WO2012150960A1 - Peptide oligonucleotide conjugates - Google Patents
Peptide oligonucleotide conjugates Download PDFInfo
- Publication number
- WO2012150960A1 WO2012150960A1 PCT/US2011/061282 US2011061282W WO2012150960A1 WO 2012150960 A1 WO2012150960 A1 WO 2012150960A1 US 2011061282 W US2011061282 W US 2011061282W WO 2012150960 A1 WO2012150960 A1 WO 2012150960A1
- Authority
- WO
- WIPO (PCT)
- Prior art keywords
- conjugate
- occurrence
- alkyl
- independently
- carrier peptide
- Prior art date
- Legal status (The legal status is an assumption and is not a legal conclusion. Google has not performed a legal analysis and makes no representation as to the accuracy of the status listed.)
- Ceased
Links
- 0 CCC(CC)(N1CC(c2ccccc2)OC(C*P(*)(N(CC2)CCN2C(*(C)C#*)=O)=C=C)C1)P(*)(*CC(CN(C1)C(CC)(CC)P(*)(*CC(CN(C2)C(C)=O)OC2c2ccccc2)=N)OC1c1ccccc1)=C=C Chemical compound CCC(CC)(N1CC(c2ccccc2)OC(C*P(*)(N(CC2)CCN2C(*(C)C#*)=O)=C=C)C1)P(*)(*CC(CN(C1)C(CC)(CC)P(*)(*CC(CN(C2)C(C)=O)OC2c2ccccc2)=N)OC1c1ccccc1)=C=C 0.000 description 5
- BSZXAFXFTLXUFV-UHFFFAOYSA-N CC(c1ccccc1)c1ccccc1 Chemical compound CC(c1ccccc1)c1ccccc1 BSZXAFXFTLXUFV-UHFFFAOYSA-N 0.000 description 1
- ALOCUZOKRULSAA-UHFFFAOYSA-N CN(CC1)CCC1N Chemical compound CN(CC1)CCC1N ALOCUZOKRULSAA-UHFFFAOYSA-N 0.000 description 1
Classifications
-
- A—HUMAN NECESSITIES
- A61—MEDICAL OR VETERINARY SCIENCE; HYGIENE
- A61K—PREPARATIONS FOR MEDICAL, DENTAL OR TOILETRY PURPOSES
- A61K47/00—Medicinal preparations characterised by the non-active ingredients used, e.g. carriers or inert additives; Targeting or modifying agents chemically bound to the active ingredient
- A61K47/50—Medicinal preparations characterised by the non-active ingredients used, e.g. carriers or inert additives; Targeting or modifying agents chemically bound to the active ingredient the non-active ingredient being chemically bound to the active ingredient, e.g. polymer-drug conjugates
- A61K47/51—Medicinal preparations characterised by the non-active ingredients used, e.g. carriers or inert additives; Targeting or modifying agents chemically bound to the active ingredient the non-active ingredient being chemically bound to the active ingredient, e.g. polymer-drug conjugates the non-active ingredient being a modifying agent
- A61K47/62—Medicinal preparations characterised by the non-active ingredients used, e.g. carriers or inert additives; Targeting or modifying agents chemically bound to the active ingredient the non-active ingredient being chemically bound to the active ingredient, e.g. polymer-drug conjugates the non-active ingredient being a modifying agent the modifying agent being a protein, peptide or polyamino acid
- A61K47/64—Drug-peptide, drug-protein or drug-polyamino acid conjugates, i.e. the modifying agent being a peptide, protein or polyamino acid which is covalently bonded or complexed to a therapeutically active agent
- A61K47/645—Polycationic or polyanionic oligopeptides, polypeptides or polyamino acids, e.g. polylysine, polyarginine, polyglutamic acid or peptide TAT
-
- A—HUMAN NECESSITIES
- A61—MEDICAL OR VETERINARY SCIENCE; HYGIENE
- A61K—PREPARATIONS FOR MEDICAL, DENTAL OR TOILETRY PURPOSES
- A61K31/00—Medicinal preparations containing organic active ingredients
- A61K31/70—Carbohydrates; Sugars; Derivatives thereof
- A61K31/7088—Compounds having three or more nucleosides or nucleotides
- A61K31/7105—Natural ribonucleic acids, i.e. containing only riboses attached to adenine, guanine, cytosine or uracil and having 3'-5' phosphodiester links
-
- A—HUMAN NECESSITIES
- A61—MEDICAL OR VETERINARY SCIENCE; HYGIENE
- A61K—PREPARATIONS FOR MEDICAL, DENTAL OR TOILETRY PURPOSES
- A61K47/00—Medicinal preparations characterised by the non-active ingredients used, e.g. carriers or inert additives; Targeting or modifying agents chemically bound to the active ingredient
- A61K47/30—Macromolecular organic or inorganic compounds, e.g. inorganic polyphosphates
- A61K47/42—Proteins; Polypeptides; Degradation products thereof; Derivatives thereof, e.g. albumin, gelatin or zein
-
- A—HUMAN NECESSITIES
- A61—MEDICAL OR VETERINARY SCIENCE; HYGIENE
- A61K—PREPARATIONS FOR MEDICAL, DENTAL OR TOILETRY PURPOSES
- A61K47/00—Medicinal preparations characterised by the non-active ingredients used, e.g. carriers or inert additives; Targeting or modifying agents chemically bound to the active ingredient
- A61K47/50—Medicinal preparations characterised by the non-active ingredients used, e.g. carriers or inert additives; Targeting or modifying agents chemically bound to the active ingredient the non-active ingredient being chemically bound to the active ingredient, e.g. polymer-drug conjugates
-
- A—HUMAN NECESSITIES
- A61—MEDICAL OR VETERINARY SCIENCE; HYGIENE
- A61K—PREPARATIONS FOR MEDICAL, DENTAL OR TOILETRY PURPOSES
- A61K47/00—Medicinal preparations characterised by the non-active ingredients used, e.g. carriers or inert additives; Targeting or modifying agents chemically bound to the active ingredient
- A61K47/50—Medicinal preparations characterised by the non-active ingredients used, e.g. carriers or inert additives; Targeting or modifying agents chemically bound to the active ingredient the non-active ingredient being chemically bound to the active ingredient, e.g. polymer-drug conjugates
- A61K47/51—Medicinal preparations characterised by the non-active ingredients used, e.g. carriers or inert additives; Targeting or modifying agents chemically bound to the active ingredient the non-active ingredient being chemically bound to the active ingredient, e.g. polymer-drug conjugates the non-active ingredient being a modifying agent
- A61K47/62—Medicinal preparations characterised by the non-active ingredients used, e.g. carriers or inert additives; Targeting or modifying agents chemically bound to the active ingredient the non-active ingredient being chemically bound to the active ingredient, e.g. polymer-drug conjugates the non-active ingredient being a modifying agent the modifying agent being a protein, peptide or polyamino acid
- A61K47/64—Drug-peptide, drug-protein or drug-polyamino acid conjugates, i.e. the modifying agent being a peptide, protein or polyamino acid which is covalently bonded or complexed to a therapeutically active agent
- A61K47/645—Polycationic or polyanionic oligopeptides, polypeptides or polyamino acids, e.g. polylysine, polyarginine, polyglutamic acid or peptide TAT
- A61K47/6455—Polycationic oligopeptides, polypeptides or polyamino acids, e.g. for complexing nucleic acids
-
- A—HUMAN NECESSITIES
- A61—MEDICAL OR VETERINARY SCIENCE; HYGIENE
- A61P—SPECIFIC THERAPEUTIC ACTIVITY OF CHEMICAL COMPOUNDS OR MEDICINAL PREPARATIONS
- A61P13/00—Drugs for disorders of the urinary system
- A61P13/12—Drugs for disorders of the urinary system of the kidneys
-
- A—HUMAN NECESSITIES
- A61—MEDICAL OR VETERINARY SCIENCE; HYGIENE
- A61P—SPECIFIC THERAPEUTIC ACTIVITY OF CHEMICAL COMPOUNDS OR MEDICINAL PREPARATIONS
- A61P21/00—Drugs for disorders of the muscular or neuromuscular system
-
- A—HUMAN NECESSITIES
- A61—MEDICAL OR VETERINARY SCIENCE; HYGIENE
- A61P—SPECIFIC THERAPEUTIC ACTIVITY OF CHEMICAL COMPOUNDS OR MEDICINAL PREPARATIONS
- A61P21/00—Drugs for disorders of the muscular or neuromuscular system
- A61P21/04—Drugs for disorders of the muscular or neuromuscular system for myasthenia gravis
-
- A—HUMAN NECESSITIES
- A61—MEDICAL OR VETERINARY SCIENCE; HYGIENE
- A61P—SPECIFIC THERAPEUTIC ACTIVITY OF CHEMICAL COMPOUNDS OR MEDICINAL PREPARATIONS
- A61P29/00—Non-central analgesic, antipyretic or antiinflammatory agents, e.g. antirheumatic agents; Non-steroidal antiinflammatory drugs [NSAID]
-
- A—HUMAN NECESSITIES
- A61—MEDICAL OR VETERINARY SCIENCE; HYGIENE
- A61P—SPECIFIC THERAPEUTIC ACTIVITY OF CHEMICAL COMPOUNDS OR MEDICINAL PREPARATIONS
- A61P31/00—Antiinfectives, i.e. antibiotics, antiseptics, chemotherapeutics
- A61P31/04—Antibacterial agents
-
- A—HUMAN NECESSITIES
- A61—MEDICAL OR VETERINARY SCIENCE; HYGIENE
- A61P—SPECIFIC THERAPEUTIC ACTIVITY OF CHEMICAL COMPOUNDS OR MEDICINAL PREPARATIONS
- A61P31/00—Antiinfectives, i.e. antibiotics, antiseptics, chemotherapeutics
- A61P31/12—Antivirals
-
- A—HUMAN NECESSITIES
- A61—MEDICAL OR VETERINARY SCIENCE; HYGIENE
- A61P—SPECIFIC THERAPEUTIC ACTIVITY OF CHEMICAL COMPOUNDS OR MEDICINAL PREPARATIONS
- A61P31/00—Antiinfectives, i.e. antibiotics, antiseptics, chemotherapeutics
- A61P31/12—Antivirals
- A61P31/14—Antivirals for RNA viruses
- A61P31/16—Antivirals for RNA viruses for influenza or rhinoviruses
Definitions
- the present invention is generally related to oligonucleotide compounds (oligomers) useful as antisense compounds, and more particularly to oligomer compounds conjugated to cell-penetrating peptides, and the use of such oligomer compounds in antisense applications.
- oligomers oligonucleotide compounds
- Tat 49 57 A segment of the HIV Tat protein consisting of amino acid residues 49- 57 (Tat 49 57, having the sequence RKKRRQRRR) has been used to deliver biologically active peptides and proteins to cells (e.g. Barsoum et al, 1994, PCT Pubn. No. WO 94/04686). Tat (49 60) has been used to enhance delivery of phosphorothioate oligonucleotides (Astriab-Fisher, Sergueev et al. 2000; Astriab-Fisher, Sergueev et al. 2002).
- Reverse Tat or rTat(57-49) (RRRQRRKKR)
- RRRQRRKKR Reverse Tat, or rTat(57-49)
- Rothbard and Wender have also disclosed other arginine-rich transport polymers (PCT Pubn. No. WO 01/62297; U.S. Patent No. 6,306,993; US Patent Appn. Pubn. No. 2003/0032593).
- Oligonucleotides are one class of potentially useful drug compounds whose delivery has often been an impediment to therapeutic use.
- Phosphorodiamidate- linked morpholino oligomers (PMOs; see e.g. Summerton and Weller, 1997) have been found more promising in this regard than charged oligonucleotide analogs such as phosphorothioates.
- the PMOs are water-soluble, uncharged or substantially uncharged antisense molecules that inhibit gene expression by preventing binding or progression of splicing or translational machinery components.
- PMOs have also been to shown to inhibit or block viral replication (Stein, Skilling et al. 2001; McCaffrey, Meuse et al. 2003). They are highly resistant to enzymatic digestion (Hudziak, Barofsky et al.
- PMOs have demonstrated high antisense specificity and efficacy in vitro in cell- free and cell culture models (Stein, Foster et al. 1997; Summerton and Weller 1997), and in vivo in zebrafish, frog and sea urchin embryos (Heasman, Kofron et al. 2000; Nasevicius and Ekker 2000), as well as in adult animal models, such as rats, mice, rabbits, dogs, and pigs (see e.g. Arora and Iversen 2000; Qin, Taylor et al. 2000;
- Antisense PMO oligomers have been shown to be taken up into cells and to be more consistently effective in vivo, with fewer nonspecific effects, than other widely used antisense oligonucleotides (see e.g. P. Iversen, "Phosphoramidite
- improved antisense or antigene performance includes; lower toxicity, stronger affinity for DNA and RNA without compromising sequence selectivity; improved pharmacokinetics and tissue distribution; improved cellular delivery and reliable and controllable in vivo distribution.
- the disclosed conjugates have decreased toxicity and/or enhanced cell delivery, potency, and/or tissue distribution compared to other oligonucleotide analogues and/or can be more effectively delivered to the target organs.
- These superior properties give rise to favorable therapeutic indices, reduced clinical dosing, and lower cost of goods.
- the present disclosure provides a conjugate comprising:
- nucleic acid analogue comprising a substantially uncharged backbone and a targeting base sequence for sequence-specific binding to a target nucleic acid
- the carrier peptide comprises a glycine (G) or proline (P) amino acid at a carboxy terminus of the carrier peptide, and the carrier peptide is covalently attached to the nucleic acid analogue.
- G glycine
- P proline
- a composition comprising the above conjugate and a pharmaceutically acceptable vehicle are also provided.
- the present disclosure provides a method of inhibiting production of a protein, the method comprising exposing a nucleic acid encoding the protein to a conjugate of the present disclosure.
- Another aspect of the present disclosure includes a method for enhancing the transport of a nucleic acid analogue into a cell, the method comprising conjugating the carrier peptide of claim 1 to a nucleic acid analogue, and wherein the transport of the nucleic acid analogue into the cell is enhanced relative to the nucleic acid analogue in unconjugated form.
- the disclosure is directed to a method of treating a disease in a subject, the method comprising administering a therapeutically effective amount of a disclosed conjugate to the subject.
- Methods of making the conjugates, methods for their use and carrier peptides useful for conjugating to nucleic acid analogues are also provided.
- Figure 1 A shows an exemplary morpholino oligomer structure comprising a phosphorodiamidate linkage.
- Figure IB shows a morpholino oligomer conjugated to a carrier peptide at the 5 ' end.
- Figure 1C shows a morpholino oligomer conjugated to a carrier peptide at the 3 ' end.
- Figures 1D-G show the repeating subunit segment of exemplary morpholino oligonucleotides, designated ID through 1G.
- Figure 2 depicts exemplary intersubunit linkages linked to a morpholino
- Figure 3 is a reaction scheme showing preparation of a linker for solid- phase synthesis.
- Figure 4 demonstrates preparation of a solid support for oligomer synthesis.
- Figures 5A, 5B and 5C show exon skipping data for exemplary conjugates compared to a known conjugate in mouse quadriceps, diaphragm and heart, respectively.
- Figures 6A, 6B and 6C are alternate representations of exon skipping data for exemplary conjugates compared to a known conjugate in mouse quadriceps, diaphragm and heart, respectively.
- Figures 7A and 7B are graphs depicting blood urea nitrogen (BUN) levels and survival rate of mice treated with various peptide -oligomer conjugates, respectively.
- FIGS 8A and 8B show kidney injury marker (KIM) data and Clusterin (Clu) data for mice treated with various peptide-oligomer conjugates, respectively.
- Figures 9A, 9B, 9C and 9D are graphs comparing the exon skipping, BUN levels, precent survival and KIM levels, respectively, in mice treated with an exemplary conjugate compared to a known conjugate.
- Figure 10 presents KIM data for mice treated with various conjugates.
- FIG 11 shows results of BUN analysis of mice treated with various conjugates.
- Figure 12 is a graph showing the concentration of various oligomers in mouse kidney tissue.
- Amino refers to the -NH 2 radical.
- Hydroxy or "hydroxyl” refers to the -OH radical.
- 'Nitro refers to the -N0 2 radical.
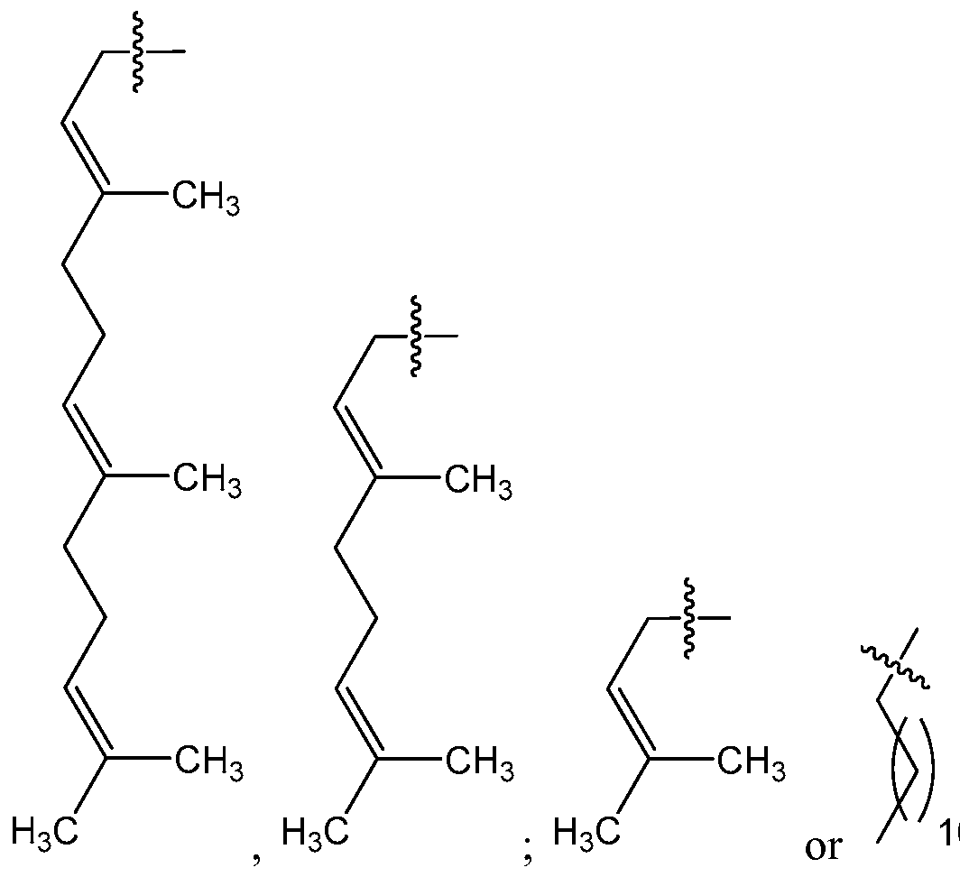
- Deoxycholate refers to the following structure:
- Alkyls comprising any number of carbon atoms from 1 to 30 are included.
- An alkyl comprising up to 30 carbon atoms is refered to as a Ci-C 30 alkyl, likewise, for example, an alkyl comprising up to 12 carbon atoms is a C 1 -C 12 alkyl.
- Alkyls (and other moieties defined herein) comprising other numbers of carbon atoms are represented similarity.
- Alkyl groups include, but are not limited to, Ci-C 3 o alkyl, C 1 -C 20 alkyl, C 1 -C 15 alkyl, C 1 -C 10 alkyl, Ci-Cs alkyl, Ci-C 6 alkyl, C 1 -C4 alkyl, Ci- C 3 alkyl, Ci-C 2 alkyl, C 2 -C 8 alkyl, C 3 -C 8 alkyl and C 4 -C 8 alkyl.
- Representative alkyl groups include, but are not limited to, methyl, ethyl, n-propyl, 1-methylethyl
- an alkyl group may be optionally substituted as described below.
- Alkylene or "alkylene chain” refers to a straight or branched divalent hydrocarbon chain linking the rest of the molecule to a radical group. Alkylenes may be saturated or unsaturated (i.e., contains one or more double and/or triple bonds). Representative alkylenes include, but are not limited to, C 1 -C 12 alkylene, Ci-Cg alkylene, Ci-C 6 alkylene, C 1 -C4 alkylene, Ci-C 3 alkylene, C 1 -C 2 alkylene, Ci alkylene.
- alkylene groups include, but are not limited to, methylene, ethylene, propylene, n-butylene, ethenylene, propenylene, n-butenylene, propynylene, n-butynylene, and the like.
- the alkylene chain is attached to the rest of the molecule through a single or double bond and to the radical group through a single or double bond.
- the points of attachment of the alkylene chain to the rest of the molecule and to the radical group can be through one carbon or any two carbons within the chain.
- an alkylene chain may be optionally substituted as described below.
- Alkoxy refers to a radical of the formula -OR a where R a is an alkyl radical as defined. Unless stated otherwise specifically in the specification, an alkoxy group may be optionally substituted as described below.
- Alkoxyalkyl refers to a radical of the formula -R b OR a where R a is an alkyl radical as defined and where Rb is an alkylene radical as defined. Unless stated otherwise specifically in the specification, an alkoxyalkyl group may be optionally substituted as described below.
- an alkyloxycarbonyl group may be optionally substituted as described below.
- Alkylamino refers to a radical of the formula -NHR a or -NR a R a where each R a is, independently, an alkyl radical as defined above. Unless stated otherwise specifically in the specification, an alkylamino group may be optionally substituted as described below.
- Aminoalkyl refers to a radical of the formula -Rb-NRaRa where Rb is an alkylene radical as defined above, and each R a is independently a hydrogen or an alkyl radical.
- Thioalkyl refers to a radical of the formula -SR a where R a is an alkyl radical as defined above. Unless stated otherwise specifically in the specification, a thioalkyl group may be optionally substituted.
- Aryl refers to a radical derived from a hydrocarbon ring system comprising hydrogen, 6 to 30 carbon atoms and at least one aromatic ring.
- the aryl radical may be a monocyclic, bicyclic, tricyclic or tetracyclic ring system, which may include fused or bridged ring systems.
- Aryl radicals include, but are not limited to, aryl radicals derived from the hydrocarbon ring systems of aceanthrylene, acenaphthylene, acephenanthrylene, anthracene, azulene, benzene, chrysene, fluoranthene, fluorene, as- indacene, s-indacene, indane, indene, naphthalene, phenalene, phenanthrene, pleiadene, pyrene, and triphenylene.
- Aralkyl refers to a radical of the formula -Rb-R c where Rb is an alkylene chain as defined above and R c is one or more aryl radicals as defined above, for example, benzyl, diphenylmethyl, trityl and the like. Unless stated otherwise specifically in the specification, an aralkyl group may be optionally substituted.
- Aryloxy refers to a radical of the formula -OR c where R c is one or more aryl radicals as defined above, for example, phenyl. Unless stated otherwise specifically in the specification, an arylcarbonyl group may be optionally substituted.
- Cycloalkyl refers to a stable, non-aromatic, monocyclic or polycyclic carbocyclic ring, which may include fused or bridged ring systems, which is saturated or unsaturated, and attached to the rest of the molecule by a single bond.
- Representative cycloalkyls include, but are not limited to, cycloaklyls having from three to fifteen carbon atoms and from three to eight carbon atoms.
- Monocyclic cyclcoalkyl radicals include, for example, cyclopropyl, cyclobutyl, cyclopentyl, cyclohexyl, cycloheptyl, and cyclooctyl.
- Polycyclic radicals include, for example, adamantyl, norbornyl, decalinyl, and 7,7-dimethyl-bicyclo[2.2.1]heptanyl. Unless otherwise stated
- a cycloalkyl group may be optionally substituted.
- Cycloalkylalkyl refers to a radical of the formula -R b R d where R b is an alkylene chain as defined above and R d is a cycloalkyl radical as defined above. Unless stated otherwise specifically in the specification, a cycloalkylalkyl group may be optionally substituted.
- fused refers to any ring structure described herein which is fused to an existing ring structure.
- the fused ring is a heterocyclyl ring or a heteroaryl ring
- any carbon atom on the existing ring structure which becomes part of the fused heterocyclyl ring or the fused heteroaryl ring may be replaced with a nitrogen atom.
- guanidinylalkylcarbonyl group may be optionally substituted as described below.
- Halo or halogen refers to bromo, chloro, fluoro or iodo.
- Haloalkyl refers to an alkyl radical, as defined above, that is substituted by one or more halo radicals, as defined above, e.g., trifluoromethyl, difluoromethyl, fluoromethyl, trichloromethyl, 2,2,2-trifluoroethyl, 1 ,2-difluoroethyl, 3-bromo-2-fluoropropyl, 1 ,2-dibromoethyl, and the like. Unless stated otherwise specifically in the specification, a haloalkyl group may be optionally substituted.
- Perhalo or “perfluoro” refers to a moiety in which each hydrogen atom has been replaced by a halo atom or fluorine atom, respectively.
- Heterocyclyl refers to a stable 3- to 24-membered non-aromatic ring radical comprising 2 to 23 carbon atoms and from one to 8 heteroatoms selected from the group consisting of nitrogen, oxygen, phosphorous and sulfur.
- the heterocyclyl radical may be a monocyclic, bicyclic, tricyclic or tetracyclic ring system, which may include fused or bridged ring systems; and the nitrogen, carbon or sulfur atoms in the heterocyclyl radical may be optionally oxidized; the nitrogen atom may be optionally quaternized; and the heterocyclyl radical may be partially or fully saturated.
- heterocyclyl radicals include, but are not limited to, dioxolanyl, thienyl[l,3]dithianyl, decahydroisoquinolyl, imidazolinyl, imidazolidinyl,
- Heteroaryl refers to a 5- to 14-membered ring system radical comprising hydrogen atoms, one to thirteen carbon atoms, one to six heteroatoms selected from the group consisting of nitrogen, oxygen, phosphorous and sulfur, and at least one aromatic ring.
- the heteroaryl radical may be a monocyclic, bicyclic, tricyclic or tetracyclic ring system, which may include fused or bridged ring systems; and the nitrogen, carbon or sulfur atoms in the heteroaryl radical may be optionally oxidized; the nitrogen atom may be optionally quaternized.
- Examples include, but are not limited to, azepinyl, acridinyl, benzimidazolyl, benzothiazolyl, benzindolyl, benzodioxolyl, benzofuranyl, benzooxazolyl,
- benzothiazolyl benzothiadiazolyl, benzo[3 ⁇ 4][l,4]dioxepinyl, 1 ,4-benzodioxanyl, benzonaphthofuranyl, benzoxazolyl, benzodioxolyl, benzodioxinyl, benzopyranyl, benzopyranonyl, benzofuranyl, benzofuranonyl, benzothienyl (benzothiophenyl), benzotriazolyl, benzo[4,6]imidazo[l,2-a]pyridinyl, carbazolyl, cinnolinyl,
- a heteroaryl group may be optionally substituted.
- substituted as used herein means any of the above groups (i.e., alkyl, alkylene, alkoxy, alkoxyalkyl, alkylcarbonyl, alkyloxycarbonyl,alkylamino, amidyl,
- amidinylalkyl amidinylalkyl, amidinylalkylcarbonyl, aminoalkyl, aryl, aralkyl, arylcarbonyl, aryloxycarbonyl, aralkylcarbonyl, aralkyloxycarbonyl, aryloxy, cycloalkyl,
- cycloalkylalkyl may be further functionalized wherein at least one hydrogen atom is replaced by a bond to a non-hydrogen atom substituent.
- a substituted group may include one or more substituents selected from: oxo, -C0 2 H, nitrile, nitro, -CONH 2 , hydroxyl, thiooxy, alkyl, alkylene, alkoxy, alkoxyalkyl, alkylcarbonyl, alkyloxycarbonyl, aryl, aralkyl, arylcarbonyl, aryloxycarbonyl, aralkylcarbonyl, aralkyloxycarbonyl, aryloxy, cycloalkyl, cycloalkylalkyl,
- cycloalkylcarbonyl cycloalkylalkylcarbonyl, cycloalkyloxycarbonyl, heterocyclyl, heteroaryl, dialkylamines, arylamines, alkylarylamines, diarylamines, N-oxides, imides, and enamines; a silicon atom in groups such as trialkylsilyl groups, dialkylarylsilyl groups, alkyldiarylsilyl groups, triarylsilyl groups, perfluoroalkyl or perfluoroalkoxy, for example, trifluoromethyl or trifluoromethoxy.
- Substituted also means any of the above groups in which one or more hydrogen atoms are replaced by a higher-order bond (e.g., a double- or triple-bond) to a heteroatom such as oxygen in oxo, carbonyl, carboxyl, and ester groups; and nitrogen in groups such as imines, oximes, hydrazones, and nitriles.
- a higher-order bond e.g., a double- or triple-bond
- nitrogen in groups such as imines, oximes, hydrazones, and nitriles.
- R g and R are the same or different and independently hydrogen, alkyl, alkoxy, alkylamino, thioalkyl, aryl, aralkyl, cycloalkyl, cycloalkylalkyl, haloalkyl, heterocyclyl, N-heterocyclyl, heterocyclylalkyl, heteroaryl, N-heteroaryl and/or heteroarylalkyl.
- each of the foregoing substituents may also be optionally substituted with one or more of the above substituents.
- any of the above groups may be substituted to include one or more internal oxygen or sulfur atoms.
- an alkyl group may be substituted with one or more internal oxygen atoms to form an ether or poly ether group. Similarily, an alkyl group may be substituted with one or more internal sulfur atoms to form a thioether, disulfide, etc. Amidyl moieties may be substituted with up to 2 halo atoms, while other groups above may be substituted with one or more halo atoms. Any of the above groups may also be substituted with amino, monoalklyamino, guanidinyl or amidynyl. Optional substitutents for any of the above groups also include arylphosphoryl, for example -R a P(Ar) 3 wherein R a is an alkylene and Ar is aryl moiety, for example phenyl.
- antisense oligomer or “antisense compound” are used interchangeably and refer to a sequence of subunits, each having a base carried on a backbone subunit composed of ribose or other pentose sugar or morpholino group, and where the backbone groups are linked by intersubunit linkages that allow the bases in the compound to hybridize to a target sequence in a nucleic acid (typically an RNA) by Watson-Crick base pairing, to form a nucleic acid:oligomer heteroduplex within the target sequence.
- the oligomer may have exact sequence complementarity to the target sequence or near complementarity.
- Such antisense oligomers are designed to block or inhibit translation of the mRNA containing the target sequence, and may be said to be "directed to" a sequence with which it hybridizes.
- a “morpholino oligomer” or “PMO” refers to a polymeric molecule having a backbone which supports bases capable of hydrogen bonding to typical polynucleotides, wherein the polymer lacks a pentose sugar backbone moiety, and more specifically a ribose backbone linked by phosphodiester bonds which is typical of nucleotides and nucleosides, but instead contains a ring nitrogen with coupling through the ring nitrogen.
- An exemplary"morpholino" oligomer comprises morpholino subunit structures linked together by (thio)phosphoramidate or (thio)phosphorodiamidate linkages, joining the morpholino nitrogen of one subunit to the 5' exocyclic carbon of an adjacent subunit, each subunit comprising a purine or pyrimidine base-pairing moiety effective to bind, by base-specific hydrogen bonding, to a base in a polynucleotide.
- Morpholino oligomers are detailed, for example, in U.S. Pat. Nos.
- PMOs include PMOs wherin the intersubunit linkages are linkage (Al).
- PMO+ refers to phosphorodiamidate morpholino oligomers comprising any number of ( 1 -piperazino)phosphinylideneoxy , ( 1 -(4-(ro-guanidino-alkanoyl))- piperazino)phosphinylideneoxy linkages (A2 and A3) that have been described previously (see e.g., PCT publication WO/2008/036127 which is incorporated herein by reference in its entirety.
- PMO-X refers to phosphorodiamidate morpholino oligomers disclosed herein comprising at least one (B) linkage or at least one of the disclosed terminal modifications.
- a "phosphoramidate” group comprises phosphorus having three attached oxygen atoms and one attached nitrogen atom
- a “phosphorodiamidate” group comprises phosphorus having two attached oxygen atoms and two attached nitrogen atoms.
- one nitrogen is always pendant to the backbone chain.
- the second nitrogen, in a phosphorodiamidate linkage, is typically the ring nitrogen in a
- Thiophosphoramidate or thiophosphorodiamidate linkages are phosphoramidate or phosphorodiamidate linkages, respectively, wherein one oxygen atom, typically the oxygen pendant to the backbone, is replaced with sulfur.
- Intersubunit linkage refers to the linkage connecting two morpholino subunits, for example structure (I).
- Charged”, “uncharged”, “cationic” and “anionic” as used herein refer to the predominant state of a chemical moiety at near-neutral pH, e.g., about 6 to 8.
- the term may refer to the predominant state of the chemical moiety at physiological pH, that is, about 7.4.
- “Lower alkyl” refers to an alkyl radical of one to six carbon atoms, as exemplified by methyl, ethyl, n-butyl, i-butyl, t-butyl, isoamyl, n-pentyl, and isopentyl.
- a "lower alkyl” group has one to four carbon atoms.
- a "lower alkyl” group has one to two carbon atoms; i.e. methyl or ethyl.
- “lower alkenyl” refers to an alkenyl radical of two to six, preferably three or four, carbon atoms, as exemplified by allyl and butenyl.
- a “non-interfering" substituent is one that does not adversely affect the ability of an antisense oligomer as described herein to bind to its intended target.
- substituents include small and/or relatively non-polar groups such as methyl, ethyl, methoxy, ethoxy, or fluoro.
- An oligonucleotide or antisense oligomer "specifically hybridizes" to a target polynucleotide if the oligomer hybridizes to the target under physiological conditions, with a Tm greater than 37 °C, greater than 45 °C, preferably at least 50 °C, and typically 60 °C-80 °C or higher.
- Tm The "Tm” of an oligomer is the temperature at which 50% hybridizes to a complementary polynucleotide. Tm is determined under standard conditions in physiological saline, as described, for example, in Miyada et al, Methods Enzymol. 154:94-107 (1987). Such hybridization may occur with “near” or “substantial” complementary of the antisense oligomer to the target sequence, as well as with exact complementarity.
- Polynucleotides are described as "complementary" to one another when hybridization occurs in an antiparallel configuration between two single-stranded polynucleotides.
- Complementarity the degree that one polynucleotide is
- a first sequence is an "antisense sequence" with respect to a second sequence if a polynucleotide whose sequence is the first sequence specifically binds to, or specifically hybridizes with, the second polynucleotide sequence under physiological conditions.
- targeting sequence is the sequence in the oligonucleotide analog that is complementary (meaning, in addition, substantially complementary) to the target sequence in the RNA genome.
- the entire sequence, or only a portion, of the analog compound may be complementary to the target sequence.
- the targeting sequence is formed of contiguous bases in the analog, but may alternatively be formed of non-contiguous sequences that when placed together, e.g., from opposite ends of the analog, constitute sequence that spans the target sequence.
- the "backbone" of an oligonucleotide analog refers to the structure supporting the base-pairing moieties; e.g., for a morpholino oligomer, as described herein, the "backbone” includes morpholino ring structures connected by intersubunit linkages (e.g., phosphorus- containing linkages).
- a “substantially uncharged backbone” refers to the backbone of an oligonuceltoide analogue wherein less than 50% of the intersubunit linkages are charged at near-neutral pH.
- a substantially uncharged backbone may comprise less than 50%, less than 40%>, less than 30%>, less than 20%>, less than 10%>, less than 5% or even 0% intersubunit linkages which are charged at near neutral pH.
- the substantially uncharged backbone comprises at most one charged (at physiological pH) intersubunit linkage for every four uncharged (at physiological pH) linkages, at most one for every eight or at most one for every sixteen uncharged linkages.
- the nucleic acid analogs described herein are fully uncharged.
- Target and targeting sequences are described as “complementary” to one another when hybridization occurs in an antiparallel configuration.
- a targeting sequence may have “near” or “substantial” complementarity to the target sequence and still function for the purpose of the presently described methods, that is, still be “complementary.”
- the oligonucleotide analog compounds employed in the presently described methods have at most one mismatch with the target sequence per every 10 nucleotides, and preferably at most one mismatch out of 20.
- the antisense oligomers employed have at least80%>, at least 90%> sequence homology or at least 95% sequence homology, with the exemplary targeting sequences as designated herein.
- a guanine base may be complementary to either a cytosineor uracil RNA base.
- heteroduplex refers to a duplex between an oligonculeotide analog and the complementary portion of a target RNA.
- a “nuclease-resistant heteroduplex” refers to a heteroduplex formed by the binding of an antisense oligomer to its complementary target, such that the heteroduplex is substantially resistant to in vivo degradation by intracellular and extracellular nucleases, such as RNAse H, which are capable of cutting double-stranded RNA/RNA or RNA/DNA complexes.
- agent is "actively taken up by mammalian cells” when the agent can enter the cell by a mechanism other than passive diffusion across the cell membrane.
- the agent may be transported, for example, by "active transport”, referring to transport of agents across a mammalian cell membrane by e.g. an ATP-dependent transport mechanism, or by "facilitated transport”, referring to transport of antisense agents across the cell membrane by a transport mechanism that requires binding of the agent to a transport protein, which then facilitates passage of the bound agent across the membrane.
- modulating expression and/or “antisense activity” refer to the ability of an antisense oligomer to either enhance or, more typically, reduce the expression of a given protein, by interfering with the expression or translation of RNA.
- the antisense oligomer may directly block expression of a given gene, or contribute to the accelerated breakdown of the RNA transcribed from that gene. Morpholino oligomers as described herein are believed to act via the former (steric blocking) mechanism.
- Preferred antisense targets for steric blocking oligomers include the ATG start codon region, splice sites, regions closely adjacent to splice sites, and 5 '-untranslated region of mRNA, although other regions have been successfully targeted using morpholino oligomers.
- amino acid subunit is generally an a-amino acid residue (-CO- CHR-NH-); but may also be a ⁇ - or other amino acid residue (e.g. -CO-CH 2 CHR-NH-), where R is an amino acid side chain.
- naturally occurring amino acid refers to an amino acid present in proteins found in nature.
- non-natural amino acids refers to those amino acids not present in proteins found in nature; examples include beta-alanine ( ⁇ - Ala) and 6-aminohexanoic acid (Ahx).
- an “effective amount” or “therapeutically effective amount” refers to an amount of antisense oligomer administered to a mammalian subject, either as a single dose or as part of a series of doses, which is effective to produce a desired therapeutic effect, typically by inhibiting translation of a selected target nucleic acid sequence.
- Treatment of an individual (e.g. a mammal, such as a human) or a cell is any type of intervention used in an attempt to alter the natural course of the individual or cell. Treatment includes, but is not limited to, administration of a pharmaceutical composition, and may be performed either prophylactically or subsequent to the initiation of a pathologic event or contact with an etiologic agent. II. Carrier Peptides
- the present disclosure is directed to conjugates of carrier peptides and nucleic acid analogues.
- the carrier peptides are generally effective to enhance cell penetration of the nucleic acid analogues.
- Applicants have surprisingly discovered that including a glycine (G) or proline (P) amino acid subunit between the nucleic acid analogue and the remainder of the carrier peptide (e.g., at the carboxy or amino terminus of the carrier peptide) reduces the toxicity of the conjugate, while the efficacy remains the same or is improved relative to conjugates with different linkages between the carrierpeptide and nucleic acid analogue.
- the presently disclosed conjugates have a better therapeutic window and are more promising drug candidates than other peptide-oligomer conjugates.
- glycine is inexpensive and is easily coupled to the nucleic acid analogue (or optional linker) without any possibility of racemization.
- proline is easily coupled without racemization and also provides carrier peptides which are not helix formers.
- the hydrophobicity of proline may also confer certain advantages with respect to interaction of the carrier peptide with the lipid bilayer of cells, and carrier peptides comprising multiple prolines (for example in certain embodiments) may resist G-tetraplex formation.
- the proline moiety when the proline moiety is adjacent to an arginine amino acid subunit, confers metabolic to the conjugates since the argine-proline amide bond is not cleavable by common endopeptidases.
- conjugates comprising carrier peptides linked to nucleic acid analogues via a glycine or proline amino acid subunit have lower toxicity and similar efficacy compared to other known conjugates.
- kidney toxicity markers are much lower with the presently disclosed conjugates compared to other conjugates (see e.g., kidney injury marker (KIM) and blood urea nitrogen (BUN) data described inExample 30).
- the present inventors believe the reduced toxicity of the disclosed conjugates may be related to the absence of unnatural amino acids such as aminohexanoic acid or ⁇ -alanine in the portion of the peptide which is attached to the nucleic acid analogue (e.g., the carboxy terminus). Since these unnatural amino acids are not cleaved in vivo, it is believed that toxic concentrations of the uncleaved peptides may accumulate and cause toxic effects.
- unnatural amino acids such as aminohexanoic acid or ⁇ -alanine
- the glycine or proline moiety may be at either the amino or carboxy terminus of the carrier peptide, and in some instances, the carrier peptide may be linked to the nucleic acid analogue directly via the glycine or proline subunit or the carrier peptide may be linked to the nucleic acid analogue via an optional linker.
- the present disclosure is directed to a conjugate comprising:
- nucleic acid analogue comprising a substantially uncharged backbone and a targeting base sequence for sequence-specific binding to a target nucleic acid
- the carrier peptide comprises a glycine (G) or proline (P) amino acid subunit at a carboxy terminus of the carrier peptide and the carrier peptide is covalently attached to the nucleic acid analogue.
- the carrier peptide comprises a glycine amino acid subunit at the carboxy terminus.
- the carrier peptide comprises a proline amino acid subunit at the carboxy terminus.
- the carrier peptide comprises a single glycine or proline at the carboxy terminus (i.e., does not comprise a glycine or proline dimmer or trimer, etc. at the carboxy terminus).
- the carrier peptide when conjugated to an antisense oligomer having a substantially uncharged backbone, is effective to enhance the binding of the antisense oligomer to its target sequence, relative to the antisense oligomer in unconjugated form, as evidenced by: (i) a decrease in expression of an encoded protein, relative to that provided by the unconjugated oligomer, when binding of the antisense oligomer to its target sequence is effective to block a translation start codon for the encoded protein, or
- conjugation of the peptide provides this activity in a cell-free translation assay, as described herein.
- activity is enhanced by a factor of at least two, a factor of at least five or a factor of at least ten.
- the carrier peptide is effective to enhance the transport of the nucleic acid analog into a cell, relative to the analog in unconjugated form.
- transport is enhanced by a factor of at least two, a factor of at least two, a factor of at least five or a factor of at least ten.
- the carrier peptide is effective to decrease the toxicity (i.e., increase maximum tolerated dose) of the conjugate, relative to a conjugate comprising a carrier peptide lacking the terminal glycine or proline amino subunits. In certain embodiments, toxicity is decreased by a factor of at least two, a factor of at least two, a factor of at least five or a factor of at least ten.
- a further benefit of the peptide transport moiety is its expected ability to stabilize a duplex between an antisense oligomer and its target nucleic acid sequence. While not wishing to be bound by theory, this ability to stabilize a duplex may result from the electrostatic interaction between the positively charged transport moiety and the negatively charged nucleic acid.
- the length of the carrier peptide is not particularly limited and varies in different embodiments.
- the carrier peptide comprises from 4 to 40 amino acid subunits.
- the carrier peptide comprises from 6 to 30, from 6 to 20, from 8 to 25 or from 10 to 20 amino acid subunits.
- the carrier peptide is straight, while in other embodiments it is branched.
- the carrier peptides are rich in positively charged amino acid subunits, for example arginine amino acid subunits.
- a carrier peptide is "rich" in positively charged amino acids if at least 10% of the amino acid subunits are positively charged. For example, in some embodiments at least 20%, at least 30%>, at least 40%, at least 50%, at least 60%, at least 70%, at least 80% or at least 90% of the amino acid subunits are positively charged. In even other embodiments, all the amino acid subunits, except the glycine or proline amino acid subunit, are positively charged. In still other embodiment, all of the positively charged amino acid subunits are arginine.
- the number of positively charged amino acid subunits in the carrier peptide ranges from 1 to 20, for example from 1 to 10 or from 1 to 6. In certain embodiments, the number of positively charged amino acids in the carrier peptide is 1, 2, 3, 4, 5, 6, 7, 8, 9, 10, 11, 12, 13, 14, 15, 16, 17, 18, 19 or 20.
- the positively charged amino acids can be naturally occurring, non- naturally occurring, synthetic, modified or analogues of naturally occurring amino acids.
- modified amino acids with a net positive charge may be
- the positively charged amino acids are histidine (H), lysine (K) or arginine (R).
- the carrier peptide comprises only natural amino acid subunits (i.e., does not contain unnatural amino acids).
- the terminal amino acids may be capped, for example with an acetyl, benzoyl or stearyl moiety, for example on the N-terminal end.
- any number, combination and/or sequence of H, K and/or R may be present in the carrier peptide.
- all of the amino acid subunits, except the carboxy terminal glycine or proline are positively charged amino acids.
- at least one of the positively charged amino acids is arginine.
- all of the positively charged amino acids are arginine, and in even other embodiments the carrier peptide consists of arginine and the carboxy terminal glycine or proline.
- the carrier peptide comprises no more than seven contiguous arginines, for example no more than six contiguous arginines.
- the positively charged amino acids is an arginine analog.
- the carrier peptides may comprise any number of these arginine analogues.
- the positively charged amino acids may occur in any sequence within the carrier peptide.
- the positively charged amino acids may alternate or may be sequential.
- the carrier peptide may comprise the sequence (R d ) m , wherein R d is independently, at each occurrence, a positively charged amino acid and m is an integer ranging from 2 to 12, from 2 to 10, from 2 to 8 or from 2 to 6.
- R d is arginine
- the carrier peptide comprises a sequence selected from (R) 4 , (R) 5 , (R) 6 , (R) 7 and (R)g, or selected from (R) 4 , (R) 5 , (R) 6 and (R) 7 for example in specific embodiments the carrier peptide comprises the sequence (R) 6 , for example (R) 6 G or (R) 6 P.
- the carrier peptide consists of the sequence (R d ) m and the carboxy terminal glycine or proline, wherein R d is independently, at each occurrence, a positively charged amino acid and m is an integer ranging from 2 to 12, from 2 to 10, from 2 to 8 or from 2 to 6.
- Rd is independently, at each occurrence, arginine, histidine or lysine.
- R d is arginine
- the carrier peptide consists of a sequence selected from (R) 4 , (R) 5 ,
- the carrier peptide consists of the sequence (R) 6 G or (R) 6 P.
- the carrier peptide may comprise one or more hydrophobic amino acid subunits, the hydrophobic amino acid subunits comprising a substituted or unsubstituted alkyl, alkenyl, alkynyl, aryl or aralkyl side chain wherein the alkyl, alkenyl and alkynyl side chain includes at most one heteroatom for every six carbon atoms acid.
- the hydrophobic amino acid is phenylalanine (F).
- the carrier peptide may comprise two or more contingous hydrophobic amino acids such as phenylalanine (F), for example two contiguous phenylalanine moieties.
- the hydrophobic amino acid(s) may be at any point in the carrier peptide sequence.
- the carrier peptide comprises the sequence
- R d is independently, at each occurrence, a positively charged amino acid
- x and y are independently, at each occurrence, 0 or 1, provided that x + y is 1 or 2
- z is 1, 2, 3, 4, 5 or 6
- Y b is -C(0)-(CHR e ) n -NH-
- n is 2 to 7 and each R e is independently, at each occurrence, hydrogen or methyl.
- R d is independently, at each occurrence arginine, histidine or lysine.
- each R d is arginine.
- n is 5 and Y b is an aminohexanoic acid moiety.
- n is 2 and Y b is a ⁇ -alanine moiety.
- R e is hydrogen.
- x is 1 and y is 0, and the carrier peptide comprises the sequence (R d Y b R d ) z .
- n is 5 and Y b is an aminohexanoic acid moiety.
- n is 2 and Y b is a ⁇ -alanine moiety.
- R e is hydrogen.
- x is 0 and y is 1
- the carrier peptide comprises the sequence (R d R d Y b ) z .
- n is 5 and Y b is an aminohexanoic acid moiety.
- n is 2 and Y b is a ⁇ -alanine moiety.
- R e is hydrogen.
- the carrier peptide comprises the sequence
- R d Y b (R d Y b ) p , wherein R d and Y b are as defined above and p is an integer ranging from 2 to 8.
- each R d is arginine.
- n is 5 and Y b is an aminohexanoic acid moiety.
- n is 2 and Y b is a ⁇ -alanine moiety.
- R e is hydrogen.
- the carrier peptide comprises the sequence
- the peptides may comprise the ILFQY sequence in addition to any of the other sequences disclosed herein.
- the carrier peptide may comprise ILFQY and [(R d Y b R d ) x (R d R d Y b ) y ] z , [(R d R d Y b ) y (R d Y b R d ) x ] z , (R d Y b ) p or combinations thereof wherein R d , x, y and Y b are as defined above.
- the [(R d Y b R d ) x (R d R d Y b ) y ] z , [(R d R d Y b ) y (R d Y b R d ) x ] z or (R d Y b ) p sequence may be on the amino terminus, carboxy terminus or both of the ILFQY sequence.
- x is 1 and y is 0 and the carrier peptide comprises (R d Y b R d ) z linked to the ILFQY sequence via an optional Z linker.
- the carrier peptide comprises the sequence ILFQ, IWFQ or ILIQ.
- Other embodiments include carrier peptides which comprise the sequence PPMWS, PPMWT, PPMFS or PPMYS.
- the carrier peptide may comprise these sequences in addition to any of the other sequences described herein, for example in addition to the sequences [(R d Y b R d ) x (R d R d Y b ) y z , [(R d R d Y b ) y (R d Y b R d ) x ] z or (R d Y b ) p wherein R d , x, y and Y b are as defined above.
- the carrier peptide include modifications to naturally occurring amino acid subunits, for example the amino terminal or carboxy terminal amino acid subunit may be modified. Such modifications include capping the free amino or free carboxy with a hydrophobic group.
- the amino terminus may be capped with an acetyl, benzoyl or stearoyl moiety.
- any of the pepetide sequences in Table 1 may have such modifications even if not specifically depticted in the table.
- the amino terminus of the carrier peptide can be depicted as follows:
- the carrier peptide comprises at least one of alanine, asparagine, cysteine, glutamine, glycine, histidine, lysine, methionine, serine or threonine.
- the carrier peptide consists of the noted sequences and the carboxy terminal glycine or proline amino acid subunit.
- the carrier peptide does not consist of the following sequences (amino terminal to carboxy terminal): R ⁇ G, R 7 G, RgG, R 5 GR 4 G, R 5 F 2 R 4 G, Tat-G, rTat-G, (RXR 2 G 2 ) 2 or (RXR 3 X) 2 G.
- the carrier peptide does not consist of RgG, R 9 G or R 9 F 2 G.
- the carrier peptide does not consist of the following sequences: Tat-G, rTat-G, RgF 2 G, R 5 F 2 R4, R 4 G, R 5 G, RgG, R 7 G, R 8 G, R 9 G, (RXR) 4 G, (RXR) 5 G, (RXRRBR) 2 G, (RAR) 4 F 2 or (RGR) 4 F 2 .
- the carrier peptide does not consist of "Penetratin" or "RePen".
- the present disclosure provides a peptide -nucleic acid analog conjugate, comprising
- nucleic acid analog having a substantially uncharged backbone and a targeting base sequence
- a peptide comprising a carboxy terminal glycine or proiline amino acid subunit and consisting of 8 to 16 additional other subunits selected from R d subunits, Y subunits, and optional Z subunits, including at least eight R d subunits, at least two Y subunits, and at most three Z subunits, where >50% of said subunits are R d subunits, and where
- the at least two Y subunits are Y a or Y b , wherein:
- each Y a is independently a neutral a-amino acid subunits having side chains independently selected from substituted or unsubstituted alkyl, alkenyl, alkynyl, aryl, and aralkyl, wherein said side chain, when selected from substituted alkyl, alkenyl, and alkynyl, includes at most one heteroatom for every two, preferably every four, and more preferably every six carbon atoms, and wherein said subunits are contiguous or are flanking a linker moiety, and
- n 2 to 7 and each R e is independently, at each occurrence, hydrogen or methyl.
- Z represents an amino acid subunit selected from alanine, asparagine, cysteine, glutamine, glycine, histidine, lysine, methionine, serine, threonine and amino acids having side chains which are one- or two-carbon homologs of naturally occurring side chains, excluding side chains which are negatively charged at physiological pH (e.g. carboxylate side chains). In some embodiments, the side chains are neutral. In other embodiments, the Z side chains are side chains of naturally occurring amino acids.
- the optional Z subunits in some embodiments are selected from alanine, glycine, methionine, serine, and threonine.
- the carrier peptide may include zero, one, two, or three Z subunits, and in some embodiments includes at most two Z subunits.
- the carrier peptide has exactly two Y subunits of type Y a , which are contiguous or are flanking a cysteine subunit. In some embodiments, the two Y a subunits are contiguous.
- side chains for Y a subunits include side chains of naturally occurring amino acids and one- or two- carbon homologs thereof, excluding side chains which are charged at physiological pH. Other possible side chains are side chains of naturally occurring amino acids.
- the side chain is an aryl or aralkyl side chain; for example, each Y a may be independently selected from phenylalanine, tyrosine, tryptophan, leucine, isoleucine, and valine.
- each Y a is independently selected from phenylalanine and tyrosine; in further embodiments, each Y a is phenylalanine.
- One such conjugate includes a peptide having the formula
- Arg9Phe 2 aa where aa is glycine or proline.
- the foregoing carrier peptides may also comprise ILFQY, ILFQ, IWFQ or ILIQ.
- Other embodiments include the foregoing carrier peptides which comprise the sequence PPMWS, PPMWT, PPMFS or PPMYS.
- the peptide -oligomer conjugates of the invention are more effective than the unconjugated oligomer in various functions, including: inhibiting expression of targeted mRNA in a protein expression system, including cell free translation systems; inhibiting splicing of targeted pre-mRNA; and inhibiting replication of a virus, by targeting cis-acting elements which control nucleic acid replication or mRNA transcription of the virus.
- conjugates of other pharmacological agents i.e., not a nucleic acid analog
- some embodiments provide a conjugate comprising:
- the carrier peptide comprises a glycine (G) or proline (P) amino acid subunit at a carboxy terminus of the carrier peptide and the carrier peptide is covalently attached to the pharmacological agent.
- the carrier peptide in these embodiments may be any of the carrier peptides described herein. Methods for delivering the pharmacological agent by conjugating it to the carrier peptide are also provided.
- the pharmacological agent to be delivered is may be a biologically active agent, e.g. a therapeutic or diagnostic agent, although it may be a compound employed for detection, such as a fluorescent compound.
- Biologically active agents include drug substances selected from biomolecules, e.g. peptides, proteins, saccharides, or nucleic acids, particularly antisense oligonucleotides, or "small molecule” organic or inorganic compounds.
- a "small molecule” compound may be defined broadly as an organic, inorganic, or organometallic compound which is not a biomolecule as described above. Typically, such compounds have molecular weights of less than 1000, or, in one embodiment, less than 500.
- the pharmacological agent to be delivered does not include single amino acids, dipeptides, or tripeptides. In another embodiment, it does not include short oligopeptides; that is, oligopeptides having fewer than six amino acid subunits. In a further embodiment, it does not include longer oligopeptides; that is, oligopeptides having between seven and 20 amino acid subunits. In a still further embodiment, it does not include polypeptides, having greater than 20 amino acid subunits, or proteins.
- the carrier peptide is effective to enhance the transport of the pharmacological agent into a cell relative to the pharmacological agent in unconjugated form and/or with less toxicity, relative to the pharmacological agent conjugated to a corresponding peptide lacking the glycing or proline subunits.
- transport is enhanced by a factor of at least two, at least five or at least ten.
- toxicity is decreased (i.e., maximum tolerated dose increased) by a factor of at least two, at least five or at least ten.
- the carrier peptide can be linked to the agent to be delivered (e.g., nuceleic acid analogue, pharmacological agent, etc.) by a variety of methods available to one of skill in the art.
- the carrier peptide is linked to the nucleic acid analogue directly without an intervening linker.
- formation of an amide bond between the terminal amino acid and a free amine of free carboxyl on the nucleic acid analogue may be useful for forming the conjugate.
- the carboxy terminal glycine or proline subunit is linked directly to the 3' end of the nucleic acid analogue, for example the carrier peptide may be linked by forming an amide bond between the carboxy terminal glycine or proline moiety and the 3' morpholino ring nitrogen (see e.g., Figure 1C).
- the nucleic acid analog is conjugated to the carrier peptide via a linker moiety selected from a Y a or Y b subunit, a cysteine subunit, and an uncharged, non-amino acid linker moiety.
- the nucleic acid analogue is linked to the carrier peptide directly via the glycine or proline moiety at either the 5 ' or 3' end of the nucleic acid analogue.
- the carrier peptide is linked directly via the glycine or proline amino acid subunit to the 3 ' of the nucleic acid analogue, for example directly linked to the 3 ' morpholino nitrogen via an amide bond.
- the conjugates comprise a linking moiety between the terminal glycine or proline amino acid subunit.
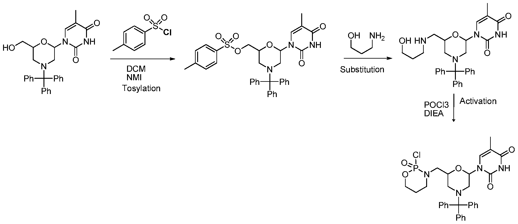
- the linker is up to 18 atoms in length comprising bonds selected from alkyl, hydroxyl, alkoxy, alkylamino, amide, ester, carbonyl, carbamate, phosphorodiamidate, phosphoroamidate, phosphorothioate and phosphodiester.
- the linker comprises phosphorodiamidate and piperazine bonds.
- the linker has the following structure (XXIX):
- R 24 is absent, H or Ci-C 6 alkyl.
- R 24 is absent and in other embodiments structure (XXIX) links the 5 ' end of a nucleic acid analogue (e.g., a morpholino oligomer) to the carrier peptide (see e.g., Figure IB).
- a nucleic acid analogue e.g., a morpholino oligomer
- the linker between the carrier peptide and the nucleic acid analogue may also consist of natural or non-natural amino acids (e.g., 6-aminohexanoic acid or ⁇ -alanine).
- the linker may also comprise a direct bond between the carboxy terminus of a transporter peptide and an amine or hydroxy group of the nucleic acid analogue (e.g., at the 3 ' morpholino nitrogen or 5 ' OH), formed by condensation promoted by e.g.
- the linker may comprise any nonreactive moiety which does not interfere with transport or function of the conjugate.
- Linkers can be selected from those which are non-cleavable under normal conditions of use, e.g., containing an ether, thioether, amide, or carbamate bond.
- Bonds which are cleavable in vivo are known in the art and include, for example, carboxylic acid esters, which are hydrolyzed enzymatically, and disulfides, which are cleaved in the presence of glutathione. It may also be feasible to cleave a photolytically cleavable linkage, such as an ortho-nitrophenyl ether, in vivo by application of radiation of the appropriate wavelength.
- exemplary heterobifunctional linking agents which further contain a cleavable disulfide group include N-hydroxysuccinimidyl 3-[(4- azidophenyl)dithio]propionate and others described in Vanin, E.F. and Ji, T.H., Biochemistry 20:6754-6760 (1981). *
- the present disclosure provides a peptide oligomer conjugate, wherein the peptide comprises or consists of any one of the peptide sequences in Table 1.
- the nucleic acid analogue comprises or consists of any of the oligonucleotide sequences in Table 1.
- the present disclosure provides a peptide oligomer conjugate, wherein the peptide comprises or consists of any one of the peptide sequences in Table 1 , and the nucleic acid analogue comprises or consists of any of the oligonucleotide sequences in Table 1.
- the disclosure provides a peptide comprising or consisting of any one of the sequences in Table 1.
- eGFP654 GCTATTACCTTAACCCAG 17 huMSTN GAAAAAAGATTATATTGATTTTAAAATCATGCAA 18 target AAACTGCAACTCTGTGTT
- CAG 12mer CAG CAG CAG CAG 40
- CAG 15mer CAG CAG CAG CAG CAG CAG 41
- CAG 18mer CAG CAG CAG CAG CAG CAG CAG CAG 42
- CAG 25mer CAG CAG CAG CAG CAG CAG CAG CAG CAG CAG CAG CAG C 52
- aa glycine or proline
- B ⁇ -alanine
- X 6-aminohexanoic acid
- tg unmodifed amino terminus, or the amino terminal capped with an acetyl, benzoyl or stearoyl group (i.e, an acetyl amide, benzoyl amide or stearoyl amide)
- Y b is: -C(0)-(CHR e ) n -NH- wherein n is 2 to 7 and each R e is independently, at each occurrence, hydrogen or methyl.
- a terminal tg group not all sequences are noted with a terminal tg group; however, each of the above sequences may comprise an unmodifed amino terminus or an amino terminus capped with an acetyl, benzoyl or stearoyl group
- Nucleic acid analogs included in the conjugates of the invention are substantially uncharged synthetic oligomers capable of base-specific binding to a target sequence of a polynucleotide, e.g. antisense oligonucleotide analogs.
- Such analogs include, for example, methylphosphonates, peptide nucleic acids, substantially uncharged N3'- ⁇ P5' phosphoramidates, and morpholino oligomers.
- the base sequence of the nucleic acid analog, provided by base pairing groups supported by the analog backbone can be any sequence, where the supported base pairing groups include standard or modified A, T, C, G and U bases or the non-standard inosine (I) and 7-deaza-G bases.
- the nucleic acid analog is a morpholino oligomer, i.e. an oligonucleotide analog composed of morpholino subunit structures of the form shown in Fig. 1, where (i) the structures are linked together by phosphorus- containing linkages, one to three atoms long, preferably two atoms long, joining the morpholino nitrogen of one subunit to the 5' exocyclic carbon of an adjacent subunit, and (ii) Pi and Pj are purine or pyrimidine base-pairing moieties effective to bind, by base-specific hydrogen bonding, to a base in a polynucleotide.
- a morpholino oligomer i.e. an oligonucleotide analog composed of morpholino subunit structures of the form shown in Fig. 1, where (i) the structures are linked together by phosphorus- containing linkages, one to three atoms long, preferably two atoms long, joining the morpholino nitrogen of one sub
- the purine or pyrimidine base-pairing moiety is typically adenine, cytosine, guanine, uracil or thymine.
- the synthesis, structures, and binding characteristics of morpholino oligomers are described further below and detailed in U.S. Patent Nos. 5,698,685,
- Desirable chemical properties of the morpholino-based oligomers include the ability to selectively hybridize with a complementary-base target nucleic acid, including target RNA, with high Tm, even with oligomers as short as 8-14 bases, the ability to be actively transported into mammalian cells, and the ability of an oligomer:RNA heteroduplex to resist RNAse degradation.
- the morpholino oligomer is about 8-40 subunits in length. More typically, the oligomer is about 8-20, about 8-16, about 10-30, or about 12-25 subunits in length.
- antibacterial, short oligomers e.g. from about 8-12 subunits in length, can be especially advantageous, particularly when attached to a peptide transporter as disclosed herein.
- One embodiment of the present disclosure is directed to peptide- oligomer conjugates comprising nucleic acid analogues (e.g., morpholino oligomers) comprising modified intersubunit linkages.
- the conjugates have higher affinity for DNA and RNA than do the corresponding unmodified oligomers and demonstrate improved cell delivery, potency, and/or tissue distribution properties compared to oligomers having other intersubunit linkages.
- the conjugates comprise one or more intersubunit linkages of type (A) as defined below.
- the conjugates comprise at least one intersubunit linkage of type (B) as defined below.
- the conjugates comprise intersubunit linkages of type (A) and type (B).
- the conjugates comprise a morpholino oligomer as described in more detail below. The structural features and properties of the various linkage types and oligomers are described in more detail in the following discussion. 1.
- the oligomers may optionally comprise one or more intersubunit linkages of type (A), and in certain embodiments the oligomers comprise at least one linkage of type (A), for example each linkage may be of type (A). In some other embodiments each linkage of type (A) has the same structure.
- Linkages of type (A) may include linkages disclosed in co-owned U.S. Patent No. 7,943,762 which is hereby incorporated by reference in its entirety.
- Linkage (A) has the following structure (I), wherein 3 ' and 5 ' indicate the point of attachment to the 3' and 5' ends, respectively, of the morpholino ring (i.e., structure (i) discussed below):
- W is, at each occurrence, independently S or O;
- X is, at each occurrence, independently -N(CH 3 ) 2 , -NR ⁇ R 2 , -OR 3 or ;
- Y is, at each occurrence, independently O or -NR 2 ,
- R 1 is, at each occurrence, independently hydrogen or methyl
- R 2 is, at each occurrence, independently hydrogen or -LNR 4 R 5 R 7 ;
- R 3 is, at each occurrence, independently hydrogen or Ci-C 6 alkyl
- R 5 is, at each occurrence, independently hydrogen, methyl or an electron pair
- R 6 is, at each occurrence, independently hydrogen or methyl
- R 7 is, at each occurrence, independently hydrogen Ci-C 6 alkyl or Ci-C 6 alkoxyalkyl
- L is an optional linker up to 18 atoms in length comprising alkyl, alkoxy or alkylamino groups, or combinations thereof.
- the oligomer comprises at least one linkage of type (A).
- the oligomer includes at least two consecutive linkages of type (A).
- at least 5% of the linkages in the oligomer are type (A); for example in some embodiments, 5%-95%, 10% to 90%, 10%> to 50%), or 10%o to 35% of the linkages may be linkage type (A).
- at least one type (A) linkage is -N(CH 3 ) 2 .
- each linkage of type (A) is -N(CH 3 ) 2 , and in even other embodiments each linkage in the oligomer is -N(CH 3 ) 2 .
- at least one type (A) linkage is piperizin- 1-yl, for example unsubstituted piperazin-l-yl (e.g., A2 or A3).
- each linkage of type (A) is piperizin-l-yl, for example unsubstituted piperazin-l-yl.
- W is, at each occurrence, independently S or O, and in certain embodiments W is O.
- X is, at each occurrence, independently
- X is -N(CH 3 ) 2 .
- X is -NR J R 2 , and in other examples X is -OR 3 .
- R 1 is, at each occurrence, independently hydrogen or methyl. In some embodiments, R 1 is hydrogen. In other embodiments X is methyl.
- R 2 is, at each occurrence, hydrogen. In other embodiments R 2 is, at each occurrence, -LNR 4 R 5 R 7 .
- R 3 is, at each occurrence, independently hydrogen or Ci-C 6 alkyl. In other embodiments, R 3 is methyl. In yet other embodiments, R 3 is ethyl. In some other embodiments, R 3 is n- propyl or isopropyl. In some other embodiments, R 3 is C 4 alkyl. In other embodiments, R 3 is C 5 alkyl. In some embodiments, R 3 is C 6 alkyl.
- R 5 is, at each occurrence, independently hydrogen, methyl or an electron pair. In some embodiments, R 5 is hydrogen. In other embodiments, R 5 is methyl. In yet other embodiments, R 5 is an electron pair.
- R 6 is, at each occurrence, independently hydrogen or methyl. In some embodiments, R 6 is hydrogen. In other embodiments, R 6 is methyl.
- R 7 is, at each occurrence, independently hydrogen Ci-C 6 alkyl or C 2 -C 6 alkoxyalkyl. In some embodiments R7 is hydrogen. In other embodiments, R 7 is Ci-C 6 alkyl. In yet other embodiments, R 7 is C 2 -C 6 alkoxyalkyl. In some embodiments, R 7 is methyl. In other embodiments, R 7 is ethyl. In yet other embodiments, R 7 is n-propyl or isopropyl. In some other embodiments, R 7 is C 4 alkyl. In some embodiments, R 7 is C 5 alkyl. In some embodiments, R 7 is C 6 alkyl. In yet other embodiments, R 7 is C 2 alkoxyalkyl.
- R 7 is C 3 alkoxyalkyl. In yet other embodiments, R 7 is C 4 alkoxyalkyl. In some embodiments, R 7 is C 5 alkoxyalkyl. In other embodiments, R 7 is C 6 alkoxyalkyl.
- the linker group L contains bonds in its backbone selected from alkyl (e.g. -CH 2 -CH 2 -), alkoxy (e.g., -C-0-C-), and alkylamino (e.g. - CH 2 -NH-), with the proviso that the terminal atoms in L (e.g., those adjacent to carbonyl or nitrogen) are carbon atoms.
- alkyl e.g. -CH 2 -CH 2 -
- alkoxy e.g., -C-0-C-
- alkylamino e.g. - CH 2 -NH-
- the linker is generally unbranched.
- the linker is a hydrocarbon linker.
- Such a linker may have the structure (01 ⁇ 4) ⁇ -, where n is 1-12, preferably 2-8, and more preferably 2-6.
- Oligomers having any number of linkage type (A) are provided.
- the oligomer contains no linkages of type (A).
- 5, 10, 20, 30, 40, 50, 60, 70, 80 or 90 percent of the linkages are linkage (A).
- 10 to 80, 20 to 80, 20 to 60, 20 to 50, 20 to 40, or 20 to 35 percent of the linkages are linkage (A).
- each linkage is type (A).
- the oligomers comprise at least one linkage of type (B).
- the oligomers may comprise 1, 2, 3, 4, 5, 6 or more linkages of type (B).
- the type (B) linkages may be adjacent or may be interspersed throughout the oligomer.
- Linkage type (B) has the following structure (I):
- W is, at each occurrence, independently S or O;
- X is, at each occurrence, independently -NR 8 R 9 or -OR 3 ;
- Y is, at each occurrence, independently O or -NR 10 ,
- R 3 is, at each occurrence, independently hydrogen or Ci-C 6 alkyl
- R 8 is, at each occurrence, independently hydrogen or C2-C12 alkyl
- R 9 is, at each occurrence, independently hydrogen, C1-C12 alkyl, C1-C12 aralkyl or aryl
- R 10 is, at each occurrence, independently hydrogen, C1-C12 alkyl or
- R 8 and R 9 may join to form a 5-18 membered mono or bicyclic heterocycle or R 8 , R 9 or R 3 may join with R 10 to form a 5-7 membered heterocycle, and wherein when X is 4-piperazino, X has the following structure (III):
- R 11 is, at each occurrence, independently C 2 -Ci 2 alkyl, Ci-Ci 2 aminoalkyl, Ci-Ci 2 alkylcarbonyl, aryl, heteroaryl or heterocyclyl;
- R is, at each occurrence, independently an electron pair, hydrogen or Ci-
- R 12 is, at each occurrence, independently, hydrogen, Ci-Ci 2 alkyl, Ci-Ci 2 aminoalkyl, -NH 2 , -CONH 2 , -NR 13 R 14 , -NR 13 R 14 R 15 , C1-C12 alkylcarbonyl, oxo, -CN, trifluoromethyl, amidyl, amidinyl, amidinylalkyl, amidinylalkylcarbonyl guanidinyl, guanidinylalkyl, guanidinylalkylcarbonyl, cholate, deoxycholate, aryl, heteroaryl, heterocycle, -SR 13 or Ci-Ci 2 alkoxy, wherein R 13 , R 14 and R 15 are, at each occurrence, independently Ci-Ci 2 alkyl.
- the oligomer comprises one linkage of type (B). In some other embodiments, the oligomer comprises two inkages of type (B). In some other embodiments, the oligomer comprises three linkages of type (B). In some other embodiments, the oligomer comprises four linkages of type (B). In still other embodiments, the linkages of type (B) are consecutive (i.e., the type (B) linkages are adjacent to each other). In further embodiments, at least 5% of the linkages in the oligomer are type (B); for example in some embodiments, 5%-95%, 10% to 90%>, 10%> to 50%), or 10%) to 35%o of the linkages may be linkage type (B).
- R 3 is, at each occurrence, independently hydrogen or Ci-C 6 alkyl. In yet other embodiments, R 3 may be methyl. In some embodiments, R 3 may be ethyl. In some other embodiments, R may be n-propyl or isopropyl. In yet other embodiments, R 3 may be C 4 alkyl. In some embodiments, R 3 may be C 5 alkyl. In some embodiments, R 3 may be C 6 alkyl.
- R 8 is, at each occurrence, independently hydrogen or C 2 -Ci 2 alkyl. In some embodiments, R 8 is hydrogen. In yet other embodiments, R 8 is ethyl. In some other embodiments, R 8 is n-propyl or isopropyl. In some embodiments, R 8 is C 4 alkyl. In yet other embodiments, R 8 is C 5 alkyl. In other embodiments, R 8 is C 6 alkyl. In some embodiments, R 8 is C 7 alkyl. In yet other embodiments, R 8 is Cs alkyl. In other embodiments, R 8 is C9 alkyl. In yet other embodiments, R 8 is Cio alkyl. In some other embodiments, R 8 is Cn alkyl.
- R 8 is Ci 2 alkyl. In some other embodiments, R 8 is C 2 -Ci 2 alkyl and the C2-C12 alkyl includes one or more double bonds (e.g., alkene), triple bonds (e.g., alkyne) or both. In some embodiments, R 8 is unsubstituted C2-C12 alkyl.
- R 9 is, at each occurrence, independently hydrogen, C1-C12 alkyl, C1-C12 aralkyl or aryl. In some embodiments, R 9 is hydrogen. In yet other embodiments, R 9 is C1-C12 alkyl. In other embodiments, R 9 is methyl. In yet other embodiments, R 9 is ethyl. In some other embodiments, R 9 is n-propyl or isopropyl. In some embodiments, R 9 is C 4 alkyl. In some embodiments, R 9 is C 5 alkyl. In yet other embodiments, R 9 is C 6 alkyl. In some other embodiments, R 9 is C 7 alkyl. In some embodiments, R 9 is Cs alkyl. In some embodiments, R 9 is C9 alkyl. In some other embodiments, R 9 is C10 alkyl. In some other embodiments, R 9 is Cn alkyl. In yet other embodiments, R 9 is C12 alkyl.
- R 9 is C1-C12 aralkyl.
- R 9 is benzyl and the benzyl may be optionally substituted on either the phenyl ring or the benzylic carbon.
- Substituents in this regards include alkyl and alkoxy groups, for example methyl or methoxy.
- the benzyl group is substituted with methyl at the benzylic carbon.
- R 9 has the following structure (XIV):
- R 9 is aryl.
- R 9 is phenyl, and the phenyl may be optionally substituted. Substituents in this regard substitutuents include alkyl and alkoxy groups, for example methyl or methoxy.
- R 9 is phenyl and the phenyl comprises a crown ether moiety, for example a 12-18 membered crown ether. In one embodiment the crown ether is 18 membered and may further comprise and additional phenyl moiety.
- R 9 has one of the following structures (XV) or XVI):
- R is, at each occurrence, independently hydrogen, C -Cn alkyl or -LNR 4 R 5 R 7 , wherein R 4 , R 5 and R 7 are as defined above with respect to linkage (A).
- R 10 is hydrogen.
- R 10 is C 1 -C 12 alkyl, and in other embodimens R 10 is -LNR 4 R 5 R 7 .
- R 10 is methyl.
- R 10 is ethyl.
- R 10 is C3 alkyl.
- R 10 is C 4 alkyl.
- R 10 is C 5 alkyl.
- R 10 is C 6 alkyl.
- R 10 is C 7 alkyl. In yet other embodiments, R 10 is Cs alkyl. In some embodiments, R 10 is C9 alkyl. In other embodiments, R 10 is C 10 alkyl. In yet other embodiments, R 10 is Cn alkyl. In some other embodiments, R 10 is C 12 alkyl.
- R 8 and R 9 join to form a 5-18 membered mono or bicyclic heterocycle.
- the heterocycle is a 5 or 6 membered monocyclic heterocycle.
- linkage (B) has the following structure (IV):
- Z represents a 5 or 6 membered monocyclic heterocycle.
- heterocycle is bicyclic, for example a 12- membered bicyclic heterocycle.
- the heterocycle may be piperizinyl.
- the heterocycle may be morpholino.
- the heterocycle may be piperidinyl.
- the heterocycle may be decahydroisoquinoline.
- Representative heterocycles include the following:
- R 11 is, at each occurrence, independently C2-C12 alkyl, C1-C12 aminoalkyl, aryl, heteroaryl or heterocyclyl.
- R 11 is C2-C12 alkyl. In some embodiments, R 11 is ethyl. In other embodiments, R 11 is C3 alkyl. In yet other embodiments, R 11 is isopropyl. In some other embodiments, R 11 is C 4 alkyl. In other embodiments, R 11 is C 5 alkyl. In some embodiments, R 11 is C 6 alkyl. In other embodiments, R 11 is C 7 alkyl. In some embodiments, R 11 is Cs alkyl. In other embodiments, R 11 is C9 alkyl. In yet other embodiments, R 11 is C 10 alkyl. In some other embodiments, R 11 is Cn alkyl. In some embodiments, R 11 is C 12 alkyl.
- R 11 is C1-C12 aminoalkyl. In some embodiments, R 11 is methylamino. In some embodiments, R 11 is ethylamino. In other embodiments, R 11 is C3 aminoalkyl. In yet other embodiments, R 11 is C 4 aminoalkyl. In some other embodiments, R 11 is C 5 aminoalkyl. In other embodiments, R 11 is C 6 aminoalkyl. In yet other embodiments, R 11 is C 7 aminoalkyl. In some embodiments, R 11 is Cg aminoalkyl. In other embodiments, R 11 is C9 aminoalkyl. In yet other embodiments, R 11 is Cio aminoalkyl. In some other embodiments, R 11 is Cn aminoalkyl.
- R 11 is C 12 aminoalkyl. In other embodiments, R 11 is C 1 -C 12 alkylcarbonyl. In yet other embodiments, R 11 is Ci alkylcarbonyl. In other embodiments, R 11 is C 2 alkylcarbonyl. In some embodiments, R 11 is C 3 alkylcarbonyl. In yet other embodiments, R 11 is C 4 alkylcarbonyl. In some embodiments, R 11 is C 5 alkylcarbonyl. In some other embodiments, R 11 is C 6 alkylcarbonyl. In other embodiments, R 11 is C 7 alkylcarbonyl. In yet other embodiments, R 11 is Cg alkylcarbonyl. In some embodiments, R 11 is C 9 alkylcarbonyl. In yet other embodiments, R 11 is C 10 alkylcarbonyl. In some other embodiments, R 11 is Cn alkylcarbonyl. In some embodiments, R 11 is C 12
- n is 1.
- n is 2.
- n is 3.
- n is 4.
- n is 5.
- n is 6.
- R 11 is aryl.
- R 11 is phenyl.
- the phenyl is substituted, for example with a nitro group.
- R 11 is heteroaryl.
- R 11 is pyridinyl.
- R 11 is pyrimidinyl.
- R 11 is heterocyclyl.
- R 11 is piperidinyl, for example piperidin-4-yl.
- R is an electron pair. In other embodiments, R is hydrogen, and in other embodiments R is C 1 -C 12 alkyl. In some embodiments, R is methyl. In some embodiments, R is ethyl. In other embodiments, R is C 3 alkyl. In yet other embodiments, R is isopropyl. In some other embodiments, R is C 4 alkyl. In yet other embodiments, R is C 5 alkyl. In some embodiments, R is C 6 alkyl. In other embodiments, Ris C 7 alkyl. In yet other embodiments, R is Cg alkyl. In other embodiments, R is C 9 alkyl. In some embodiments, R is C 10 alkyl. In yet other embodiments, R is Cn alkyl. In some embodiments, R is C 12 alkyl.
- R 12 is, at each occurrence, independently, hydrogen, C1-C12 alkyl, C1-C12 aminoalkyl, -NH 2 , -CONH 2 ,-NR 13 R 14 , -NR 13 R 14 R 15 , oxo, -CN, trifluoromethyl, amidyl, amidinyl, amidinylalkyl, amidinylalkylcarbonyl guanidinyl, guanidinylalkyl, guanidinylalkylcarbonyl, cholate, deoxycholate, aryl, heteroaryl, heterocycle, -SR 13 or C 1 -C 12 alkoxy, wherein R 13 , R 14 and R 15 are, at each occurrence, independently C 1 -C 12 alkyl
- R 12 is hydrogen. In some embodiments, R 12 is C 1 -C 12 alkyl. In some embodiments, R 12 is C 1 -C 12 aminoalkyl. In some embodiments, R 12 is -NH 2 . In some embodiments, R 12 is -CONH 2 . In some embodiments, R 12 is -NR 13 R 14 . In some embodiments, R 12 is -NR 13 R 14 R 15 . In some embodiments, R 12 is Ci- C 12 alkylcarbonyl. In some embodiments, R 12 is oxo. In some embodiments, R 12 is - CN. In some embodiments, R 12 is trifluoromethyl. In some embodiments, R 12 is amidyl.
- R 12 is amidinyl. In some embodiments, R 12 is amidinylalkyl. In some embodiments, R 12 is amidinylalkylcarbonyl. In some embodiments, R 12 is guanidinyl, for example mono methylguanidynyl or
- R 12 is guanidinylalkyl. In some embodiments, R 12 is amidinylalkylcarbonyl. In some embodiments, R 12 is cholate. In some embodiments, R 12 is deoxycholate. In some embodiments, R 12 is aryl. In some embodiments, R 12 is heteroaryl. In some embodiments, R 12 is heterocycle. In some embodiments, R 12 is -SR 13 . In some embodiments, R 12 is C 1 -C 12 alkoxy. In some embodiments, R 12 is dimethyl amine.
- R 12 is methyl. In yet other embodiments, R 12 is ethyl. In some embodiments, R 12 is C 3 alkyl. In some embodiments, R 12 is isopropyl. In some embodiments, R 12 is C 4 alkyl. In other embodiments, R 12 is C 5 alkyl. In yet other embodiments, R 12 is C 6 alkyl. In some other embodiments, R 12 is C 7 alkyl. In some embodiments, R 12 is Cs alkyl. In yet other embodiments, R 12 is C 9 alkyl. In some embodiments, R 12 is C 10 alkyl. In yet other embodiments, R 12 is Cn alkyl. In other embodiments, R 12 is C 12 alkyl. In yet other embodiments, the alkyl moiety is substituted with one or more oxygen atom to form an ether moiety, for example a methoxymethyl moiety.
- R 12 is methylamino. In other embodiments, R 12 is ethylamino. In yet other embodiments, R 12 is C 3 aminoalkyl. In some embodiments, R 12 is C 4 aminoalkyl. In yet other embodiments, R 12 is C5 aminoalkyl. In some other embodiments, R 12 is C 6 aminoalkyl. In some embodiments, R 12 is C 7 aminoalkyl. In some embodiments, R 12 is Cg aminoalkyl. In yet other embodiments, R 12 is C 9 aminoalkyl. In some other embodiments, R is C 10 aminoalkyl. In yet other embodiments, R 12 is Cn aminoalkyl. In other embodiments, R 12 is C 12 aminoalkyl. In some embodiments, the amino alkyl is a dimethylamino alkyl.
- R 12 is acetyl. In some other embodiments, R 12 is C 2 alkylcarbonyl. In some embodiments, R 12 is C 3 alkylcarbonyl. In yet other embodiments, R 12 is C 4 alkylcarbonyl. In some embodiments, R 12 is C5 alkylcarbonyl. In yet other embodiments, R 12 is C 6 alkylcarbonyl. In some other embodiments, R 12 is C 7 alkylcarbonyl. In some embodiments, R 12 is Cg alkylcarbonyl. In yet other embodiments, R 12 is C 9 alkylcarbonyl. In some other embodiments, R 12 is C 10 alkylcarbonyl. In some embodiments, R 12 is Cn alkylcarbonyl.
- R 12 is C 12 alkylcarbonyl.
- the alkylcarbonyl is substituted with a carboxy moiety, for example the alkylcarbonyl is substituted to form a succinic acid moiety (i.e., a 3- carboxy alkylcarbonyl).
- the alkylcarbonyl is substituted with a terminal -SH group.
- R 12 is amidyl.
- the amidyl comprises an alkyl moiety which is further substituted, for example with -SH, carbamate, or combinations thereof.
- the amidyl is substituted with an aryl moiety, for example phenyl.
- R 12 may have the following structure (IX):
- R 16 is, at each occurrence, independently hydrogen, alkyl, Ci-Ci 2 alkoxy, -CN, aryl or heteroaryl.
- R 12 is methoxy. In other embodiments, R 12 is ethoxy. In yet other embodiments, R 12 is C 3 alkoxy. In some embodiments, R 12 is C 4 alkoxy. In some embodiments, R 12 is C 5 alkoxy. In some other embodiments, R 12 is C 6 alkoxy. In other embodiments, R 12 is C 7 alkoxy. In some other embodiments, R 12 is Cs alkoxy. In some embodiments, R 12 is C 9 alkoxy. In other embodiments, R 12 is C 10 alkoxy. In some embodiments, R is Cn alkoxy. In yet other embodiments, R is C 12 alkoxy.
- R 12 is pyrrolidinyl, for example pyrrolidin-l-yl.
- R 12 is piperidinyl, for example piperidin-l-yl or piperidin-4-yl.
- R 12 is morpholino, for example morpholin-4-yl.
- R 12 is phenyl, and in even further embodiments, the phenyl is substituted, for example with a nitro group.
- R 12 is pyrimidinyl, for example pyrimidin-2-yl.
- R 13 , R 14 and R 15 are, at each occurrence, independently C1-C12 alkyl. In some embodiments, R 13 , R 14 or R 15 is methyl. In yet other embodiments, R 13 , R 14 or R 15 is ethyl. In other embodiments, R 13 , R 14 or R 15 is C3 alkyl. In yet other embodiments, R 13 , R 14 or R 15 is isopropyl. In other embodiments, R 13 , R 14 or R 15 is C 4 alkyl. In some embodiments, R 13 , R 14 or R 15 is C 5 alkyl. In some other embodiments, R 13 , R 14 or R 15 is C 6 alkyl.
- R 13 , R 14 or R 15 is C 7 alkyl. In yet other embodiments, R 13 , R 14 or R 15 is Cs alkyl. In other embodiments, R 13 , R 14 or R 15 is C 9 alkyl. In some embodiments, R 13 , R 14 or R 15 is C 10 alkyl. In some embodiments, R 13 , R 14 or R 15 is Cn alkyl. In yet other embodiments, R 13 , R 14 or R 15 is C12 alkyl.
- R 12 is amidyl substituted with an aryl moiety.
- each occurrence of R 16 may be the same or differerent.
- R 16 is hydrogen.
- R 16 is -CN.
- R 16 is heteroaryl, for example tretrazolyl.
- R 16 is methoxy.
- R 16 is aryl, and the aryl is optionally substituted.
- Optional substitutents in this regard include: C1-C12 alkyl, Ci- C12 alkoxy, for example methoxy; trifluoromethoxy; halo, for example chloro; and trifluoromethyl.
- R 16 is methyl. In yet other embodiments, R 16 is ethyl. In some embodiments, R 16 is C3 alkyl. In some other embodiments, R 16 is isopropyl. In yet other embodiments, R 16 is C 4 alkyl. In other embodiments, R 16 is C 5 alkyl. In yet other embodiments, R 16 is C 6 alkyl. In some other embodiments, R 16 is C 7 alkyl. In some embodiments, R 16 is Cs alkyl. In yet other embodiments, R 16 is C9 alkyl. In some other embodiments, R is C 10 alkyl. In other embodiments, R is Cn alkyl. In some other embodiments, R 16 is C 12 alkyl.
- R 16 is methoxy. In some embodiments, R 16 is ethoxy. In yet other embodiments, R 16 is C 3 alkoxy. In some other embodiments, R 16 is C 4 alkoxy. In other embodiments, R 16 is C 5 alkoxy. In some other embodiments, R 16 is C 6 alkoxy. In yet other embodiments, R 16 is C 7 alkoxy. In some other embodiments, R 16 is C8 alkoxy. In yet other embodiments, R 16 is C9 alkoxy. In some other embodiments, R 16 is C 10 alkoxy. In some embodiments, R 16 is Cn alkoxy. In some other embodiments, R 16 is C 12 alkoxy.
- R 8 and R 9 join to form a 12-18 membered crown ether.
- the crown ether s 18 membered, and in other embodiments the crown ether is 15 membered.
- R 8 and R 9 join to form a heterocycle having one of the following structures (X) or (XI):
- R 8 , R 9 or R 3 join with R 10 to form a 5-7 membered heterocycle.
- R 3 joins with R 10 to form a 5-7 membered heterocycle.
- the heterocycle is 5-membered.
- the heterocycle is 6-membered.
- the heterocycle is 7-memebered.
- the heterocycle is represented by the following structure (XII):
- linkage (B) may have one of the following structures (Bl), (B2) or (B3):
- R 12 is C 1 -C 12 alkylcarbonyl or amidyl which is further substituted with an arylphosphoryl moiety, for example a triphenyl phosporyl moiety.
- linkages having this structure include B56 and B55
- linkage (B) does not have any of the structures A1-A5.
- Table 2 shows representative linkages of type (A) and (B).
- a base comprising a PMO apn linkage is illustrated as apn B, where B is a base.
- Other linkages are designated similarily.
- abbreviated designations may be used, for example, the abbreviated designations in parenthses above may be used (e.g., a B, refers to apn B). Other readily identifiable abbreviations may also be used.
- the conjugate may also comprise an oligomer comprising modified terminal groups. Applicants have found that
- the modified terminal groups comprise a hydrophobic moiety, while in other embodiments the modified terminal groups comprise a hydrophilic moiety.
- the modified terminal groups may be present with or without the linkages described above.
- the oligomers to which the carrier peptide is conjugated comprise one or more modified terminal groups and linkages of type (A), for example linkages wherein X is -N(CH 3 ) 2 .
- the oligomers comprise one or more modified terminal group and linkages of type (B), for example linkages wherein X is 4- aminopiperidin-l-yl (i.e., APN).
- the oligomers comprise one or more modified terminal group and a mixture of linkages (A) and (B).
- the oligomers may comprise one or more modified terminal group (e.g., trityl or triphenyl acetyl) and linkages wherein X is -N(CH 3 ) 2 and linkages wherein X is 4- aminopiperidin-l-yl.
- modified terminal groups and modified linkages also provide favorable therapeutic properties to the oligomers.
- the oligomers comprising terminal modifications have the following structure (XVII): 5' terminus
- R 17 is, at each occurrence, independently absent, hydrogen or Ci-C 6 alkyl
- Pi is independently, at each occurrence, a base-pairing moiety
- L 1 is an optional linker up to 18 atoms in length comprising bonds selected from alkyl, hydroxyl, alkoxy, alkylamino, amide, ester, disulfide, carbonyl, carbamate, phosphorodiamidate, phosphoroamidate, phosphorothioate, piperazine and phosphodiester; and
- x is an integer of 0 or greater; and wherein at least one of R 18 or R 19 is
- R 18 or R 1 i 9 y is R 2"0 u and provided that both of R and R 18 are not absent.
- the oligomers with modified terminal groups may comprise any number of linkages of types (A) and (B).
- the oligomers may comprise only linkage type (A).
- X in each linkage may be -N(CH 3 ) 2 .
- the oligomers may only comprise linkage (B).
- the oligomers comprise a mixture of linkages (A) and (B), for example from 1 to 4 linkages of type (B) and the remainder of the linkages being of type (A).
- Linkages in this regard include, but are not limited to, linkages wherein X is aminopiperidinyl for type (B) and dimethyl amino for type (A).
- R 17 is absent. In some embodiments, R 17 is hydrogen. In some embodiments, R 17 is Ci-C 6 alkyl. In some embodiments, R 17 is methyl. In yet other embodiments, R 17 is ethyl. In some embodiments, R 17 is C 3 alkyl. In some other embodiments, R 17 is isopropyl. In other embodiments, R 17 is C 4 alkyl. In yet other embodiments, R 17 is C 5 alkyl. In some other embodiments, R 17 is C 6 alkyl.
- R 18 is absent. In some embodiments, R 18 is hydrogen. In some embodiments, R 18 is the carrier peptide. In some embodiments, R 18 is a natural or non-natural amino acid, for example trimethylglycine. In some embodiments, R 18 is R 20 .
- R 20 is, at each occurrence, independently guanidinyl, heterocyclyl, C1-C30 alkyl, C3-C8 cycloalkyl; C6-C30 aryl, C7-C30 aralkyl, C C 30 alkylcarbonyl, C 3 -C 8 cycloalkylcarbonyl, C 3 -C 8 cycloalkylalkylcarbonyl, C 6 -C 30 arylcarbonyl, C7-C30 aralkylcarbonyl, C 2 -C30 alkyloxycarbonyl, C3-C8
- R is C 1 -C30 alkyl comprising one or more oxygen or hydroxyl moieties or combinations thereof and each R 22 is C 6 -C 12 aryloxy.
- R 20 is, at each occurrence, independently guanidinyl, heterocyclyl, Ci-C 30 alkyl, C 3 -C 8 cycloalkyl; C 6 -C 30 aryl, C3-C30 alkylcarbonyl, C3-C8 cycloalkylcarbonyl, C3-C8 cycloalkylalkylcarbonyl, C7-C30 arylcarbonyl, C7-C30 aralkylcarbonyl, C 2 -C 30 alkyloxycarbonyl, C 3 -C 8
- R 20 is guanidinyl, for example mono methylguanidynyl or dimethylguanidinyl.
- R 20 is heterocyclyl.
- R 20 is piperidin-4-yl.
- the piperidin-4-yl is substituted with trityl or Boc groups.
- R 20 is C 3 Cs cycloalkyl.
- R 20 is C6-C30 aryl.
- R is C 7 -C30 arylcarbonyl.
- R 20 has the following structure (XVIII):
- R ZJ is, at each occurrence, independently hydrogen, halo, C 1 -C30 alkyl, C 1 -C30 alkoxy, Ci-C 30 alkyloxycarbonyl, C 7 -C30 aralkyl, aryl, heteroaryl, heterocyclyl or heterocyclalkyl, and wherein one R 23 may join with another R 23 to form a heterocyclyl ring.
- at least one R 23 is hydrogen, for example, in some embodiments, each R 23 is hydrogen.
- at least one R 23 is Ci-C 30 alkoxy, for example in some embodiments, each R 23 is methoxy.
- At least one R 23 is heteroaryl, for example in some embodiments, at least one R 23 has one of the following structures (XVIII a) of (XVIIIb):
- one R joins with another R to form a heterocyclyl ring.
- R is 5-carboxyfluorescein.
- R is C 7 -C 3 o aralkylcarbonyl.
- R has one of the following structures (XIX), (XX) or (XXI):
- R 23 is, at each occurrence, independently hydrogen, halo, C1-C30 alkyl, C1-C30 alkoxy, Ci-C 30 alkyloxycarbonyl, C7-C30 aralkyl, aryl, heteroaryl, heterocyclyl or heterocyclalkyl, wherein one R 23 may join with another R 23 to form a heterocyclyl ring, X is -OH or halo and m is an integer from 0 to 6. In some specific embodiments, m is 0. In other embodimens, m is 1, while in other embodiments, m is 2. In other embodiments, at least one R 23 is hydrogen, for example in some embodiments each R 23 is hydrogen. In some embodiments, X is hydrogen. In other embodiments, X is -OH. In other embodiments, X is CI. In other embodiments, at least one R 23 is Ci-C 3 o alkoxy, for example methoxy.
- R 20 is C 7 -C 3 o aralkyl, for example trityl. In other embodiments, R 20 is methoxy trityl. In some embodiments, R 20 has the following structure (XXII):
- R 23 is, at each occurrence, independently hydrogen, halo, C1-C30 alkyl, C1-C30 alkoxy, Ci-C 30 alkyloxycarbonyl, C7-C30 aralkyl, aryl, heteroaryl, heterocyclyl or heterocyclalkyl, and wherein one R 23 may join with another R 23 to form a heterocyclyl ring.
- each R 23 is hydrogen.
- at least one R 23 is Ci-C 3 o alkoxy, for example methoxy.
- R 20 is C 7 -C 3 o aralkyl and R 20 has the following structure (XXIII):
- At least one R 23 is halo, for example chloro. In some other embodiments, one R 23 is chloro in the para position.
- R 20 is Ci-C 3 o alkyl.
- R 20 is a C4-C20 alkyl and optionally comprises one or more double bonds.
- R 20 is a C4-10 alkyl comprising a triple bond, for example a terminal triple bond.
- R 20 is hexyn-6-yl.
- R 20 has one of the following structures (XXIV), (XXV), (XXVI) or (XXVII):
- R 20 is a C3-C30 alkylcarbonyl, for
- p is an integer from 1 to 6 and Het is a heteroaryl.
- Het is a heteroaryl.
- Het is pyridinyl, for example pyridin-2-yl.
- the C3-C30 alkylcarbonyl is substituted with a further oligomer, for example in some embodiments the oligomer comprises a C3-C30 alkyl carbonyl at the 3 ' position which links the oligomer to the 3 ' position of another oligomer.
- Such terminal modifications are included within the scope of the present disclosure.
- R is a C3-C30 alkyl carbonyl which is futher substituted with an arylphosphoryl moiety, for example triphenyl phosphoryl.
- R 20 groups examples include structure 33 in Table 3.
- R is C3-C8 cycloalkylcarbonyl, for example C5-C7 alkyl carbonyl.
- R 2 o has the following structure (XXVIII):
Landscapes
- Health & Medical Sciences (AREA)
- Life Sciences & Earth Sciences (AREA)
- Chemical & Material Sciences (AREA)
- Pharmacology & Pharmacy (AREA)
- Veterinary Medicine (AREA)
- Public Health (AREA)
- General Health & Medical Sciences (AREA)
- Animal Behavior & Ethology (AREA)
- Medicinal Chemistry (AREA)
- Bioinformatics & Cheminformatics (AREA)
- Engineering & Computer Science (AREA)
- Chemical Kinetics & Catalysis (AREA)
- Nuclear Medicine, Radiotherapy & Molecular Imaging (AREA)
- General Chemical & Material Sciences (AREA)
- Organic Chemistry (AREA)
- Virology (AREA)
- Proteomics, Peptides & Aminoacids (AREA)
- Molecular Biology (AREA)
- Epidemiology (AREA)
- Communicable Diseases (AREA)
- Oncology (AREA)
- Neurology (AREA)
- Orthopedic Medicine & Surgery (AREA)
- Physical Education & Sports Medicine (AREA)
- Biochemistry (AREA)
- Pulmonology (AREA)
- Rheumatology (AREA)
- Urology & Nephrology (AREA)
- Pain & Pain Management (AREA)
- Inorganic Chemistry (AREA)
- Pharmaceuticals Containing Other Organic And Inorganic Compounds (AREA)
- Medicinal Preparation (AREA)
- Peptides Or Proteins (AREA)
- Medicines That Contain Protein Lipid Enzymes And Other Medicines (AREA)
Abstract
Description
Claims
Priority Applications (15)
| Application Number | Priority Date | Filing Date | Title |
|---|---|---|---|
| KR1020217007616A KR102339196B1 (en) | 2011-05-05 | 2011-11-17 | Peptide Oligonucleotide Conjugates |
| CA2834128A CA2834128A1 (en) | 2011-05-05 | 2011-11-17 | Peptide oligonucleotide conjugates |
| CN201180071918.XA CN103619356B (en) | 2011-05-05 | 2011-11-17 | Peptide oligonucleotide conjugates |
| JP2014509281A JP6478632B2 (en) | 2011-05-05 | 2011-11-17 | Peptide oligonucleotide conjugate |
| KR1020197019623A KR102229650B1 (en) | 2011-05-05 | 2011-11-17 | Peptide Oligonucleotide conjugates |
| IL273838A IL273838B (en) | 2011-05-05 | 2011-11-17 | Peptide oligonucleotide conjugates ,compositions comprising the same and uses thereof |
| KR1020137032241A KR102183273B1 (en) | 2011-05-05 | 2011-11-17 | Peptide Oligonucleotide conjugates |
| EP11793913.2A EP2704749A1 (en) | 2011-05-05 | 2011-11-17 | Peptide oligonucleotide conjugates |
| AU2011367230A AU2011367230B2 (en) | 2011-05-05 | 2011-11-17 | Peptide oligonucleotide conjugates |
| IL229227A IL229227B (en) | 2011-05-05 | 2013-11-04 | Peptide oligonucleotide conjugates ,compositions comprising the same and uses thereof |
| AU2017206179A AU2017206179A1 (en) | 2011-05-05 | 2017-07-18 | Peptide oligonucleotide conjugates |
| AU2019204913A AU2019204913A1 (en) | 2011-05-05 | 2019-07-09 | Peptide oligonucleotide conjugates |
| AU2021202224A AU2021202224A1 (en) | 2011-05-05 | 2021-04-13 | Peptide oligonucleotide conjugates |
| AU2023203112A AU2023203112B2 (en) | 2011-05-05 | 2023-05-18 | Peptide oligonucleotide conjugates |
| AU2025226744A AU2025226744A1 (en) | 2011-05-05 | 2025-09-04 | Peptide oligonucleotide conjugates |
Applications Claiming Priority (4)
| Application Number | Priority Date | Filing Date | Title |
|---|---|---|---|
| US13/101,942 US20110269665A1 (en) | 2009-06-26 | 2011-05-05 | Compound and method for treating myotonic dystrophy |
| US13/101,942 | 2011-05-05 | ||
| US13/107,528 US9238042B2 (en) | 2010-05-13 | 2011-05-13 | Antisense modulation of interleukins 17 and 23 signaling |
| US13/107,528 | 2011-05-13 |
Publications (1)
| Publication Number | Publication Date |
|---|---|
| WO2012150960A1 true WO2012150960A1 (en) | 2012-11-08 |
Family
ID=45218873
Family Applications (1)
| Application Number | Title | Priority Date | Filing Date |
|---|---|---|---|
| PCT/US2011/061282 Ceased WO2012150960A1 (en) | 2011-05-05 | 2011-11-17 | Peptide oligonucleotide conjugates |
Country Status (8)
| Country | Link |
|---|---|
| EP (1) | EP2704749A1 (en) |
| JP (6) | JP6478632B2 (en) |
| KR (3) | KR102229650B1 (en) |
| CN (2) | CN107693797B (en) |
| AU (6) | AU2011367230B2 (en) |
| CA (2) | CA2834128A1 (en) |
| IL (2) | IL273838B (en) |
| WO (1) | WO2012150960A1 (en) |
Cited By (81)
| Publication number | Priority date | Publication date | Assignee | Title |
|---|---|---|---|---|
| WO2013082548A1 (en) | 2011-11-30 | 2013-06-06 | Sarepta Therapeutics, Inc. | Oligonucleotides for treating expanded repeat diseases |
| WO2013082551A1 (en) | 2011-11-30 | 2013-06-06 | Sarepta Therapeutics, Inc. | Induced exon inclusion in spinal muscle atrophy |
| WO2014100714A1 (en) | 2012-12-20 | 2014-06-26 | Sarepta Therapeutics, Inc. | Improved exon skipping compositions for treating muscular dystrophy |
| WO2014113540A1 (en) | 2013-01-16 | 2014-07-24 | Iowa State University Research Foundation, Inc. | A deep intronic target for splicing correction on spinal muscular atrophy gene |
| CN104039739A (en) * | 2011-11-18 | 2014-09-10 | 萨勒普塔医疗公司 | Functionally modified oligonucleotides and their subunits |
| WO2014144978A2 (en) | 2013-03-15 | 2014-09-18 | Sarepta Therapeutics, Inc. | Improved compositions for treating muscular dystrophy |
| WO2014153240A2 (en) | 2013-03-14 | 2014-09-25 | Sarepta Therapeutics, Inc. | Exon skipping compositions for treating muscular dystrophy |
| WO2014153220A2 (en) | 2013-03-14 | 2014-09-25 | Sarepta Therapeutics, Inc. | Exon skipping compositions for treating muscular dystrophy |
| WO2015035231A1 (en) | 2013-09-05 | 2015-03-12 | Sarepta Therapeutics, Inc. | Antisense-induced exon2 inclusion in acid alpha-glucosidase |
| US9018368B2 (en) | 2004-06-28 | 2015-04-28 | The University Of Western Australia | Antisense oligonucleotides for inducing exon skipping and methods of use thereof |
| US9066967B2 (en) | 2011-12-08 | 2015-06-30 | Sarepta Therapeutics, Inc. | Oligonucleotide analogues targeting human LMNA |
| WO2015137409A1 (en) * | 2014-03-12 | 2015-09-17 | 日本新薬株式会社 | Antisense nucleic acid |
| US9228187B2 (en) | 2009-11-12 | 2016-01-05 | The University Of Western Australia | Antisense molecules and methods for treating pathologies |
| CN105228999A (en) * | 2013-05-24 | 2016-01-06 | 味之素株式会社 | The preparation method of morpholino oligonucleotide |
| US9234198B1 (en) | 2008-10-24 | 2016-01-12 | Sarepta Therapeutics, Inc. | Multiple exon skipping compositions for DMD |
| US9499818B2 (en) | 2007-10-26 | 2016-11-22 | BioMarin Technologies, B.V. | Methods and means for efficient skipping of at least one of the exons 51-53, 55, 57 and 59 of the human duchenne muscular dystrophy gene |
| WO2016187425A1 (en) | 2015-05-19 | 2016-11-24 | Sarepta Therapeutics, Inc. | Peptide oligonucleotide conjugates |
| WO2016196670A1 (en) | 2015-06-01 | 2016-12-08 | Sarepta Therapeutics, Inc. | Antisense-induced exon exclusion in type vii collagen |
| WO2017112888A1 (en) | 2015-12-23 | 2017-06-29 | David Greenberg | Antisense antibacterial compounds and methods |
| US9745576B2 (en) | 2012-04-23 | 2017-08-29 | Biomarin Technologies B.V. | RNA modulating oligonucleotides with improved characteristics for the treatment of neuromuscular disorders |
| US9790495B2 (en) | 2014-05-16 | 2017-10-17 | Oregon State University | Antisense antibacterial compounds and methods |
| WO2017184529A1 (en) | 2016-04-18 | 2017-10-26 | Sarepta Therapeutics, Inc. | Antisense oligomers and methods of using the same for treating diseases associated with the acid alpha-glucosidase gene |
| WO2017190041A1 (en) | 2016-04-29 | 2017-11-02 | Sarepta Therapeutics, Inc. | Oligonucleotide analogues targeting human lmna |
| US9890379B2 (en) | 2006-08-11 | 2018-02-13 | Biomarin Technologies B.V. | Treatment of genetic disorders associated with DNA repeat instability |
| WO2018118599A1 (en) * | 2016-12-19 | 2018-06-28 | Sarepta Therapeutics, Inc. | Exon skipping oligomer conjugates for muscular dystrophy |
| WO2018118627A1 (en) * | 2016-12-19 | 2018-06-28 | Sarepta Therapeutics, Inc. | Exon skipping oligomer conjugates for muscular dystrophy |
| WO2018118662A1 (en) * | 2016-12-19 | 2018-06-28 | Sarepta Therapeutics, Inc. | Exon skipping oligomer conjugates for muscular dystrophy |
| EP3271372A4 (en) * | 2015-03-18 | 2018-12-19 | Sarepta Therapeutics, Inc. | Antisense-induced exon exclusion in myostatin |
| US10179912B2 (en) | 2012-01-27 | 2019-01-15 | Biomarin Technologies B.V. | RNA modulating oligonucleotides with improved characteristics for the treatment of duchenne and becker muscular dystrophy |
| US20190015440A1 (en) * | 2015-08-28 | 2019-01-17 | Sarepta Therapeutics, Inc. | Modified antisense oligomers for exon inclusion in spinal muscular atrophy |
| EP3336098A4 (en) * | 2015-09-10 | 2019-01-23 | IUCF-HYU (Industry-University Cooperation Foundation Hanyang University) | PERMEABLE PEPTIDE THROUGH THE SKIN AND METHOD OF USE THEREOF |
| WO2019030298A1 (en) | 2017-08-08 | 2019-02-14 | Almirall, S.A. | Novel compounds activating the nrf2 pathway |
| WO2019059973A1 (en) * | 2017-09-22 | 2019-03-28 | Sarepta Therapeutics, Inc. | Exon skipping oligomer conjugates for muscular dystrophy |
| US10246707B2 (en) | 2008-05-14 | 2019-04-02 | Biomarin Technologies B.V. | Method for efficient exon (44) skipping in duchenne muscular dystrophy and associated means |
| WO2019067975A1 (en) | 2017-09-28 | 2019-04-04 | Sarepta Therapeutics, Inc. | Combination therapies for treating muscular dystrophy |
| WO2019067979A1 (en) | 2017-09-28 | 2019-04-04 | Sarepta Therapeutics, Inc. | Combination therapies for treating muscular dystrophy |
| WO2019067981A1 (en) | 2017-09-28 | 2019-04-04 | Sarepta Therapeutics, Inc. | Combination therapies for treating muscular dystrophy |
| US10385092B2 (en) | 2010-09-01 | 2019-08-20 | Nippon Shinyaku Co., Ltd. | Antisense nucleic acids |
| US10391098B2 (en) | 2014-05-19 | 2019-08-27 | Board Of Regents, The University Of Texas System | Antisense antibacterial compounds and methods |
| US10421969B2 (en) | 2011-10-04 | 2019-09-24 | Royal Holloway And Bedford New College | Oligomers |
| US10517869B2 (en) | 2013-12-24 | 2019-12-31 | Sentiss Pharma Private Limited | Topical brimonidine tartrate ophthalmic solution |
| WO2020023688A1 (en) | 2018-07-27 | 2020-01-30 | Sarepta Therapeutics, Inc. | Exon skipping oligomers for muscular dystrophy |
| US10626396B2 (en) | 2005-02-09 | 2020-04-21 | Sarepta Therapeutics, Inc. | Antisense composition and method for treating muscle atrophy |
| WO2020123574A1 (en) | 2018-12-13 | 2020-06-18 | Sarepta Therapeutics, Inc. | Exon skipping oligomer conjugates for muscular dystrophy |
| WO2020138509A1 (en) | 2018-12-28 | 2020-07-02 | Nippon Shinyaku Co., Ltd. | Myostatin signal inhibitor |
| WO2020214763A1 (en) | 2019-04-18 | 2020-10-22 | Sarepta Therapeutics, Inc. | Compositions for treating muscular dystrophy |
| US10907158B2 (en) | 2015-12-23 | 2021-02-02 | Board Of Regents, The University Of Texas System | Antisense antibacterial compounds and methods |
| US11020417B2 (en) | 2015-06-04 | 2021-06-01 | Sarepta Therapeutics, Inc | Methods and compounds for treatment of lymphocyte-related diseases and conditions |
| EP3684933A4 (en) * | 2017-09-22 | 2021-06-23 | The Regents of the University of Colorado, A Body Corporate | OLIGONUCLEOTIDES THIOMORPHOLINO FOR THE TREATMENT OF MUSCLE DYSTROPHY |
| WO2021132591A1 (en) | 2019-12-26 | 2021-07-01 | 日本新薬株式会社 | Antisense nucleic acid that induces skipping of exon 50 |
| EP3858993A1 (en) | 2015-10-09 | 2021-08-04 | Sarepta Therapeutics, Inc. | Compositions and methods for treating duchenne muscular dystrophy and related disorders |
| WO2021172498A1 (en) | 2020-02-28 | 2021-09-02 | 日本新薬株式会社 | Antisense nucleic acid inducing skipping of exon 51 |
| WO2022061216A1 (en) * | 2020-09-21 | 2022-03-24 | Icahn School Of Medicine At Mount Sinai | Archaea l30 proteins as universal influenza virus therapeutics |
| US11293024B2 (en) | 2014-12-31 | 2022-04-05 | Board Of Regents, The University Of Texas System | Antisense antibacterial compounds and methods |
| US11299737B1 (en) | 2020-02-28 | 2022-04-12 | Ionis Pharmaceuticals, Inc. | Compounds and methods for modulating SMN2 |
| WO2022140535A1 (en) | 2020-12-23 | 2022-06-30 | Sarepta Therapeutics, Inc. | Compositions comprising exon skipping oligonucleotide conjugates for treating muscular dystrophy |
| EP3784248A4 (en) * | 2018-04-26 | 2022-08-10 | Sarepta Therapeutics, Inc. | EXON-SKIPPING OLIGOMERS AND OLIGOMER CONJUGATE FOR MUSCLE DYSTROPHY |
| WO2022172019A1 (en) * | 2021-02-12 | 2022-08-18 | Oxford University Innovation Limited | Cell-penetrating peptide conjugates and methods of their use |
| WO2022232478A1 (en) | 2021-04-30 | 2022-11-03 | Sarepta Therapeutics, Inc. | Treatment methods for muscular dystrophy |
| WO2022270585A1 (en) | 2021-06-23 | 2022-12-29 | 日本新薬株式会社 | Combination of antisense oligomers |
| WO2023282345A1 (en) | 2021-07-08 | 2023-01-12 | 日本新薬株式会社 | Nephrotoxicity reducing agent |
| WO2023282344A1 (en) | 2021-07-08 | 2023-01-12 | 日本新薬株式会社 | Nephrotoxicity reducing agent |
| WO2023282346A1 (en) | 2021-07-08 | 2023-01-12 | 日本新薬株式会社 | Precipitation inhibitor |
| US11555189B2 (en) | 2017-10-18 | 2023-01-17 | Sarepta Therapeutics, Inc. | Antisense oligomer compounds |
| WO2023026994A1 (en) | 2021-08-21 | 2023-03-02 | 武田薬品工業株式会社 | Human transferrin receptor binding peptide-drug conjugate |
| WO2023027125A1 (en) | 2021-08-24 | 2023-03-02 | ペプチドリーム株式会社 | Human transferrin receptor-binding antibody-peptide conjugate |
| WO2023055774A1 (en) | 2021-09-30 | 2023-04-06 | Sarepta Therapeutics, Inc. | Antisense oligonucleotides having one or more abasic units |
| WO2023070086A1 (en) | 2021-10-22 | 2023-04-27 | Sarepta Therapeutics, Inc. | Morpholino oligomers for treatment of peripheral myelin protein 22 related diseases |
| EP4219717A2 (en) | 2018-06-13 | 2023-08-02 | Sarepta Therapeutics, Inc. | Exon skipping oligomers for muscular dystrophy |
| WO2023178230A1 (en) | 2022-03-17 | 2023-09-21 | Sarepta Therapeutics, Inc. | Phosphorodiamidate morpholino oligomer conjugates |
| WO2024064237A2 (en) | 2022-09-21 | 2024-03-28 | Sarepta Therapeutics, Inc. | Dmd antisense oligonucleotide-mediated exon skipping efficiency |
| TWI837102B (en) * | 2017-10-17 | 2024-04-01 | 美商薩羅塔治療公司 | Cell-penetrating peptides for antisense delivery |
| US11944688B2 (en) | 2015-12-21 | 2024-04-02 | Sutura Therapeutics Ltd | Biologically active compounds |
| WO2024097822A1 (en) | 2022-11-02 | 2024-05-10 | Sarepta Therapeutics, Inc. | Formulation of an antisense oligomer conjugate |
| US12013403B2 (en) | 2014-09-12 | 2024-06-18 | Biogen Ma Inc. | Compositions and methods for detection of SMN protein in a subject and treatment of a subject |
| US12168059B2 (en) | 2018-07-30 | 2024-12-17 | Sarepta Therapeutics, Inc. | Trimeric peptides for antisense delivery |
| US12268749B2 (en) | 2018-08-09 | 2025-04-08 | Oxford University Innovation Limited | Cell-penetrating peptides |
| WO2025085810A2 (en) | 2023-10-18 | 2025-04-24 | Sarepta Therapeutics, Inc. | Antisense oligomers for treatment of centronuclear myopathies |
| US12370261B2 (en) | 2018-03-16 | 2025-07-29 | Sarepta Therapeutics, Inc. | Chimeric peptides for antisense delivery |
| US12465646B2 (en) | 2018-12-07 | 2025-11-11 | Oxford University Innovation Limited | Linkers |
| US12472264B2 (en) | 2018-08-09 | 2025-11-18 | Oxford University Innovation Limited | Cell-penetrating peptides |
Families Citing this family (9)
| Publication number | Priority date | Publication date | Assignee | Title |
|---|---|---|---|---|
| US20100016215A1 (en) | 2007-06-29 | 2010-01-21 | Avi Biopharma, Inc. | Compound and method for treating myotonic dystrophy |
| KR101661277B1 (en) * | 2014-03-17 | 2016-09-30 | 제주광어주식회사 | Single point nucleotide changed Live Attenuated Viral Hemorrhagic Septicemia Virus |
| WO2016138534A2 (en) * | 2015-02-27 | 2016-09-01 | Sarepta Therapeutics, Inc. | Antisense-induced exon2 inclusion in acid alpha-glucosidase |
| IL293066A (en) * | 2015-08-05 | 2022-07-01 | Eisai R&D Man Co Ltd | Chiral reagents for preparation of homogeneous oligomers |
| AU2017270598B2 (en) * | 2016-05-24 | 2022-12-01 | Sarepta Therapeutics, Inc. | Processes for preparing phosphorodiamidate morpholino oligomers |
| EP3478697A1 (en) * | 2016-06-30 | 2019-05-08 | Sarepta Therapeutics, Inc. | Exon skipping oligomers for muscular dystrophy |
| JP2021526796A (en) * | 2018-06-13 | 2021-10-11 | サレプタ セラピューティクス, インコーポレイテッド | Exon skipping oligomer for muscular dystrophy |
| CN110724180B (en) * | 2019-10-17 | 2021-08-20 | 山东大学 | A kind of polypeptide that inhibits angiogenesis and its application |
| CA3171988A1 (en) | 2020-02-22 | 2021-08-26 | Jcr Pharmaceuticals Co., Ltd. | Human transferrin receptor binding peptide |
Citations (40)
| Publication number | Priority date | Publication date | Assignee | Title |
|---|---|---|---|---|
| US5034506A (en) | 1985-03-15 | 1991-07-23 | Anti-Gene Development Group | Uncharged morpholino-based polymers having achiral intersubunit linkages |
| US5142047A (en) | 1985-03-15 | 1992-08-25 | Anti-Gene Development Group | Uncharged polynucleotide-binding polymers |
| US5166315A (en) | 1989-12-20 | 1992-11-24 | Anti-Gene Development Group | Sequence-specific binding polymers for duplex nucleic acids |
| WO1993001286A2 (en) | 1991-06-28 | 1993-01-21 | Massachusetts Institute Of Technology | Localized oligonucleotide therapy |
| US5185444A (en) | 1985-03-15 | 1993-02-09 | Anti-Gene Deveopment Group | Uncharged morpolino-based polymers having phosphorous containing chiral intersubunit linkages |
| US5217866A (en) | 1985-03-15 | 1993-06-08 | Anti-Gene Development Group | Polynucleotide assay reagent and method |
| WO1994004686A1 (en) | 1992-08-21 | 1994-03-03 | Biogen, Inc. | Tat-derived transport polypeptides |
| US5506337A (en) | 1985-03-15 | 1996-04-09 | Antivirals Inc. | Morpholino-subunit combinatorial library and method |
| US5521063A (en) | 1985-03-15 | 1996-05-28 | Antivirals Inc. | Polynucleotide reagent containing chiral subunits and methods of use |
| US6196098B1 (en) | 1995-07-03 | 2001-03-06 | Fuji Photo Film Co., Ltd. | Paper cutter for photographic processing system |
| US6245747B1 (en) | 1996-03-12 | 2001-06-12 | The Board Of Regents Of The University Of Nebraska | Targeted site specific antisense oligodeoxynucleotide delivery method |
| WO2001062297A1 (en) | 2000-02-14 | 2001-08-30 | Cellgate, Inc. | Compositions and methods for enhancing drug delivery across biological membranes and tissues |
| US6306993B1 (en) | 1997-05-21 | 2001-10-23 | The Board Of Trustees Of The Leland Stanford, Jr. University | Method and composition for enhancing transport across biological membranes |
| US20030032593A1 (en) | 2001-02-16 | 2003-02-13 | Cellgate, Inc. | Transporters comprising spaced arginine moieties |
| US20030224353A1 (en) | 2001-10-16 | 2003-12-04 | Stein David A. | Antisense antiviral agent and method for treating ssRNA viral infection |
| WO2005030800A2 (en) | 2003-08-05 | 2005-04-07 | Avi Biopharma, Inc. | Oligonucleotide analog and method for treating flavivirus infections |
| WO2005065268A2 (en) | 2003-12-24 | 2005-07-21 | Avi Biopharma, Inc. | Oligonucleotide compound and method for treating nidovirus infections |
| WO2006000057A1 (en) | 2004-06-28 | 2006-01-05 | SMITHKLINE BEECHAM CORPORATION, doing business as GLAXOSMITHKLINE | Antisense oligonucleotides for inducing exon skipping and methods of use thereof |
| WO2006033933A2 (en) | 2004-09-16 | 2006-03-30 | Avi Biopharma, Inc. | Antisense antiviral compound and method for treating ssrna viral infection |
| WO2006047683A2 (en) | 2004-10-26 | 2006-05-04 | Avi Biopharma, Inc. | Antisense antiviral compound and method for treating influenza viral infection |
| WO2006050414A2 (en) | 2004-11-01 | 2006-05-11 | Avi Biopharma, Inc. | Antisense antiviral compounds and methods for treating filovirus infection |
| WO2006086667A2 (en) | 2005-02-09 | 2006-08-17 | Avi Bio Pharma, Inc. | Antisense composition and method for treating muscle atrophy |
| WO2007002390A2 (en) | 2005-06-23 | 2007-01-04 | Isis Pharmaceuticals, Inc. | Compositions and methods for modulation of smn2 splicing |
| WO2007030691A2 (en) | 2005-09-08 | 2007-03-15 | Avi Biopharma, Inc. | Antisense antiviral compound and method for treating picornavirus infection |
| WO2007030576A2 (en) | 2005-09-08 | 2007-03-15 | Avi Biopharma, Inc. | Antisense antiviral compound and method for treating picornavirus infection |
| WO2007103529A2 (en) | 2006-03-07 | 2007-09-13 | Avi Biopharma, Inc. | Antisense antiviral compound and method for treating arenavirus infection |
| WO2008018795A1 (en) | 2006-08-11 | 2008-02-14 | Prosensa Technologies B.V. | Methods and means for treating dna repeat instability associated genetic disorders |
| WO2008036127A2 (en) | 2006-05-10 | 2008-03-27 | Avi Biopharma, Inc. | Oligonucleotide analogs having cationic intersubunit linkages |
| WO2008036406A2 (en) | 2006-09-21 | 2008-03-27 | University Of Rochester | Compositions and methods related to protein displacement therapy for myotonic distrophy |
| US7468418B2 (en) | 2003-04-29 | 2008-12-23 | Avi Biopharma., Inc. | Compositions for enhancing transport of molecules into cells |
| WO2009005793A2 (en) * | 2007-06-29 | 2009-01-08 | Avi Biopharma, Inc. | Tissue specific peptide conjugates and methods |
| WO2009064471A1 (en) | 2007-11-15 | 2009-05-22 | Avi Biopharma, Inc. | Method of synthesis of morpholino oligomers |
| WO2009144481A2 (en) * | 2008-05-30 | 2009-12-03 | Isis Innovation Limited | Conjugates for delivery of biologically active compounds |
| US20100016215A1 (en) * | 2007-06-29 | 2010-01-21 | Avi Biopharma, Inc. | Compound and method for treating myotonic dystrophy |
| US20100056613A1 (en) | 2006-11-24 | 2010-03-04 | Hykes Laboratories Llc | Spiroquinone compound and pharmaceutical composition |
| WO2010048586A1 (en) | 2008-10-24 | 2010-04-29 | Avi Biopharma, Inc. | Multiple exon skipping compositions for dmd |
| WO2010120820A1 (en) | 2009-04-13 | 2010-10-21 | Isis Pharmaceuticals, Inc. | Compositions and methods for modulation of smn2 splicing |
| US7838657B2 (en) | 2004-12-03 | 2010-11-23 | University Of Massachusetts | Spinal muscular atrophy (SMA) treatment via targeting of SMN2 splice site inhibitory sequences |
| WO2010148249A1 (en) | 2009-06-17 | 2010-12-23 | Isis Pharmaceuticals, Inc. | Compositions and methods for modulation of smn2 splicing in a subject |
| WO2011143608A1 (en) * | 2010-05-13 | 2011-11-17 | Avi Biopharma, Inc. | Antisense modulation of interleukins 17 and 23 signaling |
Family Cites Families (7)
| Publication number | Priority date | Publication date | Assignee | Title |
|---|---|---|---|---|
| JP2002511885A (en) * | 1997-07-24 | 2002-04-16 | ザ パーキン―エルマー コーポレーション | Membrane permeable constructs for transport across lipid membranes |
| DE19933492B4 (en) * | 1999-07-16 | 2008-01-10 | Deutsches Krebsforschungszentrum Stiftung des öffentlichen Rechts | Conjugate for the mediation of a cell-, compartment- or membrane-specific transport of active substances, process for its preparation and its use |
| MXPA06012605A (en) * | 2004-05-04 | 2006-12-15 | Nastech Pharm Co | Compositions and methods for enhancing delivery of nucleic acids into cells and for modifying expression of target genes in cells. |
| US20050288246A1 (en) * | 2004-05-24 | 2005-12-29 | Iversen Patrick L | Peptide conjugated, inosine-substituted antisense oligomer compound and method |
| WO2009005783A1 (en) * | 2007-06-28 | 2009-01-08 | Blanchette Rockefeller Neurosciences Institute | Peptides, compositions and methods for reducing beta-amyloid-mediated apoptosis |
| RU2010129761A (en) * | 2007-12-20 | 2012-01-27 | Ангиочем Инк. (Ca) | Nucleic Acid Polypeptides Conjugates and Their Use |
| WO2010072228A1 (en) * | 2008-12-22 | 2010-07-01 | Xigen S.A. | Novel transporter constructs and transporter cargo conjugate molecules |
-
2011
- 2011-11-17 KR KR1020197019623A patent/KR102229650B1/en active Active
- 2011-11-17 JP JP2014509281A patent/JP6478632B2/en active Active
- 2011-11-17 WO PCT/US2011/061282 patent/WO2012150960A1/en not_active Ceased
- 2011-11-17 CA CA2834128A patent/CA2834128A1/en active Pending
- 2011-11-17 IL IL273838A patent/IL273838B/en unknown
- 2011-11-17 CA CA3092114A patent/CA3092114A1/en active Pending
- 2011-11-17 KR KR1020217007616A patent/KR102339196B1/en active Active
- 2011-11-17 AU AU2011367230A patent/AU2011367230B2/en active Active
- 2011-11-17 CN CN201710707423.0A patent/CN107693797B/en active Active
- 2011-11-17 CN CN201180071918.XA patent/CN103619356B/en active Active
- 2011-11-17 EP EP11793913.2A patent/EP2704749A1/en active Pending
- 2011-11-17 KR KR1020137032241A patent/KR102183273B1/en active Active
-
2013
- 2013-11-04 IL IL229227A patent/IL229227B/en active IP Right Grant
-
2016
- 2016-08-01 JP JP2016151179A patent/JP2016185991A/en active Pending
-
2017
- 2017-07-18 AU AU2017206179A patent/AU2017206179A1/en not_active Abandoned
-
2018
- 2018-06-06 JP JP2018108772A patent/JP2018135396A/en not_active Withdrawn
-
2019
- 2019-07-09 AU AU2019204913A patent/AU2019204913A1/en not_active Abandoned
-
2020
- 2020-04-09 JP JP2020070566A patent/JP6884250B2/en active Active
-
2021
- 2021-04-13 AU AU2021202224A patent/AU2021202224A1/en not_active Abandoned
- 2021-05-11 JP JP2021080358A patent/JP2021113232A/en active Pending
-
2023
- 2023-05-18 AU AU2023203112A patent/AU2023203112B2/en active Active
-
2024
- 2024-02-02 JP JP2024014898A patent/JP2024032974A/en active Pending
-
2025
- 2025-09-04 AU AU2025226744A patent/AU2025226744A1/en active Pending
Patent Citations (50)
| Publication number | Priority date | Publication date | Assignee | Title |
|---|---|---|---|---|
| US5521063A (en) | 1985-03-15 | 1996-05-28 | Antivirals Inc. | Polynucleotide reagent containing chiral subunits and methods of use |
| US5142047A (en) | 1985-03-15 | 1992-08-25 | Anti-Gene Development Group | Uncharged polynucleotide-binding polymers |
| US5034506A (en) | 1985-03-15 | 1991-07-23 | Anti-Gene Development Group | Uncharged morpholino-based polymers having achiral intersubunit linkages |
| US5185444A (en) | 1985-03-15 | 1993-02-09 | Anti-Gene Deveopment Group | Uncharged morpolino-based polymers having phosphorous containing chiral intersubunit linkages |
| US5217866A (en) | 1985-03-15 | 1993-06-08 | Anti-Gene Development Group | Polynucleotide assay reagent and method |
| US5698685A (en) | 1985-03-15 | 1997-12-16 | Antivirals Inc. | Morpholino-subunit combinatorial library and method |
| US5506337A (en) | 1985-03-15 | 1996-04-09 | Antivirals Inc. | Morpholino-subunit combinatorial library and method |
| US5166315A (en) | 1989-12-20 | 1992-11-24 | Anti-Gene Development Group | Sequence-specific binding polymers for duplex nucleic acids |
| WO1993001286A2 (en) | 1991-06-28 | 1993-01-21 | Massachusetts Institute Of Technology | Localized oligonucleotide therapy |
| WO1994004686A1 (en) | 1992-08-21 | 1994-03-03 | Biogen, Inc. | Tat-derived transport polypeptides |
| US6196098B1 (en) | 1995-07-03 | 2001-03-06 | Fuji Photo Film Co., Ltd. | Paper cutter for photographic processing system |
| US6245747B1 (en) | 1996-03-12 | 2001-06-12 | The Board Of Regents Of The University Of Nebraska | Targeted site specific antisense oligodeoxynucleotide delivery method |
| US6306993B1 (en) | 1997-05-21 | 2001-10-23 | The Board Of Trustees Of The Leland Stanford, Jr. University | Method and composition for enhancing transport across biological membranes |
| WO2001062297A1 (en) | 2000-02-14 | 2001-08-30 | Cellgate, Inc. | Compositions and methods for enhancing drug delivery across biological membranes and tissues |
| US20030032593A1 (en) | 2001-02-16 | 2003-02-13 | Cellgate, Inc. | Transporters comprising spaced arginine moieties |
| US20030224353A1 (en) | 2001-10-16 | 2003-12-04 | Stein David A. | Antisense antiviral agent and method for treating ssRNA viral infection |
| WO2005007805A2 (en) | 2003-04-24 | 2005-01-27 | Avi Biopharma, Inc. | ANTISENSE ANTIVIRAL AGENT AND METHOD FOR TREATING ssRNA VIRAL INFECTION |
| US7468418B2 (en) | 2003-04-29 | 2008-12-23 | Avi Biopharma., Inc. | Compositions for enhancing transport of molecules into cells |
| WO2005030800A2 (en) | 2003-08-05 | 2005-04-07 | Avi Biopharma, Inc. | Oligonucleotide analog and method for treating flavivirus infections |
| US20050096291A1 (en) | 2003-08-05 | 2005-05-05 | Iversen Patrick L. | Oligonucleotide analog and method for treating flavivirus infections |
| US20070037763A1 (en) | 2003-12-24 | 2007-02-15 | Avi Biopharma, Inc. | Oligonucleotide compound and method for treating nidovirus infections |
| WO2005065268A2 (en) | 2003-12-24 | 2005-07-21 | Avi Biopharma, Inc. | Oligonucleotide compound and method for treating nidovirus infections |
| WO2006000057A1 (en) | 2004-06-28 | 2006-01-05 | SMITHKLINE BEECHAM CORPORATION, doing business as GLAXOSMITHKLINE | Antisense oligonucleotides for inducing exon skipping and methods of use thereof |
| WO2006033933A2 (en) | 2004-09-16 | 2006-03-30 | Avi Biopharma, Inc. | Antisense antiviral compound and method for treating ssrna viral infection |
| US20060269911A1 (en) | 2004-09-16 | 2006-11-30 | Avi Biopharma, Inc. | Antisense antiviral compound and method for treating ssRNA viral infection |
| WO2006047683A2 (en) | 2004-10-26 | 2006-05-04 | Avi Biopharma, Inc. | Antisense antiviral compound and method for treating influenza viral infection |
| US20070004661A1 (en) | 2004-10-26 | 2007-01-04 | Stein David A | Antisense antiviral compound and method for treating influenza viral infection |
| WO2006050414A2 (en) | 2004-11-01 | 2006-05-11 | Avi Biopharma, Inc. | Antisense antiviral compounds and methods for treating filovirus infection |
| US7507196B2 (en) | 2004-11-01 | 2009-03-24 | Avi Biopharma, Inc. | Antisense antiviral compounds and methods for treating a filovirus infection |
| US7524829B2 (en) | 2004-11-01 | 2009-04-28 | Avi Biopharma, Inc. | Antisense antiviral compounds and methods for treating a filovirus infection |
| US7838657B2 (en) | 2004-12-03 | 2010-11-23 | University Of Massachusetts | Spinal muscular atrophy (SMA) treatment via targeting of SMN2 splice site inhibitory sequences |
| WO2006086667A2 (en) | 2005-02-09 | 2006-08-17 | Avi Bio Pharma, Inc. | Antisense composition and method for treating muscle atrophy |
| WO2007002390A2 (en) | 2005-06-23 | 2007-01-04 | Isis Pharmaceuticals, Inc. | Compositions and methods for modulation of smn2 splicing |
| WO2007030691A2 (en) | 2005-09-08 | 2007-03-15 | Avi Biopharma, Inc. | Antisense antiviral compound and method for treating picornavirus infection |
| WO2007030576A2 (en) | 2005-09-08 | 2007-03-15 | Avi Biopharma, Inc. | Antisense antiviral compound and method for treating picornavirus infection |
| WO2007103529A2 (en) | 2006-03-07 | 2007-09-13 | Avi Biopharma, Inc. | Antisense antiviral compound and method for treating arenavirus infection |
| US7582615B2 (en) | 2006-03-07 | 2009-09-01 | Avi Biopharma, Inc. | Antisense antiviral compound and method for treating arenavirus infection |
| WO2008036127A2 (en) | 2006-05-10 | 2008-03-27 | Avi Biopharma, Inc. | Oligonucleotide analogs having cationic intersubunit linkages |
| US7943762B2 (en) | 2006-05-10 | 2011-05-17 | Avi Biopharma, Inc. | Oligonucleotide analogs having cationic intersubunit linkages |
| WO2008018795A1 (en) | 2006-08-11 | 2008-02-14 | Prosensa Technologies B.V. | Methods and means for treating dna repeat instability associated genetic disorders |
| WO2008036406A2 (en) | 2006-09-21 | 2008-03-27 | University Of Rochester | Compositions and methods related to protein displacement therapy for myotonic distrophy |
| US20100056613A1 (en) | 2006-11-24 | 2010-03-04 | Hykes Laboratories Llc | Spiroquinone compound and pharmaceutical composition |
| WO2009005793A2 (en) * | 2007-06-29 | 2009-01-08 | Avi Biopharma, Inc. | Tissue specific peptide conjugates and methods |
| US20100016215A1 (en) * | 2007-06-29 | 2010-01-21 | Avi Biopharma, Inc. | Compound and method for treating myotonic dystrophy |
| WO2009064471A1 (en) | 2007-11-15 | 2009-05-22 | Avi Biopharma, Inc. | Method of synthesis of morpholino oligomers |
| WO2009144481A2 (en) * | 2008-05-30 | 2009-12-03 | Isis Innovation Limited | Conjugates for delivery of biologically active compounds |
| WO2010048586A1 (en) | 2008-10-24 | 2010-04-29 | Avi Biopharma, Inc. | Multiple exon skipping compositions for dmd |
| WO2010120820A1 (en) | 2009-04-13 | 2010-10-21 | Isis Pharmaceuticals, Inc. | Compositions and methods for modulation of smn2 splicing |
| WO2010148249A1 (en) | 2009-06-17 | 2010-12-23 | Isis Pharmaceuticals, Inc. | Compositions and methods for modulation of smn2 splicing in a subject |
| WO2011143608A1 (en) * | 2010-05-13 | 2011-11-17 | Avi Biopharma, Inc. | Antisense modulation of interleukins 17 and 23 signaling |
Non-Patent Citations (17)
| Title |
|---|
| "Guide for the Care and Use of Laboratory Animals", 2010, NATIONAL ACADEMY PRESS |
| "Manual of Standard Methods for Veterinary Microbiology", 1978, pages: 60 - 93 |
| ANDCRSON, K.P. ET AL., ANTIMICROB. AGENTS AND CHEMOTHERAPY, vol. 40, no. 9, 1996, pages 2004 - 2011 |
| GREGORIADIS, G.: "Liposomes, Drug Carriers in Biology and Medicine", 1979, ACADEMIC PRESS, pages: 287 - 341 |
| HAMES ET AL.: "Nucleic Acid Hybridization", 1985, IRL PRESS, pages: 107 - 108 |
| LAPPALAINEN ET AL., ANTIVIRAL RES., vol. 23, 1994, pages 119 |
| MIYADA C.G.; WALLACE R.B.: "Oligonucleotide hybridization techniques", METHODS ENZYMOL., vol. 154, 1987, pages 94 - 107, XP009096793, DOI: doi:10.1016/0076-6879(87)54072-1 |
| MIYADA ET AL., METHODS ENZYMOL., vol. 154, 1987, pages 94 - 107 |
| P. IVERSEN: "Antisense Drug Technology", 2001, MARCEL DEKKER, INC., article "Phosphoramidite Morpholino Oligomers" |
| PARI, G.S. ET AL., ANTIMICROB. AGENTS AND CHEMOTHERAPY, vol. 39, no. 5, 1995, pages 1157 - 1161 |
| RICHARD J P ET AL: "Cell-penetrating peptides. A reevaluation of the mechanism of cellular uptake", JOURNAL OF BIOLOGICAL CHEMISTRY, THE AMERICAN SOCIETY OF BIOLOGICAL CHEMISTS, INC, US, vol. 278, no. 1, 3 January 2003 (2003-01-03), pages 585 - 590, XP002314498, ISSN: 0021-9258, DOI: 10.1074/JBC.M209548200 * |
| UHLMANN ET AL.: "antisense oligonucleotides: a new therapeutic principle", CHEMICAL REVIEWS, vol. 90, no. 4, 1990, pages 544 - 584, XP000141412, DOI: doi:10.1021/cr00102a001 |
| VANIN, E.F.; JI, T.H., BIOCHEMISTRY, vol. 20, 1981, pages 6754 - 6760 |
| WILLIAMS, S.A., LCUKCMIA, vol. 10, no. 12, 1996, pages 1980 - 1989 |
| WU, G.Y.; WU, C.H., J. BIOL. CHEM., vol. 262, 1987, pages 4429 - 4432 |
| YIN HAIFANG ET AL: "Effective exon skipping and restoration of dystrophin expression by peptide nucleic acid antisense oligonucleotides in mdx mice", MOLECULAR THERAPY, NATURE PUBLISHING GROUP, GB, vol. 16, no. 1, 1 January 2008 (2008-01-01), pages 38 - 45, XP002530581, ISSN: 1525-0024, [retrieved on 20071030], DOI: 10.1038/SJ.MT.6300329 * |
| ZHANG Y M ET AL: "Construction of a novel chimera consisting of a chelator-containing Tat peptide conjugated to a morpholino antisense oligomer for technetium-99m labeling and accelerating cellular kinetics", NUCLEAR MEDICINE AND BIOLOGY, ELSEVIER, NY, US, vol. 33, no. 2, 1 February 2006 (2006-02-01), pages 263 - 269, XP027962949, ISSN: 0969-8051, [retrieved on 20060201] * |
Cited By (217)
| Publication number | Priority date | Publication date | Assignee | Title |
|---|---|---|---|---|
| US9035040B2 (en) | 2004-06-28 | 2015-05-19 | The University Of Western Australia | Antisense oligonucleotides for inducing exon skipping and methods of use thereof |
| US9447415B2 (en) | 2004-06-28 | 2016-09-20 | The University Of Western Australia | Antisense oligonucleotides for inducing exon skipping and methods of use thereof |
| USRE47769E1 (en) | 2004-06-28 | 2019-12-17 | The University Of Western Australia | Antisense oligonucleotides for inducing exon skipping and methods of use thereof |
| USRE47751E1 (en) | 2004-06-28 | 2019-12-03 | The University Of Western Australia | Antisense oligonucleotides for inducing exon skipping and methods of use thereof |
| US9422555B2 (en) | 2004-06-28 | 2016-08-23 | The University Of Western Australia | Antisense oligonucleotides for inducing exon skipping and methods of use thereof |
| USRE47691E1 (en) | 2004-06-28 | 2019-11-05 | The University Of Western Australia | Antisense oligonucleotides for inducing exon skipping and methods of use thereof |
| US10421966B2 (en) | 2004-06-28 | 2019-09-24 | The University Of Western Australia | Antisense oligonucleotides for inducing exon skipping and methods of use thereof |
| US10781451B2 (en) | 2004-06-28 | 2020-09-22 | The University Of Western Australia | Antisense oligonucleotides for inducing exon skipping and methods of use thereof |
| US10266827B2 (en) | 2004-06-28 | 2019-04-23 | The University Of Western Australia | Antisense oligonucleotides for inducing exon skipping and methods of use thereof |
| US9441229B2 (en) | 2004-06-28 | 2016-09-13 | The University Of Western Australia | Antisense oligonucleotides for inducing exon skipping and methods of use thereof |
| US9018368B2 (en) | 2004-06-28 | 2015-04-28 | The University Of Western Australia | Antisense oligonucleotides for inducing exon skipping and methods of use thereof |
| US10968450B2 (en) | 2004-06-28 | 2021-04-06 | The University Of Western Australia | Antisense oligonucleotides for inducing exon skipping and methods of use thereof |
| US9249416B2 (en) | 2004-06-28 | 2016-02-02 | The University Of Western Australia | Antisense oligonucleotides for inducing exon skipping and methods of use thereof |
| US9605262B2 (en) | 2004-06-28 | 2017-03-28 | The University Of Western Australia | Antisense oligonucleotides for inducing exon skipping and methods of use thereof |
| US9024007B2 (en) | 2004-06-28 | 2015-05-05 | The University Of Western Australia | Antisense oligonucleotides for inducing exon skipping and methods of use thereof |
| US9175286B2 (en) | 2004-06-28 | 2015-11-03 | The University Of Western Australia | Antisense oligonucleotides for inducing exon skipping and methods of use thereof |
| US10995337B2 (en) | 2004-06-28 | 2021-05-04 | The University Of Western Australia | Antisense oligonucleotides for inducing exon skipping and methods of use thereof |
| US9994851B2 (en) | 2004-06-28 | 2018-06-12 | The University Of Western Australia | Antisense oligonucleotides for inducing exon skipping and methods of use thereof |
| US10626396B2 (en) | 2005-02-09 | 2020-04-21 | Sarepta Therapeutics, Inc. | Antisense composition and method for treating muscle atrophy |
| US9890379B2 (en) | 2006-08-11 | 2018-02-13 | Biomarin Technologies B.V. | Treatment of genetic disorders associated with DNA repeat instability |
| US11274299B2 (en) | 2006-08-11 | 2022-03-15 | Vico Therapeutics B.V. | Methods and means for treating DNA repeat instability associated genetic disorders |
| US10689646B2 (en) | 2006-08-11 | 2020-06-23 | Biomarin Technologies B.V. | Treatment of genetic disorders associated with DNA repeat instability |
| US9926557B2 (en) | 2007-10-26 | 2018-03-27 | Biomarin Technologies B.V. | Methods and means for efficient skipping of exon 45 in Duchenne muscular dystrophy pre-mRNA |
| US9499818B2 (en) | 2007-10-26 | 2016-11-22 | BioMarin Technologies, B.V. | Methods and means for efficient skipping of at least one of the exons 51-53, 55, 57 and 59 of the human duchenne muscular dystrophy gene |
| US11427820B2 (en) | 2007-10-26 | 2022-08-30 | Biomarin Technologies B.V. | Methods and means for efficient skipping of exon 45 in Duchenne muscular dystrophy pre-mRNA |
| US10876114B2 (en) | 2007-10-26 | 2020-12-29 | Biomarin Technologies B.V. | Methods and means for efficient skipping of at least one of the following exons of the human Duchenne muscular dystrophy gene: 43, 46, 50-53 |
| US10246707B2 (en) | 2008-05-14 | 2019-04-02 | Biomarin Technologies B.V. | Method for efficient exon (44) skipping in duchenne muscular dystrophy and associated means |
| US9434948B2 (en) | 2008-10-24 | 2016-09-06 | Sarepta Therapeutics, Inc. | Multiple exon skipping compositions for DMD |
| US9447416B2 (en) | 2008-10-24 | 2016-09-20 | Sarepta Therapeutics, Inc. | Multiple exon skipping compositions for DMD |
| US9234198B1 (en) | 2008-10-24 | 2016-01-12 | Sarepta Therapeutics, Inc. | Multiple exon skipping compositions for DMD |
| US9447417B2 (en) | 2008-10-24 | 2016-09-20 | Sarepta Therapeutics, Inc. | Multiple exon skipping compositions for DMD |
| US9453225B2 (en) | 2008-10-24 | 2016-09-27 | Sarepta Therapeutics, Inc. | Multiple exon skipping compositions for DMD |
| US10781450B2 (en) | 2009-11-12 | 2020-09-22 | Sarepta Therapeutics, Inc. | Antisense molecules and methods for treating pathologies |
| US9228187B2 (en) | 2009-11-12 | 2016-01-05 | The University Of Western Australia | Antisense molecules and methods for treating pathologies |
| US9758783B2 (en) | 2009-11-12 | 2017-09-12 | The University Of Western Australia | Antisense molecules and methods for treating pathologies |
| US11447776B2 (en) | 2009-11-12 | 2022-09-20 | The University Of Western Australia | Antisense molecules and methods for treating pathologies |
| US10287586B2 (en) | 2009-11-12 | 2019-05-14 | The University Of Western Australia | Antisense molecules and methods for treating pathologies |
| US10647741B2 (en) | 2010-09-01 | 2020-05-12 | Nippon Shinyaku Co., Ltd. | Antisense nucleic acids |
| US11028122B1 (en) | 2010-09-01 | 2021-06-08 | Nippon Shinyaku Co., Ltd. | Antisense nucleic acids |
| US10683322B2 (en) | 2010-09-01 | 2020-06-16 | Nippon Shinyaku Co., Ltd. | Antisense nucleic acids |
| US10487106B2 (en) | 2010-09-01 | 2019-11-26 | Nippon Shinyaku Co., Ltd. | Antisense nucleic acids |
| US10385092B2 (en) | 2010-09-01 | 2019-08-20 | Nippon Shinyaku Co., Ltd. | Antisense nucleic acids |
| US10870676B2 (en) | 2010-09-01 | 2020-12-22 | Nippon Shinyaku Co., Ltd. | Antisense nucleic acids |
| US10407461B2 (en) | 2010-09-01 | 2019-09-10 | Nippon Shinyaku Co., Ltd. | Antisense nucleic acids |
| US10662217B2 (en) | 2010-09-01 | 2020-05-26 | Nippon Shinyaku Co., Ltd. | Antisense nucleic acids |
| US10662431B2 (en) | 2011-10-04 | 2020-05-26 | Royal Holloway And Bedford New College | Oligomers |
| US10947536B2 (en) | 2011-10-04 | 2021-03-16 | Royal Holloway And Bedford New College | Oligomers |
| US10421969B2 (en) | 2011-10-04 | 2019-09-24 | Royal Holloway And Bedford New College | Oligomers |
| US10344281B2 (en) | 2011-11-18 | 2019-07-09 | Sarepta Therapeutics, Inc. | Functionally-modified oligonucleotides and subunits thereof |
| US9790499B2 (en) | 2011-11-18 | 2017-10-17 | Sarepta Therapeutics, Inc. | Functionally-modified oligonucleotides and subunits thereof |
| CN104039739A (en) * | 2011-11-18 | 2014-09-10 | 萨勒普塔医疗公司 | Functionally modified oligonucleotides and their subunits |
| US11208655B2 (en) | 2011-11-18 | 2021-12-28 | Sarepta Therapeutics, Inc. | Functionally-modified oligonucleotides and subunits thereof |
| US10577605B2 (en) | 2011-11-30 | 2020-03-03 | Sarepta Therapeutics, Inc. | Induced exon inclusion in spinal muscle atrophy |
| US11674139B2 (en) | 2011-11-30 | 2023-06-13 | Sarepta Therapeutics, Inc. | Oligonucleotides for treating expanded repeat diseases |
| WO2013082551A1 (en) | 2011-11-30 | 2013-06-06 | Sarepta Therapeutics, Inc. | Induced exon inclusion in spinal muscle atrophy |
| US9944926B2 (en) | 2011-11-30 | 2018-04-17 | Sarepta Therapeutics, Inc. | Induced exon inclusion in spinal muscle atrophy |
| US10066228B2 (en) | 2011-11-30 | 2018-09-04 | Sarepta Therapeutics, Inc. | Oligonucleotides for treating expanded repeat diseases |
| EP3858847A1 (en) | 2011-11-30 | 2021-08-04 | Sarepta Therapeutics, Inc. | Oligonucleotides for treating expanded repeat diseases |
| WO2013082548A1 (en) | 2011-11-30 | 2013-06-06 | Sarepta Therapeutics, Inc. | Oligonucleotides for treating expanded repeat diseases |
| US11071749B2 (en) | 2011-12-08 | 2021-07-27 | Sarepta Therapeutics, Inc. | Oligonucleotide analogues targeting human LMNA |
| US9682097B2 (en) | 2011-12-08 | 2017-06-20 | Sarepta Therapeutics, Inc. | Oligonucleotide analogues targeting human LMNA |
| US10076536B2 (en) | 2011-12-08 | 2018-09-18 | Sarepta Therapeutics, Inc. | Oligonucleotide analogues targeting human LMNA |
| EP3399038A2 (en) | 2011-12-08 | 2018-11-07 | Sarepta Therapeutics, Inc. | Oligonucleotide analogues targeting human lmna |
| US9326992B2 (en) | 2011-12-08 | 2016-05-03 | Sarepta Therapeutics, Inc. | Methods for treating progeroid laminopathies using oligonucleotide analogues targeting human LMNA |
| US10398721B2 (en) | 2011-12-08 | 2019-09-03 | Sarepta Therapeutics, Inc. | Methods for treating progeroid laminopathies using oligonucleotide analogues targeting human LMNA |
| US9833468B2 (en) | 2011-12-08 | 2017-12-05 | Sarepta Therapeutics, Inc. | Methods for treating progeroid laminopathies using oligonucleotide analogues targeting human LMNA |
| US9066967B2 (en) | 2011-12-08 | 2015-06-30 | Sarepta Therapeutics, Inc. | Oligonucleotide analogues targeting human LMNA |
| US10179912B2 (en) | 2012-01-27 | 2019-01-15 | Biomarin Technologies B.V. | RNA modulating oligonucleotides with improved characteristics for the treatment of duchenne and becker muscular dystrophy |
| US10913946B2 (en) | 2012-01-27 | 2021-02-09 | Biomarin Technologies B.V. | RNA modulating oligonucleotides with improved characteristics for the treatment of Duchenne and Becker muscular dystrophy |
| US11345915B2 (en) | 2012-04-23 | 2022-05-31 | Vico Therapeutics B.V. | RNA modulating oligonucleotides with improved characteristics for the treatment of neuromuscular disorders |
| US9745576B2 (en) | 2012-04-23 | 2017-08-29 | Biomarin Technologies B.V. | RNA modulating oligonucleotides with improved characteristics for the treatment of neuromuscular disorders |
| EP3885439A1 (en) | 2012-12-20 | 2021-09-29 | Sarepta Therapeutics, Inc. | Improved exon skipping compositions for treating muscular dystrophy |
| WO2014100714A1 (en) | 2012-12-20 | 2014-06-26 | Sarepta Therapeutics, Inc. | Improved exon skipping compositions for treating muscular dystrophy |
| WO2014113540A1 (en) | 2013-01-16 | 2014-07-24 | Iowa State University Research Foundation, Inc. | A deep intronic target for splicing correction on spinal muscular atrophy gene |
| EA035882B1 (en) * | 2013-03-14 | 2020-08-27 | Сарепта Терапьютикс, Инк. | Antisense oligonucleotides inducing exon skipping for treating muscular dystrophy |
| US11932851B2 (en) | 2013-03-14 | 2024-03-19 | Sarepta Therapeutics, Inc. | Exon skipping compositions for treating muscular dystrophy |
| WO2014153220A3 (en) * | 2013-03-14 | 2014-12-04 | Sarepta Therapeutics, Inc. | Exon skipping compositions for treating muscular dystrophy |
| JP2018126160A (en) * | 2013-03-14 | 2018-08-16 | サレプタ セラピューティクス, インコーポレイテッド | Exon skipping compositions for treating muscular dystrophy |
| EP3495485A2 (en) | 2013-03-14 | 2019-06-12 | Sarepta Therapeutics, Inc. | Exon skipping compositions for treating muscular dystrophy |
| CN105378081B (en) * | 2013-03-14 | 2019-06-14 | 萨勒普塔医疗公司 | Exon skipping compositions for the treatment of muscular dystrophy |
| JP2016517279A (en) * | 2013-03-14 | 2016-06-16 | サレプタ セラピューティクス, インコーポレイテッド | Exon skipping composition for treating muscular dystrophy |
| US9217148B2 (en) | 2013-03-14 | 2015-12-22 | Sarepta Therapeutics, Inc. | Exon skipping compositions for treating muscular dystrophy |
| EP3633035A1 (en) | 2013-03-14 | 2020-04-08 | Sarepta Therapeutics, Inc. | Exon skipping compositions for treating muscular dystrophy |
| CN110066793A (en) * | 2013-03-14 | 2019-07-30 | 萨勒普塔医疗公司 | For treating amyotrophic exon skipping composition |
| KR20150133751A (en) * | 2013-03-14 | 2015-11-30 | 사렙타 쎄러퓨틱스 인코퍼레이티드 | Exon skipping compositions for treating muscular dystrophy |
| WO2014153220A2 (en) | 2013-03-14 | 2014-09-25 | Sarepta Therapeutics, Inc. | Exon skipping compositions for treating muscular dystrophy |
| CN105378081A (en) * | 2013-03-14 | 2016-03-02 | 萨勒普塔医疗公司 | Exon skipping compositions for treating muscular dystrophy |
| US10907154B2 (en) | 2013-03-14 | 2021-02-02 | Sarepta Therapeutics, Inc. | Exon skipping compositions for treating muscular dystrophy |
| JP2021166541A (en) * | 2013-03-14 | 2021-10-21 | サレプタ セラピューティクス, インコーポレイテッド | Exon skipping composition for treating muscle dystrophy |
| CN110218727A (en) * | 2013-03-14 | 2019-09-10 | 萨勒普塔医疗公司 | For treating the exon skipping composition of muscular dystrophy |
| EP3760720A1 (en) | 2013-03-14 | 2021-01-06 | Sarepta Therapeutics, Inc. | Exon skipping compositions for treating muscular dystrophy |
| KR102258326B1 (en) | 2013-03-14 | 2021-06-02 | 사렙타 쎄러퓨틱스 인코퍼레이티드 | Exon skipping compositions for treating muscular dystrophy |
| WO2014153240A2 (en) | 2013-03-14 | 2014-09-25 | Sarepta Therapeutics, Inc. | Exon skipping compositions for treating muscular dystrophy |
| EP3998339A1 (en) | 2013-03-14 | 2022-05-18 | Sarepta Therapeutics, Inc. | Exon skipping compositions for treating muscular dystrophy |
| JP2024060002A (en) * | 2013-03-14 | 2024-05-01 | サレプタ セラピューティクス, インコーポレイテッド | Exon skipping compositions for treating muscular dystrophy - Patent Application 20070229633 |
| WO2014144978A2 (en) | 2013-03-15 | 2014-09-18 | Sarepta Therapeutics, Inc. | Improved compositions for treating muscular dystrophy |
| EP3662912A1 (en) | 2013-03-15 | 2020-06-10 | Sarepta Therapeutics, Inc. | Improved dosages of eteplirsen for treating duchenne muscular dystrophy |
| US9506058B2 (en) | 2013-03-15 | 2016-11-29 | Sarepta Therapeutics, Inc. | Compositions for treating muscular dystrophy |
| US10364431B2 (en) | 2013-03-15 | 2019-07-30 | Sarepta Therapeutics, Inc. | Compositions for treating muscular dystrophy |
| US10337003B2 (en) | 2013-03-15 | 2019-07-02 | Sarepta Therapeutics, Inc. | Compositions for treating muscular dystrophy |
| US9790497B2 (en) | 2013-05-24 | 2017-10-17 | Ajinomoto Co., Inc. | Morpholino oligonucleotide manufacturing method |
| US10415036B2 (en) | 2013-05-24 | 2019-09-17 | Ajinomoto Co., Inc. | Morpholino oligonucleotide manufacturing method |
| CN105228999A (en) * | 2013-05-24 | 2016-01-06 | 味之素株式会社 | The preparation method of morpholino oligonucleotide |
| CN105228999B (en) * | 2013-05-24 | 2021-03-02 | 味之素株式会社 | Process for preparing morpholino oligonucleotides |
| JPWO2014189142A1 (en) * | 2013-05-24 | 2017-02-23 | 味の素株式会社 | Method for producing morpholino oligonucleotide |
| EP3015467A4 (en) * | 2013-05-24 | 2016-11-02 | Ajinomoto Kk | PROCESS FOR THE PRODUCTION OF MORPHOLINO-OLIGONUCLEOTIDE |
| CN111235149A (en) * | 2013-09-05 | 2020-06-05 | 萨罗塔治疗公司(美国) | Antisense-induced exon 2 incorporation in acid alpha-glucosidase |
| CN111235149B (en) * | 2013-09-05 | 2024-04-16 | 萨罗塔治疗公司(美国) | Antisense-induced incorporation of exon 2 in acid α-glucosidase |
| CN105793422B (en) * | 2013-09-05 | 2020-03-03 | 萨罗塔治疗公司(美国) | Antisense-induced exon 2 inclusion in acid α -glucosidase |
| US11236338B2 (en) | 2013-09-05 | 2022-02-01 | Sarepta Therapeutics, Inc. | Antisense-induced exon2 inclusion in acid alpha-glucosidase |
| WO2015035231A1 (en) | 2013-09-05 | 2015-03-12 | Sarepta Therapeutics, Inc. | Antisense-induced exon2 inclusion in acid alpha-glucosidase |
| CN105793422A (en) * | 2013-09-05 | 2016-07-20 | 萨罗塔治疗公司(美国) | Antisense-induced exon 2 incorporation in acid α-glucosidase |
| US10517869B2 (en) | 2013-12-24 | 2019-12-31 | Sentiss Pharma Private Limited | Topical brimonidine tartrate ophthalmic solution |
| WO2015137409A1 (en) * | 2014-03-12 | 2015-09-17 | 日本新薬株式会社 | Antisense nucleic acid |
| US11053497B2 (en) | 2014-03-12 | 2021-07-06 | Nippon Shinyaku Co., Ltd. | Antisense nucleic acids |
| JPWO2015137409A1 (en) * | 2014-03-12 | 2017-04-06 | 日本新薬株式会社 | Antisense nucleic acid |
| US9988629B2 (en) | 2014-03-12 | 2018-06-05 | Nippon Shinyaku Co., Ltd. | Antisense nucleic acids |
| US9790495B2 (en) | 2014-05-16 | 2017-10-17 | Oregon State University | Antisense antibacterial compounds and methods |
| US11021706B2 (en) | 2014-05-16 | 2021-06-01 | Board Of Regents, The University Of Texas System | Antisense antibacterial compounds and methods |
| EP3620178A2 (en) | 2014-05-16 | 2020-03-11 | Oregon State University | Antisense antibacterial compounds and methods |
| US10391098B2 (en) | 2014-05-19 | 2019-08-27 | Board Of Regents, The University Of Texas System | Antisense antibacterial compounds and methods |
| EP3569252A2 (en) | 2014-05-19 | 2019-11-20 | Oregon State University | Antisense antibacterial compounds and methods |
| US12013403B2 (en) | 2014-09-12 | 2024-06-18 | Biogen Ma Inc. | Compositions and methods for detection of SMN protein in a subject and treatment of a subject |
| US11293024B2 (en) | 2014-12-31 | 2022-04-05 | Board Of Regents, The University Of Texas System | Antisense antibacterial compounds and methods |
| EP3271372A4 (en) * | 2015-03-18 | 2018-12-19 | Sarepta Therapeutics, Inc. | Antisense-induced exon exclusion in myostatin |
| US11015200B2 (en) | 2015-03-18 | 2021-05-25 | Sarepta Therapeutics, Inc. | Antisense-induced exon exclusion in myostatin |
| CN114681621A (en) * | 2015-05-19 | 2022-07-01 | 萨勒普塔医疗公司 | Peptide oligonucleotide conjugates |
| EP3297649A4 (en) * | 2015-05-19 | 2018-11-21 | Sarepta Therapeutics, Inc. | Peptide oligonucleotide conjugates |
| IL255655A (en) * | 2015-05-19 | 2019-08-29 | Sarepta Therapeutics Inc | Oligonucleotide peptide linkages |
| US11672871B2 (en) | 2015-05-19 | 2023-06-13 | Sarepta Therapeutics, Inc. | Peptide oligonucleotide conjugates |
| US12239715B2 (en) | 2015-05-19 | 2025-03-04 | Sarepta Therapeutics, Inc. | Peptide oligonucleotide conjugates |
| AU2016264471B2 (en) * | 2015-05-19 | 2022-01-27 | Sarepta Therapeutics, Inc. | Peptide oligonucleotide conjugates |
| WO2016187425A1 (en) | 2015-05-19 | 2016-11-24 | Sarepta Therapeutics, Inc. | Peptide oligonucleotide conjugates |
| US11097011B2 (en) | 2015-05-19 | 2021-08-24 | Sarepta Therapeutics, Inc. | Peptide oligonucleotide conjugates |
| EP4306538A3 (en) * | 2015-05-19 | 2024-05-01 | Sarepta Therapeutics, Inc. | Peptide oligonucleotide conjugates |
| US10675356B2 (en) | 2015-05-19 | 2020-06-09 | Sarepta Therapeutics, Inc. | Peptide oligonucleotide conjugates |
| US10849917B2 (en) | 2015-06-01 | 2020-12-01 | Sarepta Therapeutics, Inc. | Antisense-induced exon exclusion in type VII collagen |
| WO2016196670A1 (en) | 2015-06-01 | 2016-12-08 | Sarepta Therapeutics, Inc. | Antisense-induced exon exclusion in type vii collagen |
| US11911403B2 (en) | 2015-06-01 | 2024-02-27 | Sarepta Therapeutics, Inc. | Antisense-induced exon exclusion in type VII collagen |
| EP3851531A1 (en) | 2015-06-01 | 2021-07-21 | Sarepta Therapeutics, Inc. | Antisense-induced exon exclusion in type vii collagen |
| US11020417B2 (en) | 2015-06-04 | 2021-06-01 | Sarepta Therapeutics, Inc | Methods and compounds for treatment of lymphocyte-related diseases and conditions |
| US12121532B2 (en) | 2015-08-28 | 2024-10-22 | Sarepta Therapeutics, Inc. | Modified antisense oligomers for exon inclusion in spinal muscular atrophy |
| US20190015440A1 (en) * | 2015-08-28 | 2019-01-17 | Sarepta Therapeutics, Inc. | Modified antisense oligomers for exon inclusion in spinal muscular atrophy |
| US10905709B2 (en) | 2015-08-28 | 2021-02-02 | Sarepta Therapeutics, Inc. | Modified antisense oligomers for exon inclusion in spinal muscular atrophy |
| US10858395B2 (en) | 2015-09-10 | 2020-12-08 | Iucf-Hyu (Industry-University Cooperation Foundation Hanyang University) | Skin-penetrating peptide and method for using same |
| US20190055285A1 (en) * | 2015-09-10 | 2019-02-21 | Iucf-Hyu (Industry-University Cooperation Foundation Hanyang University) | Skin-penetrating peptide and method for using same |
| EP3336098A4 (en) * | 2015-09-10 | 2019-01-23 | IUCF-HYU (Industry-University Cooperation Foundation Hanyang University) | PERMEABLE PEPTIDE THROUGH THE SKIN AND METHOD OF USE THEREOF |
| EP3858993A1 (en) | 2015-10-09 | 2021-08-04 | Sarepta Therapeutics, Inc. | Compositions and methods for treating duchenne muscular dystrophy and related disorders |
| US11944688B2 (en) | 2015-12-21 | 2024-04-02 | Sutura Therapeutics Ltd | Biologically active compounds |
| US12209240B2 (en) | 2015-12-23 | 2025-01-28 | Board Of Regents, The University Of Texas System | Antisense antibacterial compounds and methods |
| US11142764B2 (en) | 2015-12-23 | 2021-10-12 | Board Of Regents, The University Of Texas System | Antisense antibacterial compounds and methods |
| US10907158B2 (en) | 2015-12-23 | 2021-02-02 | Board Of Regents, The University Of Texas System | Antisense antibacterial compounds and methods |
| WO2017112888A1 (en) | 2015-12-23 | 2017-06-29 | David Greenberg | Antisense antibacterial compounds and methods |
| US11060089B2 (en) | 2016-04-18 | 2021-07-13 | Sarepta Therapeutics, Inc. | Antisense oligomers and methods of using the same for treating diseases associated with the acid alpha-glucosidase gene |
| WO2017184529A1 (en) | 2016-04-18 | 2017-10-26 | Sarepta Therapeutics, Inc. | Antisense oligomers and methods of using the same for treating diseases associated with the acid alpha-glucosidase gene |
| US12139709B2 (en) | 2016-04-18 | 2024-11-12 | Sarepta Therapeutics, Inc. | Antisense oligomers and methods of using the same for treating diseases associated with the acid alpha-glucosidase gene |
| CN109477109A (en) * | 2016-04-29 | 2019-03-15 | 萨勒普塔医疗公司 | Oligonucleotide analogs targeting human LMNA |
| US10822608B2 (en) | 2016-04-29 | 2020-11-03 | Sarepta Therapeutics, Inc. | Oligonucleotide analogues targeting human LMNA |
| US11802283B2 (en) | 2016-04-29 | 2023-10-31 | Sarepta Therapeutics, Inc. | Oligonucleotide analogues targeting human LMNA |
| CN109477109B (en) * | 2016-04-29 | 2022-09-23 | 萨勒普塔医疗公司 | Oligonucleotide analogs targeting human LMNA |
| WO2017190041A1 (en) | 2016-04-29 | 2017-11-02 | Sarepta Therapeutics, Inc. | Oligonucleotide analogues targeting human lmna |
| US12377150B2 (en) | 2016-12-19 | 2025-08-05 | Sarepta Therapeutics, Inc. | Exon skipping oligomer conjugates for muscular dystrophy |
| US11000600B2 (en) | 2016-12-19 | 2021-05-11 | Sarepta Therapeutics, Inc. | Exon skipping oligomer conjugates for muscular dystrophy |
| US11382981B2 (en) | 2016-12-19 | 2022-07-12 | Sarepta Therapeutics, Inc. | Exon skipping oligomer conjugates for muscular dystrophy |
| US11395855B2 (en) | 2016-12-19 | 2022-07-26 | Sarepta Therapeutics, Inc. | Exon skipping oligomer conjugates for muscular dystrophy |
| EP4406601A3 (en) * | 2016-12-19 | 2024-09-11 | Sarepta Therapeutics, Inc. | Exon skipping oligomer conjugates for muscular dystrophy |
| WO2018118662A1 (en) * | 2016-12-19 | 2018-06-28 | Sarepta Therapeutics, Inc. | Exon skipping oligomer conjugates for muscular dystrophy |
| EP4122497A1 (en) * | 2016-12-19 | 2023-01-25 | Sarepta Therapeutics, Inc. | Exon skipping oligomer conjugates for muscular dystrophy |
| AU2017382773B2 (en) * | 2016-12-19 | 2025-01-30 | Sarepta Therapeutics, Inc. | Exon skipping oligomer conjugates for muscular dystrophy |
| US11642364B2 (en) | 2016-12-19 | 2023-05-09 | Sarepta Therapeutics, Inc. | Exon skipping oligomer conjugates for muscular dystrophy |
| WO2018118599A1 (en) * | 2016-12-19 | 2018-06-28 | Sarepta Therapeutics, Inc. | Exon skipping oligomer conjugates for muscular dystrophy |
| EP4115908A1 (en) * | 2016-12-19 | 2023-01-11 | Sarepta Therapeutics, Inc. | Exon skipping oligomer conjugates for muscular dystrophy |
| AU2017382723B2 (en) * | 2016-12-19 | 2025-01-30 | Sarepta Therapeutics, Inc. | Exon skipping oligomer conjugates for muscular dystrophy |
| WO2018118627A1 (en) * | 2016-12-19 | 2018-06-28 | Sarepta Therapeutics, Inc. | Exon skipping oligomer conjugates for muscular dystrophy |
| WO2019030298A1 (en) | 2017-08-08 | 2019-02-14 | Almirall, S.A. | Novel compounds activating the nrf2 pathway |
| WO2019059973A1 (en) * | 2017-09-22 | 2019-03-28 | Sarepta Therapeutics, Inc. | Exon skipping oligomer conjugates for muscular dystrophy |
| US11479772B2 (en) | 2017-09-22 | 2022-10-25 | The Regents Of The University Of Colorado | Thiomorpholino oligonucleotides for the treatment of muscular dystrophy |
| EP3684933A4 (en) * | 2017-09-22 | 2021-06-23 | The Regents of the University of Colorado, A Body Corporate | OLIGONUCLEOTIDES THIOMORPHOLINO FOR THE TREATMENT OF MUSCLE DYSTROPHY |
| AU2018337854B2 (en) * | 2017-09-22 | 2025-01-16 | Katarzyna JASTRZEBSKA | Thiomorpholino oligonucleotides for the treatment of muscular dystrophy |
| WO2019067979A1 (en) | 2017-09-28 | 2019-04-04 | Sarepta Therapeutics, Inc. | Combination therapies for treating muscular dystrophy |
| WO2019067981A1 (en) | 2017-09-28 | 2019-04-04 | Sarepta Therapeutics, Inc. | Combination therapies for treating muscular dystrophy |
| WO2019067975A1 (en) | 2017-09-28 | 2019-04-04 | Sarepta Therapeutics, Inc. | Combination therapies for treating muscular dystrophy |
| US12138312B2 (en) | 2017-10-17 | 2024-11-12 | Sarepta Therapeutics, Inc. | Cell-penetrating peptides for antisense delivery |
| TWI837102B (en) * | 2017-10-17 | 2024-04-01 | 美商薩羅塔治療公司 | Cell-penetrating peptides for antisense delivery |
| US11555189B2 (en) | 2017-10-18 | 2023-01-17 | Sarepta Therapeutics, Inc. | Antisense oligomer compounds |
| US12370261B2 (en) | 2018-03-16 | 2025-07-29 | Sarepta Therapeutics, Inc. | Chimeric peptides for antisense delivery |
| EP3784248A4 (en) * | 2018-04-26 | 2022-08-10 | Sarepta Therapeutics, Inc. | EXON-SKIPPING OLIGOMERS AND OLIGOMER CONJUGATE FOR MUSCLE DYSTROPHY |
| EP4219717A2 (en) | 2018-06-13 | 2023-08-02 | Sarepta Therapeutics, Inc. | Exon skipping oligomers for muscular dystrophy |
| WO2020023688A1 (en) | 2018-07-27 | 2020-01-30 | Sarepta Therapeutics, Inc. | Exon skipping oligomers for muscular dystrophy |
| US12168059B2 (en) | 2018-07-30 | 2024-12-17 | Sarepta Therapeutics, Inc. | Trimeric peptides for antisense delivery |
| US12268749B2 (en) | 2018-08-09 | 2025-04-08 | Oxford University Innovation Limited | Cell-penetrating peptides |
| US12472264B2 (en) | 2018-08-09 | 2025-11-18 | Oxford University Innovation Limited | Cell-penetrating peptides |
| US12465646B2 (en) | 2018-12-07 | 2025-11-11 | Oxford University Innovation Limited | Linkers |
| WO2020123574A1 (en) | 2018-12-13 | 2020-06-18 | Sarepta Therapeutics, Inc. | Exon skipping oligomer conjugates for muscular dystrophy |
| WO2020138509A1 (en) | 2018-12-28 | 2020-07-02 | Nippon Shinyaku Co., Ltd. | Myostatin signal inhibitor |
| WO2020214763A1 (en) | 2019-04-18 | 2020-10-22 | Sarepta Therapeutics, Inc. | Compositions for treating muscular dystrophy |
| WO2021132591A1 (en) | 2019-12-26 | 2021-07-01 | 日本新薬株式会社 | Antisense nucleic acid that induces skipping of exon 50 |
| WO2021172498A1 (en) | 2020-02-28 | 2021-09-02 | 日本新薬株式会社 | Antisense nucleic acid inducing skipping of exon 51 |
| US11299737B1 (en) | 2020-02-28 | 2022-04-12 | Ionis Pharmaceuticals, Inc. | Compounds and methods for modulating SMN2 |
| WO2022061216A1 (en) * | 2020-09-21 | 2022-03-24 | Icahn School Of Medicine At Mount Sinai | Archaea l30 proteins as universal influenza virus therapeutics |
| WO2022140535A1 (en) | 2020-12-23 | 2022-06-30 | Sarepta Therapeutics, Inc. | Compositions comprising exon skipping oligonucleotide conjugates for treating muscular dystrophy |
| WO2022172019A1 (en) * | 2021-02-12 | 2022-08-18 | Oxford University Innovation Limited | Cell-penetrating peptide conjugates and methods of their use |
| WO2022171972A1 (en) * | 2021-02-12 | 2022-08-18 | Oxford University Innovation Limited | Cell-penetrating peptide conjugates and methods of their use |
| WO2022232478A1 (en) | 2021-04-30 | 2022-11-03 | Sarepta Therapeutics, Inc. | Treatment methods for muscular dystrophy |
| US12286630B2 (en) | 2021-04-30 | 2025-04-29 | Sarepta Therapeutics, Inc. | Treatment methods for muscular dystrophy |
| WO2022270585A1 (en) | 2021-06-23 | 2022-12-29 | 日本新薬株式会社 | Combination of antisense oligomers |
| WO2023282345A1 (en) | 2021-07-08 | 2023-01-12 | 日本新薬株式会社 | Nephrotoxicity reducing agent |
| WO2023282344A1 (en) | 2021-07-08 | 2023-01-12 | 日本新薬株式会社 | Nephrotoxicity reducing agent |
| WO2023282346A1 (en) | 2021-07-08 | 2023-01-12 | 日本新薬株式会社 | Precipitation inhibitor |
| WO2023026994A1 (en) | 2021-08-21 | 2023-03-02 | 武田薬品工業株式会社 | Human transferrin receptor binding peptide-drug conjugate |
| WO2023027125A1 (en) | 2021-08-24 | 2023-03-02 | ペプチドリーム株式会社 | Human transferrin receptor-binding antibody-peptide conjugate |
| WO2023055774A1 (en) | 2021-09-30 | 2023-04-06 | Sarepta Therapeutics, Inc. | Antisense oligonucleotides having one or more abasic units |
| WO2023070086A1 (en) | 2021-10-22 | 2023-04-27 | Sarepta Therapeutics, Inc. | Morpholino oligomers for treatment of peripheral myelin protein 22 related diseases |
| WO2023178230A1 (en) | 2022-03-17 | 2023-09-21 | Sarepta Therapeutics, Inc. | Phosphorodiamidate morpholino oligomer conjugates |
| WO2024064237A2 (en) | 2022-09-21 | 2024-03-28 | Sarepta Therapeutics, Inc. | Dmd antisense oligonucleotide-mediated exon skipping efficiency |
| WO2024097822A1 (en) | 2022-11-02 | 2024-05-10 | Sarepta Therapeutics, Inc. | Formulation of an antisense oligomer conjugate |
| WO2025085810A2 (en) | 2023-10-18 | 2025-04-24 | Sarepta Therapeutics, Inc. | Antisense oligomers for treatment of centronuclear myopathies |
Also Published As
Similar Documents
| Publication | Publication Date | Title |
|---|---|---|
| AU2023203112B2 (en) | Peptide oligonucleotide conjugates | |
| US11732259B2 (en) | Peptide oligonucleotide conjugates | |
| AU2011257980B2 (en) | Oligonucleotide analogues having modified intersubunit linkages and/or terminal groups | |
| AU2013202731A1 (en) | Oligonucleotide analogues having modified intersubunit linkages and/or terminal groups | |
| NZ761522B2 (en) | Oligonucleotide analogues having modified intersubunit linkages and/or terminal groups |
Legal Events
| Date | Code | Title | Description |
|---|---|---|---|
| 121 | Ep: the epo has been informed by wipo that ep was designated in this application |
Ref document number: 11793913 Country of ref document: EP Kind code of ref document: A1 |
|
| ENP | Entry into the national phase |
Ref document number: 2014509281 Country of ref document: JP Kind code of ref document: A |
|
| ENP | Entry into the national phase |
Ref document number: 2834128 Country of ref document: CA |
|
| NENP | Non-entry into the national phase |
Ref country code: DE |
|
| WWE | Wipo information: entry into national phase |
Ref document number: 2011793913 Country of ref document: EP |
|
| ENP | Entry into the national phase |
Ref document number: 20137032241 Country of ref document: KR Kind code of ref document: A |
|
| ENP | Entry into the national phase |
Ref document number: 2011367230 Country of ref document: AU Date of ref document: 20111117 Kind code of ref document: A |





























































































