WO1998008849A1 - Method for producing epothilones, and intermediate products obtained during the production process - Google Patents
Method for producing epothilones, and intermediate products obtained during the production process Download PDFInfo
- Publication number
- WO1998008849A1 WO1998008849A1 PCT/DE1997/000111 DE9700111W WO9808849A1 WO 1998008849 A1 WO1998008849 A1 WO 1998008849A1 DE 9700111 W DE9700111 W DE 9700111W WO 9808849 A1 WO9808849 A1 WO 9808849A1
- Authority
- WO
- WIPO (PCT)
- Prior art keywords
- mmol
- solution
- methyl
- hydrogen
- mixture
- Prior art date
- Legal status (The legal status is an assumption and is not a legal conclusion. Google has not performed a legal analysis and makes no representation as to the accuracy of the status listed.)
- Ceased
Links
- 0 C*=Cc1c[s]c(C)n1 Chemical compound C*=Cc1c[s]c(C)n1 0.000 description 1
Classifications
-
- C—CHEMISTRY; METALLURGY
- C07—ORGANIC CHEMISTRY
- C07D—HETEROCYCLIC COMPOUNDS
- C07D493/00—Heterocyclic compounds containing oxygen atoms as the only ring hetero atoms in the condensed system
- C07D493/02—Heterocyclic compounds containing oxygen atoms as the only ring hetero atoms in the condensed system in which the condensed system contains two hetero rings
- C07D493/04—Ortho-condensed systems
-
- A—HUMAN NECESSITIES
- A61—MEDICAL OR VETERINARY SCIENCE; HYGIENE
- A61P—SPECIFIC THERAPEUTIC ACTIVITY OF CHEMICAL COMPOUNDS OR MEDICINAL PREPARATIONS
- A61P35/00—Antineoplastic agents
-
- C—CHEMISTRY; METALLURGY
- C07—ORGANIC CHEMISTRY
- C07D—HETEROCYCLIC COMPOUNDS
- C07D277/00—Heterocyclic compounds containing 1,3-thiazole or hydrogenated 1,3-thiazole rings
- C07D277/02—Heterocyclic compounds containing 1,3-thiazole or hydrogenated 1,3-thiazole rings not condensed with other rings
- C07D277/20—Heterocyclic compounds containing 1,3-thiazole or hydrogenated 1,3-thiazole rings not condensed with other rings having two or three double bonds between ring members or between ring members and non-ring members
- C07D277/22—Heterocyclic compounds containing 1,3-thiazole or hydrogenated 1,3-thiazole rings not condensed with other rings having two or three double bonds between ring members or between ring members and non-ring members with only hydrogen atoms, hydrocarbon or substituted hydrocarbon radicals, directly attached to ring carbon atoms
- C07D277/24—Radicals substituted by oxygen atoms
-
- C—CHEMISTRY; METALLURGY
- C07—ORGANIC CHEMISTRY
- C07D—HETEROCYCLIC COMPOUNDS
- C07D319/00—Heterocyclic compounds containing six-membered rings having two oxygen atoms as the only ring hetero atoms
- C07D319/04—1,3-Dioxanes; Hydrogenated 1,3-dioxanes
- C07D319/06—1,3-Dioxanes; Hydrogenated 1,3-dioxanes not condensed with other rings
-
- C—CHEMISTRY; METALLURGY
- C07—ORGANIC CHEMISTRY
- C07F—ACYCLIC, CARBOCYCLIC OR HETEROCYCLIC COMPOUNDS CONTAINING ELEMENTS OTHER THAN CARBON, HYDROGEN, HALOGEN, OXYGEN, NITROGEN, SULFUR, SELENIUM OR TELLURIUM
- C07F7/00—Compounds containing elements of Groups 4 or 14 of the Periodic Table
- C07F7/02—Silicon compounds
- C07F7/08—Compounds having one or more C—Si linkages
- C07F7/18—Compounds having one or more C—Si linkages as well as one or more C—O—Si linkages
- C07F7/1804—Compounds having Si-O-C linkages
-
- Y—GENERAL TAGGING OF NEW TECHNOLOGICAL DEVELOPMENTS; GENERAL TAGGING OF CROSS-SECTIONAL TECHNOLOGIES SPANNING OVER SEVERAL SECTIONS OF THE IPC; TECHNICAL SUBJECTS COVERED BY FORMER USPC CROSS-REFERENCE ART COLLECTIONS [XRACs] AND DIGESTS
- Y02—TECHNOLOGIES OR APPLICATIONS FOR MITIGATION OR ADAPTATION AGAINST CLIMATE CHANGE
- Y02P—CLIMATE CHANGE MITIGATION TECHNOLOGIES IN THE PRODUCTION OR PROCESSING OF GOODS
- Y02P20/00—Technologies relating to chemical industry
- Y02P20/50—Improvements relating to the production of bulk chemicals
- Y02P20/55—Design of synthesis routes, e.g. reducing the use of auxiliary or protecting groups
Definitions
- the invention relates to processes for the production of epothilones and intermediates within the process.
- Epothilone 1 (DE 41 38 042 C2) represent a new class of tubulin-stabilizing natural products with T.axol-like activity. Their cytotoxic activity against drug-resistant tumor cell lines is of enormous importance for potential use in cancer therapy [G. Höfle , N. Bedorf, H. Steinmetz, D. Schomburg, K. Gerth, H. Reichenbach Angew. Chem. 1996, 108, 1671; Appl. Chem. Int. Ed. Engl. 1996, 35, 1567; D. Schinzer "Epothiiones - New Promising Microtubule-stabilizing Natural Products with Taxol-like Biological Activity", Eur. Chem. Chron. 1996, 1, 7; D.M.
- Epothilones 1 are accessible in a convergent reaction from the three building blocks 2, 3 and 4.
- building blocks 2 and 3 are linked in a stereoselective aldol reaction.
- Esterification with fragment 4 provides the almost fully functionalized fragment 17, which is in A cyclization metathesis to deoxy-epothilone A 19 is cyclized.
- a final epoxidation finally provides 1
- the key step in the synthesis is the stereoselective aldol reaction of fragments 2 and 3 (obtainable from the commercially available heptenic acid).
- 70 is obtained % Yield exclusively the desired compound 5 with the four correctly placed asymmetry centers.
- Double stereodifferentiation obviously leads to a chiral override of the preferred Cra selectivity of the aldehyde 3, since both reactants are optically active Form are used
- ERSATZBI_ATT (RULE 26) The invention thus relates to a process for the preparation of epitholone A or B of the general formula 1
- R hydrogen (A) or a methyl group (B), a thiazole alkyl die ⁇ alcohol derivative of the formula 4th
- B benzyl, tetrahydropyranyl and / or a silyl protecting group (s) and
- R hydrogen or methyl, is esterified, the ester obtained is ring-closed by means of an open metathesis in the presence of a noble metal catalyst, optionally the hydroxyl protective groups
- REPLACEMENT BI ATT (RULE 26) are cleaved, the newly formed double bond is epoxidized and, if necessary, the hydroxyl protective groups are cleaved.
- Suitable as silyl protective groups B are generally all different trialkyl or diaryl-alkyl silyl protective groups, in particular the tert-butyl-diethyl, trimethylsilyl and diphenyl-tert-butyl-silyl groups.
- the epoxidation of the newly formed double bond is preferably carried out using peracid, e.g. B. perchloric acid, or peroxide, e.g. B. cumene hydroperoxide or dimethyldioxirane.
- peracid e.g. B. perchloric acid
- peroxide e.g. B. cumene hydroperoxide or dimethyldioxirane.
- the invention further includes deoxy-epothilones according to general formula 19a
- B benzyl, tetrahydropyranyl and / or a silyl protective group ( ⁇ ) and
- R hydrogen or methyl, and the meaning of B in the molecule can be different, and compounds of the general formula 4a
- the (S) alcohol 10 [D. Schinzer, A. Limberg, OM Böhm, Chem. Eur. J. 1996, 2, 1477] was first silylated with TBSCI, then ozonized to methyl ketone 12 and converted to the tricyclic olefin 13 in a stereoselective Horner-Wadsworth-Emmons reaction ⁇ A selective desilylation with HF in acetonitrile gives compound 14. The desilylation to 14 only works in the presence of some glass splinters; the reaction is apparently catalyzed by H2SiF6. Dess-Martin oxidation followed by a Wittig
- ERSATZB.LATT (RULE 26) Olefination generates compound 16, which in a final desilylation with TBAF in THF segment 4 yields.
- the 3 - [(terf-butyldimethylsilyl) oxy] propanal 42 is prepared starting from propane-1,3-diol 40 by first using a method of P.G. McDougal, J.G. Rico, Y. Oh, B.D. Condon, J. Org. Chem. 1986, 51, 3388-3390, is monosilylated to 3 - [(tert-butyldimethylsilyl) oxy] -1-propanol 41, which is then oxidized with DMSO / oxalyichloride to form aldehyde 42 (A. Jenmalm , W. Berts, Y. Li, K. Luthmann, I. Csöregh, U. hacksell, J. Org. Chem. 1994, 59, 1139-1148).
- the THF is then pumped off at RT (14 mm Hg / 1 h), (0.5 mm / 2 h) and the residue is dissolved in 10.5 ml of diethyl ether.
- the solution is cooled to -78 ° C. and 1,382 g (7.34 mmol, 1 equiv) aldehyde 42 are added dropwise.
- the mixture is stirred for 12 h at -78 ° C. and then allowed to warm to RT.
- the reaction mixture is mixed with 10.7 ml of 3N NaOH solution, then with 4.4 ml of 30% H2O2 solution and heated under reflux for 2 h.
- the organic phase is separated off, saturated with 15 ml of H2O and 15 ml.
- Diastereomer 1 30.04 (q), 25.73 (t), 24.64 (t), 20.03 (q), 19.25 (q), 15.99 (q), 11.67
- Diastereomer 2 30.02 (q), 25.41 (t), 25.08 (t), 20.85 (q), 20.30 (q), 18.90 (q), 11.95
- the sodium 6-hydroxyhexanoate is produced according to a regulation by Wulff, Krüger and Röhle Chem. Ber. 1971, 704, 1387-1399 made from ⁇ -caprolactone.
- reaction solution is then reduced to a quarter in vacuo. It is diluted with 130 ml of sat. NaCI solution and adjust to pH 4-5 with 1 M KHS04 solution. It is extracted with diethyl ether. The combined organic phases are dried over MgSO4 and the solvent is distilled off on a rotary evaporator. This gives 2.01 g (8.17 mmol) of 6 - [(terr-rutvlriimethvlsilvhoxvl-hexanoic acid, corresponding to a yield of 90%.
- 2H26 ⁇ 3Si, FG 246.42 g / mol
- aqueous phase is extracted with ether, the combined organic phases are dried over MgSO 4 and the solvent is distilled off on a rotary evaporator.
- Connection 22a is established analogously. From 2.03 g (8.0 mmol) 21a, 1.56 g (5.84 mmol, 73%) are obtained.
- Connection 23a is established analogously. From 748 mg (2.80 mmol) 22a. you get
- Connection 3a is established analogously. 199 mg (1.42 mmol, 71%) 3a are obtained from 284 mg (2.00 mmol) 23a.
- Ozone in 02 is passed at -78 ° C through a solution of 1, 610 g (4.67 mmol) H in 200 ml absolute dichloromethane (dry ice / acetone cooling bath). If starting compound H can no longer be detected by thin layer chromatography, 3.89 g (14.83 mmol) of triphenylphosphine are added and the cooling bath is removed. The reaction mixture is allowed to slowly come to room temperature and the solvent is distilled off in vacuo. Flash chromatography of the residue through a silica gel column with pentane / Et2 ⁇ (50: 1) gives 1.135 g (3.27 mmol, 70%) 12.
- ERSATZB.LATT Diethyl (2-methylthiazol-4-yl) methane phosphonate
- ERSATZB.LATT (RULE 26) (S, 4 ⁇ -4- [3- (fert-Butyldimethylsiiyloxy) -2-methyl-hexa-1,5-dienyl] -2-methyl-thiazole 16
- B stands for benzyl, p-methoxybenzyl, tetrahydropyranyl or a silyl protective group; e.g. trialkyl or diaryl alkyl silyl protective groups, in particular tert.-butyl-dimethyl, trimethylsilyl and diphenyl-tert.-butyl- silyl groups
- Connection 5a is made analogously. From 238 mg (1.70 mmol) 3a, 386 mg (1.09 mmol, 64%) 5a are obtained.
- Connection 6a is established analogously. 96 mg (0.270 mmol) 5a gives 77 mg (0.246 mmol, 91%) ⁇ a.
- Pentane: diethyl ether 30: 1 purified. 462 mg (0.719 mmol, 96%) of the trisilylated product 7 are obtained as a colorless oil.
- Connection 7a is established analogously. From 204 mg (0.650 mmol) 6a 423 mg (0.644 mmol, 99%) are obtained.
- Connection 8a is established analogously. From 152 mg (0.232 mmol) 7a, 101 mg (0.186 mmol, 80%) 8a are obtained.
- REPLACEMENT BI ATT (RULE 26)
- General data: C29H58 ⁇ sSi2, FG 542.94 g / mol, compound 2a is prepared analogously. From 320 mg (0.590 mmol) ⁇ a one obtains 273 mg (0.490 mmol, 83%) Sa
- ERSATZB.LATT (RULE 26) (4S, 7H, 8S, 9S, 16S, 13Z) -4,8-di-fert-butyldim ⁇ thylsilyloxy-5 ⁇ 5,7,9-t ⁇ tra-methyl-16- [(£) -1-methyl-2- ( 2-methylthiazol-4-yl) vinyl] -1-oxa-cyclohexadec-13-ene-2,6-dione 18 and
- the invention also relates to stereoisomers of the compounds according to the claims, as are usually obtained during synthesis.
Landscapes
- Chemical & Material Sciences (AREA)
- Organic Chemistry (AREA)
- Health & Medical Sciences (AREA)
- Chemical Kinetics & Catalysis (AREA)
- General Chemical & Material Sciences (AREA)
- Medicinal Chemistry (AREA)
- Nuclear Medicine, Radiotherapy & Molecular Imaging (AREA)
- Pharmacology & Pharmacy (AREA)
- Life Sciences & Earth Sciences (AREA)
- Animal Behavior & Ethology (AREA)
- General Health & Medical Sciences (AREA)
- Public Health (AREA)
- Veterinary Medicine (AREA)
- Thiazole And Isothizaole Compounds (AREA)
- Heterocyclic Carbon Compounds Containing A Hetero Ring Having Oxygen Or Sulfur (AREA)
- Organic Low-Molecular-Weight Compounds And Preparation Thereof (AREA)
Abstract
Description
Verfahren zur Herstellung von Epothilonen und Zwischenprodukte innerhalb des Verfahrens Process for the production of epothilones and intermediates within the process
Die Erfindung betrifft Verfahren zur Herstellung von Epothilonen und Zwischenprodukte innerhalb des Verfahrens.The invention relates to processes for the production of epothilones and intermediates within the process.
Epothilone 1 (DE 41 38 042 C2) stellen eine neue Klasse Tubulin-stabilisierender Naturstoffe mit T.axol-artiger Wirkung dar. Besonders ihre cytotoxische Wirkung gegenüber Arzneimittel-resistenten Tumorzellinien ist von enormer Bedeutung für eine potentielle Anwendung in der Krebstherapie [ G. Höfle, N. Bedorf, H. Steinmetz, D. Schomburg, K. Gerth, H. Reichenbach Angew. Chem. 1996, 108, 1671 ; Angew. Chem. Int. Ed. Engl. 1996, 35, 1567; D. Schinzer "Epothiiones - New Promising Microtubule-stabilizing Natural Products with Taxol-like Biological Activity" , Eur. Chem. Chron. 1996, 1, 7; D. M. Bollag, P. A. McQueney, J. Zhu, O. Heπsens, L. Koupal, J. Liesch, M. Goetz, E. Lazarides, C. M. Woods, Cancer Res. 1995, 55, 2325].Epothilone 1 (DE 41 38 042 C2) represent a new class of tubulin-stabilizing natural products with T.axol-like activity. Their cytotoxic activity against drug-resistant tumor cell lines is of enormous importance for potential use in cancer therapy [G. Höfle , N. Bedorf, H. Steinmetz, D. Schomburg, K. Gerth, H. Reichenbach Angew. Chem. 1996, 108, 1671; Appl. Chem. Int. Ed. Engl. 1996, 35, 1567; D. Schinzer "Epothiiones - New Promising Microtubule-stabilizing Natural Products with Taxol-like Biological Activity", Eur. Chem. Chron. 1996, 1, 7; D.M. Bollag, P.A. McQueney, J. Zhu, O. Heπsens, L. Koupal, J. Liesch, M. Goetz, E. Lazarides, C.M. Woods, Cancer Res. 1995, 55, 2325].
Epothilone 1 (A: R = H, B: R = Me) wurden kürzlich aus Myxobakterien isoliert und sind über Fermentation zugänglich. Bedingt durch die sehr interessanten biologischen Eigenschaften ist die Synthese der Epothilone von größter Bedeutung. Gegenstand der Erfindung ist die Totalsynthese von Epothilon A und B 1.Epothilones 1 (A: R = H, B: R = Me) have recently been isolated from myxobacteria and are accessible via fermentation. Due to the very interesting biological properties, the synthesis of the epothilones is of the greatest importance. The invention relates to the total synthesis of epothilones A and B1.
ERSATZB.LATT (REGEL 26) ERSATZB.LATT (RULE 26)
Schema 1 Retrosynthetische Analyse,Scheme 1 Retrosynthetic analysis,
[D. Schinzer, A ümberg O M Böhm, Chem. Eur J 1996, 2, 1477][D. Schinzer, A ümberg O M Böhm, Chem. Eur J 1996, 2, 1477]
Epothilone 1 sind in konvergenter Reaktionsfuhruπg aus den drei Bausteinen 2, 3 und 4 zuganglich Wie die Retrosynthese in Schema 1 zeigt, werden die Bausteine 2 und 3 in einer stereoselektiven Aldolreaktion verknüpft Eine Veresterung mit Fragment 4 liefert das fast vollständig funktionalisierte Fragment 17, welches in einer Ringschlußmetathese zu Deoxy-epothilon A 19 cyclisiert wird Eine abschließende Epoxydierung liefert schließlich 1 Der Schlusselschπtt in der Synthese ist die stereoselektive Aldolreaktion der Fragmente 2 und 3 (zugänglich aus der kommerziell erhältlichen Heptensaure) Unter kinetisch kontrollierten Reaktionsbedingungeπ in Gegenwart von LDA erhalt man in 70% Ausbeute ausschließlich die gewünschte Verbindung 5 mit den vier korrekt plazierten Asymmetriezentren Es kommt hier offensichtlich durch eine doppelte Stereodifferenzierung zu einer chiralen Übersteuerung der bevorzugten Cra - Selektivität des Aldehyds 3, da beide Reaktionspartner in optisch aktiver Form eingesetzt werdenEpothilones 1 are accessible in a convergent reaction from the three building blocks 2, 3 and 4. As the retrosynthesis in Scheme 1 shows, building blocks 2 and 3 are linked in a stereoselective aldol reaction. Esterification with fragment 4 provides the almost fully functionalized fragment 17, which is in A cyclization metathesis to deoxy-epothilone A 19 is cyclized. A final epoxidation finally provides 1 The key step in the synthesis is the stereoselective aldol reaction of fragments 2 and 3 (obtainable from the commercially available heptenic acid). Under kinetically controlled reaction conditions in the presence of LDA, 70 is obtained % Yield exclusively the desired compound 5 with the four correctly placed asymmetry centers. Double stereodifferentiation obviously leads to a chiral override of the preferred Cra selectivity of the aldehyde 3, since both reactants are optically active Form are used
ERSATZBI_ATT (REGEL 26) Die Erfindung betrifft also ein Verfahren zur Herstellung von Epitholon A oder B der allgemeinen Formel 1ERSATZBI_ATT (RULE 26) The invention thus relates to a process for the preparation of epitholone A or B of the general formula 1
worin R= Wasserstoff (A) oder eine Methylgruppe (B) bedeuten, wobei ein Thiazolalkyldieπ-alkohol-derivat der Formel 4wherein R = hydrogen (A) or a methyl group (B), a thiazole alkyl dieπ alcohol derivative of the formula 4th
OHOH
mit einer Carbonsäure der allgemeinen Formel 9awith a carboxylic acid of the general formula 9a
worin B= Benzyl-, Tetrahydropyranyl- und/oder eine Silylschutzgruppe(n) undwhere B = benzyl, tetrahydropyranyl and / or a silyl protecting group (s) and
R= Wasserstoff oder Methyl bedeuten, verestert wird, der erhaltene Ester mittels einer Oiefinmetathese in Gegenwart eines Edelmetallkatalysators ringgeschlossen, gegebenenfalls die HydroxylschutzgruppenR = hydrogen or methyl, is esterified, the ester obtained is ring-closed by means of an open metathesis in the presence of a noble metal catalyst, optionally the hydroxyl protective groups
ERSATZBI-ATT (REGEL 26) gespalten werden, die neu entstandene Doppelbindung epoxidiert wird und gegebenenfalls die Hydroxylschutzgruppen gespalten werden.REPLACEMENT BI ATT (RULE 26) are cleaved, the newly formed double bond is epoxidized and, if necessary, the hydroxyl protective groups are cleaved.
Als Silylschutzgruppen B eignen sich in der Regel alle unterschiedlichen Trialkyl- oder Diaryl-alkyl-silylschutzgruppen, insbesondere die tert.-Butyl-di ethyl-, Trimethylsilyl- und Diphenyl-tert.-butyl-silylgruppen.Suitable as silyl protective groups B are generally all different trialkyl or diaryl-alkyl silyl protective groups, in particular the tert-butyl-diethyl, trimethylsilyl and diphenyl-tert-butyl-silyl groups.
Die Dervate 4a und 9a werden verestert, vorzugsweise durch Anwendung von DCCI/DMAP und der so erhaltene Ester mit den zwei endständigen Alkengruppen wird durch Oiefinmetathese, vorzugsweise durch Anwendung von RuCI2(=CHPh)(PCy3)2 (Grubbs-Katalysator) ringgeschlossen (J. Org. Chem. 1996, 61 , 3942 - 3943; Tetrahedron 1996, 52, 7251 - 7264; J. Am. Chem. Soc.,1995, 117, 12364 - 12365; J. Am. Chem. Soc.,1995, 117, 2943 - 2944 und Tetrahedron Lett.; 1994, 35, 3191 - 3194, J. Am. Chem. Soc.,1996, 118, 6634 - 6640 und J. Am. Chem. Soc.,1995, 118, 100 - 110.The derivatives 4a and 9a are esterified, preferably by using DCCI / DMAP, and the ester thus obtained with the two terminal alkene groups is ring-closed by opening metathesis, preferably by using RuCI 2 (= CHPh) (PCy 3 ) 2 (Grubbs catalyst) (J. Org. Chem. 1996, 61, 3942 - 3943; Tetrahedron 1996, 52, 7251 - 7264; J. Am. Chem. Soc., 1995, 117, 12364 - 12365; J. Am. Chem. Soc., 1995, 117, 2943 - 2944 and Tetrahedron Lett .; 1994, 35, 3191 - 3194, J. Am. Chem. Soc., 1996, 118, 6634 - 6640 and J. Am. Chem. Soc., 1995, 118, 100-110.
Die Epoxidierung der neu entstandenen Doppelbindung erfolgt vorzugsweise mittels Persäure, z. B. Perchlorsäuresäure, oder Peroxid, z. B. Cumolhydroperoxid oder Dimethyldioxiran.The epoxidation of the newly formed double bond is preferably carried out using peracid, e.g. B. perchloric acid, or peroxide, e.g. B. cumene hydroperoxide or dimethyldioxirane.
Weiter beinhaltet die Erfindung Desoxy-epothilone gemäß allgemeiner Formel 19aThe invention further includes deoxy-epothilones according to general formula 19a
worin B= Wasserstoff, Benzyl-, p-Methoxybenzyl-, Tetrahydropyranyl- und/oder eine Silylschutzgruppe(n) und R=Wasserstoff oder Methyl bedeuten, ( 2-(2,2-Dimethyl-[1 ,3]dioxan-4-yl)-2-methyl-pentan-3-on) 2, 2-Methyl-6-heptenal 3 where B = hydrogen, benzyl, p-methoxybenzyl, tetrahydropyranyl and / or a silyl protecting group (s) and R = hydrogen or methyl, (2- (2,2-dimethyl- [1, 3] dioxane-4- yl) -2-methyl-pentan-3-one) 2,2-methyl-6-heptenal 3
HH
und 2,6-Dimethyl-6-heptenai 3a,and 2,6-dimethyl-6-heptenai 3a,
und Verbindungen der allgemeinen Formel 9aand compounds of general formula 9a
worin B= Benzyl-, Tetrahydropyranyl- und/oder eine Silylschutzgruppe(π) undwherein B = benzyl, tetrahydropyranyl and / or a silyl protective group (π) and
R=Wasserstoff oder Methyl, bedeuten, und die Bedeutung von B im Molekül unterschiedlich sein kann, und Verbindungen der allgemeinen Formel 4aR = hydrogen or methyl, and the meaning of B in the molecule can be different, and compounds of the general formula 4a
4a4a
OB worinOB in what
B=Wasserstoff, Benzyl-, p-Methoxybenzyl-, Tetrahydropyranyl- oder eine Silylschutzgruppe bedeutet und (4S,6S)-2-(2,2-dimethyl-[1 ,3] dioxan-4-yl)-5-hydroxy-B = hydrogen, benzyl, p-methoxybenzyl, tetrahydropyranyl or a silyl protecting group and (4S, 6S) -2- (2,2-dimethyl- [1, 3] dioxan-4-yl) -5-hydroxy-
ERSATZBL. ATT (REGEL 26) sowie Stereoisomere der beanspruchten Verbindungen.REPLACEMENT BL. ATT (RULE 26) as well as stereoisomers of the claimed compounds.
8 8th
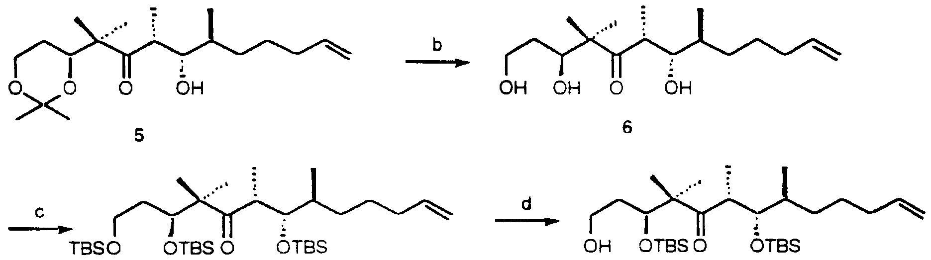
Schema 2. a) LDA, THF, - 78 °C, 70%; b) Pyridinium-p-toluolsulfonat (PPTS), MeOH, RT, 36 h, 88%; c) 12 Äq. /BuMe2SiOTf (Tf = Trifluormethansulfoπat), 6 Äq. 2,6-Lutidin, CH2CI2, - 78 °C, 96%; d) 0.2 Äq. CSA (Camphersulfonsäure), MeOH, CH2CI2, 0 °C, 5 h, 82%; e) 1 Äq. Pyridiniumdichromat (PDC), DMF, RT, 36 h, 79%.Scheme 2. a) LDA, THF, - 78 ° C, 70%; b) pyridinium p-toluenesulfonate (PPTS), MeOH, RT, 36 h, 88%; c) 12 eq. / BuMe2SiOTf (Tf = trifluoromethanesulfonate), 6 eq. 2,6-lutidine, CH 2 Cl 2 - 78 ° C, 96%; d) 0.2 eq. CSA (camphorsulfonic acid), MeOH, CH2Cl2, 0 ° C, 5 h, 82%; e) 1 eq. Pyridinium dichromate (PDC), DMF, RT, 36 h, 79%.
Die Spaltung des Acetonids 5 zum Triol 6 gelingt glatt in Gegenwart von Pyridinium- p-toluolsulfonat (PPTS). Eine sich anschließende Trisilylierung mit TBSOTf und Lutidin als Hilfsbase liefert die gewünschte Verbindung 7. Um die Oxidation zur Säure 9 zu ermöglichen, muß selektiv die primäre Silylgruppe abgespalten werden. Dies gelingt glatt in Gegenwart von Camphersulfonsäure (CSA) und generiert Verbindung 8. Eine abschließende Oxidation mit Pyridiniumdichromat (PDC) produziert Fragment 9, welches die C1 -C12-Untereinheit von 1 darstellt. 10 11 12The cleavage of the acetonide 5 to the triol 6 succeeds smoothly in the presence of pyridinium p-toluenesulfonate (PPTS). Subsequent trisilylation with TBSOTf and lutidine as auxiliary base provides the desired compound 7. In order to enable oxidation to acid 9, the primary silyl group must be selectively removed. This succeeds smoothly in the presence of camphorsulfonic acid (CSA) and generates compound 8. A final oxidation with pyridinium dichromate (PDC) produces fragment 9, which is the C1-C12 subunit of 1. 10 11 12
1515
Schema 3. a) TBSCI, Imidazol, DMF, RT, 10 h, 98%; b) O3, PPh3, CH2CI2, - 78 °C, 70%; c) 1.5 Äq. Diethyl (2-methylthiazol-4-yl)methanphosphonat, πBuLi, THF, - 78 °C -> RT, 75%; d) HF, MeCN, einige Glassplitter, 0 °C, 87%; e) Dess-Martin- Periodinaπ, CH2CI2, RT, 1 h, 78%; f) 1.85 Äq. PPh3MeBr/NaNH2, THF, RT, 20 min., 83%; g) 2.5 Äq. Tetrabuty.ammoniumfluord (TBAF), Molsieb 4 A, THF, - 78 °C -> RT, 99%.Scheme 3. a) TBSCI, imidazole, DMF, RT, 10 h, 98%; b) O3, PPh3, CH2CI2, - 78 ° C, 70%; c) 1.5 eq. Diethyl (2-methylthiazol-4-yl) methane phosphonate, πBuLi, THF, - 78 ° C -> RT, 75%; d) HF, MeCN, some glass fragments, 0 ° C, 87%; e) Dess-Martin Periodinaπ, CH2CI2, RT, 1 h, 78%; f) 1.85 eq. PPh3MeBr / NaNH2, THF, RT, 20 min, 83%; g) 2.5 eq. Tetrabuty.ammonium fluoride (TBAF), molecular sieve 4 A, THF, - 78 ° C -> RT, 99%.
Der über eine Sharpless Resolution zugängliche (S)-Alkohol 10 [D. Schinzer, A. Limberg, O. M. Böhm, Chem. Eur. J. 1996, 2, 1477] wurde zunächst mit TBSCI silyliert, anschließend zum Methylketon 12 ozonisiert und in einer stereoselektiven Horner-Wadsworth-Emmons Reaktion zum tricyclischen Olefin 13 umgesetΛ Eine selektive Desilylierung mit HF in Acetonitril liefert Verbindung 14. Die Desilylierung zu 14 funktioniert nur in Gegenwart einiger Glassplitter; offensichtlich wird die Reaktion durch H2SiF6 katalysiert. Dess-Martin Oxidation, gefolgt von einer Wittig-The (S) alcohol 10 [D. Schinzer, A. Limberg, OM Böhm, Chem. Eur. J. 1996, 2, 1477] was first silylated with TBSCI, then ozonized to methyl ketone 12 and converted to the tricyclic olefin 13 in a stereoselective Horner-Wadsworth-Emmons reactionΛ A selective desilylation with HF in acetonitrile gives compound 14. The desilylation to 14 only works in the presence of some glass splinters; the reaction is apparently catalyzed by H2SiF6. Dess-Martin oxidation followed by a Wittig
ERSATZB.LATT (REGEL 26) Olefinierung generiert Verbindung 16, die in einer abschließenden Desilylierung mit TBAF in THF Segment 4 liefert.ERSATZB.LATT (RULE 26) Olefination generates compound 16, which in a final desilylation with TBAF in THF segment 4 yields.
Die Veresterung der Bausteine 9 und 4 in Gegenwart von DCC und 4-DMAP erzeugt Verbindung 17, welche in stereochemisch homogener Form isoliert wird. Esterification of building blocks 9 and 4 in the presence of DCC and 4-DMAP produces compound 17, which is isolated in stereochemically homogeneous form.
Epothilon C: 19 Epothilon C: 19
Schema 4. a) 1.3 eq. Dicyclohexylcarbodiimid (DCC), 0.2 eq. 4-Dimethyl.aminopyridin (4- DMAP), CH2CI2, RT, 12 h, 80%; b) Cl2[RuCHPh](PCy3)2, CH2CI2, RT, 12 h, 94% {Z: E = 1 : 1); c) HF, MeCN, E.2O, RT, 12 h, 65%, d) Dimethyldioxiran, CH2CI2, - 35 °C, 2 h, 48%. Ringschlußmetathese mit Cl2[RuCHPh](PCy3)2 in CH2CI2 liefert 18 als Diastereomerengemisch (Z: E = 1 : 1 ) in 94% Ausbeute. Den Abschluß der Totalsynthese bilden die Desilylierung mit HF in Acetonithl/Ether zu 19 und eine regio- und stereoselektive Epoxydierung mit Dimethyldioxiran zu 1. Das Hauptprodukt dieser Reaktion ist (-)-Epothilon A, das chromatographisch und spektroskopisch mit einer authetischen Probe identisch ist.Scheme 4. a) 1.3 eq. Dicyclohexylcarbodiimide (DCC), 0.2 eq. 4-dimethylaminopyridine (4-DMAP), CH2Cl2, RT, 12 h, 80%; b) Cl2 [RuCHPh] (PCy3) 2, CH2CI2, RT, 12 h, 94% {Z: E = 1: 1); c) HF, MeCN, E.2O, RT, 12 h, 65%, d) dimethyldioxirane, CH2CI2, - 35 ° C, 2 h, 48%. Ring closure metathesis with Cl2 [RuCHPh] (PCy3) 2 in CH2CI2 gives 18 as a mixture of diastereomers (Z: E = 1: 1) in 94% yield. The total synthesis is completed by desilylation with HF in acetonithl / ether to 19 and regio- and stereoselective epoxidation with dimethyldioxirane to 1. The main product of this reaction is (-) - epothilone A, which is identical to an authentic sample by chromatography and spectroscopy.
Insgesamt wurde eine streng konvergente Synthese beschrieben, welche viele Optionen zu Analoga offenhält, was im Hinblick auf die biologische Aktivität bedeutsam ist. Die gesamte Synthese kommt mit einem Schutzgruppentyp aus (TBS), welche in selektiven Reaktionen geknüpft oder abgespalten werden. Die stereoselektive Aldolreaktion ist hoch und stellt ein weiteres beeindruckendes Beispiel der chiralen Übersteuerung der Aldehydselektivität mit einem chiralen Enolat dar. Die Ringschlußmetathese zu 18 gelingt in 94% isolierter Ausbeute, liefert jedoch ein 1 : 1 Gemisch der Z- und E-Isomere. Das biologisch deutlich wirksamere Epothilon B 1 (R = Me) ist über den gleichen Herstellungsweg zugänglich. Overall, a strictly convergent synthesis has been described that offers many options for analogues, which is important in terms of biological activity. The entire synthesis comes with one type of protective group (TBS), which are linked or split off in selective reactions. The stereoselective aldol reaction is high and is another impressive example of the chiral override of the aldehyde selectivity with a chiral enolate. The ring-closing metathesis to 18 succeeds in 94% isolated yield, but provides a 1: 1 mixture of the Z and E isomers. The biologically significantly more effective epothilone B 1 (R = Me) can be obtained via the same production route.
1111
Herstellung von 2Production of 2nd
Arbeitsvorschriften zur Synthese von Segment 2Working instructions for the synthesis of segment 2
( 2-(2,2-Dimethyl-[1 ,3]dioxan-4-yl)-2-methyl-pentan-3-on) p. Schinzer, A. Limberg, O. M. Böhm, Chem. Eur. J. 1996, 2, 1477].(2- (2,2-dimethyl- [1,3] dioxan-4-yl) -2-methylpentan-3-one) p. Schinzer, A. Limberg, O. M. Böhm, Chem. Eur. J. 1996, 2, 1477].
Das 3-[(terf-Butyldimethylsilyl)oxy]propanal 42 wird ausgehend von Propan-1 ,3-diol 40 hergestellt, indem zunächst nach einer Methode von P.G. McDougal , J.G. Rico, Y. Oh, B.D. Condon, J. Org. Chem. 1986, 51, 3388-3390, zum 3-[(tert- Butyldimethylsilyl)oxy]-1 -propanol 41 monosilyliert wird , das anschließend mit DMSO/ Oxalyichlorid zum Aldehyd 42 oxidiert wird (A. Jenmalm, W. Berts, Y. Li, K. Luthmann, I. Csöregh, U. Hacksell, J. Org. Chem. 1994, 59, 1139-1148).The 3 - [(terf-butyldimethylsilyl) oxy] propanal 42 is prepared starting from propane-1,3-diol 40 by first using a method of P.G. McDougal, J.G. Rico, Y. Oh, B.D. Condon, J. Org. Chem. 1986, 51, 3388-3390, is monosilylated to 3 - [(tert-butyldimethylsilyl) oxy] -1-propanol 41, which is then oxidized with DMSO / oxalyichloride to form aldehyde 42 (A. Jenmalm , W. Berts, Y. Li, K. Luthmann, I. Csöregh, U. Hacksell, J. Org. Chem. 1994, 59, 1139-1148).
Darstellung von 1-[(fert-Butyldimethylsilyl)oxy]-4,4-dimethyl-hex-5-en-3-ol 43Preparation of 1 - [(fert-butyldimethylsilyl) oxy] -4,4-dimethyl-hex-5-en-3-ol 43
(H.C. Brown, P.K. Jadhav, Tetrahedron Lett. 1984, 25, 1215-1218; P.K. Jadhav, K.S. Bhat und P. Thirumalai, H.C. Brown, J. Org. Chem. 1986, 51, 432-439)(H.C. Brown, P.K. Jadhav, Tetrahedron Lett. 1984, 25, 1215-1218; P.K. Jadhav, K.S. Bhat and P. Thirumalai, H.C. Brown, J. Org. Chem. 1986, 51, 432-439)
Zu einer auf -25°C gekühlten Suspension von lpc2BH (7.34 mmol, hergestellt aus (-)- -Pinen [99 %, 97 %ee] H.C. Brown, M.C. Desai, P.K. Jadhav, J. Org. Chem. 1982, 47, 5065-5069; H.C. Brown, B. Singaram, J. Org. Chem. 1984, 49, 945-947) in 2.6 ml THF wird 500 mg (7.34 mmol, 1 equiv) 3-Methyl-1 ,2-butadien langsam zugetropft und die Realrtionsmischung 6 h bei -25°C gerührt. Das THF wird anschließend abgepumpt bei RT (14 mm Hg/1 h), (0.5 mm/2h) und der Rückstand in 10.5 ml Diethylether gelöst. Die Lösung wird auf -78°C gekühlt und 1.382 g (7.34 mmol, l equiv) Aldehyd 42 zugetropft. Man löst 12 h bei -78°C rühren und läßt dann auf RT erwärmen. Die Reaktionmischung wird mit 10.7 ml 3 N NaOH-Lösung versetzt, danach mit 4.4 ml 30 %iger H2θ2-Lösung und 2 h unter Rückfluß erhitz. Die organische Phase wird abgetrennt, mit 15 ml H2O und 15 ml ges. NaCI-Lösung gewaschen, Über MgS04 getrocknet und eingeengt. Der Rückstand wird säulenchromatographisch mit Pentan:Ether = 2:1 gereinigt und man erhält 800 mg (3.098mmol) des Alkohol 43, entsprechend einer Ausbeute von 42 %. Die Bestimmung des Enantiomerenüberschusses erfolgte durch GC-analytische Untersuchung der diastereomeren Verbindungen, die bei der Veresterung des Alkohols mit (1 R)-(-)-Camphansäurechlorid erhalten werden und ergab einen ee- Wert von 92 %.To a suspension of lpc2BH (7.34 mmol, prepared from (-) - -pinene [99%, 97% ee]) cooled to -25 ° C. HC Brown, MC Desai, PK Jadhav, J. Org. Chem. 1982, 47, 5065-5069; HC Brown, B. Singaram, J. Org. Chem. 1984, 49, 945-947) in 2.6 ml THF, 500 mg (7.34 mmol, 1 equiv) 3-methyl-1, 2-butadiene is slowly added dropwise and the reaction mixture was stirred at -25 ° C. for 6 h. The THF is then pumped off at RT (14 mm Hg / 1 h), (0.5 mm / 2 h) and the residue is dissolved in 10.5 ml of diethyl ether. The solution is cooled to -78 ° C. and 1,382 g (7.34 mmol, 1 equiv) aldehyde 42 are added dropwise. The mixture is stirred for 12 h at -78 ° C. and then allowed to warm to RT. The reaction mixture is mixed with 10.7 ml of 3N NaOH solution, then with 4.4 ml of 30% H2O2 solution and heated under reflux for 2 h. The organic phase is separated off, saturated with 15 ml of H2O and 15 ml. Washed NaCl solution, dried over MgSO4 and concentrated. The residue is purified by column chromatography with pentane: ether = 2: 1 and 800 mg (3,098 mmol) of alcohol 43 are obtained, corresponding to a yield of 42%. The enantiomeric excess was determined by GC analysis of the diastereomeric compounds which are obtained by esterifying the alcohol with (1 R) - (-) - camphanoyl chloride and gave an ee value of 92%.
Allgemeine Daten: C-^HaoC^Si, FG = 258.47 g/mol 3C-NMR (100 MHz, CDCI3): 145.69 (d), 112.27 (t), 78.52 (d), 63.29 (t), 41.19 (s), 33.39 (t), 25.89 (q), 22.85 (q), 22.43 (q), 18.17 (s), -5.52 (q)General data: C- ^ HaoC ^ Si, FG = 258.47 g / mol 3 C-NMR (100 MHz, CDCI 3 ): 145.69 (d), 112.27 (t), 78.52 (d), 63.29 (t), 41.19 (s), 33.39 (t), 25.89 (q), 22.85 (q ), 22.43 (q), 18.17 (s), -5.52 (q)
Darstellung von 4-(1 ,1-Dimethyl-allyl)-2,2-dimethyl-[1,3]dioxan 44Preparation of 4- (1, 1-dimethyl-allyl) -2,2-dimethyl- [1,3] dioxane 44
Es werden 278 mg (1.076 mmol) des Alkohols 43 in 13 ml Aceton gelöst und 200 mg (2.51 mmol, 2.3 eqiuv) wasserfreies CUSO4 zugegeben. Dann werden 40 Tropfen einer Lösung von 0.1 ml Eisessig in 1 ml CH2CI2 zugetropft und 12 h bei RT gerührt. Falls sich DC-chromatographisch noch Edukt nachweisen läßt, wird weitere Säurelösung zugegeben, bis die Umsetzung vollständig ist. Zur Aufarbeitung wird das Reaktionsgemisch auf ges. NaHCθ3-Lösung gegossen und die wässrige Phase mit DE extrahiert. Die vereinigten organischen Phasen werden über MgSO.4 getrocknet und am Rotationsverdampfer eingeengt. Der Rückstand wird säulenchromatographisch mit Pentan:Ether = 2:1 gereinigt. Man erhält 161 mg (0.87 mmol) des Acetonids 44 entsprechend einer Ausbeute von 81 %.278 mg (1,076 mmol) of alcohol 43 are dissolved in 13 ml of acetone and 200 mg (2.51 mmol, 2.3 eqiuv) of anhydrous CUSO4 are added. Then 40 drops of a solution of 0.1 ml glacial acetic acid in 1 ml CH2Cl2 are added dropwise and the mixture is stirred at RT for 12 h. If starting material can still be detected by TLC, further acid solution is added until the reaction is complete. For working up, the reaction mixture is saturated. Poured NaHCO 3 solution and extracted the aqueous phase with DE. The combined organic phases are dried over MgSO.4 and concentrated on a rotary evaporator. The residue is purified by column chromatography with pentane: ether = 2: 1. 161 mg (0.87 mmol) of acetonide 44 are obtained, corresponding to a yield of 81%.
Allgemeine Daten: C11 H20O2. FG = 184.28 g/molGeneral data: C11 H20O2. FG = 184.28 g / mol
13C-NMR (100 MHz, CDCI3): 145.10 (d), 111.88 (t), 98.19 (s), 75.32 (d), 60.10 (t),1 3 C-NMR (100 MHz, CDCl3): 145.10 (d), 111.88 (t), 98.19 (s), 75.32 (d), 60.10 (t),
39.97 (s), 29.80 (q), 25.88 (t), 22.86 (q), 22.45 (q), 19.11 (q)39.97 (s), 29.80 (q), 25.88 (t), 22.86 (q), 22.45 (q), 19.11 (q)
Darstellung von 2-(2,2-Dimethyl-[1,3]dioxan-4-yl)-2-methyl-propionaldehyd 45Preparation of 2- (2,2-dimethyl- [1,3] dioxan-4-yl) -2-methyl-propionaldehyde 45
Es werden 286 mg (1.55 mmol) des Acetonids 44 in 18 ml THF gelöst und 14 ml wässriger Phosphatpuffer pH 7 zugegeben. Zu der kräftig gerührten Reaktionmischung wird 400 μl (0.031 mmol, 0.02 equiv) Osθ4-Lösung (2.5 %ig in terf-Butanol) zugetropft. Nach 10 Minuten werden 996 mg (4.656 mmol, 3 equiv) Nalθ4 portionsweise über einen Zeitraum von 20 Minuten zugegeben. Die Mischung wird kräftig bei RT gerührt und nach 24 und 48 h jeweils weitere 332 mg (je 1.55 mmol, 2x1.0 equiv) Nalθ4 addiert. Nach 55 h werden die Phasen getrennt, die wässrige Phase mit Ether extrahiert, die vereinigten organischen Phasen über gSθ4 getrocknet und eingeengt. Der Rückstand wird säulenchromatographisch mit PentamDE = 1 :1 gereingt. Man erhält 221 mg (1.19 mmol) des Aldehyds 45 entsprechend einer Ausbeute von 76 %.286 mg (1.55 mmol) of the acetonide 44 are dissolved in 18 ml of THF and 14 ml of aqueous phosphate buffer pH 7 are added. 400 μl (0.031 mmol, 0.02 equiv) OsO4 solution (2.5% in terf-butanol) is added dropwise to the vigorously stirred reaction mixture. After 10 minutes, 996 mg (4,656 mmol, 3 equiv) of NalO4 are added in portions over a period of 20 minutes. The mixture is stirred vigorously at RT and, after 24 and 48 h, a further 332 mg (1.55 mmol, 2x1.0 equiv) of NalO4 are added. After 55 h the phases are separated, the aqueous phase is extracted with ether, the combined organic phases are dried over gSO 4 and concentrated. The residue is purified by column chromatography with PentamDE = 1: 1. 221 mg (1.19 mmol) of aldehyde 45 are obtained, corresponding to a yield of 76%.
ERSATZBIATT (REGEL 26) Allgemeine Daten: CιoH-| 803. FG = 186.25 g/molREPLACEMENT BOOK (RULE 26) General data: CιoH- | 8 0 3. FG = 186.25 g / mol
"•3C-NMR (100 MHz, CDCI3): 206.09 (d), 98.43 (s), 72.94 (d), 59.75 (t), 48.84 (s), " • 3 C-NMR (100 MHz, CDCI 3 ): 206.09 (d), 98.43 (s), 72.94 (d), 59.75 (t), 48.84 (s),
29.57 (q), 25.57 (t), 18.96 (q), 18.62 (q), 16.46 (q)29.57 (q), 25.57 (t), 18.96 (q), 18.62 (q), 16.46 (q)
Darstellung von 2-(2,2-Dimethyl-[1,3]dioxan-4-yI)-2-methyl-pentan-3-ol -46Preparation of 2- (2,2-dimethyl- [1,3] dioxan-4-yI) -2-methyl-pentan-3-ol -46
Eine Lösung von 268 mg (1.44 mmol) des Aldehyds 45 in 4 ml Diethylether wird bei 0 °C mit 528 μl (1.58 mmol, 1.1 equiv) einer 3 M Lösung von EtMgBr in Ether versetzt. Man läßt 2 h bei 0°C rühren, erwärmt auf RT und läßt eine weitere Stunde rühren. Zur Aufarbeitung wird mit ges. wässriger NH4CI-Lösung versetzt und dann soviel Wasser zugegeben bis der Niederschlag in Lösung geht. Die wässrige Phase wird mit Ether extrahiert, die vereinigten organischen Phasen über MgS04 getrocknet und eingengt. Der Rückstand wird säulenchromatographisch mit Pentan:Ether = 1 :1 gereinigt. Man erhält 251 mg (1.16 mmol) des Alkohols 46, entsprechend einer Ausbeute von 80 %.A solution of 268 mg (1.44 mmol) of the aldehyde 45 in 4 ml of diethyl ether is mixed at 0 ° C. with 528 μl (1.58 mmol, 1.1 equiv) of a 3 M solution of EtMgBr in ether. The mixture is stirred at 0 ° C. for 2 h, warmed to RT and left to stir for a further hour. For working up with sat. aqueous NH4CI solution was added and then enough water was added until the precipitate dissolved. The aqueous phase is extracted with ether, the combined organic phases are dried over MgSO4 and concentrated. The residue is purified by column chromatography with pentane: ether = 1: 1. 251 mg (1.16 mmol) of alcohol 46 are obtained, corresponding to a yield of 80%.
Allgemeine Daten: C12H24O3, FG = 216.31 g/molGeneral data: C12H24O3, FG = 216.31 g / mol
13C-NMR (100 MHz, C6D6): 98.41 (s), 79.95 (d), 76.65 (d), 60.10 (t), 40.60 (s), 13 C-NMR (100 MHz, C 6 D 6 ): 98.41 (s), 79.95 (d), 76.65 (d), 60.10 (t), 40.60 (s),
Diastereomer 1 : 30.04 (q), 25.73 (t), 24.64 (t), 20.03 (q), 19.25 (q), 15.99 (q), 11.67Diastereomer 1: 30.04 (q), 25.73 (t), 24.64 (t), 20.03 (q), 19.25 (q), 15.99 (q), 11.67
(q)(q)
13C-NMR (100 MHz, C6D6): 98.57 (s), 78.85 (d), 76.46 (d), 60.08 (t), 39.93 (s), 13 C-NMR (100 MHz, C 6 D 6 ): 98.57 (s), 78.85 (d), 76.46 (d), 60.08 (t), 39.93 (s),
Diastereomer 2: 30.02 (q), 25.41 (t), 25.08 (t), 20.85 (q), 20.30 (q), 18.90 (q), 11.95Diastereomer 2: 30.02 (q), 25.41 (t), 25.08 (t), 20.85 (q), 20.30 (q), 18.90 (q), 11.95
(q)(q)
Darstellung von 2-(2,2-Dimethyl-[1 ,3]dioxan-4-yl)-2-methyl-pentan-3-on 2:Preparation of 2- (2,2-dimethyl- [1,3] dioxan-4-yl) -2-methylpentan-3-one 2:
W.P. Griffith, S.V. Ley, G.P. Whitcombe, A.D. White, J. Chem. Soc, Chem.Commun. 1987, 1625-1627W.P. Griffith, S.V. Ley, G.P. Whitcombe, A.D. White, J. Chem. Soc, Chem. Commun. 1987, 1625-1627
Es werden 70 mg (0.32 mmol) des Alkohols 46 in 5 ml CH2CI2 gelöst und 6 4 Ä Molsiebkugeln und 66 mg (0.48 mmol, 1.5 equiv) 4-Methylmorpholin N-oxid (NMO) zugegeben. Nach 10 Minuten Rühren werden 6 mg Tetrapropylammonium- perruthenoat(VII) (TPAP) (0.016 mmol, 0.05 equiv) addiert und 4 h bei RT gerührt. Danach wird die Reaktionsmischung am Rotationsverdampfer eingeengt und direkt säulenchromatographisch mit Pentan: Ether = 1 :1 gereingt. Man erhält 60 mg (0.28 mmol) des Ethylketons 2, entsprechend einer Ausbeute von 86 %. Allgemeine Daten: C12H22O3, FG = 214.30 g/mol70 mg (0.32 mmol) of the alcohol 46 are dissolved in 5 ml of CH2Cl2 and 6 4 Å molecular sieve balls and 66 mg (0.48 mmol, 1.5 equiv) 4-methylmorpholine N-oxide (NMO) are added. After stirring for 10 minutes, 6 mg of tetrapropylammonium perruthenoate (VII) (TPAP) (0.016 mmol, 0.05 equiv) are added and the mixture is stirred at RT for 4 h. The reaction mixture is then concentrated on a rotary evaporator and directly purified by column chromatography with pentane: ether = 1: 1. 60 mg (0.28 mmol) of ethyl ketone 2 are obtained, corresponding to a yield of 86%. General data: C12H22O3, FG = 214.30 g / mol
13<S-NMR (100 MHz, C6D6): 213.23 (s), 98.42 (s), 74.18 (d), 59.82 (t), 50.44 (s), 1 3 <S-NMR (100 MHz, C 6 D 6 ): 213.23 (s), 98.42 (s), 74.18 (d), 59.82 (t), 50.44 (s),
31.70 (t), 30.03 (q), 25.55 (t), 20.97 (q), 19.35 (q), 19.04 (q), 8.16 (q)31.70 (t), 30.03 (q), 25.55 (t), 20.97 (q), 19.35 (q), 19.04 (q), 8.16 (q)
Synthese von 2-Methyl-6-heptenal 3 und 3aSynthesis of 2-methyl-6-heptenal 3 and 3a
Die Herstellung erfolgt in Anlehnung zur Synthese von 6-tert- Butyldimethylsilyloxy-2-methyl-hexanal 50 [D. Schinzer, A. Limberg, 0. M. Böhm, Chem. Eur. J. 1996, 2, 1477].The preparation is based on the synthesis of 6-tert-butyldimethylsilyloxy-2-methyl-hexanal 50 [D. Schinzer, A. Limberg, 0. M. Böhm, Chem. Eur. J. 1996, 2, 1477].
ERSATZB.LATT (REGEL 26) ERSATZB.LATT (RULE 26)
Arbeitsvorschriften zur Darstellung von Segment 3:Working instructions for the presentation of segment 3:
Das Natrium-6-hydroxyhexanoat wird nach einer Vorschrift von Wulff, Krüger und Röhle Chem. Ber. 1971 , 704, 1387-1399 aus ω-Caprolacton hergestellt.The sodium 6-hydroxyhexanoate is produced according to a regulation by Wulff, Krüger and Röhle Chem. Ber. 1971, 704, 1387-1399 made from ω-caprolactone.
Darstellung von 6-[(tert-Butyldimethyisilyl)oxy]-hexansäuresilylesterPreparation of 6 - [(tert-butyldimethyisilyl) oxy] hexanoic acid silyl ester
Eine Mischung aus 2.00 g (12.97 mmol) des Natτium-6-hydroxyhexanoats , 25 ml DMF, 5.87 g (38.93 mmol, 3 equiv) TBDMSCI und 5.3 g (77.85 mmol, 6 equiv) Imidazol wird 48 Stunden bei RT gerührt. Das Reaktionsgemisch wird flashfiltriert und anschließend mit Pentan:DE = 4:1 säulen-chromatographisch gereingt Man erhält 3.99 g (11.1 mmol) der bissilylierten Verbindung 6-[(terf-Butyldimethyl- silyl)oxy]-hexansäuresilylester, entsprechend einer Ausbeute von 85 %.A mixture of 2.00 g (12.97 mmol) of sodium 6-hydroxyhexanoate, 25 ml DMF, 5.87 g (38.93 mmol, 3 equiv) TBDMSCI and 5.3 g (77.85 mmol, 6 equiv) imidazole is stirred for 48 hours at RT. The reaction mixture is flash filtered and then purified by column chromatography with pentane: DE = 4: 1. 3.99 g (11.1 mmol) of the bissilylated compound 6 - [(terf-butyldimethylsilyl) oxy] -hexanoate, corresponding to a yield of 85% .
Allgemeine Daten: C-|8H4θθ3Si2 , FG = 360.69 g/molGeneral data: C- | 8H4θθ3Si2, FG = 360.69 g / mol
13C-NMR (100 MHz, CDCI3): 174.17 (s), 63.00 (t), 36.02 (t), 32.53 (t), 25.95 (q), 13 C-NMR (100 MHz, CDCI3): 174.17 (s), 63.00 (t), 36.02 (t), 32.53 (t), 25.95 (q),
25.55 (q), 25.40 (t), 24.91 (t), 18.33 (s), 17.57 (s), -4.83 (q), -5.32 (q)25.55 (q), 25.40 (t), 24.91 (t), 18.33 (s), 17.57 (s), -4.83 (q), -5.32 (q)
Darstellung von 6-[(ferf-ButyIdimethylsilyl)oxy]-hexansäure nach D.R. Morton, J.L Thompson, J. Org. Chem. 1978, 43, 2102-2106. Eine Lösung von 3.25 g (9.02 mmol) der bissilylierten Verbindung 6-[(te/τ- Butyldimethyl-silyl)oxy]-hexansäuresilylester in 130 ml Methanol und 44 ml THF wird mit einer Lösung von 4.4 g (31.8 mmol, 3.5 equiv) K2CO3 in 44 ml H2O versetzt und 1 h bei RT gerührt. Danach wird das Volumen der Reaktionsissung im Vakuum auf ein Viertel reduziert. Man verdünnt mit 130 ml ges. NaCI-Lösung und stellt mit 1 M KHS04-Lösung auf pH 4-5 ein. Es wird mit Diethylether extrahiert. Die vereinigten organischen Phasen werden über MgSÜ4 getrocknet und das Lösungsmittel am Rotationsverdampfer abdestilliert. Man erhält 2.01 g (8.17 mmol) von 6-[(terr- Rutvlriimethvlsilvhoxvl-hexansäure. entsprechend einer Ausbeute von 90 %. Allgemeine Daten: C-|2H26θ3Si, FG = 246.42 g/molPreparation of 6 - [(ferf-butylimethylsilyl) oxy] hexanoic acid according to DR Morton, JL Thompson, J. Org. Chem. 1978, 43, 2102-2106. A solution of 3.25 g (9.02 mmol) of the bissilylated compound 6 - [(te / τ-butyldimethylsilyl) oxy] -hexanoic acid silyl ester in 130 ml of methanol and 44 ml of THF is mixed with a solution of 4.4 g (31.8 mmol, 3.5 equiv) K2CO3 in 44 ml of H2O and stirred at RT for 1 h. The volume of the reaction solution is then reduced to a quarter in vacuo. It is diluted with 130 ml of sat. NaCI solution and adjust to pH 4-5 with 1 M KHS04 solution. It is extracted with diethyl ether. The combined organic phases are dried over MgSO4 and the solvent is distilled off on a rotary evaporator. This gives 2.01 g (8.17 mmol) of 6 - [(terr-rutvlriimethvlsilvhoxvl-hexanoic acid, corresponding to a yield of 90%. General data: C- | 2H26θ3Si, FG = 246.42 g / mol
"I3C-NMR (100 MHz, CDCI3): 180.09 (s), 62.90 (t), 34.05 (t), 32.37 (t), 25.93 (q), " I3C-NMR (100 MHz, CDCI 3 ): 180.09 (s), 62.90 (t), 34.05 (t), 32.37 (t), 25.93 (q),
25.31 (t), 24.46 (t), 18.32 (s), -5.33 (q)25.31 (t), 24.46 (t), 18.32 (s), -5.33 (q)
Darstellung von 6-[(fert-Butyldimethylsilyl)oxy]-hexanoylchIoridPreparation of 6 - [(fert-butyldimethylsilyl) oxy] hexanoyl chloride
J. Tanaka, Bull. Chem. Jpn. 1992, 65, 2851-2853.J. Tanaka, Bull. Chem. Jpn. 1992, 65, 2851-2853.
Eine Lösung von 0.5 g (2.03 mmol) 6-[(tert-Butyldimethylsilyl)oxy]-hexansäure in 4 ml Benzol wird mit 362 mg (3.04 mmol, 1.5 equiv) SOCI2 versetzt und 2 h unter Rückfluß erhitzt. Man läßt abkühlen und destilliert das Lösungsmittel am Rotationsverdampfer ab. Um das überschüssige SOCI2 aus der Real tionsmischung zu entfernen, wird der Rückstand wieder mit Benzol versetzt und erneut abdestilliert. Man erhält 494 mg (1.865 mmol, 92%) des 6-[(tert-Butyldimethylsilyl)oxy]- hexanoylchlorids . Dieses Rohprodukt wird ohne Aufreinigung und Charakterisierung weiter umgesetzt.A solution of 0.5 g (2.03 mmol) of 6 - [(tert-butyldimethylsilyl) oxy] -hexanoic acid in 4 ml of benzene is mixed with 362 mg (3.04 mmol, 1.5 equiv) of SOCI2 and heated under reflux for 2 h. The mixture is allowed to cool and the solvent is distilled off on a rotary evaporator. In order to remove the excess SOCI2 from the reaction mixture, the residue is mixed again with benzene and distilled off again. 494 mg (1,865 mmol, 92%) of the 6 - [(tert-butyldimethylsilyl) oxy] hexanoyl chloride are obtained. This raw product is further implemented without purification and characterization.
*(.S)-4-lsopropyl-3-propenoyl-oxazolidin-2-on 20* (.S) -4-isopropyl-3-propenoyl-oxazolidin-2-one 20
Darstellung in Anlehnung an: D. A. Evans, K. T. Chapman, J. Bisha J. Am. Chem. Soc. 1988, 110, 1238; A. Studer, T. Hintermann, D. Seebach Helv. Chim. Acta 1995, 78, 1185. Zu einer Lösung von 1 ,299 g (10.0 mmol) (S)-4-lsopropyl-oxazolidin-2-on in 15 ml absolutem THF werden bei -78 °C langsam 6,88 ml einer 1 ,6M Lösung von n-BuLi in Hexan (11.0 mmol) gegeben. Man rührt die Lösung 30 min bei -78 °C, gibt tropfenweise 1 ,22 ml (15.0 mmol) Acrylsäurechlorid hinzu, läßt auf Raumtemperatur kommen und hydrolysiert mit 50 ml gesättigter NH4CI-Lösung. Es wird dreimal mit je 50 ml Et2θ extrahiert. Nach dem Trocknen über MgSO.4 wird das Lösungsmittel entfernt. Durch Flash-chromatographische Reinigung mit Pentan/Et2θ (10:1) erhält man 1 ,63 g (8.9 mmol, 89%) £0 •Illustration based on: D. A. Evans, K. T. Chapman, J. Bisha J. Am. Chem. Soc. 1988, 110, 1238; A. Studer, T. Hintermann, D. Seebach Helv. Chim. Acta 1995, 78, 1185. To a solution of 1, 299 g (10.0 mmol) (S) -4-isopropyl-oxazolidin-2-one in 15 ml of absolute THF, 6.88 ml of a 1 , 6M solution of n-BuLi in hexane (11.0 mmol). The solution is stirred for 30 min at -78 ° C., 1.22 ml (15.0 mmol) of acrylic acid chloride are added dropwise, the mixture is brought to room temperature and hydrolyzed with 50 ml of saturated NH4Cl solution. It is extracted three times with 50 ml Et2θ each. After drying over MgSO.4, the solvent is removed. Flash chromatographic purification with pentane / Et2θ (10: 1) gives 1.63 g (8.9 mmol, 89%) £ 0 •
ERSATZBI.ATT (REGEL 26) (S)-4-lsopropyl-3-(6-methylhept-6-enoyl)-oxazolldin-2-on 21aERSATZBI.ATT (RULE 26) (S) -4-isopropyl-3- (6-methylhept-6-enoyl) oxazolldin-2-one 21a
Darstellung in Anlehnung an:Representation based on:
A. Studer, T. Hintermann, D. Seebach Helv. Chim. Acta 1995, 78, 1185 47 mg (1.9 mmol) Mg-Drehspäne werden bei Raumtemperatur (bzw. unter gelegentlichem Erwärmen) in 1 ,5 ml absolutem THF mit 283 mg (1.9 mmol) 4-Brom- 2-methyl-1 -buten gerührt, bis alles Mg in Lösung gegangen ist. Diese Grignard- Lösung wird bei -30 °C mit einer Suspension von 197 mg (1.00 mmol) CuBr-Me2S in 1 ,5 ml absolutem THF versetzt Man rührt 30 mm bei dieser Temperatur, gibt 117 mg (0.64 mmol) 20 in 2 ml absolutem THF hinzu, rührt 16 h bei -10 °C und hydrolysiert mit 10 ml gesättigter NH4CI-Losung Es wird dreimal mit je 20 ml Et2θ extrahiert. Nach dem Trocknen über MgSθ4 wird das Losungsmittel entfernt Durch Flash- chromatographische Reinigung mit Pentan/Et2θ (15 1) erhalt man 128 mg (0.51 mmol, 79%) 21aA. Studer, T. Hintermann, D. Seebach Helv. Chim. Acta 1995, 78, 1185 47 mg (1.9 mmol) Mg turnings are at room temperature (or with occasional warming) in 1.5 ml absolute THF with 283 mg (1.9 mmol) 4-bromo-2-methyl-1-butene stirred until all the Mg has dissolved. A suspension of 197 mg (1.00 mmol) of CuBr-Me2S in 1.5 ml of absolute THF is added to this Grignard solution at -30 ° C. Stirring 30 mm at this temperature gives 117 mg (0.64 mmol) of 20 in 2 ml add absolute THF, stir for 16 h at -10 ° C and hydrolyze with 10 ml saturated NH4CI solution. It is extracted three times with 20 ml Et2θ each. After drying over MgSO 4, the solvent is removed. Flash chromatographic purification with pentane / Et 2 O (15 1) gives 128 mg (0.51 mmol, 79%) 21a
Hept-6-enoylchloridHept-6-enoyl chloride
Eine Losung von 2.58 g (20 13 mmol) Hept-6-ensaure in 10 ml CH2CI2 wird mit 5,11 g (40.26 mmol, 2 eq ) Oxalylchlorid versetzt, dann 1 h bei RT und 1 h bei 40°C gerührt. Man läßt abkühlen und destilliert das Losungsmittel bei 5 mbar ab. Man erhält 2.95 g (20.13 mmol, 100%) des Säurechloπds Dieses Rohprodukt wird ohne weitere Aufreinigung umgesetzt.A solution of 2.58 g (20 13 mmol) hept-6-enoic acid in 10 ml CH2Cl2 is mixed with 5.11 g (40.26 mmol, 2 eq) oxalyl chloride, then stirred for 1 h at RT and 1 h at 40 ° C. The mixture is allowed to cool and the solvent is distilled off at 5 mbar. 2.95 g (20.13 mmol, 100%) of the acid chloride are obtained. This crude product is reacted without further purification.
Allgemeine Daten: C7H11 CIO, FG = 146.62 g/mol (S)-3-Hept-6-enoyl- -lsopropyl-oxazolidin-2-on ^General data: C7H11 CIO, FG = 146.62 g / mol (S) -3-hept-6-enoyl- -isopropyl-oxazolidin-2-one ^
A. Gonzalez, Synth. Comm. 1991 , 21, 1353-1360A. Gonzalez, Synth. Comm. 1991, 21, 1353-1360
Eine Lösung von 2.08 g (16.10 mmol, 1 eq.) (4S)-4-lsopropyl-oxazolidin-2-on in 15 ml THF wird auf -78 °C gekühlt und tropfenweise mit 11.6 ml (18.52 mmol, 1.15 eq.) einer 1.6 M Lösung von n-BuLi-Lösung in Hexan versetzt. Anschließend wird bei -78 °C eine Lösung von 2.95 g (20.13 mmol, 1.25 eq.) Hept-6-enoylchlorid in 10 ml THF zugegeben. Man läßt auf RT erwärmen und gießt die Reaktionslösung auf gesättigte NaCI-Lösung. Die wäßrige Phase wird mit Ether extrahiert, die vereinigten organischen Phasen über MgSθ4 getrocknet und das Lösungsmittel am Rotationsverdampfer abdestilliert. Der Rückstand wird säulen-chromatographisch mit PE : DE = 3 : 1 gereinigt. Man erhält 3.55 g (14.82 mmol, 92%) des Oxazolidinons 21 als farbloses Öl.A solution of 2.08 g (16.10 mmol, 1 eq.) (4S) -4-isopropyl-oxazolidin-2-one in 15 ml THF is cooled to -78 ° C and added dropwise with 11.6 ml (18.52 mmol, 1.15 eq.) a 1.6 M solution of n-BuLi solution in hexane. A solution of 2.95 g (20.13 mmol, 1.25 eq.) Of hept-6-enoyl chloride in 10 ml of THF is then added at -78 ° C. The mixture is allowed to warm to RT and the reaction solution is poured onto saturated NaCl solution. The aqueous phase is extracted with ether, the combined organic phases are dried over MgSO 4 and the solvent is distilled off on a rotary evaporator. The residue is purified by column chromatography using PE: DE = 3: 1. 3.55 g (14.82 mmol, 92%) of oxazolidinone 21 are obtained as a colorless oil.
Allgemeine Daten: C13H21 NO3 , FG = 239.31 g/molGeneral data: C13H21 NO3, FG = 239.31 g / mol
(4S, 2'S)-4-lsopropyl-3-(2-methyl-hept-6-enoyl)-oxazolidin-2-on 22. analog Darst. 25 und(4S, 2'S) -4-isopropyl-3- (2-methyl-hept-6-enoyl) -oxazolidin-2-one 22. analogous to Darst. 25 and
(4S, 2'S)-4-lsopropyl-3-(2,6-dlmethylhept-6-€noyl)-oxazolidln-2-on 22a.(4S, 2'S) -4-isopropyl-3- (2,6-dlmethylhept-6- € noyl) -oxazolidln-2-one 22a.
D.A. Evans, A.E. Weber J. Am. Chem. Soc. 1986, 108, 6757-6761 Es werden 9.02 ml (9.02 mmol, 1.15 equiv) einer 1 M Lösung von NaHMDS in THF auf -78°C gekühlt und tropfenweise mit einer auf 0°C gekühlten Lösung von 1.88 g (7.84 mmol) Oxazolidinon 21 in 8 ml THF versetzt. Man läßt 1 h bei -78°C rühren, addiert 5.57 g (39.22 mmol, 5 equiv) Mel gelöst in 2 ml THF und läßt für 4 h bei - 78°C rühren. Anschließend wird mit ges. NH4CI-Lösung gequencht, mit DiethyletherTHERE. Evans, A.E. Weber J. Am. Chem. Soc. 1986, 108, 6757-6761 9.02 ml (9.02 mmol, 1.15 equiv) of a 1 M solution of NaHMDS in THF are cooled to -78 ° C. and dropwise with a solution of 1.88 g (7.84 mmol) of oxazolidinone cooled to 0 ° C. 21 added in 8 ml of THF. The mixture is stirred at -78 ° C. for 1 h, 5.57 g (39.22 mmol, 5 equiv) of Mel dissolved in 2 ml of THF are added and the mixture is stirred at -78 ° C. for 4 h. Then with sat. Quenched NH4CI solution with diethyl ether
ERSATZBI_ATT (REGEL 26) extrahiert, über MgS04 getrocknet und eingeengt. Der Rückstand wird säulenchromatographisch mit PE : DE = 4 : 1 gereinigt. Man erhält 1.51 g (5.96 mmol, 76%) der methylierten Verbindung gg.ERSATZBI_ATT (RULE 26) extracted, dried over MgS04 and concentrated. The residue is purified by column chromatography with PE: DE = 4: 1. 1.51 g (5.96 mmol, 76%) of the methylated compound are obtained.
Allgemeine Daten: C14H23NO3 , FG = 253.34 g/molGeneral data: C14H23NO3, FG = 253.34 g / mol
Verbindung 22a wird analog hergestellt. Aus 2,03 g (8.0 mmol) 21a erhält man 1 ,56 g (5.84 mmol, 73%)Connection 22a is established analogously. From 2.03 g (8.0 mmol) 21a, 1.56 g (5.84 mmol, 73%) are obtained.
(S)-2-Methyl-hept-6-en-1-ol 23 und (S)-2,6-Dimethylhept-6-en-1-ol 23a(S) -2-methyl-hept-6-en-1-ol 23 and (S) -2,6-dimethylhept-6-en-1-ol 23a
D.A. Evans, A.E. Weber J. Am. Chem. Soc. 1986, 108, 6757-6761THERE. Evans, A.E. Weber J. Am. Chem. Soc. 1986, 108, 6757-6761
Zu einer auf 0°C gekühlten Lösung von 738 mg (2.91 mmol) der methyliertenTo a solution of 738 mg (2.91 mmol) of the methylated, cooled to 0 ° C.
Verbindung 22 in 10 ml Diethylether werden langsam 5.83 ml (5.83 mmol, 2 eq.) einer 1 M Suspension von LAH in Diethylether zugegeben. Es wird gequencht durch die Zugabe von 221 ml Wasser, 221 ml 15%iger wässriger NaOH-Lösung und 663 ml Wasser. Anschließend wird über Celite mit Diethylether flashfiltriert und säulenchromatographisch mit Pentan : DE = 3 : 1 gereinigt. Man erhält 299 mg (2.33 mmol, 80%) des Alkohols 23. als farblose Flüssigkeit.Compound 22 in 10 ml of diethyl ether is slowly added to 5.83 ml (5.83 mmol, 2 eq.) Of a 1 M suspension of LAH in diethyl ether. It is quenched by adding 221 ml of water, 221 ml of 15% aqueous NaOH solution and 663 ml of water. It is then flash-filtered through Celite with diethyl ether and purified by column chromatography with pentane: DE = 3: 1. 299 mg (2.33 mmol, 80%) of alcohol 23 are obtained as a colorless liquid.
Allgemeine Daten: C-8H16O, FG = 128.21 g/molGeneral data: C-8H16O, FG = 128.21 g / mol
Verbindung 23a wird analog hergestellt. Aus 748 mg (2.80 mmol) 22a. erhält manConnection 23a is established analogously. From 748 mg (2.80 mmol) 22a. you get
331 mg (2.32 mmol, 83%) 23a .331 mg (2.32 mmol, 83%) 23a.
(S)-2-Methyl-hept-6-enal 3. und (S)-2,6-Dimethylhept-6-enal 3a(S) -2-methyl-hept-6-enal 3. and (S) -2,6-dimethylhept-6-enal 3a
Eine Lösung von 295 mg Alkohol 23 (2.30 mmol) in 5 ml CH2CI2 wird mit 1.269 g (2.99 mmol, 1.3 eq.) Dess-Martin-Periodinan (1 ,1 ,1 -Triacetoxy-1 ,1 -dihydro-1 ,2- benziodoxol-3(1 /-/)-on) versetzt und 25 Minuten bei RT gerührt. Zur Aufarbeitung wird ein Volumenequivalent Phosphatpuffer pH 7 zugegeben. Die wäßrige Phase wird mit CHoCto extrahiert, die vereinigten organischen Phasen über MgSC»4 getrocknet und das Lösungsmittel am Rotationsverdampfer abdestilliert. Der Rückstand wird säulen-chromatographisch mit Pentan : DE = 10 : 1 gereinigt. Man erhält 224 mg (1.77 mmol, 77%) des Aldehyds als farblose Flüssigkeit. Allgemeine Daten: C8H14O, FG = 126.20 g/molA solution of 295 mg alcohol 23 (2.30 mmol) in 5 ml CH2CI2 is mixed with 1.269 g (2.99 mmol, 1.3 eq.) Dess-Martin periodinane (1,1,1-triacetoxy-1,1,1-dihydro-1,2 - Benziodoxol-3 (1 / - /) - one) added and stirred at RT for 25 minutes. For working up, a volume equivalent of phosphate buffer pH 7 is added. The aqueous phase is extracted with CHoCto, the combined organic phases over MgSC »4 dried and the solvent distilled off on a rotary evaporator. The residue is purified by column chromatography with pentane: DE = 10: 1. 224 mg (1.77 mmol, 77%) of the aldehyde are obtained as a colorless liquid. General data: C8H14O, FG = 126.20 g / mol
Verbindung 3a wird analog hergestellt. Aus 284 mg (2.00 mmol) 23a erhält man 199 mg (1.42 mmol, 71%) 3a .Connection 3a is established analogously. 199 mg (1.42 mmol, 71%) 3a are obtained from 284 mg (2.00 mmol) 23a.
Herstellung von 4:Making 4:
ERSATZBI_ATT (REGEL 26) Synthese von Segment 4: 3-[(f-Butyidimethylsilyl)oxy]-propanalERSATZBI_ATT (RULE 26) Synthesis of segment 4: 3 - [(f-butyidimethylsilyl) oxy] propanal
Synthese durch Monosilylierung von 1 ,3-Propandiol und anschließende Swern- Oxidation des entstandenen 3-[(f-Butyldimethylsilyl)oxy]-1 -propanols .Synthesis by monosilylation of 1, 3-propanediol and subsequent Swern oxidation of the resulting 3 - [(f-butyldimethylsilyl) oxy] -1-propanol.
Allgemeine Daten: CgH2θ >2Si; FG=188.36; CAS-Nr. [89922-82-7]General data: CgH2θ> 2 Si ; FG = 188.36; CAS number [89922-82-7]
13C-NMR (100 MHz, CDCI3): d=202.05 (d), 57.42 (t), 46.58 (t), 25.82 (q), 18.23 (s), 13 C-NMR (100 MHz, CDCI 3 ): d = 202.05 (d), 57.42 (t), 46.58 (t), 25.82 (q), 18.23 (s),
-5.43 (q)-5.43 (q)
1-[(f-Butyldimethyisilyl)oxy]-3-hydroxy-4-methyl-4-penten 101 - [(f-Butyldimethyisilyl) oxy] -3-hydroxy-4-methyl-4-pentene 10
Zu 443 mg Mg-Drehspänen (18.2 mmol) und 1.5 ml abs. THF unter N2 werden 0.2 ml 2-Brompropen gegeben, so daß die Reaktion anspringt. Es wird unter gelegentlicher Kühlung eine Lösung von 1.7 ml 2-Brompropen (insgesamt 22 mmol) in 6 ml abs. THF langsam zugetropft, bis alle Mg-Späne gelsst sind. Zu der noch warmen Mischung wird eine Lösung von 2.862 g 1 (15.2 mmol) in 6 ml abs. THF getropft. Es wird 6 h bei RT gerührt. Danach gibt man 25 ml ges. NH4CI-Lsg. zu der Reaktionslösung und läßt 10 Min. rühren. Die Mischung wird in 30 ml ges. NH4CI- Lsg. gegossen und z . weimal mit Ether extrahiert. Die vereinigten org. Phasen werden je einmal mit ges. NH4CI-Lsg. und ges. NaCI-Lsg. gewaschen. Man trocknet über MgS04, engt im Vakuum ein und reinigt flashchromatographisch (EtheπPentan = 1 :6). Man erhält 2.749 g 2 (11.9 mmol; 79% d. Th.) als farbloses Öl.To 443 mg Mg turnings (18.2 mmol) and 1.5 ml abs. THF under N2 are given 0.2 ml of 2-bromine propene so that the reaction starts. With occasional cooling, a solution of 1.7 ml of 2-bromopropene (22 mmol in total) in 6 ml of abs. THF slowly added dropwise until all the Mg chips have settled. A solution of 2,862 g 1 (15.2 mmol) in 6 ml abs. THF dropped. The mixture is stirred at RT for 6 h. Then 25 ml of sat. NH4CI solution to the reaction solution and allowed to stir for 10 minutes. The mixture is sat in 30 ml. NH4CI solution poured and z. sometimes extracted with ether. The united org. Phases are recorded once with sat. NH4CI solution and sat. NaCI solution washed. It is dried over MgS04, concentrated in vacuo and purified by flash chromatography (EtheπPentan = 1: 6). 2,749 g 2 (11.9 mmol; 79% of theory) are obtained as a colorless oil.
Allgemeine Daten: Ci2H26°2Sj: FG=230.43General data: Ci2H26 ° 2 Sj : FG = 230.43
13C-NMR (100 MHz, CDCI3): d=147.10 (s), 110.39 (t), 75.21 (d), 62.17 (t), 36.79 (t), 13 C-NMR (100 MHz, CDCI3): d = 147.10 (s), 110.39 (t), 75.21 (d), 62.17 (t), 36.79 (t),
25.89 (q), 18.41 (s), -5.49 (q), -5.53 (q) 25.89 (q), 18.41 (s), -5.49 (q), -5.53 (q)
(S)-1 ,3-Di-[(tert-Butyldi ethylsilyloxy)]-4-methyl-4-penten H(S) -1, 3-Di - [(tert-Butyldiethylsilyloxy)] - 4-methyl-4-pentene H
1111
Zu einer Lösung von 1 ,173 g (4.83 mmol) (S)-1-[(fert-Butyldimethylsilyloxy)]-4- methyl-4-penten-3-ol 10 und 855 mg (12.56 mmol, 2.6 eq) Imidazol in 15,0 ml absolutem DMF werden 946 mg (6.28 mmol, 1.3 eq) te/t-Butyldimethylchlorsilan gegeben. Die Mischung wird 16 h bei Raumtemperatur gerührt. Man versetzt mit 50 ml einer wäßrigen 1M KHS04-Lösung und extrahiert viermal mit je 50 ml Et2θ . Die vereinigten Etherextrakte werden über MgSθ4 getrocknet. Nach Abdestillieren des Lösungsmittels im Vakuum wird der Rückstand durch eine Kieselgel-Säule mit Pentan/Et2θ (20:1 ) flash-chromatographiert. Alternativ zu dieser wäßrigen Aufarbeitung kann die Reaktionsmischung unmittelbar chromatographiert werden. Nach beiden Aufarbeitungsvarianten erhält man 1 ,643 g (4.73 mmol, 98%) TTo a solution of 1, 173 g (4.83 mmol) of (S) -1 - [(fert-butyldimethylsilyloxy)] - 4-methyl-4-penten-3-ol 10 and 855 mg (12.56 mmol, 2.6 eq) imidazole in 15.0 ml of absolute DMF are added to 946 mg (6.28 mmol, 1.3 eq) te / t-butyldimethylchlorosilane. The mixture is stirred at room temperature for 16 h. It is mixed with 50 ml of an aqueous 1M KHS04 solution and extracted four times with 50 ml Et2θ. The combined ether extracts are dried over MgSO4. After the solvent has been distilled off in vacuo, the residue is flash-chromatographed on a silica gel column using pentane / Et2θ (20: 1). As an alternative to this aqueous workup, the reaction mixture can be chromatographed directly. After both work-up variants, 1.643 g (4.73 mmol, 98%) of T are obtained
(S)-3,5-Di-[(tert-Butyidimethylsilyloxy)]-pentan-2-on 12(S) -3,5-Di - [(tert-Butyidimethylsilyloxy)] - pentan-2-one 12
1212th
Ozon in 02 wird bei -78 °C durch eine Lösung von 1 ,610 g (4.67 mmol) H in 200 ml absolutem Dichlormethan geleitet (Trockeneis/Aceton-Kältebad).Wenn dünnschicht- chromatographisch in der Lösung Ausgangsverbindung H nicht mehr nachzuweisen ist, werden 3,89 g (14.83 mmol) Triphenylphosphin hinzugefügt, und das Kältebad wird entfernt. Man läßt den Reaktionsansatz langsam auf Raumtemperatur kommen und destilliert das Lösungsmittel im Vakuum ab. Flash-Chromatographie des Rückstandes durch eine Kieselgel-Säule mit Pentan/ Et2θ (50:1) liefert 1 ,135 g (3.27 mmol, 70%) 12 .Ozone in 02 is passed at -78 ° C through a solution of 1, 610 g (4.67 mmol) H in 200 ml absolute dichloromethane (dry ice / acetone cooling bath). If starting compound H can no longer be detected by thin layer chromatography, 3.89 g (14.83 mmol) of triphenylphosphine are added and the cooling bath is removed. The reaction mixture is allowed to slowly come to room temperature and the solvent is distilled off in vacuo. Flash chromatography of the residue through a silica gel column with pentane / Et2θ (50: 1) gives 1.135 g (3.27 mmol, 70%) 12.
ERSATZB.LATT (REGEL 26) Diethyl-(2-methylthiazol-4-yl)-methanphosphonatERSATZB.LATT (RULE 26) Diethyl (2-methylthiazol-4-yl) methane phosphonate
P(OEt)2 P (OEt) 2
Die Herstellung erfolgt ausgehend vom literaturbekannten 4-Chlormethyl-2- methylthiazol analog der Vorschrift für 4-Brommethyl-2-methylthiazol. Aus 7,381 g (50 mmol) 4-Chlor-methyl-2-methylthiazol erhält man 9,971 g (40 mmol, 80%) Diethyl-(2-methylthiazol-4-yl)-methanphosphonat.The preparation takes place starting from the literature-known 4-chloromethyl-2-methylthiazole analogous to the instructions for 4-bromomethyl-2-methylthiazole. 7.381 g (50 mmol) of 4-chloromethyl-2-methylthiazole gives 9.971 g (40 mmol, 80%) of diethyl (2-methylthiazol-4-yl) methanephosphonate.
(S,4^-4-[3,5-Di-(tert-Butyldimethylsilyloxy)-2-methyl-pent-1-enyi]-2-methyl- thiazol 13(S, 4 ^ -4- [3,5-Di- (tert-Butyldimethylsilyloxy) -2-methylpent-1-enyi] -2-methylthiazole 13
Zu einer Lösung von 1 ,170 g (4.70 mmol) Diethyl-(2-methylthiazol-4-yl)- methanphosphonat in 15 ml absolutem THF werden bei -78 °C 2,94 ml n-BuLi (1 ,6 m Lösung in Hexan) getropft. Man läßt 45 min bei -78 °C rühren und tropft dann langsam eine Lösung von 1 ,135 g (3.27 mmol) 12 in 10 ml absolutem THF zu, läßt auf Raumtemperatur erwärmen und rührt noch 12 h bei Raumtemperatur. Die Reaktionsmischung wird mit 100 ml gesättigter NH4CI-Lösung versetzt und viermal mit je 80 ml Et2θ extrahiert. Die vereinigten Etherextrakte werden mit gesättigter NaCI-Lösung gewaschen und über MgSθ4 getrocknet. Nach Abdestillieren des Lösungsmittels im Vakuum wird der Rückstand durch eine Kieselgel-Säule mit Pentan/ Dichlormethan (2:3) flash-chromatographiert. Man erhält 1 ,090 g (2.47 mmol, 75%) 13 . (S,4i=)-3-(fert-Butyldimet ylsilyloxy)-4-met yl-5-(2-methyl- thiazol-4-yl)-pent-4→ϊn-1-ol 4To a solution of 1, 170 g (4.70 mmol) of diethyl (2-methylthiazol-4-yl) methane phosphonate in 15 ml of absolute THF, 2.94 ml of n-BuLi (1.6 m solution in Hexane). The mixture is stirred at -78 ° C. for 45 min and then a solution of 1.135 g (3.27 mmol) 12 in 10 ml of absolute THF is slowly added dropwise, the mixture is allowed to warm to room temperature and is stirred for a further 12 h at room temperature. The reaction mixture is mixed with 100 ml of saturated NH4CI solution and extracted four times with 80 ml of Et2θ. The combined ether extracts are washed with saturated NaCl solution and dried over MgSO4. After the solvent has been distilled off in vacuo, the residue is flash-chromatographed through a silica gel column using pentane / dichloromethane (2: 3). 1,090 g (2.47 mmol, 75%) 13 are obtained. (S, 4i =) - 3- (fert-Butyldimet ylsilyloxy) -4-met yl-5- (2-methylthiazol-4-yl) -pent-4 → ϊn-1-ol 4
Eine Lösung von 442 mg (1.0 mmol) 13 in 40 ml Acetonitril wird bei -20 °C tropfenweise mit 0,45 ml Fluorwasserstoffsäure (40 %) versetzt. Nach Zugabe von einigen Glassplittern bzw. 0,045 ml Hexafluorokieselsäure (30 %) rührt man bei 0 °C, bis dünnschichtchromatographisch in der Lösung Ausgangsverbindung 13 nicht mehr nachzuweisen ist. Die Reaktionsmischung wird mit 50 ml gesättigter NaHCθ3- Lösung versetzt und viermal mit je 80 ml Et2θ extrahiert. Die vereinigten Etherextralrte werden über MgSθ4 getrocknet. Nach Abdestillieren des Lösungsmittels im Vakuum wird der Rückstand durch eine Kieseigel-Säule mit Et2θ flash-chromatographiert. Man erhält 284 mg (0.87 mmol, 87%) 14 .A solution of 442 mg (1.0 mmol) 13 in 40 ml acetonitrile is added dropwise at -20 ° C with 0.45 ml hydrofluoric acid (40%). After adding a few glass fragments or 0.045 ml hexafluorosilicic acid (30%), the mixture is stirred at 0 ° C. until starting compound 13 can no longer be detected in the solution by thin layer chromatography. The reaction mixture is mixed with 50 ml of saturated NaHCO 3 solution and extracted four times with 80 ml of Et 2 O. The combined ether extracts are dried over MgSO4. After the solvent has been distilled off in vacuo, the residue is flash chromatographed on a Kieseigel column with Et2θ. 284 mg (0.87 mmol, 87%) 14 are obtained.
(S,4i≡)-3-(fert-Butyldimethylsilyioxy)-4-methyl-5-(2-methyl- thiazol-4-yl)-pent-4-enal 1_5(S, 4i≡) -3- (fert-Butyldimethylsilyioxy) -4-methyl-5- (2-methylthiazol-4-yl) -pent-4-enal 1_5
Eine Suspension von 478 mg (1.127 mmol, 1.3 eq) Dess-Martin-Periodinan (1 ,1 ,1 - Triacetoxy-1 ,1 -dihydro-1 ,2-benziodoxol-3(1 /-/)-on) in 5,6 ml absolutem CH CI2 wird mit einer Lösung von 284 mg (0.87 mmol) 14 in 5,0 ml absolutem CH2CI2 versetzt und 60 min bei Raumtemperatur gerührt. Nach Abdestillieren des Lösungs-mittels im Vakuum wird der Rückstand durch eine Kieseigel-Säule mit Pentan/Et2θ (4:1) flash- chromatographiert. Man erhält 222 mg (0.68 mmol, 78%) 15A suspension of 478 mg (1,127 mmol, 1.3 eq) Dess-Martin periodinane (1, 1, 1 - triacetoxy-1, 1 -dihydro-1, 2-benziodoxol-3 (1 / - /) - on) in 5 , 6 ml of absolute CH CI2 is mixed with a solution of 284 mg (0.87 mmol) 14 in 5.0 ml of absolute CH2CI2 and stirred for 60 min at room temperature. After the solvent has been distilled off in vacuo, the residue is flash chromatographed through a Kieseigel column with pentane / Et2θ (4: 1). 222 mg (0.68 mmol, 78%) 15 are obtained
ERSATZB.LATT (REGEL 26) (S,4^-4-[3-(fert-Butyldimethylsiiyloxy)-2-methyl-hexa-1,5-dienyl]- 2-methyl-thiazol 16ERSATZB.LATT (RULE 26) (S, 4 ^ -4- [3- (fert-Butyldimethylsiiyloxy) -2-methyl-hexa-1,5-dienyl] -2-methyl-thiazole 16
440 mg (1.06 mmol, 1.85 eq) einer Mischung äquimolarer Mengen von Natriumamid und Methyltriphenylphosphoniumbromid werden 30 min bei Raumtemperatur in 4,0 ml absolutem THF gerührt. Man fügt eine Lösung von 185 mg (0.57 mmol) 15 n 5,0 ml absolutem THF hinzu, rührt noch 20 min, versetz mit 20 ml gesättigter NaHCθ3- Lösung und extrahiert viermal mit je 30 ml Et2θ. Die vereinigten Etherextrakte werden über MgSθ4 getrocknet. Nach Abdestillieren des Lösungsmittels im Vakuum wird der Rückstand durch eine Kieselgel-Säule mit Pentan/Et2θ (20:1) flash- chromatographiert. Man erhält 151 mg (0.47 mmol, 83%) 16.440 mg (1.06 mmol, 1.85 eq) of a mixture of equimolar amounts of sodium amide and methyltriphenylphosphonium bromide are stirred for 30 min at room temperature in 4.0 ml of absolute THF. A solution of 185 mg (0.57 mmol) of 15 n 5.0 ml of absolute THF is added, the mixture is stirred for a further 20 min, mixed with 20 ml of saturated NaHCO 3 solution and extracted four times with 30 ml of Et 2 O each. The combined ether extracts are dried over MgSO4. After the solvent has been distilled off in vacuo, the residue is flash-chromatographed on a silica gel column using pentane / Et2θ (20: 1). 151 mg (0.47 mmol, 83%) 16 are obtained.
2-Methyl-1-(2-methyl-thiazol-4-yl)-hexa-1,5-dien-3-ol 42-methyl-1- (2-methylthiazol-4-yl) hexa-1,5-dien-3-ol 4
1 ,18 ml (1.18 mmol, 2.5 eq) einer 1 TBAF-Lösung in THF werden in 10 ml absolutem THF 20 min mit aktiviertem Molsieb 4Ä bei Raumtemperatur gerührt, um restliches Wasser der TBAF-Lösung zu binden. Zu der resultierenden wasserfreien TBAF-Lösung wird bei -78 °C tropfenweise eine Lösung von 151 mg (0.47 mmol) 16 gegeben. Man läßt langsam unter Rühren auf Raumtemperatur erwärmen und hydrolysiert mit 50 ml gesättigter NH4d-Lösung, wenn dünnschichtchromatographisch in der Lösung Ausgangsverbindung 16. nicht mehr nachzuweisen ist. Es wird dreimal mit je 50 ml Et2θ extrahiert. Nach dem Trocknen über MgSθ4 wird das Lösungsmittel entfernt. Durch Flash-chromatographische Reinigung mit Pentan/Et2θ (20:1 )erhält man 97 mg (0.465 mmol, 99%) 4 .1.18 ml (1.18 mmol, 2.5 eq) of a 1 TBAF solution in THF are stirred in 10 ml of absolute THF for 20 min with activated molecular sieve 4Ä at room temperature in order to bind residual water of the TBAF solution. A solution of 151 mg (0.47 mmol) 16 is added dropwise to the resulting anhydrous TBAF solution at -78 ° C. The mixture is allowed to warm up slowly to room temperature with stirring and hydrolyzed with 50 ml of saturated NH4d solution if starting compound 16 can no longer be detected in the solution by thin layer chromatography. It is extracted three times with 50 ml Et2θ each. After drying over MgSO4, the solvent is removed. Flash chromatographic purification with pentane / Et2θ (20: 1) gives 97 mg (0.465 mmol, 99%) 4.
ERSATZBL. ATT (REGEL 26) Die Darstellungen von Verbindungen der allgemeinen Formel 4aREPLACEMENT BL. ATT (RULE 26) The representations of compounds of general formula 4a
OBIF
(B steht für Benzyl-, p-Methoxybenzyl-, Tetrahydropyranyl- oder eine Silylschutzgruppe; z. B. Trialkyl- oder Diaryl-alkyl-silylschutzgruppen, insbesondere tert.-Butyl-dimethyl-, Trimethylsilyl- und Diphenyl-tert.-butyl-silylgruppen) erfolgt aus(B stands for benzyl, p-methoxybenzyl, tetrahydropyranyl or a silyl protective group; e.g. trialkyl or diaryl alkyl silyl protective groups, in particular tert.-butyl-dimethyl, trimethylsilyl and diphenyl-tert.-butyl- silyl groups)
OH durch Anwendung konventioneller Schutzgruppentechnik der Veretherung, siehe auch (D. Schinzer, A. Limberg, O. M. Böhm, Chem. Eur. J. 1996, 2, 1477).OH by using conventional protective group technique of etherification, see also (D. Schinzer, A. Limberg, O. M. Böhm, Chem. Eur. J. 1996, 2, 1477).
Darstellung von 5 und Verbindungen der allgemeinen Formel 9a (4,S!4R,5S,6S)-2-(2,2-Dimethyl-[1,3]dioxan-4-yl)-5-hydroxy-2,4,6-trimethyl- undec-10-en-3-on 5 undPreparation of 5 and compounds of the general formula 9a (4 , S ! 4R, 5S, 6S) -2- (2,2-dimethyl- [1,3] dioxan-4-yl) -5-hydroxy-2,4, 6-trimethyl-undec-10-en-3-one 5 and
(4,S,4R,5S,6S)-2-(2,2-dimethyl-[1,3]dioxan-4-yl)-5-hydroxy-2,4,6,10-tetramethyl- undec-10-en-3-on 5a analog Schema 2.(4 , S, 4R, 5S, 6S) -2- (2,2-dimethyl- [1,3] dioxan-4-yl) -5-hydroxy-2,4,6,10-tetramethyl-undec-10 -en-3-one 5a analogous to Scheme 2.
C. H. Heathcock, C. T. Buse, W. A. Kleschick, M. C. Pirrung, J. E. Sohn, J. Lampe J. Org. Chem. 1980, 45, 1066C. H. Heathcock, C. T. Buse, W. A. Kleschick, M. C. Pirrung, J. E. Sohn, J. Lampe J. Org. Chem. 1980, 45, 1066
Zu einer Lösung von 153 mg (1.509 mmol, 0.98 eq.) in 1.5 ml THF werden bei 0°C 943 Mikroliter (1.509 mmol, 0.98 eq.) einer 1.6 M Lösung von n-BuLi in Hexan getropft und 30 Minuten gerührt, bevor dann auf -78°C heruntergekühlt wird. Nun werden 330 mg (1.540 mmol, 1 eq.) (S)-2-(2,2-Dimethyl-[1 ,3]dioxan-4-yl)-2-methyl- pentan-3-on Z < gelöst in 1 ml THF langsam zugetropft. Die Lösung wird 1 h bei - 78°C gerührt. Anschließend werden 194 mg (1.540 mmol, 1eq.) (S)-2-Methyl-hept-6- enal 3 zugetropft und 45 Minuten bei -78°C gerührt. Die Reaktionslösung wird durch Zugabe von gesättigter NH4CI-Lösung gequencht und auf RT erwärmt. Die wäßrige Phase wird mit Ether extrahiert, die vereinigten organischen Phasen werden über MgSθ4 getrocknet und das Lösungsmittel am Rotationsverdampfer abdestilliert. Der Rückstand wird säulenchromatographisch mit Pentan : Diethylether = 3 : 1 gereinigt. Man erhält 369 mg (1.084 mmol, 70%) des Aldolprodukts 5 als farbloses Öl. Allgemeine Daten: C20H36O4 , FG = 340.50 g/mol943 microliters (1,509 mmol, 0.98 eq.) Of a 1.6 M solution of n-BuLi in hexane are added to a solution of 153 mg (1.509 mmol, 0.98 eq.) In 1.5 ml THF at 0 ° C added dropwise and stirred for 30 minutes before cooling to -78 ° C. 330 mg (1,540 mmol, 1 eq.) (S) -2- (2,2-dimethyl- [1, 3] dioxan-4-yl) -2-methylpentan-3-one Z <are dissolved in 1 ml of THF slowly added dropwise. The solution is stirred at -78 ° C for 1 h. 194 mg (1,540 mmol, 1 eq.) (S) -2-methyl-hept-6-enal 3 are then added dropwise and the mixture is stirred at -78 ° C. for 45 minutes. The reaction solution is quenched by adding saturated NH4Cl solution and warmed to RT. The aqueous phase is extracted with ether, the combined organic phases are dried over MgSO 4 and the solvent is distilled off on a rotary evaporator. The residue is purified by column chromatography with pentane: diethyl ether = 3: 1. 369 mg (1,084 mmol, 70%) of aldol product 5 are obtained as a colorless oil. General data: C20H36O4, FG = 340.50 g / mol
Verbindung 5a wird analog hergestellt. Aus 238 mg (1.70 mmol) 3a erhält man 386 mg (1.09 mmol, 64%) 5a .Connection 5a is made analogously. From 238 mg (1.70 mmol) 3a, 386 mg (1.09 mmol, 64%) 5a are obtained.
(3S, 6R, 7S, 8S)-1 ,3,7-Trihydroxy-4,4,6,8-tetramethyl-tridec-12-en-5-on 6 und (3S, 6R, 7S, 8S)-1 ,3,7-Trihydroxy-4,4,6,8,12-pentamethyl-tridec-12-en-5-on(3S, 6R, 7S, 8S) -1, 3,7-trihydroxy-4,4,6,8-tetramethyl-tridec-12-en-5-one 6 and (3S, 6R, 7S, 8S) -1 , 3,7-trihydroxy-4,4,6,8,12-pentamethyl-tridec-12-en-5-one
6a6a
L A. Paquette, D. R. Sauer, D. G. Cleary, M. A. Kinsella, C. M. Blackwell, L G. Anderson J. Am. Chem. Soc. 1992, 114, 7375-7387. Eine Lösung von 100 mg (0.294 mmol) des Aldolprodukts 5_ in 14 ml MeOH wird mit 95 mg (0.378 mmol, 1.3 eq.) PPTS versetzt, 36 h bei RT gerührt und dann durch die Zugabe von 33 Tropfen gesättigter NaHCθ3-Lösung gequencht. Die Mischung wird am Rotationsverdampfer eingeengt und der Rückstand in Ether aufgenommen. Es wird mit gesättigter NaCI-Lösung gewaschen und die wäßrige Phase mit Ether extrahiert. Die vereinigten organischen Phasen werden über MgS04 getrocknet und das Lösungsmittel am Rotationsverdampfer abdestilliert. Der Rückstand wird säulenchromatographisch mit Diethylether gereinigt. Man erhält 78 mg (0.260 mmol, 88%) des Triols 6. als farbloses Öl. Allgemeine Daten: C17H32O4 , FG = 300.44 g/molL A. Paquette, DR Sauer, DG Cleary, MA Kinsella, CM Blackwell, L G. Anderson J. Am. Chem. Soc. 1992, 114, 7375-7387. A solution of 100 mg (0.294 mmol) of the aldol product 5_ in 14 ml MeOH is mixed with 95 mg (0.378 mmol, 1.3 eq.) PPTS, stirred for 36 h at RT and then quenched by the addition of 33 drops of saturated NaHCO 3 solution. The mixture is concentrated on a rotary evaporator and the residue is taken up in ether. It is washed with saturated NaCl solution and the aqueous phase is extracted with ether. The combined organic phases are dried over MgSO4 and the solvent is distilled off on a rotary evaporator. The residue is purified by column chromatography with diethyl ether. 78 mg (0.260 mmol, 88%) of the triol 6 are obtained as a colorless oil. General data: C17H32O4, FG = 300.44 g / mol
Verbindung 6a wird analog hergestellt. Aus 96 mg (0.270 mmol) 5a erhält man 77 mg (0.246 mmol, 91%) §a .Connection 6a is established analogously. 96 mg (0.270 mmol) 5a gives 77 mg (0.246 mmol, 91%) §a.
(3S, 6R, 7S, 8S)-1,3,7-Tri-(tert-Butyldimethylsllyloxy)-4,4,6,8-tetramet yl-tridec- 12-en-5-on 7 und (3S, 6R, 7S, 8S)-1,3,7-Tri-(tert-Butyldimethyl-silyloxy)-(3S, 6R, 7S, 8S) -1,3,7-tri- (tert-butyldimethylsllyloxy) -4,4,6,8-tetramethyl-tridec-12-en-5-one 7 and (3S, 6R , 7S, 8S) -1,3,7-tri- (tert-butyldimethylsilyloxy) -
4,4,6,8,12-pentamethyl-tridec-12-en-5-on Za4,4,6,8,12-pentamethyl-tridec-12-en-5-one Za
Yuanwei Chen, Pierre Vogel, J. Org. Chem. 1994, 59, 2487-2496Yuanwei Chen, Pierre Vogel, J. Org. Chem. 1994, 59, 2487-2496
Zu einer auf -78°C gekühlten Lösung von 225 mg (0.749mmol) des Triols 6. in 13 mlTo a solution of 225 mg (0.749mmol) of the triol 6 in 13 ml, cooled to -78 ° C
CH2CI2 werden langsam 963 mg (8.99 mmol, 12 eq.) 2,6-Lutidin und 1188 mg (4.49 mmol, 6eq.) te/τ-Butyldimethylsilyltrifluormethansulfonat zugetropft. Man läßt 30CH2CI2 963 mg (8.99 mmol, 12 eq.) 2,6-lutidine and 1188 mg (4.49 mmol, 6 eq.) Te / τ-butyldimethylsilyltrifluoromethanesulfonate are slowly added dropwise. One leaves 30
Minuten bei -78°C und 3 h bei 0°C rühren und quencht mit gesättigter NaHC03-Stir for minutes at -78 ° C and 3 h at 0 ° C and quench with saturated NaHC03-
Lösung. Die wäßrige Phase wird mit CH2CI2 extrahiert. Die vereinigten organischenSolution. The aqueous phase is extracted with CH2Cl2. The united organic
Phasen werden über MgS04 getrocknet und das Lösungsmittel amPhases are dried over MgS04 and the solvent on
Rotationsverdampfer abdestilliert. Der Rückstand wird säulenchromatographisch mitDistilled off rotary evaporator. The residue is column chromatographed with
Pentan : Diethylether = 30 : 1 gereinigt. Man erhält 462 mg (0.719 mmol, 96%) des trisilylierten Produkts 7, als farbloses Öl.Pentane: diethyl ether = 30: 1 purified. 462 mg (0.719 mmol, 96%) of the trisilylated product 7 are obtained as a colorless oil.
Allgemeine Daten: C35H74θ4Si3 , FG = 643.22 g/molGeneral data: C35H74θ4Si3, FG = 643.22 g / mol
Verbindung 7a wird analog hergestellt. Aus 204 mg (0.650 mmol) 6a erhält man 423 mg (0.644 mmol, 99%) Ja.. Connection 7a is established analogously. From 204 mg (0.650 mmol) 6a 423 mg (0.644 mmol, 99%) are obtained.
(3S, 6R, 7S, 8S)-3,7-Di-(fert-Butyldimethylsilyloxy)-1-hydroxy-4,4,6,8-tetra- methyl-tridec-12-en-5-on fl und (3S, 6R, 7S, 8S)-3,7-Di-(fert-Butyldimθthyl- silyloxy)-1 -hydroxy -4,4,6, 8,12-penta-methyl-tridec-12-en-5-on §a(3S, 6R, 7S, 8S) -3,7-di- (fert-butyldimethylsilyloxy) -1-hydroxy-4,4,6,8-tetra-methyl-tridec-12-en-5-one fl and ( 3S, 6R, 7S, 8S) -3,7-di- (fert-butyldimethylsilyloxy) -1-hydroxy -4,4,6, 8,12-penta-methyl-tridec-12-en-5-one §A
K. C. Nicolaou, K. R. Reddy, G. Skokotas, F. Sato, X.-Y. Xiao J. Am. Chem. Soc. 1992, 114, 7935. Eine Lösung von 156 mg (0.243 mmol) der trisilylierten Verbindung 7_ in 6.5 ml MeOH und 6.5 ml CH2CI2 wird auf 0°C gekühlt und es werden 11 mg Camphersulfonsäure (0.0485 mmol, 0.2 eq.) addiert. Nach 5 h Rühren bei 0°C wird durch die Zugabe von gesättigter NaHC03-Lösung gequencht. Die wäßrige Phase wird mit CH2CI2 extrahiert. Die vereinigten organischen Phasen werden über MgS04 getrocknet und das Lösungsmittel am Rotationsverdampfer destilliert. Der Rückstand wird säulenchromatographisch mit Pentan : Diethylether = 3 : 1 gereinigt. Man erhält 105 mg (0.199 mmol, 82%) des Alkohols 8. als farbloses Öl.K.C. Nicolaou, K.R. Reddy, G. Skokotas, F. Sato, X.-Y. Xiao J. Am. Chem. Soc. 1992, 114, 7935. A solution of 156 mg (0.243 mmol) of the trisilylated compound 7_ in 6.5 ml MeOH and 6.5 ml CH2Cl2 is cooled to 0 ° C. and 11 mg camphorsulfonic acid (0.0485 mmol, 0.2 eq.) Are added. After stirring at 0 ° C. for 5 h, the mixture is quenched by adding saturated NaHCO 3 solution. The aqueous phase is extracted with CH2Cl2. The combined organic phases are dried over MgSO4 and the solvent is distilled on a rotary evaporator. The residue is purified by column chromatography with pentane: diethyl ether = 3: 1. 105 mg (0.199 mmol, 82%) of alcohol 8 are obtained as a colorless oil.
Allgemeine Daten: C29H6θθ4Si2 , FG = 528.96 g/molGeneral data: C29H6θθ4Si2, FG = 528.96 g / mol
Verbindung 8a wird analog hergestellt. Aus 152 mg (0.232 mmol) 7a erhält man 101 mg (0.186 mmol, 80%) 8a..Connection 8a is established analogously. From 152 mg (0.232 mmol) 7a, 101 mg (0.186 mmol, 80%) 8a are obtained.
(3S,6R,7S,8S)-3,7-DI-(fert-Butyldimet ylsilyloxy)-4,4,6,8-tetra ethyl-5-oxo- tridec-12-ensäure 9 und (3S,6R,7S,8S)-3,7-DI-(fert-Butyldimethylsilyloxy)- 4,4,6,8, 12-pβntamethyl-5-oxo-trldec-12-ensäure 9a.(3S, 6R, 7S, 8S) -3,7-DI- (fert-butyldimethylsilyloxy) -4,4,6,8-tetraethyl-5-oxotridec-12-enoic acid 9 and (3S, 6R, 7S, 8S) -3,7-DI- (fert-butyldimethylsilyloxy) - 4,4,6,8, 12-pβntamethyl-5-oxo-trldec-12-enoic acid 9a.
E. J. Corey, G. Schmidt, Tetrahedron Lett. 1979, 399-402 Zu einer Lösung von 303 mg (0.573 mmol) Alkohol 8. in 6 ml DMF werden bei 0°C 2371 mg (6.30 mmol, 11 eq.) PDC gelöst in 3 ml DMF zugetropft. Man läßt 36 h bei RT rühren und gießt dann in 50 ml gesättigte NaCI-Lösung, verdünnt mit Wasser und extrahiert mit CH2CI2. Die vereinigten organischen Phasen werden über MgSθ4 getrocknet und das Lösungsmittel am Rotationsverdampfer abdestilliert. DerE. J. Corey, G. Schmidt, Tetrahedron Lett. 1979, 399-402 2371 mg (6.30 mmol, 11 eq.) Of PDC dissolved in 3 ml of DMF are added dropwise to a solution of 303 mg (0.573 mmol) of alcohol 8. in 6 ml of DMF at 0 ° C. The mixture is stirred at RT for 36 h and then poured into 50 ml of saturated NaCl solution, diluted with water and extracted with CH2Cl2. The combined organic phases are dried over MgSO4 and the solvent is distilled off on a rotary evaporator. The
ERSATZBI-ATT (REGEL 26) Rückstand wird säulenchromato-graphisch mit Pentan : Diethylether = 2 : 1 gereinigt. Man erhält 247 mg (0.455 mmol, 79%) der Säure 9 als farbloses Öl. Allgemeine Daten: C29H58θsSi2 , FG = 542.94 g/mol, Verbindung 2a wird analog hergestellt. Aus 320 mg (0.590 mmol) §a erhält man 273 mg (0.490 mmol, 83%) SaREPLACEMENT BI ATT (RULE 26) The residue is purified by column chromatography using pentane: diethyl ether = 2: 1. 247 mg (0.455 mmol, 79%) of acid 9 are obtained as a colorless oil. General data: C29H58θsSi2, FG = 542.94 g / mol, compound 2a is prepared analogously. From 320 mg (0.590 mmol) §a one obtains 273 mg (0.490 mmol, 83%) Sa
(3S,6R,7S,8S)-3,7-Di-fert-Butyldimethylsilyloxy-4,4,6,8-tetramethyl-5-oxo-tridθc- 12-ensäure-(1 S)-1-[(£)-1-methyl-2-(2-methyl-thlazol-4-yl)-vinyl]-but-3-enyl-ester 17 und(3S, 6R, 7S, 8S) -3,7-di-fert-butyldimethylsilyloxy-4,4,6,8-tetramethyl-5-oxo-tridθc-12-enoic acid- (1 S) -1 - [(£ ) -1-methyl-2- (2-methylthlazol-4-yl) vinyl] but-3-enyl ester 17 and
*(3S,6 7,7S,8^-3,7-DI-ter -Butyldlmet ylsilyloxy-4,4,6,8,12-penta-methyl-5-oxo- tridec-12-ensäure-(1 S)-1 -[(£)-1 -methyl-2-(2-methyl-thia. zol-4-yl)-vinyl]-but-3- enyl-ester 17a* (3S, 6 7,7S, 8 ^ -3,7-DI-ter-butyldlmet ylsilyloxy-4,4,6,8,12-penta-methyl-5-oxotridec-12-enoic acid- (1 S. ) -1 - [(£) -1 -methyl-2- (2-methylthia. Zol-4-yl) vinyl] but-3-enyl ester 17a
Veresterung nach B. Neises, W. Steglich Angew. Chem. 1978, 90, 556. Eine Lösung von 145 mg (0.268 mmol) Säure 9, 56 mg (0.268 mmol) Alkohol 4 und 6,5 mg (0.0536 mmol, 0.2 eq) DMAP in 1 ,5 ml absolutem CH2CI2 wird bei 0 °C mit 72 mg (0.348 mmol, 1.3 eq) Dicyclohexylcarbodiimid versetzt. Man rührt 10 min bei 0 °C und 12 h bei Raumtemperatur. Nach Entfernen des Lösungsmittels und Flash- Chromatographie des Rückstandes mit Pentan/Et2θ (20:1) werden 157 mg (0.214 mmol, 80%) des Esters 17 erhalten.Esterification according to B. Neises, W. Steglich Angew. Chem. 1978, 90, 556. A solution of 145 mg (0.268 mmol) acid 9, 56 mg (0.268 mmol) alcohol 4 and 6.5 mg (0.0536 mmol, 0.2 eq) DMAP in 1.5 ml absolute CH2CI2 is added 0 ° C with 72 mg (0.348 mmol, 1.3 eq) dicyclohexylcarbodiimide. The mixture is stirred at 0 ° C. for 10 min and at room temperature for 12 h. After removal of the solvent and flash chromatography of the residue with pentane / Et2θ (20: 1), 157 mg (0.214 mmol, 80%) of the ester 17 are obtained.
* Die Darstellung von Ester 17a erfolgt analog. Aus 167 mg (0.30 mmol) 9a und der äquimolaren Menge 4 erhält man 166 mg (0.222 mmol, 74%) 17a .* Ester 17a is represented analogously. 166 mg (0.222 mmol, 74%) 17a are obtained from 167 mg (0.30 mmol) 9a and the equimolar amount 4.
ERSATZB.LATT (REGEL 26) (4S,7H,8S,9S,16S,13Z)-4,8-Di-fert-ButyldimΘthylsilyloxy-5τ5,7,9-tΘtra-methyl-16- [(£)-1 -methyl-2-(2-methyl-thiazol-4-yl)-vinyl]-1 -oxa-cyclohexadec-13-en-2,6-dion 18 undERSATZB.LATT (RULE 26) (4S, 7H, 8S, 9S, 16S, 13Z) -4,8-di-fert-butyldimΘthylsilyloxy-5 τ 5,7,9-tΘtra-methyl-16- [(£) -1-methyl-2- ( 2-methylthiazol-4-yl) vinyl] -1-oxa-cyclohexadec-13-ene-2,6-dione 18 and
*(4S,7ff,8S,9S,16S,13Z)-4,8-Di-fert-Butyldimθthylsilyloxy-5,5,7,9,13-penta- mβthyl-16-[(£)-1-mθthyl-2-(2-methyl-thiazol-4-yl)-vinyl]-1-oxa-cyclohexadec-13- en-2,6-dion* (4S, 7ff, 8S, 9S, 16S, 13Z) -4,8-di-fert-butyldimethylthylsilyloxy-5,5,7,9,13-pentamethyl-16 - [(£) -1-methylth- 2- (2-methylthiazol-4-yl) vinyl] -1-oxa-cyclohexadec-13-en-2,6-dione
Eine Ar-gesättigte Lösung von 49,3 mg (0.0671 mmol) des Esters \_ in 33,5 ml absolutem CH2CI2 (entsprechend einer Substratkonzentration von 0.002 M) wird mit mit 3,3 mg (6 mol-%) Cl2[Ru=CHPh](PCy3)2 (Cy=Cyclohexyl) 16 h unter einer Argon-Atmosphäre gerührt. Nach Entfernen des Lösungsmittels und Flash- Chromatographie des Rückstandes mit Pentan/Et2θ (20:1) werden 44 mg (0.0630 mmol, 94%) der Verbindung 18 als 1 :1 - Gemisch mit seinem E-isomeren erhalten. * 49,0 mg (0.068 mmol, 68%) eines Gemisches aus 18a und seinem E-Isomeren werden analog aus 74,8 mg (0.100 mmoh 17a erhalten.An Ar-saturated solution of 49.3 mg (0.0671 mmol) of the ester \ _ in 33.5 ml of absolute CH2CI2 (corresponding to a substrate concentration of 0.002 M) is mixed with 3.3 mg (6 mol%) Cl2 [Ru = CHPh] (PCy3) 2 (Cy = cyclohexyl) stirred under an argon atmosphere for 16 h. After removal of the solvent and flash chromatography of the residue with pentane / Et2θ (20: 1), 44 mg (0.0630 mmol, 94%) of compound 18 are obtained as a 1: 1 mixture with its E-isomer. * 49.0 mg (0.068 mmol, 68%) of a mixture of 18a and its E isomer are obtained analogously from 74.8 mg (0.100 mmoh 17a).
(4S,7 7,8S,9S,16S,1^-4,8-Dlhydroxy-5,5,7,9-tetra-methyl-16-[(£)-1-methyl-2-(2- methyl-thiazol-4-yl)-vinvπ-1-oxa-cvclohexadec-13-en-2.6-dion 19 ("Epothilon C") und(4S, 7 7,8S, 9S, 16S, 1 ^ -4,8-Dlhydroxy-5,5,7,9-tetra-methyl-16 - [(£) -1-methyl-2- (2-methyl -thiazol-4-yl) -vinvπ-1-oxa-cvclohexadec-13-en-2.6-dione 19 ("Epothilon C") and
*(4S,7/?,8S,9S,16S,132)-4,8-DIhydroxy-5,5,7,9,13-penta-methyl-16-[(£)-1-methyl- 2-(2-methyl-thiazol-4-yl)-vinyl]-1 -oxa-cyclohexadec-13-en-2,6-dion 19a ("Epothilon D")* (4S, 7 /?, 8S, 9S, 16S, 132) -4,8-DIhydroxy-5,5,7,9,13-penta-methyl-16 - [(£) -1-methyl-2- (2-methylthiazol-4-yl) vinyl] -1-oxa-cyclohexadec-13-en-2,6-dione 19a ("epothilone D")
Eine Lösung von 35,3 mg (0.05 mmol) 18 (ZE-Gemisch 1 :1) in 2,4 ml Acetonitril/Et2θ (1 :1) wird bei 0 °C tropfenweise mit 0,27 ml Fluorwasserstoffsäure (40 %) versetzt. Nach Zugabe von einigen Glassplittern bzw. 0,027 ml Hexafluorokieselsäure (30 %) rührt man 17 h bei Raumtemperatur. Die Reaktionsmischung wird mit 10 ml gesättigter NaHCθ3-Lösung versetzt und dreimal mit je 20 ml Et2θ extrahiert. Die vereinigten Etherextrakte werden über MgS04 getrocknet. Nach Abdestillieren des Lösungsmittels im Vakuum wird der Rückstand durch eine Kieselgel-Säule mit Et2θ flash-chromatographiert. Man erhält 16,5 mg (0.0325 mmol, 65%) l£als 1 :1-Z:E-Gemisch.A solution of 35.3 mg (0.05 mmol) 18 (ZE mixture 1: 1) in 2.4 ml acetonitrile / Et2θ (1: 1) is added dropwise at 0 ° C with 0.27 ml hydrofluoric acid (40%) . After adding a few pieces of glass or 0.027 ml Hexafluorosilicic acid (30%) is stirred for 17 h at room temperature. The reaction mixture is mixed with 10 ml of saturated NaHCO 3 solution and extracted three times with 20 ml of Et 2 O. The combined ether extracts are dried over MgSO4. After distilling off the solvent in vacuo, the residue is flash chromatographed on a silica gel column using Et2θ. 16.5 mg (0.0325 mmol, 65%) of l £ are obtained as a 1: 1 Z: E mixture.
* 20,7 mg (0.042 mmol, 70%) J ta (als Z:E-Gemisch) werden analog aus 43,2 mg (0.06 mmol) 18a erhalten.* 20.7 mg (0.042 mmol, 70%) J ta (as Z: E mixture) are obtained analogously from 43.2 mg (0.06 mmol) 18a.
Epothilon A 1 und *Epothilon B laEpothilon A 1 and * Epothilon B la
1a R=Me 1a R = Me
Eine Lösung von 14,3 mg (0.03 mmol) 19 (1 :1-Z:E-Gemisch. in 2,5 ml CH2CI2 wird beiA solution of 14.3 mg (0.03 mmol) 19 (1: 1-Z: E mixture. In 2.5 ml CH2Cl2 is added to
-35 °C unter Rühren tropfenweise mit 0,36 ml (0.035 mmol, 1.2 eq) einer frisch hergestellten Lösung von Dimethyldioxiran in Aceton versetz. Man rührt 2 h bei -35 °C, versetzt dann mit 5 ml einer 10%igen wäßrigen Lösung von Eisen (ll)-sulfat und extrahiert dreimal mit je 10 ml CH2CI2. Nach Abdestillieren des Lösungsmittels im Vakuum wird der Rückstand durch eine Kieselgel-Säule mit Et2θ flash- chromatographiert. Man erhält 7,1 mg (0.0144 mmol, 48%) Epothilon A. * 6,2 mg (0.0123 mmol, 41%) Epothilon B werden analog aus 14,8 mg (0.03 mmol) 19a erhalten.-35 ° C while stirring dropwise with 0.36 ml (0.035 mmol, 1.2 eq) of a freshly prepared solution of dimethyldioxirane in acetone. The mixture is stirred at -35 ° C. for 2 h, then 5 ml of a 10% strength aqueous solution of iron (II) sulfate are added and the mixture is extracted three times with 10 ml of CH 2 Cl 2 each. After the solvent has been distilled off in vacuo, the residue is flash chromatographed on a silica gel column using Et2θ. 7.1 mg (0.0144 mmol, 48%) of epothilone A are obtained. * 6.2 mg (0.0123 mmol, 41%) of epothilone B are obtained analogously from 14.8 mg (0.03 mmol) of 19a.
Die Erfindung betrifft auch Stereoisomere der Verbindungen gemäß der Ansprüche, wie diese üblicherweise innerhalb der Synthese anfallen. The invention also relates to stereoisomers of the compounds according to the claims, as are usually obtained during synthesis.
Claims
Priority Applications (4)
| Application Number | Priority Date | Filing Date | Title |
|---|---|---|---|
| NZ334821A NZ334821A (en) | 1996-08-30 | 1997-01-15 | Method for producing epothilones |
| AU21493/97A AU716610B2 (en) | 1996-08-30 | 1997-01-15 | Method for producing epothilones, and intermediate products obtained during the production process |
| JP10511141A JP2001500851A (en) | 1996-08-30 | 1997-01-15 | Process for producing epothilone and intermediate products obtained during the process |
| EP97914077A EP0923583A1 (en) | 1996-08-30 | 1997-01-15 | Method for producing epothilones, and intermediate products obtained during the production process |
Applications Claiming Priority (6)
| Application Number | Priority Date | Filing Date | Title |
|---|---|---|---|
| DE19636343A DE19636343C1 (en) | 1996-08-30 | 1996-08-30 | New (di:methyl)-dioxanyl-methyl-pentanone and related compounds |
| DE19645361A DE19645361A1 (en) | 1996-08-30 | 1996-10-28 | Production of epothilone compounds with taxol-like activity |
| DE19645362A DE19645362A1 (en) | 1996-10-28 | 1996-10-28 | Production of epothilone compounds with taxol-like activity |
| DE19636343.8 | 1996-10-28 | ||
| DE19645362.3 | 1996-10-28 | ||
| DE19645361.5 | 1996-10-28 |
Publications (1)
| Publication Number | Publication Date |
|---|---|
| WO1998008849A1 true WO1998008849A1 (en) | 1998-03-05 |
Family
ID=27216622
Family Applications (1)
| Application Number | Title | Priority Date | Filing Date |
|---|---|---|---|
| PCT/DE1997/000111 Ceased WO1998008849A1 (en) | 1996-08-30 | 1997-01-15 | Method for producing epothilones, and intermediate products obtained during the production process |
Country Status (5)
| Country | Link |
|---|---|
| EP (1) | EP0923583A1 (en) |
| JP (1) | JP2001500851A (en) |
| AU (1) | AU716610B2 (en) |
| NZ (1) | NZ334821A (en) |
| WO (1) | WO1998008849A1 (en) |
Cited By (149)
| Publication number | Priority date | Publication date | Assignee | Title |
|---|---|---|---|---|
| WO1998022461A1 (en) * | 1996-11-18 | 1998-05-28 | GESELLSCHAFT FüR BIOTECHNOLOGISCHE FORSCHUNG MBH (GBF) | Epothilone c, d, e and f, production process, and their use as cytostatic as well as phytosanitary agents |
| WO1999007692A3 (en) * | 1997-08-09 | 1999-05-14 | Schering Ag | New epothilone derivatives, method for producing same and their pharmaceutical use |
| WO1999059985A1 (en) * | 1998-05-18 | 1999-11-25 | Novartis Ag | Intermediates for the synthesis of epothilones and methods for their preparation |
| WO1999065913A3 (en) * | 1998-06-18 | 2000-04-20 | Biotechnolog Forschung Gmbh | Epothilone minor constituents |
| WO1999067253A3 (en) * | 1998-06-22 | 2000-04-20 | Novartis Ag | Desmethyl epothilones |
| WO2000031247A2 (en) | 1998-11-20 | 2000-06-02 | Kosan Biosciences, Inc. | Recombinant methods and materials for producing epothilone and epothilone derivatives |
| EP0977563A4 (en) * | 1996-12-03 | 2001-04-25 | Sloan Kettering Inst Cancer | SYNTHESIS OF EPOTHILONS, INTERMEDIATE PRODUCTS THEREOF, ANALOGA AND USES THEREOF |
| US6262094B1 (en) | 1999-02-22 | 2001-07-17 | Bristol-Myers Squibb Company | C-21 modified epothilones |
| US6288237B1 (en) | 1995-11-17 | 2001-09-11 | Gesellschaft Fur Biotechnologische Forschung Mbh (Gbf) | Epothilons C and D, preparation and compositions |
| US6291684B1 (en) | 1999-03-29 | 2001-09-18 | Bristol-Myers Squibb Company | Process for the preparation of aziridinyl epothilones from oxiranyl epothilones |
| US6316630B1 (en) | 1996-12-03 | 2001-11-13 | Sloan Kettering Institute For Cancer Research | Synthesis of epothilones, intermediates thereto and analogues thereof |
| US6320045B1 (en) | 1997-12-04 | 2001-11-20 | Bristol-Myers Squibb Company | Process for the reduction of oxiranyl epothilones to olefinic epothilones |
| US6365749B1 (en) | 1997-12-04 | 2002-04-02 | Bristol-Myers Squibb Company | Process for the preparation of ring-opened epothilone intermediates which are useful for the preparation of epothilone analogs |
| US6380394B1 (en) | 1996-12-13 | 2002-04-30 | The Scripps Research Institute | Epothilone analogs |
| US6380395B1 (en) | 1998-04-21 | 2002-04-30 | Bristol-Myers Squibb Company | 12, 13-cyclopropane epothilone derivatives |
| US6410301B1 (en) | 1998-11-20 | 2002-06-25 | Kosan Biosciences, Inc. | Myxococcus host cells for the production of epothilones |
| US6441186B1 (en) | 1996-12-13 | 2002-08-27 | The Scripps Research Institute | Epothilone analogs |
| WO2002072858A3 (en) * | 2001-02-27 | 2002-12-19 | Biotechnolog Forschung Gmbh | Degradation of epothilones and ethynyl substituted epothilones |
| US6498257B1 (en) | 1998-04-21 | 2002-12-24 | Bristol-Myers Squibb Company | 2,3-olefinic epothilone derivatives |
| US6518421B1 (en) | 2000-03-20 | 2003-02-11 | Bristol-Myers Squibb Company | Process for the preparation of epothilone analogs |
| US6576651B2 (en) | 2001-01-25 | 2003-06-10 | Bristol-Myers Squibb Company | Pharmaceutical compositions, dosage forms and methods for oral administration of epothilones |
| US6593115B2 (en) | 2000-03-24 | 2003-07-15 | Bristol-Myers Squibb Co. | Preparation of epothilone intermediates |
| US6596875B2 (en) | 2000-02-07 | 2003-07-22 | James David White | Method for synthesizing epothilones and epothilone analogs |
| US6605599B1 (en) | 1997-07-08 | 2003-08-12 | Bristol-Myers Squibb Company | Epothilone derivatives |
| WO2003078411A1 (en) | 2002-03-12 | 2003-09-25 | Bristol-Myers Squibb Company | C3-cyano epothilone derivatives |
| US6660758B1 (en) | 1996-12-13 | 2003-12-09 | The Scripps Research Institute | Epothilone analogs |
| US6670384B2 (en) | 2001-01-25 | 2003-12-30 | Bristol-Myers Squibb Company | Methods of administering epothilone analogs for the treatment of cancer |
| US6683100B2 (en) | 1999-01-19 | 2004-01-27 | Novartis Ag | Organic compounds |
| US6686380B2 (en) | 2001-02-20 | 2004-02-03 | Bristol-Myers Squibb Company | Treatment of refractory tumors using epothilone derivatives |
| US6689802B2 (en) | 2000-08-16 | 2004-02-10 | Bristol-Myers Squibb Company | Polymorphs of an epothilone analog |
| US6727276B2 (en) | 2001-02-20 | 2004-04-27 | Bristol-Myers Squibb Company | Epothilone derivatives for the treatment of refractory tumors |
| US6780620B1 (en) | 1998-12-23 | 2004-08-24 | Bristol-Myers Squibb Company | Microbial transformation method for the preparation of an epothilone |
| US6800653B2 (en) | 2001-06-01 | 2004-10-05 | Bristol-Myers Squibb Compnay | Epothilone derivatives |
| US6867305B2 (en) | 1996-12-03 | 2005-03-15 | Sloan-Kettering Institute For Cancer Research | Synthesis of epothilones, intermediates thereto and analogues thereof |
| US6921769B2 (en) | 2002-08-23 | 2005-07-26 | Sloan-Kettering Institute For Cancer Research | Synthesis of epothilones, intermediates thereto and analogues thereof |
| US6936628B2 (en) | 2002-04-04 | 2005-08-30 | Bristol-Myers Squibb Company | Oral administration of epothilones |
| US7001916B1 (en) | 1999-02-11 | 2006-02-21 | Schering, Ag | Epothilon derivatives, method for the production and the use thereof as pharmaceuticals |
| US7008936B2 (en) | 2002-06-14 | 2006-03-07 | Bristol-Myers Squibb Company | Combination of epothilone analogs and chemotherapeutic agents for the treatment of proliferative diseases |
| US7022330B2 (en) | 2001-01-25 | 2006-04-04 | Bristol-Myers Squibb Company | Parenteral formulation for epothilone analogs |
| US7053069B2 (en) | 2002-05-15 | 2006-05-30 | Bristol-Myers Squibb Company | Pharmaceutical compositions and methods of using C-21 modified epothilone derivatives |
| US7091226B2 (en) | 1998-02-25 | 2006-08-15 | Novartis Ag | Cancer treatment with epothilones |
| US7101702B2 (en) | 1998-02-19 | 2006-09-05 | Novartis Ag | Fermentative preparation process for and crystal forms of cytostatics |
| RU2285007C2 (en) * | 2000-12-07 | 2006-10-10 | Новартис Аг | Method for isolating epotilons from reaction mixture and desorption from synthetic resin (variants), using low-polar or nonpolar solvent for realization of method |
| US7125893B1 (en) | 1999-04-30 | 2006-10-24 | Schering Ag | 6-alkenyl-, 6-alkinyl- and 6-epoxy-epothilone derivatives, process for their production, and their use in pharmaceutical preparations |
| US7172884B2 (en) | 2002-09-23 | 2007-02-06 | Bristol-Myers Squibb Company | Methods for the preparation, isolation and purification of epothilone B, and x-ray crystal structures of epothilone B |
| WO2007038459A2 (en) | 2005-09-27 | 2007-04-05 | Novartis Ag | Carboxyamine compounds and their use in the treatment of hdac dependent diseases |
| US7211593B2 (en) | 2002-03-12 | 2007-05-01 | Bristol-Myers Squibb Co. | C12-cyano epothilone derivatives |
| US7312237B2 (en) | 2001-03-14 | 2007-12-25 | Bristol-Myers Squibb Co. | Combination of epothilone analogs and chemotherapeutic agents for the treatment of prolilferative diseases |
| WO2008037477A1 (en) | 2006-09-29 | 2008-04-03 | Novartis Ag | Pyrazolopyrimidines as p13k lipid kinase inhibitors |
| RU2343155C2 (en) * | 2002-09-13 | 2009-01-10 | Новартис Аг | Method of obtaining epotilone derivatives |
| EP2022498A2 (en) | 2005-11-21 | 2009-02-11 | Novartis AG | Neuroendocrine tumour treatment |
| EP2030618A2 (en) | 2002-01-14 | 2009-03-04 | Novartis AG | Combinations comprising epothilones and anti-metabolites |
| EP2065368A1 (en) | 2004-04-07 | 2009-06-03 | Novartis Ag | Inhibitors of IAP |
| WO2009118292A1 (en) | 2008-03-24 | 2009-10-01 | Novartis Ag | Arylsulfonamide-based matrix metalloprotease inhibitors |
| EP2210643A2 (en) | 2001-07-19 | 2010-07-28 | Novartis AG | Combinations comprising epothilones and pharmaceutical uses thereof |
| WO2010083617A1 (en) | 2009-01-21 | 2010-07-29 | Oncalis Ag | Pyrazolopyrimidines as protein kinase inhibitors |
| WO2010088335A1 (en) | 2009-01-29 | 2010-08-05 | Novartis Ag | Substituted benzimidazoles for the treatment of astrocytomas |
| EP2266607A2 (en) | 1999-10-01 | 2010-12-29 | Immunogen, Inc. | Immunoconjugates for treating cancer |
| WO2010149755A1 (en) | 2009-06-26 | 2010-12-29 | Novartis Ag | 1, 3-disubstituted imidazolidin-2-one derivatives as inhibitors of cyp 17 |
| EP2270008A1 (en) | 2005-05-20 | 2011-01-05 | Novartis AG | 1,3-dihydro-imidazo[4,5-c]quinolin-2-ones as lipid kinase and/or pi3 kinases inhibitors |
| EP2272511A1 (en) | 2006-05-09 | 2011-01-12 | Novartis AG | Combination comprising an iron chelator and an anti-neoplastic agent and use thereof |
| WO2011015652A1 (en) | 2009-08-07 | 2011-02-10 | Novartis Ag | 3-heteroarylmethyl-imidazo[1,2-b]pyridazin-6-yl derivatives as c-met tyrosine kinase modulators |
| WO2011018454A1 (en) | 2009-08-12 | 2011-02-17 | Novartis Ag | Heterocyclic hydrazone compounds and their uses to treat cancer and inflammation |
| WO2011020861A1 (en) | 2009-08-20 | 2011-02-24 | Novartis Ag | Heterocyclic oxime compounds |
| WO2011023677A1 (en) | 2009-08-26 | 2011-03-03 | Novartis Ag | Tetra-substituted heteroaryl compounds and their use as mdm2 and/or mdm4 modulators |
| EP2314297A1 (en) | 2006-04-05 | 2011-04-27 | Novartis AG | Combinations comprising bcr-abl/c-kit/pdgf-r tk inhibitors for treating cancer |
| WO2011054828A1 (en) | 2009-11-04 | 2011-05-12 | Novartis Ag | Heterocyclic sulfonamide derivatives useful as mek inhibitors |
| WO2011070030A1 (en) | 2009-12-08 | 2011-06-16 | Novartis Ag | Heterocyclic sulfonamide derivatives |
| WO2011076786A1 (en) | 2009-12-22 | 2011-06-30 | Novartis Ag | Substituted isoquinolinones and quinazolinones |
| EP2359818A1 (en) | 2007-02-15 | 2011-08-24 | Novartis AG | Combination of LBH589 with HSP 90 inhibitors for treating cancer |
| EP2371822A1 (en) | 2006-03-14 | 2011-10-05 | Novartis AG | Heterobicyclic carboxamides as inhibitors for kinases |
| WO2012004299A1 (en) | 2010-07-06 | 2012-01-12 | Novartis Ag | Tetrahydro-pyrido-pyrimidine derivatives |
| WO2012035078A1 (en) | 2010-09-16 | 2012-03-22 | Novartis Ag | 17α-HYDROXYLASE/C17,20-LYASE INHIBITORS |
| WO2012066095A1 (en) | 2010-11-19 | 2012-05-24 | Novartis Ag | Crystalline form of an inhibitor of mdm2/4 and p53 interaction |
| CN102633792A (en) * | 2011-02-15 | 2012-08-15 | 天津尚德药缘科技有限公司 | Method for preparing epothilone D and B |
| WO2012107500A1 (en) | 2011-02-10 | 2012-08-16 | Novartis Ag | [1, 2, 4] triazolo [4, 3 -b] pyridazine compounds as inhibitors of the c-met tyrosine kinase |
| WO2012149413A1 (en) | 2011-04-28 | 2012-11-01 | Novartis Ag | 17α-HYDROXYLASE/C17,20-LYASE INHIBITORS |
| WO2012171020A1 (en) | 2011-06-10 | 2012-12-13 | Mersana Therapeutics, Inc. | Protein-polymer-drug conjugates |
| WO2012168884A1 (en) | 2011-06-09 | 2012-12-13 | Novartis Ag | Heterocyclic sulfonamide derivatives |
| WO2012175520A1 (en) | 2011-06-20 | 2012-12-27 | Novartis Ag | Hydroxy substituted isoquinolinone derivatives |
| WO2012175487A1 (en) | 2011-06-20 | 2012-12-27 | Novartis Ag | Cyclohexyl isoquinolinone compounds |
| WO2013001445A1 (en) | 2011-06-27 | 2013-01-03 | Novartis Ag | Solid forms and salts of tetrahydro-pyrido-pyrimidine derivatives |
| WO2013038362A1 (en) | 2011-09-15 | 2013-03-21 | Novartis Ag | 6 - substituted 3 - (quinolin- 6 - ylthio) - [1,2,4] triazolo [4, 3 -a] pyradines as tyrosine kinase |
| EP2591775A1 (en) | 2006-04-05 | 2013-05-15 | Novartis AG | Combinations comprising mtor inhibitors for treating cancer |
| WO2013080141A1 (en) | 2011-11-29 | 2013-06-06 | Novartis Ag | Pyrazolopyrrolidine compounds |
| WO2013096055A1 (en) | 2011-12-23 | 2013-06-27 | Novartis Ag | Compounds for inhibiting the interaction of bcl2 with binding partners |
| WO2013096060A1 (en) | 2011-12-23 | 2013-06-27 | Novartis Ag | Compounds for inhibiting the interaction of bcl2 with binding partners |
| WO2013093849A1 (en) | 2011-12-22 | 2013-06-27 | Novartis Ag | Dihydro-benzo-oxazine and dihydro-pyrido-oxazine derivatives |
| WO2013093850A1 (en) | 2011-12-22 | 2013-06-27 | Novartis Ag | Quinoline derivatives |
| WO2013096049A1 (en) | 2011-12-23 | 2013-06-27 | Novartis Ag | Compounds for inhibiting the interaction of bcl2 with binding partners |
| WO2013096051A1 (en) | 2011-12-23 | 2013-06-27 | Novartis Ag | Compounds for inhibiting the interaction of bcl2 with binding partners |
| WO2013096059A1 (en) | 2011-12-23 | 2013-06-27 | Novartis Ag | Compounds for inhibiting the interaction of bcl2 with binding partners |
| CN103232464A (en) * | 2013-03-29 | 2013-08-07 | 陈星秀 | Paclitaxel-like compounds, and preparation method thereof and application thereof in anticancer mediciens |
| EP2628726A1 (en) | 2008-03-26 | 2013-08-21 | Novartis AG | Hydroxamate-based inhibitors of deacetylases b |
| WO2013171640A1 (en) | 2012-05-15 | 2013-11-21 | Novartis Ag | Benzamide derivatives for inhibiting the activity of abl1, abl2 and bcr-abl1 |
| WO2013171642A1 (en) | 2012-05-15 | 2013-11-21 | Novartis Ag | Benzamide derivatives for inhibiting the activity of abl1, abl2 and bcr-abl1 |
| WO2013171639A1 (en) | 2012-05-15 | 2013-11-21 | Novartis Ag | Benzamide derivatives for inhibiting the activity of abl1, abl2 and bcr-abl1 |
| WO2013171641A1 (en) | 2012-05-15 | 2013-11-21 | Novartis Ag | Compounds and compositions for inhibiting the activity of abl1, abl2 and bcr-abl1 |
| WO2013175417A1 (en) | 2012-05-24 | 2013-11-28 | Novartis Ag | Pyrrolopyrrolidinone compounds |
| WO2013188763A1 (en) | 2012-06-15 | 2013-12-19 | The Brigham And Women's Hospital, Inc. | Compositions for treating cancer and methods for making the same |
| WO2014093394A1 (en) | 2012-12-10 | 2014-06-19 | Mersana Therapeutics, Inc. | Protein-polymer-drug conjugates |
| WO2014093640A1 (en) | 2012-12-12 | 2014-06-19 | Mersana Therapeutics,Inc. | Hydroxy-polmer-drug-protein conjugates |
| WO2014102630A1 (en) | 2012-11-26 | 2014-07-03 | Novartis Ag | Solid form of dihydro-pyrido-oxazine derivative |
| WO2014115080A1 (en) | 2013-01-22 | 2014-07-31 | Novartis Ag | Pyrazolo[3,4-d]pyrimidinone compounds as inhibitors of the p53/mdm2 interaction |
| WO2014115077A1 (en) | 2013-01-22 | 2014-07-31 | Novartis Ag | Substituted purinone compounds |
| WO2014128612A1 (en) | 2013-02-20 | 2014-08-28 | Novartis Ag | Quinazolin-4-one derivatives |
| WO2014184778A1 (en) | 2013-05-17 | 2014-11-20 | Novartis Ag | Pyrimidin-4-yl)oxy)-1h-indole-1-carboxamide derivatives and use thereof |
| WO2014198645A1 (en) | 2013-06-11 | 2014-12-18 | Bayer Pharma Aktiengesellschaft | Combinations for the treatment of cancer comprising a mps-1 kinase inhibitor and a mitotic inhibitor |
| WO2015010641A1 (en) | 2013-07-24 | 2015-01-29 | Novartis Ag | Substituted quinazolin-4-one derivatives |
| WO2015022663A1 (en) | 2013-08-14 | 2015-02-19 | Novartis Ag | Compounds and compositions as inhibitors of mek |
| WO2015022662A1 (en) | 2013-08-14 | 2015-02-19 | Novartis Ag | Compounds and compositions as inhibitors of mek |
| WO2015022664A1 (en) | 2013-08-14 | 2015-02-19 | Novartis Ag | Compounds and compositions as inhibitors of mek |
| WO2015042077A1 (en) | 2013-09-22 | 2015-03-26 | Calitor Sciences, Llc | Substituted aminopyrimidine compounds and methods of use |
| WO2015054659A1 (en) | 2013-10-11 | 2015-04-16 | Mersana Therapeutics, Inc. | Protein-polymer-drug conjugates |
| WO2015054669A1 (en) | 2013-10-11 | 2015-04-16 | Asana Biosciences, Llc | Protein-polymer-drug conjugates |
| WO2015153498A1 (en) | 2014-03-31 | 2015-10-08 | Epitherapeutics, Aps | Inhibitors of histone demethylases |
| US9221801B2 (en) | 2013-02-27 | 2015-12-29 | Epitherapeutics Aps | Inhibitors of histone demethylases |
| WO2016033169A1 (en) | 2014-08-27 | 2016-03-03 | Epitherapeutics Aps | Compounds and methods for inhibiting histone demethylases |
| EP3064502A1 (en) | 2012-01-26 | 2016-09-07 | Novartis AG | Imidazopyrrolidinone compounds |
| WO2017044434A1 (en) | 2015-09-11 | 2017-03-16 | Sunshine Lake Pharma Co., Ltd. | Substituted heteroaryl compounds and methods of use |
| WO2018004338A1 (en) | 2016-06-27 | 2018-01-04 | Tagworks Pharmaceuticals B.V. | Cleavable tetrazine used in bio-orthogonal drug activation |
| EP3312164A1 (en) | 2014-03-28 | 2018-04-25 | Calitor Sciences, LLC | Substituted heteroaryl compounds and methods of use |
| WO2018098269A2 (en) | 2016-11-23 | 2018-05-31 | Mersana Therapeutics, Inc. | Peptide-containing linkers for antibody-drug conjugates |
| WO2018237262A1 (en) | 2017-06-22 | 2018-12-27 | Mersana Therapeutics, Inc. | METHODS FOR PRODUCING POLYMERIC MATRICES TRANSPORTING MEDICAMENTS, AND PROTEIN-POLYMER-MEDICINE CONJUGATES |
| US10189787B2 (en) | 2012-10-02 | 2019-01-29 | Gilead Sciences, Inc. | Inhibitors of histone demethylases |
| WO2019099311A1 (en) | 2017-11-19 | 2019-05-23 | Sunshine Lake Pharma Co., Ltd. | Substituted heteroaryl compounds and methods of use |
| WO2019143874A1 (en) | 2018-01-20 | 2019-07-25 | Sunshine Lake Pharma Co., Ltd. | Substituted aminopyrimidine compounds and methods of use |
| US10426753B2 (en) | 2014-04-03 | 2019-10-01 | Invictus Oncology Pvt. Ltd. | Supramolecular combinatorial therapeutics |
| WO2019212357A1 (en) | 2018-05-04 | 2019-11-07 | Tagworks Pharmaceuticals B.V. | Compounds comprising a linker for increasing transcyclooctene stability |
| WO2019212356A1 (en) | 2018-05-04 | 2019-11-07 | Tagworks Pharmaceuticals B .V. | Tetrazines for high click conjugation yield in vivo and high click release yield |
| EP3566719A1 (en) | 2010-05-18 | 2019-11-13 | Cerulean Pharma Inc. | Compositions and methods for treatment of autoimmune and other diseases |
| WO2020089310A1 (en) | 2018-10-31 | 2020-05-07 | Bio Even | Flavin adenine dinucleotide (fad) for use in the prevention and/or treatment of cancer |
| WO2020092385A1 (en) | 2018-10-29 | 2020-05-07 | Mersana Therapeutics, Inc. | Cysteine engineered antibody-drug conjugates with peptide-containing linkers |
| WO2020256546A1 (en) | 2019-06-17 | 2020-12-24 | Tagworks Pharmaceuticals B.V. | Compounds for fast and efficient click release |
| WO2020256544A1 (en) | 2019-06-17 | 2020-12-24 | Tagworks Pharmaceuticals B.V. | Tetrazines for high click release speed and yield |
| WO2023031445A2 (en) | 2021-09-06 | 2023-03-09 | Veraxa Biotech Gmbh | Novel aminoacyl-trna synthetase variants for genetic code expansion in eukaryotes |
| EP4186529A1 (en) | 2021-11-25 | 2023-05-31 | Veraxa Biotech GmbH | Improved antibody-payload conjugates (apcs) prepared by site-specific conjugation utilizing genetic code expansion |
| WO2023094525A1 (en) | 2021-11-25 | 2023-06-01 | Veraxa Biotech Gmbh | Improved antibody-payload conjugates (apcs) prepared by site-specific conjugation utilizing genetic code expansion |
| WO2023104941A1 (en) | 2021-12-08 | 2023-06-15 | European Molecular Biology Laboratory | Hydrophilic tetrazine-functionalized payloads for preparation of targeting conjugates |
| WO2023158305A1 (en) | 2022-02-15 | 2023-08-24 | Tagworks Pharmaceuticals B.V. | Masked il12 protein |
| WO2024013724A1 (en) | 2022-07-15 | 2024-01-18 | Pheon Therapeutics Ltd | Antibody-drug conjugates |
| WO2024080872A1 (en) | 2022-10-12 | 2024-04-18 | Tagworks Pharmaceuticals B.V. | Strained bicyclononenes |
| WO2024153789A1 (en) | 2023-01-20 | 2024-07-25 | Basf Se | Stabilized biopolymer composition, their manufacture and use |
| WO2024191293A1 (en) | 2023-03-10 | 2024-09-19 | Tagworks Pharmaceuticals B.V. | Trans-cyclooctene with improved t-linker |
| WO2025021929A1 (en) | 2023-07-27 | 2025-01-30 | Veraxa Biotech Gmbh | Hydrophilic trans-cyclooctene (hytco) compounds, constructs and conjugates containing the same |
| EP4512395A1 (en) | 2023-08-21 | 2025-02-26 | Bio Even | Composition comprising flavin adenine dinucleotide (fad), l-gsh, atp and myristic acid, alone or with a drug |
| WO2025056807A1 (en) | 2023-09-15 | 2025-03-20 | Basf Se | Stabilized biopolymer composition, their manufacture and use |
| WO2025149667A1 (en) | 2024-01-12 | 2025-07-17 | Pheon Therapeutics Ltd | Antibody drug conjugates and uses thereof |
| WO2025174248A1 (en) | 2024-02-16 | 2025-08-21 | Tagworks Pharmaceuticals B.V. | Trans-cyclooctenes with "or gate" release |
Citations (2)
| Publication number | Priority date | Publication date | Assignee | Title |
|---|---|---|---|---|
| WO1993010121A1 (en) * | 1991-11-19 | 1993-05-27 | GESELLSCHAFT FüR BIOTECHNOLOGISCHE FORSCHUNG MBH (GBF) | Epothilones, process for preparing the same and their use as medicaments and as plant protecting agents |
| WO1997019086A1 (en) * | 1995-11-17 | 1997-05-29 | GESELLSCHAFT FüR BIOTECHNOLOGISCHE FORSCHUNG MBH (GBF) | Epothilone derivatives, preparation and use |
-
1997
- 1997-01-15 NZ NZ334821A patent/NZ334821A/en not_active IP Right Cessation
- 1997-01-15 WO PCT/DE1997/000111 patent/WO1998008849A1/en not_active Ceased
- 1997-01-15 JP JP10511141A patent/JP2001500851A/en active Pending
- 1997-01-15 EP EP97914077A patent/EP0923583A1/en not_active Withdrawn
- 1997-01-15 AU AU21493/97A patent/AU716610B2/en not_active Ceased
Patent Citations (2)
| Publication number | Priority date | Publication date | Assignee | Title |
|---|---|---|---|---|
| WO1993010121A1 (en) * | 1991-11-19 | 1993-05-27 | GESELLSCHAFT FüR BIOTECHNOLOGISCHE FORSCHUNG MBH (GBF) | Epothilones, process for preparing the same and their use as medicaments and as plant protecting agents |
| WO1997019086A1 (en) * | 1995-11-17 | 1997-05-29 | GESELLSCHAFT FüR BIOTECHNOLOGISCHE FORSCHUNG MBH (GBF) | Epothilone derivatives, preparation and use |
Non-Patent Citations (14)
| Title |
|---|
| BALOG,A. ET AL.: "Total Synthesis of (-)-Epothilone A", ANGEW.CHEM.INT.ED.ENGL., vol. 35, no. 23/24, January 1997 (1997-01-01), WEINHEIM, pages 2801 - 2803, XP002035359 * |
| BERTINATO,P. ET AL.: "Studies toward the Synthesis of Epothilone A: Stereocontrolled Assembly of the Acyl Region and Models for Macrocyclisation", J.ORG.CHEM., vol. 61, no. 23, 1996, WASHINGTON, pages 8000 - 8001, XP002035362 * |
| BLECHERT,S. ET AL.: "Synthesis of (-)-Streptenol A,(1-)-Streptenol B, C and D", LIEBIGS ANN.CHEM., December 1996 (1996-12-01), WEINHEIM, pages 2135 - 2140, XP002035675 * |
| BOLLAG,M.D. ET AL.: "Epoththilones, a New Class of Microtubule-stabilizing Agents with A Taxol-like Mechanism of Action", CANCER RES., vol. 55, 1 June 1995 (1995-06-01), BALTIMORE, pages 2325 - 2333, XP002035371 * |
| GERTH,K. ET AL: "Epothilones A and B: Antifungal and Cytotoxic Compounds from Sorangium cellulosum (Myxobacteria)", J.ANTIBIOT., vol. 49, no. 6, June 1996 (1996-06-01), pages 560 - 563, XP002035370 * |
| GRUBBS,R.H. ET AL.: "Ring-Closing Metathesis and Related Processes in Organic Synthesis", ACC.CHEM.RES., vol. 28, 1995, pages 446 - 452, XP002035670 * |
| KELLER-SCHIERLEIN,W. ET AL: "(3S,8E)-1,3-Dihydroxy-8-decen-5-on, ein Stoffwechselprodukt von Stryptomyces fimbriatus", HELV.CHIM.ACTA., vol. 4, 1983, BASEL, pages 1253 - 1261, XP002035672 * |
| MENG,D, ET AL: "Studies toward a Syntesis of Epothilone A: Use of Hydropyran Templates for the Management of Acyclic Stereochemical Relationships", J.ORG.CHEM., vol. 61, no. 23, 1996, WASHINGTON, pages 7998 - 7999, XP002035361 * |
| MENG,D. ET AL.: "Remote Effects in Macrolide Formation through Ring-Forming Olefin Metathesis: An Application to the Synthesis of Fully Active Epothilone Congeners", J.AM.CHEM.SOC., vol. 119, no. 11, 1997, WASHINGTON, pages 2733 - 2734, XP002035373 * |
| MEYERS,A.I. ET AL., J.ORG.CHEM., vol. 38, 1973, WASHINGTON, pages 2136 - 2143, XP002035671 * |
| NERDEL,F. ET AL.: "Hepten-(6)-Säuren und Bicyclo[3.3.1]- bzw. -[3.2.0]heptanone-(6)", CHEM.BER., vol. 100, 1967, WEINHEIM, pages 720 - 735, XP002035673 * |
| NICOLAOU,K.C.ET AL.: "An Approach to Epothilones Based on Olefin Methathesis", ANGEW.CHEM.INT.ED.ENGL., vol. 35, no. 20, November 1996 (1996-11-01), WEINHEIM, pages 2399 - 2401, XP002035372 * |
| TAYLOR,R.E. ET AL.: "Towards the Synthesis of Epothilone A : Enantioselective Preparation of the Thiazole Sidechain and Macrocyclic Ring Closure", TETRAHEDRON LETT., vol. 38, no. 12, 1997, OXFORD, pages 2061 - 2064, XP002035674 * |
| YANG,Z. ET AL.: "Total synthesis of Epothilone A : The Olefine Metathesis Approach", ANGEW.CHEM.INT.ED.ENGL., vol. 36, no. 1/2, 1997, WEINHEIM, pages 166 - 168, XP002035364 * |
Cited By (229)
| Publication number | Priority date | Publication date | Assignee | Title |
|---|---|---|---|---|
| US6831076B2 (en) | 1995-11-17 | 2004-12-14 | Gesellschaft Fur Biotechnologische Forschung Mbh (Gbf) | Epothilons C and D, preparation and compositions |
| US6613912B2 (en) | 1995-11-17 | 2003-09-02 | Gesellschaft Fur Biotechnologische Forschung Mbh (Gbf) | Epothilons C and D, preparation and compositions |
| US6288237B1 (en) | 1995-11-17 | 2001-09-11 | Gesellschaft Fur Biotechnologische Forschung Mbh (Gbf) | Epothilons C and D, preparation and compositions |
| WO1998022461A1 (en) * | 1996-11-18 | 1998-05-28 | GESELLSCHAFT FüR BIOTECHNOLOGISCHE FORSCHUNG MBH (GBF) | Epothilone c, d, e and f, production process, and their use as cytostatic as well as phytosanitary agents |
| US8076490B2 (en) | 1996-11-18 | 2011-12-13 | Helmholtz-Zentrum Fuer Infektionsforschung Gmbh | Epothilones C, D, E, and F, preparation and compositions |
| US7846952B2 (en) | 1996-11-18 | 2010-12-07 | Helmholtz-Zentrum Fuer Infektionsforschung Gmbh | Epothilones C, D, E, and F, preparation and compositions |
| EP1367057A1 (en) * | 1996-11-18 | 2003-12-03 | Gesellschaft für biotechnologische Forschung mbH (GBF) | Epothilones C, E and F |
| US6300355B1 (en) | 1996-12-03 | 2001-10-09 | Sloan-Kettering Institute For Cancer Research | Synthesis of epothilones, intermediates thereto, analogues and uses thereof |
| US6965034B2 (en) | 1996-12-03 | 2005-11-15 | Sloan-Kettering Institute For Cancer Research | Synthesis of epothilones, intermediates thereto and analogues thereof |
| US6284781B1 (en) | 1996-12-03 | 2001-09-04 | Sloan-Kettering Institute For Cancer Research | Synthesis of epothilones, intermediates thereto, analogues and uses thereof |
| EP0977563A4 (en) * | 1996-12-03 | 2001-04-25 | Sloan Kettering Inst Cancer | SYNTHESIS OF EPOTHILONS, INTERMEDIATE PRODUCTS THEREOF, ANALOGA AND USES THEREOF |
| US6656961B2 (en) | 1996-12-03 | 2003-12-02 | Sloan-Kettering Institute For Cancer Research | Synthesis of epothilones, intermediates thereto, analogues and uses thereof |
| EP1386922A3 (en) * | 1996-12-03 | 2004-04-07 | Sloan-Kettering Institute For Cancer Research | Synthesis of epothilones, intermediates thereof, analogues and uses thereof |
| US6603023B2 (en) | 1996-12-03 | 2003-08-05 | Sloan Kettering Institute For Cancer Research | Synthesis of epothilones, intermediates thereto and analogues thereof |
| US6316630B1 (en) | 1996-12-03 | 2001-11-13 | Sloan Kettering Institute For Cancer Research | Synthesis of epothilones, intermediates thereto and analogues thereof |
| US6867305B2 (en) | 1996-12-03 | 2005-03-15 | Sloan-Kettering Institute For Cancer Research | Synthesis of epothilones, intermediates thereto and analogues thereof |
| US6242469B1 (en) | 1996-12-03 | 2001-06-05 | Sloan-Kettering Institute For Cancer Research | Synthesis of epothilones, intermediates thereto, analogues and uses thereof |
| US6828340B2 (en) | 1996-12-03 | 2004-12-07 | Sloan-Kettering Institute For Cancer Research | Synthesis of epothilones, intermediates thereto, analogues and uses thereof |
| US6369234B1 (en) | 1996-12-03 | 2002-04-09 | Sloan-Kettering Institute For Cancer Research | Synthesis of epothilones, intermediates thereto, analogues and uses thereof |
| US6723854B2 (en) | 1996-12-03 | 2004-04-20 | Sloan-Kettering Institute For Cancer Research | Synthesis of epothilones, intermediates thereto, analogues and uses thereof |
| USRE41990E1 (en) | 1996-12-03 | 2010-12-07 | Sloan-Kettering Institute For Cancer Research | Synthesis of epothilones, intermediates thereto, analogues and uses thereof |
| US6972335B2 (en) | 1996-12-03 | 2005-12-06 | Sloan-Kettering Institute For Cancer Research | Synthesis of epothilones, intermediates thereto, analogues and uses thereof |
| US6380394B1 (en) | 1996-12-13 | 2002-04-30 | The Scripps Research Institute | Epothilone analogs |
| US6441186B1 (en) | 1996-12-13 | 2002-08-27 | The Scripps Research Institute | Epothilone analogs |
| US6660758B1 (en) | 1996-12-13 | 2003-12-09 | The Scripps Research Institute | Epothilone analogs |
| USRE41895E1 (en) | 1997-07-08 | 2010-10-26 | Bristol-Myers Squibb Company | Epothilone derivatives |
| US7241755B2 (en) | 1997-07-08 | 2007-07-10 | Bristol-Myers Squibb Company | Epothilone derivatives |
| USRE41911E1 (en) | 1997-07-08 | 2010-11-02 | Bristol-Myers Squibb Company | Epothilone derivatives |
| US8921542B2 (en) | 1997-07-08 | 2014-12-30 | Bristol-Myers Squibb Company | Epothilone derivatives |
| US6605599B1 (en) | 1997-07-08 | 2003-08-12 | Bristol-Myers Squibb Company | Epothilone derivatives |
| USRE41893E1 (en) | 1997-07-08 | 2010-10-26 | Bristol-Myers Squibb Company | Epothilone derivatives |
| USRE43003E1 (en) | 1997-07-08 | 2011-12-06 | Bristol-Myers Squibb Company | Epothilone derivatives |
| US7125899B2 (en) | 1997-07-08 | 2006-10-24 | Bristol-Myers Squibb Company | Epothilone derivatives |
| US8536327B2 (en) | 1997-07-08 | 2013-09-17 | Bristol-Myers Squibb Company | Epothilone derivatives |
| US7407975B2 (en) | 1997-08-09 | 2008-08-05 | Bayer Schering Pharma Ag | Epothilone derivatives, method for producing same and their pharmaceutical use |
| EP1847540A1 (en) * | 1997-08-09 | 2007-10-24 | Bayer Schering Pharma Aktiengesellschaft | Nouveaux dérivés d'épothilone, leur procédé de production et leur utilisation pharmaceutique |
| WO1999007692A3 (en) * | 1997-08-09 | 1999-05-14 | Schering Ag | New epothilone derivatives, method for producing same and their pharmaceutical use |
| US6320045B1 (en) | 1997-12-04 | 2001-11-20 | Bristol-Myers Squibb Company | Process for the reduction of oxiranyl epothilones to olefinic epothilones |
| US6365749B1 (en) | 1997-12-04 | 2002-04-02 | Bristol-Myers Squibb Company | Process for the preparation of ring-opened epothilone intermediates which are useful for the preparation of epothilone analogs |
| US7101702B2 (en) | 1998-02-19 | 2006-09-05 | Novartis Ag | Fermentative preparation process for and crystal forms of cytostatics |
| US7091226B2 (en) | 1998-02-25 | 2006-08-15 | Novartis Ag | Cancer treatment with epothilones |
| US6380395B1 (en) | 1998-04-21 | 2002-04-30 | Bristol-Myers Squibb Company | 12, 13-cyclopropane epothilone derivatives |
| US6831090B2 (en) | 1998-04-21 | 2004-12-14 | Bristol-Myers Squibb Company | 2,3-olefinic epothilone derivatives |
| US6498257B1 (en) | 1998-04-21 | 2002-12-24 | Bristol-Myers Squibb Company | 2,3-olefinic epothilone derivatives |
| US6399638B1 (en) | 1998-04-21 | 2002-06-04 | Bristol-Myers Squibb Company | 12,13-modified epothilone derivatives |
| WO1999059985A1 (en) * | 1998-05-18 | 1999-11-25 | Novartis Ag | Intermediates for the synthesis of epothilones and methods for their preparation |
| US6350878B1 (en) | 1998-05-18 | 2002-02-26 | Novartis Ag | Intermediates for the synthesis of epothilones and methods for their preparation |
| US6624310B1 (en) | 1998-06-18 | 2003-09-23 | Gesellschaft Fuer Biotechnologische Forschung, Mbh (Gbf) | Epothilone minor constituents |
| WO1999065913A3 (en) * | 1998-06-18 | 2000-04-20 | Biotechnolog Forschung Gmbh | Epothilone minor constituents |
| EP1275648A1 (en) * | 1998-06-18 | 2003-01-15 | Gesellschaft für biotechnologische Forschung mbH (GBF) | Epothilone minor constituents |
| US7235669B2 (en) | 1998-06-18 | 2007-06-26 | Helmholtz-Zentrum Fur Infektionsforschung, Gmbh | Epothilone side components |
| US6531497B1 (en) | 1998-06-22 | 2003-03-11 | The Scripps Research Institute | Epothilone derivatives and their synthesis and use |
| WO1999067253A3 (en) * | 1998-06-22 | 2000-04-20 | Novartis Ag | Desmethyl epothilones |
| US7579366B2 (en) | 1998-06-22 | 2009-08-25 | The Scripps Research Institute | Epothilone derivatives and their synthesis and use |
| WO2000031247A2 (en) | 1998-11-20 | 2000-06-02 | Kosan Biosciences, Inc. | Recombinant methods and materials for producing epothilone and epothilone derivatives |
| US6921650B1 (en) | 1998-11-20 | 2005-07-26 | Kosan Biosciences, Inc. | Recombinant methods and materials for producing epothilone and epothilone derivatives |
| US6303342B1 (en) | 1998-11-20 | 2001-10-16 | Kason Biosciences, Inc. | Recombinant methods and materials for producing epothilones C and D |
| US7067286B2 (en) | 1998-11-20 | 2006-06-27 | Kosan Biosciences, Inc. | Cystobacterineae host cells containing heterologous PKS genes for the synthesis of polykedtides |
| US6410301B1 (en) | 1998-11-20 | 2002-06-25 | Kosan Biosciences, Inc. | Myxococcus host cells for the production of epothilones |
| US7129071B1 (en) | 1998-11-20 | 2006-10-31 | Kosan Biosciences, Inc. | Recombinant methods and materials for producing epothilone and epothilone derivatives |
| US6583290B1 (en) | 1998-11-20 | 2003-06-24 | Kosam Biosciences, Inc. | 14-methyl epothilone derivatives |
| US7402421B2 (en) | 1998-11-20 | 2008-07-22 | Kosan Biosciences, Inc. | Recombinant methods and materials for producing epothilone and epothilone derivatives |
| US6858411B1 (en) | 1998-11-20 | 2005-02-22 | Kosan Biosciences, Inc. | Recombinant methods and materials for producing epothilone and epothilone derivatives |
| US7732186B2 (en) | 1998-11-20 | 2010-06-08 | Kosan Biosciences, Inc. | Recombinant methods and materials for producing epothilone and epothilone derivatives |
| US7244594B2 (en) | 1998-12-23 | 2007-07-17 | Bristol-Myers Squibb Company | Microbial transformation method for the preparation of an epothilone |
| US6780620B1 (en) | 1998-12-23 | 2004-08-24 | Bristol-Myers Squibb Company | Microbial transformation method for the preparation of an epothilone |
| US6683100B2 (en) | 1999-01-19 | 2004-01-27 | Novartis Ag | Organic compounds |
| US7145018B2 (en) | 1999-02-05 | 2006-12-05 | State Of Oregon Acting By And Through The State Board Of Higher Education On Behalf Of The Oregon State University | Method for synthesizing epothilones and epothilone analogs |
| US6958401B2 (en) | 1999-02-05 | 2005-10-25 | The State Of Oregon Acting By And Through The State Board Of Higher Education On Behalf Of Oregon State University | Method for synthesizing epothilones and epothilone analogs |
| US7001916B1 (en) | 1999-02-11 | 2006-02-21 | Schering, Ag | Epothilon derivatives, method for the production and the use thereof as pharmaceuticals |
| US6262094B1 (en) | 1999-02-22 | 2001-07-17 | Bristol-Myers Squibb Company | C-21 modified epothilones |
| US6291684B1 (en) | 1999-03-29 | 2001-09-18 | Bristol-Myers Squibb Company | Process for the preparation of aziridinyl epothilones from oxiranyl epothilones |
| US7125893B1 (en) | 1999-04-30 | 2006-10-24 | Schering Ag | 6-alkenyl-, 6-alkinyl- and 6-epoxy-epothilone derivatives, process for their production, and their use in pharmaceutical preparations |
| US7700621B2 (en) | 1999-04-30 | 2010-04-20 | Bayer Schering Pharma Aktiengesellschaft | 6-alkenyl-, 6-alkinyl- and 6-epoxy-epothilone derivatives, process for their production, and their use in pharmaceutical preparations |
| EP2289549A2 (en) | 1999-10-01 | 2011-03-02 | Immunogen, Inc. | Immunoconjugates for treating cancer |
| EP2266607A2 (en) | 1999-10-01 | 2010-12-29 | Immunogen, Inc. | Immunoconjugates for treating cancer |
| US6596875B2 (en) | 2000-02-07 | 2003-07-22 | James David White | Method for synthesizing epothilones and epothilone analogs |
| USRE39356E1 (en) * | 2000-03-20 | 2006-10-17 | Bristol-Myers Squibb Co. | Process for the preparation of epothilone analogs |
| US6518421B1 (en) | 2000-03-20 | 2003-02-11 | Bristol-Myers Squibb Company | Process for the preparation of epothilone analogs |
| US6593115B2 (en) | 2000-03-24 | 2003-07-15 | Bristol-Myers Squibb Co. | Preparation of epothilone intermediates |
| US6689802B2 (en) | 2000-08-16 | 2004-02-10 | Bristol-Myers Squibb Company | Polymorphs of an epothilone analog |
| US7153879B2 (en) | 2000-08-16 | 2006-12-26 | Bristol-Myers Squibb Company | Polymorphs of an epothilone analog |
| US6982276B2 (en) | 2000-08-16 | 2006-01-03 | Bristol-Myers Squibb Company | Polymorphs of an epothilone analog |
| USRE39251E1 (en) * | 2000-08-16 | 2006-08-29 | Bristol-Myers Squibb Co. | Polymorphs of an epothilone analog |
| RU2285007C2 (en) * | 2000-12-07 | 2006-10-10 | Новартис Аг | Method for isolating epotilons from reaction mixture and desorption from synthetic resin (variants), using low-polar or nonpolar solvent for realization of method |
| USRE40387E1 (en) * | 2001-01-25 | 2008-06-17 | Bristol-Myers Squibb Company | Pharmaceutical compositions, dosage forms and methods for oral administration of epothilones |
| US6576651B2 (en) | 2001-01-25 | 2003-06-10 | Bristol-Myers Squibb Company | Pharmaceutical compositions, dosage forms and methods for oral administration of epothilones |
| US8632788B2 (en) | 2001-01-25 | 2014-01-21 | Bristol-Myers Squibb Company | Parenteral formulation for epothilone analogs |
| US7022330B2 (en) | 2001-01-25 | 2006-04-04 | Bristol-Myers Squibb Company | Parenteral formulation for epothilone analogs |
| US6670384B2 (en) | 2001-01-25 | 2003-12-30 | Bristol-Myers Squibb Company | Methods of administering epothilone analogs for the treatment of cancer |
| US6686380B2 (en) | 2001-02-20 | 2004-02-03 | Bristol-Myers Squibb Company | Treatment of refractory tumors using epothilone derivatives |
| US6727276B2 (en) | 2001-02-20 | 2004-04-27 | Bristol-Myers Squibb Company | Epothilone derivatives for the treatment of refractory tumors |
| USRE41393E1 (en) | 2001-02-20 | 2010-06-22 | Bristol-Myers Squibb Company | Treatment of refractory tumors using epothilone derivatives |
| WO2002072858A3 (en) * | 2001-02-27 | 2002-12-19 | Biotechnolog Forschung Gmbh | Degradation of epothilones and ethynyl substituted epothilones |
| EP1564217A3 (en) * | 2001-02-27 | 2005-08-31 | Gesellschaft für biotechnologische Forschung mbH (GBF) | Process for the production of epothilones |
| US8569347B2 (en) | 2001-03-14 | 2013-10-29 | Bristol-Myers Squibb Company | Combination of epothilone analogs and chemotherapeutic agents for the treatment of proliferative diseases |
| US8598215B2 (en) | 2001-03-14 | 2013-12-03 | Bristol-Myers Squibb Company | Combination of epothilone analogs and chemotherapeutic agents for the treatment of proliferative diseases |
| US7312237B2 (en) | 2001-03-14 | 2007-12-25 | Bristol-Myers Squibb Co. | Combination of epothilone analogs and chemotherapeutic agents for the treatment of prolilferative diseases |
| US6800653B2 (en) | 2001-06-01 | 2004-10-05 | Bristol-Myers Squibb Compnay | Epothilone derivatives |
| EP2210643A2 (en) | 2001-07-19 | 2010-07-28 | Novartis AG | Combinations comprising epothilones and pharmaceutical uses thereof |
| EP2030618A2 (en) | 2002-01-14 | 2009-03-04 | Novartis AG | Combinations comprising epothilones and anti-metabolites |
| WO2003078411A1 (en) | 2002-03-12 | 2003-09-25 | Bristol-Myers Squibb Company | C3-cyano epothilone derivatives |
| US7211593B2 (en) | 2002-03-12 | 2007-05-01 | Bristol-Myers Squibb Co. | C12-cyano epothilone derivatives |
| US6936628B2 (en) | 2002-04-04 | 2005-08-30 | Bristol-Myers Squibb Company | Oral administration of epothilones |
| US7053069B2 (en) | 2002-05-15 | 2006-05-30 | Bristol-Myers Squibb Company | Pharmaceutical compositions and methods of using C-21 modified epothilone derivatives |
| US7008936B2 (en) | 2002-06-14 | 2006-03-07 | Bristol-Myers Squibb Company | Combination of epothilone analogs and chemotherapeutic agents for the treatment of proliferative diseases |
| US6921769B2 (en) | 2002-08-23 | 2005-07-26 | Sloan-Kettering Institute For Cancer Research | Synthesis of epothilones, intermediates thereto and analogues thereof |
| RU2343155C2 (en) * | 2002-09-13 | 2009-01-10 | Новартис Аг | Method of obtaining epotilone derivatives |
| RU2404985C2 (en) * | 2002-09-13 | 2010-11-27 | Новартис Аг | Method for synthesis of epothilone derivatives, novel epothilone derivatives, as well as novel intermediate compounds for realising said method and synthesis methods thereof |
| US7767432B2 (en) | 2002-09-23 | 2010-08-03 | Bristol-Myers Squibb Company | Methods for the preparation, isolation and purification of epothilone B, and x-ray crystal structures of epothilone B |
| US7172884B2 (en) | 2002-09-23 | 2007-02-06 | Bristol-Myers Squibb Company | Methods for the preparation, isolation and purification of epothilone B, and x-ray crystal structures of epothilone B |
| USRE42191E1 (en) | 2002-09-23 | 2011-03-01 | Bristol-Myers Squibb Company | Methods for the preparation, isolation and purification of epothilone B, and X-ray crystal structures of epothilone B |
| US7241899B2 (en) | 2002-09-23 | 2007-07-10 | Bristol-Myers Squibb Company | Methods for the preparation, isolation and purification of epothilone B, and X-ray crystal structures of epothilone B |
| EP2253614A1 (en) | 2004-04-07 | 2010-11-24 | Novartis AG | Inhibitors of IAP |
| EP2065368A1 (en) | 2004-04-07 | 2009-06-03 | Novartis Ag | Inhibitors of IAP |
| EP2270008A1 (en) | 2005-05-20 | 2011-01-05 | Novartis AG | 1,3-dihydro-imidazo[4,5-c]quinolin-2-ones as lipid kinase and/or pi3 kinases inhibitors |
| EP2292617A1 (en) | 2005-05-20 | 2011-03-09 | Novartis AG | 1,3-dihydro-imidazo[4,5-c]quinolin-2-ones as lipid kinase and/or pi3 kinase inhibitors |
| WO2007038459A2 (en) | 2005-09-27 | 2007-04-05 | Novartis Ag | Carboxyamine compounds and their use in the treatment of hdac dependent diseases |
| EP2275103A2 (en) | 2005-11-21 | 2011-01-19 | Novartis AG | mTOR inhibitors in the treatment of endocrine tumors |
| EP2022498A2 (en) | 2005-11-21 | 2009-02-11 | Novartis AG | Neuroendocrine tumour treatment |
| EP2371822A1 (en) | 2006-03-14 | 2011-10-05 | Novartis AG | Heterobicyclic carboxamides as inhibitors for kinases |
| EP2591775A1 (en) | 2006-04-05 | 2013-05-15 | Novartis AG | Combinations comprising mtor inhibitors for treating cancer |
| EP2314297A1 (en) | 2006-04-05 | 2011-04-27 | Novartis AG | Combinations comprising bcr-abl/c-kit/pdgf-r tk inhibitors for treating cancer |
| EP2272511A1 (en) | 2006-05-09 | 2011-01-12 | Novartis AG | Combination comprising an iron chelator and an anti-neoplastic agent and use thereof |
| WO2008037477A1 (en) | 2006-09-29 | 2008-04-03 | Novartis Ag | Pyrazolopyrimidines as p13k lipid kinase inhibitors |
| EP2359818A1 (en) | 2007-02-15 | 2011-08-24 | Novartis AG | Combination of LBH589 with HSP 90 inhibitors for treating cancer |
| EP2491923A2 (en) | 2007-02-15 | 2012-08-29 | Novartis AG | Combinations of therapeutic agents for treating cancer |
| WO2009118292A1 (en) | 2008-03-24 | 2009-10-01 | Novartis Ag | Arylsulfonamide-based matrix metalloprotease inhibitors |
| EP2628726A1 (en) | 2008-03-26 | 2013-08-21 | Novartis AG | Hydroxamate-based inhibitors of deacetylases b |
| WO2010083617A1 (en) | 2009-01-21 | 2010-07-29 | Oncalis Ag | Pyrazolopyrimidines as protein kinase inhibitors |
| WO2010088335A1 (en) | 2009-01-29 | 2010-08-05 | Novartis Ag | Substituted benzimidazoles for the treatment of astrocytomas |
| WO2010149755A1 (en) | 2009-06-26 | 2010-12-29 | Novartis Ag | 1, 3-disubstituted imidazolidin-2-one derivatives as inhibitors of cyp 17 |
| WO2011015652A1 (en) | 2009-08-07 | 2011-02-10 | Novartis Ag | 3-heteroarylmethyl-imidazo[1,2-b]pyridazin-6-yl derivatives as c-met tyrosine kinase modulators |
| WO2011018454A1 (en) | 2009-08-12 | 2011-02-17 | Novartis Ag | Heterocyclic hydrazone compounds and their uses to treat cancer and inflammation |
| WO2011020861A1 (en) | 2009-08-20 | 2011-02-24 | Novartis Ag | Heterocyclic oxime compounds |
| WO2011023677A1 (en) | 2009-08-26 | 2011-03-03 | Novartis Ag | Tetra-substituted heteroaryl compounds and their use as mdm2 and/or mdm4 modulators |
| WO2011054828A1 (en) | 2009-11-04 | 2011-05-12 | Novartis Ag | Heterocyclic sulfonamide derivatives useful as mek inhibitors |
| WO2011070030A1 (en) | 2009-12-08 | 2011-06-16 | Novartis Ag | Heterocyclic sulfonamide derivatives |
| WO2011076786A1 (en) | 2009-12-22 | 2011-06-30 | Novartis Ag | Substituted isoquinolinones and quinazolinones |
| EP3566719A1 (en) | 2010-05-18 | 2019-11-13 | Cerulean Pharma Inc. | Compositions and methods for treatment of autoimmune and other diseases |
| WO2012004299A1 (en) | 2010-07-06 | 2012-01-12 | Novartis Ag | Tetrahydro-pyrido-pyrimidine derivatives |
| WO2012035078A1 (en) | 2010-09-16 | 2012-03-22 | Novartis Ag | 17α-HYDROXYLASE/C17,20-LYASE INHIBITORS |
| WO2012066095A1 (en) | 2010-11-19 | 2012-05-24 | Novartis Ag | Crystalline form of an inhibitor of mdm2/4 and p53 interaction |
| WO2012107500A1 (en) | 2011-02-10 | 2012-08-16 | Novartis Ag | [1, 2, 4] triazolo [4, 3 -b] pyridazine compounds as inhibitors of the c-met tyrosine kinase |
| CN102633792A (en) * | 2011-02-15 | 2012-08-15 | 天津尚德药缘科技有限公司 | Method for preparing epothilone D and B |
| WO2012149413A1 (en) | 2011-04-28 | 2012-11-01 | Novartis Ag | 17α-HYDROXYLASE/C17,20-LYASE INHIBITORS |
| WO2012168884A1 (en) | 2011-06-09 | 2012-12-13 | Novartis Ag | Heterocyclic sulfonamide derivatives |
| EP3228325A1 (en) | 2011-06-10 | 2017-10-11 | Mersana Therapeutics, Inc. | Protein-polymer-drug conjugates |
| WO2012171020A1 (en) | 2011-06-10 | 2012-12-13 | Mersana Therapeutics, Inc. | Protein-polymer-drug conjugates |
| WO2012175487A1 (en) | 2011-06-20 | 2012-12-27 | Novartis Ag | Cyclohexyl isoquinolinone compounds |
| WO2012175520A1 (en) | 2011-06-20 | 2012-12-27 | Novartis Ag | Hydroxy substituted isoquinolinone derivatives |
| WO2013001445A1 (en) | 2011-06-27 | 2013-01-03 | Novartis Ag | Solid forms and salts of tetrahydro-pyrido-pyrimidine derivatives |
| WO2013038362A1 (en) | 2011-09-15 | 2013-03-21 | Novartis Ag | 6 - substituted 3 - (quinolin- 6 - ylthio) - [1,2,4] triazolo [4, 3 -a] pyradines as tyrosine kinase |
| WO2013080141A1 (en) | 2011-11-29 | 2013-06-06 | Novartis Ag | Pyrazolopyrrolidine compounds |
| WO2013093850A1 (en) | 2011-12-22 | 2013-06-27 | Novartis Ag | Quinoline derivatives |
| WO2013093849A1 (en) | 2011-12-22 | 2013-06-27 | Novartis Ag | Dihydro-benzo-oxazine and dihydro-pyrido-oxazine derivatives |
| WO2013096059A1 (en) | 2011-12-23 | 2013-06-27 | Novartis Ag | Compounds for inhibiting the interaction of bcl2 with binding partners |
| WO2013096051A1 (en) | 2011-12-23 | 2013-06-27 | Novartis Ag | Compounds for inhibiting the interaction of bcl2 with binding partners |
| WO2013096055A1 (en) | 2011-12-23 | 2013-06-27 | Novartis Ag | Compounds for inhibiting the interaction of bcl2 with binding partners |
| WO2013096049A1 (en) | 2011-12-23 | 2013-06-27 | Novartis Ag | Compounds for inhibiting the interaction of bcl2 with binding partners |
| WO2013096060A1 (en) | 2011-12-23 | 2013-06-27 | Novartis Ag | Compounds for inhibiting the interaction of bcl2 with binding partners |
| EP3064502A1 (en) | 2012-01-26 | 2016-09-07 | Novartis AG | Imidazopyrrolidinone compounds |
| EP3272754A1 (en) | 2012-01-26 | 2018-01-24 | Novartis AG | Imidazopyrrolidinone compounds |
| WO2013171640A1 (en) | 2012-05-15 | 2013-11-21 | Novartis Ag | Benzamide derivatives for inhibiting the activity of abl1, abl2 and bcr-abl1 |
| WO2013171642A1 (en) | 2012-05-15 | 2013-11-21 | Novartis Ag | Benzamide derivatives for inhibiting the activity of abl1, abl2 and bcr-abl1 |
| WO2013171639A1 (en) | 2012-05-15 | 2013-11-21 | Novartis Ag | Benzamide derivatives for inhibiting the activity of abl1, abl2 and bcr-abl1 |
| WO2013171641A1 (en) | 2012-05-15 | 2013-11-21 | Novartis Ag | Compounds and compositions for inhibiting the activity of abl1, abl2 and bcr-abl1 |
| WO2013175417A1 (en) | 2012-05-24 | 2013-11-28 | Novartis Ag | Pyrrolopyrrolidinone compounds |
| WO2013188763A1 (en) | 2012-06-15 | 2013-12-19 | The Brigham And Women's Hospital, Inc. | Compositions for treating cancer and methods for making the same |
| US10189787B2 (en) | 2012-10-02 | 2019-01-29 | Gilead Sciences, Inc. | Inhibitors of histone demethylases |
| US10221139B2 (en) | 2012-10-02 | 2019-03-05 | Gilead Sciences, Inc. | Inhibitors of histone demethylases |
| WO2014102630A1 (en) | 2012-11-26 | 2014-07-03 | Novartis Ag | Solid form of dihydro-pyrido-oxazine derivative |
| WO2014093394A1 (en) | 2012-12-10 | 2014-06-19 | Mersana Therapeutics, Inc. | Protein-polymer-drug conjugates |
| WO2014093640A1 (en) | 2012-12-12 | 2014-06-19 | Mersana Therapeutics,Inc. | Hydroxy-polmer-drug-protein conjugates |
| WO2014115080A1 (en) | 2013-01-22 | 2014-07-31 | Novartis Ag | Pyrazolo[3,4-d]pyrimidinone compounds as inhibitors of the p53/mdm2 interaction |
| WO2014115077A1 (en) | 2013-01-22 | 2014-07-31 | Novartis Ag | Substituted purinone compounds |
| WO2014128612A1 (en) | 2013-02-20 | 2014-08-28 | Novartis Ag | Quinazolin-4-one derivatives |
| US9650339B2 (en) | 2013-02-27 | 2017-05-16 | Gilead Sciences, Inc. | Inhibitors of histone demethylases |
| US9221801B2 (en) | 2013-02-27 | 2015-12-29 | Epitherapeutics Aps | Inhibitors of histone demethylases |
| CN103232464B (en) * | 2013-03-29 | 2015-08-19 | 四川农业大学 | Taxoid compound and preparation thereof and the application in cancer therapy drug |
| CN103232464A (en) * | 2013-03-29 | 2013-08-07 | 陈星秀 | Paclitaxel-like compounds, and preparation method thereof and application thereof in anticancer mediciens |
| WO2014184778A1 (en) | 2013-05-17 | 2014-11-20 | Novartis Ag | Pyrimidin-4-yl)oxy)-1h-indole-1-carboxamide derivatives and use thereof |
| WO2014198645A1 (en) | 2013-06-11 | 2014-12-18 | Bayer Pharma Aktiengesellschaft | Combinations for the treatment of cancer comprising a mps-1 kinase inhibitor and a mitotic inhibitor |
| WO2015010641A1 (en) | 2013-07-24 | 2015-01-29 | Novartis Ag | Substituted quinazolin-4-one derivatives |
| WO2015022662A1 (en) | 2013-08-14 | 2015-02-19 | Novartis Ag | Compounds and compositions as inhibitors of mek |
| WO2015022663A1 (en) | 2013-08-14 | 2015-02-19 | Novartis Ag | Compounds and compositions as inhibitors of mek |
| WO2015022664A1 (en) | 2013-08-14 | 2015-02-19 | Novartis Ag | Compounds and compositions as inhibitors of mek |
| WO2015042078A2 (en) | 2013-09-22 | 2015-03-26 | Calitor Sciences, Llc | Substituted aminopyrimidine compounds and methods of use |
| WO2015042077A1 (en) | 2013-09-22 | 2015-03-26 | Calitor Sciences, Llc | Substituted aminopyrimidine compounds and methods of use |
| WO2015054669A1 (en) | 2013-10-11 | 2015-04-16 | Asana Biosciences, Llc | Protein-polymer-drug conjugates |
| US11434278B2 (en) | 2013-10-11 | 2022-09-06 | Asana Biosciences, Llc | Protein-polymer-drug conjugates |
| WO2015054659A1 (en) | 2013-10-11 | 2015-04-16 | Mersana Therapeutics, Inc. | Protein-polymer-drug conjugates |
| US10316080B2 (en) | 2013-10-11 | 2019-06-11 | Asana Biosciences, Llc | Protein-polymer-drug conjugates |
| EP3327006A1 (en) | 2014-03-28 | 2018-05-30 | Calitor Sciences, LLC | Substituted heteroaryl compounds and methods of use |
| EP3312164A1 (en) | 2014-03-28 | 2018-04-25 | Calitor Sciences, LLC | Substituted heteroaryl compounds and methods of use |
| WO2015153498A1 (en) | 2014-03-31 | 2015-10-08 | Epitherapeutics, Aps | Inhibitors of histone demethylases |
| US10426753B2 (en) | 2014-04-03 | 2019-10-01 | Invictus Oncology Pvt. Ltd. | Supramolecular combinatorial therapeutics |
| WO2016033169A1 (en) | 2014-08-27 | 2016-03-03 | Epitherapeutics Aps | Compounds and methods for inhibiting histone demethylases |
| US9802941B2 (en) | 2014-08-27 | 2017-10-31 | Gilead Sciences, Inc. | Compounds and methods for inhibiting histone demethylases |
| WO2017044434A1 (en) | 2015-09-11 | 2017-03-16 | Sunshine Lake Pharma Co., Ltd. | Substituted heteroaryl compounds and methods of use |
| WO2018004338A1 (en) | 2016-06-27 | 2018-01-04 | Tagworks Pharmaceuticals B.V. | Cleavable tetrazine used in bio-orthogonal drug activation |
| WO2018098269A2 (en) | 2016-11-23 | 2018-05-31 | Mersana Therapeutics, Inc. | Peptide-containing linkers for antibody-drug conjugates |
| WO2018237262A1 (en) | 2017-06-22 | 2018-12-27 | Mersana Therapeutics, Inc. | METHODS FOR PRODUCING POLYMERIC MATRICES TRANSPORTING MEDICAMENTS, AND PROTEIN-POLYMER-MEDICINE CONJUGATES |
| WO2019099311A1 (en) | 2017-11-19 | 2019-05-23 | Sunshine Lake Pharma Co., Ltd. | Substituted heteroaryl compounds and methods of use |
| WO2019143874A1 (en) | 2018-01-20 | 2019-07-25 | Sunshine Lake Pharma Co., Ltd. | Substituted aminopyrimidine compounds and methods of use |
| EP4382167A2 (en) | 2018-05-04 | 2024-06-12 | Tagworks Pharmaceuticals B.V. | Compounds comprising a linker for increasing transcyclooctene stability |
| WO2019212356A1 (en) | 2018-05-04 | 2019-11-07 | Tagworks Pharmaceuticals B .V. | Tetrazines for high click conjugation yield in vivo and high click release yield |
| WO2019212357A1 (en) | 2018-05-04 | 2019-11-07 | Tagworks Pharmaceuticals B.V. | Compounds comprising a linker for increasing transcyclooctene stability |
| WO2020092385A1 (en) | 2018-10-29 | 2020-05-07 | Mersana Therapeutics, Inc. | Cysteine engineered antibody-drug conjugates with peptide-containing linkers |
| WO2020089310A1 (en) | 2018-10-31 | 2020-05-07 | Bio Even | Flavin adenine dinucleotide (fad) for use in the prevention and/or treatment of cancer |
| WO2020256544A1 (en) | 2019-06-17 | 2020-12-24 | Tagworks Pharmaceuticals B.V. | Tetrazines for high click release speed and yield |
| WO2020256546A1 (en) | 2019-06-17 | 2020-12-24 | Tagworks Pharmaceuticals B.V. | Compounds for fast and efficient click release |
| EP4382129A2 (en) | 2019-06-17 | 2024-06-12 | Tagworks Pharmaceuticals B.V. | Compounds for fast and efficient click release |
| WO2023031445A2 (en) | 2021-09-06 | 2023-03-09 | Veraxa Biotech Gmbh | Novel aminoacyl-trna synthetase variants for genetic code expansion in eukaryotes |
| WO2023094525A1 (en) | 2021-11-25 | 2023-06-01 | Veraxa Biotech Gmbh | Improved antibody-payload conjugates (apcs) prepared by site-specific conjugation utilizing genetic code expansion |
| EP4186529A1 (en) | 2021-11-25 | 2023-05-31 | Veraxa Biotech GmbH | Improved antibody-payload conjugates (apcs) prepared by site-specific conjugation utilizing genetic code expansion |
| WO2023104941A1 (en) | 2021-12-08 | 2023-06-15 | European Molecular Biology Laboratory | Hydrophilic tetrazine-functionalized payloads for preparation of targeting conjugates |
| EP4372000A2 (en) | 2022-02-15 | 2024-05-22 | Tagworks Pharmaceuticals B.V. | Masked il12 protein |
| WO2023158305A1 (en) | 2022-02-15 | 2023-08-24 | Tagworks Pharmaceuticals B.V. | Masked il12 protein |
| WO2024013723A1 (en) | 2022-07-15 | 2024-01-18 | Pheon Therapeutics Ltd | Antibody drug conjugates that bind cdcp1 and uses thereof |
| WO2024013724A1 (en) | 2022-07-15 | 2024-01-18 | Pheon Therapeutics Ltd | Antibody-drug conjugates |
| WO2024080872A1 (en) | 2022-10-12 | 2024-04-18 | Tagworks Pharmaceuticals B.V. | Strained bicyclononenes |
| WO2024153789A1 (en) | 2023-01-20 | 2024-07-25 | Basf Se | Stabilized biopolymer composition, their manufacture and use |
| WO2024191293A1 (en) | 2023-03-10 | 2024-09-19 | Tagworks Pharmaceuticals B.V. | Trans-cyclooctene with improved t-linker |
| WO2025021929A1 (en) | 2023-07-27 | 2025-01-30 | Veraxa Biotech Gmbh | Hydrophilic trans-cyclooctene (hytco) compounds, constructs and conjugates containing the same |
| EP4512395A1 (en) | 2023-08-21 | 2025-02-26 | Bio Even | Composition comprising flavin adenine dinucleotide (fad), l-gsh, atp and myristic acid, alone or with a drug |
| WO2025056807A1 (en) | 2023-09-15 | 2025-03-20 | Basf Se | Stabilized biopolymer composition, their manufacture and use |
| WO2025149667A1 (en) | 2024-01-12 | 2025-07-17 | Pheon Therapeutics Ltd | Antibody drug conjugates and uses thereof |
| WO2025174248A1 (en) | 2024-02-16 | 2025-08-21 | Tagworks Pharmaceuticals B.V. | Trans-cyclooctenes with "or gate" release |
Also Published As
| Publication number | Publication date |
|---|---|
| NZ334821A (en) | 2000-12-22 |
| EP0923583A1 (en) | 1999-06-23 |
| AU2149397A (en) | 1998-03-19 |
| JP2001500851A (en) | 2001-01-23 |
| AU716610B2 (en) | 2000-03-02 |
Similar Documents
| Publication | Publication Date | Title |
|---|---|---|
| EP0923583A1 (en) | Method for producing epothilones, and intermediate products obtained during the production process | |
| US6043372A (en) | Intermediates in the process for preparing epothilones | |
| US6441186B1 (en) | Epothilone analogs | |
| US7407975B2 (en) | Epothilone derivatives, method for producing same and their pharmaceutical use | |
| DE19645362A1 (en) | Production of epothilone compounds with taxol-like activity | |
| DE19645361A1 (en) | Production of epothilone compounds with taxol-like activity | |
| DE19636343C1 (en) | New (di:methyl)-dioxanyl-methyl-pentanone and related compounds | |
| Martin et al. | How stable are epoxides? A novel synthesis of epothilone B | |
| JP2005500974A (en) | Synthesis of epothilones and related analogues | |
| WO2000000485A1 (en) | Epothilon derivatives, their preparation process, intermediate products and their pharmaceutical use | |
| JP2001510189A (en) | Thiazole derivatives, their production and use | |
| Cases et al. | Synthetic studies towards furanocembrane diterpenes. A total synthesis of bis-deoxylophotoxin | |
| Chakraborty et al. | Total synthesis of (+)-crocacin C | |
| US20060040990A1 (en) | Epothilone derivatives, process for their production, and their pharmaceutical use | |
| Carda et al. | Stereoselective synthesis of (−)-malyngolide,(+)-malyngolide and (+)-tanikolide using ring-closing metathesis | |
| WO2000049020A2 (en) | Novel epothilon derivatives, method for the production thereof and their pharmaceutical application | |
| DE60213884T2 (en) | Process for the preparation of epothilones | |
| US4237055A (en) | Synthesis of 1RS,4SR,5RS-4-(4,8-dimethyl-5-hydroxy-7-nonen-1-yl)-4-methyl-3,8-dioxabicyclo[3.2.1]octane-1-acetic acid | |
| Takikawa et al. | Triterpenoid total synthesis. Part 4. 1 Synthesis of (±)-hippospongic acid A, a triterpene isolated from the marine sponge Hippospongia sp. | |
| Chakraborty et al. | A radical mediated approach to the stereoselective formal total synthesis of (+)-Sch 642305 | |
| DE19735575A1 (en) | New di:hydroxy-butanal or -pentene derivatives | |
| JP4170628B2 (en) | New production method of butenolides | |
| DE19923001A1 (en) | New epothilone derivatives, used as mitosis regulators e.g. for treating malignant tumors, psoriasis or arthritis | |
| Ahmed et al. | A de novo asymmetric approach to achiral deoxy-melodorinol analogues | |
| US20020028958A1 (en) | Process for the preparation of optically active enones and intermediates thereof |
Legal Events
| Date | Code | Title | Description |
|---|---|---|---|
| AK | Designated states |
Kind code of ref document: A1 Designated state(s): AL AM AT AU AZ BB BG BR BY CA CH CN CZ DK EE ES FI GB GE HU IL IS JP KE KG KP KR KZ LK LR LS LT LU LV MD MG MK MN MW MX NO NZ PL PT RO RU SD SE SG SI SK TJ TM TR TT UA UG US UZ VN AM AZ BY KG KZ MD RU TJ TM |
|
| AL | Designated countries for regional patents |
Kind code of ref document: A1 Designated state(s): KE LS MW SD SZ UG AT BE CH DE DK ES FI FR GB GR IE IT LU MC NL PT SE BF BJ CF CG CI CM GA GN |
|
| DFPE | Request for preliminary examination filed prior to expiration of 19th month from priority date (pct application filed before 20040101) | ||
| 121 | Ep: the epo has been informed by wipo that ep was designated in this application | ||
| WWE | Wipo information: entry into national phase |
Ref document number: 1997914077 Country of ref document: EP |
|
| ENP | Entry into the national phase |
Ref country code: JP Ref document number: 1998 511141 Kind code of ref document: A Format of ref document f/p: F |
|
| WWE | Wipo information: entry into national phase |
Ref document number: 09254018 Country of ref document: US |
|
| WWE | Wipo information: entry into national phase |
Ref document number: 334821 Country of ref document: NZ |
|
| WWP | Wipo information: published in national office |
Ref document number: 1997914077 Country of ref document: EP |
|
| NENP | Non-entry into the national phase |
Ref country code: CA |
|
| WWW | Wipo information: withdrawn in national office |
Ref document number: 1997914077 Country of ref document: EP |























































