl
Ia-147 Cyclopropylmethyl H H H 1 -Benzothiophen-2-ylIa-147 cyclopropylmethyl H H H -benzothiophen-2-yl
Ia-148 Cyclopropylmethyl H H H PhenylIa-148 Cyclopropylmethyl H H H phenyl
Ia-149 Cyclopropylmethyl H H H 2-BromphenylIa-149 cyclopropylmethyl H H H 2-bromophenyl
Ia-150 Cyclopropylmethyl H H H 3-BromphenylIa-150 cyclopropylmethyl H H H 3-bromophenyl
Ia-151 Cyclopropylmethyl H H H 4-BromphenylIa-151 cyclopropylmethyl H H H 4-bromophenyl
Ia-152 Cyclopropylmethyl H H H 4-BrombenzylIa-152 cyclopropylmethyl H H H 4-bromobenzyl
Ia-153 Cyclopropylmethyl H H H 2-ChlorphenylIa-153 cyclopropylmethyl H H H 2-chlorophenyl
Ia-154 Cyclopropylmethyl H H H 3-ChlorphenylIa-154 cyclopropylmethyl H H H 3-chlorophenyl
Ia-155 Cyclopropylmethyl H H H 4-ChlorphenylIa-155 cyclopropylmethyl H H H 4-chlorophenyl
Ia-156 Cyclopropylmethyl H H H 2,4-ChlorphenylIa-156 Cyclopropylmethyl H H H 2,4-Chlorophenyl
Ia-157 Cyclopropylmethyl H H H 3,4-ChlorphenylIa-157 cyclopropylmethyl H H H 3,4-chlorophenyl
Ia-158 Cyclopropylmethyl H H H 2-(4-Chlorphenyl)ethylIa-158 cyclopropylmethyl H H H 2- (4-chlorophenyl) ethyl
Ia-159 Cyclopropylmethyl H H H 2-FluorphenylIa-159 cyclopropylmethyl H H H 2-fluorophenyl
Ia-160 Cyclopropylmethyl H H H 3-FluorphenylIa-160 cyclopropylmethyl H H H 3-fluorophenyl
Ia-161 Cyclopropylmethyl H H H 4-FluorphenylIa-161 cyclopropylmethyl H H H 4-fluorophenyl
Ia-162 Cyclopropylmethyl H H H 2-CyanophenylIa-162 cyclopropylmethyl H H H 2-cyanophenyl
Ia-163 Cyclopropylmethyl H H H 3-CyanophenylIa-163 cyclopropylmethyl H H H 3-cyanophenyl
Ia-164 Cyclopropylmethyl H H H 4-CyanophenylIa-164 cyclopropylmethyl H H H 4-cyanophenyl
Ia-165 Cyclopropylmethyl H H H 2-MethylphenylIa-165 cyclopropylmethyl H H H 2-methylphenyl
Ia-166 Cyclopropylmethyl H H H 3-MethylphenylIa-166 cyclopropylmethyl H H H 3-methylphenyl
Ia-167 Cyclopropylmethyl H H H 4-MethylphenylIa-167 cyclopropylmethyl H H H 4-methylphenyl
Ia-168 Cyclopropylmethyl H H H 2-MethoxyphenylIa-168 cyclopropylmethyl H H 2-methoxyphenyl
Ia-169 Cyclopropylmethyl H H H 3 -MethoxyphenylIa-169 cyclopropylmethyl H H H 3 -methoxyphenyl
Ia-170 Cyclopropylmethyl H H H 4-MethoxyphenylIa-170 Cyclopropylmethyl H H H 4-Methoxyphenyl
Ia-171 Cyclopropylmethyl H H H 2-(Trifluormethyl)phenylIa-171 cyclopropylmethyl H H H 2- (trifluoromethyl) phenyl
Ia-172 Cyclopropylmethyl H H H 3 -(Trifluormethyl)phenylIa-172 cyclopropylmethyl H H H 3 - (trifluoromethyl) phenyl
Ia-173 Cyclopropylmethyl H H H 4-(Trifluormethyl)phenylIa-173 cyclopropylmethyl H H H 4- (trifluoromethyl) phenyl
Ia-174 Cyclopropylmethyl H H H Pyridin-2-ylIa-174 cyclopropylmethyl H H H pyridin-2-yl
Ia-175 Cyclopropylmethyl H H H Pyridin-3-ylIa-175 cyclopropylmethyl HHH pyridin-3-yl
Ia-176 Cyclopropylmethyl H H H Pyridin-4-yl Nr. R1 R4 R5 R7 R12 Ia-176 cyclopropylmethylHHH pyridin-4-yl No. R 1 R 4 R 5 R 7 R 12
Ia-177 2,2,2-Trifluorethyl H H H 2-Thienyl Ia-177 2,2,2-trifluoroethyl H H H 2-thienyl
Ia-178 2,2,2-Trifluorethyl H H H 3 -Brom-2-thienylIa-178 2,2,2-trifluoroethyl H H H 3 -bromo-2-thienyl
Ia-179 2,2,2-Trifluorethyl H H H 4-Brom-2-thienylIa-179 2,2,2-trifluoroethyl H H H 4-bromo-2-thienyl
Ia-180 2,2,2-Trifluorethyl H H H 5-Brom-2-thienylIa-180 2,2,2-trifluoroethyl H H H 5-bromo-2-thienyl
Ia-181 2,2,2-Trifluorethyl H H H 4,5 -Dibrom-2 -thienylIa-181 2,2,2-trifluoroethyl H H H 4,5-dibromo-2-thienyl
Ia-182 2,2,2-Trifluorethyl H H H 3-Chlor-2-thienylIa-182 2,2,2-trifluoroethyl H H H 3-chloro-2-thienyl
Ia-183 2,2,2-Trifluorethyl H H H 4-Chlor-2-thienylIa-183 2,2,2-trifluoroethyl H H H 4-chloro-2-thienyl
Ia-184 2,2,2-Trifluorethyl H H H 5-Chlor-2-thienylIa-184 2,2,2-trifluoroethyl H H H 5-chloro-2-thienyl
Ia-185 2,2,2-Trifluorethyl H H H 4,5-Dichlor-2-thienylIa-185 2,2,2-trifluoroethyl H H H 4,5-dichloro-2-thienyl
Ia-186 2,2,2-Trifluorethyl H H H 5-Flour-2-thienylIa-186 2,2,2-trifluoroethyl H H H 5-fluoro-2-thienyl
Ia-187 2,2,2-Trifluorethyl H H H 5-Iod-2-thienylIa-187 2,2,2-trifluoroethyl H H H 5-iodo-2-thienyl
Ia-188 2,2,2-Trifluorethyl H H H 3-Methyl-2-thienylIa-188 2,2,2-trifluoroethyl H H H 3-methyl-2-thienyl
Ia-189 2,2,2-Trifluorethyl H H H 4-Methyl-2-thienylIa-189 2,2,2-trifluoroethyl H H H 4-methyl-2-thienyl
Ia-190 2,2,2-Trifluorethyl H H H 5-Methyl-2-thienylIa-190 2,2,2-trifluoroethyl H H H 5-methyl-2-thienyl
Ia-191 2,2,2-Trifluorethyl H H H 1 -Benzothiophen-2-ylIa-191 2,2,2-trifluoroethyl H H H -benzothiophen-2-yl
Ia-192 2,2,2-Trifluorethyl H H H PhenylIa-192 2,2,2-trifluoroethyl H H H phenyl
Ia-193 2,2,2-Trifluorethyl H H H 2-BromphenylIa-193 2,2,2-trifluoroethyl H H H 2-bromophenyl
Ia-194 2,2,2-Trifluorethyl H H H 3-BromphenylIa-194 2,2,2-trifluoroethyl H H H 3-bromophenyl
Ia-195 2,2,2-Trifluorethyl H H H 4-BromphenylIa-195 2,2,2-trifluoroethyl H H H 4-bromophenyl
Ia-196 2,2,2-Trifluorethyl H H H 4-BrombenzylIa-196 2,2,2-trifluoroethyl H H H 4-bromobenzyl
Ia-197 2,2,2-Trifluorethyl H H H 2-ChlorphenylIa-197 2,2,2-trifluoroethyl H H H 2-chlorophenyl
Ia-198 2,2,2-Trifluorethyl H H H 3-ChlorphenylIa-198 2,2,2-trifluoroethyl H H H 3-chlorophenyl
Ia-199 2,2,2-Trifluorethyl H H H 4-ChlorphenylIa-199 2,2,2-trifluoroethyl H H 4-chlorophenyl
Ia-200 2,2,2-Trifluorethyl H H H 2,4-ChlorphenylIa-200 2,2,2-trifluoroethyl H H 2,4-chlorophenyl
Ia-201 2,2,2-Trifluorethyl H H H 3,4-ChlorphenylIa-201 2,2,2-trifluoroethyl H H H 3,4-chlorophenyl
Ia-202 2,2,2-Trifluorethyl H H H 2-(4-Chlorphenyl)ethylIa-202 2,2,2-trifluoroethyl H H H 2- (4-chlorophenyl) ethyl
Ia-203 2,2,2-Trifluorethyl H H H 2-FluorphenylIa-203 2,2,2-trifluoroethyl H H H 2-fluorophenyl
Ia-204 2,2,2-Trifluorethyl H H H 3-FluorphenylIa-204 2,2,2-trifluoroethyl H H H 3-fluorophenyl
Ia-205 2,2,2-Trifluorethyl H H H 4-FluorphenylIa-205 2,2,2-trifluoroethyl H H H 4-fluorophenyl
Ia-206 2,2,2-Trifluorethyl H H H 2-CyanophenylIa-206 2,2,2-trifluoroethyl H H H 2-cyanophenyl
Ia-207 2,2,2-Trifluorethyl H H H 3-CyanophenylIa-207 2,2,2-trifluoroethyl H H H 3-cyanophenyl
Ia-208 2,2,2-Trifluorethyl H H H 4-CyanophenylIa-208 2,2,2-trifluoroethyl H H 4-cyanophenyl
Ia-209 2,2,2-Trifluorethyl H H H 2-MethylphenylIa-209 2,2,2-trifluoroethyl H H H 2-methylphenyl
Ia-210 2,2,2-Trifluorethyl H H H 3-MethylphenylIa-210 2,2,2-trifluoroethyl H H H 3-methylphenyl
Ia-211 2,2,2-Trifluorethyl H H H 4-MethylphenylIa-211 2,2,2-trifluoroethyl H H H 4-methylphenyl
Ia-212 2,2,2-Trifluorethyl H H H 2-MethoxyphenylIa-212 2,2,2-trifluoroethyl H H 2-methoxyphenyl
Ia-213 2,2,2-Trifluorethyl H H H 3 -MethoxyphenylIa-213 2,2,2-trifluoroethyl H H H 3 -methoxyphenyl
Ia-214 2,2,2-Trifluorethyl H H H 4-MethoxyphenylIa-214 2,2,2-trifluoroethyl H H 4-methoxyphenyl
Ia-215 2,2,2-Trifluorethyl H H H 2-(Trifluormethyl)phenylIa-215 2,2,2-trifluoroethyl H H H 2- (trifluoromethyl) phenyl
Ia-216 2,2,2-Trifluorethyl H H H 3 -(Trifluormethyl)phenylIa-216 2,2,2-trifluoroethyl H H H 3 - (trifluoromethyl) phenyl
Ia-217 2,2,2-Trifluorethyl H H H 4-(Trifluormethyl)phenylIa-217 2,2,2-trifluoroethyl H H H 4- (trifluoromethyl) phenyl
Ia-218 2,2,2-Trifluorethyl H H H Pyridin-2-ylIa-218 2,2,2-trifluoroethyl H H H pyridin-2-yl
Ia-219 2,2,2-Trifluorethyl H H H Pyridin-3-ylIa-219 2,2,2-trifluoroethyl H H H pyridin-3-yl
Ia-220 2,2,2-Trifluorethyl H H H Pyridin-4-ylIa-220 2,2,2-trifluoroethyl H H H pyridin-4-yl
Ia-221 Phenyl H H H 2-ThienylIa-221 phenyl H H H 2-thienyl
Ia-222 Phenyl H H H 3 -Brom-2-thienyl Nr. R1 R4 R5 R7 R12 Ia-222 phenyl HHH 3 -bromo-2-thienyl No. R 1 R 4 R 5 R 7 R 12
Ia-223 Phenyl H H H 4-Brom-2-thienyl Ia-223 phenyl H H H 4-bromo-2-thienyl
Ia-224 Phenyl H H H 5-Brom-2-thienylIa-224 phenyl H H H 5-bromo-2-thienyl
Ia-225 Phenyl H H H 4,5 -Dibrom-2 -thienylIa-225 phenyl H H H 4,5-dibromo-2-thienyl
Ia-226 Phenyl H H H 3-Chlor-2-thienylIa-226 phenyl H H H 3-chloro-2-thienyl
Ia-227 Phenyl H H H 4-Chlor-2-thienylIa-227 phenyl H H H 4-chloro-2-thienyl
Ia-228 Phenyl H H H 5-Chlor-2-thienylIa-228 phenyl H H H 5-chloro-2-thienyl
Ia-229 Phenyl H H H 4,5-Dichlor-2-thienylIa-229 phenyl H H H 4,5-dichloro-2-thienyl
Ia-230 Phenyl H H H 5-Flour-2-thienylIa-230 phenyl H H H 5-fluoro-2-thienyl
Ia-231 Phenyl H H H 5-Iod-2-thienylIa-231 phenyl H H H 5-iodo-2-thienyl
Ia-232 Phenyl H H H 3-Methyl-2-thienylIa-232 phenyl H H H 3-methyl-2-thienyl
Ia-233 Phenyl H H H 4-Methyl-2-thienylIa-233 phenyl H H H 4-methyl-2-thienyl
Ia-234 Phenyl H H H 5-Methyl-2-thienylIa-234 phenyl H H H 5-methyl-2-thienyl
Ia-235 Phenyl H H H 1 -Benzothiophen-2-ylIa-235 phenyl H H H -benzothiophen-2-yl
Ia-236 Phenyl H H H PhenylIa-236 phenyl H H H phenyl
Ia-237 Phenyl H H H 2-BromphenylIa-237 phenyl H H H 2-bromophenyl
Ia-238 Phenyl H H H 3-BromphenylIa-238 phenyl H H H 3-bromophenyl
Ia-239 Phenyl H H H 4-BromphenylIa-239 phenyl H H H 4-bromophenyl
Ia-240 Phenyl H H H 4-BrombenzylIa-240 phenyl H H H 4-bromobenzyl
Ia-241 Phenyl H H H 2-ChlorphenylIa-241 phenyl H H H 2-chlorophenyl
Ia-242 Phenyl H H H 3-ChlorphenylIa-242 phenyl H H H 3-chlorophenyl
Ia-243 Phenyl H H H 4-ChlorphenylIa-243 phenyl H H H 4-chlorophenyl
Ia-244 Phenyl H H H 2,4-ChlorphenylIa-244 phenyl H H H 2,4-chlorophenyl
Ia-245 Phenyl H H H 3,4-ChlorphenylIa-245 phenyl H H H 3,4-chlorophenyl
Ia-246 Phenyl H H H 2-(4-Chlorphenyl)ethylIa-246 phenyl H H H 2- (4-chlorophenyl) ethyl
Ia-247 Phenyl H H H 2-FluorphenylIa-247 phenyl H H H 2-fluorophenyl
Ia-248 Phenyl H H H 3-FluorphenylIa-248 phenyl H H H 3-fluorophenyl
Ia-249 Phenyl H H H 4-FluorphenylIa-249 phenyl H H H 4-fluorophenyl
Ia-250 Phenyl H H H 2-CyanophenylIa-250 phenyl H H H 2-cyanophenyl
Ia-251 Phenyl H H H 3-CyanophenylIa-251 phenyl H H H 3-cyanophenyl
Ia-252 Phenyl H H H 4-CyanophenylIa-252 phenyl H H H 4-cyanophenyl
Ia-253 Phenyl H H H 2-MethylphenylIa-253 phenyl H H H 2-methylphenyl
Ia-254 Phenyl H H H 3-MethylphenylIa-254 phenyl H H H 3-methylphenyl
Ia-255 Phenyl H H H 4-MethylphenylIa-255 phenyl H H H 4-methylphenyl
Ia-256 Phenyl H H H 2-MethoxyphenylIa-256 phenyl H H H 2-methoxyphenyl
Ia-257 Phenyl H H H 3 -MethoxyphenylIa-257 phenyl H H H 3 -methoxyphenyl
Ia-258 Phenyl H H H 4-MethoxyphenylIa-258 phenyl H H H 4-methoxyphenyl
Ia-259 Phenyl H H H 2-(Trifluormethyl)phenylIa-259 phenyl H H H 2- (trifluoromethyl) phenyl
Ia-260 Phenyl H H H 3 -(Trifluormethyl)phenylIa-260 phenyl H H H 3 - (trifluoromethyl) phenyl
Ia-261 Phenyl H H H 4-(Trifluormethyl)phenylIa-261 phenyl H H H 4- (trifluoromethyl) phenyl
Ia-262 Phenyl H H H Pyridin-2-ylIa-262 phenyl H H H pyridin-2-yl
Ia-263 Phenyl H H H Pyridin-3-ylIa-263 phenyl H H H pyridin-3-yl
Ia-264 Phenyl H H H Pyridin-4-ylIa-264 phenyl H H H pyridin-4-yl
Ia-265 Ethyl H H Br 2-ThienylIa-265 ethyl H H Br 2-thienyl
Ia-266 Ethyl H H Br 3 -Brom-2-thienylIa-266 ethyl H H Br 3 -bromo-2-thienyl
Ia-267 Ethyl H H Br 4-Brom-2-thienylIa-267 ethyl H H Br 4-bromo-2-thienyl
Ia-268 Ethyl H H Br 5-Brom-2-thienyl Nr. R1 R4 R5 R7 R12 Ia-268 ethyl HH Br 5-bromo-2-thienyl No. R 1 R 4 R 5 R 7 R 12
Ia-269 Ethyl H H Br 4,5 -Dibrom-2 -thienyl Ia-269 ethyl H H Br 4,5-dibromo-2-thienyl
Ia-270 Ethyl H H Br 3-Chlor-2-thienylIa-270 ethyl H H Br 3-chloro-2-thienyl
Ia-271 Ethyl H H Br 4-Chlor-2-thienylIa-271 ethyl H H Br 4-chloro-2-thienyl
Ia-272 Ethyl H H Br 5-Chlor-2-thienylIa-272 ethyl H H Br 5-chloro-2-thienyl
Ia-273 Ethyl H H Br 4,5-Dichlor-2-thienylIa-273 ethyl H H Br 4,5-dichloro-2-thienyl
Ia-274 Ethyl H H Br 5-Flour-2-thienylIa-274 ethyl H H Br 5-fluoro-2-thienyl
Ia-275 Ethyl H H Br 5-Iod-2-thienylIa-275 ethyl H H Br 5-iodo-2-thienyl
Ia-276 Ethyl H H Br 3-Methyl-2-thienylIa-276 ethyl H H Br 3-methyl-2-thienyl
Ia-277 Ethyl H H Br 4-Methyl-2-thienylIa-277 ethyl H H Br 4-methyl-2-thienyl
Ia-278 Ethyl H H Br 5-Methyl-2-thienylIa-278 ethyl H H Br 5-methyl-2-thienyl
Ia-279 Ethyl H H Br 1 -Benzothiophen-2-ylIa-279 ethyl H H Br 1 -benzothiophene-2-yl
Ia-280 Ethyl H H Br PhenylIa-280 ethyl H H Br phenyl
Ia-281 Ethyl H H Br 2-BromphenylIa-281 ethyl H H Br 2-bromophenyl
Ia-282 Ethyl H H Br 3-BromphenylIa-282 ethyl H H Br 3-bromophenyl
Ia-283 Ethyl H H Br 4-BromphenylIa-283 ethyl H H Br 4-bromophenyl
Ia-284 Ethyl H H Br 4-BrombenzylIa-284 ethyl H H Br 4-bromobenzyl
Ia-285 Ethyl H H Br 2-ChlorphenylIa-285 ethyl H H Br 2-chlorophenyl
Ia-286 Ethyl H H Br 3-ChlorphenylIa-286 ethyl H H Br 3-chlorophenyl
Ia-287 Ethyl H H Br 4-ChlorphenylIa-287 ethyl H H Br 4-chlorophenyl
Ia-288 Ethyl H H Br 2,4-ChlorphenylIa-288 ethyl H H Br 2,4-chlorophenyl
Ia-289 Ethyl H H Br 3,4-ChlorphenylIa-289 ethyl H H Br 3,4-chlorophenyl
Ia-290 Ethyl H H Br 2-(4-Chlorphenyl)ethylIa-290 ethyl H H Br 2- (4-chlorophenyl) ethyl
Ia-291 Ethyl H H Br 2-FluorphenylIa-291 ethyl H H Br 2-fluorophenyl
Ia-292 Ethyl H H Br 3-FluorphenylIa-292 ethyl H H Br 3-fluorophenyl
Ia-293 Ethyl H H Br 4-FluorphenylIa-293 ethyl H H Br 4-fluorophenyl
Ia-294 Ethyl H H Br 2-CyanophenylIa-294 ethyl H H Br 2-cyanophenyl
Ia-295 Ethyl H H Br 3-CyanophenylIa-295 ethyl H H Br 3-cyanophenyl
Ia-296 Ethyl H H Br 4-CyanophenylIa-296 ethyl H H Br 4-cyanophenyl
Ia-297 Ethyl H H Br 2-MethylphenylIa-297 ethyl H H Br 2-methylphenyl
Ia-298 Ethyl H H Br 3-MethylphenylIa-298 ethyl H H Br 3-methylphenyl
Ia-299 Ethyl H H Br 4-MethylphenylIa-299 ethyl H H Br 4-methylphenyl
Ia-300 Ethyl H H Br 2-MethoxyphenylIa-300 ethyl H H Br 2-methoxyphenyl
Ia-301 Ethyl H H Br 3 -MethoxyphenylIa-301 ethyl H H Br 3 -methoxyphenyl
Ia-302 Ethyl H H Br 4-MethoxyphenylIa-302 ethyl H H Br 4-methoxyphenyl
Ia-303 Ethyl H H Br 2-(Trifluormethyl)phenylIa-303 ethyl H H Br 2- (trifluoromethyl) phenyl
Ia-304 Ethyl H H Br 3 -(Trifluormethyl)phenylIa-304 ethyl H H Br 3 - (trifluoromethyl) phenyl
Ia-305 Ethyl H H Br 4-(Trifluormethyl)phenylIa-305 ethyl H H Br 4- (trifluoromethyl) phenyl
Ia-306 Ethyl H H Br Pyridin-2-ylIa-306 ethyl H H Br pyridin-2-yl
Ia-307 Ethyl H H Br Pyridin-3-ylIa-307 ethyl H H Br pyridin-3-yl
Ia-308 Ethyl H H Br Pyridin-4-ylIa-308 ethyl H H Br pyridin-4-yl
Ia-309 Ethyl Methyl Methyl H 2-ThienylIa-309 ethyl methyl methyl H 2-thienyl
Ia-310 Ethyl Methyl Methyl H 3 -Brom-2-thienylIa-310 ethyl methyl methyl H 3 -bromo-2-thienyl
Ia-311 Ethyl Methyl Methyl H 4-Brom-2-thienylIa-311 ethyl methyl methyl H 4-bromo-2-thienyl
Ia-312 Ethyl Methyl Methyl H 5-Brom-2-thienylIa-312 ethyl methyl methyl H 5-bromo-2-thienyl
Ia-313 Ethyl Methyl Methyl H 4,5 -Dibrom-2 -thienylIa-313 ethyl methyl methyl H 4,5 dibromo-2-thienyl
Ia-314 Ethyl Methyl Methyl H 3-Chlor-2-thienyl Nr. R1 R4 R5 R7 R12 Ia-314 ethyl methyl methyl H 3-chloro-2-thienyl No. R 1 R 4 R 5 R 7 R 12
Ia-315 Ethyl Methyl Methyl H 4-Chlor-2-thienyl Ia-315 ethyl methyl methyl H 4-chloro-2-thienyl
Ia-316 Ethyl Methyl Methyl H 5-Chlor-2-thienylIa-316 ethyl methyl methyl H 5-chloro-2-thienyl
Ia-317 Ethyl Methyl Methyl H 4,5-Dichlor-2-thienylIa-317 ethyl methyl methyl H 4,5-dichloro-2-thienyl
Ia-318 Ethyl Methyl Methyl H 5-Flour-2-thienylIa-318 ethyl methyl methyl H 5-fluoro-2-thienyl
Ia-319 Ethyl Methyl Methyl H 5-Iod-2-thienylIa-319 ethyl methyl methyl H 5-iodo-2-thienyl
Ia-320 Ethyl Methyl Methyl H 3-Methyl-2-thienylIa-320 ethyl methyl methyl H 3-methyl-2-thienyl
Ia-321 Ethyl Methyl Methyl H 4-Methyl-2-thienylIa-321 ethyl methyl methyl H 4-methyl-2-thienyl
Ia-322 Ethyl Methyl Methyl H 5-Methyl-2-thienylIa-322 ethyl methyl methyl H 5-methyl-2-thienyl
Ia-323 Ethyl Methyl Methyl H 1 -Benzothiophen-2-ylIa-323 ethyl methyl methyl H 1 -benzothiophene-2-yl
Ia-324 Ethyl Methyl Methyl H PhenylIa-324 ethyl methyl methyl H phenyl
Ia-325 Ethyl Methyl Methyl H 2-BromphenylIa-325 ethyl methyl methyl H 2-bromophenyl
Ia-326 Ethyl Methyl Methyl H 3-BromphenylIa-326 ethyl methyl methyl H 3-bromophenyl
Ia-327 Ethyl Methyl Methyl H 4-BromphenylIa-327 ethyl methyl methyl H 4-bromophenyl
Ia-328 Ethyl Methyl Methyl H 4-BrombenzylIa-328 ethyl methyl methyl H 4-bromobenzyl
Ia-329 Ethyl Methyl Methyl H 2-ChlorphenylIa-329 ethyl methyl methyl H 2-chlorophenyl
Ia-330 Ethyl Methyl Methyl H 3-ChlorphenylIa-330 ethyl methyl methyl H 3-chlorophenyl
Ia-331 Ethyl Methyl Methyl H 4-ChlorphenylIa-331 ethyl methyl methyl H 4-chlorophenyl
Ia-332 Ethyl Methyl Methyl H 2,4-ChlorphenylIa-332 ethyl methyl methyl H 2,4-chlorophenyl
Ia-333 Ethyl Methyl Methyl H 3,4-ChlorphenylIa-333 ethyl methyl methyl H 3,4-chlorophenyl
Ia-334 Ethyl Methyl Methyl H 2-(4-Chlorphenyl)ethylIa-334 ethyl methyl methyl H 2- (4-chlorophenyl) ethyl
Ia-335 Ethyl Methyl Methyl H 2-FluorphenylIa-335 ethyl methyl methyl H 2-fluorophenyl
Ia-336 Ethyl Methyl Methyl H 3-FluorphenylIa-336 ethyl methyl methyl H 3-fluorophenyl
Ia-337 Ethyl Methyl Methyl H 4-FluorphenylIa-337 ethyl methyl methyl H 4-fluorophenyl
Ia-338 Ethyl Methyl Methyl H 2-CyanophenylIa-338 ethyl methyl methyl H 2-cyanophenyl
Ia-339 Ethyl Methyl Methyl H 3-CyanophenylIa-339 ethyl methyl methyl H 3-cyanophenyl
Ia-340 Ethyl Methyl Methyl H 4-CyanophenylIa-340 ethyl methyl methyl H 4-cyanophenyl
Ia-341 Ethyl Methyl Methyl H 2-MethylphenylIa-341 ethyl methyl methyl H 2-methylphenyl
Ia-342 Ethyl Methyl Methyl H 3-MethylphenylIa-342 ethyl methyl methyl H 3-methylphenyl
Ia-343 Ethyl Methyl Methyl H 4-MethylphenylIa-343 ethyl methyl methyl H 4-methylphenyl
Ia-344 Ethyl Methyl Methyl H 2-MethoxyphenylIa-344 ethyl methyl methyl H 2-methoxyphenyl
Ia-345 Ethyl Methyl Methyl H 3 -MethoxyphenylIa-345 ethyl methyl methyl H 3 -methoxyphenyl
Ia-346 Ethyl Methyl Methyl H 4-MethoxyphenylIa-346 ethyl methyl methyl H 4-methoxyphenyl
Ia-347 Ethyl Methyl Methyl H 2-(Trifluormethyl)phenylIa-347 ethyl methyl methyl H 2- (trifluoromethyl) phenyl
Ia-348 Ethyl Methyl Methyl H 3 -(Trifluormethyl)phenylIa-348 ethyl methyl methyl H 3 - (trifluoromethyl) phenyl
Ia-349 Ethyl Methyl Methyl H 4-(Trifluormethyl)phenylIa-349 ethyl methyl methyl H 4- (trifluoromethyl) phenyl
Ia-350 Ethyl Methyl Methyl H Pyridin-2-ylIa-350 ethyl methyl methyl H pyridin-2-yl
Ia-351 Ethyl Methyl Methyl H Pyridin-3-ylIa-351 ethyl methyl methyl H pyridin-3-yl
Ia-352 Ethyl Methyl Methyl H Pyridin-4-ylIa-352 ethyl methyl methyl H pyridin-4-yl
Ia-353 Isobutyl H H H 2-ThienylIa-353 isobutyl H H H 2-thienyl
Ia-354 Isobutyl H H H 3 -Brom-2-thienylIa-354 isobutyl H H H 3 -bromo-2-thienyl
Ia-355 Isobutyl H H H 4-Brom-2-thienylIa-355 isobutyl H H H 4-bromo-2-thienyl
Ia-356 Isobutyl H H H 5-Brom-2-thienylIa-356 isobutyl H H H 5-bromo-2-thienyl
Ia-357 Isobutyl H H H 4,5 -Dibrom-2 -thienylIa-357 isobutyl H H H 4,5-dibromo-2-thienyl
Ia-358 Isobutyl H H H 3-Chlor-2-thienylIa-358 isobutyl H H H 3-chloro-2-thienyl
Ia-359 Isobutyl H H H 4-Chlor-2-thienylIa-359 isobutyl H H H 4-chloro-2-thienyl
Ia-360 Isobutyl H H H 5-Chlor-2-thienyl Nr. R1 R4 R5 R7 R12 Ia-360 isobutyl HHH 5-chloro-2-thienyl No. R 1 R 4 R 5 R 7 R 12
Ia-361 Isobutyl H H H 4,5-Dichlor-2-thienyl Ia-361 isobutyl H H H 4,5-dichloro-2-thienyl
Ia-362 Isobutyl H H H 5-Flour-2-thienylIa-362 isobutyl H H H 5-fluoro-2-thienyl
Ia-363 Isobutyl H H H 5-Iod-2-thienylIa-363 isobutyl H H H 5-iodo-2-thienyl
Ia-364 Isobutyl H H H 3-Methyl-2-thienylIa-364 isobutyl H H H 3-methyl-2-thienyl
Ia-365 Isobutyl H H H 4-Methyl-2-thienylIa-365 isobutyl H H H 4-methyl-2-thienyl
Ia-366 Isobutyl H H H 5-Methyl-2-thienylIa-366 isobutyl H H H 5-methyl-2-thienyl
Ia-367 Isobutyl H H H 1 -Benzothiophen-2-ylIa-367 isobutyl H H H -benzothiophene-2-yl
Ia-368 Isobutyl H H H PhenylIa-368 isobutyl HHH phenyl
Ia-369 Isobutyl H H H 2-BromphenylIa-369 isobutyl H H H 2-bromophenyl
Ia-370 Isobutyl H H H 3-BromphenylIa-370 isobutyl H H H 3-bromophenyl
Ia-371 Isobutyl H H H 4-BromphenylIa-371 isobutyl H H H 4-bromophenyl
Ia-372 Isobutyl H H H 4-BrombenzylIa-372 isobutyl H H H 4-bromobenzyl
Ia-373 Isobutyl H H H 2-ChlorphenylIa-373 isobutyl H H H 2-chlorophenyl
Ia-374 Isobutyl H H H 3-ChlorphenylIa-374 isobutyl H H H 3-chlorophenyl
Ia-375 Isobutyl H H H 4-ChlorphenylIa-375 isobutyl H H H 4-chlorophenyl
Ia-376 Isobutyl H H H 2,4-ChlorphenylIa-376 isobutyl H H H 2,4-chlorophenyl
Ia-377 Isobutyl H H H 3,4-ChlorphenylIa-377 isobutyl H H H 3,4-chlorophenyl
Ia-378 Isobutyl H H H 2-(4-Chlorphenyl)ethylIa-378 isobutyl H H H 2- (4-chlorophenyl) ethyl
Ia-379 Isobutyl H H H 2-FluorphenylIa-379 isobutyl H H H 2-fluorophenyl
Ia-380 Isobutyl H H H 3-FluorphenylIa-380 isobutyl H H H 3-fluorophenyl
Ia-381 Isobutyl H H H 4-FluorphenylIa-381 isobutyl H H H 4-fluorophenyl
Ia-382 Isobutyl H H H 2-CyanophenylIa-382 isobutyl H H H 2-cyanophenyl
Ia-383 Isobutyl H H H 3-CyanophenylIa-383 isobutyl H H H 3-cyanophenyl
Ia-384 Isobutyl H H H 4-CyanophenylIa-384 isobutyl H H H 4-cyanophenyl
Ia-385 Isobutyl H H H 2-MethylphenylIa-385 isobutyl H H H 2-methylphenyl
Ia-386 Isobutyl H H H 3-MethylphenylIa-386 isobutyl H H H 3-methylphenyl
Ia-387 Isobutyl H H H 4-MethylphenylIa-387 isobutyl HHH 4-methylphenyl
Ia-388 Isobutyl H H H 2-MethoxyphenylIa-388 isobutyl H H H 2-methoxyphenyl
Ia-389 Isobutyl H H H 3 -MethoxyphenylIa-389 isobutyl H H H 3 -methoxyphenyl
Ia-390 Isobutyl H H H 4-MethoxyphenylIa-390 isobutyl H H H 4-methoxyphenyl
Ia-391 Isobutyl H H H 2-(Trifluormethyl)phenylIa-391 isobutyl H H H 2- (trifluoromethyl) phenyl
Ia-392 Isobutyl H H H 3 -(Trifluormethyl)phenylIa-392 isobutyl H H H 3 - (trifluoromethyl) phenyl
Ia-393 Isobutyl H H H 4-(Trifluormethyl)phenylIa-393 isobutyl H H H 4- (trifluoromethyl) phenyl
Ia-394 Isobutyl H H H Pyridin-2-ylIa-394 isobutyl H H H pyridin-2-yl
Ia-395 Isobutyl H H H Pyridin-3-ylIa-395 isobutyl H H H pyridin-3-yl
Ia-396 Isobutyl H H H Pyridin-4-ylIa-396 isobutyl H H H pyridin-4-yl
Ia-397 Ethyl H H Cl 2-ThienylIa-397 ethyl H H Cl 2-thienyl
Ia-398 Ethyl H H Cl 3 -Brom-2-thienylIa-398 ethyl H H Cl 3 -bromo-2-thienyl
Ia-399 Ethyl H H Cl 4-Brom-2-thienylIa-399 ethyl H H Cl 4-bromo-2-thienyl
Ia-400 Ethyl H H Cl 5-Brom-2-thienylIa-400 ethyl H H Cl 5-bromo-2-thienyl
Ia-401 Ethyl H H Cl 4,5 -Dibrom-2 -thienylIa-401 ethyl H H Cl 4,5-dibromo-2-thienyl
Ia-402 Ethyl H H Cl 3-Chlor-2-thienylIa-402 ethyl H H Cl 3-chloro-2-thienyl
Ia-403 Ethyl H H Cl 4-Chlor-2-thienylIa-403 ethyl H H Cl 4-chloro-2-thienyl
Ia-404 Ethyl H H Cl 5-Chlor-2-thienylIa-404 ethyl H H Cl 5-chloro-2-thienyl
Ia-405 Ethyl H H Cl 4,5-Dichlor-2-thienylIa-405 ethyl H H Cl 4,5-dichloro-2-thienyl
Ia-406 Ethyl H H Cl 5-Flour-2-thienyl Nr. R1 R4 R5 R7 R12 Ia-406 ethyl HH Cl 5-fluoro-2-thienyl No. R 1 R 4 R 5 R 7 R 12
Ia-407 Ethyl H H Cl 5-Iod-2-thienyl Ia-407 ethyl H H Cl 5-iodo-2-thienyl
Ia-408 Ethyl H H Cl 3-Methyl-2-thienylIa-408 ethyl H H Cl 3-methyl-2-thienyl
Ia-409 Ethyl H H Cl 4-Methyl-2-thienylIa-409 ethyl H H Cl 4-methyl-2-thienyl
Ia-410 Ethyl H H Cl 5-Methyl-2-thienylIa-410 ethyl H H Cl 5-methyl-2-thienyl
Ia-411 Ethyl H H Cl 1 -Benzothiophen-2-ylIa-411 ethyl H H Cl 1 -benzothiophene-2-yl
Ia-412 Ethyl H H Cl PhenylIa-412 ethyl H H Cl phenyl
Ia-413 Ethyl H H Cl 2-BromphenylIa-413 ethyl H H Cl 2-bromophenyl
Ia-414 Ethyl H H Cl 3-BromphenylIa-414 ethyl H H Cl 3-bromophenyl
Ia-415 Ethyl H H Cl 4-BromphenylIa-415 ethyl H H Cl 4-bromophenyl
Ia-416 Ethyl H H Cl 4-BrombenzylIa-416 ethyl H H Cl 4-bromobenzyl
Ia-417 Ethyl H H Cl 2-ChlorphenylIa-417 ethyl H H Cl 2-chlorophenyl
Ia-418 Ethyl H H Cl 3-ChlorphenylIa-418 ethyl H H Cl 3-chlorophenyl
Ia-419 Ethyl H H Cl 4-ChlorphenylIa-419 ethyl H H Cl 4-chlorophenyl
Ia-420 Ethyl H H Cl 2,4-ChlorphenylIa-420 ethyl H H Cl 2,4-chlorophenyl
Ia-421 Ethyl H H Cl 3,4-ChlorphenylIa-421 ethyl H H Cl 3,4-chlorophenyl
Ia-422 Ethyl H H Cl 2-(4-Chlorphenyl)ethylIa-422 ethyl H H Cl 2- (4-chlorophenyl) ethyl
Ia-423 Ethyl H H Cl 2-FluorphenylIa-423 ethyl H H Cl 2-fluorophenyl
Ia-424 Ethyl H H Cl 3-FluorphenylIa-424 ethyl H H Cl 3-fluorophenyl
Ia-425 Ethyl H H Cl 4-FluorphenylIa-425 ethyl H H Cl 4-fluorophenyl
Ia-426 Ethyl H H Cl 2-CyanophenylIa-426 ethyl H H Cl 2-cyanophenyl
Ia-427 Ethyl H H Cl 3-CyanophenylIa-427 ethyl H H Cl 3-cyanophenyl
Ia-428 Ethyl H H Cl 4-CyanophenylIa-428 ethyl H H Cl 4-cyanophenyl
Ia-429 Ethyl H H Cl 2-MethylphenylIa-429 ethyl H H Cl 2-methylphenyl
Ia-430 Ethyl H H Cl 3-MethylphenylIa-430 ethyl H H Cl 3-methylphenyl
Ia-431 Ethyl H H Cl 4-MethylphenylIa-431 ethyl H H Cl 4-methylphenyl
Ia-432 Ethyl H H Cl 2-MethoxyphenylIa-432 ethyl H H Cl 2-methoxyphenyl
Ia-433 Ethyl H H Cl 3 -MethoxyphenylIa-433 ethyl H H Cl 3 -methoxyphenyl
Ia-434 Ethyl H H Cl 4-MethoxyphenylIa-434 ethyl H H Cl 4-methoxyphenyl
Ia-435 Ethyl H H Cl 2-(Trifluormethyl)phenylIa-435 ethyl H H Cl 2- (trifluoromethyl) phenyl
Ia-436 Ethyl H H Cl 3 -(Trifluormethyl)phenylIa-436 ethyl H H Cl 3 - (trifluoromethyl) phenyl
Ia-437 Ethyl H H Cl 4-(Trifluormethyl)phenylIa-437 ethyl H H Cl 4- (trifluoromethyl) phenyl
Ia-438 Ethyl H H Cl Pyridin-2-ylIa-438 ethyl H H Cl pyridin-2-yl
Ia-439 Ethyl H H Cl Pyridin-3-ylIa-439 ethyl H H Cl pyridin-3-yl
Ia-440 Ethyl H H Cl Pyridin-4-ylIa-440 ethyl H H Cl pyridin-4-yl
Ia-441 Ethyl H H F 2-ThienylIa-441 ethyl H H F 2-thienyl
Ia-442 Ethyl H H F 3 -Brom-2-thienylIa-442 ethyl H H F 3 -bromo-2-thienyl
Ia-443 Ethyl H H F 4-Brom-2-thienylIa-443 ethyl H H F 4-bromo-2-thienyl
Ia-444 Ethyl H H F 5-Brom-2-thienylIa-444 ethyl H H F 5-bromo-2-thienyl
Ia-445 Ethyl H H F 4,5 -Dibrom-2 -thienylIa-445 ethyl H H F 4,5-dibromo-2-thienyl
Ia-446 Ethyl H H F 3-Chlor-2-thienylIa-446 ethyl H H F 3-chloro-2-thienyl
Ia-447 Ethyl H H F 4-Chlor-2-thienylIa-447 ethyl H H F 4-chloro-2-thienyl
Ia-448 Ethyl H H F 5-Chlor-2-thienylIa-448 ethyl H H F 5-chloro-2-thienyl
Ia-449 Ethyl H H F 4,5-Dichlor-2-thienylIa-449 ethyl H H F 4,5-dichloro-2-thienyl
Ia-450 Ethyl H H F 5-Flour-2-thienylIa-450 ethyl H H F 5-fluoro-2-thienyl
Ia-451 Ethyl H H F 5-Iod-2-thienylIa-451 ethyl H H F 5-iodo-2-thienyl
Ia-452 Ethyl H H F 3-Methyl-2-thienyl Nr. R1 R4 R5 R7 R12 Ia-452 ethyl HHF 3-methyl-2-thienyl No. R 1 R 4 R 5 R 7 R 12
Ia-453 Ethyl H H F 4-Methyl-2-thienyl Ia-453 ethyl H H F 4-methyl-2-thienyl
Ia-454 Ethyl H H F 5-Methyl-2-thienylIa-454 ethyl H H F 5-methyl-2-thienyl
Ia-455 Ethyl H H F 1 -Benzothiophen-2-ylIa-455 ethyl H H F 1 -benzothiophene-2-yl
Ia-456 Ethyl H H F Phenyl Ia-456 ethyl H H F phenyl
Ia-457 Ethyl H H F 2-Bromphenyl Ia-457 ethyl H H F 2-bromophenyl
Ia-458 Ethyl H H F 3-BromphenylIa-458 ethyl H H F 3-bromophenyl
Ia-459 Ethyl H H F 4-BromphenylIa-459 ethyl H H F 4-bromophenyl
Ia-460 Ethyl H H F 4-BrombenzylIa-460 ethyl H H F 4-bromobenzyl
Ia-461 Ethyl H H F 2-ChlorphenylIa-461 ethyl H H F 2-chlorophenyl
Ia-462 Ethyl H H F 3-ChlorphenylIa-462 ethyl H H F 3-chlorophenyl
Ia-463 Ethyl H H F 4-ChlorphenylIa-463 ethyl H H F 4-chlorophenyl
Ia-464 Ethyl H H F 2,4-ChlorphenylIa-464 ethyl H H F 2,4-chlorophenyl
Ia-465 Ethyl H H F 3,4-ChlorphenylIa-465 ethyl H H F 3,4-chlorophenyl
Ia-466 Ethyl H H F 2-(4-Chlorphenyl)ethylIa-466 ethyl H H F 2- (4-chlorophenyl) ethyl
Ia-467 Ethyl H H F 2-FluorphenylIa-467 ethyl H H F 2-fluorophenyl
Ia-468 Ethyl H H F 3-FluorphenylIa-468 ethyl H H F 3-fluorophenyl
Ia-469 Ethyl H H F 4-FluorphenylIa-469 ethyl H H F 4-fluorophenyl
Ia-470 Ethyl H H F 2-CyanophenylIa-470 ethyl H H F 2-cyanophenyl
Ia-471 Ethyl H H F 3-CyanophenylIa-471 ethyl H H F 3-cyanophenyl
Ia-472 Ethyl H H F 4-CyanophenylIa-472 ethyl H H F 4-cyanophenyl
Ia-473 Ethyl H H F 2-MethylphenylIa-473 ethyl H H F 2-methylphenyl
Ia-474 Ethyl H H F 3-MethylphenylIa-474 ethyl H H F 3-methylphenyl
Ia-475 Ethyl H H F 4-MethylphenylIa-475 ethyl H H F 4-methylphenyl
Ia-476 Ethyl H H F 2-MethoxyphenylIa-476 ethyl H H F 2-methoxyphenyl
Ia-477 Ethyl H H F 3 -MethoxyphenylIa-477 ethyl H H F 3 -methoxyphenyl
Ia-478 Ethyl H H F 4-MethoxyphenylIa-478 ethyl H H F 4-methoxyphenyl
Ia-479 Ethyl H H F 2-(Trifluormethyl)phenylIa-479 ethyl H H F 2- (trifluoromethyl) phenyl
Ia-480 Ethyl H H F 3 -(Trifluormethyl)phenylIa-480 ethyl H H F 3 - (trifluoromethyl) phenyl
Ia-481 Ethyl H H F 4-(Trifluormethyl)phenylIa-481 ethyl H H F 4- (trifluoromethyl) phenyl
Ia-482 Ethyl H H F Pyridin-2-ylIa-482 ethyl H H F pyridin-2-yl
Ia-483 Ethyl H H F Pyridin-3-ylIa-483 ethyl H H F pyridin-3-yl
Ia-484 Ethyl H H F Pyridin-4-yl Ia-484 ethyl H H F pyridin-4-yl
A2. Verbindungen Ib-001 bis Ib-484 der oben dargestellten allgemeinen Formel (I), worin R11 für Me, R2, R3, R6, R8, R9 und R10 für Wasserstoff stehen, X für O steht und R1, R4, R5, R7 und R12 den Definitionen für die jeweilige Einzelverbindung der in Tabelle 2 genannten Restedefinitionen (Nr. Ia- 001 bis Ia-484) entsprechen. A2. Compounds Ib-001 to Ib-484 of the general formula (I) shown above, wherein R 11 is Me, R 2 , R 3 , R 6 , R 8 , R 9 and R 10 are hydrogen, X is O and R 1 , R 4 , R 5 , R 7 and R 12 correspond to the definitions for the particular individual compound of the radical definitions given in Table 2 (Nos. Ia- 001 to Ia-484).
A3. Verbindungen lc-001 bis lc-484 der oben dargestellten allgemeinen Formel (I), worin R11 für Me, R2, R3, R6, R8, R9 und R10 für Wasserstoff stehen, X für S steht und R1, R4, R5, R7 und R12 den Definitionen für die jeweilige Einzelverbindung der in Tabelle 2 genannten Restedefinitionen (Nr. Ia- 001 bis Ia-484) entsprechen. A4. Verbindungen Id-001 bis Id-484 der oben dargestellten allgemeinen Formel (I), worin R9 und R11 für Me, R2, R3, R6, R8 und R10 für Wasserstoff stehen, X für O steht und R1, R4, R5, R7 und R12 den Definitionen für die jeweilige Einzelverbindung der in Tabelle 2 genannten Restedefinitionen (Nr. Ia- 001 bis Ia-484) entsprechen. A3. Compounds Ic-001 to Ic-484 of the above-described general formula (I) in which R 11 is Me, R 2 , R 3 , R 6 , R 8 , R 9 and R 10 are hydrogen, X is S and R 1 , R 4 , R 5 , R 7 and R 12 correspond to the definitions for the particular individual compound of the radical definitions given in Table 2 (Nos. Ia- 001 to Ia-484). A4. Compounds Id-001 to Id-484 of the above-described general formula (I) in which R 9 and R 11 are Me, R 2 , R 3 , R 6 , R 8 and R 10 are hydrogen, X is O and R 1 , R 4 , R 5 , R 7 and R 12 correspond to the definitions for the particular individual compound of the radical definitions given in Table 2 (Nos. Ia- 001 to Ia-484).
A5. Verbindungen Ie-001 bis Ie-484 der oben dargestellten allgemeinen Formel (I), worin R9 und R11 für Me, R2, R3, R6, R8 und R10 für Wasserstoff stehen, X für S steht und R1, R4, R5, R7 und R12 den A5. Compounds Ie-001 to Ie-484 of the general formula (I) presented above, in which R 9 and R 11 are Me, R 2 , R 3 , R 6 , R 8 and R 10 are hydrogen, X is S and R 1 , R 4 , R 5 , R 7 and R 12 den
Definitionen für die jeweilige Einzelverbindung der in Tabelle 2 genannten Restedefinitionen (Nr. Ia- 001 bis Ia-484) entsprechen. Definitions for the respective individual compound of the definitions given in Table 2 (No. Ia- 001 to Ia-484) correspond.
A6. Verbindungen If-001 bis If-484 der oben dargestellten allgemeinen Formel (I), worin R9, R10und R11 für Me, R2, R3, R6 und R8 für Wasserstoff stehen, X für O steht und R1, R4, R5, R7 und R12 den Definitionen für die jeweilige Einzelverbindung der in Tabelle 2 genannten Restedefinitionen (Nr. Ia- 001 bis Ia-484) entsprechen. A6. Compounds If-001 to If-484 of the above-described general formula (I) in which R 9 , R 10 and R 11 are Me, R 2 , R 3 , R 6 and R 8 are hydrogen, X is O and R 1 , R 4 , R 5 , R 7 and R 12 correspond to the definitions for the particular individual compound of the radical definitions given in Table 2 (Nos. Ia- 001 to Ia-484).
A7. Verbindungen Ig-001 bis Ig-484 der oben dargestellten allgemeinen Formel (I), worin R9, R10und R11 für Me, R2, R3, R6 und R8 für Wasserstoff stehen, X für S steht und R1, R4, R5, R7 und R12 den Definitionen für die jeweilige Einzelverbindung der in Tabelle 2 genannten Restedefinitionen (Nr. Ia- 001 bis Ia-484) entsprechen. A7. Compounds Ig-001 to Ig-484 of the above-described general formula (I) wherein R 9 , R 10 and R 11 are Me, R 2 , R 3 , R 6 and R 8 are hydrogen, X is S and R is 1 , R 4 , R 5 , R 7 and R 12 correspond to the definitions for the particular individual compound of the radical definitions given in Table 2 (Nos. Ia- 001 to Ia-484).
A8. Verbindungen lh-001 bis lh-484 der oben dargestellten allgemeinen Formel (I), worin R11 für Et, R2, R3, R6, R8, R9 und R10 für Wasserstoff stehen, X für O steht und R1, R4, R5, R7 und R12 den Definitionen für die jeweilige Einzelverbindung der in Tabelle 2 genannten Restedefinitionen (Nr. Ia-001 bis Ia-484) entsprechen. A8. Compounds Ih-001 to Ih-484 of general formula (I) shown above, wherein R 11 is Et, R 2 , R 3 , R 6 , R 8 , R 9 and R 10 are hydrogen, X is O and R is 1 , R 4 , R 5 , R 7 and R 12 correspond to the definitions for the particular individual compound of the radical definitions given in Table 2 (Nos. Ia-001 to Ia-484).
A9. Verbindungen Ii-001 bis li-484 der oben dargestellten allgemeinen Formel (I), worin R11 für Et, R2, R3, R6, R8, R9 und R10 für Wasserstoff stehen, X für S steht und R1, R4, R5, R7 und R12 den Definitionen für die jeweilige Einzelverbindung der in Tabelle 2 genannten Restedefinitionen (Nr. Ia-001 bis Ia-484) entsprechen. A9. Compounds II-001 to li-484 of the general formula shown above (I), wherein R 11 stand for Et, R 2, R 3, R 6, R 8, R 9 and R 10 is hydrogen, X is S and R 1 , R 4 , R 5 , R 7 and R 12 correspond to the definitions for the particular individual compound of the radical definitions given in Table 2 (Nos. Ia-001 to Ia-484).
A10. Verbindungen Ij-001 bis Ij-484 der oben dargestellten allgemeinen Formel (I), worin R9 für Me, R11 für Et, R2, R3, R6, R8 und R10 für Wasserstoff stehen, X für O steht und R1, R4, R5, R7 und R12 den Definitionen für die jeweilige Einzelverbindung der in Tabelle 2 genannten Restedefinitionen (Nr. Ia- 001 bis Ia-484) entsprechen. A10. Compounds Ij-001 to Ij-484 of the above-represented general formula (I) wherein R 9 is Me, R 11 is Et, R 2 , R 3 , R 6 , R 8 and R 10 are hydrogen, X is O. and R 1 , R 4 , R 5 , R 7 and R 12 correspond to the definitions for the particular individual compound of the radical definitions given in Table 2 (Nos. Ia-001 to Ia-484).
AI 1. Verbindungen Ik-001 bis Ik-484 der oben dargestellten allgemeinen Formel (I), worin R9 für Me, R11 für Et, R2, R3, R6, R8 und R10 für Wasserstoff stehen, X für S steht und R1, R4, R5, R7 und R12 den Definitionen für die jeweilige Einzelverbindung der in Tabelle 2 genannten Restedefinitionen (Nr. Ia- 001 bis Ia-484) entsprechen. AI 1. Compounds Ik-001 to Ik-484 of the general formula (I) shown above, wherein R 9 is Me, R 11 is Et, R 2 , R 3 , R 6 , R 8 and R 10 are hydrogen, X is S and R 1 , R 4 , R 5 , R 7 and R 12 den Definitions for the respective individual compound of the definitions given in Table 2 (No. Ia- 001 to Ia-484) correspond.
AI 2. Verbindungen Im-001 bis Im-484 der oben dargestellten allgemeinen Formel (I), worin R9 und R10 für Me, R11 für Et, R2, R3, R6 und R8 für Wasserstoff stehen, X für O steht und R1, R4, R5, R7 und R12 den Definitionen für die jeweilige Einzelverbindung der in Tabelle 2 genannten Restedefinitionen (Nr. Ia- 001 bis Ia-484) entsprechen. AI 2. Compounds Im-001 to Im-484 of general formula (I) shown above, wherein R 9 and R 10 are Me, R 11 is Et, R 2 , R 3 , R 6 and R 8 are hydrogen, X is O and R 1 , R 4 , R 5 , R 7 and R 12 correspond to the definitions for the respective individual compound of the definitions of radicals mentioned in Table 2 (Nos. Ia- 001 to Ia-484).
AI 3. Verbindungen In-001 bis In-484 der oben dargestellten allgemeinen Formel (I), worin R9 und R10 für Me, R11 für Et, R2, R3, R6 und R8 für Wasserstoff stehen, X für S steht und R1, R4, R5, R7 und R12 den Definitionen für die jeweilige Einzelverbindung der in Tabelle 2 genannten Restedefinitionen (Nr. Ia- 001 bis Ia-484) entsprechen. Al 3. Compounds In-001 to In-484 of general formula (I) shown above, wherein R 9 and R 10 are Me, R 11 is Et, R 2 , R 3 , R 6 and R 8 are hydrogen, X is S and R 1 , R 4 , R 5 , R 7 and R 12 correspond to the definitions for the respective individual compound of the definitions of radicals mentioned in Table 2 (Nos. Ia- 001 to Ia-484).
AI 4. Verbindungen Io-OOl bis Io-484 der oben dargestellten allgemeinen Formel (I), worin R9 für Me, R2, R3, R6, R8, R10 und R11 für Wasserstoff stehen, X für O steht und R1, R4, R5, R7 und R12 den AI 4. Compounds Io-OOl to Io-484 of the general formula (I) shown above, wherein R 9 is Me, R 2 , R 3 , R 6 , R 8 , R 10 and R 11 is hydrogen, X is O. and R 1 , R 4 , R 5 , R 7 and R 12 denote
Definitionen für die jeweilige Einzelverbindung der in Tabelle 2 genannten Restedefinitionen (Nr. Ia- 001 bis Ia-484) entsprechen. A15. Verbindungen lp-001 bis lp-484 der oben dargestellten allgemeinen Formel (I), worin R9 für Me, R2, R3, R6, R8, R10 und R11 für Wasserstoff stehen, X für S steht und R1, R4, R5, R7 und R12 den Definitions for the respective individual compound of the definitions given in Table 2 (No. Ia- 001 to Ia-484) correspond. A15. Compounds lp-001 to lp-484 of the general formula (I) presented above, in which R 9 is Me, R 2 , R 3 , R 6 , R 8 , R 10 and R 11 are hydrogen, X is S and R 1 , R 4 , R 5 , R 7 and R 12 den
Definitionen für die jeweilige Einzelverbindung der in Tabelle 2 genannten Restedefinitionen (Nr. Ia- 001 bis Ia-484) entsprechen. AI 6. Verbindungen Iq-001 bis Iq-484 der oben dargestellten allgemeinen Formel (I), worin R9 und R10 für Me, R2, R3, R6, R8 und R11 für Wasserstoff stehen, X für O steht und R1, R4, R5, R7 und R12 den Definitionen für die jeweilige Einzelverbindung der in Tabelle 2 genannten Restedefinitionen (Nr. Ia- 001 bis Ia-484) entsprechen. A17. Verbindungen Ir-001 bis Ir-484 der oben dargestellten allgemeinen Formel (I), worin R9 und R10 für Me, R2, R3, R6, R8 und R11 für Wasserstoff stehen, X für S steht und R1, R4, R5, R7 und R12 den Definitionen für die jeweilige Einzelverbindung der in Tabelle 2 genannten Restedefinitionen (Nr. Ia- 001 bis Ia-484) entsprechen. AI 8. Verbindungen Is-001 bis Is-484 der oben dargestellten allgemeinen Formel (I), worin R2, R3, R6, R8, R9, R10 und R11 für Wasserstoff stehen, X für S steht und R1, R4, R5, R7 und R12 den Definitionen für die jeweilige Einzelverbindung der in Tabelle 2 genannten Restedefinitionen (Nr. Ia-001 bis Ia-484) entsprechen. Definitions for the respective individual compound of the definitions given in Table 2 (No. Ia- 001 to Ia-484) correspond. AI 6. Compounds Iq-001 to Iq-484 of the above-represented general formula (I), wherein R 9 and R 10 are Me, R 2 , R 3 , R 6 , R 8 and R 11 are hydrogen, X is O. and R 1 , R 4 , R 5 , R 7 and R 12 correspond to the definitions for the particular individual compound of the radical definitions given in Table 2 (Nos. Ia- 001 to Ia-484). A17. Compounds Ir-001 to Ir-484 of the general formula (I) shown above, wherein R 9 and R 10 are Me, R 2 , R 3 , R 6 , R 8 and R 11 are hydrogen, X is S and R 1 , R 4 , R 5 , R 7 and R 12 correspond to the definitions for the particular individual compound of the radical definitions given in Table 2 (Nos. Ia- 001 to Ia-484). Al 8. compounds Is-001 to Is-484 of the general formula (I) shown above, wherein R 2 , R 3 , R 6 , R 8 , R 9 , R 10 and R 11 are hydrogen, X is S and R 1 , R 4 , R 5 , R 7 and R 12 are the definitions for the respective individual compounds correspond to the definitions given in Table 2 (Nos. Ia-001 to Ia-484).
Weiterer Gegenstand der vorliegenden Erfindung ist die erfindungsgemäße Verwendung mindestens eines substituierten Indolinylmethylsulfonamids der allgemeinen Formel (I), sowie von beliebigenAnother object of the present invention is the inventive use of at least one substituted indolinylmethylsulfonamide of the general formula (I), as well as any
Mischungen dieser substituierten Indolmylmethylsulfonamide der allgemeinen Formel (I) mit weiteren agrochemischen Wirkstoffen, zur Steigerung der Widerstandsfähigkeit von Pflanzen gegenüber abiotischen Stressfaktoren, bevorzugt Trockenstress, sowie zur Stärkung des Pflanzenwachstums und/oder zur Erhöhung des Pflanzenertrags. Mixtures of these substituted Indolmylmethylsulfonamide of the general formula (I) with other agrochemical active ingredients, to increase the resistance of plants to abiotic stress factors, preferably drought stress, and to enhance plant growth and / or increase the plant yield.
Weiterer Gegenstand der vorliegenden Erfindung ist eine Sprühlösung zur Behandlung von Pflanzen, enthaltend eine zur Steigerung der Widerstandsfähigkeit von Pflanzen gegenüber abiotischen Another object of the present invention is a spray solution for the treatment of plants, containing one for increasing the resistance of plants to abiotic
Stressfaktoren wirksame Menge von mindestens einer Verbindung, ausgewählt aus der Gruppe, bestehend aus den substituierten Indolinylmethylsulfonamiden, der allgemeinen Formel (I). Zu den dabei relativierbaren abiotischen Streßbedingungen können zum Beispiel Hitze, Dürre, Kälte- und Trockenstress (Stress verursacht durch Trockenheit und/oder Wassermangel), osmotischer Streß, Staunässe, erhöhter Bodensalzgehalt, erhöhtes Ausgesetztsein an Mineralien, Ozonbedingungen, Starklichtbedingungen, beschränkte Verfügbarkeit von Stickstoffnährstoffen, beschränkte Verfügbarkeit von Phosphornährstoffen zählen. Stress factors effective amount of at least one compound selected from the group consisting of the substituted indolinylmethylsulfonamides, the general formula (I). For example, heat, drought, cold and dry stress (stress caused by drought and / or lack of water), osmotic stress, waterlogging, increased soil salt content, increased exposure to minerals, ozone conditions, high light conditions, limited availability of nitrogen nutrients, may be among the abiotic stress conditions that can be relieved. limited availability of phosphorus nutrients.
In einer Ausführungsform kann beispielsweise vorgesehen sein, dass die erfindungsgemäßer In one embodiment, for example, it may be provided that the inventive
Verwendung vorgesehenen Verbindungen, d. h. die entsprechenden substituierten Use intended connections, d. H. the corresponding substituted ones
Indolmylmethylsulfonamide der allgemeinen Formel (I), durch eine Sprühapplikation auf entsprechende zu behandelnde Pflanzen oder Pflanzenteile aufgebracht werden. Die erfindungsgemäß vorgesehene Verwendung der Verbindungen der allgemeinen Formel (I) oder deren Salze erfolgt vorzugsweise mit einer Dosierung zwischen 0,00005 und 3 kg/ha, besonders bevorzugt zwischen 0,0001 und 2 kg/ha, insbesondere bevorzugt zwischen 0,0005 und 1 kg/ha, im Speziellen bevorzugt zwischen 0,001 und 0,25 kg/ha. Unter der Bezeichnung Resistenz bzw. Widerstandsfähigkeit gegenüber abiotischem Stress werden im Rahmen der vorliegenden Erfindung verschiedenartige Vorteile für Pflanzen verstanden. Solche vorteilhaften Eigenschaften äußern sich beispielsweise in den nachfolgend genannten verbesserten Pflanzencharakteristika: verbessertes Wurzelwachstum hinsichtlich Oberfläche und Tiefe, vermehrte Ausläuferbildung oder BeStockung, stärkere und produktivere Ausläufer und Bestockungstriebe, Verbesserung des Sproßwachstums, erhöhte Standfestigkeit, vergrößerte Sprossbasisdurchmesser, vergrößerte Blattfläche, höhere Erträge an Nähr- und Inhaltsstoffen, wie z.B. Kohlenhydrate, Fette, Öle, Proteine, Vitamine, Mineralstoffe, ätherische Öle, Farbstoffe, Fasern, bessere Faserqualität, früheres Blühen, gesteigerte Blütenanzahl, reduzierter Gehalt an toxischen Produkten wie Mycotoxine, reduzierter Gehalt an Rückständen oder unvorteilhaften Bestandteilen jeglicher Art oder bessere Verdaulichkeit, verbesserte Lagerstabilität des Erntegutes, verbesserter Toleranz gegenüber unvorteilhaften Temperaturen, verbesserter Toleranz gegenüber Dürre und Trockenheit, wie auch Sauerstoffmangel durch Wasserüberschuß, verbesserte Toleranz gegenüber erhöhten Salzgehalten in Böden und Wasser, gesteigerte Toleranz gegenüber Ozonstress, verbesserte Verträglichkeit gegenüber Herbiziden und anderen Pflanzenbehandlungsmitteln, verbesserte Wasseraufnahme und Indolmethylmethylsulfonamides of the general formula (I) can be applied by spray application to appropriate plants or plant parts to be treated. The use according to the invention of the compounds of the general formula (I) or salts thereof is preferably carried out with a dosage of between 0.00005 and 3 kg / ha, more preferably between 0.0001 and 2 kg / ha, particularly preferably between 0.0005 and 1 kg / ha, more preferably between 0.001 and 0.25 kg / ha. In the context of the present invention, the term resistance or resistance to abiotic stress is understood to mean various advantages for plants. Such advantageous properties are manifested, for example, in the improved plant characteristics mentioned below: improved root growth in terms of surface area and depth, increased runners or stocking, stronger and more productive shoots and tillers, improvement in shoot growth, increased stability, increased shoot base diameter, increased leaf area, higher yields of nutrients. and ingredients such as carbohydrates, fats, oils, proteins, vitamins, minerals, essential oils, dyes, fibers, better fiber quality, earlier Flowering, increased number of flowers, reduced content of toxic products such as mycotoxins, reduced content of residues or unfavorable components of any kind or better digestibility, improved storage stability of the crop, improved tolerance to unfavorable temperatures, improved tolerance to drought and drought, as well as lack of oxygen due to excess water, improved tolerance to increased salt levels in soils and water, increased tolerance to ozone stress, improved tolerance to herbicides and other plant treatment agents, improved water absorption and
Photosyntheseleistung, vorteilhafte Pflanzeneigenschaften, wie beispielsweise Beschleunigung der Reifung, gleichmäßigere Abreife, größere Anziehungskraft für Nützlinge, verbesserte Bestäubung oder andere Vorteile, die einem Fachmann durchaus bekannt sind. Photosynthetic performance, beneficial plant properties, such as acceleration of maturation, more uniform maturity, greater attraction for beneficials, improved pollination or other benefits that are well known to a person skilled in the art.
Insbesondere zeigt die erfindungsgemäße Verwendung einer oder mehrerer Verbindungen der allgemeinen Formel (I) in der Sprühapplikation aufpflanzen und Pflanzenteilen die beschriebenen Vorteile. Die kombinierte Verwendung von substituierten Indolinylmethylsulfonamiden der allgemeinen Formel (I) mit gentechnisch veränderten Sorten in Bezug auf erhöhte abiotische Stresstoleranz ist darüber hinaus ebenfalls möglich. In particular, the use according to the invention of one or more compounds of the general formula (I) in the spray application planting and plant parts have the advantages described. The combined use of substituted indolinylmethylsulfonamides of the general formula (I) with genetically modified varieties with regard to increased abiotic stress tolerance is also possible in addition.
Die weiter oben genannten verschiedenartigen Vorteile für Pflanzen lassen sich bekannterweise partiell zusammenfassen und mit allgemein gültigen Begriffen belegen. Soche Begriffe sind beispielsweise die nachfolgend aufgeführten Bezeichnungen: phytotonischer Effekt, Widerstandsfähigkeit gegenüberThe various advantages for plants mentioned above can, as is known, be partially summarized and substantiated by generally valid terms. Soche terms are, for example, the following terms: phytotonic effect, resistance to
Stressfaktoren, weniger Pflanzenstress, Pflanzengesundheit, gesunde Pflanzen, Pflanzenfitness, („Plant Fitness"),„Plant Wellness",„Plant Concept",„Vigor Effect",„Stress Shield", Schutzschild,„Crop Health",„Crop Health Properties",„Crop Health Products",„Crop Health Management",„Crop Health Therapy",„Plant Health", Plant Health Properties", Plant Health Products",„Plant Health Stress Factors, Less Plant Stress, Plant Health, Healthy Plants, Plant Fitness, Plant Wellness, Plant Concept, Vigor Effect, Stress Shield, Shield, Crop Health, Crop Health Properties , Crop Health Products, Crop Health Management, Crop Health Therapy, Plant Health, Plant Health Properties, Plant Health Products, Plant Health
Management",„Plant Health Therapy", Grünungseffekt („Greening Effect" oder„Re-greening Effect"), „Freshness" oder andere Begriffe, die einem Fachmann durchaus bekannt sind. Management, Plant Health Therapy, Greening Effect, Freshness or other terms well known to those skilled in the art.
Im Rahmen der vorliegenden Erfindung wird unter einem guten Effekt auf die Widerstandsfähigkeit gegenüber abiotischem Stress nicht beschränkend mindestens ein um im Allgemeinen 3 %, insbesondere größer als 5 % besonders bevorzugt größer als 10 % verbessertes Auflaufen, In the context of the present invention, a good effect on the abiotic stress resistance is not limited to at least one emergence, which is improved by generally 3%, in particular greater than 5%, particularly preferably greater than 10%.
mindestens einen im Allgemeinen 3 %, insbesondere größer als 5 % besonders bevorzugt größer als 10 % gesteigerten Ertrag, at least one generally 3%, in particular greater than 5%, particularly preferably greater than 10% increased yield,
· mindestens eine um im Allgemeinen 3 %, insbesondere größer als 5 % besonders bevorzugt größer als 10 % verbesserte Wurzelentwicklung, mindestens eine um im Allgemeinen 3 %, insbesondere größer als 5 % besonders bevorzugt größer als 10 % ansteigende Sproßgröße, At least one improved root development by generally 3%, in particular greater than 5%, particularly preferably greater than 10%, at least one shoot size increasing by generally 3%, in particular greater than 5%, particularly preferably greater than 10%,
mindestens eine um im Allgemeinen 3 %, insbesondere größer als 5 % besonders bevorzugt größer als 10 % vergrößerte Blattfläche, at least one leaf area increased by generally 3%, in particular greater than 5%, particularly preferably greater than 10%,
· mindestens eine um im Allgemeinen 3 %, insbesondere größer als 5 % besonders bevorzugt größer als 10 % verbesserte Photosyntheseleistung und/oder At least one photosynthesis performance improved by generally 3%, in particular greater than 5%, particularly preferably greater than 10%, and / or
mindestens eine um im Allgemeinen 3 %, insbesondere größer als 5 % besonders bevorzugt größer als 10 % verbesserte Blütenausbildung verstanden, wobei die Effekte einzeln oder aber in beliebiger Kombination von zwei oder mehreren Effekten auftreten können. at least one flower formation generally improved by 3%, in particular greater than 5%, particularly preferably greater than 10%, the effects being able to occur individually or else in any combination of two or more effects.
Weiterer Gegenstand der vorliegenden Erfindung ist eine Sprühlösung zur Behandlung von Pflanzen, enthaltend eine zur Steigerung der Widerstandsfähigkeit von Pflanzen gegenüber abiotischen Another object of the present invention is a spray solution for the treatment of plants, containing one for increasing the resistance of plants to abiotic
Stressfaktoren wirksame Menge von mindestens einer Verbindung aus der Gruppe der substituierten Indolinylmethylsulfonamide der allgemeinen Formel (I). Die Sprühlösung kann andere übliche Bestandteile aufweisen, wie Lösungsmittel, Formulierhilfsstoffe, insbesondere Wasser, enthalten. Weitere Bestandteile können unter anderem agrochemische Wirkstoffe sein, welche unten noch weiter beschrieben werden. Stress factors effective amount of at least one compound from the group of substituted indolinylmethylsulfonamides of the general formula (I). The spray solution may comprise other conventional ingredients, such as solvents, formulation auxiliaries, especially water. Other ingredients may include agrochemical agents, which are further described below.
Weiterer Gegenstand der vorliegenden Erfindung ist die erfindungsgemäße Verwendung von entsprechenden Sprühlösungen zur Steigerung der Widerstandsfähigkeit von Pflanzen gegenüber abiotischen Stressfaktoren. Die nachfolgenden Ausführungen gelten sowohl für die erfindungsgemäße Verwendung einer oder mehrerer Verbindungen der allgemeinen Formel (I) an sich als auch für die entsprechenden Sprühlösungen. Another object of the present invention is the use according to the invention of corresponding spray solutions for increasing the resistance of plants to abiotic stress factors. The following statements apply both to the inventive use of one or more compounds of general formula (I) per se and for the corresponding spray solutions.
Bevorzugt ist die erfindungsgemäße Verwendung von Verbindungen der allgemeinen Formel (I) auf Pflanzen aus der Gruppe der Nutzpflanzen, Zierpflanzen, Rasenarten, allgemein genutzte Bäume, die in öffentlichen und privaten Bereichen als Zierpflanzen Verwendungen finden, und Forstbestand. Der Forstbestand umfasst Bäume für die Herstellung von Holz, Zellstoff, Papier und Produkten die aus Teilen der Bäume hergestellt werden. Der Begriff Nutzpflanzen, wie hier verwendet, bezeichnet Kulturpflanzen, die als Pflanzen für die Gewinnung von Nahrungsmitteln, Futtermitteln, Treibstoffe oder für technische Zwecke eingesetzt werden. Zu den Nutzpflanzen zählen z. B. folgende Pflanzenarten: Triticale, Durum (Hartweizen), Turf, Reben, Getreide, beispielsweise Weizen, Gerste, Roggen, Hafer, Reis, Mais und Hirse; Rüben, beispielsweise Zuckerrüben und Futterrüben; Früchte, beispielsweise Kernobst, Steinobst und Beerenobst, beispielsweise Äpfel, Birnen, Pflaumen, Pfirsiche, Mandeln, Kirschen und Beeren, z. B. Erdbeeren, Himbeeren, Brombeeren; Hülsenfrüchte, beispielsweise Bohnen, Linsen, Erbsen und Sojabohnen; Preferably, the use according to the invention of compounds of the general formula (I) is based on plants from the group of crops, ornamental plants, lawn species, generally used trees which are used as ornamental plants in public and private areas, and forest stands. The forest stock includes trees for the production of wood, pulp, paper and products made from parts of the trees. The term crops as used herein refers to crops used as plants for the production of food, feed, fuel or for technical purposes. Among the useful plants include z. The following plant species: triticale, durum (durum wheat), turf, vines, cereals, for example wheat, barley, rye, oats, rice, corn and millet; Beets, for example sugar beets and fodder beets; Fruits, such as pome fruit, stone fruit and berry fruit, For example, apples, pears, plums, peaches, almonds, cherries and berries, eg. Strawberries, raspberries, blackberries; Legumes, such as beans, lentils, peas and soybeans;
Ölkulturen, beispielsweise Raps, Senf, Mohn, Oliven, Sonnenblumen, Kokos, Castorölpflanzen, Kakaobohnen und Erdnüsse; Gurkengewächse, beispielsweise Kürbis, Gurken und Melonen; Oil crops such as rapeseed, mustard, poppy, olive, sunflower, coconut, castor oil, cocoa beans and peanuts; Cucurbits, for example squash, cucumbers and melons;
Fasergewächse, beispielsweise Baumwolle, Flachs, Hanf und Jute; Citrusfrüchte, beispielsweiseFiber plants, for example cotton, flax, hemp and jute; Citrus fruits, for example
Orangen, Zitronen, Pampelmusen und Mandarinen; Gemüsesorten, beispielsweise Spinat, (Kopfj-Salat, Spargel, Kohlarten, Möhren, Zwiebeln, Tomaten, Kartoffeln und Paprika; Lorbeergewächse, beispielsweise Avocado, Cinnamomum, Kampfer, oder ebenso Pflanzen wie Tabak, Nüsse, Kaffee, Aubergine, Zuckerrohr, Tee, Pfeffer, Weinreben, Hopfen, Bananen, Naturkautschukgewächse sowie Zierpflanzen, beispielsweise Blumen, Sträucher, Laubbäume und Nadelbäume wie Koniferen. Diese Aufzählung stellt keine Limitierung dar. Oranges, lemons, grapefruit and mandarins; Vegetables such as spinach, (headj salad, asparagus, cabbage, carrots, onions, tomatoes, potatoes and peppers, laurel family, such as avocado, cinnamomum, camphor or even plants such as tobacco, nuts, coffee, eggplant, sugarcane, tea, pepper , Vines, hops, bananas, natural rubber plants and ornamental plants, such as flowers, shrubs, deciduous trees and conifers, this list is not limiting.
Als besonders geeignete Zielkulturen für die Anwendung des erfindungsgemäßen Verfahrens sind folgende Pflanzen anzusehen: Hafer, Roggen, Triticale, Durum, Baumwolle, Aubergine, Turf, Kernobst, Steinobst, Beerenobst, Mais, Weizen, Gerste, Gurke, Tabak, Reben, Reis, Getreide, Birne, Pfeffer, Bohnen, Sojabohnen, Raps, Tomate, Paprika, Melonen, Kohl, Kartoffel und Apfel. Particularly suitable target crops for the application of the method according to the invention are the following plants: oats, rye, triticale, durum, cotton, aubergine, turf, pome fruit, stone fruit, berry fruit, corn, wheat, barley, cucumber, tobacco, vines, rice, cereals , Pear, pepper, beans, soybeans, rape, tomato, paprika, melons, cabbage, potato and apple.
Als Bäume, die entsprechend dem erfindungsgemäßen Verfahren verbessert werden können, seien beispielhaft genannt: Abies sp., Eucalyptus sp., Picea sp., Pinus sp., Aesculus sp., Platanus sp., Tilia sp., Acer sp., Tsuga sp., Fraxinus sp., Sorbus sp., Betula sp., Crataegus sp., Ulmus sp., Quercus sp., Fagus sp., Salix sp., Populus sp.. Examples of trees which can be improved according to the method of the invention are: Abies sp., Eucalyptus sp., Picea sp., Pinus sp., Aesculus sp., Platanus sp., Tilia sp., Acer sp., Tsuga sp , Fraxinus sp., Sorbus sp., Betula sp., Crataegus sp., Ulmus sp., Quercus sp., Fagus sp., Salix sp., Populus sp.
Als bevorzugte Bäume, die entsprechend dem erfindungsgemäßen Verfahren verbessert werden können, können genannt werden: Aus der Baumart Aesculus: A. hippocastanum, A. pariflora, A. carnea; aus der Baumart Platanus: P. aceriflora, P. occidentalis, P. racemosa; aus der Baumart Picea: P. abies; aus der Baumart Pinus: P. radiate, P. ponderosa, P. contorta, P. sylvestre, P. elliottii, P. montecola, P. albicaulis, P. resinosa, P. palustris, P. taeda, P. flexilis, P. jeffregi, P. baksiana, P. strobes; aus der Baumart Eucalyptus: E. grandis, E. globulus, E. camadentis, E. nitens, E. obliqua, E. regnans, E. pilularus. Als besonders bevorzugte Bäume, die entsprechend dem erfindungsgemäßen Verfahren verbessert werden können, können genannt werden: Aus der Baumart Pinus: P. radiate, P. ponderosa, P. contorta, P. sylvestre, P. strobes; aus der Baumart Eucalyptus: E. grandis, E. globulus und E. camadentis. As preferred trees, which can be improved according to the method of the invention, may be mentioned: From the tree species Aesculus: A. hippocastanum, A. pariflora, A. carnea; from the tree species Platanus: P. aceriflora, P. occidentalis, P. racemosa; from the tree species Picea: P. abies; from the species Pinus: P. radiate, P. ponderosa, P. contorta, P. sylvestre, P. elliottii, P. montecola, P. albicaulis, P. resinosa, P. palustris, P. taeda, P. flexilis, P jeffregi, P. baksiana, P. strobes; from the tree species Eucalyptus: E. grandis, E. globulus, E. camadentis, E. nitens, E. obliqua, E. regnans, E. pilularus. As particularly preferred trees, which can be improved according to the method of the invention, may be mentioned: From the species Pinus: P. radiate, P. ponderosa, P. contorta, P. sylvestre, P. strobes; from the tree species Eucalyptus: E. grandis, E. globulus and E. camadentis.
Als besonders bevorzugte Bäume, die entsprechend dem erfindungsgemäßen Verfahren verbessert werden können, können genannt werden: Rosskastanie, Platanengewächs, Linde und Ahornbaum. Die vorliegende Erfindung kann auch an beliebigen Rasenarten („turfgrasses") durchgeführt werden, einschließlich„cool season turfgrasses" und„warm season turfgrasses". Beispiele für Rasenarten für die kalte Jahreszeit sind Blaugräser („blue grasses"; Poa spp.), wie„Kentucky bluegrass" (Poa pratensis L.), „rough bluegrass" (Poa trivialis L.),„Canada bluegrass" (Poa compressa L.),„annual bluegrass" (Poa annua L.),„upland bluegrass" (Poa glaucantha Gaudin),„wood bluegrass" (Poa nemoralis L.) und „bulbous bluegrass" (Poa bulbosa L.); Straussgräser („Bentgrass", Agrostis spp.), wie„creeping bentgrass" (Agrostis palustris Huds.),„colonial bentgrass" (Agrostis tenuis Sibth.),„velvet bentgrass" (Agrostis canina L.),„South German Mixed Bentgrass" (Agrostis spp. einschließlich Agrostis tenius Sibth., Agrostis canina L., und Agrostis palustris Huds.), und„redtop" (Agrostis alba L.); As particularly preferred trees that can be improved according to the method of the invention can be mentioned: horse chestnut, sycamore, linden and maple tree. The present invention may also be practiced on any turfgrasses, including "cool season turfgrasses" and "warm season turfgrasses." Examples of cold season turf species are blue grasses (Poa spp.), Such as "Kentucky bluegrass" (Poa pratensis L.), "rough bluegrass" (Poa trivialis L.), "Canada bluegrass" (Poa compressa L.), "annual bluegrass" (Poa annua L.), "upland bluegrass" (Poa glaucantha Gaudin), "wood bluegrass" (Poa nemoralis L.) and "bulbous bluegrass" (Poa bulbosa L.); ostrich grasses ("Bentgrass", Agrostis spp.), such as "creeping bentgrass" (Agrostis palustris Huds.), " colonial bentgrass "(Agrostis tenuis sib.)," velvet bentgrass "(Agrostis canina L.)," South German Mixed Bentgrass "(Agrostis spp including Agrostis tenius Sibth., Agrostis canina L., and Agrostis palustris Huds.), and "Redtop" (Agrostis alba L.);
Schwingel („Fescues", Festucu spp.), wie„red fescue" (Festuca rubra L. spp. rubra),„creeping fescue" (Festuca rubra L.),„chewings fescue" (Festuca rubra commutata Gaud.),„sheep fescue" (Festuca ovina L.),„hard fescue" (Festuca longifolia Thuill.),„hair fescue" (Festucu capillata Lam.),„tall fescue" (Festuca arundinacea Schreb.) und„meadow fescue" (Festuca elanor L.); Lolch („ryegrasses", Lolium spp.), wie„annual ryegrass" (Lolium multiflorum Lam.),„perennial ryegrass" (Lolium perenne L.) und„italian ryegrass" (Lolium multiflorum Lam.); und Weizengräser ("wheatgrasses", Agropyron spp..), wie "fairway wheatgrass" (Agropyron cristatum (L.) Gaertn.),„crested wheatgrass" (Agropyron desertorum (Fisch.) Schult.) und "western wheatgrass" (Agropyron smithii Rydb.). Fescue ("Fescues", Festucu spp.), Such as "red fescue" (Festuca rubra L. spp. Rubra), "creeping fescue" (Festuca rubra L.), "chewings fescue" (Festuca rubra commutata Gaud.), " sheep fescue "(Festuca ovina L.)," hard fescue "(Festuca longifolia Thuill.)," hair fescue "(Festucu capillata Lam.)," tall fescue "(Festuca arundinacea Schreb.) and" meadow fescue "(Festuca elanor Lolch ("ryegrasses", Lolium spp.), Such as "annual ryegrass" (Lolium multiflorum Lam.), "Perennial ryegrass" (Lolium perenne L.) and "Italian ryegrass" (Lolium multiflorum Lam.); Wheatgrasses ("wheatgrasses", Agropyron spp.), Such as "fairway wheatgrass" (Agropyron cristatum (L.) Gaertn.), "Crested wheatgrass" (Agropyron desertorum (fish.) Schult.) And "western wheatgrass" (Agropyron smithii Rydb.).
Beispiele für weitere "cool season turfgrasses" sind "beachgrass" (Ammophila breviligulata Fern.), "smooth bromegrass" (Bromus inermis Leyss.), Schilf ("cattails") wie "Timothy" (Phleum pratense L.), "sand cattail" (Phleum subulatum L.), "orchardgrass" (Dactylis glomerata L.), "weeping alkaligrass" (Puccinellia distans (L.) Pari.) und "crested dog's-tail" (Cynosurus cristatus L.). Examples of other "cool season turfgrasses" are "beachgrass" (Ammophila breviligulata Fern.), "Smooth bromegrass" (Bromus inermis leyss.), Reeds ("cattails") such as "Timothy" (Phleum pratense L.), "sand cattail "(Phleum subulatum L.)," orchardgrass "(Dactylis glomerata L.)," weeping alkaligrass "(Puccinellia distans (L.) Pari.) And" crested dog's-tail "(Cynosurus cristatus L.).
Beispiele für "warm season turfgrasses" sind„Bermudagrass" (Cynodon spp. L. C. Rieh), "zoysiagrass" (Zoysia spp. Willd.),„St. Augustine grass" (Stenotaphrum secundatum Walt Kuntze),„centipedegrass" (Eremochloa ophiuroides Munro Hack.),„carpetgrass" (Axonopus affinis Chase),„Bahia grass" (Paspalum notatum Flügge),„Kikuyugrass" (Pennisetum clandestinum Höchst, ex Chiov.),„buffalo grass" (Buchloe daetyloids (Nutt.) Engelm.), "Blue gramma" (Bouteloua gracilis (H.B.K.) Lag. ex Griffiths),„seashore paspalum" (Paspalum vaginatum Swartz) und„sideoats grama" (Bouteloua curtipendula (Michx. Torr.). "Cool season turfgrasses" sind für die erfindungsgemäße Verwendung im Allgemeinen bevorzugt. Besonders bevorzugt sind Blaugras, Straussgras und„redtop", Schwingel und Lolch. Straussgras ist insbesondere bevorzugt. Besonders bevorzugt werden mit den Verbindungen der allgemeinen Formel (I) Pflanzen der jeweils handelsüblichen oder in Gebrauch befindlichen Pflanzensorten behandelt. Unter Pflanzensorten versteht man Pflanzen mit neuen Eigenschaften ("Traits"), die sowohl durch konventionelle Züchtung, durch Mutagenese oder mit Hilfe rekombinanter DNA-Techniken, gezüchtet worden sind. Kulturpflanzen können demnach Pflanzen sein, die durch konventionelle Züchtungs- und Optimierungsmethoden oder durch biotechnologische und gentechnologische Methoden oder Kombinationen dieser Methoden erhalten werden können, einschließlich der transgenen Pflanzen und einschließlich der durch Sorten- schutzrechte schützbaren oder nicht schützbaren Pflanzensorten. Das erfindungsgemäße Behandlungsverfahren kann somit auch für die Behandlung von genetisch modifizierten Organismen (GMOs), z. B. Pflanzen oder Samen, verwendet werden. Genetisch modifizierte Pflanzen (oder transgene Pflanzen) sind Pflanzen, bei denen ein heterologes Gen stabil in das Genom integriert worden ist. Der Begriff "heterologes Gen" bedeutet im wesentlichen ein Gen, das außerhalb der Pflanze bereitgestellt oder assembliert wird und das bei Einführung in das Zellkerngenom, das Chloroplastengenom oder das Hypochondriengenom der transformierten Pflanze dadurch neue oder verbesserte agronomische oder sonstige Eigenschaften verleiht, dass es ein interessierendes Protein oder Polypeptid exprimiert oder dasses ein anderes Gen, das in der Pflanze vorliegt bzw. andere Gene, die in der Pflanze vorliegen, herunterreguliert oder abschaltet (zum Beispiel mittels Antisense-Technologie, Co-suppressionstechnologie oder RNAi-Technologie [RNA Interference]). Ein heterologes Gen, das im Genom vorliegt, wird ebenfalls als Transgen bezeichnet. Ein Transgen, das durch sein spezifischesExamples of "warm season turfgrasses" are "Bermudagrass" (Cynodon spp., LC Rieh), "zoysiagrass" (Zoysia spp. Willd.), "St. Augustine grass" (Stenotaphrum secundatum Walt Kuntze), "centipedegrass" (Eremochloa ophiuroides Munro Hack.), "Carpetgrass" (Axonopus affinis chase), "Bahia grass" (Paspalum notatum flügge), "Kikuyugrass" (Pennisetum clandestinum Höchst, ex Chiov.), "Buffalo grass" (Buchloe daetyloids (Nutt.) Engelm.) , "Blue gramma" (Bouteloua gracilis (HBK) lag. Ex Griffiths), "seashore paspalum" (Paspalum vaginatum Swartz) and "sideoats grama" (Bouteloua curtipendula (Michx. Torr.). "Cool season turfgrasses" are for the present invention Use is generally preferred Bleach grass, ostrich grass and "redtop", fescue and lolly are particularly preferred. Ostrich grass is particularly preferred. Particularly preferably, the compounds of the general formula (I) are treated with plants of the respective commercially available or in use plant cultivars. Plant varieties are understood to be plants with new traits which have been bred either by conventional breeding, by mutagenesis or by recombinant DNA techniques. Crop plants can accordingly be plants which can be obtained by conventional breeding and optimization methods or by biotechnological and genetic engineering methods or combinations of these methods, including the transgenic plants and including the plant varieties which can or can not be protected by plant variety rights. The treatment method according to the invention can thus also for the treatment of genetically modified organisms (GMOs), z. As plants or seeds are used. Genetically modified plants (or transgenic plants) are plants in which a heterologous gene has been stably integrated into the genome. The term "heterologous gene" essentially means a gene which is provided or assembled outside the plant and which, when introduced into the nuclear genome, the chloroplast genome or the hypochondriacal genome, imparts new or improved agronomic or other properties to the transformed plant Expressing protein or polypeptide or that it downregulates or shuts down any other gene present in the plant or other genes present in the plant (for example by antisense technology, co-suppression technology or RNAi technology [RNA Interference]). A heterologous gene present in the genome is also referred to as a transgene. A transgene by its specific
Vorliegen im Pflanzengenom definiert ist, wird als Transformations- bzw. transgenes Event bezeichnet. Presence is defined in the plant genome is referred to as a transformation or transgenic event.
Zu Pflanzen und Pflanzensorten, die vorzugsweise mit den Verbindungen der allgemeinen Formel (I) behandelt werden, zählen alle Pflanzen, die über Erbgut verfügen, das diesen Pflanzen besonders vorteilhafte, nützliche Merkmale verleiht (egal, ob dies durch Züchtung und/oder Biotechnologie erzielt wurde). Plants and plant varieties which are preferably treated with the compounds of the general formula (I) include all plants which have genetic material which gives these plants particularly advantageous, useful features (regardless of whether this was achieved by breeding and / or biotechnology ).
Pflanzen und Pflanzensorten, die ebenfalls mit den Verbindungen der allgemeinen Formel (I) behandelt werden können, sind solche Pflanzen, die gegen einen oder mehrere abiotische Streßfaktoren resistent sind. Zu den abiotischen Streßbedingungen können zum Beispiel Hitze, Dürre, Kälte- und Plants and plant varieties which can also be treated with the compounds of general formula (I) are those plants which are resistant to one or more abiotic stress factors. For abiotic stress conditions, for example, heat, drought, cold and
Trockenstress,, osmotischer Streß, Staunässe, erhöhter Bodensalzgehalt, erhöhtes Ausgesetztsein an Mineralien, Ozonbedingungen, Starklichtbedingungen, beschränkte Verfügbarkeit von Drought stress, osmotic stress, waterlogging, increased soil salt content, increased exposure to minerals, ozone conditions, high light conditions, limited availability of
Stickstoffnährstoffen, beschränkte Verfügbarkeit von Phosphornährstoffen oder Vermeidung von Schatten zählen. Nitrogen nutrients, limited availability of phosphorus nutrients or avoiding shadows.
Pflanzen und Pflanzensorten, die ebenfalls mit den Verbindungen der allgemeinen Formel (I) behandelt werden können, sind solche Pflanzen, die durch erhöhte Ertragseigenschaften gekennzeichnet sind. Ein erhöhter Ertrag kann bei diesen Pflanzen z. B. auf verbesserter Pflanzenphysiologie, verbessertem Pflanzenwuchs und verbesserter Pflanzenentwicklung, wie Wasserverwertungseffizienz, Plants and plant varieties which can also be treated with the compounds of the general formula (I) are those plants which are characterized by increased yield properties. One increased yield can be in these plants z. B. improved plant physiology, improved plant growth and improved plant development, such as water efficiency,
Wasserhalteeffizienz, verbesserter Stickstoffverwertung, erhöhter Kohlenstoffassimilation, verbesserter Photosynthese, verstärkter Keimkraft und beschleunigter Abreife beruhen. Der Ertrag kann weiterhin durch eine verbesserte Pflanzenarchitektur (unter Streß- und nicht- Streß-Bedingungen) beeinflußt werden, darunter frühe Blüte, Kontrolle der Blüte für die Produktion von Hybridsaatgut, Water retention efficiency, improved nitrogen utilization, increased carbon assimilation, improved photosynthesis, increased germination power and accelerated Abreife based. The yield may be further influenced by improved plant architecture (under stress and non-stress conditions), including early flowering, control of flowering for the production of hybrid seed,
Keimpflanzenwüchsigkeit, Pflanzengröße, Internodienzahl und -abstand, Wurzelwachstum, Seedling growth, plant size, internode count and distance, root growth,
Samengröße, Fruchtgröße, Schotengröße, Schoten- oder Ährenzahl, Anzahl der Samen pro Schote oder Ähre, Samenmasse, verstärkte Samenfüllung, verringerter Samenausfall, verringertes Schotenplatzen sowie Standfestigkeit. Zu weiteren Ertragsmerkmalen zählen Samenzusammensetzung wie Seed size, fruit size, pod size, pod or ear number, number of seeds per pod or ear, seed mass, increased seed filling, reduced seed drop, reduced pod popping and stability. Other yield-related traits include seed composition such as
Kohlenhydratgehalt, Proteingehalt, Ölgehalt und Ölzusammensetzung, Nährwert, Verringerung der nährwidrigen Verbindungen, verbesserte Verarbeitbarkeit und verbesserte Lagerfähigkeit. Carbohydrate content, protein content, oil content and oil composition, nutritional value, reduction of nontoxic compounds, improved processability and improved shelf life.
Pflanzen, die ebenfalls mit den Verbindungen der allgemeinen Formel (I) behandelt werden können, sind Hybridpflanzen, die bereits die Eigenschaften der Heterosis bzw. des Hybrideffekts exprimieren, was im allgemeinen zu höherem Ertrag, höherer Wüchsigkeit, besserer Gesundheit und besserer Resistenz gegen biotische und abiotische Streßfaktoren führt. Solche Pflanzen werden typischerweise dadurch erzeugt, dass man eine ingezüchtete pollensterile Elternlinie (den weiblichen Kreuzungspartner) mit einer anderen ingezüchteten pollenfertilen Elternlinie (dem männlichen Kreuzungspartner) kreuzt. Das Hybridsaatgut wird typischerweise von den pollensterilen Pflanzen geerntet und an Vermehrer verkauft. Pollensterile Pflanzen können manchmal (z. B. beim Mais) durch Entfahnen (d. h. Plants which can also be treated with the compounds of general formula (I) are hybrid plants already expressing the properties of heterosis or hybrid effect, which generally results in higher yield, higher vigor, better health and better resistance to biotic and abiotic stress factors. Such plants are typically produced by crossing an inbred male sterile parental line (the female crossover partner) with another inbred male fertile parent line (the male crossbred partner). The hybrid seed is typically harvested from the male sterile plants and sold to propagators. Pollen sterile plants can sometimes be removed (eg in corn) by delaving (i.e.
mechanischem Entfernen der männlichen Geschlechtsorgane bzw. der männlichen Blüten), produziert werden; es ist jedoch üblicher, dass die Pollensterilität auf genetischen Determinanten im mechanical removal of male genitalia or male flowers); however, it is more common for male sterility to be due to genetic determinants in the human body
Pflanzengenom beruht. In diesem Fall, insbesondere dann, wenn es sich bei dem gewünschten Produkt, da man von den Hybridpflanzen ernten will, um die Samen handelt, ist es üblicherweise günstig, sicherzustellen, dass die Pollenfertilität in Hybridpflanzen, die die für die Pollensterilität Plant genome is based. In this case, especially when the desired product, as one wants to harvest from the hybrid plants, is the seeds, it is usually beneficial to ensure that the pollen fertility in hybrid plants, that for the pollen sterility
verantwortlichen genetischen Determinanten enthalten, völlig restoriert wird. Dies kann erreicht werden, indem sichergestellt wird, dass die männlichen Kreuzungspartner entsprechende Fertilitätsrestorergene besitzen, die in der Lage sind, die Pollenfertilität in Hybridpflanzen, die die genetischen Determinanten, die für die Pollensterilität verantwortlich sind, enthalten, zu restorieren. Genetische Determinanten für Pollensterilität können im Cytoplasma lokalisiert sein. Beispiele für cytoplasmatische Pollensterilität (CMS) wurden zum Beispiel für Brassica- Arten beschrieben (WO 92/005251, WO 95/009910, WO 98/27806, WO 2005/002324, WO 2006/021972 und US 6,229,072). Genetische Determinanten für Pollensterilität können jedoch auch im Zellkerngenom lokalisiert sein. Pollensterile Pflanzen können auch mit Methoden der pflanzlichen Biotechnologie, wie Gentechnik, erhalten werden. Ein besonders günstiges Mittel zur Erzeugung von pollensterilen Pflanzen ist in WO 89/10396 beschrieben, wobei zum Beispiel eine Ribonuklease wie eine Barnase selektiv in den Tapetumzellen in den Staubblättern exprimiert wird. Die Fertilität kann dann durch Expression eines Ribonukleasehemmers wie Barstar in den Tapetumzellen restoriert werden (z. B. WO 91/002069). containing genetic determinants, is completely restorated. This can be accomplished by ensuring that the male crossing partners possess appropriate fertility restorer genes capable of restoring pollen fertility in hybrid plants containing the genetic determinants responsible for male sterility. Genetic determinants of pollen sterility may be localized in the cytoplasm. Examples of cytoplasmic male sterility (CMS) have been described, for example, for Brassica species (WO 92/005251, WO 95/009910, WO 98/27806, WO 2005/002324, WO 2006/021972 and US 6,229,072). However, genetic determinants of pollen sterility may also be localized in the nuclear genome. Pollen sterile plants can also be obtained using plant biotechnology methods such as genetic engineering. A particularly convenient means of producing male sterile plants is described in WO 89/10396, wherein, for example, a ribonuclease such as a barnase selectively in the tapetum cells in the stamens is expressed. The fertility can then be restorated by expression of a ribonuclease inhibitor such as barstar in the tapetum cells (eg WO 91/002069).
Pflanzen oder Pflanzensorten (die mit Methoden der Pflanzenbiotechnologie, wie der Gentechnik, erhalten werden), die ebenfalls mit den Verbindungen der allgemeinen Formel (I) behandelt werden können, sind herbizidtolerante Pflanzen, d. h. Pflanzen, die gegenüber einem oder mehreren Plants or plant varieties (obtained by methods of plant biotechnology, such as genetic engineering), which can also be treated with the compounds of general formula (I), are herbicide-tolerant plants, i. H. Plants facing one or more
vorgegebenen Herbiziden tolerant gemacht worden sind. Solche Pflanzen können entweder durch genetische Transformation oder durch Selektion von Pflanzen, die eine Mutation enthalten, die solch eine Herbizidtoleranz verleiht, erhalten werden. given tolerated herbicides. Such plants can be obtained either by genetic transformation or by selection of plants containing a mutation conferring such herbicide tolerance.
Herbizidtolerante Pflanzen sind zum Beispiel glyphosatetolerante Pflanzen, d. h. Pflanzen, die gegenüber dem Herbizid Glyphosate oder dessen Salzen tolerant gemacht worden sind. So können zum Beispiel glyphosatetolerante Pflanzen durch Transformation der Pflanze mit einem Gen, das für das Enzym 5-Enolpyruvylshikimat-3-phosphatsynthase (EPSPS) kodiert, erhalten werden. Beispiele für solche EPSPS-Gene sind das AroA-Gen (Mutante CT7) des Bakterium Salmonella typhimurium (Comai et al., Science (1983), 221, 370-371), das CP4-Gen des Bakteriums Agrobacterium sp. (Barry et al., Curr. Topics Plant Physiol. (1992), 7, 139-145), die Gene, die für eine EPSPS aus der Petunie (Shah et al., Science (1986), 233, 478-481), für eine EPSPS aus der Tomate (Gasser et al., J. Biol. Chem. (1988), 263, 4280-4289) oder für eine EPSPS aus Eleusine (WO 2001/66704) kodieren. Es kann sich auch um eine mutierte EPSPS handeln, wie sie zum Beispiel in EP-A 0837944, WO 2000/066746, Herbicide-tolerant plants are, for example, glyphosate-tolerant plants, i. H. Plants tolerant to the herbicide glyphosate or its salts. Thus, for example, glyphosate-tolerant plants can be obtained by transforming the plant with a gene encoding the enzyme 5-enolpyruvylshikimate-3-phosphate synthase (EPSPS). Examples of such EPSPS genes are the AroA gene (mutant CT7) of the bacterium Salmonella typhimurium (Comai et al., Science (1983), 221, 370-371), the CP4 gene of the bacterium Agrobacterium sp. (Barry et al., Curr Topics Plant Physiol. (1992), 7, 139-145), the genes that are useful for EPSPS from the petunia (Shah et al., Science (1986), 233, 478-481). , for an EPSPS from the tomato (Gasser et al., J. Biol. Chem. (1988), 263, 4280-4289) or for an EPSPS from Eleusine (WO 2001/66704) encode. It may also be a mutated EPSPS, as described, for example, in EP-A 0837944, WO 2000/066746,
WO 2000/066747 oder WO 2002/026995 beschrieben ist. Glyphosatetolerante Pflanzen können auch dadurch erhalten werden, dass man ein Gen exprimiert, das für ein Glyphosate-Oxidoreduktase-Enzym, wie es in US 5,776,760 und US 5,463,175 beschrieben ist, kodiert. Glyphosatetolerante Pflanzen können auch dadurch erhalten werden, dass man ein Gen exprimiert, das für ein Glyphosate-acetyltransferase- Enzym, wie es in z. B. WO 2002/036782, WO 2003/092360, WO 2005/012515 und WO 2007/024782 beschrieben ist, kodiert. Glyphosatetolerante Pflanzen können auch dadurch erhalten werden, dass man Pflanzen, die natürlich vorkommende Mutationen der oben erwähnten Gene, wie sie zum Beispiel in WO 2001/024615 oder WO 2003/013226 beschrieben sind, enthalten, selektiert. Sonstige herbizidresistente Pflanzen sind zum Beispiel Pflanzen, die gegenüber Herbiziden, die das WO 2000/066747 or WO 2002/026995 is described. Glyphosate-tolerant plants can also be obtained by expressing a gene coding for a glyphosate oxidoreductase enzyme as described in US 5,776,760 and US 5,463,175. Glyphosate-tolerant plants may also be obtained by expressing a gene encoding a glyphosate acetyltransferase enzyme as described in, e.g. As WO 2002/036782, WO 2003/092360, WO 2005/012515 and WO 2007/024782 is encoded. Glyphosate-tolerant plants can also be obtained by selecting plants containing naturally-occurring mutations of the above-mentioned genes, as described, for example, in WO 2001/024615 or WO 2003/013226. Other herbicide-resistant plants are, for example, plants that are resistant to herbicides containing the
Enzym Glutaminsynthase hemmen, wie Bialaphos, Phosphinotricin oder Glufosinate, tolerant gemacht worden sind. Solche Pflanzen können dadurch erhalten werden, dass man ein Enzym exprimiert, das das Herbizid oder eine Mutante des Enzyms Glutaminsynthase, das gegenüber Hemmung resistent ist, entgiftet. Solch ein wirksames entgiftendes Enzym ist zum Beispiel ein Enzym, das für ein Inhibit enzyme glutamine synthase, such as bialaphos, phosphinotricin or glufosinate, have been tolerant. Such plants can be obtained by expressing an enzyme which detoxifies the herbicide or a mutant of the enzyme glutamine synthase, which is resistant to inhibition. Such an effective detoxifying enzyme is, for example, an enzyme suitable for
Phosphinotricin-acetyltransferase kodiert (wie zum Beispiel das bar- oder pat-Protein aus Streptomyces- Arten). Pflanzen, die eine exogene Phosphinotricin-acetyltransferase exprimieren, sind zum Beispiel in US 5,561,236; US 5,648,477; US 5,646,024; US 5,273,894; US 5,637,489; US 5,276,268; US 5,739,082; US 5,908,810 und US 7,112,665 beschrieben. Phosphinotricin acetyltransferase encoded (such as the bar or pat protein from Streptomyces species). Plants expressing an exogenous phosphinotricin acetyltransferase are described, for example, in US 5,561,236; US 5,648,477; US 5,646,024; US 5,273,894; US 5,637,489; US 5,276,268; US 5,739,082; US 5,908,810 and US 7,112,665.
Weitere herbizidtolerante Pflanzen sind auch Pflanzen, die gegenüber den Herbiziden, die das Enzym Hydroxyphenylpyruvatdioxygenase (HPPD) hemmen, tolerant gemacht worden sind. Bei den Further herbicide-tolerant plants are also plants tolerant to the herbicides which inhibit the enzyme hydroxyphenylpyruvate dioxygenase (HPPD). Both
Hydroxyphenylpyruvatdioxygenasen handelt es sich um Enzyme, die die Reaktion, in der para-Hydroxyphenylpyruvate dioxygenases are enzymes which inhibit the reaction in the
Hydroxyphenylpyruvat (HPP) zu Homogentisat umgesetzt wird, katalysieren. Pflanzen, die gegenüber HPPD-Hemmern tolerant sind, können mit einem Gen, das für ein natürlich vorkommendes resistentes HPPD-Enzym kodiert, oder einem Gen, das für ein mutiertes HPPD-Enzym gemäß WO 96/038567, WO 99/024585 und WO 99/024586 kodiert, transformiert werden. Eine Toleranz gegenüber HPPD- Hemmern kann auch dadurch erzielt werden, dass man Pflanzen mit Genen transformiert, die für gewisse Enzyme kodieren, die die Bildung von Homogentisat trotz Hemmung des nativen HPPD- Enzyms durch den HPPD-Hemmer ermöglichen. Solche Pflanzen und Gene sind in WO 99/034008 und WO 2002/36787 beschrieben. Die Toleranz von Pflanzen gegenüber HPPD-Hemmern kann auch dadurch verbessert werden, dass man Pflanzen zusätzlich zu einem Gen, das für ein HPPD-tolerantes Enzym kodiert, mit einem Gen transformiert, das für ein Prephenatdehydrogenase-Enzym kodiert, wie dies in WO 2004/024928 beschrieben ist. Hydroxyphenylpyruvate (HPP) is converted to homogentisate catalyze. Plants tolerant of HPPD inhibitors may be treated with a gene encoding a naturally occurring resistant HPPD enzyme, or a gene encoding a mutant HPPD enzyme as described in WO 96/038567, WO 99/024585 and WO 99/1998 / 024586, are transformed. Tolerance to HPPD inhibitors can also be achieved by transforming plants with genes encoding certain enzymes that allow the formation of homogentisate despite inhibition of the native HPPD enzyme by the HPPD inhibitor. Such plants and genes are described in WO 99/034008 and WO 2002/36787. The tolerance of plants to HPPD inhibitors can also be improved by transforming plants in addition to a gene coding for an HPPD-tolerant enzyme with a gene coding for a prephenate dehydrogenase enzyme, as described in WO 2004 / 024928 is described.
Weitere herbizidresistente Pflanzen sind Pflanzen, die gegenüber Acetolactatsynthase (ALS)-Hemmern tolerant gemacht worden sind. Zu bekannten ALS-Hemmern zählen zum Beispiel Sulfonylharnstoff, Imidazolinon, Triazolopyrimidine, Pyrimidinyloxy(thio)benzoate und/oder Sulfonylaminocarbonyl- triazolinon-Herbizide. Es ist bekannt, dass verschiedene Mutationen im Enzym ALS (auch als Other herbicide-resistant plants are plants that have been tolerated to acetolactate synthase (ALS) inhibitors. Examples of known ALS inhibitors include sulfonylurea, imidazolinone, triazolopyrimidines, pyrimidinyloxy (thio) benzoates and / or sulfonylaminocarbonyltriazolinone herbicides. It is known that various mutations in the enzyme ALS (also known as
Acetohydroxysäure-Synthase, AHAS, bekannt) eine Toleranz gegenüber unterschiedlichen Herbiziden bzw. Gruppen von Herbiziden verleihen, wie dies zum Beispiel bei Tranel und Wright, Weed Science (2002), 50, 700-712, jedoch auch in US 5,605,011, US 5,378,824, US 5,141,870 und US 5,013,659, beschrieben ist. Die Herstellung von sulfonylharnstofftoleranten Pflanzen und imidazolinontoleranten Pflanzen ist in US 5,605,011 ; US 5,013,659; US 5,141,870; US 5,767,361 ; US 5,731,180; US Acetohydroxy acid synthase, AHAS) confer a tolerance to different herbicides or groups of herbicides, as for example in Tranel and Wright, Weed Science (2002), 50, 700-712, but also in US 5,605,011, US 5,378,824, US 5,141,870 and US 5,013,659. The preparation of sulfonylurea tolerant plants and imidazolinone tolerant plants is described in US 5,605,011; US 5,013,659; US 5,141,870; US 5,767,361; US 5,731,180; US
5,304,732; US 4,761,373; US 5,331,107; US 5,928,937; und US 5,378,824; sowie in der internationalen Veröffentlichung WO 96/033270 beschrieben. Weitere imidazolmontolerante Pflanzen sind auch in z. B. WO 2004/040012, WO 2004/106529, WO 2005/020673, WO 2005/093093, WO 2006/007373, WO 2006/015376, WO 2006/024351 und WO 2006/060634 beschrieben. Weitere Sulfonylharnstoff- und imidazolmontolerante Pflanzen sind auch in z.B. WO 2007/024782 beschrieben. 5,304,732; US 4,761,373; US 5,331,107; US 5,928,937; and US 5,378,824; and in international publication WO 96/033270. Other imidazole-tolerant plants are also in z. WO 2004/040012, WO 2004/106529, WO 2005/020673, WO 2005/093093, WO 2006/007373, WO 2006/015376, WO 2006/024351 and WO 2006/060634. Other sulfonylurea and imidazole-tolerant plants are also disclosed in e.g. WO 2007/024782 described.
Weitere Pflanzen, die gegenüber ALS-Inhibitoren, insbesondere gegenüber Imidazolinonen, Other plants which are resistant to ALS inhibitors, in particular to imidazolinones,
Sulfonylharnstoffen und/oder Sulfamoylcarbonyltriazolinonen tolerant sind, können durch induzierte Mutagenese, Selektion in Zellkulturen in Gegenwart des Herbizids oder durch Mutationszüchtung erhalten werden, wie dies zum Beispiel für die Sojabohne in US 5,084,082, für Reis in WO 97/41218, für die Zuckerrübe in US 5,773,702 und WO 99/057965, für Salat in US 5,198,599 oder für die Sulfonylureas and / or sulfamoylcarbonyltriazolinones can be obtained by induced mutagenesis, selection in cell cultures in the presence of the herbicide or by mutagenesis, as for example for the soybean in US 5,084,082, for rice in WO 97/41218, for the sugar beet in US 5,773,702 and WO 99/057965, for salad in US 5,198,599 or for the
Sonnenblume in WO 2001/065922 beschrieben ist. Sunflower is described in WO 2001/065922.
Pflanzen oder Pflanzensorten (die nach Methoden der pflanzlichen Biotechnologie, wie der Gentechnik, erhalten wurden), die ebenfalls mit den Verbindungen der allgemeinen Formel (I) behandelt werden können, sind insektenresistente transgene Pflanzen, d.h. Pflanzen, die gegen Befall mit gewissen Zielinsekten resistent gemacht wurden. Solche Pflanzen können durch genetische Transformation oder durch Selektion von Pflanzen, die eine Mutation enthalten, die solch eine Insektenresistenz verleiht, erhalten werden. Plants or plant varieties (obtained by plant biotechnology methods, such as genetic engineering) which can also be treated with the compounds of general formula (I) are insect-resistant transgenic plants, i. Plants that have been made resistant to attack by certain target insects. Such plants can be obtained by genetic transformation or by selection of plants containing a mutation conferring such insect resistance.
Der Begriff "insektenresistente transgene Pflanze" umfaßt im vorliegenden Zusammenhang jegliche Pflanze, die mindestens ein Transgen enthält, das eine Kodiersequenz umfaßt, die für folgendes kodiert: The term "insect-resistant transgenic plant" as used herein includes any plant containing at least one transgene comprising a coding sequence encoding:
1) ein Insektizides Kristallprotein aus Bacillus thuringiensis oder einen Insektiziden Teil davon, wie die Insektiziden Kristallproteine, die von Crickmore et al., Microbiology and Molecular Biology1) an insecticidal crystal protein from Bacillus thuringiensis or an insecticides portion thereof, such as the insecticidal crystal proteins described by Crickmore et al., Microbiology and Molecular Biology
Reviews (1998), 62, 807-813, zusammengestellt wurden, von Crickmore et al. (2005) in der Bacillus thuringiensis-Toxinnomenklatur aktualisiert (online bei: Reviews (1998), 62, 807-813, by Crickmore et al. (2005) in the Bacillus thuringiensis toxin nomenclature (online at:
http://www.lifesci.sussex.ac.uk/Home/Neil_Crickmore/Bt/), oder Insektizide Teile davon, z.B. Proteine der Cry-Proteinklassen CrylAb, CrylAc, CrylF, Cry2Ab, Cry3Ae oder Cry3Bb oder Insektizide Teile davon; oder http://www.lifesci.sussex.ac.uk/Home/Neil_Crickmore/Bt/), or insecticidal parts thereof, e.g. Proteins of the cry protein classes CrylAb, CrylAc, CrylF, Cry2Ab, Cry3Ae or Cry3Bb or insecticidal parts thereof; or
2) ein Kristallprotein aus Bacillus thuringiensis oder einen Teil davon, der in Gegenwart eines zweiten, anderen Kristallproteins als Bacillus thuringiensis oder eines Teils davon insektizid wirkt, wie das binäre Toxin, das aus den Kristallproteinen Cy34 und Cy35 besteht (Moellenbeck et al., Nat. 2) a crystal protein from Bacillus thuringiensis or a part thereof which is insecticidal in the presence of a second, different crystal protein than Bacillus thuringiensis or a part thereof, such as the binary toxin consisting of the crystal proteins Cy34 and Cy35 (Moellenbeck et al., Nat ,
Biotechnol. (2001), 19, 668-72; Schnepf et al., Applied Environm. Microb. (2006), 71, 1765-1774); oder Biotechnol. (2001), 19, 668-72; Schnepf et al., Applied Environm. Microb. (2006), 71, 1765-1774); or
3) ein Insektizides Hybridprotein, das Teile von zwei unterschiedlichen Insektiziden 3) an insecticidal hybrid protein containing parts of two different insecticides
Kristallproteinen aus Bacillus thuringiensis umfaßt, wie zum Beispiel ein Hybrid aus den Proteinen von 1) oben oder ein Hybrid aus den Proteinen von 2) oben, z. B. das Protein CrylA.105, das von dem Mais- Event MON98034 produziert wird (WO 2007/027777); oder Crystal proteins from Bacillus thuringiensis, such as a hybrid of the proteins of 1) above or a hybrid of the proteins of 2) above, e.g. The protein CrylA.105 produced by the corn event MON98034 (WO 2007/027777); or
4) ein Protein gemäß einem der Punkte 1) bis 3) oben, in dem einige, insbesondere 1 bis 10, Aminosäuren durch eine andere Aminosäure ersetzt wurden, um eine höhere Insektizide Wirksamkeit gegenüber einer Zielinsektenart zu erzielen und/oder um das Spektrum der entsprechenden 4) a protein according to any one of items 1) to 3) above, in which some, in particular 1 to 10, amino acids have been replaced by another amino acid to achieve a higher insecticidal activity against a target insect species and / or the spectrum of the corresponding
Zielinsektenarten zu erweitern und/oder wegen Veränderungen, die in die Kodier- DNA während der Klonierung oder Transformation induziert wurden, wie das Protein Cry3Bbl in Mais-Events MON863 oder MON88017 oder das Protein Cry3A im Mais-Event MIR 604; oder 5) ein Insektizides sezerniertes Protein aus Bacillus thuringiensis oder Bacillus cereus oder einen Insektiziden Teil davon, wie die vegetativ wirkenden insektentoxischen Proteine (vegetative insecticidal proteins, VIP), die unter folgendem Link angeführt sind, z. B. Proteine der Proteinklasse VIP3Aa: http://www.lifesci.sussex.ac.uk/Home/Neil_Crickmore/Bt/vip.html oder To expand target insect species and / or due to changes induced in the coding DNA during cloning or transformation, such as the protein Cry3Bbl in maize events MON863 or MON88017 or the protein Cry3A in the maize event MIR 604; or 5) an insecticidal secreted protein from Bacillus thuringiensis or Bacillus cereus or an insecticidal part thereof, such as the vegetative insecticidal proteins (VIP) mentioned under the following link, e.g. For example, proteins of the protein class VIP3Aa: http://www.lifesci.sussex.ac.uk/Home/Neil_Crickmore/Bt/vip.html or
6) ein sezerniertes Protein aus Bacillus thuringiensis oder Bacillus cereus, das in Gegenwart eines zweiten sezernierten Proteins aus Bacillus thuringiensis oder B. cereus insektizid wirkt, wie das binäre Toxin, das aus den Proteinen VIP1A und VIP2A besteht (WO 94/21795); oder 6) a secreted protein from Bacillus thuringiensis or Bacillus cereus which is insecticidal in the presence of a second secreted protein from Bacillus thuringiensis or B. cereus, such as the binary toxin consisting of the proteins VIP1A and VIP2A (WO 94/21795); or
7) ein Insektizides Hybridprotein, das Teile von verschiedenen sezernierten Proteinen von Bacillus thuringiensis oder Bacillus cereus umfaßt, wie ein Hybrid der Proteine von 1) oder ein Hybrid der Proteine von 2) oben; oder 8) ein Protein gemäß einem der Punkte 1) bis 3) oben, in dem einige, insbesondere 1 bis 10,7) an insecticidal hybrid protein comprising parts of various secreted proteins of Bacillus thuringiensis or Bacillus cereus, such as a hybrid of the proteins of 1) or a hybrid of the proteins of 2) above; or 8) a protein according to any one of items 1) to 3) above, in which some, in particular 1 to 10,
Aminosäuren durch eine andere Aminosäure ersetzt wurden, um eine höhere Insektizide Wirksamkeit gegenüber einer Zielinsektenart zu erzielen und/oder um das Spektrum der entsprechenden Amino acids have been replaced by another amino acid to achieve a higher insecticidal activity against a target insect species and / or the spectrum of the corresponding
Zielinsektenarten zu erweitern und/oder wegen Veränderungen, die in die Kodier- DNA während der Klonierung oder Transformation induziert wurden (wobei die Kodierung für ein Insektizides Protein erhalten bleibt), wie das Protein VIP3Aa im Baumwoll- Event COT 102. To expand target insect species and / or due to changes induced in the coding DNA during cloning or transformation (preserving the coding for an insecticidal protein), such as the protein VIP3Aa in cotton event COT 102.
Natürlich zählt zu den insektenresistenten transgenen Pflanzen im vorliegenden Zusammenhang auch jegliche Pflanze, die eine Kombination von Genen umfaßt, die für die Proteine von einer der oben genannten Klassen 1 bis 8 kodieren. In einer Ausführungsform enthält eine insektenresistente Pflanze mehr als ein Transgen, das für ein Protein nach einer der oben genannten 1 bis 8 kodiert, um dasOf course, insect-resistant transgenic plants in the present context also include any plant comprising a combination of genes encoding the proteins of any of the above classes 1 to 8. In one embodiment, an insect-resistant plant contains more than one transgene encoding a protein of any of the above 1 to 8 in order to obtain the protein
Spektrum der entsprechenden Zielinsektenarten zu erweitern oder um die Entwicklung einer Resistenz der Insekten gegen die Pflanzen dadurch hinauszuzögern, dass man verschiedene Proteine einsetzt, die für dieselbe Zielinsektenart insektizid sind, jedoch eine unterschiedliche Wirkungsweise, wie Bindung an unterschiedliche Rezeptorbindungsstellen im Insekt, aufweisen. To extend the spectrum of the corresponding target insect species or to delay the development of resistance of the insects against the plants by using various proteins that are insecticidal for the same target insect species, but have a different mode of action, such as binding to different receptor binding sites in the insect.
Pflanzen oder Pflanzensorten (die nach Methoden der pflanzlichen Biotechnologie, wie der Gentechnik, erhalten wurden), die ebenfalls mit den Verbindungen der allgemeinen Formel (I) behandelt werden können, sind gegenüber abiotischen Streßfaktoren tolerant. Solche Pflanzen können durch genetische Transformation oder durch Selektion von Pflanzen, die eine Mutation enthalten, die solch eine Plants or plant varieties (obtained by plant biotechnology methods, such as genetic engineering), which can also be treated with the compounds of general formula (I), are tolerant to abiotic stressors. Such plants can be produced by genetic transformation or by selection of plants containing a mutation that has such a
Streßresistenz verleiht, erhalten werden. Zu besonders nützlichen Pflanzen mit Streßtoleranz zählen folgende: a. Pflanzen, die ein Transgen enthalten, das die Expression und/oder Aktivität des Gens für die Poly(ADP-ribose)polymerase (PARP) in den Pflanzenzellen oder Pflanzen zu reduzieren vermag, wie dies in WO 2000/004173 oder EP 04077984.5 oder EP 06009836.5 beschrieben ist. b. Pflanzen, die ein streßtoleranzforderndes Transgen enthalten, das die Expression und/oderStress resistance can be obtained. Particularly useful plants with stress tolerance include the following: a. Plants which contain a transgene capable of reducing the expression and / or activity of the gene for the poly (ADP-ribose) polymerase (PARP) in the plant cells or plants, as described in WO 2000/004173 or EP 04077984.5 or EP 06009836.5 is described. b. Plants containing a stress tolerance-promoting transgene, expression and / or
Aktivität der für PARG kodierenden Gene der Pflanzen oder Pflanzenzellen zu reduzieren vermag, wie dies z.B. in WO 2004/090140 beschrieben ist; c. Pflanzen, die ein streßtoleranzforderndes Transgen enthalten, das für ein in Pflanzen Activity of PARG-encoding genes of plants or plant cells, e.g. in WO 2004/090140 is described; c. Plants containing a stress tolerance-promoting transgene for planting
funktionelles Enzym des Nicotinamidadenindinukleotid-Salvage-Biosynthesewegs kodiert, darunter Nicotinamidase, Nicotinatphosphoribosyltransferase, Nicotinsäuremononukleotid-adenyltransferase, Nicotinamidadenindinukleotidsynthetase oder Nicotinamidphosphoribosyl-transferase, wie dies z. B. in EP 04077624.7 oder WO 2006/133827 oder PCT/EP07/002433 beschrieben ist. Pflanzen oder Pflanzensorten (die nach Methoden der pflanzlichen Biotechnologie, wie der Gentechnik, erhalten wurden), die ebenfalls mit den Verbindungen der allgemeinen Formel (I) behandelt werden können, weisen eine veränderte Menge, Qualität und/oder Lagerfähigkeit des Ernteprodukts und/oder veränderte Eigenschaften von bestimmten Bestandteilen des Ernteprodukts auf, wie zum Beispiel: 1) Transgene Pflanzen, die eine modifizierte Stärke synthetisieren, die bezüglich ihrer chemischphysikalischen Eigenschaften, insbesondere des Amylosegehalts oder des Amylose/Amylopektin- Verhältnisses, des Verzweigungsgrads, der durchschnittlichen Kettenlänge, der Verteilung der functional enzyme of the nicotinamide adenine dinucleotide salvage biosynthetic pathway, including nicotinamidase, nicotinate phosphoribosyltransferase, nicotinic acid mononucleotide adenyltransferase, nicotinamide adenine dinucleotide synthetase, or nicotinamide phosphoribosyltransferase as described e.g. As described in EP 04077624.7 or WO 2006/133827 or PCT / EP07 / 002433. Plants or plant varieties (obtained by plant biotechnology methods, such as genetic engineering), which may also be treated with the compounds of general formula (I), have a changed amount, quality and / or shelf life of the harvested product and / or altered Properties of certain components of the harvested product, such as: 1) Transgenic plants that synthesize a modified starch with respect to their chemical-physical properties, in particular the amylose content or the amylose / amylopectin ratio, the degree of branching, the average chain length, the distribution of the
Seitenketten, des Viskositätsverhaltens, der Gelfestigkeit, der Stärkekorngröße und/oder Side chains, the viscosity behavior, the gel strength, the starch grain size and / or
Stärkekornmorphologie im Vergleich mit der synthetisierten Stärke in Wildtyppflanzenzellen oder - pflanzen verändert ist, so dass sich diese modifizierte Stärke besser für bestimmte Anwendungen eignet. Diese transgenen Pflanzen, die eine modifizierte Stärke synthetisieren, sind zum Beispiel in EP Starch grain morphology is altered in wildtype plant cells or plants compared to the synthesized starch, so that this modified starch is better suited for certain applications. These transgenic plants that synthesize a modified starch are described, for example, in EP
0571427, WO 95/004826, EP 0719338, WO 96/15248, WO 96/19581, WO 96/27674, WO 97/11188, WO 97/26362, WO 97/32985, WO 97/42328, WO 97/44472, WO 97/45545, WO 98/27212, WO 98/40503, WO 99/58688, WO 99/58690, WO 99/58654, WO 2000/008184, WO 2000/008185, WO 2000/28052, WO 2000/77229, WO 2001/12782, WO 2001/12826, WO 2002/101059, WO 2003/071860, WO 2004/056999, WO 2005/030942, WO 2005/030941, WO 2005/095632, WO 2005/095617, WO 2005/095619, WO 2005/095618, WO 2005/123927, WO 2006/018319, WO 2006/103107, WO 0571427, WO 95/004826, EP 0719338, WO 96/15248, WO 96/19581, WO 96/27674, WO 97/11188, WO 97/26362, WO 97/32985, WO 97/42328, WO 97/44472, WO 97/45545, WO 98/27212, WO 98/40503, WO 99/58688, WO 99/58690, WO 99/58654, WO 2000/008184, WO 2000/008185, WO 2000/28052, WO 2000/77229, WO 2001/12782, WO 2001/12826, WO 2002/101059, WO 2003/071860, WO 2004/056999, WO 2005/030942, WO 2005/030941, WO 2005/095632, WO 2005/095617, WO 2005/095619, WO 2005/095618, WO 2005/123927, WO 2006/018319, WO 2006/103107, WO
2006/108702, WO 2007/009823, WO 2000/22140, WO 2006/063862, WO 2006/072603, WO 2006/108702, WO 2007/009823, WO 2000/22140, WO 2006/063862, WO 2006/072603, WO
2002/034923, EP 06090134.5, EP 06090228.5, EP 06090227.7, EP 07090007.1, EP 07090009.7, WO 2001/14569, WO 2002/79410, WO 2003/33540, WO 2004/078983, WO 2001/19975, WO 95/26407, WO 96/34968, WO 98/20145, WO 99/12950, WO 99/66050, WO 99/53072, US 6,734,341, WO 2000/11192, WO 98/22604, WO 98/32326, WO 2001/98509, WO 2001/98509, WO 2005/002359, US 5,824,790, US 6,013,861, WO 94/004693, WO 94/009144, WO 94/11520, WO 95/35026 bzw. WO 97/20936 beschrieben. EP 06090134.5, EP 06090228.5, EP 06090227.7, EP 07090007.1, EP 07090009.7, WO 2001/14569, WO 2002/79410, WO 2003/33540, WO 2004/078983, WO 2001/19975, WO 95/26407, WO 96/34968, WO 98/20145, WO 99/12950, WO 99/66050, WO 99/53072, US Pat. No. 6,734,341, WO 2000/11192, WO 98/22604, WO 98/32326, WO 2001/98509, WO 2001 / 98509, WO 2005/002359, US 5,824,790, US 6,013,861, WO 94/004693, WO 94/009144, WO 94/11520, WO 95/35026 and WO 97/20936, respectively.
2) Transgene Pflanzen, die Nichtstärkekohlenhydratpolymere synthetisieren, oder 2) Transgenic plants that synthesize non-starch carbohydrate polymers, or
Nichtstärkekohlenhydratpolymere, deren Eigenschaften im Vergleich zu Wildtyppflanzen ohne genetische Modifikation verändert sind. Beispiele sind Pflanzen, die Polyfructose, insbesondere des Inulin- und Levantyps, produzieren, wie dies in EP 0663956, WO 96/001904, Wo 96/021023, WO 98/039460 und WO 99/024593 beschrieben ist, Pflanzen, die alpha- 1,4-Glucane produzieren, wie dies in WO 95/031553, US 2002/031826, US 6,284,479, US 5,712,107, WO 97/047806, WO 97/047807, WO 97/047808 und WO 2000/14249 beschrieben ist, Pflanzen, die alpha- 1 ,6-verzweigte alpha- 1 ,4-Glucane produzieren, wie dies in WO 2000/73422 beschrieben ist, und Pflanzen, die Alternan produzieren, wie dies in WO 2000/047727, EP 06077301.7, US 5,908,975 und EP 0728213 beschrieben ist. Non-starch carbohydrate polymers whose properties are altered compared to wild-type plants without genetic modification. Examples are plants which produce polyfructose, in particular of the inulin and levan type, as described in EP 0663956, WO 96/001904, Wo 96/021023, WO 98/039460 and WO 99/024593, plants which are alpha-1 , 4-glucans, as described in WO 95/031553, US 2002/031826, US 6,284,479, US 5,712,107, WO 97/047806, WO 97/047807, WO 97/047808 and WO 2000/14249, plants which alpha- 1, 6-branched alpha-1, 4-glucans, as described in WO 2000/73422, and plants producing alternan, as described in WO 2000/047727, EP 06077301.7, US 5,908,975 and EP 0728213 is.
3) Transgene Pflanzen, die Hyaluronan produzieren, wie dies zum Beispiel in WO 06/032538, WO 2007/039314, WO 2007/039315, WO 2007/039316, JP 2006/304779 und WO 2005/012529 beschrieben ist. 3) Transgenic plants which produce hyaluronan, as described, for example, in WO 06/032538, WO 2007/039314, WO 2007/039315, WO 2007/039316, JP 2006/304779 and WO 2005/012529.
Pflanzen oder Pflanzensorten (die nach Methoden der pflanzlichen Biotechnologie, wie der Gentechnik, erhalten wurden), die ebenfalls mit den Verbindungen der allgemeinen Formel (I) behandelt werden können, sind Pflanzen wie Baumwollpflanzen mit veränderten Fasereigenschaften. Solche Pflanzen können durch genetische Transformation oder durch Selektion von Pflanzen, die eine Mutation enthalten, die solche veränderten Fasereigenschaften verleiht, erhalten werden; dazu zählen: a) Pflanzen wie Baumwollpflanzen, die eine veränderte Form von Cellulosesynthasegenen enthalten, wie dies in WO 98/000549 beschrieben ist, b) Pflanzen wie Baumwollpflanzen, die eine veränderte Form von rsw2- oder rsw3 -homologen Nukleinsäuren enthalten, wie dies in WO 2004/053219 beschrieben ist; c) Pflanzen wie Baumwollpflanzen mit einer erhöhten Expression der Plants or plant varieties (obtained by plant biotechnology methods such as genetic engineering), which can also be treated with the compounds of general formula (I), are plants such as cotton plants with altered fiber properties. Such plants can be obtained by genetic transformation or by selection of plants containing a mutation conferring such altered fiber properties; These include: a) plants, such as cotton plants, containing an altered form of cellulose synthase genes as described in WO 98/000549; b) plants, such as cotton plants, containing an altered form of rsw2 or rsw3 homologous nucleic acids as described in U.S. Pat WO 2004/053219 is described; c) plants such as cotton plants with an increased expression of the
Saccharosephosphatsynthase, wie dies in WO 2001/017333 beschrieben ist; d) Pflanzen wie Baumwollpflanzen mit einer erhöhten Expression der Saccharosesynthase, wie dies in WO 2002/45485 beschrieben ist; e) Pflanzen wie Baumwollpflanzen bei denen der Zeitpunkt der Durchlaßsteuerung der Sucrose phosphate synthase as described in WO 2001/017333; d) plants such as cotton plants with increased expression of sucrose synthase, as described in WO 2002/45485; e) plants, such as cotton plants, where the timing of the passage control of the
Plasmodesmen an der Basis der Faserzelle verändert ist, z. B. durch Herunterregulieren der Plasmodesms is changed at the base of the fiber cell, z. B. by down-regulating the
faserselektiven ß-l,3-Glucanase, wie dies in WO 2005/017157 beschrieben ist; f) Pflanzen wie Baumwollpflanzen mit Fasern mit veränderter Reaktivität, z. B. durch Expression des N-Acetylglucosamintransferasegens, darunter auch nodC, und von Chitinsynthasegenen, wie dies in WO 2006/136351 beschrieben ist. fiber-selective ß-l, 3-glucanase, as described in WO 2005/017157; f) plants such as cotton plants with modified reactivity fibers, e.g. By expression of the N-acetylglucosamine transferase gene, including nodC, and chitin synthase genes, as described in WO 2006/136351.
Pflanzen oder Pflanzensorten (die nach Methoden der pflanzlichen Biotechnologie, wie der Gentechnik, erhalten wurden), die ebenfalls mit den Verbindungen der allgemeinen Formel (I) behandelt werden können, sind Pflanzen wie Raps oder verwandte Brassica-Pflanzen mit veränderten Eigenschaften der Ölzusammensetzung. Solche Pflanzen können durch genetische Transformation oder durch Selektion von Pflanzen, die eine Mutation enthalten, die solche veränderten Öleigenschaften verleiht, erhalten werden; dazu zählen: a) Pflanzen wie Rapspflanzen, die Öl mit einem hohen Ölsäuregehalt produzieren, wie dies zum Beispiel in US 5,969,169, US 5,840,946 oder US 6,323,392 oder US 6,063, 947 beschrieben ist; b) Pflanzen wie Rapspflanzen, die Öl mit einem niedrigen Linolensäuregehalt produzieren, wie dies in US 6,270828, US 6,169,190 oder US 5,965,755 beschrieben ist. c) Pflanzen wie Rapspflanzen, die Öl mit einem niedrigen gesättigten Fettsäuregehalt produzieren, wie dies z. B. in US 5,434,283 beschrieben ist. Besonders nützliche transgene Pflanzen, die mit den Verbindungen der allgemeinen Formel (I) behandelt werden können, sind Pflanzen, die Transformations-Events, oder eine Kombination von Transformations-Events, enthalten und die zum Beispiel in den Dateien von verschiedenen nationalen oder regionalen Behörden angeführt sind. Besonders nützliche transgene Pflanzen, die mit den Verbindungen der allgemeinen Formel (I) behandelt werden können, sind beispielhaft Pflanzen mit einem oder mehreren Genen, die für ein oder mehrere Toxine kodieren, sind die transgenen Pflanzen, die unter den folgenden Handelsbezeichnungen angeboten werden: YIELD GARD® (zum Beispiel Mais, Baumwolle, Sojabohnen), KnockOut® (zum Beispiel Mais), BiteGard® (zum Beispiel Mais), BT-Xtra® (zum Beispiel Mais), StarLink® (zum Beispiel Mais), Bollgard® (Baumwolle), Nucotn® (Baumwolle), Nucotn 33B® (Baumwolle),Plants or plant varieties (obtained by plant biotechnology methods such as genetic engineering) which can also be treated with the compounds of general formula (I) are plants such as rape or related Brassica plants with altered properties of the oil composition. Such plants can be obtained by genetic transformation or by selection of plants containing a mutation conferring such altered oil properties; These include: a) plants such as rape plants that produce high oleic oil, as described, for example, in US 5,969,169, US 5,840,946 or US 6,323,392 or US 6,063,947; b) plants such as oilseed rape plants which produce low linolenic acid oil, as described in US 6,270,828, US 6,169,190 or US 5,965,755. c) plants such as oilseed rape plants which produce oil with a low saturated fatty acid content, such as e.g. As described in US 5,434,283. Particularly useful transgenic plants that can be treated with the compounds of general formula (I) are plants that contain transformation events, or a combination of transformation events, and which are listed, for example, in the files of various national or regional authorities are. Particularly useful transgenic plants that can be treated with the compounds of general formula (I) are exemplified. Plants with one or more genes encoding one or more toxins are the transgenic plants available under the following tradenames: YIELD GARD® (for example corn, cotton, soybeans), KnockOut® (for example corn), BiteGard® (for example corn), BT-Xtra® (for example maize), StarLink® (for example maize), Bollgard® (cotton ), Nucotn® (cotton), Nucotn 33B® (cotton),
NatureGard® (zum Beispiel Mais), Protecta® und NewLeaf® (Kartoffel). Herbizidtolerante Pflanzen, die zu erwähnen sind, sind zum Beispiel Maissorten, Baumwollsorten und Sojabohnensorten, die unter den folgenden Handelsbezeichnungen angeboten werden: Roundup Ready® (Glyphosatetoleranz, zum Beispiel Mais, Baumwolle, Sojabohne), Liberty Link® (Phosphinotricintoleranz, zum Beispiel Raps), IMI® (Imidazolinontoleranz) und SCS® (Sylfonylharnstofftoleranz), zum Beispiel Mais. Zu den herbizidresistenten Pflanzen (traditionell auf Herbizidtoleranz gezüchtete Pflanzen), die zu erwähnen sind, zählen die unter der Bezeichnung Clearfield® angebotenen Sorten (zum Beispiel Mais). NatureGard® (for example corn), Protecta® and NewLeaf® (potato). Herbicide-tolerant plants to be mentioned are, for example, maize varieties, cotton varieties and soybean cultivars which are listed below the following trade names are available: Roundup Ready® (glyphosate tolerance, for example corn, cotton, soybean), Liberty Link® (phosphinotricin tolerance, for example rapeseed), IMI® (imidazolinone tolerance) and SCS® (sylphonylurea tolerance), for example corn. Herbicide-resistant plants (plants traditionally grown for herbicide tolerance) to be mentioned include the varieties sold under the name Clearfield® (for example corn).
Die erfindungsgemäß zu verwendenden Verbindungen der Formel (I) können in übliche Formulierungen überführt werden, wie Lösungen, Emulsionen, Spritzpulver, wasser- und ölbasierte Suspensionen, Pulver, Stäubemittel, Pasten, lösliche Pulver, lösliche Granulate, Streugranulate, Suspensions- Emulsions-Konzentrate, Wirkstoff- imprägnierte Naturstoffe, Wirkstoff- imprägnierte synthetischeThe compounds of the formula (I) to be used according to the invention can be converted into customary formulations, such as solutions, emulsions, wettable powders, water- and oil-based suspensions, powders, dusts, pastes, soluble powders, soluble granules, scattering granules, suspension emulsion concentrates, Active substance-impregnated natural substances, active ingredient-impregnated synthetic
Stoffe, Düngemittel sowie Feinstverkapselungen in polymeren Stoffen. Im Rahmen der vorliegenden Erfindung ist es insbesondere bevorzugt, wenn die Verbindungen der allgemeinen Formel (I) in der Form einer Sprühformulieruing verwendet werden. Die vorliegende Erfindung betrifft daher darüber hinaus auch eine Sprühformulierung zur Steigerung der Widerstandsfähigkeit von Pflanzen gegenüber abiotischem Stress. Im Folgenden wird eine Substances, fertilizers and microencapsulation in polymeric substances. In the context of the present invention it is particularly preferred if the compounds of the general formula (I) are used in the form of a spray formulation. The present invention therefore further relates to a spray formulation for increasing the resistance of plants to abiotic stress. The following is a
Sprühformulierung näher beschrieben: Spray formulation described in more detail:
Die Formulierungen zur Sprühapplikation werden in bekannter Weise hergestellt, z.B. durch Ver- mischen der erfindungsgemäß zu verwendenden Verbindungen der allgmeinen Formel (I) mit The formulations for spray application are prepared in a known manner, e.g. by mixing the compounds of the general formula (I) to be used according to the invention with
Streckmitteln, also flüssigen Lösungsmitteln und/oder festen Trägerstoffen, gegebenenfalls unter Verwendung von oberflächenaktiven Mitteln, also Emulgiermitteln und/oder Dispergiermitteln und/oder schaumerzeugenden Mitteln. Weitere übliche Zusatzstoffe, wie zum Beispiel übliche Streckmittel sowie Lösungs- oder Verdünnungsmittel, Farbstoffe, Netzmittel, Dispergiermittel, Emulgatoren, Entschäumer, Konservierungsmittel, sekundäre Verdickungsmittel, Kleber, Gibberelline und auch Wasser, können gegebenenfalls auch verwendet werden. Die Herstellung der Formulierungen erfolgt entweder in geeigneten Anlagen oder auch vor oder während der Anwendung. Extenders, that is to say liquid solvents and / or solid carriers, if appropriate using surface-active agents, that is to say emulsifiers and / or dispersants and / or foam-forming agents. Other conventional additives, such as conventional extenders and solvents or diluents, dyes, wetting agents, dispersants, emulsifiers, defoamers, preservatives, secondary thickeners, adhesives, gibberellins and also water, may optionally also be used. The preparation of the formulations is carried out either in suitable systems or before or during use.
Als Hilfsstoffe können solche Stoffe Verwendung finden, die geeignet sind, dem Mittel selbst oder und/oder davon abgeleitete Zubereitungen (z.B. Spritzbrühen) besondere Eigenschaften zu verleihen, wie bestimmte technische Eigenschaften und/oder auch besondere biologische Eigenschaften. Als typische Hilfsmittel kommen in Frage: Streckmittel, Lösemittel und Trägerstoffe. Excipients which can be used are those which are suitable for imparting special properties to the composition itself or to preparations derived therefrom (for example spray mixtures), such as certain technical properties and / or special biological properties. Typical auxiliaries are: extenders, solvents and carriers.
Als Streckmittel eignen sich z.B. Wasser, polare und unpolare organische chemische Flüssigkeiten z.B. aus den Klassen der aromatischen und nicht-aromatischen Kohlenwasserstoffe (wie Paraffine, As extender, e.g. Water, polar and non-polar organic chemical liquids e.g. from the classes of aromatic and non-aromatic hydrocarbons (such as paraffins,
Alkylbenzole, Alkylnaphthaline, Chlorbenzole), der Alkohole und Polyole (die ggf. auch substituiert, verethert und/oder verestert sein können), der Ketone (wie Aceton, Cyclohexanon), Ester (auch Fette und Öle) und (Poly-)Ether, der einfachen und substituierten Amine, Amide, Lactame (wie N- Alkylpyrrolidone) und Lactone, der Sulfone und Sulfoxide (wie Dimethylsysulfoxid). Alkylbenzenes, alkylnaphthalenes, chlorobenzenes), alcohols and polyols (which may also be substituted, etherified and / or esterified), ketones (such as acetone, cyclohexanone), esters (including fats and oils) and (poly) ethers, simple and substituted amines, amides, lactams (such as N-alkylpyrrolidones) and lactones, sulfones and sulfoxides (such as dimethyl sulfoxide).
Im Falle der Benutzung von Wasser als Streckmittel können z.B. auch organische Lösemittel als Hilfslösungsmittel verwendet werden. Als flüssige Lösemittel kommen im wesentlichen in Frage: Aromaten, wie Xylol, Toluol, oder Alkylnaphthaline, chlorierte Aromaten und chlorierte aliphatische Kohlenwasserstoffe, wie Chlorbenzole, Chlorethylene oder Methylenchlorid, aliphatische In the case of using water as an extender, e.g. also organic solvents can be used as auxiliary solvent. Suitable liquid solvents are essentially: aromatics, such as xylene, toluene, or alkylnaphthalenes, chlorinated aromatics and chlorinated aliphatic hydrocarbons, such as chlorobenzenes, chloroethylenes or methylene chloride, aliphatic
Kohlenwasserstoffe, wie Cyclohexan oder Paraffine, z.B. Erdölfraktionen, mineralische und pflanzliche Öle, Alkohole, wie Butanol oder Glykol sowie deren Ether und Ester, Ketone wie Aceton, Methylethyl- keton, Methylisobutylketon oder Cyclohexanon, stark polare Lösungsmittel, wie Dimethylsulfoxid, sowie Wasser. Hydrocarbons, such as cyclohexane or paraffins, e.g. Petroleum fractions, mineral and vegetable oils, alcohols such as butanol or glycol and their ethers and esters, ketones such as acetone, methyl ethyl ketone, methyl isobutyl ketone or cyclohexanone, strongly polar solvents such as dimethyl sulfoxide, and water.
Es können Farbstoffe wie anorganische Pigmente, z.B. Eisenoxid, Titanoxid, Ferrocyanblau und organische Farbstoffe, wie Alizarin-, Azo- und Metallphthalocyaninfarbstoffe und Spurennährstoffe wie Salze von Eisen, Mangan, Bor, Kupfer, Kobalt, Molybdän und Zink verwendet werden. Dyes such as inorganic pigments, e.g. Iron oxide, titanium oxide, ferrocyan blue and organic dyes such as alizarin, azo and metal phthalocyanine dyes and trace nutrients such as salts of iron, manganese, boron, copper, cobalt, molybdenum and zinc.
Als Netzmittel, die in den erfindungsgemäß verwendbaren Formulierungen enthalten sein können, kommen alle zur Formulierung von agrochemischen Wirkstoffen üblichen, die Benetzung fördernden Stoffe in Frage. Vorzugsweise verwendbar sind Alkylnaphthalin-Sulfonate, wie Diisopropyl- oder Diisobutylnaphthalin-Sulfonate. Suitable wetting agents which may be present in the formulations which can be used according to the invention are all wetting-promoting substances customary for the formulation of agrochemical active compounds. Preferably usable are alkylnaphthalene sulfonates such as diisopropyl or diisobutylnaphthalene sulfonates.
Als Dispergiermittel und/oder Emulgatoren, die in den erfindungsgemäß verwendbaren Formulierungen enthalten sein können, kommen alle zur Formulierung von agrochemischen Wirkstoffen üblichen nichtionischen, anionischen und kationischen Dispergiermittel in Betracht. Vorzugsweise verwendbar sind nichtionische oder anionische Dispergiermittel oder Gemische von nichtionischen oder anionischen Dispergiermitteln. Als geeignete nichtionische Dispergiermittel sind insbesondere Ethylenoxid- Propylenoxid-Blockpolymere, Alkylphenolpolyglykolether sowie Tristryrylphenolpolyglykolether und deren phosphatierte oder sulfatierte Derivate zu nennen. Geeignete anionische Dispergiermittel sind insbesondere Ligninsulfonate, Polyacrylsäuresalze und Arylsulfonat-Formaldehydkondensate. Suitable dispersants and / or emulsifiers which may be present in the formulations which can be used according to the invention are all nonionic, anionic and cationic dispersants customary for the formulation of agrochemical active compounds. Preferably usable are nonionic or anionic dispersants or mixtures of nonionic or anionic dispersants. Particularly suitable nonionic dispersants are ethylene oxide-propylene oxide block polymers, alkylphenol polyglycol ethers and tristryrylphenol polyglycol ethers and their phosphated or sulfated derivatives. Suitable anionic dispersants are in particular lignosulfonates, polyacrylic acid salts and arylsulfonate-formaldehyde condensates.
Als Entschäumer können in den erfindungsgemäß verwendbaren Formulierungen alle zur Formulierung von agrochemischen Wirkstoffen üblichen schaumhemmenden Stoffe enthalten sein. Vorzugsweise verwendbar sind Silikonentschäumer und Magnesiumstearat. Als Konservierungsmittel können in den erfindungsgemäß verwendbaren Formulierungen alle für derartige Zwecke in agrochemischen Mitteln einsetzbaren Stoffe vorhanden sein. Beispielhaft genannt seien Dichlorophen und Benzylalkoholhemiformal. Als sekundäre Verdickungsmittel, die in den erfindungsgemäß verwendbaren Formulierungen enthalten sein können, kommen alle für derartige Zwecke in agrochemischen Mitteln einsetzbaren Stoffe in Frage. Vorzugsweise in Betracht kommen Cellulosederivate, Acrylsäurederivate, Xanthan, modifizierte Tone und hochdisperse Kieselsäure. Defoamers which may be present in the formulations which can be used according to the invention are all foam-inhibiting substances customary for the formulation of agrochemical active compounds. Preferably usable are silicone defoamers and magnesium stearate. Preservatives which may be present in the formulations which can be used according to the invention are all substances which can be used for such purposes in agrochemical compositions. Examples include dichlorophen and Benzylalkoholhemiformal. Suitable secondary thickeners which may be present in the formulations which can be used according to the invention are all substances which can be used for such purposes in agrochemical compositions. Preference is given to cellulose derivatives, acrylic acid derivatives, xanthan, modified clays and finely divided silica.
Als Kleber, die in den erfindungsgemäß verwendbaren Formulierungen enthalten sein können, kommen alle üblichen in Beizmitteln einsetzbaren Bindemittel in Frage. Vorzugsweise genannt seien Suitable adhesives which may be present in the formulations which can be used according to the invention are all customary binders which can be used in pickling agents. Preferably mentioned
Polyvinylpyrrolidon, Polyvinylacetat, Polyvinylalkohol und Tylose. Als Gibberelline, die in den erfindungsgemäß verwendbaren Formulierungen enthalten sein können, kommen vorzugsweise diePolyvinyl pyrrolidone, polyvinyl acetate, polyvinyl alcohol and Tylose. Gibberellins which may be present in the formulations which can be used according to the invention are preferably those
Gibberelline AI, A3 (= Gibberellinsäure), A4 und A7 infrage, besonders bevorzugt verwendet man die Gibberellinsäure. Die Gibberelline sind bekannt (vgl. R. Wegler„Chemie der Pflanzenschutz- und Schädlingsbekämpfungsmittel", Bd. 2, Springer Verlag, 1970, S. 401-412). Weitere Additive können Duftstoffe, mineralische oder vegetabilische gegebenenfalls modifizierte Öle, Wachse und Nährstoffe (auch Spurennährstoffe), wie Salze von Eisen, Mangan, Bor, Kupfer, Kobalt, Molybdän und Zink sein. Weiterhin enthalten sein können Stabilisatoren wie Kältestabilisatoren, Oxidationsschutzmittel, Lichtschutzmittel oder andere die chemische und / oder physikalische Stabilität verbessernde Mittel. Gibberellin AI, A3 (= gibberellic acid), A4 and A7 in question, particularly preferably used the gibberellic acid. The gibberellins are known (see R. Wegler "Chemie der Pflanzenschutz- und Schädlingsbekungsmittel", Vol. 2, Springer Verlag, 1970, pp. 401-412) Further additives may be fragrances, mineral or vegetable optionally modified oils, waxes and nutrients (Also trace micronutrients), such as salts of iron, manganese, boron, copper, cobalt, molybdenum and zinc may be further stabilizers such as cold stabilizers, antioxidants, light stabilizers or other chemical and / or physical stability-improving agent.
Die Formulierungen enthalten im allgemeinen zwischen 0,01 und 98 Gew.-%, vorzugsweise zwischen 0,5 und 90 %, der Verbindung der allgemeinen Formel (I). The formulations generally contain between 0.01 and 98% by weight, preferably between 0.5 and 90%, of the compound of general formula (I).
Die Verbindungen der allgemeinen Formel (I) können in handelsüblichen Formulierungen sowie in den aus diesen Formulierungen bereiteten Anwendungsformen in Mischung mit anderen Wirkstoffen wie Insektiziden, Lockstoffen, Sterilantien, Bakteriziden, Akariziden, Nematiziden, Fungiziden, wachstumsregulierenden Stoffen, Herbiziden, Safenern, Düngemitteln oder Semiochemicals vorliegen. The compounds of general formula (I) can be used in commercial formulations as well as in the formulations prepared from these formulations in admixture with other active ingredients such as insecticides, attractants, sterilants, bactericides, acaricides, nematicides, fungicides, growth regulators, herbicides, safeners, fertilizers or semiochemicals available.
Ferner lässt sich die beschriebene positive Wirkung der Verbindungen der Formel (I) auf die pflanzeneigenen Ab Wehrkräfte durch eine zusätzliche Behandlung mit insektziden, fungiziden oder bakteriziden Wirkstoffen unterstützen. Furthermore, the described positive effect of the compounds of the formula (I) on the plant-derived Abwehr forces by an additional treatment with insecticidal, fungicidal or bactericidal agents support.
Bevorzugte Zeitpunkte für die Applikation der erfindungsgemäß zu verwendenden Verbindungen der allgemeinen Formel (I) oder deren Salze zur Steigerung der Resistenz gegenüber abiotischem Stress sind Boden-, Stamm- und/oder Blattbehandlungen mit den zugelassenen Aufwandmengen. Erfindunsgemäß wurde darüber hinaus gefunden, dass die Anwendung einer oder mehrerer Preferred times for the application of the compounds of the general formula (I) to be used according to the invention or their salts for increasing the resistance to abiotic stress are soil, stem and / or foliar treatments with the permitted application rates. According to the invention, it has also been found that the use of one or more
Verbindungen der allgemeinen Formel (I) in Kombination mit mindestens einem Düngemittel wie weiter unten stehend definiert auf Pflanzen oder in deren Umgebung möglich ist. Compounds of general formula (I) in combination with at least one fertilizer as defined below is possible on plants or in their environment.
Düngemittel, die erfindungsgemäß zusammen mit den oben näher erläuterten Verbindungen der allgemeinen Formel (I) verwendet werden können, sind im Allgemeinen organische und anorganische Stickstoff-haltige Verbindungen wie beispielsweise Harnstoffe, Harnstoff-Formaldehyd- Kondensationsprodukte, Aminosäuren, Ammoniumsalze und -nitrate, Kaliumsalze (bevorzugt Chloride, Sulfate, Nitrate), Phosphorsäuresalze und/oder Salze von Phosphoriger Säure (bevorzugt Kaliumsalze und Ammoniumsalze). Insbesondere zu nennen sind in diesem Zusammenhang die NPK-Dünger, d.h. Düngemittel, die Stickstoff, Phosphor und Kalium enthalten, Kalkammonsalpeter, d.h. Düngemittel, die noch Calcium enthalten, Ammonsulfatsalpeter (Allgemeine Formel NH4NO3), Fertilizers which can be used according to the invention together with the compounds of general formula (I) explained in more detail above are in general organic and inorganic nitrogen-containing compounds such as, for example, ureas, urea-formaldehyde condensation products, amino acids, ammonium salts and nitrates, potassium salts ( preferably chlorides, sulfates, nitrates), phosphoric acid salts and / or salts of phosphorous acid (preferably potassium salts and ammonium salts). Particularly noteworthy in this context are the NPK fertilizers, ie fertilizers containing nitrogen, phosphorus and potassium, calcium ammonium nitrate, ie fertilizers that still contain calcium, ammonium sulfate nitrate (General formula NH4NO3)
Ammonphosphat und Ammonsulfat. Diese Düngemittel sind dem Fachmann allgemein bekannt, siehe auch beispielsweise Ullmann's Encyclopedia of Industrial Chemistry, 5. Edition, Vol. A 10, Seiten 323 bis 431, Verlagsgesellschaft, Weinheim, 1987. Ammonium phosphate and ammonium sulfate. These fertilizers are well known to those skilled in the art, see also, for example, Ullmann's Encyclopedia of Industrial Chemistry, 5th Edition, Vol. A 10, pages 323 to 431, Verlagsgesellschaft, Weinheim, 1987.
Die Düngemittel können auch Salze aus Mikronährstoffen (bevorzugt Calcium, Schwefel, Bor, Mangan, Magnesium, Eisen, Bor, Kupfer, Zink, Molybdän und Kobalt) und Phytohormonen (z. B. Vitamin Bl und Indol-(III)essigsäure) oder Gemische davon enthalten. Erfindungsgemäß eingesetzte Düngemittel können auch weitere Salze wie Monoammoniumphosphat (MAP), Diammoniumphosphat (DAP), Kaliumsulfat, Kaliumchlorid, Magnesiumsulfat enthalten. Geeignete Mengen für die sekundären Nährstoffe oder Spurenelemente sind Mengen von 0,5 bis 5 Gew.-%, bezogen auf das gesamte The fertilizers may also contain salts of micronutrients (preferably calcium, sulfur, boron, manganese, magnesium, iron, boron, copper, zinc, molybdenum and cobalt) and phytohormones (eg, vitamin B1 and indole (III) acetic acid) or mixtures included. Fertilizers used according to the invention may also contain other salts such as monoammonium phosphate (MAP), diammonium phosphate (DAP), potassium sulfate, potassium chloride, magnesium sulfate. Suitable amounts for the secondary nutrients or trace elements are amounts of 0.5 to 5 wt .-%, based on the total
Düngemittel. Weitere mögliche Inhaltsstoffe sind Pflanzenschutzmittel, Insektizide oder Fungizide, Wachstumsregulatoren oder Gemische davon. Hierzu folgen weiter unten weitergehende Ausführungen. Fertilizer. Further possible ingredients are crop protection agents, insecticides or fungicides, growth regulators or mixtures thereof. Further explanations follow below.
Die Düngemittel können beispielsweise in Form von Pulvern, Granulaten, Prills oder Kompaktaten eingesetzt werden. Die Düngemittel können jedoch auch in flüssiger Form, gelöst in einem wässrigen Medium, eingesetzt werden. In diesem Fall kann auch verdünnter wässriger Ammoniak als The fertilizers can be used, for example, in the form of powders, granules, prills or compactates. However, the fertilizers can also be used in liquid form dissolved in an aqueous medium. In this case, diluted aqueous ammonia can also be used as
Stickstoffdüngemittel eingesetzt werden. Weitere mögliche Inhaltsstoffe für Düngemittel sind beispielsweise in Ullmann's Encyclopedia of Industrial Chemistry, 5. Auflage, 1987, Band A 10, Seiten 363 bis 401, DE-A 41 28 828, DE-A 19 05 834 und DE-A 196 31 764 beschrieben. Die allgemeine Zusammensetzung der Düngemittel, bei welchen es sich im Rahmen der vorliegenden Erfindung um Einzelnährstoff- und/oder Mehrnährstoffdünger handeln kann, beispielsweise aus Stickstoff, Kalium oder Phosphor, kann innerhalb eines breiten Bereichs variieren. Im Allgemeinen ist ein Gehalt von 1 bis 30 Gew.-% Stickstoff (bevorzugt 5 bis 20 Gew.-%), von 1 bis 20 Gew.-% Kalium (bevorzugt 3 bis 15 Gew.-%) und ein Gehalt von 1 bis 20 Gew.-% Phosphor (bevorzugt 3 bis 10 Gew.-%) vorteilhaft. Der Gehalt von Mikroelementen ist üblicherweise im ppm-Bereich, bevorzugt im Bereich von von 1 bis 1000 ppm. Nitrogen fertilizers are used. Further possible ingredients for fertilizers are described, for example, in Ullmann's Encyclopedia of Industrial Chemistry, 5th Edition, 1987, Volume A 10, pages 363 to 401, DE-A 41 28 828, DE-A 19 05 834 and DE-A 196 31 764 , The general composition of the fertilizers, which in the context of the present invention may be single nutrient and / or multi-nutrient fertilizers, for example nitrogen, potassium or phosphorus, may vary within a wide range. In general, a content of 1 to 30 wt .-% of nitrogen (preferably 5 to 20 wt .-%), from 1 to 20 wt .-% potassium (preferably 3 to 15 wt .-%) and a content of 1 to 20% by weight of phosphorus (preferably 3 to 10% by weight) is advantageous. Of the Content of microelements is usually in the ppm range, preferably in the range of from 1 to 1000 ppm.
Im Rahmen der vorliegenden Erfindung können das Düngemittel sowie eine oder mehrere In the context of the present invention, the fertilizer and one or more
Verbindungen der allgemeinen Formel (I) zeitgleich verabreicht werden. Es ist jedoch auch möglich, zunächst das Düngemittel und dann eine oder mehrere Verbindungen der allgemeinen Formel (I) oder zunächst eine oder mehrere Verbindungen der allgemeinen Formel (I) und dann das Düngemittel anzuwenden. Bei nicht zeitgleicher Anwendung einer oder mehrerer Verbindungen der allgemeinen Formel (I) und des Düngemittels erfolgt im Rahmen der vorliegenden Erfindung jedoch die Anwendung in funktionellem Zusammenhang, insbesondere innerhalb eines Zeitraums von im Allgemeinen 24Compounds of general formula (I) are administered at the same time. However, it is also possible first to apply the fertilizer and then one or more compounds of the general formula (I) or first one or more compounds of the general formula (I) and then the fertilizer. In the case of non-simultaneous application of one or more compounds of the general formula (I) and of the fertilizer, however, the application takes place in a functional context within the scope of the present invention, in particular within a period of generally 24
Stunden, bevorzugt 18 Stunden, besonders bevorzugt 12 Stunden, speziell 6 Stunden, noch spezieller 4 Stunden, noch weiter spezieller innerhalb 2 Stunden. In ganz besonderen Ausführungsformen der vorliegenden Erfindung erfolgt die Anwendung einer oder mehrerer Verbindungen der Formel (I) und des Düngemittels in einem zeitlichen Rahmen von weniger als 1 Stunden, vorzugsweise weniger als 30 Minuten, besonders bevorzugt weniger als 15 Minuten. Hours, preferably 18 hours, more preferably 12 hours, especially 6 hours, even more specifically 4 hours, even more specifically within 2 hours. In very particular embodiments of the present invention, the use of one or more compounds of the formula (I) and of the fertilizer takes place in a time frame of less than 1 hour, preferably less than 30 minutes, more preferably less than 15 minutes.
Die Erfindung soll durch die nachfolgenden biologischen Beispiele veranschaulicht werden, ohne sie jedoch darauf einzuschränken. Biologische Beispiele: The invention will be illustrated by the following biological examples without, however, limiting them thereto. Biological examples:
In vivo- Analysen In vivo analyzes
Samen von mono- bzw. dikotylen Kulturpflanzen wurden in Plastiktöpfen in sandigem Lehmboden ausgesät, mit Erde oder Sand abgedeckt und im Gewächshaus unter guten Wachstumsbedingungen angezogen. Die Behandlung der Versuchspflanzen erfolgt im frühen Laubblattstadium (BBCH10 - BBCH13). Zur Gewährleistung einer uniformen Wasserversorgung vor Stressbeginn wurden die bepflanzten Töpfe vor Substanzapplikation durch Anstaubewässerung mit Wasser versorgt. Die erfindungsgemässen Verbindungen wurden zunächst als benetzbare Pulver (WP) formuliert oder in einem Lösungsmittelgemisch gelöst. Die weitere Verdünnung erfolgte mit Wasser unter Zusatz von 0,2% Netzmittel (z.B. Agrotin). Die fertige Spritzbrühe wurde mit einer Wasseraufwandmenge von umgerechnet 600 1/ha auf die grünen Pflanzenteile gesprüht. Unmittelbar nach Substanzapplikation erfolgte die Stressbehandlung der Pflanzen. Seeds of monocotyledonous or dicotyledonous crops were seeded in sandy loam soil in plastic pots, covered with soil or sand and grown in the greenhouse under good growth conditions. The treatment of the test plants takes place in the early leaves leaf stage (BBCH10 - BBCH13). To ensure a uniform water supply before the onset of stress, the planted pots were supplied with water before being applied with substance by means of dewatering. The compounds according to the invention were initially formulated as wettable powders (WP) or dissolved in a solvent mixture. Further dilution was made with water with the addition of 0.2% wetting agent (e.g., agrotine). The finished spray mixture was sprayed onto the green parts of the plant at a rate of 600 l / ha. Immediately after substance administration, the stress treatment of the plants was carried out.
Der Trockenstress wurde durch langsames Abtrocknen unter folgenden Bedingungen induziert: The dry stress was induced by slow drying under the following conditions:
„Tag": 14 Stunden beleuchtet bei ~ 26-30°C „Nacht": 10 Stunden ohne Beleuchtung bei ~ 18-20°C. "Day": 14 hours lit at ~ 26-30 ° C "Night": 10 hours without lighting at ~ 18-20 ° C.
Die Dauer der jeweiligen Stressphasen richtete sich hauptsächlich nach dem Zustand der gestressten Kontrollpflanzen. Sie wurde (durch Wiederbewässerung und Transfer in ein Gewächshaus mit guten Wachstumsbedingungen) beendet, sobald irreversible Schäden an den gestressten Kontrollpflanzen zu beobachten waren. The duration of the respective stress phases mainly depends on the condition of the stressed control plants. It was terminated (by irrigation and transfer to a greenhouse with good growth conditions) as soon as irreversible damage to the stressed control plants was observed.
Nach Beendigung der Stressphase folgte eine ca. 4-7 tägige Erholungsphase, während der die Pflanzen abermals unter guten Wachstumsbedingungen im Gewächshaus gehalten wurden. Die Dauer der Erholungsphase richtete sich hauptsächlich danach, wann die Versuchspflanzen einen Zustand erreicht hatten, der eine visuelle Bonitur potenzieller Effekte ermöglichte, und war daher variabel. After completion of the stress phase followed by a 4-7 day recovery period, during which the plants were kept again under good growth conditions in the greenhouse. The duration of the recovery period was mainly dependent on when the test plants reached a state that allowed a visual assessment of potential effects and was therefore variable.
Wenn dieser Zeitpunkt erreicht war, wurde das Erscheinungsbild der mit Testsubstanzen behandelten Pflanzen im Vergleich zu den gestressten Kontrollpflanzen nach folgenden Kategorien erfasst: When this time was reached, the appearance of the test substance treated plants was compared to the stressed control plants according to the following categories:
0 kein positiver Effekt 0 no positive effect
+ leicht positiver Effekt + slightly positive effect
++ deutlich positiver Effekt ++ clearly positive effect
+++ stark positiver Effekt +++ strong positive effect
Um auszuschhessen, dass die beobachteten Effekte von der ggf. fungiziden oder msektiziden Wirkung der Testverbindungen beeinflusst wurden, wurde zudem darauf geachtet, dass die Versuche ohne Pilzinfektion oder Insektenbefall abliefen. Bei den in den unten stehenden Tabellen A-l und A-2 angegebenen Werten handelt es sich um Mittelwerte der Ergebnisse aus mindestens drei Replikaten. In order to assess that the observed effects were influenced by the possibly fungicidal or insecticidal activity of the test compounds, care was also taken that the experiments were carried out without fungal infection or insect infestation. The values given in Tables A-1 and A-2 below are averages of the results from at least three replicates.
Wirkungen ausgewählter Verbindungen der allgemeinen Formel (I) unter Trockenstress gemäß nachstehender Tabellen A-l und A-2: Effects of selected compounds of general formula (I) under drought stress according to Tables A-1 and A-2 below:
Tabelle A-l Table A-1
No. Substanz Dosierung Einheit Effekt(BRSNS) No. Substance Dosage Unit Effect (BRSNS)
1 Ia-076 250 g/ha + 1 Ia-076 250 g / ha +
2 Ia-070 250 g/ha + Tabelle A-2 2 Ia-070 250 g / ha + Table A-2
In den zuvor genannten Tabellen bedeuten: In the aforementioned tables mean:
BRSNS= Brassica napus BRSNS = Brassica napus
TRZAS= Triticum aestivum TRZAS = Triticum aestivum
In vitro- Analysen In vitro analyzes
Effekte des Phytohormons Abscisinsäure (ABA) auf das Verhalten von Pflanzen unter abiotischem Stress und der Wirkmechanismus von ABA sind in der Literatur beschrieben (vgl. Abrams et al, W097/23441, Cutler, Park et al. Science, 2009, 324, 1068; Grill et al. Science, 2009, 324, 1064; Tanokura et al. Biophysics, 2011, 7, 123; Schroeder et al. Plant J. 2010, 61, 290). Daher kann man mit Hilfe eines geeigneten in vitro-Testsystems eine Korrelation zwischen der Wirkung von ABA und der Stressantwort einer Pflanze unter abiotischem Stress ableiten. Unter Wassermangel (Trockenstress) bilden Pflanzen das Phytohormon Abscisinsäure (ABA). Dieses bindet mit einem Co-Regulator (Regulatory Component of ABA-Receptor = RCAR nach Grill et al. Science, 2009, 324, 1064 oder PYR/PYL nach Cutler et al. Science, 2009, 324, 1068) an eine Phosphatase (z.B. ABU, eine Typ 2C Proteinphosphatase, auch als PP2C abgekürzt) und hemmt diese in ihrer Aktivität. In der Folge wird eine „downstream" Kinase (z.B. SnRK2) nicht mehr dephosphoryliert. Diese somit aktive Kinase schaltet über Phosphorylierung von Transkriptionsfaktoren (z.B. AREB/ABF, vgl. Yoshida et al., Plant L 2010, 61, 672) ein genetisches Schutzprogramm zur Erhöhung der Trockenstresstoleranz an. Effects of the phytohormone abscisic acid (ABA) on the behavior of plants under abiotic stress and the mechanism of action of ABA are described in the literature (Abrams et al., WO 97/24444, Cutler, Park et al., Science, 2009, 324, 1068; Grill et al., Science, 2009, 324, 1064; Tanokura et al., Biophysics, 2011, 7, 123; Schroeder et al., Plant J. 2010, 61, 290). Therefore, a suitable in vitro test system can be used to derive a correlation between the effect of ABA and the stress response of a plant under abiotic stress. Under water shortage (drought stress) plants form the phytohormone abscisic acid (ABA). This binds with a co-regulator (Regulatory Component of ABA Receptor = RCAR according to Grill et al., Science, 2009, 324, 1064 or PYR / PYL by Cutler et al., Science, 2009, 324, 1068) to a phosphatase (eg ABU, a type 2C protein phosphatase, also abbreviated as PP2C) and inhibits them in their activity. As a result, a "downstream" kinase (eg SnRK2) is no longer dephosphorylated, which thus activates a genetic protection program via phosphorylation of transcription factors (eg AREB / ABF, see Yoshida et al., Plant L 2010, 61, 672) to increase the dry stress tolerance.
In dem im Folgenden beschriebenen Testverfahren wurden Substanzen identifiziert, die ähnlich wie ABA zu einer Erhöhung der Trockenstresstoleranz über die Ausbildung des RCAR- ABU Komplexes führen. Da die Phosphatase ABU in diesem Komplex inhibiert ist, wurde die ABI Aktivität gegenüber eines fluoreszenten Phosphatase-Substrates bestimmt. In Greiner 1536-well PS-Mikrotiterplatten wurde die Dephosphorylierung von 4-Methylumbelliferylphosphat (MUP) durch ABU und RCAR aus Triticum aestivum nach Anregung bei 340 nm bei 460nm gemessen. Der hier beschriebene Assay wurde im Allgemeinen mit Konzentrationen der entsprechenden chemischen Testsubstanzen in einem Konzentrationsbereich von 1 nM bis 40 μΜ in einer Lösung aus Dimethylsulfoxid (DMSO) und Puffer durchgeführt. Als Kontrollen wurde a) DMSO 1% sowie b) 5 μΜ Abscisinsäure (ABA) verwendet. In jede Kavität der Mikroplatte wurde ein Gesamtvolumen von 5,6 μL gegeben, das sich wie folgt zusammensetzte: In the test procedure described below, substances were identified which, similar to ABA, lead to an increase in dry stress tolerance via the formation of the RCAR-ABU complex. Since the phosphatase ABU is inhibited in this complex, the ABI activity against a fluorescent phosphatase substrate was determined. In Greiner 1536-well PS microtiter plates, the dephosphorylation of 4-methylumbelliferyl phosphate (MUP) was measured by ABU and RCAR from Triticum aestivum after excitation at 340 nm at 460 nm. The assay described here was generally carried out with concentrations of the corresponding chemical test substances in a concentration range of 1 nM to 40 μΜ in a solution of dimethyl sulfoxide (DMSO) and buffer. The controls used were a) DMSO 1% and b) 5 μΜ abscisic acid (ABA). Each well of the microplate was given a total volume of 5.6 μL, composed as follows:
1) 3 μL Enzympuffermix, der sich aus 1 μg/ml ABU und 0,5 μg/ml RCAR (Endkonzentration im Assay) in 50 mM Tris/HCl pH 7,8, 50 mM NaCl, 0,3 mM MnC12, 0,01 % Tween, 0,01 % BSA zusammensetzt. 1) 3 μL enzyme buffer mix consisting of 1 μg / ml ABU and 0.5 μg / ml RCAR (final concentration in the assay) in 50 mM Tris / HCl pH 7.8, 50 mM NaCl, 0.3 mM MnC12, O, 01% Tween, 0.01% BSA.
2) 0,6 μΕ Substanzlösung, d.h. a) DMSO oder b) Abscisinsäurelösung oder c) die entsprechende Testsubstanz der allgemeinen Formel (I) gelöst in DMSO und Puffer. Die DMSO Endkonzentration im Assay lag bei 1%. 2) 0.6 μΕ substance solution, i. a) DMSO or b) abscisic acid solution or c) the corresponding test substance of the general formula (I) dissolved in DMSO and buffer. The final DMSO concentration in the assay was 1%.
3) 2 μΕ Substratmix, der sich aus 100 μΜ MUP (Endkonzentration im Assay) in 50 mM Tris/HCl pH 7,8, 50 mM NaCl, 0,3 mM MnC12, 0,01 % Tween, 0,01 % BSA zusammensetzt. 3) 2 μM substrate mix composed of 100 μM MUP (final concentration in the assay) in 50 mM Tris / HCl pH 7.8, 50 mM NaCl, 0.3 mM MnC12, 0.01% Tween, 0.01% BSA ,
Nach Dispensieren aller Lösungen wurde eine Fluoreszenzmessung bei 32°C in einem Mikrotiterplatten- Lesegerät„Pherastar" der Firma BMG Labtech unter Verwendung eines Anregungsfilters von 340 nm und einem Emissionsfilter von 460 nm durchgeführt. Nach einer Inkubation von 80 Minuten bei 32°C, erfolgte eine weitere Fluoreszenzmessung. Die Wirkstärke der Testverbindungen wurde über die Differenz aus beiden Messungen bestimmt. Unter Verwendung von Abscisinsäure als Vergleichssubstanz, sind die Ergebnisse der Wirkstärke der Verbindungen der allgemeinen Formel (I) bei 10 μΜ in der nachfolgenden Tabelle nach folgender Einteilung angegeben: ++++ (Inhibition > 90 %), +++ (90 % > Inhibition > 70%), ++ (70 % > Inhibition > 50%), + (50 % > Inhibition > 30%). After dispensing all solutions, a fluorescence measurement was carried out at 32 ° C. in a BMG Labtech "Pherastar" microtiter plate reader using an excitation filter of 340 nm and an emission filter of 460 nm, followed by incubation at 32 ° C. for 80 minutes The potency of the test compounds was determined using the difference between the two measurements: Using abscisic acid as the comparison substance, the results of the potency of the compounds of the general formula (I) at 10 μΜ are given in the following table according to the following classification: + +++ (inhibition> 90%), +++ (90%> inhibition> 70%), ++ (70%> inhibition> 50%), + (50%> inhibition> 30%).
Wirkungen ausgewählter Verbindungen der allgemeinen Formel (I) gemäß nachstehender Tabellen B-l : Effects of selected compounds of the general formula (I) according to the following table Bl:
Tabelle B-l Table B-1
Ähnliche Ergebnisse konnten auch mit weiteren Verbindungen der allgemeinen Formel (I) auch bei Applikation dieser Verbindungne auf andere Pflanzenarten erzielt werden. Similar results could also be achieved with other compounds of the general formula (I) even when these compounds are applied to other plant species.
Claims
Applications Claiming Priority (2)
| Application Number | Priority Date | Filing Date | Title |
|---|---|---|---|
| EP16203413.6 | 2016-12-12 | ||
| EP16203413 | 2016-12-12 |
Publications (1)
| Publication Number | Publication Date |
|---|---|
| WO2018108627A1 true WO2018108627A1 (en) | 2018-06-21 |
Family
ID=57542864
Family Applications (1)
| Application Number | Title | Priority Date | Filing Date |
|---|---|---|---|
| PCT/EP2017/081511 Ceased WO2018108627A1 (en) | 2016-12-12 | 2017-12-05 | Use of substituted indolinylmethyl sulfonamides, or the salts thereof for increasing the stress tolerance of plants |
Country Status (1)
| Country | Link |
|---|---|
| WO (1) | WO2018108627A1 (en) |
Cited By (2)
| Publication number | Priority date | Publication date | Assignee | Title |
|---|---|---|---|---|
| CN114213310A (en) * | 2021-12-31 | 2022-03-22 | 中国药科大学 | Indoline compound and derivative thereof, preparation method, pharmaceutical composition and application |
| US11351149B2 (en) | 2020-09-03 | 2022-06-07 | Pfizer Inc. | Nitrile-containing antiviral compounds |
Citations (206)
| Publication number | Priority date | Publication date | Assignee | Title |
|---|---|---|---|---|
| US947A (en) | 1838-09-25 | Machine fob dyeing yarn from the beam | ||
| US6063A (en) | 1849-01-30 | Improvement in baking apparatus | ||
| DE134979C (en) | 1901-06-02 | 1902-10-10 | Joseph Dr Tscherniac | PROCESS FOR PREPARATION OF BENZYLPHTALIMIDES |
| DE847006C (en) | 1942-12-04 | 1952-08-18 | Hoechst Ag | Process for the production of sulfamido-alkylcarboxylic acid nitriles or sulfamidoalkylcarboxylic acids |
| DE1905834A1 (en) | 1969-02-06 | 1970-09-03 | Basf Ag | Salts and fertilizers provided with a coating to avoid dusting and caking |
| DE2159362A1 (en) | 1971-11-30 | 1973-06-14 | Bayer Ag | Amino-3-(5-nitro-2-furfurylidene)oxindoles - with antibacterial and antimycotic activity |
| DE2544859A1 (en) | 1974-10-08 | 1976-04-29 | Sumitomo Chemical Co | PLANT GROWTH REGULATORY AGENT |
| EP0033984A1 (en) | 1980-01-23 | 1981-08-19 | Duphar International Research B.V | New sulphonyl compounds, method of preparing the new compounds, as well as aphicidal compositions on the basis of the new compounds |
| EP0176327A1 (en) | 1984-09-20 | 1986-04-02 | Chevron Research Company | Fungicidal n-disubstituted sulfonamides |
| DE3534948A1 (en) | 1985-10-01 | 1987-04-09 | Bayer Ag | FUNGICIDES AND GROWTH REGULATORY AGENTS |
| US4761373A (en) | 1984-03-06 | 1988-08-02 | Molecular Genetics, Inc. | Herbicide resistance in plants |
| WO1989010396A1 (en) | 1988-04-28 | 1989-11-02 | Plant Genetic Systems N.V. | Plants with modified stamen cells |
| DD277832A1 (en) | 1988-12-13 | 1990-04-18 | Forschzent Bodenfruchtbarkeit | MEANS FOR INCREASING THE STRESSTOLERANCE OF CULTURAL PLANTS |
| DD277835A1 (en) | 1988-12-13 | 1990-04-18 | Forschzent Bodenfruchtbarkeit | MEANS FOR INCREASING THE STRESSTOLERANCE OF CULTURAL PLANTS |
| WO1991002069A1 (en) | 1989-08-10 | 1991-02-21 | Plant Genetic Systems N.V. | Plants with modified flowers |
| US5013659A (en) | 1987-07-27 | 1991-05-07 | E. I. Du Pont De Nemours And Company | Nucleic acid fragment encoding herbicide resistant plant acetolactate synthase |
| EP0431943A2 (en) | 1989-12-08 | 1991-06-12 | Merck & Co. Inc. | Nitrogen-containing spirocycles |
| US5084082A (en) | 1988-09-22 | 1992-01-28 | E. I. Du Pont De Nemours And Company | Soybean plants with dominant selectable trait for herbicide resistance |
| WO1992005251A1 (en) | 1990-09-21 | 1992-04-02 | Institut National De La Recherche Agronomique | Dna sequence imparting cytoplasmic male sterility, mitochondrial genome, nuclear genome, mitochondria and plant containing said sequence and process for the preparation of hybrids |
| DE4103253A1 (en) | 1991-02-04 | 1992-08-06 | Bitterfeld Wolfen Chemie | Agent to increase stress tolerance of crops and forests - contains synergistic mixt. of choline chloride and N-(2-hydroxy-ethyl)-piperazine |
| DE4128828A1 (en) | 1991-08-30 | 1993-03-04 | Basf Ag | AMMONIUM OR UREA-CONTAINED DISPENSERS AND METHOD FOR THEIR PRODUCTION |
| US5198599A (en) | 1990-06-05 | 1993-03-30 | Idaho Resarch Foundation, Inc. | Sulfonylurea herbicide resistance in plants |
| US5201931A (en) | 1988-12-01 | 1993-04-13 | Her Majesty The Queen In Right Of Canada, As Represented By The National Research Council Of Canada | Abscisic acid-related plant growth regulators - germination promoters |
| EP0571427A1 (en) | 1991-02-13 | 1993-12-01 | Hoechst Schering AgrEvo GmbH | Plasmids containing dna-sequences that cause changes in the carbohydrate concentration and the carbohydrate composition in plants, as well as plant cells and plants containing these plasmids |
| US5273894A (en) | 1986-08-23 | 1993-12-28 | Hoechst Aktiengesellschaft | Phosphinothricin-resistance gene, and its use |
| US5276268A (en) | 1986-08-23 | 1994-01-04 | Hoechst Aktiengesellschaft | Phosphinothricin-resistance gene, and its use |
| WO1994004693A2 (en) | 1992-08-26 | 1994-03-03 | Zeneca Limited | Novel plants and processes for obtaining them |
| US5304732A (en) | 1984-03-06 | 1994-04-19 | Mgi Pharma, Inc. | Herbicide resistance in plants |
| WO1994009144A1 (en) | 1992-10-14 | 1994-04-28 | Zeneca Limited | Novel plants and processes for obtaining them |
| WO1994011520A2 (en) | 1992-11-09 | 1994-05-26 | Zeneca Limited | Novel plants and processes for obtaining them |
| US5331107A (en) | 1984-03-06 | 1994-07-19 | Mgi Pharma, Inc. | Herbicide resistance in plants |
| WO1994021795A1 (en) | 1993-03-25 | 1994-09-29 | Ciba-Geigy Ag | Novel pesticidal proteins and strains |
| US5378824A (en) | 1986-08-26 | 1995-01-03 | E. I. Du Pont De Nemours And Company | Nucleic acid fragment encoding herbicide resistant plant acetolactate synthase |
| WO1995004826A1 (en) | 1993-08-09 | 1995-02-16 | Institut Für Genbiologische Forschung Berlin Gmbh | Debranching enzymes and dna sequences coding them, suitable for changing the degree of branching of amylopectin starch in plants |
| WO1995009910A1 (en) | 1993-10-01 | 1995-04-13 | Mitsubishi Corporation | Gene that identifies sterile plant cytoplasm and process for preparing hybrid plant by using the same |
| US5434283A (en) | 1990-04-04 | 1995-07-18 | Pioneer Hi-Bred International, Inc. | Edible endogenous vegetable oil extracted from rapeseeds of reduced stearic and palmitic saturated fatty acid content |
| EP0663956A1 (en) | 1992-08-12 | 1995-07-26 | Hoechst Schering AgrEvo GmbH | Dna sequences which lead to the formation of polyfructans (levans), plasmids containing these sequences as well as a process for preparing transgenic plants |
| WO1995026407A1 (en) | 1994-03-25 | 1995-10-05 | National Starch And Chemical Investment Holding Corporation | Method for producing altered starch from potato plants |
| US5463175A (en) | 1990-06-25 | 1995-10-31 | Monsanto Company | Glyphosate tolerant plants |
| WO1995031553A1 (en) | 1994-05-18 | 1995-11-23 | Institut Für Genbiologische Forschung Berlin Gmbh | DNA SEQUENCES CODING FOR ENZYMES CAPABLE OF FACILITATING THE SYNTHESIS OF LINEAR α-1,4 GLUCANS IN PLANTS, FUNGI AND MICROORGANISMS |
| WO1995035026A1 (en) | 1994-06-21 | 1995-12-28 | Zeneca Limited | Novel plants and processes for obtaining them |
| WO1996001904A1 (en) | 1994-07-08 | 1996-01-25 | Stichting Scheikundig Onderzoek In Nederland | Production of oligosaccharides in transgenic plants |
| WO1996015248A1 (en) | 1994-11-10 | 1996-05-23 | Hoechst Schering Agrevo Gmbh | Dna molecules that code for enzymes involved in starch synthesis, vectors, bacteria, transgenic plant cells and plants containing said molecules |
| WO1996019581A1 (en) | 1994-12-22 | 1996-06-27 | Hoechst Schering Agrevo Gmbh | Dna molecules coding for debranching enzymes derived from plants |
| EP0719338A1 (en) | 1993-09-09 | 1996-07-03 | Hoechst Schering AgrEvo GmbH | Combination of dna sequences which enable the formation of modified starch in plant cells and plants, processes for the production of these plants and the modified starch obtainable therefrom |
| WO1996021023A1 (en) | 1995-01-06 | 1996-07-11 | Centrum Voor Plantenveredelings- En Reproduktieonderzoek (Cpro - Dlo) | Dna sequences encoding carbohydrate polymer synthesizing enzymes and method for producing transgenic plants |
| EP0728213A1 (en) | 1993-11-09 | 1996-08-28 | E.I. Du Pont De Nemours And Company | Transgenic fructan accumulating crops and methods for their production |
| WO1996027674A1 (en) | 1995-03-08 | 1996-09-12 | Hoechst Schering Agrevo Gmbh | Modified starch from plants, plants synthesizing this starch, and process for its preparation |
| US5561236A (en) | 1986-03-11 | 1996-10-01 | Plant Genetic Systems | Genetically engineered plant cells and plants exhibiting resistance to glutamine synthetase inhibitors, DNA fragments and recombinants for use in the production of said cells and plants |
| WO1996033270A1 (en) | 1995-04-20 | 1996-10-24 | American Cyanamid Company | Structure-based designed herbicide resistant products |
| WO1996034968A2 (en) | 1995-05-05 | 1996-11-07 | National Starch And Chemical Investment Holding Corporation | Improvements in or relating to plant starch composition |
| WO1996036595A1 (en) | 1995-05-19 | 1996-11-21 | Chiroscience Limited | 3,4-disubstituted-phenylsulphonamides and their therapeutic use |
| WO1996038567A2 (en) | 1995-06-02 | 1996-12-05 | Rhone-Poulenc Agrochimie | Dna sequence of a gene of hydroxy-phenyl pyruvate dioxygenase and production of plants containing a gene of hydroxy-phenyl pyruvate dioxygenase and which are tolerant to certain herbicides |
| US5605011A (en) | 1986-08-26 | 1997-02-25 | E. I. Du Pont De Nemours And Company | Nucleic acid fragment encoding herbicide resistant plant acetolactate synthase |
| WO1997011188A1 (en) | 1995-09-19 | 1997-03-27 | Planttec Biotechnologie Gmbh | Plants which synthesise a modified starch, process for the production thereof and modified starch |
| US5637489A (en) | 1986-08-23 | 1997-06-10 | Hoechst Aktiengesellschaft | Phosphinothricin-resistance gene, and its use |
| WO1997020936A1 (en) | 1995-12-06 | 1997-06-12 | Zeneca Limited | Modification of starch synthesis in plants |
| WO1997023441A1 (en) | 1995-12-21 | 1997-07-03 | National Research Council Of Canada | Hyperabas: biologically active abscisic acid analogs with unsaturated carbon substituents at the 8'-methyl or 9'-methyl carbon atoms |
| WO1997026362A1 (en) | 1996-01-16 | 1997-07-24 | Planttec Biotechnologie Gmbh | Nucleic acid molecules from plants coding enzymes which participate in the starch synthesis |
| WO1997032985A1 (en) | 1996-03-07 | 1997-09-12 | Planttec Biotechnologie Gmbh Forschung & Entwicklung | Nucleic acid molecules coding for debranching enzymes from maize |
| WO1997041218A1 (en) | 1996-04-29 | 1997-11-06 | Board Of Supervisors Of Louisiana State University And Agricultural And Mechanical College | Herbicide resistant rice |
| WO1997042328A1 (en) | 1996-05-06 | 1997-11-13 | Planttec Biotechnologie Gmbh | Nucleic acid molecules which code the potato debranching enzyme |
| WO1997044472A1 (en) | 1996-05-17 | 1997-11-27 | Planttec Biotechnologie Gmbh | Nucleic acid molecules coding soluble maize starch synthases |
| WO1997045545A1 (en) | 1996-05-29 | 1997-12-04 | Hoechst Schering Agrevo Gmbh | Nucleic acid molecules encoding enzymes from wheat which are involved in starch synthesis |
| WO1997047806A1 (en) | 1996-06-12 | 1997-12-18 | Pioneer Hi-Bred International, Inc. | Substitutes for modified starch in paper manufacture |
| WO1997047808A1 (en) | 1996-06-12 | 1997-12-18 | Pioneer Hi-Bred International, Inc. | Substitutes for modified starch in paper manufacture |
| WO1997047807A1 (en) | 1996-06-12 | 1997-12-18 | Pioneer Hi-Bred International, Inc. | Substitutes for modified starch in paper manufacture |
| WO1998000549A1 (en) | 1996-06-27 | 1998-01-08 | The Australian National University | MANIPULATION OF CELLULOSE AND/OR β-1,4-GLUCAN |
| US5712107A (en) | 1995-06-07 | 1998-01-27 | Pioneer Hi-Bred International, Inc. | Substitutes for modified starch and latexes in paper manufacture |
| DE19631764A1 (en) | 1996-08-06 | 1998-02-12 | Basf Ag | Use of poly acids to treat mineral fertilisers - where the fertiliser contains nitrification inhibitor in mineral fertiliser, especially new or known pyrazole compound, to reduce volatility |
| US5731180A (en) | 1991-07-31 | 1998-03-24 | American Cyanamid Company | Imidazolinone resistant AHAS mutants |
| US5739082A (en) | 1990-02-02 | 1998-04-14 | Hoechst Schering Agrevo Gmbh | Method of improving the yield of herbicide-resistant crop plants |
| EP0837944A2 (en) | 1995-07-19 | 1998-04-29 | Rhone-Poulenc Agrochimie | Mutated 5-enol pyruvylshikimate-3-phosphate synthase, gene coding for said protein and transformed plants containing said gene |
| WO1998020145A2 (en) | 1996-11-05 | 1998-05-14 | National Starch And Chemical Investment Holding Corporation | Improvements in or relating to starch content of plants |
| WO1998022604A1 (en) | 1996-11-20 | 1998-05-28 | Pioneer Hi-Bred International, Inc. | Methods of producing high-oil seed by modification of starch levels |
| WO1998027212A1 (en) | 1996-12-19 | 1998-06-25 | Planttec Biotechnologie Gmbh | Novel nucleic acid molecules from maize and their use for the production of modified starch |
| US5773702A (en) | 1996-07-17 | 1998-06-30 | Board Of Trustees Operating Michigan State University | Imidazolinone herbicide resistant sugar beet plants |
| WO1998027806A1 (en) | 1996-12-24 | 1998-07-02 | Pioneer Hi-Bred International, Inc. | Oilseed brassica containing an improved fertility restorer gene for ogura cytoplasmic male sterility |
| WO1998032326A2 (en) | 1997-01-24 | 1998-07-30 | Pioneer Hi-Bred International, Inc. | Methods for $i(agrobacterium)-mediated transformation |
| WO1998039460A1 (en) | 1997-03-04 | 1998-09-11 | MAX-PLANCK-Gesellschaft zur Förderung der Wissenschaften e.V. | Nucleic acid molecules from artichoke ($i(cynara scolymus)) encoding enzymes having fructosyl polymerase activity |
| WO1998040503A1 (en) | 1997-03-10 | 1998-09-17 | Planttec Biotechnologie Gmbh | Nucleic acid molecules encoding starch phosphorylase from maize |
| US5824790A (en) | 1994-06-21 | 1998-10-20 | Zeneca Limited | Modification of starch synthesis in plants |
| US5840946A (en) | 1987-12-31 | 1998-11-24 | Pioneer Hi-Bred International, Inc. | Vegetable oil extracted from rapeseeds having a genetically controlled unusually high oleic acid content |
| WO1999012950A2 (en) | 1997-09-06 | 1999-03-18 | National Starch And Chemical Investment Holding Corporation | Improvements in or relating to stability of plant starches |
| WO1999024586A1 (en) | 1997-11-07 | 1999-05-20 | Aventis Cropscience S.A. | Chimeric hydroxy-phenyl pyruvate dioxygenase, dna sequence and method for obtaining plants containing such a gene, with herbicide tolerance |
| WO1999024593A1 (en) | 1997-11-06 | 1999-05-20 | MAX-PLANCK-Gesellschaft zur Förderung der Wissenschaften e.V. | Nucleic acid molecules which encode proteins having fructosyl transferase activity and methods for producing long-chain inulin |
| US5908810A (en) | 1990-02-02 | 1999-06-01 | Hoechst Schering Agrevo Gmbh | Method of improving the growth of crop plants which are resistant to glutamine synthetase inhibitors |
| WO1999034008A1 (en) | 1997-12-24 | 1999-07-08 | Aventis Cropscience S.A. | Method for enzymatic preparation of homogentisate |
| US5928937A (en) | 1995-04-20 | 1999-07-27 | American Cyanamid Company | Structure-based designed herbicide resistant products |
| US5965755A (en) | 1993-10-12 | 1999-10-12 | Agrigenetics, Inc. | Oil produced from the Brassica napus |
| US5969169A (en) | 1993-04-27 | 1999-10-19 | Cargill, Incorporated | Non-hydrogenated canola oil for food applications |
| WO1999053072A1 (en) | 1998-04-09 | 1999-10-21 | E.I. Du Pont De Nemours And Company | Starch r1 phosphorylation protein homologs |
| WO1999057965A1 (en) | 1998-05-14 | 1999-11-18 | Aventis Cropscience Gmbh | Sulfonylurea-tolerant sugar beet mutants |
| WO1999058654A2 (en) | 1998-05-13 | 1999-11-18 | Planttec Biotechnologie Gmbh Forschung & Entwicklung | Transgenic plants with a modified activity of a plastidial adp/atp translocator |
| WO1999058688A2 (en) | 1998-05-08 | 1999-11-18 | Aventis Cropscience Gmbh | Nucleic acid molecules which code for enzymes derived from wheat and which are involved in the synthesis of starch |
| WO1999058690A2 (en) | 1998-05-08 | 1999-11-18 | Aventis Cropscience Gmbh | Nucleic acid molecules which code for enzymes derived from wheat and which are involved in the synthesis of starch |
| WO1999066050A1 (en) | 1998-06-15 | 1999-12-23 | National Starch And Chemical Investment Holding Corporation | Improvements in or relating to plants and plant products |
| US6013861A (en) | 1989-05-26 | 2000-01-11 | Zeneca Limited | Plants and processes for obtaining them |
| WO2000004173A1 (en) | 1998-07-17 | 2000-01-27 | Aventis Cropscience N.V. | Methods and means to modulate programmed cell death in eukaryotic cells |
| WO2000005214A2 (en) | 1998-07-24 | 2000-02-03 | Pfizer Inc. | Isoquinolines as urokinase inhibitors |
| WO2000008185A1 (en) | 1998-07-31 | 2000-02-17 | Aventis Cropscience Gmbh | Nucleic acid molecule coding for beta-amylase, plants synthesizing a modified starch, method of production and applications |
| WO2000008184A1 (en) | 1998-07-31 | 2000-02-17 | Aventis Cropscience Gmbh | Plants which synthesize a modified starch, methods for producing the plants, their use, and the modified starch |
| WO2000011192A2 (en) | 1998-08-25 | 2000-03-02 | Pioneer Hi-Bred International, Inc. | Plant glutamine: fructose-6-phosphate amidotransferase nucleic acids |
| WO2000014249A1 (en) | 1998-09-02 | 2000-03-16 | Planttec Biotechnologie Gmbh | Nucleic acid molecules encoding an amylosucrase |
| WO2000022140A1 (en) | 1998-10-09 | 2000-04-20 | Planttec Biotechnologie Gmbh Forschung & Entwicklung | NUCLEIC ACID MOLECULES WHICH CODE A BRANCHING ENZYME FROM BACTERIA OF THE GENUS NEISSERIA, AND A METHOD FOR PRODUCING α-1,6-BRANCHED α-1,4-GLUCANS |
| WO2000028052A2 (en) | 1998-11-09 | 2000-05-18 | Planttec Biotechnologie Gmbh | Nucleic acid molecules from rice encoding an r1 protein and their use for the production of modified starch |
| WO2000028055A2 (en) | 1998-11-05 | 2000-05-18 | Eden Bioscience Corporation | Hypersensitive response elicitor-induced stress resistance |
| WO2000047727A2 (en) | 1999-02-08 | 2000-08-17 | Planttec Biotechnologie Gmbh Forschung & Entwicklung | Nucleic acid molecules encoding alternansucrase |
| WO2000066746A1 (en) | 1999-04-29 | 2000-11-09 | Syngenta Limited | Herbicide resistant plants |
| WO2000066747A1 (en) | 1999-04-29 | 2000-11-09 | Syngenta Limited | Herbicide resistant plants |
| WO2000073422A1 (en) | 1999-05-27 | 2000-12-07 | Planttec Biotechnologie Gmbh | Genetically modified plant cells and plants with an increased activity of an amylosucrase protein and a branching enzyme |
| WO2000077229A2 (en) | 1999-06-11 | 2000-12-21 | Aventis Cropscience Gmbh | R1 protein from wheat and the use thereof for the production of modified strach |
| WO2001012826A2 (en) | 1999-08-11 | 2001-02-22 | Aventis Cropscience Gmbh | Nucleic acid molecules derived from plants which code for enzymes which are involved in the synthesis of starch |
| WO2001012782A2 (en) | 1999-08-12 | 2001-02-22 | Aventis Cropscience Gmbh | Transgenically modified plant cells and plants having modified gbssi- and be-protein activity |
| WO2001014569A2 (en) | 1999-08-20 | 2001-03-01 | Basf Plant Science Gmbh | Increasing the polysaccharide content in plants |
| WO2001017333A1 (en) | 1999-09-10 | 2001-03-15 | Texas Tech University | Transgenic fiber producing plants with increased expression of sucrose phosphate synthase |
| WO2001019975A2 (en) | 1999-09-15 | 2001-03-22 | National Starch And Chemical Investment Holding Corporation | Plants having reduced activity in two or more starch-modifying enzymes |
| WO2001024615A1 (en) | 1999-10-07 | 2001-04-12 | Valigen (Us), Inc. | Non-transgenic herbicide resistant plants |
| US6229072B1 (en) | 1995-07-07 | 2001-05-08 | Adventa Technology Ltd | Cytoplasmic male sterility system production canola hybrids |
| US6270828B1 (en) | 1993-11-12 | 2001-08-07 | Cargrill Incorporated | Canola variety producing a seed with reduced glucosinolates and linolenic acid yielding an oil with low sulfur, improved sensory characteristics and increased oxidative stability |
| US6284479B1 (en) | 1995-06-07 | 2001-09-04 | Pioneer Hi-Bred International, Inc. | Substitutes for modified starch and latexes in paper manufacture |
| WO2001066704A2 (en) | 2000-03-09 | 2001-09-13 | Monsanto Technology Llc | Methods for making plants tolerant to glyphosate and compositions thereof |
| WO2001065922A2 (en) | 2000-03-09 | 2001-09-13 | E. I. Du Pont De Nemours And Company | Sulfonylurea-tolerant sunflower plants |
| US6323392B1 (en) | 1999-03-01 | 2001-11-27 | Pioneer Hi-Bred International, Inc. | Formation of brassica napus F1 hybrid seeds which exhibit a highly elevated oleic acid content and a reduced linolenic acid content in the endogenously formed oil of the seeds |
| WO2001098509A2 (en) | 2000-06-21 | 2001-12-27 | Syngenta Participations Ag | Grain processing method and transgenic plants useful therein |
| WO2002014273A1 (en) | 2000-08-12 | 2002-02-21 | Smithkline Beecham P.L.C. | Indoline derivatives as 5ht2c antagonists |
| WO2002026995A1 (en) | 2000-09-29 | 2002-04-04 | Syngenta Limited | Herbicide resistant plants |
| WO2002034923A2 (en) | 2000-10-23 | 2002-05-02 | Bayer Cropscience Gmbh | Monocotyledon plant cells and plants which synthesise modified starch |
| WO2002036782A2 (en) | 2000-10-30 | 2002-05-10 | Maxygen, Inc. | Novel glyphosate n-acetyltransferase (gat) genes |
| WO2002036787A2 (en) | 2000-10-30 | 2002-05-10 | Bayer Cropscience S.A. | Herbicide-tolerant plants through bypassing metabolic pathway |
| WO2002045485A1 (en) | 2000-12-08 | 2002-06-13 | Commonwealth Scienctific And Industrial Research Organisation | Modification of sucrose synthase gene expression in plant tissue and uses therefor |
| WO2002079410A2 (en) | 2001-03-30 | 2002-10-10 | Basf Plant Science Gmbh | Glucan chain length domains |
| WO2002101059A2 (en) | 2001-06-12 | 2002-12-19 | Bayer Cropscience Gmbh | Transgenic plants synthesising high amylose starch |
| WO2003007931A1 (en) | 2001-06-08 | 2003-01-30 | Institute Of Medicinal Molecular Design. Inc. | Sulfonamide derivatives |
| WO2003013226A2 (en) | 2001-08-09 | 2003-02-20 | Cibus Genetics | Non-transgenic herbicide resistant plants |
| WO2003033540A2 (en) | 2001-10-17 | 2003-04-24 | Basf Plant Science Gmbh | Starch |
| WO2003071860A2 (en) | 2002-02-26 | 2003-09-04 | Bayer Cropscience Gmbh | Method for generating maize plants with an increased leaf starch content, and their use for making maize silage |
| WO2003091211A1 (en) | 2002-03-28 | 2003-11-06 | Sumitomo Pharmaceuticals Co., Ltd. | Novel heteroaryl compounds |
| WO2003092360A2 (en) | 2002-04-30 | 2003-11-13 | Verdia, Inc. | Novel glyphosate-n-acetyltransferase (gat) genes |
| WO2004000798A1 (en) | 2002-06-19 | 2003-12-31 | Novartis Ag | N-sulphonylaminoacetonitriles having pesticidal properties |
| WO2004024928A2 (en) | 2002-09-11 | 2004-03-25 | Bayer Cropscience S.A. | Transformed plants with enhanced prenylquinone biosynthesis |
| US6734341B2 (en) | 1999-09-02 | 2004-05-11 | Pioneer Hi-Bred International, Inc. | Starch synthase polynucleotides and their use in the production of new starches |
| WO2004040012A2 (en) | 2002-10-29 | 2004-05-13 | Basf Plant Science Gmbh | Compositions and methods for identifying plants having increased tolerance to imidazolinone herbicides |
| WO2004053219A2 (en) | 2002-12-05 | 2004-06-24 | Jentex Corporation | Abrasive webs and methods of making the same |
| WO2004056999A1 (en) | 2002-12-19 | 2004-07-08 | Bayer Cropscience Gmbh | Plant cells and plants which synthesize a starch with an increased final viscosity |
| WO2004073634A2 (en) | 2003-02-20 | 2004-09-02 | Encysive Pharmaceuticals Inc. | Phenylenediamine urotensin-ii receptor antagonists and ccr-9 antagonists |
| WO2004078983A2 (en) | 2003-03-07 | 2004-09-16 | Basf Plant Science Gmbh | Enhanced amylose production in plants |
| WO2004090140A2 (en) | 2003-04-09 | 2004-10-21 | Bayer Bioscience N.V. | Methods and means for increasing the tolerance of plants to stress conditions |
| WO2004106529A2 (en) | 2003-05-28 | 2004-12-09 | Basf Aktiengesellschaft | Wheat plants having increased tolerance to imidazolinone herbicides |
| WO2005002359A2 (en) | 2003-05-22 | 2005-01-13 | Syngenta Participations Ag | Modified starch, uses, methods for production thereof |
| WO2005002324A2 (en) | 2003-07-04 | 2005-01-13 | Institut National De La Recherche Agronomique | Method of producing double low restorer lines of brassica napus having a good agronomic value |
| WO2005012529A1 (en) | 2003-07-31 | 2005-02-10 | Toyo Boseki Kabushiki Kaisha | Plant producing hyaluronic acid |
| WO2005012515A2 (en) | 2003-04-29 | 2005-02-10 | Pioneer Hi-Bred International, Inc. | Novel glyphosate-n-acetyltransferase (gat) genes |
| WO2005017157A1 (en) | 2003-08-15 | 2005-02-24 | Commonwealth Scientific And Industrial Research Organisation (Csiro) | Methods and means for altering fiber characteristics in fiber-producing plants |
| WO2005020673A1 (en) | 2003-08-29 | 2005-03-10 | Instituto Nacional De Technologia Agropecuaria | Rice plants having increased tolerance to imidazolinone herbicides |
| WO2005030941A1 (en) | 2003-09-30 | 2005-04-07 | Bayer Cropscience Gmbh | Plants with increased activity of a class 3 branching enzyme |
| WO2005030942A1 (en) | 2003-09-30 | 2005-04-07 | Bayer Cropscience Gmbh | Plants with reduced activity of a class 3 branching enzyme |
| WO2005035486A1 (en) | 2003-10-02 | 2005-04-21 | Basf Aktiengesellschaft | 2-cyanobenzenesulfonamides for combating animal pests |
| WO2005093093A2 (en) | 2004-03-22 | 2005-10-06 | Basf Aktiengesellschaft | Methods and compositions for analyzing ahasl genes |
| WO2005095619A1 (en) | 2004-03-05 | 2005-10-13 | Bayer Cropscience Gmbh | Plants with increased activity of multiple starch phosphorylating enzymes |
| WO2005095618A2 (en) | 2004-03-05 | 2005-10-13 | Bayer Cropscience Gmbh | Plants with reduced activity of the starch phosphorylating enzyme phosphoglucan, water dikinase |
| WO2005095632A2 (en) | 2004-03-05 | 2005-10-13 | Bayer Cropscience Gmbh | Methods for identifying proteins with starch phosphorylating enzymatic activity |
| WO2005095617A2 (en) | 2004-03-05 | 2005-10-13 | Bayer Cropscience Gmbh | Plants with increased activity of a starch phosphorylating enzyme |
| EP1598353A1 (en) | 2004-05-17 | 2005-11-23 | Boehringer Ingelheim International GmbH | Pyrrolobenzimidazolones and their use as antiproliferative agents |
| WO2005123927A1 (en) | 2004-06-21 | 2005-12-29 | Bayer Cropscience Gmbh | Plants that produce amylopectin starch with novel properties |
| WO2006007373A2 (en) | 2004-06-16 | 2006-01-19 | Basf Plant Science Gmbh | Polynucleotides encoding mature ahasl proteins for creating imidazolinone-tolerant plants |
| WO2006015376A2 (en) | 2004-08-04 | 2006-02-09 | Basf Plant Science Gmbh | Monocot ahass sequences and methods of use |
| WO2006018319A1 (en) | 2004-08-18 | 2006-02-23 | Bayer Cropscience Gmbh | Plants with increased plastidic activity of r3 starch-phosphorylating enzyme |
| WO2006021972A1 (en) | 2004-08-26 | 2006-03-02 | Dhara Vegetable Oil And Foods Company Limited | A novel cytoplasmic male sterility system for brassica species and its use for hybrid seed production in indian oilseed mustard brassica juncea |
| WO2006024351A1 (en) | 2004-07-30 | 2006-03-09 | Basf Agrochemical Products B.V. | Herbicide-resistant sunflower plants, plynucleotides encoding herbicide-resistant acetohydroxy acid synthase large subunit proteins, and methods of use |
| WO2006032538A1 (en) | 2004-09-23 | 2006-03-30 | Bayer Cropscience Gmbh | Methods and means for producing hyaluronan |
| WO2006056433A2 (en) | 2004-11-26 | 2006-06-01 | Basf Aktiengesellschaft | Novel 2-cyano-3-(halo)alkoxy-benzenesulfonamide compounds for combating animal pests |
| WO2006060634A2 (en) | 2004-12-01 | 2006-06-08 | Basf Agrochemical Products, B.V. | Novel mutation involved in increased tolerance to imidazolinone herbicides in plants |
| WO2006063862A1 (en) | 2004-12-17 | 2006-06-22 | Bayer Cropscience Ag | Transformed plant expressing a dextransucrase and synthesizing a modified starch |
| WO2006072603A2 (en) | 2005-01-10 | 2006-07-13 | Bayer Cropscience Ag | Transformed plant expressing a mutansucrase and synthesizing a modified starch |
| WO2006103107A1 (en) | 2005-04-01 | 2006-10-05 | Bayer Cropscience Ag | Phosphorylated waxy potato starch |
| WO2006108702A1 (en) | 2005-04-08 | 2006-10-19 | Bayer Cropscience Ag | High-phosphate starch |
| JP2006304779A (en) | 2005-03-30 | 2006-11-09 | Toyobo Co Ltd | Hexosamine high production plant |
| WO2006124875A2 (en) | 2005-05-13 | 2006-11-23 | Wyeth | Diarylsulfone sulfonamides and use therof |
| WO2006133827A2 (en) | 2005-06-15 | 2006-12-21 | Bayer Bioscience N.V. | Methods for increasing the resistance of plants to hypoxic conditions |
| WO2006136351A2 (en) | 2005-06-24 | 2006-12-28 | Bayer Bioscience N.V. | Methods for altering the reactivity of plant cell walls |
| WO2007009823A1 (en) | 2005-07-22 | 2007-01-25 | Bayer Cropscience Ag | Overexpression of starch synthase in plants |
| WO2007024782A2 (en) | 2005-08-24 | 2007-03-01 | Pioneer Hi-Bred International, Inc. | Compositions providing tolerance to multiple herbicides and methods of use thereof |
| WO2007027777A2 (en) | 2005-08-31 | 2007-03-08 | Monsanto Technology Llc | Nucleotide sequences encoding insecticidal proteins |
| WO2007039314A2 (en) | 2005-10-05 | 2007-04-12 | Bayer Cropscience Ag | Plants with increased hyaluronan production |
| WO2007039315A1 (en) | 2005-10-05 | 2007-04-12 | Bayer Cropscience Ag | Plants with an increased production of hyaluronan ii |
| WO2007039316A1 (en) | 2005-10-05 | 2007-04-12 | Bayer Cropscience Ag | Improved methods and means for producings hyaluronan |
| WO2007060220A2 (en) | 2005-11-25 | 2007-05-31 | Basf Se | Cyanobenzene compounds for combating animal pests |
| WO2007092588A2 (en) | 2006-02-08 | 2007-08-16 | Imagineer Software, Inc. | Secure digital content management using mutating identifiers |
| WO2007122219A1 (en) | 2006-04-24 | 2007-11-01 | Boehringer Ingelheim International Gmbh | 3- (aminomethyliden) 2-indolinone derivatives and their use as cell proliferation inhibitors |
| WO2008014602A1 (en) | 2006-07-25 | 2008-02-07 | Envivo Pharmaceuticals, Inc. | Quinoline derivatives |
| WO2008131947A1 (en) | 2007-04-30 | 2008-11-06 | Grünenthal GmbH | Substituted sulfonamide derivatives |
| WO2008157762A2 (en) | 2007-06-21 | 2008-12-24 | The University Of North Carolina At Chapel Hill | Methods to increase the photostability of dyes |
| WO2009026197A1 (en) | 2007-08-20 | 2009-02-26 | Glaxo Group Limited | Novel cathepsin c inhibitors and their use |
| WO2009067202A1 (en) | 2007-11-21 | 2009-05-28 | Janssen Pharmaceutica, N.V. | Spiropiperidines for use as tryptase inhibitors |
| EP2065370A1 (en) | 2007-10-31 | 2009-06-03 | Bayer CropScience AG | 2-cyanobenzene sulfonamides as pesticides |
| WO2009105774A2 (en) | 2008-02-21 | 2009-08-27 | Sequoia Pharmaceuticals, Inc. | Amino acid inhibitors of cytochrome p450 |
| WO2009113600A1 (en) | 2008-03-12 | 2009-09-17 | 宇部興産株式会社 | Pyridylaminoacetic acid compound |
| WO2009139181A1 (en) | 2008-05-15 | 2009-11-19 | 大正製薬株式会社 | 10a-azalide compound having 4-membered ring structure |
| WO2010077839A1 (en) | 2008-12-15 | 2010-07-08 | Wyeth Llc (Formerly Known As Wyeth) | Substituted oxindol cb2 agonists for pain treatment |
| WO2010108067A1 (en) | 2009-03-20 | 2010-09-23 | Bristol-Myers Squibb Company | Alpha-(n-benzenesulfonamido)cycloalkyl derivatives |
| WO2011113861A2 (en) | 2010-03-18 | 2011-09-22 | Bayer Cropscience Ag | Aryl and hetaryl sulfonamides as active agents against abiotic plant stress |
| WO2012089721A1 (en) | 2010-12-30 | 2012-07-05 | Bayer Cropscience Ag | Use of substituted spirocyclic sulfonamidocarboxylic acids, carboxylic esters thereof, carboxamides thereof and carbonitriles thereof or salts thereof for enhancement of stress tolerance in plants |
| WO2013026914A1 (en) | 2011-08-25 | 2013-02-28 | F. Hoffmann-La Roche Ag | Serine/threonine pak1 inhibitors |
| WO2014089324A1 (en) | 2012-12-07 | 2014-06-12 | Calitor Sciences, Llc | Substituted cyclic compounds and methods of use |
| WO2015049351A1 (en) | 2013-10-04 | 2015-04-09 | Bayer Cropscience Ag | Use of substituted dihydro-oxindolyl sulfonamides, or the salts thereof, for increasing the stress tolerance of plants |
-
2017
- 2017-12-05 WO PCT/EP2017/081511 patent/WO2018108627A1/en not_active Ceased
Patent Citations (217)
| Publication number | Priority date | Publication date | Assignee | Title |
|---|---|---|---|---|
| US947A (en) | 1838-09-25 | Machine fob dyeing yarn from the beam | ||
| US6063A (en) | 1849-01-30 | Improvement in baking apparatus | ||
| DE134979C (en) | 1901-06-02 | 1902-10-10 | Joseph Dr Tscherniac | PROCESS FOR PREPARATION OF BENZYLPHTALIMIDES |
| DE847006C (en) | 1942-12-04 | 1952-08-18 | Hoechst Ag | Process for the production of sulfamido-alkylcarboxylic acid nitriles or sulfamidoalkylcarboxylic acids |
| DE1905834A1 (en) | 1969-02-06 | 1970-09-03 | Basf Ag | Salts and fertilizers provided with a coating to avoid dusting and caking |
| DE2159362A1 (en) | 1971-11-30 | 1973-06-14 | Bayer Ag | Amino-3-(5-nitro-2-furfurylidene)oxindoles - with antibacterial and antimycotic activity |
| DE2544859A1 (en) | 1974-10-08 | 1976-04-29 | Sumitomo Chemical Co | PLANT GROWTH REGULATORY AGENT |
| EP0033984A1 (en) | 1980-01-23 | 1981-08-19 | Duphar International Research B.V | New sulphonyl compounds, method of preparing the new compounds, as well as aphicidal compositions on the basis of the new compounds |
| US4761373A (en) | 1984-03-06 | 1988-08-02 | Molecular Genetics, Inc. | Herbicide resistance in plants |
| US5304732A (en) | 1984-03-06 | 1994-04-19 | Mgi Pharma, Inc. | Herbicide resistance in plants |
| US5331107A (en) | 1984-03-06 | 1994-07-19 | Mgi Pharma, Inc. | Herbicide resistance in plants |
| EP0176327A1 (en) | 1984-09-20 | 1986-04-02 | Chevron Research Company | Fungicidal n-disubstituted sulfonamides |
| DE3534948A1 (en) | 1985-10-01 | 1987-04-09 | Bayer Ag | FUNGICIDES AND GROWTH REGULATORY AGENTS |
| US7112665B1 (en) | 1986-03-11 | 2006-09-26 | Bayer Bioscience N.V. | Genetically engineered plant cells and plants exhibiting resistance to glutamine synthetase inhibitors, DNA fragments and recombinants for use in the production of said cells and plants |
| US5646024A (en) | 1986-03-11 | 1997-07-08 | Plant Genetic Systems, N.V. | Genetically engineered plant cells and plants exhibiting resistance to glutamine synthetase inhibitors, DNA fragments and recombinants for use in the production of said cells and plants |
| US5648477A (en) | 1986-03-11 | 1997-07-15 | Plant Genetic Systems, N.V. | Genetically engineered plant cells and plants exhibiting resistance to glutamine synthetase inhibitors, DNA fragments and recombinants for use in the production of said cells and plants |
| US5561236A (en) | 1986-03-11 | 1996-10-01 | Plant Genetic Systems | Genetically engineered plant cells and plants exhibiting resistance to glutamine synthetase inhibitors, DNA fragments and recombinants for use in the production of said cells and plants |
| US5637489A (en) | 1986-08-23 | 1997-06-10 | Hoechst Aktiengesellschaft | Phosphinothricin-resistance gene, and its use |
| US5273894A (en) | 1986-08-23 | 1993-12-28 | Hoechst Aktiengesellschaft | Phosphinothricin-resistance gene, and its use |
| US5276268A (en) | 1986-08-23 | 1994-01-04 | Hoechst Aktiengesellschaft | Phosphinothricin-resistance gene, and its use |
| US5378824A (en) | 1986-08-26 | 1995-01-03 | E. I. Du Pont De Nemours And Company | Nucleic acid fragment encoding herbicide resistant plant acetolactate synthase |
| US5605011A (en) | 1986-08-26 | 1997-02-25 | E. I. Du Pont De Nemours And Company | Nucleic acid fragment encoding herbicide resistant plant acetolactate synthase |
| US5013659A (en) | 1987-07-27 | 1991-05-07 | E. I. Du Pont De Nemours And Company | Nucleic acid fragment encoding herbicide resistant plant acetolactate synthase |
| US5141870A (en) | 1987-07-27 | 1992-08-25 | E. I. Du Pont De Nemours And Company | Nucleic acid fragment encoding herbicide resistant plant acetolactate synthase |
| US5840946A (en) | 1987-12-31 | 1998-11-24 | Pioneer Hi-Bred International, Inc. | Vegetable oil extracted from rapeseeds having a genetically controlled unusually high oleic acid content |
| WO1989010396A1 (en) | 1988-04-28 | 1989-11-02 | Plant Genetic Systems N.V. | Plants with modified stamen cells |
| US5084082A (en) | 1988-09-22 | 1992-01-28 | E. I. Du Pont De Nemours And Company | Soybean plants with dominant selectable trait for herbicide resistance |
| US5201931A (en) | 1988-12-01 | 1993-04-13 | Her Majesty The Queen In Right Of Canada, As Represented By The National Research Council Of Canada | Abscisic acid-related plant growth regulators - germination promoters |
| DD277832A1 (en) | 1988-12-13 | 1990-04-18 | Forschzent Bodenfruchtbarkeit | MEANS FOR INCREASING THE STRESSTOLERANCE OF CULTURAL PLANTS |
| DD277835A1 (en) | 1988-12-13 | 1990-04-18 | Forschzent Bodenfruchtbarkeit | MEANS FOR INCREASING THE STRESSTOLERANCE OF CULTURAL PLANTS |
| US6013861A (en) | 1989-05-26 | 2000-01-11 | Zeneca Limited | Plants and processes for obtaining them |
| WO1991002069A1 (en) | 1989-08-10 | 1991-02-21 | Plant Genetic Systems N.V. | Plants with modified flowers |
| EP0431943A2 (en) | 1989-12-08 | 1991-06-12 | Merck & Co. Inc. | Nitrogen-containing spirocycles |
| US5739082A (en) | 1990-02-02 | 1998-04-14 | Hoechst Schering Agrevo Gmbh | Method of improving the yield of herbicide-resistant crop plants |
| US5908810A (en) | 1990-02-02 | 1999-06-01 | Hoechst Schering Agrevo Gmbh | Method of improving the growth of crop plants which are resistant to glutamine synthetase inhibitors |
| US5434283A (en) | 1990-04-04 | 1995-07-18 | Pioneer Hi-Bred International, Inc. | Edible endogenous vegetable oil extracted from rapeseeds of reduced stearic and palmitic saturated fatty acid content |
| US5198599A (en) | 1990-06-05 | 1993-03-30 | Idaho Resarch Foundation, Inc. | Sulfonylurea herbicide resistance in plants |
| US5463175A (en) | 1990-06-25 | 1995-10-31 | Monsanto Company | Glyphosate tolerant plants |
| US5776760A (en) | 1990-06-25 | 1998-07-07 | Monsanto Company | Glyphosate tolerant plants |
| WO1992005251A1 (en) | 1990-09-21 | 1992-04-02 | Institut National De La Recherche Agronomique | Dna sequence imparting cytoplasmic male sterility, mitochondrial genome, nuclear genome, mitochondria and plant containing said sequence and process for the preparation of hybrids |
| DE4103253A1 (en) | 1991-02-04 | 1992-08-06 | Bitterfeld Wolfen Chemie | Agent to increase stress tolerance of crops and forests - contains synergistic mixt. of choline chloride and N-(2-hydroxy-ethyl)-piperazine |
| EP0571427A1 (en) | 1991-02-13 | 1993-12-01 | Hoechst Schering AgrEvo GmbH | Plasmids containing dna-sequences that cause changes in the carbohydrate concentration and the carbohydrate composition in plants, as well as plant cells and plants containing these plasmids |
| US5767361A (en) | 1991-07-31 | 1998-06-16 | American Cyanamid Company | Imidazolinone resistant AHAS mutants |
| US5731180A (en) | 1991-07-31 | 1998-03-24 | American Cyanamid Company | Imidazolinone resistant AHAS mutants |
| DE4128828A1 (en) | 1991-08-30 | 1993-03-04 | Basf Ag | AMMONIUM OR UREA-CONTAINED DISPENSERS AND METHOD FOR THEIR PRODUCTION |
| EP0663956A1 (en) | 1992-08-12 | 1995-07-26 | Hoechst Schering AgrEvo GmbH | Dna sequences which lead to the formation of polyfructans (levans), plasmids containing these sequences as well as a process for preparing transgenic plants |
| WO1994004693A2 (en) | 1992-08-26 | 1994-03-03 | Zeneca Limited | Novel plants and processes for obtaining them |
| WO1994009144A1 (en) | 1992-10-14 | 1994-04-28 | Zeneca Limited | Novel plants and processes for obtaining them |
| WO1994011520A2 (en) | 1992-11-09 | 1994-05-26 | Zeneca Limited | Novel plants and processes for obtaining them |
| WO1994021795A1 (en) | 1993-03-25 | 1994-09-29 | Ciba-Geigy Ag | Novel pesticidal proteins and strains |
| US5969169A (en) | 1993-04-27 | 1999-10-19 | Cargill, Incorporated | Non-hydrogenated canola oil for food applications |
| WO1995004826A1 (en) | 1993-08-09 | 1995-02-16 | Institut Für Genbiologische Forschung Berlin Gmbh | Debranching enzymes and dna sequences coding them, suitable for changing the degree of branching of amylopectin starch in plants |
| EP0719338A1 (en) | 1993-09-09 | 1996-07-03 | Hoechst Schering AgrEvo GmbH | Combination of dna sequences which enable the formation of modified starch in plant cells and plants, processes for the production of these plants and the modified starch obtainable therefrom |
| WO1995009910A1 (en) | 1993-10-01 | 1995-04-13 | Mitsubishi Corporation | Gene that identifies sterile plant cytoplasm and process for preparing hybrid plant by using the same |
| US6169190B1 (en) | 1993-10-12 | 2001-01-02 | Agrigenetics Inc | Oil of Brassica napus |
| US5965755A (en) | 1993-10-12 | 1999-10-12 | Agrigenetics, Inc. | Oil produced from the Brassica napus |
| EP0728213A1 (en) | 1993-11-09 | 1996-08-28 | E.I. Du Pont De Nemours And Company | Transgenic fructan accumulating crops and methods for their production |
| US5908975A (en) | 1993-11-09 | 1999-06-01 | E. I. Du Pont De Nemours And Company | Accumulation of fructans in plants by targeted expression of bacterial levansucrase |
| US6270828B1 (en) | 1993-11-12 | 2001-08-07 | Cargrill Incorporated | Canola variety producing a seed with reduced glucosinolates and linolenic acid yielding an oil with low sulfur, improved sensory characteristics and increased oxidative stability |
| WO1995026407A1 (en) | 1994-03-25 | 1995-10-05 | National Starch And Chemical Investment Holding Corporation | Method for producing altered starch from potato plants |
| WO1995031553A1 (en) | 1994-05-18 | 1995-11-23 | Institut Für Genbiologische Forschung Berlin Gmbh | DNA SEQUENCES CODING FOR ENZYMES CAPABLE OF FACILITATING THE SYNTHESIS OF LINEAR α-1,4 GLUCANS IN PLANTS, FUNGI AND MICROORGANISMS |
| WO1995035026A1 (en) | 1994-06-21 | 1995-12-28 | Zeneca Limited | Novel plants and processes for obtaining them |
| US5824790A (en) | 1994-06-21 | 1998-10-20 | Zeneca Limited | Modification of starch synthesis in plants |
| WO1996001904A1 (en) | 1994-07-08 | 1996-01-25 | Stichting Scheikundig Onderzoek In Nederland | Production of oligosaccharides in transgenic plants |
| WO1996015248A1 (en) | 1994-11-10 | 1996-05-23 | Hoechst Schering Agrevo Gmbh | Dna molecules that code for enzymes involved in starch synthesis, vectors, bacteria, transgenic plant cells and plants containing said molecules |
| WO1996019581A1 (en) | 1994-12-22 | 1996-06-27 | Hoechst Schering Agrevo Gmbh | Dna molecules coding for debranching enzymes derived from plants |
| WO1996021023A1 (en) | 1995-01-06 | 1996-07-11 | Centrum Voor Plantenveredelings- En Reproduktieonderzoek (Cpro - Dlo) | Dna sequences encoding carbohydrate polymer synthesizing enzymes and method for producing transgenic plants |
| WO1996027674A1 (en) | 1995-03-08 | 1996-09-12 | Hoechst Schering Agrevo Gmbh | Modified starch from plants, plants synthesizing this starch, and process for its preparation |
| US5928937A (en) | 1995-04-20 | 1999-07-27 | American Cyanamid Company | Structure-based designed herbicide resistant products |
| WO1996033270A1 (en) | 1995-04-20 | 1996-10-24 | American Cyanamid Company | Structure-based designed herbicide resistant products |
| WO1996034968A2 (en) | 1995-05-05 | 1996-11-07 | National Starch And Chemical Investment Holding Corporation | Improvements in or relating to plant starch composition |
| WO1996036595A1 (en) | 1995-05-19 | 1996-11-21 | Chiroscience Limited | 3,4-disubstituted-phenylsulphonamides and their therapeutic use |
| WO1996038567A2 (en) | 1995-06-02 | 1996-12-05 | Rhone-Poulenc Agrochimie | Dna sequence of a gene of hydroxy-phenyl pyruvate dioxygenase and production of plants containing a gene of hydroxy-phenyl pyruvate dioxygenase and which are tolerant to certain herbicides |
| US20020031826A1 (en) | 1995-06-07 | 2002-03-14 | Nichols Scott E. | Glucan-containing compositions and paper |
| US6284479B1 (en) | 1995-06-07 | 2001-09-04 | Pioneer Hi-Bred International, Inc. | Substitutes for modified starch and latexes in paper manufacture |
| US5712107A (en) | 1995-06-07 | 1998-01-27 | Pioneer Hi-Bred International, Inc. | Substitutes for modified starch and latexes in paper manufacture |
| US6229072B1 (en) | 1995-07-07 | 2001-05-08 | Adventa Technology Ltd | Cytoplasmic male sterility system production canola hybrids |
| EP0837944A2 (en) | 1995-07-19 | 1998-04-29 | Rhone-Poulenc Agrochimie | Mutated 5-enol pyruvylshikimate-3-phosphate synthase, gene coding for said protein and transformed plants containing said gene |
| WO1997011188A1 (en) | 1995-09-19 | 1997-03-27 | Planttec Biotechnologie Gmbh | Plants which synthesise a modified starch, process for the production thereof and modified starch |
| WO1997020936A1 (en) | 1995-12-06 | 1997-06-12 | Zeneca Limited | Modification of starch synthesis in plants |
| WO1997023441A1 (en) | 1995-12-21 | 1997-07-03 | National Research Council Of Canada | Hyperabas: biologically active abscisic acid analogs with unsaturated carbon substituents at the 8'-methyl or 9'-methyl carbon atoms |
| WO1997026362A1 (en) | 1996-01-16 | 1997-07-24 | Planttec Biotechnologie Gmbh | Nucleic acid molecules from plants coding enzymes which participate in the starch synthesis |
| WO1997032985A1 (en) | 1996-03-07 | 1997-09-12 | Planttec Biotechnologie Gmbh Forschung & Entwicklung | Nucleic acid molecules coding for debranching enzymes from maize |
| WO1997041218A1 (en) | 1996-04-29 | 1997-11-06 | Board Of Supervisors Of Louisiana State University And Agricultural And Mechanical College | Herbicide resistant rice |
| WO1997042328A1 (en) | 1996-05-06 | 1997-11-13 | Planttec Biotechnologie Gmbh | Nucleic acid molecules which code the potato debranching enzyme |
| WO1997044472A1 (en) | 1996-05-17 | 1997-11-27 | Planttec Biotechnologie Gmbh | Nucleic acid molecules coding soluble maize starch synthases |
| WO1997045545A1 (en) | 1996-05-29 | 1997-12-04 | Hoechst Schering Agrevo Gmbh | Nucleic acid molecules encoding enzymes from wheat which are involved in starch synthesis |
| WO1997047806A1 (en) | 1996-06-12 | 1997-12-18 | Pioneer Hi-Bred International, Inc. | Substitutes for modified starch in paper manufacture |
| WO1997047808A1 (en) | 1996-06-12 | 1997-12-18 | Pioneer Hi-Bred International, Inc. | Substitutes for modified starch in paper manufacture |
| WO1997047807A1 (en) | 1996-06-12 | 1997-12-18 | Pioneer Hi-Bred International, Inc. | Substitutes for modified starch in paper manufacture |
| WO1998000549A1 (en) | 1996-06-27 | 1998-01-08 | The Australian National University | MANIPULATION OF CELLULOSE AND/OR β-1,4-GLUCAN |
| US5773702A (en) | 1996-07-17 | 1998-06-30 | Board Of Trustees Operating Michigan State University | Imidazolinone herbicide resistant sugar beet plants |
| DE19631764A1 (en) | 1996-08-06 | 1998-02-12 | Basf Ag | Use of poly acids to treat mineral fertilisers - where the fertiliser contains nitrification inhibitor in mineral fertiliser, especially new or known pyrazole compound, to reduce volatility |
| WO1998020145A2 (en) | 1996-11-05 | 1998-05-14 | National Starch And Chemical Investment Holding Corporation | Improvements in or relating to starch content of plants |
| WO1998022604A1 (en) | 1996-11-20 | 1998-05-28 | Pioneer Hi-Bred International, Inc. | Methods of producing high-oil seed by modification of starch levels |
| WO1998027212A1 (en) | 1996-12-19 | 1998-06-25 | Planttec Biotechnologie Gmbh | Novel nucleic acid molecules from maize and their use for the production of modified starch |
| WO1998027806A1 (en) | 1996-12-24 | 1998-07-02 | Pioneer Hi-Bred International, Inc. | Oilseed brassica containing an improved fertility restorer gene for ogura cytoplasmic male sterility |
| WO1998032326A2 (en) | 1997-01-24 | 1998-07-30 | Pioneer Hi-Bred International, Inc. | Methods for $i(agrobacterium)-mediated transformation |
| WO1998039460A1 (en) | 1997-03-04 | 1998-09-11 | MAX-PLANCK-Gesellschaft zur Förderung der Wissenschaften e.V. | Nucleic acid molecules from artichoke ($i(cynara scolymus)) encoding enzymes having fructosyl polymerase activity |
| WO1998040503A1 (en) | 1997-03-10 | 1998-09-17 | Planttec Biotechnologie Gmbh | Nucleic acid molecules encoding starch phosphorylase from maize |
| WO1999012950A2 (en) | 1997-09-06 | 1999-03-18 | National Starch And Chemical Investment Holding Corporation | Improvements in or relating to stability of plant starches |
| WO1999024593A1 (en) | 1997-11-06 | 1999-05-20 | MAX-PLANCK-Gesellschaft zur Förderung der Wissenschaften e.V. | Nucleic acid molecules which encode proteins having fructosyl transferase activity and methods for producing long-chain inulin |
| WO1999024586A1 (en) | 1997-11-07 | 1999-05-20 | Aventis Cropscience S.A. | Chimeric hydroxy-phenyl pyruvate dioxygenase, dna sequence and method for obtaining plants containing such a gene, with herbicide tolerance |
| WO1999024585A1 (en) | 1997-11-07 | 1999-05-20 | Aventis Cropscience S.A. | Mutated hydroxy-phenyl pyruvate dioxygenase, dna sequence and method for obtaining herbicide-tolerant plants containing such gene |
| WO1999034008A1 (en) | 1997-12-24 | 1999-07-08 | Aventis Cropscience S.A. | Method for enzymatic preparation of homogentisate |
| WO1999053072A1 (en) | 1998-04-09 | 1999-10-21 | E.I. Du Pont De Nemours And Company | Starch r1 phosphorylation protein homologs |
| WO1999058690A2 (en) | 1998-05-08 | 1999-11-18 | Aventis Cropscience Gmbh | Nucleic acid molecules which code for enzymes derived from wheat and which are involved in the synthesis of starch |
| WO1999058688A2 (en) | 1998-05-08 | 1999-11-18 | Aventis Cropscience Gmbh | Nucleic acid molecules which code for enzymes derived from wheat and which are involved in the synthesis of starch |
| WO1999058654A2 (en) | 1998-05-13 | 1999-11-18 | Planttec Biotechnologie Gmbh Forschung & Entwicklung | Transgenic plants with a modified activity of a plastidial adp/atp translocator |
| WO1999057965A1 (en) | 1998-05-14 | 1999-11-18 | Aventis Cropscience Gmbh | Sulfonylurea-tolerant sugar beet mutants |
| WO1999066050A1 (en) | 1998-06-15 | 1999-12-23 | National Starch And Chemical Investment Holding Corporation | Improvements in or relating to plants and plant products |
| WO2000004173A1 (en) | 1998-07-17 | 2000-01-27 | Aventis Cropscience N.V. | Methods and means to modulate programmed cell death in eukaryotic cells |
| WO2000005214A2 (en) | 1998-07-24 | 2000-02-03 | Pfizer Inc. | Isoquinolines as urokinase inhibitors |
| WO2000008184A1 (en) | 1998-07-31 | 2000-02-17 | Aventis Cropscience Gmbh | Plants which synthesize a modified starch, methods for producing the plants, their use, and the modified starch |
| WO2000008185A1 (en) | 1998-07-31 | 2000-02-17 | Aventis Cropscience Gmbh | Nucleic acid molecule coding for beta-amylase, plants synthesizing a modified starch, method of production and applications |
| WO2000011192A2 (en) | 1998-08-25 | 2000-03-02 | Pioneer Hi-Bred International, Inc. | Plant glutamine: fructose-6-phosphate amidotransferase nucleic acids |
| WO2000014249A1 (en) | 1998-09-02 | 2000-03-16 | Planttec Biotechnologie Gmbh | Nucleic acid molecules encoding an amylosucrase |
| WO2000022140A1 (en) | 1998-10-09 | 2000-04-20 | Planttec Biotechnologie Gmbh Forschung & Entwicklung | NUCLEIC ACID MOLECULES WHICH CODE A BRANCHING ENZYME FROM BACTERIA OF THE GENUS NEISSERIA, AND A METHOD FOR PRODUCING α-1,6-BRANCHED α-1,4-GLUCANS |
| WO2000028055A2 (en) | 1998-11-05 | 2000-05-18 | Eden Bioscience Corporation | Hypersensitive response elicitor-induced stress resistance |
| WO2000028052A2 (en) | 1998-11-09 | 2000-05-18 | Planttec Biotechnologie Gmbh | Nucleic acid molecules from rice encoding an r1 protein and their use for the production of modified starch |
| WO2000047727A2 (en) | 1999-02-08 | 2000-08-17 | Planttec Biotechnologie Gmbh Forschung & Entwicklung | Nucleic acid molecules encoding alternansucrase |
| US6323392B1 (en) | 1999-03-01 | 2001-11-27 | Pioneer Hi-Bred International, Inc. | Formation of brassica napus F1 hybrid seeds which exhibit a highly elevated oleic acid content and a reduced linolenic acid content in the endogenously formed oil of the seeds |
| WO2000066746A1 (en) | 1999-04-29 | 2000-11-09 | Syngenta Limited | Herbicide resistant plants |
| WO2000066747A1 (en) | 1999-04-29 | 2000-11-09 | Syngenta Limited | Herbicide resistant plants |
| WO2000073422A1 (en) | 1999-05-27 | 2000-12-07 | Planttec Biotechnologie Gmbh | Genetically modified plant cells and plants with an increased activity of an amylosucrase protein and a branching enzyme |
| WO2000077229A2 (en) | 1999-06-11 | 2000-12-21 | Aventis Cropscience Gmbh | R1 protein from wheat and the use thereof for the production of modified strach |
| WO2001012826A2 (en) | 1999-08-11 | 2001-02-22 | Aventis Cropscience Gmbh | Nucleic acid molecules derived from plants which code for enzymes which are involved in the synthesis of starch |
| WO2001012782A2 (en) | 1999-08-12 | 2001-02-22 | Aventis Cropscience Gmbh | Transgenically modified plant cells and plants having modified gbssi- and be-protein activity |
| WO2001014569A2 (en) | 1999-08-20 | 2001-03-01 | Basf Plant Science Gmbh | Increasing the polysaccharide content in plants |
| US6734341B2 (en) | 1999-09-02 | 2004-05-11 | Pioneer Hi-Bred International, Inc. | Starch synthase polynucleotides and their use in the production of new starches |
| WO2001017333A1 (en) | 1999-09-10 | 2001-03-15 | Texas Tech University | Transgenic fiber producing plants with increased expression of sucrose phosphate synthase |
| WO2001019975A2 (en) | 1999-09-15 | 2001-03-22 | National Starch And Chemical Investment Holding Corporation | Plants having reduced activity in two or more starch-modifying enzymes |
| WO2001024615A1 (en) | 1999-10-07 | 2001-04-12 | Valigen (Us), Inc. | Non-transgenic herbicide resistant plants |
| WO2001066704A2 (en) | 2000-03-09 | 2001-09-13 | Monsanto Technology Llc | Methods for making plants tolerant to glyphosate and compositions thereof |
| WO2001065922A2 (en) | 2000-03-09 | 2001-09-13 | E. I. Du Pont De Nemours And Company | Sulfonylurea-tolerant sunflower plants |
| WO2001098509A2 (en) | 2000-06-21 | 2001-12-27 | Syngenta Participations Ag | Grain processing method and transgenic plants useful therein |
| WO2002014273A1 (en) | 2000-08-12 | 2002-02-21 | Smithkline Beecham P.L.C. | Indoline derivatives as 5ht2c antagonists |
| WO2002026995A1 (en) | 2000-09-29 | 2002-04-04 | Syngenta Limited | Herbicide resistant plants |
| WO2002034923A2 (en) | 2000-10-23 | 2002-05-02 | Bayer Cropscience Gmbh | Monocotyledon plant cells and plants which synthesise modified starch |
| WO2002036787A2 (en) | 2000-10-30 | 2002-05-10 | Bayer Cropscience S.A. | Herbicide-tolerant plants through bypassing metabolic pathway |
| WO2002036782A2 (en) | 2000-10-30 | 2002-05-10 | Maxygen, Inc. | Novel glyphosate n-acetyltransferase (gat) genes |
| WO2002045485A1 (en) | 2000-12-08 | 2002-06-13 | Commonwealth Scienctific And Industrial Research Organisation | Modification of sucrose synthase gene expression in plant tissue and uses therefor |
| WO2002079410A2 (en) | 2001-03-30 | 2002-10-10 | Basf Plant Science Gmbh | Glucan chain length domains |
| WO2003007931A1 (en) | 2001-06-08 | 2003-01-30 | Institute Of Medicinal Molecular Design. Inc. | Sulfonamide derivatives |
| WO2002101059A2 (en) | 2001-06-12 | 2002-12-19 | Bayer Cropscience Gmbh | Transgenic plants synthesising high amylose starch |
| WO2003013226A2 (en) | 2001-08-09 | 2003-02-20 | Cibus Genetics | Non-transgenic herbicide resistant plants |
| WO2003033540A2 (en) | 2001-10-17 | 2003-04-24 | Basf Plant Science Gmbh | Starch |
| WO2003071860A2 (en) | 2002-02-26 | 2003-09-04 | Bayer Cropscience Gmbh | Method for generating maize plants with an increased leaf starch content, and their use for making maize silage |
| WO2003091211A1 (en) | 2002-03-28 | 2003-11-06 | Sumitomo Pharmaceuticals Co., Ltd. | Novel heteroaryl compounds |
| WO2003092360A2 (en) | 2002-04-30 | 2003-11-13 | Verdia, Inc. | Novel glyphosate-n-acetyltransferase (gat) genes |
| WO2004000798A1 (en) | 2002-06-19 | 2003-12-31 | Novartis Ag | N-sulphonylaminoacetonitriles having pesticidal properties |
| WO2004024928A2 (en) | 2002-09-11 | 2004-03-25 | Bayer Cropscience S.A. | Transformed plants with enhanced prenylquinone biosynthesis |
| WO2004040012A2 (en) | 2002-10-29 | 2004-05-13 | Basf Plant Science Gmbh | Compositions and methods for identifying plants having increased tolerance to imidazolinone herbicides |
| WO2004053219A2 (en) | 2002-12-05 | 2004-06-24 | Jentex Corporation | Abrasive webs and methods of making the same |
| WO2004056999A1 (en) | 2002-12-19 | 2004-07-08 | Bayer Cropscience Gmbh | Plant cells and plants which synthesize a starch with an increased final viscosity |
| WO2004073634A2 (en) | 2003-02-20 | 2004-09-02 | Encysive Pharmaceuticals Inc. | Phenylenediamine urotensin-ii receptor antagonists and ccr-9 antagonists |
| WO2004078983A2 (en) | 2003-03-07 | 2004-09-16 | Basf Plant Science Gmbh | Enhanced amylose production in plants |
| WO2004090140A2 (en) | 2003-04-09 | 2004-10-21 | Bayer Bioscience N.V. | Methods and means for increasing the tolerance of plants to stress conditions |
| WO2005012515A2 (en) | 2003-04-29 | 2005-02-10 | Pioneer Hi-Bred International, Inc. | Novel glyphosate-n-acetyltransferase (gat) genes |
| WO2005002359A2 (en) | 2003-05-22 | 2005-01-13 | Syngenta Participations Ag | Modified starch, uses, methods for production thereof |
| WO2004106529A2 (en) | 2003-05-28 | 2004-12-09 | Basf Aktiengesellschaft | Wheat plants having increased tolerance to imidazolinone herbicides |
| WO2005002324A2 (en) | 2003-07-04 | 2005-01-13 | Institut National De La Recherche Agronomique | Method of producing double low restorer lines of brassica napus having a good agronomic value |
| WO2005012529A1 (en) | 2003-07-31 | 2005-02-10 | Toyo Boseki Kabushiki Kaisha | Plant producing hyaluronic acid |
| WO2005017157A1 (en) | 2003-08-15 | 2005-02-24 | Commonwealth Scientific And Industrial Research Organisation (Csiro) | Methods and means for altering fiber characteristics in fiber-producing plants |
| WO2005020673A1 (en) | 2003-08-29 | 2005-03-10 | Instituto Nacional De Technologia Agropecuaria | Rice plants having increased tolerance to imidazolinone herbicides |
| WO2005030941A1 (en) | 2003-09-30 | 2005-04-07 | Bayer Cropscience Gmbh | Plants with increased activity of a class 3 branching enzyme |
| WO2005030942A1 (en) | 2003-09-30 | 2005-04-07 | Bayer Cropscience Gmbh | Plants with reduced activity of a class 3 branching enzyme |
| WO2005035486A1 (en) | 2003-10-02 | 2005-04-21 | Basf Aktiengesellschaft | 2-cyanobenzenesulfonamides for combating animal pests |
| WO2005095619A1 (en) | 2004-03-05 | 2005-10-13 | Bayer Cropscience Gmbh | Plants with increased activity of multiple starch phosphorylating enzymes |
| WO2005095618A2 (en) | 2004-03-05 | 2005-10-13 | Bayer Cropscience Gmbh | Plants with reduced activity of the starch phosphorylating enzyme phosphoglucan, water dikinase |
| WO2005095632A2 (en) | 2004-03-05 | 2005-10-13 | Bayer Cropscience Gmbh | Methods for identifying proteins with starch phosphorylating enzymatic activity |
| WO2005095617A2 (en) | 2004-03-05 | 2005-10-13 | Bayer Cropscience Gmbh | Plants with increased activity of a starch phosphorylating enzyme |
| WO2005093093A2 (en) | 2004-03-22 | 2005-10-06 | Basf Aktiengesellschaft | Methods and compositions for analyzing ahasl genes |
| EP1598353A1 (en) | 2004-05-17 | 2005-11-23 | Boehringer Ingelheim International GmbH | Pyrrolobenzimidazolones and their use as antiproliferative agents |
| WO2006007373A2 (en) | 2004-06-16 | 2006-01-19 | Basf Plant Science Gmbh | Polynucleotides encoding mature ahasl proteins for creating imidazolinone-tolerant plants |
| WO2005123927A1 (en) | 2004-06-21 | 2005-12-29 | Bayer Cropscience Gmbh | Plants that produce amylopectin starch with novel properties |
| WO2006024351A1 (en) | 2004-07-30 | 2006-03-09 | Basf Agrochemical Products B.V. | Herbicide-resistant sunflower plants, plynucleotides encoding herbicide-resistant acetohydroxy acid synthase large subunit proteins, and methods of use |
| WO2006015376A2 (en) | 2004-08-04 | 2006-02-09 | Basf Plant Science Gmbh | Monocot ahass sequences and methods of use |
| WO2006018319A1 (en) | 2004-08-18 | 2006-02-23 | Bayer Cropscience Gmbh | Plants with increased plastidic activity of r3 starch-phosphorylating enzyme |
| WO2006021972A1 (en) | 2004-08-26 | 2006-03-02 | Dhara Vegetable Oil And Foods Company Limited | A novel cytoplasmic male sterility system for brassica species and its use for hybrid seed production in indian oilseed mustard brassica juncea |
| WO2006032538A1 (en) | 2004-09-23 | 2006-03-30 | Bayer Cropscience Gmbh | Methods and means for producing hyaluronan |
| WO2006056433A2 (en) | 2004-11-26 | 2006-06-01 | Basf Aktiengesellschaft | Novel 2-cyano-3-(halo)alkoxy-benzenesulfonamide compounds for combating animal pests |
| WO2006060634A2 (en) | 2004-12-01 | 2006-06-08 | Basf Agrochemical Products, B.V. | Novel mutation involved in increased tolerance to imidazolinone herbicides in plants |
| WO2006063862A1 (en) | 2004-12-17 | 2006-06-22 | Bayer Cropscience Ag | Transformed plant expressing a dextransucrase and synthesizing a modified starch |
| WO2006072603A2 (en) | 2005-01-10 | 2006-07-13 | Bayer Cropscience Ag | Transformed plant expressing a mutansucrase and synthesizing a modified starch |
| JP2006304779A (en) | 2005-03-30 | 2006-11-09 | Toyobo Co Ltd | Hexosamine high production plant |
| WO2006103107A1 (en) | 2005-04-01 | 2006-10-05 | Bayer Cropscience Ag | Phosphorylated waxy potato starch |
| WO2006108702A1 (en) | 2005-04-08 | 2006-10-19 | Bayer Cropscience Ag | High-phosphate starch |
| WO2006124875A2 (en) | 2005-05-13 | 2006-11-23 | Wyeth | Diarylsulfone sulfonamides and use therof |
| WO2006133827A2 (en) | 2005-06-15 | 2006-12-21 | Bayer Bioscience N.V. | Methods for increasing the resistance of plants to hypoxic conditions |
| WO2006136351A2 (en) | 2005-06-24 | 2006-12-28 | Bayer Bioscience N.V. | Methods for altering the reactivity of plant cell walls |
| WO2007009823A1 (en) | 2005-07-22 | 2007-01-25 | Bayer Cropscience Ag | Overexpression of starch synthase in plants |
| WO2007024782A2 (en) | 2005-08-24 | 2007-03-01 | Pioneer Hi-Bred International, Inc. | Compositions providing tolerance to multiple herbicides and methods of use thereof |
| WO2007027777A2 (en) | 2005-08-31 | 2007-03-08 | Monsanto Technology Llc | Nucleotide sequences encoding insecticidal proteins |
| WO2007039314A2 (en) | 2005-10-05 | 2007-04-12 | Bayer Cropscience Ag | Plants with increased hyaluronan production |
| WO2007039315A1 (en) | 2005-10-05 | 2007-04-12 | Bayer Cropscience Ag | Plants with an increased production of hyaluronan ii |
| WO2007039316A1 (en) | 2005-10-05 | 2007-04-12 | Bayer Cropscience Ag | Improved methods and means for producings hyaluronan |
| WO2007060220A2 (en) | 2005-11-25 | 2007-05-31 | Basf Se | Cyanobenzene compounds for combating animal pests |
| WO2007092588A2 (en) | 2006-02-08 | 2007-08-16 | Imagineer Software, Inc. | Secure digital content management using mutating identifiers |
| WO2007122219A1 (en) | 2006-04-24 | 2007-11-01 | Boehringer Ingelheim International Gmbh | 3- (aminomethyliden) 2-indolinone derivatives and their use as cell proliferation inhibitors |
| WO2008014602A1 (en) | 2006-07-25 | 2008-02-07 | Envivo Pharmaceuticals, Inc. | Quinoline derivatives |
| WO2008131947A1 (en) | 2007-04-30 | 2008-11-06 | Grünenthal GmbH | Substituted sulfonamide derivatives |
| WO2008157762A2 (en) | 2007-06-21 | 2008-12-24 | The University Of North Carolina At Chapel Hill | Methods to increase the photostability of dyes |
| WO2009026197A1 (en) | 2007-08-20 | 2009-02-26 | Glaxo Group Limited | Novel cathepsin c inhibitors and their use |
| EP2065370A1 (en) | 2007-10-31 | 2009-06-03 | Bayer CropScience AG | 2-cyanobenzene sulfonamides as pesticides |
| WO2009067202A1 (en) | 2007-11-21 | 2009-05-28 | Janssen Pharmaceutica, N.V. | Spiropiperidines for use as tryptase inhibitors |
| WO2009105774A2 (en) | 2008-02-21 | 2009-08-27 | Sequoia Pharmaceuticals, Inc. | Amino acid inhibitors of cytochrome p450 |
| WO2009113600A1 (en) | 2008-03-12 | 2009-09-17 | 宇部興産株式会社 | Pyridylaminoacetic acid compound |
| WO2009139181A1 (en) | 2008-05-15 | 2009-11-19 | 大正製薬株式会社 | 10a-azalide compound having 4-membered ring structure |
| WO2010077839A1 (en) | 2008-12-15 | 2010-07-08 | Wyeth Llc (Formerly Known As Wyeth) | Substituted oxindol cb2 agonists for pain treatment |
| WO2010108067A1 (en) | 2009-03-20 | 2010-09-23 | Bristol-Myers Squibb Company | Alpha-(n-benzenesulfonamido)cycloalkyl derivatives |
| WO2011113861A2 (en) | 2010-03-18 | 2011-09-22 | Bayer Cropscience Ag | Aryl and hetaryl sulfonamides as active agents against abiotic plant stress |
| WO2012089721A1 (en) | 2010-12-30 | 2012-07-05 | Bayer Cropscience Ag | Use of substituted spirocyclic sulfonamidocarboxylic acids, carboxylic esters thereof, carboxamides thereof and carbonitriles thereof or salts thereof for enhancement of stress tolerance in plants |
| WO2012089722A2 (en) | 2010-12-30 | 2012-07-05 | Bayer Cropscience Ag | Use of open-chain carboxylic acids, carbonic esters, carboxamides and carbonitriles of aryl, heteroaryl and benzylsulfonamide or the salts thereof for improving the stress tolerance in plants |
| WO2013026914A1 (en) | 2011-08-25 | 2013-02-28 | F. Hoffmann-La Roche Ag | Serine/threonine pak1 inhibitors |
| WO2014089324A1 (en) | 2012-12-07 | 2014-06-12 | Calitor Sciences, Llc | Substituted cyclic compounds and methods of use |
| WO2015049351A1 (en) | 2013-10-04 | 2015-04-09 | Bayer Cropscience Ag | Use of substituted dihydro-oxindolyl sulfonamides, or the salts thereof, for increasing the stress tolerance of plants |
Non-Patent Citations (57)
| Title |
|---|
| "Biochemistry and Molecular Biology of Plants", 2000, AMERICAN SOCIETY OF PLANT PHYSIOLOGISTS, pages: 1102 - 1203 |
| "Biochemistry and Molecular Biology of Plants", 2000, AMERICAN SOCIETY OF PLANT PHYSIOLOGISTS, pages: 850 - 929 |
| "Ullmann's Encyclopedia of Industrial Chemistry", vol. 10, 1987, pages: 363 - 401 |
| "Ullmann's Encyclopedia of Industrial Chemistry", vol. 10, 1987, VERLAGSGESELLSCHAFT, pages: 323 - 431 |
| A. JEANGUENAT ET AL., BIOORGANIC & MEDICINAL CHEMISTRY, vol. 24, 2016, pages 403 |
| ACS COMBINATORIAL SCIENCE, vol. 14, 2012, pages 218 |
| BARRY ET AL., CURR. TOPICS PLANT PHYSIOL., vol. 7, 1992, pages 139 - 145 |
| BARTLETT ET AL., PEST MANAG SCI, vol. 60, 2002, pages 309 |
| BRAY, PLANT PHYSIOL, vol. 103, 1993, pages 1035 - 1040 |
| CEDERGREEN, ENV. POLLUTION, vol. 156, 2008, pages 1099 |
| CHEN ET AL., PLANT CELL ENVIRON, vol. 23, 2000, pages 609 - 618 |
| CHOLEWA ET AL., CAN. J. BOTANY, vol. 75, 1997, pages 375 - 382 |
| CHURCHILL ET AL., PLANT GROWTH REGUL, vol. 25, 1998, pages 35 - 45 |
| CLOSE, PHYSIOL PLANT, vol. 100, 1997, pages 291 - 296 |
| COMAI ET AL., SCIENCE, vol. 221, 1983, pages 370 - 371 |
| CRICKMORE ET AL., BACILLUS THURINGIENSIS-TOXINNOMENKLATUR AKTUALISIERT, 2005, Retrieved from the Internet <URL:http://www.lifesci.sussex.ac.uk/Home/Neil_Crickmore/Bt> |
| CRICKMORE ET AL., MICROBIOLOGY AND MOLECULAR BIOLOGY REVIEWS, vol. 62, 1998, pages 807 - 813 |
| CUTLER ET AL., SCIENCE, vol. 324, 2009, pages 1068 |
| CUTLER, PARK ET AL., SCIENCE, vol. 324, 2009, pages 1068 |
| DE BLOCK ET AL., THE PLANT JOURNAL, vol. 41, 2004, pages 95 |
| E. CANALES ET AL., J. AM. CHEM. SOC., vol. 128, 2006, pages 8712 |
| EUR J. MED. CHEM., vol. 45, 2010, pages 1760 |
| EUR. J. MED. CHEM., vol. 43, 2008, pages 1730 |
| EUR. J. MED. CHEM., vol. 45, 2010, pages 1760 |
| G. J. ROTH ET AL., JOURNAL OF MEDICINAL CHEMISTRY, vol. 52, 2009, pages 4466 |
| GASSER ET AL., J. BIOL. CHEM., vol. 263, 1988, pages 4280 - 4289 |
| GRILL ET AL., SCIENCE, vol. 324, 2009, pages 1064 |
| HANS W. HELDT: "Pflanzenbiochemie", 1996, SPEKTRUM AKADEMISCHER VERLAG, pages: 393 - 462 |
| HASEGAWA ET AL., ANNU REV PLANT PHYSIOL PLANT MOL BIOL, vol. 51, 2000, pages 463 - 499 |
| INGRAM; BARTELS, ANNU REV PLANT PHYSIOL PLANT MOL BIOL, vol. 47, 1996, pages 277 - 403 |
| J. CHEM. SOC. C, 1971, pages 952 - 955 |
| JAGLO-OTTOSEN ET AL., SCIENCE, vol. 280, 1998, pages 104 - 106 |
| KIRCH ET AL., PLANT MOL BIOL, vol. 57, 2005, pages 315 - 332 |
| LEVINE ET AL., FEBS LETT., vol. 440, 1998, pages 1 |
| M. J. COSTANZO ET AL., BIOORG. MED. CHEM. LETT., vol. 18, 2008, pages 2114 |
| MELCHER ET AL., NATURE STRUCTURAL & MOLECULAR BIOLOGY, vol. 17, 2010, pages 1102 - 1108 |
| MOELLENBECK ET AL., NAT. BIOTECHNOL., vol. 19, 2001, pages 668 - 72 |
| MORRISON; ANDREWS, J PLANT GROWTH REGUL, vol. 11, 1992, pages 113 - 117 |
| PARK ET AL., SCIENCE, vol. 324, 2009, pages 1068 - 1071 |
| PUBCHEM: "SID 123973432 - PubChem", 21 June 2011 (2011-06-21), XP055353664, Retrieved from the Internet <URL:https://pubchem.ncbi.nlm.nih.gov/substance/123973432#section=Top> [retrieved on 20170310] * |
| PUBCHEM: "SID 124134558 - PubChem", 21 June 2011 (2011-06-21), XP055353665, Retrieved from the Internet <URL:https://pubchem.ncbi.nlm.nih.gov/substance/124134558#section=Top> [retrieved on 20170310] * |
| PUBCHEM: "SID 124134769 - PubChem", 21 June 2011 (2011-06-21), XP055353667, Retrieved from the Internet <URL:https://pubchem.ncbi.nlm.nih.gov/substance/124134769#section=Top> [retrieved on 20170310] * |
| PUBCHEM: "SID 24409784 - PubChem", 4 April 2007 (2007-04-04), XP055353661, Retrieved from the Internet <URL:https://pubchem.ncbi.nlm.nih.gov/substance/24409784#section=Top> [retrieved on 20170310] * |
| PUBCHEM: "SID 24409846 - PubChem", 4 April 2007 (2007-04-04), XP055353854, Retrieved from the Internet <URL:https://pubchem.ncbi.nlm.nih.gov/substance/24409846#section=Topmy.internal.epo.org/portal/private> [retrieved on 20170313] * |
| R. BRAVO ET AL., J. HETEROCYCL. CHEM., vol. 23, 1986, pages 1701 |
| R. D. BRAVO ET AL., SYNTH. COMMUN., vol. 32, 2002, pages 3675 |
| R. WEGLER: "Chemie der Pflanzenschutz- und Schädlingsbekämpfungsmittel", vol. 2, 1970, SPRINGER VERLAG, pages: 401 - 412 |
| S. KUKOLJA ET AL., JOURNAL OF MEDICINAL CHEMISTRY, vol. 28, 1985, pages 1896 |
| SCHNEPF ET AL., APPLIED ENVIRONM. MICROB., vol. 71, 2006, pages 1765 - 1774 |
| SCHROEDER ET AL., PLANT J, vol. 61, 2010, pages 290 |
| SEMBDNER; PARTHIER, ANN. REV. PLANT PHYSIOL. PLANT MOL. BIOL., vol. 44, 1993, pages 569 - 589 |
| SHAH ET AL., SCIENCE, vol. 233, 1986, pages 478 - 481 |
| TANOKURA ET AL., BIOPHYSICS, vol. 7, 2011, pages 123 |
| TRANEL; WRIGHT, WEED SCIENCE, vol. 50, 2002, pages 700 - 712 |
| Y. MIYAKE; Y. KIKUGAWA, J. HETEROCYCLIC. CHEM., vol. 20, 1983, pages 349 |
| YOSHIDA ET AL., PLANT L, vol. 61, 2010, pages 672 |
| YU ET AL., MOL CELLS, vol. 19, 2005, pages 328 - 333 |
Cited By (6)
| Publication number | Priority date | Publication date | Assignee | Title |
|---|---|---|---|---|
| US11351149B2 (en) | 2020-09-03 | 2022-06-07 | Pfizer Inc. | Nitrile-containing antiviral compounds |
| US11452711B2 (en) | 2020-09-03 | 2022-09-27 | Pfizer Inc. | Nitrile-containing antiviral compounds |
| US11541034B2 (en) | 2020-09-03 | 2023-01-03 | Pfizer Inc. | Nitrile-containing antiviral compounds |
| CN114213310A (en) * | 2021-12-31 | 2022-03-22 | 中国药科大学 | Indoline compound and derivative thereof, preparation method, pharmaceutical composition and application |
| WO2023125473A1 (en) * | 2021-12-31 | 2023-07-06 | 中国药科大学 | Indoline compounds and derivatives thereof, preparation method therefor, pharmaceutical composition and use thereof |
| CN114213310B (en) * | 2021-12-31 | 2024-02-23 | 中国药科大学 | Indoline compound and derivative thereof, preparation method, pharmaceutical composition and application |
Similar Documents
| Publication | Publication Date | Title |
|---|---|---|
| EP3051946B1 (en) | Use of substituted dihydrooxindolylsulfonamides or their salts for increasing stress tolerance in plants | |
| WO2021105101A1 (en) | [(1,5-diphenyl-1h-1,2,4-triazol-3-yl)oxy]acetic acid derivatives and salts thereof, crop protection compositions comprising them, methods for producing them and use thereof as safeners | |
| AU2015243625B2 (en) | Use of substituted oxo tetrahydroquinoline sulfonamides or salts thereof for raising stress tolerance of plants | |
| EP3325446A1 (en) | Substituted aryl and heteroaryl carboxylic acid hydrazides or salts thereof and use thereof to increase stress tolerance in plants | |
| WO2022268520A1 (en) | Use of substituted pyrrolidinones or their salts for increasing stress tolerance of plants | |
| EP3322296A1 (en) | Substituted oxo-tetrahydroquinolinyl-phosphinic acid and phosphinic acid amides or salts thereof and use thereof to increase stress tolerance in plants | |
| EP3325467A1 (en) | Substituted heteroaryl carboxylic acid hydrazides or salts thereof and use thereof to increase stress tolerance in plants | |
| WO2019025153A1 (en) | USE OF SUBSTITUTED N-SULFONYL-N'-ARYLDIAMINOALKANES AND N-SULFONYL-N'-HETEROARYL DIAMINOALKANES OR THEIR SALTS TO INCREASE STRESSTOLERANCE IN PLANTS | |
| CN114761403A (en) | 1- (4- (4- (5-phenyl-4, 5-dihydroisoxazol-3-yl) thiazol-2-yl) piperidin-1-yl) -ethan-1-one derivatives and related compounds as crop protection fungicides | |
| EP3019012A1 (en) | Use of selected pyridone carboxamides or salts thereof as active substances against abiotic plant stress | |
| WO2018108627A1 (en) | Use of substituted indolinylmethyl sulfonamides, or the salts thereof for increasing the stress tolerance of plants | |
| EP3256448A1 (en) | Substituted 1-cycloalkyl-2-oxotetrahydroquinolin-6-yl-sulfonamides or salts thereof and use thereof to increase stress tolerance in plants | |
| WO2016096942A1 (en) | Use of selected pyridone carboxamides or salts thereof as active substances against abiotic plant stress | |
| EP3325466A1 (en) | Substituted cyclic aryl and heteroaryl carboxylic acid hydrazides or salts thereof and use thereof to increase stress tolerance in plants | |
| EP3210469A1 (en) | Use of substituted thio-1,2,4-triazoles for increasing stress tolerance in plants | |
| EP3172187A1 (en) | Substituted cyano cycloalkyl penta-2,4-dienes, cyano cycloalkyl pent-2-en-4-ynes, cyano heterocyclyl penta-2,4-dienes and cyano heterocyclyl pent-2-en-4-ynes as active substances against abiotic plant stress | |
| CN112513028A (en) | Substituted phenylpyrimidines with herbicidal activity | |
| EP3332645A1 (en) | Use of substituted pyrimidine diones or their salts as agents to combat abiotic plant stress |
Legal Events
| Date | Code | Title | Description |
|---|---|---|---|
| 121 | Ep: the epo has been informed by wipo that ep was designated in this application |
Ref document number: 17811916 Country of ref document: EP Kind code of ref document: A1 |
|
| NENP | Non-entry into the national phase |
Ref country code: DE |
|
| 122 | Ep: pct application non-entry in european phase |
Ref document number: 17811916 Country of ref document: EP Kind code of ref document: A1 |






















