WO2019231272A1 - Compound and organic light emitting device comprising same - Google Patents
Compound and organic light emitting device comprising same Download PDFInfo
- Publication number
- WO2019231272A1 WO2019231272A1 PCT/KR2019/006555 KR2019006555W WO2019231272A1 WO 2019231272 A1 WO2019231272 A1 WO 2019231272A1 KR 2019006555 W KR2019006555 W KR 2019006555W WO 2019231272 A1 WO2019231272 A1 WO 2019231272A1
- Authority
- WO
- WIPO (PCT)
- Prior art keywords
- compound
- formula
- layer
- group
- light emitting
- Prior art date
- Legal status (The legal status is an assumption and is not a legal conclusion. Google has not performed a legal analysis and makes no representation as to the accuracy of the status listed.)
- Ceased
Links
- 0 C*(C)c1nc(*)nc(*)n1 Chemical compound C*(C)c1nc(*)nc(*)n1 0.000 description 8
- KSLGEXJYRGFNGH-UHFFFAOYSA-N Clc1cccc2c1[s]c1c2cccc1-c1c(cccc2)c2c2[o]c(cccc3)c3c2c1 Chemical compound Clc1cccc2c1[s]c1c2cccc1-c1c(cccc2)c2c2[o]c(cccc3)c3c2c1 KSLGEXJYRGFNGH-UHFFFAOYSA-N 0.000 description 2
- ZRWADHSJAINKMJ-UHFFFAOYSA-N C(C1)C=C(c(cccc2-c(cc3)cc4c3c(c(cccc3)c3cc3)c3[o]4)c2S2)C2=C1C1N=C(c2ccccc2)NC(c2ccccc2)N1 Chemical compound C(C1)C=C(c(cccc2-c(cc3)cc4c3c(c(cccc3)c3cc3)c3[o]4)c2S2)C2=C1C1N=C(c2ccccc2)NC(c2ccccc2)N1 ZRWADHSJAINKMJ-UHFFFAOYSA-N 0.000 description 1
- VOZMCDXHNQIUHM-UHFFFAOYSA-N C(C1)C=C(c(cccc2-c(cc34)ccc3[o]c3c4c(cccc4)c4cc3)c2O2)C2=C1C1N=C(c2ccccc2)N=C(c2ccccc2)N1 Chemical compound C(C1)C=C(c(cccc2-c(cc34)ccc3[o]c3c4c(cccc4)c4cc3)c2O2)C2=C1C1N=C(c2ccccc2)N=C(c2ccccc2)N1 VOZMCDXHNQIUHM-UHFFFAOYSA-N 0.000 description 1
- JLIXPPVHCGKOTA-UHFFFAOYSA-N C(C1)C=C(c(cccc2-c3c(c(C=CC4C=CC=CC44)c4[o]4)c4ccc3)c2O2)C2=C1C1NC(c2ccccc2)=NC(c2ccccc2)N1 Chemical compound C(C1)C=C(c(cccc2-c3c(c(C=CC4C=CC=CC44)c4[o]4)c4ccc3)c2O2)C2=C1C1NC(c2ccccc2)=NC(c2ccccc2)N1 JLIXPPVHCGKOTA-UHFFFAOYSA-N 0.000 description 1
- QYHLZTGTFYEJAT-UHFFFAOYSA-N C(C1)C=C(c(cccc2-c3ccc4[o]c(c5ccccc5cc5)c5c4c3)c2S2)C2=C1C1N=C(c2ccccc2)NC(c2ccccc2)N1 Chemical compound C(C1)C=C(c(cccc2-c3ccc4[o]c(c5ccccc5cc5)c5c4c3)c2S2)C2=C1C1N=C(c2ccccc2)NC(c2ccccc2)N1 QYHLZTGTFYEJAT-UHFFFAOYSA-N 0.000 description 1
- FSEQHLCUKXDKFW-UHFFFAOYSA-N C(C1)C=C(c(cccc2-c3cccc4c3[o]c3c(cccc5)c5ccc43)c2O2)C2=C1c1nc(-c2ccccc2)nc(-c2ccccc2)n1 Chemical compound C(C1)C=C(c(cccc2-c3cccc4c3[o]c3c(cccc5)c5ccc43)c2O2)C2=C1c1nc(-c2ccccc2)nc(-c2ccccc2)n1 FSEQHLCUKXDKFW-UHFFFAOYSA-N 0.000 description 1
- ZWUSETIJYNVQJH-UHFFFAOYSA-N C(C1)C=C(c2cccc(-c3ccc4[o]c(c(cccc5)c5cc5)c5c4c3)c2O2)C2=C1c1nc(-c2ccccc2)nc(-c2ccccc2)n1 Chemical compound C(C1)C=C(c2cccc(-c3ccc4[o]c(c(cccc5)c5cc5)c5c4c3)c2O2)C2=C1c1nc(-c2ccccc2)nc(-c2ccccc2)n1 ZWUSETIJYNVQJH-UHFFFAOYSA-N 0.000 description 1
- SAMUXRPEBHVRQZ-UHFFFAOYSA-N C(C1)C=Cc(cc2)c1c1c2[o]c2c1ccc(-c1cccc3c1[o]c1c3cccc1C1N=C(c3ccccc3)N=C(c3ccccc3)N1)c2 Chemical compound C(C1)C=Cc(cc2)c1c1c2[o]c2c1ccc(-c1cccc3c1[o]c1c3cccc1C1N=C(c3ccccc3)N=C(c3ccccc3)N1)c2 SAMUXRPEBHVRQZ-UHFFFAOYSA-N 0.000 description 1
- JNCUGUSGXMINBB-UHFFFAOYSA-N C(C1C=C2)=CC=CC1c1c2c(c(-c2cccc3c2[s]c2c(C4NC(c5ccccc5)NC(c5ccccc5)N4)cccc32)ccc2)c2[o]1 Chemical compound C(C1C=C2)=CC=CC1c1c2c(c(-c2cccc3c2[s]c2c(C4NC(c5ccccc5)NC(c5ccccc5)N4)cccc32)ccc2)c2[o]1 JNCUGUSGXMINBB-UHFFFAOYSA-N 0.000 description 1
- WDTVUJHNYGMYMC-UHFFFAOYSA-N C(C1c2c3)=C(C=CC=C4)C4=CC1Oc2ccc3-c1cccc2c1[s]c1c(C3N=C(c4ccccc4)NC(c4ccccc4)N3)cccc21 Chemical compound C(C1c2c3)=C(C=CC=C4)C4=CC1Oc2ccc3-c1cccc2c1[s]c1c(C3N=C(c4ccccc4)NC(c4ccccc4)N3)cccc21 WDTVUJHNYGMYMC-UHFFFAOYSA-N 0.000 description 1
- PIGWWJYMHSDNKQ-UHFFFAOYSA-N C(c(cc1)ccc1-[n]1c([n](c2c3cccc2)-c2ccccc2)c3c2c1cccc2)c1nc(-c2ccccc2)nc(-c2ccccc2)n1 Chemical compound C(c(cc1)ccc1-[n]1c([n](c2c3cccc2)-c2ccccc2)c3c2c1cccc2)c1nc(-c2ccccc2)nc(-c2ccccc2)n1 PIGWWJYMHSDNKQ-UHFFFAOYSA-N 0.000 description 1
- HGWCOYILYCXMFG-UTCJRWHESA-N C/C=C\c1c(C)c(cccc2)c2[o]1 Chemical compound C/C=C\c1c(C)c(cccc2)c2[o]1 HGWCOYILYCXMFG-UTCJRWHESA-N 0.000 description 1
- WDLNZIGJHNVFGJ-UHFFFAOYSA-N C1C=CC(C2=NC(c3ccccc3)=NC(c3cccc4c3[o]c3c4cccc3-c(cc3)cc4c3c(ccc3c5CCC=C3)c5[o]4)N2)=CC1 Chemical compound C1C=CC(C2=NC(c3ccccc3)=NC(c3cccc4c3[o]c3c4cccc3-c(cc3)cc4c3c(ccc3c5CCC=C3)c5[o]4)N2)=CC1 WDLNZIGJHNVFGJ-UHFFFAOYSA-N 0.000 description 1
- AITLCDYQAIAQCY-UHFFFAOYSA-N C1C=CC(C2N=C(c3cccc4c3[s]c3c4cccc3-c3ccc4[o]c5ccc(cccc6)c6c5c4c3)N=C(c3ccccc3)N2)=CC1 Chemical compound C1C=CC(C2N=C(c3cccc4c3[s]c3c4cccc3-c3ccc4[o]c5ccc(cccc6)c6c5c4c3)N=C(c3ccccc3)N2)=CC1 AITLCDYQAIAQCY-UHFFFAOYSA-N 0.000 description 1
- PLNHQTGEQHZUCA-UHFFFAOYSA-N C1C=CC(C2NC(c3ccccc3)=NC(c(cccc3c4ccc5)c3[s]c4c5-c(cc3)cc4c3c(ccc3c5cccc3)c5[o]4)N2)=CC1 Chemical compound C1C=CC(C2NC(c3ccccc3)=NC(c(cccc3c4ccc5)c3[s]c4c5-c(cc3)cc4c3c(ccc3c5cccc3)c5[o]4)N2)=CC1 PLNHQTGEQHZUCA-UHFFFAOYSA-N 0.000 description 1
- UCIHPMZJYBKWMZ-UHFFFAOYSA-N C1C=CC(C2NC(c3ccccc3)=NC(c3c4[o]c(c(-c(cc5)cc6c5c(cc(cccc5)c5c5)c5[o]6)ccc5)c5c4ccc3)N2)=CC1 Chemical compound C1C=CC(C2NC(c3ccccc3)=NC(c3c4[o]c(c(-c(cc5)cc6c5c(cc(cccc5)c5c5)c5[o]6)ccc5)c5c4ccc3)N2)=CC1 UCIHPMZJYBKWMZ-UHFFFAOYSA-N 0.000 description 1
- BMASOKZDOJJOJZ-UHFFFAOYSA-N C1C=CC(C2NC(c3ccccc3)=NC(c3c4[s]c(c(-c5cccc6c5[o]c5ccc(cccc7)c7c65)ccc5)c5c4ccc3)N2)=CC1 Chemical compound C1C=CC(C2NC(c3ccccc3)=NC(c3c4[s]c(c(-c5cccc6c5[o]c5ccc(cccc7)c7c65)ccc5)c5c4ccc3)N2)=CC1 BMASOKZDOJJOJZ-UHFFFAOYSA-N 0.000 description 1
- KFFVCIKBHJJEKG-UHFFFAOYSA-N C1C=CC=CC1C1=NC(c2c3[s]c(c(C4C=CC=C5c6ccc(cccc7)c7c6OC45)ccc4)c4c3ccc2)=NC(c2ccccc2)N1 Chemical compound C1C=CC=CC1C1=NC(c2c3[s]c(c(C4C=CC=C5c6ccc(cccc7)c7c6OC45)ccc4)c4c3ccc2)=NC(c2ccccc2)N1 KFFVCIKBHJJEKG-UHFFFAOYSA-N 0.000 description 1
- QTZMBUHCXCVZPD-UHFFFAOYSA-N CC1(C)OB(c2cccc3c2[o]c2c3cccc2-c2c(cccc3)c3c3[o]c(cccc4)c4c3c2)OC1(C)C Chemical compound CC1(C)OB(c2cccc3c2[o]c2c3cccc2-c2c(cccc3)c3c3[o]c(cccc4)c4c3c2)OC1(C)C QTZMBUHCXCVZPD-UHFFFAOYSA-N 0.000 description 1
- DNEXDVYPOFZWPH-UHFFFAOYSA-N CC1(C)OB(c2cccc3c2[s]c2c3cccc2-c2c(cccc3)c3c3[o]c(cccc4)c4c3c2)OC1(C)C Chemical compound CC1(C)OB(c2cccc3c2[s]c2c3cccc2-c2c(cccc3)c3c3[o]c(cccc4)c4c3c2)OC1(C)C DNEXDVYPOFZWPH-UHFFFAOYSA-N 0.000 description 1
- CJSMAFKHKCZRCX-UHFFFAOYSA-N CC1C=CC=CC1C Chemical compound CC1C=CC=CC1C CJSMAFKHKCZRCX-UHFFFAOYSA-N 0.000 description 1
- NWDLTMKGQWXFIL-UHFFFAOYSA-N Clc(cccc1c2ccc3)c1[o]c2c3-c1c(cccc2)c2c2[o]c(cccc3)c3c2c1 Chemical compound Clc(cccc1c2ccc3)c1[o]c2c3-c1c(cccc2)c2c2[o]c(cccc3)c3c2c1 NWDLTMKGQWXFIL-UHFFFAOYSA-N 0.000 description 1
- CYQWUOLZRKUHNU-UHFFFAOYSA-N Clc1cccc(c2ccc3)c1[s]c2c3Br Chemical compound Clc1cccc(c2ccc3)c1[s]c2c3Br CYQWUOLZRKUHNU-UHFFFAOYSA-N 0.000 description 1
- WUAYHAVUBVQVMZ-UHFFFAOYSA-N c(cc1)cc(c2c3)c1[o]c2ccc3-c(cc1c2c3)ccc1[o]c2ccc3-c(cc1)cc(c2c3)c1[o]c2ccc3-c1ccc2[o]c(cccc3)c3c2c1 Chemical compound c(cc1)cc(c2c3)c1[o]c2ccc3-c(cc1c2c3)ccc1[o]c2ccc3-c(cc1)cc(c2c3)c1[o]c2ccc3-c1ccc2[o]c(cccc3)c3c2c1 WUAYHAVUBVQVMZ-UHFFFAOYSA-N 0.000 description 1
- YRZFXWDYGSDAEY-UHFFFAOYSA-N c(cc1)cc(c2c3)c1[o]c2ccc3-c1cc(-c2cc(-c3cccc(-c4cc(-c5ccc6[o]c(cccc7)c7c6c5)ccc4)c3)ccc2)ccc1 Chemical compound c(cc1)cc(c2c3)c1[o]c2ccc3-c1cc(-c2cc(-c3cccc(-c4cc(-c5ccc6[o]c(cccc7)c7c6c5)ccc4)c3)ccc2)ccc1 YRZFXWDYGSDAEY-UHFFFAOYSA-N 0.000 description 1
- PGLDIBUXBGQMAH-UHFFFAOYSA-N c(cc1)cc(c2ccc3)c1[s]c2c3-c1cc(-c2cccc(-c3cc(-c4cccc5c4[s]c4c5cccc4)ccc3)c2)ccc1 Chemical compound c(cc1)cc(c2ccc3)c1[s]c2c3-c1cc(-c2cccc(-c3cc(-c4cccc5c4[s]c4c5cccc4)ccc3)c2)ccc1 PGLDIBUXBGQMAH-UHFFFAOYSA-N 0.000 description 1
- MFUMNQODUOMBTJ-UHFFFAOYSA-N c(cc1)cc2c1[o]c(cc1)c2cc1-c1cccc(-c2cc(-c3ccc4[o]c5ccccc5c4c3)ccc2)c1 Chemical compound c(cc1)cc2c1[o]c(cc1)c2cc1-c1cccc(-c2cc(-c3ccc4[o]c5ccccc5c4c3)ccc2)c1 MFUMNQODUOMBTJ-UHFFFAOYSA-N 0.000 description 1
- GJHFINPZZVMNJB-UHFFFAOYSA-N c(cc1)cc2c1[s]c(cc1)c2cc1-c1cc(-c(cc2)cc3c2[s]c2ccccc32)cc(-c2ccc3[s]c4ccccc4c3c2)c1 Chemical compound c(cc1)cc2c1[s]c(cc1)c2cc1-c1cc(-c(cc2)cc3c2[s]c2ccccc32)cc(-c2ccc3[s]c4ccccc4c3c2)c1 GJHFINPZZVMNJB-UHFFFAOYSA-N 0.000 description 1
- CLHRIXDZPBGVSW-UHFFFAOYSA-N c(cc1)ccc1-c1nc(-c2ccccc2)nc(-c2cccc3c2[o]c2c3cccc2-c2ccc3[o]c4cc(cccc5)c5cc4c3c2)n1 Chemical compound c(cc1)ccc1-c1nc(-c2ccccc2)nc(-c2cccc3c2[o]c2c3cccc2-c2ccc3[o]c4cc(cccc5)c5cc4c3c2)n1 CLHRIXDZPBGVSW-UHFFFAOYSA-N 0.000 description 1
- SZKJPPFVSIAGKC-UHFFFAOYSA-N c(cc1)ccc1C1=NC(c2ccccc2)=NC(c2c3[o]c(c(-c4cccc5c4c4c(cccc6)c6ccc4[o]5)ccc4)c4c3ccc2)N1 Chemical compound c(cc1)ccc1C1=NC(c2ccccc2)=NC(c2c3[o]c(c(-c4cccc5c4c4c(cccc6)c6ccc4[o]5)ccc4)c4c3ccc2)N1 SZKJPPFVSIAGKC-UHFFFAOYSA-N 0.000 description 1
- JGQUUDPSWYUVLB-UHFFFAOYSA-N c(cc1c2c3)ccc1[o]c2ccc3-c1cc(-c2ccc3[o]c(cccc4)c4c3c2)cc(-c2ccc3[o]c4ccccc4c3c2)c1 Chemical compound c(cc1c2c3)ccc1[o]c2ccc3-c1cc(-c2ccc3[o]c(cccc4)c4c3c2)cc(-c2ccc3[o]c4ccccc4c3c2)c1 JGQUUDPSWYUVLB-UHFFFAOYSA-N 0.000 description 1
- OKPVMAGMRKHCFE-UHFFFAOYSA-N c(cc1c2c3ccc(-c4ccc5[o]c(cccc6)c6c5c4)c2)ccc1[n]3-c1ccc2[o]c(ccnc3)c3c2c1 Chemical compound c(cc1c2c3ccc(-c4ccc5[o]c(cccc6)c6c5c4)c2)ccc1[n]3-c1ccc2[o]c(ccnc3)c3c2c1 OKPVMAGMRKHCFE-UHFFFAOYSA-N 0.000 description 1
- GYUOVPFHGGRAGM-UHFFFAOYSA-N c1cc(-c(cc2)cc3c2[o]c2c3cncc2)cc(-c(cc2)cc3c2[o]c2ccncc32)c1 Chemical compound c1cc(-c(cc2)cc3c2[o]c2c3cncc2)cc(-c(cc2)cc3c2[o]c2ccncc32)c1 GYUOVPFHGGRAGM-UHFFFAOYSA-N 0.000 description 1
- DTMBCYYFKQZTQT-UHFFFAOYSA-N c1cc([o]c(c2c3)ccc3-c3cc(-c4ccc5[o]c(ccc(-c6cc(-c(cc7)cc8c7[o]c7cccnc87)ccc6)c6)c6c5c4)ccc3)c2nc1 Chemical compound c1cc([o]c(c2c3)ccc3-c3cc(-c4ccc5[o]c(ccc(-c6cc(-c(cc7)cc8c7[o]c7cccnc87)ccc6)c6)c6c5c4)ccc3)c2nc1 DTMBCYYFKQZTQT-UHFFFAOYSA-N 0.000 description 1
- FUDWCMBFNUGBNZ-UHFFFAOYSA-N c1cc([o]c(c2c3)ccc3-c3cccc(-c4cc(-c5cccc(-c6cc(-c(cc7)cc8c7[o]c7c8nccc7)ccc6)c5)ccc4)c3)c2nc1 Chemical compound c1cc([o]c(c2c3)ccc3-c3cccc(-c4cc(-c5cccc(-c6cc(-c(cc7)cc8c7[o]c7c8nccc7)ccc6)c5)ccc4)c3)c2nc1 FUDWCMBFNUGBNZ-UHFFFAOYSA-N 0.000 description 1
- GFVDJNXIQSZXRL-UHFFFAOYSA-N c1cc([o]c(cc2)c3cc2-c2cccc(-c(cc4)cc5c4[o]c4cccnc54)c2)c3nc1 Chemical compound c1cc([o]c(cc2)c3cc2-c2cccc(-c(cc4)cc5c4[o]c4cccnc54)c2)c3nc1 GFVDJNXIQSZXRL-UHFFFAOYSA-N 0.000 description 1
- YSMPMIMSARDAGG-UHFFFAOYSA-N c1ccc(C2NC(c3c4[s]c(c(-c5c6c(c(cccc7)c7cc7)c7[o]c6ccc5)ccc5)c5c4ccc3)NC(c3ccccc3)N2)cc1 Chemical compound c1ccc(C2NC(c3c4[s]c(c(-c5c6c(c(cccc7)c7cc7)c7[o]c6ccc5)ccc5)c5c4ccc3)NC(c3ccccc3)N2)cc1 YSMPMIMSARDAGG-UHFFFAOYSA-N 0.000 description 1
- FKYFCCIOQSFOOI-UHFFFAOYSA-N c1ccc(C2NC(c3ccccc3)=NC(c(cccc3c4ccc5)c3[o]c4c5-c3c(c(cc(cccc4)c4c4)c4[o]4)c4ccc3)N2)cc1 Chemical compound c1ccc(C2NC(c3ccccc3)=NC(c(cccc3c4ccc5)c3[o]c4c5-c3c(c(cc(cccc4)c4c4)c4[o]4)c4ccc3)N2)cc1 FKYFCCIOQSFOOI-UHFFFAOYSA-N 0.000 description 1
- ZQVGVRWZSKXSCE-UHFFFAOYSA-N c1ccc(C2NC(c3ccccc3)=NC(c(cccc3c4ccc5)c3[s]c4c5-c3c(c(cc(cccc4)c4c4)c4[o]4)c4ccc3)N2)cc1 Chemical compound c1ccc(C2NC(c3ccccc3)=NC(c(cccc3c4ccc5)c3[s]c4c5-c3c(c(cc(cccc4)c4c4)c4[o]4)c4ccc3)N2)cc1 ZQVGVRWZSKXSCE-UHFFFAOYSA-N 0.000 description 1
- ZUQMHGXXXCIXQH-UHFFFAOYSA-N c1ccc(C2NC(c3ccccc3)=NC(c3c4[o]c(c(-c5cccc6c5[o]c5cc(cccc7)c7cc65)ccc5)c5c4ccc3)N2)cc1 Chemical compound c1ccc(C2NC(c3ccccc3)=NC(c3c4[o]c(c(-c5cccc6c5[o]c5cc(cccc7)c7cc65)ccc5)c5c4ccc3)N2)cc1 ZUQMHGXXXCIXQH-UHFFFAOYSA-N 0.000 description 1
- YKDGFEDZLGNFPC-UHFFFAOYSA-N c1ccc(C2NC(c3ccccc3)=NC(c3c4[s]c(c(-c5cccc6c5[o]c5cc(cccc7)c7cc65)ccc5)c5c4ccc3)N2)cc1 Chemical compound c1ccc(C2NC(c3ccccc3)=NC(c3c4[s]c(c(-c5cccc6c5[o]c5cc(cccc7)c7cc65)ccc5)c5c4ccc3)N2)cc1 YKDGFEDZLGNFPC-UHFFFAOYSA-N 0.000 description 1
- OJHMLOCTEYCXTB-UHFFFAOYSA-N c1ccc(C2NC(c3ccccc3)=NC(c3cccc(c4ccc5)c3[o]c4c5-c3cccc4c3[o]c3ccc(cccc5)c5c43)N2)cc1 Chemical compound c1ccc(C2NC(c3ccccc3)=NC(c3cccc(c4ccc5)c3[o]c4c5-c3cccc4c3[o]c3ccc(cccc5)c5c43)N2)cc1 OJHMLOCTEYCXTB-UHFFFAOYSA-N 0.000 description 1
- PIBYPDFKEGCCAV-UHFFFAOYSA-N c1ccc(C2NC(c3ccccc3)=NC(c3cccc4c3[s]c3c4cccc3-c(cc3)cc4c3c3cc(cccc5)c5cc3[o]4)N2)cc1 Chemical compound c1ccc(C2NC(c3ccccc3)=NC(c3cccc4c3[s]c3c4cccc3-c(cc3)cc4c3c3cc(cccc5)c5cc3[o]4)N2)cc1 PIBYPDFKEGCCAV-UHFFFAOYSA-N 0.000 description 1
- JTBVAZOKEHNTAU-UHFFFAOYSA-N c1ccc2[o]c(ccc(-c(cc3)cc(c4c5)c3[o]c4ccc5-c3cccc(-c(cc4)cc5c4[o]c4c5cccc4)c3)c3)c3c2c1 Chemical compound c1ccc2[o]c(ccc(-c(cc3)cc(c4c5)c3[o]c4ccc5-c3cccc(-c(cc4)cc5c4[o]c4c5cccc4)c3)c3)c3c2c1 JTBVAZOKEHNTAU-UHFFFAOYSA-N 0.000 description 1
- UHOVQNZJYSORNB-UHFFFAOYSA-N c1ccccc1 Chemical compound c1ccccc1 UHOVQNZJYSORNB-UHFFFAOYSA-N 0.000 description 1
- GDWONDNRBQMZKE-UHFFFAOYSA-N c1cnc(c2cc(-c3ccnc(-c4cc(-c(cc5)cc6c5[o]c5c6nccc5)ccn4)c3)ccc2[o]2)c2c1 Chemical compound c1cnc(c2cc(-c3ccnc(-c4cc(-c(cc5)cc6c5[o]c5c6nccc5)ccn4)c3)ccc2[o]2)c2c1 GDWONDNRBQMZKE-UHFFFAOYSA-N 0.000 description 1
Images
Classifications
-
- H—ELECTRICITY
- H10—SEMICONDUCTOR DEVICES; ELECTRIC SOLID-STATE DEVICES NOT OTHERWISE PROVIDED FOR
- H10K—ORGANIC ELECTRIC SOLID-STATE DEVICES
- H10K85/00—Organic materials used in the body or electrodes of devices covered by this subclass
- H10K85/10—Organic polymers or oligomers
- H10K85/111—Organic polymers or oligomers comprising aromatic, heteroaromatic, or aryl chains, e.g. polyaniline, polyphenylene or polyphenylene vinylene
-
- C—CHEMISTRY; METALLURGY
- C07—ORGANIC CHEMISTRY
- C07D—HETEROCYCLIC COMPOUNDS
- C07D307/00—Heterocyclic compounds containing five-membered rings having one oxygen atom as the only ring hetero atom
- C07D307/77—Heterocyclic compounds containing five-membered rings having one oxygen atom as the only ring hetero atom ortho- or peri-condensed with carbocyclic rings or ring systems
- C07D307/91—Dibenzofurans; Hydrogenated dibenzofurans
-
- C—CHEMISTRY; METALLURGY
- C07—ORGANIC CHEMISTRY
- C07D—HETEROCYCLIC COMPOUNDS
- C07D333/00—Heterocyclic compounds containing five-membered rings having one sulfur atom as the only ring hetero atom
- C07D333/50—Heterocyclic compounds containing five-membered rings having one sulfur atom as the only ring hetero atom condensed with carbocyclic rings or ring systems
- C07D333/76—Dibenzothiophenes
-
- C—CHEMISTRY; METALLURGY
- C07—ORGANIC CHEMISTRY
- C07D—HETEROCYCLIC COMPOUNDS
- C07D405/00—Heterocyclic compounds containing both one or more hetero rings having oxygen atoms as the only ring hetero atoms, and one or more rings having nitrogen as the only ring hetero atom
- C07D405/14—Heterocyclic compounds containing both one or more hetero rings having oxygen atoms as the only ring hetero atoms, and one or more rings having nitrogen as the only ring hetero atom containing three or more hetero rings
-
- C—CHEMISTRY; METALLURGY
- C07—ORGANIC CHEMISTRY
- C07D—HETEROCYCLIC COMPOUNDS
- C07D409/00—Heterocyclic compounds containing two or more hetero rings, at least one ring having sulfur atoms as the only ring hetero atoms
- C07D409/14—Heterocyclic compounds containing two or more hetero rings, at least one ring having sulfur atoms as the only ring hetero atoms containing three or more hetero rings
-
- C—CHEMISTRY; METALLURGY
- C09—DYES; PAINTS; POLISHES; NATURAL RESINS; ADHESIVES; COMPOSITIONS NOT OTHERWISE PROVIDED FOR; APPLICATIONS OF MATERIALS NOT OTHERWISE PROVIDED FOR
- C09K—MATERIALS FOR MISCELLANEOUS APPLICATIONS, NOT PROVIDED FOR ELSEWHERE
- C09K11/00—Luminescent, e.g. electroluminescent, chemiluminescent materials
- C09K11/06—Luminescent, e.g. electroluminescent, chemiluminescent materials containing organic luminescent materials
-
- H—ELECTRICITY
- H10—SEMICONDUCTOR DEVICES; ELECTRIC SOLID-STATE DEVICES NOT OTHERWISE PROVIDED FOR
- H10K—ORGANIC ELECTRIC SOLID-STATE DEVICES
- H10K50/00—Organic light-emitting devices
- H10K50/10—OLEDs or polymer light-emitting diodes [PLED]
- H10K50/11—OLEDs or polymer light-emitting diodes [PLED] characterised by the electroluminescent [EL] layers
- H10K50/12—OLEDs or polymer light-emitting diodes [PLED] characterised by the electroluminescent [EL] layers comprising dopants
-
- H—ELECTRICITY
- H10—SEMICONDUCTOR DEVICES; ELECTRIC SOLID-STATE DEVICES NOT OTHERWISE PROVIDED FOR
- H10K—ORGANIC ELECTRIC SOLID-STATE DEVICES
- H10K85/00—Organic materials used in the body or electrodes of devices covered by this subclass
- H10K85/60—Organic compounds having low molecular weight
- H10K85/649—Aromatic compounds comprising a hetero atom
- H10K85/657—Polycyclic condensed heteroaromatic hydrocarbons
- H10K85/6574—Polycyclic condensed heteroaromatic hydrocarbons comprising only oxygen in the heteroaromatic polycondensed ring system, e.g. cumarine dyes
-
- H—ELECTRICITY
- H10—SEMICONDUCTOR DEVICES; ELECTRIC SOLID-STATE DEVICES NOT OTHERWISE PROVIDED FOR
- H10K—ORGANIC ELECTRIC SOLID-STATE DEVICES
- H10K85/00—Organic materials used in the body or electrodes of devices covered by this subclass
- H10K85/60—Organic compounds having low molecular weight
- H10K85/649—Aromatic compounds comprising a hetero atom
- H10K85/657—Polycyclic condensed heteroaromatic hydrocarbons
- H10K85/6576—Polycyclic condensed heteroaromatic hydrocarbons comprising only sulfur in the heteroaromatic polycondensed ring system, e.g. benzothiophene
-
- C—CHEMISTRY; METALLURGY
- C09—DYES; PAINTS; POLISHES; NATURAL RESINS; ADHESIVES; COMPOSITIONS NOT OTHERWISE PROVIDED FOR; APPLICATIONS OF MATERIALS NOT OTHERWISE PROVIDED FOR
- C09K—MATERIALS FOR MISCELLANEOUS APPLICATIONS, NOT PROVIDED FOR ELSEWHERE
- C09K2211/00—Chemical nature of organic luminescent or tenebrescent compounds
- C09K2211/10—Non-macromolecular compounds
- C09K2211/1018—Heterocyclic compounds
- C09K2211/1025—Heterocyclic compounds characterised by ligands
- C09K2211/1088—Heterocyclic compounds characterised by ligands containing oxygen as the only heteroatom
-
- C—CHEMISTRY; METALLURGY
- C09—DYES; PAINTS; POLISHES; NATURAL RESINS; ADHESIVES; COMPOSITIONS NOT OTHERWISE PROVIDED FOR; APPLICATIONS OF MATERIALS NOT OTHERWISE PROVIDED FOR
- C09K—MATERIALS FOR MISCELLANEOUS APPLICATIONS, NOT PROVIDED FOR ELSEWHERE
- C09K2211/00—Chemical nature of organic luminescent or tenebrescent compounds
- C09K2211/10—Non-macromolecular compounds
- C09K2211/1018—Heterocyclic compounds
- C09K2211/1025—Heterocyclic compounds characterised by ligands
- C09K2211/1092—Heterocyclic compounds characterised by ligands containing sulfur as the only heteroatom
-
- H—ELECTRICITY
- H10—SEMICONDUCTOR DEVICES; ELECTRIC SOLID-STATE DEVICES NOT OTHERWISE PROVIDED FOR
- H10K—ORGANIC ELECTRIC SOLID-STATE DEVICES
- H10K50/00—Organic light-emitting devices
- H10K50/10—OLEDs or polymer light-emitting diodes [PLED]
- H10K50/11—OLEDs or polymer light-emitting diodes [PLED] characterised by the electroluminescent [EL] layers
Definitions
- n1 is an integer of 0 to 4, when n1 is 2 or more, L1 is the same as or different from each other,
- the organic light emitting device including the compound represented by Chemical Formula 1 may have improved efficiency, lower driving voltage, or improved lifetime characteristics.
- X is S.
- n1 is 1, n2 is 1, (1) L1 is m-phenylene group, L2 is p-phenylene group, or (2) L1 is direct bond, m-phenyl Ethylene group or p-phenylene group, and L2 is a direct bond.
- Ar1 and Ar2 are the same as or different from each other, and are each independently an aryl group having 6 to 18 carbon atoms.
- Chemical Formula 4 is represented by the following Chemical Formula 4-1 or Chemical Formula 4-2.
- the organic material layer includes the compound represented by Chemical Formula 1, when the organic light emitting device includes one or more organic material layers, the compound represented by Chemical Formula 1 is one of the one or more organic material layers. It can be included in more than one layer. In this case, the compounds represented by Formula 1 included in two or more organic material layers may be the same or different from each other.
- R1 and R2 are the same as or different from each other, and each independently hydrogen; heavy hydrogen; Cyano group; Aryl groups having 6 to 18 carbon atoms; Or a heteroaryl group having 2 to 24 carbon atoms.
- the a2 is 0 or 1.
- L14 is a direct bond; An arylene group unsubstituted or substituted with a heteroaryl group including O or S; Or a heteroarylene group containing O, S or N.
- L17 is a biphenylene group.
- G19 is a phenyl group; Biphenyl group; Dibenzofuranyl group; Or a dibenzothiophenyl group.
- an organic light emitting device may be manufactured by sequentially depositing an organic material layer and an anode material on a substrate (International Patent Application Publication No. 2003/012890).
- the manufacturing method is not limited thereto.
- Compound ET1 and compound LiQ were vacuum deposited on the electron control layer in a weight ratio of 1: 1 to form an electron injection and transport layer at a thickness of 30 nm.
- Lithium fluoride (LiF) and aluminum at 200 nm thickness were sequentially deposited on the electron injection and transport layer to form a cathode.
Landscapes
- Chemical & Material Sciences (AREA)
- Organic Chemistry (AREA)
- Engineering & Computer Science (AREA)
- Materials Engineering (AREA)
- Physics & Mathematics (AREA)
- Spectroscopy & Molecular Physics (AREA)
- Optics & Photonics (AREA)
- Electroluminescent Light Sources (AREA)
- Plural Heterocyclic Compounds (AREA)
Abstract
Description
본 발명은 화학식 1로 표시되는 화합물 및 이를 포함하는 유기 발광 소자에 관한 것이다.The present invention relates to a compound represented by Formula 1 and an organic light emitting device including the same.
본 출원은 2018년 5월 31일 한국특허청에 제출된 한국 특허 출원 제10-2018-0062377호의 출원일의 이익을 주장하며, 그 내용 전부는 본 명세서에 포함된다.This application claims the benefit of the filing date of Korean Patent Application No. 10-2018-0062377 filed with the Korea Intellectual Property Office on May 31, 2018, the entire contents of which are incorporated herein.
일반적으로 유기 발광 현상이란 유기 물질을 이용하여 전기에너지를 빛에너지로 전환시켜주는 현상을 말한다. 유기 발광 현상을 이용하는 유기 발광 소자는 통상 양극과 음극 및 이 사이에 유기물층을 포함하는 구조를 가진다. 여기서 유기물층은 유기 발광 소자의 효율과 안정성을 높이기 위하여 각기 다른 물질로 구성된 다층의 구조로 이루어지며, 예컨대 정공 주입층, 정공 수송층, 발광층, 전자 수송층, 전자 주입층 등으로 이루어질 수 있다. 이러한 유기 발광 소자의 구조에서 두 전극 사이에 전압을 걸어주게 되면 양극에서는 정공이, 음극에서는 전자가 유기물층에 주입되고, 주입된 정공과 전자가 만났을 때 엑시톤(exciton)이 형성되며, 이 엑시톤이 다시 바닥상태로 떨어질 때 빛이 난다.In general, organic light emitting phenomenon refers to a phenomenon of converting electrical energy into light energy using an organic material. An organic light emitting device using an organic light emitting phenomenon usually has a structure including an anode, a cathode, and an organic material layer therebetween. In this case, the organic material layer has a multi-layered structure composed of different materials in order to increase the efficiency and stability of the organic light emitting device. For example, the organic material layer may include a hole injection layer, a hole transport layer, a light emitting layer, an electron transport layer, and an electron injection layer. When the voltage is applied between the two electrodes in the structure of the organic light emitting device, holes are injected into the organic material layer in the anode, electrons are injected into the organic material layer, and excitons are formed when the injected holes and electrons meet. It glows when it falls to the ground.
상기와 같은 유기 발광 소자를 위한 새로운 재료의 개발이 계속 요구되고 있다.There is a continuing need for the development of new materials for such organic light emitting devices.
<선행기술문헌> 한국 공개특허공보 제10-2008-0096733호<Prior art document> Korean Unexamined Patent Publication No. 10-2008-0096733
본 명세서는 화학식 1으로 표시되는 화합물을 포함함으로써, 구동 전압이 낮거나, 발광 효율이 높거나, 수명 특성이 좋은 유기 발광 소자를 제공하고자 한다.The present specification is to provide an organic light emitting device having a low driving voltage, high luminous efficiency, or good life characteristics by including a compound represented by the formula (1).
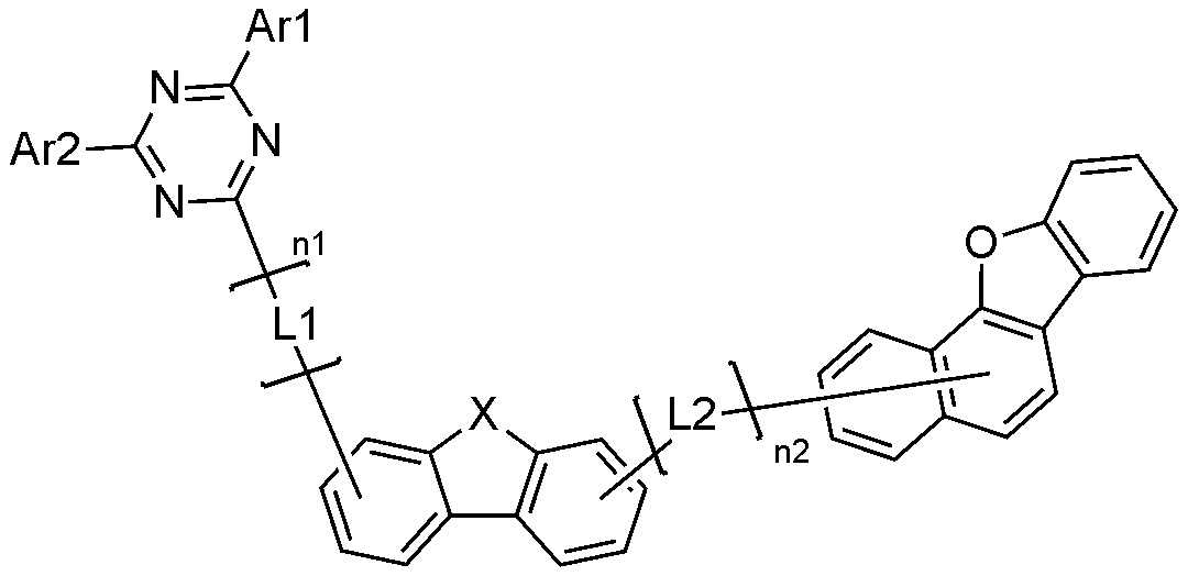
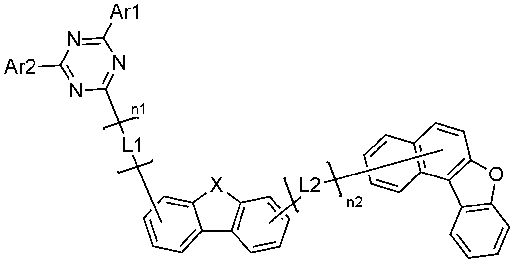
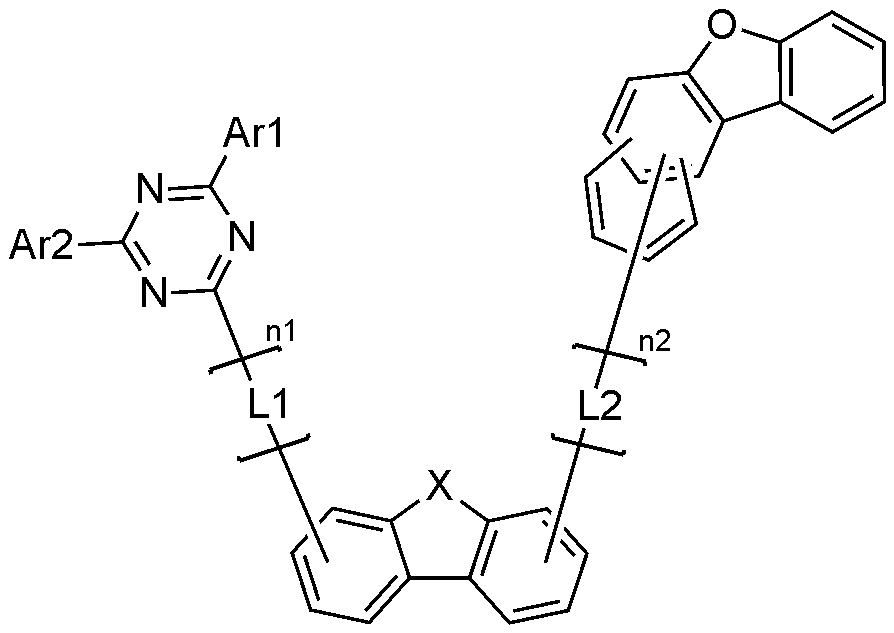
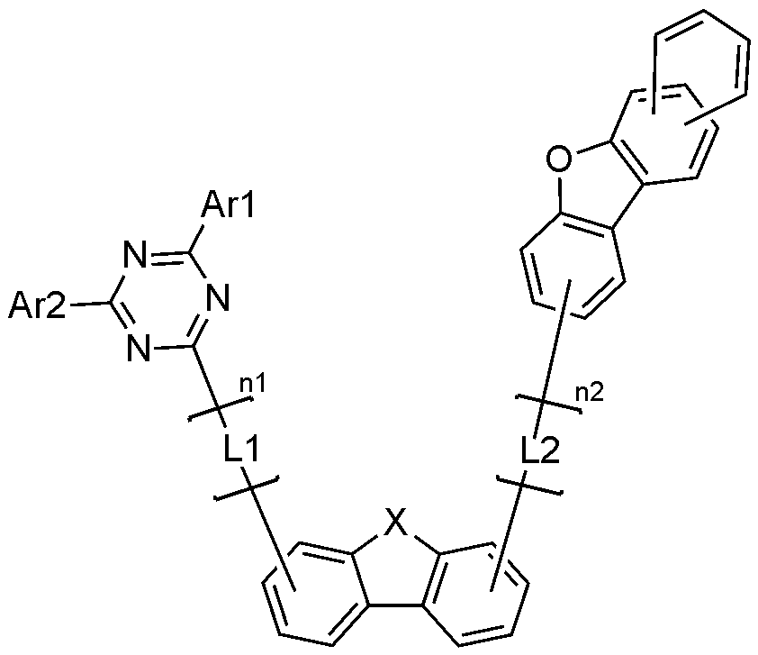
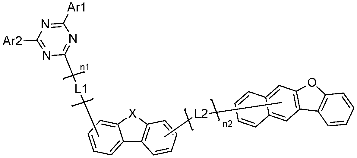
본 명세서의 일 실시상태는 하기 화학식 1로 표시되는 화합물을 제공한다.An exemplary embodiment of the present specification provides a compound represented by the following formula (1).
[화학식 1][Formula 1]
상기 화학식 1에 있어서,In Chemical Formula 1,
X는 O, S 또는 Se이고,X is O, S or Se,
L1 및 L2는 서로 동일하거나 상이하고, 각각 독립적으로 아릴렌기이고,L1 and L2 are the same as or different from each other, and each independently an arylene group,
Ar1 및 Ar2는 서로 동일하거나 상이하고, 각각 독립적으로 아릴기이고,Ar1 and Ar2 are the same as or different from each other, and each independently an aryl group,
m1 및 m2는 각각 독립적으로 0 또는 1이고, m1과 m2의 합은 1이고,m1 and m2 are each independently 0 or 1, and the sum of m1 and m2 is 1,
n1은 0 내지 4의 정수이고, n1이 2 이상인 경우 L1은 서로 동일하거나 상이하며,n1 is an integer of 0 to 4, when n1 is 2 or more, L1 is the same as or different from each other,
n2는 0 내지 4의 정수이고, n2가 2 이상인 경우 L2는 서로 동일하거나 상이하다.n2 is an integer of 0 to 4, and when n2 is 2 or more, L2 is the same or different from each other.
또한, 본 명세서의 일 실시상태는 제1 전극, 제2 전극 및 상기 제1 전극과 상기 제2 전극 사이에 구비된 1층 이상의 유기물층을 포함하는 유기 발광 소자로서, 상기 유기물층은 전술한 화학식 1로 표시되는 화합물을 포함하는 것인 유기 발광 소자를 제공한다.In addition, an exemplary embodiment of the present specification is an organic light emitting device including a first electrode, a second electrode and one or more organic material layers provided between the first electrode and the second electrode, wherein the organic material layer is represented by the formula (1) It provides an organic light emitting device comprising the compound represented.
본 명세서에 기재된 화합물은 유기 발광 소자의 유기물층의 재료로 사용될 수 있다. 일 실시상태에 있어서, 본 명세서에 기재된 화합물은 정공 주입, 정공 수송, 정공 조절, 발광, 전자 조절, 전자 수송 및 전자 주입 재료 중 어느 하나의 재료, 특히 발광 재료로 사용될 수 있다. The compound described herein may be used as a material of the organic material layer of the organic light emitting device. In one embodiment, the compounds described herein can be used as any one of hole injection, hole transport, hole control, luminescence, electron control, electron transport and electron injection materials, in particular luminescent materials.
일 실시상태에 있어서, 상기 화학식 1으로 표시되는 화합물을 포함하는 유기 발광 소자는 효율이 향상되거나 구동전압이 낮아지거나 수명 특성이 향상된다.In an exemplary embodiment, the organic light emitting device including the compound represented by Chemical Formula 1 may have improved efficiency, lower driving voltage, or improved lifetime characteristics.
도 1은 기판(1), 양극(2), 유기물층(3) 및 음극(4)으로 이루어진 유기 발광 소자의 예를 도시한 것이다.FIG. 1 illustrates an example of an organic light emitting device including a
도 2는 기판(1), 양극(2), 정공 주입층(5), 정공 수송층(6), 정공 조절층(7), 발광층(8), 전자 수송층(9), 전자 주입층(10) 및 음극(4)으로 이루어진 유기 발광 소자의 예를 도시한 것이다.2 shows a
도 3은 기판(1), 양극(2), 정공 주입층(5), 정공 수송층(6), 정공 조절층(7), 발광층(8), 전자 조절층(11), 전자 주입 및 수송층(12) 및 음극(4)으로 이루어진 유기 발광 소자의 예를 도시한 것이다.3 shows a
도 4는 기판(1), 양극(2), 정공 주입층(5), 제1 정공 수송층(6a), 제2 정공 수송층(6b), 발광층(8), 전자조절층(11), 전자 주입 및 수송층(12) 및 음극(4)으로 이루어진 유기 발광 소자의 예를 도시한 것이다.4 shows the
<부호의 설명><Description of the code>
1: 기판1: substrate
2: 양극2: anode
3: 유기물층3: organic layer
4: 음극4: cathode
5: 정공 주입층5: hole injection layer
6: 정공 수송층6: hole transport layer
6a: 제1 정공 수송층6a: first hole transport layer
6b: 제2 정공 수송층6b: second hole transport layer
7: 정공 조절층7: hole control layer
8: 발광층8: light emitting layer
9: 전자 수송층9: electron transport layer
10: 전자 주입층10: electron injection layer
11: 전자 조절층11: electronic control layer
12: 전자 주입 및 수송층12: electron injection and transport layer
이하 본 발명을 더욱 상세히 설명한다.Hereinafter, the present invention will be described in more detail.
상기 치환기들의 예시들은 아래에서 설명하나, 이에 한정되는 것은 아니다. Examples of the substituents are described below, but are not limited thereto.
본 명세서에 있어서, 는 다른 치환기 또는 결합부에 결합되는 부위를 의미한다.In the present specification, Means a site which is bonded to another substituent or binding moiety.
본 명세서에 있어서, 알킬기는 직쇄 또는 분지쇄일 수 있고, 탄소수는 특별히 한정되지 않으나 1 내지 40인 것이 바람직하다. 일 실시상태에 따르면, 상기 알킬기의 탄소수는 1 내지 20이다. 또 하나의 실시상태에 따르면, 상기 알킬기의 탄소수는 1 내지 10이다. 또 하나의 실시상태에 따르면, 상기 알킬기의 탄소수는 1 내지 6이다. 알킬기의 구체적인 예로는 메틸, 에틸, 프로필, n-프로필, 이소프로필, 부틸, n-부틸, 이소부틸, tert-부틸, sec-부틸, 1-메틸부틸, 1-에틸부틸, 펜틸, n-펜틸, 이소펜틸, 네오펜틸, tert-펜틸, 헥실, n-헥실, 1-메틸펜틸, 2-메틸펜틸, 3,3-디메틸부틸, 2-에틸부틸, 헵틸, n-헵틸, 1-메틸헥실, 시클로펜틸메틸, 시클로헥틸메틸, 옥틸, n-옥틸, tert-옥틸, 1-메틸헵틸, 2-에틸헥실, 2-프로필펜틸, n-노닐, 2,2-디메틸헵틸, 1-에틸프로필, 1,1-디메틸프로필, 이소헥실, 4-메틸헥실, 5-메틸헥실 등이 있으나, 이들에 한정되지 않는다.In the present specification, the alkyl group may be linear or branched, and the number of carbon atoms is not particularly limited, but is preferably 1 to 40. According to an exemplary embodiment, the alkyl group has 1 to 20 carbon atoms. According to another exemplary embodiment, the alkyl group has 1 to 10 carbon atoms. According to another exemplary embodiment, the alkyl group has 1 to 6 carbon atoms. Specific examples of the alkyl group include methyl, ethyl, propyl, n-propyl, isopropyl, butyl, n-butyl, isobutyl, tert-butyl, sec-butyl, 1-methylbutyl, 1-ethylbutyl, pentyl, n-pentyl Isopentyl, neopentyl, tert-pentyl, hexyl, n-hexyl, 1-methylpentyl, 2-methylpentyl, 3,3-dimethylbutyl, 2-ethylbutyl, heptyl, n-heptyl, 1-methylhexyl, Cyclopentylmethyl, cyclohexylmethyl, octyl, n-octyl, tert-octyl, 1-methylheptyl, 2-ethylhexyl, 2-propylpentyl, n-nonyl, 2,2-dimethylheptyl, 1-ethylpropyl, 1 , 1-dimethylpropyl, isohexyl, 4-methylhexyl, 5-methylhexyl, and the like, but is not limited thereto.
본 명세서에 있어서, 아릴기는 전체적으로 또는 부분적으로 불포화된 치환 또는 비치환된 모노사이클릭 또는 폴리사이클릭을 의미한다. 탄소수는 특별히 한정되지 않으나 탄소수 6 내지 60인 것이 바람직하다. 일 실시상태에 따르면, 상기 아릴기의 탄소수는 6 내지 40이다. 일 실시상태에 따르면, 상기 아릴기의 탄소수는 6 내지 30이다. 상기 아릴기는 단환식 아릴기 또는 다환식 아릴기일 수 있다. 상기 단환식 아릴기로는 페닐기, 바이페닐기, 터페닐기 등이 있으나, 이에 한정되지 않는다. 상기 다환식 아릴기로는 나프틸기, 안트라세닐기, 페난트레닐기, 페릴레닐기, 플루오란테닐기, 트리페닐레닐기, 페날레닐기, 파이레닐기, 테트라세닐기, 크라이세닐기, 펜타세닐기, 플루오레닐기, 인데닐기, 아세나프탈레닐기, 벤조플루오레닐기, 스피로플루오레닐기 등이 있으나, 이에 한정되지 않는다.In the present specification, an aryl group means a substituted or unsubstituted monocyclic or polycyclic which is wholly or partially unsaturated. Although carbon number is not specifically limited, It is preferable that it is C6-C60. According to an exemplary embodiment, the aryl group has 6 to 40 carbon atoms. According to an exemplary embodiment, the aryl group has 6 to 30 carbon atoms. The aryl group may be a monocyclic aryl group or a polycyclic aryl group. Examples of the monocyclic aryl group include a phenyl group, a biphenyl group, and a terphenyl group, but are not limited thereto. As said polycyclic aryl group, a naphthyl group, anthracenyl group, a phenanthrenyl group, a perrylenyl group, a fluoranthenyl group, a triphenylenyl group, a penalenyl group, a pyrenyl group, a tetrasenyl group, a chrysenyl group, a pentaxenyl group , Fluorenyl group, indenyl group, acenaphthalenyl group, benzofluorenyl group, spirofluorenyl group and the like, but is not limited thereto.
본 명세서에 있어서, 플루오레닐기는 치환될 수 있고, 치환기 2개가 서로 결합하여 스피로 구조를 형성할 수 있다. In the present specification, the fluorenyl group may be substituted, and two substituents may be bonded to each other to form a spiro structure.
상기 치환된 플루오레닐기는 예를 들어 하기 구조들 중에서 선택된 어느 하나일 수 있으나, 이에 한정되지 않는다.The substituted fluorenyl group may be, for example, any one selected from the following structures, but is not limited thereto.
본 명세서에 있어서, 헤테로아릴기는 이종원자로 N, O 및 S 중 1개 이상을 포함하는 고리기로서, 탄소수는 특별히 한정되지 않으나 탄소수 2 내지 40인 것이 바람직하다. 일 실시상태에 따르면, 상기 헤테로아릴기의 탄소수는 2 내지 30이다. 다른 실시상태에 따르면, 상기 헤테로아릴기의 탄소수는 2 내지 20이다. 헤테로아릴기의 예로는 티오페닐기, 퓨라닐기, 피롤릴기, 이미다졸릴기, 티아졸릴기, 옥사졸릴기, 옥사디아졸릴기, 트리아졸릴기, 피리디닐기, 바이피리디닐기, 피리미디닐기, 트리아지닐기, 트리아졸릴기, 아크리디닐기, 카르볼리닐기, 아세나프토퀴녹살리닐기, 인데노퀴나졸리닐기, 인데노이소퀴놀리닐기, 인데노퀴놀리닐기, 피리도인돌릴기, 피리다지닐기, 피라지닐기, 퀴놀리닐기, 퀴나졸리닐기, 퀴녹살리닐기, 프탈라지닐기, 피리도피리미디닐기, 피리도피라디닐기, 피라지노피라지닐기, 이소퀴놀리닐기, 인돌릴기, 카바졸릴기, 벤즈옥사졸릴기, 벤즈이미다졸릴기, 벤조티아졸릴기, 벤조카바졸릴기, 벤조티오페닐기, 디벤조티오페닐기, 벤조퓨라닐기, 페난쓰롤리닐(phenanthrolinyl)기, 이소옥사졸릴기, 티아디아졸릴기, 벤조티아졸릴기, 페녹사지닐기, 페노티아지닐기 및 디벤조퓨라닐기 등이 있으나, 이들에만 한정되는 것은 아니다.In the present specification, the heteroaryl group is a ring group containing one or more of N, O and S as heteroatoms, and carbon number is not particularly limited, but is preferably 2 to 40 carbon atoms. According to an exemplary embodiment, the heteroaryl group has 2 to 30 carbon atoms. According to another exemplary embodiment, the heteroaryl group has 2 to 20 carbon atoms. Examples of the heteroaryl group include thiophenyl group, furanyl group, pyrrolyl group, imidazolyl group, thiazolyl group, oxazolyl group, oxadiazolyl group, triazolyl group, pyridinyl group, bipyridinyl group, pyrimidinyl group, Triazinyl group, triazolyl group, acridinyl group, carbolinyl group, acenaphthoquinoxalinyl group, indenoquinazolinyl group, indenoisoquinolinyl group, indenoquinolinyl group, pyridoindolyl group, pyridazinyl group , Pyrazinyl, quinolinyl, quinazolinyl, quinoxalinyl, phthalazinyl, pyridopyrimidinyl, pyridopyridinyl, pyrazinopyrazinyl, isoquinolinyl, indolyl, carbazolyl , Benzoxazolyl group, benzimidazolyl group, benzothiazolyl group, benzocarbazolyl group, benzothiophenyl group, dibenzothiophenyl group, benzofuranyl group, phenanthrolinyl group, isoxazolyl group, thia Diazolyl group, benzothiazolyl group, phenoxazinyl , But is such as phenothiazine thiazinyl group and a dibenzo furanoid group, but it is not limited thereto.
본 명세서에 있어서, 아릴렌기는 2가의 아릴기를 의미하며, 2가인 것을 제외하고는 상기 아릴기에 관한 설명이 적용될 수 있다.In the present specification, the arylene group refers to a divalent aryl group, except that the description of the aryl group may be applied.
본 명세서에 있어서, 헤테로아릴렌기는 2가의 헤테로아릴기를 의미하며, 2가인 것을 제외하고는 상기 헤테로아릴기에 관한 설명이 적용될 수 있다.In the present specification, the heteroarylene group means a divalent heteroaryl group, and the description regarding the heteroaryl group may be applied except that the heteroaryl group is divalent.
본 발명의 일 실시상태는 상기 화학식 1로 표시되는 화합물을 제공한다.An exemplary embodiment of the present invention provides a compound represented by
상기 화학식 1으로 표시되는 화합물은, 트리아지닐기를 포함함으로써 전자 주입 능력이 우수하고, 벤젠 고리가 적어도 1개 축합된 디벤조퓨란을 포함함으로써 전자에 대한 안정성이 높다.The compound represented by the formula (1) is excellent in electron injection ability by including a triazinyl group, and has high stability to electrons by including dibenzofuran condensed with at least one benzene ring.
상기 화학식 1으로 표시되는 화합물은 디벤조퓨라닐기에 1개의 벤젠고리가 축합(m1과 m2의 합이 1)됨으로써, 벤젠고리가 축합되지 않은 디벤조퓨라닐기(m1=0, m2=0)를 포함하는 화합물에 비하여 화합물 내 전자 이동이 용이하고 전자에 대한 안정성이 높다.Compound represented by the formula (1) is condensation of one benzene ring in the dibenzofuranyl group (sum of m1 and m2 is 1), thereby reducing the dibenzofuranyl group (m1 = 0, m2 = 0) in which the benzene ring is not condensed Compared with the compound to be included, electrons in the compound are easily moved and the stability to electrons is high.
본 명세서의 일 실시상태에 있어서, 상기 X는 O이다.In one embodiment of the present specification, X is O.
본 명세서의 일 실시상태에 있어서, 상기 X는 S이다.In one embodiment of the present specification, X is S.
본 명세서의 일 실시상태에 있어서, 상기 L1 및 L2는 서로 동일하거나 상이하고, 각각 독립적으로 탄소수 6 내지 25의 아릴렌기이다.In one embodiment of the present specification, L1 and L2 are the same as or different from each other, and are each independently an arylene group having 6 to 25 carbon atoms.
본 명세서의 일 실시상태에 있어서, 상기 L1 및 L2는 서로 동일하거나 상이하고, 각각 독립적으로 탄소수 6 내지 18의 아릴렌기이다.In one embodiment of the present specification, L1 and L2 are the same as or different from each other, and are each independently an arylene group having 6 to 18 carbon atoms.
본 명세서의 일 실시상태에 있어서, 상기 L1 및 L2는 서로 동일하거나 상이하고, 각각 독립적으로 탄소수 6 내지 13의 아릴렌기이다.In one embodiment of the present specification, L1 and L2 are the same as or different from each other, and are each independently an arylene group having 6 to 13 carbon atoms.
본 명세서의 일 실시상태에 있어서, 상기 L1 및 L2는 서로 동일하거나 상이하고, 각각 페닐렌기이다.In one embodiment of the present specification, L1 and L2 are the same as or different from each other, and are each a phenylene group.
본 명세서의 일 실시상태에 있어서, 상기 L1은 m-페닐렌기 또는 p-페닐렌기이다.In one embodiment of the present specification, L1 is an m-phenylene group or p-phenylene group.
본 명세서의 일 실시상태에 있어서, 상기 L2는 p-페닐렌기이다.In one embodiment of the present specification, L2 is a p-phenylene group.
본 명세서의 일 실시상태에 있어서, 상기 n1은 0이다.In one embodiment of the present specification, n1 is 0.
본 명세서의 일 실시상태에 있어서, 상기 n1은 1이다.In one embodiment of the present specification, n1 is 1.
본 명세서의 일 실시상태에 있어서, 상기 n2는 0이다.In one embodiment of the present specification, n2 is 0.
본 명세서의 일 실시상태에 있어서, 상기 n2는 1이다.In one embodiment of the present specification, n2 is 1.
본 명세서의 일 실시상태에 있어서, 상기 n1이 1이고 n2가 2이면, L1은 m-페닐렌기이고 L2는 p-페닐렌기이다.In one embodiment of the present specification, when n1 is 1 and n2 is 2, L1 is m-phenylene group and L2 is p-phenylene group.
본 명세서의 일 실시상태에 있어서, 상기 n1은 1이고, n2는 1이며, (1) L1은 m-페닐렌기이고, L2는 p-페닐렌기이거나, (2) L1은 직접결합, m-페닐렌기 또는 p-페닐렌기이고, L2는 직접결합이다.In one embodiment of the present specification, n1 is 1, n2 is 1, (1) L1 is m-phenylene group, L2 is p-phenylene group, or (2) L1 is direct bond, m-phenyl Ethylene group or p-phenylene group, and L2 is a direct bond.
본 명세서의 일 실시상태에 있어서, 상기 Ar1 및 Ar2는 서로 동일하거나 상이하고, 각각 독립적으로 탄소수 6 내지 25의 아릴기이다.In one embodiment of the present specification, Ar1 and Ar2 are the same as or different from each other, and are each independently an aryl group having 6 to 25 carbon atoms.
본 명세서의 일 실시상태에 있어서, 상기 Ar1 및 Ar2는 서로 동일하거나 상이하고, 각각 독립적으로 탄소수 6 내지 18의 아릴기이다.In one embodiment of the present specification, Ar1 and Ar2 are the same as or different from each other, and are each independently an aryl group having 6 to 18 carbon atoms.
본 명세서의 일 실시상태에 있어서, 상기 Ar1 및 Ar2는 서로 동일하거나 상이하고, 각각 독립적으로 탄소수 6 내지 13의 아릴기이다.In one embodiment of the present specification, Ar1 and Ar2 are the same as or different from each other, and are each independently an aryl group having 6 to 13 carbon atoms.
본 명세서의 일 실시상태에 있어서, 상기 Ar1은 페닐기이다.In one embodiment of the present specification, Ar1 is a phenyl group.
본 명세서의 일 실시상태에 있어서, 상기 Ar2는 페닐기이다.In one embodiment of the present specification, Ar2 is a phenyl group.
본 명세서의 일 실시상태에 있어서, 상기 화학식 1은 하기 화학식 2로 표시된다.In one embodiment of the present specification,
[화학식 2][Formula 2]
상기 화학식 2에 있어서,In
X, L1, L2, Ar1, Ar2, n1 및 n2의 정의는 화학식 1에서 정의한 바와 같다.Definitions of X, L1, L2, Ar1, Ar2, n1 and n2 are the same as defined in
본 명세서의 일 실시상태에 있어서, 상기 화학식 1은 하기 화학식 3으로 표시된다.In one embodiment of the present specification,
[화학식 3][Formula 3]
상기 화학식 3에 있어서,In
X, L1, L2, Ar1, Ar2, n1 및 n2의 정의는 화학식 1에서 정의한 바와 같다.Definitions of X, L1, L2, Ar1, Ar2, n1 and n2 are the same as defined in
본 명세서의 일 실시상태에 있어서, 상기 화학식 1은 하기 화학식 2-A 내지 화학식 2-C 중 어느 하나로 표시된다.In one embodiment of the present specification,
[화학식 2-A][Formula 2-A]
[화학식 2-B][Formula 2-B]
[화학식 2-C][Formula 2-C]
상기 화학식 2-A 내지 화학식 2-C에 있어서,In Chemical Formulas 2-A to 2-C,
X, L1, L2, Ar1, Ar2, n1 및 n2의 정의는 화학식 1에서 정의한 바와 같다.Definitions of X, L1, L2, Ar1, Ar2, n1 and n2 are the same as defined in
본 명세서의 일 실시상태에 있어서, 상기 화학식 1은 하기 화학식 3-A 내지 화학식 3-C 중 어느 하나로 표시된다.In one embodiment of the present specification,
[화학식 3-A][Formula 3-A]
[화학식 3-B][Formula 3-B]
[화학식 3-C][Formula 3-C]
상기 화학식 3-A 내지 화학식 3-C에 있어서,In Chemical Formulas 3-A to 3-C,
X, L1, L2, Ar1, Ar2, n1 및 n2의 정의는 화학식 1에서 정의한 바와 같다.Definitions of X, L1, L2, Ar1, Ar2, n1 and n2 are the same as defined in
본 명세서의 일 실시상태에 있어서, 상기 화학식 1은 하기 화학식 4로 표시된다.In one embodiment of the present specification,
[화학식 4][Formula 4]
상기 화학식 4에 있어서,In
X, L2, Ar1, Ar2, m1, m2, n1 및 n2의 정의는 화학식 1에서 정의한 바와 같다.Definitions of X, L2, Ar1, Ar2, m1, m2, n1 and n2 are as defined in
본 명세서의 일 실시상태에 있어서, 상기 화학식 4는 하기 화학식 4-1 또는 화학식 4-2로 표시된다.In one embodiment of the present specification,
[화학식 4-1][Formula 4-1]
[화학식 4-2][Formula 4-2]
상기 화학식 4-1 및 화학식 4-2에 있어서,In Chemical Formulas 4-1 and 4-2,
X, L2, Ar1, Ar2, m1, m2, n1 및 n2의 정의는 화학식 4에서 정의한 바와 같다.Definitions of X, L2, Ar1, Ar2, m1, m2, n1 and n2 are as defined in
본 명세서의 일 실시상태에 있어서, 상기 화학식 1은 하기 화학식 5로 표시된다.In one embodiment of the present specification,
[화학식 5][Formula 5]
상기 화학식 5에 있어서,In
X, L1, Ar1, Ar2, m1, m2, n1 및 n2의 정의는 화학식 1에서 정의한 바와 같다.Definitions of X, L1, Ar1, Ar2, m1, m2, n1 and n2 are as defined in
본 명세서의 일 실시상태에 있어서, 상기 화학식 1은 하기 화학식 6으로 표시된다.In one embodiment of the present specification,
[화학식 6][Formula 6]
상기 화학식 6에 있어서,In
X, L1, L2, Ar1, Ar2, m1, m2, n1 및 n2의 정의는 화학식 1에서 정의한 바와 같다.Definitions of X, L1, L2, Ar1, Ar2, m1, m2, n1 and n2 are as defined in
본 명세서의 일 실시상태에 있어서, 상기 화학식 1로 표시되는 화합물은 하기 화합물들 중에서 선택된 어느 하나이다.In one embodiment of the present specification, the compound represented by
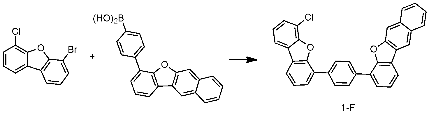
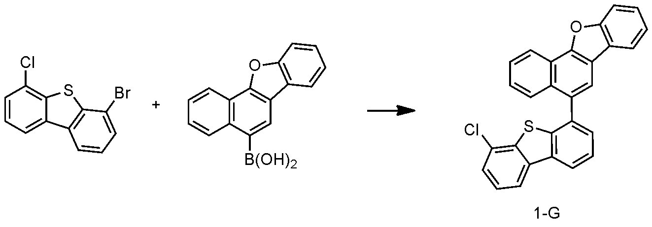
본 명세서에 따른 화학식 1으로 표시되는 화합물은 하기 일반식 1과 같이 제조될 수 있다.The compound represented by
[일반식 1][Formula 1]
상기 일반식 1에 있어서, X, L1, L2, Ar1, Ar2, n1, n2, m1 및 m2의 정의는 화학식 1에서 정의한 바와 동일하다.In
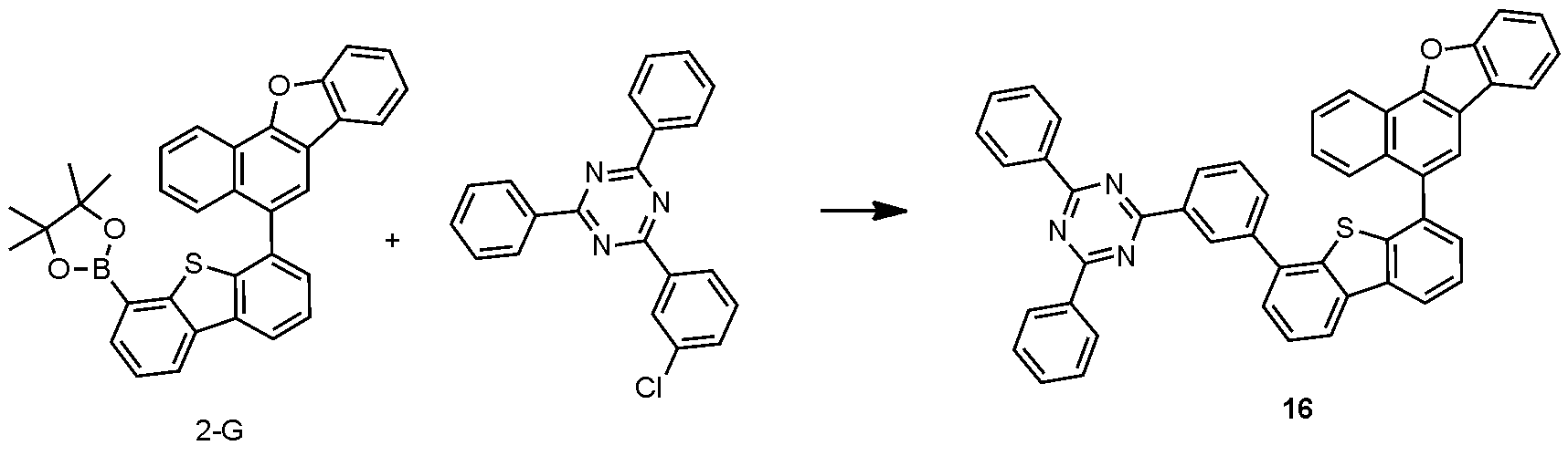
일 실시상태에 있어서, 상기 화학식 1로 표시되는 화합물은 a) 2개의 할로겐기를 가지는 디벤조퓨란 또는 디벤조티오펜에 스즈키 반응을 통해 중간체 1(Intermediate 1)을 합성하고, b) 반응 후 남은 할로겐기를 보레이트로 치환한 후 스즈키 반응을 통해 합성할 수 있다.In one embodiment, the compound represented by Formula 1 a) synthesizes Intermediate 1 through a Suzuki reaction to dibenzofuran or dibenzothiophene having two halogen groups, b) halogen remaining after the reaction Substituting the group with borate can be synthesized through Suzuki reaction.
그러나, 상기 일반식 1은 화학식 1으로 표시되는 화합물을 형성하는 방법의 하나의 예시로서, 화학식 1의 합성 방법은 상기 일반식 1에 한정되지 않으며, 당 기술분야에 알려져 있는 방법에 의할 수 있다.However,
본 명세서는 상기 화학식 1로 표시되는 화합물을 포함하는 유기 발광 소자를 제공한다.The present specification provides an organic light emitting device including the compound represented by
본 명세서의 일 실시상태는, 제1 전극, 제2 전극 및 상기 제1 전극과 상기 제2 전극 사이에 구비된 1층 이상의 유기물층을 포함하는 유기 발광 소자로서, 상기 유기물층은 전술한 화학식 1로 표시되는 화합물은 포함하는 것인 유기 발광 소자를 제공한다.An exemplary embodiment of the present specification is an organic light emitting device including a first electrode, a second electrode, and one or more organic material layers provided between the first electrode and the second electrode, wherein the organic material layer is represented by
본 명세서의 유기 발광 소자의 유기물층은 단층 구조로 이루어질 수도 있으나, 2층 이상의 유기물층이 적층된 다층 구조로 이루어질 수 있다. 예컨대, 본 발명의 유기 발광 소자는 유기물층으로서 정공 주입층, 정공 수송층, 정공 주입과 수송을 동시에 하는 층, 정공 조절층, 발광층, 전자 조절층, 전자 수송층, 전자 주입층, 전자 주입과 수송을 동시에 하는 층 등을 포함할 수 있다.The organic material layer of the organic light emitting device of the present specification may be formed of a single layer structure, but may be formed of a multilayer structure in which two or more organic material layers are stacked. For example, the organic light emitting device of the present invention includes a hole injection layer, a hole transport layer, a layer for simultaneously injecting and transporting holes, a hole control layer, a light emitting layer, an electron control layer, an electron transporting layer, an electron injection layer, an electron injection and transport as an organic material layer. It may include a layer or the like.
본 명세서의 일 실시상태에 있어서, 상기 유기물층이 상기 화학식 1로 표시되는 화합물을 포함한다는 것은, 유기 발광 소자가 1층 이상의 유기물층을 포함할 때 화학식 1로 표시되는 화합물이 상기 1층 이상의 유기물층 중 1층 이상에 포함될 수 있음을 의미한다. 이 때 2층 이상의 유기물층에 포함되는 화학식 1로 표시되는 화합물은 서로 동일하거나 상이할 수 있다.In one embodiment of the present specification, the organic material layer includes the compound represented by
본 명세서의 일 실시상태에 있어서, 상기 화학식 1로 표시되는 화합물은 1층 이상의 유기물층 중 어느 하나의 유기물층에 포함된다.In one embodiment of the present specification, the compound represented by
본 명세서의 일 실시상태에 있어서, 상기 유기물층은 전자 주입층, 전자 수송층, 전자 주입 및 수송을 동시에 하는 층 또는 전자 조절층을 포함하고, 상기 전자 주입층, 전자 수송층, 전자 주입 및 수송을 동시에 하는 층 또는 전자 조절층은 상기 화학식 1로 표시되는 화합물을 포함한다.In one embodiment of the present specification, the organic material layer includes an electron injection layer, an electron transport layer, a layer for simultaneously injecting and transporting electrons or an electron control layer, and simultaneously performs the electron injection layer, an electron transport layer, electron injection and transport. The layer or electron control layer includes a compound represented by
본 명세서의 일 실시상태에 있어서, 상기 유기물층은 발광층을 포함하고, 상기 발광층은 상기 화학식 1로 표시되는 화합물을 포함한다.In one embodiment of the present specification, the organic material layer includes a light emitting layer, and the light emitting layer includes a compound represented by
본 명세서의 일 실시상태에 있어서, 상기 유기물층은 1층 또는 2층 이상의 발광층을 포함한다. 상기 유기물층이 2층 이상의 발광층을 포함하는 경우, 각각의 발광층은 서로 동일하거나 다른 색을 띨 수 있다. 일 실시상태에 있어서, 상기 유기물층은 2층 이상의 발광층을 포함하고, 상기 화학식 1로 표시되는 화합물은 어느 하나의 발광층에 포함된다.In one embodiment of the present specification, the organic material layer includes one or two or more light emitting layers. When the organic layer includes two or more light emitting layers, each of the light emitting layers may have the same or different colors. In one embodiment, the organic material layer includes two or more light emitting layers, and the compound represented by
본 명세서의 일 실시상태에 있어서, 2층 이상의 발광층은 수직 또는 수평으로 구비될 수 있다.In one embodiment of the present specification, two or more light emitting layers may be provided vertically or horizontally.
본 명세서의 일 실시상태에 있어서, 상기 유기물층은 발광층을 포함하고, 상기 발광층은 상기 화학식 1으로 표시되는 화합물을 호스트로서 포함된다.In one embodiment of the present specification, the organic material layer includes a light emitting layer, and the light emitting layer includes a compound represented by
본 명세서의 일 실시상태에 있어서, 상기 화학식 1로 표시되는 화합물을 포함하는 발광층은 1 이상의 호스트 물질을 더 포함한다.In one embodiment of the present specification, the light emitting layer including the compound represented by
본 명세서의 일 실시상태에 있어서, 상기 화학식 1로 표시되는 화합물의 함량은 발광층 총 100 중량부 대비 20 중량부 이상 100 중량부 이하; 또는 50 중량부 내지 100 중량부 이하이다.In one embodiment of the present specification, the content of the compound represented by
본 명세서의 일 실시상태에 있어서, 상기 발광층이 화학식 1으로 표시되는 화합물 이외에 1 이상의 호스트 물질을 더 포함하는 경우, 상기 화학식 1으로 표시되는 화합물과 상기 1 이상의 호스트 물질의 중량부의 합은 상기 발광층 총 100 중량부 대비 50 중량부 이상 100 중량부 이하이며, 상기 화학식 1으로 표시되는 화합물의 합량은 발광층 총 100 중량부 대비 20 중량부 이상 95 중량부 이하이다.In one embodiment of the present specification, when the light emitting layer further includes at least one host material in addition to the compound represented by
본 명세서의 일 실시상태에 있어서, 상기 유기물층은 정공 주입층, 정공 수송층, 정공 수송 및 주입을 동시에 하는 층 또는 정공 조절층을 포함하고, 상기 정공 주입층, 정공 수송층, 정공 수송 및 주입을 동시에 하는 층 또는 정공 조절층은 상기 화학식 1로 표시되는 화합물을 포함한다.In one embodiment of the present specification, the organic material layer includes a hole injection layer, a hole transport layer, a layer for simultaneously transporting and injecting holes or a hole control layer, and simultaneously performing the hole injection layer, the hole transporting layer, hole transporting and injecting The layer or the hole control layer includes a compound represented by
본 명세서의 일 실시상태에 있어서, 상기 유기물층은 발광층을 포함하고, 상기 발광층은 하기 화학식 11 내지 화학식 21 중 어느 하나로 표시되는 화합물; 및 상기 화학식 1로 표시되는 화합물을 포함한다.In one embodiment of the present specification, the organic material layer includes a light emitting layer, and the light emitting layer is a compound represented by any one of
[화학식 11][Formula 11]
상기 화학식 11에 있어서,In
X1은 단일결합; O; S; 또는 CRaRb이고,X1 is a single bond; O; S; Or CRaRb,
Ra 및 Rb는 서로 동일하거나 상이하고, 각각 독립적으로 수소; 알킬기; 또는 아릴기이며,Ra and Rb are the same as or different from each other, and each independently hydrogen; Alkyl groups; Or an aryl group,
G1 내지 G4는 서로 동일하거나 상이하고, 각각 독립적으로 아릴기이며,G1 to G4 are the same as or different from each other, and each independently an aryl group,
R1 및 R2는 서로 동일하거나 상이하고, 각각 독립적으로 수소; 중수소; 시아노기; 아릴기; 또는 아릴기로 치환 또는 비치환된 헤테로아릴기이며,R1 and R2 are the same as or different from each other, and each independently hydrogen; heavy hydrogen; Cyano group; Aryl group; Or a heteroaryl group unsubstituted or substituted with an aryl group,
b1 및 b2는 각각 독립적으로 0 또는 1이고, b1과 b2의 합은 1이며,b1 and b2 are each independently 0 or 1, the sum of b1 and b2 is 1,
a1은 0 내지 8의 정수이고, a1이 2 이상인 경우 복수의 R1은 서로 동일하거나 상이하며,a1 is an integer of 0 to 8, and when a1 is 2 or more, a plurality of R1 are the same as or different from each other,
a2는 0 내지 8의 정수이고, a2가 2 이상인 경우 복수의 R2는 서로 동일하거나 상이하며,a2 is an integer of 0 to 8, and when a2 is 2 or more, a plurality of R2s are the same as or different from each other,
[화학식 12][Formula 12]
상기 화학식 12에 있어서,In
X2는 O 또는 N이고,
L11은 직접결합; 또는 아릴렌기이며,L11 is a direct bond; Or an arylene group,
G5는 N을 2 이상 함유하고 아릴기로 치환 또는 비치환된 헤테로아릴기이며,G5 is a heteroaryl group which contains two or more N and is substituted or unsubstituted with an aryl group,
G6는 아릴실릴기 또는 아릴기로 치환 또는 비치환된 아릴기; 또는 헤테로아릴기이며,G6 is an aryl group unsubstituted or substituted with an arylsilyl group or an aryl group; Or a heteroaryl group,
[화학식 13][Formula 13]
상기 화학식 13에 있어서,In Chemical Formula 13,
X3는 O 또는 S이고,X3 is O or S,
L12는 직접결합 또는 아릴렌기이고,L12 is a direct bond or an arylene group,
G7은 아릴기이고,G7 is an aryl group,
G8은 O, S 또는 N을 포함하는 헤테로아릴기이고,G8 is a heteroaryl group containing O, S or N,
[화학식 14][Formula 14]
상기 화학식 14에 있어서,In Chemical Formula 14,
X4는 직접결합; 또는 CRcRd이고,X4 is a direct bond; Or CRcRd,
Rc 및 Rd는 서로 동일하거나 상이하고, 각각 독립적으로 수소; 알킬기; 또는 아릴기이거나, 서로 스피로 결합하여 탄화수소고리를 형성하고,Rc and Rd are the same as or different from each other, and each independently hydrogen; Alkyl groups; Or an aryl group, or spiro bonds with each other to form a hydrocarbon ring,
G9 및 G10은 서로 동일하거나 상이하고, 각각 독립적으로 수소; 중수소; 시아노기로 치환 또는 비치환된 아릴기; 또는 헤테로아릴기이며,G9 and G10 are the same as or different from each other, and each independently hydrogen; heavy hydrogen; An aryl group unsubstituted or substituted with a cyano group; Or a heteroaryl group,
a9는 0 내지 7의 정수이고, a9가 2 이상인 경우 복수의 G9는 서로 동일하거나 상이하며, a9 is an integer of 0 to 7, and when a9 is 2 or more, a plurality of G9s are the same as or different from each other,
a10은 0 내지 8의 정수이며, a10이 2 이상인 경우 복수의 G10은 서로 동일하거나 상이하며,a10 is an integer of 0 to 8, and when a10 is 2 or more, a plurality of G10 are the same or different from each other,
[화학식 15][Formula 15]
상기 화학식 15에 있어서,In Chemical Formula 15,
L13은 헤테로아릴기로 치환 또는 비치환된 아릴렌기; 또는 헤테로아릴렌기이고,L13 is an arylene group unsubstituted or substituted with a heteroaryl group; Or a heteroarylene group,
G11 및 G12는 서로 동일하거나 상이하고, 각각 독립적으로 수소; 중수소; 또는 O 또는 S를 포함하는 헤테로아릴기이며,G11 and G12 are the same as or different from each other, and each independently hydrogen; heavy hydrogen; Or a heteroaryl group containing O or S,
b13은 1 내지 3의 정수이며, b13이 2 이상인 경우 복수의 L13은 서로 동일하거나 상이하며,b13 is an integer of 1 to 3, when b13 is 2 or more, a plurality of L13 are the same as or different from each other,
[화학식 16][Formula 16]
상기 화학식 16에 있어서,In Chemical Formula 16,
X5 및 X6는 각각 독립적으로 O 또는 S이고,X5 and X6 are each independently O or S,
Y1 내지 Y4는 각각 독립적으로 N 또는 CH이고,Y1 to Y4 are each independently N or CH,
L14는 직접결합; 헤테로아릴기로 치환 또는 비치환된 아릴렌기; 또는 헤테로아릴렌기이며,L14 is a direct bond; An arylene group unsubstituted or substituted with a heteroaryl group; Or a heteroarylene group,
b14는 0 내지 4의 정수이고, b14가 2 이상인 경우 복수의 L14는 서로 동일하거나 상이하며,b14 is an integer of 0 to 4, when b14 is 2 or more, a plurality of L14 are the same as or different from each other,
[화학식 17][Formula 17]
상기 화학식 17에 있어서,In Chemical Formula 17,
X7 및 X8은 각각 독립적으로 O 또는 S이고,X7 and X8 are each independently O or S,
G13 내지 G15는 서로 동일하거나 상이하고, 각각 독립적으로 수소; 중수소; 또는 아릴기이며,G13 to G15 are the same as or different from each other, and each independently hydrogen; heavy hydrogen; Or an aryl group,
[화학식 18][Formula 18]
상기 화학식 18에 있어서,In Chemical Formula 18,
L15 및 L16은 각각 독립적으로 직접결합; 아릴렌기; 또는 헤테로아릴렌기이며,L15 and L16 are each independently a direct bond; Arylene group; Or a heteroarylene group,
G16은 아릴기로 치환 또는 비치환된 카바졸릴기; 또는 아릴기로 치환 또는 비치환된 인돌로피리디닐기이며,G16 is a carbazolyl group unsubstituted or substituted with an aryl group; Or an indolopyridinyl group unsubstituted or substituted with an aryl group,
G17은 수소; 아릴기; 또는 아릴기로 치환 또는 비치환된 헤테로아릴기이며,G17 is hydrogen; Aryl group; Or a heteroaryl group unsubstituted or substituted with an aryl group,
b16은 1 또는 2이고, b16이 2인 경우 2개의 -L16-G16은 서로 동일하거나 상이하며,b16 is 1 or 2, and when b16 is 2, two -L16-G16 are the same or different from each other,
[화학식 19][Formula 19]
[화학식 20][Formula 20]
상기 화학식 20에 있어서,In Chemical Formula 20,
L17은 아릴렌기이고,L17 is an arylene group,
X9는 S 또는 O이며,X9 is S or O,
[화학식 21][Formula 21]
G18-L19-G19G18-L19-G19
상기 화학식 21에 있어서,In Chemical Formula 21,
G18은 아릴기; 또는 헤테로아릴기이고,G18 is an aryl group; Or a heteroaryl group,
L19는 직접결합; 또는 아릴렌기이며,L19 is a direct bond; Or an arylene group,
G19는 아릴기; 또는 헤테로아릴기이다.G19 is an aryl group; Or a heteroaryl group.
본 명세서의 일 실시상태에 있어서, 상기 Ra 및 Rb는 각각 페닐기이다.In one embodiment of the present specification, Ra and Rb are each a phenyl group.
본 명세서의 일 실시상태에 있어서, 상기 G1 내지 G4는 서로 동일하거나 상이하고, 각각 독립적으로 탄소수 6 내지 24; 탄소수 6 내지 18; 또는 탄소수 6 내지 12의 아릴기이다.In one embodiment of the present specification, G1 to G4 are the same as or different from each other, and each independently 6 to 24 carbon atoms; 6 to 18 carbon atoms; Or an aryl group having 6 to 12 carbon atoms.
본 명세서의 일 실시상태에 있어서, 상기 G1 내지 G4는 서로 동일하거나 상이하고, 각각 독립적으로 페닐기; 또는 바이페닐기이다.In one embodiment of the present specification, G1 to G4 are the same as or different from each other, and each independently a phenyl group; Or a biphenyl group.
본 명세서의 일 실시상태에 있어서, 상기 R1 및 R2는 서로 동일하거나 상이하고, 각각 독립적으로 수소; 중수소; 시아노기; 탄소수 6 내지 18의 아릴기; 또는 탄소수 2 내지 24의 헤테로아릴기이다.In one embodiment of the present specification, R1 and R2 are the same as or different from each other, and each independently hydrogen; heavy hydrogen; Cyano group; Aryl groups having 6 to 18 carbon atoms; Or a heteroaryl group having 2 to 24 carbon atoms.
본 명세서의 일 실시상태에 있어서 상기 R1 및 R2는 서로 동일하거나 상이하고, 각각 독립적으로 수소; 중수소; 시아노기; 바이페닐기; 또는 벤조[4,5]-싸이에노[3,2-d]피리미디닐기이다.In one embodiment of the present specification, R1 and R2 are the same as or different from each other, and each independently hydrogen; heavy hydrogen; Cyano group; Biphenyl group; Or a benzo [4,5] -thieno [3,2-d] pyrimidinyl group.
본 명세서의 일 실시상태에 있어서, 상기 b1은 0이고, b2는 1이다.In one embodiment of the present specification, b1 is 0 and b2 is 1.
본 명세서의 일 실시상태에 있어서, 상기 b1은 1이고, b2는 0이다.In one embodiment of the present specification, b1 is 1 and b2 is 0.
본 명세서의 일 실시상태에 있어서, 상기 a1는 0 또는 1이다.In one embodiment of the present specification, the a1 is 0 or 1.
본 명세서의 일 실시상태에 있어서, 상기 a2는 0 또는 1이다.In one embodiment of the present specification, the a2 is 0 or 1.
본 명세서의 일 실시상태에 있어서, 상기 L11은 직접결합; 또는 탄소수 6 내지 18의 아릴렌기이다.In one embodiment of the present specification, L11 is a direct bond; Or an arylene group having 6 to 18 carbon atoms.
본 명세서의 일 실시상태에 있어서, 상기 L11은 직접결합; 또는 탄소수 6 내지 12의 아릴렌기이다.In one embodiment of the present specification, L11 is a direct bond; Or an arylene group having 6 to 12 carbon atoms.
본 명세서의 일 실시상태에 있어서, 상기 L11은 직접결합; 페닐렌기; 또는 바이페닐렌기이다.In one embodiment of the present specification, L11 is a direct bond; Phenylene group; Or a biphenylene group.
본 명세서의 일 실시상태에 있어서, 상기 G5는 N을 2 이상 함유하고 탄소수 6 내지 18의 아릴기로 치환 또는 비치환된 탄소수 2 내지 24의 헤테로아릴기이다.In one embodiment of the present specification, G5 is a C2-C24 heteroaryl group which contains 2 or more N and is unsubstituted or substituted with an aryl group having 6 to 18 carbon atoms.
본 명세서의 일 실시상태에 있어서, 상기 G5는 N을 2 이상 함유하고 탄소수 6 내지 12의 아릴기로 치환 또는 비치환된 탄소수 2 내지 18의 헤테로아릴기이다.In one embodiment of the present specification, G5 is a C2-18 heteroaryl group which contains 2 or more N and is unsubstituted or substituted with an aryl group having 6 to 12 carbon atoms.
본 명세서의 일 실시상태에 있어서, 상기 G5는 페닐기 또는 바이페닐기 중 1 이상의 치환기로 치환 또는 비치환된 다이아지닐기; 페닐기 또는 바이페닐기 중 1 이상의 치환기로 치환 또는 비치환된 피리미디닐기; 페닐기 또는 바이페닐기 중 1 이상의 치환기로 치환 또는 비치환된 트리아지닐기; 페닐기 또는 바이페닐기 중 1 이상의 치환기로 치환 또는 비치환된 벤즈이미다졸릴기; 또는 페닐기 또는 바이페닐기 중 1 이상의 치환기로 치환 또는 비치환된 인돌로카바졸릴기이다. In one embodiment of the present specification, G5 is a diazinyl group unsubstituted or substituted with one or more substituents of a phenyl group or a biphenyl group; A pyrimidinyl group unsubstituted or substituted with one or more substituents of a phenyl group or a biphenyl group; Triazinyl group unsubstituted or substituted with one or more substituents of a phenyl group or a biphenyl group; A benzimidazolyl group unsubstituted or substituted with one or more substituents of a phenyl group or a biphenyl group; Or an indolocarbazolyl group unsubstituted or substituted with one or more substituents of a phenyl group or a biphenyl group.
본 명세서의 일 실시상태에 있어서, 상기 G6는 탄소수 6 내지 18의 아릴기 또는 (탄소수 6 내지 18의 아릴)실릴기로 치환 또는 비치환된 탄소수 6 내지 18의 아릴기; 또는 탄소수 2 내지 18의 헤테로아릴기이다.In one embodiment of the present specification, G6 is an aryl group having 6 to 18 carbon atoms or an aryl group having 6 to 18 carbon atoms substituted or unsubstituted with an aryl group having 6 to 18 carbon atoms; Or a heteroaryl group having 2 to 18 carbon atoms.
본 명세서의 일 실시상태에 있어서, 상기 G6는 탄소수 6 내지 12의 아릴기 또는 (탄소수 6 내지 12의 아릴)실릴기로 치환 또는 비치환된 탄소수 6 내지 12의 아릴기; 또는 탄소수 2 내지 12의 헤테로아릴기이다.In one embodiment of the present specification, G6 is an aryl group having 6 to 12 carbon atoms or an aryl group having 6 to 12 carbon atoms unsubstituted or substituted with an aryl group having 6 to 12 carbon atoms; Or a heteroaryl group having 2 to 12 carbon atoms.
본 명세서의 일 실시상태에 있어서, 상기 G6는 트리페닐실릴기로 치환된 페닐기; 페닐기; 바이페닐기; 또는 디벤조퓨라닐기이다.In one embodiment of the present specification, G6 is a phenyl group substituted with a triphenylsilyl group; Phenyl group; Biphenyl group; Or a dibenzofuranyl group.
본 명세서의 일 실시상태에 있어서, 상기 G7은 탄소수 6 내지 24의 아릴기이다.In one embodiment of the present specification, G7 is an aryl group having 6 to 24 carbon atoms.
본 명세서의 일 실시상태에 있어서, 상기 G7은 탄소수 6 내지 18의 아릴기이다.In one embodiment of the present specification, G7 is an aryl group having 6 to 18 carbon atoms.
본 명세서의 일 실시상태에 있어서, 상기 G7은 페닐기; 또는 트리페닐레닐기이다.In one embodiment of the present specification, G7 is a phenyl group; Or a triphenylenyl group.
본 명세서의 일 실시상태에 있어서, 상기 L12는 직접결합; 또는 탄소수 6 내지 18의 아릴렌기이다.In one embodiment of the present specification, L12 is a direct bond; Or an arylene group having 6 to 18 carbon atoms.
본 명세서의 일 실시상태에 있어서, 상기 L12는 직접결합; 또는 탄소수 6 내지 12의 아릴렌기이다.In one embodiment of the present specification, L12 is a direct bond; Or an arylene group having 6 to 12 carbon atoms.
본 명세서의 일 실시상태에 있어서, 상기 L12는 직접결합; 페닐렌기; 또는 바이페닐렌기이다.In one embodiment of the present specification, L12 is a direct bond; Phenylene group; Or a biphenylene group.
본 명세서의 일 실시상태에 있어서, 상기 G8은 O, S 또는 N을 포함하는 탄소수 2 내지 16의 헤테로아릴기이다.In one embodiment of the present specification, G8 is a heteroaryl group having 2 to 16 carbon atoms including O, S or N.
본 명세서의 일 실시상태에 있어서, 상기 G8은 카바졸릴기; 디벤조티오페닐기; 또는 디벤조퓨라닐기이다.In one embodiment of the present specification, G8 is a carbazolyl group; Dibenzothiophenyl group; Or a dibenzofuranyl group.
본 명세서의 일 실시상태에 있어서, 상기 G9 및 G10은 서로 동일하거나 상이하고, 각각 독립적으로 수소; 중수소; 시아노기로 치환 또는 비치환된 탄소수 6 내지 12의 아릴기; 또는 탄소수 2 내지 16의 헤테로아릴기이다.In one embodiment of the present specification, G9 and G10 are the same as or different from each other, and each independently hydrogen; heavy hydrogen; An aryl group having 6 to 12 carbon atoms unsubstituted or substituted with a cyano group; Or a heteroaryl group having 2 to 16 carbon atoms.
본 명세서의 일 실시상태에 있어서, 상기 Rc 및 Rd는 서로 동일하거나 상이하고, 각각 독립적으로 수소; 탄소수 1 내지 6의 알킬기; 또는 탄소수 6 내지 12의 아릴기이거나, 서로 스피로 결합하여 탄소수 2 내지 16의 탄화수소고리를 형성한다.In one embodiment of the present specification, Rc and Rd are the same as or different from each other, and each independently hydrogen; An alkyl group having 1 to 6 carbon atoms; Or an aryl group having 6 to 12 carbon atoms, or spiro bonded to each other to form a hydrocarbon ring having 2 to 16 carbon atoms.
본 명세서의 일 실시상태에 있어서, 상기 Rc 및 Rd는 서로 동일하거나 상이하고, 각각 독립적으로 수소; 메틸기; 또는 페닐기이거나, 각각 페닐기이고 서로 스피로 결합하여 플루오렌 고리를 형성한다.In one embodiment of the present specification, Rc and Rd are the same as or different from each other, and each independently hydrogen; Methyl group; Or a phenyl group, each a phenyl group, and spiroly bond with each other to form a fluorene ring.
본 명세서의 일 실시상태에 있어서, 상기 G9 및 G10은 서로 동일하거나 상이하고, 각각 독립적으로 수소; 중수소; 시아노기로 치환된 페닐기; 또는 디벤조퓨라닐기이다.In one embodiment of the present specification, G9 and G10 are the same as or different from each other, and each independently hydrogen; heavy hydrogen; Phenyl group substituted with cyano group; Or a dibenzofuranyl group.
본 명세서의 일 실시상태에 있어서, 상기 a9는 0 또는 1이다.In one embodiment of the present specification, the a9 is 0 or 1.
본 명세서의 일 실시상태에 있어서, 상기 a10은 0 또는 1이다.In one embodiment of the present specification, the a10 is 0 or 1.
본 명세서의 일 실시상태에 있어서, 상기 L13은 탄소수 2 내지 16의 헤테로아릴기로 치환 또는 비치환된 탄소수 6 내지 16의 아릴렌기; 또는 탄소수 2 내지 16의 헤테로아릴렌기이다.In one embodiment of the present specification, L13 is a C6-C16 arylene group unsubstituted or substituted with a C2-C16 heteroaryl group; Or a heteroarylene group having 2 to 16 carbon atoms.
본 명세서의 일 실시상태에 있어서, 상기 L13은 탄소수 2 내지 12의 헤테로아릴기로 치환 또는 비치환된 탄소수 6 내지 12의 아릴렌기; 또는 탄소수 2 내지 12의 헤테로아릴렌기이다.In one embodiment of the present specification, L13 is a C6-C12 arylene group unsubstituted or substituted with a C2-C12 heteroaryl group; Or a heteroarylene group having 2 to 12 carbon atoms.
본 명세서의 일 실시상태에 있어서, 상기 L13은 디벤조퓨라닐기로 치환 또는 비치환된 바이페닐렌기; 2가의 디벤조퓨라닐기; 또는 2가의 피리디닐기이다.In one embodiment of the present specification, L13 is a biphenylene group unsubstituted or substituted with a dibenzofuranyl group; Divalent dibenzofuranyl group; Or a divalent pyridinyl group.
본 명세서의 일 실시상태에 있어서, 상기 b13은 1이다.In one embodiment of the present specification, b13 is 1.
본 명세서의 일 실시상태에 있어서, 상기 b13은 2이다.In one embodiment of the present specification, b13 is 2.
본 명세서의 일 실시상태에 있어서, 상기 G11 및 G12는 서로 동일하거나 상이하고, 각각 독립적으로 수소; 중수소; 또는 O 또는 S를 포함하는 탄소수 2 내지 16의 헤테로아릴기이다.In one embodiment of the present specification, G11 and G12 are the same as or different from each other, and each independently hydrogen; heavy hydrogen; Or a heteroaryl group having 2 to 16 carbon atoms containing O or S.
본 명세서의 일 실시상태에 있어서, 상기 G11 및 G12는 서로 동일하거나 상이하고, 각각 독립적으로 수소; 중수소; 또는 디벤조퓨라닐기이다.In one embodiment of the present specification, G11 and G12 are the same as or different from each other, and each independently hydrogen; heavy hydrogen; Or a dibenzofuranyl group.
본 명세서의 일 실시상태에 있어서, 상기 L14는 직접결합; 탄소수 2 내지 16의 헤테로아릴렌기로 치환 또는 비치환된 탄소수 6 내지 16의 아릴렌기; 또는 탄소수 2 내지 16의 헤테로아릴렌기이다.In one embodiment of the present specification, L14 is a direct bond; An arylene group having 6 to 16 carbon atoms unsubstituted or substituted with a heteroarylene group having 2 to 16 carbon atoms; Or a heteroarylene group having 2 to 16 carbon atoms.
본 명세서의 일 실시상태에 있어서, 상기 L14는 직접결합; O 또는 S를 포함하는 헤테로아릴기로 치환 또는 비치환된 아릴렌기; 또는 O, S 또는 N을 포함하는 헤테로아릴렌기이다.In one embodiment of the present specification, L14 is a direct bond; An arylene group unsubstituted or substituted with a heteroaryl group including O or S; Or a heteroarylene group containing O, S or N.
본 명세서의 일 실시상태에 있어서, 상기 L14는 직접결합; 디벤조퓨라닐기 또는 디벤조티오페닐기로 치환 또는 비치환된 페닐렌기; 디벤조퓨라닐기 또는 디벤조티오페닐기로 치환 또는 비치환된 바이페닐렌기; 2가의 카바졸기; 2가의 디벤조퓨라닐기; 또는 2가의 피리디닐기이다.In one embodiment of the present specification, L14 is a direct bond; A phenylene group unsubstituted or substituted with a dibenzofuranyl group or a dibenzothiophenyl group; A biphenylene group unsubstituted or substituted with a dibenzofuranyl group or a dibenzothiophenyl group; Divalent carbazole groups; Divalent dibenzofuranyl group; Or a divalent pyridinyl group.
본 명세서의 일 실시상태에 있어서, 상기 b14는 0 내지 2의 정수이다.In one embodiment of the present specification, b14 is an integer of 0 to 2.
본 명세서의 일 실시상태에 있어서, 상기 G15는 탄소수 6 내지 12의 아릴기이다.In one embodiment of the present specification, G15 is an aryl group having 6 to 12 carbon atoms.
본 명세서의 일 실시상태에 있어서, 상기 G15는 페닐기이다.In one embodiment of the present specification, G15 is a phenyl group.
본 명세서의 일 실시상태에 있어서, 상기 X7 및 X8은 각각 O이다.In one embodiment of the present specification, X7 and X8 are each O.
본 명세서의 일 실시상태에 있어서, 상기 X7 및 X8은 각각 S이다.In one embodiment of the present specification, X7 and X8 are each S.
본 명세서의 일 실시상태에 있어서, 상기 G13 및 G14는 서로 동일하거나 상이하고, 각각 독립적으로 수소; 중수소; 또는 탄소수 6 내지 24의 아릴기이다.In one embodiment of the present specification, G13 and G14 are the same as or different from each other, and each independently hydrogen; heavy hydrogen; Or an aryl group having 6 to 24 carbon atoms.
본 명세서의 일 실시상태에 있어서, 상기 G13 및 G14는 서로 동일하거나 상이하고, 각각 독립적으로 수소; 중수소; 또는 탄소수 6 내지 18의 아릴기이다.In one embodiment of the present specification, G13 and G14 are the same as or different from each other, and each independently hydrogen; heavy hydrogen; Or an aryl group having 6 to 18 carbon atoms.
본 명세서의 일 실시상태에 있어서, 상기 G13 및 G14는 서로 동일하거나 상이하고, 각각 독립적으로 수소; 중수소; 페닐기; 바이페닐기; 또는 터페닐기이다.In one embodiment of the present specification, G13 and G14 are the same as or different from each other, and each independently hydrogen; heavy hydrogen; Phenyl group; Biphenyl group; Or a terphenyl group.
본 명세서의 일 실시상태에 있어서, 상기 L15 및 L16은 서로 동일하거나 상이하고, 각각 독립적으로 직접결합; 탄소수 6 내지 12의 아릴렌기; 또는 탄소수 2 내지 12의 헤테로아릴렌기이다.In one embodiment of the present specification, L15 and L16 are the same as or different from each other, and each independently a direct bond; Arylene groups having 6 to 12 carbon atoms; Or a heteroarylene group having 2 to 12 carbon atoms.
본 명세서의 일 실시상태에 있어서, 상기 L15 및 L16은 서로 동일하거나 상이하고, 각각 독립적으로 직접결합; 아릴렌기; 또는 N을 포함하는 헤테로아릴렌기이다.In one embodiment of the present specification, L15 and L16 are the same as or different from each other, and each independently a direct bond; Arylene group; Or a heteroarylene group containing N.
본 명세서의 일 실시상태에 있어서, 상기 L15는 직접결합; 페닐렌기; 또는 2가의 피리디닐기이다.In one embodiment of the present specification, L15 is a direct bond; Phenylene group; Or a divalent pyridinyl group.
본 명세서의 일 실시상태에 있어서, 상기 L16은 직접결합 또는 바이페닐렌기이다.In one embodiment of the present specification, L16 is a direct bond or a biphenylene group.
본 명세서의 일 실시상태에 있어서, 상기 G17은 수소; 탄소수 6 내지 22의 아릴기; 또는 탄소수 2 내지 12의 아릴기로 치환 또는 비치환된 탄소수 2 내지 16의 헤테로아릴기이다.In one embodiment of the present specification, G17 is hydrogen; Aryl groups having 6 to 22 carbon atoms; Or a C2-C16 heteroaryl group unsubstituted or substituted with a C2-C12 aryl group.
본 명세서의 일 실시상태에 있어서, 상기 G17은 수소; 카바졸릴기; 디벤조퓨라닐기; 트리페닐레닐기; ; 또는 이다.In one embodiment of the present specification, G17 is hydrogen; Carbazolyl group; Dibenzofuranyl group; Triphenylenyl group; ; or to be.
본 명세서의 일 실시상태에 있어서, 상기 X9는 S이다.In one embodiment of the present specification, X9 is S.
본 명세서의 일 실시상태에 있어서, 상기 L17은 탄소수 6 내지 24의 아릴렌기이다.In one embodiment of the present specification, L17 is an arylene group having 6 to 24 carbon atoms.
본 명세서의 일 실시상태에 있어서, 상기 L17은 탄소수 6 내지 18의 아릴렌기이다.In one embodiment of the present specification, L17 is an arylene group having 6 to 18 carbon atoms.
본 명세서의 일 실시상태에 있어서, 상기 L17은 바이페닐렌기이다.In one embodiment of the present specification, L17 is a biphenylene group.
본 명세서의 일 실시상태에 있어서, 상기 G18은 탄소수 6 내지 18의 아릴기; 또는 탄소수 2 내지 18의 헤테로아릴기이다.In one embodiment of the present specification, G18 is an aryl group having 6 to 18 carbon atoms; Or a heteroaryl group having 2 to 18 carbon atoms.
본 명세서의 일 실시상태에 있어서, 상기 G18은 아릴기; 또는 O 또는 S를 포함하는 헤테로아릴기이다.In one embodiment of the present specification, G18 is an aryl group; Or a heteroaryl group containing O or S.
본 명세서의 일 실시상태에 있어서, 상기 G18은 페닐기; 바이페닐기; 터페닐기; 또는 트리페닐레닐기이다.In one embodiment of the present specification, G18 is a phenyl group; Biphenyl group; Terphenyl group; Or a triphenylenyl group.
본 명세서의 일 실시상태에 있어서, 상기 G19는 탄소수 6 내지 18의 아릴기; 또는 탄소수 2 내지 18의 헤테로아릴기이다.In one embodiment of the present specification, G19 is an aryl group having 6 to 18 carbon atoms; Or a heteroaryl group having 2 to 18 carbon atoms.
본 명세서의 일 실시상태에 있어서, 상기 G19는 아릴기; 또는 O 또는 S를 포함하는 헤테로아릴기이다.In one embodiment of the present specification, G19 is an aryl group; Or a heteroaryl group containing O or S.
본 명세서의 일 실시상태에 있어서, 상기 G19는 페닐기; 바이페닐기; 디벤조퓨라닐기; 또는 디벤조티오페닐기이다.In one embodiment of the present specification, G19 is a phenyl group; Biphenyl group; Dibenzofuranyl group; Or a dibenzothiophenyl group.
본 명세서의 일 실시상태에 있어서, 상기 L19는 직접결합; 또는 탄소수 6 내지 18의 아릴렌기이다.In one embodiment of the present specification, L19 is a direct bond; Or an arylene group having 6 to 18 carbon atoms.
본 명세서의 일 실시상태에 있어서, 상기 L19는 직접결합; 페닐렌기; 바이페닐렌기; 또는 터페닐렌기이다.In one embodiment of the present specification, L19 is a direct bond; Phenylene group; Biphenylene group; Or a terphenylene group.
본 명세서의 일 실시상태에 있어서, 상기 화학식 11으로 표시되는 화합물은 하기의 화합물들 중에서 선택된 어느 하나이다.In one embodiment of the present specification, the compound represented by
본 명세서의 일 실시상태에 있어서, 상기 화학식 12로 표시되는 화합물은 하기의 화합물들 중에서 선택된 어느 하나이다.In one embodiment of the present specification, the compound represented by
본 명세서의 일 실시상태에 있어서, 상기 화학식 13으로 표시되는 화합물은 하기의 화합물들 중에서 선택된 어느 하나이다.In one embodiment of the present specification, the compound represented by Formula 13 is any one selected from the following compounds.
본 명세서의 일 실시상태에 있어서, 상기 화학식 14로 표시되는 화합물은 하기의 화합물들 중에서 선택된 어느 하나이다.In one embodiment of the present specification, the compound represented by Formula 14 is any one selected from the following compounds.
본 명세서의 일 실시상태에 있어서, 상기 화학식 15로 표시되는 화합물은 하기의 화합물들 중에서 선택된 어느 하나이다.In one embodiment of the present specification, the compound represented by Formula 15 is any one selected from the following compounds.
본 명세서의 일 실시상태에 있어서, 상기 화학식 16으로 표시되는 화합물은 하기의 화합물들 중에서 선택된 어느 하나이다.In one embodiment of the present specification, the compound represented by Formula 16 is any one selected from the following compounds.
본 명세서의 일 실시상태에 있어서, 상기 화학식 17으로 표시되는 화합물은 하기의 화합물들 중에서 선택된 어느 하나이다.In one embodiment of the present specification, the compound represented by Formula 17 is any one selected from the following compounds.
본 명세서의 일 실시상태에 있어서, 상기 화학식 18으로 표시되는 화합물은 하기의 화합물들 중에서 선택된 어느 하나이다.In one embodiment of the present specification, the compound represented by Formula 18 is any one selected from the following compounds.
본 명세서의 일 실시상태에 있어서, 상기 화학식 19로 표시되는 화합물은 하기의 화합물들 중에서 선택된 어느 하나이다.In one embodiment of the present specification, the compound represented by Formula 19 is any one selected from the following compounds.
본 명세서의 일 실시상태에 있어서, 상기 화학식 20으로 표시되는 화합물은 하기의 화합물이다.In one embodiment of the present specification, the compound represented by Formula 20 is the following compound.
본 명세서의 일 실시상태에 있어서, 상기 화학식 21으로 표시되는 화합물은 하기의 화합물들 중에서 선택된 어느 하나이다.In one embodiment of the present specification, the compound represented by Formula 21 is any one selected from the following compounds.
본 명세서의 일 실시상태에 있어서, 유기 발광 소자는 기판 상에 양극, 1층 이상의 유기물층 및 음극이 순차적으로 적층된 노말 구조(normal type)의 유기 발광 소자일 수 있다. In one embodiment of the present specification, the organic light emitting device may be an organic light emitting device having a normal structure in which an anode, one or more organic material layers, and a cathode are sequentially stacked on a substrate.
본 명세서의 일 실시상태에 있어서, 유기 발광 소자는 기판 상에 음극, 1층 이상의 유기물층 및 양극이 순차적으로 적층된 역방향 구조(inverted type)의 유기 발광 소자일 수 있다. In one embodiment of the present specification, the organic light emitting device may be an organic light emitting device having an inverted type in which a cathode, one or more organic material layers, and an anode are sequentially stacked on a substrate.
본 명세서의 일 실시상태에 있어서, 상기 제1 전극은 양극이고, 상기 제2 전극은 음극이다. In one embodiment of the present specification, the first electrode is an anode, and the second electrode is a cathode.
또 하나의 실시상태에 있어서, 상기 제1 전극은 음극이고, 상기 제2 전극은 양극이다. In another exemplary embodiment, the first electrode is a cathode and the second electrode is an anode.
본 명세서의 일 실시상태에 따른 유기 발광 소자의 구조는 도 1 내지 4에 예시되어 있다. The structure of the organic light emitting device according to the exemplary embodiment of the present specification is illustrated in FIGS. 1 to 4.
본 발명의 일 실시상태에 따른 유기 발광소자는 도 1에 도시한 바와 같이, 기판(1), 양극(2), 유기물층(3) 및 음극(4)으로 이루어질 수 있다. 일 실시상태에 있어서, 상기 화학식 1로 표시되는 화합물은 상기 유기물층(3)에 포함된다.As shown in FIG. 1, an organic light emitting diode according to an exemplary embodiment of the present invention may include a
본 발명의 일 실시상태에 따른 유기 발광 소자는 도 2에 도시된 바와 같이 기판(1), 양극(2), 정공 주입층(5), 정공 수송층(6), 정공 조절층(7), 발광층(8), 전자 수송층(9), 전자 주입층(10) 및 음극(4)으로 이루어질 수 있다. 일 실시상태에 있어서, 상기 화학식 1로 표시되는 화합물은 상기 발광층(8)에 포함된다. 다른 실시상태에 있어서, 상기 화학식 1로 표시되는 화합물은 상기 정공 수송층(5), 정공 수송층(6) 및 정공 조절층(7) 중 1층 이상의 층에 포함된다. 또 다른 실시상태에 있어서, 상기 화학식 1로 표시되는 화합물은 상기 전자 수송층(9) 및 전자 주입층(10) 중 1층 이상에 포함된다.As shown in FIG. 2, the organic light emitting diode according to the exemplary embodiment of the present invention includes a
본 발명의 일 실시상태에 따른 유기 발광소자는 도 3에 도시한 바와 같이, 기판(1), 양극(2), 정공 주입층(5), 정공 수송층(6), 정공 조절층(7), 발광층(8), 전자 조절층(11), 전자 주입 및 수송층(12) 및 음극(4)으로 이루어질 수 있다. 일 실시상태에 있어서, 상기 화학식 1로 표시되는 화합물은 정공 주입층(5), 정공 수송층(6), 정공 조절층(7), 발광층(8), 전자 조절층(11) 또는 전자 주입 및 수송층(12)에 포함될 수 있다.As shown in FIG. 3, the organic light emitting diode according to the exemplary embodiment of the present invention includes a
본 발명의 일 실시상태에 따른 유기 발광소자는 도 4에 도시한 바와 같이, 기판(1), 양극(2), 정공 주입층(5), 제1 정공 수송층(6a), 제2 정공 수송층(6b), 발광층(8), 전자 조절층(11), 전자 주입 및 수송층(12) 및 음극(4)으로 이루어질 수 있다. 일 실시상태에 있어서, 상기 화학식 1로 표시되는 화합물은 정공 주입층(5), 제1 정공 수송층(6a), 제2 정공 수송층(6b), 발광층(8), 전자 조절층(11) 또는 전자 주입 및 수송층(12)에 포함될 수 있다.As shown in FIG. 4, the organic light emitting diode according to the exemplary embodiment of the present invention includes a
그러나, 본 명세서의 일 실시상태에 따른 유기 발광 소자의 구조는 도 1 내지 도 4에 한정되지 않고, 하기의 구조 중 어느 하나일 수 있다.However, the structure of the organic light emitting device according to the exemplary embodiment of the present specification is not limited to FIGS. 1 to 4, and may be any one of the following structures.
(1) 양극/정공수송층/발광층/음극(1) anode / hole transport layer / light emitting layer / cathode
(2) 양극/정공주입층/정공수송층/발광층/음극(2) Anode / hole injection layer / hole transport layer / light emitting layer / cathode
(3) 양극/정공수송층/발광층/전자수송층/음극(3) Anode / hole transport layer / light emitting layer / electron transport layer / cathode
(4) 양극/정공수송층/발광층/전자수송층/전자주입층/음극(4) Anode / hole transport layer / light emitting layer / electron transport layer / electron injection layer / cathode
(5) 양극/정공주입층/정공수송층/발광층/전자수송층/음극(5) Anode / hole injection layer / hole transport layer / light emitting layer / electron transport layer / cathode
(6) 양극/정공주입층/정공수송층/발광층/전자수송층/전자주입층/음극(6) Anode / hole injection layer / hole transport layer / light emitting layer / electron transport layer / electron injection layer / cathode
(7) 양극/정공수송층/정공조절층/발광층/전자수송층/음극(7) Anode / hole transport layer / hole control layer / light emitting layer / electron transport layer / cathode
(8) 양극/정공수송층/정공조절층/발광층/전자수송층/전자주입층/음극(8) Anode / hole transport layer / hole control layer / light emitting layer / electron transport layer / electron injection layer / cathode
(9) 양극/정공주입층/정공수송층/정공조절층/발광층/전자수송층/음극(9) Anode / hole injection layer / hole transport layer / hole control layer / light emitting layer / electron transport layer / cathode
(10) 양극/정공주입층/정공수송층/정공조절층/발광층/전자수송층/전자주입층/음극(10) Anode / hole injection layer / hole transport layer / hole control layer / light emitting layer / electron transport layer / electron injection layer / cathode
(11) 양극/정공수송층/발광층/전자조절층/전자수송층/음극(11) Anode / hole transport layer / light emitting layer / electron control layer / electron transport layer / cathode
(12) 양극/정공수송층/발광층/전자조절층/전자수송층/전자주입층/음극(12) Anode / hole transport layer / light emitting layer / electron control layer / electron transport layer / electron injection layer / cathode
(13) 양극/정공주입층/정공수송층/발광층/전자조절층/전자수송층/음극(13) Anode / hole injection layer / hole transport layer / light emitting layer / electron control layer / electron transport layer / cathode
(14) 양극/정공주입층/정공수송층/발광층/전자조절층/전자수송층/전자주입층/음극(14) Anode / hole injection layer / hole transport layer / light emitting layer / electron control layer / electron transport layer / electron injection layer / cathode
상기 유기 발광 소자가 복수개의 유기물층을 포함하는 경우, 상기 유기물층은 서로 동일한 물질 또는 다른 물질로 형성될 수 있다. When the organic light emitting device includes a plurality of organic material layers, the organic material layers may be formed of the same material or different materials.
예컨대, 본 명세서의 유기 발광 소자는 기판 상에 제1 전극, 유기물층 및 제2 전극을 순차적으로 적층시킴으로써 제조할 수 있다. 이 때 스퍼터링법(sputtering)이나 전자빔 증발법(e-beam evaporation)과 같은 물리적 증착 방법(PVD, physical Vapor Deposition)을 이용하여, 기판 상에 금속 또는 전도성을 가지는 금속 산화물 또는 이들의 합금을 증착시켜 양극을 형성하고, 그 위에 정공 주입층, 정공 수송층, 발광층 및 전자 수송층을 포함하는 유기물층을 형성한 후, 그 위에 음극으로 사용할 수 있는 물질을 증착시킴으로써 제조될 수 있다. For example, the organic light emitting device of the present specification may be manufactured by sequentially stacking a first electrode, an organic material layer, and a second electrode on a substrate. At this time, by using a physical vapor deposition (PVD, physical vapor deposition) such as sputtering (e-beam evaporation), by depositing a metal or conductive metal oxide or alloys thereof on the substrate It can be prepared by forming an anode, forming an organic material layer including a hole injection layer, a hole transport layer, a light emitting layer and an electron transport layer thereon, and then depositing a material that can be used as a cathode thereon.
또한, 상기 화학식 1로 표시되는 화합물은 유기 발광 소자의 제조시 진공 증착법 뿐만 아니라 용액 도포법에 의하여 유기물층으로 형성될 수 있다. 여기서, 용액 도포법이라 함은 스핀 코팅, 딥코팅, 닥터 블레이딩, 잉크젯 프린팅, 스크린 프린팅, 스프레이법, 롤 코팅 등을 의미하지만, 이들만으로 한정되는 것은 아니다.In addition, the compound represented by
이와 같은 방법 외에도, 기판 상에 음극 물질로부터 유기물층, 양극 물질을 차례로 증착시켜 유기 발광 소자를 만들 수도 있다 (국제 특허 출원 공개 제 2003/012890호). 다만, 제조 방법이 이에 한정되는 것은 아니다. In addition to such a method, an organic light emitting device may be manufactured by sequentially depositing an organic material layer and an anode material on a substrate (International Patent Application Publication No. 2003/012890). However, the manufacturing method is not limited thereto.
상기 양극 물질로는 통상 유기물층으로 정공 주입이 원활할 수 있도록 일함수가 큰 물질이 바람직하다. 본 발명에서 사용될 수 있는 양극 물질의 구체적인 예로는 바나듐, 크롬, 구리, 아연, 금과 같은 금속 또는 이들의 합금; 아연 산화물, 인듐 산화물, 인듐주석 산화물(ITO), 인듐아연 산화물(IZO)과 같은 금속 산화물; ZnO:Al 또는 SnO2:Sb와 같은 금속과 산화물의 조합; 폴리(3-메틸티오펜), 폴리[3,4-(에틸렌-1,2-디옥시)티오펜](PEDOT), 폴리피롤 및 폴리아닐린과 같은 전도성 고분자 등이 있으나, 이들에만 한정되는 것은 아니다. As the anode material, a material having a large work function is usually preferred to facilitate hole injection into the organic material layer. Specific examples of the positive electrode material that can be used in the present invention include metals such as vanadium, chromium, copper, zinc and gold or alloys thereof; Metal oxides such as zinc oxide, indium oxide, indium tin oxide (ITO), indium zinc oxide (IZO); Combinations of metals and oxides such as ZnO: Al or SnO 2 : Sb; Conductive polymers such as poly (3-methylthiophene), poly [3,4- (ethylene-1,2-dioxy) thiophene] (PEDOT), polypyrrole and polyaniline, and the like, but are not limited thereto.
상기 음극 물질로는 통상 유기물층으로 전자 주입이 용이하도록 일함수가 작은 물질인 것이 바람직하다. 음극 물질의 구체적인 예로는 마그네슘, 칼슘, 나트륨, 칼륨, 티타늄, 인듐, 이트륨, 리튬, 가돌리늄, 알루미늄, 은, 주석 및 납과 같은 금속 또는 이들의 합금; LiF/Al 또는 LiO2/Al과 같은 다층 구조 물질 등이 있으나, 이들에만 한정되는 것은 아니다. It is preferable that the cathode material is a material having a small work function to facilitate electron injection into the organic material layer. Specific examples of the negative electrode material include metals such as magnesium, calcium, sodium, potassium, titanium, indium, yttrium, lithium, gadolinium, aluminum, silver, tin, and lead or alloys thereof; Multilayer structure materials such as LiF / Al or LiO 2 / Al, and the like, but are not limited thereto.
상기 정공 주입층은 전극으로부터 수취받은 정공을 발광층 또는 발광층쪽으로 구비된 인접한 층에 주입하는 층이다. 상기 정공 주입 물질로는 정공을 수송하는 능력을 가져 양극에서의 정공 주입 효과, 발광층 또는 발광 재료에 대하여 우수한 정공 주입 효과를 갖고, 발광층에서 생성된 엑시톤의 전자 주입층 또는 전자 주입 재료에의 이동을 방지하며, 또한, 박막 형성 능력이 우수한 화합물을 사용하는 것이 바람직하다. 상기 정공 주입 물질의 HOMO(highest occupied molecular orbital)는 양극 물질의 일함수와 주변 유기물층의 HOMO 사이인 것이 바람직하다. 상기 정공 주입 물질의 구체적인 예로는 금속 포피린(porphyrin), 올리고티오펜, 아릴아민 계열의 유기물, 헥사니트릴헥사아자트리페닐렌 계열의 유기물, 퀴나크리돈(quinacridone)계열의 유기물, 페릴렌(perylene) 계열의 유기물, 안트라퀴논 및 폴리아닐린과 폴리티오펜 계열의 전도성 고분자 등이 있으나, 이들에만 한정되는 것은 아니다. The hole injection layer is a layer for injecting holes received from the electrode into the light emitting layer or an adjacent layer provided toward the light emitting layer. The hole injection material has the ability to transport holes, has an effect of hole injection at the anode, an excellent hole injection effect on the light emitting layer or the light emitting material, and transfers excitons generated from the light emitting layer to the electron injection layer or the electron injection material. It is preferable to use the compound which prevents and is excellent in thin film formation ability. The highest occupied molecular orbital (HOMO) of the hole injection material is preferably between the work function of the positive electrode material and the HOMO of the surrounding organic material layer. Specific examples of the hole injection material include metal porphyrin, oligothiophene, arylamine-based organic material, hexanitrile hexaazatriphenylene-based organic material, quinacridone-based organic material, and perylene Organic, anthraquinone, and polyaniline and polythiophene-based conductive polymers, but are not limited thereto.
상기 정공 수송층은 정공 주입층으로부터 정공을 수취하여 발광층까지 정공을 수송하는 층이다. 상기 정공 수송 물질로는 양극이나 정공 주입층으로부터 정공을 수송받아 발광층으로 옮겨줄 수 있는 물질로 정공에 대한 이동성이 큰 물질이 적합하다. 상기 정공 수송 물질의 구체적인 예로는 아릴아민 계열의 유기물, 전도성 고분자, 및 공액 부분과 비공액 부분이 함께 있는 블록 공중합체 등이 있으나, 이들에만 한정되는 것은 아니다.The hole transport layer is a layer that receives holes from the hole injection layer and transports holes to the light emitting layer. As the hole transporting material, a material capable of transporting holes from the anode or the hole injection layer to be transferred to the light emitting layer is suitable. Specific examples of the hole transport material include, but are not limited to, an arylamine-based organic material, a conductive polymer, and a block copolymer having a conjugated portion and a nonconjugated portion together.
본 명세서의 일 실시상태에 있어서, 상기 유기 발광 소자는 2층 이상의 정공 수송층을 포함하고, 2층 이상의 정공 수송층의 재료는 서로 동일하거나 상이하다.In one embodiment of the present specification, the organic light emitting device includes two or more hole transport layers, and the materials of the two or more hole transport layers are the same or different from each other.
상기 정공 조절층은 발광층으로주터 전자가 양극으로 유입되는 것을 방지하고 발광층으로 유입되는 정공의 흐름을 조절하여 소자 전체의 성능을 조절하는 층이다. 상기 정공 조절 물질로는 발광층으로부터 양극으로의 전자의 유입을 방지하고, 발광층 또는 발광 재료에 대하여 주입되는 정공의 흐름을 조절하는 능력을 갖는 화합물이 바람직하다. 일 실시상태에 있어서, 정공 조절층에는 아릴아민 계열의 유기물이 사용될 수 있으나, 이에 한정되는 것은 아니다.The hole control layer is a layer for preventing the flow of the electrons to the anode to the light emitting layer and to control the flow of holes flowing into the light emitting layer to control the performance of the entire device. As the hole control material, a compound having the ability to prevent the inflow of electrons from the light emitting layer to the anode and to control the flow of holes injected to the light emitting layer or the light emitting material is preferable. In one embodiment, an arylamine-based organic material may be used as the hole control layer, but is not limited thereto.
상기 발광 물질로는 정공 수송층과 전자 수송층으로부터 정공과 전자를 각각 수송받아 결합시킴으로써 가시광선 영역의 빛을 낼 수 있는 물질로서, 형광이나 인광에 대한 양자 효율이 좋은 물질이 바람직하다. 구체적인 예로는 8-히드록시퀴놀린 알루미늄 착물(Alq3); 카르바졸 계열 화합물; 이량체화 스티릴(dimerized styryl) 화합물; BAlq; 10-히드록시벤조퀴놀린-금속 화합물; 벤즈옥사졸, 벤조티아졸 및 벤즈이미다졸 계열의 화합물; 폴리(p-페닐렌비닐렌)(PPV) 계열의 고분자; 스피로(spiro) 화합물; 폴리플루오렌, 루브렌 등이 있으나, 이들에만 한정되는 것은 아니다. The light emitting material is a material capable of emitting light in the visible region by transporting and combining holes and electrons from the hole transport layer and the electron transport layer, respectively, and a material having good quantum efficiency with respect to fluorescence or phosphorescence is preferable. Specific examples thereof include 8-hydroxyquinoline aluminum complex (Alq 3 ); Carbazole series compounds; Dimerized styryl compounds; BAlq; 10-hydroxybenzoquinoline-metal compound; Benzoxazole, benzothiazole and benzimidazole series compounds; Poly (p-phenylenevinylene) (PPV) -based polymers; Spiro compounds; Polyfluorene, rubrene and the like, but are not limited thereto.
상기 발광층은 호스트 재료 및 도판트 재료를 포함할 수 있다. 호스트 재료는 축합 방향족환 유도체 또는 헤테로환 함유 화합물 등이 있다. 구체적으로 축합 방향족환 유도체로는 안트라센 유도체, 파이렌 유도체, 나프탈렌 유도체, 펜타센 유도체, 페난트렌 화합물, 플루오란텐 화합물 등이 있고, 헤테로환 함유 화합물로는 디벤조퓨란 유도체, 래더형 퓨란 화합물, 피리미딘 유도체 등이 있으나, 이에 한정되지 않는다. The light emitting layer may include a host material and a dopant material. The host material is a condensed aromatic ring derivative or a heterocyclic containing compound. Specifically, the condensed aromatic ring derivatives include anthracene derivatives, pyrene derivatives, naphthalene derivatives, pentacene derivatives, phenanthrene compounds, and fluoranthene compounds, and the heterocyclic containing compounds include dibenzofuran derivatives, ladder type furan compounds, Pyrimidine derivatives and the like, but is not limited thereto.
상기 발광층의 도판트 재료로는 방향족 아민 유도체, 스티릴아민 화합물, 붕소 착체, 플루오란텐 화합물, 금속 착체 등이 있다. 상기 방향족 아민 유도체로는 치환 또는 비치환된 아릴아민기를 갖는 축합 방향족환 유도체로서, 아릴아민기를 갖는 파이렌, 안트라센, 크라이센, 페리플란텐 등을 사용할 수 있다. 상기 스티릴아민 화합물로는 치환 또는 비치환된 아릴아민에 적어도 1개의 아릴비닐기가 치환된 화합물을 사용할 수 있다. 상기 스티릴아민 화합물의 예로는 스티릴아민, 스티릴디아민, 스티릴트리아민, 스티릴테트라아민 등이 있으나, 이에 한정되지 않는다. 상기 금속 착체로는 이리듐 착체, 백금 착체 등을 사용할 수 있으나, 이에 한정되지 않는다.The dopant material of the light emitting layer includes an aromatic amine derivative, a styrylamine compound, a boron complex, a fluoranthene compound, a metal complex, and the like. As the aromatic amine derivative, pyrene, anthracene, chrysene, periplanthene and the like having an arylamine group may be used as a condensed aromatic ring derivative having a substituted or unsubstituted arylamine group. As the styrylamine compound, a compound in which at least one arylvinyl group is substituted with a substituted or unsubstituted arylamine may be used. Examples of the styrylamine compound include, but are not limited to, styrylamine, styryldiamine, styryltriamine, styryltetraamine, and the like. The metal complex may be an iridium complex, a platinum complex, or the like, but is not limited thereto.
상기 전자 조절층은 발광층으로부터 정공이 음극으로 유입되는 것을 차단하고 발광층으로 유입되는 전자를 조절하여 소자 전체의 성능을 조절하는 층이다. 전자 조절 물질로는 발광층으로부터 음극으로의 정공의 유입을 방지하고, 발광층 또는 발광 재료에 대하여 주입되는 전자를 조절하는 능력을 갖는 화합물이 바람직하다. 전자 조절 물질로는 소자 내 사용되는 유기물층의 구성에 따라 적절한 물질을 사용할 수 있다. 상기 전자 조절층은 발광층과 음극 사이에 위치하며, 바람직하게는 발광층에 직접 접하여 구비된다.The electron control layer is a layer that blocks the flow of holes from the light emitting layer to the cathode and controls the performance of the entire device by adjusting the electrons flowing into the light emitting layer. As the electron adjusting material, a compound having the ability to prevent the inflow of holes from the light emitting layer to the cathode and to control the electrons injected into the light emitting layer or the light emitting material is preferable. As the electron control material, an appropriate material may be used according to the configuration of the organic material layer used in the device. The electron control layer is positioned between the light emitting layer and the cathode, preferably provided in direct contact with the light emitting layer.
상기 전자 수송층은 전자 주입층으로부터 전자를 수취하여 발광층까지 전자를 수송하는 층이다. 상기 전자 수송 물질로는 음극으로부터 전자를 잘 주입 받아 발광층으로 옮겨줄 수 있는 물질로서, 전자에 대한 이동성이 큰 물질이 적합하다. 상기 전자 수송 물질의 예로는 8-히드록시퀴놀린의 Al착물; Alq3를 포함한 착물; 유기 라디칼 화합물; 히드록시플라본-금속 착물 등이 있으나, 이들에만 한정되는 것은 아니다. 상기 전자 수송층은 종래기술에 따라 사용된 바와 같이 임의의 원하는 음극 물질과 함께 사용할 수 있다. 일 실시상태에 있어서, 상기 음극 물질로는 낮은 일함수를 가지는 물질; 및 알루미늄층 또는 실버층을 사용할 수 있다. 상기 낮은 일함수를 가지는 물질의 예로는 세슘, 바륨, 칼슘, 이테르븀 및 사마륨 등이 있으며, 상기 물질로 층을 형성한 후 알루미늄층 또는 실버층을 상기 층 위에 형성할 수 있다.The electron transport layer is a layer that receives electrons from the electron injection layer and transports the electrons to the light emitting layer. The electron transporting material is a material capable of injecting electrons well from the cathode and transferring the electrons to the light emitting layer. A material having high mobility to electrons is suitable. Examples of the electron transporting material include Al complexes of 8-hydroxyquinoline; Complexes including Alq 3 ; Organic radical compounds; Hydroxyflavone-metal complexes and the like, but are not limited thereto. The electron transport layer can be used with any desired negative electrode material as used in the prior art. In one embodiment, the negative electrode material includes a material having a low work function; And aluminum layers or silver layers. Examples of the material having a low work function include cesium, barium, calcium, ytterbium, and samarium, and after forming a layer from the material, an aluminum layer or a silver layer may be formed on the layer.
본 명세서에 따른 유기 발광 소자는 사용되는 재료에 따라 전면 발광형, 후면 발광형 또는 양면 발광형일 수 있다. The organic light emitting device according to the present specification may be a top emission type, a bottom emission type, or a double side emission type according to a material used.
이하, 본 발명에 따르는 실시예 및 본 발명에 따르지 않는 비교예를 통하여 본 발명을 보다 상세히 설명하나, 본 발명의 범위가 하기 제시된 실시예에 의해 제한되는 것은 아니다.Hereinafter, the present invention will be described in more detail through examples according to the present invention and comparative examples not according to the present invention, but the scope of the present invention is not limited to the examples given below.
<제조예><Production example>
상기 화학식 1로 표시되는 화합물은 1) 2가지 종류의 할라이드가 치환된 다이벤조퓨란 또는 다이벤조티오펜을 준비하고, 2) 하나의 할라이드에 보로닉엑시드를 도입하고, 3) 나머지 하나의 할라이드를 보릴레이션을 통해 보레이트로 치환한 후 '트리아지닐기를 포함하는 치환기'를 도입하는 과정으로부터 제조할 수 있다. 하기 과정을 통하여 단계적으로 구체예 상의 화합물들을 합성하였다.Compound represented by the formula (1) is 1) to prepare a dibenzofuran or dibenzothiophene substituted two kinds of halides, 2) introducing a boronic acid to one halide, and 3) the other halide It may be prepared from the process of introducing a 'substituent including a triazinyl group' after substitution with borate through borylation. Compounds on the embodiments were synthesized step by step through the following procedure.
제조예 1-1: 화합물 1-A의 합성Preparation Example 1-1 Synthesis of Compound 1-A
4-브로모-6-클로로다이벤조[b,d]퓨란 30g(106.6mmol), 나프토[1,2-b]벤조퓨란-5-일보로닉엑시드 107mmol, 테트라하이드로퓨란 200mL 및 물 100mL를 혼합하고 60℃로 가열하였다. 포타슘카보네이트(319.8mmol) 및 테트라키스트라이페닐포스핀팔라듐(1.1mmol)을 첨가하여 리플럭스 상태로 3시간 교반하였다. 반응 후 실온으로 되돌린 반응 용액에서 유기층을 추출한 후, 클로로포름과 헥산으로 2회 재결정을 실시하여, 화합물 1-A 40.6g을 얻었다. (수율 91%, MS[M+H]+ = 419)30 g (106.6 mmol) of 4-bromo-6-chlorodibenzo [b, d] furan, 107 mmol of naphtho [1,2-b] benzofuran-5-ylboronic acid, 200 mL of tetrahydrofuran and 100 mL of water Mix and heat to 60 ° C. Potassium carbonate (319.8 mmol) and tetrakistriphenylphosphinepalladium (1.1 mmol) were added and the mixture was stirred for 3 hours in a reflux state. After the reaction, the organic layer was extracted from the reaction solution returned to room temperature, and then recrystallized twice with chloroform and hexane to obtain 40.6 g of Compound 1-A. (Yield 91%, MS [M + H] + = 419)
제조예 1-2: 화합물 1-B의 합성Preparation Example 1-2 Synthesis of Compound 1-B
나프토[1,2-b]벤조퓨란-5-일보로닉엑시드 대신 나프토[2,1-b]벤조퓨란-10-일보로닉엑시드를 사용한 것을 제외하고는, 화합물 1-A의 합성 방법과 동일한 방법으로 화합물 1-B 41.5g을 얻었다. (수율 93%, MS[M+H]+ = 419)Synthesis of Compound 1-A except that naphtho [2,1-b] benzofuran-10-ylboronic acid was used instead of naphtho [1,2-b] benzofuran-5-ylboronic acid 41.5 g of compound 1-B was obtained by the same method as the method. (Yield 93%, MS [M + H] + = 419)
제조예 1-3: 화합물 1-C의 합성Preparation Example 1-3 Synthesis of Compound 1-C
나프토[1,2-b]벤조퓨란-5-일보로닉엑시드 대신 나프토[2,3-b]벤조퓨란-4-일보로닉엑시드를 사용한 것을 제외하고는, 화합물 1-A의 합성 방법과 동일한 방법으로 화합물 1-C 40.2g을 얻었다. (수율 90%, MS[M+H]+ = 419)Synthesis of Compound 1-A except that naphtho [2,3-b] benzofuran-4-ylboronic acid was used instead of naphtho [1,2-b] benzofuran-5-ylboronic acid In the same manner as the method, 40.2 g of Compound 1-C was obtained. (Yield 90%, MS [M + H] + = 419)
제조예 1-4: 화합물 1-D의 합성Preparation Example 1-4: Synthesis of Compound 1-D
나프토[1,2-b]벤조퓨란-5-일보로닉엑시드 대신 (3-(나프토[1,2-b]벤조퓨란-5-일)페닐)보로닉엑시드를 사용한 것을 제외하고는, 화합물 1-A의 합성 방법과 동일한 방법으로 화합물 1-D 46.4g을 얻었다. (수율 88%, MS[M+H]+ = 495)Except for using (3- (naphtho [1,2-b] benzofuran-5-yl) phenyl) boronic acid instead of naphtho [1,2-b] benzofuran-5-ylboronic acid , 46.4 g of compound 1-D was obtained by the same method as the synthesis method of compound 1-A. (Yield 88%, MS [M + H] + = 495)
제조예 1-5: 화합물 1-E의 합성Preparation Example 1-5: Synthesis of Compound 1-E
나프토[1,2-b]벤조퓨란-5-일보로닉엑시드 대신 (3-(나프토[2,1-b]벤조퓨란-10-일)페닐)보로닉엑시드를 사용한 것을 제외하고는, 화합물 1-A의 합성 방법과 동일한 방법으로 화합물 1-E 45.9g을 얻었다. (수율 87%, MS[M+H]+ = 495)Except for using (3- (naphtho [2,1-b] benzofuran-10-yl) phenyl) boronic acid instead of naphtho [1,2-b] benzofuran-5-ylboronic acid , 45.9 g of compound 1-E was obtained by the same method as the synthesis method of compound 1-A. (Yield 87%, MS [M + H] + = 495)
제조예 1-6: 화합물 1-F의 합성Preparation Example 1-6: Synthesis of Compound 1-F
나프토[1,2-b]벤조퓨란-5-일보로닉엑시드 대신 (4-(나프토[2,3-b]벤조퓨란-4-일)페닐)보로닉엑시드를 사용한 것을 제외하고는, 화합물 1-A의 합성 방법과 동일한 방법으로 화합물 1-F 46.9g을 얻었다. (수율 89%, MS[M+H]+ = 495)Except for using (4- (naphtho [2,3-b] benzofuran-4-yl) phenyl) boronic acid instead of naphtho [1,2-b] benzofuran-5-ylboronic acid , 46.9 g of compound 1-F was obtained by the same method as the synthesis method of compound 1-A. (Yield 89%, MS [M + H] + = 495)
제조예 1-7: 화합물 1-G의 합성Preparation Example 1-7: Synthesis of Compound 1-G
4-브로모-6-클로로다이벤조[b,d]사이오펜 31.7g(106.6mmol), 나프토[1,2-b]벤조퓨란-5-일보로닉엑시드 107mmol, 테트라하이드로퓨란 200mL 및 물 100mL를 혼합하고 60℃로 가열하였다. 포타슘카보네이트(319.8mmol) 및 테트라키스트라이페닐포스핀팔라듐(1.1mmol)을 첨가하여 리플럭스 상태로 3시간 교반하였다. 반응 후 실온으로 되돌린 반응 용액에서 유기층을 추출한 후, 클로로포름과 헥산으로 2회 재결정을 실시하여, 화합물 1-G 39.9g을 얻었다. (수율 86%, MS[M+H]+ = 435)31.7 g (106.6 mmol) of 4-bromo-6-chlorodibenzo [b, d] thiophene, 107 mmol of naphtho [1,2-b] benzofuran-5-ylboronic acid, 200 mL of tetrahydrofuran and water 100 mL was mixed and heated to 60 ° C. Potassium carbonate (319.8 mmol) and tetrakistriphenylphosphinepalladium (1.1 mmol) were added and the mixture was stirred for 3 hours in a reflux state. After the reaction, the organic layer was extracted from the reaction solution returned to room temperature, and then recrystallized twice with chloroform and hexane to give 39.9 g of Compound 1-G. (Yield 86%, MS [M + H] + = 435)
제조예 1-8: 화합물 1-H의 합성Preparation Example 1-8: Synthesis of Compound 1-H
나프토[1,2-b]벤조퓨란-5-일보로닉엑시드 대신 나프토[2,1-b]벤조퓨란-10-일보로닉엑시드를 사용한 것을 제외하고는, 화합물 1-G의 합성 방법과 동일한 방법으로 화합물 1-H 40.3g을 얻었다. (수율 87%, MS[M+H]+ = 435)Synthesis of Compound 1-G except that naphtho [2,1-b] benzofuran-10-ylboronic acid was used instead of naphtho [1,2-b] benzofuran-5-ylboronic acid 40.3 g of compound 1-H was obtained by the same method as the method. (Yield 87%, MS [M + H] + = 435)
제조예 1-9: 화합물 1-I의 합성Preparation Example 1-9: Synthesis of Compound 1-I
나프토[1,2-b]벤조퓨란-5-일보로닉엑시드 대신 나프토[2,3-b]벤조퓨란-4-일보로닉엑시드를 사용한 것을 제외하고는, 화합물 1-G의 합성 방법과 동일한 방법으로 화합물 1-I 39.4g을 얻었다. (수율 85%, MS[M+H]+ = 435)Synthesis of Compound 1-G, except that naphtho [2,3-b] benzofuran-4-ylboronic acid was used instead of naphtho [1,2-b] benzofuran-5-ylboronic acid 39.4 g of compound 1-I was obtained by the same method as the method. (Yield 85%, MS [M + H] + = 435)
제조예 1-10: 화합물 1-J의 합성Preparation Example 1-10: Synthesis of Compound 1-J
나프토[1,2-b]벤조퓨란-5-일보로닉엑시드 대신 (3-(나프토[1,2-b]벤조퓨란-5-일)페닐)보로닉엑시드를 사용한 것을 제외하고는, 화합물 1-G의 합성 방법과 동일한 방법으로 화합물 1-J 47.4g을 얻었다. (수율 87%, MS[M+H]+ = 511)Except for using (3- (naphtho [1,2-b] benzofuran-5-yl) phenyl) boronic acid instead of naphtho [1,2-b] benzofuran-5-ylboronic acid , 47.4 g of compounds 1-J were obtained by the same method as the synthesis method of compound 1-G. (Yield 87%, MS [M + H] + = 511)
제조예 1-11: 화합물 1-K의 합성Preparation Example 1-11 Synthesis of Compound 1-K
나프토[1,2-b]벤조퓨란-5-일보로닉엑시드 대신 (3-(나프토[2,1-b]벤조퓨란-10-일)페닐)보로닉엑시드를 사용한 것을 제외하고는, 화합물 1-G의 합성 방법과 동일한 방법으로 화합물 1-K 45.8g을 얻었다. (수율 84%, MS[M+H]+ = 511)Except for using (3- (naphtho [2,1-b] benzofuran-10-yl) phenyl) boronic acid instead of naphtho [1,2-b] benzofuran-5-ylboronic acid , 45.8 g of compound 1-K was obtained by the same method as the synthesis method of compound 1-G. (Yield 84%, MS [M + H] + = 511)
제조예 1-12: 화합물 1-L의 합성Preparation Example 1-12 Synthesis of Compound 1-L
나프토[1,2-b]벤조퓨란-5-일보로닉엑시드 대신 (4-(나프토[2,3-b]벤조퓨란-4-일)페닐)보로닉엑시드를 사용한 것을 제외하고는, 화합물 1-G의 합성 방법과 동일한 방법으로 화합물 1-L 46.8g을 얻었다. (수율 86%, MS[M+H]+ = 511)Except for using (4- (naphtho [2,3-b] benzofuran-4-yl) phenyl) boronic acid instead of naphtho [1,2-b] benzofuran-5-ylboronic acid , 46.8 g of compound 1-L was obtained by the same method as the synthesis method of compound 1-G. (Yield 86%, MS [M + H] + = 511)
제조예 2-1: 화합물 2-A의 합성Preparation Example 2-1 Synthesis of Compound 2-A
화합물 1-A 12.6g(30mmol), 비스(피나콜라토)다이보론(Bis(pinacolato)diboron) 33mmol, 포타슘아세테이트 90mmol 및 1,4-다이옥산 130mL를 혼합하고 100℃로 가열했다. 여기에 팔라듐아세테이트 1mmol%를 첨가하여 리플럭스 상태로 12시간 동안 교반하였다. 반응 후 실온으로 되돌린 반응용액을 물로 추출하고 유기층을 증류하여 고체를 얻었다. 얻어진 고체를 클로로포름/헥산으로 컬럼 크로마토그래피를 이용하여 정제하여 화합물 2-A 13.5g을 얻었다. (수율 88%, MS[M+H]+ = 511)12.6 g (30 mmol) of Compound 1-A, 33 mmol of bis (pinacolato) diboron, 90 mmol of potassium acetate, and 130 mL of 1,4-dioxane were mixed and heated to 100 ° C. Palladium acetate 1mmol% was added thereto, and the mixture was stirred for 12 hours under reflux. After the reaction, the reaction solution was returned to room temperature, extracted with water, and the organic layer was distilled off to obtain a solid. The obtained solid was purified by chloroform / hexane using column chromatography to give 13.5 g of compound 2-A. (Yield 88%, MS [M + H] + = 511)
제조예 2-2: 화합물 2-B의 합성Preparation Example 2-2: Synthesis of Compound 2-B
화합물 1-A 대신 화합물 1-B를 사용한 것을 제외하고는, 화합물 2-A의 합성 방법과 동일한 방법으로 화합물 2-B 13.8g을 얻었다. (수율 90%, MS[M+H]+ = 511)13.8 g of compound 2-B was obtained by the same method as the synthesis method of compound 2-A, except that compound 1-B was used instead of compound 1-A. (Yield 90%, MS [M + H] + = 511)
제조예 2-3: 화합물 2-C의 합성Preparation Example 2-3 Synthesis of Compound 2-C
화합물 1-A 대신 화합물 1-C를 사용한 것을 제외하고는, 화합물 2-A의 합성 방법과 동일한 방법으로 화합물 2-C 13.3g을 얻었다. (수율 87%, MS[M+H]+ = 511)13.3 g of compound 2-C was obtained by the same method as the synthesis method of compound 2-A, except that compound 1-C was used instead of compound 1-A. (Yield 87%, MS [M + H] + = 511)
제조예 2-4: 화합물 2-D의 합성Preparation Example 2-4: Synthesis of Compound 2-D
화합물 1-A 대신 화합물 1-D를 사용한 것을 제외하고는, 화합물 2-A의 합성 방법과 동일한 방법으로 화합물 2-D 14.6g을 얻었다. (수율 83%, MS[M+H]+ = 587)14.6 g of Compound 2-D was obtained by the same method as the synthesis method of Compound 2-A, except that Compound 1-D was used instead of Compound 1-A. (Yield 83%, MS [M + H] + = 587)
제조예 2-5: 화합물 2-E의 합성Preparation Example 2-5: Synthesis of Compound 2-E
화합물 1-A 대신 화합물 1-E를 사용한 것을 제외하고는, 화합물 2-A의 합성 방법과 동일한 방법으로 화합물 2-E 14.2g을 얻었다. (수율 81%, MS[M+H]+ = 587)14.2 g of compound 2-E was obtained by the same method as the synthesis method of compound 2-A, except that compound 1-E was used instead of compound 1-A. (Yield 81%, MS [M + H] + = 587)
제조예 2-6: 화합물 2-F의 합성Preparation Example 2-6: Synthesis of Compound 2-F
화합물 1-A 대신 화합물 1-F를 사용한 것을 제외하고는, 화합물 2-A의 합성 방법과 동일한 방법으로 화합물 2-F 14.6g을 얻었다. (수율 83%, MS[M+H]+ = 587)14.6 g of Compound 2-F was obtained by the same method as the synthesis method of Compound 2-A, except that Compound 1-F was used instead of Compound 1-A. (Yield 83%, MS [M + H] + = 587)
제조예 2-7: 화합물 2-G의 합성Preparation Example 2-7 Synthesis of Compound 2-G
화합물 1-A 대신 화합물 1-G를 사용한 것을 제외하고는, 화합물 2-A의 합성 방법과 동일한 방법으로 화합물 2-G 13.4g을 얻었다. (수율 85%, MS[M+H]+ = 527)13.4 g of compound 2-G was obtained by the same method as the synthesis method of compound 2-A, except that compound 1-G was used instead of compound 1-A. (Yield 85%, MS [M + H] + = 527)
제조예 2-8: 화합물 2-H의 합성Preparation Example 2-8 Synthesis of Compound 2-H
화합물 1-A 대신 화합물 1-H를 사용한 것을 제외하고는, 화합물 2-A의 합성 방법과 동일한 방법으로 화합물 2-H 12.9g을 얻었다. (수율 82%, MS[M+H]+ = 527)12.9 g of Compound 2-H was obtained by the same method as the synthesis method of Compound 2-A, except that Compound 1-H was used instead of Compound 1-A. (Yield 82%, MS [M + H] + = 527)
제조예 2-9: 화합물 2-I의 합성Preparation Example 2-9: Synthesis of Compound 2-I
화합물 1-A 대신 화합물 1-I를 사용한 것을 제외하고는, 화합물 2-A의 합성 방법과 동일한 방법으로 화합물 2-I 12.6g을 얻었다. (수율 80%, MS[M+H]+ = 527)12.6 g of compound 2-I was obtained by the same method as the synthesis method of compound 2-A, except that compound 1-I was used instead of compound 1-A. (Yield 80%, MS [M + H] + = 527)
제조예 2-10: 화합물 2-J의 합성Preparation Example 2-10 Synthesis of Compound 2-J
화합물 1-A 대신 화합물 1-J를 사용한 것을 제외하고는, 화합물 2-A의 합성 방법과 동일한 방법으로 화합물 2-J 14.8g을 얻었다. (수율 82%, MS[M+H]+ = 603)14.8 g of Compound 2-J was obtained by the same method as the synthesis method of Compound 2-A, except that Compound 1-J was used instead of Compound 1-A. (Yield 82%, MS [M + H] + = 603)
제조예 2-11: 화합물 2-K의 합성Preparation Example 2-11 Synthesis of Compound 2-K
화합물 1-A 대신 화합물 1-K를 사용한 것을 제외하고는, 화합물 2-A의 합성 방법과 동일한 방법으로 화합물 2-K 14.6g을 얻었다. (수율 81%, MS[M+H]+ = 603)14.6 g of Compound 2-K was obtained by the same method as the synthesis method of Compound 2-A, except that Compound 1-K was used instead of Compound 1-A. (Yield 81%, MS [M + H] + = 603)
제조예 2-12: 화합물 2-L의 합성Preparation Example 2-12 Synthesis of Compound 2-L
화합물 1-A 대신 화합물 1-L을 사용한 것을 제외하고는, 화합물 2-A의 합성 방법과 동일한 방법으로 화합물 2-L 15.2g을 얻었다. (수율 84%, MS[M+H]+ = 603)15.2 g of Compound 2-L was obtained by the same method as the synthesis method of Compound 2-A, except that Compound 1-L was used instead of Compound 1-A. (Yield 84%, MS [M + H] + = 603)
제조예 3-1: 화합물 1의 합성Preparation Example 3-1 Synthesis of
화합물 2-A 10.2g(20mmol), 2-클로로-4,6-다이페닐-1,3,5-트리아진 20mmol, 1,4-다이옥산 80mL 및 물 40mL를 혼합하고 60℃로 가열하였다. 포타슘포스페이트(60mmol) 및 테트라키스트라이페닐포스핀팔라듐(0.2mmol)을 첨가하여 리플럭스 상태로 3시간 교반하였다. 반응 후 실온으로 되돌린 반응 용액에서 유기층을 추출한 후, 클로로포름과 헥산으로 2회 재결정을 실시하여, 화합물 1 9.7g을 얻었다. (수율 79%, MS[M+H]+ = 616)10.2 g (20 mmol) of Compound 2-A, 20 mmol of 2-chloro-4,6-diphenyl-1,3,5-triazine, 80 mL of 1,4-dioxane and 40 mL of water were mixed and heated to 60 ° C. Potassium phosphate (60 mmol) and tetrakistriphenylphosphinepalladium (0.2 mmol) were added and the mixture was stirred for 3 hours in a reflux state. After the reaction, the organic layer was extracted from the reaction solution returned to room temperature, and then recrystallized twice from chloroform and hexane to obtain 9.7 g of
제조예 3-2: 화합물 2의 합성Preparation Example 3-2: Synthesis of
화합물 2-A 대신 화합물 2-B(20mmol)를 사용한 것을 제외하고는, 화합물 1의 합성 방법과 동일한 방법으로 화합물 2 10g을 얻었다. (수율 81%, MS[M+H]+ = 616)10 g of
제조예 3-3: 화합물 3의 합성Preparation Example 3-3: Synthesis of
화합물 2-A 대신 화합물 2-C(20mmol)를 사용한 것을 제외하고는, 화합물 1의 합성 방법과 동일한 방법으로 화합물 3 10.3g을 얻었다. (수율 84%, MS[M+H]+ = 616)10.3 g of
제조예 3-4: 화합물 4의 합성Preparation Example 3-4: Synthesis of
화합물 2-A 대신 화합물 2-D(20mmol)를 사용한 것을 제외하고는, 화합물 1의 합성 방법과 동일한 방법으로 화합물 4 11g을 얻었다. (수율 80%, MS[M+H]+ = 692)
제조예 3-5: 화합물 5의 합성Preparation Example 3-5 Synthesis of
화합물 2-A 대신 화합물 2-E(20mmol)를 사용한 것을 제외하고는, 화합물 1의 합성 방법과 동일한 방법으로 화합물 5 10.6g을 얻었다. (수율 77%, MS[M+H]+ = 692)
제조예 3-6: 화합물 6의 합성Preparation Example 3-6: Synthesis of
화합물 2-A 대신 화합물 2-F(20mmol)를 사용한 것을 제외하고는, 화합물 1의 합성 방법과 동일한 방법으로 화합물 6 10.8g을 얻었다. (수율 78%, MS[M+H]+ = 692)10.8 g of
제조예 3-7: 화합물 7의 합성Preparation Example 3-7 Synthesis of
화합물 2-A 10.2g(20mmol), 2-(3-클로로페닐)-4,6-다이페닐-1,3,5-트리아진 20mmol, 1,4-다이옥산 80mL 및 물 40mL를 혼합하고 60℃로 가열하였다. 포타슘포스페이트(60mmol) 및 테트라키스트라이페닐포스핀팔라듐(0.2mmol)을 첨가하여 리플럭스 상태로 3시간 교반하였다. 반응 후 실온으로 되돌린 반응 용액에서 유기층을 추출한 후, 클로로포름과 헥산으로 2회 재결정을 실시하여, 화합물 7 10.1g을 얻었다. (수율 73%, MS[M+H]+ = 692)10.2 g (20 mmol) of Compound 2-A, 2- (3-chlorophenyl) -4,6-diphenyl-1,3,5-triazine 20 mmol, 80 mL of 1,4-dioxane and 40 mL of water were mixed and 60 ° C. Heated to. Potassium phosphate (60 mmol) and tetrakistriphenylphosphinepalladium (0.2 mmol) were added and the mixture was stirred for 3 hours in a reflux state. After the reaction, the organic layer was extracted from the reaction solution returned to room temperature, and then recrystallized twice from chloroform and hexane to give 10.1 g of
제조예 3-8: 화합물 8의 합성Preparation Example 3-8: Synthesis of
화합물 2-A 대신 화합물 2-B(20mmol)를 사용한 것을 제외하고는, 화합물 7의 합성 방법과 동일한 방법으로 화합물 8 10.4g을 얻었다. (수율 75%, MS[M+H]+ = 692)10.4 g of
제조예 3-9: 화합물 9의 합성Preparation Example 3-9: Synthesis of
화합물 2-C 10.2g(20mmol), 2-(4-클로로페닐)-4,6-다이페닐-1,3,5-트리아진 20mmol, 1,4-다이옥산 80mL 및 물 40mL를 혼합하고 60℃로 가열하였다. 포타슘포스페이트(60mmol) 및 테트라키스트라이페닐포스핀팔라듐(0.2mmol)을 첨가하여 리플럭스 상태로 3시간 교반하였다. 반응 후 실온으로 되돌린 반응 용액에서 유기층을 추출한 후, 클로로포름과 헥산으로 2회 재결정을 실시하여, 화합물 9 10g을 얻었다(수율 72%).Compound 2-C 10.2 g (20 mmol), 2- (4-chlorophenyl) -4,6-diphenyl-1,3,5-triazine 20 mmol, 80 mL of 1,4-dioxane and 40 mL of water were mixed and 60 ° C Heated to. Potassium phosphate (60 mmol) and tetrakistriphenylphosphinepalladium (0.2 mmol) were added and the mixture was stirred for 3 hours in a reflux state. After the reaction, the organic layer was extracted from the reaction solution returned to room temperature, and then recrystallized twice with chloroform and hexane to obtain 10 g of compound 9 (yield 72%).
MS[M+H]+ = 692MS [M + H] + = 692
제조예 3-10: 화합물 10의 합성Preparation Example 3-10: Synthesis of
화합물 2-A 대신 화합물 2-G(20mmol)를 사용한 것을 제외하고는, 화합물 1의 합성 방법과 동일한 방법으로 화합물 10 9.7g을 얻었다. (수율 77%, MS[M+H]+ = 632)9.7 g of
제조예 3-11: 화합물 11의 합성Preparation Example 3-11 Synthesis of
화합물 2-A 대신 화합물 2-H(20mmol)를 사용한 것을 제외하고는, 화합물 1의 합성 방법과 동일한 방법으로 화합물 11 9.5g을 얻었다. (수율 75%, MS[M+H]+ = 632)9.5 g of
제조예 3-12: 화합물 12의 합성Preparation Example 3-12 Synthesis of
화합물 2-A 대신 화합물 2-I(20mmol)를 사용한 것을 제외하고는, 화합물 1의 합성 방법과 동일한 방법으로 화합물 12 9.2g을 얻었다. (수율 73%, MS[M+H]+ = 632)9.2 g of
제조예 3-13: 화합물 13의 합성Preparation Example 3-13: Synthesis of Compound 13
화합물 2-A 대신 화합물 2-J(20mmol)를 사용한 것을 제외하고는, 화합물 1의 합성 방법과 동일한 방법으로 화합물 13 10.7g을 얻었다. (수율 76%, MS[M+H]+ = 708)10.7 g of Compound 13 was obtained by the same method as the synthesis method of
제조예 3-14: 화합물 14의 합성Preparation Example 3-14: Synthesis of Compound 14
화합물 2-A 대신 화합물 2-K(20mmol)를 사용한 것을 제외하고는, 화합물 1의 합성 방법과 동일한 방법으로 화합물 14 11.2g을 얻었다. (수율 79%, MS[M+H]+ = 708)11.2 g of Compound 14 was obtained by the same method as the synthesis method of
제조예 3-15: 화합물 15의 합성Preparation Example 3-15: Synthesis of Compound 15
화합물 2-A 대신 화합물 2-L(20mmol)을 사용한 것을 제외하고는, 화합물 1의 합성 방법과 동일한 방법으로 화합물 15 10.9g을 얻었다. (수율 77%, MS[M+H]+ = 708)10.9 g of Compound 15 was obtained by the same method as the synthesis method of
제조예 3-16: 화합물 16의 합성Preparation Example 3-16 Synthesis of Compound 16
화합물 2-A 대신 화합물 2-G(20mmol)을 사용한 것을 제외하고는, 화합물 7의 합성 방법과 동일한 방법으로 화합물 16 10.3g을 얻었다. (수율 73%, [M+H]+ = 708)Compound 10.3 g was obtained by the same method as the synthesis method of
제조예 3-17: 화합물 17의 합성Preparation Example 3-17: Synthesis of Compound 17
화합물 2-A 대신 화합물 2-H(20mmol)을 사용한 것을 제외하고는, 화합물 7의 합성 방법과 동일한 방법으로 화합물 17 10g을 얻었다. (수율 71%, MS[M+H]+ = 708)10 g of Compound 17 was obtained by the same method as the synthesis method of
제조예 3-18: 화합물 18의 합성Preparation Example 3-18 Synthesis of Compound 18
화합물 2-C 대신 화합물 2-I(20mmol)를 사용한 것을 제외하고는, 화합물 9의 합성 방법과 동일한 방법으로 화합물 18 10.3g을 얻었다. (수율 73%, MS[M+H]+ = 708)Compound 18 10.3 g was obtained by the same method as the synthesis method of
<실시예 1-1><Example 1-1>
ITO(indium tin oxide)가 100nm의 두께로 박막 코팅된 유리 기판을 세제를 녹인 증류수에 넣고 초음파로 세척하였다. 이 때, 세제로는 피셔사(Fischer Co.) 제품을 사용하였으며, 증류수로는 밀러포어사(Millipore Co.) 제품의 필터(Filter)로 2차로 걸러진 증류수를 사용하였다. ITO를 30분간 세척한 후 증류수로 2회 반복하여 초음파 세척을 10분간 진행하였다. 증류수 세척이 끝난 후, 이소프로필알콜, 아세톤 및 메탄올의 용제로 초음파 세척을 하고 건조시킨 후 플라즈마 세정기로 수송시켰다. 또한, 산소 플라즈마를 이용하여 상기 기판을 5분간 세정한 후 진공 증착기로 기판을 수송시켰다. 이렇게 준비된 ITO 투명 전극 위에 각 박막을 진공 증착법으로 진공도 5.0Х10-4㎩로 적층하였다. 먼저, ITO 상에 헥사니트릴 헥사아자트리페닐렌(hexanitrile hexaazatriphenylene; HAT-CN)을 50nm의 두께로 열 진공 증착하여 정공 주입층을 형성하였다.A glass substrate coated with a thin film of ITO (indium tin oxide) at a thickness of 100 nm was placed in distilled water in which detergent was dissolved and ultrasonically cleaned. At this time, Fischer Co. product was used as a detergent, and distilled water filtered secondly as a filter of Millipore Co. product was used as distilled water. After ITO was washed for 30 minutes, ultrasonic washing was performed twice with distilled water for 10 minutes. After completion of the distilled water washing, ultrasonic washing with a solvent of isopropyl alcohol, acetone and methanol, dried and transported to a plasma cleaner. In addition, the substrate was cleaned for 5 minutes using an oxygen plasma, and then the substrate was transferred to a vacuum evaporator. Each thin film was deposited on the ITO transparent electrode thus prepared at a vacuum degree of 5.0 Х10 −4 Pa by vacuum deposition. First, hexanitrile hexaazatriphenylene (HAT-CN) was thermally vacuum deposited to a thickness of 50 nm on ITO to form a hole injection layer.
상기 정공 주입층 위에 정공을 수송하는 물질인 4-4'-비스[N-(1-나프틸)-N-페닐아미노]비페닐(NPB) 를 진공 증착하여 정공 수송층(30nm)을 형성하였다.4-4'-bis [N- (1-naphthyl) -N-phenylamino] biphenyl (NPB), which is a material for transporting holes, was vacuum deposited on the hole injection layer to form a hole transport layer (30 nm).
상기 정공 수송층 위에 N-([1,1'-비스페닐]-4-yl)-N-(4-(11-([1,1'-비페닐]-4-yl)-11H-벤조[a]카바졸-5-yl)페닐)-[1,1'-비페닐]-4-아민(EB1)(10nm)를 진공 증착하여 정공 조절층을 형성하였다.N-([1,1'-bisphenyl] -4-yl) -N- (4- (11-([1,1'-biphenyl] -4-yl) -11H-benzo [on the hole transport layer a] carbazole-5-yl) phenyl)-[1,1'-biphenyl] -4-amine (EB1) (10 nm) was vacuum deposited to form a hole control layer.
이어서, 상기 정공 조절층 위에 화합물 1과 4CzIPN을 70:30의 중량비로 진공 증착하여 발광층(30nm)을 형성하였다. (화합물 4CzIPN의 ΔEST(일중항 에너지와 삼중항 에너지의 차이)는 0.2eV 미만이다.)Subsequently,
상기 발광층 위에 막 두께 10nm으로 화합물 HB1을 진공 증착하여 전자 조절층을 형성하였다.Compound HB1 was vacuum deposited to a thickness of 10 nm on the light emitting layer to form an electron control layer.
상기 전자 조절층 위에 화합물 ET1과 화합물 LiQ(Lithium Quinolate)를 1:1의 중량비로 진공 증착하여 30nm의 두께로 전자 주입 및 수송층을 형성하였다. 상기 전자 주입 및 수송층 위에 순차적으로 1.2nm 두께로 리튬플로라이드(LiF)와 200nm 두께로 알루미늄을 증착하여 음극을 형성하였다.Compound ET1 and compound LiQ (Lithium Quinolate) were vacuum deposited on the electron control layer in a weight ratio of 1: 1 to form an electron injection and transport layer at a thickness of 30 nm. Lithium fluoride (LiF) and aluminum at 200 nm thickness were sequentially deposited on the electron injection and transport layer to form a cathode.
상기의 과정에서 유기물의 증착속도는 0.04nm/sec 내지 0.07nm/sec, 리튬플로라이드의 증착속도는 0.03nm/sec, 알루미늄의 증착속도는 0.2nm/sec를 유지하였으며, 증착시 진공도는 2×10-7torr 내지 5×10-6torr를 유지하여, 유기 발광 소자를 제작하였다.In the above process, the deposition rate of organic material was 0.04 nm / sec to 0.07 nm / sec, the deposition rate of lithium fluoride was 0.03 nm / sec, and the deposition rate of aluminum was 0.2 nm / sec. The organic light emitting device was manufactured by maintaining 10 −7 torr to 5 × 10 −6 torr.
<실시예 1-2 내지 1-18><Examples 1-2 to 1-18>
상기 실시예 1-1에서 화합물 1 대신 하기 표 1의 화합물을 사용한 것을 제외하고는 실시예 1-1과 동일한 방법으로 유기 발광 소자를 제작하였다.An organic light-emitting device was manufactured in the same manner as in Example 1-1, except that
<비교예 1-1 내지 1-3><Comparative Examples 1-1 to 1-3>
상기 실시예 1-1에서 화합물 1 대신 하기 표 1의 화합물을 사용한 것을 제외하고는 실시예 1-1과 동일한 방법으로 유기 발광 소자를 제작하였다.An organic light-emitting device was manufactured in the same manner as in Example 1-1, except that
실험예 1-1 내지 1-18 및 비교예 1-1 내지 1-3에 의해 제작된 유기 발광 소자에 전류를 인가하여, 하기 표 1의 결과를 얻었다. 표 1에서 색좌표는 10mA/cm2의 전류밀도 하에서 측정한 CIE 색좌표를 의미한다.A current was applied to the organic light emitting diodes produced by Experimental Examples 1-1 to 1-18 and Comparative Examples 1-1 to 1-3, to obtain the results shown in Table 1 below. In Table 1, color coordinates refer to CIE color coordinates measured at a current density of 10 mA / cm 2 .
상기 표 1에서 보는 바와 같이, 화학식 1의 화합물을 사용한 실시예 1-1 내지 1-18의 소자 모두 화합물 m-CBP의 물질을 사용한 비교예 1-1의 소자보다 전압이 낮아지고, 효율이 향상된 결과를 얻었다.As shown in Table 1, the devices of Examples 1-1 to 1-18 using the compound of
또한, 본원 화학식 1의 화합물을 사용한 소자를 비교예 1-2 및 1-3 소자와 비교해보면, 본 발명의 화학식 1에서 m1+m2=1인 화합물이 m1+m2=0 또는 m1+m2=2인 화합물에 비하여 소자의 전압 및 효율 특성이 모두 우수한 것을 확인할 수 있다.In addition, when comparing the device using the compound of
본 발명에 따른 화학식 1의 화합물은 전자 및 정공을 도판트로 전달하는 능력이 우수하고 지연형광 유기 발광 소자에 적용 가능함을 확인할 수 있었다.Compound of
<실시예 2-1><Example 2-1>
제1 호스트; 본 명세서의 일 실시상태에 따른 화학식 1의 화합물인 제2 호스트; 및 인광 특성을 갖는 화합물 GD-1으로 발광층을 구성하여 유기 발광 소자를 제조하였다.A first host; A second host which is a compound of
ITO(indium tin oxide)가 130nm의 두께로 박막 코팅된 유리 기판을 세제를 녹인 증류수에 넣고 초음파로 세척하였다. 이때, 세제로는 피셔사(Fischer Co.) 제품을 사용하였으며, 증류수로는 밀리포어사(Millipore Co.) 제품의 필터(Filter)로 2차로 걸러진 증류수를 사용하였다. ITO를 30분간 세척한 후 증류수로 2회 반복하여 초음파 세척을 10분간 진행하였다. 증류수 세척이 끝난 후, 이소프로필알콜, 아세톤, 메탄올의 용제로 초음파 세척을 하고 건조시킨 후 플라즈마 세정기로 수송시켰다. 또한, 산소 플라즈마를 이용하여 상기 기판을 5분간 세정한 후 진공 증착기로 기판을 수송시켰다.A glass substrate coated with a thickness of 130 nm of ITO (indium tin oxide) was placed in distilled water in which detergent was dissolved, and ultrasonically cleaned. In this case, Fischer Co. was used as a detergent, and distilled water was filtered secondly as a filter of Millipore Co. as a distilled water. After ITO was washed for 30 minutes, ultrasonic washing was performed twice with distilled water for 10 minutes. After washing the distilled water, ultrasonic washing with a solvent of isopropyl alcohol, acetone, methanol, dried and transported to a plasma cleaner. In addition, the substrate was cleaned for 5 minutes using an oxygen plasma, and then the substrate was transferred to a vacuum evaporator.
상기와 같이 준비된 ITO 투명 전극 위에 화합물 HAT-CN을 5nm의 두께로 열 진공 증착하여 정공 주입층을 형성하였다. 상기 정공 주입층 위에 화합물 NPB를 80nm의 두께로 열 진공 증착하여 제1 정공 수송층을 형성하고, 순차적으로 화합물 HT-3를 50nm 두께로 진공 증착하여 제2 정공 수송층을 형성하였다.Compound HAT-CN was thermally vacuum deposited to a thickness of 5 nm on the prepared ITO transparent electrode to form a hole injection layer. Compound NPB was thermally vacuum deposited to a thickness of 80 nm on the hole injection layer to form a first hole transport layer, and compound HT-3 was sequentially vacuum deposited to a thickness of 50 nm to form a second hole transport layer.
이어서, 상기 제2 정공 수송층 위에 화합물 GH-1, 화합물 1 및 인광 도판트인 화합물 GD-1을 47.5:47.5:5의 중량비로 진공 증착하여 40nm 두께의 발광층을 형성하였다.Subsequently, Compound GH-1,
상기 발광층 위에 화합물 ET-3를 5nm의 두께로 진공 증착하여 전자 조절층을 형성하고, 상기 전자 조절층 위에 화합물 ET-4 및 LiQ를 1:1의 중량비로 진공 증착하여 25nm의 전자 주입 및 수송층을 형성하였다. 상기 전자 주입 및 수송층 위에 순차적으로 1nm 두께의 리튬플루오라이드(LiF)를 증착하고, 이 위에 100nm 두께로 알루미늄을 증착하여 음극을 형성하였다.Vacuum depositing the compound ET-3 to a thickness of 5nm on the emission layer to form an electron control layer, and vacuum injection of the compound ET-4 and LiQ in a weight ratio of 1: 1 on the electron control layer to form an electron injection and transport layer of 25nm Formed. Lithium fluoride (LiF) having a thickness of 1 nm was sequentially deposited on the electron injection and transport layer, and aluminum was deposited at a thickness of 100 nm thereon to form a cathode.
상기의 과정에서 유기물의 증착속도는 0.04nm/sec 내지 0.07nm/sec, 리튬플루오라이드의 증착속도는 0.03nm/sec, 알루미늄의 증착속도는 0.2nm/sec를 유지하였으며, 증착시 진공도는 1×10-7torr 내지 5×10-6torr를 유지하였다.In the above process, the deposition rate of organic material was 0.04 nm / sec to 0.07 nm / sec, the deposition rate of lithium fluoride was 0.03 nm / sec, and the deposition rate of aluminum was 0.2 nm / sec. 10 −7 torr and 5 × 10 −6 torr were maintained.
<실시예 2-2 내지 2-18><Examples 2-2 to 2-18>
상기 실시예 2-1에서 화합물 1 대신 하기 표 2의 화합물을 사용한 것을 제외하고는 실시예 2-1과 동일한 방법으로 유기 발광 소자를 제작하였다.An organic light emitting diode was manufactured according to the same method as Example 2-1 except for using the compound of Table 2 instead of
<비교예 2-1 내지 2-3><Comparative Example 2-1 to 2-3>
상기 실시예 2-1에서 화합물 1 대신 하기 화합물 GH-2 내지 GH-4를 사용한 것을 제외하고는 실시예 2-1과 동일한 방법으로 유기 발광 소자를 제작하였다.An organic light emitting diode was manufactured according to the same method as Example 2-1 except for using the following Compounds GH-2 to GH-4 instead of
실시예 2-1 내지 2-18 및 비교예 2-1 내지 2-3에 의해 제작된 유기 발광 소자에 전류를 인가하여, 하기 표 2의 결과를 얻었다. 표 2에서 색좌표는 10mA/cm2의 전류밀도 하에서 측정한 CIE 색좌표를 의미한다.Currents were applied to the organic light emitting diodes produced in Examples 2-1 to 2-18 and Comparative Examples 2-1 to 2-3, to obtain the results shown in Table 2 below. In Table 2, color coordinates refer to CIE color coordinates measured under a current density of 10 mA / cm 2 .
상기 표 2에서 보는 바와 같이, 화학식 1의 화합물을 사용한 실시예 2-1 내지 2-18의 소자 모두 화합물 GH-2의 물질을 사용한 비교예 2-1의 소자보다 전압이 낮아지고, 효율이 향상된 결과를 얻었다.As shown in Table 2, the device of Examples 2-1 to 2-18 using the compound of
또한, 본원 화학식 1의 화합물을 사용한 소자를 비교예 2-2 및 2-3 소자와 비교해보면, 본 발명의 화학식 1에서 m1+m2=1인 화합물이 m1+m2=0 또는 m1+m2=2인 화합물에 비하여 소자의 전압 및 효율 특성이 모두 우수한 것을 확인할 수 있다.In addition, when comparing the device using the compound of
본 발명에 따른 화학식 1의 화합물은 전자 및 정공을 도판트로 전달하는 능력이 우수하고 녹색 인광 유기 발광 소자에 적용 가능함을 확인할 수 있었다.The compound of
이상을 통해 본 발명의 바람직한 실시예에 대하여 설명하였지만, 본 발명은 이에 한정되는 것이 아니고 특허 청구 범위와 발명의 상세한 설명의 범위 안에서 여러 가지로 변형하여 실시하는 것이 가능하고 이 또한 발명의 범주에 속한다.Although the preferred embodiment of the present invention has been described above, the present invention is not limited thereto, and various modifications and changes can be made within the scope of the claims and the detailed description of the invention, which also belong to the scope of the invention. .
Claims (15)
Priority Applications (1)
| Application Number | Priority Date | Filing Date | Title |
|---|---|---|---|
| CN201980008220.XA CN111601800B (en) | 2018-05-31 | 2019-05-31 | Compound and organic light emitting device comprising the same |
Applications Claiming Priority (2)
| Application Number | Priority Date | Filing Date | Title |
|---|---|---|---|
| KR20180062377 | 2018-05-31 | ||
| KR10-2018-0062377 | 2018-05-31 |
Publications (1)
| Publication Number | Publication Date |
|---|---|
| WO2019231272A1 true WO2019231272A1 (en) | 2019-12-05 |
Family
ID=68698352
Family Applications (1)
| Application Number | Title | Priority Date | Filing Date |
|---|---|---|---|
| PCT/KR2019/006555 Ceased WO2019231272A1 (en) | 2018-05-31 | 2019-05-31 | Compound and organic light emitting device comprising same |
Country Status (3)
| Country | Link |
|---|---|
| KR (1) | KR102201559B1 (en) |
| CN (1) | CN111601800B (en) |
| WO (1) | WO2019231272A1 (en) |
Cited By (3)
| Publication number | Priority date | Publication date | Assignee | Title |
|---|---|---|---|---|
| CN113968847A (en) * | 2020-07-24 | 2022-01-25 | 罗门哈斯电子材料韩国有限公司 | Organic electroluminescent compounds, various host materials and organic electroluminescent device comprising the same |
| US20220029104A1 (en) * | 2018-12-06 | 2022-01-27 | Duk San Neolux Co., Ltd. | Compound for organic electronic element, organic electronic element using the same, and an electronic device thereof |
| CN115210228A (en) * | 2020-05-13 | 2022-10-18 | 株式会社Lg化学 | Novel compound and organic light emitting device including the same |
Families Citing this family (3)
| Publication number | Priority date | Publication date | Assignee | Title |
|---|---|---|---|---|
| KR102721591B1 (en) | 2018-12-07 | 2024-10-25 | 덕산네오룩스 주식회사 | Compound for organic electronic element, organic electronic element using the same, and an electronic device thereof |
| KR102479342B1 (en) * | 2020-05-13 | 2022-12-20 | 주식회사 엘지화학 | Novel compound and organic light emitting device comprising the same |
| CN112159397B (en) * | 2020-10-20 | 2022-03-08 | 吉林奥来德光电材料股份有限公司 | Electron transport material containing furan structure and preparation method and application thereof |
Citations (5)
| Publication number | Priority date | Publication date | Assignee | Title |
|---|---|---|---|---|
| KR20150083385A (en) * | 2014-01-09 | 2015-07-17 | 제일모직주식회사 | Organic compound and organic optoelectric device and display device |
| KR20150088176A (en) * | 2014-01-23 | 2015-07-31 | 유니버셜 디스플레이 코포레이션 | Organic materials for oleds |
| KR20150126756A (en) * | 2014-05-02 | 2015-11-13 | 삼성디스플레이 주식회사 | Organic light emitting device |
| KR20160028524A (en) * | 2014-05-05 | 2016-03-11 | 메르크 파텐트 게엠베하 | Materials for organic light emitting devices |
| KR20170102000A (en) * | 2015-02-13 | 2017-09-06 | 코니카 미놀타 가부시키가이샤 | Aromatic heterocyclic derivatives, organic electroluminescent devices using the same, lighting devices and display devices |
Family Cites Families (2)
| Publication number | Priority date | Publication date | Assignee | Title |
|---|---|---|---|---|
| KR101096981B1 (en) | 2008-09-22 | 2011-12-20 | 주식회사 엘지화학 | New Condensed Ring Compounds and Organic Electronic Devices Using The Same |
| CN108003365B (en) * | 2017-11-28 | 2019-03-22 | 广州华睿光电材料有限公司 | Organic compound film and its application in organic electronic device |
-
2019
- 2019-05-30 KR KR1020190064059A patent/KR102201559B1/en active Active
- 2019-05-31 WO PCT/KR2019/006555 patent/WO2019231272A1/en not_active Ceased
- 2019-05-31 CN CN201980008220.XA patent/CN111601800B/en active Active
Patent Citations (5)
| Publication number | Priority date | Publication date | Assignee | Title |
|---|---|---|---|---|
| KR20150083385A (en) * | 2014-01-09 | 2015-07-17 | 제일모직주식회사 | Organic compound and organic optoelectric device and display device |
| KR20150088176A (en) * | 2014-01-23 | 2015-07-31 | 유니버셜 디스플레이 코포레이션 | Organic materials for oleds |
| KR20150126756A (en) * | 2014-05-02 | 2015-11-13 | 삼성디스플레이 주식회사 | Organic light emitting device |
| KR20160028524A (en) * | 2014-05-05 | 2016-03-11 | 메르크 파텐트 게엠베하 | Materials for organic light emitting devices |
| KR20170102000A (en) * | 2015-02-13 | 2017-09-06 | 코니카 미놀타 가부시키가이샤 | Aromatic heterocyclic derivatives, organic electroluminescent devices using the same, lighting devices and display devices |
Cited By (5)
| Publication number | Priority date | Publication date | Assignee | Title |
|---|---|---|---|---|
| US20220029104A1 (en) * | 2018-12-06 | 2022-01-27 | Duk San Neolux Co., Ltd. | Compound for organic electronic element, organic electronic element using the same, and an electronic device thereof |
| CN115210228A (en) * | 2020-05-13 | 2022-10-18 | 株式会社Lg化学 | Novel compound and organic light emitting device including the same |
| CN113968847A (en) * | 2020-07-24 | 2022-01-25 | 罗门哈斯电子材料韩国有限公司 | Organic electroluminescent compounds, various host materials and organic electroluminescent device comprising the same |
| US12258352B2 (en) | 2020-07-24 | 2025-03-25 | Dupont Specialty Materials Korea Ltd. | Organic electroluminescent compound, a plurality of host materials and organic electroluminescent device comprising the same |
| CN113968847B (en) * | 2020-07-24 | 2025-04-11 | 杜邦特种材料韩国有限公司 | Organic electroluminescent compound, multiple host materials and organic electroluminescent device containing the same |
Also Published As
| Publication number | Publication date |
|---|---|
| KR20190137006A (en) | 2019-12-10 |
| CN111601800A (en) | 2020-08-28 |
| CN111601800B (en) | 2024-01-09 |
| KR102201559B1 (en) | 2021-01-12 |
Similar Documents
| Publication | Publication Date | Title |
|---|---|---|
| WO2019225938A1 (en) | Compound and organic light emitting diode comprising same | |
| WO2017074052A1 (en) | Organic light-emitting device | |
| WO2014208829A1 (en) | Hetero ring compound and organic light emitting diode comprising same | |
| WO2011081423A2 (en) | Triphenylene compound and organic electroluminescence device including the same | |
| WO2020050619A1 (en) | Polycyclic compound and organic light-emitting device including same | |
| WO2023282676A1 (en) | Compound and organic light-emitting device comprising same | |
| WO2015046835A1 (en) | Heterocyclic compound and organic light-emtting element including same | |
| WO2020009518A1 (en) | Polycyclic compound and organic light emitting diode comprising same | |
| WO2019231272A1 (en) | Compound and organic light emitting device comprising same | |
| WO2018231013A1 (en) | Anthracene derivative and organic light-emitting device comprising same | |
| WO2017018795A2 (en) | Heterocyclic compound and organic light emitting diode using same | |
| WO2019078701A1 (en) | Novel compound and organic light-emitting device comprising same | |
| WO2020085765A1 (en) | Polycyclic compound and organic light-emitting element comprising same | |
| WO2017086713A1 (en) | Compound and organic electronic element comprising same | |
| WO2020256480A1 (en) | Organic light-emitting device | |
| WO2021150048A1 (en) | Organic light-emitting device | |
| WO2019172647A1 (en) | Heterocyclic compound and organic light emitting device comprising same | |
| WO2023132490A1 (en) | Compound and organic light-emitting device comprising same | |
| WO2019209037A1 (en) | Compound and organic light emitting device comprising same | |
| WO2018004315A2 (en) | Compound and organic electronic element comprising same | |
| WO2024014866A1 (en) | Organic compound and organic electroluminescent device using same | |
| WO2020218680A1 (en) | Organic compound and organic electroluminescent diode using same | |
| WO2024005428A1 (en) | Compound and organic light-emitting device comprising same | |
| WO2018231015A1 (en) | Anthracene derivative and organic light-emitting device comprising same | |
| WO2020235976A1 (en) | Novel compound and organic light emitting device using same |
Legal Events
| Date | Code | Title | Description |
|---|---|---|---|
| 121 | Ep: the epo has been informed by wipo that ep was designated in this application |
Ref document number: 19811109 Country of ref document: EP Kind code of ref document: A1 |
|
| NENP | Non-entry into the national phase |
Ref country code: DE |
|
| 122 | Ep: pct application non-entry in european phase |
Ref document number: 19811109 Country of ref document: EP Kind code of ref document: A1 |
















































































































