WO2010083617A1 - Pyrazolopyrimidines as protein kinase inhibitors - Google Patents
Pyrazolopyrimidines as protein kinase inhibitors Download PDFInfo
- Publication number
- WO2010083617A1 WO2010083617A1 PCT/CH2010/000002 CH2010000002W WO2010083617A1 WO 2010083617 A1 WO2010083617 A1 WO 2010083617A1 CH 2010000002 W CH2010000002 W CH 2010000002W WO 2010083617 A1 WO2010083617 A1 WO 2010083617A1
- Authority
- WO
- WIPO (PCT)
- Prior art keywords
- phenyl
- aryl
- lower alkyl
- formula
- compound
- Prior art date
- Legal status (The legal status is an assumption and is not a legal conclusion. Google has not performed a legal analysis and makes no representation as to the accuracy of the status listed.)
- Ceased
Links
- IANMJKSMOLFNLN-UHFFFAOYSA-N Cc1ncc[n]2c1nc(-c1ccccc1)c2N(CCOCCOC)c1cccc(Cl)c1 Chemical compound Cc1ncc[n]2c1nc(-c1ccccc1)c2N(CCOCCOC)c1cccc(Cl)c1 IANMJKSMOLFNLN-UHFFFAOYSA-N 0.000 description 1
Classifications
-
- C—CHEMISTRY; METALLURGY
- C07—ORGANIC CHEMISTRY
- C07D—HETEROCYCLIC COMPOUNDS
- C07D487/00—Heterocyclic compounds containing nitrogen atoms as the only ring hetero atoms in the condensed system, not provided for by groups C07D451/00 - C07D477/00
- C07D487/02—Heterocyclic compounds containing nitrogen atoms as the only ring hetero atoms in the condensed system, not provided for by groups C07D451/00 - C07D477/00 in which the condensed system contains two hetero rings
- C07D487/04—Ortho-condensed systems
-
- A—HUMAN NECESSITIES
- A61—MEDICAL OR VETERINARY SCIENCE; HYGIENE
- A61P—SPECIFIC THERAPEUTIC ACTIVITY OF CHEMICAL COMPOUNDS OR MEDICINAL PREPARATIONS
- A61P35/00—Antineoplastic agents
Definitions
- the present invention relates to protein kinase inhibi- tors, in particular to pyrazolopyrimidines of formula (I), to their use as pharmaceuticals, particularly for the treatment of hyper-proliferative diseases, e.g. cancer; to pharmaceutical compositions comprising such compounds and to the manufacturing of such compounds.
- protein kinases are enzymes which catalyze the phosphorylation of specific serine, threonine or tyrosine residues in cellular proteins. This post-translational modification of substrate proteins usually works as molecular switch, repre- senting a step in regulating cell proliferation, activation and/or differentiation. Aberrant or excessive or more generally inappropriate PK activity has been observed in several disease states including benign and malignant proliferative disorders. In many cases, it has been possible to treat diseases, such as proliferative disorders, by making use of PK inhibitors.
- WO2006/125101 discloses certain pyrazolopyrimidines and 5 their Raf inhibiting properties.
- WO2006/131003 also discloses certain pyrazolopyrimidines and their use as an- giogenesis inhibitors.
- protein kinases whicho can be involved in signal transmission mediated by trophic factors and in the manifestation of diseases that involve the activity of protein kinases, e.g. in proliferative (e.g. tumor) growth, especially as representative examples for protein tyrosine kinases abl kinase, espe- 5 cially v-abl or c-abl kinase, kinases from the family of the src kinases, especially c-src kinase, RET-receptor kinase or Ephrin receptor kinases, e.g.
- EphB2 kinase EphB4 kinase or related kinases, and/or b-Raf (V599E) , further EGF receptor kinase or other kinases of the EGFo family, for example HER- 1 or c-erbB2 kinase (HER-2) and/or VEG F-receptor kinase (e.g.
- KDR and FIt-I yet further Flt-3, lck, fyn, c-erbB3 kinase, c-erbB4 kinase; members of the family of the PDGF-receptor tyrosine protein kinases, for example PDGF-receptor kinase, CSF-I 5 receptor kinase, Kit- receptor kinase (c-Kit) , FGF- receptor kinase, e.g.
- mutated forms of any one or more of these can be inhibited by a compound according to the invention.
- All these and other protein kinases play a part in growth regulation and transformation in mammalian cells, including human cells.
- the compounds of the inven- tion can be used for the treatment of protein kinase modulation responsive diseases, such as diseases related to especially aberrant (e.g. unregulated, deregulated or constitutive or the like) or excessive activity of such types of kinases, especially those mentioned.
- protein kinase modulation responsive diseases such as diseases related to especially aberrant (e.g. unregulated, deregulated or constitutive or the like) or excessive activity of such types of kinases, especially those mentioned.
- the invention relates in a first aspect to a compound of the formula (I),
- X represents NR 31 ,
- R 31 represents hydrogen, unsubstituted or substituted lower alkyl
- X represents NR 34 , R 34 represents unsubstituted or substituted lower alkyl; A represents aryl or heteroaryl; or
- X represents CR 32 R 33 ; 5 R 32 represents hydrogen, hydroxy, unsubstituted lower alkyl, unsubstituted lower alkoxy and
- R 1 represents substituted or unsubstituted lower alkyl, preferably unsubstituted lower alkyl; s R 2 represents substituted or unsubstituted aryl or substituted or unsubstituted heterocyclyl (particularly heteroaryl) ; R 4 independent from each other represents a substituent different from hydrogen; Q n represents an integer from 0 - 5;
- any formula given herein is intended to represent compounds having structures depicted by the structural formula as well as certain variations or forms.
- compounds of any formula given herein may have asymmetric centers and therefore exist in different enantiomeric forms.
- at least one asymmetrical carbon atom is present in a compound of the formula (I)
- such a compound may exist in optically active form or in the form of a mixture of optical isomers, e. g. in the form of a racemic mixture.
- a compound of formula (I) may exist in the form of Z/E (or cis-trans) isomers. All optical / geometrical isomers and their mixtures, including the racemic mixtures, are part of the present invention.
- any given formula given herein is intended to represent a racemate, one or more enantiomeric forms, one or more diastereomeric forms, one or more atropisomeric forms, and mixtures thereof.
- certain structures may exist as geometric isomers (i.e. cis and trans isomers), as tautomers, or as atropisomers .
- Any formula given herein is also intended to represent hydrates, solvates, and polymorphs of such compounds, and mixtures thereof.
- any reference to "compounds" (including also starting materials and “intermediates") hereinbefore and hereinafter, especially to the compound (s) of the formula I is to be understood as referring also to one or more salts thereof or a mixture of a free compound and one or more salts thereof, each of which is intended to include also any solvate, metabolic precursor such as ester or amide of the compound of formula I, or salt of any one or more of these, as appropri- ate and expedient and if not explicitly mentioned 'otherwise.
- Different crystal forms and solvates may be obtainable and then are also included.
- Ci-C 7 ⁇ alkyl defines a moiety with 1-7, especially 1-4, carbon atoms, said moiety being branched (one or more times) or straight-chained.
- Lower or C 1 -C 7 alkyl for example, is n-pentyl, n-hexyl or n-he ⁇ tyl or preferably Ci-C 4 -alkyl, especially as methyl, ethyl, n- propyl, iso-propyl, n-butyl, iso-butyl, sec-butyl, tert- butyl.
- alkenyl or lower alkynyl lower means preferably "C 2 -C7" -, more preferably (-2 ⁇ ( -4 ⁇
- Halo or halogen is preferably fluoro, chloro, bromo or iodo, most preferably fluoro, chloro or bromo, even preferably, fluoro or chloro.
- Unsubstituted or substituted alkyl is preferably C x - to C 2 o ⁇ alkyl, more preferably lower alkyl, e.g. methyl, ethyl or propyl, that can be linear or branched one or more times (provided the number of carbon atoms allows this) and that is unsubstituted or substituted by one or more, preferably up to three, substitutents independently selected from the group consisting of hydroxy; halo; amino nitro; cyano; carboxy; unsubstituted or substituted het- erocyclyl as described below, especially piperidino, piperazino, morpholino, pyrrolidino, pyrrolo, furano the substituents being selected from the group consisting of lower alkyl, lower alkoxy halo, cyano, unsubstituted het- erocyclyl (as described below) ; unsubstituted or substituted cycloal
- substitu- ents independently selected from halo, especially fluoro, chloro, bromo or iodo, halo-lower alkyl, such as trifluoromethyl, hydroxy, lower alkoxy, amino, N-mono- or N, N-di- (lower alkyl, phenyl, naphthyl, phenyl-lower alkyl and/or naphthyl-lower alkyl) -amino, nitro, carboxy, lower-alkoxycarbonyl carbamoyl, cyano and/or sulfamoyl.
- halo especially fluoro, chloro, bromo or iodo
- halo-lower alkyl such as trifluoromethyl, hydroxy, lower alkoxy, amino, N-mono- or N, N-di- (lower alkyl, phenyl, naphthyl, phenyl-lower alkyl and/or naphthy
- Unsubstitut ⁇ d or substituted aryl is preferably an unsaturated carbocyclic system of not more than 20 carbon atoms, especially not more than 16 carbon atoms, in particular phenyl, is preferably mono-, bi- or tri-cyclic,o which is unsubstituted or substituted preferably by one or more, preferably up to three, e.g. one or two sub- stituents independently selected from the group consisting of halo, hydroxy, nitro, lower alkyl (e.g.
- methyl phenyl, naphthyl, phenyl- or naphthyl-lower alkyl, (e.g.s benzyl); hydroxy-lower alkyl, such as hydroxymethyl; lower-alkoxy-lower alkyl, (lower- alkoxy) -lower alkoxy- lower alkyl, lower alkanoyl-lower alkyl, halo-lower alkyl, such as trifluoromethyl, cyano-lower alkyl; phenoxy- or naphtyloxy-lower alkyl, phenyl- or naphthyl-lowero alkoxy-lower alkyl, such as benzyloxy-lower alkyl; lower alkoxy-carbonyloxy-lower alkyl, such as tert- butoxycar- bonyloxy-lower alkyl; phenyl- or naphthyl-lower alkoxy- carbonyloxy-lower alkyl,
- substituents independently selected from halo, especially fluoro, chloro, bromo or iodo, halo- lower alkyl, such as trifluo- romethyl, hydroxy, lower alkoxy, amino, N-mono- or N, N-di- (lower alkyl, phenyl, naphthyl, phenyl-lower alkyl and/or naphthyl-lower alkyl) amino, nitro, carboxy, lower-alkoxycarbonyl carbamoyl, cyano and/or sulfamoyl.
- halo especially fluoro, chloro, bromo or iodo
- halo- lower alkyl such as trifluo- romethyl, hydroxy, lower alkoxy, amino, N-mono- or N, N-di- (lower alkyl, phenyl, naphthyl, phenyl-lower alkyl and/or naphthyl-
- Unsubstituted or substituted heterocyclyl is preferably a heterocyclic radical that is unsaturated, saturated or partially saturated and is preferably a monocyclic or in a broader aspect of the invention bicyclic or tricyclic ring; and has 3 to 24, more preferably 4 to 16, most preferably 4 to 10 ring atoms; wherein one or more, preferably one to four, especially one or two carbon ring atoms are replaced by a heteroatom selected from the group consisting of nitrogen, oxygen and sulfur, the bonding ring preferably having 4 to 12, especially 5 to 7 ring atoms; which heterocyclic radical (heterocyclyl) is unsubstituted or substituted by one or more, especially 1 to 3, substituents independently selected from the group consisting of the substituents defined above under substituted aryl".
- heterocyclic radical heterocyclyl
- heterocyclyl is a heterocy- clyl radical selected from the group consisting of ox- iranyl, azirinyl, aziridinyl, 1 ,2- oxathiolanyl, thienyl, furyl, tetrahydrofuryl, pyranyl, thiopyranyl, thianthrenyl, isobenzofuranyl, benzofuranyl, chromenyl, 2H-pyrrolyl, pyrrolyl, pyrrolinyl, pyrrolidinyl, imida- zolyl, imidaz- olidinyl, benz-imidazolyl, pyrazolyl, pyrazinyl, pyrazolidinyl, thiazolyl, isothiazolyl, dithi- azolyl, oxazolyl, iso-xazolyl, pyridyl, pyrazinyl, pyrimidinyl, piperid
- Unsubstituted or substituted heteroaryl specifically denotes a heterocyclyl as defined above which is aromatic, such as furanyl, pyridyl, pyrimidinyl, thiophenyl .
- cycloalkyl is preferably a saturated mono- or bicyclic hydrocarbon group with 3 to 16, more preferably 3 to 9 ring carbon atoms, e.g. cyclopropyl, cyclobutyl, cyclopentyl, cyclo- hexyl, cycloheptyl or cyclooctyl, and is substituted by one or more, preferably one to three, substitutents independently selected from those described for substituted aryl or is (preferably) unsubstituted.
- Salts are especially the pharmaceutically acceptable salts of compounds of formula I. They can be formed where salt forming groups, such as basic or acidic groups, are present that can exist in dissociated form at least par- tially, e.g. in a pH range from 4 to 10 in aqueous environment, or can be isolated especially in solid form, or where charged groups (e.g. quaternary ammonium) are present - in the latter case acylate salts are formed with anions of organic or inorganic acids (e.g. as defined in the next paragraph) .
- Such salts are formed, for example, as acid addition salts, preferably with organic or inorganic acids, from compounds of formula I with a basic nitrogen atom, especially the pharmaceutically acceptable salts.
- Suitable inorganic acids are, for example, halogen acids, such as hydrochloric acid, sulfuric acid, or phosphoric acid.
- Suitable organic acids are, for example, carboxylic, phosphonic, sulfonic or sulfamic acids, for example acetic acid, propionic acid, lactic acid, fumaric acid, succinic acid, citric acid, amino acids, such as glutamic acid or as- partic acid, maleic acid, hydroxy- maleic acid, methylmaleic acid, benzoic acid, methane- or ethane-sulfonic acid, ethane- 1, 2-disulfonic acid, ben- zenesulfonic acid, 2-naphthalenesulfonic acid, 1 , 5- naphthalene-disulfonic acid, N-cyclohexylsulfamic acid, N-methyl-, N-ethyl- or N- propyl-sulfamic acid, or other organic protonic acids
- salts may also be formed with bases, e.g. metal or ammonium salts, such as alkali metal or alkaline earth metal salts, for example sodium, potassium, magnesium or calcium salts, or ammonium salts with ammonia or suitable organic amines, such as tertiary monoamines, for example triethyl- amine or tri (2-hydroxyethyl) amine, or hetero ⁇ cyclic bases, for example N-ethyl-piperidine or N.N 1 - dimethylpiperazine .
- bases e.g. metal or ammonium salts, such as alkali metal or alkaline earth metal salts, for example sodium, potassium, magnesium or calcium salts, or ammonium salts with ammonia or suitable organic amines, such as tertiary monoamines, for example triethyl- amine or tri (2-hydroxyethyl) amine, or hetero ⁇ cyclic bases, for example N-ethyl-piperidine or N.N
- Protein kinase encompasses all types of protein kinases such as serine/threonine kinases, receptor tyrosine kinases and non-receptor tyrosine kinases.
- the term particularly relates to a class of enzymatically active proteins where receptor-type kinases and nonreceptor-type kinases can be distinguished, as well as tyrosine and serine/threonine kinases. Regarding their localization, nuclear, cytoplasmic and membrane-associated kinases can be distinguished.
- ⁇ ngiogenesis related disease encompasses diseases depending on or triggered by angiogenesis .
- Protein kinase modulation responsive diseases particu- larly refers to diseases related to aberrant (e.g. unregulated, deregulated, constitutive or the like) or excessive activity of such types of kinases, especially those mentioned herein.
- Forumula (I) preferably represents a compound of formula (1-1)
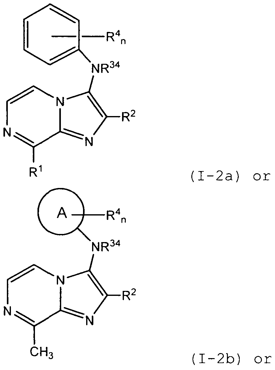
- Formula (I) further preferably represents a compound of formula (1-2)
- A represents aryl or heteroaryl, preferably aryl; the other substituents are as defined herein.
- Formula (I) further preferably represents a compound of
- A represents aryl or heteroaryl, preferably aryl; the other substituents are as defined herein.
- A preferably represents one of the following groups:
- A representing a fused bicyclic ring system
- A particularly preferably represents one of the following groups:
- A preferably represents one of the following groups:
- A representing an aryl or heteroaryl
- R 42 represents a substituent as defined for R 4 , prefera ⁇ bly halogen, particularly preferably chloro;
- R 43 represents a substituent as defined for R 4 , prefera- bly halogen, particularly preferably fluoro;
- R 41 represents a substituent as defined for R 4 .
- n preferably represents 0 or 1.
- n particularly preferably represents 0 in case A repre ⁇ senting a fused bicyclic ring system as defined herein and 1 in case A representing an aryl or heteroaryl as defined herein.
- R 1 preferably represents Ci - C 4 alkyl.
- R 1 particularly preferably represents methyl.
- R ⁇ 31 preferably represents hydrogen or a substituent as 5 defined in R 34 .
- R 31 particularly preferably represents hydrogen.
- R 34 preferably represents lower alkyl, substituted witho one, two or three substituents, the substituents independently selected from the group consisting of hydroxy; halo; amino; nitro; cyano; carboxy; unsubsti- tuted or substituted heterocyclyl; unsubstituted or substituted cycloalkyl; unsubstituted or substituteds aryl; lower alkenyl; lower alkynyl; lower alkoxy; lower-alkoxy-lower alkoxy; (lower-alkoxy) -lower alkoxy-lower alkoxy; aryloxy; phenyl- or naphthyl- lower alkoxy, such as benzyloxy; amino-lower alkoxy; lower-alkanoyloxy; benzoyloxy; naphthoyloxy; lowero alkoxy carbonyl; phenyl- or naphthyl-lower alkoxycar- bonyl; lower alkanoyl, benzoy
- sub- stituents independently selected from halo, espe- cially fluoro, chloro, bromo or iodo, halo-lower alkyl, such as trifluoromethyl, hydroxy, lower alkoxy, amino, N-mono- or N, N-di- (lower alkyl, phenyl, naphthyl, phenyl-lower alkyl and/or naphthyl-lower alkyl) -amino, nitro, carboxy, lower-alkoxycarbonyl carbamoyl, cyano and/or sulfamoyl.
- halo-lower alkyl such as trifluoromethyl, hydroxy, lower alkoxy, amino, N-mono- or N, N-di- (lower alkyl, phenyl, naphthyl, phenyl-lower alkyl and/or naphthyl-lower alkyl) -amino,
- R 34 particularly preferably represents lower alkyl, selected from the group consisting of methyl, ethyl or propyl, substituted with one, two or three substitu- ents, the substituents independently selected from the group consisting of hydroxy; halo; amino; optionally substituted heterocyclyl , said heterocyclyl being selected from the group consisting of piperidino, piperazino, morpholino, pyrrolidine pyrrolo, furano the substituents being selected from the group consisting of lower alkyl, lower alkoxy halo, cyano, said heterocyclyl optionally substituted by alkyl; unsubstituted or substituted cycloalkyl; phenyl or naphthyl; lower alkoxy; lower-alkoxy-lower alkoxy; ( lower-alkoxy) -lower alkoxy-lower alkoxy; phenoxy, naphthyloxy; benzyloxy; amino-lower alkoxy; lower- alkano
- R 34 very particularly preferably represents ethyl or propyl, substituted with one substituent, the substitu- ent selected from the group consisting of hydroxy, methoxy, ethoxy, methoxy-ethoxy, methoxy-methoxy-, ethoxy-ethoxy-, rnorpholino, piperidino, amino, me- thylamino, ethylamino, N, N-dimethylamino, N, N- diethylamino .
- CR 32 R 33 preferably represents a group wherein R 32 and R 33 independent from each other represent hydrogen, un- substituted lower alkyl, unsubstituted lower alkoxy.
- CR 32 R 33 further preferably represents a group wherein R 32 represents hydrogen, unsubstituted lower alkyl, un ⁇ substituted lower alkoxy and R33 represents hydroxy.
- CR 32 R 33 particularly preferably represents a group wherein R 32 and R 33 independent from each other represent hy- drogen, Ci- 4 alkyl, C 1 - 4 alkoxy.
- CR 32 R 33 further preferably represents a group CH(OH) .
- CR 32 R 33 further preferably represents a group CH 2 .
- CR 32 R 33 further preferably represents a group wherein R 32 represents hydrogen and R 33 represents C1- 4 alkyl, C 1 -. 4 alkoxy.
- R 2 preferably represents aryl, said aryl being selected from the group consisting of phenyl or naphtyl; said aryl being optionally substituted by 1 to 5 sub- stituents selected from the group consisting of halo, lower alkyl, lower alkoxy, , lower alkyl-SO2-NH-, lower alkyl-NH-SO2-, lower alkylamine, lower alkyl- sulfonyl, lower alkylurea, lower alkyl-NH-CO-O-, lower alkoxy-CO-NH-, phenyl, halophenyl, phenoxy, halophenoxy, phenyl-SO2-NH-, anilino-S02-, aniline, phenylsulfonyl, phenyl-NH-CO-NH-, phenyl-NH-CO-O-, phenyloxy-NH-CO-, nitro, cyano, lower alkylcarboxy, lower alkoxycarbon
- R 2 particularly preferably represents phenyl, optionally substituted by one, two or three substituents selected from the group consisting of halo, lower alkyl, lower haloalkyl, lower alkoxy, lower haloalkoxy, lower-N-alkyl-lower alkoxy, lower-N, N-dialikyl-lower- alkoxy, heterocyclyl-lower alkoxy, lower alkyl- heterocyclyl-lower alkoxy, lower alkyl-SO2-NH-, lower alkyl-NH-SO2-, lower alkylamine, lower alkylsulfonyl, lower alkylurea, lower alkyl-NH-CO-O-, lower alkoxy- CO-NH-, phenyl, halophenyl, phenoxy, halophenoxy, phenyl-SO2-NH ⁇ , anilino-SO2-, aniline, phenylsul- fonyl, phenyl-NH-CO-NH-,
- R 2 further very particularly preferably represents phenyl, substituted by one or two substituents selected from the group consisting of halo, lower al- kyl, lower haloalkyl, lower alkoxy, lower haloalkoxy, lower dialkylamino- lower alkoxy, morpholino- lower alkoxy.
- R 2 further preferably represents heterocyclyl, said hetercyclyl consisting of 5 or 6 ring atoms and 1, 2 or 3 heteroatoms selected from the group consit- ing of oxygen, sulfur, nitrogen and said heterocyclyl optionally substituted by 1 to 5 substituents selected from the group consisting of halo, lower alkyl, lower haloalkyl, lower alkoxy, lower haloalkoxy, lower alkyl-SO2-NH-, lower alkyl- NH-SO2-, lower alkylamine, lower alkylsulfonyl, lower alkylurea, lower alkyl-NH-CO-O-, lower alkoxy-CO-NH-, phenyl, halophenyl, phenoxy, halophenoxy, phenyl-SO2- NH-, anilino-S02-, aniline, phenylsulfonyl, phenyl- NH-CO-NH-, phenyl-NH-CO-O-,
- R 2 further particularly preferably represents a het- eroaryl selected from the group consiting of furanyl, thiophenyl, pyrrolyl, pyrazolyl, triazolyl, isoxa- zoly, oxazolyl, pyridinyl, pyrimidinyl pyrazinyl, triazinyl, said heteroaryl optionally substituted by one or two substituents selected from the group consisting of halo, lower alkyl, lower haloalkyl, lower alkoxy, lower haloalkoxy, lower alkyl-SO2-NH-, lower alkyl-
- R 2 further particularly preferably represents a het- eroaryl selected from the group consiting of furanyl, thiophenyl, pyrrolyl, pyrazolyl, triazolyl, isoxa- zoly, oxazolyl, said heteroaryl optionally substituted by one or two substituents selected from the group consisting of halo, lower alkyl, lower haloalkyl, lower alkoxy, lower haloalkoxy.
- R 2 further particularly preferably represents furanyl.
- R 4 preferably represents halo, nitro, cyano, hydroxy, amino, lower alkyl, lower alkoxy, lower alkoxycar- bonyl, lower alkylcarbonyl lower alkyl-SO2-NH-, lower alkyl-NH-SO2-, lower alkylamine, lower dialkylamine, lower alkylsulfonyl, lower alkylurea, lower alkyl-NH- CO-O-, lower alkoxy-CO-NH-, aryl, aryloxy, aryl-SO2- NH-, aryl-NH-S02-, aryl-NH-, aryl-sulfonyl, aryl-NH- CO-NH-, aryl-NH-CO-O-, aryloxy-NH-CO-, aryl-carboxy, aryloxy-carbonyl , wherein each alkyl or aryl may be unsubstituted or substituted by one or more, preferably up to five substituents independently selected from
- R 4 particularly preferably represents halo, nitro, cyano, hydroxy, amino, lower alkyl, lower alkoxy, lower alkylcarbonyl, lower alkoxycarbonyl, lower al- kyl-S02-NH-, lower alkyl-NH-SO2-, lower alkylamine, lower dialkylamine, lower alkylsulfonyl, lower alkylurea, lower alkyl-NH-CO-O-, lower alkoxy-CO-NH-, phenyl, phenyloxy, phenyl-SO2-NH-, phenyl-NH-SO2-, phenyl-NH-, phenyl-sulfonyl, phenyl-NH-CO-NH-, phenyl-NH-CO-O-, phenoxy-NH-CO-, phenyl-carboxy, phe- noxy-carbonyl , wherein each alkyl or aryl may be unsubstituted or substituted by one or more
- the invention relates compound of formula
- the invention relates to a compound of formula
- the invention provides compounds of formula (I) as disclosed herein, wherein R 2 represents substituted phenyl; such phenyl is preferably substituted in 2, 3 and 6 position or 2,6 position.
- the invention provides compounds of formula (I) as disclosed herein, wherein R 2 represents heteroaryl; such hetereoaryl is preferably unsubsituted.
- the invention relates to the manufacture a compound of the formula I .
- a compound of the formula I may be prepared analogously to methods that, for other compounds, are in principle known in the art, so that for the novel compounds of the formula I the process is novel as analogy process.
- a compound of formula (I) wherein X represseennttss NNHH oorr NNRR' 31 is obtained by reacting a compound of the formula II
- substituents are as defined for a compound of formula (I) and PG represents a protecting group, such as TBDMS, optionally in the presence of a catalyst, such as Sc(OTf), optionally in the presence of one or more diluents, optionally removing any protecting groups present; optionally transforming a compound of the formula I into a different compound of the formula I, optionally transforming a salt of a compound of the formula I into the free compound or a different salt, transforming a free compound of the formula I into a salt thereof, and/or optionally separating a mixture of isomers of a compound of the formula I into the individual isomers.
- the reaction can preferably take place in a solvent or solvent mixture, e.g. in an ether, such as thf, at elevated temperatures, e.g. in the range from 30 0 C to the reflux temperature or in mixtures of solvents, such as CH2C12, MeOH.
- a compound of formula (I) wherein X represents CR 32 R 33 is obtained by reacting a compound of the formula (V)
- substituents are as defined for a compound of formula (I) in the presence of a Palladium-catalyst; optionally removing any protecting groups present; optionally transforming a compound of the formula I into a different compound of the formula I, optionally transforming a salt of a compound of the formula I into the free compound or a different salt, transforming a free compound of the formula I into a salt thereof, and/or optionally separating a mixture of isomers of a compound of the formula I into the individual isomers.
- the reaction preferably takes place under Suzuki-type conditions.
- pro- tecting groups are generally known in the field and may be preferably as described herein.
- a compound of the formula I may be converted into a different compound of the formula (I) by applying known methods to the obtained compounds .
- a substituent is halo-aryl, such as bromo-aryl, e.g. bromo- phenyl
- the halogen may be replaced with a substituent bound via a nitrogen atom, for example with morpholino, by reaction with a corresponding primary or secondary amine, such as morpholine, in the presence of a strong base, such as an alkaline metal alkoxide, e.g. potassium tert-butoxide, and an appropriate coupling catalyst, e.g.
- 2- (dimethyl- amino-) -2-biphenylyl-palladium (11) chloride dinorbornylphosphin complex in an appropriate solvent or solvent mixture, e.g. an ether, such as tetrahydrofurane .
- the halogen may also be replaced with an appropriate bo- ronic acid to form diaryl derivatives under Suzuki reaction conditions in presence of an catalysator, e.g. tetrakistriphenylpalladium (0) in an appropriate solvent e.g. dimethlyformamide, or solvent mixture.
- a nitro substitutent is present in substituted aryl; such a nitro substituent can be reduced to a corresponding amino substituent, for example by catalytic hydrogenation, e.g. in the presence of Raney- Ni, in an appropriate solvent or solvent mixture, e.g. an alcohol, such as methanol or ethanol, e.g. at temperatures from 0 to 50 °C.
- an amino substituent in a compound of the formula I e.g.
- amino as substituent of aryl R 1 in formula I) can be converted into a di- or tri-alkylated amino (in the latter case quarter- nary) substituent by reaction with a corresponding alkyl halogenide, e.g. methyl iodide, preferably in the presence of a tertiary nitrogen base, such as triethylamine, in an appropriate solvent or solvent mixture, e.g. an N, N-di- (lower alkyl) - lower alkanoylamide, such as N, N- dimethylformamide, preferably at temperatures from 20 to 80 0 C.
- the amino substituent can react with an acid chloride or can be coupled in the presence of appropriate coupling reagents, e.g.
- HOBT 1-Hydroxybenzotriazole
- the amino substituent can be con- verted into sulfonamides by reacting the free amine with sulfonylchlorides, e.g. methylsulfonylchloride, or can be converted into ureas by reacting the free amine with appropriate isocyanates.
- Salts of compounds of formula I having at least one salt- forming group may be prepared in a manner known per se.
- a salt of a compound of formula I having acid groups may be formed by treating the compound with a metal compound, such as an alkali metal salt of a suitable organic carboxylic acid, e.g. the sodium salt of 2- ethylhexanoic acid, with an organic alkali metal or alka- line earth metal compound, such as the corresponding hydroxide, carbonate or hydrogen carbonate, such as sodium or potassium hydroxide, carbonate or hydrogen carbonate, with a corresponding calcium compound or with ammonia or a suitable organic amine, stoichiometric amounts or only a small excess of the salt-forming agent preferably being used.
- a metal compound such as an alkali metal salt of a suitable organic carboxylic acid, e.g. the sodium salt of 2- ethylhexanoic acid
- an organic alkali metal or alka- line earth metal compound such as the corresponding
- An acid addition salt of compounds of formula I can be obtained in customary manner, e.g. by treating a compound of the formula I with an acid or a suitable anion exchange reagent.
- Internal salts of compounds of formula I containing acid and basic salt- forming groups e.g. a free carboxy group and a free amino group, may be formed, e.g. by the neutralization of salts, such as acid addition salts, to the isoelectric point, e.g. with weak bases, or by treatment with ion exchangers.
- a salt of a compound of the formula I can be converted in customary manner into the free compound; a metal or ammonium salt can be converted, for example, by treatment with a suitable acid, and an acid addition salt, for ex- ample, by treatment with a suitable basic agent.
- suitable ion exchangers may be used.
- Stereoisom- eric mixtures e.g. mixtures of diastereomers, can be separated into their corresponding isomers in a manner known per se by means of appropriate separation methods. Diastereomeric mixtures for example may be separated into their individual diastereomers by means of fractionated crystallization, chromatography, solvent distribution, and similar procedures.
- Enantiomers may be separated through the formation of diastereomeric salts, 5 for example by salt formation with an enantiomer-pure chiral acid, or by means of chromatography, for example by HPLC, using chromatographic substrates with chiral ligands .
- o Work-up Intermediates and final products can be worked up and/or purified according to standard methods, e.g. using chromatographic methods, distribution methods, (re- ) crystallization, and the like.
- the starting materials are known or may be obtained according to known processes.
- Aldehydes of formula (II) are commercially available or may be obtained according to standard procedures. 0
- Pyrazines of formula (III) are commercially available or may be obtained according to standard procedures. For example, by converting the corresponding halogen derivative in the presence of ammonia
- R 1 is as defined in formula (I) and Hal represents halogen, preferably in a sealed tube, optionally in the presence of a polar diluent, such as methanol.
- o Bicylcic rings of formula (IV) may be obtained according to standard procedures, e.g. as described in WO 2006 / 125101, which is incorporated by reference.
- a bromide of formula (V) may be obtained by bromination5 reaction of the corresponding starting material with NBS, optionally followed by purification reaction, such as chromatography .
- protecting groups may be used where appropriate or desired, even if this is not mentioned specifically, to protect functional groups that are not intended to take part in a given reaction, and they can be introduced and/or removed at appropriate or desired stages. Reac- tions comprising the use of protecting groups are therefore included as possible wherever reactions without specific mentioning of protection and/or deprotection are described in this specification. Within the scope of this disclosure only a readily removable group that is not a constituent of the particular desired end product of formula I is designated a "protecting group", unless the context indicates otherwise. The protection of functional groups by such protecting groups, the protecting groups themselves, and the reactions appropriate for their re- moval are described for example in standard reference works, such as J. F. W.
- All the above- mentioned process steps can be carried out under reaction conditions that are known per se, preferably those mentioned specifically, in the absence or, customarily, in the presence of solvents or diluents, preferably solvents or diluents that are inert towards the reagents used and dissolve them, in the absence or presence of catalysts, condensation or neutralizing agents, for example ion exchangers, such as cation exchangers, e.g.
- the invention relates also to those forms of the process in which a compound obtainable as intermediate at any stage of the process is used as starting material and the remaining process steps are carried out, or in which a starting material is formed under the reaction conditions or is used in the form of a derivative, for example in protected form or in the form of a salt, or a compound obtainable by the process according to the invention is produced under the process conditions and processed further in situ.
- a starting material is formed under the reaction conditions or is used in the form of a derivative, for example in protected form or in the form of a salt, or a compound obtainable by the process according to the invention is produced under the process conditions and processed further in situ.
- those starting materials are preferably used which result in compounds of formula I described as being preferred.
- the invention also relates to novel intermediates and/or starting materials. Special preference is given to reac- tion conditions that are identical or analogous to those mentioned in the Examples.
- the invention relates in a third aspect to uses / methods of use of a compound of formula (I) or a salt, solvate and/or tautomer thereof ("compound of the invention”) .
- a compound of the present invention can be used in medical applications, i.e. as pharmaceuti ⁇ cal / as medicament.
- a compound is used for the treatment of a disease which involves a Raf kinase, such as hyperproliverative diseases (in particular cancer) and angiogenesis related diseases.
- the invention relates to the use of a compound of the present invention for the manufac ⁇ ture of a medicament for the treatment of a disease as disclosed herein.
- the invention relates to a method for treatment a disease as disclosed herein in a subject comprising administering an effective amount of a compound of the present invention to a subject in need thereof .
- the compounds of the present invention are also useful as research tools in functional genomics, drug discovery, target validation and/or ex vivo diagnostics.
- the invention thus relates to the treatment of protein kinase modulation responsive diseases, especially in a mammal, preferably a human.
- a human is especially a patient or a person that (e.g. due to some mutation or other features) is prone to a risk for a disease as defined above or below.
- PKs protein kinases
- abl kinase especially v- abl or c-abl kinase
- kinases from the family of the src kinases, especially c-src kinase, b-Raf (V599E) and/or especially RET-receptor kinase or Ephrin receptor kinases, e.g. EphB2 kinase, EphB4 kinase or related kinases, or mutated (e.g. constitutively active or otherwise partially or totally deregulated) forms thereof.
- PKs protein kinases
- EGF receptor kinase or other kinases of the EGF family, for example HER-I or c-erbB2 kinase (HER-2) and/or VEG F-receptor kinase (e.g. KDR and FIt-I) .
- HER-I or c-erbB2 kinase HER-2
- VEG F-receptor kinase e.g. KDR and FIt-I
- PKs may be usefully inhibited by one or more compounds of the formula I.
- “Modulation” preferably means inhibition and "responsive” preferably means that the progress of a disease and/or its symptoms is slowed, stopped or even inverted up to and including a complete or at least temporary cure.
- ,Treatment also includes prophylaxis including preventative treatment, e.g.
- Treatment also includes therapeutic treatment (including but not limited to palliative, curative, symptom-alleviating, symptom-reducing, disease- or symptom-suppressing, progression-delaying, kinase- regulating and/or kinase-inhibiting treatment) of said diseases, especially of any one or more of the diseases mentioned herein.
- therapeutic treatment preferably means efficacy in treating ongoing episodes involving (specially deregulated) receptor tyrosine kinase activity.
- “Prophylactic” preferably means the prevention of the onset or recurrence of diseases involving deregulated receptor tyrosine kinase activity.
- “Delay of progression” preferably means administration of the active compound to patients being in a pre-stage or in an early phase of the disease to be treated, in which patients for example a pre-form of the corresponding disease is diagnosed or which patients are in a condition, e.g. during a medical treatment or a condition resulting from an accident, under which it is likely that a corresponding disease will develop, or where e.g. metastasizing can be expected without treatment .
- diseases to be treated and are thus preferred for ,,use" of a compound of formula I are selected from protein kinase modulation (especially inhibition) responsive (meaning also ,,supported” , not only ,,dependent” , including also situations where a disease is responding to modulation, especially inhibition, of a protein kinase, that is, the activity of the protein kinase supports or even causes disease manifestation) diseases mentioned below, espe ⁇ cially proliferative diseases mentioned below.
- protein kinase this relates to any type of protein kinase, especially one of those defined above under ,,General Description of the Invention", more especially serine/threonine and/or tyrosine kinases, most preferably one or more protein kinases, especially se- lected from the group consisting of v-abl or c-abl kinase, kinases from the family of the src kinases, especially c-src kinase, b-Raf (V599E) and/or preferably RET- receptor kinase or Ephrin receptor kinases, e.g.
- EphB2 kinase, EphB4 kinase or related kinases including one or more altered or mutated or allelic forms of any one or more of these (e.g. those that result in conversion of the respective proto-oncogene into an oncogene, such as constitutively activated mutants, e.g. Bcr-Abl) .
- an abnormally highly-expressed, constitutively activated or normal but in the given context of other regulatory mechanism in a patient relatively overactive, and/or mutated form is encompassed.
- the usefulness of the compounds of the present invention in the modulation, especially as inhibitors, of protein kinases can especially and paradigmatically be demonstrated by the test systems described herein for the protein kinases mentioned as preferred above.
- An "inhibitor” is a test compound of the formula I if not mentioned oth- erwise.
- the efficacy of compounds of the formula I can be demonstrated as described in the examples section of this specification.
- the results indicate an advantageous selectivity profile of some preferred compounds of the formula I, where selectivity does not necessarily mean that only one kinase is inhibited to an advantageous extent, but also that selectively two or more kinases may be inhibited stronger in comparison to other kinases.
- a protein kinase modulation responsive disease is a disorder that responds in a for the treated subject beneficial way to modula- tion, especially inhibition, of the activity of a protein kinase, especially one characterized as being preferred above, where a compound of the formula I can be used, is one or more of a proliferative disease (meaning one dependent on (especially inadequate) activity of a protein kinase) including a hyperproliferative condition, such as one or more of leukemia, hyperplasia, fibrosis (especially pulmonary, but also other types of fibrosis, such as renal fibrosis), angiogenesis, psoriasis, atherosclerosis and smooth muscle proliferation in the blood ves- sels, such as stenosis or restenosis following angioplasty.
- a compound of the formula I may be used for the treatment of thrombosis and/or scleroderma.
- a compound of the formula I in the therapy of a proliferative disorder (especially which is responsive to modulation, especially inhibition, of the activity of a protein kinase, especially as mentioned as preferred herein) selected from tumor or cancer diseases.
- a compound of formula I or its use makes it possi- ble to bring about the regression of tumors and/or to prevent the formation of tumor metastases and the growth of (also micro)- metastases.
- a benign or especially malignant tumor or cancer disease more preferably solid tumors, e.g. carcinoma of the brain, kidney, liver, adrenal gland, bladder, breast, stomach (especially gastric tumors) , ovaries, colon, rectum, prostate, pancreas, lung (e.g. small or large cell lung carcinomas), vagina, thyroid, sarcoma, glioblastomas, multiple myeloma or gastrointestinal cancer, especially colon carcinoma or colorectal adenoma, or a tumor of the neck and head, e.g. squameous carcinoma of the head and neck, including neoplasias, especially of epithelial character, e.g. in the case of mammary carcinoma; an epidermal hyperproliferation (other than cancer) , especially psoriasis; prostate hyperplasia; or a leukemia.
- solid tumors e.g. carcinoma of the brain, kidney, liver, adrenal gland, bladder, breast, stomach (especially gastric tumors)
- the compounds of the formula I can be used in the treatment of diseases of the immune system insofar as several or, especially, individual protein kinases, especially those mentioned as preferred, are involved. Furthermore, the compounds of the formula I can be used also in the treatment of diseases of the central or peripheral nervous system, in which signal transmission by at least one protein kinase, especially selected from those protein tyrosine kinases mentioned as preferred, is involved.
- the compounds of the formula I in the treatment of diseases that are triggered by persistent angiogenesis , such as restenosis, e.g. stent- induced restenosis; Crohn' s disease; Hodgkin' s disease; eye diseases, such as diabetic retinopathy and neovascu- lar glaucoma; renal diseases, such as glomerulonephritis; diabetic nephropathy; inflammatory bowel disease; malignant nephrosclerosis; thrombotic microangiopathic syndromes; (e.g.
- fibrotic diseases such as cirrhosis of the liver
- mesangial cell-proliferative diseases injuries of the nerve tissue
- mechanical devices for holding vessels open such as, e.g., stents, as immunosuppressants, as an aid in scar-free wound healing, and for treating age spots and contact dermatitis.
- stents as immunosuppressants
- neural regeneration neuroregeneration
- neurodegeneration neurodegeneration
- neural regeneration neural regeneration
- neuroregeneration neuroregeneration
- axon regeneration or the inhibition or the reversal of neural degeneration (neuronal degeneration; neurodegeneration)
- spinal cord injury hypoxic conditions
- traumatic brain injury traumatic brain injury
- infarct stroke
- multiple sclerosis multiple sclerosis
- other neurodegenerative conditions diseases or disorders.
- the compounds of the formula I in the treatment of psoriasis, Kaposi's sarcoma, restenosis, endometriosis, Crohn's disease, leukaemia, arthritis, rheumatoid arthritis, hemangioma, angiofibroma, dia- betic retinopathy, neovascular glaucoma, renal diseases, glomerulonephritis, diabetic nephropathy, malignant nephrosclerosis, thrombotic microangiopathic syndromes, transplant rejections, glomerulopathy, cirrhosis of the liver, mesangial cell-proliferative diseases, arterio- sclerosis, injuries of the nerve tissue.
- tumours including by way of example tumours, and especially solid benign and malignant tumours, rheumatoid arthritis, psoriasis, atherosclerosis, diabetic and other retinopathies, retrolental fibroplasia, age-related macular degeneration, neovascular glaucoma, hemangiomas, thyroid hyperplasias (including Grave's disease), corneal and other tissue transplantation, and chronic inflammation, by administering an effective amount of an Eph receptor inhibitor to a patient in need thereof.
- tumours including by way of example tumours, and especially solid benign and malignant tumours, rheumatoid arthritis, psoriasis, atherosclerosis, diabetic and other retinopathies, retrolental fibroplasia, age-related macular degeneration, neovascular glaucoma, hemangiomas, thyroid hyperplasias (including Grave's disease), corneal and other tissue transplantation, and chronic inflammation
- the compounds of the formula I for inhibiting the re-occlusion of vessels after balloon catheter treatment, for holding vessels open in vascular prosthetics or after inserting mechanical devices, such as, e.g., stents, as immunosuppressants, as an aid in scar-free wound healing, and for treating dermatitis.
- vascular permeability such as edema associated with brain tumours, ascites associated with malignancies, Meigs 1 syndrome, lung inflamma- tion, nephrotic syndrome, pericardial effusion (such as that associated with pericarditis), and pleural effusion.
- Cancers and related conditions that are amenable to treatment include breast carcinomas, lung carcinomas, gastric carcinomas, esophageal carcinomas, colorectal carcinomas, liver carcinomas, ovarian carcinomas, thecomas, arrhenoblastomas , cervical carcino- mas, endometrial carcinoma, endometrial hyperplasia, endometriosis, fibrosarcomas, choriocarcinoma, head and neck cancer, nasopharyngeal carcinoma, laryngeal carcino- mas, hepatoblastoma, Kaposi's sarcoma, melanoma, skin carcinomas, hemangioma, cavernous hemangioma, heman- gioblastoma, pancreas carcinomas, retinoblastoma, astrocytoma, glio
- tumours of thes brain including for example, but not exclusively, tumours of thes brain, kidney, liver, adrenal gland, bladder, breast, stomach, ovaries, colon, rectum, prostate pancreas, lung, vagina, thyroid, connective tissue (sarcoma), gastrointestinal tract, tumours of the neck and head, tumours derived from cells of the hematopietic system (includingo leukemias, lymphomas and multiple myeloma), epidermal hyperproliferation, including for example, but not exclusively, prostate hyperplasia.
- benign or malignant neoplasia including for example, but not exclusively, tumours of thes brain, kidney, liver, adrenal gland, bladder, breast, stomach, ovaries, colon, rectum, prostate pancreas, lung, vagina, thyroid, connective tissue (sarcoma), gastrointestinal tract, tumours of the neck and head, tumours derived from cells of the hematopietic system (includingo leukemias, lymphomas and multiple myeloma), epi
- nonneoplastic conditions include rheumatoid arthrits, psoriasis, atherosclerosis, diabetic and other proliferative retinopathies including retinopathy of prematurity, retrolental fibroplasia, neovascular glaucoma, age-o related macular degeneration, diabetic retinopathy, central retinal vein occlusion, thyroid hyperplasias (including Grave's disease), corneal and other tissue transplantation, chronic inflammation, lung inflammation nephrotic syndrome, preeclampsia, ascites, pericardial5 effusion (such as associated with pericarditis) , and pleural effusion.
- pericardial5 effusion such as associated with pericarditis
- the invention relates in a forth aspect to pharmaceutical compositions comprising a compound of formula I to their use in the therapeutic (in a broader aspect of the invention also prophylactic) treatment or a method of treat- ment of a disease or disorder that depends on inadequate protein kinase activity, especially the preferred disorders or diseases mentioned above, to the compounds for said use and to pharmaceutical preparations and their manufacture, especially for said uses. More generally, pharmaceutical preparations are useful in case of compounds of the formula I .
- the pharmacologically acceptable compounds of the present invention may be present in or employed, for example, for the preparation of pharmaceutical compositions that comprise an effective amount of a compound of the formula I, or a pharmaceutically acceptable salt thereof, as active ingredient together or in admixture with one or more inorganic or organic, solid or liquid, pharmaceutically acceptable carriers (carrier materials) .
- the invention relates also to a pharmaceutical composition that is suitable for administration to a mammal, especially a human (or to cells or cell lines derived from a warm-blooded animal, especially a human, e.g. lymphocytes) , for the treatment of a disease as described herein, comprising an amount of a compound of formula I or a pharmaceutically acceptable salt thereof, preferably which is effective for said inhibition, together with at least one pharmaceutically acceptable carrier.
- compositions according to the inven ⁇ tion are those for enteral (e.g. nasal, rectal or oral), or parenteral (e.g. intramuscular or intravenous) admini- stration to a mammal, that comprise an effective dose of the pharmacologically active ingredient, alone or together with a significant amount of a pharmaceutically acceptable carrier.
- the dose of the active ingredient depends on the species of mammal, the body weight, the age and the individual condition, individual pharmacokinetic data, the disease to be treated and the mode of administration.
- the compounds of the invention thus can be administered in a variety of dosage forms, e.g.
- the invention relates also to method of treatment for a disease that responds to inhibition of a disease that depends on inadequate activity of a protein kinase; which comprises administering a prophylactically or especially therapeutically effective amount of a compound of formula I, especially to a warm-blooded animal, for example a human, that, on account of one of the mentioned diseases, requires such treatment.
- the dose of a compound of the formula I or a pharmaceutically acceptable salt thereof to be administered to warm-blooded animals, for example humans of approximately 70 kg body weight preferably is from approximately 3 mg to approximately 10 g, more preferably from approximately 10 mg to approximately 1.5 g, most preferably from about 100 mg to about 1000 mg
- /person/day divided preferably into 1-3 single doses which may, for example, be of the same size. Usually, children receive half of the adult dose.
- compositions comprise from approximately 1% to approximately 95%, preferably from approximately 20% to approximately 90%, active ingredient.
- Pharmaceutical compositions according to the invention may be, for example, in unit dose form, such as in the form of ampoules, vials, suppositories, dragees, tablets or capsules .
- the pharmaceutical compositions of the present invention are prepared in a manner known per se , for example by means of conventional dis solving , lyophili zing , mixing , granulat ing or confectioning processes .
- Solutions of the active ingredient, and also suspensions, and especially isotonic aqueous solutions or suspensions are preferably used, it being possible, for example in the case of lyophilized compositions that comprise the active ingredient alone or together with a carrier, for example mannitol, for such solutions or suspensions to be produced prior to use.
- the pharmaceutical compositions may be sterilized and/or may comprise excipients, for example preservatives, stabilizers, wetting and/or emul- sifying agents, solubilizers, salts for regulating the osmotic pressure and/or buffers, and are prepared in a manner known per se, for example by means of conventional dissolving or lyophilizing processes.
- the said solutions or suspensions may comprise viscosity-increasing sub- stances, such as sodium carboxymethyl- cellulose, car- boxymethylcellulose, dextran, polyvinylpyrrolidone or gelatin .
- Suspensions in oil comprise as the oil component the vegetable, synthetic or semi-synthetic oils customary for injection purposes.
- oils customary for injection purposes.
- espe ⁇ cially liquid fatty acid esters that contain as the acid component a long-chained fatty acid having from 8- 22, especially from 12-22, carbon atoms, for example lauric acid, tridecylic acid, myristic acid, pentadecylic acid, palmitic acid, margaric acid, stearic acid, arachidic acid, behenic acid or corresponding unsaturated acids, for example oleic acid, elaidic acid, erucic acid, brasi- dic acid or linoleic acid, if desired with the addition of antioxidants, for example vitamin E, [beta] -carotene or 3, 5-di-tert-butyl-4-hydroxytoluene .
- the alcohol component of those fatty acid esters has a maximum of 6 carbon atoms and is a mono- or poly-hydroxy, for example a mono- , di- or tri-hydroxy, alcohol, for example methanol, ethanol, propanol, butanol or pen- tanol or the isomers thereof, but especially glycol and glycerol.
- fatty acid esters are therefore to be mentioned: ethyl oleate, isopropyl myristate, isopropyl palmitate, "Labrafil M 2375” (polyoxyethylene glycerol trioleate, Gattefosse, Paris), "Miglyol 812” (triglyceride of saturated fatty acids with a chain length of C8 to C12, Huels AG, Germany), but especially vegetable oils, such as cottonseed oil, almond oil, olive oil, castor oil, sesame oil, soybean oil and groundnut oil.
- vegetable oils such as cottonseed oil, almond oil, olive oil, castor oil, sesame oil, soybean oil and groundnut oil.
- solutions for intravenous injections or infusion may contain as carrier, for example, sterile water or, preferably, they may be in the form of sterile aqueous, isotonic saline solutions.
- compositions for oral administration can be obtained by combining the active ingredient with solid carriers, if desired granulating a resulting mixture, and processing the mixture, if desired or necessary, after the addition of appropriate excipients, into tablets, dragee cores or capsules. It is also possible for them to be incorporated into plastics carriers that allow the active ingredients to diffuse or be released in measured amounts .
- Suitable carriers are especially fillers, such as sugars, for example lactose, saccharose, mannitol or sorbitol, cellulose preparations and/or calcium phosphates, for example tri- calcium phosphate or calcium hydrogen phosphate, and binders, such as starch pastes using for exam- pie corn, wheat, rice or potato starch, gelatin, tra- gacanth, methylcellulose, hydroxypropylmethyl cellulose, sodium carboxymethyl cellulose and/or polyvinylpyrrolidone, and/or, if desired, disintegrators, such as the above-mentioned starches, and/or carboxy- methyl starch, crosslinked polyvinylpyrrolidone, agar, alginic acid or a salt thereof, such as sodium alginate.
- fillers such as sugars, for example lactose, saccharose, mannitol or sorbitol
- cellulose preparations and/or calcium phosphates for example tri- calcium phosphate
- Excipients are especially flow conditioners and lubricants, for example silicic acid, talc, stearic acid or salts thereof, such as magnesium or calcium stearate, and/or polyethylene glycol.
- Dragee cores are provided with suitable, optionally enteric, coatings, there being used, inter alia, concentrated sugar solutions which may comprise gum ara- bic, talc, polyvinylpyrrolidone, polyethylene glycol and/or titanium dioxide, or coating solutions in suitable organic solvents, or, for the preparation of enteric coatings, solutions of suitable cellulose preparations, such as ethylcellulose phthalate or hydroxypropylmethyl- cellulose phthalate.
- Capsules are dry-filled capsules made of gelatin and soft sealed capsules made of gelatin and a plasticizer, such as glycerol or sorbitol.
- the dry- filled capsules may comprise the active ingredient in the form of granules, for example with fillers, such as lactose, binders, such as starches, and/or glidants, such as talc or magnesium stearate, and if desired with stabilizers.
- the active ingredient is preferably dissolved or suspended in suitable oily excipients, such as fatty oils, paraffin oil or liquid polyethylene glycols, it being possible also for stabilizers and/or anti- bacterial agents to be added.
- suitable oily excipients such as fatty oils, paraffin oil or liquid polyethylene glycols, it being possible also for stabilizers and/or anti- bacterial agents to be added.
- Dyes or pigments may be added to the tablets or dragee coatings or the capsule casings, for example for identification purposes or
- the solid oral forms may contain, together with the active compound, diluents, e.g. lactose, dextrose, saccharose, cellulose, corn starch or potato starch; lubricants, e.g. silica, talc, stearic acid, magnesium or calcium stearate, and/or polyethylene glycols; binding agents, e.g. starches, arabic gums, gelatin, me- thylcellulose, carboxymethylcellulose or polyvinyl pyr- rolidone; disaggregating agents, e.g.
- diluents e.g. lactose, dextrose, saccharose, cellulose, corn starch or potato starch
- lubricants e.g. silica, talc, stearic acid, magnesium or calcium stearate, and/or polyethylene glycols
- binding agents e.g. starches, arabic gums, gelatin, me- thylcellulose, carboxy
- a starch alginic acid, alginates or sodium starch glycolate, effervescing mixtures; dyestuffs; sweeteners; wetting agents, such as lecithin, polysorbates, laurylsulphates ; and, in general, non-toxic and pharmacologically inactive substances used in pharmaceutical formulations.
- Said pharmaceutical preparations may be manufactured in known manner, for example by means of mixing, granulating, tabletting, sugar-coating or filmcoating processes.
- liquid dispersion for oral administration may be, e.g., syrups, emulsions and suspensions.
- syrup may contain as carrier, for example, saccharose or saccharose with glycerin and/or mannitol and/or sorbitol.
- suspensions and emulsions may contain as carrier, for example, a natural gum, agar, sodium alginate, pectin, methylcellulose, carboxymethylcellulose or polyvinyl alcohol.
- the suspensions or solutions for intramuscular injections may contain, together with the active compound, a pharmaceutically acceptable carrier, e.g. ster- ile water, olive oil, ethyl oleate, glycols, e.g. propylene glycol, and, if desired, a suitable amount of lidocaine hydrochloride.
- suppositories may contain, together with the active compound, a pharmaceutically acceptable carrier, e.g. cocoa-butter, polyethylene glycol, a polyoxyethylene sorbitan fatty acid ester surfactant or lecithin.
- a pharmaceutically acceptable carrier e.g. cocoa-butter, polyethylene glycol, a polyoxyethylene sorbitan fatty acid ester surfactant or lecithin.
- the compounds of the present invention may be adminis- tered to a patient in form of phamaceutically acceptable salts.
- Suitable pharmaceutically-acceptable salts include acid addition salts such as methanesulfonate, fumarate, hydrochloride, citrate, maleate, tartrate and hydrobro- mide. Also suitable are salts formed with phosphoric and sulfuric acid.
- Suitable salts are base salts such as an alkali metal salt for example sodium, an alkaline earth metal salt for example calcium or magnesium, an organic amine salt for example triethylamine, morpholine, N-methylpiperidine, N-ethylpiperidine, procaine, diben- zylamine, N, N-dibenzylethylamine, tris- (2-hydroxyethyl) - amine, N-methyl d-glucamine and amino acids such as Iy- sine.
- base salts such as an alkali metal salt for example sodium, an alkaline earth metal salt for example calcium or magnesium, an organic amine salt for example triethylamine, morpholine, N-methylpiperidine, N-ethylpiperidine, procaine, diben- zylamine, N, N-dibenzylethylamine, tris- (2-hydroxyethyl) - amine, N-methyl d-glucamine and amino acids such as
- the compounds of the present invention may be adminis- tered in the form of a pro-drug which is broken down in the human or animal body to give a compound of the present invention.
- a prodrug may be used to alter or improve the physical and/or pharmacokinetic profile of the parent compound and can be formed when the parent compound con- tains a suitable group or substituent which can be deri- vatised to form a prodrug.
- Examples of pro-drugs include in-vivo hydrolysable esters of a compound of the present invention or a pharmaceutically-acceptable salt thereof.
- the invention relates in a fifth aspect to combinations of a compound of formula (I) with other active agents.
- a compound of the formula I may also be used to advantage in combination with other biologically active agents, preferentially with other anti-proliferative agents.
- antiproliferative agents include, but are not limited to aromatase inhibitors; antiestrogens; topoisomerase I in ⁇ hibitors; topoisomerase Il inhibitors; microtubule active agents; alkylating agents; histone deacetylase inhibitors; compounds which induce cell differentiation proc- esses; cyclooxy- genase inhibitors; MMP inhibitors; mTOR inhibitors; anti-neoplastic antimetabolites; platin compounds; compounds targeting/decreasing a protein or lipid kinase activity and further anti-angiogenic compounds; compounds which target, decrease or inhibit the activity of a protein or lipid phosphatase; gonadorelin agonists; anti-androgens; methi
- aromatase inhibitor as used herein relates to a compound which inhibits the estrogen production, i.e. the conversion of the substrates androstenedione and testosterone to estrone and estradiol, respectively.
- the term includes, but is not limited to steroids, especially atamestane, exemestane and formestane and, in particular, non-steroids, especially aminoglutethimide, roglethimide, pyridoglutethimide, trilostane, testolactone, ketokona- zole, vorozole, fadrozole, anastrozole and letrozole.
- Exemestane can be administered, e.g., in the form as it is marketed, e.g.
- Formestane can be administered, e.g., in the form as it is marketed, e.g. under the trademark LENTARON.
- Fadrozole can be administered, e.g., in the form as it is marketed, e.g. under the trademark AFEMA.
- Anastrozole can be administered, e.g., in the form as it is marketed, e.g. under the trademark ARIMIDEX.
- Letrozole can be administered, e.g., in the form as it is marketed, e.g. under the trademark FEMARA or FEMAR.
- Aminoglutethimide can be administered, e.g., in the form as it is marketed, e.g.
- a combination of the invention comprising a chemotherapeutic agent which is an aro- matase inhibitor is particularly useful for the treatment of hormone receptor positive tumors, e.g. breast tumors.
- the term , anti-estrogen as used herein relates to a compound which antagonizes the effect of estrogens at the estrogen receptor level.
- the term includes, but is not limited to tamoxifen, fulvestrant, raloxifene and raloxifene hydrochloride. Tamoxifen can be administered, e.g., in the form as it is marketed, e.g. under the trademark NOLVADEX.
- Raloxifene hydrochloride can be ad ⁇ ministered, e.g., in the form as it is marketed, e.g. under the trademark EVISTA.
- Fulvestrant can be formulated as disclosed in US 4,659,516 or it can be administered, e.g., in the form as it is marketed, e.g. under the trademark FASLODEX.
- a combination of the invention comprising a chemotherapeutic agent which is an antiestrogen is particularly useful for the treatment of estrogen re- ceptor positive tumors, e.g. breast tumors.
- ,anti-androgen as used herein relates to any substance which is capable of inhibiting the biological effects of androgenic hormones and includes, but is not limited to, bica- lutamide (CASODEX) , which can be formulated, e.g. as disclosed in US 4,636,505.
- CASODEX bica- lutamide
- ,gonadorelin agonist includes, but is not limited to abarelix, go- serelin and goserelin acetate.
- Goserelin is disclosed in US 4,100,274 and can be administered, e.g., in the form as it is marketed, e.g. under the trademark ZOLADEX.
- Abarelix can be formulated, e.g. as disclosed in US 5,843,901.
- ,topoisomerase I inhibitor includes, but is not limited to topotecan, gimatecan, iri- notecan, camptothecian and its analogues, 9- nitrocamptothecin and the ma- cromolecular camptothecin conjugate PNU-166148 (compound Al in WO99/ 17804) .
- Iri- notecan can be administered, e.g. in the form as it is marketed, e.g. under the trademark CAMPTOSAR.
- Topotecan can be administered, e.g., in the form as it is marketed, e.g. under the trademark HYCAMTIN.
- doxorubicin including liposomal formulation, e.g. CAELYX
- dauno- rubicin including liposomal formulation, e.g. CAELYX
- dauno- rubicin including liposomal formulation, e.g. CAELYX
- idarubicin and nemorubicin the anthraquinones mitoxantrone and lo- soxantrone
- podophillo toxines etoposide and teniposide can be administered, e.g. in the form as it is marketed, e.g. under the trademark ETOPOPHOS.
- Teniposide can be administered, e.g. in the form as it is marketed, e.g. under the trademark VM 26- BRISTOL.
- Doxorubicin can be administered, e.g. in the form as it is marketed, e.g. under the trademark
- ADRIBLASTIN or ADRIAMYCIN can be administered, e.g. in the form as it is marketed, e.g. under the trademark FARMORUBICIN .
- Idarubicin can be administered, e.g. in the form as it is marketed, e.g. under the trade- mark ZAVEDOS.
- Mitoxan- trone can be administered, e.g. in the form as it is marketed, e.g. under the trademark NOVANTRON .
- microtubule active agent relates to micro- tubule stabilizing, microtubule destabilizing agents and microtublin polymerization inhibitors including, but not limited to taxanes, e.g. paclitaxel and docetaxel, vinca alkaloids, e.g., vinblastine, especially vinblastine sulfate, vincristine especially vincristine sulfate, and vinorelbine, discodermolides , cochicine and epothilones and derivatives thereof, e.g. epothilone B or a derivative thereof.
- Paclitaxel may be administered e.g. in the form as it is marketed, e.g. TAXOL.
- Docetaxel can be administered, e.g., in the form as it is marketed, e.g. under the trademark TAXOTERE.
- Vinblastine sulfate can be administered, e.g., in the form as it is marketed, e.g. under the trademark VINBLASTIN R. P..
- Vincristine sulfate can be administered, e.g., in the form as it is marketed, e.g. under the trademark FARMISTIN.
- Discodermolide can be obtained, e.g., as disclosed in US 5,010,099.
- Epothilone derivatives which are disclosed in WO 98/10121, US 6,194,181 , WO 98/25929, WO 98/08849, WO 99/43653, WO 98/22461 and WO 00/31247.
- Epothilone A and/or B are especially preferred.
- ,alkylating agent includes, but is not limited to, cyclophosphamide, ifosfamide, melpha- lan or nitrosourea (BCNU or Gliadel) .
- Cyclophosphamide can be administered, e.g., in the form as it is marketed, e.g. under the trademark CYCLOSTIN.
- Ifosfamide can be administered, e.g., in the form as it is marketed, e.g. under the trademark HOLOXAN.
- histone deacetylase inhibitors or "HDAC inhibitors” relates to compounds which inhibit the histone deacetylase and which possess antiproliferative activity.
- SAHA Suberoylanilide hydroxamic acid
- antimetabolite includes, but is not limited to, 5-fluorouracil (5-FU); capecitabine; gem- citabine; DNA demethylating agents, such as 5-azacytidine and deci- tabine; methotrexate; edatrexate; and folic acid antagonists such as pemetrexed.
- Capecita-bine can be administered, e.g., in the form as it is marketed, e.g. under the trademark XELODA.
- Gemcitabine can be adminis- tered, e.g., in the form as it is marketed, e.g. under the trademark GEMZAR.
- the monoclonal antibody trastuzumab which can be administered, e.g., in the form as it is marketed, e.g. under the trademark HERCEPTIN.
- platinum compound as used herein includes, but is not limited to, carboplatin, cis- platin, cisplatinum and oxaliplatin.
- Carboplatin can be administered, e.g., in the form as it is marketed, e.g. under the trademark CARBOPLAT.
- Oxaliplatin can be administered, e.g., in the form as it is marketed, e.g. under the trademark ELOXATIN.
- compounds targeting/decreasing a protein or lipid kinase activity and further anti- angiogenic compounds includes, but is not limited to: protein tyrosine kinase and/or serine and/or threonine kinase inhibitors or lipid kinase inhibitors, e.g.: a) compounds targeting, decreasing or inhibiting the activity of the platelet-derived growth factor-receptors (PDGFR) , such as compounds which target, decrease or in- hibit the activity of PDGFR, especially compounds which inhibit the PDGF receptor, e.g. a N-phenyl-2-pyri- midine-amine derivative, e.g.
- PDGFR platelet-derived growth factor-receptors
- imatinib, SUlOl, SU6668, and GFB-111 ; b) compounds targeting, decreasing or inhibiting the activity of the fibroblast growth factor- receptors (FGFR); c) compounds targeting, decreasing or inhibiting the activity of the insulin-like growth factor I receptor (IGF-IR), especially compounds which inhibit the IGF-IR, such as those compounds disclosed in WO 02/092599; d) compounds targeting, decreasing or inhibit- ing the activity of the Trk receptor tyrosine kinase family; e) compounds targeting, decreasing or inhibiting the activity of the AxI receptor tyrosine kinase family; f) compounds targeting, decreasing or inhibiting the activity of the c-Met receptor; g) compounds targeting, de- creasing or inhibiting the activity of the c-Kit receptor tyrosine kinases - (part of the PDGFR family) , such as compounds which target, decrease or inhibit the activity of the c-Kit receptor tyrosine kin
- imatinib h
- compounds targeting, decreasing or inhibiting the activity of members of the c-Abl family and their gene-fusion products e.g. BCR-AbI kinase
- compounds which target decrease or inhibit the activity of c-Abl family members and their gene fusion products e.g. a N-phenyl-2-pyrimidine-amine derivative, e.g.
- imatinib PD180970; AG957; NSC 680410; or PD173955 from ParkeDavis; i) compounds targeting, decreasing or inhibiting the activity of members of the protein kinase C (PKC) and Raf family of serine/threonine kinases, members of the MEK, SRC, JAK, FAK, PDK and Ras/MAPK family members, or Pl (3) kinase family, or of the Pl (3)- kinase-related kinase family, and/or members of the cyclin-dependent kinase family (CDK) and are especially those staurosporine derivatives disclosed in US 5,093,330, e.g.
- examples of further compounds include e.g. UCN-Ol , saf- ingol, BAY 43-9006, Bryostatin 1, Perifosine; llmofosine; RO 318220 and RO 320432; GO 6976; lsis 3521;
- LY333531/LY379196 isochinoline compounds such as those disclosed in WO 00/09495; FTIs; PD184352 or QAN697 (a P13K inhibitor); j) compounds targeting, decreasing or inhibiting the activity of a protein-tyrosine kinase, such as imatinib mesylate (GLIVEC/GLEEVEC) or tyrphostin.
- a protein-tyrosine kinase such as imatinib mesylate (GLIVEC/GLEEVEC) or tyrphostin.
- a tyrphostin is preferably a low molecular weight (Mr ⁇ 1500) compound, or a pharmaceutically acceptable salt thereof, especially a compound selected from the ben- zylidenemalonitrile class or the S-arylbenzene malonirile or bisubstrate quinoline class of compounds, more especially any compound selected from the group consisting of Tyrphostin A23/RG-50810; AG 99; Tyrphostin AG 213; Tyrphostin AG 1748; Tyrphostin AG 490; Tyrphostin B44; Tyrphostin B44 (+) enantiomer; Tyrphostin AG 555; AG 494; Tyrphostin AG 556, AG957 and adaphostin (4- ⁇ [(2,5- dihydro- xyphenyl) methyl] amino ⁇ -benzoic acid adamantyl ester; NSC 680410, adaphostin); and k) compounds target- ing, decreasing or inhibiting the activity of
- EGF receptor ErbB2, ErbB3 and ErbB4 or bind to EGF or EGF related ligands, and are in particular those compounds, proteins or monoclonal antibodies generically and specifically disclosed in WO 97/02266, e.g. the com ⁇ pound of ex. 39, or in EP 0 564 409, WO 99/03854, EP 0520722, EP 0 566 226, EP 0 787 722, EP 0 837 063, US 5,747,498, WO 98/10767, WO 97/30034, WO 97/49688, WO 97/38983 and, especially, WO 96/30347 (e.g.
- WO 96/33980 e.g. compound ZD 1839
- WO 95/03283 e.g. compound ZM105180
- trastuzu- mab HerpetinR
- cetuximab cetuximab
- Iressa erlotinib
- CI-1033 EKB-569
- Further anti-angiogenic compounds include compounds having another mechanism for their activity, e.g. unrelated to protein or lipid kinase inhibition e.g. tha- lidomide (THALOMID) and TNP-470.
- TAALOMID tha- lidomide
- Compounds which target, decrease or inhibit the activity of a protein or lipid phosphatase are e.g. inhibitors of phosphatase 1, phosphatase 2A, PTEN or CDC25, e.g. oka- daic acid or a derivative thereof.
- Compounds which induce cell differentiation processes are e.g. retinoic acid, [alpha]- [gamma]- or [delta] -tocopherol or [alpha]- [gamma]- or [delta] -tocotrienol .
- ,cyclooxygenase inhibitor includes, but is not limited to, e.g. Cox- 2 inhibitors, 5- alkyl substituted 2-arylaminophenylacetic acid and derivatives, such as cele- coxib (CELEBREX) , rofecoxib (VIOXX) , etoricoxib, valdecoxib or a 5-alkyl-2- arylaminophe- nylacetic acid, e.g. 5-methyl-2- (2 ' - chloro-6' -fluoroanilino) phenyl acetic acid, lumiracoxib.
- ,mT0R inhibitors relates to compounds which inhibit the mammalian target of rapamycin (mTOR) and which possess antiproliferative activity such as si- rolimus (Rapamune (R) ) , everolimus (Certican (TM) ) , CCI-779 and ABT578.
- ,bisphosphonates as used herein includes, but is not limited to, etridonic, clo- dronic, tiludronic, pamidronic, alendronic, ibandronic, risedronic and zole- dronic acid.
- ,Etridonic acid can be administered, e.g., in the form as it is marketed, e.g. under the trademark DIDRONEL.
- ,Clodronic acid can be administered, e.g., in the form as it is marketed, e.g. under the trademark BONEFOS.
- ,Tiludronic acid can be administered, e.g., in the form as it is marketed, e.g.
- SKELID. can be administered, e.g. in the form as it is marketed, e.g. under the trademark AREDIA(TM) .
- AREDIA TM
- "Alendronic acid” can be administered, e.g., in the form as it is marketed, e.g. under the trademark FOSAMAX.
- ,Ibandronic acid can be administered, e.g., in the form as it is marketed, e.g. under the trademark BONDRANAT.
- ,Risedronic acid can be administered, e.g., in the form as it is marketed, e.g. under the trademark ACTONEL.
- ,Zoledronic acid can be administered, e.g. in the form as it is marketed, e.g. under the trademark ZOMETA.
- heparanase inhibitor refers to compounds which target, decrease or inhibit heparin sulphate degradation.
- the term includes, but is not limited to, PI-88.
- ,,biological response modifier refers to a lymphokine or interferons, e.g. interferon [gamma] .
- inhibitor of Ras oncogenic isoforms e.g. H- Ras, K-Ras, or N-Ras
- a "farnesyl transferase inhibitor” e.g. L- 744832, DK8G557 or R115777 (Zarnestra) .
- telomerase inhibitor refers to compounds which target, decrease or inhibit the activity of telomerase.
- Compounds which target, decrease or inhibit the activity of telomerase are especially compounds which inhibit the telomerase receptor, e.g. telomestatin .
- methionine aminopeptidase inhibitor refers to compounds which target, decrease or inhibit the activity of methionine aminopeptidase.
- Com ⁇ pounds which target, decrease or inhibit the activity of methionine aminopeptidase are e.g. bengamide or a derivative thereof.
- proteasome inhibitor refers to compounds which target, decrease or inhibit the activity of the proteasome.
- Compounds which target, decrease or inhibit the activity of the proteasome include e.g. PS- 341 and MLN 341.
- matrix metalloproteinase inhibitor or (“MMP inhibitor” ) as used herein includes, but is not limited to collagen peptidomimetic and nonpeptidomimetic inhibitors, tetracycline derivatives, e.g. hydroxamate peptidomimetic inhibitor batimastat and its orally bioavail- able analogue marimastat (BB-2516) , prinomastat (AG3340), metastat (NSC 683551) BMS- 279251, BAY 12-9566, TAA211 , MMI270B or AAJ996.
- MMP inhibitor matrix metalloproteinase inhibitor
- agents used in the treatment of hematologic malignancies includes, but is not limited to FMS-like tyrosine kinase inhibitors e.g. compounds targeting, decreasing or inhibiting the activity of FIt- 3; interferon, 1-b-D-arabinofuransylcytosine (ara-c) and bisulfan; and ALK inhibitors e.g. compounds which target, decrease or inhibit anaplastic lymphoma kinase.
- the term "compounds which target, decrease or inhibit the activity of Flt-3” are especially compounds, proteins or antibodies which inhibit Flt-3, e.g. PKC412, midostaurin, a stauro- sporine derivative, SU11248 and MLN518.
- the term ,HSP90 inhibitors as used herein includes, but is not limited to, compounds targeting, decreasing or inhib- iting the intrinsic ATPase activity of HSP90; degrading, targeting, decreasing or inhibiting the HSP90 client proteins via the ubiquitin proteasome pathway.
- Compounds targeting, decreasing or inhibiting the intrinsic ATPase activity of HSP90 are especially compounds, proteins or antibodies which inhibit the ATPase activity of HSP90 e . g. , 17-allylamino, 17-demethoxygeldanamycin (17AAG), a geldanamycin derivative; other geldanamycin related compounds; radicicol and HDAC inhibitors.
- antibodies as used herein includes, but is not limited to trastu- Kursab (Her- ceptin(TM)), Trastuzumab-DMl , bevacizumab (Avastin (TM) ) , rituximab (Rituxan (R) ) , PRO64553 (anti-CD40) and 2C4 Antibody.
- antibodies is meant e.g. intact monoclonal antibodies, polyclonal antibodies, multispecific antibodies formed from at least 2 intact antibodies, and antibodies fragments so long as they exhibit the desired biological activity.
- compounds of formula I can be used in combination with standard leukemia therapies, especially in combination with therapies used for the treatment of AML.
- compounds of formula I can be administered in combination with e.g. famesyl transferase inhibitors and/or other drugs useful for the treatment of AML, such as Daunorubi- cin, Adriamycin, Ara-C, VP-16, Teniposide, Mitoxantrone, Idarubi- cin, Carboplatinum and PKC412.
- a compound of the formula I may also be used to advantage in combination with known therapeutic processes, e.g., the administration of hormones or especially radiation.
- the invention also relates to the use of a compound of the formula I, or a (preferably pharmaceutically accept- able) salt thereof, as a radiosensitizer , especially for the treatment of tumors which exhibit poor sensitivity to radiotherapy.
- a radiosensitizer especially for the treatment of tumors which exhibit poor sensitivity to radiotherapy.
- a compound of the formula I and a combination partner may be adminis ⁇ tered independently at the same time or separately within time intervals that especially allow that the combination partners show a cooperative, e.g. synergistic, effect, or any combination thereof.
- the invention also relates to the use of a compound of the formula I, or a (preferably pharmaceutically accept- able) salt thereof, in the manufacture of pharmaceutical preparations useful in the treatment of the diseases identified herein, pharmaceutical preparations, especially useful against said diseases, comprising a com- pound of the formula I, or a pharmaceutically acceptable salt thereof and at least one pharmaceutically acceptable carrier, a compound of the formula I, or a pharmaceutically acceptable salt thereof, for use in the treatment of the animal or human body, especially against a disease mentioned above as particular examples, to a method of treatment of the animal or human body comprising administering a compound of the formula I, or a pharmaceutically acceptable salt thereof, to an animal or human, especially to a patient in need of such treatment in an amount effective for the treatment of said disease, and to a process for the manufacture of a compound of the formula I, or a (preferably pharmaceutically acceptable) salt thereof.
- Example 2 is prepared in analogy to Example 1 using the same mmol-amounts and reaction conditions.
- the aldehyde used is this experiment is 4 ⁇ chloro-3- ( trifluormethyl) benzaldehyde (344 mg; 1.65 mmol; Alfar Aesar) .
- the title compound is a solid.
- Example 3 is prepared in analogy to Example 1 using the same mmol-amounts and reaction conditions.
- the aldehyde used is this experiment is 3, 4-dimethoxybenzaldehyde (274.1 mg; 1.65 mmol; Fluka) .
- the title compound is a solid.
- MS. m/z 430 (M+l);
- HPLC: Rt 5.516 min.
- Instrument HP Series 1100 (lOMin) solvent acetonitrile - water (0.1% TFA) Gradient : 1% acetonitrile to 100% within 10 min;
- Example 4 is prepared in analogy to Example 1 using the same mmol-amounts and reaction conditions.
- the aldehyde used is this experiment is 2-fluoro-4-methoxybenzaldehyde (254.2 mg; 1.65 mmol; Aldrich) .
- the title compound is a solid.
- Example 5 is prepared in analogy to Example 1 using for each component 1.10 mmol and p-TsOH-H2O (83.7 mg; 0.44 mmol) for Sc(Otf)3.
- the aldehyde used is this experiment is benzaldehyde (111.1 ⁇ L; 1.10 mmol; Fluka) .
- Example 8 (3-Chloro-phenyl) - [2- (2-methoxy-ethoxy) - ethyl] - (8-methyl-2-phenyl-imidazo [1, 2 -a] pyrazin-3-yl) - amine
- Example 10 (3-Chloro-phenyl) -( 8-methyl-2-phenyl-imidazo [1 , 2-a] pyrazin-3-yl) - (3-piperidin-l-yl-propyl) -amine
- Example 11 N- (3-Chloro-phenyl) -N- ⁇ 2- [4- (2-dimethylamino- ethoxy) -phenyl] -8-methyl-imidazo [l,2-a]pyrazin-3-yl ⁇ N ' , N ' -dimethy1-ethane-l, 2-diamine
- Example 12 (3-Chloro-phenyl) - ⁇ 8-methyl-2- [ 4- (2- morpholin-4-yl-ethoxy) -phenyl] -imidazo [ 1, 2-a] pyrazin-3- yl ⁇ - (2-morpholin-4-yl-ethyl) -amine
- EXAMPLE Bl Enzymatic Assay for EphB4 kinase activity The kinase inhibition activity of the compounds was measured in an in vitro kinase assay. Briefly, in a final reaction volume of 25 ⁇ L, human EphB4 (N-terminal His ⁇ - tagged, recombinant, amino acids 561-end, expressed by baculovirus in Sf21 insect cells/ 5-10 mU) was incubated with 8 mM MOPS pH 7.0, 0.2 itiM EDTA, 10 mM MnCl 2 , 0.1 mg/mL poly (GIu, Tyr) 4:1, 10 mM MgAcetate and [ ⁇ - 33 P-ATP] (specific activity approx.
- the reaction was initiated by the addition of the MgATP mix. After incubation for 40 min at rt, the reaction was stopped by the addition of 5 ⁇ L of a 3% phosphoric acid solution. 10 ⁇ L of the reaction was then spotted onto a Filtermat A and washed three times for 5 min in 75 mM phosphoric acid and once in methanol prior to drying and scintillation counting.
- EXAMPLE B2 (Enzymatic Assay for B-Rafv600e kinase activity) The kinase inhibition activity of the compounds was measured in an in vitro kinase assay. Briefly, in a final reaction volume of 25 ⁇ L, human B-Rafv600e (catalytic domain (amino acid Q417- amino acid H766), GST-His6-tagged, expressed by baculovirus in Sf21 insect cells; 5-10 mU) was incubated with 8 mM MOPS pH 7.0, 0.2 mM EDTA, 10 mM MnCl 2 , 0-1 mg/mL poly (GIu, Tyr) 4:1, 10 mM MgAcetate and [ ⁇ - 33 P-ATP] (specific activity approx.
- human B-Rafv600e catalytic domain (amino acid Q417- amino acid H766), GST-His6-tagged, expressed by baculovirus in Sf21 insect cells; 5-10
- the reaction was initiated by the addition of the MgATP mix. After incubation for 40 min at r.t., the reaction was stopped by the addition of 5 ⁇ L of a 3% phosphoric acid solution. 10 ⁇ L of the reaction was then spotted onto a Filtermat A and washed three times for 5 min in 75 mM phosphoric acid and once in methanol prior to drying and scintillation counting.
- EXAMPLE B3 (Cellular EphB4 autophosphorylation assay (ELISA-EphB4) ) CHO cells were stably transfected with myc-tagged full length human EphB4. A cell line expressing EphB4 of which the phosphorylation was inducible with ephrinB2/Fc was identified and called CHO-EphB4. CHO- EphB4 cells were seeded into a 24-well plate and cultured overnight in HAM-F12/10% FCS/600 ⁇ g/ml hygromycine B. The cells were washed once with PBS and dilutions of compounds in Ham-F12 medium were added (in triplicates) .
- ELISA-EphB4 Cellular EphB4 autophosphorylation assay
- ELISA 96-well plates (Greiner, Polysorb) were coated with 100 ⁇ l/well anti-c-myc antibody (Sigma) overnight at 4°C, blocked with 300 ⁇ l/well 5% milk in TBS/0.005% Tween (TBST) for 1 to 3 hours at room temperature, and incubated with 110 ⁇ l/well cell lysate overnight at 4 0 C.
- ELISA plates were washed twice with TBST and incubated with 100 ⁇ l/well anti-P-Tyr-HRP antibody (Upstate) diluted 1:10000 in 5% milk in TBST for 1.5 hour at RT and developed with 100 ⁇ l/well BM BluePOD substrate (Roche) . Absorbance was measured at 450 nm.
Landscapes
- Chemical & Material Sciences (AREA)
- Organic Chemistry (AREA)
- Health & Medical Sciences (AREA)
- General Chemical & Material Sciences (AREA)
- Medicinal Chemistry (AREA)
- Nuclear Medicine, Radiotherapy & Molecular Imaging (AREA)
- Chemical Kinetics & Catalysis (AREA)
- Pharmacology & Pharmacy (AREA)
- Life Sciences & Earth Sciences (AREA)
- Animal Behavior & Ethology (AREA)
- General Health & Medical Sciences (AREA)
- Public Health (AREA)
- Veterinary Medicine (AREA)
- Pharmaceuticals Containing Other Organic And Inorganic Compounds (AREA)
Abstract
The present invention relates to pyrazolopyrimidines of formula (I) wherein the substituents are as defined in the specification, to their use as pharmaceuticals, particularly for the treatment of hyperproliferative diseases and angiogenesis related diseases; to pharmaceutical compositions comprising such compounds and to the manufacturing of such compounds.
Description
Organic Compounds
The present invention relates to protein kinase inhibi- tors, in particular to pyrazolopyrimidines of formula (I), to their use as pharmaceuticals, particularly for the treatment of hyper-proliferative diseases, e.g. cancer; to pharmaceutical compositions comprising such compounds and to the manufacturing of such compounds. Regarding their catalytic activity, protein kinases (PKs) are enzymes which catalyze the phosphorylation of specific serine, threonine or tyrosine residues in cellular proteins. This post-translational modification of substrate proteins usually works as molecular switch, repre- senting a step in regulating cell proliferation, activation and/or differentiation. Aberrant or excessive or more generally inappropriate PK activity has been observed in several disease states including benign and malignant proliferative disorders. In many cases, it has been possible to treat diseases, such as proliferative disorders, by making use of PK inhibitors.
The above identified background leads to the problem of the present invention: In view of the large number of protein kinases and the multitude of proliferative and other protein kinase-related diseases, as well as in view of the development of resistance against certain therapeutics, there is an ever-existing need to provide new classes of compounds that are useful as protein kinase inhibitors and thus in the treatment of diseases related to these protein kinases (PKs), such as serine/threonine and/or tyrosine kinase. What is required are new classes of pharmaceutically advantageous protein kinase inhibitors, especially with advantageous properties, such as high affinity and/or selectivity for limited groups of or singular protein kinases, activity also where resistance against different classes of compounds has been devel-
oped, a useful affinity profile against certain groups of kinases or the like.
WO2006/125101 discloses certain pyrazolopyrimidines and 5 their Raf inhibiting properties. WO2006/131003 also discloses certain pyrazolopyrimidines and their use as an- giogenesis inhibitors.
It has been found that a number of protein kinases whicho can be involved in signal transmission mediated by trophic factors and in the manifestation of diseases that involve the activity of protein kinases, e.g. in proliferative (e.g. tumor) growth, especially as representative examples for protein tyrosine kinases abl kinase, espe-5 cially v-abl or c-abl kinase, kinases from the family of the src kinases, especially c-src kinase, RET-receptor kinase or Ephrin receptor kinases, e.g. EphB2 kinase, EphB4 kinase or related kinases, and/or b-Raf (V599E) , further EGF receptor kinase or other kinases of the EGFo family, for example HER- 1 or c-erbB2 kinase (HER-2) and/or VEG F-receptor kinase (e.g. KDR and FIt-I), yet further Flt-3, lck, fyn, c-erbB3 kinase, c-erbB4 kinase; members of the family of the PDGF-receptor tyrosine protein kinases, for example PDGF-receptor kinase, CSF-I5 receptor kinase, Kit- receptor kinase (c-Kit) , FGF- receptor kinase, e.g. FGF-Rl, FGF-R2, FGF-R3, FGF-R4 , c- Raf , casein kinases (CK-I, CK-2, G-CK) , Pak, ALK, ZAP70, Jakl, Jak2, AxI, Cdkl , cdk4, cdkδ, Met, FAK, Pyk2, Syk, Tie-2, insulin receptor kinase (Ins-R), the receptoro kinase of the insulin-like growth factor (IGF-I kinase), and/or further serine/threonine kinases, for example protein kinase C (PK-C), PK-B, EK-B or cdc kinases, such as CDKl , as well as (e.g. constitutively activated) mutated forms of any one or more of these (e.g. Bcr-Abl, 5 RET/MEN2A, RET/MEN2B, RET/PTC 1-9 or b-Raf (V599E))can be inhibited by a compound according to the invention. All these and other protein kinases play a part in growth
regulation and transformation in mammalian cells, including human cells.
In view of these activities, the compounds of the inven- tion can be used for the treatment of protein kinase modulation responsive diseases, such as diseases related to especially aberrant (e.g. unregulated, deregulated or constitutive or the like) or excessive activity of such types of kinases, especially those mentioned.
Hence, it is a general object of the present invention to provide compounds having a protein kinase inhibitory activity which can be used for the treatment of disorders involving a protein kinase, in particular a Raf kinase, especially a B-RafV600E mutated kinase.
Thus, the invention relates in a first aspect to a compound of the formula (I),
X represents NR31,
R31 represents hydrogen, unsubstituted or substituted lower alkyl,
A represents a fused bicyclic ring system wherein a first ring of said ring system is an aryl or hetero- aryl and a second ring of said system is an cyclo- alkyl and wherein said cycloalkyl is substituted by a substituent selected from the group consisting of =N- OH, =N-NHRX, =CH-COOR1; or
X represents NR34,
R34 represents unsubstituted or substituted lower alkyl; A represents aryl or heteroaryl; or
X represents CR32R33; 5 R32 represents hydrogen, hydroxy, unsubstituted lower alkyl, unsubstituted lower alkoxy and
R33 represents hydrogen, unsubstituted lower alkyl, unsubstituted lower alkoxy or R32 and R33 together represent oxo (=0) ; o A represents unsubstituted or substituted aryl or heteroaryl; and
R1 represents substituted or unsubstituted lower alkyl, preferably unsubstituted lower alkyl; s R2 represents substituted or unsubstituted aryl or substituted or unsubstituted heterocyclyl (particularly heteroaryl) ; R4 independent from each other represents a substituent different from hydrogen; Q n represents an integer from 0 - 5;
or a salt, solvate and / or tautomer thereof.
The invention may be more fully appreciated by reference5 to the following description, including the following glossary of terms and the concluding examples. For the sake of brevity, the disclosures of the publications cited in this specification are herein incorporated by reference. As used herein, the terms "including", "con-o taining" and "comprising" are used herein in their open, non-limiting sense. Where the plural form is used for compounds, salts, pharmaceutical preparations, diseases, disorders and the like, this is intended to mean to include also a single compound, salt, pharmaceutical prepa-5 ration, disease or the like, where ,,a" is used, this means to refer to the indefinite article or preferably to "one".
Any formula given herein is intended to represent compounds having structures depicted by the structural formula as well as certain variations or forms. In particu- lar, compounds of any formula given herein may have asymmetric centers and therefore exist in different enantiomeric forms. If at least one asymmetrical carbon atom is present in a compound of the formula (I), such a compound may exist in optically active form or in the form of a mixture of optical isomers, e. g. in the form of a racemic mixture. Further, a compound of formula (I) may exist in the form of Z/E (or cis-trans) isomers. All optical / geometrical isomers and their mixtures, including the racemic mixtures, are part of the present invention. Thus, any given formula given herein is intended to represent a racemate, one or more enantiomeric forms, one or more diastereomeric forms, one or more atropisomeric forms, and mixtures thereof. Furthermore, certain structures may exist as geometric isomers (i.e. cis and trans isomers), as tautomers, or as atropisomers . Any formula given herein is also intended to represent hydrates, solvates, and polymorphs of such compounds, and mixtures thereof.
In view of the close relationship between the compounds in free form and in the form of their salts, including those salts that can be used as intermediates, for example in the purification or identification of the compounds or salts thereof, any reference to "compounds" (including also starting materials and "intermediates") hereinbefore and hereinafter, especially to the compound (s) of the formula I, is to be understood as referring also to one or more salts thereof or a mixture of a free compound and one or more salts thereof, each of which is intended to include also any solvate, metabolic precursor such as ester or amide of the compound of formula I, or salt of any one or more of these, as appropri-
ate and expedient and if not explicitly mentioned 'otherwise. Different crystal forms and solvates may be obtainable and then are also included.
The general terms or symbols used hereinbefore and hereinafter preferably have, within the context of this disclosure, the following meanings, unless otherwise indicated:
The term "lower" or Ci-C7~alkyl defines a moiety with 1-7, especially 1-4, carbon atoms, said moiety being branched (one or more times) or straight-chained. Lower or C1-C7 alkyl, for example, is n-pentyl, n-hexyl or n-heρtyl or preferably Ci-C4-alkyl, especially as methyl, ethyl, n- propyl, iso-propyl, n-butyl, iso-butyl, sec-butyl, tert- butyl. In a similar manner, this term is used in connection with "alkoxy", "alkylthio", "alkylcarbonyl", "al- kylamino" and the like. In case of lower alkenyl or lower alkynyl, lower means preferably "C2-C7" -, more preferably (-2~(-4~
Halo or halogen is preferably fluoro, chloro, bromo or iodo, most preferably fluoro, chloro or bromo, even preferably, fluoro or chloro.
Unsubstituted or substituted alkyl is preferably Cx- to C2o~alkyl, more preferably lower alkyl, e.g. methyl, ethyl or propyl, that can be linear or branched one or more times (provided the number of carbon atoms allows this) and that is unsubstituted or substituted by one or more, preferably up to three, substitutents independently selected from the group consisting of hydroxy; halo; amino nitro; cyano; carboxy; unsubstituted or substituted het- erocyclyl as described below, especially piperidino, piperazino, morpholino, pyrrolidino, pyrrolo, furano the substituents being selected from the group consisting of lower alkyl, lower alkoxy halo, cyano, unsubstituted het-
erocyclyl (as described below) ; unsubstituted or substituted cycloalkyl as described below; unsubstituted or substituted aryl as defined below, especially phenyl or naphthyl; lower alkenyl; lower alkynyl; lower alkoxy; lower-alkoxy-lower alkoxy; (lower-alkoxy) -lower alkoxy- lower alkoxy; aryloxy such as phenoxy, naphthyloxy; phenyl- or naphthyl-lower alkoxy, such as benzyloxy; amino-lower alkoxy; lower-alkanoyloxy; benzoyloxy; naph- thoyloxy; lower alkoxy carbonyl, e.g. methoxy carbonyl, n-propoxy carbonyl, iso-propoxy carbonyl or tert- butoxycarbonyl; phenyl- or naphthyl-lower alkoxycarbonyl, such as benzyloxycarbonyl; lower alkanoyl, such as acetyl, benzoyl, naphthoyl, carbamoyl; N-mono- or N, N- disubstituted carbamoyl, such as N-mono- or N,N-di- substituted carbamoyl wherein the substitutents are selected from lower alkyl and hydroxy-lower alkyl; amidino; guanidino; ureido; mercapto; lower alkylthio, especially phenyl- or naphthylthio; phenyl- or naphthyl-lower alkylthio; lower alkyl-phenylthio, lower alkyl-naph- thylthio; halogen-lower alkylmercapto; lower alkylsulfinyl; phenyl- or naphthyl-sulfinyl; phenyl- or naphthyl-lower alkyl- sulfinyl; lower alkyl-phenylsulfinyl; lower alkyl- napthylsulfinyl; sulfo; lower alkanesulfonyl; phenyl- or naphthyl-sulfonyl, phenyl- or naphthyl-lower alkylsul- fonyl, alkylphenylsulfonyl, halogen-lower alkylsulfonyl , such as trifluoromethanesulfonyl ; sulfon- amido, benzo- sulfonamido, amino, N-mono- or N, N-di- [lower alkyl, phenyl and/or phenyl-lower alkyl) -amino, such as N, N- dimethylamino, N, N-diethylamino, 3- [N- (N, N-dimethyl- amino) -propylamino, 2- [N- (N, N-dimethylamino) -ethylamino or N- (N, N-dimethylamino) -methylamino; where each phenyl or naphthyl (also in phenoxy or naphthoxy) mentioned above as substituent or part of a substituent of substituted alkyl is itself unsubstituted or substituted by one or more, e.g. up to three, preferably 1 or 2, substitu- ents independently selected from halo, especially fluoro, chloro, bromo or iodo, halo-lower alkyl, such as
trifluoromethyl, hydroxy, lower alkoxy, amino, N-mono- or N, N-di- (lower alkyl, phenyl, naphthyl, phenyl-lower alkyl and/or naphthyl-lower alkyl) -amino, nitro, carboxy, lower-alkoxycarbonyl carbamoyl, cyano and/or sulfamoyl.
5
Unsubstitutβd or substituted aryl is preferably an unsaturated carbocyclic system of not more than 20 carbon atoms, especially not more than 16 carbon atoms, in particular phenyl, is preferably mono-, bi- or tri-cyclic,o which is unsubstituted or substituted preferably by one or more, preferably up to three, e.g. one or two sub- stituents independently selected from the group consisting of halo, hydroxy, nitro, lower alkyl (e.g. methyl), phenyl, naphthyl, phenyl- or naphthyl-lower alkyl, (e.g.s benzyl); hydroxy-lower alkyl, such as hydroxymethyl; lower-alkoxy-lower alkyl, (lower- alkoxy) -lower alkoxy- lower alkyl, lower alkanoyl-lower alkyl, halo-lower alkyl, such as trifluoromethyl, cyano-lower alkyl; phenoxy- or naphtyloxy-lower alkyl, phenyl- or naphthyl-lowero alkoxy-lower alkyl, such as benzyloxy-lower alkyl; lower alkoxy-carbonyloxy-lower alkyl, such as tert- butoxycar- bonyloxy-lower alkyl; phenyl- or naphthyl-lower alkoxy- carbonyloxy-lower alkyl, such as benzyloxycarbonyloxy- lower alkyl; lower alkenyl, lower alkynyl, lower alka-5 noyl, such as acetyl; lower alkoxy, such as methoxy, lower-alkoxy-lower alkoxy, (lower-alkoxy) -lower alkoxy- lower alkoxy, phenoxy, naphthyloxy, phenyl- or naphthyl- lower alkoxy, such as benzyloxy; amino-lower alkoxy, lower-alkanoyloxy, benzoyloxy, naph- thoyloxy, amino,o mono-, di- or tri-substituted (in the latter case quater¬ nary and positively charged) amino wherein the amino sub- stituents are independently selected from lower alkyl, lower alkanoyl, phenyl, naphthyl, phenyl- and naphthyl- lower alkyl; cyano, carboxy, lower alkoxy carbonyl, e.g.5 methoxy carbonyl, n-propoxy carbonyl, iso-propoxy carbonyl or tert-butoxycarbonyl ; phenyl- or naphthyl-lower alkoxycarbonyl, such as benzyloxy-carbonyl; benzoyl,
naphthoyl, carbamoyl, N-mono- or N, N-disubstituted carbamoyl, such as N-mono- or N, N-di-substituted carbamoyl wherein the substitutents are selected from lower alkyl and hydroxy-lower alkyl; amidino, guanidino, ureido, mer- capto, lower alkylthio, phenyl- or naphthylthio, phenyl- or naphthyl-lower alkylthio, lower alkyl-phenylthio, lower alkyl-naph- thylthio, halogen-lower alkylmercapto, lower alkylsulfinyl, phenyl- or naphthyl-sulfinyl, phenyl- or naphthyl-lower alkylsulfinyl, lower alkyl- phenylsulfinyl, lower alkyl-napthylsulfinyl, sulfo, lower alkanesulfonyl, phenyl- or naphthyl-sulfonyl, phenyl- or naphthyl-lower alkylsulfonyl, alkylphenylsulfonyl, halogen-lower alkylsulfonyl, such as trifluoromethanesul- fonyl; sulfon- amido, benzo sulfonamido, pyrrolidino, piperidino, piperidino substituted by amino or N-mono- or N, N-di- [lower alkyl, phenyl and/or phenyl-lower alkyl) -amino, unsubstituted or N- lower alkyl substituted piperidinyl bound via a ring car¬ bon atom, such as l-isopropyl-piperidin-4-yl, piperazino, lower alkylpiperazino, such as 4- (methyl, ethyl or iso- propyl) -piperazino, morpho- lino or thiomorpholino, fu- rano; where each phenyl or naphthyl (also in phenoxy or naphthoxy) mentioned above as substitutent or part of a substituent of substituted aryl is itself unsubstituted or substituted by one or more, e.g. up to three, preferably 1 or 2, substituents independently selected from halo, especially fluoro, chloro, bromo or iodo, halo- lower alkyl, such as trifluo- romethyl, hydroxy, lower alkoxy, amino, N-mono- or N, N-di- (lower alkyl, phenyl, naphthyl, phenyl-lower alkyl and/or naphthyl-lower alkyl) amino, nitro, carboxy, lower-alkoxycarbonyl carbamoyl, cyano and/or sulfamoyl. Unsubstituted or substituted aryl, especially as R1 and/ or R2 in formula I is preferably phenyl that is unsubstituted or substituted by halo, hydroxyl, more preferably by lower alkoxy, nitro, amino, N-mono-, N, N-di- or N, N, N-tri- (lower alkyl, phenyl and/or phenyl-lower alkyl) -amino (the latter correspond-
ing to a quaternary amino = quaternary ammonio) , pyr- rolidino, piperidino, piperidino substituted by amino or N-mono- or N, N-di- [lower alkyl, phenyl and/or phenyl- lower alkyl) -amino, unsubstituted or N-lower alkyl sub- stituted piperidinyl bound via a ring carbon atom, such as l-isopropyl-piperidin-4-yl, piperazino, lower al- kylpiperazino, such as 4- (methyl, ethyl or isopropyl)- piperazino, morpholino or thiomorpholino .
Unsubstituted or substituted heterocyclyl is preferably a heterocyclic radical that is unsaturated, saturated or partially saturated and is preferably a monocyclic or in a broader aspect of the invention bicyclic or tricyclic ring; and has 3 to 24, more preferably 4 to 16, most preferably 4 to 10 ring atoms; wherein one or more, preferably one to four, especially one or two carbon ring atoms are replaced by a heteroatom selected from the group consisting of nitrogen, oxygen and sulfur, the bonding ring preferably having 4 to 12, especially 5 to 7 ring atoms; which heterocyclic radical (heterocyclyl) is unsubstituted or substituted by one or more, especially 1 to 3, substituents independently selected from the group consisting of the substituents defined above under substituted aryl". In particular heterocyclyl is a heterocy- clyl radical selected from the group consisting of ox- iranyl, azirinyl, aziridinyl, 1 ,2- oxathiolanyl, thienyl, furyl, tetrahydrofuryl, pyranyl, thiopyranyl, thianthrenyl, isobenzofuranyl, benzofuranyl, chromenyl, 2H-pyrrolyl, pyrrolyl, pyrrolinyl, pyrrolidinyl, imida- zolyl, imidaz- olidinyl, benz-imidazolyl, pyrazolyl, pyrazinyl, pyrazolidinyl, thiazolyl, isothiazolyl, dithi- azolyl, oxazolyl, iso-xazolyl, pyridyl, pyrazinyl, pyrimidinyl, piperidyl, piperazinyl, pyridazinyl, morpho- linyl, thiomorpholinyl, (S-oxo or S, S-dioxo) -thio-morpho- linyl, indolizinyl, iso-indolyl, 3H-indolyl, indolyl, benzimidazolyl, cumaryl, indazolyl, triazolyl, tetra- zolyl, purinyl, 4H-quinolizin-yl, isoquinolyl, quinolyl,
tetrahydro-quinolyl, tetrahydroisoquinolyl, decahydroqui- nolyl, octahydro- isoquinolyl, benzσfuranyl, dibenzofu- ranyl, benzothiophenyl, dibenzothiophenyl, phthalazinyl, naphthyridinyl, quinoxalyl, quinazolinyl, quinazolinyl, cinnolinyl, pteridinyl, carbazolyl, beta- carbolinyl, phenanthridinyl, acridinyl, perimidinyl, phenanthrolinyl, furazanyl, phenazinyl, phenothiazinyl, phenoxazinyl, chromenyl, isochromanyl and chromanyl. Each of these radicals being preferably unsubstituted or substituted by one to two radicals selected from the group consisting of lower alkyl, lower alkoxy, and halo.
Unsubstituted or substituted heteroaryl specifically denotes a heterocyclyl as defined above which is aromatic, such as furanyl, pyridyl, pyrimidinyl, thiophenyl .
In unsubstituted or substituted cycloalkyl, cycloalkyl is preferably a saturated mono- or bicyclic hydrocarbon group with 3 to 16, more preferably 3 to 9 ring carbon atoms, e.g. cyclopropyl, cyclobutyl, cyclopentyl, cyclo- hexyl, cycloheptyl or cyclooctyl, and is substituted by one or more, preferably one to three, substitutents independently selected from those described for substituted aryl or is (preferably) unsubstituted.
Salts are especially the pharmaceutically acceptable salts of compounds of formula I. They can be formed where salt forming groups, such as basic or acidic groups, are present that can exist in dissociated form at least par- tially, e.g. in a pH range from 4 to 10 in aqueous environment, or can be isolated especially in solid form, or where charged groups (e.g. quaternary ammonium) are present - in the latter case acylate salts are formed with anions of organic or inorganic acids (e.g. as defined in the next paragraph) . Such salts are formed, for example, as acid addition salts, preferably with organic or inorganic acids, from compounds of formula I with a basic
nitrogen atom, especially the pharmaceutically acceptable salts. Suitable inorganic acids are, for example, halogen acids, such as hydrochloric acid, sulfuric acid, or phosphoric acid. Suitable organic acids are, for example, carboxylic, phosphonic, sulfonic or sulfamic acids, for example acetic acid, propionic acid, lactic acid, fumaric acid, succinic acid, citric acid, amino acids, such as glutamic acid or as- partic acid, maleic acid, hydroxy- maleic acid, methylmaleic acid, benzoic acid, methane- or ethane-sulfonic acid, ethane- 1, 2-disulfonic acid, ben- zenesulfonic acid, 2-naphthalenesulfonic acid, 1 , 5- naphthalene-disulfonic acid, N-cyclohexylsulfamic acid, N-methyl-, N-ethyl- or N- propyl-sulfamic acid, or other organic protonic acids, such as ascorbic acid. In the presence of negatively charged radicals, such as carboxy or sulfo, salts may also be formed with bases, e.g. metal or ammonium salts, such as alkali metal or alkaline earth metal salts, for example sodium, potassium, magnesium or calcium salts, or ammonium salts with ammonia or suitable organic amines, such as tertiary monoamines, for example triethyl- amine or tri (2-hydroxyethyl) amine, or hetero¬ cyclic bases, for example N-ethyl-piperidine or N.N1- dimethylpiperazine . When a basic group and an acid group are present in the same molecule, a compound of formula I may also form internal salts. For isolation or purification purposes it is also possible to use pharmaceutically unacceptable salts, for example picrates or perchlorates . For therapeutic use, only pharmaceutically acceptable salts or free compounds are employed (where applicable comprised in pharmaceutical preparations) , and these are therefore preferred.
Protein kinase encompasses all types of protein kinases such as serine/threonine kinases, receptor tyrosine kinases and non-receptor tyrosine kinases. The term particularly relates to a class of enzymatically active proteins where receptor-type kinases and nonreceptor-type
kinases can be distinguished, as well as tyrosine and serine/threonine kinases. Regarding their localization, nuclear, cytoplasmic and membrane-associated kinases can be distinguished.
Λngiogenesis related disease encompasses diseases depending on or triggered by angiogenesis .
Protein kinase modulation responsive diseases particu- larly refers to diseases related to aberrant (e.g. unregulated, deregulated, constitutive or the like) or excessive activity of such types of kinases, especially those mentioned herein.
In formula (I), as well as the corresponding starting materials, the following sub-formulae and substituents / significances are preferred independently, collectively or in any combination or sub-combination thereof.
Forumula (I) preferably represents a compound of formula (1-1)
wherein A represents a fused bicyclic ring system wherein a first ring of said ring system is an aryl or hetero- aryl and a second ring of said system is an cycloalkyl and wherein said cycloalkyl is substituted by a substitu- ent selected from the group consisting of =N-OH, =N-NHR1, =CH-COOR1; and the other substituents are as defined herein .
Formula (I) further preferably represents a compound of formula (1-2)
wherein A represents aryl or heteroaryl, preferably aryl; the other substituents are as defined herein.
Formula (I) further preferably represents a compound of
wherein A represents aryl or heteroaryl, preferably aryl; the other substituents are as defined herein.
In case of A representing a fused bicyclic ring system (X = NR31) , A preferably represents one of the following groups:
In case of A representing a fused bicyclic ring system, A particularly preferably represents one of the following groups:
In case of A representing an aryl or heteroaryl (X = CR32R33 or X = NR34), A preferably represents one of the following groups:
In case of A representing an aryl or heteroaryl, A particularly preferably represents one of the following groups :
R42 represents a substituent as defined for R4, prefera¬ bly halogen, particularly preferably chloro; R43 represents a substituent as defined for R4, prefera- bly halogen, particularly preferably fluoro;
R 41 represents a substituent as defined for R4.
n preferably represents 0 or 1.
n particularly preferably represents 0 in case A repre¬ senting a fused bicyclic ring system as defined herein and 1 in case A representing an aryl or heteroaryl as defined herein.
R1 preferably represents Ci - C4 alkyl.
R1 particularly preferably represents methyl.
Rτ31 preferably represents hydrogen or a substituent as 5 defined in R34.
R31 particularly preferably represents hydrogen.
R34 preferably represents lower alkyl, substituted witho one, two or three substituents, the substituents independently selected from the group consisting of hydroxy; halo; amino; nitro; cyano; carboxy; unsubsti- tuted or substituted heterocyclyl; unsubstituted or substituted cycloalkyl; unsubstituted or substituteds aryl; lower alkenyl; lower alkynyl; lower alkoxy; lower-alkoxy-lower alkoxy; (lower-alkoxy) -lower alkoxy-lower alkoxy; aryloxy; phenyl- or naphthyl- lower alkoxy, such as benzyloxy; amino-lower alkoxy; lower-alkanoyloxy; benzoyloxy; naphthoyloxy; lowero alkoxy carbonyl; phenyl- or naphthyl-lower alkoxycar- bonyl; lower alkanoyl, benzoyl, naphthoyl, carbamoyl; N-mono- or N, N-disubstituted carbamoyl, wherein the substitutents are selected from lower alkyl and hy- droxy-lower alkyl; amidino; guanidino; ureido; mer-5 capto; lower alkylthio, especially phenyl- or naphth- ylthio; phenyl- or naphthyl-lower alkylthio; lower alkyl-phenylthio, lower alkyl-naph- thylthio; halogen-lower alkylmercapto; lower alkylsulfinyl ; phenyl- or naphthyl-sulfinyl; phenyl- or naphthyl-lower al-o kylsulfinyl; lower alkyl-phenylsulfinyl; lower alkyl- napthylsulfinyl; sulfo; lower alkanesulfonyl; phenyl- or naphthyl-sulfonyl, phenyl- or naphthyl-lower al- kylsulfonyl, alkylphenylsulfonyl, halogen-lower al- kylsulfonyl; sulfon- amido, benzosulfonamido, amino,5 N-mono- or N, N-di- [lower alkyl, phenyl and/or phenyl- lower alkyl) -amino; where each phenyl or naphthyl (also in phenoxy or naphthoxy) mentioned above as
substituent or part of a substituent of substituted alkyl is itself unsubstituted or substituted by one or more, e.g. up to three, preferably 1 or 2, sub- stituents independently selected from halo, espe- cially fluoro, chloro, bromo or iodo, halo-lower alkyl, such as trifluoromethyl, hydroxy, lower alkoxy, amino, N-mono- or N, N-di- (lower alkyl, phenyl, naphthyl, phenyl-lower alkyl and/or naphthyl-lower alkyl) -amino, nitro, carboxy, lower-alkoxycarbonyl carbamoyl, cyano and/or sulfamoyl.
R34 particularly preferably represents lower alkyl, selected from the group consisting of methyl, ethyl or propyl, substituted with one, two or three substitu- ents, the substituents independently selected from the group consisting of hydroxy; halo; amino; optionally substituted heterocyclyl , said heterocyclyl being selected from the group consisting of piperidino, piperazino, morpholino, pyrrolidine pyrrolo, furano the substituents being selected from the group consisting of lower alkyl, lower alkoxy halo, cyano, said heterocyclyl optionally substituted by alkyl; unsubstituted or substituted cycloalkyl; phenyl or naphthyl; lower alkoxy; lower-alkoxy-lower alkoxy; ( lower-alkoxy) -lower alkoxy-lower alkoxy; phenoxy, naphthyloxy; benzyloxy; amino-lower alkoxy; lower- alkanoyloxy; benzoyloxy; naphthoyloxy; methoxy car- bonyl, n-propoxy carbonyl, iso-propoxy carbonyl or tert-butoxycarbonyl; benzyloxycarbonyl; acetyl, ben- zoyl, naphthoyl, carbamoyl; N-mono- or N,N-di- substituted carbamoyl wherein the substitutents are selected from lower alkyl and hydroxy-lower alkyl; amidino; mercapto; phenyl- or naphthylthio; phenyl- or naphthyl-lower alkylthio; lower alkyl-phenylthio, lower alkyl-naphthylthio; halogen-lower alkylmer- capto; lower alkylsulfinyl; phenyl- or naphthyl- sulfinyl; phenyl- or naphthyl-lower alkylsulfinyl ;
lower alkyl-phenylsulfinyl; lower alkyl-napthyl- sulfinyl; sulfo; lower alkanesulfonyl; phenyl- or naphthyl-sulfonyl, phenyl- or naphthyl-lower alkyl- sulfonyl, alkylphenylsulfonyl, trifluoromethanesul- fonyl; sulfon- amido, benzosulfonamido, N, N- dimethylamino, N, N-diethylamino, 3- [N- (N, N-dimethyl- araino) -propylamino, 2- [N- (N, N-dimethylamino) - ethylamino or N- (N, N-dimethylamino) -methylamino .
R34 very particularly preferably represents ethyl or propyl, substituted with one substituent, the substitu- ent selected from the group consisting of hydroxy, methoxy, ethoxy, methoxy-ethoxy, methoxy-methoxy-, ethoxy-ethoxy-, rnorpholino, piperidino, amino, me- thylamino, ethylamino, N, N-dimethylamino, N, N- diethylamino .
CR32R33 preferably represents a group wherein R32 and R33 independent from each other represent hydrogen, un- substituted lower alkyl, unsubstituted lower alkoxy.
CR32R33 further preferably represents a group C(=0) .
CR32R33 further preferably represents a group wherein R32 represents hydrogen, unsubstituted lower alkyl, un¬ substituted lower alkoxy and R33 represents hydroxy.
CR32R33 particularly preferably represents a group wherein R32 and R33 independent from each other represent hy- drogen, Ci-4 alkyl, C1-4 alkoxy.
CR32R33 further preferably represents a group CH(OH) .
CR32R33 further preferably represents a group CH2.
CR32R33 further preferably represents a group wherein R32 represents hydrogen and R33 represents C1-4 alkyl, C1-.4 alkoxy.
R2 preferably represents aryl, said aryl being selected from the group consisting of phenyl or naphtyl; said aryl being optionally substituted by 1 to 5 sub- stituents selected from the group consisting of halo, lower alkyl, lower alkoxy, , lower alkyl-SO2-NH-, lower alkyl-NH-SO2-, lower alkylamine, lower alkyl- sulfonyl, lower alkylurea, lower alkyl-NH-CO-O-, lower alkoxy-CO-NH-, phenyl, halophenyl, phenoxy, halophenoxy, phenyl-SO2-NH-, anilino-S02-, aniline, phenylsulfonyl, phenyl-NH-CO-NH-, phenyl-NH-CO-O-, phenyloxy-NH-CO-, nitro, cyano, lower alkylcarboxy, lower alkoxycarbonyl, phenyl-carboxy, phenoxycarbonyl and wherein each of said alkyl (also in alkoxy) may be substituted by halo, hydroxy, lower unsubstituted alkyloxy, amino, lower unsubstituted N-alkylamino, lower unsubstituted N, N-dialkylamino, heterocyclyl, heterocyclyl substituted by lower alkyl.
R2 particularly preferably represents phenyl, optionally substituted by one, two or three substituents selected from the group consisting of halo, lower alkyl, lower haloalkyl, lower alkoxy, lower haloalkoxy, lower-N-alkyl-lower alkoxy, lower-N, N-dialikyl-lower- alkoxy, heterocyclyl-lower alkoxy, lower alkyl- heterocyclyl-lower alkoxy, lower alkyl-SO2-NH-, lower alkyl-NH-SO2-, lower alkylamine, lower alkylsulfonyl, lower alkylurea, lower alkyl-NH-CO-O-, lower alkoxy- CO-NH-, phenyl, halophenyl, phenoxy, halophenoxy, phenyl-SO2-NH~, anilino-SO2-, aniline, phenylsul- fonyl, phenyl-NH-CO-NH-, phenyl-NH-CO-O-, phenyloxy- NH-CO-.
R2 very particularly preferably represents unsubstituted phenyl.
R2 further very particularly preferably represents phenyl, substituted by one or two substituents selected from the group consisting of halo, lower al- kyl, lower haloalkyl, lower alkoxy, lower haloalkoxy, lower dialkylamino- lower alkoxy, morpholino- lower alkoxy.
R2 further preferably represents heterocyclyl, said hetercyclyl consisting of 5 or 6 ring atoms and 1, 2 or 3 heteroatoms selected from the group consit- ing of oxygen, sulfur, nitrogen and said heterocyclyl optionally substituted by 1 to 5 substituents selected from the group consisting of halo, lower alkyl, lower haloalkyl, lower alkoxy, lower haloalkoxy, lower alkyl-SO2-NH-, lower alkyl- NH-SO2-, lower alkylamine, lower alkylsulfonyl, lower alkylurea, lower alkyl-NH-CO-O-, lower alkoxy-CO-NH-, phenyl, halophenyl, phenoxy, halophenoxy, phenyl-SO2- NH-, anilino-S02-, aniline, phenylsulfonyl, phenyl- NH-CO-NH-, phenyl-NH-CO-O-, phenyloxy-NH-CO- , nitro, cyano, lower alkylcarboxy, lower alkoxycarbonyl, phenyl-carboxy, phenoxycarbonyl .
R2 further particularly preferably represents a het- eroaryl selected from the group consiting of furanyl, thiophenyl, pyrrolyl, pyrazolyl, triazolyl, isoxa- zoly, oxazolyl, pyridinyl, pyrimidinyl pyrazinyl, triazinyl, said heteroaryl optionally substituted by one or two substituents selected from the group consisting of halo, lower alkyl, lower haloalkyl, lower alkoxy, lower haloalkoxy, lower alkyl-SO2-NH-, lower alkyl-
NH-SO2-, lower alkylamine, lower alkylsulfonyl, lower alkylurea, lower alkyl-NH-CO-O-, lower alkoxy-CO-NH-,
phenyl, halophenyl, phenoxy, halophenoxy, phenyl-SO2- NH-, anilino-S02-, aniline, phenylsulfonyl, phenyl- NH-CO-NH-, phenyl-NH-CO-O-, phenyloxy-NH-CO- .
R2 further particularly preferably represents a het- eroaryl selected from the group consiting of furanyl, thiophenyl, pyrrolyl, pyrazolyl, triazolyl, isoxa- zoly, oxazolyl, said heteroaryl optionally substituted by one or two substituents selected from the group consisting of halo, lower alkyl, lower haloalkyl, lower alkoxy, lower haloalkoxy.
R2 further particularly preferably represents furanyl.
R4 preferably represents halo, nitro, cyano, hydroxy, amino, lower alkyl, lower alkoxy, lower alkoxycar- bonyl, lower alkylcarbonyl lower alkyl-SO2-NH-, lower alkyl-NH-SO2-, lower alkylamine, lower dialkylamine, lower alkylsulfonyl, lower alkylurea, lower alkyl-NH- CO-O-, lower alkoxy-CO-NH-, aryl, aryloxy, aryl-SO2- NH-, aryl-NH-S02-, aryl-NH-, aryl-sulfonyl, aryl-NH- CO-NH-, aryl-NH-CO-O-, aryloxy-NH-CO-, aryl-carboxy, aryloxy-carbonyl , wherein each alkyl or aryl may be unsubstituted or substituted by one or more, preferably up to five substituents independently selected from the group consisting of halo, nitro, cyano, hydroxy, amino, lower alkyl, lower alkenyl, lower alkynyl.
R4 particularly preferably represents halo, nitro, cyano, hydroxy, amino, lower alkyl, lower alkoxy, lower alkylcarbonyl, lower alkoxycarbonyl, lower al- kyl-S02-NH-, lower alkyl-NH-SO2-, lower alkylamine, lower dialkylamine, lower alkylsulfonyl, lower alkylurea, lower alkyl-NH-CO-O-, lower alkoxy-CO-NH-, phenyl, phenyloxy, phenyl-SO2-NH-, phenyl-NH-SO2-,
phenyl-NH-, phenyl-sulfonyl, phenyl-NH-CO-NH-, phenyl-NH-CO-O-, phenoxy-NH-CO-, phenyl-carboxy, phe- noxy-carbonyl , wherein each alkyl or aryl may be unsubstituted or substituted by one or more, preferably up to five substituents independently selected from the group consisting of halo, nitro, cyano, hydroxy, amino, lower alkyl.
very particularly preferably represents halo, lower alkyl, lower haloalkyl, lower alkoxy, lower halo- alkoxy, lower alkyl-SO2-NH-, lower alkyl-NH-SO2, phenyl-SO2-NH-, phenyl-NH-SO2-; in particular halo (such as chloro) . urther preferred embodiments, the invention relates compound of formula
;i-lb) or
wherein in each case the substituents are as defined herein. As it becomes apparent from formula (1-1) and the above sub-formulae, the bicyclic ring system A is substi- tuted by a group =N-OH, =N-NHR1, =CH-COOR1 (particularly by a group =N-OH) and optionally substituted by one or more substituents R4.
In further preferred embodiments, the invention relates to a compound of formula
In a further preferred embodiment, the invention provides compounds of formula (I) as disclosed herein, wherein R2 represents substituted phenyl; such phenyl is preferably substituted in 2, 3 and 6 position or 2,6 position.
In a further preferred embodiment, the invention provides compounds of formula (I) as disclosed herein, wherein R2 represents heteroaryl; such hetereoaryl is preferably unsubsituted.
In a second aspect, the invention relates to the manufacture a compound of the formula I . A compound of the formula I may be prepared analogously to methods that, for other compounds, are in principle known in the art, so that for the novel compounds of the formula I the process is novel as analogy process.
Preferably, a compound of formula (I) wherein X represseennttss NNHH oorr NNRR'31, is obtained by reacting a compound of the formula II
R2—CHO (H)
wherein R2 as defined for a compound of the formula (I] with a compound of the formula (III)
wherein R1 is defined for a compound of the formula I; and with a compound of formula (IV)
wherein the substituents are as defined for a compound of formula (I) and PG represents a protecting group, such as TBDMS, optionally in the presence of a catalyst, such as Sc(OTf), optionally in the presence of one or more diluents, optionally removing any protecting groups present; optionally transforming a compound of the formula I into a different compound of the formula I, optionally transforming a salt of a compound of the formula I into the free compound or a different salt, transforming a free compound of the formula I into a salt thereof, and/or optionally separating a mixture of isomers of a compound of the formula I into the individual isomers. The reaction can preferably take place in a solvent or solvent mixture, e.g. in an ether, such as thf, at elevated temperatures, e.g. in the range from 30 0C to the reflux temperature or in mixtures of solvents, such as CH2C12, MeOH.
Preferably, a compound of formula (I) wherein X represents CR32R33, is obtained by reacting a compound of the formula (V)
wherein the substituents are as defined for a compound of formula (I) with a compound of formula (VI)
wherein the substituents are as defined for a compound of formula (I) in the presence of a Palladium-catalyst; optionally removing any protecting groups present; optionally transforming a compound of the formula I into a different compound of the formula I, optionally transforming a salt of a compound of the formula I into the free compound or a different salt, transforming a free compound of the formula I into a salt thereof, and/or optionally separating a mixture of isomers of a compound of the formula I into the individual isomers. The reaction preferably takes place under Suzuki-type conditions.
The properties, introduction, types and removal of pro- tecting groups are generally known in the field and may be preferably as described herein.
Optional Reactions and Conversions: A compound of the formula I may be converted into a different compound of the formula (I) by applying known methods to the obtained compounds .
For example, in a compound of the formula I, wherein a substituent is halo-aryl, such as bromo-aryl, e.g. bromo- phenyl, the halogen may be replaced with a substituent
bound via a nitrogen atom, for example with morpholino, by reaction with a corresponding primary or secondary amine, such as morpholine, in the presence of a strong base, such as an alkaline metal alkoxide, e.g. potassium tert-butoxide, and an appropriate coupling catalyst, e.g. 2- (dimethyl- amino-) -2-biphenylyl-palladium (11) chloride dinorbornylphosphin complex, in an appropriate solvent or solvent mixture, e.g. an ether, such as tetrahydrofurane . The halogen may also be replaced with an appropriate bo- ronic acid to form diaryl derivatives under Suzuki reaction conditions in presence of an catalysator, e.g. tetrakistriphenylpalladium (0) in an appropriate solvent e.g. dimethlyformamide, or solvent mixture. Yet another example of a conversion of a compound of the formula I can be given where a nitro substitutent is present in substituted aryl; such a nitro substituent can be reduced to a corresponding amino substituent, for example by catalytic hydrogenation, e.g. in the presence of Raney- Ni, in an appropriate solvent or solvent mixture, e.g. an alcohol, such as methanol or ethanol, e.g. at temperatures from 0 to 50 °C. An amino substituent in a compound of the formula I (e.g. amino as substituent of aryl R1 in formula I) can be converted into a di- or tri-alkylated amino (in the latter case quarter- nary) substituent by reaction with a corresponding alkyl halogenide, e.g. methyl iodide, preferably in the presence of a tertiary nitrogen base, such as triethylamine, in an appropriate solvent or solvent mixture, e.g. an N, N-di- (lower alkyl) - lower alkanoylamide, such as N, N- dimethylformamide, preferably at temperatures from 20 to 80 0C. Similarly the amino substituent can react with an acid chloride or can be coupled in the presence of appropriate coupling reagents, e.g. 1-Hydroxybenzotriazole (HOBT), to form a corresponding amide. The amino substituent can be con- verted into sulfonamides by reacting the free amine with sulfonylchlorides, e.g. methylsulfonylchloride, or can be
converted into ureas by reacting the free amine with appropriate isocyanates.
Salts of compounds of formula I having at least one salt- forming group may be prepared in a manner known per se. For example, a salt of a compound of formula I having acid groups may be formed by treating the compound with a metal compound, such as an alkali metal salt of a suitable organic carboxylic acid, e.g. the sodium salt of 2- ethylhexanoic acid, with an organic alkali metal or alka- line earth metal compound, such as the corresponding hydroxide, carbonate or hydrogen carbonate, such as sodium or potassium hydroxide, carbonate or hydrogen carbonate, with a corresponding calcium compound or with ammonia or a suitable organic amine, stoichiometric amounts or only a small excess of the salt-forming agent preferably being used. An acid addition salt of compounds of formula I can be obtained in customary manner, e.g. by treating a compound of the formula I with an acid or a suitable anion exchange reagent. Internal salts of compounds of formula I containing acid and basic salt- forming groups, e.g. a free carboxy group and a free amino group, may be formed, e.g. by the neutralization of salts, such as acid addition salts, to the isoelectric point, e.g. with weak bases, or by treatment with ion exchangers.
A salt of a compound of the formula I can be converted in customary manner into the free compound; a metal or ammonium salt can be converted, for example, by treatment with a suitable acid, and an acid addition salt, for ex- ample, by treatment with a suitable basic agent. In both cases, suitable ion exchangers may be used. Stereoisom- eric mixtures, e.g. mixtures of diastereomers, can be separated into their corresponding isomers in a manner known per se by means of appropriate separation methods. Diastereomeric mixtures for example may be separated into their individual diastereomers by means of fractionated crystallization, chromatography, solvent distribution,
and similar procedures. This separation may take place either at the level of one of the starting compounds or in a compound of formula I itself. Enantiomers may be separated through the formation of diastereomeric salts, 5 for example by salt formation with an enantiomer-pure chiral acid, or by means of chromatography, for example by HPLC, using chromatographic substrates with chiral ligands . o Work-up: Intermediates and final products can be worked up and/or purified according to standard methods, e.g. using chromatographic methods, distribution methods, (re- ) crystallization, and the like. s Starting Materials: The starting materials are known or may be obtained according to known processes.
Aldehydes of formula (II) are commercially available or may be obtained according to standard procedures. 0
Pyrazines of formula (III) are commercially available or may be obtained according to standard procedures. For example, by converting the corresponding halogen derivative in the presence of ammonia
5
wherein R1 is as defined in formula (I) and Hal represents halogen, preferably in a sealed tube, optionally in the presence of a polar diluent, such as methanol. o Bicylcic rings of formula (IV) may be obtained according to standard procedures, e.g. as described in WO 2006 / 125101, which is incorporated by reference.
A bromide of formula (V) may be obtained by bromination5 reaction of the corresponding starting material with NBS,
optionally followed by purification reaction, such as chromatography .
General process conditions: The following applies in gen- eral to all processes mentioned hereinbefore and hereinafter, while reaction conditions specifically mentioned above or below are preferred:
In any of the reactions mentioned hereinbefore and here- inafter, protecting groups may be used where appropriate or desired, even if this is not mentioned specifically, to protect functional groups that are not intended to take part in a given reaction, and they can be introduced and/or removed at appropriate or desired stages. Reac- tions comprising the use of protecting groups are therefore included as possible wherever reactions without specific mentioning of protection and/or deprotection are described in this specification. Within the scope of this disclosure only a readily removable group that is not a constituent of the particular desired end product of formula I is designated a "protecting group", unless the context indicates otherwise. The protection of functional groups by such protecting groups, the protecting groups themselves, and the reactions appropriate for their re- moval are described for example in standard reference works, such as J. F. W. McOmie, "Protective Groups in Organic Chemistry", Plenum Press, London and New York 1973, in T. W. Greene and P. G. M. Wuts, "Protective Groups in Organic Synthesis", Third edition, Wiley, New York 1999, in "The Peptides"; Volume 3 (editors: E. Gross and J. Meienhofer) , Academic Press, London and New York 1981, in "Methoden der organischen Chemie" {Methods of Organic Chemistry) , Houben Weyl, 4th edition, Volume 15/1, Georg Thieme Veriag, Stuttgart 1974, in H. -D. Ja- kubke and H. Jeschkeit, "Aminosauren, Peptide, Proteine" {Amino acids, Peptides, Proteins) , Veriag Chemie, Wein- heim, Deerfield Beach, and Basel 1982, and in Jochen Leh-
mann, "Chemie der Kohlenhydrate : Monosaccharide und Deri- vate" {Chemistry of Carbohydrates: Monosaccharides and Derivatives), Georg Thieme Veriag, Stuttgart 1974. A characteristic of protecting groups is that they can be removed readily (i.e. without the occurrence of undesired secondary reactions) for example by solvolysis, reduction, photolysis or alternatively under physiological conditions (e.g. by enzymatic cleavage) . All the above- mentioned process steps can be carried out under reaction conditions that are known per se, preferably those mentioned specifically, in the absence or, customarily, in the presence of solvents or diluents, preferably solvents or diluents that are inert towards the reagents used and dissolve them, in the absence or presence of catalysts, condensation or neutralizing agents, for example ion exchangers, such as cation exchangers, e.g. in the H<+> form, depending on the nature of the reaction and/or of the reactants at reduced, normal or elevated temperature, for example in a temperature range of from about -100 0C to about 1900C, preferably from approximately -8O°C to approximately 15O°C, for example at from -80 to -6O°C, at room temperature, at from -20 to 40 °C or at reflux temperature, under atmospheric pressure or in a closed vessel, where appropriate under pressure, and/or in an inert atmosphere, for example under an argon or nitrogen atmosphere .
The invention relates also to those forms of the process in which a compound obtainable as intermediate at any stage of the process is used as starting material and the remaining process steps are carried out, or in which a starting material is formed under the reaction conditions or is used in the form of a derivative, for example in protected form or in the form of a salt, or a compound obtainable by the process according to the invention is produced under the process conditions and processed further in situ. In the process of the present invention
those starting materials are preferably used which result in compounds of formula I described as being preferred. The invention also relates to novel intermediates and/or starting materials. Special preference is given to reac- tion conditions that are identical or analogous to those mentioned in the Examples.
The invention relates in a third aspect to uses / methods of use of a compound of formula (I) or a salt, solvate and/or tautomer thereof ("compound of the invention") .
In one embodiment, a compound of the present invention can be used in medical applications, i.e. as pharmaceuti¬ cal / as medicament. Preferably, a compound is used for the treatment of a disease which involves a Raf kinase, such as hyperproliverative diseases (in particular cancer) and angiogenesis related diseases.
In a further embodiment, the invention relates to the use of a compound of the present invention for the manufac¬ ture of a medicament for the treatment of a disease as disclosed herein.
In a further embodiment, the invention relates to a method for treatment a disease as disclosed herein in a subject comprising administering an effective amount of a compound of the present invention to a subject in need thereof .
The compounds of the present invention are also useful as research tools in functional genomics, drug discovery, target validation and/or ex vivo diagnostics.
The invention thus relates to the treatment of protein kinase modulation responsive diseases, especially in a mammal, preferably a human. A human is especially a patient or a person that (e.g. due to some mutation or
other features) is prone to a risk for a disease as defined above or below.
Diseases that can be treated are diseases responsive to the inhibition of one or more protein kinases (PKs), more especially one or more PKs selected from abl kinase, especially v- abl or c-abl kinase, kinases from the family of the src kinases, especially c-src kinase, b-Raf (V599E) and/or especially RET-receptor kinase or Ephrin receptor kinases, e.g. EphB2 kinase, EphB4 kinase or related kinases, or mutated (e.g. constitutively active or otherwise partially or totally deregulated) forms thereof. Often, good inhibition values are found in comparison to EGF receptor kinase or other kinases of the EGF family, for example HER-I or c-erbB2 kinase (HER-2) and/or VEG F-receptor kinase (e.g. KDR and FIt-I) . However, also these PKs may be usefully inhibited by one or more compounds of the formula I. "Modulation" preferably means inhibition and "responsive" preferably means that the progress of a disease and/or its symptoms is slowed, stopped or even inverted up to and including a complete or at least temporary cure. ,,Treatment" also includes prophylaxis including preventative treatment, e.g. in patients where mutations or changes have been found that indicate that they are or may be prone to the development of a disease. "Treatment" also includes therapeutic treatment (including but not limited to palliative, curative, symptom-alleviating, symptom-reducing, disease- or symptom-suppressing, progression-delaying, kinase- regulating and/or kinase-inhibiting treatment) of said diseases, especially of any one or more of the diseases mentioned herein. "Curative" preferably means efficacy in treating ongoing episodes involving (specially deregulated) receptor tyrosine kinase activity. "Prophylactic" preferably means the prevention of the onset or recurrence of diseases involving deregulated receptor tyrosine kinase activity. "Delay of progression" preferably means
administration of the active compound to patients being in a pre-stage or in an early phase of the disease to be treated, in which patients for example a pre-form of the corresponding disease is diagnosed or which patients are in a condition, e.g. during a medical treatment or a condition resulting from an accident, under which it is likely that a corresponding disease will develop, or where e.g. metastasizing can be expected without treatment .
Where subsequently or above the term ,,use" is mentioned (as verb or noun) (relating to the use of a compound of the formula I or a pharmaceutically acceptable salt thereof) , this (if not indicated differently or suggested differently by the context) includes any one or more of the following embodiments of the invention, respectively (if not stated otherwise) : the use in the treatment of a protein kinase modulation (especially inhibition) responsive disease, the use for the manufacture of pharmaceuti- cal compositions for use in the treatment of a protein kinase modulation (especially inhibition) responsive disease, methods of use of one or more compounds of the formula I in the treatment of a protein kinase modulation (especially inhibition) responsive and/or proliferative disease, pharmaceutical preparations comprising one or more compounds of the formula I for the treatment of said protein kinase modulation (especially inhibition) responsive disease, and one or more compounds of the formula I in the treatment of said protein kinase modulation (espe- cially inhibition) responsive disease, as appropriate and expedient, if not stated otherwise. In particular, diseases to be treated and are thus preferred for ,,use" of a compound of formula I are selected from protein kinase modulation (especially inhibition) responsive (meaning also ,,supported" , not only ,,dependent" , including also situations where a disease is responding to modulation, especially inhibition, of a protein kinase, that is, the
activity of the protein kinase supports or even causes disease manifestation) diseases mentioned below, espe¬ cially proliferative diseases mentioned below.
Where a protein kinase is mentioned, this relates to any type of protein kinase, especially one of those defined above under ,,General Description of the Invention", more especially serine/threonine and/or tyrosine kinases, most preferably one or more protein kinases, especially se- lected from the group consisting of v-abl or c-abl kinase, kinases from the family of the src kinases, especially c-src kinase, b-Raf (V599E) and/or preferably RET- receptor kinase or Ephrin receptor kinases, e.g. EphB2 kinase, EphB4 kinase or related kinases, including one or more altered or mutated or allelic forms of any one or more of these (e.g. those that result in conversion of the respective proto-oncogene into an oncogene, such as constitutively activated mutants, e.g. Bcr-Abl) . Especially an abnormally highly-expressed, constitutively activated or normal but in the given context of other regulatory mechanism in a patient relatively overactive, and/or mutated form is encompassed.
The usefulness of the compounds of the present invention in the modulation, especially as inhibitors, of protein kinases can especially and paradigmatically be demonstrated by the test systems described herein for the protein kinases mentioned as preferred above. An "inhibitor" is a test compound of the formula I if not mentioned oth- erwise. The efficacy of compounds of the formula I can be demonstrated as described in the examples section of this specification. The results indicate an advantageous selectivity profile of some preferred compounds of the formula I, where selectivity does not necessarily mean that only one kinase is inhibited to an advantageous extent, but also that selectively two or more kinases may be inhibited stronger in comparison to other kinases.
In a preferred sense of the invention, a protein kinase modulation responsive disease is a disorder that responds in a for the treated subject beneficial way to modula- tion, especially inhibition, of the activity of a protein kinase, especially one characterized as being preferred above, where a compound of the formula I can be used, is one or more of a proliferative disease (meaning one dependent on (especially inadequate) activity of a protein kinase) including a hyperproliferative condition, such as one or more of leukemia, hyperplasia, fibrosis (especially pulmonary, but also other types of fibrosis, such as renal fibrosis), angiogenesis, psoriasis, atherosclerosis and smooth muscle proliferation in the blood ves- sels, such as stenosis or restenosis following angioplasty. Further, a compound of the formula I may be used for the treatment of thrombosis and/or scleroderma.
Preferred is the use of a compound of the formula I in the therapy of a proliferative disorder (especially which is responsive to modulation, especially inhibition, of the activity of a protein kinase, especially as mentioned as preferred herein) selected from tumor or cancer diseases. A compound of formula I or its use makes it possi- ble to bring about the regression of tumors and/or to prevent the formation of tumor metastases and the growth of (also micro)- metastases.
It is possible to use the compounds of the formula I in the treatment of a benign or especially malignant tumor or cancer disease, more preferably solid tumors, e.g. carcinoma of the brain, kidney, liver, adrenal gland, bladder, breast, stomach (especially gastric tumors) , ovaries, colon, rectum, prostate, pancreas, lung (e.g. small or large cell lung carcinomas), vagina, thyroid, sarcoma, glioblastomas, multiple myeloma or gastrointestinal cancer, especially colon carcinoma or colorectal
adenoma, or a tumor of the neck and head, e.g. squameous carcinoma of the head and neck, including neoplasias, especially of epithelial character, e.g. in the case of mammary carcinoma; an epidermal hyperproliferation (other than cancer) , especially psoriasis; prostate hyperplasia; or a leukemia.
It is also possible to use the compounds of the formula I in the treatment of diseases of the immune system insofar as several or, especially, individual protein kinases, especially those mentioned as preferred, are involved. Furthermore, the compounds of the formula I can be used also in the treatment of diseases of the central or peripheral nervous system, in which signal transmission by at least one protein kinase, especially selected from those protein tyrosine kinases mentioned as preferred, is involved.
It is also possible to use the compounds of the formula I in the treatment of diseases that are triggered by persistent angiogenesis , such as restenosis, e.g. stent- induced restenosis; Crohn' s disease; Hodgkin' s disease; eye diseases, such as diabetic retinopathy and neovascu- lar glaucoma; renal diseases, such as glomerulonephritis; diabetic nephropathy; inflammatory bowel disease; malignant nephrosclerosis; thrombotic microangiopathic syndromes; (e.g. chronic) transplant rejections and glomerulopathy; fibrotic diseases, such as cirrhosis of the liver; mesangial cell-proliferative diseases; injuries of the nerve tissue; and for inhibiting the re-occlusion of vessels after balloon catheter treatment, for use in vascular prosthetics or after inserting mechanical devices for holding vessels open, such as, e.g., stents, as immunosuppressants, as an aid in scar-free wound healing, and for treating age spots and contact dermatitis.
It is also possible to use the compounds of the formula I in the treatment of solid tumors as mentioned herein and / or of liquid tumors, e.g. leukemias, as mentioned herein.
It is also possible to use the compounds of the formula I for stimulating or promoting neural regeneration (neuronal regeneration; neuroregeneration) , such as axon regeneration, or inhibiting or reversing neural degenera- tion (neuronal degeneration; neurodegeneration) . These uses represent further aspects of the instant invention.
It is also possible to use the compounds of the formula I in the treatment of diseases or disorders, where the stimulation or the promotion of neural regeneration (neuronal regeneration; neuroregeneration) , such as axon regeneration, or the inhibition or the reversal of neural degeneration (neuronal degeneration; neurodegeneration) is desired, e. g. in the treatment of spinal cord injury, hypoxic conditions, traumatic brain injury, infarct, stroke, multiple sclerosis or other neurodegenerative conditions, diseases or disorders. These uses and methods of treatment represent further aspects of the instant invention .
It is also possible to use the compounds of the formula I in the treatment of psoriasis, Kaposi's sarcoma, restenosis, endometriosis, Crohn's disease, leukaemia, arthritis, rheumatoid arthritis, hemangioma, angiofibroma, dia- betic retinopathy, neovascular glaucoma, renal diseases, glomerulonephritis, diabetic nephropathy, malignant nephrosclerosis, thrombotic microangiopathic syndromes, transplant rejections, glomerulopathy, cirrhosis of the liver, mesangial cell-proliferative diseases, arterio- sclerosis, injuries of the nerve tissue. These diseases are triggered by (persistent) angiogenesis .
It is also possible to use the compounds of the formula I in the treatment of undesirable or excessive vascularisa- tion, including by way of example tumours, and especially solid benign and malignant tumours, rheumatoid arthritis, psoriasis, atherosclerosis, diabetic and other retinopathies, retrolental fibroplasia, age-related macular degeneration, neovascular glaucoma, hemangiomas, thyroid hyperplasias (including Grave's disease), corneal and other tissue transplantation, and chronic inflammation, by administering an effective amount of an Eph receptor inhibitor to a patient in need thereof.
It is also possible to use the compounds of the formula I for inhibiting the re-occlusion of vessels after balloon catheter treatment, for holding vessels open in vascular prosthetics or after inserting mechanical devices, such as, e.g., stents, as immunosuppressants, as an aid in scar-free wound healing, and for treating dermatitis.
It is also possible to use the compounds of the formula I in the treatment of diseases or disorders characterized by undesirable or excessive vascular permeability, such as edema associated with brain tumours, ascites associated with malignancies, Meigs1 syndrome, lung inflamma- tion, nephrotic syndrome, pericardial effusion (such as that associated with pericarditis), and pleural effusion.
It is also possible to use the compounds of the formula I in the treatment of various neoplastic and non-neoplastic diseases and disorders. Cancers and related conditions that are amenable to treatment include breast carcinomas, lung carcinomas, gastric carcinomas, esophageal carcinomas, colorectal carcinomas, liver carcinomas, ovarian carcinomas, thecomas, arrhenoblastomas , cervical carcino- mas, endometrial carcinoma, endometrial hyperplasia, endometriosis, fibrosarcomas, choriocarcinoma, head and neck cancer, nasopharyngeal carcinoma, laryngeal carcino-
mas, hepatoblastoma, Kaposi's sarcoma, melanoma, skin carcinomas, hemangioma, cavernous hemangioma, heman- gioblastoma, pancreas carcinomas, retinoblastoma, astrocytoma, glioblastoma, Schwannoma, oligodendroglioma, me- 5 dulloblastoma, neuroblastomas, rhabdomyosarcoma, osteogenic sarcoma, leiomyosarcomas, urinary tract carcinomas, thyroid carcinomas, WiIm' s tumour, renal cell carcinoma, prostate carcinoma, abnormal vascular proliferation associated with phakomatoses, edema (such as thato associated with brain tumours), and Meigs ' syndrome.
It is also possible to use the compounds of the formula I in the treatment of benign or malignant neoplasia, including for example, but not exclusively, tumours of thes brain, kidney, liver, adrenal gland, bladder, breast, stomach, ovaries, colon, rectum, prostate pancreas, lung, vagina, thyroid, connective tissue (sarcoma), gastrointestinal tract, tumours of the neck and head, tumours derived from cells of the hematopietic system (includingo leukemias, lymphomas and multiple myeloma), epidermal hyperproliferation, including for example, but not exclusively, prostate hyperplasia.
It is also possible to use the compounds of the formula I5 in the treatment of non-neoplastic conditions. Such nonneoplastic conditions include rheumatoid arthrits, psoriasis, atherosclerosis, diabetic and other proliferative retinopathies including retinopathy of prematurity, retrolental fibroplasia, neovascular glaucoma, age-o related macular degeneration, diabetic retinopathy, central retinal vein occlusion, thyroid hyperplasias (including Grave's disease), corneal and other tissue transplantation, chronic inflammation, lung inflammation nephrotic syndrome, preeclampsia, ascites, pericardial5 effusion (such as associated with pericarditis) , and pleural effusion.
The invention relates in a forth aspect to pharmaceutical compositions comprising a compound of formula I to their use in the therapeutic (in a broader aspect of the invention also prophylactic) treatment or a method of treat- ment of a disease or disorder that depends on inadequate protein kinase activity, especially the preferred disorders or diseases mentioned above, to the compounds for said use and to pharmaceutical preparations and their manufacture, especially for said uses. More generally, pharmaceutical preparations are useful in case of compounds of the formula I .
The pharmacologically acceptable compounds of the present invention may be present in or employed, for example, for the preparation of pharmaceutical compositions that comprise an effective amount of a compound of the formula I, or a pharmaceutically acceptable salt thereof, as active ingredient together or in admixture with one or more inorganic or organic, solid or liquid, pharmaceutically acceptable carriers (carrier materials) .
The invention relates also to a pharmaceutical composition that is suitable for administration to a mammal, especially a human (or to cells or cell lines derived from a warm-blooded animal, especially a human, e.g. lymphocytes) , for the treatment of a disease as described herein, comprising an amount of a compound of formula I or a pharmaceutically acceptable salt thereof, preferably which is effective for said inhibition, together with at least one pharmaceutically acceptable carrier.
The pharmaceutical compositions according to the inven¬ tion are those for enteral (e.g. nasal, rectal or oral), or parenteral (e.g. intramuscular or intravenous) admini- stration to a mammal, that comprise an effective dose of the pharmacologically active ingredient, alone or together with a significant amount of a pharmaceutically
acceptable carrier. The dose of the active ingredient depends on the species of mammal, the body weight, the age and the individual condition, individual pharmacokinetic data, the disease to be treated and the mode of administration. The compounds of the invention thus can be administered in a variety of dosage forms, e.g. orally, in the form of tablets, capsules, coated tablets, liquid solutions or suspensions; rectally, in the form of suppositories; parenterally, e.g. intramuscularly, or by intravenous injection of infusion; or topically.
The invention relates also to method of treatment for a disease that responds to inhibition of a disease that depends on inadequate activity of a protein kinase; which comprises administering a prophylactically or especially therapeutically effective amount of a compound of formula I, especially to a warm-blooded animal, for example a human, that, on account of one of the mentioned diseases, requires such treatment. The dose of a compound of the formula I or a pharmaceutically acceptable salt thereof to be administered to warm-blooded animals, for example humans of approximately 70 kg body weight, preferably is from approximately 3 mg to approximately 10 g, more preferably from approximately 10 mg to approximately 1.5 g, most preferably from about 100 mg to about 1000 mg
/person/day, divided preferably into 1-3 single doses which may, for example, be of the same size. Usually, children receive half of the adult dose.
The pharmaceutical compositions comprise from approximately 1% to approximately 95%, preferably from approximately 20% to approximately 90%, active ingredient. Pharmaceutical compositions according to the invention may be, for example, in unit dose form, such as in the form of ampoules, vials, suppositories, dragees, tablets or capsules .
The pharmaceutical compositions of the present invention are prepared in a manner known per se , for example by means of conventional dis solving , lyophili zing , mixing , granulat ing or confectioning processes .
Solutions of the active ingredient, and also suspensions, and especially isotonic aqueous solutions or suspensions, are preferably used, it being possible, for example in the case of lyophilized compositions that comprise the active ingredient alone or together with a carrier, for example mannitol, for such solutions or suspensions to be produced prior to use. The pharmaceutical compositions may be sterilized and/or may comprise excipients, for example preservatives, stabilizers, wetting and/or emul- sifying agents, solubilizers, salts for regulating the osmotic pressure and/or buffers, and are prepared in a manner known per se, for example by means of conventional dissolving or lyophilizing processes. The said solutions or suspensions may comprise viscosity-increasing sub- stances, such as sodium carboxymethyl- cellulose, car- boxymethylcellulose, dextran, polyvinylpyrrolidone or gelatin .
Suspensions in oil comprise as the oil component the vegetable, synthetic or semi-synthetic oils customary for injection purposes. There may be mentioned as such espe¬ cially liquid fatty acid esters that contain as the acid component a long-chained fatty acid having from 8- 22, especially from 12-22, carbon atoms, for example lauric acid, tridecylic acid, myristic acid, pentadecylic acid, palmitic acid, margaric acid, stearic acid, arachidic acid, behenic acid or corresponding unsaturated acids, for example oleic acid, elaidic acid, erucic acid, brasi- dic acid or linoleic acid, if desired with the addition of antioxidants, for example vitamin E, [beta] -carotene or 3, 5-di-tert-butyl-4-hydroxytoluene . The alcohol component of those fatty acid esters has a maximum of 6 carbon
atoms and is a mono- or poly-hydroxy, for example a mono- , di- or tri-hydroxy, alcohol, for example methanol, ethanol, propanol, butanol or pen- tanol or the isomers thereof, but especially glycol and glycerol. The follow- ing examples of fatty acid esters are therefore to be mentioned: ethyl oleate, isopropyl myristate, isopropyl palmitate, "Labrafil M 2375" (polyoxyethylene glycerol trioleate, Gattefosse, Paris), "Miglyol 812" (triglyceride of saturated fatty acids with a chain length of C8 to C12, Huels AG, Germany), but especially vegetable oils, such as cottonseed oil, almond oil, olive oil, castor oil, sesame oil, soybean oil and groundnut oil.
The injection or infusion compositions are prepared in customary manner under sterile conditions; the same applies also to introducing the compositions into ampoules or vials and sealing the containers. For example, solutions for intravenous injections or infusion may contain as carrier, for example, sterile water or, preferably, they may be in the form of sterile aqueous, isotonic saline solutions.
Pharmaceutical compositions for oral administration can be obtained by combining the active ingredient with solid carriers, if desired granulating a resulting mixture, and processing the mixture, if desired or necessary, after the addition of appropriate excipients, into tablets, dragee cores or capsules. It is also possible for them to be incorporated into plastics carriers that allow the active ingredients to diffuse or be released in measured amounts .
Suitable carriers are especially fillers, such as sugars, for example lactose, saccharose, mannitol or sorbitol, cellulose preparations and/or calcium phosphates, for example tri- calcium phosphate or calcium hydrogen phosphate, and binders, such as starch pastes using for exam-
pie corn, wheat, rice or potato starch, gelatin, tra- gacanth, methylcellulose, hydroxypropylmethyl cellulose, sodium carboxymethyl cellulose and/or polyvinylpyrrolidone, and/or, if desired, disintegrators, such as the above-mentioned starches, and/or carboxy- methyl starch, crosslinked polyvinylpyrrolidone, agar, alginic acid or a salt thereof, such as sodium alginate. Excipients are especially flow conditioners and lubricants, for example silicic acid, talc, stearic acid or salts thereof, such as magnesium or calcium stearate, and/or polyethylene glycol. Dragee cores are provided with suitable, optionally enteric, coatings, there being used, inter alia, concentrated sugar solutions which may comprise gum ara- bic, talc, polyvinylpyrrolidone, polyethylene glycol and/or titanium dioxide, or coating solutions in suitable organic solvents, or, for the preparation of enteric coatings, solutions of suitable cellulose preparations, such as ethylcellulose phthalate or hydroxypropylmethyl- cellulose phthalate. Capsules are dry-filled capsules made of gelatin and soft sealed capsules made of gelatin and a plasticizer, such as glycerol or sorbitol. The dry- filled capsules may comprise the active ingredient in the form of granules, for example with fillers, such as lactose, binders, such as starches, and/or glidants, such as talc or magnesium stearate, and if desired with stabilizers. In soft capsules the active ingredient is preferably dissolved or suspended in suitable oily excipients, such as fatty oils, paraffin oil or liquid polyethylene glycols, it being possible also for stabilizers and/or anti- bacterial agents to be added. Dyes or pigments may be added to the tablets or dragee coatings or the capsule casings, for example for identification purposes or to indicate different doses of active ingredient.
For example, the solid oral forms may contain, together with the active compound, diluents, e.g. lactose, dextrose, saccharose, cellulose, corn starch or potato
starch; lubricants, e.g. silica, talc, stearic acid, magnesium or calcium stearate, and/or polyethylene glycols; binding agents, e.g. starches, arabic gums, gelatin, me- thylcellulose, carboxymethylcellulose or polyvinyl pyr- rolidone; disaggregating agents, e.g. a starch, alginic acid, alginates or sodium starch glycolate, effervescing mixtures; dyestuffs; sweeteners; wetting agents, such as lecithin, polysorbates, laurylsulphates ; and, in general, non-toxic and pharmacologically inactive substances used in pharmaceutical formulations. Said pharmaceutical preparations may be manufactured in known manner, for example by means of mixing, granulating, tabletting, sugar-coating or filmcoating processes.
For example, liquid dispersion for oral administration may be, e.g., syrups, emulsions and suspensions. Such syrup may contain as carrier, for example, saccharose or saccharose with glycerin and/or mannitol and/or sorbitol. Such suspensions and emulsions may contain as carrier, for example, a natural gum, agar, sodium alginate, pectin, methylcellulose, carboxymethylcellulose or polyvinyl alcohol. The suspensions or solutions for intramuscular injections may contain, together with the active compound, a pharmaceutically acceptable carrier, e.g. ster- ile water, olive oil, ethyl oleate, glycols, e.g. propylene glycol, and, if desired, a suitable amount of lidocaine hydrochloride.
For example, suppositories may contain, together with the active compound, a pharmaceutically acceptable carrier, e.g. cocoa-butter, polyethylene glycol, a polyoxyethylene sorbitan fatty acid ester surfactant or lecithin.
The compounds of the present invention may be adminis- tered to a patient in form of phamaceutically acceptable salts. Suitable pharmaceutically-acceptable salts include acid addition salts such as methanesulfonate, fumarate,
hydrochloride, citrate, maleate, tartrate and hydrobro- mide. Also suitable are salts formed with phosphoric and sulfuric acid. Further suitable salts are base salts such as an alkali metal salt for example sodium, an alkaline earth metal salt for example calcium or magnesium, an organic amine salt for example triethylamine, morpholine, N-methylpiperidine, N-ethylpiperidine, procaine, diben- zylamine, N, N-dibenzylethylamine, tris- (2-hydroxyethyl) - amine, N-methyl d-glucamine and amino acids such as Iy- sine. There may be more than one cation or anion depending on the number of charged functions and the valency of the cations or anions.
The compounds of the present invention may be adminis- tered in the form of a pro-drug which is broken down in the human or animal body to give a compound of the present invention. A prodrug may be used to alter or improve the physical and/or pharmacokinetic profile of the parent compound and can be formed when the parent compound con- tains a suitable group or substituent which can be deri- vatised to form a prodrug. Examples of pro-drugs include in-vivo hydrolysable esters of a compound of the present invention or a pharmaceutically-acceptable salt thereof.
The invention relates in a fifth aspect to combinations of a compound of formula (I) with other active agents. A compound of the formula I may also be used to advantage in combination with other biologically active agents, preferentially with other anti-proliferative agents. Such antiproliferative agents include, but are not limited to aromatase inhibitors; antiestrogens; topoisomerase I in¬ hibitors; topoisomerase Il inhibitors; microtubule active agents; alkylating agents; histone deacetylase inhibitors; compounds which induce cell differentiation proc- esses; cyclooxy- genase inhibitors; MMP inhibitors; mTOR inhibitors; anti-neoplastic antimetabolites; platin compounds; compounds targeting/decreasing a protein or lipid
kinase activity and further anti-angiogenic compounds; compounds which target, decrease or inhibit the activity of a protein or lipid phosphatase; gonadorelin agonists; anti-androgens; methionine aminopep- tidase inhibitors; bisphosphonates; biological response modifiers; antiproliferative anti-bodies; heparanase inhibitors; inhibitors of Ras onco-genic isoforms; telomerase inhibitors; pro- teasome inhi-bitors; agents used in the treatment of he¬ matologic malign-nancies; compounds which target, de- crease or inhibit the activity of Flt-3; Hsp90 inhibitors; and temozolomide (TEMODAL(R)) .
The term "aromatase inhibitor" as used herein relates to a compound which inhibits the estrogen production, i.e. the conversion of the substrates androstenedione and testosterone to estrone and estradiol, respectively. The term includes, but is not limited to steroids, especially atamestane, exemestane and formestane and, in particular, non-steroids, especially aminoglutethimide, roglethimide, pyridoglutethimide, trilostane, testolactone, ketokona- zole, vorozole, fadrozole, anastrozole and letrozole. Exemestane can be administered, e.g., in the form as it is marketed, e.g. under the trademark AROMASIN. Formestane can be administered, e.g., in the form as it is marketed, e.g. under the trademark LENTARON. Fadrozole can be administered, e.g., in the form as it is marketed, e.g. under the trademark AFEMA. Anastrozole can be administered, e.g., in the form as it is marketed, e.g. under the trademark ARIMIDEX. Letrozole can be administered, e.g., in the form as it is marketed, e.g. under the trademark FEMARA or FEMAR. Aminoglutethimide can be administered, e.g., in the form as it is marketed, e.g. under the trademark ORIMETEN. A combination of the invention comprising a chemotherapeutic agent which is an aro- matase inhibitor is particularly useful for the treatment of hormone receptor positive tumors, e.g. breast tumors.
The term ,,anti-estrogen" as used herein relates to a compound which antagonizes the effect of estrogens at the estrogen receptor level. The term includes, but is not limited to tamoxifen, fulvestrant, raloxifene and raloxifene hydrochloride. Tamoxifen can be administered, e.g., in the form as it is marketed, e.g. under the trademark NOLVADEX. Raloxifene hydrochloride can be ad¬ ministered, e.g., in the form as it is marketed, e.g. under the trademark EVISTA. Fulvestrant can be formulated as disclosed in US 4,659,516 or it can be administered, e.g., in the form as it is marketed, e.g. under the trademark FASLODEX. A combination of the invention comprising a chemotherapeutic agent which is an antiestrogen is particularly useful for the treatment of estrogen re- ceptor positive tumors, e.g. breast tumors.
The term ,,anti-androgen" as used herein relates to any substance which is capable of inhibiting the biological effects of androgenic hormones and includes, but is not limited to, bica- lutamide (CASODEX) , which can be formulated, e.g. as disclosed in US 4,636,505.
The term ,,gonadorelin agonist" as used herein includes, but is not limited to abarelix, go- serelin and goserelin acetate. Goserelin is disclosed in US 4,100,274 and can be administered, e.g., in the form as it is marketed, e.g. under the trademark ZOLADEX. Abarelix can be formulated, e.g. as disclosed in US 5,843,901.
The term ,,topoisomerase I inhibitor" as used herein includes, but is not limited to topotecan, gimatecan, iri- notecan, camptothecian and its analogues, 9- nitrocamptothecin and the ma- cromolecular camptothecin conjugate PNU-166148 (compound Al in WO99/ 17804) . Iri- notecan can be administered, e.g. in the form as it is marketed, e.g. under the trademark CAMPTOSAR. Topotecan
can be administered, e.g., in the form as it is marketed, e.g. under the trademark HYCAMTIN.
The term ,,topoisomerase II inhibitor" as used herein in- eludes, but is not limited to the an- thracyclines such as doxorubicin (including liposomal formulation, e.g. CAELYX) , dauno- rubicin, epirubicin, idarubicin and nemorubicin, the anthraquinones mitoxantrone and lo- soxantrone, and the podophillo toxines etoposide and teniposide. Etoposide can be administered, e.g. in the form as it is marketed, e.g. under the trademark ETOPOPHOS. Teniposide can be administered, e.g. in the form as it is marketed, e.g. under the trademark VM 26- BRISTOL. Doxorubicin can be administered, e.g. in the form as it is marketed, e.g. under the trademark
ADRIBLASTIN or ADRIAMYCIN. Epirubicin can be administered, e.g. in the form as it is marketed, e.g. under the trademark FARMORUBICIN . Idarubicin can be administered, e.g. in the form as it is marketed, e.g. under the trade- mark ZAVEDOS. Mitoxan- trone can be administered, e.g. in the form as it is marketed, e.g. under the trademark NOVANTRON .
The term ,,microtubule active agent" relates to micro- tubule stabilizing, microtubule destabilizing agents and microtublin polymerization inhibitors including, but not limited to taxanes, e.g. paclitaxel and docetaxel, vinca alkaloids, e.g., vinblastine, especially vinblastine sulfate, vincristine especially vincristine sulfate, and vinorelbine, discodermolides , cochicine and epothilones and derivatives thereof, e.g. epothilone B or a derivative thereof. Paclitaxel may be administered e.g. in the form as it is marketed, e.g. TAXOL. Docetaxel can be administered, e.g., in the form as it is marketed, e.g. under the trademark TAXOTERE. Vinblastine sulfate can be administered, e.g., in the form as it is marketed, e.g. under the trademark VINBLASTIN R. P.. Vincristine sulfate
can be administered, e.g., in the form as it is marketed, e.g. under the trademark FARMISTIN. Discodermolide can be obtained, e.g., as disclosed in US 5,010,099. Also in¬ cluded are Epothilone derivatives which are disclosed in WO 98/10121, US 6,194,181 , WO 98/25929, WO 98/08849, WO 99/43653, WO 98/22461 and WO 00/31247. Especially preferred are Epothilone A and/or B.
The term ,,alkylating agent" as used herein includes, but is not limited to, cyclophosphamide, ifosfamide, melpha- lan or nitrosourea (BCNU or Gliadel) . Cyclophosphamide can be administered, e.g., in the form as it is marketed, e.g. under the trademark CYCLOSTIN. Ifosfamide can be administered, e.g., in the form as it is marketed, e.g. under the trademark HOLOXAN.
The term "histone deacetylase inhibitors" or "HDAC inhibitors" relates to compounds which inhibit the histone deacetylase and which possess antiproliferative activity. This includes compounds disclosed in WO 02/22577 , especially N-hydroxy-3-[4-[ [ (2-hydroxyethyl) [2- (IH- indol-3- yl) ethyl] -amino] methyl] phenyl] -2E-2-propenamide, N- hydroxy-3- [4- [ [ [2- (2-methyl-lH- indol-3-yl) -ethyl] - amino] methyl] phenyl] -2E-2-propenamide and pharmaceuti- cally acceptable salts thereof. It further especially includes Suberoylanilide hydroxamic acid (SAHA) .
The term "antineoplastic antimetabolite" includes, but is not limited to, 5-fluorouracil (5-FU); capecitabine; gem- citabine; DNA demethylating agents, such as 5-azacytidine and deci- tabine; methotrexate; edatrexate; and folic acid antagonists such as pemetrexed. Capecita-bine can be administered, e.g., in the form as it is marketed, e.g. under the trademark XELODA. Gemcitabine can be adminis- tered, e.g., in the form as it is marketed, e.g. under the trademark GEMZAR. Also included is the monoclonal antibody trastuzumab which can be administered, e.g., in
the form as it is marketed, e.g. under the trademark HERCEPTIN.
The term "platin compound" as used herein includes, but is not limited to, carboplatin, cis- platin, cisplatinum and oxaliplatin. Carboplatin can be administered, e.g., in the form as it is marketed, e.g. under the trademark CARBOPLAT. Oxaliplatin can be administered, e.g., in the form as it is marketed, e.g. under the trademark ELOXATIN.
The term "compounds targeting/decreasing a protein or lipid kinase activity and further anti- angiogenic compounds" as used herein includes, but is not limited to: protein tyrosine kinase and/or serine and/or threonine kinase inhibitors or lipid kinase inhibitors, e.g.: a) compounds targeting, decreasing or inhibiting the activity of the platelet-derived growth factor-receptors (PDGFR) , such as compounds which target, decrease or in- hibit the activity of PDGFR, especially compounds which inhibit the PDGF receptor, e.g. a N-phenyl-2-pyri- midine-amine derivative, e.g. imatinib, SUlOl, SU6668, and GFB-111 ; b) compounds targeting, decreasing or inhibiting the activity of the fibroblast growth factor- receptors (FGFR); c) compounds targeting, decreasing or inhibiting the activity of the insulin-like growth factor I receptor (IGF-IR), especially compounds which inhibit the IGF-IR, such as those compounds disclosed in WO 02/092599; d) compounds targeting, decreasing or inhibit- ing the activity of the Trk receptor tyrosine kinase family; e) compounds targeting, decreasing or inhibiting the activity of the AxI receptor tyrosine kinase family; f) compounds targeting, decreasing or inhibiting the activity of the c-Met receptor; g) compounds targeting, de- creasing or inhibiting the activity of the c-Kit receptor tyrosine kinases - (part of the PDGFR family) , such as compounds which target, decrease or inhibit the activity
of the c-Kit receptor tyrosine kinase family, especially compounds which inhibit the c-Kit receptor, e.g. imatinib; h) compounds targeting, decreasing or inhibiting the activity of members of the c-Abl family and their gene-fusion products (e.g. BCR-AbI kinase), such as compounds which target decrease or inhibit the activity of c-Abl family members and their gene fusion products, e.g. a N-phenyl-2-pyrimidine-amine derivative, e.g. imatinib; PD180970; AG957; NSC 680410; or PD173955 from ParkeDavis; i) compounds targeting, decreasing or inhibiting the activity of members of the protein kinase C (PKC) and Raf family of serine/threonine kinases, members of the MEK, SRC, JAK, FAK, PDK and Ras/MAPK family members, or Pl (3) kinase family, or of the Pl (3)- kinase-related kinase family, and/or members of the cyclin-dependent kinase family (CDK) and are especially those staurosporine derivatives disclosed in US 5,093,330, e.g. mido- staurin; examples of further compounds include e.g. UCN-Ol , saf- ingol, BAY 43-9006, Bryostatin 1, Perifosine; llmofosine; RO 318220 and RO 320432; GO 6976; lsis 3521;
LY333531/LY379196; isochinoline compounds such as those disclosed in WO 00/09495; FTIs; PD184352 or QAN697 (a P13K inhibitor); j) compounds targeting, decreasing or inhibiting the activity of a protein-tyrosine kinase, such as imatinib mesylate (GLIVEC/GLEEVEC) or tyrphostin. A tyrphostin is preferably a low molecular weight (Mr < 1500) compound, or a pharmaceutically acceptable salt thereof, especially a compound selected from the ben- zylidenemalonitrile class or the S-arylbenzene malonirile or bisubstrate quinoline class of compounds, more especially any compound selected from the group consisting of Tyrphostin A23/RG-50810; AG 99; Tyrphostin AG 213; Tyrphostin AG 1748; Tyrphostin AG 490; Tyrphostin B44; Tyrphostin B44 (+) enantiomer; Tyrphostin AG 555; AG 494; Tyrphostin AG 556, AG957 and adaphostin (4-{ [(2,5- dihydro- xyphenyl) methyl] amino} -benzoic acid adamantyl ester; NSC 680410, adaphostin); and k) compounds target-
ing, decreasing or inhibiting the activity of the epidermal growth factor family of receptor tyrosine kinases (EGFR, ErbB2, ErbB3, ErbB4 as homo- or hetero-dimers) , such as compounds which target, decrease or inhibit the activity of the epidermal growth factor receptor family are especially compounds, proteins or antibodies which inhibit members of the EGF receptor tyrosine kinase family, e.g. EGF receptor, ErbB2, ErbB3 and ErbB4 or bind to EGF or EGF related ligands, and are in particular those compounds, proteins or monoclonal antibodies generically and specifically disclosed in WO 97/02266, e.g. the com¬ pound of ex. 39, or in EP 0 564 409, WO 99/03854, EP 0520722, EP 0 566 226, EP 0 787 722, EP 0 837 063, US 5,747,498, WO 98/10767, WO 97/30034, WO 97/49688, WO 97/38983 and, especially, WO 96/30347 (e.g. compound known as CP 358774), WO 96/33980 (e.g. compound ZD 1839) and WO 95/03283 (e.g. compound ZM105180); e.g. trastuzu- mab (HerpetinR) , cetuximab, Iressa, erlotinib (Tar- ceva(TM)), CI-1033, EKB-569, GW- 2016, El.1 , E2.4 , E2.5, E6.2, E6.4, E2.ll, E6.3 or E7.6.3, and 7H-pyrrolo- [2, 3- d]pyrimidine derivatives which are disclosed in WO 03/013541. Further anti-angiogenic compounds include compounds having another mechanism for their activity, e.g. unrelated to protein or lipid kinase inhibition e.g. tha- lidomide (THALOMID) and TNP-470.
Compounds which target, decrease or inhibit the activity of a protein or lipid phosphatase are e.g. inhibitors of phosphatase 1, phosphatase 2A, PTEN or CDC25, e.g. oka- daic acid or a derivative thereof.
Compounds which induce cell differentiation processes are e.g. retinoic acid, [alpha]- [gamma]- or [delta] -tocopherol or [alpha]- [gamma]- or [delta] -tocotrienol .
The term ,,cyclooxygenase inhibitor" as used herein includes, but is not limited to, e.g. Cox- 2 inhibitors, 5-
alkyl substituted 2-arylaminophenylacetic acid and derivatives, such as cele- coxib (CELEBREX) , rofecoxib (VIOXX) , etoricoxib, valdecoxib or a 5-alkyl-2- arylaminophe- nylacetic acid, e.g. 5-methyl-2- (2 ' - chloro-6' -fluoroanilino) phenyl acetic acid, lumiracoxib.
The term ,,mT0R inhibitors" relates to compounds which inhibit the mammalian target of rapamycin (mTOR) and which possess antiproliferative activity such as si- rolimus (Rapamune (R) ) , everolimus (Certican (TM) ) , CCI-779 and ABT578.
The term ,,bisphosphonates" as used herein includes, but is not limited to, etridonic, clo- dronic, tiludronic, pamidronic, alendronic, ibandronic, risedronic and zole- dronic acid. ,,Etridonic acid" can be administered, e.g., in the form as it is marketed, e.g. under the trademark DIDRONEL. ,,Clodronic acid" can be administered, e.g., in the form as it is marketed, e.g. under the trademark BONEFOS. ,,Tiludronic acid" can be administered, e.g., in the form as it is marketed, e.g. under the trademark SKELID. ,,Pamidronic acid" can be administered, e.g. in the form as it is marketed, e.g. under the trademark AREDIA(TM) . "Alendronic acid" can be administered, e.g., in the form as it is marketed, e.g. under the trademark FOSAMAX. ,,Ibandronic acid" can be administered, e.g., in the form as it is marketed, e.g. under the trademark BONDRANAT. ,,Risedronic acid" can be administered, e.g., in the form as it is marketed, e.g. under the trademark ACTONEL. ,,Zoledronic acid" can be administered, e.g. in the form as it is marketed, e.g. under the trademark ZOMETA.
The term "heparanase inhibitor" as used herein refers to compounds which target, decrease or inhibit heparin sulphate degradation. The term includes, but is not limited to, PI-88. The term ,,biological response modifier" as
used herein refers to a lymphokine or interferons, e.g. interferon [gamma] .
The term "inhibitor of Ras oncogenic isoforms" , e.g. H- Ras, K-Ras, or N-Ras, as used herein refers to compounds which target, decrease or inhibit the oncogenic activity of Ras e.g. a "farnesyl transferase inhibitor" , e.g. L- 744832, DK8G557 or R115777 (Zarnestra) .
The term "telomerase inhibitor" as used herein refers to compounds which target, decrease or inhibit the activity of telomerase. Compounds which target, decrease or inhibit the activity of telomerase are especially compounds which inhibit the telomerase receptor, e.g. telomestatin .
The term "methionine aminopeptidase inhibitor" as used herein refers to compounds which target, decrease or inhibit the activity of methionine aminopeptidase. Com¬ pounds which target, decrease or inhibit the activity of methionine aminopeptidase are e.g. bengamide or a derivative thereof.
The term "proteasome inhibitor" as used herein refers to compounds which target, decrease or inhibit the activity of the proteasome. Compounds which target, decrease or inhibit the activity of the proteasome include e.g. PS- 341 and MLN 341.
The term "matrix metalloproteinase inhibitor" or ("MMP inhibitor" ) as used herein includes, but is not limited to collagen peptidomimetic and nonpeptidomimetic inhibitors, tetracycline derivatives, e.g. hydroxamate peptidomimetic inhibitor batimastat and its orally bioavail- able analogue marimastat (BB-2516) , prinomastat (AG3340), metastat (NSC 683551) BMS- 279251, BAY 12-9566, TAA211 , MMI270B or AAJ996.
The term "agents used in the treatment of hematologic malignancies" as used herein includes, but is not limited to FMS-like tyrosine kinase inhibitors e.g. compounds targeting, decreasing or inhibiting the activity of FIt- 3; interferon, 1-b-D-arabinofuransylcytosine (ara-c) and bisulfan; and ALK inhibitors e.g. compounds which target, decrease or inhibit anaplastic lymphoma kinase.
The term "compounds which target, decrease or inhibit the activity of Flt-3" are especially compounds, proteins or antibodies which inhibit Flt-3, e.g. PKC412, midostaurin, a stauro- sporine derivative, SU11248 and MLN518. The term ,,HSP90 inhibitors" as used herein includes, but is not limited to, compounds targeting, decreasing or inhib- iting the intrinsic ATPase activity of HSP90; degrading, targeting, decreasing or inhibiting the HSP90 client proteins via the ubiquitin proteasome pathway. Compounds targeting, decreasing or inhibiting the intrinsic ATPase activity of HSP90 are especially compounds, proteins or antibodies which inhibit the ATPase activity of HSP90 e . g. , 17-allylamino, 17-demethoxygeldanamycin (17AAG), a geldanamycin derivative; other geldanamycin related compounds; radicicol and HDAC inhibitors.
The term ,,antiproliferative antibodies" as used herein includes, but is not limited to trastu- zumab (Her- ceptin(TM)), Trastuzumab-DMl , bevacizumab (Avastin (TM) ) , rituximab (Rituxan (R) ) , PRO64553 (anti-CD40) and 2C4 Antibody. By antibodies is meant e.g. intact monoclonal antibodies, polyclonal antibodies, multispecific antibodies formed from at least 2 intact antibodies, and antibodies fragments so long as they exhibit the desired biological activity.
For the treatment of acute myeloid leukemia (AML) , compounds of formula I can be used in combination with standard leukemia therapies, especially in combination with
therapies used for the treatment of AML. In particular, compounds of formula I can be administered in combination with e.g. famesyl transferase inhibitors and/or other drugs useful for the treatment of AML, such as Daunorubi- cin, Adriamycin, Ara-C, VP-16, Teniposide, Mitoxantrone, Idarubi- cin, Carboplatinum and PKC412.
The structure of the active agents identified by code nos . , generic or trade names may be taken from the actual edition of the standard compendium "The Merck Index" or from databases, e.g. Patents International (e.g. IMS World Publications) .
The above-mentioned compounds, which can be used in corn- bination with a compound of the formula I, can be prepared and administered as described in the art such as in the documents cited above.
A compound of the formula I may also be used to advantage in combination with known therapeutic processes, e.g., the administration of hormones or especially radiation.
The invention also relates to the use of a compound of the formula I, or a (preferably pharmaceutically accept- able) salt thereof, as a radiosensitizer , especially for the treatment of tumors which exhibit poor sensitivity to radiotherapy. By ,,combination" , there is meant either a fixed combination in one dosage unit form, or a kit of parts for the combined administration where a compound of the formula I and a combination partner may be adminis¬ tered independently at the same time or separately within time intervals that especially allow that the combination partners show a cooperative, e.g. synergistic, effect, or any combination thereof.
The invention also relates to the use of a compound of the formula I, or a (preferably pharmaceutically accept-
able) salt thereof, in the manufacture of pharmaceutical preparations useful in the treatment of the diseases identified herein, pharmaceutical preparations, especially useful against said diseases, comprising a com- pound of the formula I, or a pharmaceutically acceptable salt thereof and at least one pharmaceutically acceptable carrier, a compound of the formula I, or a pharmaceutically acceptable salt thereof, for use in the treatment of the animal or human body, especially against a disease mentioned above as particular examples, to a method of treatment of the animal or human body comprising administering a compound of the formula I, or a pharmaceutically acceptable salt thereof, to an animal or human, especially to a patient in need of such treatment in an amount effective for the treatment of said disease, and to a process for the manufacture of a compound of the formula I, or a (preferably pharmaceutically acceptable) salt thereof.
The invention is further illustrated by the following examples which should not be construed to limit the scope of the disclosure. Alternative pathways and analogous structures will be apparent to those skilled in the art. The following abbreviations are used in the following examples:
rt = room temperature {ca. 25°C)
Rt = Retention time
AcOH = acetic acid EtOAc = ethyl acetate
EtOH = ethanol
MeOH = methanol
TFA = trifluoro acetic acid
NMR = nuclear magnetic resonance spectroscopy HPLC = high pressure liquid chromatography
LC/MS = liquid chromatography mass spectrometry
RP = reverse phase
The following purification methods were applied to obtain pure samples: Crystallization from typical organic solvents, flash chromatography on silica gel, preparative HPLC on RP-silica gel and any combinations thereof.
For preparative HPLC, an Agilent Series 1100 Instrument with a Zorbax SB-C18 column , 21.2 x 250 mm, 7 μ, was used; solvents CH3CN - water (0.1 % TFA each) .
Where HPLC data are presented, analysis was done on a Agilent Series 1100 Instrument with a Supelco Discovery C18 column (4.6 x 50 mm, 5 μ, detecting at 254 nm and 220 nm; gradient 10 % to 99 % CH3CN within 4 minutes, 1 min. at 99 % CH3CN using CH3CN - water (0.1 % TFA each) solvent system with a flow rate of 2.0 mL / min. The retention times in minutes are given.
Where NMR Data are presented, 1H spectra were obtained on a Bruker DPX 300 (300.13 MHz) and are reported as ppm down field from tetramethylsilane with the number of protons .
Where LC/MS data are presented, analysis was performed using a Micromass ZQ, (150-1000 u) , ESI-positive spectrometer and Agilent Series 1100 Instrument, with a YMC- Pack ProC 18 (3 μm) , 33x3 mm column; gradient flow 5 % CH3CN /methanol/ 95% water/ 0.05% formic acid to 100% CH3CN /methanol/ 0% water/ 0.05% formic acid within 3 minutes using CH3CN /methanol (80:20) - water (0.05%
HCOOH) as solvent system with a flow rate of 1.7 mL/min. The retention times in minutes and observed parent ion are given.
Section A, Chemical synthesis
A.I, Chemical Synthesis for compounds where R31 = H Example 1: 5- (2-Furan-2-yl-8-methyl-imidazo [ 1, 2- a]pyrazin-3-ylamino) -indan-1-one oxime
A solution of 3-Methyl-pyrazin-2-ylamine (2_, 150 mg; 1.37 mmol; preparation see example 1.1), furan-2-carbaldehyde 5 (B; 136.7 μL; 1.65 mmol; Fluka) and Sc(OTf)3 (67.7 mg; 0.14 mmol; Stem) in a mixture of 2 ml of dry CH2C12-MeOH 1:1, are stirred at room temparature for 1 hour. After that period, the isocyano derivative 1_ is added (393.7 mg; 1.37 mmol; preparation see Example 1.4) and the reac-o tion mixture is stirred for 20 hours at room temperature. The solvent is evaporated, and the crude product is purified by chromatography on normal silicagel first (solvent: CH2C12-MeOH 18:1), followed by a second purification on reversed silicagel (solvent: H2O-EtOH 10:8) to5 yield the title compound. MS.: m/z = 360 (M+l); HPLC: Rt = 5.281 mm.
Instrument : HP Series 1100 (10Mm) Solvent : acetonitrile - water (0.1% TFA) Gradient : 1% acetonitrile to 100% within 10 minutes;o 2mm bei 100%
Flow : 1.0 ml / min
Detection : 220 ran Column : HP Hypersil BDS-C 18 125 x 4 mm
A mixture of 2-chloro-3-methylpyrazine (50 g; 389 mmol; 3B Pharmachem, Wuhan, China) and 300 g of gaseous NH3 dissolved in 200 ml of methanol are heated under stirring in an autoclave at 1600C for 8 hours. The reaction mixture is cooled, filtered, and the solvent is evaporated. The residue is stirred in cold acetone and treated for 10 minutes in an ultrasonic bath. After filtration, the solvent is evaporated to yield the title compound, which is used in the next step without further purification. HPLC: Rt = 0.36 min.
Instrument : HP Series 1100 (G.08. CHR. S003) Solvent : acetonitrile - water (0.1% TFA) Gradient : 10% acetonitrile to 99% within 4 min lmin at 99%
Flow: 2.0 ml / min
Detection : 220/254 nm Column: Supelco Discovery C18, 50x4.6 mm, 5μm
25 g (170 mmol) of 5-aminoindane-l-one (Maybridge) are heated under reflux in 170 ml of n-butylformate (Aldrich) for 48 hours (product formation monitored by HPLC) . The reaction mixture is then concentrated to an oil which solidified upon standing. This material is used in the next step without further purification. HPLC: Rt = 1.32 min .
Instrument: HP Series 1100 (G.08. CHR. S003) Solvent: acetonitrile - water (0.1% TFA)
Gradient : 10% acetonitrile to 99% within 4 min; lmin at 99%
Flow: 2.0 ml / min
Detection: 220/254 nm Column: Supelco Discovery C18, 50x4.6 mm, 5μm
Example 1.3: 5-Isocyano-indan-l-one
The raw material synthesized in Example 1.2 (theoretical amount 170 mmol) is suspended in a mixture of 700 ml of THF and 143 ml of triethylamin (Fluka) at 0-5°C (ice- water) . To this mixture 15.6 ml (170 mmol) of POC13 (Fluka) are added at the same temperature during 25 min. The cooling bath is removed and the reaction mixture stirred for additional 1.5 hours at room temperature. HPLC control showed almost complete conversion. Ca. 5O g of silicagel is added to the reaction mixture, and the solvents are evaporated. The residue is purified by chromatography on 400 g of silicagel (solvent: CH2C12) . The title compound is obtained as a brown solid. HPLC: Rt = 2.05 min .
Instrument HP Series 1100 (G .08.CHR. S003) Solvent : acetonitrile - water (0.1% TFA) Gradient : 10% acetonitrile to 99% within 4 min; lmin at 99%
Flow: 2.0 ml / min
Detection : 220/254 nm Column : Supelco Discovery C18, 50x4.6 mm, 5μm
Example 1.4: 5-isocyano-2, 3-dihydroinden-l-one-O-tert- butyldimethylsilyl oxime (7)
4.86 g (30.9 mmol) of 5-Isocyano-indan-l-one (6) from Example 1.3, 6.37 g (43.3 mmol) of 0-(tert- butyldimethylsilyl) hydroxylamine (Fluka), and 595 mg (3.1 mmol) of p-TsOH-H2O in 160 ml CHC13 are heated to reflux for 17.5 hours. HPLC control showed complete conversion. The reaction mixture is concentrated und purified by chromatography on silicagel (solvent: 1% MeOH in CH2C12) to yield the title compound. HPLC: Rt = 4.52 min. i IinisstLrruummeenntt: HP Series 1100 (G .08. CHR. S003) Solvent : acetonitrile - water (0.1% TFA) Gradient : 10% acetonitrile to 99% within 4 min; lmin at 99%
Flow: 2 . 0 ml / min u DeetiteiCctLiiυoini :: 220 /254 ran Column : Supelco Di scovery C18 , 50x4 . 6 mm, 5μm
Example 2: 5- [2- (4-Chloro-3-trifluoromethyl-phenyl) -8- methyl-imidazo [1, 2 -a] pyrazin-3-ylamino] -indan-1-one oxime
Example 2 is prepared in analogy to Example 1 using the same mmol-amounts and reaction conditions. The aldehyde used is this experiment is 4~chloro-3- ( trifluormethyl) benzaldehyde (344 mg; 1.65 mmol; Alfar Aesar) . The title compound is a solid. MS.: m/z = 472 (M+l); HPLC: Rt = 7.232 min.
Instrument : HP Series 1100 (lOMin) solvent : acetonitrile - water (0.1% TFA) Gradient : 1% acetonitrile to 100% within 10 min;
2min at 100%
Flow: 1.0 ml / min
Detection : 220 nm Column: HP Hypersil BDS-C 18 125 x 4 mm
Example 3: 5- [2- (3, 4-Dimethoxy-phenyl) -8-methyl- imidazo [1, 2-a] pyrazin-3-ylamino] -indan-1-one oxime
Example 3 is prepared in analogy to Example 1 using the same mmol-amounts and reaction conditions. The aldehyde used is this experiment is 3, 4-dimethoxybenzaldehyde (274.1 mg; 1.65 mmol; Fluka) . The title compound is a solid. MS. m/z = 430 (M+l); HPLC: Rt = 5.516 min. Instrument HP Series 1100 (lOMin) solvent : acetonitrile - water (0.1% TFA) Gradient : 1% acetonitrile to 100% within 10 min;
2min at 100%
Flow: 1.0 ml / min
Detection : 220 nm Column : HP Hypersil BDS-C 18 125 x 4 mm
Example 4: 5- [2- (2-Fluoro-4-methoxy-phenyl ) -8-methyl- imidazo [1, 2-a] pyrazin-3-ylamino] -indan-1-one oxime
Example 4 is prepared in analogy to Example 1 using the same mmol-amounts and reaction conditions. The aldehyde used is this experiment is 2-fluoro-4-methoxybenzaldehyde (254.2 mg; 1.65 mmol; Aldrich) . The title compound is a solid. MS.: m/z = 418 (M+l); HPLC: Rt = 5.779 min.
Instrument HP Series 1100 (lOMin) Solvent : acetonitrile - water (0.1% TFA) Gradient : 1% acetonitrile to 100% within 10 min;
2min at 100%
Flow: 1.0 ml / min Detection: 220 nm
Column : HP Hypersil BDS-C 18 125 x 4 mm
Example 5: 5- ( 8-Methyl-2-phenyl-imidazo [1 , 2-a] pyrazin-3- ylamino) -indan-1-one oxime
Example 5 is prepared in analogy to Example 1 using for each component 1.10 mmol and p-TsOH-H2O (83.7 mg; 0.44 mmol) for Sc(Otf)3. The aldehyde used is this experiment is benzaldehyde (111.1 μL; 1.10 mmol; Fluka) . The title compound is a solid. HPLC: Rt = 5.837 min.
Instrument : HP Series 1100 (lOMin) Solvent : acetonitrile - water (0.1% TFA) Gradient : 1% acetonitrile to 100% within 10 minutes;
2min at 100%
Flow: 1.0 ml / min
Detection : 220 nm Column : HP Hypersil BDS-C 18 125 x 4 mm
A.2: Chemical Synthesis for compounds N-alkylatβd deriva- tives (R31 ≠ H)
Starting material: (3-Chloro-phenyl) - ( 8-methyl-2-phenyl- imidazo [1, 2-a]pyrazin-3-yl) -amine
To a stirred solution of 3-methyl-2-pyrazineamine (10.9 g, 100 mmol; see Example 1.1), benzaldehyde (15.9 g, 150 mmol) and Yb(OTf)3 (3.1 g, 5 mol%, 5 mmol) in abs. MeOH (200 mL) 3-chlorophenylisonitrile (15.1 g, 110 mmol) as a solution in abs. MeOH (100 mL) was added under argon. The
reaction mixture was allowed to stir overnight (18 h) and after TLC control for additional 5 hours more until the starting 3-methyl-2-pyrazineamine was comsumed. The reaction mixture was concentrated to 1/3 of its initial vol- ume and was cooled down to -100C for crystallization. After approx. 2 days in a freezer light-yellow precipitate deposited. It was collected by filtration, washed with several portions of pre-cooled abs. MeOH (-100C) and dried under high vacuum for 24 h. MS: m/z = 335.7 (M++l; MW = 334.81); HPLC: Rt = 2.00 min.
General Process: To a stirred solution of (3-Chloro- phenyl) - ( 8 -methyl-2-phenyl-imidazo [1, 2 -a] pyrazin-3-yl) - amine (0.67 g, 2 mmol) in DMF (20 mL) , Cs2CO3 (3.26 g, 10 mmol) and corresponding alkylating agent (4 mmol, see
Table below) were added. The reaction mixture was stirred at ambient temperature for 2 days followed by quenching with water (100 mL) and extraction with EtOAc (3 x 50 mL) . Upon solvent removal the crude products have been purified by column chromatography on silicagel using as a mobile phase EtOAc in hexane with different gradient.
Example 6: 2- [ (3-Chloro-phenyl) - (8-methyl-2-phenyl- imidazo [1, 2-a] pyrazin-3-yl) -amino] -ethanol
MS: m/z = 379.3 (M+; MW = 378.86); HPLC: Rt = 1.76 min.
Example 7: (3-Chloro-phenyl) - (2-methoxy-ethyl) - (8-methyl- 2-phenyl-imidazo [1, 2-a] pyrazin-3-yl) -amine
MS: m/z = 393.1 (M+; MW = 392.89) ; HPLC: Rt = 2.21 min
Example 8: (3-Chloro-phenyl) - [2- (2-methoxy-ethoxy) - ethyl] - (8-methyl-2-phenyl-imidazo [1, 2 -a] pyrazin-3-yl) - amine
MS: m/z = 437.4 (M+; MW = 436.94); HPLC: Rt = 2.20 min.
Example 9: N- (3-Chloro-phenyl) -N ' , N ' -dimethyl-N- (8- methyl-2-phenyl-imidazo [ 1, 2-a] pyrazin-3-yl) -propane- 1, 3- diamine
MS: m/z = 420.2 (M+; MW = 419.96); HPLC: Rt = 1.56 min.
Example 10: (3-Chloro-phenyl) -( 8-methyl-2-phenyl-imidazo [1 , 2-a] pyrazin-3-yl) - (3-piperidin-l-yl-propyl) -amine
MS: m/z = 460.4 (M+; MW = 460.02); HPLC: Rt = 1.55 min.
A.3: Chemical Synthesis for N,O-dialkylatβd derivatives (R31 ≠ H and R2 = substituted aryl or heterocydyl) Starting material: 4- [ 3- (3-Chloro-phenylamino) -8-methyl- imidazo [1, 2-a] pyrazin-2-yl] -phenol
To a stirred solution of 3-methyl-2-pyrazineamine (10.9 g, 100 mmol; see Example 1.1), 4-hydroxy-benzaldehyde
(18.3 g, 150 ππnol) and 3-chlorophenylisonitrile (15.1 g, 110 mmol) in MeOH (200 mL) a few drops of 70% aq. HC1O4 diluted with MeOH (1 mL) were syringed. The reaction mixture was allowed to stir overnight (approx. 18 h) fol- lowed by concentration of the reaction mixture to 1/3 of initial volume and cooling down to -100C for crystallization. After few hours in a freezer an off-white precipitate deposited. It was collected by filtration, washed with several portions of pre-cooled to -100C abs . MeOH and dried under high vacuum for 24 h. MS: m/z = 351.5 (N++l; MW = 350.81); HPLC: Rt = 1.61 min.
General Process: To a stirred solution of 4- [3- (3-Chloro- phenylamino) -8-methyl-imidazo [1, 2-a] pyrazin-2-yl] -phenol (0.7 g, 2 mmol) in DMF (40 mL) , Cs2CO3 (6.5 g, 20 mmol) and corresponding alkylating agent (10 mmol, see Table
below) were added. The reaction mixture was stirred and heated to 800C for 2 days followed by quenching with water (100 mL) and extraction with EtOAc (3 x 50 mL) . Upon solvent removal the crude products have been purified by column chromatography on silicagel using as a mobile phase EtOAc in hexane with different gradient.
Example 11: N- (3-Chloro-phenyl) -N- {2- [4- (2-dimethylamino- ethoxy) -phenyl] -8-methyl-imidazo [l,2-a]pyrazin-3-yl}~ N ' , N ' -dimethy1-ethane-l, 2-diamine
Example 12: (3-Chloro-phenyl) - { 8-methyl-2- [ 4- (2- morpholin-4-yl-ethoxy) -phenyl] -imidazo [ 1, 2-a] pyrazin-3- yl } - (2-morpholin-4-yl-ethyl) -amine
MS: m/z = 577 (M+; MW = 577.13); HPLC: Rt = 1.12 min.
Section B, Biochemical analysis
EXAMPLE Bl: Enzymatic Assay for EphB4 kinase activity The kinase inhibition activity of the compounds was measured in an in vitro kinase assay. Briefly, in a final reaction volume of 25 μL, human EphB4 (N-terminal Hisβ- tagged, recombinant, amino acids 561-end, expressed by
baculovirus in Sf21 insect cells/ 5-10 mU) was incubated with 8 mM MOPS pH 7.0, 0.2 itiM EDTA, 10 mM MnCl2, 0.1 mg/mL poly (GIu, Tyr) 4:1, 10 mM MgAcetate and [γ-33P-ATP] (specific activity approx. 500 cpm/pmol, concentration as required) . The reaction was initiated by the addition of the MgATP mix. After incubation for 40 min at rt, the reaction was stopped by the addition of 5 μL of a 3% phosphoric acid solution. 10 μL of the reaction was then spotted onto a Filtermat A and washed three times for 5 min in 75 mM phosphoric acid and once in methanol prior to drying and scintillation counting.
EXAMPLE B2 : (Enzymatic Assay for B-Rafv600e kinase activity) The kinase inhibition activity of the compounds was measured in an in vitro kinase assay. Briefly, in a final reaction volume of 25 μL, human B-Rafv600e (catalytic domain (amino acid Q417- amino acid H766), GST-His6-tagged, expressed by baculovirus in Sf21 insect cells; 5-10 mU) was incubated with 8 mM MOPS pH 7.0, 0.2 mM EDTA, 10 mM MnCl2, 0-1 mg/mL poly (GIu, Tyr) 4:1, 10 mM MgAcetate and [γ-33P-ATP] (specific activity approx. 500 cpm/pmol, concentration as required) . The reaction was initiated by the addition of the MgATP mix. After incubation for 40 min at r.t., the reaction was stopped by the addition of 5 μL of a 3% phosphoric acid solution. 10 μL of the reaction was then spotted onto a Filtermat A and washed three times for 5 min in 75 mM phosphoric acid and once in methanol prior to drying and scintillation counting.
EXAMPLE B3: (Cellular EphB4 autophosphorylation assay (ELISA-EphB4) ) CHO cells were stably transfected with myc-tagged full length human EphB4. A cell line expressing EphB4 of which the phosphorylation was inducible with ephrinB2/Fc was identified and called CHO-EphB4. CHO- EphB4 cells were seeded into a 24-well plate and cultured overnight in HAM-F12/10% FCS/600 μg/ml hygromycine B. The cells were washed once with PBS and dilutions of compounds in Ham-F12 medium were added (in triplicates) .
Cells were incubated at 370C for 15 minutes. Ligand eph- rinB2/Fc (R&D Systems) was added (15 mM final) and cells were further incubated at 37°C for 45 minutes. Cells were lysed in 120 μl/well of lysis buffer (20 mM Tris pH8, 150 mM NaCl, 10% glycerol, 1% TritonX-100, 1 mM Na3VO4, 1 mM EDTA pH8, 1 mM EGTA pH8, Ix protease inhibitor cocktail Sigma) . ELISA 96-well plates (Greiner, Polysorb) were coated with 100 μl/well anti-c-myc antibody (Sigma) overnight at 4°C, blocked with 300 μl/well 5% milk in TBS/0.005% Tween (TBST) for 1 to 3 hours at room temperature, and incubated with 110 μl/well cell lysate overnight at 40C. ELISA plates were washed twice with TBST and incubated with 100 μl/well anti-P-Tyr-HRP antibody (Upstate) diluted 1:10000 in 5% milk in TBST for 1.5 hour at RT and developed with 100 μl/well BM BluePOD substrate (Roche) . Absorbance was measured at 450 nm.
Results: The results (IC50 in μM) are summarized below.
Claims
Claims
1. A compound of formula (I), or a salt, solvate and / or tautomer thereof
RJ1 represents hydrogen, unsubstituted or substituted lower alkyl, and A represents a fused bicyclic ring system wherein a first ring of said ring system is an aryl or het- ero-aryl and a second ring of said system is an cycloalkyl and wherein said cycloalkyl is substituted by a substituent selected from the group consisting of =N-OH, =N-NHR1, =CH-COOR1; or
X represents NR34, and
R34 represents unsubstituted or substituted lower alkyl, and A represents aryl or heteroaryl; or
X represents CR32R33; and
R32 represents hydrogen, hydroxy, unsubstituted lower alkyl, unsubstituted lower alkoxy; and R33 rreepprreesseennttss hhyyddrrooggeenn,, uunnssuubbssttiiituted lower alkyl, uunnssuubbssttituted lower alkoxy or R32 aanndd RR3333 ttooggeetthheerr rreepprreesseenntt ooxxoo (=0) ; and A represents aryl or heteroaryl; and R1 represents substituted or unsubstituted lower alkyl, preferably unsubstituted lower alkyl; R2 represents substituted or unsubstituted aryl or substituted or unsubstituted heterocyclyl (particularly heteroaryl); R4 independent from each other represents a substituent different from hydrogen; and n represents an integer from 0 - 5.
A compound according to claim 1 represented a) by formula (1-1)
wherein A represents a fused bicyclic ring system wherein a first ring of said ring system is an aryl or hetero-aryl and a second ring of said system is a cycloalkyl and wherein said cycloalkyl is substituted by a substituent selected from the group consisting of =N-OH, =N-NHR1, =CH-COOR1 and the other substitu- ents are as defined in claim 1; or b) by formula (1-2)
wherein A represents aryl or heteroaryl and the other substituents are as defined in claim 1; or c) by formula (1-3)
3. A compound according to claim 1 or 2 wherein R1 represents Ci - C4 alkyl.
4. A compound according to any of the preceding claims wherein
R2 represents aryl, said aryl being selected from the group consisting of phenyl or naphtyl; said aryl being optionally substituted by 1 to 5 sub- stituents selected from the group consisting of halo, lower alkyl, lower alkoxy, , lower alkyl- SO2-NH-, lower alkyl-NH-SO2-, lower alkylamine, lower alkylsulfonyl, lower alkylurea, lower al- kyl-NH-CO-O-, lower alkoxy-CO-NH-, phenyl, halo- phenyl, phenoxy, halophenoxy, phenyl-SO2-NH-, anilino-S02-, aniline, phenylsulfonyl, phenyl-NH- CO-NH-, phenyl-NH-CO-O-, phenyloxy-NH-CO- , nitro, cyano, lower alkylcarboxy, lower alkoxycarbonyl, phenyl-carboxy, phenoxycarbonyl and wherein each of said alkyl (also in alkoxy) may be substituted by halo, hydroxy, lower unsubstituted alkyloxy, amino, lower unsubstituted N-alkylamino, lower unsubstituted N, N-dialkylamino, heterocyclyl, heterocyclyl substituted by lower alkyl; or
R2 represents heterocyclyl, said hetercyclyl consisting of 5 or 6 ring atoms and 1, 2 or 3 het- eroatoms selected from the group consiting of oxygen, sulfur, nitrogen and said heterocyclyl optionally substituted by 1 to 5 substituents selected from the group consisting of halo, lower alkyl, lower haloalkyl, lower alkoxy, lower ha- loalkoxy, lower alkyl-S02-NH-, lower alkyl-NH- SO2-, lower alkylamine, lower alkylsulfonyl, lower alkylurea, lower alkyl-NH-CO-O-, lower alkoxy-CO-NH-, phenyl, halophenyl, phenoxy, halophenoxy, phenyl-SO2-NH-, anilino-S02-, aniline, phenylsulfonyl, phenyl-NH-CO-NH-, phenyl-NH-CO-O- , phenyloxy-NH-CO-, nitro, cyano, lower alkylcarboxy, lower alkoxycarbonyl, phenyl-carboxy, phenoxycarbonyl .
5. A compound according to any of the preceding claims wherein
R4 represents halo, nitro, cyano, hydroxy, amino, lower alkyl, lower alkoxy, lower alkoxycarbonyl,
lower alkylcarbonyl lower alkyl-SO2-NH-, lower alkyl-NH-SO2-, lower alkylamine, lower dial- kylamine, lower alkylsulfonyl, lower alkylurea, lower alkyl-NH-CO-O-, lower alkoxy-CO-NH-, aryl, aryloxy, aryl-SO2-NH-, aryl-NH-SO2-, aryl-NH-, aryl-sulfonyl, aryl-NH-CO-NH-, aryl-NH-CO-O-, aryloxy-NH-CO-, aryl-carboxy, aryloxy-carbonyl, wherein each alkyl or aryl may be unsubstituted or substituted by one or more, preferably up to five substituents independently selected from the group consisting of halo, nitro, cyano, hydroxy, amino, lower alkyl, lower alkenyl, lower alkynyl.
6 . A compound according to any of the preceding claims wherein n represents 0 or 1.
7. A compound according to any of the preceding claims wherein a) in case X represents NR31, A represents one of the following groups:
b) in case X represents CR32R33 or NR34, A represents the following group:
8. A compound according to any of the preceding claims wherein
a) in case X represents NR31, A represents one of the following groups:
b) in case X represents CR32R33 or NR34, A represents one of the following groups:
R42 rreepp]resents a substituent as defined for R4, pref- erably halogen;
R 43 represents a substituent as defined for R , preferably halogen;
R 41 represents a substituent as defined for R4.
A compound according to any of the preceding claims wherein
R ,31 represents hydrogen;
R34 represents ethyl or propyl, substituted with one substituent, the substituent being selected from the group consisting of hydroxy, methoxy, ethoxy, methoxy-ethoxy, methoxy-methoxy-, ethoxy-ethoxy-, morpholino, piperidino, amino, methylamino, ethy- lamino, N, N-dimethylamino, N, N-diethylamino;
CR32R33 represents C(=0); CH(OH); CH2; CH(Ci-4 alkyl) or CH (Ci-H alkoxy) .
10. A pharmaceutical composition comprising a) a compound as defined in any of claims 1 - 9; b) a pharmaceuti- cal carrier and c) optionally one or more further pharmaceutically active ingredients.
11. A compound of formula (I) according to any of claims 1 - 9 as medicament.
12. A compound of formula (I) according to any of claims 1 - 9 for the treatment of a (hyper) proliferative disease and / or an angiogenesis related disease; in particular for the treatment of a benign or malignant tumour.
13. A method for treatment a (hyper ) proliferative disease and/or an angiogenesis related disease, particularly a benign or malignant tumour, in a subject comprising administering an effective amount of a compound of formula (I) according to any of claims 1 - 9 to a subject in need thereof.
14. Use of a compound of formula (I) according to any of claims 1 - 9 i. for the manufacture of a medicament for the treat- ment of a (hyper ) proliferative disease and/or an angiogenesis related disease, in particular for the treatment of a benign or malignant tumour or ii. as a research tool, in particular as a research tool in functional genomics, drug discovery, tar- get validation and / or ex vivo diagnostics.
Applications Claiming Priority (2)
| Application Number | Priority Date | Filing Date | Title |
|---|---|---|---|
| EP09000766.7 | 2009-01-21 | ||
| EP09000766 | 2009-01-21 |
Publications (1)
| Publication Number | Publication Date |
|---|---|
| WO2010083617A1 true WO2010083617A1 (en) | 2010-07-29 |
Family
ID=40467399
Family Applications (1)
| Application Number | Title | Priority Date | Filing Date |
|---|---|---|---|
| PCT/CH2010/000002 Ceased WO2010083617A1 (en) | 2009-01-21 | 2010-01-05 | Pyrazolopyrimidines as protein kinase inhibitors |
Country Status (1)
| Country | Link |
|---|---|
| WO (1) | WO2010083617A1 (en) |
Cited By (1)
| Publication number | Priority date | Publication date | Assignee | Title |
|---|---|---|---|---|
| US12129257B1 (en) | 2023-12-28 | 2024-10-29 | King Faisal University | Imidazo[1,2-a]pyrazine compounds as CK2 inhibitors |
Citations (36)
| Publication number | Priority date | Publication date | Assignee | Title |
|---|---|---|---|---|
| US4100274A (en) | 1976-05-11 | 1978-07-11 | Imperial Chemical Industries Limited | Polypeptide |
| US4636505A (en) | 1982-07-23 | 1987-01-13 | Imperial Chemical Industries Plc | Amide derivatives |
| US4659516A (en) | 1983-10-12 | 1987-04-21 | Imperial Chemical Industries Plc | Steroid derivatives |
| US5010099A (en) | 1989-08-11 | 1991-04-23 | Harbor Branch Oceanographic Institution, Inc. | Discodermolide compounds, compositions containing same and method of preparation and use |
| US5093330A (en) | 1987-06-15 | 1992-03-03 | Ciba-Geigy Corporation | Staurosporine derivatives substituted at methylamino nitrogen |
| EP0520722A1 (en) | 1991-06-28 | 1992-12-30 | Zeneca Limited | Therapeutic preparations containing quinazoline derivatives |
| EP0564409A1 (en) | 1992-04-03 | 1993-10-06 | Ciba-Geigy Ag | Pyrimidin derivatives and process for their preparation |
| EP0566226A1 (en) | 1992-01-20 | 1993-10-20 | Zeneca Limited | Quinazoline derivatives |
| WO1995003283A1 (en) | 1993-07-19 | 1995-02-02 | Zeneca Limited | Quinazoline derivatives and their use as anti-cancer agents |
| WO1996030347A1 (en) | 1995-03-30 | 1996-10-03 | Pfizer Inc. | Quinazoline derivatives |
| WO1996033980A1 (en) | 1995-04-27 | 1996-10-31 | Zeneca Limited | Quinazoline derivatives |
| WO1997002266A1 (en) | 1995-07-06 | 1997-01-23 | Novartis Ag | Pyrrolopyrimidines and processes for the preparation thereof |
| EP0787722A1 (en) | 1996-02-05 | 1997-08-06 | American Cyanamid Company | Substituted quinazoline derivatives |
| WO1997030034A1 (en) | 1996-02-14 | 1997-08-21 | Zeneca Limited | Quinazoline derivatives as antitumor agents |
| WO1997038983A1 (en) | 1996-04-12 | 1997-10-23 | Warner-Lambert Company | Irreversible inhibitors of tyrosine kinases |
| WO1997049688A1 (en) | 1996-06-24 | 1997-12-31 | Pfizer Inc. | Phenylamino-substituted tricyclic derivatives for treatment of hyperproliferative diseases |
| WO1998008849A1 (en) | 1996-08-30 | 1998-03-05 | Novartis Aktiengesellschaft | Method for producing epothilones, and intermediate products obtained during the production process |
| WO1998010121A1 (en) | 1996-09-06 | 1998-03-12 | Obducat Ab | Method for anisotropic etching of structures in conducting materials |
| WO1998010767A2 (en) | 1996-09-13 | 1998-03-19 | Sugen, Inc. | Use of quinazoline derivatives for the manufacture of a medicament in the treatment of hyperproliferative skin disorders |
| EP0837063A1 (en) | 1996-10-17 | 1998-04-22 | Pfizer Inc. | 4-Aminoquinazoline derivatives |
| US5747498A (en) | 1996-05-28 | 1998-05-05 | Pfizer Inc. | Alkynyl and azido-substituted 4-anilinoquinazolines |
| WO1998022461A1 (en) | 1996-11-18 | 1998-05-28 | GESELLSCHAFT FüR BIOTECHNOLOGISCHE FORSCHUNG MBH (GBF) | Epothilone c, d, e and f, production process, and their use as cytostatic as well as phytosanitary agents |
| WO1998025929A1 (en) | 1996-12-13 | 1998-06-18 | Novartis Ag | Epothilone analogs |
| US5843901A (en) | 1995-06-07 | 1998-12-01 | Advanced Research & Technology Institute | LHRH antagonist peptides |
| WO1999003854A1 (en) | 1997-07-18 | 1999-01-28 | Novartis Ag | Crystal modification of a n-phenyl-2-pyrimidineamine derivative, processes for its manufacture and its use |
| WO1999017804A1 (en) | 1997-10-03 | 1999-04-15 | Pharmacia & Upjohn S.P.A. | Polymeric derivatives of camptothecins |
| WO1999043653A1 (en) | 1998-02-25 | 1999-09-02 | Sloan-Kettering Institute For Cancer Research | Synthesis of epothilones, intermediates thereto and analogues therof |
| WO2000009495A1 (en) | 1998-08-11 | 2000-02-24 | Novartis Ag | Isoquinoline derivatives with angiogenesis inhibiting activity |
| WO2000031247A2 (en) | 1998-11-20 | 2000-06-02 | Kosan Biosciences, Inc. | Recombinant methods and materials for producing epothilone and epothilone derivatives |
| US6194181B1 (en) | 1998-02-19 | 2001-02-27 | Novartis Ag | Fermentative preparation process for and crystal forms of cytostatics |
| WO2002022577A2 (en) | 2000-09-01 | 2002-03-21 | Novartis Ag | Hydroxamate derivatives useful as deacetylase inhibitors |
| WO2002092599A1 (en) | 2001-05-14 | 2002-11-21 | Novartis Ag | 4-amino-5-phenyl-7-cyclobutyl-pyrrolo (2,3-d) pyrimidine derivatives |
| WO2003013541A1 (en) | 2001-08-07 | 2003-02-20 | Novartis Ag | 4-amino-6-phenyl-pyrrolo[2,3-d]pyrimidine derivatives |
| WO2005120513A1 (en) * | 2004-06-09 | 2005-12-22 | Oncalis Ag | Protein kinase inhibitors |
| WO2006125101A2 (en) | 2005-05-20 | 2006-11-23 | Array Biopharma Inc. | Raf inhibitor compounds and methods of use thereof |
| WO2006131003A1 (en) | 2005-06-09 | 2006-12-14 | Oncalis Ag | Angiogenesis inhibitors |
-
2010
- 2010-01-05 WO PCT/CH2010/000002 patent/WO2010083617A1/en not_active Ceased
Patent Citations (36)
| Publication number | Priority date | Publication date | Assignee | Title |
|---|---|---|---|---|
| US4100274A (en) | 1976-05-11 | 1978-07-11 | Imperial Chemical Industries Limited | Polypeptide |
| US4636505A (en) | 1982-07-23 | 1987-01-13 | Imperial Chemical Industries Plc | Amide derivatives |
| US4659516A (en) | 1983-10-12 | 1987-04-21 | Imperial Chemical Industries Plc | Steroid derivatives |
| US5093330A (en) | 1987-06-15 | 1992-03-03 | Ciba-Geigy Corporation | Staurosporine derivatives substituted at methylamino nitrogen |
| US5010099A (en) | 1989-08-11 | 1991-04-23 | Harbor Branch Oceanographic Institution, Inc. | Discodermolide compounds, compositions containing same and method of preparation and use |
| EP0520722A1 (en) | 1991-06-28 | 1992-12-30 | Zeneca Limited | Therapeutic preparations containing quinazoline derivatives |
| EP0566226A1 (en) | 1992-01-20 | 1993-10-20 | Zeneca Limited | Quinazoline derivatives |
| EP0564409A1 (en) | 1992-04-03 | 1993-10-06 | Ciba-Geigy Ag | Pyrimidin derivatives and process for their preparation |
| WO1995003283A1 (en) | 1993-07-19 | 1995-02-02 | Zeneca Limited | Quinazoline derivatives and their use as anti-cancer agents |
| WO1996030347A1 (en) | 1995-03-30 | 1996-10-03 | Pfizer Inc. | Quinazoline derivatives |
| WO1996033980A1 (en) | 1995-04-27 | 1996-10-31 | Zeneca Limited | Quinazoline derivatives |
| US5843901A (en) | 1995-06-07 | 1998-12-01 | Advanced Research & Technology Institute | LHRH antagonist peptides |
| WO1997002266A1 (en) | 1995-07-06 | 1997-01-23 | Novartis Ag | Pyrrolopyrimidines and processes for the preparation thereof |
| EP0787722A1 (en) | 1996-02-05 | 1997-08-06 | American Cyanamid Company | Substituted quinazoline derivatives |
| WO1997030034A1 (en) | 1996-02-14 | 1997-08-21 | Zeneca Limited | Quinazoline derivatives as antitumor agents |
| WO1997038983A1 (en) | 1996-04-12 | 1997-10-23 | Warner-Lambert Company | Irreversible inhibitors of tyrosine kinases |
| US5747498A (en) | 1996-05-28 | 1998-05-05 | Pfizer Inc. | Alkynyl and azido-substituted 4-anilinoquinazolines |
| WO1997049688A1 (en) | 1996-06-24 | 1997-12-31 | Pfizer Inc. | Phenylamino-substituted tricyclic derivatives for treatment of hyperproliferative diseases |
| WO1998008849A1 (en) | 1996-08-30 | 1998-03-05 | Novartis Aktiengesellschaft | Method for producing epothilones, and intermediate products obtained during the production process |
| WO1998010121A1 (en) | 1996-09-06 | 1998-03-12 | Obducat Ab | Method for anisotropic etching of structures in conducting materials |
| WO1998010767A2 (en) | 1996-09-13 | 1998-03-19 | Sugen, Inc. | Use of quinazoline derivatives for the manufacture of a medicament in the treatment of hyperproliferative skin disorders |
| EP0837063A1 (en) | 1996-10-17 | 1998-04-22 | Pfizer Inc. | 4-Aminoquinazoline derivatives |
| WO1998022461A1 (en) | 1996-11-18 | 1998-05-28 | GESELLSCHAFT FüR BIOTECHNOLOGISCHE FORSCHUNG MBH (GBF) | Epothilone c, d, e and f, production process, and their use as cytostatic as well as phytosanitary agents |
| WO1998025929A1 (en) | 1996-12-13 | 1998-06-18 | Novartis Ag | Epothilone analogs |
| WO1999003854A1 (en) | 1997-07-18 | 1999-01-28 | Novartis Ag | Crystal modification of a n-phenyl-2-pyrimidineamine derivative, processes for its manufacture and its use |
| WO1999017804A1 (en) | 1997-10-03 | 1999-04-15 | Pharmacia & Upjohn S.P.A. | Polymeric derivatives of camptothecins |
| US6194181B1 (en) | 1998-02-19 | 2001-02-27 | Novartis Ag | Fermentative preparation process for and crystal forms of cytostatics |
| WO1999043653A1 (en) | 1998-02-25 | 1999-09-02 | Sloan-Kettering Institute For Cancer Research | Synthesis of epothilones, intermediates thereto and analogues therof |
| WO2000009495A1 (en) | 1998-08-11 | 2000-02-24 | Novartis Ag | Isoquinoline derivatives with angiogenesis inhibiting activity |
| WO2000031247A2 (en) | 1998-11-20 | 2000-06-02 | Kosan Biosciences, Inc. | Recombinant methods and materials for producing epothilone and epothilone derivatives |
| WO2002022577A2 (en) | 2000-09-01 | 2002-03-21 | Novartis Ag | Hydroxamate derivatives useful as deacetylase inhibitors |
| WO2002092599A1 (en) | 2001-05-14 | 2002-11-21 | Novartis Ag | 4-amino-5-phenyl-7-cyclobutyl-pyrrolo (2,3-d) pyrimidine derivatives |
| WO2003013541A1 (en) | 2001-08-07 | 2003-02-20 | Novartis Ag | 4-amino-6-phenyl-pyrrolo[2,3-d]pyrimidine derivatives |
| WO2005120513A1 (en) * | 2004-06-09 | 2005-12-22 | Oncalis Ag | Protein kinase inhibitors |
| WO2006125101A2 (en) | 2005-05-20 | 2006-11-23 | Array Biopharma Inc. | Raf inhibitor compounds and methods of use thereof |
| WO2006131003A1 (en) | 2005-06-09 | 2006-12-14 | Oncalis Ag | Angiogenesis inhibitors |
Non-Patent Citations (6)
| Title |
|---|
| "The Peptides", vol. 3, 1981, ACADEMIC PRESS |
| H.-D. JA- KUBKE; H. JESCHKEIT: "Aminosauren, Peptide, Proteine", 1982, VERIAG CHEMIE |
| HOUBEN WEYL: "Methoden der organischen Chemie", vol. 15/1, 1974, GEORG THIEME VERIAG |
| J. F. W. MCOMIE: "Protective Groups in Organic Chemistry", 1973, PLENUM PRESS |
| JOCHEN LEH- MANN: "Chemie der Kohlenhydrate: Monosaccharide und Deri- vate", 1974, GEORG THIEME VERIAG |
| T. W. GREENE; P. G. M. WUTS: "Protective Groups in Organic Synthesis", 1999, WILEY |
Cited By (1)
| Publication number | Priority date | Publication date | Assignee | Title |
|---|---|---|---|---|
| US12129257B1 (en) | 2023-12-28 | 2024-10-29 | King Faisal University | Imidazo[1,2-a]pyrazine compounds as CK2 inhibitors |
Similar Documents
| Publication | Publication Date | Title |
|---|---|---|
| US7795273B2 (en) | Pyrazolo[1,5-a]pyridine-3-carboxylic acids as EphB and VEGFR2 kinase inhibitors | |
| WO2009023978A1 (en) | Pyrazolo [3,4 -d] pyrimidine compounds and their use as modulators of protein kinase | |
| AU2004295061B2 (en) | 1H-imidazoquinoline derivatives as protein kinase inhibitors | |
| EP2004653B1 (en) | 3-substituted n-(aryl- or heteroaryl)-pyrazo[1,5-a]pyrimidines as kinase inhibitors | |
| US20100069395A1 (en) | Pyrazolo[1,5-a]pyrimidine-3-carboxylic acid compounds as protein kinase inhibitors | |
| US20080275054A1 (en) | 3-(Substituted Amino)-Pyrazolo[3, 4-D]Pyrimidines as Ephb and Vegfr2 Kinase Inhibitors | |
| CA2585660A1 (en) | 1,4 substituted pyrazolopyrimidines as kinase inhibitors | |
| EP2464649A1 (en) | Heterocyclic hydrazone compounds and their uses to treat cancer and inflammation | |
| US20090118277A1 (en) | 3 Unsubstituted N-(aryl- or heteroaryl)-pyrazolo[1,5-a]pyrimidines as Kinase Inhibitors | |
| US20100093821A1 (en) | 3-Amino-pyrazole-4-carboxamide derivatives useful as inhibitors of protein kinases | |
| WO2010083617A1 (en) | Pyrazolopyrimidines as protein kinase inhibitors | |
| CN101326186A (en) | Pyrazolo[1,5-a]pyridine-3-carboxylic acids as inhibitors of EphB and VEGFR2 kinases |
Legal Events
| Date | Code | Title | Description |
|---|---|---|---|
| 121 | Ep: the epo has been informed by wipo that ep was designated in this application |
Ref document number: 10700002 Country of ref document: EP Kind code of ref document: A1 |
|
| NENP | Non-entry into the national phase |
Ref country code: DE |
|
| 32PN | Ep: public notification in the ep bulletin as address of the adressee cannot be established |
Free format text: NOTING OF LOSS OF RIGHTS PURSUANT TO RULE 112(1) EPC (EPO FORM 1205A DATED 17/11/2011) |
|
| 122 | Ep: pct application non-entry in european phase |
Ref document number: 10700002 Country of ref document: EP Kind code of ref document: A1 |














































