WO2013180376A1 - New electron transport material and organic electroluminescent device using the same - Google Patents
New electron transport material and organic electroluminescent device using the same Download PDFInfo
- Publication number
- WO2013180376A1 WO2013180376A1 PCT/KR2013/001371 KR2013001371W WO2013180376A1 WO 2013180376 A1 WO2013180376 A1 WO 2013180376A1 KR 2013001371 W KR2013001371 W KR 2013001371W WO 2013180376 A1 WO2013180376 A1 WO 2013180376A1
- Authority
- WO
- WIPO (PCT)
- Prior art keywords
- alkyl
- compound
- aryl
- heteroaryl
- electron transport
- Prior art date
- Legal status (The legal status is an assumption and is not a legal conclusion. Google has not performed a legal analysis and makes no representation as to the accuracy of the status listed.)
- Ceased
Links
- 0 CC1(C)c(cc(*)cc2)c2-c2c1cccc2 Chemical compound CC1(C)c(cc(*)cc2)c2-c2c1cccc2 0.000 description 3
- BCVDVWVZIPEOJO-UHFFFAOYSA-N Bc(cc1)ccc1-c1nc(-c2ccccc2)nc-2c1Cc1ccccc-21 Chemical compound Bc(cc1)ccc1-c1nc(-c2ccccc2)nc-2c1Cc1ccccc-21 BCVDVWVZIPEOJO-UHFFFAOYSA-N 0.000 description 1
- TYXDCXOCOZJHCU-UHFFFAOYSA-N Brc(cc1)ccc1-c1nc(-c2ccccc2)nc2c1ccc1ccccc21 Chemical compound Brc(cc1)ccc1-c1nc(-c2ccccc2)nc2c1ccc1ccccc21 TYXDCXOCOZJHCU-UHFFFAOYSA-N 0.000 description 1
- HMLLCWZRHKOFPI-KMKOMSMNSA-N C/C=C(/c1ccccc1)\N=C Chemical compound C/C=C(/c1ccccc1)\N=C HMLLCWZRHKOFPI-KMKOMSMNSA-N 0.000 description 1
- PABHUJBWKBEDGH-UHFFFAOYSA-N CC(C)(c1c-2cccc1)c1c-2nc(-c2cccnc2)nc1-c(cc1)ccc1-c(cc1)ccc1-c1nc(-c2ccccc2)cc(-c2ccccc2)c1 Chemical compound CC(C)(c1c-2cccc1)c1c-2nc(-c2cccnc2)nc1-c(cc1)ccc1-c(cc1)ccc1-c1nc(-c2ccccc2)cc(-c2ccccc2)c1 PABHUJBWKBEDGH-UHFFFAOYSA-N 0.000 description 1
- VBKJZFZTDJAMFO-UHFFFAOYSA-N CC(C)(c1ccccc1-1)c2c-1nc(-c1ccccc1)nc2-c(cc1)ccc1Br Chemical compound CC(C)(c1ccccc1-1)c2c-1nc(-c1ccccc1)nc2-c(cc1)ccc1Br VBKJZFZTDJAMFO-UHFFFAOYSA-N 0.000 description 1
- WRAVONRESWAOFU-UHFFFAOYSA-N CC(C)(c1ccccc1-1)c2c-1nc(-c1cccnc1)nc2-c(cc1)ccc1-c(cc1)ccc1-c(cc1C2(C)C)ccc1-c1c2c(-c2cncc(-c3nc(-c(cc4)ccc4-c4cccc(-c5c(C(C)(C)c6ccccc6-6)c-6nc(-c6ccccc6)n5)c4)c(C(C)(C)c4ccccc4-4)c-4n3)c2)ccc1 Chemical compound CC(C)(c1ccccc1-1)c2c-1nc(-c1cccnc1)nc2-c(cc1)ccc1-c(cc1)ccc1-c(cc1C2(C)C)ccc1-c1c2c(-c2cncc(-c3nc(-c(cc4)ccc4-c4cccc(-c5c(C(C)(C)c6ccccc6-6)c-6nc(-c6ccccc6)n5)c4)c(C(C)(C)c4ccccc4-4)c-4n3)c2)ccc1 WRAVONRESWAOFU-UHFFFAOYSA-N 0.000 description 1
- GRRVPFFEKCOGMQ-UHFFFAOYSA-N CC1(C)OB(c(cc2)ccc2-c2nc(-c3ccccc3)cc(-c3ccccc3)c2)OC1(C)C Chemical compound CC1(C)OB(c(cc2)ccc2-c2nc(-c3ccccc3)cc(-c3ccccc3)c2)OC1(C)C GRRVPFFEKCOGMQ-UHFFFAOYSA-N 0.000 description 1
- ICKOESKESASEFZ-UHFFFAOYSA-N CC1(C)c(cc(cc2)-c3cc(-c4c(CCc(c-5ccc6)c6-c(cc6C7(C)C)ccc6-c(cc6)c7cc6-c6cc(-c7c(CCc(c-8ccc9)c9-c(cc9C%10(C)C)ccc9-c(cc9)c%10cc9-c9cc(-c%10c(CCc%11ccccc%11-%11)c-%11nc(-c(cc%11)ccc%11-c%11ccc(cc%12)c%13c%11ccc%11c%13c%12ccc%11)n%10)ccc9)c-8nc(-c(nc8)ccc8-c8ccc(cc9)c%10c8ccc8c%10c9ccc8)n7)c7cc6C7)c-5nc(C(NC5)=NC=C5c5ccc(cc6)c7c5ccc5c7c6ccc5)n4)ccc3)c2-c2c1cccc2 Chemical compound CC1(C)c(cc(cc2)-c3cc(-c4c(CCc(c-5ccc6)c6-c(cc6C7(C)C)ccc6-c(cc6)c7cc6-c6cc(-c7c(CCc(c-8ccc9)c9-c(cc9C%10(C)C)ccc9-c(cc9)c%10cc9-c9cc(-c%10c(CCc%11ccccc%11-%11)c-%11nc(-c(cc%11)ccc%11-c%11ccc(cc%12)c%13c%11ccc%11c%13c%12ccc%11)n%10)ccc9)c-8nc(-c(nc8)ccc8-c8ccc(cc9)c%10c8ccc8c%10c9ccc8)n7)c7cc6C7)c-5nc(C(NC5)=NC=C5c5ccc(cc6)c7c5ccc5c7c6ccc5)n4)ccc3)c2-c2c1cccc2 ICKOESKESASEFZ-UHFFFAOYSA-N 0.000 description 1
- HQOSIECDRBEOAN-UHFFFAOYSA-N CC1(C)c2c(-c(cc3)ccc3-c(cc3)cc4c3c(cccc3)c3c3c4cccc3)nc(-c3ccccn3)nc2-c2c1cccc2 Chemical compound CC1(C)c2c(-c(cc3)ccc3-c(cc3)cc4c3c(cccc3)c3c3c4cccc3)nc(-c3ccccn3)nc2-c2c1cccc2 HQOSIECDRBEOAN-UHFFFAOYSA-N 0.000 description 1
- AMAJCIKPBSELAE-UHFFFAOYSA-N CC1(C)c2c(-c(cc3)ccc3-c(cc3)ccc3-c3nc(-c4ccccn4)nc-4c3C(C)(C)c3c-4cccc3)nc(-c3ccccc3)nc2-c2ccccc12 Chemical compound CC1(C)c2c(-c(cc3)ccc3-c(cc3)ccc3-c3nc(-c4ccccn4)nc-4c3C(C)(C)c3c-4cccc3)nc(-c3ccccc3)nc2-c2ccccc12 AMAJCIKPBSELAE-UHFFFAOYSA-N 0.000 description 1
- KUZJAWMUSJTOEO-UHFFFAOYSA-N Cc1nc(-c2ccccc2)nc2c1ccc1ccccc21 Chemical compound Cc1nc(-c2ccccc2)nc2c1ccc1ccccc21 KUZJAWMUSJTOEO-UHFFFAOYSA-N 0.000 description 1
- AFDMODCXODAXLC-UHFFFAOYSA-N N=Cc1ccccc1 Chemical compound N=Cc1ccccc1 AFDMODCXODAXLC-UHFFFAOYSA-N 0.000 description 1
- OXSRYCQUCRVPGD-UKTHLTGXSA-N O=C(/C(/C1)=C/c(cc2)ccc2Br)c2c1cccc2 Chemical compound O=C(/C(/C1)=C/c(cc2)ccc2Br)c2c1cccc2 OXSRYCQUCRVPGD-UKTHLTGXSA-N 0.000 description 1
- OCZVKPUVGCHNBR-UHFFFAOYSA-N c(cc1)ccc1-c1c(ccc2ccccc22)c2nc(-c2nc(-c3nc(cccc4)c4[o]3)ccn2)n1 Chemical compound c(cc1)ccc1-c1c(ccc2ccccc22)c2nc(-c2nc(-c3nc(cccc4)c4[o]3)ccn2)n1 OCZVKPUVGCHNBR-UHFFFAOYSA-N 0.000 description 1
- MDXDOYAJHSBVNB-UHFFFAOYSA-N c(cc1)ccc1-c1c(ccc2ccccc22)c2nc(-c2nccc(-c3nc(cccc4)c4[s]3)n2)n1 Chemical compound c(cc1)ccc1-c1c(ccc2ccccc22)c2nc(-c2nccc(-c3nc(cccc4)c4[s]3)n2)n1 MDXDOYAJHSBVNB-UHFFFAOYSA-N 0.000 description 1
- WDAXURQOJPCJKO-UHFFFAOYSA-N c(cc1)ccc1-c1c(ccc2ccccc22)c2nc(-c2nccc(-c3nc(cccn4)c4[s]3)n2)n1 Chemical compound c(cc1)ccc1-c1c(ccc2ccccc22)c2nc(-c2nccc(-c3nc(cccn4)c4[s]3)n2)n1 WDAXURQOJPCJKO-UHFFFAOYSA-N 0.000 description 1
Images
Classifications
-
- C—CHEMISTRY; METALLURGY
- C07—ORGANIC CHEMISTRY
- C07D—HETEROCYCLIC COMPOUNDS
- C07D401/00—Heterocyclic compounds containing two or more hetero rings, having nitrogen atoms as the only ring hetero atoms, at least one ring being a six-membered ring with only one nitrogen atom
- C07D401/02—Heterocyclic compounds containing two or more hetero rings, having nitrogen atoms as the only ring hetero atoms, at least one ring being a six-membered ring with only one nitrogen atom containing two hetero rings
- C07D401/04—Heterocyclic compounds containing two or more hetero rings, having nitrogen atoms as the only ring hetero atoms, at least one ring being a six-membered ring with only one nitrogen atom containing two hetero rings directly linked by a ring-member-to-ring-member bond
-
- C—CHEMISTRY; METALLURGY
- C07—ORGANIC CHEMISTRY
- C07D—HETEROCYCLIC COMPOUNDS
- C07D239/00—Heterocyclic compounds containing 1,3-diazine or hydrogenated 1,3-diazine rings
- C07D239/70—Heterocyclic compounds containing 1,3-diazine or hydrogenated 1,3-diazine rings condensed with carbocyclic rings or ring systems
-
- C—CHEMISTRY; METALLURGY
- C07—ORGANIC CHEMISTRY
- C07D—HETEROCYCLIC COMPOUNDS
- C07D239/00—Heterocyclic compounds containing 1,3-diazine or hydrogenated 1,3-diazine rings
- C07D239/70—Heterocyclic compounds containing 1,3-diazine or hydrogenated 1,3-diazine rings condensed with carbocyclic rings or ring systems
- C07D239/72—Quinazolines; Hydrogenated quinazolines
- C07D239/74—Quinazolines; Hydrogenated quinazolines with only hydrogen atoms, hydrocarbon or substituted hydrocarbon radicals, attached to ring carbon atoms of the hetero ring
-
- C—CHEMISTRY; METALLURGY
- C07—ORGANIC CHEMISTRY
- C07D—HETEROCYCLIC COMPOUNDS
- C07D403/00—Heterocyclic compounds containing two or more hetero rings, having nitrogen atoms as the only ring hetero atoms, not provided for by group C07D401/00
- C07D403/02—Heterocyclic compounds containing two or more hetero rings, having nitrogen atoms as the only ring hetero atoms, not provided for by group C07D401/00 containing two hetero rings
- C07D403/10—Heterocyclic compounds containing two or more hetero rings, having nitrogen atoms as the only ring hetero atoms, not provided for by group C07D401/00 containing two hetero rings linked by a carbon chain containing aromatic rings
-
- C—CHEMISTRY; METALLURGY
- C07—ORGANIC CHEMISTRY
- C07D—HETEROCYCLIC COMPOUNDS
- C07D409/00—Heterocyclic compounds containing two or more hetero rings, at least one ring having sulfur atoms as the only ring hetero atoms
- C07D409/02—Heterocyclic compounds containing two or more hetero rings, at least one ring having sulfur atoms as the only ring hetero atoms containing two hetero rings
- C07D409/10—Heterocyclic compounds containing two or more hetero rings, at least one ring having sulfur atoms as the only ring hetero atoms containing two hetero rings linked by a carbon chain containing aromatic rings
-
- C—CHEMISTRY; METALLURGY
- C07—ORGANIC CHEMISTRY
- C07D—HETEROCYCLIC COMPOUNDS
- C07D409/00—Heterocyclic compounds containing two or more hetero rings, at least one ring having sulfur atoms as the only ring hetero atoms
- C07D409/14—Heterocyclic compounds containing two or more hetero rings, at least one ring having sulfur atoms as the only ring hetero atoms containing three or more hetero rings
-
- C—CHEMISTRY; METALLURGY
- C07—ORGANIC CHEMISTRY
- C07D—HETEROCYCLIC COMPOUNDS
- C07D413/00—Heterocyclic compounds containing two or more hetero rings, at least one ring having nitrogen and oxygen atoms as the only ring hetero atoms
- C07D413/02—Heterocyclic compounds containing two or more hetero rings, at least one ring having nitrogen and oxygen atoms as the only ring hetero atoms containing two hetero rings
- C07D413/10—Heterocyclic compounds containing two or more hetero rings, at least one ring having nitrogen and oxygen atoms as the only ring hetero atoms containing two hetero rings linked by a carbon chain containing aromatic rings
-
- C—CHEMISTRY; METALLURGY
- C07—ORGANIC CHEMISTRY
- C07D—HETEROCYCLIC COMPOUNDS
- C07D413/00—Heterocyclic compounds containing two or more hetero rings, at least one ring having nitrogen and oxygen atoms as the only ring hetero atoms
- C07D413/14—Heterocyclic compounds containing two or more hetero rings, at least one ring having nitrogen and oxygen atoms as the only ring hetero atoms containing three or more hetero rings
-
- C—CHEMISTRY; METALLURGY
- C07—ORGANIC CHEMISTRY
- C07D—HETEROCYCLIC COMPOUNDS
- C07D417/00—Heterocyclic compounds containing two or more hetero rings, at least one ring having nitrogen and sulfur atoms as the only ring hetero atoms, not provided for by group C07D415/00
- C07D417/02—Heterocyclic compounds containing two or more hetero rings, at least one ring having nitrogen and sulfur atoms as the only ring hetero atoms, not provided for by group C07D415/00 containing two hetero rings
- C07D417/10—Heterocyclic compounds containing two or more hetero rings, at least one ring having nitrogen and sulfur atoms as the only ring hetero atoms, not provided for by group C07D415/00 containing two hetero rings linked by a carbon chain containing aromatic rings
-
- C—CHEMISTRY; METALLURGY
- C07—ORGANIC CHEMISTRY
- C07D—HETEROCYCLIC COMPOUNDS
- C07D417/00—Heterocyclic compounds containing two or more hetero rings, at least one ring having nitrogen and sulfur atoms as the only ring hetero atoms, not provided for by group C07D415/00
- C07D417/14—Heterocyclic compounds containing two or more hetero rings, at least one ring having nitrogen and sulfur atoms as the only ring hetero atoms, not provided for by group C07D415/00 containing three or more hetero rings
-
- C—CHEMISTRY; METALLURGY
- C07—ORGANIC CHEMISTRY
- C07D—HETEROCYCLIC COMPOUNDS
- C07D513/00—Heterocyclic compounds containing in the condensed system at least one hetero ring having nitrogen and sulfur atoms as the only ring hetero atoms, not provided for in groups C07D463/00, C07D477/00 or C07D499/00 - C07D507/00
- C07D513/02—Heterocyclic compounds containing in the condensed system at least one hetero ring having nitrogen and sulfur atoms as the only ring hetero atoms, not provided for in groups C07D463/00, C07D477/00 or C07D499/00 - C07D507/00 in which the condensed system contains two hetero rings
- C07D513/04—Ortho-condensed systems
-
- H—ELECTRICITY
- H10—SEMICONDUCTOR DEVICES; ELECTRIC SOLID-STATE DEVICES NOT OTHERWISE PROVIDED FOR
- H10K—ORGANIC ELECTRIC SOLID-STATE DEVICES
- H10K85/00—Organic materials used in the body or electrodes of devices covered by this subclass
- H10K85/60—Organic compounds having low molecular weight
- H10K85/649—Aromatic compounds comprising a hetero atom
- H10K85/654—Aromatic compounds comprising a hetero atom comprising only nitrogen as heteroatom
-
- H—ELECTRICITY
- H10—SEMICONDUCTOR DEVICES; ELECTRIC SOLID-STATE DEVICES NOT OTHERWISE PROVIDED FOR
- H10K—ORGANIC ELECTRIC SOLID-STATE DEVICES
- H10K85/00—Organic materials used in the body or electrodes of devices covered by this subclass
- H10K85/60—Organic compounds having low molecular weight
- H10K85/649—Aromatic compounds comprising a hetero atom
- H10K85/657—Polycyclic condensed heteroaromatic hydrocarbons
- H10K85/6572—Polycyclic condensed heteroaromatic hydrocarbons comprising only nitrogen in the heteroaromatic polycondensed ring system, e.g. phenanthroline or carbazole
-
- H—ELECTRICITY
- H10—SEMICONDUCTOR DEVICES; ELECTRIC SOLID-STATE DEVICES NOT OTHERWISE PROVIDED FOR
- H10K—ORGANIC ELECTRIC SOLID-STATE DEVICES
- H10K50/00—Organic light-emitting devices
- H10K50/10—OLEDs or polymer light-emitting diodes [PLED]
- H10K50/14—Carrier transporting layers
- H10K50/16—Electron transporting layers
Definitions
- the following disclosure relates to a new electron transport material and an organic electroluminescent device using the same.
- An organic electroluminescent device is a device emitting light while electrons and holes disappear after being coupled in pairs when an electron charge is injected into an organic film formed between an electron injection electrode (cathode) and a hole injection electrode (anode).
- the organic electroluminescent device has advantages in that the device may be formed on a flexible transparent substrate made of, for example, plastic material, driven at a low voltage (10V or less) as compared with a plasma display panel or an inorganic electroluminescent (EL) display, has relatively low power consumption and excellent color sensation.
- the organic electroluminescent device has a structure consisting of a substrate, an anode, a hole injection layer receiving a hole from the anode, a hole transport layer transporting the hole, a luminescent layer emitting light while the hole and an electron are bonded, an electron transport layer receiving the electrode from a cathode to transport the electron to the luminescent layer, and the cathode.
- the luminescent layer may be configured by applying a small amount of a fluorescent or phosphorescent dye to the electron transport layer or the hole transport layer without a separate luminescent layer.
- one polymer may entirely serve as the hole transport layer, the luminescent layer, and the electron transport layer.
- Organic thin film layers between two electrodes may be formed by a method such as a vacuum deposition method, a spin coating method, an inkjet printing method, a roll coating method, or the like, and for effective injection of the electron from the cathode, a separate electron injection layer may be inserted.
- the hole and the electron may be effectively transported to the luminescent layer.
- the organic electroluminescent device is manufactured to have a multi-layer thin film structure.
- TPBI which was reported by Kodak in 1996 disclosed in US Patent No. 5,645,948, (See the following structure), is known to be a representative material for electron transport layer having an imidazole group.
- This material contains three N-phenyl benzimidazole groups at 1, 3, and 5 substitution positions of benzene, and has a function of blocking holes from a luminescent layer as well as transporting electrons.
- stability of TPBI is too low to be actually used in the device.
- the material may slightly improve only a driving voltage, or there are problems such as significant deterioration of a device driving lifespan or negative properties such as variation in the device lifespan according to the color, and deterioration of thermal stability, or the like.
- a fluorescent material was used in the organic electroluminescent device according to the related art, but gradually, phosphorescent material has been mainly used in the organic electroluminescent device. Therefore, in the electron transport material, which is a common material of the organic electroluminescent device, electron mobility appropriate for the phosphorescent material, low driving voltage, and a hole blocking property have been required.
- An embodiment of the present invention is directed to providing a new electron transport material capable of significantly improving luminescence efficiency, stability and a lifespan of a device.
- an embodiment of the present invention is directed to providing an organic electroluminescent device capable of having an excellent luminescence property by using the new electron transport material and decreasing consumption power by decreasing driving voltage to induce increase in power efficiency.
- an electron transport material represented by the following Chemical Formula 1 represented by the following Chemical Formula 1, and an organic electroluminescent device containing the same.
- the electron transport material according to the present invention is used, such that excellent luminescence property may be obtained, and an increase in power efficiency is induced by decreasing driving voltage, such that the organic electroluminescent device using less consumption power may be manufactured.
- A, B, C, and D each are independently C-(L 1 ) m -Ar 1 or N, but two of A, B, C, and D are N, the other two are C-(L 1 ) m -Ar 1 , and each of -(L 1 ) m -Ar 1 may be the same as or different from each other, but two -(L 1 ) m -Ar 1 are not hydrogen at the same time;
- L is (C1-C20)alkylene or (C2-C20)alkenylene
- R 1 to R 4 each are independently hydrogen, (C1-C30)alkyl, (C3-C30)cycloalkyl, (C6-C30)aryl, or (C3-C30)heteroaryl;
- L 1 (s) each are independently a single bond, (C6-C30)arylene, or (C3-C30)heteroarylene;
- n is an integer of 1 to 3, and in the case in which m is an integer of 2 or more, L 1 (s) each are the same as or different from each other;
- Ar 1 (s) each are independently hydrogen, (C1-C30)alkyl, (C6-C30)aryl, or (C3-C30)heteroaryl;
- alkyl, cycloalkyl, aryl, heteroaryl of R 1 to R 4 , alkylene or alkenylene of L, arylene and heteroarylene of L 1 , and aryl and heteroaryl of Ar 1 may be substituted with at least one selected from a group consisting of (C1-C30)alkyl, halo(C1-C30)alkyl, halogen, cyano, (C3-C30)cycloalkyl, (C1-C30)alkoxy, (C6-C30)aryloxy, (C6-C30)aryl, (C6-C30)ar(C1-C30)alkyl, (C1-C30)alkyl(C6-C30)aryl, (C3-C30)heteroaryl, (C3-C30)heteroaryl substituted with (C1-C30)alkyl, (C3-C30)heteroaryl substituted with (C6-C30)
- alkyl alkoxy and other substituents including an “alkyl” part described in the present invention include both of the straight chain type and the branched chain type, and the term “cycloalkyl” includes polycyclic hydrocarbon such as substituted or unsubstituted adamantyl or substituted or unsubstituted (C7-C30)bicycloalkyl as well as monocyclic ring system.
- aryl which is an organic radical derived from aromatic hydrocarbon by the removal of one hydrogen atom, may include a single ring or a fused ring containing, preferably 4 to 7 ring atoms, and more preferably 5 or 6 ring atoms, and include rings in which two or more aryl groups are combined through a single bond(s).
- aryl include phenyl, naphthyl, biphenyl, terphenyl, anthryl, indenyl, fluorenyl, phenanthryl, triphenylenyl, pyrenyl, perylenyl, chrysenyl, naphtacenyl, fluoranthenyl, and the like.
- the heteroaryl may be a 5- or 6-membered monocyclic heteroaryl or a polycyclic heteroaryl which is fused with one or more benzene ring(s), and may be partially saturated.
- the “heteroaryl”in the present invention may include the structures having one or more heteroaryl group(s) bonded through a single bond.
- the heteroaryl groups may include divalent aryl groups of which the heteroatoms are oxidized or quarternized, for example, to form N-oxides, quaternary salts, or the like.
- Specific examples of the heteroaryl group include monocyclic heteroaryl groups such as furyl, thiophenyl, pyrrolyl, imidazolyl, pyrazolyl, thiazolyl, thiadiazolyl, isothiazolyl, isoxazolyl, oxazolyl, oxadiazolyl, triazinyl, tetrazinyl, triazolyl, tetrazolyl, furazanyl, pyridyl, pyrazinyl, pyrimidinyl, pyridazinyl, or the like; polycyclic heteroaryl groups such as benzofuranyl, benzothiophenyl, isobenzofuranyl, benzimidazolyl, benzothiazolyl,
- ‘(C1-C30)alkyl’described herein may be preferably (C1-C20)alkyl, more preferably, (C1-C10)alkyl
- ‘(C6-C30)aryl’described herein may be preferably (C6-C20)aryl.
- ‘(C3-C30)heteroaryl’ may be preferably (C3-C20)heteroaryl.
- ‘(C3-C30)cycloalkyl’ may be preferably (C3-C20)cycloalkyl, more preferably (C3-C7)cycloalkyl.
- the electron transport material according to the present invention may be represented by the following Chemical Formula 2 or 3.
- R 1 to R 4 and L each has the same definition in Chemical Formula 1;
- L 2 and L 3 each are independently a single bond, (C6-C30)arylene, or (C3-C30)heteroarylene;
- x and y each are independently an integer of 1 to 3, wherein when x is an integer of 2 or more, L 2 (s) are the same as or different from each other, and when y is an integer of 2 or more, L 3 (s) are the same as or different from each other;
- Ar 2 and Ar 3 each are independently hydrogen, (C1-C30)alkyl, (C6-C30)aryl, or (C3-C30)heteroaryl;
- Arylene and heteroarylene of L 2 and L 3 , and aryl and heteroaryl of Ar 2 and Ar 3 may be substituted with at least one selected from a group consisting of (C1-C30)alkyl, halo(C1-C30)alkyl, halogen, cyano, (C3-C30)cycloalkyl, (C1-C30)alkoxy, (C6-C30)aryloxy, (C6-C30)aryl, (C6-C30)ar(C1-C30)alkyl, (C1-C30)alkyl(C6-C30)aryl, (C3-C30)heteroaryl, (C3-C30)heteroaryl substituted with (C1-C30)alkyl, (C3-C30)heteroaryl substituted with (C6-C30)aryl, mono or di(C1-C30)alkylamino, mono or di(C6-C30)aryla
- the electron transport material according to the present invention may be represented by the following Chemical Formulas 4 to 9.
- R 1 to R 6 each are independently hydrogen, (C1-C30)alkyl, (C3-C30)cycloalkyl, (C6-C30)aryl, or (C3-C30)heteroaryl;
- L 2 and L 3 each are independently a single bond, (C6-C30)arylene, or (C3-C30)heteroarylene;
- x is an integer of 1 to 3, and when x is an integer of 2 or more, L 1 (s) each are the same as or different from each other,
- Ar 2 and Ar 3 each are independently hydrogen, (C1-C30)alkyl, (C6-C30)aryl, or (C3-C30)heteroaryl; and arylene of L 2 and L 3 and aryl and heteroaryl of Ar 2 and Ar 3 may be further substituted with at least one selected from a group consisting of (C1-C30)alkyl, (C6-C30)aryl, (C6-C30)ar(C1-C30)alkyl, (C1-C30)alkyl(C6-C30)aryl, and (C3-C30)heteroaryl.]
- L 2 and L 3 each are a single bond, phenylene, biphenylene, 9,9-dimethylfluorenylene, naphthylene, anthrylene, pyridinylene, or pyrimidinylene;
- Ar 2 and Ar 3 each are independently hydrogen, (C1-C30)alkyl, or selected from the following structure;
- R', R'', and R'' each may be independently hydrogen, (C1-C30)alkyl, (C6-C30)aryl, (C3-C30)heteroaryl, or (C1-C30)alkyl(C6-C30)aryl.
- the electron transport material may be, for example, the following compounds, but is not limited thereto.
- a process of preparing an electron transport material of Chemical Formula 2 when x and y are 1 is represented by the following Reaction Formula 1
- a process of preparing an electron transport material of Chemical Formula 2 in the case in which x is 3 and y is 1 is represented by the following Reaction Formulas 2 to 4.
- the electron transport material is not limited thereto, but may be prepared by an organic reaction known in the art.
- R 1 to R 4 , L, L 2 , L 3 , Ar 2 , and Ar 3 each has the same definition in Chemical Formula 2, X 1 and X 2 are halogen or but are not equal to each other.]
- an organic electroluminescent device including a first electrode; a second electrode; and at least one organic layer interposed between the first and second electrodes, wherein the organic layer includes an electron transport layer containing an electron transport material of Chemical Formula 1.
- driving voltage may be decreased, such that an increase in power efficiency may be induced, thereby decreasing consumption power.
- the organic layer may include at least one electron transport layer in which the electron transport material of Chemical Formula 1 is contained and at least one luminescent layer configured of a fluorescent host and a fluorescent dopant or a phosphorescent host and a phosphorescent dopant, wherein the fluorescent host, the fluorescent dopant, the phosphorescent host, or the phosphorescent dopant are not particularly limited.
- the electron transport material according to the present invention may have the excellent luminescence property and decrease the driving voltage to increase the power efficiency, such that the organic electroluminescent device using less consumption power may be manufactured.
- FIG. 1 is a graph showing efficiency (cd/A) and luminance (cd/m 2 ) of organic electroluminescent devices manufactured in Examples 7 to 12 and Comparative Example 1.
- FIG. 2 is a graph showing efficiency (cd/A) and luminance (cd/m 2 ) of organic electroluminescent devices manufactured in Examples 22 to 30 and Comparative Example 1
- N1-phenylbenzene-1,2-diamine (48g, 260mmol) was completely dissolved in N,N-Dimethyl acetamide (DMAC, 100mL) at 0°C, and then 4-bromobenzoyl chloride (63g, 287mmol) was dropped thereinto and stirred. After 2 hours 30 minutes, pyridine (60mL) and water (100mL) were added thereto. After stirring the mixture for 30 minutes, the prepared solid was filtered while being washed with methanol, thereby obtaining Compound F-1 (95g, 95%) as a white solid.
- DMAC N,N-Dimethyl acetamide
- 1,4-dibromonaphthalene 25g, 87.4mmol
- bis(pinacolato)diboron 46.62g, 184mmol
- 1,4-dioxane 300mL
- 1,1'-bis(diphenylphosphino)ferrocene-palladium(II)dichloride dichloromethane complex (0.71g, 0.9mmol)
- potassium acetate 17.16g, 174.8mmol
- 1,3-dibromothiophene (10g, 41.3mmol), Compound J (Preparation Example 10, 39.2g, 82.7mmol), THF (200mL), Pd(PPh 3 ) 4 (1.91g, 1.65mmol), K 2 CO 3 (68.6g, 496mmol), and distilled water (100mL) were mixed and stirred under reflux for 18 hours.
- the reactant was cooled to room temperature. Then, the precipitated solid was filtered and washed with methanol, thereby obtaining Compound 120 (22g, 68.5%).
- a glass substrate (25mm x 25mm x 0.7mm) having an indium tin oxide (ITO) transparent electrode line having a thickness of 150nm was subjected to ultrasonic cleaning for 10 minutes in distilled water in which a detergent was dissolved and then cleaned with distilled water again for 10 minutes. After washing with distilled water, the substrate was subjected to ultrasonic cleaning with solvents in a sequence of isopropyl alcohol, acetone, and methanol for 10 minutes, respectively, and dried. Thereafter, the substrate was dry cleaned using oxygen/argon plasma, then the glass substrate having the transparent electrode line was mounted on a substrate holder of a vacuum vapor deposition apparatus.
- ITO indium tin oxide
- a film having a thickness of 60nm was formed on a surface on which the transparent electrode line was formed as a hole injection layer using IDE-406 (the following structure, Idemitsu) so as to cover the transparent electrode.
- IDE-406 the following structure, Idemitsu
- a film having a thickness of 30nm was formed on the IDE-406 film as a hole transport layer using H-1 (tetrakis-N-biphenyl-4-yl-benzidine, hereinafter, referred to as the H-1 film ).
- BD-1 having the following structure and ⁇ -ADN(9,10-di(naphthalene-2-yl)anthracene) were deposited on the H-1 film as a dopant and a luminescent host at a weight ratio of 5%, to thereby form a film having a thickness of 20nm as a luminescent layer.
- a film having a thickness of 20nm was formed on the luminescent layer as an electron transport layer by depositing Compound 100 according to the present invention. Subsequently, lithium quinolate (Liq) was deposited thereon to form an electron injection layer. Metal aluminum was deposited on this Liq film to form a metal cathode, thereby manufacturing the organic electroluminescent device.
- Liq lithium quinolate
- An organic electroluminescent device was manufactured by the same process in Example 16 except that Compound 98 was used as an electron transport material instead of Compound 100 in Example 16.
- An organic electroluminescent device was manufactured by the same process in Example 16 except that Compound 105 was used as an electron transport material instead of Compound 100 in Example 16.
- An organic electroluminescent device was manufactured by the same process in Example 16 except that Compound 106 was used as an electron transport material instead of Compound 100 in Example 16.
- An organic electroluminescent device was manufactured by the same process in Example 16 except that Compound 113 was used as an electron transport material instead of Compound 100 in Example 16.
- An organic electroluminescent device was manufactured by the same process in Example 16 except that Compound 110 was used as an electron transport material instead of Compound 100 in Example 16.
- An organic electroluminescent device was manufactured by the same process in Example 16 except that Compound 114 was used as an electron transport material instead of Compound 100 in Example 16.
- An organic electroluminescent device was manufactured by the same process in Example 16 except that Compound 115 was used as an electron transport material instead of Compound 100 in Example 16.
- An organic electroluminescent device was manufactured by the same process in Example 16 except that Compound 116 was used as an electron transport material instead of Compound 100 in Example 16.
- An organic electroluminescent device was manufactured by the same process in Example 16 except that Compound 117 was used as an electron transport material instead of Compound 100 in Example 16.
- An organic electroluminescent device was manufactured by the same process in Example 16 except that Compound 118 was used as an electron transport material instead of Compound 100 in Example 16.
- An organic electroluminescent device was manufactured by the same process in Example 16 except that Compound 119 was used as an electron transport material instead of Compound 100 in Example 16.
- An organic electroluminescent device was manufactured by the same process in Example 16 except that Compound 120 was used as an electron transport material instead of Compound 100 in Example 16.
- An organic electroluminescent device was manufactured by the same process in Example 16 except that Compound 121 was used as an electron transport material instead of Compound 100 in Example 16.
- An organic electroluminescent device was manufactured by the same process in Example 16 except that Compound 123 was used as an electron transport material instead of Compound 100 in Example 16.
- An organic electroluminescent device was manufactured by the same process in Example 7 except that Compound ETM-1 having the following structure was used as an electron transport material instead of Compound 100 in Example 7.
- the material according to the present invention had excellent luminescence properties as compared with the material according to the related art.
- the organic electroluminescent device using the heteroaromatic cyclic compound according to the present invention as the electron transport layer had an excellent luminescence property and decreased driving current to increase the power efficiency, thereby using less consumption power.
Landscapes
- Chemical & Material Sciences (AREA)
- Organic Chemistry (AREA)
- Physics & Mathematics (AREA)
- Spectroscopy & Molecular Physics (AREA)
- Engineering & Computer Science (AREA)
- Materials Engineering (AREA)
- Electroluminescent Light Sources (AREA)
Description
The following disclosure relates to a new electron transport material and an organic electroluminescent device using the same.
An organic electroluminescent device is a device emitting light while electrons and holes disappear after being coupled in pairs when an electron charge is injected into an organic film formed between an electron injection electrode (cathode) and a hole injection electrode (anode). The organic electroluminescent device has advantages in that the device may be formed on a flexible transparent substrate made of, for example, plastic material, driven at a low voltage (10V or less) as compared with a plasma display panel or an inorganic electroluminescent (EL) display, has relatively low power consumption and excellent color sensation.
Generally, the organic electroluminescent device has a structure consisting of a substrate, an anode, a hole injection layer receiving a hole from the anode, a hole transport layer transporting the hole, a luminescent layer emitting light while the hole and an electron are bonded, an electron transport layer receiving the electrode from a cathode to transport the electron to the luminescent layer, and the cathode. In some cases, the luminescent layer may be configured by applying a small amount of a fluorescent or phosphorescent dye to the electron transport layer or the hole transport layer without a separate luminescent layer. In the case of using a polymer, generally, one polymer may entirely serve as the hole transport layer, the luminescent layer, and the electron transport layer. Organic thin film layers between two electrodes may be formed by a method such as a vacuum deposition method, a spin coating method, an inkjet printing method, a roll coating method, or the like, and for effective injection of the electron from the cathode, a separate electron injection layer may be inserted.
In the case in which an interface between the electrode and an organic material is stabilized, or in the case of the organic material, since there is a large difference in a movement rate between the hole and the electron, an appropriate hole transport layer and electron transport layer are used, the hole and the electron may be effectively transported to the luminescent layer. In addition, in order to balance the hole and the electron densities in the luminescent layer to increase luminescence efficiency, the organic electroluminescent device is manufactured to have a multi-layer thin film structure.
Meanwhile, as a representative example of the existing electron transport material, there are aluminum complex and beryllium complex such as Alq3 (tris(8-hydroxyquinoline)aluminum(III)) and Bebq (bis(10-hydroxybenzo-[h]quinolinato)beryllium). However, in the case in which these materials are used in a blue electroluminescent device, color purity may be decreased due to luminescence caused by exciton diffusion.
In addition, TPBI, which was reported by Kodak in 1996 disclosed in US Patent No. 5,645,948, (See the following structure), is known to be a representative material for electron transport layer having an imidazole group. This material contains three N-phenyl benzimidazole groups at 1, 3, and 5 substitution positions of benzene, and has a function of blocking holes from a luminescent layer as well as transporting electrons. However, stability of TPBI is too low to be actually used in the device.
In the case of the electron transport material according to the related art, unlike the reported contents, actually, the material may slightly improve only a driving voltage, or there are problems such as significant deterioration of a device driving lifespan or negative properties such as variation in the device lifespan according to the color, and deterioration of thermal stability, or the like.
In addition, a fluorescent material was used in the organic electroluminescent device according to the related art, but gradually, phosphorescent material has been mainly used in the organic electroluminescent device. Therefore, in the electron transport material, which is a common material of the organic electroluminescent device, electron mobility appropriate for the phosphorescent material, low driving voltage, and a hole blocking property have been required.
An embodiment of the present invention is directed to providing a new electron transport material capable of significantly improving luminescence efficiency, stability and a lifespan of a device.
In addition, an embodiment of the present invention is directed to providing an organic electroluminescent device capable of having an excellent luminescence property by using the new electron transport material and decreasing consumption power by decreasing driving voltage to induce increase in power efficiency.
In one general aspect, there are provided an electron transport material represented by the following Chemical Formula 1, and an organic electroluminescent device containing the same. The electron transport material according to the present invention is used, such that excellent luminescence property may be obtained, and an increase in power efficiency is induced by decreasing driving voltage, such that the organic electroluminescent device using less consumption power may be manufactured.
[Chemical Formula 1]
[In Chemical Formula 1,
A, B, C, and D each are independently C-(L1)m-Ar1 or N, but two of A, B, C, and D are N, the other two are C-(L1)m-Ar1, and each of -(L1)m-Ar1 may be the same as or different from each other, but two -(L1)m-Ar1 are not hydrogen at the same time;
L is (C1-C20)alkylene or (C2-C20)alkenylene, a carbon atom (-CH2-) of alkylene of L may be substituted with a heteroatom selected from NR(R is (C1-C30)alkyl), O, and S, and a carbon atom (=CH-) of alkenylene of L may be substituted with N;
R1 to R4 each are independently hydrogen, (C1-C30)alkyl, (C3-C30)cycloalkyl, (C6-C30)aryl, or (C3-C30)heteroaryl;
L1(s) each are independently a single bond, (C6-C30)arylene, or (C3-C30)heteroarylene;
m is an integer of 1 to 3, and in the case in which m is an integer of 2 or more, L1(s) each are the same as or different from each other;
Ar1(s) each are independently hydrogen, (C1-C30)alkyl, (C6-C30)aryl, or (C3-C30)heteroaryl;
alkyl, cycloalkyl, aryl, heteroaryl of R1 to R4, alkylene or alkenylene of L, arylene and heteroarylene of L1, and aryl and heteroaryl of Ar1 may be substituted with at least one selected from a group consisting of (C1-C30)alkyl, halo(C1-C30)alkyl, halogen, cyano, (C3-C30)cycloalkyl, (C1-C30)alkoxy, (C6-C30)aryloxy, (C6-C30)aryl, (C6-C30)ar(C1-C30)alkyl, (C1-C30)alkyl(C6-C30)aryl, (C3-C30)heteroaryl, (C3-C30)heteroaryl substituted with (C1-C30)alkyl, (C3-C30)heteroaryl substituted with (C6-C30)aryl, mono or di(C1-C30)alkylamino, mono or di(C6-C30)arylamino, tri(C1-C30)alkylsilyl, di(C1-C30)alkyl(C6-C30)arylsilyl, tri(C6-C30)arylsilyl, nitro, and hydroxy; and
Heteroarylene and heteroaryl contains at least one hetero atom selected from B, N, O, S, P(=O), Si and P.
The terms “alkyl”, “alkoxy” and other substituents including an “alkyl" part described in the present invention include both of the straight chain type and the branched chain type, and the term “cycloalkyl” includes polycyclic hydrocarbon such as substituted or unsubstituted adamantyl or substituted or unsubstituted (C7-C30)bicycloalkyl as well as monocyclic ring system. The term “aryl” described herein, which is an organic radical derived from aromatic hydrocarbon by the removal of one hydrogen atom, may include a single ring or a fused ring containing, preferably 4 to 7 ring atoms, and more preferably 5 or 6 ring atoms, and include rings in which two or more aryl groups are combined through a single bond(s). Specific examples of aryl include phenyl, naphthyl, biphenyl, terphenyl, anthryl, indenyl, fluorenyl, phenanthryl, triphenylenyl, pyrenyl, perylenyl, chrysenyl, naphtacenyl, fluoranthenyl, and the like. The term “heteroaryl” described herein means an aryl group containing 1 to 4 hetero atom(s) selected from B, N, O, S, P(=O), Si, and P for the aromatic cyclic backbone atoms, and carbon atom(s) for remaining aromatic cyclic backbone atoms. The heteroaryl may be a 5- or 6-membered monocyclic heteroaryl or a polycyclic heteroaryl which is fused with one or more benzene ring(s), and may be partially saturated. In addition, the “heteroaryl”in the present invention may include the structures having one or more heteroaryl group(s) bonded through a single bond. The heteroaryl groups may include divalent aryl groups of which the heteroatoms are oxidized or quarternized, for example, to form N-oxides, quaternary salts, or the like. Specific examples of the heteroaryl group include monocyclic heteroaryl groups such as furyl, thiophenyl, pyrrolyl, imidazolyl, pyrazolyl, thiazolyl, thiadiazolyl, isothiazolyl, isoxazolyl, oxazolyl, oxadiazolyl, triazinyl, tetrazinyl, triazolyl, tetrazolyl, furazanyl, pyridyl, pyrazinyl, pyrimidinyl, pyridazinyl, or the like; polycyclic heteroaryl groups such as benzofuranyl, benzothiophenyl, isobenzofuranyl, benzimidazolyl, benzothiazolyl, benzisothiazolyl, benzisoxazolyl, benzoxazolyl, isoindolyl, indolyl, indazolyl, benzothiadiazolyl, quinolyl, isoquinolyl, cinnolinyl, quinazolinyl, quinoxalinyl, carbazolyl, phenanthridinyl, benzodioxolyl, dibenzofuranyl, dibenzothiophenyl, or the like; and corresponding N-oxides (for example, pyridyl N-oxide, quinolyl N-oxide); quaternary salts thereof, and the like.
Further,‘(C1-C30)alkyl’described herein may be preferably (C1-C20)alkyl, more preferably, (C1-C10)alkyl, and ‘(C6-C30)aryl’described herein may be preferably (C6-C20)aryl. ‘(C3-C30)heteroaryl’may be preferably (C3-C20)heteroaryl. ‘(C3-C30)cycloalkyl’may be preferably (C3-C20)cycloalkyl, more preferably (C3-C7)cycloalkyl.
More specifically, the electron transport material according to the present invention may be represented by the following Chemical Formula 2 or 3.
[Chemical Formula 2]
[Chemical Formula 3]
[In Chemical Formulas 2 and 3,
R1 to R4 and L each has the same definition in Chemical Formula 1;
L2 and L3 each are independently a single bond, (C6-C30)arylene, or (C3-C30)heteroarylene;
x and y each are independently an integer of 1 to 3, wherein when x is an integer of 2 or more, L2(s) are the same as or different from each other, and when y is an integer of 2 or more, L3(s) are the same as or different from each other;
Ar2 and Ar3 each are independently hydrogen, (C1-C30)alkyl, (C6-C30)aryl, or (C3-C30)heteroaryl;
Arylene and heteroarylene of L2 and L3, and aryl and heteroaryl of Ar2 and Ar3 may be substituted with at least one selected from a group consisting of (C1-C30)alkyl, halo(C1-C30)alkyl, halogen, cyano, (C3-C30)cycloalkyl, (C1-C30)alkoxy, (C6-C30)aryloxy, (C6-C30)aryl, (C6-C30)ar(C1-C30)alkyl, (C1-C30)alkyl(C6-C30)aryl, (C3-C30)heteroaryl, (C3-C30)heteroaryl substituted with (C1-C30)alkyl, (C3-C30)heteroaryl substituted with (C6-C30)aryl, mono or di(C1-C30)alkylamino, mono or di(C6-C30)arylamino, tri(C1-C30)alkylsilyl, di(C1-C30)alkyl(C6-C30)arylsilyl, tri(C6-C30)arylsilyl, nitro, and hydroxy; and
-(L2)x-Ar2 and -(L3)y-Ar3 are not hydrogen at the same time.]
More specifically, the electron transport material according to the present invention may be represented by the following Chemical Formulas 4 to 9.
[Chemical Formula 4]
[Chemical Formula 5]
[Chemical Formula 6]
[Chemical Formula 7]
[Chemical Formula 8]
[Chemical Formula 9]
[In Chemical Formulas 4 to 9,
R1 to R6 each are independently hydrogen, (C1-C30)alkyl, (C3-C30)cycloalkyl, (C6-C30)aryl, or (C3-C30)heteroaryl;
L2 and L3 each are independently a single bond, (C6-C30)arylene, or (C3-C30)heteroarylene;
x is an integer of 1 to 3, and when x is an integer of 2 or more, L1(s) each are the same as or different from each other,
Ar2 and Ar3 each are independently hydrogen, (C1-C30)alkyl, (C6-C30)aryl, or (C3-C30)heteroaryl; and arylene of L2 and L3 and aryl and heteroaryl of Ar2 and Ar3 may be further substituted with at least one selected from a group consisting of (C1-C30)alkyl, (C6-C30)aryl, (C6-C30)ar(C1-C30)alkyl, (C1-C30)alkyl(C6-C30)aryl, and (C3-C30)heteroaryl.]
In the electron transport material of Chemical Formula 1, L2 and L3 each are a single bond, phenylene, biphenylene, 9,9-dimethylfluorenylene, naphthylene, anthrylene, pyridinylene, or pyrimidinylene; Ar2 and Ar3 each are independently hydrogen, (C1-C30)alkyl, or selected from the following structure; and
R', R'', and R''' each may be independently hydrogen, (C1-C30)alkyl, (C6-C30)aryl, (C3-C30)heteroaryl, or (C1-C30)alkyl(C6-C30)aryl.
The electron transport material may be, for example, the following compounds, but is not limited thereto.
Among the electron transport materials according to the present invention, a process of preparing an electron transport material of Chemical Formula 2 when x and y are 1 is represented by the following Reaction Formula 1, and a process of preparing an electron transport material of Chemical Formula 2 in the case in which x is 3 and y is 1 is represented by the following Reaction Formulas 2 to 4. However, The electron transport material is not limited thereto, but may be prepared by an organic reaction known in the art.
[Reaction Formula 1]
[R1 to R4, L, L2, L3, Ar2, and Ar3 each has the same definition in Chemical Formula 2, X1 and X2 are halogen or but are not equal to each other.]
[Reaction Formula 2]
[Reaction Formula 3]
[Reaction Formula 4]
In another general aspect, there is provided an organic electroluminescent device including a first electrode; a second electrode; and at least one organic layer interposed between the first and second electrodes, wherein the organic layer includes an electron transport layer containing an electron transport material of Chemical Formula 1. In the case in which the electron transport material of Chemical Formula 1 is used in the electron transport layer, driving voltage may be decreased, such that an increase in power efficiency may be induced, thereby decreasing consumption power.
Further, the organic layer may include at least one electron transport layer in which the electron transport material of Chemical Formula 1 is contained and at least one luminescent layer configured of a fluorescent host and a fluorescent dopant or a phosphorescent host and a phosphorescent dopant, wherein the fluorescent host, the fluorescent dopant, the phosphorescent host, or the phosphorescent dopant are not particularly limited.
The electron transport material according to the present invention may have the excellent luminescence property and decrease the driving voltage to increase the power efficiency, such that the organic electroluminescent device using less consumption power may be manufactured.
FIG. 1 is a graph showing efficiency (cd/A) and luminance (cd/m2) of organic electroluminescent devices manufactured in Examples 7 to 12 and Comparative Example 1.
FIG. 2 is a graph showing efficiency (cd/A) and luminance (cd/m2) of organic electroluminescent devices manufactured in Examples 22 to 30 and Comparative Example 1
Hereinafter, an electron transport compound according to the present invention, a preparing method thereof, and luminescence properties of a device will be described in detail using a representative compound of the present invention as an example. However, the examples are for illustrating the present invention and not for limiting the present invention.
[Preparation Example 1] Preparation of Compound A
Preparation of Compound A-1
Alpha-tetralone (80g, 0.55mol) and 4-bromobenzaldehyde (106.5g, 0.58mol) were dissolved in ethanol (480mL), and then sodium hydroxide (27.4g, 0.68mol) was slowly added thereto at 0℃. After the mixture was stirred at room temperature for 3 hours, the prepared solid was separated by filtering under reduced pressure and sequentially washed with methanol, distilled water, and methanol. The washed material was dried, thereby obtaining Compound A-1 (148g, 69.8%) as a yellow solid.
1H NMR (CDCl3) d 7.97 (1H, d), 7.67-7.54 (7H, m), 7.46 (1H, t), 2.91 (2H, t), 2.73 (2H, t)
Preparation of Compound A-2
Compound A-1 (80g, 0.26mol), benzamidinehydrochloride (44g, 0.28mol), sodium hydroxide (15g, 0.38mol), and ethanol (1200mL) were mixed and refluxed for 12 hours. When the reaction was completed, the resultant material was cooled to room temperature, and the precipitated solid was filtered under reduced pressure and washed with water and ethanol. The washed material was dried, thereby obtaining Compound A-2 (50g, 47.4%) as a white solid.
1H NMR (CDCl3) d 8.65 (3H, m), 7.70 (4H, q), 7.51 (5H, m), 7.28 (1H, s), 3.09 (2H, t), 2.93 (2H, t)
Preparation of Compound A-3
Compound A-2 (20g, 0.048mol), 2,3-dichloro-5,6-dicyanoparabenzoquinone (DDQ, 27.5g, 0.12mol), and dichlorobenzene (200mL) were mixed and stirred at 120 for 4 hours. When the reaction was completed, the resultant material was cooled to room temperature and dispersed in methanol, followed by filtering under reduced pressure, thereby obtaining Compound A-3 (13.2g, 66.3%) as a white solid.
1H NMR (CDCl3) d 8.65 (3H, m), 7.70 (6H, q), 7.51 (7H, m), 7.28 (1H, s)
Preparation of Compound A
Compound A-3(10g, 24.3mmol), bis(pinacolato)diboron (6.48g, 25.5mmol), 1,4-dioxane (200mL), 1,1'-bis(diphenylphosphino)ferrocene-palladium(II)dichloride dichloromethane complex (0.36g, 0.49mmol), and potassium acetate (4.8g, 48.6mmol) were mixed and stirred under reflux. After 12 hours, the reactant was cooled to room temperature, and an organic layer was extracted by adding saturated sodium chloride aqueous solution and ethyl acetate, dried over magnesium sulfate, and then treated with activated charcoal, followed by filtering with celite. After a solid prepared by concentrating the filtrate under reduced pressure was suspended in hexane, the suspension was filtered again and washed with hexane, thereby obtaining Compound A (9.8g, 87.9%) as a yellow solid.
1H NMR (CDCl3) d 8.62 (3H, m), 7.68 (6H, q), 7.55 (7H, m), 7.12 (1H, s), 1.40 (s, 12H)
[Preparation Example 2] Preparation of Compound B
Preparation of Compound B-1
2-bromo-9,9-dimethylfluorene (10g, 24.3mmol), bis(pinacolato)diboron (19.52g, 76.88mmol), 1,4-dioxane (400mL), 1,1'-bis(diphenylphosphino)ferrocene-palladium(II)dichloride dichloromethane complex (1.07g, 1.46mmol), and potassium acetate (14.37g, 146.43mmol) were mixed and stirred under reflux. After 12 hours, the reactant was cooled to room temperature, and an organic layer was extracted by adding saturated sodium chloride aqueous solution and ethyl acetate, dried over magnesium sulfate, and then treated with activated charcoal, followed by filtering with celite. After a solid prepared by concentrating the filtrate under reduced pressure was suspended in hexane, the suspension was filtered again and washed with hexane, thereby obtaining Compound B-1 (18g, 76.8%) as a white solid.
1H NMR (CDCl3) d 7.78 (2H, d), 7.57 (2H, m), 7.38 (3H, m), 1.58 (s, 6H), 1.40 (s, 12H)
Preparation of Compound B
Trichloropyrimidine (5g, 27.26mmol), Compound B-1(17.6g, 55.1mmol), Pd(PPh3)4(0.63g, 0.55mmol), K2CO3(7.53g, 54.52mmol), distilled water (25mL), and THF(50mL) were mixed and stirred under reflux for 12 hours. After an organic layer was extracted with MC, the extracted organic layer was concentrated under reduced pressure and washed with acetone, thereby obtaining Compound B (9.3g, 68.4%).
1H NMR (CDCl3) d 8.29 (d, 2H), 8.18-8.16 (d, 2H), 8.12 (s, 1H), 7.9 (d, 2H), 7.84-7.82 (m, 2H), 7.53-7.51 (m, 2H), 7.44-7.41 (m, 4H), 1.62 (s, 12H)
[Preparation Example 3] Preparation of Compound C
Preparation of Compound C-1
Dichloromethane (31mL) and 3-bromobenzoyl chloride (25g, 0.1139mol) were mixed and stirred at -10℃. After 3-bromobenzoyl chloride was completely dissolved, a mixing solution of pyridine (106mL) and 2-chloropyridine-3-amine (13.2g, 0.1026mol) was slowly dropped thereinto and stirred. After 2 hours 30 minutes, water (1250mL) was added thereto, and the prepared solid compound was filtered and washed with methanol. The resultant material was dried, thereby obtaining Compound C-1(28.0g, 87%) as a white solid.
1H NMR (CDCl3) d 8.58 (m, 1H), 8.31 (d, 1H), 8.30 (t, 1H), 8.14 (m, 1H), 7.90 (m, 1H), 7.45 (q, 1H), 7.40 (t, 1H)
Preparation of Compound C-2
1,3-dimethyl-3,4,5,6-tetrahydro-2(1H)-pyrimidinone (DMPU, 110mL), Compound C-1 (27g, 0.0866mol), and Lawesson`s reagent (35.1g) were mixed and stirred under reflux. After 2 hours 30 minutes, the mixture was extracted with ethyl acetate (EA) and concentrated, thereby obtaining Compound C-2 (20g, 80%) as a light yellow solid.
1H NMR (CDCl3) d 8.62-8.60 (d, 1H), 8.33 (d, 1H), 8.30 (t, 1H), 8.03-8.00 (d, 1H), 7.68-7.65 (d, 1H), 7.50-7.46 (q, 1H), 7.41 (t, 1H)
Preparation of Compound C
Compound C-2 (27.47g, 103mmol), bis(pinacolato)diboron (27.47g, 108mmol), 1,4-dioxane (450mL), 1,1'-bis(diphenylphosphino)ferrocene-palladium(II)dichloride dichloromethane complex (1.68g, 2.1mmol), and potassium acetate (20.22g, 206.1mmol) were mixed and stirred under reflux for 12 hours. Then, the mixture was cooled to room temperature. An organic layer was extracted by adding saturated sodium chloride (NaCl) aqueous solution and ethyl acetate (EA) to the reactant, dried over magnesium sulfate (MgSO4), and treated with activated charcoal, followed by filtering with celite. After a solid prepared by concentrating the filtrate under reduced pressure was suspended and stirred in hexane, the suspension was filtered again and washed with hexane, thereby obtaining Compound C (41.8g, 89 %).
1H NMR (CDCl3) d 8.60-8.58 (d, 1H), 8.50 (s, 1H), 8.32-8.30 (d, 1H), 8.25-8.22 (d, 1H), 7.99-7.97 (d, 1H), 7.55 (t, 1H), 7.48-7.44 (q, 1H), 1.40 (s, 12H)
[Preparation Example 4] Preparation of Compound D
Preparation of Compound D-1
4-bromophenacyl bromide (100g, 360mmol) was slowly added to pyridine (1000mL) while stirring pyridine (1000mL). After the mixture was stirred at room temperature for 2 hours, the precipitated solid was separated by filtering under reduced pressure and washed with methanol. The prepared compound (120g, 336mmol), trans-Chalcone (35g, 168mmol), ammonium acetate (25.9g, 336mmol), and methanol (450mL) were mixed and stirred under reflux for 12 hours. When the reaction was completed, the reactant was cooled to room temperature. Then, the precipitated solid was separated by filtering under reduced pressure and washed with methanol, thereby obtaining Compound D-1 (25.5g, 47%) as a white solid.
1H NMR (CDCl3) d 7.46-7.58(m, 6H), 7.65(d, 2H), 7.76(d, 2H), 7.78(d, 2H), 8.12(d, 2H), 8.22(d, 2H)
Preparation of Compound D
Compound D-1 (25g, 64.7mmol), bis(pinacolato)diboron, (19.7g, 77.6mmol), 1,4-dioxane (600mL), 1,1'-bis(diphenylphosphino)ferrocene-palladium(II)dichloride dichloromethane complex (1.6g, 1.9mmol), and potassium acetate (12.7g, 129mmol) were mixed and stirred under reflux for 12 hours. When the reaction was completed, the reactant was cooled to room temperature. Then, the precipitated solid was filtered under reduced pressure and separated using a silica gel column (hexane: ethyl acetate =10:1), thereby obtaining Compound D (21.6g, 77%) as a white solid.
1H NMR (CDCl3) d 1.41(s, 12H), 7.47-7.58(m, 6H), 7.77(d, 2H), 7.92-7.99(m, 4H), 8.21-8.25(m, 4H)
[Preparation Example 5] Preparation of Compound E
Preparation of Compound E-1
3-bromobenzaldehyde (35g, 239mmol) and 1-tetralone (46.6g, 252mmol) were dissolved in ethanol (200mL), and then sodium hydroxide (11.9g, 299mmol) was slowly added thereto at 0℃. After the mixture was stirred at room temperature for 12 hours, the prepared solid was separated by filtering under reduced pressure and washed with methanol, thereby obtaining Compound E-1 (64.2g, 85%) as a light yellow solid.
1H NMR (CDCl3) d 2.98(t, 2H), 3.12(t, 2H), 7.27-7.41(m, 4H), 7.49-7.54(m, 2H), 7.59(s, 1H), 7.79(s, 1H), 8.14(d, 1H)
Preparation of Compound E-2
Compound E-1 (60g, 190mmol), benzamidinehydrochloride (33g, 210mmol), sodium hydroxide (11.4g, 290mmol), and ethanol (600mL) were mixed and refluxed for 12 hours. When the reaction was completed, the reactant was cooled to room temperature. Then, the precipitated solid was filtered under reduced pressure and separated using a silica gel column (hexane: methylene chloride =1:1), thereby obtaining Compound E-2 (54.4g, 68%) as a light yellow solid.
1H NMR (CDCl3) d 2.87(t, 2H), 3.02(t, 2H), 7.24(s, 1H), 7.34-7.61(m, 7H), 7.87(s, 2H), 8.56-8.63(m, 3H)
Preparation of Compound E
Compound E-2 (62.7g, 151mmol), DDQ (34g, 151mmol), and 1,2-dichlorobenzene (600mL) were mixed and refluxed at 120℃ for 12 hours. When the reaction was completed, the reactant was cooled to room temperature and extracted with water and methylene chloride, followed by separation using a silica gel column (hexane: methylene chloride =1:1), thereby obtaining Compound E (22.42g, 36%) as a light yellow solid.
1H NMR (CDCl3) d 7.47-7.59(m, 4H), 7.72-8.07(m, 8H), 8.82(d, 2H), 9.54(m, 1H)
[Preparation Example 6] Preparation of Compound F
Preparation of Compound F-1
N1-phenylbenzene-1,2-diamine (48g, 260mmol) was completely dissolved in N,N-Dimethyl acetamide (DMAC, 100mL) at 0℃, and then 4-bromobenzoyl chloride (63g, 287mmol) was dropped thereinto and stirred. After 2 hours 30 minutes, pyridine (60mL) and water (100mL) were added thereto. After stirring the mixture for 30 minutes, the prepared solid was filtered while being washed with methanol, thereby obtaining Compound F-1 (95g, 95%) as a white solid.
Preparation of Compound F-2
Compound F-1 (50g, 136mmol), p-toluene sulfonic acid (PTSA, 46.9g, 272mmol), and toluene (500mL) were mixed and stirred under reflux with a Dean-stark trap under nitrogen atmosphere. After 2 hours, the reactant was cooled to room temperature, and an organic layer was extracted by adding saturated sodium chloride aqueous solution and ethyl acetate, dried over magnesium sulfate, and then treated with activated charcoal, followed by filtering with celite. A solid obtained by concentrating the filtrate under reduced pressure was re-crystallized, thereby obtaining Compound F-2 (39g, 81%).
1H NMR (CDCl3) d 8.24(d, 1H), 7.66(m, 3H), 7.62-7.46(m, 6H), 7.40(m, 2H), 7.32(d, 2H)
Preparation of Compound F
Compound F-2 (38.6g, 110mmol), potassium acetate (32.4g, 330mmol), bis(pinacolato)diboron (36.5g, 143mmol), 1,4-dioxane (390mL), and PdCl2(dppf) (1.8g, 2mmol) were mixed and stirred at 80 for 18 hours, and then cooled at room temperature. Water (400mL) was added to the reactant and stirred. After stirring, an organic layer was extracted by adding saturated sodium chloride aqueous solution and ethyl acetate, dried over magnesium sulfate, and treated with activated charcoal, followed by filtering with celite. A solid prepared by concentrating the filtrate under reduced pressure was re-crystallized, thereby obtaining Compound F (36g, 82%).
1H NMR (CDCl3) d 7.92(d, 1H), 7.76(d, 2H), 7.59(d, 2H), 7.56-7.45(m, 3H), 7.41-7.29(m, 4H), 7.27(s, 1H), 1.35(s, 12H)
[Preparation Example 7] Preparation of Compound G
Preparation of Compound G-1
1-indanone (80g, 0.61mol) and 4-bromobenzaldehyde (117.8g, 0.64mol) were dissolved in ethanol (1280mL), and then sodium hydroxide (30.3g, 0.76mol) was slowly added thereto at 0℃. After the mixture was stirred at room temperature for 3 hours, the prepared solid was separated by filtering under reduced pressure and sequentially washed with methanol, distilled water, and methanol. The resultant material was dried, thereby obtaining Compound G-1 (130g, 71.8%) as a yellow solid.
1H NMR (CDCl3) d 7.97 (1H, d), 7.67-7.54 (7H, m), 7.46 (1H, t), 3.32 (2H, d)
Preparation of Compound G-2
Compound G-1 (60g, 0.20mol), benzamidinehydrochloride (94.2g, 0.60mol), sodium hydroxide (24.1g, 0.60mol), and ethanol (1200mL) were mixed and refluxed for 12 hours. When the reaction was completed, the reactant was cooled to room temperature, and the precipitated solid was filtered under reduced pressure and washed with water and ethanol. The resultant material was dried, thereby obtaining Compound G-2 (43g, 53.7%) as a yellow solid.
1H NMR (CDCl3) d 8.65 (3H, m), 7.70 (4H, q), 7.51 (5H, m), 7.28 (1H, s), 3.40 (2H, d)
Preparation of Compound G
Compound G-2 (50g, 0.13mol), potassium tertiary butoxide (t-BuOK, 29.5g, 0.26mol), and tetrahydrofuran (THF, 750mL) were mixed and stirred at 0℃ until the mixture was completely dissolved. Then, methyliodide (MeI, 44.4g, 0.31mol) was slowly added thereto. When the reaction was completed after stirring at room temperature for 4 hours, water is added thereto. Then, the resultant was extracted with MC and dried over anhydrous magnesium sulfate, followed by filtration and concentration under reduce pressure, thereby obtaining Compound G (24g, 44.9%) as a white solid.
1H NMR (CDCl3) d 8.65 (3H, m), 7.70 (4H, q), 7.51 (5H, m), 7.28 (1H, s), 3.40 (2H, d), 1.67 (6H, s)
[Preparation Example 8] Preparation of Compound H
Preparation of Compound H-1
9-bromophenanthrene (67.2g, 0.26mol), bis(pinacolato)diboron, (69.68g, 0.27mol), 1,4-dioxane (1350mL), 1,1'-bis(diphenylphosphino)ferrocene-palladium(II)dichloride dichloromethane complex (3.82g, 5.23mmol), and potassium acetate (51.3g, 0.52mol) were mixed and stirred under reflux. After 12 hours, the reactant was cooled to room temperature, and an organic layer was extracted by adding saturated sodium chloride aqueous solution and ethylacetate, dried over anhydrous magnesium sulfate, and then treated with activated charcoal, followed by filtering with celite. After a solid prepared by concentrating the filtrate under reduced pressure was suspended in hexane, the suspension was filtered again and washed with hexane, thereby obtaining Compound H-1 (69.2g, 69.2%) as a solid.
1H NMR (CDCl3) d 8.89 (d, 1H), 8.86 (d, 1H), 8.11-7.78 (m, 7H) , 1.40 (s, 12H)
Preparation of Compound H-2
Compound H-1 (64.5g, 0.21mol), 1-bromo-4-iodobenzene (60.0g, 0.21mol), Pd(PPh3)4 (4.9g, 4.2mmol), 2M K2CO3 aqueous solution (300mL), and THF (600mL) were mixed and stirred under reflux for 24 hours. After an organic layer was extracted with MC, the extracted organic layer was concentrated under reduced pressure and washed with acetone, thereby obtaining Compound H-2 (60.1g, 84.9%).
1H NMR (CDCl3) d 8.89 (d, 1H), 8.86 (d, 1H), 8.11-7.78 (m, 11H)
Preparation of the compound H
Compound H-2 (60.0g, 0.18mol), bis(pinacolato)diboron, (48.0g, 0.19mol), 1,4-dioxane (1200mL), 1,1'-bis(diphenylphosphino)ferrocene-palladium(II)dichloride dichloromethane complex (2.64g, 3.60mmol), and potassium acetate (35.4g, 0.36mol) were mixed and stirred under reflux. After 12 hours, the reactant was cooled to room temperature, and an organic layer was extracted by adding saturated sodium chloride aqueous solution and ethylacetate, dried over magnesium sulfate, and then treated with activated charcoal, followed by filtering with celite. After a solid prepared by concentrating the filtrate under reduced pressure was suspended in hexane, the suspension was filtered again and washed with hexane, thereby obtaining Compound H (32.0g, 46.7%) as a solid.
1H NMR (CDCl3) d 8.89 (d, 1H), 8.86 (d, 1H), 8.11-7.78 (m, 11H), 1.40 (s, 12H)
[Preparation Example 9] Preparation of Compound I
2-bromodibenzothiophene (50g, 190mmol), bis(pinacolato)diboron, (50.7g, 199.5mmol), 1,4-dioxane (1000mL), 1,1'-bis(diphenylphosphino)ferrocene-palladium(II)dichloride dichloromethane complex (2.78g, 3.8mmol), and potassium acetate (37.3g, 380mmol) were mixed and stirred under reflux. After 12 hours, the reactant was cooled to room temperature, and an organic layer was extracted by adding saturated sodium chloride aqueous solution and ethylacetate, dried over anhydrous magnesium sulfate, and then treated with activated charcoal, followed by filtering with celite. The filtrate was concentrated under reduced pressure, thereby obtaining Compound I (23g, 39%).
1H NMR (CDCl3) d 7.88 (m, 4H), 7.32 (m, 3H), 1.40 (s, 12H)
[Preparation Example 10] Preparation of Compound J
Compound G (10g, 23.4mmol), bis(pinacolato)diboron, (6.5g, 25.5mmol), 1,4-dioxane (200mL), 1,1'-bis(diphenylphosphino)ferrocene-palladium(II)dichloride dichloromethane complex (0.2g, 0.3mmol), and potassium acetate (4.6g, 46.8mmol) were mixed and stirred under reflux. After 12 hours, the reactant was cooled to room temperature, and an organic layer was extracted by adding saturated sodium chloride aqueous solution and ethylacetate, dried over magnesium sulfate, and then treated with activated charcoal, followed by filtering with celite. After a solid prepared by concentrating the filtrate under reduced pressure was suspended in hexane, the suspension was filtered again and washed with hexane, thereby obtaining Compound J (9.8g, 87.9%) as a yellow solid.
1H NMR (CDCl3) d 8.62 (3H, m), 7.68 (4H, q), 7.55 (5H, m), 7.12 (1H, s), 1.40 (s, 12H)
[Preparation Example 11] Preparation of Compound K
1-bromopyrene (40g, 142mmol), bis(pinacolato)diboron, (39.74g, 157mmol), 1,4-dioxane (480mL), 1,1'-bis(diphenylphosphino)ferrocene-palladium(II)dichloride dichloromethane complex (1.16g, 1.4mmol), and potassium acetate (27.93g, 284mmol) were mixed and stirred under reflux. After 9 hours, the reactant was cooled to room temperature, and an organic layer was extracted by adding saturated sodium chloride aqueous solution and ethylacetate, dried over magnesium sulfate, and then treated with activated charcoal, followed by filtering with celite. A solid prepared by concentrating the filtrate under reduced pressure was re-crystallized in ethylacetate, thereby obtaining Compound K (34.09g, 73%).
1H NMR (CDCl3) d 8.12-8.1 (d, 2H), 7.93-7.70 (m, 5H), 7.71 (d, 2H), 1.26 (q, 12H)
[Preparation Example 12] Preparation of Compound L
Preparation of Compound L-1
Dichloromethane (31mL) and 4-bromobenzoyl chloride (25g, 0.1139mol) were mixed and stirred at -10℃. After 4-bromobenzoyl chloride was completely dissolved, a mixing solution of pyridine (106mL) and 2-chloropyridine-3-amine (13.2g, 0.1026mol) was slowly dropped thereinto and stirred. After 2 hours 30 minutes, water (1250mL) was added thereto, and the prepared solid compound was filtered and washed with methanol. The resultant material was dried, thereby obtaining Compound L-1(28.0g, 87%) as a white solid.
1H NMR (CDCl3) d 8.43 (d, 1H), 8.00 (s, 1H), 7.84-7.15 (d, 2H), 7.69-7.17 (m, 4H)
Preparation of Compound L-2
1,3-dimethyl-3,4,5,6-tetrahydro-2(1H)-pyrimidinone (DMPU, 100mL), Compound L-1 (27g, 0.0866mol), and Lawesson s reagent (35.1g) were mixed and stirred under reflux. After 2 hours 30 minutes, an organic layer was extracted with ethylacetate (EA) and dried over magnesium sulfate, followed by filtering. Then, a solid prepared by concentrating the filtrate under reduced pressure was washed with methanol, thereby obtaining Compound L-2 (20g, 80%).
1H NMR (CDCl3) d 8.59 (d, 1H), 7.75 (d, 1H), 7.49-7.26 (d, 2H), 7.38-7.15 (m, 3H)
Preparation of the compound L
Compound L-2 (27.47g, 103mmol), bis(pinacolato)diboron, (27.47g, 108mmol), 1,4-dioxane (450mL), 1,1'-bis(diphenylphosphino)ferrocene-palladium(II)dichloride dichloromethane complex (1.68g, 2.1mmol), and potassium acetate (20.22g, 206.1mmol) were mixed and stirred under reflux for 12 hours. Then, the mixture was cooled to room temperature. An organic layer was extracted by adding saturated sodium chloride (NaCl) aqueous solution and ethylacetate (EA) to the reactant, dried over magnesium sulfate (MgSO4), and treated with activated charcoal, followed by filtering with celite. After a solid prepared by concentrating the filtrate under reduced pressure was suspended and stirred in hexane, the suspension was filtered again and washed with hexane, thereby obtaining Compound L (41.8g, 89 %).
1H NMR (CDCl3) d 8.59 (d, 1H), 7.75 (d, 1H), 7.50-7.22 (m, 2H), 7.38-7.06 (m, 3H), 1.26 (s, 12H)
[Preparation Example 13] Preparation of Compound M
2.7-dibromo-9,9-dimethyl-9H-fluorene (25g, 71.0mmol), bis(pinacolato)diboron, (37.87g, 149mmol), 1,4-dioxane (300mL), 1,1'-bis(diphenylphosphino)ferrocene-palladium(II)dichloride dichloromethane complex (0.58g, 0.7mmol), and potassium acetate (13.94g, 142mmol) were mixed and stirred under reflux. After 9 hours, the reactant was cooled to room temperature, and an organic layer was extracted by adding saturated sodium chloride aqueous solution and ethylacetate, dried over magnesium sulfate, and then treated with activated charcoal, followed by filtering with celite. A solid prepared by concentrating the filtrate under reduced pressure was re-crystallized in ethylacetate, thereby obtaining Compound M (30.9g, 61%).
1H NMR (CDCl3) d 7.80 (m, 2H), 7.60 (m, 2H), 7.40 (m, 2H), 1.67-0.86 (s, 6H), 1.26 (s, 24H)
[Preparation Example 14] Preparation of Compound N
1,4-dibromonaphthalene (25g, 87.4mmol), bis(pinacolato)diboron, (46.62g, 184mmol), 1,4-dioxane (300mL), 1,1'-bis(diphenylphosphino)ferrocene-palladium(II)dichloride dichloromethane complex (0.71g, 0.9mmol), and potassium acetate (17.16g, 174.8mmol) were mixed and stirred under reflux. After 9 hours, the reactant was cooled to room temperature, and an organic layer was extracted by adding saturated sodium chloride aqueous solution and ethylacetate, dried over magnesium sulfate, and then treated with activated charcoal, followed by filtering with celite. A solid prepared by concentrating the filtrate under reduced pressure was re-crystallized in ethylacetate, thereby obtaining Compound N (21.93g, 66%).
1H NMR (CDCl3) d 7.70-7.67 (m, 2H), 7.30-7.32 (m, 4H), 1.26 (s, 30H)
Preparation of Compound 100
Compound A (Preparation Example 1, 9.8g, 23.83mmol), Compound B (Preparation Example 2, 12.0g, 24.1mmol), Pd(PPh3)4 (0.55g, 0.48mmol), K2CO3 (6.59g, 47.65mmol), distilled water (49mL), and THF(98mL) were mixed and stirred under reflux for 12 hours. When the reaction was completed, the reactant was cooled to room temperature, and the prepared solid was washed with water and methanol, thereby obtaining Compound 100 (12.1g, 63.4%).
1H NMR (CDCl3) d 9.61(t, 1H), 9.05(d, 2H), 8.94(d, 2H), 8.47(s, 2H), 8.38(dd, 2H), 8.20(d. 3H), 8.15(d, 1H), 7.98(d, 3H), 7.86(m, 5H), 7.59(m, 5H), 7.44(t, 4H), 1.68(12H)
MALDI-TOF MS: m/z 694.98, cal. 695.61
[Example 2] Preparation of Compound 98
2-bromo-9,9-dimethyl-9H-fluorene (9g, 32.9mmol), Compound A (Preparation Example 1, 15.10g, 32.9mmol), THF (135mL), Pd(PPh3)4 (0.38g, 0.3mmol), and 1M potassium carbonate aqueous solution (68mL) were mixed and stirred under reflux. After reaction for 18 hours, the reactant was cooled to room temperature, and an organic layer was extracted by adding saturated sodium chloride aqueous solution and ethyl acetate, dried over magnesium sulfate, and treated with activated charcoal, followed by filtering with celite. A solid prepared by concentrating the filtrate under reduced pressure was re-crystallized, thereby obtaining Compound 98 (14.58g, 84%).
1H NMR (CDCl3) d 8.62(3H,m), 7.78(2H,d), 7.68(6H,q), 7.60(2H,m), 7.55(5H,m), 7.42(1H,s), 7.38(3H,m), 1.58 (s, 6H)
MALDI-TOF MS: m/z 524.65, cal. 525.23
[Example 3] Preparation of Compound 105
Compound A-3 (Preparation Example 1, 16.87g, 36.8mmol), Compound C (Preparation Example 3, 11.8g, 40.5mmol), THF (300mL), Pd(PPh3)4 (0.85g, 0.74mmol), and 2M potassium carbonate aqueous solution (55mL) were mixed and stirred under reflux. After reaction for 18 hours, the reactant was cooled to room temperature, and an organic layer was extracted by adding saturated sodium chloride aqueous solution and ethyl acetate, and dried over magnesium sulfate, followed by concentration under reduced pressure. After the solid obtained after concentration was input in ethyl acetate and suspended under heating, the suspension was filtered and washed with ethyl acetate, thereby obtaining Compound 105 (17.7g, 89%).
1H NMR (CDCl3) d 9.62(d, 1H),8.91 (d, 2H), 8.64 (d, 1H), 8.50(s, 1H), 8.38 (d, 1H), 8.16 (d, 1H), 8.11-7.92 (m, 2H), 7.91(d, 2H), 7.88-7.72 (m, 3H), 7.70 (t, 1H), 7.63-7.57 (m, 2H), 7.52 (dd, 1H)
MALDI-TOF MS: m/z 542.652 cal. 542.979
[Example 4] Preparation of Compound 106
Compound A-3 (Preparation Example 1, 14g, 34mmol), Compound D (Preparation Example 4, 17.7g, 41mmol), Pd(PPh3)4 (0.4g, 0.3mmol), THF (150mL), potassium carbonate (27.6g, 199mmol), and water (200mL) were mixed and stirred under reflux. After reaction for 12 hours, the reactant was cooled to room temperature and extracted with methylene chloride, followed by concentration. The resultant material was recrystallized using methanol, thereby obtaining Compound 106 (16.4g, 75%) as a white solid.
1H NMR (CDCl3) d 7.50-7.61(m, 9H), 7.80-7.98(m, 12H), 8.08(t, 3H), 8.26(d, 2H), 8.38(d, 2H), 8.89(d, 2H), 9.58(t, 1H)
MALDI-TOF MS: m/z 638.16, cal. 637.77
[Example 5] Preparation of compound 113
Compound E (Preparation Example 5, 8g, 19mmol), Compound D (Preparation Example 4, 10.11g, 23mmol), Pd(PPh3)4 (0.2g, 0.19mmol), THF (150mL), potassium carbonate (13.8g, 99mmol), and water (100mL) were mixed and stirred under reflux. After reaction for 12 hours, the reactant was cooled to room temperature and extracted with methylene chloride, followed by concentration. The resultant material was washed with hexane and ethyl acetate, thereby obtaining Compound 113 (8.6g, 69%) as a light yellow solid.
1H NMR (CDCl3) d 7.44-7.60(m, 9H), 7.73-7.96(m, 14H), 8.06(d, 1H), 8.22(d, 2H), 8.34(d, 2H), 8.88(d, 2H), 9.58(t, 1H)
MALDI-TOF MS: m/z 638.07, cal. 637.77
[Example 6] Preparation of Compound 110
Compound F (Preparation Example 6, 14.74g, 37.2mmol), Compound A-3 (Preparation Example 1, 15.3g, 37.2mmol), THF (230mL), Pd(PPh3)4 (0.43g, 0.4mmol), and 1M potassium carbonate aqueous solution (115mL) were mixed and stirred under reflux. After reaction for 18 hours, the reactant was cooled to room temperature, and an organic layer was extracted by adding saturated sodium chloride aqueous solution and dichloromethane, dried over magnesium sulfate, and treated with activated charcoal, followed by filtering with celite. A solid obtained by concentrating the filtrate under reduced pressure was re-crystallized, thereby obtaining Compound 110 (15.47g, 69%).
1H NMR (CDCl3) d 8.81(d, 2H), 8.64(d,2H), 7.92(d, 1H), 7.75(d, 2H), 7.61(d, 5H), 7.59-7.38(m, 7H), 7.36-7.24(m, 7H), 7.19(s, 2H)
MALDI-TOF MS: m/z 601.32 , cal. 600.71
[Example 7] Preparation of Compound 118
Compound G (Preparation Example 7, 10g, 23.4mmol), Compound H (Preparation Example 8, 8.9g, 23.4mmol), THF (150mL), Pd(PPh3)4 (0.54g, 0.47mmol), K2CO3 (19.4g, 140.4mmol), and distilled water (75mL) were mixed and stirred under reflux for 18 hours. When the reaction was completed, the reactant was cooled to room temperature. Then, the precipitated solid was filtered and washed with methanol. The prepared white solid was filtered with celite in toluene with heating. A solid prepared by concentrating the filtrate under reduced pressured was washed with methanol and suspended, followed by filtering, thereby obtaining Compound 118 (11.5g, 81.8%).
1H NMR (CDCl3) d 8.89 (d, 1H), 8.86 (d, 1H), 8.65 (3H, m), 8.11-7.78 (m, 11H), 7.70 (4H, q), 7.51 (5H, m), 7.28 (1H, s), 3.40 (2H, d)
MALDI-TOF MS: m/z 600.71, cal. 600.75
[Example 8] Preparation of Compound 119
Compound G (Preparation Example 7, 10g, 23.4mmol), Compound I (Preparation Example 9, 8.9g, 23.4mmol), THF (150mL), Pd(PPh3)4 (0.54g, 0.47mmol), K2CO3 (19.4g, 140.4mmol), and distilled water (75mL) were mixed and stirred under reflux for 18 hours. When the reaction was completed, the reactant was cooled to room temperature. Then, the precipitated solid was filtered and washed with methanol. The prepared white solid was filtered with celite in toluene with heating. A solid prepared by concentrating the filtrate under reduced pressured was washed with methanol and suspended, followed by filtering, thereby obtaining Compound 119 (13g, 91%).
1H NMR (CDCl3) d 8.62 (3H, m), 7.88 (m, 4H), 7.68 (4H, q), 7.55 (5H, m), 7.32 (m, 3H), 7.12 (1H, s), 1.40 (s, 12H)
MALDI-TOF MS: m/z 310.18, cal. 310.22
[Example 9] Preparation of Compound 120
1,3-dibromothiophene (10g, 41.3mmol), Compound J (Preparation Example 10, 39.2g, 82.7mmol), THF (200mL), Pd(PPh3)4 (1.91g, 1.65mmol), K2CO3 (68.6g, 496mmol), and distilled water (100mL) were mixed and stirred under reflux for 18 hours. When the reaction was completed, the reactant was cooled to room temperature. Then, the precipitated solid was filtered and washed with methanol, thereby obtaining Compound 120 (22g, 68.5%).
1H NMR (CDCl3) d 8.62 (3H, m), 7.68 (4H, q), 7.55 (5H, m), 7.12 (1H, s), 6.64 (d, 1H)
MALDI-TOF MS: m/z 776.95, cal. 776.99
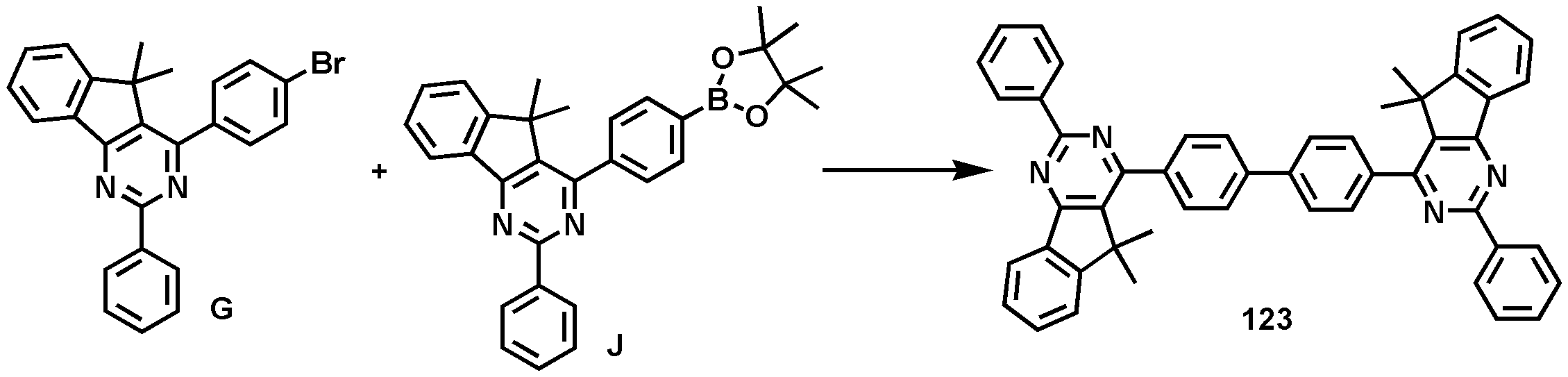
[Example 10] Preparation of Compound 123
Compound G (Preparation Example 7, 15g, 35.1mmol), Compound J (Preparation Example 10, 16.65g, 35.1mmol), THF (250mL), Pd(PPh3)4 (0.81g, 0.70mmol), K2CO3 (29.11g, 210.6mmol), and distilled water (125mL) were mixed and stirred under reflux for 18 hours. When the reaction was completed, the reactant was cooled to room temperature. Then, the precipitated solid was filtered and washed with methanol, thereby obtaining Compound 123 (21.7g, 88.97%).
1H NMR (CDCl3) d 8.62 (3H, m), 7.68 (4H, q), 7.55 (5H, m), 7.12 (1H, s)
MALDI-TOF MS: m/z 694.84, cal. 694.86
[Example 11] Preparation of Compound 121
Compound G (Preparation Example 7, 13g, 30.4mmol), Compound B-1 (Preparation Example 2, 9.7g, 30.4mmol), THF (200mL), Pd(PPh3)4 (0.7g, 0.61mmol), K2CO3 (25.2g, 182.5mmol), and distilled water (100mL) were mixed and stirred under reflux for 18 hours. When the reaction was completed, the reactant was cooled to room temperature. Then, the precipitated solid was filtered and washed with methanol, thereby obtaining Compound 121 (14.2g, 86.33%).
1H NMR (CDCl3) d 8.62 (3H, m), 7.78 (2H, d), 7.68 (4H, q), 7.55 (7H, m), 7.38 (3H, m), 7.12 (1H, s)
MALDI-TOF MS: m/z 540.58, cal. 540.70
Compound G (Preparation Example 7, 24g, 56.2mmol), Compound K (Preparation Example 11, 18.43g, 56.2mmol), THF (360mL), Pd(PPh3)4 (0.65g, 0.56mmol), and 1M K2CO3 aqueous solution (180mL) were mixed and stirred under reflux for 18 hours. When the reaction was completed, the reactant was cooled to room temperature. Then, an organic layer was extracted with saturated sodium chloride aqueous solution and ethylacetate, dried over magnesium sulfate, and then treated with activated charcoal, followed by filtering with celite. A solid prepared by concentrating the filtrate under reduced pressure was suspended in ethyl acetate with heating, followed by filtering, thereby obtaining Compound 115 (21.8g, 71%).
1H NMR (CDCl3) d 8.18-8.12 (d, 2H), 8.04-7.82 (d, 1H), 7.88-7.80 (d, 2H), 7.71-7.65 (m, 4H), 7.54-7.26 (d, 4H), 7.48-7.16 (d, 2H), 7.40-7.22 (d, 1H), 7.32-7.26 (m, 3H), 7.19-7.13 (d, 1H), 7.14-7.18 (d, 2H), 1.67 (s, 6H)
MALDI-TOF MS:m/z 548.7, cal. 548.67
Compound G (Preparation Example 7, 24g, 56.2mmol), Compound L (Preparation Example 12, 19g, 56.2mmol), THF (360mL), Pd(PPh3)4 (0.65g, 0.56mmol), and 1M K2CO3 aqueous solution (180mL) were mixed and stirred under reflux for 18 hours. When the reaction was completed, the reactant was cooled to room temperature. Then, an organic layer was extracted with saturated sodium chloride aqueous solution and ethylacetate, dried over magnesium sulfate, and then treated with activated charcoal, followed by filtering with celite. A solid prepared by concentrating the filtrate under reduced pressure was suspended in ethyl acetate with heating, followed by filtering, thereby obtaining Compound 116 (22.9g, 73%).
1H NMR (CDCl3) d 8.59 (d, 1H), 7.75 (d, 1H), 7.54-7.26 (m, 10H), 7.40-7.22 (m, 5H), 7.19-7.06 (m, 3H), 1.67 (s, 6H)
MALDI-TOF MS : m/z 558.8, cal. 558.69
[Example 14] Preparation of Compound 114
Compound G (Preparation Example 7, 24g, 56.2mmol), Compound M (Preparation Example 13, 15g, 33.6mmol), THF (225mL), Pd(PPh3)4 (0.39g, 0.336mmol), and 1M K2CO3 aqueous solution (113mL) were mixed and stirred under reflux for 18 hours. When the reaction was completed, the reactant was cooled to room temperature. Then, an organic layer was extracted with saturated sodium chloride aqueous solution and ethylacetate, dried over magnesium sulfate, and then treated with activated charcoal, followed by filtering with celite. A solid prepared by concentrating the filtrate under reduced pressure was suspended in ethyl acetate with heating, followed by filtering, thereby obtaining Compound 114 (21.56g, 70%).
1H NMR (CDCl3) d 7.90-7.84 (d, 2H), 7.77-7.38 (d, 4H), 7.54-7.26 (m, 12H), 7.40-7.22 (d, 2H), 7.32-7.06 (m, 6H), 7.19-7.04 (m, 6H), 1.67 (s, 24H)
LC-MS:m/z 887.2, cal. 887.12
[Example 15] Preparation of Compound 117
Compound G (Preparation Example 7, 35.42g, 82.9mmol), Compound N (Preparation Example 14, 15g, 39.5mmol), THF (225mL), Pd(PPh3)4 (0.46g, 0.395mmol), and 1M K2CO3 aqueous solution (113mL) were mixed and stirred under reflux for 18 hours. When the reaction was completed, the reactant was cooled to room temperature. Then, an organic layer was extracted with saturated sodium chloride aqueous solution and ethylacetate, dried over magnesium sulfate, and treated with activated charcoal, followed by filtering with celite. A solid prepared by concentrating the filtrate under reduced pressure was suspended in ethyl acetate with heating, followed by filtering, thereby obtaining Compound 117 (19.4g, 60%).
1H NMR (CDCl3) d 7.67 (d, 2H), 7.60-7.32 (d, 2H), 7.54-7.26 (m, 8H), 7.48-7.22 (m, 6H), 7.32-7.06 (m, 6H), 7.22-7.04 (m, 4H), 7.14-7.01 (m, 4H), 1.67 (s, 12H)
MALDI-TOF MS:m/z 821.1, cal. 821.02
[Example 16] Manufacturing organic electroluminescent device using Compound 100 according to the present invention
A glass substrate (25mm x 25mm x 0.7mm) having an indium tin oxide (ITO) transparent electrode line having a thickness of 150nm was subjected to ultrasonic cleaning for 10 minutes in distilled water in which a detergent was dissolved and then cleaned with distilled water again for 10 minutes. After washing with distilled water, the substrate was subjected to ultrasonic cleaning with solvents in a sequence of isopropyl alcohol, acetone, and methanol for 10 minutes, respectively, and dried. Thereafter, the substrate was dry cleaned using oxygen/argon plasma, then the glass substrate having the transparent electrode line was mounted on a substrate holder of a vacuum vapor deposition apparatus. A film having a thickness of 60nm was formed on a surface on which the transparent electrode line was formed as a hole injection layer using IDE-406 (the following structure, Idemitsu) so as to cover the transparent electrode. Next, a film having a thickness of 30nm was formed on the IDE-406 film as a hole transport layer using H-1 (tetrakis-N-biphenyl-4-yl-benzidine, hereinafter, referred to as the H-1 film ). Then, BD-1 having the following structure and β-ADN(9,10-di(naphthalene-2-yl)anthracene) were deposited on the H-1 film as a dopant and a luminescent host at a weight ratio of 5%, to thereby form a film having a thickness of 20nm as a luminescent layer.
A film having a thickness of 20nm was formed on the luminescent layer as an electron transport layer by depositing Compound 100 according to the present invention. Subsequently, lithium quinolate (Liq) was deposited thereon to form an electron injection layer. Metal aluminum was deposited on this Liq film to form a metal cathode, thereby manufacturing the organic electroluminescent device.
[Example 17] Manufacturing organic electroluminescent device using Compound 98 according to the present invention
An organic electroluminescent device was manufactured by the same process in Example 16 except that Compound 98 was used as an electron transport material instead of Compound 100 in Example 16.
[Example 18] Manufacturing organic electroluminescent device using Compound 105 according to the present invention
An organic electroluminescent device was manufactured by the same process in Example 16 except that Compound 105 was used as an electron transport material instead of Compound 100 in Example 16.
[Example 19] Manufacturing organic electroluminescent device using Compound 106 according to the present invention
An organic electroluminescent device was manufactured by the same process in Example 16 except that Compound 106 was used as an electron transport material instead of Compound 100 in Example 16.
[Example 20] Manufacturing organic electroluminescent device using Compound 113 according to the present invention
An organic electroluminescent device was manufactured by the same process in Example 16 except that Compound 113 was used as an electron transport material instead of Compound 100 in Example 16.
[Example 21] Manufacturing organic electroluminescent device using Compound 110 according to the present invention
An organic electroluminescent device was manufactured by the same process in Example 16 except that Compound 110 was used as an electron transport material instead of Compound 100 in Example 16.
[Example 22] Manufacturing organic electroluminescent device using Compound 114 according to the present invention
An organic electroluminescent device was manufactured by the same process in Example 16 except that Compound 114 was used as an electron transport material instead of Compound 100 in Example 16.
[Example 23] Manufacturing organic electroluminescent device using Compound 115 according to the present invention
An organic electroluminescent device was manufactured by the same process in Example 16 except that Compound 115 was used as an electron transport material instead of Compound 100 in Example 16.
[Example 24] Manufacturing organic electroluminescent device using Compound 116 according to the present invention
An organic electroluminescent device was manufactured by the same process in Example 16 except that Compound 116 was used as an electron transport material instead of Compound 100 in Example 16.
[Example 25] Manufacturing organic electroluminescent device using Compound 117 according to the present invention
An organic electroluminescent device was manufactured by the same process in Example 16 except that Compound 117 was used as an electron transport material instead of Compound 100 in Example 16.
[Example 26] Manufacturing organic electroluminescent device using Compound 118 according to the present invention
An organic electroluminescent device was manufactured by the same process in Example 16 except that Compound 118 was used as an electron transport material instead of Compound 100 in Example 16.
[Example 27] Manufacturing organic electroluminescent device using Compound 119 according to the present invention
An organic electroluminescent device was manufactured by the same process in Example 16 except that Compound 119 was used as an electron transport material instead of Compound 100 in Example 16.
[Example 28] Manufacturing organic electroluminescent device using Compound 120 according to the present invention
An organic electroluminescent device was manufactured by the same process in Example 16 except that Compound 120 was used as an electron transport material instead of Compound 100 in Example 16.
[Example 29] Manufacturing organic electroluminescent device using Compound 121 according to the present invention
An organic electroluminescent device was manufactured by the same process in Example 16 except that Compound 121 was used as an electron transport material instead of Compound 100 in Example 16.
[Example 30] Manufacturing organic electroluminescent device using Compound 123 according to the present invention
An organic electroluminescent device was manufactured by the same process in Example 16 except that Compound 123 was used as an electron transport material instead of Compound 100 in Example 16.
[Comparative Example 1] Manufacturing organic electroluminescent device using Compound ETM-1
An organic electroluminescent device was manufactured by the same process in Example 7 except that Compound ETM-1 having the following structure was used as an electron transport material instead of Compound 100 in Example 7.
Measurement results of electroluminescence properties and basic physical properties of the organic electroluminescent devices manufactured in Examples 16 to 30 and Comparative Example 1 were shown in Table 1, and a graph of efficiency (cd/A) and luminance (cd/m2) of the organic electroluminescent devices manufactured in Examples 16 to 21 and Comparative Example 1 was shown in FIG. 1. In addition, a graph of efficiency (cd/A) and luminance (cd/m2) of the organic electroluminescent devices manufactured in Examples 22 to 30 and Comparative Example 1 was shown in FIG. 2.
As shown in Table 1, it may be confirmed that the material according to the present invention had excellent luminescence properties as compared with the material according to the related art. In addition, the organic electroluminescent device using the heteroaromatic cyclic compound according to the present invention as the electron transport layer had an excellent luminescence property and decreased driving current to increase the power efficiency, thereby using less consumption power.
Claims (7)
- An electron transport material represented by the following Chemical Formula 1.[Chemical Formula 1][In Chemical Formula 1,A, B, C, and D each are independently C-(L1)m-Ar1 or N, but two of A, B, C, and D are N, the other two are C-(L1)m-Ar1, and each of -(L1)m-Ar1 are the same as or different from each other, but two -(L1)m-Ar1 are not hydrogen at the same time;L is (C1-C20)alkylene or (C2-C20)alkenylene, a carbon atom (-CH2-) of alkylene of L is substituted with a heteroatom selected from NR(R is (C1-C30)alkyl), O, and S, and a carbon atom (=CH-) of alkenylene of L is substituted with N;R1 to R4 each are independently hydrogen, (C1-C30)alkyl, (C3-C30)cycloalkyl, (C6-C30)aryl, or (C3-C30)heteroaryl;L1(s) each are independently a single bond, (C6-C30)arylene, or (C3-C30)heteroarylene;m is an integer of 1 to 3, and when m is an integer of 2 or more, L1(s) are the same as or different from each other;Ar1(s) each are independently hydrogen, (C1-C30)alkyl, (C6-C30)aryl, or (C3-C30)heteroaryl;alkyl, cycloalkyl, aryl, heteroaryl of R1 to R4, alkylene or alkenylene of L, arylene and heteroarylene of L1, and aryl and heteroaryl of Ar1 are substituted with at least one selected from a group consisting of (C1-C30)alkyl, halo(C1-C30)alkyl, halogen, cyano, (C3-C30)cycloalkyl, (C1-C30)alkoxy, (C6-C30)aryloxy, (C6-C30)aryl, (C6-C30)ar(C1-C30)alkyl, (C1-C30)alkyl(C6-C30)aryl, (C3-C30)heteroaryl, (C3-C30)heteroaryl substituted with (C1-C30)alkyl, (C3-C30)heteroaryl substituted with (C6-C30)aryl, mono or di(C1-C30)alkylamino, mono or di(C6-C30)arylamino, tri(C1-C30)alkylsilyl, di(C1-C30)alkyl(C6-C30)arylsilyl, tri(C6-C30)arylsilyl, nitro, and hydroxy; andheteroarylene and heteroaryl contains at least one hetero atom selected from B, N, O, S, P(=O), Si, and P.
- The electron transport material of claim 1, wherein it is represented by the following Chemical Formula 2 or 3.[Chemical Formula 2][Chemical Formula 3][In Chemical Formulas 2 and 3,R1 to R4 and L each has the same definition in Chemical Formula 1 of claim 1;L2 and L3 each are independently a single bond, (C6-C30)arylene, or (C3-C30)heteroarylene;x and y each are independently an integer of 1 to 3, wherein when x is an integer of 2 or more, L2(s) are the same as or different from each other, and when y is an integer of 2 or more, L3(s) are the same as or different from each other;Ar2 and Ar3 each are independently hydrogen, (C1-C30)alkyl, (C6-C30)aryl, or (C3-C30)heteroaryl;arylene and heteroarylene of L2 and L3, and aryl and heteroaryl of Ar2 and Ar3 are substituted with at least one selected from a group consisting of (C1-C30)alkyl, halo(C1-C30)alkyl, halogen, cyano, (C3-C30)cycloalkyl, (C1-C30)alkoxy, (C6-C30)aryloxy, (C6-C30)aryl, (C6-C30)ar(C1-C30)alkyl, (C1-C30)alkyl(C6-C30)aryl, (C3-C30)heteroaryl, (C3-C30)heteroaryl substituted with (C1-C30)alkyl, (C3-C30)heteroaryl substituted with (C6-C30)aryl, mono or di(C1-C30)alkylamino, mono or di(C6-C30)arylamino, tri(C1-C30)alkylsilyl, di(C1-C30)alkyl(C6-C30)arylsilyl, tri(C6-C30)arylsilyl, nitro, and hydroxy; and -(L2)x-Ar2 and -(L3)Y-Ar3 are not hydrogen at the same time.]
- The electron transport material of claim 2, wherein it is represented by the following Chemical Formulas 4 to 9.[Chemical Formula 4][Chemical Formula 5][Chemical Formula 6][Chemical Formula 7][Chemical Formula 8][Chemical Formula 9][In Chemical Formulas 4 to 9,R1 to R6 each are independently hydrogen, (C1-C30)alkyl, (C3-C30)cycloalkyl, (C6-C30)aryl, or (C3-C30)heteroaryl;L2 and L3 each are independently a single bond, (C6-C30)arylene, or (C3-C30)heteroarylene;x is an integer of 1 to 3, and when x is an integer of 2 or more, L2(s) are the same as or different from each other;Ar2 and Ar3 each are independently hydrogen, (C1-C30)alkyl, (C6-C30)aryl, or (C3-C30)heteroaryl; andarylene of L2 and L3 and aryl and heteroaryl of Ar2 and Ar3 are further substituted with at least one selected from a group consisting of (C1-C30)alkyl, (C6-C30)aryl, (C6-C30)ar(C1-C30)alkyl, (C1-C30)alkyl(C6-C30)aryl, and (C3-C30)heteroaryl.]
- The electron transport material of claim 3, wherein L2 and L3 each are a single bond, phenylene, biphenylene, 9,9-dimethylfluorenylene, naphthylene, anthrylene, pyridinylene, or pyrimidinylene;Ar2 and Ar3 each are independently hydrogen, (C1-C30)alkyl, or selected from the following structure; andR', R'', and R''' each are independently hydrogen, (C1-C30)alkyl, (C6-C30)aryl, (C3-C30)heteroaryl, or (C1-C30)alkyl(C6-C30)aryl.
- An organic electroluminescent device containing the electron transport material of any one of claims 1 to 5.
- The organic electroluminescent device of claim 6, wherein it includes:a first electrode; a second electrode; and at least one organic layer interposed between the first and second electrodes, the organic layer including an electron transport layer in which the electron transport material is contained.
Applications Claiming Priority (4)
| Application Number | Priority Date | Filing Date | Title |
|---|---|---|---|
| KR20120057154 | 2012-05-30 | ||
| KR10-2012-0057154 | 2012-05-30 | ||
| KR10-2012-0120910 | 2012-10-30 | ||
| KR1020120120910A KR101474713B1 (en) | 2012-05-30 | 2012-10-30 | New material for transporting electron and organic electroluminescent device using the same |
Publications (1)
| Publication Number | Publication Date |
|---|---|
| WO2013180376A1 true WO2013180376A1 (en) | 2013-12-05 |
Family
ID=49673535
Family Applications (1)
| Application Number | Title | Priority Date | Filing Date |
|---|---|---|---|
| PCT/KR2013/001371 Ceased WO2013180376A1 (en) | 2012-05-30 | 2013-02-21 | New electron transport material and organic electroluminescent device using the same |
Country Status (1)
| Country | Link |
|---|---|
| WO (1) | WO2013180376A1 (en) |
Cited By (97)
| Publication number | Priority date | Publication date | Assignee | Title |
|---|---|---|---|---|
| US20150144924A1 (en) * | 2013-11-28 | 2015-05-28 | Samsung Electronics Co., Ltd. | Condensed cyclic compound and organic light-emitting device including the same |
| EP2947071A1 (en) * | 2014-05-20 | 2015-11-25 | Samsung SDI Co., Ltd. | Organic compound and composition and organic optoelectric device and display device |
| WO2015182769A1 (en) * | 2014-05-29 | 2015-12-03 | 東ソー株式会社 | Quinazoline and benzoquinazoline compounds and production and use of same |
| WO2015186882A1 (en) * | 2014-06-05 | 2015-12-10 | 삼성에스디아이 주식회사 | Organic compound, organic photoelectric element, and display device |
| JP2016020333A (en) * | 2014-05-29 | 2016-02-04 | 東ソー株式会社 | Benzoquinazoline compounds, production method thereof and use thereof |
| JP2016020332A (en) * | 2014-06-18 | 2016-02-04 | 東ソー株式会社 | Quinazoline compound, method for producing the same, and use thereof |
| CN105849112A (en) * | 2014-01-14 | 2016-08-10 | 三星Sdi株式会社 | Condensed cyclic compound and organic light emitting device including same |
| EP3056504A1 (en) | 2015-02-16 | 2016-08-17 | Universal Display Corporation | Organic electroluminescent materials and devices |
| EP3056498A1 (en) * | 2015-02-13 | 2016-08-17 | Samsung SDI Co., Ltd. | Diazadibenzofurane and diazadibenzothiophene derivatives and their use in organic optoelectronic devices |
| CN105899517A (en) * | 2014-01-10 | 2016-08-24 | 三星Sdi株式会社 | Therapeutic compounds and related methods of use |
| WO2016132250A1 (en) * | 2015-02-18 | 2016-08-25 | Semiconductor Energy Laboratory Co., Ltd. | Organic compound, light-emitting element, display module, lighting module, light-emitting device, display device, electronic device, and lighting device |
| EP3061763A1 (en) | 2015-02-27 | 2016-08-31 | Universal Display Corporation | Organic electroluminescent materials and devices |
| US9444059B2 (en) | 2013-02-21 | 2016-09-13 | Semiconductor Energy Laboratory Co., Ltd. | Organometallic complex, light-emitting element, light-emitting device, electronic device, and lighting device |
| EP3098229A1 (en) | 2015-05-15 | 2016-11-30 | Universal Display Corporation | Organic electroluminescent materials and devices |
| EP3101021A1 (en) | 2015-06-01 | 2016-12-07 | Universal Display Corporation | Organic electroluminescent materials and devices |
| WO2016197353A1 (en) * | 2015-06-11 | 2016-12-15 | Dow Global Technologies Llc | Organic electroluminescent compound and organic electroluminescent device comprising the same |
| EP3124488A1 (en) | 2015-07-29 | 2017-02-01 | Universal Display Corporation | Organic electroluminescent materials and devices |
| EP3159350A1 (en) | 2015-09-03 | 2017-04-26 | Universal Display Corporation | Organic electroluminescent materials and devices |
| US20170229659A1 (en) * | 2012-11-30 | 2017-08-10 | Lg Chem, Ltd. | Compounds and organic electronic device using the same |
| EP3205658A1 (en) | 2016-02-09 | 2017-08-16 | Universal Display Corporation | Organic electroluminescent materials and devices |
| WO2017156698A1 (en) | 2016-03-15 | 2017-09-21 | Dow Global Technologies Llc | Organic electroluminescent compound and organic electroluminescent device thereof |
| EP3231809A2 (en) | 2016-04-11 | 2017-10-18 | Universal Display Corporation | Organic electroluminescent materials and devices |
| EP3261147A1 (en) | 2016-06-20 | 2017-12-27 | Universal Display Corporation | Organic electroluminescent materials and devices |
| EP3261146A2 (en) | 2016-06-20 | 2017-12-27 | Universal Display Corporation | Organic electroluminescent materials and devices |
| EP3270435A2 (en) | 2016-06-20 | 2018-01-17 | Universal Display Corporation | Organic electroluminescent materials and devices |
| EP3297051A1 (en) | 2016-09-14 | 2018-03-21 | Universal Display Corporation | Organic electroluminescent materials and devices |
| EP3301088A1 (en) | 2016-10-03 | 2018-04-04 | Universal Display Corporation | Condensed pyridines as organic electroluminescent materials and devices |
| EP3305796A1 (en) | 2016-10-07 | 2018-04-11 | Universal Display Corporation | Organic electroluminescent materials and devices |
| EP3321258A1 (en) | 2016-11-09 | 2018-05-16 | Universal Display Corporation | 4-phenylbenzo[g]quinazoline or 4-(3,5-dimethylphenylbenzo[g]quinazoline iridium complexes for use as near-infrared or infrared emitting materials in oleds |
| EP3323822A1 (en) | 2016-09-23 | 2018-05-23 | Universal Display Corporation | Organic electroluminescent materials and devices |
| EP3345914A1 (en) | 2017-01-09 | 2018-07-11 | Universal Display Corporation | Organic electroluminescent materials and devices |
| EP3354654A2 (en) | 2016-11-11 | 2018-08-01 | Universal Display Corporation | Organic electroluminescent materials and devices |
| EP3381927A1 (en) | 2017-03-29 | 2018-10-03 | Universal Display Corporation | Organic electroluminescent materials and devices |
| US10096786B2 (en) | 2014-12-19 | 2018-10-09 | Semiconductor Energy Laboratory Co., Ltd. | Organometallic complex, light-emitting element, light-emitting device, electronic device, and lighting device |
| EP3401318A1 (en) | 2017-05-11 | 2018-11-14 | Universal Display Corporation | Organic electroluminescent materials and devices |
| EP3418286A1 (en) | 2017-06-23 | 2018-12-26 | Universal Display Corporation | Organic electroluminescent materials and devices |
| EP3444258A2 (en) | 2017-08-10 | 2019-02-20 | Universal Display Corporation | Organic electroluminescent materials and devices |
| EP3489243A1 (en) | 2017-11-28 | 2019-05-29 | University of Southern California | Carbene compounds and organic electroluminescent devices |
| EP3492480A2 (en) | 2017-11-29 | 2019-06-05 | Universal Display Corporation | Organic electroluminescent materials and devices |
| EP3492528A1 (en) | 2017-11-30 | 2019-06-05 | Universal Display Corporation | Organic electroluminescent materials and devices |
| CN110010773A (en) * | 2018-01-05 | 2019-07-12 | 固安鼎材科技有限公司 | A kind of luminescent layer and organic electroluminescence device adjusting carrier mobility |
| EP3613751A1 (en) | 2018-08-22 | 2020-02-26 | Universal Display Corporation | Organic electroluminescent materials and devices |
| EP3689889A1 (en) | 2019-02-01 | 2020-08-05 | Universal Display Corporation | Organic electroluminescent materials and devices |
| EP3690973A1 (en) | 2019-01-30 | 2020-08-05 | University Of Southern California | Organic electroluminescent materials and devices |
| EP3715353A1 (en) | 2019-03-26 | 2020-09-30 | Universal Display Corporation | Organic electroluminescent materials and devices |
| EP3750897A1 (en) | 2019-06-10 | 2020-12-16 | Universal Display Corporation | Organic electroluminescent materials and devices |
| EP3771717A1 (en) | 2019-07-30 | 2021-02-03 | Universal Display Corporation | Organic electroluminescent materials and devices |
| KR20210018105A (en) | 2019-08-09 | 2021-02-17 | 가부시키가이샤 한도오따이 에네루기 켄큐쇼 | Organic compound, light-emitting device, light-emitting apparatus, electronic device, and lighting device |
| EP3778614A1 (en) | 2019-08-16 | 2021-02-17 | Universal Display Corporation | Organic electroluminescent materials and devices |
| EP3816175A1 (en) | 2019-11-04 | 2021-05-05 | Universal Display Corporation | Organic electroluminescent materials and devices |
| EP3845545A1 (en) | 2020-01-06 | 2021-07-07 | Universal Display Corporation | Organic electroluminescent materials and devices |
| EP3858945A1 (en) | 2020-01-28 | 2021-08-04 | Universal Display Corporation | Organic electroluminescent materials and devices |
| CN113214167A (en) * | 2020-02-04 | 2021-08-06 | 昱镭光电科技股份有限公司 | Benzoquinazoline compound and organic electroluminescent element |
| EP3937268A1 (en) | 2020-07-10 | 2022-01-12 | Universal Display Corporation | Plasmonic oleds and vertical dipole emitters |
| EP4001287A1 (en) | 2020-11-24 | 2022-05-25 | Universal Display Corporation | Organic electroluminescent materials and devices |
| EP4001286A1 (en) | 2020-11-24 | 2022-05-25 | Universal Display Corporation | Organic electroluminescent materials and devices |
| EP4016659A1 (en) | 2020-11-16 | 2022-06-22 | Universal Display Corporation | Organic electroluminescent materials and devices |
| EP4019526A1 (en) | 2018-01-26 | 2022-06-29 | Universal Display Corporation | Organic electroluminescent materials and devices |
| EP4039692A1 (en) | 2021-02-03 | 2022-08-10 | Universal Display Corporation | Organic electroluminescent materials and devices |
| EP4053137A1 (en) | 2021-03-05 | 2022-09-07 | Universal Display Corporation | Organic electroluminescent materials and devices |
| EP4056578A1 (en) | 2021-03-12 | 2022-09-14 | Universal Display Corporation | Organic electroluminescent materials and devices |
| EP4059915A2 (en) | 2021-02-26 | 2022-09-21 | Universal Display Corporation | Organic electroluminescent materials and devices |
| EP4060758A2 (en) | 2021-02-26 | 2022-09-21 | Universal Display Corporation | Organic electroluminescent materials and devices |
| EP4059941A1 (en) | 2021-03-15 | 2022-09-21 | Universal Display Corporation | Organic electroluminescent materials and devices |
| EP4075531A1 (en) | 2021-04-13 | 2022-10-19 | Universal Display Corporation | Plasmonic oleds and vertical dipole emitters |
| EP4075530A1 (en) | 2021-04-14 | 2022-10-19 | Universal Display Corporation | Organic electroluminescent materials and devices |
| EP4074723A1 (en) | 2021-04-05 | 2022-10-19 | Universal Display Corporation | Organic electroluminescent materials and devices |
| EP4079743A1 (en) | 2021-04-23 | 2022-10-26 | Universal Display Corporation | Organic electroluminescent materials and devices |
| EP4086266A1 (en) | 2021-04-23 | 2022-11-09 | Universal Display Corporation | Organic electroluminescent materials and devices |
| US11498929B2 (en) | 2019-06-17 | 2022-11-15 | Hibercell, Inc. | Chromenopyrimidine derivatives as phosphatidylinsitol phosphate kinase inhibitors |
| EP4112701A2 (en) | 2021-06-08 | 2023-01-04 | University of Southern California | Molecular alignment of homoleptic iridium phosphors |
| US11584763B2 (en) | 2017-12-22 | 2023-02-21 | Hibercell, Inc. | Chromenopyridine derivatives as phosphatidylinositol phosphate kinase inhibitors |
| EP4151699A1 (en) | 2021-09-17 | 2023-03-22 | Universal Display Corporation | Organic electroluminescent materials and devices |
| CN116120338A (en) * | 2021-11-11 | 2023-05-16 | 烟台显华科技集团股份有限公司 | A kind of condensed heterocyclic ring substituted anthracene compound and its application |
| EP4185086A1 (en) | 2017-07-26 | 2023-05-24 | Universal Display Corporation | Organic electroluminescent materials and devices |
| EP4212539A1 (en) | 2021-12-16 | 2023-07-19 | Universal Display Corporation | Organic electroluminescent materials and devices |
| EP4231804A2 (en) | 2022-02-16 | 2023-08-23 | Universal Display Corporation | Organic electroluminescent materials and devices |
| EP4242285A1 (en) | 2022-03-09 | 2023-09-13 | Universal Display Corporation | Organic electroluminescent materials and devices |
| EP4265626A2 (en) | 2022-04-18 | 2023-10-25 | Universal Display Corporation | Organic electroluminescent materials and devices |
| EP4282863A1 (en) | 2022-05-24 | 2023-11-29 | Universal Display Corporation | Organic electroluminescent materials and devices |
| EP4293001A1 (en) | 2022-06-08 | 2023-12-20 | Universal Display Corporation | Organic electroluminescent materials and devices |
| EP4299693A1 (en) | 2022-06-28 | 2024-01-03 | Universal Display Corporation | Organic electroluminescent materials and devices |
| EP4326030A1 (en) | 2022-08-17 | 2024-02-21 | Universal Display Corporation | Organic electroluminescent materials and devices |
| EP4362630A2 (en) | 2022-10-27 | 2024-05-01 | Universal Display Corporation | Organic electroluminescent materials and devices |
| EP4362645A2 (en) | 2022-10-27 | 2024-05-01 | Universal Display Corporation | Organic electroluminescent materials and devices |
| EP4362631A2 (en) | 2022-10-27 | 2024-05-01 | Universal Display Corporation | Organic electroluminescent materials and devices |
| EP4369898A1 (en) | 2022-10-27 | 2024-05-15 | Universal Display Corporation | Organic electroluminescent materials and devices |
| EP4376583A2 (en) | 2022-10-27 | 2024-05-29 | Universal Display Corporation | Organic electroluminescent materials and devices |
| EP4386065A1 (en) | 2022-12-14 | 2024-06-19 | Universal Display Corporation | Organic electroluminescent materials and devices |
| US12187748B2 (en) | 2020-11-02 | 2025-01-07 | Universal Display Corporation | Organic electroluminescent materials and devices |
| EP4489555A2 (en) | 2018-03-12 | 2025-01-08 | Universal Display Corporation | Organic electroluminescent materials and devices |
| EP4580378A1 (en) | 2023-12-15 | 2025-07-02 | Universal Display Corporation | Organic electroluminescent materials and devices |
| EP4592303A1 (en) | 2023-12-15 | 2025-07-30 | Universal Display Corporation | Organic electroluminescent materials and devices |
| US12428599B2 (en) | 2021-03-09 | 2025-09-30 | Universal Display Corporation | Organic electroluminescent materials and devices |
| US12473318B2 (en) | 2021-10-08 | 2025-11-18 | Universal Display Corporation | Organic electroluminescent materials and devices |
| US12480042B2 (en) | 2021-04-09 | 2025-11-25 | Universal Display Corporation | Organic electroluminescent materials and devices |
| US12550611B2 (en) | 2022-08-03 | 2026-02-10 | Universal Display Corporation | Organic electroluminescent materials and devices |
Citations (4)
| Publication number | Priority date | Publication date | Assignee | Title |
|---|---|---|---|---|
| CH599569A5 (en) * | 1970-08-11 | 1978-05-31 | Hoechst Ag | Photoinitiators |
| WO1993014080A1 (en) * | 1992-01-15 | 1993-07-22 | E.I. Du Pont De Nemours And Company | Bridged heterocyclic fungicides |
| WO2004039786A1 (en) * | 2002-10-30 | 2004-05-13 | Ciba Specialty Chemicals Holding Inc. | Electroluminescent device |
| KR20120117693A (en) * | 2011-04-15 | 2012-10-24 | 에스에프씨 주식회사 | New compounds and organic light-emitting diode including the same |
-
2013
- 2013-02-21 WO PCT/KR2013/001371 patent/WO2013180376A1/en not_active Ceased
Patent Citations (4)
| Publication number | Priority date | Publication date | Assignee | Title |
|---|---|---|---|---|
| CH599569A5 (en) * | 1970-08-11 | 1978-05-31 | Hoechst Ag | Photoinitiators |
| WO1993014080A1 (en) * | 1992-01-15 | 1993-07-22 | E.I. Du Pont De Nemours And Company | Bridged heterocyclic fungicides |
| WO2004039786A1 (en) * | 2002-10-30 | 2004-05-13 | Ciba Specialty Chemicals Holding Inc. | Electroluminescent device |
| KR20120117693A (en) * | 2011-04-15 | 2012-10-24 | 에스에프씨 주식회사 | New compounds and organic light-emitting diode including the same |
Non-Patent Citations (10)
| Title |
|---|
| CHAO, B. ET AL.: "Copper(I)-Mediated Cascade Reactions: An Efficient Approach to the Synthesis of Functionalized Benzofuro[3,2-d]pyrimidines.", ORGANIC LETTERS., vol. 12, no. 9, 26 April 2012 (2012-04-26), pages 2398 - 2401 * |
| CHETONI, F. ET AL.: "Synthesis of Novel I-Aryl[I]benzoxepino[5,4-c]pyrazole and [1]benzoxepino[5,4-d]pyrimidine Derivatives.", JOURNAL OF HETEROCYCLIC CHEMISTRY., vol. 30, 1993, pages 1653 - 1658 * |
| HERRERA, A. ET AL.: "The reaction of tetralones with nitriles: a simple approach to the synthesis of new substituted benzo[h]quinazolines, benzo[f]quinazolines and dibenzo[a,i]phenanthridines.", TETRAHEDRON, vol. 62, no. 12, 2006, pages 2799 - 2811 * |
| KUMAR, A. S. ET AL.: "Synthesis of pyrido[2,3-b]indoles and pyrimidoindoles via Pd-catalyzed amidation and cyclization.", ORGANIC & BIOMOLECULAR CHEMISTRY, vol. 10, no. 26, 25 April 2012 (2012-04-25), pages 5084 - 5093 * |
| LEONETTI, F. ET AL.: "Design, Snthesis, and 3D QSAR of Novel Potent and Selective Aromatase Inhibitors.", JOURNAL OF MEDICINAL CHEMISTRY, vol. 47, 2004, pages 6792 - 6803 * |
| MAMAEV, V. P. ET AL.: "Pyrimidines III. Dehydrogenation of 4-phenylbenzo [h]quinazoline derivatives.", KHIMIYA GETEROTSIKLICHESKIKH SOEDINENII., vol. 1, no. 4, 1965, pages 608 - 615 * |
| MIYASHI, T. ET AL.: "The Intermolecular Nitrene-Type 1,1-Cycloaddition Reaction of Allyl-Substituted Diazomethanes.", JOURNAL OF AMERICAN CHEMICAL SOCIETY, vol. 108, 1986, pages 1617 - 1632 * |
| ROBBA, M. ET AL.: "Synthese de benzo (1) thieno [2,3-d] pyrimidines et de benzo (1) thieno [3,2-d] pyrimidines.", TETRAHEDRON LETTERS, vol. 13, no. 44, 1972, pages 4549 - 4551 * |
| ROBEV, S. K. ET AL.: "New sysnthesis of quinazoline and benzoquinazoline derivatives.", TETRAHEDRON LETTERS, vol. 24, no. 40, 1983, pages 4351 - 4354 * |
| ROBEV, S. K.: "2,4-Disubstituted benzo/h/Quinazolines from N-(l-naphthyl)- amidines.", DOKLADY BOLGARSKOI AKADEMII NAUK., vol. 36, no. 12, 1983, pages 1551 - 1553 * |
Cited By (148)
| Publication number | Priority date | Publication date | Assignee | Title |
|---|---|---|---|---|
| US10790453B2 (en) | 2012-11-30 | 2020-09-29 | Lg Chem, Ltd. | Compounds and organic electronic device using the same |
| US20170229659A1 (en) * | 2012-11-30 | 2017-08-10 | Lg Chem, Ltd. | Compounds and organic electronic device using the same |
| US9444059B2 (en) | 2013-02-21 | 2016-09-13 | Semiconductor Energy Laboratory Co., Ltd. | Organometallic complex, light-emitting element, light-emitting device, electronic device, and lighting device |
| US11050027B2 (en) * | 2013-11-28 | 2021-06-29 | Samsung Electronics Co., Ltd. | Condensed cyclic compound and organic light-emitting device including the same |
| US20150144924A1 (en) * | 2013-11-28 | 2015-05-28 | Samsung Electronics Co., Ltd. | Condensed cyclic compound and organic light-emitting device including the same |
| CN105899518B (en) * | 2014-01-10 | 2019-04-16 | 三星Sdi株式会社 | Condensed ring compound and organic light-emitting device containing the same |
| CN105899518A (en) * | 2014-01-10 | 2016-08-24 | 三星Sdi株式会社 | Fused-ring compound and organic light-emitting device comprising same |
| CN105899517B (en) * | 2014-01-10 | 2019-05-21 | 三星Sdi株式会社 | Condensed ring compound and organic light-emitting device containing the same |
| CN105899517A (en) * | 2014-01-10 | 2016-08-24 | 三星Sdi株式会社 | Therapeutic compounds and related methods of use |
| CN105934436A (en) * | 2014-01-10 | 2016-09-07 | 三星Sdi株式会社 | Condensed cyclic compound and organic light-emitting device including same |
| CN105849112A (en) * | 2014-01-14 | 2016-08-10 | 三星Sdi株式会社 | Condensed cyclic compound and organic light emitting device including same |
| US10361377B2 (en) | 2014-01-14 | 2019-07-23 | Samsung Sdi Co., Ltd. | Condensed cyclic compound and organic light emitting device including the same |
| JP2015218165A (en) * | 2014-05-20 | 2015-12-07 | 三星エスディアイ株式会社Samsung SDI Co.,Ltd. | Organic compound, composition, organic optoelectronic device and display device |
| CN105085412A (en) * | 2014-05-20 | 2015-11-25 | 三星Sdi株式会社 | Organic compound, composition, organic optoelectric device, and display device |
| EP2947071A1 (en) * | 2014-05-20 | 2015-11-25 | Samsung SDI Co., Ltd. | Organic compound and composition and organic optoelectric device and display device |
| JP2016020333A (en) * | 2014-05-29 | 2016-02-04 | 東ソー株式会社 | Benzoquinazoline compounds, production method thereof and use thereof |
| WO2015182769A1 (en) * | 2014-05-29 | 2015-12-03 | 東ソー株式会社 | Quinazoline and benzoquinazoline compounds and production and use of same |
| WO2015186882A1 (en) * | 2014-06-05 | 2015-12-10 | 삼성에스디아이 주식회사 | Organic compound, organic photoelectric element, and display device |
| JP2016020332A (en) * | 2014-06-18 | 2016-02-04 | 東ソー株式会社 | Quinazoline compound, method for producing the same, and use thereof |
| US10096786B2 (en) | 2014-12-19 | 2018-10-09 | Semiconductor Energy Laboratory Co., Ltd. | Organometallic complex, light-emitting element, light-emitting device, electronic device, and lighting device |
| CN105884803A (en) * | 2015-02-13 | 2016-08-24 | 三星Sdi株式会社 | Compound For Organic Optoelectronic Device And Application Thereof |
| EP3056498A1 (en) * | 2015-02-13 | 2016-08-17 | Samsung SDI Co., Ltd. | Diazadibenzofurane and diazadibenzothiophene derivatives and their use in organic optoelectronic devices |
| EP3056504A1 (en) | 2015-02-16 | 2016-08-17 | Universal Display Corporation | Organic electroluminescent materials and devices |
| WO2016132250A1 (en) * | 2015-02-18 | 2016-08-25 | Semiconductor Energy Laboratory Co., Ltd. | Organic compound, light-emitting element, display module, lighting module, light-emitting device, display device, electronic device, and lighting device |
| JP2016153400A (en) * | 2015-02-18 | 2016-08-25 | 株式会社半導体エネルギー研究所 | Organic compound, light-emitting element, display module, lighting module, light-emitting device, display device, electronic device, and lighting device |
| CN107250131A (en) * | 2015-02-18 | 2017-10-13 | 株式会社半导体能源研究所 | Organic compound, light-emitting element, display module, lighting module, light-emitting device, display device, electronic equipment, and lighting device |
| JP2020094056A (en) * | 2015-02-18 | 2020-06-18 | 株式会社半導体エネルギー研究所 | Compound |
| US10476009B2 (en) | 2015-02-18 | 2019-11-12 | Semiconductor Energy Laboratory Co., Ltd. | Organic compound, light-emitting element, display module, lighting module, light-emitting device, display device, electronic device, and lighting device |
| EP3061763A1 (en) | 2015-02-27 | 2016-08-31 | Universal Display Corporation | Organic electroluminescent materials and devices |
| EP3098229A1 (en) | 2015-05-15 | 2016-11-30 | Universal Display Corporation | Organic electroluminescent materials and devices |
| EP3101021A1 (en) | 2015-06-01 | 2016-12-07 | Universal Display Corporation | Organic electroluminescent materials and devices |
| WO2016197353A1 (en) * | 2015-06-11 | 2016-12-15 | Dow Global Technologies Llc | Organic electroluminescent compound and organic electroluminescent device comprising the same |
| EP3124488A1 (en) | 2015-07-29 | 2017-02-01 | Universal Display Corporation | Organic electroluminescent materials and devices |
| EP3760635A1 (en) | 2015-09-03 | 2021-01-06 | Universal Display Corporation | Organic electroluminescent materials and devices |
| EP3159350A1 (en) | 2015-09-03 | 2017-04-26 | Universal Display Corporation | Organic electroluminescent materials and devices |
| EP3858842A1 (en) | 2016-02-09 | 2021-08-04 | Universal Display Corporation | Organic electroluminescent materials and devices |
| EP3205658A1 (en) | 2016-02-09 | 2017-08-16 | Universal Display Corporation | Organic electroluminescent materials and devices |
| CN108699054B (en) * | 2016-03-15 | 2022-06-28 | 陶氏环球技术有限责任公司 | Organic electroluminescent compounds and organic electroluminescent devices thereof |
| WO2017156698A1 (en) | 2016-03-15 | 2017-09-21 | Dow Global Technologies Llc | Organic electroluminescent compound and organic electroluminescent device thereof |
| EP3436452A4 (en) * | 2016-03-15 | 2019-12-11 | Dow Global Technologies Llc | ORGANIC ELECTROLUMINESCENT COMPOUND AND ORGANIC ELECTROLUMINESCENCE DEVICE COMPRISING SAME |
| CN108699054A (en) * | 2016-03-15 | 2018-10-23 | 陶氏环球技术有限责任公司 | Organic electroluminescent compound and its organic electroluminescent device |
| EP3231809A2 (en) | 2016-04-11 | 2017-10-18 | Universal Display Corporation | Organic electroluminescent materials and devices |
| EP4122941A1 (en) | 2016-04-11 | 2023-01-25 | Universal Display Corporation | Organic electroluminescent materials and devices |
| EP3270435A2 (en) | 2016-06-20 | 2018-01-17 | Universal Display Corporation | Organic electroluminescent materials and devices |
| EP3920254A1 (en) | 2016-06-20 | 2021-12-08 | Universal Display Corporation | Organic electroluminescent materials and devices |
| EP3758084A1 (en) | 2016-06-20 | 2020-12-30 | Universal Display Corporation | Organic electroluminescent materials and devices |
| EP3843171A1 (en) | 2016-06-20 | 2021-06-30 | Universal Display Corporation | Organic electroluminescent materials and devices |
| EP3261146A2 (en) | 2016-06-20 | 2017-12-27 | Universal Display Corporation | Organic electroluminescent materials and devices |
| EP3261147A1 (en) | 2016-06-20 | 2017-12-27 | Universal Display Corporation | Organic electroluminescent materials and devices |
| EP4349935A2 (en) | 2016-06-20 | 2024-04-10 | Universal Display Corporation | Organic electroluminescent materials and devices |
| EP3297051A1 (en) | 2016-09-14 | 2018-03-21 | Universal Display Corporation | Organic electroluminescent materials and devices |
| EP3323822A1 (en) | 2016-09-23 | 2018-05-23 | Universal Display Corporation | Organic electroluminescent materials and devices |
| EP3301088A1 (en) | 2016-10-03 | 2018-04-04 | Universal Display Corporation | Condensed pyridines as organic electroluminescent materials and devices |
| EP4477647A1 (en) | 2016-10-03 | 2024-12-18 | Universal Display Corporation | Condensed pyridines as organic electroluminescent materials and devices |
| EP3858844A1 (en) | 2016-10-07 | 2021-08-04 | Universal Display Corporation | Organic electroluminescent materials and devices |
| EP3305796A1 (en) | 2016-10-07 | 2018-04-11 | Universal Display Corporation | Organic electroluminescent materials and devices |
| EP3789379A1 (en) | 2016-11-09 | 2021-03-10 | Universal Display Corporation | 4-phenylbenzo[g]quinazoline or 4-(3,5-dimethylphenylbenzo[g]quinazoline iridium complexes for use as near-infrared or infrared emitting materials in oleds |
| EP3321258A1 (en) | 2016-11-09 | 2018-05-16 | Universal Display Corporation | 4-phenylbenzo[g]quinazoline or 4-(3,5-dimethylphenylbenzo[g]quinazoline iridium complexes for use as near-infrared or infrared emitting materials in oleds |
| EP3354654A2 (en) | 2016-11-11 | 2018-08-01 | Universal Display Corporation | Organic electroluminescent materials and devices |
| EP4092036A1 (en) | 2016-11-11 | 2022-11-23 | Universal Display Corporation | Organic electroluminescent materials and devices |
| EP3345914A1 (en) | 2017-01-09 | 2018-07-11 | Universal Display Corporation | Organic electroluminescent materials and devices |
| EP3689890A1 (en) | 2017-01-09 | 2020-08-05 | Universal Display Corporation | Organic electroluminescent materials and devices |
| EP4212540A1 (en) | 2017-01-09 | 2023-07-19 | Universal Display Corporation | Organic electroluminescent materials and devices |
| EP3730506A1 (en) | 2017-03-29 | 2020-10-28 | Universal Display Corporation | Organic electroluminescent materials and devices |
| EP3985012A1 (en) | 2017-03-29 | 2022-04-20 | Universal Display Corporation | Organic electroluminescent materials and devices |
| EP3381927A1 (en) | 2017-03-29 | 2018-10-03 | Universal Display Corporation | Organic electroluminescent materials and devices |
| EP3401318A1 (en) | 2017-05-11 | 2018-11-14 | Universal Display Corporation | Organic electroluminescent materials and devices |
| EP4141010A1 (en) | 2017-05-11 | 2023-03-01 | Universal Display Corporation | Organic electroluminescent materials and devices |
| EP3418286A1 (en) | 2017-06-23 | 2018-12-26 | Universal Display Corporation | Organic electroluminescent materials and devices |
| EP4185086A1 (en) | 2017-07-26 | 2023-05-24 | Universal Display Corporation | Organic electroluminescent materials and devices |
| EP4633344A2 (en) | 2017-07-26 | 2025-10-15 | Universal Display Corporation | Organic electroluminescent materials and devices |
| EP3783006A1 (en) | 2017-08-10 | 2021-02-24 | Universal Display Corporation | Organic electroluminescent materials and devices |
| EP3444258A2 (en) | 2017-08-10 | 2019-02-20 | Universal Display Corporation | Organic electroluminescent materials and devices |
| EP3489243A1 (en) | 2017-11-28 | 2019-05-29 | University of Southern California | Carbene compounds and organic electroluminescent devices |
| EP3878855A1 (en) | 2017-11-28 | 2021-09-15 | University of Southern California | Carbene compounds and organic electroluminescent devices |
| EP3492480A2 (en) | 2017-11-29 | 2019-06-05 | Universal Display Corporation | Organic electroluminescent materials and devices |
| EP4550995A2 (en) | 2017-11-30 | 2025-05-07 | Universal Display Corporation | Organic electroluminescent materials and devices |
| EP3492528A1 (en) | 2017-11-30 | 2019-06-05 | Universal Display Corporation | Organic electroluminescent materials and devices |
| US11584763B2 (en) | 2017-12-22 | 2023-02-21 | Hibercell, Inc. | Chromenopyridine derivatives as phosphatidylinositol phosphate kinase inhibitors |
| CN110010773B (en) * | 2018-01-05 | 2023-08-18 | 固安鼎材科技有限公司 | Luminous layer for adjusting carrier mobility and organic electroluminescent device |
| CN110010773A (en) * | 2018-01-05 | 2019-07-12 | 固安鼎材科技有限公司 | A kind of luminescent layer and organic electroluminescence device adjusting carrier mobility |
| EP4019526A1 (en) | 2018-01-26 | 2022-06-29 | Universal Display Corporation | Organic electroluminescent materials and devices |
| EP4489555A2 (en) | 2018-03-12 | 2025-01-08 | Universal Display Corporation | Organic electroluminescent materials and devices |
| EP4206210A1 (en) | 2018-08-22 | 2023-07-05 | Universal Display Corporation | Organic electroluminescent materials and devices |
| EP3613751A1 (en) | 2018-08-22 | 2020-02-26 | Universal Display Corporation | Organic electroluminescent materials and devices |
| EP3690973A1 (en) | 2019-01-30 | 2020-08-05 | University Of Southern California | Organic electroluminescent materials and devices |
| EP3689889A1 (en) | 2019-02-01 | 2020-08-05 | Universal Display Corporation | Organic electroluminescent materials and devices |
| EP4301117A2 (en) | 2019-02-01 | 2024-01-03 | Universal Display Corporation | Organic electroluminescent materials and devices |
| EP3715353A1 (en) | 2019-03-26 | 2020-09-30 | Universal Display Corporation | Organic electroluminescent materials and devices |
| EP4134371A2 (en) | 2019-03-26 | 2023-02-15 | Universal Display Corporation | Organic electroluminescent materials and devices |
| EP3750897A1 (en) | 2019-06-10 | 2020-12-16 | Universal Display Corporation | Organic electroluminescent materials and devices |
| US11498929B2 (en) | 2019-06-17 | 2022-11-15 | Hibercell, Inc. | Chromenopyrimidine derivatives as phosphatidylinsitol phosphate kinase inhibitors |
| EP4219515A1 (en) | 2019-07-30 | 2023-08-02 | Universal Display Corporation | Organic electroluminescent materials and devices |
| EP3771717A1 (en) | 2019-07-30 | 2021-02-03 | Universal Display Corporation | Organic electroluminescent materials and devices |
| KR20210018105A (en) | 2019-08-09 | 2021-02-17 | 가부시키가이샤 한도오따이 에네루기 켄큐쇼 | Organic compound, light-emitting device, light-emitting apparatus, electronic device, and lighting device |
| US11690290B2 (en) | 2019-08-09 | 2023-06-27 | Semiconductor Energy Laboratory Co., Ltd. | Organic compound, light-emitting device, light-emitting apparatus, electronic device, and lighting device |
| EP3778614A1 (en) | 2019-08-16 | 2021-02-17 | Universal Display Corporation | Organic electroluminescent materials and devices |
| EP4472386A2 (en) | 2019-11-04 | 2024-12-04 | Universal Display Corporation | Organic electroluminescent materials and devices |
| EP3816175A1 (en) | 2019-11-04 | 2021-05-05 | Universal Display Corporation | Organic electroluminescent materials and devices |
| EP4151644A1 (en) | 2020-01-06 | 2023-03-22 | Universal Display Corporation | Organic electroluminescent materials and devices |
| EP3845545A1 (en) | 2020-01-06 | 2021-07-07 | Universal Display Corporation | Organic electroluminescent materials and devices |
| EP4294157A2 (en) | 2020-01-28 | 2023-12-20 | Universal Display Corporation | Organic electroluminescent materials and devices |
| EP3858945A1 (en) | 2020-01-28 | 2021-08-04 | Universal Display Corporation | Organic electroluminescent materials and devices |
| CN113214167A (en) * | 2020-02-04 | 2021-08-06 | 昱镭光电科技股份有限公司 | Benzoquinazoline compound and organic electroluminescent element |
| EP3937268A1 (en) | 2020-07-10 | 2022-01-12 | Universal Display Corporation | Plasmonic oleds and vertical dipole emitters |
| US12187748B2 (en) | 2020-11-02 | 2025-01-07 | Universal Display Corporation | Organic electroluminescent materials and devices |
| EP4016659A1 (en) | 2020-11-16 | 2022-06-22 | Universal Display Corporation | Organic electroluminescent materials and devices |
| EP4001287A1 (en) | 2020-11-24 | 2022-05-25 | Universal Display Corporation | Organic electroluminescent materials and devices |
| EP4001286A1 (en) | 2020-11-24 | 2022-05-25 | Universal Display Corporation | Organic electroluminescent materials and devices |
| EP4329463A2 (en) | 2020-11-24 | 2024-02-28 | Universal Display Corporation | Organic electroluminescent materials and devices |
| EP4039692A1 (en) | 2021-02-03 | 2022-08-10 | Universal Display Corporation | Organic electroluminescent materials and devices |
| EP4060758A2 (en) | 2021-02-26 | 2022-09-21 | Universal Display Corporation | Organic electroluminescent materials and devices |
| EP4059915A2 (en) | 2021-02-26 | 2022-09-21 | Universal Display Corporation | Organic electroluminescent materials and devices |
| EP4053137A1 (en) | 2021-03-05 | 2022-09-07 | Universal Display Corporation | Organic electroluminescent materials and devices |
| US12428599B2 (en) | 2021-03-09 | 2025-09-30 | Universal Display Corporation | Organic electroluminescent materials and devices |
| EP4056578A1 (en) | 2021-03-12 | 2022-09-14 | Universal Display Corporation | Organic electroluminescent materials and devices |
| EP4059941A1 (en) | 2021-03-15 | 2022-09-21 | Universal Display Corporation | Organic electroluminescent materials and devices |
| EP4074723A1 (en) | 2021-04-05 | 2022-10-19 | Universal Display Corporation | Organic electroluminescent materials and devices |
| US12480042B2 (en) | 2021-04-09 | 2025-11-25 | Universal Display Corporation | Organic electroluminescent materials and devices |
| EP4075531A1 (en) | 2021-04-13 | 2022-10-19 | Universal Display Corporation | Plasmonic oleds and vertical dipole emitters |
| EP4401530A2 (en) | 2021-04-14 | 2024-07-17 | Universal Display Corporation | Organic electroluminescent materials and devices |
| EP4075530A1 (en) | 2021-04-14 | 2022-10-19 | Universal Display Corporation | Organic electroluminescent materials and devices |
| EP4610330A2 (en) | 2021-04-23 | 2025-09-03 | Universal Display Corporation | Organic electroluminescent materials and devices |
| EP4086266A1 (en) | 2021-04-23 | 2022-11-09 | Universal Display Corporation | Organic electroluminescent materials and devices |
| EP4079743A1 (en) | 2021-04-23 | 2022-10-26 | Universal Display Corporation | Organic electroluminescent materials and devices |
| EP4471041A2 (en) | 2021-06-08 | 2024-12-04 | University of Southern California | Molecular alignment of homoleptic iridium phosphors |
| EP4112701A2 (en) | 2021-06-08 | 2023-01-04 | University of Southern California | Molecular alignment of homoleptic iridium phosphors |
| EP4151699A1 (en) | 2021-09-17 | 2023-03-22 | Universal Display Corporation | Organic electroluminescent materials and devices |
| US12473318B2 (en) | 2021-10-08 | 2025-11-18 | Universal Display Corporation | Organic electroluminescent materials and devices |
| CN116120338A (en) * | 2021-11-11 | 2023-05-16 | 烟台显华科技集团股份有限公司 | A kind of condensed heterocyclic ring substituted anthracene compound and its application |
| EP4604707A2 (en) | 2021-12-16 | 2025-08-20 | Universal Display Corporation | Organic electroluminescent materials and devices |
| EP4212539A1 (en) | 2021-12-16 | 2023-07-19 | Universal Display Corporation | Organic electroluminescent materials and devices |
| EP4231804A2 (en) | 2022-02-16 | 2023-08-23 | Universal Display Corporation | Organic electroluminescent materials and devices |
| EP4242285A1 (en) | 2022-03-09 | 2023-09-13 | Universal Display Corporation | Organic electroluminescent materials and devices |
| EP4265626A2 (en) | 2022-04-18 | 2023-10-25 | Universal Display Corporation | Organic electroluminescent materials and devices |
| EP4282863A1 (en) | 2022-05-24 | 2023-11-29 | Universal Display Corporation | Organic electroluminescent materials and devices |
| EP4293001A1 (en) | 2022-06-08 | 2023-12-20 | Universal Display Corporation | Organic electroluminescent materials and devices |
| EP4299693A1 (en) | 2022-06-28 | 2024-01-03 | Universal Display Corporation | Organic electroluminescent materials and devices |
| US12550611B2 (en) | 2022-08-03 | 2026-02-10 | Universal Display Corporation | Organic electroluminescent materials and devices |
| EP4326030A1 (en) | 2022-08-17 | 2024-02-21 | Universal Display Corporation | Organic electroluminescent materials and devices |
| EP4362645A2 (en) | 2022-10-27 | 2024-05-01 | Universal Display Corporation | Organic electroluminescent materials and devices |
| EP4376583A2 (en) | 2022-10-27 | 2024-05-29 | Universal Display Corporation | Organic electroluminescent materials and devices |
| EP4369898A1 (en) | 2022-10-27 | 2024-05-15 | Universal Display Corporation | Organic electroluminescent materials and devices |
| EP4362631A2 (en) | 2022-10-27 | 2024-05-01 | Universal Display Corporation | Organic electroluminescent materials and devices |
| EP4362630A2 (en) | 2022-10-27 | 2024-05-01 | Universal Display Corporation | Organic electroluminescent materials and devices |
| EP4386065A1 (en) | 2022-12-14 | 2024-06-19 | Universal Display Corporation | Organic electroluminescent materials and devices |
| EP4592303A1 (en) | 2023-12-15 | 2025-07-30 | Universal Display Corporation | Organic electroluminescent materials and devices |
| EP4580378A1 (en) | 2023-12-15 | 2025-07-02 | Universal Display Corporation | Organic electroluminescent materials and devices |
Similar Documents
| Publication | Publication Date | Title |
|---|---|---|
| WO2013180376A1 (en) | New electron transport material and organic electroluminescent device using the same | |
| WO2020067657A1 (en) | Composition for organic optoelectronic element, organic optoelectronic element, and display device | |
| WO2019054833A1 (en) | Heterocyclic compound and organic light emitting element comprising same | |
| WO2020141949A1 (en) | Novel compound and organic light emitting device using same | |
| WO2019168367A1 (en) | Organic light emitting diode | |
| WO2020060359A1 (en) | Organic light-emitting device | |
| EP3371182A1 (en) | Electron buffering materials, electron transport materials and organic electroluminescent device comprising the same | |
| WO2011081423A2 (en) | Triphenylene compound and organic electroluminescence device including the same | |
| WO2019225938A1 (en) | Compound and organic light emitting diode comprising same | |
| WO2016105161A2 (en) | Organic compound and organic electroluminescent element comprising same | |
| WO2013191428A1 (en) | Nitrogen-containing heterocyclic compound and organic electronic element comprising same | |
| WO2018231013A1 (en) | Anthracene derivative and organic light-emitting device comprising same | |
| WO2019078692A1 (en) | Polycyclic compound and organic light emitting element comprising same | |
| WO2020197253A1 (en) | Heterocyclic compound and organic light emitting diode comprising same | |
| WO2013168927A2 (en) | Novel compound and organic electroluminescent device comprising same | |
| WO2019203613A1 (en) | Compound and organic light emitting diode comprising same | |
| WO2019231272A1 (en) | Compound and organic light emitting device comprising same | |
| WO2022108258A1 (en) | Compound and organic light-emitting device comprising same | |
| WO2023018267A1 (en) | Novel compound, and organic light-emitting device using same | |
| WO2020262861A1 (en) | Novel compound and organic light emitting device comprising same | |
| WO2020009381A1 (en) | Organic compound and organic electroluminescent device comprising same | |
| WO2022045743A1 (en) | Novel compound and organic light-emitting device using same | |
| WO2021251661A1 (en) | Novel compound and organic light emitting device comprising same | |
| WO2021091165A1 (en) | Organic light-emitting device | |
| WO2023200315A1 (en) | Novel compound and organic light-emitting device using same |
Legal Events
| Date | Code | Title | Description |
|---|---|---|---|
| 121 | Ep: the epo has been informed by wipo that ep was designated in this application |
Ref document number: 13797486 Country of ref document: EP Kind code of ref document: A1 |
|
| NENP | Non-entry into the national phase |
Ref country code: DE |
|
| 122 | Ep: pct application non-entry in european phase |
Ref document number: 13797486 Country of ref document: EP Kind code of ref document: A1 |


















































































































