WO2012016133A2 - Ros1 kinase inhibitors for the treatment of glioblastoma and other p53-deficient cancers - Google Patents
Ros1 kinase inhibitors for the treatment of glioblastoma and other p53-deficient cancers Download PDFInfo
- Publication number
- WO2012016133A2 WO2012016133A2 PCT/US2011/045876 US2011045876W WO2012016133A2 WO 2012016133 A2 WO2012016133 A2 WO 2012016133A2 US 2011045876 W US2011045876 W US 2011045876W WO 2012016133 A2 WO2012016133 A2 WO 2012016133A2
- Authority
- WO
- WIPO (PCT)
- Prior art keywords
- alkyl
- cell
- tumor
- unsaturated
- membered saturated
- Prior art date
- Legal status (The legal status is an assumption and is not a legal conclusion. Google has not performed a legal analysis and makes no representation as to the accuracy of the status listed.)
- Ceased
Links
- 0 Cc([o]c(C)c1C(OC(C2=CC=C*(*)C=C2)=O)=CC(C2=CC=C*(*)C=C2)=C2)c1C2=O Chemical compound Cc([o]c(C)c1C(OC(C2=CC=C*(*)C=C2)=O)=CC(C2=CC=C*(*)C=C2)=C2)c1C2=O 0.000 description 18
- OTLIDWOLRLMUBD-UHFFFAOYSA-N C[N-](C)c1ccc(CNc2nc(-c3ccc[o]3)n[n]2C(c2cccc([N+]([O-])=O)c2)=O)cc1 Chemical compound C[N-](C)c1ccc(CNc2nc(-c3ccc[o]3)n[n]2C(c2cccc([N+]([O-])=O)c2)=O)cc1 OTLIDWOLRLMUBD-UHFFFAOYSA-N 0.000 description 1
- ZZNKBSABEMJNFL-UHFFFAOYSA-N Cc(c(NC(CSc1ncnc2c1[s]c1ccccc21)=O)ccc1)c1Cl Chemical compound Cc(c(NC(CSc1ncnc2c1[s]c1ccccc21)=O)ccc1)c1Cl ZZNKBSABEMJNFL-UHFFFAOYSA-N 0.000 description 1
- GUBQTDDOGRAIQH-MRXNPFEDSA-N Cc1ccccc1NC(C1=C(C)Nc2ncn[n]2[C@@H]1c1ccc[nH]1)=O Chemical compound Cc1ccccc1NC(C1=C(C)Nc2ncn[n]2[C@@H]1c1ccc[nH]1)=O GUBQTDDOGRAIQH-MRXNPFEDSA-N 0.000 description 1
- BHTGFUWVWVMWPV-UHFFFAOYSA-N O=C(CC(C(N1)=O)Nc2cccc3cccc1c23)Nc1ccccc1 Chemical compound O=C(CC(C(N1)=O)Nc2cccc3cccc1c23)Nc1ccccc1 BHTGFUWVWVMWPV-UHFFFAOYSA-N 0.000 description 1
Classifications
-
- A—HUMAN NECESSITIES
- A61—MEDICAL OR VETERINARY SCIENCE; HYGIENE
- A61K—PREPARATIONS FOR MEDICAL, DENTAL OR TOILETRY PURPOSES
- A61K31/00—Medicinal preparations containing organic active ingredients
- A61K31/33—Heterocyclic compounds
- A61K31/395—Heterocyclic compounds having nitrogen as a ring hetero atom, e.g. guanethidine or rifamycins
- A61K31/41—Heterocyclic compounds having nitrogen as a ring hetero atom, e.g. guanethidine or rifamycins having five-membered rings with two or more ring hetero atoms, at least one of which being nitrogen, e.g. tetrazole
- A61K31/4196—1,2,4-Triazoles
-
- A—HUMAN NECESSITIES
- A61—MEDICAL OR VETERINARY SCIENCE; HYGIENE
- A61K—PREPARATIONS FOR MEDICAL, DENTAL OR TOILETRY PURPOSES
- A61K31/00—Medicinal preparations containing organic active ingredients
- A61K31/33—Heterocyclic compounds
- A61K31/395—Heterocyclic compounds having nitrogen as a ring hetero atom, e.g. guanethidine or rifamycins
- A61K31/41—Heterocyclic compounds having nitrogen as a ring hetero atom, e.g. guanethidine or rifamycins having five-membered rings with two or more ring hetero atoms, at least one of which being nitrogen, e.g. tetrazole
- A61K31/425—Thiazoles
- A61K31/428—Thiazoles condensed with carbocyclic rings
-
- A—HUMAN NECESSITIES
- A61—MEDICAL OR VETERINARY SCIENCE; HYGIENE
- A61K—PREPARATIONS FOR MEDICAL, DENTAL OR TOILETRY PURPOSES
- A61K31/00—Medicinal preparations containing organic active ingredients
- A61K31/33—Heterocyclic compounds
- A61K31/395—Heterocyclic compounds having nitrogen as a ring hetero atom, e.g. guanethidine or rifamycins
- A61K31/435—Heterocyclic compounds having nitrogen as a ring hetero atom, e.g. guanethidine or rifamycins having six-membered rings with one nitrogen as the only ring hetero atom
- A61K31/4353—Heterocyclic compounds having nitrogen as a ring hetero atom, e.g. guanethidine or rifamycins having six-membered rings with one nitrogen as the only ring hetero atom ortho- or peri-condensed with heterocyclic ring systems
- A61K31/437—Heterocyclic compounds having nitrogen as a ring hetero atom, e.g. guanethidine or rifamycins having six-membered rings with one nitrogen as the only ring hetero atom ortho- or peri-condensed with heterocyclic ring systems the heterocyclic ring system containing a five-membered ring having nitrogen as a ring hetero atom, e.g. indolizine, beta-carboline
-
- A—HUMAN NECESSITIES
- A61—MEDICAL OR VETERINARY SCIENCE; HYGIENE
- A61K—PREPARATIONS FOR MEDICAL, DENTAL OR TOILETRY PURPOSES
- A61K31/00—Medicinal preparations containing organic active ingredients
- A61K31/33—Heterocyclic compounds
- A61K31/395—Heterocyclic compounds having nitrogen as a ring hetero atom, e.g. guanethidine or rifamycins
- A61K31/495—Heterocyclic compounds having nitrogen as a ring hetero atom, e.g. guanethidine or rifamycins having six-membered rings with two or more nitrogen atoms as the only ring heteroatoms, e.g. piperazine or tetrazines
-
- A—HUMAN NECESSITIES
- A61—MEDICAL OR VETERINARY SCIENCE; HYGIENE
- A61K—PREPARATIONS FOR MEDICAL, DENTAL OR TOILETRY PURPOSES
- A61K31/00—Medicinal preparations containing organic active ingredients
- A61K31/33—Heterocyclic compounds
- A61K31/395—Heterocyclic compounds having nitrogen as a ring hetero atom, e.g. guanethidine or rifamycins
- A61K31/495—Heterocyclic compounds having nitrogen as a ring hetero atom, e.g. guanethidine or rifamycins having six-membered rings with two or more nitrogen atoms as the only ring heteroatoms, e.g. piperazine or tetrazines
- A61K31/4985—Pyrazines or piperazines ortho- or peri-condensed with heterocyclic ring systems
-
- A—HUMAN NECESSITIES
- A61—MEDICAL OR VETERINARY SCIENCE; HYGIENE
- A61K—PREPARATIONS FOR MEDICAL, DENTAL OR TOILETRY PURPOSES
- A61K31/00—Medicinal preparations containing organic active ingredients
- A61K31/33—Heterocyclic compounds
- A61K31/395—Heterocyclic compounds having nitrogen as a ring hetero atom, e.g. guanethidine or rifamycins
- A61K31/495—Heterocyclic compounds having nitrogen as a ring hetero atom, e.g. guanethidine or rifamycins having six-membered rings with two or more nitrogen atoms as the only ring heteroatoms, e.g. piperazine or tetrazines
- A61K31/505—Pyrimidines; Hydrogenated pyrimidines, e.g. trimethoprim
- A61K31/519—Pyrimidines; Hydrogenated pyrimidines, e.g. trimethoprim ortho- or peri-condensed with heterocyclic rings
-
- A—HUMAN NECESSITIES
- A61—MEDICAL OR VETERINARY SCIENCE; HYGIENE
- A61K—PREPARATIONS FOR MEDICAL, DENTAL OR TOILETRY PURPOSES
- A61K31/00—Medicinal preparations containing organic active ingredients
- A61K31/33—Heterocyclic compounds
- A61K31/395—Heterocyclic compounds having nitrogen as a ring hetero atom, e.g. guanethidine or rifamycins
- A61K31/55—Heterocyclic compounds having nitrogen as a ring hetero atom, e.g. guanethidine or rifamycins having seven-membered rings, e.g. azelastine, pentylenetetrazole
- A61K31/551—Heterocyclic compounds having nitrogen as a ring hetero atom, e.g. guanethidine or rifamycins having seven-membered rings, e.g. azelastine, pentylenetetrazole having two nitrogen atoms, e.g. dilazep
- A61K31/5513—1,4-Benzodiazepines, e.g. diazepam or clozapine
- A61K31/5517—1,4-Benzodiazepines, e.g. diazepam or clozapine condensed with five-membered rings having nitrogen as a ring hetero atom, e.g. imidazobenzodiazepines, triazolam
-
- A—HUMAN NECESSITIES
- A61—MEDICAL OR VETERINARY SCIENCE; HYGIENE
- A61P—SPECIFIC THERAPEUTIC ACTIVITY OF CHEMICAL COMPOUNDS OR MEDICINAL PREPARATIONS
- A61P35/00—Antineoplastic agents
Definitions
- This invention relates to compounds and methods for cancer therapy.
- p53 as a tumor suppressor is generally attributed to its ability to stop the proliferation of precancerous cells by inducing cell-cycle arrest or apoptosis.
- This tumor suppressor gene is mutated in many human cancers and results in the loss of a cell's ability to survey for DNA damage. Inactivation or disruption of the p53 tumor suppressor gene is a common event in the development of most types (50-80%) of human cancers.
- the present invention provides compounds, a general synthesis of preparing the compounds, and methods to preferentially or specifically target tumor cells expressing the ROSl tumor survivor kinase.
- Inhibition can be by, e.g. inhibiting proliferation or decreasing survival of ROSl expressing cells while sparing normal cells.
- Non-tumor cells are spared because the ROSl kinase becomes necessary for survival only when the process of carcinogenesis is initiated and remains necessary after the cell becomes cancerous.
- the ROSl kinase is more essential in cells in which p53 is deficient, e.g., mutated, inactivated, or otherwise compromised or reduced.
- Inhibitors of these kinases are superior to many existing anti-tumor drugs because they preferentially act on p53-deficient tumor cells compared to non-tumor cells or cells in which p53 expression or activity is normal.
- the present invention relates to a method of inhibiting proliferation of or killing a cell, the method comprising contacting said cell with a composition comprising an inhibitor of ROS of Formula X:
- I— I is selected from a 3-14 membered saturated, unsaturated, or aromatic heterocycle containing one or more heteroatoms selected from N, O, and S; a 3-14 membered saturated, unsaturated, or aromatic carbocycle;
- Y is CRi or N
- Xa and Xd are each independently selected from a bond, O, S, C(O), OC(O), (CH 2 ) V , NH, N(CH 2 ) V N(Ci-C 6 alkyl), NHC(O), NHC(0)(CH 2 ) v , (CH 2 ) v NHC(0)(CH 2 ) v ,
- Xb and Xe are each independently selected from a bond, phenyl, furanyl, thiopheneyl, and 3- 14 membered saturated, unsaturated, or aromatic heterocycle containing 1-3 heteroatoms selected from N, O, and S; a 3-14 membered saturated, unsaturated, or aromatic carbocycle; wherein Xb is optionally substituted with m number of Xf; and Xe is optionally substituted with n number of Xf;
- Xc and Xf are each independently selected from hydrogen, phenyl, furanyl, thiopheneyl, d- C 6 alkyl, d-C 6 alkoxy, halogen, CF 3 , CHF 2 , CH 2 F, NH 2 , NH(Ci-C 6 alkyl), N(d-C 6 alkyl) 2 ,
- aryl is a 3-8 membered saturated, unsaturated, or aromatic carbocycle optionally substituted with one or more R 2 ;
- two adjacent Xc or two adjacent Xf together form a 3-14 membered saturated, unsaturated, or aromatic heterocycle containing 1-3 heteroatoms selected from N, O, and S; or a 3-14 membered saturated, unsaturated, or aromatic carbocycle; or
- Ri, R 2 , Rii, Ri2, Ri 3 , Ri 4 , RLI, and RL 2 are each independently selected from hydrogen, phenyl, furanyl, thiopheneyl, C r6 alkyl, C C 6 alkoxy, halogen, -CF 3 , CHF 2 , CH 2 F, NH 2 , NH(Ci-C 6 alkyl), N(d-C 6 alkyl) 2 , NC(0)(C C 6 alkyl), C(0)OH, C(0)0(d-C 6 alkyl), OH, CN, SH, S(C !
- RB RB2, RB3, and RB 4 are each independently selected from hydrogen, phenyl, furanyl, thiopheneyl, C 6 alkyl, Ci-C 6 alkoxy, halogen, CF 3 , CHF 2 , C3 ⁇ 4F, NH 2 , NH(C C 6 alkyl), N(C C 6 alkyl) 2 , NC(0)(C !
- n is selected form 0, 1, 2, 3, 4, and 5;
- t is selected from 0, 1, 2, 3, 4, and 5;
- v is selected from 0, 1, 2, 3, 4, 5, and 6; or a pharmaceutically acceptable salt, ester, tautomer, or prodrug thereof.
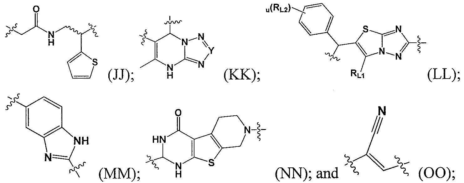
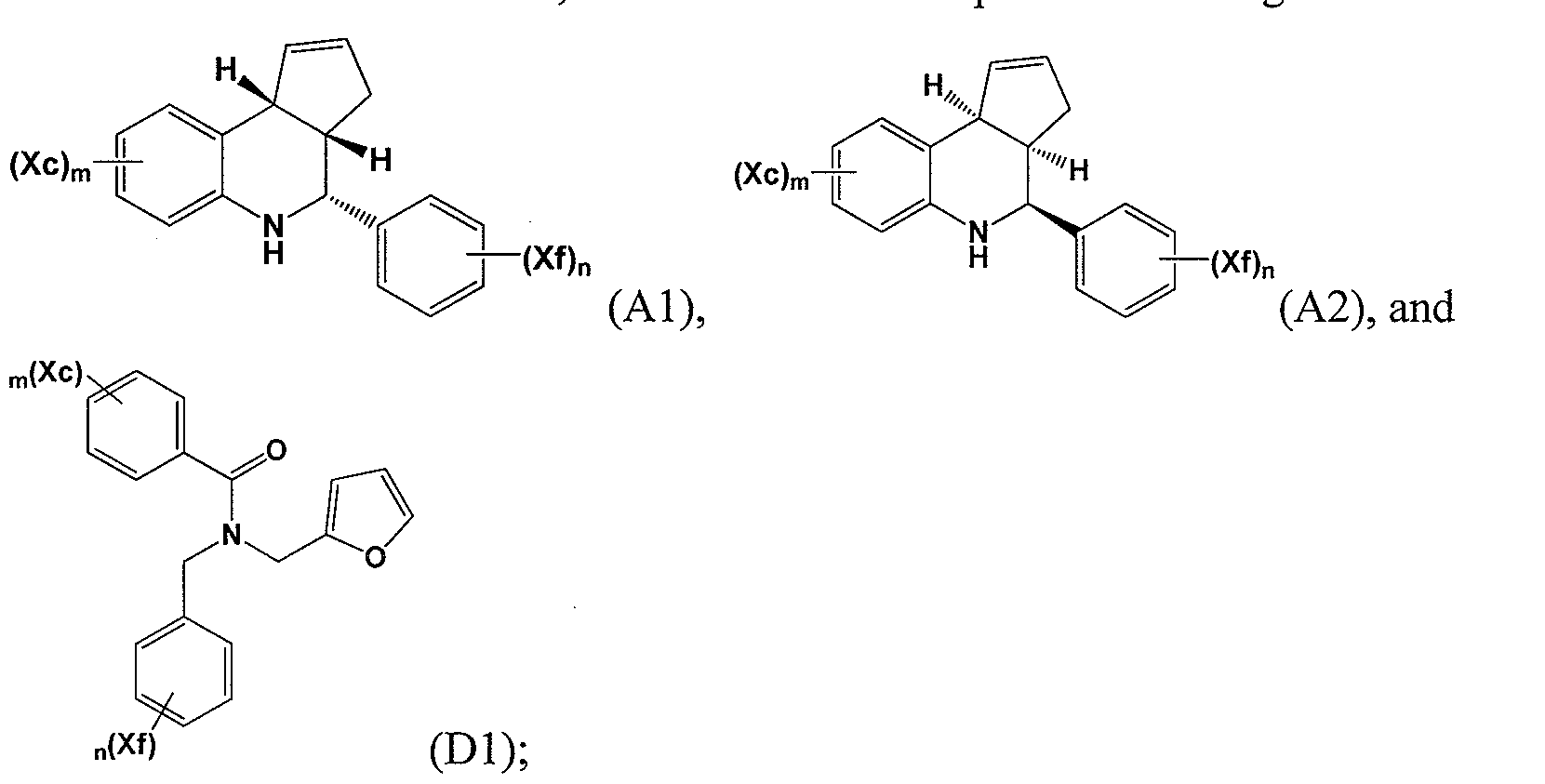
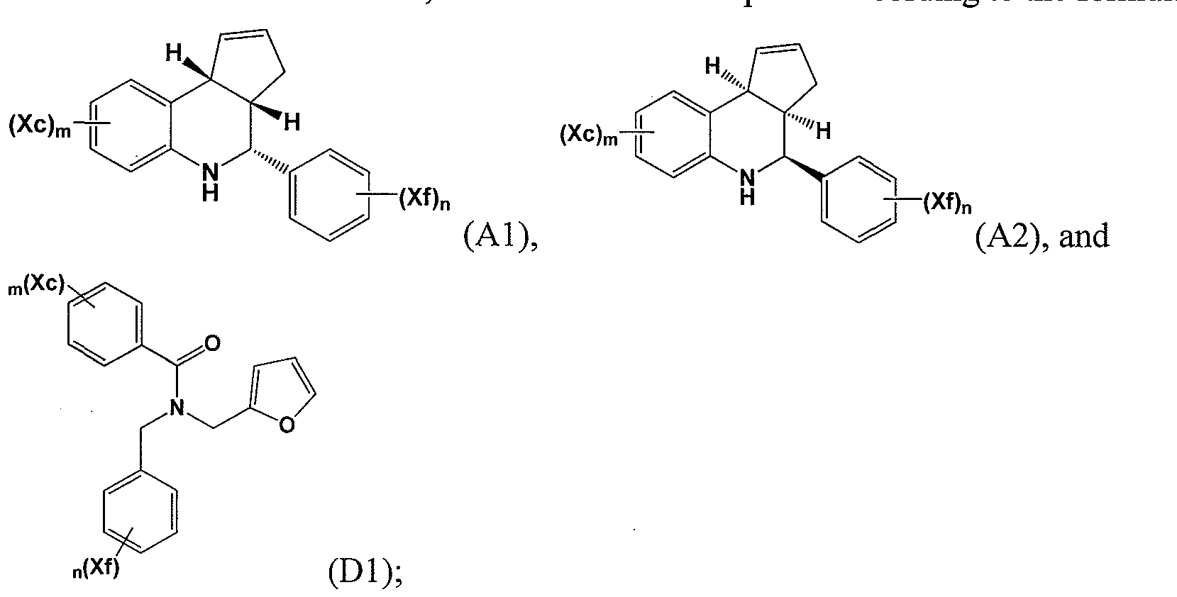
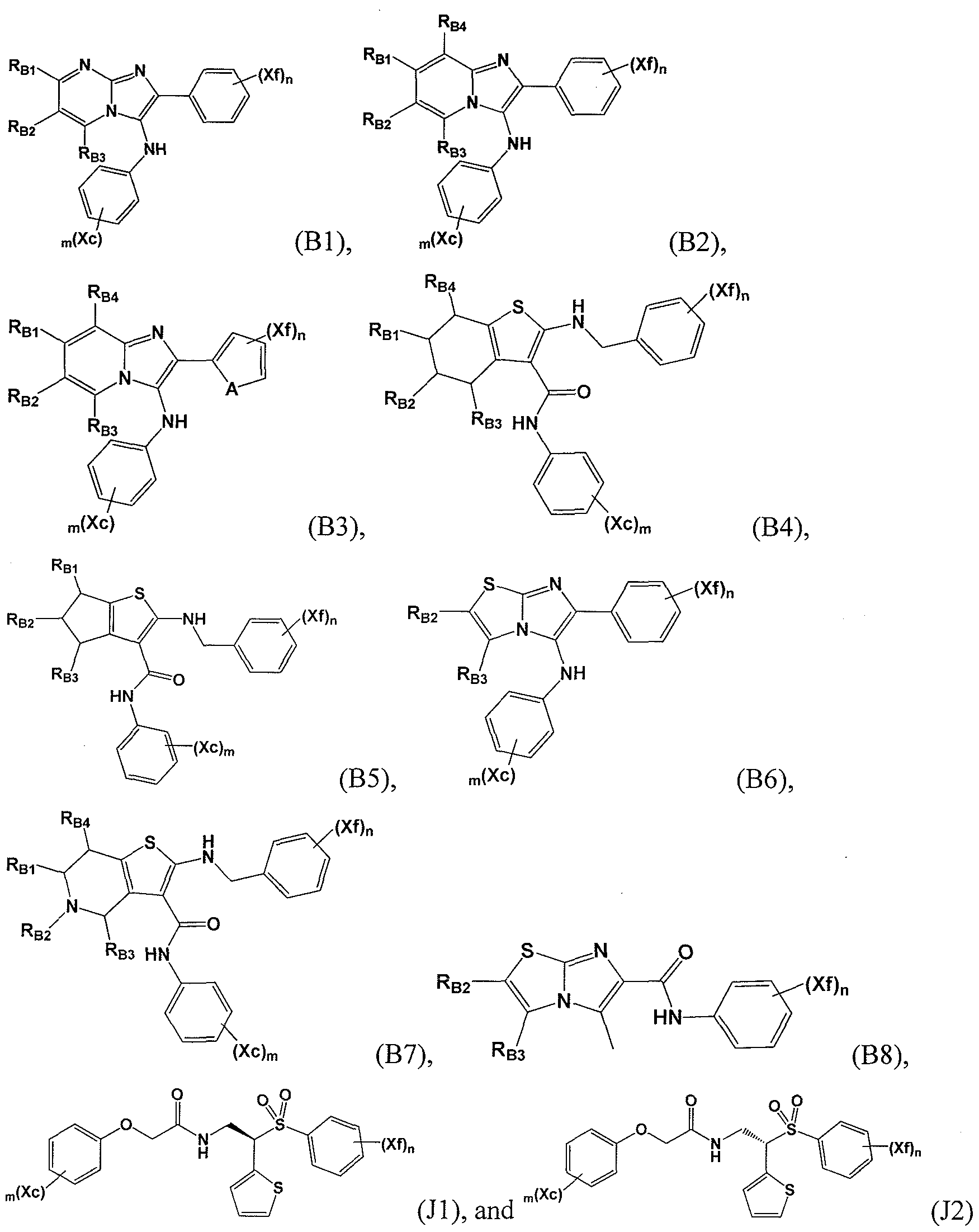
- the inhibitor is a compound according to the formulae:
- x a , Xd, Xb, Xe, Xc, Xf, Rn, and RL 2 are as defined above;
- the inhibitor is a compound according to the formulae:
- Xc and Xf of formulae Al , A2, and Dl are independently selected from hydrogen, Ci-C 6 alkyl, Cj-C 6 alkoxy, halogen, NH 2 , NH(Ci-C 6 alkyl), N(Ci-C 6 alkyl) 2 , NHC(0)(C,-C 6 alkyl), NHC(0)0(C C 6 alkyl), C(0)NH 2 , C(0)NH(Ci-C 6 alkyl), C(0)OH, C(0)0(Cj-C 6 alkyl), and OH; or a pharmaceutically acceptable salt, ester, tautomer, or prodrug thereof.
- Xc and Xf of formulae Al , A2, and Dl are independently selected from hydrogen, methyl, ethyl, propyl, butyl, t-butyl, OCH 3 , OCH 2 CH 3 , CI, Br, F,
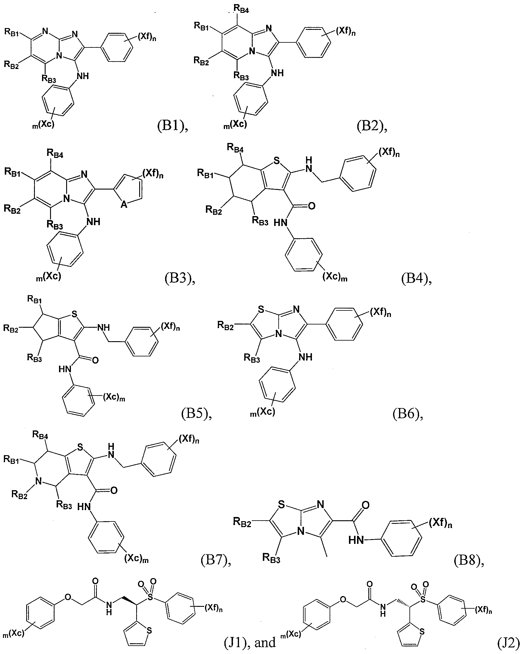
- the inhibitor is a compound according to the formulae:
- A is S or O
- Xc, Xf, m and n are as defined above;
- Xc and Xf of formulae Bl, B2, B3, B4, B5, B6, B7, B8, Jl and J2 selected from hydrogen, Ci-C 6 alkyl, Cj-C 6 alkoxy, halogen, NH 2 , NH(C t -C 6 alkyl), N(Ci-C 6 alkyl) 2 , NHC(0)(C C 6 alkyl), NHC(0)0(d-C 6 alkyl), C(0)NH 2 , C(0)NH(C,-C 6 alkyl), C(0)OH, C(0)0(C,-C 6 alkyl), and OH; or two adjacent Xc or two adjacent Xf together form a 4-14 membered saturated, unsaturated, or aromatic heterocycle containing 1- 3 heteroatoms selected from N, ⁇ , and S; or a 3-14 membered saturated, unsaturated, or aromatic carbocycle;
- Xc and Xf of formulae Bl, B2, B3, B4, B5, B6, B7, B8, Jl and J2 are independently selected from hydrogen, CH 3 , OCH 3 , OCH 2 CH 3 , CI, Br, F, C(0)OH, and C(0)OCH 3 ; or two adjacent Xc together form a 5 membered unsaturated carbocycle containing two O atoms;
- RBI, RB2, RB3, and RB 4 of formulae Bl, B2, B3, B4, B5, B6, B7, B8 are each independently selected from hydrogen, methyl, ethyl, propyl, butyl, t-butyl, OCH 3 , OCH2CH3, CI, Br, F, C(0)OH, C(0)OCH 3 , N(CH 3 ) 2 , and N(CH 2 CH 3 ) 2 ; or a pharmaceutically acceptable salt, ester, tautomer, or prodrug thereof.
- the inhibitor is a compound according to the formulae:
- L is O or S
- Ar/Het is a 3-14 membered saturated, unsaturated, or aromatic heterocycle containing 1-3 heteroatoms selected from N, O, and S; or a 3-14 membered saturated, unsaturated, or aromatic carbocycle;
- Xa, Xb, Xc, Xf, Rii, 3 ⁇ 4 2 , Ri 3 , 3 ⁇ 4 4 , Ru, RL 2 , t and u are as defined above;
- the inhibitor is a compound of Table 1 or a pharmaceutically acceptable salt, ester, tautomer, or prodrug thereof. In some embodiments, the inhibitor inhibitor is a compound selected from:
- the cell is a p53 deficient tumor cell.
- the cell is a human papilloma virus (HPV)-infected cell.
- the cell is a non-tumor cell expressing an HPV oncoprotein.
- the cell is a tumor cell or tumor cell line of a tissue type selected from the group consisting of brain, breast, cervix, uterus, bladder, brain, lung, esophagus, liver, and prostate.
- the tumor cell is from a brain tumor.
- the brain tumor is an astrocytoma.
- the astrocytoma is a glioblastoma.
- the ROS inhibitor is present in an amount that induces autophagy in said cell.
- the cell is provided in vitro.
- the cell is provided in a subject in vivo.
- the subject is a human.
- the cell is provided ex vivo.
- the method of identifying an anti-tumor agent comprising contacting a ROS kinase with a candidate compound and determining whether said candidate compound inhibits enzymatic activity of said kinase, wherein a reduction in a level of said activity in the presence of said candidate compound compared to that in the absence of said candidate compound indicates that said candidate compound is an anti-tumor agent.
- the cell is a p53 deficient cell.
- the tumor is a brain tumor.
- the brain tumor is a glioblasatoma multiforme
- the method of identifying an anti-tumor agent comprising contacting a cell dependent upon ROS kinase with a candidate compound and determining whether said candidate compound inhibits survival or proliferation of said cell, wherein a reduction in a level of said survival or proliferation in the presence of said candidate compound compared to that in the absence of said candidate compound indicates that said candidate compound is an anti-tumor agent.
- the cell is a p53 deficient cell.
- the tumor is a brain tumor.
- the brain tumor is a glioblasatoma multiforme.
- the method of identifying a tumor survival ROS1 kinase comprising synthetically inhibiting expression of a tumor-associated gene and expression of at least one candidate ROS1 kinase gene, wherein a decrease in tumor cell survival in the presence of inhibition of both genes compared to the level of tumor cell survival in the presence of inhibition of solely said tumor-associated gene indicates that said candidate kinase gene is a ROS1 tumor survival kinase.
- the method of inhibiting proliferation of or killing a p53- deficient tumor cell comprising contacting said tumor cell with a composition comprising an inhibitor of ROS.
- the inhibitor decreases enzymatic activity of ROS.
- the pharmaceutical composition comprising a ROS 1 inhibitor formulated for delivery to a human subject.
- the method of inhibiting proliferation of or killing a p53- deficient cell comprising contacting said cell with a composition comprising an inhibitor of ROS, wherein said inhibitor is a compound of formulae A, B, C, D, E, F, G, H, I, J, K, L, M, N, and O.
- the compounds and methods described herein have numerous advantages over existing treatments because they target tumor cells, e.g., tumor cells in which p53 expression is deficient or lost, and spares normal no-tumor cells or cells that are characterized by normal p53 expression.
- FIG. la is a graphical representation of ROS 1 shRNA growth inhibitory effects across a panel of normal, immortalized and cancer cell lines as compared to other receptor tyrosine kinase shRNAs.
- Cell growth/viability was assessed by Alamar blue staining. Color scales represent the greatest decrease in viability by an shRNA (red) to the least (green).
- Columns display different cell types.
- Rows display shRNAs. Data were analyzed by hierarchical clustering with Euclidean distance to link shRNAs and cell lines with related growth inhibition properties.
- FIG. IB identifies protein kinases that become essential as a consequence of HPV oncoprotein expression in primary human keratinocytes.
- HeLa, SiHa and CaSki cervical carcinoma (CxCa) HPV 16 immortalized keratinocytes (HPV 16 immort) as well as human foreskin keratinoeytes (HF s) engineered to express the entire HPV 16 early coding region (ER) or E6 were infected with lenti viral vectors expressing shRNAs to individual kinases. The percentages of the decrease in cell proliferation/survival normalized to a scrambled control shRNA and compared to HFKs as determined by Alamar blue assays are shown.
- CxCa represent averages of the 3 cervical carcinoma lines tested.
- FGFR3 and PDGFa/ ⁇ are examples of kinases that show less of an effect in this system but already have drugs developed against them.
- FIGS. 2A-2E show multiple ROS1 shRNA expression vectors can inhibit
- FIGS. 3A-3D are photomicrographs showing that depletion of ROS1 in HeLa cells is associated with a moderate autophagy staining pattern similar to the depletion of HER3 and SGK2 under the same conditions.
- Cells were stained with an antibody for the autophagy marker LC3 and counterstained with Hoechst 33258 and phalloidin dyes to visualize nuclei and actin cytoskeletal structures, respectively.
- FIG. 4 is a graph showing ROS 1 RNA levels in normal and cancer tissues using data mined from gene expression databases.
- FIG-ROS Golgi apparatus-associated protein called "FIG” to the kinase domain of "ROS”, producing the hybrid FIG-ROS kinase, or by some other method.
- Inhibitors of the receptor tyrosine kinase ROS1 useful for treating tumors were identified in a screen to determine differential kinase requirements across a panel of many different cancer and normal cells derived from different tissue types, cell lines were infected with lentiviral vectors expressing individual shRNAs targeting 16 unique receptor kinases.
- ROS1 kinse inihibitors disclosed herein add to the evidence that receptor tyrosine kinases (RTK) kinase activity is associated with cancers, including glioblastoma multiforme (GBM), the most common and lethal form of primary brain cancer. Diagnosis of this advanced glioma has a poor prognosis due to the ineffectiveness of current therapies.
- RTK receptor tyrosine kinases
- RTK receptor tyrosine kinases
- transmembrane proto- oncogene receptor tyrosine kinase (RTK) ROS an orphan receptor that is aberrantly expressed in neoplasms of the central nervous system, is fused at its carboxy-terminal kinase domain to the amino-terminal portion of a protein called FIG (Fused in Glioblastoma) in a human glioblastoma multiforme (GBM).
- RTK transmembrane proto- oncogene receptor tyrosine kinase
- FIG-ROS An intra-chromosomal homozygous deletion of 240 kilobases on 6q21 responsible for the formation of the FIG-ROS locus has been identified by characterizing both FIG and ROS genes in normal and in Ul 18MG GBM cells (Lane et al., Genes Chromosomes Cancer 37:58-71, 2003).
- the FIG-ROS transcript is encoded by 7 FIG exons and 9 ROS-derived exons.
- ROS1 inhibitors cooperates with loss of the tumor suppressor gene locus Ink4a;Arf (CDKN2A) to produce glioblastomas in the mouse.
- the present invention relates to a method of inhibiting proliferation of or killing a cell, the method comprising contacting said cell with a
- composition comprising an inhibitor of ROS of Formula X:
- heterocycle containing one or more heteroatoms selected from N, O, and S; a 3-14 membered saturated, unsaturated, or aromatic carbocycle;
- T (MM); ' ' l (NN); and (00); represents a single or double bond
- Y is CR] or N
- Xa and Xd are each independently selected from a bond, O, S, C(O), OC(O), (CH 2 ) V , NH, N(CH 2 ) V N(Ci-C 6 alkyl), NHC(O), NHC(0)(CH 2 ) v , (CH 2 )vNHC(0)(CH 2 )v,
- Xc and Xf are each independently selected from hydrogen, phenyl, furanyl, thiopheneyl, d- C 6 alkyl, C,-C 6 alkoxy, halogen, CF 3 , CHF 2 , CH 2 F, NH 2 , NH(C,-C 6 alkyl), N(d-C 6 alkyl) 2 , NHC(0)(d-C 6 alkyl), NHC(0)0(d-C 6 alkyl), C(0)NH 2 , C(0)NH(d-C 6 alkyl), C(0)OH, (CH 2 ) v C(0)OH, C(0)0(Ci-C 6 alkyl), OH, CN, N0 2 , SH, S(d-C 6 alkyl), S(0) 2 (d-C 6 alkyl), and S(0) 2 -aryl; wherein aryl is a 3-8 membered saturated, unsaturated, or aromatic carbocycle optionally substituted with one or more R 2 ;
- two adjacent Xc or two adjacent Xf together form a 3-14 membered saturated, unsaturated, or aromatic heterocycle containing 1-3 heteroatoms selected from N, O, and S; or a 3-14 membered saturated, unsaturated, or aromatic carbocycle; or
- n is selected form 0, 1, 2, 3, 4, and 5;
- t is selected from 0, 1, 2, 3, 4, and 5;
- v is selected from 0, 1, 2, 3, 4, 5, and 6; or a pharmaceutically acceptable salt, ester, tautomer, or prodrug thereof.
- the inhibitor is a compound according to the formulae:
- Xc and Xf of formulae Al, A2, and Dl are independently selected from hydrogen, Ci-C 6 alkyl, C]-C 6 alkoxy, halogen, NH 2 , NH(Ci-C 6 alkyl), N(C]-C 6 alkyl) 2 , NHC(0)(C ! -C 6 alkyl), NHC(0)0(C,-C 6 alkyl), C(0)NH 2 , C(0)NH(C C 6 alkyl), C(0)OH, C(0)0(Ci-C 6 alkyl), and OH; or a pharmaceutically acceptable salt, ester, tautomer, or prodrug thereof.
- Xc and Xf of formulae Al, A2, and Dl are independently selected from hydrogen, methyl, ethyl, propyl, butyl, t-butyl, OCH 3 , OCH 2 CH 3 , CI, Br, F, C(0)OH, C(0)OCH 3 , N(CH 3 ) 2 , and N(CH 2 CH 3 ) 2 ; or a pharmaceutically acceptable salt, ester, tautomer, or prodrug thereof.
- the inhibitor is a compound according to the formulae:
- A is S or O
- Xc, Xf, m and n are as defined above;
- Xc and Xf of formulae Bl , B2, B3, B4, B5, B6, B7, B8, Jl and J2 selected from hydrogen, Ci-C 6 alkyl, C C 6 alkoxy, halogen, NH 2 , NH(Cj-C 6 alkyl), N(C,-C 6 alkyl) 2 , NHC(0)(C,-C 6 alkyl), NHC(0)0(d-C 6 alkyl), C(0)NH 2 , C(0)NH(d-C 6 alkyl), C(0)OH, C(0)0(C,-C 6 alkyl), and OH; or two adjacent Xc or two adjacent Xf together form a 4-14 membered saturated, unsaturated, or aromatic heterocycle containing 1- 3 heteroatoms selected from N, O, and S; or a 3-14 membered saturated, unsaturated, or aromatic carbocycle;
- Xc and Xf of formulae Bl, B2, B3, B4, B5, B6, B7, B8, Jl and J2 are independently selected from hydrogen, CH 3 , OCH 3 , OCH 2 CH 3 , CI, Br, F, C(0)OH, and C(0)OCH 3 ; or two adjacent Xc together form a 5 membered unsaturated carbocycle containing two O atoms;
- RBI, RB2, RB3, and RB 4 of formulae Bl, B2, B3, B4, B5, B6, B7, B8 are each independently selected from hydrogen, methyl, ethyl, propyl, butyl, t-butyl, OCH 3 , OCH 2 CH 3 , CI, Br, F, C(0)OH, C(0)OCH 3 , N(CH 3 ) 2 , and N(CH 2 CH 3 ) 2 ; or a pharmaceutically acceptable salt, ester, tautomer, or prodrug thereof.
- the inhibitor is a compound according to the formulae:
- L is O or S
- Ar/Het is a 3-14 membered saturated, unsaturated, or aromatic heterocycle containing 1-3 heteroatoms selected from N, O, and S; or a 3-14 membered saturated, unsaturated, or aromatic carbocycle;
- Xa, Xb, Xc, Xf, RI I , 3 ⁇ 4 2 , RB, RI 4 , RLI, RL2, t and u are as defined above;
- the inhibitor is a compound of Table 1 or a pharmaceutically acceptable salt, ester, tautomer, or prodrug thereof. In some embodiments, the inhibitor inhibitor is a compound selected from:
- the cell is a p53 deficient tumor cell.
- the cell is a human papilloma virus (HPV)-infected cell.
- the cell is a non-tumor cell expressing an HPV oncoprotein.
- the cell is a tumor cell or tumor cell line of a tissue type selected from the group consisting of brain, breast, cervix, uterus, bladder, brain, lung, esophagus, liver, and prostate.
- the tumor cell is from a brain tumor.
- the brain tumor is an astrocytoma.
- the astrocytoma is a glioblastoma.
- the ROS inhibitor is present in an amount that induces autophagy in said cell.
- the cell is provided in vitro.
- the cell is provided in a subject in vivo.
- the subject is a human.
- the cell is provided ex vivo.
- the method of identifying an anti-tumor agent comprising contacting a ROS kinase with a candidate compound and determining whether said candidate compound inhibits enzymatic activity of said kinase, wherein a reduction in a level of said activity in the presence of said candidate compound compared to that in the absence of said candidate compound indicates that said candidate compound is an anti-tumor agent.
- the cell is a p53 deficient cell.
- the tumor is a brain tumor.
- the brain tumor is a glioblasatoma multiforme
- the method of identifying an anti-tumor agent comprising contacting a cell dependent upon ROS kinase with a candidate compound and determining whether said candidate compound inhibits survival or proliferation of said cell, wherein a reduction in a level of said survival or proliferation in the presence of said candidate compound compared to that in the absence of said candidate compound indicates that said candidate compound is an anti-tumor agent.
- the cell is a p53 deficient cell.
- the tumor is a brain tumor.
- the brain tumor is a glioblasatoma multiforme.
- the method of identifying a tumor survival ROS1 kinase comprising synthetically inhibiting expression of a tumor-associated gene and expression of at least one candidate RPS1 kinase gene, wherein a decrease in tumor cell survival in the presence of inhibition of both genes compared to the level of tumor cell survival in the presence of inhibition of solely said tumor-associated gene indicates that said candidate kinase gene is a ROS1 tumor survival kinase.
- the method of inhibiting proliferation of or killing a p53- deficient tumor cell comprising contacting said tumor cell with a composition comprising an inhibitor of ROS.
- the inhibitor decreases enzymatic activity of ROS.
- the pharmaceutical composition comprising a ROS1 inhibitor formulated for delivery to a human subject.
- the method of inhibiting proliferation of or killing a p53- deficient cell comprising contacting said cell with a composition comprising an inhibitor of ROS, wherein said inhibitor is a compound of formulae A, B, C, D, E, F, G, H, I, J, K, L, M, N, and O.
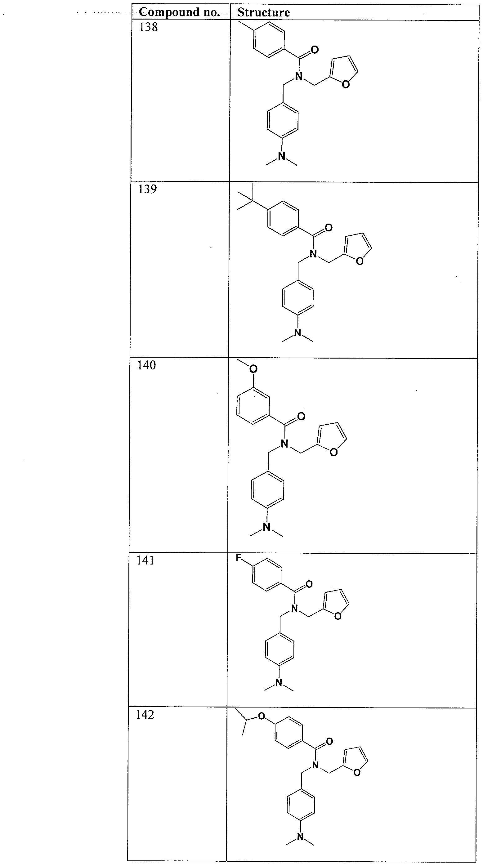
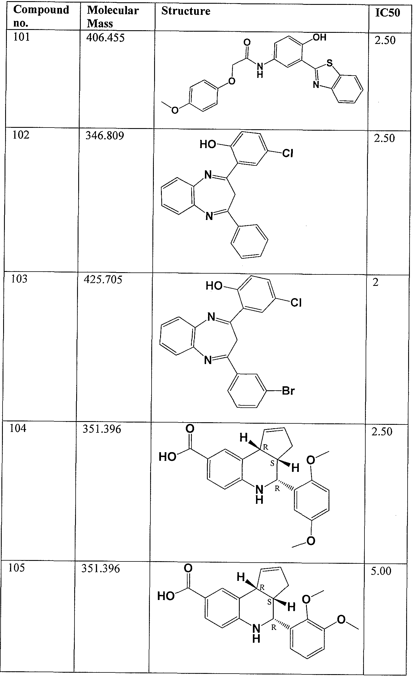
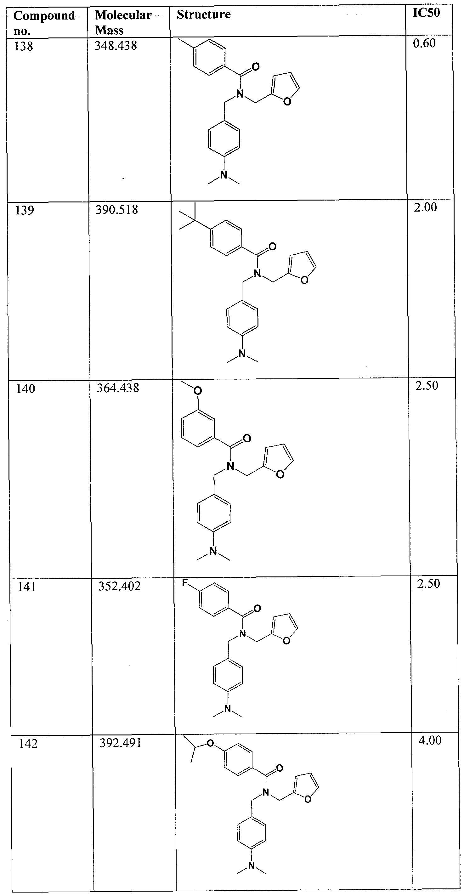
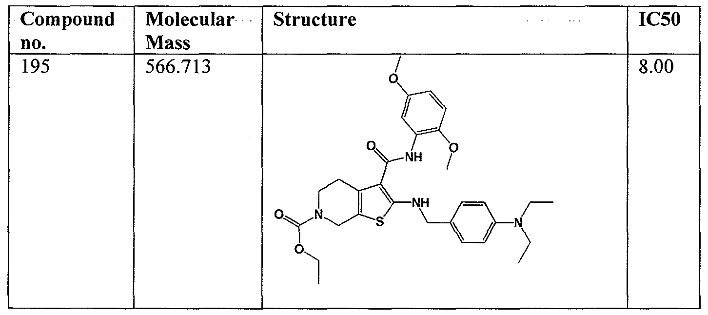
- Representative compounds of the present invention include compounds listed in Table
- Scheme 1 represents schematic drawing of representative structures for 1 1 ROS1 inhibitors. These results were based on an initial 44K compound library screen for inhibitors of ROS kinase activity, preliminary medicinal chemistry analysis indicates that there are 1 1 different chemotypes, which show preliminary SAR. Chemotypes 1 and 2 show activity against ROS in the submicromolar range and demonstrate a valid dose-response curve.
- Chemotypes 1 and 2 show great promise for the generation of a medicinal chemistry strategy.
- the compounds do not have any obvious metabolic or toxicity liabilities and also harbor three distinct sites for the introduction of structural diversity. These characteristics facilitate the synthesis of focused libraries and generation of SAR.
- chemotype 1 can be replaced it with a bioisostere (such as tetrazole), which can increase the lipophilicity of the molecule.
- Increased lipophilicity is one of the strategies to increase the passive permeability though the blood brain barrier (BBB).
- BBB blood brain barrier
- Other variations that can increase the BBB permeability include: reduction of P-glycoprotein efflux, decrease in molecular weight, replacement of carboxylic acids with isosteres, and addition of
- alkyl As used herein, "alkyl”, “d, C 2 , C 3 , C 4 , C 5 or C 6 alkyl” or “Ci-C 6 alkyl” is intended to include C ⁇ , C 2 , C 3 , C 4 , C 5 or C 6 straight chain (linear) saturated aliphatic hydrocarbon groups and C 3 , C 4 , C 5 or C 6 branched saturated aliphatic hydrocarbon groups.
- C[-C(, alkyl is intended to include C j , C2, C3, C4, C5 and C6 alkyl groups.
- alkyl examples include, moieties having from one to six carbon atoms, such as, but not limited to, methyl, ethyl, n-propyl, i-propyl, n-butyl, s-butyl, t-butyl, n-pentyl, s-pentyl or n-hexyl.
- a straight chain or branched alkyl has six or fewer carbon atoms (e.g. , Cj-C 6 for straight chain, C 3 -C 6 for branched chain), and in another embodiment, a straight chain or branched alkyl has four or fewer carbon atoms.
- Heteroalkyl groups are alkyl groups, as defined above, that have an oxygen, nitrogen, sulfur or phosphorous atom replacing one or more hydrocarbon backbone carbon atoms.
- the term "cycloalkyl”, “C 3 , C 4 , C 5 , C 6 , C 7 or C 8 cycloalkyl” or “C 3 -C 8 cycloalkyl” is intended to include hydrocarbon rings having from three to eight carbon atoms in their ring structure.
- a cycloalkyl group has five or six carbons in the ring structure.
- substituted alkyl refers to alkyl moieties having substituents replacing one or more hydrogen atoms on one or more carbons of the hydrocarbon backbone.
- substituents can include, for example, alkyl, alkenyl, alkynyl, halogen, hydroxyl,
- Cycloalkyls can be further substituted, e.g., with the substituents described above.
- An "alkylaryl” or an “aralkyl” moiety is an alkyl substituted with an aryl ⁇ e.g. , phenylmethyl (benzyl)).
- lower alkyl includes an alkyl group, as defined above, having from one to six, or in another embodiment from one to four, carbon atoms in its backbone structure.
- Lower alkenyl and “lower alkynyl” have chain lengths of, for example, two to six or of two to four carbon atoms.
- alkyl linker is intended to include Cj, C 2 , C 3 , C 4 , C 5 or C 6 straight chain (linear) saturated aliphatic hydrocarbon groups and C 3 , C 4 , C 5 or C 6 branched saturated aliphatic hydrocarbon groups.
- -C ⁇ alkyl linker is intended to include Cj, C2, C3, C4, C5 and C6 alkyl linker groups.
- alkyl linker examples include, moieties having from one to six carbon atoms, such as, but not limited to, methyl (-CH 2 -), ethyl (-CH 2 CH 2 -), n-propyl (-CH 2 CH 2 CH 2 -), i-propyl (-CHCH 3 CH 2 -), n-butyl (-CH 2 CH 2 CH 2 CH 2 -), s-butyl (- CHCH 3 CH 2 CH 2 -), i-butyl (-C(CH 3 ) 2 CH 2 -), n-pentyl (-CH 2 CH 2 CH 2 CH 2 CH 2 -), s-pentyl (- CHCH 3 CH 2 CH 2 CH 2 -) or n-hexyl (-CH 2 CH 2 CH 2 CH 2 CH 2 -).
- alkenyl includes unsaturated aliphatic groups analogous in length and possible substitution to the alkyls described above, but that contain at least one double bond.
- alkenyl includes straight chain alkenyl groups ⁇ e.g., ethenyl, propenyl, butenyl, pentenyl, hexenyl, heptenyl, octenyl, nonenyl, decenyl), branched alkenyl groups, cycloalkenyl ⁇ e.g., alicyclic) groups (e.g., cyelopropenyl, cyclopentenyl, cyclohexenyl, cycloheptenyl, cyclooctenyl), alkyl or alkenyl substituted cycloalkenyl groups, and cycloalkyl or cycloalkenyl substituted alkenyl groups.
- a straight chain or branched alkenyl group has six or fewer carbon atoms in its backbone (e.g., C 2 -C 6 for straight chain, C 3 -C 6 for branched chain).
- cycloalkenyl groups may have from five to eight carbon atoms in their ring structure, and in one embodiment, cycloalkenyl groups have five or six carbons in the ring structure.
- C 2 -C 6 includes alkenyl groups containing two to six carbon atoms.
- C 3 -C 6 includes alkenyl groups containing three to six carbon atoms.
- Heteroalkenyl includes alkenyl groups, as defined herein, having an oxygen, nitrogen, sulfur or phosphorous atom replacing one or more hydrocarbon backbone carbons.
- substituted alkenyl refers to alkenyl moieties having substituents replacing one or more hydrogen atoms on one or more hydrocarbon backbone carbon atoms.
- substituents can include, for example, alkyl, alkenyl, alkynyl, halogen, hydroxyl,
- Alkynyl includes unsaturated aliphatic groups analogous in length and possible substitution to the alkyls described above, but which contain at least one triple bond.
- alkynyl includes straight chain alkynyl groups (e.g., ethynyl, propynyl, butynyl, pentynyl, hexynyl, heptynyl, octynyl, nonynyl, decynyl), branched alkynyl groups, and cycloalkyl or cycloalkenyl substituted alkynyl groups.
- a straight chain or branched alkynyl group has six or fewer carbon atoms in its backbone (e.g., C 2 -C 6 for straight chain, C 3 -C 6 for branched chain).
- C 2 -C 6 includes alkynyl groups containing two to six carbon atoms.
- C 3 -C 6 includes alkynyl groups containing three to six carbon atoms.
- Heteroalkynyl includes alkynyl groups, as defined herein, having an oxygen, nitrogen, sulfur or phosphorous atom replacing one or more hydrocarbon backbone carbons.
- substituted alkynyl refers to alkynyl moieties having substituents replacing one or more hydrogen atoms on one or more hydrocarbon backbone carbon atoms.
- substituents can include, for example, alkyl, alkenyl, alkynyl, halogen, hydroxyl,
- Aryl includes groups with aromaticity, including “conjugated”, or multicyclic, systems with at least one aromatic ring. Examples include phenyl, benzyl, etc.
- Heteroaryl groups are aryl groups, as defined above, having from one to four heteroatoms in the ring structure, and may also be referred to as “aryl heterocycles” or “heteroaromatics".
- heteroaryl is intended to include a stable 5-, 6-, or 7-membered monocyclic or 7-, 8-, 9-, 10-, 1 1 - or 12-membered bicyclic aromatic heterocyclic ring which consists of carbon atoms and one or more heteroatoms, e.g., 1 or 1-2 or 1-3 or 1-4 or 1-5 or 1- 6 heteroatoms, independently selected from the group consisting of nitrogen, oxygen and sulfur.
- the nitrogen atom may be substituted or unsubstituted (i. e. , N or NR wherein R is H or other substituents, as defined).
- heteroaryl groups include pyrrole, furan, thiophene, thiazole, isothiazole, imidazole, triazole, tetrazole, pyrazole, oxazole, isoxazole, pyridine, pyrazine, pyridazine, pyrimidine, and the like.
- aryl and heteroaryl include multicyclic aryl and heteroaryl groups, e.g., tricyclic, bicyclic, e.g., naphthalene, benzoxazole, benzodioxazole,
- benzothiazole benzoimidazole, benzothiophene, methylenedioxyphenyl, quinoline, isoquinoline, naphthridine, indole, benzo furan, purine, benzo furan, deazapurine, indolizine.
- the rings In the case of multicyclic aromatic rings, only one of the rings needs to be aromatic (e.g., 2,3- dihydro indole), although all of the rings may be aromatic (e.g., quinoline).
- the second ring can also be fused or bridged.
- the aryl or heteroaryl aromatic ring can be substituted at one or more ring positions with such substituents as described above, for example, alkyl, alkenyl,_akynyl, halogen, hydroxyl, alkoxy, alkylcarbonyloxy, arylcarbonyloxy, alkoxycarbonyloxy,
- aryloxycarbonyloxy carboxylate, alkylcarbonyl, alkylaminocarbonyl, aralkylaminocarbonyl, alkenylaminocarbonyl, alkylcarbonyl, arylcarbonyl, aralkylcarbonyl, alkenylcarbonyl, alkoxycarbonyl, aminocarbonyl, alkylthiocarbonyl, phosphate, phosphonato, phosphinato, amino (including alkylamino, dialkylamino, arylamino, diarylamino and alkylarylamino), acylamino (including alkylcarbonylamino, arylcarbonylamino, carbamoyl and ureido), amidino, imino, sulfhydryl, alkylthio, arylthio, thiocarboxylate, sulfates, alkylsulfinyl, sulfonato, sulfam
- Carbocycle or “carbocyclic ring” is intended to include any stable monocyclic, bicyclic or tricyclic ring having the specified number of carbons, any of which may be saturated, unsaturated, or aromatic.
- a C 3 -C 14 carbocycle is intended to include a monocyclic, bicyclic or tricyclic ring having 3, 4, 5, 6, 7, 8, 9, 10, 1 1 , 12, 13 or 14 carbon atoms.
- carbocycles include, but are not limited to, cyclopropyl, cyclobutyl, cyclobutenyl, cyclopentyl, cyclopentenyl, cyclohexyl, cycloheptenyl, cycloheptyl, cycloheptenyl, adamantyl, cyclooctyl, cyclooctenyl, cyclooctadienyl, fluorenyl, phenyl, naphthyl, indanyl, adamantyl and tetrahydronaphthyl.
- Bridged rings are also included in the definition of carbocycle, including, for example, [3.3.0]bicyclooctane, [4.3.0]bicyclononane, [4.4.0]bicyclodecane and [2.2.2]bicyclooctane.
- a bridged ring occurs when one or more carbon atoms link two non-adjacent carbon atoms.
- bridge rings are one or two carbon atoms. It is noted that a bridge always converts a monocyclic ring into a tricyclic ring. When a ring is bridged, the substituents recited for the ring may also be present on the bridge. Fused (e.g., naphthyl, tetrahydronaphthyl) and spiro rings are also included.
- heterocycle includes any ring structure (saturated or partially unsaturated) which contains at least one ring heteroatom (e.g., N, O or S).
- heterocycles include, but are not limited to, morpholine, pyrrolidine, tetrahydrothiophene, piperidine, piperazine and tetrahydrofuran.
- heterocyclic groups include, but are not limited to, acridinyl, azocinyl, benzimidazolyl, benzofuranyl, benzothiofuranyl, benzothiophenyl, benzoxazolyl,
- benzisothiazolyl benzimidazolinyl, carbazolyl, 4aH-carbazolyl, carbolinyl, chromanyl, chromenyl, cinnolinyl, decahydroquinolinyl, 2H,6H-l,5,2-dithiazinyl,
- dihydrofuro[2,3-0]tetrahydrofuran furanyl, furazanyl, imidazolidinyl, imidazolinyl, imidazolyl, lH-indazolyl, indolenyl, indolinyl, indolizinyl, indolyl, 3H-indolyl, isatinoyl, isobenzofuranyl, isochromanyl, isoindazolyl, isoindolinyl, isoindolyl, isoquinolinyl, isothiazolyl, isoxazolyl, methylenedioxyphenyl, morpholinyl, naphthyridinyl,
- substituted means that any one or more hydrogen atmos on the designated atom is replaced with a selection from the indicated groups, provided that the designated atom's normal valency is not exceeded, and that the substitution results in a stable compound.
- 2 hydrogen atoms on the atom are replaced.
- Keto substituents are not present on aromatic moieties.
- “Stable compound” and “stable structure” are meant to indicate a compound that is sufficiently robust to survive isolation to a useful degree of purity from a reaction mixture, and formulation into an efficacious therapeutic agent.
- any variable e.g., Ri
- its definition at each occurrence is independent of its definition at every other occurrence.
- the group may optionally be substituted with up to two R ⁇ moieties and R ⁇ at each occurrence is selected independently from the definition of 3 ⁇ 4.
- substituents and/or variables are permissible, but only if such combinations result in stable compounds.
- hydroxy or "hydroxyl” includes groups with an -OH or -O " .
- halo or halogen refers to fluoro, chloro, bromo and iodo.
- perhalogenated generally refers to a moiety wherein all hydrogen atoms are replaced by halogen atoms.
- carbonyl or “carboxy” includes compounds and moieties which contain a carbon connected with a double bond to an oxygen atom.
- moieties containing a carbonyl include, but are not limited to, aldehydes, ketones, carboxylic acids, amides, esters, anhydrides, etc.
- Acyl includes moieties that contain the acyl radical (-C(O)-) or a carbonyl group.
- substituted acyl includes acyl groups where one or more of the hydrogen atoms are replaced by, for example, alkyl groups, alkynyl groups, halogen, hydroxyl, alkylcarbonyloxy, arylcarbonyloxy, alkoxycarbonyloxy, aryloxycarbonyloxy, carboxylate, alkylcarbonyl, arylcarbonyl, alkoxycarbonyl, aminocarbonyl, alkylaminocarbonyl, dialkylaminocarbonyl, alkylthiocarbonyl, alkoxyl, phosphate, phosphonato, phosphinato, amino (including alkylamino, dialkylamino, arylamino, diarylamino and alkylarylamino), acylamino (including alkylcarbonylamino, arylcarbonylamino), acylamin
- Aroyl includes moieties with an aryl or heteroaromatic moiety bound to a carbonyl group. Examples of aroyl groups include phenylcarboxy, naphthyl carboxy, etc.
- alkoxyalkyl examples include alkyl groups, as described above, wherein oxygen, nitrogen or sulfur atoms replace one or more hydrocarbon backbone carbon atoms.
- alkoxy or “alkoxyl” includes substituted and unsubstituted alkyl, alkenyl and alkynyl groups covalently linked to an oxygen atom.
- alkoxy groups or alkoxyl radicals include, but are not limited to, methoxy, ethoxy, isopropyloxy, propoxy, butoxy and pentoxy groups.
- substituted alkoxy groups include halogenated alkoxy groups.
- the alkoxy groups can be substituted with groups such as alkenyl, alkynyl, halogen, hydroxyl, alkylcarbonyloxy, arylcarbonyloxy, alkoxycarbonyloxy,
- aryloxycarbonyloxy carboxylate, alkylcarbonyl, arylcarbonyl, alkoxycarbonyl,
- halogen substituted alkoxy groups include aminocarbonyl, alkylaminocarbonyl, dialkylaminocarbonyl, alkylthiocarbonyl, alkoxyl, phosphate, phosphonato, phosphinato, amino (including alkylamino, dialkylamino, arylamino, diarylamino, and alkylarylamino), acylamino (including alkylcarbonylamino, arylcarbonylamino, carbamoyl and ureido), amidino, imino, sulfhydryl, alkylthio, arylthio, thiocarboxylate, sulfates, alkylsulfinyl, sulfonato, sulfamoyl, sulfonamido, nitro, trifluoromethyl, cyano, azido, heterocyclyl, alkylaryl, or an aromatic or heteroaromatic moieties.
- ether or "alkoxy” includes compounds or moieties which contain an oxygen bonded to two carbon atoms or heteroatoms.
- alkoxyalkyl refers to an alkyl, alkenyl, or alkynyl group covalently bonded to an oxygen atom which is covalently bonded to an alkyl group.
- esters includes compounds or moieties which contain a carbon or a heteroatom bound to an oxygen atom which is bonded to the carbon of a carbonyl group.
- ester includes alkoxycarboxy groups such as methoxycarbonyl, ethoxycarbonyl, propoxycarbonyl, butoxycarbonyl, pentoxycarbonyl, etc.
- thioalkyl includes compounds or moieties which contain an alkyl group connected with a sulfur atom.
- the thioalkyl groups can be substituted with groups such as alkyl, alkenyl, alkynyl, halogen, hydroxyl, alkylcarbonyloxy, arylcarbonyloxy,
- arylcarbonylamino, carbamoyl and ureido amidino, imino, sulfhydryl, alkylthio, arylthio, thiocarboxylate, sulfates, alkylsulfinyl, sulfonato, sulfamoyl, sulfonamido, nitro, ⁇ - trifluoromethyl, cyano, azido, heterocyclyl, alkylaryl, or an aromatic or heteroaromatic moieties.
- thiocarbonyl or "thiocarboxy” includes compounds and moieties which contain a carbon connected with a double bond to a sulfur atom.
- thioether includes moieties which contain a sulfur atom bonded to two carbon atoms or heteroatoms.
- examples of thioethers include, but are not limited to alkthioalkyls, alkthioalkenyls and alkthioalkynyls.
- alkthioalkyls include moieties with an alkyl, alkenyl or alkynyl group bonded to a sulfur atom which is bonded to an alkyl group.
- alkthioalkenyls refers to moieties wherein an alkyl, alkenyl or alkynyl group is bonded to a sulfur atom which is covalently bonded to an alkenyl group
- alkthioalkynyls refers to moieties wherein an alkyl, alkenyl or alkynyl group is bonded to a sulfur atom which is covalently bonded to an alkynyl group.
- amine or “amino” includes moieties where a nitrogen atom is covalently bonded to at least one carbon or heteroatom.
- Alkylamino includes groups of compounds wherein nitrogen is bound to at least one alkyl group. Examples of alkylamino groups include benzylamino, methylamino, ethylamino, phenethylamino, etc.
- Dialkylamino includes groups wherein the nitrogen atom is bound to at least two additional alkyl groups. Examples of dialkylamino groups include, but are not limited to,
- Arylamino and diarylamino include groups wherein the nitrogen is bound to at least one or two aryl groups, respectively.
- Alkylarylamino
- alkylaminoaryl or “arylaminoalkyl” refers to an amino group which is bound to at least one alkyl group and at least one aryl group.
- Alkaminoalkyl refers to an alkyl, alkenyl, or alkynyl group bound to a nitrogen atom which is also bound to an alkyl group.
- Acylamino includes groups wherein nitrogen is bound to an acyl group. Examples of acylamino include, but are not limited to, alkylcarbonylamino, arylcarbonylamino, carbamoyl and ureido groups.
- amide or “aminocarboxy” includes compounds or moieties that contain a nitrogen atom that is bound to the carbon of a carbonyl or a thiocarbonyl group.
- alkaminocarboxy groups that include alkyl, alkenyl or alkynyl groups bound to an amino group which is bound to the carbon of a carbonyl or thiocarbonyl group.
- arylaminocarboxy groups that include aryl or heteroaryl moieties bound to an amino group that is bound to the carbon of a carbonyl or thiocarbonyl group.
- alkylaminocarboxy "alkenylaminocarboxy”, “alkynylaminocarboxy” and
- arylaminocarboxy include moieties wherein alkyl, alkenyl, alkynyl and aryl moieties, respectively, are bound-to a nitroge atom which is in turn bound to the carbon of a carbonyl group.
- Amides can be substituted with substituents such as straight chain alkyl, branched alkyl, cycloalkyl, aryl, heteroaryl or heterocycle. Substituents on amide groups may be further substituted.
- N- oxides can be converted to N- oxides by treatment with an oxidizing agent (e.g., 3-chloroperoxybenzoic acid (m-CPBA) and/or hydrogen peroxides) to afford other compounds of the present invention.
- an oxidizing agent e.g., 3-chloroperoxybenzoic acid (m-CPBA) and/or hydrogen peroxides
- m-CPBA 3-chloroperoxybenzoic acid
- hydrogen peroxides hydrogen peroxides
- all shown and claimed nitrogen-containing compounds are considered, when allowed by valency and structure, to include both the compound as shown and its N-oxide derivative (which can be designated as N— >0 or N ⁇ -O " ).
- the nitrogens in the compounds of the present invention can be converted to N-hydroxy or N-alkoxy compounds.
- N-hydroxy compounds can be prepared by oxidation of the parent amine by an oxidizing agent such as m-CPBA.
- nitrogen-containing compounds are also considered, when allowed by valency and structure, to cover both the compound as shown and its N-hydroxy (z. e. , N-OH) and N-alkoxy (i. e. , N-OR, wherein R is substituted or unsubstituted Q-C 6 alkyl, C C 6 alkenyl, Q-Q alkynyl, 3-14-membered carbocycle or 3-14- membered heterocycle) derivatives.
- linker refers to a chemical moiety that bonds to two additional chemical moieties, thereby forming linkage between the additional chemical moieties.
- linkers include Ci-C 24 alkylene, C 2 -C 24 alkenylene, C 2 - C 24 alkynylene, C 5 -C 24 arylene, C 6 -C 24 aralkylene, and C 6 -C 24 alkarylene, any of which may contain one or more substitutents and one or more heteroatoms.
- specific linkers include methylene, ethylene, propylene, ethenylene, ethynylene, phenylene, etc.
- the structural formula of the compound represents a certain isomer for convenience in some cases, but the present invention includes all isomers, such as geometrical isomers, optical isomers based on an asymmetrical carbon, stereoisomers, tautomers, and the like.
- a crystal polymorphism may be present for the compounds represented by the formula. It is noted that any crystal form, crystal form mixture, or anhydride or hydrate thereof is included in the scope of the present invention. Furthermore, so-called metabolite which is produced by degradation of the present compound in vivo is included in the scope of the present invention.
- “Isomerism” means compounds that have identical molecular formulae but differ in the sequence of bonding of their atoms or in the arrangement of their atoms in space. Isomers - tha ⁇ differ in the arrangement of their atoms in space are termed "stereoisomers”.
- stereoisomers that are not mirror images of one another are termed “diastereoisomers", and stereoisomers that are non-superimposable mirror images of each other are termed
- enantiomers or sometimes optical isomers.
- a mixture containing equal amounts of individual enantiomeric forms of opposite chirality is termed a “racemic mixture”.
- chiral center A carbon atom bonded to four nonidentical substituents is termed a "chiral center”.
- Chiral isomer means a compound with at least one chiral center. Compounds with more than one chiral center may exist either as an individual diastereomer or as a mixture of diastereomers, termed “diastereomeric mixture”. When one chiral center is present, a stereoisomer may be characterized by the absolute configuration (R or S) of that chiral center.
- Absolute configuration refers to the arrangement in space of the substituents attached to the chiral center.
- the substituents attached to the chiral center under consideration are ranked in accordance with the Sequence Rule of Cahn, Ingold and Prelog. (Cahn et al, Angew. Chem. Inter. Edit. 1966, 5, 385; errata 511 ; Cahn et al, Angew. Chem. 1966, 78, 413; Cahn and Ingold, J. Chem. Soc. 1951 (London), 612; Cahn et al, Experientia 1956, 12, 81 ; Cahn, J Chem. Educ. 1964, 41, 116).
- “Geometric isomer” means the diastereomers that owe their existence to hindered rotation about double bonds. These configurations are differentiated in their names by the prefixes cis and trans, or Z and E, which indicate that the groups are on the same or opposite side of the double bond in the molecule according to the Cahn-Ingold-Prelog rules.
- atropic isomers are a type of stereoisomer in which the atoms of two isomers are arranged differently in space. Atropic isomers owe their existence to a restricted rotation caused by hindrance of rotation of large groups about a central bond. Such atropic isomers typically exist as a mixture, however as a result of recent advances in chromatography techniques; it has been possible to separate mixtures of two atropic isomers in select cases.
- Tautomer is one of two or more structural isomers that exist in equilibrium and is readily converted from one isomeric form to another. This conversion results in the formal migration of a hydrogen atom accompanied by a switch of adjacent conjugated double bonds. Tautomers exist as a mixture of a tautomeric set in solution. In solid form, usually one tautomer predominates. In solutions where tautomerization is possible, a chemical equilibrium of the tautomers will be reached. The exact ratio of the tautomers depends on several factors, including temperature, solvent and pH. The concept of tautomers that are interconvertable by tautomerizations is called tautomerism.
- keto-enol tautomerism a simultaneous shift of electrons and a hydrogen atom occurs.
- Ring- chain tautomerism arises as a result of the aldehyde group (-CHO) in a sugar chain molecule reacting with one of the hydroxy groups (-OH) in the same molecule to give it a cyclic (ring- shaped) form as exhibited by glucose.
- tautomeric pairs are: ketone-enol, amide-nitrile, lactam-lactim, amide- imidic acid tautomerism in heterocyclic rings (e.g., in nucleobases such as guanine, thymine and cytosine), amine-enamine and enamine-enamine.
- heterocyclic rings e.g., in nucleobases such as guanine, thymine and cytosine
- nucleobases such as guanine, thymine and cytosine
- crystal polymorphs means crystal structures in which a compound (or a salt or solvate thereof) can crystallize in different crystal packing arrangements, all of which have the same elemental composition. Different crystal forms usually have different X-ray diffraction patterns, infrared spectral, melting points, density hardness, crystal shape, optical and electrical properties, stability and solubility. RecrystalHzation solvent, rate of crystallization, storage temperature, and other factors may cause one crystal form to dominate. Crystal polymorphs of the compounds can be prepared by crystallization under different conditions.
- the compounds of the present invention can exist in either hydrated or unhydrated (the anhydrous) form or as solvates with other solvent molecules.
- hydrates include monohydrates, dihydrates, etc.
- solvates include ethanol solvates, acetone solvates, etc.
- Solvate means solvent addition forms that contain either stoichiometric or non stoichiometric amounts of solvent. Some compounds have a tendency to trap a fixed molar ratio of solvent molecules in the crystalline solid state, thus forming a solvate. If the solvent is water the solvate formed is a hydrate; and if the solvent is alcohol, the solvate formed is an alcoholate. Hydrates are formed by the combination of one or more molecules of water with one molecule of the substance in which the water retains its molecular state as H 2 0.
- analog refers to a chemical compound that is structurally similar to another but differs slightly in composition (as in the replacement of one atom by an atom of a different element or in the presence of a particular functional group, or the replacement of one functional group by another functional group).
- an analog is a compound that is similar or comparable in function and appearance, but not in structure or origin to the reference compound.
- derivative refers to compounds that have a common core structure, and are substituted with various groups as described herein.
- bioisostere refers to a compound resulting from the exchange of an atom or of a group of atoms with another, broadly similar, atom or group of atoms.
- the objective of a bioisosteric replacement is to create a new compound with similar biological properties to the parent compound.
- the bioisosteric replacement may be physicochemically or topologically based.
- Examples of carboxylic acid bioisosteres include, but are not limited to, acyl sulfonimides, tetrazoles, sulfonates and phosphonates. See, e.g., Patani and LaVoie, Chem. Rev. 96, 3147-3176, 1996.
- the present invention is intended to include all isotopes of atoms occurring in the present compounds.
- Isotopes include those atoms having the same atomic number but different mass numbers.
- isotopes of hydrogen include tritium and deuterium
- isotopes of carbon include C-13 and C-14.
- a "small molecule" as used herein, is meant to refer to a composition that has a molecular weight of less than about 5 kD and most preferably less than about 4 kD. Small molecules can be, e.g., nucleic acids, peptides, polypeptides, peptidomimetics, carbohydrates, lipids or other organic or inorganic molecules. Libraries of chemical and/or biological mixtures, such as fungal, bacterial, or algal extracts, are known in the art and can be screened with any of the assays of the invention.
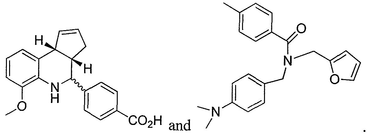
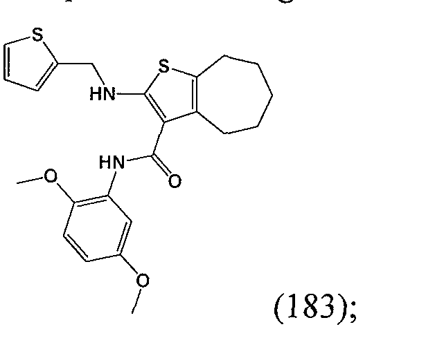
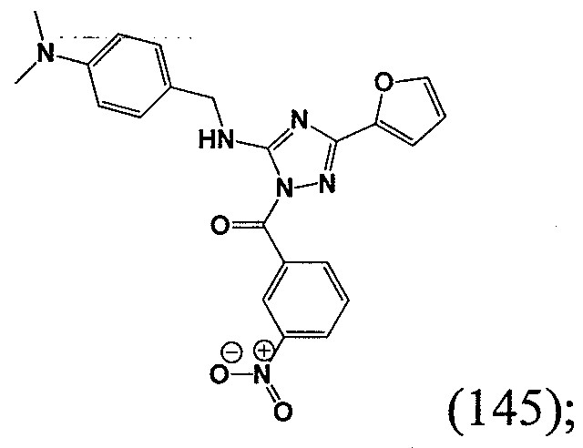
- ROS1 assay The structures, names and percent inhibition of inhibitors identified in the ROS1 assay are listed in Table 2. The strategy for identifying these inhibitors is shown in Example 7. Putative ROS1 inhibitors can be tested further for their biological activity, e.g., ability to inhibit growth in glioblastoma cell lines known to have increased ROS1 expression levels or activity. Suitable cell lines include, e.g., U138, Ul 18, SW1088 and U343-MG and in an animal model, e.g., LSL-FIG-ROS.
- the present invention provides methods for the synthesis of the compounds of the invention.
- Scheme 2 is a schematic showing SAR synthesis around 1.
- the synthesis can be accomplished in a single step, either using a multi-component coupling reaction (route a), or in a two step process, forming the imine intermediate first and then doing the final cyclization
- Scheme 3 is a schematic drawing showing SAR around hit 2.
- Scheme 2 shows the synthesis is a two step process. First there is an amide formation and then alkylation of the amide with benzyl bromide in the presence of base.
- the starting materials (acids, amines and bromides) are simple and have many commercially available analogs, thus facilitating the generation of diverse sets of compounds.
- R 3 may be a 3-14 membered saturated, unsaturated, or aromatic heterocycle containing one or more heteroatoms selected from N, O, and S; or a 3-14 membered saturated, unsaturated, or aromatic carbocycle.
- Therapeutic methods are carried out by administering pharmaceutical formulations comprising kinase inhibitory compounds.
- the compounds are administered to subjects (e.g., human patients, companion animals such as dogs and cats, livestock such as cattle, sheep, goats, horses) that have been determined to be suffering from or at risk of developing a p53- deficient tumor.
- subjects e.g., human patients, companion animals such as dogs and cats, livestock such as cattle, sheep, goats, horses
- a reduction (deficiency) in p53 expression or a loss of p53 expression in a cell or tissue is determined by detecting the p53 gene product (e.g., using a p53-specific monoclonal antibody) or by measuring p53 nucleic acid (e.g., transcripts) in a cell or tissue sample such as a tumor biopsy specimen.
- p53 gene product e.g., using a p53-specific monoclonal antibody
- p53 nucleic acid e.g., transcripts
- Routes of administration include, but are not limited to, oral, rectal ⁇ topical, intravenous, parenteral (including, but not limited to, intramuscular, intravenous), ocular (ophthalmic), transdermal, inhalative (including, but not limited to, pulmonary, aerosol inhalation), nasal, sublingual, subcutaneous or intraarticular delivery.
- parenteral including, but not limited to, intramuscular, intravenous
- ocular ophthalmic
- transdermal inhalative (including, but not limited to, pulmonary, aerosol inhalation)
- nasal, sublingual, subcutaneous or intraarticular delivery include, but are not limited to, oral, rectal ⁇ topical, intravenous, parenteral (including, but not limited to, intramuscular, intravenous), ocular (ophthalmic), transdermal, inhalative (including, but not limited to, pulmonary, aerosol inhalation), nasal, sublingual, subcutaneous or intraarticular delivery.
- inhalative including, but not limited to, pulmonary,
- a pharmaceutical composition or medicament containing the inhibitor or a mixture of inhibitors is administered to a patient at a therapeutically effective dose to prevent, treat, or control cancer.
- the pharmaceutical composition or medicament is administered to a patient in an amount sufficient to elicit an effective therapeutic response in the patient.
- An effective therapeutic response is a response that at least partially arrests or slows the symptoms or complications of the disease. An amount adequate to accomplish this is defined as
- a pharmaceutical composition of the invention is preferably provided in a form with sufficient purity to be administered to a human subject.
- the dosage of active small molecule compound administered is dependent on the species of warm-blooded animal (mammal), the body weight, age, individual condition, surface area of the area to be treated and on the form of administration.
- the size of the dose also is determined by the existence, nature, and extent of any adverse effects that accompany the administration of a particular small molecule compound in a particular subject.
- a unit dosage for oral administration to a mammal of about 50 to 70 kg may contain between about 5 and 500 mg of the active ingredient.
- a dosage of the active small molecule compound of the present invention is a dosage that is sufficient to achieve a therapeutic effect, e.g., reduced proliferation of tumor cells, death of tumor cells, and/or reduction in tumor burden or tumor mass.
- Optimal dosing schedules can be calculated from measurements of small molecule compound accumulation in the body of a subject.
- dosage is from 1 ng to 1,000 mg per kg of body weight and may be given once or more daily, weekly, monthly, or yearly. Persons of ordinary skill in the art can readily determine optimum dosages, dosing methodologies and repetition rates.
- a pharmaceutical composition or medicament comprising a small molecule compound of the present invention is administered in a daily dose in the range from about 1 mg of small molecule compound per kg of subject weight (1 mg/kg) to about 1 g/kg for multiple-days, e.g., the daily dose is a dose in the range of about 5 mg/kg to about 500 mg/kg, about 10 mg/kg to about 250 mg/kg, or about 25 mg/kg to about 150 mg/kg.
- the daily dose is administered once per day or divided into subdoses and administered in multiple doses, e.g., twice, three times, or four times per day.
- a small molecule compound is typically administered for multiple days at the therapeutically effective daily dose.
- therapeutically effective administration of a small molecule compound to treat cancer in a subject often requires periodic (e.g., daily) administration that continues for a period ranging from three days to two weeks or longer.
- a small molecule compound will be administered for at least three consecutive days, often for at least five consecutive days, more often for at least ten, and sometimes for 20, 30, 40 or more consecutive days.
- consecutive daily doses are a preferred route to achieve a therapeutically effective dose
- a therapeutically beneficial effect can be achieved even if the small molecule compound is not administered daily, so long as the administration is repeated frequently enough to maintain a therapeutically effective concentration of the small molecule compound in the subject.
- Optimum dosages, toxicity, and therapeutic efficacy of such small molecule compounds may vary depending on the relative potency of individual small molecule compounds and are determined by standard pharmaceutical procedures in cell cultures or experimental animals, for example, by determining the LD50 (the dose lethal to 50% of the population) and the ED50 (the dose therapeutically effective in 50% of the population).
- the dose ratio between toxic and therapeutic effects is the therapeutic index and can be expressed as the ratio, LD50/ED50.
- Compounds that exhibit large therapeutic indices are preferred. While compounds that exhibit toxic side effects can be used, care should be taken to design a delivery system that targets such compounds to the site of affected tissue to minimize potential damage to normal cells and, thereby, reduce side effects.
- the ROS1 inhibitory compounds described herein are characterized by minimal adverse side effects, because they preferentially affect p53-deficient cells, e.g., tumor cells, while sparing normal non-tumor cells.
- the therapeutically effective dose is estimated initially from cell culture assays.
- a dose can be formulated in animal models to achieve a circulating plasma concentration range that includes the IC50 (the concentration of the test compound that achieves a half-maximal inhibition of symptoms) as determined in cell culture. Such information is then used to more accurately determine useful doses in humans. Levels in plasma are measured, for example, by high performance liquid chromatography (HPLC).
- HPLC high performance liquid chromatography
- the dose equivalent of a small molecule compound is from about 1 ng/kg to 100 mg/kg for a typical subject.
- Example 1 Comparing ROSl receptor tyrosine kinase requirements in normal and tumor cell types from different tissue origins in contrast to other receptor kinases
- FIG. 1 is a heat map showing the rank order of ROSl shRNA across a panel of cell lines as compared to other receptor kinase shRNAs. Relative cell proliferation and survival was measured by Alamar Blue assay 6 days after transduction of lentiviruses expressing shRNAs targeting 16 receptor kinases into 40 cell lines. Reduction in viability induced by each shRNA was calculated relative to a lentiviral vector expressing GFP and assembled by rank order. Color scales represent the greatest decrease in viability by an shRNA (red) to the least (green). Columns display cell lines. Rows display shRNAs. Data were analyzed by hierarchical clustering with Euclidean distance to link shRNAs and cell lines with related growth inhibition properties.
- Each column represents data from a specific cell line, and each row illustrates results from individual kinase.
- These data demonstrate that the ROSl shRNA was more essential for the proliferation and viability of many cancer cell lines (RCC4, 786-0, RKO, CALU, CaSki, HeLa, MCF7, ACHN and A498) as compared to normal cells (A control-human foreskin keratinocytes, B control-a second population of human foreskin keratinocytes, HFF-human foreskin fibroblasts and BJ TERT-human primary fibroblasts).
- ROSl Disabling ROSl (outlined in white) inhibits cell growth in renal cancer cell lines, keratinocytes (epithelial) cells that have been inactivated for p53 (HPV16 E6) and RB (HPV16 E7 or NOK E7), colon cancer cells lines, some cervical cancer cell lines, and breast cancer cell lines.
- FIG. IB focuses on kinases that become essential for cell proliferation/viability as primary epithelial cells loose p53 tumor suppressor activity (Baldwin et al, PNAS, June 2010). Besides SGK2 and PAK3 several other kinases were identified that fit the same classic definition of p53 synthetic lethality, including ROS1 kinase. The supporting data are presented in Figure lb and the experimental procedures are present below.
- the data sets first identified a common set of kinases that were essential for
- HFKs primary human foreskin keratinocytes
- Cells were infected with the appropriate lentiviral shRNA expression vectors, and cell proliferation/survival was assessed by Alamar blue staining. The Alamar Blue values were normalized to a scrambled control shRNA and presented as % decrease in viability.
- Kinases were designated as "essential" when an shRNA (1) inhibited cell proliferation/viability >50% on average in the three cervical cancer lines, and (2) when the shRNA scored as >50% more effective at inhibiting the average response in cancer cells over the average response in two populations of normal HFK cells. From the tested set of 86 kinases plus controls, we identified 26 kinases (represented by 27 shRNAs) that scored as essential by these criteria.
- HPV 16-immortalized HFK lines The HFK immortalized cells (HPV 16 immort.) was derived from a single piece of foreskin epithelium that was transfected with a head-to-tail dimer of the cloned HPV 16 genome (Pirisi et al, 1987). These keratinocytes were transduced with the collection of 100 shRNAs as above. Shown in Figure lb are the data for the HFK freshly immortalized cells. Just as for the cervical cancer lines we designated kinases as "essential" when they yielded >50% difference in proliferation/survival relative to HFKs.
- KHS1, MELK, HER3, ROS, JNK3, MY03B, EPHB1, CDK7, PAK3, and SGK2 were essential in both HFK immortalized cell and cervical cancer lines.
- HPV16 early region ER
- HPV16 E6 oncogene p53 levels were greatly reduced by Western blotting. Decreases in p53 steady state levels served a surrogate marker for HPV16 E6 expression.
- FIG. lb Shown in Figure lb are the data for the HFKs expressing HPV16 ER and E6 oncoprotein cells.
- Kinases were designated as "essential" when they showed a marked decrease in proliferation/viability relative to normal cells in the matched set.
- ROS, CDK7, PAK3 and SGK2 kinases met these criteria in HPV16 ER expressing HFKs, and in HPV16 E6 expressing cells.
- FIG. 2 presents photomicrographs of 4 shRNAs for ROS1 kinase showing different degrees of inhibition in HeLa cells, as compared to a non killing control (scrambled). This result further supports our previous finding where disabling ROS1 kinase by an shRNA approach correlates with growth inhibition in HeLa cells.
- the control infections includes a scrambled shRNA expressing lentiviral vector that does not inhibit cell growth.
- Example 4 Autophagy is a mechanism of growth inhibition by a ROS1 shRNA similar to shRNA downregulation of HER3 and SGK2. A decrease in cell number as a consequence of ROS1 kinase knockdown may result from apoptosis, autophagy, senescence or cell cycle block.
- HeLa cells were infected with lentiviral vectors encoding scrambled (FIG. 3 left panel) and kinase-specific shRNAs (right panels). Following the knockdown of kinases ROS1, HER3 and SGK2, immunofluorescence experiments were performed using an antibody for LC3, a marker of autophagy. Cells were counterstained with Hoechst and phalloidin to visualize nuclei and actin microfilaments, respectively.
- ROS 1 RNA transcript levels were mined for ROS 1 RNA transcript levels to reveal their expression levels in normal and cancerous tissue. The results are shown in FIG. 4. ROS1 RNA expression levels do not vary greatly among cancer and normal tissues and do not provide insight into a therapeutic window for treating many different cancers displayed on the y-axis
- ROS1 RNA levels may not be an indicator of its involvement in cancer but what appears to be important for its malignant potential is its kinase activity.
- the activated ROS receptor through a fusion with the FIG protein is capable of initiating malignant
- FIG-ROS fusion is ligand-independent and cooperates with loss of a tumor suppressor gene Ink4a/pl6 to produce glioblastomas in a mouse model system.
- the FIG- ROS fusion has also been isolated from human astrocytomas.
- the FIG-ROS fusion is reminiscent of BCR-ABL.
- the BCR-ABL chromosomal aberration is found in the majority of CML patients, implying that this abnormality has imparted some growth advantage to those cells.
- Other cancers that harbor different chromosomal aberrations may impart growth advantage to their affected cells, and here we refer to FIG-ROS and its role in glioblastomas.
- Small molecule drugs such as Gleevec and ROSl inhibitors, do not just target the fusion protein per se, but they inhibit the native ABL or ROSl kinases as well. Regardless, there is a therapeutic window for the treatment of their respective diseases given that the kinases become hyper-active in those tissues.
- ROS 1 inhibitors such as Gleevec and ROSl inhibitors
- ROS 1 inhibitors were identified using an in vitro biochemical kinase assay for ROSl.
- a platform was selected that uses homogeneous time resolved fluorescence (HTRF) technology from Cisbio.
- HTRF time resolved fluorescence
- An HTRF kinase reaction was detected with a biotinylated peptide substrate and a specific anti-phospho peptide antibody coupled with Eu 3+ Cryptate and XL665 conjugated with streptavidin.
- To this reaction mix was added the recombinant cytoplasmic domain of a tyrosine kinase domain of a ROS enzyme along with a generic substrate.
- IC 50 values were derived from dose response curves by fitting data to a four-parameter method with GraphPad Prism 4 software.
- the IC 50 values for 19 out of the 121 compounds ranged from 54 to 566 nM.
- Representative dose response curves and IC 50 determinations for a hit compound that came from formula A is 827 nM.
- the 95 out of the 121 preliminary small molecule hits are shown in Table 2. Shown in Table 2 are structures of the molecules and the IC 50 values obtained for the indicated molecule. Certain small molecule hits can be grouped into 11 different chemotypes that are dose responsive over a range of concentrations ⁇ 1-9 revealed ⁇ 50 values ranging from 54 to 566 nM. Representative structures are shown in Scheme 1 and below:
- Additional libraries can be constructed around selected hits.
- the general synthesis of libraries around 1 is shown in Scheme 2.
- the synthesis can be accomplished in a single step, either using a multi-component coupling reaction (route a), or in a two step process, forming the imine intermediate first and then doing the final cyclization (route b). While the synthesis is stereoselective for the formation of the B,C ring junction, it generates a mixture of diastereomers at the B,D ring junction. However, these diastereomers are easily separable by Flash chromatography .
- the starting materials for this synthesis (aldehydes and amines) are simple and have many commercial analogs. Thus, diverse sets of libraries can be generated in a very efficient manner. Substituted dienes of various sizes and other diene-like coupling partners will also be explored and will contribute to the diversity of the libraries.
- the general synthesis of a library around 2 is shown in Scheme 3.
- the synthesis is a two step process.
- the first step is an amide formation by a benzoic acid and a benzyl amine.
- the second step the amide is alkylated with benzyl bromide in the presence of base.
- the starting materials (acids, amines and bromides) are simple and have many commercially available analogs, thus facilitating the generation of diverse sets of compounds.
- the same primary screening assay can be used to establish dose response curves, IC50 measurements, mechanism of inhibition and kinase selectivity. After a cycle of structure- guided drug design the new compounds should be more potent and selective ROS kinase inhibitors.
- Hits can be verified by establishing a dose-response relationship.
- a range of compound concentrations can be assayed by serial dilution.
- the IC 5 0 determinations are calculated for each inhibitor by determining the concentration needed to inhibit half of the maximum biological response. Additionally, the mode of action of the inhibitor can be determined to determine if it acts as a competitive, non-competitive, or uncompetitive inhibitor.
- ROS1 inhibitors disclosed herein will act on oncogenic fusion tyrosine kinase (FTK), FIG/ROS. In this respect it may act as Gleevec and related compounds, which have been designed to block gain-of-function alterations, and cause death in cells that have hyperactive kinases. Normal cells that do not carry the fusion proteins are spared. Molecular targeted therapeutics of this class will be very effective in the clinic with few side effects.
- FTK fusion tyrosine kinase
- binders to the ATP-binding pocket include:
- Model 1 was based on the 3LCS X-ray structure of ALK in complex with Staurosporin, which is cross-reactive with ROS1.
- Model 2 was based on the 2XB7 X-ray structure of ALK in complex with TAE-684.
- “virtual co-crystal” was generated with a set of dual-acting ALK-ROSl Novartis compounds from the following patents: WO2009032703, WO2009126514, WO2009126515 discussed by Mikiewicz and Ott (Milkiewicz and Ott, 'inhibitors of anaplastic lymphoma kinase: a patent review, Expert Opin. Ther. Patents, 2010; each of the foregoing references being herein incorporated by reference). These compounds represent preferred ROS kinase inhibitors. Table 2
Landscapes
- Health & Medical Sciences (AREA)
- Animal Behavior & Ethology (AREA)
- Public Health (AREA)
- Pharmacology & Pharmacy (AREA)
- Veterinary Medicine (AREA)
- Life Sciences & Earth Sciences (AREA)
- Chemical & Material Sciences (AREA)
- General Health & Medical Sciences (AREA)
- Medicinal Chemistry (AREA)
- Epidemiology (AREA)
- Chemical Kinetics & Catalysis (AREA)
- General Chemical & Material Sciences (AREA)
- Nuclear Medicine, Radiotherapy & Molecular Imaging (AREA)
- Organic Chemistry (AREA)
- Pharmaceuticals Containing Other Organic And Inorganic Compounds (AREA)
Abstract
The invention provides methods and compositions for treating tumors, including glioblastomas, using inhibitors of ROS1. Cancer cells are preferentially inhibited compared to normal cells by inhibiting tumor ROS1 kinases that are required for growth of tumor cells but not normal cells.
Description
ROSl KINASE INHIBITORS FOR THE TREATMENT OF GLIOBLASTOMA AND
OTHER P53-DEFICIENT CANCERS
RELATED APPLICATION
This application claims the benefit of U.S. Provisional Application No. 61/400,578, file July 29, 2010, the contents of which are incorporated herein by reference in its entireties.
FIELD OF THE INVENTION
This invention relates to compounds and methods for cancer therapy.
BACKGROUND OF THE INVENTION
The role of p53 as a tumor suppressor is generally attributed to its ability to stop the proliferation of precancerous cells by inducing cell-cycle arrest or apoptosis. This tumor suppressor gene is mutated in many human cancers and results in the loss of a cell's ability to survey for DNA damage. Inactivation or disruption of the p53 tumor suppressor gene is a common event in the development of most types (50-80%) of human cancers.
SUMMARY OF THE INVENTION
The present invention provides compounds, a general synthesis of preparing the compounds, and methods to preferentially or specifically target tumor cells expressing the ROSl tumor survivor kinase. Inhibition can be by, e.g. inhibiting proliferation or decreasing survival of ROSl expressing cells while sparing normal cells. Non-tumor cells are spared because the ROSl kinase becomes necessary for survival only when the process of carcinogenesis is initiated and remains necessary after the cell becomes cancerous. The ROSl kinase is more essential in cells in which p53 is deficient, e.g., mutated, inactivated, or otherwise compromised or reduced. Additionally there may be involvement with other tumor suppressor genes given that a fusion of the ROSl gene to unrelated sequence from FIG (fused in glioblastoma) produces glioblastomas in mice, which is attenuated by loss of tumor suppressor CDKN2A. The involvement of CDKN2A is not surprising, given its classification as one of the most frequently deleted genes in glioblastoma, along with p53 which is the most
frequently mutated gene (Parsons et al., (2008). The ROSl inhibitor compounds disclosed herein are used to inhibit proliferation or kill p53-deficient tumors in individuals, e.g., human patients, that have been diagnosed with a p53 -deficient tumor.
Inhibitors of these kinases are superior to many existing anti-tumor drugs because they preferentially act on p53-deficient tumor cells compared to non-tumor cells or cells in which p53 expression or activity is normal.
In some embodiments, the present invention relates to a method of inhibiting proliferation of or killing a cell, the method comprising contacting said cell with a composition comprising an inhibitor of ROS of Formula X:
,Xa~ Xd
X - S e (Formula X), wherein I— I is selected from a 3-14 membered saturated, unsaturated, or aromatic heterocycle containing one or more heteroatoms selected from N, O, and S; a 3-14 membered saturated, unsaturated, or aromatic carbocycle;
represents a single or double bond;
a 3-14 membered saturated, unsaturated, or aromatic heterocycle containing one or more heteroatoms selected from N, O, and S; a 3-14 membered saturated, unsaturated, or aromatic carbocycle; wherein the heterocycle and carbocycle are optionally substituted with RBI, RB2, RB3, and RB4;
Y is CRi or N;
Xa and Xd are each independently selected from a bond, O, S, C(O), OC(O), (CH2)V, NH, N(CH2)V N(Ci-C6 alkyl), NHC(O), NHC(0)(CH2)v, (CH2)vNHC(0)(CH2)v,
(CR„RI2)tO(CR„RI2)t, (CRi3RI4)tS(CRI3Ri4)t, S(0)2, S(0)2NH, S(0)2NH(CH2)v, and 5-6 membered saturated, unsaturated, or aromatic heterocycle containing 1-3 heteroatoms selected from N, O, and S; a 3-14 membered saturated, unsaturated, or aromatic carbocycle;
Xb and Xe are each independently selected from a bond, phenyl, furanyl, thiopheneyl, and 3- 14 membered saturated, unsaturated, or aromatic heterocycle containing 1-3 heteroatoms selected from N, O, and S; a 3-14 membered saturated, unsaturated, or aromatic carbocycle; wherein Xb is optionally substituted with m number of Xf; and Xe is optionally substituted with n number of Xf;
Xc and Xf are each independently selected from hydrogen, phenyl, furanyl, thiopheneyl, d- C6 alkyl, d-C6 alkoxy, halogen, CF3, CHF2, CH2F, NH2, NH(Ci-C6 alkyl), N(d-C6 alkyl)2,
NHC(0)(Ci-C6 alkyl), NHC(0)0(C!-C6 alkyl), C(0)NH2, C(0)NH(C C6 alkyl), C(0)OH,
(CH2)vC(0)OH, C(0)0(Ci-C6 alkyl), OH, CN, N02, SH, S(d-Q> alkyl), S(0)2(d-C6 alkyl), and S(0)2-aryl; wherein aryl is a 3-8 membered saturated, unsaturated, or aromatic carbocycle optionally substituted with one or more R2;
alternatively, two adjacent Xc or two adjacent Xf together form a 3-14 membered saturated, unsaturated, or aromatic heterocycle containing 1-3 heteroatoms selected from N, O, and S; or a 3-14 membered saturated, unsaturated, or aromatic carbocycle; or
alternatively, Xd-Xe represents =0; Ri, R2, Rii, Ri2, Ri3, Ri4, RLI, and RL2 are each independently selected from hydrogen, phenyl, furanyl, thiopheneyl, Cr6 alkyl, C C6 alkoxy, halogen, -CF3, CHF2, CH2F, NH2, NH(Ci-C6 alkyl), N(d-C6 alkyl)2, NC(0)(C C6 alkyl), C(0)OH, C(0)0(d-C6 alkyl), OH, CN, SH,
S(C!-C6 alkyl), a 3-14 membered saturated, unsaturated, or aromatic heterocycle containing 1-3 heteroatoms selected from N, O, and S; and a 3-14 membered saturated, unsaturated, or aromatic carbocycle; RB RB2, RB3, and RB4 are each independently selected from hydrogen, phenyl, furanyl, thiopheneyl, C 6 alkyl, Ci-C6 alkoxy, halogen, CF3, CHF2, C¾F, NH2, NH(C C6 alkyl), N(C C6 alkyl)2, NC(0)(C!-C6 alkyl), C(0)OH, C(0)0(d-C6 alkyl), OH, CN, SH, S(C C6 alkyl), and a 3-14 membered saturated, unsaturated, or aromatic heterocycle containing 1-3 heteroatoms selected from N, O, and S; and a 3-14 membered saturated, unsaturated, or aromatic carbocycle; m is selected from 0, 1, 2, 3, 4, and 5;
n is selected form 0, 1, 2, 3, 4, and 5;
t is selected from 0, 1, 2, 3, 4, and 5; and
v is selected from 0, 1, 2, 3, 4, 5, and 6; or a pharmaceutically acceptable salt, ester, tautomer, or prodrug thereof.
In some embodiments, the inhibitor is a compound according to the formulae:
wherein , 5γ ; xa, Xd, Xb, Xe, Xc, Xf, Rn, and RL2 are as defined above;
or a pharmaceutically acceptable salt, ester, tautomer, or prodrug thereof.
In some embodiments, the inhibitor is a compound according to the formulae:
wherein Xc, Xf, m and n are as defined above;
or a pharmaceutically acceptable salt, ester, tautomer, or prodrug thereof.
In some embodiments, Xc and Xf of formulae Al , A2, and Dl are independently selected from hydrogen, Ci-C6 alkyl, Cj-C6 alkoxy, halogen, NH2, NH(Ci-C6 alkyl), N(Ci-C6 alkyl)2, NHC(0)(C,-C6 alkyl), NHC(0)0(C C6 alkyl), C(0)NH2, C(0)NH(Ci-C6 alkyl), C(0)OH, C(0)0(Cj-C6 alkyl), and OH; or a pharmaceutically acceptable salt, ester, tautomer, or prodrug thereof.
In some embodiments, Xc and Xf of formulae Al , A2, and Dl are independently selected from hydrogen, methyl, ethyl, propyl, butyl, t-butyl, OCH3, OCH2CH3, CI, Br, F,
C(0)OH, C(0)OCH3, N(CH3)2, and N(CH2CH3)2; or a pharmaceutically acceptable salt, ester, tautomer, or prodrug thereof.
wherein A is S or O;
Xc, Xf, m and n are as defined above;
or a pharmaceutically acceptable salt, ester, tautomer, or prodrug thereof.
In some embodiments, Xc and Xf of formulae Bl, B2, B3, B4, B5, B6, B7, B8, Jl and J2 selected from hydrogen, Ci-C6 alkyl, Cj-C6 alkoxy, halogen, NH2, NH(Ct-C6 alkyl), N(Ci-C6 alkyl)2, NHC(0)(C C6 alkyl), NHC(0)0(d-C6 alkyl), C(0)NH2, C(0)NH(C,-C6 alkyl), C(0)OH, C(0)0(C,-C6 alkyl), and OH; or two adjacent Xc or two adjacent Xf together form a 4-14 membered saturated, unsaturated, or aromatic heterocycle containing 1-
3 heteroatoms selected from N, Θ, and S; or a 3-14 membered saturated, unsaturated, or aromatic carbocycle;
or a pharmaceutically acceptable salt, ester, tautomer, or prodrug thereof.
In some embodiments, Xc and Xf of formulae Bl, B2, B3, B4, B5, B6, B7, B8, Jl and J2 are independently selected from hydrogen, CH3, OCH3, OCH2CH3, CI, Br, F, C(0)OH, and C(0)OCH3; or two adjacent Xc together form a 5 membered unsaturated carbocycle containing two O atoms;
or a pharmaceutically acceptable salt, ester, tautomer, or prodrug thereof.
In some embodiments, RBI, RB2, RB3, and RB4 of formulae Bl, B2, B3, B4, B5, B6, B7, B8 are each independently selected from hydrogen, methyl, ethyl, propyl, butyl, t-butyl, OCH3, OCH2CH3, CI, Br, F, C(0)OH, C(0)OCH3, N(CH3)2, and N(CH2CH3)2; or a pharmaceutically acceptable salt, ester, tautomer, or prodrug thereof.
In some embodiments, the inhibitor is a compound according to the formulae:
L is O or S; and
Ar/Het is a 3-14 membered saturated, unsaturated, or aromatic heterocycle containing 1-3 heteroatoms selected from N, O, and S; or a 3-14 membered saturated, unsaturated, or aromatic carbocycle;
Xa, Xb, Xc, Xf, Rii, ¾2, Ri3, ¾4, Ru, RL2, t and u are as defined above;
or a pharmaceutically acceptable salt, ester, tautomer, or prodrug thereof.
In some embodiments, the inhibitor is a compound of Table 1 or a pharmaceutically acceptable salt, ester, tautomer, or prodrug thereof. In some embodiments, the inhibitor inhibitor is a compound selected from:
or a pharmaceutically acceptable salt, ester, tautomer, or prodrug thereof.
In some embodiments, the cell is a p53 deficient tumor cell. In some embodiments, the cell is a human papilloma virus (HPV)-infected cell. In some embodiments, the cell is a non-tumor cell expressing an HPV oncoprotein. In some embodiments, the cell is a tumor cell or tumor cell line of a tissue type selected from the group consisting of brain, breast, cervix, uterus, bladder, brain, lung, esophagus, liver, and prostate.
In some embodiments, the tumor cell is from a brain tumor. In some embodiments, the brain tumor is an astrocytoma. In some embodiments, the astrocytoma is a glioblastoma.
In some embodiments, the ROS inhibitor is present in an amount that induces autophagy in said cell. In some embodiments, the cell is provided in vitro. In some embodiments, the cell is provided in a subject in vivo. In some embodiments, the subject is a human. In some embodiments, the cell is provided ex vivo.
In some embodiments, the method of identifying an anti-tumor agent, comprising contacting a ROS kinase with a candidate compound and determining whether said candidate compound inhibits enzymatic activity of said kinase, wherein a reduction in a level of said activity in the presence of said candidate compound compared to that in the absence of said candidate compound indicates that said candidate compound is an anti-tumor agent.
In some embodiments, the cell is a p53 deficient cell. In some embodiments, the tumor is a brain tumor. In some embodiments, the brain tumor is a glioblasatoma multiforme
In some embodiments, the method of identifying an anti-tumor agent, comprising contacting a cell dependent upon ROS kinase with a candidate compound and determining whether said candidate compound inhibits survival or proliferation of said cell, wherein a reduction in a level of said survival or proliferation in the presence of said candidate compound compared to that in the absence of said candidate compound indicates that said candidate compound is an anti-tumor agent.
In some embodiments, the cell is a p53 deficient cell. In some embodiments, the tumor is a brain tumor. In some embodiments, the brain tumor is a glioblasatoma multiforme.
In some embodiments, the method of identifying a tumor survival ROS1 kinase, comprising synthetically inhibiting expression of a tumor-associated gene and expression of at least one candidate ROS1 kinase gene, wherein a decrease in tumor cell survival in the presence of inhibition of both genes compared to the level of tumor cell survival in the presence of inhibition of solely said tumor-associated gene indicates that said candidate kinase gene is a ROS1 tumor survival kinase.
In some embodiments, the method of inhibiting proliferation of or killing a p53- deficient tumor cell, comprising contacting said tumor cell with a composition comprising an inhibitor of ROS.
In some embodiments, the inhibitor decreases enzymatic activity of ROS.
In some embodiments, the pharmaceutical composition comprising a ROS 1 inhibitor formulated for delivery to a human subject.
In some embodiments, the method of inhibiting proliferation of or killing a p53- deficient cell, comprising contacting said cell with a composition comprising an inhibitor of ROS, wherein said inhibitor is a compound of formulae A, B, C, D, E, F, G, H, I, J, K, L, M, N, and O.
The compounds and methods described herein have numerous advantages over existing treatments because they target tumor cells, e.g., tumor cells in which p53 expression is deficient or lost, and spares normal no-tumor cells or cells that are characterized by normal p53 expression.
Unless otherwise defined, all technical and scientific terms used herein have the same meaning as commonly understood by one of ordinary skill in the art to which this invention belongs. Although methods and materials similar or equivalent to those described herein can be used in the practice or testing of the present invention, suitable methods and materials are described below. All publications, patent applications, patents, and other references mentioned herein are incorporated by reference in their entirety. In the case of conflict, the present specification, including definitions, will control. In addition, the materials, methods, and examples are illustrative only and not intended to be limiting.
Other features and advantages of the invention will be apparent from the following description of the preferred embodiments thereof, and from the claims. References cited, including the contents of GENBANK Accession Numbers are hereby incorporated by reference.
BRIEF DESCRIPTION OF THE DRAWINGS
FIG. la is a graphical representation of ROS 1 shRNA growth inhibitory effects across a panel of normal, immortalized and cancer cell lines as compared to other receptor tyrosine kinase shRNAs. Cell growth/viability was assessed by Alamar blue staining. Color scales represent the greatest decrease in viability by an shRNA (red) to the least (green). Columns display different cell types. Rows display shRNAs. Data were analyzed by hierarchical clustering with Euclidean distance to link shRNAs and cell lines with related growth inhibition properties.
FIG. IB identifies protein kinases that become essential as a consequence of HPV oncoprotein expression in primary human keratinocytes. HeLa, SiHa and CaSki cervical carcinoma (CxCa), HPV 16 immortalized keratinocytes (HPV 16 immort) as well as human
foreskin keratinoeytes (HF s) engineered to express the entire HPV 16 early coding region (ER) or E6 were infected with lenti viral vectors expressing shRNAs to individual kinases. The percentages of the decrease in cell proliferation/survival normalized to a scrambled control shRNA and compared to HFKs as determined by Alamar blue assays are shown. CxCa represent averages of the 3 cervical carcinoma lines tested. FGFR3 and PDGFa/β are examples of kinases that show less of an effect in this system but already have drugs developed against them.
FIGS. 2A-2E show multiple ROS1 shRNA expression vectors can inhibit
proliferation/viability to varying degrees in p53-inactivated HeLa cells more effectively than a non-killing control (scrambled). Cells were stained with crystal violet and photographed.
FIGS. 3A-3D are photomicrographs showing that depletion of ROS1 in HeLa cells is associated with a moderate autophagy staining pattern similar to the depletion of HER3 and SGK2 under the same conditions. Cells were stained with an antibody for the autophagy marker LC3 and counterstained with Hoechst 33258 and phalloidin dyes to visualize nuclei and actin cytoskeletal structures, respectively.
FIG. 4 is a graph showing ROS 1 RNA levels in normal and cancer tissues using data mined from gene expression databases.
DETAILED DESCRIPTION OF THE INVENTION
The present invention provides methods and compositions for reducing, inhibiting or preventing cell proliferation and/or killing tumor cells, e.g., tumor cells in which p53 is inactivated, tumor cells in which ROS1 kinase activity is constitutively active by fusion of
Golgi apparatus-associated protein called "FIG" to the kinase domain of "ROS", producing the hybrid FIG-ROS kinase, or by some other method.
Inhibitors of the receptor tyrosine kinase ROS1 useful for treating tumors were identified in a screen to determine differential kinase requirements across a panel of many different cancer and normal cells derived from different tissue types, cell lines were infected with lentiviral vectors expressing individual shRNAs targeting 16 unique receptor kinases.
These receptor kinases were originally identified as the top 80 kinase "hits" that are essential for viability of HeLa and 293T cells. Cells were subsequently assayed for viability 6 days
after infection. Percentage of cell viability was determined using Alamar blue, a dye that measures mitochondrial fitness. Values were calculated as a percentage of loss of viability, normalized to a scrambled control shRNA. Two independent screens were performed, each in quadruplicate, with a resulting correlation coefficient between screens of 0.95. Kinase signatures from both screens are displayed in a heat map; green denotes the greatest cell viability, and red denotes the least cell viability (See Example 1 and FIG. la).
These data show that screening cells from different tissue origins or acquiring different mutations during tumor development can greatly alter the kinase requirements of a cell. When cells are closely related and differ only by expression of a single oncogene or tumor suppressor gene, differences in kinase requirements that stem from the action of these proteins can be detected. This strategy examines how cancer cells that arise from different tissue sources and that suffer different tumorigenic mutations respond to perturbation by shRNA treatment.
The ROS1 kinse inihibitors disclosed herein add to the evidence that receptor tyrosine kinases (RTK) kinase activity is associated with cancers, including glioblastoma multiforme (GBM), the most common and lethal form of primary brain cancer. Diagnosis of this advanced glioma has a poor prognosis due to the ineffectiveness of current therapies.
Aberrant expression of receptor tyrosine kinases (RTK) in glioblastoma multiformes is suggestive of their role in initiation and maintenance of these tumors of the central nervous system. In fact, ectopic expression of the orphan RTK ROS is a frequent event in human brain cancers, yet the pathologic significance of this expression remains undetermined (Charest et al., Cancer Res.: 66, 7473-81, 2006). Similarly, the transmembrane proto- oncogene receptor tyrosine kinase (RTK) ROS, an orphan receptor that is aberrantly expressed in neoplasms of the central nervous system, is fused at its carboxy-terminal kinase domain to the amino-terminal portion of a protein called FIG (Fused in Glioblastoma) in a human glioblastoma multiforme (GBM). An intra-chromosomal homozygous deletion of 240 kilobases on 6q21 responsible for the formation of the FIG-ROS locus has been identified by characterizing both FIG and ROS genes in normal and in Ul 18MG GBM cells (Lane et al., Genes Chromosomes Cancer 37:58-71, 2003). The FIG-ROS transcript is encoded by 7 FIG exons and 9 ROS-derived exons. A glioblastoma-associated, ligand-independent
rearrangement product of ROS (FIG-ROS) cooperates with loss of the tumor suppressor gene locus Ink4a;Arf (CDKN2A) to produce glioblastomas in the mouse.
1. ROS1 inhibitors
In some embodiments, the present invention relates to a method of inhibiting proliferation of or killing a cell, the method comprising contacting said cell with a
composition comprising an inhibitor of ROS of Formula X:
,Xa~ -Xd
Xe (Formula X), wherein is selected from a 3-14 membered saturated, unsaturated, or aromatic
heterocycle containing one or more heteroatoms selected from N, O, and S; a 3-14 membered saturated, unsaturated, or aromatic carbocycle;
represents a 3-14 membered saturated, unsaturated, or aromatic heterocycle containing one or more heteroatoms selected from N, O, and S; a 3-14 membered saturated, unsaturated,
or aromatic carbocycle; wherein the heterocycle and carbocycle are optionally substituted with RB1, RB2, RB3, and RB4;
Y is CR] or N;
Xa and Xd are each independently selected from a bond, O, S, C(O), OC(O), (CH2)V, NH, N(CH2)V N(Ci-C6 alkyl), NHC(O), NHC(0)(CH2)v, (CH2)vNHC(0)(CH2)v,
(CRI1Rn)tO(CR„Ri2)t, (CRi3RI4)tS(CRi3R!4)t, S(0)2, S(0)2NH, S(0)2NH(CH2)v, and 5-6 membered saturated, unsaturated, or aromatic heterocycle containing 1-3 heteroatoms selected from N, O, and S; a 3-14 membered saturated, unsaturated, or aromatic carbocycle; Xb and Xe are each independently selected from a bond, phenyl, furanyl, thiopheneyl, and 3- 14 membered saturated, unsaturated, or aromatic heterocycle containing 1-3 heteroatoms selected from N, O, and S; a 3-14 membered saturated, unsaturated, or aromatic carbocycle; wherein Xb is optionally substituted with m number of Xf; and Xe is optionally substituted with n number of Xf;
Xc and Xf are each independently selected from hydrogen, phenyl, furanyl, thiopheneyl, d- C6 alkyl, C,-C6 alkoxy, halogen, CF3, CHF2, CH2F, NH2, NH(C,-C6 alkyl), N(d-C6 alkyl)2, NHC(0)(d-C6 alkyl), NHC(0)0(d-C6 alkyl), C(0)NH2, C(0)NH(d-C6 alkyl), C(0)OH, (CH2)vC(0)OH, C(0)0(Ci-C6 alkyl), OH, CN, N02, SH, S(d-C6 alkyl), S(0)2(d-C6 alkyl), and S(0)2-aryl; wherein aryl is a 3-8 membered saturated, unsaturated, or aromatic carbocycle optionally substituted with one or more R2;
alternatively, two adjacent Xc or two adjacent Xf together form a 3-14 membered saturated, unsaturated, or aromatic heterocycle containing 1-3 heteroatoms selected from N, O, and S; or a 3-14 membered saturated, unsaturated, or aromatic carbocycle; or
alternatively, Xd-Xe represents =0;
Ri, R2, Rn, Ri2, Ri3, Ri4, Ru, and RL2 are each independently selected from hydrogen, phenyl, furanyl, thiopheneyl, C,-6 alkyl, C C6 alkoxy, halogen, -CF3, CHF2, CH2F, NH2, NH(C C6 alkyl), N(C,-C6 alkyl)2, NC(0)(d-C6 alkyl), C(0)OH, C(0)0(C,-C6 alkyl), OH, CN, SH, S(d-C6 alkyl), a 3-14 membered saturated, unsaturated, or aromatic heterocycle containing 1-3 heteroatoms selected from N, O, and S; and a 3-14 membered saturated, unsaturated, or aromatic carbocycle;
RBI, RB2, RB3, and R¾4 are each independently selected from hydrogen, phenyl, furanyl, thiopheneyl, d-6 alkyl, C C6 alkoxy, halogen, CF3, CHF2, CH2F, NH2, NH(C]-C6 alkyl), N(C!-C6 alkyl)2, NC(0)(d-C6 alkyl), C(0)OH, C(0)0(d-C6 alkyl), OH, CN, SH, S(Q-C6 alkyl), and a 3-14 membered saturated, unsaturated, or aromatic heterocycle containing 1-3 heteroatoms selected from N, O, and S; and a 3-14 membered saturated, unsaturated, or aromatic carbocycle; m is selected from 0, 1, 2, 3, 4, and 5;
n is selected form 0, 1, 2, 3, 4, and 5;
t is selected from 0, 1, 2, 3, 4, and 5; and
v is selected from 0, 1, 2, 3, 4, 5, and 6; or a pharmaceutically acceptable salt, ester, tautomer, or prodrug thereof.
wherein , ;γ ; xa, Xd, Xb, Xe, Xc, Xf, Rn, and RL2 are as defined above;
or a pharmaceutically acceptable salt, ester, tautomer, or prodrug thereof.
In some embodiments, the inhibitor is a compound according to the formulae:
wherein Xc, Xf, m and n are as defined above;
or a pharmaceutically acceptable salt, ester, tautomer, or prodrug thereof.
In some embodiments, Xc and Xf of formulae Al, A2, and Dl are independently selected from hydrogen, Ci-C6 alkyl, C]-C6 alkoxy, halogen, NH2, NH(Ci-C6 alkyl), N(C]-C6 alkyl)2, NHC(0)(C!-C6 alkyl), NHC(0)0(C,-C6 alkyl), C(0)NH2, C(0)NH(C C6 alkyl), C(0)OH, C(0)0(Ci-C6 alkyl), and OH; or a pharmaceutically acceptable salt, ester, tautomer, or prodrug thereof.
In some embodiments, Xc and Xf of formulae Al, A2, and Dl are independently selected from hydrogen, methyl, ethyl, propyl, butyl, t-butyl, OCH3, OCH2CH3, CI, Br, F, C(0)OH, C(0)OCH3, N(CH3)2, and N(CH2CH3)2; or a pharmaceutically acceptable salt, ester, tautomer, or prodrug thereof.
wherein A is S or O;
Xc, Xf, m and n are as defined above;
or a pharmaceutically acceptable salt, ester, tautomer, or prodrug thereof.
In some embodiments, Xc and Xf of formulae Bl , B2, B3, B4, B5, B6, B7, B8, Jl and J2 selected from hydrogen, Ci-C6 alkyl, C C6 alkoxy, halogen, NH2, NH(Cj-C6 alkyl), N(C,-C6 alkyl)2, NHC(0)(C,-C6 alkyl), NHC(0)0(d-C6 alkyl), C(0)NH2, C(0)NH(d-C6 alkyl), C(0)OH, C(0)0(C,-C6 alkyl), and OH; or two adjacent Xc or two adjacent Xf together form a 4-14 membered saturated, unsaturated, or aromatic heterocycle containing 1-
3 heteroatoms selected from N, O, and S; or a 3-14 membered saturated, unsaturated, or aromatic carbocycle;
or a pharmaceutically acceptable salt, ester, tautomer, or prodrug thereof.
In some embodiments, Xc and Xf of formulae Bl, B2, B3, B4, B5, B6, B7, B8, Jl and J2 are independently selected from hydrogen, CH3, OCH3, OCH2CH3, CI, Br, F, C(0)OH, and C(0)OCH3; or two adjacent Xc together form a 5 membered unsaturated carbocycle containing two O atoms;
or a pharmaceutically acceptable salt, ester, tautomer, or prodrug thereof.
In some embodiments, RBI, RB2, RB3, and RB4 of formulae Bl, B2, B3, B4, B5, B6, B7, B8 are each independently selected from hydrogen, methyl, ethyl, propyl, butyl, t-butyl, OCH3, OCH2CH3, CI, Br, F, C(0)OH, C(0)OCH3, N(CH3)2, and N(CH2CH3)2; or a pharmaceutically acceptable salt, ester, tautomer, or prodrug thereof.
In some embodiments, the inhibitor is a compound according to the formulae:
L is O or S; and
Ar/Het is a 3-14 membered saturated, unsaturated, or aromatic heterocycle containing 1-3 heteroatoms selected from N, O, and S; or a 3-14 membered saturated, unsaturated, or aromatic carbocycle;
Xa, Xb, Xc, Xf, RII , ¾2, RB, RI4, RLI, RL2, t and u are as defined above;
or a pharmaceutically acceptable salt, ester, tautomer, or prodrug thereof.
In some embodiments, the inhibitor is a compound of Table 1 or a pharmaceutically acceptable salt, ester, tautomer, or prodrug thereof. In some embodiments, the inhibitor inhibitor is a compound selected from:
or a pharmaceutically acceptable salt, ester, tautomer, or prodrug thereof.
In some embodiments, the cell is a p53 deficient tumor cell. In some embodiments, the cell is a human papilloma virus (HPV)-infected cell. In some embodiments, the cell is a non-tumor cell expressing an HPV oncoprotein. In some embodiments, the cell is a tumor cell or tumor cell line of a tissue type selected from the group consisting of brain, breast, cervix, uterus, bladder, brain, lung, esophagus, liver, and prostate.
In some embodiments, the tumor cell is from a brain tumor. In some embodiments, the brain tumor is an astrocytoma. In some embodiments, the astrocytoma is a glioblastoma.
In some embodiments, the ROS inhibitor is present in an amount that induces autophagy in said cell. In some embodiments, the cell is provided in vitro. In some embodiments, the cell is provided in a subject in vivo. In some embodiments, the subject is a human. In some embodiments, the cell is provided ex vivo.
In some embodiments, the method of identifying an anti-tumor agent, comprising contacting a ROS kinase with a candidate compound and determining whether said candidate compound inhibits enzymatic activity of said kinase, wherein a reduction in a level of said activity in the presence of said candidate compound compared to that in the absence of said candidate compound indicates that said candidate compound is an anti-tumor agent.
In some embodiments, the cell is a p53 deficient cell. In some embodiments, the tumor is a brain tumor. In some embodiments, the brain tumor is a glioblasatoma multiforme
In some embodiments, the method of identifying an anti-tumor agent, comprising contacting a cell dependent upon ROS kinase with a candidate compound and determining whether said candidate compound inhibits survival or proliferation of said cell, wherein a reduction in a level of said survival or proliferation in the presence of said candidate compound compared to that in the absence of said candidate compound indicates that said candidate compound is an anti-tumor agent.
In some embodiments, the cell is a p53 deficient cell. In some embodiments, the tumor is a brain tumor. In some embodiments, the brain tumor is a glioblasatoma multiforme.
In some embodiments, the method of identifying a tumor survival ROS1 kinase, comprising synthetically inhibiting expression of a tumor-associated gene and expression of at least one candidate RPS1 kinase gene, wherein a decrease in tumor cell survival in the presence of inhibition of both genes compared to the level of tumor cell survival in the presence of inhibition of solely said tumor-associated gene indicates that said candidate kinase gene is a ROS1 tumor survival kinase.
In some embodiments, the method of inhibiting proliferation of or killing a p53- deficient tumor cell, comprising contacting said tumor cell with a composition comprising an inhibitor of ROS.
In some embodiments, the inhibitor decreases enzymatic activity of ROS.
In some embodiments, the pharmaceutical composition comprising a ROS1 inhibitor formulated for delivery to a human subject.
- In some embodiments, the method of inhibiting proliferation of or killing a p53- deficient cell, comprising contacting said cell with a composition comprising an inhibitor of ROS, wherein said inhibitor is a compound of formulae A, B, C, D, E, F, G, H, I, J, K, L, M, N, and O.
Representative compounds of the present invention include compounds listed in Table
1.
Table 1
Scheme 1 represents schematic drawing of representative structures for 1 1 ROS1 inhibitors. These results were based on an initial 44K compound library screen for inhibitors of ROS kinase activity, preliminary medicinal chemistry analysis indicates that there are 1 1 different chemotypes, which show preliminary SAR. Chemotypes 1 and 2 show activity against ROS in the submicromolar range and demonstrate a valid dose-response curve.
Chemotypes 1 and 2 show great promise for the generation of a medicinal chemistry strategy. The compounds do not have any obvious metabolic or toxicity liabilities and also harbor three distinct sites for the introduction of structural diversity. These characteristics facilitate the synthesis of focused libraries and generation of SAR. For SAR generation/lead optimization, chemotype 1 can be replaced it with a bioisostere (such as tetrazole), which can increase the lipophilicity of the molecule. Increased lipophilicity is one of the strategies to increase the passive permeability though the blood brain barrier (BBB). Other variations that can increase the BBB permeability include: reduction of P-glycoprotein efflux, decrease in molecular weight, replacement of carboxylic acids with isosteres, and addition of
intramolecular hydrogen bonds.
As used herein, "alkyl", "d, C2, C3, C4, C5 or C6 alkyl" or "Ci-C 6 alkyl" is intended to include C\, C2, C3, C4, C5 or C6 straight chain (linear) saturated aliphatic hydrocarbon groups and C3, C4, C5 or C6 branched saturated aliphatic hydrocarbon groups. For example, C[-C(, alkyl is intended to include C j , C2, C3, C4, C5 and C6 alkyl groups. Examples of alkyl include, moieties having from one to six carbon atoms, such as, but not limited to, methyl, ethyl, n-propyl, i-propyl, n-butyl, s-butyl, t-butyl, n-pentyl, s-pentyl or n-hexyl.
In certain embodiments, a straight chain or branched alkyl has six or fewer carbon atoms (e.g. , Cj-C6 for straight chain, C3-C6 for branched chain), and in another embodiment, a straight chain or branched alkyl has four or fewer carbon atoms.
"Heteroalkyl" groups are alkyl groups, as defined above, that have an oxygen, nitrogen, sulfur or phosphorous atom replacing one or more hydrocarbon backbone carbon atoms.
As used herein, the term "cycloalkyl", "C3, C4, C5, C6, C7 or C8 cycloalkyl" or "C3-C8 cycloalkyl" is intended to include hydrocarbon rings having from three to eight carbon atoms in their ring structure. In one embodiment, a cycloalkyl group has five or six carbons in the ring structure.
The term "substituted alkyl" refers to alkyl moieties having substituents replacing one or more hydrogen atoms on one or more carbons of the hydrocarbon backbone. Such substituents can include, for example, alkyl, alkenyl, alkynyl, halogen, hydroxyl,
alkylcarbonyloxy, arylcarbonyloxy, alkoxycarbonyloxy, aryloxycarbonyloxy, carboxylate, alkylcarbonyl, arylcarbonyl, alkoxycarbonyl, aminocarbonyl, alkylaminocarbonyl, dialkylaminocarbonyl, alkylthiocarbonyl, alkoxyl, phosphate, phosphonato, phosphinato, amino (including alkylamino, dialkylamino, arylamino, diarylamino and alkylarylamino), acylamino (including alkylcarbonylamino, arylcarbonylamino, carbamoyl and ureido), amidino, imino, sulfhydryl, alkylthio, arylthio, thiocarboxylate, sulfates, alkylsulfinyl, sulfonato, sulfamoyl, sulfonamido, nitro, trifluoromethyl, cyano, azido, heterocyclyl, alkylaryl, or an aromatic or heteroaromatic moiety. Cycloalkyls can be further substituted, e.g., with the substituents described above. An "alkylaryl" or an "aralkyl" moiety is an alkyl substituted with an aryl {e.g. , phenylmethyl (benzyl)).
Unless the number of carbons is otherwise specified, "lower alkyl" includes an alkyl group, as defined above, having from one to six, or in another embodiment from one to four, carbon atoms in its backbone structure. "Lower alkenyl" and "lower alkynyl" have chain lengths of, for example, two to six or of two to four carbon atoms.
As used herein, "alkyl linker" is intended to include Cj, C2, C3, C4, C5 or C6 straight chain (linear) saturated aliphatic hydrocarbon groups and C3, C4, C5 or C6 branched saturated aliphatic hydrocarbon groups. For example, -C^ alkyl linker is intended to include Cj, C2, C3, C4, C5 and C6 alkyl linker groups. Examples of alkyl linker include, moieties having from one to six carbon atoms, such as, but not limited to, methyl (-CH2-), ethyl (-CH2CH2-), n-propyl (-CH2CH2CH2-), i-propyl (-CHCH3CH2-), n-butyl (-CH2CH2CH2CH2-), s-butyl (- CHCH3CH2CH2-), i-butyl (-C(CH3) 2CH2-), n-pentyl (-CH2CH2CH2CH2CH2-), s-pentyl (- CHCH3CH2CH2CH2-) or n-hexyl (-CH2CH2CH2CH2CH2CH2-).
"Alkenyl" includes unsaturated aliphatic groups analogous in length and possible substitution to the alkyls described above, but that contain at least one double bond. For example, the term "alkenyl" includes straight chain alkenyl groups {e.g., ethenyl, propenyl, butenyl, pentenyl, hexenyl, heptenyl, octenyl, nonenyl, decenyl), branched alkenyl groups,
cycloalkenyl {e.g., alicyclic) groups (e.g., cyelopropenyl, cyclopentenyl, cyclohexenyl, cycloheptenyl, cyclooctenyl), alkyl or alkenyl substituted cycloalkenyl groups, and cycloalkyl or cycloalkenyl substituted alkenyl groups. In certain embodiments, a straight chain or branched alkenyl group has six or fewer carbon atoms in its backbone (e.g., C2-C6 for straight chain, C3-C6 for branched chain). Likewise, cycloalkenyl groups may have from five to eight carbon atoms in their ring structure, and in one embodiment, cycloalkenyl groups have five or six carbons in the ring structure. The term "C2-C6" includes alkenyl groups containing two to six carbon atoms. The term "C3-C6" includes alkenyl groups containing three to six carbon atoms.
"Heteroalkenyl" includes alkenyl groups, as defined herein, having an oxygen, nitrogen, sulfur or phosphorous atom replacing one or more hydrocarbon backbone carbons. The term "substituted alkenyl" refers to alkenyl moieties having substituents replacing one or more hydrogen atoms on one or more hydrocarbon backbone carbon atoms. Such
substituents can include, for example, alkyl, alkenyl, alkynyl, halogen, hydroxyl,
alkylcarbonyloxy, arylcarbonyloxy, alkoxycarbonyloxy, aryloxycarbonyloxy, carboxylate, alkylcarbonyl, arylcarbonyl, alkoxycarbonyl, aminocarbonyl, alkylaminocarbonyl, dialkylaminocarbonyl, alkylthiocarbonyl, alkoxyl, phosphate, phosphonato, phosphinato, amino (including alkylamino, dialkylamino, arylamino, diarylamino and alkylarylamino), acylamino (including alkylcarbonylamino, arylcarbonylamino, carbamoyl and ureido), amidino, imino, sulfhydryl, alkylthio, arylthio, thiocarboxylate, sulfates, alkylsulfinyl, sulfonato, sulfamoyl, sulfonamido, nitro, trifluoromethyl, cyano, heterocyclyl, alkylaryl, or an aromatic or heteroaromatic moiety.
"Alkynyl" includes unsaturated aliphatic groups analogous in length and possible substitution to the alkyls described above, but which contain at least one triple bond. For example, "alkynyl" includes straight chain alkynyl groups (e.g., ethynyl, propynyl, butynyl, pentynyl, hexynyl, heptynyl, octynyl, nonynyl, decynyl), branched alkynyl groups, and cycloalkyl or cycloalkenyl substituted alkynyl groups. In certain embodiments, a straight chain or branched alkynyl group has six or fewer carbon atoms in its backbone (e.g., C2-C6 for straight chain, C3-C6 for branched chain). The term "C2-C6" includes alkynyl groups containing two to six carbon atoms. The term "C3-C6" includes alkynyl groups containing three to six carbon atoms.
"Heteroalkynyl" includes alkynyl groups, as defined herein, having an oxygen, nitrogen, sulfur or phosphorous atom replacing one or more hydrocarbon backbone carbons.
The term "substituted alkynyl" refers to alkynyl moieties having substituents replacing one or more hydrogen atoms on one or more hydrocarbon backbone carbon atoms. Such
substituents can include, for example, alkyl, alkenyl, alkynyl, halogen, hydroxyl,
alkylcarbonyloxy, arylcarbonyloxy, alkoxycarbonyloxy, aryloxycarbonyloxy, carboxylate, alkylcarbonyl, arylcarbonyl, alkoxycarbonyl, aminocarbonyl, alkylaminocarbonyl, dialkylaminocarbonyl, alkylthiocarbonyl, alkoxyl, phosphate, phosphonato, phosphinato, amino (including alkylamino, dialkylamino, arylamino, diarylamino and alkylarylamino), acylamino (including alkylcarbonylamino, arylcarbonylamino, carbamoyl and ureido), amidino, imino, sulfhydryl, alkylthio, arylthio, thiocarboxylate, sulfates, alkylsulfinyl, sulfonato, sulfamoyl, sulfonamido, nitro, trifluoromethyl, cyano, azido, heterocyclyl, alkylaryl, or an aromatic or heteroaromatic moiety.
"Aryl" includes groups with aromaticity, including "conjugated", or multicyclic, systems with at least one aromatic ring. Examples include phenyl, benzyl, etc.
"Heteroaryl" groups are aryl groups, as defined above, having from one to four heteroatoms in the ring structure, and may also be referred to as "aryl heterocycles" or "heteroaromatics". As used herein, the term "heteroaryl" is intended to include a stable 5-, 6-, or 7-membered monocyclic or 7-, 8-, 9-, 10-, 1 1 - or 12-membered bicyclic aromatic heterocyclic ring which consists of carbon atoms and one or more heteroatoms, e.g., 1 or 1-2 or 1-3 or 1-4 or 1-5 or 1- 6 heteroatoms, independently selected from the group consisting of nitrogen, oxygen and sulfur. The nitrogen atom may be substituted or unsubstituted (i. e. , N or NR wherein R is H or other substituents, as defined). The nitrogen and sulfur heteroatoms may optionally be oxidized (i.e., N— »0 and S(0)p, where p = 1 or 2). It is to be noted that total number of S and O atoms in the aromatic heterocycle is not more than 1.
Examples of heteroaryl groups include pyrrole, furan, thiophene, thiazole, isothiazole, imidazole, triazole, tetrazole, pyrazole, oxazole, isoxazole, pyridine, pyrazine, pyridazine, pyrimidine, and the like.
Furthermore, the terms "aryl" and "heteroaryl" include multicyclic aryl and heteroaryl groups, e.g., tricyclic, bicyclic, e.g., naphthalene, benzoxazole, benzodioxazole,
benzothiazole, benzoimidazole, benzothiophene, methylenedioxyphenyl, quinoline, isoquinoline, naphthridine, indole, benzo furan, purine, benzo furan, deazapurine, indolizine. In the case of multicyclic aromatic rings, only one of the rings needs to be aromatic (e.g., 2,3- dihydro indole), although all of the rings may be aromatic (e.g., quinoline). The second ring can also be fused or bridged.
The aryl or heteroaryl aromatic ring can be substituted at one or more ring positions with such substituents as described above, for example, alkyl, alkenyl,_akynyl, halogen, hydroxyl, alkoxy, alkylcarbonyloxy, arylcarbonyloxy, alkoxycarbonyloxy,
aryloxycarbonyloxy, carboxylate, alkylcarbonyl, alkylaminocarbonyl, aralkylaminocarbonyl, alkenylaminocarbonyl, alkylcarbonyl, arylcarbonyl, aralkylcarbonyl, alkenylcarbonyl, alkoxycarbonyl, aminocarbonyl, alkylthiocarbonyl, phosphate, phosphonato, phosphinato, amino (including alkylamino, dialkylamino, arylamino, diarylamino and alkylarylamino), acylamino (including alkylcarbonylamino, arylcarbonylamino, carbamoyl and ureido), amidino, imino, sulfhydryl, alkylthio, arylthio, thiocarboxylate, sulfates, alkylsulfinyl, sulfonato, sulfamoyl, sulfonamido, nitro, trifluoromethyl, cyano, azido, heterocyclyl, alkylaryl, or an aromatic or heteroaromatic moiety. Aryl groups can also be fused or bridged with alicyclic or heterocyclic rings, which are not aromatic so as to form a multicyclic system (e.g., tetralin, methylenedioxyphenyl).
As used herein, "carbocycle" or "carbocyclic ring" is intended to include any stable monocyclic, bicyclic or tricyclic ring having the specified number of carbons, any of which may be saturated, unsaturated, or aromatic. For example, a C3-C14 carbocycle is intended to include a monocyclic, bicyclic or tricyclic ring having 3, 4, 5, 6, 7, 8, 9, 10, 1 1 , 12, 13 or 14 carbon atoms. Examples of carbocycles include, but are not limited to, cyclopropyl, cyclobutyl, cyclobutenyl, cyclopentyl, cyclopentenyl, cyclohexyl, cycloheptenyl, cycloheptyl, cycloheptenyl, adamantyl, cyclooctyl, cyclooctenyl, cyclooctadienyl, fluorenyl, phenyl, naphthyl, indanyl, adamantyl and tetrahydronaphthyl. Bridged rings are also included in the definition of carbocycle, including, for example, [3.3.0]bicyclooctane, [4.3.0]bicyclononane, [4.4.0]bicyclodecane and [2.2.2]bicyclooctane. A bridged ring occurs when one or more carbon atoms link two non-adjacent carbon atoms. In one embodiment, bridge rings are one or two carbon atoms. It is noted that a bridge always converts a monocyclic ring into a tricyclic ring. When a ring is bridged, the substituents recited for the ring may also be present on the bridge. Fused (e.g., naphthyl, tetrahydronaphthyl) and spiro rings are also included.
As used herein, "heterocycle" includes any ring structure (saturated or partially unsaturated) which contains at least one ring heteroatom (e.g., N, O or S). Examples of heterocycles include, but are not limited to, morpholine, pyrrolidine, tetrahydrothiophene, piperidine, piperazine and tetrahydrofuran.
— Examples of heterocyclic groups include, but are not limited to, acridinyl, azocinyl, benzimidazolyl, benzofuranyl, benzothiofuranyl, benzothiophenyl, benzoxazolyl,
benzoxazolinyl, benzthiazolyl, benztriazolyl, benztetrazolyl, benzisoxazolyl,
benzisothiazolyl, benzimidazolinyl, carbazolyl, 4aH-carbazolyl, carbolinyl, chromanyl, chromenyl, cinnolinyl, decahydroquinolinyl, 2H,6H-l,5,2-dithiazinyl,
dihydrofuro[2,3-0]tetrahydrofuran, furanyl, furazanyl, imidazolidinyl, imidazolinyl, imidazolyl, lH-indazolyl, indolenyl, indolinyl, indolizinyl, indolyl, 3H-indolyl, isatinoyl, isobenzofuranyl, isochromanyl, isoindazolyl, isoindolinyl, isoindolyl, isoquinolinyl, isothiazolyl, isoxazolyl, methylenedioxyphenyl, morpholinyl, naphthyridinyl,
octahydroisoquinolinyl, oxadiazolyl, 1,2,3-oxadiazolyl, 1 ,2,4-oxadiazolyl, 1,2,5-oxadiazolyl, 1,3,4-oxadiazolyl, l,2,4-oxadiazol5(4H)-one, oxazolidinyl, oxazolyl, oxindolyl, pyrimidinyl, phenanthridinyl, phenanthrolinyl, phenazinyl, phenothiazinyl, phenoxathinyl, phenoxazinyl, phthalazinyl, piperazinyl, piperidinyl, piperidonyl, 4-piperidonyl, piperonyl, pteridinyl, purinyl, pyranyl, pyrazinyl, pyrazolidinyl, pyrazolinyl, pyrazolyl, pyridazinyl, pyridooxazole, pyridoimidazole, pyridothiazole, pyridinyl, pyridyl, pyrimidinyl, pyrrolidinyl, pyrrolinyl,
2H-pyrrolyl, pyrrolyl, quinazolinyl, quinolinyl, 4H-quinolizinyl, quinoxalinyl, quinuclidinyl, tetrahydrofuranyl, tetrahydroisoquinolinyl, tetrahydroquinolinyl, tetrazolyl, 6H-1 ,2,5- thiadiazinyl, 1,2,3-thiadiazolyl, 1 ,2,4-thiadiazolyl, 1,2,5-thiadiazolyl, 1,3,4-thiadiazolyl, thianthrenyl, thiazolyl, thienyl, thienothiazolyl, thienooxazolyl, thienoimidazolyl, thiophenyl, triazinyl, 1 ,2,3-triazolyl, 1,2,4-triazolyl, 1 ,2,5-triazolyl, 1,3,4-triazolyl and xanthenyl.
The term "substituted", as used herein, means that any one or more hydrogen atmos on the designated atom is replaced with a selection from the indicated groups, provided that the designated atom's normal valency is not exceeded, and that the substitution results in a stable compound. When a substituent is keto(z. e. , =0), then 2 hydrogen atoms on the atom are replaced. Keto substituents are not present on aromatic moieties. Ring double bonds, as used herein, are double bonds that are formed between two adjacent ring atoms (e.g. , C=C, C=N or N=N). "Stable compound" and "stable structure" are meant to indicate a compound that is sufficiently robust to survive isolation to a useful degree of purity from a reaction mixture, and formulation into an efficacious therapeutic agent.
When a bond to a substituent is shown to cross a bond connecting two atoms in a ring, then such substituent may be bonded to any atom in the ring. When a substituent is listed without indicating the atom via which such substituent is bonded to the rest of the compound of a given formula, then such substituent may be bonded via any atom in such formula.
Combinations of substituents and/or variables are permissible, but only if such combinations result in stable compounds.
When any variable (e.g., Ri) occurs more than one time in any constituent or formula for a compound, its definition at each occurrence is independent of its definition at every other occurrence. Thus, for example, if a group is shown to be substituted with 0-2 R] moieties, then the group may optionally be substituted with up to two R\ moieties and R\ at each occurrence is selected independently from the definition of ¾. Also, combinations of substituents and/or variables are permissible, but only if such combinations result in stable compounds.
The term "hydroxy" or "hydroxyl" includes groups with an -OH or -O".
As used herein, "halo" or "halogen" refers to fluoro, chloro, bromo and iodo. The term "perhalogenated" generally refers to a moiety wherein all hydrogen atoms are replaced by halogen atoms.
The term "carbonyl" or "carboxy" includes compounds and moieties which contain a carbon connected with a double bond to an oxygen atom. Examples of moieties containing a carbonyl include, but are not limited to, aldehydes, ketones, carboxylic acids, amides, esters, anhydrides, etc.
"Acyl" includes moieties that contain the acyl radical (-C(O)-) or a carbonyl group. "Substituted acyl" includes acyl groups where one or more of the hydrogen atoms are replaced by, for example, alkyl groups, alkynyl groups, halogen, hydroxyl, alkylcarbonyloxy, arylcarbonyloxy, alkoxycarbonyloxy, aryloxycarbonyloxy, carboxylate, alkylcarbonyl, arylcarbonyl, alkoxycarbonyl, aminocarbonyl, alkylaminocarbonyl, dialkylaminocarbonyl, alkylthiocarbonyl, alkoxyl, phosphate, phosphonato, phosphinato, amino (including alkylamino, dialkylamino, arylamino, diarylamino and alkylarylamino), acylamino (including alkylcarbonylamino, arylcarbonylamino, carbamoyl and ureido), amidino, imino, sulfhydryl, alkylthio, arylthio, thiocarboxylate, sulfates, alkylsulfmyl, sulfonato, sulfamoyl, sulfonamido, nitro, trifluoromethyl, cyano, azido, heterocyclyl, alkylaryl, or an aromatic or heteroaromatic moiety.
"Aroyl" includes moieties with an aryl or heteroaromatic moiety bound to a carbonyl group. Examples of aroyl groups include phenylcarboxy, naphthyl carboxy, etc.
"Alkoxyalkyl", "alkylaminoalkyl" and "thioalkoxyalkyl" include alkyl groups, as described above, wherein oxygen, nitrogen or sulfur atoms replace one or more hydrocarbon backbone carbon atoms.
The term "alkoxy" or "alkoxyl" includes substituted and unsubstituted alkyl, alkenyl and alkynyl groups covalently linked to an oxygen atom. Examples of alkoxy groups or alkoxyl radicals include, but are not limited to, methoxy, ethoxy, isopropyloxy, propoxy, butoxy and pentoxy groups. Examples of substituted alkoxy groups include halogenated alkoxy groups. The alkoxy groups can be substituted with groups such as alkenyl, alkynyl, halogen, hydroxyl, alkylcarbonyloxy, arylcarbonyloxy, alkoxycarbonyloxy,
aryloxycarbonyloxy, carboxylate, alkylcarbonyl, arylcarbonyl, alkoxycarbonyl,
aminocarbonyl, alkylaminocarbonyl, dialkylaminocarbonyl, alkylthiocarbonyl, alkoxyl, phosphate, phosphonato, phosphinato, amino (including alkylamino, dialkylamino, arylamino, diarylamino, and alkylarylamino), acylamino (including alkylcarbonylamino, arylcarbonylamino, carbamoyl and ureido), amidino, imino, sulfhydryl, alkylthio, arylthio, thiocarboxylate, sulfates, alkylsulfinyl, sulfonato, sulfamoyl, sulfonamido, nitro, trifluoromethyl, cyano, azido, heterocyclyl, alkylaryl, or an aromatic or heteroaromatic moieties. Examples of halogen substituted alkoxy groups include, but are not limited to, fluoromethoxy, difluoromethoxy, trifluoromethoxy, chloromethoxy, dichloromethoxy and trichloromethoxy.
The term "ether" or "alkoxy" includes compounds or moieties which contain an oxygen bonded to two carbon atoms or heteroatoms. For example, the term includes "alkoxyalkyl", which refers to an alkyl, alkenyl, or alkynyl group covalently bonded to an oxygen atom which is covalently bonded to an alkyl group.
The term "ester" includes compounds or moieties which contain a carbon or a heteroatom bound to an oxygen atom which is bonded to the carbon of a carbonyl group. The term "ester" includes alkoxycarboxy groups such as methoxycarbonyl, ethoxycarbonyl, propoxycarbonyl, butoxycarbonyl, pentoxycarbonyl, etc.
The term "thioalkyl" includes compounds or moieties which contain an alkyl group connected with a sulfur atom. The thioalkyl groups can be substituted with groups such as alkyl, alkenyl, alkynyl, halogen, hydroxyl, alkylcarbonyloxy, arylcarbonyloxy,
alkoxycarbonyloxy, aryloxycarbonyloxy, carboxylate, carboxyacid, alkylcarbonyl, arylcarbonyl, alkoxycarbonyl, aminocarbonyl, alkylaminocarbonyl, dialkylaminocarbonyl, alkylthiocarbonyl, alkoxyl, amino (including alkylamino, dialkylamino, arylamino, diarylamino and alkylarylamino), acylamino (including alkylcarbonylamino,
arylcarbonylamino, carbamoyl and ureido), amidino, imino, sulfhydryl, alkylthio, arylthio, thiocarboxylate, sulfates, alkylsulfinyl, sulfonato, sulfamoyl, sulfonamido, nitro,
■ - trifluoromethyl, cyano, azido, heterocyclyl, alkylaryl, or an aromatic or heteroaromatic moieties.
The term "thiocarbonyl" or "thiocarboxy" includes compounds and moieties which contain a carbon connected with a double bond to a sulfur atom.
The term "thioether" includes moieties which contain a sulfur atom bonded to two carbon atoms or heteroatoms. Examples of thioethers include, but are not limited to alkthioalkyls, alkthioalkenyls and alkthioalkynyls. The term "alkthioalkyls" include moieties with an alkyl, alkenyl or alkynyl group bonded to a sulfur atom which is bonded to an alkyl group.
Similarly, the term "alkthioalkenyls" refers to moieties wherein an alkyl, alkenyl or alkynyl group is bonded to a sulfur atom which is covalently bonded to an alkenyl group; and alkthioalkynyls" refers to moieties wherein an alkyl, alkenyl or alkynyl group is bonded to a sulfur atom which is covalently bonded to an alkynyl group.
As used herein, "amine" or "amino" includes moieties where a nitrogen atom is covalently bonded to at least one carbon or heteroatom. "Alkylamino" includes groups of compounds wherein nitrogen is bound to at least one alkyl group. Examples of alkylamino groups include benzylamino, methylamino, ethylamino, phenethylamino, etc.
"Dialkylamino" includes groups wherein the nitrogen atom is bound to at least two additional alkyl groups. Examples of dialkylamino groups include, but are not limited to,
dimethylamino and diethylamino. "Arylamino" and "diarylamino" include groups wherein the nitrogen is bound to at least one or two aryl groups, respectively. "Alkylarylamino",
"alkylaminoaryl" or "arylaminoalkyl" refers to an amino group which is bound to at least one alkyl group and at least one aryl group. "Alkaminoalkyl" refers to an alkyl, alkenyl, or alkynyl group bound to a nitrogen atom which is also bound to an alkyl group. "Acylamino" includes groups wherein nitrogen is bound to an acyl group. Examples of acylamino include, but are not limited to, alkylcarbonylamino, arylcarbonylamino, carbamoyl and ureido groups. The term "amide" or "aminocarboxy" includes compounds or moieties that contain a nitrogen atom that is bound to the carbon of a carbonyl or a thiocarbonyl group. The term includes "alkaminocarboxy" groups that include alkyl, alkenyl or alkynyl groups bound to an amino group which is bound to the carbon of a carbonyl or thiocarbonyl group. It also includes "arylaminocarboxy" groups that include aryl or heteroaryl moieties bound to an amino group that is bound to the carbon of a carbonyl or thiocarbonyl group. The terms
"alkylaminocarboxy", "alkenylaminocarboxy", "alkynylaminocarboxy" and
"arylaminocarboxy" include moieties wherein alkyl, alkenyl, alkynyl and aryl moieties,
respectively, are bound-to a nitroge atom which is in turn bound to the carbon of a carbonyl group. Amides can be substituted with substituents such as straight chain alkyl, branched alkyl, cycloalkyl, aryl, heteroaryl or heterocycle. Substituents on amide groups may be further substituted.
Compounds of the present invention that contain nitrogens can be converted to N- oxides by treatment with an oxidizing agent (e.g., 3-chloroperoxybenzoic acid (m-CPBA) and/or hydrogen peroxides) to afford other compounds of the present invention. Thus, all shown and claimed nitrogen-containing compounds are considered, when allowed by valency and structure, to include both the compound as shown and its N-oxide derivative (which can be designated as N— >0 or N^-O"). Furthermore, in other instances, the nitrogens in the compounds of the present invention can be converted to N-hydroxy or N-alkoxy compounds. For example, N-hydroxy compounds can be prepared by oxidation of the parent amine by an oxidizing agent such as m-CPBA. All shown and claimed nitrogen-containing compounds are also considered, when allowed by valency and structure, to cover both the compound as shown and its N-hydroxy (z. e. , N-OH) and N-alkoxy (i. e. , N-OR, wherein R is substituted or unsubstituted Q-C 6 alkyl, C C6 alkenyl, Q-Q alkynyl, 3-14-membered carbocycle or 3-14- membered heterocycle) derivatives.
The term "linker," as used herein, refers to a chemical moiety that bonds to two additional chemical moieties, thereby forming linkage between the additional chemical moieties. Non-limiting examples of linkers include Ci-C24 alkylene, C2-C24 alkenylene, C2- C24 alkynylene, C5-C24 arylene, C6-C24 aralkylene, and C6-C24 alkarylene, any of which may contain one or more substitutents and one or more heteroatoms. Examples of specific linkers include methylene, ethylene, propylene, ethenylene, ethynylene, phenylene, etc.
In the present specification, the structural formula of the compound represents a certain isomer for convenience in some cases, but the present invention includes all isomers, such as geometrical isomers, optical isomers based on an asymmetrical carbon, stereoisomers, tautomers, and the like. In addition, a crystal polymorphism may be present for the compounds represented by the formula. It is noted that any crystal form, crystal form mixture, or anhydride or hydrate thereof is included in the scope of the present invention. Furthermore, so-called metabolite which is produced by degradation of the present compound in vivo is included in the scope of the present invention.
"Isomerism" means compounds that have identical molecular formulae but differ in the sequence of bonding of their atoms or in the arrangement of their atoms in space. Isomers
- tha^differ in the arrangement of their atoms in space are termed "stereoisomers".
Stereoisomers that are not mirror images of one another are termed "diastereoisomers", and stereoisomers that are non-superimposable mirror images of each other are termed
"enantiomers" or sometimes optical isomers. A mixture containing equal amounts of individual enantiomeric forms of opposite chirality is termed a "racemic mixture".
A carbon atom bonded to four nonidentical substituents is termed a "chiral center". "Chiral isomer" means a compound with at least one chiral center. Compounds with more than one chiral center may exist either as an individual diastereomer or as a mixture of diastereomers, termed "diastereomeric mixture". When one chiral center is present, a stereoisomer may be characterized by the absolute configuration (R or S) of that chiral center.
Absolute configuration refers to the arrangement in space of the substituents attached to the chiral center. The substituents attached to the chiral center under consideration are ranked in accordance with the Sequence Rule of Cahn, Ingold and Prelog. (Cahn et al, Angew. Chem. Inter. Edit. 1966, 5, 385; errata 511 ; Cahn et al, Angew. Chem. 1966, 78, 413; Cahn and Ingold, J. Chem. Soc. 1951 (London), 612; Cahn et al, Experientia 1956, 12, 81 ; Cahn, J Chem. Educ. 1964, 41, 116).
"Geometric isomer" means the diastereomers that owe their existence to hindered rotation about double bonds. These configurations are differentiated in their names by the prefixes cis and trans, or Z and E, which indicate that the groups are on the same or opposite side of the double bond in the molecule according to the Cahn-Ingold-Prelog rules.
Furthermore, the structures and other compounds discussed in this invention include all atropic isomers thereof. "Atropic isomers" are a type of stereoisomer in which the atoms of two isomers are arranged differently in space. Atropic isomers owe their existence to a restricted rotation caused by hindrance of rotation of large groups about a central bond. Such atropic isomers typically exist as a mixture, however as a result of recent advances in chromatography techniques; it has been possible to separate mixtures of two atropic isomers in select cases.
"Tautomer" is one of two or more structural isomers that exist in equilibrium and is readily converted from one isomeric form to another. This conversion results in the formal migration of a hydrogen atom accompanied by a switch of adjacent conjugated double bonds. Tautomers exist as a mixture of a tautomeric set in solution. In solid form, usually one tautomer predominates. In solutions where tautomerization is possible, a chemical equilibrium of the tautomers will be reached. The exact ratio of the tautomers depends on
several factors, including temperature, solvent and pH. The concept of tautomers that are interconvertable by tautomerizations is called tautomerism.
Of the various types of tautomerism that are possible, two are commonly observed. In keto-enol tautomerism a simultaneous shift of electrons and a hydrogen atom occurs. Ring- chain tautomerism arises as a result of the aldehyde group (-CHO) in a sugar chain molecule reacting with one of the hydroxy groups (-OH) in the same molecule to give it a cyclic (ring- shaped) form as exhibited by glucose.
Common tautomeric pairs are: ketone-enol, amide-nitrile, lactam-lactim, amide- imidic acid tautomerism in heterocyclic rings (e.g., in nucleobases such as guanine, thymine and cytosine), amine-enamine and enamine-enamine. Examples include:
It is to be understood that the compounds of the present invention may be depicted as different tautomers. It should also be understood that when compounds have tautomeric forms, all tautomeric forms are intended to be included in the scope of the present invention, and the naming of the compounds does not exclude any tautomer form.
The term "crystal polymorphs", "polymorphs" or "crystal forms" means crystal structures in which a compound (or a salt or solvate thereof) can crystallize in different crystal packing arrangements, all of which have the same elemental composition. Different crystal forms usually have different X-ray diffraction patterns, infrared spectral, melting points, density hardness, crystal shape, optical and electrical properties, stability and solubility.
RecrystalHzation solvent, rate of crystallization, storage temperature, and other factors may cause one crystal form to dominate. Crystal polymorphs of the compounds can be prepared by crystallization under different conditions.
Additionally, the compounds of the present invention, for example, the salts of the compounds, can exist in either hydrated or unhydrated (the anhydrous) form or as solvates with other solvent molecules. Nonlimiting examples of hydrates include monohydrates, dihydrates, etc. Nonlimiting examples of solvates include ethanol solvates, acetone solvates, etc.
"Solvate" means solvent addition forms that contain either stoichiometric or non stoichiometric amounts of solvent. Some compounds have a tendency to trap a fixed molar ratio of solvent molecules in the crystalline solid state, thus forming a solvate. If the solvent is water the solvate formed is a hydrate; and if the solvent is alcohol, the solvate formed is an alcoholate. Hydrates are formed by the combination of one or more molecules of water with one molecule of the substance in which the water retains its molecular state as H20.
As used herein, the term "analog" refers to a chemical compound that is structurally similar to another but differs slightly in composition (as in the replacement of one atom by an atom of a different element or in the presence of a particular functional group, or the replacement of one functional group by another functional group). Thus, an analog is a compound that is similar or comparable in function and appearance, but not in structure or origin to the reference compound.
As defined herein, the term "derivative" refers to compounds that have a common core structure, and are substituted with various groups as described herein.
The term "bioisostere" refers to a compound resulting from the exchange of an atom or of a group of atoms with another, broadly similar, atom or group of atoms. The objective of a bioisosteric replacement is to create a new compound with similar biological properties to the parent compound. The bioisosteric replacement may be physicochemically or topologically based. Examples of carboxylic acid bioisosteres include, but are not limited to, acyl sulfonimides, tetrazoles, sulfonates and phosphonates. See, e.g., Patani and LaVoie, Chem. Rev. 96, 3147-3176, 1996.
The present invention is intended to include all isotopes of atoms occurring in the present compounds. Isotopes include those atoms having the same atomic number but different mass numbers. By way of general example and without limitation, isotopes of hydrogen include tritium and deuterium, and isotopes of carbon include C-13 and C-14.
A "small molecule" as used herein, is meant to refer to a composition that has a molecular weight of less than about 5 kD and most preferably less than about 4 kD. Small molecules can be, e.g., nucleic acids, peptides, polypeptides, peptidomimetics, carbohydrates, lipids or other organic or inorganic molecules. Libraries of chemical and/or biological mixtures, such as fungal, bacterial, or algal extracts, are known in the art and can be screened with any of the assays of the invention.
The structures, names and percent inhibition of inhibitors identified in the ROS1 assay are listed in Table 2. The strategy for identifying these inhibitors is shown in Example 7. Putative ROS1 inhibitors can be tested further for their biological activity, e.g., ability to inhibit growth in glioblastoma cell lines known to have increased ROS1 expression levels or activity. Suitable cell lines include, e.g., U138, Ul 18, SW1088 and U343-MG and in an animal model, e.g., LSL-FIG-ROS.
2. Synthesis of ROS1 inhibitors
The present invention provides methods for the synthesis of the compounds of the invention.
Scheme 2:
Scheme 2 is a schematic showing SAR synthesis around 1. The synthesis can be accomplished in a single step, either using a multi-component coupling reaction (route a), or in a two step process, forming the imine intermediate first and then doing the final cyclization
(route b). While the synthesis is stereoselective for the formation of the B,C ring junction, it generates a mixture of diastereomers at the B,D ring junction. However, these diastereomers
are easily separable by Flash chromatography . The starting materials for this synthesis (aldehydes and amines) are simple and have many commercial analogs. Thus, diverse sets of libraries can be generated in a very efficient manner. Substituted dienes of various sizes and other diene-like coupling partners will also be explored and will contribute to the diversity of the libraries.
Scheme 3 is a schematic drawing showing SAR around hit 2. Scheme 2 shows the synthesis is a two step process. First there is an amide formation and then alkylation of the amide with benzyl bromide in the presence of base. The starting materials (acids, amines and bromides) are simple and have many commercially available analogs, thus facilitating the generation of diverse sets of compounds. R3 may be a 3-14 membered saturated, unsaturated, or aromatic heterocycle containing one or more heteroatoms selected from N, O, and S; or a 3-14 membered saturated, unsaturated, or aromatic carbocycle.
Examples of methods for the synthesis of molecular libraries are provided in, for example, DeWitt, et al., 1993. Proc. Natl. Acad. Sci. U.S.A. 90: 6909; Erb, et al., 1994. Proc. Natl. Acad. Sci. U.S.A. 91 : 11422; Zuckermann, et al, 1994. J. Med. Chem. 37: 2678; Cho, et al., 1993. Science 261 : 1303; Carrell, et al, 1994. Angew. Chem. Int. Ed. Engl. 33: 2059; Carell, et al., 1994. Angew. Chem. Int. Ed. Engl. 33: 2061; and Gallop, et al., 1994. J. Med. Chem. 37: 1233.
3. Methods of treatment
Therapeutic methods are carried out by administering pharmaceutical formulations comprising kinase inhibitory compounds. The compounds are administered to subjects (e.g., human patients, companion animals such as dogs and cats, livestock such as cattle, sheep, goats, horses) that have been determined to be suffering from or at risk of developing a p53- deficient tumor. A reduction (deficiency) in p53 expression or a loss of p53 expression in a cell or tissue is determined by detecting the p53 gene product (e.g., using a p53-specific monoclonal antibody) or by measuring p53 nucleic acid (e.g., transcripts) in a cell or tissue sample such as a tumor biopsy specimen.
Routes of administration, include, but are not limited to, oral, rectal^ topical, intravenous, parenteral (including, but not limited to, intramuscular, intravenous), ocular (ophthalmic), transdermal, inhalative (including, but not limited to, pulmonary, aerosol inhalation), nasal, sublingual, subcutaneous or intraarticular delivery. Although the most suitable route in any given case will depend on the nature and severity of the conditions being treated and on the nature of the active ingredient. The compounds are formulated in unit dosage form and prepared using methods well-known in the art of pharmacy.
A pharmaceutical composition or medicament containing the inhibitor or a mixture of inhibitors is administered to a patient at a therapeutically effective dose to prevent, treat, or control cancer. The pharmaceutical composition or medicament is administered to a patient in an amount sufficient to elicit an effective therapeutic response in the patient. An effective therapeutic response is a response that at least partially arrests or slows the symptoms or complications of the disease. An amount adequate to accomplish this is defined as
"therapeutically effective dose."
A pharmaceutical composition of the invention is preferably provided in a form with sufficient purity to be administered to a human subject.
The dosage of active small molecule compound administered is dependent on the species of warm-blooded animal (mammal), the body weight, age, individual condition, surface area of the area to be treated and on the form of administration. The size of the dose also is determined by the existence, nature, and extent of any adverse effects that accompany the administration of a particular small molecule compound in a particular subject. A unit dosage for oral administration to a mammal of about 50 to 70 kg may contain between about 5 and 500 mg of the active ingredient. Typically, a dosage of the active small molecule compound of the present invention, is a dosage that is sufficient to achieve a therapeutic effect, e.g., reduced proliferation of tumor cells, death of tumor cells, and/or reduction in tumor burden or tumor mass.
Optimal dosing schedules can be calculated from measurements of small molecule compound accumulation in the body of a subject. In general, dosage is from 1 ng to 1,000 mg per kg of body weight and may be given once or more daily, weekly, monthly, or yearly. Persons of ordinary skill in the art can readily determine optimum dosages, dosing methodologies and repetition rates. For example, a pharmaceutical composition or medicament comprising a small molecule compound of the present invention is administered in a daily dose in the range from about 1 mg of small molecule compound per kg of subject
weight (1 mg/kg) to about 1 g/kg for multiple-days, e.g., the daily dose is a dose in the range of about 5 mg/kg to about 500 mg/kg, about 10 mg/kg to about 250 mg/kg, or about 25 mg/kg to about 150 mg/kg. The daily dose is administered once per day or divided into subdoses and administered in multiple doses, e.g., twice, three times, or four times per day.
To achieve the desired therapeutic effect, a small molecule compound is typically administered for multiple days at the therapeutically effective daily dose. Thus,
therapeutically effective administration of a small molecule compound to treat cancer in a subject often requires periodic (e.g., daily) administration that continues for a period ranging from three days to two weeks or longer. Typically, a small molecule compound will be administered for at least three consecutive days, often for at least five consecutive days, more often for at least ten, and sometimes for 20, 30, 40 or more consecutive days. While consecutive daily doses are a preferred route to achieve a therapeutically effective dose, a therapeutically beneficial effect can be achieved even if the small molecule compound is not administered daily, so long as the administration is repeated frequently enough to maintain a therapeutically effective concentration of the small molecule compound in the subject. For example, one can administer the small molecule compound every other day, every third day, or, if higher dose ranges are employed and tolerated by the subject, once a week.
Optimum dosages, toxicity, and therapeutic efficacy of such small molecule compounds may vary depending on the relative potency of individual small molecule compounds and are determined by standard pharmaceutical procedures in cell cultures or experimental animals, for example, by determining the LD50 (the dose lethal to 50% of the population) and the ED50 (the dose therapeutically effective in 50% of the population). The dose ratio between toxic and therapeutic effects is the therapeutic index and can be expressed as the ratio, LD50/ED50. Compounds that exhibit large therapeutic indices are preferred. While compounds that exhibit toxic side effects can be used, care should be taken to design a delivery system that targets such compounds to the site of affected tissue to minimize potential damage to normal cells and, thereby, reduce side effects. The ROS1 inhibitory compounds described herein are characterized by minimal adverse side effects, because they preferentially affect p53-deficient cells, e.g., tumor cells, while sparing normal non-tumor cells.
The therapeutically effective dose is estimated initially from cell culture assays. A dose can be formulated in animal models to achieve a circulating plasma concentration range that includes the IC50 (the concentration of the test compound that achieves a half-maximal
inhibition of symptoms) as determined in cell culture. Such information is then used to more accurately determine useful doses in humans. Levels in plasma are measured, for example, by high performance liquid chromatography (HPLC). In general, the dose equivalent of a small molecule compound is from about 1 ng/kg to 100 mg/kg for a typical subject.
4. Examples
The invention will be further illustrated in the following non-limiting examples.
Example 1. Comparing ROSl receptor tyrosine kinase requirements in normal and tumor cell types from different tissue origins in contrast to other receptor kinases
FIG. 1 is a heat map showing the rank order of ROSl shRNA across a panel of cell lines as compared to other receptor kinase shRNAs. Relative cell proliferation and survival was measured by Alamar Blue assay 6 days after transduction of lentiviruses expressing shRNAs targeting 16 receptor kinases into 40 cell lines. Reduction in viability induced by each shRNA was calculated relative to a lentiviral vector expressing GFP and assembled by rank order. Color scales represent the greatest decrease in viability by an shRNA (red) to the least (green). Columns display cell lines. Rows display shRNAs. Data were analyzed by hierarchical clustering with Euclidean distance to link shRNAs and cell lines with related growth inhibition properties.
Each column represents data from a specific cell line, and each row illustrates results from individual kinase. These data demonstrate that the ROSl shRNA was more essential for the proliferation and viability of many cancer cell lines (RCC4, 786-0, RKO, CALU, CaSki, HeLa, MCF7, ACHN and A498) as compared to normal cells (A control-human foreskin keratinocytes, B control-a second population of human foreskin keratinocytes, HFF-human foreskin fibroblasts and BJ TERT-human primary fibroblasts).
Disabling ROSl (outlined in white) inhibits cell growth in renal cancer cell lines, keratinocytes (epithelial) cells that have been inactivated for p53 (HPV16 E6) and RB (HPV16 E7 or NOK E7), colon cancer cells lines, some cervical cancer cell lines, and breast cancer cell lines.
Similar phenotypes were induced by multiple ROSl shRNAs targeting different regions of the kinase mRNA. Because similar phenotypic changes were observed with multiple ROSl shRNAs, it is unlikely that the resulting phenotypes were due to off target effects.
Example 2. Identification of human kinases that become essential at distinct stages of
HPV carcinogenesis and as a direct consequence of HPV E6 oncogene expression (p53- inactivation) FIG. IB focuses on kinases that become essential for cell proliferation/viability as primary epithelial cells loose p53 tumor suppressor activity (Baldwin et al, PNAS, June 2010). Besides SGK2 and PAK3 several other kinases were identified that fit the same classic definition of p53 synthetic lethality, including ROS1 kinase. The supporting data are presented in Figure lb and the experimental procedures are present below.
The data sets first identified a common set of kinases that were essential for
proliferation/survival of three cervical carcinoma cell lines but were dispensable for primary human foreskin keratinocytes (HFKs). Cells were infected with the appropriate lentiviral shRNA expression vectors, and cell proliferation/survival was assessed by Alamar blue staining. The Alamar Blue values were normalized to a scrambled control shRNA and presented as % decrease in viability. Kinases were designated as "essential" when an shRNA (1) inhibited cell proliferation/viability >50% on average in the three cervical cancer lines, and (2) when the shRNA scored as >50% more effective at inhibiting the average response in cancer cells over the average response in two populations of normal HFK cells. From the tested set of 86 kinases plus controls, we identified 26 kinases (represented by 27 shRNAs) that scored as essential by these criteria.
Given that HPV-associated carcinogenesis can be modeled in vitro, we next analyzed an HPV16-immortalized HFK lines. The HFK immortalized cells (HPV 16 immort.) was derived from a single piece of foreskin epithelium that was transfected with a head-to-tail dimer of the cloned HPV 16 genome (Pirisi et al, 1987). These keratinocytes were transduced with the collection of 100 shRNAs as above. Shown in Figure lb are the data for the HFK freshly immortalized cells. Just as for the cervical cancer lines we designated kinases as "essential" when they yielded >50% difference in proliferation/survival relative to HFKs. Ten of these, KHS1, MELK, HER3, ROS, JNK3, MY03B, EPHB1, CDK7, PAK3, and SGK2, were essential in both HFK immortalized cell and cervical cancer lines.
To identify kinases that become essential as a direct consequence of HPV16 gene expression, we next compared a normal HFK population to the same HFK population engineered to express the HPV16 early region (ER) or the HPV16 E6 oncogene. Following expression of HPV16 ER, and E6, p53 levels were greatly reduced by Western blotting. Decreases in p53 steady state levels served a surrogate marker for HPV16 E6 expression. These keratinocyte populations were transduced with the collection of 100 shRNAs as above. Shown in Figure lb are the data for the HFKs expressing HPV16 ER and E6 oncoprotein cells. Kinases were designated as "essential" when they showed a marked decrease in proliferation/viability relative to normal cells in the matched set. ROS, CDK7, PAK3 and SGK2 kinases met these criteria in HPV16 ER expressing HFKs, and in HPV16 E6 expressing cells. These results demonstrate that HPV16 E6 expression in primary HFKs induces synthetic lethality upon loss of these kinases. This inhibition is retained in HFKs expressing the entire HPV16 early region, HPV16-immortalized HFKs and cervical carcinoma lines.
These results suggest a method to determine how cellular signaling networks are modified as a consequence of p53 loss, or by analogy, to other key tumor mutations. Since loss of p53 tumor suppressor activity is the most common hallmark of human tumorigenesis, our findings also suggest that it may be possible to identify a new class of chemotherapeutic targets, proteins that become essential following cancer mutations that may not themselves be mutated directly.
Example 3 Growth inhibitory effects in p53-inactivated HeLa cervical cancer cell lines when using multiple ROS1 shRNAs
The effect of transducing multiple lentiviruses expressing different shRNAs targeting the same kinase was examined. FIG. 2 presents photomicrographs of 4 shRNAs for ROS1 kinase showing different degrees of inhibition in HeLa cells, as compared to a non killing control (scrambled). This result further supports our previous finding where disabling ROS1 kinase by an shRNA approach correlates with growth inhibition in HeLa cells.
Photomicrographs of crystal violet stained HeLa cells 6 days after viral transduction of 4 hairpins each for ROS1 kinase demonstrating decreased numbers of cells when infected with hairpins that scored as effective killers. The control infections includes a scrambled shRNA expressing lentiviral vector that does not inhibit cell growth.
Example 4. Autophagy is a mechanism of growth inhibition by a ROS1 shRNA similar to shRNA downregulation of HER3 and SGK2. A decrease in cell number as a consequence of ROS1 kinase knockdown may result from apoptosis, autophagy, senescence or cell cycle block. To determine the mechanism underlying the decrease in cell number as a result of depletion of ROS1, HeLa cells were infected with lentiviral vectors encoding scrambled (FIG. 3 left panel) and kinase-specific shRNAs (right panels). Following the knockdown of kinases ROS1, HER3 and SGK2, immunofluorescence experiments were performed using an antibody for LC3, a marker of autophagy. Cells were counterstained with Hoechst and phalloidin to visualize nuclei and actin microfilaments, respectively.
The results are shown in FIGS. 3A-D. Lethality in HeLa cells caused by ROS1, HER3 and SGK2 depletion appears to arise by autophagy.
Example 5. ROS1 RNA levels are not indicative of its involvement in cancer
Gene expression profiling databases were mined for ROS 1 RNA transcript levels to reveal their expression levels in normal and cancerous tissue. The results are shown in FIG. 4. ROS1 RNA expression levels do not vary greatly among cancer and normal tissues and do not provide insight into a therapeutic window for treating many different cancers displayed on the y-axis
ROS1 RNA levels may not be an indicator of its involvement in cancer but what appears to be important for its malignant potential is its kinase activity. The activated ROS receptor through a fusion with the FIG protein is capable of initiating malignant
transformation. FIG-ROS fusion is ligand-independent and cooperates with loss of a tumor suppressor gene Ink4a/pl6 to produce glioblastomas in a mouse model system. The FIG- ROS fusion has also been isolated from human astrocytomas. The FIG-ROS fusion is reminiscent of BCR-ABL. The BCR-ABL chromosomal aberration is found in the majority of CML patients, implying that this abnormality has imparted some growth advantage to those cells. Other cancers that harbor different chromosomal aberrations, may impart growth advantage to their affected cells, and here we refer to FIG-ROS and its role in glioblastomas. Small molecule drugs, such as Gleevec and
ROSl inhibitors, do not just target the fusion protein per se, but they inhibit the native ABL or ROSl kinases as well. Regardless, there is a therapeutic window for the treatment of their respective diseases given that the kinases become hyper-active in those tissues. Example 6. ROS 1 inhibitors
ROS 1 inhibitors were identified using an in vitro biochemical kinase assay for ROSl. A platform was selected that uses homogeneous time resolved fluorescence (HTRF) technology from Cisbio. An HTRF kinase reaction was detected with a biotinylated peptide substrate and a specific anti-phospho peptide antibody coupled with Eu3+ Cryptate and XL665 conjugated with streptavidin. To this reaction mix was added the recombinant cytoplasmic domain of a tyrosine kinase domain of a ROS enzyme along with a generic substrate.
Approximately 50,000 compounds in a publicly available compound library
(ChemDiv (San Diego, Califorina)) compound library were used to screen for ROSl inhibitors. The library used for screening was previously selected by applying a series of filters, including for logP and predicted solubility. All of the small molecules generally adhered to Lipinski's rules (i.e., molecular weight < 500, H-bond donors < 5, H-bond acceptors < 10 and logP < 5) and contained a low proportion of known toxicophores (i.e. Michael acceptors and alkylating agents) and unwanted functionalities (i.e., imines, thiols, and quaternary amines), and have been optimized for maximization of molecular diversity.
From this screen, a total of 121 hits were confirmed based on ROS inhibition of greater than 70% at 20 μΜ concentration. In addition, a small set of commercially available analogs structurally related to the validated hit series were included for further testing. All hits were re-assayed in a dose response series with two-fold dilutions, with final
concentrations ranging from 0.16 to 20 μΜ. The IC50 values were derived from dose response curves by fitting data to a four-parameter method with GraphPad Prism 4 software. The IC50 values for 19 out of the 121 compounds ranged from 54 to 566 nM. Representative dose response curves and IC50 determinations for a hit compound that came from formula A is 827 nM.
The 95 out of the 121 preliminary small molecule hits are shown in Table 2. Shown in Table 2 are structures of the molecules and the IC50 values obtained for the indicated molecule. Certain small molecule hits can be grouped into 11 different chemotypes that are
dose responsive over a range of concentrations^ 1-9 revealed Ιϋ50 values ranging from 54 to 566 nM. Representative structures are shown in Scheme 1 and below:
Additional libraries can be constructed around selected hits. The general synthesis of libraries around 1 is shown in Scheme 2. The synthesis can be accomplished in a single step, either using a multi-component coupling reaction (route a), or in a two step process, forming the imine intermediate first and then doing the final cyclization (route b). While the synthesis is stereoselective for the formation of the B,C ring junction, it generates a mixture of diastereomers at the B,D ring junction. However, these diastereomers are easily separable by Flash chromatography . The starting materials for this synthesis (aldehydes and amines) are simple and have many commercial analogs. Thus, diverse sets of libraries can be generated in a very efficient manner. Substituted dienes of various sizes and other diene-like coupling partners will also be explored and will contribute to the diversity of the libraries.
The general synthesis of a library around 2 is shown in Scheme 3. The synthesis is a two step process. The first step is an amide formation by a benzoic acid and a benzyl amine. In the second step, the amide is alkylated with benzyl bromide in the presence of base. The starting materials (acids, amines and bromides) are simple and have many commercially available analogs, thus facilitating the generation of diverse sets of compounds.
The same primary screening assay can be used to establish dose response curves, IC50 measurements, mechanism of inhibition and kinase selectivity. After a cycle of structure- guided drug design the new compounds should be more potent and selective ROS kinase inhibitors. For reference, a previously publishe,d ROS kinase inhibitor and other
commercially available kinase inhibitors are also compared in the same assays.
Hits can be verified by establishing a dose-response relationship. A range of compound concentrations can be assayed by serial dilution. The IC50 determinations are calculated for each inhibitor by determining the concentration needed to inhibit half of the maximum biological response. Additionally, the mode of action of the inhibitor can be
determined to determine if it acts as a competitive, non-competitive, or uncompetitive inhibitor.
The ROS1 inhibitors disclosed herein will act on oncogenic fusion tyrosine kinase (FTK), FIG/ROS. In this respect it may act as Gleevec and related compounds, which have been designed to block gain-of-function alterations, and cause death in cells that have hyperactive kinases. Normal cells that do not carry the fusion proteins are spared. Molecular targeted therapeutics of this class will be very effective in the clinic with few side effects.
Example 7.
87 small molecule inhibitors of ROS1 were analyzed as ATP-competitive inhibitors in structure-based approach by docking to the models described below. Examples of binders to the ATP-binding pocket include:
compounds according to formula
Docking models used for screening are as follows:
Model 1 was based on the 3LCS X-ray structure of ALK in complex with Staurosporin, which is cross-reactive with ROS1.
Model 2 was based on the 2XB7 X-ray structure of ALK in complex with TAE-684. A
"virtual co-crystal" was generated with a set of dual-acting ALK-ROSl Novartis compounds from the following patents: WO2009032703, WO2009126514, WO2009126515 discussed by
Mikiewicz and Ott (Milkiewicz and Ott, 'inhibitors of anaplastic lymphoma kinase: a patent review, Expert Opin. Ther. Patents, 2010; each of the foregoing references being herein incorporated by reference). These compounds represent preferred ROS kinase inhibitors. Table 2
OTHER EMBODIMENTS
While the invention has been described in conjunction with the detailed description thereof, the foregoing description is intended to illustrate and not limit the scope of the invention, which is defined by the scope of the appended claims. Other aspects, advantages, and modifications are within the scope of the following claims.
The patent and scientific literature referred to herein establishes the knowledge that is available to those with skill in the art. All United States patents and published or unpublished United States patent applications cited herein are incorporated by reference. All published foreign patents and patent applications cited herein are hereby incorporated by reference. Genbank and NCBI submissions indicated by accession number cited herein are hereby incorporated by reference. All other published references, documents, manuscripts and scientific literature cited herein are hereby incorporated by reference.
While this invention has been particularly shown and described with references to preferred embodiments thereof, it will be understood by those skilled in the art that various changes in form and details may be made therein without departing from the scope of the invention encompassed by the appended claims.
Claims
What is claimed is:
1. A method of inhibiting proliferation of or killing a cell, the method comprising contacting said cell with a composition comprising an inhibitor of ROS of Formula X:
(Formula X), wherein I "~ I is selected from a 3-14 membered saturated, unsaturated, or aromatic
heterocycle containing one or more heteroatoms selected from N, O, and S; a 3-14 membered saturated, unsaturated, or aromatic carbocycle;
< (MM); H ( N); and (00); wherein represents a single or double bond;
represents a 3-14 membered saturated, unsaturated, or aromatic heterocycle containing one or more heteroatoms selected from N, O, and S; a 3-14 membered saturated, unsaturated,
or aromatic carbocycle; wherein the heterocycle and carbocycle are optionally substituted with RBI, RB2, RB3, and RB4;
Y is CRi or N;
Xa and Xd are each independently selected from a bond, O, S, C(O), OC(O), (CH2)V, NH, N(CH2)v N(d-C6 alkyl), NHC(O), NHC(0)(CH2)v, (CH2)vNHC(0)(CH2)v,
(CR„RI2)tO(CRI1RI2)t, (CRi3R,4)tS(CRI3RI4)t5 S(0)2, S(0)2NH, S(0)2NH(CH2)v, and 5-6 membered saturated, unsaturated, or aromatic heterocycle containing 1-3 heteroatoms selected from N, O, and S; a 3-14 membered saturated, unsaturated, or aromatic carbocycle;
Xb and Xe are each independently selected from a bond, phenyl, furanyl, thiopheneyl, and 3- 14 membered saturated, unsaturated, or aromatic heterocycle containing 1-3 heteroatoms selected from N, O, and S; a 3-14 membered saturated, unsaturated, or aromatic carbocycle; wherein Xb is optionally substituted with m number of Xf; and Xe is optionally substituted with n number of Xf;
Xc and Xf are each independently selected from hydrogen, phenyl, furanyl, thiopheneyl, Ci- C6 alkyl, Ci-C6 alkoxy, halogen, CF3, CHF2, CH2F, NH2, NH(Ci-C6 alkyl), N(d-C6 alkyl)2, NHC(0)(Ci-C6 alkyl), NHC(0)0(C C6 alkyl), C(0)NH2, C(0)NH(C,-C6 alkyl), C(0)OH, (CH2)vC(0)OH, C(0)0(d-C6 alkyl), OH, CN, N02, SH, S(C,-C6 alkyl), S(0)2(d-C6 alkyl), and S(0)2-aryl; wherein aryl is a 3-8 membered saturated, unsaturated, or aromatic carbocycle optionally substituted with one or more R2;
alternatively, two adjacent Xc or two adjacent Xf together form a 3-14 membered saturated, unsaturated, or aromatic heterocycle containing 1-3 heteroatoms selected from N, O, and S; or a 3-14 membered saturated, unsaturated, or aromatic carbocycle; or
alternatively, Xd-Xe represents =0;
Ri, R2, Rn, Ri2, Ri3, Ri4, RLI, and RL2 are each independently selected from hydrogen, phenyl, furanyl, thiopheneyl, d-6 alkyl, C C6 alkoxy, halogen, -CF3, CHF2, CH2F, NH2, NH(Ci-C6 alkyl), N(Ci-C6 alkyl)2, NC(0)(d-C6 alkyl), C(0)OH, C(0)0(CrC6 alkyl), OH, CN, SH, S(Ci-C6 alkyl), a 3-14 membered saturated, unsaturated, or aromatic heterocycle containing
1-3 heteroatoms selected from ~N, O, and S; and a 3-14 membered saturated, unsaturated, or aromatic carbocycle;
RBI, RB , RB3, and RB4 are each independently selected from hydrogen, phenyl, furanyl, thiopheneyl, C 6 alkyl, C!-C6 alkoxy, halogen, CF3, CHF2, CH2F, NH2, NH(C!-C6 alkyl), N(C C6 alkyl)2, NC(0)(C!-C6 alkyl), C(0)OH, C(0)0(Ci-C6 alkyl), OH, CN, SH, S(Q-C6 alkyl), and a 3-14 membered saturated, unsaturated, or aromatic heterocycle containing 1-3 heteroatoms selected from N, O, and S; and a 3-14 membered saturated, unsaturated, or aromatic carbocycle; m is selected from 0, 1, 2, 3, 4, and 5;
n is selected form 0, 1, 2, 3, 4, and 5;
t is selected from 0, 1, 2, 3, 4, and 5; and
v is selected from 0, 1, 2, 3, 4, 5, and 6; or a pharmaceutically acceptable salt, ester, tautomer, or prodrug thereof.
3. The method of claim 2, wherein the inhibitor is a compound according to the formulae:
or a pharmaceutically acceptable salt, ester, tautomer, or prodrug thereof.
4. The method of claim 3, wherein Xc and Xf are independently selected from hydrogen, Ci-C6 alkyl, d-C6 alkoxy, halogen, N¾, NH(Ci-C6 alkyl), N(C,-C6 alkyl)2, NHC(0)(d-C6 alkyl), NHC(0)0(C,-C6 alkyl), C(0)NH2, C(0)NH(C,-C6 alkyl), C(0)OH, C(0)0(d-C6 alkyl), and OH;
or a pharmaceutically acceptable salt, ester, tautomer, or prodrug thereof.
5. The method of claim 4, wherein Xc and Xf are independently selected from hydrogen, methyl, ethyl, propyl, butyl, t-butyl, OCH3, OCH2CH3, CI, Br, F, C(0)OH, C(0)OCH3, N(CH3)2, and N(CH2CH3)2;
or a pharmaceutically acceptable salt, ester, tautomer, or prodrug thereof.
6. The method of claim 2, wherein the inhibitor is a compound according to the formulae:
wherein A is S or O;
or a pharmaceutically acceptable salt, ester, tautomer, or prodrug thereof.
■7·.- The method of claim 6, wherein-Xc and Xf are independently selected from hydrogen, d-C6 alkyl, d-C6 alkoxy, halogen, NH2, NH(C,-C6 alkyl), N(C1-C6 alkyl)2, NHC(0)(d-C6 alkyl), NHC(0)0(C!-C6 alkyl), C(0)NH2, C(0)NH(C!-C6 alkyl), C(0)OH, C(0)0(d-C6 alkyl), and OH; or two adjacent Xc or two adjacent Xf together form a 4-14 membered saturated, unsaturated, or aromatic heterocycle containing 1-3 heteroatoms selected from N, O, and S; or a 3-14 membered saturated, unsaturated, or aromatic carbocycle;
or a pharmaceutically acceptable salt, ester, tautomer, or prodrug thereof.
8. The method of claim 7, wherein Xc and Xf are independently selected from hydrogen, CH3, OCH3, OCH2CH3, CI, Br, F, C(0)OH, and C(0)OCH3; or two adjacent Xc together form a 5 membered unsaturated carbocycle containing two O atoms;
or a pharmaceutically acceptable salt, ester, tautomer, or prodrug thereof.
9. The method of claim 6, wherein RBi , RB2, RB3, and RB4, are each independently selected from hydrogen, methyl, ethyl, propyl, butyl, t-butyl, OCH3, OCH2CH3, CI, Br, F, C(0)OH, C(0)OCH3, N(CH3)2, and N(CH2CH3)2;
or a pharmaceutically acceptable salt, ester, tautomer, or prodrug thereof.
10. The method of claim 2, wherein the inhibitor is a compound according to the formulae:
L is O or S; and
Ar/Het is a 3-14 membered saturated, unsaturated, or aromatic heterocycle containing 1-3 heteroatoms selected from N, O, and S; or a 3-14 membered saturated, unsaturated, or aromatic carbocycle;
or a pharmaceutically acceptable salt, ester, tautomer, or prodrug thereof.
11. The method of claim 1 , wherein said inhibitor is a compound of Table 1 or a pharmaceutically acceptable salt, ester, tautomer, or prodrug thereof. 12. The method of claim 1 , wherein said inhibitor is compound selected from:
or a pharmaceutically acceptable salt, ester, tautomer, or prodrug thereof.
13. The method of claim 1, wherein said cell is a p53 deficient tumor cell.
14. The method of claim 1, wherein said cell is a human papilloma virus (HPV)-infected cell.
15. The method of claim 1, wherein said cell is a non-tumor cell expressing an HPV oncoprotein.
16. The method of claim 1 , wherein said cell is a tumor cell or tumor cell line of a tissue type selected from the group consisting of brain, breast, cervix, uterus, bladder, brain, lung, esophagus, liver, and prostate.
17. The method of claim 16, wherein said tumor cell is from a brain tumor. 18. The method of claim 17, wherein said brain tumor is an astrocytoma.
19. The method of claim 17, wherein said astrocytoma is a glioblastoma.
20. The method of claim 1, wherein said ROS inhibitor is present in an amount that induces autophagy in said cell.
21. The method of claim 1 , wherein said cell is provided in vitro.
22. The method of claim 1, wherein said cell is provided in a subject in vivo.
23. The method of claiml3, wherein said subject is a human.
24. The method of claim 1, wherein said cell is provided ex vivo.
25. A method of identifying an anti-tumor agent, comprising contacting a ROS kinase with a candidate compound and determining whether said candidate compound inhibits enzymatic activity of said kinase, wherein a reduction in a level of said activity in the presence of said candidate compound compared to that in the absence of said candidate compound indicates that said candidate compound is an anti-tumor agent.
26. The method of claim 25, wherein said cell is a p53 deficient cell.
27. The method of claim 25, wherein said tumor is a brain tumor.
28. The method of claim 27, wherein said brain tumor is a glioblasatoma multiforme
29. A method of identifying an anti-tumor agent, comprising contacting a cell dependent upon ROS kinase with a candidate compound and determining whether said candidate compound inhibits survival or proliferation of said cell,
wherein a reduction in a level of said survival or proliferation in the presence of said candidate compound compared to that in the absence of said candidate compound indicates that said candidate compound is an anti-tumor agent. 30. The method of claim 29, wherein said cell is a p53 deficient cell.
31. The method of claim 29, wherein said tumor is a brain tumor.
32. The method of claim 31, wherein said brain tumor is a glioblasatoma multiforme
33. A method of identifying a tumor survival ROSl kinase, comprising synthetically inhibiting expression of a tumor-associated gene and expression of at least one candidate RPS 1 kinase gene,
wherein a decrease in tumor cell survival in the presence of inhibition of both genes compared to the level of tumor cell survival in the presence of inhibition of solely said tumor- associated gene indicates that said candidate kinase gene is a ROSl tumor survival kinase.
34. A method of inhibiting proliferation of or killing a p53-deficient tumor cell, comprising contacting said tumor cell with a composition comprising an inhibitor of ROS.
35. The method of claim 34, wherein said inhibitor decreases enzymatic activity of ROS. 36. A pharmaceutical composition comprising a ROS 1 inhibitor formulated for delivery to a human subject.
37. A method of inhibiting proliferation of or killing a p53-deficient cell, comprising contacting said cell with a composition comprising an inhibitor of ROS, wherein said inhibitor is a compound according to formulae of claim 2.
Applications Claiming Priority (2)
| Application Number | Priority Date | Filing Date | Title |
|---|---|---|---|
| US40057810P | 2010-07-29 | 2010-07-29 | |
| US61/400,578 | 2010-07-29 |
Publications (2)
| Publication Number | Publication Date |
|---|---|
| WO2012016133A2 true WO2012016133A2 (en) | 2012-02-02 |
| WO2012016133A3 WO2012016133A3 (en) | 2012-04-26 |
Family
ID=45530737
Family Applications (1)
| Application Number | Title | Priority Date | Filing Date |
|---|---|---|---|
| PCT/US2011/045876 Ceased WO2012016133A2 (en) | 2010-07-29 | 2011-07-29 | Ros1 kinase inhibitors for the treatment of glioblastoma and other p53-deficient cancers |
Country Status (1)
| Country | Link |
|---|---|
| WO (1) | WO2012016133A2 (en) |
Cited By (107)
| Publication number | Priority date | Publication date | Assignee | Title |
|---|---|---|---|---|
| WO2013158859A1 (en) | 2012-04-18 | 2013-10-24 | Cell Signaling Technology, Inc. | Egfr and ros1 in cancer |
| US8629274B2 (en) | 2011-12-21 | 2014-01-14 | Novira Therapeutics, Inc. | Hepatitis B antiviral agents |
| US8835449B2 (en) | 2011-11-11 | 2014-09-16 | Pfizer Inc. | 2-thiopyrimidinones |
| US8993771B2 (en) | 2013-03-12 | 2015-03-31 | Novira Therapeutics, Inc. | Hepatitis B antiviral agents |
| US9169212B2 (en) | 2014-01-16 | 2015-10-27 | Novira Therapeutics, Inc. | Azepane derivatives and methods of treating hepatitis B infections |
| US9181288B2 (en) | 2014-01-16 | 2015-11-10 | Novira Therapeutics, Inc. | Azepane derivatives and methods of treating hepatitis B infections |
| WO2016014847A1 (en) * | 2014-07-23 | 2016-01-28 | Northeastern University | Ligands for alpha-7 nicotinic acetylcholine receptors and methods of treating neurological and inflammatory conditions |
| US9400280B2 (en) | 2014-03-27 | 2016-07-26 | Novira Therapeutics, Inc. | Piperidine derivatives and methods of treating hepatitis B infections |
| US9493442B2 (en) | 2014-02-13 | 2016-11-15 | Incyte Corporation | Cyclopropylamines as LSD1 inhibitors |
| US9493450B2 (en) | 2014-02-13 | 2016-11-15 | Incyte Corporation | Cyclopropylamines as LSD1 inhibitors |
| US9663486B2 (en) | 2013-10-14 | 2017-05-30 | Eisai R&D Management Co., Ltd. | Selectively substituted quinoline compounds |
| US9670210B2 (en) | 2014-02-13 | 2017-06-06 | Incyte Corporation | Cyclopropylamines as LSD1 inhibitors |
| US9695180B2 (en) | 2014-07-10 | 2017-07-04 | Incyte Corporation | Substituted imidazo[1,2-a]pyrazines as LSD1 inhibitors |
| US9695167B2 (en) | 2014-07-10 | 2017-07-04 | Incyte Corporation | Substituted triazolo[1,5-a]pyridines and triazolo[1,5-a]pyrazines as LSD1 inhibitors |
| US9695168B2 (en) | 2014-07-10 | 2017-07-04 | Incyte Corporation | Substituted imidazo[1,5-α]pyridines and imidazo[1,5-α]pyrazines as LSD1 inhibitors |
| US9732094B2 (en) | 2013-05-11 | 2017-08-15 | Merck Patent Gmbh | Arylquinazolines |
| US9732080B2 (en) | 2006-11-03 | 2017-08-15 | Vertex Pharmaceuticals Incorporated | Azaindole derivatives as CFTR modulators |
| US9758523B2 (en) | 2014-07-10 | 2017-09-12 | Incyte Corporation | Triazolopyridines and triazolopyrazines as LSD1 inhibitors |
| US9771332B2 (en) | 2015-05-05 | 2017-09-26 | Pfizer Inc. | 2-thiopyrimidinones |
| US9884818B2 (en) | 2013-05-17 | 2018-02-06 | Janssen Sciences Ireland Uc | Sulphamoylpyrrolamide derivatives and the use thereof as medicaments for the treatment of hepatitis B |
| US9884831B2 (en) | 2015-03-19 | 2018-02-06 | Novira Therapeutics, Inc. | Azocane and azonane derivatives and methods of treating hepatitis B infections |
| US9895349B2 (en) | 2013-04-03 | 2018-02-20 | Janssen Sciences Ireland Us | N-phenyl-carboxamide derivatives and the use thereof as medicaments for the treatment of hepatitis B |
| US9926312B2 (en) | 2013-10-01 | 2018-03-27 | Eisai R&D Management Co., Ltd. | 4-azaindole derivatives |
| US9944647B2 (en) | 2015-04-03 | 2018-04-17 | Incyte Corporation | Heterocyclic compounds as LSD1 inhibitors |
| US9963452B2 (en) | 2013-03-14 | 2018-05-08 | Augusta Pharmaceuticals Inc. | Methods, compounds, and compositions for inhibition of ROS |
| US9975886B1 (en) | 2017-01-23 | 2018-05-22 | Cadent Therapeutics, Inc. | Potassium channel modulators |
| US10071979B2 (en) | 2010-04-22 | 2018-09-11 | Vertex Pharmaceuticals Incorporated | Process of producing cycloalkylcarboxamido-indole compounds |
| US10071961B2 (en) | 2013-10-23 | 2018-09-11 | Janssen Sciences Ireland Uc | Carboxamide derivatives and the use thereof as medicaments for the treatment of hepatitis B |
| US10077239B2 (en) | 2015-09-29 | 2018-09-18 | Novira Therapeutics, Inc. | Crystalline forms of a hepatitis B antiviral agent |
| US10081621B2 (en) | 2010-03-25 | 2018-09-25 | Vertex Pharmaceuticals Incorporated | Solid forms of (R)-1(2,2-difluorobenzo[D][1,3]dioxol-5-yl)-N-(1-(2,3-dihydroxypropyl)-6-fluoro-2-(1-hydroxy-2-methylpropan-2-yl)-1H-indol-5-yl)cyclopropanecarboxamide |
| US10087174B2 (en) | 2013-10-14 | 2018-10-02 | Eisai R&D Management Co., Ltd. | Selectively substituted quinoline compounds |
| WO2018200988A1 (en) * | 2017-04-28 | 2018-11-01 | Dana-Farber Cancer Institute, Inc. | Inhibitors of trim33 and methods of use |
| US10125094B2 (en) | 2013-02-28 | 2018-11-13 | Janssen Sciences Ireland Uc | Sulfamoyl-arylamides and the use thereof as medicaments for the treatment of hepatitis B |
| US10166221B2 (en) | 2016-04-22 | 2019-01-01 | Incyte Corporation | Formulations of an LSD1 inhibitor |
| US10206877B2 (en) | 2014-04-15 | 2019-02-19 | Vertex Pharmaceuticals Incorporated | Pharmaceutical compositions for the treatment of cystic fibrosis transmembrane conductance regulator mediated diseases |
| US10213420B2 (en) | 2014-02-05 | 2019-02-26 | Novira Therapeutics, Inc. | Combination therapy for treatment of HBV infections |
| US10266488B2 (en) | 2013-10-10 | 2019-04-23 | Eastern Virginia Medical School | 4-((2-hydroxy-3-methoxybenzyl)amino)benzenesulfonamide derivatives as potent and selective inhibitors of 12-lipoxygenase |
| US10308644B2 (en) | 2016-12-22 | 2019-06-04 | Incyte Corporation | Heterocyclic compounds as immunomodulators |
| US10329255B2 (en) | 2015-08-12 | 2019-06-25 | Incyte Corporation | Salts of an LSD1 inhibitor |
| US10392349B2 (en) | 2014-01-16 | 2019-08-27 | Novira Therapeutics, Inc. | Azepane derivatives and methods of treating hepatitis B infections |
| US10441589B2 (en) | 2016-04-15 | 2019-10-15 | Novira Therapeutics, Inc. | Combinations and methods comprising a capsid assembly inhibitor |
| US10450270B2 (en) | 2013-07-25 | 2019-10-22 | Janssen Sciences Ireland Uc | Glyoxamide substituted pyrrolamide derivatives and the use thereof as medicaments for the treatment of hepatitis B |
| US10513493B2 (en) | 2014-02-13 | 2019-12-24 | Incyte Corporation | Cyclopropylamines as LSD1 inhibitors |
| US10618916B2 (en) | 2018-05-11 | 2020-04-14 | Incyte Corporation | Heterocyclic compounds as immunomodulators |
| US10647661B2 (en) | 2017-07-11 | 2020-05-12 | Vertex Pharmaceuticals Incorporated | Carboxamides as modulators of sodium channels |
| CN111205303A (en) * | 2020-03-03 | 2020-05-29 | 四川大学 | Thieno [2,3-d ] pyrimidinyl hydroxamic acid derivatives and uses thereof |
| US10669271B2 (en) | 2018-03-30 | 2020-06-02 | Incyte Corporation | Heterocyclic compounds as immunomodulators |
| US10676429B2 (en) | 2012-08-28 | 2020-06-09 | Janssen Sciences Ireland Uc | Sulfamoyl-arylamides and the use thereof as medicaments for the treatment of hepatitis B |
| US10730874B2 (en) | 2018-03-13 | 2020-08-04 | Shire Human Genetic Therapies, Inc. | Inhibitors of plasma kallikrein and uses thereof |
| US10774064B2 (en) | 2016-06-02 | 2020-09-15 | Cadent Therapeutics, Inc. | Potassium channel modulators |
| US10793565B2 (en) | 2016-12-22 | 2020-10-06 | Incyte Corporation | Heterocyclic compounds as immunomodulators |
| US10806785B2 (en) | 2016-12-22 | 2020-10-20 | Incyte Corporation | Immunomodulator compounds and methods of use |
| US10875876B2 (en) | 2015-07-02 | 2020-12-29 | Janssen Sciences Ireland Uc | Cyclized sulfamoylarylamide derivatives and the use thereof as medicaments for the treatment of hepatitis B |
| US10875848B2 (en) | 2018-10-10 | 2020-12-29 | Forma Therapeutics, Inc. | Inhibiting fatty acid synthase (FASN) |
| US10894797B2 (en) | 2018-09-18 | 2021-01-19 | Nikang Therapeutics, Inc. | Fused tricyclic ring derivatives as SRC homology-2 phosphatase inhibitors |
| US10968200B2 (en) | 2018-08-31 | 2021-04-06 | Incyte Corporation | Salts of an LSD1 inhibitor and processes for preparing the same |
| US10973801B2 (en) | 2018-03-14 | 2021-04-13 | Janssen Sciences Ireland Unlimited Company | Capsid assembly modulator dosing regimen |
| US10973817B2 (en) | 2014-02-10 | 2021-04-13 | Sentinel Oncology Limited | Pharmaceutical compounds |
| US11078193B2 (en) | 2014-02-06 | 2021-08-03 | Janssen Sciences Ireland Uc | Sulphamoylpyrrolamide derivatives and the use thereof as medicaments for the treatment of hepatitis B |
| US11096931B2 (en) | 2019-02-22 | 2021-08-24 | Janssen Sciences Ireland Unlimited Company | Amide derivatives useful in the treatment of HBV infection or HBV-induced diseases |
| WO2021243001A1 (en) * | 2020-05-27 | 2021-12-02 | Constellation Pharmaceuticals, Inc. | Substituted benzamides as modulators of trex1 |
| US11208399B2 (en) | 2019-05-17 | 2021-12-28 | Novartis Ag | NLRP3 inflammasome inhibitors |
| US11370803B2 (en) | 2019-09-18 | 2022-06-28 | Takeda Pharmaceutical Company Limited | Heteroaryl plasma kallikrein inhibitors |
| US20220214355A1 (en) * | 2019-03-21 | 2022-07-07 | University Of Virginia Patent Foundation | Sulfur-heterocycle exchange chemistry and uses thereof |
| US11401279B2 (en) | 2019-09-30 | 2022-08-02 | Incyte Corporation | Pyrido[3,2-d]pyrimidine compounds as immunomodulators |
| US11407749B2 (en) | 2015-10-19 | 2022-08-09 | Incyte Corporation | Heterocyclic compounds as immunomodulators |
| US11465981B2 (en) | 2016-12-22 | 2022-10-11 | Incyte Corporation | Heterocyclic compounds as immunomodulators |
| US11491148B2 (en) | 2019-05-06 | 2022-11-08 | Janssen Sciences Ireland Unlimited Company | Amide derivatives useful in the treatment of HBV infection or HBV-induced diseases |
| US11535615B2 (en) | 2015-12-22 | 2022-12-27 | Incyte Corporation | Heterocyclic compounds as immunomodulators |
| US11572366B2 (en) | 2015-11-19 | 2023-02-07 | Incyte Corporation | Heterocyclic compounds as immunomodulators |
| US11603523B2 (en) | 2019-01-18 | 2023-03-14 | Astrazeneca Ab | PCSK9 inhibitors and methods of use thereof |
| US11608337B2 (en) | 2016-05-06 | 2023-03-21 | Incyte Corporation | Heterocyclic compounds as immunomodulators |
| US11613536B2 (en) | 2016-08-29 | 2023-03-28 | Incyte Corporation | Heterocyclic compounds as immunomodulators |
| WO2023075285A1 (en) * | 2021-10-27 | 2023-05-04 | 고려대학교 산학협력단 | Composition for preventing or treating graves' disease comprising compound containing an imidazopyridine structure as active ingredient |
| US11673883B2 (en) | 2016-05-26 | 2023-06-13 | Incyte Corporation | Heterocyclic compounds as immunomodulators |
| US11691963B2 (en) | 2020-05-06 | 2023-07-04 | Ajax Therapeutics, Inc. | 6-heteroaryloxy benzimidazoles and azabenzimidazoles as JAK2 inhibitors |
| US11718605B2 (en) | 2016-07-14 | 2023-08-08 | Incyte Corporation | Heterocyclic compounds as immunomodulators |
| US11753406B2 (en) | 2019-08-09 | 2023-09-12 | Incyte Corporation | Salts of a PD-1/PD-L1 inhibitor |
| US11760756B2 (en) | 2020-11-06 | 2023-09-19 | Incyte Corporation | Crystalline form of a PD-1/PD-L1 inhibitor |
| US11780836B2 (en) | 2020-11-06 | 2023-10-10 | Incyte Corporation | Process of preparing a PD-1/PD-L1 inhibitor |
| US11787796B2 (en) | 2019-09-18 | 2023-10-17 | Takeda Pharmaceutical Company Limited | Plasma Kallikrein inhibitors and uses thereof |
| US11827627B2 (en) | 2021-06-04 | 2023-11-28 | Vertex Pharmaceuticals Incorporated | N-(hydroxyalkyl (hetero)aryl) tetrahydrofuran carboxamides as modulators of sodium channels |
| US11834441B2 (en) | 2019-12-06 | 2023-12-05 | Vertex Pharmaceuticals Incorporated | Substituted tetrahydrofurans as modulators of sodium channels |
| US11866434B2 (en) | 2020-11-06 | 2024-01-09 | Incyte Corporation | Process for making a PD-1/PD-L1 inhibitor and salts and crystalline forms thereof |
| US11866451B2 (en) | 2019-11-11 | 2024-01-09 | Incyte Corporation | Salts and crystalline forms of a PD-1/PD-L1 inhibitor |
| US11873309B2 (en) | 2016-06-20 | 2024-01-16 | Incyte Corporation | Heterocyclic compounds as immunomodulators |
| US11878968B2 (en) | 2021-07-09 | 2024-01-23 | Plexium, Inc. | Aryl compounds and pharmaceutical compositions that modulate IKZF2 |
| US11891382B2 (en) | 2017-04-26 | 2024-02-06 | Basilea Pharmaceutica International AG | Processes for the preparation of furazanobenzimidazoles and crystalline forms thereof |
| US11970494B2 (en) | 2021-11-09 | 2024-04-30 | Ajax Therapeutics, Inc. | 6-heteroaryloxy benzimidazoles and azabenzimidazoles as JAK2 inhibitors |
| US11993586B2 (en) | 2018-10-22 | 2024-05-28 | Novartis Ag | Crystalline forms of potassium channel modulators |
| US12043632B2 (en) | 2020-12-23 | 2024-07-23 | Ajax Therapeutics, Inc. | 6-heteroaryloxy benzimidazoles and azabenzimidazoles as JAK2 inhibitors |
| US12098146B2 (en) | 2019-01-24 | 2024-09-24 | Janssen Pharmaceutica Nv | Compounds and uses thereof |
| US12162881B2 (en) | 2021-11-09 | 2024-12-10 | Ajax Therapeutics, Inc. | Forms and compositions of inhibitors of JAK2 |
| US12172990B2 (en) | 2018-12-06 | 2024-12-24 | Constellation Pharmaceuticals, Inc. | Modulators of TREX1 |
| US12180221B2 (en) | 2018-03-23 | 2024-12-31 | Janssen Pharmaceutica Nv | Compounds and uses thereof |
| US12268687B2 (en) | 2019-11-13 | 2025-04-08 | Janssen Pharmaceutica Nv | Compounds and uses thereof |
| US12378222B2 (en) | 2022-08-03 | 2025-08-05 | Novartis Ag | NLRP3 inflammasome inhibitors |
| US12391640B2 (en) | 2022-03-02 | 2025-08-19 | Horizon Therapeutics Ireland Dac | Process of making a crystalline EDG-2 receptor antagonist |
| US12415816B2 (en) | 2018-11-07 | 2025-09-16 | Dana-Farber Cancer Institute, Inc. | Benzothiazole derivatives and 7-aza-benzothiazole derivatives as janus kinase 2 inhibitors and uses thereof |
| US12433880B2 (en) | 2017-01-06 | 2025-10-07 | Janssen Pharmaceutica Nv | Methods for the treatment of neurological disorders |
| US12440481B2 (en) | 2019-01-10 | 2025-10-14 | Vertex Pharmaceuticals Incorporated | Esters and carbamates as modulators of sodium channels |
| US12441703B2 (en) | 2019-01-10 | 2025-10-14 | Vertex Pharmaceuticals Incorporated | Carboxamides as modulators of sodium channels |
| US12466822B2 (en) | 2016-12-22 | 2025-11-11 | Incyte Corporation | Heterocyclic compounds as immunomodulators |
| US12503439B2 (en) | 2022-04-22 | 2025-12-23 | Vertex Pharmaceuticals Incorporated | Heteroaryl compounds for the treatment of pain |
| US12509455B2 (en) | 2018-11-07 | 2025-12-30 | Dana-Farber Cancer Institute, Inc. | Imidazopyridine derivatives and aza-imidazopyridine derivatives as Janus kinase 2 inhibitors and uses thereof |
| US12516044B2 (en) | 2015-12-17 | 2026-01-06 | Incyte Corporation | Heterocyclic compounds as immunomodulators |
| US12522583B2 (en) | 2018-11-07 | 2026-01-13 | Dana-Farber Cancer Institute, Inc. | Benzimidazole derivatives and aza-benzimidazole derivatives as Janus kinase 2 inhibitors and uses thereof |
Family Cites Families (1)
| Publication number | Priority date | Publication date | Assignee | Title |
|---|---|---|---|---|
| AU2009246687B2 (en) * | 2008-05-13 | 2012-08-09 | Irm Llc | Fused nitrogen containing heterocycles and compositions thereof as kinase inhibitors |
-
2011
- 2011-07-29 WO PCT/US2011/045876 patent/WO2012016133A2/en not_active Ceased
Cited By (195)
| Publication number | Priority date | Publication date | Assignee | Title |
|---|---|---|---|---|
| US9732080B2 (en) | 2006-11-03 | 2017-08-15 | Vertex Pharmaceuticals Incorporated | Azaindole derivatives as CFTR modulators |
| US10081621B2 (en) | 2010-03-25 | 2018-09-25 | Vertex Pharmaceuticals Incorporated | Solid forms of (R)-1(2,2-difluorobenzo[D][1,3]dioxol-5-yl)-N-(1-(2,3-dihydroxypropyl)-6-fluoro-2-(1-hydroxy-2-methylpropan-2-yl)-1H-indol-5-yl)cyclopropanecarboxamide |
| US10071979B2 (en) | 2010-04-22 | 2018-09-11 | Vertex Pharmaceuticals Incorporated | Process of producing cycloalkylcarboxamido-indole compounds |
| US9399626B2 (en) | 2011-11-11 | 2016-07-26 | Pfizer Inc. | 2-thiopyrimidinones |
| US8835449B2 (en) | 2011-11-11 | 2014-09-16 | Pfizer Inc. | 2-thiopyrimidinones |
| US8841314B2 (en) | 2011-11-11 | 2014-09-23 | Pfizer Inc. | 2-Thiopyrimidinones |
| US9873673B2 (en) | 2011-11-11 | 2018-01-23 | Pfizer Inc. | 2-thiopyrimidinones |
| US9676747B2 (en) | 2011-12-21 | 2017-06-13 | Novira Therapeutics, Inc. | Hepatitis B antiviral agents |
| US9751857B2 (en) | 2011-12-21 | 2017-09-05 | Novira Therapeutics, Inc. | Hepatitis B antiviral agents |
| US8629274B2 (en) | 2011-12-21 | 2014-01-14 | Novira Therapeutics, Inc. | Hepatitis B antiviral agents |
| US10196376B2 (en) | 2011-12-21 | 2019-02-05 | Novira Therapeutics, Inc. | Hepatitis B antiviral agents |
| US9061008B2 (en) | 2011-12-21 | 2015-06-23 | Novira Therapeutics, Inc. | Hepatitis B antiviral agents |
| US9066932B2 (en) | 2011-12-21 | 2015-06-30 | Novira Therapeutics, Inc. | Hepatitis B antiviral agents |
| EP3336181A1 (en) | 2012-04-18 | 2018-06-20 | Cell Signaling Technology, Inc. | Egfr and ros1 in cancer |
| WO2013158859A1 (en) | 2012-04-18 | 2013-10-24 | Cell Signaling Technology, Inc. | Egfr and ros1 in cancer |
| US10995064B2 (en) | 2012-08-28 | 2021-05-04 | Janssen Sciences Ireland Uc | Sulfamoyl-arylamides and the use thereof as medicaments for the treatment of hepatitis B |
| US10676429B2 (en) | 2012-08-28 | 2020-06-09 | Janssen Sciences Ireland Uc | Sulfamoyl-arylamides and the use thereof as medicaments for the treatment of hepatitis B |
| US10125094B2 (en) | 2013-02-28 | 2018-11-13 | Janssen Sciences Ireland Uc | Sulfamoyl-arylamides and the use thereof as medicaments for the treatment of hepatitis B |
| US10941113B2 (en) | 2013-02-28 | 2021-03-09 | Janssen Sciences Ireland Uc | Sulfamoyl-arylamides and the use thereof as medicaments for the treatment of hepatitis B |
| US8993771B2 (en) | 2013-03-12 | 2015-03-31 | Novira Therapeutics, Inc. | Hepatitis B antiviral agents |
| US9579313B2 (en) | 2013-03-12 | 2017-02-28 | Novira Therapeutics, Inc. | Hepatitis B antiviral agents |
| US9205079B2 (en) | 2013-03-12 | 2015-12-08 | Novira Therapeutics, Inc. | Hepatitis B antiviral agents |
| US9963452B2 (en) | 2013-03-14 | 2018-05-08 | Augusta Pharmaceuticals Inc. | Methods, compounds, and compositions for inhibition of ROS |
| US9895349B2 (en) | 2013-04-03 | 2018-02-20 | Janssen Sciences Ireland Us | N-phenyl-carboxamide derivatives and the use thereof as medicaments for the treatment of hepatitis B |
| US10398677B2 (en) | 2013-04-03 | 2019-09-03 | Janssen Sciences Ireland Uc | N-phenyl-carboxamide derivatives and the use thereof as medicaments for the treatment of hepatitis B |
| US10172859B2 (en) | 2013-05-11 | 2019-01-08 | Merck Patent Gmbh | Arylquinazolines |
| US9732094B2 (en) | 2013-05-11 | 2017-08-15 | Merck Patent Gmbh | Arylquinazolines |
| US11065253B2 (en) | 2013-05-11 | 2021-07-20 | Merck Patent Gmbh | Arylquinazolines |
| US10383874B2 (en) | 2013-05-11 | 2019-08-20 | Merk Patent Gmbh | Arylquinazolines |
| US10457638B2 (en) | 2013-05-17 | 2019-10-29 | Janssen Sciences Ireland Uc | Sulphamoylpyrrolamide derivatives and the use thereof as medicaments for the treatment of hepatitis B |
| US9884818B2 (en) | 2013-05-17 | 2018-02-06 | Janssen Sciences Ireland Uc | Sulphamoylpyrrolamide derivatives and the use thereof as medicaments for the treatment of hepatitis B |
| US10450270B2 (en) | 2013-07-25 | 2019-10-22 | Janssen Sciences Ireland Uc | Glyoxamide substituted pyrrolamide derivatives and the use thereof as medicaments for the treatment of hepatitis B |
| US10072005B2 (en) | 2013-10-01 | 2018-09-11 | Eisai R&D Management Co., Ltd. | 4-azaindole derivatives |
| US9926312B2 (en) | 2013-10-01 | 2018-03-27 | Eisai R&D Management Co., Ltd. | 4-azaindole derivatives |
| US10752581B2 (en) | 2013-10-10 | 2020-08-25 | Eastern Virginia Medical School | 4-((2-hydroxy-3-methoxybenzyl)amino)benzenesulfonamide derivatives as potent and selective inhibitors of 12-lipoxygenase |
| US10266488B2 (en) | 2013-10-10 | 2019-04-23 | Eastern Virginia Medical School | 4-((2-hydroxy-3-methoxybenzyl)amino)benzenesulfonamide derivatives as potent and selective inhibitors of 12-lipoxygenase |
| US11274077B2 (en) | 2013-10-10 | 2022-03-15 | Eastern Virginia Medical School | 4-((2-hydroxy-3-methoxybenzyl)amino)benzenesulfonamide derivatives as potent and selective inhibitors of 12-lipoxygenase |
| US9663486B2 (en) | 2013-10-14 | 2017-05-30 | Eisai R&D Management Co., Ltd. | Selectively substituted quinoline compounds |
| USRE47193E1 (en) | 2013-10-14 | 2019-01-08 | Eisai R&D Management Co., Ltd. | Selectively substituted quinoline compounds |
| US10087174B2 (en) | 2013-10-14 | 2018-10-02 | Eisai R&D Management Co., Ltd. | Selectively substituted quinoline compounds |
| US10377709B2 (en) | 2013-10-23 | 2019-08-13 | Janssen Sciences Ireland Uc | Carboxamide derivatives and the use thereof as medicaments for the treatment of hepatitis B |
| US10071961B2 (en) | 2013-10-23 | 2018-09-11 | Janssen Sciences Ireland Uc | Carboxamide derivatives and the use thereof as medicaments for the treatment of hepatitis B |
| US9505722B2 (en) | 2014-01-16 | 2016-11-29 | Novira Therapeutics, Inc. | Azepane derivatives and methods of treating hepatitis B infections |
| US10392349B2 (en) | 2014-01-16 | 2019-08-27 | Novira Therapeutics, Inc. | Azepane derivatives and methods of treating hepatitis B infections |
| US9873671B2 (en) | 2014-01-16 | 2018-01-23 | Novira Therapeutics, Inc. | Azepane derivatives and methods of treating hepatitis B infections |
| US9169212B2 (en) | 2014-01-16 | 2015-10-27 | Novira Therapeutics, Inc. | Azepane derivatives and methods of treating hepatitis B infections |
| US9181288B2 (en) | 2014-01-16 | 2015-11-10 | Novira Therapeutics, Inc. | Azepane derivatives and methods of treating hepatitis B infections |
| US9339510B2 (en) | 2014-01-16 | 2016-05-17 | Novira Therapeutics, Inc. | Azepane derivatives and methods of treating hepatitis B infections |
| US10632112B2 (en) | 2014-02-05 | 2020-04-28 | Novira Therapeutics, Inc. | Combination therapy for treatment of HBV infections |
| US10213420B2 (en) | 2014-02-05 | 2019-02-26 | Novira Therapeutics, Inc. | Combination therapy for treatment of HBV infections |
| US11078193B2 (en) | 2014-02-06 | 2021-08-03 | Janssen Sciences Ireland Uc | Sulphamoylpyrrolamide derivatives and the use thereof as medicaments for the treatment of hepatitis B |
| US10973817B2 (en) | 2014-02-10 | 2021-04-13 | Sentinel Oncology Limited | Pharmaceutical compounds |
| US11786524B2 (en) | 2014-02-10 | 2023-10-17 | Sentinel Oncology Limited | Pharmaceutical compounds |
| US10676457B2 (en) | 2014-02-13 | 2020-06-09 | Incyte Corporation | Cyclopropylamines as LSD1 inhibitors |
| US9670210B2 (en) | 2014-02-13 | 2017-06-06 | Incyte Corporation | Cyclopropylamines as LSD1 inhibitors |
| US10174030B2 (en) | 2014-02-13 | 2019-01-08 | Incyte Corporation | Cyclopropylamines as LSD1 inhibitors |
| US9493450B2 (en) | 2014-02-13 | 2016-11-15 | Incyte Corporation | Cyclopropylamines as LSD1 inhibitors |
| US10513493B2 (en) | 2014-02-13 | 2019-12-24 | Incyte Corporation | Cyclopropylamines as LSD1 inhibitors |
| US9493442B2 (en) | 2014-02-13 | 2016-11-15 | Incyte Corporation | Cyclopropylamines as LSD1 inhibitors |
| US10300051B2 (en) | 2014-02-13 | 2019-05-28 | Incyte Corporation | Cyclopropylamines as LSD1 inhibitors |
| US11247992B2 (en) | 2014-02-13 | 2022-02-15 | Incyte Corporation | Cyclopropylamines as LSD1 inhibitors |
| US11155532B2 (en) | 2014-02-13 | 2021-10-26 | Incyte Corporation | Cyclopropylamines as LSD1 inhibitors |
| US9994546B2 (en) | 2014-02-13 | 2018-06-12 | Incyte Corporation | Cyclopropylamines as LSD1 inhibitors |
| US10717737B2 (en) | 2014-02-13 | 2020-07-21 | Incyte Corporation | Cyclopropylamines as LSD1 inhibitors |
| US9400280B2 (en) | 2014-03-27 | 2016-07-26 | Novira Therapeutics, Inc. | Piperidine derivatives and methods of treating hepatitis B infections |
| US10206877B2 (en) | 2014-04-15 | 2019-02-19 | Vertex Pharmaceuticals Incorporated | Pharmaceutical compositions for the treatment of cystic fibrosis transmembrane conductance regulator mediated diseases |
| US10968221B2 (en) | 2014-07-10 | 2021-04-06 | Incyte Corporation | Substituted [1,2,4]triazolo[1,5-a]pyrazines as LSD1 inhibitors |
| US10138249B2 (en) | 2014-07-10 | 2018-11-27 | Incyte Corporation | Triazolopyridines and triazolopyrazines as LSD1 inhibitors |
| US10047086B2 (en) | 2014-07-10 | 2018-08-14 | Incyte Corporation | Imidazopyridines and imidazopyrazines as LSD1 inhibitors |
| US10112950B2 (en) | 2014-07-10 | 2018-10-30 | Incyte Corporation | Substituted imidazo[1,2-a]pyrazines as LSD1 inhibitors |
| US10125133B2 (en) | 2014-07-10 | 2018-11-13 | Incyte Corporation | Substituted [1,2,4]triazolo[1,5-a]pyridines and substituted [1,2,4]triazolo[1,5-a]pyrazines as LSD1 inhibitors |
| US9695180B2 (en) | 2014-07-10 | 2017-07-04 | Incyte Corporation | Substituted imidazo[1,2-a]pyrazines as LSD1 inhibitors |
| US9758523B2 (en) | 2014-07-10 | 2017-09-12 | Incyte Corporation | Triazolopyridines and triazolopyrazines as LSD1 inhibitors |
| US10556908B2 (en) | 2014-07-10 | 2020-02-11 | Incyte Corporation | Substituted imidazo[1,2-a]pyrazines as LSD1 inhibitors |
| US9695167B2 (en) | 2014-07-10 | 2017-07-04 | Incyte Corporation | Substituted triazolo[1,5-a]pyridines and triazolo[1,5-a]pyrazines as LSD1 inhibitors |
| US9695168B2 (en) | 2014-07-10 | 2017-07-04 | Incyte Corporation | Substituted imidazo[1,5-α]pyridines and imidazo[1,5-α]pyrazines as LSD1 inhibitors |
| US10640503B2 (en) | 2014-07-10 | 2020-05-05 | Incyte Corporation | Imidazopyridines and imidazopyrazines as LSD1 inhibitors |
| US11299496B2 (en) | 2014-07-23 | 2022-04-12 | Northeastern University | Ligands for alpha-7 nicotinic acetylcholine receptors and methods of treating neurological and inflammatory conditions |
| WO2016014847A1 (en) * | 2014-07-23 | 2016-01-28 | Northeastern University | Ligands for alpha-7 nicotinic acetylcholine receptors and methods of treating neurological and inflammatory conditions |
| US10537580B2 (en) | 2015-03-19 | 2020-01-21 | Novira Therapeutics, Inc. | Azocane and azonane derivatives and methods of treating hepatitis B infections |
| US9884831B2 (en) | 2015-03-19 | 2018-02-06 | Novira Therapeutics, Inc. | Azocane and azonane derivatives and methods of treating hepatitis B infections |
| US10800779B2 (en) | 2015-04-03 | 2020-10-13 | Incyte Corporation | Heterocyclic compounds as LSD1 inhibitors |
| US9944647B2 (en) | 2015-04-03 | 2018-04-17 | Incyte Corporation | Heterocyclic compounds as LSD1 inhibitors |
| US11401272B2 (en) | 2015-04-03 | 2022-08-02 | Incyte Corporation | Heterocyclic compounds as LSD1 inhibitors |
| US9771332B2 (en) | 2015-05-05 | 2017-09-26 | Pfizer Inc. | 2-thiopyrimidinones |
| US10875876B2 (en) | 2015-07-02 | 2020-12-29 | Janssen Sciences Ireland Uc | Cyclized sulfamoylarylamide derivatives and the use thereof as medicaments for the treatment of hepatitis B |
| US10723700B2 (en) | 2015-08-12 | 2020-07-28 | Incyte Corporation | Salts of an LSD1 inhibitor |
| US10329255B2 (en) | 2015-08-12 | 2019-06-25 | Incyte Corporation | Salts of an LSD1 inhibitor |
| US11498900B2 (en) | 2015-08-12 | 2022-11-15 | Incyte Corporation | Salts of an LSD1 inhibitor |
| US10077239B2 (en) | 2015-09-29 | 2018-09-18 | Novira Therapeutics, Inc. | Crystalline forms of a hepatitis B antiviral agent |
| US11407749B2 (en) | 2015-10-19 | 2022-08-09 | Incyte Corporation | Heterocyclic compounds as immunomodulators |
| US11572366B2 (en) | 2015-11-19 | 2023-02-07 | Incyte Corporation | Heterocyclic compounds as immunomodulators |
| US12516044B2 (en) | 2015-12-17 | 2026-01-06 | Incyte Corporation | Heterocyclic compounds as immunomodulators |
| US11866435B2 (en) | 2015-12-22 | 2024-01-09 | Incyte Corporation | Heterocyclic compounds as immunomodulators |
| US11535615B2 (en) | 2015-12-22 | 2022-12-27 | Incyte Corporation | Heterocyclic compounds as immunomodulators |
| US11129834B2 (en) | 2016-04-15 | 2021-09-28 | Novira Therapeutics, Inc. | Combinations and methods comprising a capsid assembly inhibitor |
| US10441589B2 (en) | 2016-04-15 | 2019-10-15 | Novira Therapeutics, Inc. | Combinations and methods comprising a capsid assembly inhibitor |
| US10166221B2 (en) | 2016-04-22 | 2019-01-01 | Incyte Corporation | Formulations of an LSD1 inhibitor |
| US11608337B2 (en) | 2016-05-06 | 2023-03-21 | Incyte Corporation | Heterocyclic compounds as immunomodulators |
| US11673883B2 (en) | 2016-05-26 | 2023-06-13 | Incyte Corporation | Heterocyclic compounds as immunomodulators |
| US10774064B2 (en) | 2016-06-02 | 2020-09-15 | Cadent Therapeutics, Inc. | Potassium channel modulators |
| US11873309B2 (en) | 2016-06-20 | 2024-01-16 | Incyte Corporation | Heterocyclic compounds as immunomodulators |
| US11718605B2 (en) | 2016-07-14 | 2023-08-08 | Incyte Corporation | Heterocyclic compounds as immunomodulators |
| US11613536B2 (en) | 2016-08-29 | 2023-03-28 | Incyte Corporation | Heterocyclic compounds as immunomodulators |
| US11465981B2 (en) | 2016-12-22 | 2022-10-11 | Incyte Corporation | Heterocyclic compounds as immunomodulators |
| US12466822B2 (en) | 2016-12-22 | 2025-11-11 | Incyte Corporation | Heterocyclic compounds as immunomodulators |
| US11566026B2 (en) | 2016-12-22 | 2023-01-31 | Incyte Corporation | Heterocyclic compounds as immunomodulators |
| US10806785B2 (en) | 2016-12-22 | 2020-10-20 | Incyte Corporation | Immunomodulator compounds and methods of use |
| US10800768B2 (en) | 2016-12-22 | 2020-10-13 | Incyte Corporation | Heterocyclic compounds as immunomodulators |
| US11787793B2 (en) | 2016-12-22 | 2023-10-17 | Incyte Corporation | Heterocyclic compounds as immunomodulators |
| US10793565B2 (en) | 2016-12-22 | 2020-10-06 | Incyte Corporation | Heterocyclic compounds as immunomodulators |
| US11339149B2 (en) | 2016-12-22 | 2022-05-24 | Incyte Corporation | Heterocyclic compounds as immunomodulators |
| US10308644B2 (en) | 2016-12-22 | 2019-06-04 | Incyte Corporation | Heterocyclic compounds as immunomodulators |
| US12433880B2 (en) | 2017-01-06 | 2025-10-07 | Janssen Pharmaceutica Nv | Methods for the treatment of neurological disorders |
| US10717728B2 (en) | 2017-01-23 | 2020-07-21 | Cadent Therapeutics, Inc. | Potassium channel modulators |
| US9975886B1 (en) | 2017-01-23 | 2018-05-22 | Cadent Therapeutics, Inc. | Potassium channel modulators |
| US10351553B2 (en) | 2017-01-23 | 2019-07-16 | Cadent Therapeutics, Inc. | Potassium channel modulators |
| US11891382B2 (en) | 2017-04-26 | 2024-02-06 | Basilea Pharmaceutica International AG | Processes for the preparation of furazanobenzimidazoles and crystalline forms thereof |
| AU2018258588B2 (en) * | 2017-04-28 | 2022-06-02 | Dana-Farber Cancer Institute, Inc. | Inhibitors of TRIM33 and methods of use |
| AU2018258588A8 (en) * | 2017-04-28 | 2022-03-03 | Dana-Farber Cancer Institute, Inc. | Inhibitors of TRIM33 and methods of use |
| WO2018200988A1 (en) * | 2017-04-28 | 2018-11-01 | Dana-Farber Cancer Institute, Inc. | Inhibitors of trim33 and methods of use |
| US11731967B2 (en) | 2017-04-28 | 2023-08-22 | Dana-Farber Cancer Institute, Inc. | Inhibitors of TRIM33 and methods of use |
| US11603351B2 (en) | 2017-07-11 | 2023-03-14 | Vertex Pharmaceuticals Incorporated | Carboxamides as modulators of sodium channels |
| US10647661B2 (en) | 2017-07-11 | 2020-05-12 | Vertex Pharmaceuticals Incorporated | Carboxamides as modulators of sodium channels |
| US12281057B2 (en) | 2017-07-11 | 2025-04-22 | Vertex Pharmaceuticals Incorporated | Carboxamides as modulators of sodium channels |
| US11352356B2 (en) | 2018-03-13 | 2022-06-07 | Takeda Pharmaceutical Company Limited | Inhibitors of plasma kallikrein and uses thereof |
| US12441724B2 (en) | 2018-03-13 | 2025-10-14 | Takeda Pharmaceutical Company Limited | Inhibitors of plasma kallikrein and uses thereof |
| US10730874B2 (en) | 2018-03-13 | 2020-08-04 | Shire Human Genetic Therapies, Inc. | Inhibitors of plasma kallikrein and uses thereof |
| US10973801B2 (en) | 2018-03-14 | 2021-04-13 | Janssen Sciences Ireland Unlimited Company | Capsid assembly modulator dosing regimen |
| US12180221B2 (en) | 2018-03-23 | 2024-12-31 | Janssen Pharmaceutica Nv | Compounds and uses thereof |
| US10669271B2 (en) | 2018-03-30 | 2020-06-02 | Incyte Corporation | Heterocyclic compounds as immunomodulators |
| US12247026B2 (en) | 2018-03-30 | 2025-03-11 | Incyte Corporation | Heterocyclic compounds as immunomodulators |
| US11124511B2 (en) | 2018-03-30 | 2021-09-21 | Incyte Corporation | Heterocyclic compounds as immunomodulators |
| US11414433B2 (en) | 2018-05-11 | 2022-08-16 | Incyte Corporation | Heterocyclic compounds as immunomodulators |
| US10906920B2 (en) | 2018-05-11 | 2021-02-02 | Incyte Corporation | Heterocyclic compounds as immunomodulators |
| US12187743B2 (en) | 2018-05-11 | 2025-01-07 | Incyte Corporation | Heterocyclic compounds as immunomodulators |
| US10618916B2 (en) | 2018-05-11 | 2020-04-14 | Incyte Corporation | Heterocyclic compounds as immunomodulators |
| US11512064B2 (en) | 2018-08-31 | 2022-11-29 | Incyte Corporation | Salts of an LSD1 inhibitor and processes for preparing the same |
| US10968200B2 (en) | 2018-08-31 | 2021-04-06 | Incyte Corporation | Salts of an LSD1 inhibitor and processes for preparing the same |
| US10894797B2 (en) | 2018-09-18 | 2021-01-19 | Nikang Therapeutics, Inc. | Fused tricyclic ring derivatives as SRC homology-2 phosphatase inhibitors |
| US11034705B2 (en) | 2018-09-18 | 2021-06-15 | Nikang Therapeutics, Inc. | Fused tricyclic ring derivatives as Src homology-2 phosphate inhibitors |
| US11518772B2 (en) | 2018-09-18 | 2022-12-06 | Nikang Therapeutics, Inc. | Fused tricyclic ring derivatives as Src homology-2 phosphate inhibitors |
| US11459340B2 (en) | 2018-09-18 | 2022-10-04 | Nikang Therapeutics, Inc. | Tri-substituted heteroaryl derivatives as Src homology-2 phosphatase inhibitors |
| US12264167B2 (en) | 2018-09-18 | 2025-04-01 | Nikang Therapeutics, Inc. | Fused tricyclic ring derivatives as SRC homology-2 phosphate inhibitors |
| US10875848B2 (en) | 2018-10-10 | 2020-12-29 | Forma Therapeutics, Inc. | Inhibiting fatty acid synthase (FASN) |
| US11299484B2 (en) | 2018-10-10 | 2022-04-12 | Forma Therapeutics, Inc. | Inhibiting fatty acid synthase (FASN) |
| US11993586B2 (en) | 2018-10-22 | 2024-05-28 | Novartis Ag | Crystalline forms of potassium channel modulators |
| US12509455B2 (en) | 2018-11-07 | 2025-12-30 | Dana-Farber Cancer Institute, Inc. | Imidazopyridine derivatives and aza-imidazopyridine derivatives as Janus kinase 2 inhibitors and uses thereof |
| US12415816B2 (en) | 2018-11-07 | 2025-09-16 | Dana-Farber Cancer Institute, Inc. | Benzothiazole derivatives and 7-aza-benzothiazole derivatives as janus kinase 2 inhibitors and uses thereof |
| US12522583B2 (en) | 2018-11-07 | 2026-01-13 | Dana-Farber Cancer Institute, Inc. | Benzimidazole derivatives and aza-benzimidazole derivatives as Janus kinase 2 inhibitors and uses thereof |
| US12172990B2 (en) | 2018-12-06 | 2024-12-24 | Constellation Pharmaceuticals, Inc. | Modulators of TREX1 |
| US12440481B2 (en) | 2019-01-10 | 2025-10-14 | Vertex Pharmaceuticals Incorporated | Esters and carbamates as modulators of sodium channels |
| US12441703B2 (en) | 2019-01-10 | 2025-10-14 | Vertex Pharmaceuticals Incorporated | Carboxamides as modulators of sodium channels |
| US11603523B2 (en) | 2019-01-18 | 2023-03-14 | Astrazeneca Ab | PCSK9 inhibitors and methods of use thereof |
| US12098146B2 (en) | 2019-01-24 | 2024-09-24 | Janssen Pharmaceutica Nv | Compounds and uses thereof |
| US11096931B2 (en) | 2019-02-22 | 2021-08-24 | Janssen Sciences Ireland Unlimited Company | Amide derivatives useful in the treatment of HBV infection or HBV-induced diseases |
| US20220214355A1 (en) * | 2019-03-21 | 2022-07-07 | University Of Virginia Patent Foundation | Sulfur-heterocycle exchange chemistry and uses thereof |
| US12366579B2 (en) * | 2019-03-21 | 2025-07-22 | University Of Virginia Patent Foundation | Sulfur-heterocycle exchange chemistry and uses thereof |
| US11491148B2 (en) | 2019-05-06 | 2022-11-08 | Janssen Sciences Ireland Unlimited Company | Amide derivatives useful in the treatment of HBV infection or HBV-induced diseases |
| US12139471B2 (en) | 2019-05-17 | 2024-11-12 | Novartis Ag | NLRP3 inflammasome inhibitors |
| US11208399B2 (en) | 2019-05-17 | 2021-12-28 | Novartis Ag | NLRP3 inflammasome inhibitors |
| US11254653B2 (en) | 2019-05-17 | 2022-02-22 | Novartis Ag | NLRP3 inflammasome inhibitors |
| US11753406B2 (en) | 2019-08-09 | 2023-09-12 | Incyte Corporation | Salts of a PD-1/PD-L1 inhibitor |
| US11787796B2 (en) | 2019-09-18 | 2023-10-17 | Takeda Pharmaceutical Company Limited | Plasma Kallikrein inhibitors and uses thereof |
| US12065448B2 (en) | 2019-09-18 | 2024-08-20 | Takeda Pharmaceutical Company Limited | Heteroaryl plasma kallikrein inhibitors |
| US12221441B2 (en) | 2019-09-18 | 2025-02-11 | Takeda Pharmaceutical Company Limited | Plasma kallikrein inhibitors and uses thereof |
| US11370803B2 (en) | 2019-09-18 | 2022-06-28 | Takeda Pharmaceutical Company Limited | Heteroaryl plasma kallikrein inhibitors |
| US11401279B2 (en) | 2019-09-30 | 2022-08-02 | Incyte Corporation | Pyrido[3,2-d]pyrimidine compounds as immunomodulators |
| US12247038B2 (en) | 2019-09-30 | 2025-03-11 | Incyte Corporation | Pyrido[3,2-d]pyrimidine compounds as immunomodulators |
| US11866451B2 (en) | 2019-11-11 | 2024-01-09 | Incyte Corporation | Salts and crystalline forms of a PD-1/PD-L1 inhibitor |
| US12268687B2 (en) | 2019-11-13 | 2025-04-08 | Janssen Pharmaceutica Nv | Compounds and uses thereof |
| US11834441B2 (en) | 2019-12-06 | 2023-12-05 | Vertex Pharmaceuticals Incorporated | Substituted tetrahydrofurans as modulators of sodium channels |
| US12247021B2 (en) | 2019-12-06 | 2025-03-11 | Vertex Pharmaceuticals Incorporated | Substituted tetrahydrofurans as modulators of sodium channels |
| US11919887B2 (en) | 2019-12-06 | 2024-03-05 | Vertex Pharmaceuticals Incorporated | Substituted tetrahydrofurans as modulators of sodium channels |
| CN111205303A (en) * | 2020-03-03 | 2020-05-29 | 四川大学 | Thieno [2,3-d ] pyrimidinyl hydroxamic acid derivatives and uses thereof |
| US11691963B2 (en) | 2020-05-06 | 2023-07-04 | Ajax Therapeutics, Inc. | 6-heteroaryloxy benzimidazoles and azabenzimidazoles as JAK2 inhibitors |
| US12275717B2 (en) | 2020-05-06 | 2025-04-15 | Ajax Therapeutics, Inc. | 6-heteroaryloxy benzimidazoles and azabenzimidazoles as JAK2 inhibitors |
| JP2023527379A (en) * | 2020-05-27 | 2023-06-28 | コンステレーション・ファーマシューティカルズ・インコーポレイテッド | Substituted benzamides as modulators of TREX1 |
| WO2021243001A1 (en) * | 2020-05-27 | 2021-12-02 | Constellation Pharmaceuticals, Inc. | Substituted benzamides as modulators of trex1 |
| CN115867535A (en) * | 2020-05-27 | 2023-03-28 | 星座制药公司 | Substituted benzamides as modulators of TREX1 |
| US11866434B2 (en) | 2020-11-06 | 2024-01-09 | Incyte Corporation | Process for making a PD-1/PD-L1 inhibitor and salts and crystalline forms thereof |
| US11780836B2 (en) | 2020-11-06 | 2023-10-10 | Incyte Corporation | Process of preparing a PD-1/PD-L1 inhibitor |
| US12084443B2 (en) | 2020-11-06 | 2024-09-10 | Incyte Corporation | Process of preparing a PD-1/PD-L1 inhibitor |
| US11760756B2 (en) | 2020-11-06 | 2023-09-19 | Incyte Corporation | Crystalline form of a PD-1/PD-L1 inhibitor |
| US12404272B2 (en) | 2020-11-06 | 2025-09-02 | Incyte Corporation | Process for making a PD-1/PD-L1 inhibitor and salts and crystalline forms thereof |
| US12043632B2 (en) | 2020-12-23 | 2024-07-23 | Ajax Therapeutics, Inc. | 6-heteroaryloxy benzimidazoles and azabenzimidazoles as JAK2 inhibitors |
| US12258333B2 (en) | 2021-06-04 | 2025-03-25 | Vertex Pharmaceuticals Incorporated | N-(hydroxyalkyl (hetero)aryl) tetrahydrofuran carboxamides as modulators of sodium channels |
| US11827627B2 (en) | 2021-06-04 | 2023-11-28 | Vertex Pharmaceuticals Incorporated | N-(hydroxyalkyl (hetero)aryl) tetrahydrofuran carboxamides as modulators of sodium channels |
| US11878968B2 (en) | 2021-07-09 | 2024-01-23 | Plexium, Inc. | Aryl compounds and pharmaceutical compositions that modulate IKZF2 |
| WO2023075285A1 (en) * | 2021-10-27 | 2023-05-04 | 고려대학교 산학협력단 | Composition for preventing or treating graves' disease comprising compound containing an imidazopyridine structure as active ingredient |
| US12162881B2 (en) | 2021-11-09 | 2024-12-10 | Ajax Therapeutics, Inc. | Forms and compositions of inhibitors of JAK2 |
| US11970494B2 (en) | 2021-11-09 | 2024-04-30 | Ajax Therapeutics, Inc. | 6-heteroaryloxy benzimidazoles and azabenzimidazoles as JAK2 inhibitors |
| US12391640B2 (en) | 2022-03-02 | 2025-08-19 | Horizon Therapeutics Ireland Dac | Process of making a crystalline EDG-2 receptor antagonist |
| US12503439B2 (en) | 2022-04-22 | 2025-12-23 | Vertex Pharmaceuticals Incorporated | Heteroaryl compounds for the treatment of pain |
| US12378222B2 (en) | 2022-08-03 | 2025-08-05 | Novartis Ag | NLRP3 inflammasome inhibitors |
Also Published As
| Publication number | Publication date |
|---|---|
| WO2012016133A3 (en) | 2012-04-26 |
Similar Documents
| Publication | Publication Date | Title |
|---|---|---|
| WO2012016133A2 (en) | Ros1 kinase inhibitors for the treatment of glioblastoma and other p53-deficient cancers | |
| US11951109B2 (en) | EZH2 inhibitors for treating lymphoma | |
| JP2023071905A (en) | EZH2 inhibitors for treating cancer | |
| US20250152598A1 (en) | Method for treating cancer | |
| US20220218714A1 (en) | Method of treating cancer | |
| JP7121660B2 (en) | Use of EZH2 inhibitors to treat cancer | |
| WO2010141738A2 (en) | Compositions and method for inhibiting tumor growth | |
| WO2018223030A1 (en) | Use of ezh2 inhibitors for treating cancer | |
| EA043327B1 (en) | CANCER TREATMENT METHOD |
Legal Events
| Date | Code | Title | Description |
|---|---|---|---|
| 121 | Ep: the epo has been informed by wipo that ep was designated in this application |
Ref document number: 11813240 Country of ref document: EP Kind code of ref document: A2 |
|
| NENP | Non-entry into the national phase |
Ref country code: DE |
|
| 122 | Ep: pct application non-entry in european phase |
Ref document number: 11813240 Country of ref document: EP Kind code of ref document: A2 |













































































