WO2017157991A1 - 1-alkyl-pyrazoles and -indazoles as bub1 inhibitors for the treatment of hyperproliferative diseases - Google Patents
1-alkyl-pyrazoles and -indazoles as bub1 inhibitors for the treatment of hyperproliferative diseases Download PDFInfo
- Publication number
- WO2017157991A1 WO2017157991A1 PCT/EP2017/056075 EP2017056075W WO2017157991A1 WO 2017157991 A1 WO2017157991 A1 WO 2017157991A1 EP 2017056075 W EP2017056075 W EP 2017056075W WO 2017157991 A1 WO2017157991 A1 WO 2017157991A1
- Authority
- WO
- WIPO (PCT)
- Prior art keywords
- alkyl
- indazol
- methyl
- pyrimidin
- independently
- Prior art date
- Legal status (The legal status is an assumption and is not a legal conclusion. Google has not performed a legal analysis and makes no representation as to the accuracy of the status listed.)
- Ceased
Links
- 0 *c1c(*)[n](*)nc1C(N)=N Chemical compound *c1c(*)[n](*)nc1C(N)=N 0.000 description 4
- FXOSVUHGJFQRNA-UHFFFAOYSA-N CCOC(c(cncc1)c1Nc1nc(-c2n[n](Cc(cc3)ccc3OC)c3ccccc23)ncc1OC)=O Chemical compound CCOC(c(cncc1)c1Nc1nc(-c2n[n](Cc(cc3)ccc3OC)c3ccccc23)ncc1OC)=O FXOSVUHGJFQRNA-UHFFFAOYSA-N 0.000 description 1
- ZCTFMOMRLHXISM-UHFFFAOYSA-N CCOc1cc(F)c(C(C)Br)c(F)c1 Chemical compound CCOc1cc(F)c(C(C)Br)c(F)c1 ZCTFMOMRLHXISM-UHFFFAOYSA-N 0.000 description 1
- IZIHDAAKMVPUTF-UHFFFAOYSA-N COc1ccc(C[n](c2ccccc22)nc2-c(nc2Nc(ccnc3)c3C(N)=O)ncc2OC)cc1 Chemical compound COc1ccc(C[n](c2ccccc22)nc2-c(nc2Nc(ccnc3)c3C(N)=O)ncc2OC)cc1 IZIHDAAKMVPUTF-UHFFFAOYSA-N 0.000 description 1
- YHPZSFAPCRBNRU-UHFFFAOYSA-N COc1ccc(C[n]2nc(C(N)=N)c3ccccc23)cc1 Chemical compound COc1ccc(C[n]2nc(C(N)=N)c3ccccc23)cc1 YHPZSFAPCRBNRU-UHFFFAOYSA-N 0.000 description 1
Classifications
-
- C—CHEMISTRY; METALLURGY
- C07—ORGANIC CHEMISTRY
- C07D—HETEROCYCLIC COMPOUNDS
- C07D401/00—Heterocyclic compounds containing two or more hetero rings, having nitrogen atoms as the only ring hetero atoms, at least one ring being a six-membered ring with only one nitrogen atom
- C07D401/14—Heterocyclic compounds containing two or more hetero rings, having nitrogen atoms as the only ring hetero atoms, at least one ring being a six-membered ring with only one nitrogen atom containing three or more hetero rings
-
- A—HUMAN NECESSITIES
- A61—MEDICAL OR VETERINARY SCIENCE; HYGIENE
- A61P—SPECIFIC THERAPEUTIC ACTIVITY OF CHEMICAL COMPOUNDS OR MEDICINAL PREPARATIONS
- A61P35/00—Antineoplastic agents
-
- C—CHEMISTRY; METALLURGY
- C07—ORGANIC CHEMISTRY
- C07D—HETEROCYCLIC COMPOUNDS
- C07D403/00—Heterocyclic compounds containing two or more hetero rings, having nitrogen atoms as the only ring hetero atoms, not provided for by group C07D401/00
- C07D403/14—Heterocyclic compounds containing two or more hetero rings, having nitrogen atoms as the only ring hetero atoms, not provided for by group C07D401/00 containing three or more hetero rings
-
- C—CHEMISTRY; METALLURGY
- C07—ORGANIC CHEMISTRY
- C07D—HETEROCYCLIC COMPOUNDS
- C07D405/00—Heterocyclic compounds containing both one or more hetero rings having oxygen atoms as the only ring hetero atoms, and one or more rings having nitrogen as the only ring hetero atom
- C07D405/14—Heterocyclic compounds containing both one or more hetero rings having oxygen atoms as the only ring hetero atoms, and one or more rings having nitrogen as the only ring hetero atom containing three or more hetero rings
Definitions
- the invention relates to 1 -Alkyl-Pyrazole and -Indazole compounds, a process for their production and the use thereof.
- the eukaryotic cell division cycle ensures the duplication of the genome and its distribution to the daughter cells by passing through a coordinated and regulated sequence of events.
- the cell cycle is divided into four successive phases: 1 .
- the G1 phase represents the time before the DNA replication, in which the cell grows and is sensitive to external stimuli.
- the passage through the cell cycle is strictly regulated and controlled.
- the enzymes that are necessary for the progression through the cycle must be activated at the correct time and are also turned off again as soon as the corresponding phase is passed.
- Corresponding control points stop or delay the progression through the cell cycle if DNA damage is detected, or the DNA replication or the creation of the spindle device is not yet completed.
- the mitotic checkpoint also known as spindle checkpoint or spindle assembly checkpoint
- the mitotic checkpoint is active as long as unattached kinetochores are present and generates a wait-signal to give the dividing cell the time to ensure that each kinetochore is attached to a spindle pole, and to correct attachment errors.
- the mitotic checkpoint prevents a mitotic cell from completing cell division with unattached or erroneously attached chromosomes [Suijkerbuijk SJ and Kops GJ, Biochem. Biophys. Acta 1786, 24, 2008; Musacchio A and Salmon ED, Nat. Rev. Mol. Cell. Biol. 8, 379, 2007].
- the mitotic checkpoint is established by a complex network of a number of essential proteins, including members of the MAD (mitotic arrest deficient, MAD 1 -3) and Bub (Budding uninhibited by benzimidazole, Bub 1 -3) families, Mps1 kinase, cdc20, as well as other components [reviewed in Bolanos-Garcia VM and Blundell TL, Trends Biochem. Sci. 36, 141 , 2010], many of these being over-expressed in proliferating cells (e.g. cancer cells) and tissues [Yuan B et al., Clin. Cancer Res. 12, 405, 2006].
- the major function of an unsatisfied mitotic checkpoint is to keep the anaphase-promoting complex/cyclosome (APC/C) in an inactive state.
- APC/C anaphase-promoting complex/cyclosome
- ubiquitin-ligase targets cyclin B and securin for proteolytic degradation leading to separation of the paired chromosomes and exit from mitosis.
- Bub1 Inactive mutations of the Ser/Thr kinase Bub1 prevented the delay in progression through mitosis upon treatment of cells of the yeast S. cerevisiae with microtubule- destabilizing drugs, which led to the identification of Bub1 as a mitotic checkpoint protein [Roberts BT et al., Mol. Cell Biol., 14, 8282, 1994].
- a number of recent publications provide evidence that Bub1 plays multiple roles during mitosis which, have been reviewed by Elowe [Elowe S, Mol. Cell. Biol. 31 , 3085, 201 1 ].
- Bub1 is one of the first mitotic checkpoint proteins that binds to the kinetochores of duplicated chromosomes and probably acts as a scaffolding protein to constitute the mitotic checkpoint complex. Furthermore, via phosphorylation of histone H2A, Bub1 localizes the protein shugoshin to the centromeric region of the chromosomes to prevent premature segregation of the paired chromosomes [Kawashima et al. Science 327, 172, 2010]. In addition, together with a Thr-3 phosphorylated Histone H3 the shugoshin protein functions as a binding site for the chromosomal passenger complex which includes the proteins survivin, borealin, INCENP and Aurora B.
- the chromosomal passenger complex is seen as a tension sensor within the mitotic checkpoint mechanism, which dissolves erroneously formed microtubule-kinetochor attachments such as syntelic (both sister kinetochors are attached to one spindle pole) or merotelic (one kinetochor is attached to two spindle poles) attachments [Watanabe Y, Cold Spring Harb. Symp. Quant. Biol. 75, 419, 2010].
- Recent data suggest that the phosphorylation of histone H2A at Thr 121 by Bub1 kinase is sufficient to localize AuroraB kinase to fulfill the attachment error correction checkpoint [Ricke et al. J. Cell Biol. 199, 931 -949, 2012].
- mitotic checkpoint abrogation through pharmacological inhibition of components of the mitotic checkpoint represents a new approach for the treatment of proliferative disorders, including solid tumours such as carcinomas, sarcomas, leukaemias and lymphoid malignancies or other disorders, associated with uncontrolled cellular proliferation.
- the present invention relates to chemical compounds that inhibit Bub1 kinase.
- Established anti-mitotic drugs such as vinca alkaloids, taxanes or epothilones activate the mitotic checkpoint, inducing a mitotic arrest either by stabilising or destabilising microtubule dynamics. This arrest prevents separation of the duplicated chromosomes to form the two daughter cells. Prolonged arrest in mitosis forces a cell either into mitotic exit without cytokinesis (mitotic slippage or adaption) or into mitotic catastrophe leading to cell death [Rieder CL and Maiato H, Dev. Cell 7, 637, 2004].
- inhibitors of Bub1 prevent the establishment and/or functionality of the mitotic checkpoint and/or microtubule-kinetochor attachment error correction mechanisms, which finally results in severe chromosomal missegregation, induction of apoptosis and cell death [Baron A et al. eLife 2016;5:e12187].
- Bub1 inhibitors should be of therapeutic value for the treatment of proliferative disorders associated with enhanced uncontrolled proliferative cellular processes such as, for example, cancer, inflammation, arthritis, viral diseases, cardiovascular diseases, or fungal diseases in a warm-blooded animal such as man.
- WO 2013/050438, WO 2013/092512, WO 2013/167698 disclose substituted benzylindazoles, substituted benzylpyrazoles and substituted benzylcycloalkyl- pyrazoles, respectively, which are Bub1 kinase inhibitors.
- WO 2014/147203, WO 2014/147204, WO2014202590, WO2014202588, WO2014202584, WO2014202583, and WO2015/063003, disclose substituted indazoles, substituted pyrazoles, and substituted cycloalkylpyrazoles, which are Bub1 kinase inhibitors.
- Inhibitors of Bub1 represent valuable compounds that should complement therapeutic options either as single agents or in combination with other drugs.
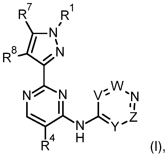
- the invention covers compounds of general formula (I),
- V, W, Y and Z independently of each other represent CH or CR 2 ,
- V represents N, and W, Y and Z, independently of each other, represent CH or CR 2 , or,
- W represents N, and V, Y and Z, independently of each other, represent CH or CR 2 , or,
- V and Y represent N, and W and Z, independently of each other, represent CH or CR 2 ,
- R 1 represents a group selected from:
- cycloalkyl groups are optionally substituted with one or two groups selected independently from:
- heterocycloalkyl groups are optionally substituted with one or two groups selected independently from:
- phenyl groups are optionally substituted with one, two or three groups selected independently from:
- halogen atom hydroxy, Ci -C 6 -alkyl, Ci -C 6 -haloalkyl, Ci -C 6 -hydroxyalkyl, (Ci -C 3 -alkoxy)-(Ci -C 6 -alkyl)-, C 3 -C 6 -cycloalkyl, (C 3 -C6-cycloalkyl)-(Ci -C 3 - alkyl)-, Ci -C 6 -alkoxy, Ci -C 6 -haloalkoxy, (C 2 -C 6 -hydroxyalkyl)-0-, (Ci -C3-alkoxy)-(C2-C6-alkoxy)-, Cs-Ce-cycloalkoxy and
- alkyl- and alkenyl groups are optionally substituted with one or two groups selected independently from :
- Ci-C3-alkyl Ci-C3-alkyl, C3-C4-cycloalkyl, Ci-C3-haloalkyl, Ci-C3-alkoxy,
- R 4 represents a hydrogen atom, or a halogen atom or a group selected from:
- (Ci-C3-alkoxy)-(C 2 -C6-alkoxy)- and hydroxy represents a hydrogen atom, or a halogen atom or a group selected from: Ci-C 3 -alkyl and C3-C 4 -cycloalkyl,
- R 8 represents a hydrogen atom, or a halogen atom or a Ci-C 3 -alkyl group, or R 7 and R 8 are linked to one another in such a way that they jointly form a
- R 1 1 represent hydrogen atoms, represents, independently of each other, a hydrogen atom or a group selected from :
- Ci-C 3 -alkyl Ci-C 3 -haloalkyl, C 2 -C 3 -hydroxyalkyl, C3-C 4 -cycloalkyl,
- R 10 represents a hydrogen atom or a group selected from:
- R 1 1 represents, independently of each other, a hydrogen atom or a halogen atom or a group selected from:
- a second aspect of the invention are compounds of formula (I) as defined herein, wherein
- V, W, Y and Z independently of each other represent CH or CR 2 ,
- V represents N, and W, Y and Z, independently of each other, represent CH or CR 2 , or,
- W represents N, and V, Y and Z, independently of each other, represent CH or CR 2 ,
- R 1 represents a group selected from:
- cycloalkyl groups are optionally substituted with one or two groups selected independently from:
- heterocycloalkyl groups are optionally substituted with one or two groups selected independently from:
- phenyl groups are optionally substituted with one, two or three groups selected independently from: halogen atom, Ci-C 6 -alkyl, Ci-C 6 -haloalkyl, Ci -C 6 -alkoxy, Ci-C 6 - haloalkoxy, (C2-C6-hydroxyalkyl)-0- and (Ci-C3-alkoxy)-(C2-C6-alkoxy)-, and,
- alkyl- and alkenyl groups are optionally substituted with one or two groups selected independently from :
- R 2 represents, independently of each other, a halogen atom or a group selected from:
- Ci -C 3 -alkyl, C 3 -C 4 -cycloalkyl, Ci -C 3 -haloalkyl, Ci -C 3 -alkoxy, (C 2 -C 3 - hydroxyalkyl)-0-,-N(H)C( 0)H,
- R 8 represents a hydrogen atom, or a halogen atom or a Ci-C 3 -alkyl group, or R 7 and R 8 are linked to one another in such a way that they jointly form a
- R 9 represents, independently of each other, a hydrogen atom or a group selected from:
- R 10 represents a hydrogen atom or a group selected from:
- Ci-C 3 -alkyl and C 3 -C 4 -cycloalkyl are Ci-C 3 -alkyl and C 3 -C 4 -cycloalkyl
- R 1 1 represents, independently of each other, a hydrogen atom or a halogen atom or a group selected from:
- a third aspect of the invention are compounds of formula (I) as defined herein, wherein
- V, W, Y and Z independently of each other, represent CH or CR 2 ,
- V represents N, and W, Y and Z independently of each other represent CH or CR 2 , or,
- W represents N, and V, Y and Z, independently of each other, represent CH or CR 2 ,
- R 1 represents a group selected from:
- cycloalkyl groups are optionally substituted with one or two groups selected independently from:
- heterocycloalkyl groups are optionally substituted with one or two groups selected independently from:
- phenyl groups are optionally substituted with one, two or three groups selected independently from:
- Ci-C3-haloalkyl Ci-C3-alkoxy
- alkyl- and alkenyl groups are optionally substituted with or two groups selected independently from:
- R 11 represents hydrogen atoms, represents, independently of each other, a hydrogen atom or a group selected from:
- Ci-C 3 -alkyl and C 3 -C 4 -cycloalkyl are Ci-C 3 -alkyl and C 3 -C 4 -cycloalkyl
- R 10 represents a hydrogen atom or a Ci-C 3 -alkyl group
- R 11 represents, independently of each other, a hydrogen atom or a halogen atom or a group selected from:
- a fourth aspect of the invention are compounds of formula (I) as defined herein, wherein
- V, W, Y and Z independently of each other, represent CH or CR 2 ,
- V represents N, and W, Y and Z, independently of each other, represent CH or CR 2 ,
- R 1 represents a group selected from:
- Ci-Cs-alkyl (C 3 -C 7 -cycloalkyl)-(Ci-C2-alkyl)-,
- heterocycloalkyl groups are optionally substituted with one or two groups selected independently from:
- alkyl- and alkenyl groups are optionally substituted with one group selected from:
- R 8 represents a hydrogen atom or a Ci-C 3 -alkyl group, or R 7 and R 8 are linked to one another in such a way that they jointly form a
- R 9 represents, independently of each other, a hydrogen atom or a
- R 10 represents a hydrogen atom or a Ci-C 3 -alkyl group
- R 1 1 represents, independently of each other, a hydrogen atom or a halogen atom or a methyl group, or an N-oxide, a salt, a tautomer or a stereoisomer of said compound, or a salt of said N-oxide, tautomer or stereoisomer.
- a fifth aspect of the invention are compounds of formula (I) as defined herein, wherein
- V, W, Y and Z independently of each other, represent CH or CR 2 ,
- V represents N, and W, Y and Z, independently of each other, represent CH or CR 2 ,
- R 1 represents a group selected from:
- R 2 represents, independently of each other, a group selected from:
- R 4 represents a hydrogen atom, or a group selected from:
- methoxy, 3-hydroxypropyloxy and hydroxy represents a bromine atom or an isopropyl group
- R 8 represents a hydrogen atom or a methyl group, or R 7 and R 8 are linked to one another in such a way that they jointly form a
- R 11 represent hydrogen atoms, represents, independently of each other, a hydrogen atom or a methyl group
- R 10 represents a hydrogen atom or a group selected from:
- R 11 represents, independently of each other, a hydrogen atom, a fluorine atom, a chlorine atom or a methyl group, or an N-oxide, a salt, a tautomer or a stereoisomer of said compound, or a salt of said N-oxide, tautomer or stereoisomer.
- a further aspect of the invention are compounds of formula (I), wherein
- V, W, Y and Z independently of each other, represent CH or CR 2 ,
- V represents N, and W, Y and Z, independently of each other, represent CH or CR 2 , or,
- W represents N, and V, Y and Z, independently of each other, represent CH or CR 2 , or,
- V and Y represent N, and W and Z, independently of each other, represent CH or CR 2 , and
- R 2 represents, independently of each other, a halogen atom or a group selected from: cyano, Ci-C 3 -alkyl, C 3 -C 4 -cycloalkyl, Ci-C 3 -haloalkyl, Ci-C 3 -alkoxy,
- R 9 represents, independently of each other, a hydrogen atom or a group selected from:
- Ci-C 3 -alkyl Ci-C 3 -haloalkyl, C 2 -C 3 -hydroxyalkyl, C 3 -C 4 -cycloalkyl,
- R 10 represents a hydrogen atom or a group selected from:
- V, W, Y and Z independently of each other represent CH or CR 2 ,
- V represents N, and W, Y and Z, independently of each other, represent CH or CR 2 , or,
- W represents N, and V, Y and Z independently of each other represent CH or CR 2 , and
- R 2 represents, independently of each other, a halogen atom or a group selected from:
- R 9 represents, independently of each other, a hydrogen atom or a group selected from:
- R 10 represents a hydrogen atom or a group selected from:
- Ci-C 3 -alkyl and C 3 -C -cycloalkyl are compounds of formula (I), in which
- V, W, Y and Z independently of each other, represent CH or CR 2 ,
- V represents N, and W, Y and Z, independently of each other, represent CH or CR 2 , or,
- W represents N, and V, Y and Z, independently of each other, represent CH or CR 2 , and
- R 2 represents, independently of each other, a halogen atom or a group selected from:
- R 9 represents, independently of each other, a hydrogen atom or a group selected from:
- Ci-C 3 -alkyl and C 3 -C 4 -cycloalkyl are Ci-C 3 -alkyl and C 3 -C 4 -cycloalkyl
- R 10 represents a hydrogen atom or a Ci-C 3 -alkyl group.
- V, W, Y and Z independently of each other, represent CH or CR 2 ,
- V represents N, and W, Y and Z, independently of each other, represent CH or CR 2 , and
- R 2 represents, independently of each other, a group selected from:
- R 9 represents, independently of each other, a hydrogen atom or a
- R 10 represents a hydrogen atom or a Ci-C 3 -alkyl group.
- V, W, Y and Z independently of each other, represent CH or CR 2 ,
- V represents N, and W, Y and Z, independently of each other, represent CH or CR 2 , and
- R 2 represents, independently of each other, a group selected from:
- R 9 represents, independently of each other, a hydrogen atom or a methyl group
- R 10 represents a hydrogen atom or a group selected from:
- V, W, Y and Z independently of each other, represent CH or CR 2 .
- V, W, Y and Z represents CR 2 , and the others represent CH.
- V, W, Y and Z independently of each other, represent CH or CR 2 ,
- R 2 represents, independently of each other, a halogen atom or a group selected from:
- Ci-C3-alkyl Ci-C3-alkyl, C3-C4-cycloalkyl, Ci-C3-haloalkyl, Ci-C3-alkoxy,
- R 9 represents, independently of each other, a hydrogen atom or a group selected from:
- Ci-C 3 -alkyl Ci-C 3 -haloalkyl, C 2 -C 3 -hydroxyalkyl, C3-C 4 -cycloalkyl,
- R 10 represents a hydrogen atom or a group selected from:
- Ci-C 3 -alkyl Ci-C 3 -haloalkyl, C 2 -C 3 -hydroxyalkyl, C3-C 4 -cycloalkyl,
- Yet another aspect of the invention are compounds of formula (I), in which V, W, Y and Z, independently of each other, represent CH or CR 2 ,
- R 2 represents, independently of each other, a halogen atom or a group selected from:
- R 9 represents, independently of each other, a hydrogen atom or a group selected from:
- R 10 represents a hydrogen atom or a group selected from:
- Ci-C 3 -alkyl and C 3 -C 4 -cycloalkyl are Ci-C 3 -alkyl and C 3 -C 4 -cycloalkyl.
- V, W, Y and Z independently of each other, represent CH or CR 2 ,
- R 2 represents, independently of each other, a halogen atom or a group selected from:
- R 9 represents, independently of each other, a hydrogen atom or a group selected from:
- Ci-C 3 -alkyl and C 3 -C -cycloalkyl are Ci-C 3 -alkyl and C 3 -C -cycloalkyl
- R 10 represents a hydrogen atom or a Ci-C 3 -alkyl group.
- V, W, Y and Z independently of each other, represent CH or CR 2 ,
- R 2 represents, independently of each other, a group selected from:
- R 9 represents, independently of each other, a hydrogen atom or a
- R 10 represents a hydrogen atom or a Ci-C 3 -alkyl group.
- V, W, Y and Z independently of each other, represent CH or CR 2 ,
- R 2 represents, independently of each other, a group selected from:
- R 9 represents, independently of each other, a hydrogen atom or a methyl group
- R 10 represents a hydrogen atom or a group selected from:
- V represents N, and W, Y and Z, independently of each other, represent CH or CR 2 .
- V represents N
- one of W, Y and Z, represents CR 2 , and the others represent CH.
- V represents N, and W, Y and Z, independently of each other, represent CH or CR 2 , and
- R 2 represents, independently of each other, a halogen atom or a group selected from:
- Ci-C 3 -alkyl C 3 -C 4 -cycloalkyl
- Ci-C 3 -haloalkyl Ci-C 3 -alkoxy
- R 9 represents, independently of each other, a hydrogen atom or a group selected from:
- Ci-C 3 -alkyl Ci-C 3 -haloalkyl, C 2 -C3-hydroxyalkyl, C3-C 4 -cycloalkyl,
- R 10 represents a hydrogen atom or a group selected from:
- Ci-C 3 -alkyl Ci-C 3 -haloalkyl, C 2 -C 3 -hydroxyalkyl, C 3 -C 4 -cycloalkyl,
- V represents N, and W, Y and Z, independently of each other, represent CH or CR 2 , and
- R 2 represents, independently of each other, a halogen atom or a group selected from:
- R 9 represents, independently of each other, a hydrogen atom or a group selected from:
- R 10 represents a hydrogen atom or a group selected from:
- Ci-C 3 -alkyl and C 3 -C -cycloalkyl are Ci-C 3 -alkyl and C 3 -C -cycloalkyl.
- V represents N, and W, Y and Z, independently of each other, represent CH or CR 2 , and
- R 2 represents, independently of each other, a halogen atom or a group selected from:
- R 9 represents, independently of each other, a hydrogen atom or a group selected from:
- Ci-C 3 -alkyl and C3-C 4 -cycloalkyl are Ci-C 3 -alkyl and C3-C 4 -cycloalkyl
- R 10 represents a hydrogen atom or a Ci-C 3 -alkyl group.
- V represents N, and W, Y and Z, independently of each other, represent CH or CR 2 , and
- R 2 represents, independently of each other, a group selected from:
- R 9 represents, independently of each other, a hydrogen atom or a
- R 10 represents a hydrogen atom or a Ci-C 3 -alkyl group.
- V represents N, and W, Y and Z, independently of each other, represent CH or CR 2 , and
- R 2 represents, independently of each other, a group selected from:
- R 9 represents, independently of each other, a hydrogen atom or a methyl group
- R 10 represents a hydrogen atom or a group selected from:
- V represents N, and W, Y and Z, independently of each other, represent CH or CR 2 , and
- R 2 represents, independently of each other, a methyl group.
- R 1 represents a group selected from:
- d-Ce-alkyl C 3 -C 8 -cycloalkyl, (C 3 -C 8 -cycloalkyl)-(Ci-C 3 -alkyl)-, (4- to 7-membered heterocycloalkyl)-(Ci-C 3 -alkyl)-, phenyl-(C 2 -C3-alkyl)-,
- cycloalkyi groups are optionally substituted with one or two groups selected independently from:
- heterocycloalkyl groups are optionally substituted with one or two groups selected independently from:
- phenyl groups are optionally substituted with one, two or three groups selected independently from:
- halogen atom hydroxy, Ci-C 6 -alkyl, Ci-C 6 -haloalkyl, Ci-C 6 -hydroxyalkyl, (Ci-C 3 -alkoxy)-(Ci-C 6 -alkyl)-, C 3 -C 6 -cycloalkyl, (C 3 -C 6 -cycloalkyl)-(Ci-C 3 - alkyl)-, Ci-Ce-alkoxy, Ci-Ce-haloalkoxy, (C2-C6-hydroxyalkyl)-0-, (Ci-C 3 -alkoxy)-(C 2 -C 6 -alkoxy)-, C 3 -C 6 -cycloalkoxy and
- alkyl- and alkenyl groups are optionally substituted with one or two groups selected independently from:
- R 1 represents a group selected from:
- Ci-Cs-alkyl C 3 -C 8 -cycloalkyl, (C 3 -C 8 -cycloalkyl)-(Ci-C 3 -alkyl)-,
- cycloalkyi groups are optionally substituted with one or two groups selected independently from:
- heterocycloalkyl groups are optionally substituted with one or two groups selected independently from:
- phenyl groups are optionally substituted with one, two or three groups selected independently from:
- Ci -Ce-alkyl Ci -Ce-haloalkyl, Ci -Ce-alkoxy, Ci -Ce- haloalkoxy, (C 2 -C 6 -hydroxyalkyl)-0- and (Ci -C3-alkoxy)-(C 2 -C 6 -alkoxy)-, and,
- alkyl- and alkenyl groups are optionally substituted with one or two groups selected independently from:
- cycloalkyl groups are optionally substituted with one or two groups selected independently from:
- heterocycloalkyl groups are optionally substituted with one or two groups selected independently from:
- alkyl- and alkenyl groups are optionally substituted with one or two groups selected independently from:
- cycloalkyl groups are optionally substituted with one or two groups selected independently from:
- heterocycloalkyl groups are optionally substituted with one or two groups selected independently from:
- phenyl groups are optionally substituted with one, two or three groups selected independently from:
- Ci -C 3 -haloalkyl Ci -C 3 -alkoxy
- alkyl- and alkenyl groups are optionally substituted with one or two groups selected independently from:
- R 1 represents a group selected from:
- cycloalkyl groups are optionally substituted with one or two groups selected independently from:
- heterocycloalkyl groups are optionally substituted with one or two groups selected independently from:
- alkyl- and alkenyl groups are optionally substituted with one or two groups selected independently from:
- R 1 represents a group selected from:
- Ci -Cs-alkyl (C 3 -C 7 -cycloalkyl)-(Ci -C 2 -alkyl)-,
- heterocycloalkyl groups are optionally substituted with one or two groups selected independently from:
- alkyl- and alkenyl groups are optionally substituted with one group selected from:
- R 1 represents a group selected from:
- R 2 represents, independently of each other, a halogen atom or a group selected from:
- Ci-C 3 -alkyl C3-C 4 -cycloalkyl
- Ci-C 3 -haloalkyl Ci-C 3 -alkoxy
- R 2 represents, independently of each other, a halogen atom or a group selected from:
- R 2 represents, independently of each other, a halogen atom or a group selected from:
- R 2 represents, independently of each other, a group selected from :
- R 2 represents, independently of each other, a group selected from :
- R 4 represents a hydrogen atom, or a halogen atom or a group selected from:
- R 4 represents a hydrogen atom, or a halogen atom or a group selected from:
- Ci-Ce-alkoxy (C 2 -C 6 -hydroxyalkyl)-0-, (Ci-C 3 -alkoxy)-(C 2 -C 6 -alkoxy)- and hydroxyl.
- R 4 represents a hydrogen atom, or a halogen atom or a group selected from:
- R 4 represents a hydrogen atom, or a group selected from:
- R 4 represents a hydrogen atom, or a group selected from: methoxy, 3-hydroxypropyloxy and hydroxyl.
- R 7 represents a hydrogen atom, or a halogen atom or a group selected from:
- Ci-C 3 -alkyl and C3-C 4 -cycloalkyl are Ci-C 3 -alkyl and C3-C 4 -cycloalkyl
- R 8 represents a hydrogen atom, or a halogen atom or a Ci-C 3 -alkyl group, or
- R 7 and R 8 are linked to one another in such a way that they jointly form a
- R 7 represents a hydrogen atom, or a halogen atom or a group selected from:
- Ci-C 3 -alkyl and C3-C 4 -cycloalkyl are Ci-C 3 -alkyl and C3-C 4 -cycloalkyl
- R 8 represents a hydrogen atom, or a halogen atom or a Ci-C 3 -alkyl group, or
- R 7 and R 8 are linked to one another in such a way that they jointly form a
- R 7 represents a halogen atom or a Ci-C 3 -alkyl group
- R 8 represents a hydrogen atom or a Ci-C 3 -alkyl group
- R 7 and R 8 are linked to one another in such a way that they jointly form a
- R 8 represents a hydrogen atom or a methyl group
- R 7 and R 8 are linked to one another in such a way that they jointly form a
- R 7 represents a hydrogen atom, or a halogen atom or a group selected from:
- Ci-C3-alkyl and C3-C4-cycloalkyl are Ci-C3-alkyl and C3-C4-cycloalkyl.
- R 7 represents a halogen atom or a Ci-C 3 -alkyl group.
- R 7 represents a bromine atom or an isopropyl group.
- R 8 represents a hydrogen atom, or a halogen atom or a Ci-C 3 -alkyl group.
- R 8 represents a hydrogen atom or a Ci-C 3 -alkyl group.
- R 7 and R 8 are linked to one another in such a way that they jointly form a group selected from:
- R 9 represents, independently of each other, a hydrogen atom or a group selected from:
- Ci-C 3 -alkyl Ci-C 3 -haloalkyl, C 2 -C3-hydroxyalkyl, C3-C 4 -cycloalkyl,
- R 9 represents, independently of each other, a hydrogen atom or a group selected from:
- R 9 represents, independently of each other, a hydrogen atom or a group selected from:
- Ci-C 3 -alkyl and C 3 -C 4 -cycloalkyl are Ci-C 3 -alkyl and C 3 -C 4 -cycloalkyl.
- R 9 represents, independently of each other, a hydrogen atom or a
- Ci-C 3 -alkyl group Ci-C 3 -alkyl group.
- R 9 represents, independently of each other, a hydrogen atom or a methyl group.
- R 10 represents a hydrogen atom or a group selected from: Ci-C 3 -alkyl, Ci -C 3 -haloalkyl, C 2 -C3-hydroxyalkyl, C3-C 4 -cycloalkyl,
- R 10 represents a hydrogen atom or a group selected from:
- Ci-C 3 -alkyl and C 3 -C 4 -cycloalkyl are Ci-C 3 -alkyl and C 3 -C 4 -cycloalkyl.
- R 10 represents a hydrogen atom or a Ci-C 3 -alkyl group.
- R 10 represents a hydrogen atom or a group selected from:
- R 1 1 represents, independently of each other, a hydrogen atom or a halogen atom or a group selected from:
- R 1 1 represents, independently of each other, a hydrogen atom or a halogen atom or a group selected from:
- R 1 1 represents, independently of each other, a hydrogen atom or a halogen atom or a methyl group.
- R 1 1 represents, independently of each other, a hydrogen atom, a fluorine atom, a chlorine atom or a methyl group.
- the invention covers compounds of general formula (I),
- V, W, Y and Z independently of each other represent CH or CR 2 ,
- R 1 represents a phenyl-(C 2 -C3-alkyl)- group
- phenyl groups are optionally substituted with one, two or three groups selected independently from:
- R 2 represents, independently of each other, a group selected from:
- R 4 represents a hydrogen atom, or a group selected from:
- R 7 and R 8 are linked to one another in such a way that they jointly form a
- R 9 represents, independently of each other, a hydrogen atom or a
- R 11 represents, independently of each other, a hydrogen atom or a halogen atom or a methyl group, or an N-oxide, a salt, a tautomer or a stereoisomer of said compound, or a salt of said N-oxide, tautomer or stereoisomer.
- a further aspect of the invention are compounds of formula (I) as defined herein, wherein
- V, W, Y and Z independently of each other represent CH or CR 2 ,
- R 1 represents a group selected from :
- phenyl groups are optionally substituted with one, two or three groups selected independently from:
- R 4 represents a methoxy group
- One aspect of the invention are compounds of formula (I) as described in the examples, as characterized by their names in the title, as claimed in claim 6, and their structures as well as the subcombinations of all residues specifically disclosed in the compounds of the examples.
- Another aspect of the present invention are the intermediates as used for their synthesis.
- a further aspect of the invention are compounds of formula (I), which are present as their salts.
- the salt is a pharmaceutically acceptable salt. It is to be understood that the present invention relates to any sub-combination within any embodiment or aspect of the present invention of compounds of general formula (I), supra.
- the present invention covers compounds of general formula (I) which are disclosed in the Example section of this text, infra.
- the present invention covers methods of preparing compounds of the present invention, said methods comprising the steps as described in the Experimental Section herein.
- Another embodiment of the invention are compounds according to the claims as disclosed in the Claims section wherein the definitions are limited according to the preferred or more preferred definitions as disclosed below or specifically disclosed residues of the exemplified compounds and subcombinations thereof.
- the present invention relates to intermediate compounds which are useful in the preparation of compounds of the present invention of general formula (I), particularly in the method described herein.
- R 1 , R 4 , R 7 and R 8 are as defined herein.
- the present invention relates to the use of an intermediate compound of general formula (II) :
- the present invention relates to the use of an intermediate compound of general formula (III) :
- the present invention relates to the use of an intermediate compound of general formula (IV) :
- the present invention relates to the use of an intermediate compound of general formula (V) :
- the present invention relates to a method of preparing a compound of general formula (I) as defined supra, said method comprising the step of allowing an intermediate compound of general formula (II) :
- V, W, Y and Z are as defined herein, and X 2 represents F, CI, Br, I, boronic acid or a boronic acid ester, such as for example 4,4,5,5-tetramethyl-2-phenyl-1 ,3,2- dioxaborolane (boronic acid pinacole ester),
- R 1 , R 4 , R 7 , R 8 , V, W, Y and Z are as defined herein.
- the present invention relates to a method of preparing a compound of general formula (I) as defined supra, said method comprising the step of allowing an intermediate compound of general formula (III) :
- R 4 , R 7 , R 8 , V, W, Y and Z are as defined herein, to react with a compound of general formula (V) : in which R 1 is as defined herein, and X 1 represents F, CI, Br, I or a sulfonate, such as for example trifluormethylsulfonate or p-toluolsulfonate,
- R ⁇ R 4 , R 7 , R 8 , V, W, Y and Z are as defined herein.
- Constituents which are optionally substituted as stated herein, may be substituted, unless otherwise noted, one or more times, independently from one another at any possible position.
- each definition is independent.
- each definition of R 1 , R 2 , R 3 , R 4 , R 5 , R 6 , R 7 , R 8 , R 9 , R 10 , R 11 , V, W, Y and/or Z occurs more than one time for any compound of formula (I) each definition of R 1 , R 2 , R 3 , R 4 , R 5 , R 6 , R 7 , R 8 , R 9 , R 10 , R 11 , V, W, Y and/or Z is independent.
- an oxo substituent represents an oxygen atom, which is bound to a carbon atom or to a sulfur atom via a double bond.
- a composite substituent be composed of more than one parts, e.g. (C 3 -C 8 -cycloalkyl)-(Ci -C 3 -alkyl)- or phenyl-(C 2 -C 3 -alkyl)-, it is possible for the position of a given part to be at any suitable position of said composite substituent, i.e.
- the C 3 -C 8 - cycloalkyl part can be attached to any carbon atom of the Ci-C3-alkyl part of said (C 3 -C 8 -cycloalkyl)-(Ci -C 3 -alkyl)- group, or the phenyl part can be attached to any carbon atom of the C2-C3-alkyl part of said phenyl-(C2-C3-alkyl)- group.
- a hyphen at the beginning or at the end of such a composite substituent indicates the point of attachment of said composite substituent to the rest of the molecule.
- a ring comprising carbon atoms and optionally one or more heteroatoms, such as nitrogen, oxygen or sulfur atoms for example, be substituted with a substituent
- substituent it is possible for said substituent to be bound at any suitable position of said ring, be it bound to a suitable carbon atom and/or to a suitable heteroatom.
- halogen atom halo- or Hal-
- fluorine chlorine, bromine or iodine atom.
- Ci -C 8 -alkyl is to be understood as meaning a linear or branched, saturated, monovalent hydrocarbon group having 1 , 2, 3, 4, 5, 6, 7 or 8 carbon atoms, e.g. a methyl, ethyl, propyl, butyl, pentyl, hexyl, heptyl, octyl, iso-propyl, iso-butyl, sec-butyl, tert-butyl, iso-pentyl, 2-methylbutyl, 1 -methylbutyl, 1 -ethylpropyl, 1 ,2-dimethylpropyl, neo-pentyl, 1 ,1 -dimethylpropyl, 4-methylpentyl, 3-methylpentyl, 2-methylpentyl, 1 - methylpentyl, 2-ethylbutyl, 1 -ethylbutyl, 3,3-dimethylbuty
- said group has 1 , 2, 3, 4, 5 or 6 carbon atoms ("Ci -C 6 - alkyl”), e.g. a methyl, ethyl, propyl, butyl, iso-propyl, iso-butyl, sec-butyl, tert-butyl, iso- pentyl, 2-methylbutyl, 1 -methylbutyl, 1 -ethylpropyl, 1 ,2-dimethylpropyl, neo-pentyl, 1 ,1 - dimethylpropyl, hexyl group, more particularly, said group has 1 , 2, 3, 4 or 5 carbon atoms ("Ci -C 5 -alkyl”), e.g.
- Ci-C 6 -haloalkyl is to be understood as meaning a linear or branched, saturated, monovalent hydrocarbon group in which the term "Ci-Ce-alkyl” is defined supra, and in which one or more hydrogen atoms is replaced by a halogen atom, in identically or differently, i.e. one halogen atom being independent from another. Particularly, said halogen atom is F.
- Ci-C 6 -haloalkyl group is, for example, -CF 3 , - CHF 2 , -CH 2 F, -CF2CF3, -CH2CH2F, -CH2CHF2, -CH2CF3, -CH2CH2CF3, or -CH(CH 2 F) 2 .
- said group has 1 , 2, 3 or 4 carbon atoms ("Ci-C 4 -haloalkyl”), more particularly 1 , 2 or 3 carbon atoms (“Ci-C3-haloalkyl”), even more particularly 1 or 2 carbon atoms ("Ci-C 2 -haloalkyl").
- Ci -Ce-alkoxy is to be understood as meaning a linear or branched, saturated, monovalent, hydrocarbon group of formula -O-alkyl, in which the term “alkyl” is defined supra, e.g. a methoxy, ethoxy, n-propoxy, iso-propoxy, n-butoxy, iso-butoxy, tert-butoxy, sec-butoxy, pentoxy, iso-pentoxy, or n-hexoxy group, or an isomer thereof.
- said group has 1 , 2, 3 or 4 carbon atoms ("Ci-C4-alkoxy”), more particularly 1 , 2 or 3 carbon atoms ("Ci-C 3 -alkoxy").
- Ci-C 6 -haloalkoxy is to be understood as meaning a linear or branched, saturated, monovalent Ci -Ce-alkoxy group, as defined supra, in which one or more of the hydrogen atoms is replaced, in identically or differently, by a halogen atom.
- said halogen atom is F.
- Said Ci-Ce-haloalkoxy group is, for example, - OCF3, -OCHF2, -OCH2F, -OCF2CF3, or -OCH2CF3.
- said group has 1 , 2, 3 or 4 carbon atoms ("Ci -C 4 -haloalkoxy"), more particularly 1 , 2 or 3 carbon atoms ("C1-C3- haloalkoxy").
- Ci-Ce-hydroxyalkyI is to be understood as preferably meaning a linear or branched, saturated, monovalent hydrocarbon group in which the term "Ci -Ce-alkyl” is defined supra, and in which one or more hydrogen atoms is replaced by a hydroxy group, e.g. a hydroxymethyl, 1 -hydroxyethyl, 2-hydroxyethyl, 1 ,2-dihydroxyethyl, 3- hydroxypropyl, 2-hydroxypropyl, 2,3-dihydroxypropyl, 1 ,3-dihydroxypropan-2-yl, 3- hydroxy-2-methyl-propyl, 2-hydroxy-2-methyl-propyl, 1 -hydroxy-2-methyl-propyl group.
- said group has 1 , 2, 3 or 4 carbon atoms ("Ci -C 4 -hydroxyalkyl"), more particularly 1 , 2 or 3 carbon atoms ("Ci -C 3 -hydroxyalkyl").
- C3-C 8 -cycloalkyl is to be understood as meaning a saturated, monovalent, monocyclic hydrocarbon ring which contains 3, 4, 5, 6, 7 or 8 carbon atoms ("C3-C8- cycloalkyl”).
- Said C3-C 8 -cycloalkyl group is for example, a monocyclic hydrocarbon ring, e.g. a cyclopropyl, cyclobutyl, cyclopentyl, cyclohexyl, cycloheptyl or cyclooctyl ring.
- Particularly said group has 3, 4, 5, 6 or 7 carbon atoms ("C3-C 7 -cycloalkyl”).
- Particularly said group has 3, 4, 5 or 6 carbon atoms ("C3-C 6 -cycloalkyl”).
- said group has 3 or 4 carbon atoms ("C3-C 4 -cycloalkyl").
- C3-C 6 -cycloalkoxy means a saturated, monovalent, monocyclic group of formula (C3-C6-cycloalkyl)-0-, which contains 3, 4, 5 or 6 carbon atoms, in which the term "Cs-Ce-cycloalkyl” is defined supra, e.g. a cyclopropyloxy, cyclobutyloxy, cyclopentyloxy or cyclohexyloxy group.
- C3-C 8 -alkenyl means a linear or branched, monovalent hydrocarbon group, which contains one double bond, and which has 3, 4, 5, 6, 7 or 8 carbon atoms, particularly 3, 4, 5 or 6 carbon atoms ("C3-C 6 -alkenyl”), more particularly 3, 4 or 5 carbon atoms (“Cs-Cs-alkenyl”).
- Said alkenyl group is, for example a prop-2-en-1 -yl (or “allyl”), prop-1 -en-1 -yl, but-3-enyl, but-2-enyl, but-1 -enyl, pent-4-enyl, pent-3-enyl, pent-2-enyl, pent-1 -enyl, hex-5-enyl, hex-4-enyl, hex-3-enyl, hex-2-enyl, hex-1 -enyl, prop-1 -en-2-yl (or “isopropenyl”), 2-methylprop-2-enyl, 1 -methylprop-2-enyl,
- C3-C 8 -alkynyl means a linear or branched, monovalent hydrocarbon group which contains one triple bond, and which contains 3, 4, 5, 6, 7 or 8 carbon atoms, particularly 3, 4, 5 or 6 carbon atoms ("C3-C 6 -alkinyl").
- Said C3-C 8 -alkynyl group is, for example, prop-1 -ynyl, prop-2-ynyl (or “propargyl"), but-1 -ynyl, but-2-ynyl, but-3-ynyl, pent-1 -ynyl, pent-2-ynyl, pent-3-ynyl, pent-4-ynyl, hex-1 -ynyl, hex-2-ynyl, hex-3-ynyl, hex-4-ynyl, hex-5-ynyl, 1 -methylprop-2-ynyl, 2-methylbut-3-ynyl, 1 -methylbut-3-ynyl,
- heterocycloalkyl and “4- to 6-membered heterocycloalkyl” mean a monocyclic, saturated heterocycle with 4, 5, 6 or 7 or, respectively, 4, 5 or 6 ring atoms in total, which contains one or two identical or different ring heteroatoms from the series N, O and S, it being possible for said heterocycloalkyl group to be attached to the rest of the molecule via any one of the carbon atoms or, if present, a nitrogen atom.
- Said heterocycloalkyl group can be a 4-membered ring, such as azetidinyl, oxetanyl or thietanyl, for example; or a 5-membered ring, such as tetrahydrofuranyl, 1 ,3-dioxolanyl, thiolanyl, pyrrolidinyl, imidazolidinyl, pyrazolidinyl,
- 1 .2- oxazinanyl for example, or a 7-membered ring, such as azepanyl, 1 ,4-diazepanyl or 1 ,4-oxazepanyl, for example.
- 4- or 5-membered heterocycloalkyl means a monocyclic, saturated heterocycle with 4 or 5 ring atoms in total, containing one ring nitrogen atom or one ring oxygen atom.
- Ci-Ce as used in the present text, e.g. in the context of the definition of "Ci-Ce-alkyl”, “Ci-C 6 -haloalkyl", “Ci-C 6 -hydroxyalkyl”, “Ci -C 6 -alkoxy” or “Ci-C 6 - haloalkoxy” means a group having a finite number of carbon atoms of 1 to 6, i.e. 1 , 2, 3, 4, 5 or 6 carbon atoms.
- C3-C 8 as used in the present text, e.g. in the context of the definition of "C3-C 8 -cycloalkyl", means a cycloalkyl group having a finite number of carbon atoms of 3 to 8, i.e. 3, 4, 5, 6, 7 or 8 carbon atoms. When a range of values is given, said range encompasses each value and sub-range within said range.
- Ci -Cs encompasses Ci , C2, C3, C4, C5, Ce, C7, Cs, Ci -Cs, C1 -C7, C1 -C6, C1 -C5, C1 -C4,
- C1 -C6 encompasses Ci , C2, C3, C4, C5, ⁇ , Ci -C6, C1 -C5, C1 -C4, C1 -C3, C1 -C2, C2-C6,
- C1 -C3 encompasses Ci , C 2 , C 3 , C1 -C3, C1 -C2 and C 2 -C 3 ;
- C2-C6 encompasses C2, C3, C4, C5, ⁇ , C2-C6, C2-C5, C2-C4, C2-C3, C3-C6, C3-C5, C3-C4, C4-C6, C4-C5, and C5-C6;
- Cs-Cs encompasses C3, C4, C5, Ce, C7, Cs, C3-C8, C3-C7, C3-C6, C3-C5, C3-C4, C4-C8, C4-C7, C4-C6, C4-C5, Cs-Cs, C5-C7, C5-C6, Ce-Cs, C6-C7 and C7-C8;
- C4-C8 encompasses C4, C5, ⁇ , C7, Cs, C4-C8, C4-C7, C4-C6, C4-C5, Cs-Cs, C5-C7, C5-C6, Ce-Cs, C6-C7 and C7-C8;
- C4-C7 encompasses C 4 , C 5 , C 6 , C 7 , C 4 -C 7 , C 4 -C 6 , C 4 -C 5 , C5-C7, C 5 -C 6 and C 6 -C 7 ;
- C 4 -C 6 encompasses C 4 , C 5 , Ce, C 4 -C 6 , C 4 -C 5 and C 5 -C 6 ;
- C 3 -C 6 encompasses C 3 , C 4 , C 5 , C 6 , C 3 -C 6 , C3-C5, C 3 -C 4 , C 4 -C 6 , C 4 -C 5 , and C 5 -C 6 .
- the term "leaving group” means an atom or a group of atoms that is displaced in a chemical reaction as stable species taking with it the bonding electrons.
- a leaving group is selected from the group comprising: halide, in particular fluoride, chloride, bromide or iodide, (methylsulfonyl)oxy, [(trifluoromethyl)sulfonyl]oxy, [(nonafluorobutyl)sulfonyl]oxy, (phenylsulfonyl)oxy, [(4-methylphenyl)sulfonyl]oxy, [(4-bromophenyl)sulfonyl]oxy, [(4-nitrophenyl)sulfonyl]- oxy, [(2-nitrophenyl)sulfonyl]oxy, [(4-isopropylphenyl)sulfonyl]oxy, [(2,4,6-triisopropy
- substituted means that one or more hydrogens on the designated atom is replaced with a selection from the indicated group, provided that the designated atom's normal valency under the existing circumstances is not exceeded, and that the substitution results in a stable compound. Combinations of substituents and/or variables are permissible only if such combinations result in stable compounds.
- optionally substituted means optional substitution with the specified groups, radicals or moieties.
- the term "one or more”, e.g. in the definition of the substituents of the compounds of the general formulae of the present invention, is understood as meaning “one, two, three, four or five, particularly one, two, three or four, more particularly one, two or three, even more particularly one or two".
- the invention therefore includes one or more isotopic variant(s) of the compounds of general formula (I), particularly deuterium-containing compounds of general formula (I).
- isotopic variant of a compound or a reagent is defined as a compound exhibiting an unnatural proportion of one or more of the isotopes that constitute such a compound.
- Isotopic variant of the compound of general formula (I) is defined as a compound of general formula (I) exhibiting an unnatural proportion of one or more of the isotopes that constitute such a compound.
- unnatural proportion means a proportion of such isotope which is higher than its natural abundance.
- the natural abundances of isotopes to be applied in this context are described in "Isotopic Compositions of the Elements 1997", Pure Appl. Chem., 70(1 ), 217-235, 1998.
- isotopes include stable and radioactive isotopes of hydrogen, carbon, nitrogen, oxygen, phosphorus, sulfur, fluorine, chlorine, bromine and iodine, such as 2 H (deuterium), 3 H (tritium), 11 C, 13 C, 14 C, 15 N, 17 0, 18 0, 32 P, 33 P, 33 S, 34 S, 35 S, 36 S, 18 F, 6 CI, 82 Br, 123 l, 124 l, 125 l, 129 l and 131 1, respectively.
- isotopes include stable and radioactive isotopes of hydrogen, carbon, nitrogen, oxygen, phosphorus, sulfur, fluorine, chlorine, bromine and iodine, such as 2 H (deuterium), 3 H (tritium), 11 C, 13 C, 14 C, 15 N, 17 0, 18 0, 32 P, 33 P, 33 S, 34 S, 35 S, 36 S, 18 F, 6 CI, 82 Br, 123 l, 124 l, 125 l,
- the isotopic variant(s) of the compounds of general formula (I) preferably contain deuterium ("deuterium-containing compounds of general formula (I)").
- Isotopic variants of the compounds of general formula (I) in which one or more radioactive isotopes, such as 3 H or 14 C, are incorporated are useful e.g. in drug and/or substrate tissue distribution studies. These isotopes are particularly preferred for the ease of their incorporation and detectability.
- Positron emitting isotopes such as 18 F or 11 C may be incorporated into a compound of general formula (I).
- These isotopic variants of the compounds of general formula (I) are useful for in vivo imaging applications.
- Deuterium-containing and 13 C- containing compounds of general formula (I) can be used in mass spectrometry analyses in the context of preclinical or clinical studies.
- Isotopic variants of the compounds of general formula (I) can generally be prepared by methods known to a person skilled in the art, such as those described in the schemes and/or examples herein, by substituting a reagent for an isotopic variant of said reagent, preferably for a deuterium-containing reagent.
- a reagent for an isotopic variant of said reagent preferably for a deuterium-containing reagent.
- deuterium from D 2 0 can be incorporated either directly into the compounds or into reagents that are useful for synthesizing such compounds.
- Deuterium gas is also a useful reagent for incorporating deuterium into molecules.
- Catalytic deuteration of olefinic bonds and acetylenic bonds is a rapid route for incorporation of deuterium.
- Metal catalysts i.e.
- deuterated reagents and synthetic building blocks are commercially available from companies such as for example C/D/N Isotopes, Quebec, Canada; Cambridge Isotope Laboratories Inc., Andover, MA, USA; and CombiPhos Catalysts, Inc., Princeton, NJ, USA.
- deuterium-containing compound of general formula (I) is defined as a compound of general formula (I), in which one or more hydrogen atom(s) is/are replaced by one or more deuterium atom(s) and in which the abundance of deuterium at each deuterated position of the compound of general formula (I) is higher than the natural abundance of deuterium, which is about 0.015%.
- the abundance of deuterium at each deuterated position of the compound of general formula (I) is higher than 10%, 20%, 30%, 40%, 50%, 60%, 70% or 80%, preferably higher than 90%, 95%, 96% or 97%, even more preferably higher than 98% or 99% at said position(s). It is understood that the abundance of deuterium at each deuterated position is independent of the abundance of deuterium at other deuterated position(s).
- the selective incorporation of one or more deuterium atom(s) into a compound of general formula (I) may alter the physicochemical properties (such as for example acidity [C. L. Perrin, et al., J. Am. Chem. Soc, 2007, 129, 4490], basicity [C. L. Perrin et al., J. Am. Chem. Soc, 2005, 127, 9641 ], lipophilicity [B. Testa et al., Int. J. Pharm., 1984, 19(3), 271 ]) and/or the metabolic profile of the molecule and may result in changes in the ratio of parent compound to metabolites or in the amounts of metabolites formed.
- physicochemical properties such as for example acidity [C. L. Perrin, et al., J. Am. Chem. Soc, 2007, 129, 4490], basicity [C. L. Perrin et al., J. Am. Chem. Soc, 2005,
- a compound of general formula (I) may have multiple potential sites of attack for metabolism.
- deuterium-containing compounds of general formula (I) having a certain pattern of one or more deuterium-hydrogen exchange(s) can be selected.
- the deuterium atom(s) of deuterium-containing compound(s) of general formula (I) is/are attached to a carbon atom and/or is/are located at those positions of the compound of general formula (I), which are sites of attack for metabolizing enzymes such as e.g. cytochrome P 4 so.
- the present invention concerns a deuterium-containing compound of general formula (I) having 1 , 2, 3 or 4 deuterium atoms, particularly with 1 , 2 or 3 deuterium atoms.
- a deuterium-containing compound of general formula (I) having 1 , 2, 3 or 4 deuterium atoms, particularly with 1 , 2 or 3 deuterium atoms.
- stable compound' or “stable structure” is meant a compound that is sufficiently robust to survive isolation to a useful degree of purity from a reaction mixture, and formulation into an efficacious therapeutic agent.
- the compounds of the present invention optionally contain one or more asymmetric centres, depending upon the location and nature of the various substituents desired. It is possible that one or more asymmetric carbon atoms are present in the (R) or (S) configuration, which can result in racemic mixtures in the case of a single asymmetric centre, and in diastereomeric mixtures in the case of multiple asymmetric centres. In certain instances, it is possible that asymmetry also be present due to restricted rotation about a given bond, for example, the central bond adjoining two substituted aromatic rings of the specified compounds.
- Preferred compounds are those which produce the more desirable biological activity.
- Separated, pure or partially purified isomers and stereoisomers or racemic or diastereomeric mixtures of the compounds of this invention are also included within the scope of the present invention.
- the purification and the separation of such materials can be accomplished by standard techniques known in the art.
- the optical isomers can be obtained by resolution of the racemic mixtures according to conventional processes, for example, by the formation of diastereoisomeric salts using an optically active acid or base or formation of covalent diastereomers.
- appropriate acids are tartaric, diacetyltartaric, ditoluoyltartaric and camphorsulfonic acid.
- Mixtures of diastereoisomers can be separated into their individual diastereomers on the basis of their physical and/or chemical differences by methods known in the art, for example, by chromatography or fractional crystallisation.
- the optically active bases or acids are then liberated from the separated diastereomeric salts.
- a different process for separation of optical isomers involves the use of chiral chromatography (e.g., chiral HPLC columns), with or without conventional derivatisation, optimally chosen to maximise the separation of the enantiomers.
- Suitable chiral HPLC columns are manufactured by Daicel, e.g., Chiracel OD and Chiracel OJ among many others, all routinely selectable.
- Enzymatic separations, with or without derivatisation are also useful.
- the optically active compounds of this invention can likewise be obtained by chiral syntheses utilizing optically active starting materials.
- the present invention includes all possible stereoisomers of the compounds of the present invention as single stereoisomers, or as any mixture of said stereoisomers, e.g. R- or S- isomers, or E- or Z-isomers, in any ratio.
- Isolation of a single stereoisomer, e.g. a single enantiomer or a single diastereomer, of a compound of the present invention is achieved by any suitable state of the art method, such as chromatography, especially chiral chromatography, for example.
- the compounds of the present invention may exist as tautomers.
- the present invention includes all possible tautomers of the compounds of the present invention as single tautomers, or as any mixture of said tautomers, in any ratio.
- the compounds of the present invention can exist as N-oxides, which are defined in that at least one nitrogen of the compounds of the present invention is oxidised.
- the present invention includes all such possible N-oxides.
- the present invention also relates to useful forms of the compounds as disclosed herein, such as metabolites, hydrates, solvates, prodrugs, salts, in particular pharmaceutically acceptable salts, and co-precipitates.
- the compounds of the present invention can exist as a hydrate, or as a solvate, wherein the compounds of the present invention contain polar solvents, in particular water, methanol or ethanol for example as structural element of the crystal lattice of the compounds.
- polar solvents in particular water, methanol or ethanol for example as structural element of the crystal lattice of the compounds.
- the amount of polar solvents, in particular water may exist in a stoichiometric or non-stoichiometric ratio.
- stoichiometric solvates e.g. a hydrate, hemi-, (semi-), mono-, sesqui-, di-, tri- , tetra-, penta- etc. solvates or hydrates, respectively, are possible.
- the present invention includes all such hydrates or solvates.
- the compounds of the present invention can exist in free form, e.g. as a free base, or as a free acid, or as a zwitterion, or can exist in the form of a salt.
- Said salt may be any salt, either an organic or inorganic addition salt, particularly any pharmaceutically acceptable organic or inorganic addition salt, customarily used in pharmacy.
- pharmaceutically acceptable salt refers to a relatively non-toxic, inorganic or organic acid addition salt of a compound of the present invention.
- pharmaceutically acceptable salt refers to a relatively non-toxic, inorganic or organic acid addition salt of a compound of the present invention.
- S. M. Berge, et al. “Pharmaceutical Salts,” J. Pharm. Sci. 1977, 66, 1 -19.
- a suitable pharmaceutically acceptable salt of the compounds of the present invention may be, for example, an acid-addition salt of a compound of the present invention bearing a nitrogen atom, in a chain or in a ring, for example, which is sufficiently basic, such as an acid-addition salt with an inorganic acid, such as hydrochloric, hydrobromic, hydroiodic, sulfuric, bisulfuric, phosphoric, or nitric acid, for example, or with an organic acid, such as formic, acetic, acetoacetic, pyruvic, trifluoroacetic, propionic, butyric, hexanoic, heptanoic, undecanoic, lauric, benzoic, salicylic, 2-(4-hydroxybenzoyl)- benzoic, camphoric, cinnamic, cyclopentanepropionic, digluconic, 3-hydroxy-2- naphthoic, nicotinic, pamoic, pectinic, per
- an alkali metal salt for example a sodium or potassium salt
- an alkaline earth metal salt for example a calcium or magnesium salt
- an ammonium salt or a salt with an organic base which affords a physiologically acceptable cation, for example a salt with N-methyl-glucamine, dimethyl-glucamine, ethyl-glucamine, lysine, dicyclohexylamine, 1 ,6-hexadiamine, ethanolamine, glucosamine, sarcosine, serinol, tris-hydroxy-methyl-aminomethane, aminopropandiol, sovak-base, 1 -amino-2,3,4-butantriol.
- basic nitrogen containing groups may be quaternised with such agents as lower alkyl halides such as methyl, ethyl, propyl, and butyl chlorides, bromides and iodides ; dialkyl sulfates like dimethyl, diethyl, and dibutyl sulfate ; and diamyl sulfates, long chain halides such as decyl, lauryl, myristyl and strearyl chlorides, bromides and iodides, aralkyl halides like benzyl and phenethyl bromides and others.
- lower alkyl halides such as methyl, ethyl, propyl, and butyl chlorides, bromides and iodides
- dialkyl sulfates like dimethyl, diethyl, and dibutyl sulfate
- diamyl sulfates long chain halides such as decyl, la
- acid addition salts of the claimed compounds may be prepared by reaction of the compounds with the appropriate inorganic or organic acid via any of a number of known methods.
- alkali and alkaline earth metal salts of acidic compounds of the invention are prepared by reacting the compounds of the invention with the appropriate base via a variety of known methods.
- the present invention includes all possible salts of the compounds of the present invention as single salts, or as any mixture of said salts, in any ratio.
- the salts include water-insoluble and, particularly, water-soluble salts.
- derivatives of the compounds of formula (I) and the salts thereof which are converted into a compound of formula (I) or a salt thereof in a biological system are covered by the invention.
- Said biological system is e.g. a mammalian organism, particularly a human subject.
- the bioprecursor is, for example, converted into the compound of formula (I) or a salt thereof by metabolic processes.
- the term "in vivo hydrolysable ester” is understood as meaning an in vivo hydrolysable ester of a compound of the present invention containing a carboxy or hydroxy group, for example, a pharmaceutically acceptable ester which is hydrolysed in the human or animal body to produce the parent acid or alcohol.
- Suitable pharmaceutically acceptable esters for carboxy include for example alkyl, cycloalkyl and optionally substituted phenylalkyl, in particular benzyl esters, Ci-C 6 alkoxymethyl esters, e.g. methoxymethyl, Ci -Ce alkanoyloxymethyl esters, e.g. pivaloyloxymethyl, phthalidyl esters, C 3 -C 8 cycloalkoxy-carbonyloxy-Ci-C 6 alkyl esters, e.g. 1 - cyclohexylcarbonyloxyethyl ; 1 ,3-dioxolen-2-onylmethyl esters, e.g.
- Ci-C 6 -alkoxycarbonyloxyethyl esters e.g. 1 - methoxycarbonyloxyethyl, and may be formed at any carboxy group in the compounds of this invention.
- An in vivo hydrolysable ester of a compound of the present invention containing a hydroxy group includes inorganic esters such as phosphate esters and [alpha]- acyloxyalkyl ethers and related compounds which as a result of the in vivo hydrolysis of the ester breakdown to give the parent hydroxy group.
- inorganic esters such as phosphate esters and [alpha]- acyloxyalkyl ethers and related compounds which as a result of the in vivo hydrolysis of the ester breakdown to give the parent hydroxy group.
- [alpha]-acyloxyalkyl ethers include acetoxymethoxy and 2,2-dimethylpropionyloxymethoxy.
- a selection of in vivo hydrolysable ester forming groups for hydroxy include alkanoyl, benzoyl, phenylacetyl and substituted benzoyl and phenylacetyl, alkoxycarbonyl (to give alkyl carbonate esters), dialkylcarbamoyi and N-(dialkylaminoethyl)-N-alkylcarbamoyl (to give carbamates), dialkylaminoacetyl and carboxyacetyl.
- the present invention covers all such esters.
- the present invention includes all possible crystalline forms, or polymorphs, of the compounds of the present invention, either as single polymorph, or as a mixture of more than one polymorph, in any ratio.
- pharmacokinetic profile means one single parameter or a combination thereof including permeability, bioavailability, exposure, and pharmacodynamic parameters such as duration, or magnitude of pharmacological effect, as measured in a suitable experiment.
- Compounds with improved pharmacokinetic profiles can, for example, be used in lower doses to achieve the same effect, may achieve a longer duration of action, or a may achieve a combination of both effects.
- the term “combination” in the present invention is used as known to persons skilled in the art and may be present as a fixed combination, a non-fixed combination or kit-of- parts.
- a "fixed combination” in the present invention is used as known to persons skilled in the art and is defined as a combination wherein the said first active ingredient and the said second active ingredient are present together in one unit dosage or in a single entity.
- a "fixed combination” is a pharmaceutical composition wherein the said first active ingredient and the said second active ingredient are present in admixture for simultaneous administration, such as in a formulation.
- Another example of a "fixed combination” is a pharmaceutical combination wherein the said first active ingredient and the said second active ingredient are present in one unit without being in admixture.
- a non-fixed combination or "kit-of-parts" in the present invention is used as known to persons skilled in the art and is defined as a combination wherein the said first active ingredient and the said second active ingredient are present in more than one unit.
- a non-fixed combination or kit-of-parts is a combination wherein the said first active ingredient and the said second active ingredient are present separately.
- the components of the non-fixed combination or kit-of-parts may be administered separately, sequentially, simultaneously, concurrently or chronologically staggered. Any such combination of a compound of formula (I) of the present invention with an anticancer agent as defined below is an embodiment of the invention.
- (chemotherapeutic) anti-cancer agents includes but is not limited to
- said compounds of the present invention have surprisingly been found to effectively inhibit Bub1 kinase and may therefore be used for the treatment or prophylaxis of diseases of uncontrolled cell growth, proliferation and/or survival, inappropriate cellular immune responses, or inappropriate cellular inflammatory responses or diseases which are accompanied with uncontrolled cell growth, proliferation and/or survival, inappropriate cellular immune responses, or inappropriate cellular inflammatory responses, particularly in which the uncontrolled cell growth, proliferation and/or survival, inappropriate cellular immune responses, or inappropriate cellular inflammatory responses is mediated by Bub1 kinase, such as, for example, haematological tumours, solid tumours, and/or metastases thereof, e.g.
- leukaemias and myelodysplastic syndrome including leukaemias and myelodysplastic syndrome, malignant lymphomas, head and neck tumours including brain tumours and brain metastases, tumours of the thorax including non-small cell and small cell lung tumours, gastrointestinal tumours, endocrine tumours, mammary and other gynaecological tumours, urological tumours including renal, bladder and prostate tumours, skin tumours, and sarcomas, and/or metastases thereof.
- the compounds according to the invention can be prepared according to the following schemes 1 through 6.
- Scheme 1 Route for the preparation of compounds of general formula (I), wherein R 1 , R 4 , R 7 , R 8 , V, W, Y and Z have the meaning as given for general formula (I), supra.
- X 1 represents F, CI, Br, I or a sulfonate, e.g. trifluormethylsulfonate or p-toluolsulfonate.
- X 2 represents F, CI, Br, I, boronic acid or a boronic acid ester, such as for example 4,4,5,5- tetramethyl-2-phenyl-1 ,3,2-dioxaborolane (boronic acid pinacole ester).
- any of the substituents R 1 , R 4 , R 7 , R 8 , V, W, Y or Z can be achieved before and/or after the exemplified transformations.
- These modifications can be such as the introduction of protecting groups, cleavage of protecting groups, reduction or oxidation of functional groups, halogenation, metallation, substitution or other reactions known to the person skilled in the art.
- These transformations include those which introduce a functionality which allows for further interconversion of substituents.
- Appropriate protecting groups and their introduction and cleavage are well-known to the person skilled in the art (see for example T.W. Greene and P.G.M. Wuts in Protective Groups in Organic Synthesis, 3rd edition, Wiley 1999). Specific examples are described in the subsequent paragraphs.
- a suitably substituted 1 H-pyrazole-3-carboxylic acid of the general formula (1 -1 ) can be reacted with methanol or ethanol in the presence of catalytic amounts of a Broensted acid, such as, for example, hydrochloric acid or sulphuric acid, at temperatures ranging from 0 ⁇ to boiling point of the respective alcohol , preferably the reaction is carried out at 85 ⁇ , to furnish alkyl 1 H-indazole-3-carboxylat e intermediates of general formula (1 -2).
- a Broensted acid such as, for example, hydrochloric acid or sulphuric acid
- Intermediates of general formula (1 -5) can be converted to intermediates of general formula (1 -7) by reaction with a suitably substituted 3,3-bis- (dimethylamino)propanenitrile of the general formula (1 -6), such as, for example 3,3- bis(dimethylamino)-2-methoxypropanenitrile, in the presence of a suitable base, such as, for example piperidine, in a suitable solvent system, such as, for example, 3- methylbutan-1 -ol, in a temperature range from room temperature to the boiling point of the respective solvent, preferably the reaction is carried out at 100 ⁇ .
- a suitably substituted 3,3-bis- (dimethylamino)propanenitrile of the general formula (1 -6), such as, for example 3,3- bis(dimethylamino)-2-methoxypropanenitrile in the presence of a suitable base, such as, for example piperidine, in a suitable solvent system, such as, for example, 3- methylbutan-1
- allylpalladium chloride dimmer dichlorobis(benzonitrile)palladium (II), palladium (II) acetate, palladium (II) chloride, tetrakis(triphenylphosphine)palladium (0), tris(dibenzylideneacetone)dipalladium (0), chloro(2'-amino-1 ,1 '-biphenyl-2- yl)palladium(ll) dimer, (2'-amino-1 ,1 '-biphenyl-2-yl)methanesulfonatopalladium(ll) dimer, trans-di( ⁇ -acetato)bis[o-(di-o-tolylphosphino)benzyl]dipalladium(ll) [cataCXium® C], allylchloro[1 ,3-bis(2,4,6-trimethylphenyl)imidazol-2-ylidene]pal
- boronic acid or boronic acid pinacole ester of general formula (1 -8) can be reacted with a suitable boronic acid or boronic acid pinacole ester of general formula (1 -8), such as, for example (2-fluoropyridin-4-yl)boronic acid, in the presence of a suitable base, such as, for example triethylamine, a suitable activating agent such as for example N,N- dimethylpyridin-4-amine and a suitable copper salt, such as for example copper (II) acetate, in a suitable solvent system, such as, for example, trichloromethane, in a temperature range from room temperature to the boiling point of the respective solvent, preferably the reaction is carried out at room temperature to furnish compounds of general formula (la).
- a suitable boronic acid or boronic acid pinacole ester of general formula (1 -8)boronic acid in the presence of a suitable base, such as, for example triethylamine, a suitable activating agent such as
- Scheme 2 Alternative route for the preparation of compounds of general formula (I), wherein R ⁇ R 4 , R 7 , R 8 , V, W, Y and Z have the meaning as given for general formula (I),
- X 2 represents F, CI, Br, I, boronic acid or a boronic acid ester, such as for example 4,4,5,5-tetramethyl-2-phenyl-1 ,3,2-dioxaborolane (boronic acid pinacole ester).
- any of the substituents R 1 , R 4 , R 7 , R 8 , V, W, Y and Z can be achieved before and/or after the exemplified transformations.
- These modifications can be such as the introduction of protecting groups, cleavage of protecting groups, reduction or oxidation of functional groups, halogenation, metallation, substitution or other reactions known to the person skilled in the art.
- These transformations include those which introduce a functionality which allows for further interconversion of substituents.
- Appropriate protecting groups and their introduction and cleavage are well-known to the person skilled in the art (see for example T.W. Greene and P.G.M. Wuts in Protective Groups in Organic Synthesis, 3 rd edition, Wiley 1999). Specific examples are described in the subsequent para-graphs.
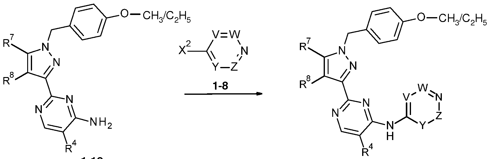
- Compound 1 -12 is either commercially available or can be prepared according to procedures available from the public domain, as understandable to the person skilled in the art as referred to below.
- Intermediates of general formula (1 -5) can be converted to intermediates of general formula (1 -7) by reaction with a suitably substituted 3-methoxyacrylonitrile of the general formula (1 -12), such as, for example (ethoxymethylene)malononitrile, in the presence of a suitable base, such as, for example sodium methanolate, in a suitable solvent system, such as, for example, methanol, in a temperature range from room temperature to the boiling point of the respective solvent, preferably the reaction is carried out at 65 ⁇ .
- a suitably substituted 3-methoxyacrylonitrile of the general formula (1 -12) such as, for example (ethoxymethylene)malononitrile
- a suitable base such as, for example sodium methanolate
- a suitable solvent system such as, for example, methanol
- allylpalladium chloride dimmer dichlorobis(benzonitrile)palladium (II), palladium (II) acetate, palladium (II) chloride, tetrakis(triphenylphosphine)palladium (0), tris(dibenzylideneacetone)dipalladium (0), chloro(2'-amino-1 ,1 '-biphenyl-2- yl)palladium(ll) dimer, (2'-amino-1 ,1 '-biphenyl-2-yl)methanesulfonatopalladium(ll) dimer, trans-di( ⁇ -acetato)bis[o-(di-o-tolylphosphino)benzyl]dipalladium(ll) [cataCXium® C], allylchloro[1 ,3-bis(2,4,6-trimethylphenyl)imidazol-2-ylidene]pal
- boronic acid or boronic acid pinacole ester of general formula (1 -8) can be reacted with a suitable boronic acid or boronic acid pinacole ester of general formula (1 -8), such as, for example (2-fluoropyridin-4-yl)boronic acid, in the presence of a suitable base, such as, for example triethylamine, a suitable activating agent such as for example N,N- dimethylpyridin-4-amine and a suitable copper salt, such as for example copper (II) acetate, in a suitable solvent system, such as, for example, trichloromethane, in a temperature range from room temperature to the boiling point of the respective solvent, preferably the reaction is carried out at room temperature to furnish compounds of general formula (I).
- a suitable boronic acid or boronic acid pinacole ester of general formula (1 -8)boronic acid in the presence of a suitable base, such as, for example triethylamine, a suitable activating agent such as
- Intermediates of general formula (1 -4) can be converted to intermediates of general formula (1 -13) by reaction with ammonia, in a suitable solvent system, such as, for example, methanol, at a temperature between 0 ⁇ an d boiling point of the respective solvent, preferably the reaction is carried out at 50 "C, at a pressure between 1 and 10 bar, preferably the reaction is carried in a sealed vessel.
- a suitable solvent system such as, for example, methanol
- Intermediates of general formula (1 -14) can be converted to intermediates of general formula (1 -5) by reaction with a suitable alcoholate, such as, for example sodium methanolate, in a suitable solvent system, such as, for example, the corresponding alcohol, e.g. methanol, at a temperature between room temperature and the boiling point of the respective solvent, preferably the reaction is carried out at room temperature, and subsequent treatment with a suitable source of ammonium, such as for example, ammonium chloride in the presence of a suitable acid, such as for example acetic acid in a temperature range from room temperature to the boiling point of the respective solvent, preferably the reaction is carried out at 50 ⁇ .
- a suitable alcoholate such as, for example sodium methanolate
- a suitable solvent system such as, for example, the corresponding alcohol, e.g. methanol
- Scheme 4 Route for the preparation of compounds of general formula (la), wherein R 1 , R 4 , R 7 , R 8 , V, W, Y and Z have the meaning as given for general formula (I), supra, X 1 represents F, CI, Br, I or a sulfonate, e.g. trifluormethylsulfonate or p-toluolsulfonate, and X 2 represents F, CI, Br, I, boronic acid or a boronic acid ester, such as for example 4,4,5,5-tetramethyl-2-phenyl-1 ,3,2-dioxaborolane (boronic acid pinacole ester).
- X 1 represents F, CI, Br, I or a sulfonate, e.g. trifluormethylsulfonate or p-toluolsulfonate
- X 2 represents F, CI, Br, I, boronic acid or a boronic acid ester,
- any of the substituents R 1 , R 4 , R 7 , R 8 , V, W, Y or Z can be achieved before and/or after the exemplified transformations.
- These modifications can be such as the introduction of protecting groups, cleavage of protecting groups, reduction or oxidation of functional groups, halogenation, metallation, substitution or other reactions known to the person skilled in the art.
- These transformations include those which introduce a functionality which allows for further interconversion of substituents.
- Appropriate protecting groups and their introduction and cleavage are well-known to the person skilled in the art (see for example T.W. Greene and P.G.M. Wuts in Protective Groups in Organic Synthesis, 3 rd edition, Wiley 1999). Specific examples are described in the subsequent paragraphs.
- a suitably substituted 1 H-pyrazole-3-carboxylic acid of the general formula (1 -1 ) can be reacted with methanol or ethanol in the presence of catalytic amounts of a Broensted acid, such as, for example, hydrochloric acid or sulphuric acid, at temperatures ranging from 0 ⁇ to boiling point of the respective alcohol , preferably the reaction is carried out at 85 ⁇ , to furnish alkyl 1 H-pyrazole-3-carboxylat e intermediates of general formula (1 -2).
- a Broensted acid such as, for example, hydrochloric acid or sulphuric acid
- Intermediates of general formula (1 -17) can be converted to intermediates of general formula (1 -18) by reaction with a suitably substituted 3,3-bis- (dimethylamino)propanenitrile of the general formula (1 -6), such as, for example 3,3- bis(dimethylamino)-2-methoxypropanenitrile, in the presence of a suitable base, such as, for example piperidine, in a suitable solvent system, such as, for example, 3- methylbutan-1 -ol, in a temperature range from room temperature to the boiling point of the respective solvent, preferably the reaction is carried out at 100 ⁇ .
- a suitably substituted 3,3-bis- (dimethylamino)propanenitrile of the general formula (1 -6), such as, for example 3,3- bis(dimethylamino)-2-methoxypropanenitrile in the presence of a suitable base, such as, for example piperidine, in a suitable solvent system, such as, for example, 3- methylbutan-1
- Intermediates of general formula (1 -18) can be converted to intermediates of general formula (1 -19) by reaction with a suitably Broensted acid, such as, for example methanesulfonic acid and trifluoroacetic acid, in a suitable solvent system, such as, for example, dichloromethane, in a temperature range from room temperature to the boiling point of the respective solvent, preferably the reaction is carried out at room temperature.
- a suitably Broensted acid such as, for example methanesulfonic acid and trifluoroacetic acid
- a suitable solvent system such as, for example, dichloromethane
- Intermediates of the general formula (1 -19) can be converted to intermediates of general formula (1 -7) by reaction with a suitable alkylating agent, such as, for example a substituted benzyl halide (1 -3), in the presence of a suitable base, such as, for example sodium hydride, in a suitable solvent system, such as, for example, DMF, at a temperature between - 20 ⁇ and boiling point of th e respective solvent, preferably the reaction is carried out at 0 ⁇ .
- a suitable alkylating agent such as, for example a substituted benzyl halide (1 -3
- a suitable base such as, for example sodium hydride
- a suitable solvent system such as, for example, DMF
- allylpalladium chloride dimmer dichlorobis(benzonitrile)palladium (II), palladium (II) acetate, palladium (II) chloride, tetrakis(triphenylphosphine)palladium (0), tris(dibenzylideneacetone)dipalladium (0), chloro(2'-amino-1 ,1 '-biphenyl-2- yl)palladium(ll) dimer, (2'-amino-1 ,1 '-biphenyl-2-yl)methanesulfonatopalladium(ll) dimer, trans-di( -acetato)bis[o-(di-o-tolylphosphino)benzyl]dipallaclium(ll) [cataCXium® C], allylchloro[1 ,3-bis(2,4,6-trimethylphenyl)imidazol-2-ylidene]
- boronic acid or boronic acid pinacole ester of general formula (1 -8) can be reacted with a suitable boronic acid or boronic acid pinacole ester of general formula (1 -8), such as, for example (2-fluoropyridin-4-yl)boronic acid, in the presence of a suitable base, such as, for example triethylamine, a suitable activating agent such as for example N,N- dimethylpyridin-4-amine and a suitable copper salt, such as for example copper (II) acetate, in a suitable solvent system, such as, for example, trichloromethane, in a temperature range from room temperature to the boiling point of the respective solvent, preferably the reaction is carried out at room temperature to furnish compounds of general formula (I).
- a suitable boronic acid or boronic acid pinacole ester of general formula (1 -8)boronic acid in the presence of a suitable base, such as, for example triethylamine, a suitable activating agent such as
- Scheme 5 Route for the preparation of compounds of general formula (I), wherein R 1 , R 4 , R 7 , R 8 , V, W, Y and Z have the meaning as given for general formula (I), supra, X 1 represents F, CI, Br, I or a sulfonate, e.g. trifluormethylsulfonate or p-toluolsulfonate, and X 2 represents F, CI, Br, I, boronic acid or a boronic acid ester, such as for example 4,4,5,5-tetramethyl-2-phenyl-1 ,3,2-dioxaborolane (boronic acid pinacole ester).
- X 1 represents F, CI, Br, I or a sulfonate, e.g. trifluormethylsulfonate or p-toluolsulfonate
- X 2 represents F, CI, Br, I, boronic acid or a boronic acid ester,
- any of the substituents R 1 , R 4 , R 7 , R 8 , V, W, Y or Z can be achieved before and/or after the exemplified transformations.
- These modifications can be such as the introduction of protecting groups, cleavage of protecting groups, reduction or oxidation of functional groups, halogenation, metallation, substitution or other reactions known to the person skilled in the art.
- These transformations include those which introduce a functionality which allows for further interconversion of substituents.
- Appropriate protecting groups and their introduction and cleavage are well-known to the person skilled in the art (see for example T.W. Greene and P.G.M. Wuts in Protective Groups in Organic Synthesis, 3 rd edition, Wiley 1999). Specific examples are described in the subsequent paragraphs.
- Compounds 1 -3 and 1 -8 are either commercially available or can be prepared according to procedures available from the public domain, as understandable to the person skilled in the art. Specific examples are described in the subsequent paragraphs.
- allylpalladium chloride dimmer dichlorobis(benzonitrile)palladium (II), palladium (II) acetate, palladium (II) chloride, tetrakis(triphenylphosphine)palladium (0), tris(dibenzylideneacetone)dipalladium (0), chloro(2'-amino-1 ,1 '-biphenyl-2- yl)palladium(ll) dimer, (2'-amino-1 ,1 '-biphenyl-2-yl)methanesulfonatopalladium(ll) dimer, trans-di( ⁇ -acetato)bis[o-(di-o-tolylphosphino)benzyl]dipalladium(ll) [cataCXium® C], allylchloro[1 ,3-bis(2,4,6-trimethylphenyl)imidazol-2-ylidene]pal
- intermediates of general formula (1 -18) can be reacted with a suitable boronic acid or boronic acid pinacole ester of general formula (1 -8), such as, for example (2-fluoropyridin-4-yl)boronic acid, in the presence of a suitable base, such as, for example triethylamine, a suitable activating agent such as for example N,N- dimethylpyridin-4-amine and a suitable copper salt, such as for example copper (II) acetate, in a suitable solvent system, such as, for example, trichloromethane, in a temperature range from room temperature to the boiling point of the respective solvent, preferably the reaction is carried out at room temperature to furnish compounds of intermediates (1 -20).
- a suitable boronic acid or boronic acid pinacole ester of general formula (1 -8 such as, for example (2-fluoropyridin-4-yl)boronic acid
- a suitable base such as, for example triethylamine
- intermediates of general formula (1 -18) can be reacted with a suitable six membered heterocycle of the general formula (1 -8), such as for example 4-fluoro-2- methyl-pyridine, in the presence of a suitable base, such as, for example sodium hydride, in a suitable solvent system, such as, for example DMF, in a temperature range from room temperature to the boiling point of the respective solvent, preferably the reaction is carried out at 90 ⁇ to furnish com pounds of intermediates (1 -20).
- a suitable six membered heterocycle of the general formula (1 -8) such as for example 4-fluoro-2- methyl-pyridine
- a suitable base such as, for example sodium hydride
- a suitable solvent system such as, for example DMF
- Intermediates of general formula (1 -20) can be converted to intermediates of general formula (1 -21 ) by reaction with a suitably Broensted acid, such as, for example methanesulfonic acid and trifluoroacetic acid, in a suitable solvent system, such as, for example, dichloromethane, in a temperature range from room temperature to the boiling point of the respective solvent, preferably the reaction is carried out at room temperature.
- a suitably Broensted acid such as, for example methanesulfonic acid and trifluoroacetic acid
- a suitable solvent system such as, for example, dichloromethane
- Scheme 6 Process for the preparation of compounds of general formula (la) from compounds of general formula (1 -22), which are compounds of general formula (I), whwerein R 4 is OCH 3 , via de-methylation of compounds of general formula (1 -22) to furnish compounds of general formula 1 -23 and subsequent etherification and deprotection to furnish compounds of general formula (la), wherein R 1 , R 7 , R 8 , V, W, Y and Z have the meaning as given for general formula (I), supra, X 1 represents a leaving group such as for example a CI, Br or I, or an aryl sulfonate such as for example p- toluene sulfonate, or a alkyl sulfonate such as for example methane sulfonate or trifluoromethane sulfonate (triflate group), and PG represents an alcohol protecting group as for example ferf-butyldimethylsilyl, ferf-butyldiphenylsily
- interconversion of any of the substituents R ⁇ R 7 , R 8 , V, W, Y or Z can be achieved before and/or after the exemplified transformations.
- modifications can be such as the introduction of protecting groups, cleavage of protecting groups, reduction or oxidation of functional groups, halogenation, metallation, substitution or other reactions known to the person skilled in the art.
- transformations include those which introduce a functionality which allows for further interconversion of substituents.
- Appropriate protecting groups and their introduction and cleavage are well-known to the person skilled in the art (see for example T.W. Greene and P.G.M. Wuts in Protective Groups in Organic Synthesis, 3 rd edition, Wiley 1999). Specific examples are described in the subsequent paragraphs.
- X represents leaving group such as for example a CI, Br or I
- X stands for an aryl sulfonate such as for example p-toluene sulfonate, or for an alkyl sulfonate such as for example methane sulfonate or trifluoromethane sulfonate (triflate group) or can be prepared according to procedures available from the public domain, as understandable to the person skilled in the art. Specific examples are described in the subsequent paragraphs.
- Compounds of general formula (1 -22) are converted to compounds of general formula (1 -23) by treatment with a suitable demethylating agent, such as for example benzenethiol, in a suitable solvent, such as, for example, 1 -methylpyrrolidin-2-one, in the presence of a suitable base, such as, for example potassium carbonate, in a temperature range from room temperature to the boiling point of the respective solvent, preferably the reaction is carried out at 190 ⁇ .
- a suitable demethylating agent such as for example benzenethiol
- a suitable solvent such as, for example, 1 -methylpyrrolidin-2-one
- a suitable base such as, for example potassium carbonate
- NMR nuclear magnetic resonance spectroscopy chemical shifts ( ⁇ ) are given in ppm. The chemical shifts were corrected by setting the DMSO signal to 2.50 ppm using unless otherwise stated.
- PoraPakTM a HPLC column obtainable from Waters
- NMR peak forms in the following specific experimental descriptions are stated as they appear in the spectra, possible higher order effects have not been considered.
- the 1 H-NMR data of selected examples are listed in the form of 1 H-NMR peaklists.
- the ⁇ value in ppm is given, followed by the signal intensity, reported in round brackets.
- the ⁇ value-signal intensity pairs from different peaks are separated by commas. Therefore, a peaklist is described by the general form: ⁇ (intensityi), ⁇ 2 (intensity2), ... , ⁇ , (intensity,), ... , ⁇ ⁇ (intensity n ).
- a 1 H-NMR peaklist is similar to a classical 1 H-NMR readout, and thus usually contains all the peaks listed in a classical NMR interpretation. Moreover, similar to classical 1 H-NMR printouts, peaklists can show solvent signals, signals derived from stereoisomers of target compounds (also the subject of the invention), and/or peaks of impurities.
- the peaks of stereoisomers, and/or peaks of impurities are typically displayed with a lower intensity compared to the peaks of the target compounds (e.g., with a purity of >90%).
- Such stereoisomers and/or impurities may be typical for the particular manufacturing process, and therefore their peaks may help to identify the reproduction of our manufacturing process on the basis of "by-product fingerprints".
- An expert who calculates the peaks of the target compounds by known methods can isolate the peaks of target compounds as required, optionally using additional intensity filters. Such an operation would be similar to peak- picking in classical 1 H-NMR interpretation.
- Reactions employing microwave irradiation may be run with a Biotage Initator® microwave oven optionally equipped with a robotic unit.
- the reported reaction times employing microwave heating are intended to be understood as fixed reaction times after reaching the indicated reaction temperature.
- the compounds and intermediates produced according to the methods of the invention may require purification. Purification of organic compounds is well known to the person skilled in the art and there may be several ways of purifying the same compound. In some cases, no purification may be necessary. In some cases, the compounds may be purified by crystallization. In some cases, impurities may be stirred out using a suitable solvent. In some cases, the compounds may be purified by chromatography, particularly flash column chromatography, using for example prepacked silica gel cartridges, e.g.
- the compounds may be purified by preparative HPLC using for example a Waters autopurifier equipped with a diode array detector and/or on-line electrospray ionization mass spectrometer in combination with a suitable prepacked reverse phase column and eluents such as gradients of water and acetonitrile which may contain additives such as trifluoroacetic acid, formic acid or aqueous ammonia.
- a Waters autopurifier equipped with a diode array detector and/or on-line electrospray ionization mass spectrometer in combination with a suitable prepacked reverse phase column and eluents such as gradients of water and acetonitrile which may contain additives such as trifluoroacetic acid, formic acid or aqueous ammonia.
- purification methods as described above can provide those compounds of the present invention which possess a sufficiently basic or acidic functionality in the form of a salt, such as, in the case of a compound of the present invention which is sufficiently basic, a trifluoroacetate or formate salt for example, or, in the case of a compound of the present invention which is sufficiently acidic, an ammonium salt for example.
- a salt of this type can either be transformed into its free base or free acid form, respectively, by various methods known to the person skilled in the art, or be used as salts in subsequent biological assays. It is to be understood that the specific form (e.g.
- A1 water + 0.1 % vol. formic acid (99%)
- A1 water + 0.1 % vol. formic acid (99%)
- A1 water + 0.1 % vol. formic acid (99%)
- SM (cyclopropylme 2H), 0.45 - 0.55 (m, 2H), commerci thyl)-4-methyl- 1.14 - 1.25 (m, 1 H), 1 .29 (t, al 1 H-pyrazole-3- 3H), 2.15 (s, 3H), 4.08 (d, available carboxylate 2H), 4.26 (q, 2H).
- SM carboximidami 4.233 (16.00), 7.300 (2.32), commerci HCI de, salt with 7.315 (2.00), 7.399 (3.1 1 ), al hydrochloric 7.423 (3.96), 7.450 (3.65),
Landscapes
- Chemical & Material Sciences (AREA)
- Organic Chemistry (AREA)
- Health & Medical Sciences (AREA)
- Chemical Kinetics & Catalysis (AREA)
- General Chemical & Material Sciences (AREA)
- Medicinal Chemistry (AREA)
- Nuclear Medicine, Radiotherapy & Molecular Imaging (AREA)
- Pharmacology & Pharmacy (AREA)
- Life Sciences & Earth Sciences (AREA)
- Animal Behavior & Ethology (AREA)
- General Health & Medical Sciences (AREA)
- Public Health (AREA)
- Veterinary Medicine (AREA)
- Pharmaceuticals Containing Other Organic And Inorganic Compounds (AREA)
- Plural Heterocyclic Compounds (AREA)
Abstract
Compounds of formula (I) and their use as pharmaceuticals.
Description
-ALKYL-PYRAZOLES AND -INDAZOLES AS BUB1 INHIBITORS FOR THE TREATMENT OF
HYPERPROLIFERATIVE DISEASES
Field of application of the invention The invention relates to 1 -Alkyl-Pyrazole and -Indazole compounds, a process for their production and the use thereof.
BACKGROUND OF THE INVENTION One of the most fundamental characteristics of cancer cells is their ability to sustain chronic proliferation whereas in normal tissues the entry into and progression through the cell divison cycle is tightly controlled to ensure a homeostasis of cell number and maintenance of normal tissue function. Loss of proliferation control was emphasized as one of the six hallmarks of cancer [Hanahan D and Weinberg RA, Cell 100, 57, 2000; Hanahan D and Weinberg RA, Cell 144, 646, 2011 ].
The eukaryotic cell division cycle (or cell cycle) ensures the duplication of the genome and its distribution to the daughter cells by passing through a coordinated and regulated sequence of events. The cell cycle is divided into four successive phases: 1 . The G1 phase represents the time before the DNA replication, in which the cell grows and is sensitive to external stimuli.
2. In the S phase the cell replicates its DNA, and
3. in the G2 phase preparations are made for entry into mitosis.
4. In mitosis (M phase), the duplicated chromosomes get separated supported by a spindle device built from microtubules, and cell division into two daughter cells is completed.
To ensure the extraordinary high fidelity required for an accurate distribution of the chromosomes to the daughter cells, the passage through the cell cycle is strictly regulated and controlled. The enzymes that are necessary for the progression through the cycle must be activated at the correct time and are also turned off again as soon as the corresponding phase is passed. Corresponding control points ("checkpoints") stop or delay the progression through the cell cycle if DNA damage is detected, or the DNA replication or the creation of the spindle device is not yet completed. The mitotic checkpoint (also known as spindle checkpoint or spindle assembly checkpoint) controls the accurate attachment of mircrotubules of the spindle device to the kinetochors (the
attachment site for microtubules) of the duplicated chromosomes. The mitotic checkpoint is active as long as unattached kinetochores are present and generates a wait-signal to give the dividing cell the time to ensure that each kinetochore is attached to a spindle pole, and to correct attachment errors. Thus the mitotic checkpoint prevents a mitotic cell from completing cell division with unattached or erroneously attached chromosomes [Suijkerbuijk SJ and Kops GJ, Biochem. Biophys. Acta 1786, 24, 2008; Musacchio A and Salmon ED, Nat. Rev. Mol. Cell. Biol. 8, 379, 2007]. Once all kinetochores are attached with the mitotic spindle poles in a correct bipolar (amphitelic) fashion, the checkpoint is satisfied and the cell enters anaphase and proceeds through mitosis.
The mitotic checkpoint is established by a complex network of a number of essential proteins, including members of the MAD (mitotic arrest deficient, MAD 1 -3) and Bub (Budding uninhibited by benzimidazole, Bub 1 -3) families, Mps1 kinase, cdc20, as well as other components [reviewed in Bolanos-Garcia VM and Blundell TL, Trends Biochem. Sci. 36, 141 , 2010], many of these being over-expressed in proliferating cells (e.g. cancer cells) and tissues [Yuan B et al., Clin. Cancer Res. 12, 405, 2006]. The major function of an unsatisfied mitotic checkpoint is to keep the anaphase-promoting complex/cyclosome (APC/C) in an inactive state. As soon as the checkpoint gets satisfied the APC/C ubiquitin-ligase targets cyclin B and securin for proteolytic degradation leading to separation of the paired chromosomes and exit from mitosis.
Inactive mutations of the Ser/Thr kinase Bub1 prevented the delay in progression through mitosis upon treatment of cells of the yeast S. cerevisiae with microtubule- destabilizing drugs, which led to the identification of Bub1 as a mitotic checkpoint protein [Roberts BT et al., Mol. Cell Biol., 14, 8282, 1994]. A number of recent publications provide evidence that Bub1 plays multiple roles during mitosis which, have been reviewed by Elowe [Elowe S, Mol. Cell. Biol. 31 , 3085, 201 1 ]. In particular, Bub1 is one of the first mitotic checkpoint proteins that binds to the kinetochores of duplicated chromosomes and probably acts as a scaffolding protein to constitute the mitotic checkpoint complex. Furthermore, via phosphorylation of histone H2A, Bub1 localizes the protein shugoshin to the centromeric region of the chromosomes to prevent premature segregation of the paired chromosomes [Kawashima et al. Science 327, 172, 2010]. In addition, together with a Thr-3 phosphorylated Histone H3 the shugoshin protein functions as a binding site for the chromosomal passenger complex which includes the proteins survivin, borealin, INCENP and Aurora B. The chromosomal
passenger complex is seen as a tension sensor within the mitotic checkpoint mechanism, which dissolves erroneously formed microtubule-kinetochor attachments such as syntelic (both sister kinetochors are attached to one spindle pole) or merotelic (one kinetochor is attached to two spindle poles) attachments [Watanabe Y, Cold Spring Harb. Symp. Quant. Biol. 75, 419, 2010]. Recent data suggest that the phosphorylation of histone H2A at Thr 121 by Bub1 kinase is sufficient to localize AuroraB kinase to fulfill the attachment error correction checkpoint [Ricke et al. J. Cell Biol. 199, 931 -949, 2012].
Incomplete mitotic checkpoint function has been linked with aneuploidy and tumourigenesis [Weaver BA and Cleveland DW, Cancer Res. 67, 10103, 2007; King RW, Biochim Biophys Acta 1786, 4, 2008]. In contrast, complete inhibition of the mitotic checkpoint has been recognised to result in severe chromosome missegregation and induction of apoptosis in tumour cells [Kops GJ et al., Nature Rev. Cancer 5, 773, 2005; Schmidt M and Medema RH, Cell Cycle 5, 159, 2006; Schmidt M and Bastians H, Drug Res. Updates 10, 162, 2007]. Thus, mitotic checkpoint abrogation through pharmacological inhibition of components of the mitotic checkpoint, such as Bub1 kinase, represents a new approach for the treatment of proliferative disorders, including solid tumours such as carcinomas, sarcomas, leukaemias and lymphoid malignancies or other disorders, associated with uncontrolled cellular proliferation.
The present invention relates to chemical compounds that inhibit Bub1 kinase.
Established anti-mitotic drugs such as vinca alkaloids, taxanes or epothilones activate the mitotic checkpoint, inducing a mitotic arrest either by stabilising or destabilising microtubule dynamics. This arrest prevents separation of the duplicated chromosomes to form the two daughter cells. Prolonged arrest in mitosis forces a cell either into mitotic exit without cytokinesis (mitotic slippage or adaption) or into mitotic catastrophe leading to cell death [Rieder CL and Maiato H, Dev. Cell 7, 637, 2004]. In contrast, inhibitors of Bub1 prevent the establishment and/or functionality of the mitotic checkpoint and/or microtubule-kinetochor attachment error correction mechanisms, which finally results in severe chromosomal missegregation, induction of apoptosis and cell death [Baron A et al. eLife 2016;5:e12187].
These findings suggest that Bub1 inhibitors should be of therapeutic value for the treatment of proliferative disorders associated with enhanced uncontrolled proliferative
cellular processes such as, for example, cancer, inflammation, arthritis, viral diseases, cardiovascular diseases, or fungal diseases in a warm-blooded animal such as man.
WO 2013/050438, WO 2013/092512, WO 2013/167698 disclose substituted benzylindazoles, substituted benzylpyrazoles and substituted benzylcycloalkyl- pyrazoles, respectively, which are Bub1 kinase inhibitors.
WO 2014/147203, WO 2014/147204, WO2014202590, WO2014202588, WO2014202584, WO2014202583, and WO2015/063003, disclose substituted indazoles, substituted pyrazoles, and substituted cycloalkylpyrazoles, which are Bub1 kinase inhibitors.
Due to the fact that especially cancer disease as being expressed by uncontrolled proliferative cellular processes in tissues of different organs of the human- or animal body still is not considered to be a controlled disease in that sufficient drug therapies already exist, there is a strong need to provide further new therapeutically useful drugs, preferably inhibiting new targets and providing new therapeutic options (e.g. drugs with improved pharmacological properties, such as improved target Bub1 inhibition potency).
Description of the invention
It has now been found, and this constitutes the basis of the present invention, that said compounds of the present invention have surprising and advantageous properties. In particular, said compounds of the present invention have surprisingly been found to effectively inhibit Bub1 .
Inhibitors of Bub1 represent valuable compounds that should complement therapeutic options either as single agents or in combination with other drugs.
In accordance with a first aspect, the invention covers compounds of general formula (I),
in which
V, W, Y and Z independently of each other represent CH or CR2,
or,
V represents N, and W, Y and Z, independently of each other, represent CH or CR2, or,
W represents N, and V, Y and Z, independently of each other, represent CH or CR2, or,
V and Y represent N, and W and Z, independently of each other, represent CH or CR2,
R1 represents a group selected from:
d-Ce-alkyl, C3-C8-cycloalkyl, (C3-C8-cycloalkyl)-(Ci -C3-alkyl)-,
(4- to 7-membered heterocycloalkyl)-(Ci -C3-alkyl)-, phenyl-(C2-C3-alkyl)-,
C3-C8-alkenyl, C3-C8-alkinyl and Ci -C6-haloalkyl,
wherein said cycloalkyl groups are optionally substituted with one or two groups selected independently from:
halogen atom, methyl and cyano,
and,
wherein said heterocycloalkyl groups are optionally substituted with one or two groups selected independently from:
halogen atom, methyl and oxo,
and,
wherein said phenyl groups are optionally substituted with one, two or three groups selected independently from:
halogen atom, hydroxy, Ci -C6-alkyl, Ci -C6-haloalkyl, Ci -C6-hydroxyalkyl, (Ci -C3-alkoxy)-(Ci -C6-alkyl)-, C3-C6-cycloalkyl, (C3-C6-cycloalkyl)-(Ci -C3- alkyl)-, Ci -C6-alkoxy, Ci -C6-haloalkoxy, (C2-C6-hydroxyalkyl)-0-, (Ci -C3-alkoxy)-(C2-C6-alkoxy)-, Cs-Ce-cycloalkoxy and
(C3-C6-cycloalkyl)-(Ci -C3-alkoxy)-,
and,
wherein said alkyl- and alkenyl groups are optionally substituted with one or two groups selected independently from :
cyano and C(=0)OR1°, represents, independently of each other, a halogen atom or a group selected from:
cyano, Ci-C3-alkyl, C3-C4-cycloalkyl, Ci-C3-haloalkyl, Ci-C3-alkoxy,
(C2-C3-hydroxyalkyl)-0-, (Ci-C3-alkoxy)-(C2-C3-alkoxy)-, Ci-C3-haloalkoxy, -N(H)C(=0)H,
-N(H)C(=0)-(C3-C4-cycloalkyl), -N(H)C(=0)-(Ci-C3-hydroxyalkyl), -C(=0)N(R9)2, -N(H)C(=0)N(H)R9 and -C(=0)OR10,
R4 represents a hydrogen atom, or a halogen atom or a group selected from:
Ci-Ce-alkyl, Cs-Ce-cycloalkyl, Ci-Ce-haloalkyl, Ci-Ce-hydroxyalkyl, (C1-C3- alkoxy)-(Ci-C6-alkyl)-, Ci-C6-alkoxy, (C2-C6-hydroxyalkyl)-0-,
(Ci-C3-alkoxy)-(C2-C6-alkoxy)- and hydroxy, represents a hydrogen atom, or a halogen atom or a group selected from: Ci-C3-alkyl and C3-C4-cycloalkyl,
R8 represents a hydrogen atom, or a halogen atom or a Ci-C3-alkyl group, or R7 and R8 are linked to one another in such a way that they jointly form a
group selected from :
-(CH2)3-,
-(CH2)4-,
-(CH2)5-,
and
-C(R1 1 )=C(R11 )-C(R11 )=C(R1 1)-,
with the proviso, that at least two of R1 1 represent hydrogen atoms, represents, independently of each other, a hydrogen atom or a group selected from :
Ci-C3-alkyl, Ci-C3-haloalkyl, C2-C3-hydroxyalkyl, C3-C4-cycloalkyl,
(C3-C4-cycloalkyl)-(Ci -C3-alkyl)- and (Ci -C3-alkoxy)-(C2-C3-alkyl)-,
R10 represents a hydrogen atom or a group selected from:
Ci-C3-alkyl, Ci -C3-haloalkyl, C2-C3-hydroxyalkyl, C3-C4-cycloalkyl,
(C3-C4-cycloalkyl)-(Ci -C3-alkyl)- and (Ci -C3-alkoxy)-(C2-C3-alkyl)-,
R1 1 represents, independently of each other, a hydrogen atom or a halogen atom or a group selected from:
methyl, ethyl and Ci-C2-haloalkyl, or an N-oxide, a salt, a tautomer or a stereoisomer of said compound, or a salt of said N-oxide, tautomer or stereoisomer.
A second aspect of the invention are compounds of formula (I) as defined herein, wherein
V, W, Y and Z independently of each other represent CH or CR2,
or,
V represents N, and W, Y and Z, independently of each other, represent CH or CR2, or,
W represents N, and V, Y and Z, independently of each other, represent CH or CR2,
R1 represents a group selected from:
d-Ce-alkyl, C3-C8-cycloalkyl, (C3-C8-cycloalkyl)-(Ci-C3-alkyl)-,
(4- to 7-membered heterocycloalkyl)-(Ci-C3-alkyl)-, phenyl-(C2-C3-alkyl)-,
C3-C8-alkenyl and Ci-C6-haloalkyl,
wherein said cycloalkyl groups are optionally substituted with one or two groups selected independently from:
halogen atom, methyl and cyano,
and,
wherein said heterocycloalkyl groups are optionally substituted with one or two groups selected independently from:
halogen atom, methyl and oxo,
and,
wherein said phenyl groups are optionally substituted with one, two or three groups selected independently from:
halogen atom, Ci-C6-alkyl, Ci-C6-haloalkyl, Ci -C6-alkoxy, Ci-C6- haloalkoxy, (C2-C6-hydroxyalkyl)-0- and (Ci-C3-alkoxy)-(C2-C6-alkoxy)-, and,
wherein said alkyl- and alkenyl groups are optionally substituted with one or two groups selected independently from :
cyano and C(=0)OR1°,
R2 represents, independently of each other, a halogen atom or a group selected from:
Ci -C3-alkyl, C3-C4-cycloalkyl, Ci -C3-haloalkyl, Ci -C3-alkoxy, (C2-C3- hydroxyalkyl)-0-,-N(H)C(=0)H,
-C(=0)OR10, represents a hydrogen atom, or a halogen atom or a group selected from: Ci-Ce-alkoxy, (C2-C6-hydroxyalkyl)-0-, (Ci -C3-alkoxy)-(C2-C6-alkoxy)- and hydroxy, represents a hydrogen atom, or a halogen atom or a group selected from: Ci -C3-alkyl and C3-C4-cycloalkyl,
R8 represents a hydrogen atom, or a halogen atom or a Ci-C3-alkyl group, or R7 and R8 are linked to one another in such a way that they jointly form a
group selected from:
-(CH2)3-,
-(CH2)4-,
-(CH2)5-,
and
-C(R11)=C(R11)-C(R11)=C(R11)-,
with the proviso, that at least two of R11 represent hydrogen atoms,
R9 represents, independently of each other, a hydrogen atom or a group selected from:
Ci-C3-alkyl, C2-C3-hydroxyalkyl, C3-C -cycloalkyl and (Ci-C3-alkoxy)-(C2-C3- alkyl)-,
R10 represents a hydrogen atom or a group selected from:
Ci-C3-alkyl and C3-C4-cycloalkyl,
R1 1 represents, independently of each other, a hydrogen atom or a halogen atom or a group selected from:
methyl, ethyl and Ci-C2-haloalkyl, or an N-oxide, a salt, a tautomer or a stereoisomer of said compound, or a salt of said N-oxide, tautomer or stereoisomer.
A third aspect of the invention are compounds of formula (I) as defined herein, wherein
V, W, Y and Z, independently of each other, represent CH or CR2,
or,
V represents N, and W, Y and Z independently of each other represent CH or CR2, or,
W represents N, and V, Y and Z, independently of each other, represent CH or CR2,
R1 represents a group selected from:
d-Ce-alkyl, C3-C8-cycloalkyl, (C3-C8-cycloalkyl)-(Ci-C3-alkyl)-,
(4- to 7-membered heterocycloalkyl)-(Ci-C3-alkyl)-, phenyl-(C2-C3-alkyl)-,
C3-C6-alkenyl and Ci-C6-haloalkyl,
wherein said cycloalkyl groups are optionally substituted with one or two groups selected independently from:
halogen atom, methyl and cyano,
and,
wherein said heterocycloalkyl groups are optionally substituted with one or two groups selected independently from:
halogen atom, methyl and oxo,
and,
wherein said phenyl groups are optionally substituted with one, two or
three groups selected independently from:
halogen atom, Ci-C3-haloalkyl and Ci-C3-alkoxy,
and,
wherein said alkyl- and alkenyl groups are optionally substituted with or two groups selected independently from:
cyano and C(=0)OR1°, represents, independently of each other, a halogen atom or a group selected from:
Ci-C3-alkyl, Ci-C3-haloalkyl, Ci-C3-alkoxy, (C2-C3-hydroxyalkyl)-0-,-N(H)C(=0)- (Ci-C3-alkyl), -C(=0)N(R9)2 and -C(=0)OR1°, represents a hydrogen atom, or a halogen atom or a group selected from: Ci-C3-alkoxy, (C2-C3-hydroxyalkyl)-0-, (Ci-C3-alkoxy)-(C2-C3-alkoxy)- and hydroxy, represents a hydrogen atom, or a halogen atom or a group selected from: Ci-C3-alkyl and C3-C4-cycloalkyl, represents a hydrogen atom, or a halogen atom or a Ci-C3-alkyl group, or R7 and R8 are linked to one another in such a way that they jointly form a
group selected from:
-(CH2)3-,
-(CH2)4-,
and
-C(R11)=C(R11)-C(R11)=C(R11)-,
with the proviso, that at least two of R11 represent hydrogen atoms, represents, independently of each other, a hydrogen atom or a group selected from:
Ci-C3-alkyl and C3-C4-cycloalkyl,
R10 represents a hydrogen atom or a Ci-C3-alkyl group,
R11 represents, independently of each other, a hydrogen atom or a halogen atom or a group selected from:
methyl and ethyl, or an N-oxide, a salt, a tautomer or a stereoisomer of said compound, or a salt of said N-oxide, tautomer or stereoisomer.
A fourth aspect of the invention are compounds of formula (I) as defined herein, wherein
V, W, Y and Z, independently of each other, represent CH or CR2,
or,
V represents N, and W, Y and Z, independently of each other, represent CH or CR2,
R1 represents a group selected from:
Ci-Cs-alkyl, (C3-C7-cycloalkyl)-(Ci-C2-alkyl)-,
(4- to 5-membered heterocycloalkyl)-(CH2)-, C3-C5-alkenyl and Ci-C2-haloalkyl, wherein said cycloalkyl groups are optionally substituted with one or two groups selected independently from:
methyl and cyano,
and,
wherein said heterocycloalkyl groups are optionally substituted with one or two groups selected independently from:
methyl and oxo,
and,
wherein said alkyl- and alkenyl groups are optionally substituted with one group selected from:
cyano and C(=0)OR1°, represents, independently of each other, a group selected from:
Ci-C3-alkyl, Ci-C3-haloalkyl,-N(H)C(=0)-CH3, -C(=0)N(R9)2 and -C(=0)OR1 represents a hydrogen atom, or a group selected from:
Ci-C3-alkoxy, (C2-C3-hydroxyalkyl)-0- and hydroxy,
R7 represents a halogen atom or a Ci-C3-alkyl group,
R8 represents a hydrogen atom or a Ci-C3-alkyl group, or R7 and R8 are linked to one another in such a way that they jointly form a
group selected from :
-(CH2)3-,
and
-C(R1 1 )=C(R11 )-C(R11 )=C(R1 1)-,
with the proviso, that at least two of R1 1 represent hydrogen atoms,
R9 represents, independently of each other, a hydrogen atom or a
Ci-C3-alkyl group,
R10 represents a hydrogen atom or a Ci-C3-alkyl group,
R1 1 represents, independently of each other, a hydrogen atom or a halogen atom or a methyl group, or an N-oxide, a salt, a tautomer or a stereoisomer of said compound, or a salt of said N-oxide, tautomer or stereoisomer.
A fifth aspect of the invention are compounds of formula (I) as defined herein, wherein
V, W, Y and Z, independently of each other, represent CH or CR2,
or,
V represents N, and W, Y and Z, independently of each other, represent CH or CR2,
R1 represents a group selected from:
methyl, 3-methylbutyl, cyclopropylmethyl, (l -cyanocyclopropyl)methyl,
(2,2-dimethylcyclopropyl)methyl, cyclobutylmethyl, cyclopentylmethyl, cyclohexylm ethyl, 2-cyclohexylethyl, cycloheptylmethyl, oxetan-3-ylmethyl, (3-methyloxetan-3-yl)methyl, (1 -methyl-5-oxo-pyrrolidin-3-yl)methyl,
2-methylprop-2-en-1 -yl, 3-methylbut-2-en-1 -yl, 3-cyano-2-methyl-allyl,
2-methoxycarbonylallyl, 2,2-difluoroethyl, 2,2,2-trifluoroethyl and
3,3,3-trifluopropropyl,
R2 represents, independently of each other, a group selected from:
methyl, difluoromethyl,-N(H)C(=0)-CH3, -C(=0)N(R9)2 and -C(=0)OR1°,
R4 represents a hydrogen atom, or a group selected from:
methoxy, 3-hydroxypropyloxy and hydroxy, represents a bromine atom or an isopropyl group,
R8 represents a hydrogen atom or a methyl group, or R7 and R8 are linked to one another in such a way that they jointly form a
group selected from:
-(CH2)3-,
and
-C(R11)=C(R11)-C(R11)=C(R11)-,
with the proviso, that at least two of R11 represent hydrogen atoms, represents, independently of each other, a hydrogen atom or a methyl group,
R10 represents a hydrogen atom or a group selected from:
methyl and ethyl,
R11 represents, independently of each other, a hydrogen atom, a fluorine atom, a chlorine atom or a methyl group, or an N-oxide, a salt, a tautomer or a stereoisomer of said compound, or a salt of said N-oxide, tautomer or stereoisomer.
In a further aspect of the invention compounds of formula (I) as described above are selected from the group consisting of:
4-({2-[1 -(cyclopentylmethyl)-1 H-indazol-3-yl]-5-methoxypyrimidin-4-yl}amino)pyridine-3- carboxamide,
4-({5-methoxy-2-[1 -(3-methylbut-2-en-1 -yl)-1 H-indazol-3-yl]pyrimidin-4-yl}amino)- pyridine-3-carboxamide,
4-({5-methoxy-2-[1 -(2-methylprop-2-en-1 -yl)-1 H-indazol-3-yl]pyrimidin-4-yl}amino)- pyridine-3-carboxamide,
4-({2-[1 -(cyclohexylmethyl)-1 H-indazol-3-yl]-5-methoxypyrimidin-4-yl}amino)pyridine-3- carboxamide,
4- ({2-[1 -(cyclobutylmethyl)-1 H-indazol-3-yl]-5-methoxypyrimidin-4-yl}amino)pyridine-3- carboxamide,
5- methoxy-2-[1 -(3-methylbut-2-en-1 -yl)-1 H-indazol-3-yl]-N-(pyridin-4-yl)pyrimidin-4- amine,
4-[(2-{1 -[(2,2-dimethylcyclopropyl)methyl]-1 H-indazol-3-yl}-5-methoxypyrimidin-4-yl)- amino]pyridine-3-carboxamide,
4-({5-methoxy-2-[1 -(3-methylbutyl)-1 H-indazol-3-yl]pyrimidin-4-yl}amino)pyridine-3- carboxamide,
4-({2-[1 -(2-cyclohexylethyl)-1 H-indazol-3-yl]-5-methoxypyrimidin-4-yl}amino)pyridine-3- carboxamide,
4-({2-[1 -(cycloheptylmethyl)-1 H-indazol-3-yl]-5-methoxypyrimidin-4-yl}amino)pyridine-3- carboxamide,
4-[(5-methoxy-2-{1 -[(3-methyloxetan-3-yl)methyl]-1 H-indazol-3-yl}pyrimidin-4-yl)amino]- pyridine-3-carboxamide,
2-[1 -(cyclopropylmethyl)-1 H-indazol-3-yl]-5-methoxy-N-(pyridin-4-yl)pyrimidin-4-amine, 4-({5-methoxy-2-[1 -(oxetan-3-ylmethyl)-1 H-indazol-3-yl]pyrimidin-4-yl}amino)pyridine-3- carboxamide,
2-[1 -(cyclobutylmethyl)-1 H-indazol-3-yl]-5-methoxy-N-(pyridin-4-yl)pyrimidin-4-amine, 4-{[5-methoxy-2-(1 -{2-[2-(trifluoromethyl)phenyl]ethyl}-1 H-indazol-3-yl)pyrimidin-4-yl]- amino}pyridine-3-carboxamide,
(2Z)-4-{3-[5-methoxy-4-(pyridin-4-ylamino)pyrimidin-2-yl]-1 H-indazol-1 -yl}-3-methylbut- 2-enenitrile,
methyl 2-({3-[5-methoxy-4-(pyridin-4-ylamino)pyrimidin-2-yl]-1 H-indazol-1 -yljmethyl)- prop-2-enoate,
1 -({3-[5-methoxy-4-(pyridin-4-ylamino)pyrimidin-2-yl]-1 H-indazol-1 -yl}methyl)cyclo- propanecarbonitrile,
ethyl 4-({2-[1 -(cyclopropylmethyl)-l H-indazol-3-yl]-5-methoxypyrimidin-4-yl}amino)- pyridine-3-carboxylate,
2-{1 -[1 -(2,6-difluoro-4-methoxyphenyl)ethyl]-1 H-indazol-3-yl}-5-methoxy-N-(pyridin-4- yl)pyrimidin-4-amine,
2-{1 -[1 -(4-ethoxy-2,6-difluorophenyl)ethyl]-1 H-indazol-3-yl}-5-methoxy-N-(pyridin-4-yl)- pyrimidin-4-amine,
2-{1 -[1 -(2-fluorophenyl)ethyl]-1 H-indazol-3-yl}-5-methoxy-N-(pyridin-4-yl)pyrimidin-4- amine,
2-{1 -[1 -(4-ethoxy-2,6-difluorophenyl)propyl]-1 H-indazol-3-yl}-5-methoxy-N-(pyridin-4- yl)pyrimidin-4-amine,
2-{1 -[1 -(2,4-dichlorophenyl)ethyl]-1 H-indazol-3-yl}-5-methoxy-N-(pyridin-4-yl)pyrimidin- 4-amine,
4-({2-[1 -(cyclopropylmethyl)-1 H-indazol-3-yl]-5-methoxypyrimidin-4-yl}amino)pyridine-3- carboxamide,
4-{[5-methoxy-2-(1 -methyl-1 H-indazol-3-yl)pyrimidin-4-yl]amino}pyridine-3-carbox- amide,
4-({2-[1 -(cyclopropylmethyl)-7-methyl-1 H-indazol-3-yl]-5-methoxypyrimidin-4-yl}amino)- pyridine-3-carboxamide,
4-({2-[7-chloro-1 -(cyclopropylmethyl)-1 H-indazol-3-yl]-5-methoxypyrimidin-4-yl}amino)- pyridine-3-carboxamide,
4-({2-[1 -(cyclopropylmethyl)-7-fluoro-1 H-indazol-3-yl]-5-methoxypyrimidin-4-yl}amino)- pyridine-3-carboxamide,
4-({2-[5-bromo-1 -(cyclopropylmethyl)-4-methyl-1 H-pyrazol-3-yl]-5-methoxypyrimidin-4- yl}amino)pyridine-3-carboxamide,
N-methyl-4-{[2-(1 -methyl-1 ,4,5,6-tetrahydrocyclopenta[c]pyrazol-3-yl)pyrimidin-4-yl]- amino}pyridine-3-carboxamide,
4-{[2-(1 -methyl-1 ,4,5,6-tetrahydrocyclopenta[c]pyrazol-3-yl)pyrimidin-4-yl]amino}- pyridine-3-carboxamide,
4-({2-[1 -methyl-5-(propan-2-yl)-1 H-pyrazol-3-yl]pyrimidin-4-yl}amino)pyridine-3-carbox- amide,
4-{[5-methoxy-2-(1 -methyl-1 H-indazol-3-yl)pyrimidin-4-yl]amino}pyridine-3-carboxylate, ethyl 4-({2-[1 -(cyclopropylmethyl)-7-methyl-1 H-indazol-3-yl]-5-methoxypyrimidin-4-yl}- amino)pyridine-3-carboxylate,
ethyl 4-({2-[7-chloro-1 -(cyclopropylmethyl)-l H-indazol-3-yl]-5-methoxypyrimidin-4-yl}- amino)pyridine-3-carboxylate,
ethyl 4-({2-[1 -(cyclopropylmethyl)-7-f luoro-1 H-indazol-3-yl]-5-methoxypyrimidin-4-yl}-
amino)pyridine-3-carboxylate,
N-[4-({2-[1 -(cyclopentylmethyl)-1 H-indazol-3-yl]-5-methoxypyrimidin-4-yl}amino)pyridin- 2-yl]acetamide,
2-[1 -(cyclopentylmethyl)-1 H-indazol-3-yl]-5-methoxy-N-(3-methylpyridin-4-yl)pyrimidin- 4-amine,
2-[1 -(cyclopentylmethyl)-1 H-indazol-3-yl]-5-methoxy-N-(2-methylpyridin-4-yl)pyrimidin-
4- amine,
2-[1 -(cyclopentylmethyl)-1 H-indazol-3-yl]-N-[2-(difluoromethyl)pyridin-4-yl]-5-methoxy- pyrimidin-4-amine,
ethyl 4-({2-[5-bromo-1 -(cyclopropylmethyl)-4-methyl-1 H-pyrazol-3-yl]-5-methoxy- pyrimidin-4-yl}amino)pyridine-3-carboxylate,
2-[5-bromo-1 -(cyclopropylmethyl)-4-methyl-1 H-pyrazol-3-yl]-5-methoxy-N-(pyridin-4- yl)pyrimidin-4-amine,
5- methoxy-2-(1 -methyl-1 H-indazol-3-yl)-N-(2-methylpyrimidin-4-yl)pyrimidin-4-amine, 2-[1 -(2,2-difluoroethyl)-1 H-indazol-3-yl]-5-methoxy-N-(2-methylpyrimidin-4-yl)pyrimidin-
4- amine,
5- methoxy-N-(2-methylpyrimidin-4-yl)-2-[1 -(2,2,2-trifluoroethyl)-1 H-indazol-3-yl]- pyrimidin-4-amine,
5-methoxy-N-(2-methylpyrimidin-4-yl)-2-[1 -(3,3,3-trifluoropropyl)-1 H-indazol-3-yl]- pyrimidin-4-amine,
5-methoxy-N-(pyridin-4-yl)-2-[1 -(3,3,3-trifluoropropyl)-1 H-indazol-3-yl]pyrimidin-4- amine,
N-{4-[(5-methoxy-2-{1 -[(1 -methyl-5-oxopyrrolidin-3-yl)methyl]-1 H-indazol-3-yl}pyrimidin- 4-yl)amino]pyridin-2-yl}acetamide,
ethyl 4-{[2-(1 -methyl-1 ,4,5,6-tetrahydrocyclopenta[c]pyrazol-3-yl)pyrimidin-4-yl]amino}- pyridine-3-carboxylate,
ethyl 4-({2-[1 -methyl-5-(propan-2-yl)-1 H-pyrazol-3-yl]pyrimidin-4-yl}amino)pyridine-3- carboxylate,
2-(1 -methyl-1 H-indazol-3-yl)-4-[(2-methylpyrimidin-4-yl)amino]pyrimidin-5-ol,
2- [1 -(2,2-difluoroethyl)-1 H-indazol-3-yl]-4-[(2-methylpyrimidin-4-yl)amino]pyrimidin-5-ol, 4-[(2-methylpyrimidin-4-yl)amino]-2-[1 -(2,2,2-trifluoroethyl)-1 H-indazol-3-yl]pyrimidin-5- ol,
3- ({2-(1 -methyl-1 H-indazol-3-yl)-4-[(2-methylpyrimidin-4-yl)amino]pyrimidin-5-yl}oxy)- propan-1 -ol,
3-({2-[1 -(2,2-difluoroethyl)-1 H-indazol-3-yl]-4-[(2-methylpyrimidin-4-yl)amino]pyrimidin- 5-yl}oxy)propan-1 -ol,
3- ({4-[(2-methylpyrimidin-4-yl)amino]-2-[1 -(2,2,2-trifluoroethyl)-1 H-indazol-3-yl]- pyrimidin-5-yl}oxy)propan-1 -ol,
2-{1 -[(1 R)-1 -(2,6-difluoro-4-methoxyphenyl)ethyl]-1 H-indazol-3-yl}-5-methoxy-N- (pyridin-4-yl)pyrimidin-4-amine,
2-{1 -[(1 S)-1 -(2,6-dif luoro-4-methoxyphenyl)ethyl]-1 H-indazol-3-yl}-5-methoxy-N- (pyridin-4-yl)pyrimidin-4-amine,
2-{1 -[(1 R)-1 -(2-f luorophenyl)ethyl]-1 H-indazol-3-yl}-5-methoxy-N-(pyridin-4-yl)pyrimidin
4- amine,
2-{1 -[(1 S)-1 -(2-f luorophenyl)ethyl]-1 H-indazol-3-yl}-5-methoxy-N-(pyridin-4-yl)pyrimidin 4-amine,
2-{1 -[(1 R)-1 -(4-ethoxy-2,6-dif luorophenyl)propyl]-1 H-indazol-3-yl}-5-methoxy-N- (pyridin-4-yl)pyrimidin-4-amine,
2-{1 -[(1 S)-1 -(4-ethoxy-2,6-dif luorophenyl)propyl]-1 H-indazol-3-yl}-5-methoxy-N-(pyridin 4-yl)pyrimidin-4-amine,
2-{1 -[(1 R)-1 -(2,4-dichlorophenyl)ethyl]-1 H-indazol-3-yl}-5-methoxy-N-(pyridin-4- yl)pyrimidin-4-amine, and
2-{1 -[(1 S)-1 -(2,4-dichlorophenyl)ethyl]-1 H-indazol-3-yl}-5-methoxy-N-(pyridin-4- yl)pyrimidin-4-amine,
or an N-oxide, a salt, a tautomer or a stereoisomer of said compound, or a salt of said N-oxide, tautomer or stereoisomer.
A further aspect of the invention are compounds of formula (I), wherein
V, W, Y and Z, independently of each other, represent CH or CR2,
or,
V represents N, and W, Y and Z, independently of each other, represent CH or CR2, or,
W represents N, and V, Y and Z, independently of each other, represent CH or CR2, or,
V and Y represent N, and W and Z, independently of each other, represent CH or CR2, and
R2 represents, independently of each other, a halogen atom or a group selected from:
cyano, Ci-C3-alkyl, C3-C4-cycloalkyl, Ci-C3-haloalkyl, Ci-C3-alkoxy,
(C2-C3-hydroxyalkyl)-0-, (Ci-C3-alkoxy)-(C2-C3-alkoxy)-, Ci-C3-haloalkoxy, -N(H)C(=0)H, -N(H)C(=0)-(Ci-C3-alkyl), -N(H)C(=0)-(C3-C4-cycloalkyl), -N(H)C(=0)-(Ci-C3-hydroxyalkyl), -C(=0)N(R9)2, -N(H)C(=0)N(H)R9 and -C(=0)OR10,
and
R9 represents, independently of each other, a hydrogen atom or a group selected from:
Ci-C3-alkyl, Ci-C3-haloalkyl, C2-C3-hydroxyalkyl, C3-C4-cycloalkyl,
(C3-C4-cycloalkyl)-(Ci -C3-alkyl)- and (Ci -C3-alkoxy)-(C2-C3-alkyl)-, and
R10 represents a hydrogen atom or a group selected from:
Ci-C3-alkyl, Ci-C3-haloalkyl, C2-C3-hydroxyalkyl, C3-C -cycloalkyl,
(C3-C4-cycloalkyl)-(Ci -C3-alkyl)- and (Ci -C3-alkoxy)-(C2-C3-alkyl)-.
Yet another aspect of the invention are compounds of formula (I), in which
V, W, Y and Z independently of each other represent CH or CR2,
or,
V represents N, and W, Y and Z, independently of each other, represent CH or CR2, or,
W represents N, and V, Y and Z independently of each other represent CH or CR2, and
R2 represents, independently of each other, a halogen atom or a group selected from:
Ci-C3-alkyl, C3-C4-cycloalkyl, Ci-C3-haloalkyl, Ci-C3-alkoxy, (C2-C3- hydroxyalkyl)-0-,-N(H)C(=0)H, -N(H)C(=0)-(Ci-C3-alkyl), -N(H)C(=0)-(C3-C4- cycloalkyl), -N(H)C(=0)-(Ci-C3-hydroxyalkyl), -C(=0)N(R9)2 and
-C(=0)OR10,
and
R9 represents, independently of each other, a hydrogen atom or a group selected from:
Ci-C3-alkyl, C2-C3-hydroxyalkyl, C3-C -cycloalkyl and (Ci-C3-alkoxy)-(C2-C3- alkyl)-,
and
R10 represents a hydrogen atom or a group selected from:
Ci-C3-alkyl and C3-C -cycloalkyl.
Yet another aspect of the invention are compounds of formula (I), in which
V, W, Y and Z, independently of each other, represent CH or CR2,
or,
V represents N, and W, Y and Z, independently of each other, represent CH or CR2, or,
W represents N, and V, Y and Z, independently of each other, represent CH or CR2, and
R2 represents, independently of each other, a halogen atom or a group selected from:
Ci-C3-alkyl, Ci-C3-haloalkyl, Ci-C3-alkoxy, (C2-C3-hydroxyalkyl)-0-,-N(H)C(=0) (Ci-C3-alkyl), -C(=0)N(R9)2 and -C(=0)OR1°,
and
R9 represents, independently of each other, a hydrogen atom or a group selected from:
Ci-C3-alkyl and C3-C4-cycloalkyl,
and
R10 represents a hydrogen atom or a Ci-C3-alkyl group.
Yet another aspect of the invention are compounds of formula (I), in which
V, W, Y and Z, independently of each other, represent CH or CR2,
or,
V represents N, and W, Y and Z, independently of each other, represent CH or CR2, and
R2 represents, independently of each other, a group selected from:
Ci-C3-alkyl, Ci-C3-haloalkyl,-N(H)C(=0)-CH3, -C(=0)N(R9)2 and -C(=0)OR1°, and
R9 represents, independently of each other, a hydrogen atom or a
Ci-C3-alkyl group,
and
R10 represents a hydrogen atom or a Ci-C3-alkyl group.
Yet another aspect of the invention are compounds of formula (I), in which
V, W, Y and Z, independently of each other, represent CH or CR2,
or,
V represents N, and W, Y and Z, independently of each other, represent CH or CR2,
and
R2 represents, independently of each other, a group selected from:
methyl, difluoromethyl,-N(H)C(=0)-CH3, -C(=0)N(R9)2 and -C(=0)OR1°, and
R9 represents, independently of each other, a hydrogen atom or a methyl group, and
R10 represents a hydrogen atom or a group selected from:
methyl and ethyl.
Yet another aspect of the invention are compounds of formula (I), in which
V, W, Y and Z, independently of each other, represent CH or CR2.
Yet another aspect of the invention are compounds of formula (I), in which:
one of V, W, Y and Z represents CR2, and the others represent CH.
Yet another aspect of the invention are compounds of formula (I), in which
V, W, Y and Z, independently of each other, represent CH or CR2,
and
R2 represents, independently of each other, a halogen atom or a group selected from:
cyano, Ci-C3-alkyl, C3-C4-cycloalkyl, Ci-C3-haloalkyl, Ci-C3-alkoxy,
(C2-C3-hydroxyalkyl)-0-, (Ci-C3-alkoxy)-(C2-C3-alkoxy)-, Ci-C3-haloalkoxy, -N(H)C(=0)H,
-N(H)C(=0)-(C3-C4-cycloalkyl), -N(H)C(=0)-(Ci-C3-hydroxyalkyl), -C(=0)N(R9)2, -N(H)C(=0)N(H)R9 and -C(=0)OR10,
and
R9 represents, independently of each other, a hydrogen atom or a group selected from:
Ci-C3-alkyl, Ci-C3-haloalkyl, C2-C3-hydroxyalkyl, C3-C4-cycloalkyl,
(C3-C4-cycloalkyl)-(Ci -C3-alkyl)- and (Ci -C3-alkoxy)-(C2-C3-alkyl)-, and
R10 represents a hydrogen atom or a group selected from:
Ci-C3-alkyl, Ci-C3-haloalkyl, C2-C3-hydroxyalkyl, C3-C4-cycloalkyl,
(C3-C4-cycloalkyl)-(Ci -C3-alkyl)- and (Ci -C3-alkoxy)-(C2-C3-alkyl)-.
Yet another aspect of the invention are compounds of formula (I), in which
V, W, Y and Z, independently of each other, represent CH or CR2,
and
R2 represents, independently of each other, a halogen atom or a group selected from:
Ci-C3-alkyl, C3-C4-cycloalkyl, Ci-C3-haloalkyl, Ci-C3-alkoxy, (C2-C3- hydroxyalkyl)-0-,-N(H)C(=0)H,
-N(H)C(=0)-(C3-C4- cycloalkyl), -N(H)C(=0)-(Ci-C3-hydroxyalkyl), -C(=0)N(R9)2 and
-C(=0)OR10,
and
R9 represents, independently of each other, a hydrogen atom or a group selected from:
Ci-C3-alkyl, C2-C3-hydroxyalkyl, C3-C4-cycloalkyl and (Ci-C3-alkoxy)-(C2-C3- alkyl)-,
and
R10 represents a hydrogen atom or a group selected from:
Ci-C3-alkyl and C3-C4-cycloalkyl.
Yet another aspect of the invention are compounds of formula (I), in which
V, W, Y and Z, independently of each other, represent CH or CR2,
and
R2 represents, independently of each other, a halogen atom or a group selected from:
Ci-C3-alkyl, Ci-C3-haloalkyl, Ci-C3-alkoxy, (C2-C3-hydroxyalkyl)-0-,-N(H)C(=0) (Ci-C3-alkyl), -C(=0)N(R9)2 and -C(=0)OR1°,
and
R9 represents, independently of each other, a hydrogen atom or a group selected from:
Ci-C3-alkyl and C3-C -cycloalkyl,
and
R10 represents a hydrogen atom or a Ci-C3-alkyl group.
Yet another aspect of the invention are compounds of formula (I), in which
V, W, Y and Z, independently of each other, represent CH or CR2,
and
R2 represents, independently of each other, a group selected from:
Ci-C3-alkyl, Ci-C3-haloalkyl,-N(H)C(=0)-CH3, -C(=0)N(R9)2 and -C(=0)OR1°,
and
R9 represents, independently of each other, a hydrogen atom or a
Ci-C3-alkyl group,
and
R10 represents a hydrogen atom or a Ci-C3-alkyl group.
Yet another aspect of the invention are compounds of formula (I), in which
V, W, Y and Z, independently of each other, represent CH or CR2,
and
R2 represents, independently of each other, a group selected from:
methyl, difluoromethyl,-N(H)C(=0)-CH3, -C(=0)N(R9)2 and -C(=0)OR1°, and
R9 represents, independently of each other, a hydrogen atom or a methyl group, and
R10 represents a hydrogen atom or a group selected from:
methyl and ethyl.
Yet another aspect of the invention are compounds of formula (I), in which
V represents N, and W, Y and Z, independently of each other, represent CH or CR2.
Yet another aspect of the invention are compounds of formula (I), in which:
V represents N, and
one of W, Y and Z, represents CR2, and the others represent CH.
Yet another aspect of the invention are compounds of formula (I), in which
V represents N, and W, Y and Z, independently of each other, represent CH or CR2, and
R2 represents, independently of each other, a halogen atom or a group selected from:
cyano, Ci-C3-alkyl, C3-C4-cycloalkyl, Ci-C3-haloalkyl, Ci-C3-alkoxy,
(C2-C3-hydroxyalkyl)-0-, (Ci-C3-alkoxy)-(C2-C3-alkoxy)-, Ci-C3-haloalkoxy, -N(H)C(=0)H,
-N(H)C(=0)-(C3-C4-cycloalkyl), -N(H)C(=0)-(Ci-C3-hydroxyalkyl), -C(=0)N(R9)2, -N(H)C(=0)N(H)R9 and -C(=0)OR10,
and
R9 represents, independently of each other, a hydrogen atom or a group selected from:
Ci-C3-alkyl, Ci-C3-haloalkyl, C2-C3-hydroxyalkyl, C3-C4-cycloalkyl,
(C3-C4-cycloalkyl)-(Ci -C3-alkyl)- and (Ci -C3-alkoxy)-(C2-C3-alkyl)-,
and
R10 represents a hydrogen atom or a group selected from:
Ci-C3-alkyl, Ci-C3-haloalkyl, C2-C3-hydroxyalkyl, C3-C4-cycloalkyl,
(C3-C4-cycloalkyl)-(Ci -C3-alkyl)- and (Ci -C3-alkoxy)-(C2-C3-alkyl)-.
Yet another aspect of the invention are compounds of formula (I), in which
V represents N, and W, Y and Z, independently of each other, represent CH or CR2, and
R2 represents, independently of each other, a halogen atom or a group selected from:
Ci-C3-alkyl, C3-C4-cycloalkyl, Ci-C3-haloalkyl, Ci-C3-alkoxy, (C2-C3- hydroxyalkyl)-0-,-N(H)C(=0)H,
-N(H)C(=0)-(C3-C4- cycloalkyl), -N(H)C(=0)-(Ci-C3-hydroxyalkyl), -C(=0)N(R9)2 and
-C(=0)OR10,
and
R9 represents, independently of each other, a hydrogen atom or a group selected from:
Ci-C3-alkyl, C2-C3-hydroxyalkyl, C3-C -cycloalkyl and (Ci-C3-alkoxy)-(C2-C3- alkyl)-,
and
R10 represents a hydrogen atom or a group selected from:
Ci-C3-alkyl and C3-C -cycloalkyl.
Yet another aspect of the invention are compounds of formula (I), in which
V represents N, and W, Y and Z, independently of each other, represent CH or CR2, and
R2 represents, independently of each other, a halogen atom or a group selected from:
Ci-C3-alkyl, Ci-C3-haloalkyl, Ci-C3-alkoxy, (C2-C3-hydroxyalkyl)-0-,-N(H)C(=0)- (Ci-C3-alkyl), -C(=0)N(R9)2 and -C(=0)OR1°,
R9 represents, independently of each other, a hydrogen atom or a group selected from:
Ci-C3-alkyl and C3-C4-cycloalkyl,
and
R10 represents a hydrogen atom or a Ci-C3-alkyl group.
Yet another aspect of the invention are compounds of formula (I), in which
V represents N, and W, Y and Z, independently of each other, represent CH or CR2, and
R2 represents, independently of each other, a group selected from:
Ci-C3-alkyl, Ci-C3-haloalkyl,-N(H)C(=0)-CH3, -C(=0)N(R9)2 and -C(=0)OR1°, and
R9 represents, independently of each other, a hydrogen atom or a
Ci-C3-alkyl group,
and
R10 represents a hydrogen atom or a Ci-C3-alkyl group.
Yet another aspect of the invention are compounds of formula (I), in which
V represents N, and W, Y and Z, independently of each other, represent CH or CR2, and
R2 represents, independently of each other, a group selected from:
methyl, difluoromethyl,-N(H)C(=0)-CH3, -C(=0)N(R9)2 and -C(=0)OR1°, and
R9 represents, independently of each other, a hydrogen atom or a methyl group, and
R10 represents a hydrogen atom or a group selected from:
methyl and ethyl.
Yet another aspect of the invention are compounds of formula (I), in which
V represents N, and W, Y and Z, independently of each other, represent CH or CR2, and
R2 represents, independently of each other, a methyl group.
Yet another aspect of the invention are compounds of formula (I), in which
R1 represents a group selected from:
d-Ce-alkyl, C3-C8-cycloalkyl, (C3-C8-cycloalkyl)-(Ci-C3-alkyl)-,
(4- to 7-membered heterocycloalkyl)-(Ci-C3-alkyl)-, phenyl-(C2-C3-alkyl)-,
Cs-Cs-alkenyl, C3-C8-alkinyl and Ci-Ce-haloalkyl,
wherein said cycloalkyi groups are optionally substituted with one or two groups selected independently from:
halogen atom, methyl and cyano,
and,
wherein said heterocycloalkyl groups are optionally substituted with one or two groups selected independently from:
halogen atom, methyl and oxo,
and,
wherein said phenyl groups are optionally substituted with one, two or three groups selected independently from:
halogen atom, hydroxy, Ci-C6-alkyl, Ci-C6-haloalkyl, Ci-C6-hydroxyalkyl, (Ci-C3-alkoxy)-(Ci-C6-alkyl)-, C3-C6-cycloalkyl, (C3-C6-cycloalkyl)-(Ci-C3- alkyl)-, Ci-Ce-alkoxy, Ci-Ce-haloalkoxy, (C2-C6-hydroxyalkyl)-0-, (Ci-C3-alkoxy)-(C2-C6-alkoxy)-, C3-C6-cycloalkoxy and
(C3-C6-cycloalkyl)-(Ci-C3-alkoxy)-,
and,
wherein said alkyl- and alkenyl groups are optionally substituted with one or two groups selected independently from:
cyano and C(=0)OR1°.
Yet another aspect of the invention are compounds of formula (I), in which
R1 represents a group selected from:
Ci-Cs-alkyl, C3-C8-cycloalkyl, (C3-C8-cycloalkyl)-(Ci-C3-alkyl)-,
(4- to 7-membered heterocycloalkyl)-(Ci-C3-alkyl)-, phenyl-(C2-C3-alkyl)-,
C3-C8-alkenyl and Ci-Ce-haloalkyl,
wherein said cycloalkyi groups are optionally substituted with one or two groups selected independently from:
halogen atom, methyl and cyano,
and,
wherein said heterocycloalkyl groups are optionally substituted with one or two groups selected independently from:
halogen atom, methyl and oxo,
and,
wherein said phenyl groups are optionally substituted with one, two or
three groups selected independently from:
halogen atom, Ci -Ce-alkyl, Ci -Ce-haloalkyl, Ci -Ce-alkoxy, Ci -Ce- haloalkoxy, (C2-C6-hydroxyalkyl)-0- and (Ci -C3-alkoxy)-(C2-C6-alkoxy)-, and,
wherein said alkyl- and alkenyl groups are optionally substituted with one or two groups selected independently from:
cyano and C(=0)OR1°. another aspect of the invention are compounds of formula (I), in which
represents a group selected from:
Ci -Ce-alkyl, C3-C8-cycloalkyl, (C3-Ce-cycloalkyl)-(Ci -C3-alkyl)-,
(4- to 7-membered heterocycloalkyl)-(Ci -C3-alkyl)-, C3-C8-alkenyl and Ci -C6- haloalkyl,
wherein said cycloalkyl groups are optionally substituted with one or two groups selected independently from:
halogen atom, methyl and cyano,
and,
wherein said heterocycloalkyl groups are optionally substituted with one or two groups selected independently from:
halogen atom, methyl and oxo,
and,
wherein said alkyl- and alkenyl groups are optionally substituted with one or two groups selected independently from:
cyano and C(=0)OR1°. another aspect of the invention are compounds of formula (I), in which
represents a group selected from:
Ci -Ce-alkyl, C3-C8-cycloalkyl, (C3-C8-cycloalkyl)-(Ci -C3-alkyl)-,
(4- to 7-membered heterocycloalkyl)-(Ci -C3-alkyl)-, phenyl-(C2-C3-alkyl)-,
C3-C6-alkenyl and Ci -C6-haloalkyl,
wherein said cycloalkyl groups are optionally substituted with one or two groups selected independently from:
halogen atom, methyl and cyano,
and,
wherein said heterocycloalkyl groups are optionally substituted with one
or two groups selected independently from:
halogen atom, methyl and oxo,
and,
wherein said phenyl groups are optionally substituted with one, two or three groups selected independently from:
halogen atom, Ci -C3-haloalkyl and Ci -C3-alkoxy,
and,
wherein said alkyl- and alkenyl groups are optionally substituted with one or two groups selected independently from:
cyano and C(=0)OR1°.
Yet another aspect of the invention are compounds of formula (I), in which
R1 represents a group selected from:
Ci -Ce-alkyl, C3-C8-cycloalkyl, (C3-Ce-cycloalkyl)-(Ci -C3-alkyl)-,
(4- to 7-membered heterocycloalkyl)-(Ci -C3-alkyl)-, C3-C6-alkenyl and Ci -C6- haloalkyl,
wherein said cycloalkyl groups are optionally substituted with one or two groups selected independently from:
halogen atom, methyl and cyano,
and,
wherein said heterocycloalkyl groups are optionally substituted with one or two groups selected independently from:
halogen atom, methyl and oxo,
and,
wherein said alkyl- and alkenyl groups are optionally substituted with one or two groups selected independently from:
cyano and C(=0)OR1°. Yet another aspect of the invention are compounds of formula (I), in which
R1 represents a group selected from:
Ci -Cs-alkyl, (C3-C7-cycloalkyl)-(Ci -C2-alkyl)-,
(4- to 5-membered heterocycloalkyl)-(CH2)-, C3-C5-alkenyl and Ci -C2-haloalkyl, wherein said cycloalkyl groups are optionally substituted with one or two groups selected independently from:
methyl and cyano,
and,
wherein said heterocycloalkyl groups are optionally substituted with one or two groups selected independently from:
methyl and oxo,
and,
wherein said alkyl- and alkenyl groups are optionally substituted with one group selected from:
cyano and C(=0)OR1°. Yet another aspect of the invention are compounds of formula (I), in which
R1 represents a group selected from:
methyl, 3-methylbutyl, cyclopropylmethyl, (l -cyanocyclopropyl)methyl, (2,2-dimethylcyclopropyl)methyl, cyclobutylmethyl, cyclopentylmethyl, cyclohexylm ethyl, 2-cyclohexylethyl, cycloheptylmethyl, oxetan-3-ylmethyl, (3-methyloxetan-3-yl)methyl, (1 -methyl-5-oxo-pyrrolidin-3-yl)methyl,
2-methylprop-2-en-1 -yl, 3-methylbut-2-en-1 -yl, 3-cyano-2-methyl-allyl,
2-methoxycarbonylallyl, 2,2-difluoroethyl, 2,2,2-trifluoroethyl and
3,3,3-trifluopropropyl. Yet another aspect of the invention are compounds of formula (I), in which
R2 represents, independently of each other, a halogen atom or a group selected from:
cyano, Ci-C3-alkyl, C3-C4-cycloalkyl, Ci-C3-haloalkyl, Ci-C3-alkoxy,
(C2-C3-hydroxyalkyl)-0-, (Ci-C3-alkoxy)-(C2-C3-alkoxy)-, Ci-C3-haloalkoxy, -N(H)C(=0)H,
-N(H)C(=0)-(C3-C4-cycloalkyl),
-N(H)C(=0)-(Ci-C3-hydroxyalkyl), -C(=0)N(R9)2, -N(H)C(=0)N(H)R9 and -C(=0)OR10.
Yet another aspect of the invention are compounds of formula (I), in which
R2 represents, independently of each other, a halogen atom or a group selected from:
Ci-C3-alkyl, C3-C4-cycloalkyl, Ci-C3-haloalkyl, Ci-C3-alkoxy, (C2-C3- hydroxyalkyl)-0-,-N(H)C(=0)H,
-N(H)C(=0)-(C3-C4- cycloalkyl), -N(H)C(=0)-(Ci-C3-hydroxyalkyl), -C(=0)N(R9)2 and
-C(=0)OR10.
Yet another aspect of the invention are compounds of formula (I), in which
R2 represents, independently of each other, a halogen atom or a group selected from:
Ci-C3-alkyl, Ci-C3-haloalkyl, Ci-C3-alkoxy, (C2-C3-hydroxyalkyl)-0-,-N(H)C(=0)- (Ci-C3-alkyl), -C(=0)N(R9)2 and -C(=0)OR1°.
Yet another aspect of the invention are compounds of formula (I), in which
R2 represents, independently of each other, a group selected from :
Ci-C3-alkyl, Ci-C3-haloalkyl,-N(H)C(=0)-CH3, -C(=0)N(R9)2 and -C(=0)OR1°.
Yet another aspect of the invention are compounds of formula (I), in which
R2 represents, independently of each other, a group selected from :
methyl, difluoromethyl,-N(H)C(=0)-CH3, -C(=0)N(R9)2 and -C(=0)OR1°.
Yet another aspect of the invention are compounds of formula (I), in which
R4 represents a hydrogen atom, or a halogen atom or a group selected from:
Ci-Ce-alkyl, C3-C6-cycloalkyl, Ci-Ce-haloalkyl, Ci-Ce-hydroxyalkyl, (C1-C3- alkoxy)-(Ci-Ce-alkyl)-, Ci-C6-alkoxy, (C2-C6-hydroxyalkyl)-0-,
(Ci-C3-alkoxy)-(C2-C6-alkoxy)- and hydroxyl.
Yet another aspect of the invention are compounds of formula (I), in which
R4 represents a hydrogen atom, or a halogen atom or a group selected from:
Ci-Ce-alkoxy, (C2-C6-hydroxyalkyl)-0-, (Ci-C3-alkoxy)-(C2-C6-alkoxy)- and hydroxyl.
Yet another aspect of the invention are compounds of formula (I), in which
R4 represents a hydrogen atom, or a halogen atom or a group selected from:
Ci-C3-alkoxy, (C2-C3-hydroxyalkyl)-0-, (Ci-C3-alkoxy)-(C2-C3-alkoxy)- and hydroxyl.
Yet another aspect of the invention are compounds of formula (I), in which
R4 represents a hydrogen atom, or a group selected from:
Ci-C3-alkoxy, (C2-C3-hydroxyalkyl)-0- and hydroxyl.
Yet another aspect of the invention are compounds of formula (I), in which
R4 represents a hydrogen atom, or a group selected from:
methoxy, 3-hydroxypropyloxy and hydroxyl.
Yet another aspect of the invention are compounds of formula (I), in which R7 represents a hydrogen atom, or a halogen atom or a group selected from:
Ci-C3-alkyl and C3-C4-cycloalkyl,
and
R8 represents a hydrogen atom, or a halogen atom or a Ci-C3-alkyl group, or
R7 and R8 are linked to one another in such a way that they jointly form a
group selected from:
-(CH2)3-, -(CH2)4-, -(CH2)5- and -C(R11 )=C(R11)-C(R11)=C(R11)-,
with the proviso, that at least two of R11 represent hydrogen atoms.
Yet another aspect of the invention are compounds of formula (I), in which R7 represents a hydrogen atom, or a halogen atom or a group selected from:
Ci-C3-alkyl and C3-C4-cycloalkyl,
and
R8 represents a hydrogen atom, or a halogen atom or a Ci-C3-alkyl group, or
R7 and R8 are linked to one another in such a way that they jointly form a
group selected from:
-(CH2)3-, -(CH2)4- and -C(R11)=C(R11)-C(R11)=C(R11)-,
with the proviso, that at least two of R11 represent hydrogen atoms.
Yet another aspect of the invention are compounds of formula (I), in which
R7 represents a halogen atom or a Ci-C3-alkyl group,
and
R8 represents a hydrogen atom or a Ci-C3-alkyl group,
or
R7 and R8 are linked to one another in such a way that they jointly form a
group selected from:
-(CH2)3- and -C(R11)=C(R11)-C(R11)=C(R11)-,
with the proviso, that at least two of R11 represent hydrogen atoms.
Yet another aspect of the invention are compounds of formula (I), in which R7 represents a bromine atom or an isopropyl group,
and
R8 represents a hydrogen atom or a methyl group,
or
R7 and R8 are linked to one another in such a way that they jointly form a
group selected from:
-(CH2)3- and -C(R11)=C(R11)-C(R11)=C(R11)-,
with the proviso, that at least two of R11 represent hydrogen atoms.
Yet another aspect of the invention are compounds of formula (I), in which R7 represents a hydrogen atom, or a halogen atom or a group selected from:
Ci-C3-alkyl and C3-C4-cycloalkyl.
Yet another aspect of the invention are compounds of formula (I), in which R7 represents a halogen atom or a Ci-C3-alkyl group.
Yet another aspect of the invention are compounds of formula (I), in which R7 represents a bromine atom or an isopropyl group.
Yet another aspect of the invention are compounds of formula (I), in which R8 represents a hydrogen atom, or a halogen atom or a Ci-C3-alkyl group.
Yet another aspect of the invention are compounds of formula (I), in which R8 represents a hydrogen atom or a Ci-C3-alkyl group.
Yet another aspect of the invention are compounds of formula (I), in which R8 represents a hydrogen atom or a methyl group.
Yet another aspect of the invention are compounds of formula (I), in which R7 and R8 are linked to one another in such a way that they jointly form a
group selected from:
-(CH2)3-, -(CH2)4-, -(CH2)5-, and -C(R11)=C(R11)-C(R11)=C(R11)-,
with the proviso, that at least two of R11 represent hydrogen atoms.
Yet another aspect of the invention are compounds of formula (I), in which R7 and R8 are linked to one another in such a way that they jointly form a
group selected from:
-(CH2)3-, -(CH2)4- and -C(R11)=C(R11)-C(R11)=C(R11)-, with the proviso, that at least two of R11 represent hydrogen atoms.
Yet another aspect of the invention are compounds of formula (I), in which
R7 and R8 are linked to one another in such a way that they jointly form a group selected from:
-(CH2)3- and -C(R11)=C(R11)-C(R11)=C(R11)-,
with the proviso, that at least two of R11 represent hydrogen atoms.
Yet another aspect of the invention are compounds of formula (I), in which
R9 represents, independently of each other, a hydrogen atom or a group selected from:
Ci-C3-alkyl, Ci-C3-haloalkyl, C2-C3-hydroxyalkyl, C3-C4-cycloalkyl,
(C3-C4-cycloalkyl)-(Ci -C3-alkyl)- and (Ci -C3-alkoxy)-(C2-C3-alkyl)-.
Yet another aspect of the invention are compounds of formula (I), in which
R9 represents, independently of each other, a hydrogen atom or a group selected from:
Ci-C3-alkyl, C2-C3-hydroxyalkyl, C3-C4-cycloalkyl and (Ci-C3-alkoxy)-(C2-C3- alkyl)-.
Yet another aspect of the invention are compounds of formula (I), in which
R9 represents, independently of each other, a hydrogen atom or a group selected from:
Ci-C3-alkyl and C3-C4-cycloalkyl.
Yet another aspect of the invention are compounds of formula (I), in which
R9 represents, independently of each other, a hydrogen atom or a
Ci-C3-alkyl group.
Yet another aspect of the invention are compounds of formula (I), in which
R9 represents, independently of each other, a hydrogen atom or a methyl group.
Yet another aspect of the invention are compounds of formula (I), in which
R10 represents a hydrogen atom or a group selected from:
Ci-C3-alkyl, Ci -C3-haloalkyl, C2-C3-hydroxyalkyl, C3-C4-cycloalkyl,
(C3-C4-cycloalkyl)-(Ci -Cs-alkyl)- and (Ci -C3-alkoxy)-(C2-C3-alkyl)-.
Yet another aspect of the invention are compounds of formula (I), in which
R10 represents a hydrogen atom or a group selected from:
Ci-C3-alkyl and C3-C4-cycloalkyl.
Yet another aspect of the invention are compounds of formula (I), in which
R10 represents a hydrogen atom or a Ci-C3-alkyl group.
Yet another aspect of the invention are compounds of formula (I), in which
R10 represents a hydrogen atom or a group selected from:
methyl and ethyl. Yet another aspect of the invention are compounds of formula (I), in which
R1 1 represents, independently of each other, a hydrogen atom or a halogen atom or a group selected from:
methyl, ethyl and Ci-C2-haloalkyl. Yet another aspect of the invention are compounds of formula (I), in which
R1 1 represents, independently of each other, a hydrogen atom or a halogen atom or a group selected from:
methyl and ethyl. Yet another aspect of the invention are compounds of formula (I), in which
R1 1 represents, independently of each other, a hydrogen atom or a halogen atom or a methyl group.
Yet another aspect of the invention are compounds of formula (I), in which
R1 1 represents, independently of each other, a hydrogen atom, a fluorine atom, a chlorine atom or a methyl group.
in which
V, W, Y and Z independently of each other represent CH or CR2,
R1 represents a phenyl-(C2-C3-alkyl)- group,
wherein said phenyl groups are optionally substituted with one, two or three groups selected independently from:
halogen atom, Ci-C3-haloalkyl and Ci-C3-alkoxy,
R2 represents, independently of each other, a group selected from:
Ci-C3-alkyl, Ci-C3-alkoxy, Ci-C3-haloalkyl,-N(H)C(=0)-CH3 and -C(=0)N(R9)2,
R4 represents a hydrogen atom, or a group selected from:
Ci-C3-alkoxy, (C2-C3-hydroxyalkyl)-0- and hydroxy,
R7 and R8 are linked to one another in such a way that they jointly form a
-C(R11)=C(R11)-C(R11)=C(R11)- group,
with the proviso, that at least two of R11 represent hydrogen atoms,
R9 represents, independently of each other, a hydrogen atom or a
Ci-C3-alkyl group,
R11 represents, independently of each other, a hydrogen atom or a halogen atom or a methyl group, or an N-oxide, a salt, a tautomer or a stereoisomer of said compound, or a salt of said N-oxide, tautomer or stereoisomer.
A further aspect of the invention are compounds of formula (I) as defined herein, wherein
V, W, Y and Z independently of each other represent CH or CR2,
R1 represents a group selected from :
phenyl-(CH2)2-, phenyl-CH-CH3 and phenyl-CH-CH2CH3,
wherein said phenyl groups are optionally substituted with one, two or three groups selected independently from:
fluorine atom, chlorine atom, trifluoromethyl, methoxy and ethoxy,
R2 represents a -C(=0)NH2 group,
R4 represents a methoxy group,
R7 and R8 are linked to one another in such a way that they jointly form a
-CH=CH-CH=CH- group, or an N-oxide, a salt, a tautomer or a stereoisomer of said compound, or a salt of said N-oxide, tautomer or stereoisomer.
One aspect of the invention are compounds of formula (I) as described in the examples, as characterized by their names in the title, as claimed in claim 6, and their structures as well as the subcombinations of all residues specifically disclosed in the compounds of the examples.
Another aspect of the present invention are the intermediates as used for their synthesis.
A further aspect of the invention are compounds of formula (I), which are present as their salts.
Yet another aspect of the invention are compounds of formula (I) in which,
the salt is a pharmaceutically acceptable salt.
It is to be understood that the present invention relates to any sub-combination within any embodiment or aspect of the present invention of compounds of general formula (I), supra.
More particularly still, the present invention covers compounds of general formula (I) which are disclosed in the Example section of this text, infra.
In accordance with another aspect, the present invention covers methods of preparing compounds of the present invention, said methods comprising the steps as described in the Experimental Section herein.
Another embodiment of the invention are compounds according to the claims as disclosed in the Claims section wherein the definitions are limited according to the preferred or more preferred definitions as disclosed below or specifically disclosed residues of the exemplified compounds and subcombinations thereof.
In accordance with a further aspect, the present invention relates to intermediate compounds which are useful in the preparation of compounds of the present invention of general formula (I), particularly in the method described herein.
In particular, the present invention relates to a compound of general formula (II) :
in which R1 , R4, R7 and R8 are as defined herein.
In accordance with yet another aspect, the present invention relates to the use of an intermediate compound of general formula (II) :
(II) , in which R1 , R4, R7 and R8 are as defined herein, for the preparation of a compound of general formula (I) as defined supra.
In accordance with yet another aspect, the present invention relates to the use of an intermediate compound of general formula (III) :
(Ml) in which R4, R7, R8, V, W, Y and Z are as defined herein, for the preparation of a compound of general formula (I) as defined supra.
In accordance with yet another aspect, the present invention relates to the use of an intermediate compound of general formula (IV) :
(IV) ,
in which V, W, Y and Z are as defined herein, and X2 represents F, CI, Br, I, boronic acid or a boronic acid ester, such as for example 4,4,5,5-tetramethyl-2-phenyl-1 ,3,2- dioxaborolane (boronic acid pinacole ester), for the preparation of a compound of general formula (I) as defined supra.
In accordance with yet another aspect, the present invention relates to the use of an intermediate compound of general formula (V) :
R1— X
(V) , in which R1 is as defined herein, and X1 represents F, CI, Br, I or a sulfonate, such as for example trifluormethylsulfonate or p-toluolsulfonate, for the preparation of a compound of general formula (I) as defined supra.
In accordance with yet another aspect, the present invention relates to a method of preparing a compound of general formula (I) as defined supra, said method comprising the step of allowing an intermediate compound of general formula (II) :
in which R1 , R4, R7 and R8 are as defined herein, to react with a compound of general formula (IV) :
(IV) ,
in which V, W, Y and Z are as defined herein, and X2 represents F, CI, Br, I, boronic acid or a boronic acid ester, such as for example 4,4,5,5-tetramethyl-2-phenyl-1 ,3,2- dioxaborolane (boronic acid pinacole ester),
thereby giving a compound of general formula (I) :
In accordance with yet another aspect, the present invention relates to a method of preparing a compound of general formula (I) as defined supra, said method comprising the step of allowing an intermediate compound of general formula (III) :
in which R4, R7, R8, V, W, Y and Z are as defined herein, to react with a compound of general formula (V) :
in which R1 is as defined herein, and X1 represents F, CI, Br, I or a sulfonate, such as for example trifluormethylsulfonate or p-toluolsulfonate,
thereby giving a compound of general formula (I) :
Definitions
Constituents which are optionally substituted as stated herein, may be substituted, unless otherwise noted, one or more times, independently from one another at any possible position. When any variable occurs more than one time in any constituent, each definition is independent. For example, whenever R1 , R2, R4, R5, R6, R7, R8, R9, R10, R11 , V, W, Y and/or Z occur more than one time for any compound of formula (I) each definition of R1 , R2, R3, R4, R5, R6, R7, R8, R9, R10, R11 , V, W, Y and/or Z is independent. As used herein, an oxo substituent represents an oxygen atom, which is bound to a carbon atom or to a sulfur atom via a double bond.
Should a composite substituent be composed of more than one parts, e.g. (C3-C8-cycloalkyl)-(Ci -C3-alkyl)- or phenyl-(C2-C3-alkyl)-, it is possible for the position of a given part to be at any suitable position of said composite substituent, i.e. the C3-C8- cycloalkyl part can be attached to any carbon atom of the Ci-C3-alkyl part of said (C3-C8-cycloalkyl)-(Ci -C3-alkyl)- group, or the phenyl part can be attached to any carbon atom of the C2-C3-alkyl part of said phenyl-(C2-C3-alkyl)- group. A hyphen at the beginning or at the end of such a composite substituent indicates the point of attachment of said composite substituent to the rest of the molecule. Should a ring, comprising carbon atoms and optionally one or more heteroatoms, such as nitrogen,
oxygen or sulfur atoms for example, be substituted with a substituent, it is possible for said substituent to be bound at any suitable position of said ring, be it bound to a suitable carbon atom and/or to a suitable heteroatom.
The term "comprising" when used in the specification includes "consisting of".
If it is referred to "as mentioned above" or "mentioned above" within the description it is referred to any of the disclosures made within the specification in any of the preceding pages.
"suitable" within the sense of the invention means chemically possible to be made by methods within the knowledge of a skilled person.
The terms as mentioned in the present text have preferably the following meanings :
The term "halogen atom", "halo-" or "Hal-" is to be understood as meaning a fluorine, chlorine, bromine or iodine atom.
The term "Ci -C8-alkyl" is to be understood as meaning a linear or branched, saturated, monovalent hydrocarbon group having 1 , 2, 3, 4, 5, 6, 7 or 8 carbon atoms, e.g. a methyl, ethyl, propyl, butyl, pentyl, hexyl, heptyl, octyl, iso-propyl, iso-butyl, sec-butyl, tert-butyl, iso-pentyl, 2-methylbutyl, 1 -methylbutyl, 1 -ethylpropyl, 1 ,2-dimethylpropyl, neo-pentyl, 1 ,1 -dimethylpropyl, 4-methylpentyl, 3-methylpentyl, 2-methylpentyl, 1 - methylpentyl, 2-ethylbutyl, 1 -ethylbutyl, 3,3-dimethylbutyl, 2,2-dimethylbutyl, 1 ,1 - dimethylbutyl, 2,3-dimethylbutyl, 1 ,3-dimethylbutyl, or 1 ,2-dimethylbutyl group, or an isomer thereof. Particularly, said group has 1 , 2, 3, 4, 5 or 6 carbon atoms ("Ci -C6- alkyl"), e.g. a methyl, ethyl, propyl, butyl, iso-propyl, iso-butyl, sec-butyl, tert-butyl, iso- pentyl, 2-methylbutyl, 1 -methylbutyl, 1 -ethylpropyl, 1 ,2-dimethylpropyl, neo-pentyl, 1 ,1 - dimethylpropyl, hexyl group, more particularly, said group has 1 , 2, 3, 4 or 5 carbon atoms ("Ci -C5-alkyl"), e.g. a methyl, ethyl, propyl, butyl, iso-propyl, iso-butyl, sec-butyl, tert-butyl, iso-pentyl, 2-methylbutyl, 1 -methylbutyl, 1 -ethylpropyl, 1 ,2-dimethylpropyl, neo-pentyl, 1 ,1 -dimethylpropyl group, more particularly 1 , 2 or 3 carbon atoms ("C1 -C3- alkyl"), e.g. a methyl, ethyl, n-propyl- or iso-propyl group"), even more particularly 1 or 2 carbon atoms ("Ci -C2-alkyl").
The term "Ci-C6-haloalkyl" is to be understood as meaning a linear or branched, saturated, monovalent hydrocarbon group in which the term "Ci-Ce-alkyl" is defined supra, and in which one or more hydrogen atoms is replaced by a halogen atom, in identically or differently, i.e. one halogen atom being independent from another. Particularly, said halogen atom is F. Said Ci-C6-haloalkyl group is, for example, -CF3, - CHF2, -CH2F, -CF2CF3, -CH2CH2F, -CH2CHF2, -CH2CF3, -CH2CH2CF3, or -CH(CH2F)2. Particularly, said group has 1 , 2, 3 or 4 carbon atoms ("Ci-C4-haloalkyl"), more particularly 1 , 2 or 3 carbon atoms ("Ci-C3-haloalkyl"), even more particularly 1 or 2 carbon atoms ("Ci-C2-haloalkyl").
The term "Ci -Ce-alkoxy" is to be understood as meaning a linear or branched, saturated, monovalent, hydrocarbon group of formula -O-alkyl, in which the term "alkyl" is defined supra, e.g. a methoxy, ethoxy, n-propoxy, iso-propoxy, n-butoxy, iso-butoxy, tert-butoxy, sec-butoxy, pentoxy, iso-pentoxy, or n-hexoxy group, or an isomer thereof. Particularly, said group has 1 , 2, 3 or 4 carbon atoms ("Ci-C4-alkoxy"), more particularly 1 , 2 or 3 carbon atoms ("Ci-C3-alkoxy").
The term "Ci-C6-haloalkoxy" is to be understood as meaning a linear or branched, saturated, monovalent Ci -Ce-alkoxy group, as defined supra, in which one or more of the hydrogen atoms is replaced, in identically or differently, by a halogen atom. Particularly, said halogen atom is F. Said Ci-Ce-haloalkoxy group is, for example, - OCF3, -OCHF2, -OCH2F, -OCF2CF3, or -OCH2CF3. Particularly, said group has 1 , 2, 3 or 4 carbon atoms ("Ci -C4-haloalkoxy"), more particularly 1 , 2 or 3 carbon atoms ("C1-C3- haloalkoxy").
The term "Ci-Ce-hydroxyalkyI" is to be understood as preferably meaning a linear or branched, saturated, monovalent hydrocarbon group in which the term "Ci -Ce-alkyl" is defined supra, and in which one or more hydrogen atoms is replaced by a hydroxy group, e.g. a hydroxymethyl, 1 -hydroxyethyl, 2-hydroxyethyl, 1 ,2-dihydroxyethyl, 3- hydroxypropyl, 2-hydroxypropyl, 2,3-dihydroxypropyl, 1 ,3-dihydroxypropan-2-yl, 3- hydroxy-2-methyl-propyl, 2-hydroxy-2-methyl-propyl, 1 -hydroxy-2-methyl-propyl group. Particularly, said group has 1 , 2, 3 or 4 carbon atoms ("Ci -C4-hydroxyalkyl"), more particularly 1 , 2 or 3 carbon atoms ("Ci -C3-hydroxyalkyl").
The term "C3-C8-cycloalkyl" is to be understood as meaning a saturated, monovalent, monocyclic hydrocarbon ring which contains 3, 4, 5, 6, 7 or 8 carbon atoms ("C3-C8-
cycloalkyl"). Said C3-C8-cycloalkyl group is for example, a monocyclic hydrocarbon ring, e.g. a cyclopropyl, cyclobutyl, cyclopentyl, cyclohexyl, cycloheptyl or cyclooctyl ring. Particularly said group has 3, 4, 5, 6 or 7 carbon atoms ("C3-C7-cycloalkyl"). Particularly said group has 3, 4, 5 or 6 carbon atoms ("C3-C6-cycloalkyl"). Particularly, said group has 3 or 4 carbon atoms ("C3-C4-cycloalkyl").
The term "C3-C6-cycloalkoxy" means a saturated, monovalent, monocyclic group of formula (C3-C6-cycloalkyl)-0-, which contains 3, 4, 5 or 6 carbon atoms, in which the term "Cs-Ce-cycloalkyl" is defined supra, e.g. a cyclopropyloxy, cyclobutyloxy, cyclopentyloxy or cyclohexyloxy group.
The term "C3-C8-alkenyl" means a linear or branched, monovalent hydrocarbon group, which contains one double bond, and which has 3, 4, 5, 6, 7 or 8 carbon atoms, particularly 3, 4, 5 or 6 carbon atoms ("C3-C6-alkenyl"), more particularly 3, 4 or 5 carbon atoms ("Cs-Cs-alkenyl"). Said alkenyl group is, for example a prop-2-en-1 -yl (or "allyl"), prop-1 -en-1 -yl, but-3-enyl, but-2-enyl, but-1 -enyl, pent-4-enyl, pent-3-enyl, pent-2-enyl, pent-1 -enyl, hex-5-enyl, hex-4-enyl, hex-3-enyl, hex-2-enyl, hex-1 -enyl, prop-1 -en-2-yl (or "isopropenyl"), 2-methylprop-2-enyl, 1 -methylprop-2-enyl,
2- methylprop-1 -enyl, 1 -methylprop-1 -enyl, 3-methylbut-3-enyl, 2-methylbut-3-enyl,
1 - methylbut-3-enyl, 3-methylbut-2-enyl, 2-methylbut-2-enyl, 1 -methylbut-2-enyl,
3- methylbut-1 -enyl, 2-methylbut-1 -enyl, 1 -methylbut-1 -enyl, 1 ,1 -dimethylprop-2-enyl, 1 -ethylprop-1 -enyl, 1 -propylvinyl, 1 -isopropylvinyl, 4-methylpent-4-enyl, 3-methylpent-4-enyl, 2-methylpent-4-enyl, 1 -methylpent-4-enyl, 4-methylpent-3-enyl, 3-methylpent-3-enyl, 2-methylpent-3-enyl, 1 -methylpent-3-enyl, 4-methylpent-2-enyl, 3-methylpent-2-enyl, 2-methylpent-2-enyl, 1 -methylpent-2-enyl, 4-methylpent-1 -enyl, 3-methylpent-1 -enyl, 2-methylpent-1 -enyl, 1 -methylpent-1 -enyl, 3-ethylbut-3-enyl,
2- ethylbut-3-enyl, 1 -ethylbut-3-enyl, 3-ethylbut-2-enyl, 2-ethylbut-2-enyl, 1 -ethylbut-2-enyl, 3-ethylbut-1 -enyl, 2-ethylbut-1 -enyl, 1 -ethylbut-1 -enyl, 2-propylprop-2-enyl, 1 -propylprop-2-enyl, 2-isopropylprop-2-enyl, 1 -isopropylprop-2-enyl, 2-propylprop-1 -enyl, 1 -propylprop-1 -enyl, 2-isopropylprop-1 -enyl, 1 -isopropylprop-1 -enyl, 3,3-dimethylprop-1 -enyl, 1 -(1 ,1 -dimethylethyl)ethenyl, heptenyl or octenyl group.
The term "C3-C8-alkynyl" means a linear or branched, monovalent hydrocarbon group which contains one triple bond, and which contains 3, 4, 5, 6, 7 or 8 carbon atoms, particularly 3, 4, 5 or 6 carbon atoms ("C3-C6-alkinyl"). Said C3-C8-alkynyl group is, for
example, prop-1 -ynyl, prop-2-ynyl (or "propargyl"), but-1 -ynyl, but-2-ynyl, but-3-ynyl, pent-1 -ynyl, pent-2-ynyl, pent-3-ynyl, pent-4-ynyl, hex-1 -ynyl, hex-2-ynyl, hex-3-ynyl, hex-4-ynyl, hex-5-ynyl, 1 -methylprop-2-ynyl, 2-methylbut-3-ynyl, 1 -methylbut-3-ynyl,
1 - methylbut-2-ynyl, 3-methylbut-1 -ynyl, 1 -ethylprop-2-ynyl, 3-methylpent-4-ynyl,
2- methylpent-4-ynyl, 1 -methylpent-4-ynyl, 2-methylpent-3-ynyl, 1 -methylpent-3-ynyl, 4-methylpent-2-ynyl, 1 -methylpent-2-ynyl, 4-methylpent-1 -ynyl, 3-methylpent-1 -ynyl, 2-ethylbut-3-ynyl, 1 -ethylbut-3-ynyl, 1 -ethylbut-2-ynyl, 1 -propylprop-2-ynyl, 1 -isopropylprop-2-ynyl, 2,2-dimethylbut-3-ynyl, 1 ,1 -dimethylbut-3-ynyl, 1 ,1 -dimethylbut-2-ynyl, 3,3-dimethylbut-1 -ynyl, heptinyl or octinyl group.
The terms "4- to 7-membered heterocycloalkyl" and "4- to 6-membered heterocycloalkyl" mean a monocyclic, saturated heterocycle with 4, 5, 6 or 7 or, respectively, 4, 5 or 6 ring atoms in total, which contains one or two identical or different ring heteroatoms from the series N, O and S, it being possible for said heterocycloalkyl group to be attached to the rest of the molecule via any one of the carbon atoms or, if present, a nitrogen atom.
Said heterocycloalkyl group, without being limited thereto, can be a 4-membered ring, such as azetidinyl, oxetanyl or thietanyl, for example; or a 5-membered ring, such as tetrahydrofuranyl, 1 ,3-dioxolanyl, thiolanyl, pyrrolidinyl, imidazolidinyl, pyrazolidinyl,
1 .1 - dioxidothiolanyl, 1 ,2-oxazolidinyl, 1 ,3-oxazolidinyl or 1 ,3-thiazolidinyl, for example; or a 6-membered ring, such as tetrahydropyranyl, tetrahydrothiopyranyl, piperidinyl, morpholinyl, dithianyl, thiomorpholinyl, piperazinyl, 1 ,3-dioxanyl, 1 ,4-dioxanyl or
1 .2- oxazinanyl, for example, or a 7-membered ring, such as azepanyl, 1 ,4-diazepanyl or 1 ,4-oxazepanyl, for example.
Particularly, "4- or 5-membered heterocycloalkyl" means a monocyclic, saturated heterocycle with 4 or 5 ring atoms in total, containing one ring nitrogen atom or one ring oxygen atom.
The term "Ci-Ce", as used in the present text, e.g. in the context of the definition of "Ci-Ce-alkyl", "Ci-C6-haloalkyl", "Ci-C6-hydroxyalkyl", "Ci -C6-alkoxy" or "Ci-C6- haloalkoxy" means a group having a finite number of carbon atoms of 1 to 6, i.e. 1 , 2, 3, 4, 5 or 6 carbon atoms.
Further, as used herein, the term "C3-C8", as used in the present text, e.g. in the context of the definition of "C3-C8-cycloalkyl", means a cycloalkyl group having a finite number of carbon atoms of 3 to 8, i.e. 3, 4, 5, 6, 7 or 8 carbon atoms.
When a range of values is given, said range encompasses each value and sub-range within said range.
For example:
"Ci -Cs" encompasses Ci , C2, C3, C4, C5, Ce, C7, Cs, Ci -Cs, C1 -C7, C1 -C6, C1 -C5, C1 -C4,
C1 -C3, C1 -C2, C2-C8, C2-C7, C2-C6, C2-C5, C2-C4, C2-C3, C3-C8, C3-C7, C3-C6, C3-C5, C3-
C4, C4-C8, C4-C7, C4-C6, C4-C5, Cs-Cs, C5-C7, C5-C6, Ce-Cs, and C6-C7;
"C1 -C6" encompasses Ci , C2, C3, C4, C5, Οβ, Ci -C6, C1 -C5, C1 -C4, C1 -C3, C1 -C2, C2-C6,
C2-C5, C2-C4, C2-C3, C3-C6, C3-C5, C3-C4, C4-C6, C4-C5, and C5-C6;
"C1 -C3" encompasses Ci , C2, C3, C1 -C3, C1 -C2 and C2-C3 ;
"C2-C6" encompasses C2, C3, C4, C5, Οβ, C2-C6, C2-C5, C2-C4, C2-C3, C3-C6, C3-C5, C3-C4, C4-C6, C4-C5, and C5-C6;
"Cs-Cs" encompasses C3, C4, C5, Ce, C7, Cs, C3-C8, C3-C7, C3-C6, C3-C5, C3-C4, C4-C8, C4-C7, C4-C6, C4-C5, Cs-Cs, C5-C7, C5-C6, Ce-Cs, C6-C7 and C7-C8;
"C4-C8" encompasses C4, C5, Οβ, C7, Cs, C4-C8, C4-C7, C4-C6, C4-C5, Cs-Cs, C5-C7, C5-C6, Ce-Cs, C6-C7 and C7-C8;
"C4-C7" encompasses C4, C5, C6, C7, C4-C7, C4-C6, C4-C5, C5-C7, C5-C6 and C6-C7;
"C4-C6" encompasses C4, C5, Ce, C4-C6, C4-C5 and C5-C6 ;
"C3-C6" encompasses C3, C4, C5, C6, C3-C6, C3-C5, C3-C4, C4-C6, C4-C5, and C5-C6.
As used herein, the term "leaving group" means an atom or a group of atoms that is displaced in a chemical reaction as stable species taking with it the bonding electrons. In particular, such a leaving group is selected from the group comprising: halide, in particular fluoride, chloride, bromide or iodide, (methylsulfonyl)oxy, [(trifluoromethyl)sulfonyl]oxy, [(nonafluorobutyl)sulfonyl]oxy, (phenylsulfonyl)oxy, [(4-methylphenyl)sulfonyl]oxy, [(4-bromophenyl)sulfonyl]oxy, [(4-nitrophenyl)sulfonyl]- oxy, [(2-nitrophenyl)sulfonyl]oxy, [(4-isopropylphenyl)sulfonyl]oxy, [(2,4,6-triisopropyl- phenyl)sulfonyl]oxy, [(2,4,6-trimethylphenyl)sulfonyl]oxy, [(4-ferf-butylphenyl)sulfonyl]- oxy and [(4-methoxyphenyl)sulfonyl]oxy.
The term "substituted" means that one or more hydrogens on the designated atom is replaced with a selection from the indicated group, provided that the designated atom's normal valency under the existing circumstances is not exceeded, and that the substitution results in a stable compound. Combinations of substituents and/or variables are permissible only if such combinations result in stable compounds.
The term "optionally substituted" means optional substitution with the specified groups, radicals or moieties.
As used herein, the term "one or more", e.g. in the definition of the substituents of the compounds of the general formulae of the present invention, is understood as meaning "one, two, three, four or five, particularly one, two, three or four, more particularly one, two or three, even more particularly one or two".
It is possible for the compounds of general formula (I) to exist as isotopic variants. The invention therefore includes one or more isotopic variant(s) of the compounds of general formula (I), particularly deuterium-containing compounds of general formula (I). The term "Isotopic variant" of a compound or a reagent is defined as a compound exhibiting an unnatural proportion of one or more of the isotopes that constitute such a compound.
The term "Isotopic variant of the compound of general formula (I)" is defined as a compound of general formula (I) exhibiting an unnatural proportion of one or more of the isotopes that constitute such a compound.
The expression "unnatural proportion" means a proportion of such isotope which is higher than its natural abundance. The natural abundances of isotopes to be applied in this context are described in "Isotopic Compositions of the Elements 1997", Pure Appl. Chem., 70(1 ), 217-235, 1998.
Examples of such isotopes include stable and radioactive isotopes of hydrogen, carbon, nitrogen, oxygen, phosphorus, sulfur, fluorine, chlorine, bromine and iodine, such as 2H (deuterium), 3H (tritium), 11C, 13C, 14C, 15N, 170, 180, 32P, 33P, 33S, 34S, 35S, 36S, 18F, 6CI, 82Br, 123l, 124l, 125l, 129l and 1311, respectively.
With respect to the treatment and/or prophylaxis of the disorders specified herein the isotopic variant(s) of the compounds of general formula (I) preferably contain deuterium ("deuterium-containing compounds of general formula (I)"). Isotopic variants of the compounds of general formula (I) in which one or more radioactive isotopes, such as 3H or 14C, are incorporated are useful e.g. in drug and/or substrate tissue distribution studies. These isotopes are particularly preferred for the ease of their incorporation and detectability. Positron emitting isotopes such as 18F or 11C may be incorporated into a compound of general formula (I). These isotopic variants of the compounds of general formula (I) are useful for in vivo imaging applications. Deuterium-containing and 13C-
containing compounds of general formula (I) can be used in mass spectrometry analyses in the context of preclinical or clinical studies.
Isotopic variants of the compounds of general formula (I) can generally be prepared by methods known to a person skilled in the art, such as those described in the schemes and/or examples herein, by substituting a reagent for an isotopic variant of said reagent, preferably for a deuterium-containing reagent. Depending on the desired sites of deuteration, in some cases deuterium from D20 can be incorporated either directly into the compounds or into reagents that are useful for synthesizing such compounds. Deuterium gas is also a useful reagent for incorporating deuterium into molecules. Catalytic deuteration of olefinic bonds and acetylenic bonds is a rapid route for incorporation of deuterium. Metal catalysts (i.e. Pd, Pt, and Rh) in the presence of deuterium gas can be used to directly exchange deuterium for hydrogen in functional groups containing hydrocarbons. A variety of deuterated reagents and synthetic building blocks are commercially available from companies such as for example C/D/N Isotopes, Quebec, Canada; Cambridge Isotope Laboratories Inc., Andover, MA, USA; and CombiPhos Catalysts, Inc., Princeton, NJ, USA.
The term "deuterium-containing compound of general formula (I)" is defined as a compound of general formula (I), in which one or more hydrogen atom(s) is/are replaced by one or more deuterium atom(s) and in which the abundance of deuterium at each deuterated position of the compound of general formula (I) is higher than the natural abundance of deuterium, which is about 0.015%. Particularly, in a deuterium- containing compound of general formula (I) the abundance of deuterium at each deuterated position of the compound of general formula (I) is higher than 10%, 20%, 30%, 40%, 50%, 60%, 70% or 80%, preferably higher than 90%, 95%, 96% or 97%, even more preferably higher than 98% or 99% at said position(s). It is understood that the abundance of deuterium at each deuterated position is independent of the abundance of deuterium at other deuterated position(s).
The selective incorporation of one or more deuterium atom(s) into a compound of general formula (I) may alter the physicochemical properties (such as for example acidity [C. L. Perrin, et al., J. Am. Chem. Soc, 2007, 129, 4490], basicity [C. L. Perrin et al., J. Am. Chem. Soc, 2005, 127, 9641 ], lipophilicity [B. Testa et al., Int. J. Pharm., 1984, 19(3), 271 ]) and/or the metabolic profile of the molecule and may result in changes in the ratio of parent compound to metabolites or in the amounts of metabolites formed. Such changes may result in certain therapeutic advantages and hence may be preferred in some circumstances. Reduced rates of metabolism and metabolic
switching, where the ratio of metabolites is changed, have been reported (A. E. Mutlib et al., Toxicol. Appl. Pharmacol., 2000, 169, 102). These changes in the exposure to parent drug and metabolites can have important consequences with respect to the pharmacodynamics, tolerability and efficacy of a deuterium-containing compound of general formula (I). In some cases deuterium substitution reduces or eliminates the formation of an undesired or toxic metabolite and enhances the formation of a desired metabolite (e.g. Nevirapine: A. M. Sharma et al., Chem. Res. Toxicol., 2013, 26, 410; Efavirenz: A. E. Mutlib et al., Toxicol. Appl. Pharmacol., 2000, 169, 102). In other cases the major effect of deuteration is to reduce the rate of systemic clearance. As a result, the biological half-life of the compound is increased. The potential clinical benefits would include the ability to maintain similar systemic exposure with decreased peak levels and increased trough levels. This could result in lower side effects and enhanced efficacy, depending on the particular compound's pharmacokinetic/ pharmacodynamic relationship. ML-337 (C. J. Wenthur et al., J. Med. Chem., 2013, 56, 5208) and Odanacatib (K. Kassahun et al., WO2012/1 12363) are examples for this deuterium effect. Still other cases have been reported in which reduced rates of metabolism result in an increase in exposure of the drug without changing the rate of systemic clearance (e.g. Rofecoxib: F. Schneider et al., Arzneim. Forsch. / Drug. Res., 2006, 56, 295; Telaprevir: F. Maltais et al., J. Med. Chem., 2009, 52, 7993). Deuterated drugs showing this effect may have reduced dosing requirements (e.g. lower number of doses or lower dosage to achieve the desired effect) and/or may produce lower metabolite loads.
A compound of general formula (I) may have multiple potential sites of attack for metabolism. To optimize the above-described effects on physicochemical properties and metabolic profile, deuterium-containing compounds of general formula (I) having a certain pattern of one or more deuterium-hydrogen exchange(s) can be selected. Particularly, the deuterium atom(s) of deuterium-containing compound(s) of general formula (I) is/are attached to a carbon atom and/or is/are located at those positions of the compound of general formula (I), which are sites of attack for metabolizing enzymes such as e.g. cytochrome P4so.
In another embodiment the present invention concerns a deuterium-containing compound of general formula (I) having 1 , 2, 3 or 4 deuterium atoms, particularly with 1 , 2 or 3 deuterium atoms.
Where the plural form of the word compounds, salts, polymorphs, hydrates, solvates and the like, is used herein, this is taken to mean also a single compound, salt, polymorph, isomer, hydrate, solvate or the like.
By "stable compound' or "stable structure" is meant a compound that is sufficiently robust to survive isolation to a useful degree of purity from a reaction mixture, and formulation into an efficacious therapeutic agent.
The compounds of the present invention optionally contain one or more asymmetric centres, depending upon the location and nature of the various substituents desired. It is possible that one or more asymmetric carbon atoms are present in the (R) or (S) configuration, which can result in racemic mixtures in the case of a single asymmetric centre, and in diastereomeric mixtures in the case of multiple asymmetric centres. In certain instances, it is possible that asymmetry also be present due to restricted rotation about a given bond, for example, the central bond adjoining two substituted aromatic rings of the specified compounds.
Preferred compounds are those which produce the more desirable biological activity. Separated, pure or partially purified isomers and stereoisomers or racemic or diastereomeric mixtures of the compounds of this invention are also included within the scope of the present invention. The purification and the separation of such materials can be accomplished by standard techniques known in the art.
The optical isomers can be obtained by resolution of the racemic mixtures according to conventional processes, for example, by the formation of diastereoisomeric salts using an optically active acid or base or formation of covalent diastereomers. Examples of appropriate acids are tartaric, diacetyltartaric, ditoluoyltartaric and camphorsulfonic acid. Mixtures of diastereoisomers can be separated into their individual diastereomers on the basis of their physical and/or chemical differences by methods known in the art, for example, by chromatography or fractional crystallisation. The optically active bases or acids are then liberated from the separated diastereomeric salts. A different process for separation of optical isomers involves the use of chiral chromatography (e.g., chiral HPLC columns), with or without conventional derivatisation, optimally chosen to maximise the separation of the enantiomers. Suitable chiral HPLC columns are manufactured by Daicel, e.g., Chiracel OD and Chiracel OJ among many others, all routinely selectable. Enzymatic separations, with or without derivatisation, are also
useful. The optically active compounds of this invention can likewise be obtained by chiral syntheses utilizing optically active starting materials.
In order to limit different types of isomers from each other reference is made to lUPAC Rules Section E (Pure Appl Chem 45, 1 1 -30, 1976).
The present invention includes all possible stereoisomers of the compounds of the present invention as single stereoisomers, or as any mixture of said stereoisomers, e.g. R- or S- isomers, or E- or Z-isomers, in any ratio. Isolation of a single stereoisomer, e.g. a single enantiomer or a single diastereomer, of a compound of the present invention is achieved by any suitable state of the art method, such as chromatography, especially chiral chromatography, for example.
Further, the compounds of the present invention may exist as tautomers.
The present invention includes all possible tautomers of the compounds of the present invention as single tautomers, or as any mixture of said tautomers, in any ratio.
Further, the compounds of the present invention can exist as N-oxides, which are defined in that at least one nitrogen of the compounds of the present invention is oxidised. The present invention includes all such possible N-oxides.
The present invention also relates to useful forms of the compounds as disclosed herein, such as metabolites, hydrates, solvates, prodrugs, salts, in particular pharmaceutically acceptable salts, and co-precipitates.
The compounds of the present invention can exist as a hydrate, or as a solvate, wherein the compounds of the present invention contain polar solvents, in particular water, methanol or ethanol for example as structural element of the crystal lattice of the compounds. The amount of polar solvents, in particular water, may exist in a stoichiometric or non-stoichiometric ratio. In the case of stoichiometric solvates, e.g. a hydrate, hemi-, (semi-), mono-, sesqui-, di-, tri- , tetra-, penta- etc. solvates or hydrates, respectively, are possible. The present invention includes all such hydrates or solvates.
Further, the compounds of the present invention can exist in free form, e.g. as a free base, or as a free acid, or as a zwitterion, or can exist in the form of a salt. Said salt
may be any salt, either an organic or inorganic addition salt, particularly any pharmaceutically acceptable organic or inorganic addition salt, customarily used in pharmacy.
The term "pharmaceutically acceptable salt" refers to a relatively non-toxic, inorganic or organic acid addition salt of a compound of the present invention. For example, see S. M. Berge, et al. "Pharmaceutical Salts," J. Pharm. Sci. 1977, 66, 1 -19.
A suitable pharmaceutically acceptable salt of the compounds of the present invention may be, for example, an acid-addition salt of a compound of the present invention bearing a nitrogen atom, in a chain or in a ring, for example, which is sufficiently basic, such as an acid-addition salt with an inorganic acid, such as hydrochloric, hydrobromic, hydroiodic, sulfuric, bisulfuric, phosphoric, or nitric acid, for example, or with an organic acid, such as formic, acetic, acetoacetic, pyruvic, trifluoroacetic, propionic, butyric, hexanoic, heptanoic, undecanoic, lauric, benzoic, salicylic, 2-(4-hydroxybenzoyl)- benzoic, camphoric, cinnamic, cyclopentanepropionic, digluconic, 3-hydroxy-2- naphthoic, nicotinic, pamoic, pectinic, persulfuric, 3-phenylpropionic, picric, pivalic, 2- hydroxyethanesulfonate, itaconic, sulfamic, trifluoromethanesulfonic, dodecylsulfuric, ethansulfonic, benzenesulfonic, para-toluenesulfonic, methansulfonic, 2- naphthalenesulfonic, naphthalinedisulfonic, camphorsulfonic acid, citric, tartaric, stearic, lactic, oxalic, malonic, succinic, malic, adipic, alginic, maleic, fumaric, D-gluconic, mandelic, ascorbic, glucoheptanoic, glycerophosphoric, aspartic, sulfosalicylic, hemisulfuric, or thiocyanic acid, for example.
Further, another suitably pharmaceutically acceptable salt of a compound of the present invention which is sufficiently acidic, is an alkali metal salt, for example a sodium or potassium salt, an alkaline earth metal salt, for example a calcium or magnesium salt, an ammonium salt or a salt with an organic base which affords a physiologically acceptable cation, for example a salt with N-methyl-glucamine, dimethyl-glucamine, ethyl-glucamine, lysine, dicyclohexylamine, 1 ,6-hexadiamine, ethanolamine, glucosamine, sarcosine, serinol, tris-hydroxy-methyl-aminomethane, aminopropandiol, sovak-base, 1 -amino-2,3,4-butantriol. Additionally, basic nitrogen containing groups may be quaternised with such agents as lower alkyl halides such as methyl, ethyl, propyl, and butyl chlorides, bromides and iodides ; dialkyl sulfates like dimethyl, diethyl, and dibutyl sulfate ; and diamyl sulfates, long chain halides such as decyl, lauryl,
myristyl and strearyl chlorides, bromides and iodides, aralkyl halides like benzyl and phenethyl bromides and others.
Those skilled in the art will further recognise that acid addition salts of the claimed compounds may be prepared by reaction of the compounds with the appropriate inorganic or organic acid via any of a number of known methods. Alternatively, alkali and alkaline earth metal salts of acidic compounds of the invention are prepared by reacting the compounds of the invention with the appropriate base via a variety of known methods.
The present invention includes all possible salts of the compounds of the present invention as single salts, or as any mixture of said salts, in any ratio.
In the present text, in particular in the Experimental Section, for the synthesis of intermediates and of examples of the present invention, when a compound is mentioned as a salt form with the corresponding base or acid, the exact stoichiometric composition of said salt form, as obtained by the respective preparation and/or purification process, is, in most cases, unknown.
Unless specified otherwise, suffixes to chemical names or structural formulae such as "hydrochloride", "trifluoroacetate", "sodium salt", or "x HCI", "x CF3COOH", "x Na+", for example, are to be understood as not a stoichiometric specification, but solely as a salt form.
The salts include water-insoluble and, particularly, water-soluble salts.
This applies analogously to cases in which synthesis intermediates or example compounds or salts thereof have been obtained, by the preparation and/or purification processes described, as solvates, such as hydrates with (if defined) unknown stoichiometric composition.
Furthermore, derivatives of the compounds of formula (I) and the salts thereof which are converted into a compound of formula (I) or a salt thereof in a biological system (bioprecursors or pro-drugs) are covered by the invention. Said biological system is e.g. a mammalian organism, particularly a human subject. The bioprecursor is, for example, converted into the compound of formula (I) or a salt thereof by metabolic processes.
As used herein, the term "in vivo hydrolysable ester" is understood as meaning an in vivo hydrolysable ester of a compound of the present invention containing a carboxy or hydroxy group, for example, a pharmaceutically acceptable ester which is hydrolysed in the human or animal body to produce the parent acid or alcohol. Suitable pharmaceutically acceptable esters for carboxy include for example alkyl, cycloalkyl and optionally substituted phenylalkyl, in particular benzyl esters, Ci-C6 alkoxymethyl esters, e.g. methoxymethyl, Ci -Ce alkanoyloxymethyl esters, e.g. pivaloyloxymethyl, phthalidyl esters, C3-C8 cycloalkoxy-carbonyloxy-Ci-C6 alkyl esters, e.g. 1 - cyclohexylcarbonyloxyethyl ; 1 ,3-dioxolen-2-onylmethyl esters, e.g. 5-methyl-1 ,3- dioxolen-2-onylmethyl ; and Ci-C6-alkoxycarbonyloxyethyl esters, e.g. 1 - methoxycarbonyloxyethyl, and may be formed at any carboxy group in the compounds of this invention.
An in vivo hydrolysable ester of a compound of the present invention containing a hydroxy group includes inorganic esters such as phosphate esters and [alpha]- acyloxyalkyl ethers and related compounds which as a result of the in vivo hydrolysis of the ester breakdown to give the parent hydroxy group. Examples of [alpha]-acyloxyalkyl ethers include acetoxymethoxy and 2,2-dimethylpropionyloxymethoxy. A selection of in vivo hydrolysable ester forming groups for hydroxy include alkanoyl, benzoyl, phenylacetyl and substituted benzoyl and phenylacetyl, alkoxycarbonyl (to give alkyl carbonate esters), dialkylcarbamoyi and N-(dialkylaminoethyl)-N-alkylcarbamoyl (to give carbamates), dialkylaminoacetyl and carboxyacetyl. The present invention covers all such esters.
Furthermore, the present invention includes all possible crystalline forms, or polymorphs, of the compounds of the present invention, either as single polymorph, or as a mixture of more than one polymorph, in any ratio.
In the context of the properties of the compounds of the present invention the term "pharmacokinetic profile" means one single parameter or a combination thereof including permeability, bioavailability, exposure, and pharmacodynamic parameters such as duration, or magnitude of pharmacological effect, as measured in a suitable experiment. Compounds with improved pharmacokinetic profiles can, for example, be used in lower doses to achieve the same effect, may achieve a longer duration of action, or a may achieve a combination of both effects.
The term "combination" in the present invention is used as known to persons skilled in the art and may be present as a fixed combination, a non-fixed combination or kit-of- parts.
A "fixed combination" in the present invention is used as known to persons skilled in the art and is defined as a combination wherein the said first active ingredient and the said second active ingredient are present together in one unit dosage or in a single entity. One example of a "fixed combination" is a pharmaceutical composition wherein the said first active ingredient and the said second active ingredient are present in admixture for simultaneous administration, such as in a formulation. Another example of a "fixed combination" is a pharmaceutical combination wherein the said first active ingredient and the said second active ingredient are present in one unit without being in admixture.
A non-fixed combination or "kit-of-parts" in the present invention is used as known to persons skilled in the art and is defined as a combination wherein the said first active ingredient and the said second active ingredient are present in more than one unit. One example of a non-fixed combination or kit-of-parts is a combination wherein the said first active ingredient and the said second active ingredient are present separately. The components of the non-fixed combination or kit-of-parts may be administered separately, sequentially, simultaneously, concurrently or chronologically staggered. Any such combination of a compound of formula (I) of the present invention with an anticancer agent as defined below is an embodiment of the invention.
The term "(chemotherapeutic) anti-cancer agents", includes but is not limited to
131 1-chTNT, abarelix, abiraterone, aclarubicin, adalimumab, ado-trastuzumab emtansine, afatinib, aflibercept, aldesleukin, alectinib, alemtuzumab, alendronic acid, alitretinoin, altretamine, amifostine, aminoglutethimide, hexyl aminolevulinate, amrubicin, amsacrine, anastrozole, ancestim, anethole dithiolethione, anetumab ravtansine, angiotensin II, antithrombin III, aprepitant, arcitumomab, arglabin, arsenic trioxide, asparaginase, atezolizumab, axitinib, azacitidine, basiliximab, belotecan, bendamustine, besilesomab, belinostat, bevacizumab, bexarotene, bicalutamide, bisantrene, bleomycin, blinatumomab, bortezomib, buserelin, bosutinib, brentuximab vedotin, busulfan, cabazitaxel, cabozantinib, calcitonine, calcium folinate, calcium levofolinate, capecitabine, capromab, carbamazepine carboplatin, carboquone, carfilzomib, carmofur, carmustine, catumaxomab, celecoxib, celmoleukin, ceritinib, cetuximab, chlorambucil, chlormadinone, chlormethine, cidofovir, cinacalcet, cisplatin,
cladribine, clodronic acid, clofarabine, cobimetinib, copanlisib , crisantaspase, crizotinib, cyclophosphamide, cyproterone, cytarabine, dacarbazine, dactinomycin, daratumumab, darbepoetin alfa, dabrafenib, dasatinib, daunorubicin, decitabine, degarelix, denileukin diftitox, denosumab, depreotide, deslorelin, dianhydrogalactitol, dexrazoxane, dibrospidium chloride, dianhydrogalactitol, diclofenac, dinutuximab, docetaxel, dolasetron, doxifluridine, doxorubicin, doxorubicin + estrone, dronabinol, eculizumab, edrecolomab, elliptinium acetate, elotuzumab, eltrombopag, endostatin, enocitabine, enzalutamide, epirubicin, epitiostanol, epoetin alfa, epoetin beta, epoetin zeta, eptaplatin, eribulin, erlotinib, esomeprazole, estradiol, estramustine, ethinylestradiol, etoposide, everolimus, exemestane, fadrozole, fentanyl, filgrastim, fluoxymesterone, floxuridine, fludarabine, fluorouracil, flutamide, folinic acid, formestane, fosaprepitant, fotemustine, fulvestrant, gadobutrol, gadoteridol, gadoteric acid meglumine, gadoversetamide, gadoxetic acid, gallium nitrate, ganirelix, gefitinib, gemcitabine, gemtuzumab, Glucarpidase, glutoxim, GM-CSF, goserelin, granisetron, granulocyte colony stimulating factor, histamine dihydrochloride, histrelin, hydroxycarbamide, 1-125 seeds, lansoprazole, ibandronic acid, ibritumomab tiuxetan, ibrutinib, idarubicin, ifosfamide, imatinib, imiquimod, improsulfan, indisetron, incadronic acid, ingenol mebutate, interferon alfa, interferon beta, interferon gamma, iobitridol, iobenguane (1231), iomeprol, ipilimumab, irinotecan, Itraconazole, ixabepilone, ixazomib, lanreotide, lansoprazole, lapatinib, lasocholine, lenalidomide, lenvatinib, lenograstim, lentinan, letrozole, leuprorelin, levamisole, levonorgestrel, levothyroxine sodium, lisuride, lobaplatin, lomustine, lonidamine, masoprocol, medroxyprogesterone, megestrol, melarsoprol, melphalan, mepitiostane, mercaptopurine, mesna, methadone, methotrexate, methoxsalen, methylaminolevulinate, methylprednisolone, methyltestosterone, metirosine, mifamurtide, miltefosine, miriplatin, mitobronitol, mitoguazone, mitolactol, mitomycin, mitotane, mitoxantrone, mogamulizumab, molgramostim, mopidamol, morphine hydrochloride, morphine sulfate, nabilone, nabiximols, nafarelin, naloxone + pentazocine, naltrexone, nartograstim, necitumumab, nedaplatin, nelarabine, neridronic acid, netupitant/palonosetron, nivolumab, pentetreotide, nilotinib, nilutamide, nimorazole, nimotuzumab, nimustine, nintedanib, nitracrine, nivolumab, obinutuzumab, octreotide, ofatumumab, olaparib, olaratumab, omacetaxine mepesuccinate, omeprazole, ondansetron, oprelvekin, orgotein, orilotimod, osimertinib, oxaliplatin, oxycodone, oxymetholone, ozogamicine, p53 gene therapy, paclitaxel, palbociclib, palifermin, palladium-103 seed, palonosetron, pamidronic acid, panitumumab, panobinostat, pantoprazole, pazopanib, pegaspargase, PEG-epoetin beta (methoxy PEG-epoetin beta), pembrolizumab, pegfilgrastim,
peginterferon alfa-2b, pembrolizumab, pemetrexed, pentazocine, pentostatin, peplomycin, Perflubutane, perfosfamide, Pertuzumab, picibanil, pilocarpine, pirarubicin, pixantrone, plerixafor, plicamycin, poliglusam, polyestradiol phosphate, polyvinylpyrrolidone + sodium hyaluronate, polysaccharide-K, pomalidomide, ponatinib, porfimer sodium, pralatrexate, prednimustine, prednisone, procarbazine, procodazole, propranolol, quinagolide, rabeprazole, racotumomab, radium-223 chloride, radotinib, raloxifene, raltitrexed, ramosetron, ramucirumab, ranimustine, rasburicase, razoxane, refametinib , regorafenib, risedronic acid, rhenium-186 etidronate, rituximab, rolapitant, romidepsin, romiplostim, romurtide, roniciclib , rucaparib, samarium (153Sm) lexidronam, sargramostim, satumomab, secretin, siltuximab, sipuleucel-T, sizofiran, sobuzoxane, sodium glycididazole, sonidegib, sorafenib, stanozolol, streptozocin, sunitinib, talaporfin, talimogene laherparepvec, tamibarotene, tamoxifen, tapentadol, tasonermin, teceleukin, technetium (99mTc) nofetumomab merpentan, 99mTc-HYNIC- [Tyr3] -octreotide, tegafur, tegafur + gimeracil + oteracil, temoporfin, temozolomide, temsirolimus, teniposide, testosterone, tetrofosmin, thalidomide, thiotepa, thymalfasin, thyrotropin alfa, tioguanine, tocilizumab, topotecan, toremifene, tositumomab, trabectedin, trametinib, tramadol, trastuzumab, trastuzumab emtansine, treosulfan, tretinoin, trifluridine + tipiracil, trilostane, triptorelin, trametinib, trofosfamide, thrombopoietin, tryptophan, ubenimex, valatinib , valrubicin, vandetanib, vapreotide, vemurafenib, vinblastine, vincristine, vindesine, vinflunine, vinorelbine, vismodegib, vorinostat, vorozole, yttrium-90 glass microspheres, zinostatin, zinostatin stimalamer, zoledronic acid, zorubicin.
It has now been found, and this constitutes the basis of the present invention, that said compounds of the present invention have surprising and advantageous properties.
In particular, said compounds of the present invention have surprisingly been found to effectively inhibit Bub1 kinase and may therefore be used for the treatment or prophylaxis of diseases of uncontrolled cell growth, proliferation and/or survival, inappropriate cellular immune responses, or inappropriate cellular inflammatory responses or diseases which are accompanied with uncontrolled cell growth, proliferation and/or survival, inappropriate cellular immune responses, or inappropriate cellular inflammatory responses, particularly in which the uncontrolled cell growth, proliferation and/or survival, inappropriate cellular immune responses, or inappropriate cellular inflammatory responses is mediated by Bub1 kinase, such as, for example, haematological tumours, solid tumours, and/or metastases thereof, e.g. leukaemias and
myelodysplastic syndrome, malignant lymphomas, head and neck tumours including brain tumours and brain metastases, tumours of the thorax including non-small cell and small cell lung tumours, gastrointestinal tumours, endocrine tumours, mammary and other gynaecological tumours, urological tumours including renal, bladder and prostate tumours, skin tumours, and sarcomas, and/or metastases thereof.
The intermediates used for the synthesis of the compounds of claims 1 -6 as described below, as well as their use for the synthesis of the compounds of claims 1 -6, are one further aspect of the present invention. Preferred intermediates are the Intermediate Examples as disclosed below.
General Procedures
The compounds according to the invention can be prepared according to the following schemes 1 through 6.
The schemes and procedures described below illustrate synthetic routes to the compounds of general formula (I) of the invention and are not intended to be limiting. It is obvious to the person skilled in the art that the order of transformations as exemplified in the Schemes can be modified in various ways. The order of transformations exemplified in the Schemes is therefore not intended to be limiting. In addition, interconversion of any of the substituents, R\ R4, R7, R8, V, W, Y or Z can be achieved before and/or after the exemplified transformations. These modifications can be such as the introduction of protecting groups, cleavage of protecting groups, reduction or oxidation of functional groups, halogenation, metallation, substitution or other reactions known to the person skilled in the art. These transformations include those which introduce a functionality which allows for further interconversion of substituents. Appropriate protecting groups and their introduction and cleavage are well-known to the person skilled in the art (see for example T.W. Greene and P.G.M. Wuts in Protective Groups in Organic Synthesis, 3rd edition, Wiley 1999). Specific examples are described in the subsequent paragraphs.
One route for the preparation of compounds of general formula (I) is described in Scheme 1 .
Scheme 1
Scheme 1 : Route for the preparation of compounds of general formula (I), wherein R1 , R4, R7, R8, V, W, Y and Z have the meaning as given for general formula (I), supra. X1 represents F, CI, Br, I or a sulfonate, e.g. trifluormethylsulfonate or p-toluolsulfonate. X2 represents F, CI, Br, I, boronic acid or a boronic acid ester, such as for example 4,4,5,5- tetramethyl-2-phenyl-1 ,3,2-dioxaborolane (boronic acid pinacole ester).
In addition, interconversion of any of the substituents R1 , R4, R7, R8, V, W, Y or Z can be achieved before and/or after the exemplified transformations. These modifications can be such as the introduction of protecting groups, cleavage of protecting groups, reduction or oxidation of functional groups, halogenation, metallation, substitution or other reactions known to the person skilled in the art. These transformations include those which introduce a functionality which allows for further interconversion of substituents. Appropriate protecting groups and their introduction and cleavage are
well-known to the person skilled in the art (see for example T.W. Greene and P.G.M. Wuts in Protective Groups in Organic Synthesis, 3rd edition, Wiley 1999). Specific examples are described in the subsequent paragraphs.
Compounds of general formulae (1 -3), (1 -6) and (1 -8) are either commercially available or can be prepared according to procedures available from the public domain, as understandable to the person skilled in the art. Specific examples are described in the subsequent paragraphs.
A suitably substituted 1 H-pyrazole-3-carboxylic acid of the general formula (1 -1 ) can be reacted with methanol or ethanol in the presence of catalytic amounts of a Broensted acid, such as, for example, hydrochloric acid or sulphuric acid, at temperatures ranging from 0Ό to boiling point of the respective alcohol , preferably the reaction is carried out at 85 Ό, to furnish alkyl 1 H-indazole-3-carboxylat e intermediates of general formula (1 -2).
Alkyl 1 H-pyrazole-3-carboxylate Intermediates of the general formula (1 -2) can be converted to intermediates of general formula (1 -4) by reaction with a suitable alkylating agent, such as, for example a substituted alkyl halide (1 -3), in the presence of a suitable base, such as, for example sodium hydride, in a suitable solvent system, such as, for example, DMF, at a temperature between - 20 Ό and boiling point of the respective solvent, preferably the reaction is carried out at 0 Ό.
Intermediates of general formula (1 -4) are treated with the reagent methylchloroaluminiumamide prepared in situ by addition of ammonium chloride to commercially available trimethylaluminium, in a suitable solvent system, such as, for example, toluene, at a temperature between 0Ό and the boiling point of the respective solvent, preferably the reaction is carried out at 80 Ό and are quenched with a suitable solvent system, such as, for example, methanol, to form the desired intermediate of general formula (1 -5).
Intermediates of general formula (1 -5) can be converted to intermediates of general formula (1 -7) by reaction with a suitably substituted 3,3-bis- (dimethylamino)propanenitrile of the general formula (1 -6), such as, for example 3,3- bis(dimethylamino)-2-methoxypropanenitrile, in the presence of a suitable base, such as, for example piperidine, in a suitable solvent system, such as, for example, 3-
methylbutan-1 -ol, in a temperature range from room temperature to the boiling point of the respective solvent, preferably the reaction is carried out at 100Ό.
Intermediates of general formula (1 -7) can be reacted with a suitable six membered heterocycle of the general formula (1 -8), such as, for example 4-bromo-2-methyl- pyridine, in the presence of a suitable base, such as, for example sodium 2- methylpropan-2-olate, and a suitable palladium catalyst, such as for example (1 E,4£)- 1 ,5-diphenylpenta-1 ,4-dien-3-one-palladium, in the presence of a suitable ligand, such as for example 1 '-binaphthalene-2,2'-diylbis(diphenylphosphane), in a suitable solvent system, such as, for example, DMF, in a temperature range from room temperature to the boiling point of the respective solvent, preferably the reaction is carried out at at 100Ό to furnish compounds of general formula (I). Alternatively the following palladium catalysts can be used:
allylpalladium chloride dimmer, dichlorobis(benzonitrile)palladium (II), palladium (II) acetate, palladium (II) chloride, tetrakis(triphenylphosphine)palladium (0), tris(dibenzylideneacetone)dipalladium (0), chloro(2'-amino-1 ,1 '-biphenyl-2- yl)palladium(ll) dimer, (2'-amino-1 ,1 '-biphenyl-2-yl)methanesulfonatopalladium(ll) dimer, trans-di(μ-acetato)bis[o-(di-o-tolylphosphino)benzyl]dipalladium(ll) [cataCXium® C], allylchloro[1 ,3-bis(2,4,6-trimethylphenyl)imidazol-2-ylidene]palladium(ll), allylchloro[1 ,3- bis(2,6-diisopropylphenyl)imidazol-2-ylidene]palladium(ll), chloro[(1 ,3-dimesitylimidazol- [1 ,3-bis(2,4,6-trimethylphenyl)-1 ,3-dihydro-2H-imidazol-2-ylidene](chloro){2- [(dimethylamino)methyl]phenyl}palladium, chloro[(1 ,2,3-N)-3-phenyl-2-propenyl][1 ,3- bis(2,6-di-iso-propylphenyl)imidazol-2-ylidene]palladium(ll), [2-(acetylamino)phenyl]{1 ,3- bis[2,6-di(propan-2-yl)phenyl]-1 ,3-dihydro-2H-imidazol-2-ylidene}chloropalladium, {1 ,3- bis[2,6-di(propan-2-yl)phenyl]-1 ,3-dihydro-2H-imidazol-2-ylidene}(chloro){2- [(dimethylamino)methyl]phenyl} palladium, {1 ,3-bis[2,6-di(propan-2-yl)phenyl]-2,3- dihydro-1 H-imidazol-2-yl}(dichloro)(3-chloropyridine-kappaN)palladium, [1 ,3-bis(2,6- diisopropylphenyl) imidazol-2-ylidene](3-chloropyridyl)palladium(ll) dichloride, [2- (acetylamino)-4-methoxyphenyl]{1 ,3-bis[2,6-di(propan-2-yl)phenyl]-1 ,3-dihydro-2H- imidazol-2-ylidene}chloropalladium, {1 ,3-bis[2,6-di(propan-2-yl)phenyl]-1 ,3-dihydro-2H- imidazol-2-ylidene}(chloro){2-[(dimethylamino)methyl]-3,5-dimethoxyphenyl}palladium, dichloro[1 ,3-bis(2,6-di-3-pentylphenyl)imidazol-2-ylidene](3-chloropyridyl) palladium(ll), dichloro(di^-chloro)bis[1 ,3-bis(2,6-di-iso-propylphenyl) imidazol-2- ylidene]dipalladium(ll), 2-(2'-di-tert-butylphosphine)biphenylpalladium(ll) acetate, chloro[dicyclohexyl(2',6'-dimethoxybiphenyl-2-yl)-lambda5-phosphanyl][2-(phenyl- kappaC2)ethanaminato-kappaN]palladium, [2-(2-aminoethyl)phenyl](chloro)palladium -
di-tert-butyl[2',4',6'-tri(propan-2-yl)biphenyl-2-yl]phosphane, {dicyclohexyl[2',4',6'- tri(propan-2-yl)biphenyl-2-yl]phosphane}{2-[2-(methylazanidyl-kappaN)ethyl]phenyl- kappaC1 }palladium, chloro(2-dicyclohexylphosphino-2\6'-dimethoxy-1 ,1 '-biphenyl)(2'- amino-1 ,1 '-biphenyl-2-yl) palladium(ll), [2',6'-bis(propan-2-yloxy)biphenyl-2- yl](dicyclohexyl)phosphane - [2-(2-aminoethyl)phenyl](chloro)palladium, [2-(2- aminoethyl)phenyl](chloro){dicyclohexyl[2',4',6'-tri(propan-2-yl)biphenyl-2-yl]-lambda5- phosphanylidenejpalladium, 2'-(dicyclohexylphosphanyl)-N,N,N',N'-tetramethylbiphenyl- 2,6-diamine - (2'-aminobiphenyl-2-yl)(chloro)palladium, chloro(2-dicyclohexylphosphino- 2',6'-di-iso-propoxy-1 ,1 '-biphenyl)(2-amino-1 ,1 '-biphenyl-2-yl)palladium(ll), [2'-(azanidyl- kappaN)biphenyl-2-yl-kappaC2](chloro){dicyclohexyl [2',4',6'-tri(propan-2-yl)biphenyl-2- yl]-lambda5-phosphanyl}palladium, (2'-aminobi-phenyl-2-yl)(methanesulfonato- kappaO)palladium - di-tert-butyl[2',4',6'-tri(propan-2-yl)biphenyl-2-yl]phosphane, (2'- aminobiphenyl-2-yl)palladium(1 +) methanesulfonate - di-tert-butyl[2',4',6'-tri(propan-2- yl)biphenyl-2-yl]phosphane, dicyclohexyl[3,6-dimethoxy-2',4',6'-tri(propan-2-yl)biphenyl- 2-yl]phosphane - [2-(2-aminoethyl) phenyl](chloro)palladium, (2'-aminobiphenyl-2- yl)palladium(1 +) methanesulfonate - 2'-(dicyclohexylphosphanyl)-N,N,N',N'- tetramethylbiphenyl-2,6-diamine, sodium 2'-(dicyclohexylphosphanyl)-2,6- dimethoxybiphenyl-3-sulfonate - (2'-aminobiphenyl-2-yl)(chloro)palladium, chloro(2- dicyclohexylphosphino-2',4',6'-tri-iso-propyl-1 ,1 '-biphenyl)[2-(2- aminoethyl)phenyl]palladium(ll), (2'-aminobiphenyl-2-yl)(methane-sulfonato- kappaO)palladium - [2',6'-bis(propan-2-yloxy)biphenyl-2-yl](dicyclohexyl) phosphane, (2'-aminobiphenyl-2-yl)(methanesulfonato-kappaO)palladium - dicyclohexyl[2',4',6'- tri(propan-2-yl)biphenyl-2-yl]phosphane, (2'-aminobiphenyl-2-yl)palladium(1 +) methanesulfonate - dicyclohexyl[2',4',6'-tri(propan-2-yl)biphenyl-2-yl]phosphane, dicyclohexyl[3,6-dimethoxy-2',4',6'-tri(propan-2-yl)biphenyl-2-yl]phosphane - (2'- aminobiphenyl-2-yl)(chloro)palladium, (2'-aminobiphenyl-2-yl)(methanesulfonato- kappaO)palladium - di-tert-butyl[3,6-dimethoxy-2',4',6'-tri(propan-2-yl)biphenyl-2- yljphosphane, (2'-aminobiphenyl-2-yl)(methanesulfonato-kappaO)palladium dicyclohexyl[3,6-dimethoxy-2',4',6'-tri(propan-2-yl)biphenyl-2-yl]phosphane or the following ligands:
racemic-2,2'-bis(diphenylphosphino)-1 ,1 '-binaphthyl, rac-BINAP, 1 ,1 '-bis(diphenyl- phosphino)ferrocene, bis(2-diphenylphosphinophenyl)ether, di-ferf-butylmethylphos- phonium tetrafluoroborate, 2-(di-fert-butylphosphino)biphenyl, tri-fert-butylphosphonium tetrafluoroborate, tri-2-furylphosphine, tris(2,4-di-ferf-butylphenyl)phosphite, tri-o- tolylphosphine, (9,9-dimethyl-9/-/-xanthene-4,5-diyl)bis(diphenylphosphine), dicyclohexyl(2',4',6'-triisopropyl-3,6-dimethoxybiphenyl-2-yl)phosphine, di-tert-butyl
(2',4',6'-triisopropyl-3,6-dimethoxybiphenyl-2-yl)phosphine, di-tert-butyl(2',4',6'-triiso propylbiphenyl-2-yl)phosphine, dicyclohexyl(2',4',6'-triisopropylbiphenyl-2-yl) phosphine, di-tert-butyl(2\4\6'-triisopropyl-3-methoxy-6-methylbiphenyl-2-yl)phos-phine, di-tert- butyl(2',4',6'-triisopropyl-3,4,5,6-tetramethylbiphenyl-2-yl) phosphine, adamantan-1 - yl(adamantan-2-yl)(2',4',6'-triisopropyl-3,6-dimethoxybiphenyl-2-yl) phosphine, dicyclohexyl(2',6'-dimethoxybiphenyl-2-yl)phosphine, dicyclohexyl(2',6'- diisopropoxybiphenyl-2-yl)phosphine, 2'-(dicyclohexylphosphino)-N,N-dimethyl- biphenyl-2-amine, 2'-(di-tert-butylphosphino)-N,N-dimethylbiphenyl-2-amine, 2'-(di- phenylphosphino)-N,N,N',N'-tetramethylbiphenyl-2,6-diamine, di-tert-butyl(2',4',6'- tricyclohexyl-3,6-dimethoxybiphenyl-2-yl)phosphine, bis[3,5-bis(trifluoromethyl)phe-nyl] (2',4',6'-triisopropyl-3,6-dimethoxybiphenyl-2-yl)phosphine, biphenyl-2-yl(di-tert- butyl)phosphine, dicyclohexyl(2'-methylbiphenyl-2-yl)phosphine, biphenyl-2-yl (dicyclohexyl)phosphine, 2'-(dicyclohexylphosphino)-N,N-dimethylbiphenyl-2-amine, 2'- (dicyclohexylphosphino)-N,N,N',N'-tetramethylbiphenyl-2,6-diamine, sodium 2'- (dicyclohexylphosphino)-2,6-diisopropylbiphenyl-4-sulfonate, sodium 2'-
(dicyclohexylphosphino)-2,6-dimethoxybiphenyl-3-sulfonate, 1 , 1 '-binaphthalen-2-yl(di- tert-butyl)phosphine, 1 ,3-bis(2,4,6-trimethylphenyl)-1 ,3-dihydro-2H-imidazol-2-ylidene, 1 ,3-bis[2,6-di(propan-2-yl)phenyl]-1 ,3-dihydro-2H-imidazol-2-ylidene.
Alternatively intermediates of general formula (1 -7) can be reacted with a suitable boronic acid or boronic acid pinacole ester of general formula (1 -8), such as, for example (2-fluoropyridin-4-yl)boronic acid, in the presence of a suitable base, such as, for example triethylamine, a suitable activating agent such as for example N,N- dimethylpyridin-4-amine and a suitable copper salt, such as for example copper (II) acetate, in a suitable solvent system, such as, for example, trichloromethane, in a temperature range from room temperature to the boiling point of the respective solvent, preferably the reaction is carried out at room temperature to furnish compounds of general formula (la).
Alternatively intermediates of general formula (1 -7) can be reacted with a suitable six membered heterocycle of the general formula (1 -8), such as for example 4-fluoro-2- methyl-pyridine, in the presence of a suitable base, such as, for example sodium hydride, in a suitable solvent system, such as, for example DMF, in a temperature range from room temperature to the boiling point of the respective solvent, preferably the reaction is carried out at 90 Ό to furnish com pounds of general formula (I).
Compounds of general formula (1 -5) can be converted into compounds of general formula (I) according to the procedure depicted in Scheme 2. Scheme 2
(I)
Scheme 2: Alternative route for the preparation of compounds of general formula (I), wherein R\ R4, R7, R8, V, W, Y and Z have the meaning as given for general formula (I), X2 represents F, CI, Br, I, boronic acid or a boronic acid ester, such as for example 4,4,5,5-tetramethyl-2-phenyl-1 ,3,2-dioxaborolane (boronic acid pinacole ester).
In addition, interconversion of any of the substituents R1 , R4, R7, R8, V, W, Y and Z can be achieved before and/or after the exemplified transformations. These modifications can be such as the introduction of protecting groups, cleavage of protecting groups, reduction or oxidation of functional groups, halogenation, metallation, substitution or other reactions known to the person skilled in the art. These transformations include those which introduce a functionality which allows for further interconversion of substituents. Appropriate protecting groups and their introduction and cleavage are well-known to the person skilled in the art (see for example T.W. Greene and P.G.M. Wuts in Protective Groups in Organic Synthesis, 3rd edition, Wiley 1999). Specific examples are described in the subsequent para-graphs.
Compound 1 -12 is either commercially available or can be prepared according to procedures available from the public domain, as understandable to the person skilled in the art as referred to below.
Intermediates of general formula (1 -5) can be converted to intermediates of general formula (1 -7) by reaction with a suitably substituted 3-methoxyacrylonitrile of the general formula (1 -12), such as, for example (ethoxymethylene)malononitrile, in the presence of a suitable base, such as, for example sodium methanolate, in a suitable solvent system, such as, for example, methanol, in a temperature range from room temperature to the boiling point of the respective solvent, preferably the reaction is carried out at 65Ό.
Intermediates of general formula (1 -7) can be reacted with a suitable six membered heterocycle of the general formula (1 -8), such as, for example 4-bromo-2-methyl- pyridine, in the presence of a suitable base, such as, for example sodium 2- methylpropan-2-olate, and a suitable palladium catalyst, such as for example (1 E,4£)- 1 ,5-diphenylpenta-1 ,4-dien-3-one-palladium, in the presence of a suitable ligand, such as for example 1 '-binaphthalene-2,2'-diylbis(diphenylphosphane), in a suitable solvent system, such as, for example, DMF, in a temperature range from room temperature to the boiling point of the respective solvent, preferably the reaction is carried out at 100Ό to furnish compounds of general formula (I). Alternatively the following palladium catalysts can be used:
allylpalladium chloride dimmer, dichlorobis(benzonitrile)palladium (II), palladium (II) acetate, palladium (II) chloride, tetrakis(triphenylphosphine)palladium (0), tris(dibenzylideneacetone)dipalladium (0), chloro(2'-amino-1 ,1 '-biphenyl-2- yl)palladium(ll) dimer, (2'-amino-1 ,1 '-biphenyl-2-yl)methanesulfonatopalladium(ll) dimer, trans-di(μ-acetato)bis[o-(di-o-tolylphosphino)benzyl]dipalladium(ll) [cataCXium® C], allylchloro[1 ,3-bis(2,4,6-trimethylphenyl)imidazol-2-ylidene]palladium(ll), allylchloro[1 ,3- bis(2,6-diisopropylphenyl)imidazol-2-ylidene]palladium(ll), chloro[(1 ,3-dimesitylimidazol- [1 ,3-bis(2,4,6-trimethylphenyl)-1 ,3-dihydro-2H-imidazol-2-ylidene](chloro){2- [(dimethylamino)methyl]phenyl}palladium, chloro[(1 ,2,3-N)-3-phenyl-2-propenyl][1 ,3- bis(2,6-di-iso-propylphenyl)imidazol-2-ylidene]palladium(ll), [2-(acetylamino)phenyl]{1 ,3- bis[2,6-di(propan-2-yl)phenyl]-1 ,3-dihydro-2H-imidazol-2-ylidene}chloropalladium, {1 ,3- bis[2,6-di(propan-2-yl)phenyl]-1 ,3-dihydro-2H-imidazol-2-ylidene}(chloro){2- [(dimethylamino)methyl]phenyl} palladium, {1 ,3-bis[2,6-di(propan-2-yl)phenyl]-2,3-
dihydro-1 H-imidazol-2-yl}(dichloro)(3-chloropyridine-kappaN)palladium, [1 ,3-bis(2,6- diisopropylphenyl) imidazol-2-ylidene](3-chloropyridyl)palladium(ll) dichloride, [2- (acetylamino)-4-methoxyphenyl]{1 ,3-bis[2,6-di(propan-2-yl)phenyl]-1 ,3-dihydro-2H- imidazol-2-ylidene}chloropalladium, {1 ,3-bis[2,6-di(propan-2-yl)phenyl]-1 ,3-dihydro-2H- imidazol-2-ylidene}(chloro){2-[(dimethylamino)methyl]-3,5-dimethoxyphenyl}palladium, dichloro[1 ,3-bis(2,6-di-3-pentylphenyl)imidazol-2-ylidene](3-chloropyridyl)palladium(ll), dichloro(di-μ-chloro)bis[1 ,3-bis(2,6-di-iso-propylphenyl)imidazol-2- ylidene]dipalladium(ll), 2-(2'-di-tert-butylphosphine)biphenylpalladium(ll) acetate, chloro[dicyclohexyl(2',6'-dimethoxybiphenyl-2-yl)-lambda5-phosphanyl][2-(phenyl- kappaC2)ethanaminato-kappaN]palladium, [2-(2-aminoethyl)phenyl](chloro)palladium - di-tert-butyl[2',4',6'-tri(propan-2-yl)biphenyl-2-yl]phosphane, {dicyclohexyl[2',4',6'- tri(propan-2-yl)biphenyl-2-yl]phosphane}{2-[2-(methylazanidyl-kappaN)ethyl]phenyl- kappaC1 }palladium, chloro(2-dicyclohexylphosphino-2\6'-dimethoxy-1 ,1 '-biphenyl)(2'- amino-1 ,1 '-biphenyl-2-yl) palladium(ll), [2',6'-bis(propan-2-yloxy)biphenyl-2- yl](dicyclohexyl)phosphane - [2-(2-aminoethyl)phenyl](chloro)palladium, [2-(2- aminoethyl)phenyl](chloro){dicyclohexyl[2',4',6'-tri(propan-2-yl)biphenyl-2-yl]-lambda5- phosphanylidenejpalladium, 2'-(dicyclohexylphosphanyl)-N,N,N',N'-tetramethylbiphenyl- 2,6-diamine - (2'-aminobiphenyl-2-yl)(chloro)palladium, chloro(2-dicyclohexylphosphino- 2',6'-di-iso-propoxy-1 ,1 '-biphenyl)(2-amino-1 ,1 '-biphenyl-2-yl)palladium(ll), [2'-(azanidyl- kappaN)biphenyl-2-yl-kappaC2](chloro){dicyclohexyl[2',4',6'-tri(propan-2-yl)biphenyl-2- yl]-lambda5-phosphanyl}palladium, (2'-aminobiphenyl-2-yl)(methanesulfonato- kappaO)palladium - di-tert-butyl[2',4',6'-tri(propan-2-yl)biphenyl-2-yl]phosphane, (2'- aminobiphenyl-2-yl)palladium(1 +) methanesulfonate - di-tert-butyl[2',4',6'-tri(propan-2- yl)biphenyl-2-yl]phosphane, dicyclohexyl[3,6-dimethoxy-2',4',6'-tri(propan-2-yl)biphenyl- 2-yl]phosphane - [2-(2-aminoethyl)phenyl](chloro)palladium, (2'-aminobiphenyl-2- yl)palladium(1 +) methanesulfonate - 2'-(dicyclohexylphosphanyl)-N,N,N',N'- tetramethylbiphenyl-2,6-diamine, sodium 2'-(dicyclohexylphosphanyl)-2,6- dimethoxybiphenyl-3-sulfonate - (2'-aminobiphenyl-2-yl)(chloro)palladium, chloro(2- dicyclohexylphosphino-2',4',6'-tri-iso-propyl-1 ,1 '-biphenyl)[2-(2- aminoethyl)phenyl]palladium(ll), (2'-aminobiphenyl-2-yl)(methanesulfonato- kappaO)palladium - [2',6'-bis(propan-2-yloxy)biphenyl-2-yl](dicyclohexyl)phosphane, (2'- aminobiphenyl-2-yl)(methanesulfonato-kappaO)palladium - dicyclohexyl[2',4',6'- tri(propan-2-yl)biphenyl-2-yl]phosphane, (2'-aminobiphenyl-2-yl)palladium(1 +) methanesulfonate - dicyclohexyl[2',4',6'-tri(propan-2-yl)biphenyl-2-yl]phosphane, dicyclohexyl[3,6-dimethoxy-2',4',6'-tri(propan-2-yl)biphenyl-2-yl]phosphane - (2'- aminobiphenyl-2-yl)(chloro)palladium, (2'-aminobiphenyl-2-yl)(methanesulfonato-
kappaO)palladium - di-tert-butyl[3,6-dimethoxy-2\4\6'-tri(propan-2-yl)biphenyl-2- yl]phosphane, (2'-aminobiphenyl-2-yl)(methanesulfonato-kappaO)palladium dicyclohexyl[3,6-dimethoxy-2',4',6'-tri(propan-2-yl)biphenyl-2-yl]phosphane or the following ligands:
racemic-2,2'-bis(diphenylphosphino)-1 ,1 '-binaphthyl, rac-BINAP, 1 ,1 '-bis(diphenyl- phosphino)ferrocene, bis(2-diphenylphosphinophenyl)ether, di-ferf-butylmethylphos- phonium tetrafluoroborate, 2-(di-fert-butylphosphino)biphenyl, tri-fert-butylphosphonium tetrafluoroborate, tri-2-furylphosphine, tris(2,4-di-ferf-butylphenyl)phosphite, tri-o- tolylphosphine, (9,9-dimethyl-9/-/-xanthene-4,5-diyl)bis(diphenylphosphine), dicyclohexyl(2',4',6'-triisopropyl-3,6-dimethoxybiphenyl-2-yl)phosphine, di-tert-butyl (2',4',6'-triisopropyl-3,6-dimethoxybiphenyl-2-yl)phosphine, di-tert-butyl(2',4',6'-triiso propylbiphenyl-2-yl)phosphine, dicyclohexyl(2',4',6'-triisopropylbiphenyl-2-yl) phosphine, di-tert-butyl(2',4',6'-triisopropyl-3-methoxy-6-methylbiphenyl-2-yl)phos-phine, di-tert- butyl(2',4',6'-triisopropyl-3,4,5,6-tetramethylbiphenyl-2-yl) phosphine, adamantan-1 - yl(adamantan-2-yl)(2',4',6'-triisopropyl-3,6-dimethoxybiphenyl-2-yl) phosphine, dicyclohexyl(2',6'-dimethoxybiphenyl-2-yl)phosphine, dicyclohexyl(2',6'- diisopropoxybiphenyl-2-yl)phosphine, 2'-(dicyclohexylphosphino)-N,N-dimethyl- biphenyl-2-amine, 2'-(di-tert-butylphosphino)-N,N-dimethylbiphenyl-2-amine, 2'-(di- phenylphosphino)-N,N,N',N'-tetramethylbiphenyl-2,6-diamine, di-tert-butyl(2',4',6'- tricyclohexyl-3,6-dimethoxybiphenyl-2-yl)phosphine, bis[3,5-bis(trifluoromethyl)phe-nyl] (2',4',6'-triisopropyl-3,6-dimethoxybiphenyl-2-yl)phosphine, biphenyl-2-yl(di-tert- butyl)phosphine, dicyclohexyl(2'-methylbiphenyl-2-yl)phosphine, biphenyl-2-yl (dicyclohexyl)phosphine, 2'-(dicyclohexylphosphino)-N,N-dimethylbiphenyl-2-amine, 2'- (dicyclohexylphosphino)-N,N,N',N'-tetramethylbiphenyl-2,6-diamine, sodium 2'- (dicyclohexylphosphino)-2,6-diisopropylbiphenyl-4-sulfonate, sodium 2'-
(dicyclohexylphosphino)-2,6-dimethoxybiphenyl-3-sulfonate, 1 , 1 '-binaphthalen-2-yl(di- tert-butyl)phosphine.
Alternatively intermediates of general formula (1 -7) can be reacted with a suitable boronic acid or boronic acid pinacole ester of general formula (1 -8), such as, for example (2-fluoropyridin-4-yl)boronic acid, in the presence of a suitable base, such as, for example triethylamine, a suitable activating agent such as for example N,N- dimethylpyridin-4-amine and a suitable copper salt, such as for example copper (II) acetate, in a suitable solvent system, such as, for example, trichloromethane, in a temperature range from room temperature to the boiling point of the respective solvent,
preferably the reaction is carried out at room temperature to furnish compounds of general formula (I).
Alternatively intermediates of general formula (1 -7) can be reacted with a suitable six membered heterocycle of the general formula (1 -8), such as for example 4-fluoro-2- methyl-pyridine, in the presence of a suitable base, such as, for example sodium hydride, in a suitable solvent system, such as, for example, DMF, in a temperature range from room temperature to the boiling point of the respective solvent, preferably the reaction is carried out at 90 Ό to furnish com pounds of general formula (I).
Compounds of general formula (1 -4) can be converted into compounds of general formula (1 -5) according to the procedure depicted in Scheme 3.
Scheme 3
1-14 1-5
Scheme 3: Route for the preparation of compounds of general formula (1 -5).
Intermediates of general formula (1 -4) can be converted to intermediates of general formula (1 -13) by reaction with ammonia, in a suitable solvent system, such as, for example, methanol, at a temperature between 0 Ό an d boiling point of the respective solvent, preferably the reaction is carried out at 50 "C, at a pressure between 1 and 10 bar, preferably the reaction is carried in a sealed vessel.
Intermediates of general formula (1 -13) are treated with triflic anhydride, in a suitable solvent system, such as, for example, tetrahydrofuran, in the presence of a suitable base, such as, for example, pyridine, at a temperature between 0Ό and the boiling point of the respective solvent, preferably the reaction is carried out at room temperature, to form the desired intermediate of general formula (1 -14).
Intermediates of general formula (1 -14) can be converted to intermediates of general formula (1 -5) by reaction with a suitable alcoholate, such as, for example sodium methanolate, in a suitable solvent system, such as, for example, the corresponding alcohol, e.g. methanol, at a temperature between room temperature and the boiling point of the respective solvent, preferably the reaction is carried out at room temperature, and subsequent treatment with a suitable source of ammonium, such as for example, ammonium chloride in the presence of a suitable acid, such as for example acetic acid in a temperature range from room temperature to the boiling point of the respective solvent, preferably the reaction is carried out at 50Ό.
An alternative route for the preparation of compounds of general formula (I) is described in Scheme 4.
Scheme 4
Scheme 4: Route for the preparation of compounds of general formula (la), wherein R1 , R4, R7, R8, V, W, Y and Z have the meaning as given for general formula (I), supra, X1 represents F, CI, Br, I or a sulfonate, e.g. trifluormethylsulfonate or p-toluolsulfonate, and X2 represents F, CI, Br, I, boronic acid or a boronic acid ester, such as for example 4,4,5,5-tetramethyl-2-phenyl-1 ,3,2-dioxaborolane (boronic acid pinacole ester).
In addition, interconversion of any of the substituents R1 , R4, R7, R8, V, W, Y or Z can be achieved before and/or after the exemplified transformations. These modifications can
be such as the introduction of protecting groups, cleavage of protecting groups, reduction or oxidation of functional groups, halogenation, metallation, substitution or other reactions known to the person skilled in the art. These transformations include those which introduce a functionality which allows for further interconversion of substituents. Appropriate protecting groups and their introduction and cleavage are well-known to the person skilled in the art (see for example T.W. Greene and P.G.M. Wuts in Protective Groups in Organic Synthesis, 3rd edition, Wiley 1999). Specific examples are described in the subsequent paragraphs.
Compounds 1 -3, 1 -6, 1 -8 and 1 -15 are either commercially available or can be prepared according to procedures available from the public domain, as understandable to the person skilled in the art. Specific examples are described in the subsequent paragraphs.
A suitably substituted 1 H-pyrazole-3-carboxylic acid of the general formula (1 -1 ) can be reacted with methanol or ethanol in the presence of catalytic amounts of a Broensted acid, such as, for example, hydrochloric acid or sulphuric acid, at temperatures ranging from 0Ό to boiling point of the respective alcohol , preferably the reaction is carried out at 85 Ό, to furnish alkyl 1 H-pyrazole-3-carboxylat e intermediates of general formula (1 -2).
Alkyl 1 H-pyrazole-3-carboxylate Intermediates of the general formula (1 -2) can be converted to intermediates of general formula (1 -16) by reaction with a suitable alkylating agent, such as, for example a substituted benzyl halide (1 -15), in the presence of a suitable base, such as, for example sodium hydride, in a suitable solvent system, such as, for example, DMF, at a temperature between - 20 Ό and boiling point of the respective solvent, preferably the reaction is carried out at 0 Ό.
Intermediates of general formula (1 -16) are treated with the reagent methylchloroaluminiumamide prepared in situ by addition of ammonium chloride to commercially available trimethylaluminium, in a suitable solvent system, such as, for example, toluene, at a temperature between 0Ό and the boiling point of the respective solvent, preferably the reaction is carried out at 80 Ό and are quenched with a suitable solvent system, such as, for example, methanol, to form the desired intermediate of general formula(1 -17).
Intermediates of general formula (1 -17) can be converted to intermediates of general formula (1 -18) by reaction with a suitably substituted 3,3-bis- (dimethylamino)propanenitrile of the general formula (1 -6), such as, for example 3,3- bis(dimethylamino)-2-methoxypropanenitrile, in the presence of a suitable base, such as, for example piperidine, in a suitable solvent system, such as, for example, 3- methylbutan-1 -ol, in a temperature range from room temperature to the boiling point of the respective solvent, preferably the reaction is carried out at 100Ό.
Intermediates of general formula (1 -18) can be converted to intermediates of general formula (1 -19) by reaction with a suitably Broensted acid, such as, for example methanesulfonic acid and trifluoroacetic acid, in a suitable solvent system, such as, for example, dichloromethane, in a temperature range from room temperature to the boiling point of the respective solvent, preferably the reaction is carried out at room temperature.
Intermediates of the general formula (1 -19) can be converted to intermediates of general formula (1 -7) by reaction with a suitable alkylating agent, such as, for example a substituted benzyl halide (1 -3), in the presence of a suitable base, such as, for example sodium hydride, in a suitable solvent system, such as, for example, DMF, at a temperature between - 20 Ό and boiling point of th e respective solvent, preferably the reaction is carried out at 0 Ό.
Intermediates of general formula (1 -7) can be reacted with a suitable six membered heterocycle of the general formula (1 -8), such as, for example 4-bromo-2-methyl- pyridine, in the presence of a suitable base, such as, for example sodium 2- methylpropan-2-olate, and a suitable palladium catalyst, such as for example (1 E,4£)- 1 ,5-diphenylpenta-1 ,4-dien-3-one-palladium, in the presence of a suitable ligand, such as for example 1 '-binaphthalene-2,2'-diylbis(diphenylphosphane), in a suitable solvent system, such as, for example, DMF, in a temperature range from room temperature to the boiling point of the respective solvent, preferably the reaction is carried out at at 100Ό to furnish compounds of general formula (I). Alternatively the following palladium catalysts can be used:
allylpalladium chloride dimmer, dichlorobis(benzonitrile)palladium (II), palladium (II) acetate, palladium (II) chloride, tetrakis(triphenylphosphine)palladium (0), tris(dibenzylideneacetone)dipalladium (0), chloro(2'-amino-1 ,1 '-biphenyl-2- yl)palladium(ll) dimer, (2'-amino-1 ,1 '-biphenyl-2-yl)methanesulfonatopalladium(ll) dimer,
trans-di( -acetato)bis[o-(di-o-tolylphosphino)benzyl]dipallaclium(ll) [cataCXium® C], allylchloro[1 ,3-bis(2,4,6-trimethylphenyl)imidazol-2-ylidene]palladium(ll), allylchloro[1 ,3- bis(2,6-diisopropylphenyl)imidazol-2-ylidene]palladium(ll), chloro[(1 ,3-dimesitylimidazol- [1 ,3-bis(2,4,6-trimethylphenyl)-1 ,3-dihydro-2H-imidazol-2-ylidene](chloro){2- [(dimethylamino)methyl]phenyl}palladium, chloro[(1 ,2,3-N)-3-phenyl-2-propenyl][1 ,3- bis(2,6-di-iso-propylphenyl)imidazol-2-ylidene]palladium(ll), [2-(acetylamino)phenyl]{1 ,3- bis[2,6-di(propan-2-yl)phenyl]-1 ,3-dihydro-2H-imidazol-2-ylidene}chloropalladium, {1 ,3- bis[2,6-di(propan-2-yl)phenyl]-1 ,3-dihydro-2H-imidazol-2-ylidene}(chloro){2- [(dimethylamino)methyl]phenyl} palladium, {1 ,3-bis[2,6-di(propan-2-yl)phenyl]-2,3- dihydro-1 H-imidazol-2-yl}(dichloro)(3-chloropyridine-kappaN)palladium, [1 ,3-bis(2,6- diisopropylphenyl) imidazol-2-ylidene](3-chloropyridyl)palladium(ll) dichloride, [2- (acetylamino)-4-methoxyphenyl]{1 ,3-bis[2,6-di(propan-2-yl)phenyl]-1 ,3-dihydro-2H- imidazol-2-ylidene}chloropalladium, {1 ,3-bis[2,6-di(propan-2-yl)phenyl]-1 ,3-dihydro-2H- imidazol-2-ylidene}(chloro){2-[(dimethylamino)methyl]-3,5-dimethoxyphenyl}palladium, dichloro[1 ,3-bis(2,6-di-3-pentylphenyl)imidazol-2-ylidene](3-chloropyridyl) palladium(ll), dichloro(di-μ-chloro)bis[1 ,3-bis(2,6-di-iso-propylphenyl) imidazol-2- ylidene]dipalladium(ll), 2-(2'-di-tert-butylphosphine)biphenylpalladium(ll) acetate, chloro[dicyclohexyl(2',6'-dimethoxybiphenyl-2-yl)-lambda5-phosphanyl][2-(phenyl- kappaC2)ethanaminato-kappaN]palladium, [2-(2-aminoethyl)phenyl](chloro)palladium - di-tert-butyl[2',4',6'-tri(propan-2-yl)biphenyl-2-yl]phosphane, {dicyclohexyl[2',4',6'- tri(propan-2-yl)biphenyl-2-yl]phosphane}{2-[2-(methylazanidyl-kappaN)ethyl]phenyl- kappaC1 }palladium, chloro(2-dicyclohexylphosphino-2',6'-dimethoxy-1 ,1 '-biphenyl)(2'- amino-1 ,1 '-biphenyl-2-yl) palladium(ll), [2',6'-bis(propan-2-yloxy)biphenyl-2- yl](dicyclohexyl)phosphane - [2-(2-aminoethyl)phenyl](chloro)palladium, [2-(2- aminoethyl)phenyl](chloro){dicyclohexyl[2',4',6'-tri(propan-2-yl)biphenyl-2-yl]-lambda5- phosphanylidenejpalladium, 2'-(dicyclohexylphosphanyl)-N,N,N',N'-tetramethylbiphenyl- 2,6-diamine - (2'-aminobiphenyl-2-yl)(chloro)palladium, chloro(2-dicyclohexylphosphino- 2',6'-di-iso-propoxy-1 ,1 '-biphenyl)(2-amino-1 ,1 '-biphenyl-2-yl)palladium(ll), [2'-(azanidyl- kappaN)biphenyl-2-yl-kappaC2](chloro){dicyclohexyl [2',4',6'-tri(propan-2-yl)biphenyl-2- yl]-lambda5-phosphanyl}palladium, (2'-aminobi-phenyl-2-yl)(methanesulfonato- kappaO)palladium - di-tert-butyl[2',4',6'-tri(propan-2-yl)biphenyl-2-yl]phosphane, (2'- aminobiphenyl-2-yl)palladium(1 +) methanesulfonate - di-tert-butyl[2',4',6'-tri(propan-2- yl)biphenyl-2-yl]phosphane, dicyclohexyl[3,6-dimethoxy-2',4',6'-tri(propan-2-yl)biphenyl- 2-yl]phosphane - [2-(2-aminoethyl) phenyl](chloro)palladium, (2'-aminobiphenyl-2- yl)palladium(1 +) methanesulfonate - 2'-(dicyclohexylphosphanyl)-N,N,N',N'- tetramethylbiphenyl-2,6-diamine, sodium 2'-(dicyclohexylphosphanyl)-2,6-
dimethoxybiphenyl-3-sulfonate - (2'-aminobiphenyl-2-yl)(chloro)palladium, chloro(2- dicyclohexylphosphino-2',4',6'-tri-iso-propyl-1 ,1 '-biphenyl)[2-(2- aminoethyl)phenyl]palladium(ll), (2'-aminobiphenyl-2-yl)(methane-sulfonato- kappaO)palladium - [2',6'-bis(propan-2-yloxy)biphenyl-2-yl](dicyclohexyl) phosphane, (2'-aminobiphenyl-2-yl)(methanesulfonato-kappaO)palladium - dicyclohexyl[2',4',6'- tri(propan-2-yl)biphenyl-2-yl]phosphane, (2'-aminobiphenyl-2-yl)palladium(1 +) methanesulfonate - dicyclohexyl[2',4',6'-tri(propan-2-yl)biphenyl-2-yl]phosphane, dicyclohexyl[3,6-dimethoxy-2',4',6'-tri(propan-2-yl)biphenyl-2-yl]phosphane - (2'- aminobiphenyl-2-yl)(chloro)palladium, (2'-aminobiphenyl-2-yl)(methanesulfonato- kappaO)palladium - di-tert-butyl[3,6-dimethoxy-2',4',6'-tri(propan-2-yl)biphenyl-2- yl]phosphane, (2'-aminobiphenyl-2-yl)(methanesulfonato-kappaO)palladium dicyclohexyl[3,6-dimethoxy-2',4',6'-tri(propan-2-yl)biphenyl-2-yl]phosphane or the following ligands:
racemic-2,2'-bis(diphenylphosphino)-1 ,1 '-binaphthyl, rac-BINAP, 1 ,1 '-bis(diphenyl- phosphino)ferrocene, bis(2-diphenylphosphinophenyl)ether, di-ferf-butylmethylphos- phonium tetrafluoroborate, 2-(di-fert-butylphosphino)biphenyl, tri-fert-butylphosphonium tetrafluoroborate, tri-2-furylphosphine, tris(2,4-di-ferf-butylphenyl)phosphite, tri-o- tolylphosphine, (9,9-dimethyl-9/-/-xanthene-4,5-diyl)bis(diphenylphosphine), dicyclohexyl(2',4',6'-triisopropyl-3,6-dimethoxybiphenyl-2-yl)phosphine, di-tert-butyl (2',4',6'-triisopropyl-3,6-dimethoxybiphenyl-2-yl)phosphine, di-tert-butyl(2',4',6'-triiso propylbiphenyl-2-yl)phosphine, dicyclohexyl(2',4',6'-triisopropylbiphenyl-2-yl) phosphine, di-tert-butyl(2',4',6'-triisopropyl-3-methoxy-6-methylbiphenyl-2-yl)phos-phine, di-tert- butyl(2',4',6'-triisopropyl-3,4,5,6-tetramethylbiphenyl-2-yl) phosphine, adamantan-1 - yl(adamantan-2-yl)(2',4',6'-triisopropyl-3,6-dimethoxybiphenyl-2-yl) phosphine, dicyclohexyl(2',6'-dimethoxybiphenyl-2-yl)phosphine, dicyclohexyl(2',6'- diisopropoxybiphenyl-2-yl)phosphine, 2'-(dicyclohexylphosphino)-N,N-dimethyl- biphenyl-2-amine, 2'-(di-tert-butylphosphino)-N,N-dimethylbiphenyl-2-amine, 2'-(di- phenylphosphino)-N,N,N',N'-tetramethylbiphenyl-2,6-diamine, di-tert-butyl(2',4',6'- tricyclohexyl-3,6-dimethoxybiphenyl-2-yl)phosphine, bis[3,5-bis(trifluoromethyl)phe-nyl] (2',4',6'-triisopropyl-3,6-dimethoxybiphenyl-2-yl)phosphine, biphenyl-2-yl(di-tert- butyl)phosphine, dicyclohexyl(2'-methylbiphenyl-2-yl)phosphine, biphenyl-2-yl (dicyclohexyl)phosphine, 2'-(dicyclohexylphosphino)-N,N-dimethylbiphenyl-2-amine, 2'- (dicyclohexylphosphino)-N,N,N',N'-tetramethylbiphenyl-2,6-diamine, sodium 2'- (dicyclohexylphosphino)-2,6-diisopropylbiphenyl-4-sulfonate, sodium 2'-
(dicyclohexylphosphino)-2,6-dimethoxybiphenyl-3-sulfonate, 1 , 1 '-binaphthalen-2-yl(di-
tert-butyl)phosphine, 1 ,3-bis(2,4,6-trimethylphenyl)-1 ,3-dihydro-2H-imidazol-2-ylidene, 1 ,3-bis[2,6-di(propan-2-yl)phenyl]-1 ,3-dihydro-2H-imidazol-2-ylidene.
Alternatively intermediates of general formula (1 -7) can be reacted with a suitable boronic acid or boronic acid pinacole ester of general formula (1 -8), such as, for example (2-fluoropyridin-4-yl)boronic acid, in the presence of a suitable base, such as, for example triethylamine, a suitable activating agent such as for example N,N- dimethylpyridin-4-amine and a suitable copper salt, such as for example copper (II) acetate, in a suitable solvent system, such as, for example, trichloromethane, in a temperature range from room temperature to the boiling point of the respective solvent, preferably the reaction is carried out at room temperature to furnish compounds of general formula (I).
Alternatively intermediates of general formula (1 -7) can be reacted with a suitable six membered heterocycle of the general formula (1 -8), such as for example 4-fluoro-2- methyl-pyridine, in the presence of a suitable base, such as, for example sodium hydride, in a suitable solvent system, such as, for example DMF, in a temperature range from room temperature to the boiling point of the respective solvent, preferably the reaction is carried out at 90 Ό to furnish com pounds of general formula (I).
An alternative route for the preparation of compounds of general formula (I) is described in Scheme 5.
Scheme 5
Scheme 5: Route for the preparation of compounds of general formula (I), wherein R1 , R4, R7, R8, V, W, Y and Z have the meaning as given for general formula (I), supra, X1 represents F, CI, Br, I or a sulfonate, e.g. trifluormethylsulfonate or p-toluolsulfonate, and X2 represents F, CI, Br, I, boronic acid or a boronic acid ester, such as for example 4,4,5,5-tetramethyl-2-phenyl-1 ,3,2-dioxaborolane (boronic acid pinacole ester).
In addition, interconversion of any of the substituents R1 , R4, R7, R8, V, W, Y or Z can be achieved before and/or after the exemplified transformations. These modifications can be such as the introduction of protecting groups, cleavage of protecting groups, reduction or oxidation of functional groups, halogenation, metallation, substitution or other reactions known to the person skilled in the art. These transformations include those which introduce a functionality which allows for further interconversion of substituents. Appropriate protecting groups and their introduction and cleavage are well-known to the person skilled in the art (see for example T.W. Greene and P.G.M. Wuts in Protective Groups in Organic Synthesis, 3rd edition, Wiley 1999). Specific examples are described in the subsequent paragraphs.
Compounds 1 -3 and 1 -8 are either commercially available or can be prepared according to procedures available from the public domain, as understandable to the person skilled in the art. Specific examples are described in the subsequent paragraphs.
Intermediates of general formula (1 -18) can be reacted with a suitable six membered heterocycle of the general formula (1 -8), such as, for example 4-bromo-2-methyl- pyridine, in the presence of a suitable base, such as, for example sodium 2- methylpropan-2-olate, and a suitable palladium catalyst, such as for example (1 E,4£)- 1 ,5-diphenylpenta-1 ,4-dien-3-one-palladium, in the presence of a suitable ligand, such as for example 1 '-binaphthalene-2,2'-diylbis(diphenylphosphane), in a suitable solvent system, such as, for example, DMF, in a temperature range from room temperature to the boiling point of the respective solvent, preferably the reaction is carried out at at 100Ό to furnish compounds of intermediates (1 -20). Alternatively the following palladium catalysts can be used:
allylpalladium chloride dimmer, dichlorobis(benzonitrile)palladium (II), palladium (II) acetate, palladium (II) chloride, tetrakis(triphenylphosphine)palladium (0), tris(dibenzylideneacetone)dipalladium (0), chloro(2'-amino-1 ,1 '-biphenyl-2- yl)palladium(ll) dimer, (2'-amino-1 ,1 '-biphenyl-2-yl)methanesulfonatopalladium(ll) dimer, trans-di(μ-acetato)bis[o-(di-o-tolylphosphino)benzyl]dipalladium(ll) [cataCXium® C], allylchloro[1 ,3-bis(2,4,6-trimethylphenyl)imidazol-2-ylidene]palladium(ll), allylchloro[1 ,3- bis(2,6-diisopropylphenyl)imidazol-2-ylidene]palladium(ll), chloro[(1 ,3-dimesitylimidazol- [1 ,3-bis(2,4,6-trimethylphenyl)-1 ,3-dihydro-2H-imidazol-2-ylidene](chloro){2- [(dimethylamino)methyl]phenyl}palladium, chloro[(1 ,2,3-N)-3-phenyl-2-propenyl][1 ,3- bis(2,6-di-iso-propylphenyl)imidazol-2-ylidene]palladium(ll), [2-(acetylamino)phenyl]{1 ,3- bis[2,6-di(propan-2-yl)phenyl]-1 ,3-dihydro-2H-imidazol-2-ylidene}chloropalladium, {1 ,3- bis[2,6-di(propan-2-yl)phenyl]-1 ,3-dihydro-2H-imidazol-2-ylidene}(chloro){2- [(dimethylamino)methyl]phenyl} palladium, {1 ,3-bis[2,6-di(propan-2-yl)phenyl]-2,3- dihydro-1 H-imidazol-2-yl}(dichloro)(3-chloropyridine-kappaN)palladium, [1 ,3-bis(2,6- diisopropylphenyl) imidazol-2-ylidene](3-chloropyridyl)palladium(ll) dichloride, [2- (acetylamino)-4-methoxyphenyl]{1 ,3-bis[2,6-di(propan-2-yl)phenyl]-1 ,3-dihydro-2H- imidazol-2-ylidene}chloropalladium, {1 ,3-bis[2,6-di(propan-2-yl)phenyl]-1 ,3-dihydro-2H- imidazol-2-ylidene}(chloro){2-[(dimethylamino)methyl]-3,5-dimethoxyphenyl}palladium, dichloro[1 ,3-bis(2,6-di-3-pentylphenyl)imidazol-2-ylidene](3-chloropyridyl) palladium(ll), dichloro(di-μ-chloro)bis[1 ,3-bis(2,6-di-iso-propylphenyl) imidazol-2- ylidene]dipalladium(ll), 2-(2'-di-tert-butylphosphine)biphenylpalladium(ll) acetate,
chloro[dicyclohexyl(2',6'-dimethoxybiphenyl-2-yl)-lambda5-phosphanyl][2-(phenyl- kappaC2)ethanaminato-kappaN]palladium, [2-(2-aminoethyl)phenyl](chloro)palladium - di-tert-butyl[2',4',6'-tri(propan-2-yl)biphenyl-2-yl]phosphane, {dicyclohexyl[2',4',6'- tri(propan-2-yl)biphenyl-2-yl]phosphane}{2-[2-(methylazanidyl-kappaN)ethyl]phenyl- kappaC1 }palladium, chloro(2-dicyclohexylphosphino-2\6'-dimethoxy-1 ,1 '-biphenyl)(2'- amino-1 ,1 '-biphenyl-2-yl) palladium(ll), [2',6'-bis(propan-2-yloxy)biphenyl-2- yl](dicyclohexyl)phosphane - [2-(2-aminoethyl)phenyl](chloro)palladium, [2-(2- aminoethyl)phenyl](chloro){dicyclohexyl[2',4',6'-tri(propan-2-yl)biphenyl-2-yl]-lambda5- phosphanylidenejpalladium, 2'-(dicyclohexylphosphanyl)-N,N,N',N'-tetramethylbiphenyl- 2,6-diamine - (2'-aminobiphenyl-2-yl)(chloro)palladium, chloro(2-dicyclohexylphosphino- 2',6'-di-iso-propoxy-1 ,1 '-biphenyl)(2-amino-1 ,1 '-biphenyl-2-yl)palladium(ll), [2'-(azanidyl- kappaN)biphenyl-2-yl-kappaC2](chloro){dicyclohexyl [2',4',6'-tri(propan-2-yl)biphenyl-2- yl]-lambda5-phosphanyl}palladium, (2'-aminobi-phenyl-2-yl)(methanesulfonato- kappaO)palladium - di-tert-butyl[2',4',6'-tri(propan-2-yl)biphenyl-2-yl]phosphane, (2'- aminobiphenyl-2-yl)palladium(1 +) methanesulfonate - di-tert-butyl[2',4',6'-tri(propan-2- yl)biphenyl-2-yl]phosphane, dicyclohexyl[3,6-dimethoxy-2',4',6'-tri(propan-2-yl)biphenyl- 2-yl]phosphane - [2-(2-aminoethyl) phenyl](chloro)palladium, (2'-aminobiphenyl-2- yl)palladium(1 +) methanesulfonate - 2'-(dicyclohexylphosphanyl)-N,N,N',N'- tetramethylbiphenyl-2,6-diamine, sodium 2'-(dicyclohexylphosphanyl)-2,6- dimethoxybiphenyl-3-sulfonate - (2'-aminobiphenyl-2-yl)(chloro)palladium, chloro(2- dicyclohexylphosphino-2',4',6'-tri-iso-propyl-1 ,1 '-biphenyl)[2-(2- aminoethyl)phenyl]palladium(ll), (2'-aminobiphenyl-2-yl)(methane-sulfonato- kappaO)palladium - [2',6'-bis(propan-2-yloxy)biphenyl-2-yl](dicyclohexyl) phosphane, (2'-aminobiphenyl-2-yl)(methanesulfonato-kappaO)palladium - dicyclohexyl[2',4',6'- tri(propan-2-yl)biphenyl-2-yl]phosphane, (2'-aminobiphenyl-2-yl)palladium(1 +) methanesulfonate - dicyclohexyl[2',4',6'-tri(propan-2-yl)biphenyl-2-yl]phosphane, dicyclohexyl[3,6-dimethoxy-2',4',6'-tri(propan-2-yl)biphenyl-2-yl]phosphane - (2'- aminobiphenyl-2-yl)(chloro)palladium, (2'-aminobiphenyl-2-yl)(methanesulfonato- kappaO)palladium - di-tert-butyl[3,6-dimethoxy-2',4',6'-tri(propan-2-yl)biphenyl-2- yljphosphane, (2'-aminobiphenyl-2-yl)(methanesulfonato-kappaO)palladium dicyclohexyl[3,6-dimethoxy-2',4',6'-tri(propan-2-yl)biphenyl-2-yl]phosphane or the following ligands:
racemic-2,2'-bis(diphenylphosphino)-1 ,1 '-binaphthyl, rac-BINAP, 1 ,1 '-bis(diphenyl- phosphino)ferrocene, bis(2-diphenylphosphinophenyl)ether, di-ferf-butylmethylphos- phonium tetrafluoroborate, 2-(di-fert-butylphosphino)biphenyl, tri-fert-butylphosphonium tetrafluoroborate, tri-2-furylphosphine, tris(2,4-di-ferf-butylphenyl)phosphite, tri o-
tolylphosphine, (9,9-dimethyl-9/-/-xanthene-4,5-diyl)bis(diphenylphosphine), dicyclohexyl(2',4',6'-triisopropyl-3,6-dimethoxybiphenyl-2-yl)phosphine, di-tert-butyl (2',4',6'-triisopropyl-3,6-dimethoxybiphenyl-2-yl)phosphine, di-tert-butyl(2',4',6'-triiso propylbiphenyl-2-yl)phosphine, dicyclohexyl(2',4',6'-triisopropylbiphenyl-2-yl) phosphine, di-tert-butyl(2\4\6'-triisopropyl-3-methoxy-6-methylbiphenyl-2-yl)phos-phine, di-tert- butyl(2',4',6'-triisopropyl-3,4,5,6-tetramethylbiphenyl-2-yl) phosphine, adamantan-1 - yl(adamantan-2-yl)(2',4',6'-triisopropyl-3,6-dimethoxybiphenyl-2-yl) phosphine, dicyclohexyl(2',6'-dimethoxybiphenyl-2-yl)phosphine, dicyclohexyl(2',6'- diisopropoxybiphenyl-2-yl)phosphine, 2'-(dicyclohexylphosphino)-N,N-dimethyl- biphenyl-2-amine, 2'-(di-tert-butylphosphino)-N,N-dimethylbiphenyl-2-amine, 2'-(di- phenylphosphino)-N,N,N',N'-tetramethylbiphenyl-2,6-diamine, di-tert-butyl(2',4',6'- tricyclohexyl-3,6-dimethoxybiphenyl-2-yl)phosphine, bis[3,5-bis(trifluoromethyl)phe-nyl] (2',4',6'-triisopropyl-3,6-dimethoxybiphenyl-2-yl)phosphine, biphenyl-2-yl(di-tert- butyl)phosphine, dicyclohexyl(2'-methylbiphenyl-2-yl)phosphine, biphenyl-2-yl (dicyclohexyl)phosphine, 2'-(dicyclohexylphosphino)-N,N-dimethylbiphenyl-2-amine, 2'- (dicyclohexylphosphino)-N,N,N',N'-tetramethylbiphenyl-2,6-diamine, sodium 2'- (dicyclohexylphosphino)-2,6-diisopropylbiphenyl-4-sulfonate, sodium 2'-
(dicyclohexylphosphino)-2,6-dimethoxybiphenyl-3-sulfonate, 1 , 1 '-binaphthalen-2-yl(di- tert-butyl)phosphine, 1 ,3-bis(2,4,6-trimethylphenyl)-1 ,3-dihydro-2H-imidazol-2-ylidene, 1 ,3-bis[2,6-di(propan-2-yl)phenyl]-1 ,3-dihydro-2H-imidazol-2-ylidene.
Alternatively intermediates of general formula (1 -18) can be reacted with a suitable boronic acid or boronic acid pinacole ester of general formula (1 -8), such as, for example (2-fluoropyridin-4-yl)boronic acid, in the presence of a suitable base, such as, for example triethylamine, a suitable activating agent such as for example N,N- dimethylpyridin-4-amine and a suitable copper salt, such as for example copper (II) acetate, in a suitable solvent system, such as, for example, trichloromethane, in a temperature range from room temperature to the boiling point of the respective solvent, preferably the reaction is carried out at room temperature to furnish compounds of intermediates (1 -20).
Alternatively intermediates of general formula (1 -18) can be reacted with a suitable six membered heterocycle of the general formula (1 -8), such as for example 4-fluoro-2- methyl-pyridine, in the presence of a suitable base, such as, for example sodium hydride, in a suitable solvent system, such as, for example DMF, in a temperature
range from room temperature to the boiling point of the respective solvent, preferably the reaction is carried out at 90 Ό to furnish com pounds of intermediates (1 -20).
Intermediates of general formula (1 -20) can be converted to intermediates of general formula (1 -21 ) by reaction with a suitably Broensted acid, such as, for example methanesulfonic acid and trifluoroacetic acid, in a suitable solvent system, such as, for example, dichloromethane, in a temperature range from room temperature to the boiling point of the respective solvent, preferably the reaction is carried out at room temperature.
Intermediates of the general formula (1 -21 ) can be converted to general formula (I) by reaction with a suitable alkylating agent, such as, for example a substituted benzyl halide (1 -3), in the presence of a suitable base, such as, for example sodium hydride, in a suitable solvent system, such as, for example, DMF, at a temperature between - 20 "C and boiling point of the respective solvent, pre ferably the reaction is carried out at 0 "C.
Compounds of general formula (1 -22) can be converted into compounds of general formula (la) according to the procedure depicted in Scheme 6.
Scheme 6
1 -22
Scheme 6: Process for the preparation of compounds of general formula (la) from compounds of general formula (1 -22), which are compounds of general formula (I), whwerein R4 is OCH3, via de-methylation of compounds of general formula (1 -22) to furnish compounds of general formula 1 -23 and subsequent etherification and deprotection to furnish compounds of general formula (la), wherein R1 , R7, R8, V, W, Y and Z have the meaning as given for general formula (I), supra, X1 represents a leaving group such as for example a CI, Br or I, or an aryl sulfonate such as for example p- toluene sulfonate, or a alkyl sulfonate such as for example methane sulfonate or trifluoromethane sulfonate (triflate group), and PG represents an alcohol protecting group as for example ferf-butyldimethylsilyl, ferf-butyldiphenylsilyl, triethylsilyl, triisopropylsilyl or tetrahydropyranyl.
In addition, interconversion of any of the substituents R\ R7, R8, V, W, Y or Z can be achieved before and/or after the exemplified transformations. These modifications can be such as the introduction of protecting groups, cleavage of protecting groups, reduction or oxidation of functional groups, halogenation, metallation, substitution or other reactions known to the person skilled in the art. These transformations include those which introduce a functionality which allows for further interconversion of substituents. Appropriate protecting groups and their introduction and cleavage are well-known to the person skilled in the art (see for example T.W. Greene and P.G.M.
Wuts in Protective Groups in Organic Synthesis, 3rd edition, Wiley 1999). Specific examples are described in the subsequent paragraphs.
Compounds of general formula 1 -26 are either commercially available, wherein X represents leaving group such as for example a CI, Br or I, or X stands for an aryl sulfonate such as for example p-toluene sulfonate, or for an alkyl sulfonate such as for example methane sulfonate or trifluoromethane sulfonate (triflate group) or can be prepared according to procedures available from the public domain, as understandable to the person skilled in the art. Specific examples are described in the subsequent paragraphs.
Compounds of general formula (1 -22) are converted to compounds of general formula (1 -23) by treatment with a suitable demethylating agent, such as for example benzenethiol, in a suitable solvent, such as, for example, 1 -methylpyrrolidin-2-one, in the presence of a suitable base, such as, for example potassium carbonate, in a temperature range from room temperature to the boiling point of the respective solvent, preferably the reaction is carried out at 190Ό.
Compounds of general formula (1 -23) are then reacted with a compound of general formula (1 -26) as mentioned above, in a suitable solvent, such as, for example, DMF, in the presence of a suitable base, such as, for example, potassium carbonate in a temperature range from room temperature to the boiling point of the respective solvent, preferably the reaction is carried out at room temperature, to furnish compounds of general formula (1 -24).
Compounds of general formula (1 -24) are then reacted a suitable Broensted acid, such as, for example, hydrogen chloride, in a suitable solvent, such as, for example, dioxane, in a temperature range from room temperature to the boiling point of the respective solvent, preferably the reaction is carried out at room temperature, to furnish compounds of general formula (la).
EXPERIMENTAL PART
The following table lists the abbreviations used in this paragraph and in the Intermediate Examples and Examples section as far as they are not explained within the text body.
Abbreviation Meaning
br broad
CI chemical ionisation
d doublet
dd doublet of doublet
dt doublet of triplet
DAD diode array detector
DCM dichloromethane
DMF N,/V-dimethylform amide
DMSO dimethyl sulfoxide
ELSD Evaporative Light Scattering Detector
eq. equivalent
ESI electrospray (ES) ionisation
h hour(s)
HPLC high performance liquid chromatography
LC-MS liquid chromatography mass spectrometry
m multiplet
MS mass spectrometry
NMR nuclear magnetic resonance spectroscopy : chemical shifts (δ) are given in ppm. The chemical shifts were corrected by setting the DMSO signal to 2.50 ppm using unless otherwise stated.
PDA Photo Diode Array
PoraPak™; a HPLC column obtainable from Waters
q quartet
qt quartet of triplet
r.t. or rt room temperature
RT retention time (as measured either with HPLC or UPLC) in minutes
s singlet
SM starting material
SQD Single-Quadrupol-Detector
t triplet
tt triplet of triplet
THF tetrahydrofuran
Abbreviation Meaning
UPLC ultra performance liquid chromatography
Other abbreviations have their meanings customary per se to the skilled person.
The various aspects of the invention described in this application are illustrated by the following examples which are not meant to limit the invention in any way.
Specific Experimental Descriptions
NMR peak forms in the following specific experimental descriptions are stated as they appear in the spectra, possible higher order effects have not been considered.
The 1 H-NMR data of selected examples are listed in the form of 1 H-NMR peaklists. For each signal peak the δ value in ppm is given, followed by the signal intensity, reported in round brackets. The δ value-signal intensity pairs from different peaks are separated by commas. Therefore, a peaklist is described by the general form: δι (intensityi), δ2 (intensity2), ... , δ, (intensity,), ... , δη (intensityn).
The intensity of a sharp signal correlates with the height (in cm) of the signal in a printed NMR spectrum. When compared with other signals, this data can be correlated to the real ratios of the signal intensities. In the case of broad signals, more than one peak, or the center of the signal along with their relative intensity, compared to the most intense signal displayed in the spectrum, are shown. A 1 H-NMR peaklist is similar to a classical 1 H-NMR readout, and thus usually contains all the peaks listed in a classical NMR interpretation. Moreover, similar to classical 1 H-NMR printouts, peaklists can show solvent signals, signals derived from stereoisomers of target compounds (also the subject of the invention), and/or peaks of impurities. The peaks of stereoisomers, and/or peaks of impurities are typically displayed with a lower intensity compared to the peaks of the target compounds (e.g., with a purity of >90%). Such stereoisomers and/or impurities may be typical for the particular manufacturing process, and therefore their peaks may help to identify the reproduction of our manufacturing process on the basis of "by-product fingerprints". An expert who calculates the peaks of the target compounds by known methods (MestReC, ACD simulation, or by use of empirically evaluated expectation values), can isolate the peaks of target compounds as required, optionally using additional intensity filters. Such an operation would be similar to peak- picking in classical 1 H-NMR interpretation. A detailed description of the reporting of NMR data in the form of peaklists can be found in the publication "Citation of NMR Peaklist Data within Patent Applications" (cf. Research Disclosure Database Number 605005, 2014, 01 Aug 2014, or http://www.researchdisclosure.com/searching-
disclosures). In the peak picking routine, as described in the Research Disclosure Database Number 605005, the parameter "MinimumHeight" can be adjusted between 1 % and 4%. Depending on the chemical structure and/or depending on the concentration of the measured compound it may be reasonable to set the parameter "MinimumHeight" <1 %.
Reactions employing microwave irradiation may be run with a Biotage Initator® microwave oven optionally equipped with a robotic unit. The reported reaction times employing microwave heating are intended to be understood as fixed reaction times after reaching the indicated reaction temperature. The compounds and intermediates produced according to the methods of the invention may require purification. Purification of organic compounds is well known to the person skilled in the art and there may be several ways of purifying the same compound. In some cases, no purification may be necessary. In some cases, the compounds may be purified by crystallization. In some cases, impurities may be stirred out using a suitable solvent. In some cases, the compounds may be purified by chromatography, particularly flash column chromatography, using for example prepacked silica gel cartridges, e.g. from Separtis such as Isolute® Flash silica gel or Isolute® Flash NH2 silica gel in combination with a Isolera® autopurifier (Biotage) and eluents such as gradients of e.g. hexane/ethyl acetate or DCM/methanol. In some cases, the compounds may be purified by preparative HPLC using for example a Waters autopurifier equipped with a diode array detector and/or on-line electrospray ionization mass spectrometer in combination with a suitable prepacked reverse phase column and eluents such as gradients of water and acetonitrile which may contain additives such as trifluoroacetic acid, formic acid or aqueous ammonia. In some cases, purification methods as described above can provide those compounds of the present invention which possess a sufficiently basic or acidic functionality in the form of a salt, such as, in the case of a compound of the present invention which is sufficiently basic, a trifluoroacetate or formate salt for example, or, in the case of a compound of the present invention which is sufficiently acidic, an ammonium salt for example. A salt of this type can either be transformed into its free base or free acid form, respectively, by various methods known to the person skilled in the art, or be used as salts in subsequent biological assays. It is to be understood that the specific form (e.g. salt, free base etc) of a compound of the present invention as isolated as described herein is not necessarily the only form in which said compound can be applied to a biological assay in order to quantify the specific biological activity.
The percentage yields reported in the following examples are based on the starting component that was used in the lowest molar amount. Air and moisture sensitive liquids and solutions were transferred via syringe or cannula, and introduced into reaction vessels through rubber septa. Commercial grade reagents and solvents were used without further purification. The term "concentrated in vacuo" refers to use of a Buchi rotary evaporator at a minimum pressure of approximately 15 mm of Hg. All temperatures are reported uncorrected in degrees Celsius ("C).
In order that this invention may be better understood, the following examples are set forth. These examples are for the purpose of illustration only, and are not to be construed as limiting the scope of the invention in any manner. All publications mentioned herein are incorporated by reference in their entirety.
Analytical LC-MS conditions
LC-MS-data given in the subsequent specific experimental descriptions refer (unless otherwise noted) to the following conditions:
Waters Acquity UPLC-MS: Binary Solvent Manager, Sample
System: Manager/Organizer, Column Manager, PDA, ELSD, SQD 3001 or
ZQ4000
Column: Acquity UPLC BEH C18 1 .7 50x2.1 mm
A1 = water + 0.1 % vol. formic acid (99%)
Solvent:
A2 = water + 0.2% vol. ammonia (32%)
B1 = acetonitrile
Gradient: 0-1 .6 min 1 -99% B, 1.6-2.0 min 99% B
Flow: 0.8 mL/min
Temperature: 60Ό
Injection: 2.0 μΙ_
Detection: DAD scan range 210-400 nm -> Peak table
ELSD
MS ESI+, ESI- Switch -> various scan ranges (Report Header)
Methods:
Method 1 : A1 + B1 = C:\Massl_ynx\Mass_100_1000.flp
Method 2: A1 + B1 = C:\Massl_ynx\Mass_160_1000.flp
Method 3: A1 + B1 = C:\Massl_ynx\Mass_160_2000.flp
Method 4: A1 + B1 =
C:\Massl_ynx\Mass_160_1000_BasicReport.f Ip
Method s: A2 + B1 = C:\MassLynx\NH3_Mass_I OO_IOOO.flp
Method 6: A2 + B1 =
C:\MassLynx\NH3_Mass_l6O_IOOO_BasicReport.flp
Preparative HPLC conditions
"Purification by preparative HPLC" in the subsequent specific experimental descriptions refers to (unless otherwise noted) the following conditions:
Analytics (pre- and post-analytics: Method B):
Waters Aqcuity UPLC-MS: Binary Solvent Manager, Sample
System:
Manager/Organizer, Column Manager, PDA, ELSD, SQD 3001
Column: Aqcuity BEH C18 1 .7 50x2.1 mm
A1 = water + 0.1 % vol. formic acid (99%)
Solvent:
A2 = water + 0.2% vol. ammonia (32%)
B = acetonitrile
Gradient: 0-1 .6 min 1 -99% B, 1 .6-2.0 min 99% B
Flow: 0.8 mL/min
Temperature: 60Ό
Injection: 2.0 μί
Detection: DAD scan range 210-400 nm
MS ESI+, ESI-, scan range 160-1000 m/z
ELSD
Methods: Purify pre.flp
Purify post.flp
Preparation:
Waters Autopurificationsystem: Pump 2545, Sample Manager
System: 2767, CFO,
DAD 2996, ELSD 2424, SQD 3001
Column: XBrigde C18 5μιη 100x30 mm
A1 = water + 0.1 % vol. formic acid (99%)
Solvent:
A2 = water + 0.2% vol. ammonia (32%)
B = acetonitrile
Gradient: 0-1 min 1 % B, 1 -8 min 1 -99% B, 8-10 min 99% B
Flow: 50 mL/min
Temperature: rt
Solution: max. 250 mg / 2.5 mL dimethyl sufoxide or DMF
Injection: 1 x 2.5 mL
Detection: DAD scan range 210-400 nm
MS ESI+, ESI-, scan range 160-1000 m/z
Chiral HPLC conditions
If not specified otherwise, chiral HPLC-data given in the subsequent specific experimental descriptions refer to the following conditions:
Analytics:
System: Dionex: Pump 680, AS1 100, Waters: UV-Detektor 2487
Column: Chiralpak IC 5μιη 150x4.6 mm
Solvent: hexane / ethanol 80:20 + 0.1 % diethylamine
Flow: 1 .0 mL/min
Temperature: 25Ό
Solution: 1 .0 mg/mL ethanol/methanol 1 :1
Injection: 5.0 μΙ
Detection: UV 280 nm
Preparation:
Agilent: Prep 1200, 2xPrep Pump, DLA, MWD, Prep FC, ESA:
System:
Corona
Column: Chiralpak IC 5μιη 250x30 mm
Solvent: hexane / ethanol 80:20 + 0.1 % diethylamine
Flow: 40 mL/min
Temperature: RT
Solution: 660 mg / 5.6 mL ethanol
Injection: 8 x 0.7 mL
Detection: UV 280 nm
Flash column chromatography conditions
"Purification by (flash) column chromatography" as stated in the subsequent specific experimental descriptions refers to the use of a Biotage Isolera purification system. For technical specifications see "Biotage product catalogue" on www.biotage.com.
EXAMPLES
Synthetic Intermediates Intermediate 1-1-1
Preparation of methyl 1 -(4-methoxybenzyl)-1 H-indazole-3-carboxylate
H,
20.2 g of Methyl 1 H-indazole-3-carboxylate (1 14 mmol, 1.0 eq.) were dissolved in 123 mL of dry DMF and cooled to 0 Ό. 59.7 g of cesium carbonate (183.1 mmol, 1 .6 eq.) were added and stirred for 10 min. 23.3 g of 1 -(chloromethyl)-4-methoxybenzene (148 mmol, 1 .3 eq.) were added dropwise at 0 Ό. The mix ture was stirred at room temperature for 1 hours under nitrogen atmosphere. Then the reaction mixture was partitioned between water and ethyl ester. The organic layer was dried over silicon filter and concentrated in vacuo. The residue was purified by flash chromatography to yield 20.9 g (60 mmol, 52 %) of 85% pure target compound.
1 H-NMR (400 MHz, DMSO-d6): δ [ppm]= 3.66 (s, 3H), 3.89 (s, 3H), 5.67 (s, 2H), 6.79 - 6.90 (m, 2H), 7.20 - 7.26 (m, 2H), 7.29 - 7.33 (m, 1 H), 7.43 - 7.47 (m, 1 H), 7.84 (d, 1 H), 8.05 (dt, 1 H).
The following intermediates were prepared according to the same procedure from the commercially available starting materials or from the indicated starting materials (SM):
κι
1 -1 -5 ethyl 5-bromo- 1 H NMR (300 MHz, DMSO- 1 - d6) δ [ppm] = 0.31 - 0.42 (m,
SM = (cyclopropylme 2H), 0.45 - 0.55 (m, 2H), commerci thyl)-4-methyl- 1.14 - 1.25 (m, 1 H), 1 .29 (t, al 1 H-pyrazole-3- 3H), 2.15 (s, 3H), 4.08 (d, available carboxylate 2H), 4.26 (q, 2H).
0
THF
H3C^
instead of
DMF
NaH
instad of
Cs2C03
1 -1 -6 C H 3 1 -methyl- 1 H NMR (300 MHz, DMSO- I 1 ,4,5,6- d6) δ [ppm] = 2.51 (m, 2H,
SM = tetrahydrocycl partially obscured by commerci
al
available σχ openta[c]pyraz solvens signal), 2.65 (t, 2H), ole-3- 2.73 (t. 2H), 3.78 (s, 3H).
N carbonitrile
THF
instead of
DMF
Intermediate 1-2-1
Preparation of 1 -(4-methoxybenzyl)-1 H-indazole-3-carboximidamide, salt with hydrochloric acid
16.0 g of Ammonium chloride (299 mmol, 5.0 eq.) were suspended in 278 mL of dry toluene under nitrogen atmosphere and cooled down to 0 Ό bath temperature. 150 mL of 2M trimethylaluminium solution in toluene (299 mmol, 5.0 eq.) were added dropwise. The mixture was stirred at room temperature until disappearance of gassing. 20.9 g of 85 % pure methyl 1 -(4-methoxybenzyl)-1 H-indazole-3-carboxylate 1-1 -1 (59.8 mmol, 1 .0 eq.) were dissolved in 200 mL of dry toluene and added drop wise to the reaction mixture and stirred for 24 hours at 80 Ό bath temp erature. The mixture was cooled down with an ice bath to 0 Ό bath temperature, 329 mL of methanol were added and stirred for one hour at rt. The resulting suspension was filtered off and washed with methanol. The filtrate was concentrated in vacuo and the crude product was used without any further purification: 30.4 g, 60 mmol, 63 % purity.
1 H-NMR (300 MHz, DMSO-d6) : δ [ppm]= 3.62 - 3.70 (s, 3 H), 5.57 (s, 2 H), 6.37 (br. s., 3 H), 6.78 - 6.88 (m, 2 H), 7.10 - 7.23 (m, 3 H), 7.35 (ddd, 1 H), 7.68 (d, 1 H), 8.27 (d, 1 H).
The following intermediates were prepared according to the same procedure from the commercially available starting material s or from the indicated starting materials (SM) :
1 -2-2 1 -methyl-1 H- 1 H-NMR (300 MHz, DMSO- indazole-3- d6) δ [ppm]: 4.199 (1 .62),
SM = carboximidami 4.233 (16.00), 7.300 (2.32), commerci HCI de, salt with 7.315 (2.00), 7.399 (3.1 1 ), al hydrochloric 7.423 (3.96), 7.450 (3.65),
available acid 7.565 (2.48), 7.569 (2.47),
CAS 7.588 (2.22), 7.594 (2.68),
109216- 7.597 (2.53), 7.616 (1 .98),
Intermediate 1-3-1
Preparation of 3,3-bis(dimethyla enitrile
360 g of 1 -tert-Butoxy-N,N,N',N'-tetramethylmethanediamine (Bredereck's reagent) (2.07 mol, 1 eq.) and 150 g of methoxyacetonitrile (2.07 mol, 1 .0 eq.) were stirred for 18 hours at 80 Ό. The reaction mixture was concentrat ed in vacuo. The residue was purified by vacuum distillation (0.9 mmbar; bp 60 - 65 Ό) to yield 1 17 g (683 mmol, 33 %) of the analytical pure target compound as a yellowish liquid.
1 H-NMR (400 MHz, DMSO-d6): δ [ppm]= 2.23 (s, 6H), 2.29 (s, 6H), 3.23 (d, 1 H), 3.36 - 3.41 (s, 3H), 4.73 (d, 1 H).
Intermediate 1-4-1
6.45 g of 1 -(4-Methoxybenzyl)-1 H-indazole-3-carboximidamide 1 -2-1 (23.0 mmol, 1 .0 eq.), 5.40 g of 3,3-bis(dimethylamino)-2-methoxypropanenitrile 1 -3-1 (31 .5 mmol, 1 .4 eq.) and 0.455 mL of piperidine (4.60 mmol, 0.2 eq.) were dissolved in 82.7 mL of dry 3- methylbutan-1 -ol, put under a nitrogen atmosphere and stirred at 100 Ό for 3 days. The mixture was cooled down at room temperature and stirred for 18 hours for crystallization. The resulting suspension was filtered off. The crystals were washed with cold methanol and dried in vacuo at 50Ό. The cryst allization was repeated twice with cold methanol to receive 2 further filter cakes and a combined yield of 6.87 g (19 mmol, 82,5%) of the analytically pure target compound.
1 H-NMR (300 MHz, DMSO-d6): δ [ppm]= 3.62 - 3.69 (s, 3H), 3.85 (s, 3H), 5.59 (s, 2H), 6.78 - 6.90 (m, 4H), 7.1 1 - 7.23 (m, 3H), 7.35 (ddd, 1 H), 7.68 (d, 1 H), 7.95 (s, 1 H), 8.53 (d, 1 H).
The following intermediates were prepared according to the same procedure from the commercially available starting material sor from the indicated starting materials (SM):
Preparation of ethyl 4-({5-methoxy-2-[1 -(4-methoxybenzyl)-1 H-indazol-3-yl]pyrimidin-4- yl}amino)nicotinate
15 g of 5-Methoxy-2-[1 -(4-methoxybenzyl)-1 H-indazol-3-yl]pyrimidin-4-amine 1-4-1 (41 .5 mmol, 1 .0 eq.), 10.1 g of commercial available ethyl 4-chloronicotinate hydrochloride (45.7 mmol, 1 .1 eq.), 3.6 g of (9,9-dimethyl-9H-xanthene-4,5- diyl)bis(diphenylphosphine) (6.2 mmol, 0.15 eq.), 40.6 g of cesium carbonate (125 mmol, 3.0 eq.) and 932 mg of palladium diacetate (4.2 mmol, 0.1 eq.) were suspended in 500 mL of dry dioxane and stirred under argon atmosphere at 105 Ό bath temperature in a sealed tube for 15 h. Further 1 .8 g of palladium diacetate (8.4 mmol, 0.2 eq.) were added and the reaction mixture was stirred for 20 h at 105 Ό . Solids were filtered off, washed with dichloromethane and the filtrate was concentrated in vacuo. The crude product was suspended in methanol, the solids were filtered off and washed with methanol to receive 17.1 g of the 81% pure (81 %) target compound which was used without further purification.
1 H-NMR (400 MHz, DMSO-d6): δ [ppm]= 1 .38 (t, 3H), 3.69 (s, 3H), 4.09 (s, 3H), 4.41 (q, 2H), 5.69 (s, 2H), 6.89 (d, 2H), 7.21 - 7.30 (m, 1 H), 7.35 (d, 2H), 7.39 - 7.49 (m, 1 H), 7.81 (d, 1 H), 8.44 (d, 1 H), 8.49 (s, 1 H), 8.66 (d, 1 H), 9.03 - 9.12 (m, 1 H), 9.36 (d, 1 H), 1 1.26 (s, 1 H).
The following intermediate was prepared according to the same procedure from the commercially available starting material or from the indicated starting material (SM):
Intermediate 1-6-1
Preparation of Lithium 4-({5-methoxy-2-[1 -(4-methoxybenzyl)-1 H-indazol-3-yl]pyrimidin- 4-yl}amino)nicotinate
300 mg of Ethyl 4-({5-methoxy-2-[1 -(4-methoxybenzyl)-1 H-indazol-3-yl]pyrimidin-4- yl}amino)nicotinate 1-5-1 (0.59 mmol, 1 .0 eq.) were dissolved in 3.6 mL THF and 0.8 mL methanol. At room temperature 18 mg lithium hydroxide (0.76 mmol, 1 M solution in water, 1 .3 eq.) were added and the reaction mixture was stirred for 4 h at room temperature. The reaction mixture was concentrated in vacuo, dissolved in dichloromethane and concentrated again and finally dried at 50 "C. The crude product was used without further purification.
Intermediate 1-7-1
Preparation of 4-({5-methoxy-2-[1 -(4-methoxybenzyl)-1 H-indazol-3-yl]pyrimidin-4- yl}amino)nicotinamide
7.7 g of Lithium 4-({5-methoxy-2-[1 -(4-methoxybenzyl)-1 H-indazol-3-yl]pyrimidin-4- yl}amino)nicotinate 1-6-1 (15.7 mmol, 1.0 eq.) were dissolved in 282 mL DMF and 44.8 mL of ammonia-solution (7 N in methanol, 33 mmol, 20 eq.), 10.6 g of Benzotriazol-1 -yl- oxytripyrrolidinophosphonium hexafluorophosphat (20 mmol, 1 .3 eq.) and 10.9 mL of N, N-diisopropylethylamine (63 mmol, 4.0 eq.) were added. The reaction mixture was stirred at room temperature for 12 h, poured on ice and was extracted three times with dichloromethane/iospropanol (4:1 ), dried over sodium sulphate and was concentrated in vacuo. The crude product was taken up in methanol and the solids were filtered off. The solid material was crystallized from ethyl acetate. Again it was filtered off to provide the 63 % pure target compound which was used without further purification: 4.4 g (35 %).
Intermediate 1-8-1
Preparation of 4-{[2-(1 H-indazol-3-yl)-5-methoxypyrimidin-4-yl]amino}nicotinamide
4.2 g of 4-({5-methoxy-2-[1 -(4-methoxybenzyl)-1 H-indazol-3-yl]pyrimidin-4-yl}amino)- nicotinamide 1-7-1 (8.6 mmol, 1 .0 eq.) was suspended in 34 mL of 1 ,2-dichloroethan.
First 20 ml_ of trifluoroacetic acid (259 mmol, 30 eq.) were added drop wise, followed by 7.6 ml_ of trifluoromethanesulfonic acid (86 mmol, 10 eq.). The reaction mixture was stirred for 2 h at 75 Ό under nitrogen atmosphere. The mixture was poured into a half concentrated soda- solution. It was stirred for 3 h at room temperature. The precipitate was filtered off and dried under vacuo at 50 Ό. Th e crude product was taken up in methanol and the precipitate was filtered off to receive the target compound with 89% purity: 2.15 g , 61 %
1 H-NMR (600 MHz, DMSO-d6): δ [ppm]= 4.05 (s, 3H), 7.18 - 7.27 (m, 1 H), 7.40 (t, 1 H), 7.61 (d, 1 H), 7.84 (s, 1 H), 8.44 (s, 2H), 8.49 (d, 1 H), 8.58 (d, 1 H), 8.94 (s, 1 H), 9.32 (d, 1 H), 12.20 (s, 1 H), 13.44 (br. s, 1 H).
The following intermediates were prepared according to the same procedure from commercially available starting materials or from the indicated starting materials (SM):
11 .332 (2.99), 13.503 (0.80).
1 -8-4 H 2-(1 H-indazol-3- 1 H NMR (400 MHz, DMSO- yl)-5- d6) δ [ppm] = 3.90 (s, 3H),
SM = 1 -4- C methoxypyrimidi 6.83 (br. s., 2H), 7.13 - 7.22 n-4-amine
1 K (m, 1 H), 7.32 - 7.39 (m, 1 H),
7.56 (d, 1 H), 8.00 (s, 1 H),
0-C H 3 8.56 (d, 1 H), 13.20 (br. s,
1 H).
Intermediate 1-9-1
Preparation of N-(cyclopentylmethyl)-2-[1 -(cyclopentylmethyl)-1 H-indazol-3-yl]-5- methoxypyrimidin-4-amine
610 mg 2-(1 H-indazol-3-yl)-5-methoxypyrimidin-4-amine (2.5 mmol, 1 .0 eq.) was dissolved in 4 mL DMF and treated with 1 1 1 mg sodium hydride (60 %, 2.9 mmol, 1 .1 eq.) at room temperature under Argon atmosphere. It was stirred for 15 minutes, then the 93 mg Tetra-n-butylammoniumiodid (0.25 mmol, 0.1 eq.) was added and the mixture was cooled down to 0Ό. 453 mg (bromomethyl )cyclopentane (2.9 mmol, 1 .1 eq), dissolved in 1 mL DMF, was added dropwise. It was stirred in the ice bath for 10 minutes and at room temperature for 2 days. The reaction mixture was diluted with dichloromethane and water, extracted three times with dichloromethane. The collected organic layers washed once with water and brine, filtered through a silicone coated filter and concentrated in vacuo. The crude product was treated with hexane and stirred. The unsolved residue was filtered off. The residue was treated with Methanol and stirred. The unsolved residue was filtered off: 375 mg, 99% pure, 1 .2 mmol, 45%.
1 H-NMR (400 MHz, DMSO-d6) δ [ppm] = 1 .26 - 1 .40 (m, 2H), 1 .44 - 1.72 (m, 6H), 2.53 - 2.58 (m, 1 H), 3.90 (s, 3H), 4.37 (d, 2H), 6.87 (br. s, 2H), 7.16 - 7.24 (m, 1 H), 7.35 - 7.44 (m, 1 H), 7.70 (d, 1 H), 8.00 (s, 1 H), 8.58 (d, 1 H). Intermediate 1-10-1
Preparation of 2-[1 -(2,2-difluoroethyl)-1 H-indazol-3-yl]-5-methoxypyrimidin-4-amine
2.85 g 2-(1 H-lndazol-3-yl)-5-methoxypyrimidin-4-amine 1-8-4 (1 1 .8 mmol, 1 .0 eq.) was dissolved in 60 mL dimethylsulfoxide and treated with 3.64 g potassium carbonate (26.3 mmol, 3.6 eq.), 1 .65 mL triethylamine (1 1.8 mmol, 1 .0 eq.), and 1 .73 mL (2,2- difluoroethyl trifluoromethanesulfonate (13.0 mmol, 1 .1 eq.). The reaction mixture was heated to 10CC for 17 hours. Another 0.94 mL (2,2- difluoroethyl trifluoromethanesulfonate (7.1 mmol, 0.6 eq.) were added, and stirring at 100Ό was continued for 4 hours. Again, 0.94 mL (2,2-difluoroethyl trifluoromethanesulfonate (7.1 mmol, 0.6 eq.) were added, and stirring at 100Ό was continued for 90 minutes. The reaction mixture was diluted with water and ethyl acetate and extracted three times. The organic layers were washed with brine, filtered through a silicon coated filter and concentrated in vacuo. The crude product was purified by flash chromatography to provide the target compound (379 mg, 7% yield, 70% purity), accompanied by the regioisomer 2-[2-(2,2-difluoroethyl)-2H-indazol-3-yl]-5-methoxypyrimidin-4-amine (720 mg, 17% yield, 85% purity).
1 H-NMR (400 MHz, DMSO-afe) δ [ppm] = 3.90 (s, 3H), 4.99 (td, 2H), 6.46 (tt, 1 H), 6.90 (br. s, 2H), 7.25 (dd, 1 H), 7.45 (dd, 1 H), 7.74 (d, 1 H), 8.00 (s, 1 H), 8.59 (d, 1 H).
The following intermediates were prepared according to the same procedure from the same starting material (1 -8-4) and the corresponding fluoroalkyl sulfonates:
Intermediate 1 -11 -1
Preparation of 4-{[3-(4-amino-5-methoxypyrimidin-2-yl)-1 H-indazol-1 -yl]methyl}-1 - methylpyrrolidin-2-one
100 mg 2-(1 H-lndazol-3-yl)-5-methoxypyrimidin-4-amine 1-8-4 (0.52 mmol, 1 .0 eq.) and 88 mg 4-(bromomethyl)-1 -methylpyrrolidin-2-one (0.46 mmol, 1 .1 eq.) were dissolved in
3.2 mL Ν,Ν-Dimethylformamid and stirred at room temperature under argon atmosphere over night. The reaction mixture was diluted with water and dichloromethane and extracted with dichloromethane three times. The organic layers were washed with water and brine, filtered through a silicon coated filter and concentrated in vacuo. The crude product was used without further purification.
Intermediate 1-12-1
Preparation of 1 -methyl-1 ,4,5,6-tetrahydrocyclopenta[c]pyrazole-3-carboximidamide
1 .18 g 1 -Methyl-1 ,4,5,6-tetrahydrocyclopenta[c]pyrazole-3-carbonitrile 1-1-6 (8.02 mmol, 1 .0 eq.) was dissolved in 20 mL methanol, 702 mg sodium methanolate (13.0 mmol, 1 .6 eq.) were added and the resulting mixture was stirred at room temperature for 4 h. Then, 0.74 mL acidic acid and 643 mg ammonium chlorid (13.0 mmol, 1 .6 eq.) were added and the reaction mixture was stirred at 5CC overnight. After cooling down to romm temperature the volatile components were removed in vacuo and the resulting mixture was dissolved in 40 mL of water/1 N hydrochloric acid (2/1 ). Then, 40 mL methylene chloride was added and the phases separated. The aqueous phase was washed with methylene chloride (2x20 mL). Then, the aqueous phase was adjusted to pH 12 with sodium hydroxide-solution (2M) and extracted with methylene chloride (3x25 mL). The combined organic phases were dried by the use of a silicone filter. The resulting solution was evaporated under reduced pressure to give 552 mg of the targeted compound (48 % yield of theory).
1 H NMR (400 MHz, DMSO-d6) δ [ppm] = 2.43 - 2.47 (m, 2H), 2.61 - 2.70 (m, 4H), 3.69 (s, 3H), 5.99 (br. s., 3H).
Intermediate 1-13-1
Preparation of 2-(1 -methyl-1 ,4,5,6-tetrahydrocyclopenta[c]pyrazol-3-yl)pyrimidin-4- amine
548 mg 1 -Methyl-1 ,4,5,6-tetrahydrocyclopenta[c]pyrazole-3-carboximidamide 1 -12-1 (3.34 mmol, 1 .0 eq.), 972 mg 3-ethoxyacrylonitrile (10.0 mmol, 3.0 eq.) and 508 mg diazabicyclo(5.4.0)undec-7-en (3.34 mmol, 1 .0 eq.) were dissolved in 30 mL pyridine. The reaction mixture was stirred at 1 10 Ό for 48 h . After cooling, iced water (30 mL) added and the resulting mixture was extracted with methylene chloride (3x30 mL). The combined organic phase was dried by the use of a silicone filter and the solvent was evaporated in vacuo. Purification was achieved via flash-chromatography on silica-gel with methylene chloride/methanol (9/1 ) to yield 474 mg of the targeted compound (65 % yield of theory).
1 H NMR (400 MHz, DMSO-d6) δ [ppm] = 2.43 - 2.48 (m, 2H), 2.62 - 2.71 (m, 2H), 2.74 (t, 2H), 3.72 (s, 3H), 6.24 (d, 1 H), 6.69 (s, 2H), 8.05 (d, 1 H).
The following intermediate was prepared according to the same procedure from the commercially available starting material or from the indicated starting material (SM) :
2-[1 -methyl-5- 1 H NMR (300 MHz, DMSO- (propan-2-yl)- d6) δ [ppm] = 1 .20 (d, 6H),
SM 1 H-pyrazol-3- 2.93 - 3.08 (m, 1 H), 3.79 (s, yl]pyrimidin-4- 3H), 6.27 (d, 1 H), 6.54 (s,
amine 1 H), 6.79 (s, 2H), 8.05 (d,
1 H).
Intermediate 1 -14-1
8.00 g Ethyl 5-methyl-2,4-dioxohexanoate (43.0 mmol, 1 .0 eq.) were dissolved in 57 mL acidic acid. Then, the reaction mixture was cooled to 4 € and 2.29 mL methyl hydrazine (43.0 mmol, 1.0 eq.) were added dropwise. The reaction mixture was stirred for 20 min under cooling and then at 100 Ό for 3 h . After cooling, the solvent was evaporated in vacuo. Then toluene was added, that was removed by the use of a rotary evaporator. This procedure was repeated another time. Purification was achieved via flash-chromatography on silica-gel with hexane/ethyl acetate (4/1 -> 1/1 ) to yield 5.85 g of the targeted compound (69 % yield of theory) and 750 mg of the isomeric compound ethyl 3-isopropyl-1 -methyl-1 H-pyrazole-5-carboxylate.
1 H NMR (400 MHz, DMSO-d6) δ [ppm] = 1 .19 (d, 6H), 1 .25 (t, 3H), 2.96 - 3.09 (m, 1 H), 3.82 (s, 3H), 4.22 (q, 2H), 6.51 (s, 1 H).
Intermediate 1-15-1
Preparation of 1 -(4-ethoxy-2,6-difluorophenyl)ethanol
100 mg 4-Ethoxy-2,6-difluorobenzaldehyde (0.54 mmol, 1 .0 eq.) was dissolved in 0.7 mL diethylether and cooled to 0 Ό. 0.19 mL bromo(m ethyl)magnesium (3 M, 0.56 mmol, 1.1 eq.) were added dropwise. The reaction was stirred at 0 Ό for 30 min. The reaction mixture was quenched with the addition of water and 1 M hydrochloric acid. The aqueous layer was extracted with diethylehter twice. The collected organic layer was dried with a silicon filter and concentrated in vacuo. The 99% pure crude product was used without further purification: 95 mg, 0.46 mmol, 87%.
1 H NMR (400 MHz, DMSO-d6) δ [ppm] = 1 .19 (d, 6H), 1 .25 (t, 3H), 2.96 - 3.09 (m, 1 H), 3.82 (s, 3H), 4.22 (q, 2H), 6.51 (s, 1 H).
The following intermediate was prepared according to the same procedure from the commercially available starting material or from the indicated starting material (SM):
Intermediate 1-16-1
Preparation of 2-(1 -bromoethyl)-5-ethoxy-1 ,3-difluorobenzene
738 mg 1 -(4-Ethoxy-2,6-difluorophenyl)ethanol 1-15-1 (3.7 mmol, 1 .0 eq.) was dissolved in 35 mL dichloromethane and stirred under argon. 1 .4 g 1 ,1 ,1 ,3,3,3- hexabromacetone (97% pure, 4.0 mmol, 1 .1 eq.) and 5.7 g polymere bound triphenylphosphane (1 .6 mmol/ g, 9.1 mmol, 2.5 eq.) were added to the reaction mixture and stirred over night at room temperature. The reaction mixture was filtered, the solid rinsed with dichloromethane and the filtrate was concentrated in vacuo. The crude product was used without further purification: 1 .26 g, 4.7 mmol, 130%.
Intermediate 1-17-1
Preparation of 1 -(1 -bromoethyl)-2-fluorobenzene
500 mg 1 -(2-Fluorophenyl)ethanol (3.6 mmol, 1 .0 eq.) was dissolved in 1 .6 mL hydrobromicacid (33% solution in acetic acid, 9.8 mmol, 2.8 eq.) and stirred at room temperature over night. The reaction mixture was poured into diethylether and stirred for 5 min. The solution was added portionwise into 30 mL of saturated sodium hydrogen carbonate solution and stirred for 15 min. The layers were separated and the aqueous layer was extracted with diethylether twice. The collected organic layers were rinsed with brine, dried over a silicon filter and concentrated in vacuo. The crude product was used without further purification: 554 mg, 2.73 mmol, 77%.
1 H NMR (300 MHz, DMSO-d6) δ [ppm] = 1 .98 (d, 3H), 5.57 (q, 1 H), 7.13 - 7.24 (m, 2H), 7.31 - 7.41 (m, 1 H), 7.56 - 7.65 (m, 1 H).
The following intermediate was prepared according to the same procedure from the commercially available starting material or from the indicated starting material (SM)
Intermediate 1-18-1
Preparation of 2-(1 -bromopropyl)-5-ethoxy-1 ,3-difluorobenzene
71 mg 1 -(4-Ethoxy-2,6-difluorophenyl)propan-1 -ol 1-15-2 (0.33 mmol, 1 .0 eq.) was dissolved in 5.3 mL dichloromethane. 52 μί bromo trimethylsilane (0.40 mol, 1.2 eq.) were added and stirred for 10 min. The reaction mixture was poured into 5Ό pH 7 buffer solution and the aqueous layer was extracted with dichloromethane three times. The collected organic layers were washed with bringe, dried over a silicon filter and the
filtrate was concentrated in vacuo. The crude product was used without further purification: 88 mg, 90% pure, 0.30 mmol, 92%.
1 H NMR (300 MHz, DMSO-d6) δ [ppm] = 0.88 (t, 3H), 1.27 (t, 3H), 2.03 - 2.21 (m, 2H), 4.02 (q, 2H), 5.16 (t, 1 H), 6.70 - 6.80 (m, 2H).
EXAMPLE COMPOUNDS
Example 2-1 -1
Preparation of 4-({2-[1 -(cyclopentylmethyl)-1 H-indazol-3-yl]-5-methoxypyrimidin-4- yl}amino)pyridine-3-carboxamide
100 mg of 4-{[2-(1 H-lndazol-3-yl)-5-methoxypyrimidin-4-yl]amino}pyridine-3- carboxamide 1 -8-1 (277 μιηοΙ, 1 .0 eq.), 34 μΙ_ (bromomethyl)cyclopentane (300 μηιοΙ, 1 .1 eq.) and 50 μΙ_ 1 ,8-Diazabicyclo(5.4.0)undec-7-en (330 μιηοΙ, 1 .2 eq.) were dissolved in 2.1 mL DMF and stirred at rt for 3 days. The reaction mixture was diluted with water and ethyl acetate and extracted three times. The organic layers were washed once with water and brine, filtered through a silicon coated filter and concentrated in vacuo. The crude product was purified by HPLC-chromatography under basic conditions to provide the 96% pure target compounds: 12 mg, 30 μιηοΙ, 10%
1 H-NMR (400MHz, DMSO-d6) : δ [ppm]= ]= 1 .37 - 1 .49 (m, 2H), 1 .49 - 1 .62 (m, 2H), 1 .63 - 1 .76 (m, 4H), 2.54 - 2.63 (m, 1 H), 4.07 (s, 3H), 4.47 (d, 2H), 7.23 - 7.33 (m, 1 H), 7.42 - 7.52 (m, 1 H), 7.78 (d, 1 H), 7.89 (br. s, 1 H), 8.42 - 8.51 (m, 3H), 8.56 (d, 1 H), 8.97 (S, 1 H), 9.32 (d, 1 H), 12.17 (s, 1 H).
The following examples were prepared according to the same procedure from the indicated starting materials (SM = starting material):
-
Preparation of 4-({2-[1 -(cyclopropylmethyl)-1 H-indazol-3-yl]-5-methoxypyrimidin-4- yl}amino)pyridine-3-carboxamide
A mixture of 60 mg of ethyl 4-({2-[1 -(cyclopropylmethyl)-1 H-indazol-3-yl]-5- methoxypyrimidin-4-yl}amino)pyridine-3-carboxylate 2-1-19 (135 μιηοΙ, 1.0 eq.), 5 mL of ammonia in methanol (35 mmol, 7 N) and 210 μΙ_ of trifluoroacetic acid (270 μιηοΙ, 2.0 eq.) was heated to 130° C in a microwave oven for 2 h. The solvent was removed in vacuo, then the crude product was purified by HPLC-chromatography under basic conditions to provide the 95% pure target compound: 20.5 mg, 50 μιηοΙ, 35% yield. 1 H-NMR (300 MHz, DMSO-d6) δ [ppm]: 0.506 (2.83), 0.515 (3.32), 0.522 (2.90), 0.531 (2.44), 0.537 (2.26), 0.545 (2.85), 0.563 (2.21 ), 0.572 (2.97), 0.597 (0.60), 1 .351 (0.76), 1 .377 (1.01 ), 1 .393 (0.71 ), 1 .402 (0.69), 2.264 (0.64), 2.270 (0.85), 2.277 (0.64), 2.525 (5.20), 2.540 (2.72), 2.720 (0.64), 2.726 (0.85), 2.732 (0.62), 3.157 (1 .22), 3.174 (1.27), 3.697 (0.53), 3.995 (0.41 ), 4.057 (16.00), 4.079 (0.97), 4.097 (0.53), 4.114 (0.41 ), 4.419 (4.17), 4.443 (4.14), 7.243 (1 .15), 7.269 (2.00), 7.294 (1 .59), 7.423 (1 .27), 7.447 (1.89), 7.470 (1.17), 7.786 (2.69), 7.815 (2.35), 7.879 (1 .73), 8.441 (6.54), 8.460 (3.50), 8.472 (2.05), 8.487 (3.02), 8.565 (2.49), 8.584 (2.56), 8.951 (4.70), 9.306 (2.99), 9.326 (2.83), 12.192 (3.71 ).
The following examples were prepared according to the same procedure from the indicated starting materials (SM = starting material):
2- 2-2 CH, 4-{[5-methoxy-2- 1H-NMR (400MHz, I SM =2- (1-methyl-1H- DMSO-de): δ [ppm]=
3- 1 indazol-3- 4.05 (s, 3H), 4.18 (s, yl)pyrimidin-4- 3H),7.27 (t, 1H), 7.46 (t, yl]amino}pyridine- 1H), 7.71 (d, 1H), 7.84
0-CH3 3-carboxamide (br. s., 1H), 8.40 - 8.51
(m, 3H), 8.59 (d, 1H), 8.94 (s, 1H), 9.26 (d, 1H), 12.17 (s, 1H).
2- 2-3 4-({2-[1- 1H-NMR (400MHz, SM =2- H3C 1 (cyclopropylmeth DMSO-de): δ [ppm]=
3- 2 yl)-7-methyl-1H- 0.43 - 0.61 (m, 4 H) indazol-3-yl]-5- I.31 - 1.44 (m, 1 H) methoxypyrimidin 2.78 (s, 3 H) 3.96 (s, 2
-4- H) 3.98 - 4.12 (m, 3 H)
0— CH3
yl}amino)pyridine- 4.58 (dd, 2.40 Hz, 2 H) 3-carboxamide 7.08 - 7.23 (m, 2 H)
8.34 (d, 1 H) 8.38 - 8.47 (m, 1 H) 8.47 - 8.58 (m, 1 H) 8.63 (d, 1 H) 9.07 (s, 1 H) 9.44 (d, 1 H)
II.30 (s, 1 H).
2- 2-4 4-({2-[7-chloro-1- 1H-NMR (400MHz, SM =2- (cyclopropylmeth DMSO-de): δ [ppm]=
3- 3 yl)-1 H-indazol-3- 1.30 (t, 3H), 2.32 (s, yl]-5- 3H), 4.04 (q, 2H), 5.73 methoxypyrimidin (s, 2H), 6.20 (br. s., 1H),
VJ-s 0 -4- 6.65 - 6.88 (m, 2H),
0— CH3
yl}amino)pyridine- 7.35 (t, 1H), 7.54 (ddd, 3-carboxamide 1H), 7.83 (d, 1H), 8.40
Example 2-3-1
Preparation of ethyl 4-{[5-methoxy-2-(1 -methyl-1 H-indazol-3-yl)pyrimidin-4- yl]amino}pyridine-3-carbo
440 mg 5-methoxy-2-(1 -methyl-1 H-indazol-3-yl)pyrimidin-4-amine 1-4-2 (1 .72 mmol, 1 .0 eq), 421 mg ethyl 4-chloronicotinate hydrochloride (1 :1 ) (1 .90 mmol, 1 .1 eq), 39 mg palladium acetate (0.17 mmol, 0.10 eq), 150 mg Xantphos (0.26 mmol, 0.15 eq) and 1 .69 mg cesium carbonate (5.17 mmol, 3.0 eq) were dissolved in 22 mL dioxane and flushed with argon. The resulting mixture was then stirred at 105 Ό overnight. After cooling, the reaction mixture was filtered through a small pad of silica gel that was washed with methylene chloride. The organic phases were combined and the solvents were removed by the use of rotary evaporator. The crude material was then purified by
preparative HPLC (Method B) to give 80 mg of the targeted product (12 % of theory) in 69 % purity (LC-MS area %).
UPLC-MS (Method 5)= 1 .27 min, M-1 = 403.
The following examples were prepared according to the same procedure from indicated starting materials (SM = starting material):
2-3-5 N-[4-({2-[1- 1H-NMR (400MHz,
SM=1- (cyclopentylmethy DMSO-de): δ [ppm]=
9-1 Nv H l)-1 H-indazol-3- 1.32 - 1.46 (m, 2H), yl]-5- 1.46 - 1.60 (m, 2H), methoxypyrimidin 1.60 - 1.75 (m, 4H), -4- 2.08 (s, 3H), 2.53 - 2.62 O— CH3
yl}amino)pyridin- (m, 1H), 4.03 (s, 3H), 2-yl]acetamide 4.43 (d, 2H), 7.15 - 7.24
(m, 1H), 7.37 - 7.46 (m, 1H), 7.71 - 7.79 (m, 1H), 8.12 - 8.22 (m, 2H), 8.35 (s, 1H), 8.39 - 8.49 (m, 2H), 9.50 (s, 1H), 10.31 (s, 1H).
2-3-6 2-[1- 1H-NMR (400MHz,
SM=1- (cyclopentylmethy DMSO-de): δ [ppm]=
9-1 l)-1H-indazol-3- 1.29 - 1.42 (m, 2H), yl]-5-methoxy-N- 1.46 - 1.57 (m, 2H),
(3-methylpyridin- 1.58 - 1.70 (m, 4H),
4-yl)pyrimidin-4- 2.28 (s, 3H), 2.52-2.55 amine (m, 1H), 4.06 (s, 3H),
O— CH3
4.40 (d, 2H), 7.08 - 7.16 (m, 1H), 7.35 - 7.43 (m, 1H), 7.73 (d, 1H), 8.12 - 8.17 (m, 1H), 8.22 (d, 1H), 8.33 (s, 1H), 8.37 - 8.42 (m, 2H), 8.44 (s, 1H).
2-3-7 2-[1- 1H-NMR (400MHz,
SM=1- (cyclopentylmethy DMSO-de): δ [ppm]=
9-1 l)-1H-indazol-3- 1.34 - 1.46 (m, 2H), yl]-5-methoxy-N- 1.46 - 1.60 (m, 2H),
(2-methylpyridin- 1.60 - 1.73 (m, 4H),
4-yl)pyrimidin-4- 2.47 (s, 3H), 2.54 - 2.64
0— CH3
amine (m, 1H), 4.05 (s, 3H),
4.43 (d, 2H), 7.19 - 7.29
(m, 1H), 7.41 - 7.48 (m, 1H), 7.72-7.81 (m, 2H), 8.28 (d, 1H), 8.32 - 8.41 (m, 2H), 8.49 (d, 1H), 9.33 (s, 1H).
2-3-8 2-[1- 1H-NMR (400MHz,
SM=1- (cyclopentylmethy DMSO-de): δ [ppm]=
9-1 l)-1 H-indazol-3- 1.32 - 1.46 (m, 2H), yl]-N-[2- 1.47 - 1.59 (m, 2H),
(difluoromethyl)py 1.59 - 1.73 (m, 4H), ridin-4-yl]-5- 2.57 - 2.66 (m, 1H),
0— CH3 methoxypyrimidin 4.07 (s, 3H), 4.44 (d,
-4-amine 2H), 6.89 (t, 1H), 7.20 - 7.28 (m, 1H), 7.41 -
7.48 (m, 1H), 7.77 (d, 1H), 8.12-8.21 (m, 1H), 8.43 (s, 1H), 8.44 - 8.54 (m, 2H), 8.83 (d, 1H), 9.73 (s, 1H).
2-3-9 ethyl 4-({2-[5- UPLC-MS (Method 5)=
SM=1- bromo-1- 1.43 min, M+ = 487.
4-6 (cyclopropylmeth
-4- yl}amino)pyridine- 3-carboxylate
2-3-10 2-[5-bromo-1- 1H-NMR (300MHz,
SM=1- (cyclopropylmeth DMSO-de): δ [ppm]=
4-6 yl)-4-methyl-1H- 0.38 (m, 2 H) 0.49 (m, 2 pyrazol-3-yl]-5- H) 1.23 (m, 1 H) 2.26 methoxy-N- (m, 3 H) 3.84 (s, 3 H)
W (pyridin-4- 4.02 (d, 2 H) 6.75 (br.
0— C HH3 yl)pyrimidin-4- s.,2H) 7.89 (s, 1 H).
amine
2-3-11 CH, 5-methoxy-2-(1- 1H-NMR (400 MHz,
/ J
SM=1- methyMH- DMSO-c/e) δ [ppm] =
4-2 J N indazol-3-yl)-N- 2.55 (s, 3H), 4.03 (s,
(2- 3H), 4.18 (s, 3H), 7.27 methylpyrimidin- (dd, 1H), 7.46 (dd, 1H),
°-CH3 4-yl)pyrimidin-4- 7.72 (d, 1H), 8.47 (s, amine 1H), 8.48 (d, 1H), 8.50
(d, 1H), 8.59 (d, 1H), 8.92 (br. s, 1H).
2-3-12 2-[1-(2,2- 1H-NMR (400 MHz,
SM=1- difluoroethyl)-1H- DMSO-ce) δ [ppm] =
10-1 indazol-3-yl]-5- 2.55 (s, 3H), 4.04 (s, methoxy-N-(2- 3H), 5.08 (td, 2H), 6.55 methylpyrimidin- (tt, 1H), 7.31 (dd, 1H),
(s, 1H), 8.52 (d, 1H), 8.57 (d, 1H), 8.98 (br. s, 1H).
2-3-13 5-methoxy-N-(2- 1H-NMR (400 MHz,
SM=1- methylpyrimidin- DMSO-ce) δ [ppm] =
10-2 4-yl)-2-[1 -(2,2,2- 2.56 (s, 3H), 4.04 (s, trifluoroethyl)-1H- 3H), 5.60 (q, 2H), 7.34 indazol-3- (dd, 1H), 7.54 (dd, 1H), yl]pyrimidin-4- 7.89 (d, 1H), 8.40 (d,
amine 1H), 8.49 (s, 1H), 8.53
(d, 1H), 8.55 (d, 1H), 9.07 (br. s, 1H).
2-3-14 5-methoxy-N-(2- 1H-NMR (400 MHz, SM =1- methylpyrimidin- DMSO-ce) δ [ppm] = 10-3 4-yl)-2-[1 -(3,3,3- 2.55 (s, 3H), 3.04 (qt, trifluoropropyl)- 2H), 4.04 (s, 3H), 4.80
1 H-indazol-3- (t, 2H), 7.29 (dd, 1H), yl]pyrimidin-4- 7.48 (dd, 1H), 7.79 (d, amine 1H), 8.45 (d, 1H), 8.47
°-CH3 (s, 1H), 8.51 (d, 1H),
8.56 (d, 1H), 9.02 (br. s, 1H).
2-3-15 5-methoxy-N- 1H-NMR (400MHz,
SM=1- (pyridin-4-yl)-2-[1- DMSO-de): δ [ppm]=
10-3 (3,3,3- 2.90 - 3.11 (m, 2H), trifluoropropyl)- 4.08 (s, 3H), 5.28 (t, 1 H-indazol-3- 2H), 7.08- 7.22 (m, 1H), yl]pyrimidin-4- 7.26 - 7.42 (m, 1H), amine 7.70 (d, 1H), 7.88 (d,
2H), 8.27 (d, 1H), 8.44 (s, 3H), 9.58 (s, 1H).
2-3-16 N-{4-[(5-methoxy- 1H-NMR (600MHz,
SM=1- 2-{1-[(1-methyl-5- DMSO-de): δ [ppm]=
11-1 oxopyrrolidin-3- 2.07 ( s, 3H), 2.28 ( dd, yl)methyl]-1H- 1H), 2.43 (dd, 1H), 2.70 indazol-3- (s, 3H), 3.03 (dt, 1H), yl}pyrimidin-4- 3.44 (dd, 1H), 4.03 (s,
°-CH3 yl)amino]pyridin- 3H), 4.52 - 4.62 (m,
2-yl}acetamide 2H), 7.22 (t, 1H), 7.43-
7.47 (m, 1H), 7.79 (d, 1H), 8.20 - 8.22 ( m, 1H), 8.22 - 8.24 (m, 1H), 8.36 (s, 1H), 8.43 ( s, 1H), 8.47 (d, 1H),
9.48 ( s, 1H), 10.31 (s, 1H).
2-3-17 ethyl 4-{[2-(1- 1H-NMR (400MHz, SM =1- methyl-1, 4,5,6- DMSO-de): δ [ppm]= 13-1 tetrahydrocyclope 1.33 (t, 3H), 2.51 - 2.57 nta[c]pyrazol-3- (m, 2H), 2.70 - 2.76 (m,
yl)pyrimidin-4- 2H), 2.83 (t, 2H), 3.79 yl]amino}pyridine- (s, 3H), 4.36 (q, 2H),
3-carboxylate 6.88 - 7.05 (m, 1H),
8.52 (d, 1H), 8.59 (d, 1H), 8.79- 8.90 (m, 1H), 8.99 (s, 1H), 10.54 (s, 1H).
2-3-18 H3C ethyl 4-({2-[1- 1H-NMR (300MHz,
SM=1- / (v N — N methyl-5-(propan- DMSO-de): δ [ppm]=
13-2 M 2- yl)-1H-pyrazol- 1.25 (d, 6H), 1.32 (t,
3- yl]pyrimidin-4- 3H), 3.06 (quin, 1H), yl}amino)pyridine- 3.81 - 3.93 (s, 3H), 4.34 3-carboxylate (q, 2H), 6.68 (s, 1H),
7.02 (dd, 1H), 8.52 (dd, 1H), 8.62 (d, 1H), 8.72 - 8.85 (m, 1H), 8.99 (d, 1H), 10.59 (br.s., 1H).
Example 2-4-1
Preparation of 2-(1-methyl-1 H-indazol-3-yl)-4-[(2-methylpyrimidin-4-yl)amino]pyrimidin- 5-ol
183 mg 5-Methoxy-2-(1 -methyl-1 H-indazol-3-yl)-N-(2-methylpyrimidin-4-yl)pyrimidin-4- amine 2-3-11 (526 μιηοΙ, 1.0 eq.) was dissolved in 10 mL 1-methylpyrrolidin-2-one and heated with 291 mg potassium carbonate (2.10 mmol, 4eq.), 81 μΙ_ benzenethiol
(789 μΙ_, 1.5 eq.), and a small amount of molecular sieves (4A) to 15CC for 90 minutes. The reaction mixture was concentrated in vacuo to give the title compound (278 mg, 99% yield, 63% purity).
UPLC-MS (Method 1 )= 0.76 min, M+1 = 334.
The following examples were prepared according to the same procedure from indicated starting materials (SM = starting material):
Preparation 5-(3-{[tert-butyl(dimethyl)silyl]oxy}propoxy)-2-(1 -methyl-1 H-indazol-3-yl)-N- (2-methylpyrimidin-4-yl)pyrimidin-4-amine
278 mg 2-(1 -Methyl-1 H-indazol-3-yl)-4-[(2-methylpyrimidin-4-yl)amino]pyrimidin-5-ol 2- 4-1 (526 μιηοΙ, 1 .0 eq.) was dissolved in 12 mL DMF and heated with 183 μΙ_ (3- bromopropoxy)(tert-butyl)dimethylsilane (789 μηιοΙ, 1 .5 eq.) and 363 mg potassium carbonate (2.63 mmol, 5 eq.) to 7CC for 20 hours. The reaction mixture was concentrated in vacuo. The residue was diluted with water and ethyl acetate and extracted three times. The organic layers were washed with brine, filtered through a silicon coated filter and concentrated in vacuo. The crude product was purified by flash chromatography to give the title compound (161 mg, 39% yield, 65% purity).
1 H-NMR (400 MHz, DMSO-ds) δ [ppm] = 0.03 (s, 6H), 0.85 (s, 9H), 2.04 (tt, 2H), 2.55 (s, 3H), 3.84 (t, 2H), 4.18 (s, 3H), 4.31 (t, 2H), 7.27 (dd, 1 H), 7.46 (dd, 1 H), 7.72 (d, 1 H), 8.47 (s, 1 H), 8.48 (d, 1 H), 8.52 (d, 1 H), 8.60 (d, 1 H), 9.00 (br. s, 1 H).
The following examples were prepared according to the same procedure from the indicated starting materials (SM = starting material):
Example 2-6-1
Preparation 3-({2-(1 -methyl-1 H-indazol-3-yl)-4-[(2-methylpyrimidin-4-yl)amino]pyrimidin- 5-yl}oxy)propan-1 -ol
155 mg 5-(3-{[tert-Butyl(dimethyl)silyl]oxy}propoxy)-2-(1 -methyl-1 H-indazol-3-yl)-N-(2- methylpyrimidin-4-yl)pyrimidin-4-amine 2-5-1 (276 μιηοΙ, 1.0 eq.) were stirred with 276 μΙ_ 4 M hydrochloric acid (1 .10 mmol, 4.0 eq.) in 2.36 mL dioxane for 72 hours at room temperature. Saturated sodium hydrogen carbonate solution and ethyl acetate were added, and the mixture was stirred for 10 minutes at room temperature. The layers were separated and the aqueous layer was extracted three times with a mixture of ethyl acetate and 1 -butanol. The collected organic layers were washed with brine, dried over a silicon filter and concentrated in vacuo. The crude product purified by flash chromatography to give the title compound (65 mg, 57% yield, 95% purity).
1 H-NMR (400 MHz, DMSO-de) δ [ppm] = 2.00 (tt, 2H), 2.56 (s, 3H), 3.65 (td, 2H), 4.18 (S, 3H), 4.33 (t, 2H), 4.66 (t, 1 H), 7.27 (dd, 1 H), 7.46 (dd, 1 H), 7.72 (d, 1 H), 8.47 (s, 1 H), 8.49 (d, 1 H), 8.53 (d, 1 H), 8.60 (d, 1 H), 8.98 (br. s, 1 H).
The following examples were prepared according to the same procedure from the indicated starting materials (SM = starting material):
2-6-2 3-({2-[1-(2,2- 1H-NMR (400 MHz, SM =2- difluoroethyl)-1H- DMSO-ce) δ [ppm] = 5-2 indazol-3-yl]-4- 2.00 (tt, 2H), 2.56 (s,
[(2- 3H), 3.65 (td, 2H), 4.34 methylpyrimidin- (t, 2H), 4.66 (t, 1H), 5.07 4- (td, 2H), 6.55 (tt, 1H), yl)amino]pyrimidi 7.31 (dd, 1H), 7.50 (dd, n-5- 1H), 7.82 (d, 1H), 8.49
yl}oxy)propan-1- (s, 1H), 8.49 (d, 1H), ol 8.50 (d, 1H), 8.58 (d,
1H), 8.97 (br. s, 1H).
2-6-3 3- ({4-[(2- 1H-NMR (400 MHz, SM =2- methylpyrimidin- DMSO-ce) δ [ppm] = 5-3 4- yl)amino]-2-[1- 2.00 (tt, 2H), 2.56 (s,
(2,2,2- 3H), 3.65 (td, 2H), 4.34 trifluoroethyl)-1H- (t, 2H), 4.66 (t, 1H), 5.60 indazol-3- (q, 2H), 7.34 (dd, 1H), yl]pyrimidin-5- 7.54 (dd, 1H), 7.89 (d, yl}oxy)propan-1- 1H), 8.46 (d, 1H), 8.50
OH ol (s, 1H), 8.51 (d, 1H),
8.55 (d, 1H), 9.11 (br. s, 1H).
Example 2-7-1 and 2-7-2
Preparation of 2-{1 -[(1 R)-1 -(2,6-difluoro-4-methoxyphenyl)ethyl]-1 H-indazol-3-yl}-5- methoxy-N-(pyridin-4-yl)pyrimidin-4-amine and
2-{1 -[(1 S)-1 -(2,6-difluoro-4-methoxyphenyl)ethyl]-1 H-indazol-3-yl}-5-methoxy-N-(pyridin- 4-yl)pyrimidin-4-amine
50 mg racemic 2-{1 -[1 -(2,6-difluoro-4-methoxyphenyl)ethyl]-1 H-indazol-3-yl}-5-methoxy- N-(pyridin-4-yl)pyrimidin-4-amine (0.10 mmol) was separated by chiral HPLC into both enantiomers: 15 mg, 99% pure, 0.03 mmol, 30% 2-7-1 and 14 mg, 99% pure, 0.03 mmol, 28% 2-7-2
2-7-1 : 1 H-NMR (300MHz, DMSO-d6): δ [ppm]= 2.06 (d, 3H), 3.71 (s, 3H), 4.02 (s, 3H), 6.27 - 6.40 (m, 1 H), 6.67 - 6.77 (m, 2H), 7.22 (t, 1 H), 7.36 - 7.46 (m, 1 H), 7.63 (d, 1 H), 8.32 (d, 2H), 8.39 (s, 1 H), 8.43 (d, 3H), 9.65 (s, 1 H).
2-7-2: 1 H-NMR (300MHz, DMSO-d6): δ [ppm]= 2.06 (d, 3H), 3.71 (s, 3H), 4.02 (s, 3H), 6.27 - 6.40 (m, 1 H), 6.67 - 6.77 (m, 2H), 7.22 (t, 1 H), 7.36 - 7.46 (m, 1 H), 7.63 (d, 1 H), 8.32 (d, 2H), 8.39 (s, 1 H), 8.43 (d, 3H), 9.65 (s, 1 H).
The following examples were prepared according to the same procedure from the indicated starting materials (SM = starting material):
Biological investigations
The following assays can be used to illustrate the commercial utility of the compounds according to the present invention.
Examples were tested in selected biological assays one or more times. When tested more than once, data are reported as either average values or as median values, wherein
• the average value, also referred to as the arithmetic mean value, represents the sum of the values obtained divided by the number of times tested, and
• the median value represents the middle number of the group of values when ranked in ascending or descending order. If the number of values in the data set is odd, the median is the middle value. If the number of values in the data set is even, the median is the arithmetic mean of the two middle values.
Examples were synthesized one or more times. When synthesized more than once, data from biological assays represent average values calculated utilizing data sets obtained from testing of one or more synthetic batch.
Biological Assay 1.0: Bub1 kinase assay
Bub1 -inhibitory activities of compounds described in the present invention were quantified using a time-resolved fluorescence energy transfer (TR-FRET) kinase assay which measures phosphorylation of the synthetic peptide Biotin-Ahx-VLLPKKSFAEPG (C-terminus in amide form), purchased from e.g. Biosyntan (Berlin, Germany) by the (recombinant) catalytic domain of human Bub1 (amino acids 704-1085), expressed in Hi5 insect cells with an N-terminal His6-tag and purified by affinity- (Ni-NTA) and size exclusion chromatography.
In a typical assay 11 different concentrations of each compound (0.1 nM, 0.33 nM, 1 .1 nM, 3.8 nM, 13 nM, 44 nM, 0.15 μΜ, 0.51 μΜ, 1 .7 μΜ, 5.9 μΜ and 20 μΜ) were tested in duplicate within the same microtiter plate. To this end, 100-fold concentrated compound solutions (in DMSO) were previously prepared by serial dilution (1 :3.4) of 2 mM stocks in a clear low volume 384-well source microtiter plate (Greiner Bio-One, Frickenhausen, Germany), from which 50 nl_ of compounds were transferred into a black low volume test microtiter plate from the same supplier. Subsequently, 2 μΙ_ of Bub1 (the final concentration of Bub1 was adjusted depending on the activity of the enzyme lot in order to be within the linear dynamic range of the assay: typically ~ 200 ng/mL were used) in aqueous assay buffer [50 mM Tris/HCI pH 7.5, 10 mM magnesium chloride (MgCI2), 200 mM potassium chloride (KCI), 1 .0 mM dithiothreitol (DTT), 0.1 mM sodium ortho-vanadate, 1 % (v/v) glycerol, 0.01 % (w/v) bovine serum albumine (BSA), 0.005% (v/v) Trition X-100 (Sigma), 1 x Complete EDTA-free protease inhibitor mixture (Roche)] were added to the compounds in the test plate and the mixture was incubated for 15 min at 22Ό to allow pre-equilibration of th e putative enzyme-inhibitor complexes before the start of the kinase reaction, which was initiated by the addition of 3 μΙ_ 1.67-
fold concentrated solution (in assay buffer) of adenosine-tri-phosphate (ATP, 10 μΜ final concentration) and peptide substrate (1 μΜ final concentration). The resulting mixture (5 μΙ_ final volume) was incubated at 22<C d uring 60 min., and the reaction was stopped by the addition of 5 μΙ_ of an aqueous EDTA-solution (50 mM EDTA, in 100 mM HEPES pH 7.5 and 0.2 % (w/v) bovine serum albumin) which also contained the TR- FRET detection reagents (0.2 μΜ streptavidin-XL665 [Cisbio Bioassays, Codolet, France] and 1 nM anti-phosho-Serine antibody [Merck Millipore, cat. # 35-001 ] and 0.4 nM LANCE EU-W1024 labeled anti-mouse IgG antibody [Perkin-Elmer, product no. AD0077, alternatively a Terbium -cryptate-labeled anti-mouse IgG antibody from Cisbio Bioassays can be used]). The stopped reaction mixture was further incubated 1 h at 22Ό in order to allow the formation of complexes b etween peptides and detection reagents. Subsequently, the amount of product was evaluated by measurement of the resonance energy transfer from the Eu-chelate-antibody complex recognizing the Phosphoserine residue to the streptavidin-XL665 bound to the biotin moiety of the peptide. To this end, the fluorescence emissions at 620 nm and 665 nm after excitation at 330-350 nm were measured in a TR-FRET plate reader, e.g. a Rubystar or Pherastar (both from BMG Labtechnologies, Offenburg, Germany) or a Viewlux (Perkin-Elmer) and the ratio of the emissions (665 nm/622 nm) was taken as indicator for the amount of phosphorylated substrate. The data were normalised using two sets of (typically 32-) control wells for high- (= enzyme reaction without inhibitor = 0 % = Minimum inhibition) and low- (= all assay components without enzyme = 100 % = Maximum inhibition) Bub1 activity. IC5o values were calculated by fitting the normalized inhibition data to a 4- parameter logistic equation (Minimum, Maximum, IC5o, Hill; Y = Max + (Min - Max) / (1 + (X/IC5o)Hill)).
Biological Assay 2.1 :
Proliferation Assay:
Human tumour cells were originally obtained from the American Type Culture Collection (ATCC), the Deutsche Sammlung von Mikroorganismen und Zellkulturen (DSMZ, German Collection of Microorganisms and Cell Cultures), or Epo GmbH Berlin. Cultivated HeLa human cervical tumor cells (DSMZ ACC-57) were plated at a density of 3000 cells/well in a 96-well multititer plate in 200 μΙ_ of growth medium supplemented 10% fetal calf serum. After 24 hours, the cells of one plate (zero-point plate) were stained with crystal violet (see below), while the medium of the other plates was replaced by fresh medium containing the test substances in various concentrations (0
μΜ, as well as in the range of 0.001 -10 μΜ; the final concentration of the solvent dimethyl sulfoxide was 0.5%). The cells were incubated for 4 days in the presence of test substances. Cell proliferation was determined by staining the cells with crystal violet: the cells were fixed by adding 20
point of an 1 1 % glutaric aldehyde solution for 15 minutes at room temperature. After three washing cycles of the fixed cells with water, the plates were dried at room temperature. The cells were stained by adding 100 μΙ-ymeasuring point of a 0.1 % crystal violet solution (pH 3.0). After three washing cycles of the stained cells with water, the plates were dried at room temperature. The dye was dissolved by adding 100 μΙ-ymeasuring point of a 10% acetic acid solution. Absorbtion was determined by photometry at a wavelength of 595 nm. The change of cell number, in percent, was calculated by normalization of the measured values to the absorbtion values of the zero-point plate (=0%) and the absorbtion of the untreated (0 μιη) cells (=100%). The IC5o values were determined by means of a 4 parameter fit.
Compounds had been evaluated in the HeLa human cervical cancer cell line to demonstrate antiproliferative activity.
Biological Assay 2.2:
Proliferation Assay:
Human tumour cells were originally obtained from the American Type Culture Collection (ATCC), the Deutsche Sammlung von Mikroorganismen und Zellkulturen (DSMZ, German Collection of Microorganisms and Cell Cultures), or Epo GmbH Berlin. Cultivated HeLa human cervical tumor cells (DSMZ ACC-57) were plated at a density of 3000 cells/well in a 96-well multititer plate in 200 μΙ_ of growth medium supplemented 10% fetal calf serum. After 24 hours, the cells of one plate (zero-point plate) were stained with crystal violet (see below), while the medium of the other plates was supplemented with the test substances in various concentrations (0 μΜ, as well as in the range of 0.001 -10 μΜ; the final concentration of the solvent dimethyl sulfoxide was adjusted to 0.1 %) using a Hewlett-Packard HP D300 Digital Dispenser. The cells were incubated for 4 days in the presence of test substances. Cell proliferation was determined by staining the cells with crystal violet: the cells were fixed by adding 20 μΙ-ymeasuring point of an 11 % glutaric aldehyde solution for 15 minutes at room temperature. After three washing cycles of the fixed cells with water, the plates were dried at room temperature. The cells were stained by adding 100
point of a 0.1 % crystal violet solution (pH 3.0). After three washing cycles of the stained cells with water, the plates were dried at room temperature. The dye was dissolved by
adding 100
point of a 10% acetic acid solution. Absorbtion was determined by photometry at a wavelength of 595 nm. The change of cell number, in percent, was calculated by normalization of the measured values to the absorbtion values of the zero-point plate (=0%) and the absorbtion of the untreated (0 μιη) cells (=100%). The IC5o values were determined by means of a 4 parameter fit.
Compounds had been evaluated in the HeLa human cervical cancer cell line to demonstrate antiproliferative activity.
Biological Assay 3.1 :
Proliferation Assay (HeLa+Paclitaxel):
Cultivated HeLa human cervical tumor cells (DSMZ ACC-57) were plated at a density of 3000 cells/well in a 96-well multititer plate in 100 μΙ_ of growth medium supplemented 10% fetal calf serum. After 24 hours, the cells of one plate (zero-point plate) were stained with crystal violet (see below), while the medium of the other plates was replaced by fresh culture medium (100 μΙ_) containing 3 nM of paclitaxel (Sigma- Aldrich). After 4 hours of incubation at 37Ό, 100 μΙ_ of culture medium containing 3 nM of paclitaxel and containing the test substances in various concentrations (0 μΜ, as well as in the range of 0.002-20 μΜ to achieve final concentrations in the range of 0.001 -10 μΜ; the final concentration of the solvent dimethyl sulfoxide was adjusted to 0.5%) was added. The cells were incubated for another 92 hours at 37Ό in the presence of test substances. Cell proliferation was determined by staining the cells with crystal violet: the cells were fixed by adding 20 μΙ-ymeasuring point of an 1 1 % glutaric aldehyde solution for 15 minutes at room temperature. After three washing cycles of the fixed cells with water, the plates were dried at room temperature. The cells were stained by adding 100 μΙ-ymeasuring point of a 0.1 % crystal violet solution (pH 3.0). After three washing cycles of the stained cells with water, the plates were dried at room temperature. The dye was dissolved by adding 100 μΙ-ymeasuring point of a 10% acetic acid solution. Absorbtion was determined by photometry at a wavelength of 595 nm. The change of cell number, in percent, was calculated by normalization of the measured values to the absorbtion values of the zero-point plate (=0%) and the absorbtion of the untreated (0 μιη) cells (=100%). The IC50 values were determined by means of a 4 parameter fit.
Biological Assay 3.2:
Proliferation Assay (HeLa+Paclitaxel):
Cultivated HeLa human cervical tumor cells (DSMZ ACC-57) were plated at a density of 3000 cells/well in a 96-well multititer plate in 100 μΙ_ of growth medium supplemented 10% fetal calf serum. After 24 hours, the cells of one plate (zero-point plate) were stained with crystal violet (see below), while the medium of the other plates was replaced by fresh culture medium containing 3 nM of paclitaxel (Sigma-Aldrich). After 4 hours of incubation at 37Ό, test substances were a dded in various concentrations (0 μΜ, as well as in the range of 0.001 -10 μΜ; the final concentration of the solvent dimethyl sulfoxide was adjusted to 0.1 %) using a Hewlett-Packard HP D300 Digital Dispenser. The cells were incubated for another 92 hours at 37Ό in the presence of test substances. Cell proliferation was determined by staining the cells with crystal violet: the cells were fixed by adding 20
point of an 1 1 % glutaric aldehyde solution for 15 minutes at room temperature. After three washing cycles of the fixed cells with water, the plates were dried at room temperature. The cells were stained by adding 100 μΙ-ymeasuring point of a 0.1 % crystal violet solution (pH 3.0). After three washing cycles of the stained cells with water, the plates were dried at room temperature. The dye was dissolved by adding 100 μΙ-ymeasuring point of a 10% acetic acid solution. Absorbtion was determined by photometry at a wavelength of 595 nm. The change of cell number, in percent, was calculated by normalization of the measured values to the absorbtion values of the zero-point plate (=0%) and the absorbtion of the untreated (0 μιη) cells (=100%). The IC5o values were determined by means of a 4 parameter fit.
Biological Assay 4.1 : Formation-Assay
Cell-based Mechanistic Assay: Changes of phosphorylation status of histone 2A by inhibition of kinase activity of Bub1
This assay determines the suppression of histone 2A phosphorylation by a Bub1 kinase inhibitor during co-treatment with Nocodazole. 25000 cells (cells were ordered from ATCC) are seeded in 96well plate for 5 h at 37Ό. C ells are treated with Nocodazole (^g/ml) and varying concentrations (between 3nM and 10μΜ) of test compounds for 16h. Cells are fixed (20 min, Fixing solution R&D), washed three times with PBS and blocked with Odyssey blocking buffer before incubating with the primary antibody against phosphorylated H2A (δμς/ιηΙ ABIN482721 ) overnight at 2-8Ό. After washing, secondary IRDye-labeled antibody mix with cell stains is added for 1 h and washed again with PBS. Plates are scanned with LiCor Odyssey Infrared Imager CLx at 800nm for P-H2A and at 700nm for cell stains Draq5/Sapphire. The quotient of 800nm and 700nm for Nocodazole only treated cells is set as 100% and the quotient of 800nm and
700nm of untreated cells is set as 0%. The results given as % are reflecting the inhibition of Bub1 kinase activity compared to control and normalized according to cell number. The IC5o values are determined by means of a 4 parameter fit.
Biological Assay 4.2: Abrogation-Assay
Cell-based Mechanistic Assay: Changes of phosphorylation status of pre-induced phospho-histone 2A by inhibition of kinase activity of Bub1
This assay measures the inhibition of histone 2A phosphorylation, which was induced by pre-treatment of the cells with Nocodazole, by a Bub1 kinase inhibitor. 25000 cells (cells were ordered from ATCC) are seeded in 96well plate for 5 h at 37Ό. Cells are treated with Nocodazole (^g/ml). After 16h varying concentrations (between 3nM and 10μΜ) of test compounds are added and the cells are incubated for another 1 h. Cells are fixed (20min, Fixing solution R&D), washed three times with PBS and blocked with Odyssey blocking buffer before incubating with the primary antibody against phosphorylated H2A ^g/m\ ABIN482721 ) overnight at 2-8<C. After washing, secondary IRDye-labeled antibody mix with cell stains is added for 1 h and washed again with PBS. Plates are scanned with LiCor Odyssey Infrared Imager CLx at 800nm for P-H2A and at 700nm for cell stains Draq5/Sapphire. The quotient of 800nm and 700nm for Nocodazole only treated cells is set as 100% and the quotient of 800nm and 700nm of untreated cells is set as 0%. The results given as % are reflecting the inhibition of Bub1 kinase activity compared to control and normalized according to cell number. The IC5o values are determined by means of a 4 parameter fit.
Histone H2A is an immediate intracellular substrate of Bub1 kinase. Determination of the phosphorylation status of Histone H2A provides a direct measure of the intracellular activity of Bub1 kinase.
Biological Assay 5:
Evaluation of drug-drug interaction potential with paclitaxel
To evaluate the drug-drug interaction potential of test compounds with paclitaxel in vivo 8 mg/kg of paclitaxel are injected once intravenously into the tail vein of NMRI nude mice. Immediately thereafter 50 mg/kg of the test compound is administered by gavage to mice. Blood is taken from mice following decapitation 1 , 3, 7 and 24 hours after injection of Paclitaxel. Plasma concentrations of test compound and of paclitaxel, respectively, are determined by LC/MSMS. The data from the paclitaxel mono treatment
group, the test compound mono treatment group, and the combination treatment are compared for evaluation of the drug-drug interaction potential.
The following table gives the data for the examples of the present invention for the biological assaysl , 2.1 , 2.2, 3.1 and 3.2:
Biological Biological Biological Biological Biological
Assay 1 : Assay 2.1 : Assay 2.2: Assay 3.1 : Assay 3.2:
Example Bub1 kinase Proliferation Proliferation Proliferation Proliferation
No. assay assay (HeLa assay (HeLa assay (HeLa assay (HeLa mean IC50 cell line) cell line) cell line) cell line)
[mol/L] IC50 [mol/L] IC50 [mol/L] IC50 [mol/L] IC50 [mol/L]
2-1-1 2.4 E-8 8.6 E-6 5.6 E-7
2-1-2 7.9 E-9 8.4 E-6 8.1 E-7
2-1-3 1.4 E-8 >1.0 E-5 8.7 E-7
2-1-4 4.5 E-8 6.9 E-6 4.3 E-7
2-1-5 4.3 E-8 >1.0 E-5 4.3 E-7
2-1-6 5.3 E-8 9.7 E-6 7.8 E-7
2-1-7 1.0 E-7 nd
2-1-8 1.0 E-7 8.7 E-6 2.7 E-7
2-1-9 1.3 E-7 8.3 E-6 2.2 E-7
2-1-10 1.7 E-7 6.8 E-6 2.4 E-7
2-1-11 2.0 E-7 > 1.0 E-5 6.6 E-7
2-1-12 2.4 E-7 nd
2-1-13 3.4 E-7 > 1.0 E-5 1.5 E-6
2-1-14 3.5 E-7 >1.0 E-5 8.2 E-7
2-1-15 3.7 E-7 1.5 E-6 4.0 E-7
2-1-16 6.1 E-7
2-1-17 9.6 E-7 4.2 E-6 2.5 E-6
2-1-18 2.9 E-6 nd
2-1-19 2.0 E-7 nd
2-1-20 5.9 E-8 nd
2-1-21 7.4 E-8 nd
Biological Biological Biological Biological Biological
Assay 1 : Assay 2.1 : Assay 2.2: Assay 3.1 : Assay 3.2:
Example Bub1 kinase Proliferation Proliferation Proliferation Proliferation
No. assay assay (HeLa assay (HeLa assay (HeLa assay (HeLa mean ICso cell line) cell line) cell line) cell line)
[mol/L] ICso [mol/L] ICso [mol/L] ICso [mol/L] ICso [mol/L]
2-1 -22 7.7 E-8 >1 .0 E-5
2-1 -23 nd nd
2-1 -24 5.7 E-7 >1 .0 E-5
2-2-1 1 .7 E-8 6.1 E-6 4.9 E-7
2-2-2 3.0 E-8 nd
2-2-3 4.5 E-8 >1 .0 E-5 7.0 E-7
2-2-4 5.0 E-8 >1 .0 E-5 4.5 E-7
2-2-5 5.8 E-8 >1 .0 E-5 2.3 E-6
2-2-6 2.8 E-7 nd
2-2-7 6.3 E-6 nd
2-2-8 >2.0 E-5 7.7 E-6 3.3 E-6
1.8E-5
2-2-9 8.6 E-6 >1 .0 E-5 5.0 E-6
2-3-1 nd nd
2-3-2 1 .8 E-6 nd
2-3-3 nd nd
2-3-4 8.8 E-6 nd
2-3-5 6.0 E-8 > 1 .0 E-5 3.8 E-7
2-3-6 2.2 E-7 nd
2-3-7 2.0 E-6 3.8 E-6 1.2 E-7
2-3-8 nd > 1 .0 E-5 2.2 E-7
2-3-9 nd nd
2-3-10 1 .5 E-6 nd
2-3-1 1 nd nd
2-3-12 1 .2 E-5 nd
2-3-13 8.5 E-6 nd
2-3-14 1 .0 E-5 nd
Biological Biological Biological Biological Biological
Assay 1 : Assay 2.1 : Assay 2.2: Assay 3.1 : Assay 3.2:
Example Bub1 kinase Proliferation Proliferation Proliferation Proliferation
No. assay assay (HeLa assay (HeLa assay (HeLa assay (HeLa mean ICso cell line) cell line) cell line) cell line)
[mol/L] ICso [mol/L] ICso [mol/L] ICso [mol/L] ICso [mol/L]
2-3-15 >2.0 E-5 nd
2-3-16 3.2 E-6 nd
2-3-17 nd nd
2-3-18 nd nd
2-4-1 nd nd
2-4-2 nd nd
2-4-3 nd nd
2-6-1 2.4 E-6 > 1 .0 E-5 6.9 E-7
2-6-2 3.0 E-6 nd
2-6-3 9.3 E-6 nd
2-7-1 3.0 E-8 3.3 E-6
2-7-2 1 .3 E-7 >1 .0 E-5 9.5 E-7
2-7-3 3.8 E-8 >1 .0 E-5
2-7-4 1 .0 E-6 1 .0 E-5
2-7-5 1 .5 E-7 6.1 E-6 3.8 E-7
2-7-6 2.2 E-7 7.1 E-6 5.9 E-7
2-7-7 1 .2 E-5 8.9 E-6
2-7-8 >2.0 E-5 >1 .0 E-5
Claims
1 . A compound of formula I)
in which
V, W, Y and Z independently of each other represent CH or CR2,
or,
V represents N, and W, Y and Z, independently of each other, represent CH or CR2, or,
W represents N, and V, Y and Z, independently of each other, represent CH or CR2, or,
V and Y represent N, and W and Z, independently of each other, represent CH or CR2, R1 represents a group selected from:
d-Ce-alkyl, C3-C8-cycloalkyl, (C3-C8-cycloalkyl)-(Ci -C3-alkyl)-,
(4- to 7-membered heterocycloalkyl)-(Ci -C3-alkyl)-, phenyl-(C2-C3-alkyl)-,
C3-C8-alkenyl, C3-C8-alkinyl and Ci -C6-haloalkyl,
wherein said cycloalkyl groups are optionally substituted with one or two groups selected independently from:
halogen atom, methyl and cyano,
and,
wherein said heterocycloalkyl groups are optionally substituted with one or two groups selected independently from:
halogen atom, methyl and oxo,
and,
wherein said phenyl groups are optionally substituted with one, two or three groups selected independently from:
halogen atom, hydroxy, Ci -Ce-alkyl, Ci -Ce-haloalkyl, Ci -Ce-hydroxyalkyl, (Ci -C3-alkoxy)-(Ci -C6-alkyl)-, C3-C6-cycloalkyl, (C3-C6-cycloalkyl)-(Ci -C3-
alkyl)-, Ci -C6-alkoxy, Ci -C6-haloalkoxy, (C2-C6-hydroxyalkyl)-0-, (Ci -C3-alkoxy)-(C2-C6-alkoxy)-, Cs-Ce-cycloalkoxy and (C3-C6-cycloalkyl)-(Ci -C3-alkoxy)-,
and,
wherein said alkyl- and alkenyl groups are optionally substituted with or two groups selected independently from :
cyano and C(=0)OR1°, represents, independently of each other, a halogen atom or a group selected from:
cyano, Ci -C3-alkyl, C3-C4-cycloalkyl, Ci -C3-haloalkyl, Ci -C3-alkoxy, (C2-C3-hydroxyalkyl)-0-, (Ci -C3-alkoxy)-(C2-C3-alkoxy)-, Ci -C3-haloalkoxy, -N(H)C(=0)H,
, -N(H)C(=0)-(C3-C4-cycloalkyl),
-C(=0)OR10, represents a hydrogen atom, or a halogen atom or a group selected from Ci -Ce-alkyl, C3-C6-cycloalkyl, Ci -C6-haloalkyl, Ci -C6-hydroxyalkyl, (C1 -C3- alkoxy)-(Ci -C6-alkyl)-, Ci -C6-alkoxy, (C2-C6-hydroxyalkyl)-0-,
(Ci -C3-alkoxy)-(C2-C6-alkoxy)- and hydroxy,
R7 represents a hydrogen atom, or a halogen atom or a group selected from:
Ci -C3-alkyl and C3-C4-cycloalkyl, represents a hydrogen atom, or a halogen atom or a Ci -C3-alkyl group, or R7 and R8 are linked to one another in such a way that they jointly form a
group selected from :
-(CH2)3-,
-(CH2)4-,
-(CH2)5-,
and
-C(R1 1 )=C(R11 )-C(R11 )=C(R1 1)-,
with the proviso, that at least two of R1 1 represent hydrogen atoms,
R9 represents, independently of each other, a hydrogen atom or a group selected from:
Ci-C3-alkyl, Ci -C3-haloalkyl, C2-C3-hydroxyalkyl, C3-C4-cycloalkyl,
(C3-C4-cycloalkyl)-(Ci -C3-alkyl)- and (Ci -C3-alkoxy)-(C2-C3-alkyl)-,
R10 represents a hydrogen atom or a group selected from:
Ci-C3-alkyl, Ci -C3-haloalkyl, C2-C3-hydroxyalkyl, C3-C4-cycloalkyl,
(C3-C4-cycloalkyl)-(Ci -C3-alkyl)- and (Ci -C3-alkoxy)-(C2-C3-alkyl)-,
R11 represents, independently of each other, a hydrogen atom or a halogen atom or a group selected from:
methyl, ethyl and Ci-C2-haloalkyl, or an N-oxide, a salt, a tautomer or a stereoisomer of said compound, or a salt of said N-oxide, tautomer or stereoisomer.
2. The compound according to claim 1 ,
wherein:
V, W, Y and Z independently of each other represent CH or CR2,
or,
V represents N, and W, Y and Z independently of each other represent CH or CR
or,
W represents N, and V, Y and Z independently of each other represent CH or CR represents a group selected from:
d-Ce-alkyl, C3-C8-cycloalkyl, (C3-C8-cycloalkyl)-(Ci-C3-alkyl)-,
(4- to 7-membered heterocycloalkyl)-(Ci-C3-alkyl)-, phenyl-(C2-C3-alkyl)-,
C3-C8-alkenyl and Ci-C6-haloalkyl,
wherein said cycloalkyl groups are optionally substituted with one or two groups selected independently from:
halogen atom, methyl and cyano,
and,
wherein said heterocycloalkyl groups are optionally substituted with one
or two groups selected independently from :
halogen atom, methyl and oxo,
and,
wherein said phenyl groups are optionally substituted with one, two or three groups selected independently from :
halogen atom, Ci-C6-alkyl, Ci-C6-haloalkyl, Ci-C6-alkoxy, Ci-C6- haloalkoxy, (C2-C6-hydroxyalkyl)-0- and (Ci-C3-alkoxy)-(C2-C6-alkoxy)-, and,
wherein said alkyl- and alkenyl groups are optionally substituted with one or two groups selected independently from :
cyano and C(=0)OR1°,
R2 represents, independently of each other, a halogen atom or a group selected from:
Ci-C3-alkyl, C3-C4-cycloalkyl, Ci-C3-haloalkyl, Ci-C3-alkoxy, (C2-C3- hydroxyalkyl)-0-,-N(H)C(=0)H,
-N(H)C(=0)-(C3-C4- cycloalkyl), -N(H)C(=0)-(Ci-C3-hydroxyalkyl), -C(=0)N(R9)2 and
-C(=0)OR10,
R4 represents a hydrogen atom, or a halogen atom or a group selected from:
Ci-Ce-alkoxy, (C2-C6-hydroxyalkyl)-0-, (Ci-C3-alkoxy)-(C2-C6-alkoxy)- and hydroxy,
R7 represents a hydrogen atom, or a halogen atom or a group selected from:
Ci-C3-alkyl and C3-C4-cycloalkyl,
R8 represents a hydrogen atom, or a halogen atom or a Ci-C3-alkyl group, or R7 and R8 are linked to one another in such a way that they jointly form a
group selected from :
-(CH2)3-,
-(CH2)4-,
-(CH2)5-,
and
-C(R1 1 )=C(R11 )-C(R11 )=C(R1 1)-,
with the proviso, that at least two of R1 1 represent hydrogen atoms,
R9 represents, independently of each other, a hydrogen atom or a group selected from:
Ci -C3-alkyl, C2-C3-hydroxyalkyl, C3-C4-cycloalkyl and (Ci -C3-alkoxy)-(C2-C3- alkyl)-,
R10 represents a hydrogen atom or a group selected from:
Ci -C3-alkyl and C3-C4-cycloalkyl,
R1 1 represents, independently of each other, a hydrogen atom or a halogen atom or a group selected from:
methyl, ethyl and Ci -C2-haloalkyl, or an N-oxide, a salt, a tautomer or a stereoisomer of said compound, or a salt of said N-oxide, tautomer or stereoisomer.
3. The compound according to claim 1 or 2,
wherein:
V, W, Y and Z independently of each other represent CH or CR2,
or,
V represents N, and W, Y and Z independently of each other represent CH or CR2, or,
W represents N, and V, Y and Z independently of each other represent CH or CR2, represents a group selected from:
d-Ce-alkyl, C3-C8-cycloalkyl, (C3-C8-cycloalkyl)-(Ci -C3-alkyl)-,
(4- to 7-membered heterocycloalkyl)-(Ci -C3-alkyl)-, phenyl-(C2-C3-alkyl)-,
Cs-Ce-alkenyl and Ci -Ce-haloalkyl,
wherein said cycloalkyl groups are optionally substituted with one or two groups selected independently from:
halogen atom, methyl and cyano,
and,
wherein said heterocycloalkyl groups are optionally substituted with one
or two groups selected independently from:
halogen atom, methyl and oxo,
and,
wherein said phenyl groups are optionally substituted with one, two or three groups selected independently from:
halogen atom, Ci-C3-haloalkyl and Ci-C3-alkoxy,
and,
wherein said alkyl- and alkenyl groups are optionally substituted with one or two groups selected independently from:
cyano and C(=0)OR1°, represents, independently of each other, a halogen atom or a group selected from:
Ci-C3-alkyl, Ci-C3-haloalkyl, Ci-C3-alkoxy, (C2-C3-hydroxyalkyl)-0-,-N(H)C(=0) (Ci-C3-alkyl), -C(=0)N(R9)2 and -C(=0)OR1°, represents a hydrogen atom, or a halogen atom or a group selected from: Ci-C3-alkoxy, (C2-C3-hydroxyalkyl)-0-, (Ci-C3-alkoxy)-(C2-C3-alkoxy)- and hydroxy,
R7 represents a hydrogen atom, or a halogen atom or a group selected from:
Ci-C3-alkyl and C3-C4-cycloalkyl, represents a hydrogen atom, or a halogen atom or a Ci-C3-alkyl group, or R7 and R8 are linked to one another in such a way that they jointly form a
group selected from:
-(CH2)3-,
-(CH2)4-,
and
-C(R11)=C(R11)-C(R11)=C(R11)-,
with the proviso, that at least two of R11 represent hydrogen atoms,
R9 represents, independently of each other, a hydrogen atom or a group selected from:
Ci-C3-alkyl and C3-C4-cycloalkyl,
R10 represents a hydrogen atom or a Ci-C3-alkyl group,
R1 1 represents, independently of each other, a hydrogen atom or a halogen atom or a group selected from:
methyl and ethyl, or an N-oxide, a salt, a tautomer or a stereoisomer of said compound, or a salt of said N-oxide, tautomer or stereoisomer.
4. The compound according to any one of claims 1 to 3,
wherein:
V, W, Y and Z independently of each other represent CH or CR2,
or,
V represents N, and W, Y and Z independently of each other represent CH or CR2,
R1 represents a group selected from:
Ci -Cs-alkyl, (C3-C7-cycloalkyl)-(Ci-C2-alkyl)-,
(4- to 5-membered heterocycloalkyl)-(CH2)-, C3-C5-alkenyl and Ci-C2-haloalkyl, wherein said cycloalkyl groups are optionally substituted with one or two groups selected independently from:
methyl and cyano,
and,
wherein said heterocycloalkyl groups are optionally substituted with one or two groups selected independently from:
methyl and oxo,
and,
wherein said alkyl- and alkenyl groups are optionally substituted with one group selected from:
cyano and C(=0)OR1°,
R2 represents, independently of each other, a group selected from:
Ci -C3-alkyl, Ci-C3-haloalkyl,-N(H)C(=0)-CH3, -C(=0)N(R9)2 and -C(=0)OR1°,
R4 represents a hydrogen atom, or a group selected from:
Ci-C3-alkoxy, (C2-C3-hydroxyalkyl)-0- and hydroxy,
R7 represents a halogen atom or a Ci-C3-alkyl group,
R8 represents a hydrogen atom or a Ci-C3-alkyl group, or R7 and R8 are linked to one another in such a way that they jointly form a
group selected from:
-(CH2)3-,
and
-C(R11)=C(R11)-C(R11)=C(R11)-,
with the proviso, that at least two of R11 represent hydrogen atoms,
R9 represents, independently of each other, a hydrogen atom or a
Ci-C3-alkyl group,
R10 represents a hydrogen atom or a Ci-C3-alkyl group,
R11 represents, independently of each other, a hydrogen atom or a halogen atom or a methyl group, or an N-oxide, a salt, a tautomer or a stereoisomer of said compound, or a salt of said N-oxide, tautomer or stereoisomer.
5. The compound according to any one of claims 1 to 4,
wherein:
V, W, Y and Z independently of each other represent CH or CR2,
or,
V represents N, and W, Y and Z independently of each other represent CH or CR2, R1 represents a group selected from:
methyl, 3-methylbutyl, cyclopropylmethyl, (l -cyanocyclopropyl)methyl,
(2,2-dimethylcyclopropyl)methyl, cyclobutylmethyl, cyclopentylmethyl, cyclohexylm ethyl, 2-cyclohexylethyl, cycloheptylmethyl, oxetan-3-ylmethyl, (3-methyloxetan-3-yl)methyl, (1 -methyl-5-oxo-pyrrolidin-3-yl)methyl,
2-methylprop-2-en-1 -yl, 3-methylbut-2-en-1 -yl, 3-cyano-2-methyl-allyl, 2-methoxycarbonylallyl, 2,2-difluoroethyl, 2,2,2-trifluoroethyl and
3,3,3-trifluopropropyl,
R2 represents, independently of each other, a group selected from:
methyl, difluoromethyl,-N(H)C(=0)-CH3, -C(=0)N(R9)2 and -C(=0)OR1°,
R4 represents a hydrogen atom, or a group selected from:
methoxy, 3-hydroxypropyloxy and hydroxy,
R7 represents a bromine atom or an isopropyl group,
R8 represents a hydrogen atom or a methyl group, or R7 and R8 are linked to one another in such a way that they jointly form a
group selected from:
-(CH2)3-,
and
-C(R11)=C(R11)-C(R11)=C(R11)-,
with the proviso, that at least two of R11 represent hydrogen atoms,
R9 represents, independently of each other, a hydrogen atom or a methyl group,
R10 represents a hydrogen atom or a group selected from:
methyl and ethyl,
R11 represents, independently of each other, a hydrogen atom, a fluorine atom, a chlorine atom or a methyl group, or an N-oxide, a salt, a tautomer or a stereoisomer of said compound, or a salt of said N-oxide, tautomer or stereoisomer.
6. A compound of formula (I) according to any one of claims 1 to 5, which is selected from the group consisting of:
4-({2-[1 -(cyclopentylmethyl)-1 H-indazol-3-yl]-5-methoxypyrimidin-4-yl}amino)pyridine-3- carboxamide,
4-({5-methoxy-2-[1 -(3-methylbut-2-en-1 -yl)-1 H-indazol-3-yl]pyrimidin-4-yl}amino)- pyridine-3-carboxamide,
4-({5-methoxy-2-[1 -(2-methylprop-2-en-1 -yl)-1 H-indazol-3-yl]pyrimidin-4-yl}amino)- pyridine-3-carboxamide,
4-({2-[1 -(cyclohexylmethyl)-1 H-indazol-3-yl]-5-methoxypyrimidin-4-yl}amino)pyridine-3- carboxamide,
4- ({2-[1 -(cyclobutylmethyl)-1 H-indazol-3-yl]-5-methoxypyrimidin-4-yl}amino)pyridine-3- carboxamide,
5- methoxy-2-[1 -(3-methylbut-2-en-1 -yl)-1 H-indazol-3-yl]-N-(pyridin-4-yl)pyrimidin-4- amine,
4-[(2-{1 -[(2,2-dimethylcyclopropyl)methyl]-1 H-indazol-3-yl}-5-methoxypyrimidin-4-yl)- amino]pyridine-3-carboxamide,
4-({5-methoxy-2-[1 -(3-methylbutyl)-1 H-indazol-3-yl]pyrimidin-4-yl}amino)pyridine-3- carboxamide,
4-({2-[1 -(2-cyclohexylethyl)-1 H-indazol-3-yl]-5-methoxypyrimidin-4-yl}amino)pyridine-3- carboxamide,
4-({2-[1 -(cycloheptylmethyl)-1 H-indazol-3-yl]-5-methoxypyrimidin-4-yl}amino)pyridine-3- carboxamide,
4-[(5-methoxy-2-{1 -[(3-methyloxetan-3-yl)methyl]-1 H-indazol-3-yl}pyrimidin-4-yl)amino]- pyridine-3-carboxamide,
2-[1 -(cyclopropylmethyl)-1 H-indazol-3-yl]-5-methoxy-N-(pyridin-4-yl)pyrimidin-4-amine, 4-({5-methoxy-2-[1 -(oxetan-3-ylmethyl)-1 H-indazol-3-yl]pyrimidin-4-yl}amino)pyridine-3- carboxamide,
2-[1 -(cyclobutylmethyl)-1 H-indazol-3-yl]-5-methoxy-N-(pyridin-4-yl)pyrimidin-4-amine, 4-{[5-methoxy-2-(1 -{2-[2-(trifluoromethyl)phenyl]ethyl}-1 H-indazol-3-yl)pyrimidin-4-yl]- amino}pyridine-3-carboxamide,
(2Z)-4-{3-[5-methoxy-4-(pyridin-4-ylamino)pyrimidin-2-yl]-1 H-indazol-1 -yl}-3-methylbut- 2-enenitrile,
methyl 2-({3-[5-methoxy-4-(pyridin-4-ylamino)pyrimidin-2-yl]-1 H-indazol-1 -yljmethyl)- prop-2-enoate,
1 -({3-[5-methoxy-4-(pyridin-4-ylamino)pyrimidin-2-yl]-1 H-indazol-1 -yl}methyl)cyclo- propanecarbonitrile,
ethyl 4-({2-[1 -(cyclopropylmethyl)-l H-indazol-3-yl]-5-methoxypyrimidin-4-yl}amino)- pyridine-3-carboxylate,
2-{1 -[1 -(2,6-difluoro-4-methoxyphenyl)ethyl]-1 H-indazol-3-yl}-5-methoxy-N-(pyridin-4- yl)pyrimidin-4-amine,
2-{1 -[1 -(4-ethoxy-2,6-difluorophenyl)ethyl]-1 H-indazol-3-yl}-5-methoxy-N-(pyridin-4-yl)- pyrimidin-4-amine,
2-{1 -[1 -(2-fluorophenyl)ethyl]-1 H-indazol-3-yl}-5-methoxy-N-(pyridin-4-yl)pyrimidin-4- amine,
2-{1 -[1 -(4-ethoxy-2,6-difluorophenyl)propyl]-1 H-indazol-3-yl}-5-methoxy-N-(pyridin-4- yl)pyrimidin-4-amine,
2-{1 -[1 -(2,4-dichlorophenyl)ethyl]-1 H-indazol-3-yl}-5-methoxy-N-(pyridin-4-yl)pyrimidin- 4-amine,
4-({2-[1 -(cyclopropylmethyl)-1 H-indazol-3-yl]-5-methoxypyrimidin-4-yl}amino)pyridine-3- carboxamide,
4-{[5-methoxy-2-(1 -methyl-1 H-indazol-3-yl)pyrimidin-4-yl]amino}pyridine-3-carbox- amide,
4-({2-[1 -(cyclopropylmethyl)-7-methyl-1 H-indazol-3-yl]-5-methoxypyrimidin-4-yl}amino)- pyridine-3-carboxamide,
4-({2-[7-chloro-1 -(cyclopropylmethyl)-1 H-indazol-3-yl]-5-methoxypyrimidin-4-yl}amino)- pyridine-3-carboxamide,
4-({2-[1 -(cyclopropylmethyl)-7-fluoro-1 H-indazol-3-yl]-5-methoxypyrimidin-4-yl}amino)- pyridine-3-carboxamide,
4-({2-[5-bromo-1 -(cyclopropylmethyl)-4-methyl-1 H-pyrazol-3-yl]-5-methoxypyrimidin-4- yl}amino)pyridine-3-carboxamide,
N-methyl-4-{[2-(1 -methyl-1 ,4,5,6-tetrahydrocyclopenta[c]pyrazol-3-yl)pyrimidin-4-yl]- amino}pyridine-3-carboxamide,
4-{[2-(1 -methyl-1 ,4,5,6-tetrahydrocyclopenta[c]pyrazol-3-yl)pyrimidin-4-yl]amino}- pyridine-3-carboxamide,
4-({2-[1 -methyl-5-(propan-2-yl)-1 H-pyrazol-3-yl]pyrimidin-4-yl}amino)pyridine-3-carbox- amide,
4-{[5-methoxy-2-(1 -methyl-1 H-indazol-3-yl)pyrimidin-4-yl]amino}pyridine-3-carboxylate, ethyl 4-({2-[1 -(cyclopropylmethyl)-7-methyl-1 H-indazol-3-yl]-5-methoxypyrimidin-4-yl}-
amino)pyridine-3-carboxylate,
ethyl 4-({2-[7-chloro-1 -(cyclopropylmethyl)-l H-indazol-3-yl]-5-methoxypyrimidin-4-yl}- amino)pyridine-3-carboxylate,
ethyl 4-({2-[1 -(cyclopropylmethyl)-7-f luoro-1 H-indazol-3-yl]-5-methoxypyrimidin-4-yl}- amino)pyridine-3-carboxylate,
N-[4-({2-[1 -(cyclopentylmethyl)-1 H-indazol-3-yl]-5-methoxypyrimidin-4-yl}amino)pyridin- 2-yl]acetamide,
2-[1 -(cyclopentylmethyl)-1 H-indazol-3-yl]-5-methoxy-N-(3-methylpyridin-4-yl)pyrimidin- 4-amine,
2-[1 -(cyclopentylmethyl)-1 H-indazol-3-yl]-5-methoxy-N-(2-methylpyridin-4-yl)pyrimidin-
4- amine,
2-[1 -(cyclopentylmethyl)-1 H-indazol-3-yl]-N-[2-(difluoromethyl)pyridin-4-yl]-5-methoxy- pyrimidin-4-amine,
ethyl 4-({2-[5-bromo-1 -(cyclopropylmethyl)-4-methyl-1 H-pyrazol-3-yl]-5-methoxy- pyrimidin-4-yl}amino)pyridine-3-carboxylate,
2-[5-bromo-1 -(cyclopropylmethyl)-4-methyl-1 H-pyrazol-3-yl]-5-methoxy-N-(pyridin-4- yl)pyrimidin-4-amine,
5- methoxy-2-(1 -methyl-1 H-indazol-3-yl)-N-(2-methylpyrimidin-4-yl)pyrimidin-4-amine, 2-[1 -(2,2-difluoroethyl)-1 H-indazol-3-yl]-5-methoxy-N-(2-methylpyrimidin-4-yl)pyrimidin-
4- amine,
5- methoxy-N-(2-methylpyrimidin-4-yl)-2-[1 -(2,2,2-trifluoroethyl)-1 H-indazol-3-yl]- pyrimidin-4-amine,
5-methoxy-N-(2-methylpyrimidin-4-yl)-2-[1 -(3,3,3-trifluoropropyl)-1 H-indazol-3-yl]- pyrimidin-4-amine,
5-methoxy-N-(pyridin-4-yl)-2-[1 -(3,3,3-trifluoropropyl)-1 H-indazol-3-yl]pyrimidin-4- amine,
N-{4-[(5-methoxy-2-{1 -[(1 -methyl-5-oxopyrrolidin-3-yl)methyl]-1 H-indazol-3-yl}pyrimidin- 4-yl)amino]pyridin-2-yl}acetamide,
ethyl 4-{[2-(1 -methyl-1 ,4,5,6-tetrahydrocyclopenta[c]pyrazol-3-yl)pyrimidin-4-yl]amino}- pyridine-3-carboxylate,
ethyl 4-({2-[1 -methyl-5-(propan-2-yl)-1 H-pyrazol-3-yl]pyrimidin-4-yl}amino)pyridine-3- carboxylate,
2-(1 -methyl-1 H-indazol-3-yl)-4-[(2-methylpyrimidin-4-yl)amino]pyrimidin-5-ol,
2-[1 -(2,2-difluoroethyl)-1 H-indazol-3-yl]-4-[(2-methylpyrimidin-4-yl)amino]pyrimidin-5-ol,
4- [(2-methylpyrimidin-4-yl)amino]-2-[1 -(2,2,2-trifluoroethyl)-1 H-indazol-3-yl]pyrimidin-5- ol,
3-({2-(1 -methyl-1 H-indazol-3-yl)-4-[(2-methylpyrimidin-4-yl)amino]pyrimidin-5-yl}oxy)- propan-1 -ol,
3-({2-[1 -(2,2-difluoroethyl)-1 H-indazol-3-yl]-4-[(2-methylpyrimidin-4-yl)amino]pyrimidin-
5- yl}oxy)propan-1 -ol,
3- ({4-[(2-methylpyrimidin-4-yl)amino]-2-[1 -(2,2,2-trifluoroethyl)-1 H-indazol-3-y pyrimidin-5-yl}oxy)propan-1 -ol,
2-{1 -[(1 R)-1 -(2,6-difluoro-4-methoxyphenyl)ethyl]-1 H-indazol-3-yl}-5-methoxy-N- (pyridin-4-yl)pyrimidin-4-amine,
2-{1 -[(1 S)-1 -(2,6-dif luoro-4-methoxyphenyl)ethyl]-1 H-indazol-3-yl}-5-methoxy-N- (pyridin-4-yl)pyrimidin-4-amine,
2-{1 -[(1 R)-1 -(2-f luorophenyl)ethyl]-1 H-indazol-3-yl}-5-methoxy-N-(pyridin-4-yl)pyrimidin-
4- amine,
2-{1 -[(1 S)-1 -(2-f luorophenyl)ethyl]-1 H-indazol-3-yl}-5-methoxy-N-(pyridin-4-yl)pyrimidin- 4-amine,
2-{1 -[(1 R)-1 -(4-ethoxy-2,6-dif luorophenyl)propyl]-1 H-indazol-3-yl}-5-methoxy-N- (pyridin-4-yl)pyrimidin-4-amine,
2-{1 -[(1 S)-1 -(4-ethoxy-2,6-dif luorophenyl)propyl]-1 H-indazol-3-yl}-5-methoxy-N-(pyridin- 4-yl)pyrimidin-4-amine,
2-{1 -[(1 R)-1 -(2,4-dichlorophenyl)ethyl]-1 H-indazol-3-yl}-5-methoxy-N-(pyridin-4- yl)pyrimidin-4-amine, and
2-{1 -[(1 S)-1 -(2,4-dichlorophenyl)ethyl]-1 H-indazol-3-yl}-5-methoxy-N-(pyridin-4- yl)pyrimidin-4-amine, or an N-oxide, a salt, a tautomer or a stereoisomer of said compound, or a salt of said N-oxide, tautomer or stereoisomer.
7. Use of a compound of general formula (I) according to any one of claims 1 to 6 for the treatment or prophylaxis of a disease.
8. Use of a compound of general formula (I) according to claim 7, whereby the disease is hyperproliferative disease and/or a disorder responsive to induction of cell death.
9. Use of a compound of general formula (I) according to claim 8, whereby the hyperproliferative disease and/or disorder responsive to induction of cell death is a haematological tumour, a solid tumour and/or metastases thereof.
10. Use of a compound of general formula (I) according to according to claim 9, whereby the hyperproliferative disease is cervical cancer.
1 1. A pharmaceutical composition comprising at least one compound of general formula (I) according to any one of claims 1 to 6, together with at least one pharmaceutically acceptable carrier or auxiliary.
12. A composition according to claim 1 1 for the treatment of a haematological tumour, a solid tumour and/or metastases thereof.
13. A combination comprising one or more first active ingredients selected from a compound of general formula (I) according to any one of claims 1 to 6, and one or more second active ingredients selected from chemotherapeutic anti-cancer agents and target-specific anti-cancer agents.
Applications Claiming Priority (2)
| Application Number | Priority Date | Filing Date | Title |
|---|---|---|---|
| EP16161043.1 | 2016-03-18 | ||
| EP16161043 | 2016-03-18 |
Publications (1)
| Publication Number | Publication Date |
|---|---|
| WO2017157991A1 true WO2017157991A1 (en) | 2017-09-21 |
Family
ID=55586203
Family Applications (1)
| Application Number | Title | Priority Date | Filing Date |
|---|---|---|---|
| PCT/EP2017/056075 Ceased WO2017157991A1 (en) | 2016-03-18 | 2017-03-15 | 1-alkyl-pyrazoles and -indazoles as bub1 inhibitors for the treatment of hyperproliferative diseases |
Country Status (1)
| Country | Link |
|---|---|
| WO (1) | WO2017157991A1 (en) |
Cited By (8)
| Publication number | Priority date | Publication date | Assignee | Title |
|---|---|---|---|---|
| US10266548B2 (en) | 2011-10-06 | 2019-04-23 | Bayer Intellectual Property Gmbh | Substituted benzylindazoles for use as Bub1 kinase inhibitors in the treatment of hyperproliferative diseases |
| US10287353B2 (en) | 2016-05-11 | 2019-05-14 | Huya Bioscience International, Llc | Combination therapies of HDAC inhibitors and PD-1 inhibitors |
| WO2019096922A1 (en) | 2017-11-17 | 2019-05-23 | Bayer Aktiengesellschaft | Substituted macrocyclic indole derivatives |
| US10350206B2 (en) | 2014-09-19 | 2019-07-16 | Bayer Pharma Aktiengesellschaft | Benzyl substituted indazoles as BUB1 inhibitors |
| US10385131B2 (en) | 2016-05-11 | 2019-08-20 | Huya Bioscience International, Llc | Combination therapies of HDAC inhibitors and PD-L1 inhibitors |
| US11242335B2 (en) | 2017-04-11 | 2022-02-08 | Sunshine Lake Pharma Co., Ltd. | Fluorine-substituted indazole compounds and uses thereof |
| CN114369083A (en) * | 2020-10-15 | 2022-04-19 | 四川科伦博泰生物医药股份有限公司 | Heterocyclic compound, pharmaceutical composition containing same, preparation method and application thereof |
| WO2022231242A1 (en) * | 2021-04-26 | 2022-11-03 | 주식회사 스탠다임 | Indazole compound having lrrk2 inhibitory activity |
Citations (12)
| Publication number | Priority date | Publication date | Assignee | Title |
|---|---|---|---|---|
| WO2012112363A1 (en) | 2011-02-14 | 2012-08-23 | Merck Sharp & Dohme Corp. | Cathepsin cysteine protease inhibitors |
| WO2012139930A1 (en) * | 2011-04-11 | 2012-10-18 | Nerviano Medical Sciences S.R.L. | Pyrazolyl-pyrimidine derivatives as kinase inhibitors |
| WO2013050438A1 (en) | 2011-10-06 | 2013-04-11 | Bayer Pharma Aktiengesellschaft | Substituted benzylindazoles for use as bub1 kinase inhibitors in the treatment of hyperproliferative diseases. |
| WO2013092512A1 (en) | 2011-12-21 | 2013-06-27 | Bayer Intellectual Property Gmbh | Substituted benzylpyrazoles |
| WO2013167698A1 (en) | 2012-05-11 | 2013-11-14 | Bayer Pharma Aktiengesellschaft | Substituted cycloalkenopyrazoles as bub1 inhibitors for the treatment of cancer |
| WO2014147203A1 (en) | 2013-03-21 | 2014-09-25 | Bayer Pharma Aktiengesellschaft | 3-heteroaryl substituted indazoles |
| WO2014147204A1 (en) | 2013-03-21 | 2014-09-25 | Bayer Pharma Aktiengesellschaft | Heteroaryl substituted indazoles |
| WO2014202588A1 (en) | 2013-06-21 | 2014-12-24 | Bayer Pharma Aktiengesellschaft | Heteroaryl substituted pyrazoles |
| WO2014202590A1 (en) | 2013-06-21 | 2014-12-24 | Bayer Pharma Aktiengesellschaft | Substituted benzylpyrazoles |
| WO2014202584A1 (en) | 2013-06-21 | 2014-12-24 | Bayer Pharma Aktiengesellschaft | Heteroaryl substituted pyrazoles |
| WO2014202583A1 (en) | 2013-06-21 | 2014-12-24 | Bayer Pharma Aktiengesellschaft | Substituted benzylpyrazoles |
| WO2015063003A1 (en) | 2013-10-30 | 2015-05-07 | Bayer Pharma Aktiengesellschaft | Heteroaryl substituted pyrazoles |
-
2017
- 2017-03-15 WO PCT/EP2017/056075 patent/WO2017157991A1/en not_active Ceased
Patent Citations (12)
| Publication number | Priority date | Publication date | Assignee | Title |
|---|---|---|---|---|
| WO2012112363A1 (en) | 2011-02-14 | 2012-08-23 | Merck Sharp & Dohme Corp. | Cathepsin cysteine protease inhibitors |
| WO2012139930A1 (en) * | 2011-04-11 | 2012-10-18 | Nerviano Medical Sciences S.R.L. | Pyrazolyl-pyrimidine derivatives as kinase inhibitors |
| WO2013050438A1 (en) | 2011-10-06 | 2013-04-11 | Bayer Pharma Aktiengesellschaft | Substituted benzylindazoles for use as bub1 kinase inhibitors in the treatment of hyperproliferative diseases. |
| WO2013092512A1 (en) | 2011-12-21 | 2013-06-27 | Bayer Intellectual Property Gmbh | Substituted benzylpyrazoles |
| WO2013167698A1 (en) | 2012-05-11 | 2013-11-14 | Bayer Pharma Aktiengesellschaft | Substituted cycloalkenopyrazoles as bub1 inhibitors for the treatment of cancer |
| WO2014147203A1 (en) | 2013-03-21 | 2014-09-25 | Bayer Pharma Aktiengesellschaft | 3-heteroaryl substituted indazoles |
| WO2014147204A1 (en) | 2013-03-21 | 2014-09-25 | Bayer Pharma Aktiengesellschaft | Heteroaryl substituted indazoles |
| WO2014202588A1 (en) | 2013-06-21 | 2014-12-24 | Bayer Pharma Aktiengesellschaft | Heteroaryl substituted pyrazoles |
| WO2014202590A1 (en) | 2013-06-21 | 2014-12-24 | Bayer Pharma Aktiengesellschaft | Substituted benzylpyrazoles |
| WO2014202584A1 (en) | 2013-06-21 | 2014-12-24 | Bayer Pharma Aktiengesellschaft | Heteroaryl substituted pyrazoles |
| WO2014202583A1 (en) | 2013-06-21 | 2014-12-24 | Bayer Pharma Aktiengesellschaft | Substituted benzylpyrazoles |
| WO2015063003A1 (en) | 2013-10-30 | 2015-05-07 | Bayer Pharma Aktiengesellschaft | Heteroaryl substituted pyrazoles |
Non-Patent Citations (32)
| Title |
|---|
| "Citation of NMR Peaklist Data within Patent Applications", 1 August 2014 |
| "Isotopic Compositions of the Elements 1997", PURE APPL. CHEM., vol. 70, no. 1, 1998, pages 217 - 235 |
| A. E. MUTLIB ET AL., TOXICOL. APPL. PHARMACOL., vol. 169, 2000, pages 102 |
| B. TESTA ET AL., INT. J. PHARM, vol. 19, no. 3, 1984, pages 271 |
| BARON A ET AL., ELIFE, vol. 5, 2016, pages E12187 |
| BOLANOS-GARCIA VM; BLUNDELL TL, TRENDS BIOCHEM. SCI., vol. 36, 2010, pages 141 |
| C. J. WENTHUR ET AL., J. MED. CHEM., vol. 56, 2013, pages 5208 |
| C. L. PERRIN ET AL., J. AM. CHEM. SOC., vol. 127, 2005, pages 9641 |
| C. L. PERRIN ET AL., J. AM. CHEM. SOC., vol. 129, 2007, pages 4490 |
| EFAVIRENZ: A. E. MUTLIB ET AL., TOXICOL. APPL. PHARMACOL., vol. 169, 2000, pages 102 |
| ELOWE S, MOL. CELL. BIOL., vol. 31, 2011, pages 3085 |
| F. MALTAIS ET AL., J. MED. CHEM., vol. 52, 2009, pages 7993 |
| F. SCHNEIDER ET AL., ARZNEIM. FORSCH. / DRUG. RES., vol. 56, 2006, pages 295 |
| HANAHAN D; WEINBERG RA, CELL, vol. 100, 2000, pages 57 |
| HANAHAN D; WEINBERG RA, CELL, vol. 144, 2011, pages 646 |
| KAWASHIMA ET AL., SCIENCE, vol. 327, 2010, pages 172 |
| KING RW, BIOCHIM BIOPHYS ACTA, vol. 1786, 2008, pages 4 |
| KOPS GJ ET AL., NATURE REV. CANCER, vol. 5, 2005, pages 773 |
| MUSACCHIO A; SALMON ED, NAT. REV. MOL. CELL. BIOL., vol. 8, 2007, pages 379 |
| NEVIRAPINE: A. M. SHARMA ET AL., CHEM. RES. TOXICOL., vol. 26, 2013, pages 410 |
| PURE APPL CHEM, vol. 45, 1976, pages 11 - 30 |
| RICKE ET AL., J. CELL BIOL., vol. 199, 2012, pages 931 - 949 |
| RIEDER CL; MAIATO H, DEV. CELL, vol. 7, 2004, pages 637 |
| ROBERTS BT ET AL., MOL. CELL BIOL., vol. 14, 1994, pages 8282 |
| S. M. BERGE ET AL.: "Pharmaceutical Salts", J. PHARM. SCI, vol. 66, 1977, pages 1 - 19, XP002675560, DOI: doi:10.1002/jps.2600660104 |
| SCHMIDT M; BASTIANS H, DRUG RES. UPDATES, vol. 10, 2007, pages 162 |
| SCHMIDT M; MEDEMA RH, CELL CYCLE, vol. 5, 2006, pages 159 |
| SUIJKERBUIJK SJ; KOPS GJ, BIOCHEM. BIOPHYS. ACTA, vol. 1786, 2008, pages 24 |
| T.W. GREENE; P.G.M. WUTS: "Protective Groups in Organic Synthesis", 1999, WILEY |
| WATANABE Y, COLD SPRING HARB. SYMP. QUANT. BIOL., vol. 75, 2010, pages 419 |
| WEAVER BA; CLEVELAND DW, CANCER RES., vol. 67, 2007, pages 10103 |
| YUAN B ET AL., CLIN. CANCER RES., vol. 12, 2006, pages 405 |
Cited By (14)
| Publication number | Priority date | Publication date | Assignee | Title |
|---|---|---|---|---|
| US10266548B2 (en) | 2011-10-06 | 2019-04-23 | Bayer Intellectual Property Gmbh | Substituted benzylindazoles for use as Bub1 kinase inhibitors in the treatment of hyperproliferative diseases |
| US10604532B2 (en) | 2011-10-06 | 2020-03-31 | Bayer Intellectual Property Gmbh | Substituted benzylindazoles for use as BUB1 kinase inhibitors in the treatment of hyperproliferative diseases |
| US10350206B2 (en) | 2014-09-19 | 2019-07-16 | Bayer Pharma Aktiengesellschaft | Benzyl substituted indazoles as BUB1 inhibitors |
| US10385131B2 (en) | 2016-05-11 | 2019-08-20 | Huya Bioscience International, Llc | Combination therapies of HDAC inhibitors and PD-L1 inhibitors |
| US10385130B2 (en) | 2016-05-11 | 2019-08-20 | Huya Bioscience International, Llc | Combination therapies of HDAC inhibitors and PD-1 inhibitors |
| US10287353B2 (en) | 2016-05-11 | 2019-05-14 | Huya Bioscience International, Llc | Combination therapies of HDAC inhibitors and PD-1 inhibitors |
| US11535670B2 (en) | 2016-05-11 | 2022-12-27 | Huyabio International, Llc | Combination therapies of HDAC inhibitors and PD-L1 inhibitors |
| US12122833B2 (en) | 2016-05-11 | 2024-10-22 | Huyabio International, Llc | Combination therapies of HDAC inhibitors and PD-1 inhibitors |
| US11242335B2 (en) | 2017-04-11 | 2022-02-08 | Sunshine Lake Pharma Co., Ltd. | Fluorine-substituted indazole compounds and uses thereof |
| WO2019096922A1 (en) | 2017-11-17 | 2019-05-23 | Bayer Aktiengesellschaft | Substituted macrocyclic indole derivatives |
| CN114369083A (en) * | 2020-10-15 | 2022-04-19 | 四川科伦博泰生物医药股份有限公司 | Heterocyclic compound, pharmaceutical composition containing same, preparation method and application thereof |
| WO2022231242A1 (en) * | 2021-04-26 | 2022-11-03 | 주식회사 스탠다임 | Indazole compound having lrrk2 inhibitory activity |
| KR20230118694A (en) * | 2021-04-26 | 2023-08-11 | 주식회사 스탠다임 | Indazole compounds with LRRK2 inhibitory activity |
| KR102588242B1 (en) * | 2021-04-26 | 2023-10-12 | 주식회사 스탠다임 | Indazole compounds with LRRK2 inhibitory activity |
Similar Documents
| Publication | Publication Date | Title |
|---|---|---|
| WO2017157991A1 (en) | 1-alkyl-pyrazoles and -indazoles as bub1 inhibitors for the treatment of hyperproliferative diseases | |
| CA3056970A1 (en) | 2-methyl-quinazolines | |
| CA2961589A1 (en) | Benzyl substituted indazoles as bub1 inhibitors | |
| EP3402795A1 (en) | 5-substituted 2-(morpholin-4-yl)-1,7-naphthyridines | |
| WO2014147203A1 (en) | 3-heteroaryl substituted indazoles | |
| WO2016041925A1 (en) | Benzyl substituted indazoles | |
| TW201840549A (en) | 2-heteroaryl-3-oxo-2,3-dihydropyridazine-4-carboxamide | |
| EP3194380A1 (en) | Benzyl substituted indazoles as bub1 kinase inhibitors | |
| CA3216503A1 (en) | Phosphorus derivatives as novel sos1 inhibitors | |
| EP4602049A1 (en) | Sos1 inhibitors | |
| WO2016042081A1 (en) | Benzyl substituted indazoles as bub1 kinase inhibitors | |
| EP3390387B1 (en) | Heteroarylbenzimidazole compounds | |
| CN106414435A (en) | Amino-substituted isothiazoles | |
| WO2017162510A1 (en) | Substituted quinazolinone compounds for the treatment of proliferative diseases | |
| WO2017157992A1 (en) | Annulated pyrazoles as bub1 kinase inhibitors for treating proliferative disorders | |
| WO2017148995A1 (en) | 1-(pyrimidin-2-yl)-1h-indazoles having bub1 kinase inhibiting activity | |
| EP3172204A1 (en) | Amino-substituted isoxazoles | |
| WO2025021997A1 (en) | New map4k1 inhibitors | |
| EA050224B1 (en) | PHOSPHORUS DERIVATIVES AS NEW SOS1 INHIBITORS | |
| HK1234390A1 (en) | Amino-substituted isothiazoles | |
| EP2977377A1 (en) | Amino-substituted isoxazoles |
Legal Events
| Date | Code | Title | Description |
|---|---|---|---|
| NENP | Non-entry into the national phase |
Ref country code: DE |
|
| 121 | Ep: the epo has been informed by wipo that ep was designated in this application |
Ref document number: 17710546 Country of ref document: EP Kind code of ref document: A1 |
|
| 122 | Ep: pct application non-entry in european phase |
Ref document number: 17710546 Country of ref document: EP Kind code of ref document: A1 |
















































































