WO2012075115A1 - 4-substituted-cyclohexylamino-4-piperidinyl-acetamide antagonists of ccr2 - Google Patents
4-substituted-cyclohexylamino-4-piperidinyl-acetamide antagonists of ccr2 Download PDFInfo
- Publication number
- WO2012075115A1 WO2012075115A1 PCT/US2011/062593 US2011062593W WO2012075115A1 WO 2012075115 A1 WO2012075115 A1 WO 2012075115A1 US 2011062593 W US2011062593 W US 2011062593W WO 2012075115 A1 WO2012075115 A1 WO 2012075115A1
- Authority
- WO
- WIPO (PCT)
- Prior art keywords
- alkyl
- compound
- dihydrobenzofuran
- disease
- ocf
- Prior art date
- Legal status (The legal status is an assumption and is not a legal conclusion. Google has not performed a legal analysis and makes no representation as to the accuracy of the status listed.)
- Ceased
Links
- 0 *C(CC1)(CCC1=O)I Chemical compound *C(CC1)(CCC1=O)I 0.000 description 8
- JBEIOMHBECTNCD-HTUXWFBOSA-N C/C=C(/C(C(CC1)CCC1NC(C(CC1)CCN1C(Nc1cccc(F)c1)=O)C(N)=O)=CN1)\C1=C/C Chemical compound C/C=C(/C(C(CC1)CCC1NC(C(CC1)CCN1C(Nc1cccc(F)c1)=O)C(N)=O)=CN1)\C1=C/C JBEIOMHBECTNCD-HTUXWFBOSA-N 0.000 description 1
- NABSVRNTVKCRAN-UHFFFAOYSA-N CC(C)(C)OC(N(CC1)CCC1C(C(OC)=O)Br)=O Chemical compound CC(C)(C)OC(N(CC1)CCC1C(C(OC)=O)Br)=O NABSVRNTVKCRAN-UHFFFAOYSA-N 0.000 description 1
- ITMVVZOLICQJAV-UHFFFAOYSA-N CCOC(c1cc(NC(N(CC2)CCC2C(C(N)=O)NC(CC2)CCC2c2c[nH]c3c2cccc3)=O)ccc1)=O Chemical compound CCOC(c1cc(NC(N(CC2)CCC2C(C(N)=O)NC(CC2)CCC2c2c[nH]c3c2cccc3)=O)ccc1)=O ITMVVZOLICQJAV-UHFFFAOYSA-N 0.000 description 1
- ZCANJYVDXOBARW-UHFFFAOYSA-N CN(C)C(C(C1CCNCC1)NC(CC1)CCC1c1c[nH]c2c1cccc2)=O Chemical compound CN(C)C(C(C1CCNCC1)NC(CC1)CCC1c1c[nH]c2c1cccc2)=O ZCANJYVDXOBARW-UHFFFAOYSA-N 0.000 description 1
- STFZXNFAUSAZFQ-VGOFMYFVSA-N NC(C(C(CC1)CCN1C(/C=C/c(cc1)ccc1OC(F)(F)F)=O)NC(CC1)CCC1c1c[nH]c2ccccc12)=O Chemical compound NC(C(C(CC1)CCN1C(/C=C/c(cc1)ccc1OC(F)(F)F)=O)NC(CC1)CCC1c1c[nH]c2ccccc12)=O STFZXNFAUSAZFQ-VGOFMYFVSA-N 0.000 description 1
- GSURBLRTRXACOM-FPYGCLRLSA-N NC(C(C(CC1)CCN1C(/C=C/c(cc1F)cc(F)c1F)=O)NC(CC1)CCC1c1c[nH]c2c1nccc2)=O Chemical compound NC(C(C(CC1)CCN1C(/C=C/c(cc1F)cc(F)c1F)=O)NC(CC1)CCC1c1c[nH]c2c1nccc2)=O GSURBLRTRXACOM-FPYGCLRLSA-N 0.000 description 1
- WTOWTZMLDHRNCU-MDWZMJQESA-N NC(C(C(CC1)CCN1C(/C=C/c1cccc(C(F)(F)F)c1)=O)NC(CC1)CCC1c1c[nH]c2c1cccc2)=O Chemical compound NC(C(C(CC1)CCN1C(/C=C/c1cccc(C(F)(F)F)c1)=O)NC(CC1)CCC1c1c[nH]c2c1cccc2)=O WTOWTZMLDHRNCU-MDWZMJQESA-N 0.000 description 1
- WGQKYBSKWIADBV-UHFFFAOYSA-N NCc1ccccc1 Chemical compound NCc1ccccc1 WGQKYBSKWIADBV-UHFFFAOYSA-N 0.000 description 1
Classifications
-
- C—CHEMISTRY; METALLURGY
- C07—ORGANIC CHEMISTRY
- C07D—HETEROCYCLIC COMPOUNDS
- C07D401/00—Heterocyclic compounds containing two or more hetero rings, having nitrogen atoms as the only ring hetero atoms, at least one ring being a six-membered ring with only one nitrogen atom
- C07D401/02—Heterocyclic compounds containing two or more hetero rings, having nitrogen atoms as the only ring hetero atoms, at least one ring being a six-membered ring with only one nitrogen atom containing two hetero rings
- C07D401/12—Heterocyclic compounds containing two or more hetero rings, having nitrogen atoms as the only ring hetero atoms, at least one ring being a six-membered ring with only one nitrogen atom containing two hetero rings linked by a chain containing hetero atoms as chain links
-
- A—HUMAN NECESSITIES
- A61—MEDICAL OR VETERINARY SCIENCE; HYGIENE
- A61K—PREPARATIONS FOR MEDICAL, DENTAL OR TOILETRY PURPOSES
- A61K31/00—Medicinal preparations containing organic active ingredients
- A61K31/33—Heterocyclic compounds
- A61K31/395—Heterocyclic compounds having nitrogen as a ring hetero atom, e.g. guanethidine or rifamycins
- A61K31/435—Heterocyclic compounds having nitrogen as a ring hetero atom, e.g. guanethidine or rifamycins having six-membered rings with one nitrogen as the only ring hetero atom
- A61K31/44—Non condensed pyridines; Hydrogenated derivatives thereof
- A61K31/445—Non condensed piperidines, e.g. piperocaine
- A61K31/4523—Non condensed piperidines, e.g. piperocaine containing further heterocyclic ring systems
- A61K31/454—Non condensed piperidines, e.g. piperocaine containing further heterocyclic ring systems containing a five-membered ring with nitrogen as a ring hetero atom, e.g. pimozide, domperidone
-
- A—HUMAN NECESSITIES
- A61—MEDICAL OR VETERINARY SCIENCE; HYGIENE
- A61P—SPECIFIC THERAPEUTIC ACTIVITY OF CHEMICAL COMPOUNDS OR MEDICINAL PREPARATIONS
- A61P1/00—Drugs for disorders of the alimentary tract or the digestive system
-
- A—HUMAN NECESSITIES
- A61—MEDICAL OR VETERINARY SCIENCE; HYGIENE
- A61P—SPECIFIC THERAPEUTIC ACTIVITY OF CHEMICAL COMPOUNDS OR MEDICINAL PREPARATIONS
- A61P1/00—Drugs for disorders of the alimentary tract or the digestive system
- A61P1/02—Stomatological preparations, e.g. drugs for caries, aphtae, periodontitis
-
- A—HUMAN NECESSITIES
- A61—MEDICAL OR VETERINARY SCIENCE; HYGIENE
- A61P—SPECIFIC THERAPEUTIC ACTIVITY OF CHEMICAL COMPOUNDS OR MEDICINAL PREPARATIONS
- A61P1/00—Drugs for disorders of the alimentary tract or the digestive system
- A61P1/04—Drugs for disorders of the alimentary tract or the digestive system for ulcers, gastritis or reflux esophagitis, e.g. antacids, inhibitors of acid secretion, mucosal protectants
-
- A—HUMAN NECESSITIES
- A61—MEDICAL OR VETERINARY SCIENCE; HYGIENE
- A61P—SPECIFIC THERAPEUTIC ACTIVITY OF CHEMICAL COMPOUNDS OR MEDICINAL PREPARATIONS
- A61P11/00—Drugs for disorders of the respiratory system
-
- A—HUMAN NECESSITIES
- A61—MEDICAL OR VETERINARY SCIENCE; HYGIENE
- A61P—SPECIFIC THERAPEUTIC ACTIVITY OF CHEMICAL COMPOUNDS OR MEDICINAL PREPARATIONS
- A61P11/00—Drugs for disorders of the respiratory system
- A61P11/02—Nasal agents, e.g. decongestants
-
- A—HUMAN NECESSITIES
- A61—MEDICAL OR VETERINARY SCIENCE; HYGIENE
- A61P—SPECIFIC THERAPEUTIC ACTIVITY OF CHEMICAL COMPOUNDS OR MEDICINAL PREPARATIONS
- A61P11/00—Drugs for disorders of the respiratory system
- A61P11/06—Antiasthmatics
-
- A—HUMAN NECESSITIES
- A61—MEDICAL OR VETERINARY SCIENCE; HYGIENE
- A61P—SPECIFIC THERAPEUTIC ACTIVITY OF CHEMICAL COMPOUNDS OR MEDICINAL PREPARATIONS
- A61P13/00—Drugs for disorders of the urinary system
- A61P13/12—Drugs for disorders of the urinary system of the kidneys
-
- A—HUMAN NECESSITIES
- A61—MEDICAL OR VETERINARY SCIENCE; HYGIENE
- A61P—SPECIFIC THERAPEUTIC ACTIVITY OF CHEMICAL COMPOUNDS OR MEDICINAL PREPARATIONS
- A61P17/00—Drugs for dermatological disorders
-
- A—HUMAN NECESSITIES
- A61—MEDICAL OR VETERINARY SCIENCE; HYGIENE
- A61P—SPECIFIC THERAPEUTIC ACTIVITY OF CHEMICAL COMPOUNDS OR MEDICINAL PREPARATIONS
- A61P17/00—Drugs for dermatological disorders
- A61P17/04—Antipruritics
-
- A—HUMAN NECESSITIES
- A61—MEDICAL OR VETERINARY SCIENCE; HYGIENE
- A61P—SPECIFIC THERAPEUTIC ACTIVITY OF CHEMICAL COMPOUNDS OR MEDICINAL PREPARATIONS
- A61P17/00—Drugs for dermatological disorders
- A61P17/06—Antipsoriatics
-
- A—HUMAN NECESSITIES
- A61—MEDICAL OR VETERINARY SCIENCE; HYGIENE
- A61P—SPECIFIC THERAPEUTIC ACTIVITY OF CHEMICAL COMPOUNDS OR MEDICINAL PREPARATIONS
- A61P19/00—Drugs for skeletal disorders
- A61P19/02—Drugs for skeletal disorders for joint disorders, e.g. arthritis, arthrosis
-
- A—HUMAN NECESSITIES
- A61—MEDICAL OR VETERINARY SCIENCE; HYGIENE
- A61P—SPECIFIC THERAPEUTIC ACTIVITY OF CHEMICAL COMPOUNDS OR MEDICINAL PREPARATIONS
- A61P25/00—Drugs for disorders of the nervous system
-
- A—HUMAN NECESSITIES
- A61—MEDICAL OR VETERINARY SCIENCE; HYGIENE
- A61P—SPECIFIC THERAPEUTIC ACTIVITY OF CHEMICAL COMPOUNDS OR MEDICINAL PREPARATIONS
- A61P27/00—Drugs for disorders of the senses
- A61P27/02—Ophthalmic agents
-
- A—HUMAN NECESSITIES
- A61—MEDICAL OR VETERINARY SCIENCE; HYGIENE
- A61P—SPECIFIC THERAPEUTIC ACTIVITY OF CHEMICAL COMPOUNDS OR MEDICINAL PREPARATIONS
- A61P27/00—Drugs for disorders of the senses
- A61P27/02—Ophthalmic agents
- A61P27/14—Decongestants or antiallergics
-
- A—HUMAN NECESSITIES
- A61—MEDICAL OR VETERINARY SCIENCE; HYGIENE
- A61P—SPECIFIC THERAPEUTIC ACTIVITY OF CHEMICAL COMPOUNDS OR MEDICINAL PREPARATIONS
- A61P29/00—Non-central analgesic, antipyretic or antiinflammatory agents, e.g. antirheumatic agents; Non-steroidal antiinflammatory drugs [NSAID]
-
- A—HUMAN NECESSITIES
- A61—MEDICAL OR VETERINARY SCIENCE; HYGIENE
- A61P—SPECIFIC THERAPEUTIC ACTIVITY OF CHEMICAL COMPOUNDS OR MEDICINAL PREPARATIONS
- A61P3/00—Drugs for disorders of the metabolism
-
- A—HUMAN NECESSITIES
- A61—MEDICAL OR VETERINARY SCIENCE; HYGIENE
- A61P—SPECIFIC THERAPEUTIC ACTIVITY OF CHEMICAL COMPOUNDS OR MEDICINAL PREPARATIONS
- A61P3/00—Drugs for disorders of the metabolism
- A61P3/04—Anorexiants; Antiobesity agents
-
- A—HUMAN NECESSITIES
- A61—MEDICAL OR VETERINARY SCIENCE; HYGIENE
- A61P—SPECIFIC THERAPEUTIC ACTIVITY OF CHEMICAL COMPOUNDS OR MEDICINAL PREPARATIONS
- A61P3/00—Drugs for disorders of the metabolism
- A61P3/08—Drugs for disorders of the metabolism for glucose homeostasis
- A61P3/10—Drugs for disorders of the metabolism for glucose homeostasis for hyperglycaemia, e.g. antidiabetics
-
- A—HUMAN NECESSITIES
- A61—MEDICAL OR VETERINARY SCIENCE; HYGIENE
- A61P—SPECIFIC THERAPEUTIC ACTIVITY OF CHEMICAL COMPOUNDS OR MEDICINAL PREPARATIONS
- A61P31/00—Antiinfectives, i.e. antibiotics, antiseptics, chemotherapeutics
- A61P31/04—Antibacterial agents
-
- A—HUMAN NECESSITIES
- A61—MEDICAL OR VETERINARY SCIENCE; HYGIENE
- A61P—SPECIFIC THERAPEUTIC ACTIVITY OF CHEMICAL COMPOUNDS OR MEDICINAL PREPARATIONS
- A61P31/00—Antiinfectives, i.e. antibiotics, antiseptics, chemotherapeutics
- A61P31/04—Antibacterial agents
- A61P31/06—Antibacterial agents for tuberculosis
-
- A—HUMAN NECESSITIES
- A61—MEDICAL OR VETERINARY SCIENCE; HYGIENE
- A61P—SPECIFIC THERAPEUTIC ACTIVITY OF CHEMICAL COMPOUNDS OR MEDICINAL PREPARATIONS
- A61P35/00—Antineoplastic agents
-
- A—HUMAN NECESSITIES
- A61—MEDICAL OR VETERINARY SCIENCE; HYGIENE
- A61P—SPECIFIC THERAPEUTIC ACTIVITY OF CHEMICAL COMPOUNDS OR MEDICINAL PREPARATIONS
- A61P35/00—Antineoplastic agents
- A61P35/02—Antineoplastic agents specific for leukemia
-
- A—HUMAN NECESSITIES
- A61—MEDICAL OR VETERINARY SCIENCE; HYGIENE
- A61P—SPECIFIC THERAPEUTIC ACTIVITY OF CHEMICAL COMPOUNDS OR MEDICINAL PREPARATIONS
- A61P37/00—Drugs for immunological or allergic disorders
- A61P37/02—Immunomodulators
- A61P37/06—Immunosuppressants, e.g. drugs for graft rejection
-
- A—HUMAN NECESSITIES
- A61—MEDICAL OR VETERINARY SCIENCE; HYGIENE
- A61P—SPECIFIC THERAPEUTIC ACTIVITY OF CHEMICAL COMPOUNDS OR MEDICINAL PREPARATIONS
- A61P37/00—Drugs for immunological or allergic disorders
- A61P37/08—Antiallergic agents
-
- A—HUMAN NECESSITIES
- A61—MEDICAL OR VETERINARY SCIENCE; HYGIENE
- A61P—SPECIFIC THERAPEUTIC ACTIVITY OF CHEMICAL COMPOUNDS OR MEDICINAL PREPARATIONS
- A61P43/00—Drugs for specific purposes, not provided for in groups A61P1/00-A61P41/00
-
- A—HUMAN NECESSITIES
- A61—MEDICAL OR VETERINARY SCIENCE; HYGIENE
- A61P—SPECIFIC THERAPEUTIC ACTIVITY OF CHEMICAL COMPOUNDS OR MEDICINAL PREPARATIONS
- A61P5/00—Drugs for disorders of the endocrine system
- A61P5/48—Drugs for disorders of the endocrine system of the pancreatic hormones
-
- A—HUMAN NECESSITIES
- A61—MEDICAL OR VETERINARY SCIENCE; HYGIENE
- A61P—SPECIFIC THERAPEUTIC ACTIVITY OF CHEMICAL COMPOUNDS OR MEDICINAL PREPARATIONS
- A61P9/00—Drugs for disorders of the cardiovascular system
-
- A—HUMAN NECESSITIES
- A61—MEDICAL OR VETERINARY SCIENCE; HYGIENE
- A61P—SPECIFIC THERAPEUTIC ACTIVITY OF CHEMICAL COMPOUNDS OR MEDICINAL PREPARATIONS
- A61P9/00—Drugs for disorders of the cardiovascular system
- A61P9/04—Inotropic agents, i.e. stimulants of cardiac contraction; Drugs for heart failure
-
- A—HUMAN NECESSITIES
- A61—MEDICAL OR VETERINARY SCIENCE; HYGIENE
- A61P—SPECIFIC THERAPEUTIC ACTIVITY OF CHEMICAL COMPOUNDS OR MEDICINAL PREPARATIONS
- A61P9/00—Drugs for disorders of the cardiovascular system
- A61P9/10—Drugs for disorders of the cardiovascular system for treating ischaemic or atherosclerotic diseases, e.g. antianginal drugs, coronary vasodilators, drugs for myocardial infarction, retinopathy, cerebrovascula insufficiency, renal arteriosclerosis
-
- C—CHEMISTRY; METALLURGY
- C07—ORGANIC CHEMISTRY
- C07D—HETEROCYCLIC COMPOUNDS
- C07D405/00—Heterocyclic compounds containing both one or more hetero rings having oxygen atoms as the only ring hetero atoms, and one or more rings having nitrogen as the only ring hetero atom
- C07D405/14—Heterocyclic compounds containing both one or more hetero rings having oxygen atoms as the only ring hetero atoms, and one or more rings having nitrogen as the only ring hetero atom containing three or more hetero rings
-
- C—CHEMISTRY; METALLURGY
- C07—ORGANIC CHEMISTRY
- C07D—HETEROCYCLIC COMPOUNDS
- C07D471/00—Heterocyclic compounds containing nitrogen atoms as the only ring hetero atoms in the condensed system, at least one ring being a six-membered ring with one nitrogen atom, not provided for by groups C07D451/00 - C07D463/00
- C07D471/02—Heterocyclic compounds containing nitrogen atoms as the only ring hetero atoms in the condensed system, at least one ring being a six-membered ring with one nitrogen atom, not provided for by groups C07D451/00 - C07D463/00 in which the condensed system contains two hetero rings
- C07D471/04—Ortho-condensed systems
Definitions
- the invention is directed to 4-substituted-cyclohexylamino-4-piperidiyl-acetamide compounds, which are antagonists to the chemoattractant cytokine receptor 2 (CCR2), pharmaceutical compositions, and methods for use thereof.
- CCR2 chemoattractant cytokine receptor 2
- Compounds of the invention are useful for preventing, treating or ameliorating a CCR2 mediated syndrome, disorder or disease.
- CCR2 is a member of the GPCR family of receptors, as are all known chemokine receptors, and are expressed by monocytes and memory T-lymphocytes.
- the CCR2 signaling cascade involves activation of phospholipases (PLCp2), protein kinases (PKC), and lipid kinases (PI-3 kinase).
- PLCp2 phospholipases
- PKC protein kinases
- PI-3 kinase lipid kinases
- Chemoattractant cytokines i.e., chemokines
- the chemokine family is divided into four subfamilies based on the number of amino acid residues between the first and second highly conserved cysteines.
- Monocyte chemotactic protein- 1 is a member of the CC chemokine subfamily (wherein CC represents the subfamily having adjacent first and second cysteines) and binds to the cell- surface chemokine receptor 2 (CCR2).
- MCP-1 is a potent chemotactic factor, which, after binding to CCR2, mediates monocyte and lymphocyte migration (i.e., chemotaxis) toward a site of inflammation.
- MCP-1 is also expressed by cardiac muscle cells, blood vessel endothelial cells, fibroblasts, chondrocytes, smooth muscle cells, mesangial cells, alveolar cells, T-lymphocytes, marcophages, and the like.
- monocyte differentiation provides a secondary source of several proinflammatory modulators, including tumor necrosis factor-a (TNF-a), interleukin-1 (IL-1), IL-8 (a member of the CXC chemokine subfamily, wherein CXC represents one amino acid residue between the first and second cysteines), IL-12, arachidonic acid metabolites (e.g., PGE 2 and LTB 4 ), oxygen-derived free radicals, matrix metalloproteinases, and complement components.
- TNF-a tumor necrosis factor-a
- IL-1 interleukin-1
- IL-8 a member of the CXC chemokine subfamily, wherein CXC represents one amino acid residue between the first and second cysteines
- IL-12 e.g., arachidonic acid metabolites (e.g., PGE 2 and LTB 4 ), oxygen-derived free radicals, matrix metalloproteinases, and complement components.
- PGE 2 and LTB 4 arachidonic acid metabolites
- inflammatory disease pathologies such as psoriasis, uveitis, atherosclerosis, rheumatoid arthritis (RA), multiple sclerosis, Crohn's Disease, nephritis, organ allograft rejection, fibroid lung, renal insufficiency, type II diabetes, diabetic complications, diabetic nephropathy, diabetic retinopathy, diabetic retinitis, diabetic microangiopathy, tuberculosis, sarcoidosis, invasive staphylococcia, inflammation after cataract surgery, allergic rhinitis, allergic conjunctivitis, chronic urticaria, Chronic Obstructive Pulmonary Disease (COPD), allergic asthma, periodontal diseases, periodonitis, gingivitis, gum disease, diastolic cardiomyopathies, cardiac infarction, myocarditis, chronic heart failure, angiostenosis, restenosis, reperfusion disorders, glomerulonephritis, solid tumor
- MCP-1 antagonists either antibodies or soluble, inactive fragments of MCP-1
- monocyte infiltration into inflammatory lesions is significantly decreased.
- KO mice are resistant to the development of experimental allergic encephalomyelitis (EAE, a model of human MS), cockroach allergen-induced asthma, atherosclerosis, and uveitis.
- TNF-a antagonists e.g., monoclonal antibodies and soluble receptors
- MCP-1 has been implicated in the pathogenesis of seasonal and chronic allergic rhinitis, having been found in the nasal mucosa of most patients with dust mite allergies. MCP-1 has also been found to induce histamine release from basophils in vitro. During allergic conditions, both allergens and histamines have been shown to trigger (i.e., to up-regulate) the expression of MCP- 1 and other chemokines in the nasal mucosa of people with allergic rhinitis, suggesting the presence of a positive feedback loop in such patients.
- CCR2 antagonists for preventing, treating or ameliorating a CCR2 mediated inflammatory syndrome, disorder or disease resulting from MCP- 1 induced monocyte and lymphocyte migration to a site of inflammation.
- the present invention comprises compounds of Formula (I).
- R 2 is H, CI, CH 3 , OC(i_ 4) alkyl, or F;
- R 3 is H, F, CI, C0 2 C(i_ 4) alkyl, C ( i_ 4) alkyl, OC ( i_ 4) alkyl, SC ( i_ 4) alkyl, OCF 3 , OCH 2 CF 3 , -CN, C0 2 H, C(0)C ( i_ 4) alkyl, C(0)NH 2 , C(0)NHC ( i_ 4) alkyl, C(0)N(C ( i_ 4) alkyl) 2 , or CF 3 ;
- R 4 is H, CH 3 , OC(i_4 ) alkyl, or F; or R 4 may be taken together with R 3 and their attached phenyl to form a bicyclic ring selected from the group consisting of 2,3-dihydro-lH-inden-5-yl, 2,3- dihydrobenzofuran-5-yl, 2,2-difluoro-benzo[d][l,3]dioxole-5-yl, 2,2-dimethyl- benzo[d][l,3]dioxole-5-yl, 2,2-difluoro-2,3-dihydrobenzofuran-5-yl, 2,2-dimethyl-2,3- dihydrobenzofuran-5-yl, chroman-6-yl, and 2,3-dihydrobenzo[b][l,4]dioxin-6-yl;
- X is H, OH, NH 2 , or F;
- Y is OH, NH 2 , OC(0)C ( i_ 4) alkyl, NHC(0)C ( i_ 4) alkyl, OC ( i_ 4) alkyl, NHC ( i_ 4) alkyl, N(C ( i_ 4) alkyl) 2 , or NHOH;
- the present invention comprises compounds of Formula (I).
- R 2 is H, CI, CH 3 , OC ( i_ 4) alkyl, or F;
- R 3 is H, F, CI, C0 2 C ( i_ 4) alkyl, C ( i_ 4) alkyl, OC ( i_ 4) alkyl, SC ( i_ 4) alkyl, OCF 3 , OCH 2 CF 3 , -CN, C0 2 H, C(0)C ( i_ 4) alkyl, C(0)NH 2 , C(0)NHC ( i_ 4) alkyl, C(0)N(C ( i_ 4) alkyl) 2 , or CF 3 ;
- R 4 is H, CH 3 , OC(i_4 ) alkyl, or F; or R 4 may be taken together with R 3 and their attached phenyl to form a bicyclic ring selected from the group consisting of 2,3-dihydro-lH-inden-5-yl, 2,3- dihydrobenzofuran-5-yl, 2,2-difluoro-benzo[d][l ,3]dioxole-5-yl, 2,2-dimethyl- benzo[d][l ,3]dioxole-5-yl, 2,2-difluoro-2,3-dihydrobenzofuran-5-yl, 2,2-dimethyl-2,3- dihydrobenzofuran-5-yl, chroman-6-yl, and 2,3-dihydrobenzo[b][l ,4]dioxin-6-yl;
- X is H, OH, NH 2 , or F
- Y is OH, NH 2 , OC(0)C ( i_ 4) alkyl, NHC(0)C ( i_ 4) alkyl, OC ( i_ 4) alkyl, NHC ( i_ 4) alkyl, N(C ( i_ 4) alkyl) 2 , or NHOH;
- pyridyl, pyrimidyl, or pyridazyl wherein said pyridyl, pyrimidyl, or pyridazyl is optionally substituted with OCH 3 ;
- R 2 is H, CI, CH 3 , OC ( i_ 4) alkyl, or F;
- R 3 is H, F, CI, C0 2 C(i_ 4) alkyl, C ( i_ 4) alkyl, OC ( i_ 4) alkyl, SC ( i_ 4) alkyl, OCF 3 , or CF 3 ;
- R 4 is H, CH 3 , OC(i_ 4) alkyl, or F; or R 4 may be taken together with R 3 and their attached phenyl to form a bicyclic ring selected from the group consisting of 2,3-dihydro-lH-inden-5-yl, 2,3- dihydrobenzofuran-5-yl, 2,2-difluoro-benzo[d][l,3]dioxole-5-yl, 2,2-dimethyl- benzo[d][l,3]dioxole-5-yl, 2,2-difluoro-2,3-dihydrobenzofuran-5-yl, 2,2-dimethyl-2,3- dihydrobenzofuran-5-yl, chroman-6-yl, and 2,3-dihydrobenzo[b][l,4]dioxin-6-yl;
- X is H, OH, or F
- Y is OH, NH 2 , OC(0)CH 3 , NHC(0)CH 3 , OC ( i_ 4) alkyl, NHC ( i_ 4) alkyl, N(C ( i_ 4) alkyl) 2 , or NHOH;
- said pyridyl is optionally substituted with OCH 3 ;
- R 2 is H, CI, OCH 3 , or F
- R 3 is H, F, CI, C0 2 C ( i_ 4) alkyl, C ( i_ 4) alkyl, OCH 3 , SC ( i_ 4) alkyl, OCF 3 , or CF 3 ;
- R 4 is H, OCH 3 , or F; or R 4 may be taken together with R 3 and their attached phenyl to form a bicyclic ring selected from the group consisting of 2,3-dihydro-lH-inden-5-yl, 2,3- dihydrobenzofuran-5-yl, 2,2-difluoro-benzo[d][l,3]dioxole-5-yl, 2,2-dimethyl- benzo[d][l,3]dioxole-5-yl, 2,2-difluoro-2,3-dihydrobenzofuran-5-yl, 2,2-dimethyl-2,3- dihydrobenzofuran-5-yl, chroman-6-yl, and 2,3-dihydrobenzo[b][l,4]dioxin-6-yl;
- X is H or F
- Y is OH, NH 2 , OC ( i_ 4) alkyl, NHC ( i_ 4) alkyl, N(C ( i_ 4) alkyl) 2 , or NHOH;
- R 2 is H, CI, or F
- R 3 is H, F, CI, C0 2 CH 2 CH 3 , CH 3 , SCH 3 , OCF 3 , or CF 3 ;
- R 4 is H, or F; or R 4 may be taken together with R 3 and their attached phenyl to form a bicyclic ring selected from the group consisting of 2,3-dihydro-lH-inden-5-yl, 2,3-dihydrobenzofuran-5- yl, 2,2-difluoro-benzo[d][l,3]dioxole-5-yl, 2,2-dimethyl-2,3-dihydrobenzofuran-5-yl, chroman- 6-yl, and 2,3-dihydrobenzo[b][l,4]dioxin-6-yl;
- X is H
- Y is OH, NH 2 , OCH 3 , NHCH 3 , N(CH 3 ) 2 , or NHOH;
- Another embodiment of the invention is a pharmaceutical composition, comprising a compound of Formula (I) and a pharmaceutically acceptable carrier.
- Another embodiment of the invention is a pharmaceutical composition, made by mixing a compound of Formula (I) and a pharmaceutically acceptable carrier.
- Another embodiment of the invention is a process for making a pharmaceutical composition comprising mixing a compound of Formula (I) and a pharmaceutically acceptable carrier.
- the present invention also provides a method for preventing, treating or ameliorating a CCR2 mediated syndrome, disorder or disease comprising administering to a subject in need thereof a therapeutically effective amount of a compound of Formula (I) or a form, composition or medicament thereof.
- the CCR2 mediated syndrome, disorder or disease is an inflammatory syndrome, disorder or disease.
- the present invention also provides a method for preventing, treating or ameliorating a CCR2 mediated inflammatory syndrome, disorder or disease wherein the syndrome, disorder or disease is associated with elevated MCP-1 expression or MCP-1
- overexpression or is an inflammatory condition that accompanies syndromes, disorders or diseases associated with elevated MCP-1 expression or MCP-1 overexpression comprising administering to a subject in need thereof an effective amount of a compound of Formula (I) or a form, composition or medicament thereof.
- the present invention also provides a method of preventing, treating or ameliorating a syndrome, disorder or disease, wherein said syndrome, disorder or disease is selected from the group consisting of: Chronic Obstructive Pulmonary Disease (COPD), ophthalmic disorders, uveitis, atherosclerosis, rheumatoid arthritis, psoriasis, psoriatic arthritis, atopic dermatitis, multiple sclerosis, Crohn's Disease, ulcerative colitis, nephritis, organ allograft rejection, fibroid lung, renal insufficiency, type-I diabetes, type II diabetes, diabetic complications, diabetic nephropathy, diabetic retinopathy, diabetic retinitis, diabetic microangiopathy, overweight, obesity, obesity-associated insulin resistance, metabolic syndrome, tuberculosis, chronic obstructive pulmonary disease, sarcoidosis, invasive staphyloccocia, inflammation after cataract surgery, allergic rhinitis, allergic conjunctivitis
- the present invention also provides a method of preventing, treating or ameliorating a syndrome, disorder or disease, wherein said syndrome, disorder or disease is selected from the group consisting of: type I diabetes, type II diabetes, diabetic complications, diabetic nephropathy, diabetic retinopathy, diabetic retinitis, diabetic microangiopathy, obesity, obesity-associated insulin resistance, metabolic syndrome, asthma, and allergic asthma, comprising administering to a subject in need thereof a therapeutically effective amount of a compound of Formula (I) or a form, composition or medicament thereof.
- a syndrome, disorder or disease is selected from the group consisting of: type I diabetes, type II diabetes, diabetic complications, diabetic nephropathy, diabetic retinopathy, diabetic retinitis, diabetic microangiopathy, obesity, obesity-associated insulin resistance, metabolic syndrome, asthma, and allergic asthma
- the present invention also provides a method of treating a disorder selected from the group consisting of type II diabetes, obesity and asthma comprising administering to a subject in need thereof a therapeutically effective amount of a compound of Formula (I) or a form, composition or medicament thereof.
- the invention relates to a product made by the process of any of Examples from Example 1 to Example 54. In another embodiment, the invention relates to a compound which is the more polar isomer of any of Examples #1-54.
- the invention relates to a process for the preparation of a compound of Formula (I) comprising reacting a compound of Formula (XII)
- R 2 is H, CI, CH 3 , OC ( i_ 4) alkyl, or F;
- R 3 is H, F, CI, C0 2 C(i_ 4) alkyl, C ( i_ 4) alkyl, OC ( i_ 4) alkyl, SC ( i_ 4) alkyl, OCF 3 , OCH 2 CF 3 , -CN, C0 2 H, C(0)C ( i_ 4) alkyl, C(0)NH 2 , C(0)NHC ( i_ 4) alkyl, C(0)N(C ( i_ 4) alkyl) 2 , or CF 3 ;
- R 4 is H, CH 3 , OC(i_ 4) alkyl, or F; or R 4 may be taken together with R 3 and their attached phenyl to form a bicyclic ring selected from the group consisting of 2,3-dihydro-lH-inden- 5-yl, 2,3-dihydrobenzofuran-5-yl, 2,2-difluoro-benzo[d][l,3]dioxole-5-yl, 2,2-dimethyl- benzo[d][l,3]dioxole-5-yl, 2,2-difluoro-2,3-dihydrobenzofuran-5-yl, 2,2-dimethyl-2,3- dihydrobenzofuran-5-yl, chroman-6-yl, and 2,3-dihydrobenzo[b][l,4]dioxin-6-yl;
- X is H, OH, NH 2 , or F
- Y is OH, NH 2 , OC(0)C ( i_ 4) alkyl, NHC(0)C ( i_ 4) alkyl, OC ( i_ 4) alkyl, NHC ( i_ 4) alkyl, N(C a _ 4) alkyl) 2 , or NHOH.
- the invention relates to a product made by the above process.
- the invention relates to a compound as described in the Examples or Formula (I) for use as a medicament, in particular, for use as a medicament for treating a CCR2 mediated syndrome disorder or disease.
- the invention relates to the use of a compound as described in the Examples of Formula (I) for the preparation of a medicament for the treatment of a disease associated with an elevated or inappropriate CCR2 activity.
- alkyl refers to both linear and branched chain radicals of up to 12 carbon atoms, preferably up to 6 carbon atoms, unless otherwise indicated, and includes, but is not limited to, methyl, ethyl, propyl, isopropyl, butyl, isobutyl, sec-butyl, tert-butyl, pentyl, isopentyl, hexyl, isohexyl, heptyl, octyl, 2,2,4-trimethylpentyl, nonyl, decyl, undecyl and dodecyl.
- C (a -b) (where a and b are integers referring to a designated number of carbon atoms) refers to an alkyl, alkenyl, alkynyl, alkoxy or cycloalkyl radical or to the alkyl portion of a radical in which alkyl appears as the prefix root containing from a to b carbon atoms inclusive.
- C (1-4) denotes a radical containing 1, 2, 3 or 4 carbon atoms.
- halide or halogen refer to an atom consisting of fluorine, chlorine, bromine, or iodine.
- the salts of the compounds of this invention refer to non-toxic "pharmaceutically acceptable salts.”
- FDA approved pharmaceutically acceptable salt forms include pharmaceutically acceptable acidic/anionic or basic/cationic salts.
- compositions tosylate include, and are not limited to acetate, benzenesulfonate, benzoate, bicarbonate, bitartrate, bromide, calcium edetate, camsylate, carbonate, chloride, citrate, dihydrochloride, edetate, edisylate, estolate, esylate, fumarate, glyceptate, gluconate, glutamate, glycollylarsanilate, hexylresorcinate, hydrabamine, hydrobromide, hydrochloride, hydroxynaphthoate, iodide, isethionate, lactate, lactobionate, malate, maleate, mandelate, mesylate, methylbromide, methylnitrate, methylsulfate, mucate, napsylate, nitrate, pamoate, pantothenate, phosphate/diphosphate, polygal
- Organic or inorganic acids also include, and are not limited to, hydriodic, perchloric, sulfuric, phosphoric, propionic, glycolic, methanesulfonic, hydroxyethanesulfonic, oxalic, 2-naphthalenesulfonic, p-toluenesulfonic, cyclohexanesulfamic, saccharinic or trifluoroacetic acid.
- Pharmaceutically acceptable basic/cationic salts include, and are not limited to aluminum, 2-amino-2-hydroxymethyl-propane-l,3-diol (also known as tris(hydroxymethyl)aminomethane, tromethane or "TRIS”), ammonia, benzathine, t-butylamine, calcium, calcium gluconate, calcium hydroxide, chloroprocaine, choline, choline bicarbonate, choline chloride, cyclohexylamine, diethanolamine, ethylenediamine, lithium, LiOMe, L-lysine, magnesium, meglumine, NH 3 , NH 4 OH, N-methyl-D-glucamine, piperidine, potassium, potassium-t-butoxide, potassium hydroxide (aqueous), procaine, quinine, sodium, sodium carbonate, sodium-2-ethylhexanoate (SEH), sodium hydroxide, triethanolamine, or zinc.
- TMS tris(hydroxymethyl)a
- the present invention is directed to a method for preventing, treating or ameliorating a CCR2 mediated syndrome, disorder or disease comprising administering to a subject in need thereof an effective amount of a compound of Formula (I) or a form, composition or medicament thereof.
- CCR2 mediated syndrome, disorder or disease for which the compounds of Formula (I) are useful examples include chronic obstructive pulmonary disorder (COPD), ophthalmic disorders, uveitis, atherosclerosis, rheumatoid arthritis, psoriasis, psoriatic arthritis, atopic dermatitis, multiple sclerosis, Crohn's Disease, ulcerative colitis, nephritis, organ allograft rejection, fibroid lung, renal insufficiency, type-I diabetes, type II diabetes, diabetic complications, diabetic nephropathy, diabetic retinopathy, diabetic retinitis, diabetic microangiopathy, overweight, obesity, obesity-associated insulin resistance, metabolic syndrome, tuberculosis, chronic obstructive pulmonary disease, sarcoidosis, invasive staphyloccocia, inflammation after cataract surgery, allergic rhinitis, allergic conjunctivitis, chronic urticaria, asthma, allergic asthma, periodontal
- administering means a method for therapeutically or prophylactically preventing, treating or ameliorating a syndrome, disorder or disease as described herein by using a compound of Formula (I) or a form, composition or medicament thereof.
- Such methods include administering an effective amount of said compound, compound form, composition or medicament at different times during the course of a therapy or concurrently in a combination form.
- the methods of the invention are to be understood as embracing all known therapeutic treatment regimens.
- subject refers to a patient, who may be an animal, typically a mammal, typically a human, which has been the object of treatment, observation or experiment.
- the subject is at risk of (or susceptible to) developing a syndrome, disorder or disease that is associated with elevated MCP-1 expression or MCP-1 overexpression, or a patient with an inflammatory condition that accompanies syndromes, disorders or diseases associated with elevated MCP-1 expression or MCP-1 overexpression.
- terapéuticaally effective amount means that amount of active compound or pharmaceutical agent that elicits the biological or medicinal response in a tissue system, animal or human, that is being sought by a researcher, veterinarian, medical doctor, or other clinician, which includes preventing, treating or ameliorating the symptoms of a syndrome, disorder or disease being treated.
- Uveitis generically refers to any inflammatory disease involving the eye. Uveitis can be divided into clinically distinct subtypes based on the part of the eye in which the inflammation is present (percentages correspond to patients known to fit these categories): anterior (51%), intermediate (13%), posterior (20%>), or panuveitis (16%>) and, according to the course of the disease, as either acute (16%>), recurring (26%), or chronic (58%)). Those with anterior uveitis eventually develop irreparable vision damage despite aggressive treatment such as unilateral blindness (9%>), bilateral blindness (2%), or unilateral or bilateral vision impairment (8%).
- HLA-B27 Human Leukocyte Antigen B*27- is a class I surface antigen encoded by the B locus in the major histocompatibility complex (MHC) on chromosome 6 and presents micobial antigens to T cells.
- MHC major histocompatibility complex
- HLA-B27 is strongly associated with a certain set of autoimmune diseases referred to as the seronegative spondyloarthropathies.
- the compounds of the invention may be administered in a therapeutically effective amount within the dosage range of about 0.5 mg to about 10 g, preferably between about 0.5 mg to about 5 g, in single or divided daily doses.
- the dosage administered will be affected by factors such as the route of administration, the health, weight and age of the recipient, the frequency of the treatment and the presence of concurrent and unrelated treatments.
- the therapeutically effective dose for compounds of the present invention or a pharmaceutical composition thereof will vary according to the desired effect. Therefore, optimal dosages to be administered may be readily determined by one skilled in the art and will vary with the particular compound used, the mode of administration, the strength of the preparation, and the advancement of the disease condition. In addition, factors associated with the particular subject being treated, including subject age, weight, diet and time of administration, will result in the need to adjust the dose to an appropriate therapeutic level.
- the above dosages are thus exemplary of the average case. There can, of course, be individual instances where higher or lower dosage ranges are merited, and such are within the scope of this invention.
- the compounds of Formula (I) may be formulated into pharmaceutical compositions comprising any known pharmaceutically acceptable carriers.
- exemplary carriers include, but are not limited to, any suitable solvents, dispersion media, coatings, antibacterial and antifungal agents and isotonic agents.
- exemplary excipients that may also be components of the formulation include fillers, binders, disintegrating agents and lubricants.
- the pharmaceutically-acceptable salts of the compounds of Formula (I) include the conventional non-toxic salts or the quaternary ammonium salts which are formed from inorganic or organic acids or bases.
- acid addition salts include acetate, adipate, benzoate, benzenesulfonate, citrate, camphorate, dodecylsulfate, hydrochloride, hydrobromide, lactate, maleate, methanesulfonate, nitrate, oxalate, pivalate, propionate, succinate, sulfate and tartrate.
- Base salts include ammonium salts, alkali metal salts such as sodium and potassium salts, alkaline earth metal salts such as calcium and magnesium salts, salts with organic bases such as dicyclohexylamino salts and salts with amino acids such as arginine. Also, the basic nitrogen-containing groups may be quaternized with, for example, alkyl halides.
- compositions of the invention may be administered by any means that accomplish their intended purpose. Examples include administration by parenteral, subcutaneous, intravenous, intramuscular, intraperitoneal, transdermal, buccal or ocular routes. Alternatively or concurrently, administration may be by the oral route.
- suitable formulations for parenteral administration include aqueous solutions of the active compounds in water-soluble form, for example, water-soluble salts, acidic solutions, alkaline solutions, dextrose-water solutions, isotonic carbohydrate solutions and cyclodextrin inclusion complexes.
- the present invention also encompasses a method of making a pharmaceutical composition comprising mixing a pharmaceutically acceptable carrier with any of the compounds of the present invention. Additionally, the present invention includes pharmaceutical compositions made by mixing a pharmaceutically acceptable carrier with any of the compounds of the present invention.
- composition is intended to encompass a product comprising the specified ingredients in the specified amounts, as well as any product which results, directly or indirectly, from combinations of the specified ingredients in the specified amounts.
- the compounds of the present invention may have one or more polymorph or amorphous crystalline forms and as such are intended to be included in the scope of the invention.
- the compounds may form solvates, for example with water (i.e., hydrates) or common organic solvents.
- solvate means a physical association of the compounds of the present invention with one or more solvent molecules. This physical association involves varying degrees of ionic and covalent bonding, including hydrogen bonding. In certain instances the solvate will be capable of isolation, for example when one or more solvent molecules are incorporated in the crystal lattice of the crystalline solid.
- the term "solvate” is intended to encompass both solution- phase and isolatable solvates.
- suitable solvates include ethanolates, methanolates, and the like.
- the present invention include within its scope polymorphs and solvates of the compounds of the present invention.
- the term "administering” shall encompass the means for treating, ameliorating or preventing a syndrome, disorder or disease described herein with the compounds of the present invention or a polymorph or solvate thereof, which would obviously be included within the scope of the invention albeit not specifically disclosed.
- the present invention includes within its scope prodrugs of the compounds of this invention.
- prodrugs will be functional derivatives of the compounds which are readily convertible in vivo into the required compound.
- the term "administering" shall encompass the treatment of the various disorders described with the compound specifically disclosed or with a compound which may not be specifically disclosed, but which converts to the specified compound in vivo after administration to the patient.
- Conventional procedures for the selection and preparation of suitable prodrug derivatives are described, for example, in Design of Prodrugs, Ed. H. Bundgaard, Elsevier, 1985.
- the compounds according to this invention may accordingly exist as enantiomers. Where the compounds possess two or more chiral centers, they may additionally exist as diastereomers. It is to be understood that all such isomers and mixtures thereof are encompassed within the scope of the present invention.
- the processes for the preparation of the compounds according to the invention give rise to mixture of stereoisomers
- these isomers may be separated by conventional techniques such as preparative chromatography.
- the compounds may be prepared in racemic form, or individual enantiomers may be prepared either by enantiospecific synthesis or by resolution.
- the compounds may, for example, be resolved into their component enantiomers by standard techniques, such as the formation of diastereomeric pairs by salt formation with an optically active acid, such as (-)-di-p-toluoyl-D-tartaric acid and/or (+)-di-p-toluoyl-L-tartaric acid followed by fractional crystallization and regeneration of the free base.
- the compounds may also be resolved by formation of diastereomeric esters or amides, followed by chromatographic separation and removal of the chiral auxiliary. Alternatively, the compounds may be resolved using a chiral HPLC column.
- any of the processes for preparation of the compounds of the present invention it may be necessary and/or desirable to protect sensitive or reactive groups on any of the molecules concerned. This may be achieved by means of conventional protecting groups, such as those described in Protective Groups in Organic Chemistry, ed. J.F.W. McOmie, Plenum Press, 1973; and T.W. Greene & P.G.M. Wuts, Protective Groups in Organic Synthesis, John Wiley & Sons, 1991.
- the protecting groups may be removed at a convenient subsequent stage using methods known from the art.
- PG is a protecting group, such as Cbz, Fmoc, or Boc;
- LG is a leaving group, such as CI.
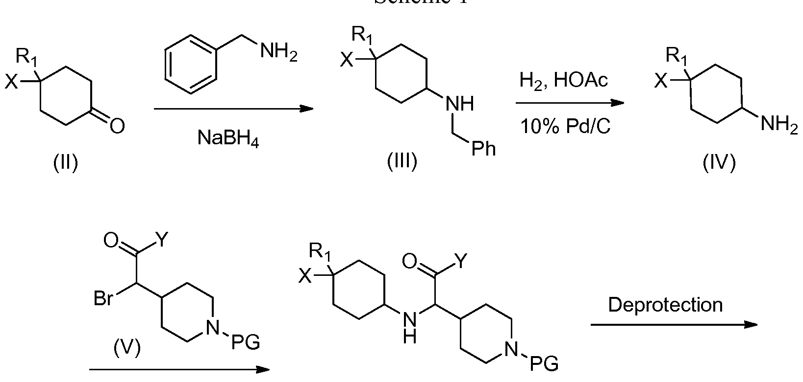
- Scheme 1 illustrates a synthetic route leading to compounds of Formula (I).
- Substituted cyclohexanone (II) prepared from commercially available reagents via procedures well known in the art (such as those described in Publication Numbers WO 2005/060665; US 2005/026714; WO 2006/010094; WO 2007/145835; and Bioorg. Med. Chem. Lett., 2006, 14, pp.
- Secondary amine (III) is then benzyl-deprotected via hydrogenolysis over a suitable catalyst such as palladium on carbon, platinum oxide and the like in the presence of an acid such as HCl or HO Ac, in an organic solvent such as methanol or ethanol, at a temperature in the range of about 20 °C to about 60 °C to afford the salt of primary amine (IV).
- the amine salt is converted to the free base with a suitable base such as NaOEt or NaOMe, in an organic solvent such as methanol or ethanol, at a temperature in the range of about -10 °C to about 25 °C.
- Deprotection of the piperidinyl group can be removed either by hydrogenolysis over a metal catalyst such as palladium (where PG is Cbz), or treatment with a suitable acid such as TFA or HCl (where PG is Boc or Fmoc), in an organic solvent such as MeOH, DCM, or dioxane, at a temperature of about 0 °C to about 50 °C to give piperidine (VII).
- a metal catalyst such as palladium (where PG is Cbz)
- a suitable acid such as TFA or HCl (where PG is Boc or Fmoc)
- organic solvent such as MeOH, DCM, or dioxane
- Piperidine (VII) is then treated with a suitably substituted electrophile (VIII) such as an acid chloride, isocyanate, or chloroformate, in the presence of an organic base such as TEA or pyridine, in an organic solvent such as DCM or pyridine, at a temperature in the range of about
- the last step of Scheme 1 can also be conducted by the reaction of piperidine (VII) with a substituted carboxylic acid in the presence of a coupling reagent such as EDCI/HOBt, PyBrop, or DCC, in an organic solvent such as THF, dichloromethane, or 1,2- dichloroethane, at a temperature in the range of about -10 °C to about 25 °C giving final product (I).
- a coupling reagent such as EDCI/HOBt, PyBrop, or DCC
- organic solvent such as THF, dichloromethane, or 1,2- dichloroethane
- ester (IX) is converted first to the TMS enol ether by treating with a strong, hindered organic base such as LHMDS and trapping with a silylating agent such as TMSCl, and the intermediate enol is then reacted with an electrophile such as bromine giving bromide (V).
- Conversion to azide (X) is accomplished by nucleophilic displacement with an azido salt such as NaN 3 , and the product is then reduced via hydrogenolysis over a suitable catalyst such as palladium on carbon, platinum oxide and the like to give the primary amine (XI).
- the ester of (XI) can then be converted to an amide by reaction with a reagent such as NH 3 (or its hydrate or salt), NH 2 OH, or an alkylamine in a solvent such as water, alcohol, or dioxane, at a temperature in the range of about 20 °C to about 100 °C, to afford the aminoamide (XII).
- a reagent such as NH 3 (or its hydrate or salt), NH 2 OH, or an alkylamine in a solvent such as water, alcohol, or dioxane
- Aminoamide (XII) is reacted with a suitably substituted ketone (II), in the presence of a reducing reagent such as NaBH 4 , NaBH(CN) 3 or NaBH(OAc) 3 , and a Lewis acid such as Ti(iPrO) 4 , with or without molecule sieves, in an organic solvent such as THF, IPA, or EtOH, at a temperature in the range of -10 °C to about 50 °C, to yield the corresponding cyclohexylamine (XIII).
- a reducing reagent such as NaBH 4 , NaBH(CN) 3 or NaBH(OAc) 3
- a Lewis acid such as Ti(iPrO) 4
- the protecting group of cyclohexylamine (XIII) is then removed by treatment with an acid such as IN HC1, IN H 2 S0 4 or TFA, in an organic solvent such as diethyl ether, THF, or dichloromethane, at a temperature in the range of about 0 °C to about 50 °C, to yield the corresponding amine (XIV).
- an acid such as IN HC1, IN H 2 S0 4 or TFA
- organic solvent such as diethyl ether, THF, or dichloromethane
- suitable coupling reagents include EDCI/HOBt, PyBrop, or DCC, and a base such as TEA, Na 2 C0 3 , or pyridine, in an organic solvent such as THF, dichloromethane, or acetonitrile, at a temperature in the range of about 0 °C to about 50 °C.
- suitable reagents include a base such as TEA, in an organic solvent such as THF, dichloromethane, or acetonitrile, at a temperature in the range of about 0 °C to about 50 °C.
- aminoamide (XII) can be generated from azidoester (X) by the method of Weinreb et al. [Tet. Lett., 1977, 48, pp. 4171-74], followed by hydrogenolysis, as described above, giving aminoamide (XII), as shown in Scheme 3.
- aryl-, alkyl-, or heteroaryl-halide R Q where R 1 is as defined in Formula (I) and Q is any halogen, is reacted with commercially available ketone (XVII) in the presence of organometalic agent such as n-BuLi, i-PrMgBr, or i-PrMgCl, in an organic solvent such as ether, THF, or dioxane, at a temperature in the range of about -78 °C to about 0 °C, to yield the corresponding ketal (XVIII).
- organometalic agent such as n-BuLi, i-PrMgBr, or i-PrMgCl
- organic solvent such as ether, THF, or dioxane
- Ketal (XVIII) is treated with an acid such as IN HC1 or IN H 2 SO 4 in an organic solvent such as acetone, acetonitrile, or THF, at a temperature in the range of about 0 °C to about 50 °C, to yield the corresponding ketone (XIX).
- an acid such as IN HC1 or IN H 2 SO 4
- an organic solvent such as acetone, acetonitrile, or THF
- Ketal (XVIII) is treated with a dehydrating agent such as Burgess' reagent, in an organic solvent such as ether, THF, or dioxane, at a temperature in the range of about -10 °C to about 25 °C, to yield the corresponding alkene (XX).
- Alkene (XX) is hydrogenated with a reductant such as H 2 gas, catalyzed by a metal such as 10% Pd/C, in an organic solvent such as methanol, at a temperature in the range of about 20 °C to about 60 °C, to yield the corresponding alkane (XXI).
- Alkane (XXI) is treated with an acid such as IN HC1 or IN H 2 SO 4 , in an organic solvent such as acetone, acetonitrile or THF, at a temperature in the range of about 0 °C to about 50 °C, to yield the corresponding ketone (XXII).
- an acid such as IN HC1 or IN H 2 SO 4
- an organic solvent such as acetone, acetonitrile or THF
- aryl boronic acid wherein R 1 is as defined in Formula (I) and Q is any halogen, is reacted with vinyl triflate (XXIV), prepared according to the procedure of W. Pearson et. al, J. Org. Chem. 2004, 69, pp.
- aryl or heteroaryl halide R Q is reacted with vinyl boronic ester (XXV) prepared according to A.M. Birch et. al, PCT Int. Appl. 2006, WO 2006064189, in the presence of a catalyst such as Pd(Ph 3 P) 4 , PdCl 2 (Ph 3 P) 2 or PdCl 2 (dppf), and a base such as 2N Na 2 C0 3 or K 2 C0 3 , in an organic solvent such as toluene, dioxane or THF, at a temperature in the range of about 80 °C to about 120 °C, to yield the corresponding alkene (XX).
- a catalyst such as Pd(Ph 3 P) 4 , PdCl 2 (Ph 3 P) 2 or PdCl 2 (dppf)
- a base such as 2N Na 2 C0 3 or K 2 C0 3
- organic solvent such as toluene, dioxan
- Ketone (XXVII) may be prepared according to the processes outlined in Scheme 7.
- Ketal (XVIII) is treated with a fluorinating agent such as DAST or trifluorosulfonyl fluoride, in an organic solvent such as dichloromethane, THF, or dioxane, at a temperature in the range of about -78 °C to about 0 °C, to yield the corresponding fluoride (XXVI).
- Fluoride (XXVI) is treated with an acid such as IN HC1 or IN H 2 SO 4 , in an organic solvent such as acetone, acetonitrile, or THF, at a temperature in the range of about 0 °C to about 50 °C, to yield the corresponding ketone (XXVII).
- Ketone (XXX) may be prepared according to the processes outlined in Scheme 8.
- Sulfinimide (XXVIII) is treated with an organometalic agent such as R ⁇ MgBr or R ⁇ Li, in an organic solvent such as ether, THF, or dioxane, at a temperature in the range of about -78 °C to about 25 °C, to yield the corresponding sulfmamide (XXIX).
- Sulfmamide (XXIX) is treated with an acid such as IN HC1 or IN H 2 S0 4 , in an organic solvent such as acetone, acetonitrile, or THF, at a temperature in the range of about 0 °C to about 25 °C, to yield the corresponding ketone (XXX).
- heteroaryl R1H where R 1 is as defined in Formula (I), is reacted with tosylate, mesylate, or halide (XXXI) in the presence of inorganic base such as K 2 CO 3 , CS 2 CO 3 , or NaH, in an organic solvent such as DMF or THF, at a temperature in the range of about 25 °C to about 80 °C, to yield the corresponding ketal (XXI), which can then be treated with an acid such as IN HC1 or IN H 2 SO 4 , in an organic solvent such as acetone, acetonitrile, or THF, at a temperature in the range of about 0 °C to about 50 °C, to yield the corresponding ketone (XXII).
- inorganic base such as K 2 CO 3 , CS 2 CO 3 , or NaH
- organic solvent such as DMF or THF
- aryl- or heteroaryl-fused pyrrole such as indole or azaindole
- ketone (XVII) is reacted with commercially available ketone (XVII) in the presence of a base such as NaOH or KOH, in an organic solvent such as MeOH, IP A, or dioxane, at a temperature in the range of about 50 °C to about 100 °C, to yield the corresponding alkenylketal (XXXIII).
- Alkenylketal (XXXIII) is then hydrogenated and treated with an acid as described in Scheme 5 to yield the corresponding ketone (XXII), where R 1 is an aryl- or heteroaryl- fused pyrrole.
- Step A 3-(l,4-dioxaspiro[4.5]dec- -en-8-yl)-lH-indole
- Step B 3-(l ,4-dioxaspirof 4.5] decan-8-yl)-lH-indole
- the catalyst was filtered using celite/galss fiber filter, and the reaction was evaporated, but not to complete dryness.
- Denatured EtOH 250 mL was added, the reaction concentrated, but again not to dryness.
- EtOH (1050 mL) was added, the contents heated to boiling, which dissolved nearly all the material. The mixture was allowed to come to ambient temperature with stirring and the product precipitated. After coming to ambient temperature, the suspension was chilled in a refrigerator for 3 hrs, and the product was filtered, and washed with ice-cold EtOH (250 mL) to obtain the title compound.
- Step D Methyl 2-Bromo-2-(l-tert-butoxycarbonyl-4-piperidinyl)-acetate
- Bromotrimethylsilane (2.10 mL, 15.9 mmol) was added dropwise via dry syringe over 5 mins, then a solution of freshly recrystallized N- bromosuccinimide (2.14 g, 12.0 mmol) in anhydrous THF (20 mL) was added in one portion from an addition funnel. The reaction was kept at -78 °C for 2 hrs then warmed to ambient temperature. The crude reaction was concentrated in vacuo then partitioned between saturated aq. NaHC0 3 and ethyl acetate.
- Step E Methyl 2-Azido-2-(l-tert-butoxycarbonyl-4-piperidinyl)-acetate
- the product of the preceding step (26.3 g, 78.2 mmol) was dissolved in N,N- dimethylformamide (DMF, 100 mL), treated with sodium azide (26.2 g, 403 mmol), and stirred at ambient temperature for 24 hrs.
- the reaction was filtered over a glass frit, the insolubles washed once with DMF, and the filtrate concentrated in vacuo.
- the residue was dissolved in dichloromethane (DCM) and washed twice with water, the aqueous layers extracted with DCM, and combined organic layers washed with brine, dried over anhydrous sodium sulfate, and filtered. Concentration of the filtrate in vacuo gave the title compound as a golden oil.
- DCM dichloromethane
- Step F Methyl 2-Amino-2-(l-tert-butoxycarbonyl-4-piperidinyl)-acetate
- the product of the preceding step (23.5 g, 78.2 mmol) was dissolved in methanol (100 mL), bubbled with argon for 10 mins, treated with 10% palladium(O) on carbon (2.3 g) under argon, the reaction flask evacuated under house vacuum and backfilled with hydrogen (5 times), and the reaction stirred vigorously under hydrogen balloon at ambient temperature.
- the hydrogen balloon was refilled 3 times (with evacuation and backfilling) over 24 hrs, then the hydrogen was removed, the reaction bubbled briefly with argon, and filtered twice over Celite 521.
- the Celite was washed with methanol (under Ar) and the combined filtrates were concentrated in vacuo giving the title compound as a golden oil.
- Step G 2-Amino-2-(l-tert-butoxycarbonyl-piperidin-4-yl)-acetamide
- Step H 2-f 4-(lH-Indol-3-y -cvclohexylamino]-2-(l-Boc-piperidin-4-yl)-acetamide
- step C The product of the preceding step (456 mg, 1.77 mmol) and the ketone from Ex 1, step C (345 mg, 1.62 mmol) were treated under argon with anhydrous ethanol (30 mL) and titanium(IV) isopropoxide (0.56 mL, 1.91 mmol). The reaction was stirred at ambient temperature for 2 hrs, then treated under argon with powdered sodium borohydride (93 mg, 2.45 mmol), reaction vessel purged with argon, and stirred under septum at ambient temperature for 3 days.
- the reaction was quenched with saturated aqueous Na 2 C0 3 (30 mL), stirred for 30 mins at ambient temperature, filtered over a medium porosity frit, and the solids washed with EtOAc.
- the filtrate was concentrated in vacuo to remove organic solvents and the aqueous layer extracted twice each with EtOAc and DCM.
- the combined organic layers were washed with brine, dried over sodium sulfate, filtered, and the evaporated filtrate was purified on a 40 g silica gel AnaLogix column via ISCO CombiFlash system (40-100% acetonitrile in DCM over 35 mins, 40 mL/min).
- Step J 2-f 4-( lH-Indol-3-yl)-cvclohexylaminoJ-2-piperidin-4-yl- acetamide dihvdrochloride
- Step K R,S-2-[4-flH-Indol-3-yl)Arans-cvclohexylamino]-2-[l-(trans-3,5- difluorocinnamoyl)piperidin-4-yl]-acetamide (Example la)
- Step L R,S-2-[4-(lH-Indol-3-yl)-txans-cvclohexylamino]-2-[l-(trans-3,5- difluorocinnamoyl)-piperidin-4-yl]-acetamide dihvdrochloride (Example lb)
- Example 2 R* and S* enantiomers of 2-[4-flH-Indol-3-yl)- ⁇ m3 ⁇ 4s-cvclohexylaminol-2- [l- ⁇ TO3 ⁇ 4s-3.,5-difluorocinnamoyl)piperidin-4-yll-acetamide
- step H The product of Example 1 , step H was diastereomerically and enantiomerically separated by chiral HPLC (Chiracel®-OJ) and 20% ethanol/80% acetonitrile as the eluant and converted to the title compound (I) by the methods of Example 1 , steps J & K, to give the title compounds.
- step J The product of Example 1, step J (102 mg, 0.239 mmol) was dissolved in anhydrous DCM (10 mL) under Ar, treated with TEA (0.20 mL, 1.43 mmol) via syringe, stirred for 10 mins, treated with 3,4-dichlorophenylisocyanate (53 mg, 0.282 mmol), and the reaction stirred at ambient temperature under septum for 24 hrs.
- the reaction was diluted with DCM, washed with water and saturated aq. NaHC0 3 , aqueous layers extracted with DCM and EtOAc, combined organic layers washed with brine, dried over Na 2 S0 4 , and filtered.
- Example 12 2-[4-flH-Indol-3-yl)-cvclohexylaminol-2-[l- ⁇ m3 ⁇ 4s-3-indan-5-ylprop-2- enoyl)piperidin-4-yll -acetamide
- Example 17 2- ⁇ 4-( lH-Indol-3-yl)-cvclohexylaminol -2- ⁇ l-( fm3 ⁇ 4s-3-(2,2-difluor 0- 1 ,3- benzodioxol-5-yl)prop-2-enoyl)piperidin-4-yll-acetamide
- Step A Methyl 2-((4-(lH-ind -3-yl)cvclohexyl)amino)-2-(piperidin-4-yl)acetate
- Step B Methyl 2-[4-(lH-indol-3-yl)-trans-cvclohexylamino]-2-[l-(trans-3,5- difluorocinnamoyl)piperidin-4-yl] -acetate HN
- Example 25 2-[4-flH-Indol-3-yl)- ?m3 ⁇ 4s-cyclohexylaminol-2-[l-(;m3 ⁇ 4s-3.,5- difluorocinnamoyl)-piperidin-4-yll -acetic acid hydrochloride
- Example 24 The product of Example 24 was dissolved in 3: 1 v/v MeOH/THF (8 mL), treated with a solution of powdered lithium hydroxide (36 mg, 1.50 mmol) in water (2 mL), and stirred at ambient temperature for 4 days. The reaction was concentrated in vacuo to a slurry, acidified to pH 4 with IN aqueous HC1, filtered over a glass frit, solids washed once with water, twice with anhydrous ether, and dried in vacuo giving the title compound as a white amorphous solid.
- Mass spectrum LCMS, APCI pos.
- Example 27 2-[4-flH-Indol-3-yl)- ⁇ TO3 ⁇ 4s-cvclohexylaminol-2-[ V-f3.,4-(iichlorophenyl)- piperidine-l-carboxamid-4-yll-acetic acid hydrochloride
- Example 28 2-[4-flH-Indol-3-yl)-c s-cvclohexylaminol-2-[ V-f3.,4-dichlorophenyl)- piperidine-l-carboxamid-4-yll-acetic acid hydrochloride (1)
- Example 36 R,S-2-[4-flH-Indol-3-yl)- ⁇ fl3 ⁇ 4s-cvclohexylaminol-2-[l- ⁇ TO3 ⁇ 4s-3.,4,5- trifluorocinnamoyl)-piperidin-4-yll-acetamide
- Example 35 The product of Example 35 was purified by reverse-phase HPLC (C-18 stationary phase and eluting with a gradient from 20 to 80% acetonitrile/water containing 0.05% TFA as an additive in both solvents) giving the title compound as the more polar diastereomer (shorter retention time).
- Mass spectrum LCMS, ESI pos.
- Example 35 The product of Example 35 was purified by flash chromatography (20% MeOH/EtOAc) giving the title compound as the less polar diastereomer (longer retention time). Mass spectrum (LCMS, ESI pos.) calcd. for C30H33F3N4O2: 539 (M+H). Found: 539.
- Example 38 R* and S* enantiomers of 2-[4-flH-Indol-3-yl)- ⁇ m3 ⁇ 4s-cvclohexylaminol- 2-[l- ⁇ TO3 ⁇ 4s-3.,4,5-trifluorocinnamoyl)piperidin-4-yll-acetamide hydrochloride
- Example 36 The product of Example 36 was enantiomerically separated by chiral, reverse-phase HPLC to give the title compounds as tan solids.
- Example 39 2-[4-(lH-pyrrolo[3. l 2-61pyridin-3-yl)cvclohexyllamino-2-[l- ⁇ m3 ⁇ 4s-3. l 4,5- trifluorocinnamoyl)-piperidin-4-yll-acetamide
- the title compound was prepared from 4-(lH-pyrrolo[3,2-3 ⁇ 4]pyridin-3-yl)cyclohexanone (produced from 4-azaindole via the procedure of Example 1, steps A to C), the
- Example 42 2-[ ⁇ m3 ⁇ 4s-4-flH-pyrrolo[3. l 2-61pyridin-3-yl)cvclohexyllamino-2-[ V-f3. l 4- dichlorophenyl)piperidine-l-carboxamid-4-yll-acetamide
- Example 48 2- [4-( IH-pyrrolo [3,2-61 pyridin-3-yl)cvclohexyll amino-2- ⁇ N-( 3- tolyl)piperidine-l-carboxamid-4-yll-acetamide
- Example 50 2- [4-( 6-methoxypyridin-3-yl)cvclohexyll amino-2- ⁇ l-(trans-3A,5- trifluorocinnamo -piperidin-4-yll-acetamide
- the title compound was prepared from 4-(6-methoxypyridin-3-yl)cyclohexanone (prepared from commercially available 4-hydroxy-4-(6-methoxypyridin-3-yl)cyclohexanone according to the general procedure shown in scheme 5), 2-amino-2-(l-tert-butoxycarbonyl- piperidin-4-yl)-acetamide (from Example 1, step G), and trans-3,4,5-trifluorocinnamic acid, by the methods of Example 1 , steps H to K, giving a plae yellow solid as a mixture of cyclohexyl diastereomers.
- Example 51 V-Hvdroxy-2- ⁇ i4-flH-Indol-3-yl)-cvclohexylaminol-2-il- ⁇ m3 ⁇ 4s-3,4,5- trifluorocinnamoyl -piperidin-4-yll ⁇ -acetamide
- Example 54 V. V-Dimethyl-2- ⁇ r4-aH-Indol-3-yl)-cvclohexylaminol-2-ri- ⁇ TO3 ⁇ 4s-3,4,5- trifluorocinnamoyl)-piperidin-4-yll ⁇ -acetamide
- THP-1 Cells Human monocytic cell line THP-1 cells were obtained from American Type Culture Collection (Manassas, Va., USA). The THP-1 cells were grown in RPMI-1640 (RPMI: Roswell Park Memorial Institute Medium-cell culture growth media) supplemented with 10% fetal bovine serum in a humidified 5% C0 2 atmosphere at 37 °C. The cell density was maintained between 0.5 ⁇ 10 6 cells/mL.
- THP-1 (cells were incubated with 0.5 nM 125 I labeled MCP-1 (Perkin-Elmer Life Sciences, Inc. Boston, Mass.) in the presence of varying concentrations of either unlabeled MCP-1 (R & D Systems, Minneapolis, Minn.) or test compound for 2 hours at 30° C. in a 96 well plate. Cells were then harvested onto a filter plate, dried, and 20 of Microscint 20 was added to each well. Plates were counted in a TopCount NXT, Microplate Scintillation & Luminescence Counter (Perkin-Elmer Life Sciences, Inc. Boston, Mass.). Blank values (buffer only) were subtracted from all values and drug treated values were compared to vehicle treated values. 1 ⁇ cold MCP-1 was used for nonspecific binding.
- Table 1 lists IC 50 values for inhibition of MCP-1 binding to CCR2 obtained for test compounds of the invention. Where an IC 50 value was not obtained for a particular compound, the percent inhibition is provided at a test concentration of 25 ⁇ . Where more than one IC 50 value was available, the average of the two most similar values is reported. Table I: Inhibition ofMCP-1 Binding IC 50
- Mouse CCR2 knock-out / human CCR2 knock-in mice were generated using targeted 129Sv/Evbrd embryonic stem cell clones injected into C57BL/6 mice. Expression of the hCCR2 transcript was confirmed by quantitative reverse transcription-polymerase chain reaction performed on spleen and blood total RNA from homozygous hCCR2 knock-in mice. Backcrossing into C57BL/6 genetic background continued to the eighth generation. Transgenic mice were housed in a specific-pathogen-free, temperature-controlled facility that maintained a 12-hour light/ 12-hour dark cycle. Mice had free access to water and food. Experimental procedures were carried out in accordance with institutional standards for animal care and were approved by the institute's animal care and use committee.
- Example 57 Murine In vivo Cell Migration Assay.
- Animals are orally dosed with vehicle or CCR2 antagonists at 3, 10 and 30 mg/kg bid. Animals undergo anesthesia and laparotomy. A distal loop of small bowel (5 cm in length) is gently eventrated onto moist sterile gauze. Synthetic human MCP-1 (1 mg/100 ml sterile PBS) or PBS alone is administered drop-wise onto the serosa of the eventrated loop. A suture knot is placed into the mesentery to mark the terminus of the treated area. Twenty-four hours later, the animal is sacrificed and the segment of bowel plus the adjacent region is removed. The tissue is opened along the mesenteric border, pinned flat and the mucosa removed.
- the remaining muscle layer is fixed briefly in 100% EtOH and then stained using Hanker- Yates reagent to detect myeloperoxidase-containing immune cells.
- P.O. bid a compound is deemed efficacious if the inhibition of cell migration reaches 30% compared with vehicle-treated animals.
- Example 58 Thiolycollate-Induced Peritonitis in Mice.
- Animals are orally dosed with vehicle or CCR2 antagonists at 3, 10, 30 and 100 mg/kg bid).
- the animals are intraperiponeally injected with sterile thioglycollate (25 mL/kg, ip, Sigma) for induction of peritonitis.
- Animals are orally treated twice daily with vehicle or CCR2 antagonists.
- perinoteal cavities are lavaged with 10 mL of sterile saline.
- Total cell counts in the peritoneal lavage fluid are performed using a microscope and cell differentiation is performed using cytospin analysis after Giemsa staining (Hema Tek 2000).
- Percent inhibition of the thioglycollate-induced peritonitis is calculated by comparing the change in number of leukocytes of CCR2 antagonist treated mice to the vehicle-treated mice.
- Example 59 MCP-l-Induced Monocyte Recruitment to Airway of Mice.
- mice are orally treated with vehicle or CCR2 antagonists at 3, 10, and 30 mg/kg po bid).
- vehicle or CCR2 antagonists One hour later, the animals are intranasally dosed with 4 ⁇ g of MCP-1 in sterile saline.
- the animals are orally treated twice daily with vehicle or CCR2 antagonists.
- mice are euthanized by intraperitoneal injection of anesthesia solution (Sleepaway- Sodium pentobarbital).
- Anesthesia solution Steepaway- Sodium pentobarbital
- Whole bronchoalveolar lavage (BAL) is performed using 1.4 ml of ice-cold PBS containing 3 mM EDTA.
- Total cell counts in the BAL lavage fluid are performed using a microscope and cell differentiation is performed using cytospin analysis after Giemsa staining (Hema Tek 2000). Percent inhibition is calculated by comparing the change in number of total leukocyte counts (including monocytes/macrophages and lymphocytes) of compound-treated mice to the vehicle-treated mice. Compounds are deemed efficacious if percent inhibition reaches 30%.
- Example 60 High-fat Diet Induced Obesity and Insulin Resistance in Mice.
- Obesity is induced by a high-fat diet that derived approximately 60% calories from lipids (D- 12492; Research Diets Inc.) in animals for 10- 24 weeks at age of 7 weeks. Prior to age 7 weeks, animals are fed a standard pellet diet, in which 5% of calories were provided as fat. Obese animals are randomized by body weight and fat mass. The obese animals are orally treated with vehicle or CCR2 antagonists at 3, 10 and 30 mg/kg, po bid. Body weight and food intake and fasting blood glucose levels are monitored. Body mass is determined by a NMR analyzer (Burker MiniSpec). Insulin tolerance test is carried out in animals that are fasted for 3 hours.
- D- 12492 Research Diets Inc.
- Example 61 Mouse Model of Allergic Asthma.
- OVA-immunized animals are challenged by inhalation of 0.5% OVA aerosol for 10 minutes by an ultrasonic nebulizer on days 12, 16 and 20. Control animals are challenged with PBS in similar fashion.
- the OVA-sensitized animals receive vehicle (0.5%> Methocel) or CCR2 antagonists orally at 3, 10, 30 mg/kg twice daily from days 9-20 and once daily on day 21, 2 hours before sacrifice.
- Dexamethason (5 mg/kg) and Montelukast (1 mg/kg) are given orally once a day.
- bronchial reactivity to aerosolized methacholine is measured using a Buxco whole body plethysmograpgh.
- the animals are sacrificed.
- Bronchoalveolar lavage fluid is collected (1 mL) and total cells counted.
- the numbers of eosinophils, lymphocytes, monocytes and neutrophils are determined using cytospin analysis after Giemsa staining (Hema Tek 2000).
- Percent inhibition of total BAL leukocyte count (and eosinophil count) is calculated by comparing the compound-treated mice with vehicle-treated mice. Compounds are deemed efficacious if the inhibition reaches 30%.
- Example 62 Formulation Example
- an oral composition 100 mg of the compound of Example 1, above, is formulated with sufficient finely divided lactose to provide a total amount of 580 to 590 mg to fill a size O hard gel capsule.
Landscapes
- Health & Medical Sciences (AREA)
- Chemical & Material Sciences (AREA)
- Organic Chemistry (AREA)
- General Health & Medical Sciences (AREA)
- Animal Behavior & Ethology (AREA)
- Veterinary Medicine (AREA)
- Public Health (AREA)
- Life Sciences & Earth Sciences (AREA)
- Medicinal Chemistry (AREA)
- Pharmacology & Pharmacy (AREA)
- Chemical Kinetics & Catalysis (AREA)
- Nuclear Medicine, Radiotherapy & Molecular Imaging (AREA)
- General Chemical & Material Sciences (AREA)
- Bioinformatics & Cheminformatics (AREA)
- Engineering & Computer Science (AREA)
- Diabetes (AREA)
- Pulmonology (AREA)
- Immunology (AREA)
- Cardiology (AREA)
- Hematology (AREA)
- Dermatology (AREA)
- Oncology (AREA)
- Heart & Thoracic Surgery (AREA)
- Obesity (AREA)
- Urology & Nephrology (AREA)
- Communicable Diseases (AREA)
- Ophthalmology & Optometry (AREA)
- Endocrinology (AREA)
- Rheumatology (AREA)
- Child & Adolescent Psychology (AREA)
- Neurology (AREA)
- Pain & Pain Management (AREA)
- Hospice & Palliative Care (AREA)
- Transplantation (AREA)
- Vascular Medicine (AREA)
- Biomedical Technology (AREA)
- Emergency Medicine (AREA)
- Neurosurgery (AREA)
- Otolaryngology (AREA)
- Orthopedic Medicine & Surgery (AREA)
Abstract
Description
Claims
Priority Applications (8)
| Application Number | Priority Date | Filing Date | Title |
|---|---|---|---|
| CN201180057842.5A CN103228644B (en) | 2010-12-01 | 2011-11-30 | 4-Substituted-cyclohexylamino-4-piperidinyl-acetamide antagonists of CCR2 |
| ES11794348.0T ES2525837T3 (en) | 2010-12-01 | 2011-11-30 | Ccr2 antagonists of cyclohexylamino-4-piperidinyl-acetamide substituted in position 4 |
| CA2819508A CA2819508A1 (en) | 2010-12-01 | 2011-11-30 | 4-substituted-cyclohexylamino-4-piperidinyl-acetamide antagonists of ccr2 |
| MX2013006256A MX345146B (en) | 2010-12-01 | 2011-11-30 | 4-substituted-cyclohexylamino-4-piperidinyl-acetamide antagonists of ccr2. |
| EP11794348.0A EP2646429B1 (en) | 2010-12-01 | 2011-11-30 | 4-substituted-cyclohexylamino-4-piperidinyl-acetamide antagonists of ccr2 |
| KR1020137016582A KR20130121891A (en) | 2010-12-01 | 2011-11-30 | 4-substituted-cyclohexylamino-4-piperidinyl-acetamide antagonists of ccr2 |
| AU2011336700A AU2011336700B2 (en) | 2010-12-01 | 2011-11-30 | 4-substituted-cyclohexylamino-4-piperidinyl-acetamide antagonists of CCR2 |
| JP2013542129A JP5868418B2 (en) | 2010-12-01 | 2011-11-30 | 4-substituted cyclohexylamino-4-piperidinyl-acetamide antagonists of CCR2 |
Applications Claiming Priority (2)
| Application Number | Priority Date | Filing Date | Title |
|---|---|---|---|
| US41847910P | 2010-12-01 | 2010-12-01 | |
| US61/418,479 | 2010-12-01 |
Publications (1)
| Publication Number | Publication Date |
|---|---|
| WO2012075115A1 true WO2012075115A1 (en) | 2012-06-07 |
Family
ID=45316114
Family Applications (1)
| Application Number | Title | Priority Date | Filing Date |
|---|---|---|---|
| PCT/US2011/062593 Ceased WO2012075115A1 (en) | 2010-12-01 | 2011-11-30 | 4-substituted-cyclohexylamino-4-piperidinyl-acetamide antagonists of ccr2 |
Country Status (10)
| Country | Link |
|---|---|
| US (1) | US8921559B2 (en) |
| EP (1) | EP2646429B1 (en) |
| JP (1) | JP5868418B2 (en) |
| KR (1) | KR20130121891A (en) |
| CN (1) | CN103228644B (en) |
| AU (1) | AU2011336700B2 (en) |
| CA (1) | CA2819508A1 (en) |
| ES (1) | ES2525837T3 (en) |
| MX (1) | MX345146B (en) |
| WO (1) | WO2012075115A1 (en) |
Cited By (1)
| Publication number | Priority date | Publication date | Assignee | Title |
|---|---|---|---|---|
| EP3050574A1 (en) | 2015-01-28 | 2016-08-03 | Universite De Bordeaux | New compositions and methods of treating and/or preventing chronic obstructive pulmonary disease |
Families Citing this family (1)
| Publication number | Priority date | Publication date | Assignee | Title |
|---|---|---|---|---|
| CN111377849A (en) * | 2018-12-28 | 2020-07-07 | 中国人民解放军军事科学院军事医学研究院 | Compound, pharmaceutically acceptable salt thereof and medical application thereof |
Citations (5)
| Publication number | Priority date | Publication date | Assignee | Title |
|---|---|---|---|---|
| US20050026714A1 (en) | 1999-11-01 | 2005-02-03 | Stevens Daniel M. | Golf club head with customizable center of gravity |
| WO2005060665A2 (en) | 2003-12-18 | 2005-07-07 | Incyte Corporation | 3-cycloalkylaminopyrrolidine derivatives as modulators of chemokine receptors |
| WO2006010094A1 (en) | 2004-07-09 | 2006-01-26 | Elan Pharmaceuticals, Inc. | Oxime derivative hydroxyethylamine aspartyl-protease inhibitors |
| WO2006064189A1 (en) | 2004-12-14 | 2006-06-22 | Astrazeneca Ab | Oxadiazole derivatives as dgat inhibitors |
| WO2007145835A2 (en) | 2006-06-08 | 2007-12-21 | Amgen Inc. | Benzamide derivatives as modulators of 11beta-hsd1 for treating diabetes and obesity |
Family Cites Families (15)
| Publication number | Priority date | Publication date | Assignee | Title |
|---|---|---|---|---|
| US5679640A (en) * | 1991-02-12 | 1997-10-21 | Cytel Corporation | Immunosuppressant peptides |
| JPH05148202A (en) * | 1991-04-10 | 1993-06-15 | Tsumura & Co | New compound and its usage as medical drug |
| US5719148A (en) * | 1993-10-15 | 1998-02-17 | Schering Corporation | Tricyclic amide and urea compounds useful for inhibition of g-protein function and for treatment of proliferative diseases |
| JPH07330695A (en) * | 1994-04-11 | 1995-12-19 | Green Cross Corp:The | Novel carboxylic acid derivative or salt thereof, and pharmaceutical use thereof |
| TW414798B (en) * | 1994-09-07 | 2000-12-11 | Thomae Gmbh Dr K | Pyrimido (5,4-d) pyrimidines, medicaments comprising these compounds, their use and processes for their preparation |
| US6359134B1 (en) * | 1997-05-30 | 2002-03-19 | Takeda Chemical Industries, Ltd. | Sulfonamide derivatives, their production and use |
| JPH1180131A (en) * | 1997-09-01 | 1999-03-26 | Mitsubishi Chem Corp | Ethynylpyrimidine derivatives |
| JP4363183B2 (en) * | 2001-06-08 | 2009-11-11 | 三菱化学株式会社 | Azasugar compounds |
| KR20070063562A (en) * | 2004-09-28 | 2007-06-19 | 얀센 파마슈티카 엔.브이. | Substituted Dipiperidine CCR2 Antagonists |
| ATE478069T1 (en) * | 2005-08-25 | 2010-09-15 | Schering Corp | 3,4-DIHYDRO-2H-BENZOÄ1,4ÜOXAZINE AND 3,4-DIHYDRO-2H-BENZOÄ1,4ÜTHIAZINE COMPOUNDS AS ALPHA2C ADRENORECEPTOR ANTAGONISTS |
| US8003624B2 (en) * | 2005-08-25 | 2011-08-23 | Schering Corporation | Functionally selective ALPHA2C adrenoreceptor agonists |
| AR056043A1 (en) * | 2005-08-25 | 2007-09-12 | Schering Corp | ALFA2C FUNCTIONALLY SELECTIVE ADRENERGIC RECEIVERS AGONISTS |
| KR101176697B1 (en) * | 2006-04-20 | 2012-08-23 | 에프. 호프만-라 로슈 아게 | Diazepan derivatives modulators of chemokine receptors |
| MX2009005252A (en) * | 2006-11-17 | 2009-05-28 | Abbott Lab | Aminopyrrolidines as chemokine receptor antagonists. |
| CN102131777B (en) * | 2008-06-23 | 2014-03-19 | 詹森药业有限公司 | Piperidyl acrylamide antogonists of CCR2 |
-
2011
- 2011-11-30 JP JP2013542129A patent/JP5868418B2/en not_active Expired - Fee Related
- 2011-11-30 EP EP11794348.0A patent/EP2646429B1/en active Active
- 2011-11-30 US US13/307,357 patent/US8921559B2/en not_active Expired - Fee Related
- 2011-11-30 CA CA2819508A patent/CA2819508A1/en not_active Abandoned
- 2011-11-30 ES ES11794348.0T patent/ES2525837T3/en active Active
- 2011-11-30 AU AU2011336700A patent/AU2011336700B2/en not_active Ceased
- 2011-11-30 MX MX2013006256A patent/MX345146B/en active IP Right Grant
- 2011-11-30 WO PCT/US2011/062593 patent/WO2012075115A1/en not_active Ceased
- 2011-11-30 CN CN201180057842.5A patent/CN103228644B/en not_active Expired - Fee Related
- 2011-11-30 KR KR1020137016582A patent/KR20130121891A/en not_active Abandoned
Patent Citations (5)
| Publication number | Priority date | Publication date | Assignee | Title |
|---|---|---|---|---|
| US20050026714A1 (en) | 1999-11-01 | 2005-02-03 | Stevens Daniel M. | Golf club head with customizable center of gravity |
| WO2005060665A2 (en) | 2003-12-18 | 2005-07-07 | Incyte Corporation | 3-cycloalkylaminopyrrolidine derivatives as modulators of chemokine receptors |
| WO2006010094A1 (en) | 2004-07-09 | 2006-01-26 | Elan Pharmaceuticals, Inc. | Oxime derivative hydroxyethylamine aspartyl-protease inhibitors |
| WO2006064189A1 (en) | 2004-12-14 | 2006-06-22 | Astrazeneca Ab | Oxadiazole derivatives as dgat inhibitors |
| WO2007145835A2 (en) | 2006-06-08 | 2007-12-21 | Amgen Inc. | Benzamide derivatives as modulators of 11beta-hsd1 for treating diabetes and obesity |
Non-Patent Citations (11)
| Title |
|---|
| "Design of Prodrugs", 1985, ELSEVIER |
| "Protective Groups in Organic Chemistry", 1973, PLENUM PRESS |
| BIOORG. MED. CHEM. LETT., vol. 14, 2006, pages 3285 - 99 |
| DAWSON J ET AL.: "Targeting monocyte chemoattractant protein-1 signaling in disease", EXPERT OPIN. THER. TARGETS, vol. 7, no. 1, 2003, pages 35 - 48 |
| J. PHARM. SCI., vol. 66, no. 1, 1977, pages 1 |
| JAMES C LANTER ET AL: "The discovery of novel cyclohexylamide CCR2 antagonists", BIOORGANIC & MEDICINAL CHEMISTRY LETTERS, PERGAMON, ELSEVIER SCIENCE, GB, vol. 21, no. 24, 27 September 2011 (2011-09-27), pages 7496 - 7501, XP028113914, ISSN: 0960-894X, [retrieved on 20111008], DOI: 10.1016/J.BMCL.2011.09.113 * |
| REF INTERNATIONAL J PHARM., vol. 33, 1986, pages 201 - 217 |
| ROLLINS B J: "Monocyte chemoattractant protein 1: a potential regulator of monocyte recruitment in inflammatory disease", MOL. MED. TODAY, vol. 2, 1996, pages 198 |
| T.W. GREENE; P.G.M. WUTS: "Protective Groups in Organic Synthesis", 1991, JOHN WILEY & SONS |
| W. PEARSON, J. ORG. CHEM., vol. 69, 2004, pages 9109 - 9122 |
| WEINREB ET AL., TET. LETT., vol. 48, 1977, pages 4171 - 74 |
Cited By (2)
| Publication number | Priority date | Publication date | Assignee | Title |
|---|---|---|---|---|
| EP3050574A1 (en) | 2015-01-28 | 2016-08-03 | Universite De Bordeaux | New compositions and methods of treating and/or preventing chronic obstructive pulmonary disease |
| EP3613435A1 (en) | 2015-01-28 | 2020-02-26 | Universite De Bordeaux | Chemokine receptor cxcr4 inhibitors for treating and/or preventing chronic obstructive pulmonary disease |
Also Published As
| Publication number | Publication date |
|---|---|
| CN103228644A (en) | 2013-07-31 |
| JP2013544841A (en) | 2013-12-19 |
| CA2819508A1 (en) | 2012-06-07 |
| MX2013006256A (en) | 2013-07-02 |
| AU2011336700A1 (en) | 2013-06-06 |
| EP2646429A1 (en) | 2013-10-09 |
| AU2011336700B2 (en) | 2016-12-22 |
| KR20130121891A (en) | 2013-11-06 |
| ES2525837T3 (en) | 2014-12-30 |
| EP2646429B1 (en) | 2014-10-15 |
| MX345146B (en) | 2017-01-17 |
| US20120142733A1 (en) | 2012-06-07 |
| CN103228644B (en) | 2016-06-01 |
| JP5868418B2 (en) | 2016-02-24 |
| US8921559B2 (en) | 2014-12-30 |
Similar Documents
| Publication | Publication Date | Title |
|---|---|---|
| JP6110474B2 (en) | CCR2 fused cyclopentyl antagonist | |
| EP2376475B1 (en) | 4-azetidinyl-1-heteroaryl-cyclohexanol antagonists of ccr2 | |
| KR101743280B1 (en) | Cyclohexyl-azetidinyl antagonists of ccr2 | |
| EP2419418B1 (en) | 4-azetidinyl-1-heteroatom linked-cyclohexane antagonists of ccr2 | |
| CA2728616C (en) | Piperidyl acrylamide antogonists of ccr2 | |
| EP2580208B1 (en) | Cyclohexyl-azetidinyl antagonists of ccr2 | |
| EP2646429B1 (en) | 4-substituted-cyclohexylamino-4-piperidinyl-acetamide antagonists of ccr2 |
Legal Events
| Date | Code | Title | Description |
|---|---|---|---|
| 121 | Ep: the epo has been informed by wipo that ep was designated in this application |
Ref document number: 11794348 Country of ref document: EP Kind code of ref document: A1 |
|
| ENP | Entry into the national phase |
Ref document number: 2819508 Country of ref document: CA |
|
| ENP | Entry into the national phase |
Ref document number: 2013542129 Country of ref document: JP Kind code of ref document: A |
|
| NENP | Non-entry into the national phase |
Ref country code: DE |
|
| WWE | Wipo information: entry into national phase |
Ref document number: MX/A/2013/006256 Country of ref document: MX |
|
| ENP | Entry into the national phase |
Ref document number: 2011336700 Country of ref document: AU Date of ref document: 20111130 Kind code of ref document: A |
|
| ENP | Entry into the national phase |
Ref document number: 20137016582 Country of ref document: KR Kind code of ref document: A |
|
| WWE | Wipo information: entry into national phase |
Ref document number: 2011794348 Country of ref document: EP |















































































































