WO2024118524A1 - Azaindole compounds and their use as phosphodiesterase inhibitors - Google Patents
Azaindole compounds and their use as phosphodiesterase inhibitors Download PDFInfo
- Publication number
- WO2024118524A1 WO2024118524A1 PCT/US2023/081204 US2023081204W WO2024118524A1 WO 2024118524 A1 WO2024118524 A1 WO 2024118524A1 US 2023081204 W US2023081204 W US 2023081204W WO 2024118524 A1 WO2024118524 A1 WO 2024118524A1
- Authority
- WO
- WIPO (PCT)
- Prior art keywords
- alkyl
- groups
- cio
- compound
- formula
- Prior art date
- Legal status (The legal status is an assumption and is not a legal conclusion. Google has not performed a legal analysis and makes no representation as to the accuracy of the status listed.)
- Ceased
Links
Classifications
-
- C—CHEMISTRY; METALLURGY
- C07—ORGANIC CHEMISTRY
- C07D—HETEROCYCLIC COMPOUNDS
- C07D471/00—Heterocyclic compounds containing nitrogen atoms as the only ring hetero atoms in the condensed system, at least one ring being a six-membered ring with one nitrogen atom, not provided for by groups C07D451/00 - C07D463/00
- C07D471/12—Heterocyclic compounds containing nitrogen atoms as the only ring hetero atoms in the condensed system, at least one ring being a six-membered ring with one nitrogen atom, not provided for by groups C07D451/00 - C07D463/00 in which the condensed system contains three hetero rings
- C07D471/14—Ortho-condensed systems
-
- A—HUMAN NECESSITIES
- A61—MEDICAL OR VETERINARY SCIENCE; HYGIENE
- A61P—SPECIFIC THERAPEUTIC ACTIVITY OF CHEMICAL COMPOUNDS OR MEDICINAL PREPARATIONS
- A61P29/00—Non-central analgesic, antipyretic or antiinflammatory agents, e.g. antirheumatic agents; Non-steroidal antiinflammatory drugs [NSAID]
Definitions
- the present disclosure relates to azaindole compounds of Formula (I), as well as those of sub-Formulae (I -A), (I-B), and (I-C), which are inhibitors of PDE4 isozymes, and the use of such compounds in methods for treating, e.g., metabolic, autoimmune, inflammatory, dermatological and fibrotic diseases or disorders.
- Phosphodiesterases are a class of intracellular enzymes that cleave the phosphodiester bond in the molecules adenosine 3',5'-cyclic monophosphate (cAMP) and guanosine 3 ',5 '-cyclic monophosphate (cGMP).
- cAMP adenosine 3',5'-cyclic monophosphate
- cGMP guanosine 3 ',5 '-cyclic monophosphate
- cAMP functions as a secondary messenger regulating many intracellular processes within the body.
- the complexity of cyclic nucleotide signaling is indicated by the molecular diversity of the enzymes involved in the synthesis and degradation of cAMP.
- PDE1-11 A principal mechanism for regulating cyclic nucleotide signaling is via PDE- catalyzed cyclic nucleotide catabolism.
- the eleven known families of PDEs (PDE1-11) are encoded by 21 different genes; each gene typically yields multiple splice variants that further contribute to isozyme diversity.
- the PDE families are distinguished functionally based on cyclic nucleotide substrate specificity, mechanism(s) of regulation, and sensitivity to inhibitors.
- PDEs are differentially expressed throughout the organism. As a result of these distinct enzymatic activities and localizations, different PDE isozymes can serve distinct physiological functions.
- compounds that can selectively inhibit particular PDE isozymes over others may offer particular therapeutic effects, fewer side effects, or both (Deninno, M., Future Directions in Phosphodiesterase Drug Discovery. Bioorganic and. Medicinal Chemistry Letters 2012, 22, 6794-6800).
- the present disclosure relates to compounds inhibiting the PDE4 activity of PDEs family, and, in particular, a higher activity of inhibiting PDE4B than PDE4D isoforms.
- the PDE4 isozymes carry out selective, high-affinity hydrolytic degradation of the secondary messenger cAMP, and beneficial pharmacological effects resulting from that inhibition have been shown in a variety of disease models.
- a number of PDE4 inhibitors have been discovered in recent years.
- Roflumilast (DALIRESP®), marketed by Forest Pharmaceuticals, Inc., is approved for severe chronic obstructive pulmonary disease (COPD) to decrease the number of flare-ups or prevent exacerbations of COPD symptoms.
- COPD chronic chronic obstructive pulmonary disease
- OTEZLA® has been approved by the U.S. Food and Drug Administration for the treatment of adults with active psoriatic arthritis.
- X is carbon or nitrogen
- Y is carbon or nitrogen and Z is carbon or nitrogen, provided that: one of Y and Z is nitrogen; when Y is nitrogen, Z is carbon, the bond between Y and C2 is a single bond, and the bond between Z and C2 is a double bond; and when Z is nitrogen, Y is carbon, the bond between Y and C2 is a double bond, and the bond between Z and C2 is a single bond;
- Ri is hydrogen, halogen, or (Ci-C3)alkyl
- R2 is hydrogen, halogen, (Ci-C3)alkoxy, or -CN;
- R3 is hydrogen, halogen, or (Ci-C3)alkoxy, provided that when X is nitrogen, R3 is absent;
- R hydrogen, (Ci-C6)alkanol, (C3-C6)cycloalkanol, (C2-Ce)alkyl-O-Re, (C3- C6)cycloalkyl, or (Ci-C6)alkyl;
- R5 is hydrogen, (Ci-C6)alkanol, (C3-C6)cycloalkanol, (Ci-C6)alkyl-O-R6, (C3- C6)cycloalkyl, or (Ci-C6)alkyl, wherein at least one of R4 and R5 is a branched or linear (Ci-C6)alkanol, (C3-C6)cycloalkanol, or (Ci-C6)alkyl-O-R6, and
- Re is selected from the group consisting of: (Ci-C25)alkyl, C(O)-(Ci-C2s)alkyl, (C2- Cio)alkenyl, (C2-Cio)alkynyl, (C3-Cs)cycloalkyl, 5-10 membered heterocyclic groups, (Ce- - P— OH
- R7 and Rs are each independently selected from the group consisting of: (Ci-C25)alkyl, (C2-Cio)alkenyl, (C2-Cio)alkynyl, (C3-C8)cycloalkyl, 5-10 membered heterocyclic groups, (Ce-Cio)aryl, (Ci-C25)alkoxy, (Ci-C3)alkyl, and 5-10 membered heteroaryl groups; or R7 or Rs is counter cation such as NH4 + , Na + , or K + ; wherein (Ci-C25)alkyl, (C2-Cio)alkenyl, (C2-Cio)alkynyl, (C3-Cs)cycloalkyl, 5-10 membered heterocyclic groups, (Ce-Cio)aryl, (Ci-C25)alkoxy, (Ci-C3)alkyl, and 5-10 membered heteroaryl groups can each independently be optionally substituted
- the compound of Formula (I) is a compound of Formula (I- A): or a pharmaceutically acceptable salt thereof, wherein:
- X is carbon or nitrogen
- Ri is hydrogen, halogen, or (Ci-C3)alkyl
- R2 is hydrogen, halogen, (Ci-C3)alkoxy, or -CN;
- R3 is hydrogen, halogen, or (Ci-C3)alkoxy, provided that when X is nitrogen, R3 is absent;
- R 4 is hydrogen, (Ci-C6)alkanol, (C3-C6)cycloalkanol, (C2-Ce)alkyl-O-R6, (C3-
- R5 is hydrogen, (Ci-C6)alkanol, (C3-C6)cycloalkanol, (Ci-C6)alkyl-O-R6, (C3- C6)cycloalkyl, or (Ci-C6)alkyl, wherein at least one of R 4 and R5 is a branched or linear (Ci-C6)alkanol, (C3-C6)cycloalkanol, or (Ci-C6)alkyl-O-R6, and
- Re is selected from the group consisting of: (Ci-C25)alkyl, C(O)-(Ci-C25)alkyl, (C2- Cio)alkenyl, (C2-Cio)alkynyl, (C3-Cs)cycloalkyl, 5-10 membered heterocyclic groups, (Ce-
- Cio aryl, (Ci-C3)alkyl-O-(Ci-C25)alkyl, 5-10 membered heteroaryl groups, ,
- R7 and Rs are each independently selected from the group consisting of: (Ci-C25)alkyl, (C2-Cio)alkenyl, (C2-Cio)alkynyl, (C3-Cs)cycloalkyl, 5-10 membered heterocyclic groups, (Ce-Cio)aryl, (Ci-C25)alkoxy, (Ci-C3)alkyl, and 5-10 membered heteroaryl groups; or R7 or Rs is counter cation such as NH 4 + , Na + , or K + ; wherein (Ci-C25)alkyl, (C2-Cio)alkenyl, (C2-Cio)alkynyl, (C3-Cs)cycloalkyl, 5-10 membered heterocyclic groups, (Ce-Cio)aryl, (Ci-C25)alkoxy, (Ci-C3)alkyl, and 5-10 membered heteroaryl groups can each independently be optionally substitute
- the compound of Formula (I) is a compound of Formula (I- B): or a pharmaceutically acceptable salt thereof, wherein:
- X is carbon or nitrogen
- Ri is hydrogen, halogen, or (Ci-C3)alkyl
- R2 is hydrogen, halogen, (Ci-C3)alkoxy, or -CN;
- R3 is hydrogen, halogen, or (Ci-C3)alkoxy, provided that when X is nitrogen, R3 is absent;
- R hydrogen, (Ci-C6)alkanol, (C3-C6)cycloalkanol, (C2-Ce)alkyl-O-R6, (C3- C6)cycloalkyl, or (Ci-C6)alkyl;
- R5 is hydrogen, (Ci-C6)alkanol, (C3-C6)cycloalkanol, (Ci-C6)alkyl-O-R6, (C3- C6)cycloalkyl, or (Ci-C6)alkyl, wherein at least one of R4 and R5 is a branched or linear (Ci-C6)alkanol, (C3-C6)cycloalkanol, or (Ci-C6)alkyl-O-R6, and
- Re is selected from the group consisting of: (Ci-C25)alkyl, C(O)-(Ci-C25)alkyl, (C2- Cio)alkenyl, (C2-Cio)alkynyl, (C3-Cs)cycloalkyl, 5-10 membered heterocyclic groups, (Ce-
- Cio aryl, (Ci-C3)alkyl-O-(Ci-C25)alkyl, 5-10 membered heteroaryl groups, ,
- R7 and Rs are each independently selected from the group consisting of: (Ci-C25)alkyl, (C2-Cio)alkenyl, (C2-Cio)alkynyl, (C3-C8)cycloalkyl, 5-10 membered heterocyclic groups, (Ce-Cio)aryl, (Ci-C25)alkoxy, (Ci-C3)alkyl, and 5-10 membered heteroaryl groups; or R7 or Rs is counter cation such as NHd, Na + , or K + ; wherein (Ci-C25)alkyl, (C2-Cio)alkenyl, (C2-Cio)alkynyl, (C3-Cs)cycloalkyl, 5-10 membered heterocyclic groups, (Ce-Cio)aryl, (Ci-C25)alkoxy, (Ci-C3)alkyl, and 5-10 membered heteroaryl groups can each independently be optionally substituted by one
- the compound of Formula (I) is a compound of Formula (I- C):
- X is carbon or nitrogen
- Ri is hydrogen, halogen, or (Ci-C3)alkyl
- R2 is hydrogen, halogen, (Ci-C3)alkoxy, or -CN;
- R3 is hydrogen, halogen, or (Ci-C3)alkoxy, provided that when X is nitrogen, R3 is absent;
- Rd hydrogen, (Ci-C6)alkanol, (C3-C6)cycloalkanol, (C2-Ce)alkyl-O-R6, (C3- C6)cycloalkyl, or (Ci-C6)alkyl;
- R5 is hydrogen, (Ci-C6)alkanol, (C3-C6)cycloalkanol, (Ci-C6)alkyl-O-R6, (C3- C6)cycloalkyl, or (Ci-C6)alkyl, wherein at least one of R4 and R5 is a branched or linear (Ci-C6)alkanol, (C3-C6)cycloalkanol, or (Ci-C6)alkyl-O-R6, and
- Re is selected from the group consisting of: (Ci-C25)alkyl, C(O)-(Ci-C25)alkyl, (C2- Cio)alkenyl, (C2-Cio)alkynyl, (C3-Cs)cycloalkyl, 5-10 membered heterocyclic groups, (Ce-
- Cio aryl, (Ci-C3)alkyl-O-(Ci-C25)alkyl, 5-10 membered heteroaryl groups, ,
- R7 and Rs are each independently selected from the group consisting of: (Ci-C25)alkyl, (C2-Cio)alkenyl, (C2-Cio)alkynyl, (C3-Cs)cycloalkyl, 5-10 membered heterocyclic groups, (Ce-Cio)aryl, (Ci-C25)alkoxy, (Ci-C3)alkyl, and 5-10 membered heteroaryl groups; or R7 or Rs is counter cation such as NHZ, Na + , or K + ; wherein (Ci-C25)alkyl, (C2-Cio)alkenyl, (C2-Cio)alkynyl, (C3-Cs)cycloalkyl, 5-10 membered heterocyclic groups, (Ce-Cio)aryl, (Ci-C25)alkoxy, (Ci-C3)alkyl, and 5-10 membered heteroaryl groups can each independently be optionally substituted by
- Compounds of the disclosure include those of Examples 1-22, or pharmaceutically acceptable salts thereof, as described herein.
- the compounds of Formula (I), Formula (I-A), Formula (I-B), or Formula (I-C), or pharmaceutically acceptable salts thereof, are inhibitors of PDE4B, in particular, they have enhanced activity for PDE4B over PDE4D.
- the present disclosure is also directed to pharmaceutically acceptable formulations (e.g., a pharmaceutical composition) containing a mixture of a compound(s) of the present disclosure, or a pharmaceutically acceptable salt thereof, and at least one excipient.
- the pharmaceutical composition is formulated into a pharmaceutical dosage form.
- the pharmaceutical composition of the present disclosure is in an orally administrable dosage form or a topically administratable dosage form, or an intravenous dosage form.
- Examples of appropriate orally administratable or topically administratable dosage forms include, but are not limited to, tablets, capsules, suppositories, gels, creams, ointments, lotions, solutions/suspensions for injection (e.g., depot), aerosols for inhalation and solutions/suspensions for oral ingestion.
- the compounds of Formula (I), Formula (I-A), Formula (I-B), Formula (I-C), pharmaceutically acceptable salts thereof, and pharmaceutical compositions thereof, as described herein, are useful for treating or preventing various metabolic, autoimmune, inflammatory, dermatological and fibrotic diseases or disorders.
- the compounds of the disclosure, pharmaceutically acceptable salts thereof, and pharmaceutical compositions thereof are useful for treating or preventing inflammatory skin diseases, dermatitis, inflammatory bowel disease, pulmonary diseases, idiopathic pulmonary fibrosis, asthma, hepatitis, adult respiratory distress syndrome, bone -resorption diseases, chronic obstructive pulmonary diseases, cystic fibrosis, septic shock, sepsis, endotoxic shock, hemodynamic shock, post ischemic reperfusion injury, meningitis, fibrotic disease, cachexia, graft rejection including graft versus host disease, autoimmune disease, rheumatoid spondylitis, arthritic conditions, osteoporosis, systemic lupus erythrematosus, erythema nodosum leprosum (ENL) in leprosy, radiation damage, hyperoxic alveolar injury, diabetes mellitus, and cardiovascular conditions.
- inflammatory skin diseases dermatitis, inflammatory bowel disease,
- the compounds of Formula (I), Formula (I-A), Formula (I-B), Formula (I-C), pharmaceutically acceptable salts thereof, and pharmaceutical compositions thereof, are also useful for treating or preventing psoriasis, atopic dermatitis, Crohn’s disease, ulcerative colitis etc.
- X is carbon or nitrogen
- Y is carbon or nitrogen and Z is carbon or nitrogen, provided that: one of Y and Z is nitrogen; when Y is nitrogen, Z is carbon, the bond between Y and C2 is a single bond, and the bond between Z and C2 is a double bond; and when Z is nitrogen, Y is carbon, the bond between Y and C2 is a double bond, and the bond between Z and C2 is a single bond;
- Ri is hydrogen, halogen, or (Ci-C3)alkyl
- R2 is hydrogen, halogen, (Ci-C3)alkoxy, or -CN;
- R3 is hydrogen, halogen, or (Ci-C3)alkoxy, provided that when X is nitrogen, R3 is absent;
- RHs hydrogen, (Ci-C6)alkanol, (C3-C6)cycloalkanol, (C2-Ce)alkyl-O-Re, (C3-
- R5 is hydrogen, (Ci-C6)alkanol, (C3-C6)cycloalkanol, (Ci-C6)alkyl-O-R6, (C3-
- Re is selected from the group consisting of: (Ci-C25)alkyl, C(O)-(Ci-C25)alkyl, (C2- Cio)alkenyl, (C2-Cio)alkynyl, (C3-Cs)cycloalkyl, 5-10 membered heterocyclic groups, (Ce- - P— OH
- R7 and Rs are each independently selected from the group consisting of: (Ci-C25)alkyl, (C2-Cio)alkenyl, (C2-Cio)alkynyl, (C3-C8)cycloalkyl, 5-10 membered heterocyclic groups, (Ce-Cio)aryl, (Ci-C25)alkoxy, (Ci-C3)alkyl, and 5-10 membered heteroaryl groups; or R7 or Rs is counter cation such as NH4 + , Na + , or K + ; wherein (Ci-C25)alkyl, (C2-Cio)alkenyl, (C2-Cio)alkynyl, (C3-Cs)cycloalkyl, 5-10 membered heterocyclic groups, (Ce-Cio)aryl, (Ci-C25)alkoxy, (Ci-C3)alkyl, and 5-10 membered heteroaryl groups can each independently be optionally substituted
- X is carbon or nitrogen
- Ri is hydrogen, halogen, or (Ci-C3)alkyl
- R2 is hydrogen, halogen, (Ci-C3)alkoxy, or -CN;
- R3 is hydrogen, halogen, or (Ci-C3)alkoxy, provided that when X is nitrogen, R3 is absent;
- R 4 is hydrogen, (Ci-C6)alkanol, (C3-C6)cycloalkanol, (C2-Ce)alkyl-O-R6, (C3-
- R5 is hydrogen, (Ci-C6)alkanol, (C3-C6)cycloalkanol, (Ci-C6)alkyl-O-R6, (C3- C6)cycloalkyl, or (Ci-C6)alkyl, wherein at least one of R 4 and R5 is a branched or linear (Ci-C6)alkanol, (C3-C6)cycloalkanol, or (Ci-C6)alkyl-O-R6, and
- Re is selected from the group consisting of: (Ci-C25)alkyl, C(O)-(Ci-C25)alkyl, (C2- Cio)alkenyl, (C2-Cio)alkynyl, (C3-Cs)cycloalkyl, 5-10 membered heterocyclic groups, (Ce-
- Cio aryl, (Ci-C3)alkyl-O-(Ci-C25)alkyl, 5-10 membered heteroaryl groups, ,
- R7 and Rs are each independently selected from the group consisting of: (Ci-C25)alkyl, (C2-Cio)alkenyl, (C2-Cio)alkynyl, (C3-Cs)cycloalkyl, 5-10 membered heterocyclic groups, (Ce-Cio)aryl, (Ci-C25)alkoxy, (Ci-C3)alkyl, and 5-10 membered heteroaryl groups; or R7 or Rs is counter cation such as NH 4 + , Na + , or K + ; wherein (Ci-C25)alkyl, (C2-Cio)alkenyl, (C2-Cio)alkynyl, (C3-Cs)cycloalkyl, 5-10 membered heterocyclic groups, (Ce-Cio)aryl, (Ci-C25)alkoxy, (Ci-C3)alkyl, and 5-10 membered heteroaryl groups can each independently be optionally substitute
- X is carbon or nitrogen
- Ri is hydrogen, halogen, or (Ci-C3)alkyl
- R2 is hydrogen, halogen, (Ci-C3)alkoxy, or -CN;
- R3 is hydrogen, halogen, or (Ci-C3)alkoxy, provided that when X is nitrogen, R3 is absent;
- RHs hydrogen, (Ci-C6)alkanol, (C3-C6)cycloalkanol, (C2-Ce)alkyl-O-R6, (C3- C6)cycloalkyl, or (Ci-C6)alkyl;
- R5 is hydrogen, (Ci-C6)alkanol, (C3-C6)cycloalkanol, (Ci-C6)alkyl-O-R6, (C3- C6)cycloalkyl, or (Ci-C6)alkyl, wherein at least one of R4 and R5 is a branched or linear (Ci-C6)alkanol, (C3-C6)cycloalkanol, or (Ci-C6)alkyl-O-R6, and
- Re is selected from the group consisting of: (Ci-C25)alkyl, C(O)-(Ci-C25)alkyl, (C2- Cio)alkenyl, (C2-Cio)alkynyl, (C3-Cs)cycloalkyl, 5-10 membered heterocyclic groups, (Ce-
- Cio aryl, (Ci-C3)alkyl-O-(Ci-C25)alkyl, 5-10 membered heteroaryl groups, ,
- R7 and Rs are each independently selected from the group consisting of: (Ci-C25)alkyl, (C2-Cio)alkenyl, (C2-Cio)alkynyl, (C3-Cs)cycloalkyl, 5-10 membered heterocyclic groups, (Ce-Cio)aryl, (Ci-C25)alkoxy, (Ci-C3)alkyl, and 5-10 membered heteroaryl groups; or R7 or Rs is counter cation such as NHZ, Na + , or K + ; wherein (Ci-C25)alkyl, (C2-Cio)alkenyl, (C2-Cio)alkynyl, (C3-Cs)cycloalkyl, 5-10 membered heterocyclic groups, (Ce-Cio)aryl, (Ci-C25)alkoxy, (Ci-C3)alkyl, and 5-10 membered heteroaryl groups can each independently be optionally substituted by
- X is carbon or nitrogen
- Ri is hydrogen, halogen, or (Ci-C3)alkyl
- R2 is hydrogen, halogen, (Ci-C3)alkoxy, or -CN;
- R3 is hydrogen, halogen, or (Ci-C3)alkoxy, provided that when X is nitrogen, R3 is absent;
- R4 is hydrogen, (Ci-C6)alkanol, (C3-C6)cycloalkanol, (C2-Ce)alkyl-O-Re, (C3-
- R5 is hydrogen, (Ci-C6)alkanol, (C3-C6)cycloalkanol, (Ci-C6)alkyl-O-R6, (C3-
- Re is selected from the group consisting of: C(O)-(Ci-C25)alkyl, C(O)-(C2-C25)alkenyl, R? and Rs are each independently selected from the group consisting of: (Ci-C2s)alkyl, (C2-Cio)alkenyl, (C2-Cio)alkynyl, (C3-C8)cycloalkyl, 5-10 membered heterocyclic groups, (Ce-Cio)aryl, (Ci-C25)alkoxy, (Ci-C3)alkyl, and 5-10 membered heteroaryl groups; or R?
- (Ci-C3)alkyl, (Ci-C6)alkyl, (Ci-C25)alkyl, (Ci-C3)alkoxy, (Ci-C6)alkanol, (C3- C6)cycloalkanol, (C2-C25)alkenyl, and (C2-C25)alkynyl can each independently be optionally substituted by one, two or more halogens, hydroxyl groups, amino groups, Ci- 8 alkyl groups, C2-8 alkenyl groups, C2-s alkynyl groups, C1-8 alkoxy groups, Ce-io aryl groups optionally substituted by C1-10 alkyl, or 5-10 membered heteroaryl groups optionally substituted by Ci-10 alkyl.
- R2 is hydrogen, -Cl, -F, -OCH3, or -CN.
- X is carbon
- R2 is hydrogen, -Cl, -F, -OCH3, or -CN;
- R3 is -Cl or -F
- R4 is cyclopropyl, -
- R5 is hydrogen, -CH2OH, or -CH3; and wherein at least one of R4 and R5 is an alkanol, and at least one of R2 and R3 is -F.
- R4 is hydrogen, (C3-C6)cycloalkyl, or (Ci-C6)alkyl
- R5 is (Ci-C6)alkanol, (C3- C6)cycloalkanol, (C2-Ce)alkyl-O-Re, and Re is C(O)-(Ci-C25)alkyl.
- a pharmaceutical composition comprising a compound or pharmaceutically acceptable salt thereof as in any one of the preceding embodiments and one or more pharmaceutically acceptable excipients.
- compositions as in embodiment 19, wherein the composition is an orally administrable dosage form or a topically administrable dosage form, or an intravenous form but are not limited to, tablets, capsules, suppositories, gels, creams, ointments, lotions, solutions/suspensions for injection (e.g., depot), aerosols for inhalation and solutions/suspensions for oral ingestion.
- a method of treating a condition comprising administering a compound or pharmaceutically acceptable salt thereof as in any one of embodiments 1-18, or a pharmaceutical composition as in embodiment 19 or 20, to a subject in need thereof, wherein the condition is selected from the group consisting of: inflammatory skin diseases, dermatitis, inflammatory bowel disease, pulmonary diseases, idiopathic pulmonary fibrosis, asthma, hepatitis, adult respiratory distress syndrome, bone -resorption diseases, chronic obstructive pulmonary diseases, cystic fibrosis, septic shock, sepsis, endotoxic shock, hemodynamic shock, post ischemic reperfusion injury, meningitis, fibrotic disease, cachexia, graft rejection including graft versus host disease, autoimmune disease, rheumatoid spondylitis, arthritic conditions, osteoporosis, systemic lupus erythrematosus, erythema nodosum leprosum (ENL) in leprosy, radiation
- a method of treating a condition comprising administering a compound or pharmaceutically acceptable salt thereof as in any one of embodiments 1-18, or a pharmaceutical composition as in embodiment 19 or 20, to a subject in need thereof, wherein the condition is selected from the group consisting of: psoriasis, atopic dermatitis, Crohn’s disease, ulcerative colitis.
- a method of treating idiopathic pulmonary fibrosis comprising administering a compound or pharmaceutically acceptable salt thereof as in embodiment 21 to a subject in need thereof.
- substituents of compounds of the disclosure are disclosed in groups or in ranges. It is specifically intended that the disclosure include each and every individual subcombination of the members of such groups and ranges.
- the term “(Ci-Cejalkyl” is specifically intended to include Ci alkyl (methyl), C2 alkyl (ethyl), C3 alkyl, C4 alkyl, C5 alkyl, and Ce alkyl.
- (Ci-Cejalkyl) refers to a saturated, branched- or straightchain alkyl group containing from 1 to 6 carbon atoms, such as, but not limited to, methyl, ethyl, n-propyl, isopropyl, n-butyl, .sec-butyl, isobutyl, tert-butyl, n-pentyl, isopentyl, neopentyl, and n-hexyl.
- (C i-Cajalkyl) refers to a saturated, branched- or straight-chain alkyl group containing from 1 to 3 carbon atoms, such as, methyl, ethyl, n-propyl, and isopropyl.
- (Ci-Cejalkoxy” as used herein refers to a (Ci-Cejalkyl group, as defined above, attached to the parent molecular moiety through an oxygen atom.
- Representative examples of a (Ci-Ce)alkoxy include, but are not limited to, methoxy, ethoxy, propyloxy, 2- propyloxy, butoxy, Ze/7-butoxy, pentyloxy, and hexyloxy.
- (Ci -Chialkoxy” as used herein refers to a (Ci-C3)alkyl group, as defined above, attached to the parent molecular moiety through an oxygen atom.
- Representative examples of a (Ci-C3)alkoxy include, but are not limited to, methoxy, ethoxy, propyloxy, and 2-propyloxy.
- (Ci-C6)alkanol refers to a (Ci-C6)alkyl group, as defined above, wherein one or more of the constituent hydrogen atoms of said alkyl group is replaced by a hydroxyl (-OH) group.
- (Ci-C3)alkanol refers to a (Ci-C3)alkyl group, as defined above, wherein one of the constituent hydrogen atoms of said alkyl group is replaced by a hydroxyl (-OH) group.
- (C3-C6)cycloalkyl refers to a carbocyclic substituent obtained by removing a hydrogen from a saturated carbocyclic molecule having from 3 to 6 carbon atoms in its ring.
- a “cycloalkyl” may be a monocyclic ring, examples of which include cyclopropyl, cyclobutyl, cyclopentyl, and cyclohexyl.
- unsaturated non-aromatic cycloalkyls such as, but not limited to, cyclohexenyl, cyclohexadienyl, and cyclopentenyl.
- a cycloalkyl may contain more than one ring such as a “(C4-C6)bicycloalkyl”.
- the term “(C4-C6)bicycloalkyl” refers to a bicyclic ring system containing from 4 to 6 carbon atoms.
- the bicycloalkyl may be fused, such as bicyclo[1.1.0]butanyl, bicyclo[2.1.0]pentanyl, bicyclo[2.2.0]hexanyl, and bicyclo[3.1.0]hexanyl.
- the term “bicycloalkyl” also includes bridged bicycloalkyl systems such as, but not limited to, bicyclo[l.l.l]pentanyl.
- halo or “halogen” as used herein, refers to a fluorine (-F), chlorine (-C1), bromine (-Br), or iodine (-1) atom.
- hydroxy or “hydroxyl” as used herein, means an -OH group.
- amino acid(s) as used herein, is intended to encompass all natural and non-natural amino acids, unless otherwise indicated. Generally, amino acids comprise a carbonyl and an alpha amino (-NH2) group. The alpha amino group may be unsubstituted or substituted (e.g., with a nitrogen protecting group known in the art).
- pyridinyl can be 2-pyridinyl (or pyridin-2-yl), 3-pyridinyl (or pyridin-3-yl), or 4-pyridinyl (or pyridin-4-yl).
- therapeutically effective amount refers to an amount sufficient to elicit the desired biological response.
- therapeutically effective amount refers to an amount of a compound, pharmaceutically acceptable salt thereof, or pharmaceutical composition thereof, being administered which will relieve, to some extent, one or more of the symptoms of the disorder being treated.
- a therapeutically effective amount of a compound also refers to an amount of the therapeutic agent, alone or in combination with other therapies, which provides a therapeutic benefit in the treatment of the disease, disorder or condition.
- therapeutically effective amount thus, can encompass an amount that improves overall therapy, reduces, ameliorates or avoids symptoms or causes of a disease or condition, or enhances the therapeutic efficacy of another therapeutic agent.
- the therapeutically effective amount of a compound, pharmaceutically acceptable salt, or pharmaceutical composition of the disclosure may vary depending on a variety of factors such as, but not limited to, the desired biological, therapeutic or clinical endpoint, the pharmacokinetics of the compound, the disease being treated, the mode of administration, and the age, weight, health, and condition of the subject.
- the full therapeutic effect does not necessarily occur by administration of one dose. Rather, it may occur only after administration of a series of doses.
- a therapeutically effective amount may be administered in one or more administrations.
- “Patient” and “subject” refer to warm blooded animals such as, for example, pigs, cows, chickens, horses, guinea pigs, mice, rats, gerbils, cats, rabbits, dogs, monkeys, chimpanzees, and humans.
- Treating means reversing, alleviating, inhibiting the progress of, or preventing the disorder or condition to which such term applies, or one or more symptoms of such disorder or condition.
- treatment refers to the act of treating as “treating” is defined immediately above.
- treating also includes adjuvant and neo-adjuvant treatment of a subject.
- preventing contemplates an action that occurs before a patient or subject begins to suffer from the specified disease, disorder, or condition or its symptoms.
- administering or “administration of’ a substance, a compound or an agent to a subject can be carried out using one of a variety of methods known to those skilled in the art.
- a compound, salt or an agent of this disclosure or composition thereof can be administered, for example, intravenously, arterially, intradermally, intramuscularly, intraperitoneally, subcutaneously, ocularly, sublingually, orally (by ingestion), intranasally (by inhalation), intraspinally, intracerebrally, and transdermally (by absorption, e.g., through a skin duct).
- a compound or agent can also appropriately be introduced by rechargeable or biodegradable polymeric devices or other devices, e.g., patches and pumps, or formulations, which provide for the extended, slow or controlled release of the compound or agent.
- Administering can also be performed, for example, once, a plurality of times, and/or over one or more extended periods.
- the administration includes both direct administration, including self-administration, and indirect administration, including the act of prescribing a drug.
- a physician who instructs a patient to selfadminister a drug, or to have the drug administered by another and/or who provides a patient with a prescription for a drug is administering the drug to the patient.
- the disclosure contemplates that the agents may be administered at the same or differing times and via the same or differing routes of administration.
- Appropriate methods of administering a substance, a compound or composition of this disclosure to a subject will also depend, for example, on the age of the subject, whether the subject is active or inactive at the time of administering, whether the subject is cognitively impaired at the time of administering, the extent of the impairment, and the chemical and biological properties of the compound or agent (e.g. solubility, digestibility, bioavailability, stability and toxicity).
- “Pharmaceutically acceptable” indicates that the substance or composition must be compatible, chemically and/or toxicologically, with the other ingredients comprising a formulation, and/or the subject being treated therewith.
- “pharmaceutically acceptable salt” refers to a salt of a compound disclosed herein that is pharmaceutically acceptable and that possesses the desired pharmacological activity of the parent compound.
- “Isoform” means any of several different forms of the same protein.
- Isozyme or “isoenzyme” means a closely related variant of an enzyme that differs in amino acid sequence but catalyzes the same chemical reaction.
- Stepoisomer refers to compounds that possess one or more chiral centers, which may each exist in the R or S configuration. Stereoisomers include all diastereomeric, enantiomeric and epimeric forms as well as racemates and mixtures thereof.
- “Geometric isomer” refers to compounds that may exist in cis, trans, anti,
- Z) forms as well as mixtures thereof.
- the compounds of the disclosure may exist in unsolvated and solvated forms.
- the complex When the solvent or water is tightly bound, the complex will have a well-defined stoichiometry independent of humidity.
- the solvent or water When, however, the solvent or water is weakly bound, as in channel solvates and hygroscopic compounds, the water/solvent content will be dependent on humidity and drying conditions. In such cases, non-stoichiometry will be the norm.
- the compounds of the disclosure may have one or more asymmetric carbon atoms.
- the carbon-carbon bonds of the compounds of the disclosure may be depicted herein using a solid line ( - ), a solid wedge ( ), or a dotted wedge ( 1111 ).
- the use of a solid line to depict bonds to asymmetric carbon atoms is meant to indicate that all possible stereoisomers (e.g., specific enantiomers, racemic mixtures, etc.) at that carbon atom are included.
- the use of either a solid or dotted wedge to depict bonds to asymmetric carbon atoms is meant to indicate that the stereoisomer shown is present. When present in racemic compounds, solid and dotted wedges are used to define relative stereochemistry, rather than absolute stereochemistry.
- Racemic compounds possessing such indicated relative stereochemistry may be marked with (+/-).
- the compounds of the disclosure can exist as stereoisomers, which include cis and trans isomers, optical isomers such as R and S enantiomers, diastereomers, geometric isomers, rotational isomers, conformational isomers, atropisomers, and mixtures thereof (such as racemates and diastereomeric pairs).
- the compounds of the disclosure may exhibit more than one type of isomerism.
- acid addition or base addition salts wherein the counterion is optically active, for example, D-lactate or L-lysine, or racemic, for example, DL- tartrate or DL-arginine.
- the first type is the racemic compound (true racemate) referred to above wherein one homogeneous form of crystal is produced containing both enantiomers in equimolar amounts.
- the second type is the racemic mixture or conglomerate wherein two forms of crystal are produced in equimolar amounts each comprising a single enantiomer.
- Chiral compounds of the disclosure may be obtained in enantiomerically-enriched or diastereomerically-enriched form using chromatography, typically high-pressure liquid chromatography (HPLC) or supercritical fluid chromatography (SFC), on a resin with an asymmetric stationary phase and a mobile phase appropriate to achieve the desired separation/purity.
- HPLC high-pressure liquid chromatography
- SFC supercritical fluid chromatography
- Individual enantiomers may also be obtained by using the appropriate enantiomer and/or reagents in their syntheses.
- Diastereomeric mixtures can be separated into their individual diastereoisomers on the basis of their physical chemical differences by methods well known to those skilled in the art, such as by chromatography and/or fractional crystallization.
- Enantiomers can be separated by converting the enantiomeric mixture into a diastereomeric mixture by reaction with an appropriate optically active compound (e.g. chiral auxiliary such as a chiral alcohol or Mosher’s acid chloride), separating the diastereoisomers and converting (e.g. hydrolyzing) the individual diastereoisomers to the corresponding pure enantiomers.
- an appropriate optically active compound e.g. chiral auxiliary such as a chiral alcohol or Mosher’s acid chloride
- Enantiomers can also be separated by use of a chiral HPLC column.
- the specific stereoisomers may be synthesized by using an optically active starting material, by asymmetric synthesis using optically active reagents, substrates, catalysts or solvents, or by converting one stereoisomer into the other by asymmetric transformation.
- the present invention comprises the tautomeric forms of compounds of the invention. Where structural isomers are interconvertible via a low energy barrier, tautomeric isomerism (‘tautomerism’) can occur. This can take the form of proton tautomerism in compounds of the invention containing, for example, an imino, keto, or oxime group, or so-called valence tautomerism in compounds which contain an aromatic moiety. It follows that a single compound may exhibit more than one type of isomerism.
- the various ratios of the tautomers in solid and liquid form are dependent on the various substituents on the molecule as well as the particular crystallization technique used to isolate a compound.
- a salt is intended to be administered to a patient (as opposed to, for example, being used in an in vitro context)
- the salt preferably is pharmaceutically acceptable.
- pharmaceutically acceptable salt refers to a salt prepared by combining a compound of the present disclosure with an acid whose anion, or a base whose cation, is generally considered suitable for human consumption.
- Pharmaceutically acceptable salts are particularly useful as products of the methods of the present disclosure because of their greater aqueous solubility relative to the parent compound.
- Suitable pharmaceutically acceptable acid addition salts of the compounds of the present disclosure when possible include those derived from inorganic acids, such as, but not limited to, hydrochloric, hydrobromic, hydrofluoric, boric, fluoroboric, phosphoric, metaphosphoric, nitric, carbonic, sulfonic, and sulfuric acids, and organic acids such as acetic, benzenesulfonic, benzoic, citric, ethanesulfonic, fumaric, gluconic, glycolic, isothionic, lactic, lactobionic, maleic, malic, methanesulfonic, trifluoromethanesulfonic, succinic, toluenesulfonic, tartaric, and trifluoroacetic acids.
- Suitable organic acids generally include but are not limited to aliphatic, cycloaliphatic, aromatic, araliphatic, heterocyclic, carboxylic, and sulfonic classes of organic acids.
- suitable organic acids include but are not limited to acetate, trifluoroacetate, formate, propionate, succinate, glycolate, gluconate, digluconate, lactate, malate, tartrate, citrate, ascorbate, glucuronate, maleate, fumarate, pyruvate, aspartate, glutamate, benzoate, anthranilate, stearate, salicylate, p-hydroxybcnzoatc, phenylacetate, mandelate, embonate (pamoate), methanesulfonate, ethanesulfonate, benzenesulfonate, pantothenate, toluenesulfonate, 2-hydroxyethanesulfonate, sufanilate, cyclohexylamino- ulfonate, algenic acid, [1-hydroxybutyric acid, galactarate, galacturonate, adipate, alginate, buty
- suitable pharmaceutically acceptable salts thereof may include alkali metal salts, e.g., sodium or potassium salts; alkaline earth metal salts, e.g., calcium or magnesium salts; and salts formed with suitable organic ligands, e.g., quaternary ammonium salts.
- base salts are formed from bases which form non-toxic salts, including aluminum, arginine, benzathine, choline, diethylamine, diolamine, glycine, lysine, meglumine, olamine, tromethamine and zinc salts.
- Organic salts may be made from secondary, tertiary or quaternary amine salts, such as tromethamine, diethylamine, /V./V’-dibcnzylcthylcncdiaminc, chloroprocaine, choline, diethanol- amine, ethylenediamine, meglumine GV-mcthylglucaminc), and procaine.
- secondary, tertiary or quaternary amine salts such as tromethamine, diethylamine, /V./V’-dibcnzylcthylcncdiaminc, chloroprocaine, choline, diethanol- amine, ethylenediamine, meglumine GV-mcthylglucaminc), and procaine.
- Basic nitrogen- containing groups may be quatemized with agents such as lower alkyl (Ci-Ce) halides (e.g., methyl, ethyl, propyl, and butyl chlorides, bromides, and iodides), dialkyl sulfates (e.g., dimethyl, diethyl, dibutyl, and diamyl sulfates), long chain halides (e.g., decyl, lauryl, myristyl, and stearyl chlorides, bromides, and iodides), arylalkyl halides (e.g., benzyl and phenethyl bromides), and others.
- lower alkyl (Ci-Ce) halides e.g., methyl, ethyl, propyl, and butyl chlorides, bromides, and iodides
- dialkyl sulfates e.g., dimethyl,
- hemisalts of acids and bases may also be formed, for example, hemisulphate and hemicalcium salts.
- the compounds of the present disclosure can exist in unsolvated as well as solvated forms with pharmaceutically acceptable solvents such as water, ethanol and the like. In general, the solvated forms are considered equivalent to the unsolvated forms for the purposes of the present disclosure.
- the compounds may also exist in one or more crystalline states, i.e., polymorphs, or they may exist as amorphous solids. All such forms are encompassed by the claims.
- prodrugs of the compound of the disclosure.
- certain derivatives of the compound of the disclosure that may have little or no pharmacological activity themselves can, when administered into or onto the body, be converted into the compound of the disclosure having the desired activity, for example, by hydrolytic cleavage.
- Such derivatives are referred to as “prodrugs.”
- prodrug moieties include, but are not limited to, ester and amide forms of a compound having an active form bearing a carboxylic acid moiety.
- esters of the compounds of this invention include, but are not limited to, esters of phosphate groups and carboxylic acids, such as aliphatic esters, particularly alkyl esters (for example Ci-ealkyl esters).
- Other prodrug moieties include phosphate esters, such as — CH2 — O — P(O)(OR')2 or a salt thereof, wherein R' is H or Ci-ealkyl.
- Acceptable esters also include cycloalkyl esters and arylalkyl esters such as, but not limited to benzyl. Further information on the use of prodrugs may be found in “Pro-drugs as Novel Delivery Systems, Vol. 14, ACS Symposium Series (T. Higuchi and W.
- Prodrugs in accordance with the disclosure can, for example, be produced by replacing appropriate functionalities present in the compounds of the present disclosure with certain moieties known to those skilled in the art as “pro-moieties” as described, for example, in “Design of Prodrugs” by H. Bundgaard (Elsevier, 1985).
- This disclosure also encompasses compounds of the disclosure containing protective groups.
- compounds of the disclosure can also be prepared with certain protecting groups that are useful for purification or storage and can be removed before administration to a patient.
- the protection and deprotection of functional groups is described in “Protective Groups in Organic Chemistry”, edited by J. W. F. McOmie, Plenum Press (1973) and “Protective Groups in Organic Synthesis”, 3rd edition, T. W. Greene and P. G. M. Wuts, Wiley-Interscience (1999).
- the present disclosure also includes isotopically-labeled compounds, which are identical to those recited in Formula (I), Formula (I-A), Formula (I-B), or Formula (I-C), but for the fact that one or more atoms are replaced by an atom having the same atomic number, but an atomic mass or mass number different from the atomic mass or mass number which predominates in nature, e.g., are isotopically-labelled.
- isotopes suitable for inclusion in the compounds of the present disclosure include, but are not limited to, isotopes of hydrogen, such as 2 H, 3 H; carbon, such as n C, 13 C, and 14 C; chlorine, such as 36 C1; fluorine, such as 18 F; iodine, such as 123 I and 125 I; nitrogen, such as 13 N and 15 N; oxygen, such as 15 O, 17 O, and 18 O; phosphorus, such as 32 P; and sulfur, such as 35 S.
- isotopically-labeled compounds of the present disclosure for example, those incorporating a radioactive isotope, are useful in drug and/or substrate tissue distribution studies (e.g., assays).
- the radioactive isotopes tritium, i.e., 3 H, and carbon-14, i.e., 14 C, are particularly useful for this purpose in view of their ease of incorporation and ready means of detection.
- Substitution with heavier isotopes such as deuterium, i.e., 2 H, may afford certain therapeutic advantages resulting from greater metabolic stability, for example, increased in vivo half-life or reduced dosage requirements and, hence, may be preferred in some circumstances.
- Substitution with positron emitting isotopes, such as n C, 15 F, 18 F, 15 O and 13 N, can be useful in positron emission tomography (PET) studies for examining substrate receptor occupancy.
- PET positron emission tomography
- Isotopically-labeled compounds of the present disclosure can generally be prepared by conventional techniques known to those skilled in the art or by processes analogous to those described in the accompanying Schemes and/or in the Examples and Preparations using an appropriate isotopically-labeled reagent in place of the non-labeled reagent previously employed.
- Pharmaceutically acceptable solvates in accordance with the disclosure include those wherein the solvent of crystallization may be isotopically substituted, e.g., D2O, acetone- ⁇ 4, or DMS0- ⁇ 4.
- Compounds of the disclosure which includes compounds exemplified in Examples 1-97 described below, include isotopically-labeled versions of these compounds, such as, but not limited to, the deuterated and tritiated isotopes and all other isotopes discussed above.
- the present disclosure is directed to novel, selective, radiolabelled PDE4 ligands which are useful for imaging and quantifying the PDE4B receptor in tissues, using positron-emission tomography (PET).
- PET positron-emission tomography
- X is carbon or nitrogen
- Y is carbon or nitrogen and Z is carbon or nitrogen, provided that: one of Y and Z is nitrogen; when Y is nitrogen, Z is carbon, the bond between Y and C2 is a single bond, and the bond between Z and C2 is a double bond; and when Z is nitrogen, Y is carbon, the bond between Y and C2 is a double bond, and the bond between Z and C2 is a single bond;
- Ri is hydrogen, halogen, or (Ci-C3)alkyl
- R2 is hydrogen, halogen, (Ci-C3)alkoxy, or -CN;
- R3 is hydrogen, halogen, or (Ci-C3)alkoxy, provided that when X is nitrogen, R3 is absent;
- R hydrogen, (Ci-C6)alkanol, (C3-C6)cycloalkanol, (C2-Ce)alkyl-O-Re, (C3- C6)cycloalkyl, or (Ci-C6)alkyl;
- R5 is hydrogen, (Ci-C6)alkanol, (C3-C6)cycloalkanol, (Ci-C6)alkyl-O-R6, (C3- C6)cycloalkyl, or (Ci-C6)alkyl, wherein at least one of R4 and R5 is a branched or linear (Ci-C6)alkanol, (C3-C6)cycloalkanol, or (Ci-C6)alkyl-O-R6, and
- Re is selected from the group consisting of: (Ci-C25)alkyl, C(O)-(Ci-C2s)alkyl, (C2- Cio)alkenyl, (C2-Cio)alkynyl, (C3-Cs)cycloalkyl, 5-10 membered heterocyclic groups, (Ce-
- Cio)aryl, (Ci-C3)alkyl-O-(Ci-C25)alkyl, 5-10 membered heteroaryl groups, , R? and Rs are each independently selected from the group consisting of: (Ci-C2s)alkyl, (C2-Cio)alkenyl, (C2-Cio)alkynyl, (C3-C8)cycloalkyl, 5-10 membered heterocyclic groups, (Ce-Cio)aryl, (Ci-C25)alkoxy, (Ci-C3)alkyl, and 5-10 membered heteroaryl groups; or R?
- the compound of Formula (I) is a compound of Formula (I- A): or a pharmaceutically acceptable salt thereof, wherein:
- X is carbon or nitrogen
- Ri is hydrogen, halogen, or (Ci-C3)alkyl
- R2 is hydrogen, halogen, (Ci-C3)alkoxy, or -CN;
- R3 is hydrogen, halogen, or (Ci-C3)alkoxy, provided that when X is nitrogen, R3 is absent;
- RZs hydrogen, (Ci-C6)alkanol, (C3-C6)cycloalkanol, (C2-Ce)alkyl-O-Re, (C3- C6)cycloalkyl, or (Ci-C6)alkyl;
- R5 is hydrogen, (Ci-C6)alkanol, (C3-C6)cycloalkanol, (Ci-C6)alkyl-O-R6, (C3- C6)cycloalkyl, or (Ci-C6)alkyl, wherein at least one of R4 and R5 is a branched or linear (Ci-C6)alkanol, (C3-C6)cycloalkanol, or (Ci-C6)alkyl-O-R6, and
- Re is selected from the group consisting of: (Ci-C25)alkyl, C(O)-(Ci-C25)alkyl, (C2- Cio)alkenyl, (C2-Cio)alkynyl, (C3-Cs)cycloalkyl, 5-10 membered heterocyclic groups, (Ce- - P— OH
- R7 and Rs are each independently selected from the group consisting of: (Ci-C25)alkyl, (C2-Cio)alkenyl, (C2-Cio)alkynyl, (C3-C8)cycloalkyl, 5-10 membered heterocyclic groups, (Ce-Cio)aryl, (Ci-C25)alkoxy, (Ci-C3)alkyl, and 5-10 membered heteroaryl groups; or R7 or Rs is counter cation such as NH4 + , Na + , or K + ; wherein (Ci-C25)alkyl, (C2-Cio)alkenyl, (C2-Cio)alkynyl, (C3-Cs)cycloalkyl, 5-10 membered heterocyclic groups, (Ce-Cio)aryl, (Ci-C25)alkoxy, (Ci-C3)alkyl, and 5-10 membered heteroaryl groups can each independently be optionally substituted
- the compound of Formula (I) is a compound of Formula (I- B): or a pharmaceutically acceptable salt thereof, wherein:
- X is carbon or nitrogen
- Ri is hydrogen, halogen, or (Ci-C3)alkyl
- R2 is hydrogen, halogen, (Ci-C3)alkoxy, or -CN;
- R3 is hydrogen, halogen, or (Ci-C3)alkoxy, provided that when X is nitrogen, R3 is absent;
- R 4 is hydrogen, (Ci-C6)alkanol, (C3-C6)cycloalkanol, (C2-Ce)alkyl-O-R6, (C3- C6)cycloalkyl, or (Ci-C6)alkyl;
- R5 is hydrogen, (Ci-C6)alkanol, (C3-C6)cycloalkanol, (Ci-C6)alkyl-O-R6, (C3- C6)cycloalkyl, or (Ci-C6)alkyl, wherein at least one of R 4 and R5 is a branched or linear (Ci-C6)alkanol, (C3-C6)cycloalkanol, or (Ci-C6)alkyl-O-R6, and
- Re is selected from the group consisting of: (Ci-C25)alkyl, C(O)-(Ci-C25)alkyl, (C2- Cio)alkenyl, (C2-Cio)alkynyl, (C3-Cs)cycloalkyl, 5-10 membered heterocyclic groups, (Ce-
- Cio aryl, (Ci-C3)alkyl-O-(Ci-C25)alkyl, 5-10 membered heteroaryl groups, ,
- R7 and Rs are each independently selected from the group consisting of: (Ci-C25)alkyl, (C2-Cio)alkenyl, (C2-Cio)alkynyl, (C3-Cs)cycloalkyl, 5-10 membered heterocyclic groups, (Ce-Cio)aryl, (Ci-C25)alkoxy, (Ci-C3)alkyl, and 5-10 membered heteroaryl groups; or R7 or Rs is counter cation such as NH 4 + , Na + , or K + ; wherein (Ci-C25)alkyl, (C2-Cio)alkenyl, (C2-Cio)alkynyl, (C3-Cs)cycloalkyl, 5-10 membered heterocyclic groups, (Ce-Cio)aryl, (Ci-C25)alkoxy, (Ci-C3)alkyl, and 5-10 membered heteroaryl groups can each independently be optionally substitute
- the compound of Formula (I) is a compound of Formula (I- C): or a pharmaceutically acceptable salt thereof, wherein:
- X is carbon or nitrogen
- Ri is hydrogen, halogen, or (Ci-C3)alkyl
- R2 is hydrogen, halogen, (Ci-C3)alkoxy, or -CN;
- R3 is hydrogen, halogen, or (Ci-C3)alkoxy, provided that when X is nitrogen, R3 is absent;
- R4 is hydrogen, (Ci-C6)alkanol, (C3-C6)cycloalkanol, (Ci-C6)alkyl-O-R6, (C3-
- R5 is hydrogen, (Ci-C6)alkanol, (C3-C6)cycloalkanol, (Ci-C6)alkyl-O-R6, (C3-
- Re is selected from the group consisting of: C(O)-(Ci-C25)alkyl, C(O)-(C2-C25)alkenyl,
- R7 and Rs are each independently selected from the group consisting of: (Ci-C25)alkyl, (C2-Cio)alkenyl, (C2-Cio)alkynyl, (C3-Cs)cycloalkyl, 5-10 membered heterocyclic groups, (Ce-Cio)aryl, (Ci-C25)alkoxy, (Ci-C3)alkyl, and 5-10 membered heteroaryl groups; or R 7 or Rs is counter cation such as NH4 + , Na + , or K + ; wherein (Ci-C3)alkyl, (Ci-C6)alkyl, (Ci-C25)alkyl, (Ci-C3)alkoxy, (Ci-C6)alkanol, (C3- C6)cycloalkanol, (C2-C25)alkenyl, and (C2-C25)alkynyl can each independently be optionally substituted by one, two or more halogens,
- X is carbon; Ri is hydrogen; R2 is hydrogen, -Cl, -F, -OCH3, or -CN; R3 is -Cl or -F; R4 is cyclopropyl, -CH2CH2OH, ; R5 is hydrogen, -CH2OH, or -
- X is carbon.
- X is nitrogen. It is to be understood that any of the above-mentioned subgenuses of X can be combined together with any of the embodiments for Ri, R2, R3, R4, and R5 as described above and hereinafter.
- Ri is hydrogen or halogen. In some embodiments of Formula (I), Formula (I-A), Formula (I-B), or Formula (I-C), Ri is hydrogen, -Cl, or -F. In some embodiments of Formula (I), Formula (I-A), Formula (I-B), or Formula (I-C), Ri is hydrogen or -F. In some embodiments, Ri is hydrogen. In some embodiments of Formula (I), Formula (I-A), Formula (I-B), or Formula (I-C), Ri is -F. It is to be understood that any of the above-mentioned subgenuses of Ri can be combined together with any of the embodiments for X, R2, R3, R4, and R5 as described above and hereinafter.
- R2 is hydrogen. In some embodiments of Formula (I), Formula (I-A), Formula (I-B), or Formula (I-C), R2 is halogen. In some embodiments of Formula (I), Formula (I-A), Formula (I-B), or Formula (I-C), R2 is -Cl or -F. In some embodiments of Formula (I), Formula (I-A), Formula (I-B), or Formula (I-C), R2 is -Cl. In some embodiments of Formula (I), Formula (I- A), Formula (I-B), or Formula (I-C), R2 is -F.
- R2 is (Ci-C3)alkoxy. In some embodiments of Formula (I), Formula (I-A), Formula (I-B), or Formula (I-C), R2 is -OCH3. In some embodiments of Formula (I), Formula (I-A), Formula (I-B), or Formula (I-C), R2 is -CN. In some embodiments of Formula (I), Formula (I-A), Formula (I-B), or Formula (I-C), R2 is -Cl, -F, -OCH3, or -CN. It is to be understood that any of the above-mentioned subgenuses of R2 can be combined together with any of the embodiments for X, Ri, R3, R4, and R5 as described above and hereinafter.
- R3 is hydrogen or halogen. In some embodiments of Formula (I), Formula (I-A), Formula (I-B), or Formula (I-C), R3 is hydrogen, -Cl, or -F. In some embodiments of Formula (I), Formula (I-A), Formula (I-B), or Formula (I-C), R3 is hydrogen or -F. In some embodiments of Formula (I), Formula (I-A), Formula (I-B), or Formula (I-C), R3 is hydrogen. In some embodiments of Formula (I), Formula (I-A), Formula (I-B), or Formula (I-C), R3 is halogen.
- R3 is -Cl or -F. In some embodiments of Formula (I), Formula (I-A), Formula (I-B), or Formula (I-C), R3 is -F. It is to be understood that any of the above-mentioned subgenuses of R3 can be combined together with any of the embodiments for X, Ri, R3, R 4 , and R5 as described above and hereinafter.
- At least one of R2 and R3 is halogen. In certain embodiments of Formula (I), Formula (I- A), Formula (I-B), or Formula (I-C), at least one of R2 and R3 is -Cl or -F. In certain embodiments of Formula (I), Formula (I-A), Formula (I-B), or Formula (I-C), at least one of R2 and R3 is -F.
- R 4 is (Ci-C6)alkanol or (C3-C6)cycloalkyl. In some embodiments of Formula (I), Formula (I-A), Formula (I-B), or Formula (I-C), R 4 is (Ci-C3)alkanol or (C3-C6)cycloalkyl. In some embodiments of Formula (I), Formula (I-A), Formula (I-B), or Formula (I-C), R 4 is (Ci- C3)alkanol or cyclopropyl. In some embodiments of Formula (I), Formula (I-A), Formula (I-
- R 4 is cyclopropyl, some embodiments of Formula (I), Formula (I-A), Formula (I-B), or Formula (I-C), R 4 is cyclopropyl. In some embodiments of Formula (I), Formula (I-A), Formula (I-B), or Formula
- R 4 is -CH2CH2OH
- R 4 is -CH2CH2OH. In some embodiments of Formula (I), Formula (I-A), Formula (I-B), or Formula (I-C), R4 is In some embodiments of Formula (I), Formula (I-A), Formula (I-B), or Formula (I-C), R 4 is or . In some embodiments of Formula (I), Formula (I-A), Formula (I-B), or Formula
- R 4 is .
- R 4 is 5- . It is to be understood that any of the above-mentioned subgenuses of R 4 can be combined together with any of the embodiments for X, Ri, R2, R3, and R5 as described above and hereinafter.
- R5 is hydrogen, (Ci-C6)alkanol. or (Ci-C6)alkyl.
- R5 is hydrogen, (Ci-C3)alkanol, or (Ci- C3)alkyl.
- Rs is hydrogen, -CH2OH, or -CH3.
- R5 is hydrogen.
- R5 is -CH2OH. In some embodiments of Formula (I), Formula (I-A), Formula (I-B), or Formula (I-C), R5 is -CH3. It is to be understood that any of the above-mentioned subgenuses of R5 can be combined together with any of the embodiments for X, Ri, R2, R3, and R4 as described above and hereinafter.
- At least one of R4 and R5 is an alkanol.
- Formula (I) Formula (I-A)
- Formula (I-B), or Formula (I-C) at least one of R4 and R5 is (Ci-C6)alkanol.
- R4 and R5 is (Ci-C6)alkanol.
- R4 and R5 is (Ci-C3)alkanol.
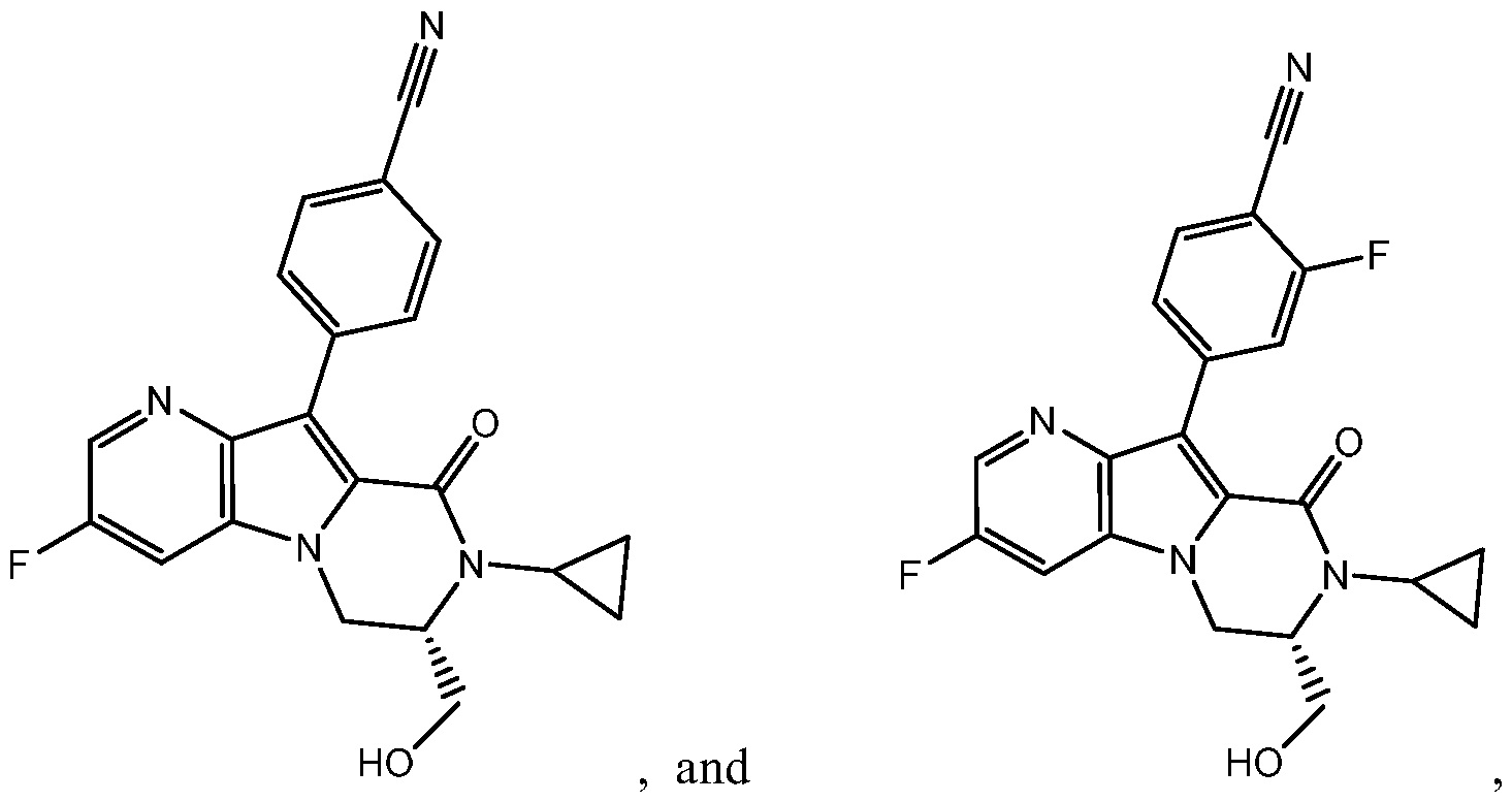
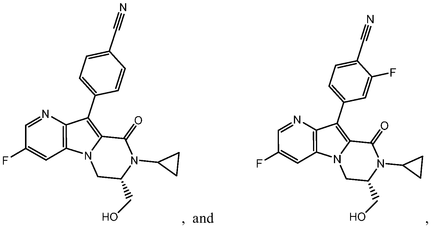
- the compound of Formula (I) Formula (I-A), Formula (I-B), or Formula (I-C) is selected from the group consisting of Examples 1-22 and pharmaceutically acceptable salts and co-crystals thereof.
- the present disclosure provides a pharmaceutical composition
- a pharmaceutical composition comprising a compound of the present disclosure, or a pharmaceutically acceptable salt thereof, in a mixture with at least one pharmaceutically acceptable excipient.
- administration of the compounds of the present disclosure to a patient in need thereof may also lead to a decrease in gastrointestinal discomfort such as emesis, diarrhea, and nausea, which is currently believed to be associated with administration of compounds having activities for other PDE4 isoforms, especially the PDE4D isoform, resulting in an increase in patient compliance as well as overall treatment outcome.
- the present disclosure provides a method of treating various metabolic, autoimmune and inflammatory diseases or disorders, comprising administering to a subject in need of such treatment a therapeutically effect amount of a compound of the present disclosure, or a pharmaceutically acceptable salt thereof, or a pharmaceutical composition thereof.
- the present disclosure provides the use of a compound of the present disclosure, or a pharmaceutically acceptable salt thereof, or a pharmaceutical composition thereof, in the manufacture of a medicament for treating various metabolic, autoimmune and inflammatory diseases or disorders.
- the present disclosure provides a compound of the disclosure, or a pharmaceutically acceptable salt thereof, or a pharmaceutical composition thereof, for use in treating various metabolic, autoimmune and inflammatory diseases or disorders.
- the condition to be treated is selected from the group consisting of: inflammatory skin diseases, dermatitis, inflammatory bowel disease, chronic pulmonary inflammatory diseases, idiopathic pulmonary fibrosis, asthma, hepatitis, adult respiratory distress syndrome, bone-resorption diseases, chronic obstructive pulmonary diseases, cystic fibrosis, septic shock, sepsis, endotoxic shock, hemodynamic shock, post ischemic reperfusion injury, meningitis, fibrotic disease, cachexia, graft rejection including graft versus host disease, autoimmune disease, rheumatoid spondylitis, arthritic conditions, osteoporosis, systemic lupus erythrematosus, erythema nodosum leprosum (ENL) in leprosy, radiation damage, hyperoxic alveolar injury, diabetes mellitus, and cardiovascular conditions.
- the condition to be treated is selected from the group consisting of: inflammatory skin diseases, dermatitis,
- PDEs phosphodiesterases of the PDE4 family are characterized by selective, high-affinity hydrolytic degradation of the second messenger cyclic nucleotide, adenosine 3',5'-cyclic monophosphate (cAMP).
- cAMP adenosine 3',5'-cyclic monophosphate
- the compounds of the present disclosure may be useful for treatment of oral ulcers associated with Behget’s disease (Id.).
- the compounds of the present disclosure may also be useful for the treatment of psoriasis or psoriatic arthritis (See: Schafer, P., Apremilast mechanism of action and application to psoriasis and psoriatic arthritis, Biochem. Pharmacol. 2012, 55,1583-1590).
- azaindole compounds of the present disclosure may also be useful for treatment of ankylosing spondylitis [see: Patan, E.
- Compounds of the present disclosure may also be useful for the treatment of idiopathic pulmonary fibrosis (IPF) (Richeldi, L. et al., Trial of a Preferential Phosphodiesterase 4B Inhibitor for Idiopathic Pulmonary Fibrosis N. Engl. J. Med. 2022, 386, 2178-2187).
- IPF idiopathic pulmonary fibrosis
- Other conditions treatable by administration of the compounds of the present disclosure include, but are not limited to, acute and chronic airway diseases such as, but not limited to, asthma, chronic or acute bronchoconstriction, chronic bronchitis, bronchiectasis, small airways obstruction, emphysema, obstructive or inflammatory airways diseases, acute respiratory distress syndrome (ARDS), COPD, pneumoconiosis, seasonal allergic rhinitis or perennial allergic rhinitis or sinusitis, and acute lung injury (ALI)
- acute and chronic airway diseases such as, but not limited to, asthma, chronic or acute bronchoconstriction, chronic bronchitis, bronchiectasis, small airways obstruction, emphysema, obstructive or inflammatory airways diseases, acute respiratory distress syndrome (ARDS), COPD, pneumoconiosis, seasonal allergic rhinitis or perennial allergic rhinitis or sinusitis, and acute lung injury (ALI)
- the compounds, salts and compositions of the present disclosure may be useful for treating erectile dysfunction, rheumatoid arthritis, osteoarthritis, osteoporosis, gout, and fever, edema and pain associated with inflammation, eosinophil-related disorders, skin and connective tissue disorders such as dermatitis or eczema, urticaria, conjunctivitis, uveitis, psoriasis, inflammatory bowel disease, ulcerative colitis, sepsis, septic shock, liver injury, pulmonary hypertension, pulmonary edema, bone loss disease, foot ulcers and infection.
- the compounds of the present disclosure may be useful for treating cancer.
- the compounds of the present disclosure may be useful for treating leukemia, e.g., chronic lymphocytic leukemia, (See: Kim, D. H. et al., Type 4 Cyclic Adenosine Monophosphate Phosphodiesterase as a Therapeutic Target in Chronic Lymphocytic Leulemia, Blood Journal of The American Society of Hematology 1998, 92, 2484-2494).
- the compounds of the present disclosure may be useful for treating diabetes or diseases associated with diabetes (See: Vollert, S. et al., The glucose- lowering effects of the PDE4 inhibitors roflumilast and roflumilast-N-Oxide in db/db mice, Diabetologia 2012, 55, 2779-2788. Wouters, E. F. M. et al., Effect of the Phosphodiesterase 4 Inhibitor Roflumilast on Glucose Metabolism in Patients with Treatment-Naive, Newly Diagnosed Type 2 Diabetes Mellitus, Journal of Clinical Endocrinology and Metabolism 2012, 97, 1720-1725).
- diabetes macular degeneration diabetic macular degeneration, diabetic neuropathy, obesity, Type I diabetes, Type II diabetes mellitus, idiopathic Type I diabetes (Type lb), latent autoimmune diabetes in adults (LADA), early-onset Type II diabetes (EOD), youth-onset atypical diabetes (YOAD), maturity onset diabetes of the young (MODY), malnutrition-related diabetes, gestational diabetes, metabolic syndrome, syndrome X, impaired glucose metabolism, glucose intolerance, conditions of impaired glucose tolerance (IGT), conditions of impaired fasting plasma glucose, hyperglycemia, hyperinsulinemia, insulin resistance, metabolic acidosis, ketosis, urinary incontinence (e.g., bladder overactivity), diabetic macular edema, nephropathy and related health risks (e.g., diabetic nephropathy), symptoms or disorders.
- ITT impaired glucose tolerance
- ITT impaired fasting plasma glucose
- hyperglycemia hyperinsulinemia
- insulin resistance metabolic acidosis
- ketosis ketosis
- the compounds can also be used to reduce body fat or body weight of an overweight or obese individual.
- the compounds of the present disclosure may be useful in the prevention and treatment of disorders associated with enhanced endothelial activity, impaired endothelial barrier function and/or enhanced neoangiogenesis, such as septic shock; angioedema, peripheral edema, communicating or non-communicating hydrocepahuls, vascular edema, cerebral edema; reduced natriuria pathology; inflammatory diseases, including asthma, rhinitis, arthritis and rheumatoid diseases and autoimmune diseases; acute and/or chronic renal or liver failure, glomerulosclerosis, liver dysfunction; non-alcoholic steatohepatitis (NASH), non-alcoholic fatty liver disease (NAFLD), psoriasis, Irritable Bowel Disease (IBD), Crohn’s disease, and benign/malignant neoplasia.
- NASH non-alcoholic steatohepatit
- the compounds of the present disclosure may be useful for treating diseases of the spinal cord and/or peripheral nervous system, including spinal cord injury, spinal cord edema, spinal cord tumors, vascular malformations or anomalies of the spinal cord, syringomyelia, hydromyelia.
- the compounds described herein are further useful in the prevention and treatment of disorders associated with cardiovascular disease, thrombosis, embolism, or ischemic disorders including, but not limited to thrombosis induced tissue infarction in coronary artery disease, in cerebrovascular disease (including cerebral arteriosclerosis, cerebral amyloid angiopathy, hereditary cerebral hemorrhage, and brain hypoxia-ischemia) and/or in peripheral vascular disease; left ventricular hypertrophy, peripheral arterial disease, hyper apo B lipoproteinemia, hyperlipidemia, hypertriglyceridemia, dyslipidemia, post-prandial lipemia, stable and unstable angina, angina pectoris, transient ischemic attacks, intermittent claudication, atherosclerosis, congestive heart failure, hypertension, myocardial infarct (e.g., necrosis and apoptosis), cerebral infarct, reperfusion injury (brain/cardiac), placenta insufficiency thro
- the compounds described herein are further useful for treating pain conditions and disorders.
- pain conditions and disorders include, but are not limited to, inflammatory pain, hyperalgesia, inflammatory hyperalgesia, cancer pain, osteoarthritis pain, post-surgical pain, non-inflammatory pain.
- the compounds described herein are further useful for treating transplant rejection, allograft rejection, renal and liver failure, and restless leg syndrome.
- the disease may be, but not limited to, one of the following classes: auto-immune diseases, inflammatory diseases, allergic diseases, metabolic diseases, infection-based diseases, trauma or tissue-injury based diseases, fibrotic diseases, genetic diseases, diseases driven by over-activity of IL1 pathways, cardiovascular diseases, vascular diseases, heart diseases, neurological diseases, neurodegenerative diseases, respiratory diseases, pulmonary diseases, airways diseases, renal diseases, skin and/ or dermatological diseases, liver diseases, gastrointestinal diseases, oral diseases, pain and sensory diseases, hematopoietic diseases, joint diseases, muscle diseases, bone diseases, and ophthalmic and/or ocular diseases.
- auto-immune diseases inflammatory diseases, allergic diseases, metabolic diseases, infection-based diseases, trauma or tissue-injury based diseases, fibrotic diseases, genetic diseases, diseases driven by over-activity of IL1 pathways, cardiovascular diseases, vascular diseases, heart diseases, neurological diseases, neurodegenerative diseases, respiratory diseases, pulmonary diseases, airways diseases, renal diseases, skin and/ or dermatological diseases, liver diseases, gastrointestinal
- autoimmune diseases include, but are not limited to: rheumatoid arthritis, osteoarthritis, psoriasis, allergic dermatitis, systemic lupus erythematosus (and resulting complications), Sjogren's syndrome, asthma, glomerular nephritis, irritable bowel syndrome, inflammatory bowel disease, Crohn's disease, ankylosing spondylitis, Behget's disease, lupus nephritis, scleroderma, systemic scleroderma, type 1 or juvenile on-set diabetes, alopecia universalis, acute disseminated encephalomyelitis, Addison's disease, antiphospholipid antibody syndrome, atrophic gastritis of pernicious anemia, autoimmune alopecia, autoimmune hemolytic anemia, autoimmune hepatitis, autoimmune encephalomyelitis, autoimmune thrombocytopenia, Bullous pemphigoid
- Specific inflammatory diseases include, but are not limited to: chronic obstructive pulmonary diseases, airway hyper-responsiveness, idiopathic pulmonary fibrosis, cystic fibrosis, acute respiratory distress syndrome, sinusitis, rhinitis, gingivitis, atherosclerosis, chronic prostatitis, glomerular nephritis, ulcerative colitis, uveitis, periodontal disease, or an indication listed in a separate category herein.
- Specific pain conditions include, but are not limited to: inflammatory pain, surgical pain, visceral pain, dental pain, premenstrual pain, central pain, pain due to bums, interstitial cystitis, cancer pain, viral, parasitic or bacterial infection, post-traumatic injury, pain associated with irritable bowel syndrome, gout, pain associated with any of the other indications listed within this specification, or an indication listed in a separate category herein.
- Specific respiratory, airway and pulmonary conditions include, but are not limited to: asthma (which may encompass chronic, late, bronchial, allergic, intrinsic, extrinsic or dust), chronic obstructive pulmonary disease, idiopathic pulmonary fibrosis, pulmonary arterial hypertension, cystic fibrosis, interstitial lung disease, acute lung injury, sarcoidosis, allergic rhinitis, chronic cough, bronchitis, recurrent airway obstruction, emphysema, or bronchospasm, or an indication listed in a separate disease category herein.
- asthma which may encompass chronic, late, bronchial, allergic, intrinsic, extrinsic or dust
- chronic obstructive pulmonary disease idiopathic pulmonary fibrosis
- pulmonary arterial hypertension cystic fibrosis
- cystic fibrosis interstitial lung disease
- acute lung injury sarcoidosis
- allergic rhinitis allergic rhinitis
- chronic cough bronchi
- GI disorders include, but are not limited to: Irritable Bowel Syndrome (IBS), Inflammatory Bowel Disease (IBD), biliary colic and other biliary disorders, renal colic, diarrhea-dominant IBS, pain associated with GI distension, ulcerative colitis, Crohn's Disease, irritable bowel syndrome, Celiac disease, proctitis, eosinophilic gastroenteritis, mastocytosis, or an indication listed in a separate disease category herein.
- IBS Irritable Bowel Syndrome
- IBD Inflammatory Bowel Disease
- biliary colic and other biliary disorders renal colic
- diarrhea-dominant IBS pain associated with GI distension
- ulcerative colitis Crohn's Disease
- irritable bowel syndrome Celiac disease
- proctitis proctitis
- eosinophilic gastroenteritis eosinophilic gastroenteritis
- mastocytosis or an indication listed in a separate
- Specific allergic diseases include, but are not limited to: anaphylaxis, allergic rhinitis, allergic dermatitis, allergic urticaria, angioedema, allergic asthma, allergic reactions to: food, drugs, insect bites, pollen; or an indication listed in a separate disease category herein.
- Specific infection-based diseases include, but are not limited to: sepsis, septic shock, viral diseases, malaria, Lyme disease, ocular infections, conjunctivitis, Whipple Disease, or an indication listed in a separate disease category herein.
- Specific trauma and tissue injury-based conditions include, but are not limited to: Renal glomerular damage, reperfusion injury (for example to heart, kidney, lung), , tissue scarring, tissue adhesion, tissue repair, transplant rejection (for examples to heart, lung, bone marrow, cartilage, cornea, kidney, limb, liver, muscle, myoblast, pancreas, pancreatic islet, skin, nerve, small intestine, trachea), hypersensitivities, or an indication listed in a separate disease category herein.
- Specific fibrotic diseases include, but are not limited to: Idiopathic pulmonary fibrosis, liver fibrosis, renal fibrosis, or an indication listed in a separate disease category herein.
- Specific diseases considered to be driven by over-activity of IL1 pathways include, but are not limited to: Cryopyrin-associated periodic syndromes, myositis, and indications included in the following review article: C. A. Dinarello, A. Simon and J. W. M. van der Meer, Treating inflammation by blocking interleukin-1 in a broad, spectrum of diseases, Nat. Rev. Drug. Discov. 2012, 11, 633-652, http://dx.doi.org/10.1038/nrd3800 and supplementary information contained therein, or an indication listed in a separate disease category herein.
- Specific ophthalmic/ ocular diseases include, but are not limited to: uveitis, age-related macular degeneration, diabetic macular edema, keratoconjuctivitis, uveitis associated with Bchqcf s disease, vernal conjunctivitis, ketatitis, lens-induced uveitis, herpetic keratitis, conical keratitis, comeal epithelial dystrophy, ocular pemphigus, Mooren’s ulcer, Scleritis, Graves' ophthalmopathy, Vogt-Koyanagi-Harada syndrome, keratoconjunctivitis sicca, phlyctenule, iridocyclitis, sympathetic ophthalmia, allergic conjunctivitis, ocular neovascularization, dry eye syndrome, or an indication listed in a separate disease category herein.
- Specific joint, muscle and bone disorders include, but are not limited to: osteoarthritis, osteoporosis, rheumatoid arthritis, juvenile arthritis, psoriatic arthritis, erosive osteoarthritis of the hand, arthrofibrosis/traumatic knee injury, anterior cruciate knee ligament tear, relapsing polychondritis, recurrent multifocal osteomyelitis, Majeed Syndrome, ankylosing spondylitis, gout of the lumbar spine, antisynthetase syndrome, idiopathic inflammatory myopathies, articular chondrocalcinosis, systemic-onset Juvenile Idiopathic Arthritis (SJIA), gout and pyrophosphate crystal arthritis, or an indication listed in a separate disease category herein.
- SJIA Juvenile Idiopathic Arthritis
- Specific skin/ dermatological diseases include, but are not limited to: psoriasis, atopic dermatitis, cutaneous lupus, acne, dermatomyositis, eczema, pruritus, scleroderma, Sweet Syndrome/neutrophilic dermatosis, neutrophilic panniculitis, acrodermatitis (form of pustular psoriasis), or an indication listed in a separate disease category herein.
- Specific oral diseases include, but are not limited to: gingivitis, periodontal disease or an indication listed in a separate disease category herein.
- Specific metabolic diseases include, but are not limited to: Type 2 diabetes (and resulting complications), gout and hyperuricemia, metabolic syndrome, insulin resistance, obesity, or an indication listed in a separate disease category herein.
- Compounds of the current disclosure are also useful in the treatment of a proliferative disease selected from a benign or malignant tumor, solid tumor, kidney, liver, adrenal gland, bladder, breast, stomach, gastric tumors, ovaries, colon, rectum, prostate, pancreas, lung, vagina, cervix, testis, genitourinary tract, esophagus, larynx, skin, bone or thyroid, sarcoma, glioblastomas, neuroblastomas, multiple myeloma, gastrointestinal cancer, especially colon carcinoma or colorectal adenoma, a tumor of the neck and head, an epidermal hyperproliferation, psoriasis, prostate hyperplasia, a neoplasia, a neoplasia of epithelial character, adenoma, adenocarcinoma, kerato acanthoma, epidermoid carcinoma, large cell carcinoma, non-small cell lung
- Cardiovascular conditions include, but are not limited to coronary heart disease, acute coronary syndrome, ischemic heart disease, first or recurrent myocardial infarction, secondary myocardial infarction, non-ST segment elevation myocardial infarction, or ST segment elevation myocardial infarction, ischemic sudden death, transient ischemic attack, peripheral occlusive arterial disease, angina, atherosclerosis, hypertension, heart failure (such as congestive heart failure), diastolic dysfunction (such as left ventricular diastolic dysfunction, diastolic heart failure, and impaired diastolic filling), systolic dysfunction (such as systolic heart failure with reduced ejection fraction), vasculitis, ANCA vasculitis, post-myocardial infarction cardiac remodeling atrial fibrillation, arrhythmia (ventricular), ischemia, hypertrophic cardiomyopathy, sudden cardiac death, myocardial and vascular fibrosis, impaired arterial compliance, myocardial necrosis
- venous thrombosis deep vein thrombosis, thrombophlebitis, arterial embolism, coronary arterial thrombosis, cerebral arterial thrombosis, cerebral embolism, kidney embolism, pulmonary embolism, and thrombosis resulting from (a) prosthetic valves or other implants, (b) indwelling catheters, (c) stents, (d) cardiopulmonary bypass, (e) hemodialysis, or (f) other procedures in which blood is exposed to an artificial surface that promotes thrombosis.
- thrombosis includes occlusion (e.g., after a bypass) and reocclusion (e.g., during or after percutaneous transluminal coronary angioplasty).
- the compounds of the present disclosure may be used to treat diabetes and diabetic complications such as macrovascular disease, hyperglycemia, metabolic syndrome, impaired glucose tolerance, hyperuricemia, glucosuria, cataracts, diabetic neuropathy, diabetic nephropathy, diabetic retinopathy, obesity, dyslipidemia, hypertension, hyperinsulinemia, and insulin resistance syndrome, or an indication listed in a separate disease category herein.
- a compound, salt or composition of this disclosure is administered in an amount effective to treat a condition as described herein.
- the compounds, salts and compositions of the disclosure may be administered by any suitable route in the form of a pharmaceutical composition adapted to such a route, and in a dose effective for the treatment intended.
- Therapeutically effective doses of the compounds required to treat the progress of the medical condition are readily ascertained by one of ordinary skill in the art using preclinical and clinical approaches familiar to the medicinal arts.
- compositions in accordance with the present disclosure may be formulated in conventional manner using one or more pharmaceutically acceptable carriers comprising excipients and auxiliaries, which facilitate processing of the active compound into preparations, which can be used pharmaceutically. Proper formulation is dependent upon the route of administration chosen.
- Pharmaceutically acceptable excipients and carriers are generally known to those skilled in the art and are thus included in the instant invention. Such excipients and carriers are described, for example, in “Remington’s Pharmaceutical Sciences” Mack Pub. Co., New Jersey (1991).
- the formulations of the invention can be designed to be short-acting, fast-releasing, long-acting, and sustained-releasing.
- the pharmaceutical formulations can also be formulated for controlled release or for slow release.
- the pharmaceutical composition comprises a compound of the disclosure or a combination in an amount generally in the range of from about 1% to about 75%, 80%, 85%, 90% or even 95% (by weight) of the composition, usually in the range of about 1%, 2% or 3% to about 50%, 60% or 70%, more frequently in the range of about 1%, 2% or 3% to less than 50% such as about 25%, 30% or 35%.
- the compounds of the disclosure may be administered orally. Oral administration may involve swallowing, so that the compound enters the gastrointestinal tract, or buccal or sublingual administration may be employed by which the compound enters the blood stream directly from the mouth. [0111] In another embodiment, the compounds of the disclosure may also be administered directly into the blood stream, into muscle, or into an internal organ. Suitable means for parenteral administration include intravenous, intraarterial, intraperitoneal, intrathecal, intraventricular, intraurethral, intrastemal, intramuscular and subcutaneous. Suitable devices for parenteral administration include needle (including microneedle) injectors, needle-free injectors and infusion techniques.
- the compounds of the disclosure may also be formulated such that administration topically to the skin or mucosa (i.e., dermally or transdermally) leads to systemic absorption of the compound.
- the compounds of the disclosure can also be formulated such that administration intranasally or by inhalation leads to systemic absorption of the compound.
- the compounds of the disclosure may be formulated such that administration rectally or vaginally leads to systemic absorption of the compound.
- the dosage regimen for the compounds and/or compositions containing the compounds is based on a variety of factors, including the type, age, weight, sex and medical condition of the patient; the severity of the condition; the route of administration; and the activity of the particular compound employed. Thus, the dosage regimen may vary widely. Dosage levels of the order from about 0.01 mg to about 100 mg per kilogram of body weight per day are useful in the treatment of the above-indicated conditions. In one embodiment, the total daily dose of a compound of the disclosure (administered in single or divided doses) is typically from about 0.01 to about 100 mg/kg.
- the total daily dose of the compound of the disclosure is from about 0.1 to about 50 mg/kg, and in another embodiment, from about 0.5 to about 30 mg/kg (i.e., mg compound of the disclosure per kg body weight). In one embodiment, dosing is from 0.01 to 10 mg/kg/day. In another embodiment, dosing is from 0.1 to 1.0 mg/kg/day. Dosage unit compositions may contain such amounts or submultiples thereof to make up the daily dose. In many instances, the administration of the compound will be repeated a plurality of times in a day (typically no greater than 4 times). Multiple doses per day typically may be used to increase the total daily dose, if desired.
- compositions may be provided in the form of tablets containing 0.01, 0.05, 0.1, 0.5, 1.0, 2.5, 5.0, 10.0, 15.0, 25.0, 50.0, 75.0, 100, 125, 150, 175, 200, 250 and 500 milligrams of the active ingredient for the symptomatic adjustment of the dosage to the patient.
- a medicament typically contains from about 0.01 mg to about 500 mg of the active ingredient, or in another embodiment, from about 1 mg to about 100 mg of active ingredient.
- doses may range from about 0.1 to about 10 mg/kg/minute during a constant rate infusion.
- Suitable subjects according to the present disclosure include mammalian subjects. Mammals according to the present disclosure include, but are not limited to, canine, feline, bovine, caprine, equine, ovine, porcine, rodents, lagomorphs, primates, and the like, and encompass mammals in utero. In one embodiment, humans are suitable subjects. Human subjects may be of either gender and at any stage of development.
- the disclosure comprises the use of one or more compounds of the disclosure for the preparation of a medicament for the treatment of the conditions recited herein.
- the compounds of the disclosure can be administered as compound per se.
- pharmaceutically acceptable salts are suitable for medical applications because of their greater aqueous solubility relative to the parent compound.
- the present disclosure comprises pharmaceutical compositions.
- Such pharmaceutical compositions comprise a compound of the disclosure presented with a pharmaceutically acceptable carrier.
- the carrier can be a solid, a liquid, or both, and may be formulated with the compound as a unit-dose composition, for example, a tablet, which can contain from 0.05% to 95% by weight of the active compounds.
- a compound of the disclosure may be coupled with suitable polymers as targetable drug carriers. Other pharmacologically active substances can also be present.
- the compounds of the present disclosure may be administered by any suitable route, preferably in the form of a pharmaceutical composition adapted to such a route, and in a dose effective for the treatment intended.
- the active compounds and compositions may be administered orally, rectally, parenterally, or topically (e.g., intranasal or ophthalmic).
- Oral administration of a solid dose form may be, for example, presented in discrete units, such as hard or soft capsules, pills, cachets, lozenges, or tablets, each containing a predetermined amount of at least one compound of the present disclosure.
- the oral administration may be in a powder or granule form.
- the oral dose form is sub-lingual, such as, for example, a lozenge.
- a compound of the present invention or a combination is admixed with at least one inert excipient, diluent or carrier.
- Suitable excipients, diluents or carriers include materials such as sodium citrate or dicalcium phosphate and/or (a) one or more fillers or extenders (e.g., microcrystalline cellulose (available as Avicel.TM.
- binders e.g., carboxymethylcellulose, methylcellulose, hydroxypropylcellulose, hydroxypropylmethylcellulose, gelatin, gum arabic, ethyl cellulose, polyvinyl alcohol, pullulan, pregelatinized starch, agar, tragacanth, alginates, gelatin, polyvinylpyrrolidone, sucrose, acacia and the like
- humectants e.g., glycerol and the like
- disintegrating agents e.g., agar-a
- compositions of a similar type may also be used as fillers in soft or hard filled gelatin capsules using such excipients as lactose or milk sugar, as well as high molecular weight polyethylene glycols, and the like.
- Solid dosage forms such as tablets, dragees, capsules, and granules may be prepared with coatings and shells, such as enteric coatings and others well known in the art. They may also contain opacifying agents, and can also be of such composition that they release the compound of the present invention and/or the additional pharmaceutical agent in a delayed manner. Examples of embedding compositions that can be used are polymeric substances and waxes. The drug may also be in micro-encapsulated form, if appropriate, with one or more of the above-mentioned excipients.
- the active agent will typically comprise less than 50% (by weight) of the formulation, for example less than about 10% such as 5% or 2.5% by weight.
- the predominant portion of the formulation comprises fillers, diluents, disintegrants, lubri-cants and optionally, flavors.
- the composition of these excipients is well known in the art.
- the fillers/diluents will comprise mixtures of two or more of the following components: microcrystalline cellulose, mannitol, lactose (all types), starch, and di-calcium phosphate.
- the filler/diluent mixtures typically comprise less than 98% of the formulation and preferably less than 95%, for example 93.5%.
- Preferred disintegrants include Ac-di- sol.TM., Explotab.TM., starch and sodium lauryl sulphate. When present a disintegrant will usually comprise less than 10% of the formulation or less than 5%, for example about 3%. A preferred lubricant is magnesium stearate. When present a lubri-cant will usually comprise less than 5% of the formulation or less than 3%, for example about 1%.
- Tablets may be manufactured by standard tabletting processes, for example, di-rect compression or a wet, dry or melt granulation, melt congealing process and extru-sion.
- the tablet cores may be mono or multi-layer(s) and can be coated with appropri-ate overcoats known in the art.
- oral administration may be in a liquid dose form.
- Liquid dosage forms for oral administration include, for example, pharmaceutically acceptable emulsions, solutions, suspensions, syrups, and elixirs.
- the liquid dosage form may contain inert diluents commonly used in the art (e.g., water or other solvents), solubilizing agents and emulsifiers, such as, for example, ethyl alcohol, isopropyl alcohol, ethyl carbonate, ethyl acetate, benzyl alcohol, benzyl benzoate, propylene glycol, 1,3-butylene glycol, dimethyl-formamide, oils (e.g., cottonseed oil, groundnut oil, corn germ oil, olive oil, castor oil, sesame seed oil and the like), Miglyole.RTM.
- oils e.g., cottonseed oil, groundnut oil, corn germ oil, olive oil, castor oil, sesame seed oil and the like
- compositions also may comprise adjuvants or excipients, such as wetting, emulsifying, suspending, flavoring (e.g., sweetening), and/or perfuming agents.
- Oral liquid forms of the compounds or combinations of the disclosure include solutions, wherein the active compound is fully dissolved.
- solvents include all pharmaceutically precedented solvents suitable for oral administration, particularly those in which the compounds of the invention show good solubility, e.g., polyethylene glycol, polypropylene glycol, edible oils and glyceryl- and glyceride-based systems.
- Glyceryl- and glyceride-based systems may include, for example, the following branded products (and corresponding generic products): Captex. TM. 355 EP (glyceryl tricapry-late/caprate, from Abitec, Columbus Ohio), Crodamol.TM.
- GTC/C medium chain tri-glyceride, from Croda, Cowick Hall, UK
- Labrafac.TM. CC medium chain triglycerides, from Gattefosse
- Captex. TM. 500P glyceryl triacetate i.e. triacetin, from Abitec
- Cap-mul.TM. MCM medium chain mono- and diglycerides, from Abitec
- Migyol.TM. 812 caprylic/capric triglyceride, from Condea, Cranford N.J.
- Migyol.TM. 829 capry lie/ capric/ succinic triglyceride, from Condea), Migyol.TM.
- Suspensions in addition to the compounds or combinations of the present disclosure, may further comprise carriers such as suspending agents, e.g., ethoxylated isostearyl alcohols, polyoxyethylene sorbitol and sorbitan esters, microcrystalline cellulose, aluminum metahydroxide, bentonite, agar-agar, and tragacanth, or mixtures of these substances, and the like.
- suspending agents e.g., ethoxylated isostearyl alcohols, polyoxyethylene sorbitol and sorbitan esters, microcrystalline cellulose, aluminum metahydroxide, bentonite, agar-agar, and tragacanth, or mixtures of these substances, and the like.
- the present disclosure comprises a parenteral dose form.
- Parenteral administration includes, for example, subcutaneous injections, intravenous injections, intraperitoneal injections, intramuscular injections, intrasternal injections, and infusion.
- injectable preparations i.e., sterile injectable aqueous or oleaginous suspensions
- suitable dispersing, wetting, and/or suspending agents may be formulated according to the known art using suitable dispersing, wetting, and/or suspending agents, and include depot formulations.
- Compositions suitable for parenteral injection generally include pharmaceutically acceptable sterile aqueous or nonaqueous solutions, dispersions, suspensions, or emulsions, and sterile powders for reconstitution into sterile injectable solutions or dispersions.
- aqueous and nonaqueous carriers or diluents include water, ethanol, polyols (propylene glycol, polyethylene glycol, glycerol, and the like), suitable mixtures thereof, triglycerides including vegetable oils such as olive oil, and injectable organic esters such as ethyl oleate.
- a preferred carrier is Miglyol.RTM. brand caprylic/capric acid ester with glycerine or propylene glycol (e.g., Miglyol.RTM. 812, Miglyol.RTM. 829, Miglyol.RTM. 840) available from Condea Vista Co., Cranford, N.J. Proper fluidity can be maintained, for example, by the use of a coating such as lecithin, by the maintenance of the required particle size in the case of dispersions, and by the use of surfactants.
- compositions for parenteral injection may also contain excipients such as preserving, wetting, emulsifying, and dispersing agents. Prevention of microorganism contamination of the compositions can be accomplished with various antibacterial and antifungal agents, for example, parabens, chlorobutanol, phenol, sorbic acid, and the like. It may also be desirable to include isotonic agents, for example, sugars, sodium chloride, and the like. Prolonged absorption of injectable pharmaceutical compositions can be brought about by the use of agents capable of delaying absorption, for example, aluminum monostearate and gelatin.
- Topical administration includes, for example, transdermal administration, such as via transdermal patches or iontophoresis devices, intraocular administration, or intranasal or inhalation administration.
- Compositions for topical administration also include, for example, topical gels, sprays, ointments, and creams.
- a topical formulation may include a compound that enhances absorption or penetration of the active ingredient through the skin or other affected areas.
- Typical formulations for this purpose include gels, hydrogels, lotions, solutions, creams, ointments, dusting powders, dressings, foams, films, skin patches, wafers, implants, sponges, fibers, bandages and microemulsions. Liposomes may also be used.
- Typical carriers include alcohol, water, mineral oil, liquid petrolatum, white petrolatum, glycerin, polyethylene glycol and propylene glycol.
- Penetration enhancers may be incorporated - see, for example, Finnin and Morgan, J. Pharm. Sci., 88 (10), 955-958 (1999).
- Formulations suitable for topical administration to the eye include, for example, eye drops wherein the compound of this disclosure is dissolved or suspended in a suitable carrier.
- a typical formulation suitable for ocular or aural administration may be in the form of drops of a micronized suspension or solution in isotonic, pH-adjusted, sterile saline.
- Other formulations suitable for ocular and aural administration include ointments, biodegradable (e.g., absorbable gel sponges, collagen) and non-biodegradable (e.g., silicone) implants, wafers, lenses and particulate or vesicular systems, such as niosomes or liposomes.
- a polymer such as crossed-linked polyacrylic acid, polyvinyl alcohol, hyaluronic acid, a cellulosic polymer, for example, hydroxypropylmethyl cellulose, hydroxyethyl cellulose, or methyl cellulose, or a heteropolysaccharide polymer, for example, gelan gum, may be incorporated together with a preservative, such as benzalkonium chloride.
- a preservative such as benzalkonium chloride.
- Such formulations may also be delivered by iontophoresis.
- the active compounds of the disclosure are conveniently delivered in the form of a solution or suspension from a pump spray container that is squeezed or pumped by the patient or as an aerosol spray presentation from a pressurized container or a nebulizer, with the use of a suitable propellant.
- Formulations suitable for intranasal administration are typically administered in the form of a dry powder (either alone; as a mixture, for example, in a dry blend with lactose; or as a mixed component particle, for example, mixed with phospholipids, such as phosphatidylcholine) from a dry powder inhaler or as an aerosol spray from a pressurized container, pump, spray, atomizer (preferably an atomizer using electrohydrodynamics to produce a fine mist), or nebulizer, with or without the use of a suitable propellant, such as 1,1,1,2-tetrafluoroethane or 1,1,1,2,3,3,3-heptafluoropropane.
- the powder may comprise a bioadhesive agent, for example, chitosan or cyclodextrin.
- the present disclosure comprises a rectal or vaginal dose form.
- a dose form may be in the form of, for example, a suppository. Cocoa butter, polyethylene glycol and suppository wax are traditional suppository bases, but various alternatives may be used as appropriate. These bases are solid at ordinary room temperature, but liquid at body temperature, and therefore, melt in the rectum or vaginal cavity thereby releasing the active component(s).
- Solid amorphous dispersions are a preferred dosage form for the poorly soluble compounds of the invention.
- solid amorphous dispersion is meant a solid material in which at least a portion of the poorly soluble compound is in the amorphous form and dispersed in a water-soluble polymer.
- amorphous is meant that the poorly soluble compound is not crystalline.
- crystalline is meant that the compound exhibits long-range order in three dimensions of at least 100 repeat units in each dimension.
- amorphous is intended to include not only material which has essentially no order, but also material which may have some small degree of order, but the order is in less than three dimensions and/or is only over short distances.
- Amorphous material may be characterized by techniques known in the art such as powder x-ray diffraction (PXRD) crystallography, solid state NMR, or thermal techniques such as differential scanning calorimetry (DSC).
- At least a major portion (i.e., at least about 60 wt %) of the poorly soluble compound in the solid amorphous dispersion is amorphous.
- the compound can exist within the solid amorphous dispersion in relatively pure amorphous domains or regions, as a solid solution of the compound homogeneously distributed throughout the polymer or any combination of these states or those states that he intermediate between them.
- the solid amorphous dispersion is substantially homogeneous so that the amorphous compound is dispersed as homogeneously as possible throughout the polymer.
- substantially homogeneous means that the fraction of the compound that is present in relatively pure amorphous domains or regions within the solid amorphous dispersion is relatively small, on the order of less than 20 wt %, and preferably less than 10 wt % of the total amount of drug.
- Water-soluble polymers suitable for use in the solid amorphous dispersions should be inert, in the sense that they do not chemically react with the poorly soluble compound in an adverse manner, are pharmaceutically acceptable, and have at least some solubility in aqueous solution at physiologically relevant pHs (e.g. 1-8).
- the poly-mer can be neutral or ionizable, and should have an aqueous-solubility of at least 0.1 mg/mL over at least a portion of the pH range of 1-8.
- Water-soluble polymers suitable for use with the present invention may be cellulosic or non-cellulosic.
- the polymers may be neutral or ionizable in aqueous solution. Of these, ionizable and cellulosic polymers are preferred, with ionizable cellulosic polymers being more preferred.
- Exemplary water-soluble polymers include hydroxypropyl methyl cellulose acetate succinate (HPMCAS), hydroxypropyl methyl cellulose (HPMC), hydroxypropyl methyl cellulose phthalate (HPMCP), carboxy methyl ethyl cellulose (CMEC), cellulose acetate phthalate (CAP), cellulose acetate trimellitate (CAT), polyvinylpyrrolidone (PVP), hydroxypropyl cellulose (HPC), methyl cellulose (MC), block copolymers of ethylene oxide and propylene oxide (PEO/PPO, also known as poloxamers), and mixtures thereof.
- HPMCAS hydroxypropyl methyl cellulose acetate succinate
- HPMC hydroxypropyl methyl cellulose
- HPMCP hydroxypropyl methyl cellulose phthalate
- CMEC carboxy methyl ethyl cellulose
- CAP cellulose acetate phthalate
- CAT cellulose acetate trimellitate
- PVP polyvin
- the solid amorphous dispersions may be prepared according to any process for forming solid amorphous dispersions that results in at least a major portion (at least 60%) of the poorly soluble compound being in the amorphous state. Such processes include mechanical, thermal and solvent processes.
- Exemplary mechanical processes include milling and extrusion; melt processes including high temperature fusion, solvent-modified fusion and melt-congeal processes; and solvent processes including non-solvent precipitation, spray coating and spray drying.
- melt processes including high temperature fusion, solvent-modified fusion and melt-congeal processes
- solvent processes including non-solvent precipitation, spray coating and spray drying.
- the solid amorphous dispersion is formed by spray drying, as disclosed in European Patent Application Publication No. 0 901 786 A2.
- the compound and polymer are dissolved in a solvent, such as acetone or methanol, and the solvent is then rapidly removed from the solution by spray drying to form the solid amorphous dispersion.
- the solid amorphous dispersions may be prepared to contain up to about 99 wt % of the compound, e.g., 1 wt %, 5 wt %, 10 wt %, 25 wt %, 50 wt %, 75 wt %, 95 wt %, or 98 wt % as desired.
- the solid dispersion may be used as the dosage form itself or it may serve as a manufacturing-use-product (MUP) in the preparation of other dosage forms such as capsules, tablets, solutions or suspensions.
- An example of an aqueous suspension is an aqueous suspension of a 1: 1 (w/w) compound/HPMCAS-HF spray-dried dispersion containing 2.5 mg/mL of compound in 2% polysorbate-80.
- Solid dispersions for use in a tablet or capsule will generally be mixed with other excipients or adjuvants typically found in such dosage forms.
- an exemplary filler for capsules contains a 2:1 (w/w) compound/HPMCAS-MF spray-dried dispersion (60%), lactose (fast flow) (15%), microcrystalline cellulose (e.g., Avicel.sup. (R0-102) (15.8%), sodium starch (7%), sodium lauryl sulfate (2%) and magnesium stearate (1%).
- HPMCAS polymers are available in low, medium and high grades as Aqoa.sup.(R)-LF, Aqoat.sup.(R)-MF and Aqoat.sup.(R)-HF respectively from Shin-Etsu Chemical Co., LTD, Tokyo, Japan.
- the higher MF and HF grades are generally preferred.
- compositions of the disclosure may be prepared by any of the well-known techniques of pharmacy, such as effective formulation and administration procedures.
- effective formulations and administration procedures are well known in the art and are described in standard textbooks.
- Formulation of drugs is discussed in, for example, Hoover, John E., Remington’s Pharmaceutical Sciences, Mack Publishing Co., Easton, Pennsylvania, 1975; Liberman et al., Eds., Pharmaceutical Dosage Forms, Marcel Decker, New York, N.Y., 1980; and Kibbe et al., Eds., Handbook of Pharmaceutical Excipients (3 rd Ed.), American Pharmaceutical Association, Washington, 1999.
- the compounds of the present disclosure can be used, alone or in combination with other therapeutic agents, in the treatment of various conditions or disease states.
- the compound(s) of the present disclosure and other therapeutic agent(s) may be administered simultaneously (either in the same dosage form or in separate dosage forms) or sequentially. Additionally, simultaneous administration may be carried out by mixing the compounds prior to administration or by administering the compounds at the same point in time but at different anatomic sites or using different routes of administration.
- the administration of two or more compounds “in combination” means that the two compounds are administered closely enough in time that the presence of one alters or improves the biological effects of the other.
- the two or more compounds may be administered simultaneously, concurrently or sequentially. Additionally, simultaneous administration may be carried out by mixing the compounds prior to administration or by administering the compounds at the same point in time but at different anatomic sites or using different routes of administration.
- the present disclosure includes the use of a combination of a PDE4 inhibitor compound of the present disclosure and one or more additional pharmaceutically active agent(s). If a combination of active agents is administered, then they may be administered sequentially or simultaneously, in separate dosage forms or combined in a single dosage form. Accordingly, the present disclosure also includes pharmaceutical compositions comprising an amount of: (a) a first agent comprising a compound of the present disclosure or a pharmaceutically acceptable salt of the compound; (b) a second pharmaceutically active agent; and (c) a pharmaceutically acceptable carrier, vehicle or diluent.
- compositions of the present disclosure include, without limitation:
- immunomodulators such as glatiramer acetate (also known as copolymer- 1; COPAXONE), MBP-8298 (synthetic myelin basic protein peptide), dimethyl fumarate, fingolimod (also known as FTY720), roquinimex (LINOMIDE), laquinimod (also known as ABR-215062 and SAIK-MS), ABT-874 (human anti-IL-12 antibody; Abbott), rituximab (RITUXAN), leflunomide, ciclesonide, alemtuzumab (CAMPATH), daclizumab (ZENAPAX), and natalizumab (TYSABRI);
- glatiramer acetate also known as copolymer- 1; COPAXONE
- MBP-8298 synthetic myelin basic protein peptide
- dimethyl fumarate fingolimod (also known as FTY720), roquinimex (LINOMIDE), laquinimod (also
- immunosuppressants such as methotrexate (TREXALL, RHEUMATREX), mitoxantrone (NOVANTRONE), teriflunomide, suplatast tosilate, mycophenolate mofetil (CELLCEPT), mycophenolate sodium (MYFORTIC), azathioprine (AZASAN, IMURAN), mercaptopurine (PURI-NETHOL), cyclophosphamide (NEOSAR, CYTOXAN), voclosporin, PUR- 118, AMG 357, AMG 811, BCT197, chlorambucil (LEUKERAN), cladribine (LEUSTATIN, MYLINAX), alpha-fetoprotein, etanercept (ENBREL), leflunomide, ciclesonide chloroquine, hydroxychloroquine, d-penicillamine, auranofin, sulfasalazine, sodium au
- TREXALL met
- interferons including interferon beta-la (AVONEX, REBIF) and interferon beta-lb (BETASERON, BETAFERON);
- PDE phosphodiesterase
- PDE1 inhibitors e.g., vinpocetine (CAVINTON, CERACTIN, INTELECTOL
- PDE2 inhibitors e.g., erythro-9-(2-hydroxy-3-nonyl)adenine (EHNA), BAY 60-7550, and those described in US Patent No.
- PDE3 inhibitors e.g., anagrelide, cilostazol, milrinone, olprinone, parogrelil, and pimobendan
- PDE4 inhibitors e.g., apremilast, ibudilastroflumilast, rolipram, Ro 20-1724, ibudilast (KETAS), piclamilast (also known as RP73401), CDP840, cilomilast (ARIFLO), roflumilast, tofimilast, oglemilast (also known as GRC 3886), tetomilast (also known as OPC-6535), lirimifast, theophylline (UNIPHYL, THEOLAIR), arofylline (also known as LAS-31025), doxofylline, RPR-122818, or mesembrine), and (e) PDE5 inhibitors (e.g., sil
- JK Janus kinase inhibitors
- a compound of Formula (I), Formula (I-A), Formula (I-B), or Formula (I-C) may be co-administered with an anti-obesity agent where the anti-obesity agent is selected from the group consisting of gut-selective MTP inhibitors (e.g., dirlotapide, mitratapide and implitapide, R56918 (CAS No. 403987) and CAS No.
- gut-selective MTP inhibitors e.g., dirlotapide, mitratapide and implitapide, R56918 (CAS No. 403987) and CAS No.
- CCKa agonists e.g., A-benzyl-2-[4-(lH-indol-3-ylmethyl)-5-oxo-l- phenyl-4,5-dihydro-2,3,6,10b-tetraaza-benzo[e]azulen-6-yl]-A-isopropyl-acetamide described in PCT Publication No. WO 2005/116034 or US Publication No.
- PYY3-36 includes analogs, such as peglated PYY3-36 e.g., those described in US Publication 2006/0178501), opioid antagonists (e.g., naltrexone), the combination of naltrexone with buproprion, oleoyl-estrone (CAS No.
- anti-obesity agents include 1 ip-hydroxy steroid dehydrogenase- 1 (1 ip-HSD type 1) inhibitors, stearoyl-CoA desaturase- 1 (SCD-1) inhibitor, cholecystokinin-A (CCK-A) agonists, monoamine reuptake inhibitors (such as sibutramine), sympathomimetic agents, P3 adrenergic agonists, dopamine agonists (such as bromocriptine), melanocyte-stimulating hormone analogs, melanin concentrating hormone antagonists, leptin (the OB protein), leptin analogs, leptin agonists, galanin antagonists, lipase inhibitors (such as tetrahydrolipstatin, i.e.
- anorectic agents such as a bombesin agonist
- neuropeptide-Y antagonists e.g., NPY Y5 antagonists
- thyromimetic agents dehydroepiandrosterone or an analog thereof
- glucocorticoid agonists or antagonists orexin antagonists
- glucagon-like peptide- 1 agonists ciliary neurotrophic factors (such as AxokineTM available from Regeneron Pharmaceuticals, Inc., Tarrytown, NY and Procter & Gamble Company, Cincinnati, OH)
- human agouti-related protein (AGRP) inhibitors ghrelin antagonists, histamine 3 antagonists or inverse agonists
- neuromedin U agonists e.g., MTP/ApoB inhibitors (e.g., gut-selective MTP inhibitors, such as dirlotapide), opioid antagonist, orexin antagonist, the combination of naltrexone with buproprion and the like.
- a compound of Formula (I), Formula (I-A), Formula (I-B), or Formula (I-C) may be co-administered with an anti-diabetic agent, where the anti-diabetic agent is selected from the group consisting of an acetyl-CoA carboxylase- (ACC) inhibitor such as those described in WO2009144554, W02003072197, WO2009144555 and W02008065508, a diacylglycerol G-acy I transferase 1 (DGAT-1) inhibitor, such as those described in W009016462 or W02010086820, AZD7687 or LCQ908, monoacylglycerol O-acyltransferase inhibitors, a phosphodiesterase (PDE)-IO inhibitor, an AMPK activator, a sulfonylurea (e.g., acetohexamide, chlorpropamide, diabinese, gli
- ACC acetyl-Co
- GSK1362885 a VPAC2 receptor agonist
- SGLT2 inhibitors such as those described in E.C. Chao et al. Nature Reviews Drug Discovery 9, 551-559 (July 2010) including dapagliflozin, canagliflozin, empagliflozin, tofogliflozin (CSG452), ASP-1941, THR1474, TS-071, ISIS388626 and LX4211 as well as those in WO2010023594, a glucagon receptor modulator such as those described in Demong, D.E. et al.
- PKCa PKCpi, PKCP2, etc.
- inhibitors of fatty acid synthetase inhibitors of serine palmitoyl transferase, modulators of GPR81, GPR39, GPR43, GPR41, GPR105, Kvl.3, retinol binding protein 4, glucocorticoid receptor, somatostain receptors (e.g. SSTR1, SSTR2, SSTR3 and SSTR5), inhibitors or modulators of PDHK2 or PDHK4, inhibitors of MAP4K4, modulators of IL1 family including ILlbeta, modulators of RXRalpha, suitable anti-diabetic agents include mechanisms listed by Carpino, P.A., Goodwin, B. Expert Opin. Ther. Pat, 2010, 20, 1627-1651.
- Preferred anti-diabetic agents are metformin and DPP-IV inhibitors (e.g., sitagliptin, vildagliptin, alogliptin, dutogliptin, linagliptin and saxagliptin).
- Other antidiabetic agents could include inhibitors or modulators of carnitine palmitoyl transferase enzymes, inhibitors of fructose 1,6-diphosphatase, inhibitors of aldose reductase, mineralocorticoid receptor inhibitors, inhibitors of TORC2, inhibitors of CCR2 and/or CCR5, inhibitors of PKC isoforms (e.g.
- PKCa PKC [I, PKCy), inhibitors of fatty acid synthetase, inhibitors of serine palmitoyl transferase, modulators of GPR81, GPR39, GPR43, GPR41, GPR105, Kvl.3, retinol binding protein 4, glucocorticoid receptor, somatostain receptors (e.g. SSTR1, SSTR2, SSTR3 and SSTR5), inhibitors or modulators of PDHK2 or PDHK4, inhibitors of MAP4K4, modulators of IL1 family including ILlbeta, modulators of RXRalpha.
- a compound of Formula (I), Formula (I-A), Formula (I-B), or Formula (I-C) may be co-administered with a cholesterol/lipid modulating agent, where the cholesterol/lipid modulating agent is selected from the group consisting of HMG-CoA reductase inhibitors (e.g., pravastatin, lovastatin, atorvastatin, simvastatin, 64ipoxygenas, NK-104 (a.k.a. itavastatin, or nisvastatin or nisbastatin) and ZD-4522 (a.k.a.
- HMG-CoA reductase inhibitors e.g., pravastatin, lovastatin, atorvastatin, simvastatin, 64ipoxygenas, NK-104 (a.k.a. itavastatin, or nisvastatin or nisbastatin) and ZD-4522 (a.k.a.
- HMG-CoA reductase gene expression inhibitor HMG-CoA reductase gene expression inhibitor
- squalene synthetase inhibitors a squalene epoxidase inhibitor
- a squalene cyclase inhibitor a combined squalene epoxidase/squalene cyclase inhibitor
- CETP inhibitor fibrates; niacin, an ion-exchange resin, an antioxidant; bile acid sequestrants (such as questran); ACAT inhibitors; MTP/APO [1 secretion inhibitors;
- 64ipoxygenase inhibitors 64ipoxygenase inhibitors; cholesterol absorption inhibitors; cholesteryl ester transfer protein inhibitors; an agent such as mipomersen; and or atherosclerotic agents including PCSK9 modulators.
- a compound of Formula (I), Formula (I-A), Formula (I-B), or Formula (I-C) may be co-administered with agents for the treatment of non-alcoholic steatohepatitis (NASH) and/or non-alcoholic fatty liver disease (NAFLD), such as Orlistat, TZDs and other insulin sensitizing agents, FGF21 analogs, Metformin, Omega-3-acid ethyl esters (e.g.
- Lovaza Fibrates, HMG CoA-reductase Inhibitors, Ezitimbe, Probucol, Ursodeoxycholic acid, TGR5 agonists, FXR agonists, Vitamin E, Betaine, Pentoxifylline, CB 1 antagonists, Carnitine, /V-acctylcystci ne, Reduced glutathione, lorcaserin, the combination of naltrexone with buproprion, SGLT2 Inhibitors, Phentermine, Topiramate, Incretin (GLP and GIP) analogs and Angiotensin-receptor blockers.
- GLP and GIP Incretin
- Additional therapeutic agents include anti-coagulant or coagulation inhibitory agents, anti-platelet or platelet inhibitory agents, thrombin inhibitors, thrombolytic or fibrinolytic agents, anti-arrythmic agents, anti-hypertensive agents, calcium channel blockers (L-type and T-type), cardiac glycosides, diruetics, mineralocorticoid receptor antagonists, NO donating agents such as organonitrates, NO promoting agents such as phosphodiesterase inhibitors, cholesterol/lipid lowering agents and lipid profile therapies, anti-diabetic agents, anti-depressants, anti-inflammatory agents (steroidal and non-steroidal), anti-osteoporosis agents, hormone replacement therapies, oral contraceptives, anti-obesity agents, anti-anxiety agents, anti-proliferative agents, anti-tumor agents, anti-ulcer and gastroesophageal reflux disease agents, growth hormone and/or growth hormone secretagogues, thyroid mimetics (including thyroid hormone receptor antagonist), anti
- the compounds of this disclosure may also be used in conjunction with other cardiovascular or cerebrovascular treatments including PCI, stenting, drug eluting stents, stem cell therapy and medical devices, such as implanted pacemakers, defibrillators, or cardiac resynchronization therapy.
- cardiovascular or cerebrovascular treatments including PCI, stenting, drug eluting stents, stem cell therapy and medical devices, such as implanted pacemakers, defibrillators, or cardiac resynchronization therapy.
- Agents used in an ICU setting are included, for example, dobutamine, dopamine, dpinephrine, nitroglycerin, nitroprusside etc.
- Combination agents useful for treating vasculitis are included, for example, azathioprine, cyclophosphamide, mycophenolate, mofetil, rituximab etc.
- the present disclosure provides a combination wherein the second agent is at least one agent selected from a factor Xa inhibitor, an anti-coagulant agent, an anti-platelet agent, a thrombin inhibiting agent, a thrombolytic agent, and a fibrinolytic agent.
- a factor Xa inhibitor include apixaban and rivaroxaban.
- suitable anti-coagulants for use in combination with the compounds of the present disclosure include heparins (e.g., unfractioned and low molecular weight heparins such as enoxaparin and dalteparin).
- the second agent is at least one agent selected from warfarin, dabigatran, unfractionated heparin, low molecular weight heparin, synthetic pentasaccharide, hirudin, argatrobanas, aspirin, ibuprofen, naproxen, sulindac, indomethacin, mefenamate, droxicam, diclofenac, sulfinpyrazone, piroxicam, ticlopidine, clopidogrel, tirofiban, eptifibatide, abciximab, melagatran, disulfatohirudin, tissue plasminogen activator, modified tissue plasminogen activator, anistreplase, urokinase, and streptokinase.
- warfarin dabigatran, unfractionated heparin, low molecular weight heparin, synthetic pentasaccharide, hirudin, argatrobanas, aspirin
- a preferred second agent is at least one anti-platelet agent.
- Especially preferred anti-platelet agents are aspirin and clopidogrel.
- anti-platelet agents denotes agents that inhibit platelet function, for example by inhibiting the aggregation, adhesion or granular secretion of platelets.
- Agents include, but are not limited to, the various known non-steroidal anti-inflammatory drugs (NSAIDS) such as aspirin, ibuprofen, naproxen, sulindac, indomethacin, mefenamate, droxicam, diclofenac, sulfinpyrazone, piroxicam, and pharmaceutically acceptable salts or prodrugs thereof.
- NSAIDS non-steroidal anti-inflammatory drugs
- NSAIDS acetylsalicyclic acid or ASA
- COX-2 inhibitors such as CELEBREX or piroxicam
- Suitable platelet inhibitory agents include Ilb/IIIa antagonists (e.g., tirofiban, eptifibatide, and abciximab), thromboxane -A2-receptor antagonists (e.g., ifetroban), thromb oxane- A2 -synthetase inhibitors, PDE-III inhibitors (e.g., Pletal, dipyridamole), and pharmaceutically acceptable salts or prodrugs thereof.
- Ilb/IIIa antagonists e.g., tirofiban, eptifibatide, and abciximab
- thromboxane -A2-receptor antagonists e.g., ifetroban
- thromb oxane- A2 -synthetase inhibitors e.g.
- anti-platelet agents or platelet inhibitory agents
- ADP adenosine diphosphate
- P2Y purinergic receptors
- Preferred P2Y 12 receptor antagonists include ticagrelor, prasugrel, ticlopidine and clopidogrel, including pharmaceutically acceptable salts or prodrugs thereof.
- Clopidogrel is an even more preferred agent.
- Ticlopidine and clopidogrel are also preferred compounds since they are known to be gentle on the gastro-intestinal tract in use.
- thrombin inhibitors denotes inhibitors of the serine protease thrombin.
- various thrombin-mediated processes such as thrombin-mediated platelet activation (that is, for example, the aggregation of platelets, and/or the granular secretion of plasminogen activator inhibitor- 1 and/or serotonin) and/or fibrin formation are disrupted.
- thrombin inhibitors are known to one of skill in the art and these inhibitors are contemplated to be used in combination with the present compounds.
- Such inhibitors include, but are not limited to, boroarginine derivatives, boropeptides, dabigatran, heparins, hirudin, argatroban, and melagatran, including pharmaceutically acceptable salts and prodrugs thereof.
- Boroarginine derivatives and boropeptides include N-acetyl and peptide derivatives of boronic acid, such as C-terminal alpha-aminoboronic acid derivatives of lysine, ornithine, arginine, homoarginine and corresponding isothiouronium analogs thereof.
- hirudin includes suitable derivatives or analogs of hirudin, referred to herein as hirulogs, such as disulfatohirudin.
- thrombolytics or fibrinolytic agents or thrombolytics or fibrinolytics, as used herein, denote agents that lyse blood clots (thrombi).
- Such agents include tissue plasminogen activator (natural or recombinant) and modified forms thereof, anistreplase, urokinase, streptokinase, tenecteplase (TNK), lanoteplase (nPA), factor Vila inhibitors, PAI-1 inhibitors (i.e., inactivators of tissue plasminogen activator inhibitors), alpha2-antiplasmin inhibitors, and anisoylated plasminogen streptokinase activator complex, including pharmaceutically acceptable salts or prodrugs thereof.
- anistreplase refers to anisoylated plasminogen streptokinase activator complex, as described, for example, in EP 028,489, the disclosure of which is hereby incorporated herein by reference herein.
- urokinase as used herein, is intended to denote both dual and single chain urokinase, the latter also being referred to herein as prourokinase.
- Suitable anti-arrythmic agents include: Class I agents (such as propafenone); Class II agents (such as metoprolol, atenolol, carvadiol and propranolol); Class III agents (such as sotalol, dofetilide, amiodarone, azimilide and ibutilide); Class IV agents (such as ditiazem and verapamil); K + channel openers such as lAch inhibitors, and If ur inhibitors (e.g., compounds such as those disclosed in W001/40231).
- Class I agents such as propafenone
- Class II agents such as metoprolol, atenolol, carvadiol and propranolol
- Class III agents such as sotalol, dofetilide, amiodarone, azimilide and ibutilide
- Class IV agents such as ditiazem and verapamil
- K + channel openers such as lAch inhibitors
- compounds of the present disclosure may also be coadministered together with:
- Antidiarrheals such as diphenoxylate (Lomotil) and loperamide (Imodium);
- Bile acid binding agents such as cholestyramine, alosetron (Lotronex) and ubiprostone (Amitiza);
- Laxatives such as Milk of Magnesia, polyethylene glycol (MiraLax), Dulcolax, Correctol and Senokot, and anticholinergics or antispasmodics such as dicyclomine (Bentyl); lymphocyte activation inhibitors, including but not limited to, abatacept:
- Anti-ILl treatments including but not limited to, anakinra, rilonacept, canakinumab, gevokizumab, MABpl and MEDI-8968;
- Glucocorticoid receptor modulators that may be dosed orally, by inhalation, by injection, topically, rectally, by ocular delivery, including but not limited to, betamethasone, prednisone, hydrocortisone, prednisolone, flunisolide, triamcinoline acetonide, beclomethasone, dipropionate, budesonide, fluticasone propionate, ciclesonide, mometasone furoate, fluocinonide, desoximetasone, methylprednisolone or PF-04171327;
- Aminosalicyic acid derivatives including but not limited to, sulfasalazine and mesalazine;
- Anti-a4 integrin agents including but not limited to, natalizumab; al - or a2-adrenergic agonist agents including but not limited to: propylhexidrine, phenylephrine, phenylpropanolamine, pseudoephedrine or naphazoline hydrochloride, oxymetazoline hydrochloride, tetrahydrozoline hydrochloride, xylometazoline hydrochloride or ethylnorepinephrine hydrochloride; a-adrenergic agonists, including but not limited to, metaproterenol, isoprotenerol, isoprenaline, albuterol, salbutamol, formoterol, salmeterol, terbutaline, orciprenaline, botolterol mesylate, pirbuterol; and
- kits that are suitable for use in performing the methods of treatment described above.
- the kit contains a first dosage form comprising one or more of the compounds of the present disclosure and a container for the dosage, in quantities sufficient to carry out the methods of the present disclosure.
- kit of the present disclosure comprises one or more compounds of the disclosure.
- the compounds of the disclosure may be prepared by a variety of methods that are analogously known in the art.
- the starting materials used herein are commercially available or may be prepared by routine methods known in the art (such as those methods disclosed in standard reference books such as the COMPENDIUM OF ORGANIC SYNTHETIC METHODS, Vol. I-XII (published by Wiley-Interscience)). Preferred methods include, but are not limited to, those described below.
- ACN/MeCN/CHsCN Acetonitrile
- CU(OAC)2 Cupric Acetate
- DBU l,8-diazabicyclo[5.4.0]undec-7-ene
- DCM Dichloromethane
- DI AD Diisopropyl azodicarboxylate
- DIPEA Diisopropylethylamine
- DMF N,N-Dimethylformamide
- EtOAc Ethyl acetate
- EtOH Ethanol
- IPA Isopropyl alcohol
- MeOH Methanol
- Mg(OMe)2 Magnesium methoxide
- MsCl Methanesulfonyl chloride
- NalCfi Sodium periodate
- NBS N-bromosuccinimide
- Pd(dppf)C12 [1,1’- Bis(diphenylphosphino) ferrocene ] dichloro
- Scheme 1 illustrates a general synthetic approach for the preparation of compounds of Formula (I-A) and Formula (I-C). Specifically, NBS-mediated bromination of azaindole amide starting material A affords B. Subsequent Suzuki coupling of B with an aryl- or heteroaryl-boronic acid or ester coupling partner provides C. Finally, alkylation of the amidic nitrogen of C generates compounds of Formula (I-A) and Formula (I-C).
- Scheme 2 illustrates an alternative route for the preparation of compounds of Formula (I-A) and Formula (I-C) via alteration of the order of the synthetic steps depicted in Scheme 1.
- Scheme 3 illustrates another alternative route for the preparation of compounds of Formula (I-A) and Formula (I-C).
- coupling of aza-indole amide A with a suitable cycloalkyl boronate under modified Chan-Lam coupling conditions generates F.
- bromination of F using NBS provides G.
- Suzuki coupling of G with a suitable aryl- or heteroaryl-boronic acid or ester gives compounds of Formula (I-A) and Formula (I-C).
- Prodrugs of the present disclosure can be made using methods, modifications, and derivizations familiar to those of ordinary skill in the art.
- peptide coupling reagents including but not limited to l-[bis(dimethylamino)methylene]-lH-l,2,3-triazolo[4,5- b]pyridinium 3-oxid hexafluorophosphate (HATU), or dicyclohexylcarbodiimide (DCC), or diisopropylcarbodiimide (DIC) in the presence of l-hydroxy-7-aza-benzotriazole (HO At) or triazoles 1 -hydroxy -benzotriazole (HOBt); and a base including but not limited to triethyl amine (TEA) or Hunig’s base (A,A-diisopropylethyl amine/DIPEA) in a suitable solvent including but not limited Me
- reaction time and temperature may vary.
- Step 1 Synthesis of ethyl l-(2-bromoethyl)pyrrolo[3,2-b]pyridine-2-carboxylate (i-la) [0189] To a solution of ethyl lH-pyrrolo[3,2-6]pyridine-2-carboxylate (9.00 g, 47.3 mmol), PPhs (31.0 g, 118 mmol) and 2-bromoethanol (14.8 g, 118 mmol) in THF (100 mL) was added DIAD (23.9 g, 118 mmol) drop-wise at 0 °C under N2. The temperature of the mixture was maintained below 5 °C throughout the course of the addition.
- the reaction mixture was then stirred at 20 °C for 16 h.
- the mixture was concentrated under a vacuum, then diluted with EtOAc (150 mL) and washed with aq. HC1 (1 M, 3 x 50 mL).
- the combined aqueous layer was adjusted to a pH of 8 by addition of sat. aq. NaHCCh, and the aqueous layer was then extracted with EtOAc (3 x 80 mL).
- the combined organic layers were dried over anhydrous Na2SO4, filtered and concentrated under a vacuum.
- the residue was purified by flash silica gel chromatography (0-17% EtOAc in PE) to give i-la (9.30 g, 66.0% yield) as an off-white solid.
- Step 4 Synthesis of 4-fluoro-l,6,ll-triazatricyclo[7.4.0.0 2 ' 7 ]trideca-2,4,6,8-tetraen-10-one (i- 2).
- Step 1 Synthesis of tert-butyl (4R)-4-methyl-2-oxo-oxathiazolidine-3-carboxylate (i-3a) [0196] A solution of imidazole (233 g, 3.42 mol) in anhydrous DCM (1.2 L) was cooled to 0 °C-5 °C, then a solution of SOCh (136 g, 1.14 mol) in anhydrous DCM (500 mL) was added dropwise at 0 °C - 5 °C. After the addition, the reaction mixture was allowed to warm to 25 °C and stirred for 1 h at 25 °C. The mixture was then cooled to -20 °C.
- Step 3 Synthesis of ethyl l-[2-(tert-butoxycarbonylamino)propyl]pyrrolo[3,2-b]pyridine-2- carboxylate (i-3c).
- Step 4 Synthesis of ethyl 1 - [(2R)-2-aminopropyl]pyrrolo [3 ,2-b] pyridine-2-carboxylate hydrochloride (i-3d).
- i-4-ent was prepared using tert-butyl-(45 , )-4-methyl-2,2-dioxo-oxathiazolidine-3- carboxylate following procedures similar to those described for i-4.
- Step 2 Synthesis of ethyl-l-[2-(tert-butoxycarbonylamino)-3-[tert-butyl(diphenyl)silyl]oxy- propyl]pyrrolo[ 3, 2-b ]pyridine-2-carboxylate (i-5b ) .
- Step 4 Synthesis of ethyl- 1- [(2S)-2-(tert-butoxycarbonylamino)-3- [tert- butyl (diphenyl) silyl] oxy-propyl] pyrrolo[3,2-b]pyridine-2-carboxylate (i-5(S)d) [0214] To a solution of i-5(A)c (1.45 g, 2.86 mmol) in DMF (15 mL) was added ethyl-lH- pyrrolo[3,2-6]pyridine-2-carboxylate (543 mg, 2.86 mmol) and CS2CO3 (1.40 g, 4.28 mmol) at 25 °C.
- Step 3 Synthesis of 12-[[tert-butyl(diphenyl)silyl]oxymethyl]-l l-cyclopropyl-4-fluoro-l,6,l 1- triazatricyclo[7.4.0.0 2, 7 ]trideca-2(7), 3, 5, 8-tetraen- 10-one (i-6c).
- Step 4 Synthesis of 8-bromo-12-[[tert-butyl(diphenyl)silyl]oxymethyl]-l l-cyclopropyl-4- fluoro-1, 6, 11 -triazatricyclo [7.4.0.0 2, 7 ]trideca-2(7), 3, 5, 8-tetraen- 10-one (i-6).
- Step 1 Synthesis of ethyl- 1- [(2S)-2-(tert-butoxycarbonylamino)-3- [tert- butyl(diphenyl) silyl] oxy-propyl] -6-fluoro-pyrrolo [3 ,2-b] pyridine-2-carboxylate (i-6(S)a) [0222] To a solution of i-5(5)b (2.60 g, 6.00 mmol), PPhs (1.60 g, 6.00 mmol) and ethyl-6- fluoro-lH-pyrrolo[3,2-6]pyridine-2-carboxylate (500 mg, 2.40 mmol) in THF (5.0 mL) was added dropwise DIAD (1.20 g, 6.00 mmol) at 0 °C.
- Step 1 Synthesis of8-(4-chloro-3-fluoro-phenyl)-l,6,ll-triazatricyclo[7.4.0.0 2 ' 7 ]trideca- 2(7),3,5,8-tetraen-10-one (la).
- Step 2 Synthesis of 1 l-[2-[tert-butyl(dimethyl)silyl]oxyethyl]-8-(4-chloro-3-fluoro-phenyl)- 1, 6, 11 -triazatricyclo [7.4.0.0 2, 7 ]trideca-2(7), 3, 5, 8-tetraen-l 0-one (lb).
- Step 1 Synthesis of ethyl-2-[8-(4-chloro-3-fluoro-phenyl)-10-oxo-l,6,l 1 -triazatricyclo [7.4.0.02, 7]trideca-2(7),3,5,8-tetraen-ll-yl]propanoate (3a).
- Step 2 Synthesis of 8-(4-chloro-3-fluoro-phenyl)-l l-[(lR)-2-hydroxy-l-methyl-ethyl]-l,6,l 1- triazatricyclo [7.4.0.02, 7] trideca-2(7) ,3 ,5 ,8-tetraen- 10-one (3) and 8-(4-chloro-3-fluoro- phenyl)-! l-[( 1 S)-2-hydroxy-l-methyl-ethyl]-l, 6, 11 -triazatricyclo [7.4.0.02, 7]trideca- 2(7),3,5,8-tetraen-10-one (4).
- Step 3 Synthesis of 1 l-[2-[tert-butyl(dimethyl)silyl]oxyethyl]-8-(3,4-difluorophenyl)-4- fluoro- 1, 6, 11 -triazatricyclo [7.4.0.0 2, 7 ]trideca-2(7), 3, 5, 8-tetraen- 10-one ( 5c).
- Step 4 Synthesis of 8-(3,4-difluorophenyl)-4-fluoro-l l-(2-hydroxyethyl)-l,6,l 1- triazatricyclo- [7.4.0.0 2, 7 ]trideca-2(7), 3, 5, 8-tetraen- 10-one (5).
- Step 2 Synthesis of 8-bromo-l l-[2-[tert-butyl(dimethyl)silyl]oxyethyl]-4-fluoro- 1,6,11- triazatricyclo[7.4.0.0 2, 7 Jtrideca-2(7), 3, 5, 8-tetraen- 10-one (6b).
- Step 3 Synthesis of 1 l-[2-[tert-butyl(dimethyl)silyl]oxyethyl]-8-(4-chloro-3-fluoro-phenyl)-4- fluoro-1, 6, 11 -triazatricyclo [7.4.0.0 2, 7 ]trideca-2(7), 3, 5, 8-tetraen- 10-one ( 6c).
- Step 4 Synthesis of8-(4-chloro-3-fluoro-phenyl)-4-fluoro-ll-(2-hydroxyethyl)-l,6,ll- triazatricyclo[7.4.0.0 2, 7 ]trideca-2(7), 3, 5, 8-tetraen- 10-one ( 6).
- the yellow solid was further purified by prep-HPLC (column: Xtimate C18 150 x 40mm x 5um; mobile phase: [water(0.05% NH4OH-ACN]; B%: 29%- 59%) to give 8 (278 mg, 68.8% yield) as off-white solid.
- the crude product was purified by SFC (column: DAICEL CHIRALPAK AD (250mm x 30mm, lOum); mobile phase: [0.1%NHsH2O-IPA]; B%: 30%- 30%) to give 11 (14.8 mg, 21.8% yield; peak 1, retention time: 4.11 min) as an off-white solid and 12 (15.1 mg, 22.2% yield; peak 2, retention time: 4.34 min) as an off-white solid.
- SFC column: DAICEL CHIRALPAK AD (250mm x 30mm, lOum); mobile phase: [0.1%NHsH2O-IPA]; B%: 30%- 30%
- 19 & 20 were prepared from intermediate i-6 by following procedures similar to those described in Examples 11 & 12.
- Chiral SFC separation (column: DAICEL CHIRALPAK IC(250mm x 30mm, lOum); mobile phase: [0.1%NH 3 H 2 O-ETOH]; B%: 40%- 40%) provided two compounds 19 (27.6 mg, 18% yield; peak 1, retention time: 1.998min) and 20 (30 mg, 19% yield; peak 2, retention time: 2.272 min).
- Step 1 Synthesis of 4-[(l 2S)-12-[[tert-butyl(diphenyl)silyl] oxymethyl]-! l-cyclopropyl-4- fluoro-10-oxo-l, 6, 11 -triazatricyclo [7.4.0.0 2, 7 ]trideca-2(7), 3, 5 ,8-tetraen-8-y I] benzonitrile (21a)
- [0268] 22 was prepared from intermediate i-6(S) using procedures similar to those described in Example 21.
- Phosphodiesterase 4 is a 3’,5’-cyclic-adenosine monophosphate (cAMP) phosphodiesterase, which catalyzes the reaction of 3 ’,5 ’-cyclic-adenosine phosphate and water to 5 ’-adenosine monophosphate. Activation of PDE4 therefore decreases cAMP levels. The reaction requires magnesium or manganese.
- cAMP cyclic-adenosine monophosphate
- the PDE4B1 and PDE4D3 assays used scintillation proximity assay (SPA) technology to measure the inhibition of human recombinant PDE4B1 and PDE4D3 enzyme activity by test compounds in vitro.
- SPA technology uses beads coated with scintillation fluid which bind the purified protein. Binding of radioligand to the purified protein on the beads causes the scintillant to emit light which can be detected by scintillation or plate readers. [3H]- cAMP was used to measure PDE4-dependent changes in cAMP.
- the PDE4B 1 and PDE4D3 assays use identical assay conditions except for the enzyme concentration.
- Assay buffer contained 50 mM Tris(hydroxymethyl)aminomethane hydrochloride (Tris-HCl pre-set Crystals, pH 7.5 at 25°C) with 1.3 mM magnesium chloride (MgCb).
- Enzyme buffer contained assay buffer with 0.01% Brij-35 solution.
- Concentration-response assays of test compounds were performed using % log serial dilution. Twenty nL of compound was transferred to an assay plate.
- [2,8- 3 H]-cyclic adenosine 3 ’,5 ’monophosphate, ammonium salt (>97%, 1 millicurie (mCi), 20 nM final concentration) were combined with unlabeled adenosine 3 ’,5 ’-cyclic monophosphate for a final combined concentration of 1 mM (approximately the Km of cAMP for PDE4).
- Exact radioligand concentration for each experiment was determined by liquid scintillation counting.
- Final enzyme concentrations for PDE4Bland PDE4D3 were approximately 40 pM and 10 pM, respectively. Assay plates were incubated for 30 minutes at room temperature while shaking.
Landscapes
- Chemical & Material Sciences (AREA)
- Organic Chemistry (AREA)
- Health & Medical Sciences (AREA)
- Pain & Pain Management (AREA)
- Rheumatology (AREA)
- Chemical Kinetics & Catalysis (AREA)
- General Chemical & Material Sciences (AREA)
- Medicinal Chemistry (AREA)
- Nuclear Medicine, Radiotherapy & Molecular Imaging (AREA)
- Pharmacology & Pharmacy (AREA)
- Life Sciences & Earth Sciences (AREA)
- Animal Behavior & Ethology (AREA)
- General Health & Medical Sciences (AREA)
- Public Health (AREA)
- Veterinary Medicine (AREA)
- Pharmaceuticals Containing Other Organic And Inorganic Compounds (AREA)
Abstract
The present disclosure is directed to compounds of Formula (I), or a pharmaceutically acceptable salt thereof, wherein the substituents X, Y, Z, R1, R2, R3, R4, and R5 are as defined herein. The disclosure is also directed to pharmaceutical compositions comprising the compounds, methods of treatment using the compounds and methods of preparing the compounds.
Description
AZAINDOLE COMPOUNDS AND THEIR USE AS PHOSPHODIESTERASE INHIBITORS
Cross-Reference to Related Applications
[0001] This application claims the benefit of and priority from U.S. Provisional Application Number 63/428,390, filed November 28, 2022, the entire contents of which are incorporated herein by reference.
Field of the Disclosure
[0002] The present disclosure relates to azaindole compounds of Formula (I), as well as those of sub-Formulae (I -A), (I-B), and (I-C), which are inhibitors of PDE4 isozymes, and the use of such compounds in methods for treating, e.g., metabolic, autoimmune, inflammatory, dermatological and fibrotic diseases or disorders.
Background of the Disclosure
[0003] Phosphodiesterases (PDEs) are a class of intracellular enzymes that cleave the phosphodiester bond in the molecules adenosine 3',5'-cyclic monophosphate (cAMP) and guanosine 3 ',5 '-cyclic monophosphate (cGMP).
[0004] cAMP functions as a secondary messenger regulating many intracellular processes within the body. The complexity of cyclic nucleotide signaling is indicated by the molecular diversity of the enzymes involved in the synthesis and degradation of cAMP. There are at least ten families of adenylyl cyclases and eleven families of phosphodiesterases.
Furthermore, different types of cells are known to express multiple isozymes of each of these classes, and there is good evidence for compartmentalization and specificity of function for different isozymes within a given cell.
[0005] A principal mechanism for regulating cyclic nucleotide signaling is via PDE- catalyzed cyclic nucleotide catabolism. The eleven known families of PDEs (PDE1-11) are encoded by 21 different genes; each gene typically yields multiple splice variants that further contribute to isozyme diversity. The PDE families are distinguished functionally based on cyclic nucleotide substrate specificity, mechanism(s) of regulation, and sensitivity to inhibitors. Furthermore, PDEs are differentially expressed throughout the organism. As a result of these distinct enzymatic activities and localizations, different PDE isozymes can serve distinct physiological functions. Furthermore, compounds that can selectively inhibit particular PDE isozymes over others may offer particular therapeutic effects, fewer side
effects, or both (Deninno, M., Future Directions in Phosphodiesterase Drug Discovery. Bioorganic and. Medicinal Chemistry Letters 2012, 22, 6794-6800).
[0006] The present disclosure relates to compounds inhibiting the PDE4 activity of PDEs family, and, in particular, a higher activity of inhibiting PDE4B than PDE4D isoforms.
[0007] The PDE4 isozymes carry out selective, high-affinity hydrolytic degradation of the secondary messenger cAMP, and beneficial pharmacological effects resulting from that inhibition have been shown in a variety of disease models. A number of PDE4 inhibitors have been discovered in recent years. For example, Roflumilast (DALIRESP®), marketed by Forest Pharmaceuticals, Inc., is approved for severe chronic obstructive pulmonary disease (COPD) to decrease the number of flare-ups or prevent exacerbations of COPD symptoms. Apremilast (OTEZLA®) has been approved by the U.S. Food and Drug Administration for the treatment of adults with active psoriatic arthritis.
[0008] While beneficial pharmacological activity of PDE4 inhibitors has been shown, a common side effect of these treatments has been the induction of gastrointestinal symptoms such as nausea, emesis, and diarrhea, which are hypothesized to be associated with inhibition of the PDE4D isoform (Robichaud, A. et al., Deletion of Phosphodiesterase 4D in Mice Shortens a2 -Adrenoreceptor-Mediated Anesthesia, A Behavioral Correlate of Emesis Journal of Clinical Investigation 2002, 110, 1045-1052). Attempts have been made to develop compounds with selectivity for the PDE4B isoform over the PDE4D isoform (See: Donnell, A. F. et al., Identification of pyridazino[4,5-6]indolizines as selective PDE4B inhibitors. Bioorganic & Medicinal Chemistry Letters 2010, 20, 2163-7; and Naganuma, K. et al., Discovery of selective PDE4B inhibitors. Bioorganic and Medicinal Chemistry Letters 2009, 19, 3174-6). Recently, selective PDE4 inhibitors have been reported to show efficacy in Phase II clinical trial for idiopathic pulmonary fibrosis with more favorable tolerability (Richeldi, L. et al., Trial of a Preferential Phosphodiesterase 4B Inhibitor for Idiopathic Pulmonary Fibrosis N Engl J Med 2022, 386, 2178-2187). However, there remains a need to develop selective PDE4 inhibitors, especially those having a selectivity between PDE4B and PDE4D. Compounds with selectivity for the PDE4B isoform over the PDE4D isoform are anticipated to be useful in the treatment of various diseases and disorders while mitigating at least some of the GI side effects. The discovery of selected compounds of the present disclosure addresses this continued need, and provides additional therapies for the treatment of, for example, various metabolic, autoimmune, inflammatory, fibrotic and dermatological diseases or disorders.
Summary of the Disclosure
[0009] The present disclosure is directed to compounds of Formula (I):
or a pharmaceutically acceptable salt thereof, wherein:
X is carbon or nitrogen;
Y is carbon or nitrogen and Z is carbon or nitrogen, provided that: one of Y and Z is nitrogen; when Y is nitrogen, Z is carbon, the bond between Y and C2 is a single bond, and the bond between Z and C2 is a double bond; and when Z is nitrogen, Y is carbon, the bond between Y and C2 is a double bond, and the bond between Z and C2 is a single bond;
Ri is hydrogen, halogen, or (Ci-C3)alkyl;
R2 is hydrogen, halogen, (Ci-C3)alkoxy, or -CN;
R3 is hydrogen, halogen, or (Ci-C3)alkoxy, provided that when X is nitrogen, R3 is absent;
R s hydrogen, (Ci-C6)alkanol, (C3-C6)cycloalkanol, (C2-Ce)alkyl-O-Re, (C3- C6)cycloalkyl, or (Ci-C6)alkyl; and
R5 is hydrogen, (Ci-C6)alkanol, (C3-C6)cycloalkanol, (Ci-C6)alkyl-O-R6, (C3- C6)cycloalkyl, or (Ci-C6)alkyl, wherein at least one of R4 and R5 is a branched or linear (Ci-C6)alkanol, (C3-C6)cycloalkanol, or (Ci-C6)alkyl-O-R6, and
Re is selected from the group consisting of: (Ci-C25)alkyl, C(O)-(Ci-C2s)alkyl, (C2- Cio)alkenyl, (C2-Cio)alkynyl, (C3-Cs)cycloalkyl, 5-10 membered heterocyclic groups, (Ce-
- P— OH
R7 and Rs are each independently selected from the group consisting of: (Ci-C25)alkyl, (C2-Cio)alkenyl, (C2-Cio)alkynyl, (C3-C8)cycloalkyl, 5-10 membered heterocyclic groups, (Ce-Cio)aryl, (Ci-C25)alkoxy, (Ci-C3)alkyl, and 5-10 membered heteroaryl groups; or R7 or Rs is counter cation such as NH4+, Na+, or K+; wherein (Ci-C25)alkyl, (C2-Cio)alkenyl, (C2-Cio)alkynyl, (C3-Cs)cycloalkyl, 5-10 membered heterocyclic groups, (Ce-Cio)aryl, (Ci-C25)alkoxy, (Ci-C3)alkyl, and 5-10 membered heteroaryl groups can each independently be optionally substituted by one, two or more halogens, hydroxyl groups, amino groups, Cns alkyl groups, C2-8 alkenyl groups, C2-s alkynyl groups, C1-8 alkoxy groups, Ce-io aryl groups optionally substituted by Cn 10 alkyl, or 5-10 membered heteroaryl groups optionally substituted by Ci-10 alkyl.
[0010] In some embodiments, the compound of Formula (I) is a compound of Formula (I- A):
or a pharmaceutically acceptable salt thereof, wherein:
X is carbon or nitrogen;
Ri is hydrogen, halogen, or (Ci-C3)alkyl;
R2 is hydrogen, halogen, (Ci-C3)alkoxy, or -CN;
R3 is hydrogen, halogen, or (Ci-C3)alkoxy, provided that when X is nitrogen, R3 is absent;
R4 is hydrogen, (Ci-C6)alkanol, (C3-C6)cycloalkanol, (C2-Ce)alkyl-O-R6, (C3-
C6)cycloalkyl, or (Ci-C6)alkyl; and
R5 is hydrogen, (Ci-C6)alkanol, (C3-C6)cycloalkanol, (Ci-C6)alkyl-O-R6, (C3- C6)cycloalkyl, or (Ci-C6)alkyl, wherein at least one of R4 and R5 is a branched or linear (Ci-C6)alkanol, (C3-C6)cycloalkanol, or (Ci-C6)alkyl-O-R6, and
Re is selected from the group consisting of: (Ci-C25)alkyl, C(O)-(Ci-C25)alkyl, (C2- Cio)alkenyl, (C2-Cio)alkynyl, (C3-Cs)cycloalkyl, 5-10 membered heterocyclic groups, (Ce-
R7 and Rs are each independently selected from the group consisting of: (Ci-C25)alkyl, (C2-Cio)alkenyl, (C2-Cio)alkynyl, (C3-Cs)cycloalkyl, 5-10 membered heterocyclic groups, (Ce-Cio)aryl, (Ci-C25)alkoxy, (Ci-C3)alkyl, and 5-10 membered heteroaryl groups; or R7 or Rs is counter cation such as NH4 +, Na+, or K+; wherein (Ci-C25)alkyl, (C2-Cio)alkenyl, (C2-Cio)alkynyl, (C3-Cs)cycloalkyl, 5-10 membered heterocyclic groups, (Ce-Cio)aryl, (Ci-C25)alkoxy, (Ci-C3)alkyl, and 5-10 membered heteroaryl groups can each independently be optionally substituted by one, two or more halogens, hydroxyl groups, amino groups, Cns alkyl groups, C2-8 alkenyl groups, C2-s alkynyl groups, Ci-s alkoxy groups, Ce-io aryl groups optionally substituted by Ci- 10 alkyl, or 5-10 membered heteroaryl groups optionally substituted by C1-10 alkyl.
[0011] In some embodiments, the compound of Formula (I) is a compound of Formula (I- B):
or a pharmaceutically acceptable salt thereof, wherein:
X is carbon or nitrogen;
Ri is hydrogen, halogen, or (Ci-C3)alkyl;
R2 is hydrogen, halogen, (Ci-C3)alkoxy, or -CN;
R3 is hydrogen, halogen, or (Ci-C3)alkoxy, provided that when X is nitrogen, R3 is absent;
R s hydrogen, (Ci-C6)alkanol, (C3-C6)cycloalkanol, (C2-Ce)alkyl-O-R6, (C3- C6)cycloalkyl, or (Ci-C6)alkyl; and
R5 is hydrogen, (Ci-C6)alkanol, (C3-C6)cycloalkanol, (Ci-C6)alkyl-O-R6, (C3- C6)cycloalkyl, or (Ci-C6)alkyl, wherein at least one of R4 and R5 is a branched or linear (Ci-C6)alkanol, (C3-C6)cycloalkanol, or (Ci-C6)alkyl-O-R6, and
Re is selected from the group consisting of: (Ci-C25)alkyl, C(O)-(Ci-C25)alkyl, (C2- Cio)alkenyl, (C2-Cio)alkynyl, (C3-Cs)cycloalkyl, 5-10 membered heterocyclic groups, (Ce-
R7 and Rs are each independently selected from the group consisting of: (Ci-C25)alkyl, (C2-Cio)alkenyl, (C2-Cio)alkynyl, (C3-C8)cycloalkyl, 5-10 membered heterocyclic groups, (Ce-Cio)aryl, (Ci-C25)alkoxy, (Ci-C3)alkyl, and 5-10 membered heteroaryl groups; or R7 or Rs is counter cation such as NHd, Na+, or K+; wherein (Ci-C25)alkyl, (C2-Cio)alkenyl, (C2-Cio)alkynyl, (C3-Cs)cycloalkyl, 5-10 membered heterocyclic groups, (Ce-Cio)aryl, (Ci-C25)alkoxy, (Ci-C3)alkyl, and 5-10 membered heteroaryl groups can each independently be optionally substituted by one, two or more halogens, hydroxyl groups, amino groups, C1-8 alkyl groups, C2-8 alkenyl groups, C2-s alkynyl groups, C1-8 alkoxy groups, Ce-io aryl groups optionally substituted by Cn 10 alkyl, or 5-10 membered heteroaryl groups optionally substituted by Ci-10 alkyl.
[0012] In some embodiments, the compound of Formula (I) is a compound of Formula (I- C):
X is carbon or nitrogen;
Ri is hydrogen, halogen, or (Ci-C3)alkyl;
R2 is hydrogen, halogen, (Ci-C3)alkoxy, or -CN;
R3 is hydrogen, halogen, or (Ci-C3)alkoxy, provided that when X is nitrogen, R3 is absent;
Rds hydrogen, (Ci-C6)alkanol, (C3-C6)cycloalkanol, (C2-Ce)alkyl-O-R6, (C3- C6)cycloalkyl, or (Ci-C6)alkyl; and
R5 is hydrogen, (Ci-C6)alkanol, (C3-C6)cycloalkanol, (Ci-C6)alkyl-O-R6, (C3- C6)cycloalkyl, or (Ci-C6)alkyl, wherein at least one of R4 and R5 is a branched or linear (Ci-C6)alkanol, (C3-C6)cycloalkanol, or (Ci-C6)alkyl-O-R6, and
Re is selected from the group consisting of: (Ci-C25)alkyl, C(O)-(Ci-C25)alkyl, (C2- Cio)alkenyl, (C2-Cio)alkynyl, (C3-Cs)cycloalkyl, 5-10 membered heterocyclic groups, (Ce-
R7 and Rs are each independently selected from the group consisting of: (Ci-C25)alkyl, (C2-Cio)alkenyl, (C2-Cio)alkynyl, (C3-Cs)cycloalkyl, 5-10 membered heterocyclic groups, (Ce-Cio)aryl, (Ci-C25)alkoxy, (Ci-C3)alkyl, and 5-10 membered heteroaryl groups; or R7 or Rs is counter cation such as NHZ, Na+, or K+; wherein (Ci-C25)alkyl, (C2-Cio)alkenyl, (C2-Cio)alkynyl, (C3-Cs)cycloalkyl, 5-10 membered heterocyclic groups, (Ce-Cio)aryl, (Ci-C25)alkoxy, (Ci-C3)alkyl, and 5-10
membered heteroaryl groups can each independently be optionally substituted by one, two or more halogens, hydroxyl groups, amino groups, Ci-8 alkyl groups, C2-8 alkenyl groups, C2-s alkynyl groups, C1-8 alkoxy groups, Ce-io aryl groups optionally substituted by Cn 10 alkyl, or 5-10 membered heteroaryl groups optionally substituted by Ci-10 alkyl.
[0013] Compounds of the disclosure include those of Examples 1-22, or pharmaceutically acceptable salts thereof, as described herein.
[0014] The compounds of Formula (I), Formula (I-A), Formula (I-B), or Formula (I-C), or pharmaceutically acceptable salts thereof, are inhibitors of PDE4B, in particular, they have enhanced activity for PDE4B over PDE4D.
[0015] The present disclosure is also directed to pharmaceutically acceptable formulations (e.g., a pharmaceutical composition) containing a mixture of a compound(s) of the present disclosure, or a pharmaceutically acceptable salt thereof, and at least one excipient. In some embodiments, the pharmaceutical composition is formulated into a pharmaceutical dosage form. In some embodiments, the pharmaceutical composition of the present disclosure is in an orally administrable dosage form or a topically administratable dosage form, or an intravenous dosage form. Examples of appropriate orally administratable or topically administratable dosage forms include, but are not limited to, tablets, capsules, suppositories, gels, creams, ointments, lotions, solutions/suspensions for injection (e.g., depot), aerosols for inhalation and solutions/suspensions for oral ingestion.
[0016] The compounds of Formula (I), Formula (I-A), Formula (I-B), Formula (I-C), pharmaceutically acceptable salts thereof, and pharmaceutical compositions thereof, as described herein, are useful for treating or preventing various metabolic, autoimmune, inflammatory, dermatological and fibrotic diseases or disorders. For example, the compounds of the disclosure, pharmaceutically acceptable salts thereof, and pharmaceutical compositions thereof, are useful for treating or preventing inflammatory skin diseases, dermatitis, inflammatory bowel disease, pulmonary diseases, idiopathic pulmonary fibrosis, asthma, hepatitis, adult respiratory distress syndrome, bone -resorption diseases, chronic obstructive pulmonary diseases, cystic fibrosis, septic shock, sepsis, endotoxic shock, hemodynamic shock, post ischemic reperfusion injury, meningitis, fibrotic disease, cachexia, graft rejection including graft versus host disease, autoimmune disease, rheumatoid spondylitis, arthritic conditions, osteoporosis, systemic lupus erythrematosus, erythema nodosum leprosum (ENL) in leprosy, radiation damage, hyperoxic alveolar injury, diabetes mellitus, and cardiovascular conditions. The compounds of Formula (I), Formula (I-A), Formula (I-B), Formula (I-C), pharmaceutically acceptable salts thereof, and pharmaceutical compositions thereof, are also
useful for treating or preventing psoriasis, atopic dermatitis, Crohn’s disease, ulcerative colitis etc.
[0017] Particular embodiments of the present disclosure include:
X is carbon or nitrogen;
Y is carbon or nitrogen and Z is carbon or nitrogen, provided that: one of Y and Z is nitrogen; when Y is nitrogen, Z is carbon, the bond between Y and C2 is a single bond, and the bond between Z and C2 is a double bond; and when Z is nitrogen, Y is carbon, the bond between Y and C2 is a double bond, and the bond between Z and C2 is a single bond;
Ri is hydrogen, halogen, or (Ci-C3)alkyl;
R2 is hydrogen, halogen, (Ci-C3)alkoxy, or -CN;
R3 is hydrogen, halogen, or (Ci-C3)alkoxy, provided that when X is nitrogen, R3 is absent;
RHs hydrogen, (Ci-C6)alkanol, (C3-C6)cycloalkanol, (C2-Ce)alkyl-O-Re, (C3-
C6)cycloalkyl, or (Ci-C6)alkyl; and
R5 is hydrogen, (Ci-C6)alkanol, (C3-C6)cycloalkanol, (Ci-C6)alkyl-O-R6, (C3-
C6)cycloalkyl, or (Ci-C6)alkyl, wherein at least one of R4 and R5 is a branched or linear
(Ci-C6)alkanol, (C3-C6)cycloalkanol, or (Ci-C6)alkyl-O-R6, and
Re is selected from the group consisting of: (Ci-C25)alkyl, C(O)-(Ci-C25)alkyl, (C2- Cio)alkenyl, (C2-Cio)alkynyl, (C3-Cs)cycloalkyl, 5-10 membered heterocyclic groups, (Ce-
- P— OH
R7 and Rs are each independently selected from the group consisting of: (Ci-C25)alkyl, (C2-Cio)alkenyl, (C2-Cio)alkynyl, (C3-C8)cycloalkyl, 5-10 membered heterocyclic groups, (Ce-Cio)aryl, (Ci-C25)alkoxy, (Ci-C3)alkyl, and 5-10 membered heteroaryl groups; or R7 or Rs is counter cation such as NH4+, Na+, or K+; wherein (Ci-C25)alkyl, (C2-Cio)alkenyl, (C2-Cio)alkynyl, (C3-Cs)cycloalkyl, 5-10 membered heterocyclic groups, (Ce-Cio)aryl, (Ci-C25)alkoxy, (Ci-C3)alkyl, and 5-10 membered heteroaryl groups can each independently be optionally substituted by one, two or more halogens, hydroxyl groups, amino groups, Cns alkyl groups, C2-8 alkenyl groups, C2-s alkynyl groups, C1-8 alkoxy groups, Ce-io aryl groups optionally substituted by Cn 10 alkyl, or 5-10 membered heteroaryl groups optionally substituted by Ci-10 alkyl.
2. The compound or pharmaceutically acceptable salt thereof as in embodiment 1 , wherein the compound of Formula (I) is a compound of Formula (I-A):
or a pharmaceutically acceptable salt thereof, wherein:
X is carbon or nitrogen;
Ri is hydrogen, halogen, or (Ci-C3)alkyl;
R2 is hydrogen, halogen, (Ci-C3)alkoxy, or -CN;
R3 is hydrogen, halogen, or (Ci-C3)alkoxy, provided that when X is nitrogen, R3 is absent;
R4 is hydrogen, (Ci-C6)alkanol, (C3-C6)cycloalkanol, (C2-Ce)alkyl-O-R6, (C3-
C6)cycloalkyl, or (Ci-C6)alkyl; and
R5 is hydrogen, (Ci-C6)alkanol, (C3-C6)cycloalkanol, (Ci-C6)alkyl-O-R6, (C3- C6)cycloalkyl, or (Ci-C6)alkyl, wherein at least one of R4 and R5 is a branched or linear (Ci-C6)alkanol, (C3-C6)cycloalkanol, or (Ci-C6)alkyl-O-R6, and
Re is selected from the group consisting of: (Ci-C25)alkyl, C(O)-(Ci-C25)alkyl, (C2- Cio)alkenyl, (C2-Cio)alkynyl, (C3-Cs)cycloalkyl, 5-10 membered heterocyclic groups, (Ce-
R7 and Rs are each independently selected from the group consisting of: (Ci-C25)alkyl, (C2-Cio)alkenyl, (C2-Cio)alkynyl, (C3-Cs)cycloalkyl, 5-10 membered heterocyclic groups, (Ce-Cio)aryl, (Ci-C25)alkoxy, (Ci-C3)alkyl, and 5-10 membered heteroaryl groups; or R7 or Rs is counter cation such as NH4 +, Na+, or K+; wherein (Ci-C25)alkyl, (C2-Cio)alkenyl, (C2-Cio)alkynyl, (C3-Cs)cycloalkyl, 5-10 membered heterocyclic groups, (Ce-Cio)aryl, (Ci-C25)alkoxy, (Ci-C3)alkyl, and 5-10 membered heteroaryl groups can each independently be optionally substituted by one, two or more halogens, hydroxyl groups, amino groups, Cns alkyl groups, C2-8 alkenyl groups, C2-s alkynyl groups, Ci-s alkoxy groups, Ce-io aryl groups optionally substituted by Ci- 10 alkyl, or 5-10 membered heteroaryl groups optionally substituted by C1-10 alkyl.
3. The compound or pharmaceutically acceptable salt thereof as in embodiment 1 , wherein the compound of Formula (I) is a compound of Formula (I-B):
X is carbon or nitrogen;
Ri is hydrogen, halogen, or (Ci-C3)alkyl;
R2 is hydrogen, halogen, (Ci-C3)alkoxy, or -CN;
R3 is hydrogen, halogen, or (Ci-C3)alkoxy, provided that when X is nitrogen, R3 is absent;
RHs hydrogen, (Ci-C6)alkanol, (C3-C6)cycloalkanol, (C2-Ce)alkyl-O-R6, (C3- C6)cycloalkyl, or (Ci-C6)alkyl; and
R5 is hydrogen, (Ci-C6)alkanol, (C3-C6)cycloalkanol, (Ci-C6)alkyl-O-R6, (C3- C6)cycloalkyl, or (Ci-C6)alkyl, wherein at least one of R4 and R5 is a branched or linear (Ci-C6)alkanol, (C3-C6)cycloalkanol, or (Ci-C6)alkyl-O-R6, and
Re is selected from the group consisting of: (Ci-C25)alkyl, C(O)-(Ci-C25)alkyl, (C2- Cio)alkenyl, (C2-Cio)alkynyl, (C3-Cs)cycloalkyl, 5-10 membered heterocyclic groups, (Ce-
R7 and Rs are each independently selected from the group consisting of: (Ci-C25)alkyl, (C2-Cio)alkenyl, (C2-Cio)alkynyl, (C3-Cs)cycloalkyl, 5-10 membered heterocyclic groups, (Ce-Cio)aryl, (Ci-C25)alkoxy, (Ci-C3)alkyl, and 5-10 membered heteroaryl groups; or R7 or Rs is counter cation such as NHZ, Na+, or K+; wherein (Ci-C25)alkyl, (C2-Cio)alkenyl, (C2-Cio)alkynyl, (C3-Cs)cycloalkyl, 5-10 membered heterocyclic groups, (Ce-Cio)aryl, (Ci-C25)alkoxy, (Ci-C3)alkyl, and 5-10
membered heteroaryl groups can each independently be optionally substituted by one, two or more halogens, hydroxyl groups, amino groups, Ci-8 alkyl groups, C2-8 alkenyl groups, C2-s alkynyl groups, C1-8 alkoxy groups, Ce-io aryl groups optionally substituted by Cn 10 alkyl, or 5-10 membered heteroaryl groups optionally substituted by Ci-10 alkyl.
4. The compound or pharmaceutically acceptable salt thereof as in embodiment 1 , wherein the compound of Formula (I) is a compound of Formula (I-C):
or a pharmaceutically acceptable salt thereof, wherein:
X is carbon or nitrogen;
Ri is hydrogen, halogen, or (Ci-C3)alkyl;
R2 is hydrogen, halogen, (Ci-C3)alkoxy, or -CN;
R3 is hydrogen, halogen, or (Ci-C3)alkoxy, provided that when X is nitrogen, R3 is absent;
R4 is hydrogen, (Ci-C6)alkanol, (C3-C6)cycloalkanol, (C2-Ce)alkyl-O-Re, (C3-
C6)cycloalkyl, or (Ci-C6)alkyl; and
R5 is hydrogen, (Ci-C6)alkanol, (C3-C6)cycloalkanol, (Ci-C6)alkyl-O-R6, (C3-
C6)cycloalkyl, or (Ci-C6)alkyl, wherein at least one of R4 and R5 is a branched or linear
(Ci-C6)alkanol, (C3-C6)cycloalkanol, or (Ci-C6)alkyl-O-R6; and
Re is selected from the group consisting of: C(O)-(Ci-C25)alkyl, C(O)-(C2-C25)alkenyl,
R? and Rs are each independently selected from the group consisting of: (Ci-C2s)alkyl, (C2-Cio)alkenyl, (C2-Cio)alkynyl, (C3-C8)cycloalkyl, 5-10 membered heterocyclic groups, (Ce-Cio)aryl, (Ci-C25)alkoxy, (Ci-C3)alkyl, and 5-10 membered heteroaryl groups; or R? or Rs counter cation such as NH4+, Na+, or K+; wherein (Ci-C3)alkyl, (Ci-C6)alkyl, (Ci-C25)alkyl, (Ci-C3)alkoxy, (Ci-C6)alkanol, (C3- C6)cycloalkanol, (C2-C25)alkenyl, and (C2-C25)alkynyl can each independently be optionally substituted by one, two or more halogens, hydroxyl groups, amino groups, Ci- 8 alkyl groups, C2-8 alkenyl groups, C2-s alkynyl groups, C1-8 alkoxy groups, Ce-io aryl groups optionally substituted by C1-10 alkyl, or 5-10 membered heteroaryl groups optionally substituted by Ci-10 alkyl.
5. The compound or pharmaceutically acceptable salt thereof as in any one of the preceding embodiments, wherein X is carbon.
6. The compound or pharmaceutically acceptable salt thereof as in any one of the preceding embodiments, wherein Ri is hydrogen.
7. The compound or pharmaceutically acceptable salt thereof as in any one of the preceding embodiments, wherein at least one of R2 and R3 is -F.
8. The compound or pharmaceutically acceptable salt thereof as in any one of the preceding embodiments, wherein R2 is hydrogen, -Cl, -F, -OCH3, or -CN.
9. The compound or pharmaceutically acceptable salt thereof as in any one of the preceding embodiments, wherein R3 is -Cl or -F.
10. The compound or pharmaceutically acceptable salt thereof as in any one of the preceding embodiments, wherein R4 is (Ci-C3)alkanol or cyclopropyl.
11. The compound or pharmaceutically acceptable salt thereof as in any one of the preceding embodiments, wherein R4 is cyclopropyl, -CH2CH2OH,
or
12. The compound or pharmaceutically acceptable salt thereof as in any one of the preceding embodiments, wherein R5 is -H, -CH2OH, or -CH3.
13. The compound or pharmaceutically acceptable salt thereof as in any one of the preceding embodiments, wherein R5 is
.
14. The compound or pharmaceutically acceptable salt thereof as in any one of the preceding embodiments, wherein R2 and R3 are each -F.
15. The compound or pharmaceutically acceptable salt thereof as in any one of embodiments 1-4, wherein:
X is carbon;
Ri is hydrogen;
R2 is hydrogen, -Cl, -F, -OCH3, or -CN;
R3 is -Cl or -F;
R5 is hydrogen, -CH2OH, or -CH3; and wherein at least one of R4 and R5 is an alkanol, and at least one of R2 and R3 is -F.
16. The compound or pharmaceutically acceptable salt thereof as in any one of embodiments 1-4, wherein R4 is hydrogen, (C3-C6)cycloalkyl, or (Ci-C6)alkyl, and R5 is (Ci-C6)alkanol, (C3- C6)cycloalkanol, (C2-Ce)alkyl-O-Re, and Re is C(O)-(Ci-C25)alkyl.
19. A pharmaceutical composition comprising a compound or pharmaceutically acceptable salt thereof as in any one of the preceding embodiments and one or more pharmaceutically acceptable excipients.
20. The pharmaceutical composition as in embodiment 19, wherein the composition is an orally administrable dosage form or a topically administrable dosage form, or an intravenous form, but are not limited to, tablets, capsules, suppositories, gels, creams, ointments, lotions, solutions/suspensions for injection (e.g., depot), aerosols for inhalation and solutions/suspensions for oral ingestion.
21. A method of treating a condition comprising administering a compound or pharmaceutically acceptable salt thereof as in any one of embodiments 1-18, or a pharmaceutical composition as in embodiment 19 or 20, to a subject in need thereof, wherein the condition is selected from the group consisting of: inflammatory skin diseases, dermatitis, inflammatory bowel disease, pulmonary diseases, idiopathic pulmonary fibrosis, asthma, hepatitis, adult respiratory distress syndrome, bone -resorption diseases, chronic obstructive pulmonary diseases, cystic fibrosis, septic shock, sepsis, endotoxic shock, hemodynamic shock, post ischemic reperfusion injury, meningitis, fibrotic disease, cachexia, graft rejection including graft versus host disease, autoimmune disease, rheumatoid spondylitis, arthritic conditions, osteoporosis, systemic lupus erythrematosus, erythema nodosum leprosum (ENL) in leprosy, radiation damage, hyperoxic alveolar injury, diabetes mellitus, and cardiovascular conditions.
22. A method of treating a condition comprising administering a compound or pharmaceutically acceptable salt thereof as in any one of embodiments 1-18, or a pharmaceutical composition as in embodiment 19 or 20, to a subject in need thereof, wherein the condition is selected from the group consisting of: psoriasis, atopic dermatitis, Crohn’s disease, ulcerative colitis.
23. A method of treating idiopathic pulmonary fibrosis comprising administering a compound or pharmaceutically acceptable salt thereof as in embodiment 21 to a subject in need thereof.
Detailed Description of the Disclosure
[0018] The headings within this document are only being utilized to expedite its review by the reader. They should not be construed as limiting the disclosure or claims in any manner.
Definitions and Exemplifications
[0019] As used throughout this application, including the claims, the following terms have the meanings defined below, unless specifically indicated otherwise. The plural and singular should be treated as interchangeable, other than the indication of number.
[0020] At various places in the present specification, substituents of compounds of the disclosure are disclosed in groups or in ranges. It is specifically intended that the disclosure include each and every individual subcombination of the members of such groups and ranges. For example, the term “(Ci-Cejalkyl” is specifically intended to include Ci alkyl (methyl), C2 alkyl (ethyl), C3 alkyl, C4 alkyl, C5 alkyl, and Ce alkyl.
[0021] The term “(Ci-Cejalkyl” as used herein, refers to a saturated, branched- or straightchain alkyl group containing from 1 to 6 carbon atoms, such as, but not limited to, methyl, ethyl, n-propyl, isopropyl, n-butyl, .sec-butyl, isobutyl, tert-butyl, n-pentyl, isopentyl, neopentyl, and n-hexyl. Similarly, the term “(C i-Cajalkyl” as used herein, refers to a saturated, branched- or straight-chain alkyl group containing from 1 to 3 carbon atoms, such as, methyl, ethyl, n-propyl, and isopropyl.
[0022] The term “(Ci-Cejalkoxy” as used herein, refers to a (Ci-Cejalkyl group, as defined above, attached to the parent molecular moiety through an oxygen atom. Representative examples of a (Ci-Ce)alkoxy include, but are not limited to, methoxy, ethoxy, propyloxy, 2- propyloxy, butoxy, Ze/7-butoxy, pentyloxy, and hexyloxy. Similarly, the term “(Ci -Chialkoxy”
as used herein, refers to a (Ci-C3)alkyl group, as defined above, attached to the parent molecular moiety through an oxygen atom. Representative examples of a (Ci-C3)alkoxy include, but are not limited to, methoxy, ethoxy, propyloxy, and 2-propyloxy.
[0023] The term “(Ci-C6)alkanol” as used herein, refers to a (Ci-C6)alkyl group, as defined above, wherein one or more of the constituent hydrogen atoms of said alkyl group is replaced by a hydroxyl (-OH) group. Similarly, the term “(Ci-C3)alkanol” as used herein, refers to a (Ci-C3)alkyl group, as defined above, wherein one of the constituent hydrogen atoms of said alkyl group is replaced by a hydroxyl (-OH) group.
[0024] As used herein, the term “(C3-C6)cycloalkyl” refers to a carbocyclic substituent obtained by removing a hydrogen from a saturated carbocyclic molecule having from 3 to 6 carbon atoms in its ring. A “cycloalkyl” may be a monocyclic ring, examples of which include cyclopropyl, cyclobutyl, cyclopentyl, and cyclohexyl. Also included in the definition of cycloalkyl are unsaturated non-aromatic cycloalkyls such as, but not limited to, cyclohexenyl, cyclohexadienyl, and cyclopentenyl. Alternatively, a cycloalkyl may contain more than one ring such as a “(C4-C6)bicycloalkyl”. The term “(C4-C6)bicycloalkyl” refers to a bicyclic ring system containing from 4 to 6 carbon atoms. The bicycloalkyl may be fused, such as bicyclo[1.1.0]butanyl, bicyclo[2.1.0]pentanyl, bicyclo[2.2.0]hexanyl, and bicyclo[3.1.0]hexanyl. The term “bicycloalkyl” also includes bridged bicycloalkyl systems such as, but not limited to, bicyclo[l.l.l]pentanyl.
[0025] “halo” or “halogen” as used herein, refers to a fluorine (-F), chlorine (-C1), bromine (-Br), or iodine (-1) atom.
[0026] “hydroxy” or “hydroxyl” as used herein, means an -OH group.
[0027] “cyano” as used herein, means a -CN group, which also may be depicted as =N . [0028] The term “amino acid(s)”, as used herein, is intended to encompass all natural and non-natural amino acids, unless otherwise indicated. Generally, amino acids comprise a carbonyl and an alpha amino (-NH2) group. The alpha amino group may be unsubstituted or substituted (e.g., with a nitrogen protecting group known in the art).
[0029] As used herein, unless specified, the point of attachment of a substituent can be from any suitable position of the substituent. For example, pyridinyl (or pyridyl) can be 2-pyridinyl (or pyridin-2-yl), 3-pyridinyl (or pyridin-3-yl), or 4-pyridinyl (or pyridin-4-yl).
[0030] In general, “therapeutically effective amount” refers to an amount sufficient to elicit the desired biological response. In some instances, “therapeutically effective amount” refers to an amount of a compound, pharmaceutically acceptable salt thereof, or pharmaceutical
composition thereof, being administered which will relieve, to some extent, one or more of the symptoms of the disorder being treated. A therapeutically effective amount of a compound also refers to an amount of the therapeutic agent, alone or in combination with other therapies, which provides a therapeutic benefit in the treatment of the disease, disorder or condition. The term “therapeutically effective amount”, thus, can encompass an amount that improves overall therapy, reduces, ameliorates or avoids symptoms or causes of a disease or condition, or enhances the therapeutic efficacy of another therapeutic agent. As will be appreciated by those of ordinary skill in this art, the therapeutically effective amount of a compound, pharmaceutically acceptable salt, or pharmaceutical composition of the disclosure may vary depending on a variety of factors such as, but not limited to, the desired biological, therapeutic or clinical endpoint, the pharmacokinetics of the compound, the disease being treated, the mode of administration, and the age, weight, health, and condition of the subject. The full therapeutic effect does not necessarily occur by administration of one dose. Rather, it may occur only after administration of a series of doses. Thus, a therapeutically effective amount may be administered in one or more administrations.
[0031] “Patient” and “subject” refer to warm blooded animals such as, for example, pigs, cows, chickens, horses, guinea pigs, mice, rats, gerbils, cats, rabbits, dogs, monkeys, chimpanzees, and humans.
[0032] "Treating", “treat”, and variations thereof, as used herein, unless otherwise indicated, mean reversing, alleviating, inhibiting the progress of, or preventing the disorder or condition to which such term applies, or one or more symptoms of such disorder or condition. The term "treatment", as used herein, unless otherwise indicated, refers to the act of treating as "treating" is defined immediately above. The term “treating” also includes adjuvant and neo-adjuvant treatment of a subject.
[0033] As used herein, and unless otherwise specified, the term “preventing” and variations thereof, contemplates an action that occurs before a patient or subject begins to suffer from the specified disease, disorder, or condition or its symptoms.
[0034] “Administering” or “administration of’ a substance, a compound or an agent to a subject can be carried out using one of a variety of methods known to those skilled in the art. For example, a compound, salt or an agent of this disclosure or composition thereof can be administered, for example, intravenously, arterially, intradermally, intramuscularly, intraperitoneally, subcutaneously, ocularly, sublingually, orally (by ingestion), intranasally (by inhalation), intraspinally, intracerebrally, and transdermally (by absorption, e.g., through a skin duct). A compound or agent can also appropriately be introduced by rechargeable or
biodegradable polymeric devices or other devices, e.g., patches and pumps, or formulations, which provide for the extended, slow or controlled release of the compound or agent. Administering can also be performed, for example, once, a plurality of times, and/or over one or more extended periods. In some embodiments, the administration includes both direct administration, including self-administration, and indirect administration, including the act of prescribing a drug. For example, as used herein, a physician who instructs a patient to selfadminister a drug, or to have the drug administered by another and/or who provides a patient with a prescription for a drug is administering the drug to the patient. When a method is part of a therapeutic regimen involving more than one agent or treatment modality, the disclosure contemplates that the agents may be administered at the same or differing times and via the same or differing routes of administration. Appropriate methods of administering a substance, a compound or composition of this disclosure to a subject will also depend, for example, on the age of the subject, whether the subject is active or inactive at the time of administering, whether the subject is cognitively impaired at the time of administering, the extent of the impairment, and the chemical and biological properties of the compound or agent (e.g. solubility, digestibility, bioavailability, stability and toxicity).
[0035] “Pharmaceutically acceptable” indicates that the substance or composition must be compatible, chemically and/or toxicologically, with the other ingredients comprising a formulation, and/or the subject being treated therewith. For example, “pharmaceutically acceptable salt” refers to a salt of a compound disclosed herein that is pharmaceutically acceptable and that possesses the desired pharmacological activity of the parent compound. [0036] “Isoform” means any of several different forms of the same protein.
[0037] “Isozyme” or “isoenzyme” means a closely related variant of an enzyme that differs in amino acid sequence but catalyzes the same chemical reaction.
[0038] “Isomer” means “stereoisomer” and “geometric isomer” as defined below.
[0039] “Stereoisomer” refers to compounds that possess one or more chiral centers, which may each exist in the R or S configuration. Stereoisomers include all diastereomeric, enantiomeric and epimeric forms as well as racemates and mixtures thereof.
[0040] “Geometric isomer” refers to compounds that may exist in cis, trans, anti, entgegen (E), and zusammen (Z) forms as well as mixtures thereof.
[0041] This specification uses the terms “substituent,” “radical,” and “group” interchangeably. [0042] This specification also uses the terms “disease”, “disorder”, and “condition” interchangeably.
[0043] As used herein the terms “Formula (I),” “Formula (I-A),” “Formula (I-B),” and/or “Formula (I-C)” may be hereinafter referred to as a “compound(s) of the disclosure.” Such terms are also defined to include all forms of the compound of the disclosure including hydrates, solvates, isomers, isotopically labeled derivatives, crystalline and non-crystalline forms, isomorphs, polymorphs, and metabolites thereof. For example, the compounds of the disclosure, or pharmaceutically acceptable salts thereof, may exist in unsolvated and solvated forms. When the solvent or water is tightly bound, the complex will have a well-defined stoichiometry independent of humidity. When, however, the solvent or water is weakly bound, as in channel solvates and hygroscopic compounds, the water/solvent content will be dependent on humidity and drying conditions. In such cases, non-stoichiometry will be the norm.
[0044] The compounds of the disclosure may have one or more asymmetric carbon atoms. The carbon-carbon bonds of the compounds of the disclosure may be depicted herein using a solid line ( - ), a solid wedge (
), or a dotted wedge ( 1111 ). The use of a solid line to depict bonds to asymmetric carbon atoms is meant to indicate that all possible stereoisomers (e.g., specific enantiomers, racemic mixtures, etc.) at that carbon atom are included. The use of either a solid or dotted wedge to depict bonds to asymmetric carbon atoms is meant to indicate that the stereoisomer shown is present. When present in racemic compounds, solid and dotted wedges are used to define relative stereochemistry, rather than absolute stereochemistry. Racemic compounds possessing such indicated relative stereochemistry may be marked with (+/-). For example, unless stated otherwise, it is intended that the compounds of the disclosure can exist as stereoisomers, which include cis and trans isomers, optical isomers such as R and S enantiomers, diastereomers, geometric isomers, rotational isomers, conformational isomers, atropisomers, and mixtures thereof (such as racemates and diastereomeric pairs). The compounds of the disclosure may exhibit more than one type of isomerism. Also included are acid addition or base addition salts wherein the counterion is optically active, for example, D-lactate or L-lysine, or racemic, for example, DL- tartrate or DL-arginine. When any racemate crystallizes, crystals of two different types are possible. The first type is the racemic compound (true racemate) referred to above wherein one homogeneous form of crystal is produced containing both enantiomers in equimolar amounts. The second type is the racemic mixture or conglomerate wherein two forms of crystal are produced in equimolar amounts each comprising a single enantiomer.
[0045] Chiral compounds of the disclosure (and chiral precursors thereof) may be obtained in enantiomerically-enriched or diastereomerically-enriched form using chromatography,
typically high-pressure liquid chromatography (HPLC) or supercritical fluid chromatography (SFC), on a resin with an asymmetric stationary phase and a mobile phase appropriate to achieve the desired separation/purity. Individual enantiomers may also be obtained by using the appropriate enantiomer and/or reagents in their syntheses.
[0046] Diastereomeric mixtures can be separated into their individual diastereoisomers on the basis of their physical chemical differences by methods well known to those skilled in the art, such as by chromatography and/or fractional crystallization. Enantiomers can be separated by converting the enantiomeric mixture into a diastereomeric mixture by reaction with an appropriate optically active compound (e.g. chiral auxiliary such as a chiral alcohol or Mosher’s acid chloride), separating the diastereoisomers and converting (e.g. hydrolyzing) the individual diastereoisomers to the corresponding pure enantiomers. Enantiomers can also be separated by use of a chiral HPLC column. Alternatively, the specific stereoisomers may be synthesized by using an optically active starting material, by asymmetric synthesis using optically active reagents, substrates, catalysts or solvents, or by converting one stereoisomer into the other by asymmetric transformation. The present invention comprises the tautomeric forms of compounds of the invention. Where structural isomers are interconvertible via a low energy barrier, tautomeric isomerism (‘tautomerism’) can occur. This can take the form of proton tautomerism in compounds of the invention containing, for example, an imino, keto, or oxime group, or so-called valence tautomerism in compounds which contain an aromatic moiety. It follows that a single compound may exhibit more than one type of isomerism. The various ratios of the tautomers in solid and liquid form are dependent on the various substituents on the molecule as well as the particular crystallization technique used to isolate a compound.
[0047] Where a salt is intended to be administered to a patient (as opposed to, for example, being used in an in vitro context), the salt preferably is pharmaceutically acceptable. The term "pharmaceutically acceptable salt" refers to a salt prepared by combining a compound of the present disclosure with an acid whose anion, or a base whose cation, is generally considered suitable for human consumption. Pharmaceutically acceptable salts are particularly useful as products of the methods of the present disclosure because of their greater aqueous solubility relative to the parent compound.
[0048] Suitable pharmaceutically acceptable acid addition salts of the compounds of the present disclosure when possible include those derived from inorganic acids, such as, but not limited to, hydrochloric, hydrobromic, hydrofluoric, boric, fluoroboric, phosphoric, metaphosphoric, nitric, carbonic, sulfonic, and sulfuric acids, and organic acids such as acetic,
benzenesulfonic, benzoic, citric, ethanesulfonic, fumaric, gluconic, glycolic, isothionic, lactic, lactobionic, maleic, malic, methanesulfonic, trifluoromethanesulfonic, succinic, toluenesulfonic, tartaric, and trifluoroacetic acids. Suitable organic acids generally include but are not limited to aliphatic, cycloaliphatic, aromatic, araliphatic, heterocyclic, carboxylic, and sulfonic classes of organic acids.
[0049] Specific examples of suitable organic acids include but are not limited to acetate, trifluoroacetate, formate, propionate, succinate, glycolate, gluconate, digluconate, lactate, malate, tartrate, citrate, ascorbate, glucuronate, maleate, fumarate, pyruvate, aspartate, glutamate, benzoate, anthranilate, stearate, salicylate, p-hydroxybcnzoatc, phenylacetate, mandelate, embonate (pamoate), methanesulfonate, ethanesulfonate, benzenesulfonate, pantothenate, toluenesulfonate, 2-hydroxyethanesulfonate, sufanilate, cyclohexylamino- ulfonate, algenic acid, [1-hydroxybutyric acid, galactarate, galacturonate, adipate, alginate, butyrate, camphorate, camphorsulfonate, cyclopentanepropionate, dodecylsulfate, glycoheptanoate, glycerophosphate, heptanoate, hexanoate, nicotinate, 2-naphthalene- sulfonate, oxalate, palmoate, pectinate, 3 -phenylpropionate, picrate, pivalate, thiocyanate, and undecanoate.
[0050] Furthermore, where the compounds of the disclosure carry an acidic moiety, suitable pharmaceutically acceptable salts thereof may include alkali metal salts, e.g., sodium or potassium salts; alkaline earth metal salts, e.g., calcium or magnesium salts; and salts formed with suitable organic ligands, e.g., quaternary ammonium salts. In another embodiment, base salts are formed from bases which form non-toxic salts, including aluminum, arginine, benzathine, choline, diethylamine, diolamine, glycine, lysine, meglumine, olamine, tromethamine and zinc salts.
[0051] Organic salts may be made from secondary, tertiary or quaternary amine salts, such as tromethamine, diethylamine, /V./V’-dibcnzylcthylcncdiaminc, chloroprocaine, choline, diethanol- amine, ethylenediamine, meglumine GV-mcthylglucaminc), and procaine. Basic nitrogen- containing groups may be quatemized with agents such as lower alkyl (Ci-Ce) halides (e.g., methyl, ethyl, propyl, and butyl chlorides, bromides, and iodides), dialkyl sulfates (e.g., dimethyl, diethyl, dibutyl, and diamyl sulfates), long chain halides (e.g., decyl, lauryl, myristyl, and stearyl chlorides, bromides, and iodides), arylalkyl halides (e.g., benzyl and phenethyl bromides), and others.
[0052] In one embodiment, hemisalts of acids and bases may also be formed, for example, hemisulphate and hemicalcium salts.
[0053] In addition, the compounds of the present disclosure can exist in unsolvated as well as solvated forms with pharmaceutically acceptable solvents such as water, ethanol and the like. In general, the solvated forms are considered equivalent to the unsolvated forms for the purposes of the present disclosure. The compounds may also exist in one or more crystalline states, i.e., polymorphs, or they may exist as amorphous solids. All such forms are encompassed by the claims.
[0054] Also within the scope of the present disclosure are so-called “prodrugs” of the compound of the disclosure. Thus, certain derivatives of the compound of the disclosure that may have little or no pharmacological activity themselves can, when administered into or onto the body, be converted into the compound of the disclosure having the desired activity, for example, by hydrolytic cleavage. Such derivatives are referred to as “prodrugs.” Common examples of prodrug moieties include, but are not limited to, ester and amide forms of a compound having an active form bearing a carboxylic acid moiety. Examples of pharmaceutically acceptable esters of the compounds of this invention include, but are not limited to, esters of phosphate groups and carboxylic acids, such as aliphatic esters, particularly alkyl esters (for example Ci-ealkyl esters). Other prodrug moieties include phosphate esters, such as — CH2 — O — P(O)(OR')2 or a salt thereof, wherein R' is H or Ci-ealkyl. Acceptable esters also include cycloalkyl esters and arylalkyl esters such as, but not limited to benzyl. Further information on the use of prodrugs may be found in “Pro-drugs as Novel Delivery Systems, Vol. 14, ACS Symposium Series (T. Higuchi and W. Stella) and “Bioreversible Carriers in Drug Design,” Pergamon Press, 1987 (ed. E. B. Roche, American Pharmaceutical Association). Prodrugs in accordance with the disclosure can, for example, be produced by replacing appropriate functionalities present in the compounds of the present disclosure with certain moieties known to those skilled in the art as “pro-moieties” as described, for example, in “Design of Prodrugs” by H. Bundgaard (Elsevier, 1985).
[0055] This disclosure also encompasses compounds of the disclosure containing protective groups. One skilled in the art will also appreciate that compounds of the disclosure can also be prepared with certain protecting groups that are useful for purification or storage and can be removed before administration to a patient. The protection and deprotection of functional groups is described in “Protective Groups in Organic Chemistry”, edited by J. W. F. McOmie, Plenum Press (1973) and “Protective Groups in Organic Synthesis”, 3rd edition, T. W. Greene and P. G. M. Wuts, Wiley-Interscience (1999).
[0056] The present disclosure also includes isotopically-labeled compounds, which are identical to those recited in Formula (I), Formula (I-A), Formula (I-B), or Formula (I-C), but
for the fact that one or more atoms are replaced by an atom having the same atomic number, but an atomic mass or mass number different from the atomic mass or mass number which predominates in nature, e.g., are isotopically-labelled. Examples of isotopes suitable for inclusion in the compounds of the present disclosure include, but are not limited to, isotopes of hydrogen, such as 2H, 3H; carbon, such as nC, 13C, and 14C; chlorine, such as 36C1; fluorine, such as 18F; iodine, such as 123I and 125I; nitrogen, such as 13N and 15N; oxygen, such as 15O, 17O, and 18O; phosphorus, such as 32P; and sulfur, such as 35S. Certain isotopically-labeled compounds of the present disclosure, for example, those incorporating a radioactive isotope, are useful in drug and/or substrate tissue distribution studies (e.g., assays). The radioactive isotopes tritium, i.e., 3H, and carbon-14, i.e., 14C, are particularly useful for this purpose in view of their ease of incorporation and ready means of detection. Substitution with heavier isotopes such as deuterium, i.e., 2H, may afford certain therapeutic advantages resulting from greater metabolic stability, for example, increased in vivo half-life or reduced dosage requirements and, hence, may be preferred in some circumstances. Substitution with positron emitting isotopes, such as nC, 15F, 18F, 15O and 13N, can be useful in positron emission tomography (PET) studies for examining substrate receptor occupancy. Isotopically-labeled compounds of the present disclosure can generally be prepared by conventional techniques known to those skilled in the art or by processes analogous to those described in the accompanying Schemes and/or in the Examples and Preparations using an appropriate isotopically-labeled reagent in place of the non-labeled reagent previously employed. Pharmaceutically acceptable solvates in accordance with the disclosure include those wherein the solvent of crystallization may be isotopically substituted, e.g., D2O, acetone-<4, or DMS0-<4. Compounds of the disclosure which includes compounds exemplified in Examples 1-97 described below, include isotopically-labeled versions of these compounds, such as, but not limited to, the deuterated and tritiated isotopes and all other isotopes discussed above.
[0057] In certain embodiments, the present disclosure is directed to novel, selective, radiolabelled PDE4 ligands which are useful for imaging and quantifying the PDE4B receptor in tissues, using positron-emission tomography (PET).
Compounds
[0058] As described above, in one aspect, the present disclosure provides compounds of Formula (I):
X is carbon or nitrogen;
Y is carbon or nitrogen and Z is carbon or nitrogen, provided that: one of Y and Z is nitrogen; when Y is nitrogen, Z is carbon, the bond between Y and C2 is a single bond, and the bond between Z and C2 is a double bond; and when Z is nitrogen, Y is carbon, the bond between Y and C2 is a double bond, and the bond between Z and C2 is a single bond;
Ri is hydrogen, halogen, or (Ci-C3)alkyl;
R2 is hydrogen, halogen, (Ci-C3)alkoxy, or -CN;
R3 is hydrogen, halogen, or (Ci-C3)alkoxy, provided that when X is nitrogen, R3 is absent;
R s hydrogen, (Ci-C6)alkanol, (C3-C6)cycloalkanol, (C2-Ce)alkyl-O-Re, (C3- C6)cycloalkyl, or (Ci-C6)alkyl; and
R5 is hydrogen, (Ci-C6)alkanol, (C3-C6)cycloalkanol, (Ci-C6)alkyl-O-R6, (C3- C6)cycloalkyl, or (Ci-C6)alkyl, wherein at least one of R4 and R5 is a branched or linear (Ci-C6)alkanol, (C3-C6)cycloalkanol, or (Ci-C6)alkyl-O-R6, and
Re is selected from the group consisting of: (Ci-C25)alkyl, C(O)-(Ci-C2s)alkyl, (C2- Cio)alkenyl, (C2-Cio)alkynyl, (C3-Cs)cycloalkyl, 5-10 membered heterocyclic groups, (Ce-
Cio)aryl, (Ci-C3)alkyl-O-(Ci-C25)alkyl, 5-10 membered heteroaryl groups,
,
R? and Rs are each independently selected from the group consisting of: (Ci-C2s)alkyl, (C2-Cio)alkenyl, (C2-Cio)alkynyl, (C3-C8)cycloalkyl, 5-10 membered heterocyclic groups, (Ce-Cio)aryl, (Ci-C25)alkoxy, (Ci-C3)alkyl, and 5-10 membered heteroaryl groups; or R? or Rs is counter cation such as NHZ, Na+, or K+; wherein (Ci-C25)alkyl, (C2-Cio)alkenyl, (C2-Cio)alkynyl, (C3-Cs)cycloalkyl, 5-10 membered heterocyclic groups, (Ce-Cio)aryl, (Ci-C25)alkoxy, (Ci-C3)alkyl, and 5-10 membered heteroaryl groups can each independently be optionally substituted by one, two or more halogens, hydroxyl groups, amino groups, Cns alkyl groups, C2-8 alkenyl groups, C2-s alkynyl groups, C1-8 alkoxy groups, Ce-io aryl groups optionally substituted by Ci- 10 alkyl, or 5-10 membered heteroaryl groups optionally substituted by Ci-10 alkyl.
[0059] In some embodiments, the compound of Formula (I) is a compound of Formula (I- A):
or a pharmaceutically acceptable salt thereof, wherein:
X is carbon or nitrogen;
Ri is hydrogen, halogen, or (Ci-C3)alkyl;
R2 is hydrogen, halogen, (Ci-C3)alkoxy, or -CN;
R3 is hydrogen, halogen, or (Ci-C3)alkoxy, provided that when X is nitrogen, R3 is absent;
RZs hydrogen, (Ci-C6)alkanol, (C3-C6)cycloalkanol, (C2-Ce)alkyl-O-Re, (C3- C6)cycloalkyl, or (Ci-C6)alkyl; and
R5 is hydrogen, (Ci-C6)alkanol, (C3-C6)cycloalkanol, (Ci-C6)alkyl-O-R6, (C3- C6)cycloalkyl, or (Ci-C6)alkyl, wherein at least one of R4 and R5 is a branched or linear (Ci-C6)alkanol, (C3-C6)cycloalkanol, or (Ci-C6)alkyl-O-R6, and
Re is selected from the group consisting of: (Ci-C25)alkyl, C(O)-(Ci-C25)alkyl, (C2- Cio)alkenyl, (C2-Cio)alkynyl, (C3-Cs)cycloalkyl, 5-10 membered heterocyclic groups, (Ce-
- P— OH
R7 and Rs are each independently selected from the group consisting of: (Ci-C25)alkyl, (C2-Cio)alkenyl, (C2-Cio)alkynyl, (C3-C8)cycloalkyl, 5-10 membered heterocyclic groups, (Ce-Cio)aryl, (Ci-C25)alkoxy, (Ci-C3)alkyl, and 5-10 membered heteroaryl groups; or R7 or Rs is counter cation such as NH4+, Na+, or K+; wherein (Ci-C25)alkyl, (C2-Cio)alkenyl, (C2-Cio)alkynyl, (C3-Cs)cycloalkyl, 5-10 membered heterocyclic groups, (Ce-Cio)aryl, (Ci-C25)alkoxy, (Ci-C3)alkyl, and 5-10 membered heteroaryl groups can each independently be optionally substituted by one, two or more halogens, hydroxyl groups, amino groups, Cns alkyl groups, C2-8 alkenyl groups, C2-s alkynyl groups, C1-8 alkoxy groups, Ce-io aryl groups optionally substituted by Cn 10 alkyl, or 5-10 membered heteroaryl groups optionally substituted by Ci-10 alkyl.
[0060] In some embodiments, the compound of Formula (I) is a compound of Formula (I- B):
or a pharmaceutically acceptable salt thereof, wherein:
X is carbon or nitrogen;
Ri is hydrogen, halogen, or (Ci-C3)alkyl;
R2 is hydrogen, halogen, (Ci-C3)alkoxy, or -CN;
R3 is hydrogen, halogen, or (Ci-C3)alkoxy, provided that when X is nitrogen, R3 is absent;
R4 is hydrogen, (Ci-C6)alkanol, (C3-C6)cycloalkanol, (C2-Ce)alkyl-O-R6, (C3- C6)cycloalkyl, or (Ci-C6)alkyl; and
R5 is hydrogen, (Ci-C6)alkanol, (C3-C6)cycloalkanol, (Ci-C6)alkyl-O-R6, (C3- C6)cycloalkyl, or (Ci-C6)alkyl, wherein at least one of R4 and R5 is a branched or linear (Ci-C6)alkanol, (C3-C6)cycloalkanol, or (Ci-C6)alkyl-O-R6, and
Re is selected from the group consisting of: (Ci-C25)alkyl, C(O)-(Ci-C25)alkyl, (C2- Cio)alkenyl, (C2-Cio)alkynyl, (C3-Cs)cycloalkyl, 5-10 membered heterocyclic groups, (Ce-
R7 and Rs are each independently selected from the group consisting of: (Ci-C25)alkyl, (C2-Cio)alkenyl, (C2-Cio)alkynyl, (C3-Cs)cycloalkyl, 5-10 membered heterocyclic groups, (Ce-Cio)aryl, (Ci-C25)alkoxy, (Ci-C3)alkyl, and 5-10 membered heteroaryl groups; or R7 or Rs is counter cation such as NH4 +, Na+, or K+; wherein (Ci-C25)alkyl, (C2-Cio)alkenyl, (C2-Cio)alkynyl, (C3-Cs)cycloalkyl, 5-10 membered heterocyclic groups, (Ce-Cio)aryl, (Ci-C25)alkoxy, (Ci-C3)alkyl, and 5-10 membered heteroaryl groups can each independently be optionally substituted by one, two or more halogens, hydroxyl groups, amino groups, Cns alkyl groups, C2-8 alkenyl groups, C2-s alkynyl groups, Ci-s alkoxy groups, Ce-io aryl groups optionally substituted by Ci- 10 alkyl, or 5-10 membered heteroaryl groups optionally substituted by C1-10 alkyl.
[0061] In some embodiments, the compound of Formula (I) is a compound of Formula (I- C):
or a pharmaceutically acceptable salt thereof, wherein:
X is carbon or nitrogen;
Ri is hydrogen, halogen, or (Ci-C3)alkyl;
R2 is hydrogen, halogen, (Ci-C3)alkoxy, or -CN;
R3 is hydrogen, halogen, or (Ci-C3)alkoxy, provided that when X is nitrogen, R3 is absent;
R4 is hydrogen, (Ci-C6)alkanol, (C3-C6)cycloalkanol, (Ci-C6)alkyl-O-R6, (C3-
C6)cycloalkyl, or (Ci-C6)alkyl; and
R5 is hydrogen, (Ci-C6)alkanol, (C3-C6)cycloalkanol, (Ci-C6)alkyl-O-R6, (C3-
C6)cycloalkyl, or (Ci-C6)alkyl, wherein at least one of R4 and R5 is a branched or linear (Ci-C6)alkanol, (C3-C6)cycloalkanol, or (Ci-C6)alkyl-O-R6.
R7 and Rs are each independently selected from the group consisting of: (Ci-C25)alkyl, (C2-Cio)alkenyl, (C2-Cio)alkynyl, (C3-Cs)cycloalkyl, 5-10 membered heterocyclic groups, (Ce-Cio)aryl, (Ci-C25)alkoxy, (Ci-C3)alkyl, and 5-10 membered heteroaryl groups; or R7 or Rs is counter cation such as NH4+, Na+, or K+; wherein (Ci-C3)alkyl, (Ci-C6)alkyl, (Ci-C25)alkyl, (Ci-C3)alkoxy, (Ci-C6)alkanol, (C3- C6)cycloalkanol, (C2-C25)alkenyl, and (C2-C25)alkynyl can each independently be optionally substituted by one, two or more halogens, hydroxyl groups, amino groups, Ci- 8 alkyl groups, C2-8 alkenyl groups, C2-s alkynyl groups, C1-8 alkoxy groups, Ce-io aryl groups optionally substituted by Ci-10 alkyl, or 5-10 membered heteroaryl groups optionally substituted by Ci-10 alkyl.
[0062] In certain embodiments of Formula (I), Formula (I-A), Formula (I-B), or Formula (I- C), X is carbon; Ri is hydrogen; R2 is hydrogen, -Cl, -F, -OCH3, or -CN; R3 is -Cl or -F; R4 is cyclopropyl, -CH2CH2OH,
; R5 is hydrogen, -CH2OH, or -
CH3; at least one of R4 and R5 is an alkanol; and at least one of R2 and R3 is -F.
[0063] In certain embodiments of Formula (I), Formula (I-A), Formula (I-B), or Formula (I- C), X is carbon. In certain embodiments of Formula (I), Formula (I-A), Formula (I-B), or Formula (I-C), X is nitrogen. It is to be understood that any of the above-mentioned subgenuses of X can be combined together with any of the embodiments for Ri, R2, R3, R4, and R5 as described above and hereinafter.
[0064] In certain embodiments of Formula (I), Formula (I-A), Formula (I-B), or Formula (I- C), Ri is hydrogen or halogen. In some embodiments of Formula (I), Formula (I-A), Formula (I-B), or Formula (I-C), Ri is hydrogen, -Cl, or -F. In some embodiments of Formula (I), Formula (I-A), Formula (I-B), or Formula (I-C), Ri is hydrogen or -F. In some embodiments, Ri is hydrogen. In some embodiments of Formula (I), Formula (I-A), Formula (I-B), or Formula (I-C), Ri is -F. It is to be understood that any of the above-mentioned subgenuses of Ri can be combined together with any of the embodiments for X, R2, R3, R4, and R5 as described above and hereinafter.
[0065] In certain embodiments of Formula (I), Formula (I-A), Formula (I-B), or Formula (I- C), R2 is hydrogen. In some embodiments of Formula (I), Formula (I-A), Formula (I-B), or Formula (I-C), R2 is halogen. In some embodiments of Formula (I), Formula (I-A), Formula (I-B), or Formula (I-C), R2 is -Cl or -F. In some embodiments of Formula (I), Formula (I-A), Formula (I-B), or Formula (I-C), R2 is -Cl. In some embodiments of Formula (I), Formula (I- A), Formula (I-B), or Formula (I-C), R2 is -F. In some embodiments of Formula (I), Formula (I-A), Formula (I-B), or Formula (I-C), R2 is (Ci-C3)alkoxy. In some embodiments of Formula (I), Formula (I-A), Formula (I-B), or Formula (I-C), R2 is -OCH3. In some embodiments of Formula (I), Formula (I-A), Formula (I-B), or Formula (I-C), R2 is -CN. In some embodiments of Formula (I), Formula (I-A), Formula (I-B), or Formula (I-C), R2 is -Cl, -F, -OCH3, or -CN. It is to be understood that any of the above-mentioned subgenuses of R2 can be combined together with any of the embodiments for X, Ri, R3, R4, and R5 as described above and hereinafter.
[0066] In certain embodiments of Formula (I), Formula (I-A), Formula (I-B), or Formula (I- C), R3 is hydrogen or halogen. In some embodiments of Formula (I), Formula (I-A), Formula (I-B), or Formula (I-C), R3 is hydrogen, -Cl, or -F. In some embodiments of Formula (I), Formula (I-A), Formula (I-B), or Formula (I-C), R3 is hydrogen or -F. In some embodiments of Formula (I), Formula (I-A), Formula (I-B), or Formula (I-C), R3 is hydrogen. In some embodiments of Formula (I), Formula (I-A), Formula (I-B), or Formula (I-C), R3 is halogen. In some embodiments, R3 is -Cl or -F. In some embodiments of Formula (I), Formula (I-A), Formula (I-B), or Formula (I-C), R3 is -F. It is to be understood that any of the above-mentioned
subgenuses of R3 can be combined together with any of the embodiments for X, Ri, R3, R4, and R5 as described above and hereinafter.
[0067] In certain embodiments of Formula (I), Formula (I-A), Formula (I-B), or Formula (I- C), at least one of R2 and R3 is halogen. In certain embodiments of Formula (I), Formula (I- A), Formula (I-B), or Formula (I-C), at least one of R2 and R3 is -Cl or -F. In certain embodiments of Formula (I), Formula (I-A), Formula (I-B), or Formula (I-C), at least one of R2 and R3 is -F.
[0068] In certain embodiments of Formula (I), Formula (I-A), Formula (I-B), or Formula (I- C), R4 is (Ci-C6)alkanol or (C3-C6)cycloalkyl. In some embodiments of Formula (I), Formula (I-A), Formula (I-B), or Formula (I-C), R4 is (Ci-C3)alkanol or (C3-C6)cycloalkyl. In some embodiments of Formula (I), Formula (I-A), Formula (I-B), or Formula (I-C), R4 is (Ci- C3)alkanol or cyclopropyl. In some embodiments of Formula (I), Formula (I-A), Formula (I-
B), or Formula (I-C), R4 is cyclopropyl,
some embodiments of Formula (I), Formula (I-A), Formula (I-B), or Formula (I-C), R4 is cyclopropyl. In some embodiments of Formula (I), Formula (I-A), Formula (I-B), or Formula
(I), Formula (I-A), Formula (I-B), or Formula (I-C), R4 is -CH2CH2OH. In some embodiments of Formula (I), Formula (I-A), Formula (I-B), or Formula (I-C), R4 is
In some embodiments of Formula (I), Formula (I-A), Formula (I-B), or Formula (I-C), R4 is
or
. In some embodiments of Formula (I), Formula (I-A), Formula (I-B), or Formula
Formula (I-C), R4 is 5- . It is to be understood that any of the above-mentioned subgenuses of R4 can be combined together with any of the embodiments for X, Ri, R2, R3, and R5 as described above and hereinafter.
[0069] In certain embodiments of Formula (I), Formula (I-A), Formula (I-B), or Formula (I- C), R5 is hydrogen, (Ci-C6)alkanol. or (Ci-C6)alkyl. In some embodiments of Formula (I), Formula (I-A), Formula (I-B), or Formula (I-C), R5 is hydrogen, (Ci-C3)alkanol, or (Ci- C3)alkyl. In some embodiments of Formula (I), Formula (I-A), Formula (I-B), or Formula (I-
C), Rs is hydrogen, -CH2OH, or -CH3. In some embodiments of Formula (I), Formula (I-A), Formula (I-B), or Formula (I-C), R5 is hydrogen. In some embodiments of Formula (I), Formula (I-A), Formula (I-B), or Formula (I-C), R5 is -CH2OH. In some embodiments of Formula (I), Formula (I-A), Formula (I-B), or Formula (I-C), R5 is -CH3. It is to be understood that any of the above-mentioned subgenuses of R5 can be combined together with any of the embodiments for X, Ri, R2, R3, and R4 as described above and hereinafter.
[0070] In certain embodiments of Formula (I), Formula (I-A), Formula (I-B), or Formula (I- C), at least one of R4 and R5 is an alkanol. In some embodiments of Formula (I), Formula (I-
A), Formula (I-B), or Formula (I-C), at least one of R4 and R5 is (Ci-C6)alkanol. In some embodiments of Formula (I), Formula (I-A), Formula (I-B), or Formula (I-C), at least one of
[0071] In certain embodiments, the compound of Formula (I) Formula (I-A), Formula (I-B), or Formula (I-C) is selected from the group consisting of Examples 1-22 and pharmaceutically acceptable salts and co-crystals thereof.
[0072] The activities of the compounds of the present disclosure for the PDE4B and PDE4D isoforms are shown in Tables 1 and 2 of the Experimental Section below.
[0073] In another embodiment, the present disclosure provides a pharmaceutical composition comprising a compound of the present disclosure, or a pharmaceutically acceptable salt thereof, in a mixture with at least one pharmaceutically acceptable excipient.
[0074] In yet another embodiment, administration of the compounds of the present disclosure to a patient in need thereof may also lead to a decrease in gastrointestinal discomfort such as emesis, diarrhea, and nausea, which is currently believed to be associated with administration of compounds having activities for other PDE4 isoforms, especially the PDE4D isoform, resulting in an increase in patient compliance as well as overall treatment outcome.
[0075] In another embodiment, the present disclosure provides a method of treating various metabolic, autoimmune and inflammatory diseases or disorders, comprising administering to a subject in need of such treatment a therapeutically effect amount of a compound of the present disclosure, or a pharmaceutically acceptable salt thereof, or a pharmaceutical composition thereof. In another embodiment, the present disclosure provides the use of a compound of the present disclosure, or a pharmaceutically acceptable salt thereof, or a pharmaceutical
composition thereof, in the manufacture of a medicament for treating various metabolic, autoimmune and inflammatory diseases or disorders.
[0076] In another embodiment, the present disclosure provides a compound of the disclosure, or a pharmaceutically acceptable salt thereof, or a pharmaceutical composition thereof, for use in treating various metabolic, autoimmune and inflammatory diseases or disorders.
[0077] In certain embodiments, the condition to be treated is selected from the group consisting of: inflammatory skin diseases, dermatitis, inflammatory bowel disease, chronic pulmonary inflammatory diseases, idiopathic pulmonary fibrosis, asthma, hepatitis, adult respiratory distress syndrome, bone-resorption diseases, chronic obstructive pulmonary diseases, cystic fibrosis, septic shock, sepsis, endotoxic shock, hemodynamic shock, post ischemic reperfusion injury, meningitis, fibrotic disease, cachexia, graft rejection including graft versus host disease, autoimmune disease, rheumatoid spondylitis, arthritic conditions, osteoporosis, systemic lupus erythrematosus, erythema nodosum leprosum (ENL) in leprosy, radiation damage, hyperoxic alveolar injury, diabetes mellitus, and cardiovascular conditions. In certain other embodiments, the condition to be treated is selected from the group consisting of: psoriasis, atopic dermatitis, Crohn’s disease, ulcerative colitis.
Pharmacology
[0078] As described above, phosphodiesterases (PDEs) of the PDE4 family are characterized by selective, high-affinity hydrolytic degradation of the second messenger cyclic nucleotide, adenosine 3',5'-cyclic monophosphate (cAMP).
[0079] There is extensive literature in the art describing the effects of PDE inhibitors on various autoimmune and inflammatory cell responses, which in addition to cAMP increase, include inhibition of superoxide production, degranulation, chemotaxis and tumor necrosis factor (TNF) release in eosinophils, neutrophils and monocytes. Therefore, the compounds, salts and compositions of the present disclosure may be useful for treating various autoimmune and inflammatory diseases. (See: Schett, G. et al., Apremilast: A novel PDE4 Inhibitor in the Treatment of Autoimmune and. Inflammatory Diseases, Ther. Adv. Musculoskeletal Dis. 2010; 2, 271-278; Li, H. et al Phosphodiesterase-4 Inhibitors for the Treatment of Inflammatory Diseases, Front. Pharmacol. 2018, 9,1048). For example, the compounds of the present disclosure may be useful for treatment of oral ulcers associated with Behget’s disease (Id.). The compounds of the present disclosure may also be useful for the treatment of psoriasis or psoriatic arthritis (See: Schafer, P., Apremilast mechanism of action and application to psoriasis and psoriatic arthritis, Biochem. Pharmacol. 2012, 55,1583-1590). Accordingly,
azaindole compounds of the present disclosure may also be useful for treatment of ankylosing spondylitis [see: Patan, E. et al., Efficacy and. safety of apremilast, an oral phosphodiesterase 4 inhibitor, in ankylosing spondylitis, Ann. Rheum. Dis. (Sep. 14, 2012)]. Compounds of the present disclosure may also be useful for the treatment of idiopathic pulmonary fibrosis (IPF) (Richeldi, L. et al., Trial of a Preferential Phosphodiesterase 4B Inhibitor for Idiopathic Pulmonary Fibrosis N. Engl. J. Med. 2022, 386, 2178-2187). Other conditions treatable by administration of the compounds of the present disclosure include, but are not limited to, acute and chronic airway diseases such as, but not limited to, asthma, chronic or acute bronchoconstriction, chronic bronchitis, bronchiectasis, small airways obstruction, emphysema, obstructive or inflammatory airways diseases, acute respiratory distress syndrome (ARDS), COPD, pneumoconiosis, seasonal allergic rhinitis or perennial allergic rhinitis or sinusitis, and acute lung injury (ALI)
[0080] In yet another embodiment, the compounds, salts and compositions of the present disclosure may be useful for treating erectile dysfunction, rheumatoid arthritis, osteoarthritis, osteoporosis, gout, and fever, edema and pain associated with inflammation, eosinophil-related disorders, skin and connective tissue disorders such as dermatitis or eczema, urticaria, conjunctivitis, uveitis, psoriasis, inflammatory bowel disease, ulcerative colitis, sepsis, septic shock, liver injury, pulmonary hypertension, pulmonary edema, bone loss disease, foot ulcers and infection.
[0081] In yet another embodiment, the compounds of the present disclosure may be useful for treating cancer. In certain embodiments, the compounds of the present disclosure may be useful for treating leukemia, e.g., chronic lymphocytic leukemia, (See: Kim, D. H. et al., Type 4 Cyclic Adenosine Monophosphate Phosphodiesterase as a Therapeutic Target in Chronic Lymphocytic Leulemia, Blood Journal of The American Society of Hematology 1998, 92, 2484-2494).
[0082] In certain other embodiments, the compounds of the present disclosure may be useful for treating diabetes or diseases associated with diabetes (See: Vollert, S. et al., The glucose- lowering effects of the PDE4 inhibitors roflumilast and roflumilast-N-Oxide in db/db mice, Diabetologia 2012, 55, 2779-2788. Wouters, E. F. M. et al., Effect of the Phosphodiesterase 4 Inhibitor Roflumilast on Glucose Metabolism in Patients with Treatment-Naive, Newly Diagnosed Type 2 Diabetes Mellitus, Journal of Clinical Endocrinology and Metabolism 2012, 97, 1720-1725). Other examples include, but are not limited to, diabetic macular degeneration, diabetic neuropathy, obesity, Type I diabetes, Type II diabetes mellitus, idiopathic Type I diabetes (Type lb), latent autoimmune diabetes in adults (LADA), early-onset Type II diabetes
(EOD), youth-onset atypical diabetes (YOAD), maturity onset diabetes of the young (MODY), malnutrition-related diabetes, gestational diabetes, metabolic syndrome, syndrome X, impaired glucose metabolism, glucose intolerance, conditions of impaired glucose tolerance (IGT), conditions of impaired fasting plasma glucose, hyperglycemia, hyperinsulinemia, insulin resistance, metabolic acidosis, ketosis, urinary incontinence (e.g., bladder overactivity), diabetic macular edema, nephropathy and related health risks (e.g., diabetic nephropathy), symptoms or disorders. As such, the compounds can also be used to reduce body fat or body weight of an overweight or obese individual. [0083] In certain other embodiments, the compounds of the present disclosure may be useful in the prevention and treatment of disorders associated with enhanced endothelial activity, impaired endothelial barrier function and/or enhanced neoangiogenesis, such as septic shock; angioedema, peripheral edema, communicating or non-communicating hydrocepahuls, vascular edema, cerebral edema; reduced natriuria pathology; inflammatory diseases, including asthma, rhinitis, arthritis and rheumatoid diseases and autoimmune diseases; acute and/or chronic renal or liver failure, glomerulosclerosis, liver dysfunction; non-alcoholic steatohepatitis (NASH), non-alcoholic fatty liver disease (NAFLD), psoriasis, Irritable Bowel Disease (IBD), Crohn’s disease, and benign/malignant neoplasia. [0084] In certain other embodiments, the compounds of the present disclosure may be useful for treating diseases of the spinal cord and/or peripheral nervous system, including spinal cord injury, spinal cord edema, spinal cord tumors, vascular malformations or anomalies of the spinal cord, syringomyelia, hydromyelia.
[0085] In certain other embodiments, the compounds described herein are further useful in the prevention and treatment of disorders associated with cardiovascular disease, thrombosis, embolism, or ischemic disorders including, but not limited to thrombosis induced tissue infarction in coronary artery disease, in cerebrovascular disease (including cerebral arteriosclerosis, cerebral amyloid angiopathy, hereditary cerebral hemorrhage, and brain hypoxia-ischemia) and/or in peripheral vascular disease; left ventricular hypertrophy, peripheral arterial disease, hyper apo B lipoproteinemia, hyperlipidemia, hypertriglyceridemia, dyslipidemia, post-prandial lipemia, stable and unstable angina, angina pectoris, transient ischemic attacks, intermittent claudication, atherosclerosis, congestive heart failure, hypertension, myocardial infarct (e.g., necrosis and apoptosis), cerebral infarct, reperfusion injury (brain/cardiac), placenta insufficiency thrombosis after surgical procedures, such as bypass, angioplasty, restenosis after angioplasty, stent placement, heart valve replacement. [0086] In certain other embodiments, the compounds described herein are further useful for
treating pain conditions and disorders. Examples of such pain conditions and disorders include, but are not limited to, inflammatory pain, hyperalgesia, inflammatory hyperalgesia, cancer pain, osteoarthritis pain, post-surgical pain, non-inflammatory pain.
[0087] In certain other embodiments, the compounds described herein are further useful for treating transplant rejection, allograft rejection, renal and liver failure, and restless leg syndrome.
[0088] The disease may be, but not limited to, one of the following classes: auto-immune diseases, inflammatory diseases, allergic diseases, metabolic diseases, infection-based diseases, trauma or tissue-injury based diseases, fibrotic diseases, genetic diseases, diseases driven by over-activity of IL1 pathways, cardiovascular diseases, vascular diseases, heart diseases, neurological diseases, neurodegenerative diseases, respiratory diseases, pulmonary diseases, airways diseases, renal diseases, skin and/ or dermatological diseases, liver diseases, gastrointestinal diseases, oral diseases, pain and sensory diseases, hematopoietic diseases, joint diseases, muscle diseases, bone diseases, and ophthalmic and/or ocular diseases.
[0089] Specific autoimmune diseases include, but are not limited to: rheumatoid arthritis, osteoarthritis, psoriasis, allergic dermatitis, systemic lupus erythematosus (and resulting complications), Sjogren's syndrome, asthma, glomerular nephritis, irritable bowel syndrome, inflammatory bowel disease, Crohn's disease, ankylosing spondylitis, Behget's disease, lupus nephritis, scleroderma, systemic scleroderma, type 1 or juvenile on-set diabetes, alopecia universalis, acute disseminated encephalomyelitis, Addison's disease, antiphospholipid antibody syndrome, atrophic gastritis of pernicious anemia, autoimmune alopecia, autoimmune hemolytic anemia, autoimmune hepatitis, autoimmune encephalomyelitis, autoimmune thrombocytopenia, Bullous pemphigoid, Chagas disease, Celiac disease, chronic hepatitis, Cogan’s syndrome, dermatomyositis, endometriosis, Goodpasture's syndrome, Graves' disease, Guillain-Barre syndrome, Hashimoto's disease (or Hashimoto’s thyroiditis), hemolytic anemia, hidradentitis suppurativa, idiopathic thrombocytopenia purpura, interstitial cystitis, membranous glomerulopathy, morphea, mystenia gravis, narcolepsy, pemphigus, pemicous anemia, polyarteritis nodosa, polymyositis, primary biliary cirrhosis, Reiter’s syndrome, schizophrenia, symphathetic opthalmia, systemic sclerosis, temporal arteritis, thyroiditis, vasculitis, vitiglio, vulvodynia, Wegner's granulomatosis, palmoplantar keratoderma, systemic-onset Juvenile Idiopathic Arthritis (SJIA), or an indication listed in a separate category herein.
[0090] Specific inflammatory diseases include, but are not limited to: chronic obstructive pulmonary diseases, airway hyper-responsiveness, idiopathic pulmonary fibrosis, cystic
fibrosis, acute respiratory distress syndrome, sinusitis, rhinitis, gingivitis, atherosclerosis, chronic prostatitis, glomerular nephritis, ulcerative colitis, uveitis, periodontal disease, or an indication listed in a separate category herein.
[0091] Specific pain conditions include, but are not limited to: inflammatory pain, surgical pain, visceral pain, dental pain, premenstrual pain, central pain, pain due to bums, interstitial cystitis, cancer pain, viral, parasitic or bacterial infection, post-traumatic injury, pain associated with irritable bowel syndrome, gout, pain associated with any of the other indications listed within this specification, or an indication listed in a separate category herein.
[0092] Specific respiratory, airway and pulmonary conditions include, but are not limited to: asthma (which may encompass chronic, late, bronchial, allergic, intrinsic, extrinsic or dust), chronic obstructive pulmonary disease, idiopathic pulmonary fibrosis, pulmonary arterial hypertension, cystic fibrosis, interstitial lung disease, acute lung injury, sarcoidosis, allergic rhinitis, chronic cough, bronchitis, recurrent airway obstruction, emphysema, or bronchospasm, or an indication listed in a separate disease category herein.
[0093] Specific gastrointestinal (GI) disorders include, but are not limited to: Irritable Bowel Syndrome (IBS), Inflammatory Bowel Disease (IBD), biliary colic and other biliary disorders, renal colic, diarrhea-dominant IBS, pain associated with GI distension, ulcerative colitis, Crohn's Disease, irritable bowel syndrome, Celiac disease, proctitis, eosinophilic gastroenteritis, mastocytosis, or an indication listed in a separate disease category herein.
[0094] Specific allergic diseases include, but are not limited to: anaphylaxis, allergic rhinitis, allergic dermatitis, allergic urticaria, angioedema, allergic asthma, allergic reactions to: food, drugs, insect bites, pollen; or an indication listed in a separate disease category herein.
[0095] Specific infection-based diseases include, but are not limited to: sepsis, septic shock, viral diseases, malaria, Lyme disease, ocular infections, conjunctivitis, Whipple Disease, or an indication listed in a separate disease category herein.
[0096] Specific trauma and tissue injury-based conditions include, but are not limited to: Renal glomerular damage, reperfusion injury (for example to heart, kidney, lung), , tissue scarring, tissue adhesion, tissue repair, transplant rejection (for examples to heart, lung, bone marrow, cartilage, cornea, kidney, limb, liver, muscle, myoblast, pancreas, pancreatic islet, skin, nerve, small intestine, trachea), hypersensitivities, or an indication listed in a separate disease category herein.
[0097] Specific fibrotic diseases include, but are not limited to: Idiopathic pulmonary fibrosis, liver fibrosis, renal fibrosis, or an indication listed in a separate disease category herein.
[0098] Specific diseases considered to be driven by over-activity of IL1 pathways include, but are not limited to: Cryopyrin-associated periodic syndromes, myositis, and indications included in the following review article: C. A. Dinarello, A. Simon and J. W. M. van der Meer, Treating inflammation by blocking interleukin-1 in a broad, spectrum of diseases, Nat. Rev. Drug. Discov. 2012, 11, 633-652, http://dx.doi.org/10.1038/nrd3800 and supplementary information contained therein, or an indication listed in a separate disease category herein.
[0099] Specific ophthalmic/ ocular diseases include, but are not limited to: uveitis, age-related macular degeneration, diabetic macular edema, keratoconjuctivitis, uveitis associated with Bchqcf s disease, vernal conjunctivitis, ketatitis, lens-induced uveitis, herpetic keratitis, conical keratitis, comeal epithelial dystrophy, ocular pemphigus, Mooren’s ulcer, Scleritis, Graves' ophthalmopathy, Vogt-Koyanagi-Harada syndrome, keratoconjunctivitis sicca, phlyctenule, iridocyclitis, sympathetic ophthalmia, allergic conjunctivitis, ocular neovascularization, dry eye syndrome, or an indication listed in a separate disease category herein.
[0100] Specific joint, muscle and bone disorders include, but are not limited to: osteoarthritis, osteoporosis, rheumatoid arthritis, juvenile arthritis, psoriatic arthritis, erosive osteoarthritis of the hand, arthrofibrosis/traumatic knee injury, anterior cruciate knee ligament tear, relapsing polychondritis, recurrent multifocal osteomyelitis, Majeed Syndrome, ankylosing spondylitis, gout of the lumbar spine, antisynthetase syndrome, idiopathic inflammatory myopathies, articular chondrocalcinosis, systemic-onset Juvenile Idiopathic Arthritis (SJIA), gout and pyrophosphate crystal arthritis, or an indication listed in a separate disease category herein.
[0101] Specific skin/ dermatological diseases include, but are not limited to: psoriasis, atopic dermatitis, cutaneous lupus, acne, dermatomyositis, eczema, pruritus, scleroderma, Sweet Syndrome/neutrophilic dermatosis, neutrophilic panniculitis, acrodermatitis (form of pustular psoriasis), or an indication listed in a separate disease category herein.
[0102] Specific oral diseases include, but are not limited to: gingivitis, periodontal disease or an indication listed in a separate disease category herein.
[0103] Specific metabolic diseases include, but are not limited to: Type 2 diabetes (and resulting complications), gout and hyperuricemia, metabolic syndrome, insulin resistance, obesity, or an indication listed in a separate disease category herein.
[0104] Compounds of the current disclosure are also useful in the treatment of a proliferative disease selected from a benign or malignant tumor, solid tumor, kidney, liver, adrenal gland, bladder, breast, stomach, gastric tumors, ovaries, colon, rectum, prostate, pancreas, lung, vagina, cervix, testis, genitourinary tract, esophagus, larynx, skin, bone or thyroid, sarcoma, glioblastomas, neuroblastomas, multiple myeloma, gastrointestinal cancer, especially colon
carcinoma or colorectal adenoma, a tumor of the neck and head, an epidermal hyperproliferation, psoriasis, prostate hyperplasia, a neoplasia, a neoplasia of epithelial character, adenoma, adenocarcinoma, kerato acanthoma, epidermoid carcinoma, large cell carcinoma, non-small cell lung carcinoma, lymphomas, Hodgkins and Non-Hodgkins, a mammary carcinoma, follicular carcinoma, undifferentiated carcinoma, papillary carcinoma, seminoma, melanoma, smoldering of indolent multiple myeloma, or hematological malignancies (including leukemia, diffuse large B-cell lymphoma (DLBCL), ABC DLBCL, chronic lymphocytic leukemia (CLL), chronic lymphocytic lymphoma, primary effusion lymphoma, Burkitt lymphoma/leukemia, acute lymphocytic leukemia, B-cell prolymphocytic leukemia, lymphoplasmacytic lymphoma, Waldenstrom's macroglobulinemia (WM), splenic marginal zone lymphoma, multiple myeloma, plasmacytoma, intravascular large B-cell lymphoma), or an indication listed in a separate disease category herein.
[0105] Cardiovascular conditions include, but are not limited to coronary heart disease, acute coronary syndrome, ischemic heart disease, first or recurrent myocardial infarction, secondary myocardial infarction, non-ST segment elevation myocardial infarction, or ST segment elevation myocardial infarction, ischemic sudden death, transient ischemic attack, peripheral occlusive arterial disease, angina, atherosclerosis, hypertension, heart failure (such as congestive heart failure), diastolic dysfunction (such as left ventricular diastolic dysfunction, diastolic heart failure, and impaired diastolic filling), systolic dysfunction (such as systolic heart failure with reduced ejection fraction), vasculitis, ANCA vasculitis, post-myocardial infarction cardiac remodeling atrial fibrillation, arrhythmia (ventricular), ischemia, hypertrophic cardiomyopathy, sudden cardiac death, myocardial and vascular fibrosis, impaired arterial compliance, myocardial necrotic lesions, vascular damage, left ventricular hypertrophy, decreased ejection fraction, cardiac lesions, vascular wall hypertrophy, endothelial thickening, fibrinoid necrosis of coronary arteries, adverse remodeling, stroke, and the like, or an indication listed in a separate disease category herein. Also, included are venous thrombosis, deep vein thrombosis, thrombophlebitis, arterial embolism, coronary arterial thrombosis, cerebral arterial thrombosis, cerebral embolism, kidney embolism, pulmonary embolism, and thrombosis resulting from (a) prosthetic valves or other implants, (b) indwelling catheters, (c) stents, (d) cardiopulmonary bypass, (e) hemodialysis, or (f) other procedures in which blood is exposed to an artificial surface that promotes thrombosis. It is noted that thrombosis includes occlusion (e.g., after a bypass) and reocclusion (e.g., during or after percutaneous transluminal coronary angioplasty).
[0106] Cardiovascular complications of type 2 diabetes are associated with inflammation, accordingly, the compounds of the present disclosure may be used to treat diabetes and diabetic complications such as macrovascular disease, hyperglycemia, metabolic syndrome, impaired glucose tolerance, hyperuricemia, glucosuria, cataracts, diabetic neuropathy, diabetic nephropathy, diabetic retinopathy, obesity, dyslipidemia, hypertension, hyperinsulinemia, and insulin resistance syndrome, or an indication listed in a separate disease category herein.
Formulations
[0107] Typically, a compound, salt or composition of this disclosure is administered in an amount effective to treat a condition as described herein. The compounds, salts and compositions of the disclosure may be administered by any suitable route in the form of a pharmaceutical composition adapted to such a route, and in a dose effective for the treatment intended. Therapeutically effective doses of the compounds required to treat the progress of the medical condition are readily ascertained by one of ordinary skill in the art using preclinical and clinical approaches familiar to the medicinal arts.
[0108] Pharmaceutical compositions in accordance with the present disclosure may be formulated in conventional manner using one or more pharmaceutically acceptable carriers comprising excipients and auxiliaries, which facilitate processing of the active compound into preparations, which can be used pharmaceutically. Proper formulation is dependent upon the route of administration chosen. Pharmaceutically acceptable excipients and carriers are generally known to those skilled in the art and are thus included in the instant invention. Such excipients and carriers are described, for example, in “Remington’s Pharmaceutical Sciences” Mack Pub. Co., New Jersey (1991). The formulations of the invention can be designed to be short-acting, fast-releasing, long-acting, and sustained-releasing. Thus, the pharmaceutical formulations can also be formulated for controlled release or for slow release.
[0109] The pharmaceutical composition comprises a compound of the disclosure or a combination in an amount generally in the range of from about 1% to about 75%, 80%, 85%, 90% or even 95% (by weight) of the composition, usually in the range of about 1%, 2% or 3% to about 50%, 60% or 70%, more frequently in the range of about 1%, 2% or 3% to less than 50% such as about 25%, 30% or 35%.
[0110] The compounds of the disclosure may be administered orally. Oral administration may involve swallowing, so that the compound enters the gastrointestinal tract, or buccal or sublingual administration may be employed by which the compound enters the blood stream directly from the mouth.
[0111] In another embodiment, the compounds of the disclosure may also be administered directly into the blood stream, into muscle, or into an internal organ. Suitable means for parenteral administration include intravenous, intraarterial, intraperitoneal, intrathecal, intraventricular, intraurethral, intrastemal, intramuscular and subcutaneous. Suitable devices for parenteral administration include needle (including microneedle) injectors, needle-free injectors and infusion techniques.
[0112] In another embodiment, the compounds of the disclosure may also be formulated such that administration topically to the skin or mucosa (i.e., dermally or transdermally) leads to systemic absorption of the compound. In another embodiment, the compounds of the disclosure can also be formulated such that administration intranasally or by inhalation leads to systemic absorption of the compound. In another embodiment, the compounds of the disclosure may be formulated such that administration rectally or vaginally leads to systemic absorption of the compound.
[0113] The dosage regimen for the compounds and/or compositions containing the compounds is based on a variety of factors, including the type, age, weight, sex and medical condition of the patient; the severity of the condition; the route of administration; and the activity of the particular compound employed. Thus, the dosage regimen may vary widely. Dosage levels of the order from about 0.01 mg to about 100 mg per kilogram of body weight per day are useful in the treatment of the above-indicated conditions. In one embodiment, the total daily dose of a compound of the disclosure (administered in single or divided doses) is typically from about 0.01 to about 100 mg/kg. In another embodiment, the total daily dose of the compound of the disclosure is from about 0.1 to about 50 mg/kg, and in another embodiment, from about 0.5 to about 30 mg/kg (i.e., mg compound of the disclosure per kg body weight). In one embodiment, dosing is from 0.01 to 10 mg/kg/day. In another embodiment, dosing is from 0.1 to 1.0 mg/kg/day. Dosage unit compositions may contain such amounts or submultiples thereof to make up the daily dose. In many instances, the administration of the compound will be repeated a plurality of times in a day (typically no greater than 4 times). Multiple doses per day typically may be used to increase the total daily dose, if desired.
[0114] For oral administration, the compositions may be provided in the form of tablets containing 0.01, 0.05, 0.1, 0.5, 1.0, 2.5, 5.0, 10.0, 15.0, 25.0, 50.0, 75.0, 100, 125, 150, 175, 200, 250 and 500 milligrams of the active ingredient for the symptomatic adjustment of the dosage to the patient. A medicament typically contains from about 0.01 mg to about 500 mg of the active ingredient, or in another embodiment, from about 1 mg to about 100 mg of active
ingredient. Intravenously, doses may range from about 0.1 to about 10 mg/kg/minute during a constant rate infusion.
[0115] Suitable subjects according to the present disclosure include mammalian subjects. Mammals according to the present disclosure include, but are not limited to, canine, feline, bovine, caprine, equine, ovine, porcine, rodents, lagomorphs, primates, and the like, and encompass mammals in utero. In one embodiment, humans are suitable subjects. Human subjects may be of either gender and at any stage of development.
[0116] In another embodiment, the disclosure comprises the use of one or more compounds of the disclosure for the preparation of a medicament for the treatment of the conditions recited herein.
[0117] For the treatment of the conditions referred to above, the compounds of the disclosure can be administered as compound per se. Alternatively, pharmaceutically acceptable salts are suitable for medical applications because of their greater aqueous solubility relative to the parent compound.
[0118] In another embodiment, the present disclosure comprises pharmaceutical compositions. Such pharmaceutical compositions comprise a compound of the disclosure presented with a pharmaceutically acceptable carrier. The carrier can be a solid, a liquid, or both, and may be formulated with the compound as a unit-dose composition, for example, a tablet, which can contain from 0.05% to 95% by weight of the active compounds. A compound of the disclosure may be coupled with suitable polymers as targetable drug carriers. Other pharmacologically active substances can also be present.
[0119] The compounds of the present disclosure may be administered by any suitable route, preferably in the form of a pharmaceutical composition adapted to such a route, and in a dose effective for the treatment intended. The active compounds and compositions, for example, may be administered orally, rectally, parenterally, or topically (e.g., intranasal or ophthalmic). [0120] Oral administration of a solid dose form may be, for example, presented in discrete units, such as hard or soft capsules, pills, cachets, lozenges, or tablets, each containing a predetermined amount of at least one compound of the present disclosure. In another embodiment, the oral administration may be in a powder or granule form. In another embodiment, the oral dose form is sub-lingual, such as, for example, a lozenge.
[0121] In such solid dosage forms, a compound of the present invention or a combination is admixed with at least one inert excipient, diluent or carrier. Suitable excipients, diluents or carriers include materials such as sodium citrate or dicalcium phosphate and/or (a) one or more fillers or extenders (e.g., microcrystalline cellulose (available as Avicel.TM. from FMC
Corp.) starches, lactose, sucrose, mannitol, silicic acid, xylitol, sorbitol, dextrose, calcium hydrogen phosphate, dextrin, alpha-cyclodextrin, beta-cyclodextrin, polyethylene glycol, medium chain fatty acids, titanium oxide, magnesium oxide, aluminum oxide and the like); (b) one or more binders (e.g., carboxymethylcellulose, methylcellulose, hydroxypropylcellulose, hydroxypropylmethylcellulose, gelatin, gum arabic, ethyl cellulose, polyvinyl alcohol, pullulan, pregelatinized starch, agar, tragacanth, alginates, gelatin, polyvinylpyrrolidone, sucrose, acacia and the like); (c) one or more humectants (e.g., glycerol and the like); (d) one or more disintegrating agents (e.g., agar-agar, calcium carbonate, potato or tapioca starch, alginic acid, certain complex silicates, sodium carbonate, sodium lauryl sulphate, sodium starch glycolate (available as Explotab.TM. from Edward Mendell Co.), cross-linked polyvinyl pyrrolidone, croscarmellose sodium A-type (available as Ac-di- sol.TM.), polyacrilin potassium (an ion exchange resin) and the like); (e) one or more solution retarders (e.g., paraffin and the like); (f) one or more absorption accelerators (e.g., quaternary ammonium compounds and the like); (g) one or more wetting agents (e.g., cetyl alcohol, glycerol monostearate and the like); (h) one or more adsorbents (e.g., kaolin, bentonite and the like); and/or (i)one or more lubricants (e.g., talc, calcium stearate, magnesium stearate, stearic acid, polyoxyl stearate, cetanol, talc, hydrogenated castor oil, sucrose esters of fatty acid, dimethylpolysiloxane, microcrystalline wax, yellow beeswax, white beeswax, solid polyethylene glycols, sodium lauryl sulfate and the like). In the case of capsules and tablets, the dosage forms may also comprise buffering agents. Such capsules or tablets may contain a controlled-release formulation. In the case of capsules, tablets, and pills, the dosage forms may be prepared with enteric coatings.
[0122] Solid compositions of a similar type may also be used as fillers in soft or hard filled gelatin capsules using such excipients as lactose or milk sugar, as well as high molecular weight polyethylene glycols, and the like.
[0123] Solid dosage forms such as tablets, dragees, capsules, and granules may be prepared with coatings and shells, such as enteric coatings and others well known in the art. They may also contain opacifying agents, and can also be of such composition that they release the compound of the present invention and/or the additional pharmaceutical agent in a delayed manner. Examples of embedding compositions that can be used are polymeric substances and waxes. The drug may also be in micro-encapsulated form, if appropriate, with one or more of the above-mentioned excipients.
[0124] For tablets, the active agent will typically comprise less than 50% (by weight) of the formulation, for example less than about 10% such as 5% or 2.5% by weight. The
predominant portion of the formulation comprises fillers, diluents, disintegrants, lubri-cants and optionally, flavors. The composition of these excipients is well known in the art. Frequently, the fillers/diluents will comprise mixtures of two or more of the following components: microcrystalline cellulose, mannitol, lactose (all types), starch, and di-calcium phosphate. The filler/diluent mixtures typically comprise less than 98% of the formulation and preferably less than 95%, for example 93.5%. Preferred disintegrants include Ac-di- sol.TM., Explotab.TM., starch and sodium lauryl sulphate. When present a disintegrant will usually comprise less than 10% of the formulation or less than 5%, for example about 3%. A preferred lubricant is magnesium stearate. When present a lubri-cant will usually comprise less than 5% of the formulation or less than 3%, for example about 1%.
[0125] Tablets may be manufactured by standard tabletting processes, for example, di-rect compression or a wet, dry or melt granulation, melt congealing process and extru-sion. The tablet cores may be mono or multi-layer(s) and can be coated with appropri-ate overcoats known in the art.
[0126] In another embodiment, oral administration may be in a liquid dose form. Liquid dosage forms for oral administration include, for example, pharmaceutically acceptable emulsions, solutions, suspensions, syrups, and elixirs. In addition to the compounds and combinations of the present disclosure, the liquid dosage form may contain inert diluents commonly used in the art (e.g., water or other solvents), solubilizing agents and emulsifiers, such as, for example, ethyl alcohol, isopropyl alcohol, ethyl carbonate, ethyl acetate, benzyl alcohol, benzyl benzoate, propylene glycol, 1,3-butylene glycol, dimethyl-formamide, oils (e.g., cottonseed oil, groundnut oil, corn germ oil, olive oil, castor oil, sesame seed oil and the like), Miglyole.RTM. (available from CONDEA Vista Co., Cran-ford, N.J.), glycerol, tetrahydrofurfuryl alcohol, polyethylene glycols and fatty acid esters of sorbitan, or mixtures of these substances, and the like. Such compositions also may comprise adjuvants or excipients, such as wetting, emulsifying, suspending, flavoring (e.g., sweetening), and/or perfuming agents.
[0127] Oral liquid forms of the compounds or combinations of the disclosure include solutions, wherein the active compound is fully dissolved. Examples of solvents include all pharmaceutically precedented solvents suitable for oral administration, particularly those in which the compounds of the invention show good solubility, e.g., polyethylene glycol, polypropylene glycol, edible oils and glyceryl- and glyceride-based systems. Glyceryl- and glyceride-based systems may include, for example, the following branded products (and corresponding generic products): Captex. TM. 355 EP (glyceryl tricapry-late/caprate, from
Abitec, Columbus Ohio), Crodamol.TM. GTC/C (medium chain tri-glyceride, from Croda, Cowick Hall, UK) or Labrafac.TM. CC (medium chain triglycerides, from Gattefosse), Captex. TM. 500P (glyceryl triacetate i.e. triacetin, from Abitec), Cap-mul.TM. MCM (medium chain mono- and diglycerides, from Abitec), Migyol.TM. 812 (caprylic/capric triglyceride, from Condea, Cranford N.J.), Migyol.TM. 829 (capry lie/ capric/ succinic triglyceride, from Condea), Migyol.TM. 840 (propylene glycol dicaprylate/dicaprate, from Condea), Labrafd.TM. M1944CS (oleoyl macrogol-6 glycer-ides, from Gattefosse), Peceol.TM. (glyceryl monooleate, from Gattefosse) and Maisine.TM. 35-1 (glyceryl monooleate, from Gattefosse). Of particular interest are the medium chain (about C.sub.8 to C. sub.10) triglyceride oils. These solvents frequently make up the predominant portion of the composition, i.e., greater than about 50%, usually greater than about 80%, for example about 95% or 99%. Adjuvants and additives may also be included with the solvents principally as taste-mask agents, palatability and flavoring agents, antioxidants, stabilizers, texture and viscosity modifiers and solubilizers.
[0128] Suspensions, in addition to the compounds or combinations of the present disclosure, may further comprise carriers such as suspending agents, e.g., ethoxylated isostearyl alcohols, polyoxyethylene sorbitol and sorbitan esters, microcrystalline cellulose, aluminum metahydroxide, bentonite, agar-agar, and tragacanth, or mixtures of these substances, and the like.
[0129] In another embodiment, the present disclosure comprises a parenteral dose form. "Parenteral administration" includes, for example, subcutaneous injections, intravenous injections, intraperitoneal injections, intramuscular injections, intrasternal injections, and infusion. Injectable preparations (i.e., sterile injectable aqueous or oleaginous suspensions) may be formulated according to the known art using suitable dispersing, wetting, and/or suspending agents, and include depot formulations. Compositions suitable for parenteral injection generally include pharmaceutically acceptable sterile aqueous or nonaqueous solutions, dispersions, suspensions, or emulsions, and sterile powders for reconstitution into sterile injectable solutions or dispersions. Examples of suitable aqueous and nonaqueous carriers or diluents (including solvents and vehicles) include water, ethanol, polyols (propylene glycol, polyethylene glycol, glycerol, and the like), suitable mixtures thereof, triglycerides including vegetable oils such as olive oil, and injectable organic esters such as ethyl oleate. A preferred carrier is Miglyol.RTM. brand caprylic/capric acid ester with glycerine or propylene glycol (e.g., Miglyol.RTM. 812, Miglyol.RTM. 829, Miglyol.RTM. 840) available from Condea Vista Co., Cranford, N.J. Proper fluidity can be maintained, for
example, by the use of a coating such as lecithin, by the maintenance of the required particle size in the case of dispersions, and by the use of surfactants.
[0130] These compositions for parenteral injection may also contain excipients such as preserving, wetting, emulsifying, and dispersing agents. Prevention of microorganism contamination of the compositions can be accomplished with various antibacterial and antifungal agents, for example, parabens, chlorobutanol, phenol, sorbic acid, and the like. It may also be desirable to include isotonic agents, for example, sugars, sodium chloride, and the like. Prolonged absorption of injectable pharmaceutical compositions can be brought about by the use of agents capable of delaying absorption, for example, aluminum monostearate and gelatin.
[0131] In another embodiment, the present disclosure comprises a topical dose form. "Topical administration" includes, for example, transdermal administration, such as via transdermal patches or iontophoresis devices, intraocular administration, or intranasal or inhalation administration. Compositions for topical administration also include, for example, topical gels, sprays, ointments, and creams. A topical formulation may include a compound that enhances absorption or penetration of the active ingredient through the skin or other affected areas. When the compounds of this disclosure are administered by a transdermal device, administration will be accomplished using a patch either of the reservoir and porous membrane type or of a solid matrix variety. Typical formulations for this purpose include gels, hydrogels, lotions, solutions, creams, ointments, dusting powders, dressings, foams, films, skin patches, wafers, implants, sponges, fibers, bandages and microemulsions. Liposomes may also be used. Typical carriers include alcohol, water, mineral oil, liquid petrolatum, white petrolatum, glycerin, polyethylene glycol and propylene glycol. Penetration enhancers may be incorporated - see, for example, Finnin and Morgan, J. Pharm. Sci., 88 (10), 955-958 (1999).
[0132] Formulations suitable for topical administration to the eye include, for example, eye drops wherein the compound of this disclosure is dissolved or suspended in a suitable carrier. A typical formulation suitable for ocular or aural administration may be in the form of drops of a micronized suspension or solution in isotonic, pH-adjusted, sterile saline. Other formulations suitable for ocular and aural administration include ointments, biodegradable (e.g., absorbable gel sponges, collagen) and non-biodegradable (e.g., silicone) implants, wafers, lenses and particulate or vesicular systems, such as niosomes or liposomes. A polymer such as crossed-linked polyacrylic acid, polyvinyl alcohol, hyaluronic acid, a cellulosic polymer, for example, hydroxypropylmethyl cellulose, hydroxyethyl cellulose, or methyl
cellulose, or a heteropolysaccharide polymer, for example, gelan gum, may be incorporated together with a preservative, such as benzalkonium chloride. Such formulations may also be delivered by iontophoresis.
[0133] For intranasal administration or administration by inhalation, the active compounds of the disclosure are conveniently delivered in the form of a solution or suspension from a pump spray container that is squeezed or pumped by the patient or as an aerosol spray presentation from a pressurized container or a nebulizer, with the use of a suitable propellant. Formulations suitable for intranasal administration are typically administered in the form of a dry powder (either alone; as a mixture, for example, in a dry blend with lactose; or as a mixed component particle, for example, mixed with phospholipids, such as phosphatidylcholine) from a dry powder inhaler or as an aerosol spray from a pressurized container, pump, spray, atomizer (preferably an atomizer using electrohydrodynamics to produce a fine mist), or nebulizer, with or without the use of a suitable propellant, such as 1,1,1,2-tetrafluoroethane or 1,1,1,2,3,3,3-heptafluoropropane. For intranasal use, the powder may comprise a bioadhesive agent, for example, chitosan or cyclodextrin.
[0134] In another embodiment, the present disclosure comprises a rectal or vaginal dose form. Such a dose form may be in the form of, for example, a suppository. Cocoa butter, polyethylene glycol and suppository wax are traditional suppository bases, but various alternatives may be used as appropriate. These bases are solid at ordinary room temperature, but liquid at body temperature, and therefore, melt in the rectum or vaginal cavity thereby releasing the active component(s).
[0135] Some of the compounds of the disclosure are poorly soluble in water, e.g., less than about 1 pg/mL. Therefore, liquid compositions in solubilizing, non-aqueous solvents such as the medium chain triglyceride oils discussed above are a preferred dosage form for these compounds.
[0136] Solid amorphous dispersions, including dispersions formed by a spray-drying process, are a preferred dosage form for the poorly soluble compounds of the invention. By "solid amorphous dispersion" is meant a solid material in which at least a portion of the poorly soluble compound is in the amorphous form and dispersed in a water-soluble polymer. By "amorphous" is meant that the poorly soluble compound is not crystalline. By "crystalline" is meant that the compound exhibits long-range order in three dimensions of at least 100 repeat units in each dimension. Thus, the term amorphous is intended to include not only material which has essentially no order, but also material which may have some small degree of order, but the order is in less than three dimensions and/or is only over short distances. Amorphous
material may be characterized by techniques known in the art such as powder x-ray diffraction (PXRD) crystallography, solid state NMR, or thermal techniques such as differential scanning calorimetry (DSC).
[0137] Preferably, at least a major portion (i.e., at least about 60 wt %) of the poorly soluble compound in the solid amorphous dispersion is amorphous. The compound can exist within the solid amorphous dispersion in relatively pure amorphous domains or regions, as a solid solution of the compound homogeneously distributed throughout the polymer or any combination of these states or those states that he intermediate between them. Preferably, the solid amorphous dispersion is substantially homogeneous so that the amorphous compound is dispersed as homogeneously as possible throughout the polymer. As used herein, "substantially homogeneous" means that the fraction of the compound that is present in relatively pure amorphous domains or regions within the solid amorphous dispersion is relatively small, on the order of less than 20 wt %, and preferably less than 10 wt % of the total amount of drug.
[0138] Water-soluble polymers suitable for use in the solid amorphous dispersions should be inert, in the sense that they do not chemically react with the poorly soluble compound in an adverse manner, are pharmaceutically acceptable, and have at least some solubility in aqueous solution at physiologically relevant pHs (e.g. 1-8). The poly-mer can be neutral or ionizable, and should have an aqueous-solubility of at least 0.1 mg/mL over at least a portion of the pH range of 1-8.
[0139] Water-soluble polymers suitable for use with the present invention may be cellulosic or non-cellulosic. The polymers may be neutral or ionizable in aqueous solution. Of these, ionizable and cellulosic polymers are preferred, with ionizable cellulosic polymers being more preferred.
[0140] Exemplary water-soluble polymers include hydroxypropyl methyl cellulose acetate succinate (HPMCAS), hydroxypropyl methyl cellulose (HPMC), hydroxypropyl methyl cellulose phthalate (HPMCP), carboxy methyl ethyl cellulose (CMEC), cellulose acetate phthalate (CAP), cellulose acetate trimellitate (CAT), polyvinylpyrrolidone (PVP), hydroxypropyl cellulose (HPC), methyl cellulose (MC), block copolymers of ethylene oxide and propylene oxide (PEO/PPO, also known as poloxamers), and mixtures thereof. Especially preferred polymers include HPMCAS, HPMC, HPMCP, CMEC, CAP, CAT, PVP, poloxamers, and mixtures thereof. Most preferred is HPMCAS. See European Patent Application Publication No. 0 901 786 A2, the disclosure of which is incorporated herein by reference.
[0141] The solid amorphous dispersions may be prepared according to any process for forming solid amorphous dispersions that results in at least a major portion (at least 60%) of the poorly soluble compound being in the amorphous state. Such processes include mechanical, thermal and solvent processes. Exemplary mechanical processes include milling and extrusion; melt processes including high temperature fusion, solvent-modified fusion and melt-congeal processes; and solvent processes including non-solvent precipitation, spray coating and spray drying. See, for example, the following U.S. Patents, the pertinent disclosures of which are incorporated herein by reference: Nos. 5,456,923 and 5,939,099, which describe forming dispersions by extrusion pro-cesses; Nos. 5,340,591 and 4,673,564, which describe forming dispersions by milling processes; and Nos. 5,707,646 and 4,894,235, which describe forming dispersions by melt congeal processes. In a preferred process, the solid amorphous dispersion is formed by spray drying, as disclosed in European Patent Application Publication No. 0 901 786 A2. In this process, the compound and polymer are dissolved in a solvent, such as acetone or methanol, and the solvent is then rapidly removed from the solution by spray drying to form the solid amorphous dispersion. The solid amorphous dispersions may be prepared to contain up to about 99 wt % of the compound, e.g., 1 wt %, 5 wt %, 10 wt %, 25 wt %, 50 wt %, 75 wt %, 95 wt %, or 98 wt % as desired.
[0142] The solid dispersion may be used as the dosage form itself or it may serve as a manufacturing-use-product (MUP) in the preparation of other dosage forms such as capsules, tablets, solutions or suspensions. An example of an aqueous suspension is an aqueous suspension of a 1: 1 (w/w) compound/HPMCAS-HF spray-dried dispersion containing 2.5 mg/mL of compound in 2% polysorbate-80. Solid dispersions for use in a tablet or capsule will generally be mixed with other excipients or adjuvants typically found in such dosage forms. For example, an exemplary filler for capsules contains a 2:1 (w/w) compound/HPMCAS-MF spray-dried dispersion (60%), lactose (fast flow) (15%), microcrystalline cellulose (e.g., Avicel.sup. (R0-102) (15.8%), sodium starch (7%), sodium lauryl sulfate (2%) and magnesium stearate (1%).
[0143] The HPMCAS polymers are available in low, medium and high grades as Aqoa.sup.(R)-LF, Aqoat.sup.(R)-MF and Aqoat.sup.(R)-HF respectively from Shin-Etsu Chemical Co., LTD, Tokyo, Japan. The higher MF and HF grades are generally preferred.
[0144] Other carrier materials and modes of administration known in the pharmaceutical art may also be used. Pharmaceutical compositions of the disclosure may be prepared by any of the well-known techniques of pharmacy, such as effective formulation and administration procedures. The above considerations in regard to effective formulations and administration
procedures are well known in the art and are described in standard textbooks. Formulation of drugs is discussed in, for example, Hoover, John E., Remington’s Pharmaceutical Sciences, Mack Publishing Co., Easton, Pennsylvania, 1975; Liberman et al., Eds., Pharmaceutical Dosage Forms, Marcel Decker, New York, N.Y., 1980; and Kibbe et al., Eds., Handbook of Pharmaceutical Excipients (3rd Ed.), American Pharmaceutical Association, Washington, 1999.
[0145] The compounds of the present disclosure can be used, alone or in combination with other therapeutic agents, in the treatment of various conditions or disease states. The compound(s) of the present disclosure and other therapeutic agent(s) may be administered simultaneously (either in the same dosage form or in separate dosage forms) or sequentially. Additionally, simultaneous administration may be carried out by mixing the compounds prior to administration or by administering the compounds at the same point in time but at different anatomic sites or using different routes of administration.
[0146] The administration of two or more compounds “in combination” means that the two compounds are administered closely enough in time that the presence of one alters or improves the biological effects of the other. The two or more compounds may be administered simultaneously, concurrently or sequentially. Additionally, simultaneous administration may be carried out by mixing the compounds prior to administration or by administering the compounds at the same point in time but at different anatomic sites or using different routes of administration.
[0147] The phrases “concurrent administration,” “co-administration,” “simultaneous administration,” and “administered simultaneously” mean that the compounds are administered in combination.
[0148] The present disclosure includes the use of a combination of a PDE4 inhibitor compound of the present disclosure and one or more additional pharmaceutically active agent(s). If a combination of active agents is administered, then they may be administered sequentially or simultaneously, in separate dosage forms or combined in a single dosage form. Accordingly, the present disclosure also includes pharmaceutical compositions comprising an amount of: (a) a first agent comprising a compound of the present disclosure or a pharmaceutically acceptable salt of the compound; (b) a second pharmaceutically active agent; and (c) a pharmaceutically acceptable carrier, vehicle or diluent.
[0149] Various pharmaceutically active agents may be selected for use in conjunction with the compounds of the present disclosure, depending on the disease, disorder, or condition to
be treated. Pharmaceutically active agents that may be used in combination with the compositions of the present disclosure include, without limitation:
[0150] (i) immunomodulators such as glatiramer acetate (also known as copolymer- 1; COPAXONE), MBP-8298 (synthetic myelin basic protein peptide), dimethyl fumarate, fingolimod (also known as FTY720), roquinimex (LINOMIDE), laquinimod (also known as ABR-215062 and SAIK-MS), ABT-874 (human anti-IL-12 antibody; Abbott), rituximab (RITUXAN), leflunomide, ciclesonide, alemtuzumab (CAMPATH), daclizumab (ZENAPAX), and natalizumab (TYSABRI);
[0151] (ii) immunosuppressants such as methotrexate (TREXALL, RHEUMATREX), mitoxantrone (NOVANTRONE), teriflunomide, suplatast tosilate, mycophenolate mofetil (CELLCEPT), mycophenolate sodium (MYFORTIC), azathioprine (AZASAN, IMURAN), mercaptopurine (PURI-NETHOL), cyclophosphamide (NEOSAR, CYTOXAN), voclosporin, PUR- 118, AMG 357, AMG 811, BCT197, chlorambucil (LEUKERAN), cladribine (LEUSTATIN, MYLINAX), alpha-fetoprotein, etanercept (ENBREL), leflunomide, ciclesonide chloroquine, hydroxychloroquine, d-penicillamine, auranofin, sulfasalazine, sodium aurothiomalate, cyclosporine, cromolyn, infliximab, adalimumab, certolizumab pegol, golimumab, rituximab, ocrelizumab, ofatumumab, and 4-benzyloxy-5-((5-undecyl- 2H-pyrrol-2-ylidene)methyl)-2,2'-bi-lH-pyrrole (also known as PNU-156804);
[0152] (iii) interferons, including interferon beta-la (AVONEX, REBIF) and interferon beta-lb (BETASERON, BETAFERON);
[0153] (iv) phosphodiesterase (PDE) inhibitors, including but not limited to, (a) PDE1 inhibitors (e.g., vinpocetine (CAVINTON, CERACTIN, INTELECTOL) and those disclosed in US Patent No 6,235,742, (b) PDE2 inhibitors (e.g., erythro-9-(2-hydroxy-3-nonyl)adenine (EHNA), BAY 60-7550, and those described in US Patent No. 6,174,884), (c) PDE3 inhibitors (e.g., anagrelide, cilostazol, milrinone, olprinone, parogrelil, and pimobendan), (d) PDE4 inhibitors (e.g., apremilast, ibudilastroflumilast, rolipram, Ro 20-1724, ibudilast (KETAS), piclamilast (also known as RP73401), CDP840, cilomilast (ARIFLO), roflumilast, tofimilast, oglemilast (also known as GRC 3886), tetomilast (also known as OPC-6535), lirimifast, theophylline (UNIPHYL, THEOLAIR), arofylline (also known as LAS-31025), doxofylline, RPR-122818, or mesembrine), and (e) PDE5 inhibitors (e.g., sildenafil (VIAGRA, REVATIO), tadalafd (CIALIS), vardenafd (LEVITRA, VIVANZA), udenafd, avanafil, dipyridamole (PERSANTINE), E-4010, E-4021, E-8010, zaprinast, iodenafil, mirodenafil, DA-8159, and those disclosed in International Patent Applications W02002/020521, W02005/049616, W02006/120552, W02006/126081, W02006/126082,
W02006/126083, and WO2007/122466), (f) PDE7 inhibitors; (g) PDE8 inhibitors; (h) PDE9 inhibitors (e.g., BAY 73-6691 (Bayer AG) and those disclosed in US Patent Publication Nos US2003/0195205, US2004/0220186, US2006/0111372, US2006/0106035, and USSN 12/118,062 (filed May 9, 2008)), (i) PDE10 inhibitor such as 2-[4-(l-Methyl-4-pyridin-4-yl- lH-pyrazol-3-yl)phenoxymethyl]quinoline (PF-2545920), and SCH-1518291; and (j) PDE11 inhibitors;
[0154] (v) Janus kinase inhibitors (JAK) such as, but not limited to, tofacitinib, ruxolitinib, baricitinib, CYT387, GLPG0634, lestaurtinib, pacritinib, and TG101348.
[0155] In another embodiment of the present disclosure, a compound of Formula (I), Formula (I-A), Formula (I-B), or Formula (I-C) may be co-administered with an anti-obesity agent where the anti-obesity agent is selected from the group consisting of gut-selective MTP inhibitors (e.g., dirlotapide, mitratapide and implitapide, R56918 (CAS No. 403987) and CAS No. 913541-47-6), CCKa agonists (e.g., A-benzyl-2-[4-(lH-indol-3-ylmethyl)-5-oxo-l- phenyl-4,5-dihydro-2,3,6,10b-tetraaza-benzo[e]azulen-6-yl]-A-isopropyl-acetamide described in PCT Publication No. WO 2005/116034 or US Publication No. 2005-0267100 Al), 5HT2c agonists (e.g., lorcaserin), MCR4 agonist (e.g., compounds described in US 6,818,658), lipase inhibitor (e.g., Cetilistat), PYY3-36 (as used herein “PYY3-36” includes analogs, such as peglated PYY3-36 e.g., those described in US Publication 2006/0178501), opioid antagonists (e.g., naltrexone), the combination of naltrexone with buproprion, oleoyl-estrone (CAS No. 180003- 17-2), obinepitide (TM30338), pramlintide (SYMLIN®), tesofensine (NS2330), leptin, liraglutide, bromocriptine, orlistat, exenatide (BYETTA®), AOD-9604 (CAS No. 221231-10- 3) and sibutramine.
[0156] Other anti-obesity agents include 1 ip-hydroxy steroid dehydrogenase- 1 (1 ip-HSD type 1) inhibitors, stearoyl-CoA desaturase- 1 (SCD-1) inhibitor, cholecystokinin-A (CCK-A) agonists, monoamine reuptake inhibitors (such as sibutramine), sympathomimetic agents, P3 adrenergic agonists, dopamine agonists (such as bromocriptine), melanocyte-stimulating hormone analogs, melanin concentrating hormone antagonists, leptin (the OB protein), leptin analogs, leptin agonists, galanin antagonists, lipase inhibitors (such as tetrahydrolipstatin, i.e. orlistat), anorectic agents (such as a bombesin agonist), neuropeptide-Y antagonists (e.g., NPY Y5 antagonists), thyromimetic agents, dehydroepiandrosterone or an analog thereof, glucocorticoid agonists or antagonists, orexin antagonists, glucagon-like peptide- 1 agonists, ciliary neurotrophic factors (such as Axokine™ available from Regeneron Pharmaceuticals, Inc., Tarrytown, NY and Procter & Gamble Company, Cincinnati, OH), human agouti-related
protein (AGRP) inhibitors, ghrelin antagonists, histamine 3 antagonists or inverse agonists, neuromedin U agonists, MTP/ApoB inhibitors (e.g., gut-selective MTP inhibitors, such as dirlotapide), opioid antagonist, orexin antagonist, the combination of naltrexone with buproprion and the like.
[0157] In another embodiment of the present disclosure, a compound of Formula (I), Formula (I-A), Formula (I-B), or Formula (I-C) may be co-administered with an anti-diabetic agent, where the anti-diabetic agent is selected from the group consisting of an acetyl-CoA carboxylase- (ACC) inhibitor such as those described in WO2009144554, W02003072197, WO2009144555 and W02008065508, a diacylglycerol G-acy I transferase 1 (DGAT-1) inhibitor, such as those described in W009016462 or W02010086820, AZD7687 or LCQ908, monoacylglycerol O-acyltransferase inhibitors, a phosphodiesterase (PDE)-IO inhibitor, an AMPK activator, a sulfonylurea (e.g., acetohexamide, chlorpropamide, diabinese, glibenclamide, glipizide, glyburide, glimepiride, gliclazide, glipentide, gliquidone, glisolamide, tolazamide, and tolbutamide), a meglitinide, an a-amylase inhibitor (e.g., tendamistat, trestatin and AL-3688), an a-glucoside hydrolase inhibitor (e.g., acarbose), an a- glucosidase inhibitor (e.g., adiposine, camiglibose, emiglitate, miglitol, voglibose, pradimicin-Q, and salbostatin), a PPARy agonist (e.g., balaglitazone, ciglitazone, darglitazone, englitazone, isaglitazone, pioglitazone and rosiglitazone), a PPAR a/y agonist (e.g., CLX-0940, GW-1536, GW-1929, GW-2433, KRP-297, L-796449, LR-90, MK-0767 and SB-219994), a biguanide (e.g., metformin), a glucagon-like peptide 1 (GLP-1) modulator such as an agonist (e.g., exendin-3, exendin-4, ZYOG-1 and TTP273), liraglutide (VICTOZA®), albiglutide, exenatide (Byetta®, Bydureon®), albiglutide, lixisenatide, dulaglutide, semaglutide (NN-9924), TTP-054, a protein tyrosine phosphatase- IB (PTP-1B) inhibitor (e.g., trodusquemine, hyrtiosal extract, and compounds disclosed by Zhang, S., et al., Drug Discovery Today 2007,72, 373-381;, SIRT-1 activator (e.g., resveratrol, GSK2245840 or GSK184072), a dipeptidyl peptidease IV (DPP-IV) inhibitor (e.g., those in W02005116014, sitagliptin, vildagliptin, alogliptin, dutogliptin, linagliptin and saxagliptin), an insulin secreatagogue, a fatty acid oxidation inhibitor, an A2 antagonist, a c-jun aminoterminal kinase (JNK) inhibitor, glucokinase activators (GKa) such as those described in W02010103437, W02010103438, W02010013161, WO2007122482, TTP-399, TTP-355, TTP-547, AZD1656, ARRY403, MK-0599, TAK-329, AZD5658 or GKM-001, insulin, an insulin mimetic, a glycogen phosphorylase inhibitor (e.g. GSK1362885), a VPAC2 receptor agonist, SGLT2 inhibitors, such as those described in E.C. Chao et al. Nature Reviews Drug Discovery 9, 551-559 (July 2010) including dapagliflozin, canagliflozin, empagliflozin,
tofogliflozin (CSG452), ASP-1941, THR1474, TS-071, ISIS388626 and LX4211 as well as those in WO2010023594, a glucagon receptor modulator such as those described in Demong, D.E. et al. Annual Reports in Medicinal Chemistry 2008, 43, 119-137, GPR119 modulators, particularly agonists, such as those described in W02010140092, WO2010128425, W02010128414, W02010106457, Jones, R.M. et al. in Medicinal Chemistry 2009, 44, 149- 170 (e.g. MBX-2982, GSK1292263, APD597 and PSN821), FGF21 derivatives or analogs such as those described in Kharitonenkov, A. et al. et al., Current Opinion in Investigational Drugs 2009, 70,359-364, TGR5 (also termed GPBAR1) receptor modulators, particularly agonists, such as those described in Zhong, M., Current Topics in Medicinal Chemistry, 2010, 10, 386-396 and INT777, GPR40 agonists, such as those described in Medina, J.C., Annual Reports in Medicinal Chemistry, 2008, 43, 75-85, including but not limited to TAK- 875, GPR120 modulators, particularly agonists, high affinity nicotinic acid receptor (HM74A) activators, and SGLT1 inhibitors, such as GSK1614235, listing of anti-diabetic agents found at page 28, line 35 through page 30, line 19 of WO2011005611, inhibitors or modulators of carnitine palmitoyl transferase enzymes, inhibitors of fructose 1,6- diphosphatase, inhibitors of aldose reductase, mineralocorticoid receptor inhibitors, inhibitors of TORC2, inhibitors of CCR2 and/or CCR5, inhibitors of PKC isoforms (e.g. PKCa, PKCpi, PKCP2, etc...), inhibitors of fatty acid synthetase, inhibitors of serine palmitoyl transferase, modulators of GPR81, GPR39, GPR43, GPR41, GPR105, Kvl.3, retinol binding protein 4, glucocorticoid receptor, somatostain receptors (e.g. SSTR1, SSTR2, SSTR3 and SSTR5), inhibitors or modulators of PDHK2 or PDHK4, inhibitors of MAP4K4, modulators of IL1 family including ILlbeta, modulators of RXRalpha, suitable anti-diabetic agents include mechanisms listed by Carpino, P.A., Goodwin, B. Expert Opin. Ther. Pat, 2010, 20, 1627-1651.
[0158] Preferred anti-diabetic agents are metformin and DPP-IV inhibitors (e.g., sitagliptin, vildagliptin, alogliptin, dutogliptin, linagliptin and saxagliptin). Other antidiabetic agents could include inhibitors or modulators of carnitine palmitoyl transferase enzymes, inhibitors of fructose 1,6-diphosphatase, inhibitors of aldose reductase, mineralocorticoid receptor inhibitors, inhibitors of TORC2, inhibitors of CCR2 and/or CCR5, inhibitors of PKC isoforms (e.g. PKCa, PKC [I, PKCy), inhibitors of fatty acid synthetase, inhibitors of serine palmitoyl transferase, modulators of GPR81, GPR39, GPR43, GPR41, GPR105, Kvl.3, retinol binding protein 4, glucocorticoid receptor, somatostain receptors (e.g. SSTR1, SSTR2, SSTR3 and SSTR5), inhibitors or modulators of PDHK2 or PDHK4, inhibitors of MAP4K4, modulators of IL1 family including ILlbeta, modulators of RXRalpha.
[0159] In another embodiment of the present disclosure, a compound of Formula (I), Formula (I-A), Formula (I-B), or Formula (I-C) may be co-administered with a cholesterol/lipid modulating agent, where the cholesterol/lipid modulating agent is selected from the group consisting of HMG-CoA reductase inhibitors (e.g., pravastatin, lovastatin, atorvastatin, simvastatin, 64ipoxygenas, NK-104 (a.k.a. itavastatin, or nisvastatin or nisbastatin) and ZD-4522 (a.k.a. rosuvastatin, or atavastatin or visastatin)); HMG-CoA reductase gene expression inhibitor; squalene synthetase inhibitors; a squalene epoxidase inhibitor; a squalene cyclase inhibitor; a combined squalene epoxidase/squalene cyclase inhibitor a CETP inhibitor; fibrates; niacin, an ion-exchange resin, an antioxidant; bile acid sequestrants (such as questran); ACAT inhibitors; MTP/APO [1 secretion inhibitors;
64ipoxygenase inhibitors; cholesterol absorption inhibitors; cholesteryl ester transfer protein inhibitors; an agent such as mipomersen; and or atherosclerotic agents including PCSK9 modulators.
[0160] In another embodiment, a compound of Formula (I), Formula (I-A), Formula (I-B), or Formula (I-C) may be co-administered with agents for the treatment of non-alcoholic steatohepatitis (NASH) and/or non-alcoholic fatty liver disease (NAFLD), such as Orlistat, TZDs and other insulin sensitizing agents, FGF21 analogs, Metformin, Omega-3-acid ethyl esters (e.g. Lovaza), Fibrates, HMG CoA-reductase Inhibitors, Ezitimbe, Probucol, Ursodeoxycholic acid, TGR5 agonists, FXR agonists, Vitamin E, Betaine, Pentoxifylline, CB 1 antagonists, Carnitine, /V-acctylcystci ne, Reduced glutathione, lorcaserin, the combination of naltrexone with buproprion, SGLT2 Inhibitors, Phentermine, Topiramate, Incretin (GLP and GIP) analogs and Angiotensin-receptor blockers.
[0161] Additional therapeutic agents include anti-coagulant or coagulation inhibitory agents, anti-platelet or platelet inhibitory agents, thrombin inhibitors, thrombolytic or fibrinolytic agents, anti-arrythmic agents, anti-hypertensive agents, calcium channel blockers (L-type and T-type), cardiac glycosides, diruetics, mineralocorticoid receptor antagonists, NO donating agents such as organonitrates, NO promoting agents such as phosphodiesterase inhibitors, cholesterol/lipid lowering agents and lipid profile therapies, anti-diabetic agents, anti-depressants, anti-inflammatory agents (steroidal and non-steroidal), anti-osteoporosis agents, hormone replacement therapies, oral contraceptives, anti-obesity agents, anti-anxiety agents, anti-proliferative agents, anti-tumor agents, anti-ulcer and gastroesophageal reflux disease agents, growth hormone and/or growth hormone secretagogues, thyroid mimetics (including thyroid hormone receptor antagonist), anti-infective agents, anti-viral agents, anti-
bacterial agents, and anti-fungal agents. Examples of suitable mineralocorticoid receptor antagonists include sprionolactone and eplerenone.
[0162] Those skilled in the art will recognize that the compounds of this disclosure may also be used in conjunction with other cardiovascular or cerebrovascular treatments including PCI, stenting, drug eluting stents, stem cell therapy and medical devices, such as implanted pacemakers, defibrillators, or cardiac resynchronization therapy.
[0163] Agents used in an ICU setting are included, for example, dobutamine, dopamine, dpinephrine, nitroglycerin, nitroprusside etc.
[0164] Combination agents useful for treating vasculitis are included, for example, azathioprine, cyclophosphamide, mycophenolate, mofetil, rituximab etc.
[0165] In another embodiment, the present disclosure provides a combination wherein the second agent is at least one agent selected from a factor Xa inhibitor, an anti-coagulant agent, an anti-platelet agent, a thrombin inhibiting agent, a thrombolytic agent, and a fibrinolytic agent. Exemplary factor Xa inhibitors include apixaban and rivaroxaban. Examples of suitable anti-coagulants for use in combination with the compounds of the present disclosure include heparins (e.g., unfractioned and low molecular weight heparins such as enoxaparin and dalteparin).
[0166] In another preferred embodiment the second agent is at least one agent selected from warfarin, dabigatran, unfractionated heparin, low molecular weight heparin, synthetic pentasaccharide, hirudin, argatrobanas, aspirin, ibuprofen, naproxen, sulindac, indomethacin, mefenamate, droxicam, diclofenac, sulfinpyrazone, piroxicam, ticlopidine, clopidogrel, tirofiban, eptifibatide, abciximab, melagatran, disulfatohirudin, tissue plasminogen activator, modified tissue plasminogen activator, anistreplase, urokinase, and streptokinase.
[0167] A preferred second agent is at least one anti-platelet agent. Especially preferred anti-platelet agents are aspirin and clopidogrel.
[0168] The term anti-platelet agents (or platelet inhibitory agents), as used herein, denotes agents that inhibit platelet function, for example by inhibiting the aggregation, adhesion or granular secretion of platelets. Agents include, but are not limited to, the various known non-steroidal anti-inflammatory drugs (NSAIDS) such as aspirin, ibuprofen, naproxen, sulindac, indomethacin, mefenamate, droxicam, diclofenac, sulfinpyrazone, piroxicam, and pharmaceutically acceptable salts or prodrugs thereof. Of the NSAIDS, aspirin (acetylsalicyclic acid or ASA) and COX-2 inhibitors such as CELEBREX or piroxicam are preferred. Other suitable platelet inhibitory agents include Ilb/IIIa antagonists (e.g., tirofiban, eptifibatide, and abciximab), thromboxane -A2-receptor antagonists (e.g., ifetroban),
thromb oxane- A2 -synthetase inhibitors, PDE-III inhibitors (e.g., Pletal, dipyridamole), and pharmaceutically acceptable salts or prodrugs thereof.
[0169] The term anti-platelet agents (or platelet inhibitory agents), as used herein, is also intended to include ADP (adenosine diphosphate) receptor antagonists, preferably antagonists of the purinergic receptors P2Y ]
with ?2Y 12 being even more preferred.
Preferred P2Y 12 receptor antagonists include ticagrelor, prasugrel, ticlopidine and clopidogrel, including pharmaceutically acceptable salts or prodrugs thereof. Clopidogrel is an even more preferred agent. Ticlopidine and clopidogrel are also preferred compounds since they are known to be gentle on the gastro-intestinal tract in use.
[0170] The term thrombin inhibitors (or anti-thrombin agents), as used herein, denotes inhibitors of the serine protease thrombin. By inhibiting thrombin, various thrombin-mediated processes, such as thrombin-mediated platelet activation (that is, for example, the aggregation of platelets, and/or the granular secretion of plasminogen activator inhibitor- 1 and/or serotonin) and/or fibrin formation are disrupted. A number of thrombin inhibitors are known to one of skill in the art and these inhibitors are contemplated to be used in combination with the present compounds. Such inhibitors include, but are not limited to, boroarginine derivatives, boropeptides, dabigatran, heparins, hirudin, argatroban, and melagatran, including pharmaceutically acceptable salts and prodrugs thereof. Boroarginine derivatives and boropeptides include N-acetyl and peptide derivatives of boronic acid, such as C-terminal alpha-aminoboronic acid derivatives of lysine, ornithine, arginine, homoarginine and corresponding isothiouronium analogs thereof. The term hirudin, as used herein, includes suitable derivatives or analogs of hirudin, referred to herein as hirulogs, such as disulfatohirudin. The term thrombolytics or fibrinolytic agents (or thrombolytics or fibrinolytics), as used herein, denote agents that lyse blood clots (thrombi). Such agents include tissue plasminogen activator (natural or recombinant) and modified forms thereof, anistreplase, urokinase, streptokinase, tenecteplase (TNK), lanoteplase (nPA), factor Vila inhibitors, PAI-1 inhibitors (i.e., inactivators of tissue plasminogen activator inhibitors), alpha2-antiplasmin inhibitors, and anisoylated plasminogen streptokinase activator complex, including pharmaceutically acceptable salts or prodrugs thereof. The term anistreplase, as used herein, refers to anisoylated plasminogen streptokinase activator complex, as described, for example, in EP 028,489, the disclosure of which is hereby incorporated herein by reference herein. The term urokinase, as used herein, is intended to denote both dual and single chain urokinase, the latter also being referred to herein as prourokinase.
[0171] Examples of suitable anti-arrythmic agents include: Class I agents (such as propafenone); Class II agents (such as metoprolol, atenolol, carvadiol and propranolol); Class III agents (such as sotalol, dofetilide, amiodarone, azimilide and ibutilide); Class IV agents (such as ditiazem and verapamil); K+ channel openers such as lAch inhibitors, and If ur inhibitors (e.g., compounds such as those disclosed in W001/40231).
[0172] In another embodiment, compounds of the present disclosure may also be coadministered together with:
Antidiarrheals, such as diphenoxylate (Lomotil) and loperamide (Imodium);
Bile acid binding agents, such as cholestyramine, alosetron (Lotronex) and ubiprostone (Amitiza);
Laxatives, such as Milk of Magnesia, polyethylene glycol (MiraLax), Dulcolax, Correctol and Senokot, and anticholinergics or antispasmodics such as dicyclomine (Bentyl); lymphocyte activation inhibitors, including but not limited to, abatacept:
Anti-ILl treatments, including but not limited to, anakinra, rilonacept, canakinumab, gevokizumab, MABpl and MEDI-8968;
Glucocorticoid receptor modulators that may be dosed orally, by inhalation, by injection, topically, rectally, by ocular delivery, including but not limited to, betamethasone, prednisone, hydrocortisone, prednisolone, flunisolide, triamcinoline acetonide, beclomethasone, dipropionate, budesonide, fluticasone propionate, ciclesonide, mometasone furoate, fluocinonide, desoximetasone, methylprednisolone or PF-04171327;
Aminosalicyic acid derivatives, including but not limited to, sulfasalazine and mesalazine;
Anti-a4 integrin agents, including but not limited to, natalizumab; al - or a2-adrenergic agonist agents including but not limited to: propylhexidrine, phenylephrine, phenylpropanolamine, pseudoephedrine or naphazoline hydrochloride, oxymetazoline hydrochloride, tetrahydrozoline hydrochloride, xylometazoline hydrochloride or ethylnorepinephrine hydrochloride; a-adrenergic agonists, including but not limited to, metaproterenol, isoprotenerol, isoprenaline, albuterol, salbutamol, formoterol, salmeterol, terbutaline, orciprenaline, botolterol mesylate, pirbuterol; and
Anticholinergic agents, including but not limited to, ipratropium bromide, tiotropium bromide, oxitropium bromide, aclindinium bromide, glycopyrrolate, pirenzipine or telenzepine.
[0173] The present disclosure further comprises kits that are suitable for use in performing the methods of treatment described above. In one embodiment, the kit contains a first dosage form comprising one or more of the compounds of the present disclosure and a container for the dosage, in quantities sufficient to carry out the methods of the present disclosure.
[0174] In another embodiment, the kit of the present disclosure comprises one or more compounds of the disclosure.
Experimental Procedures and Working Examples
Methods of Synthesis
[0175] The compounds of the disclosure, or their pharmaceutically acceptable salts, may be prepared by a variety of methods that are analogously known in the art. The reaction Schemes described below, together with synthetic methods known in the art of organic chemistry, or modifications and derivatizations that are familiar to those of ordinary skill in the art, illustrate methods for preparing the compounds. Others, including modifications thereof, will be readily apparent to one skilled in the art.
[0176] The starting materials used herein are commercially available or may be prepared by routine methods known in the art (such as those methods disclosed in standard reference books such as the COMPENDIUM OF ORGANIC SYNTHETIC METHODS, Vol. I-XII (published by Wiley-Interscience)). Preferred methods include, but are not limited to, those described below.
[0177] During any of the following synthetic sequences, it may be necessary and/or desirable to protect sensitive or reactive groups on any of the molecules concerned. This can be achieved by means of conventional protecting groups, such as those described in T. W. Greene, Protective Groups in Organic Chemistry, John Wiley & Sons, 1981; T. W. Greene and P. G. M. Wuts, Protective Groups in Organic Chemistry, John Wiley & Sons, 1991; and T. W. Greene and P. G. M. Wuts, Protective Groups in Organic Chemistry, John Wiley & Sons, 1999; and T. W. Greene and P. G. M. Wuts, Protective Groups in Organic Chemistry, John Wiley & Sons, 2007, which are hereby incorporated by reference.
[0178] Compounds of the present disclosure or their pharmaceutically acceptable salts of said compounds or tautomers and radioisotopes, can be prepared according to the reaction Schemes discussed herein below. Unless otherwise indicated, the substituents in the Schemes are defined as above. Isolation and purification of the products is accomplished by standard procedures, which are known to a chemist of ordinary skill.
[0179] One skilled in the art will recognize that in some cases, the compounds in Schemes 1 through 3 will be generated as a mixture of diastereomers and/or enantiomers; these may be separated at various stages of the synthetic Scheme using conventional techniques or a combination of such techniques, such as, but not limited to, crystallization, normal-phase chromatography, reversed-phase chromatography, and chiral chromatography, to afford the single enantiomers and/or diastereomers of the disclosure.
[0180] It will be understood by one skilled in the art that the various symbols, superscripts and subscripts used in the Schemes, methods, and examples are used for convenience of representation and/or to reflect the order in which they are introduced in the Scheme, and are not intended to necessarily correspond to the symbols, superscripts or subscripts in the appended claims. The Schemes are representative of methods useful in synthesizing the compounds of the present disclosure. They are not to constrain the scope of the disclosure in any way.
[0181] Abbreviations used herein are as follows: ACN/MeCN/CHsCN: Acetonitrile; CU(OAC)2: Cupric Acetate; DBU: l,8-diazabicyclo[5.4.0]undec-7-ene; DCM: Dichloromethane; DI AD: Diisopropyl azodicarboxylate; DIPEA: Diisopropylethylamine; DMF: N,N-Dimethylformamide; EtOAc: Ethyl acetate; EtOH: Ethanol; IPA: Isopropyl alcohol; MeOH: Methanol; Mg(OMe)2: Magnesium methoxide; MsCl: Methanesulfonyl chloride; NalCfi: Sodium periodate; NBS: N-bromosuccinimide; Pd(dppf)C12: [1,1’- Bis(diphenylphosphino) ferrocene ] dichloropalladium (II); Pd(PPh3)4:
Tetrakis(Triphenylphosphine)Palladium(0); PE: Petroleum ether; PPh-,: Triphenylphosphine; PPTS: Pyridinium p-toluenesulfonate; RuCE: Ruthenium (III) chloride; SOCh: Thionyl chloride; TBAF: Tetra-n-butylammonium fluoride; TBDPS: Tert-butylchlorodiphenylsilane; TEA: Triethylamine; THF: Tetrahydro furan; TLC: Thin layer chromatography.
SCHEME 1
[0182] Scheme 1 illustrates a general synthetic approach for the preparation of compounds of Formula (I-A) and Formula (I-C). Specifically, NBS-mediated bromination of azaindole amide starting material A affords B. Subsequent Suzuki coupling of B with an aryl- or heteroaryl-boronic acid or ester coupling partner provides C. Finally, alkylation of the amidic nitrogen of C generates compounds of Formula (I-A) and Formula (I-C).
R4-X base
SCHEME 2
[0183] Scheme 2 illustrates an alternative route for the preparation of compounds of Formula (I-A) and Formula (I-C) via alteration of the order of the synthetic steps depicted in Scheme 1.
Specifically, alkylation of azaindole amide A provides D, which, upon bromination using NBS, affords E. Subsequent Suzuki coupling of E with a suitable aryl- or heteroaryl-boronic acid or ester furnishes compounds of Formula (I-A) and Formula (I-C).
SCHEME 3
[0184] Scheme 3 illustrates another alternative route for the preparation of compounds of Formula (I-A) and Formula (I-C). As depicted in Scheme 3, coupling of aza-indole amide A with a suitable cycloalkyl boronate under modified Chan-Lam coupling conditions generates
F. Next, bromination of F using NBS provides G. Finally, Suzuki coupling of G with a suitable aryl- or heteroaryl-boronic acid or ester gives compounds of Formula (I-A) and Formula (I-C).
Working Examples
[0185] The following illustrate the synthesis of various specific compounds of the present disclosure. Additional compounds within the scope of this disclosure may be prepared using the methods illustrated in these Examples, or modifications and derivatizations that are familiar to those of ordinary skill in the art, either alone or in combination with techniques generally known in the art.
[0186] Prodrugs of the present disclosure can be made using methods, modifications, and derivizations familiar to those of ordinary skill in the art. For example, in Scheme 4, alcohol J can couple with an acid under peptide coupling conditions using peptide coupling reagents including but not limited to l-[bis(dimethylamino)methylene]-lH-l,2,3-triazolo[4,5- b]pyridinium 3-oxid hexafluorophosphate (HATU), or dicyclohexylcarbodiimide (DCC), or diisopropylcarbodiimide (DIC) in the presence of l-hydroxy-7-aza-benzotriazole (HO At) or triazoles 1 -hydroxy -benzotriazole (HOBt); and a base including but not limited to triethyl amine (TEA) or Hunig’s base (A,A-diisopropylethyl amine/DIPEA) in a suitable solvent including but not limited MeCN, or DCM, or DMF to give an ester prodrug of Formula (I), Formula (I-A), Formula (I-B), or Formula (I-C) where Re should be represented by the same moieties as desired in the final product.
SCHEME 4
[0187] Experiments were generally carried out under inert atmosphere (nitrogen or argon), particularly in cases where oxygen- or moisture-sensitive reagents or intermediates were employed. Commercial solvents and reagents were generally used without further purification. All of the intermediates, and final products were analyzed by liquid chromatography mass spectrometry (LCMS), and/or nuclear magnetic resonance (NMR), and Chiral high- performance liquid chromatography (HPLC) for chiral compounds. Most compounds were purified by silica gel flash chromatography, and/or reverse phase HPLC, and/or chiral HPLC, and/or recrystallization, and/or swish (suspension in a solvent followed by filtration of the solid). The course of the reactions was followed by thin layer chromatography (TLC) and/or LCMS and/or NMR and reaction times are given for illustration only. Mass spectrometry data is reported from either liquid chromatography-mass spectrometry (LCMS), atmospheric pressure chemical ionization (APCI) or gas chromatography-mass spectrometry (GCMS) instrumentation. Chemical shifts for nuclear magnetic resonance (NMR) data are expressed in parts per million (ppm, 5) referenced to residual peaks from the deuterated solvents employed. [0188] For syntheses referencing procedures in other Examples or Methods, reaction conditions (reaction time and temperature) may vary.
Intermediates
Preparation of 8-bromo-l, 6, 11 -triazatricyclo [7.4.0.02, 7]trideca-2(7), 3, 5, 8-tetraen- 10-one (i-
1)
Step 1. Synthesis of ethyl l-(2-bromoethyl)pyrrolo[3,2-b]pyridine-2-carboxylate (i-la) [0189] To a solution of ethyl lH-pyrrolo[3,2-6]pyridine-2-carboxylate (9.00 g, 47.3 mmol), PPhs (31.0 g, 118 mmol) and 2-bromoethanol (14.8 g, 118 mmol) in THF (100 mL) was added DIAD (23.9 g, 118 mmol) drop-wise at 0 °C under N2. The temperature of the mixture was maintained below 5 °C throughout the course of the addition. The reaction mixture was then stirred at 20 °C for 16 h. The mixture was concentrated under a vacuum, then diluted with EtOAc (150 mL) and washed with aq. HC1 (1 M, 3 x 50 mL). The combined aqueous layer was adjusted to a pH of 8 by addition of sat. aq. NaHCCh, and the aqueous layer was then extracted with EtOAc (3 x 80 mL). The combined organic layers were dried over anhydrous Na2SO4, filtered and concentrated under a vacuum. The residue was purified by flash silica gel chromatography (0-17% EtOAc in PE) to give i-la (9.30 g, 66.0% yield) as an off-white solid. LCMS m/z (found): 298.8 [M+H]+. 1 H NMR (CDCI3 400 MHz) 8 8.59 (dd, J= 1.2 Hz, 4.4 Hz, 1H), 7.81 (d, .7= 8.8 Hz, 1H), 7.49 (d, 0.8 Hz, 1H), 7.30-7.27 (m,
1H), 4.92 (t, J= 6.8 Hz, 2H), 4.42 (q, J= 7.2 Hz, 2H), 3.73 (t, J= 6.8 Hz, 2H), 1.44 (t, J = 7.2 Hz, 3H).
Step 2. Synthesis of 7 ,8-dihydro-6H-pyrido- [3 ,4] pyrrolo[3 ,5-b]pyrazin-9-one (i-lb). [0190] A solution of i-la (2.00 g, 6.73 mmol) in MeOH (20.0 mL) and NH4OH (20.0 mL, 28%) was stirred at 40 °C for 16 h in a 100 mL autoclave. The mixture was cooled to 20 °C and filtered. The filter cake was dried to give i-lb (100 mg, 7.94% yield) as an off-white solid. ‘ H NMR (CDCI3 400 MHz) 8 8.59 (d, J= 3.6 Hz, 1H), 7.67 (d, J= 8.8 Hz, 1H), 7.50 (s, 1H), 7.30-7.27 (m, 1H), 5.90 (br, s, 1H), 4.35-4.28 (m, 2H), 3.90-3.80 (m, 2H).
Step 3. Synthesis of 8-bromo-l, 6, 11 -triazatricyclo [7.4.0.02, 7]trideca-2(7), 3, 5, 8-tetraen- 10-one (i-1).
[0191] To a mixture of i-lb (500 mg, 2.67 mmol) in DCM (10 mL) was added NBS (523 mg, 2.94 mmol) in one portion under N2. The mixture was stirred at 25 °C for 30 min. The mixture was poured into a sat. aq. solution of Na2S20a (50mL) and stirred for 5 min. The mixture was extracted with DCM (3 x 50 mL). The combined organic layers were washed with brine (2 x 50 mL), dried over anhydrous Na2SC>4, filtered and concentrated to give i-1 (600 mg, crude) as a brown solid. LCMS m/z (found): 268.0 [M+H]+.
Preparation of 4-fluoro-l, 6, 11 -triazatricyclo [7.4.0.02, 7]trideca-2, 4, 6, 8-tetraen- 10-one
Step 1. Synthesis of ethyl 2-((2-bromo-5-fluoropyridin-3-yl)amino)acrylate (i-2a)
[0192] To a solution of 2-bromo-5-fhioro-pyridin-3-amine (22.0 g, 115 mmol) and ethyl 2- oxopropanoate (26.8 g, 230 mmol) in pyridine (200 mL) was added PPTS (7.24 g, 28.8 mmol) and tetraethyl silicate (25.2 g, 121 mmol) in one portion at 20 °C under N2. The mixture was heated to 75 °C and stirred at 75 °C for 12 h. The reaction mixture was concentrated under a reduced pressure to give i-2a (33.0 g, crude) as a black brown oil. The crude product was used in the next step without further purification. LCMS m/z (found): 291.0 [M+H]+.
Step 2. Synthesis of ethyl 6-fluoro-lH-pyrrolo[3,2-b]pyridine-2-carboxylate (i-2b).
[0193] To a solution of i-2a (33.0 g, 114 mmol) in pyridine (300 mL) was added DIPEA
(22.1 g, 171 mmol) and Pd(PhsP)4 (2.64 g, 2.28 mmol) in one portion at 20 °C under N2. The
mixture was heated to 140 °C and stirred at 140 °C for 12 h. The reaction mixture was concentrated under a reduced pressure to give the residue as a black oil. The residue was purified by flash silica gel chromatography (0-50% EtOAc in PE) to afford a black solid (17 g). The solid was triturated with PE:DCM:EtOAc (9:4:2; 150 mL) at 20 °C for 5 mins. The mixture was filtered and the filtered cake was dried under a vacuum to give i-2b (12.0 g, 47.0% yield) as a brown solid. LCMS m/z (found): 209.0 [M+H]+. !H NMR (CDCE 400 MHz) 8 9.06 (br s, 1H), 8.48 (s, 1H), 7.44 (br d, J= 7.6 Hz, 1H), 7.40-7.35 (m, 1H), 4.44 (q, J= 6.8 Hz, 2H), 1.43 (t, J= 7.2 Hz, 3H).
Step 3. Synthesis of ethyl l-(2-bromoethyl)-6fluoro-pyrrolo[3,2-b]pyridine-2-carboxylate (i- 2c)
[0194] A mixture of i-2b (10.0 g, 48.0 mmol), 2-bromoethanol (15.0 g, 120 mmol) and PPI13 (31.5 g, 120 mmol) in THF (200 mL) was cooled to 0 °C. The mixture was degassed under a vacuum and purged with N2 several times. Then, DIAD (24.3 g, 120 mmol) was added dropwise to the mixture, and the reaction mixture was warmed to 25 °C and stirred for 16 h. The reaction mixture was concentrated under a vacuum. The residue was diluted with EtOAc (50 mL) and washed with aq. IM HC1 (3 x 60 mL). The aqueous layer was adjusted to a pH of 8 by addition of sat. aq. NaHCOs and extracted with EtOAc (3 x 100 mL). The combined organic layers were washed with brine (30 mL), dried over anhydrous Na2SO4, filtered and concentrated to give a residue. The residue was purified by flash silica gel chromatography (0-25% EtOAc in PE) to afford i-2c (13.0 g, 85.9% yield) as an off-white solid. LCMS m/z (found): 316.9 [M+H]+. *H NMR (CDCI3 400 MHz) 8 8.65-8.37 (m, 1H), 7.70-7.40 (m, 2H), 4.86 (t, J= 6.4 Hz, 2H), 4.40 (q, J= 7.2 Hz, 2H), 3.74 (t, J= 6.4 Hz, 2H), 1.43 (t, J = 1.2 Hz, 3H).
Step 4. Synthesis of 4-fluoro-l,6,ll-triazatricyclo[7.4.0.02'7]trideca-2,4,6,8-tetraen-10-one (i- 2).
[0195] A mixture of i-2c (12.0 g, 38.1 mmol) and bfiHOH (72.8 g, 623 mmol, 28%) in MeOH (20.0 mL) was heated to 80 °C and stirred under 1 MPa (145 psi) at 80 °C for 16 h in an autoclave. The mixture was cooled to 20 °C and filtered. The filter cake was washed with THF (5 mL) and dried under a vacuum to afford i-2 (1.30 g, 16.6% yield) as an off-white solid. XH NMR (DMSO-d6 400 MHz) 8 8.46 (dd, J= 2.0 Hz, 2.8 Hz, 1H), 8.33 (s, 1H), 8.04 (dd, J= 2.0 Hz, 10.0 Hz, 1H), 7.11 (s, 1H), 4.37-4.22 (m, 2H), 3.77-3.57 (m, 2H).
Preparation of (12R)-12-methyl-l, 6, 11 -triazatricyclo [7.4.0.02, 7]trideca-2(7), 3, 5, 8-tetraen-l 0- one (i-3)
i-3
Step 1. Synthesis of tert-butyl (4R)-4-methyl-2-oxo-oxathiazolidine-3-carboxylate (i-3a) [0196] A solution of imidazole (233 g, 3.42 mol) in anhydrous DCM (1.2 L) was cooled to 0 °C-5 °C, then a solution of SOCh (136 g, 1.14 mol) in anhydrous DCM (500 mL) was added dropwise at 0 °C - 5 °C. After the addition, the reaction mixture was allowed to warm to 25 °C and stirred for 1 h at 25 °C. The mixture was then cooled to -20 °C. A solution of tert-butyl-A-[(17?)-2-hydroxy-l-methyl-ethyl]carbamate (100 g, 571 mmol) in anhydrous DCM (500 mL) was added dropwise to the reaction mixture over 30 min at -20 °C. After the addition, the mixture was allowed to warm to 25 °C and stirred for 15 h at 25 °C. The mixture was poured into water (1.2 L) and stirred for 10 min. The layers were separated and the organic layer was washed with brine (2 x 1 L), dried over anhydrous Na2SC>4, filtered, and concentrated under a reduced pressure to give i-3a (280 g, crude) as a yellow oil, which was used in the next step directly without further purification. !H NMR (CDCL 400 MHz) 8 4.82- 4.75 (m, 1H), 4.73-4.65 (m, 1H), 4.31 (d, J= 8.8 Hz, 1H), 1.53 (s, 9H), 1.29 (d, J= 6.4 Hz, 3H).
Step 2. Synthesis of (R) -tert-butyl 4-methyl-l,2,3-oxathiazolidine-3-carboxylate 2,2-dioxide
(i-3b)
[0197] To a mixture of i-3a (100 g, 452 mmol) and RuCL (9.37 g, 45.2 mmol) in MeCN (1 L) and H2O (500 mL) was added NaIC (193 g, 904 mmol) at 0 °C. The mixture was stirred at 0 °C for 1 h. The reaction mixture was then filtered and the filter cake was washed with EtOAc (2 L). The filtrate was washed with sat. aq. J feSCh (4 x 1.5 L) and brine (2 x 1.5 L), dried over anhydrous Na2SC>4, filtered and concentrated under a reduced pressure to i-3b (91.9 g, 74% yield over two steps) as a white solid. !H NMR (CDCI3 400 MHz) 6 4.67 (dd, J = 6.0 Hz, 9.2 Hz, 1H), 4.44-4.36 (m, 1H), 4.20 (dd, J= 2.8 Hz, 8.8 Hz, 1H), 1.56 (s, 9H), 1.52 (d, .7= 6.4 Hz, 3H).
Step 3. Synthesis of ethyl l-[2-(tert-butoxycarbonylamino)propyl]pyrrolo[3,2-b]pyridine-2- carboxylate (i-3c).
[0198] To a solution of ethyl-lH-pyrrolo[3,2-6]pyridine-2-carboxylate (40.0 g, 210 mmol) and i-3b (64.8 g, 273 mmol) in MeCN (400 mL) was added CS2CO3 (205 g, 630 mmol) at 25 °C. The mixture was stirred at 100 °C for 16 h under N2. The reaction mixture was cooled to 25 °C, poured into water (500 mL) and stirred for 10 min. The mixture was extracted with EtOAc (2 x 500 mL). The combined organic layers were washed with brine (2 x 500 mL), dried over anhydrous Na2SO4 and filtered. The filtrate was concentrated under a reduced pressure to give i-3c (80.0 g, crude) as a yellow solid. 1 H NMR (CDCI3 400 MHz) 6 8.45 (d, J= 4.0 Hz, 1H), 7.97-7.94 (m, 1H), 7.97-7.94 (m, 1H), 7.20-7.15 (m, 1H), 4.90-4.70 (m, 3H), 4.40-4.25 (m, 2H), 1.50-1.30 (m, 15H).
Step 4. Synthesis of ethyl 1 - [(2R)-2-aminopropyl]pyrrolo [3 ,2-b] pyridine-2-carboxylate hydrochloride (i-3d).
[0199] A mixture of i-3c (80.0 g, crude) in HCl/dioxane (4 M, 450 mL) was stirred at 25 °C for 0.5 h. The mixture was concentrated to give i-3d (80.0 g, crude) as a yellow solid. The crude residue was used directly in the next step without further purification. LCMS found m/z 248.0 [M+H]+.
Step 5. Synthesis of (12R)-12-methyl-l,6,ll-triazatricyclo[7.4.0.02'7]trideca-2(7),3,5,8- tetraen- 10-one (i-3).
[0200] A solution of i-3d (80.0 g, crude) and EtsN (98.2 g, 970 mmol) in MeOH (500 mL) was stirred at 80 °C for 12 h under N2. The mixture was concentrated in vacuum. The residue was purified by flash silica gel chromatography (0-10% MeOH in DCM) to give 40 g of
crude product. The crude product was triturated with H2O (300 mL) for 0.5 h. The mixture was fdtered and the filter cake was dried to give i-3 (23.0 g, 54.4% over 3 steps) as a yellow solid. LCMS m/z (found) 202.1 [M+H]+. *H NMR (CDCI3 400 MHz) 8 8.64-8.52 (m, 1H), 7.72-7.60 (m, 1H), 7.40 (s, 1H), 7.28-7.25 (m, 1H), 6.76-6.56 (m, 1H), 4.40-4.32 (m, 1H), 4.24-4.12 (m, 1H), 3.92-3.84 (m, 1H), 1.48 (d, J= 6.4 Hz, 3H).
Preparation of (12S)-12-methyl-l, 6, 11 -triazatricyclo [7.4.0.02, 7]trideca-2, 4, 6, 8-tetraen- 10- one (i-3-ent)
i-3-ent [0201] i-3-ent was prepared using the other enantiomer of i-3a, derived from tcrt-butyl-/V-
[(17?)-2-hydroxy-l-methyl-ethyl]carbamate, and following procedures similar to those described for i-3.
Preparation of (12R)-4-fluoro-12-methyl-l, 6, 11 -triazatricyclo [7.4.0.02, 7]trideca-2(7), 3, 5, 8- tetraen- 10-one (i-4).
i-4b i-4
Step 1. Synthesis of ethyl l-[(2R)-2-(tert-butoxycarbonylamino)propyl]-6-fluoro-pyrrolo[3,2- b ]pyridine-2-carboxylate (i-4a)
[0202] A mixture of ethyl 6-fluoro-lH-pyrrolo[3,2-6]pyridine-2-carboxylate (2.00 g, 9.61
mmol), tert-butyl-(47?)-4-methyl-2,2-dioxo-oxathiazolidine-3-carboxylate (3.42 g, 14.4 mmol) and DBU (2.22 g, 14.6 mmol) in MeCN (40.0 mL) was heated to 100 °C and stirred at 100 °C for 12 h. The mixture was concentrated under a vacuum. The residue was purified by flash silica gel chromatography (0-40% EtOAc in PE) to afford i-4a (3.05 g, 79.0% yield) as a yellow solid. LCMS m/z (found) 366.4 [M+H]+.
Step 2. Synthesis of tert-butyl (4R)-4-methyl-2,2-dioxo-oxathiazolidine-3-carboxylate hydrochloride ( i-4b).
[0203] To a mixture of i-4a (3.00 g, 8.21 mmol) in EtOAc (30.0 mL) was added HCl/EtOAc (4 M, 30.0 mL). The mixture was stirred at 20 °C for 12 h. The reaction mixture was concentrated in vacuum to afford i-4b (2.48 g, crude) as a yellow solid, which was used direct in the next without further purification. LCMS m/z (found) 265.9 [M+H]+.
Step 3. Synthesis of (12R)-4-fluoro-12-methyl-l,6,l l-triazatricyclo[7.4.0.02, 7]trideca- 2(7),3,5,8-tetraen-10-one ( i-4).
[0204] A mixture of i-4b (2.48 g, crude) and dimethoxymagnesium (2.84 g, 32.9 mmol) in MeOH (40.0 mL) was stirred at 80 °C for 16 h. The mixture was concentrated under a vacuum. The residue was purified by flash silica gel chromatography (0-6% MeOH in DCM) to afford i-4 (990 mg, 54.3% yield) as a yellow solid. LCMS m/z (found): 219.9 [M+H]+. 1 H NMR (CDCh 400 MHz) 8 8.55-8.39 (m, 1H), 7.47 (s, 1H), 7.38-7.31 (m, 1H), 6.39 (s, 1H), 4.32-4.12 (m, 2H), 4.93-4.81 (m, 1H), 1.47 (d, J = 6.4 Hz, 3H). 19F NMR (CDCh 376 MHz) 8 -130.64.
Preparation of (12S)-4-fluoro-12-methyl-l, 6,11 -triazatricyclo [7.4.0.02, 7] trideca-2 (7 ), 3,5,8- tetraen- 10-one (i-4-ent).
[0205] i-4-ent was prepared using tert-butyl-(45,)-4-methyl-2,2-dioxo-oxathiazolidine-3- carboxylate following procedures similar to those described for i-4.
Step 1. Synthesis of [2-(tert-butoxycarbonylamino)-3-[tert-butyl(diphenyl)silyl] oxy-propyl] methanesulfonate ( i-5a)
[0206] To a solution of tert-butyl-A-[l-[[tert-butyl(diphenyl)silyl]oxymethyl]-2-hydroxy- ethyl]carbamate (6.23 g, 14.5 mmol) and EI3N (5.87 g, 58.0 mmol) in DCM (100 mL) was added MsCI (2.23 g, 19.5 mmol) at 0 °C. The mixture was then stirred at 20 °C for 1 h. Water (100 mL) was added and the mixture was extracted with DCM (3 x 50 mL). The combined organic layers were dried over anhydrous Na2SO4, filtered and concentrated to give i-5a (7.36 g, crude) as a yellow oil. The crude product was used directly in the next step without further purification. LCMS m/z (found): 530.1 [M+Na]+.
Step 2. Synthesis of ethyl-l-[2-(tert-butoxycarbonylamino)-3-[tert-butyl(diphenyl)silyl]oxy- propyl]pyrrolo[ 3, 2-b ]pyridine-2-carboxylate (i-5b ) .
[0207] To a solution of ethyl-lH-pyrrolo[3,2-6]pyridine-2-carboxylate (2.48 g, 13.1 mmol) and i-5a (7.36 g, 14.5 mmol) in CH3CN (100 mL) was added CS2CO3 (9.45 g, 29.0 mmol). The mixture was stirred at 60 °C for 12 h. The reaction mixture was filtered and the filtrate was concentrated to give a residue. The residue was purified by flash silica gel chromatography (0-20% THF in PE) to give i-5b (1.86 g, 23.6% yield) as a yellow solid.
LCMS m/z (found) 602.1 [M+H]+.
Step 3. Synthesis of 12-[[tert-butyl(diphenyl)silyl]oxymethyl]-l,6,l 1- triazatricyclo[7.4.0.02, 7]- trideca-2(7), 3, 5, 8-tetraen-l 0-one (i-5c)
[0208] A mixture of i-5b (1.8 g, 2.99 mmol) and silica gel (4.50 g) in toluene (200 mL) was
stirred at 110 °C for 16 h. The mixture was filtered and the filtrate was concentrated to give i- 5c (1.22 g, 89.6% yield) as an off-white solid, which was used directly in the next step without further purification. LCMS m/z (found) 456.0 [M+H]+.
Step 4. Synthesis of 12-[[tert-butyl(diphenyl)silyl]oxymethyl]-ll-cyclopropyl-l,6,ll- triazatricyclo[7.4.0.02, 7]trideca-2(7), 3, 5, 8-tetraen- 10-one (i-5d)
[0209] A mixture of i-5c (1.22 g, 2.68 mmol), cyclopropylboronic acid (690 mg, 8.04 mmol), CU(OAC)2 (584 mg, 3.22 mmol) in THF(10.0 mL), pyridine (5.0 mL) and TEA (5.0 mL) was degassed and purged with O2 three times, and then the mixture was stirred at 70 °C under O2 (15 psi) for 16 h. The mixture was filtered and the filtrate was concentrated. The residue was purified by flash silica gel chromatography (0-50% EtOAc in PE) to give i-5d (1.11 g, 83.6% yield) as a yellow solid. LCMS m/z (found) 496.0 [M+H]+.
Step 5. Synthesis of 8-bromo-12-[[tert-butyl(diphenyl)silyl]oxymethyl]-l 1-cyclopropyl- 1, 6, 11 -triazatricyclo [7.4.0.02, 7]trideca-2(7), 3, 5, 8-tetraen- 10-one (i-5)
[0210] To a solution of i-5d (1.10 g, 2.22 mmol) in DCM (10.0 mL) was added NBS (434 mg, 2.44 mmol). The mixture was stirred at 25 °C for 1 h. To the reaction mixture was added aq. sat. NaHCO, (10 mL) and the resulting mixture was stirred for 5 min. The DCM layer was separated and concentrated to give i-5 (1.32 g, crude) as a yellow solid. LCMS m/z (found) 574.1, 576.1 [M+H]+.
Preparation of ( 12S)-8-bromo-l 2- [[tert-butyl(diphenyl) silyl] oxymethyl] - 11-cyclopropyl- 1, 6, 11 -triazatricyclo [7.4.0.02, 7]trideca-2(7), 3, 5, 8-tetraen- 10-one (i-5(S))
Step 1. Synthesis of methyl (2R)-2-(tert-butoxycarbonylamino)-3-[tert- butyl(diphenyl)silyl]oxy-propanoate (i-5(S)a)
[0211] To a solution of methyl (27?)-2-(tert-butoxycarbonylamino)-3-hydroxy-propanoate (1.0 g, 4.56 mmol) and imidazole (466 mg, 6.84 mmol) in DCM (10 mL) was added TBDPSC1 (1.50 g, 5.47 mmol) at 25 °C. The mixture was stirred at 25 °C for 2 h. The reaction mixture was filtered and the filtrate was concentrated. The residue was purified by flash silica gel chromatography (0-20% EtOAc in PE) to give i-5(5)a (2.00 g, 63.9% yield) as a colorless oil. XH NMR (CDCh 400 MHz) 8 7.66-7.57 (m, 4H), 7.44-7.37 (m, 6H), 5.43 (br d, J= 8.4 Hz, 1H), 4.41 (br d, J= 8.4 Hz, 1H), 4.08 (br dd, J= 2.4 Hz, 10 Hz, 1H), 3.90 (br dd, J= 2.4 Hz, 10.0 Hz, 1H), 3.75 (s, 3H), 1.47 (s, 9H), 1.05 (s, 9H).
Step 2. Synthesis of tert-butyl N-[(lS)-l-[ [tert-butyl (diphenyl) silyl] oxymethyl] -2-hydroxy- ethyl] carbamate (i-5(S)b).
[0212] To a solution of i-5(5)a (2.00 g, 4.37 mmol) in THF (20 mL) was added LiBH4 (170 mg, 7.80 mmol) slowly at 0 °C. The mixture was stirred at 25 °C for 16 h. The mixture was quenched by addition of aq. sat. NH4CI (50 mL) at 0 °C, and extracted with EtOAc (2 x 50 mL). The combined organic layers were washed with brine (50 mL), dried over anhydrous Na2SC>4, filtered and concentrated. The residue was purified by flash silica gel chromatography (0-20% EtOAc in PE) to give i-5(5)b (1.80 g, 95.9% yield) as a white solid. ‘HNMR (CDCh 400 MHz) 8 7.65 (td, J= 1.6 Hz, 7.6 Hz, 4H), 7.48-7.38 (m, 6H), 5.15-5.03
(m, 1H), 3.85-3.77 (m, 3H), 3.75-3.67 (m, 2H), 2.25-2.16 (m, 1H), 1.45 (s, 9H), 1.08 (s, 9H).
Step 3. Synthesis of [(2R)-2-(tert-butoxycarbonylamino)-3-[tert-butyl(diphenyl)silyl] oxypropyl] methanesulfonate (i-5(S)c)
[0213] To a solution of i-5(5)b (1.30 g, 3.03 mmol) and TEA (765 mg, 7.56 mmol) in DCM (13 mL) was added MsCl (720 mg, 6.29 mmol) dropwise at 0 °C. The mixture was stirred at 0 °C for 1 h. The mixture was quenched by addition of aq. sat. NaHC'O, (25 mL) at 0 °C and extracted with DCM (2 x 25 mL). The combined organic layers were washed with brine (2 x 30 mL), dried over anhydrous Na2SC>4, filtered and concentrated to give i-5(5)c (1.45 g, crude) as a colorless oil. ‘ H NMR (CDC13 400 MHz) 8 7.66-7.63 (m, 4H), 7.46-7.39 (m, 6H), 4.89-4.78 (m, 1H), 4.41-4.32 (m, 2H), 4.07-3.96 (m, 1H), 3.81-3.77 (m, 1H), 3.72- 3.67 (m, 1H), 2.98 (s, 3H), 1.44 (s, 9H), 1.08 (s, 9H).
Step 4. Synthesis of ethyl- 1- [(2S)-2-(tert-butoxycarbonylamino)-3- [tert- butyl (diphenyl) silyl] oxy-propyl] pyrrolo[3,2-b]pyridine-2-carboxylate (i-5(S)d) [0214] To a solution of i-5(A)c (1.45 g, 2.86 mmol) in DMF (15 mL) was added ethyl-lH- pyrrolo[3,2-6]pyridine-2-carboxylate (543 mg, 2.86 mmol) and CS2CO3 (1.40 g, 4.28 mmol) at 25 °C. The mixture was stirred at 60 °C for 16 h. The mixture was cooled to 25 °C, quenched by addition of water (30 mL), extracted with EtOAc (3 x 30 mL), and the combined organic layers were washed with brine (2 x 50 mL), dried over anhydrous Na2SC>4, filtered and concentrated to give a residue. The residue was purified by flash silica gel chromatography (0-50% EtOAc in PE) to give i-5(5)d (607 mg, 34.5% yield) as a white solid. LCMS found m/z 602.8 [M+H]+. XH NMR (CDCI3 400 MHz) 8 8.56 (br d, J= 4.0 Hz, 1H), 7.80 (br d, J= 8.0 Hz, 1H), 7.66 (br s, 4H), 7.49-7.36 (m, 7H), 7.23 (br dd, J= 4.4 Hz, 7.6 Hz, 1H), 5.06 (br d, «7= 8.4 Hz, 1H), 4.85-4.69 (m, 2H), 4.44-4.34 (m, 2H), 4.18-4.11 (m, 1H), 3.85-3.71 (m, 2H), 1.41 (br t, J= 6.8 Hz, 3H), 1.28-1.18 (m, 9H), 1.14 (s, 9H).
Step 5. Synthesis of (12S)- 12- [ [tert-butyl(diphenyl) silyl] oxymethyl] -1 ,6, 11 -triazatricyclo- [7.4.0.02, 7]trideca-2(7), 3, 5, 8-tetraen- 10-one (i-5(S)e)
[0215] To a solution of i-5(5)d (600 mg, 997 umol) in toluene (15 mL) was added silica gel (2.00 g) at 25 °C. The mixture was stirred at 110 °C for 16 h. The mixture was filtered and the filtrate was concentrated to give i-5(5)e (441 mg, crude) as a white solid. 1 H NMR (CDCI3 400 MHz) 8 8.60 (dd, J= 0.8 Hz, 4.4 Hz, 1H), 7.55-7.51 (m, 2H), 7.47 (s, 1H), 7.41- 7.38 (m, 3H), 7.29-7.24 (m, 6H), 7.19-7.18 (m, 1H), 6.46 (br s, 1H), 4.26 (d, J= 5.6 Hz, 2H),
4.14-4.10 (m, 1H), 3.78-3.71 (m, 2H), 1.07 (s, 9H).
Step 6. Synthesis of (12S)-12-[[tert-butyl(diphenyl)silyl]oxymethyl]-ll-cyclopropyl-l,6,ll- triazatricyclo[7.4.0.02, 7Jtrideca-2(7), 3, 5, 8-tetraen- 10-one (i-5(S)f)
[0216] To a solution of i-5(5)e (440 mg, 965 umol) and cyclopropylboronic acid (124 mg, 1.45 mmol) in THF (10 mL) was added pyridine (152 mg, 1.93 mmol), TEA (195 mg, 1.93 mmol) and Cu(OAc)2 (263 mg, 1.45 mmol). The mixture was stirred at 70 °C for 16 h under O2 (15 psi). The mixture was filtered and the filtrate was concentrated to give a residue. The residue was purified by flash silica gel chromatography (0-100% EtOAc in PE) to give i- 5(5)f (250 mg, 52.2% yield) as a brown solid. LCMS m/z (found) 496.4 [M+H]+. !H NMR (CDCI3 400 MHz) 8 8.60 (br s, 1H), 7.62 (br d, J= 8.0 Hz, 1H), 7.54 (d, J= 6.8 Hz, 2H), 7.45-7.39 (m, 2H), 7.37-7.28 (m, 6H), 7.13-7.09 (m, 2H), 4.75 (d, J= 12.0 Hz, 1H), 4.12 (dd, J= 4.0 Hz, 12.0 Hz, 1H), 3.94-3.88 (m, 1H), 3.79 (dd, J= 4.8 Hz, 10.0 Hz, 1H), 3.54-3.48 (m, 1H), 2.76-2.70 (m, 1H), 1.10-1.06 (m, 1H), 1.02 (s, 9H), 0.84-0.79 (m, 1H), 0.75-0.69 (m, 1H), 0.55-0.48 (m, 1H).
Step 7. Synthesis of (12S)-8-bromo-l 2- [ [tert-butyl(diphenyl)silyl] oxymethyl] - 11 -cyclopropyl- 1, 6, 11 -triazatricyclo [7.4.0.02, 7]trideca-2(7), 3, 5, 8-tetraen- 10-one (i-5(S))
[0217] To a solution of i-5(5)f (220 mg, 443 umol) in DCM (2 mL) was added NBS (94.8 mg, 532 umol) at 0 °C. The mixture was stirred at 25 °C for 1 h. The mixture was quenched with aq. sat. JSfeSCfi (10 mL) and extracted with DCM (2 x 20 mL). The combined organic layers were washed with brine (3 x 20 mL), dried over anhydrous Na2SC>4, filtered and the filtrate was concentrated to give i-5(5) (263 mg, crude) as a brown oil. LCMS m/z (found) 574.0, 576.0 [M+H]+. 1 H NMR (CDCI3 400 MHz) 8 8.70-8.63 (m, 1H), 7.60 (dd, J= 0.8 Hz, 8.4 Hz, 1H), 7.55-7.49 (m, 2H), 7.45-7.40 (m, 1H), 7.38-7.28 (m, 6H), 7.17-7.10 (m, 2H), 4.76 (d, J= 11.6 Hz, 1H), 4.13 (dd, .7= 4.4 Hz, 12.4 Hz, 1H), 3.93-3.86 (m, 1H), 3.82-3.76 (m, 1H), 3.55-3.45 (m, 1H), 2.76-2.68 (m, 1H), 1.10-1.05 (m, 1H), 1.01 (s, 9H), 0.86-0.81 (m, 1H), 0.76-0.67 (m, 1H), 0.56-0.47 (m, 1H).
Preparation of 8-bromo-12-[[tert-butyl(diphenyl)silyl] oxymethyl]-! l-cyclopropyl-4-fluoro- 1, 6, 11 -triazatricyclo [7.4.0.027]trideca-2(7), 3, 5, 8-tetraen- 10-one (i-6).
i-6c i-6
Step 1. Synthesis of ethyl-l-[2-(tert-butoxycarbonylamino)-3-[tert-butyl(diphenyl)silyl]oxy- propyl]-6-fluoro-pyrrolo[3,2-b]pyridine-2-carboxylate (i-6a)
[0218] To a mixture of ethyl-6-fluoro-lH-pyrrolo[3,2-6]pyridine-2-carboxylate (900 mg, 4.32 mmol), tcrt-butyl-/V-[ 1 -[[tert-butyl(diphenyl)silyl]oxymethyl]-2 -hydro xy- ethyl]carbamate (4.64 g, 10.8 mmol) and PPhs (2.83 g, 10.8 mmol) in THF (10 mL) was added dropwise DIAD (2.19 g, 10.8 mmol) at 0 °C. The reaction was stirred at 20 °C for 16 h. The mixture was concentrated. The residue was purified by flash silica gel chromatography (0-10% EtOAc in PE) to give i-6a (4.50 g, 97.9% yield) as a yellow oil. LCMS m/z (found) 620.6 [M+H]+.
Step 2. Synthesis of 12-[[tert-butyl(diphenyl)silyl]oxymethyl]-4-fluoro-l,6,l 1 -triazatricyclo [7.4.0.02, 7]trideca-2(7), 3, 5, 8-tetraen- 10-one (i-6b).
[0219] A mixture of i-6a (4.50 g, 7.26 mmol) and silica gel (15.0 g, 249 mmol) in toluene (45 mL) was stirred at 110 °C for 16 h. The mixture was cooled to 20 °C and filtered. The filter cake was washed with EtOAc (3 x 50 mL). The filtrate was concentrated to give i-6b (1.50 g, crude) as a yellow solid. LCMS m/z (found) 474.3 [M+H]+.
Step 3. Synthesis of 12-[[tert-butyl(diphenyl)silyl]oxymethyl]-l l-cyclopropyl-4-fluoro-l,6,l 1- triazatricyclo[7.4.0.02, 7]trideca-2(7), 3, 5, 8-tetraen- 10-one (i-6c).
[0220] A mixture of i-6b (1.50 g, 3.17 mmol), cyclopropylboronic acid (1.36 g, 15.8 mmol), CU(OAC)2 (575 mg, 3.17 mmol), TEA ( 27 g, 71.8 mmol) and pyridine (9.80 g, 124 mmol) in THF (10 mL) was degassed and purged with O2 three times. The reaction was stirred at 70 °C under O2 (15 psi) for 16 h. The mixture was concentrated. The residue was purified by flash silica gel chromatography (0-50% EtOAc in PE) to give i-6c (580 mg, 1.13
mmol) as a yellow solid. LCMS m/z (found) 514.5 [M+H]+.
Step 4. Synthesis of 8-bromo-12-[[tert-butyl(diphenyl)silyl]oxymethyl]-l l-cyclopropyl-4- fluoro-1, 6, 11 -triazatricyclo [7.4.0.02, 7]trideca-2(7), 3, 5, 8-tetraen- 10-one (i-6).
[0221] To a solution of i-6c (580 mg, 1.13 mmol) in DCM (10 mL) was added NBS (200 mg, 1.13 mmol) and the reaction was stirred at 20 °C for 1 h. The mixture was concentrated to give i-6 (800 mg, crude) as a yellow solid. LCMS m/z (found) 592.0, 594.0 [M+H]+.
Preparation of ( 12S)-8-bromo-l 2- [[tert-butyl (diphenyl) silyl] oxymethyl] - 1 l-cyclopropyl-4- fluoro-1, 6, 11 -triazatricyclo [7.4.0.02, 7]trideca-2(7), 3, 5, 8-tetraen- 10-one (i-6(S))
i-6(S)c i-6(S)
Step 1. Synthesis of ethyl- 1- [(2S)-2-(tert-butoxycarbonylamino)-3- [tert- butyl(diphenyl) silyl] oxy-propyl] -6-fluoro-pyrrolo [3 ,2-b] pyridine-2-carboxylate (i-6(S)a) [0222] To a solution of i-5(5)b (2.60 g, 6.00 mmol), PPhs (1.60 g, 6.00 mmol) and ethyl-6- fluoro-lH-pyrrolo[3,2-6]pyridine-2-carboxylate (500 mg, 2.40 mmol) in THF (5.0 mL) was added dropwise DIAD (1.20 g, 6.00 mmol) at 0 °C. The mixture was stirred at 25 °C for 16 h. The mixture was then concentrated under a reduced pressure. The residue was purified by flash column chromatography (0-10% EtOAc in PE) to give i-6(5)a (570 mg, 14.6% yield) as a colorless oil. LCMS m/z (found) 620.8 [M+H]+.
Step 2. Synthesis of (12S)-12-[[tert-butyl(diphenyl)silyl]oxymethyl]-4-fluoro-l,6,l 1- triazatricyclo[7.4.0.02, 7]trideca-2(7), 3, 5, 8-tetraen- 10-one (i-6(S)b)
[0223] To a solution of i-6(5)a (100 mg, 161 umol) in toluene (5.0 mL) was added silica gel (48.5 mg). The mixture was stirred at 120 °C for 16 h. The mixture was filtered and the filtrate was concentrated to give i-6(5)b (70.0 mg, 78.9% yield) as an off-white solid. LCMS
m/z (found) 474.4 [M+H]+.
Step 3. Synthesis of (12S)-12-[[tert-butyl(diphenyl)silyl]oxymethyl]-4-fluoro-l,6,ll- triazatricyclo[7.4.0.02, 7]trideca-2(7), 3, 5, 8-tetraen- 10-one (i-6(S)c)
[0224] To a solution of cyclopropylboronic acid (38.1 mg, 443 umol) in THF (3. 0 mL) was added Cu(OAc)2 (26.8 mg, 148 umol), pyridine (17.5 mg, 222 umol), i-6(5)b (70.0 mg, 148 umol) and TEA (44.9 mg, 443 umol). The mixture was degassed and purged with O2 three times and stirred at 60 °C for 8 h under O2 (15 psi). The mixture was then concentrated under a reduced pressure. The residue was purified by flash column chromatography (0-30% EtOAc in PE) to give i-6(5)c (60.0 mg, 63.1% yield) as a yellow oil. LCMS m/z (found) 514.3 [M+H]+.
Step 4. Synthesis of (12S)-8-bromo-l 2- [ [tert-butyl(diphenyl)silyl] oxymethyl] - 11 -cyclopropyl- 4-fluoro-l, 6, 11 -triazatricyclo [7.4.0.02, 7]trideca-2(7), 3, 5, 8-tetraen- 10-one (i-6(S))
[0225] To a solution of i-6(5)c (60.0 mg, 117 umol) in DMF (1.00 mL) was added NBS (24.9 mg, 140 umol). The mixture was stirred at 25 °C for 0.5 h. The reaction mixture was diluted with water (3.0 mL) and extracted with DCM (5.0 mL). The organic layer was washed with brine, dried over anhydrous ISfeSCL, filtered and concentrated to give i-6(5) (75.0 mg, crude) as a yellow oil. LCMS m/z (found) 591.9, 593.9 [M+H]+.
Examples
EXAMPLE 1
8-(4-chloro-3 -fluoro-phenyl)-! 1 -(2-hydroxyethyl)- 1,6,11 -triazatricyclo [7.4.0.02, 7]trideca- 2(7),3,5,8-tetraen-10-one (1)
1 b 1
Step 1. Synthesis of8-(4-chloro-3-fluoro-phenyl)-l,6,ll-triazatricyclo[7.4.0.02'7]trideca- 2(7),3,5,8-tetraen-10-one (la).
[0226] To a solution of i-1 (600 mg, 2.25 mmol), (4-chloro-3-fluoro-phenyl)boronic acid (786 mg, 4.51 mmol) and CS2CO3 (2.20 g, 6.76 mmol) in 1,4-dioxane (5.0 mL) and water (0.2 mL) was added Pd(dppf)C12 (330 mg, 451 umol) in one portion under N2. The mixture was stirred at 90 °C for 2.5 h. The mixture was filtered and washed with DCM (5.0 mL). The filtrate was concentrated and the residue was purified by flash silica gel chromatography (0-100% EtOAc in PE) to give la (500 mg, 70.2% yield) as a yellow solid. LCMS found m/z 316.1 [M+H]+.
Step 2. Synthesis of 1 l-[2-[tert-butyl(dimethyl)silyl]oxyethyl]-8-(4-chloro-3-fluoro-phenyl)- 1, 6, 11 -triazatricyclo [7.4.0.02, 7]trideca-2(7), 3, 5, 8-tetraen-l 0-one (lb).
[0227] To a mixture of la (50.0 mg, 158 umol) in DMF (3.0 mL) was added NaH (19.0 mg, 475 umol, 60% in mineral oil) in one portion at 0 °C under N2. The mixture was stirred at 25 °C for 0.5 h. Then, 2-bromoethoxy-tert-butyl-dimethyl-silane (114 mg, 475 umol) was added and the resultant mixture was stirred for 1 h. The mixture was poured into H2O (50 mL) and stirred for 5 min. The aqueous phase was extracted with EtOAc (3 x 50 mL). The combined organic phase was washed with brine (2 x 50 mL), dried over anhydrous Na2SO4, filtered and concentrated. The residue was purified by flash silica gel chromatography (0-100% EtOAc in PE) to give lb (40.0 mg, 53.1% yield) as an off-white solid. LCMS m/z (found) 474.1 [M+H]+.
Step 3. Synthesis of 8-(4-chloro-3-fluoro-phenyl)-l l-(2-hydroxyethyl)-l,6,l 1-triazatricyclo- [7.4.0.02, 7]trideca-2(7),3,5,8-tetraen-10-one (1).
[0228] To a mixture of lb (40.0 mg, 84.4 umol) in THF (1 mL) was added TBAF (338 uL, 1 M in THF) in one portion at 25 °C. The mixture was stirred at 25 °C for 1 h. The mixture was concentrated and the residue was purified by prep-HPLC (column: Phenomenex Gemini- NX 80 x 30mm x 3um; mobile phase: [water (10 mM NH4HCC>3)-ACN]; B%: 34%-64%, 9 min) to give an off-white solid. Then the product was triturated with CH3CN (2 mL) at 25 °C for 2 min. The mixture was filtered to give 1 (7.70 mg, 21.2 umol, 25.1% yield) as an off- white solid. LCMS m/z (found) 360.0 [M+H]+. ‘ H NMR (CD3OD 400 MHz) 8 8.48 (d, J = 4.8 Hz, 1H), 8.04 (d, J= 8.4 Hz, 1H), 7.64-7.56 (m, 1H), 7.56-7.52 (m, 2H), 7.48- 7.44 (m, 1H), 4.52-4.48 (m, 2H), 4.08-4.04 (m, 2H), 3.84-3.80 (m, 2H), 3.76-3.72 (m, 2H). 19F NMR (CD3OD 376 MHz) 8 -119.55.
EXAMPLE 2
8-(3,4-difluorophenyl)-l l-(2-hydroxyethyl)- 1,6,11 -triazatricyclo [7.4.0.02, 7]trideca-
Step 1. Synthesis of 8-(3,4-difluorophenyl)-l,6,ll-triazatricyclo[7.4.0.(f'7]trideca-2(7),3,5,8- tetraen- 10-one (2a)
[0229] Compound 2 was synthesized from intermediate i-1 by following procedures similar
to those described in Example 1. LCMS m/z (found) 344.1 [M+H]+. !H NMR (CDCI3 400 MHz) 8 8.62 (dd, J= 1.6 Hz, 4.8 Hz, 1H), 7.74-7.63 (m, 2H), 7.60-7.50 (m, 1H), 7.31 (dd, J = 4.8 Hz, 8.8 Hz, 1H), 7.25-7.19 (m, 1H), 4.37 (t, J= 5.6 Hz, 2H), 4.01(t, J= 6.0 Hz, 2H), 3.93 (q, J= 4.8 Hz, 2H), 3.79 (t, J= 5.2 Hz, 2H), 2.16 (t, J = 4.8 Hz, 1H). 19F NMR (CDCI3 376 MHz) 8 -139.11, -140.15.
EXAMPLES 3 & 4
8-(4-chloro-3-fluoro-phenyl)-l l-[(lR)-2-hydroxy-l-methyl-ethyl]-l ,6,11- triazatricyclo[7.4.0.02, 7]trideca-2(7),3,5,8-tetraen-10-one (3) and 8-(4-chloro-3-fluoro- phenylfl l-[( 1 S)-2-hydroxy- 1 -methyl-ethyl] - 1 , 6, 11 -triazatricyclo [7.4.0.02, 7]trideca- 2(7),3,5,8-tetraen-10-one (4)
3 4
Step 1. Synthesis of ethyl-2-[8-(4-chloro-3-fluoro-phenyl)-10-oxo-l,6,l 1 -triazatricyclo [7.4.0.02, 7]trideca-2(7),3,5,8-tetraen-ll-yl]propanoate (3a).
[0230] To a solution of la (200 mg, 633 umol) in DMF (5.0 mL) was added NaH (76.0 mg, 1.90 mmol, 60% in mineral oil) in one portion at 0 °C under N2. The mixture was stirred at 25 °C for 0.5 h. Then, ethyl 2-bromopropanoate (344 mg, 1.90 mmol) was added and the mixture was stirred at 25 °C for 1 h. The mixture was poured into H2O (50 mL) and stirred for 5 min. The mixture was extracted with EtOAc (3 x 50 mL). The combined organic layers were washed with brine (2 x 50 mL), dried over anhydrous Na2SC>4, filtered and concentrated. The residue was purified by flash silica gel chromatography (0-100% EtOAc in
PE) to give 3a (250 mg, 94.9% yield) as an off-white solid. LCMS m/z (found) 416.1 [M+H]+.
Step 2. Synthesis of 8-(4-chloro-3-fluoro-phenyl)-l l-[(lR)-2-hydroxy-l-methyl-ethyl]-l,6,l 1- triazatricyclo [7.4.0.02, 7] trideca-2(7) ,3 ,5 ,8-tetraen- 10-one (3) and 8-(4-chloro-3-fluoro- phenyl)-! l-[( 1 S)-2-hydroxy-l-methyl-ethyl]-l, 6, 11 -triazatricyclo [7.4.0.02, 7]trideca- 2(7),3,5,8-tetraen-10-one (4).
[0231] To a solution of 3a (200 mg, 481 umol) in THF (3.0 mL) was added LiBfh (31.4 mg, 1.44 mmol) in one portion under N2. The mixture stirred at 75 °C for 1 h. The mixture was poured into water (10 mL) and stirred for 5 min. The mixture was extracted with EtOAc (3 x 20 mL). The combined organic layers were washed with brine (2 x 20 mL), dried over anhydrous Na2SO4, filtered and concentrated. The residue was purified by SFC (column: DAICEL CHIRALPAK AD (250mm x 30mm, lOum); mobile phase: [0.1%NH3H2O-ETOH]; B%: 35%-35%) to give 3 (12.4 mg, 6.78% yield; peak 1, retention time: 1.476 min) and 4 of (20.3 mg, 11.2% yield; peak 2, retention time: 1.637 min) as white solids. The stereochemistry of these two compounds were randomly assigned.
3: LCMS m/z (found) 374.0 [M+H]+. ‘HNMR (CDCI3 400 MHz) 8 8.64-8.56 (m, 1H), 7.72- 7.64 (m, 2H), 7.56-7.53 (m, 1H), 7.48-7.40 (m, 1H), 7.32-7.28 (m, 1H), 4.96-4.84 (m, 1H), 4.36-4.28 (m, 2H), 3.92-3.84 (m, 1H), 3.82-3.76 (m, 2H), 3.72-3.60 (m, 1H), 2.08-2.00 (m, 1H), 1.28- 1.24 (m, 3H). 19F NMR (CDCI3 376 MHz) 8 -116.72. Chiral SFC Rt = 1.476 min. 4: LCMS m/z (found) 374.0 [M+H]+. [HNMR (CDCI3 400 MHz) 8 8.68-8.56 (m, 1H), 7.72- 7.64 (m, 2H), 7.60-7.52 (m, 1H), 7.52-7.44 (m, 1H), 7.34-7.28 (m, 1H), 4.96-4.88 (m, 1H), 4.36-4.28 (m, 2H), 3.92-3.84 (m, 1H), 3.84-3.76 (m, 2H), 3.72-3.60 (m, 1H), 1.28-1.24 (m, 3H). 19F NMR (CDCI3 376 MHz) 8 -116.71. Chiral SFC Rt = 1.637 min.
EXAMPLE 5
8-(3,4-difluorophenyl)-4-fluoro-l 1 -(2-hydroxyethyl)-l, 6,11 -triazatricyclo [7.4.0.02, 7]trideca- 2(7),3,5,8-tetraen-10-one (5)
Step 1. Synthesis of8-bromo-4-fluoro-l,6,ll-triazatricyclo[7.4.0.02'7]trideca-2(7),3,5,8- tetraen- 10-one (5a).
[0232] To a solution of i-2 (500 mg, 2.44 mmol) in DCM (5.0 mL) was added NBS (433 mg, 2.44 mmol) in one portion at 20 °C. The mixture was stirred at 20 °C for 1 h. The reaction mixture was poured into aq. Na2S20a (100 mL, 1.0 M) and extracted with DCM (3 x 100 mL). The combined organic layers were washed with brine (100 mL), dried over anhydrous ISfeSCL, filtered and concentrated under a reduced pressure to give 5a (500 mg, crude) as a yellow solid. The product was used directly in the next step without purification. LCMS m/z (found) 283.9, 285.9 [M+H]+.
Step 2. Synthesis of 8-(3,4-difluorophenyl)-4-fluoro-l,6,ll-triazatricyclo[7.4.0.02'7]trideca- 2(7),3,5,8-tetraen-10-one (5b).
[0233] To a solution of 5a (500 mg, 1.76 mmol) and (3,4-difluorophenyl)boronic acid (278 mg, 1.76 mmol) in 1,4-dioxane (5.0 mL) and water (0.2 mL) was added CS2CO3 (1.72 g, 5.28 mmol) and Pd(dppf)Ch (129 mg, 176 umol) in one portion at 20 °C under N2. The mixture was heated to 110 °C and stirred at 110 °C for 12 h. The reaction mixture was filtered and the filtrate was concentrated under a reduced pressure to give a black oil. The residue was purified by flash silica gel chromatography (0-10% MeOH in DCM) to give 5b (330 mg, 26.0% yield, 44.1% purity) as an brown solid. LCMS m/z (found) 318.0 [M+H]+.
Step 3. Synthesis of 1 l-[2-[tert-butyl(dimethyl)silyl]oxyethyl]-8-(3,4-difluorophenyl)-4-
fluoro- 1, 6, 11 -triazatricyclo [7.4.0.02, 7]trideca-2(7), 3, 5, 8-tetraen- 10-one ( 5c).
[0234] To a solution of 5b (89.0 mg, 281 umol) in DMF (5.00 mL) was added NaH (16.8 mg, 421 umol, 60% in mineral oil) in one portion at 0 °C under N2. The mixture was stirred at 0 °C for 0.5 h. Then, 2-bromoethoxy-tert-butyl-dimethyl-silane (134 mg, 561 umol) was added at 0 °C and the mixture was warmed to 20 °C and stirred for 12 h. The reaction mixture was poured into water (50 mL) and extracted with EtOAc (3 x 50 mL). The combined organic layers were washed with brine (100 mL), dried over anhydrous Na2SO4, filtered and concentrated under a reduced pressure. The residue was purified by flash silica gel chromatography (0-10% MeOH in DCM) to afford 5c (50.0 mg, 35.9% yield) as a yellow solid. LCMS m/z (found) 476.2 [M+H]+.
Step 4. Synthesis of 8-(3,4-difluorophenyl)-4-fluoro-l l-(2-hydroxyethyl)-l,6,l 1- triazatricyclo- [7.4.0.02, 7]trideca-2(7), 3, 5, 8-tetraen- 10-one (5).
[0235] To a solution of 5c (45.6 mg, 95.9 umol) in THF (3.00 mL) was added TBAF (480 uL, IM in THF) at 20 °C under N2. The mixture was heated to 80 °C and stirred for 12 h. The reaction mixture was poured into water (20 mL) and extracted with EtOAc (3 x 15 mL). The combined organic layers were washed with brine (30 mL), dried over anhydrous Na2SO4, filtered and concentrated to give the residue as a yellow oil. The residue was purified by flash silica gel chromatography (0-10% MeOH in DCM) to afford 5 (50.0 mg, impure) as a yellow solid. 5 was purified by prep-HPLC (column: Phenomenex Gemini-NX 80 x 30mm x 3pm; mobile phase: [water(10mM NH4HCO3)-ACN]; B%: 26%-56%) to give 5 (8.80 mg, 25.3% yield) as an off-white solid. LCMS m/z (found) 362.1 [M+H]+. 1 H NMR (CDCI3 400 MHz) 8 8.50 (dd, J= 1.6 Hz, 2.4 Hz, 1H), 7.68-7.60 (m, 1H), 7.56-7.48 (m, 1H), 7.38 (dd, J= 2.4 Hz, 8.4 Hz, 1H), 7.25-7.19 (m, 1H), 4.40-4.23 (m, 2H), 4.08-3.97 (m, 2H), 3.92 (q, J= 4.8 Hz, 2H), 3.81-3.75 (m, 2H), 2.15 (t, J= 4.8 Hz, 1H). 19F NMR (CDCI3 376 MHz) 8 -129.83, - 138.86, -139.58.
EXAMPLE 6
8-(4-chloro-3-fluoro-phenyl)-4-fluoro-l l-(2-hydroxyethyl)-l ,6,11- triazatricyclo[7.4.0.02, 7]trideca-2(7), 3,5, 8-tetraen- 10-one ( 6)
Step 1. Synthesis of 1 l-[2-[tert-butyl(dimethyl) silyl] oxy ethyl] -4-fluoro- 1,6,11-triazatricy clo- [7.4.0.02, 7]trideca-2(7), 3, 5, 8-tetraen- 10-one ( 6a)
[0236] To a mixture of i-2 (200 mg, 975 umol) in DMF (1.00 mL) was added NaH (156 mg, 3.90 mmol, 60.0% in mineral oil) at 0 °C and the mixture was stirred at 0 °C for 0.5 h. Then 2-bromoethoxy-tert-butyl-dimethyl-silane (933 mg, 3.90 mmol) was added into the mixture at 0 °C. The mixture was heated to 25 °C and stirred at 25 °C for 1.5 h. The mixture was poured into H2O (10 mL) and extracted with DCM (3 x 10 mL). The combined organic layers were washed with brine (2 x 10 mL), dried over anhydrous ISfeSCL, filtered and concentrated under a reduced pressure. The residue was purified by flash silica gel chromatography (0-25% EtOAc in PE) to give 6a (150 mg, 38.9% yield) as an off-white solid. LCMS m/z (found) 364.0 [M+H]+.
Step 2. Synthesis of 8-bromo-l l-[2-[tert-butyl(dimethyl)silyl]oxyethyl]-4-fluoro- 1,6,11- triazatricyclo[7.4.0.02, 7Jtrideca-2(7), 3, 5, 8-tetraen- 10-one (6b).
[0237] To a solution of 6a (150 mg, 413 umol) in DCM (10.0 mL) was added NBS (80.8 mg, 454 umol) in one portion at 25 °C. Then, the mixture was stirred at 25 °C for 1 h. The mixture was poured into sat. aq. NaHCCh (10 mL) at 25 °C and extracted with DCM (3 x 10 mL). The combined organic layers were washed with brine (20 mL), dried over anhydrous Na2SC>4 and fdtered. The fdtrate was concentrated under a reduced pressure to 6b (170 mg, 91.8% yield) as an off-white solid. LCMS (found) m/z 442.0, 444.0 [M+H]+.
Step 3. Synthesis of 1 l-[2-[tert-butyl(dimethyl)silyl]oxyethyl]-8-(4-chloro-3-fluoro-phenyl)-4- fluoro-1, 6, 11 -triazatricyclo [7.4.0.02, 7]trideca-2(7), 3, 5, 8-tetraen- 10-one ( 6c).
[0238] A mixture of 6b (80.0 mg, 181 umol), (4-chloro-3- fluoro-phenyl)boronic acid (47.3 mg, 271 umol), Pd(dppf)C12 (13.2 mg, 18.1 umol) and CS2CO3 (177 mg, 543 umol) in 1,4- dioxane (2.50 mL) and H2O (0.3 mL) was degassed with N2 at 25 °C. Then, the mixture was heated to 90 °C and stirred at 90 °C for 12 h. The mixture was filtered and the filtrate was concentrated under a vacuum. The residue was purified by flash silica gel chromatography (0-23% EtOAc in PE) to afford 6c (80.0 mg, 52.2% yield, 57.9% purity) as a light yellow oil. LCMS m/z (found) 492.1 [M+H]+.
Step 4. Synthesis of8-(4-chloro-3-fluoro-phenyl)-4-fluoro-ll-(2-hydroxyethyl)-l,6,ll- triazatricyclo[7.4.0.02, 7]trideca-2(7), 3, 5, 8-tetraen- 10-one ( 6).
[0239] To a mixture of 6c (80.0 mg, 163 umol) in THF (1.00 mL) was added TBAF (1.0 mL, 1.0 M in THF) at 25 °C under N2. Then the mixture was heated to 50 °C and stirred at 50 °C for 16 h. The mixture was poured into H2O (10 mL) and extracted with DCM (3 x 10 mL). The combined organic layers were washed with brine (20 mL), dried over anhydrous Na2SC>4, filtered and concentrated under a reduced pressure. The residue was purified by flash silica gel chromatography (0-100% EtOAc in PE) to give 6 (30.2 mg, 48.3% yield) as an off-white solid. LCMS m/z (found) 378.2 [M+H]+. 1 H NMR (CDCI3 400 MHz) 8 8.50 (dd, J= 1.2 Hz, 2.4 Hz, 1H), 7.63 (dd, J= 2.0 Hz, 10.4 Hz, 1H), 7.54 (dd, J= 1.2 Hz, 8.0 Hz, 1H), 7.46 (t, J= 8.0 Hz, 1H), 7.38 (dd, J= 2.8 Hz, 8.8 Hz, 1H), 4.32 (t, J= 5.6 Hz, 2H), 4.01 (t, J = 5.6 Hz, 2H), 3.92 (q, J= 4.8 Hz, 2H), 3.79 (t, J= 5.2 Hz, 2H), 2.11 (t, J= 4.8 Hz, 1H). 19F NMR (CDCI3 376 MHz) 8 -116.48, -129.76.
EXAMPLE 7
(12R)-8-(4-chloro-3-fluoro-phenyl)-ll-(2-hydroxyethyl)-12-methyl-l,6,ll- triazatricyclo[7.4.0.02, 7]trideca-2(7), 3, 5, 8-tetraen- 10-one (7)
7c 7
Step 1. Synthesis of (12R)-ll-[2-[tertbutyl(dimethyl)silyl]oxyethyl]-12-methyl-l,6,ll- triazatricyclo[7.4.0.02, 7Jtrideca-2(7), 3, 5, 8-tetraen- 10-one (7a).
[0240] To a mixture of i-3 (100 mg, 496 umol) in DMF (5 mL) was added NaH (59.6 mg, 1.49 mmol, 60% in mineral oil) in one portion at 0 °C under N2. The mixture was stirred at 0 °C for 0.5 h, then (2-bromoethoxy)-tert-butyldimethylsilane (356 mg, 1.49 mmol) was added. The mixture was stirred at 25 °C for 0.5 h. The mixture was cooled to 25 °C and poured into H2O (20 mL). The mixture was extracted with EtOAc (3 x 30 mL). The combined organic layers were washed with brine (30 ml), dried over anhydrous Na2SO4, filtered and concentrated under a reduced pressure. The residue was purified by flash silica gel chromatography (0-60% EtOAc in PE) to give 7a as a colorless oil. LCMS m/z (found) 360.1 [M+H] +.
Step 2. Synthesis of (12R)-ll-(2-hydroxyethyl)-12-methyl-l,6,ll- triazatricyclo[7.4.0.02, 7Jtrideca-2(7), 3, 5, 8-tetraen- 10-one (7b).
[0241] A mixture of 7a (110 mg, 306 umol) and TBAF (2 mL, 1 M in THF) was stirred at 60 °C for 16 h under N2. The mixture was concentrated under a vacuum. The residue was purified by flash silica gel chromatography (0-30% EtOAc in MeOH) to give 7b (50 mg, crude) as a colourless oil. LCMS m/z (found) 246.0 [M+H]+. !H NMR (CDCI3 400 MHz) 8 8.56 (dd, J= 1.2 Hz, 4.4 Hz, 1H), 7.62 (d, .7= 8.4 Hz, 1H), 7.41 (s, 1H), 7.22 (dd, .7= 4.4 Hz, 8.4 Hz, 1H), 4.41 (dd, J= 4.4 Hz, 12.4 Hz, 1H), 4.25-4.18 (m, 1H), 4.16-4.08 (m, 2H), 3.99- 3.88 (m, 2H), 3.31-3.25 (m, 1H), 1.45-1.43 (m, 3H).
Step 3. Synthesis of (12R)-8-bromo-l l-(2-hydroxyethyl)-12-methyl-l ,6,11 -triazatricyclo-
[7.4.0.02, 7]trideca-2(7), 3, 5, 8-tetraen- 10-one (7c).
[0242] To a mixture of 7b (50.0 mg, 204 umol) in DCM (3 mL) was added NBS (39.9 mg, 224 umol) in one portion. The mixture was stirred for at 25 °C 1.5 h. The reaction mixture was concentrated under a reduced pressure. The residue was purified by flash silica gel chromatography (0-30% MeOH in DCM) to give 7c (75 mg, 83.8% yield) as a yellow solid. LCMS m/z (found) 323.9, 325.9 [M+H] +.
Step 4. Synthesis of (12R)-8-(4-chloro-3-fluoro-phenyl)- 11 -(2-hydroxyethyl)- 12-methyl- 1, 6, 11 -triazatricyclo [7.4.0.02, 7]trideca-2(7), 3, 5, 8-tetraen- 10-one (7).
[0243] A mixture of 7c (75.0 mg, 171 umol), (4-chloro-3-fhioro-phenyl)boronic acid (29.8 mg, 171 umol), Pd(dppf)C12 (12.5 mg, 17.1 umol) and CS2CO3 (167 mg, 513 umol) in water (0.2 mL) and 1,4-dioxane (1.6 mL) was degassed under a vacuum and purged with N2 three times at 20 °C, then the mixture was stirred at 80 °C for 16 h. The mixture was concentrated under a vacuum. The residue was purified by prep-HPLC (column: Phenomenex C18 80 x 40mm x 3um;mobile phase: [water(NH3H2O)-ACN]; B%: 33%-63%) to give 7 (6.00 mg, 8.63% yield) as an off-white solid. LCMS m/z (found) 374.0 [M+H] +.1H NMR (CDCI3 400 MHz) 8 8.62 (dd, J= 1.2 Hz, 4.4 Hz, 1H), 7.72-7.65 (m, 2H), 7.60 (dd, J= 1.6 Hz, 8.4Hz, 1H), 7.46 (t, J= 8.0 Hz, 1H), 7.32 (dd, J= 4.4 Hz, 8.4 Hz, 1H), 4.42 (dd, J= 4.0 Hz, 12.0 Hz, 1H), 4.24-4.12 (m, 3H), 3.97-3.87(m, 2H), 3.33-3.26 (m, 1H), 2.39 (br s, 1H), 1.37 (d, J= 6.8 Hz, 3H). 19F NMR (CDCI3 376 MHz) 8 -116.61.
EXAMPLE 8
(12S)-8-(4-chloro-3-fluoro-phenyl)-l l-(2-hydroxyethyl)-12-methyl- 1,6,11- triazatricyclo[7.4.0.02, 7]trideca-2(7), 3,5, 8-tetraen- 10-one (8)
Step 1. Synthesis of (12S)-8-bromo-12-methyl-l,6,ll-triazatricyclo[7.4.0.02, 7]trideca- 2(7),3,5,8-tetraen-10-one (8a).
[0244] To a mixture of i-3-ent (200 mg, 993 umol) in DCM (5.00 mL) was added NBS (194 mg, 1.09 mmol). The mixture was stirred at 15 °C for 1 h. The mixture was poured into sat. aq. NaHCO, (20 mL) and stirred for 10 min, then filtered. The filter cake was dried under a vacuum to give 8a (130 mg, 464 umol, 46.6% yield) as an off-white solid. LCMS m/z (found) 280.0, 282.0 [M+H]+.
Step 2. Synthesis of (7S)-10-(4-chloro-3-fluoro-phenyl)-7-methyl-7,8-dihydro-6H- pyrido[ 3, 4 ]pyrrolo[ 3, 5-c] pyrazin-9-one (8b).
[0245] To a mixture of 8a (640 mg, 2.28 mmol) and (4-chloro-3-fluoro-phenyl)boronic acid (796 mg, 4.57 mmol) in 1,4-dioxane (10 mL) and water (2.00 mL) was added CS2CO3 (2.23 g, 6.85 mmol) and Pd(dppf)Ch (167 mg, 228 umol) in one portion. The reaction mixture was degassed with N2. The mixture was stirred at 90 °C for 16 h. The mixture was filtered and the filter cake was washed with DCM (20 mL). The filtrate was concentrated and the residue was purified by flash silica gel chromatography (0-100% EtOAc in PE) to give 8b (495 mg, 65.7% yield) as a yellow solid. ‘H NMR (CDCI3 400 MHz) 8 8.63 (d, J= 4.4 Hz, 1H), 7.78- 7.67 (m, 2H), 7.65 (d, J= 8.4 Hz, 1H), 7.46 (t, J= 8.0 Hz, 1H), 7.33 (dd, J= 4.4 Hz, 8.4 Hz, 1H), 6.23 (s, 1H), 4.40 (dd, J= 3.6 Hz, 12.0 Hz, 1H), 4.24-4.12 (m, 1H), 3.97-3.88 (m, 1H), 1.47 (d, J = 6.4 Hz, 3H).
Step 3. Synthesis of (12S)-1 l-[2-[tert-butyl(dimethyl)silyl]oxyethyl]-8-(4-chloro-3-fluoro- phenyl)-12-methyl-l, 6, 11 -triazatricyclo [7.4.0.02, 7]trideca-2(7), 3, 5, 8-tetraen-l O-one (8c). [0246] To a solution of 8b (550 mg, 1.67 mmol) in DMF (15.0 mL) was added NaH (266 mg, 6.67 mmol, 60% in mineral oil) at 0 °C. The mixture was stirred at 0 °C for 1 h. 2- Bromoethoxy-tert-butyl-dimethyl-silane (1.60 g, 6.67 mmol) was added at 0 °C and the mixture was stirred at 20 °C for 16 h. The mixture was poured into water (100 mL) and extracted with EtOAc (3 >< 50 mL). The combined organic layers were washed with water (2 x 100 mL), brine (100 mL), dried over anhydrous ISfeSCL, filtered and concentrated. The residue was purified by flash silica gel chromatography (0-25% EtOAc in PE) to give 8c (580 mg, 71.2% yield) as a yellow oil. LCMS m/z (found) 488.2 [M+H]+.
Step 4. Synthesis of (12S)-8-(4-chloro-3-fluoro-phenyl)-l l-(2-hydroxyethyl)-12-methyl- 1, 6, 11 -triazatricyclo [7.4.0.02, 7]trideca-2(7), 3, 5, 8-tetraen-l 0-one (8)
[0247] To a solution of 8c (580 mg, 1.19 mmol) in THF (5.0 mL) was added TBAF (6.00 mL, 1 M in THF). The mixture was heated to 50 °C and stirred at 50 °C for 3 h. The mixture was poured into water (50 mL) and extracted with EtOAc (3 x 30 mL). The combined organic layers were washed with brine (100 mL), dried over anhydrous Na2SO4, filtered and concentrated. The residue was purified by flash silica gel chromatography (0-80% EtOAc in PE) to give a yellow solid. The yellow solid was further purified by prep-HPLC (column: Xtimate C18 150 x 40mm x 5um; mobile phase: [water(0.05% NH4OH-ACN]; B%: 29%- 59%) to give 8 (278 mg, 68.8% yield) as off-white solid. LCMS m/z (found) 374.0 [M+H]+. ^ NMR CDCh 400 MHz) 8 8.61 (dd, J= 1.2 Hz, 4.4 Hz, 1H), 7.75-7.65 (m, 2H), 7.64-7.56 (m, 1H), 7.50-7.44 (m, 1H), 7.31 (dd, .7= 4.4 Hz, 8.4 Hz, 1H), 4.41 (dd, J= 4.4 Hz, 12.4 Hz, 1H), 4.25-4.08 (m, 3H), 3.96-3.82 (m, 2H), 3.35-3.22 (m, 1H), 2.55-2.45 (m, 1H), 1.36 (t, J = 6.4 Hz, 3H). 19F NMR (CDCI3 376 MHz) 8 -116.64.
EXAMPLE 9
(12R)-8-(4-chloro-3-fluoro-phenyl)-l l-(2-hydroxyethyl)-12-methyl-l ,6,11- triazatricyclo[7.4.0.02, 7]trideca-2(7), 3, 5, 8-tetraen-l 0-one (9)
Step 1. Synthesis of (12R)-1 l-[2-[tert-butyl(dimethyl)silyl]oxyethyl]-4-fluoro-12-methyl- 1, 6, 11 -triazatricyclo [7.4.0.02, 7]trideca-2(7), 3, 5, 8-tetraen- 10-one (9a).
[0248] To a solution of i-4 (500 mg, 2.30 mmol) in DMF (5.0 mL) was added NaH (274 mg, 6.80 mmol, 60% in mineral oil) at 0 °C and the mixture was stirred for 0.5 h. Then 2- bromoethoxy-tert-butyl-dimethyl-silane (1.64 g, 6.84 mmol) was added at 25 °C and the reaction was stirred for 2 h. The reaction mixture was quenched by addition of aq. NH4CI (5.0 mL, 1.0 M) at 25 °C, and extracted with EtOAc (2 x15 mL). The combined organic layers were washed with brine (15 mL), dried over anhydrous Na2SC>4, filtered and concentrated under a reduced pressure. The residue was purified by flash silica gel chromatography (0-30% EtOAc in PE) to afford 9a (175 mg, 18.8% yield) as a white solid. LCMS m/z (found) 378.2 [M+H]+.
Step 2. Synthesis of (12R)-4-fluoro-l l-(2-hydroxyethyl)-12-methyl-l ,6,11-triazatricyclo- [7.4.0.02, 7]trideca-2(7),3,5,8-tetraen-10-one (9b).
[0249] A mixture of 9a (175 mg, 463.5 umol) in TBAF (9.3 mL, 1 M in THF) was stirred at 60 °C for 12 h under N2. The reaction mixture was concentrated. The residue was purified by flash silica gel chromatography (0- 13 % MeOH in DCM) to afford 9b (392 mg, crude) as a colorless oil. LCMS m/z (found) 264.1 [M+H]+.
Step 3. Synthesis of (12R)-8-bromo-4 fluoro- 1 l-(2-hydroxyethyl)-12-methyl-l ,6,11- triazatricyclo- [7.4.0.02'7]trideca-2(7),3,5,8-tetraen-10-one (9c).
[0250] To a solution of 9b (196 mg, 744 umol) in DCM (3 mL) was added NBS (133 mg, 744 umol). The mixture was stirred at 25 °C for 1 h. The reaction mixture was concentrated
to give 9c (291 mg, crude) as a yellow oil. LCMS m/z 341.9, 343.9 [M+H]+.
Step 4. Synthesis of (12R)-8-(4-chloro-3-fluoro-phenyl)-4-fluoro-l l-(2-hydroxyethyl)-12- methyl-1, 6, 11 -triazatricyclo [7.4.0.02, 7]trideca-2(7), 3, 5, 8-tetraen- 10-one (9).
[0251] To a solution of 9c (291 mg, 850 umol) and (4-chloro-3-fluoro-phenyl)boronic acid (296 mg, 1.70 mmol) in 1,4-dioxane (2.0 mL) and H2O (0.5 mL) was added CS2CO3 (831 mg, 2.55 mmol) and Pd(dppf)C12 (124 mg, 170 umol). The mixture was degassed under a vacuum and purged with N2. The mixture was stirred at 100 °C for 12 h. The reaction mixture was filtered and the filtrate was concentrated. The residue was purified by prep-HPLC (column: Phenomenex Cl 8 150 x 25mm x 10um;mobile phase: [water(NH4HCO3)-ACN]; B%: 30%- 60%, 8 min) to give 9 (5.10 mg, 1.43% yield) as an off-white solid. LCMS m/z (found) 392.0 [M+H]+. XH NMR (CDCI3 400 MHz) 8 8.52 (s, 1H), 7.65 (d, J= 12 Hz, 1H), 7.56 (d, J= 7.6 Hz, 1H), 7.48-7.44 (m, 1H), 7.43-7.37 (m, 1H), 4.48-4.37 (m, 1H), 4.24-4.10 (m, 3H), 3.98- 3.85 (m, 2H), 3.37-3.21 (m, 1H), 1.37 (d, J= 6.0 Hz, 3H). 19F NMR (CDCI3 376 MHz) 8 - 116.36, -129.47.
EXAMPLE 10
(12S)-8-(3,4-difluorophenyl)-4-fluoro-l l-(2-hydroxyethyl)-12-methyl-l,6,l 1- triazatricyclo [7.4.0.02, 7] trideca-2(7), 3, 5, 8-tetraen- 10-one (10)
Step 1. Synthesis of (12S)-1 l-[2-[tert-butyl(dimethyl)silyl]oxyethyl]-4-fluoro-12-methyl- 1, 6, 11 -triazatricyclo [7.4.0.02, 7]trideca-2(7), 3, 5, 8-tetraen- 10-one (10a).
[0252] A mixture of i-4-ent (100 mg, 456 umol) and NaH (91.2 mg, 2.28 mmol, 60% in mineral oil) in DMF (1.00 mL) was stirred at 0 °C for 0.5 h. Then, 2-bromoethoxy-tert-butyl- dimethyl-silane (546 mg, 2.28 mmol) was added to the mixture and the reaction was warmed
to 25 °C and stirred at 25 °C for 15.5 h. The mixture was poured into H2O (10 mL) and extracted with EtOAc (3 x 50 mL). The combined organic layers were washed with brine (10 mL), dried over anhydrous Na2SC>4, filtered and concentrated under a vacuum. The residue was purified by flash silica gel chromatography (0-33% EtOAc in PE) to afford 10a (100 mg, 52.7% yield) as an off-white solid. LCMS m/z (found) 378.5 [M+H]+.
Step 2. Synthesis of (12S)-8-bromo-l 1 - [2- [tert-butyl(dimethyl)silyl] oxyethyl] -4-fluoro-l 2- methyl-1, 6, 11 -triazatricyclo [7.4.0.02, 7]trideca-2(7), 3, 5, 8-tetraen- 10-one (10b).
[0253] A mixture of 10a (146 mg, 387 umol) and NBS (75.7 mg, 425 umol) in DCM (5.00 mL) was stirred at 25 °C for 1 h. Sat. aq. Na2S20a (20 mL) was added to the mixture and the mixture was extracted with DCM (3 x 20 mL). The combined organic layers were washed with brine (20 mL), filtered and concentrated under a vacuum to afford 10b (189 mg, crude) as a yellow oil, which was used directly in the next step without further purification. LCMS (found) m/z 456.1, 458.1 [M+H]+.
Step 3. Synthesis of (12S)- 11- [2- [tert-butyl(dimethyl)silyl] oxyethyl] -8-(3 ,4-difluorophenyl)-4- fluoro-12-methyl-l, 6, 11 -triazatricyclo [7.4.0.02, 7]trideca-2(7), 3, 5, 8-tetraen- 10-one (10c) [0254] A mixture of 10b (179 mg, crude), (3,4-difluorophenyl)boronic acid (92.8 mg, 588 umol), Pd(dppf)C12 (28.7 mg, 39.2 umol) and CS2CO3 (383 mg, 1.18 mmol) in 1,4-dioxane (7.50 mL) and H2O (1.00 mL) was degassed with N2. Then, the mixture was heated to 90 °C and stirred at 90 °C for 5 h. The mixture was cooled to 25 °C, filtered and concentrated under a vacuum. The residue was purified by flash silica gel chromatography (0-14% EtOAc in PE) to afford 10c (164 mg, 76.3% yield) as a yellow oil. LCMS m/z (found) 490.3 [M+H]+.
Step 4. Synthesis of (12S)-8-(3 ,4-difluorophenyl)-4-fluoro-l 1 -(2-hydroxyethyl)-l 2-methyl- 1, 6, 11 -triazatricyclo [7.4.0.02, 7]trideca-2(7), 3, 5, 8-tetraen- 10-one (10)
[0255] A mixture of 10c (114 mg, 233 umol) and TBAF (4.0 mL, 1 M in THF) was stirred at 50 °C for 12 h. The mixture was cooled to 25 °C, filtered and the filtrate was concentrated under a vacuum. The crude was purified by prep-HPLC (column: Phenomenex Gemini-NX 80 x 40mm x 3um; mobile phase: [water (0.05% NFLFLO^ACN]; B%: 27%-57%) to give 10 (42.7 mg, 34.9% yield) as an off-white solid. LCMS m/z (found) 376.0 [M+H]+. !H NMR (CDCI3 400 MHz) 8 8.50 (s, 1H), 7.73-7.63 (m, 1H), 7.40-7.32 (m, 1H), 7.37 (dd, J= 2.4 Hz, 8.4 Hz, 1H), 7.25-7.14 (m, 1H), 4.41 (dd, J= 4.8 Hz, 12.8 Hz, 1H), 4.24-4.06 (m, 3H), 4.02- 3.80 (m, 2H), 3.35-3.20 (m, 1H), 2.46-2.36 (m, 1H), 1.36 (d, J= 6.8 Hz, 3H). 19F NMR
(CDC13 376 MHz) 8 -129.90, -138.92, -139.55.
EXAMPLES 11 & 12
( 12S)-8-(4-chloro-3-fluoro-phenyl)- 11 -cyclopropyl- 12-(hydroxymethyl)-l, 6, 11- triazatricyclo [7.4.0.02, 7]trideca-2(7), 3, 5, 8-tetraen-l 0-one (11) and (12S)-8-(4-chloro-3-fluoro-phenyl)-l l-cyclopropyl-12-(hydroxymethyl)-l ,6,11- triazatricyclo[7.4.0.02, 7]trideca-2(7), 3,5, 8-tetraen-l 0-one (12)
Step 1. Synthesis of 12-[[tert-butyl(diphenyl)silyl]oxymethyl]-8-(4-chloro-3-fluoro-phenyl)- 11 -cyclopropyl- 1, 6, 11 -triazatricyclo [7.4.0.027]trideca-2(7), 3, 5, 8-tetraen-l 0-one (Ila) [0256] A mixture of i-5 (132 mg, 229 umol), (4-chloro-3-fluoro-phenyl)boronic acid (100 mg, 574 umol), Pd(dppf)C12 (33.6 mg, 45.9 umol), and CS2CO3 (224 mg, 689 umol) in 1,4- dioxane (4.0 mL) and H2O (1.0 mL) was degassed and purged with N2 3 times, and then the mixture was stirred at 100 °C for 3 h under N2. The mixture was concentrated and the resting residue was diluted with 5 mL water and extracted with EtOAc (3 x 5 mL). The combined organic layers were dried over anhydrous Na2SC>4, filtered and concentrated. The residue was purified by flash silica gel chromatography (0-30% EtOAc in PE) to give Ila (110 mg, 76.8% yield) as an off-white solid. LCMS m/z (found) 624.1 [M+H]+.
Step 2. Synthesis of (12S)-8-(4-chloro-3 luoro-phenyl)-! 1 -cyclopropyl- 12-(hydroxymethyl)- 1, 6, 11 -triazatricyclo [7.4.0.02, 7]trideca-2(7), 3, 5, 8-tetraen-l O-one (11) and (12R)-8-(4-chloro-3-fluoro-phenyl)-l 1 -cyclopropyl- 12-(hydroxymethyl)-l ,6,11- triazatricyclo[ 7.4.0.02, 7 ] trideca- 2 (7), 3, 5, 8-tetraen-l O-one (12)
[0257] To a solution of Ila (110 mg, 176 umol) in THF (4 mL) was added TBAF (5 mL, 1 M in THF). The mixture was stirred at 50 °C for 2 h. The reaction mixture was concentrated and then diluted with EtOAc (5 mL) and water (5 mL). The layers were separated and the aqueous layer was extracted with EtOAc (3 x 5 mL). The combined organic layers were washed with brine (5 mL), dried over anhydrous Na2SO4, filtered and concentrated. The residue was purified by flash silica gel chromatography (0-60% EtOAc in DCM) to give a mixture of 11 and 12 (90 mg). The crude product was purified by SFC (column: DAICEL CHIRALPAK AD (250mm x 30mm, lOum); mobile phase: [0.1%NHsH2O-IPA]; B%: 30%- 30%) to give 11 (14.8 mg, 21.8% yield; peak 1, retention time: 4.11 min) as an off-white solid and 12 (15.1 mg, 22.2% yield; peak 2, retention time: 4.34 min) as an off-white solid. The stereochemistry of these two compounds were assigned randomly.
11: LCMS m/z (found): 386.0 [M+H]+. XH NMR (CDC13 400 MHz) 8 8.50 (dd, J= 1.2 Hz,
4.4 Hz, 1H), 7.62-7.52 (m, 2H), 7.50-7.44 (m, 1H), 7.40-7.33 (m, 1H), 7.22 (dd, J= 4.8 Hz,
8.4 Hz, 1H), 4.58 (dd, J= 1.2 Hz, 12.4 Hz, 1H), 4.06 (dd, .7= 4.4 Hz, 12.4 Hz, 1H), 3.93-3.84 (m, 1H), 3.75 (dd, J= 4.8 Hz, 10.4 Hz, 1H), 3.44 (t, J= 10.4 Hz, 1H), 2.83-2.74 (m, 1H), 2.22 (s, 1H), 1.10-0.97 (m, 1H), 0.85-0.72 (m, 2H), 0.64-0.50 (m, 1H). 19F NMR (CDCI3 376 MHz) 8 -116.56. Chiral SFC Rt = 4.11 min.
12: LCMS m/z (found): 386.0 [M+H]+. XH NMR (CDCI3 400 MHz) 8 8.50 (d, J = 4.4 Hz, 1H), 7.62-7.52 (m, 2H), 7.47 (dd, J= 1.2 Hz, 8.4 Hz, 1H), 7.40-7.33 (m, 1H), 7.23-7.20 (m, 1H), 4.58 (d, J= 12.4 Hz, 1H), 4.06 (dd, J= 4.4 Hz, 12.4 Hz, 1H), 3.90-3.80 (m, 1H), 3.75 (dd, .7= 4.4 Hz, 10.4 Hz, 1H), 3.43 (t, J= 9.6 Hz, 1H), 2.85-2.71 (m, 1H), 2.32-2.16 (m, 1H), 1.09-0.99 (m, 1H), 0.85-0.73 (m, 2H), 0.61-0.52 (m, 1H) 19F NMR (CDCI3 376 MHz) 8 - 116.55. Chiral SFC Rt = 4.34 min.
EXAMPLES 13 &14
(12S)- 11 -cyclopropyl-8-(3 ,4-difluorophenyl)-l 2-(hydroxymethyl)- 1 ,6, 11 - triazatricyclo[7.4.0.02, 7]trideca-2(7), 3, 5, 8-tetraen-l 0-one (13) and (12R)-1 l-cyclopropyl-8-(3,4-difluorophenyl)-12-(hydroxymethyl)-l ,6,11- triazatricyclo[7.4.0.02, 7]trideca-2(7), 3, 5, 8-tetraen-l 0-one (14)
i-5
[0258] Compounds 13 & 14 were synthesized from intermediate i-5 by following procedures similar to those described for Examples 11 & 12. Chiral separation by SFC (column: DAICEL CHIRALCEL OD-H(250mm x 30mm, 5um); mobile phase: [0.1%NH3H2O ETOH]; B%: 20%- 20%) to give 13 (167 mg, 29.0% yield; peak 1, retention time: 1.317 min) and 14 (172 mg, 29.7% yield; peak 2, retention time: 1.343 min). The absolute structure of 13 was confirmed by comparing its SFC retention time to that of the same obtained via a stereospecific protocol (see below).
13: LCMS m/z (found) 369.9 [M+H]+. ‘ H NMR (CDC13 400 MHz) 8 8.54 (dd, J= 1.2 Hz, 4.4 Hz, 1H), 7.70-7.60 (m, 2H), 7.55-7.45 (m, 1H), 7.30-7.27 (m, 1H), 7.25-7.15 (m, 1H), 4.63 (d, J = 12.4 Hz, 1H), 4.11 (dd, J = 4.4 Hz, 12.4 Hz, 1H), 3.95-3.87 (m, 1H), 3.84-3.75 (m, 1H), 3.50-3.40 (m, 1H), 2.90-2.80 (m, 1H), 2.62 (s, 1H), 1.15-1.05 (m, 1H), 0.85-0.75 (m, 2H), 0.65- 0.55 (m, 1H). 19F NMR (CDCI3 376 MHz) 8 -138, -140. Chiral SFC Rt = 1.317 min.
14: LCMS m/z (found) 369.9 [M+H]+. 1 H NMR (CDCI3 400 MHz) 8 8.59 (d, J= 4.4 Hz, 1H), 7.70-7.60 (m, 2H), 7.58-7.50 (m, 1H), 7.29 (dd, J = 4.8 Hz, 8.0 Hz, 1H), 7.25-7.17 (m, 1H), 4.67 (d, J= 12.4 Hz, 1H), 4.15 (dd, J= 4.0 Hz, 12.4 Hz, 1H), 4.00-3.92 (m, 1H), 3.91-3.83 (m, 1H), 3.60-3.50 (m, 1H), 2.90-2.82 (m, 1H), 2.10-1.95 (m, 1H), 1.16-1.06 (m, 1H), 0.93-0.80 (m, 2H), 0.70-0.60 (m, 1H). 19F NMR (CDCI3 376 MHz) 8 -138, -140. Chiral SFC Rt = 1.343 mm.
Chiral synthesis of Example 13
[0259] 13 was also prepared from chiral intermediate i-5(5) by following procedures similar to those described for Examples 11 and 12.
i-5(S) 13a 13
Step 1. Synthesis of (12S)- 12- [ [tert-butyl(diphenyl)silyl] oxymethyl] -1 l-cyclopropyl-8-(3,4- difluorophenyl)-!, 6, 11 -triazatricyclo [7.4.0.02, 7 J trideca- 2 (7), 3, 5, 8-tetraen- 10-one (13a) [0260] To a solution of i-5(5) (260 mg, 452 umol) and (3,4-difluorophenyl)boronic acid (107 mg, 678 umol) in 1,4-dioxane (3 mL) and H2O (0.3 mL) was added Pd(dppf)C12 (33.1 mg, 45.2 umol) and CS2CO3 (294 mg, 905 umol) at 25 °C under N2. The mixture was stirred at 100 °C for 16 h under N2. The mixture was filtered and the filtrate was concentrated. The resulting residue was purified by flash silica gel chromatography (0-50% EtOAc in PE) to give 13a (254 mg, 91.4% yield) as a white solid. LCMS m/z (found) 608.4 [M+H]+. ’ H NMR (CDCI3 400 MHz) 8 8.65 (d, J= 4.0 Hz, 1H), 7.64 (d, J= 8.4 Hz, 1H), 7.62-7.56 (m, 1H), 7.55-7.52 (m, 2H), 7.51-7.47 (m, 1H), 7.45-7.40 (m, 1H), 7.35-7.30 (m, 6H), 7.21 (td, J= 8.4 Hz, 10.0 Hz, 1H), 7.14-7.09 (m, 2H), 4.80 (d, J= 12.0 Hz, 1H), 4.19-4.14 (m, 1H), 3.97-3.91 (m, 1H), 3.86-3.81 (m, 1H), 3.55-3.49 (m, 1H), 2.75-2.69 (m, 1H), 1.10-1.05 (m, 1H), 1.03 (s, 9H), 0.83-0.76 (m, 1H), 0.76 (s, 1H), 0.56-0.49 (m, 1H).
Step 2. Synthesis of (12S)-ll-cyclopropyl-8-(3,4-difluorophenyl)-12-(hydroxymethyl)-l,6,ll- triazatricyclo[7.4.0.02, 7]trideca-2(7), 3, 5, 8-tetraen- 10-one (13)
[0261] To a solution of 13a (250 mg, 411 umol) in THF (3 mL) was added TBAF (820 uL, 1 M in THF) at 25 °C. The mixture was stirred at 25 °C for 2 h. The mixture was concentrated and the resulting residue was diluted with EtOAc (10 mL) and water (10 mL).
The layers were separated and the aqueous layer was extracted with EtOAc (3 x 10 mL). The combined organic layers were washed with brine (5 mL), dried over anhydrous Na2SO4, filtered and concentrated. The residue was purified by prep-HPLC (column: Phenomenex luna Cl 8 150 x 25mm x lOum; mobile phase: [water (FA)-ACN]; B%: 10%-40%, lOmin) to give 13 (59.4 mg, 59.2% yield) as an off-white solid. LCMS m/z (found) 370.0 [M+H]+. 1 H NMR (CDC13 400 MHz) 8 8.47 (d, J= 4.4 Hz, 1H), 7.59-7.50 (m, 2H), 7.43-7.41 (m, 1H), 7.21 (d, J= 4.4 Hz, 1H), 7.13 (td, J= 8.4 Hz, 10.4 Hz, 1H), 4.57 (d, J= 12.4 Hz, 1H), 4.04 (dd, .7= 4.4 Hz, 12.4 Hz, 1H), 3.86 (td, J= 4.4 Hz, 9.2 Hz, 1H), 3.75-3.65 (m, 1H), 3.45-3.31
(m, 1H), 2.82-2.69 (m, 1H), 2.67-2.40 (m, 1H), 1.09-0.94 (m, 1H), 0.84-0.71 (m, 2H), 0.63- 0.48 (m, 1H). 19F NMR (CDC13 376 MHz) 8 -138, -140. Chiral SFC Rt = 1.343 min, ee% = 100%.
EXAMPLE 15
4-[( 12S)-11 -cyclopropyl- 12-(hydroxymethyl)-l 0-oxo-l, 6, 11 -triazatricyclo [7.4.0.02, 7]trideca-
[0262] 15 was prepared from intermediate i-5(5) by following procedures similar to those described in Example 13 (chiral route). LCMS m/z (found) 359.1 [M+H]+. 1 H NMR (CDCI3 400 MHz) 8 8.58 (dd, J= 1.2 Hz, 4.4 Hz, 1H), 7.98-7.87 (m, 2H), 7.77-7.63 (m, 3H), 7.32 (dd, J= 4.4 Hz, 8.4 Hz, 1H), 4.68 (dd, J= 0.8 Hz, 12.4 Hz, 1H), 4.16 (dd, J= 4.0 Hz, 12.4 Hz, 1H), 4.03-3.93 (m, 1H), 3.80 (dd, J= 4.8 Hz, 10.4 Hz, 1H), 3.57-3.44 (m, 1H), 2.95-2.80 (m, 1H), 2.66-2.32 (m, 1H), 1.18-1.06 (m, 1H), 0.95-0.82 (m, 2H), 0.76-0.57 (m, 1H).
EXAMPLE 16
4-[( 12S)- 11 -cyclopropyl- 12-(hydroxymethyl)-l 0-oxo-l, 6, 11 -triazatricyclo [7.4.0.02, 7]trideca- 2(7) ,3 ,5 ,8-tetraen-8-yl] -2-fluoro-benzonitrile (16)
[0263] 16 was prepared from intermediate i-5(5) by following procedures similar to those described in Example 13 (chiral route). LCMS m/z (found) 377.0 [M+H]+. 1 H NMR (CDCI3
400 MHz) 8 8.62 (d, J= 4.0 Hz, 1 H), 7.82-7.71 (m, 3 H), 7.69-7.62 (m, 1 H), 7.36 (s, 1 H), 4.73 (d, J= 12.4 Hz, 1 H), 4.20 (d, J= 12.0 Hz, 1 H), 4.05-3.88 (m, 2 H), 3.60 (t, J= 8.4 Hz, 1 H), 2.95-2.85 (m, 1 H), 2.06-1.89 (m, 1 H), 1.28-1.12 (m, 1 H), 0.95-0.84 (m, 2 H), 0.68 (t, J= 6.64 Hz, 1 H). 19F NMR (CDC13 376 MHz) 8 -107.70.
EXAMPLES 17 & 18
(12S)-ll-cyclopropyl-8-(3,4-difluorophenyl)-4-fluoro-12-(hydroxymethyl)-l,6,ll- triazatricyclo[7.4.0.02, 7]trideca-2(7), 3, 5, 8-tetraen-l 0-one (17) and (12R)-ll-cyclopropyl-8-(3,4-difluorophenyl)-4-fluoro-12-(hydroxymethyl)-l,6,ll- triazatricyclo[7.4.0.02, 7]trideca-2(7), 3, 5, 8-tetraen-l 0-one (18)
i-6
[0264] 17 & 18 were prepared from intermediate i-6 by following procedures similar to those described in Examples 11 & 12. Chiral SFC separation (column: REGIS
(R,R) WHELK-01 (250mm x 25mm, 10 urn); mobile phase: [0.1%NH4OH-MEOH]; B%: 40%-40%) provided 17 (32 mg, 45% yield; peak 1, retention time: 1.891 min) and 18 (30 mg, 43% yield; peak 2, retention time: 2.252 min). The stereochemistry of these two compounds were assigned randomly.
17: LCMS m/z (found) 388.0 [M+H]+. ‘HNMR (CDCI3 400 MHz) 8 8.48 (s, 1H), 7.65-7.56 (m, 1H), 7.54-7.46 (m, 1H), 7.45-7.35 (m, 1H), 7.25-7.16 (m, 1H), 4.61 (d, J= 12.0 Hz, 1H), 4.14 (dd, J= 4.0 Hz, 12.4 Hz, 1H), 4.00-3.85 (m, 2H), 3.56 (t, J= 9.6 Hz, 1H), 2.80-2.70 (m, 1H), 1.15-1.05 (m, 1H), 0.90-0.80 (m, 2H), 0.70-0.60 (m, 1H). 19F NMR (CDCI3 376 MHz) 8 -129.54, -138.81, -139.51. Chiral SFC Rt = 1.891 min.
18: LCMS m/z (found) 388.0 [M+H]+. ‘HNMR (CDCI3 400 MHz) 8 8.48 (s, 1H), 7.65-7.56 (m, 1H), 7.54-7.46 (m, 1H), 7.45-7.35 (m, 1H), 7.25-7.16 (m, 1H), 4.61 (d, J= 12.4 Hz, 1H), 4.14 (dd, J= 4.0 Hz, 12.4 Hz, 1H), 4.00-3.85 (m, 2H), 3.56 (t, J= 9.6 Hz, 1H), 2.80-2.70 (m, 1H), 1.15-1.05 (m, 1H), 0.90-0.80 (m, 2H), 0.70-0.60 (m, 1H). 19F NMR (CDCI3 376 MHz) 8 -129.59, -138.84, -139.56. Chiral SFC Rt = 2.252 min.
EXAMPLES 19 & 20
(12S)-11 -cyclopropyl-4-fluoro- 12-(hydroxymethyl)-8-(6-methoxy-3-pyridyl)-l , 6, 11- triazatricyclo[7.4.0.02, 7]trideca-2(7), 3, 5, 8-tetraen-l 0-one (19) and (12R)-1 l-cyclopropyl-4-fluoro-12-(hydroxymethyl)-8-(6-methoxy-3-pyridyl)-l,6,l 1- triazatricyclo [7.4.0.02, 7]trideca-2(7), 3, 5, 8-tetraen-l 0-one (20)
[0265] 19 & 20 were prepared from intermediate i-6 by following procedures similar to those described in Examples 11 & 12. Chiral SFC separation (column: DAICEL CHIRALPAK IC(250mm x 30mm, lOum); mobile phase: [0.1%NH3H2O-ETOH]; B%: 40%- 40%) provided two compounds 19 (27.6 mg, 18% yield; peak 1, retention time: 1.998min) and 20 (30 mg, 19% yield; peak 2, retention time: 2.272 min).
Peak 1 (retention time: 1.998 min), compound 19
Peak 2 (retention time: 2.272 min), compound 20.
The stereochemistry of these two compounds were assigned randomly.
19: LCMS m/z (found) 383.1 [M+H]+. XH NMR (CDC13 400 MHz) 8 8.57 (d, J= 2.4 Hz, 1H), 8.44 (dd, J= 1.6 Hz, 2.4 Hz, 1H), 8.08 (dd, J= 2.0 Hz, 8.4 Hz, 1H), 7.36 (dd, J= 2.4 Hz, 8.8 Hz, 1H), 6.84 (d, .7= 8.8 Hz, 1H), 4.61 (dd, 0.8 Hz, 12.4 Hz, 1H), 4.13 (dd, J = 4.4 Hz, 12.4 Hz, 1H), 3.99 (s, 3H), 3.98-3.93 (m, 1H), 3.87 (dd, J= 4.8 Hz, 10.4 Hz, 1H), 3.54 (t, J= 10.0 Hz, 1H), 2.88-2.82 (m, 1H), 1.15-1.06 (m, 1H), 0.91-0.82 (m, 2H), 0.68-0.60 (m, 1H). 19F NMR (CDCI3 376 MHz) 8 -129.83. Chiral SFC Rt = 1.998 min.
20: LCMS m/z (found) 383.1 [M+H]+. [H NMR (CDCI3 400 MHz) 8 8.60 (s, 1H), 8.45 (s, 1H), 8.11 (br d, J= 8.8 Hz, 1H), 7.37 (dd, J= 2.4 Hz, 8.8 Hz, 1H), 6.85 (d, J= 8.4 Hz, 1H), 4.62 (d, J= 12.4 Hz, 1H), 4.14 (dd, J= 4.4 Hz, 12.4 Hz, 1H), 4.00 (s, 3H), 3.98-3.94 (m, 1H), 3.89 (dd, .7= 4.8 Hz, 10.4 Hz, 1H), 3.56 (t, J= 9.6 Hz, 1H), 2.89-2.82 (m, 1H), 1.16-1.09 (m, 1H), 0.90-0.83 (m, 2H), 0.69-0.62 (m, 1H). 19F NMR (CDCI3 376 MHz) 8 -129.80. Chiral SFC Rt = 2.272 min.
EXAMPLE 21
4-[(12S)-l l-cyclopropyl-4-fluoro-12-(hydroxymethyl)-l 0-oxo-l,6,l 1- triazatricyclo [7.4.0.02, 7]trideca-2(7), 3, 5, 8-tetraen-8-yl] benzonitrile (21 )
i-6(S) 21a 21
Step 1. Synthesis of 4-[(l 2S)-12-[[tert-butyl(diphenyl)silyl] oxymethyl]-! l-cyclopropyl-4- fluoro-10-oxo-l, 6, 11 -triazatricyclo [7.4.0.02, 7]trideca-2(7), 3, 5 ,8-tetraen-8-y I] benzonitrile (21a)
[0266] To a solution of i-6(5) (150 mg, 253 umol) in 1,4-dioxane (2.0 mL) and H2O (0.5 mL) was added CS2CO3 (165 mg, 506 umol), (4-cyanophenyl)boronic acid (112 mg, 759 umol) and Pd(dppf)C12 (18.5 mg, 25.3 umol) under N2. The mixture was stirred at 85 °C for 12 h. The mixture was concentrated under reduce pressure. The residue was purified by flash column chromatography (0-100% EtOAc in PE) to give 21a (70.0 mg, 43.4% yield) as a yellow oil. LCMS m/z (found) 615.5 [M+H]+.
Step 2. Synthesis of 4-[(12S)-l l-cyclopropyl-4 luoro- 12-(hydroxymethyl)-10-oxo- 1,6,11- triazatricyclo [7.4.0.02, 7 ] trideca- 2 (7), 3, 5, 8-tetraen-8-yl] benzonitrile (21 )
[0267] To 21a (70.0 mg, 113 umol) was added TBAF (2 mL, 1 M in THF). The mixture was stirred at 25 °C for 0.5 h. The reaction mixture was quenched by addition of water (3.0 mL) at 25 °C and extracted with DCM (3 x 5 mL). The combined organic layers were washed with brine (10 mL), dried over anhydrous Na2SC>4, filtered and concentrated under a reduced pressure. The residue was purified by prep-TLC (SiCh, DCM:MeOH = 10:1) to 21 (17.9 mg, 41.8% yield) as an off-white solid. LCMS m/z (found) 377.0 [M+H]+. !H NMR (CDCL 400 MHz) 8 8.49 (s, 1H), 7.92 (d, J= 8.0 Hz, 2H), 7.72 (d, J= 8.0 Hz, 2H), 7.41 (d, J= 7.2 Hz, 1H), 4.63 (d, J= 12.4 Hz, 1H), 4.17 (dd, J= 4.0 Hz, 12.0 Hz, 1H), 4.01-3.88 (m, 2H), 3.57 (t, J= 9.6 Hz, 1H), 2.90-2.82 (m, 1H), 1.17-1.09 (m, 1H), 0.91-0.84 (m, 2H), 0.70-0.62 (m, 1H). 19F NMR (CDCI3 376 MHz) 8 -129.19.
EXAMPLE 22
4-[(12S)-l l-cyclopropyl-4-fluoro-12-(hydroxymethyl)-10-oxo-l,6,l 1- triazatricyclo[7.4.0.027]trideca-2(7), 3,5, 8-tetraen-8-yl]-2-fluoro-benzonitrile (22)
[0268] 22 was prepared from intermediate i-6(S) using procedures similar to those described in Example 21. LCMS m/z (found) 395.0 [M+H]+.
NMR (CDCE 400 MHz) 8 8.50 (s, 1H), 7.78-7.71 (m, 2H), 7.70-7.62 (m, 1H), 7.43 (dd, J= 2.0 Hz, 8.4 Hz, 1H), 4.64 (d, J= 12.4 Hz, 1H), 4.18 (dd, J= 4.4 Hz, 12.4 Hz, 1H), 4.04-3.89 (m, 2H), 3.63-3.56 (m, 1H), 2.92-2.85 (m, 1H), 1.19-1.10 (m, 1H), 0.92-0.85 (m, 2H), 0.71-0.62 (m, 1H). 19F NMR (CDC13 376 MHz) 8 -107.58, -128.84.
Biological assays
[0269] Phosphodiesterase 4 (PDE4) is a 3’,5’-cyclic-adenosine monophosphate (cAMP) phosphodiesterase, which catalyzes the reaction of 3 ’,5 ’-cyclic-adenosine phosphate and water to 5 ’-adenosine monophosphate. Activation of PDE4 therefore decreases cAMP levels. The reaction requires magnesium or manganese.
PDE4B1/PDE4D3 Protocol and Inhibitory Data
[0270] The PDE4B1 and PDE4D3 assays used scintillation proximity assay (SPA) technology to measure the inhibition of human recombinant PDE4B1 and PDE4D3 enzyme activity by test compounds in vitro. SPA technology uses beads coated with scintillation fluid which bind the purified protein. Binding of radioligand to the purified protein on the beads causes the scintillant to emit light which can be detected by scintillation or plate readers. [3H]- cAMP was used to measure PDE4-dependent changes in cAMP.
[0271 ] The PDE4B 1 and PDE4D3 assays use identical assay conditions except for the enzyme concentration. Assay buffer contained 50 mM Tris(hydroxymethyl)aminomethane hydrochloride (Tris-HCl pre-set Crystals, pH 7.5 at 25°C) with 1.3 mM magnesium chloride (MgCb). Enzyme buffer contained assay buffer with 0.01% Brij-35 solution.
[0272] Concentration-response assays of test compounds were performed using % log serial dilution. Twenty nL of compound was transferred to an assay plate. [2,8-3H]-cyclic adenosine 3 ’,5 ’monophosphate, ammonium salt (>97%, 1 millicurie (mCi), 20 nM final concentration) were combined with unlabeled adenosine 3 ’,5 ’-cyclic monophosphate for a final combined concentration of 1 mM (approximately the Km of cAMP for PDE4). Exact radioligand concentration for each experiment was determined by liquid scintillation counting. Final enzyme concentrations for PDE4Bland PDE4D3 were approximately 40 pM and 10 pM, respectively. Assay plates were incubated for 30 minutes at room temperature while shaking. A total of 0.2 mg PDE yttrium silicate SPA beads were added to each well. Plates were then sealed with adhesive sealing film. Beads were allowed to settle for 10 hours before plates were read using a Trilux Microbeta 1450 counter by cycle reading.
TABLE 1
Claims
X is carbon or nitrogen;
Y is carbon or nitrogen and Z is carbon or nitrogen, provided that: one of Y and Z is nitrogen; when Y is nitrogen, Z is carbon, the bond between Y and C2 is a single bond, and the bond between Z and C2 is a double bond; and when Z is nitrogen, Y is carbon, the bond between Y and C2 is a double bond, and the bond between Z and C2 is a single bond;
Ri is hydrogen, halogen, or (Ci-C3)alkyl;
R2 is hydrogen, halogen, (Ci-C3)alkoxy, or -CN;
R3 is hydrogen, halogen, or (Ci-C3)alkoxy, provided that when X is nitrogen, R3 is absent;
RHs hydrogen, (Ci-C6)alkanol, (C3-C6)cycloalkanol, (C2-Ce)alkyl-O-Re, (C3- C6)cycloalkyl, or (Ci-C6)alkyl; and
R5 is hydrogen, (Ci-C6)alkanol, (C3-C6)cycloalkanol, (Ci-C6)alkyl-O-R6, (C3- C6)cycloalkyl, or (Ci-C6)alkyl, wherein at least one of R4 and R5 is a branched or linear (Ci-C6)alkanol, (C3-C6)cycloalkanol, or (Ci-C6)alkyl-O-R6, and
Re is selected from the group consisting of: (Ci-C25)alkyl, C(O)-(Ci-C2s)alkyl, (C2- Cio)alkenyl, (C2-Cio)alkynyl, (C3-Cs)cycloalkyl, 5-10 membered heterocyclic groups, (Ce-
- P— OH
R7 and Rs are each independently selected from the group consisting of: (Ci-C25)alkyl, (C2-Cio)alkenyl, (C2-Cio)alkynyl, (C3-C8)cycloalkyl, 5-10 membered heterocyclic groups, (Ce-Cio)aryl, (Ci-C25)alkoxy, (Ci-C3)alkyl, and 5-10 membered heteroaryl groups; or R7 or Rs is counter cation such as NH4+, Na+, or K+; wherein (Ci-C25)alkyl, (C2-Cio)alkenyl, (C2-Cio)alkynyl, (C3-Cs)cycloalkyl, 5-10 membered heterocyclic groups, (Ce-Cio)aryl, (Ci-C25)alkoxy, (Ci-C3)alkyl, and 5-10 membered heteroaryl groups can each independently be optionally substituted by one, two or more halogens, hydroxyl groups, amino groups, Cns alkyl groups, C2-8 alkenyl groups, C2-s alkynyl groups, C1-8 alkoxy groups, Ce-io aryl groups optionally substituted by Cn 10 alkyl, or 5-10 membered heteroaryl groups optionally substituted by Ci-10 alkyl.
2. The compound or pharmaceutically acceptable salt thereof as in claim 1, wherein the compound of Formula (I) is a compound of Formula (I- A):
or a pharmaceutically acceptable salt thereof, wherein:
X is carbon or nitrogen;
Ri is hydrogen, halogen, or (Ci-C3)alkyl;
R2 is hydrogen, halogen, (Ci-C3)alkoxy, or -CN;
R3 is hydrogen, halogen, or (Ci-C3)alkoxy, provided that when X is nitrogen, R3 is absent;
R4 is hydrogen, (Ci-C6)alkanol, (C3-C6)cycloalkanol, (C2-Ce)alkyl-O-R6, (C3-
C6)cycloalkyl, or (Ci-C6)alkyl; and
R5 is hydrogen, (Ci-C6)alkanol, (C3-C6)cycloalkanol, (Ci-C6)alkyl-O-R6, (C3- C6)cycloalkyl, or (Ci-C6)alkyl, wherein at least one of R4 and R5 is a branched or linear (Ci-C6)alkanol, (C3-C6)cycloalkanol, or (Ci-C6)alkyl-O-R6, and
Re is selected from the group consisting of: (Ci-C25)alkyl, C(O)-(Ci-C25)alkyl, (C2- Cio)alkenyl, (C2-Cio)alkynyl, (C3-Cs)cycloalkyl, 5-10 membered heterocyclic groups, (Ce-
R7 and Rs are each independently selected from the group consisting of: (Ci-C25)alkyl, (C2-Cio)alkenyl, (C2-Cio)alkynyl, (C3-Cs)cycloalkyl, 5-10 membered heterocyclic groups, (Ce-Cio)aryl, (Ci-C25)alkoxy, (Ci-C3)alkyl, and 5-10 membered heteroaryl groups; or R7 or Rs is counter cation such as NH4 +, Na+, or K+; wherein (Ci-C25)alkyl, (C2-Cio)alkenyl, (C2-Cio)alkynyl, (C3-Cs)cycloalkyl, 5-10 membered heterocyclic groups, (Ce-Cio)aryl, (Ci-C25)alkoxy, (Ci-C3)alkyl, and 5-10 membered heteroaryl groups can each independently be optionally substituted by one, two or more halogens, hydroxyl groups, amino groups, Cns alkyl groups, C2-8 alkenyl groups, C2-s alkynyl groups, Ci-s alkoxy groups, Ce-io aryl groups optionally substituted by Ci- 10 alkyl, or 5-10 membered heteroaryl groups optionally substituted by C1-10 alkyl.
3. The compound or pharmaceutically acceptable salt thereof as in claim 1, wherein the compound of Formula (I) is a compound of Formula (I-B):
X is carbon or nitrogen;
Ri is hydrogen, halogen, or (Ci-C3)alkyl;
R2 is hydrogen, halogen, (Ci-C3)alkoxy, or -CN;
R3 is hydrogen, halogen, or (Ci-C3)alkoxy, provided that when X is nitrogen, R3 is absent;
RHs hydrogen, (Ci-C6)alkanol, (C3-C6)cycloalkanol, (C2-Ce)alkyl-O-R6, (C3- C6)cycloalkyl, or (Ci-C6)alkyl; and
R5 is hydrogen, (Ci-C6)alkanol, (C3-C6)cycloalkanol, (Ci-C6)alkyl-O-R6, (C3- C6)cycloalkyl, or (Ci-C6)alkyl, wherein at least one of R4 and R5 is a branched or linear (Ci-C6)alkanol, (C3-C6)cycloalkanol, or (Ci-C6)alkyl-O-R6, and
Re is selected from the group consisting of: (Ci-C25)alkyl, C(O)-(Ci-C25)alkyl, (C2- Cio)alkenyl, (C2-Cio)alkynyl, (C3-Cs)cycloalkyl, 5-10 membered heterocyclic groups, (Ce-
R7 and Rs are each independently selected from the group consisting of: (Ci-C25)alkyl, (C2-Cio)alkenyl, (C2-Cio)alkynyl, (C3-Cs)cycloalkyl, 5-10 membered heterocyclic groups, (Ce-Cio)aryl, (Ci-C25)alkoxy, (Ci-C3)alkyl, and 5-10 membered heteroaryl groups; or R7 or Rs is counter cation such as NHZ, Na+, or K+; wherein (Ci-C25)alkyl, (C2-Cio)alkenyl, (C2-Cio)alkynyl, (C3-Cs)cycloalkyl, 5-10 membered heterocyclic groups, (Ce-Cio)aryl, (Ci-C25)alkoxy, (Ci-C3)alkyl, and 5-10
membered heteroaryl groups can each independently be optionally substituted by one, two or more halogens, hydroxyl groups, amino groups, Ci-8 alkyl groups, C2-8 alkenyl groups, C2-s alkynyl groups, C1-8 alkoxy groups, Ce-io aryl groups optionally substituted by Cn 10 alkyl, or 5-10 membered heteroaryl groups optionally substituted by Ci-10 alkyl.
4. The compound or pharmaceutically acceptable salt thereof as in claim 1, wherein the compound of Formula (I) is a compound of Formula (I-C):
or a pharmaceutically acceptable salt thereof, wherein:
X is carbon or nitrogen;
Ri is hydrogen, halogen, or (Ci-C3)alkyl;
R2 is hydrogen, halogen, (Ci-C3)alkoxy, or -CN;
R3 is hydrogen, halogen, or (Ci-C3)alkoxy, provided that when X is nitrogen, R3 is absent; R4 is hydrogen, (Ci-C6)alkanol, (C3-C6)cycloalkanol, (Ci-C6)alkyl-O-R6, (C3- C6)cycloalkyl, or (Ci-C6)alkyl; and
R5 is hydrogen, (Ci-C6)alkanol, (C3-C6)cycloalkanol, (Ci-C6)alkyl-O-R6, (C3- C6)cycloalkyl, or (Ci-C6)alkyl, wherein at least one of R4 and R5 is a branched or linear (Ci-C6)alkanol, (C3-C6)cycloalkanol, or (Ci-C6)alkyl-O-R6; and
Re is selected from the group consisting of: C(O)-(Ci-C25)alkyl, C(O)-(C2-C25)alkenyl,
R7 and Rs are each independently selected from the group consisting of: (Ci-C25)alkyl, (C2-Cio)alkenyl, (C2-Cio)alkynyl, (C3-C8)cycloalkyl, 5-10 membered heterocyclic groups, (Ce-Cio)aryl, (Ci-C25)alkoxy, (Ci-C3)alkyl, and 5-10 membered heteroaryl groups; or R7 or Rs is counter cation such as NH4+, Na+, or K+;
wherein (Ci-C3)alkyl, (Ci-C6)alkyl, (Ci-C25)alkyl, (Ci-C3)alkoxy, (Ci-C6)alkanol, (C3- C6)cycloalkanol, (C2-C25)alkenyl, and (C2-C25)alkynyl can each independently be optionally substituted by one, two or more halogens, hydroxyl groups, amino groups, Ci- 8 alkyl groups, C2-8 alkenyl groups, C2-s alkynyl groups, C1-8 alkoxy groups, Ce-io aryl groups optionally substituted by Ci-10 alkyl, or 5-10 membered heteroaryl groups optionally substituted by Ci-10 alkyl. wherein (Ci-C25)alkyl, (C2-Cio)alkenyl, (C2-Cio)alkynyl, (C3-Cs)cycloalkyl, 5-10 membered heterocyclic groups, (Ce-Cio)aryl, (Ci-C25)alkoxy, (Ci-C3)alkyl, and 5-10 membered heteroaryl groups can each independently be optionally substituted by one, two or more halogens, hydroxyl groups, amino groups, C1-8 alkyl groups, C2-8 alkenyl groups, C2-s alkynyl groups, C1-8 alkoxy groups, Ce-io aryl groups optionally substituted by Cn 10 alkyl, or 5-10 membered heteroaryl groups optionally substituted by Ci-10 alkyl.
5. The compound or pharmaceutically acceptable salt thereof as in any one of the preceeding claims, wherein X is carbon.
6. The compound or pharmaceutically acceptable salt thereof as in any one of the preceding claims, wherein Ri is hydrogen.
7. The compound or pharmaceutically acceptable salt thereof as in any one of the preceding claims, wherein at least one of R2 and R3 is -F.
8. The compound or pharmaceutically acceptable salt thereof as in any one of the preceding claims, wherein R2 is hydrogen, -Cl, -F, -OCH3, or -CN.
9. The compound or pharmaceutically acceptable salt thereof as in any one of the preceding claims, wherein R3 is -Cl or -F.
10. The compound or pharmaceutically acceptable salt thereof as in any one of the preceding claims, wherein R4 is (Ci-C3)alkanol or cyclopropyl.
12. The compound or pharmaceutically acceptable salt thereof as in any one of the preceding claims, wherein R5 is -H, -CH2OH, or -CH3.
14. The compound or pharmaceutically acceptable salt thereof as in any one of the preceding claims, wherein R2 and R3 are each -F.
15. The compound or pharmaceutically acceptable salt thereof as in any one of claims 1-4, wherein:
X is carbon;
Ri is hydrogen;
R2 is hydrogen, -Cl, -F, -OCH3, or -CN;
R3 is -Cl or -F;
R5 is hydrogen, -CH2OH, or -CH3; and wherein at least one of R4 and R5 is an alkanol, and at least one of R2 and R3 is -F.
16. The compound or pharmaceutically acceptable salt thereof as in any one of claims 1-4, wherein R4 is hydrogen, (C3-C6)cycloalkyl, or (Ci-C6)alkyl, and R5 is (Ci-C6)alkanol, (C3- C6)cycloalkanol, (C2-Ce)alkyl-O-Re, and Re is C(O)-(Ci-C25)alkyl.
19. A pharmaceutical composition comprising a compound or pharmaceutically acceptable salt thereof as in any one of the preceding claims and one or more pharmaceutically acceptable excipients.
20. The pharmaceutical composition as in claim 19, wherein the composition is an orally administrable dosage form or a topically administrable dosage form.
21. A method of treating a condition comprising administering a compound or pharmaceutically acceptable salt thereof as in any one of claims 1-18, or a pharmaceutical composition as in claim 19 or 20, to a subject in need thereof, wherein the condition is selected from the group consisting of: inflammatory skin diseases, dermatitis, inflammatory bowel disease, pulmonary diseases, idiopathic pulmonary fibrosis, asthma, hepatitis, adult respiratory distress syndrome, bone-resorption diseases, chronic obstructive pulmonary diseases, cystic fibrosis, septic shock, sepsis, endotoxic shock, hemodynamic shock, post ischemic reperfusion injury, meningitis, fibrotic disease, cachexia, graft rejection including graft versus host disease, autoimmune disease, rheumatoid spondylitis, arthritic conditions, osteoporosis, systemic lupus erythrematosus, erythema nodosum leprosum (ENL) in leprosy, radiation damage, hyperoxic alveolar injury, diabetes mellitus, and cardiovascular conditions.
22. A method of treating a condition comprising administering a compound or pharmaceutically acceptable salt thereof as in any one of claims 1-18, or a pharmaceutical
composition as in claim 19 or 20, to a subject in need thereof, wherein the condition is selected from the group consisting of: psoriasis, atopic dermatitis, Crohn’s disease, ulcerative colitis.
23. A method of treating idiopathic pulmonary fibrosis comprising administering a compound or pharmaceutically acceptable salt thereof as in claim 21 to a subject in need thereof.
Applications Claiming Priority (2)
| Application Number | Priority Date | Filing Date | Title |
|---|---|---|---|
| US202263428390P | 2022-11-28 | 2022-11-28 | |
| US63/428,390 | 2022-11-28 |
Publications (1)
| Publication Number | Publication Date |
|---|---|
| WO2024118524A1 true WO2024118524A1 (en) | 2024-06-06 |
Family
ID=89428735
Family Applications (1)
| Application Number | Title | Priority Date | Filing Date |
|---|---|---|---|
| PCT/US2023/081204 Ceased WO2024118524A1 (en) | 2022-11-28 | 2023-11-27 | Azaindole compounds and their use as phosphodiesterase inhibitors |
Country Status (1)
| Country | Link |
|---|---|
| WO (1) | WO2024118524A1 (en) |
Citations (44)
| Publication number | Priority date | Publication date | Assignee | Title |
|---|---|---|---|---|
| EP0028489A1 (en) | 1979-11-05 | 1981-05-13 | Beecham Group Plc | Enzyme derivatives, and their preparation |
| US4673564A (en) | 1979-07-05 | 1987-06-16 | Yamanouchi Pharmaceutical Co., Ltd. | Sustained release pharmaceutical composition of solid medical material |
| US4894235A (en) | 1984-10-23 | 1990-01-16 | Dr. Rentschler, Arzneimmittel Gmbh & Co. | Nifedipine-containing form of administration and method for its production |
| US5340591A (en) | 1992-01-24 | 1994-08-23 | Fujisawa Pharmaceutical Co., Ltd. | Method of producing a solid dispersion of the sparingly water-soluble drug, nilvadipine |
| US5456923A (en) | 1991-04-16 | 1995-10-10 | Nippon Shinyaku Company, Limited | Method of manufacturing solid dispersion |
| US5707646A (en) | 1992-03-12 | 1998-01-13 | Taisho Pharmaceutical Co., Ltd. | Taste masking pharmaceutical composition |
| EP0901786A2 (en) | 1997-08-11 | 1999-03-17 | Pfizer Products Inc. | Solid pharmaceutical dispersions with enhanced bioavailability |
| US5939099A (en) | 1995-02-14 | 1999-08-17 | Basf Aktiengesellschaft | Solid active extrusion compound preparations containing low-substituted hydroxypropylcellulose |
| US6174884B1 (en) | 1997-03-11 | 2001-01-16 | Bayer Aktiengesellschaft | 1,5-dihydro-pyrazolo[34-D]-pyrimidinone derivatives |
| US6235742B1 (en) | 1997-10-24 | 2001-05-22 | Pfizer Inc. | 5-substituted pyrazolo[4,3-D]pyrimidin-7-ones |
| WO2001040231A1 (en) | 1999-12-06 | 2001-06-07 | Bristol-Myers Squibb Company | Heterocyclic dihydropyrimidines as potassium channel inhibitors |
| WO2002020521A1 (en) | 2000-09-11 | 2002-03-14 | Merck Patent Gmbh | Use of indole derivatives for treating illnesses of the central nervous system |
| WO2003072197A1 (en) | 2002-02-27 | 2003-09-04 | Pfizer Products Inc. | Acc inhibitors |
| US20030195205A1 (en) | 2001-11-02 | 2003-10-16 | Pfizer Inc. | PDE9 inhibitors for treating cardiovascular disorders |
| US20040220186A1 (en) | 2003-04-30 | 2004-11-04 | Pfizer Inc. | PDE9 inhibitors for treating type 2 diabetes,metabolic syndrome, and cardiovascular disease |
| US6818658B2 (en) | 2001-02-28 | 2004-11-16 | Merck & Co., Inc. | Acylated piperidine derivatives as melanocortin-4 receptor agonists |
| WO2005049616A1 (en) | 2003-11-24 | 2005-06-02 | Pfizer Limited | 5,7-DIAMINOPYRAZOLO [4,3-d] PYRIMIDINES WITH PDE-5 INHIBITING ACTIVITY |
| US20050267100A1 (en) | 2004-05-25 | 2005-12-01 | Pfizer Inc | Tetraazabenzo[e]azulene derivatives and analogs thereof |
| WO2005116014A1 (en) | 2004-05-12 | 2005-12-08 | Pfizer Products Inc. | Proline derivatives and their use as dipeptidyl peptidase iv inhibitors |
| US20060106035A1 (en) | 2002-08-23 | 2006-05-18 | Martin Hendrix | Phenyl-substituted pyrazolopyrimidines |
| US20060111372A1 (en) | 2002-08-23 | 2006-05-25 | Bayer Healthcare Ag | Alkyl-substituted pyrazolopyrimidines |
| US20060178501A1 (en) | 2005-02-04 | 2006-08-10 | Pfizer Inc | PYY agonists and use thereof |
| WO2006120552A2 (en) | 2005-05-12 | 2006-11-16 | Pfizer Inc. | ANHYDROUS CRYSTALLINE FORMS OF N-[1-(2-ETHOXYETHYL)-5-(N-ETHYL-N-METHYLAMINO)-7-(4-METHYLPYRIDIN-2-yl-AMINO)-1H-PYRAZOLO[4,3-d]PYRIMIDINE-3-CARBONYL]METHANESULFONAMIDE |
| WO2006126081A2 (en) | 2005-05-24 | 2006-11-30 | Pharmacia & Upjohn Company Llc | Pyridino [2 , 3-b] pyrazinones as pde-5 inhibitors |
| WO2006126083A1 (en) | 2005-05-24 | 2006-11-30 | Pharmacia & Upjohn Company Llc | Pyridine [3 , 4-b] pyrazinone compounds as pde-5 inhibitors |
| WO2006126082A2 (en) | 2005-05-24 | 2006-11-30 | Pharmacia & Upjohn Company Llc | Pyridine [3,4-b] pyrazinones as pde-5 inhibitors |
| WO2007122482A1 (en) | 2006-04-20 | 2007-11-01 | Pfizer Products Inc. | Fused phenyl amido heterocyclic compounds for the prevention and treatment of glucokinase-mediated diseases |
| WO2007122466A1 (en) | 2006-04-21 | 2007-11-01 | Pfizer Products Inc. | Pyridine[3,4-b]pyrazinones |
| WO2008065508A1 (en) | 2006-11-29 | 2008-06-05 | Pfizer Products Inc. | Spiroketone acetyl-coa carboxylase inhibitors |
| WO2009016462A2 (en) | 2007-08-02 | 2009-02-05 | Pfizer Products Inc. | Substituted bicyclolactam compounds |
| WO2009144554A1 (en) | 2008-05-28 | 2009-12-03 | Pfizer, Inc. | Pyrazolospiroketone acetyl-c0a carboxylase inhibitors |
| WO2009144555A1 (en) | 2008-05-28 | 2009-12-03 | Pfizer Inc. | Pyrazolospiroketone acetyl-coa carboxylase inhibitors |
| WO2010013161A1 (en) | 2008-07-29 | 2010-02-04 | Pfizer Inc. | Fluorinated heteroaryls |
| WO2010023594A1 (en) | 2008-08-28 | 2010-03-04 | Pfizer Inc. | Dioxa-bicyclo[3.2.1.]octane-2,3,4-triol derivatives |
| WO2010086820A1 (en) | 2009-02-02 | 2010-08-05 | Pfizer Inc. | 4-amino-5-oxo-7, 8-dihydropyrimido [5,4-f] [1,4] oxazepin-6 (5h) -yl) phenyl derivatives, pharmaceutical compositions and uses thereof |
| WO2010103438A1 (en) | 2009-03-11 | 2010-09-16 | Pfizer Inc. | Substituted indazole amides and their use as glucokinase activators |
| WO2010103437A1 (en) | 2009-03-11 | 2010-09-16 | Pfizer Inc. | Benzofuranyl derivatives used as glucokinase inhibitors |
| WO2010106457A2 (en) | 2009-03-20 | 2010-09-23 | Pfizer Inc. | 3-oxa-7-azabicyclo[3.3.1]nonanes |
| WO2010128414A1 (en) | 2009-05-08 | 2010-11-11 | Pfizer Inc. | Gpr 119 modulators |
| WO2010128425A1 (en) | 2009-05-08 | 2010-11-11 | Pfizer Inc. | Gpr 119 modulators |
| WO2010140092A1 (en) | 2009-06-05 | 2010-12-09 | Pfizer Inc. | L- ( piperidin-4-yl) -pyrazole derivatives as gpr 119 modulators |
| WO2011005611A1 (en) | 2009-07-09 | 2011-01-13 | Merck Sharp & Dohme Corp. | Neuromedin u receptor agonists and uses thereof |
| WO2016203347A1 (en) * | 2015-06-17 | 2016-12-22 | Pfizer Inc. | Tricyclic compounds and their use as phosphodiesterase inhibitors |
| US11806208B2 (en) | 2014-03-21 | 2023-11-07 | Align Technology, Inc. | Orthodontic appliances with shell segments and elastic segments |
-
2023
- 2023-11-27 WO PCT/US2023/081204 patent/WO2024118524A1/en not_active Ceased
Patent Citations (45)
| Publication number | Priority date | Publication date | Assignee | Title |
|---|---|---|---|---|
| US4673564A (en) | 1979-07-05 | 1987-06-16 | Yamanouchi Pharmaceutical Co., Ltd. | Sustained release pharmaceutical composition of solid medical material |
| EP0028489A1 (en) | 1979-11-05 | 1981-05-13 | Beecham Group Plc | Enzyme derivatives, and their preparation |
| US4894235A (en) | 1984-10-23 | 1990-01-16 | Dr. Rentschler, Arzneimmittel Gmbh & Co. | Nifedipine-containing form of administration and method for its production |
| US5456923A (en) | 1991-04-16 | 1995-10-10 | Nippon Shinyaku Company, Limited | Method of manufacturing solid dispersion |
| US5340591A (en) | 1992-01-24 | 1994-08-23 | Fujisawa Pharmaceutical Co., Ltd. | Method of producing a solid dispersion of the sparingly water-soluble drug, nilvadipine |
| US5707646A (en) | 1992-03-12 | 1998-01-13 | Taisho Pharmaceutical Co., Ltd. | Taste masking pharmaceutical composition |
| US5939099A (en) | 1995-02-14 | 1999-08-17 | Basf Aktiengesellschaft | Solid active extrusion compound preparations containing low-substituted hydroxypropylcellulose |
| US6174884B1 (en) | 1997-03-11 | 2001-01-16 | Bayer Aktiengesellschaft | 1,5-dihydro-pyrazolo[34-D]-pyrimidinone derivatives |
| EP0901786A2 (en) | 1997-08-11 | 1999-03-17 | Pfizer Products Inc. | Solid pharmaceutical dispersions with enhanced bioavailability |
| US6235742B1 (en) | 1997-10-24 | 2001-05-22 | Pfizer Inc. | 5-substituted pyrazolo[4,3-D]pyrimidin-7-ones |
| WO2001040231A1 (en) | 1999-12-06 | 2001-06-07 | Bristol-Myers Squibb Company | Heterocyclic dihydropyrimidines as potassium channel inhibitors |
| WO2002020521A1 (en) | 2000-09-11 | 2002-03-14 | Merck Patent Gmbh | Use of indole derivatives for treating illnesses of the central nervous system |
| US6818658B2 (en) | 2001-02-28 | 2004-11-16 | Merck & Co., Inc. | Acylated piperidine derivatives as melanocortin-4 receptor agonists |
| US20030195205A1 (en) | 2001-11-02 | 2003-10-16 | Pfizer Inc. | PDE9 inhibitors for treating cardiovascular disorders |
| WO2003072197A1 (en) | 2002-02-27 | 2003-09-04 | Pfizer Products Inc. | Acc inhibitors |
| US20060106035A1 (en) | 2002-08-23 | 2006-05-18 | Martin Hendrix | Phenyl-substituted pyrazolopyrimidines |
| US20060111372A1 (en) | 2002-08-23 | 2006-05-25 | Bayer Healthcare Ag | Alkyl-substituted pyrazolopyrimidines |
| US20040220186A1 (en) | 2003-04-30 | 2004-11-04 | Pfizer Inc. | PDE9 inhibitors for treating type 2 diabetes,metabolic syndrome, and cardiovascular disease |
| WO2005049616A1 (en) | 2003-11-24 | 2005-06-02 | Pfizer Limited | 5,7-DIAMINOPYRAZOLO [4,3-d] PYRIMIDINES WITH PDE-5 INHIBITING ACTIVITY |
| WO2005116014A1 (en) | 2004-05-12 | 2005-12-08 | Pfizer Products Inc. | Proline derivatives and their use as dipeptidyl peptidase iv inhibitors |
| US20050267100A1 (en) | 2004-05-25 | 2005-12-01 | Pfizer Inc | Tetraazabenzo[e]azulene derivatives and analogs thereof |
| WO2005116034A1 (en) | 2004-05-25 | 2005-12-08 | Pfizer Products Inc. | Tetraazabenzo[e]azulene derivatives and analogs thereof |
| US20060178501A1 (en) | 2005-02-04 | 2006-08-10 | Pfizer Inc | PYY agonists and use thereof |
| WO2006120552A2 (en) | 2005-05-12 | 2006-11-16 | Pfizer Inc. | ANHYDROUS CRYSTALLINE FORMS OF N-[1-(2-ETHOXYETHYL)-5-(N-ETHYL-N-METHYLAMINO)-7-(4-METHYLPYRIDIN-2-yl-AMINO)-1H-PYRAZOLO[4,3-d]PYRIMIDINE-3-CARBONYL]METHANESULFONAMIDE |
| WO2006126081A2 (en) | 2005-05-24 | 2006-11-30 | Pharmacia & Upjohn Company Llc | Pyridino [2 , 3-b] pyrazinones as pde-5 inhibitors |
| WO2006126083A1 (en) | 2005-05-24 | 2006-11-30 | Pharmacia & Upjohn Company Llc | Pyridine [3 , 4-b] pyrazinone compounds as pde-5 inhibitors |
| WO2006126082A2 (en) | 2005-05-24 | 2006-11-30 | Pharmacia & Upjohn Company Llc | Pyridine [3,4-b] pyrazinones as pde-5 inhibitors |
| WO2007122482A1 (en) | 2006-04-20 | 2007-11-01 | Pfizer Products Inc. | Fused phenyl amido heterocyclic compounds for the prevention and treatment of glucokinase-mediated diseases |
| WO2007122466A1 (en) | 2006-04-21 | 2007-11-01 | Pfizer Products Inc. | Pyridine[3,4-b]pyrazinones |
| WO2008065508A1 (en) | 2006-11-29 | 2008-06-05 | Pfizer Products Inc. | Spiroketone acetyl-coa carboxylase inhibitors |
| WO2009016462A2 (en) | 2007-08-02 | 2009-02-05 | Pfizer Products Inc. | Substituted bicyclolactam compounds |
| WO2009144554A1 (en) | 2008-05-28 | 2009-12-03 | Pfizer, Inc. | Pyrazolospiroketone acetyl-c0a carboxylase inhibitors |
| WO2009144555A1 (en) | 2008-05-28 | 2009-12-03 | Pfizer Inc. | Pyrazolospiroketone acetyl-coa carboxylase inhibitors |
| WO2010013161A1 (en) | 2008-07-29 | 2010-02-04 | Pfizer Inc. | Fluorinated heteroaryls |
| WO2010023594A1 (en) | 2008-08-28 | 2010-03-04 | Pfizer Inc. | Dioxa-bicyclo[3.2.1.]octane-2,3,4-triol derivatives |
| WO2010086820A1 (en) | 2009-02-02 | 2010-08-05 | Pfizer Inc. | 4-amino-5-oxo-7, 8-dihydropyrimido [5,4-f] [1,4] oxazepin-6 (5h) -yl) phenyl derivatives, pharmaceutical compositions and uses thereof |
| WO2010103438A1 (en) | 2009-03-11 | 2010-09-16 | Pfizer Inc. | Substituted indazole amides and their use as glucokinase activators |
| WO2010103437A1 (en) | 2009-03-11 | 2010-09-16 | Pfizer Inc. | Benzofuranyl derivatives used as glucokinase inhibitors |
| WO2010106457A2 (en) | 2009-03-20 | 2010-09-23 | Pfizer Inc. | 3-oxa-7-azabicyclo[3.3.1]nonanes |
| WO2010128414A1 (en) | 2009-05-08 | 2010-11-11 | Pfizer Inc. | Gpr 119 modulators |
| WO2010128425A1 (en) | 2009-05-08 | 2010-11-11 | Pfizer Inc. | Gpr 119 modulators |
| WO2010140092A1 (en) | 2009-06-05 | 2010-12-09 | Pfizer Inc. | L- ( piperidin-4-yl) -pyrazole derivatives as gpr 119 modulators |
| WO2011005611A1 (en) | 2009-07-09 | 2011-01-13 | Merck Sharp & Dohme Corp. | Neuromedin u receptor agonists and uses thereof |
| US11806208B2 (en) | 2014-03-21 | 2023-11-07 | Align Technology, Inc. | Orthodontic appliances with shell segments and elastic segments |
| WO2016203347A1 (en) * | 2015-06-17 | 2016-12-22 | Pfizer Inc. | Tricyclic compounds and their use as phosphodiesterase inhibitors |
Non-Patent Citations (30)
| Title |
|---|
| "Bioreversible Carriers in Drug Design", 1987, PERGAMON PRESS |
| "COMPENDIUM OF ORGANIC SYNTHETIC METHODS", vol. I-XII, WILEY-INTERSCIENCE |
| "Handbook of Pharmaceutical Excipients", 1999, AMERICAN PHARMACEUTICAL ASSOCIATION |
| "Pharmaceutical Dosage Forms", 1980, MARCEL DECKER |
| C. A. DINARELLOA. SIMONJ. W. M. VAN DER MEER: "Treating inflammation by blocking interleukin-1 in a broad spectrum of diseases", NAT. REV. DRUG. DISCOV., vol. 11, 2012, pages 633 - 652, Retrieved from the Internet <URL:http://dx.doi.org/10.1038/nrd3800> |
| CARPINO, P.A.GOODWIN, B., EXPERT OPIN. THER. PAT, vol. 20, 2010, pages 1627 - 1651 |
| DEMONG, D.E. ET AL., ANNUAL REPORTS IN MEDICINAL CHEMISTRY, vol. 43, 2008, pages 119 - 137 |
| DENINNO, M.: "Future Directions in Phosphodiesterase Drug Discovery", BIOORGANIC AND MEDICINAL CHEMISTRY LETTERS, vol. 22, 2012, pages 6794 - 6800 |
| DONNELL, A. F. ET AL.: "Identification of pyridazino[4,5-6]indolizines as selective PDE4B inhibitors", BIOORGANIC & MEDICINAL CHEMISTRY LETTERS, vol. 20, 2010, pages 2163 - 7, XP026971036 |
| E.C. CHAO ET AL., NATURE REVIEWS DRUG DISCOVERY, vol. 9, July 2010 (2010-07-01), pages 551 - 559 |
| FINNINMORGAN, J. PHARM. SCI., vol. 88, no. 10, 1999, pages 955 - 958 |
| H. BUNDGAARD: "Design of Prodrugs", 1985, ELSEVIER |
| HOOVER, JOHN E.: "Remington's Pharmaceutical Sciences", 1975, MACK PUBLISHING CO. |
| JONES, R.M. ET AL., MEDICINAL CHEMISTRY, vol. 44, 2009, pages 149 - 170 |
| KHARITONENKOV, A. ET AL., CURRENT OPINION IN INVESTIGATIONAL DRUGS, vol. 10, 2009, pages 359 - 364 |
| KIM, D. H. ET AL.: "Type 4 Cyclic Adenosine Monophosphate Phosphodiesterase as a Therapeutic Target in Chronic Lymphocytic Leulemia", BLOOD JOURNAL OF THE AMERICAN SOCIETY OF HEMATOLOGY, vol. 92, 1998, pages 2484 - 2494, XP009137759 |
| LI, H. ET AL.: "Phosphodiesterase-4 Inhibitors for the Treatment of Inflammatory Diseases", FRONT. PHARMACOL., vol. 9, 2018, pages 1048, XP055862078, DOI: 10.3389/fphar.2018.01048 |
| NAGANUMA, K. ET AL.: "Discovery of selective PDE4B inhibitors", BIOORGANIC AND MEDICINAL CHEMISTRY LETTERS, vol. 19, 2009, pages 3174 - 6, XP026138493, DOI: 10.1016/j.bmcl.2009.04.121 |
| PATAN, E. ET AL.: "Efficacy and safety of apremilast, an oral phosphodiesterase 4 inhibitor, in ankylosing spondylitis", ANN. RHEUM. DIS., 14 September 2012 (2012-09-14) |
| RICHELDI, L. ET AL.: "Trial of a Preferential Phosphodiesterase 4B Inhibitor for Idiopathic Pulmonary Fibrosis", N ENGLJ MED, vol. 386, 2022, pages 2178 - 2187, XP093048263, DOI: 10.1056/NEJMoa2201737 |
| RICHELDI, L. ET AL.: "Trial of a Preferential Phosphodiesterase 4B Inhibitor for Idiopathic Pulmonary Fibrosis", N. ENGL. J. MED., vol. 386, 2022, pages 2178 - 2187, XP093048263, DOI: 10.1056/NEJMoa2201737 |
| ROBICHAUD, A. ET AL.: "Deletion of Phosphodiesterase 4D in Mice Shortens a2-Adrenoreceptor-Mediated Anesthesia, A Behavioral Correlate of Emesis", JOURNAL OF CLINICAL INVESTIGATION, vol. 110, 2002, pages 1045 - 1052 |
| SCHAFER, P.: "Apremilast mechanism of action and application to psoriasis and psoriatic arthritis", BIOCHEM. PHARMACOL., vol. 83, 2012, pages 1583 - 1590, XP055030302, DOI: 10.1016/j.bcp.2012.01.001 |
| SCHETT, G. ET AL.: "Apremilast: A novel PDE4 Inhibitor in the Treatment of Autoimmune and Inflammatory Diseases", THER. ADV. MUSCULOSKELETAL DIS., vol. 2, 2010, pages 271 - 278 |
| T. HIGUCHIW. STELLA: "ACS Symposium Series", vol. 14, article "Pro-drugs as Novel Delivery Systems" |
| T. W. GREENEP. G. M. WUTS: "Protective Groups in Organic Chemistry", 2007, JOHN WILEY & SONS |
| VOLLERT, S. ET AL.: "The glucose-lowering effects of the PDE4 inhibitors roflumilast and roflumilast-N-Oxide in db/db mice", DIABETOLOGIA, vol. 55, 2012, pages 2779 - 2788, XP035107781, DOI: 10.1007/s00125-012-2632-z |
| WOUTERS, E. F. M. ET AL.: "Effect of the Phosphodiesterase 4 Inhibitor Roflumilast on Glucose Metabolism in Patients with Treatment-Naive, Newly Diagnosed Type 2 Diabetes Mellitus", JOURNAL OF CLINICAL ENDOCRINOLOGY AND METABOLISM, vol. 97, 2012, pages 1720 - 1725 |
| ZHANG, S. ET AL., DRUG DISCOVERY TODAY, vol. 72, no. 221231-10-3, 2007, pages 373 - 381 |
| ZHONG, M., CURRENT TOPICS IN MEDICINAL CHEMISTRY, vol. 10, 2010, pages 386 - 396 |
Similar Documents
| Publication | Publication Date | Title |
|---|---|---|
| CN107406454B (en) | Optimized combinations and their use in the treatment of cancer and autoimmune diseases | |
| US12049465B2 (en) | Tricyclic compounds and their use as phosphodiesterase inhibitors | |
| US10604504B2 (en) | Indole carboxamide compounds | |
| US20180230127A1 (en) | Bicyclic-Fused Heteroaryl Or Aryl Compounds | |
| JP2022511112A (en) | Diazanaphthalene and quinoline derivatives as ALK5 inhibitors | |
| CN119212995A (en) | Indazole macrocycles for the treatment of autoimmune diseases | |
| WO2024118524A1 (en) | Azaindole compounds and their use as phosphodiesterase inhibitors | |
| HK40045028B (en) | Tricyclic compounds and their use as phosphodiesterase inhibitors | |
| HK40045028A (en) | Tricyclic compounds and their use as phosphodiesterase inhibitors | |
| HK1254661B (en) | Tricyclic compounds and their use as phosphodiesterase inhibitors | |
| OA18469A (en) | Tricyclic compounds and their use as phosphodiesterase inhibitors | |
| HK1245790B (en) | Tricyclic compounds and their use as phosphodiesterase inhibitors |
Legal Events
| Date | Code | Title | Description |
|---|---|---|---|
| 121 | Ep: the epo has been informed by wipo that ep was designated in this application |
Ref document number: 23833275 Country of ref document: EP Kind code of ref document: A1 |
|
| NENP | Non-entry into the national phase |
Ref country code: DE |
|
| 122 | Ep: pct application non-entry in european phase |
Ref document number: 23833275 Country of ref document: EP Kind code of ref document: A1 |































































































