WO2019172647A1 - Heterocyclic compound and organic light emitting device comprising same - Google Patents
Heterocyclic compound and organic light emitting device comprising same Download PDFInfo
- Publication number
- WO2019172647A1 WO2019172647A1 PCT/KR2019/002600 KR2019002600W WO2019172647A1 WO 2019172647 A1 WO2019172647 A1 WO 2019172647A1 KR 2019002600 W KR2019002600 W KR 2019002600W WO 2019172647 A1 WO2019172647 A1 WO 2019172647A1
- Authority
- WO
- WIPO (PCT)
- Prior art keywords
- group
- substituted
- unsubstituted
- same
- different
- Prior art date
- Legal status (The legal status is an assumption and is not a legal conclusion. Google has not performed a legal analysis and makes no representation as to the accuracy of the status listed.)
- Ceased
Links
- 0 *c1c(*)c(-c2c(*3)cccc2)c3c2c1-c1ccccc1*2 Chemical compound *c1c(*)c(-c2c(*3)cccc2)c3c2c1-c1ccccc1*2 0.000 description 3
Images
Classifications
-
- C—CHEMISTRY; METALLURGY
- C07—ORGANIC CHEMISTRY
- C07D—HETEROCYCLIC COMPOUNDS
- C07D487/00—Heterocyclic compounds containing nitrogen atoms as the only ring hetero atoms in the condensed system, not provided for by groups C07D451/00 - C07D477/00
- C07D487/02—Heterocyclic compounds containing nitrogen atoms as the only ring hetero atoms in the condensed system, not provided for by groups C07D451/00 - C07D477/00 in which the condensed system contains two hetero rings
- C07D487/04—Ortho-condensed systems
-
- C—CHEMISTRY; METALLURGY
- C07—ORGANIC CHEMISTRY
- C07D—HETEROCYCLIC COMPOUNDS
- C07D491/00—Heterocyclic compounds containing in the condensed ring system both one or more rings having oxygen atoms as the only ring hetero atoms and one or more rings having nitrogen atoms as the only ring hetero atoms, not provided for by groups C07D451/00 - C07D459/00, C07D463/00, C07D477/00 or C07D489/00
- C07D491/02—Heterocyclic compounds containing in the condensed ring system both one or more rings having oxygen atoms as the only ring hetero atoms and one or more rings having nitrogen atoms as the only ring hetero atoms, not provided for by groups C07D451/00 - C07D459/00, C07D463/00, C07D477/00 or C07D489/00 in which the condensed system contains two hetero rings
- C07D491/04—Ortho-condensed systems
- C07D491/044—Ortho-condensed systems with only one oxygen atom as ring hetero atom in the oxygen-containing ring
- C07D491/048—Ortho-condensed systems with only one oxygen atom as ring hetero atom in the oxygen-containing ring the oxygen-containing ring being five-membered
-
- C—CHEMISTRY; METALLURGY
- C07—ORGANIC CHEMISTRY
- C07D—HETEROCYCLIC COMPOUNDS
- C07D491/00—Heterocyclic compounds containing in the condensed ring system both one or more rings having oxygen atoms as the only ring hetero atoms and one or more rings having nitrogen atoms as the only ring hetero atoms, not provided for by groups C07D451/00 - C07D459/00, C07D463/00, C07D477/00 or C07D489/00
- C07D491/22—Heterocyclic compounds containing in the condensed ring system both one or more rings having oxygen atoms as the only ring hetero atoms and one or more rings having nitrogen atoms as the only ring hetero atoms, not provided for by groups C07D451/00 - C07D459/00, C07D463/00, C07D477/00 or C07D489/00 in which the condensed system contains four or more hetero rings
-
- C—CHEMISTRY; METALLURGY
- C07—ORGANIC CHEMISTRY
- C07D—HETEROCYCLIC COMPOUNDS
- C07D493/00—Heterocyclic compounds containing oxygen atoms as the only ring hetero atoms in the condensed system
- C07D493/02—Heterocyclic compounds containing oxygen atoms as the only ring hetero atoms in the condensed system in which the condensed system contains two hetero rings
- C07D493/04—Ortho-condensed systems
-
- C—CHEMISTRY; METALLURGY
- C07—ORGANIC CHEMISTRY
- C07D—HETEROCYCLIC COMPOUNDS
- C07D495/00—Heterocyclic compounds containing in the condensed system at least one hetero ring having sulfur atoms as the only ring hetero atoms
- C07D495/02—Heterocyclic compounds containing in the condensed system at least one hetero ring having sulfur atoms as the only ring hetero atoms in which the condensed system contains two hetero rings
- C07D495/04—Ortho-condensed systems
-
- C—CHEMISTRY; METALLURGY
- C07—ORGANIC CHEMISTRY
- C07F—ACYCLIC, CARBOCYCLIC OR HETEROCYCLIC COMPOUNDS CONTAINING ELEMENTS OTHER THAN CARBON, HYDROGEN, HALOGEN, OXYGEN, NITROGEN, SULFUR, SELENIUM OR TELLURIUM
- C07F7/00—Compounds containing elements of Groups 4 or 14 of the Periodic Table
- C07F7/02—Silicon compounds
- C07F7/08—Compounds having one or more C—Si linkages
- C07F7/0803—Compounds with Si-C or Si-Si linkages
- C07F7/081—Compounds with Si-C or Si-Si linkages comprising at least one atom selected from the elements N, O, halogen, S, Se or Te
- C07F7/0812—Compounds with Si-C or Si-Si linkages comprising at least one atom selected from the elements N, O, halogen, S, Se or Te comprising a heterocyclic ring
-
- C—CHEMISTRY; METALLURGY
- C09—DYES; PAINTS; POLISHES; NATURAL RESINS; ADHESIVES; COMPOSITIONS NOT OTHERWISE PROVIDED FOR; APPLICATIONS OF MATERIALS NOT OTHERWISE PROVIDED FOR
- C09K—MATERIALS FOR MISCELLANEOUS APPLICATIONS, NOT PROVIDED FOR ELSEWHERE
- C09K11/00—Luminescent, e.g. electroluminescent, chemiluminescent materials
- C09K11/06—Luminescent, e.g. electroluminescent, chemiluminescent materials containing organic luminescent materials
-
- H—ELECTRICITY
- H10—SEMICONDUCTOR DEVICES; ELECTRIC SOLID-STATE DEVICES NOT OTHERWISE PROVIDED FOR
- H10K—ORGANIC ELECTRIC SOLID-STATE DEVICES
- H10K50/00—Organic light-emitting devices
- H10K50/10—OLEDs or polymer light-emitting diodes [PLED]
- H10K50/11—OLEDs or polymer light-emitting diodes [PLED] characterised by the electroluminescent [EL] layers
- H10K50/12—OLEDs or polymer light-emitting diodes [PLED] characterised by the electroluminescent [EL] layers comprising dopants
-
- H—ELECTRICITY
- H10—SEMICONDUCTOR DEVICES; ELECTRIC SOLID-STATE DEVICES NOT OTHERWISE PROVIDED FOR
- H10K—ORGANIC ELECTRIC SOLID-STATE DEVICES
- H10K85/00—Organic materials used in the body or electrodes of devices covered by this subclass
- H10K85/40—Organosilicon compounds, e.g. TIPS pentacene
-
- H—ELECTRICITY
- H10—SEMICONDUCTOR DEVICES; ELECTRIC SOLID-STATE DEVICES NOT OTHERWISE PROVIDED FOR
- H10K—ORGANIC ELECTRIC SOLID-STATE DEVICES
- H10K85/00—Organic materials used in the body or electrodes of devices covered by this subclass
- H10K85/60—Organic compounds having low molecular weight
- H10K85/615—Polycyclic condensed aromatic hydrocarbons, e.g. anthracene
-
- H—ELECTRICITY
- H10—SEMICONDUCTOR DEVICES; ELECTRIC SOLID-STATE DEVICES NOT OTHERWISE PROVIDED FOR
- H10K—ORGANIC ELECTRIC SOLID-STATE DEVICES
- H10K85/00—Organic materials used in the body or electrodes of devices covered by this subclass
- H10K85/60—Organic compounds having low molecular weight
- H10K85/615—Polycyclic condensed aromatic hydrocarbons, e.g. anthracene
- H10K85/622—Polycyclic condensed aromatic hydrocarbons, e.g. anthracene containing four rings, e.g. pyrene
-
- H—ELECTRICITY
- H10—SEMICONDUCTOR DEVICES; ELECTRIC SOLID-STATE DEVICES NOT OTHERWISE PROVIDED FOR
- H10K—ORGANIC ELECTRIC SOLID-STATE DEVICES
- H10K85/00—Organic materials used in the body or electrodes of devices covered by this subclass
- H10K85/60—Organic compounds having low molecular weight
- H10K85/631—Amine compounds having at least two aryl rest on at least one amine-nitrogen atom, e.g. triphenylamine
- H10K85/636—Amine compounds having at least two aryl rest on at least one amine-nitrogen atom, e.g. triphenylamine comprising heteroaromatic hydrocarbons as substituents on the nitrogen atom
-
- H—ELECTRICITY
- H10—SEMICONDUCTOR DEVICES; ELECTRIC SOLID-STATE DEVICES NOT OTHERWISE PROVIDED FOR
- H10K—ORGANIC ELECTRIC SOLID-STATE DEVICES
- H10K85/00—Organic materials used in the body or electrodes of devices covered by this subclass
- H10K85/60—Organic compounds having low molecular weight
- H10K85/649—Aromatic compounds comprising a hetero atom
- H10K85/654—Aromatic compounds comprising a hetero atom comprising only nitrogen as heteroatom
-
- H—ELECTRICITY
- H10—SEMICONDUCTOR DEVICES; ELECTRIC SOLID-STATE DEVICES NOT OTHERWISE PROVIDED FOR
- H10K—ORGANIC ELECTRIC SOLID-STATE DEVICES
- H10K85/00—Organic materials used in the body or electrodes of devices covered by this subclass
- H10K85/60—Organic compounds having low molecular weight
- H10K85/649—Aromatic compounds comprising a hetero atom
- H10K85/657—Polycyclic condensed heteroaromatic hydrocarbons
- H10K85/6572—Polycyclic condensed heteroaromatic hydrocarbons comprising only nitrogen in the heteroaromatic polycondensed ring system, e.g. phenanthroline or carbazole
-
- H—ELECTRICITY
- H10—SEMICONDUCTOR DEVICES; ELECTRIC SOLID-STATE DEVICES NOT OTHERWISE PROVIDED FOR
- H10K—ORGANIC ELECTRIC SOLID-STATE DEVICES
- H10K85/00—Organic materials used in the body or electrodes of devices covered by this subclass
- H10K85/60—Organic compounds having low molecular weight
- H10K85/649—Aromatic compounds comprising a hetero atom
- H10K85/657—Polycyclic condensed heteroaromatic hydrocarbons
- H10K85/6574—Polycyclic condensed heteroaromatic hydrocarbons comprising only oxygen in the heteroaromatic polycondensed ring system, e.g. cumarine dyes
-
- H—ELECTRICITY
- H10—SEMICONDUCTOR DEVICES; ELECTRIC SOLID-STATE DEVICES NOT OTHERWISE PROVIDED FOR
- H10K—ORGANIC ELECTRIC SOLID-STATE DEVICES
- H10K85/00—Organic materials used in the body or electrodes of devices covered by this subclass
- H10K85/60—Organic compounds having low molecular weight
- H10K85/649—Aromatic compounds comprising a hetero atom
- H10K85/657—Polycyclic condensed heteroaromatic hydrocarbons
- H10K85/6576—Polycyclic condensed heteroaromatic hydrocarbons comprising only sulfur in the heteroaromatic polycondensed ring system, e.g. benzothiophene
-
- H—ELECTRICITY
- H10—SEMICONDUCTOR DEVICES; ELECTRIC SOLID-STATE DEVICES NOT OTHERWISE PROVIDED FOR
- H10K—ORGANIC ELECTRIC SOLID-STATE DEVICES
- H10K50/00—Organic light-emitting devices
- H10K50/10—OLEDs or polymer light-emitting diodes [PLED]
- H10K50/11—OLEDs or polymer light-emitting diodes [PLED] characterised by the electroluminescent [EL] layers
Definitions
- the present specification relates to a compound and an organic light emitting device including the same.
- an organic light emitting device is a light emitting device using an organic semiconductor material, and requires an exchange of holes and / or electrons between an electrode and the organic semiconductor material.
- the organic light emitting device can be classified into two types according to the operation principle. First, an exciton is formed in the organic layer by photons introduced into the device from an external light source, and the exciton is separated into electrons and holes, and these electrons and holes are transferred to different electrodes to be used as current sources (voltage sources). It is a light emitting element of the form.
- the second is a light emitting device in which holes and / or electrons are injected into the organic semiconductor material layer that interfaces with the electrodes by applying voltage or current to two or more electrodes, and is operated by the injected electrons and holes.
- organic light emitting phenomenon refers to a phenomenon of converting electrical energy into light energy using an organic material.
- An organic light emitting device using an organic light emitting phenomenon usually has a structure including an anode, a cathode, and an organic material layer therebetween.
- the organic material layer is often made of a multi-layered structure composed of different materials to increase the efficiency and stability of the organic light emitting device, for example, it may be made of a hole injection layer, a hole transport layer, a light emitting layer, an electron transport layer, an electron injection layer.
- organic light emitting devices When the voltage is applied between the two electrodes in the structure of the organic light emitting device, holes are injected into the organic material layer at the anode and electrons are injected into the organic material layer, and excitons are formed when the injected holes and the electrons meet each other. When it falls back to the ground, it glows.
- organic light emitting devices are known to have characteristics such as self-luminous, high brightness, high efficiency, low driving voltage, wide viewing angle, and high contrast.
- Materials used as the organic material layer in the organic light emitting device may be classified into light emitting materials and charge transport materials such as hole injection materials, hole transport materials, electron transport materials, electron injection materials and the like depending on their functions.
- the luminescent material includes blue, green, and red luminescent materials and yellow and orange luminescent materials necessary to realize better natural colors depending on the emission color.
- a host / dopant system may be used as the light emitting material in order to increase the light emission efficiency through increase in color purity and energy transfer.
- the principle is that when a small amount of dopant having a smaller energy band gap and excellent luminous efficiency than the host mainly constituting the light emitting layer is mixed in the light emitting layer, excitons generated in the host are transported to the dopant to give high efficiency light.
- the wavelength of the host shifts to the wavelength of the dopant, light having a desired wavelength can be obtained according to the type of dopant to be used.
- a material forming the organic material layer in the device such as a hole injection material, a hole transport material, a light emitting material, an electron transport material, an electron injection material, etc., is supported by a stable and efficient material.
- a hole injection material such as a hole injection material, a hole transport material, a light emitting material, an electron transport material, an electron injection material, etc.
- the present specification describes a polycyclic compound and an organic light emitting device including the same.
- An exemplary embodiment of the present specification provides a compound represented by the following formula (1).
- A is a substituted or unsubstituted benzene ring
- X 1 and X 2 are the same as or different from each other, and are each independently O, S, or N (Ra),
- Ra, R 1 and R 2 are the same as or different from each other, and each independently hydrogen; heavy hydrogen; Halogen group; Cyano group; Silyl groups; Boron group; Substituted or unsubstituted alkyl group; Substituted or unsubstituted alkenyl group; A substituted or unsubstituted cycloalkyl group; Substituted or unsubstituted aryl group; Or a substituted or unsubstituted heteroaryl group,
- B 1 to B 8 are the same as or different from each other, and each independently N, C (Rb) or C (Rb '),
- Rb is hydrogen; heavy hydrogen; Halogen group; Cyano group; Silyl groups; Boron group; Substituted or unsubstituted alkyl group; A substituted or unsubstituted cycloalkyl group; Substituted or unsubstituted aryl group; Or a substituted or unsubstituted heteroaryl group,
- Rb ' is a substituted or unsubstituted amine group; Or a heterocyclic group containing one or more substituted or unsubstituted N,
- At least one of B 1 to B 4 is C (Rb '), at least one of B 5 to B 8 is C (Rb'),
- n1 is an integer of 0 to 2, when n1 is 2, R1 is the same as or different from each other,
- n2 is an integer of 0 to 2, and when n2 is 2, R2 is the same as or different from each other.
- the present invention is a first electrode; A second electrode provided to face the first electrode; And an organic light emitting device comprising at least one organic material layer provided between the first electrode and the second electrode, wherein at least one of the organic material layers includes the compound described above.
- the compound described herein can be used as the material of the organic material layer of the organic light emitting device.
- an organic light emitting device including the compound according to at least one embodiment it is possible to obtain an organic light emitting device having a high efficiency and a long life, when the compound of the present invention is included in the light emitting layer of the organic light emitting device, high color reproducibility It is possible to manufacture an organic light emitting device having a.
- FIG. 1 shows an example of an organic light emitting element composed of a substrate 1, an anode 2, a light emitting layer 3, and a cathode 4.
- FIG. 2 shows an example of an organic light emitting element consisting of a substrate 1, an anode 2, a hole injection layer 5, a hole transport layer 6, a light emitting layer 7, an electron transport layer 8 and a cathode 4 It is.
- FIG. 3 is a diagram showing an MS graph of Compound BD-A.
- FIG. 5 is a diagram showing an MS graph of Compound BD-C.
- FIG. 6 is a diagram showing an MS graph of Compound BD-D.
- FIG. 7 is a diagram showing an MS graph of Compound BD-E.
- the present specification provides a compound represented by the following Formula 1.
- the compound represented by the following formula (1) is used in the organic material layer of the organic light emitting device, the efficiency, color reproducibility and lifespan characteristics of the organic light emitting device are always.
- A is a substituted or unsubstituted benzene ring
- X 1 and X 2 are the same as or different from each other, and are each independently O, S, or N (Ra),
- Ra, R 1 and R 2 are the same as or different from each other, and each independently hydrogen; heavy hydrogen; Halogen group; Cyano group; Silyl groups; Boron group; Substituted or unsubstituted alkyl group; A substituted or unsubstituted cycloalkyl group; Substituted or unsubstituted aryl group; Or a substituted or unsubstituted heteroaryl group,
- B 1 to B 8 are the same as or different from each other, and each independently N, C (Rb) or C (Rb '),
- Rb is hydrogen; heavy hydrogen; Halogen group; Cyano group; Silyl groups; Boron group; Substituted or unsubstituted alkyl group; A substituted or unsubstituted cycloalkyl group; Substituted or unsubstituted aryl group; Or a substituted or unsubstituted heteroaryl group,
- Rb ' is a substituted or unsubstituted amine group; Or a heterocyclic group containing one or more substituted or unsubstituted N,
- At least one of B 1 to B 4 is C (Rb '), at least one of B 5 to B 8 is C (Rb'),
- n1 is an integer of 0 to 2, when n1 is 2, R1 is the same as or different from each other,
- n2 is an integer of 0 to 2, and when n2 is 2, R2 is the same as or different from each other.
- substituted means that a hydrogen atom bonded to a carbon atom of the compound is replaced with another substituent, and the position to be substituted is not limited to a position where the hydrogen atom is replaced, that is, a position where the substituent can be substituted, if two or more are substituted , Two or more substituents may be the same or different from each other.
- substituted or unsubstituted is deuterium (-D); Halogen group; Cyano group (-CN); Silyl groups; Boron group; Substituted or unsubstituted alkyl group; Substituted or unsubstituted alkoxy group; Substituted or unsubstituted alkenyl group; A substituted or unsubstituted cycloalkyl group; Substituted or unsubstituted amine group; Substituted or unsubstituted aryl group; And it is substituted with one or two or more substituents selected from the group consisting of a substituted or unsubstituted heterocyclic group, or two or more substituents in the substituents exemplified above are substituted, or means that do not have any substituents.
- a substituent to which two or more substituents are linked may be a biphenyl group. That is, the biphenyl group may be an aryl group or may be interpreted as a substituent to which two phenyl groups are linked.
- examples of the halogen group include fluorine (F), chlorine (Cl), bromine (Br) or iodine (I).
- the silyl group may be represented by a chemical formula of -SiY 1 Y 2 Y 3 , wherein Y 1 , Y 2 and Y 3 are each hydrogen; Substituted or unsubstituted alkyl group; Or a substituted or unsubstituted aryl group.
- Specific examples of the silyl group include trimethylsilyl group, triethylsilyl group, t-butyldimethylsilyl group, vinyldimethylsilyl group, propyldimethylsilyl group, triphenylsilyl group, diphenylsilyl group, and phenylsilyl group, but are not limited thereto. Do not.
- the boron group may be represented by a chemical formula of -BY 4 Y 5 , wherein Y 4 and Y 5 are each hydrogen; Substituted or unsubstituted alkyl group; Or a substituted or unsubstituted aryl group.
- the boron group may include, but is not limited to, trimethylboron group, triethylboron group, t-butyldimethylboron group, triphenylboron group, and phenylboron group.
- the alkyl group may be linear or branched chain, carbon number is not particularly limited, but is preferably 1 to 60. According to an exemplary embodiment, the alkyl group has 1 to 30 carbon atoms. According to another exemplary embodiment, the alkyl group has 1 to 20 carbon atoms. According to another exemplary embodiment, the alkyl group has 1 to 10 carbon atoms.
- alkyl group examples include methyl group, ethyl group, propyl group, n-propyl group, isopropyl group, butyl group, n-butyl group, isobutyl group, tert-butyl group, pentyl group, n-pentyl group and n-hexyl group , Hexyl group, heptyl group, n-heptyl group, octyl group, n-octyl group and the like, but are not limited thereto.
- the alkenyl group may be linear or branched chain, the carbon number is not particularly limited, but is preferably 2 to 40. According to an exemplary embodiment, the alkenyl group has 2 to 20 carbon atoms. According to another exemplary embodiment, the alkenyl group has 2 to 10 carbon atoms. According to another exemplary embodiment, the alkenyl group has 2 to 6 carbon atoms. Specific examples include vinyl (ethenyl), 1-propenyl, isopropenyl, 1-butenyl, 2-butenyl, 3-butenyl, 1-pentenyl, 2-pentenyl, 3-pentenyl, and the like. It is not limited to these.
- the cycloalkyl group is not particularly limited, but preferably has 3 to 60 carbon atoms, and according to one embodiment, the cycloalkyl group has 3 to 30 carbon atoms. According to another exemplary embodiment, the cycloalkyl group has 3 to 20 carbon atoms. According to another exemplary embodiment, the cycloalkyl group has 3 to 6 carbon atoms. Specifically, cyclopropyl group, cyclobutyl group, cyclopentyl group, cyclohexyl group, cycloheptyl group, cyclooctyl group and the like, but is not limited thereto.
- the amine group is -NH 2 ; Alkylamine group; Arylalkylamine group; Arylamine group; Aryl heteroaryl amine group; Alkylheteroarylamine group It can be selected from the group consisting of a cycloalkylarylamine group and a heteroarylamine group, and carbon number is not particularly limited, but is preferably 1 to 60.
- the alkylamine group is not particularly limited, but may be 1 to 40, according to one embodiment may be 1 to 20.
- Specific examples of the alkylamine group include a methylamine group, a dimethylamine group, an ethylamine group, a diethylamine group, and the like, but are not limited thereto.
- a cycloalkylarylamine group means an amine group substituted with a cycloalkyl group and an aryl group.
- examples of the arylamine group include a substituted or unsubstituted monoarylamine group, a substituted or unsubstituted diarylamine group, or a substituted or unsubstituted triarylamine group.
- the aryl group in the arylamine group may be a monocyclic aryl group, may be a polycyclic aryl group.
- the arylamine group including two or more aryl groups may simultaneously include a monocyclic aryl group, a polycyclic aryl group, or a monocyclic aryl group and a polycyclic aryl group.
- arylamine group examples include phenylamine group, naphthylamine group, biphenylamine group, anthracenylamine group, diphenylamine group, phenylnaphthylamine group, biphenylphenylamine group, dibiphenylamine group, and fluorine. And a phenylphenyl group, but are not limited thereto.
- examples of the heteroarylamine group include a substituted or unsubstituted monoheteroarylamine group, a substituted or unsubstituted diheteroarylamine group, or a substituted or unsubstituted triheteroarylamine group.
- the heteroaryl group in the heteroarylamine group may be a monocyclic heteroaryl group, may be a polycyclic heteroaryl group.
- the heteroarylamine group including two or more heteroaryl groups may simultaneously include a monocyclic heteroaryl group, a polycyclic heteroaryl group, or a monocyclic heteroaryl group and a polycyclic heteroaryl group.
- arylalkylamine group means an amine group substituted with an aryl group and an alkyl group.
- the arylheteroarylamine group means an amine group substituted with an aryl group and a heteroaryl group.
- arylalkylamine group means an amine group substituted with an aryl group and an alkyl group.
- an alkylheteroarylamine group means an amine group substituted with an alkyl group and a heteroaryl group.
- the aryl group is not particularly limited, but preferably has 6 to 60 carbon atoms, and may be a monocyclic aryl group or a polycyclic aryl group. According to an exemplary embodiment, the aryl group has 6 to 30 carbon atoms. According to an exemplary embodiment, the aryl group has 6 to 20 carbon atoms.
- the aryl group may be a monocyclic aryl group, but may be a phenyl group, a biphenyl group, a terphenyl group, etc., but is not limited thereto.
- the polycyclic aryl group may be a naphthyl group, anthracenyl group, phenanthrenyl group, pyrenyl group, peryllenyl group, triphenyl group, chrysenyl group, fluorenyl group, and the like, but is not limited thereto.
- the fluorenyl group may be substituted, and two substituents may be bonded to each other to form a spiro structure.
- Spirofluorenyl groups such as (9,9-dimethylfluorenyl group), and It may be a substituted fluorenyl group such as (9,9-diphenyl fluorenyl group).
- the present invention is not limited thereto.
- the heterocyclic group is a ring group containing one or more of N, O, P, S, Si, and Se as hetero atoms, and carbon number is not particularly limited, but is preferably 2 to 60 carbon atoms. According to an exemplary embodiment, the heterocyclic group has 2 to 30 carbon atoms.
- the heterocyclic group include, for example, pyridine group, pyrrole group, pyrimidine group, pyridazinyl group, furan group, thiophene group, imidazole group, pyrazole group, dibenzofuran group, dibenzothiophene group, carbazole group , Indolocarbazole groups, naphthobenzofuran groups and the like, but are not limited thereto.
- heterocyclic group may be applied except that the heteroaryl group is aromatic.
- the description of the heterocyclic group may be applied except that the heterocycle is divalent. have.
- the description of the aryl group described above may be applied except that the arylene group is a divalent group.
- heteroaryl group described above may be applied except that the heteroarylene group is a divalent group.
- A is a substituted or unsubstituted benzene ring.
- A is hydrogen, deuterium, halogen, cyano group (-CN), silyl group, substituted or unsubstituted alkyl group, substituted or unsubstituted alkenyl group, substituted or unsubstituted aryl group and substituted or unsubstituted heteroaryl Or a benzene ring unsubstituted or substituted with one or more selected from the group consisting of groups.
- A is hydrogen, deuterium, halogen, cyano group (-CN), silyl group, substituted or unsubstituted C1-20 alkyl group, substituted or unsubstituted C2-20 It is a benzene ring unsubstituted or substituted with one or more selected from the group consisting of an alkenyl group, a substituted or unsubstituted aryl group having 6 to 30 carbon atoms, and a substituted or unsubstituted heteroaryl group having 2 to 30 carbon atoms.
- A is hydrogen, deuterium, halogen, cyano group (-CN), silyl group, substituted or unsubstituted methyl group, substituted or unsubstituted ethyl group, substituted or unsubstituted propyl group, Or a substituted or unsubstituted benzene ring selected from the group consisting of a substituted or unsubstituted butyl group, a substituted or unsubstituted ethenyl group, a substituted or unsubstituted phenyl group, and a substituted or unsubstituted pyrimidine group.
- A is hydrogen, deuterium, halogen, cyano (-CN), trimethylsilyl, methyl, ethyl, propyl, butyl, methylethenyl, trifluorophenyl, butyl It is a benzene ring unsubstituted or substituted with one or more selected from the group consisting of a phenyl group substituted or unsubstituted with a group and a pyrimidine group substituted with a phenyl group.
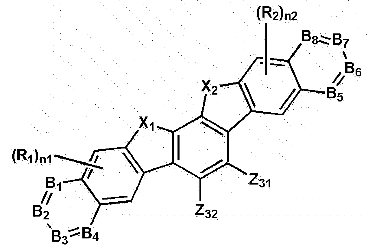
- Chemical Formula 1 may be represented by any one of the following Chemical Formulas 2 to 4.
- X 1 and X 2 are the same as or different from each other, and each independently O, S Or N (Ra),
- Z 1 to Z 6 , Ra, R 1 and R 2 are the same as or different from each other, and each independently hydrogen; heavy hydrogen; Halogen group; Cyano group; Silyl groups; Boron group; Substituted or unsubstituted alkyl group; Substituted or unsubstituted alkenyl group; A substituted or unsubstituted cycloalkyl group; Substituted or unsubstituted aryl group; Or a substituted or unsubstituted heteroaryl group,
- B 1 to B 8 are the same as or different from each other, and each independently N, C (Rb) or C (Rb '),
- Rb is hydrogen; heavy hydrogen; Halogen group; Cyano group; Silyl groups; Boron group; Substituted or unsubstituted alkyl group; A substituted or unsubstituted cycloalkyl group; Substituted or unsubstituted aryl group; Or a substituted or unsubstituted heteroaryl group,
- Rb ' is a substituted or unsubstituted amine group; Or a heterocyclic group containing one or more substituted or unsubstituted N,
- At least one of B 1 to B 4 is C (Rb '), at least one of B 5 to B 8 is C (Rb'),
- n1 is an integer of 0 to 2, when n1 is 2, R1 is the same as or different from each other,
- n2 is an integer of 0 to 2, and when n2 is 2, R2 is the same as or different from each other.
- Z 1 to Z 6 are the same as or different from each other, and each independently hydrogen, deuterium, halogen, cyano group (-CN), silyl group, substituted or unsubstituted alkyl group, substituted or Unsubstituted alkenyl group, substituted or unsubstituted aryl group, or substituted or unsubstituted heteroaryl group.
- Z 1 to Z 6 are the same as or different from each other, and each independently hydrogen, deuterium, a halogen group, a cyano group (-CN), a silyl group, a substituted or unsubstituted carbon number 1 to 20 An alkyl group, a substituted or unsubstituted alkenyl group having 2 to 20 carbon atoms, a substituted or unsubstituted aryl group having 6 to 30 carbon atoms, or a substituted or unsubstituted heteroaryl group having 2 to 30 carbon atoms.
- Z 1 to Z 6 are the same as or different from each other, and each independently hydrogen, deuterium, halogen, cyano group (-CN), silyl group, substituted or unsubstituted methyl group, substituted or unsubstituted A substituted ethyl group, a substituted or unsubstituted propyl group, a substituted or unsubstituted butyl group, a substituted or unsubstituted ethenyl group, a substituted or unsubstituted phenyl group or a substituted or unsubstituted pyrimidine group.
- Z 1 to Z 6 are the same as or different from each other, and each independently hydrogen, deuterium, halogen, cyano group (-CN), trimethylsilyl group, methyl group, ethyl group, propyl group, butyl group , A methylethenyl group, a trifluorophenyl group, a phenyl group unsubstituted or substituted with a butyl group, or a pyrimidine group substituted with a phenyl group.
- -CN cyano group
- Chemical Formula 1 may be represented by any one of the following Chemical Formulas 1-1 to 1-6.
- X 1 and X 2 are the same as or different from each other, and each independently O, S Or N (Ra),
- Z 21 to Z 32 , Ra, R 1 and R 2 are the same as or different from each other, and each independently hydrogen; heavy hydrogen; Halogen group; Cyano group (-CN); Silyl groups; Boron group; Substituted or unsubstituted alkyl group; Substituted or unsubstituted alkenyl group; A substituted or unsubstituted cycloalkyl group; Substituted or unsubstituted aryl group; Or a substituted or unsubstituted heteroaryl group,
- B 1 to B 8 are the same as or different from each other, and each independently N, C (Rb) or C (Rb '),
- Rb is hydrogen; heavy hydrogen; Halogen group; Cyano group (-CN); Silyl groups; Boron group; Substituted or unsubstituted alkyl group; A substituted or unsubstituted cycloalkyl group; Substituted or unsubstituted aryl group; Or a substituted or unsubstituted heteroaryl group,
- Rb ' is a substituted or unsubstituted amine group; Or a heterocyclic group containing one or more substituted or unsubstituted N,
- At least one of B 1 to B 4 is C (Rb '), at least one of B 5 to B 8 is C (Rb'),
- n1 is an integer of 0 to 2, when n1 is 2, R1 is the same as or different from each other,
- n2 is an integer of 0 to 2, and when n2 is 2, R2 is the same as or different from each other.
- Z 21 to Z 32 are the same as or different from each other, and each independently hydrogen, deuterium, a halogen group, a cyano group (-CN), a silyl group, a substituted or unsubstituted alkyl group, a substituted or Unsubstituted alkenyl group, substituted or unsubstituted aryl group, or substituted or unsubstituted heteroaryl group.
- Z 21 to Z 32 are the same as or different from each other, and each independently hydrogen, deuterium, a halogen group, a cyano group (-CN), a silyl group, a substituted or unsubstituted carbon number 1 to 20 An alkyl group, a substituted or unsubstituted alkenyl group having 2 to 20 carbon atoms, a substituted or unsubstituted aryl group having 6 to 30 carbon atoms, or a substituted or unsubstituted heteroaryl group having 2 to 30 carbon atoms.
- Z 21 to Z 32 are the same as or different from each other, and each independently hydrogen, deuterium, halogen, cyano group (-CN), silyl group, substituted or unsubstituted methyl group, substituted or unsubstituted A substituted ethyl group, a substituted or unsubstituted propyl group, a substituted or unsubstituted butyl group, a substituted or unsubstituted ethenyl group, a substituted or unsubstituted phenyl group or a substituted or unsubstituted pyrimidine group.
- Z 21 to Z 32 are the same as or different from each other, and each independently hydrogen, deuterium, a halogen group, a cyano group (-CN), trimethylsilyl group, a methyl group, an ethyl group, a propyl group, a butyl group , A methylethenyl group, a trifluorophenyl group, a phenyl group unsubstituted or substituted with a butyl group, or a pyrimidine group substituted with a phenyl group.
- a cyano group cyano group
- X 1 and X 2 are O.
- X 1 and X 2 are S.
- X 1 and X 2 are N (Ra).
- one of X 1 and X 2 is O and the other is S.
- one of X 1 and X 2 is O and the other is N (Ra).
- one of X 1 and X 2 is S and the other is N (Ra).
- Ra is hydrogen; heavy hydrogen; Substituted or unsubstituted alkyl group; A substituted or unsubstituted aryl group or a substituted or unsubstituted heteroaryl group.
- Ra is hydrogen; heavy hydrogen; A substituted or unsubstituted alkyl group having 1 to 20 carbon atoms; Or a substituted or unsubstituted aryl group having 6 to 30 carbon atoms or a substituted or unsubstituted heteroaryl group having 2 to 30 carbon atoms.
- Ra is hydrogen; heavy hydrogen; Substituted or unsubstituted aryl group having 6 to 30 carbon atoms; Or a substituted or unsubstituted heteroaryl group having 2 to 30 carbon atoms.
- Ra is hydrogen; heavy hydrogen; An aryl group having 6 to 30 carbon atoms unsubstituted or substituted with a halogen group or an alkyl group having 1 to 20 carbon atoms; Or a heteroaryl group having 2 to 30 carbon atoms unsubstituted or substituted with a halogen group or an alkyl group having 1 to 20 carbon atoms.
- Ra is hydrogen; heavy hydrogen; Substituted or unsubstituted phenyl group; A substituted or unsubstituted biphenyl group; Substituted or unsubstituted naphthyl group; Substituted or unsubstituted dibenzofuran group; Substituted or unsubstituted dibenzothiophene group; Or a substituted or unsubstituted carbazole group.
- Ra is hydrogen; heavy hydrogen; A phenyl group unsubstituted or substituted with a halogen group or a butyl group; Naphthyl group; Or a dibenzofuran group.
- R 1 and R 2 are the same as or different from each other, and each independently hydrogen; heavy hydrogen; Halogen group; Cyano group (-CN); Silyl groups; Boron group; A substituted or unsubstituted alkyl group having 1 to 20 carbon atoms; A substituted or unsubstituted cycloalkyl group having 3 to 30 carbon atoms; Substituted or unsubstituted aryl group having 6 to 30 carbon atoms; Or a substituted or unsubstituted heteroaryl group having 2 to 30 carbon atoms.
- R 1 and R 2 are the same as or different from each other, and each independently hydrogen; heavy hydrogen; Halogen group; Cyano group (-CN); Silyl groups; Boron group; A substituted or unsubstituted alkyl group having 1 to 20 carbon atoms; A substituted or unsubstituted cycloalkyl group having 3 to 30 carbon atoms; Substituted or unsubstituted aryl group having 6 to 30 carbon atoms; Or a substituted or unsubstituted heteroaryl group having 2 to 30 carbon atoms.
- R 1 and R 2 are the same as or different from each other, and each independently hydrogen; heavy hydrogen; Halogen group; Cyano group (-CN); Silyl groups; Boron group; An alkyl group having 1 to 20 carbon atoms; A cycloalkyl group having 3 to 30 carbon atoms; Aryl groups having 6 to 30 carbon atoms; Or a heteroaryl group having 2 to 30 carbon atoms.
- n1 is an integer of 0 to 2
- the substituents in parentheses are the same as or different from each other.
- n1 is an integer of 0 to 2
- R1 is the same as or different from each other.
- n1 is 0 or 1.
- n2 is an integer of 0 to 2
- R2 is the same as or different from each other.
- n2 is 0 or 1.
- B 1 to B 8 are the same as or different from each other, and each independently N, C (Rb) or C (Rb ').
- At least one of B 1 to B 4 is C (Rb ' ), and at least one of the B 5 to B 8 is C (Rb').
- one of B 1 to B 4 is C (Rb '), and the other three are C (Rb).
- one of the B 1 to B 4 is N, one is C (Rb '), the other two are C (Rb).
- two of the B 1 to B 4 is N, one is C (Rb '), the other is C (Rb).
- one of B 5 to B 8 is C (Rb '), and the other three are C (Rb).
- one of the B 5 to B 8 is N, one is C (Rb '), the other two are C (Rb).
- two of the B 5 to B 8 is N, one is C (Rb '), the other is C (Rb).
- the Rb ' is a substituted or unsubstituted amine group; Or a heterocyclic group containing one or more substituted or unsubstituted N.
- Rb ' is a substituted or unsubstituted arylamine group; Substituted or unsubstituted heteroarylamine group; A substituted or unsubstituted cycloalkylarylamine group; Substituted or unsubstituted arylheteroarylamine group; Or a heterocyclic group containing one or more substituted or unsubstituted N.
- the aryl group may have 6 to 60 carbon atoms
- the heteroaryl group and heterocyclic group may have 2 to 60 carbon atoms
- the cycloalkyl group may have 3 to 60 carbon atoms.
- Rb ' is a substituted or unsubstituted arylamine group; Substituted or unsubstituted heteroarylamine group; A substituted or unsubstituted cycloalkylarylamine group; Substituted or unsubstituted arylheteroarylamine group; Or a substituted or unsubstituted carbazole group.
- the aryl group may have 6 to 60 carbon atoms
- the heteroaryl group and heterocyclic group may have 2 to 60 carbon atoms
- the cycloalkyl group may have 3 to 60 carbon atoms.
- Rb ' is 1 selected from the group consisting of deuterium, a halogen group, a silyl group, a substituted or unsubstituted alkyl group having 1 to 20 carbon atoms, and a substituted or unsubstituted aryl group having 6 to 30 carbon atoms.
- Substituted or unsubstituted arylamine group A heteroarylamine group unsubstituted or substituted with one or more selected from the group consisting of deuterium, a halogen group, a silyl group, a substituted or unsubstituted alkyl group having 1 to 20 carbon atoms, and a substituted or unsubstituted aryl group having 6 to 30 carbon atoms; A cycloalkylarylamine group unsubstituted or substituted with one or more selected from the group consisting of deuterium, a halogen group, a silyl group, a substituted or unsubstituted alkyl group having 1 to 20 carbon atoms, and a substituted or unsubstituted aryl group having 6 to 30 carbon atoms; An arylheteroarylamine group unsubstituted or substituted with one or more selected from the group consisting of deuterium, a halogen group, a silyl
- At least one of B 1 to B 4 is C (Rb ′), Rb 'is a substituted or unsubstituted arylamine group; Substituted or unsubstituted heteroarylamine group; A substituted or unsubstituted cycloalkylarylamine group; Substituted or unsubstituted arylheteroarylamine group; Or a heterocyclic group including one or more substituted or unsubstituted N, at least one of B 5 to B 8 is C (Rb '), and Rb' is a substituted or unsubstituted arylamine group; Substituted or unsubstituted heteroarylamine group; A substituted or unsubstituted cycloalkylarylamine group; Substituted or unsubstituted arylheteroarylamine group; Or a heterocyclic group containing one or more substituted or unsubstituted N
- the Rb is hydrogen; heavy hydrogen; Halogen group; Cyano group; Silyl groups; Boron group; A substituted or unsubstituted alkyl group having 1 to 60 carbon atoms; A substituted or unsubstituted cycloalkyl group having 3 to 60 carbon atoms; Substituted or unsubstituted aryl group having 6 to 60 carbon atoms; Or a substituted or unsubstituted heteroaryl group having 2 to 60 carbon atoms.
- Rb is hydrogen; heavy hydrogen; Halogen group; Cyano group; Silyl groups; Boron group; A substituted or unsubstituted alkyl group having 1 to 20 carbon atoms; A substituted or unsubstituted cycloalkyl group having 3 to 30 carbon atoms; Substituted or unsubstituted aryl group having 6 to 30 carbon atoms; Or a substituted or unsubstituted heteroaryl group having 2 to 30 carbon atoms.
- At least one of B 1 to B 4 is C (Rb '), Rb' is represented by the following Formula A, and at least one of B 5 to B 8 is C (Rb ').
- Rb ' may be represented by the formula (A).
- Ar 1 and Ar 2 are the same as or different from each other, and each independently a substituted or unsubstituted aryl group; A substituted or unsubstituted cycloalkyl group; Or a substituted or unsubstituted heteroaryl group, or combine with each other to form a substituted or unsubstituted hetero ring,
- Ar 1 and Ar 2 are the same as or different from each other, and each independently a substituted or unsubstituted aryl group having 6 to 60 carbon atoms; A substituted or unsubstituted cycloalkyl group having 3 to 60 carbon atoms; Or a substituted or unsubstituted heteroaryl group having 2 to 60 carbon atoms, or combine with each other to form a substituted or unsubstituted hetero ring having 2 to 60 carbon atoms.
- Ar 1 and Ar 2 are the same as or different from each other, and each independently a substituted or unsubstituted aryl group having 6 to 30 carbon atoms; A substituted or unsubstituted cycloalkyl group having 3 to 30 carbon atoms; Or a substituted or unsubstituted heteroaryl group having 2 to 30 carbon atoms, or combine with each other to form a substituted or unsubstituted hetero ring having 2 to 30 carbon atoms.
- Ar 1 and Ar 2 are the same as or different from each other, and each independently a substituted or unsubstituted phenyl group; A substituted or unsubstituted biphenyl group; Substituted or unsubstituted terphenyl group; A substituted or unsubstituted fluorenyl group; Substituted or unsubstituted benzofluorenyl group; Substituted or unsubstituted naphthyl group; Substituted or unsubstituted phenanthrenyl group; A substituted or unsubstituted cyclohexyl group; Substituted or unsubstituted dibenzofuran group; Substituted or unsubstituted dibenzothiophene group; Substituted or unsubstituted carbazole group; Or a substituted or unsubstituted pyridine group, or combine with each other to form a substituted or unsub
- Ar 1 and Ar 2 are the same as or different from each other, and each independently deuterium, a halogen group, a silyl group, a substituted or unsubstituted C1-20 alkyl group, and a substituted or unsubstituted carbon number
- Ar 1 and Ar 2 are the same as or different from each other, and each independently deuterium, a halogen group, a silyl group, a substituted or unsubstituted C1-20 alkyl group and a substituted or unsubstituted carbon number
- Ar 1 and Ar 2 are the same as or different from each other, and each independently a methyl group unsubstituted or substituted with deuterium, fluorine (-F), trimethylsilyl group, deuterium or fluorine (-F)
- Chemical Formula 1 may be represented by any one of the following compounds.
- -Ph means a phenyl group.
- Compound of Formula 1 according to an exemplary embodiment of the present specification may be prepared by the production method described below.
- the compound of Formula 1 may be prepared in the core structure as shown in the following scheme.
- Substituents may be combined by methods known in the art, and the type, position or number of substituents may be changed according to techniques known in the art.
- X 1 and X 2 may be O or S, respectively, and when X 1 and X 2 are S ( ⁇ O) or SO 2 , respectively, they may be obtained by further oxidation.
- Intermediate 3 (IM-3) is synthesized by a general Suzuki coupling reaction. Following ring closure reaction of intermediate 3, the hydroxyl group (hydroxyl group) can be made into a sulfone group (sulfone group) to make intermediate 4 (IM-4). It is possible to synthesize ⁇ Formula 1> by the Buckwaldamination between the intermediate 4 and various amine groups.
- the conjugation length of the compound and the energy bandgap are closely related. Specifically, the longer the conjugation length of the compound, the smaller the energy bandgap.
- a compound having various energy band gaps can be synthesized by introducing various substituents into the core structure as described above.
- the HOMO and LUMO energy levels of the compound may be controlled by introducing various substituents into the core structure of the above structure.
- the compound which has the intrinsic property of the introduced substituent can be synthesize
- a substituent mainly used in the hole injection layer material, the hole transport material, the light emitting layer material, and the electron transport layer material used in the manufacture of the organic light emitting device into the core structure, it is possible to synthesize a material satisfying the requirements of each organic material layer. Can be.
- the organic light emitting device includes a first electrode; A second electrode provided to face the first electrode; And at least one organic material layer provided between the first electrode and the second electrode, wherein at least one of the organic material layers includes the compound described above.
- the organic light emitting device of the present invention may be manufactured by a conventional method and material for manufacturing an organic light emitting device, except that at least one organic material layer is formed using the above-described compound.
- the compound may be formed as an organic material layer by a solution coating method as well as a vacuum deposition method in the manufacture of the organic light emitting device.
- the solution coating method means spin coating, dip coating, inkjet printing, screen printing, spraying method, roll coating and the like, but is not limited thereto.
- the organic material layer of the organic light emitting device of the present invention may have a single layer structure, but may have a multilayer structure in which two or more organic material layers are stacked.
- the organic light emitting device of the present invention includes a hole injection layer, a hole transport layer, a layer for simultaneously injecting and transporting holes as an organic material layer, a light emitting layer, an electron transport layer, an electron injection layer, a layer for simultaneously transporting electrons and electrons, etc. It may have a structure.
- the structure of the organic light emitting device is not limited thereto and may include fewer organic layers or more organic layers.
- the organic material layer may include an electron transport layer or an electron injection layer, and the electron transport layer or the electron injection layer may include the above-described compound.
- the organic material layer may include a hole injection layer or a hole transport layer, the hole injection layer or a hole transport layer may include the above-described compound.
- the organic material layer may include a light emitting layer, and the light emitting layer may include the compound described above.
- the organic material layer may include a light emitting layer, and the light emitting layer may include the aforementioned compound as a dopant of the light emitting layer.
- the organic material layer may include a light emitting layer, and the light emitting layer may include the compound described above as a dopant of the light emitting layer and further include a host.
- the organic material layer includes a light emitting layer
- the light emitting layer may include the above-described compound as a dopant of the light emitting layer, and may further include the following Chemical Formula 1-A as a host.
- Ar 1 Ar 3 is the same as or different from each other, and each independently hydrogen; Substituted or unsubstituted aryl group; Or a substituted or unsubstituted heterocyclic group,
- L 1 to L 3 are the same as or different from each other, and each independently a direct bond; Substituted or unsubstituted arylene group; Or a substituted or unsubstituted heteroarylene group,
- R 11 is hydrogen; heavy hydrogen; Halogen group; Cyano group (-CN); Nitro group; Silyl groups; Substituted or unsubstituted alkyl group; A substituted or unsubstituted cycloalkyl group; Substituted or unsubstituted phosphine oxide group; Substituted or unsubstituted aryl group; Or a substituted or unsubstituted heteroaryl group,
- q1 is an integer of 0-7, and when q1 is two or more, two or more R ⁇ 11> is same or different from each other.
- the Ar 1 Ar 3 is the same as or different from each other, and each independently hydrogen; Substituted or unsubstituted aryl group; Or a substituted or unsubstituted heteroring group.
- Ar 1 Ar 3 is the same as or different from each other, and each independently hydrogen; Substituted or unsubstituted aryl group having 6 to 60 carbon atoms; Or a substituted or unsubstituted heterocyclic group having 2 to 60 carbon atoms.
- Ar 1 Ar 3 is the same as or different from each other, and each independently hydrogen; Substituted or unsubstituted aryl group having 6 to 30 carbon atoms; Or a substituted or unsubstituted heterocyclic group having 2 to 30 carbon atoms.
- Ar 3 is hydrogen
- Ar 1 is hydrogen; Substituted or unsubstituted phenyl group; Substituted or unsubstituted naphthyl group; Substituted or unsubstituted dibenzofuran group; Substituted or unsubstituted naphthobenzofuran group; Substituted or unsubstituted thiophene group; Or a substituted or unsubstituted indolocarbazole group.
- Ar 1 is hydrogen; Phenyl group unsubstituted or substituted with deuterium, an alkyl group having 1 to 10 carbon atoms, or an aryl group having 6 to 30 carbon atoms; A naphthyl group unsubstituted or substituted with deuterium, an alkyl group having 1 to 10 carbon atoms, or an aryl group having 6 to 30 carbon atoms; A dibenzofuran group unsubstituted or substituted with deuterium, an alkyl group having 1 to 10 carbon atoms, or an aryl group having 6 to 30 carbon atoms; Naphthobenzofuran group unsubstituted or substituted with deuterium, an alkyl group having 1 to 10 carbon atoms, or an aryl group having 6 to 30 carbon atoms; Thiophene groups unsubstituted or substituted with deuterium, an alkyl group having 1 to 10 carbon atoms, or an aryl group having 6 to 30 carbon atoms;
- Ar 1 is hydrogen; A phenyl group unsubstituted or substituted with deuterium; A naphthyl group unsubstituted or substituted with a methyl group; Dibenzofuran group; Naphthobenzofuran group; Thiophene group substituted with phenyl group; Or an indolocarbazole group.
- Ar 2 is hydrogen; Or a substituted or unsubstituted aryl group having 6 to 30 carbon atoms.
- Ar 2 is hydrogen; Substituted or unsubstituted phenyl group; A substituted or unsubstituted biphenyl group; Or a substituted or unsubstituted naphthyl group.
- Ar 2 is hydrogen; Phenyl group unsubstituted or substituted with deuterium (D), a halogen group, a cyano group, a silyl group, an alkyl group having 1 to 10 carbon atoms, a cycloalkyl group having 3 to 30 carbon atoms, or an aryl group having 6 to 30 carbon atoms; A biphenyl group unsubstituted or substituted with deuterium (D), a halogen group, a cyano group, a silyl group, an alkyl group having 1 to 10 carbon atoms, a cycloalkyl group having 3 to 30 carbon atoms, or an aryl group having 6 to 30 carbon atoms; Or a naphthyl group unsubstituted or substituted with deuterium (D), a halogen group, a cyano group, a silyl group, an alkyl group having 1 to 10 carbon atoms, a cyclo
- Ar 2 is hydrogen; A phenyl group unsubstituted or substituted with a cyclohexyl group, a phenyl group or a naphthyl group; Biphenyl groups unsubstituted or substituted with deuterium, fluorine, cyano groups, or trimethylsilyl groups; Or a naphthyl group unsubstituted or substituted with a methyl group, a phenyl group, or a naphthyl group.
- L 1 to L 3 are the same as or different from each other, and each independently a direct bond; Substituted or unsubstituted arylene group; Or a substituted or unsubstituted heteroarylene group.
- L 1 to L 3 are the same as or different from each other, and each independently a direct bond; A substituted or unsubstituted arylene group having 6 to 60 carbon atoms; Or a substituted or unsubstituted heteroarylene group having 2 to 60 carbon atoms.
- the L 1 to L 3 are the same as or different from each other, and each independently a direct bond; A substituted or unsubstituted arylene group having 6 to 30 carbon atoms; Or a substituted or unsubstituted heteroarylene group having 2 to 30 carbon atoms.
- the L 1 to L 3 are the same as or different from each other, and each independently a direct bond; Or a substituted or unsubstituted arylene group having 6 to 30 carbon atoms.
- L 1 to L 3 are the same as or different from each other, and each independently a direct bond; Substituted or unsubstituted phenylene group; Or a substituted or unsubstituted naphthylene group.
- the L 1 to L 3 are the same as or different from each other, and each independently a direct bond; Phenylene group; Or a naphthylene group.
- R 11 is hydrogen; heavy hydrogen; Halogen group; Cyano group (-CN); Nitro group; Silyl groups; Substituted or unsubstituted alkyl group; A substituted or unsubstituted cycloalkyl group; Substituted or unsubstituted phosphine oxide group; Substituted or unsubstituted aryl group; Or a substituted or unsubstituted heteroaryl group.
- R 11 is hydrogen; heavy hydrogen; Halogen group; Cyano group (-CN); Nitro group; Silyl groups; A substituted or unsubstituted alkyl group having 1 to 20 carbon atoms; A substituted or unsubstituted cycloalkyl group having 3 to 30 carbon atoms; Substituted or unsubstituted phosphine oxide group; Substituted or unsubstituted aryl group having 6 to 30 carbon atoms; Or a substituted or unsubstituted heteroaryl group having 2 to 30 carbon atoms.
- R 11 is hydrogen
- q1 is an integer of 0 to 2.
- q1 is 0 or 1.
- Chemical Formula 1-A may be represented by any one of the following compounds.
- the content of the dopant may be 1 part by weight to 10 parts by weight based on 100 parts by weight of the host.
- the organic material layer includes a light emitting layer, and the light emitting layer includes the above-mentioned compound as a dopant of the light emitting layer, and includes at least two of the compounds represented by the following Chemical Formulas 1-B and 1-C as hosts. It may further include.
- Ar 4 to Ar 8 are the same as or different from each other, and each independently hydrogen; Or a substituted or unsubstituted aryl group,
- Ar 9 is a substituted or unsubstituted heterocyclic group
- L 4 to L 9 are the same as or different from each other, and each independently a direct bond; Substituted or unsubstituted arylene group; Or a substituted or unsubstituted heteroarylene group,
- R 12 and R 13 are the same as or different from each other, and each independently hydrogen; heavy hydrogen; Halogen group; Cyano group (-CN); Nitro group; Silyl groups; Substituted or unsubstituted alkyl group; A substituted or unsubstituted cycloalkyl group; Substituted or unsubstituted phosphine oxide group; Substituted or unsubstituted aryl group; Or a substituted or unsubstituted heteroaryl group,
- q2 and q3 are each an integer of 0 to 7, and when q2 and q3 are each 2 or more, the substituents in parentheses are the same or different from each other.
- Ar 4 to Ar 8 are the same as or different from each other, and each independently hydrogen; Or a substituted or unsubstituted aryl group having 6 to 60 carbon atoms.
- Ar 4 to Ar 8 are the same as or different from each other, and each independently hydrogen; Or a substituted or unsubstituted aryl group having 6 to 30 carbon atoms.
- Ar 6 and Ar 8 are hydrogen.
- Ar 5 and Ar 7 are the same as or different from each other, and each independently hydrogen; Substituted or unsubstituted phenyl group; A substituted or unsubstituted biphenyl group; Or a substituted or unsubstituted naphthyl group.
- Ar 5 and Ar 7 are the same as or different from each other, and each independently hydrogen; Phenyl group unsubstituted or substituted with deuterium (D), a halogen group, a cyano group, a silyl group, an alkyl group having 1 to 10 carbon atoms, a cycloalkyl group having 3 to 30 carbon atoms, or an aryl group having 6 to 30 carbon atoms; A biphenyl group unsubstituted or substituted with deuterium (D), a halogen group, a cyano group, a silyl group, an alkyl group having 1 to 10 carbon atoms, a cycloalkyl group having 3 to 30 carbon atoms, or an aryl group having 6 to 30 carbon atoms; Or a naphthyl group unsubstituted or substituted with deuterium (D), a halogen group, a cyano group, a silyl group, an alkyl
- Ar 5 and Ar 7 are the same as or different from each other, and each independently hydrogen; A phenyl group unsubstituted or substituted with a cyclohexyl group, a phenyl group or a naphthyl group; Biphenyl groups unsubstituted or substituted with deuterium, fluorine, cyano groups, or trimethylsilyl groups; Or a naphthyl group unsubstituted or substituted with a methyl group, a phenyl group, or a naphthyl group.
- Ar 4 is hydrogen; Substituted or unsubstituted phenyl group; Or a substituted or unsubstituted naphthyl group.
- Ar 4 is hydrogen; Phenyl group unsubstituted or substituted with deuterium, an alkyl group having 1 to 10 carbon atoms, or an aryl group having 6 to 30 carbon atoms; Or a naphthyl group unsubstituted or substituted with deuterium, an alkyl group having 1 to 10 carbon atoms, or an aryl group having 6 to 30 carbon atoms.
- Ar 4 is hydrogen; A phenyl group unsubstituted or substituted with deuterium; Or a naphthyl group unsubstituted or substituted with a methyl group.
- Ar 9 is a substituted or unsubstituted heteroaryl group having 2 to 60 carbon atoms.
- Ar 9 is a substituted or unsubstituted heteroaryl group having 2 to 30 carbon atoms.
- Ar 9 is a substituted or unsubstituted dibenzofuran group; Substituted or unsubstituted naphthobenzofuran group; Substituted or unsubstituted thiophene group; Or a substituted or unsubstituted indolocarbazole group.
- Ar 9 is a dibenzofuran group unsubstituted or substituted with deuterium, an alkyl group having 1 to 10 carbon atoms, or an aryl group having 6 to 30 carbon atoms; Naphthobenzofuran group substituted or unsubstituted with deuterium, an alkyl group having 1 to 10 carbon atoms, or an aryl group having 6 to 30 carbon atoms; Thiophene groups unsubstituted or substituted with deuterium, an alkyl group having 1 to 10 carbon atoms, or an aryl group having 6 to 30 carbon atoms; Or an indolocarbazole group unsubstituted or substituted with deuterium, an alkyl group having 1 to 10 carbon atoms, or an aryl group having 6 to 30 carbon atoms.
- Ar 9 is a dibenzofuran group; Naphthobenzofuran group; Thiophene group substituted with phenyl group; Or an indolocarbazole group.
- L 4 to L 9 are the same as or different from each other, and each independently a direct bond; Substituted or unsubstituted arylene group; Or a substituted or unsubstituted heteroarylene group.
- L 4 to L 9 are the same as or different from each other, and each independently a direct bond; A substituted or unsubstituted arylene group having 6 to 60 carbon atoms; Or a substituted or unsubstituted heteroarylene group having 2 to 60 carbon atoms.
- L 4 to L 9 are the same as or different from each other, and each independently a direct bond; A substituted or unsubstituted arylene group having 6 to 30 carbon atoms; Or a substituted or unsubstituted heteroarylene group having 2 to 30 carbon atoms.
- L 4 to L 9 are the same as or different from each other, and each independently a direct bond; Or a substituted or unsubstituted arylene group having 6 to 30 carbon atoms.
- L 4 to L 9 are the same as or different from each other, and each independently a direct bond; Substituted or unsubstituted phenylene group; Or a substituted or unsubstituted naphthylene group.
- L 4 to L 9 are the same as or different from each other, and each independently a direct bond; Phenylene group; Or a naphthylene group.
- R 12 and R 13 are the same as or different from each other, and each independently hydrogen; heavy hydrogen; Halogen group; Cyano group (-CN); Nitro group; Silyl groups; Substituted or unsubstituted alkyl group; A substituted or unsubstituted cycloalkyl group; Substituted or unsubstituted phosphine oxide group; Substituted or unsubstituted aryl group; Or a substituted or unsubstituted heteroaryl group.
- the R 12 and R 13 are the same as or different from each other, and each independently hydrogen; heavy hydrogen; Halogen group; Cyano group (-CN); Nitro group; Silyl groups; A substituted or unsubstituted alkyl group having 1 to 20 carbon atoms; A substituted or unsubstituted cycloalkyl group having 3 to 30 carbon atoms; Substituted or unsubstituted phosphine oxide group; Substituted or unsubstituted aryl group having 6 to 30 carbon atoms; Or a substituted or unsubstituted heteroaryl group having 2 to 30 carbon atoms.
- R 11 and R 12 are hydrogen.
- q2 is an integer of 0 to 7, and when q2 is 2 or more, two or more R 12 are the same as or different from each other.
- q2 is an integer of 0 to 2.
- q2 is 0 or 1.
- q3 is an integer of 0 to 7, and when q3 is 2 or more, two or more R 13 are the same as or different from each other.
- q3 is an integer of 0 to 2.
- q3 is 0 or 1.
- Chemical Formula 1-B may be represented by any one of the following compounds.
- Chemical Formula 1-C may be represented by any one of the following compounds.
- the compound of the present invention is included as a dopant of the light emitting layer, and includes two or more of the compounds represented by Formulas 1-B and 1-C as a host, the content of the dopant is 1 part by weight based on 100 parts by weight of the host. It may be 10 parts by weight.
- the compound may be included as a dopant of the emission layer, and the compound represented by Formula 1-B and the compound represented by Formula 1-C may be included as a host of the emission layer.
- the mixed weight ratio of (1: B: 1-C) may be 95: 5 to 5:95.
- the organic material layer includes a light emitting layer, and the light emitting layer includes the aforementioned compound as a dopant of the light emitting layer, includes a fluorescent host or a phosphorescent host, and includes another organic compound, a metal, or a metal compound as a dopant. It may include.
- the organic material layer may include a light emitting layer
- the light emitting layer may include the aforementioned compound as a dopant of the light emitting layer, include a fluorescent host or a phosphorescent host, and may be used with an iridium-based (Ir) dopant.
- the organic material layer may include a light emitting layer, and the light emitting layer may include the aforementioned compound as a host of the light emitting layer.
- the organic material layer may include a light emitting layer, the light emitting layer may be included as a host of the light emitting layer described above, and further include a dopant.
- the first electrode is an anode
- the second electrode is a cathode
- the first electrode is a cathode and the second electrode is an anode.
- the structure of the organic light emitting device of the present invention may have a structure as shown in FIGS. 1 and 2, but is not limited thereto.
- FIG. 1 illustrates a structure of an organic light emitting device in which an anode 2, a light emitting layer 3, and a cathode 4 are sequentially stacked on a substrate 1.
- the compound may be included in the light emitting layer (3).
- FIG. 2 illustrates an organic light emitting device in which an anode 2, a hole injection layer 5, a hole transport layer 6, a light emitting layer 7, an electron transport layer 8, and a cathode 4 are sequentially stacked on a substrate 1.
- the structure is illustrated.
- the compound may be included in the hole injection layer 5, the hole transport layer 6, the light emitting layer 7 or the electron transport layer (8).
- the hole transport layer may be two or more layers.
- the organic light emitting device uses a metal vapor deposition (PVD) method such as sputtering or e-beam evaporation, and has a metal oxide or a metal oxide or an alloy thereof on a substrate.
- PVD metal vapor deposition
- an organic light emitting device may be manufactured by sequentially depositing a cathode material, an organic material layer, and an anode material on a substrate.
- the organic material layer may be a multilayer structure including a hole injection layer, a hole transport layer, a layer for simultaneously injecting holes and transporting holes, a light emitting layer, an electron transport layer, an electron injection layer, a layer for simultaneously transporting and transporting electrons, and the like. It may be a single layer structure.
- the organic layer may be prepared by using a variety of polymer materials, and by using a method such as spin coating, dip coating, doctor blading, screen printing, inkjet printing, or thermal transfer, rather than a deposition method. It can be prepared in layers.
- the anode is an electrode for injecting holes, and a material having a large work function is preferable as an anode material so that hole injection can be smoothly performed into an organic material layer.
- the positive electrode material that can be used in the present invention include metals such as vanadium, chromium, copper, zinc and gold or alloys thereof; Metal oxides such as zinc oxide, indium oxide, indium tin oxide (ITO), and indium zinc oxide (IZO); A combination of a metal and an oxide such as ZnO: Al or SnO 2 : Sb; Conductive polymers such as poly (3-methylthiophene), poly [3,4- (ethylene-1,2-dioxy) thiophene] (PEDOT), polypyrrole and polyaniline, and the like, but are not limited thereto.
- the cathode is an electrode for injecting electrons
- the cathode material is preferably a material having a small work function to facilitate electron injection into the organic material layer.
- the negative electrode material include metals such as magnesium, calcium, sodium, potassium, titanium, indium, yttrium, lithium, gadolinium, aluminum, silver, tin, and lead or alloys thereof; Multilayer structure materials such as LiF / Al or LiO 2 / Al, and the like, but are not limited thereto.
- the hole injection layer is a layer that facilitates the injection of holes from the anode to the light emitting layer
- the hole injection material is a material capable of well injecting holes from the anode at a low voltage, the highest occupied hole injection material
- the molecular orbital is preferably between the work function of the positive electrode material and the HOMO of the surrounding organic material layer.
- Specific examples of the hole injection material include metal porphyrine, oligothiophene, arylamine-based organics, hexanitrile hexaazatriphenylene-based organics, quinacridone-based organics, and perylene-based Organic substances, anthraquinone and polyaniline and polythiophene-based conductive polymers, but are not limited thereto.
- the hole injection layer may have a thickness of 1 to 150 nm.
- the thickness of the hole injection layer is 1 nm or more, there is an advantage of preventing the hole injection characteristic from being lowered.
- the thickness of the hole injection layer is 150 nm or less, the thickness of the hole injection layer is so thick that the driving voltage is increased to improve the movement of holes. There is an advantage that can be prevented.
- the hole transport layer may serve to facilitate the transport of holes.
- a hole transporting material a material capable of transporting holes from an anode or a hole injection layer to be transferred to a light emitting layer is suitable. Specific examples thereof include an arylamine-based organic material, a conductive polymer, and a block copolymer having a conjugated portion and a non-conjugated portion together, but are not limited thereto.
- the emission layer may emit red, green, or blue light, and may be formed of a phosphor or a fluorescent material.
- the light emitting material is a material capable of emitting light in the visible region by transporting and combining holes and electrons from the hole transport layer and the electron transport layer, respectively, and a material having good quantum efficiency with respect to fluorescence or phosphorescence is preferable.
- Specific examples thereof include 8-hydroxyquinoline aluminum complex (Alq 3 ); Carbazole series compounds; Dimerized styryl compounds; BAlq; 10-hydroxybenzoquinoline-metal compound; Benzoxazole, benzthiazole and benzimidazole series compounds; Poly (p-phenylenevinylene) (PPV) -based polymers; Spiro compounds; Polyfluorene, rubrene and the like, but are not limited thereto.
- Alq 3 8-hydroxyquinoline aluminum complex
- Carbazole series compounds Dimerized styryl compounds
- BAlq 10-hydroxybenzoquinoline-metal compound
- Benzoxazole, benzthiazole and benzimidazole series compounds include Poly (p-phenylenevinylene) (PPV) -based polymers; Spiro compounds; Polyfluorene, rubrene and the like, but are not limited thereto.
- the condensed aromatic ring derivatives include anthracene derivatives, pyrene derivatives, naphthalene derivatives, pentacene derivatives, phenanthrene compounds, and fluoranthene compounds
- the heterocyclic containing compounds include carbazole derivatives, dibenzofuran derivatives and ladder types. Furan compounds, pyrimidine derivatives, and the like, but are not limited thereto.
- the dopant material examples include aromatic amine derivatives, styrylamine compounds, boron complexes, fluoranthene compounds, and metal complexes.
- the aromatic amine derivatives include condensed aromatic ring derivatives having a substituted or unsubstituted arylamino group, and include pyrene, anthracene, chrysene, and periplanthene having an arylamino group, and a styrylamine compound may be substituted or unsubstituted.
- At least one arylvinyl group is substituted with the substituted arylamine, and one or two or more substituents selected from the group consisting of an aryl group, a silyl group, an alkyl group, a cycloalkyl group and an arylamino group are substituted or unsubstituted.
- substituents selected from the group consisting of an aryl group, a silyl group, an alkyl group, a cycloalkyl group and an arylamino group are substituted or unsubstituted.
- the metal complex includes, but is not limited to, an iridium complex, a platinum complex, and the like.
- the electron transport layer may serve to facilitate the transport of electrons.
- the electron transporting material a material capable of injecting electrons well from the cathode and transferring the electrons to the light emitting layer is suitable. Specific examples include Al complexes of 8-hydroxyquinoline; Complexes including Alq 3 ; Organic radical compounds; Hydroxyflavone-metal complexes and the like, but are not limited thereto.
- the thickness of the electron transport layer may be 1 to 50 nm. If the thickness of the electron transporting layer is 1 nm or more, there is an advantage that the electron transporting property can be prevented from being lowered. If the thickness of the electron transporting layer is 50 nm or less, the thickness of the electron transporting layer is too thick to prevent the driving voltage from increasing to improve the movement of electrons. There is an advantage to this.
- the electron injection layer may play a role of smoothly injecting electrons.
- As the electron injection material it has the ability to transport electrons, has an electron injection effect from the cathode, excellent electron injection effect to the light emitting layer or the light emitting material, and prevents the movement of excitons generated in the light emitting layer to the hole injection layer, and The compound which is excellent in thin film formation ability is preferable.
- fluorenone anthraquinodimethane, diphenoquinone, thiopyran dioxide, oxazole, oxadiazole, triazole, imidazole, perylenetetracarboxylic acid, preorenylidene methane, anthrone and the like and derivatives thereof, metal Complex compounds, nitrogen-containing five-membered ring derivatives, and the like, but are not limited thereto.
- Examples of the metal complex compound include 8-hydroxyquinolinato lithium, bis (8-hydroxyquinolinato) zinc, bis (8-hydroxyquinolinato) copper, bis (8-hydroxyquinolinato) manganese, Tris (8-hydroxyquinolinato) aluminum, tris (2-methyl-8-hydroxyquinolinato) aluminum, tris (8-hydroxyquinolinato) gallium, bis (10-hydroxybenzo [h] Quinolinato) beryllium, bis (10-hydroxybenzo [h] quinolinato) zinc, bis (2-methyl-8-quinolinato) chlorogallium, bis (2-methyl-8-quinolinato) ( o-cresolato) gallium, bis (2-methyl-8-quinolinato) (1-naphtolato) aluminum, bis (2-methyl-8-quinolinato) (2-naphtolato) gallium, It is not limited to this.
- the hole blocking layer is a layer that blocks the reaching of the cathode of the hole, and may be generally formed under the same conditions as the hole injection layer. Specifically, there are oxadiazole derivatives, triazole derivatives, phenanthroline derivatives, BCP, aluminum complexes, and the like, but are not limited thereto.
- the organic light emitting device according to the present invention may be a top emission type, a bottom emission type or a double-sided emission type depending on the material used.
- Synthesis Example 3 1.7 g of Compound BD-G was obtained by the same method as the method for synthesizing Compound BD-A, except that G-2 instead of A-2 and T-11 instead of T-3 were used.
- Synthesis Example 3 1.9 g of Compound BD-I was obtained by the same method as the method of synthesizing Compound BD-A, except that G-2 instead of A-2 and T-13 instead of T-3 were used.
- a glass substrate (corning 7059 glass) coated with ITO (Indium Tin Oxide) with a thickness of 1,000 ⁇ was placed in distilled water in which a dispersant was dissolved, and ultrasonically washed. Fischer Co. products were used for the detergent, and Millipore Co. Secondly filtered distilled water was used as a filter of the product. After the ITO was washed for 30 minutes, the ultrasonic cleaning was repeated twice with distilled water for 10 minutes. After washing the distilled water, the ultrasonic washing in the order of isopropyl alcohol, acetone, methanol solvent and dried.
- ITO Indium Tin Oxide
- the compound HAT was thermally vacuum deposited to a thickness of 50 kPa on the prepared ITO transparent electrode to form a hole injection layer.
- the following compound HT-A 1000 Pa was vacuum-deposited on the hole transport layer, and the compound HT-B 100 Pa was subsequently deposited.
- the light emitting layer was vacuum deposited to a thickness of 200 ⁇ with BD-A at 2% by weight with BH-1 and dopant as a host.
- the deposition rate of the organic material was maintained at 1 ⁇ / sec
- LiF was 0.2 ⁇ / sec
- the aluminum was maintained at a deposition rate of 3 ⁇ / sec to 7 ⁇ / sec.
- Example 1 an organic light emitting diode was manufactured according to the same method as Example 1 except for using the compound BD-C instead of the compound BD-A.
- Example 1 an organic light emitting diode was manufactured according to the same method as Example 1 except for using the compound BD-D instead of the compound BD-A.
- Example 1 an organic light emitting diode was manufactured according to the same method as Example 1 except for using the compound BD-F instead of the compound BD-A.
- Example 1 an organic light emitting diode was manufactured according to the same method as Example 1 except for using the compound BD-I instead of the compound BD-A.
- Example 1 an organic light emitting diode was manufactured according to the same method as Example 1 except for using BH-2 instead of compound BH-1.
- Example 1 an organic light emitting diode was manufactured according to the same method as Example 1 except for using the compound BD-J instead of the compound BD-A.
- Example 1 an organic light emitting diode was manufactured according to the same method as Example 1 except for using the compound BD-K instead of the compound BD-A.
- Example 1 an organic light emitting diode was manufactured according to the same method as Example 1 except for using the compound BD-L instead of the compound BD-A.
- the organic light emitting diodes of Examples 1 to 6 and Comparative Examples 1 to 3 measured driving voltage, luminous efficiency and color coordinate at a current density of 10 mA / cm 2 , and 95% of the initial luminance at a current density of 20 mA / cm 2 .
- the time to become (LT95) was measured. The results are shown in Table 1 below.
Landscapes
- Chemical & Material Sciences (AREA)
- Organic Chemistry (AREA)
- Engineering & Computer Science (AREA)
- Materials Engineering (AREA)
- Physics & Mathematics (AREA)
- Spectroscopy & Molecular Physics (AREA)
- Optics & Photonics (AREA)
- Electroluminescent Light Sources (AREA)
Abstract
Description
본 명세서는 2018년 3월 6일 한국 특허청에 제출된 한국 특허 출원 제10-2018-0026429호의 출원일 이익을 주장하며, 그 내용 전부는 본 명세서에 포함된다.This specification claims the benefit of the Korean Patent Application No. 10-2018-0026429 filed on March 6, 2018 to the Korean Intellectual Property Office, the contents of which are incorporated herein in its entirety.
본 명세서는 화합물 및 이를 포함하는 유기 발광 소자에 관한 것이다.The present specification relates to a compound and an organic light emitting device including the same.
본 명세서에서, 유기 발광 소자란 유기 반도체 물질을 이용한 발광 소자로서, 전극과 유기 반도체 물질 사이에서의 정공 및/또는 전자의 교류를 필요로 한다. 유기 발광 소자는 동작 원리에 따라 하기와 같이 크게 두 가지로 나눌 수 있다. 첫째는 외부의 광원으로부터 소자로 유입된 광자에 의하여 유기물층에서 엑시톤(exiton)이 형성되고, 이 엑시톤이 전자와 정공으로 분리되고, 이 전자와 정공이 각각 다른 전극으로 전달되어 전류원(전압원)으로 사용되는 형태의 발광 소자이다. 둘째는 2개 이상의 전극에 전압 또는 전류를 가하여 전극과 계면을 이루는 유기 반도체 물질층에 정공 및/또는 전자를 주입하고, 주입된 전자와 정공에 의하여 작동하는 형태의 발광 소자이다.In the present specification, an organic light emitting device is a light emitting device using an organic semiconductor material, and requires an exchange of holes and / or electrons between an electrode and the organic semiconductor material. The organic light emitting device can be classified into two types according to the operation principle. First, an exciton is formed in the organic layer by photons introduced into the device from an external light source, and the exciton is separated into electrons and holes, and these electrons and holes are transferred to different electrodes to be used as current sources (voltage sources). It is a light emitting element of the form. The second is a light emitting device in which holes and / or electrons are injected into the organic semiconductor material layer that interfaces with the electrodes by applying voltage or current to two or more electrodes, and is operated by the injected electrons and holes.
일반적으로 유기 발광 현상이란 유기 물질을 이용하여 전기에너지를 빛에너지로 전환시켜주는 현상을 말한다. 유기 발광 현상을 이용하는 유기 발광 소자는 통상 양극과 음극 및 이 사이에 유기물층을 포함하는 구조를 가진다. 여기서 유기물층은 유기 발광 소자의 효율과 안정성을 높이기 위하여 각기 다른 물질로 구성된 다층의 구조로 이루어진 경우가 많으며, 예컨대 정공주입층, 정공수송층, 발광층, 전자수송층, 전자주입층 등으로 이루어 질 수 있다. 이러한 유기 발광 소자의 구조에서 두 전극 사이에 전압을 걸어주게 되면 양극에서는 정공이, 음극에서는 전자가 유기물층에 주입되게 되고, 주입된 정공과 전자가 만났을 때 엑시톤(exciton)이 형성되며, 이 엑시톤이 다시 바닥상태로 떨어질 때 빛이 나게 된다. 이러한 유기 발광 소자는 자발광, 고휘도, 고효율, 낮은 구동 전압, 넓은 시야각, 높은 콘트라스트 등의 특성을 갖는 것으로 알려져 있다.In general, organic light emitting phenomenon refers to a phenomenon of converting electrical energy into light energy using an organic material. An organic light emitting device using an organic light emitting phenomenon usually has a structure including an anode, a cathode, and an organic material layer therebetween. The organic material layer is often made of a multi-layered structure composed of different materials to increase the efficiency and stability of the organic light emitting device, for example, it may be made of a hole injection layer, a hole transport layer, a light emitting layer, an electron transport layer, an electron injection layer. When the voltage is applied between the two electrodes in the structure of the organic light emitting device, holes are injected into the organic material layer at the anode and electrons are injected into the organic material layer, and excitons are formed when the injected holes and the electrons meet each other. When it falls back to the ground, it glows. Such organic light emitting devices are known to have characteristics such as self-luminous, high brightness, high efficiency, low driving voltage, wide viewing angle, and high contrast.
유기 발광 소자에서 유기물층으로 사용되는 재료는 기능에 따라, 발광 재료와 전하 수송 재료, 예컨대 정공 주입 재료, 정공 수송 재료, 전자 수송 재료, 전자 주입 재료 등으로 분류될 수 있다. 발광 재료는 발광색에 따라 청색, 녹색, 적색 발광 재료와 보다 나은 천연색을 구현하기 위해 필요한 노란색 및 주황색 발광 재료가 있다.Materials used as the organic material layer in the organic light emitting device may be classified into light emitting materials and charge transport materials such as hole injection materials, hole transport materials, electron transport materials, electron injection materials and the like depending on their functions. The luminescent material includes blue, green, and red luminescent materials and yellow and orange luminescent materials necessary to realize better natural colors depending on the emission color.
또한, 색순도의 증가와 에너지 전이를 통한 발광 효율을 증가시키기 위하여, 발광 재료로서 호스트/도펀트 계를 사용할 수 있다. 그 원리는 발광층을 주로 구성하는 호스트보다 에너지 대역 간극이 작고 발광 효율이 우수한 도펀트를 발광층에 소량 혼합하면, 호스트에서 발생한 엑시톤이 도펀트로 수송되어 효율이 높은 빛을 내는 것이다. 이 때 호스트의 파장이 도펀트의 파장대로 이동하므로, 이용하는 도펀트의 종류에 따라 원하는 파장의 빛을 얻을 수 있다.In addition, a host / dopant system may be used as the light emitting material in order to increase the light emission efficiency through increase in color purity and energy transfer. The principle is that when a small amount of dopant having a smaller energy band gap and excellent luminous efficiency than the host mainly constituting the light emitting layer is mixed in the light emitting layer, excitons generated in the host are transported to the dopant to give high efficiency light. At this time, since the wavelength of the host shifts to the wavelength of the dopant, light having a desired wavelength can be obtained according to the type of dopant to be used.
전술한 유기 발광 소자가 갖는 우수한 특징들을 충분히 발휘하기 위해서는 소자 내 유기물층을 이루는 물질, 예컨대 정공 주입 물질, 정공 수송 물질, 발광 물질, 전자 수송 물질, 전자 주입 물질 등이 안정하고 효율적인 재료에 의하여 뒷받침되므로 새로운 재료의 개발이 계속 요구되고 있다.In order to fully exhibit the excellent characteristics of the above-described organic light emitting device, a material forming the organic material layer in the device, such as a hole injection material, a hole transport material, a light emitting material, an electron transport material, an electron injection material, etc., is supported by a stable and efficient material. The development of new materials continues to be required.
본 명세서에는 다환 화합물 및 이를 포함하는 유기 발광 소자가 기재된다.The present specification describes a polycyclic compound and an organic light emitting device including the same.
본 명세서의 일 실시상태는 하기 화학식 1로 표시되는 화합물을 제공한다.An exemplary embodiment of the present specification provides a compound represented by the following formula (1).
[화학식 1][Formula 1]
상기 화학식 1에 있어서, In
A는 치환 또는 비치환된 벤젠고리이고,A is a substituted or unsubstituted benzene ring,
X1 및 X2는 서로 같거나 상이하고, 각각 독립적으로 O, S 또는 N(Ra)이며,X 1 and X 2 are the same as or different from each other, and are each independently O, S, or N (Ra),
Ra, R1 및 R2는 서로 같거나 상이하고, 각각 독립적으로 수소; 중수소; 할로겐기; 시아노기; 실릴기; 붕소기; 치환 또는 비치환된 알킬기; 치환 또는 비치환된 알케닐기; 치환 또는 비치환된 시클로알킬기; 치환 또는 비치환된 아릴기; 또는 치환 또는 비치환된 헤테로아릴기이고,Ra, R 1 and R 2 are the same as or different from each other, and each independently hydrogen; heavy hydrogen; Halogen group; Cyano group; Silyl groups; Boron group; Substituted or unsubstituted alkyl group; Substituted or unsubstituted alkenyl group; A substituted or unsubstituted cycloalkyl group; Substituted or unsubstituted aryl group; Or a substituted or unsubstituted heteroaryl group,
B1 내지 B8은 서로 같거나 상이하고, 각각 독립적으로 N, C(Rb) 또는 C(Rb')이며,B 1 to B 8 are the same as or different from each other, and each independently N, C (Rb) or C (Rb '),
Rb는 수소; 중수소; 할로겐기; 시아노기; 실릴기; 붕소기; 치환 또는 비치환된 알킬기; 치환 또는 비치환된 시클로알킬기; 치환 또는 비치환된 아릴기; 또는 치환 또는 비치환된 헤테로아릴기이고, Rb is hydrogen; heavy hydrogen; Halogen group; Cyano group; Silyl groups; Boron group; Substituted or unsubstituted alkyl group; A substituted or unsubstituted cycloalkyl group; Substituted or unsubstituted aryl group; Or a substituted or unsubstituted heteroaryl group,
Rb'는 치환 또는 비치환된 아민기; 또는 치환 또는 비치환된 N을 1 이상 포함하는 헤테로고리기이며,Rb 'is a substituted or unsubstituted amine group; Or a heterocyclic group containing one or more substituted or unsubstituted N,
B1 내지 B4 중 1 이상은 C(Rb')이고, B5 내지 B8 중 1 이상은 C(Rb')이며,At least one of B 1 to B 4 is C (Rb '), at least one of B 5 to B 8 is C (Rb'),
n1은 0 내지 2의 정수이고, n1이 2인 경우 R1은 서로 같거나 상이하며,n1 is an integer of 0 to 2, when n1 is 2, R1 is the same as or different from each other,
n2는 0 내지 2의 정수이고, n2가 2인 경우 R2는 서로 같거나 상이하다.n2 is an integer of 0 to 2, and when n2 is 2, R2 is the same as or different from each other.
또한, 본 발명은 제1 전극; 상기 제1 전극과 대향하여 구비되는 제2 전극; 및 상기 제1 전극과 상기 제2 전극 사이에 구비되는 1층 이상의 유기물층을 포함하는 유기 발광 소자로서, 상기 유기물층 중 1층 이상이 전술한 화합물을 포함하는 것인 유기 발광 소자를 제공한다.In addition, the present invention is a first electrode; A second electrode provided to face the first electrode; And an organic light emitting device comprising at least one organic material layer provided between the first electrode and the second electrode, wherein at least one of the organic material layers includes the compound described above.
본 명세서에 기재된 화합물은 유기 발광 소자의 유기물층의 재료로서 사용될 수 있다. 적어도 하나의 실시상태에 따른 화합물을 포함하는 유기 발광 소자를 제조하는 경우, 고효율 및 장수명을 갖는 유기 발광 소자를 얻을 수 있으며, 본 발명의 화합물을 유기 발광 소자의 발광층에 포함하는 경우, 높은 색재현율을 가지는 유기 발광 소자를 제조할 수 있다.The compound described herein can be used as the material of the organic material layer of the organic light emitting device. When manufacturing an organic light emitting device including the compound according to at least one embodiment, it is possible to obtain an organic light emitting device having a high efficiency and a long life, when the compound of the present invention is included in the light emitting layer of the organic light emitting device, high color reproducibility It is possible to manufacture an organic light emitting device having a.
도 1은 기판(1), 양극(2), 발광층(3) 및 음극(4)으로 이루어진 유기 발광 소자의 예를 도시한 것이다.FIG. 1 shows an example of an organic light emitting element composed of a
도 2는 기판 (1), 양극(2), 정공주입층(5), 정공수송층(6), 발광층(7), 전자수송층(8) 및 음극(4)로 이루어진 유기 발광 소자의 예를 도시한 것이다.FIG. 2 shows an example of an organic light emitting element consisting of a
도 3은 화합물 BD-A의 MS 그래프를 나타낸 도이다.3 is a diagram showing an MS graph of Compound BD-A.
도 4는 화합물 BD-B의 MS 그래프를 나타낸 도이다.4 is a diagram showing an MS graph of Compound BD-B.
도 5는 화합물 BD-C의 MS 그래프를 나타낸 도이다.5 is a diagram showing an MS graph of Compound BD-C.
도 6은 화합물 BD-D의 MS 그래프를 나타낸 도이다.6 is a diagram showing an MS graph of Compound BD-D.
도 7은 화합물 BD-E의 MS 그래프를 나타낸 도이다.7 is a diagram showing an MS graph of Compound BD-E.
1: 기판1: substrate
2: 양극2: anode
3: 발광층3: light emitting layer
4: 음극4: cathode
5: 정공주입층5: hole injection layer
6: 정공수송층6: hole transport layer
7: 발광층7: light emitting layer
8: 전자수송층8: electron transport layer
이하 본 명세서에 대하여 더욱 상세히 설명한다. Hereinafter, the present specification will be described in more detail.
본 명세서는 하기 화학식 1로 표시되는 화합물을 제공한다. 하기 화학식 1로 표시되는 화합물을 유기 발광 소자의 유기물층에 사용하는 경우, 유기 발광 소자의 효율, 색재현율 및 수명 특성이 항상된다.The present specification provides a compound represented by the following Formula 1. When the compound represented by the following formula (1) is used in the organic material layer of the organic light emitting device, the efficiency, color reproducibility and lifespan characteristics of the organic light emitting device are always.
하기 화학식 1로 표시되는 화합물과 동일한 코어구조를 가지나, B1 내지 B4 중 1 이상, B5 내지 B8 중 1 이상에 아민기 또는 N을 1 이상 포함하는 헤테로고리기를 포함하지 않는 화합물은 유기 발광 소자의 발광층 도펀트로 적용 시, 발광 세기가 약하고, 양자 효율(quantum yield)이 약하다는 문제가 있다.Compounds having the same core structure as the compound represented by the following Chemical Formula 1, but not including one or more of B 1 to B 4 and one or more of B 5 to B 8 that contain an amine group or N or one or more heterocyclic groups are organic. When applied as a light emitting layer dopant of the light emitting device, there is a problem that the light emission intensity is weak, and the quantum efficiency is weak.
[화학식 1][Formula 1]
상기 화학식 1에 있어서, In Chemical Formula 1,
A는 치환 또는 비치환된 벤젠고리이고,A is a substituted or unsubstituted benzene ring,
X1 및 X2는 서로 같거나 상이하고, 각각 독립적으로 O, S 또는 N(Ra)이며,X 1 and X 2 are the same as or different from each other, and are each independently O, S, or N (Ra),
Ra, R1 및 R2는 서로 같거나 상이하고, 각각 독립적으로 수소; 중수소; 할로겐기; 시아노기; 실릴기; 붕소기; 치환 또는 비치환된 알킬기; 치환 또는 비치환된 시클로알킬기; 치환 또는 비치환된 아릴기; 또는 치환 또는 비치환된 헤테로아릴기이고,Ra, R 1 and R 2 are the same as or different from each other, and each independently hydrogen; heavy hydrogen; Halogen group; Cyano group; Silyl groups; Boron group; Substituted or unsubstituted alkyl group; A substituted or unsubstituted cycloalkyl group; Substituted or unsubstituted aryl group; Or a substituted or unsubstituted heteroaryl group,
B1 내지 B8은 서로 같거나 상이하고, 각각 독립적으로 N, C(Rb) 또는 C(Rb')이며,B 1 to B 8 are the same as or different from each other, and each independently N, C (Rb) or C (Rb '),
Rb는 수소; 중수소; 할로겐기; 시아노기; 실릴기; 붕소기; 치환 또는 비치환된 알킬기; 치환 또는 비치환된 시클로알킬기; 치환 또는 비치환된 아릴기; 또는 치환 또는 비치환된 헤테로아릴기이고, Rb is hydrogen; heavy hydrogen; Halogen group; Cyano group; Silyl groups; Boron group; Substituted or unsubstituted alkyl group; A substituted or unsubstituted cycloalkyl group; Substituted or unsubstituted aryl group; Or a substituted or unsubstituted heteroaryl group,
Rb'는 치환 또는 비치환된 아민기; 또는 치환 또는 비치환된 N을 1 이상 포함하는 헤테로고리기이며,Rb 'is a substituted or unsubstituted amine group; Or a heterocyclic group containing one or more substituted or unsubstituted N,
B1 내지 B4 중 1 이상은 C(Rb')이고, B5 내지 B8 중 1 이상은 C(Rb')이며,At least one of B 1 to B 4 is C (Rb '), at least one of B 5 to B 8 is C (Rb'),
n1은 0 내지 2의 정수이고, n1이 2인 경우 R1은 서로 같거나 상이하며,n1 is an integer of 0 to 2, when n1 is 2, R1 is the same as or different from each other,
n2는 0 내지 2의 정수이고, n2가 2인 경우 R2는 서로 같거나 상이하다.n2 is an integer of 0 to 2, and when n2 is 2, R2 is the same as or different from each other.
본 명세서에 있어서, 어떤 부분이 어떤 구성요소를 "포함" 한다고 할 때, 이는 특별히 반대되는 기재가 없는 한 다른 구성요소를 제외하는 것이 아니라 다른 구성 요소를 더 포함할 수 있는 것을 의미한다.In the present specification, when a part "includes" a certain component, this means that it may further include other components, without excluding other components unless specifically stated otherwise.
본 명세서에 있어서, 어떤 부재가 다른 부재 "상에" 위치하고 있다고 할 때, 이는 어떤 부재가 다른 부재에 접해 있는 경우뿐 아니라 두 부재 사이에 또 다른 부재가 존재하는 경우도 포함한다.In this specification, when a member is located "on" another member, this includes not only when a member is in contact with another member but also when another member exists between the two members.
본 명세서에서 치환기의 예시들은 아래에서 설명하나, 이에 한정되는 것은 아니다.Examples of substituents herein are described below, but are not limited thereto.
상기 "치환" 이라는 용어는 화합물의 탄소 원자에 결합된 수소 원자가 다른 치환기로 바뀌는 것을 의미하며, 치환되는 위치는 수소 원자가 치환되는 위치 즉, 치환기가 치환 가능한 위치라면 한정하지 않으며, 2 이상 치환되는 경우, 2 이상의 치환기는 서로 동일하거나 상이할 수 있다.The term "substituted" means that a hydrogen atom bonded to a carbon atom of the compound is replaced with another substituent, and the position to be substituted is not limited to a position where the hydrogen atom is replaced, that is, a position where the substituent can be substituted, if two or more are substituted , Two or more substituents may be the same or different from each other.
본 명세서에서 "치환 또는 비치환된" 이라는 용어는 중수소(-D); 할로겐기; 시아노기(-CN); 실릴기; 붕소기; 치환 또는 비치환된 알킬기; 치환 또는 비치환된 알콕시기; 치환 또는 비치환된 알케닐기; 치환 또는 비치환된 시클로알킬기; 치환 또는 비치환된 아민기; 치환 또는 비치환된 아릴기; 및 치환 또는 비치환된 헤테로고리기로 이루어진 군에서 선택된 1 또는 2 이상의 치환기로 치환되었거나 상기 예시된 치환기 중 2 이상의 치환기가 연결된 치환기로 치환되거나, 또는 어떠한 치환기도 갖지 않는 것을 의미한다. 예컨대, "2 이상의 치환기가 연결된 치환기"는 바이페닐기일 수 있다. 즉, 바이페닐기는 아릴기일 수도 있고, 2개의 페닐기가 연결된 치환기로 해석될 수 도 있다.As used herein, the term "substituted or unsubstituted" is deuterium (-D); Halogen group; Cyano group (-CN); Silyl groups; Boron group; Substituted or unsubstituted alkyl group; Substituted or unsubstituted alkoxy group; Substituted or unsubstituted alkenyl group; A substituted or unsubstituted cycloalkyl group; Substituted or unsubstituted amine group; Substituted or unsubstituted aryl group; And it is substituted with one or two or more substituents selected from the group consisting of a substituted or unsubstituted heterocyclic group, or two or more substituents in the substituents exemplified above are substituted, or means that do not have any substituents. For example, "a substituent to which two or more substituents are linked" may be a biphenyl group. That is, the biphenyl group may be an aryl group or may be interpreted as a substituent to which two phenyl groups are linked.
상기 치환기들의 예시들은 아래에서 설명하나, 이에 한정되는 것은 아니다. Examples of the substituents are described below, but are not limited thereto.
본 명세서에 있어서, 할로겐기의 예로는 불소(F), 염소(Cl), 브롬(Br) 또는 요오드(I)가 있다.In the present specification, examples of the halogen group include fluorine (F), chlorine (Cl), bromine (Br) or iodine (I).
본 명세서에 있어서, 실릴기는 -SiY1Y2Y3의 화학식으로 표시될 수 있고, 상기 Y1, Y2 및 Y3는 각각 수소; 치환 또는 비치환된 알킬기; 또는 치환 또는 비치환된 아릴기일 수 있다. 상기 실릴기는 구체적으로 트리메틸실릴기, 트리에틸실릴기, t-부틸디메틸실릴기, 비닐디메틸실릴기, 프로필디메틸실릴기, 트리페닐실릴기, 디페닐실릴기, 페닐실릴기 등이 있으나 이에 한정되지 않는다. In the present specification, the silyl group may be represented by a chemical formula of -SiY 1 Y 2 Y 3 , wherein Y 1 , Y 2 and Y 3 are each hydrogen; Substituted or unsubstituted alkyl group; Or a substituted or unsubstituted aryl group. Specific examples of the silyl group include trimethylsilyl group, triethylsilyl group, t-butyldimethylsilyl group, vinyldimethylsilyl group, propyldimethylsilyl group, triphenylsilyl group, diphenylsilyl group, and phenylsilyl group, but are not limited thereto. Do not.
본 명세서에 있어서, 붕소기는 -BY4Y5의 화학식으로 표시될 수 있고, 상기 Y4 및 Y5는 각각 수소; 치환 또는 비치환된 알킬기; 또는 치환 또는 비치환된 아릴기일 수 있다. 상기 붕소기는 구체적으로 트리메틸붕소기, 트리에틸붕소기, t-부틸디메틸붕소기, 트리페닐붕소기, 페닐붕소기 등이 있으나 이에 한정되지 않는다.In the present specification, the boron group may be represented by a chemical formula of -BY 4 Y 5 , wherein Y 4 and Y 5 are each hydrogen; Substituted or unsubstituted alkyl group; Or a substituted or unsubstituted aryl group. The boron group may include, but is not limited to, trimethylboron group, triethylboron group, t-butyldimethylboron group, triphenylboron group, and phenylboron group.
본 명세서에 있어서, 상기 알킬기는 직쇄 또는 분지쇄일 수 있고, 탄소수는 특별히 한정되지 않으나 1 내지 60인 것이 바람직하다. 일 실시상태에 따르면, 상기 알킬기의 탄소수는 1 내지 30이다. 또 하나의 실시상태에 따르면, 상기 알킬기의 탄소수는 1 내지 20이다. 또 하나의 실시상태에 따르면, 상기 알킬기의 탄소수는 1 내지 10이다. 알킬기의 구체적인 예로는 메틸기, 에틸기, 프로필기, n-프로필기, 이소프로필기, 부틸기, n-부틸기, 이소부틸기, tert-부틸기, 펜틸기, n-펜틸기, n-헥실기, 헥실기, 헵틸기, n-헵틸기, 옥틸기, n-옥틸기 등이 있으나, 이들에 한정되지 않는다.In the present specification, the alkyl group may be linear or branched chain, carbon number is not particularly limited, but is preferably 1 to 60. According to an exemplary embodiment, the alkyl group has 1 to 30 carbon atoms. According to another exemplary embodiment, the alkyl group has 1 to 20 carbon atoms. According to another exemplary embodiment, the alkyl group has 1 to 10 carbon atoms. Specific examples of the alkyl group include methyl group, ethyl group, propyl group, n-propyl group, isopropyl group, butyl group, n-butyl group, isobutyl group, tert-butyl group, pentyl group, n-pentyl group and n-hexyl group , Hexyl group, heptyl group, n-heptyl group, octyl group, n-octyl group and the like, but are not limited thereto.
본 명세서에 있어서, 상기 알케닐기는 직쇄 또는 분지쇄일 수 있고, 탄소수는 특별히 한정되지 않으나, 2 내지 40인 것이 바람직하다. 일 실시상태에 따르면, 상기 알케닐기의 탄소수는 2 내지 20이다. 또 하나의 실시상태에 따르면, 상기 알케닐기의 탄소수는 2 내지 10이다. 또 하나의 실시상태에 따르면, 상기 알케닐기의 탄소수는 2 내지 6이다. 구체적인 예로는 비닐(에테닐), 1-프로페닐, 이소프로페닐, 1-부테닐, 2-부테닐, 3-부테닐, 1-펜테닐, 2-펜테닐, 3-펜테닐 등이 있으나 이들에 한정되지 않는다.In the present specification, the alkenyl group may be linear or branched chain, the carbon number is not particularly limited, but is preferably 2 to 40. According to an exemplary embodiment, the alkenyl group has 2 to 20 carbon atoms. According to another exemplary embodiment, the alkenyl group has 2 to 10 carbon atoms. According to another exemplary embodiment, the alkenyl group has 2 to 6 carbon atoms. Specific examples include vinyl (ethenyl), 1-propenyl, isopropenyl, 1-butenyl, 2-butenyl, 3-butenyl, 1-pentenyl, 2-pentenyl, 3-pentenyl, and the like. It is not limited to these.
본 명세서에 있어서, 시클로알킬기는 특별히 한정되지 않으나, 탄소수 3 내지 60인 것이 바람직하며, 일 실시상태에 따르면, 상기 시클로알킬기의 탄소수는 3 내지 30이다. 또 하나의 실시상태에 따르면, 상기 시클로알킬기의 탄소수는 3 내지 20이다. 또 하나의 실시상태에 따르면, 상기 시클로알킬기의 탄소수는 3 내지 6이다. 구체적으로 시클로프로필기, 시클로부틸기, 시클로펜틸기, 시클로헥실기, 시클로헵틸기, 시클로옥틸기 등이 있으나, 이에 한정되지 않는다. In the present specification, the cycloalkyl group is not particularly limited, but preferably has 3 to 60 carbon atoms, and according to one embodiment, the cycloalkyl group has 3 to 30 carbon atoms. According to another exemplary embodiment, the cycloalkyl group has 3 to 20 carbon atoms. According to another exemplary embodiment, the cycloalkyl group has 3 to 6 carbon atoms. Specifically, cyclopropyl group, cyclobutyl group, cyclopentyl group, cyclohexyl group, cycloheptyl group, cyclooctyl group and the like, but is not limited thereto.
본 명세서에 있어서, 아민기는 -NH2; 알킬아민기; 아릴알킬아민기; 아릴아민기; 아릴헤테로아릴아민기; 알킬헤테로아릴아민기 시클로알킬아릴아민기, 및 헤테로아릴아민기로 이루어진 군으로부터 선택될 수 있으며, 탄소수는 특별히 한정되지 않으나 1 내지 60인 것이 바람직하다. In the present specification, the amine group is -NH 2 ; Alkylamine group; Arylalkylamine group; Arylamine group; Aryl heteroaryl amine group; Alkylheteroarylamine group It can be selected from the group consisting of a cycloalkylarylamine group and a heteroarylamine group, and carbon number is not particularly limited, but is preferably 1 to 60.
본 명세서에 있어서, 알킬아민기는 탄소수는 특별히 한정되지 않으나, 1 내지 40일 수 있고, 일 실시예에 따르면 1 내지 20일 수 있다. 알킬아민기의 구체적인 예로는 메틸아민기, 디메틸아민기, 에틸아민기, 디에틸아민기 등이 있으나, 이들에만 한정되는 것은 아니다.In the present specification, the alkylamine group is not particularly limited, but may be 1 to 40, according to one embodiment may be 1 to 20. Specific examples of the alkylamine group include a methylamine group, a dimethylamine group, an ethylamine group, a diethylamine group, and the like, but are not limited thereto.
본 명세서에 있어서, 시클로알킬아릴아민기는 시클로알킬기 및 아릴기로 치환된 아민기를 의미한다.In the present specification, a cycloalkylarylamine group means an amine group substituted with a cycloalkyl group and an aryl group.
명세서에 있어서, 아릴아민기의 예로는 치환 또는 비치환된 모노아릴아민기, 치환 또는 비치환된 디아릴아민기, 또는 치환 또는 비치환된 트리아릴아민기가 있다. 상기 아릴아민기 중의 아릴기는 단환식 아릴기일 수 있고, 다환식 아릴기일 수 있다. 상기 2 이상의 아릴기를 포함하는 아릴아민기는 단환식 아릴기, 다환식 아릴기, 또는 단환식 아릴기와 다환식 아릴기를 동시에 포함할 수 있다. In the specification, examples of the arylamine group include a substituted or unsubstituted monoarylamine group, a substituted or unsubstituted diarylamine group, or a substituted or unsubstituted triarylamine group. The aryl group in the arylamine group may be a monocyclic aryl group, may be a polycyclic aryl group. The arylamine group including two or more aryl groups may simultaneously include a monocyclic aryl group, a polycyclic aryl group, or a monocyclic aryl group and a polycyclic aryl group.
아릴아민기의 구체적인 예로는 페닐아민기, 나프틸아민기, 바이페닐아민기, 안트라세닐아민기, 디페닐아민기, 페닐나프틸아민기, 바이페닐페닐아민기, 디바이페닐아민기, 플루오레닐페닐아민기 등이 있으나, 이에 한정되는 것은 아니다.Specific examples of the arylamine group include phenylamine group, naphthylamine group, biphenylamine group, anthracenylamine group, diphenylamine group, phenylnaphthylamine group, biphenylphenylamine group, dibiphenylamine group, and fluorine. And a phenylphenyl group, but are not limited thereto.
본 명세서에 있어서, 헤테로아릴아민기의 예로는 치환 또는 비치환된 모노헤테로아릴아민기, 치환 또는 비치환된 디헤테로아릴아민기, 또는 치환 또는 비치환된 트리헤테로아릴아민기가 있다. 상기 헤테로아릴아민기 중의 헤테로아릴기는 단환식 헤테로아릴기일 수 있고, 다환식 헤테로아릴기일 수 있다. 상기 2 이상의 헤테로아릴기를 포함하는 헤테로아릴아민기는 단환식 헤테아릴기, 다환식 헤테로아릴기, 또는 단환식 헤테로아릴기와 다환식 헤테로아릴기를 동시에 포함할 수 있다.In the present specification, examples of the heteroarylamine group include a substituted or unsubstituted monoheteroarylamine group, a substituted or unsubstituted diheteroarylamine group, or a substituted or unsubstituted triheteroarylamine group. The heteroaryl group in the heteroarylamine group may be a monocyclic heteroaryl group, may be a polycyclic heteroaryl group. The heteroarylamine group including two or more heteroaryl groups may simultaneously include a monocyclic heteroaryl group, a polycyclic heteroaryl group, or a monocyclic heteroaryl group and a polycyclic heteroaryl group.
본 명세서에 있어서, 아릴알킬아민기는 아릴기 및 알킬기로 치환된 아민기를 의미한다.In the present specification, the arylalkylamine group means an amine group substituted with an aryl group and an alkyl group.
본 명세서에 있어서, 아릴헤테로아릴아민기는 아릴기 및 헤테로아릴기로 치환된 아민기를 의미한다.In the present specification, the arylheteroarylamine group means an amine group substituted with an aryl group and a heteroaryl group.
본 명세서에 있어서, 아릴알킬아민기는 아릴기 및 알킬기로 치환된 아민기를 의미한다.In the present specification, the arylalkylamine group means an amine group substituted with an aryl group and an alkyl group.
본 명세서에 있어서, 알킬헤테로아릴아민기는 알킬기 및 헤테로아릴기로 치환된 아민기를 의미한다.In the present specification, an alkylheteroarylamine group means an amine group substituted with an alkyl group and a heteroaryl group.
본 명세서에 있어서, 아릴기는 특별히 한정되지 않으나 탄소수 6 내지 60인 것이 바람직하며, 단환식 아릴기 또는 다환식 아릴기일 수 있다. 일 실시상태에 따르면, 상기 아릴기의 탄소수는 6 내지 30이다. 일 실시상태에 따르면, 상기 아릴기의 탄소수는 6 내지 20이다. 상기 아릴기가 단환식 아릴기로는 페닐기, 바이페닐기, 터페닐기 등이 될 수 있으나, 이에 한정되는 것은 아니다. 상기 다환식 아릴기로는 나프틸기, 안트라세닐기, 페난트레닐기, 파이레닐기, 페릴레닐기, 트리페닐기, 크라이세닐기, 플루오레닐기 등이 될 수 있으나, 이에 한정되는 것은 아니다.In the present specification, the aryl group is not particularly limited, but preferably has 6 to 60 carbon atoms, and may be a monocyclic aryl group or a polycyclic aryl group. According to an exemplary embodiment, the aryl group has 6 to 30 carbon atoms. According to an exemplary embodiment, the aryl group has 6 to 20 carbon atoms. The aryl group may be a monocyclic aryl group, but may be a phenyl group, a biphenyl group, a terphenyl group, etc., but is not limited thereto. The polycyclic aryl group may be a naphthyl group, anthracenyl group, phenanthrenyl group, pyrenyl group, peryllenyl group, triphenyl group, chrysenyl group, fluorenyl group, and the like, but is not limited thereto.
본 명세서에 있어서, 플루오레닐기는 치환될 수 있고, 치환기 2개가 서로 결합하여 스피로 구조를 형성할 수 있다.In the present specification, the fluorenyl group may be substituted, and two substituents may be bonded to each other to form a spiro structure.
상기 플루오레닐기가 치환되는 경우, , 등의 스피로플루오레닐기, (9,9-디메틸플루오레닐기), 및 (9,9-디페닐플루오레닐기) 등의 치환된 플루오레닐기가 될 수 있다. 다만, 이에 한정되는 것은 아니다.When the fluorenyl group is substituted, , Spirofluorenyl groups, such as (9,9-dimethylfluorenyl group), and It may be a substituted fluorenyl group such as (9,9-diphenyl fluorenyl group). However, the present invention is not limited thereto.
본 명세서에 있어서, 헤테로고리기는 이종원자로 N, O, P, S, Si 및 Se 중 1개 이상을 포함하는 고리기로서, 탄소수는 특별히 한정되지 않으나 탄소수 2 내지 60인 것이 바람직하다. 일 실시상태에 따르면, 상기 헤테로고리기의 탄소수는 2 내지 30이다. 헤테로고리기의 예로는 예로는 피리딘기, 피롤기, 피리미딘기, 피리다지닐기, 퓨란기, 티오펜기, 이미다졸기, 피라졸기, 디벤조퓨란기, 디벤조티오펜기, 카바졸기, 인돌로카바졸기, 나프토벤조퓨란기 등이 있으나, 이들에만 한정되는 것은 아니다.In the present specification, the heterocyclic group is a ring group containing one or more of N, O, P, S, Si, and Se as hetero atoms, and carbon number is not particularly limited, but is preferably 2 to 60 carbon atoms. According to an exemplary embodiment, the heterocyclic group has 2 to 30 carbon atoms. Examples of the heterocyclic group include, for example, pyridine group, pyrrole group, pyrimidine group, pyridazinyl group, furan group, thiophene group, imidazole group, pyrazole group, dibenzofuran group, dibenzothiophene group, carbazole group , Indolocarbazole groups, naphthobenzofuran groups and the like, but are not limited thereto.
본 명세서에 있어서, 헤테로아릴기는 방향족인 것을 제외하고는 전술한 헤테로고리기에 관한 설명이 적용될 수 있다.In the present specification, the description of the aforementioned heterocyclic group may be applied except that the heteroaryl group is aromatic.
본 명세서에 있어서, 인접한 기(본원 화학식 A의 Ar1 및 Ar2)가 서로 결합하여 형성되는 치환 또는 비치환된 헤테로고리에서 상기 헤테로고리는 2가인 것을 제외하고는 헤테로고리기에 관한 설명이 적용될 수 있다.In the present specification, in the substituted or unsubstituted heterocycle formed by bonding of adjacent groups (Ar 1 and Ar 2 of Formula A herein), the description of the heterocyclic group may be applied except that the heterocycle is divalent. have.
본 명세서에 있어서, 아릴렌기는 2가기인 것을 제외하고는 전술한 아릴기에 관한 설명이 적용될 수 있다.In the present specification, the description of the aryl group described above may be applied except that the arylene group is a divalent group.
본 명세서에 있어서, 헤테로아릴렌기는 2가기인 것을 제외하고는 전술한 헤테로아릴기에 관한 설명이 적용될 수 있다.In the present specification, the description about the heteroaryl group described above may be applied except that the heteroarylene group is a divalent group.
본 명세서의 일 실시상태에 따르면, 상기 A는 치환 또는 비치환된 벤젠고리이다.According to an exemplary embodiment of the present specification, A is a substituted or unsubstituted benzene ring.
상기 A는 수소, 중수소, 할로겐기, 시아노기(-CN), 실릴기, 치환 또는 비치환된 알킬기, 치환 또는 비치환된 알케닐기, 치환 또는 비치환된 아릴기 및 치환 또는 비치환된 헤테로아릴기로 이루어진 군으로부터 선택된 1 이상으로 치환 또는 비치환된 벤젠고리이다.A is hydrogen, deuterium, halogen, cyano group (-CN), silyl group, substituted or unsubstituted alkyl group, substituted or unsubstituted alkenyl group, substituted or unsubstituted aryl group and substituted or unsubstituted heteroaryl Or a benzene ring unsubstituted or substituted with one or more selected from the group consisting of groups.
본 발명의 일 예에 따르면, 상기 A는 수소, 중수소, 할로겐기, 시아노기(-CN), 실릴기, 치환 또는 비치환된 탄소수 1 내지 20의 알킬기, 치환 또는 비치환된 탄소수 2 내지 20의 알케닐기, 치환 또는 비치환된 탄소수 6 내지 30의 아릴기 및 치환 또는 비치환된 탄소수 2 내지 30의 헤테로아릴기로 이루어진 군으로부터 선택된 1 이상으로 치환 또는 비치환된 벤젠고리이다.According to an embodiment of the present invention, A is hydrogen, deuterium, halogen, cyano group (-CN), silyl group, substituted or unsubstituted C1-20 alkyl group, substituted or unsubstituted C2-20 It is a benzene ring unsubstituted or substituted with one or more selected from the group consisting of an alkenyl group, a substituted or unsubstituted aryl group having 6 to 30 carbon atoms, and a substituted or unsubstituted heteroaryl group having 2 to 30 carbon atoms.
또 하나의 일 예에 따르면, 상기 A는 수소, 중수소, 할로겐기, 시아노기(-CN), 실릴기, 치환 또는 비치환된 메틸기, 치환 또는 비치환된 에틸기, 치환 또는 비치환된 프로필기, 치환 또는 비치환된 부틸기, 치환 또는 비치환된 에테닐기, 치환 또는 비치환된 페닐기 및 치환 또는 비치환된 피리미딘기로 이루어진 군으로부터 선택된 1 이상으로 치환 또는 비치환된 벤젠고리이다.According to another example, A is hydrogen, deuterium, halogen, cyano group (-CN), silyl group, substituted or unsubstituted methyl group, substituted or unsubstituted ethyl group, substituted or unsubstituted propyl group, Or a substituted or unsubstituted benzene ring selected from the group consisting of a substituted or unsubstituted butyl group, a substituted or unsubstituted ethenyl group, a substituted or unsubstituted phenyl group, and a substituted or unsubstituted pyrimidine group.
또 하나의 일 예에 따르면, 상기 A는 수소, 중수소, 할로겐기, 시아노기(-CN), 트리메틸실릴기, 메틸기, 에틸기, 프로필기, 부틸기, 메틸에테닐기, 트리플루오로페닐기, 부틸기로 치환 또는 비치환된 페닐기 및 페닐기로 치환된 피리미딘기로 이루어진 군으로부터 선택된 1 이상으로 치환 또는 비치환된 벤젠고리이다.According to another example, A is hydrogen, deuterium, halogen, cyano (-CN), trimethylsilyl, methyl, ethyl, propyl, butyl, methylethenyl, trifluorophenyl, butyl It is a benzene ring unsubstituted or substituted with one or more selected from the group consisting of a phenyl group substituted or unsubstituted with a group and a pyrimidine group substituted with a phenyl group.
본 발명의 일 예에 따르면, 상기 화학식 1은 하기 화학식 2 내지 4 중 어느 하나로 표시될 수 있다.According to an embodiment of the present invention,
[화학식 2][Formula 2]
[화학식 3][Formula 3]
[화학식 4][Formula 4]
상기 화학식 2 내지 4에 있어서,In
X1 및 X2는 서로 같거나 상이하고, 각각 독립적으로 O, S 또는 N(Ra)이며,X 1 and X 2 are the same as or different from each other, and each independently O, S Or N (Ra),
Z1 내지 Z6, Ra, R1 및 R2는 서로 같거나 상이하고, 각각 독립적으로 수소; 중수소; 할로겐기; 시아노기; 실릴기; 붕소기; 치환 또는 비치환된 알킬기; 치환 또는 비치환된 알케닐기; 치환 또는 비치환된 시클로알킬기; 치환 또는 비치환된 아릴기; 또는 치환 또는 비치환된 헤테로아릴기이고,Z 1 to Z 6 , Ra, R 1 and R 2 are the same as or different from each other, and each independently hydrogen; heavy hydrogen; Halogen group; Cyano group; Silyl groups; Boron group; Substituted or unsubstituted alkyl group; Substituted or unsubstituted alkenyl group; A substituted or unsubstituted cycloalkyl group; Substituted or unsubstituted aryl group; Or a substituted or unsubstituted heteroaryl group,
B1 내지 B8은 서로 같거나 상이하고, 각각 독립적으로 N, C(Rb) 또는 C(Rb')이며,B 1 to B 8 are the same as or different from each other, and each independently N, C (Rb) or C (Rb '),
Rb는 수소; 중수소; 할로겐기; 시아노기; 실릴기; 붕소기; 치환 또는 비치환된 알킬기; 치환 또는 비치환된 시클로알킬기; 치환 또는 비치환된 아릴기; 또는 치환 또는 비치환된 헤테로아릴기이고, Rb is hydrogen; heavy hydrogen; Halogen group; Cyano group; Silyl groups; Boron group; Substituted or unsubstituted alkyl group; A substituted or unsubstituted cycloalkyl group; Substituted or unsubstituted aryl group; Or a substituted or unsubstituted heteroaryl group,
Rb'는 치환 또는 비치환된 아민기; 또는 치환 또는 비치환된 N을 1 이상 포함하는 헤테로고리기이며,Rb 'is a substituted or unsubstituted amine group; Or a heterocyclic group containing one or more substituted or unsubstituted N,
B1 내지 B4 중 1 이상은 C(Rb')이고, B5 내지 B8 중 1 이상은 C(Rb')이며,At least one of B 1 to B 4 is C (Rb '), at least one of B 5 to B 8 is C (Rb'),
n1은 0 내지 2의 정수이고, n1이 2인 경우 R1은 서로 같거나 상이하며,n1 is an integer of 0 to 2, when n1 is 2, R1 is the same as or different from each other,
n2는 0 내지 2의 정수이고, n2가 2인 경우 R2는 서로 같거나 상이하다.n2 is an integer of 0 to 2, and when n2 is 2, R2 is the same as or different from each other.
본 발명의 일 예에 있어서, 상기 Z1 내지 Z6은 서로 같거나 상이하고, 각각 독립적으로 수소, 중수소, 할로겐기, 시아노기(-CN), 실릴기, 치환 또는 비치환된 알킬기, 치환 또는 비치환된 알케닐기, 치환 또는 비치환된 아릴기 또는 치환 또는 비치환된 헤테로아릴기이다.In one embodiment of the present invention, Z 1 to Z 6 are the same as or different from each other, and each independently hydrogen, deuterium, halogen, cyano group (-CN), silyl group, substituted or unsubstituted alkyl group, substituted or Unsubstituted alkenyl group, substituted or unsubstituted aryl group, or substituted or unsubstituted heteroaryl group.
본 발명의 일 예에 따르면, 상기 Z1 내지 Z6은 서로 같거나 상이하고, 각각 독립적으로 수소, 중수소, 할로겐기, 시아노기(-CN), 실릴기, 치환 또는 비치환된 탄소수 1 내지 20의 알킬기, 치환 또는 비치환된 탄소수 2 내지 20의 알케닐기, 치환 또는 비치환된 탄소수 6 내지 30의 아릴기 또는 치환 또는 비치환된 탄소수 2 내지 30의 헤테로아릴기이다.According to an embodiment of the present invention, Z 1 to Z 6 are the same as or different from each other, and each independently hydrogen, deuterium, a halogen group, a cyano group (-CN), a silyl group, a substituted or
또 하나의 예에 따르면, 상기 Z1 내지 Z6은 서로 같거나 상이하고, 각각 독립적으로 수소, 중수소, 할로겐기, 시아노기(-CN), 실릴기, 치환 또는 비치환된 메틸기, 치환 또는 비치환된 에틸기, 치환 또는 비치환된 프로필기, 치환 또는 비치환된 부틸기, 치환 또는 비치환된 에테닐기, 치환 또는 비치환된 페닐기 또는 치환 또는 비치환된 피리미딘기이다.According to another example, Z 1 to Z 6 are the same as or different from each other, and each independently hydrogen, deuterium, halogen, cyano group (-CN), silyl group, substituted or unsubstituted methyl group, substituted or unsubstituted A substituted ethyl group, a substituted or unsubstituted propyl group, a substituted or unsubstituted butyl group, a substituted or unsubstituted ethenyl group, a substituted or unsubstituted phenyl group or a substituted or unsubstituted pyrimidine group.
또 하나의 예에 따르면, 상기 Z1 내지 Z6은 서로 같거나 상이하고, 각각 독립적으로 수소, 중수소, 할로겐기, 시아노기(-CN), 트리메틸실릴기, 메틸기, 에틸기, 프로필기, 부틸기, 메틸에테닐기, 트리플루오로페닐기, 부틸기로 치환 또는 비치환된 페닐기 또는 페닐기로 치환된 피리미딘기이다.According to another example, Z 1 to Z 6 are the same as or different from each other, and each independently hydrogen, deuterium, halogen, cyano group (-CN), trimethylsilyl group, methyl group, ethyl group, propyl group, butyl group , A methylethenyl group, a trifluorophenyl group, a phenyl group unsubstituted or substituted with a butyl group, or a pyrimidine group substituted with a phenyl group.
본 발명의 일 예에 따르면, 상기 화학식 1은 하기 화학식 1-1 내지 1-6 중 어느 하나로 표시될 수 있다.According to an embodiment of the present invention,
[화학식 1-1][Formula 1-1]
[화학식 1-2][Formula 1-2]
[화학식 1-3][Formula 1-3]
[화학식 1-4][Formula 1-4]
[화학식 1-5] [Formula 1-5]
[화학식 1-6][Formula 1-6]
상기 화학식 1-1 내지 1-6에 있어서,In Chemical Formulas 1-1 to 1-6,
X1 및 X2는 서로 같거나 상이하고, 각각 독립적으로 O, S 또는 N(Ra)이며,X 1 and X 2 are the same as or different from each other, and each independently O, S Or N (Ra),
Z21 내지 Z32, Ra, R1 및 R2는 서로 같거나 상이하고, 각각 독립적으로 수소; 중수소; 할로겐기; 시아노기(-CN); 실릴기; 붕소기; 치환 또는 비치환된 알킬기; 치환 또는 비치환된 알케닐기; 치환 또는 비치환된 시클로알킬기; 치환 또는 비치환된 아릴기; 또는 치환 또는 비치환된 헤테로아릴기이고,Z 21 to Z 32 , Ra, R 1 and R 2 are the same as or different from each other, and each independently hydrogen; heavy hydrogen; Halogen group; Cyano group (-CN); Silyl groups; Boron group; Substituted or unsubstituted alkyl group; Substituted or unsubstituted alkenyl group; A substituted or unsubstituted cycloalkyl group; Substituted or unsubstituted aryl group; Or a substituted or unsubstituted heteroaryl group,
B1 내지 B8은 서로 같거나 상이하고, 각각 독립적으로 N, C(Rb) 또는 C(Rb')이며,B 1 to B 8 are the same as or different from each other, and each independently N, C (Rb) or C (Rb '),
Rb는 수소; 중수소; 할로겐기; 시아노기(-CN); 실릴기; 붕소기; 치환 또는 비치환된 알킬기; 치환 또는 비치환된 시클로알킬기; 치환 또는 비치환된 아릴기; 또는 치환 또는 비치환된 헤테로아릴기이고, Rb is hydrogen; heavy hydrogen; Halogen group; Cyano group (-CN); Silyl groups; Boron group; Substituted or unsubstituted alkyl group; A substituted or unsubstituted cycloalkyl group; Substituted or unsubstituted aryl group; Or a substituted or unsubstituted heteroaryl group,
Rb'는 치환 또는 비치환된 아민기; 또는 치환 또는 비치환된 N을 1 이상 포함하는 헤테로고리기이며,Rb 'is a substituted or unsubstituted amine group; Or a heterocyclic group containing one or more substituted or unsubstituted N,
B1 내지 B4 중 1 이상은 C(Rb')이고, B5 내지 B8 중 1 이상은 C(Rb')이며,At least one of B 1 to B 4 is C (Rb '), at least one of B 5 to B 8 is C (Rb'),
n1은 0 내지 2의 정수이고, n1이 2인 경우 R1은 서로 같거나 상이하며,n1 is an integer of 0 to 2, when n1 is 2, R1 is the same as or different from each other,
n2는 0 내지 2의 정수이고, n2가 2인 경우 R2는 서로 같거나 상이하다.n2 is an integer of 0 to 2, and when n2 is 2, R2 is the same as or different from each other.
본 발명의 일 예에 있어서, 상기 Z21 내지 Z32는 서로 같거나 상이하고, 각각 독립적으로 수소, 중수소, 할로겐기, 시아노기(-CN), 실릴기, 치환 또는 비치환된 알킬기, 치환 또는 비치환된 알케닐기, 치환 또는 비치환된 아릴기 또는 치환 또는 비치환된 헤테로아릴기이다.In one embodiment of the present invention, Z 21 to Z 32 are the same as or different from each other, and each independently hydrogen, deuterium, a halogen group, a cyano group (-CN), a silyl group, a substituted or unsubstituted alkyl group, a substituted or Unsubstituted alkenyl group, substituted or unsubstituted aryl group, or substituted or unsubstituted heteroaryl group.
본 발명의 일 예에 따르면, 상기 Z21 내지 Z32는 서로 같거나 상이하고, 각각 독립적으로 수소, 중수소, 할로겐기, 시아노기(-CN), 실릴기, 치환 또는 비치환된 탄소수 1 내지 20의 알킬기, 치환 또는 비치환된 탄소수 2 내지 20의 알케닐기, 치환 또는 비치환된 탄소수 6 내지 30의 아릴기 또는 치환 또는 비치환된 탄소수 2 내지 30의 헤테로아릴기이다.According to an embodiment of the present invention, Z 21 to Z 32 are the same as or different from each other, and each independently hydrogen, deuterium, a halogen group, a cyano group (-CN), a silyl group, a substituted or
또 하나의 예에 따르면, 상기 Z21 내지 Z32는 서로 같거나 상이하고, 각각 독립적으로 수소, 중수소, 할로겐기, 시아노기(-CN), 실릴기, 치환 또는 비치환된 메틸기, 치환 또는 비치환된 에틸기, 치환 또는 비치환된 프로필기, 치환 또는 비치환된 부틸기, 치환 또는 비치환된 에테닐기, 치환 또는 비치환된 페닐기 또는 치환 또는 비치환된 피리미딘기이다.According to another example, Z 21 to Z 32 are the same as or different from each other, and each independently hydrogen, deuterium, halogen, cyano group (-CN), silyl group, substituted or unsubstituted methyl group, substituted or unsubstituted A substituted ethyl group, a substituted or unsubstituted propyl group, a substituted or unsubstituted butyl group, a substituted or unsubstituted ethenyl group, a substituted or unsubstituted phenyl group or a substituted or unsubstituted pyrimidine group.
또 하나의 예에 따르면, 상기 Z21 내지 Z32는 서로 같거나 상이하고, 각각 독립적으로 수소, 중수소, 할로겐기, 시아노기(-CN), 트리메틸실릴기, 메틸기, 에틸기, 프로필기, 부틸기, 메틸에테닐기, 트리플루오로페닐기, 부틸기로 치환 또는 비치환된 페닐기 또는 페닐기로 치환된 피리미딘기이다.According to another example, Z 21 to Z 32 are the same as or different from each other, and each independently hydrogen, deuterium, a halogen group, a cyano group (-CN), trimethylsilyl group, a methyl group, an ethyl group, a propyl group, a butyl group , A methylethenyl group, a trifluorophenyl group, a phenyl group unsubstituted or substituted with a butyl group, or a pyrimidine group substituted with a phenyl group.
본 발명의 일 예에 따르면, 상기 X1 및 X2는 서로 같거나 상이하고, 각각 독립적으로 O, S, S(=O), SO2 또는 N(Ra)이다.According to one embodiment of the present invention, X 1 and X 2 are the same as or different from each other, and each independently O, S, S (= O), SO 2 or N (Ra).
또 하나의 예에 따르면, 상기 X1 및 X2는 O이다.According to another example, X 1 and X 2 are O.
또 하나의 예에 따르면, 상기 X1 및 X2는 S이다.According to another example, X 1 and X 2 are S.
또 하나의 예에 따르면, 상기 X1 및 X2는 N(Ra)이다.According to another example, X 1 and X 2 are N (Ra).
또 하나의 예에 따르면, 상기 X1 및 X2 중 어느 하나는 O 이고, 나머지 하나는 S이다.According to another example, one of X 1 and X 2 is O and the other is S.
또 하나의 예에 따르면, 상기 X1 및 X2 중 어느 하나는 O 이고, 나머지 하나는 N(Ra)이다.According to another example, one of X 1 and X 2 is O and the other is N (Ra).
또 하나의 예에 따르면, 상기 X1 및 X2 중 어느 하나는 S 이고, 나머지 하나는 N(Ra)이다.According to another example, one of X 1 and X 2 is S and the other is N (Ra).
상기 Ra는 수소; 중수소; 치환 또는 비치환된 알킬기; 치환 또는 비치환된 아릴기 또는 치환 또는 비치환된 헤테로아릴기이다.Ra is hydrogen; heavy hydrogen; Substituted or unsubstituted alkyl group; A substituted or unsubstituted aryl group or a substituted or unsubstituted heteroaryl group.
또 하나의 예에 따르면, 상기 Ra는 수소; 중수소; 치환 또는 비치환된 탄소수 1 내지 20의 알킬기; 치환 또는 비치환된 탄소수 6 내지 30의 아릴기 또는 치환 또는 비치환된 탄소수 2 내지 30의 헤테로아릴기이다.According to another example, Ra is hydrogen; heavy hydrogen; A substituted or unsubstituted alkyl group having 1 to 20 carbon atoms; Or a substituted or unsubstituted aryl group having 6 to 30 carbon atoms or a substituted or unsubstituted heteroaryl group having 2 to 30 carbon atoms.
또 하나의 예에 있어서, 상기 Ra는 수소; 중수소; 치환 또는 비치환된 탄소수 6 내지 30의 아릴기; 또는 치환 또는 비치환된 탄소수 2 내지 30의 헤테로아릴기이다.In another example, Ra is hydrogen; heavy hydrogen; Substituted or unsubstituted aryl group having 6 to 30 carbon atoms; Or a substituted or unsubstituted heteroaryl group having 2 to 30 carbon atoms.
또 하나의 예에 따르면, 상기 Ra는 수소; 중수소; 할로겐기 또는 탄소수 1 내지 20의 알킬기로 치환 또는 비치환된 탄소수 6 내지 30의 아릴기; 또는 할로겐기 또는 탄소수 1 내지 20의 알킬기로 치환 또는 비치환된 탄소수 2 내지 30의 헤테로아릴기이다.According to another example, Ra is hydrogen; heavy hydrogen; An aryl group having 6 to 30 carbon atoms unsubstituted or substituted with a halogen group or an alkyl group having 1 to 20 carbon atoms; Or a heteroaryl group having 2 to 30 carbon atoms unsubstituted or substituted with a halogen group or an alkyl group having 1 to 20 carbon atoms.
또 하나의 예에 있어서, 상기 Ra는 수소; 중수소; 치환 또는 비치환된 페닐기; 치환 또는 비치환된 바이페닐기; 치환 또는 비치환된 나프틸기; 치환 또는 비치환된 디벤조퓨란기; 치환 또는 비치환된 디벤조티오펜기; 또는 치환 또는 비치환된 카바졸기이다.In another example, Ra is hydrogen; heavy hydrogen; Substituted or unsubstituted phenyl group; A substituted or unsubstituted biphenyl group; Substituted or unsubstituted naphthyl group; Substituted or unsubstituted dibenzofuran group; Substituted or unsubstituted dibenzothiophene group; Or a substituted or unsubstituted carbazole group.
또 하나의 일 실시상태에 따르면, 상기 Ra는 수소; 중수소; 할로겐기 또는 부틸기로 치환 또는 비치환된 페닐기; 나프틸기; 또는 디벤조퓨란기이다.According to another exemplary embodiment, Ra is hydrogen; heavy hydrogen; A phenyl group unsubstituted or substituted with a halogen group or a butyl group; Naphthyl group; Or a dibenzofuran group.
본 발명의 일 예에 있어서, 상기 R1 및 R2는 서로 같거나 상이하고, 각각 독립적으로 수소; 중수소; 할로겐기; 시아노기(-CN); 실릴기; 붕소기; 치환 또는 비치환된 탄소수 1 내지 20의 알킬기; 치환 또는 비치환된 탄소수 3 내지 30의 시클로알킬기; 치환 또는 비치환된 탄소수 6 내지 30의 아릴기; 또는 치환 또는 비치환된 탄소수 2 내지 30의 헤테로아릴기이다.In one embodiment of the present invention, R 1 and R 2 are the same as or different from each other, and each independently hydrogen; heavy hydrogen; Halogen group; Cyano group (-CN); Silyl groups; Boron group; A substituted or unsubstituted alkyl group having 1 to 20 carbon atoms; A substituted or unsubstituted cycloalkyl group having 3 to 30 carbon atoms; Substituted or unsubstituted aryl group having 6 to 30 carbon atoms; Or a substituted or unsubstituted heteroaryl group having 2 to 30 carbon atoms.
또 하나의 예에 따르면, 상기 R1 및 R2는 서로 같거나 상이하고, 각각 독립적으로 수소; 중수소; 할로겐기; 시아노기(-CN); 실릴기; 붕소기; 치환 또는 비치환된 탄소수 1 내지 20의 알킬기; 치환 또는 비치환된 탄소수 3 내지 30의 시클로알킬기; 치환 또는 비치환된 탄소수 6 내지 30의 아릴기; 또는 치환 또는 비치환된 탄소수 2 내지 30의 헤테로아릴기이다.According to another example, R 1 and R 2 are the same as or different from each other, and each independently hydrogen; heavy hydrogen; Halogen group; Cyano group (-CN); Silyl groups; Boron group; A substituted or unsubstituted alkyl group having 1 to 20 carbon atoms; A substituted or unsubstituted cycloalkyl group having 3 to 30 carbon atoms; Substituted or unsubstituted aryl group having 6 to 30 carbon atoms; Or a substituted or unsubstituted heteroaryl group having 2 to 30 carbon atoms.
또 하나의 예에 있어서, 상기 R1 및 R2는 서로 같거나 상이하고, 각각 독립적으로 수소; 중수소; 할로겐기; 시아노기(-CN); 실릴기; 붕소기; 탄소수 1 내지 20의 알킬기; 탄소수 3 내지 30의 시클로알킬기; 탄소수 6 내지 30의 아릴기; 또는 탄소수 2 내지 30의 헤테로아릴기이다.In another example, R 1 and R 2 are the same as or different from each other, and each independently hydrogen; heavy hydrogen; Halogen group; Cyano group (-CN); Silyl groups; Boron group; An alkyl group having 1 to 20 carbon atoms; A cycloalkyl group having 3 to 30 carbon atoms; Aryl groups having 6 to 30 carbon atoms; Or a heteroaryl group having 2 to 30 carbon atoms.
본 발명의 일 예에 따르면, 상기 n1은 0 내지 2의 정수이고, n1이 2인 경우 괄호 내의 치환기는 서로 같거나 상이하다.According to an example of the present invention, n1 is an integer of 0 to 2, and when n1 is 2, the substituents in parentheses are the same as or different from each other.
본 발명의 일 예에 따르면, 상기 n1은 0 내지 2의 정수이고, n1이 2인 경우 R1은 서로 같거나 상이하다.According to an example of the present invention, n1 is an integer of 0 to 2, and when n1 is 2, R1 is the same as or different from each other.
또 하나의 예에 따르면, 상기 n1은 0 또는 1이다.According to another example, n1 is 0 or 1.
본 발명의 일 예에 따르면, 상기 n2는 0 내지 2의 정수이고, n2가 2인 경우 R2는 서로 같거나 상이하다.According to an example of the present invention, n2 is an integer of 0 to 2, and when n2 is 2, R2 is the same as or different from each other.
또 하나의 예에 따르면, 상기 n2는 0 또는 1이다.According to another example, n2 is 0 or 1.
본 발명의 일 예에 따르면, 상기 B1 내지 B8은 서로 같거나 상이하고, 각각 독립적으로 N, C(Rb) 또는 C(Rb')이다.According to an embodiment of the present invention, B 1 to B 8 are the same as or different from each other, and each independently N, C (Rb) or C (Rb ').
본 발명의 일 실시예에 있어서, 상기 B1 내지 B4 중 1 이상은 C(Rb')이고, 상기 B5 내지 B8 중 1 이상은 C(Rb')이다.In one embodiment of the present invention, at least one of B 1 to B 4 is C (Rb ' ), and at least one of the B 5 to B 8 is C (Rb').
또 하나의 일 실시상태에 있어서, 상기 B1 내지 B4 중 1개는 C(Rb')이며, 나머지 3개는 C(Rb)이다.In another exemplary embodiment, one of B 1 to B 4 is C (Rb '), and the other three are C (Rb).
또 하나의 일 실시예에 따르면, 상기 B1 내지 B4 중 1개는 N이고, 1개는 C(Rb')이며, 나머지 2개는 C(Rb)이다.According to another embodiment, one of the B 1 to B 4 is N, one is C (Rb '), the other two are C (Rb).
또 하나의 일 실시예에 있어서, 상기 B1 내지 B4 중 2개는 N이고, 1개는 C(Rb')이며, 나머지 1개는 C(Rb)이다.In another embodiment, two of the B 1 to B 4 is N, one is C (Rb '), the other is C (Rb).
또 하나의 일 실시상태에 있어서, 상기 B5 내지 B8 중 1개는 C(Rb')이며, 나머지 3개는 C(Rb)이다.In another exemplary embodiment, one of B 5 to B 8 is C (Rb '), and the other three are C (Rb).
또 하나의 일 실시예에 따르면, 상기 B5 내지 B8 중 1개는 N이고, 1개는 C(Rb')이며, 나머지 2개는 C(Rb)이다.According to another embodiment, one of the B 5 to B 8 is N, one is C (Rb '), the other two are C (Rb).
또 하나의 일 실시예에 있어서, 상기 B5 내지 B8 중 2개는 N이고, 1개는 C(Rb')이며, 나머지 1개는 C(Rb)이다.In another embodiment, two of the B 5 to B 8 is N, one is C (Rb '), the other is C (Rb).
본 발명의 일 실시상태에 따르면, 상기 Rb'는 치환 또는 비치환된 아민기; 또는 치환 또는 비치환된 N을 1 이상 포함하는 헤테로고리기이다.According to an exemplary embodiment of the present invention, the Rb 'is a substituted or unsubstituted amine group; Or a heterocyclic group containing one or more substituted or unsubstituted N.
또 하나의 일 실시상태에 따르면, 상기 Rb'는 치환 또는 비치환된 아릴아민기; 치환 또는 비치환된 헤테로아릴아민기; 치환 또는 비치환된 시클로알킬아릴아민기; 치환 또는 비치환된 아릴헤테로아릴아민기; 또는 치환 또는 비치환된 N을 1 이상 포함하는 헤테로고리기이다. 상기 아릴기의 탄소수는 6 내지 60이고, 상기 헤테로아릴기 및 헤테로고리기의 탄소수는 2 내지 60이며, 상기 시클로알킬기의 탄소수는 3 내지 60일 수 있다.According to another exemplary embodiment, Rb 'is a substituted or unsubstituted arylamine group; Substituted or unsubstituted heteroarylamine group; A substituted or unsubstituted cycloalkylarylamine group; Substituted or unsubstituted arylheteroarylamine group; Or a heterocyclic group containing one or more substituted or unsubstituted N. The aryl group may have 6 to 60 carbon atoms, the heteroaryl group and heterocyclic group may have 2 to 60 carbon atoms, and the cycloalkyl group may have 3 to 60 carbon atoms.
또 하나의 일 실시상태에 따르면, 상기 Rb'는 치환 또는 비치환된 아릴아민기; 치환 또는 비치환된 헤테로아릴아민기; 치환 또는 비치환된 시클로알킬아릴아민기; 치환 또는 비치환된 아릴헤테로아릴아민기; 또는 치환 또는 비치환된 카바졸기이다. 상기 아릴기의 탄소수는 6 내지 60이고, 상기 헤테로아릴기 및 헤테로고리기의 탄소수는 2 내지 60이며, 상기 시클로알킬기의 탄소수는 3 내지 60일 수 있다.According to another exemplary embodiment, Rb 'is a substituted or unsubstituted arylamine group; Substituted or unsubstituted heteroarylamine group; A substituted or unsubstituted cycloalkylarylamine group; Substituted or unsubstituted arylheteroarylamine group; Or a substituted or unsubstituted carbazole group. The aryl group may have 6 to 60 carbon atoms, the heteroaryl group and heterocyclic group may have 2 to 60 carbon atoms, and the cycloalkyl group may have 3 to 60 carbon atoms.
또 하나의 일 실시상태에 있어서, 상기 Rb'는 중수소, 할로겐기, 실릴기, 치환 또는 비치환된 탄소수 1 내지 20의 알킬기 및 치환 또는 비치환된 탄소수 6 내지 30의 아릴기로 이루어진 군으로부터 선택된 1 이상으로 치환 또는 비치환된 아릴아민기; 중수소, 할로겐기, 실릴기, 치환 또는 비치환된 탄소수 1 내지 20의 알킬기 및 치환 또는 비치환된 탄소수 6 내지 30의 아릴기로 이루어진 군으로부터 선택된 1 이상으로 치환 또는 비치환된 헤테로아릴아민기; 중수소, 할로겐기, 실릴기, 치환 또는 비치환된 탄소수 1 내지 20의 알킬기 및 치환 또는 비치환된 탄소수 6 내지 30의 아릴기로 이루어진 군으로부터 선택된 1 이상으로 치환 또는 비치환된 시클로알킬아릴아민기; 중수소, 할로겐기, 실릴기, 치환 또는 비치환된 탄소수 1 내지 20의 알킬기 및 치환 또는 비치환된 탄소수 6 내지 30의 아릴기로 이루어진 군으로부터 선택된 1 이상으로 치환 또는 비치환된 아릴헤테로아릴아민기; 또는 중수소, 할로겐기, 실릴기, 치환 또는 비치환된 탄소수 1 내지 20의 알킬기 및 치환 또는 비치환된 탄소수 6 내지 30의 아릴기로 이루어진 군으로부터 선택된 1 이상으로 치환 또는 비치환된 N을 1 이상 포함하는 헤테로고리기이다.In another exemplary embodiment, Rb 'is 1 selected from the group consisting of deuterium, a halogen group, a silyl group, a substituted or unsubstituted alkyl group having 1 to 20 carbon atoms, and a substituted or unsubstituted aryl group having 6 to 30 carbon atoms. Substituted or unsubstituted arylamine group; A heteroarylamine group unsubstituted or substituted with one or more selected from the group consisting of deuterium, a halogen group, a silyl group, a substituted or unsubstituted alkyl group having 1 to 20 carbon atoms, and a substituted or unsubstituted aryl group having 6 to 30 carbon atoms; A cycloalkylarylamine group unsubstituted or substituted with one or more selected from the group consisting of deuterium, a halogen group, a silyl group, a substituted or unsubstituted alkyl group having 1 to 20 carbon atoms, and a substituted or unsubstituted aryl group having 6 to 30 carbon atoms; An arylheteroarylamine group unsubstituted or substituted with one or more selected from the group consisting of deuterium, a halogen group, a silyl group, a substituted or unsubstituted C1-C20 alkyl group, and a substituted or unsubstituted C6-C30 aryl group; Or one or more substituted or unsubstituted N by one or more selected from the group consisting of deuterium, a halogen group, a silyl group, a substituted or unsubstituted alkyl group having 1 to 20 carbon atoms, and a substituted or unsubstituted aryl group having 6 to 30 carbon atoms. It is a heterocyclic group.
본 발명의 일 실시상태에 따르면, 상기 B1 내지 B4 중 1 이상은 C(Rb')이고, Rb'는 치환 또는 비치환된 아릴아민기; 치환 또는 비치환된 헤테로아릴아민기; 치환 또는 비치환된 시클로알킬아릴아민기; 치환 또는 비치환된 아릴헤테로아릴아민기; 또는 치환 또는 비치환된 N을 1이상 포함하는 헤테로고리기이며, 상기 B5 내지 B8 중 1 이상은 C(Rb')이고, Rb'는 치환 또는 비치환된 아릴아민기; 치환 또는 비치환된 헤테로아릴아민기; 치환 또는 비치환된 시클로알킬아릴아민기; 치환 또는 비치환된 아릴헤테로아릴아민기; 또는 치환 또는 비치환된 N을 1이상 포함하는 헤테로고리기이다.According to an exemplary embodiment of the present invention, at least one of B 1 to B 4 is C (Rb ′), Rb 'is a substituted or unsubstituted arylamine group; Substituted or unsubstituted heteroarylamine group; A substituted or unsubstituted cycloalkylarylamine group; Substituted or unsubstituted arylheteroarylamine group; Or a heterocyclic group including one or more substituted or unsubstituted N, at least one of B 5 to B 8 is C (Rb '), and Rb' is a substituted or unsubstituted arylamine group; Substituted or unsubstituted heteroarylamine group; A substituted or unsubstituted cycloalkylarylamine group; Substituted or unsubstituted arylheteroarylamine group; Or a heterocyclic group containing one or more substituted or unsubstituted N.
본 발명의 일 실시상태에 따르면, 상기 Rb는 수소; 중수소; 할로겐기; 시아노기; 실릴기; 붕소기; 치환 또는 비치환된 탄소수 1 내지 60의 알킬기; 치환 또는 비치환된 탄소수 3 내지 60의 시클로알킬기; 치환 또는 비치환된 탄소수 6 내지 60의 아릴기; 또는 치환 또는 비치환된 탄소수 2 내지 60의 헤테로아릴기이다.According to an exemplary embodiment of the present invention, the Rb is hydrogen; heavy hydrogen; Halogen group; Cyano group; Silyl groups; Boron group; A substituted or unsubstituted alkyl group having 1 to 60 carbon atoms; A substituted or unsubstituted cycloalkyl group having 3 to 60 carbon atoms; Substituted or unsubstituted aryl group having 6 to 60 carbon atoms; Or a substituted or unsubstituted heteroaryl group having 2 to 60 carbon atoms.
또 하나의 일 실시상태에 따르면, 상기 Rb는 수소; 중수소; 할로겐기; 시아노기; 실릴기; 붕소기; 치환 또는 비치환된 탄소수 1 내지 20의 알킬기; 치환 또는 비치환된 탄소수 3 내지 30의 시클로알킬기; 치환 또는 비치환된 탄소수 6 내지 30의 아릴기; 또는 치환 또는 비치환된 탄소수 2 내지 30의 헤테로아릴기이다.According to another exemplary embodiment, Rb is hydrogen; heavy hydrogen; Halogen group; Cyano group; Silyl groups; Boron group; A substituted or unsubstituted alkyl group having 1 to 20 carbon atoms; A substituted or unsubstituted cycloalkyl group having 3 to 30 carbon atoms; Substituted or unsubstituted aryl group having 6 to 30 carbon atoms; Or a substituted or unsubstituted heteroaryl group having 2 to 30 carbon atoms.
또 하나의 예에 있어서, 상기 B1 내지 B4 중 1 이상은 C(Rb')이고, Rb'는 하기 화학식 A로 표시되며, 상기 B5 내지 B8 중 1 이상은 C(Rb')이고, Rb'는 하기 화학식 A로 표시될 수 있다.In another example, at least one of B 1 to B 4 is C (Rb '), Rb' is represented by the following Formula A, and at least one of B 5 to B 8 is C (Rb '). , Rb 'may be represented by the formula (A).
[화학식 A][Formula A]
상기 화학식 A에 있어서,In Chemical Formula A,
Ar1 및 Ar2는 서로 같거나 상이하고, 각각 독립적으로 치환 또는 비치환된 아릴기; 치환 또는 비치환된 시클로알킬기; 또는 치환 또는 비치환된 헤테로아릴기이거나, 서로 결합하여 치환 또는 비치환된 헤테로고리를 형성하고,Ar 1 and Ar 2 are the same as or different from each other, and each independently a substituted or unsubstituted aryl group; A substituted or unsubstituted cycloalkyl group; Or a substituted or unsubstituted heteroaryl group, or combine with each other to form a substituted or unsubstituted hetero ring,
는 C에 결합되는 위치를 나타낸다. Denotes the position at which C is bonded.
본 발명의 일 예에 따르면, 상기 Ar1 및 Ar2는 서로 같거나 상이하고, 각각 독립적으로 치환 또는 비치환된 탄소수 6 내지 60의 아릴기; 탄소수 3 내지 60의 치환 또는 비치환된 시클로알킬기; 또는 치환 또는 비치환된 탄소수 2 내지 60의 헤테로아릴기이거나, 서로 결합하여 치환 또는 비치환된 탄소수 2 내지 60의 헤테로고리를 형성한다.According to an example of the present invention, Ar 1 and Ar 2 are the same as or different from each other, and each independently a substituted or unsubstituted aryl group having 6 to 60 carbon atoms; A substituted or unsubstituted cycloalkyl group having 3 to 60 carbon atoms; Or a substituted or unsubstituted heteroaryl group having 2 to 60 carbon atoms, or combine with each other to form a substituted or unsubstituted hetero ring having 2 to 60 carbon atoms.
본 발명의 일 예에 따르면, 상기 Ar1 및 Ar2는 서로 같거나 상이하고, 각각 독립적으로 치환 또는 비치환된 탄소수 6 내지 30의 아릴기; 탄소수 3 내지 30의 치환 또는 비치환된 시클로알킬기; 또는 치환 또는 비치환된 탄소수 2 내지 30의 헤테로아릴기이거나, 서로 결합하여 치환 또는 비치환된 탄소수 2 내지 30의 헤테로고리를 형성한다.According to an example of the present invention, Ar 1 and Ar 2 are the same as or different from each other, and each independently a substituted or unsubstituted aryl group having 6 to 30 carbon atoms; A substituted or unsubstituted cycloalkyl group having 3 to 30 carbon atoms; Or a substituted or unsubstituted heteroaryl group having 2 to 30 carbon atoms, or combine with each other to form a substituted or unsubstituted hetero ring having 2 to 30 carbon atoms.
또 하나의 일 예에 따르면, 상기 Ar1 및 Ar2는 서로 같거나 상이하고, 각각 독립적으로 치환 또는 비치환된 페닐기; 치환 또는 비치환된 바이페닐기; 치환 또는 비치환된 터페닐기; 치환 또는 비치환된 플루오레닐기; 치환 또는 비치환된 벤조플루오레닐기; 치환 또는 비치환된 나프틸기; 치환 또는 비치환된 페난트레닐기; 치환 또는 비치환된 시클로헥실기; 치환 또는 비치환된 디벤조퓨란기; 치환 또는 비치환된 디벤조티오펜기; 치환 또는 비치환된 카바졸기; 또는 치환 또는 비치환된 피리딘기거나, 서로 결합하여 치환 또는 비치환된 카바졸기를 형성한다. According to another example, Ar 1 and Ar 2 are the same as or different from each other, and each independently a substituted or unsubstituted phenyl group; A substituted or unsubstituted biphenyl group; Substituted or unsubstituted terphenyl group; A substituted or unsubstituted fluorenyl group; Substituted or unsubstituted benzofluorenyl group; Substituted or unsubstituted naphthyl group; Substituted or unsubstituted phenanthrenyl group; A substituted or unsubstituted cyclohexyl group; Substituted or unsubstituted dibenzofuran group; Substituted or unsubstituted dibenzothiophene group; Substituted or unsubstituted carbazole group; Or a substituted or unsubstituted pyridine group, or combine with each other to form a substituted or unsubstituted carbazole group.
또 하나의 일 예에 있어서, 상기 Ar1 및 Ar2는 서로 같거나 상이하고, 각각 독립적으로 중수소, 할로겐기, 실릴기, 치환 또는 비치환된 탄소수 1 내지 20의 알킬기 및 치환 또는 비치환된 탄소수 6 내지 30의 아릴기로 이루어진 군으로부터 선택된 1 이상으로 치환 또는 비치환된 탄소수 6 내지 60의 아릴기; 중수소, 할로겐기, 실릴기, 치환 또는 비치환된 탄소수 1 내지 20의 알킬기 및 치환 또는 비치환된 탄소수 6 내지 30의 아릴기로 이루어진 군으로부터 선택된 1 이상으로 치환 또는 비치환된 탄소수 6 내지 60의 시클로알킬기; 또는 중수소, 할로겐기, 실릴기, 치환 또는 비치환된 탄소수 1 내지 20의 알킬기 및 치환 또는 비치환된 탄소수 6 내지 30의 아릴기로 이루어진 군으로부터 선택된 1 이상으로 치환 또는 비치환된 탄소수 2 내지 60의 헤테로아릴기이거나, 서로 결합하여 중수소, 할로겐기, 실릴기, 치환 또는 비치환된 탄소수 1 내지 20의 알킬기 및 치환 또는 비치환된 탄소수 6 내지 30의 아릴기로 이루어진 군으로부터 선택된 1 이상으로 치환 또는 비치환된 탄소수 2 내지 60의 헤테로고리를 형성한다.In another example, Ar 1 and Ar 2 are the same as or different from each other, and each independently deuterium, a halogen group, a silyl group, a substituted or unsubstituted C1-20 alkyl group, and a substituted or unsubstituted carbon number An aryl group having 6 to 60 carbon atoms substituted or unsubstituted with at least one selected from the group consisting of 6 to 30 aryl groups; Deuterium, halogen, silyl, substituted or unsubstituted C1-C20 alkyl group and substituted or unsubstituted C6-C30 aryl group having one or more substituted or unsubstituted C6-C60 cyclo Alkyl groups; Or deuterium, halogen, silyl, substituted or unsubstituted C1-C20 alkyl group and substituted or unsubstituted C6-C30 aryl group having one or more substituted or unsubstituted carbon atoms of 2 to 60 Or a heteroaryl group, or bonded to each other, or substituted with one or more selected from the group consisting of deuterium, a halogen group, a silyl group, a substituted or unsubstituted alkyl group having 1 to 20 carbon atoms, and a substituted or unsubstituted aryl group having 6 to 30 carbon atoms. To form a ring heterocyclic ring having 2 to 60 carbon atoms.
또 하나의 일 예에 따르면, 상기 Ar1 및 Ar2는 서로 같거나 상이하고, 각각 독립적으로 중수소, 할로겐기, 실릴기, 치환 또는 비치환된 탄소수 1 내지 20의 알킬기 및 치환 또는 비치환된 탄소수 6 내지 30의 아릴기로 이루어진 군으로부터 선택된 1 이상으로 치환 또는 비치환된 페닐기; 중수소, 할로겐기, 실릴기, 치환 또는 비치환된 탄소수 1 내지 20의 알킬기 및 치환 또는 비치환된 탄소수 6 내지 30의 아릴기로 이루어진 군으로부터 선택된 1 이상으로 치환 또는 비치환된 바이페닐기; 중수소, 할로겐기, 실릴기, 치환 또는 비치환된 탄소수 1 내지 20의 알킬기 및 치환 또는 비치환된 탄소수 6 내지 30의 아릴기로 이루어진 군으로부터 선택된 1 이상으로 치환 또는 비치환된 터페닐기; 중수소, 할로겐기, 실릴기, 치환 또는 비치환된 탄소수 1 내지 20의 알킬기 및 치환 또는 비치환된 탄소수 6 내지 30의 아릴기로 이루어진 군으로부터 선택된 1 이상으로 치환 또는 비치환된 플루오레닐기; 중수소, 할로겐기, 실릴기, 치환 또는 비치환된 탄소수 1 내지 20의 알킬기 및 치환 또는 비치환된 탄소수 6 내지 30의 아릴기로 이루어진 군으로부터 선택된 1 이상으로 치환 또는 비치환된 벤조플루오레닐기; 중수소, 할로겐기, 실릴기, 치환 또는 비치환된 탄소수 1 내지 20의 알킬기 및 치환 또는 비치환된 탄소수 6 내지 30의 아릴기로 이루어진 군으로부터 선택된 1 이상으로 치환 또는 비치환된 나프틸기; 중수소, 할로겐기, 실릴기, 치환 또는 비치환된 탄소수 1 내지 20의 알킬기 및 치환 또는 비치환된 탄소수 6 내지 30의 아릴기로 이루어진 군으로부터 선택된 1 이상으로 치환 또는 비치환된 페난트레닐기; 중수소, 할로겐기, 실릴기, 치환 또는 비치환된 탄소수 1 내지 20의 알킬기 및 치환 또는 비치환된 탄소수 6 내지 30의 아릴기로 이루어진 군으로부터 선택된 1 이상으로 치환 또는 비치환된 시클로헥실기; 중수소, 할로겐기, 실릴기, 치환 또는 비치환된 탄소수 1 내지 20의 알킬기 및 치환 또는 비치환된 탄소수 6 내지 30의 아릴기로 이루어진 군으로부터 선택된 1 이상으로 치환 또는 비치환된 디벤조퓨란기; 중수소, 할로겐기, 실릴기, 치환 또는 비치환된 탄소수 1 내지 20의 알킬기 및 치환 또는 비치환된 탄소수 6 내지 30의 아릴기로 이루어진 군으로부터 선택된 1 이상으로 치환 또는 비치환된 디벤조티오펜기; 중수소, 할로겐기, 실릴기, 치환 또는 비치환된 탄소수 1 내지 20의 알킬기 및 치환 또는 비치환된 탄소수 6 내지 30의 아릴기로 이루어진 군으로부터 선택된 1 이상으로 치환 또는 비치환된 카바졸기; 중수소, 할로겐기, 실릴기, 치환 또는 비치환된 탄소수 1 내지 20의 알킬기 및 치환 또는 비치환된 탄소수 6 내지 30의 아릴기로 이루어진 군으로부터 선택된 1 이상으로 또는 치환 또는 비치환된 피리딘기이거나, 서로 결합하여 중수소, 할로겐기, 실릴기, 치환 또는 비치환된 탄소수 1 내지 20의 알킬기 및 치환 또는 비치환된 탄소수 6 내지 30의 아릴기로 이루어진 군으로부터 선택된 1 이상으로 치환 또는 비치환된 카바졸기를 형성한다.According to another example, Ar 1 and Ar 2 are the same as or different from each other, and each independently deuterium, a halogen group, a silyl group, a substituted or unsubstituted C1-20 alkyl group and a substituted or unsubstituted carbon number A phenyl group unsubstituted or substituted with one or more selected from the group consisting of 6 to 30 aryl groups; A biphenyl group unsubstituted or substituted with one or more selected from the group consisting of deuterium, a halogen group, a silyl group, a substituted or unsubstituted alkyl group having 1 to 20 carbon atoms, and a substituted or unsubstituted aryl group having 6 to 30 carbon atoms; A terphenyl group unsubstituted or substituted with one or more selected from the group consisting of deuterium, a halogen group, a silyl group, a substituted or unsubstituted alkyl group having 1 to 20 carbon atoms, and a substituted or unsubstituted aryl group having 6 to 30 carbon atoms; Deuterium, halogen, silyl, substituted or unsubstituted C1-C20 alkyl group and substituted or unsubstituted C6-C30 aryl group selected from the group consisting of one or more substituted or unsubstituted fluorenyl group; A benzofluorenyl group unsubstituted or substituted with one or more selected from the group consisting of deuterium, a halogen group, a silyl group, a substituted or unsubstituted alkyl group having 1 to 20 carbon atoms, and a substituted or unsubstituted aryl group having 6 to 30 carbon atoms; A naphthyl group unsubstituted or substituted with one or more selected from the group consisting of deuterium, a halogen group, a silyl group, a substituted or unsubstituted alkyl group having 1 to 20 carbon atoms, and a substituted or unsubstituted aryl group having 6 to 30 carbon atoms; Phenanthrenyl groups unsubstituted or substituted with one or more selected from the group consisting of deuterium, a halogen group, a silyl group, a substituted or unsubstituted alkyl group having 1 to 20 carbon atoms, and a substituted or unsubstituted aryl group having 6 to 30 carbon atoms; A cyclohexyl group unsubstituted or substituted with one or more selected from the group consisting of deuterium, a halogen group, a silyl group, a substituted or unsubstituted C1-C20 alkyl group and a substituted or unsubstituted C6-C30 aryl group; A dibenzofuran group unsubstituted or substituted with at least one selected from the group consisting of deuterium, a halogen group, a silyl group, a substituted or unsubstituted alkyl group having 1 to 20 carbon atoms, and a substituted or unsubstituted aryl group having 6 to 30 carbon atoms; A debenzothiophene group unsubstituted or substituted with one or more selected from the group consisting of deuterium, a halogen group, a silyl group, a substituted or unsubstituted C1-C20 alkyl group and a substituted or unsubstituted C6-C30 aryl group; A desubstituted or unsubstituted carbazole group selected from the group consisting of deuterium, a halogen group, a silyl group, a substituted or unsubstituted alkyl group having 1 to 20 carbon atoms, and a substituted or unsubstituted aryl group having 6 to 30 carbon atoms; Deuterium, a halogen group, a silyl group, a substituted or unsubstituted pyridine group having one or more selected from the group consisting of a substituted or unsubstituted C1-C20 alkyl group and a substituted or unsubstituted C6-C30 aryl group, or each other, or To form a substituted or unsubstituted carbazole group selected from the group consisting of deuterium, a halogen group, a silyl group, a substituted or unsubstituted C1-C20 alkyl group and a substituted or unsubstituted C6-C30 aryl group do.
또 하나의 일 예에 있어서, 상기 Ar1 및 Ar2는 서로 같거나 상이하고, 각각 독립적으로 중수소, 불소(-F), 트리메틸실릴기, 중수소 또는 불소(-F)로 치환 또는 비치환된 메틸기, 에틸기, 프로필기, 부틸기, 페닐기, 바이페닐기 및 나프틸기로 이루어진 군으로부터 선택된 1 이상으로 치환 또는 비치환된 페닐기; 중수소, 불소(-F), 트리메틸실릴기, 메틸기, 에틸기, 프로필기, 부틸기, 페닐기, 바이페닐기 및 나프틸기로 이루어진 군으로부터 선택된 1 이상으로 치환 또는 비치환된 바이페닐기; 중수소, 불소(-F), 트리메틸실릴기, 메틸기, 에틸기, 프로필기, 부틸기, 페닐기, 바이페닐기 및 나프틸기로 이루어진 군으로부터 선택된 1 이상으로 치환 또는 비치환된 터페닐기; 중수소, 불소(-F), 트리메틸실릴기, 메틸기, 에틸기, 프로필기, 부틸기, 페닐기, 바이페닐기 및 나프틸기로 이루어진 군으로부터 선택된 1 이상으로 치환 또는 비치환된 플루오레닐기; 중수소, 불소(-F), 트리메틸실릴기, 메틸기, 에틸기, 프로필기, 부틸기, 페닐기, 바이페닐기 및 나프틸기로 이루어진 군으로부터 선택된 1 이상으로 치환 또는 비치환된 벤조플루오레닐기; 중수소, 불소(-F), 트리메틸실릴기, 메틸기, 에틸기, 프로필기, 부틸기, 페닐기, 바이페닐기 및 나프틸기로 이루어진 군으로부터 선택된 1 이상으로 치환 또는 비치환된 나프틸기; 중수소, 불소(-F), 트리메틸실릴기, 메틸기, 에틸기, 프로필기, 부틸기, 페닐기, 바이페닐기 및 나프틸기로 이루어진 군으로부터 선택된 1 이상으로 치환 또는 비치환된 페난트레닐기; 중수소, 불소(-F), 트리메틸실릴기, 메틸기, 에틸기, 프로필기, 부틸기, 페닐기, 바이페닐기 및 나프틸기로 이루어진 군으로부터 선택된 1 이상으로 치환 또는 비치환된 시클로헥실기; 중수소, 불소(-F), 트리메틸실릴기, 메틸기, 에틸기, 프로필기, 부틸기, 페닐기, 바이페닐기 및 나프틸기로 이루어진 군으로부터 선택된 1 이상으로 치환 또는 비치환된 디벤조퓨란기; 중수소, 불소(-F), 트리메틸실릴기, 메틸기, 에틸기, 프로필기, 부틸기, 페닐기, 바이페닐기 및 나프틸기로 치환 또는 비치환된 디벤조티오펜기; 중수소, 불소(-F), 트리메틸실릴기, 메틸기, 에틸기, 프로필기, 부틸기, 중수소로 치환 또는 비치환된 페닐기, 바이페닐기 및 나프틸기로 이루어진 군으로부터 선택된 1 이상으로 치환 또는 비치환된 카바졸기; 중수소, 불소(-F), 트리메틸실릴기, 메틸기, 에틸기, 프로필기, 부틸기, 페닐기, 바이페닐기 및 나프틸기로 이루어진 군으로부터 선택된 1 이상으로 또는 치환 또는 비치환된 피리딘기이거나, 서로 결합하여 부틸기로 치환 또는 비치환된 카바졸기를 형성한다.In another embodiment, Ar 1 and Ar 2 are the same as or different from each other, and each independently a methyl group unsubstituted or substituted with deuterium, fluorine (-F), trimethylsilyl group, deuterium or fluorine (-F) A phenyl group unsubstituted or substituted with one or more selected from the group consisting of an ethyl group, a propyl group, a butyl group, a phenyl group, a biphenyl group and a naphthyl group; A biphenyl group unsubstituted or substituted with one or more selected from the group consisting of deuterium, fluorine (-F), trimethylsilyl group, methyl group, ethyl group, propyl group, butyl group, phenyl group, biphenyl group and naphthyl group; Terphenyl groups unsubstituted or substituted with one or more selected from the group consisting of deuterium, fluorine (-F), trimethylsilyl, methyl, ethyl, propyl, butyl, phenyl, biphenyl and naphthyl groups; Fluorenyl group unsubstituted or substituted with one or more selected from the group consisting of deuterium, fluorine (-F), trimethylsilyl, methyl, ethyl, propyl, butyl, phenyl, biphenyl and naphthyl groups; Benzofluorenyl group unsubstituted or substituted with one or more selected from the group consisting of deuterium, fluorine (-F), trimethylsilyl group, methyl group, ethyl group, propyl group, butyl group, phenyl group, biphenyl group and naphthyl group; A naphthyl group unsubstituted or substituted with one or more selected from the group consisting of deuterium, fluorine (-F), trimethylsilyl group, methyl group, ethyl group, propyl group, butyl group, phenyl group, biphenyl group and naphthyl group; Phenanthrenyl group unsubstituted or substituted with one or more selected from the group consisting of deuterium, fluorine (-F), trimethylsilyl, methyl, ethyl, propyl, butyl, phenyl, biphenyl and naphthyl groups; A cyclohexyl group unsubstituted or substituted with one or more selected from the group consisting of deuterium, fluorine (-F), trimethylsilyl group, methyl group, ethyl group, propyl group, butyl group, phenyl group, biphenyl group and naphthyl group; Dibenzofuran group unsubstituted or substituted with one or more selected from the group consisting of deuterium, fluorine (-F), trimethylsilyl, methyl, ethyl, propyl, butyl, phenyl, biphenyl and naphthyl groups; Dibenzothiophene group unsubstituted or substituted with deuterium, fluorine (-F), trimethylsilyl group, methyl group, ethyl group, propyl group, butyl group, phenyl group, biphenyl group and naphthyl group; Carba substituted or unsubstituted with one or more selected from the group consisting of deuterium, fluorine (-F), trimethylsilyl, methyl, ethyl, propyl, butyl, deuterium substituted or unsubstituted phenyl, biphenyl and naphthyl groups Dozing; A deuterium, fluorine (-F), trimethylsilyl group, methyl group, ethyl group, propyl group, butyl group, phenyl group, biphenyl group and one or more selected from the group consisting of a naphthyl group or a substituted or unsubstituted pyridine group, or combine with each other To form a substituted or unsubstituted carbazole group with a butyl group.
본 명세서의 일 실시상태에 있어서, 상기 화학식 1은 하기 화합물들 중 어느 하나로 표시될 수 있다.In one embodiment of the present specification,
상기 화합물에서 알케닐기에 결합된 ""는 메틸기이며, 이중 결합을 중심으로 cis 형태 또는 trans 형태로 나타낼 수 있는 것을 의미한다.Bound to an alkenyl group in the compound " "Is a methyl group, it means that can be represented in the cis form or trans form around the double bond.
또한, 상기 화합물에서 -Ph는 페닐기를 의미한다.In addition, in the compound, -Ph means a phenyl group.
본 명세서의 일 실시상태에 따른 화학식 1의 화합물은 후술하는 제조방법으로 제조될 수 있다.Compound of
예컨대 상기 화학식 1의 화합물은 하기 반응식과 같이 코어구조가 제조될 수 있다. 치환기는 당 기술분야에 알려져 있는 방법에 의하여 결합될 수 있으며, 치환기의 종류, 위치 또는 개수는 당 기술분야에 알려져 있는 기술에 따라 변경될 수 있다.For example, the compound of
<반응식><Scheme>
상기 최종물에서 X1 및 X2는 각각 O 또는 S일 수 있으며, X1 및 X2가 각각 S(=O) 또는 SO2인 경우에는 추가의 산화 반응을 진행하여 얻을 수 있다.In the final product, X 1 and X 2 may be O or S, respectively, and when X 1 and X 2 are S (═O) or SO 2 , respectively, they may be obtained by further oxidation.
일반적인 스즈키 커플링 반응(Suzuki Coupling reation)으로 중간체 3(IM-3)을 합성한다. 중간체 3의 고리폐쇄반응 다음 하이드록실기(hydroxyl group)를 술폰기(sulfone group)로 만들어 주어 중간체 4(IM-4)를 만들 수 있다. 중간체 4와 다양한 아민기 사이의 부크왈드 아민화 반응(Buckwaldamination)으로 <화학식 1>을 합성할 수 있다.Intermediate 3 (IM-3) is synthesized by a general Suzuki coupling reaction. Following ring closure reaction of intermediate 3, the hydroxyl group (hydroxyl group) can be made into a sulfone group (sulfone group) to make intermediate 4 (IM-4). It is possible to synthesize <
화합물의 컨쥬게이션 길이와 에너지 밴드갭은 밀접한 관계가 있다. 구체적으로, 화합물의 컨쥬게이션 길이가 길수록 에너지 밴드갭이 작아진다. The conjugation length of the compound and the energy bandgap are closely related. Specifically, the longer the conjugation length of the compound, the smaller the energy bandgap.
본 발명에서는 상기와 같이 코어 구조에 다양한 치환기를 도입함으로써 다양한 에너지 밴드갭을 갖는 화합물을 합성할 수 있다. 또한, 본 발명에서는 상기와 같은 구조의 코어 구조에 다양한 치환기를 도입함으로써 화합물의 HOMO 및 LUMO 에너지 준위도 조절할 수 있다.In the present invention, a compound having various energy band gaps can be synthesized by introducing various substituents into the core structure as described above. In addition, in the present invention, the HOMO and LUMO energy levels of the compound may be controlled by introducing various substituents into the core structure of the above structure.
또한, 상기와 같은 구조의 코어 구조에 다양한 치환기를 도입함으로써 도입된 치환기의 고유 특성을 갖는 화합물을 합성할 수 있다. 예컨대, 유기 발광 소자 제조시 사용되는 정공 주입층 물질, 정공 수송용 물질, 발광층 물질 및 전자 수송층 물질에 주로 사용되는 치환기를 상기 코어 구조에 도입함으로써 각 유기물층에서 요구하는 조건들을 충족시키는 물질을 합성할 수 있다.Moreover, the compound which has the intrinsic property of the introduced substituent can be synthesize | combined by introducing various substituents into the core structure of the above structure. For example, by incorporating a substituent mainly used in the hole injection layer material, the hole transport material, the light emitting layer material, and the electron transport layer material used in the manufacture of the organic light emitting device into the core structure, it is possible to synthesize a material satisfying the requirements of each organic material layer. Can be.
또한, 본 발명에 따른 유기 발광 소자는 제1 전극; 상기 제1 전극과 대향하여 구비되는 제2 전극; 및 상기 제1 전극과 상기 제2 전극 사이에 구비되는 1층 이상의 유기물층을 포함하는 유기 발광 소자로서, 상기 유기물층 중 1층 이상은 상기 전술한 화합물을 포함하는 것을 특징으로 한다.In addition, the organic light emitting device according to the present invention includes a first electrode; A second electrode provided to face the first electrode; And at least one organic material layer provided between the first electrode and the second electrode, wherein at least one of the organic material layers includes the compound described above.
본 발명의 유기 발광 소자는 전술한 화합물을 이용하여 한 층 이상의 유기물층을 형성하는 것을 제외하고는, 통상의 유기 발광 소자의 제조방법 및 재료에 의하여 제조될 수 있다.The organic light emitting device of the present invention may be manufactured by a conventional method and material for manufacturing an organic light emitting device, except that at least one organic material layer is formed using the above-described compound.
상기 화합물은 유기 발광 소자의 제조시 진공 증착법 뿐만 아니라 용액 도포법에 의하여 유기물층으로 형성될 수 있다. 여기서, 용액 도포법이라 함은 스핀 코팅, 딥 코팅, 잉크젯 프린팅, 스크린 프린팅, 스프레이법, 롤 코팅 등을 의미하지만, 이들만으로 한정되는 것은 아니다.The compound may be formed as an organic material layer by a solution coating method as well as a vacuum deposition method in the manufacture of the organic light emitting device. Here, the solution coating method means spin coating, dip coating, inkjet printing, screen printing, spraying method, roll coating and the like, but is not limited thereto.
본 발명의 유기 발광 소자의 유기물층은 단층 구조로 이루어질 수도 있으나, 2층 이상의 유기물층이 적층된 다층 구조로 이루어질 수 있다. 예컨대, 본 발명의 유기 발광 소자는 유기물층으로서 정공주입층, 정공수송층, 정공주입 및 정공수송을 동시에 하는 층, 발광층, 전자수송층, 전자주입층, 전자수송 및 전자주입을 동시에 하는 층 등을 포함하는 구조를 가질 수 있다. 그러나, 유기 발광 소자의 구조는 이에 한정되지 않고 더 적은 수의 유기물층 또는 더 많은 수의 유기물층을 포함할 수 있다.The organic material layer of the organic light emitting device of the present invention may have a single layer structure, but may have a multilayer structure in which two or more organic material layers are stacked. For example, the organic light emitting device of the present invention includes a hole injection layer, a hole transport layer, a layer for simultaneously injecting and transporting holes as an organic material layer, a light emitting layer, an electron transport layer, an electron injection layer, a layer for simultaneously transporting electrons and electrons, etc. It may have a structure. However, the structure of the organic light emitting device is not limited thereto and may include fewer organic layers or more organic layers.
본 발명의 유기 발광 소자에서, 상기 유기물층은 전자수송층 또는 전자주입층을 포함할 수 있고, 상기 전자수송층 또는 전자주입층은 상기 전술한 화합물을 포함할 수 있다.In the organic light emitting device of the present invention, the organic material layer may include an electron transport layer or an electron injection layer, and the electron transport layer or the electron injection layer may include the above-described compound.
본 발명의 유기 발광 소자에서, 상기 유기물층은 정공주입층 또는 정공수송층을 포함할 수 있고, 상기 정공주입층 또는 정공수송층은 상기 전술한 화합물을 포함할 수 있다.In the organic light emitting device of the present invention, the organic material layer may include a hole injection layer or a hole transport layer, the hole injection layer or a hole transport layer may include the above-described compound.
또 하나의 실시 상태에 따른 유기 발광 소자에서, 상기 유기물층은 발광층을 포함하고, 상기 발광층은 전술한 화합물을 포함할 수 있다.In another organic light emitting diode according to another exemplary embodiment, the organic material layer may include a light emitting layer, and the light emitting layer may include the compound described above.
또 하나의 실시상태에 따르면, 상기 유기물층은 발광층을 포함하고, 상기 발광층은 상기 전술한 화합물을 발광층의 도펀트로서 포함할 수 있다. According to another exemplary embodiment, the organic material layer may include a light emitting layer, and the light emitting layer may include the aforementioned compound as a dopant of the light emitting layer.
또 하나의 실시상태에 있어서, 상기 유기물층은 발광층을 포함하고, 상기 발광층은 전술한 화합물을 발광층의 도펀트로서 포함하고, 호스트를 더 포함할 수 있다.In another exemplary embodiment, the organic material layer may include a light emitting layer, and the light emitting layer may include the compound described above as a dopant of the light emitting layer and further include a host.
또 하나의 실시상태에 따르면, 상기 유기물층은 발광층을 포함하고, 상기 발광층은 전술한 화합물을 발광층의 도펀트로서 포함하고, 하기 화학식 1-A를 호스트로서 더 포함할 수 있다.According to another exemplary embodiment, the organic material layer includes a light emitting layer, the light emitting layer may include the above-described compound as a dopant of the light emitting layer, and may further include the following Chemical Formula 1-A as a host.
[화학식 1-A][Formula 1-A]
상기 화학식 1-A에 있어서,In Chemical Formula 1-A,
Ar1 내지 Ar3는 서로 같거나 상이하고, 각각 독립적으로 수소; 치환 또는 비치환된 아릴기; 또는 치환 또는 비치환된 헤테로고리기이고,Ar 1 Ar 3 is the same as or different from each other, and each independently hydrogen; Substituted or unsubstituted aryl group; Or a substituted or unsubstituted heterocyclic group,
L1 내지 L3은 서로 같거나 상이하고, 각각 독립적으로 직접결합; 치환 또는 비치환된 아릴렌기; 또는 치환 또는 비치환된 헤테로아릴렌기이며,L 1 to L 3 are the same as or different from each other, and each independently a direct bond; Substituted or unsubstituted arylene group; Or a substituted or unsubstituted heteroarylene group,
R11은 수소; 중수소; 할로겐기; 시아노기(-CN); 니트로기; 실릴기; 치환 또는 비치환된 알킬기; 치환 또는 비치환된 시클로알킬기; 치환 또는 비치환된 포스핀옥사이드기; 치환 또는 비치환된 아릴기; 또는 치환 또는 비치환된 헤테로아릴기이고,R 11 is hydrogen; heavy hydrogen; Halogen group; Cyano group (-CN); Nitro group; Silyl groups; Substituted or unsubstituted alkyl group; A substituted or unsubstituted cycloalkyl group; Substituted or unsubstituted phosphine oxide group; Substituted or unsubstituted aryl group; Or a substituted or unsubstituted heteroaryl group,
q1은 0 내지 7의 정수이며, q1이 2 이상인 경우 2 이상의 R11은 서로 같거나 상이하다.q1 is an integer of 0-7, and when q1 is two or more, two or more R <11> is same or different from each other.
본 발명의 일 실시상태에 따르면, 상기 Ar1 내지 Ar3는 서로 같거나 상이하고, 각각 독립적으로 수소; 치환 또는 비치환된 아릴기; 또는 치환 또는 비치환된 헤테로고리기이다.According to an exemplary embodiment of the present invention, the Ar 1 Ar 3 is the same as or different from each other, and each independently hydrogen; Substituted or unsubstituted aryl group; Or a substituted or unsubstituted heteroring group.
또 하나의 일 실시상태에 따르면, 상기 Ar1 내지 Ar3는 서로 같거나 상이하고, 각각 독립적으로 수소; 치환 또는 비치환된 탄소수 6 내지 60의 아릴기; 또는 치환 또는 비치환된 탄소수 2 내지 60의 헤테로고리기이다.According to another exemplary embodiment, Ar 1 Ar 3 is the same as or different from each other, and each independently hydrogen; Substituted or unsubstituted aryl group having 6 to 60 carbon atoms; Or a substituted or unsubstituted heterocyclic group having 2 to 60 carbon atoms.
또 하나의 일 실시상태에 있어서, 상기 Ar1 내지 Ar3는 서로 같거나 상이하고, 각각 독립적으로 수소; 치환 또는 비치환된 탄소수 6 내지 30의 아릴기; 또는 치환 또는 비치환된 탄소수 2 내지 30의 헤테로고리기이다.In another exemplary embodiment, Ar 1 Ar 3 is the same as or different from each other, and each independently hydrogen; Substituted or unsubstituted aryl group having 6 to 30 carbon atoms; Or a substituted or unsubstituted heterocyclic group having 2 to 30 carbon atoms.
또 하나의 일 실시상태에 따르면, 상기 Ar3는 수소이다.According to another exemplary embodiment, Ar 3 is hydrogen.
또 하나의 일 실시상태에 있어서, 상기 Ar1은 수소; 치환 또는 비치환된 페닐기; 치환 또는 비치환된 나프틸기; 치환 또는 비치환된 디벤조퓨란기; 치환 또는 비치환된 나프토벤조퓨란기; 치환 또는 비치환된 티오펜기; 또는 치환 또는 비치환된 인돌로카바졸기이다.In another exemplary embodiment, Ar 1 is hydrogen; Substituted or unsubstituted phenyl group; Substituted or unsubstituted naphthyl group; Substituted or unsubstituted dibenzofuran group; Substituted or unsubstituted naphthobenzofuran group; Substituted or unsubstituted thiophene group; Or a substituted or unsubstituted indolocarbazole group.
또 하나의 일 일 실시상태에 따르면, 상기 Ar1은 수소; 중수소, 탄소수 1 내지 10의 알킬기 또는 탄소수 6 내지 30의 아릴기로 치환 또는 비치환된 페닐기; 중수소, 탄소수 1 내지 10의 알킬기 또는 탄소수 6 내지 30의 아릴기로 치환 또는 비치환된 나프틸기; 중수소, 탄소수 1 내지 10의 알킬기 또는 탄소수 6 내지 30의 아릴기로 치환 또는 비치환된 디벤조퓨란기; 중수소, 탄소수 1 내지 10의 알킬기 또는 탄소수 6 내지 30의 아릴기로 치환 또는 비치환된 나프토벤조퓨란기; 중수소, 탄소수 1 내지 10의 알킬기 또는 탄소수 6 내지 30의 아릴기로 치환 또는 비치환된 티오펜기; 또는 중수소, 탄소수 1 내지 10의 알킬기 또는 탄소수 6 내지 30의 아릴기로 치환 또는 비치환된 인돌로카바졸기이다.According to another exemplary embodiment, Ar 1 is hydrogen; Phenyl group unsubstituted or substituted with deuterium, an alkyl group having 1 to 10 carbon atoms, or an aryl group having 6 to 30 carbon atoms; A naphthyl group unsubstituted or substituted with deuterium, an alkyl group having 1 to 10 carbon atoms, or an aryl group having 6 to 30 carbon atoms; A dibenzofuran group unsubstituted or substituted with deuterium, an alkyl group having 1 to 10 carbon atoms, or an aryl group having 6 to 30 carbon atoms; Naphthobenzofuran group unsubstituted or substituted with deuterium, an alkyl group having 1 to 10 carbon atoms, or an aryl group having 6 to 30 carbon atoms; Thiophene groups unsubstituted or substituted with deuterium, an alkyl group having 1 to 10 carbon atoms, or an aryl group having 6 to 30 carbon atoms; Or an indolocarbazole group unsubstituted or substituted with deuterium, an alkyl group having 1 to 10 carbon atoms, or an aryl group having 6 to 30 carbon atoms.
또 하나의 일 실시상태에 있어서, 상기 Ar1은 수소; 중수소로 치환 또는 비치환된 페닐기; 메틸기로 치환 또는 비치환된 나프틸기; 디벤조퓨란기; 나프토벤조퓨란기; 페닐기로 치환된 티오펜기; 또는 인돌로카바졸기이다.In another exemplary embodiment, Ar 1 is hydrogen; A phenyl group unsubstituted or substituted with deuterium; A naphthyl group unsubstituted or substituted with a methyl group; Dibenzofuran group; Naphthobenzofuran group; Thiophene group substituted with phenyl group; Or an indolocarbazole group.
본 발명의 일 실시상태에 따르면, 상기 Ar2는 수소; 또는 치환 또는 비치환된 탄소수 6 내지 30의 아릴기이다.According to an exemplary embodiment of the present invention, Ar 2 is hydrogen; Or a substituted or unsubstituted aryl group having 6 to 30 carbon atoms.
또 하나의 일 실시상태에 따르면, 상기 Ar2는 수소; 치환 또는 비치환된 페닐기; 치환 또는 비치환된 바이페닐기; 또는 치환 또는 비치환된 나프틸기이다.According to another exemplary embodiment, Ar 2 is hydrogen; Substituted or unsubstituted phenyl group; A substituted or unsubstituted biphenyl group; Or a substituted or unsubstituted naphthyl group.
또 하나의 일 실시상태에 있어서, 상기 Ar2는 수소; 중수소(D), 할로겐기, 시아노기, 실릴기, 탄소수 1 내지 10의 알킬기, 탄소수 3 내지 30의 시클로알킬기, 또는 탄소수 6 내지 30의 아릴기로 치환 또는 비치환된 페닐기; 중수소(D), 할로겐기, 시아노기, 실릴기, 탄소수 1 내지 10의 알킬기, 탄소수 3 내지 30의 시클로알킬기, 또는 탄소수 6 내지 30의 아릴기로 치환 또는 비치환된 바이페닐기; 또는 중수소(D), 할로겐기, 시아노기, 실릴기, 탄소수 1 내지 10의 알킬기, 탄소수 3 내지 30의 시클로알킬기, 또는 탄소수 6 내지 30의 아릴기로 치환 또는 비치환된 나프틸기이다.In another exemplary embodiment, Ar 2 is hydrogen; Phenyl group unsubstituted or substituted with deuterium (D), a halogen group, a cyano group, a silyl group, an alkyl group having 1 to 10 carbon atoms, a cycloalkyl group having 3 to 30 carbon atoms, or an aryl group having 6 to 30 carbon atoms; A biphenyl group unsubstituted or substituted with deuterium (D), a halogen group, a cyano group, a silyl group, an alkyl group having 1 to 10 carbon atoms, a cycloalkyl group having 3 to 30 carbon atoms, or an aryl group having 6 to 30 carbon atoms; Or a naphthyl group unsubstituted or substituted with deuterium (D), a halogen group, a cyano group, a silyl group, an alkyl group having 1 to 10 carbon atoms, a cycloalkyl group having 3 to 30 carbon atoms, or an aryl group having 6 to 30 carbon atoms.
또 하나의 일 실시상태에 따르면, 상기 Ar2는 수소; 시클로헥실기, 페닐기 또는 나프틸기로 치환 또는 비치환된 페닐기; 중수소, 불소, 시아노기, 또는 트리메틸실릴기로 치환 또는 비치환된 바이페닐기; 또는 메틸기, 페닐기, 또는 나프틸기로 치환 또는 비치환된 나프틸기이다.According to another exemplary embodiment, Ar 2 is hydrogen; A phenyl group unsubstituted or substituted with a cyclohexyl group, a phenyl group or a naphthyl group; Biphenyl groups unsubstituted or substituted with deuterium, fluorine, cyano groups, or trimethylsilyl groups; Or a naphthyl group unsubstituted or substituted with a methyl group, a phenyl group, or a naphthyl group.
본 발명의 일 실시상태에 따르면, 상기 L1 내지 L3은 서로 같거나 상이하고, 각각 독립적으로 직접결합; 치환 또는 비치환된 아릴렌기; 또는 치환 또는 비치환된 헤테로아릴렌기이다.According to an exemplary embodiment of the present invention, L 1 to L 3 are the same as or different from each other, and each independently a direct bond; Substituted or unsubstituted arylene group; Or a substituted or unsubstituted heteroarylene group.
또 하나의 일 실시상태에 있어서, 상기 L1 내지 L3은 서로 같거나 상이하고, 각각 독립적으로 직접결합; 치환 또는 비치환된 탄소수 6 내지 60의 아릴렌기; 또는 치환 또는 비치환된 탄소수 2 내지 60의 헤테로아릴렌기이다.In another exemplary embodiment, L 1 to L 3 are the same as or different from each other, and each independently a direct bond; A substituted or unsubstituted arylene group having 6 to 60 carbon atoms; Or a substituted or unsubstituted heteroarylene group having 2 to 60 carbon atoms.
또 하나의 일 실시상태에 따르면, 상기 L1 내지 L3은 서로 같거나 상이하고, 각각 독립적으로 직접결합; 치환 또는 비치환된 탄소수 6 내지 30의 아릴렌기; 또는 치환 또는 비치환된 탄소수 2 내지 30의 헤테로아릴렌기이다.According to another exemplary embodiment, the L 1 to L 3 are the same as or different from each other, and each independently a direct bond; A substituted or unsubstituted arylene group having 6 to 30 carbon atoms; Or a substituted or unsubstituted heteroarylene group having 2 to 30 carbon atoms.
또 하나의 일 실시상태에 따르면, 상기 L1 내지 L3은 서로 같거나 상이하고, 각각 독립적으로 직접결합; 또는 치환 또는 비치환된 탄소수 6 내지 30의 아릴렌기이다.According to another exemplary embodiment, the L 1 to L 3 are the same as or different from each other, and each independently a direct bond; Or a substituted or unsubstituted arylene group having 6 to 30 carbon atoms.
또 하나의 일 실시상태에 있어서, 상기 L1 내지 L3은 서로 같거나 상이하고, 각각 독립적으로 직접결합; 치환 또는 비치환된 페닐렌기; 또는 치환 또는 비치환된 나프틸렌기이다.In another exemplary embodiment, L 1 to L 3 are the same as or different from each other, and each independently a direct bond; Substituted or unsubstituted phenylene group; Or a substituted or unsubstituted naphthylene group.
또 하나의 일 실시상태에 따르면, 상기 L1 내지 L3은 서로 같거나 상이하고, 각각 독립적으로 직접결합; 페닐렌기; 또는 나프틸렌기이다.According to another exemplary embodiment, the L 1 to L 3 are the same as or different from each other, and each independently a direct bond; Phenylene group; Or a naphthylene group.
본 발명의 일 실시상태에 따르면, 상기 R11은 수소; 중수소; 할로겐기; 시아노기(-CN); 니트로기; 실릴기; 치환 또는 비치환된 알킬기; 치환 또는 비치환된 시클로알킬기; 치환 또는 비치환된 포스핀옥사이드기; 치환 또는 비치환된 아릴기; 또는 치환 또는 비치환된 헤테로아릴기이다.According to an exemplary embodiment of the present invention, R 11 is hydrogen; heavy hydrogen; Halogen group; Cyano group (-CN); Nitro group; Silyl groups; Substituted or unsubstituted alkyl group; A substituted or unsubstituted cycloalkyl group; Substituted or unsubstituted phosphine oxide group; Substituted or unsubstituted aryl group; Or a substituted or unsubstituted heteroaryl group.
또 하나의 일 실시상태에 따르면, 상기 R11은 수소; 중수소; 할로겐기; 시아노기(-CN); 니트로기; 실릴기; 치환 또는 비치환된 탄소수 1 내지 20의 알킬기; 치환 또는 비치환된 탄소수 3 내지 30의 시클로알킬기; 치환 또는 비치환된 포스핀옥사이드기; 치환 또는 비치환된 탄소수 6 내지 30의 아릴기; 또는 치환 또는 비치환된 탄소수 2 내지 30의 헤테로아릴기이다.According to another exemplary embodiment, R 11 is hydrogen; heavy hydrogen; Halogen group; Cyano group (-CN); Nitro group; Silyl groups; A substituted or unsubstituted alkyl group having 1 to 20 carbon atoms; A substituted or unsubstituted cycloalkyl group having 3 to 30 carbon atoms; Substituted or unsubstituted phosphine oxide group; Substituted or unsubstituted aryl group having 6 to 30 carbon atoms; Or a substituted or unsubstituted heteroaryl group having 2 to 30 carbon atoms.
또 하나의 일 실시상태에 있어서, 상기 R11은 수소이다.In another exemplary embodiment, R 11 is hydrogen.
본 발명의 일 실시상태에 따르면, 상기 q1은 0 내지 2의 정수이다.According to an exemplary embodiment of the present invention, q1 is an integer of 0 to 2.
또 하나의 일 실시상태에 있어서, 상기 q1은 0 또는 1이다.In another exemplary embodiment, q1 is 0 or 1.
본 명세서의 일 실시상태에 있어서, 상기 화학식 1-A는 하기 화합물들 중 어느 나로 표시될 수 있다.In one embodiment of the present specification, Chemical Formula 1-A may be represented by any one of the following compounds.
본 발명의 화합물을 발광층의 도펀트로 포함하고, 상기 화학식 1-A를 호스트로서 포함하는 경우, 도펀트의 함량은 호스트 100 중량부를 기준으로 1 중량부 내지 10 중량부일 수 있다.When the compound of the present invention is included as a dopant of the emission layer, and the chemical formula 1-A is included as a host, the content of the dopant may be 1 part by weight to 10 parts by weight based on 100 parts by weight of the host.
또 하나의 실시상태에 따르면, 상기 유기물층은 발광층을 포함하고, 상기 발광층은 전술한 화합물을 발광층의 도펀트로서 포함하고, 하기 화학식 1-B 및 화학식 1-C로 표시되는 화합물 중 2 이상을 호스트로서 더 포함할 수 있다.According to another exemplary embodiment, the organic material layer includes a light emitting layer, and the light emitting layer includes the above-mentioned compound as a dopant of the light emitting layer, and includes at least two of the compounds represented by the following Chemical Formulas 1-B and 1-C as hosts. It may further include.
[화학식 1-B][Formula 1-B]
[화학식 1-C][Formula 1-C]
상기 화학식 1-B 및 1-C에 있어서,In Chemical Formulas 1-B and 1-C,
Ar4 내지 Ar8은 서로 같거나 상이하고, 각각 독립적으로 수소; 또는 치환 또는 비치환된 아릴기이고,Ar 4 to Ar 8 are the same as or different from each other, and each independently hydrogen; Or a substituted or unsubstituted aryl group,
Ar9는 치환 또는 비치환된 헤테로고리기이며,Ar 9 is a substituted or unsubstituted heterocyclic group,
L4 내지 L9는 서로 같거나 상이하고, 각각 독립적으로 직접결합; 치환 또는 비치환된 아릴렌기; 또는 치환 또는 비치환된 헤테로아릴렌기이며,L 4 to L 9 are the same as or different from each other, and each independently a direct bond; Substituted or unsubstituted arylene group; Or a substituted or unsubstituted heteroarylene group,
R12 및 R13은 서로 같거나 상이하고, 각각 독립적으로 수소; 중수소; 할로겐기; 시아노기(-CN); 니트로기; 실릴기; 치환 또는 비치환된 알킬기; 치환 또는 비치환된 시클로알킬기; 치환 또는 비치환된 포스핀옥사이드기; 치환 또는 비치환된 아릴기; 또는 치환 또는 비치환된 헤테로아릴기이며,R 12 and R 13 are the same as or different from each other, and each independently hydrogen; heavy hydrogen; Halogen group; Cyano group (-CN); Nitro group; Silyl groups; Substituted or unsubstituted alkyl group; A substituted or unsubstituted cycloalkyl group; Substituted or unsubstituted phosphine oxide group; Substituted or unsubstituted aryl group; Or a substituted or unsubstituted heteroaryl group,
q2 및 q3은 각각 0 내지 7의 정수이고, q2 및 q3가 각각 2 이상인 경우 괄호 내의 치환기는 서로 같거나 상이하다.q2 and q3 are each an integer of 0 to 7, and when q2 and q3 are each 2 or more, the substituents in parentheses are the same or different from each other.
본 발명의 일 실시상태에 따르면, 상기 Ar4 내지 Ar8은 서로 같거나 상이하고, 각각 독립적으로 수소; 또는 치환 또는 비치환된 탄소수 6 내지 60의 아릴기이다.According to an exemplary embodiment of the present invention, Ar 4 to Ar 8 are the same as or different from each other, and each independently hydrogen; Or a substituted or unsubstituted aryl group having 6 to 60 carbon atoms.
또 하나의 일 실시상태에 따르면, 상기 Ar4 내지 Ar8은 서로 같거나 상이하고, 각각 독립적으로 수소; 치환 또는 비치환된 탄소수 6 내지 30의 아릴기이다.According to another exemplary embodiment, Ar 4 to Ar 8 are the same as or different from each other, and each independently hydrogen; Or a substituted or unsubstituted aryl group having 6 to 30 carbon atoms.
또 하나의 일 실시상태에 따르면, 상기 Ar6 및 Ar8은 수소이다.According to another exemplary embodiment, Ar 6 and Ar 8 are hydrogen.
또 하나의 일 실시상태에 있어서, 상기 Ar5 및 Ar7은 서로 같거나 상이하고, 각각 독립적으로 수소; 치환 또는 비치환된 페닐기; 치환 또는 비치환된 바이페닐기; 또는 치환 또는 비치환된 나프틸기이다.In another exemplary embodiment, Ar 5 and Ar 7 are the same as or different from each other, and each independently hydrogen; Substituted or unsubstituted phenyl group; A substituted or unsubstituted biphenyl group; Or a substituted or unsubstituted naphthyl group.
또 하나의 일 실시상태에 있어서, 상기 Ar5 및 Ar7은 서로 같거나 상이하고, 각각 독립적으로 수소; 중수소(D), 할로겐기, 시아노기, 실릴기, 탄소수 1 내지 10의 알킬기, 탄소수 3 내지 30의 시클로알킬기, 또는 탄소수 6 내지 30의 아릴기로 치환 또는 비치환된 페닐기; 중수소(D), 할로겐기, 시아노기, 실릴기, 탄소수 1 내지 10의 알킬기, 탄소수 3 내지 30의 시클로알킬기, 또는 탄소수 6 내지 30의 아릴기로 치환 또는 비치환된 바이페닐기; 또는 중수소(D), 할로겐기, 시아노기, 실릴기, 탄소수 1 내지 10의 알킬기, 탄소수 3 내지 30의 시클로알킬기, 또는 탄소수 6 내지 30의 아릴기로 치환 또는 비치환된 나프틸기이다.In another exemplary embodiment, Ar 5 and Ar 7 are the same as or different from each other, and each independently hydrogen; Phenyl group unsubstituted or substituted with deuterium (D), a halogen group, a cyano group, a silyl group, an alkyl group having 1 to 10 carbon atoms, a cycloalkyl group having 3 to 30 carbon atoms, or an aryl group having 6 to 30 carbon atoms; A biphenyl group unsubstituted or substituted with deuterium (D), a halogen group, a cyano group, a silyl group, an alkyl group having 1 to 10 carbon atoms, a cycloalkyl group having 3 to 30 carbon atoms, or an aryl group having 6 to 30 carbon atoms; Or a naphthyl group unsubstituted or substituted with deuterium (D), a halogen group, a cyano group, a silyl group, an alkyl group having 1 to 10 carbon atoms, a cycloalkyl group having 3 to 30 carbon atoms, or an aryl group having 6 to 30 carbon atoms.
또 하나의 일 실시상태에 따르면, 상기 Ar5 및 Ar7은 서로 같거나 상이하고, 각각 독립적으로 수소; 시클로헥실기, 페닐기 또는 나프틸기로 치환 또는 비치환된 페닐기; 중수소, 불소, 시아노기, 또는 트리메틸실릴기로 치환 또는 비치환된 바이페닐기; 또는 메틸기, 페닐기, 또는 나프틸기로 치환 또는 비치환된 나프틸기이다.According to another exemplary embodiment, Ar 5 and Ar 7 are the same as or different from each other, and each independently hydrogen; A phenyl group unsubstituted or substituted with a cyclohexyl group, a phenyl group or a naphthyl group; Biphenyl groups unsubstituted or substituted with deuterium, fluorine, cyano groups, or trimethylsilyl groups; Or a naphthyl group unsubstituted or substituted with a methyl group, a phenyl group, or a naphthyl group.
본 발명의 일 실시상태에 따르면, 상기 Ar4는 수소; 치환 또는 비치환된 페닐기; 또는 치환 또는 비치환된 나프틸기이다.According to an exemplary embodiment of the present invention, Ar 4 is hydrogen; Substituted or unsubstituted phenyl group; Or a substituted or unsubstituted naphthyl group.
또 하나의 일 일 실시상태에 따르면, 상기 Ar4는 수소; 중수소, 탄소수 1 내지 10의 알킬기 또는 탄소수 6 내지 30의 아릴기로 치환 또는 비치환된 페닐기; 또는 중수소, 탄소수 1 내지 10의 알킬기 또는 탄소수 6 내지 30의 아릴기로 치환 또는 비치환된 나프틸기이다.According to another exemplary embodiment, Ar 4 is hydrogen; Phenyl group unsubstituted or substituted with deuterium, an alkyl group having 1 to 10 carbon atoms, or an aryl group having 6 to 30 carbon atoms; Or a naphthyl group unsubstituted or substituted with deuterium, an alkyl group having 1 to 10 carbon atoms, or an aryl group having 6 to 30 carbon atoms.
또 하나의 일 실시상태에 있어서, 상기 Ar4는 수소; 중수소로 치환 또는 비치환된 페닐기; 또는 메틸기로 치환 또는 비치환된 나프틸기이다.In another exemplary embodiment, Ar 4 is hydrogen; A phenyl group unsubstituted or substituted with deuterium; Or a naphthyl group unsubstituted or substituted with a methyl group.
본 명세서의 일 실시상태에 따르면, 상기 Ar9는 치환 또는 비치환된 탄소수 2 내지 60의 헤테로아릴기이다.According to an exemplary embodiment of the present specification, Ar 9 is a substituted or unsubstituted heteroaryl group having 2 to 60 carbon atoms.
또 하나의 일 실시상태에 따르면, 상기 Ar9는 치환 또는 비치환된 탄소수 2 내지 30의 헤테로아릴기이다.According to another exemplary embodiment, Ar 9 is a substituted or unsubstituted heteroaryl group having 2 to 30 carbon atoms.
또 하나의 일 실시상태에 있어서, 상기 Ar9는 치환 또는 비치환된 디벤조퓨란기; 치환 또는 비환된 나프토벤조퓨란기; 치환 또는 비치환된 티오펜기; 또는 치환 또는 비치환된 인돌로카바졸기이다.In another exemplary embodiment, Ar 9 is a substituted or unsubstituted dibenzofuran group; Substituted or unsubstituted naphthobenzofuran group; Substituted or unsubstituted thiophene group; Or a substituted or unsubstituted indolocarbazole group.
또 하나의 일 실시상태에 따르면, 상기 Ar9는 중수소, 탄소수 1 내지 10의 알킬기 또는 탄소수 6 내지 30의 아릴기로 치환 또는 비치환된 디벤조퓨란기; 중수소, 탄소수 1 내지 10의 알킬기 또는 탄소수 6 내지 30의 아릴기로 치환 또는 비환된 나프토벤조퓨란기; 중수소, 탄소수 1 내지 10의 알킬기 또는 탄소수 6 내지 30의 아릴기로 치환 또는 비치환된 티오펜기; 또는 중수소, 탄소수 1 내지 10의 알킬기 또는 탄소수 6 내지 30의 아릴기로 치환 또는 비치환된 인돌로카바졸기이다.According to another exemplary embodiment, Ar 9 is a dibenzofuran group unsubstituted or substituted with deuterium, an alkyl group having 1 to 10 carbon atoms, or an aryl group having 6 to 30 carbon atoms; Naphthobenzofuran group substituted or unsubstituted with deuterium, an alkyl group having 1 to 10 carbon atoms, or an aryl group having 6 to 30 carbon atoms; Thiophene groups unsubstituted or substituted with deuterium, an alkyl group having 1 to 10 carbon atoms, or an aryl group having 6 to 30 carbon atoms; Or an indolocarbazole group unsubstituted or substituted with deuterium, an alkyl group having 1 to 10 carbon atoms, or an aryl group having 6 to 30 carbon atoms.
또 하나의 일 실시상태에 있어서, 상기 Ar9는 디벤조퓨란기; 나프토벤조퓨란기; 페닐기로 치환된 티오펜기; 또는 인돌로카바졸기이다.In another exemplary embodiment, Ar 9 is a dibenzofuran group; Naphthobenzofuran group; Thiophene group substituted with phenyl group; Or an indolocarbazole group.
본 발명의 일 실시상태에 따르면, 상기 L4 내지 L9는 서로 같거나 상이하고, 각각 독립적으로 직접결합; 치환 또는 비치환된 아릴렌기; 또는 치환 또는 비치환된 헤테로아릴렌기이다.According to an exemplary embodiment of the present invention, L 4 to L 9 are the same as or different from each other, and each independently a direct bond; Substituted or unsubstituted arylene group; Or a substituted or unsubstituted heteroarylene group.
또 하나의 일 실시상태에 있어서, 상기 L4 내지 L9는 서로 같거나 상이하고, 각각 독립적으로 직접결합; 치환 또는 비치환된 탄소수 6 내지 60의 아릴렌기; 또는 치환 또는 비치환된 탄소수 2 내지 60의 헤테로아릴렌기이다.In another exemplary embodiment, L 4 to L 9 are the same as or different from each other, and each independently a direct bond; A substituted or unsubstituted arylene group having 6 to 60 carbon atoms; Or a substituted or unsubstituted heteroarylene group having 2 to 60 carbon atoms.
또 하나의 일 실시상태에 따르면, 상기 L4 내지 L9는 서로 같거나 상이하고, 각각 독립적으로 직접결합; 치환 또는 비치환된 탄소수 6 내지 30의 아릴렌기; 또는 치환 또는 비치환된 탄소수 2 내지 30의 헤테로아릴렌기이다.According to another exemplary embodiment, L 4 to L 9 are the same as or different from each other, and each independently a direct bond; A substituted or unsubstituted arylene group having 6 to 30 carbon atoms; Or a substituted or unsubstituted heteroarylene group having 2 to 30 carbon atoms.
또 하나의 일 실시상태에 따르면, 상기 L4 내지 L9는 서로 같거나 상이하고, 각각 독립적으로 직접결합; 또는 치환 또는 비치환된 탄소수 6 내지 30의 아릴렌기이다.According to another exemplary embodiment, L 4 to L 9 are the same as or different from each other, and each independently a direct bond; Or a substituted or unsubstituted arylene group having 6 to 30 carbon atoms.
또 하나의 일 실시상태에 있어서, 상기 L4 내지 L9는 서로 같거나 상이하고, 각각 독립적으로 직접결합; 치환 또는 비치환된 페닐렌기; 또는 치환 또는 비치환된 나프틸렌기이다.In another exemplary embodiment, L 4 to L 9 are the same as or different from each other, and each independently a direct bond; Substituted or unsubstituted phenylene group; Or a substituted or unsubstituted naphthylene group.
또 하나의 일 실시상태에 따르면, 상기 L4 내지 L9는 서로 같거나 상이하고, 각각 독립적으로 직접결합; 페닐렌기; 또는 나프틸렌기이다.According to another exemplary embodiment, L 4 to L 9 are the same as or different from each other, and each independently a direct bond; Phenylene group; Or a naphthylene group.
본 발명의 일 실시상태에 따르면, 상기 R12 및 R13은 서로 같거나 상이하고, 각각 독립적으로 수소; 중수소; 할로겐기; 시아노기(-CN); 니트로기; 실릴기; 치환 또는 비치환된 알킬기; 치환 또는 비치환된 시클로알킬기; 치환 또는 비치환된 포스핀옥사이드기; 치환 또는 비치환된 아릴기; 또는 치환 또는 비치환된 헤테로아릴기이다.According to an exemplary embodiment of the present invention, R 12 and R 13 are the same as or different from each other, and each independently hydrogen; heavy hydrogen; Halogen group; Cyano group (-CN); Nitro group; Silyl groups; Substituted or unsubstituted alkyl group; A substituted or unsubstituted cycloalkyl group; Substituted or unsubstituted phosphine oxide group; Substituted or unsubstituted aryl group; Or a substituted or unsubstituted heteroaryl group.
또 하나의 일 실시상태에 따르면, 상기 R12 및 R13은 서로 같거나 상이하고, 각각 독립적으로 수소; 중수소; 할로겐기; 시아노기(-CN); 니트로기; 실릴기; 치환 또는 비치환된 탄소수 1 내지 20의 알킬기; 치환 또는 비치환된 탄소수 3 내지 30의 시클로알킬기; 치환 또는 비치환된 포스핀옥사이드기; 치환 또는 비치환된 탄소수 6 내지 30의 아릴기; 또는 치환 또는 비치환된 탄소수 2 내지 30의 헤테로아릴기이다.According to another exemplary embodiment, the R 12 and R 13 are the same as or different from each other, and each independently hydrogen; heavy hydrogen; Halogen group; Cyano group (-CN); Nitro group; Silyl groups; A substituted or unsubstituted alkyl group having 1 to 20 carbon atoms; A substituted or unsubstituted cycloalkyl group having 3 to 30 carbon atoms; Substituted or unsubstituted phosphine oxide group; Substituted or unsubstituted aryl group having 6 to 30 carbon atoms; Or a substituted or unsubstituted heteroaryl group having 2 to 30 carbon atoms.
또 하나의 일 실시상태에 있어서, 상기 R11 및 R12는 수소이다.In another exemplary embodiment, R 11 and R 12 are hydrogen.
본 명세서의 일 실시상태에 따르면, 상기 q2는 0 내지 7의 정수이고, q2가 2 이상인 경우 2 이상의 R12는 서로 같거나 상이하다.According to an exemplary embodiment of the present specification, q2 is an integer of 0 to 7, and when q2 is 2 or more, two or more R 12 are the same as or different from each other.
또 하나의 일 실시상태에 따르면, 상기 q2는 0 내지 2의 정수이다.According to another exemplary embodiment, q2 is an integer of 0 to 2.
또 하나의 일 실시상태에 따르면, 상기 q2는 0 또는 1이다.According to another exemplary embodiment, q2 is 0 or 1.
본 명세서의 일 실시상태에 따르면, 상기 q3은 0 내지 7의 정수이고, q3이 2 이상인 경우 2 이상의 R13은 서로 같거나 상이하다.According to an exemplary embodiment of the present specification, q3 is an integer of 0 to 7, and when q3 is 2 or more, two or more R 13 are the same as or different from each other.
또 하나의 일 실시상태에 따르면, 상기 q3은 0 내지 2의 정수이다.According to another exemplary embodiment, q3 is an integer of 0 to 2.
또 하나의 일 실시상태에 따르면, 상기 q3은 0 또는 1이다.According to another exemplary embodiment, q3 is 0 or 1.
본 명세서의 일 실시상태에 있어서, 상기 화학식 1-B는 하기 화합물들 중 어느 하나로 표시될 수 있다.In one embodiment of the present specification, Chemical Formula 1-B may be represented by any one of the following compounds.
본 명세서의 일 실시상태에 있어서, 상기 화학식 1-C는 하기 화합물들 중 어느 하나로 표시될 수 있다.In one embodiment of the present specification, Chemical Formula 1-C may be represented by any one of the following compounds.
본 발명의 화합물을 발광층의 도펀트로 포함하고, 상기 화학식 1-B 및 화학식 1-C로 표시되는 화합물 중 2 이상을 호스트로서 포함하는 경우, 도펀트의 함량은 호스트 100 중량부를 기준으로 1 중량부 내지 10 중량부일 수 있다. When the compound of the present invention is included as a dopant of the light emitting layer, and includes two or more of the compounds represented by Formulas 1-B and 1-C as a host, the content of the dopant is 1 part by weight based on 100 parts by weight of the host. It may be 10 parts by weight.
또 하나의 일 실시상태에 따르면, 상기 화합물을 발광층의 도펀트로 포함하고, 상기 화학식 1-B로 표시되는 화합물 및 상기 화학식 1-C로 표시되는 화합물을 발광층의 호스트로서 포함할 수 있으며, 상기 호스트의 혼합 중량비(1:B:1-C)는 95:5 내지 5:95일 수 있다.According to another exemplary embodiment, the compound may be included as a dopant of the emission layer, and the compound represented by Formula 1-B and the compound represented by Formula 1-C may be included as a host of the emission layer. The mixed weight ratio of (1: B: 1-C) may be 95: 5 to 5:95.
또 하나의 실시상태에 있어서, 상기 유기물층은 발광층을 포함하고, 상기 발광층은 전술한 화합물을 발광층의 도펀트로서 포함하고, 형광 호스트 또는 인광 호스트를 포함하며, 다른 유기화합물, 금속 또는 금속화합물을 도펀트로 포함할 수 있다.In another exemplary embodiment, the organic material layer includes a light emitting layer, and the light emitting layer includes the aforementioned compound as a dopant of the light emitting layer, includes a fluorescent host or a phosphorescent host, and includes another organic compound, a metal, or a metal compound as a dopant. It may include.
또 하나의 예로서, 상기 유기물층은 발광층을 포함하고, 상기 발광층은 전술한 화합물을 발광층의 도펀트로서 포함하고, 형광 호스트 또는 인광 호스트를 포함하며, 이리듐계(Ir) 도펀트와 함께 사용할 수 있다.As another example, the organic material layer may include a light emitting layer, and the light emitting layer may include the aforementioned compound as a dopant of the light emitting layer, include a fluorescent host or a phosphorescent host, and may be used with an iridium-based (Ir) dopant.
또 하나의 일 실시상태에 따르면, 상기 유기물층은 발광층을 포함하고, 상기 발광층은 전술한 화합물을 발광층의 호스트로서 포함할 수 있다.According to another exemplary embodiment, the organic material layer may include a light emitting layer, and the light emitting layer may include the aforementioned compound as a host of the light emitting layer.
또 하나의 예로서, 상기 유기물층은 발광층을 포함하고, 상기 발광층은 전술한 발광층의 호스트로서 포함하고, 도펀트를 더 포함할 수 있다.As another example, the organic material layer may include a light emitting layer, the light emitting layer may be included as a host of the light emitting layer described above, and further include a dopant.
본 명세서의 일 실시상태에 있어서, 상기 제1 전극은 양극이고, 제2 전극은 음극이다.In one embodiment of the present specification, the first electrode is an anode, and the second electrode is a cathode.
또 하나의 일 실시상태에 따르면, 상기 제1 전극은 음극이고, 제2 전극은 양극이다.According to another exemplary embodiment, the first electrode is a cathode and the second electrode is an anode.
본 발명의 유기 발광 소자의 구조는 도 1 및 도 2에 나타낸 것과 같은 구조를 가질 수 있으나, 이에만 한정되는 것은 아니다.The structure of the organic light emitting device of the present invention may have a structure as shown in FIGS. 1 and 2, but is not limited thereto.
도 1에는 기판(1) 위에 양극(2), 발광층(3) 및 음극(4)이 순차적으로 적층된 유기 발광 소자의 구조가 예시되어 있다. 이와 같은 구조에 있어서, 상기 화합물은 상기 발광층(3)에 포함될 수 있다.1 illustrates a structure of an organic light emitting device in which an
도 2에는 기판(1) 위에 양극(2), 정공주입층(5), 정공수송층(6), 발광층(7), 전자수송층(8) 및 음극(4)이 순차적으로 적층된 유기 발광 소자의 구조가 예시되어 있다. 이와 같은 구조에 있어서, 상기 화합물은 상기 정공주입층(5), 정공수송층(6), 발광층(7) 또는 전자수송층(8)에 포함될 수 있다. 또한, 상기 정공수송층은 2층 이상일 수 있다.2 illustrates an organic light emitting device in which an
예컨대, 본 발명에 따른 유기 발광 소자는 스퍼터링(sputtering)이나 전자빔 증발(e-beam evaporation)과 같은 PVD(physical vapor deposition) 방법을 이용하여, 기판 상에 금속 또는 전도성을 가지는 금속 산화물 또는 이들의 합금을 증착시켜 양극을 형성하고, 그 위에 정공주입층, 정공수송층, 정공주입 및 정공수송을 동시에 하는 층, 발광층, 전자수송층, 전자주입층, 전자수송 및 전자주입을 동시에 하는 층 등을 포함하는 유기물층을 형성한 후, 그 위에 음극으로 사용할 수 있는 물질을 증착시킴으로써 제조될 수 있다. 이와 같은 방법 외에도, 기판 상에 음극 물질부터 유기물층, 양극 물질을 차례로 증착시켜 유기 발광 소자를 만들 수도 있다.For example, the organic light emitting device according to the present invention uses a metal vapor deposition (PVD) method such as sputtering or e-beam evaporation, and has a metal oxide or a metal oxide or an alloy thereof on a substrate. An organic material layer including a hole injection layer, a hole transport layer, a hole injection and hole transport layer, a light emitting layer, an electron transport layer, an electron injection layer, a layer for simultaneously transporting electrons and electrons, etc. After forming, it can be prepared by depositing a material that can be used as a cathode thereon. In addition to the above method, an organic light emitting device may be manufactured by sequentially depositing a cathode material, an organic material layer, and an anode material on a substrate.
상기 유기물층은 정공주입층, 정공수송층, 정공주입 및 정공수송을 동시에 하는 층, 발광층, 전자수송층, 전자주입층, 전자수송 및 전자주입을 동시에 하는 층 등을 포함하는 다층 구조일 수도 있으나, 이에 한정되지 않고 단층 구조일 수 있다. 또한, 상기 유기물층은 다양한 고분자 소재를 사용하여 증착법이 아닌 용매 공정(solvent process), 예컨대 스핀 코팅, 딥 코팅, 닥터 블레이딩, 스크린 프린팅, 잉크젯 프린팅 또는 열 전사법 등의 방법에 의하여 더 적은 수의 층으로 제조할 수 있다.The organic material layer may be a multilayer structure including a hole injection layer, a hole transport layer, a layer for simultaneously injecting holes and transporting holes, a light emitting layer, an electron transport layer, an electron injection layer, a layer for simultaneously transporting and transporting electrons, and the like. It may be a single layer structure. In addition, the organic layer may be prepared by using a variety of polymer materials, and by using a method such as spin coating, dip coating, doctor blading, screen printing, inkjet printing, or thermal transfer, rather than a deposition method. It can be prepared in layers.
상기 양극은 정공을 주입하는 전극으로, 양극 물질로는 통상 유기물층으로 정공 주입이 원활할 수 있도록 일함수가 큰 물질이 바람직하다. 본 발명에서 사용될 수 있는 양극 물질의 구체적인 예로는 바나듐, 크롬, 구리, 아연, 금과 같은 금속 또는 이들의 합금; 아연 산화물, 인듐 산화물, 인듐주석 산화물(ITO, Indium Tin Oxide), 인듐아연 산화물(IZO, Indium Zinc Oxide)과 같은 금속 산화물; ZnO : Al 또는 SnO2 : Sb와 같은 금속과 산화물의 조합; 폴리(3-메틸티오펜), 폴리[3,4-(에틸렌-1,2-디옥시)티오펜](PEDOT), 폴리피롤 및 폴리아닐린과 같은 전도성 고분자 등이 있으나, 이들에만 한정되는 것은 아니다.The anode is an electrode for injecting holes, and a material having a large work function is preferable as an anode material so that hole injection can be smoothly performed into an organic material layer. Specific examples of the positive electrode material that can be used in the present invention include metals such as vanadium, chromium, copper, zinc and gold or alloys thereof; Metal oxides such as zinc oxide, indium oxide, indium tin oxide (ITO), and indium zinc oxide (IZO); A combination of a metal and an oxide such as ZnO: Al or SnO 2 : Sb; Conductive polymers such as poly (3-methylthiophene), poly [3,4- (ethylene-1,2-dioxy) thiophene] (PEDOT), polypyrrole and polyaniline, and the like, but are not limited thereto.
상기 음극은 전자를 주입하는 전극으로, 음극 물질로는 통상 유기물층으로 전자 주입이 용이하도록 일함수가 작은 물질인 것이 바람직하다. 음극 물질의 구체적인 예로는 마그네슘, 칼슘, 나트륨, 칼륨, 티타늄, 인듐, 이트륨, 리튬, 가돌리늄, 알루미늄, 은, 주석 및 납과 같은 금속 또는 이들의 합금; LiF/Al 또는 LiO2/Al과 같은 다층 구조 물질 등이 있으나, 이들에만 한정되는 것은 아니다.The cathode is an electrode for injecting electrons, and the cathode material is preferably a material having a small work function to facilitate electron injection into the organic material layer. Specific examples of the negative electrode material include metals such as magnesium, calcium, sodium, potassium, titanium, indium, yttrium, lithium, gadolinium, aluminum, silver, tin, and lead or alloys thereof; Multilayer structure materials such as LiF / Al or LiO 2 / Al, and the like, but are not limited thereto.
상기 정공주입층은 양극으로부터 발광층으로 정공의 주입을 원활하게 하는 역할을 하는 층이며, 정공 주입 물질로는 낮은 전압에서 양극으로부터 정공을 잘 주입 받을 수 있는 물질로서, 정공 주입 물질의 HOMO(highest occupied molecular orbital)가 양극 물질의 일함수와 주변 유기물층의 HOMO 사이인 것이 바람직하다. 정공 주입 물질의 구체적인 예로는 금속 포피린(porphyrine), 올리고티오펜, 아릴아민 계열의 유기물, 헥사니트릴헥사아자트리페닐렌 계열의 유기물, 퀴나크리돈(quinacridone) 계열의 유기물, 페릴렌(perylene) 계열의 유기물, 안트라퀴논 및 폴리아닐린과 폴리티오펜 계열의 전도성 고분자 등이 있으나, 이들에만 한정되는 것은 아니다. 정공주입층의 두께는 1 내지 150nm일 수 있다. 상기 정공주입층의 두께가 1nm 이상이면, 정공 주입 특성이 저하되는 것을 방지할 수 있는 이점이 있고, 150nm 이하이면, 정공주입층의 두께가 너무 두꺼워 정공의 이동을 향상시키기 위해 구동전압이 상승되는것을 방지할 수 있는 이점이 있다.The hole injection layer is a layer that facilitates the injection of holes from the anode to the light emitting layer, and the hole injection material is a material capable of well injecting holes from the anode at a low voltage, the highest occupied hole injection material The molecular orbital) is preferably between the work function of the positive electrode material and the HOMO of the surrounding organic material layer. Specific examples of the hole injection material include metal porphyrine, oligothiophene, arylamine-based organics, hexanitrile hexaazatriphenylene-based organics, quinacridone-based organics, and perylene-based Organic substances, anthraquinone and polyaniline and polythiophene-based conductive polymers, but are not limited thereto. The hole injection layer may have a thickness of 1 to 150 nm. When the thickness of the hole injection layer is 1 nm or more, there is an advantage of preventing the hole injection characteristic from being lowered. When the thickness of the hole injection layer is 150 nm or less, the thickness of the hole injection layer is so thick that the driving voltage is increased to improve the movement of holes. There is an advantage that can be prevented.
상기 정공수송층은 정공의 수송을 원활하게 하는 역할을 할 수 있다. 정공 수송 물질로는 양극이나 정공 주입층으로부터 정공을 수송받아 발광층으로 옮겨줄 수 있는 물질로 정공에 대한 이동성이 큰 물질이 적합하다. 구체적인 예로는 아릴아민 계열의 유기물, 전도성 고분자, 및 공액 부분과 비공액 부분이 함께 있는 블록 공중합체 등이 있으나, 이들에만 한정되는 것은 아니다. The hole transport layer may serve to facilitate the transport of holes. As a hole transporting material, a material capable of transporting holes from an anode or a hole injection layer to be transferred to a light emitting layer is suitable. Specific examples thereof include an arylamine-based organic material, a conductive polymer, and a block copolymer having a conjugated portion and a non-conjugated portion together, but are not limited thereto.
상기 발광층은 적색, 녹색 또는 청색을 발광할 수 있으며, 인광 물질 또는 형광 물질로 이루어질 수 있다. 상기 발광 물질로는 정공 수송층과 전자 수송층으로부터 정공과 전자를 각각 수송받아 결합시킴으로써 가시광선 영역의 빛을 낼 수 있는 물질로서, 형광이나 인광에 대한 양자 효율이 좋은 물질이 바람직하다. 구체적인 예로는 8-히드록시-퀴놀린 알루미늄 착물(Alq3); 카르바졸 계열 화합물; 이량체화 스티릴(dimerized styryl) 화합물; BAlq; 10-히드록시벤조 퀴놀린-금속 화합물; 벤족사졸, 벤즈티아졸 및 벤즈이미다졸 계열의 화합물; 폴리(p-페닐렌비닐렌)(PPV) 계열의 고분자; 스피로(spiro) 화합물; 폴리플루오렌, 루브렌 등이 있으나, 이들에만 한정되는 것은 아니다.The emission layer may emit red, green, or blue light, and may be formed of a phosphor or a fluorescent material. The light emitting material is a material capable of emitting light in the visible region by transporting and combining holes and electrons from the hole transport layer and the electron transport layer, respectively, and a material having good quantum efficiency with respect to fluorescence or phosphorescence is preferable. Specific examples thereof include 8-hydroxyquinoline aluminum complex (Alq 3 ); Carbazole series compounds; Dimerized styryl compounds; BAlq; 10-hydroxybenzoquinoline-metal compound; Benzoxazole, benzthiazole and benzimidazole series compounds; Poly (p-phenylenevinylene) (PPV) -based polymers; Spiro compounds; Polyfluorene, rubrene and the like, but are not limited thereto.
발광층의 호스트 재료로는 축합 방향족환 유도체 또는 헤테로환 함유 화합물 등이 있다. 구체적으로 축합 방향족환 유도체로는 안트라센 유도체, 피렌 유도체, 나프탈렌 유도체, 펜타센 유도체, 페난트렌 화합물, 플루오란텐 화합물 등이 있고, 헤테로환 함유 화합물로는 카바졸 유도체, 디벤조퓨란 유도체, 래더형 퓨란 화합물, 피리미딘 유도체 등이 있으나, 이에 한정되지 않는다.As a host material of a light emitting layer, a condensed aromatic ring derivative, a heterocyclic containing compound, etc. are mentioned. Specifically, the condensed aromatic ring derivatives include anthracene derivatives, pyrene derivatives, naphthalene derivatives, pentacene derivatives, phenanthrene compounds, and fluoranthene compounds, and the heterocyclic containing compounds include carbazole derivatives, dibenzofuran derivatives and ladder types. Furan compounds, pyrimidine derivatives, and the like, but are not limited thereto.
상기 도펀트 재료로는 방향족 아민 유도체, 스트릴아민 화합물, 붕소 착체, 플루오란텐 화합물, 금속 착체 등이 있다. 구체적으로 방향족 아민 유도체로는 치환 또는 비치환된 아릴아미노기를 갖는 축합 방향족환 유도체로서, 아릴아미노기를 갖는 피렌, 안트라센, 크리센, 페리플란텐 등이 있으며, 스티릴아민 화합물로는 치환 또는 비치환된 아릴아민에 적어도 1개의 아릴비닐기가 치환되어 있는 화합물로, 아릴기, 실릴기, 알킬기, 시클로알킬기 및 아릴아미노기로 이루어진 군에서 1 또는 2 이상 선택되는 치환기가 치환 또는 비치환된다. 구체적으로 스티릴아민, 스티릴디아민, 스티릴트리아민, 스티릴테트라아민 등이 있으나, 이에 한정되지 않는다. 또한, 금속 착체로는 이리듐 착체, 백금 착체 등이 있으나, 이에 한정되지 않는다.Examples of the dopant material include aromatic amine derivatives, styrylamine compounds, boron complexes, fluoranthene compounds, and metal complexes. Specifically, the aromatic amine derivatives include condensed aromatic ring derivatives having a substituted or unsubstituted arylamino group, and include pyrene, anthracene, chrysene, and periplanthene having an arylamino group, and a styrylamine compound may be substituted or unsubstituted. At least one arylvinyl group is substituted with the substituted arylamine, and one or two or more substituents selected from the group consisting of an aryl group, a silyl group, an alkyl group, a cycloalkyl group and an arylamino group are substituted or unsubstituted. Specifically, styrylamine, styryldiamine, styryltriamine, styryltetraamine and the like, but is not limited thereto. In addition, the metal complex includes, but is not limited to, an iridium complex, a platinum complex, and the like.
상기 전자수송층은 전자의 수송을 원활하게 하는 역할을 할 수 있다. 전자 수송 물질로는 음극으로부터 전자를 잘 주입 받아 발광층으로 옮겨줄 수 있는 물질로서, 전자에 대한 이동성이 큰 물질이 적합하다. 구체적인 예로는 8-히드록시퀴놀린의 Al 착물; Alq3를 포함한 착물; 유기 라디칼 화합물; 히드록시플라본-금속 착물 등이 있으나, 이들에만 한정되는 것은 아니다. 전자수송층의 두께는 1 내지 50nm일 수 있다. 전자수송층의 두께가 1nm 이상이면, 전자 수송 특성이 저하되는 것을 방지할 수 있는 이점이 있고, 50nm 이하이면, 전자수송층의 두께가 너무 두꺼워 전자의 이동을 향상시키기 위해 구동전압이 상승되는 것을 방지할 수 있는 이점이 있다.The electron transport layer may serve to facilitate the transport of electrons. As the electron transporting material, a material capable of injecting electrons well from the cathode and transferring the electrons to the light emitting layer is suitable. Specific examples include Al complexes of 8-hydroxyquinoline; Complexes including Alq 3 ; Organic radical compounds; Hydroxyflavone-metal complexes and the like, but are not limited thereto. The thickness of the electron transport layer may be 1 to 50 nm. If the thickness of the electron transporting layer is 1 nm or more, there is an advantage that the electron transporting property can be prevented from being lowered. If the thickness of the electron transporting layer is 50 nm or less, the thickness of the electron transporting layer is too thick to prevent the driving voltage from increasing to improve the movement of electrons. There is an advantage to this.
상기 전자주입층은 전자의 주입을 원활하게 하는 역할을 할 수 있다. 전자 주입 물질로는 전자를 수송하는 능력을 갖고, 음극으로부터의 전자주입 효과, 발광층 또는 발광 재료에 대하여 우수한 전자주입 효과를 가지며, 발광층에서 생성된 여기자의 정공 주입층에의 이동을 방지하고, 또한, 박막형성능력이 우수한 화합물이 바람직하다. 구체적으로는 플루오레논, 안트라퀴노다이메탄, 다이페노퀴논, 티오피란 다이옥사이드, 옥사졸, 옥사다이아졸, 트리아졸, 이미다졸, 페릴렌테트라카복실산, 프레오레닐리덴 메탄, 안트론 등과 그들의 유도체, 금속 착체 화합물 및 함질소 5원환 유도체 등이 있으나, 이에 한정되지 않는다. The electron injection layer may play a role of smoothly injecting electrons. As the electron injection material, it has the ability to transport electrons, has an electron injection effect from the cathode, excellent electron injection effect to the light emitting layer or the light emitting material, and prevents the movement of excitons generated in the light emitting layer to the hole injection layer, and The compound which is excellent in thin film formation ability is preferable. Specifically, fluorenone, anthraquinodimethane, diphenoquinone, thiopyran dioxide, oxazole, oxadiazole, triazole, imidazole, perylenetetracarboxylic acid, preorenylidene methane, anthrone and the like and derivatives thereof, metal Complex compounds, nitrogen-containing five-membered ring derivatives, and the like, but are not limited thereto.
상기 금속 착체 화합물로서는 8-하이드록시퀴놀리나토 리튬, 비스(8-하이드록시퀴놀리나토)아연, 비스(8-하이드록시퀴놀리나토)구리, 비스(8-하이드록시퀴놀리나토)망간, 트리스(8-하이드록시퀴놀리나토)알루미늄, 트리스(2-메틸-8-하이드록시퀴놀리나토)알루미늄, 트리스(8-하이드록시퀴놀리나토)갈륨, 비스(10-하이드록시벤조[h]퀴놀리나토)베릴륨, 비스(10-하이드록시벤조[h]퀴놀리나토)아연, 비스(2-메틸-8-퀴놀리나토)클로로갈륨, 비스(2-메틸-8-퀴놀리나토)(o-크레졸라토)갈륨, 비스(2-메틸-8-퀴놀리나토)(1-나프톨라토)알루미늄, 비스(2-메틸-8-퀴놀리나토)(2-나프톨라토)갈륨 등이 있으나, 이에 한정되지 않는다.Examples of the metal complex compound include 8-hydroxyquinolinato lithium, bis (8-hydroxyquinolinato) zinc, bis (8-hydroxyquinolinato) copper, bis (8-hydroxyquinolinato) manganese, Tris (8-hydroxyquinolinato) aluminum, tris (2-methyl-8-hydroxyquinolinato) aluminum, tris (8-hydroxyquinolinato) gallium, bis (10-hydroxybenzo [h] Quinolinato) beryllium, bis (10-hydroxybenzo [h] quinolinato) zinc, bis (2-methyl-8-quinolinato) chlorogallium, bis (2-methyl-8-quinolinato) ( o-cresolato) gallium, bis (2-methyl-8-quinolinato) (1-naphtolato) aluminum, bis (2-methyl-8-quinolinato) (2-naphtolato) gallium, It is not limited to this.
상기 정공차단층은 정공의 음극 도달을 저지하는 층으로, 일반적으로 정공주입층과 동일한 조건으로 형성될 수 있다. 구체적으로 옥사디아졸 유도체나 트리아졸 유도체, 페난트롤린 유도체, BCP, 알루미늄 착물 (aluminum complex) 등이 있으나, 이에 한정되지 않는다.The hole blocking layer is a layer that blocks the reaching of the cathode of the hole, and may be generally formed under the same conditions as the hole injection layer. Specifically, there are oxadiazole derivatives, triazole derivatives, phenanthroline derivatives, BCP, aluminum complexes, and the like, but are not limited thereto.
본 발명에 따른 유기 발광 소자는 사용되는 재료에 따라 전면 발광형, 후면 발광형 또는 양면 발광형일 수 있다.The organic light emitting device according to the present invention may be a top emission type, a bottom emission type or a double-sided emission type depending on the material used.
이하, 본 명세서를 구체적으로 설명하기 위해 실시예를 들어 상세하기 설명하기로 한다. 그러나, 본 명세서에 따른 실시예들은 여러가지 다른 형태로 변형될 수 있으며, 본 출원의 범위가 아래에서 상술하는 실시예들에 한정되는 것으로 해석되지 않는다. 본 출원의 실시예들은 당업계에서 평균적인 지식을 가진 자에게 본 명세서를 보다 완전하게 설명하기 위해 제공되는 것이다.Hereinafter, the present invention will be described in detail with reference to Examples. However, the embodiments according to the present disclosure may be modified in various other forms, and the scope of the present application is not interpreted to be limited to the embodiments described below. Embodiments of the present application are provided to more fully describe the present specification to those skilled in the art.
<< 합성예Synthesis Example >>
합성예Synthesis Example 1. One.
질소 분위기 하에서 시작물질 T-1 (50g)과 시작물질 T-2 (20g), 비스(트리-tert-부틸포스핀)팔라듐(0) [Bis(tri-tert-butylphosphine)-palladium(0)] (0.25g), aq. K2CO3 (82.2g in 500mL of water) 및 테트라하이드로퓨란(THF) 1.5L가 들어간 플라스크를 2시간 동안 가열 교반하였다. 반응액을 실온까지 냉각한 후, 물과 에틸 아세테이트(ethyl acetate)를 가하여 추출 및 세척하였다. 유기층을 회수하여 추출 용매를 제거한 후 재결정(ethyl acetate/hexane)으로 정제하여, 중간체 A-1을 30.3g을 얻었다.Starting material T-1 (50 g), starting material T-2 (20 g), bis (tri-tert-butylphosphine) palladium (0) under nitrogen atmosphere [Bis (tri-tert-butylphosphine) -palladium (0)] (0.25 g), aq. The flask containing K 2 CO 3 (82.2 g in 500 mL of water) and 1.5 L of tetrahydrofuran (THF) was heated and stirred for 2 hours. After cooling the reaction solution to room temperature, water and ethyl acetate were added and extracted and washed. The organic layer was recovered, the extraction solvent was removed, and the residue was purified by recrystallization (ethyl acetate / hexane) to obtain 30.3 g of intermediate A-1.
Mass [M+1] = 431Mass [M + 1] = 431
합성예Synthesis Example 2. 2.
질소 분위기 하에서 중간체 A-1 (27g)와 K2CO3 (44g) 및 NMP(N-methyl-2-pyrrilidone) 1L가 들어간 플라스크를 5시간 동안 150℃에서 가열 교반하였다. 중간체 A-1이 모두 소모되고 나면, 반응액을 50℃까지 냉각한 후, 퍼플루오로술포닐 플루오라이드(perfluorosulfonyl fluoride, 114g)를 드롭핑 펀넬을 이용하여 적가하였다. 중간체 A-2가 주요 생성물이 되면 반응액을 실온까지 냉각한 후 생성된 고체를 필터하였다. 필터로 얻은 고체를 에틸아세테이트/물을 이용하여 가열교반 후 상온으로 식힌 다음 고체를 필터하였다. 필터로 얻은 고체를 다시 한번 THF/물을 이용하여 가열교반 후 상온으로 식힌 다음 고체를 필터하였다. 필터한 고체를 건조하여, 중간체 A-2을 31.1g을 얻었다.The flask containing Intermediate A-1 (27 g), K 2 CO 3 (44 g) and 1 L of N-methyl-2-pyrrilidone (NMP) was heated and stirred at 150 ° C. for 5 hours under a nitrogen atmosphere. After all of the intermediate A-1 was consumed, the reaction solution was cooled to 50 ° C., and then perfluorosulfonyl fluoride (114 g) was added dropwise using a dropping funnel. When intermediate A-2 became the main product, the reaction solution was cooled to room temperature and the resulting solid was filtered. The solid obtained by the filter was cooled by heating after stirring with heat using ethyl acetate / water, and the solid was filtered. The solid obtained by the filter was once again heated with stirring using THF / water and cooled to room temperature, and then the solid was filtered. The filtered solid was dried to obtain 31.1 g of intermediate A-2.
합성예Synthesis Example 3. 3.
질소 분위기 하에서 중간체 A-2 (10.0g)와 T-3[bis(4-(tert-butyl)phenyl)amine, (6.2g)], Bis(dibenzylidineacetone)palladium(0) (Pd(dba)2, 0.18g), Xphos (0.3g), K3PO4 (tripotassium phosphate, 7.8g) 및 toluene 100mL가 들어간 플라스크를 24시간 동안 환류 및 교반하였다. 반응액을 실온까지 냉각한 후, 물과 톨루엔를 가하여 추출 및 세척하였다. 유기층을 회수하여 추출 용매를 제거한 후 재결정(toluene/ethyl acetate)으로 정제하여, 화합물 BD-A를 3.2g을 얻었다. 도 3에 BD-A의 MS 측정 그래프를 도시하였다.Intermediate A-2 (10.0 g) and T-3 [bis (4- (tert-butyl) phenyl) amine, (6.2 g)], Bis (dibenzylidineacetone) palladium (0) (Pd (dba) 2 , 0.18 g), Xphos (0.3 g), K 3 PO 4 (tripotassium phosphate, 7.8 g) and a flask containing 100 mL of toluene were refluxed and stirred for 24 hours. After cooling the reaction solution to room temperature, water and toluene were added and extracted and washed. The organic layer was recovered, the extraction solvent was removed, and the residue was purified by recrystallization (toluene / ethyl acetate) to obtain 3.2 g of Compound BD-A. 3 shows an MS measurement graph of BD-A.
Mass [M+1] = 917Mass [M + 1] = 917
합성예Synthesis Example 4. 4.
합성예 3.에서 T-3 대신 T-4를 사용한 것을 제외하고는 화합물 BD-A를 합성하는 방법과 동일한 방법으로, 화합물 BD-B을 2.6g을 얻었다. 도 4에 BD-B의 MS 측정 그래프를 도시하였다.2.6 g of Compound BD-B was obtained by the same method as the method of synthesizing Compound BD-A, except that T-4 was used instead of T-3 in Synthesis Example 3. 4 shows an MS measurement graph of BD-B.
Mass [M+1] = 861Mass [M + 1] = 861
합성예Synthesis Example 5. 5.
합성예 3.에서 T-3 대신 T-5를 사용한 것을 제외하고는 화합물 BD-A를 합성하는 방법과 동일한 방법으로, 화합물 BD-C을 2.6g을 얻었다. 도 5에 BD-C의 MS 측정 그래프를 도시하였다.2.6 g of Compound BD-C was obtained by the same method as the method of synthesizing Compound BD-A, except that T-5 was used instead of T-3 in Synthesis Example 3. 5 shows an MS measurement graph of BD-C.
Mass [M+1] = 833Mass [M + 1] = 833
합성예Synthesis Example 6. 6.
합성예 1.에서 T-2 대신 T-6를 사용한 것을 제외하고는 중간체 A-1를 합성하는 방법과 동일한 방법으로, 화합물 D-1을 29g을 얻었다.29 g of Compound D-1 was obtained by the same method as the method of synthesizing Intermediate A-1, except that T-6 was used instead of T-2 in Synthesis Example 1.
Mass [M+1] = 431Mass [M + 1] = 431
합성예Synthesis Example 7. 7.
합성예 2.에서 A-1 대신 D-1을 사용한 것을 제외하고는 중간체 A-2를 합성하는 방법과 동일한 방법으로, 화합물 D-2을 28g을 얻었다.28 g of Compound D-2 was obtained by the same method as the method of synthesizing Intermediate A-2, except that D-1 was used instead of A-1 in Synthesis Example 2.
합성예Synthesis Example 8. 8.
합성예 3.에서 A-2 대신 D-2, T-3 대신 T-7을 사용한 것을 제외하고는 화합물 BD-A를 합성하는 방법과 동일한 방법으로, 화합물 BD-D을 4.0g을 얻었다. 도 6에 BD-D의 MS 측정 그래프를 도시하였다.4.0 g of Compound BD-D was obtained by the same method as the method of synthesizing Compound BD-A, except that D-2 instead of A-2 and T-7 instead of T-3 were used in Synthesis Example 3. 6 shows a graph of MS measurement of BD-D.
Mass [M+1] = 873Mass [M + 1] = 873
합성예Synthesis Example 9. 9.
합성예 3.에서 A-2 대신 D-2, T-3 대신 T-8을 사용한 것을 제외하고는 화합물 BD-A를 합성하는 방법과 동일한 방법으로, 화합물 BD-E을 2.9g을 얻었다. 도 7에 BD-E의 MS 측정 그래프를 도시하였다.2.9 g of Compound BD-E was obtained by the same method as the method for synthesizing Compound BD-A, except that D-2 instead of A-2 and T-8 instead of T-3 were used in Synthesis Example 3. 7 shows a graph of MS measurement of BD-E.
Mass [M+1] = 749Mass [M + 1] = 749
합성예Synthesis Example 10. 10.
합성예 3.에서 A-2 대신 D-2, T-3 대신 T-9를 사용한 것을 제외하고는 화합물 BD-A를 합성하는 방법과 동일한 방법으로, 화합물 BD-F을 2.1g을 얻었다.2.1 g of Compound BD-F was obtained by the same method as the method of synthesizing Compound BD-A, except that D-2 instead of A-2 and T-9 instead of T-3 were used in Synthesis Example 3.
Mass [M+1] = 757Mass [M + 1] = 757
합성예Synthesis Example 11. 11.
합성예 1.에서 T-2 대신 T-10을 사용한 것을 제외하고는 중간체 A-1를 합성하는 방법과 동일한 방법으로, 중간체 G-1을 25.2g을 얻었다.Except for using T-10 instead of T-2 in Synthesis Example 1, 25.2g of intermediate G-1 was obtained by the same method as the method of synthesizing Intermediate A-1.
Mass [M+1] = 431Mass [M + 1] = 431
합성예Synthesis Example 12. 12.
합성예 2.에서 A-1 대신 G-1을 사용한 것을 제외하고는 중간체 A-2를 합성하는 방법과 동일한 방법으로, 화합물 G-2을 24.0g을 얻었다.24.0 g of Compound G-2 was obtained by the same method as the method of synthesizing Intermediate A-2, except that G-1 was used instead of A-1 in Synthesis Example 2.
합성예Synthesis Example 13. 13.
합성예 3.에서 A-2 대신 G-2, T-3 대신 T-11을 사용한 것을 제외하고는 화합물 BD-A를 합성하는 방법과 동일한 방법으로, 화합물 BD-G을 1.7g을 얻었다.In Synthesis Example 3, 1.7 g of Compound BD-G was obtained by the same method as the method for synthesizing Compound BD-A, except that G-2 instead of A-2 and T-11 instead of T-3 were used.
Mass [M+1] = 749Mass [M + 1] = 749
합성예Synthesis Example 14. 14.
합성예 3.에서 A-2 대신 G-2, T-3 대신 T-12를 사용한 것을 제외하고는 화합물 BD-A를 합성하는 방법과 동일한 방법으로, 화합물 BD-H을 3.0g을 얻었다.3.0 g of Compound BD-H was obtained by the same method as the method of synthesizing Compound BD-A, except that G-2 instead of A-2 and T-12 instead of T-3 were used in Synthesis Example 3.
Mass [M+1] = 957Mass [M + 1] = 957
합성예Synthesis Example 14. 14.
합성예 3.에서 A-2 대신 G-2, T-3 대신 T-13을 사용한 것을 제외하고는 화합물 BD-A를 합성하는 방법과 동일한 방법으로, 화합물 BD-I를 1.9g을 얻었다.In Synthesis Example 3, 1.9 g of Compound BD-I was obtained by the same method as the method of synthesizing Compound BD-A, except that G-2 instead of A-2 and T-13 instead of T-3 were used.
Mass [M+1] = 689Mass [M + 1] = 689
<< 실시예Example >>
실시예Example 1. One.
ITO(인듐 주석 산화물)가 1,000Å 두께로 박막 코팅된 유리 기판(corning 7059 glass)을, 분산제를 녹인 증류수에 넣고 초음파로 세척하였다. 세제는 Fischer Co.의 제품을 사용하였으며, 증류수는 Millipore Co. 제품의 필터(Filter)로 2차 걸러진 증류수를 사용하였다. ITO를 30분간 세척한 후, 증류수로 2회 반복하여 초음파 세척을 10분간 진행하였다. 증류수 세척이 끝난 후 이소프로필알콜, 아세톤, 메탄올 용제 순서로 초음파 세척을 하고 건조시켰다. A glass substrate (corning 7059 glass) coated with ITO (Indium Tin Oxide) with a thickness of 1,000 Å was placed in distilled water in which a dispersant was dissolved, and ultrasonically washed. Fischer Co. products were used for the detergent, and Millipore Co. Secondly filtered distilled water was used as a filter of the product. After the ITO was washed for 30 minutes, the ultrasonic cleaning was repeated twice with distilled water for 10 minutes. After washing the distilled water, the ultrasonic washing in the order of isopropyl alcohol, acetone, methanol solvent and dried.
이렇게 준비된 ITO 투명 전극 위에 상기 화합물 HAT를 50Å의 두께로 열 진공 증착하여 정공주입층을 형성하였다. 그 위에 정공수송층으로 하기 화합물 HT-A 1000Å을 진공 증착하고, 연이어 상기 화합물 HT-B 100Å을 증착하였다. 발광층에는 호스트로 BH-1와 도펀트로 BD-A을 2중량%로 200Å 두께로 진공 증착하였다. The compound HAT was thermally vacuum deposited to a thickness of 50 kPa on the prepared ITO transparent electrode to form a hole injection layer. The following compound HT-
그 다음에 상기 화합물 ET-A 와 상기 화합물 Liq를 1:1 비율로 300Å을 증착하였고, 이 위에 순차적으로 150Å 두께의 은(Ag) 10중량% 도핑된 마그네슘(Mg) 그리고 1,000Å 두께의 알루미늄을 증착하여 음극을 형성하여, 유기 발광 소자를 제조하였다. Next, 300 μs of the compound ET-A and the compound Liq were deposited at a ratio of 1: 1, and 10 μg of magnesium (Mg) doped with 150 μm thick silver (Ag) and 1,000 μm thick aluminum were sequentially added thereto. By evaporation to form a cathode, an organic light emitting device was manufactured.
상기의 과정에서 유기물의 증착속도는 1 Å/sec를 유지하였고, LiF는 0.2 Å/sec, 알루미늄은 3Å/sec 내지 7Å/sec의 증착속도를 유지하였다.In the above process, the deposition rate of the organic material was maintained at 1 Å / sec, LiF was 0.2 Å / sec, and the aluminum was maintained at a deposition rate of 3 Å / sec to 7 Å / sec.
실시예Example 2. 2.
상기 실시예 1에서, 화합물 BD-A 대신 상기 화합물 BD-C를 사용한 것을 제외하고는, 실시예 1과 동일한 방법으로 유기 발광 소자를 제조하였다.In Example 1, an organic light emitting diode was manufactured according to the same method as Example 1 except for using the compound BD-C instead of the compound BD-A.
실시예Example 3. 3.
상기 실시예 1에서, 화합물 BD-A 대신 상기 화합물 BD-D를 사용한 것을 제외하고는, 실시예 1과 동일한 방법으로 유기 발광 소자를 제조하였다.In Example 1, an organic light emitting diode was manufactured according to the same method as Example 1 except for using the compound BD-D instead of the compound BD-A.
실시예Example 4. 4.
상기 실시예 1에서, 화합물 BD-A 대신 상기 화합물 BD-F를 사용한 것을 제외하고는, 실시예 1과 동일한 방법으로 유기 발광 소자를 제조하였다.In Example 1, an organic light emitting diode was manufactured according to the same method as Example 1 except for using the compound BD-F instead of the compound BD-A.
실시예Example 5. 5.
상기 실시예 1에서, 화합물 BD-A 대신 상기 화합물 BD-I를 사용한 것을 제외하고는, 실시예 1과 동일한 방법으로 유기 발광 소자를 제조하였다.In Example 1, an organic light emitting diode was manufactured according to the same method as Example 1 except for using the compound BD-I instead of the compound BD-A.
실시예Example 6. 6.
상기 실시예 1에서, 화합물 BH-1 대신 BH-2를 사용한 것을 제외하고는, 실시예 1과 동일한 방법으로 유기 발광 소자를 제조하였다.In Example 1, an organic light emitting diode was manufactured according to the same method as Example 1 except for using BH-2 instead of compound BH-1.
<< 비교예Comparative example >>
비교예 1.Comparative Example 1.
상기 실시예 1에서, 화합물 BD-A 대신 상기 화합물 BD-J를 사용한 것을 제외하고는, 실시예 1과 동일한 방법으로 유기 발광 소자를 제조하였다.In Example 1, an organic light emitting diode was manufactured according to the same method as Example 1 except for using the compound BD-J instead of the compound BD-A.
비교예 2.Comparative Example 2.
상기 실시예 1에서, 화합물 BD-A 대신 상기 화합물 BD-K를 사용한 것을 제외하고는, 실시예 1과 동일한 방법으로 유기 발광 소자를 제조하였다.In Example 1, an organic light emitting diode was manufactured according to the same method as Example 1 except for using the compound BD-K instead of the compound BD-A.
비교예 3.Comparative Example 3.
상기 실시예 1에서, 화합물 BD-A 대신 상기 화합물 BD-L을 사용한 것을 제외하고는, 실시예 1과 동일한 방법으로 유기 발광 소자를 제조하였다.In Example 1, an organic light emitting diode was manufactured according to the same method as Example 1 except for using the compound BD-L instead of the compound BD-A.
상기 실시예 1 내지 6 및 비교예 1 내지 3 의 유기 발광 소자를 10mA/cm2의 전류밀도에서 구동전압, 발광효율 및 색좌표를 측정하였고, 20mA/cm2의 전류밀도에서 초기 휘도 대비 95%가 되는 시간(LT95)을 측정하였다. 그 결과를 하기 표 1에 나타내었다.The organic light emitting diodes of Examples 1 to 6 and Comparative Examples 1 to 3 measured driving voltage, luminous efficiency and color coordinate at a current density of 10 mA / cm 2 , and 95% of the initial luminance at a current density of 20 mA / cm 2 . The time to become (LT95) was measured. The results are shown in Table 1 below.
Claims (13)
Priority Applications (1)
| Application Number | Priority Date | Filing Date | Title |
|---|---|---|---|
| CN201980004940.9A CN111201233B (en) | 2018-03-06 | 2019-03-06 | Polycyclic compound and organic light-emitting device comprising same |
Applications Claiming Priority (2)
| Application Number | Priority Date | Filing Date | Title |
|---|---|---|---|
| KR20180026429 | 2018-03-06 | ||
| KR10-2018-0026429 | 2018-03-06 |
Publications (1)
| Publication Number | Publication Date |
|---|---|
| WO2019172647A1 true WO2019172647A1 (en) | 2019-09-12 |
Family
ID=67845660
Family Applications (1)
| Application Number | Title | Priority Date | Filing Date |
|---|---|---|---|
| PCT/KR2019/002600 Ceased WO2019172647A1 (en) | 2018-03-06 | 2019-03-06 | Heterocyclic compound and organic light emitting device comprising same |
Country Status (3)
| Country | Link |
|---|---|
| KR (1) | KR102191157B1 (en) |
| CN (1) | CN111201233B (en) |
| WO (1) | WO2019172647A1 (en) |
Cited By (2)
| Publication number | Priority date | Publication date | Assignee | Title |
|---|---|---|---|---|
| JP2023505977A (en) * | 2020-03-03 | 2023-02-14 | エルジー・ケム・リミテッド | Novel compound and organic light-emitting device using the same |
| JP2023516179A (en) * | 2020-08-25 | 2023-04-18 | エルジー・ケム・リミテッド | Novel compound and organic light-emitting device containing the same |
Families Citing this family (4)
| Publication number | Priority date | Publication date | Assignee | Title |
|---|---|---|---|---|
| CN109994640B (en) * | 2019-04-09 | 2021-06-15 | 江苏三月科技股份有限公司 | Organic electroluminescent device containing multi-channel carrier transmission material |
| KR102863218B1 (en) * | 2021-12-31 | 2025-09-24 | 재단법인차세대융합기술연구원 | Heterocyclic compound having substituent and organic light emitting element comprising the same |
| CN117510502B (en) * | 2022-07-29 | 2025-10-10 | 阜阳欣奕华新材料科技股份有限公司 | A tetrahydroindolecarbazole compound and its preparation method and application |
| CN116284032B (en) * | 2023-03-24 | 2024-10-29 | 阜阳欣奕华新材料科技股份有限公司 | Organic compound, organic electroluminescent device and display device |
Citations (5)
| Publication number | Priority date | Publication date | Assignee | Title |
|---|---|---|---|---|
| KR20140145888A (en) * | 2013-06-14 | 2014-12-24 | 삼성디스플레이 주식회사 | Organic light emitting diode |
| KR101511072B1 (en) * | 2009-03-20 | 2015-04-10 | 롬엔드하스전자재료코리아유한회사 | Novel organic electroluminescent compounds and organic electroluminescent device using the same |
| KR20150048182A (en) * | 2012-08-27 | 2015-05-06 | 후지필름 가부시키가이샤 | Organic thin-film transistor, organic semiconductor thin film and organic semiconductor material |
| KR20170051762A (en) * | 2015-10-30 | 2017-05-12 | 삼성디스플레이 주식회사 | Organic light-emitting device |
| KR20180013713A (en) * | 2016-07-29 | 2018-02-07 | 덕산네오룩스 주식회사 | Compound for organic electronic element, organic electronic element using the same, and an electronic device thereof |
Family Cites Families (8)
| Publication number | Priority date | Publication date | Assignee | Title |
|---|---|---|---|---|
| DE102006025846A1 (en) * | 2006-06-02 | 2007-12-06 | Merck Patent Gmbh | New materials for organic electroluminescent devices |
| KR102253442B1 (en) * | 2014-05-13 | 2021-05-20 | 삼성디스플레이 주식회사 | Organic light-emitting devices |
| US20160351817A1 (en) * | 2015-05-27 | 2016-12-01 | Samsung Display Co., Ltd. | Organic light-emitting device |
| KR101810933B1 (en) | 2016-01-18 | 2017-12-20 | 씨엠마케팅컴퍼니 주식회사 | Location based image providing system |
| EP3471160B1 (en) * | 2016-06-09 | 2021-07-14 | Daicel Corporation | Composition for manufacturing organic semiconductor devices |
| WO2018021737A1 (en) * | 2016-07-29 | 2018-02-01 | 덕산네오룩스 주식회사 | Compound for organic electronic element, organic electronic element using same, and electronic device thereof |
| US11239426B2 (en) * | 2016-11-23 | 2022-02-01 | Lg Chem, Ltd. | Electroactive compounds |
| CN111263762A (en) * | 2017-11-02 | 2020-06-09 | 出光兴产株式会社 | Novel compounds and organic electroluminescent elements |
-
2019
- 2019-03-06 CN CN201980004940.9A patent/CN111201233B/en active Active
- 2019-03-06 KR KR1020190025807A patent/KR102191157B1/en active Active
- 2019-03-06 WO PCT/KR2019/002600 patent/WO2019172647A1/en not_active Ceased
Patent Citations (5)
| Publication number | Priority date | Publication date | Assignee | Title |
|---|---|---|---|---|
| KR101511072B1 (en) * | 2009-03-20 | 2015-04-10 | 롬엔드하스전자재료코리아유한회사 | Novel organic electroluminescent compounds and organic electroluminescent device using the same |
| KR20150048182A (en) * | 2012-08-27 | 2015-05-06 | 후지필름 가부시키가이샤 | Organic thin-film transistor, organic semiconductor thin film and organic semiconductor material |
| KR20140145888A (en) * | 2013-06-14 | 2014-12-24 | 삼성디스플레이 주식회사 | Organic light emitting diode |
| KR20170051762A (en) * | 2015-10-30 | 2017-05-12 | 삼성디스플레이 주식회사 | Organic light-emitting device |
| KR20180013713A (en) * | 2016-07-29 | 2018-02-07 | 덕산네오룩스 주식회사 | Compound for organic electronic element, organic electronic element using the same, and an electronic device thereof |
Cited By (5)
| Publication number | Priority date | Publication date | Assignee | Title |
|---|---|---|---|---|
| JP2023505977A (en) * | 2020-03-03 | 2023-02-14 | エルジー・ケム・リミテッド | Novel compound and organic light-emitting device using the same |
| JP7403911B2 (en) | 2020-03-03 | 2023-12-25 | エルジー・ケム・リミテッド | Novel compounds and organic light-emitting devices using them |
| US12538701B2 (en) | 2020-03-03 | 2026-01-27 | Lg Chem, Ltd. | Compound and organic light emitting device comprising the same |
| JP2023516179A (en) * | 2020-08-25 | 2023-04-18 | エルジー・ケム・リミテッド | Novel compound and organic light-emitting device containing the same |
| JP7456672B2 (en) | 2020-08-25 | 2024-03-27 | エルジー・ケム・リミテッド | Novel compound and organic light-emitting device containing the same |
Also Published As
| Publication number | Publication date |
|---|---|
| CN111201233B (en) | 2022-12-23 |
| KR102191157B1 (en) | 2020-12-15 |
| CN111201233A (en) | 2020-05-26 |
| KR20190106761A (en) | 2019-09-18 |
Similar Documents
| Publication | Publication Date | Title |
|---|---|---|
| WO2019088799A1 (en) | Polycyclic compound and organic light-emitting device comprising same | |
| WO2018186670A1 (en) | Compound and organic light emitting element comprising same | |
| WO2020145725A1 (en) | Compound and organic light-emitting element comprising same | |
| WO2020138963A1 (en) | Compound and organic light emitting diode comprising same | |
| WO2021107728A1 (en) | Organic light-emitting device | |
| WO2019225938A1 (en) | Compound and organic light emitting diode comprising same | |
| WO2019172647A1 (en) | Heterocyclic compound and organic light emitting device comprising same | |
| WO2021010656A1 (en) | Organic light emitting element | |
| WO2021172664A1 (en) | Organic light-emitting device | |
| WO2019078692A1 (en) | Polycyclic compound and organic light emitting element comprising same | |
| WO2022239962A1 (en) | Compound and organic light-emitting device comprising same | |
| WO2019164218A1 (en) | Polycyclic compound and organic light emitting diode comprising same | |
| WO2018182297A1 (en) | Benzocarbazole-based compound and organic light-emitting device comprising same | |
| WO2020159279A1 (en) | Polycyclic compound and organic light-emitting element comprising same | |
| WO2020009363A1 (en) | Polycyclic compound and organic light emitting diode comprising same | |
| WO2020185026A1 (en) | Compound and organic light emitting diode comprising same | |
| WO2019194615A1 (en) | Polycyclic compound and organic electronic device comprising same | |
| WO2023172112A1 (en) | Compound and organic light-emitting element comprising same | |
| WO2024101921A1 (en) | Compound and organic light-emitting element comprising same | |
| WO2021029710A1 (en) | Organic light-emitting element | |
| WO2020149610A1 (en) | Heterocyclic compound and organic light-emitting device comprising same | |
| WO2023013900A1 (en) | Compound and organic light-emitting element comprising same | |
| WO2017052221A1 (en) | Novel compound and organic light-emitting element comprising same | |
| WO2022080881A1 (en) | Compound and organic light-emitting device comprising same | |
| WO2024196084A1 (en) | Compound and organic light-emitting device comprising same |
Legal Events
| Date | Code | Title | Description |
|---|---|---|---|
| 121 | Ep: the epo has been informed by wipo that ep was designated in this application |
Ref document number: 19763571 Country of ref document: EP Kind code of ref document: A1 |
|
| NENP | Non-entry into the national phase |
Ref country code: DE |
|
| 122 | Ep: pct application non-entry in european phase |
Ref document number: 19763571 Country of ref document: EP Kind code of ref document: A1 |














































































