WO2006126082A2 - Pyridine [3,4-b] pyrazinones as pde-5 inhibitors - Google Patents
Pyridine [3,4-b] pyrazinones as pde-5 inhibitors Download PDFInfo
- Publication number
- WO2006126082A2 WO2006126082A2 PCT/IB2006/001387 IB2006001387W WO2006126082A2 WO 2006126082 A2 WO2006126082 A2 WO 2006126082A2 IB 2006001387 W IB2006001387 W IB 2006001387W WO 2006126082 A2 WO2006126082 A2 WO 2006126082A2
- Authority
- WO
- WIPO (PCT)
- Prior art keywords
- group
- pyrazin
- pyrido
- formula
- alkyl
- Prior art date
- Legal status (The legal status is an assumption and is not a legal conclusion. Google has not performed a legal analysis and makes no representation as to the accuracy of the status listed.)
- Ceased
Links
- MDQWUBMHVCRFOA-UHFFFAOYSA-N CC(C)OCCN(c(cc(-c(cn1)ccc1OC)nc1)c1N=C1NCc2ncc(C)nc2)C1=O Chemical compound CC(C)OCCN(c(cc(-c(cn1)ccc1OC)nc1)c1N=C1NCc2ncc(C)nc2)C1=O MDQWUBMHVCRFOA-UHFFFAOYSA-N 0.000 description 1
- YSDBJKNOEWSFGA-UHFFFAOYSA-N CC(N1CCN(C)CC1)=O Chemical compound CC(N1CCN(C)CC1)=O YSDBJKNOEWSFGA-UHFFFAOYSA-N 0.000 description 1
- IZYURYGLXWORMH-UHFFFAOYSA-N CCCOCCNc(cc(nc1)Cl)c1N Chemical compound CCCOCCNc(cc(nc1)Cl)c1N IZYURYGLXWORMH-UHFFFAOYSA-N 0.000 description 1
Classifications
-
- C—CHEMISTRY; METALLURGY
- C07—ORGANIC CHEMISTRY
- C07D—HETEROCYCLIC COMPOUNDS
- C07D471/00—Heterocyclic compounds containing nitrogen atoms as the only ring hetero atoms in the condensed system, at least one ring being a six-membered ring with one nitrogen atom, not provided for by groups C07D451/00 - C07D463/00
- C07D471/02—Heterocyclic compounds containing nitrogen atoms as the only ring hetero atoms in the condensed system, at least one ring being a six-membered ring with one nitrogen atom, not provided for by groups C07D451/00 - C07D463/00 in which the condensed system contains two hetero rings
- C07D471/04—Ortho-condensed systems
-
- A—HUMAN NECESSITIES
- A61—MEDICAL OR VETERINARY SCIENCE; HYGIENE
- A61P—SPECIFIC THERAPEUTIC ACTIVITY OF CHEMICAL COMPOUNDS OR MEDICINAL PREPARATIONS
- A61P9/00—Drugs for disorders of the cardiovascular system
Definitions
- the present invention comprises a class Pyridine [3,4-b] Pyrazinone compounds having the structure of Formula I and pharmaceutical compositions comprising a compound of Formula I.
- the present invention also comprises methods of treating a subject by administering a therapeutically effective amount of a compound of Formula I to the subject.
- these compounds inhibit, in whole or in part, the enzyme: cyclic guanylate monophosphate-specific phosphodiesterase type 5 (PDE-5).
- hypertension is associated with an increased risk of stroke, myocardial infarction, atrial fibrillation, heart failure, peripheral vascular disease and renal impairment.
- additional agents useful for the treatment of hypertension are stili needed.
- vascular endothelial cells secrete nitric oxide (NO). This acts on vascular smooth muscle cells and leads to the activation of guanylate cyclase and the accumulation of cyclic guanosine monophosphate (cGMP).
- cGMP cyclic guanosine monophosphate
- the accumulation of cGMP causes the muscles to relax and the blood vessels to dilate, leading to a reduction in blood pressure.
- the cGMP is inactivated by hydrolysis to guanosine 5'-monophosphate (GMP) by a cGMP-specific phosphodiesterase.
- PDE5 Phosphodiesterase type 5
- Inhibitors of PDE5 decrease the rate of hydrolysis of cGMP and so potentiate the actions of nitric oxide. Improved drug therapies for the treatment of subjects suffering from or susceptible to a cardiovascular condition are desirable. In particular, there still is a need for a new class of PDE- 5 inhibitors for treating cGMP-mediated conditions and corresponding drug therapies.
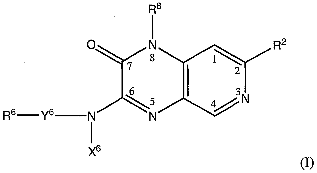
- the invention comprises compounds having the structure of Formula I:
- R 2 , X 6 , Y 6 , R 6 , and R 8 are as defined in the detailed description of the invention.
- the invention comprises a pharmaceutical composition comprising a compound having the structure of Formula I.
- the invention comprises methods of treating a condition in a subject by administering a therapeutically effective amount of a compound having the Formula I to the subject.
- the conditions that can be treated in accordance with the present invention include cardiovascular diseases, metabolic diseases, central nervous system diseases, pulmonary diseases, sexual dysfunction, and renal dysfunction.
- the invention comprises a method for inhibiting PDE-5, and particularly methods for treating a condition (typically a pathological condition) mediated by PDE- 5 activity by administering a compound having a structure of Formula I to the subject.
- the invention comprises intermediates useful in the synthesis of compounds having the structure of Formula I.
- the symbol “ ⁇ ” refers to a 1 H NMR chemical shift.
- the abbreviation “br” refers to a broad 1 H NMR signal.
- the abbreviation "d” refers to a doublet 1 H NMR peak.
- dd refers to a doublet of doublets 1 H NMR peak.
- HRMS High Resolution Mass Spectrocopy (electrospray ionisation positive scan).
- m refers to a multiplet 1 H NMR peak.
- q refers to a quartet 1 H NMR peak.
- the abbreviation “s” refers to a singlet 1 H NMR peak.
- the abbreviation T refers to a triplet 1 H NMR peak.
- the abbreviation TFA refers to trifluoroacetic acid.
- alkyl refers to a linear or branched- chain saturated hydrocarbyl substitutent (i.e., a substitutent containing only carbon and hydrogen) typically containing from about one to about twenty carbon atoms or; in another embodiment from about one to about twelve carbon atoms; in another embodiment, from about one to about ten carbon atoms; in another embodiment, from about one to about six carbon atoms; and in another embodiment, from about one to about four carbon atoms.
- hydrocarbyl substitutent i.e., a substitutent containing only carbon and hydrogen
- substituents include methyl, ethyl, propyl (including n-propyl and isopropyl), butyl (including n-butyl, isobutyl, sec-butyl and tert-butyl), pentyl, iso-amyl, hexyl and the like.
- alkenyl refers to a linear or branched- chain hydrocarbyl substituent containing one or more double bonds and from about two to about twenty carbon atoms; in another embodiment, from about two to about twelve carbon atoms;in another embodiment, from about two to about six carbon atoms; and in another embodiment, from about two to about four carbon atoms.
- alkenyl radicals include ethenyl, allyl, propenyl, butenyl and 3-methyIbutenyl.
- alkenyl and “lower alkenyl”, embrace radicals having “cis” and “trans” orientations;- or alternativelyr-Z ⁇ -and-E" orientations ⁇
- alkynyl refers to linear or branched- chain heterocarbyl substituents containing one or more triple bonds and from about two to about twenty carbon atoms; in another embodiment, from about two to about twelve carbon atoms; in another embodiment, from about two to about six carbon atoms; and in another embodiment, from about two to about four carbon atoms.
- alkynyl radicals include 1-propynyl, 2- propynyl, 1-butyne, 2-butynyl and 1-pentynyl.
- amino alone or in combination with another term(s), refers to -NH 2 when it is at a terminal position or to -NH — when it is used in combination with another term(s) and is not at a terminal position.
- aryl alone or in combination with another term(s), refers to a carbocyclic aromatic system containing one, two or three rings wherein such rings may be attached together in a pendent manner or may be fused.
- aryl moieties include phenyl, naphthyl, tetrahydronaphthyl, indanyl and biphenyl.
- carboxy alone or in combination with another term(s), refers to a radical of the formula -C(O)OH.
- cyano alone or in combination with another term(s), means -CN, which also may
- cycloalkyl refers to saturated carbocyclic radicals having three to about twelve carbon atoms.
- cycloalkyl radicals are "lower cycloalkyl” radicals having three to about eight carbon atoms. Examples of such radicals include cyclopropyl, cyclobutyl, cyclopentyl and cyclohexyl.
- cycloalkylalkyl refers to alkyl substituted with cycloalkyl.
- substituents include cyclopropylmethyl, cyclobutylmethyl, cyclopentylmethyl, and cyclohexylmethyl.
- cycloalkenyl alone or in combination with another term(s), refers to a partially unsaturated carbocyclyl substituent. Examples of such substituents include cyclobutenyl, cyclopentenyl, and cyclohexenyl.
- halogen or "halo", alone or in combination with another term(s), refers to means a fluorine radical (which may be depicted as -F), chlorine radical (which may be depicted as -Cl), bromine radical (which may be depicted as -Br), or iodine radical (which may be depicted as -I).
- the halogen is a fluorine or chlorine radical.
- the halogen is a fluorine radical.
- halo indicates that the substituent to which the prefix is attached is substituted with one or more independently selected halogen radicals.
- haloalkyl refers to an alkyl substituent wherein at least one hydrogen radical is replaced with a halogen radical.
- halogens- may be-the same-or-different.
- -haloalkyls include chloromethyl, dichloromethyl, difluorochloromethyl, dichlorofluoromethyl, trichloromethyl, 1-bromoethyl, fluoromethyl, difluoromethyl, trifluoromethyl, 2,2,2-trif luoroethyl , difluoroethyl, pentafluoroethyl, difluoropropyl, dichloropropyl, and heptafluoropropyl.
- haloalkoxy means an alkoxy substituent wherein at least one hydrogen radical is replaced by a halogen radical.
- haloalkoxy substituents include chloromethoxy, 1-bromoethoxy, fluoromethoxy, difluoromethoxy, trifluoromethoxy (also known as "perfluoromethyloxy"), and 2,2,2, -trifluoroethoxy. If a substituent is substituted by more than one halogen radical, those halogen radicals may be identical or different (unless otherwise stated).
- heterocyclyl refers to a saturated, partially saturated, or completely unsaturated ring structure containing a total of 3 to 14 ring atoms. At least one of the ring atoms is a heteroatom (i.e., oxygen, nitrogen, or sulfur), with the remaining ring atoms being independently selected from the group consisting of carbon, oxygen, nitrogen, and sulfur.
- a heterocyclyl may be a single ring, which typically contains from 3 to 10 ring atoms, more typically from 3 to 7 ring atoms, and even more typically 5 to 6 ring atoms.
- single-ring heterocyclyls include furanyl, dihydrofurnayl, tetradydrofurnayl, thiophenyl (also known as "thiofuranyl"), dihydrothiophenyl, tetrahydrothiophenyl, pyrrolyl, isopyrrolyl, pyrrolinyl, pyrrolidinyl, imidazolyl, isoimidazolyl, imidazolinyl, imidazolidinyl, pyrazolyl, pyrazolinyl, pyrazolidinyl, triazolyl, tetrazolyl, dithiolyl, oxathiolyl, oxazolyl, isoxazolyl, thiazo
- oxazinyl including 1 ,2,3-oxazinyl, 1 ,3,2-oxazinyl, 1 ,3,6-oxazinyl (also known as "pentoxazolyl"), 1 ,2,6-oxazinyl, or 1 ,4-oxazinyl), isoxazinyl (including o-isoxazinyl or p-isoxazinyl), oxazolidinyl, isoxazolidinyl, oxathiazinyl (including 1 ,2,5-oxathiazinyl or 1 ,2,6-oxathiazinyl), oxadiazinyl (including 1 ,4,2-oxadiazinyl or 1 ,3,5,2-oxadiazinyI), morpholinyl, azepinyl, oxepinyl, thiepinyl, and diaze
- a heterocyclyl alternatively may comprise 2 or 3 rings fused together, wherein at least one such ring contains a heteroatom as a ring atom (e.g., nitrogen, oxygen, or sulfur).
- 2-fused-ring heterocyclyls include, indolizinyl, pyrindinyl, pyranopyrrolyl, 4H-quinolizinyl, purinyl, naphthyridinyl, pyridopyridinyl (including pyrido[3,4-b]-pyridinyl, pyrido[3,2-b]-pyridinyl, or pyrido[4,3-b]-pyridinyl), and pteridinyl, indolyl, isoindolyl, indoleninyl, isoindazolyl, benzazinyl, phthalazinyl, quinoxalinyl, quinazolinyl, benzodiazinyl, benzopyr
- fused-ring heterocyclyls include benzo-fused heterocyclyls, such as indolyl, isoindolyl (also known as “isobenzazolyl” or “pseudoisoindolyl”), indoleninyl (also known as “pseudoindolyl”), isoindazolyl (also known as “benzpyrazolyl”), benzazinyl (including quinolinyl (also known as “1 -benzazinyl”) or isoquinolinyl (also known as "2-benzazinyl”)), phthalazinyl, quinoxalinyl, quinazolinyl, benzodiazinyl (including cinnolinyl (also known as “1 ,2-benzodiazinyl”) or quinazolinyl (also known as “1 ,3-benzodiazinyP')), benzopyranyl (including “chromanyi” or “isochromanyl)
- heteroaryl refers to a completely unsaturated (i.e., aromatic) heterocyclyl containing from 5 to 14 ring atoms.
- a heteroaryl may comprise a single ring or 2 or 3 fused rings.
- heteroaryl radicals are 5- or 6- membered heteroaryl, containing one or two heteroatoms selected from sulphur, nitrogen and oxygen, selected from thienyl, furanyl, thiazolyl, imidazolyl, pyrazolyl, isoxazolyl, isothiazolyl, pyridyl and pyrazinyl.
- heteroaryl substituents include 6-membered ring substituents such as pyridyl, pyrazyl, pyrimidinyl, and pyridazinyl; 5-membered ring substituents such as 1 ,3,5-, 1 ,2,4- or 1 ,2,3-triazinyI, imidazyl, furanyl, thiophenyl, pyrazolyl, oxazolyl, isoxazolyl, and thiazolyl; 1 ,2,3-, 1 ,2,4-, 1 ,2,5-, or 1 ,3,4-oxadiazolyl and isothiazolyl; 6/5-membered fused ring substituents such as benzothiofuranyl, isobenzothiofuranyl, benzisoxazolyl, benzoxazolyl, purinyl, and anthranilyl; and 6/6-membered fused rings such as 1 ,2-, 1 ,4-
- heteroaryls include unsaturated 5 to 6 membered heteromonocyciyl groups containing 1 to 4 nitrogen atoms, for example, pyrrolyl, imidazolyl, pyrazolyl, 2-pyridyl, 3-pyridyl, 4-pyridyl, pyrimidyl, pyrazinyl, pyridazinyl, triazolyl [e.g., 4H-1 ,2,4-triazolyl, 1 H-1 ,2,3-triazolyl, 21-1-1 ,2,3- triazolyl]; unsaturated condensed heterocyclic groups containing 1 to 5 nitrogen atoms, for example, indolyl, isoindolyl, indolizinyl, benzimidazolyl, quinolyl, isoquinolyl, indazolyl, benzotriazolyl, tetrazolopyridazinyl [e.g., tetrazolo [1 ,
- benzoxazolyl, benzoxadiazoly ⁇ unsaturated- ⁇ -to- ⁇ -membered-heteromonocyclic groups containing 1-to 2 sulfur atoms and 1 to 3 nitrogen atoms for example, thiazolyl, thiadiazolyl [e.g., 1 ,2,4- thiadiazolyl, 1 ,3,4-thiadiazolyl, 1 ,2,5-thiadiazolyl]; unsaturated condensed heterocyclic groups containing 1 to 2 sulfur atoms and 1 to 3 nitrogen atoms [e.g., benzothiazolyl, benzothiadiazolyl] and the like.
- the term also embraces radicals where heterocyclic radicals are fused with aryl radicals.
- fused bicyclic radicals examples include benzofuran, benzothiophene, and the like.
- heterocyclylalkyl alone or in combination with another term(s), refers to alkyl substituted with a heterocyclyl.
- hydroxy alone or in combination with another term(s), refers to -OH.
- mercapto or “thiol” refers to a sulfhydryl substituent, which also may depicted as - SH.
- nitro alone or in combination with another term(s) refers to -NO 2 .
- sulfonyl alone or in combination with another term(s), refers to -S(O) 2 -, which also may be depicted as:
- alkyl-s u If onyl-al kyl refers to alkyl-S(O) 2 -alkyl.
- alkyl-S(O) 2 -alkyl examples include methylsulfonyl, ethylsulfonyl, and propylsulfonyl.
- sulfoxyl alone or in combination with another term(s), refers to -S(O) -, which also may be depicted as:
- thio or "thia”, alone or in combination with another term(s), refers to a thiaether substituent, i.e., an ether substituent wherein a divalent sulfur atom is in the place of the ether oxygen atom. Such a substituent may be depicted as -S-. This, for example, "alkyl-thio-alkyl” means alkyl-S-alkyl.
- substituent may be either (1) not substituted, or (2) substituted. If a carbon of a substituent is described as being optionally substituted with one or more of a list of substituents, one or more of the hydrogens on the carbon (to the extent there are any) may separately and/or together be replaced with an independently selected optional substituent.
- substituent and “radical” interchangeably.
- cGMP-mediated condition refers to any condition mediated by cGMP, whether through direct regulation by cGMP, or through indirect regulation by cGMP as a component of a signaling pathway.
- composition refers to an article of manufacture which results from the mixing or combining of more than one element or ingredient.
- hypertensive subject refers to a subject having hypertension, suffering from the effects of hypertension or susceptible to a hypertensive condition if not treated to prevent or control such hypertension.
- pharmaceutically acceptable carrier refers to a carrier that is compatible with the other ingredients of the composition and is not deleterious to the subject. Such carriers may be pharmaceutically acceptable material, composition or vehicle, such as a liquid or solid filler, diluent, excipient, solvent or encapsulating material, involved in carrying or transporting a chemical agent. The preferred composition depends on the method of administration.
- prevention refers to either preventing the onset of a preclinically evident condition altogether or preventing the onset of a preclinical evident stage of a condition in a subject. Prevention includes, but is not limited to, prophylactic treatment of a subject at risk of developing a condition.
- terapéuticaally effective amount refers to that amount of drug or pharmaceutical agent that will elicit the biological or medical response of a tissue, system or animal that is being sought by a researcher or clinician.
- treatment includes palliative, restorative, and preventative treatment of a subject.
- palliative treatment refers to treatment that eases or reduces the effect or intensity of a condition in a subject without curing the condition.
- preventative treatment refers to treatment that prevents the occurrence of a condition in a subject.
- restorative treatment refers to treatment that halts the progression of, reduces the pathologic manifestations of, or entirely eliminates a condition in a subject.
- the present invention comprises, in part, a novel class of pyridine [3,4-b] pyrazinone compounds. These compounds are useful as inhibitors of PDE5.
- compounds of the present invention include tautomers of the compounds and pharmaceutically acceptable salts of the compounds and tautomers.
- the present invention is directed, in part, to a class of compounds having the structure of Formula I:
- R 2 is selected from the group consisting of aryl and 3 to 10 membered ring heterocycyl wherein R 2 may be optionally substituted with one or more substituents independently selected from the group consisting of halogen, cyano, nitro, oxo, alky], alkenyl, alkynyl, cycloalkyl, -OR 100 , -C(O)R 100 , -OC(O)R 100 , -C(O)OR 100 , -NR 100 R 101 , -N(R 100 )C(O)R 101 , -C(O)NR 100 R 101 , - C(O)NR 100 C(O)R 101 , -SR 100 -S(O)R 100 and -S(O) 2 R 100 , aziridinyl, azetidinyl, pyrrolidinyl, piperidi ⁇ yl, morpholinyl, thiomorpholinyl, and piperazinyl wherein
- R 100 , R 101 and R 102 are independently selected from the group consisting of hydrogen, alkyl, alkenyl and alkynyl, wherein the alkyl may be optionally substituted with one or more substituents independently selected from the group consisting of halogen, hydroxy, alkoxy, -C(O)OH and - C(O)NH 2 ;
- X 6 is selected from the group consisting of hydrogen and alkyl wherein the X 6 alkyl substituent may be optionally substituted with one or more substituents selected from the group consisting of chloro, fluoro, hydroxy and alkoxy;
- Y 6 represents a bond or is selected from the group consisting of alkyl, alkenyl and alkynyl, wherein Y 6 may be optionally substituted with one or more substituents independently selected from the group consisting of halogen, cyano, oxo, cycloalkyl, -OR 103 , -C(O)R 103 , -C(O)OR 103 , - OC(O)R 103 , -NR 103 R 104 , -N(R 103 )C(O)R 104 , and -C(O)NR 103 R 104 ;
- R 103 and R 104 are independently selected from the group consisting of hydrogen and alkyl, wherein the alkyl may be optionally substituted with one or more substituents independently selected from the group consisting of halogen, hydroxy, carboxy, cyano, oxo, alkynyl, haloalkynyl, hydroxyalkynyl, carboxyalkynyl, alkoxy, haloalkoxy, hydroxyalkoxy, and carboxyalkoxy;
- R 6 is selected from the group consisting of aryl, aryl-C(O)-, heterocyclyl, aryl-C(O)-NR 105 -, heterocyclyl-C(O)-, and heterocyclyl-C(O)-NR 105 - wherein R 6 may be optionally substituted with one or more substituents independently selected from the group consisting of halogen, cyano, oxo, alkyl, alkenyl, aikynyl, cycloalkyl, aryi, heterocyclyl, -OR 106 , -C(O)R 106 , -C(O)OR 106 , - OC(O)R 106 , -NR 106 R 107 , -N(R 106 )C(O)R 107 , -C(O)NR 106 R 107 , -C(O)NR 106 C(O)R 107 , -SR 106 , - S(
- R 105 is independently selected from the group consisting of hydrogen and alkyl
- R 106 and R 107 are independently selected from the group consisting of hydrogen, alkyl, alkenyl, and alkynyl, wherein (a) the R 106 and R 107 alkyl and alkenyl substituents may be optionally substituted with one or more substituents independently selecied from the group consisting of halogen, hydroxy, carboxy, cyano, oxo, alkynyl, haloalkynyl, hydroxyalkynyl, carboxyalkynyl, alkoxy, haloalkoxy, hydroxyalkoxy, and carboxyalkoxy, and (b) the R 106 and R 107 alkynyl substituents may be optionally substituted with one or more substituents independently selected from the group consisting of halogen, hydroxy, carboxy, cyano, oxo, alkoxy, haloalkoxy, hydroxyalkoxy, and carboxyalkoxy;
- R 8 is alkyl; wherein R 6 may be optionally substituted with one or more substituents independently selected from the group consisting of halogen, hydroxy, carboxy, cyano, alkynyl, - OR 108 , -C(O)R 108 , -C(O)OR 108 , -OC(O)R 108 , -NR 108 R 109 , -N(R 108 )C(O)R 109 , -C(O)NR 108 R 109 , - SR 108 , -S(O)R 108 , -S(O) 2 R 108 , and -C(O)NR 108 C(O)R 109 , wherein the alkynyl substituents may be optionally substituted with one or more substituents independently selected from the group consisting of halogen, hydroxy, carboxy, cyano, oxo, alkyl, and alkoxy; and R 108 and R 109 are independently
- R 2 is selected from the group consisting of aryl and 3 to 10 membered ring heterocycyl wherein R 2 may be optionally substituted with one or more substituents independently selected from the group consisting of halogen, cyano, nitro, oxo, alkyl, alkenyl, alkynyl, cycloalkyl, -OR 100 , -C(O)R 100 , -OC(O)R 100 , -C(O)OR 100 , -NR 100 R 101 , - N(R 100 )C(O)R 101 , -C(O)NR 100 R 101 , -C(O)NR 100 C(O)R 101 , and -S(O) m R 100 wherein the alkyl, alkenyl, alkynyl and cycloalkyl substituents may be optionally substituted with one or more substituents independently selected from the group consisting of halogen, oxo,
- R 2 is selected from the group consisting of phenyl and a 3 to 10 membered ring heteroaryl, optionally substituted as described in Formula I. In another embodiment of Formula I, R 2 is selected from the group consisting of phenyl and a 5 to 7 membered ring heterocyclyl, optionally substituted as described in Formula I. In another embodiment of Formula I, R 2 is selected from the group consisting of phenyl and a 5 to 7 membered ring heteroaryl, optionally substituted as described in Formula I. In another embodiment of Formula I, R 2 is selected from the group consisting of phenyl and a 5-6 membered ring heteroaryl, optionally substituted as described in Formula I. In another embodiment of Formula I, R 2 is a 5 to 6 membered ring heteroaryl that comprises 1 , 2, or 3 ring heteroatoms selected from the group consisting of oxygen and nitrogen.
- R 2 is selected from the group consisting of phenyl, thienyl, furanyl, thiazolyl, imidazolyl, pyrazolyl, isoxazolyl, isothiazolyl, pyrazinyl pyridinyl, triazinyl, imidazyl, thiophenyl, pyrazolyl, oxazolyl, oxadiazolyl, pyridyl, pyrazyl, pyrimidinyl, pyridazinyl, benzofuran, and benzodioxolyl.
- R 2 is selected from the group consisting of phenyl, pyridinyl, pyrimidinyl, isoxazolyl, pyrazolyl, benzofuran, and benzodioxolyl, optionally substituted as described in Formula I.
- R 2 is selected from the group consisting of phenyl,
- R 2 is selected from the group consisting of phenyl and pyridinyl, optionally substituted as described in Formula I.
- R 2 is optionally substituted with one or more substituents selected from the group consisting of halogen, oxo, alkyl, -OR 100 , -C(O)R 100 , -OC(O)R 100 , - C(O)OR 100 , -NR 100 R 101 and -C(O)NR 100 R 101 , wherein the alkyl substitutent may be optionally substituted with one or more substituents independently selected from the group consisting of halogen, oxo, -OR 102 , and -C(O)OR 102 ; wherein R 100 , R 101 , and R 102 are independently selected from the group consisting of hydrogen and C 1 to C 4 alkyl.
- R 2 is optionally substituted with one or more substituents independently selected from the group consisting of halogen, cyano, oxo, C 1 to C 4 alkyl, -OR 100 , -C(O)OR 100 , and -C(O)NR 100 R 101 , wherein (a) when the alkyl is methyl, the methyl may be optionally substituted with 1 , 2, or 3 halogen substituents, (b) when the alkyl comprises at least two carbon atoms, the alkyl may be optionally substituted with one or more substituents selected from the group consisting of halogen, C-i to C 4 alkoxy and hydroxy; and wherein R 100 and R 101 are independently selected from the group consisting of hydrogen and C 1 to C 2 alkyl.
- substituents independently selected from the group consisting of halogen, cyano, oxo, C 1 to C 4 alkyl, -OR 100 , -C(O)OR 100 , and -C(O)
- R 2 is optionally substituted with one or more substituents selected from the group consisting of halogen, C 1 to C 4 alkyl, -OR 100 , and - NR 100 R 101 ; wherein (a) when the alkyl is methyl, the methyl may be optionally substituted with 1 , 2, or 3 halogen substituents, (b) when the alkyl comprises at least two carbon atoms, the alkyl may be optionally substituted with one or more substituents selected from the group consisting of halogen, oxo, C-i to C 2 alkoxy and hydroxy; and wherein R 100 and R 101 are independently selected from the group consisting of hydrogen and C 1 to C 2 alkyl.
- R 2 is optionally substituted with one or more substituents selected from the group consisting of chloro, fluoro, methyl, ethyl, propyl, butyl, pentyl, hexyl, trifluoromethyl, hydroxy, methoxy, ethoxy, propoxy, butoxy, amino, methylamino, dimethylamino, ethylamino, and diethylamino.
- R 2 is optionally substituted with one or more substituents selected from the group consisting of fluoro, methyl, trifluoromethyl, methoxy, trifluoromethoxy, amino, methylamino, and dimethylamino.
- R 2 is substituted with one or more fluoro substituents. In another embodiment of Formula I, R 2 is substituted with one fluoro substituent. In another embodiment of Formula I, R 2 is substituted with two fluoro substituents. In one embodiment of Formula I, R 2 is substituted with methoxy. In one embodiment of Formula I, R 2 is substituted at the para position with a substituent selected from the group consisting of fluoro, methyl, trifluoromethyl, methoxy, trifluoromethoxy, amino, methylamino, and dimethylamino. In another embodiment of Formula I, R 2 is substituted at the para position with a substituent selected from the group consisting of fluoro, methyl, trifluoromethyl, methoxy, and trifluoromethoxy.
- R 2 is selected from the group in Table A consisting of Formula I-A, Formula I-C, Formula I-G, Formula I-H, Formula l-l, Formula I-J, Formula I-K, Formula I-L, Formula I-M, Formula I-N, Formula 1-0, Formula I-P, Formula I-Q and Formula I-R, wherein R 9 , R 10 , R 11 , R 12 and R 13 are independently selected from the group consisting of hydrogen, halogen, oxo, alkyl, -OR 100 , -C(O)R 100 , -OC(O)R 100 , -C(O)OR 100 , -NR 100 R 101 and - C(O)NR 100 R 101 , wherein the alkyl substitutent may be optionally substituted with one or more substituents independently selected from the group consisting of halogen, oxo, -OR 102 , and - C(O)OR 102 ; wherein R 100 , R 101 , R 101
- R 2 is selected from the group in Table A consisting of Formula I-H, Formula I-A and Formula I-L, wherein R 9 , R 10 , R 11 , R 12 and R 13 are independently selected from the group consisting of hydrogen, halogen, oxo, alkyl, - OR 100 , -C(O)R 100 , -OC(O)R 100 , -C(O)OR 100 , -NR 100 R 101 and -C(O)NR 100 R 101 , wherein the alkyl substitutent may be optionally substituted with one or more substituents independently selected from the group consisting of halogen, oxo, -OR 102 , and -C(O)OR 102 ; wherein R 100 , R 101 , and R 102 are independently selected from the group consisting of hydrogen and C 1 to C 4 alkyl.
- R 2 is selected from the group in Table A consisting of Formula I-A, Formula I-D, Formula I-H and Formula I-L, wherein R 9 , R 10 , R 11 , R 12 and R 13 are independently selected from the group consisting of hydrogen, halogen, alkyl, haloalkyl, oxy, alkoxy, hydroxy, and carboxy.
- R 2 is selected from the group in Table A _consisting.of Formula I-A, .
- Formula I-C, Formula I-D and Formula I-H wherein R 9 , R 10 , R 11 , R 12 and R 13 are independently selected from the group consisting of hydrogen, fluoro, methyl, trifluoromethyl, and methoxy.
- R 2 is selected from the group in Table A consisting of Formula I-D and Formula I-H, wherein R 9 , R 10 . R 11 , R 12 and R 13 are independently selected from the group consisting of hydrogen, fluoro, methyl, trifluoromethyl, and methoxy.
- R 2 is as described by the structures in Table A consisting of Formula I-D and Formula I-H wherein R 9 , R 10 , R 11 , R 12 and R 13 are independently selected from the group consisting of hydrogen, fluoro, methyl, trifluoromethyl, and methoxy.
- R 2 is as described in Formula I-D in Table A, wherein R 11 is selected from the group consisting of hydrogen, fluoro, methyl, trifluoromethyl, and methoxy.
- the R 2 substituent is as described in Formula I-E in Table A.
- X 6 is selected from the group consisting of hydrogen and Ci to C 4 alkyl wherein the X 6 C 1 to C 4 alkyl substituent may be optionally substituted with one or more substituents selected from the group consisting of chloro, fluoro, hydroxy and alkoxy.
- X 6 is alkyl, optionally substituted with 1 to 3 substituents independently selected from the group consisting of fluoro and chloro.
- X 6 alkyl is optionally substituted with 1 to 3 fluoro substituents.
- X 6 is selected from the group consisting of hydrogen and C 1 to C 6 alkyl. In another embodiment of Formula I, X 6 is selected from the group consisting of hydrogen, methyl, and ethyl. In another embodiment, X 6 is hydrogen.
- Y 6 represents a bond or is selected from the group consisting of alkyl, alkenyl and alkynyl, wherein the Y 6 alkyl, alkenyl and alkynyl substituents may be optionally substituted with one or more substituents independently selected from the group consisting of halogen, cyano, oxo, cycloalkyl, -OR 103 , -C(O)R 103 , -C(O)OR 103 , -OC(O)R 103 , - NR 103 R 104 , -N(R 103 )C(O)R 104 , and -C(O)NR 103 R 104 ; and wherein R 103 and R 104 are independently selected from the group consisting of hydrogen and alkyl, wherein the alkyl may be optionally substituted with one or more substituents independently selected from the group consisting of halogen, hydroxy, carboxy, cyano, ox
- Y 6 represents a bond or is alkyl, optionally substituted as described in Formula I. In another embodiment of Formula I, Y 6 represents a bond or is C 1 to C 6 alkyl, optionally substituted as described in Formula I. In another embodiment of Formula I, Y 6 represents a bond or is selected from the group consisting of C 1 to C 4 alkyl and hydroxy ⁇ to C 6 . alkyl. In another embodiment of Formula I, Y 6 represents a bond or is selected from the group consisting of methyl, ethyl, propyl, butyl, hydroxyethyl, hydroxypropyl, hydroxybutyl, djJnydroxyethyLand dihydrpxybutyl.
- Y 6 represents a bond or is selected from the group consisting of methyl, ethyl, propyl, butyl, hydroxyethyl, hydroxypropyl, hydroxybutyl, dihydroxyethyl,
- Y 6 represents a bond or is selected from the group consisting of methyl, ethyl, propyl and butyl. In another embodiment of Formula I, Y 6 represents a bond. In one embodiment of Formula I, Y 6 is alkyl optionally substituted with one or more substituents independently selected from the group consisting of halogen, cyano, oxo, cycloalkyl, -OR 103 , -C(O)R 103 , -C(O)OR 103 , -OC(O)R 103 , -NR 103 R 104 , -N(R 103 )C(O)R 104 , and -C(O)NR 103 R 104 ; wherein R 103 and R 104 are independently selected from the group consisting of hydrogen and C-i to C 4 alkyl.
- Y 6 is alkyl substituted with one or more substituents independently selected from the group consisting of fluoro, chloro, oxo, cycloalkyl, hydroxy, and carboxy. In another embodiment of Formula I, Y 6 is alkyl substituted with one to three substituents independently selected from the group consisting of hydroxy and cyclohexyl. In another embodiment of Formula I, Y 6 is unsubstituted alkyl. In another embodiment of Formula I, Y 6 is selected from the group consisting of methyl, ethyl and propyl. In another embodiment, Y 6 is selected from the group consisting of -CH 2 -, -CH 2 CH 2 -, -CH 2 CH 2 CH 2 -, -
- R 6 is selected from the group consisting of phenyl, phenyl- C(O)-, 3 to 10 membered ring heterocyclyl, phenyl-C(O)-NR 105 -, 3 to 10 membered ring heterocyclyl-C(O)-, and 3 to 10 membered ring heterocyclyl-C(O)-NR 105 -, wherein R 6 is optionally substituted as described in Formula I, wherein R 105 is selected from the group consisting of hydrogen and C 1 to C 6 alkyl.
- R 6 is selected from the group consisting of phenyl, phenyl-C(O)-, 5 to 7 membered ring heterocyclyl, phenyl-C(O)-NR 105 -, 5 to 7 membered ring heterocyclyl-C(O)-, and 5 to 7 membered ring heterocyclyl-C(O)-NR 105 -, wherein R 6 is optionally substituted as described in Formula I, wherein R 105 is selected from the group consisting of hydrogen and Ci to C 4 alkyl.
- R 6 is selected from the group consisting of phenyl, phenyl-C(O)-, 5 to 6 membered ring heterocyclyl, phenyl-C(O)-NR 105 -, 5 to 6 membered ring heterocyclyl-C(O)-, and 5 to 6 membered ring heterocyclyl-C(O)-NR 105 -, wherein R 6 is optionally substituted as described in Formula I wherein R 105 is hydrogen.
- R 6 is selected from the group consisting of phenyl, pyridinyl, piperidinyl, piperizinyl, morpholino, pyrazinyl, tetrahydropyran, tetrahydrofuran, isoxazole, imidazole, pyrrolidine, wherein R 6 is optionally substituted as described in Formula I.
- R 6 is selected from the group consisting of morpholinyl, tetrahydropyranyl, tetrahydrofuranyl, piperidinyl, and pyrrolidinyl, wherein R 6 is optionally substituted as provided in Formula I.
- R 6 is selected from the group consisting of phenyl, phenyl C(O)NH-, and phenyl C(O)-.
- R 6 is selected from the group consisting of 5 to 7 membered ring heteroaryl, 5 to 7 membered ring heteroaryl-C(O)-, and 5 to 7 membered ring heteroaryl-C(O)-NR 105 -, wherein R 6 is optionally substituted as described in Formula I, wherein R 105 is selected from the group consisting of hydrogen and C-i to C 4 alkyl.
- R 6 is a 3 to 10 membered ring heteroaryl, optionally substituted as described in Formula I.
- R 6 is a 5 to 7 membered ring heteroaryl, optionally substituted as described in Formula I.
- R 6 is a 5 to 6 membered ring heteroaryl, optionally substituted as described in Formula I.
- R 6 is a 5 to 6 membered ring heteroaryl containing one to three heteroatoms selected from the group consisting of O and N, optionally substituted as described in Formula I.
- R 6 is selected from the group consisting of imidazole, isoxazole, pyridinyl and pyrazynyl, optionally substituted as described in Formula I.
- R 6 is selected from the group consisting of imidazole, isoxazole, pyridinyl and pyrazynyl, optionally substituted with one or more substituents independently selected from the group consisting of alkyl, -OR 105 , and -C(O)R 105 , wherein R 105 is selected from the group consisting of hydrogen, methyl, and ethyl.
- R 6 is selected from the group consisting of imidazole, isoxazole, pyridinyl and pyrazynyl, optionally substituted with one or more substituents independently selected from the group consisting of alkyl, -OR 105 , and -C(O)R 105 , wherein R 105 is selected from the group consisting of hydrogen, methyl, and ethyl.
- R 6 is selected from the group consisting of imidazole, isoxazole, pyridinyl and pyrazynyl, optionally substituted with one or more
- R 6 is selected from the group consisting of 3 to 10 membered ring fully or partially saturated heterocylyl, 3 to 10 membered ring fully or partially 5 saturated heterocyclyl-C(O)-, 3 to 10 membered ring fully or partially saturated heterocyclyl- C(O)NH-, optionally substituted as described in Formula I.
- R 6 is a 5 to 7 membered ring fully or partially saturated heterocylyl, 5 to 7 membered ring fully or partially saturated heterocyclyl-C(O)-, 5 to 7 membered ring fully or partially saturated heterocyclyl-C(O)NH-, wherein R 6 is optionally substituted as described in Formula I.
- R 6 is optionally substituted as described in Formula I.
- R 6 is a 5 to 6 membered ring fully saturated heterocylyl, 5 to 6 membered ring fully saturated heterocyclyl-C(O)-, 5 to 6 membered ring fully saturated heterocyclyl-C(O)NH-, wherein R 6 is optionally substituted as described in Formula I.
- R 6 is a 5 to 6 membered ring fully saturated heterocylyl, wherein R 6 is optionally substituted as described in Formula I.
- R 6 is
- R 6 is selected from the group consisting of tetrahydrofuran, tetrahydropyran, pyrrolidinyl, piperidinyl, piperazinyl, and morpholino, wherein R 6 is optionally substituted with one or more substituents independently selected from the group consisting of
- R 105 is selected from the group consisting of hydrogen, methyl, and ethyl.
- R 6 is selected from the group consisting
- R 6 is optionally substituted with one or more substituents independently selected from the group consisting of -OR 106 , -C(O)R 106 , -C(O)OR 106 , -NR 106 R 107 , -N(R 106 )C(O)R 107 , -N(R 106 )C(O)OR 107 , -C(O)NR 106 R 107 , -NHC(O)NR 106 R 107 , - N(R 106 )S(O) 2 R 107 , wherein R 106 and R 107 are independently selected from the group consisting of hydrogen, methyl, ethyl, methylethyl, tert-butyl, cyclopentyl, cyclohexyl, optionally substituted with one or more substituent selected from the group consisting of halogen, oxo, hydroxy, and methyl.
- R 6 is optionally substituted with one or more substituents independently selected from the group consisting of -OH, -OCH 3 , -OCH 2 CH 3 , - OCH 2 (CH 3 )CH 3 , -C(O)CH 2 CH 2 OH, -C(O)OH, -C(O)OCH 2 (CH 3 )(CH 3 )(CH 3 ), -NH 2 , -NH(CH 2 CH 3 ), - N(CH 3 )(CH 3 ), -N(CH 2 CH 3 )CH 2 CH 3 , -N(H)CH 2 (CH 3 )CH 3 , -N(H)CH 2 CH 2 CH 2 OH, - N(H)CH 2 C(O)CH 3 , -NH(CH 2 CH 2 OH), -N(H)C(O)OCH 3 , -N(H)C(O)CH 2 (CH 3 )(CH 3 ), -NH(CH 2 CH 2 OH),
- R 6 is optionally substituted with one or more substituents independ-ently selected from the group consisting of alkyl, -C(O)R 106 and -C(O)OR 106 , wherein R 106 is selected from the group consisting of hydrogen, methyl, and ethyl.
- R 6 is optionally substituted with one or more substituents independently selected from the group consisting of -OH, -CH 3 , - CH 2 CH 3 , -C(O)CH 3 , -C(O)CH 2 CH 3 , -C(O)OCH 2 CH 3 .
- R 8 is alkyl; wherein the R 8 substituent may be optionally substituted with one or more substituents independently selected from the group consisting of halogen, hydroxy, carboxy, cyano, alkynyl, -OR 108 , -SR 108 , -C(O)R 108 , -C(O)OR 108 , -OC(O)R 108 , - NR 108 R 109 , -N(R 108 )C(O)R 109 , -C(O)NR 108 R 109 , and -C(O)NR 108 C(O)R 109 , wherein the alkynyl substituents may be optionally substituted with one or more substituents independently selected from the group consisting of halogen, hydroxy, carboxy, cyano, oxo, alkyl, and alkoxy; and wherein R 108 and R 109 are independently selected from the group consisting of hydrogen, alkyl
- R 8 is C 1 to C 10 alkyl, optionally substituted as described in Formula I. In another embodiment of Formula I, R 8 is Ci to C 8 alkyl, optionally substituted as described in Formula I. In another embodiment of Formula I, R 8 is C 1 to C 6 alkyl, optionally substituted as described in Formula I. In another embodiment of Formula I, R 8 is C 1 to C 4 alkyl, optionally substituted as described in Formula I. In another embodiment of Formula I, R 8 is ethyl, optionally substituted as described in Formula I.
- R 8 is optionally substituted with one or more substituents independently selected from the group consisting of halogen, hydroxy, carboxy, cyano, -OR 108 , - C(O)R 108 , -C(O)OR 108 , -OC(O)R 108 , -NR 108 R 109 , -N(R 108 )C(O)R 109 , -C(O)NR 108 R 109 , and - C(O)NR 108 C(O)R 109 , wherein R 108 and R 109 are independently selected from the group consisting of hydrogen and C 1 to C 6 alkyl, wherein (a) when the C-i to C 6 alkyl is methyl, the methyl may be optionally substituted with 1 , 2, or 3 fluoro substituents, (b) when the C 1 to C 6 alkyl comprises at least two carbon atoms, the alkyl may be optionally substituted with one or more substituents
- R 8 is optionally substituted with one or more substituents independently selected from the group consisting of halogen, hydroxy, carboxy, cyano, alkoxy, haloalkyl, hydroxyalkyl, carboxyalkyl, haloalkoxy, hydroxyalkoxy, and carboxyalkoxy.
- R 8 is optionally substituted with one or more substituents independently selected from the group consisting of halogen, haloalkoxy, hydroxy, carboxy, cyano, oxo, and alkoxy.
- R 8 is optionally substituted with one or more substituents independently selected from the group consisting of halogen, haloalkoxy, hydroxy, oxo, and alkoxy. In another embodiment of Formula I, R 8 is optionally substituted with one or more substituents independently selected from the group consisting of haloalkoxy and alkoxy. In another embodiment of Formula I, R 8 is ethyl optionally substituted with one or more substituents independently selected from the group consisting of halogen, haloalkoxy, hydroxy, carboxy, cyano, oxo, and alkoxy. In another embodiment of Formula I, R 8 is ethyl optionally substituted with one or more substituents independently selected from the group consisting of haioalkoxy and alkoxy.
- R 8 is alkoxyalkyl, optionally substituted as described in Formula I.
- R 8 is a (C 1 to C ⁇ aIkOXy(C 1 to C 4 )alkyl, optionally substituted as described in Formula I.
- R 8 is methoxyethyl, as described in Formula I-Y in Table A.
- R 8 is ethoxyethyl, as described in Formula I-Z in Table A.
- R 8 is propoxyethyl, as described in Formulae I-AA and I-BB in Table A.
- R 8 is trifluoroethoxyethyl.
- R 8 is selected from the group consisting of propoxyethyl and ethoxyethyl as described in Formulae I-Z, I-AA and I-BB in Table A, respectively.
- R 2 is selected from the group consisting of phenyl, thienyl, furanyl, thiazolyl, imidazolyl, pyrazoiyl, isoxazolyl, isothiazolyl, pyrazinyl pyridinyl, triazinyl, imidazyl, thiophenyl, pyrazoiyl, oxazolyl, oxadiazolyl, pyridyl, pyrazyl, pyrimidinyl, pyridazinyl, benzofuran, and benzodioxolyl.
- X 6 is hydrogen and R 2 is selected from the group consisting of phenyl, pyridinyl, pyrimidinyl, isoxazolyl, pyrazoiyl, benzofuran, and benzodioxolyl.
- X 6 is hydrogen and R 2 is selected from the group consisting of phenyl, pyridinyl and pyrimidinyl, as described in Formulae l-l, I-B and I-M of Table A.
- X 6 is hydrogen and R 2 is selected from the group consisting of phenyl and pyridinyl, as described in Formulae l-l and I-B of Table A.
- X 6 is hydrogen and R 2 is phenyl, as described in Formulae I-B of Table A, wherein R 9 , R 10 R 11 , R 12 and R 13 are independently selected from the group consisting of hydrogen, hydroxy, and fluoro.
- X 6 is hydrogen and R 2 is pyridinyl, as described in Formulae I-B of Table A, wherein R 9 , R 10 and R 13 are each hydrogen, and R 11 is methoxy.
- X 6 is hydrogen and R 8 is alkoxyalkyl, optionally substituted as described in Formula I.
- R 8 is a (Ci to C 4 JaIkOXy(C 1 to C 4 )alkyl, optionally substituted as described in Formula I.
- X 6 is hydrogen and R 8 is selected from the group consisting of methoxyethyl, ethoxyethyl, and propoxyethyl, optionally substituted as described in Formula I.
- X 6 is hydrogen and R 8 is selected from the group consisting of methoxyethyl, ethoxyethyl, propoxyethyl, and trifluoroethylethoxy.
- R 8 is selected from the group consisting of propoxyethyl and ethoxyethyl, as described in Formulae I-Z, I-AA and I-BB of Table A, respectively.
- X 6 is hydrogen
- R 8 is alkoxyalkyl, optionally substituted as --— — described-in-Formula-l-and-Y— represents-a-bond-or-is-alkyl r optionally-substituted as described in
- X 6 is hydrogen and R 8 is a (C 1 to C 4 )alkoxy(Ci 20 to C 4 )alkyl, optionally substituted as described in Formula I, and Y 6 represents a bond or is C 1 to C 6 alkyl, optionally substituted as described in Formula I.
- X 6 is hydrogen
- R 8 is selected from the group consisting of methoxyethyl, ethoxyethyl, and propoxyethyl, wherein R 8 is optionally substituted as described in Formula I
- Y 6 represents a bond or is selected from the group consisting of methyl, ethyl, propyl, butyl, methylethyl, tert- 25 butyl, hydroxyethyl, hydroxypropyl, hydroxybutyl, dihydroxyethyl,
- X 6 is hydrogen
- R 8 is selected from the group consisting of methoxyethyl, ethoxyethyl, propoxyethyl, and trifluoroethoxyethyl
- Y 6 represents a bond or is selected from the group consisting of methyl, ethyl, propyl and butyl.
- X 6 is hydrogen, R 8 is selected from the group consisting of propoxyethyl and ethoxyethyl, and Y 6 represents a bond or is selected from the group consisting of methyl and ethyl.
- X 6 is hydrogen, R 8 is ethoxyethyl, and Y 6 represents a bond or is selected from the group consisting of methyl and ethyl, as described in Formulae I-GG, I-HH and l-ll in Table A, respectively.
- X 6 is hydrogen, R 8 is ethoxyethyl, and Y 6 represents a bond or is selected from the group consisting of methyl and ethyl, as described in Formulae I-GG, I-HH and l-ll in Table A, respectively.
- R 35 is hydrogen, R 8 is propoxyethyl, and Y 6 represents a bond or is selected from the group consisting of methyl and ethyl, as described in Formulae I-OO, I-QQ and I-PP in Table A, respectively.
- R 8 is alkoxyalkyl
- R 2 is phenyl or 3-10 membered heterocyclyl
- R 8 is alkoxyalkyl, optionally substituted as described in Formula I and R 2 is selected from the group consisting of phenyl, thienyl, furanyl, thiazolyl, imidazolyl, pyrazolyl, isoxazolyl, isothiazolyl, pyrazinyl pyridinyl, triazinyl, imidazyl, thiophenyl, 5 pyrazolyl, oxazolyl, oxadiazolyl, pyridyl, pyrazyl, pyrimidinyl, pyridazinyl, benzofuran, and benzodioxolyl, wherein R 2 is optionally substituted as described in Formula I.
- R 8 is a (C 1 to C 4 JaIkOXy(C 1 to C 4 )alkyl, optionally substituted as described in Formula I, and R 2 is selected from the group consisting of phenyl, pyridinyl, pyrimidinyl, isoxazolyl, pyrazolyl, benzofuran, and benzodioxolyl, wherein R 2 is optionally
- R 8 is selected from the group consisting of trifluroethoxyethyl, ethoxyethyl, and propoxyethyl
- R 2 is selected from the group consisting of phenyl, pyridinyl and pyrimidinyl, wherein R 2 is optionally substituted as described in Formula I.
- R 8 is selected from the group consisting of ethoxyethyl and propoxyethyl
- R 2 is selected from the group consisting of
- R 8 is ethoxyethyl, and R 2 is pyridinyl, optionally substituted as described in Formula I.
- R 8 is ethoxyethyl and R 2 is a — — methox-y-pyr-idinyl-as-described-in-Formula-l-F-of Table A.
- R 8 is propoxyethyl and R 2 is a methoxy pyridinyl.
- X 6 is hydrogen
- R 8 is alkoxyalkyl, optionally substituted as described in Formula I and R 2 is selected from the group consisting of phenyl, thienyl, furanyl,
- X 6 is hydrogen
- R 8 is a (C 1 to C 4 JaIkOXy(C 1 to C 4 )alkyl, optionally substituted as described in Formula I
- R 2 is selected from the group consisting of phenyl
- X 6 is hydrogen
- R 8 is selected from the group consisting of trifluoroethoxyethyl, ethoxyethyl, and propoxyethyl, wherein R 8 is optionally substituted as described in Formula I
- R 2 is selected from the group consisting of phenyl, pyridinyl and pyrimidinyl, wherein R 2 is optionally substituted
- X 6 is hydrogen, R 8 is selected from the group consisting of ethoxyethyl and propoxyethyl, and R 2 is selected from the group consisting of phenyl and pyridinyl wherein R 2 is optionally substituted as described in Formula I.
- X 6 is hydrogen, R 8 is ethoxyethyl, and R 2 is pyridinyl, optionally substituted as described in Formula I.
- X 6 is
- R 8 is ethoxyethyl and R 2 is a para-substitued pyridinyl, as described in Formula I-FF of Table A.
- X 6 is hydrogen, R 8 is propoxyethyl and R 2 is a para-substitued pyridinyl, as described in Formula I-NN of Table A.
- X 6 is hydrogen, R 8 is propoxyethyl and R 2 is a pyridinyl, substituted at the para position with a methoxy as described in Formula I-UU of Table A.
- X 6 is hydrogen, R 8 is alkoxyalkyl, Y 6 represents a bond or is alkyl and R 2 is phenyl or 3-10 membered heterocyclyl
- X 6 is hydrogen
- Y 6 is a bond or is alkyl, optionally substituted as described in Formula I
- R 8 is alkoxyalkyl, optionally substituted as described in Formula I
- R 2 is selected from the group consisting of phenyl, thienyl, furanyl, thiazolyl, imidazolyl, pyrazolyl, isoxazolyl, isothiazolyl, pyrazinyl pyridinyl, triazinyl, imidazyl, thiophenyl, pyrazolyl, oxazolyl, oxadiazolyl, pyridyl, pyrazyl, pyrimidinyl, pyridazinyl, benzofuran, and benzodioxolyl, wherein R 2 is optionally substituted as described in Formula I.
- X 6 is hydrogen
- Y 6 represents a bond or is C 1 to C 6 alkyl, optionally substituted as described in Formula I
- R 8 is a (Ci to C ⁇ aIkOXy(C 1 to C 4 )alkyl, optionally substituted as described in Formula I
- R 2 is selected from the group consisting of phenyl, pyridinyl, pyrimidinyl, isoxazolyl, pyrazolyl, benzofuran, and benzodioxolyl wherein R 2 is optionally substituted as described in Formula I.
- X 6 is hydrogen,-R 8 Js selected .from Jhe-group-consisting of-trifluroethoxyethyl 1 -ethoxyethyl,-and propoxyethyl, optionally substituted as described in Formula I and R 2 is selected from the group consisting of phenyl, pyridinyl and pyrimidinyl wherein R 2 is optionally substituted as described in Formula I.
- X 6 is hydrogen
- Y 6 represents a bond or is selected from the group consisting of methyl, ethyl, propyl, butyl, hydroxyethyl, hydroxypropyl, hydroxybutyl, dihydroxyethyl, and dihydroxybutyl
- R 8 is selected from the group consisting of ethoxyethyl and propoxyethyl
- R 2 is selected from the group consisting of phenyl and pyridinyl wherein R 2 is optionally substituted as described in Formula I.
- X 6 is hydrogen, Y 6 represents a bond or is selected from the group consisting of methyl, ethyl, methylethyi, propyl and butyl, R 8 is selected from the group consisting of ethoxyethyl and propoxyethyl, and R 2 is pyridinyl, optionally substituted as described in Formula I.
- X 6 is hydrogen, Y 6 represents a bond, R 8 is ethoxyethyl and R 2 is a para-substitued pyridinyl, as described in Formula I-LL of Table A.
- X 6 is hydrogen, Y 6 is methyl, R 8 is ethoxyethyl and R 2 is a para- substitued pyridinyl, as described in Formula I-JJ of Table A.
- X 6 is hydrogen, Y 6 is ethyl, R 8 is ethoxyethyl and R 2 is a para-substitued pyridinyl, as described in Formula I-KK of Table A.
- X 6 is hydrogen, Y 6 represents a bond, R 8 is propoxyethyl and R 2 is a para-substitued pyridinyl, as described in Formula I-TT of Table A.
- X 6 is hydrogen, Y 6 is methyl, R 8 is propoxyethyl and R 2 is a para-substitued pyridinyl, as described in Formula I-RR of Table A.
- X 6 is hydrogen, Y 6 is ethyl, R 8 is propoxyethyl and R 2 is a para- substitued pyridinyl, as described in Formula I-SS of Table A.
- X 6 is hydrogen, R 8 is alkoxyalkyl, Y 6 represents a bond or is alkyl and R 2 is phenyl or 3-10 membered heterocyclyl, and R 6 is selected from various embodiments
- X 6 is hydrogen, Y 6 represents a bond, R 8 is selected from the group consisting of propoxyethyl and ethoxyethyl and R 2 is a para-substitued pyridinyl, R 6 is selected from the group consisting of selected from the group consisting of phenyl, phenyl C(O)NH-, phenyl C(O)-, 3 to 10 membered ring heterocyclyl, phenyl-C(O)-NH-, 3 to 10 membered ring heterocyclyl-C(O)-, and 3 to 10 membered ring heterocyclyl-C(O)-NH, optionally substituted with one or more substituents independently selected from the group consisting of - OR 105 , -C(O)R 105 , -C(O)OR 105 , -NR 105 R 106 , -N(R 105 )C(O)R 106 , -N
- X 6 is hydrogen, Y 6 is methyl, R 8 is selected from the group consisting of propoxyethyl and ethoxyethyl, and R 2 is a para- substitued pyridinyl, optionally substituted as described in Formula I, and R 6 is selected from the group consisting of phenyl, phenyl C(O)NH-, phenyl C(O)-, 5 to 7 membered ring heterocyclyl, phenyl-C(O)-NH-, 5 to 7 membered ring heterocyclyl-C(O)-, and 5 to 7 membered ring heterocyGlyl-G(0)-NH-optionally-substituted-with-one-or-more-substituents-independently selected from the group consisting of of -OR 106 , -C(O)R 106 , -C(O)OR 106 , -NR 106 R 107 , - N(
- X 6 is hydrogen
- Y 6 is ethyl
- R 8 is selected from the group consisting of propoxyethyl and ethoxyethyl
- R 2 is a para-substitued pyridinyl, optionally substituted as described in Formula I
- R 6 is selected from the group consisting of 5 to 6 membered ring heteroaryl, 5 to 6 membered ring heteroaryl-C(O)-, and 5 to 6 membered ring heteroaryl-C(O)- NH, optionally substituted with one or more substituents independently selected from the group consisting of alkyl, -OR 106 , and -C(O)R 106 , wherein R 106 is selected from the group consisting of hydrogen, methyl, and ethyl.
- X 6 is hydrogen
- Y 6 is ethyl
- R 8 is selected from the group consisting of propoxyethyl and ethoxyethyl
- R 2 is a para-substitued pyridinyl optionally substituted as described in Formula I
- R 6 is selected from the group consisting of 5 to 6 membered ring fully saturated heterocyclyl, 5 to 6 membered ring fully saturated heterocyclyl-C(O)-, and 5 to 6 membered ring fully saturated heterocyclyl-C(O)-NH, optionally substituted with one or more substituents independently selected from the group consisting of alkyl, -OR 106 , and -C(O)R 106 , wherein R 106 is selected from the group consisting of hydrogen, methyl, and ethyl.
- R 9 , R 10 , R 11 and R 13 are independently selected from the group consisting of hydrogen, halogen, oxo, alkyl, -OR 100 , -C(O)R 100 , -OC(O)R 100 , -C(O)OR 100 , -NR 100 R 101 and -C(O)NR 100 R 101 , wherein the alkyl substitutent may be optionally substituted with one or more substituents independently selected from the group consisting of halogen, oxo, -OR 102 , and -C(O)OR 102 ; wherein R 100 , R 101 , and R 102 are independently selected from the group consisting of hydrogen and C 1 to C 4 alkyl;
- Y 6 represents a bond or is selected from the group consisting of alkyl, alkenyl and alkynyl, wher r eeiinn ((aa)) tthhee YY 66 aallkkyyll,, aallkkeennyyll aanndd aallkkyynnyyll ssuubbssttiittuueennttss mmaayy bbee ooppttiioonnaallllyy ssuubbssttiittuutteedd wwiitthh oonnee or more substittuuueennttss iinnddeeppeennddeennttllyy sseelleecctteedd ffrroomm tthhee ggrroouupp ccoonnssiissttiinngg ooff hhaallooggeen
- R 103 and R 104 are independently selected from the group consisting of hydrogen and alkyl, wherein the alkyl may be optionally substituted with one or more substituents independently selected from the group consisting of halogen, hydroxy, carboxy, cyano, oxo, alkynyl, haloalkynyl, hydroxyalkynyl, carboxyalkynyl, alkoxy, haloalkoxy, hydroxyalkoxy, and carboxyalkoxy;
- R 6 is selected from the group consisting of aryl, aryl-C(O)-, heterocyclyl, aryl-C(O)-NR 105 -, heterocyclyl-C(O)-, and heterocyclyl-C(0)-NR 105 - wherein R 6 may be optionally substituted with one or more substituents independently selected from the group consisting of halogen, cyano, oxo, alkyl, alkenyl, alkynyl, cycloalkyl, aryl, heterocyclyl, -OR 106 , -C(O)R 106 , -C(O)OR 106 , - OC(O)R 106 , -NR 106 R 107 , -N(R 106 )C(O)R 107 , -C(O)NR 106 R 107 , -C(O)NR 106 C(O)R 107 , -SR 106 , - S(O)R
- R 105 is independently selected from the group consisting of hydrogen and alkyl
- R 106 and R 107 are independently selected from the group consisting of hydrogen, alkyl, alkenyl, and alkynyl
- substituents independently selected from the group consisting of halogen, hydroxy, carboxy, cyano, oxo, alkynyl, haloalkynyl, hydroxyalkynyl, carboxyalkynyl, alkoxy, haloalkoxy, hydroxyalkoxy, and carboxyalkoxy
- the R 106 and R 107 alkynyl substituents may be optionally substituted with one or more substituents independently selected from the group consisting of halogen, hydroxy, carboxy, cyano, oxo, alkoxy, haloalkoxy, hydroxyalkoxy, and carboxyalkoxy
- the R 106 and R 107 alkynyl substituents may be optionally substituted with one or more substituents independently selected from the
- R 8 is alkoxyalkyl, optionally substituted with halogen.
- R 9 , R 10 , R 11 and R 13 are selected from the group consisting of hydrogen, chloro, fluoro, methyl, ethyl, propyl, butyl, pentyl, hexyl, trifluoromethyl, hydroxy, methoxy, ethoxy, propoxy, butoxy, amino, methylamino, dimethylamino, ethylamino, and diethylamino.
- R 9 , R 10 , R 11 and R 13 are selected-from-the group-eonsisting-of-hydrOgen r fluoro r methylptrifluoromethyl T -methoxy, trifluoromethoxy, amino, methylamino, and dimethylamino.
- R 11 and R 13 are hydrogen, and R 9 and R 10 are selected from the group consisting of hydrogen, chloro, fluoro, methyl, ethyl, propyl, butyl, pentyl, hexyl, trifluoromethyl, hydroxy, methoxy, ethoxy, propoxy, butoxy, amino, methylamino, dimethylamino, ethylamino, and diethylamino.
- R 9 and R 10 are hydrogen, and R 11 and R 13 are selected from the group consisting of hydrogen, methoxy, and fluoro.
- R 9 R 10 and R 13 are hydrogen, and R 11 is methoxy.
- Y 6 represents a bond or is selected from the group consisting of alkyl, alkenyl and alkynyl, wherein the Y 6 alkyl, alkenyl and alkynyl substituents may be optionally substituted with one or more substituents independently selected from the group consisting of halogen, cyano, oxo, cycloalkyl, -OR 103 , -C(O)R 103 , -C(O)OR 103 , - OC(O)R 103 , -NR 103 R 104 , -N(R 103 )C(O)R 104 , and -C(O)NR 103 R 104 ; and wherein R 103 and R 104 are independently selected from the group consisting of hydrogen and alkyl, wherein the alkyl may be optionally substituted with one or more substituents independently selected from the group consisting of halogen, hydroxy, carboxy, cyan
- Y 6 represents a bond or is alkyl, optionally substituted as described in Formula I-B. In another embodiment of Formula I-B, Y 6 represents a bond or is C 1 to C 6 alkyl, optionally substituted as described in Formula I-B. In another embodiment of Formula I-B, Y 6 represents a bond or is selected from the group consisting of C 1 to C 4 alkyl and hydroxy ⁇ to C 4 .alkyl.
- Y 6 represents a bond or is selected from the group consisting of methyl, ethyl, propyl, butyl, hydroxyethyl, hydroxypropyl, hydroxybutyl, dihydroxyethyl, and dihydroxybutyl. In one embodiment of Formula I-B, Y 6 represents a bond or is selected from the group consisting of methyl, ethyl, propyl and butyl.
- Y 6 is alkyl optionally substituted with one or more substituents independently selected from the group consisting of halogen, cyano, oxo, cycloalkyl, -OR 103 , -C(O)R 103 , -C(O)OR 103 , -OC(O)R 103 , -NR 103 R 104 , -N(R 103 )C(O)R 104 , and -C(O)NR 103 R 104 ; wherein R 103 and R 104 are independently selected from the group consisting of hydrogen and Ci to C 4 alkyl.
- Y 6 is alkyl substituted with one or more substituents independently selected from the group consisting of fluoro, chloro, oxo, cycloalkyl, hydroxy, and carboxy. In another embodiment of Formula I-B, Y 6 is alkyl substituted with one to three substituents independently selected from the group consisting of hydroxy and cyclohexyl. In another embodiment of Formula I-B, Y 6 is unsubstituted alkyl.
- Ff Substituent Embodiments of Ff Substituent
- R 6 is selected from the group consisting of phenyl, phenyl-C(O)-, 3 to 10 membered ring heterocyclyl, phenyl-C(O)-NR 105 -, 3 to 10 membered ring heterocyclyl-C(O)-, and 3 to 10 membered ring heterocyclyl-C(O)-NR 105 -, wherein R 6 is optionally substituted as described in Formula I-B, wherein R 105 is selected from the group consisting of .hydro ⁇ eii.aniLC ⁇ JSe ⁇ alk ⁇ consisting of phenyl, phenyl-C(O)-, 5 to 7 membered ring heterocyclyl, phenyl-C(O)-NR 105 -, 5 to 7 membered ring heterocyclyl-C(O)-, and 5 to 7 membered ring heterocyclyl-C(O)-NR 105 -, wherein R 6 is optionally
- R 6 is selected from the group consisting of phenyl, phenyl-C(O)-, 5 to 6 membered ring heterocyclyl, phenyl-C(O)-NR 105 -, 5 to 6 membered ring heterocyclyl-C(O)-, and 5 to 6 membered ring heterocyclyl-C(O)-NR 105 -, wherein R 6 is optionally substituted as described in Formula I-B wherein R 105 is hydrogen.
- R 6 is selected from the group consisting of phenyl, pyridinyl, piperidinyl, piperizinyl, morpholino, pyrazinyl, tetrahydropyran, tetrahydrofuran, isoxazole, imidazole, pyrrolidine, wherein R 6 is optionally substituted as described in Formula I.
- R 6 is selected from the group consisting of morpholinyl, tetrahydropyranyl, tetrahydrofuranyl, piperidinyl, and pyrrolidinyl, wherein R 6 is optionally substituted as provided in Formula I.
- R 6 is selected from the group consisting of phenyl, phenyl C(O)NH-, and phenyl C(O)-
- R 6 is selected from the group consisting of 5 to 7 membered ring heteroaryl, 5 to 7 membered ring heteroaryl-C(O)-, and 5 to 7 membered ring heteroaryl-C(O)-NR 105 -, wherein R 6 is optionally substituted as described in Formula I, wherein R 105 is selected from the group consisting of hydrogen and C 1 to C 4 alkyl.
- R 6 is a 3 to 10 membered ring heteroaryl, optionally substituted as described in Formula I.
- R 6 is a 5 to 7 membered ring heteroaryl, optionally substituted as described in Formula I.
- R 6 is a 5 to 6 membered ring heteroaryl, optionally substituted as described in Formula I.
- R 6 is a 5 to 6 membered ring heteroaryl containing one to three heteroatoms selected from the group consisting of O and N, wherein R 6 is optionally substituted as described in Formula I.
- R 6 is selected from the group consisting of imidazole, isoxazole, pyridinyl and pyrazynyl, wherein R 6 is optionally substituted as described in Formula I.
- R 6 is selected from the group consisting of imidazole, isoxazole, pyridinyl and pyrazynyl, wherein R 6 is optionally substituted with one or more substituents independently selected from the group consisting of alkyl, -OR 105 , and -C(O)R 105 , wherein R 105 is selected from the group consisting of hydrogen,
- R 6 is selected from the group consisting of O'
- R 6 is selected from the group consisting of 3 to 10 membered ring fully or partially saturated heterocylyl, 3 to 10 membered ring fully or partially
- R 6 is optionally substituted as described in Formula I.
- R 6 is a 5 to 7 membered ring fully or partially saturated heterocylyl, 5 to 7 membered ring fully or partially saturated heterocyclyl-C(O)-, 5 to 7 membered ring fully or partially saturated heterocyclyl-C(O)NH-, wherein R 6 is optionally substituted as described in Formula I.
- R 6 is a 5 to 6 membered ring fully saturated
- R 6 is optionally substituted as described in Formula I.
- R 6 is a 5 to 6 membered ring fully saturated heterocylyl, optionally substituted as described in Formula I.
- R 6 is selected from the group consisting of tetrahydrofuran, tetrahydropyran, pyrrolidinyl, piperidinyl,
- R 6 is optionally substituted as described in Formula I.
- R 6 is selected from the group consisting of tetrahydrofuran, tetrahydropyran, pyrrolidinyl, piperidinyl, piperazinyl, and morpholino, wherein R 6 is optionally substituted with one or more substituents independently selected from the group consisting of alkyl, -OR 105 , -C(O)R 105 and -C(O)OR 105 wherein R 105 is selected from the group consisting of
- R 6 is selected from the group consisting of
- R 6 is optionally substituted with one or more substituents independently selected from the group consisting of -OR 105 , -C(O)R 105 , -C(O)OR 105 , -NR 105 R 106 , -N(R 105 )C(O)R 106 , -N(R 105 )C(O)OR 106 , -C(O)NR 105 R 106 , -NHC(O)NR 105 R 106 , - N(R 105 )S(O) 2 R 106 , wherein R 105 and R 106 are independently selected from the group consisting of hydrogen, methyl, ethyl, methylethyl, tert-butyl, cyclopentyl, cyclohexyl, optionally substituted with one or more substituent selected from the group consisting of halogen, oxo, hydroxy, and methyl.
- R 6 is optionally substituted with one or more substituents independently selected from the group consisting of alkyl, -C(O)R 105 and - C(O)OR 105 , wherein R 105 is selected from the group consisting of hydrogen, methyl, and ethyl.
- R 6 is optionally substituted with one or more substituents independently selected from the group consisting of -OH, -CH 3 , -CH 2 CH 3 , -C(O)CH 3 , - C(O)CH 2 CH 3 , -C(O)OCH 2 CH 3 .
- R 8 is a (C 1 to C 4 )BIkOXy(C 1 to C 4 )alkyl, optionally substituted with one to three substituents selected from fluoro and chloro.
- R 8 is methoxyethyl.
- R 8 is ethoxyethyl.
- R 8 is propoxyethyl.
- R 8 is trifluoroethoxyethyl.
- R 8 is selected from the group consisting of propoxyethyl and ethoxyethyl.
- Y 6 is a bond or is alkyl, optionally substituted as - — desGr-ibed-in-Formula I-B, and-R ⁇ -and-R— are-hydrogen.— In-another-embodiment-of Formula I-B,
- Y 6 is a bond or is alkyl, optionally substituted as described in Formula I-B, R 9 and R 10 are hydrogen and R 11 and R 13 are selected from the group consisting of hydrogen, methoxy, and fluoro.
- Y 6 is a bond or is alkyl, optionally substituted as described in Formula I-B, R 9 R 10 and R 13 are hydrogen, and R 11 is methoxy.
- R 9 , R 10 , R 13 are hydrogen
- Y 6 represents a bond or is alkyl
- Y 6 is a bond or is alkyl, optionally substituted as described in Formula I-B, and R 9 , R 10 and R 13 are hydrogen.
- Y 6 is a bond or is alkyl, optionally substituted as described in Formula I-B, R 9 , R 10 and R 13 are hydrogen and R 11 is selected from the group consisting of hydrogen, methoxy, and fluoro.
- Y 6 is a bond or is alkyl, optionally substituted as described in Formula I-B, R 9 R 10 and R 13 are hydrogen, and R 11 is methoxy.
- R 9 , R 10 , R 13 are hydrogen and R 8 is ethoxyethyl or propoxyethyl
- R 9 , R 10 and R 13 are hydrogen, and R 8 is selected from the group consisting of ethoxyethyl and propoxyethyl.
- R 9 , R 10 and R 13 are hydrogen and R 11 is selected from the group consisting of hydrogen, methoxy, and fluoro, and R 8 is selected from the group consisting of ethoxyethyl and propoxyethyl.
- R 9 R 10 and R 13 are hydrogen, R 11 is methoxy, and R 8 is ethoxyethyl, as described in Formula I-FF in Table A.
- R 9 R 10 and R 13 are hydrogen, R 11 is methoxy, and R 8 is propoxyethyl, as described in Formula I-UU in Table A.
- Y 6 represents a bond or is alkyl optionally substituted as described in Formula I-B, and R 6 is selected from the group consisting of hydrogen, halogen, oxo, hydroxy, amino, aminoalkyl, alkyl, alkynyl, alkoxy, alkylamino, and cycloalkyl, optionally substituted as described in Formula I-B.
- Y 6 represents a bond or is selected from the group consisting of unsubstituted Ci to C 4 alkyl and unsubstituted hydroxy ⁇ to C 4 .alkyl
- R 6 is selected from the group consisting of phenyl, phenyl-C(O)-, 5 to 6 membered ring heterocyclyl, phenyl-C(O)- NR 105 -, 5 to 6 membered ring heterocyclyl-C(O)-, and 5 to 6 membered ring heterocyclyl-C(O)- NR 105 -, wherein R 6 is optionally substituted as described in Formula I-B wherein R 105 is hydrogen.
- Y 6 represents a bond or is selected from the group consisting of methyl, ethyl, propyl, butyl, hydroxyethyl, hydroxypropyi, hydroxybutyl, dihydroxyethyl, and dihydroxybutyl
- R 6 is selected from the group consisting of phenyl, phenyl-C(O)-, 5 to 6 membered ring heterocyclyl, phenyl-C(O)-NH-, 5 to 6 membered ring heterocyclyl-C(O)-, and 5 to 6 membered ring heterocyclyl-C(O)-NH-, wherein R 6 is optionally substituted with one or more substituents independently selected from the group consisting of -OH, -CH 3 , -CH 2 CH 3 , -C(O)CH 3 , -C(O)CH 2 CH 3 , -C(O)OCH 2 CH 3 .
- R 9 , R 10 and R 13 are hydrogen, R 8 is selected from the group consisting of ethoxyethyl and propoxyethyl, and R 6 is selected from the group consisting of phenyl, phenyl C(O)NH-, phenyl C(O)-, 5 to 7 membered ring heterocyclyl, phenyl-C(O)-NH-, 5 to 7 membered ring heterocyclyl-C(O)-, and 5 to 7 membered ring heterocyclyl-C(O)-NH, optionally substituted with one or more substituents independently selected from the group consisting of of -OR 105 , -C(O)R 105 , -C(O)OR 105 , -NR 105 R 106 , -N(R 105 )C(O)R 106 , - N(R 105 )C(O)OR 106 , -C(O)NR 105 R
- R 9 , R 10 and R 13 are hydrogen
- R 8 is selected from the group consisting of ethoxyethyl and propoxyethyl
- R 6 is selected from the group consisting of 5 to 6 membered ring heteroaryl, 5 to 6 membered ring heteroaryl-C(O)-, and 5 to 6 membered ring heteroaryl- C(O)-NH, optionally substituted with one or more substituents independently selected from the group consisting of alkyl, -OR 105 , and -C(O)R 105 , wherein R 105 is selected from the group consisting of hydrogen, methyl, and ethyl.
- R 9 , R 10 and R 13 are hydrogen, R 8 is selected from the group consisting of ethoxyethyl and propoxyethyl, and R 6 is selected from the group consisting of 5 to 6 membered ring fully saturated heterocyclyl, 5 to 6 membered ring fully saturated heterocyclyl-C(O)-, and 5 to 6 membered ring fully saturated heterocyclyl-C(O)-NH, optionally substituted with one or more substituents independently selected from the group consisting of alkyl, -OR 105 , and -C(O)R 105 , wherein R 105 is selected from the group consisting of hydrogen, methyl, and ethyl.
- the present invention is directed, in part, to a class of compounds having the structure of Formula l-l:
- R 9 , R 10 , R 11 _ R 12 and R 13 are independently selected from the group consisting of hydrogen, halogen, oxo, alkyl, -OR 100 , -C(O)R 100 , -OC(O)R 100 , -C(O)OR 100 , -NR 100 R 101 and -C(O)NR 100 R 101 , wherein the alkyl substitutent may be optionally substituted with one or more substituents independently selected from the group consisting of halogen, oxo, -OR 102 , and -C(O)OR 102 ; wherein R 100 , R 101 , and R 102 are independently selected from the group consisting of hydrogen and Ci to C 4 alkyl;
- Y 6 represents a bond or is selected from the group consisting of alkyl, alkenyl and alkynyl, wherein (a) the Y 6 alkyl, alkenyl and alkynyl substituents may be optionally substituted with one or more substituents independently selected from the group consisting of halogen, cyano, oxo,
- R 103 and R 104 are independently selected from the group consisting of hydrogen and alkyl, wherein the alkyl may be optionally substituted with one or more substituents independently selected from the group consisting of halogen, hydroxy, carboxy, cyano, oxo, alkynyl, haloalkynyl, hydroxyalkynyl, carboxyalkynyl, alkoxy, haloalkoxy, hydroxyalkoxy, and carboxyalkoxy;
- R 6 is selected from the group consisting of aryl, aryl-C(O)-, heterocyclyl, aryl-C(O)-NR 105 -, heterocyclyl-C(O)-, and heterocyclyl-C(O)-NR 105 - wherein R 6 may be optionally substituted with one or more substituents independently selected from the group consisting of halogen, cyano, oxo, alkyl, alkenyl, alkynyl, cycloalkyl, aryl, heterocyclyl, -OR 106 , -C(O)R 106 , -C(O)OR 106 , -
- alkyl, alkenyl, alkynyl, cycloalkyl, aryl and heterocyclyl susbstituents may be optionally substituted with one or more substituents independently selected from the group consisting of halogen, hydroxy, carboxy, cyano, oxo, alkoxy, haloalkoxy, hydroxyalkoxy, and carboxyalkoxy;
- R 105 is independently selected from the group consisting of hydrogen and alkyl
- R 106 and R 107 are independently selected from the group consisting of hydrogen, alkyl, alkenyl, and alkynyl, wherein (a) the R 106 and R 107 alkyl and alkenyl substituents may be optionally substituted with one or more substituents independently selected from the group consisting of halogen, hydroxy, carboxy, cyano, oxo, alkynyl, haloalkynyl, hydroxyalkynyl, carboxyalkynyl, alkoxy, haloalkoxy, hydroxyalkoxy, and carboxyalkoxy, and (b) the R 106 and R 107 alkynyl substituents may be optionally substituted with one or more substituents independently selected from the group consisting of halogen, hydroxy, carboxy, cyano, oxo, alkoxy, haloalkoxy, hydroxyalkoxy, and carboxyalkoxy;
- R 8 is alkoxyalkyl, optionally substituted with halogen.
- R 9 , R 10 , R 11 R 12 , and R 13 are selected from the group consisting of hydrogen, chloro, fluoro, methyl, ethyl, propyl, butyl, pentyl, hexyl, trif-luoromethyl, ⁇ hydroxy,-methoxy.,-ethoxy, propoxy, butoxy, amino, methylamino, dimethylamino, ethylamino, and diethylamino.
- R 9 , R 10 , R 11 R 12 , and R 13 are selected from the group consisting of hydrogen, fluoro, methyl, trifluoromethyl, methoxy, trifluoromethoxy, amino, methylamino, and dimethylamino.
- R 9 , R 12 and R 13 are hydrogen, and R 10 and R 11 are selected from the group consisting of hydrogen, chloro, fluoro, methyl, ethyl, propyl, butyl, pentyl, hexyl, trifluoromethyl, hydroxy, methoxy, ethoxy, propoxy, butoxy, amino, methylamino, dimethylamino, ethylamino, and diethylamino.
- R 9 , R 12 and R 13 are hydrogen, and R 11 and R 13 are selected from the group consisting of hydrogen, methoxy, trifluoromethyl, and fluoro.
- R 9 , R 10 , R 12 and R 13 are hydrogen, and R 11 is fluoro.
- Y 6 represents a bond or is selected from the group consisting of alkyl, alkenyl and alkynyl, wherein the Y 6 alkyl, alkenyl and alkynyl substituents may be optionally substituted with one or more substituents independently selected from the group consisting of halogen, cyano, oxo, cycloalkyl, -OR 103 , -C(O)R 103 , -C(O)OR 103 , - OC(O)R 103 , -NR 103 R 104 , -N(R 103 )C(O)R 104 , and -C(O)NR 103 R 104 ; and wherein R 103 and R 104 are independently selected from the group consisting of hydrogen and alkyl, wherein the alkyl may be optionally substituted with one or more substituents independently selected from the group consisting of halogen, hydroxy, carboxy,
- Y 6 represents a bond or is alkyl, optionally substituted as described in Formula l-l. In another embodiment of Formula l-l, Y 6 represents a bond or is Ci to C 6 alkyl, optionally substituted as described in Formula l-l. In another embodiment of Formula I- I, Y 6 represents a bond or is selected from the group consisting of C-i to C 4 alkyl and hydroxyCi to C 4 .alkyl.
- Y 6 represents a bond or is selected from the group consisting of methyl, ethyl, propyl, butyl, hydroxyethyl, hydroxypropyl, hydroxybutyl, dihydroxyethyl, and dihydroxybutyl. In one embodiment of Formula l-l, Y 6 represents a bond or is selected from the group consisting of methyl, ethyl, propyl and butyl.
- Y 6 is alkyl optionally substituted with one or more substituents independently selected from the group consisting of halogen, cyano, oxo, cycloalkyl, -OR 103 , -C(O)R 103 , -C(O)OR 103 , -OC(O)R 103 , -NR 103 R 104 , -N(R 103 )C(O)R 104 , and -C(O)NR 103 R 104 ; wherein R 103 and R 104 are independently selected from the group consisting of hydrogen and C 1 to C 4 alkyl.
- Y 6 is alkyl substituted with one or more substituents independently selected from the group consisting of fluoro, chloro, oxo, cycloalkyl, hydroxy, and carboxy. In another embodiment of Formula l-l, Y 6 is alkyl substituted with one to three substituents independently selected from the group consisting of hydroxy and cyclohexyl. In another embodiment of Formula l-l, Y 6 is unsubstituted alkyl.
- Ff Substituent Embodiments of Ff Substituent
- R 6 is selected from the group consisting of phenyl, phenyl- C(O)-, 3 to 10 membered ring heterocyclyl, phenyl-C(O)-NR 105 -, 3 to 10 membered ring heterocyclyl-C(O)-, and 3 to 10 membered ring heterocyclyl-C(O)-NR 105 -, wherein R 6 is optionally substituted as described in Formula l-l, wherein R 105 is selected from the group consisting of hydrogen and C 1 to C 6 alkyl.
- R 6 is selected from the group consisting of phenyl, phenyl-C(O)-, 5 to 7 membered ring heterocyclyl, phenyl-C(O)-NR 105 -, 5 to 7 membered ring heterocyclyl-C(O)-, and 5 to 7 membered ring heterocyclyl-C(O)-NR 105 -, wherein R 6 is optionally substituted as described in Formula l-l, wherein R 105 is selected from the group consisting of hydrogen and C 1 to C 4 alkyl.
- R 6 is selected from the group consisting of phenyl, phenyl-C(O)-, 5 to 6 membered ring heterocyclyl, phenyl-C(O)-NR 105 -, 5 to 6 membered ring heterocyclyl-C(O)-, and 5 to 6 membered ring heterocyclyl-C(0)-NR 105 -, wherein R 6 is optionally substituted as described in Formula l-l wherein R 105 is hydrogen.
- R 6 is selected from the group consisting of phenyl, pyridinyl, piperidinyl, piperizinyl, morpholino, pyrazinyl, tetrahydropyran, tetrahydrofuran, isoxazole, imidazole, pyrrolidine, wherein R 6 is optionally substituted as described in Formula l-l.
- R 6 is selected from the group consisting of morpholinyl, tetrahydropyranyl, tetrahydrofuranyl, piperidinyl, and pyrrolidinyl, wherein R 6 is optionally substituted as provided in Formula l-l.
- R 6 is selected from the group consisting of phenyl, phenyl C(O)NH-, and phenyl C(O)-.
- R 6 is selected from the group consisting of 5 to 7 membered ring heteroaryl, 5 to 7 membered ring heteroaryl-C(O)-, and 5 to 7 membered ring heteroaryl-C(O)-NR 105 -, wherein R 6 is optionally substituted as described in Formula l-l, wherein R 105 is selected from the group consisting of hydrogen and C 1 to C 4 alkyl.
- R 6 is a 3 to 10 membered ring heteroaryl, optionally substituted as described in Formula l-l.
- R 6 is a 5 to 7 membered ring heteroaryl, optionally substituted as described in Formula l-l. In another embodiment of Formula l-l, R 6 is a 5 to 6 membered ring heteroaryl, optionally substituted as described in Formula l-l. In another embodiment of Formula l-l, R 6 is a 5 to 6 membered ring heteroaryl containing one to three heteroatoms selected from the group consisting of O and N, optionally substituted as described in Formula l-l.
- R 6 is selected from the group consisting of imidazole, isoxazoie, pyridinyl and pyrazynyl, wherein R 6 is optionally substituted as described in Formula l-l.
- R 6 is selected from the group consisting of imidazole, isoxazoie, pyridinyl and pyrazynyl, wherein R 6 is optionally substituted with one or more substituents independently selected from the group consisting of alkyl, -OR 105 , and -C(O)R 105 , wherein R 105 is selected from the group consisting of hydrogen, methyl, and ethyl.
- R is selected from the group consisting of O * ,
- R 6 is a 5 to 7 membered ring fully or partially saturated heterocylyl, 5 to 7 membered ring fully or partially saturated heterocyclyl-C(O)-, 5 to 7 membered ring fully or partially saturated heterocyclyl-C(O)NH-, wherein R 6 is optionally substituted as described in Formula l-l.
- R 6 is a 5 to 6 membered ring fully saturated heterocylyl, 5 to 6 membered ring fully saturated heterocyclyl-C(O)-, 5 to 6 membered ring fully saturated heterocyclyl-C(O)NH-, wherein R 6 is optionally substituted as described in Formula l-l.
- R 6 is a 5 to 6 membered ring fully saturated heterocylyl, optionally substituted as described in Formula M.
- R 6 is selected from the group consisting of tetrahydrofuran, tetrahydropyran, pyrrolidinyl, piperidinyl, piperazinyl, and morpholino, wherein R 6 is optionally substituted as described in Formula l-l.
- R 6 is selected from the group consisting of tetrahydrofuran, tetrahydropyran, pyrrolidinyl, piperidinyl, piperazinyl, and morpholino, wherein R 6 is optionally substituted with one or more substituents independently selected from the group consisting of alkyl, -OR 105 , -C(O)R 105 and -C(O)OR 105 wherein R 105 is selected from the group consisting of hydrogen, methyl, and ethyl. In another embodiment, R 6 is selected from the group consisting of
- R 6 is optionally substituted with one or more substituents independently selected from the group consisting of -OR 105 , -C(O)R 105 , -C(O)OR 105 ,
- R 105 and R 106 are independently selected from the group consisting of hydrogen, methyl, ethyl, methylethyl, tert-butyl, cyclopentyl, cyclohexyl, optionally substituted with one or more substituent selected from the group consisting of halogen, oxo, hydroxy, and methyl.
- R 6 is optionally substituted with one or more substituents independently selected from the group consisting of alkyl, -C(O)R 105 and - C(O)OR 105 , wherein R 105 is selected from the group consisting of hydrogen, methyl, and ethyl.
- R 6 is optionally substituted with one or more substituents independently selected from the group consisting of -OH, -CH 3 , -CH 2 CH 3 , -C(O)CH 3 , - C(O)CH 2 CH 3 , -C(O)OCH 2 CH 3 .
- substituents independently selected from the group consisting of -OH, -CH 3 , -CH 2 CH 3 , -C(O)CH 3 , - C(O)CH 2 CH 3 , -C(O)OCH 2 CH 3 .
- R 8 is a (C 1 to C ⁇ aIkOXy(C 1 to C 4 )alkyl, optionally substituted with one to three substituents selected from fluoro and chloro.
- R 8 is trifluroethoxyethyl.
- R 8 is ethoxyethyl.
- R 8 is propoxyethyl.
- R 8 is trifluoroethoxyethyl.
- R 8 is selected from the group consisting of propoxyethyl and ethoxyethyl.
- Y 6 is a bond or is alkyl, optionally substituted as described in Formula l-l, R 9 , R 12 and R 13 are hydrogen and R 10 and R 11 are selected from the group consisting of hydrogen, methyl, methoxy, trifluoromethyl, and fluoro.
- R 9 , R 10 , R 12 and R 13 are hydrogen, and R 11 is fluoro.
- R 9 , R 10 , R 13 are hydrogen and R 8 is ethoxyethyl or propoxyethyl
- R 9 , R 10 and R 13 are hydrogen
- R 8 is selected from the group consisting of ethoxyethyl and propoxyethyl
- R 9 , R 10 and R 13 are hydrogen and R 11 and R 12 are independently selected from the group consisting of hydrogen, methyl, methoxy, fluoro and trifluoromethyl
- R 8 is selected from the group consisting of ethoxyethyl and propoxyethyl.
- R 9 R 10 and R 13 are hydrogen
- R 11 and R 12 are independently selected from the group consisting of hydrogen and fluoro
- R 8 is selected from the group consisting of ethoxyethyl and propoxyethyl.
- R 9 , R 10 , R 13 are hydrogen
- R 8 is ethoxyethyl or propoxyethyl
- R 6 is selected from various embodiments
- R 9 , R 10 and R 13 are hydrogen
- R 8 is selected from the group consisting of ethoxyethyl and propoxyethyl
- R 6 is selected from the group consisting of phenyl, phenyl C(O)NH-, phenyl C(O)-, 5 to 7 membered ring heterocyclyl, phenyl-C(O)-NH-, 5 to 7 membered ring heterocyclyl-C(O)-, and 5 to 7 membered ring heterocyclyl-C(O)-NH
- R 6 is optionally substituted with one or more substituents independently selected from the group consisting of of -OR 105 , -C(O)R 105 , -C(O)OR 105 , -NR 105 R 106 , -N(R 105 )C(O)R 106 , - N(R 105 )C(O)OR 106 , -C(
- R 9 , R 10 and R 13 are hydrogen
- R 8 is selected from the group consisting of ethoxyethyl and propoxyethyl
- R 6 is selected from the group consisting of 5 to 6 membered ring heteroaryl, 5 to 6 membered ring heteroaryl-C(O)-, and 5 to 6 membered ring heteroaryl-C(O)- NH
- R 6 is optionally substituted with one or more substituents independently selected from the group consisting of alkyl, -OR 105 , and -C(O)R 105
- R 105 is selected from the group consisting of hydrogen, methyl, and ethyl.
- R 9 , R 10 and R 13 are hydrogen
- R 8 is selected from the group consisting of ethoxyethyl and propoxyethyl
- R 6 is selected from the group consisting of 5 to 6 membered ring fully saturated heterocyclyl, 5 to 6 membered ring fully saturated heterocyclyl-C(O)-, and 5 to 6 membered ring fully saturated heterocyclyl-C(O)-NH
- R 6 is optionally substituted with one or more substituents independently selected from the group consisting of alkyl, -OR 105 , and -C(O)R 105 , wherein R 105 is selected from the group consisting of hydrogen, methyl, and ethyl.
- the present invention comprises optical isomers and mixtures, including racemic mixtures of the compounds of Formulae (I) through (I-UU).
- the present invention comprises diastereomeric forms (individual diastereomers and mixtures thereof) of compounds of Formulae (I) through (I-UU).
- the present invention comprises the tautomeric forms of compounds of Formulae (I) through (I-UU). For instance, a tautomeric form of the following compound:
- the compounds of this invention may be used in the form of salts derived from inorganic or organic acids.
- a salt of the compound may be advantageous due to one or more of the salt's physical properties, such as enhanced
- a salt of a compound also may be used as an aid in the isolation, purification, and/or resolution of the compound.
- the salt preferably is pharmaceutically acceptable.
- “pharmaceutically acceptable salt” refers to a salt prepared by combining a compound of
- Pharmaceutically acceptable salts are particularly useful as products of the methods of the present invention because of their greater aqueous solubility relative to the parent compound. For use in medicine, the salts of the compounds of this
- salts encompassed within the term “pharmaceutically acceptable salts” refer to non-toxic salts of the compounds of this invention which are generally prepared by reacting the free base with a suitable organic or inorganic acid.
- Suitable pharmaceutically acceptable acid addition salts of the compounds of the present invention when possible include those derived from inorganic acids, such as hydrochloric,
- hydrobromic, hydrofluoric, boric, fluoroboric, phosphoric, metaphosphoric, nitric, carbonic, sulfonic, and sulfuric acids and organic acids such as acetic, benzenesulfonic, benzoic, citric, ethanesulfonic, fumaric, gluconic, glycolic, isothionic, lactic, lactobionic, maleic, malic, methanesulfonic, trifluoromethanesulfonic, succinic, toluenesulfonic, tartaric, and trifluoroacetic acids.
- Suitable organic acids generally include, for example, aliphatic, cycloaliphatic, aromatic,
- suitable organic acids include acetate, trifluoroacetate, formate, propionate, succinate, glycolate, gluconate, digluconate, lactate, malate, tartaric acid, citrate, ascorbate, glucuronate, maleate, fumarate, pyruvate, aspartate, glutamate, benzoate, anthranilic acid, mesylate, stearate, salicylate, p-hydroxybenzoate, phenylacetate, mandelate, embonate
- examples of suitable addition salts formed include the acetate, aspartate, benzoate, besylate, bicarbonate/carbonate, bisulphate/sulphate, borate, camsyate, citrate, edisylate, esylate, formate, fumarate, gluceptate, gluconate, glucuronate, hexafluorophosphate, hibenzate, hydrochloride/chloride, hydrobromide/bromide, hydroiodide/iodide, isethionate, lactate, malate, maleate, nitrate, orotate, oxalate, palmitate, pamoate, phosphate/hydrogen phosphate/dihidrogen phosphate, saccharate, stearate, succinate, tartrate, tosylate and trifluoroacetate salts.
- representative salts include benzenesulfonate, hydrobromide and hydrochloride.
- suitable pharmaceutically acceptable salts thereof may include alkali metal salts, e.g., sodium or potassium salts; alkaline earth metal salts, e.g., calcium or magnesium salts; and salts formed wJtfcLsuitable organic ligands,_e.g., quaternary ammonium.salts.
- base salts are formed from bases which form non-toxic salts, including aluminum, arginine, benzathine, choline, diethylamine, diolamine, glycine, lysine, meglumine, olamine, tromethamine and zinc salts.
- Organic salts may be made from secondary, tertiary or quaternary amine salts, such as tromethamine, diethylamine, N,N'-dibenzylethylenediamine, chloroprocaine, choline, diethanolamine, ethylenediamine, meglumine (N-methylglucamine), and procaine.
- secondary, tertiary or quaternary amine salts such as tromethamine, diethylamine, N,N'-dibenzylethylenediamine, chloroprocaine, choline, diethanolamine, ethylenediamine, meglumine (N-methylglucamine), and procaine.
- Basic nitrogen-containing groups may be quaternized with agents such as lower alkyl (Ci to C 6 ) halides (e.g., methyl, ethyl, propyl, and butyl chlorides, bromides, and iodides), dialkyl sulfates (e.g., dimethyl, diethyl, dibuytl, and diamyl sulfates), long chain halides (e.g., decyl, lauryl, myristyl, and stearyl chlorides, bromides, and iodides), arylalkyl halides (e.g., benzyl and phenethyl bromides), and others.
- salts of the compounds of this invention include hydrochloric acid (HCI) salts, trifluoroacetate (CF 3 COOH or 'TFA”) salts, mesylate salts, and tosylate salts.
- compositions of Formulae (I) to (I-UU) may be prepared by one or more of three methods:
- the resulting salt may precipitate out and be collected by filtration or may be recovered by evaporation of the solvent.
- the degree of ionization in the resulting salt may vary from completely ionized to almost non-ionised.
- the present invention further comprises methods for treating a condition in a subject having or susceptible to having such a condition, by administering to the subject a therapeutical Iy- effective amount of one or more compounds of Formulae (I) through (I-UU) as described above.
- the treatment is preventative treatment.
- the treatment is palliative treatment.
- the treatment is restorative treatment.
- the conditions that can be treated in accordance with the present invention include, but are not limited to, cardiovascular diseases, metabolic diseases, central nervous system diseases, pulmonary diseases, sexual dysfunction, and renal dysfunction.
- the present invention further comprises methods for treating a condition in a subject having or susceptible to having such a condition, by administering to the subject a therapeutically- effective amount of one or more compounds of Formula (I) through (I-UU).
- the condition is a cGMP-mediated condition.
- the conditions that can be treated in accordance with the present invention are PDE-5 mediated conditions.
- Such conditions include cardiovascular diseases, metabolic diseases, central nervous system diseases, pulmonary diseases, sexual dysfunction, and renal dysfunction.
- the condition is a cardiovascular disease, particularly a cardiovascular disease selected from the group consisting of hypertension (such as essential hypertension, pulmonary hypertension, secondary hypertension, isolated systolic hypertension, hypertension associated with diabetes, hypertension associated with atherosclerosis, and renovascular hypertension) ; complications associated with hypertension (such as vascular organ damage, congestive heart failure, angina, stroke, glaucoma and impaired renal function); valvular insufficiency; stable, unstable and variant (Prinzmetal) angina; peripheral vascular disease; myocardial infarct; stroke; thromboembolic disease; restenosis; arteriosclerosis; atherosclerosis; pulmonary arterial hypertension; angiostenosis after bypass; angioplasty (such as percutaneous transluminal angioplasty, or percutaneous transluminal coronary angioplasty); hyperlipidemia; hypoxic vasoconstriction; vasculitis, such as Kawasaki's syndrome; heart failure (such as congestive hypertension,
- the condition is hypertension. In another embodiment, the condition is.pulm.onaLy_arieriaLhypectensioriJ ⁇ ja ⁇ Qther.embodiment, the condition is heart failure. In another embodiment, the condition is diastolic heart failure. In another embodiment, the condition is systolic heart failure. In another embodiment, the condition is angina. In another embodiment, the condition is thrombosis. In another embodiment, the condition is stroke.
- the condition is a metabolic disease, particularly a metabolic disease selected from the group consisting of Syndrome X; insulin resistance or impaired glucose tolerance; diabetes (such as type I and type Il diabetes); syndromes of insulin resistance (such as insulin receptor disorders, Rabson-Mendenhall syndrome, leprechaunism, Kobberling- Dunnigan syndrome, Seip syndrome, Lawrence syndrome, Gushing syndrome, acromegaly, pheochomocytoma, glucagonoma, primary aldosteronism, somatostatinoma, Lipoatrophic diabetes, ⁇ -cell toxin induced diabetes, Grave's disease, Hashimoto's thyroiditis and idiopathic Addison's disease); diabetic complications (such as diabetic gangrene, diabetic arthropathy, diabetic nephropathy, diabetic glomerulosclerosis, diabetic deramatopathy, diabetic neuropathy, peripheral diabetic neuropathy, diabetic cataract, and diabetic retinopathy); hyperglycemia; and obesity
- the condition is insulin resistance. In another embodiment, the condition is nephropathy. In another embodiment, the condition is a disease of the central nervous system, particularly a disease of the central nervous system selected from the group consisting of vascular dementia; craniocerebral trauma; cerebral infarcts; dementia; concentration disorders; Alzheimer's disease; Parkinson's disease; amyolateral sclerosis (ALS); Huntington's disease; multiple sclerosis; Creutzfeld-Jacob; anxiety; depression; sleep disorders; and migraine. In one embodiment, the condition is Alzheimer's disease. In another embodiment, the condition is Parkinson's disease. In one embodiment, the condition is ALS. In another embodiment, the condition is a concentration disorder.
- the condition is a pulmonary disease, particularly a pulmonary disease selected from the group consiting of asthma; acute respiratory distress; cystic fibrosis; chronic obstructive pulmonary disease (COPD); bronchitis; and chronic reversible pulmonary obstruction.
- a pulmonary disease selected from the group consiting of asthma; acute respiratory distress; cystic fibrosis; chronic obstructive pulmonary disease (COPD); bronchitis; and chronic reversible pulmonary obstruction.
- the condition is sexual dysfunction, particularly sexual dysfunction selected from the group consiting of impotence (organic or psychic); male erectile dysfunction; clitoral dysfunction; sexual dysfunction after spinal cord injury; female sexual arousal disorder; female sexual orgasmic dysfunction; female sexual pain disorder; and female hypoactive sexual desire disorder.
- the condition is erectile dysfunction.
- the condition is renal dysfunction, particularly a renal dysfunction selected from the group consisting of acute or chronic renal failure; nephropathy (such as diabetic nephropathy); glomerulopathy; and nephritis.
- the condition is pain.
- the condition is acute pain.
- acute pain include acute pain associated with injury or surgery.
- the condition is chronic pain.
- chronic pain include neuropathic pain (including postherpetic neuralgia and pain associated with peripheral, cancer or diabetic neuropathyVcarpalitunnel syndrome ⁇ back-pain ⁇ including-pain associated with-hemiated or ruptured intervertebral discs or abnormalities of the lumber facet joints, sacroiliac joints, paraspinal muscles or the posterior longitudinal ligament), headache, cancer pain (including tumour related pain such as bone pain, headache, facial pain or visceral pain) or pain associated with cancer therapy (including postchemotherapy syndrome, chronic postsurgical pain syndrome, post radiation syndrome, pain associated with immunotherapy, or pain associated with hormonal therapy), arthritic pain (including osteoarthritis and rheumatoid arthritis pain), chronic post- surgical pain, post herpetic neuralgia, trigeminal neuralgia, HIV neuropathy, phantom
- the condition is nociceptive pain (including pain from central nervous system trauma, strains/sprains, burns, myocardial infarction and acute pancreatitis, post- operative pain (pain following any type of surgical procedure), posttraumatic pain, renal colic, cancer pain and back pain).
- nociceptive pain including pain from central nervous system trauma, strains/sprains, burns, myocardial infarction and acute pancreatitis, post- operative pain (pain following any type of surgical procedure), posttraumatic pain, renal colic, cancer pain and back pain).
- the condition is pain associated with inflammation (including arthritic pain (such as osteoarthritis and rheumatoid disease pain), ankylosing spondylitis, visceral pain (including inflammatory bowel disease, functional bowel disorder, gastro-esophageal reflux, dyspepsia, irritable bowel syndrome, functional abdominal pain syndrome, Crohn's disease, ileitis, ulcerative colitis, dysmenorrhea!, cystitis, pancreatitis and pelvic pain).
- arthritic pain such as osteoarthritis and rheumatoid disease pain
- ankylosing spondylitis visceral pain
- visceral pain including inflammatory bowel disease, functional bowel disorder, gastro-esophageal reflux, dyspepsia, irritable bowel syndrome, functional abdominal pain syndrome, Crohn's disease, ileitis, ulcerative colitis, dysmenorrhea!, cystitis, pancreatitis and pelvic pain.
- the condition is pain resulting from musculoskeletal disorders (including myalgia, fibromyalgia, spondylitis, sero-negative (non-rheumatoid) arthropathies, non-articular rheumatism, dystrophinopathy, glycogenosis, polymyositis and pyomyositis).
- the condition is selected from the group consisting of heart and vascular pain (including pain caused by angina, myocardical infarction, mitral stenosis, pericarditis, Raynaud's phenomenon, scleredoma and skeletal muscle ischemia).
- the condition is selected from the group consisting of head pain (including migraine such as migraine with aura and migraine without aura), cluster headache, tension-type headache mixed headache and headache associated with vascular disorders; orofacial pain, including dental pain, otic pain, burning mouth syndrome and temporomandibular myofascial pain).
- head pain including migraine such as migraine with aura and migraine without aura
- cluster headache tension-type headache mixed headache and headache associated with vascular disorders
- orofacial pain including dental pain, otic pain, burning mouth syndrome and temporomandibular myofascial pain.
- condition is a urologic condition selected from the group consisting of bladder outlet obstruction; incontinence and benign prostatic hyperplasia.
- the condition is an ophthalmic condition selected from retinal disease; macular degeneration and glaucoma.
- the condition is selected from the group consisting of tubulointerstitial disorders; anal fissure; baldness; cancerous cachexia; cerebral apoplexy; disorders of gut motility; enteromotility disorders; dysmenorrhoea (primary and secondary); glaucoma; macular degeneration; antiplatelet; haemorrhoids; incontinence; irritable bowel syndrome (IBS); tumor metastasis; multiple sclerosis; neoplasia; nitrate intolerance; nutcracker oesophagus; osteoporosis; infertility; premature labor; psoriasis; retinal disease; skin necrosis; and urticaria.
- the condition is osteoporosis.
- the condition is associated with endothelial dysfunction, particularly conditions-selected from-the-group-e ⁇ nsisting-of-atherosclerotic-lesions, myocardial ischaemia, peripheral ischaemia, valvular insufficiency, pulmonary arterial hypertension, angina, vascular complications after vascular bypass, vascular dilation, vascular repermeabilisation, and heart transplantation.
- the methods and compositions of the present invention are suitable for use with, for example, mammalian subjects such as humans, other primates (e.g., monkeys, chimpanzees), companion animals (e.g., dogs, cats, horses), farm animals (e.g., goats, sheep, pigs, cattle), laboratory animals (e.g., mice, rats), and wild and zoo animals (e.g., wolves, bears, deer).
- the subject is a human.
- Selected embodiments of the invention therefore, comprise methods for treating a cGMP- mediated condition via PDE-5 inhibition.
- compounds of Formulae (I) through (I-UU) would be therapeutically useful in methods for treating hypertension by administering to a hypertensive subject a therapeutically-effective amount of a compound of Forumulae (I) through (I-UU).
- Other examples of circulatory-related disorders which can be treated by compounds of the invention include congestive heart failure, renal failure, angina, and glaucoma.
- One or more compounds of the present invention can be used, alone or in combination with other therapeutic agents, in the treatment of various conditions or disease states.
- the compound(s) of the present invention and other therapeutic agent(s) may be may be administered simultaneously (either in the same dosage form or in separate dosage forms) or sequentially.
- one or more compounds of Formulae (I) through (I-UU) may be administered with aspirin.
- one or more compounds of Formulae (I) through (I-UU) may be coadministered with one or more angiotensin converting enzyme (ACE) inhibitors.
- ACE angiotensin converting enzyme
- examples of the one or more ACE inhibitors for use with the one or morecompound of Formulae (I) - (I-UU) include quinapril (such as ACCUPRILTM), perindopril (such as ACEONTM), captopril (such as
- CAPOTENTM CAPOTENTM
- enalapril such as VASOTECTM
- ENALAPR ILATTM ramipril (such as ALTACETM)
- cilazapril delapril
- fosenopril such as MONOPR1LTM
- zofenopril indolapril
- benazepril such as LOT-ENSIN- ⁇ lisinopril ⁇ such-as-PRINIV-IL ⁇ or-ZEST-RILTM-
- spirapril r trandolapril such as
- one or more compounds of Formulae (I) through (I-UU) may be coadministered with one or more alpha blockers such as dozazosin (such as CARDURATM), phenoxybenzamine (such as DIBENZYLINETM), or terazosin (such as HYTRINTM), CDRI-93/478 and CR-2991.
- alpha blockers such as dozazosin (such as CARDURATM), phenoxybenzamine (such as DIBENZYLINETM), or terazosin (such as HYTRINTM), CDRI-93/478 and CR-2991.
- one or more compounds of Formulae (I) through (I-UU) may be co- administered with one or more alpha-beta blockers such as labetalol (such as NORMODYNETM or TRANDATETM).
- alpha-beta blockers such as labetalol (such as NORMODYNETM or TRANDATETM).
- one or more compounds of Formulae (I) through (I-UU) may be coadministered with one or more angiotensin Il receptor blockers such as candesartan (such as ATACANDTM), eprosartan (such as TEVETENTM), irbesartan (such as AVEPROTM), losartan (such as COZAARTM), olmesartan, olmesartan medoxomil (such as BENICARTM), tasosartan, telmisartan (such as MICARDISTM), valsartan (such as DIOVANTM) or zolasartan, FI-6828K, RNH-6270, UR-7198, Way-126227, KRH-594, TAK-536, BRA-657, and TA-606.
- angiotensin Il receptor blockers such as candesartan (such as ATACANDTM), eprosartan (such as TEVETENTM), irbesartan
- one or more compounds of Formulae (I) through (I-UU) may be coadministered with one or more alpha-2-delta ligands such as gabapentin, pregabalin (such as LYRICATM), [(1 R,5R,6S)-6-(aminomethyl)bicyclo[3.2.0]hept-6-yl]acetic acid, 3-(1-aminomethyl- cyclohexylmethyl)-4H-[1 ,2,4]oxadiazol-5-one, C-[1-(1 H-tetrazol-5-ylmethyl)-cycloheptyi]- methylamine, (3S,4S)-(1-aminomethyl-3,4-dimethyl-cyclopentyl)-acetic acid, (1 ⁇ ,3 ⁇ ,5 ⁇ )-(3- amino-methyl-bicyclo[3.2.0]hept-3-yl)-acetic acid, (SS. ⁇ RJ-S-aminomethyl- ⁇ -methyl
- one or more compounds of Formulae (I) through (I-UU) may be co-administered with one or more beta blockers such as timolol (such as BLOCARDENTM), 5 carteolol (such as CARTROLTM), carvedilol (such as COREGTM), nadolol (such as
- CORGARDTM propranolol (such as INNOPRAN XLTM), betaxolol (such as KERLONETM), penbutolol (such as LEVATOLTM), metoprolol (such as LOPRESSORTM or TOPROL-XLTM), atenolol (such as TENORMINTM), or pindolol (such as VISKENTM), and bisoprolol.
- one or more compounds of Formulae (I) through (I-UU) may be co-
- calcium channel blockers such as nifedipine (such as ADALATTM, ADALAT CCTM or PROCARDIATM), verapamil (such as CALANTM, COVERA-HSTM, ISOPTIN SRTM or VERELANTM), diltiazem (such as CARDIZEMTM CARDIZEM CDTM, CARDIZEM LATM, CARDIZEM SRTM, DILACORTM, TIAMATETM or TIAZACTM), isradipine (such as DYNACIRCTM or DYNACIRC CRTM), amlodipine (such as NORVASCTM), felodipine (such as PLENDILTM),
- nifedipine such as ADALATTM, ADALAT CCTM or PROCARDIATM
- verapamil such as CALANTM, COVERA-HSTM, ISOPTIN SRTM or VERELANTM
- diltiazem such as CARDIZEMTM CARDIZEM CDTM, CARD
- nisoldipine such as SULARTM
- bepridil such as VASCORTM
- vatanidipine such as clevidipine
- lercanidipine dilitiazem
- NNC-55-0396 nisoldipine
- one or more compounds Formulae (I) through (I-UU) may be co-
- — _ administered-with one-or-mor-e-central-antiadrenergics-such.as-raethyldopa-(such.as
- clonidine such as CATAPRESTM or CATAPRES-TTSTM
- guanfacine such as
- TENEXTM TENEXTM
- guanabenz such as WYTENSINTM
- one or more compounds of Formulae (I) through (I-UU) may be coadministered with one or more diruretics such as hydroclorothiazide (such as MICROZIDETM or ORETICTM), hydroflumethiazide (such as SALURONTM), bemetanide (such as BUMEXTM), torsemide (such as DEMADEXTM), metolazone (such as ZAROXOLYNTM), chlorothiazide (such as hydroclorothiazide (such as MICROZIDETM or ORETICTM), hydroflumethiazide (such as SALURONTM), bemetanide (such as BUMEXTM), torsemide (such as DEMADEXTM), metolazone (such as ZAROXOLYNTM), chlorothiazide (such
- DIURILTM ESIDRIXTM or HYDRODIURILTM
- triamterene such as DYRENIUMTM
- ethacrynic acid such as EDECRINTM
- chlorthalidone such as HYGROTONTM
- furosemide such as LASIXTM
- indapamide such as LOZOLTM
- amiloride such as MIDAMORTM or MODURETICTM
- one or more compounds of Formulae (I) through (I-UU) may be co-
- glycosides / inotropic agents such as digoxin (such as LANOXINTM).
- one or more compounds of Formulae (I) through (I-UU) may be coadministered with one or more organic nitrates or an NO donors.
- "Nitric oxide donor” or “NO donor” refers to a compound that donates, releases and/or directly or indirectly transfers a
- NO donor also includes compounds that are substrates for nitric oxide synthase. Examples of the one or more NO donors for use with one or more compounds of Formulae (I) through (I-UU) include S-nitrosothiols, nitrites, nitrates, N-oxo-N-nitrosamines, SPM
- one or more compounds of Formulae (I) through (I-UU) may be coadministered with one or more human B-type natriuretic peptides (hBNP) such as nesiritide (such as NATRECORTM).
- hBNP human B-type natriuretic peptides
- nesiritide such as NATRECORTM
- one or more compounds of Formulae (I) through (I-UU) may be coadministered with one or more renin inhibitors such as Aliskiren (SPP 100), SPP-500/600 and YS-004-39.
- renin inhibitors such as Aliskiren (SPP 100), SPP-500/600 and YS-004-39.
- one or more compounds of Formulae (I) through (I-UU) may be co-administered with one or more soluble guanylate cyclase activator ("sGCa").
- sGCa soluble guanylate cyclase activator
- An example of a suitable soluble guanylate cyclase activator is BAY-41 -8543.
- one or more compounds of Formulae (I) through (I-UU) may be coadministered with one or more neutral endopeptidase (NEP) inhibitors, such as, for example
- one or more compounds of Formulae (I) through (I-UU) may be coadministered with one or more aldosterone receptor antagonists such as eplerenone (such as INSPRATM) or spironolactone (such as ALDACTONETM).
- aldosterone receptor antagonists such as eplerenone (such as INSPRATM) or spironolactone (such as ALDACTONETM).
- one or more compounds of Formulae (I) through (I-UU) may be co- administered with one or more bradykinin agonists.
- one or more compounds of Formulae (I) through (I-UU) may be coadministered with one or more endothelian antagonists.
- suitable endothelin antagonists include ambrisentan, darusentan, J-104132, SPP-301 , TBC-3711 , YM-62899, YM- 91746, and BMS-193884.
- one or more compounds of Formulae (I) through (I-UU) may be coadministered with niacin or one or more nicotinic acid derivatives, such as NIACORTM, NIASPANTM, NICOLARTM, or SLO-NIACINTM.
- one or more compounds of Formulae (I) through (I-UU) may be coadministered with one or more fibric acid derivatives, such as clofibrate (such as ATROMID-STM), gemfibrozil (such as LOPIDTM), or fenofibrate (such as TRICORTM).
- fibric acid derivatives such as clofibrate (such as ATROMID-STM), gemfibrozil (such as LOPIDTM), or fenofibrate (such as TRICORTM).
- one or more compounds of Formulae (I) through (I-UU) may be co- administered with one or more cholesteryl ester transport protein inhibitors (CETPi), such as torcetrapib.
- CETPi cholesteryl ester transport protein inhibitors
- one or more compounds of Formulae (I) through (I-UU) may be coadministered with one or more bile acid sequestants, such as colestipol (such as COLESTIDTM), cholestyramine (such as LOCHOLESTTM, PREVALITETM, QUESTRANTM, or QUESTRAN LIGHTTM), colesevelam (such as WELCHOLTM).
- colestipol such as COLESTIDTM
- cholestyramine such as LOCHOLESTTM, PREVALITETM, QUESTRANTM, or QUESTRAN LIGHTTM
- colesevelam such as WELCHOLTM
- one or more compounds of Formulae (I) through (I-UU) may be coadministered with an apical sodium-dependent bile acid cotransporter inhibitors, such as SD- 5613, AZD7806 or 264W94.
- an apical sodium-dependent bile acid cotransporter inhibitors such as SD- 5613, AZD7806 or 264W94.
- one or more compounds of Formulae (I) through (I-UU) may be co- administered with one or more cholesterol absorbtion inhibitors, such as ezetimibe (such as ZETIATM).
- one or more cholesterol absorbtion inhibitors such as ezetimibe (such as ZETIATM).
- one or more compounds of Formulae (I) through (I-UU) may be co- adminLs ⁇ emdj/yj.tb_one_or.r ⁇ reductase inhibitors (statins) such as fluvastatin (such as LESCOLTM), atorvastatin (such as LIPITORTM), lovastatin (such as ALTOCORTM or MEVACORTM), pravastatin (such as PRAVACHOLTM), rosuvastatin (such as CRESTORTM), or simvastatin (such as ZOCORTM).
- statins such as fluvastatin (such as LESCOLTM), atorvastatin (such as LIPITORTM), lovastatin (such as ALTOCORTM or MEVACORTM), pravastatin (such as PRAVACHOLTM), rosuvastatin (such as CRESTORTM), or simvastatin (such as ZOCORTM).
- one or more compounds of Formulae (I) through (I-UU) may be coadministered with one or more alpha glucosidase inhibitors, such as miglitol (such as GLYSETTM), or acarbose (such as PRECOSETM).
- one or more compounds of Formulae (I) through (I-UU) may be coadministered with one or more biguanides, such as roseiglitazone (such as AVANDAMETTM), or metformin (such as GLUCOPHAGETM or GLUCOPHAGE XRTM).
- one or more compounds of Formulae (I) through (I-UU) may be coadministered with one or more insulins, such as HUMALOGTM, HUMALOG 50/50TM, HUMALOG 75/25TM, HUMULIN 50/50TM, HUMALIN 75/25TM, HUMALIN LTM, HUMALIN NTM, HUMALIN RTM, HUMALIN R U-500TM, HUMALIN UTM, ILETIN Il LENTETM, ILETIN Il NPHTM, ILETIN Il REGULARTM, LANTUSTM, NOVOLIN 70/30TM, NOVILIN NTM, NOVILIN RTM, NOVOLOGTM, or VELOSULIN BRTM, and EXUBERATM.
- insulins such as HUMALOGTM, HUMALOG 50/50TM, HUMALOG 75/25TM, HUMULIN 50/50TM, HUMALIN 75/25TM, HUMALIN LTM, HUMALIN NTM, HUMALIN R
- one or more compounds of Formulae (I) through (I-UU) may be co- administered with one or more meglitnides, such as repaglinide (such as PRANDINTM) or nateglinide (such as STARLIXTM).
- meglitnides such as repaglinide (such as PRANDINTM) or nateglinide (such as STARLIXTM).
- one or more compounds of Formulae (I) through (I-UU) may be coadministered with one or more sulfonylureas, such as glimepiride (such as AMARYLTM), glyburide (such as DIABETATM, GLYNASE PRESTABTM or MICRONASETM), or glipizide (such as GLUCOTROLTM, or GLUCOTROL XLTM).
- one or more compounds of Formulae (I) through (I-UU) may be coadministered with one or more thiazolidinediones, such as pioglitazone (such as ACTOSTM) or rosiglitazone (such as AVANDIATM).
- a compound described in this specification is administered in an amount effective to inhibit PDE-5.
- the compounds of the present invention are administered by any suitable route in the form of a pharmaceutical composition adapted to such a route, and in a dose effective for the treatment intended.
- the dosage regimen for the compounds and/or compositions containing the compounds is based on a variety of factors, including the type, age, weight, sex and medical condition of the patient; the severity of the condition; the route of administration; and the activity of the particular
- the dosage regimen may vary widely. Dosage levels of the order from about 0.01 mg to about 100 mg per kilogram of body weight per day are useful in the treatment of the above-indicated conditions.
- the total daily dose of a __ compound of Formulae40Jhriiu ⁇ h4LUil)4admMsterMJn_sin5leOLdividejcl doses is typically from about 0. 01 to about 100 mg/kg. In another embodiment, total daily dose of the compound
- 20 of Formulae (I) through (IX) is from about 0.1 to about 50 mg/kg, and in another embodiment, from about 0.5 to about 30 mg/kg (i.e., mg compound of Formulae (I) through (I-UU) per kg body weight).
- dosing is from 0.01 to 10 mg/kg/day. In another embodiment, dosing is from 0.1 to 1.0 mg/kg/day.
- Dosage unit compositions may contain such amounts or submultiples thereof to make up the daily dose. In many instances, the administration of the
- 25 compound will be repeated a plurality of times in a day (typically no greater than 4 times). Multiple doses per day typically may be used to increase the total daily dose, if desired.
- compositions may be provided in the form of tablets containing 0.01 , 0.05, 0.1 , 0.5, 1.0, 2.5, 5.0, 10.0, 15.0, 25.0, 50.0, 75.0, 100, 125, 150, 175, 200, 250 and 500 milligrams of the active ingredient for the symptomatic adjustment of the dosage to the
- a medicament typically contains from about 0.01 mg to about 500 mg of the active ingredient, or in another embodiment, from about 1mg to about 100 mg of active ingredient.
- doses may range from about 0.1 to about 10 mg/kg/minute during a constant rate infusion.
- the present invention comprises methods for the preparation of a pharmaceutical composition (or "medicament) comprising the compounds of Formulae (I) through (I-UU) in combination with one or more pharmaceutically-acceptable carriers and/or other active ingredients for use in treating a cGMP-mediated condition.
- the invention comprises the use of one or more compounds of Formulae (I) through (I-UU) in the preparation of a medicament for the treatment of hypertension.
- the invention comprises the use of one or more compounds of Formulae (I) through (I-UU) in the preparation of a medicament for the treatment of angina. In another embodiment, the invention comprises the use of one or more compounds of
- the invention comprises the use of one or more compounds of Formulae (I) through (I-UU) in the preparation of a medicament for the treatment of thrombosis. In another embodiment, the invention comprises the use of one or more compounds of
- compositions for the treatment of the conditions referred to above, the compounds of Formulae (I) through
- (I-UU) can be administered as compound per se.
- pharmaceutically acceptable salts are suitable for medical applications because of their greater aqueous solubility relative to the ⁇ parenLcompound.
- the present invention comprises pharmaceutical compositions.
- Such pharmaceutical compositions comprise compounds of Formulae (I) through (I-UU) presented with a pharmaceutically-acceptable carrier.
- the carrier can be a solid, a liquid, or both, and may be formulated with the compound as a unit-dose composition, for example, a tablet, which can contain from 0.05% to 95% by weight of the active compounds.
- Compounds of Formulae (I) through (I-UU) may be coupled with suitable polymers as targetable drug carriers. Other pharmacologically active substances can also be present.
- the active compounds of the present invention may be administered by any suitable route, preferably in the form of a pharmaceutical composition adapted to such a route, and in a dose effective for the treatment intended.
- the active compounds and compositions may be administered orally, rectally, parenterally, or topically.
- Oral administration of a solid dose form may be, for example, presented in discrete units, such as hard or soft capsules, pills, cachets, lozenges, or tablets, each containing a predetermined amount of at least one compound of the present invention.
- the oral administration may be in a powder or granule form.
- the oral dose form is sub-lingual, such as, for example, a lozenge.
- the compounds of Formulae (I) through (I-UU) are ordinarily combined with one or more adjuvants.
- the dosage forms also may comprise buffering agentsor may be prepared with enteric coatings.
- oral administration may be in a liquid dose form.
- Liquid dosage forms for oral administration include, for example, pharmaceutically acceptable emulsions, solutions, suspensions, syrups, and elixirs containing inert diluents commonly used in the art (e.g., water).
- Such compositions also may comprise adjuvants, such as wetting, emulsifying, suspending, flavoring (e.g., sweetening), and/or perfuming agents.
- the present invention comprises a parenteral dose form.
- Parenteral administration includes, for example, subcutaneous injections, intravenous injections, intraperitoneal ⁇ , intramuscular injections, intrastemal injections, and infusion.
- injectable preparations e.g., sterile injectable aqueous or oleaginous suspensions
- suitable dispersing, wetting agents, and/or suspending agents may be formulated according to the known art using suitable dispersing, wetting agents, and/or suspending agents.
- Topical administration includes, for example, transdermal administration, such as via transdermal patches or iontophoresis devices, intraocular administration, or intranasal or inhalation administration.
- Compositions for topical administration also include, for example, topical gels, sprays, ointments, and creams.
- a topical formulation may include a compound which enhances absorption or penetration of the active ingredient through the skin or other affected areas.
- Formulations suitable for topical administration to the eye include, for example, eye drops wherein the compound of this invention is dissolved or suspended in suitable carrier.
- the active compounds of the invention are conveniently delivered in the form of a solution or suspension from a pump spray container that is squeezed or pumped by the patient or as an aerosol spray presentation from a pressurized container or a nebulizer, with the use of a suitable propellant.
- the present invention comprises a rectal dose form.
- rectal dose form may be in the form of, for example, a suppository.
- compositions of the invention may be prepared by any of the well-known techniques of pharmacy, such as effective formulation and administration procedures.
- effective formulations and administration procedures are well known in the art and are described in standard textbooks. Formulation of drugs is discussed in, for example, Hoover, John E., Remington's Pharmaceutical Sciences. Mack Publishing Co., Easton, Pennsylvania, 1975; Liberman, et al., Eds., Pharmaceutical Dosage Forms, Marcel
- kits that are suitable for use in performing the methods of treatment or prevention described above.
- the kit contains a first dosage form comprising one or more of the compounds of the present invention and a container for the dosage, in quantities sufficient to carry out the methods of the present invention.
- the kit of the present invention comprises one or more compounds of Formulae (I) through (I-UU) and an ACE inhibitor.
- the kit of the present invention comprises one or more compounds of Formulae (I) through (I-UU) and an angiotensin Il receptor antagonist.
- the kit of the present invention comprises one or more compounds of Formulae (I) through (I-UU) and an aldosterone receptor antagonist. In another embodiment, the kit of the present invention comprises one or more compounds of Formulae (I) through (I-UU) and a NO donor.
- the compounds of the present invention may be prepared using the methods illustrated in the general synthetic schemes and experimental procedures detailed below.
- the general synthetic schemes are presented for purposes of illustration and are not intended to be limiting.
- Scheme 1 outlines a general procedure for the preparation of 7-aryl, 1 , 3-disubstituted pyrido[3,4-b]pyrazin-2(1 H)-one of formula I.
- the starting material is the commercially available 6- chloropyridin-3-amine II.
- 6-chloropyridin-3-amine Il is converted to tert-butyl 6-chloropyridin-3- ylcarbamate III by treatment with reagents such as di-tert-butyl dicarbonate, (2E)- ⁇ [(tert- butoxycarbonyl)oxy]imino ⁇ (phenyl)acetonitrile and tert-butyl phenyl carbonate.
- This reaction is carried out in solvents such as dioxane, tetrahydrofuran, water, ethyl acetate or dichloromethane, in the presence or absence of inorganic bases such as potassium carbonate or sodium bicarbonate or organic bases such as triethylamine, 4-methylmorpholine, pyridine or N 1 N- diisopropylethylamine at temperatures ranging from room temperature to 110 ° C.
- tert-butyl 6- chloropyridin-3-ylcarbamate III is converted to tert-butyl 6-chioro-4-fluoropyridin-3-ylcarbamate IV by metallation followed by quenching with an electrophilic fluorine source.
- Lithation could be achieved be treating tert-butyl 6-chloropyridin-3-ylcarbamate III with an organolithium such as n- butyl lithium or t-butyl lithium in the presence or absence of additives such as N,N,N',N'- tetramethylethylenediamine in solvents such as diethyl ether or tetrahydrofuran at temperatures ranging from -80 ° C to 0 ° C.
- Suitable electrophilic fluorine sources include N- flurobenzenesulfonimide.
- Amines of the formula V could be converted to diamines of the formula Vl by removing the carbamate protecting group under standard conditions, as described in Green, T., Wuts, P. Protecting Groups in Organic Synthesis, John Wiley & Sons, INC, Second edition, 1991 , pp 309-405.
- the diamines of formula Vl could be converted to the diones of formula VII using various reaction procedures. In one procedure, this conversion is achieved by refluxing an aqueous solution of Vl in the presence of oxalic acid and a catalytic amount of a mineral acid such as HCI.
- this conversion to structures of formula VII could be achieved by addition of either methyl chlorooxoacetate or oxalyl chloride to a solution of Vl in the presence of an organic base such as triethylamine, 4-methylmorpholine, or ⁇ /, ⁇ /-diisopropylethylamine, at O 0 C, followed by warming to either room temp or the reflux temperature of the solvent.
- organic base such as triethylamine, 4-methylmorpholine, or ⁇ /, ⁇ /-diisopropylethylamine, at O 0 C, followed by warming to either room temp or the reflux temperature of the solvent.
- Suitable solvents include toluene, dichloromethane, dicholroethane, dioxane, or tetrahydrofuran.
- the chloroimidate of formula VIII could be prepared by a number of methods.
- a dione of formula VII could be heated to reflux in the presence of phosphorous oxychloride and a phase transfer catalyst such as tetraethylammonium chloride.
- Suitable solvents for this reaction include propionitrile or acetonitrile.
- the formation of chloroimidate VII is achieved by dissolving VII in a suitable solvent such as dichloromethane, tetrahydrofuran, or dioxane and treating it with oxalyl chloride in the presence of a catalytic amount of dimethylformamide between 0 0 C and rt.
- the 6-aminopyrazinones of formula IX could be prepared by the addition of various primary and secondary amines to chloroimidate VIII in the presence of an organic base such as triethylamine, 4-methylmorpholine, or ⁇ /, ⁇ /-diisopropylethylamine at temperatures ranging from 0 0 C to rt.
- organic base such as triethylamine, 4-methylmorpholine, or ⁇ /, ⁇ /-diisopropylethylamine at temperatures ranging from 0 0 C to rt.
- Suitable solvents include dichloromethane, tetrahydrofuran, and dioxane.
- Formation of the desired pteridinone of formula I could be prepared through a standard palladium catalyzed Suzuki coupling between chloride IX and suitable boronic acids, as described in Miyaura, N., Suzuki, A; Chem Rev. 1995, 95, 2457- 2483.
- Scheme 2 outlines an alternate conversion of tert-butyl 6-chloropyridin-3-ylcarbamate III to amines of formula V.
- tert-butyl ⁇ -chloropyridin-S-ylcarbamate III is converted to tert-butyl 6- chloro-4-iodopyridin-3-ylcarbamate X by metallation followed by quenching with an electrophilic iodine source.
- Lithation could be achieved be treating tert-butyl 6-chloropyridin-3-ylcarbamate III with an organolithium such as n-butyl lithium or t-butyl lithium in the presence or absence of additives such as ⁇ /, ⁇ /, ⁇ /', ⁇ /'-tetramethylethylenediamine in solvents such as diethyl ether or tetrahydrofuran at temperatures ranging from -80 ° C to 0 ° C.
- Suitable electrophilic iodine sources include molecular iodine and 1-iodopyrrolidine-2,5-dione.
- a solution of iodide, X, in a suitable solvent such as tetrahydrofuran, dioxane, toluene, benzene, N 1 N dimethylformamide, isopropanol, ethanol or propionitrile is stirred at temperatures ranging from room temperature to reflux in the presence of the desired amine, a base such as sodium carbonate, cesium carbonate, potassium phosphate, or sodium terf-butoxide and a palladium with ligand and/or a copper source.
- a suitable solvent such as tetrahydrofuran, dioxane, toluene, benzene, N 1 N dimethylformamide, isopropanol, ethanol or propionitrile
- Suitable sources of palladium include palladium(ll) acetate, tetrakis(triphenylphosphine)palladium, dichloro[1 ,1'- bis(diphenylphosphino)ferrocene]palladium (II) dichloromethane adduct and tris(dibenzylideneacetone)dipalladium(0).
- Suitable ligands include triphenylphosphine, tri-2- furylphosphine, 4,5-bis(diphenylphosphine)-9-9-dimethylxathene, tricyclohexylphospine, tert- butylphospine and 2,2'-bis(diphenylphosphino)-1 ,1'-binapthyl.
- Suitable sources of copper include copper(ll) acetate, copper(l) iodide and copper(l) chloride.
- Scheme 3 outlines a one-pot procedure for the conversion of diaminopyridine of formula Vl to amino substituted pyrazinone of formula IX.
- the pyridine Vl is dissolved in a solvent such as dichloromethane, tetrahydrofuran, or dioxane and cooled to 0 0 C.
- the mixture is treated with oxalyl chloride and allowed to slowly warm to room temperature.
- the reaction is typically mixed for 4-24 hours.
- reaction mixture is then recooled to 0 0 C, treated with an organic base such as triethylamine, 4-methylmorpholine, or ⁇ /, ⁇ /-diisopropylethylamine, followed by addition of the requisite primary or secondary amine leading to isolation of the desired amine of formula IX.
- organic base such as triethylamine, 4-methylmorpholine, or ⁇ /, ⁇ /-diisopropylethylamine
- the preparation of substituted amine analogs in the C(6) position similar to compounds of formula XIII or XIV are shown in Scheme 5.
- the starting amines Xl can be prepared by utilizing mono-protected diamines in the final step of Scheme 1.
- the protecting groups used are typically carbamates which are removed using standard conditions to afford free amines of formula XII.
- Derivatives of formula XIII can be prepared by adding the desired aldehyde to a solution of XII in the presence of a catalytic amount of acids such as hydrochloric or acetic acid.
- a reducing agent such as sodium borohydride, sodium cyanoborohydride, or sodium triacetoxyborohydride is then added to the mixture leading to amines of formula XIII.
- Suitable solvents include tetrahydrofuran, dioxane, or dichloromethane.
- Amide derivatives of formula XIV could be prepared by treatment of the amine XII with activated esters such a acid chlorides, or acid derivatives prepared from acids utilizing peptide .
- Suitable solvents include dichloromethane, tetrahydrofuran, or dioxane.
- Step 1 Preparation of tert-butyl ⁇ -chloropyridin-S-ylcarbamate.
- TMEDA 39 ml_, 260.0 mmol
- diethyl ether 700 mL
- a 1.6M n-butyl lithium solution in hexane (193 mL, 308.8 mmol)
- the reaction was stirred at -60 0 C for an additional 10 minutes after the addition was complete then warmed to -1O°C and stirred at -25° to -10 0 C for 2.0 hours.
- Step 4 Preparation of 6-chloro-N 4 -(2-propoxvethvBpvridine-3.4-diamine.
- Step 7 Preparation of 7-(6-methoxypyridin-3-yl)-3-f(2-morpholin-4-ylethyl)aminol-1-(2- 15 propoxyethyl)pyridor3,4-blpyrazin-2(1 H)-one.
- step 7 in example 1 was performed using the following modified procedure.
- a solution of 3-(2-(4-ethylpiperazin-1-yl)-2-oxoethylamino)-7-chloro-1-(2- propoxyethyl)pyrido[3,4-b]pyrazin-2(1 H)-one (306 mg, 0.70 mmol) in 1 ,4-dioxane (5.0 ml_) was treated with dichloro[1 ,1'-bis(diphenylphosphino)ferrocene]palladium (II) dichloromethane adduct (54 mg, 0.066 mmol), 6-methoxypyridin-3-yl-3-boronic acid (250 mg, 1.6 mmol) and 2.5 ml_ of water containing Na 2 CO 3 (264 mg, 2.5 mmol).
- the IC 50 of test compounds can be measured using an in vitro assay using PDE5 enzyme isolated from human platelets.
- the IC 50 is the concentration of test compound required to inhibit the hydrolysis of cGMP to GMP by the PDE5 enzyme by 50% relative to the activity of uninhibited controls.
- the PDE5 enzyme for use in the assay can be obtained from human platelets by appropriate modification of the method of Thompson, WJ etal.; Biochemistry 18(23), 5228-5237, 1979, as described by Ballard SA et al.; J. Urology 159(6), 2164-2171 , 1998.
- the PDE5 enzyme so obtained can be used to catalyze the hydrolysis of [ 3 H]cGMP (Amersham Biosciences) to 5' nucleotide [ 3 H]GMP.
- the [ 3 H]GMP binds to yttrium silicate SPA beads (Amersham Biosciences) and is detected by scintillation counting. More specifically, the effect of the test compound at different concentrations can be evaluated in the assay by contacting the compound with a fixed amount of PDE5 enzyme in the presence of substrate (cGMP or cAMP in a 3:1 ratio unlabelled to [ 3 H]-Iabeled). Scintillation counting can be used as described above to determine relative PDE5 enzyme activity. The inhibition of PDE5 enzyme activity is then calculated relative to total PDE5 enzyme activity of uninhibited controls.
- Buffer A 20 mM Tris-HCI, 5 mM MgCI 2 , pH 7.4
- Buffer B 2 mg/ml BSA in Buffer A (enzyme buffer)
- cGMP substrate Final concentration of 500 nM in assay The amount of 3 H-labeled substrate added depends upon the specific activity of [ 3 H]cGMP, and the cGMP substrate is diluted with a 10 mM stock of cold cGMP in Buffer A for a final substrate concentration of 500 nM in the assay.
- PDE enzyme Prepared in Buffer B. The dilution factor is determined by enzyme activity.
- SPA beads 20 mg/ml suspension prepared in dH2O.
- Stocks of standard and test compounds are prepared at 5 mM in 100% DMSO.
- the compound is serially diluted in a dilution plate using a 10-point 1 /a log dilution format.
- 2 ⁇ l of the compound dilution is added in duplicate to the wells of the assay plate.
- 2 ⁇ l of 100% DMSO are added to designated control wells.
- 25 ⁇ l of Buffer A are added to all wells.
- 25 ⁇ l of Buffer B are added to the negative control wells.
- 25 ⁇ l of enzyme are added to the remaining wells.
- 50 ⁇ l of substrate are added to each well. Plates are sealed and incubated for 60 minutes on a plate shaker at 30 C. 50 ⁇ I of SPA beads are added to stop the reaction.
- Inhibition (%) [(mean maximum - compound value/ (mean maximum - mean minimum)] x 100.
- the IC 50 value is determined from sigmoid dose-response curves of enzyme activity versus compound concentration.
- Method 2 Alternative Human Platelet PDE5 Enzyme Inhibition Scintillation Proximity Assay The IC 50 of test compounds also can be measured in an alternative in vitro assay that varies from Method 1 as described below:
- Buffer A 20 mM Tris-HCI, 5 mM MgCI 2 , pH 7.4
- Buffer B 2 mg/ml BSA in Buffer A (enzyme buffer)
- cGMP substrate Final concentration of 50 n M in assay
- the amount of 3 H-labeled substrate added depends upon the specific activity of [ 3 H]CGMP, and it is diluted in Buffer A.
- PDE enzyme Prepared in Buffer B. The dilution factor is determined by enzyme activity.
- SPA beads 4 mg/ml suspension prepared in dH 2 O.
- Stocks of standard and test compound are prepared at 2 mM in 100% DMSO.
- the test compound is serially diluted in a dilution plate using an 8-point 1/5 log dilution format such that the starting concentration in the assay is 2 ⁇ M for an initial IC 50 screen.
- 27 ⁇ l of Buffer A are added to the wells of the assay plates.
- 3 ⁇ l of diluted compound is delivered in duplicate or 3 ⁇ l of 100 % DMSO (for positive and negative controls) are added.
- 30 ⁇ l of enzyme are added.
- Buffer B is substituted in place of the enzyme.
- 30 ⁇ l of labeled substrate are added to all wells.
- the reaction is stopped with the addition of 30 ⁇ l of the yttrium silicate beads. These beads are dense and require constant agitation while being added to the plate. The plates are sealed and shaken on a plate shaker for fifteen minutes to allow the beads to bind the GMP product.
- IC 50 values are shown in Table C for compounds tested in accordance with Method 2 above.
- the effect of the test compound on systemic arterial blood pressure can be evaluated in a conscious pre-cannulated spontaneously hypertensive rat ("SHR") model.
- This assay is conducted using an automated blood sampler ("ABS") system.
- the CulexTM ABS system Bioanalytical System, Inc., West Lafayette, IN
- the CulexTM ABS system comprises a laptop computer, four control units and metabolic cages.
- This ABS system allows for the collection of multiple blood samples from a single rat without causing undue stress to the animal.
- the ABS system allows for the collection of urine samples that can be potentially used for biomarker identifications.
- connections are made between the right jugular catheter and the CulexTM sterile tubing set for blood sampling, and the left jugular catheter for compound administration, and the catheter in the right carotid artery is connected to a pressure transducer for monitoring blood pressure.
- the right jugular cannula is maintained by the "tend" function of the CulexTM that flushes the catheter with 20 ⁇ l_ heparin saline (10 units/mL) every 12 minutes or between sampling events, and the left jugular cannula is filled with heparin saline (20 units/ml_).
- the patency of the right carotid cannula is maintained by slow infusion of heparin saline either directly into the extend tubing when blood pressure is not recorded or through the pressure transducer during the blood pressure monitoring. Animals are allowed to acclimate for at least two hours before compound evaluation.
- the test compound may be administered intravenously or by oral gavage. Blood sampling protocols (sampling time and volume) are programmed using the
- CulexTM software The total amount of blood withdrawn from each animal will not exceed 750 ⁇ L/24 hrs and 10 ml_/kg within two weeks.
- Heart rate, blood pressure, and drug concentration are monitored.
- Systemic arterial blood pressure and heart rate are recorded by PONEMAH (Gould Instrument System, Valley View, OH), a pressure transducer through a data acquisition system for recording blood pressure and heart rate, for 6 to 24 hours based on experimental protocol.
- Mean arterial blood pressure (primary endpoint) is analyzed for assessing the efficacy of the compound.
- Blood samples are analyzed for measuring plasma drug concentration, using the LC/MS/MS method described below, and for evaluating potential biomarkers.
- Plasma samples 50 ⁇ l_ unknown, control or blank
- 10 ⁇ l_ acetonitrile:water or a standard solution of the test compound 150 ⁇ L of internal standard solution (100 ng/mL of the test compound in acetonitrile).
- the mixture is centrifuged at 3000 rpm for 5 min, and 125 ⁇ L of the supernatant transferred to a 96 well plate.
- the solvent is evaporated under a stream of nitrogen and the residue is reconstituted with 80 ⁇ L acetonitrile/0.1% aqueous formic acid (20:80 v/v).
- a 20 ⁇ L volume of each prepared sample is injected onto a Phenomenex Synergi 4 ⁇ m MAX-RP 2.0 x 75 mm column and eluted at 0.4 mL/min using gradient elution from 0.1% aqueous formic acid (mobile phase A) to acetonitrile (mobile phase B).
- the gradient program consists of initial application of 90% mobile phase A, followed by a linear gradient to 75% mobile phase B from 0.2 to 1.15 min after injection and held at 75% mobile phase B until 2.0 min. The mobile phase was linearly changed back to 90% mobile phase A from 2.00 to 2.10 minutes, and the next injection took place at 3.00 min.
- Detection was performed by mass spectrometry using positive ion electrospray (ESI) with multiple reaction monitoring of the transitions m/z 454.00 (MH+ the Carboxypiperidine Compound) ⁇ m/z 408.00, m/z 466.24 (MH+ the Carboxypiperidine Compound) ⁇ 409.33 .
- the ion spray voltagea is set at 5000.
- a calibration curve is constructed by using peak area ratios of the analyte relative to the internal standard. Subject concentrations are determined by inverse prediction from their peak area ratios against the calibration curve.
- Method 6 Implantation of Radio Transmitters and Subsequent Blood Pressure Screening by Telemetry in Spontaneously Hypertensive Rats
- Rats are anesthetized with isoflurane gas via an isoflurane anesthesia machine that is calibrated to deliver isoflurane over a range of percentages as oxygen passes through the machine's inner chambers.
- the animals are placed in an induction chamber and administered isoflurane at 4-5% to reach a surgical plane of anesthesia. They are then maintained at 1-2% during the surgical procedure via a nose cone, with isoflurane delivered via a smaller isoflurane anesthesia device on the surgical table.
- the rats are implanted with transmitters using aseptic procedures with commercially available sterile radio-telemetry units (Data Sciences, International, Roseville, MN 55113-1136).
- data Sciences International, Roseville, MN 55113-1136
- the surgical field is shaved, scrubbed with DialTM brand antimicrobial solution (containing 4% chlorhexidine gluconate and 4% isopropyl alcohol) followed by an application of iodine (10%) spray solution.
- DialTM brand antimicrobial solution containing 4% chlorhexidine gluconate and 4% isopropyl alcohol
- iodine (10%) spray solution iodine (10%) spray solution.
- a 2.5 to 3.0 cm laparotomy is preformed and the radio-telemetry units implanted into the abdomen, with the catheter tip inserted into the abdominal aorta. Baby Weitlaner retractors are used to retain soft tissue.
- a 1 cm section of the abdominal aorta is partially dissected and that section cross-clamped briefly, punctured with a 21 -gauge needle and the transmitter catheter tip introduced into the vessel and secured by a single 4.0 silk suture anchored to the adjacent psoas muscle.
- the transmitter body is then inserted into the abdominal cavity and simultaneously secured to the abdominal muscle wall while closing with running 4.0 silk suture.
- the skin layer is closed with subdermal continuous 4.0 absorbable suture.
- a subcutaneous (s.c.) administration of marcaine followed by a topical application of iodine is administered into and around the suture line, respectively, upon closing. All rats receive a postoperative injection of buprenorphine @ 0.05mg/kg, s.c. before regaining consciousness.
- a typical dose volume for a 0.300kg rat will be 0.050ml.
- the rats must be fully recovered from their operative anesthesia before the administration of buprenorphine. They then receive the same dose once daily for 2 consecutive days, unless the animal demonstrates that it is in compromising postoperative pain.
- test compounds are administered intragastrically (i.g.) via gavage, using of a stainless steel, 2 1 /2 inch, 18 gauge gavage needle with a balled end.
- the target volume is 3.33 ml/kg, i.g.
- the dose volume for the test compound is approximately 1 ml/ rat.
- Blood pressure data will be obtained using Data Sciences International's data acquisition program (Version 3.0). Blood pressure samples are recorded at 1.5-3 minute intervals for a 5 second duration 24 hours per day for the entire study. This data is processed by Data Science's data analysis software into averages of a desired time inervals. All other data reduction is performed in Microsoft ExcelTM spreadsheets.
Landscapes
- Chemical & Material Sciences (AREA)
- Organic Chemistry (AREA)
- Health & Medical Sciences (AREA)
- Medicinal Chemistry (AREA)
- Engineering & Computer Science (AREA)
- Cardiology (AREA)
- Chemical Kinetics & Catalysis (AREA)
- General Chemical & Material Sciences (AREA)
- Bioinformatics & Cheminformatics (AREA)
- Nuclear Medicine, Radiotherapy & Molecular Imaging (AREA)
- Heart & Thoracic Surgery (AREA)
- Pharmacology & Pharmacy (AREA)
- Life Sciences & Earth Sciences (AREA)
- Animal Behavior & Ethology (AREA)
- General Health & Medical Sciences (AREA)
- Public Health (AREA)
- Veterinary Medicine (AREA)
- Pharmaceuticals Containing Other Organic And Inorganic Compounds (AREA)
- Nitrogen Condensed Heterocyclic Rings (AREA)
Abstract
Compounds, tautomers of the compounds, and pharmaceutically acceptable salts of the compounds or tautomers are disclosed, wherein the compounds have the structure of Formula I: wherein R2, X6, Y6, R6, and R8 are as defined in the specification. Corresponding pharmaceutical compositions, methods of treatment, synthetic methods, and intermediates are also disclosed.
Description
PYRIDINE [3,4-b] PYRAZINONES
Cross Reference to Related Applications
This application claims priority from U. S. Provisional Application Serial Number 60/684,139 filed May 24, 2005, the disclosure of which is incorporated herein by reference in its entirety.
FIELD OF THE INVENTION
The present invention comprises a class Pyridine [3,4-b] Pyrazinone compounds having the structure of Formula I and pharmaceutical compositions comprising a compound of Formula I. The present invention also comprises methods of treating a subject by administering a therapeutically effective amount of a compound of Formula I to the subject. In general, these compounds inhibit, in whole or in part, the enzyme: cyclic guanylate monophosphate-specific phosphodiesterase type 5 (PDE-5).
BACKGROUND OF THE INVENTION
The prevalence of hypertension in developed countries is about 20% of the adult population, rising to about 60-70% of those aged 60 or more. Hypertension is associated with an increased risk of stroke, myocardial infarction, atrial fibrillation, heart failure, peripheral vascular disease and renal impairment. Despite the large number of anti-hypertensive drugs available in various pharmacological categories, additional agents useful for the treatment of hypertension are stili needed.
Vascular endothelial cells secrete nitric oxide (NO). This acts on vascular smooth muscle cells and leads to the activation of guanylate cyclase and the accumulation of cyclic guanosine monophosphate (cGMP). The accumulation of cGMP causes the muscles to relax and the blood vessels to dilate, leading to a reduction in blood pressure. The cGMP is inactivated by hydrolysis to guanosine 5'-monophosphate (GMP) by a cGMP-specific phosphodiesterase. One important cGMP-phosphodiesterase has been identified as Phosphodiesterase type 5 (PDE5). Inhibitors of PDE5 decrease the rate of hydrolysis of cGMP and so potentiate the actions of nitric oxide. Improved drug therapies for the treatment of subjects suffering from or susceptible to a cardiovascular condition are desirable. In particular, there still is a need for a new class of PDE- 5 inhibitors for treating cGMP-mediated conditions and corresponding drug therapies.
SUMMARY OF THE INVENTION In one embodiment, the invention comprises compounds having the structure of Formula I:
wherein R2, X6, Y6, R6, and R8 are as defined in the detailed description of the invention.
In another embodiment, the invention comprises a pharmaceutical composition comprising a compound having the structure of Formula I. In another embodiment, the invention comprises methods of treating a condition in a subject by administering a therapeutically effective amount of a compound having the Formula I to the subject. The conditions that can be treated in accordance with the present invention include cardiovascular diseases, metabolic diseases, central nervous system diseases, pulmonary diseases, sexual dysfunction, and renal dysfunction. In another embodiment, the invention comprises a method for inhibiting PDE-5, and particularly methods for treating a condition (typically a pathological condition) mediated by PDE- 5 activity by administering a compound having a structure of Formula I to the subject.
In another embodiment, the invention comprises intermediates useful in the synthesis of compounds having the structure of Formula I.
DETAILED DESCRIPTION OF THE INVENTION
This detailed description of embodiments is intended only to acquaint others skilled in the art with Applicants' inventions, its principles, and its practical application so that others skilled in the art may adapt and apply the inventions in their numerous forms, as they may be best suited to the requirements of a particular use. These inventions, therefore, are not limited to the embodiments described in this specification, and may be variously modified.
A. Abbreviations and Definitions
As used in reference to 1H NMR, the symbol "δ"refers to a 1H NMR chemical shift. As used in reference to 1H NMR, the abbreviation "br" refers to a broad 1H NMR signal.
As used in reference to 1H NMR, the abbreviation "d" refers to a doublet 1H NMR peak.
As used in reference to 1H NMR, the abbreviation "dd" refers to a doublet of doublets 1H NMR peak.
The abbreviation "HRMS" refers to High Resolution Mass Spectrocopy (electrospray ionisation positive scan).
The abbreviation "m/z" refers to a Mass spectrum peak.
As used in reference to 1H NMR, the abbreviation "m" refers to a multiplet 1H NMR peak.
As used in reference to 1H NMR, the abbreviation "q" refers to a quartet 1H NMR peak.
As used in reference to 1H NMR, the abbreviation "s" refers to a singlet 1H NMR peak.
As used in reference to 1H NMR, the abbreviation T refers to a triplet 1H NMR peak. The abbreviation TFA" refers to trifluoroacetic acid.
The term "alkyl" (alone or in combination with other term(s)) refers to a linear or branched- chain saturated hydrocarbyl substitutent (i.e., a substitutent containing only carbon and hydrogen) typically containing from about one to about twenty carbon atoms or; in another embodiment from about one to about twelve carbon atoms; in another embodiment, from about one to about ten carbon atoms; in another embodiment, from about one to about six carbon atoms; and in another embodiment, from about one to about four carbon atoms. Examples of such substituents include methyl, ethyl, propyl (including n-propyl and isopropyl), butyl (including n-butyl, isobutyl, sec-butyl and tert-butyl), pentyl, iso-amyl, hexyl and the like.
The term "alkenyl" (alone or in combination with other term(s)) refers to a linear or branched- chain hydrocarbyl substituent containing one or more double bonds and from about two to about twenty carbon atoms; in another embodiment, from about two to about twelve carbon atoms;in another embodiment, from about two to about six carbon atoms; and in another embodiment, from about two to about four carbon atoms. Examples of alkenyl radicals include ethenyl, allyl, propenyl, butenyl and 3-methyIbutenyl.
The terms "alkenyl", and "lower alkenyl", embrace radicals having "cis" and "trans" orientations;- or alternativelyr-Z^-and-E" orientations^
The term "alkynyl" (alone or in combination with other term(s)) refers to linear or branched- chain heterocarbyl substituents containing one or more triple bonds and from about two to about twenty carbon atoms; in another embodiment, from about two to about twelve carbon atoms; in another embodiment, from about two to about six carbon atoms; and in another embodiment, from about two to about four carbon atoms. Examples of alkynyl radicals include 1-propynyl, 2- propynyl, 1-butyne, 2-butynyl and 1-pentynyl. The term "amino", alone or in combination with another term(s), refers to -NH2 when it is at a terminal position or to -NH — when it is used in combination with another term(s) and is not at a terminal position.
The term "aryl", alone or in combination with another term(s), refers to a carbocyclic aromatic system containing one, two or three rings wherein such rings may be attached together in a pendent manner or may be fused. Examples of aryl moieties include phenyl, naphthyl, tetrahydronaphthyl, indanyl and biphenyl.
The term "carboxy", alone or in combination with another term(s), refers to a radical of the formula -C(O)OH.
The term "cyano", alone or in combination with another term(s), means -CN, which also may
The term "cycloalkyl", alone or in combination with another term(s), refers to saturated carbocyclic radicals having three to about twelve carbon atoms. In another embodiment,
cycloalkyl radicals are "lower cycloalkyl" radicals having three to about eight carbon atoms. Examples of such radicals include cyclopropyl, cyclobutyl, cyclopentyl and cyclohexyl.
The term "cycloalkylalkyl", alone or in combination with another term(s), refers to alkyl substituted with cycloalkyl. Examples of such substituents include cyclopropylmethyl, cyclobutylmethyl, cyclopentylmethyl, and cyclohexylmethyl.
The term "cycloalkenyl", alone or in combination with another term(s), refers to a partially unsaturated carbocyclyl substituent. Examples of such substituents include cyclobutenyl, cyclopentenyl, and cyclohexenyl.
The term "halogen" or "halo", alone or in combination with another term(s), refers to means a fluorine radical (which may be depicted as -F), chlorine radical (which may be depicted as -Cl), bromine radical (which may be depicted as -Br), or iodine radical (which may be depicted as -I). In another embodiment, the halogen is a fluorine or chlorine radical. In another embodiment, the halogen is a fluorine radical.
When used in combination with another term(s), the prefix "halo" indicates that the substituent to which the prefix is attached is substituted with one or more independently selected halogen radicals. For example, haloalkyl refers to an alkyl substituent wherein at least one hydrogen radical is replaced with a halogen radical. Where there are more than one hydrogens replaced-with-halogenSi the halogens-may be-the same-or-different.-Examples of-haloalkyls include chloromethyl, dichloromethyl, difluorochloromethyl, dichlorofluoromethyl, trichloromethyl, 1-bromoethyl, fluoromethyl, difluoromethyl, trifluoromethyl, 2,2,2-trif luoroethyl , difluoroethyl, pentafluoroethyl, difluoropropyl, dichloropropyl, and heptafluoropropyl. Illustrating further, "haloalkoxy" means an alkoxy substituent wherein at least one hydrogen radical is replaced by a halogen radical. Examples of haloalkoxy substituents include chloromethoxy, 1-bromoethoxy, fluoromethoxy, difluoromethoxy, trifluoromethoxy (also known as "perfluoromethyloxy"), and 2,2,2, -trifluoroethoxy. If a substituent is substituted by more than one halogen radical, those halogen radicals may be identical or different (unless otherwise stated).
The term "heterocyclyl" refers to a saturated, partially saturated, or completely unsaturated ring structure containing a total of 3 to 14 ring atoms. At least one of the ring atoms is a heteroatom (i.e., oxygen, nitrogen, or sulfur), with the remaining ring atoms being independently selected from the group consisting of carbon, oxygen, nitrogen, and sulfur.
A heterocyclyl may be a single ring, which typically contains from 3 to 10 ring atoms, more typically from 3 to 7 ring atoms, and even more typically 5 to 6 ring atoms. Examples of single-ring heterocyclyls include furanyl, dihydrofurnayl, tetradydrofurnayl, thiophenyl (also known as "thiofuranyl"), dihydrothiophenyl, tetrahydrothiophenyl, pyrrolyl, isopyrrolyl, pyrrolinyl, pyrrolidinyl, imidazolyl, isoimidazolyl, imidazolinyl, imidazolidinyl, pyrazolyl, pyrazolinyl, pyrazolidinyl, triazolyl, tetrazolyl, dithiolyl, oxathiolyl, oxazolyl, isoxazolyl, thiazolyl, isothiazolyl, thiazolinyl, isothiazolinyl, thiazolidinyl, isothiazolidinyl, thiodiazolyl, oxathiazolyl, oxadiazolyl (including oxadiazolyl, 1 ,2,4-oxadiazolyl (also known as "azoximyl"), 1 ,2,5-oxadiazolyl (also known as "furazanyl"), or 1 ,3,4-oxadiazolyl), oxatriazolyl (including 1 ,2,3,4-oxatriazolyl or 1 ,2,3,5-oxatriazolyl), dioxazolyl (including 1 ,2,3-dioxazolyl, 1 ,2,4-dioxazolyl, 1 ,3,2-dioxazolyl, or
1 ,3,4-dioxazolyl), oxathiazolyl, oxathiolyl, oxathiolanyl, pyranyl (including 1 ,2-pyranyl or 1 ,4-pyranyl), dihydropyranyl, pyridinyl (also known as "azinyl"), piperidinyl, diazinyl (including pyridazinyl (also known as "1 ,2-diazinyl"), pyrimidinyl (also known as "1 ,3-diazinyl" or "pyrimidyl"), or pyrazinyl (also known as "1 ,4-diazinyl")), piperazinyl, triazinyl (including s-triazinyl (also known as "1 ,3,5-triazinyl"), as-triazinyl (also known 1 ,2,4-triazinyl), and v-triazinyl (also known as
"1 ,2,3-triazinyl")), oxazinyl (including 1 ,2,3-oxazinyl, 1 ,3,2-oxazinyl, 1 ,3,6-oxazinyl (also known as "pentoxazolyl"), 1 ,2,6-oxazinyl, or 1 ,4-oxazinyl), isoxazinyl (including o-isoxazinyl or p-isoxazinyl), oxazolidinyl, isoxazolidinyl, oxathiazinyl (including 1 ,2,5-oxathiazinyl or 1 ,2,6-oxathiazinyl), oxadiazinyl (including 1 ,4,2-oxadiazinyl or 1 ,3,5,2-oxadiazinyI), morpholinyl, azepinyl, oxepinyl, thiepinyl, and diazepinyl. A heterocyclyl alternatively may comprise 2 or 3 rings fused together, wherein at least one such ring contains a heteroatom as a ring atom (e.g., nitrogen, oxygen, or sulfur). Examples of 2-fused-ring heterocyclyls include, indolizinyl, pyrindinyl, pyranopyrrolyl, 4H-quinolizinyl, purinyl, naphthyridinyl, pyridopyridinyl (including pyrido[3,4-b]-pyridinyl, pyrido[3,2-b]-pyridinyl, or pyrido[4,3-b]-pyridinyl), and pteridinyl, indolyl, isoindolyl, indoleninyl, isoindazolyl, benzazinyl, phthalazinyl, quinoxalinyl, quinazolinyl, benzodiazinyl, benzopyranyl, benzothiopyranyl, benzoxazolyl, indoxazinyl, anthranilyl, benzodioxolyl, benzodioxanyl, benzoxadiazolyl, benzofuranyl, isobenzofuranyl, benzothienyl, isobenzothienyl, benzothiazolyl, benzothiadiazolylrbenzimidazolylrbenzotriazolyl, benzoxazinyl, benzisoxazinyl, and tetrahydroisoquinolinyl. Other examples of fused-ring heterocyclyls include benzo-fused heterocyclyls, such as indolyl, isoindolyl (also known as "isobenzazolyl" or "pseudoisoindolyl"), indoleninyl (also known as "pseudoindolyl"), isoindazolyl (also known as "benzpyrazolyl"), benzazinyl (including quinolinyl (also known as "1 -benzazinyl") or isoquinolinyl (also known as "2-benzazinyl")), phthalazinyl, quinoxalinyl, quinazolinyl, benzodiazinyl (including cinnolinyl (also known as "1 ,2-benzodiazinyl") or quinazolinyl (also known as "1 ,3-benzodiazinyP')), benzopyranyl (including "chromanyi" or "isochromanyl"), benzothiopyranyl (also known as "thiochromanyl"), benzoxazolyl, indoxazinyl (also known as "benzisoxazolyl"), anthranilyl, benzodioxolyl, benzodioxanyl, benzoxadiazolyl, benzofuranyl (also known as "coumaronyl"), isobenzofuranyl, benzothienyl (also known as "benzothiophenyl," "thionaphthenyl," or "benzothiofuranyl"), isobenzothienyl (also known as "isobenzothiophenyl," "isothionaphthenyl," or "isobenzothiofuranyl"), benzothiazolyl, benzothiadiazolyl, benzimidazolyl, benzotriazolyl, benzoxazinyl (including 1 ,3,2-benzoxazinyl , 1 ,4,2-benzoxazinyl , 2,3,1 -benzoxazinyl , or 3,1 ,4-benzoxazinyl ), benzisoxazinyl (including 1 ,2-benzisoxazinyl or 1 ,4-benzisoxazinyl), tetrahydroisoquinolinyl , carbazolyl, xanthenyl, and acridinyl.
The term "heteroaryl", alone or in combination with another term(s), refers to a completely unsaturated (i.e., aromatic) heterocyclyl containing from 5 to 14 ring atoms. A heteroaryl may comprise a single ring or 2 or 3 fused rings. In one embodiment, heteroaryl radicals are 5- or 6- membered heteroaryl, containing one or two heteroatoms selected from sulphur, nitrogen and oxygen, selected from thienyl, furanyl, thiazolyl, imidazolyl, pyrazolyl, isoxazolyl, isothiazolyl, pyridyl and pyrazinyl. Examples of heteroaryl substituents include 6-membered ring substituents such as pyridyl, pyrazyl, pyrimidinyl, and pyridazinyl; 5-membered ring substituents such as
1 ,3,5-, 1 ,2,4- or 1 ,2,3-triazinyI, imidazyl, furanyl, thiophenyl, pyrazolyl, oxazolyl, isoxazolyl, and thiazolyl; 1 ,2,3-, 1 ,2,4-, 1 ,2,5-, or 1 ,3,4-oxadiazolyl and isothiazolyl; 6/5-membered fused ring substituents such as benzothiofuranyl, isobenzothiofuranyl, benzisoxazolyl, benzoxazolyl, purinyl, and anthranilyl; and 6/6-membered fused rings such as 1 ,2-, 1 ,4-, 2,3- and 2, 1-benzopyronyl, quinolinyl, isoquinolinyl, cinnolinyl, quinazolinyl, and 1 ,4-benzoxazinyl. Other heteroaryls include unsaturated 5 to 6 membered heteromonocyciyl groups containing 1 to 4 nitrogen atoms, for example, pyrrolyl, imidazolyl, pyrazolyl, 2-pyridyl, 3-pyridyl, 4-pyridyl, pyrimidyl, pyrazinyl, pyridazinyl, triazolyl [e.g., 4H-1 ,2,4-triazolyl, 1 H-1 ,2,3-triazolyl, 21-1-1 ,2,3- triazolyl]; unsaturated condensed heterocyclic groups containing 1 to 5 nitrogen atoms, for example, indolyl, isoindolyl, indolizinyl, benzimidazolyl, quinolyl, isoquinolyl, indazolyl, benzotriazolyl, tetrazolopyridazinyl [e.g., tetrazolo [1 ,5-b]pyridazinyl]; unsaturated 3 to 6- membered heteromonocyclic groups containing an oxygen atom, for example, pyranyl, 2-furyl, 3- furyl, etc.; unsaturated 5 to 6-membered heteromonocyclic groups containing a sulfur atom, for example, 2-thienyl, 3-thienyl, etc.; unsaturated 5- to 6-membered heteromonocyclic groups containing 1 to 2 oxygen atoms and 1 to 3 nitrogen atoms, for example, isoxazolyl, oxadiazolyl [e.g., 1 ,2,4-oxadiazolyl, 1 ,3,4-oxadiazolyl, 1 ,2,5-oxadiazolyl]; unsaturated condensed heterocyclic groups containing 1 to 2 oxygen atoms and 1 to 3 nitrogen atoms [e.g. benzoxazolyl, benzoxadiazoly^ unsaturated-δ-to-θ-membered-heteromonocyclic groups containing 1-to 2 sulfur atoms and 1 to 3 nitrogen atoms, for example, thiazolyl, thiadiazolyl [e.g., 1 ,2,4- thiadiazolyl, 1 ,3,4-thiadiazolyl, 1 ,2,5-thiadiazolyl]; unsaturated condensed heterocyclic groups containing 1 to 2 sulfur atoms and 1 to 3 nitrogen atoms [e.g., benzothiazolyl, benzothiadiazolyl] and the like. The term also embraces radicals where heterocyclic radicals are fused with aryl radicals. Examples of such fused bicyclic radicals include benzofuran, benzothiophene, and the like. The term "heterocyclylalkyl", alone or in combination with another term(s), refers to alkyl substituted with a heterocyclyl.
The term "hydroxy", alone or in combination with another term(s), refers to -OH. The term "mercapto" or "thiol" refers to a sulfhydryl substituent, which also may depicted as - SH.
The term "nitro", alone or in combination with another term(s), refers to -NO2. The term "sulfonyl", alone or in combination with another term(s), refers to -S(O)2-, which also may be depicted as:
Thus, for example, "al kyl-s u If onyl-al kyl" refers to alkyl-S(O)2-alkyl. Examples of typically preferred alkylsulfonyl substituents include methylsulfonyl, ethylsulfonyl, and propylsulfonyl. The term "sulfoxyl" , alone or in combination with another term(s), refers to -S(O) -, which also may be depicted as:
The term "thio" or "thia", alone or in combination with another term(s), refers to a thiaether substituent, i.e., an ether substituent wherein a divalent sulfur atom is in the place of the ether oxygen atom. Such a substituent may be depicted as -S-. This, for example, "alkyl-thio-alkyl" means alkyl-S-alkyl.
If a substituent is described as being "optionally substituted", the substituent may be either (1) not substituted, or (2) substituted. If a carbon of a substituent is described as being optionally substituted with one or more of a list of substituents, one or more of the hydrogens on the carbon (to the extent there are any) may separately and/or together be replaced with an independently selected optional substituent. This specification uses the terms "substituent" and "radical" interchangeably.
The term "cGMP-mediated condition" refers to any condition mediated by cGMP, whether through direct regulation by cGMP, or through indirect regulation by cGMP as a component of a signaling pathway. The term "composition" refers to an article of manufacture which results from the mixing or combining of more than one element or ingredient.
The term "hypertensive subject" refers to a subject having hypertension, suffering from the effects of hypertension or susceptible to a hypertensive condition if not treated to prevent or control such hypertension. The term "pharmaceutically acceptable carrier" refers to a carrier that is compatible with the other ingredients of the composition and is not deleterious to the subject. Such carriers may be pharmaceutically acceptable material, composition or vehicle, such as a liquid or solid filler, diluent, excipient, solvent or encapsulating material, involved in carrying or transporting a chemical agent. The preferred composition depends on the method of administration. The terms "prevent," "prevention" or "preventing" refer to either preventing the onset of a preclinically evident condition altogether or preventing the onset of a preclinical evident stage of a condition in a subject. Prevention includes, but is not limited to, prophylactic treatment of a subject at risk of developing a condition.
The term "therapeutically effective amount" refers to that amount of drug or pharmaceutical agent that will elicit the biological or medical response of a tissue, system or animal that is being sought by a researcher or clinician.
The term "treatment" (and corresponding terms "treat" and "treating") includes palliative, restorative, and preventative treatment of a subject. The term "palliative treatment" refers to treatment that eases or reduces the effect or intensity of a condition in a subject without curing the condition. The term "preventative treatment" (and the corresponding term "prophylactic treatment") refers to treatment that prevents the occurrence of a condition in a subject. The term
"restorative treatment" refers to treatment that halts the progression of, reduces the pathologic manifestations of, or entirely eliminates a condition in a subject.
B. Compounds The present invention comprises, in part, a novel class of pyridine [3,4-b] pyrazinone compounds. These compounds are useful as inhibitors of PDE5.
Compounds of Formula (I)
As used herein, compounds of the present invention include tautomers of the compounds and pharmaceutically acceptable salts of the compounds and tautomers.
The present invention is directed, in part, to a class of compounds having the structure of Formula I:
wherein R2 is selected from the group consisting of aryl and 3 to 10 membered ring heterocycyl wherein R2 may be optionally substituted with one or more substituents independently selected from the group consisting of halogen, cyano, nitro, oxo, alky], alkenyl, alkynyl, cycloalkyl, -OR100, -C(O)R100, -OC(O)R100, -C(O)OR100, -NR100R101, -N(R100)C(O)R101, -C(O)NR100R101, - C(O)NR100C(O)R101, -SR100 -S(O)R100 and -S(O)2R100 , aziridinyl, azetidinyl, pyrrolidinyl, piperidiηyl, morpholinyl, thiomorpholinyl, and piperazinyl wherein (a) the alkyl, alkenyl, alkylnyl and cycloalkyl substituents may be optionally substituted with one or more substituents independently selected from the group consisting of halogen, oxo, -OR102, and -C(O)OR102; and (b) the aziridinyl, azetidinyl, pyrrolidinyl, piperidinyl, morpholinyl, thiomorpholinyl, and piperazinyl substituents may be optionally substituted with one or more substituents selected from the group consisting of alkyl, hydroxy and alkoxy;
R100, R101 and R102 are independently selected from the group consisting of hydrogen, alkyl, alkenyl and alkynyl, wherein the alkyl may be optionally substituted with one or more substituents independently selected from the group consisting of halogen, hydroxy, alkoxy, -C(O)OH and - C(O)NH2;
X6 is selected from the group consisting of hydrogen and alkyl wherein the X6 alkyl substituent may be optionally substituted with one or more substituents selected from the group consisting of chloro, fluoro, hydroxy and alkoxy;
Y6 represents a bond or is selected from the group consisting of alkyl, alkenyl and alkynyl, wherein Y6 may be optionally substituted with one or more substituents independently selected from the group consisting of halogen, cyano, oxo, cycloalkyl, -OR103, -C(O)R103, -C(O)OR103, - OC(O)R103, -NR103R104, -N(R103)C(O)R104, and -C(O)NR103R104;
R103 and R104 are independently selected from the group consisting of hydrogen and alkyl, wherein the alkyl may be optionally substituted with one or more substituents independently selected from the group consisting of halogen, hydroxy, carboxy, cyano, oxo, alkynyl, haloalkynyl, hydroxyalkynyl, carboxyalkynyl, alkoxy, haloalkoxy, hydroxyalkoxy, and carboxyalkoxy;
R6 is selected from the group consisting of aryl, aryl-C(O)-, heterocyclyl, aryl-C(O)-NR105-, heterocyclyl-C(O)-, and heterocyclyl-C(O)-NR105- wherein R6 may be optionally substituted with one or more substituents independently selected from the group consisting of halogen, cyano, oxo, alkyl, alkenyl, aikynyl, cycloalkyl, aryi, heterocyclyl, -OR106, -C(O)R106, -C(O)OR106, - OC(O)R106, -NR106R107, -N(R106)C(O)R107, -C(O)NR106R107, -C(O)NR106C(O)R107, -SR106, - S(O)R106, -S(O)2R106, -N(R106)S(O)2R!°7, and -S(O)2NR106R107; wherein the alkyl, alkenyl, alkynyl, cycloalkyl, aryl and heterocyclyl susbstituents may be optionally substituted with one or more substituents independently selected from the group consisting of halogen, hydroxy, carboxy, cyano, oxo, alkoxy, haloalkoxy, hydroxyalkoxy, and carboxyalkoxy;
R105 is independently selected from the group consisting of hydrogen and alkyl;
R106 and R107 are independently selected from the group consisting of hydrogen, alkyl, alkenyl, and alkynyl, wherein (a) the R106 and R107 alkyl and alkenyl substituents may be optionally substituted with one or more substituents independently selecied from the group consisting of halogen, hydroxy, carboxy, cyano, oxo, alkynyl, haloalkynyl, hydroxyalkynyl, carboxyalkynyl, alkoxy, haloalkoxy, hydroxyalkoxy, and carboxyalkoxy, and (b) the R106 and R107 alkynyl substituents may be optionally substituted with one or more substituents independently selected from the group consisting of halogen, hydroxy, carboxy, cyano, oxo, alkoxy, haloalkoxy, hydroxyalkoxy, and carboxyalkoxy;
R8 is alkyl; wherein R6 may be optionally substituted with one or more substituents independently selected from the group consisting of halogen, hydroxy, carboxy, cyano, alkynyl, - OR108, -C(O)R108, -C(O)OR108, -OC(O)R108, -NR108R109, -N(R108)C(O)R109, -C(O)NR108R109, - SR108, -S(O)R108, -S(O)2R108, and -C(O)NR108C(O)R109, wherein the alkynyl substituents may be optionally substituted with one or more substituents independently selected from the group consisting of halogen, hydroxy, carboxy, cyano, oxo, alkyl, and alkoxy; and
R108 and R109 are independently selected from the group consisting of hydrogen, alkyl, alkenyl and alkynyl, wherein (a) when the alkyl is methyl, the methyl may be optionally substituted with 1 , 2, or 3 fluoro substituents, (b) when the alkyl comprises at least two carbon atoms, the alkyl may be optionally substituted with one or more substituents independently selected from the group consisting of halogen, hydroxy, carboxy, cyano, oxo, alkynyl, haloalkynyl, hydroxyalkynyl, carboxyalkynyl, alkoxy, haloalkoxy, hydroxyalkoxy, and carboxyalkoxy, and (c) the R108 and R109 alkenyl and alkynyl substituents may be optionally substituted with one or more substituents independently selected from the group consisting of halogen, hydroxy, carboxy, cyano, oxo, alkoxy, haloalkoxy, hydroxyalkoxy, and carboxyalkoxy.
Selected subclasses of compounds of interest that fall within the scope of the compounds of Formula I are shown in Table A, wherein R2, X6, Y6, R6, and R8 can be as defined for compounds of Formula I and as defined in the various embodiments described thoughout this specification. Illustrative embodiments of these subclasses of compounds are described later in the specification.
Embodiments of Fr Substituent
In one embodiment of Formula I, R2 is selected from the group consisting of aryl and 3 to 10 membered ring heterocycyl wherein R2 may be optionally substituted with one or more substituents independently selected from the group consisting of halogen, cyano, nitro, oxo, alkyl, alkenyl, alkynyl, cycloalkyl, -OR100, -C(O)R100, -OC(O)R100, -C(O)OR100, -NR100R101, - N(R100)C(O)R101, -C(O)NR100R101, -C(O)NR100C(O)R101, and -S(O)mR100 wherein the alkyl, alkenyl, alkynyl and cycloalkyl substituents may be optionally substituted with one or more substituents independently selected from the group consisting of halogen, oxo, -OR102, and - C(O)OR102; wherein R100, R101 and R102 are independently selected from the group consisting of hydrogen, alkyl, alkenyl and alkynyl, wherein the alkyl may be optionally substituted with one or more substituents independently selected from the group consisting of halogen, hydroxy, alkoxy, -C(O)OH and -C(O)NH2; and m is 0, 1 , or 2.
In one embodiment of Formula I, R2 is selected from the group consisting of phenyl and a 3 to 10 membered ring heteroaryl, optionally substituted as described in Formula I. In another embodiment of Formula I, R2 is selected from the group consisting of phenyl and a 5 to 7 membered ring heterocyclyl, optionally substituted as described in Formula I. In another embodiment of Formula I, R2 is selected from the group consisting of phenyl and a 5 to 7 membered ring heteroaryl, optionally substituted as described in Formula I. In another embodiment of Formula I, R2 is selected from the group consisting of phenyl and a 5-6 membered ring heteroaryl, optionally substituted as described in Formula I. In another embodiment of Formula I, R2 is a 5 to 6 membered ring heteroaryl that comprises 1 , 2, or 3 ring heteroatoms selected from the group consisting of oxygen and nitrogen.
In one embodiment of Formula I, R2 is selected from the group consisting of phenyl, thienyl, furanyl, thiazolyl, imidazolyl, pyrazolyl, isoxazolyl, isothiazolyl, pyrazinyl pyridinyl, triazinyl, imidazyl, thiophenyl, pyrazolyl, oxazolyl, oxadiazolyl, pyridyl, pyrazyl, pyrimidinyl, pyridazinyl, benzofuran, and benzodioxolyl. In another embodiment of Formula I, R2 is selected from the group consisting of phenyl, pyridinyl, pyrimidinyl, isoxazolyl, pyrazolyl, benzofuran, and benzodioxolyl, optionally substituted as described in Formula I. In another embodiment of Formula I, R2 is selected from the group consisting of phenyl,
each optionally substituted as provided in Formula I. In another embodiment of Formula I, R2 is selected from the group consisting of phenyl and pyridinyl, optionally substituted as described in Formula I.
In one embodiment of Formula 1, R2 is optionally substituted with one or more substituents selected from the group consisting of halogen, oxo, alkyl, -OR100, -C(O)R100, -OC(O)R100, - C(O)OR100, -NR100R101 and -C(O)NR100R101, wherein the alkyl substitutent may be optionally substituted with one or more substituents independently selected from the group consisting of halogen, oxo, -OR102, and -C(O)OR102; wherein R100, R101, and R102 are independently selected from the group consisting of hydrogen and C1 to C4 alkyl. In another embodiment of Formula I, R2 is optionally substituted with one or more substituents independently selected from the group consisting of halogen, cyano, oxo, C1 to C4 alkyl, -OR100, -C(O)OR100, and -C(O)NR100R101, wherein (a) when the alkyl is methyl, the methyl may be optionally substituted with 1 , 2, or 3 halogen substituents, (b) when the alkyl comprises at least two carbon atoms, the alkyl may be optionally substituted with one or more substituents selected from the group consisting of halogen, C-i to C4 alkoxy and hydroxy; and wherein R100 and R101 are independently selected from the group consisting of hydrogen and C1 to C2 alkyl.
In another embodiment of Formula I, R2 is optionally substituted with one or more substituents selected from the group consisting of halogen, C1 to C4 alkyl, -OR100, and - NR100R101; wherein (a) when the alkyl is methyl, the methyl may be optionally substituted with 1 , 2, or 3 halogen substituents, (b) when the alkyl comprises at least two carbon atoms, the alkyl may be optionally substituted with one or more substituents selected from the group consisting of halogen, oxo, C-i to C2 alkoxy and hydroxy; and wherein R100 and R101 are independently selected from the group consisting of hydrogen and C1 to C2 alkyl.
In one embodiment of Formula I, R2 is optionally substituted with one or more substituents selected from the group consisting of chloro, fluoro, methyl, ethyl, propyl, butyl, pentyl, hexyl, trifluoromethyl, hydroxy, methoxy, ethoxy, propoxy, butoxy, amino, methylamino, dimethylamino, ethylamino, and diethylamino. In another embodiment of Formula I, R2 is optionally substituted with one or more substituents selected from the group consisting of fluoro, methyl, trifluoromethyl, methoxy, trifluoromethoxy, amino, methylamino, and dimethylamino. In one embodiment of Formula I, R2 is substituted with one or more fluoro substituents. In another embodiment of Formula I, R2 is substituted with one fluoro substituent. In another embodiment of Formula I, R2 is substituted with two fluoro substituents. In one embodiment of Formula I, R2 is substituted with methoxy. In one embodiment of Formula I, R2 is substituted at the para position with a substituent selected from the group consisting of fluoro, methyl, trifluoromethyl, methoxy, trifluoromethoxy, amino, methylamino, and dimethylamino. In another embodiment of Formula I, R2 is substituted at the para position with a substituent selected from the group consisting of fluoro, methyl, trifluoromethyl, methoxy, and trifluoromethoxy.
In one embodiment of Formula I, R2 is selected from the group in Table A consisting of Formula I-A, Formula I-C, Formula I-G, Formula I-H, Formula l-l, Formula I-J, Formula I-K,
Formula I-L, Formula I-M, Formula I-N, Formula 1-0, Formula I-P, Formula I-Q and Formula I-R, wherein R9, R10, R11, R12 and R13 are independently selected from the group consisting of hydrogen, halogen, oxo, alkyl, -OR100, -C(O)R100, -OC(O)R100, -C(O)OR100, -NR100R101 and - C(O)NR100R101, wherein the alkyl substitutent may be optionally substituted with one or more substituents independently selected from the group consisting of halogen, oxo, -OR102, and - C(O)OR102; wherein R100, R101, and R102 are independently selected from the group consisting of hydrogen and Ci toC4 alkyl. In another embodiment of Formula I, R2 is selected from the group in Table A consisting of Formula I-H, Formula I-A and Formula I-L, wherein R9, R10, R11, R12 and R13 are independently selected from the group consisting of hydrogen, halogen, oxo, alkyl, - OR100, -C(O)R100, -OC(O)R100, -C(O)OR100, -NR100R101 and -C(O)NR100R101, wherein the alkyl substitutent may be optionally substituted with one or more substituents independently selected from the group consisting of halogen, oxo, -OR102, and -C(O)OR102; wherein R100, R101, and R102 are independently selected from the group consisting of hydrogen and C1 to C4 alkyl. In another embodiment of Formula I, R2 is selected from the group in Table A consisting of Formula I-A, Formula I-D, Formula I-H and Formula I-L, wherein R9, R10, R11, R12 and R13 are independently selected from the group consisting of hydrogen, halogen, alkyl, haloalkyl, oxy, alkoxy, hydroxy, and carboxy. In another embodiment of Formula I, R2 is selected from the group in Table A _consisting.of Formula I-A,. Formula I-C, Formula I-D and Formula I-H, wherein R9, R10, R11 , R12 and R13 are independently selected from the group consisting of hydrogen, fluoro, methyl, trifluoromethyl, and methoxy. In another embodiment of Formula I, R2 is selected from the group in Table A consisting of Formula I-D and Formula I-H, wherein R9, R10. R11, R12 and R13 are independently selected from the group consisting of hydrogen, fluoro, methyl, trifluoromethyl, and methoxy.
In one embodiment of Formula I, R2 is as described by the structures in Table A consisting of Formula I-D and Formula I-H wherein R9, R10, R11, R12 and R13 are independently selected from the group consisting of hydrogen, fluoro, methyl, trifluoromethyl, and methoxy. In another embodiment of Formula I, R2 is as described in Formula I-D in Table A, wherein R11 is selected from the group consisting of hydrogen, fluoro, methyl, trifluoromethyl, and methoxy. In another embodiment of Formula I, the R2 substituent is as described in Formula I-E in Table A.
Embodiments of X6 Substituent
In one embodiment of Formula I, X6 is selected from the group consisting of hydrogen and Ci to C4 alkyl wherein the X6 C1 to C4 alkyl substituent may be optionally substituted with one or more substituents selected from the group consisting of chloro, fluoro, hydroxy and alkoxy. In one embodiment of Formula I, X6 is alkyl, optionally substituted with 1 to 3 substituents independently selected from the group consisting of fluoro and chloro. In another embodiment of Formula I, X6 alkyl is optionally substituted with 1 to 3 fluoro substituents.
In one embodiment of Formula I, X6 is selected from the group consisting of hydrogen and C1 to C6 alkyl. In another embodiment of Formula I, X6 is selected from the group consisting of hydrogen, methyl, and ethyl. In another embodiment, X6 is hydrogen.
Embodiments of Y6 Substituent
In one embodiment of Formula I, Y6 represents a bond or is selected from the group consisting of alkyl, alkenyl and alkynyl, wherein the Y6 alkyl, alkenyl and alkynyl substituents may be optionally substituted with one or more substituents independently selected from the group consisting of halogen, cyano, oxo, cycloalkyl, -OR103, -C(O)R103, -C(O)OR103, -OC(O)R103, - NR103R104, -N(R103)C(O)R104, and -C(O)NR103R104; and wherein R103 and R104 are independently selected from the group consisting of hydrogen and alkyl, wherein the alkyl may be optionally substituted with one or more substituents independently selected from the group consisting of halogen, hydroxy, carboxy, cyano, oxo, alkynyl, haloalkynyl, hydroxyalkynyl, carboxyalkynyl, alkoxy, haloalkoxy, hydroxyalkoxy, and carboxyalkoxy.
In one embodiment of Formula I, Y6 represents a bond or is alkyl, optionally substituted as described in Formula I. In another embodiment of Formula I, Y6 represents a bond or is C1 to C6 alkyl, optionally substituted as described in Formula I. In another embodiment of Formula I, Y6 represents a bond or is selected from the group consisting of C1 to C4 alkyl and hydroxy^ to C6. alkyl. In another embodiment of Formula I, Y6 represents a bond or is selected from the group consisting of methyl, ethyl, propyl, butyl, hydroxyethyl, hydroxypropyl, hydroxybutyl, djJnydroxyethyLand dihydrpxybutyl.. Jn another embodiment of Formula I, Y6 represents a bond or is selected from the group consisting of methyl, ethyl, propyl, butyl, hydroxyethyl, hydroxypropyl, hydroxybutyl, dihydroxyethyl,
In one embodiment of Formula I, Y6 represents a bond or is selected from the group consisting of methyl, ethyl, propyl and butyl. In another embodiment of Formula I, Y6 represents a bond. In one embodiment of Formula I, Y6 is alkyl optionally substituted with one or more substituents independently selected from the group consisting of halogen, cyano, oxo, cycloalkyl, -OR103, -C(O)R103, -C(O)OR103, -OC(O)R103, -NR103R104, -N(R103)C(O)R104, and -C(O)NR103R104; wherein R103 and R104 are independently selected from the group consisting of hydrogen and C-i to C4 alkyl. In another embodiment of Formula I, Y6 is alkyl substituted with one or more substituents independently selected from the group consisting of fluoro, chloro, oxo, cycloalkyl, hydroxy, and carboxy. In another embodiment of Formula I, Y6 is alkyl substituted with one to three substituents independently selected from the group consisting of hydroxy and cyclohexyl. In another embodiment of Formula I, Y6 is unsubstituted alkyl. In another embodiment of Formula I, Y6 is selected from the group consisting of methyl, ethyl and propyl. In another embodiment, Y6 is selected from the group consisting of -CH2-, -CH2CH2-, -CH2CH2CH2-, -
CH2(CH3)-, -CH2CH2(CH3)-, -CH2(CH3)CH2-, -CH2C(CHg) 2CH-, -C(CH3) 2CH-, -CH2C(CH3)-, and -CH2CH2CH2CH2-. In another embodiment of Formula I, Y6 is methyl.
Embodiments of Ff Substituent
In one embodiment of Formula I, R6 is selected from the group consisting of phenyl, phenyl- C(O)-, 3 to 10 membered ring heterocyclyl, phenyl-C(O)-NR105-, 3 to 10 membered ring heterocyclyl-C(O)-, and 3 to 10 membered ring heterocyclyl-C(O)-NR105-, wherein R6 is optionally substituted as described in Formula I, wherein R105 is selected from the group consisting of hydrogen and C1 to C6 alkyl. In another embodiment of Formula I, R6 is selected from the group consisting of phenyl, phenyl-C(O)-, 5 to 7 membered ring heterocyclyl, phenyl-C(O)-NR105-, 5 to 7 membered ring heterocyclyl-C(O)-, and 5 to 7 membered ring heterocyclyl-C(O)-NR105-, wherein R6 is optionally substituted as described in Formula I, wherein R105 is selected from the group consisting of hydrogen and Ci to C4 alkyl. In another embodiment of Formula I, R6 is selected from the group consisting of phenyl, phenyl-C(O)-, 5 to 6 membered ring heterocyclyl, phenyl-C(O)-NR105-, 5 to 6 membered ring heterocyclyl-C(O)-, and 5 to 6 membered ring heterocyclyl-C(O)-NR105-, wherein R6 is optionally substituted as described in Formula I wherein R105 is hydrogen. In another embodiment, R6 is selected from the group consisting of phenyl, pyridinyl, piperidinyl, piperizinyl, morpholino, pyrazinyl, tetrahydropyran, tetrahydrofuran, isoxazole, imidazole, pyrrolidine, wherein R6 is optionally substituted as described in Formula I. In another embodiment, R6 is selected from the group consisting of morpholinyl, tetrahydropyranyl, tetrahydrofuranyl, piperidinyl, and pyrrolidinyl, wherein R6 is optionally substituted as provided in Formula I.
In one embodiment of Formula I, R6 is selected from the group consisting of phenyl, phenyl C(O)NH-, and phenyl C(O)-.
In one embodiment of Formula I, R6 is selected from the group consisting of 5 to 7 membered ring heteroaryl, 5 to 7 membered ring heteroaryl-C(O)-, and 5 to 7 membered ring heteroaryl-C(O)-NR105-, wherein R6 is optionally substituted as described in Formula I, wherein R105 is selected from the group consisting of hydrogen and C-i to C4 alkyl. In another embodiment of Formula I, R6 is a 3 to 10 membered ring heteroaryl, optionally substituted as described in Formula I. In another embodiment of Formula I, R6 is a 5 to 7 membered ring heteroaryl, optionally substituted as described in Formula I. In another embodiment of Formula I1 R6 is a 5 to 6 membered ring heteroaryl, optionally substituted as described in Formula I. In another embodiment of Formula I, R6 is a 5 to 6 membered ring heteroaryl containing one to three heteroatoms selected from the group consisting of O and N, optionally substituted as described in Formula I. In another embodiment of Formula I1 R6 is selected from the group consisting of imidazole, isoxazole, pyridinyl and pyrazynyl, optionally substituted as described in Formula I. In another embodiment of Formula I1 R6 is selected from the group consisting of imidazole, isoxazole, pyridinyl and pyrazynyl, optionally substituted with one or more substituents independently selected from the group consisting of alkyl, -OR105, and -C(O)R105, wherein R105 is
selected from the group consisting of hydrogen, methyl, and ethyl. In another embodiment, R6 is
In one embodiment of Formula I, R6 is selected from the group consisting of 3 to 10 membered ring fully or partially saturated heterocylyl, 3 to 10 membered ring fully or partially 5 saturated heterocyclyl-C(O)-, 3 to 10 membered ring fully or partially saturated heterocyclyl- C(O)NH-, optionally substituted as described in Formula I. In another embodiment of Formula I, R6 is a 5 to 7 membered ring fully or partially saturated heterocylyl, 5 to 7 membered ring fully or partially saturated heterocyclyl-C(O)-, 5 to 7 membered ring fully or partially saturated heterocyclyl-C(O)NH-, wherein R6 is optionally substituted as described in Formula I. In another
10 embodiment of Formula I, R6 is a 5 to 6 membered ring fully saturated heterocylyl, 5 to 6 membered ring fully saturated heterocyclyl-C(O)-, 5 to 6 membered ring fully saturated heterocyclyl-C(O)NH-, wherein R6 is optionally substituted as described in Formula I. In another embodiment of Formula I, R6 is a 5 to 6 membered ring fully saturated heterocylyl, wherein R6 is optionally substituted as described in Formula I. In another embodiment of Formula I, R6 is
15 selected from the group consisting of tetrahydrofuran, tetrahydropyran, pyrrolidinyl, piperidinyl,
- — — piperazinyl, and-morpholinorWherein-R-is-optionally substituted as-described- in Formula I. In another embodiment of Formula I, R6 is selected from the group consisting of tetrahydrofuran, tetrahydropyran, pyrrolidinyl, piperidinyl, piperazinyl, and morpholino, wherein R6 is optionally substituted with one or more substituents independently selected from the group consisting of
20 alkyl, -OR105, -C(O)R105 and -C(O)OR105 wherein R105 is selected from the group consisting of hydrogen, methyl, and ethyl. In another embodiment, R6 is selected from the group consisting
In another embodiment of Formula I, R6 is optionally substituted with one or more substituents independently selected from the group consisting of -OR106, -C(O)R106, -C(O)OR106, -NR106R107, -N(R106)C(O)R107, -N(R106)C(O)OR107, -C(O)NR106R107, -NHC(O)NR106R107, - N(R106)S(O)2R107, wherein R106 and R107 are independently selected from the group consisting of hydrogen, methyl, ethyl, methylethyl, tert-butyl, cyclopentyl, cyclohexyl, optionally substituted with one or more substituent selected from the group consisting of halogen, oxo, hydroxy, and methyl. In another embodiment of Formula I, R6 is optionally substituted with one or more substituents independently selected from the group consisting of -OH, -OCH3, -OCH2CH3, - OCH2(CH3)CH3, -C(O)CH2CH2OH, -C(O)OH, -C(O)OCH2(CH3)(CH3)(CH3), -NH2, -NH(CH2CH3), - N(CH3)(CH3), -N(CH2CH3)CH2CH3, -N(H)CH2(CH3)CH3, -N(H)CH2CH2CH2OH, - N(H)CH2C(O)CH3, -NH(CH2CH2OH), -N(H)C(O)OCH3, -N(H)C(O)CH2(CH3)(CH3)(CH3), - NHC(O)OCH2(CH3)(CH3)(CH3), -NHC(O)COCH3, -NHC(O)NHCOCH3, -NCH3C(O)CH3, - NCH3(O)C(O)CH3, N(CH(O)CH3)C(O)CH3, -C(O)NH2, -C(O)NH(CH3), -C(O)NCH3(CH3), - C(O)NHCH2(CH3)(CH3)(CH3), -C(O)NHR106, -N(H)S(O)2CH3, -N(H)S(O)2CHF3, wherein R106 is independently selected from the group consisting of cyclopentyl and cyclohexyl, and wherein the R106 cyclohexyl substituent is optionally substituted with hydroxy; and wherein (b) the cyclohexyl R6 substituent is optionally substituted with hydroxy. In another embodiment of Formula I, R6 is
optionally substituted with one or more substituents independ-ently selected from the group consisting of alkyl, -C(O)R106 and -C(O)OR106, wherein R106 is selected from the group consisting of hydrogen, methyl, and ethyl. In another embodiment of Formula I1 R6 is optionally substituted with one or more substituents independently selected from the group consisting of -OH, -CH3, - CH2CH3, -C(O)CH3, -C(O)CH2CH3, -C(O)OCH2CH3.
Embodiments of ft Substituent
In one embodiment of Formula I, R8 is alkyl; wherein the R8 substituent may be optionally substituted with one or more substituents independently selected from the group consisting of halogen, hydroxy, carboxy, cyano, alkynyl, -OR108, -SR108, -C(O)R108, -C(O)OR108, -OC(O)R108, - NR108R109, -N(R108)C(O)R109, -C(O)NR108R109, and -C(O)NR108C(O)R109, wherein the alkynyl substituents may be optionally substituted with one or more substituents independently selected from the group consisting of halogen, hydroxy, carboxy, cyano, oxo, alkyl, and alkoxy; and wherein R108 and R109 are independently selected from the group consisting of hydrogen, alkyl, and alkynyl, wherein (a) when the alkyl is methyl, the methyl may be optionally substituted with 1 , 2, or 3 fluoro substituents, (b) when the alkyl comprises at least two carbon atoms, the alkyl may be optionally substituted with one or more substituents independently selected from the group c.QDsisting.oLhjalogen, hydroxy ,_cadioxy,_ c.y.ano, _oxo,_alkytiy-l> -haJoalkyαylJiydr.oxyalkynyl, carboxyalkynyl, alkoxy, haloalkoxy, hydroxyalkoxy, and carboxyalkoxy, and (c) the R108 and R109 alkynyl substituents may be optionally substituted with one or more substituents independently selected from the group consisting of halogen, hydroxy, carboxy, cyano, oxo, alkoxy, haloalkoxy, hydroxyalkoxy, and carboxyalkoxy.
In one embodiment of Formula I, R8 is C1 to C10 alkyl, optionally substituted as described in Formula I. In another embodiment of Formula I, R8 is Ci to C8 alkyl, optionally substituted as described in Formula I. In another embodiment of Formula I, R8 is C1 to C6 alkyl, optionally substituted as described in Formula I. In another embodiment of Formula I, R8 is C1 to C4 alkyl, optionally substituted as described in Formula I. In another embodiment of Formula I, R8 is ethyl, optionally substituted as described in Formula I.
In one embodiment of Formula I, R8 is optionally substituted with one or more substituents independently selected from the group consisting of halogen, hydroxy, carboxy, cyano, -OR108, - C(O)R108, -C(O)OR108, -OC(O)R108, -NR108R109, -N(R108)C(O)R109, -C(O)NR108R109, and - C(O)NR108C(O)R109, wherein R108 and R109 are independently selected from the group consisting of hydrogen and C1 to C6 alkyl, wherein (a) when the C-i to C6 alkyl is methyl, the methyl may be optionally substituted with 1 , 2, or 3 fluoro substituents, (b) when the C1 to C6 alkyl comprises at least two carbon atoms, the alkyl may be optionally substituted with one or more substituents independently selected from the group consisting of halogen, hydroxy, carboxy, cyano, oxo, alkynyl, haloalkynyl, hydroxyalkynyl, carboxyalkynyl, alkoxy, haloalkoxy, hydroxyalkoxy, and carboxyalkoxy. In another embodiment of Formula I, R8 is optionally substituted with one or more substituents independently selected from the group consisting of halogen, hydroxy, carboxy, cyano, alkoxy, haloalkyl, hydroxyalkyl, carboxyalkyl, haloalkoxy, hydroxyalkoxy, and
carboxyalkoxy. In another embodiment of Formula I, R8 is optionally substituted with one or more substituents independently selected from the group consisting of halogen, haloalkoxy, hydroxy, carboxy, cyano, oxo, and alkoxy. In another embodiment of Formula I, R8 is optionally substituted with one or more substituents independently selected from the group consisting of halogen, haloalkoxy, hydroxy, oxo, and alkoxy. In another embodiment of Formula I, R8 is optionally substituted with one or more substituents independently selected from the group consisting of haloalkoxy and alkoxy. In another embodiment of Formula I, R8 is ethyl optionally substituted with one or more substituents independently selected from the group consisting of halogen, haloalkoxy, hydroxy, carboxy, cyano, oxo, and alkoxy. In another embodiment of Formula I, R8 is ethyl optionally substituted with one or more substituents independently selected from the group consisting of haioalkoxy and alkoxy.
In another embodiment of Formula I, R8 is alkoxyalkyl, optionally substituted as described in Formula I. In another embodiment of Formula I, R8 is a (C1 to C^aIkOXy(C1 to C4)alkyl, optionally substituted as described in Formula I. In another embodiment of Formula I, R8 is methoxyethyl, as described in Formula I-Y in Table A. In another embodiment of Formula I, R8 is ethoxyethyl, as described in Formula I-Z in Table A. In another embodiment of Formula I, R8 is propoxyethyl, as described in Formulae I-AA and I-BB in Table A. In another embodiment of Formula I, R8 is trifluoroethoxyethyl. In another embodiment of Formula I, R8 is selected from the group consisting of propoxyethyl and ethoxyethyl as described in Formulae I-Z, I-AA and I-BB in Table A, respectively.
Embodiments of Multiple Substituents
The following are additional embodiments of the compounds of Formula I. Unless otherwise specified, substituents are as described in Formula I. Further embodiments of Formula I described when R2, X6, Y6, R6 and R8 are selected from the various embodiments described above.
Embodiments where X6 is Hydrogen, R2 is phenyl or 3-10 membered heterocyclyl
In one embodiment of Formula I1 X6 is hydrogen and R2 is selected from the group consisting of phenyl, thienyl, furanyl, thiazolyl, imidazolyl, pyrazoiyl, isoxazolyl, isothiazolyl, pyrazinyl pyridinyl, triazinyl, imidazyl, thiophenyl, pyrazoiyl, oxazolyl, oxadiazolyl, pyridyl, pyrazyl, pyrimidinyl, pyridazinyl, benzofuran, and benzodioxolyl. In another embodiment of Formula I, X6 is hydrogen and R2 is selected from the group consisting of phenyl, pyridinyl, pyrimidinyl, isoxazolyl, pyrazoiyl, benzofuran, and benzodioxolyl. In another embodiment of Formula I, X6 is hydrogen and R2 is selected from the group consisting of phenyl, pyridinyl and pyrimidinyl, as described in Formulae l-l, I-B and I-M of Table A. In another embodiment of Formula I, X6 is hydrogen and R2 is selected from the group consisting of phenyl and pyridinyl, as described in Formulae l-l and I-B of Table A. In another embodiment of Formula I, X6 is hydrogen and R2 is phenyl, as described in Formulae I-B of Table A, wherein R9, R10 R11, R12 and R13 are independently selected from the group consisting of hydrogen, hydroxy, and fluoro. In another
embodiment of Formula I, X6 is hydrogen and R2 is pyridinyl, as described in Formulae I-B of Table A, wherein R9, R10 and R13 are each hydrogen, and R11 is methoxy.
Embodiments where X6 is Hydrogen, R8 is alkoxyalkyl
5 In one embodiment of Formula I, X6 is hydrogen and R8 is alkoxyalkyl, optionally substituted as described in Formula I. In another embodiment of Formula I1 X6 is hydrogen and R8 is a (Ci to C4JaIkOXy(C1 to C4)alkyl, optionally substituted as described in Formula I. In another embodiment of Formula I, X6 is hydrogen and R8 is selected from the group consisting of methoxyethyl, ethoxyethyl, and propoxyethyl, optionally substituted as described in Formula I. 10 In another embodiment, X6 is hydrogen and R8 is selected from the group consisting of methoxyethyl, ethoxyethyl, propoxyethyl, and trifluoroethylethoxy. In another embodiment of Formula I, X6 is hydrogen and R8 is selected from the group consisting of propoxyethyl and ethoxyethyl, as described in Formulae I-Z, I-AA and I-BB of Table A, respectively.
15 Embodiments where X6 is Hydrogen, R8 is alkoxyalkyl, and Y6 represents a bond or is alkyl
In one embodiment of Formula I, X6 is hydrogen, R8 is alkoxyalkyl, optionally substituted as --— — described-in-Formula-l-and-Y— represents-a-bond-or-is-alkylr optionally-substituted as described in
Formula I. In another embodiment of Formula I, X6 is hydrogen and R8 is a (C1 to C4)alkoxy(Ci 20 to C4)alkyl, optionally substituted as described in Formula I, and Y6 represents a bond or is C1 to C6 alkyl, optionally substituted as described in Formula I. In another embodiment of Formula I, X6 is hydrogen, R8 is selected from the group consisting of methoxyethyl, ethoxyethyl, and propoxyethyl, wherein R8 is optionally substituted as described in Formula I, and Y6 represents a bond or is selected from the group consisting of methyl, ethyl, propyl, butyl, methylethyl, tert- 25 butyl, hydroxyethyl, hydroxypropyl, hydroxybutyl, dihydroxyethyl,
In another embodiment of Formula I, X6 is hydrogen, R8 is selected from the group consisting of methoxyethyl, ethoxyethyl, propoxyethyl, and trifluoroethoxyethyl, and Y6 represents a bond or is selected from the group consisting of methyl, ethyl, propyl and butyl. In
30 another embodiment of Formula I, X6 is hydrogen, R8 is selected from the group consisting of propoxyethyl and ethoxyethyl, and Y6 represents a bond or is selected from the group consisting of methyl and ethyl. In another embodiment of Formula I, X6 is hydrogen, R8 is ethoxyethyl, and Y6 represents a bond or is selected from the group consisting of methyl and ethyl, as described in Formulae I-GG, I-HH and l-ll in Table A, respectively. In another embodiment of Formula I, X6
35 is hydrogen, R8 is propoxyethyl, and Y6 represents a bond or is selected from the group consisting of methyl and ethyl, as described in Formulae I-OO, I-QQ and I-PP in Table A, respectively.
Embodiments where R8 is alkoxyalkyl, and R2 is phenyl or 3-10 membered heterocyclyl
In one embodiment of Formula I, R8 is alkoxyalkyl, optionally substituted as described in Formula I and R2 is selected from the group consisting of phenyl, thienyl, furanyl, thiazolyl, imidazolyl, pyrazolyl, isoxazolyl, isothiazolyl, pyrazinyl pyridinyl, triazinyl, imidazyl, thiophenyl, 5 pyrazolyl, oxazolyl, oxadiazolyl, pyridyl, pyrazyl, pyrimidinyl, pyridazinyl, benzofuran, and benzodioxolyl, wherein R2 is optionally substituted as described in Formula I. In another embodiment of Formula I, R8 is a (C1 to C4JaIkOXy(C1 to C4)alkyl, optionally substituted as described in Formula I, and R2 is selected from the group consisting of phenyl, pyridinyl, pyrimidinyl, isoxazolyl, pyrazolyl, benzofuran, and benzodioxolyl, wherein R2 is optionally
10 substituted as described in Formula I. In another embodiment of Formula I, R8 is selected from the group consisting of trifluroethoxyethyl, ethoxyethyl, and propoxyethyl, and R2 is selected from the group consisting of phenyl, pyridinyl and pyrimidinyl, wherein R2 is optionally substituted as described in Formula I. In another embodiment of Formula I, R8 is selected from the group consisting of ethoxyethyl and propoxyethyl, and R2 is selected from the group consisting of
15 phenyl and pyridinyl, wherein R2 is optionally substituted as described in Formula I. In another embodiment of Formula I, R8 is ethoxyethyl, and R2 is pyridinyl, optionally substituted as described in Formula I. In another embodiment of Formula I, R8 is ethoxyethyl and R2 is a — — methox-y-pyr-idinyl-as-described-in-Formula-l-F-of Table A. In-another-embodiment of Formula I, R8 is propoxyethyl and R2 is a methoxy pyridinyl.
20
Embodiments where X6 is hydrogen, R8 is alkoxyalkyl, and R2 is phenyl or 3-10 membered heterocyclyl
In one embodiment of Formula I, X6 is hydrogen, R8 is alkoxyalkyl, optionally substituted as described in Formula I and R2 is selected from the group consisting of phenyl, thienyl, furanyl,
25 thiazolyl, imidazolyl, pyrazolyl, isoxazolyl, isothiazolyl, pyrazinyl pyridinyl, triazinyl, imidazyl, thiophenyl, pyrazolyl, oxazolyl, oxadiazolyl, pyridyl, pyrazyl, pyrimidinyl, pyridazinyl, benzofuran, and benzodioxolyl, wherein R2 is optionally substituted as described in Formula I. In another embodiment of Formula I, X6 is hydrogen, R8 is a (C1 to C4JaIkOXy(C1 to C4)alkyl, optionally substituted as described in Formula I, and R2 is selected from the group consisting of phenyl,
30 pyridinyl, pyrimidinyl, isoxazolyl, pyrazolyl, benzofuran, and benzodioxolyl, wherein R2 is optionally substituted as described in Formula I. In another embodiment of Formula I, X6 is hydrogen, R8 is selected from the group consisting of trifluoroethoxyethyl, ethoxyethyl, and propoxyethyl, wherein R8 is optionally substituted as described in Formula I and R2 is selected from the group consisting of phenyl, pyridinyl and pyrimidinyl, wherein R2 is optionally substituted
35 as described in Formula I. In another embodiment of Formula I, X6 is hydrogen, R8 is selected from the group consisting of ethoxyethyl and propoxyethyl, and R2 is selected from the group consisting of phenyl and pyridinyl wherein R2 is optionally substituted as described in Formula I. In another embodiment of Formula I, X6 is hydrogen, R8 is ethoxyethyl, and R2 is pyridinyl, optionally substituted as described in Formula I. In another embodiment of Formula I, X6 is
40 hydrogen, R8 is ethoxyethyl and R2 is a para-substitued pyridinyl, as described in Formula I-FF of
Table A. In another embodiment of Formula I1 X6 is hydrogen, R8 is propoxyethyl and R2 is a para-substitued pyridinyl, as described in Formula I-NN of Table A. In another embodiment of Formula I, X6 is hydrogen, R8 is propoxyethyl and R2 is a pyridinyl, substituted at the para position with a methoxy as described in Formula I-UU of Table A. Embodiments where X6 is hydrogen, R8 is alkoxyalkyl, Y6 represents a bond or is alkyl and R2 is phenyl or 3-10 membered heterocyclyl
In one embodiment of Formula I, X6 is hydrogen, Y6 is a bond or is alkyl, optionally substituted as described in Formula I, R8 is alkoxyalkyl, optionally substituted as described in Formula I, and R2 is selected from the group consisting of phenyl, thienyl, furanyl, thiazolyl, imidazolyl, pyrazolyl, isoxazolyl, isothiazolyl, pyrazinyl pyridinyl, triazinyl, imidazyl, thiophenyl, pyrazolyl, oxazolyl, oxadiazolyl, pyridyl, pyrazyl, pyrimidinyl, pyridazinyl, benzofuran, and benzodioxolyl, wherein R2 is optionally substituted as described in Formula I. In another embodiment of Formula I, X6 is hydrogen, Y6 represents a bond or is C1 to C6 alkyl, optionally substituted as described in Formula I, R8 is a (Ci to C^aIkOXy(C1 to C4)alkyl, optionally substituted as described in Formula I, and R2 is selected from the group consisting of phenyl, pyridinyl, pyrimidinyl, isoxazolyl, pyrazolyl, benzofuran, and benzodioxolyl wherein R2 is optionally substituted as described in Formula I. In another embodiment of Formula I, X6 is hydrogen,-R8Js selected .from Jhe-group-consisting of-trifluroethoxyethyl1-ethoxyethyl,-and propoxyethyl, optionally substituted as described in Formula I and R2 is selected from the group consisting of phenyl, pyridinyl and pyrimidinyl wherein R2 is optionally substituted as described in Formula I. In another embodiment of Formula I, X6 is hydrogen, Y6 represents a bond or is selected from the group consisting of methyl, ethyl, propyl, butyl, hydroxyethyl, hydroxypropyl, hydroxybutyl, dihydroxyethyl, and dihydroxybutyl, R8 is selected from the group consisting of ethoxyethyl and propoxyethyl, and R2 is selected from the group consisting of phenyl and pyridinyl wherein R2 is optionally substituted as described in Formula I. In another embodiment of Formula I, X6 is hydrogen, Y6 represents a bond or is selected from the group consisting of methyl, ethyl, methylethyi, propyl and butyl, R8 is selected from the group consisting of ethoxyethyl and propoxyethyl, and R2 is pyridinyl, optionally substituted as described in Formula I. In another embodiment of Formula I, X6 is hydrogen, Y6 represents a bond, R8 is ethoxyethyl and R2 is a para-substitued pyridinyl, as described in Formula I-LL of Table A. In another embodiment of Formula I, X6 is hydrogen, Y6 is methyl, R8 is ethoxyethyl and R2 is a para- substitued pyridinyl, as described in Formula I-JJ of Table A. In another embodiment of Formula I, X6 is hydrogen, Y6 is ethyl, R8 is ethoxyethyl and R2 is a para-substitued pyridinyl, as described in Formula I-KK of Table A. In another embodiment of Formula I, X6 is hydrogen, Y6 represents a bond, R8 is propoxyethyl and R2 is a para-substitued pyridinyl, as described in Formula I-TT of Table A. In another embodiment of Formula I, X6 is hydrogen, Y6 is methyl, R8 is propoxyethyl and R2 is a para-substitued pyridinyl, as described in Formula I-RR of Table A. In another embodiment of Formula I, X6 is hydrogen, Y6 is ethyl, R8 is propoxyethyl and R2 is a para- substitued pyridinyl, as described in Formula I-SS of Table A.
Embodiments where X6 is hydrogen, R8 is alkoxyalkyl, Y6 represents a bond or is alkyl and R2 is phenyl or 3-10 membered heterocyclyl, and R6 is selected from various embodiments
In one embodiment of Formula I, X6 is hydrogen, Y6 represents a bond, R8 is selected from the group consisting of propoxyethyl and ethoxyethyl and R2 is a para-substitued pyridinyl, R6 is selected from the group consisting of selected from the group consisting of phenyl, phenyl C(O)NH-, phenyl C(O)-, 3 to 10 membered ring heterocyclyl, phenyl-C(O)-NH-, 3 to 10 membered ring heterocyclyl-C(O)-, and 3 to 10 membered ring heterocyclyl-C(O)-NH, optionally substituted with one or more substituents independently selected from the group consisting of - OR105, -C(O)R105, -C(O)OR105, -NR105R106, -N(R105)C(O)R106, -N(R105)C(O)OR106, -C(O)NR105R106, -NHC(O)NR105R106, -N(R105)S(O)2R106, wherein R105 and R106 are independently selected from the group consisting of hydrogen, methyl, ethyl, methylethyl, tert-butyl, cyclopentyl, cyclohexyl, optionally substituted with one or more substituent selected from the group consisting of halogen, oxo, hydroxy, and methyl. In another embodiment of Formula I, X6 is hydrogen, Y6 is methyl, R8 is selected from the group consisting of propoxyethyl and ethoxyethyl, and R2 is a para- substitued pyridinyl, optionally substituted as described in Formula I, and R6 is selected from the group consisting of phenyl, phenyl C(O)NH-, phenyl C(O)-, 5 to 7 membered ring heterocyclyl, phenyl-C(O)-NH-, 5 to 7 membered ring heterocyclyl-C(O)-, and 5 to 7 membered ring heterocyGlyl-G(0)-NH-optionally-substituted-with-one-or-more-substituents-independently selected from the group consisting of of -OR106, -C(O)R106, -C(O)OR106, -NR106R107, - N(R106)C(O)R107, -N(R106)C(O)OR107, -C(O)NR106R107, -NHC(O)NR106R107, -N(R106)S(O)2R107, wherein R106 and R107 are independently selected from the group consisting of hydrogen, methyl, ethyl, methylethyl, tert-butyl, cyclopentyl, cyclohexyl, optionally substituted with one or more substituent selected from the group consisting of halogen, oxo, hydroxy, and methyl. In another embodiment of Formula I, X6 is hydrogen, Y6 is ethyl, R8 is selected from the group consisting of propoxyethyl and ethoxyethyl, R2 is a para-substitued pyridinyl, optionally substituted as described in Formula I, and R6 is selected from the group consisting of 5 to 6 membered ring heteroaryl, 5 to 6 membered ring heteroaryl-C(O)-, and 5 to 6 membered ring heteroaryl-C(O)- NH, optionally substituted with one or more substituents independently selected from the group consisting of alkyl, -OR106, and -C(O)R106, wherein R106 is selected from the group consisting of hydrogen, methyl, and ethyl. In another embodiment of Formula I, X6 is hydrogen, Y6 is ethyl, R8 is selected from the group consisting of propoxyethyl and ethoxyethyl, R2 is a para-substitued pyridinyl optionally substituted as described in Formula I, and R6 is selected from the group consisting of 5 to 6 membered ring fully saturated heterocyclyl, 5 to 6 membered ring fully saturated heterocyclyl-C(O)-, and 5 to 6 membered ring fully saturated heterocyclyl-C(O)-NH, optionally substituted with one or more substituents independently selected from the group consisting of alkyl, -OR106, and -C(O)R106, wherein R106 is selected from the group consisting of hydrogen, methyl, and ethyl.
Compounds of Formula (I-B)
The present invention is directed, in part, to a class of compounds having the structure of Formula I-B:
wherein
R9, R10, R11 and R13 are independently selected from the group consisting of hydrogen, halogen, oxo, alkyl, -OR100, -C(O)R100, -OC(O)R100, -C(O)OR100, -NR100R101 and -C(O)NR100R101, wherein the alkyl substitutent may be optionally substituted with one or more substituents independently selected from the group consisting of halogen, oxo, -OR102, and -C(O)OR102; wherein R100, R101, and R102 are independently selected from the group consisting of hydrogen and C1 to C4 alkyl;
Y6 represents a bond or is selected from the group consisting of alkyl, alkenyl and alkynyl, wher reeiinn ((aa)) tthhee YY66 aallkkyyll,, aallkkeennyyll aanndd aallkkyynnyyll ssuubbssttiittuueennttss mmaayy bbee ooppttiioonnaallllyy ssuubbssttiittuutteedd wwiitthh oonnee or more substittuueennttss iinnddeeppeennddeennttllyy sseelleecctteedd ffrroomm tthhee ggrroouupp ccoonnssiissttiinngg ooff hhaallooggeenn,, ccyyaj no, oxo, cycloalk cyy!l,, --OORR103, -C(O)R103, -C(O)OR103, -OC(O)R103, -NR103R104, -N(R103)C(O)R104, and - C(O)NR103R104;
R103 and R104 are independently selected from the group consisting of hydrogen and alkyl, wherein the alkyl may be optionally substituted with one or more substituents independently selected from the group consisting of halogen, hydroxy, carboxy, cyano, oxo, alkynyl, haloalkynyl, hydroxyalkynyl, carboxyalkynyl, alkoxy, haloalkoxy, hydroxyalkoxy, and carboxyalkoxy;
R6 is selected from the group consisting of aryl, aryl-C(O)-, heterocyclyl, aryl-C(O)-NR105-, heterocyclyl-C(O)-, and heterocyclyl-C(0)-NR105- wherein R6 may be optionally substituted with one or more substituents independently selected from the group consisting of halogen, cyano, oxo, alkyl, alkenyl, alkynyl, cycloalkyl, aryl, heterocyclyl, -OR106, -C(O)R106, -C(O)OR106, - OC(O)R106, -NR106R107, -N(R106)C(O)R107, -C(O)NR106R107, -C(O)NR106C(O)R107, -SR106, - S(O)R106, -S(O)2R106, -N(R106)S(O)2R107, and -S(O)2NR106R107; wherein the alkyl, alkenyl, alkynyl, cycloalkyl, aryl and heterocyclyl susbstituents may be optionally substituted with one or more substituents independently selected from the group consisting of halogen, hydroxy, carboxy, cyano, oxo, alkoxy, haloalkoxy, hydroxyalkoxy, and carboxyalkoxy;
R105 is independently selected from the group consisting of hydrogen and alkyl;
R106 and R107 are independently selected from the group consisting of hydrogen, alkyl, alkenyl, and alkynyl, wherein (a) the R106 and R107 alkyl and alkenyl substituents may be optionally substituted with one or more substituents independently selected from the group consisting of halogen, hydroxy, carboxy, cyano, oxo, alkynyl, haloalkynyl, hydroxyalkynyl, carboxyalkynyl, alkoxy, haloalkoxy, hydroxyalkoxy, and carboxyalkoxy, and (b) the R106 and R107 alkynyl substituents may be optionally substituted with one or more substituents independently selected from the group consisting of halogen, hydroxy, carboxy, cyano, oxo, alkoxy, haloalkoxy, hydroxyalkoxy, and carboxyalkoxy;
R8 is alkoxyalkyl, optionally substituted with halogen.
Embodiments of Ff. R10. R11 and R13
In one embodiment of the compounds of Formula I-B, R9, R10, R11 and R13 are selected from the group consisting of hydrogen, chloro, fluoro, methyl, ethyl, propyl, butyl, pentyl, hexyl, trifluoromethyl, hydroxy, methoxy, ethoxy, propoxy, butoxy, amino, methylamino, dimethylamino, ethylamino, and diethylamino. In another embodiment of Formula I-B, R9, R10, R11 and R13are selected-from-the group-eonsisting-of-hydrOgenrfluoror methylptrifluoromethylT-methoxy, trifluoromethoxy, amino, methylamino, and dimethylamino. In another embodiment of Formula I- B, R11 and R13 are hydrogen, and R9 and R10 are selected from the group consisting of hydrogen, chloro, fluoro, methyl, ethyl, propyl, butyl, pentyl, hexyl, trifluoromethyl, hydroxy, methoxy, ethoxy, propoxy, butoxy, amino, methylamino, dimethylamino, ethylamino, and diethylamino. In another embodiment of Formula I-B, R9 and R10 are hydrogen, and R11 and R13 are selected from the group consisting of hydrogen, methoxy, and fluoro. In another embodiment of Formula I-B, R9 R10 and R13 are hydrogen, and R11 is methoxy. Embodiments of Y6
In one embodiment of the compounds of Formula I-B, Y6 represents a bond or is selected from the group consisting of alkyl, alkenyl and alkynyl, wherein the Y6 alkyl, alkenyl and alkynyl substituents may be optionally substituted with one or more substituents independently selected from the group consisting of halogen, cyano, oxo, cycloalkyl, -OR103, -C(O)R103, -C(O)OR103, - OC(O)R103, -NR103R104, -N(R103)C(O)R104, and -C(O)NR103R104; and wherein R103 and R104 are independently selected from the group consisting of hydrogen and alkyl, wherein the alkyl may be optionally substituted with one or more substituents independently selected from the group consisting of halogen, hydroxy, carboxy, cyano, oxo, alkynyl, haloalkynyl, hydroxyalkynyl, carboxyalkynyl, alkoxy, haloalkoxy, hydroxyalkoxy, and carboxyalkoxy.
In one embodiment of Formula I-B, Y6 represents a bond or is alkyl, optionally substituted as described in Formula I-B. In another embodiment of Formula I-B, Y6 represents a bond or is C1 to C6 alkyl, optionally substituted as described in Formula I-B. In another embodiment of Formula I-B, Y6 represents a bond or is selected from the group consisting of C1 to C4 alkyl and hydroxy^ to C4.alkyl. In another embodiment of Formula I-B, Y6 represents a bond or is
selected from the group consisting of methyl, ethyl, propyl, butyl, hydroxyethyl, hydroxypropyl, hydroxybutyl, dihydroxyethyl, and dihydroxybutyl. In one embodiment of Formula I-B, Y6 represents a bond or is selected from the group consisting of methyl, ethyl, propyl and butyl.
In one embodiment of Formula I-B, Y6 is alkyl optionally substituted with one or more substituents independently selected from the group consisting of halogen, cyano, oxo, cycloalkyl, -OR103, -C(O)R103, -C(O)OR103, -OC(O)R103, -NR103R104, -N(R103)C(O)R104, and -C(O)NR103R104; wherein R103 and R104 are independently selected from the group consisting of hydrogen and Ci to C4 alkyl. In another embodiment of Formula I-B, Y6 is alkyl substituted with one or more substituents independently selected from the group consisting of fluoro, chloro, oxo, cycloalkyl, hydroxy, and carboxy. In another embodiment of Formula I-B, Y6 is alkyl substituted with one to three substituents independently selected from the group consisting of hydroxy and cyclohexyl. In another embodiment of Formula I-B, Y6 is unsubstituted alkyl. Embodiments of Ff Substituent
In one embodiment of Formula I-B, R6 is selected from the group consisting of phenyl, phenyl-C(O)-, 3 to 10 membered ring heterocyclyl, phenyl-C(O)-NR105-, 3 to 10 membered ring heterocyclyl-C(O)-, and 3 to 10 membered ring heterocyclyl-C(O)-NR105-, wherein R6 is optionally substituted as described in Formula I-B, wherein R105 is selected from the group consisting of .hydro^eii.aniLC^JSe^alk^^ consisting of phenyl, phenyl-C(O)-, 5 to 7 membered ring heterocyclyl, phenyl-C(O)-NR105-, 5 to 7 membered ring heterocyclyl-C(O)-, and 5 to 7 membered ring heterocyclyl-C(O)-NR105-, wherein R6 is optionally substituted as described in Formula I-B, wherein R105 is selected from the group consisting of hydrogen and C1 to C4 alkyl. In another embodiment of Formula I-B, R6 is selected from the group consisting of phenyl, phenyl-C(O)-, 5 to 6 membered ring heterocyclyl, phenyl-C(O)-NR105-, 5 to 6 membered ring heterocyclyl-C(O)-, and 5 to 6 membered ring heterocyclyl-C(O)-NR105-, wherein R6 is optionally substituted as described in Formula I-B wherein R105 is hydrogen. In another embodiment, R6 is selected from the group consisting of phenyl, pyridinyl, piperidinyl, piperizinyl, morpholino, pyrazinyl, tetrahydropyran, tetrahydrofuran, isoxazole, imidazole, pyrrolidine, wherein R6 is optionally substituted as described in Formula I. In another embodiment, R6 is selected from the group consisting of morpholinyl, tetrahydropyranyl, tetrahydrofuranyl, piperidinyl, and pyrrolidinyl, wherein R6 is optionally substituted as provided in Formula I.
In one embodiment of Formula I, R6 is selected from the group consisting of phenyl, phenyl C(O)NH-, and phenyl C(O)-
In one embodiment of Formula I, R6 is selected from the group consisting of 5 to 7 membered ring heteroaryl, 5 to 7 membered ring heteroaryl-C(O)-, and 5 to 7 membered ring heteroaryl-C(O)-NR105-, wherein R6 is optionally substituted as described in Formula I, wherein R105 is selected from the group consisting of hydrogen and C1 to C4 alkyl. In another embodiment of Formula I, R6 is a 3 to 10 membered ring heteroaryl, optionally substituted as described in Formula I. In another embodiment of Formula I, R6 is a 5 to 7 membered ring heteroaryl, optionally substituted as described in Formula I. In another embodiment of Formula I,
R6 is a 5 to 6 membered ring heteroaryl, optionally substituted as described in Formula I. In another embodiment of Formula I, R6 is a 5 to 6 membered ring heteroaryl containing one to three heteroatoms selected from the group consisting of O and N, wherein R6 is optionally substituted as described in Formula I. In another embodiment of Formula I, R6 is selected from the group consisting of imidazole, isoxazole, pyridinyl and pyrazynyl, wherein R6 is optionally substituted as described in Formula I. In another embodiment of Formula I, R6 is selected from the group consisting of imidazole, isoxazole, pyridinyl and pyrazynyl, wherein R6 is optionally substituted with one or more substituents independently selected from the group consisting of alkyl, -OR105, and -C(O)R105, wherein R105 is selected from the group consisting of hydrogen,
1V*
10 methyl, and ethyl. In another embodiment, R6 is selected from the group consisting of O'
In one embodiment of Formula I, R6 is selected from the group consisting of 3 to 10 membered ring fully or partially saturated heterocylyl, 3 to 10 membered ring fully or partially
"■ " "•satϋrated"hBterocyclyl-C(O)~,"13'1cr1O"m"emberedτingiullyorpartially saturated heterocyclyl-
15 C(O)NH-, wherein R6 is optionally substituted as described in Formula I. In another embodiment of Formula I, R6 is a 5 to 7 membered ring fully or partially saturated heterocylyl, 5 to 7 membered ring fully or partially saturated heterocyclyl-C(O)-, 5 to 7 membered ring fully or partially saturated heterocyclyl-C(O)NH-, wherein R6 is optionally substituted as described in Formula I. In another embodiment of Formula I, R6 is a 5 to 6 membered ring fully saturated
20 heterocylyl, 5 to 6 membered ring fully saturated heterocyclyl-C(O)-, 5 to 6 membered ring fully saturated heterocyclyl-C(O)NH-, wherein R6 is optionally substituted as described in Formula I. In another embodiment of Formula I, R6 is a 5 to 6 membered ring fully saturated heterocylyl, optionally substituted as described in Formula I. In another embodiment of Formula I, R6 is selected from the group consisting of tetrahydrofuran, tetrahydropyran, pyrrolidinyl, piperidinyl,
25 piperazinyl, and morpholino, wherein R6 is optionally substituted as described in Formula I. In another embodiment of Formula I, R6 is selected from the group consisting of tetrahydrofuran, tetrahydropyran, pyrrolidinyl, piperidinyl, piperazinyl, and morpholino, wherein R6 is optionally substituted with one or more substituents independently selected from the group consisting of alkyl, -OR105, -C(O)R105 and -C(O)OR105 wherein R105 is selected from the group consisting of
30 hydrogen, methyl, and ethyl. In another embodiment, R6 is selected from the group consisting
In another embodiment of Formula I, R6 is optionally substituted with one or more substituents independently selected from the group consisting of -OR105, -C(O)R105, -C(O)OR105, -NR105R106, -N(R105)C(O)R106, -N(R105)C(O)OR106, -C(O)NR105R106, -NHC(O)NR105R106, - N(R105)S(O)2R106, wherein R105 and R106 are independently selected from the group consisting of hydrogen, methyl, ethyl, methylethyl, tert-butyl, cyclopentyl, cyclohexyl, optionally substituted with one or more substituent selected from the group consisting of halogen, oxo, hydroxy, and methyl.. In another embodiment of Formula I, R6 is optionally substituted with one or more substituents independently selected from the group consisting of alkyl, -C(O)R105 and - C(O)OR105, wherein R105 is selected from the group consisting of hydrogen, methyl, and ethyl. In another embodiment of Formula I, R6 is optionally substituted with one or more substituents
independently selected from the group consisting of -OH, -CH3, -CH2CH3, -C(O)CH3, - C(O)CH2CH3, -C(O)OCH2CH3. Embodiments of Ff Substituent
In one embodiment of Formula I-B, R8 is a (C1 to C4)BIkOXy(C1 to C4)alkyl, optionally substituted with one to three substituents selected from fluoro and chloro. In another embodiment of Formula I, R8 is methoxyethyl. In another embodiment of Formula I, R8 is ethoxyethyl. In another embodiment of Formula I, R8 is propoxyethyl. In another embodiment of Formula I, R8 is trifluoroethoxyethyl. In another embodiment of Formula I, R8 is selected from the group consisting of propoxyethyl and ethoxyethyl.
Embodiments of Multiple Substituents
The following are additional embodiments of the compounds of Formula I-B. Unless otherwise specified, substituents are as described in Formula I-B. Further embodiments of Formula I-B described when R9, R10, R11, R13, Y6, R6 and R8 are selected from the various embodiments described above.
Embodiments where R9, R10 are hydrogen, Y6 represents a bond or is alkyl
In one embodiment of Formula I-B, Y6 is a bond or is alkyl, optionally substituted as - — desGr-ibed-in-Formula I-B, and-R^-and-R— are-hydrogen.— In-another-embodiment-of Formula I-B,
Y6 is a bond or is alkyl, optionally substituted as described in Formula I-B, R9 and R10 are hydrogen and R11 and R13 are selected from the group consisting of hydrogen, methoxy, and fluoro. In another embodiment of Formula I-B, Y6 is a bond or is alkyl, optionally substituted as described in Formula I-B, R9 R10 and R13 are hydrogen, and R11 is methoxy. Embodiments where R9, R10, R13 are hydrogen, Y6 represents a bond or is alkyl
In one embodiment of Formula I-B, Y6 is a bond or is alkyl, optionally substituted as described in Formula I-B, and R9, R10 and R13 are hydrogen. In another embodiment of Formula I-B, Y6 is a bond or is alkyl, optionally substituted as described in Formula I-B, R9, R10 and R13 are hydrogen and R11 is selected from the group consisting of hydrogen, methoxy, and fluoro. In another embodiment of Formula I-B, Y6 is a bond or is alkyl, optionally substituted as described in Formula I-B, R9 R10 and R13 are hydrogen, and R11 is methoxy. Embodiments where R9, R10, R13 are hydrogen and R8 is ethoxyethyl or propoxyethyl
In one embodiment of Formula I-B, R9, R10 and R13 are hydrogen, and R8 is selected from the group consisting of ethoxyethyl and propoxyethyl. In another embodiment of Formula I-B, R9, R10 and R13 are hydrogen and R11 is selected from the group consisting of hydrogen, methoxy, and fluoro, and R8 is selected from the group consisting of ethoxyethyl and propoxyethyl. In another embodiment of Formula I-B, R9 R10 and R13 are hydrogen, R11 is methoxy, and R8 is ethoxyethyl, as described in Formula I-FF in Table A. In another embodiment of Formula I-B, R9 R10 and R13 are hydrogen, R11 is methoxy, and R8 is propoxyethyl, as described in Formula I-UU in Table A. Embodiments of Formula I-FF and I-UU
In one embodiment of Formulae I-FF and I-UU, Y6 represents a bond or is alkyl optionally substituted as described in Formula I-B, and R6 is selected from the group consisting of hydrogen, halogen, oxo, hydroxy, amino, aminoalkyl, alkyl, alkynyl, alkoxy, alkylamino, and cycloalkyl, optionally substituted as described in Formula I-B. In another embodiment of Formulae I-FF and I-UU, Y6 represents a bond or is selected from the group consisting of unsubstituted Ci to C4 alkyl and unsubstituted hydroxy^ to C4.alkyl, and R6 is selected from the group consisting of phenyl, phenyl-C(O)-, 5 to 6 membered ring heterocyclyl, phenyl-C(O)- NR105-, 5 to 6 membered ring heterocyclyl-C(O)-, and 5 to 6 membered ring heterocyclyl-C(O)- NR105-, wherein R6 is optionally substituted as described in Formula I-B wherein R105 is hydrogen. In another embodiment of Formulae I-FF and I-UU, Y6 represents a bond or is selected from the group consisting of methyl, ethyl, propyl, butyl, hydroxyethyl, hydroxypropyi, hydroxybutyl, dihydroxyethyl, and dihydroxybutyl, and R6 is selected from the group consisting of phenyl, phenyl-C(O)-, 5 to 6 membered ring heterocyclyl, phenyl-C(O)-NH-, 5 to 6 membered ring heterocyclyl-C(O)-, and 5 to 6 membered ring heterocyclyl-C(O)-NH-, wherein R6 is optionally substituted with one or more substituents independently selected from the group consisting of -OH, -CH3, -CH2CH3, -C(O)CH3, -C(O)CH2CH3, -C(O)OCH2CH3. Embodiments where R9, R10, R13 are hydrogen, R8 is ethoxyethyl or propoxyethyl and R6 is selected from various embodiments
In one embodiment of Formula I-B, R9, R10 and R13 are hydrogen, R8 is selected from the group consisting of ethoxyethyl and propoxyethyl, and R6 is selected from the group consisting of phenyl, phenyl C(O)NH-, phenyl C(O)-, 5 to 7 membered ring heterocyclyl, phenyl-C(O)-NH-, 5 to 7 membered ring heterocyclyl-C(O)-, and 5 to 7 membered ring heterocyclyl-C(O)-NH, optionally substituted with one or more substituents independently selected from the group consisting of of -OR105, -C(O)R105, -C(O)OR105, -NR105R106, -N(R105)C(O)R106, - N(R105)C(O)OR106, -C(O)NR105R106, -NHC(O)NR105R106, -N(R105)S(O)2R106, wherein R105 and R106 are independently selected from the group consisting of hydrogen, methyl, ethyl, methylethyl, tert-butyl, cyclopentyl, cyclohexyl, optionally substituted with one or more substituent selected from the group consisting of halogen, oxo, hydroxy, and methyl. In another embodiment of Formula I-B, R9, R10 and R13 are hydrogen, R8 is selected from the group consisting of ethoxyethyl and propoxyethyl, and R6 is selected from the group consisting of 5 to 6 membered ring heteroaryl, 5 to 6 membered ring heteroaryl-C(O)-, and 5 to 6 membered ring heteroaryl- C(O)-NH, optionally substituted with one or more substituents independently selected from the group consisting of alkyl, -OR105, and -C(O)R105, wherein R105 is selected from the group consisting of hydrogen, methyl, and ethyl. In another embodiment of Formula I-B, R9, R10 and R13 are hydrogen, R8 is selected from the group consisting of ethoxyethyl and propoxyethyl, and R6 is selected from the group consisting of 5 to 6 membered ring fully saturated heterocyclyl, 5 to 6 membered ring fully saturated heterocyclyl-C(O)-, and 5 to 6 membered ring fully saturated heterocyclyl-C(O)-NH, optionally substituted with one or more substituents independently selected from the group consisting of alkyl, -OR105, and -C(O)R105, wherein R105 is selected from the group consisting of hydrogen, methyl, and ethyl.
Compounds of Formula Q-I)
The present invention is directed, in part, to a class of compounds having the structure of Formula l-l:
wherein
R9, R10, R11_ R12 and R13 are independently selected from the group consisting of hydrogen, halogen, oxo, alkyl, -OR100, -C(O)R100, -OC(O)R100, -C(O)OR100, -NR100R101 and -C(O)NR100R101, wherein the alkyl substitutent may be optionally substituted with one or more substituents independently selected from the group consisting of halogen, oxo, -OR102, and -C(O)OR102; wherein R100, R101, and R102 are independently selected from the group consisting of hydrogen and Ci to C4 alkyl;
Y6 represents a bond or is selected from the group consisting of alkyl, alkenyl and alkynyl, wherein (a) the Y6 alkyl, alkenyl and alkynyl substituents may be optionally substituted with one or more substituents independently selected from the group consisting of halogen, cyano, oxo,
,103N -.104 cycloalkyl, -0R -,1η0υ3d, -C(O)R ,1η0u3d, -C(O)OR -.110U3d, -OC(O)R1Ud, -NR -,1η0υ3d 0R1π0u4\ -N(R1Ud)C(0)R1U4, and - C(O)NR103R104;
R103 and R104 are independently selected from the group consisting of hydrogen and alkyl, wherein the alkyl may be optionally substituted with one or more substituents independently selected from the group consisting of halogen, hydroxy, carboxy, cyano, oxo, alkynyl, haloalkynyl, hydroxyalkynyl, carboxyalkynyl, alkoxy, haloalkoxy, hydroxyalkoxy, and carboxyalkoxy;
R6 is selected from the group consisting of aryl, aryl-C(O)-, heterocyclyl, aryl-C(O)-NR105-, heterocyclyl-C(O)-, and heterocyclyl-C(O)-NR105- wherein R6 may be optionally substituted with one or more substituents independently selected from the group consisting of halogen, cyano, oxo, alkyl, alkenyl, alkynyl, cycloalkyl, aryl, heterocyclyl, -OR106, -C(O)R106, -C(O)OR106, -
OC(O)R106, -NR106R107, -N(Rlϋb)C(O)Rlϋ7, -C(O)NR106R107, -C(O)NR106C(O)R107, -SR 3106 S(O)R106, -S(O)2R106, -N(R106)S(O)2R107, and -S(O)2NR106R107; wherein the alkyl, alkenyl, alkynyl, cycloalkyl, aryl and heterocyclyl susbstituents may be optionally substituted with one or more
substituents independently selected from the group consisting of halogen, hydroxy, carboxy, cyano, oxo, alkoxy, haloalkoxy, hydroxyalkoxy, and carboxyalkoxy;
R105 is independently selected from the group consisting of hydrogen and alkyl;
R106 and R107 are independently selected from the group consisting of hydrogen, alkyl, alkenyl, and alkynyl, wherein (a) the R106 and R107 alkyl and alkenyl substituents may be optionally substituted with one or more substituents independently selected from the group consisting of halogen, hydroxy, carboxy, cyano, oxo, alkynyl, haloalkynyl, hydroxyalkynyl, carboxyalkynyl, alkoxy, haloalkoxy, hydroxyalkoxy, and carboxyalkoxy, and (b) the R106 and R107 alkynyl substituents may be optionally substituted with one or more substituents independently selected from the group consisting of halogen, hydroxy, carboxy, cyano, oxo, alkoxy, haloalkoxy, hydroxyalkoxy, and carboxyalkoxy;
R8 is alkoxyalkyl, optionally substituted with halogen. Embodiments of R9. R10, R11. R12 and R13
In one embodiment of the compounds of Formula l-l, R9, R10, R11 R12, and R13 are selected from the group consisting of hydrogen, chloro, fluoro, methyl, ethyl, propyl, butyl, pentyl, hexyl, trif-luoromethyl,~hydroxy,-methoxy.,-ethoxy, propoxy, butoxy, amino, methylamino, dimethylamino, ethylamino, and diethylamino. In another embodiment of Formula l-l, R9, R10, R11 R12, and R13 are selected from the group consisting of hydrogen, fluoro, methyl, trifluoromethyl, methoxy, trifluoromethoxy, amino, methylamino, and dimethylamino. In another embodiment of Formula I- I, R9, R12 and R13 are hydrogen, and R10 and R11 are selected from the group consisting of hydrogen, chloro, fluoro, methyl, ethyl, propyl, butyl, pentyl, hexyl, trifluoromethyl, hydroxy, methoxy, ethoxy, propoxy, butoxy, amino, methylamino, dimethylamino, ethylamino, and diethylamino. In another embodiment of Formula l-l, R9, R12 and R13 are hydrogen, and R11 and R13 are selected from the group consisting of hydrogen, methoxy, trifluoromethyl, and fluoro. In another embodiment of Formula l-l, R9, R10, R12 and R13 are hydrogen, and R11 is fluoro. Embodiments of V6
In one embodiment of the compounds of Formula l-l, Y6 represents a bond or is selected from the group consisting of alkyl, alkenyl and alkynyl, wherein the Y6 alkyl, alkenyl and alkynyl substituents may be optionally substituted with one or more substituents independently selected from the group consisting of halogen, cyano, oxo, cycloalkyl, -OR103, -C(O)R103, -C(O)OR103, - OC(O)R103, -NR103R104, -N(R103)C(O)R104, and -C(O)NR103R104; and wherein R103 and R104 are independently selected from the group consisting of hydrogen and alkyl, wherein the alkyl may be optionally substituted with one or more substituents independently selected from the group consisting of halogen, hydroxy, carboxy, cyano, oxo, alkynyl, haloalkynyl, hydroxyalkynyl, carboxyalkynyl, alkoxy, haloalkoxy, hydroxyalkoxy, and carboxyalkoxy.
In one embodiment of Formula l-l, Y6 represents a bond or is alkyl, optionally substituted as described in Formula l-l. In another embodiment of Formula l-l, Y6 represents a bond or is Ci to C6 alkyl, optionally substituted as described in Formula l-l. In another embodiment of Formula I-
I, Y6 represents a bond or is selected from the group consisting of C-i to C4 alkyl and hydroxyCi to C4.alkyl. In another embodiment of Formula l-l, Y6 represents a bond or is selected from the group consisting of methyl, ethyl, propyl, butyl, hydroxyethyl, hydroxypropyl, hydroxybutyl, dihydroxyethyl, and dihydroxybutyl. In one embodiment of Formula l-l, Y6 represents a bond or is selected from the group consisting of methyl, ethyl, propyl and butyl.
In one embodiment of Formula l-l, Y6 is alkyl optionally substituted with one or more substituents independently selected from the group consisting of halogen, cyano, oxo, cycloalkyl, -OR103, -C(O)R103, -C(O)OR103, -OC(O)R103, -NR103R104, -N(R103)C(O)R104, and -C(O)NR103R104; wherein R103 and R104 are independently selected from the group consisting of hydrogen and C1 to C4 alkyl. In another embodiment of Formula l-l, Y6 is alkyl substituted with one or more substituents independently selected from the group consisting of fluoro, chloro, oxo, cycloalkyl, hydroxy, and carboxy. In another embodiment of Formula l-l, Y6 is alkyl substituted with one to three substituents independently selected from the group consisting of hydroxy and cyclohexyl. In another embodiment of Formula l-l, Y6 is unsubstituted alkyl. Embodiments of Ff Substituent
In one embodiment of Formula l-l, R6 is selected from the group consisting of phenyl, phenyl- C(O)-, 3 to 10 membered ring heterocyclyl, phenyl-C(O)-NR105-, 3 to 10 membered ring heterocyclyl-C(O)-, and 3 to 10 membered ring heterocyclyl-C(O)-NR105-, wherein R6 is optionally substituted as described in Formula l-l, wherein R105 is selected from the group consisting of hydrogen and C1 to C6 alkyl. In another embodiment of Formula l-l, R6 is selected from the group consisting of phenyl, phenyl-C(O)-, 5 to 7 membered ring heterocyclyl, phenyl-C(O)-NR105-, 5 to 7 membered ring heterocyclyl-C(O)-, and 5 to 7 membered ring heterocyclyl-C(O)-NR105-, wherein R6 is optionally substituted as described in Formula l-l, wherein R105 is selected from the group consisting of hydrogen and C1 to C4 alkyl. In another embodiment of Formula l-l, R6 is selected from the group consisting of phenyl, phenyl-C(O)-, 5 to 6 membered ring heterocyclyl, phenyl-C(O)-NR105-, 5 to 6 membered ring heterocyclyl-C(O)-, and 5 to 6 membered ring heterocyclyl-C(0)-NR105-, wherein R6 is optionally substituted as described in Formula l-l wherein R105 is hydrogen. In another embodiment, R6 is selected from the group consisting of phenyl, pyridinyl, piperidinyl, piperizinyl, morpholino, pyrazinyl, tetrahydropyran, tetrahydrofuran, isoxazole, imidazole, pyrrolidine, wherein R6 is optionally substituted as described in Formula l-l. In another embodiment, R6 is selected from the group consisting of morpholinyl, tetrahydropyranyl, tetrahydrofuranyl, piperidinyl, and pyrrolidinyl, wherein R6 is optionally substituted as provided in Formula l-l.
In one embodiment of Formula l-l, R6 is selected from the group consisting of phenyl, phenyl C(O)NH-, and phenyl C(O)-.
In one embodiment of Formula l-l, R6 is selected from the group consisting of 5 to 7 membered ring heteroaryl, 5 to 7 membered ring heteroaryl-C(O)-, and 5 to 7 membered ring heteroaryl-C(O)-NR105-, wherein R6 is optionally substituted as described in Formula l-l, wherein R105 is selected from the group consisting of hydrogen and C1 to C4 alkyl. In another embodiment of Formula l-l, R6 is a 3 to 10 membered ring heteroaryl, optionally substituted as
described in Formula l-l. In another embodiment of Formula l-l, R6 is a 5 to 7 membered ring heteroaryl, optionally substituted as described in Formula l-l. In another embodiment of Formula l-l, R6 is a 5 to 6 membered ring heteroaryl, optionally substituted as described in Formula l-l. In another embodiment of Formula l-l, R6 is a 5 to 6 membered ring heteroaryl containing one to three heteroatoms selected from the group consisting of O and N, optionally substituted as described in Formula l-l. In another embodiment of Formula l-l, R6 is selected from the group consisting of imidazole, isoxazoie, pyridinyl and pyrazynyl, wherein R6 is optionally substituted as described in Formula l-l. In another embodiment of Formula l-l, R6 is selected from the group consisting of imidazole, isoxazoie, pyridinyl and pyrazynyl, wherein R6 is optionally substituted with one or more substituents independently selected from the group consisting of alkyl, -OR105, and -C(O)R105, wherein R105 is selected from the group consisting of hydrogen, methyl, and ethyl.
In another embodiment, R is selected from the group consisting of O* ,
, and In one embodiment" δfTormTjla~l-17R61^ele^ϊeϊlrOTi^e'grblj"p~∞hsis:tin"g όf"3 tόlO" membered ring fully or partially saturated heterocylyl, 3 to 10 membered ring fully or partially saturated heterocyclyl-C(O)-, 3 to 10 membered ring fully or partially saturated heterocyclyl- C(O)NH-, wherein R6 is optionally substituted as described in Formula l-l. In another embodiment of Formula M-I, R6 is a 5 to 7 membered ring fully or partially saturated heterocylyl, 5 to 7 membered ring fully or partially saturated heterocyclyl-C(O)-, 5 to 7 membered ring fully or partially saturated heterocyclyl-C(O)NH-, wherein R6 is optionally substituted as described in Formula l-l. In another embodiment of Formula l-l, R6 is a 5 to 6 membered ring fully saturated heterocylyl, 5 to 6 membered ring fully saturated heterocyclyl-C(O)-, 5 to 6 membered ring fully saturated heterocyclyl-C(O)NH-, wherein R6 is optionally substituted as described in Formula l-l. In another embodiment of Formula l-l, R6 is a 5 to 6 membered ring fully saturated heterocylyl, optionally substituted as described in Formula M. In another embodiment of Formula l-l, R6 is selected from the group consisting of tetrahydrofuran, tetrahydropyran, pyrrolidinyl, piperidinyl, piperazinyl, and morpholino, wherein R6 is optionally substituted as described in Formula l-l. In another embodiment of Formula l-l, R6 is selected from the group consisting of tetrahydrofuran, tetrahydropyran, pyrrolidinyl, piperidinyl, piperazinyl, and morpholino, wherein R6 is optionally substituted with one or more substituents independently selected from the group consisting of alkyl, -OR105, -C(O)R105 and -C(O)OR105 wherein R105 is selected from the group consisting of hydrogen, methyl, and ethyl. In another embodiment, R6 is selected from the group consisting
In another embodiment of Formula l-l, R6 is optionally substituted with one or more substituents independently selected from the group consisting of -OR105, -C(O)R105, -C(O)OR105,
-,105r-,106
-NR1UBRluVN(R1ϋ5)C(O)Rlϋb, -N(R1^)C(O)OR10VC(O)NR105R106, -NHC(O)NR1UbR1Ub, -
D 105s
N(R1US)S(O)2R106, wherein R105 and R106 are independently selected from the group consisting of hydrogen, methyl, ethyl, methylethyl, tert-butyl, cyclopentyl, cyclohexyl, optionally substituted with one or more substituent selected from the group consisting of halogen, oxo, hydroxy, and
methyl.. In another embodiment of Formula l-l, R6 is optionally substituted with one or more substituents independently selected from the group consisting of alkyl, -C(O)R105 and - C(O)OR105, wherein R105 is selected from the group consisting of hydrogen, methyl, and ethyl. In another embodiment of Formula I-I, R6 is optionally substituted with one or more substituents independently selected from the group consisting of -OH, -CH3, -CH2CH3, -C(O)CH3, - C(O)CH2CH3, -C(O)OCH2CH3. Embodiments of Ff Suhstituent
In one embodiment of Formula l-l, R8 is a (C1 to C^aIkOXy(C1 to C4)alkyl, optionally substituted with one to three substituents selected from fluoro and chloro. In another embodiment of Formula l-l, R8 is trifluroethoxyethyl. In another embodiment of Formula l-l, R8 is ethoxyethyl. In another embodiment of Formula I, R8 is propoxyethyl. In another embodiment of Formula l-l, R8 is trifluoroethoxyethyl. In another embodiment of Formula l-l, R8 is selected from the group consisting of propoxyethyl and ethoxyethyl.
Embodiments of Multiple Substituents
The following are additional embodiments of the compounds of Formula l-l. Unless otherwise specified, substituents are as described in Formula l-l. Further embodiments of - Formula-H-deseribed when-R9, R1VR1VR1VY6, R6 and R8 are selected from the various embodiments described above. Embodiments where R9, R12 and R13 are hydrogen, Y6 represents a bond or is alkyl In one embodiment of Formula l-l, Y6 is a bond or is alkyl, optionally substituted as described in Formula l-l, and R9, R12 and R13 are hydrogen. In another embodiment of Formula I- I, Y6 is a bond or is alkyl, optionally substituted as described in Formula l-l, R9, R12 and R13 are hydrogen and R10 and R11 are selected from the group consisting of hydrogen, methyl, methoxy, trifluoromethyl, and fluoro. In another embodiment of Formula l-l, Y6 is a bond or is alkyl, optionally substituted as described in Formula l-l, R9, R10, R12 and R13 are hydrogen, and R11 is fluoro.
Embodiments where R9, R10, R13 are hydrogen and R8 is ethoxyethyl or propoxyethyl In one embodiment of Formula l-l, R9, R10 and R13 are hydrogen, and R8 is selected from the group consisting of ethoxyethyl and propoxyethyl. In another embodiment of Formula l-l, R9, R10 and R13 are hydrogen and R11 and R12 are independently selected from the group consisting of hydrogen, methyl, methoxy, fluoro and trifluoromethyl, and R8 is selected from the group consisting of ethoxyethyl and propoxyethyl. In another embodiment of Formula l-l, R9 R10 and R13 are hydrogen, R11 and R12 are independently selected from the group consisting of hydrogen and fluoro, and R8 is selected from the group consisting of ethoxyethyl and propoxyethyl.
Embodiments where R9, R10, R13 are hydrogen, R8 is ethoxyethyl or propoxyethyl and R6 is selected from various embodiments
In one embodiment of Formula l-l, R9, R10 and R13 are hydrogen, R8 is selected from the group consisting of ethoxyethyl and propoxyethyl, and R6 is selected from the group consisting of phenyl, phenyl C(O)NH-, phenyl C(O)-, 5 to 7 membered ring heterocyclyl, phenyl-C(O)-NH-, 5
to 7 membered ring heterocyclyl-C(O)-, and 5 to 7 membered ring heterocyclyl-C(O)-NH, wherein R6 is optionally substituted with one or more substituents independently selected from the group consisting of of -OR105, -C(O)R105, -C(O)OR105, -NR105R106, -N(R105)C(O)R106, - N(R105)C(O)OR106, -C(O)NR105R106, -NHC(O)NR105R106, -N(R105)S(O)2R106, wherein R105 and R106 are independently selected from the group consisting of hydrogen, methyl, ethyl, methylethyl, tert-butyl, cyclopentyl, cyclohexyl, optionally substituted with one or more substituent selected from the group consisting of halogen, oxo, hydroxy, and methyl. In another embodiment of Formula l-l, R9, R10 and R13 are hydrogen, R8 is selected from the group consisting of ethoxyethyl and propoxyethyl, and R6 is selected from the group consisting of 5 to 6 membered ring heteroaryl, 5 to 6 membered ring heteroaryl-C(O)-, and 5 to 6 membered ring heteroaryl-C(O)- NH, wherein R6 is optionally substituted with one or more substituents independently selected from the group consisting of alkyl, -OR105, and -C(O)R105, wherein R105 is selected from the group consisting of hydrogen, methyl, and ethyl. In another embodiment of Formula l-l, R9, R10 and R13 are hydrogen, R8 is selected from the group consisting of ethoxyethyl and propoxyethyl, and R6 is selected from the group consisting of 5 to 6 membered ring fully saturated heterocyclyl, 5 to 6 membered ring fully saturated heterocyclyl-C(O)-, and 5 to 6 membered ring fully saturated heterocyclyl-C(O)-NH, wherein R6 is optionally substituted with one or more substituents independently selected from the group consisting of alkyl, -OR105, and -C(O)R105, wherein R105 is selected from the group consisting of hydrogen, methyl, and ethyl.
C. Isomers
When an asymmetric center is present in a compound of Formulae (I) through (I-UU) the compound will exist in the form of enantiomers. In one embodiment, the present invention comprises optical isomers and mixtures, including racemic mixtures of the compounds of Formulae (I) through (I-UU). In another embodiment, the present invention comprises diastereomeric forms (individual diastereomers and mixtures thereof) of compounds of Formulae (I) through (I-UU). When a compound of Formulae (I) through (I-UU) contains an alkenyl group or moiety, geometric isomers may arise.
D. Tautomeric Forms
The present invention comprises the tautomeric forms of compounds of Formulae (I) through (I-UU). For instance, a tautomeric form of the following compound:
The various ratios of the tautomers in solid and liquid form is dependent on the various substituents on the molecule as well as the particular crystallization technique used to isolate a compound.
10
E. Salts
The compounds of this invention may be used in the form of salts derived from inorganic or organic acids. Depending on the particular compound, a salt of the compound may be advantageous due to one or more of the salt's physical properties, such as enhanced
15 pharmaceutical stability in differing temperatures and humidities, or a desirable solubility in water or oil. In some instances, a salt of a compound also may be used as an aid in the isolation, purification, and/or resolution of the compound.
— . .. _ — -Where-a-salt-is-intended to be administered-to a-patient (as opposed-to, for example, being used in an in vitro context), the salt preferably is pharmaceutically acceptable. The term
20 "pharmaceutically acceptable salt" refers to a salt prepared by combining a compound of
Formulae (I) - (I-CC) with an acid whose anion, or a base whose cation, is generally considered suitable for human consumption. Pharmaceutically acceptable salts are particularly useful as products of the methods of the present invention because of their greater aqueous solubility relative to the parent compound. For use in medicine, the salts of the compounds of this
25 invention are non-toxic "pharmaceutically acceptable salts." Salts encompassed within the term "pharmaceutically acceptable salts" refer to non-toxic salts of the compounds of this invention which are generally prepared by reacting the free base with a suitable organic or inorganic acid. Suitable pharmaceutically acceptable acid addition salts of the compounds of the present invention when possible include those derived from inorganic acids, such as hydrochloric,
30 hydrobromic, hydrofluoric, boric, fluoroboric, phosphoric, metaphosphoric, nitric, carbonic, sulfonic, and sulfuric acids, and organic acids such as acetic, benzenesulfonic, benzoic, citric, ethanesulfonic, fumaric, gluconic, glycolic, isothionic, lactic, lactobionic, maleic, malic, methanesulfonic, trifluoromethanesulfonic, succinic, toluenesulfonic, tartaric, and trifluoroacetic acids. Suitable organic acids generally include, for example, aliphatic, cycloaliphatic, aromatic,
35 araliphatic, heterocyclyl, carboxyic, and sulfonic classes of organic acids.
Specific examples of suitable organic acids include acetate, trifluoroacetate, formate, propionate, succinate, glycolate, gluconate, digluconate, lactate, malate, tartaric acid, citrate, ascorbate, glucuronate, maleate, fumarate, pyruvate, aspartate, glutamate, benzoate, anthranilic acid, mesylate, stearate, salicylate, p-hydroxybenzoate, phenylacetate, mandelate, embonate
40 (pamoate), methanesulfonate, ethanesulfonate, benzenesulfonate, pantothenate,
toluenesulfonate, 2-hydroxyethanesulfonate, sufanilate, cyclohexylaminosulfonate, algenic acid, β-hydroxybutyric acid, galactarate, galacturonate, adipate, alginate, butyrate, camphorate, camphorsulfonate, cyclopentanepropionate, dodecylsulfate, glycoheptanoate, glycerophosphate, heptanoate, hexanoate, nicotinate, 2-naphthalesulfonate, oxalate, palmoate, pectinate, 3-phenylpropionate, picrate, pivalate, thiocyanate, and undecanoate.
In another embodiment, examples of suitable addition salts formed include the acetate, aspartate, benzoate, besylate, bicarbonate/carbonate, bisulphate/sulphate, borate, camsyate, citrate, edisylate, esylate, formate, fumarate, gluceptate, gluconate, glucuronate, hexafluorophosphate, hibenzate, hydrochloride/chloride, hydrobromide/bromide, hydroiodide/iodide, isethionate, lactate, malate, maleate, nitrate, orotate, oxalate, palmitate, pamoate, phosphate/hydrogen phosphate/dihidrogen phosphate, saccharate, stearate, succinate, tartrate, tosylate and trifluoroacetate salts.
In another embodiment, representative salts include benzenesulfonate, hydrobromide and hydrochloride. Furthermore, where the compounds of the invention carry an acidic moiety, suitable pharmaceutically acceptable salts thereof may include alkali metal salts, e.g., sodium or potassium salts; alkaline earth metal salts, e.g., calcium or magnesium salts; and salts formed wJtfcLsuitable organic ligands,_e.g., quaternary ammonium.salts.
In another embodiment, base salts are formed from bases which form non-toxic salts, including aluminum, arginine, benzathine, choline, diethylamine, diolamine, glycine, lysine, meglumine, olamine, tromethamine and zinc salts.
Organic salts may be made from secondary, tertiary or quaternary amine salts, such as tromethamine, diethylamine, N,N'-dibenzylethylenediamine, chloroprocaine, choline, diethanolamine, ethylenediamine, meglumine (N-methylglucamine), and procaine. Basic nitrogen-containing groups may be quaternized with agents such as lower alkyl (Ci to C6) halides (e.g., methyl, ethyl, propyl, and butyl chlorides, bromides, and iodides), dialkyl sulfates (e.g., dimethyl, diethyl, dibuytl, and diamyl sulfates), long chain halides (e.g., decyl, lauryl, myristyl, and stearyl chlorides, bromides, and iodides), arylalkyl halides (e.g., benzyl and phenethyl bromides), and others. In one embodiment, salts of the compounds of this invention include hydrochloric acid (HCI) salts, trifluoroacetate (CF3COOH or 'TFA") salts, mesylate salts, and tosylate salts.
Pharmaceutically acceptable salts of compounds of Formulae (I) to (I-UU) may be prepared by one or more of three methods:
(i) by reacting the compound of any one of Formulae (I)- (I-UU) with the desired acid or base;
(ii) by removing an acid- or base-labile protecting group from a suitable precursor of the compound of any one of Formulae (I)- (I-UU) or by ring-opening a suitable cyclic precursor, for example, a lactone or lactam, using the desired acid or base; and
(iii) by converting one salt of the a compound of Formulae (I) through (I-UU) to another by reaction with an appropriate acid or base or by means of a suitable ion exchange column.
All three reactions are typically carried out in solution. The resulting salt may precipitate out and be collected by filtration or may be recovered by evaporation of the solvent. The degree of ionization in the resulting salt may vary from completely ionized to almost non-ionised.
F. Prodrugs Also within the scope of the present invention are so-called "prodrugs" of the compounds of
Formulae (I) through (I-UU). Thus, certain derivatives of compounds of any of Formulae (I) through (I-UU) which may have little or no pharmacological activity themselves can, when administered into or onto the body, be converted into compounds of any of Formulae (I) through (I-UU) having the desired activity, for example, by hydrolytic cleavage. Such derivatives are referred to as "prodrugs". Further information on the use of prodrugs may be found in "Pro-drugs as Novel Delivery Systems, Vol. 14, ACS Symposium Series (T Higuchi and W Stella) and "Bioreversible Carriers in Drug Design", Pergamon Press, 1987 (ed. E B Roche, American Pharmaceutical Association).- Prodrugs jn.accor.dan.ce_with-the^invention can, for_example,_be produced by replacing appropriate functionalities present in the compounds of any of Formulae (I) through (I-UU) with certain moieties known to those skilled in the art as "pro-moieties" as described, for example, in "Design of Prodrugs" by H Bundgaard New York, NY (Elseview, 1985).
G. Methods of Treatment
The present invention further comprises methods for treating a condition in a subject having or susceptible to having such a condition, by administering to the subject a therapeutical Iy- effective amount of one or more compounds of Formulae (I) through (I-UU) as described above.
In one embodiment, the treatment is preventative treatment.
In another embodiment, the treatment is palliative treatment.
In another embodiment, the treatment is restorative treatment. The conditions that can be treated in accordance with the present invention include, but are not limited to, cardiovascular diseases, metabolic diseases, central nervous system diseases, pulmonary diseases, sexual dysfunction, and renal dysfunction.
Conditions The present invention further comprises methods for treating a condition in a subject having or susceptible to having such a condition, by administering to the subject a therapeutically- effective amount of one or more compounds of Formula (I) through (I-UU). In another embodiment, the condition is a cGMP-mediated condition.
The conditions that can be treated in accordance with the present invention are PDE-5 mediated conditions. Such conditions include cardiovascular diseases, metabolic diseases,
central nervous system diseases, pulmonary diseases, sexual dysfunction, and renal dysfunction.
In one embodiment, the condition is a cardiovascular disease, particularly a cardiovascular disease selected from the group consisting of hypertension (such as essential hypertension, pulmonary hypertension, secondary hypertension, isolated systolic hypertension, hypertension associated with diabetes, hypertension associated with atherosclerosis, and renovascular hypertension) ; complications associated with hypertension (such as vascular organ damage, congestive heart failure, angina, stroke, glaucoma and impaired renal function); valvular insufficiency; stable, unstable and variant (Prinzmetal) angina; peripheral vascular disease; myocardial infarct; stroke; thromboembolic disease; restenosis; arteriosclerosis; atherosclerosis; pulmonary arterial hypertension; angiostenosis after bypass; angioplasty (such as percutaneous transluminal angioplasty, or percutaneous transluminal coronary angioplasty); hyperlipidemia; hypoxic vasoconstriction; vasculitis, such as Kawasaki's syndrome; heart failure (such as congestive, decompensated, systolic, diastolic, left ventricular heart failure, right ventricular heart failure, left ventricular hypertrophy); Raynaud's disease; preeclampsia; pregnancy-induced high blood pressure; cardiomyopathy; and arterial occlusive disorders.
In another embodiment, the condition is hypertension. In another embodiment, the condition is.pulm.onaLy_arieriaLhypectensioriJαjaαQther.embodiment, the condition is heart failure. In another embodiment, the condition is diastolic heart failure. In another embodiment, the condition is systolic heart failure. In another embodiment, the condition is angina. In another embodiment, the condition is thrombosis. In another embodiment, the condition is stroke.
In another embodiment, the condition is a metabolic disease, particularly a metabolic disease selected from the group consisting of Syndrome X; insulin resistance or impaired glucose tolerance; diabetes (such as type I and type Il diabetes); syndromes of insulin resistance (such as insulin receptor disorders, Rabson-Mendenhall syndrome, leprechaunism, Kobberling- Dunnigan syndrome, Seip syndrome, Lawrence syndrome, Gushing syndrome, acromegaly, pheochomocytoma, glucagonoma, primary aldosteronism, somatostatinoma, Lipoatrophic diabetes, β-cell toxin induced diabetes, Grave's disease, Hashimoto's thyroiditis and idiopathic Addison's disease); diabetic complications (such as diabetic gangrene, diabetic arthropathy, diabetic nephropathy, diabetic glomerulosclerosis, diabetic deramatopathy, diabetic neuropathy, peripheral diabetic neuropathy, diabetic cataract, and diabetic retinopathy); hyperglycemia; and obesity.
In another embodiment, the condition is insulin resistance. In another embodiment, the condition is nephropathy. In another embodiment, the condition is a disease of the central nervous system, particularly a disease of the central nervous system selected from the group consisting of vascular dementia; craniocerebral trauma; cerebral infarcts; dementia; concentration disorders; Alzheimer's disease; Parkinson's disease; amyolateral sclerosis (ALS); Huntington's disease; multiple sclerosis; Creutzfeld-Jacob; anxiety; depression; sleep disorders; and migraine. In one embodiment, the condition is Alzheimer's disease. In another embodiment, the condition is Parkinson's disease.
In one embodiment, the condition is ALS. In another embodiment, the condition is a concentration disorder.
In one embodiment, the condition is a pulmonary disease, particularly a pulmonary disease selected from the group consiting of asthma; acute respiratory distress; cystic fibrosis; chronic obstructive pulmonary disease (COPD); bronchitis; and chronic reversible pulmonary obstruction.
In one embodiment, the condition is sexual dysfunction, particularly sexual dysfunction selected from the group consiting of impotence (organic or psychic); male erectile dysfunction; clitoral dysfunction; sexual dysfunction after spinal cord injury; female sexual arousal disorder; female sexual orgasmic dysfunction; female sexual pain disorder; and female hypoactive sexual desire disorder. In another embodiment, the condition is erectile dysfunction.
In another embodiment, the condition is renal dysfunction, particularly a renal dysfunction selected from the group consisting of acute or chronic renal failure; nephropathy (such as diabetic nephropathy); glomerulopathy; and nephritis.
In another embodiment, the condition is pain. In another embodiment, the condition is acute pain. Examples of acute pain include acute pain associated with injury or surgery. In another embodiment, the condition is chronic pain. Examples of chronic pain include neuropathic pain (including postherpetic neuralgia and pain associated with peripheral, cancer or diabetic neuropathyVcarpalitunnel syndrome^back-pain^including-pain associated with-hemiated or ruptured intervertebral discs or abnormalities of the lumber facet joints, sacroiliac joints, paraspinal muscles or the posterior longitudinal ligament), headache, cancer pain (including tumour related pain such as bone pain, headache, facial pain or visceral pain) or pain associated with cancer therapy (including postchemotherapy syndrome, chronic postsurgical pain syndrome, post radiation syndrome, pain associated with immunotherapy, or pain associated with hormonal therapy), arthritic pain (including osteoarthritis and rheumatoid arthritis pain), chronic post- surgical pain, post herpetic neuralgia, trigeminal neuralgia, HIV neuropathy, phantom limb pain, central post-stroke pain and pain associated with chronic alcoholism, hypothyroidism, uremia, multiple sclerosis, spinal cord injury, Parkinson's disease, epilepsy and vitamin deficiency. In another embodiment, the condition is nociceptive pain (including pain from central nervous system trauma, strains/sprains, burns, myocardial infarction and acute pancreatitis, post- operative pain (pain following any type of surgical procedure), posttraumatic pain, renal colic, cancer pain and back pain). In another embodiment, the condition is pain associated with inflammation (including arthritic pain (such as osteoarthritis and rheumatoid disease pain), ankylosing spondylitis, visceral pain (including inflammatory bowel disease, functional bowel disorder, gastro-esophageal reflux, dyspepsia, irritable bowel syndrome, functional abdominal pain syndrome, Crohn's disease, ileitis, ulcerative colitis, dysmenorrhea!, cystitis, pancreatitis and pelvic pain). In another embodiment, the condition is pain resulting from musculoskeletal disorders (including myalgia, fibromyalgia, spondylitis, sero-negative (non-rheumatoid) arthropathies, non-articular rheumatism, dystrophinopathy, glycogenosis, polymyositis and pyomyositis). In another embodiment, the condition is selected from the group consisting of heart and vascular pain (including pain caused by angina, myocardical infarction, mitral stenosis,
pericarditis, Raynaud's phenomenon, scleredoma and skeletal muscle ischemia). In another embodiment, the condition is selected from the group consisting of head pain (including migraine such as migraine with aura and migraine without aura), cluster headache, tension-type headache mixed headache and headache associated with vascular disorders; orofacial pain, including dental pain, otic pain, burning mouth syndrome and temporomandibular myofascial pain).
In another embodiment, the condition is a urologic condition selected from the group consisting of bladder outlet obstruction; incontinence and benign prostatic hyperplasia.
In another embodiment, the condition is an ophthalmic condition selected from retinal disease; macular degeneration and glaucoma. In another embodiment, the condition is selected from the group consisting of tubulointerstitial disorders; anal fissure; baldness; cancerous cachexia; cerebral apoplexy; disorders of gut motility; enteromotility disorders; dysmenorrhoea (primary and secondary); glaucoma; macular degeneration; antiplatelet; haemorrhoids; incontinence; irritable bowel syndrome (IBS); tumor metastasis; multiple sclerosis; neoplasia; nitrate intolerance; nutcracker oesophagus; osteoporosis; infertility; premature labor; psoriasis; retinal disease; skin necrosis; and urticaria. In another embodiment, the condition is osteoporosis.
In another embodiment, the condition is associated with endothelial dysfunction, particularly conditions-selected from-the-group-eønsisting-of-atherosclerotic-lesions, myocardial ischaemia, peripheral ischaemia, valvular insufficiency, pulmonary arterial hypertension, angina, vascular complications after vascular bypass, vascular dilation, vascular repermeabilisation, and heart transplantation.
The methods and compositions of the present invention are suitable for use with, for example, mammalian subjects such as humans, other primates (e.g., monkeys, chimpanzees), companion animals (e.g., dogs, cats, horses), farm animals (e.g., goats, sheep, pigs, cattle), laboratory animals (e.g., mice, rats), and wild and zoo animals (e.g., wolves, bears, deer). In another embodiment, the subject is a human.
Hypothesized Mechanism
Without being held to a particular theory, it is hypothesized that compounds of Formulae (I) through (I-UU) inhibit PDE-5 and increase intracellular cGMP levels. This increase in intracellular cGMP reduces intracellular calcium signaling, resulting in vascular smooth muscle relaxation, and a reduction in hypertension.
Selected embodiments of the invention, therefore, comprise methods for treating a cGMP- mediated condition via PDE-5 inhibition. A condition in which, for instance, insufficient cGMP is a major component, and whose production or action is modulated in response to PDE-5, would therefore be considered a.disorder mediated by cGMP. Thus, compounds of Formulae (I) through (I-UU) would be therapeutically useful in methods for treating hypertension by administering to a hypertensive subject a therapeutically-effective amount of a compound of Forumulae (I) through (I-UU). Other examples of circulatory-related disorders which can be
treated by compounds of the invention include congestive heart failure, renal failure, angina, and glaucoma.
Co-administration One or more compounds of the present invention can be used, alone or in combination with other therapeutic agents, in the treatment of various conditions or disease states. The compound(s) of the present invention and other therapeutic agent(s) may be may be administered simultaneously (either in the same dosage form or in separate dosage forms) or sequentially. For instance, in one embodiment, one or more compounds of Formulae (I) through (I-UU) may be administered with aspirin.
In one embodiment, one or more compounds of Formulae (I) through (I-UU) may be coadministered with one or more angiotensin converting enzyme (ACE) inhibitors. Examples of the one or more ACE inhibitors for use with the one or morecompound of Formulae (I) - (I-UU) include quinapril (such as ACCUPRIL™), perindopril (such as ACEON™), captopril (such as
CAPOTEN™), enalapril (such as VASOTEC™), ENALAPR ILAT™, ramipril (such as ALTACE™), cilazapril, delapril, fosenopril (such as MONOPR1L™), zofenopril, indolapril, benazepril (such as LOT-ENSIN-^lisinopril^such-as-PRINIV-ILΪ^or-ZEST-RIL™-), spiraprilr trandolapril (such as
MAVIK™), perindep, pentopril, moexipril (such as UNIVASC™) or pivopril. In another embodiment, one or more compounds of Formulae (I) through (I-UU) may be coadministered with one or more alpha blockers such as dozazosin (such as CARDURA™), phenoxybenzamine (such as DIBENZYLINE™), or terazosin (such as HYTRIN™), CDRI-93/478 and CR-2991.
In another embodiment, one or more compounds of Formulae (I) through (I-UU) may be co- administered with one or more alpha-beta blockers such as labetalol (such as NORMODYNE™ or TRANDATE™).
In another embodiment, one or more compounds of Formulae (I) through (I-UU) may be coadministered with one or more angiotensin Il receptor blockers such as candesartan (such as ATACAND™), eprosartan (such as TEVETEN™), irbesartan (such as AVEPRO™), losartan (such as COZAAR™), olmesartan, olmesartan medoxomil (such as BENICAR™), tasosartan, telmisartan (such as MICARDIS™), valsartan (such as DIOVAN™) or zolasartan, FI-6828K, RNH-6270, UR-7198, Way-126227, KRH-594, TAK-536, BRA-657, and TA-606.
In another embodiment, one or more compounds of Formulae (I) through (I-UU) may be coadministered with one or more alpha-2-delta ligands such as gabapentin, pregabalin (such as LYRICA™), [(1 R,5R,6S)-6-(aminomethyl)bicyclo[3.2.0]hept-6-yl]acetic acid, 3-(1-aminomethyl- cyclohexylmethyl)-4H-[1 ,2,4]oxadiazol-5-one, C-[1-(1 H-tetrazol-5-ylmethyl)-cycloheptyi]- methylamine, (3S,4S)-(1-aminomethyl-3,4-dimethyl-cyclopentyl)-acetic acid, (1α,3α,5α)-(3- amino-methyl-bicyclo[3.2.0]hept-3-yl)-acetic acid, (SS.δRJ-S-aminomethyl-δ-methyl-octanoic acid, (3S,5R)-3-amino-5-methyl-heptanoic acid, (3S,5R)-3-amino-5-methyl-nonanoic acid and
(3S,5R)-3-amino-5-methyl-octanoic acid), (2S,4S)-4-(3-Chlorophenoxy)praline, or (2S,4S)-4-(3- Fluorobenzyl)praline.
In another embodiment, one or more compounds of Formulae (I) through (I-UU) may be co-administered with one or more beta blockers such as timolol (such as BLOCARDEN™), 5 carteolol (such as CARTROL™), carvedilol (such as COREG™), nadolol (such as
CORGARD™), propranolol (such as INNOPRAN XL™), betaxolol (such as KERLONE™), penbutolol (such as LEVATOL™), metoprolol (such as LOPRESSOR™ or TOPROL-XL™), atenolol (such as TENORMIN™), or pindolol (such as VISKEN™), and bisoprolol.
In another embodiment, one or more compounds of Formulae (I) through (I-UU) may be co-
10 administered with one or more calcium channel blockers such as nifedipine (such as ADALAT™, ADALAT CC™ or PROCARDIA™), verapamil (such as CALAN™, COVERA-HS™, ISOPTIN SR™ or VERELAN™), diltiazem (such as CARDIZEM™ CARDIZEM CD™, CARDIZEM LA™, CARDIZEM SR™, DILACOR™, TIAMATE™ or TIAZAC™), isradipine (such as DYNACIRC™ or DYNACIRC CR™), amlodipine (such as NORVASC™), felodipine (such as PLENDIL™),
15 nisoldipine (such as SULAR™), or bepridil (such as VASCOR™), vatanidipine, clevidipine, lercanidipine, dilitiazem, and NNC-55-0396.
In another embodiment, one or more compounds Formulae (I) through (I-UU) may be co-
— _ — administered-with one-or-mor-e-central-antiadrenergics-such.as-raethyldopa-(such.as
ALDOMET™), clonidine (such as CATAPRES™ or CATAPRES-TTS™), guanfacine (such as
20 TENEX™), or guanabenz (such as WYTENSIN™).
In another embodiment, one or more compounds of Formulae (I) through (I-UU) may be coadministered with one or more diruretics such as hydroclorothiazide (such as MICROZIDE™ or ORETIC™), hydroflumethiazide (such as SALURON™), bemetanide (such as BUMEX™), torsemide (such as DEMADEX™), metolazone (such as ZAROXOLYN™), chlorothiazide (such
25 as DIURIL™, ESIDRIX™ or HYDRODIURIL™), triamterene (such as DYRENIUM™), ethacrynic acid (such as EDECRIN™), chlorthalidone (such as HYGROTON™), furosemide (such as LASIX™), indapamide (such as LOZOL™), or amiloride (such as MIDAMOR™ or MODURETIC™).
In another embodiment, one or more compounds of Formulae (I) through (I-UU) may be co-
30 administered with one or more glycosides / inotropic agents such as digoxin (such as LANOXIN™).
In another embodiment, one or more compounds of Formulae (I) through (I-UU) may be coadministered with one or more organic nitrates or an NO donors. "Nitric oxide donor" or "NO donor" refers to a compound that donates, releases and/or directly or indirectly transfers a
35 nitrogen monoxide species, and/or stimulate the endogenous production of nitric oxide or endothelium-derived relaxing factor (EDRF) in vivo and/or elevate endogenous levels of nitric oxide or EDRF in vivo. "NO donor" also includes compounds that are substrates for nitric oxide synthase. Examples of the one or more NO donors for use with one or more compounds of Formulae (I) through (I-UU) include S-nitrosothiols, nitrites, nitrates, N-oxo-N-nitrosamines, SPM
40 3672, SPM 5185, SPM 5186 and analogues thereof, sodium nitroprusside, nitroglycerin,
isosorbide dinitrate, isosorbide mononitrate, molsidomine, SIN-1 or substrates of the various isozymes of nitric oxide synthase.
In another embodiment, one or more compounds of Formulae (I) through (I-UU) may be coadministered with one or more human B-type natriuretic peptides (hBNP) such as nesiritide (such as NATRECOR™).
In another embodiment, one or more compounds of Formulae (I) through (I-UU) may be coadministered with one or more renin inhibitors such as Aliskiren (SPP 100), SPP-500/600 and YS-004-39.
In another embodiment, one or more compounds of Formulae (I) through (I-UU) may be co-administered with one or more soluble guanylate cyclase activator ("sGCa"). An example of a suitable soluble guanylate cyclase activator is BAY-41 -8543.
In another embodiment, one or more compounds of Formulae (I) through (I-UU) may be coadministered with one or more neutral endopeptidase (NEP) inhibitors, such as, for example,
In another embodiment, one or more compounds of Formulae (I) through (I-UU) may be coadministered with one or more aldosterone receptor antagonists such as eplerenone (such as INSPRA™) or spironolactone (such as ALDACTONE™).
In another embodiment, one or more compounds of Formulae (I) through (I-UU) may be co- administered with one or more bradykinin agonists.
In another embodiment, one or more compounds of Formulae (I) through (I-UU) may be coadministered with one or more endothelian antagonists. Examples of suitable endothelin antagonists include ambrisentan, darusentan, J-104132, SPP-301 , TBC-3711 , YM-62899, YM- 91746, and BMS-193884. In another embodiment, one or more compounds of Formulae (I) through (I-UU) may be coadministered with niacin or one or more nicotinic acid derivatives, such as NIACOR™, NIASPAN™, NICOLAR™, or SLO-NIACIN™.
In another embodiment, one or more compounds of Formulae (I) through (I-UU) may be coadministered with one or more fibric acid derivatives, such as clofibrate (such as ATROMID-S™), gemfibrozil (such as LOPID™), or fenofibrate (such as TRICOR™).
In another embodiment, one or more compounds of Formulae (I) through (I-UU) may be co- administered with one or more cholesteryl ester transport protein inhibitors (CETPi), such as torcetrapib.
In another embodiment, one or more compounds of Formulae (I) through (I-UU) may be coadministered with one or more bile acid sequestants, such as colestipol (such as COLESTID™), cholestyramine (such as LOCHOLEST™, PREVALITE™, QUESTRAN™, or QUESTRAN LIGHT™), colesevelam (such as WELCHOL™).
In another embodiment, one or more compounds of Formulae (I) through (I-UU) may be coadministered with an apical sodium-dependent bile acid cotransporter inhibitors, such as SD- 5613, AZD7806 or 264W94.
In another embodiment, one or more compounds of Formulae (I) through (I-UU) may be co- administered with one or more cholesterol absorbtion inhibitors, such as ezetimibe (such as ZETIA™).
In another embodiment, one or more compounds of Formulae (I) through (I-UU) may be co- adminLs±emdj/yj.tb_one_or.rι^^^ reductase inhibitors (statins) such as fluvastatin (such as LESCOL™), atorvastatin (such as LIPITOR™), lovastatin (such as ALTOCOR™ or MEVACOR™), pravastatin (such as PRAVACHOL™), rosuvastatin (such as CRESTOR™), or simvastatin (such as ZOCOR™).
In another embodiment, one or more compounds of Formulae (I) through (I-UU) may be coadministered with one or more alpha glucosidase inhibitors, such as miglitol (such as GLYSET™), or acarbose (such as PRECOSE™). In another embodiment, one or more compounds of Formulae (I) through (I-UU) may be coadministered with one or more biguanides, such as roseiglitazone (such as AVANDAMET™), or metformin (such as GLUCOPHAGE™ or GLUCOPHAGE XR™).
In another embodiment, one or more compounds of Formulae (I) through (I-UU) may be coadministered with one or more insulins, such as HUMALOG™, HUMALOG 50/50™, HUMALOG 75/25™, HUMULIN 50/50™, HUMALIN 75/25™, HUMALIN L™, HUMALIN N™, HUMALIN R™, HUMALIN R U-500™, HUMALIN U™, ILETIN Il LENTE™, ILETIN Il NPH™, ILETIN Il REGULAR™, LANTUS™, NOVOLIN 70/30™, NOVILIN N™, NOVILIN R™, NOVOLOG™, or VELOSULIN BR™, and EXUBERA™.
In another embodiment, one or more compounds of Formulae (I) through (I-UU) may be co- administered with one or more meglitnides, such as repaglinide (such as PRANDIN™) or nateglinide (such as STARLIX™).
In another embodiment, one or more compounds of Formulae (I) through (I-UU) may be coadministered with one or more sulfonylureas, such as glimepiride (such as AMARYL™), glyburide (such as DIABETA™, GLYNASE PRESTAB™ or MICRONASE™), or glipizide (such as GLUCOTROL™, or GLUCOTROL XL™).
In another embodiment, one or more compounds of Formulae (I) through (I-UU) may be coadministered with one or more thiazolidinediones, such as pioglitazone (such as ACTOS™) or rosiglitazone (such as AVANDIA™).
5 Administration and Dosing
Typically, a compound described in this specification is administered in an amount effective to inhibit PDE-5. The compounds of the present invention are administered by any suitable route in the form of a pharmaceutical composition adapted to such a route, and in a dose effective for the treatment intended. Therapeutically effective doses of the compounds required to prevent or
10 arrest the progress of or to treat the medical condition are readily ascertained by one of ordinary skill in the art using preclinical and clinical approaches familiar to the medicinal arts.
The dosage regimen for the compounds and/or compositions containing the compounds is based on a variety of factors, including the type, age, weight, sex and medical condition of the patient; the severity of the condition; the route of administration; and the activity of the particular
15 compound employed. Thus the dosage regimen may vary widely. Dosage levels of the order from about 0.01 mg to about 100 mg per kilogram of body weight per day are useful in the treatment of the above-indicated conditions. In one embodiment, the total daily dose of a __ compound of Formulae40Jhriiu^h4LUil)4admMsterMJn_sin5leOLdividejcl doses) is typically from about 0. 01 to about 100 mg/kg. In another embodiment, total daily dose of the compound
20 of Formulae (I) through (IX) is from about 0.1 to about 50 mg/kg, and in another embodiment, from about 0.5 to about 30 mg/kg (i.e., mg compound of Formulae (I) through (I-UU) per kg body weight). In one embodiment, dosing is from 0.01 to 10 mg/kg/day. In another embodiment, dosing is from 0.1 to 1.0 mg/kg/day. Dosage unit compositions may contain such amounts or submultiples thereof to make up the daily dose. In many instances, the administration of the
25 compound will be repeated a plurality of times in a day (typically no greater than 4 times). Multiple doses per day typically may be used to increase the total daily dose, if desired.
For oral administration, the compositions may be provided in the form of tablets containing 0.01 , 0.05, 0.1 , 0.5, 1.0, 2.5, 5.0, 10.0, 15.0, 25.0, 50.0, 75.0, 100, 125, 150, 175, 200, 250 and 500 milligrams of the active ingredient for the symptomatic adjustment of the dosage to the
30 patient to be treated. A medicament typically contains from about 0.01 mg to about 500 mg of the active ingredient, or in another embodiment, from about 1mg to about 100 mg of active ingredient. Intravenously, doses may range from about 0.1 to about 10 mg/kg/minute during a constant rate infusion.
35 H. Use in the Preparation of a Medicament
In one embodiment, the present invention comprises methods for the preparation of a pharmaceutical composition (or "medicament) comprising the compounds of Formulae (I) through (I-UU) in combination with one or more pharmaceutically-acceptable carriers and/or other active ingredients for use in treating a cGMP-mediated condition.
In another embodiment, the invention comprises the use of one or more compounds of Formulae (I) through (I-UU) in the preparation of a medicament for the treatment of hypertension.
In another embodiment, the invention comprises the use of one or more compounds of Formulae (I) through (I-UU) in the preparation of a medicament for the treatment of angina. In another embodiment, the invention comprises the use of one or more compounds of
Formulae (I) through (I-UU) in the preparation of a medicament for the treatment of congestive heart failure.
In another embodiment, the invention comprises the use of one or more compounds of Formulae (I) through (I-UU) in the preparation of a medicament for the treatment of thrombosis. In another embodiment, the invention comprises the use of one or more compounds of
Formulae (I) through (I-UU) in the preparation of a medicament for the treatment of erectile dysfunction.
1. Pharmaceutical Compositions For the treatment of the conditions referred to above, the compounds of Formulae (I) through
(I-UU) can be administered as compound per se. Alternatively, pharmaceutically acceptable salts are suitable for medical applications because of their greater aqueous solubility relative to the^parenLcompound.
In another embodiment, the present invention comprises pharmaceutical compositions. Such pharmaceutical compositions comprise compounds of Formulae (I) through (I-UU) presented with a pharmaceutically-acceptable carrier. The carrier can be a solid, a liquid, or both, and may be formulated with the compound as a unit-dose composition, for example, a tablet, which can contain from 0.05% to 95% by weight of the active compounds. Compounds of Formulae (I) through (I-UU) may be coupled with suitable polymers as targetable drug carriers. Other pharmacologically active substances can also be present.
The active compounds of the present invention may be administered by any suitable route, preferably in the form of a pharmaceutical composition adapted to such a route, and in a dose effective for the treatment intended. The active compounds and compositions, for example, may be administered orally, rectally, parenterally, or topically. Oral administration of a solid dose form may be, for example, presented in discrete units, such as hard or soft capsules, pills, cachets, lozenges, or tablets, each containing a predetermined amount of at least one compound of the present invention. In another embodiment, the oral administration may be in a powder or granule form. In another embodiment, the oral dose form is sub-lingual, such as, for example, a lozenge. In such solid dosage forms, the compounds of Formulae (I) through (I-UU) are ordinarily combined with one or more adjuvants. In the case of capsules, tablets, and pills, the dosage forms also may comprise buffering agentsor may be prepared with enteric coatings.
In another embodiment, oral administration may be in a liquid dose form. Liquid dosage forms for oral administration include, for example, pharmaceutically acceptable emulsions, solutions, suspensions, syrups, and elixirs containing inert diluents commonly used in the art
(e.g., water). Such compositions also may comprise adjuvants, such as wetting, emulsifying, suspending, flavoring (e.g., sweetening), and/or perfuming agents.
In another embodiment, the present invention comprises a parenteral dose form. "Parenteral administration" includes, for example, subcutaneous injections, intravenous injections, intraperitoneal^, intramuscular injections, intrastemal injections, and infusion. Injectable preparations (e.g., sterile injectable aqueous or oleaginous suspensions) may be formulated according to the known art using suitable dispersing, wetting agents, and/or suspending agents.
In another embodiment, the present invention comprises a topical dose form. "Topical administration" includes, for example, transdermal administration, such as via transdermal patches or iontophoresis devices, intraocular administration, or intranasal or inhalation administration. Compositions for topical administration also include, for example, topical gels, sprays, ointments, and creams. A topical formulation may include a compound which enhances absorption or penetration of the active ingredient through the skin or other affected areas. When the compounds of this invention are administered by a transdermal device, administration will be accomplished using a patch either of the reservoir and porous membrane type or of a solid matrix variety. Formulations suitable for topical administration to the eye include, for example, eye drops wherein the compound of this invention is dissolved or suspended in suitable carrier. For intranasal administration or administration by inhalation, the active compounds of the invention are conveniently delivered in the form of a solution or suspension from a pump spray container that is squeezed or pumped by the patient or as an aerosol spray presentation from a pressurized container or a nebulizer, with the use of a suitable propellant.
In another embodiment, the present invention comprises a rectal dose form. Such rectal dose form may be in the form of, for example, a suppository.
Other carrier materials and modes of administration known in the pharmaceutical art may also be used. Pharmaceutical compositions of the invention may be prepared by any of the well- known techniques of pharmacy, such as effective formulation and administration procedures. The above considerations in regard to effective formulations and administration procedures are well known in the art and are described in standard textbooks. Formulation of drugs is discussed in, for example, Hoover, John E., Remington's Pharmaceutical Sciences. Mack Publishing Co., Easton, Pennsylvania, 1975; Liberman, et al., Eds., Pharmaceutical Dosage Forms, Marcel
Decker, New York, N.Y., 1980; and Kibbe, et al., Eds., Handbook of Pharmaceutical Excipients (3rd Ed.), American Pharmaceutical Association, Washington, 1999.
J. Kits The present invention further comprises kits that are suitable for use in performing the methods of treatment or prevention described above. In one embodiment, the kit contains a first dosage form comprising one or more of the compounds of the present invention and a container for the dosage, in quantities sufficient to carry out the methods of the present invention. n another embodiment, the kit of the present invention comprises one or more compounds of Formulae (I) through (I-UU) and an ACE inhibitor.
In another embodiment, the kit of the present invention comprises one or more compounds of Formulae (I) through (I-UU) and an angiotensin Il receptor antagonist.
In another embodiment, the kit of the present invention comprises one or more compounds of Formulae (I) through (I-UU) and an aldosterone receptor antagonist. In another embodiment, the kit of the present invention comprises one or more compounds of Formulae (I) through (I-UU) and a NO donor.
L. Compound Preparations
Schemes The starting materials used herein are commercially available or may prepared by routine methods well known to those of ordinary skill in the art (such as those methods disclosed in standard reference books such as the COMPENDIUM OF ORGANIC SYNTHETIC METHODS,
Vol. I-VI (published by Wiley-lnterscience)).
The compounds of the present invention may be prepared using the methods illustrated in the general synthetic schemes and experimental procedures detailed below. The general synthetic schemes are presented for purposes of illustration and are not intended to be limiting.
Scheme 1
Vl
NHX6(Y6-R6)
Scheme 1 outlines a general procedure for the preparation of 7-aryl, 1 , 3-disubstituted pyrido[3,4-b]pyrazin-2(1 H)-one of formula I. The starting material is the commercially available 6- chloropyridin-3-amine II. 6-chloropyridin-3-amine Il is converted to tert-butyl 6-chloropyridin-3- ylcarbamate III by treatment with reagents such as di-tert-butyl dicarbonate, (2E)-{[(tert- butoxycarbonyl)oxy]imino}(phenyl)acetonitrile and tert-butyl phenyl carbonate. This reaction is carried out in solvents such as dioxane, tetrahydrofuran, water, ethyl acetate or dichloromethane, in the presence or absence of inorganic bases such as potassium carbonate or sodium bicarbonate or organic bases such as triethylamine, 4-methylmorpholine, pyridine or N1N- diisopropylethylamine at temperatures ranging from room temperature to 110 ° C. tert-butyl 6- chloropyridin-3-ylcarbamate III is converted to tert-butyl 6-chioro-4-fluoropyridin-3-ylcarbamate IV by metallation followed by quenching with an electrophilic fluorine source. Lithation could be achieved be treating tert-butyl 6-chloropyridin-3-ylcarbamate III with an organolithium such as n- butyl lithium or t-butyl lithium in the presence or absence of additives such as N,N,N',N'- tetramethylethylenediamine in solvents such as diethyl ether or tetrahydrofuran at temperatures
ranging from -80 ° C to 0 ° C. Suitable electrophilic fluorine sources include N- flurobenzenesulfonimide. Addition of primary and benzylic amines to tert-butyl 6-chloro-4- fluoropyridin-3-ylcarbamate IV afforded amines of the formula V. This conversion could be achieved by treatment of IV with amines in solvents such as ethyl alcohol, isopropyl alcohol, dimethylform amide, dimethylactemide, toluene, dioxane and dichloroethane in the presence or absence of inorganic bases such as potassium carbonate or sodium bicarbonate or organic bases such as triethylamine, 4-methylmorpholine, pyridine or Λ/,Λ/-diisopropylethylamine at temperatures ranging from room temperature to 110 ° C. Amines of the formula V could be converted to diamines of the formula Vl by removing the carbamate protecting group under standard conditions, as described in Green, T., Wuts, P. Protecting Groups in Organic Synthesis, John Wiley & Sons, INC, Second edition, 1991 , pp 309-405. The diamines of formula Vl could be converted to the diones of formula VII using various reaction procedures. In one procedure, this conversion is achieved by refluxing an aqueous solution of Vl in the presence of oxalic acid and a catalytic amount of a mineral acid such as HCI. Alternatively, this conversion to structures of formula VII could be achieved by addition of either methyl chlorooxoacetate or oxalyl chloride to a solution of Vl in the presence of an organic base such as triethylamine, 4-methylmorpholine, or Λ/,Λ/-diisopropylethylamine, at O0C, followed by warming to either room temp or the reflux temperature of the solvent. Suitable solvents include toluene, dichloromethane, dicholroethane, dioxane, or tetrahydrofuran. The chloroimidate of formula VIII could be prepared by a number of methods. In one procedure, a dione of formula VII could be heated to reflux in the presence of phosphorous oxychloride and a phase transfer catalyst such as tetraethylammonium chloride. Suitable solvents for this reaction include propionitrile or acetonitrile. In an alternate procedure, the formation of chloroimidate VII is achieved by dissolving VII in a suitable solvent such as dichloromethane, tetrahydrofuran, or dioxane and treating it with oxalyl chloride in the presence of a catalytic amount of dimethylformamide between 0 0C and rt. The 6-aminopyrazinones of formula IX could be prepared by the addition of various primary and secondary amines to chloroimidate VIII in the presence of an organic base such as triethylamine, 4-methylmorpholine, or Λ/,Λ/-diisopropylethylamine at temperatures ranging from 0 0C to rt. Suitable solvents include dichloromethane, tetrahydrofuran, and dioxane. Formation of the desired pteridinone of formula I could be prepared through a standard palladium catalyzed Suzuki coupling between chloride IX and suitable boronic acids, as described in Miyaura, N., Suzuki, A; Chem Rev. 1995, 95, 2457- 2483. A solution of the chloride, IX, in a suitable solvent such as tetrahydrofuran or dioxane is heated to reflux in the presence of the desired boronic, an inorganic base such as sodium carbonate or cesium carbonate, and a palladium (0) source such palladium (I I) acetate or tetrakis(triphenylphosphine)palladium to give compounds of formula I.
Scheme 2
Scheme 2 outlines an alternate conversion of tert-butyl 6-chloropyridin-3-ylcarbamate III to amines of formula V. tert-butyl θ-chloropyridin-S-ylcarbamate III is converted to tert-butyl 6- chloro-4-iodopyridin-3-ylcarbamate X by metallation followed by quenching with an electrophilic iodine source. Lithation could be achieved be treating tert-butyl 6-chloropyridin-3-ylcarbamate III with an organolithium such as n-butyl lithium or t-butyl lithium in the presence or absence of additives such as Λ/,Λ/,Λ/',Λ/'-tetramethylethylenediamine in solvents such as diethyl ether or tetrahydrofuran at temperatures ranging from -80 ° C to 0 ° C. Suitable electrophilic iodine sources include molecular iodine and 1-iodopyrrolidine-2,5-dione. Addition of primary and benzylic amines to tert-butyl 6-chloro-4-iodopyridin-3-ylcarbamate IV afforded amines of the formula V. Amines of the formula X could be converted to diamines of the formula V by standard coupling techniques as described in Ley, S., Thomas, A.; Angew. Chem. Int. Ed. 2003, 42, 5400- 5449. A solution of iodide, X, in a suitable solvent such as tetrahydrofuran, dioxane, toluene, benzene, N1N dimethylformamide, isopropanol, ethanol or propionitrile is stirred at temperatures ranging from room temperature to reflux in the presence of the desired amine, a base such as sodium carbonate, cesium carbonate, potassium phosphate, or sodium terf-butoxide and a palladium with ligand and/or a copper source. Suitable sources of palladium include palladium(ll) acetate, tetrakis(triphenylphosphine)palladium, dichloro[1 ,1'- bis(diphenylphosphino)ferrocene]palladium (II) dichloromethane adduct and tris(dibenzylideneacetone)dipalladium(0). Suitable ligands include triphenylphosphine, tri-2- furylphosphine, 4,5-bis(diphenylphosphine)-9-9-dimethylxathene, tricyclohexylphospine, tert- butylphospine and 2,2'-bis(diphenylphosphino)-1 ,1'-binapthyl. Suitable sources of copper include copper(ll) acetate, copper(l) iodide and copper(l) chloride.
Scheme 3 outlines a one-pot procedure for the conversion of diaminopyridine of formula Vl to amino substituted pyrazinone of formula IX. The pyridine Vl is dissolved in a solvent such as dichloromethane, tetrahydrofuran, or dioxane and cooled to 0 0C. The mixture is treated with oxalyl chloride and allowed to slowly warm to room temperature. The reaction is typically mixed for 4-24 hours. The reaction mixture is then recooled to 0 0C, treated with an organic base such as triethylamine, 4-methylmorpholine, or Λ/,Λ/-diisopropylethylamine, followed by addition of the requisite primary or secondary amine leading to isolation of the desired amine of formula IX.
Scheme 3
The preparation of substituted amine analogs in the C(6) position similar to compounds of formula XIII or XIV are shown in Scheme 5. The starting amines Xl can be prepared by utilizing mono-protected diamines in the final step of Scheme 1. The protecting groups used are typically carbamates which are removed using standard conditions to afford free amines of formula XII.2 Derivatives of formula XIII can be prepared by adding the desired aldehyde to a solution of XII in the presence of a catalytic amount of acids such as hydrochloric or acetic acid. A reducing agent such as sodium borohydride, sodium cyanoborohydride, or sodium triacetoxyborohydride is then added to the mixture leading to amines of formula XIII. Suitable solvents include tetrahydrofuran, dioxane, or dichloromethane. Amide derivatives of formula XIV could be prepared by treatment of the amine XII with activated esters such a acid chlorides, or acid derivatives prepared from acids utilizing peptide .cgupling_reagents_such_as 1 -[3;(Dirτieihy!arninoprqpy]-3-ethylcarbodiim ide methiodide , I .S-Dicyclohexylcarbodiimide, or 0-(7-Azabenzotriazol-1-yl)-1 , 1 ,3,3- tetramethyluromium hexafluorophosphate in the presence of an organic base such as triethylamine, N, Λ/-diisopropylethylamine, 4-methylmorpholine. Suitable solvents include dichloromethane, tetrahydrofuran, or dioxane.
Scheme 5
Xl XII
Coupling agent, base, rt
Compound Examples
The following illustrate the synthesis of various compounds of the Formulae (I)-(I-EE). Other compounds of this invention may be prepared using the methods illustrated in these Examples, either alone or in combination with techniques generally known in the art.
Example 1
7-(6-methoxypyridin-3-yl)-3-[(2-morpholin-4-ylethyl)amino]-1-(2-propoxyethyl)pyrido[3,4- b]pyrazin-2(1H)-one. Step 1 : Preparation of tert-butyl β-chloropyridin-S-ylcarbamate.
A solution of 5-amino-2-chloropyridine (30.94 g, 236 mmol) and di-tert-butyldicarbonate (65.36 g, 299 mmol) in 1 ,4-dioxane (300 mL) was stirred at reflux for 20 hours. Additional di-tert-
butyldicarbonate (8.30 g, 38 mmol) was added and the reaction was stirred at reflux for 7 hours. The reaction was cooled to room temperature and poured into water. The layers were separated and the aqueous layer was extracted with ethyl acetate. The combined organic layers were washed with brine, dried over magnesium sulfate, and solvent was removed at reduced pressure to give a brown oil. The oil was triturated with diethyl ether and filtered to give tert-butyl 6- chioropyridin-3-ylcarbamate as a tan solid. (49.84 g, 92% yield). 1H NMR (CDCI3) δ 8.24 (m, 1 H), 7.96 (1 H), 7.27 (1 H), 6.65 (1 H), 1.51 (9H). Step 2: Preparation of tert-butyl e-chloro^-fluoropyridin-S-ylcarbamate.
TMEDA (39 ml_, 260.0 mmol) in diethyl ether (700 mL) was added a 1.6M n-butyl lithium solution in hexane (193 mL, 308.8 mmol) over a period of 30 minutes while maintaining the temperature of the reaction at -60° to -500C. The reaction was stirred at -600C for an additional 10 minutes after the addition was complete then warmed to -1O°C and stirred at -25° to -100C for 2.0 hours. The reaction was cooled to -600C and a solution of Λ/-fluorobenzenesulfonimide (53.49 g, 169.6 mmόl)lh~tetrahydrofuϊan χi551τnL) Was added whϊle Reepϊncfthe temperature below -500C. It precipitated on addition and stirring became difficult. The reaction was then allowed to slowly warm to 0°C over 1 hour. The reaction was quenched with saturated ammonium chloride solution (400 mL). The layers were separated and the aqueous layer was extracted with ethyl acetate (2 x 250 mL). The combined organic layers were washed with brine, dried over magnesium sulfate, and solvent was removed at reduced pressure to give an oily brown solid. The material was passed through a column of silica gel with 20% ethyl acetate/ hexane. The 6-chloro-4- fluoropyridin-3-ylcarbamate was obtained as a yellow solid. (15.88 g, 59% yield). 1H NMR (CDCi3) δ 9.09 (1 H), 7.12 (1 H), 6.55 (1 H), 1.54 (s, 9H). Step 3: Preparation of tert-butyl 6-chloro-4-r(2-propoxyethyl)aminolpyridin-3-ylcarbamate.
A solution of tert-butyl β-chloro^-fluoropyridin-S-ylcarbamate (11.96 g, 48.5 mmol) and 2-n- propoxyethylamine (11.8 mL, 97.2 mmol) in ethanol (120 mL) was stirred at reflux for 22 hours. The reaction was cooled to room temperature and solvent was removed at reduced pressure to give a yellow solid which was triturated with diethyl ether and filtered to give 6-chloro-4-[(2- propoxyethyl)amino]pyridin-3-ylcarbamate as a white solid. (13.08 g, 82% yield). 1H NMR
(CDCI3) δ 7.92 (1 H), 6.54 (1 H), 5.77 (1 H), 5.11 (1 H), 3.65 (2H), 3.44 (2H), 3.34-3.29 (2H), 1.65-
1.56 (2H), 1.49 (9H), 0.94 (3H).
Step 4: Preparation of 6-chloro-N4-(2-propoxvethvBpvridine-3.4-diamine.
A solution of tert-butyl 6-chloro-4-[(2-propoxyethyl)amino]pyridin-3-ylcarbamate (7.08 g, 21.4 mmol) in 1 ,4-dioxane (20 ml_) was treated with 4N HCI in 1 ,4-dioxane (100 ml_) and stirred at room temperature for one hour. The reaction was partitioned between ethyl acetate and saturated sodium bicarbonate solution. The layers were separated and the aqueous layer was extracted with ethyl acetate. The combined organic layers were washed with brine, dried over magnesium sulfate, and solvent was removed at reduced pressure to give 6-chloro-N4-(2- propoxyethyl)pyridine-3,4-diamine as a brown oil. (4.93 g, 100% yield). 1H NMR (CDCI3) δ 7.63 (1 H), 6.45 (1 H), 4.67 (1 H), 3.67 (2H), 3.43 (2H), 3.32-3.27 (2H), 2.92 (2H), 1.64-1.55 (2H), 0.93 (3H). Step 5: Preparation of 3,7-dicn!oro-1-(2-propoxyethyl)pyridof3.4-bipyrazin-2(1 H)-one.
A 00C solution of 6-chloro-N4-(2-propoxyethyl)pyridine-3,4-diamine (2.80 g, 12.2 mmol) and diisopropylethylamine (4.6 ml_, 25.7 mmol) in dichloromethane (100 mL) was treated with methyl chlorooxoacetate(1.1 mL, 11.7 mmol), allowed to warm to room temperature and stirred for four hours. The reaction was diluted with dichloromethane and washed with saturated sodium bicarbonate solution, dried over magnesium sulfate, and solvent was removed at reduced pressure. The residue was dissolved in toluene (30 mL) and heated at 1050C for four hours. The solvent was removed at reduced pressure and the resulting solid taken up in dichloromethane (100 mL) and treated with oxalyl chloride (2.1 mL, 24.1 mmol) and DMF (3 drops). The reaction was stirred at room temperature for 6 hours. The solvent was removed at reduced pressure to give a brown solid. This was passed through a column of silica gel with 70% ethyl acetate/ hexane to give 3,7-dichloro-1-(2-propoxyethyl)pyrido[3,4-b]pyrazin-2(1 H)-one as a white solid. (2.44 g, 66% yield). 1H NMR (CDCI3) δ 8.78 (1 H), 7.59 (1 H), 4.40 (2H), 3.80 (2H), 3.35 (2H), 1.52-1.46 (2H), 0.82 (3H).
Step 6: Preparation of 7-chloro-3-K2-morpholin-4-ylethyl)amino1-1-(2-propoxyethyl)pyridof3,4- blpvrazin-2(1 H)-one.
A solution of 3,7-dichloro-1-(2-propoxyethyl)pyrido[3,4-b]pyrazin-2(1 H)-one (193 mg, 0.64 5 mmol), 4-(2-aminoethyl)morpholine (118 mg, 0.91 mmol) and triethylamine (0.15 ml_, 1.07 mmol) in THF (3 mL) was stirred at room temperature for one hour. The reaction was partitioned between ethyl acetate and water. The layers were separated and the aqueous layer was extracted with ethyl acetate. The combined organic layers were washed with brine, dried over magnesium sulfate, and solvent was removed at reduced pressure to give a brown oil. This was 10 passed through a column of silica gel with 80-100% ethyl acetate/ hexane to give 7-chloro-3-[(2- morpholin-4-ylethyl)amino]-1-(2-propoxyethyl)pyrido[3,4-b]pyrazin-2(1 H)-one as a pink oil. (183 mg, 72% yield). 1H NMR (CDCI3) δ 8.49 (1H), 7.36 (1 H), 6.93 (1 H), 4.36 (2H), 3.77-3.72 (6H),
- 3-.64~3τ58 (2H), 3.36 (2H), 2.66 (2H), 2.53-2.50 (4H), 1.54-1.47 (2H), 0.83 (3H).
Step 7: Preparation of 7-(6-methoxypyridin-3-yl)-3-f(2-morpholin-4-ylethyl)aminol-1-(2- 15 propoxyethyl)pyridor3,4-blpyrazin-2(1 H)-one.
A solution of 7-chloro-3-[(2-morpholin-4-ylethyl)amino]-1-(2-propoxyethyl)pyrido[3,4- b]pyrazin-2(1 H)-one (72 mg, 0.18 mmol) in 1 ,4-dioxane (2.5 mL) was treated with tetrakis(triphenylphosphine) palladium(O) (19 mg, 0.016 mmol) and stirred at room temperature for five minutes. A warm solution of 2-methoxy-5-pyridineboronic acid (41 mg, 0.27 mmol) in
20 ethanol (0.5 mL) and 2.0 M aqueous sodium carbonate 1.5 mL) were added. The mixture was refluxed for 2.0 hours, filtered hot through celite and the filtrate was concentrated under reduced pressure. The residue was partitioned between ethyl acetate and water, and the layers were separated. The aqueous layer was extracted with ethyl acetate. The combined organic layers were washed with brine, dried over magnesium sulfate, concentrated under reduced pressure,
25 and passed through a column of silica gel with 2% methanol/ dichloromethane. Fractions were concentrated at reduced pressure and triturated with diethyl ether. The 7-(6-methoxypyridin-3-yl)- 3-[(2-morpholin-4-ylethyl)amino]-1-(2-propoxyethyl)pyrido[3,4-b]pyrazin-2(1 H)-one was obtained as a pink powder. (47 mg, 47% yield).
1H NMR (CDCI3) δ 8.78 (1 H), 8.74 (1 H), 8.23 (1 H), 7.66 (1 H), 6.92 (1H)1 6.86 (1H), 4.46 (2H), 4.00 (3H), 3.80 (2H), 3.76-3.73 (4H), 3.69-3.63 (2H), 3.37 (2H), 2.68 (2H), 2.55-2.52 (4H), 1.53- 1.46 (2H), 0.77 (3H); HRMS m/z 469.2559 (calcd for M+H, 469.2558).
Example 2
7-(6-methoxypyridin-3-yl)-1-(2-propoxyethyl)-3-[(pyήdin-2-ylmethyl)amino]pyrido[3,4-b]pyrazin-
2(1H)-one.
Prepared as described in example 1 using 2-(aminomethyl)pyridine in step 6. 1H NMR (CDCI3) δ 8.83 (1H), 8.76 (1H), 8.62 (1H), 8.25 (1H), 7.73-7.67 (2H), 7.61-7.59 (1H), 7.40 (1 H), 7.24-7.22 (1 H), 6.87 (1 H), 4.88 (2H), 4.49 (2H), 4.01 (3H), 3.82 (2H), 3.37 (2H), 1.53- 1.46 (2H), 0.77 (3H); HRMS m/z 447.2129 (calcd for M+H, 447.2134). — -_ . _ _ Example 3~ ~ ~
7-(6-methoxypyridin-3-yl)-1-(2'propoxyethyl)-3-[(tetrahydrofuran-2-ylmethyl)amino]pyrido[3,4- b]pyrazin-2(1 H)-one. Prepared as described in example 1 using tetrahydrofurfurylamine in step 6.
1H NMR (CDCI3) δ 8.77 (1 H), 8.74 (1H), 8.23 (1H), 7.66 (1 H), 6.85 (1 H), 6.76-6.72 (1H), 4.45 (2H), 4.22-4.14 (1 H), 4.00 (3H), 3.97-3.90 (1 H), 3.84-3.76 (4H), 3.59-3.50 (1H), 3.36 (2H), 2.10- 2.02 (1 H), 1.99-1.89 (2H), 1.73-1.63 (1 H), 1.55-1.43 (2H), 0.77 (3H); HRMS m/z 440.2272 (calcd for M+H, 440.2292). Example 4
1-(2-isopropoxyethyl)-7-(6-methoxypyridin-3-yl)-3-{[(5-methylpyrazin-2- yl)methyl]amino}pyrido[3,4-b]pyrazin-2(1H)-one.
Prepared as described in example 1 using 2-isopropoxyethylamine in step 3 and (5- methylpyrazin-2-yI)methylamine in step 6.
1H NMR (CDCI3) δ 8.80 (1 H), 8.75 (1 H), 8.60 (1 H), 8.44 (1 H), 8.25 (1 H), 7.71 (1 H), 7.33-7.29 (1 H), 6.86 (1 H), 4.88 (2H), 4.44 (2H), 4.00 (3H), 3.79 (2H), 3.56-3.50 (1 H), 2.57 (3H), 1.77 (3H); HRMS m/2462.2253 (calcd for M+H, 462.2248).
Example 5
7-(6-methoxypynΗin-3-yl)-3-{[(5-methylpyrazin-2-yl)methyl]amino}-1-(2-propoxyethyl)pyrido[3,4- b]pyrazin-2(1 H)-one.
Prepared as described in example 1 using (5-methylpyrazin-2-yl)methylamine in step 6. 1H NMR (CDCI3) δ 8.79 (1 H), 8.74 (1 H), 8.60 (1 H), 8.43 (1 H), 8.22 (1 H), 7.67 (1 H), 7.33-7.29 (1 H), 6.84 (1 H), 4.88 (2H), 4.46 (2H), 3.99 (3H), 3.80 (2H), 3.36 (2H), 2.56 (3H), 1.52-1.46 (2H), 0.76 (3H); HRMS m/z 462.2218 (calcd for M+H, 462.2248). Example 6
1-(2-isopropoxyethyl)-7-(6-methoxypyridin-3-yl)-3-[(tetrahydro-2H-pyran-4- ylmethyl)amino]pyrido[3, 4-b]pyrazin-2(1 H)-one.
Prepared as described in example 1 using 2-isopropoxyethylamine in step 3 and tetrahydro- 2H-pyran-4-ylmethylamine in step 6.
1H NMR (CDCI3) δ 8.80 (1 H), 8.76 (1 H), 8.26 (1 H), 7.70 (1 H)1 6.87 (1 H), 6.53-6.49 (1 H), 4.44 (2H), 4.04-3.99 (5H), 3.80 (2H), 3.60-3.46 (3H), 3.42-3.38 (2H), 2.01-1.95 (1 H)1 1.76-1.72 (2H), 1.52-1.38 (2H), 1.09 (6H); HRMS m/z 454.2451 (calcd for M+H, 454.2449).
Example 7
3-yl]amino}methyl)piperidine- 1 -carboxylate.
Prepared as described in example 1 using tert-butyl 4-(aminomethyl)piperidine-1 -carboxylate in step 6. 1H NMR (CDCI3) δ 8.80 (1 H), 8.75 (1 H), 8.24 (1 H), 7.68 (1 H), 6.87 (1 H), 6.53-6.49 (1 H), 4.47
(2H), 4.16-4.12 (2H), 4.01 (3H), 3.81 (2H), 3.50 (2H), 3.38 (2H), 2.74-2.69 (2H), 1.90-1.78 (3H), 1.54-1.49 (2H), 1.47 (9H), 1.29-1.24 (2H), 1.09 (6H); HRMS m/z 553.3145 (calcd for M+H, 553.3133).
Example 8
2(1H)-one.
A solution of tert-butyl 4-({[7-(6-methoxypyridin-3-yl)-2-oxo-1-(2-propoxyethyl)-1 ,2- dihydropyrido[3,4-b]pyrazin-3-yl]amino}methyl)piperidine-1 -carboxylate from example 10 {60 mg, 0.11 mmol) in 4N HCI in 1 ,4-dioxane (10 ml_) was stirred at room temperature for two hours. The solvent was removed at reduced pressure and the residue was recrystallized from methanol/ethyl acetate to give 7-(6-methoxypyridin-3-yl)-3-[(piperidin-4-ylmethyl)amino]-1-(2- propoxyethyl)pyrido[3,4-b]pyrazin-2(1 H)-one as a white solid. (18 mg, 34% yield). 1H NMR (CD3OD) δ 8.73 (1 H), 8.72 (1 H), 8.24 (1 H), 8.22 (1 H), 7.13 (1 H), 4.68 (2H), 4.06 (3H), 3.85 (2H), 3.54 (2H), 3.46-3.36 (4H), 3.05-2.96 (2H), 2.18 (1 H), 2.08-2.03 (2H),1.61-1.53<2H), 1.49-1.40 (2H), 0.72 (3H); HRMS m/z 453.2638 (calcd for M+H, 453.2609).
Example 9
7-(6-methoxypyridin-3-yl)-3-{[(5-methylisoxazol-3-yl)methyl]amino}-1-(2-propoxyethyl)pyrido[3,4- b]pyrazin-2(1 H)-one.
Prepared as described in example 1 using (5-methylisoxazol-3-yl)methylamine in step 6. 1H NMR (CDCI3) δ 8.83 (1 H)1 8.76 (1 H), 8.25 (1 H), 7.70 (1 H), 6.87-6.84 (1 H), 6.07 (1 H), 4.82 (2H), 4.46 (2H), 4.01 (3H), 3.81 (2H), 3.37 (2H), 2.42 (3H), 1.53-1.46 (2H), 0.78 (3H); HRMS m/z 451.2057 (calcd for M+H, 451.2088).
Example 10
3-{[3-(1H-imidazol-1-yl)propyl]amino}-7-(6-methoxypyridin-3-yl)-1-(2-propoxyethyl)pyrido[3,4- b]pyrazin-2(1 H)-one.
Prepared as described in example 1 using 3-(1 H-imidazol-1-yl)propylamine in step 6. 1H NMR (CDCi3) δ 8.80 (1 H), 8.75 (1 H), 8.25 (1 H), 7.68 (s, 1 H), 7.58 (1 H), 7.11(1H), 7.01 (1 H), 6.87 (1 H), 6.50-6.46 (1 H), 4.47 (2H), 4.11 (2H), 4.01 (3H), 3.81 (2H), 3.65-3.58 (2H), 3.38 (2H), 2.25-2.21 (2H), 1.53-1.46 (2H), 0.78 (3H); HRMS m/z 464.2384 (caicd for M+H, 464.2405). Example 11
3-[(2-morpholin-4-ylethyl)amino]-1-(2φropoxyethyl)-7φyrimidin-5-ylpyrido[3A-b]pyrazin-2(1H)- one.
Prepared as described in example 1 using pyrimidine-5-boronic acid in step 7. 1H NMR (CDCI3) δ 9.29 (2H), 9.18 (1 H), 8.78 (1H), 7.78 (1 H), 7.02-7.00 (1 H), 4.44 (2H), 3.79 (2H), 3.72-3.69 (4H), 3.66-3.60 (2H), 3.32 (2H), 2.64 (2H), 2.51-2.48 (4H), 1.47-1.40 (2H), 0.71 (3H); HRMS m/z 440.2427 (calcd for M+H, 440.2405).
Example 12
7-(6-methoxypyrid Uin-3-yl)-1- "(2-propoxyethyl)-3-[(tetrahydro-2H-pyran-4- ylmethyl)amino]pyrido[3,4-b]pyrazin-2(1H)-one.
Prepared as described in example 1 using tetrahydro-2H-pyran-4-ylmethylamine in step 6. 1H NMR (CDCI3) δ 8.80 (1 H), 8.74 (1 H), 8.24 (1 H), 7.67 (1 H), 6.86 (1 H), 6.53-6.49 (1 H), 4.46 (2H), 4.04-4.00 (5H), 3.80 (2H), 3.52-3.45 (2H), 3.42-3.35 (4H), 2.00-1.94 (1 H), 1.76-1.72 (2H), 1.53-1.39 (4H), 0.78 (3H); HRMS m/z 454.2401 (calcd for M+H, 454.2449).
Example 13
3-(2-morpholino-2-oxoethylamino)-7-(6-methoxypyήdin-3-yl)-1-(2-propoxyethyl)pyrido[3,4- b]pyrazin-2(1H)-one
Prepared as described in example 1 using 2-morpholin-4-yl-2-oxoethylamine in step 6. 1H NMR (CDCI3) δ 8.77 (1 H), 8.75 (1 H), 8.22 (1 H), 7.68 (1 H), 7.38 (1 H), 6.85 (1 H), 4.46 (2H), 4.33 (2H), 4.00 (3H), 3.81-3.71 (8H), 3.58-3.56 (2H), 3.35 (2H), 1.50-1.45 (2H), 0.78 (3H); HRMS m/z 483.2348 (calcd for M+H, 483.2350). Example 14
7-(6-methoxypyridin-3-yl)-1-(2-propoxyethyl)-3-{[(2S)-tetrahydrofuran-2- ylmethyl]amino}pyήdo[3,4-b]pyrazin-2(1H)-one
Prepared as described in example 1 using (S)-(+)-tetrahydrofurfurylamine in step 6. 1H NMR (CDCI3) δ 8.75 (1 H), 8.72 (1 H), 8.20 (1 H), 7.64 (1 H), 6.83 (1 H), 6.75-6.71 (1 H), 4.44
(2H), 4.18-4.15 (1 H), 3.98 (3H), 3.96-3.89 (1H), 3.83-3.75 (4H), 3.58-3.50 (1 H), 3.35 (2H), 2.07-
2.01 (1 H), 1.95-1.91 (2H), 1.69-1.62 (1 H), 1.51-1.44 (2H), 0.76 (3H); HRMS m/z 440.2299 (calcd for M+H, 440.2292).
Example 15
7-(6-methoxypyήdin-3-yl)-1-(2-propoxyethyl)-3-{[(2R)-tetrahydrofuran-2- ylmethyl]amino}pyrido[3, 4-b]pyrazin-2(1 H)-one.
Prepared as described in example 1 using (R)-(-)-tetrahydrofurfurylamine in step 6. 1H NMR (CDCl3) δ 8.78 (1 H), 8.74 (1 H)1 8.24 (1 H), 7.67 (1 H), 6.86 (1 H), 6.76-6.72 (1 H), 4.46 (2H), 4.20-4.16 (1 H), 4.00 (3H), 3.98-3.90 (1 H), 3.87-3.77 (4H), 3.60-3.51 (1 H), 3.36 (2H), 2.11- 2.03 (1 H), 2.00-1.90 (2H), 1.73-1.62 (1 H), 1.55-1.43 (2H), 0.77 (3H); HRMS m/z 440.2306 (calcd for M+H, 440.2292).
Example 16
ethyl 4-{[7-(6-methoxypyridin-3-yl)-2-oxo-1-(2-propoxyethyl)-1,2-dihydropyrido[3,4-b]pyrazin-3- yl]amino}piperidine-1-carboxylate.
Prepared as described in example 1 using ethyl 4-aminopiperidine-1 -carboxylate in step 6. 1H NMR (CDCI3) δ 8.79 (1 H), 8.74 (1 H), 8.24 (1 H), 7.68 (1 H), 6.87 (1 H), 6.35 (1 H), 4.46 2H), 4.20-4.12 (5H), 4.01 (3H), 3.80 (2H), 3.37 (2H), 3.11-3.07 (2H), 2.15-2.11 (2H), 1.53-1.46 (4H), 1.28 (3H), 0.78 (3H); HRMS m/z 511.2686 (calcd for M+H, 511.2663).
Example 17
7-(6-methoxypyridin-3-yl)-3φiperidin-4-ylamino)-1-(2-propoxyethyl)pyrido[3,4-b]pyrazin-2(1H)- one.
Prepared as described in example 1 using 4-aminopiperidine in step 6. 1H NMR (CDCI3) δ 8.74 (2H), 8.22 (1H), 7.60 (1H), 6.84 (1H), 4.84-4.80 (2H), 4.40 (2H), 3.98 (3H), 3.77 (2H), 3.35 (2H), 3.13-3.04 (2H), 2.99 (1 H), 1.98-1.94 (2H), 1.54-1.45 (4H), 0.77 (3H); HRMS m/z 439.2455 (calcd for M+H, 439.2452).
Example 18
3-[(1-acetylpiperidin-4-yl)amino]-7-(6-methoxypyridin-3-yl)-1-(2-propoxyethyl)pyrido[3,4- b]pyrazin-2(1 H)-one.
A solution of 7-(6-methoxypyridin-3-yl)-3-(piperidin-4-ylamino)-1-(2-propoxyethyl)pyrido[3,4- b]pyrazin-2(1 H)-one from example 28 (72 mg, 0.16 mmol), acetyl chloride (27 mg, 0.34 mmol) and triethylamine (0.05 mL, 0.36 mmol) in dichloromethane (2 mL) was stirred at room temperature for 15 hours. The reaction was partitioned between ethyl acetate and water. The layers were separated and the aqueous layer was extracted with ethyl acetate. The combined organic layers were washed with brine, dried over magnesium sulfate, solvent was removed at reduced pressure to give and passed through a column of silica gel with 2.5% methanol/ dichloromethane to give 3-[(1-acetylpiperidin-4-yl)amino]-7-(6-methoxypyridin-3-yl)-1-(2- propoxyethyl)pyrido[3,4-b]pyrazin-2(1 H)-one as a yellow solid. (15 mg, 18% yield).
1H NMR (CDCI3) δ 8.77-8.76 (2H), 8.29 (1 H), 7.65 (1 H), 6.87 (1 H), 5.38-5.35 (1 H), 4.87-4.82 (2H), 4.43 (2H), 4.11-4.07 (1 H), 4.01 (3H), 3.79 (2H), 3.37 (2H), 3.18-3.10 (2H), 2.12-2.09 (2H), 2.04 (3H), 1.53-1.44 (4H), 0.78 (3H); HRMS m/z 481.2538 (calcd for M+H, 481.2558).
7-(6-methoxypyridin-3-yl)-3-[(2φipeήdin-1-ylethyl)amino]-1-(2φmpoxyethyl)pyήdo[3A-b]pyrazin-
2(1H)-one.
Prepared as described in example 1 using 2-piperidin-1-ylethylamine in step 6. 1H NMR (CDCI3) δ 8.77 (1H), 8.73 (1H), 8.22 (1H), 7.64 (1H), 7.00-6.97 (1H), 6.84 (1H), 4.44 (2H), 3.99 (3H), 3.79 (2H), 3.64-3.59 (2H), 3.36 (2H), 2.61 (2H), 2.44 (4H), 1.62-1.56 (4H), 1.52- 1.42 (4H), 0.76 (3H); HRMS m/z 467.2762 (calcd for M+H, 467.2765).
Example 20
7-(6-methoxypyridin-3-yl)-1-(2-propoxyethyl)-3-[(2-pyridin-2-ylethyl)amino]pyrido[3,4-b]pyrazin- 2(1H)-one.
Prepared as described in example 1 using 2-(2-aminoethyl)pyridine in step 6. 1H NMR (CDCI3) δ 8.80 (s, 1 H), 8.74 (1 H), 8.62-8.60 (1 H), 8.26 (1 H), 7.69-7.63 (2H), 7.24-7.15 (3H), 6.86 (1 H), 4.45 (2H), 4.04-3.98 (5H), 3.79 (2H), 3.36 (2H), 3.22 (2H), 1.52-1.45 (2H), 0.77 (3H); HRMS m/z 461.2346 (calcd for M+H, 461.2296). Example 21
3-(2-(4-ethylpiperazin- 1 -yl)-2-oxoethylamino)- 7-(6-methoxypyridin-3-yl)- 1 -(2- propoxyethyl)pyrido[3,4-b]pyrazin-2(1H)-one
Prepared as described in example 1 using 2-amino-1-(4-ethylpiperazin-1-yl)ethanone in step 6. The Suzuki reaction of step 7 in example 1 was performed using the following modified procedure. A solution of 3-(2-(4-ethylpiperazin-1-yl)-2-oxoethylamino)-7-chloro-1-(2- propoxyethyl)pyrido[3,4-b]pyrazin-2(1 H)-one (306 mg, 0.70 mmol) in 1 ,4-dioxane (5.0 ml_) was
treated with dichloro[1 ,1'-bis(diphenylphosphino)ferrocene]palladium (II) dichloromethane adduct (54 mg, 0.066 mmol), 6-methoxypyridin-3-yl-3-boronic acid (250 mg, 1.6 mmol) and 2.5 ml_ of water containing Na2CO3 (264 mg, 2.5 mmol). The mixture was refluxed for 4.0 hours. The mixture was partitioned between ethyl acetate and water, and the layers were separated. The aqueous layer was extracted with ethyl acetate. The combined organic layer were dried over sodium sulfate, concentrated under reduced pressure, and purified by column chromatography. 3-(2-(4-ethylpiperazin-1-yl)-2-oxoethylamino)-7-(6-methoxypyridin-3-yl)-1-(2- propoxyethyl)pyrido[3,4-b]pyrazin-2(1 H)-one was obtained. (177 mg, 48% yield). Prepared as described in example 1 using in step 6 and the Suzuki conditions of example 47 step 7. 1H NMR (CDCI3) 58.79 (1 H), 8.75 (1 H), 8.24 (1 H), 7.68 (1 H), 7.42 (1 H), 6.84 (1 H), 4.47 (t, 2H, J = 5.3 Hz), 4.33 (2H), 4.00 (3H), 3.80 (2H), 3.75 (2H), 3.58 (2H), 3.36 (2H), 2.54 - 2.43 (6H), 1.52 - 1.45 (2H), 1.47 (3H), 0.77 (3H); HRMS m/z 510.2837 (calcd for M+H, 510.2823).
Example 22
ethyl 4-(2-(1,2-dihydro-7-(6-methoxypyridin-3-yl)-2-oxo-1-(2-propoxyethyl)pyrido[3,4-b]pyrazin-3- ylamino)acetyl)piperazine- 1 -carboxylate
Prepared as described in example 1 using ethyl 4-(2-aminoacetyl)piperazine-1 -carboxylate in step 6 and the Suzuki conditions of example 21 step 7.
1H NMR (CDCI3) 58.78 (1 H), 8.75 (1 H), 8.24 (1 H), 7.68 (1 H), 7.37 (1 H), 6.84 (1 H), 4.47 (2H), 4.35 (2H), 4.22 - 4.15 (2H), 4.00 (3H), 3.80 (2H), 3.72 - 3.68 (2H), 3.58 - 3.51 (7H), 3.36 (2H), 1.52 - 1.45 (2H), 1.31 - 1.25 (5H), 0.77 (3H); HRMS m/z 554.2738 (calcd for M+H, 554.2722).
Example 23
3-(2-oxo-2-(pyrrolidin-1-yl)ethylamino)-7-(6-methoxypyridin-3-yl)-1-(2-propoxyethyl)pyrido[3,4- b]pyrazin-2(1 H)-one
Prepared as described in example 1 using 2-amino-1-(pyrrolidin-1-yl)ethanone in step 6 and the Suzuki conditions of example 21 step 7.
1H NMR (CDCI3) 58.78 (1 H), 8.75 (1 H), 8.24 (1 H), 7.68 (1H), 7.37 (1 H), 6.84 (1 H), 4.46 (2H), 4.25 (2H), 4.00 (3H), 3.80 (2H), 3.60 - 3.53 (4H), 3.36 (2H), 2.08 - 2.01 (2H), 1.97 - 1.90 (2H), 1.52 - 1.45 (2H), 0.77 (3H); HRMS m/z 467.2394 (calcd for M+H, 467.2401).
3-(2-morpholino-2-oxoethylamino)-7-(3,5-dimethylisoxazol-4-yl)-1-(2-propoxyethyl)pyrido[3,4- b]pyrazin-2(1 H)-one
Prepared as described in example 1 using 2-amino-1-morpholinoethanone in step 6 and and the Suzuki conditions of example 21 step 7 with 3,5-dimethylisoxazol-4-yl-4-boronic acid. 1H NMR (CDCI3) δ8.78 (1 H), 7.41 (1H), 7.34 (1H), 4.41 (2H), 4.33 (2H), 3.99 - 3.97 (1H), 3.81 - 3.73 (10H), 3.59 - 3.56 (2H), 3.43 (1 H), 3.34 (2H), 2.59 (3H), 2.44 (3H), 0.75 (3H); HRMS m/z 471.2374 (calcd for M+H, 471.2350).
Example 25
3-(2-oxo-2-(piperazin-1-yl)ethylamino)-7-(6-methoxypyridin-3-yl)-1-(2-propoxyethyl)pyrido[3,4- b]pyrazin-2(1 H)-one
Prepared as described in example 1 using 2-amino-1-(piperazin-1-yl)ethanone in step 6 and the Suzuki conditions of example 21 step 7. 1H NMR (CDCI3) 68.78 - 8.77 (2H), 8.28 - 8.26 (1 H), 7.67 (1 H), 6.85 (1 H), 4.44 (2H), 4.01 - 3.99 (6H), 3.81 - 3.78 (4H), 3.54 (2H), 3.37 (2H), 1.70 (4H), 1.53 - 1.46 (2H), 1.27 - 1.25 (2H), 0.76 (3H); HRMS m/z 482.2541 (calcd for M+H, 482.2510).
Example 26
3-(2-(4-methylpiperazin-1-yl)-2-oxoethylamino)-7-(6-methoxypyridin-3-yl)-1-(2- propoxyethyl)pyrido[3,4-b]pyrazin-2(1H)-one
Prepared as described in example 1 using 2-amino-1-(4-methylpiperazin-1-yl)ethanone in step 6 and the Suzuki conditions of example 21 step 7.
1H NMR (CDCI3) δ8.78 (1 H), 8.75 (1 H), 8.26 - 8.22 (1 H), 7.68 (1 H), 7.43 - 7.40 (1 H), 6.85 (1 H), 4.47 (2H), 4.33 (2H), 4.00 (3H), 3.80 (2H), 3.73 - 3.71 (2H), 3.58 (2H), 3.36 (2H), 2.51 - 2.43 (4H), 2.34 (3H), 1.52 - 1.45 (2H), 0.77 (3H); HRMS m/z 496.2632 (calcd for M+H, 496.2667).
3-(2-(4-hydroxypiperidin-1-yl)-2-oxoethylamino)-7-(6-methoxypyridin-3-yl)-1-(2- propoxyethyl)pyrido[3,4-b]pyrazin-2(1H)-one
Prepared as described in example 1 using 2-amino-1-(4-hydroxypiperidin-1-yl)ethanone in step 6 and the Suzuki conditions of example 21 step 7.
1H NMR (CDCI3) 58.79 (1 H), 8.75 (1 H), 8.26 - 8.22 (1 H), 7.69 (1 H), 7.44 (1 H), 6.84 (1H), 4.47 (2H), 4.33 (2H), 4.09 - 4.05 (1 H), 4.00 (3H), 3.82 - 3.78 (2H), 3.43 - 3.31 (3H), 3.17 - 1.96 (1 H), 1.67 (6H), 1.55 - 1.42 (2H), 0.77 (3H); HRMS m/z 497.2543 (calcd for M+H, 497.2507).
Example 28
3-(2-oxo-2-(piperidin- 1 -yl)ethylamino)-7-(6-methoxypyridin-3-yl)- 1 -(2-propoxyethyl)pyrido[3,4- b]pyrazin-2(1 H)-one
Prepared as described in example 1 using 2-amino-1-(piperidin-1-yI)ethanone in step 6 and the Suzuki conditions of example 21 step 7. 1H NMR (CDCI3) 68.79 (1 H), 8.75 (1 H), 8.26 - 8.22 (1 H), 7.68 (1 H), 7.48 (1 H), 6.85 (1 H), 4.46
(2H), 4.31 (2H), 4.00 (3H), 3.80 (2H), 3.66 - 3.63 (2H), 3.50 - 3.46 (2H), 3.38 - 3.34 (2H), 1.68 - 1.43 (8H), 0.77 (3H); HRMS m/z 481.2574 (calcd for M+H, 481.2558).
Example 29
2(1H)-one
Prepared as described in example 1 using 2-isopropoxyethanamine in step 3. 1H NMR (CDCI3) δ8.78 (1H), 8.75 (1 H), 8.27 - 8.24 (1 H), 7.69 (1 H), 6.93 (1 H), 6.84 (1 H), 4.43 (2H), 3.99 (3H), 3.80 - 3.67 (8H), 3.57 - 3.51 (1H), 2.70 (2H), 2.62 (4H), 1.06 (6H); HRMS m/z 469.2524 (calcd for M+H, 469.2558).
3-((pyridin-2-yl)methylamino)-1-(2-isopropoxyethyl)-7-(6-methoxypyridin-3-yl)pyrido[3,4- b]pyrazin-2(1 H)-one
Prepared as described in example 1 using 2-isopropoxyethanamine in step 3 and (pyridin-2- yl)methanamine in step 6.
1H NMR (CDCI3) δ8.82 (1 H), 8.76 (1 H), 8.62 - 8.61 (1 H), 8.30 - 8.27 (1 H), 7.72 - 7.67 (2H), 7.60 - 7.58 (1 H), 7.38 (1 H), 7.26 - 7.22 (1 H), 6.85 (1 H), 4.87 (2H), 4.45 (2H), 4.00 (3H), 3.80 (2H), 3.57 - 3.51 (1 H), 1.05 (6H); HRMS m/z 447.2120 (calcd for M+H, 447.2139).
Example 31
3-(((S)-tetrahydrofuran-2-yl)methylamino)-1-(2-isopropoxyethyl)-7-(6-methoxypyridin-3- yl)pyήdo[3,4-b]pyrazin-2(1H)-one
Prepared as described in example 1 using 2-isopropoxyethanamine in step 3 and ((S)- tetrahydrofuran-2-yl)methanamine in step 6 and the Suzuki conditions of example 21 step 7. 1H NMR (CDCI3) 58.84 (1 H), 8.76 (1 H), 8.26 - 8.22 (1 H), 7.69 (1 H), 6.84 (1 H), 6.74 (1 H), 4.42 (2H), 4.28 - 4.16 (1 H), 4.00 (3H), 3.97 - 3.90 (1 H), 3.85 - 3.72 (4H), 3.59 - 3.50 (2H), 2.10 - 1.94 (3H), 1.72 - 1.63 (1 H), 1.06 (6H); HRMS m/z 440.2270 (calcd for M+H, 440.2292).
Example 32
2(1H)-one
Prepared as described in example 1 using 3-ethoxypropan-1 -amine in step 3 and (pyridin-2- yl)methanamine in step 6 and the Suzuki conditions of example 21 step 7. 1 H NMR (CDCI3) δ8.82 (1 H), 8.79 (1 H), 8.62 - 8.61 (1 H), 8.27 - 8.25 (1 H), 7.70 - 7.56 (3 H), 7.37 (1 H), 7.24 - 7.21 (1 H), 6.84 - 6.82 (1 H), 4.87 (2H), 4.40 (2H), 3.99 (3H), 3.52 - 3.45 (4H), 2.09 - 2.04 (2H), 1.24 - 1.19 (3H); HRMS m/z 447.2139 (calcd for M+H, 447.2139).
Example 33
i-fS-ethoxypropyl^y-fβ-methoxypyridin-S-yO-S-^S-methylpyrazin-Ξ-yOmethylJaminoJpyridolSA- b]pyrazin-2(1H)-one
Prepared as described in example 1 using 3-ethoxypropan-1 -amine in step 3 and (5- methylpyrazin-2-yl)methanamine in step 6 and the Suzuki conditions of example 21 step 7. 1H NMR (CDCI3) 58.81 (1H), 8.78 (1 H), 8.59 (1H)1 8.43 (1 H), 8.26 - 8.23 (1 H), 7.63 (1 H), 7.30 (1 H), 6.82 (1 H), 4.86 (2H), 4.39 (2H), 3.99 (3H), 3.52 - 3.45 (4H), 2.56 (3H), 2.16 - 2.02 (2H), 1.24 - 1.19 (3H); HRMS m/z 462.2270 (calcd for M+H, 462.2248).
Example 34
1-(3-ethoxypropyl)-7-(6-methoxypyridin-3-yl)-3-{[(2S)-tetrahydrofuran-2- ylmethyl]amino}pyrido[3, 4-b]pyrazin-2(1 H)-one
Prepared as described in example 1 using 3-ethoxypropan-1 -amine in step 3 and ((S)- tetrahydrofuran-2-yl)methanamine in step 6 and the Suzuki conditions of example 21 step 7. 1H NMR (CDCI3) 58.77 - 8.76 (2H), 8.25 - 8.22 (1 H), 7.61 (1 H), 6.82 (1 H), 6.76 - 6.74 (1 H), 4.37 (2H), 4.18 - 4.15 (1 H), 3.98 (3H), 3.95 - 3.89 (1 H), 3.84 - 3.76 (2H), 3.56 - 3.44 (4H), 2.08 - 2.02 (3H), 1.97 - 1.91 (2H), 1.68 - 1.65 (1 H), 1.23 - 1.19 (4H); HRMS m/z 440.2282 (calcd for M+H, 440.2292).
Example 35
3-(2-morpholino-2-oxoethylamino)-1-(3-ethoxypropyl)-7-(6-methoxypyridin-3-yl)pyrido[3,4- b]pyrazin-2(1 H)-one
Prepared as described in example 1 using 2-amino-1-morpholinoethanone in step 3 and 3- methoxypropan-1 -amine in step 6 and the Suzuki conditions of example 21 step 7.
1H NMR (CDCI3) 58.78 - 8.77 (2H), 8.23 (1H), 7.62 (1 H), 7.39 (1H), 6.82 (1 H), 4.38 (2H), 4.31 (2H), 3.98 (3H), 3.84 - 3.71 (6H), 3.57 - 3.55 (2H), 3.51 - 3.44 (4H), 2.16 - 2.01 (2H), 1.21 (3H); HRMS m/z 483.2376 (calcd for M+H, 483.2350).
Example 36
7-(3,5-dimethyiisoxazol-4-yl)-1-(2-ethoxyethyl)-3-[(2-morpholin-4-ylethyl)amino]pyrido[3,4- b]pyrazin-2(1 H)-one
Prepared as described in example 1 using 2-ethoxyethanamine in step 3 and and the Suzuki conditions of example 21 step 7 with 3,5-dimethylisoxazol-4-yl-4-boronic acid. 1H NMR (CDCI3) 58.79 (1 H), 7.31 (1 H), 6.96 (1 H), 4.40 (2H), 3.81 - 3.68 (8H), 3.50 - 3.43 (3H), 2.64 (2H), 2.59 - 2.57 (6H), 2.44 (3H), 1.09 (3H); HRMS m/z 443.2418 (calcd for M+H, 443.2401).
Example 37
3-(((S)-tetrahydrofuran-2-yl)methylamino)-1-(2'ethoxyethyl)-7-(6-meihoxypyridin-3-yl)pyrido[3,4- b]pyrazin-2(1 H)-one
Prepared as described in example 1 using 2-ethoxyethanamine in step 3 and ((S)- tetrahydrofuran-2-yl)methanamine in step 6 and the Suzuki conditions of example 21 step 7. 1H NMR (CDCI3) 58.77 (1 H), 8.73 (1 H), 8.26 - 8.22 (1 H), 7.66 (1 H), 7.15 (1 H), 6.84 (1 H), 6.75 (1 H), 4.45 (2H), 4.21 - 4.14 (1 H), 3.99 (3H), 3.97 - 3.90 (1 H), 3.86 - 3.74 (4H), 3.59 - 3.39 (2H), 2.11 - 1.89 (3H), 1.72 - 1.64 (1 H), 1.14 (3H); HRMS m/z 426.2121 (calcd for M+H, 426.2136).
Example 38
3-(2-(pyrrolidin-1-yl)ethylamino)-1-(2-ethoxyethyl)-7-(6-methoxypyridin-3-yl)pyridol3A-b]pyrazin^ 2(1H)-one
Prepared as described in example 1 using 2-ethoxyethanamine in step 3 and 2-(pyrrolidin-1- yl)ethanamine in step 6 and the Suzuki conditions of example 21 step 7.
1H NMR (CDCI3) 58.78 (1H), 8.74 (1 H), 8.25 (1 H), 7.66 (1 H), 7.00 (1 H), 6.84 (1 H)1 4.45 (2H), 4.00 (3H), 3.82 - 3.76 (4H), 3.51 - 3.44 (2H), 2.93 (2H), 2.76 (4H), 1.89 (4H), 1.08 (3H); HRMS m/z 439.2424 (calcd for M+H, 439.2452).
Example 39
3-(2-(piperidin- 1 -yl)ethylamino)- 1 -(2-ethoxyethyl)-7-(6-methoxypyridin-3-yl)pyrido[3,4-b]pyrazin-
2(1H)-one
Prepared as described in example 1 using 2-ethoxyethanamine in step 3 and 2-(piperidin-1- yl)ethanamine in step 6 and the Suzuki conditions of example 21 step 7. 1H NMR (CDCI3) .68.78 (1 H), 8.75 (1 H), 8.25 (1 H), 7.66 (1 H), 7.26 (1 H), 6.85 (1 H), 4.45 (2H),
4.00 (3H), 3.80 (2H), 3.66 (2H), 3.48 (2H), 2.68 (2H), 2.51 (4H), 1.65 (4H), 1.48 (2H), 1.12 (3H); HRMS m/z 453.2642 (calcd for M+H, 453.2609).
Example 40
Prepared as described in example 1 using 2-ethoxyethanamine in step 3 and the Suzuki conditions of example 21 step 7 with pyridin-3-yl-3-boronic acid.
1H NMR (CDCI3) δ9.20 - 9.19 (1 H), 8.83 (1 H), 8.64 - 8.62 (1 H), 8.37 - 8.33 (1 H), 7.79 (1 H), 7.43 - 7.38 (1 H), 7.00 (1 H), 4.49 (2H), 3.84 - 3.66 (8H), 3.48 (2H), 2.71 (2H), 2.56 (4H), 1.12 (3H); HRMS m/z 425.2303 (calcd for M+H, 425.2296).
Example 41
3-(2-moφholino-2-oxoethylamino)-1-(2-ethoxyethyl)-7-(6-methoxypyridin-3-yl)pyrido[3,4- b]pyrazin-2(1 H)-one Prepared as described in example 1 using 2-ethoxyethanamine in step 3 and 2-amino-1- morpholinoethanone in step 6 and the Suzuki conditions of example 21 step 7.
1H NMR (CDCI3) 58.78 - 8.74 (2H), 8.28 - 8.25 (1H), 7.69 (1H), 7.40 (1 H), 6.85 (1 H), 4.46 (2H), 4.32 (2H), 4.00 (3H), 3.82 - 3.72 (8H), 3.58 (2H), 3.47 (2H), 1.11 (3H); HRMS m/z 469.2183 (calcd for M+H, 469.2194).
Example 42
3-((5-methylpyrazin-2-yl)methylamino)-1-(2-ethoxyethyl)-7-(6-methoxypyridin-3-yl)pyήdo[3,4- b]pyrazin-2(1 H)-one
Prepared as described in example 1 using 2-ethoxyethanamine in step 3 and (5- methylpyrazin-2-yl)methanamine in step 6 and the Suzuki conditions of example 21 step 7. 1H NMR (CDCI3) 68.82 (1 H), 8.75 - 8.74 (1 H), 8.60 (1 H), 8.44 (1 H), 8.30 - 8.27 (1 H), 7.70 (1 H), 7.32 (1 H), 6.86 (1H), 4.88 (2H), 4.47 (2H), 4.00 (3H), 3.81 (2H), 3.48 (2H), 2.58 (3H), 1.11 (3H); HRMS m/z 448.2050 (calcd for M+H, 448.2092).
Example 43
3-((pyridin-2-yl)methylamino)-1-(2-ethoxyethyl)-7-(6-methoxypyridin-3-yl)pyrido[3,4-b]pyrazin-
2(1H)-one
Prepared as described in example 1 using 2-ethoxyethanamine in step 3 and (pyridin-2- yl)methanamine in step 6 and the Suzuki conditions of example 21 step 7. 1H NMR (CDCI3) 58.83 (1 H), 8.75 (1 H), 8.61 (1 H), 8.29 (1 H), 7.74 - 7.68 <2H), 7.61 (1 H), 7.39 (1 H), 7.25 - 7.22 (1 H), 6.86 (1 H), 4.88 (2H), 4.48 (2H), 4.00 (3H), 3.82 (2H), 3.48 (2H), 1.12 (3H); HRMS m/z 433.2018 (calcd for M+H, 433.1983).
Example 44
3-(2-morpholinoethylamino)-1-(2-ethoxyethyl)-7-(6-methoxypyridin-3-yl)pyήdo[3,4-b]pyrazin-
2(1H)-one
Prepared as described in example 1 using 2-ethoxyethanamine in step 3 and the Suzuki conditions of example 21 step 7.
1H NMR (CDCI3) 58.78 (1 H), 8.74 (1 H), 8.26 (1 H), 7.67 (1 H), 6.97 (1 H), 6.85 (1 H), 4.46 (2H), 4.00 (3H), 3.82 - 3.72 (8H), 3.48 (2H), 2.75 (2H), 2.60 (4H), 1.12 (3H); HRMS m/z 455.2378 (calcd for M+H, 455.2401).
Example 45
3-(2-morpholinoethylamino)-7-(4-fluorophenyl)-1-(2-propoxyethyl)pyrido[3,4-b]pyrazin-2(1H)-one
Prepared as described in example 1 and the Suzuki conditions of example 21 step 7 with 4- fluorophenylboronic acid. 1H NMR (CDCI3) δ 8.78 (1 H), 7.99-7.94 (2H), 7.68 (1 H), 7.17-7.11 (2H), 6.93-6.90 (1 H), 4.46 (2H), 3.80 (2H), 3.76-3.72 (4H), 3.68-3.62 (2H), 3.37 (2H), 2.67 (2H), 2.54-2.51 (4H), 1.52-1.45 (2H), 0.78 (3H); HRMS m/z 456.2407 (calcd for M+H, 456.2405).
Example 46
7-(1,3-benzodioxol-5-yl)-3-[(2-morpholin-4-ylethyl)amino]-1-(2-propoxyeihyl)pyrido[3,4-b]pyrazin- 2(1H)-one.
Prepared as described in example 1 and the Suzuki conditions of example 21 step 7using 3,4-(methylenedioxy)phenylboronic acid.
1H NMR (CDCI3) δ 8.75 (1 H), 7.62 (1 H), 7.51-7.47 (2H), 6.90-6.87 (2H), 6.01 <2H), 4.46 (2H), 3.80 (2H), 3.76-3.72 (4H), 3.68-3.62 (2H), 3.37 (2H), 2.67 (2H), 2.54-2.51 (4H), 1.54-1.47 (2H), 0.79 (3H); HRMS m/z 482.2354 (calcd for M+H, 482.2398).
Example 47
19
3-(2-morpholinoethylamino)-1-(2-ethoxyethyl)-7-(4-methoxyphenyl)pyrido[3,4-b]pyrazin-2(1H)- one
Prepared as described in example 1 using 2-ethoxyethanamine in step 3 and the Suzuki conditions of example 21 step 7 with 4-methoxyphenylboronic acid.
1H NMR (CDCI3) δ8.78 (1 H), 7.95 (2H), 7.66 (1H), 7.01 (2H), 6.91 (1H), 4.47 (2H), 3.87 (3H), 3.83 - 3.67 (8H), 3.49 (2H), 2.71 (2H), 2.57 (4H), 1.13 (3H); HRMS m/z 454.2425 (calcd for M+H, 454.2449).
Example 48
7-(2,3-dihydro-1-benzofuran-5-yl)-1-(2-ethoxyethyl)-3-[(2-morpholin-4-ylethyl)amino]pyrido[3,4- b]pyrazin-2(1 H)-one
Prepared as described in example 1 using 2-ethoxyethanamine in step 3 and the Suzuki conditions of example 21 step 7 with 2,3-dihydrobenzofuran-5-yl-5-boronic acid. 1H NMR (CDCI3) δ 8.77 (1 H), 7.91 (1 H), 7.75 - 7.71 (1 H), 7.63 (1 H)1 6.89 - 6.85 (2H), 4.64 (2H), 4.47 (2H), 3.83 - 3.70 (6 H), 3.68 - 3.64 (2H), 3.51 (2H), 3.28 (2H), 2.72 - 2.70 (2H), 2.57 - 2.53 (4H), 1.14 (3H); HRMS m/z 466.2420 (calcd for M+H, 466.2449).
Example 49
1-(2-ethoxyethyl)-3-[(2-morpholin-4-ylethyl)amino]-7-[4-(trifluoromethyl)ph b]pyrazin-2(1H)-one
Prepared as described in example 1 using 2-ethoxyethanamine in step 3 and the Suzuki conditions of example 21 step 7 with 4-(trifluoromethyl)phenylboronic acid. 1H NMR (CDCI3) 58.83 (1 H), 8.13 (2H), 7.82 (1 H), 7.73 (2H), 7.01 (1 H), 4.49 (2H), 3.85 - 3.70 (8H), 3.46 (2H), 2.73 (2H), 2.58 (4H), 1.12 (3H); HRMS m/z 492.2181 (calcd for M+H, 492.2217). Example 50
1-(2-ethoxyethyl)-3-[(2-morpholin-4-ylethyl)amino]-7-[3-(thfluoromethyl)phenyl]pyrido[3,4- b]pyrazin-2(1 H)-one
Prepared as described in example 1 using 2-ethoxyethanamine in step 3 and the Suzuki conditions of example 21 step 7 with 3-(trifluoromethyl)phenylboronic acid. 1H NMR (CDCI3) 58.82 (s), 8.28 (s), 8.21 (1 H), 7.82 (1 H), 7.66 - 7.59 (2H), 7.0 (1 H), 4.49 (2H), 3.85 - 3.69 (8H), 3.51 (2H), 2.72 (2H), 2.57 (4H), 1.13 (3H); HRMS m/z 492.2194 (calcd for M+H, 492.2217).
Example 51
Prepared as described in example 1 using 2-ethoxyethanamine in step 3 and the Suzuki conditions of example 21 step 7 with phenylboronic acid.
1H NMR (CDCI3) 58.82 (1 H)1 8.00 (2H), 7.74 (1H), 7.50 - 7.37 (3H), 6.94 (1H), 4.48 (2H), 3.83 3.68 (8H), 3.49 (2H), 2.71 (2H), 2.56 (4H), 1.14 (3H); HRMS m/z 424.2306 (calcd for M+H, 424.2343).
Example 52
3-(2-moφholinoethylamino)-1-(2-ethoxyethyl)-7-(4-fluorophenyl)pyήdo[3,4-b]pyrazin-2(1H)-one
Prepared as described in example 1 using 2-ethoxyethanamine in step 3 and the Suzuki conditions of example 21 step 7 with 4-fluorophenylboronic acid.
1H NMR (CDCI3) 58.79 (1 H), 8.01 - 7.96 (2H), 7.69 (1 H), 7.15 (2H), 6.95 (1 H), 4.47 (2H), 3.83 - 3.68 (8H), 3.48 (2H), 2.27 (2H), 2.57 (4H), 1.13 (3H); HRMS m/z 442.2222 (calcd for M+H, 442.2249).
Example 53
3-(2-morpholinoethylamino)-1-(2-ethoxyethyl)-7-(3-fluorophenyl)pyrido[3,4-b]pyrazin-2(1H)-one
Prepared as described in example 1 using 2-ethoxyethanamine in step 3 and the Suzuki conditions of example 21 step 7 with 3-fluorophenylboronic acid.
1H NMR (CDCI3) .58.80 (1 H), 7.79 - 7.71 (3H), 7.47 - 7.39 (1 H), 7.08 - 7.05 (1 H), 6.97 (1 H), 4.48 (2H), 3.84 - 3.65 (8H), 3.49 (2H), 2.72 (2H), 2.56 (4H), 1.13 (3H); HRMS m/z 442.2262 (calcd for M+H, 442.2249).
Example 54
3-(2-moφholinoethylamino)'1-(2-ethoxyethyl)-7-(3,4-difluomphenyl)pyrido[3,4-b]pyrazin-2(1H)- one Prepared as described in example 1 using 2-ethoxyethanamine in step 3 and the Suzuki conditions of example 21 step 7 with 3,4-difluorophenylboronic acid.
1 H NMR (CDCI3) 58.78 (1 H), 7.90 - 7.84 (1 H), 7.75 - 7.71 (2H), 7.23 - 7.20 (1 H), 7.00 (1 H), 4.48 (2H), 3.84 - 3.79 (8H), 3.48 (2H), 2.74 (2H), 2.60 (4H), 1.13 (3H); HRMS m/z 460.2122 (calcd for M+H 4fiΩ ?1 tt) - — Example 55
3-(2-moφholinoethylamino)-1-(3-ethoxypropyl)-7-(6-methoxypyήdin-3-yl)pyήdo[3,4-b]pyi'azin-
2(1H)-one
Example 56
1-(3-(1,2-dihydro-7-(6-methoxypyridin-3-yl)-2-oxo-1-(2-propoxyethyl)pyrido[3,4-b]pyrazin'3- ylamino)propyl)pyrrolidine-2,5-dione
Example 57
-(2-(3-hydroxypyrrolidin-1-yl)ethylamino)-7-(6-methoxypyridin-3-yl)-1-(2-propoxyethyl)pyrido[3,4- b]pyrazin-2(1 H)-one
Example 58
-(2-(4-hydroxypipeήdin-1-yl)ethylamino)-7-(6-methoxypyridin-3-yl)-1-(2-propoxyethyl)pyrido[3,4- b]pyrazin-2(1 H)-one
1-(2-(1,2-dihydro-7-(6-methoxypyridin-3-yl)-2-oxo-1-(2-propoxyethyl)pyrido[3,4-b]pyrazin-3- ylamino)ethyl)piperidine-4-carboxamide
1-(2-(1,2-dihydro-7-(6-methoxypyήdin-3-yl)-2-oxo-1-(2-propoxyethyl)pyrido[3,4-b]pyrazin-3- ylamino)ethyl)piperidine-3-carboxamide
3-(N-methyl-N-(2-morpholinoethyl)amino)-7-(6-methoxypyridin-3-yl)-1-(2-propoxyethyl)pyrido[3,4- b]pyrazin-2(1 H)-one
3-(N-methyl-N-(2-(piperidin-1-yl)ethyl)amino)-7-(6-methoxypyridin-3-yl)-1-(2- propoxyethyl)pyrido[3,4-b]pyrazin-2(1H)-one
N-(3-(1,2-dihydro-7-(6-methoxypyridin-3-yl)-2-oxo-1-(2-propoxyethyl)pyrido[3,4-b]pyrazin-3- ylamino)propyI)morpholine-4-carboxamidθ
N-(2-(1 ,2-dihydro- 7-(6-methoxypyridin-3-yl)-2-oxo- 1 -(2-propoxyethyl)pyrido[3, 4-b]pyrazin-3- ylamino)ethyl)morpholine-4-carboxamide
3-(3-φyridin-2-ylamino)propylamino)-7-(6-methoxypyridin-3-yl)-1-(2-propoxyethyl)pyrido[3,4- b]pyrazin-2(1 H)-one
Additional compounds of Formula I that can be prepared in accordance with the synthetic methods of the present invention include those compounds described in Table B:
Table B
M. In Vitro Assays
Method 1 : Human Platelet PDE5 Enzyme Inhibition Scintillation Proximity Assay
The IC50 of test compounds can be measured using an in vitro assay using PDE5 enzyme isolated from human platelets. The IC50 is the concentration of test compound required to inhibit the hydrolysis of cGMP to GMP by the PDE5 enzyme by 50% relative to the activity of uninhibited controls. The PDE5 enzyme for use in the assay can be obtained from human platelets by appropriate modification of the method of Thompson, WJ etal.; Biochemistry 18(23), 5228-5237, 1979, as described by Ballard SA et al.; J. Urology 159(6), 2164-2171 , 1998. The PDE5 enzyme so obtained can be used to catalyze the hydrolysis of [3H]cGMP (Amersham Biosciences) to 5' nucleotide [3H]GMP. The [3H]GMP binds to yttrium silicate SPA beads (Amersham Biosciences) and is detected by scintillation counting. More specifically, the effect of the test compound at different concentrations can be evaluated in the assay by contacting the compound with a fixed amount of PDE5 enzyme in the presence of substrate (cGMP or cAMP in
a 3:1 ratio unlabelled to [3H]-Iabeled). Scintillation counting can be used as described above to determine relative PDE5 enzyme activity. The inhibition of PDE5 enzyme activity is then calculated relative to total PDE5 enzyme activity of uninhibited controls.
PDE5 IC50 Assay: 96-well microtiter plate format
Reagents
Buffer A: 20 mM Tris-HCI, 5 mM MgCI2, pH 7.4
Buffer B: 2 mg/ml BSA in Buffer A (enzyme buffer) cGMP substrate: Final concentration of 500 nM in assay The amount of 3H-labeled substrate added depends upon the specific activity of [3H]cGMP, and the cGMP substrate is diluted with a 10 mM stock of cold cGMP in Buffer A for a final substrate concentration of 500 nM in the assay.
PDE enzyme: Prepared in Buffer B. The dilution factor is determined by enzyme activity.
SPA beads: 20 mg/ml suspension prepared in dH2O.
Positive Control Negative Control Standard/Test compound
2 μl 100% DMSO 2 μl 100% DMSO 2 μl Standard/Test compound
25 μl Buffer A 25 μ I Buffer A 25 μ I Buffer A
25 μl Enzyme 25 μl Buffer B 25 μl Enzyme 50 μl Substrate 50 μl Substrate 50 μl Substrate
50 μl SPA to stop 50 μl SPA to stop 50 μl SPA to stop
Stocks of standard and test compounds are prepared at 5 mM in 100% DMSO. The compound is serially diluted in a dilution plate using a 10-point 1/a log dilution format. 2 μl of the compound dilution is added in duplicate to the wells of the assay plate. 2 μl of 100% DMSO are added to designated control wells. 25 μl of Buffer A are added to all wells. 25 μl of Buffer B are added to the negative control wells. 25 μl of enzyme are added to the remaining wells. 50 μl of substrate are added to each well. Plates are sealed and incubated for 60 minutes on a plate shaker at 30 C. 50 μ I of SPA beads are added to stop the reaction. The plates are again sealed and shaken for 15 minutes to allow the beads to bind the GMP product. The beads are allowed to settle for 30 minutes and then read on a NXT TopCount scintillation counter. Data are analyzed with a curve fitting application for plate-based screening. Percent inhibition in this assay is calculated as follows:
Inhibition (%) = [(mean maximum - compound value/ (mean maximum - mean minimum)] x 100. The IC50 value is determined from sigmoid dose-response curves of enzyme activity versus compound concentration.
Method 2: Alternative Human Platelet PDE5 Enzyme Inhibition Scintillation Proximity Assay
The IC50 of test compounds also can be measured in an alternative in vitro assay that varies from Method 1 as described below:
PDE5 ICgn Assay: 96-well microtiter plate format
Reagents
Buffer A: 20 mM Tris-HCI, 5 mM MgCI2, pH 7.4
Buffer B: 2 mg/ml BSA in Buffer A (enzyme buffer) cGMP substrate: Final concentration of 50 n M in assay
The amount of 3H-labeled substrate added depends upon the specific activity of [3H]CGMP, and it is diluted in Buffer A.
PDE enzyme: Prepared in Buffer B. The dilution factor is determined by enzyme activity. SPA beads: 4 mg/ml suspension prepared in dH2O.
Positive Control Negative Control Standard/Test compound 3 μl 100% DMSO 3 μl 100% DMSO 3 μl Standard/Test compound
27 μl Buffer A 27 μl Buffer A 27 μl Buffer A
30 μl Enzyme 30 μl Buffer B 30 μl Enzyme
30 μl Substrate 30 μl Substrate 30 μl Substrate
30 μl SPA to stop 30 μl SPA to stop 30 μl SPA to stop
Stocks of standard and test compound are prepared at 2 mM in 100% DMSO. The test compound is serially diluted in a dilution plate using an 8-point 1/5 log dilution format such that the starting concentration in the assay is 2 μM for an initial IC50 screen. 27 μl of Buffer A are added to the wells of the assay plates. From the dilution plate, 3 μl of diluted compound is delivered in duplicate or 3 μl of 100 % DMSO (for positive and negative controls) are added. 30 μl of enzyme are added. For the negative control wells, Buffer B is substituted in place of the enzyme. 30 μl of labeled substrate are added to all wells.
After incubating for 60 minutes at room temperature, the reaction is stopped with the addition of 30 μl of the yttrium silicate beads. These beads are dense and require constant agitation while being added to the plate. The plates are sealed and shaken on a plate shaker for fifteen minutes to allow the beads to bind the GMP product.
After allowing the beads to settle for 30 minutes, plates are read on a NXT TopCount scintillation counter and the data are analyzed as follows. Percent inhibition values are calculated using the means of the 0% and 100% controls on each plate. The estimates of the 4-parameters of the logistic, sigmoid dose-response model are then calculated using the well-level percent inhibition value for the compound. The formula for the four-parameter logistic model may be expressed as Y = ( (a - d) / (1 + ( X / c) Λ b) ) + d, where Y is the response, X is the concentration, a is the lower asymptote (minimum response), d is the upper asymptote (maximum response), c is the model IC50 (in the same units as X), and b is the slope (as
described in De Lean, A., P. J. Munson, and D. Rodbard ("Simultaneous analysis of families of sigmoidal curves: application to bioassay, radioligand assay, and physiological dose-response curves." Am. J. Physiol. 235(2): E97-E102, 1978). These estimates are used to calculate the concentration that corresponds to 50% inhibition.
IC50 values are shown in Table C for compounds tested in accordance with Method 2 above.
N. Biological Protocols--//? Vivo Assays Method 5: Culex™ Assay
The effect of the test compound on systemic arterial blood pressure can be evaluated in a conscious pre-cannulated spontaneously hypertensive rat ("SHR") model. This assay is conducted using an automated blood sampler ("ABS") system. The Culex™ ABS system (Bioanalytical System, Inc., West Lafayette, IN) comprises a laptop computer, four control units and metabolic cages. This ABS system allows for the collection of multiple blood samples from a single rat without causing undue stress to the animal. In addition, the ABS system allows for the collection of urine samples that can be potentially used for biomarker identifications. Through this approach, efficacy and standard pharmacokinetic studies are conducted in the conscious unrestrained SHR rats simultaneously to define the relationship between plasma free drug concentration or potential biomarker(s) and pharmacological effect (reduction of mean arterial blood pressure).
SHR rats at 12 to 16 weeks of age, weighing about 30Og, undergo surgerical cannulation of both jugular veins and the right carotid artery. After surgical recovery, animals are placed in the Culex™ cages and tethered to a movement-responsive arm with a sensor that controls cage movement when the animal moves to prevent the catheters from being twisted. Connections are made between the right jugular catheter and the Culex™ sterile tubing set for blood sampling, and the left jugular catheter for compound administration, and the catheter in the right carotid artery is connected to a pressure transducer for monitoring blood pressure. To keep the patency of the catheters, the right jugular cannula is maintained by the "tend" function of the Culex™ that flushes the catheter with 20 μl_ heparin saline (10 units/mL) every 12 minutes or between sampling events, and the left jugular cannula is filled with heparin saline (20 units/ml_). The patency of the right carotid cannula is maintained by slow infusion of heparin saline either directly into the extend tubing when blood pressure is not recorded or through the pressure transducer during the blood pressure monitoring. Animals are allowed to acclimate for at least two hours before compound evaluation. The test compound may be administered intravenously or by oral gavage. Blood sampling protocols (sampling time and volume) are programmed using the
Culex™ software. The total amount of blood withdrawn from each animal will not exceed 750 μL/24 hrs and 10 ml_/kg within two weeks. Heart rate, blood pressure, and drug concentration are monitored. Systemic arterial blood pressure and heart rate are recorded by PONEMAH (Gould Instrument System, Valley View, OH), a pressure transducer through a data acquisition system for recording blood pressure and heart rate, for 6 to 24 hours based on experimental protocol. Mean arterial blood pressure (primary endpoint) is analyzed for assessing the efficacy of the compound.
Blood samples are analyzed for measuring plasma drug concentration, using the LC/MS/MS method described below, and for evaluating potential biomarkers. LC/MS/MS Method
Sample Preparation: Plasma samples (50 μl_ unknown, control or blank) are mixed with 10 μl_ acetonitrile:water or a standard solution of the test compound and 150 μL of internal standard solution (100 ng/mL of the test compound in acetonitrile). The mixture is centrifuged at 3000 rpm for 5 min, and 125 μL of the supernatant transferred to a 96 well plate. The solvent is evaporated under a stream of nitrogen and the residue is reconstituted with 80 μL acetonitrile/0.1% aqueous formic acid (20:80 v/v).
A 20 μL volume of each prepared sample is injected onto a Phenomenex Synergi 4 μm MAX-RP 2.0 x 75 mm column and eluted at 0.4 mL/min using gradient elution from 0.1% aqueous formic acid (mobile phase A) to acetonitrile (mobile phase B). The gradient program consists of initial application of 90% mobile phase A, followed by a linear gradient to 75% mobile phase B from 0.2 to 1.15 min after injection and held at 75% mobile phase B until 2.0 min. The mobile phase was linearly changed back to 90% mobile phase A from 2.00 to 2.10 minutes, and the next injection took place at 3.00 min. Detection was performed by mass spectrometry using positive ion electrospray (ESI) with multiple reaction monitoring of the transitions m/z 454.00
(MH+ the Carboxypiperidine Compound) → m/z 408.00, m/z 466.24 (MH+ the Carboxypiperidine Compound) → 409.33 . The ion spray voltagea is set at 5000. A calibration curve is constructed by using peak area ratios of the analyte relative to the internal standard. Subject concentrations are determined by inverse prediction from their peak area ratios against the calibration curve. Method 6: Implantation of Radio Transmitters and Subsequent Blood Pressure Screening by Telemetry in Spontaneously Hypertensive Rats
SHR Rats are anesthetized with isoflurane gas via an isoflurane anesthesia machine that is calibrated to deliver isoflurane over a range of percentages as oxygen passes through the machine's inner chambers. The animals are placed in an induction chamber and administered isoflurane at 4-5% to reach a surgical plane of anesthesia. They are then maintained at 1-2% during the surgical procedure via a nose cone, with isoflurane delivered via a smaller isoflurane anesthesia device on the surgical table.
Following administration of anesthesia, the rats are implanted with transmitters using aseptic procedures with commercially available sterile radio-telemetry units (Data Sciences, International, Roseville, MN 55113-1136). Prior to surgery the surgical field is shaved, scrubbed with Dial™ brand antimicrobial solution (containing 4% chlorhexidine gluconate and 4% isopropyl alcohol) followed by an application of iodine (10%) spray solution. A 2.5 to 3.0 cm laparotomy is preformed and the radio-telemetry units implanted into the abdomen, with the catheter tip inserted into the abdominal aorta. Baby Weitlaner retractors are used to retain soft tissue. A 1 cm section of the abdominal aorta is partially dissected and that section cross-clamped briefly, punctured with a 21 -gauge needle and the transmitter catheter tip introduced into the vessel and secured by a single 4.0 silk suture anchored to the adjacent psoas muscle. The transmitter body is then inserted into the abdominal cavity and simultaneously secured to the abdominal muscle wall while closing with running 4.0 silk suture. The skin layer is closed with subdermal continuous 4.0 absorbable suture. A subcutaneous (s.c.) administration of marcaine followed by a topical application of iodine is administered into and around the suture line, respectively, upon closing. All rats receive a postoperative injection of buprenorphine @ 0.05mg/kg, s.c. before regaining consciousness. A typical dose volume for a 0.300kg rat will be 0.050ml. The rats must be fully recovered from their operative anesthesia before the administration of buprenorphine. They then receive the same dose once daily for 2 consecutive days, unless the animal demonstrates that it is in compromising postoperative pain.
Following surgery, the rats are returned to their cages and housed individually on solid bottom caging with paper bedding. A period of no less than 7 days is allowed for recovery before experimental procedures are initiated. It has been observed that the rats are typically hypertensive for several days following surgery and return to "normotensive" levels by approximately the 7th day post-surgery. They are fed standard rat chow and water ad libitum throughout the experimental time line.
Test compounds are administered intragastrically (i.g.) via gavage, using of a stainless steel, 21/2 inch, 18 gauge gavage needle with a balled end. For single daily dosing, the target volume is 3.33 ml/kg, i.g. The dose volume for the test compound is approximately 1 ml/ rat. The vehicles in which the test compound is administered is methylcellulose (0.5%) + Tween 80 (0.1 %) in 5OmM citrate buffer pH=5.0.
Blood pressure data will be obtained using Data Sciences International's data acquisition program (Version 3.0). Blood pressure samples are recorded at 1.5-3 minute intervals for a 5 second duration 24 hours per day for the entire study. This data is processed by Data Science's data analysis software into averages of a desired time inervals. All other data reduction is performed in Microsoft Excel™ spreadsheets.
As various changes could be made in the above invention(s) without departing from the scope of the invention(s), it is intended that all matter contained in the above description be interpreted as illustrative and not in a limiting sense. All documents mentioned in this application are expressly incorporated by reference as if fully set forth at length, with the definitions of the present application controlling. When introducing elements of the present invention or the various embodiment(s) thereof, the articles "a", "an", "the" and "said" are intended to mean that - there are one ormore oflhe elementsr The terms "comprising", "including" and "having" are intended to be inclusive and mean that there may be additional elements other than the listed elements.
Claims
1. A compound having the structure of Formula I:
R2 is selected from the group consisting of aryl and 3 to 10 membered ring heterocycyl wherein R2 may be optionally substituted with one or more substituents independently selected from the group consisting of halogen, cyano, nitro, oxo, alkyl, alkenyl, alkynyl, cycloalkyl, -OR100, -C(O)R100, -OC(O)R100, -C(O)OR100, -NR100R101, -N(R100)C(O)R101, - C(O)NR100R101, -C(O)NR100C(O)R101, and -S(O)mR100, aziridinyl, azetidinyl, pyrrolidinyl, piperidinyl, morpholinyl, thiomorpholinyl, and piperazinyl wherein (a) the alkyl, alkenyl, alkylnyl and cycloalkyl substituents may be optionally substituted with one or more substitusnts independently selected from the group consisting of halogen, oxo, -OR102, and -C(O)OR1"2; and (b) the aziridinyl, azetidinyl, pyrrolidinyl, piperidinyl, morpholinyl, thiomorpholinyl, and piperazinyl substituents may be optionally substituted with one or more substituents selected from the group consisting of alkyl, hydroxy and alkoxy;
R100, R101 and R102 are independently selected from the group consisting of hydrogen, alkyl, alkenyl and alkynyl, wherein the alkyl may be optionally substituted with one or more substituents independently selected from the group consisting of halogen, hydroxy, alkoxy, -C(O)OH and -C(O)NH2;
X is selected from the group consisting of hydrogen and alkyl wherein the X6 alkyl substituent may be optionally substituted with one or more substituents selected from the group consisting of chloro, fluoro, alkoxy and hydroxy;
Y6 represents a bond or is selected from the group consisting of alkyl, alkenyl and alkynyl, wherein (a) the Y6 alkyl, alkenyl and alkynyl substituents may be optionally substituted with one or more substituents independently selected from the group consisting of halogen, cyano, oxo, cycloalkyl, -OR103, -C(O)R103, -C(O)OR103, -OC(O)R103, -NR103R104, - N(R103)C(O)R104, and -C(O)NR103R104; R103 and R104 are independently selected from the group consisting of hydrogen and alkyl, wherein the alkyl may be optionally substituted with one or more substituents independently selected from the group consisting of halogen, hydroxy, carboxy, cyano, oxo, alkynyl, haloalkynyl, hydroxyalkynyl, carboxyalkynyl, alkoxy, haloalkoxy, hydroxyalkoxy, and carboxyalkoxy;
R6 is selected from the group consisting of aryl, aryl-C(O)-, heterocyclyl, aryl-C(O)-NR105-, heterocyclyl-C(O)-, and heterocyclyl-C(O)-NR105- wherein R6 may be optionally substituted with one or more substituents independently selected from the group consisting of halogen, cyano, oxo, alkyl, alkenyl, alkynyl, cycloalkyl, aryl, heterocyclyl, -OR106, -C(O)R106,
-C(O)OR106, -OC(O)R106, -NR106R107, -N(R106)C(O)R107, -C(O)NR106R107, - C(O)NR106C(O)R107, -SR106, -S(O)R106, -S(O)2R106, -N(R106)S(O)2R107, and - S(O)2NR106R107; wherein the alkyl, alkenyl, alkynyl, cycloaikyl, aryl and heterocyclyl susbstituents may be optionally substituted with one or more substituents independently selected from the group consisting of halogen, hydroxy, carboxy, cyano, oxo, alkoxy, haloalkoxy, hydroxyalkoxy, and carboxyalkoxy;
R105 is independently selected f rornjhe_ gjrpup_cgnsist|ng of .hydrogen and alkyl;
R106 and R107 are independently selected from the group consisting of hydrogen, alkyl, alkenyl, and alkynyl, wherein (a) the R106 and R107 alkyl and alkenyl substituents may be optionally substituted with one or more substituents independently selected from the group consisting of halogen, hydroxy, carboxy, cyano, oxo, alkynyl, haloalkynyl, hydroxyalkynyl, carboxyalkynyl, alkoxy, haloalkoxy, hydroxyalkoxy, and carboxyalkoxy, and (b) the R106 and R107 alkynyl substituents may be optionally substituted with one or more substituents independently selected from the group consisting of halogen, hydroxy, carboxy, cyano, oxo, alkoxy, haloalkoxy, hydroxyalkoxy, and carboxyalkoxy;
R8 is alkyl; wherein R8 may be optionally substituted with one or more substituents independently selected from the group consisting of halogen, hydroxy, carboxy, cyano, alkynyl, -OR108, -C(O)R108, -C(O)OR108, -OC(O)R108, -NR108R109, -N(R108)C(O)R109, - C(O)NR108R109, -SR108, -S(O)R108, -S(O)2R108,and -C(O)NR108C(O)R109, wherein the alkynyl substituents may be optionally substituted with one or more substituents independently selected from the group consisting of halogen, hydroxy, carboxy, cyano, oxo, alkyl, and alkoxy; and
R108 and R109 are independently selected from the group consisting of hydrogen, alkyl, alkenyl and alkynyl, wherein (a) when the alkyl is methyl, the methyl may be optionally substituted with 1 , 2, or 3 fluoro substituents, (b) when the alkyl comprises at least two carbon atoms, the alkyl may be optionally substituted With one or more substituents independently selected from the group consisting of halogen, hydroxy, carboxy, cyano, oxo, alkynyl, haloalkynyl, hydroxyalkynyl, carboxyalkynyl, alkoxy, haloalkoxy, hydroxyalkoxy, and carboxyalkoxy, and (c) the R108 and R109 alkynyl substituents may be optionally substituted with one or more substituents independently selected from the group consisting of halogen, hydroxy, carboxy, cyano, oxo, alkoxy, haloalkoxy, hydroxyalkoxy, and carboxyalkoxy.
2. A compound of claim 1 wherein X6 is selected from the group consisting of hydrogen, C1 to C4 alkyl, wherein said C-i to C4 alkyl is optionally substituted with one or more substituents selected from the group consisting of Ci to C4 alkoxy and hydroxy.
R100, R101, and R102 are independently selected from the group consisting of hydrogen and Ci to C4 alkyl.
4. A compound of claim 2 wherein R2 is selected from the group consisting of
5. A compound of claim 2 wherein Y6 represents a bond or is selected from the group consisting of alkyl and hydroxyalkyl.
6. A compound of claim 2 wherein Y6 represents a bond or is selected from the group consisting of methyl, ethyl, propyl, butyl, tert-butyl, hydroxyethyl, hydroxypropyl, hydroxybutyl, and dihydroxyethyl.
7. A compound of claim 2 wherein R6 is selected from the group consisting of phenyl C(O)NH-,
, and
8. A compound of claim 2 wherein R8 is alkoxyalkyl optionally substituted as described in claim 1.
9. A compound of claim 8 wherein R2 is selected from the group consisting of phenyl and pyridinyl, optionally substituted as described in claim 1 ;
Y6 represents a bond or is selected from the group consisting of methyl, ethyl, and propyl; and
R8 is selected from the group consisting of ethoxyethyl and propoxyethyl.
10. A compound of claim 8 wherein:
R9, R10, R11, R12 and R13 are independently selected from the group consisting of hydrogen, fluoro, methyl, trifluorom ethyl, and methoxy; Y- represents a bond or is selected from the group-consisting of methyl, ethyl, and propyl;
R8 is selected from the group consisting of propoxyethyl and ethoxyethyl; and
R6 is selected from the group consisting of is selected from the group consisting of phenyl, phenyl C(O)NH-, phenyl C(O)-, 5 to 6 membered ring fully saturated heterocyclyl, 5 to 6 membered ring fully saturated heterocyclyl-C(O)-, and 5 to 6 membered ring fully saturated heterocyclyl-C(O)-NH, optionally substituted with one or more substituents independently selected from the group consisting of alkyl, -OR106, and -C(O)R106, wherein R106 is selected from the group consisting of hydrogen, methyl, and ethyl.
11. The compound according to claim 1 selected from the group consisting of:
7-(6-methoxypyridin-3-yl)-3-[(2-morpholin-4-ylethyl)amino]-1-(2-propoxyethyl)pyrido[3,4- b]pyrazin-2(1 H)-one;
7-(6-methoxypyridin-3-yl)-1-(2-propoxyethyl)-3-[(pyridin-2-ylmethyl)amino]pyrido[3,4- b]pyrazin-2(1 H)-one; 7-(6-methoxypyridin-3-yl)-1-(2-propoxyethyl)-3-[(tetrahydrofuran-2- ylmethyl)amino]pyrido[3,4-b]pyrazin-2(1H)-one;
1-(2-isopropoxyethyl)-7-(6-methoxypyridin-3-yl)-3-{{(5-methylpyrazin-2- yl)methyl]am ino}pyrido[3,4-b]pyrazin-2(1 H)-one;
7-(6-methoxypyridin-3-yl)-3-{[(5-methylpyrazin-2-yl)methyl]amino}-1-(2- propoxyethyl)pyrido[3,4-b]pyrazin-2(1 H)-one;
1-(2-isopropoxyethyl)-7-(6-methoxypyridin-3-yl)-3-[(tetrahydro-2H-pyran-4- ylmethyl)amino]pyrido[3,4-b]pyrazin-2(1 H)-one; tert-butyl 4-({[7-(6-methoxypyridin-3-yl)-2-oxo-1 -(2-propoxyethyl)-1 ,2-dihydropyrido[3,4- b]pyrazin-3-yl]amino}methyl)piperidine-1-carboxylate;
7-(6-methoxypyridin-3-yl)-3-[(piperidin-4-ylmethyl)amino]-1-(2-propoxyethyl)pyrido[3,4- b]pyrazin-2(1 H)-one; 7-(6-methoxypyridin-3-yl)-3-{[(5-methylisoxazol-3-yl)methyl]amino}-1-(2- propoxyethyl)pyrido[3,4-b]pyrazin-2(1H)-one; 3-{[3-(1 H-imidazol-1-yl)propyl]amino}-7-(6-methoxypyridin-3-yl)-1-(2- propoxyethyl)pyrido[3,4-b]pyrazin-2(1 H)-one;
3-[(2-morpholin-4-ylethyl)amino]-1-(2-propoxyethyl)-7-pyrimidin-5-ylpyrido[3,4-b]pyrazin- 2(1 H)-one;
7-(6-methoxypyridin-3-yl)-1-(2-propoxyethyl)-3-[(tetrahydro-2H-pyran-4- ylmethyl)amino]pyrido[3,4-b]pyrazin-2(1 H)-one; 3-(2-morpholino-2-oxoethylamino)-7-(6-methoxypyridin-3-yl)-1-(2- propoxyethyl)pyrido[3,4-b]pyrazin-2(1 H)-one; 7-(6-methoxypyridin-3-yl)-1-(2-propoxyethyl)-3-{[(2S)-tetrahydrofuran-2- ylmethyl]am ino}pyrido[3,4-b]pyrazin-2(1 H)-one;
7-(6-methoxypyridin-3-yl)-1-(2-propoxyethyl)-3-{[(2R)-tetrahydrofuran-2- ylmethyl]amino}pyrido[3,4-b]pyrazin-2(1 H)-one; ethyl 4-{[7-(6-methoxypyridin-3-yl)-2-oxo-1 -(2-propoxyethyl)-1 ,2-dihydropyrido[3,4- b]pyrazin-3-yI]amino}piperidine-1 -carboxylate;
7-(6-methoxypyridin-3-yl)-3-(piperidin-4-ylamino)-1-(2-propoxyethyl)pyridot3,4-b]pyrazin- 2(1 H)-one;
3-[(1-acetylpiperidin-4-yl)amino]-7-(6-methoxypyridin-3-yl)-1-(2-propoxyethyl)pyrido[3,4- b]pyrazin-2(1 H)-one; and 7-(6-methoxypyridin-3-yl)-3-[(2-piperidin-1 -ylethyl)amino]-1 -(2-propoxyethyl)pyrido[3,4- b]pyrazin-2(1 H)-one.
12. The compound according to claim 1 selected from the group consisting of:
7-(6-methoxypyridin-3-y))-1-(2-propoxyethyl)-3-[(2-pyridin-2-ylethyl)amino]pyrido[3,4- b]pyrazin-2(1 H)-one;
3-(2-(4-ethylpiperazin-1-yl)-2-oxoethylamino)-7-(6-methoxypyridin-3-yl)-1-(2- propoxyethyl)pyrido[3,4-b]pyrazin-2(1 H)-one; ethyl 4-(2-(1 ,2-dihydro-7-(6-methoxypyridin-3-yl)-2-oxo-1 -(2-propoxyethyl)pyrido[3,4- b]pyrazin-3-ylamino)acetyl)piperazine-1 -carboxylate; 3-(2-oxo-2-(pyrrolidin-1-yl)ethylamino)-7-(6-methoxypyridin-3-yl)-1-(2- propoxyethyl)pyrido[3,4-b]pyrazin-2(1H)-one; 3-(2-morpholino-2-oxoethylamino)-7-(3,5-dimethylisoxazol-4-yl)-1-(2- propoxyethyl)pyrido[3,4-b]pyrazin-2(1 H)-one;
3-(2-oxo-2-(piperazin-1-yl)ethylamino)-7-(6-methoxypyridin-3-yl)-1-(2- propoxyethyl)pyrido[3,4-b]pyrazin-2(1H)-one; 3-(2-(4-methylpiperazin-1 -yl)-2-oxoethylamino)-7-(6-methoxypyridin-3-yl)-1 -(2- propoxyethyl)pyrido[3,4-b]pyrazin-2(1H)-one;
3-(2-(4-hydroxypiperidin-1-yl)-2-oxoethylamino)-7-(6-methoxypyridin-3-yl)-1-(2- propoxyethyl)pyrido[3,4-b]pyrazin-2(1 H)-one;
3-(2-oxo-2-(piperidin-1-yl)ethylamino)-7-(6-methoxypyridin-3-yl)-1-(2- propoxyethyl)pyrido[3,4-b]pyrazin-2(1 H)-one;
3-[(1Sl4S)-2,5-diazabicyclo[2.2.1]hept-2-yl]-7-(6-methoxypyridin-3-yl)-1-(2- propoxyethyl)pyrido[3,4-b]pyrazin-2(1 H)-one;
3-(2-morpholinoethylamino)-1-(2-isopropoxyethyl)-7-(6-methoxypyridin-3-yl)pyrido[3,4- b]pyrazin-2(1 H)-one; 3-((pyridin-2-yl)methylamino)-1-(2-isopropoxyethyl)-7-(6-methoxypyridin-3-yl)pyrido[3,4- b]pyrazin-2(1 H)-one;
3-(((S)-tetrahydrofuran-2-yl)methylamino)-1-(2-isopropoxyethyl)-7-(6-methoxypyridin-3- vl)pyridor3,4-bipyrazin-2(1 H)-one;
1-(3-ethoxypropyl)-7-(6-methoxypyridin-3-yl)-3-t(pyridin-2-ylmethyl)amino]pyrido[3,4- b]pyrazin-2(1 H)-one;
1-(3-ethoxypropyl)-7-(6-methoxypyridin-3-yl)-3-{[(5-methylpyrazin-2- yl)methyl]amino}pyrido[3,4-b]pyrazin-2(1 H)-one;
1-(3-ethoxypropyl)-7-(6-methoxypyridin-3-yl)-3-{[(2S)-tetrahydrofuran-2- ylmethyl]amino}pyrido[3,4-b]pyrazin-2(1 H)-one; 3-(2-morpholino-2-oxoethylamino)-1-(3-ethoxypropyl)-7-(6-methoxypyridin-3- yl)pyrido[3,4-b]pyrazin-2(1 H)-one; and
7-(3,5-dimethylisoxazol-4-yl)-1 •(2-ethoxyethyl)-3-[(2-morpholin-4- ylethyl)amino]pyrido[3,4-b]pyrazin-2(1H)-one.
13. The compound according to claim 1 selected from the group consisting of:
3-(((S)-tetrahydrofuran-2-yl)methylamino)-1-(2-ethoxyethyl)-7-(6-methoxypyridin-3- yl)pyrido[3,4-b]pyrazin-2(1 H)-one;
3-(2-(pyrrolidin-1-yl)ethylamino)-1-(2-ethoxyethyl)-7-(6-methoxypyridin-3-yl)pyrido[3,4- b]pyrazin-2(1 H)-one; 3-(2-(piperidin-1-yl)ethylamino)-1-(2-ethoxyethyl)-7-(6-methoxypyridin-3-yl)pyridot3,4- b]pyrazin-2(1 H)-one;
3-(2-morpholinoethylamino)-1-(2-ethoxyethyl)-7-(pyridin-3-yl)pyrido[3,4-b]pyrazin-2(1H)- one;
3-(2-morpholino-2-oxoethylamino)-1-(2-ethoxyethyl)-7-(6-methoxypyridin-3-yl)pyrido[3,4- b]pyrazin-2(1 H)-one; 3-((5-methylpyrazin-2-yI)methylamino)-1-(2-ethoxyethyl)-7-(6-methoxypyridin-3- yl)pyrido[3,4-b]pyrazin-2(1 H)-one;
3-((pyridin-2-yl)methylamino)-1-(2-ethoxyethyl)-7-(6-methoxypyridin-3-yl)pyrido[3,4- b]pyrazin-2(1 H)-one; 3-(2-morpholinoethylamino)-1-(2-ethoxyethyl)-7-(6-methoxypyridin-3-yl)pyrido[3,4- b]pyrazin-2(1 H)-one;
3-(2-morpholinoethylamino)-7-(4-fluorophenyl)-1-(2-propoxyethyl)pyrido[3,4-b]pyrazin- 2(1H)-one;
7-(1 ,3-benzodioxol-5-yl)-3-[(2-morpholin-4-ylethyl)amino]-1-(2-propoxyethyl)pyrido[3,4- b]pyrazin-2(1 H)-one;
3-(2-morphoIinoethylamino)-1-(2-ethoxyethyl)-7-(4-methoxyphenyl)pyrido[3,4-b]pyrazin-
2(1 H)-one;
7-(2,3-dihydro-1-benzofuran-5-yl)-1-(2-ethoxyethyl)-3-[(2-morpholin-4- ylethyl)amino]pyrido[3,4-b]pyrazin-2(1 H)-one; 1-(2-ethoxyethyl)-3-[(2-morpholin-4-ylethyl)amino]-7-[4-(trifluoromethyl)phenyl]pyrido[3,4- b]pyrazin-2(1 H)-one;
1-(2-ethoxyethyI)-3-[(2-morpholin-4-ylethyl)amino]-7-[3-(trifiuoromethyl)phenyl]pyrido[3,4- b]pyrazin-2(1 H)-one;
3-(2-morpholinoethylamino)-1-(2-ethoxyethyl)-7-phenylpyrido[3,4-b]pyrazin-2(1 H)-one; 3-(2-morpholinoethylamino)-1-(2-ethoxyethyl)-7-(4-fluorophenyl)pyrido[3,4-b]pyrazin-
2(1 H)-one;
3-(2-morpholinoethylamino)-1-(2-ethoxyethyl)-7-(3-fluorophenyl)pyrido[3,4-b]pyrazin-
2(i H)-one; and
3-(2-morpholinoethylamino)-1-(2-ethoxyethyl)-7-(3,4-difluorophenyl)pyrido[3,4-b]pyrazin- 2(1 H)-one.
14. A pharmaceutical composition comprising a therapeuticaliy-effective amount of a compound of claim 1.
15. A method of treating a condition selected from the group consisting of cardiovascular disease, metabolic disease, central nervous system disease, pulmonary disease, sexual dysfunction, and renal dysfunction in a subject, comprising administering to the subject a therapeuticaliy-effective amount of a compound of claim 1.
Priority Applications (1)
| Application Number | Priority Date | Filing Date | Title |
|---|---|---|---|
| CA002608672A CA2608672A1 (en) | 2005-05-24 | 2006-05-17 | Pyridine [3,4-b] pyrazinones as pde-5 inhibitors |
Applications Claiming Priority (2)
| Application Number | Priority Date | Filing Date | Title |
|---|---|---|---|
| US68413905P | 2005-05-24 | 2005-05-24 | |
| US60/684,139 | 2005-05-24 |
Publications (2)
| Publication Number | Publication Date |
|---|---|
| WO2006126082A2 true WO2006126082A2 (en) | 2006-11-30 |
| WO2006126082A3 WO2006126082A3 (en) | 2007-01-25 |
Family
ID=37056557
Family Applications (1)
| Application Number | Title | Priority Date | Filing Date |
|---|---|---|---|
| PCT/IB2006/001387 Ceased WO2006126082A2 (en) | 2005-05-24 | 2006-05-17 | Pyridine [3,4-b] pyrazinones as pde-5 inhibitors |
Country Status (2)
| Country | Link |
|---|---|
| CA (1) | CA2608672A1 (en) |
| WO (1) | WO2006126082A2 (en) |
Cited By (31)
| Publication number | Priority date | Publication date | Assignee | Title |
|---|---|---|---|---|
| WO2007122466A1 (en) * | 2006-04-21 | 2007-11-01 | Pfizer Products Inc. | Pyridine[3,4-b]pyrazinones |
| FR2902009A1 (en) * | 2006-06-13 | 2007-12-14 | Bioprojet Soc Civ Ile | USE OF A VASOPEPTIDASE INHIBITOR FOR THE TREATMENT OF PULMONARY ARTERIAL HYPERTENSION |
| WO2009109341A1 (en) | 2008-03-05 | 2009-09-11 | Merck Patent Gmbh | Pyridopyrazinones derivatives insulin secretion stimulators, methods for obtaining them and use thereof for the treatment of diabetes |
| WO2012131539A1 (en) | 2011-03-31 | 2012-10-04 | Pfizer Inc. | Novel bicyclic pyridinones |
| WO2012172449A1 (en) | 2011-06-13 | 2012-12-20 | Pfizer Inc. | Lactams as beta secretase inhibitors |
| WO2013030713A1 (en) | 2011-08-31 | 2013-03-07 | Pfizer Inc. | Hexahydropyrano [3,4-d][1,3] thiazin-2-amine compounds |
| WO2014045156A1 (en) | 2012-09-21 | 2014-03-27 | Pfizer Inc. | Novel bicyclic pyridinones |
| WO2014128585A1 (en) | 2013-02-19 | 2014-08-28 | Pfizer Inc. | Azabenzimidazole compounds as inhibitors of pde4 isozymes for the treatment of cns and other disorders |
| US8822456B2 (en) | 2012-12-11 | 2014-09-02 | Pfizer Inc. | Hexahydropyrano[3,4-d][1,3]thiazin-2-amine compounds |
| US8865706B2 (en) | 2013-02-13 | 2014-10-21 | Pfizer Inc. | Heteroaryl-substituted hexahydropyrano[3,4-d][1,3]thiazin-2-amine compounds |
| US8962616B2 (en) | 2012-05-04 | 2015-02-24 | Pfizer Inc. | Heterocyclic substituted hexahydropyrano[3,4-d][1,3]thiazin-2-amine compounds |
| WO2015049616A1 (en) | 2013-10-04 | 2015-04-09 | Pfizer Inc. | Novel bicyclic pyridinones as gamma-secretase modulators |
| WO2015150957A1 (en) | 2014-04-01 | 2015-10-08 | Pfizer Inc. | Chromene and 1,1 a,2,7b-tetrahydrocyclopropa[c]chromene pyridopyrazinediones as gamma-secretase modulators |
| US9233981B1 (en) | 2013-02-15 | 2016-01-12 | Pfizer Inc. | Substituted phenyl hexahydropyrano[3,4-d][1,3]thiazin-2-amine compounds |
| WO2016012896A1 (en) | 2014-07-24 | 2016-01-28 | Pfizer Inc. | Pyrazolopyrimidine compounds |
| WO2016020786A1 (en) | 2014-08-06 | 2016-02-11 | Pfizer Inc. | Imidazopyridazine compounds |
| US9260455B2 (en) | 2012-09-20 | 2016-02-16 | Pfizer Inc. | Alkyl-substituted hexahydropyrano[3,4-d][1,3]thiazin-2-amine compounds |
| US9315520B2 (en) | 2014-04-10 | 2016-04-19 | Pfizer Inc. | 2-amino-6-methyl-4,4a,5,6-tetrahydropyrano[3,4-d][1,3]thiazin-8a(8H)-yl-1,3-thiazol-4-yl amides |
| US9403846B2 (en) | 2012-12-19 | 2016-08-02 | Pfizer Inc. | Carbocyclic- and heterocyclic-substituted hexahydropyrano[3,4-d][1,3]thiazin-2-amine compounds |
| WO2016125048A1 (en) | 2015-02-03 | 2016-08-11 | Pfizer Inc. | Novel cyclopropabenzofuranyl pyridopyrazinediones |
| WO2016203347A1 (en) | 2015-06-17 | 2016-12-22 | Pfizer Inc. | Tricyclic compounds and their use as phosphodiesterase inhibitors |
| US9611264B1 (en) | 2015-09-24 | 2017-04-04 | Pfizer Inc. | N-[2-(3-amino-2,5-dimethyl-1,1-dioxido-5,6-dihydro-2H-1,2,4-thiadiazin-5-yl)-1,3-thiazol-4-yl] amides |
| WO2017145013A1 (en) | 2016-02-23 | 2017-08-31 | Pfizer Inc. | 6,7-dihydro-5h-pyrazolo[5,1-b][1,3]oxazine-2-carboxamide compounds |
| US9751895B2 (en) | 2015-09-24 | 2017-09-05 | Pfizer Inc. | N-[2-(2-amino-6,6-disubstituted-4,4a,5,6-tetrahydropyrano[3,4-d][1,3]thiazin-8a(8H)-yl)-1,3-thiazol-4-yl]amides |
| US9771379B2 (en) | 2015-09-24 | 2017-09-26 | Pfizer Inc. | N-(2-(2-amino-6-substituted-4,4a,5,6-tetrahydropyrano[3,4-d][1,3]OXAZIN-8a(8H)-yl)-thiazol-4-yl) amides |
| WO2018002760A1 (en) | 2016-07-01 | 2018-01-04 | Pfizer Inc. | 5,7-dihydro-pyrrolo-pyridine derivatives for treating neurological and neurodegenerative diseases |
| WO2018234953A1 (en) | 2017-06-22 | 2018-12-27 | Pfizer Inc. | DIHYDRO-PYRROLO-PYRIDINE DERIVATIVES |
| WO2019183636A1 (en) | 2018-03-23 | 2019-09-26 | Pfizer Inc. | Piperazine azaspiro derivaves |
| WO2024118524A1 (en) | 2022-11-28 | 2024-06-06 | Cerevel Therapeutics, Llc | Azaindole compounds and their use as phosphodiesterase inhibitors |
| US12144815B2 (en) | 2021-02-23 | 2024-11-19 | Hoth Therapeutics, Inc. | Use of aprepitant for treating Alzheimer's disease |
| WO2025145091A1 (en) | 2023-12-29 | 2025-07-03 | Pfizer Inc. | Crystalline forms of a muscarinic m4 receptor modulator and methods of treating diseases |
Family Cites Families (4)
| Publication number | Priority date | Publication date | Assignee | Title |
|---|---|---|---|---|
| US6465465B1 (en) * | 2000-03-14 | 2002-10-15 | Arzneimittelwerk Dresden Gmbh | Process for the treatment of erectile dysfunction and product therefor |
| EP1364950A4 (en) * | 2001-02-26 | 2005-03-09 | Tanabe Seiyaku Co | PYRIDOPYRIMIDINE OR NAPHTHYRIDINE DERIVATIVE |
| WO2002076954A1 (en) * | 2001-03-23 | 2002-10-03 | Smithkline Beecham Corporation | Compounds useful as kinase inhibitors for the treatment of hyperproliferative diseases |
| US7067658B2 (en) * | 2002-09-30 | 2006-06-27 | Bristol-Myers Squibb Company | Pyridino and pyrimidino pyrazinones |
-
2006
- 2006-05-17 WO PCT/IB2006/001387 patent/WO2006126082A2/en not_active Ceased
- 2006-05-17 CA CA002608672A patent/CA2608672A1/en not_active Withdrawn
Cited By (61)
| Publication number | Priority date | Publication date | Assignee | Title |
|---|---|---|---|---|
| AP2408A (en) * | 2006-04-21 | 2012-05-30 | Pfizer Prod Inc | Pyridine[3,4-B]pyrazinones. |
| NL2000583C2 (en) * | 2006-04-21 | 2007-12-14 | Pfizer Prod Inc | Pyridine 3,4-pyrazinones. |
| WO2007122466A1 (en) * | 2006-04-21 | 2007-11-01 | Pfizer Products Inc. | Pyridine[3,4-b]pyrazinones |
| AU2007242555B2 (en) * | 2006-04-21 | 2010-12-16 | Pfizer Products Inc. | Pyridine[3,4-b]pyrazinones |
| US7902195B2 (en) | 2006-04-21 | 2011-03-08 | Pharmacia & Upjohn Company Llc | Pyridine [3,4-b] pyrazinones |
| EA014919B1 (en) * | 2006-04-21 | 2011-04-29 | Пфайзер Продактс Инк. | Pyridine[3,4-b]pyrazinones |
| FR2902009A1 (en) * | 2006-06-13 | 2007-12-14 | Bioprojet Soc Civ Ile | USE OF A VASOPEPTIDASE INHIBITOR FOR THE TREATMENT OF PULMONARY ARTERIAL HYPERTENSION |
| US8609689B2 (en) | 2008-03-05 | 2013-12-17 | Merck Patent Gmbh | Pyridopyrazinones derivatives insulin secretion stimulators, methods for obtaining them and use thereof for the treatment of diabetes |
| US8642617B2 (en) | 2008-03-05 | 2014-02-04 | Merck Patent Gmbh | Pyridopyrazinones derivatives insulin secretion stimulators, methods for obtaining them and use thereof for the treatment of diabetes |
| WO2009109341A1 (en) | 2008-03-05 | 2009-09-11 | Merck Patent Gmbh | Pyridopyrazinones derivatives insulin secretion stimulators, methods for obtaining them and use thereof for the treatment of diabetes |
| EA020372B1 (en) * | 2008-03-05 | 2014-10-30 | Мерк Патент Гмбх | Pyridopyrazinones derivatives insulin secretion stimulators, methods for obtaining them and use thereof for the treatment of diabetes |
| AU2009221213B2 (en) * | 2008-03-05 | 2014-02-27 | Merck Patent Gmbh | Pyridopyrazinones derivatives insulin secretion stimulators, methods for obtaining them and use thereof for the treatment of diabetes |
| US8178556B2 (en) | 2008-03-05 | 2012-05-15 | Merck Patent Gesellschaft Mit Beschraenkter Haftung | Pyridopyrazinones derivatives insulin secretion stimulators, methods for obtaining them and use thereof for the treatment of diabetes |
| US9067934B2 (en) | 2011-03-31 | 2015-06-30 | Pfizer Inc. | Bicyclic pyridinones |
| US8697673B2 (en) | 2011-03-31 | 2014-04-15 | Pfizer Inc. | Bicyclic pyridinones |
| WO2012131539A1 (en) | 2011-03-31 | 2012-10-04 | Pfizer Inc. | Novel bicyclic pyridinones |
| WO2012172449A1 (en) | 2011-06-13 | 2012-12-20 | Pfizer Inc. | Lactams as beta secretase inhibitors |
| WO2013030713A1 (en) | 2011-08-31 | 2013-03-07 | Pfizer Inc. | Hexahydropyrano [3,4-d][1,3] thiazin-2-amine compounds |
| US9550795B2 (en) | 2011-08-31 | 2017-01-24 | Pfizer Inc. | Hexahydropyrano[3,4-d][1,3]thiazin-2-amine compounds |
| US8933221B2 (en) | 2011-08-31 | 2015-01-13 | Pfizer Inc. | Hexahydropyrano[3,4-d][1,3]thiazin-2-amine compounds |
| US8962616B2 (en) | 2012-05-04 | 2015-02-24 | Pfizer Inc. | Heterocyclic substituted hexahydropyrano[3,4-d][1,3]thiazin-2-amine compounds |
| US9260455B2 (en) | 2012-09-20 | 2016-02-16 | Pfizer Inc. | Alkyl-substituted hexahydropyrano[3,4-d][1,3]thiazin-2-amine compounds |
| WO2014045156A1 (en) | 2012-09-21 | 2014-03-27 | Pfizer Inc. | Novel bicyclic pyridinones |
| US9751877B2 (en) | 2012-09-21 | 2017-09-05 | Pfizer Inc. | Substituted pyrido[1,2-a]pyrazines for the treatment of neurodegenerative and neurological disorders |
| US8916564B2 (en) | 2012-09-21 | 2014-12-23 | Pfizer Inc. | Substituted pyrido[1,2-a]pyrazines for the treatment of neurodegenerative and neurological disorders |
| US9193726B2 (en) | 2012-09-21 | 2015-11-24 | Pfizer Inc. | Substituted pyrido[1,2-a]pyrazines for the treatment of neurodegenerative and neurological disorders |
| US9198917B2 (en) | 2012-12-11 | 2015-12-01 | Pfizer Inc. | Hexahydropyrano[3,4-d][1,3]thiazin-2-amine compounds |
| US9045498B2 (en) | 2012-12-11 | 2015-06-02 | Pfizer Inc. | Hexahydropyrano[3,4-d][1,3]thiazin-2-amine compounds |
| US8822456B2 (en) | 2012-12-11 | 2014-09-02 | Pfizer Inc. | Hexahydropyrano[3,4-d][1,3]thiazin-2-amine compounds |
| US9403846B2 (en) | 2012-12-19 | 2016-08-02 | Pfizer Inc. | Carbocyclic- and heterocyclic-substituted hexahydropyrano[3,4-d][1,3]thiazin-2-amine compounds |
| US9192612B2 (en) | 2013-02-13 | 2015-11-24 | Pfizer Inc. | Heteroaryl-substituted hexahydropyrano[3,4-d][1,3]thiazin-2-amine compounds |
| US9045499B2 (en) | 2013-02-13 | 2015-06-02 | Pfizer Inc. | Heteroaryl-substituted hexahydropyrano[3,4-d][1,3]thiazin-2-amine compounds |
| US8865706B2 (en) | 2013-02-13 | 2014-10-21 | Pfizer Inc. | Heteroaryl-substituted hexahydropyrano[3,4-d][1,3]thiazin-2-amine compounds |
| US9233981B1 (en) | 2013-02-15 | 2016-01-12 | Pfizer Inc. | Substituted phenyl hexahydropyrano[3,4-d][1,3]thiazin-2-amine compounds |
| WO2014128585A1 (en) | 2013-02-19 | 2014-08-28 | Pfizer Inc. | Azabenzimidazole compounds as inhibitors of pde4 isozymes for the treatment of cns and other disorders |
| WO2015049616A1 (en) | 2013-10-04 | 2015-04-09 | Pfizer Inc. | Novel bicyclic pyridinones as gamma-secretase modulators |
| WO2015150957A1 (en) | 2014-04-01 | 2015-10-08 | Pfizer Inc. | Chromene and 1,1 a,2,7b-tetrahydrocyclopropa[c]chromene pyridopyrazinediones as gamma-secretase modulators |
| US10028962B2 (en) | 2014-04-10 | 2018-07-24 | Pfizer Inc. | 2-amino-6-methy1-4,4a,5,6-tetrahydropyrano[3,4-d][1,3]thiazin-8a(8H)-yl-1,3-thiazol-4-yl amides |
| US9428523B2 (en) | 2014-04-10 | 2016-08-30 | Pfizer Inc. | 2-amino-6-methyl-4,4a,5,6-tetrahydropyrano[3,4-d][1,3]thiazin-8a(8H)-yl-1,3-thiazol-4-yl amides |
| US9315520B2 (en) | 2014-04-10 | 2016-04-19 | Pfizer Inc. | 2-amino-6-methyl-4,4a,5,6-tetrahydropyrano[3,4-d][1,3]thiazin-8a(8H)-yl-1,3-thiazol-4-yl amides |
| US9605007B2 (en) | 2014-04-10 | 2017-03-28 | Pfizer Inc. | 2-amino-6-methyl-4,4a,5,6-tetrahydropyrano[3,4-d][1,3]thiazin-8a(8H)-yl-1,3-thiazol-4-yl amides |
| US9744173B2 (en) | 2014-04-10 | 2017-08-29 | Pfizer Inc. | 2-amino 6-methyl-4,4a,5,6-tetrahydropyrano[3,4-d][1,3]thiazin-8a(8H)-yl-1,3-thiazol-4-yl amides |
| WO2016012896A1 (en) | 2014-07-24 | 2016-01-28 | Pfizer Inc. | Pyrazolopyrimidine compounds |
| WO2016020786A1 (en) | 2014-08-06 | 2016-02-11 | Pfizer Inc. | Imidazopyridazine compounds |
| US9765073B2 (en) | 2015-02-03 | 2017-09-19 | Pfizer Inc. | Cyclopropabenzofuranyl pyridopyrazinediones |
| WO2016125048A1 (en) | 2015-02-03 | 2016-08-11 | Pfizer Inc. | Novel cyclopropabenzofuranyl pyridopyrazinediones |
| WO2016203347A1 (en) | 2015-06-17 | 2016-12-22 | Pfizer Inc. | Tricyclic compounds and their use as phosphodiesterase inhibitors |
| EP3766885A1 (en) | 2015-06-17 | 2021-01-20 | Pfizer Inc | Tricyclic compounds and their use as phosphodiesterase inhibitors |
| US9611264B1 (en) | 2015-09-24 | 2017-04-04 | Pfizer Inc. | N-[2-(3-amino-2,5-dimethyl-1,1-dioxido-5,6-dihydro-2H-1,2,4-thiadiazin-5-yl)-1,3-thiazol-4-yl] amides |
| US9771379B2 (en) | 2015-09-24 | 2017-09-26 | Pfizer Inc. | N-(2-(2-amino-6-substituted-4,4a,5,6-tetrahydropyrano[3,4-d][1,3]OXAZIN-8a(8H)-yl)-thiazol-4-yl) amides |
| US9751895B2 (en) | 2015-09-24 | 2017-09-05 | Pfizer Inc. | N-[2-(2-amino-6,6-disubstituted-4,4a,5,6-tetrahydropyrano[3,4-d][1,3]thiazin-8a(8H)-yl)-1,3-thiazol-4-yl]amides |
| US10112958B2 (en) | 2015-09-24 | 2018-10-30 | Pfizer Inc. | N-[2-(2-amino-6,6-disubstituted-4,4a,5,6-tetrahydropyrano[3,4-d][1,3]thiazin-8a(8H)-YL)-1,3-thiazol-4-YL] amides |
| WO2017145013A1 (en) | 2016-02-23 | 2017-08-31 | Pfizer Inc. | 6,7-dihydro-5h-pyrazolo[5,1-b][1,3]oxazine-2-carboxamide compounds |
| WO2018002760A1 (en) | 2016-07-01 | 2018-01-04 | Pfizer Inc. | 5,7-dihydro-pyrrolo-pyridine derivatives for treating neurological and neurodegenerative diseases |
| EP3872078A1 (en) | 2016-07-01 | 2021-09-01 | Pfizer Inc. | 5,7-dihydro-pyrrolo-pyridine derivatives for use in the treament of depression, anxiety or panic disorders |
| WO2018234953A1 (en) | 2017-06-22 | 2018-12-27 | Pfizer Inc. | DIHYDRO-PYRROLO-PYRIDINE DERIVATIVES |
| WO2019183636A1 (en) | 2018-03-23 | 2019-09-26 | Pfizer Inc. | Piperazine azaspiro derivaves |
| EP4219464A1 (en) | 2018-03-23 | 2023-08-02 | Pfizer Inc. | Piperazine azaspiro derivaves |
| US12144815B2 (en) | 2021-02-23 | 2024-11-19 | Hoth Therapeutics, Inc. | Use of aprepitant for treating Alzheimer's disease |
| WO2024118524A1 (en) | 2022-11-28 | 2024-06-06 | Cerevel Therapeutics, Llc | Azaindole compounds and their use as phosphodiesterase inhibitors |
| WO2025145091A1 (en) | 2023-12-29 | 2025-07-03 | Pfizer Inc. | Crystalline forms of a muscarinic m4 receptor modulator and methods of treating diseases |
Also Published As
| Publication number | Publication date |
|---|---|
| WO2006126082A3 (en) | 2007-01-25 |
| CA2608672A1 (en) | 2006-11-30 |
Similar Documents
| Publication | Publication Date | Title |
|---|---|---|
| EP2013208B1 (en) | Pyridin[3,4-b]pyrazinones | |
| WO2006126082A2 (en) | Pyridine [3,4-b] pyrazinones as pde-5 inhibitors | |
| WO2006126081A2 (en) | Pyridino [2 , 3-b] pyrazinones as pde-5 inhibitors | |
| WO2006126083A1 (en) | Pyridine [3 , 4-b] pyrazinone compounds as pde-5 inhibitors | |
| ES2717680T3 (en) | Zeste homolog 2 inhibitor potentiator | |
| JP6216791B2 (en) | Inhibitor compounds | |
| AU2017296338A1 (en) | Novel pyrimidine carboxamides as inhibitors of vanin-1 enzyme | |
| AU2009318855A1 (en) | Lactams as beta secretase inhibitors | |
| JP7464526B2 (en) | 4-HYDROXYPIPERIDINE DERIVATIVES AND THEIR USE AS INHIBITORS OF UBIQUITIN-SPECIFIC PROTEASE 19 (USP19) - Patent application | |
| TW202122382A (en) | Hydantoin derivative | |
| HRP20050926A2 (en) | Beta-carbolines useful for treating inflammatory disease | |
| RS20060584A (en) | Beta-carbolines useful for treating inflammatory disease | |
| WO2024146502A1 (en) | Wee1 degrading compounds | |
| WO2007020521A1 (en) | Pyridoyrazinones as pde-5 inhibitors | |
| CA3121376A1 (en) | Pharmaceutical compounds and their use as inhibitors of ubiquitin specific protease 19 (usp19) | |
| JP2012515186A (en) | 6-Phenyl-1H-imidazo [4,5-c] pyridine-4-carbonitrile derivatives as cathepsin S and / or cathepsin K inhibitors | |
| HK1133875B (en) | Pyridine[3,4-b]pyrazinones |
Legal Events
| Date | Code | Title | Description |
|---|---|---|---|
| 121 | Ep: the epo has been informed by wipo that ep was designated in this application | ||
| WWE | Wipo information: entry into national phase |
Ref document number: 2608672 Country of ref document: CA |
|
| NENP | Non-entry into the national phase |
Ref country code: DE |
|
| WWW | Wipo information: withdrawn in national office |
Country of ref document: DE |
|
| NENP | Non-entry into the national phase |
Ref country code: RU |
|
| WWW | Wipo information: withdrawn in national office |
Country of ref document: RU |
|
| 122 | Ep: pct application non-entry in european phase |
Ref document number: 06744778 Country of ref document: EP Kind code of ref document: A2 |























































































































