WO2000000485A1 - Epothilon derivatives, their preparation process, intermediate products and their pharmaceutical use - Google Patents
Epothilon derivatives, their preparation process, intermediate products and their pharmaceutical use Download PDFInfo
- Publication number
- WO2000000485A1 WO2000000485A1 PCT/EP1999/004915 EP9904915W WO0000485A1 WO 2000000485 A1 WO2000000485 A1 WO 2000000485A1 EP 9904915 W EP9904915 W EP 9904915W WO 0000485 A1 WO0000485 A1 WO 0000485A1
- Authority
- WO
- WIPO (PCT)
- Prior art keywords
- methyl
- dihydroxy
- dione
- ethenyl
- general formula
- Prior art date
- Legal status (The legal status is an assumption and is not a legal conclusion. Google has not performed a legal analysis and makes no representation as to the accuracy of the status listed.)
- Ceased
Links
- 0 CC[C@](C)[C@@]([C@@](C)C(C(C)(C)[C@](CC(O[C@@](*[C@@](CCO)O)*(C)=C*1c[n]c(C)*1)=O)OC)=O)OC Chemical compound CC[C@](C)[C@@]([C@@](C)C(C(C)(C)[C@](CC(O[C@@](*[C@@](CCO)O)*(C)=C*1c[n]c(C)*1)=O)OC)=O)OC 0.000 description 7
Classifications
-
- C—CHEMISTRY; METALLURGY
- C07—ORGANIC CHEMISTRY
- C07D—HETEROCYCLIC COMPOUNDS
- C07D405/00—Heterocyclic compounds containing both one or more hetero rings having oxygen atoms as the only ring hetero atoms, and one or more rings having nitrogen as the only ring hetero atom
- C07D405/02—Heterocyclic compounds containing both one or more hetero rings having oxygen atoms as the only ring hetero atoms, and one or more rings having nitrogen as the only ring hetero atom containing two hetero rings
- C07D405/06—Heterocyclic compounds containing both one or more hetero rings having oxygen atoms as the only ring hetero atoms, and one or more rings having nitrogen as the only ring hetero atom containing two hetero rings linked by a carbon chain containing only aliphatic carbon atoms
-
- C—CHEMISTRY; METALLURGY
- C07—ORGANIC CHEMISTRY
- C07D—HETEROCYCLIC COMPOUNDS
- C07D277/00—Heterocyclic compounds containing 1,3-thiazole or hydrogenated 1,3-thiazole rings
- C07D277/02—Heterocyclic compounds containing 1,3-thiazole or hydrogenated 1,3-thiazole rings not condensed with other rings
- C07D277/20—Heterocyclic compounds containing 1,3-thiazole or hydrogenated 1,3-thiazole rings not condensed with other rings having two or three double bonds between ring members or between ring members and non-ring members
- C07D277/22—Heterocyclic compounds containing 1,3-thiazole or hydrogenated 1,3-thiazole rings not condensed with other rings having two or three double bonds between ring members or between ring members and non-ring members with only hydrogen atoms, hydrocarbon or substituted hydrocarbon radicals, directly attached to ring carbon atoms
- C07D277/24—Radicals substituted by oxygen atoms
-
- C—CHEMISTRY; METALLURGY
- C07—ORGANIC CHEMISTRY
- C07D—HETEROCYCLIC COMPOUNDS
- C07D313/00—Heterocyclic compounds containing rings of more than six members having one oxygen atom as the only ring hetero atom
-
- C—CHEMISTRY; METALLURGY
- C07—ORGANIC CHEMISTRY
- C07D—HETEROCYCLIC COMPOUNDS
- C07D413/00—Heterocyclic compounds containing two or more hetero rings, at least one ring having nitrogen and oxygen atoms as the only ring hetero atoms
- C07D413/02—Heterocyclic compounds containing two or more hetero rings, at least one ring having nitrogen and oxygen atoms as the only ring hetero atoms containing two hetero rings
- C07D413/06—Heterocyclic compounds containing two or more hetero rings, at least one ring having nitrogen and oxygen atoms as the only ring hetero atoms containing two hetero rings linked by a carbon chain containing only aliphatic carbon atoms
-
- C—CHEMISTRY; METALLURGY
- C07—ORGANIC CHEMISTRY
- C07D—HETEROCYCLIC COMPOUNDS
- C07D417/00—Heterocyclic compounds containing two or more hetero rings, at least one ring having nitrogen and sulfur atoms as the only ring hetero atoms, not provided for by group C07D415/00
- C07D417/02—Heterocyclic compounds containing two or more hetero rings, at least one ring having nitrogen and sulfur atoms as the only ring hetero atoms, not provided for by group C07D415/00 containing two hetero rings
- C07D417/06—Heterocyclic compounds containing two or more hetero rings, at least one ring having nitrogen and sulfur atoms as the only ring hetero atoms, not provided for by group C07D415/00 containing two hetero rings linked by a carbon chain containing only aliphatic carbon atoms
-
- C—CHEMISTRY; METALLURGY
- C07—ORGANIC CHEMISTRY
- C07D—HETEROCYCLIC COMPOUNDS
- C07D493/00—Heterocyclic compounds containing oxygen atoms as the only ring hetero atoms in the condensed system
- C07D493/02—Heterocyclic compounds containing oxygen atoms as the only ring hetero atoms in the condensed system in which the condensed system contains two hetero rings
- C07D493/04—Ortho-condensed systems
-
- C—CHEMISTRY; METALLURGY
- C07—ORGANIC CHEMISTRY
- C07F—ACYCLIC, CARBOCYCLIC OR HETEROCYCLIC COMPOUNDS CONTAINING ELEMENTS OTHER THAN CARBON, HYDROGEN, HALOGEN, OXYGEN, NITROGEN, SULFUR, SELENIUM OR TELLURIUM
- C07F7/00—Compounds containing elements of Groups 4 or 14 of the Periodic Table
- C07F7/02—Silicon compounds
- C07F7/08—Compounds having one or more C—Si linkages
- C07F7/18—Compounds having one or more C—Si linkages as well as one or more C—O—Si linkages
- C07F7/1804—Compounds having Si-O-C linkages
-
- C—CHEMISTRY; METALLURGY
- C07—ORGANIC CHEMISTRY
- C07F—ACYCLIC, CARBOCYCLIC OR HETEROCYCLIC COMPOUNDS CONTAINING ELEMENTS OTHER THAN CARBON, HYDROGEN, HALOGEN, OXYGEN, NITROGEN, SULFUR, SELENIUM OR TELLURIUM
- C07F9/00—Compounds containing elements of Groups 5 or 15 of the Periodic Table
- C07F9/02—Phosphorus compounds
- C07F9/547—Heterocyclic compounds, e.g. containing phosphorus as a ring hetero atom
- C07F9/655—Heterocyclic compounds, e.g. containing phosphorus as a ring hetero atom having oxygen atoms, with or without sulfur, selenium, or tellurium atoms, as the only ring hetero atoms
- C07F9/6552—Heterocyclic compounds, e.g. containing phosphorus as a ring hetero atom having oxygen atoms, with or without sulfur, selenium, or tellurium atoms, as the only ring hetero atoms the oxygen atom being part of a six-membered ring
Definitions
- Epothilone derivatives processes for their preparation, intermediates and their pharmaceutical use
- Epothilone A H
- the natural products are not sufficiently stable both chemically and metabolically for drug development. Modifications to the natural product are necessary to eliminate these disadvantages. Such modifications are only possible in a totally synthetic way and presuppose synthesis strategies that enable a broad modification of the natural product.
- the aim of the structural changes is also to increase the therapeutic range. This can be done by improving the selectivity of the action and / or reducing undesirable toxic side effects and / or increasing the potency.
- epothilone A The total synthesis of epothilone A is by Schinzer et al. in Chem. Eur. J. 1996, 2, No. 11, 1477-1482 and in Angew. Chem. 1997, 109, No. 5, pp. 543-544).
- Epothilone derivatives have already been described by Höfle et al. described in WO 97/19086. These derivatives were made from the natural epothion A or B.
- Another synthesis of epothilone and epothilone derivatives was by Nicolaou et al. in Angew. Chem. 1997, 109, No. 1/2, pp. 170-172.
- R5 ', R8' have the meaning already given in the general formula I for R5 and R ⁇ and R20 is a hydrogen atom or a protective group PG ⁇
- U is an oxygen atom, two alkoxy groups OR 9 , a C2-C- ⁇ o-alkylene- ⁇ , ⁇ -dioxy group, which can be straight-chain or branched, H / OR 10 or one
- R9 represents a C 1 -C 20 -alkyl radical
- R 1 1, R12 are the same or different and are hydrogen, a C 1 -C 20 -alkyl, aryl, C7-C20-aralkyl radical or R "1 1 and R 1 together with the methylene carbon atom together for a 5- to 7-membered carbocyclic ring W is an oxygen atom, two alkoxy groups OR21, a C2-C ⁇ rj-alkylene- ⁇ , ⁇ -dioxy group, which can be straight-chain or branched or H / OR22, where
- R21 is a C 1 -C 20 -alkyl radical
- R22 for hydrogen or a protective group PG 7 mean.
- the object of the present invention is to provide new epothilone derivatives which are sufficiently stable both chemically and metabolically for drug development and which have a therapeutic breadth, their selectivity of action and / or undesirable toxic side effects and / or their Potency are superior to natural derivatives.
- the present invention describes the new epothilone derivatives of the general formula I
- Rl a R 1 b are the same or different and are hydrogen, C ⁇ -C-
- o _ alkyl, aryl, C7-C20-aralkyl, or together a (CH2) m group with m 2, 3, 4 or 5,
- R2a, R2b are the same or different and are hydrogen, C-
- -C ⁇ o-alkyl, aryl, C7-C20 aralkyl or together a - (CH2) n group with n 2, 3, 4 or 5,
- R 3 is hydrogen, C-
- R 5 is C-1 -C-1 o-alkyl, aryl, C7-C20 ralkyl,
- R 6 , R 7 each represent a hydrogen atom, together an additional bond or an oxygen atom, R25 hydrogen, C-
- R 9 for a C 1 -C 20 -alkyl radical, RIO for hydrogen or a protective group PG 1 ,
- R 1 1 , R 1 2 are the same or different and are hydrogen, a C 1 -C 20 -alkyl, aryl, C7-C20-aralkyl radical or R 1 1 and R 1 2 together with the methylene carbon atom together for a 5- to 7th -linked carbocyclic ring, Y is an oxygen atom or two hydrogen atoms,
- Z is an oxygen atom or H / OR 1 3 , where R ⁇ 3 is hydrogen or a protective group PG2, including all stereoisomers of these compounds and also mixtures thereof.
- the presentation of the new epothilone derivatives is based on the linkage of three partial fragments A, B and C and is carried out in the same way as for epothilone A and epothilone B derivatives (ie there can only be one hydrogen atom in the place of R ⁇ ) in WO 99/07692 is described.
- the interfaces are as indicated in the general formula I '.
- A represents a C1-C6 fragment (epothiion counting) of the general formula
- R 1 a ', R', R2a ' and R 2b " d j e already have the meanings given for Ria, Rl b t R2a and j R2b and
- R1 4 CH 2 OR 1 a , CH 2 -Hal, CHO, CO 2 R 14 , COHal,
- R15 hydrogen, OR 15a , shark, OSO 2 R 15b ,
- Rl4a t Rl 5a hydrogen, S ⁇ 2-alkyl, SO2-A17I, S ⁇ 2-aralkyl or together a - (CH2) o group or together a CR 16a R 1 6 group,
- Rl4b t R 15b hydrogen, -CC 20 alkyl, aryl, C 7 -C 2 o-aralkyl,
- R 16a t R 16b are the same or different and are hydrogen, C ⁇
- R 4a ', R 4b ' and R 25 have the meanings already mentioned for R 3 , R a, R4b and R 25, and
- R 17 is a hydroxy group, halogen, a protected hydroxy group OPG 3
- Phosphine oxide residue P (0) P 2 (Ph phenyi), V one oxygen atom, two alkoxy groups OR 1 8 , one C2-C-
- R 19 represents a hydrogen or a protective group PG 4 .
- R 5 ' , R 8 ' have the meaning already given in general formula I for R 5 and R 8 and
- R20 is a hydrogen atom or a protective group PG ⁇
- U is an oxygen atom, two alkoxy groups OR 9 , a C2-C- ⁇ o-alkyien- ⁇ , ⁇ -dioxy group, which can be straight-chain or branched, H / OR 10 or a group CR 1 1 R 12 , where
- R 9 represents a C 1 -C 20 -alkyl radical
- R 1 1 , R 1 2 are the same or different and are hydrogen, a C 1 -C 20 -alkyl, aryl, C7-C20-aralkyl radical or R 1 1 and R 12 together with the methylene carbon atom together for a 5th - to 7-membered carbocyclic ring
- W is an oxygen atom, two alkoxy groups OR 21 , a C2-C- ⁇ o-alkylene- ⁇ , ⁇ -dioxy group, which can be straight-chain or branched or H / OR 22 , where
- R 21 represents a C -C20 alkyl radical
- R 22 represents hydrogen or a protective group PG 7 .
- R 4_ R 5_ R 16a t R 16b and R 25 are straight . or branched-chain alkyl groups with 1-10 cone tensor atoms to oetractene, such as, for example, methyl. Ethyl, propyl, isopropyl. Butyl, isobutyl, tert-butyl. Pentyl, isopentyl, neopentyl, heptyl, hexyl, decyl.
- alkyl groups R 8 , R 9 , R 1 0 , R 1 1 , R * 2 ; R 1 3, Rt b, R 5b and R 1 8 g are to be regarded he ad or verzweigtkertige alkyl groups having 1 -20 Kohlenstoffatome ⁇ ; such as the residues mentioned by name in the preceding paragraph and their corresponding higher homologues.
- R 16b and R 18 may be perfluorinated or substituted by 1-5
- Halogen atoms hydroxyl groups, C-
- R 1 8a and R 1 8 come substituted and unsubstituted carbocyclic or heterocyclic radicals having one or more heteroatoms such as, for example, phenyl, naphthyl, furyl, thienyl, pyridyl, pyrazolyl, pyrimidinyl, oxazolyl, pyridazinyi, pyrazinyi, quinolyi, thiazolyl, the single or multiple can be substituted by halogen, OH, O-alkyl, CO2H, CO 2 -alkyl, -NH 2 , -NO 2 , -N3, -CN, C -C 2 o-alkyl, C ⁇
- halogen OH, O-alkyl, CO2H, CO 2 -alkyl, -NH 2 , -NO 2 , -N3, -CN, C
- R 16a and 16b can contain up to 14 carbon atoms, preferably 6 to 10, in the ring and 1 to 8, preferably 1 to 4, atoms in the alkyl chain.
- suitable aralkyl radicals are benzyl, phenylethyl, naphthylmethyl, naphthylethyl, furylmethyl, thienylethyl, pyridylpropyl.
- the rings can be mono- or polysubstituted by halogen, OH, O-alkyl, CO2H, CO 2 -alkyl, -NO2, -N3, -CN, C-
- the alkoxy groups contained in X in the general formula I should each contain 1 to 20 carbon atoms, with methoxy, ethoxy-propoxy-isopropoxy and t-butyloxy groups being preferred.
- Representing the protective groups PG are alkyl- and / or aryl-substituted silyl, C-
- alkyl, silyl and acyl radicals for the protective groups PG are the radicals known to the person skilled in the art. Easily removable alkyl or silyl radicals, such as, for example, are preferred from the corresponding alkyl and silyl ethers
- Alkylsulfo ⁇ yl- and arylsulfonyl residues are formyl, acetyl, propionyl, Isopropionyl, pivalyi. Butyryl or Benzoyi, which can be substituted with amino and / or hydroxy groups, in question.
- the acyro groups PG "1 and PG 2 in R “ 1 0 and R 1 3 can contain 1 to 20 carbon atoms, formyl, acetyl, propionyl, isopropionyl and pivalyl groups being preferred.
- the index m in the alkylene group formed from R 1 a and R 1 b is preferably 2, 3 or 4.
- o-Alkylene- ⁇ , ⁇ -dioxy group is preferably an ethylene ketal or neopentyl keta group.
- the radical R 25 is preferably a hydrogen atom, a methyl, ethyl, propyl, hydroxymethyl, fluoromethyl or trifluoromethyl group.
- R 3 , R 4a , R 4b , DE, R 5 , R 6 , R 25 and R 7 can all have the meanings given in general formula I, and the rest of the molecule is identical to the naturally occurring epothilone A or B. or
- R 5 , R 6 , R 25 , R 7 , R 8 and X can all have the meanings given in the general formula I, and the rest of the molecule is identical to the naturally occurring epothiion A or B or
- R 3 , R 4a , R 4b , DE, R 5 , R 6 , R 25 , R 7 , R 8 and X can all have the meanings given in general formula I, and the rest of the molecule is identical to that which occurs naturally Epothilon A or B.
- a further variant according to the invention provides those compounds in which R ⁇ is stent for a methyl, ethyl or propylene group. wooei then preferably R ⁇ un ⁇ R 7 together mean an additional bond or an epoxy group.
- the partial fragments (synthesis building blocks) of the general formula A can easily be obtained from a) a pantolactone of the general formula Ila
- Rla ' t Rlb' each represent a methyl group or b) a malonic acid dialkyl ester of the general formula XXVII
- Alkyl independently of one another a C-
- Alkyicycloalkylrest mean.
- pantolactone (A-II) is protected by the methods known to those skilled in the art.
- protective group PG ⁇ come the protective groups known to the person skilled in the art, such as, for example, methoxymethyl, methoxyethyl, ethoxyethyl, tetrahydropyranyl, tetrahydrofuranyl, trimethylsilyl, triethylsilyl, tert.-butyldimethylsilyl, tert.-butyldiphenylsilylsilyl, tribenzylsilyl, tribenzylsilyl, tribenzylsilyl -, Benzyi, para-nitrobenzyl, para-methoxybenzyl, formyl, acetyl, propionyl, isopropionyl, pivalyl, butyryl or benzoyl in question.
- the protected lactone A-Ill is reduced to lactol A-IV.
- Reactivity modified aluminum hydrides such as e.g. Diisobutyl aluminum hydride.
- the reaction takes place in an inert solvent such as e.g. Toluene, preferably at low temperatures.
- Lactol A-IV is opened with the addition of one carbon atom to the hydroxyolefin A-V.
- Methyl triphenylphosphonium bromide with strong bases such as e.g. n-butyl lithium, potassium tert-butanoate, sodium ethanolate, sodium hexamethyldisiiazane; n-butyllithium is preferred as the base.
- the free hydroxyl group in AV is protected by methods known to those skilled in the art.
- Protective groups which can be cleaved under the action of fluoride such as e.g. the trimethylsilyl, tert.-butyldimethylsilyl, tert.-
- Anti-Markovnikov water is added to the double bond in A-VI.
- the processes known to the person skilled in the art are suitable for this purpose, for example the reaction with boranes, their subsequent oxidation to the corresponding boric acid esters and their saponification.
- Preferred boranes are, for example, the borane-tetrahydrofuran complex, the borane-dimethyl sulfide complex, 9-borabicyclo [3.3.1] nonane in an inert solvent such as, for example, tetrahydrofuran or diethyl ether.
- an oxidizing agent preferably hydrogen peroxide, preferably alkali metal hydroxides such as sodium hydroxide for the saponification of the boresters
- Step f (A-VI »A-VII):
- the protective group PG 8 introduced under step a) is now cleaved according to the processes known to the person skilled in the art. If it is an acidic cleavable protective group, then dilute mineral acids in aqueous alcoholic solutions are suitable, the use of catalytic amounts of acids such as para-toluenesulfonic acid, para-toluenesulfonic acid pyridinium salt, camphorsulfonic acid in alcoholic solutions, preferably in ethanol or Isopropanol.
- Suitable acids are the acids already mentioned under step f), preference is given to the use of para-toluenesulfonic acid, optionally with the addition of copper (II) or cobalt (II) salts such as copper (II) sulfate.
- the protective group PG introduced under step d) is then split using the methods known to the person skilled in the art. If it is a silyl ether, the reaction with fluorides such as tetrabutylammonium fluoride, the hydrogen fluoride-pyridine complex, potassium fluoride or the use of dilute mineral acids, the use of catalytic amounts of acids such as para-toluenesulfonic acid, para-toloisoisifonic acid is suitable for the cleavage -pyndinium salt, Campner sulfonic acid in alcoholic solutions, preferably in ethanol or isopropanol.
- fluorides such as tetrabutylammonium fluoride, the hydrogen fluoride-pyridine complex, potassium fluoride or the use of dilute mineral acids
- the use of catalytic amounts of acids such as para-toluenesulfonic acid, para-toloisoisifonic acid is suitable for the cleavage -pyndinium salt, Camp
- Step k (A-X A-Xl):
- the oxidation of the primary alcohol in A-X to the aldehyde takes place according to the methods known to the person skilled in the art. Examples include oxidation with pyridinium chlorochromate, pyridinium dichromate, chromium trioxide-pyridine complex, oxidation according to Swern or related methods, e.g. using oxalyl chloride in dimethyl sulfoxide, using Dess-Martin periodinane, using nitrogen oxides such as e.g. N-methyl-morpholino-N-oxide in the presence of suitable catalysts such as e.g. Tetrapropylammonium perruthenate in inert solvents. Oxidation according to Swern and with N-methyl-morpholino-N-oxide using tetrapropylammonium perruthenate is preferred.
- organometallic compounds of the general formula M-CHR a 'R 2 ' in which M is an alkali metal, preferably lithium or a divalent metal MX, in which X represents a halogen and the radicals R 2a 'and R 2b ' each have the meanings given above.
- M is an alkali metal, preferably lithium or a divalent metal
- X represents a halogen
- the radicals R 2a 'and R 2b ' each have the meanings given above.
- Magnesium and zinc are preferred as divalent metal, and chlorine, bromine and iodine are preferred as halogen X.
- R 2a 'in A-Xlll is hydrogen
- R 2a ' which has the meanings mentioned above, except hydrogen
- R 2a ' is hydrogen
- R 2a ' is hydrogen
- R 2a ' is hydrogen
- X represents a halogen
- Halogen X is preferably chlorine, bromine and iodine.
- the previously described route can also be used to synthesize C1-C6 epothilone building blocks which contain a carboxylic acid or its ester at C-1
- the synthesis of the building block A-XXII is described in the following scheme 2 using the example of the intermediate AV derived from D - (-) - pantolactone.
- the corresponding compounds ent-AV to ent-A-XXVII which are enantiomeric to AV to A-XXVII are obtained from L - (+) - pantolactone and the corresponding racemic compounds rac-AV to rac-A-XXVII from racemic DL-pantolactone:
- Step k conditions mentioned.
- the oxidation method according to Swern is preferred.
- organometallic compounds of the general formula M-CHR 2a 'R 2b ' in which M is an alkali metal, preferably lithium or a divalent metal MX, in which X represents a halogen and the radicals R 2a 'and R 2b ' each have the meanings given above.
- M is an alkali metal, preferably lithium or a divalent metal
- X represents a halogen
- the radicals R 2a 'and R 2b ' each have the meanings given above.
- Magnesium and zinc are preferred as divalent metal, and chlorine, bromine and iodine are preferred as halogen X.
- Anti-Markovnikov water is added to the double bond in A-XVI.
- the methods described under e) are suitable for this.
- the free hydroxyl group in A-XVI I is protected by the methods known to those skilled in the art.
- Reaction conditions can be split, e.g. Benzyi, para-nitrobenzyl,
- Acetyl, propionyl, butyryl, benzoyl radical is particularly preferred.
- the protection group PG 10 in XIX is now split selectively. If it is a hydrogenolytically cleavable protective group, hydrogenation is preferably carried out in the presence of palladium or platinum catalysts in inert solvents such as, for example, ethyl acetate or ethanol. If it is a basic cleavable protective group, use is preferably made of saponification with carbonates in alcoholic solution, such as, for example, potassium carbonate in methanol, and saponification with aqueous solutions of alkali metal hydroxides, such as, for example, lithium hydroxide or sodium hydroxide Use of organic, water-miscible solvents such as methanol. Ethanol, tetranydrofuran or dioxane.
- the oxidation of the aldehyde in A-XXI to the carboxylic acid A-XXII takes place according to the methods known to the person skilled in the art.
- Examples include oxidation according to Jones, oxidation with potassium permanganate, for example in an aqueous system composed of tert-butanol and sodium dihydrogen phosphate, oxidation with sodium chlorite in aqueous tert-butanol, if appropriate in the presence of a chlorine scavenger such as 2-methyl-2-butene.
- the oxidation of the aldehyde in A-XXI to the ester A-XXII, in which R 14 b has the meanings given above and is not hydrogen, can be carried out, for example, with pyridinium dichromate and the desired alcohol HO-R 14b in an inert solvent such as dimethylformamide.
- the protection group PG ⁇ introduced under step d) is split as described under step i Step aa i .
- A-XXV > A-XXVI):
- R 1 a ' and d Rlb' can all have the meanings given in the general formula A, can also be prepared efficiently and with high optical purity from cheap or easily accessible malonic acid dialkyl esters.
- A-XXVIII Correspondingly substituted malonic acid ester derivatives A-XXVIII, which are either commercially available or can be prepared from malonic acids or their alkyl esters by methods known to the person skilled in the art, are reduced to diols A-XXIX.
- the reducing agents known to the person skilled in the art e.g. Diisobutyl aluminum hydride, complex metal hydrides such as e.g. Lithium aluminum hydride.
- a free hydroxyl group in A-XXIX is selectively protected by methods known to those skilled in the art.
- the aldehydes A-XXXI are reacted with an ester of acetic acid chG 1 OC (0) CH3, in which chG 1 is a chiral auxiliary group, in the sense of an aldol reaction.
- the compounds chG 1 OC (0) CH3 are used in optically pure form in the aldol reaction.
- the type of chiraic auxiliary group determines whether the aldol reaction proceeds with high diastereoselectivity or results in a diastereomer mixture that can be separated by physical methods. An overview of comparable diastereoselective aldol reactions can be found in Angew. Chem.
- chiraie auxiliary groups chG ⁇ -OH for example, optically pure 2-phenyi-cyclohexanol, pulegol, 2-hydroxy-1, 2,2-triphenylethanol, 8-phenylmenthol are suitable.
- the diastereomerically pure compounds A-XXXII can then be converted into enantiomerically pure compounds of the type A-XXXIII or ent-A-XXXIII by saponification of the ester unit with simultaneous release of the reusable chiral auxiliary component chG 1 -OH by processes known to the person skilled in the art.
- Suitable for saponification are carbonates in alcoholic solution such as, for example, potassium carbonate in methanol, aqueous solutions of alkali hydroxides such as, for example, lithium hydroxide or sodium hydroxide using organic, water-miscible solvents such as, for example, methanol, ethanol, tetrahydrofuran or dioxane.
- the chiraie auxiliary group can also be removed reductively.
- the enantiomerically pure compounds of the type A-VIII or ent-A-VIII are obtained.
- the reduction can be carried out according to the methods known to the person skilled in the art.
- reducing agents are e.g. Diisobutyl aluminum hydride and complex metal hydrides such as e.g. Lithiumiumiumiumhydrid in question.
- the compounds A-VIII or ent-A-VIII can, as described above, be converted into compounds of the type A-Xlll or ent-A-XIII.
- compounds of type A-XXXIII or ent-A-XXXIII can be converted into compounds of type A-XXII or ent-A-XXH according to the methods described above.
- the sequence can also be carried out without using a chiral auxiliary group chG ' '.
- racemic mixtures of compounds of the type rac-A-III or rac-A-XXXHI are then receive the corresponding racemic precursors.
- These mixtures can in turn be separated according to the methods known to those skilled in the art for resolving racemates, for example chromatography on chiral columns.
- the synthesis can also be continued with the racemic mixtures.
- a hydroxyl group in B-II is protected by the methods known to the person skilled in the art.
- Protective groups containing silicon which can be cleaved under acidic reaction conditions or using fluoride, such as, for example, the trimethylsilyl, T ⁇ ethylsilyl- tert -Butyldimethylsilyl- tert -Butyldiphenvisilyl- T ⁇ benzylsilyl-
- the tert-butyldimethylsilyi radical is particularly preferred
- the free hydroxyl group in B-III is converted into a leaving group LG by the methods known to the person skilled in the art.
- Halogens such as e.g. Bromine or iodine or alkyl or aryl sulfonates which are prepared from the corresponding sulfonic acid halides or sulfonic acid anhydrides by the methods known to the person skilled in the art.
- Trifluoromethane suifonate is preferred as the leaving group LG.
- the compound B-IV is alkylated with the enolate of a carbonyl compound of the general formula BV, in which chG 2 can be a simple alkoxy group or a chiral auxiliary group, by the methods known to the person skilled in the art.
- the enolate is produced by the action of strong bases such as lithium diisopropylamide, lithium hexamethyidisilazane at low temperatures.
- the chiraie auxiliary group chG 2 -H (B-VI) are chiraie, optically pure and inexpensive alcohols such as pulegol, 2-phenylcyclohexanol, 2-hydroxy-1, 2,2-t ⁇ phenylethanol, 8-phenylmenthol or optically pure and inexpensive, reactive NH-containing compounds such as nurse, amino acids, lactams or oxazolidinones.
- Oxazolidinones are preferred, particularly preferably the compounds of the formulas B-Vla to B-Vld.
- the choice of the respective antipode determines the absolute stereochemistry of the ⁇ -carbonyl carbonate of the compound of the general formula B-VIII.
- the compounds of the general formulas B-VIII to B-XVII or their respective enantiomers ent-B-VII to ent-B-XVII can be obtained in an e ⁇ antiomerically pure manner. If an achira alcohol such as ethanol is used as chG 2 -H (B-VI), the racemic compounds rac-B-VII to rac-B-XVII are obtained.
- step c the group chG 2 represents one of the chiral auxiliary groups mentioned under step c, this is recovered by transesterification of B-VIII into an alkyl ester of the general formula B-VIII.
- the ester in 3-VIII is ⁇ converted to the Alkonol 3-iX.
- Suitable reducing agents are the reducing agents known to the person skilled in the art, such as aluminum hydrides such as lithium aluminum hydride or diisobutyl aluminum hydride.
- the reaction takes place in an inert solvent such as e.g. Diethyl ether, tetrahydrofuran, toluene.
- the carbonyi group in B-VIII can be reduced directly to the alcohols of the general formula B-IX under the conditions mentioned under step e).
- the chiraie auxiliary component chG 2 -H can also be recovered here.
- the primary hydroxyl group in B-IX is first oxidized to the corresponding aldehyde by methods known to those skilled in the art.
- Examples include oxidation with py ⁇ dinium chlorochromate, py ⁇ dinium dichromate, chromium oxide-py ⁇ din complex, oxidation by Swern or related methods, for example using oxalyl chloride in dimethyl sulfoxide, using Dess-Martin penodinane, using nitrogen oxides such as N-methyl morpholino-N-oxide in the presence of suitable catalysts such as tetrapropylammonium perruthenate in inert solvents.
- Oxidation according to Swern and with N-methyl-morpholino-N-oxide using tetrapropylammonium perruthenate is preferred.
- the aldehydes thus obtained can then be converted into corresponding alcohols with organometallic compounds of the general formula MR ⁇ , where M is an alkali metal, preferably lithium or a divalent metal MX, where X represents a halogen and the radical R3 has the meanings given above.
- M is an alkali metal, preferably lithium or a divalent metal MX, where X represents a halogen and the radical R3 has the meanings given above.
- Magnesium and zinc are preferred as the divalent metal
- halogen X is preferably chlorine, bromine and iodine.
- the protective group PG ' ' 2 which has been darkened in step a), is now split according to the process known to a person. If it is a silyl ether, the reaction with fluons such as tetrabutylammonium fluoride, the hydrogen fluoride-pyrin complex, potassium fluoride is suitable for the split or the use of dilute mineral acids, the use of catalytic amounts of acids such as, for example, para-toluenesulfonic acid, para-toluoisulfonic acid py ⁇ dinium salt, camphorsulfonic acid in alcoholic solutions, preferably in ethanol or isopropanol.
- fluons such as tetrabutylammonium fluoride, the hydrogen fluoride-pyrin complex, potassium fluoride is suitable for the split or the use of dilute mineral acids, the use of catalytic amounts of acids such as, for example, para-toluenesulfonic acid, para-toluoisulfonic acid
- R 25 is not a hydrogen atom
- the primary hydroxyl group in B-Xl is first oxidized to the corresponding aldehyde by methods known to those skilled in the art.
- Examples include oxidation with pyndinium chlorochromate, pyndinium dichromate, chromium oxide-pyridine complex, oxidation according to Swern or related methods, for example using oxalyl chloride in dimethyl sulfoxide, the use of Dess-Martin-Pe ⁇ odinans, the use of nitrogen oxides such as N-methyl morpholino-N-oxide in the presence of suitable catalysts such as tetrapropylammonium perruthenate in inert solvents. Oxidation according to Swern and with N-methyl-morpholino-N-oxide using tetrapropylammonium perruthenate is preferred.
- the aldehydes thus obtained can then be converted into corresponding alcohols with organometallic compounds of the general formula MR 2 ⁇ , where M is an alkali metal, preferably lithium or a divalent metal MX, where X represents a halogen and the radical R 2 ⁇ has the meanings given above.
- M is an alkali metal, preferably lithium or a divalent metal MX, where X represents a halogen and the radical R 2 ⁇ has the meanings given above.
- M is an alkali metal, preferably lithium or a divalent metal MX, where X represents a halogen and the radical R 2 ⁇ has the meanings given above.
- M is an alkali metal, preferably lithium or a divalent metal MX
- X represents a halogen
- R 2 ⁇ has the meanings given above.
- Magnesium and zinc are preferred as divalent metal, and chlorine, bromine and iodine are preferred as halogen X.
- the free primary hydroxyl group is converted into a halide by the processes known to the person skilled in the art.
- Preferred halides are chlorine, but especially bromine and iodine.
- the substitution of the hydroxyl group for a bromine can e.g. by means of triphenylphosphine / tetrabromomethane but also by any other process known to the person skilled in the art.
- the establishment of an iodine atom can be derived from the bromide by substitution e.g. according to Finkelstein with sodium iodide in acetone. Direct conversion of the hydroxyl group into the iodide is also possible, e.g. using elemental iodine, imidazole and T ⁇ phenylphosphin in dichloromethane.
- phosphonium salts e.g. the reaction of the corresponding halides with triphenylphosphine in solvents such as toluene or benzene, optionally in the presence of a base such as triethylamine or diisopropylethylamine.
- the representation of the phosphonates can e.g. by reaction of the halides B-Xl with a metalated dialkyl phosphite.
- the metalation is usually done with strong bases such as Butyllithium.
- the representation of the phosphine oxides can e.g. by reaction of the halides B-Xl with metallized diphenylphosphine and subsequent oxidation. Strong bases such as butyllithium are also suitable for the metalation.
- the subsequent oxidation to phosphine oxide can then e.g. with dilute aqueous hydrogen peroxide solution.
- the compounds of the general formula B-XIII can be prepared via the route described in Scheme 5.
- ester enolate is prepared by the action of strong bases such as lithium diisopropylamide, lithium hexamethyldisilazane at low temperatures and with 3-halogen -1-propyne, preferably 3-bromo-1-propyne, to give compounds of the general formula B-XV.
- strong bases such as lithium diisopropylamide, lithium hexamethyldisilazane at low temperatures and with 3-halogen -1-propyne, preferably 3-bromo-1-propyne
- the ester 3-XV is reduced to the alcohol B-XVI by the methods described in step e), preferably using diisobutylaluminum hydride.
- R 3 is not a hydrogen atom
- the primary hydroxyl group in B-XVI is first oxidized to the corresponding aldehyde by methods known to those skilled in the art. Examples include oxidation with pyridinium chlorochromate, pyridinium dichromate, chromium trioxide-pyridine complex, oxidation according to Swern or related methods, for example using oxalyl chloride in dimethyl sulfoxide
- N-methyl-morpholino-N-oxide in the presence of suitable catalysts such as e.g.
- Tetrapropylammonium perruthenate in inert solvents Oxidation according to Swern and with N-methyl-morpholino-N-oxide using is preferred
- Alkali metal preferably lithium or a divalent metal MX, in which X represents a halogen and the radical R 3 has the meanings given above.
- X represents a halogen and the radical R 3 has the meanings given above.
- Magnesium and zinc are preferred as the divalent metal, and X is preferred as the halogen
- Chlorine, bromine and iodine Chlorine, bromine and iodine.
- Case R 3 H the free hydroxyl group in B-XVII is protected by the methods known to the person skilled in the art.
- the protective group PG 14 includes those known to the person skilled in the art
- Protective groups containing silicon which can be cleaved under acidic reaction conditions or using fluoride, such as e.g. the trimethylsilyl, triethylsilyl, tert.-butyldimethylsilyl, tert.-butyldiphenylsilyl, tribenzyisilyl,
- the tert-butyldimethylsilyl radical is particularly preferred.
- Step n (B-XVII > B-Xl):
- the acetylene B-XVII can be deprotonated by the processes known to the person skilled in the art and the acetylide obtained can be reacted with formaldehyde to give an alcohol of the general formula B-XI.
- Alkyl alkali compounds such as butyl lithium or other strong bases such as alkali hexamethyl disilazanes or lithium diisopropyl amide are suitable for deprotonation.
- ⁇ -Butyllithium is preferred.
- the racemic compounds rac-B-XI are obtained first.
- the continuous steps rac-B-XV or rac-B-XVI according to Scheme 6 offer the possibility of chemical resolution and thus also access to the enantiomerically rare compounds B-XVI or ent-B-XVI, provided that R ⁇ a ' is not identical to R 4 '.
- the racemic compound rac-B-XV can be transesterified with a chiral, optically obtainable alcohol chG 3 -OH by the methods known to the person skilled in the art, for example the process mentioned under step d), to give a mixture of the diastereomeric esters B-XVa and with separate simple chromatographic methods.
- Possible chiral alcohols are, for example, pulegol, 2-phenylcyclohexanol, 2-hydroxy-1,2,2-triphenylethanol, 8-phenylmenthol.
- the diastereomerically pure esters B-XVa can each be reduced to the alcohols B-XVI or ent-B-XVI by the process described in step e, the auxiliary component chG 3 -OH described in step o being able to be recovered.
- the racemic compound rac-B-XVI can be converted to a mixture of the diastereomeric esters B-XVIa with a chiral, optically purely obtainable acid chG 4 -C02H, its ester, anhydride or acid halide by the methods known to the person skilled in the art and with simple chromatographic Separate methods.
- Suitable chiraic acids are, for example, malic acid, tartaric acid or their derivatives.
- the diastereomerically pure esters B-XVIa can each be reduced to the alcohols B-XVI or ent-B-XVI by the process described under step e, or saponified by the methods known to the person skilled in the art, in which case the auxiliary comp described in step u ⁇ nente chG ⁇ -C02H can be recovered.
- Partial fragments of formula C can be produced from inexpensive, inexpensive malic acid in an efficient manner with high optical purity (> 99.5% ee).
- protecting groups which can be cleaved under the action of fluoride but are stable under weakly acidic reaction conditions, such as, for example, the tert-butyldiphenylsilyl, tert-butyldimethylsilyl or triisopropylsilyl radical.
- the tert-butyldiphenylsilyl and the tert-butyldimethylsilyl radical are particularly preferred.
- the lactone C-III is reduced to lactol C-IV by the methods known to the person skilled in the art.
- Reactivity modified aluminum hydrides such as e.g. Diisobutyl aluminum hydride.
- the reaction is carried out in an inert solvent such as e.g. Toluene, preferably at low temperatures (-20 to -100 ° C).
- the primary hydroxyl group in compound C-V is selectively protected against the secondary hydroxyl group by the methods known to the person skilled in the art.
- Preferred protective groups are those which can be cleaved under weakly acidic reaction conditions, such as e.g. the trimethylsilyl-, triethylsilyl, -tert.-
- the tert-butyldimethylsilyl radical is particularly preferred.
- the oxidation of the secondary alcohol in C-Vl to the ketone C-Vll takes place according to the methods known to the person skilled in the art. Examples include oxidation with pyridinium chlorochromate, pyridinium dichromate, chromium trioxide-pyridine complex, oxidation by Swern or related methods, for example using oxalyl chloride in dimethyl sulfoxide, the use of Dess-Martin periodinane, the use of nitrogen oxides such as N-methyl morpholino-N-oxide in the presence of suitable catalysts such as tetrapropylammonium perruthenate in inert solvents. Swern oxidation is preferred.
- the Wittig and Wittig / Homer reaction is preferred using phosphonium halides of the type CR 1 1 'R 1 2 ' P (Ph) 3 + Ha
- the ketone is by the methods known to the person skilled in the art, for example using an alcohol H ⁇ R 9 or a C2-C ⁇ o-alkylene- ⁇ , ⁇ - diols ketalinstrument under acid catalysis.
- the protective group PG 18 introduced under e is now selectively cleaved in the presence of PG 1 ⁇ using the processes known to those skilled in the art. If the protective group can be split off with acid, the cleavage is preferably carried out under weakly acidic conditions, such as, for example, by reaction with dilute organic acids in inert solvents. Acetic acid is preferred.
- the oxidation of the primary alcohol in C-IX to the aldehyde of the general formula C-X takes place according to the methods known to the person skilled in the art.
- Examples include oxidation with pyridinium chlorochromate, pyridinium dichromate, chromium trioxide-pyridine complex, oxidation according to Swern or related methods, e.g. using oxalyl chloride in dimethyl sulfoxide, using Dess-Martin periodinane, using nitrogen oxides such as e.g. N-methyl-morpholino-N-oxide in the presence of suitable catalysts such as e.g. Tetrapropylammonium perruthenate in inert solvents. Oxidation according to Swern and with N-methyl-morpholino-N-oxide using tetrapropylammonium perruthenate is preferred.
- Step k (CX C-XI):
- the conversion of the aldehydes CX to alcohols of the general formula C-XI takes place according to the methods known to the person skilled in the art with organometallic compounds of the general formula MR ⁇ ', where M is an alkali metal, preferably lithium or a divalent metal MX, where X represents a halogen and the rest R ⁇ 'the above has the meaning mentioned.
- M is an alkali metal, preferably lithium or a divalent metal MX, where X represents a halogen and the rest R ⁇ 'the above has the meaning mentioned.
- Magnesium and zinc are preferred as divalent metal, and chlorine, bromine and iodine are preferred as halogen X.
- the alcohol C-XI is oxidized to the ketone of the general formula C-XII by the processes mentioned under k) or by Jones oxidation. Oxidation according to Jones is preferred.
- the compound B in which R 1 7 has the meaning of a Wittigsaize and any additional carbonyl groups that may be present are protected, is deprotonated by a suitable base such as, for example, n-butyllithium, lithium diisopropylamide, potassium tert-butoxide, sodium or lithium hexamethyldisilazide and with a compound C, in which W has the meaning of an oxygen atom.
- a suitable base such as, for example, n-butyllithium, lithium diisopropylamide, potassium tert-butoxide, sodium or lithium hexamethyldisilazide
- W has the meaning of an oxygen atom.
- the compound BC in which V has the meaning of an oxygen atom and any additional carbonyl groups which may be present are protected, is alkylated with the enolate of a carbonyl compound of the general formula A, in which Z has the meaning of an oxygen atom.
- the enolate is formed by the action of strong bases such as e.g. Lithium diisopropylamide, lithium hexamethyldisilazane produced at low temperatures.
- the compounds ABC in which R 14 is a carboxylic acid CO2H and R 20 is a hydrogen atom, are set according to the methods known to the person skilled in the art for the formation of large macrolides to give compounds of the formula I in which Y is of an oxygen atom, in order.
- the method described in "Reagents for Organic Synthesis, Vol. 16, p 353" is preferred using 2,4,6-trichiorbenzoic acid chloride and suitable bases such as, for example, triethylamine, 4-dimethylaminopyridine and sodium hydride.
- the compounds ABC in which R 14 represents a group CH2OH and R 20 represents a hydrogen atom, can preferably be converted into compounds of the formula I, in which Y has the meaning of two hydrogen atoms, using triphenylphosphine and azodiesters such as, for example, diethyl azodicarboxylate.
- the compounds ABC in which R 14 represents a group CH2 ⁇ S ⁇ 2alkyl or CH2 ⁇ S ⁇ 2Aryl or CH2 ⁇ S ⁇ 2Aralkyl and R 20 represents a hydrogen atom, can be deprotonated with suitable bases such as sodium hydride, n-butyllithium, 4-dimethylaminopyridine, Hünig base, alkylhexamethyldisilazanes to give the compounds of the compounds I, in which Y has the meaning of two hydrogen atoms, cyclize.
- suitable bases such as sodium hydride, n-butyllithium, 4-dimethylaminopyridine, Hünig base, alkylhexamethyldisilazanes
- the invention also relates to this process for the preparation of the compounds of the general formula I and the new intermediates of the general formulas B, C, BC and ABC including all stereoisomers of these compounds and also mixtures thereof.
- Free hydroxyl groups in I, A, B, C, AB, ABC can be further functionally modified by etherification or esterification, free carbonyl groups by ketaiization, enol ether formation or reduction.
- the invention also relates to these processes for the preparation of the epothilone derivatives of the general formula.
- the new compounds of formula I are valuable pharmaceuticals. They interact with tubulin by stabilizing formed microtubules and are therefore able to influence cell division in a phase-specific manner. This concerns above all fast growing, neoplastic cells, the growth of which is largely unaffected by intercellular control mechanisms.
- active substances of this type are suitable for the treatment of malignant tumors. Areas of application include the therapy of ovarian, stomach, colon, adeno, BMM, lung, head and neck carcinomas, malignant melanoma, acute lymphocytic and myelocytic leukemia.
- the compounds according to the invention are suitable in principle for anti-angiogenesis therapy and for the treatment of chronic inflammatory diseases such as, for example, psoriasis or arthritis.
- chronic inflammatory diseases such as, for example, psoriasis or arthritis.
- they can in principle be applied or incorporated into the polymeric materials used for this.
- the compounds according to the invention can be used alone or to achieve additive or synergistic effects in combination with other principles and classes of substances which can be used in tumor therapy. Examples include the combination with
- intercalating substances e.g. from the class of anthracyclines such as
- Doxo bicin or from the class of antrapyrazoles such as CI-941, > substances interacting with tubulin e.g. from the class of Vinka alkaloids such as Vincristine, vinblastine or from the taxane class such as Taxol,
- growth factors e.g. PDGF, EGF, TGFb, EGF
- Somatostatin, suramin, bombesin antagonists inhibitors of protein tyrosine kinase or protein kinases A or C such as e.g. Erbstatin, Genistein, Staurosporin, llmofosin, 8-CI-cAMP,
- Anti-hormones from the class of anti-progestogens such as mifepristone, onapristone or from the class of anti-estrogens such as tamoxifen or from the class of anti-androgens such as cyproterone acetate Compounds inhibiting metastases, for example from the class of eicosanoids such as PG ⁇ '2, PGE-j, o-Cxo-PGE-] and their stable derivatives (for example iloprost, cicaprost, misoprostol).
- Inhibitors of oncogenic RAS proteins which influence the mitotic signal transduction such as, for example, inhibitors of farnesyl protein transferase,
- Natural or artificially produced antibodies which are directed against factors or their receptors which promote tumor growth such as, for example, the erbB2 antibody, the invention also relates to medicaments based on the pharmaceutically acceptable, i.e. in the doses used, non-toxic compounds of the general formula I, if appropriate together with the customary auxiliaries and carriers.
- the compounds according to the invention can be processed into pharmaceutical preparations for enteric, percutaneous, parenteral or local application according to known galenical methods. They can be administered in the form of tablets, coated tablets, gel capsules, granules, suppositories, implants, injectable sterile aqueous or oily solutions, suspensions or emulsions, ointments, creams and gels.
- the active ingredient (s) can be combined with the auxiliaries commonly used in galenics, e.g. Gum arabic, talc, starch, mannitol, methyl cellulose, lactose, surfactants such as tweens or myrj, magnesium stearate, aqueous or non-aqueous vehicles, paraffin derivatives, wetting, dispersing, emulsifying, preserving agents and flavoring agents for flavor correction (e.g. essential oils).
- auxiliaries commonly used in galenics e.g. Gum arabic, talc, starch, mannitol, methyl cellulose, lactose, surfactants such as tweens or myrj, magnesium stearate, aqueous or non-aqueous vehicles, paraffin derivatives, wetting, dispersing, emulsifying, preserving agents and flavoring agents for flavor correction (e.g. essential oils).
- the invention thus also relates to pharmaceutical compositions which contain at least one compound according to the invention as active ingredient.
- One dose unit contains about 0.1-100 mg of active ingredient (s).
- the dosage of the compounds according to the invention in humans is about 0.1-1000 mg per day.
- Example 1f The solution of 570 mg (1.55 mmol) of the compound shown in Example 1f is reacted analogously to Example 1e and, after workup and purification, 410 mg (1.06 mmoi, 68%) of the title compound is isolated as a colorless oil.
- Example 1 h 4 [2-methyl-1 - (tert-butyidiphenylsilyloxy) prop-2-yl] -2,2-dimethyl- [1, 3] dioxane
- the solution of 100 mg (0.212 mmol) of the compounds shown in Example 1 e in 2.5 ml of anhydrous acetone is mixed with 78.9 mg of copper (II) sulfate, a spatula tip of p-toluenesulfonic acid monohydrate and under an atmosphere of dry argon stirred for 16 hours at 23 ° C.
- Variant II 320 mg (0.88 mmol) of the compound shown in Example 1 g are reacted analogously to Example 1 h; variant I and, after workup and purification, 234 mg (0.548 mmol, 62%) of the title compound are isolated.
- Variant III 320 mg (0.88 mmol) of the compound shown in Example 1 g are reacted analogously to Example 1 h; variant I and, after workup and purification, 234 mg (0.548 mmol, 62%) of the title compound are isolated.
- the organic phase is separated off, the aqueous phase is extracted several times with n-hexane, the combined organic extracts are washed with water and dried over magnesium sulfate. The residue obtained after filtration and removal of solvent is reacted further without purification.
- Example 1 m (4S) -4- (2-ethyl-3-oxopent-2-yl) -2,2-dimethyl- [1,3] dioxane
- the solution of 850 mg (3.93 mmol) of a mixture the compounds shown in Example 11 in 63 ml of anhydrous dichloromethane are mixed with molecular sieve (4A, approx. 80 spheres), 690 mg of N-methylmorpholino-N-oxide, 70 mg of tetrapropylammonium perruthenate and stirred for 16 hours at 23 ° C.
- This solution is added under nitrogen via a reverse frit to a solution consisting of 17.8 g of hexamethyidisilazane in 140 ml of tetrahydrofuran with 73.5 ml of a 1.6 M solution of butyllithium in hexane at -60 ° C (10 minutes stirring time) and 23.3 g (4R, 5S ) -4-methyl-5-phenyl-3-propionyl-2-oxazolidinone in 62 ml of tetrahydrofuran (30 minutes stirring time). The mixture is left to stir at -60 ° C.
- Example 1q (2S) -2-Methyl-6- (tert-butyidimethylsilyioxy) hexanoic acid ethyl ester
- a solution of 10.5 g of the ester prepared according to Example 1 p in 200 ml of ethyl acetate is mixed with 1 g of 10% palladium-on-carbon and stirred for 3 hours at 22 ° C in a hydrogen atmosphere.
- the catalyst is then filtered off, washed well with ethyl acetate and the filtrate is concentrated in vacuo.
- the residue thus obtained is purified by chromatography on silica gel. With hexane / 0-10% ether, 9.95 g of the title compound is obtained as a colorless oil.
- the crude product obtained is dissolved in 80 ml of toluene. 5 g of Dowex® (activated, acidic) are added and the mixture is boiled under reflux for one hour. The Dowex® is then filtered off and the filtrate is concentrated in vacuo. The crude product obtained (7.61 g) is used in the next stage without purification.
- the residue obtained after filtration and removal of solvent is purified by chromatography on fine silica gel using a gradient system composed of n-hexane and ethyl acetate. 6.46 g (11.4 mmol, 83%) of the titanium compound are isolated as a colorless oil.
- Example 1 ao (3S, 6R, 7S, 8S, 12E / Z.15S.16E) -17- (2-methyl-4-thiazolyi) -5-oxo-4,4,6,8,13.16-hexamethyi-heptadeca-12, 16-diene-1, 3,7,15-tetraol
- Example 1 ap (3S, 6R, 7S, 8S, 12E / Z, 15S, 16E) -17- (2-methyl-4-thiazolyl) -4,4,6,8,13,16-hexamethyi- 1,3 , 7,15-tetrakis - [[dimethyl- (1, 1-dimethylethyl) siiyi] oxy] -heptadeca-12,16-dien-5-one
- camphor-10-sulfonic acid 179 mg are added at 0 ° C. under argon to a solution of 735 mg of the silyl ether prepared above in a mixture of 8 ml of dichloromethane and 8 ml of methanol, and the mixture is allowed to warm to 22 ° C. and is stirred for a further 1.5 hours.
- 0.6 ml of triethylamine is added, poured into a saturated sodium hydrogen carbonate solution and extracted several times with dichloromethane.
- the organic phase is dried over sodium sulfate and, after filtration, concentrated in vacuo.
- the residue thus obtained is chromatographed on silica gel cleaned. With hexane / 0-20% ethyl acetate, 527 mg of the title compound is obtained as a colorless oil.
- Example 1s Analogously to Example 1s, 150 mg of the title compound A prepared in Example 1r are reacted. 81 mg of the titanium compound are obtained as a colorless oil.
- Example 1au Analogously to Example 1au, 81 mg of the compound prepared above are reacted. 75 mg are obtained after column chromatography, which are again purified by preparative thick-layer chromatography with hexane / 10% ethyl acetate.
- Example 2 Analogously to Example 2, 15 mg of the compound prepared in Example 3 are reacted. The purification is carried out only by preparative thick layer chromatography.
Landscapes
- Chemical & Material Sciences (AREA)
- Organic Chemistry (AREA)
- Health & Medical Sciences (AREA)
- Life Sciences & Earth Sciences (AREA)
- Biochemistry (AREA)
- General Health & Medical Sciences (AREA)
- Molecular Biology (AREA)
- Heterocyclic Carbon Compounds Containing A Hetero Ring Having Oxygen Or Sulfur (AREA)
- Pharmaceuticals Containing Other Organic And Inorganic Compounds (AREA)
Abstract
Description
Epothilon-Derivate, Verfahren zu deren Herstellung, Zwischenprodukte und ihre pharmazeutische Verwendung Epothilone derivatives, processes for their preparation, intermediates and their pharmaceutical use
Von Höfle et ai. wird die cytotoxische Wirkung der Naturstoffe Epothiion A (R Wasserstoff) und Epothilon B (R = Methyl)By Höfle et ai. the cytotoxic effects of the natural substances Epothiion A (R hydrogen) and Epothilon B (R = methyl)
Epothilon A (R = H), Epothilon B (R=CH3) Epothilone A (R = H), epothilone B (R = CH3)
z.B. in Angew. Chem. 1996, 108, 1671-1673, beschrieben. Wegen der in-vitro- Selektivität gegenüber Brust- und Darmzelllinien und ihrer im Vergleich zu Taxol deutlich höheren Aktivität gegen P-Glycoprotein-bildende, multiresistente Tumoriinien sowie ihre gegenüber Taxol verbesserten physikalischen Eigenschaften, z.B eine um den Faktor 30 höhere Wasserlöslichkeit, ist diese neuartige Strukturklasse für die Entwicklung eines Arzneimittels zur Therapie maligner Tumoren besonders interessant.e.g. in Angew. Chem. 1996, 108, 1671-1673. This is novel because of the in vitro selectivity towards breast and intestinal cell lines and their significantly higher activity against P-glycoprotein-forming, multi-resistant tumor lines and their physical properties compared to taxol, e.g. a water solubility that is 30 times higher Structural class of particular interest for the development of a drug for the treatment of malignant tumors.
Die Naturstoffe sind sowohl chemisch als auch metaboiisch für eine Arzneimittelentwicklung nicht ausreichend stabil. Zur Beseitigung dieser Nachteile sind Modifikationen an dem Naturstoff nötig. Derartige Modifikationen sind nur auf totalsynthetischem Wege möglich und setzen Synthesestrategien voraus, die eine breite Modifikation des Naturstoffes ermöglichen. Ziel der Strukturveränderungen ist es auch, die therapeutische Breite zu erhöhen. Dies kann durch eine Verbesserung der Selektivität der Wirkung und/oder eine Reduktion unerwünschter toxischer Nebenwirkungen und/oder eine Erhöhung der Wirkstärke erfolgen.The natural products are not sufficiently stable both chemically and metabolically for drug development. Modifications to the natural product are necessary to eliminate these disadvantages. Such modifications are only possible in a totally synthetic way and presuppose synthesis strategies that enable a broad modification of the natural product. The aim of the structural changes is also to increase the therapeutic range. This can be done by improving the selectivity of the action and / or reducing undesirable toxic side effects and / or increasing the potency.
Die Totalsynthese von Epothilon A ist von Schinzer et al. in Chem. Eur. J. 1996, 2, No. 11 , 1477-1482 und in Angew. Chem. 1997, 109, Nr. 5, S. 543-544) beschrieben. Epothilon-Derivate wurden bereits von Höfle et al. in der WO 97/19086 beschrieben. Diese Derivate wurden ausgehend vom natürlichen Epothiion A oder B hergestellt. Eine weitere Synthese von Epothilon und Epothilondehvaten wurde von Nicolaou et al. in Angew. Chem. 1997, 109, Nr. 1/2, S. 170 - 172 beschrieben. Die Synthese von Epothilon A und B und einiger Epothilon-Anaioga wurde in Nature, Vol. 387, 1997, S. 268-272, die Synthese von Epothilon A und seinen Derivaten in J. Am. Chem. Soc, Vol. 119, No. 34, 1997, S. 7960 - 7973 sowie die Synthese von Epothilon A und B und einiger Epothilon- The total synthesis of epothilone A is by Schinzer et al. in Chem. Eur. J. 1996, 2, No. 11, 1477-1482 and in Angew. Chem. 1997, 109, No. 5, pp. 543-544). Epothilone derivatives have already been described by Höfle et al. described in WO 97/19086. These derivatives were made from the natural epothion A or B. Another synthesis of epothilone and epothilone derivatives was by Nicolaou et al. in Angew. Chem. 1997, 109, No. 1/2, pp. 170-172. The synthesis of epothilones A and B and some epothilone analogues was described in Nature, Vol. 387, 1997, pp. 268-272, the synthesis of epothilone A and its derivatives in J. Am. Chem. Soc, Vol. 119, No. 34, 1997, pp. 7960 - 7973 as well as the synthesis of epothilones A and B and some epothilone
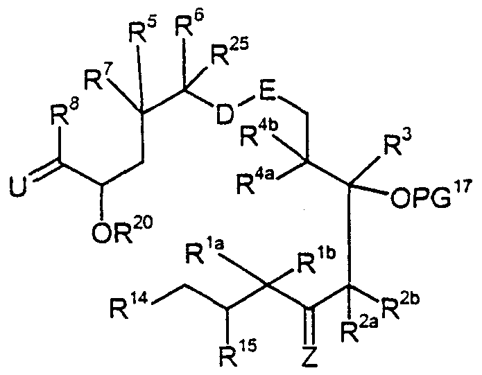
worinwherein
R5', R8' die bereits in der allgemeinen Formel I für R5 und R^ genannte Bedeutung haben und R20 ein Wasserstoffatom oder eine Schutzgruppe PG^R5 ', R8' have the meaning already given in the general formula I for R5 and R ^ and R20 is a hydrogen atom or a protective group PG ^
U ein Sauerstoffatom, zwei Alkoxygruppen OR9, eine C2-C-ιo-Alkylen-α,ω- dioxygruppe, die geradkettig oder verzweigt sein kann, H/OR10 oder eineU is an oxygen atom, two alkoxy groups OR 9 , a C2-C-ιo-alkylene-α, ω-dioxy group, which can be straight-chain or branched, H / OR 10 or one
Gruppierung CR1 1 R12, wobeiGrouping CR 1 1 R 12 , where
R9 für einen Cι-C20-Alkylrest,R9 represents a C 1 -C 20 -alkyl radical,
R10 für Wasserstoff oder eine Schutzgruppe PG^,R10 for hydrogen or a protective group PG ^,
R11 , R12 gleich oder verschieden sind und für Wasserstoff, einen Cι-C20-Alkyl-, Aryl-, C7-C20-Aralkylrest oder R"1 1 und R1 zusammen mit dem Methylenkohlenstoffatom gemeinsam für einen 5- bis 7-gliedrigen carbocyclischen Ring W ein Sauerstoffatom, zwei Alkoxygruppen OR21 , eine C2-Cιrj-Alkylen-α,ω- dioxygruppe, die geradkettig oder verzweigt sein kann oder H/OR22, stehen, wobeiR 1 1, R12 are the same or different and are hydrogen, a C 1 -C 20 -alkyl, aryl, C7-C20-aralkyl radical or R "1 1 and R 1 together with the methylene carbon atom together for a 5- to 7-membered carbocyclic ring W is an oxygen atom, two alkoxy groups OR21, a C2-Cιrj-alkylene-α, ω-dioxy group, which can be straight-chain or branched or H / OR22, where
R21 für einen Ci -C20-Alkylrest,R21 is a C 1 -C 20 -alkyl radical,
R22 für Wasserstoff oder eine Schutzgruppe PG7, bedeuten.R22 for hydrogen or a protective group PG 7 mean.
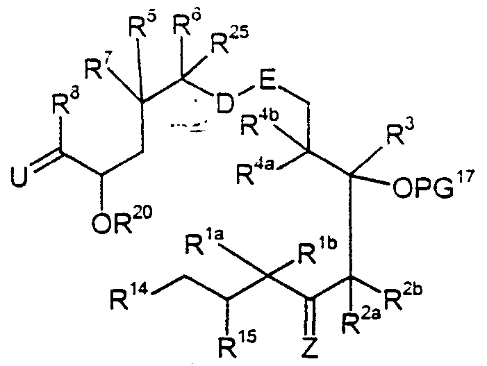
15. Zwischenprodukte der allgemeinen Formel BC15. Intermediates of the general formula BC
wonn R3, R4a, R4b, R5, R6, R25, R7, R20, D, E, U unα V die bereits genannten Bedeutungen haben. wonn R3, R 4a , R 4b , R 5 , R 6 , R 25 , R 7 , R 20 , D, E, U and α V have the meanings already mentioned.
16. Zwischenprodukte der allgemeiner^Formel ABC16. Intermediates of the general formula ABC
ABC,ABC,
worin R a, R1 b, R2a, R2b, R3t R43> R4bι RÖ, R6t R25, R7_ R8, R14 R15t D, E, U und Z die bereits genannten Bedeutungen haben.wherein R a , R 1 b , R 2 a, R2b, R 3 t R4 3> R 4b ι RÖ, R 6 t R25, R 7_ R 8, R14 R 15 t D, E, U and Z have the meanings already mentioned to have.
17. Pharmazeutische Präparate, enthaltend mindestens eine Verbindung der allgemeinen Formel I gemäß Anspruch 1 sowie einen pharmazeutisch verträglichen Träger.17. Pharmaceutical preparations containing at least one compound of general formula I according to claim 1 and a pharmaceutically acceptable carrier.
18. Verwendung der Verbindungen der allgemeinen Formel I gemäß Anspruch 1 zur Herstellung von Arzneimitteln. 18. Use of the compounds of general formula I according to claim 1 for the manufacture of medicaments.
Analoga in J. Am. Chem. Soc, Vol. 1 19, No. 34, 1997, S. 7974 - 7991 ebenfalls von Nicolaou et al. besenrieben.Analogues in J. Am. Chem. Soc, Vol. 1 19, No. 34, 1997, pp. 7974-7991 also by Nicolaou et al. rubbed.
Ebenfalls Nicolaou et al. beschreiben in Angew. Chem. 1997, 109, Nr. 19, S. 2181 -2187 die Herstellung von Epothiion A-Analoga mittels kombinatorischer Festphasensynthese. Auch einige Epothiion B-Analoga sind dort beschrieben.Nicolaou et al. describe in Angew. Chem. 1997, 109, No. 19, pp. 2181-2187 the preparation of epothiion A analogues by means of combinatorial solid phase synthesis. Some Epothiion B analogues are also described there.
Die Aufgabe der vorliegenden Erfindung besteht darin, neue Epothilon-Derivate zur Verfügung zu stellen, die sowohl chemisch als auch metabolisch für eine Arzneimittelentwicklung ausreichend stabil sind und die hinsichtlich ihrer therapeutischen Breite, ihrer Selektivität der Wirkung und/oder unerwünschter toxischer Nebenwirkungen und/oder ihrer Wirkstärke den natürlichen Derivaten überlegen sind.The object of the present invention is to provide new epothilone derivatives which are sufficiently stable both chemically and metabolically for drug development and which have a therapeutic breadth, their selectivity of action and / or undesirable toxic side effects and / or their Potency are superior to natural derivatives.
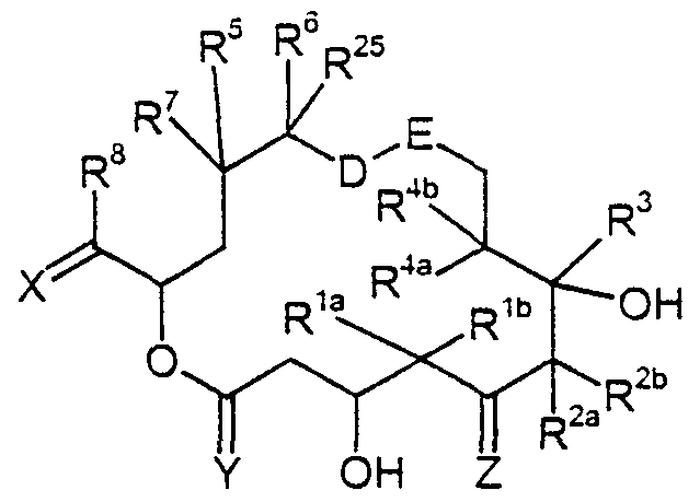
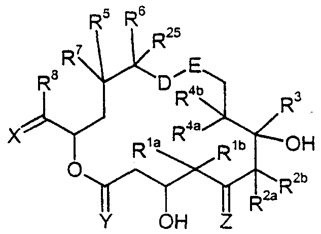
Die vorliegende Erfindung beschreibt die neuen Epothilon-Derivate der allgemeinen Formel I,The present invention describes the new epothilone derivatives of the general formula I
worinwherein
Rl a R1 b gleich oder verschieden sind und Wasserstoff, C^-C-| o_Alkyl, Aryl, C7-C20- Aralkyl, oder gemeinsam eine (CH2)m-Gruppe mit m = 2, 3, 4 oder 5,Rl a R 1 b are the same or different and are hydrogen, C ^ -C- | o _ alkyl, aryl, C7-C20-aralkyl, or together a (CH2) m group with m = 2, 3, 4 or 5,
R2a, R2b gleich oder verschieden sind und Wasserstoff, C-| -Cι o-Alkyl, Aryl, C7-C20- Aralkyl oder gemeinsam eine -(CH2)n-Gruppe mit n = 2, 3, 4 oder 5,R2a, R2b are the same or different and are hydrogen, C- | -Cι o-alkyl, aryl, C7-C20 aralkyl or together a - (CH2) n group with n = 2, 3, 4 or 5,
R3 Wasserstoff, C-| -C-| o-Alkyl, Aryl, C7-C20-Aralkyl,R 3 is hydrogen, C- | -C- | o-alkyl, aryl, C7-C20-aralkyl,
R4a, R4b gleich oder verschieden sind und Wasserstoff, C-|-C-ι o-Alkyl, Aryl, C7-C20- Aralkyl oder gemeinsam eine -(CH2)p-Gruppe mit p = 2, 3, 4 oder 5.R 4a , R 4b are the same or different and are hydrogen, C 1 -C 8 -alkyl, aryl, C 7 -C 20 aralkyl or together a - (CH2) p group with p = 2, 3, 4 or 5 .
HO OH HO HHO OH HO H
O I I I IO I I I I
H2C-CH, HC=CH c≡C UJ u c-c C"~C H 2 C-CH, HC = CH c≡C U J u cc C "~ C
D-E eine Gruppe H H H H DE a group HHHH
R5 C-1 -C-1 o-Alkyl, Aryl, C7-C20- ralkyl,R 5 is C-1 -C-1 o-alkyl, aryl, C7-C20 ralkyl,
R6, R7 je ein Wasserstoffatom, gemeinsam eine zusätzliche Bindung oder ein Sauerstoffatom, R25 Wasserstoff, C-| -C-| o-Alkyl, wobei der Alkylrest gegebenenfalls durch ein oder mehrere Halogenatome und/oder Hydroxygruppeπ substituiert sein kann, R8 Wasserstoff, C-| -C20-Alkyl, Aryl, C7-C20-Araikyl, die alle substituiert sein können, X ein Sauerstoffatom, zwei Alkoxygruppen OR9, eine C2-C-ι o-Alkylen- ,ω- dioxygruppe, die geradkettig oder verzweigt sein kann, H/OR^O oder eineR 6 , R 7 each represent a hydrogen atom, together an additional bond or an oxygen atom, R25 hydrogen, C- | -C- | o-alkyl, where the alkyl radical can optionally be substituted by one or more halogen atoms and / or hydroxyl groups, R 8 is hydrogen, C- | -C20-alkyl, aryl, C7-C20-araikyl, which can all be substituted, X one oxygen atom, two alkoxy groups OR 9 , one C2-C-ι o-alkylene, ω-dioxy group, which can be straight-chain or branched, H / OR ^ O or one
Gruppierung CR1 1 R 2, wobeiGrouping CR 1 1 R 2 , where
R9 für einen Ci -C20-Alkylrest, RIO für Wasserstoff oder eine Schutzgruppe PG1 ,R 9 for a C 1 -C 20 -alkyl radical, RIO for hydrogen or a protective group PG 1 ,
R1 1 , R12 gleich oder verschieden sind und für Wasserstoff, einen Cι-C20-Alkyl-, Aryl-, C7-C20-Aralkylrest oder R1 1 und R12 zusammen mit dem Methylenkohlenstoffatom gemeinsam für einen 5- bis 7-gliedrigen carbocyciischen Ring stehen, Y ein Sauerstoffatom oder zwei Wasserstoffatome,R 1 1 , R 1 2 are the same or different and are hydrogen, a C 1 -C 20 -alkyl, aryl, C7-C20-aralkyl radical or R 1 1 and R 1 2 together with the methylene carbon atom together for a 5- to 7th -linked carbocyclic ring, Y is an oxygen atom or two hydrogen atoms,
Z ein Sauerstoffatom oder H/OR1 3, wobei R^3 Wasserstoff oder eine Schutzgruppe PG2 ist, bedeuten, einschließlich aller Stereoisomeren dieser Verbindungen und auch deren Gemische.Z is an oxygen atom or H / OR 1 3 , where R ^ 3 is hydrogen or a protective group PG2, including all stereoisomers of these compounds and also mixtures thereof.
Die Darstellung der neuen Epothilon-Derivate basiert auf der Verknüpfung dreier Teilfragmente A, B und C und erfolgt analog wie bereits für Epothilon A- und Epothilon B- Derivate (d.h. an der Stelle von R§ kann dort nur ein Wasserstoffatom stehen) in der WO 99/07692 beschrieben ist. Die Schnittstellen liegen wie in der allgemeinen Formel I' angedeutet.The presentation of the new epothilone derivatives is based on the linkage of three partial fragments A, B and C and is carried out in the same way as for epothilone A and epothilone B derivatives (ie there can only be one hydrogen atom in the place of R§) in WO 99/07692 is described. The interfaces are as indicated in the general formula I '.
A bedeutet ein C1 -C6-Fragment (Epothiion-Zählweise) der allgemeinen Formel A represents a C1-C6 fragment (epothiion counting) of the general formula
A,A,
worin R1 a', R ', R2a' und R2b" dje bereits für Ria, Rl bt R2a uncj R2b genannten Bedeutungen haben undwherein R 1 a ', R', R2a ' and R 2b " d j e already have the meanings given for Ria, Rl b t R2a and j R2b and
R14 CH2OR1 a, CH2-Hal, CHO, CO2R14 , COHal,R1 4 CH 2 OR 1 a , CH 2 -Hal, CHO, CO 2 R 14 , COHal,
R15 Wasserstoff, OR15a, Hai, OSO2R15b,R15 hydrogen, OR 15a , shark, OSO 2 R 15b ,
Rl4at Rl 5a Wasserstoff, Sθ2-Alkyl, SO2-A17I, Sθ2-Aralkyl oder gemeinsam eine - (CH2)o-Gπjppe oder gemeinsam eine CR16aR16 -Gruppe,Rl4a t Rl 5a hydrogen, Sθ2-alkyl, SO2-A17I, Sθ2-aralkyl or together a - (CH2) o group or together a CR 16a R 1 6 group,
Rl4bt R15b Wasserstoff, Cι-C-20-Alkyl, Aryl, C7-C2o-Aralkyl,Rl4b t R 15b hydrogen, -CC 20 alkyl, aryl, C 7 -C 2 o-aralkyl,
R16at R16b gleich oder verschieden sind und Wasserstoff, C<|-C-| o-Alkyl, Aryl. C7-C20- Aralkyi, oder gemeinsam eine -(CH2)π-Gruppe, R 16a t R 16b are the same or different and are hydrogen, C <| -C- | o-alkyl, aryl. C7-C20 aralkyi, or together a - (CH2) π group,
Hai Halogen, 0 2 bis 4, q 3 bis 6, einschließlich aller Stereoisomeren sowie deren Gemische bedeuten sowie freie Hydroxylgruppen in R14 und R-^ verethert oder verestert, freie Carbonylgruppen inShark halogen, 0 2 to 4, q 3 to 6, including all stereoisomers and mixtures thereof, and etherified or esterified free hydroxyl groups in R 14 and R- ^, free carbonyl groups in
A und R^4 ketalisiert, in einen Enolether überführt oder reduziert sowie freie Säuregruppen in A in deren Salze mit Basen überführt sein können.A and R ^ 4 ketalized, converted into an enol ether or reduced, and free acid groups in A in whose salts can be converted with bases.
B steht für ein C7-C12-Fragment (Epothilon-Zählweise) der allgemeinen FormelB stands for a C7-C12 fragment (epothilone counting) of the general formula
B worinB where
R3'. R4a', R4b' und R25 die bereits für R3, R a, R4b uncj R25 genannten Bedeutungen haben, undR 3 '. R 4a ', R 4b ' and R 25 have the meanings already mentioned for R 3 , R a, R4b and R 25, and
R17 eine Hydroxygruppe, Halogen, eine geschützte Hydroxygruppe OPG3, einR 17 is a hydroxy group, halogen, a protected hydroxy group OPG 3
Phosphoniumhalogenidrest PPh3+Hal" (Ph = Phenyl; Hai = F, Cl, Br, I), ein Phosphonatrest P(O)(OQ)2 (Q = C1-C1 o-Alkyl oder Phenyl) oder einPhosphonium halide residue PPh3 + Hal "(Ph = phenyl; Hai = F, Cl, Br, I) Phosphonate residue P (O) (O Q ) 2 (Q = C1-C1 o-alkyl or phenyl) or a
Phospninoxidrest P(0)P 2 (Ph = Phenyi), V ein Sauerstoffatom, zwei Alkoxygruppen OR1 8, eine C2-C-|o-Alkylen-α,ω- dioxygruppe, die geradkettig oder verzweigt sein kann oder H/OR19, R18 C-|-C2o-Alkyl,Phosphine oxide residue P (0) P 2 (Ph = phenyi), V one oxygen atom, two alkoxy groups OR 1 8 , one C2-C- | o-alkylene-α, ω-dioxy group, which can be straight-chain or branched or H / OR 19 , R18 C- | -C 2 o-alkyl,
R19 ein Wasserstoff oder eine Schutzgruppe PG4 bedeuten.R 19 represents a hydrogen or a protective group PG 4 .
C steht für ein C13-C16-Fragment (Epothilon-Zählweise) der allgemeinen FormelC stands for a C13-C16 fragment (epothilone counting) of the general formula
worinwherein
R5', R8' die bereits in der allgemeinen Formel I für R5 und R8 genannte Bedeutung haben undR 5 ' , R 8 ' have the meaning already given in general formula I for R 5 and R 8 and
R20 ein Wasserstoffatom oder eine Schutzgruppe PG^R20 is a hydrogen atom or a protective group PG ^
U ein Sauerstoffatom, zwei Alkoxygruppen OR9, eine C2-C-ιo-Alkyien-α,ω- dioxygruppe, die geradkettig oder verzweigt sein kann, H/OR10 oder eine Gruppierung CR1 1 R12, wobeiU is an oxygen atom, two alkoxy groups OR 9 , a C2-C-ιo-alkyien-α, ω-dioxy group, which can be straight-chain or branched, H / OR 10 or a group CR 1 1 R 12 , where
R9 für einen Ci -C20-Alkylrest,R 9 represents a C 1 -C 20 -alkyl radical,
R1 ° für Wasserstoff oder eine Schutzgruppe PG6,R 1 ° for hydrogen or a protective group PG 6 ,
R1 1 , R12 gleich oder verschieden sind und für Wasserstoff, einen C-ι-C-20-Alkyl-, Aryl-, C7-C20-Aralkylrest oder R1 1 und R12 zusammen mit dem Methylenkohlenstoffatom gemeinsam für einen 5- bis 7-gliedrigen carbocyclischen Ring W ein Sauerstoffatom, zwei Alkoxygruppen OR21 , eine C2-C-ιo-Alkylen-α,ω- dioxygruppe, die geradkettig oder verzweigt sein kann oder H/OR22, stehen, wobeiR 1 1 , R 1 2 are the same or different and are hydrogen, a C 1 -C 20 -alkyl, aryl, C7-C20-aralkyl radical or R 1 1 and R 12 together with the methylene carbon atom together for a 5th - to 7-membered carbocyclic ring W is an oxygen atom, two alkoxy groups OR 21 , a C2-C-ιo-alkylene-α, ω-dioxy group, which can be straight-chain or branched or H / OR 22 , where
R21 für einen C -C20-Alkylrest,R 21 represents a C -C20 alkyl radical,
R22 für Wasserstoff oder eine Schutzgruppe PG7, bedeuten. Als Alkylgruppen R1 a , R1 b. R2a, R2b_ R3| R4_ R5_ R16at R16b uπd R25 sind gera . oder verzweigtkertige Alkylgruppen mit 1 -10 Konienstorfatomen zu oetracnten, wie beispielsweise Methyl. Ethyl, Propyl, Isopropyl. Butyl, Isobutyl, tert.-Butyl. Pentyl, isopentyl, Neopentyl, Heptyl, Hexyl, Decyl. Als Alkylgruppen R8, R9, R1 0, R1 1 , R*2; R1 3, Rt b, Rl 5b und R1 8 sind gerad- oder verzweigtkertige Alkylgruppen mit 1 -20 Kohlenstoffatomeπ zu betrachten; wie beispielsweise die im vorstehenden Absatz namentlich genannten Reste sowie deren entsprechende höheren Homologen.R 22 represents hydrogen or a protective group PG 7 . As alkyl groups R 1 a , R 1 b . R 2a , R 2b_ R3 | R 4_ R 5_ R 16a t R 16b and R 25 are straight . or branched-chain alkyl groups with 1-10 cone tensor atoms to oetractene, such as, for example, methyl. Ethyl, propyl, isopropyl. Butyl, isobutyl, tert-butyl. Pentyl, isopentyl, neopentyl, heptyl, hexyl, decyl. As alkyl groups R 8 , R 9 , R 1 0 , R 1 1 , R * 2 ; R 1 3, Rt b, R 5b and R 1 8 g are to be regarded he ad or verzweigtkertige alkyl groups having 1 -20 Kohlenstoffatomeπ; such as the residues mentioned by name in the preceding paragraph and their corresponding higher homologues.
Die Alkylgruppen R1 a, Rl b, R2a, R2b> R3t R4_ R5f R8τ R9t 10 RH , R12_ R13f R14b R15b, Rl 6a) R16b und R18 können perfluoriert oder substituiert sein durch 1-5The alkyl groups R 1 a, b Rl, R 2a, R 2b> R 3 t R4_ R 5 f R 8 τ R 9 t 10 RH, R12_ R 13 f R 14b R 1 5 b, R 6a) R 16b and R 18 may be perfluorinated or substituted by 1-5
Halogenatome, Hydroxygruppen, C-|-C4-Alkoxygruppen, Cß-C-^-Arylgruppen (die durchHalogen atoms, hydroxyl groups, C- | -C4-alkoxy groups, Cß-C - ^ - aryl groups (which by
1-3 Halogenatome substituiert sein können).1-3 halogen atoms can be substituted).
Als Arylrest Ri a, Rl b, R2a > R2b, R3 t R4, R5, R8, R10, R1 1 , R12, R13, R14b R15b,As aryl radical Ri a, Rl b, R 2 a> R 2b, R 3 t R 4, R 5, R 8, R10, R1 1, R12, R 13, R 14b R 15b,
R1 8a und R1 8 kommen substituierte und unsubstituierte carbocyclische oder heterocyclische Reste mit einem oder mehreren Heteroatomen wie z.B. Phenyl, Naphthyl, Furyl, Thienyl, Pyridyl, Pyrazolyl, Pyrimidinyl, Oxazolyl, Pyridazinyi, Pyrazinyi, Chinolyi, Thiazolyl, die einfach oder mehrfach substituiert sein können durch Halogen, OH, O-Alkyl, CO2H, Cθ2-Alkyl, -NH2, -NO2, -N3, -CN, C -C2o-Alkyl, C<| -C-20-Acyl, C-j- C20-Acyloxy-Gruppen, in Frage. Die Aralkylgruppen in Rla, Rl b, R2a, R2 , R3 , R4, R5, R8, R10t R1 1 , R12_ R13_ R14b, 15b? R16a und 16b können im Ring bis 14 C-Atome, bevorzugt 6 bis 10 und in der Alkylkette 1 bis 8, bevorzugt 1 bis 4 Atome enthalten. Als Aralkylreste kommen beispielweise in Betracht Benzyi, Phenylethyl, Naphthylmethyl, Naphthylethyl, Furylmethyl, Thienylethyl, Pyridylpropyl. Die Ringe können einfach oder mehrfach substituiert sein durch Halogen, OH, O-Alkyl, CO2H, Cθ2-Alkyl, -NO2, -N3, -CN, C-|- C20-Alkyl, C-|-C20-Acyl, C-ι -C20-Acyloxy-Gruppen.R 1 8a and R 1 8 come substituted and unsubstituted carbocyclic or heterocyclic radicals having one or more heteroatoms such as, for example, phenyl, naphthyl, furyl, thienyl, pyridyl, pyrazolyl, pyrimidinyl, oxazolyl, pyridazinyi, pyrazinyi, quinolyi, thiazolyl, the single or multiple can be substituted by halogen, OH, O-alkyl, CO2H, CO 2 -alkyl, -NH 2 , -NO 2 , -N3, -CN, C -C 2 o-alkyl, C < | -C-20-acyl, Cj-C20-acyloxy groups, in question. The aralkyl groups in Rl a , Rl b , R 2a , R 2 , R 3 , R 4 , R5, R8, R 10 t R 1 1, R 12_ R 13_ R 14b, 15b ? R 16a and 16b can contain up to 14 carbon atoms, preferably 6 to 10, in the ring and 1 to 8, preferably 1 to 4, atoms in the alkyl chain. Examples of suitable aralkyl radicals are benzyl, phenylethyl, naphthylmethyl, naphthylethyl, furylmethyl, thienylethyl, pyridylpropyl. The rings can be mono- or polysubstituted by halogen, OH, O-alkyl, CO2H, CO 2 -alkyl, -NO2, -N3, -CN, C- | - C20-alkyl, C- | -C20-acyl, C- ι -C20 acyloxy groups.
Die in X in der allgemeinen Formel I enthaltenen Alkoxygruppen sollen jeweils 1 bis 20 Kohlenstoffatome enthalten, wobei Methoxy-, Ethoxy- Propoxy- Isopropoxy- und t- Butyloxygruppen bevorzugt sind. Als Vertreter für die Schutzgruppen PG sind Alkyl- und/oder Aryl-substituiertes Silyl, C-|- C20-Alkyl, C4-C7-Cycioalkyl, das im Ring zusätzlich ein Sauerstoffatom enthalten kann, Aryl, C7-C20-Araikyl, C-|-C20-Acyl sowie Aroyl zu nennen.The alkoxy groups contained in X in the general formula I should each contain 1 to 20 carbon atoms, with methoxy, ethoxy-propoxy-isopropoxy and t-butyloxy groups being preferred. Representing the protective groups PG are alkyl- and / or aryl-substituted silyl, C- | - C20-alkyl, C4-C7-cycioalkyl, which can additionally contain an oxygen atom in the ring, aryl, C7-C20-araikyl, C- C20 acyl and aroyl to name.
Als Alkyl-, Silyl- und Acylreste für die Schutzgruppen PG kommen die dem Fachmann bekannten Reste in Betracht. Bevorzugt sind aus den entsprechenden Alkyl- und Silylethern leicht abspaitbare Alkyl- bzw. Silylreste, wie beispielsweise derThe alkyl, silyl and acyl radicals for the protective groups PG are the radicals known to the person skilled in the art. Easily removable alkyl or silyl radicals, such as, for example, are preferred from the corresponding alkyl and silyl ethers
Methoxymethyi-, Methoxyethyl, Ethoxyethyi-, Tetrahydropyranyl-, Tetrahydrofuranyi-,Methoxymethyl, methoxyethyl, ethoxyethyl, tetrahydropyranyl, tetrahydrofuranyi,
Trimethylsilyl-, Triethylsiiyl-, tert.-Butyldimethyisilyl-, tert.-Butyldiphenylsilyl-, Tribenzylsilyl-Trimethylsilyl-, triethylsiiyl-, tert-butyldimethyisilyl-, tert-butyldiphenylsilyl-, tribenzylsilyl-
Triisopropylsilyl-, Benzyi, para-Nitrobenzyl-, para-Methoxybenzyl-Rest sowieTriisopropylsilyl, benzyi, para-nitrobenzyl, para-methoxybenzyl radical and
Alkylsulfoπyl- und Arylsulfonylreste. Als Acylreste kommen z.B. Formyl, Acetyl, Propionyl, Isopropionyl, Pivalyi-. Butyryl oder Benzoyi, die mit Amino- und/oder Hydroxygruppen substituiert sein können, in Frage.Alkylsulfoπyl- and arylsulfonyl residues. Examples of acyl radicals are formyl, acetyl, propionyl, Isopropionyl, pivalyi. Butyryl or Benzoyi, which can be substituted with amino and / or hydroxy groups, in question.
Die Acyigruppen PG"1 bzw. PG2 in R"1 0 und R1 3 können 1 bis 20 Kohlenstoffatome enthalten, wobei Formyl-, Acetyl-, Propionyl-, Isopropionyl und Pivalylgruppen bevorzugt sind.The acyro groups PG "1 and PG 2 in R " 1 0 and R 1 3 can contain 1 to 20 carbon atoms, formyl, acetyl, propionyl, isopropionyl and pivalyl groups being preferred.
Der Index m in der aus R1 a und R1 b gebildeten Alkylengruppe steht vorzugsweise für 2, 3 oder 4.The index m in the alkylene group formed from R 1 a and R 1 b is preferably 2, 3 or 4.
Die für X mögliche C2-C-| o-Alkylen-α,ω-dioxygruppe ist vorzugsweise eine Ethylenketal- oder Neopentylketaigruppe.The C2-C- | o-Alkylene-α, ω-dioxy group is preferably an ethylene ketal or neopentyl keta group.
Für den Rest R25 steht vorzugsweise ein Wasserstoffatom, eine Methyl-, Ethyl-, Propyl-, Hydroxymethyl-, Fiuormethyl- oder Trifiuormethylgruppe.The radical R 25 is preferably a hydrogen atom, a methyl, ethyl, propyl, hydroxymethyl, fluoromethyl or trifluoromethyl group.
Die Substituenten können in den Verbindungen der allgemeinen Formel I so gewählt sein, daßThe substituents in the compounds of general formula I can be chosen so that
R3, R4a, R4b, D-E, R5, R6, R25 und R7 alle die in der allgemeinen Formel I angegebenen Bedeutungen haben können, und der Rest des Moleküls identisch ist mit dem natürlich vorkommenden Epothilon A oder B. oderR 3 , R 4a , R 4b , DE, R 5 , R 6 , R 25 and R 7 can all have the meanings given in general formula I, and the rest of the molecule is identical to the naturally occurring epothilone A or B. or
R5, R6, R25, R7, R8 und X alle die in der allgemeinen Formel I angegebenen Bedeutungen haben können, und der Rest des Moleküls identisch ist mit dem natürlich vorkommenden Epothiion A oder B oderR 5 , R 6 , R 25 , R 7 , R 8 and X can all have the meanings given in the general formula I, and the rest of the molecule is identical to the naturally occurring epothiion A or B or
Y, Z, R1 a, R1 , R2a, R2b, R3, R4a, R4b, D.Eι R5t R6t R25 und R7 a|ie dje in der allgemeinen Formel I angegebenen Bedeutungen haben können, und der Rest des Moleküls identisch ist mit dem natürlich vorkommenden Epothilon A oder B oderY, Z, R 1 a , R 1 , R 2a , R 2b , R 3 , R 4 a, R4b, D. Eι R 5 t R 6 t R25 and R 7 a | ie d j e can have meanings given in the general formula I, and the rest of the molecule is identical to the naturally occurring epothilone A or B or
Y, Z, R1 a, Rl b, R2a , R2b_ R5t R6> R25J R7( R8 und X a||e dje in der allgemeinen Formel I angegebenen Bedeutungen haben können, und der Rest des Moleküls identisch ist mit dem natürlich vorkommenden Epothilon A oder B oderY, Z, R 1 a , Rl b , R 2 a, R2b_ R 5 t R 6 > R25 J R7 ( R8 and X a || ed j e may have meanings given in general formula I, and the rest of the molecule is identical to the naturally occurring epothilone A or B or
R3, R4a, R4b, D-E, R5, R6, R25, R7, R8 und X alle die in der allgemeinen Formel I angegebenen Bedeutungen haben können, und der Rest des Moleküls identisch ist mit dem natürlich vorkommenden Epothilon A oder B. Eine weitere erfindungsgemäße Variante sieht solche Verbindungen vor, worin R^ für eine Methyl-, Ethyi- oαer Propyigruppe stent. wooei dann vorzugsweise R^ unα R7 gemeinsam eine zusätzliche Bindung oder eine Epoxygruppe bedeuten.R 3 , R 4a , R 4b , DE, R 5 , R 6 , R 25 , R 7 , R 8 and X can all have the meanings given in general formula I, and the rest of the molecule is identical to that which occurs naturally Epothilon A or B. A further variant according to the invention provides those compounds in which R ^ is stent for a methyl, ethyl or propylene group. wooei then preferably R ^ unα R 7 together mean an additional bond or an epoxy group.
Die nachstehen genannten Verbindungen sind erfindungsgemäß bevorzugt:The compounds mentioned below are preferred according to the invention:
(4S,7R,8S,9S,13Z,16S(E))-4,8-Dihydroxy-16-(1-methyl-2-(2-methyl-4-thiazolyl)ethenyl)-1- oxa-5,5,7,9,14-pentamethyl-cyclohexadec-13-en-2,6-dion(4S, 7R, 8S, 9S, 13Z, 16S (E)) - 4,8-dihydroxy-16- (1-methyl-2- (2-methyl-4-thiazolyl) ethenyl) -1-oxa-5, 5,7,9,14-pentamethyl-cyclohexadec-13-ene-2,6-dione
(1 S,3S(E),7S,10R,1 1 S,12S,16R)-7,1 1-Dihydroxy-3-(1-methyl-2-(2-methyl-4- thiazolyl)ethenyl)-1 ,8,8,10,12-pentamethyl-4, 17-dioxabicyclo[14.1.0]heptadecan-5,9-dion und (1 R,3S(E),7S,10R,1 1 S,12S,16S)-7,1 1 -Dihydroxy-3-(1-methyl-2-(2-methyl-4- thiazolyl)ethenyl)-1 ,8,8,10,12-pentamethyl-4, 17-dioxabicyclo[14.1 .0]heptadecan-5,9-dion(1 S, 3S (E), 7S, 10R, 1 1 S, 12S, 16R) -7.1 1-dihydroxy-3- (1-methyl-2- (2-methyl-4-thiazolyl) ethenyl) - 1, 8,8,10,12-pentamethyl-4, 17-dioxabicyclo [14.1.0] heptadecane-5,9-dione and (1 R, 3S (E), 7S, 10R, 1 1 S, 12S, 16S ) -7.1 1 -Dihydroxy-3- (1-methyl-2- (2-methyl-4-thiazolyl) ethenyl) -1, 8,8,10,12-pentamethyl-4, 17-dioxabicyclo [14.1. 0] heptadecane-5,9-dione
(4S,7R,8S,9S, 13Z, 16S(E))-4,8-Dihydroxy-16-(1 -methyl-2-(2-methyl-4-oxazolyl)ethenyl)-1 - oxa-5,5,7,9,14-pentamethyl-cyclohexadec-13-en-2,6-dion(4S, 7R, 8S, 9S, 13Z, 16S (E)) - 4,8-dihydroxy-16- (1-methyl-2- (2-methyl-4-oxazolyl) ethenyl) -1 - oxa-5, 5,7,9,14-pentamethyl-cyclohexadec-13-ene-2,6-dione
(1S,3S(E),7S,10R,1 1S,12S,16R)-7,11-Dihydroxy-3-(1-methyl-2-(2-methyl-4- oxazolyl)ethenyl)-1 ,8,8,10,12-pentamethyl-4, 17-dioxabicyclo[14.1.0]heptadecan-5,9-dion und(1S, 3S (E), 7S, 10R, 1 1S, 12S, 16R) -7,11-dihydroxy-3- (1-methyl-2- (2-methyl-4-oxazolyl) ethenyl) -1, 8 , 8,10,12-pentamethyl-4, 17-dioxabicyclo [14.1.0] heptadecane-5,9-dione and
(1 R,3S(E),7S,10R,1 1 S,12S,16S)-7,1 1-Dihydroxy-3-(1-methyl-2-(2-methyl-4- oxazolyl)ethenyl)-1 ,8,8,10, 12-pentamethyl-4,17-dioxabicyclo[14.1 .0]heptadecan-5,9-dion(1 R, 3S (E), 7S, 10R, 1 1 S, 12S, 16S) -7.1 1-dihydroxy-3- (1-methyl-2- (2-methyl-4-oxazolyl) ethenyl) - 1, 8,8,10, 12-pentamethyl-4,17-dioxabicyclo [14.1 .0] heptadecane-5,9-dione
(4S,7R,8S,9S,13Z,16S(E))-4,8-Dihydroxy-16-(1-methyl-2-(2-pyridyl)ethenyl)-1-oxa- 5,5,7,9, 14-pentamethyl-cyclohexadec-13-en-2,6-dion(4S, 7R, 8S, 9S, 13Z, 16S (E)) - 4,8-dihydroxy-16- (1-methyl-2- (2-pyridyl) ethenyl) -1-oxa- 5,5,7, 9, 14-pentamethyl-cyclohexadec-13-en-2,6-dione
(1S,3S(E),7S,10R,11S,12S,16R)-7,11-Dihydroxy-3-(1-methyl-2-(2-pyridyl)ethenyl)- 1 ,8,8,10,12-pentamethyl-4,17-dioxabicyclo[14.1.0]heptadecan-5,9-dion und (1 R,3S(E),7S,10R,1 1 S,12S,16S)-7,11-Dihydroxy-3-(1-methyl-2-(pyridyi)ethenyl)- 1 ,8,8,10,12-pentamethyl-4,17-dioxabicyclo[14.1 .0]heptadecan-5,9-dion(1S, 3S (E), 7S, 10R, 11S, 12S, 16R) -7,11-dihydroxy-3- (1-methyl-2- (2-pyridyl) ethenyl) - 1, 8,8,10, 12-pentamethyl-4,17-dioxabicyclo [14.1.0] heptadecane-5,9-dione and (1 R, 3S (E), 7S, 10R, 1 1 S, 12S, 16S) -7,11-dihydroxy- 3- (1-methyl-2- (pyridyi) ethenyl) -1,8,8,10,12-pentamethyl-4,17-dioxabicyclo [14.1 .0] heptadecane-5,9-dione
(4S,7R,8S,9S, 13Z, 16S(E))-4,8-Dihydroxy-7-ethyl-16-(1 -methyl-2-(2-methyl-4- thiazolyl)ethenyi)-1 -oxa-5,5,9,14-tetramethyl-cyclohexadec-13-en-2,6-dion(4S, 7R, 8S, 9S, 13Z, 16S (E)) - 4,8-Dihydroxy-7-ethyl-16- (1-methyl-2- (2-methyl-4-thiazolyl) ethenyi) -1 - oxa-5,5,9,14-tetramethyl-cyclohexadec-13-ene-2,6-dione
(1 S,3S(E),7S,10R,1 1 S,12S,16R)-7,1 1-Dihydroxy-10-ethyl-3-(1-methyl-2-(2-methyl-4- thiazolyi)etheπyl)-1 ,8,8,12-tetramethyl-4, 17-dioxabιcyclo[ 4.1 .0]heptadecan-5,9-dion und (1 R,3S(E),7S, 10R, 1 1 S,12S, 16S)-7, 11 -Dihydroxy-10-ethyl-3-(1 -methyl-2-(2-methyl-4- thιazoiyl)ethenyi)-1 .3.3.12-tetramethyl-4, 17-dioxabιcyclo[14.1.0]heptaαecan-5,9-αion(1 S, 3S (E), 7S, 10R, 1 1 S, 12S, 16R) -7.1 1-dihydroxy-10-ethyl-3- (1-methyl-2- (2-methyl-4-thiazolyi) ) etheπyl) -1, 8,8,12-tetramethyl-4, 17-dioxabιcyclo [4.1 .0] heptadecane-5,9-dione and (1 R, 3S (E), 7S, 10R, 1 1 S, 12S, 16S) -7, 11 -dihydroxy-10-ethyl-3- (1-methyl-2- (2-methyl-4-thioazoiyl) ethenyi) -1.3.3.12-tetramethyl-4, 17-dioxabιcyclo [14.1.0] heptaαecan-5,9-αion
(4S,7R,8S,9S,13Z,16S(E))-4,8-Dihydroxy-5,5-dimethyien-16-(1-methyl-2-(2-methyl-4- thiazolyl)ethenyi)-1-oxa-7,9,14-trimethyl-cyclohexadec-13-en-2,6-dion(4S, 7R, 8S, 9S, 13Z, 16S (E)) - 4,8-Dihydroxy-5,5-dimethyien-16- (1-methyl-2- (2-methyl-4-thiazolyl) ethenyi) - 1-oxa-7,9,14-trimethyl-cyclohexadec-13-ene-2,6-dione
(1 S,3S(E),7S, 10R, 11 S, 12S, 16R)-7, 11 -Dihydroxy-8,8-dimethylen-3-(1 -methyl-2-(2-methyl- 4-thiazolyl)ethenyl)-1 ,10,12-trimethyl-4,17-dioxabicyclo[14.1.0]heptadecan-5,9-dion und (1 R,3S(E),7S,10R,11 S,12S,16S)-7,11-Dihydroxy-8,8-dimethylen-3-(1-methyl-2-(2-methyl- 4-thiazolyl)ethenyl)-1 , 10,12-trimethyl-4,17-dioxabicyclo[14.1.0]heptadecan-5,9-dion(1 S, 3S (E), 7S, 10R, 11 S, 12S, 16R) -7, 11 -dihydroxy-8,8-dimethylene-3- (1-methyl-2- (2-methyl-4-thiazolyl ) ethenyl) -1, 10,12-trimethyl-4,17-dioxabicyclo [14.1.0] heptadecan-5,9-dione and (1 R, 3S (E), 7S, 10R, 11 S, 12S, 16S) -7,11-dihydroxy-8,8-dimethylene-3- (1-methyl-2- (2-methyl-4-thiazolyl) ethenyl) -1, 10,12-trimethyl-4,17-dioxabicyclo [14.1. 0] heptadecane-5,9-dione
(4S,7R,8S,9S,13Z,16S(E))-4,8-Dihydroxy-5,5-trimethylen-16-{1-methyl-2-(2-methyl-4- thiazolyl)ethenyl)-1-oxa-7,9,14-trimethyl-cyclohexadec-13-en-2,6-dion(4S, 7R, 8S, 9S, 13Z, 16S (E)) - 4,8-dihydroxy-5,5-trimethylene-16- {1-methyl-2- (2-methyl-4-thiazolyl) ethenyl) - 1-oxa-7,9,14-trimethyl-cyclohexadec-13-ene-2,6-dione
(1S,3S(E),7S,10R,11 S,12S,16R)-7,11-Dihydroxy-8,8-trimethylen-3-(1-methyl-2-(2- methyl-4-thiazoiyl)ethenyl)- 1 ,10,12-trimethyl-4,17-dioxabicyclo[14.1.0]heptadecan-5,9- dion und(1S, 3S (E), 7S, 10R, 11 S, 12S, 16R) -7,11-dihydroxy-8,8-trimethylene-3- (1-methyl-2- (2-methyl-4-thiazoiyl) ethenyl) - 1, 10,12-trimethyl-4,17-dioxabicyclo [14.1.0] heptadecane-5,9-dione and
(1R,3S(E),7S,10R,11S,12S,16S)-7,11-Dihydroxy-8,8-trimethylen-3-(1-methyl-2-(2- methyl-4-thiazolyl)ethenyl)- 1 , 10,12-trimethyl-4,17-dioxabicyclo[14.1.0]heptadecan-5,9- dion(1R, 3S (E), 7S, 10R, 11S, 12S, 16S) -7,11-dihydroxy-8,8-trimethylene-3- (1-methyl-2- (2-methyl-4-thiazolyl) ethenyl ) - 1, 10,12-trimethyl-4,17-dioxabicyclo [14.1.0] heptadecane-5,9-dione
(4S,7R,8S,9S,13Z,16S(E))-4,8-Dihydroxy-14-ethyl-16-(1-methyl-2-(2-methyl-4- thiazolyl)ethenyl)-1-oxa-5,5,7,9-tetramethyl-cyclohexadec-13-en-2,6-dion(4S, 7R, 8S, 9S, 13Z, 16S (E)) - 4,8-Dihydroxy-14-ethyl-16- (1-methyl-2- (2-methyl-4-thiazolyl) ethenyl) -1- oxa-5,5,7,9-tetramethyl-cyclohexadec-13-ene-2,6-dione
(1S,3S(E),7S,10R,11S,12S,16R)-7,11-Dihydroxy-1-ethyl-3-(1-methyl-2-(2-methyl-4- thiazolyl)ethenyl)-8,8,10,12-tetramethyl-4,17-dioxabicyclo[14.1.0]heptadecan-5,9-dion und(1S, 3S (E), 7S, 10R, 11S, 12S, 16R) -7,11-dihydroxy-1-ethyl-3- (1-methyl-2- (2-methyl-4-thiazolyl) ethenyl) - 8,8,10,12-tetramethyl-4,17-dioxabicyclo [14.1.0] heptadecane-5,9-dione and
(1 R,3S(E),7S,10R,11S,12S,16S)-7,11-Dihydroxy-1-ethyl-3-(1-methyl-2-(2-methyl-4- thiazolyl)ethenyl)-8,8, 10, 12-tetramethyl-4, 17-dioxabicyclo[14.1.0]heptadecan-5,9-dion(1 R, 3S (E), 7S, 10R, 11S, 12S, 16S) -7,11-dihydroxy-1-ethyl-3- (1-methyl-2- (2-methyl-4-thiazolyl) ethenyl) -8.8, 10, 12-tetramethyl-4, 17-dioxabicyclo [14.1.0] heptadecane-5,9-dione
(4S,7R,8S,9S,13Z,16S(E))-4,8-Dihydroxy-14-ethyl-16-(1-methyl-2-(2-methyl-4- oxazolyl)ethenyl)-1-oxa-5,5,7,9-tetramethyl-cyclohexadec-13-en-2,6-dion(4S, 7R, 8S, 9S, 13Z, 16S (E)) - 4,8-Dihydroxy-14-ethyl-16- (1-methyl-2- (2-methyl-4-oxazolyl) ethenyl) -1- oxa-5,5,7,9-tetramethyl-cyclohexadec-13-ene-2,6-dione
(1S,3S(E),7S,10R,11 S,12S,16R)-7,11-Dihydroxy-1-ethyl-3-(1-methyl-2-(2-methyl-4- oxazolyl)ethenyi)-8,8,10,12-tetramethyl-4,17-dioxabicyclo[14.1.0]heptadecan-5,9-dion und(1S, 3S (E), 7S, 10R, 11 S, 12S, 16R) -7,11-dihydroxy-1-ethyl-3- (1-methyl-2- (2-methyl-4-oxazolyl) ethenyi) -8,8,10,12-tetramethyl-4,17-dioxabicyclo [14.1.0] heptadecane-5,9-dione and
(1 R,3S(E),7S,10R,11S,12S,16S)-7,11-Dihydroxy-1-ethyi-3-(1-methyl-2-(2-methyl-4- oxazolyl)ethenyl)-8,8,10,12-tetramethyl-4,17-dioxabicyclo[14.1.0]heptadecan-5,9-dion (4S,7R.8S,9S, 13Z.16S(E))-4,8-Dihydroxy-14-ethyl-16-(1 -methyl-2-(2-pyridyl)ethenyl)-1- oxa-5,5.7,9-tetramethyl-cycionexadec-13-en-2,6-dion(1 R, 3S (E), 7S, 10R, 11S, 12S, 16S) -7,11-dihydroxy-1-ethyl-3- (1-methyl-2- (2-methyl-4-oxazolyl) ethenyl) -8,8,10,12-tetramethyl-4,17-dioxabicyclo [14.1.0] heptadecane-5,9-dione (4S, 7R.8S, 9S, 13Z.16S (E)) - 4,8-Dihydroxy-14-ethyl-16- (1-methyl-2- (2-pyridyl) ethenyl) -1-oxa-5, 5.7,9-tetramethyl-cycionexadec-13-en-2,6-dione
(1 S,3S(E),7S,10R,1 1 S,12S,16R)-7,1 1 -Dihydroxy-1 -ethyl-3-(1-methyl-2-(2- pyridyl)ethenyl)-8,8,10,12-tetramethyl-4, τr-dioxabicyclo[14.1 .0]heptadecan-5,9-dion und (1 R,3S(E),7S, 10R, 1 1 S, 12S, 16S)-7, 1 1 -Dihydroxy-1 -ethyl-3-(1 -methyl-2-(2- pyridyl)ethenyl)-8,8,10,12-tetramethyl-4,17-dioxabicyclo[14.1.0]heptadecan-5,9-dion(1 S, 3S (E), 7S, 10R, 1 1 S, 12S, 16R) -7.1 1 -dihydroxy-1-ethyl-3- (1-methyl-2- (2-pyridyl) ethenyl) - 8,8,10,12-tetramethyl-4, τ r -dioxabicyclo [14.1 .0] heptadecane-5,9-dione and (1 R, 3S (E), 7S, 10R, 1 1 S, 12S, 16S) -7.1 1 -Dihydroxy-1-ethyl-3- (1-methyl-2- (2-pyridyl) ethenyl) -8,8,10,12-tetramethyl-4,17-dioxabicyclo [14.1.0] heptadecane -5,9-dione
(4S,7R,8S,9S,13Z,16S(E))-4,8-Dihydroxy-7,14-diethyl-16-(1-methyl-2-(2-methyl-4- thiazolyl)ethenyl)-1 -oxa-5,5,9-trimethyl-cyclohexadec-13-en-2,6-dion(4S, 7R, 8S, 9S, 13Z, 16S (E)) - 4,8-dihydroxy-7,14-diethyl-16- (1-methyl-2- (2-methyl-4-thiazolyl) ethenyl) - 1-oxa-5,5,9-trimethyl-cyclohexadec-13-ene-2,6-dione
(1 S,3S(E),7S,10R,1 1 S,12S,16R)-7,1 1-Dihydroxy-1 ,10-diethyl-3-(1 -methyl-2-(2-methyl-4- thiazoiyl)ethenyl)-8,8,12-trimethyl-4,17-dioxabicyclo[14.1.0]heptadecan-5,9-dion und (1 R,3S(E),7S,10R,1 1 S,12S,16S)-7,1 1-Dihydroxy-1 ,10-diethyl-3-(1-methyl-2-(2-methyl-4- thiazolyl)ethenyl)-8,8,12-trimethyl-4,17-dioxabicyclo[14.1.0]heptadecan-5,9-dion(1 S, 3S (E), 7S, 10R, 1 1 S, 12S, 16R) -7.1 1-dihydroxy-1, 10-diethyl-3- (1-methyl-2- (2-methyl-4 - thiazoiyl) ethenyl) -8,8,12-trimethyl-4,17-dioxabicyclo [14.1.0] heptadecane-5,9-dione and (1 R, 3S (E), 7S, 10R, 1 1 S, 12S , 16S) -7.1 1-dihydroxy-1, 10-diethyl-3- (1-methyl-2- (2-methyl-4-thiazolyl) ethenyl) -8,8,12-trimethyl-4,17- dioxabicyclo [14.1.0] heptadecane-5,9-dione
(4S,7R,8S,9S,13Z,16S(E))-4,8-Dihydroxy-14-proyl-16-(1-methyl-2-(2-methyl-4- thiazolyl)ethenyl)-1 -oxa-5,5,7,9-tetramethyl-cyciohexadec-13-en-2,6-dion(4S, 7R, 8S, 9S, 13Z, 16S (E)) - 4,8-Dihydroxy-14-proyl-16- (1-methyl-2- (2-methyl-4-thiazolyl) ethenyl) -1 - oxa-5,5,7,9-tetramethyl-cyciohexadec-13-en-2,6-dione
(1 S,3S(E),7S,10R,1 1 S,12S,16R)-7,1 1 -Dihydroxy-1 -propyl-3-(1-methyl-2-(2-methyl-4- thiazoiyi)ethenyl)-8,8, 10,12-tetramethyl-4, 17-dioxabicyclo[14.1.0]heptadecan-5,9-dion und(1 S, 3S (E), 7S, 10R, 1 1 S, 12S, 16R) -7.1 1 -dihydroxy-1-propyl-3- (1-methyl-2- (2-methyl-4-thiazoiyi ) ethenyl) -8,8, 10,12-tetramethyl-4, 17-dioxabicyclo [14.1.0] heptadecane-5,9-dione and
(1 R,3S(E),7S,10R,1 1 S,12S,16S)-7,1 1-Dihydroxy-1-propyl-16-(1 -methyl-2-(2-methyl-4- thiazolyl)ethenyl)-8,8,10,12-tetramethyl-4,17-dioxabicyclo[14.1.0]heptadecan-5,9-dion(1 R, 3S (E), 7S, 10R, 1 1 S, 12S, 16S) -7.1 1-dihydroxy-1-propyl-16- (1-methyl-2- (2-methyl-4-thiazolyl ) ethenyl) -8,8,10,12-tetramethyl-4,17-dioxabicyclo [14.1.0] heptadecane-5,9-dione
(4S,7R,8S,9S,13E,16S(E))-4,8-Dihydroxy-16-(1-methyl-2-(2-methyl-4-thiazoiyl)ethenyl)-1- oxa-5,5,7,9,14-pentamethyl-cyclohexadec-13-en-2,6-dion(4S, 7R, 8S, 9S, 13E, 16S (E)) - 4,8-dihydroxy-16- (1-methyl-2- (2-methyl-4-thiazoiyl) ethenyl) -1-oxa-5, 5,7,9,14-pentamethyl-cyclohexadec-13-ene-2,6-dione
(1 S,3S(E),7S,10R,1 1 S,12S,16S)-7,1 1-Dihydroxy-3-(1-methyl-2-(2-methyl-4- thiazolyl)ethenyl)-1 ,8,8,10,12-pentamethyl-4,17-dioxabicycio[14.1.0]heptadecan-5,9-dion und(1 S, 3S (E), 7S, 10R, 1 1 S, 12S, 16S) -7.1 1-dihydroxy-3- (1-methyl-2- (2-methyl-4-thiazolyl) ethenyl) - 1, 8,8,10,12-pentamethyl-4,17-dioxabicycio [14.1.0] heptadecane-5,9-dione and
(1 R,3S(E),7S,10R,1 1 S,12S,16R)-7,1 1-Dihydroxy-3-(1-methyl-2-(2-methyl-4- thiazoiyl)ethenyl)-1 ,8,8,10,12-pentamethyl-4,17-dioxabicyclo[14.1.0]heptadecan-5,9-dion(1 R, 3S (E), 7S, 10R, 1 1 S, 12S, 16R) -7.1 1-dihydroxy-3- (1-methyl-2- (2-methyl-4-thiazoiyl) ethenyl) - 1, 8,8,10,12-pentamethyl-4,17-dioxabicyclo [14.1.0] heptadecane-5,9-dione
(4S,7R,8S,9S,13E,16S(E))-4,8-Dihydroxy-16-(1-methyl-2-(2-methyl-4-oxazolyl)ethenyl)-1- oxa-5,5,7,9,14-pentamethyl-cyclohexadec-13-en-2,6-dion (1 S,3S(E),7S,10R,1 1 S,12S,16S)-7.11-Dihydroxy-3-(1-methyl-2-(2-methyl-4- oxazoιyi)ethenyi)-1 ,3,3, 10,12-pentamethyl-4, 17-dιoxabιcycio[14.1.0]heptaαecaπ-5,9-dιon und(4S, 7R, 8S, 9S, 13E, 16S (E)) - 4,8-dihydroxy-16- (1-methyl-2- (2-methyl-4-oxazolyl) ethenyl) -1-oxa-5, 5,7,9,14-pentamethyl-cyclohexadec-13-ene-2,6-dione (1 S, 3S (E), 7S, 10R, 1 1 S, 12S, 16S) -7.11-dihydroxy-3- (1-methyl-2- (2-methyl-4-oxazoιyi) ethenyi) -1, 3 , 3, 10,12-pentamethyl-4, 17-dιoxabιcycio [14.1.0] heptaαecaπ-5,9-dιon and
(1 R,3S(E),7S.10R,11 S,12S,16R)-7,11-Dihydroxy-3-{1-methyl-2-(2-methyi-4- oxazol1yl)ethenyl)-1 ,8,8,10,12-pentamethyl-4,17-dioxabιcyclo[14.1.0]heptadecan-5,9- dion(1 R, 3S (E), 7S.10R, 11 S, 12S, 16R) -7,11-dihydroxy-3- {1-methyl-2- (2-methyi-4-oxazol1yl) ethenyl) -1, 8,8,10,12-pentamethyl-4,17-dioxabιcyclo [14.1.0] heptadecane-5,9-dione
(4S,7R,8S,9S,13E, 16S(E))-4,8-Dihydroxy-16-(1 -methyl-2-(2-pyridyl)ethenyl)-1 -oxa- 5,5,7,9, 14-pentamethyl-cyclohexadec-13-en-2,6-dion(4S, 7R, 8S, 9S, 13E, 16S (E)) - 4,8-dihydroxy-16- (1-methyl-2- (2-pyridyl) ethenyl) -1-oxa- 5,5,7, 9, 14-pentamethyl-cyclohexadec-13-en-2,6-dione
(1S,3S(E),7S,10R,11S,12S,16S)-7,11-Dihydroxy-3-(1-methyl-2-(2-pyridyl)ethenyl)- 1 ,8,8,10,12-pentamethyl-4, 17-dioxabicyclo[14.1.0]heptadecan-5,9-dion und (1 R,3S(E),7S,10R,11S,12S,16R)-7,11-Dihydroxy-3-(1-methyl-2-(2-pyridyl)ethenyl)- 1 ,8,8,10,12-pentamethyl-4, 17-dioxabicyclo[14.1.0]heptadecan-5,9-dion(1S, 3S (E), 7S, 10R, 11S, 12S, 16S) -7,11-dihydroxy-3- (1-methyl-2- (2-pyridyl) ethenyl) - 1, 8,8,10, 12-pentamethyl-4, 17-dioxabicyclo [14.1.0] heptadecane-5,9-dione and (1 R, 3S (E), 7S, 10R, 11S, 12S, 16R) -7,11-dihydroxy-3- (1-methyl-2- (2-pyridyl) ethenyl) -1,8,8,10,12-pentamethyl-4,4,1-dioxabicyclo [14.1.0] heptadecane-5,9-dione
(4S,7R,8S,9S,13E,16S(E))-4,8-Dihydroxy-7-ethyl-16-(1-methyl-2-(2-methyl-4- thiazolyl)ethenyl)-1-oxa-5,5,9,14-tetramethyi-cyclohexadec-13-en-2,6-dion(4S, 7R, 8S, 9S, 13E, 16S (E)) - 4,8-dihydroxy-7-ethyl-16- (1-methyl-2- (2-methyl-4-thiazolyl) ethenyl) -1- oxa-5,5,9,14-tetramethyi-cyclohexadec-13-ene-2,6-dione
(1 S,3S(E),7S, 10R, 11 S, 12S, 16S)-7, 11 -Dihydroxy-10-ethyl-3-(1 -methyl-2-(2-methyi-4- thiazolyl)ethenyl)-1 ,8,8, 12-tetramethyl-4, 17-dioxabicyclo[14.1.0]heptadecan-5,9-dion und (1 R,3S(E),7S, 10R, 11 S, 12S, 16R)-7, 11 -Dihydroxy-10-ethyl-3-(1 -methyl-2-(2-methyl-4- thiazolyl)ethenyl)-1 ,8,8,12-tetramethyl-4,17-dioxabicyclo[14.1.0]heptadecan-5,9-dion(1 S, 3S (E), 7S, 10R, 11 S, 12S, 16S) -7, 11 -dihydroxy-10-ethyl-3- (1-methyl-2- (2-methyl-4-thiazolyl) ethenyl ) -1, 8,8, 12-tetramethyl-4, 17-dioxabicyclo [14.1.0] heptadecane-5,9-dione and (1 R, 3S (E), 7S, 10R, 11 S, 12S, 16R) -7, 11-Dihydroxy-10-ethyl-3- (1-methyl-2- (2-methyl-4-thiazolyl) ethenyl) -1, 8,8,12-tetramethyl-4,17-dioxabicyclo [14.1. 0] heptadecane-5,9-dione
(4S,7R,8S,9S,13E,16S(E))-4,8-Dihydroxy-14-ethyl-16-(1-methyl-2-(2-methyl-4- thiazolyl)ethenyl)-1 -oxa-5,5,7,9-tetramethyl-cyclohexadec-13-en-2,6-dion(4S, 7R, 8S, 9S, 13E, 16S (E)) - 4,8-Dihydroxy-14-ethyl-16- (1-methyl-2- (2-methyl-4-thiazolyl) ethenyl) -1 - oxa-5,5,7,9-tetramethyl-cyclohexadec-13-ene-2,6-dione
(1S,3S(E),7S,10R,11S,12S,16S)-7,11-Dihydroxy-1-ethyl-3-(1-methyl-2-(2-methyl-4- thiazoiyl)ethenyl)-8,8,10,12-tetramethyl-4,17-dioxabicyclo[14.1.0]heptadecan-5,9-dicn und (1 R,3S(E),7S,10R,11S,12S,16R)-7,11-Dihydroxy-1-ethyl-3-(1-methyl-2-(2-methyl-4- thiazolyl)ethenyl)-8,8,10,12-tetramethyl-4,17-dioxabicyclo[14.1.0]heptadecan-5,9-dion(1S, 3S (E), 7S, 10R, 11S, 12S, 16S) -7,11-dihydroxy-1-ethyl-3- (1-methyl-2- (2-methyl-4-thiazoiyl) ethenyl) - 8,8,10,12-tetramethyl-4,17-dioxabicyclo [14.1.0] heptadecane-5,9-dicn and (1 R, 3S (E), 7S, 10R, 11S, 12S, 16R) -7, 11-Dihydroxy-1-ethyl-3- (1-methyl-2- (2-methyl-4-thiazolyl) ethenyl) -8,8,10,12-tetramethyl-4,17-dioxabicyclo [14.1.0] heptadecane -5,9-dione
(4S,7R,8S,9S,13E,16S(E))-4,8-Dihydroxy-14-proyl-16-(1-methyl-2-(2-methyl-4- thiazolyl)ethenyl)-1-oxa-5,5,7,9-tetramethyl-cyciohexadec-13-en-2,6-dion(4S, 7R, 8S, 9S, 13E, 16S (E)) - 4,8-dihydroxy-14-proyl-16- (1-methyl-2- (2-methyl-4-thiazolyl) ethenyl) -1- oxa-5,5,7,9-tetramethyl-cyciohexadec-13-en-2,6-dione
(1S,3S(E),7S,10R,11S,12S,16S)-7,11-Dihydroxy-1-propyl-3-(1-methyl-2-(2-methyi-4- thiazolyl)ethenyl)-8,8,10,12-tetramethyl-4,17-dioxabicyclo[14.1.0]heptadecan-5,9-dion und (1 R,3S(E),7S,10R,11 S,12S,16R)-7,11-Dihydroxy-1-propyi-16-(1-methyi-2-(2-methyl-4- thiazoiyl)ethenyl)-8,8.10,12-tetramethyi-4.17-dioxaDicycio[14.1.0]heptadecan-5,9-dion(1S, 3S (E), 7S, 10R, 11S, 12S, 16S) -7,11-dihydroxy-1-propyl-3- (1-methyl-2- (2-methyl-4-thiazolyl) ethenyl) - 8,8,10,12-tetramethyl-4,17-dioxabicyclo [14.1.0] heptadecane-5,9-dione and (1 R, 3S (E), 7S, 10R, 11 S, 12S, 16R) -7,11-dihydroxy-1-propyi-16- (1-methyi-2- (2-methyl-4-thiazoiyl) ethenyl ) -8,8.10,12-tetramethyi-4.17-dioxadicycio [14.1.0] heptadecane-5,9-dione
(4S,7R,8S,9S,13Z,16S(E))-4,8-Dihydroxy-16-{1-methyl-2-(2-methyl-4-thiazolyl)ethenyl)-1- oxa-5, 5,7,9,13, 14-hexamethyl-cyclohexactec-13-en-2,6-dion(4S, 7R, 8S, 9S, 13Z, 16S (E)) - 4,8-dihydroxy-16- {1-methyl-2- (2-methyl-4-thiazolyl) ethenyl) -1-oxa-5, 5,7,9,13, 14-hexamethyl-cyclohexactec-13-en-2,6-dione
(1S,3S(E),7S,10R,11S,12S,16R)-7,11-Dihydroxy-3-(1-methyl-2-(2-methyl-4- thiazolyi)ethenyl)-1 ,8,8,10,12,16-hexamethyl-4,17-dioxabicyclo[14.1.0]heptadecan-5,9- dion und (1R,3S(E),7S,10R,11S,12S,16S)-7,11-Dihydroxy-3-(1-methyl-2-(2-methyl-4- thiazoiyl)ethenyl)-1 , 8,8, 10,12,16-hexamethyl-4,17-dioxabicyclo[14.1.0]heptadecan-5,9- dion(1S, 3S (E), 7S, 10R, 11S, 12S, 16R) -7,11-dihydroxy-3- (1-methyl-2- (2-methyl-4-thiazolyi) ethenyl) -1, 8, 8,10,12,16-hexamethyl-4,17-dioxabicyclo [14.1.0] heptadecane-5,9-dione and (1R, 3S (E), 7S, 10R, 11S, 12S, 16S) -7.11 -Dihydroxy-3- (1-methyl-2- (2-methyl-4-thiazoiyl) ethenyl) -1,8,8,10,12,126-hexamethyl-4,17-dioxabicyclo [14.1.0] heptadecane 5.9- dione
(4S,7R,8S,9S,13Z,16S(E))-4,8-Dihydroxy-16-(1-methyl-2-(2-pyridyl)ethenyl)-1-oxa- 5,5,7,9,13, 14-hexamethyl-cyclohexadec-13-en-2,6-dion(4S, 7R, 8S, 9S, 13Z, 16S (E)) - 4,8-dihydroxy-16- (1-methyl-2- (2-pyridyl) ethenyl) -1-oxa- 5,5,7, 9,13, 14-hexamethyl-cyclohexadec-13-ene-2,6-dione
(1S,3S(E),7S,10R,11 S,12S,16R)-7,11-Dihydroxy-3-(1-methyl-2-(2-pyridyl)ethenyl)- 1 ,8,8,10,12,16-hexamethyl-4, 17-dioxabicyclo[14.1.0]heptadecan-5,9-dion und (1R,3S(E),7S,10R,11S,12S,16S)-7,11-Dihydroxy-3-(1-methyl-2-(pyridyl)ethenyi)- 1 ,8,8,10,12,16-hexamethyi-4, 17-dioxabicyclo[14.1.0]heptadecan-5,9-dion(1S, 3S (E), 7S, 10R, 11 S, 12S, 16R) -7,11-dihydroxy-3- (1-methyl-2- (2-pyridyl) ethenyl) -1,8,8,10 , 12,16-hexamethyl-4, 17-dioxabicyclo [14.1.0] heptadecane-5,9-dione and (1R, 3S (E), 7S, 10R, 11S, 12S, 16S) -7,11-dihydroxy- 3- (1-methyl-2- (pyridyl) ethenyi) - 1, 8,8,10,12,16-hexamethyi-4, 17-dioxabicyclo [14.1.0] heptadecane-5,9-dione
Darstellung der Teilfragmente A (WO 99/07692)Representation of partial fragments A (WO 99/07692)
Die Teilfragmente (Synthesebausteine) der allgemeinen Formel A lassen sich leicht aus a) einem Pantolacton der allgemeinen Formel llaThe partial fragments (synthesis building blocks) of the general formula A can easily be obtained from a) a pantolactone of the general formula Ila
worinwherein
Rla't Rlb' jeweils für eine Methylgruppe stehen oder b) einem Malonsäuredialkylester der allgemeinen Formel XXVIIRla ' t Rlb' each represent a methyl group or b) a malonic acid dialkyl ester of the general formula XXVII
XXVIIIXXVIII
Alkyl-Q2C y C02-AlkylAlkyl Q 2 C y C0 2 alkyl
worinwherein
Rla^ Rl b' je jn der allgemeinen Formel A angegebene Bedeutung haben, undRla ^ Rl b 'j e j n of the general formula A have the meaning given, and
Alkyl unabhängig voneinander einen C-|-C20-Alkyl-, C3-C-)o-Cycloalkyl- oder C4-C20-Alkyl independently of one another a C- | -C20-alkyl-, C3-C-) o-cycloalkyl- or C4-C20-
Alkyicycloalkylrest bedeuten.Alkyicycloalkylrest mean.
als Ausgangsprodukt herstellen.manufacture as a starting product.
Die Teilfragmente A, in denen R1 a'=R1 b'=Methyl ist, können aus wohlfeilem Pantolacton auf effiziente Weise mit einer optischen Reinheit >98%ee hergestellt werden.The partial fragments A, in which R 1 a '= R 1 b ' = methyl, can be produced from inexpensive pantolactone in an efficient manner with an optical purity> 98% ee.
Die Synthese wird im folgenden Schema 1 am Beispiel des D-(-)-Pantolactons beschrieben. Aus L-(+)-Pantolacton erhält man die entsprechenden, zu A-Il bis A-XIV enantiomeren Verbindungen ent-A-ll bis ent-A-XIV und aus racemischem DL- Pantolacton die entsprechenden racemischen Verbindungen rac-A-ll bis rac-A-XIV: The synthesis is described in the following scheme 1 using the example of D - (-) - pantolactone. The corresponding compounds ent-A-II to ent-A-XIV, which are enantiomeric to A-II to A-XIV, are obtained from L - (+) - pantolactone and the corresponding racemic compounds rac-A-II to from racemic DL-pantolactone rac-A-XIV:
Schema 1Scheme 1
R 1 a R 1 b' c OH R 1 a R 1 b 'c OH
A-Il A-Il! A-IV A-VA-Il A-Il! A-IV A-V
A-Vl A-Vl
A-Xll A-Xl II A-XIVA-Xll A-Xl II A-XIV
*: nur, falls R2a' oder R2b' in A-Xl II gleich Wasserstoff ist * : only if R 2a 'or R 2b ' in A-Xl II is hydrogen
Schritt a (A-Il = A-Ill):Step a (A-Il = A-Ill):
Die freie Hydroxygruppe des Pantolactons (A-Il) wird nach den, dem Fachmann bekannten Methoden geschützt. Als Schutzgruppe PG^ kommen die, dem Fachmann bekannten Schutzgruppen wie z.B. der Methoxymethyl-, Methoxyethyl, Ethoxyethyl-, Tetrahydropyranyl-, Tetrahydrofuranyl-, Trimethylsiiyl-, Triethylsilyl-, tert.- Butyldimethylsilyl-, tert.-Butyldiphenylsilyl-, Tribenzylsilyl-, Triisopropylsilyl-, Benzyi, para- Nitrobenzyl-, para-Methoxybenzyl-, Formyl-, Acetyl-, Propionyl-, Isopropionyl-, Pivalyl-, Butyryl- oder Benzoylrest in Frage. Eine Übersicht befindet sich z.B. in "Protective Groups in Organic Synthesis" Theodora W. Green, John Wiley and Sons). Bevorzugt sind solche Schutzgruppen, die unter sauren Reaktionsbedingungen gespalten werden können, wie z.3. der Methoxymethyi-, Tetrahydropyranyi-, Tetrahydrofuranyi-, Trimethylsilyl-Rest. Besonders bevorzugt ist der Tetrahydropyranyl-Rest.The free hydroxyl group of pantolactone (A-II) is protected by the methods known to those skilled in the art. As protective group PG ^ come the protective groups known to the person skilled in the art, such as, for example, methoxymethyl, methoxyethyl, ethoxyethyl, tetrahydropyranyl, tetrahydrofuranyl, trimethylsilyl, triethylsilyl, tert.-butyldimethylsilyl, tert.-butyldiphenylsilylsilyl, tribenzylsilyl, tribenzylsilyl, tribenzylsilyl -, Benzyi, para-nitrobenzyl, para-methoxybenzyl, formyl, acetyl, propionyl, isopropionyl, pivalyl, butyryl or benzoyl in question. An overview can be found, for example, in "Protective Groups in Organic Synthesis" (Theodora W. Green, John Wiley and Sons). Preference is given to protective groups which can be cleaved under acidic reaction conditions, such as, for example, 3. the methoxymethyl, tetrahydropyranyi, tetrahydrofuranyi, trimethylsilyl radical. The tetrahydropyranyl radical is particularly preferred.
Schritt b (A-Ill => A-IV):Step b (A-Ill => A-IV):
Das geschützte Lacton A-Ill wird zum Lactol A-IV reduziert. Als Reduktionsmittel eignen sich in ihrer Reaktivität modifizierte Aluminiumhydride wie z.B. Diisobutylaluminium- hydrid. Die Reaktion erfolgt in einem inerten Lösungsmittel wie z.B. Toluol, vorzugsweise bei niedrigen Temperaturen.The protected lactone A-Ill is reduced to lactol A-IV. Reactivity modified aluminum hydrides such as e.g. Diisobutyl aluminum hydride. The reaction takes place in an inert solvent such as e.g. Toluene, preferably at low temperatures.
Schritt c (A-IV => A-V):Step c (A-IV => A-V):
Das Lactol A-IV wird unter Erweiterung um ein C-Atom zum Hydroxyolefin A-V geöffnet.Lactol A-IV is opened with the addition of one carbon atom to the hydroxyolefin A-V.
Hierzu eignen sich die, dem Fachmann bekannten Methoden wie z.B. die Olefinierung nach Tebbe, die Wittig- oder Wittig/Homer-Reaktion, die Addition einer metallorganischen Verbindung unter Abspaltung von Wasser. Bevorzugt ist dieThe methods known to the person skilled in the art such as e.g. the Tefbe olefination, the Wittig or Wittig / Homer reaction, the addition of an organometallic compound with elimination of water. The is preferred
Wittigreaktion unter Verwendung von Methyitriarylphosphoniumhalogeniden wie z.B.Wittig reaction using methylitriarylphosphonium halides such as e.g.
Methyltriphenylphosphoniumbromid mit starken Basen wie z.B. n-Butyilithium, Kalium- tert.-butanoiat, Natriumethanolat, Natriumhexamethyldisiiazan; als Base bevorzugt ist n- Butyllithium.Methyl triphenylphosphonium bromide with strong bases such as e.g. n-butyl lithium, potassium tert-butanoate, sodium ethanolate, sodium hexamethyldisiiazane; n-butyllithium is preferred as the base.
Schritt d (A-V => A-VI):Step d (A-V => A-VI):
Die freie Hydroxygruppe in A-V wird nach den, dem Fachmann bekannten Methoden geschützt. Als Schutzgruppe PG9 kommen die, dem Fachmann bekannten Schutzgruppen, wie sie schon vorstehend für PG8 im Schritt a (A-Il => A-Ill) genannt wurden, in Frage.The free hydroxyl group in AV is protected by methods known to those skilled in the art. The protective groups PG 9 are the protective groups known to the person skilled in the art, as already mentioned above for PG 8 in step a (A-II => A-III).
Bevorzugt sind solche Schutzgruppen, die unter Einwirkung von Fluorid gespalten werden können, wie z.B. der Trimethylsilyl-, tert.-Butyldimethylsilyl-, tert.-Protective groups which can be cleaved under the action of fluoride, such as e.g. the trimethylsilyl, tert.-butyldimethylsilyl, tert.-
Butyldiphenylsilyl-, Tribenzylsilyl-, Triisopropylsilyl-Rest. Besonders bevorzugt ist der tert.-Butyldimethylsilyl-, der Triisopropylsilyl- und der tert.-Butyldiphenylsilyl, tribenzylsilyl, triisopropylsilyl radical. The tert.-butyldimethylsilyl, the triisopropylsilyl and the tert.-
Butyldiphenylsilyl-Rest.Butyldiphenylsilyl residue.
Schritt e (A-VI = A-VII):Step e (A-VI = A-VII):
An die Doppelbindung in A-Vl wird nach anti-Markovnikov Wasser addiert. Hierzu eignen sich die dem Fachmann bekannten Verfahren wie z.B. die Umsetzung mit Boranen, deren anschließende Oxidation zu den entsprechenden Borsäureestern und deren Verseifung. Als Borane bevorzugt sind z.B. der Boran-Tetrahydrofuran-Komplex, der Boran-Dimethylsulfid-Komplex, 9-Borabicyclo[3.3.1]nonan in einem inerten Lösungsmittel wie beispielsweise Tetrahydrofuran oder Diethylether. Als Oxidationsmittel wird vorzugsweise Wasserstoffperoxid verwendet, zur Verseifung der Borester vorzugsweise Alkalihydroxide wie z.B. NatriumhydroxidAnti-Markovnikov water is added to the double bond in A-VI. The processes known to the person skilled in the art are suitable for this purpose, for example the reaction with boranes, their subsequent oxidation to the corresponding boric acid esters and their saponification. Preferred boranes are, for example, the borane-tetrahydrofuran complex, the borane-dimethyl sulfide complex, 9-borabicyclo [3.3.1] nonane in an inert solvent such as, for example, tetrahydrofuran or diethyl ether. As an oxidizing agent preferably hydrogen peroxide, preferably alkali metal hydroxides such as sodium hydroxide for the saponification of the boresters
Schritt f (A-VI =» A-VII): Die unter Schritt a) eingeführte Schutzgruppe PG8 wird nun nach den dem Fachmann bekannten Verfahren gespalten. Handelt es sich um eine sauer spaltbare Schutzgruppe, so eignen sich für die Spaltung verdünnte Mineralsauren in wässrig-alkoholischen Lösungen, die Verwendung von katalytischen Mengen Säuren wie z.B. para- Toluolsulfonsäure, para-Toluolsulfonsäure-pyridiniumsalz, Camphersulfonsäure in alkoholischen Lösungen, vorzugsweise in Ethanol oder Isopropanol.Step f (A-VI = »A-VII): The protective group PG 8 introduced under step a) is now cleaved according to the processes known to the person skilled in the art. If it is an acidic cleavable protective group, then dilute mineral acids in aqueous alcoholic solutions are suitable, the use of catalytic amounts of acids such as para-toluenesulfonic acid, para-toluenesulfonic acid pyridinium salt, camphorsulfonic acid in alcoholic solutions, preferably in ethanol or Isopropanol.
Schritt g (A-VII => A-IX):Step g (A-VII => A-IX):
Ein gemeinsamer Schutz beider Alkoholfunktionen des monogeschύtzten 1 .3-Diols in A-A joint protection of both alcohol functions of the mono-protected 1 .3-diol in A-
VII ist durch direkte Ketalisierung mit einer Carbonylverbindung der allgemeinen Formel R16a-CO-R1 6b, oder durch Umketalisierung mit einem Ketal der allgemeinen Formeln, Rl6a_c(0C2H5)2-R1 6b, R1 6a-C(OC2H4)2-R1 6b, Rl 6a.C(OCH2C(CH3)2CH2θ)-R16b worin jeweils R^a uncj Rl 6b die oben angegebenen Bedeutungen haben, unter Säurekatalyse möglich. Als Säuren eignen sich die bereits unter Schritt f) genannten Säuren, bevorzugt ist die Verwendung von para-Toluolsulfonsäure gegebenenfalls unter Zusatz von Kupfer(ll)- oder Kobalt(ll)-Salzen wie z.B. Kupfer(ll)sulfat.VII is by direct ketalization with a carbonyl compound of the general formula R 1 6 a -CO-R 1 6b , or by transketalization with a ketal of the general formulas, Rl6a_c (0C 2 H5) 2 -R 1 6b , R 1 6a -C ( OC 2 H 4 ) 2 -R 1 6b , Rl 6a.C (OCH 2 C (CH3) 2CH2θ) -R 1 6 b wherein each R ^ a unc j Rl 6b have the meanings given above, possible under acid catalysis. Suitable acids are the acids already mentioned under step f), preference is given to the use of para-toluenesulfonic acid, optionally with the addition of copper (II) or cobalt (II) salts such as copper (II) sulfate.
Schritt h (A-VIM => A-IX):Step h (A-VIM => A-IX):
Ein Schutz beider Alkohoifunktionen des 1.3-Diols in A-Vlll ist durch direkte Ketalisierung mit einer Carbonylverbindung der allgemeinen Formel Rl 6a_co-Rl 6b, oder durch Umketalisierung mit einem Ketal der allgemeinen Formeln, R16a_c(0C2H5)2-R1 ^b, Rl6a_c(0C2H4)2-R1 6b, R1 6a-C(OCH2C(CH3)2CH2O)-R1 6b worin jeweils R^a und Rl6b dje oben angegebenen Bedeutungen haben, unter Säurekatalyse möglich. Bevorzugt ist die Umketalisierung vorzugsweise mit 2,2-Dimethoxypropan. Als Säuren eignen sich die bereits unter Schritt f) genannten Säuren, bevorzugt ist die Verwendung von Camphersulfonsäure.Protection of both alcohol functions of the 1,3-diol in A-VIII is possible by direct ketalization with a carbonyl compound of the general formula Rl 6a _co-Rl 6 b , or by transketalization with a ketal of the general formulas, R 1 6a_c (0C2H5) 2-R 1 ^ b , Rl6a_c (0C 2 H 4 ) 2-R 1 6b , R 1 6a -C (OCH 2 C (CH3) 2CH 2 O) -R 1 6b wherein R ^ a and Rl6b each have the meanings given above, below Acid catalysis possible. Transketalization with 2,2-dimethoxypropane is preferred. Suitable acids are the acids already mentioned under step f); preference is given to using camphorsulfonic acid.
Schritt i (A-IX =* A-X):Step i (A-IX = * A-X):
Die unter Schritt d) eingeführte Schutzgruppe PG wird nun nach den dem Fachmann bekannten Verfahren gespalten. Handelt es sich um einen Silylether, so eignet sich für die Spaltung die Umsetzung mit Fluonden wie beispielsweise Tetrabutylammoniumfluoπd, dem Fluorwasserstoff-Pyridin-Komplex, Kaliumfluorid oder die Anwendung verdünnter Mineralsäuren, die Verwendung von katalytischen Mengen Säuren wie z.B para-Toluolsulfonsäure, para-Toluoisuifonsaure-pyndiniumsalz, Campnersulfonsaure in alkoholischen Lösungen, vorzugsweise in Ethanol oder Isopropanol.The protective group PG introduced under step d) is then split using the methods known to the person skilled in the art. If it is a silyl ether, the reaction with fluorides such as tetrabutylammonium fluoride, the hydrogen fluoride-pyridine complex, potassium fluoride or the use of dilute mineral acids, the use of catalytic amounts of acids such as para-toluenesulfonic acid, para-toloisoisifonic acid is suitable for the cleavage -pyndinium salt, Campner sulfonic acid in alcoholic solutions, preferably in ethanol or isopropanol.
Schritt k (A-X = A-Xl): Die Oxidation des primären Alkohols in A-X zum Aldehyd erfolgt nach den, dem Fachmann bekannten Methoden. Beispielsweise genannt sei die Oxidation mit Pyridiniumchlorochromat, Pyridiniumdichromat, Chromtrioxid-Pyridin-Komplex, die Oxidation nach Swern oder verwandter Methoden z.B. unter Verwendung von Oxalylchlorid in Dimethylsulfoxid, die Verwendung des Dess-Martin-Periodinans, die Verwendung von Stickstoffoxiden wie z.B. N-Methyl-morpholino-N-oxid in Gegenwart geeigneter Katalysatoren wie z.B. Tetrapropylammoniumperruthenat in inerten Lösungsmitteln. Bevorzugt ist die Oxidation nach Swern sowie mit N-Methyl-morpholino- N-oxid unter Verwendung von Tetrapropylammoniumperruthenat.Step k (A-X = A-Xl): The oxidation of the primary alcohol in A-X to the aldehyde takes place according to the methods known to the person skilled in the art. Examples include oxidation with pyridinium chlorochromate, pyridinium dichromate, chromium trioxide-pyridine complex, oxidation according to Swern or related methods, e.g. using oxalyl chloride in dimethyl sulfoxide, using Dess-Martin periodinane, using nitrogen oxides such as e.g. N-methyl-morpholino-N-oxide in the presence of suitable catalysts such as e.g. Tetrapropylammonium perruthenate in inert solvents. Oxidation according to Swern and with N-methyl-morpholino-N-oxide using tetrapropylammonium perruthenate is preferred.
Schritt I (A-Xl => A-Xl I):Step I (A-Xl => A-Xl I):
Die Umsetzung der Aldehyde A-Xl zu Alkoholen der Formel A-Xll erfolgt mit metallorganischen Verbindungen der allgemeinen Formel M-CHR a'R2 ', worin M für ein Alkalimetall, vorzugsweise Lithium oder ein zweiwertiges Metall MX, worin X ein Halogen repräsentiert und die Reste R2a' und R2b' jeweils die oben genannten Bedeutungen aufweisen. Als zweiwertiges Metall ist bevorzugt Magnesium und Zink, als Halogen X ist bevorzugt Chlor, Brom und lod.The conversion of the aldehydes A-Xl to alcohols of the formula A-Xll takes place with organometallic compounds of the general formula M-CHR a 'R 2 ', in which M is an alkali metal, preferably lithium or a divalent metal MX, in which X represents a halogen and the radicals R 2a 'and R 2b ' each have the meanings given above. Magnesium and zinc are preferred as divalent metal, and chlorine, bromine and iodine are preferred as halogen X.
Schritt m (A-Xll => A-Xlll):Step m (A-Xll => A-Xlll):
Die Oxidation des sekundären Alkohols in A-Xll A-Xlll erfolgt nach den, unter Schritt k) genannten Bedingungen. Bevorzugt ist die Oxidation mit N-Methyl-morpholino-N-oxid unter Verwendung von Tetrapropylammoniumperruthenat.The oxidation of the secondary alcohol in A-Xll A-Xlll takes place according to the conditions mentioned under step k). Oxidation with N-methylmorpholino-N-oxide using tetrapropylammonium perruthenate is preferred.
Schritt n (A-Xlll => A-XIV):Step n (A-Xlll => A-XIV):
Für den Fall, daß R2a' in A-Xlll gleich Wasserstoff ist, besteht die Möglichkeit, hierfür einen zweiten Rest R2a', der die oben genannten Bedeutungen, ausgenommen Wasserstoff besitzt, einzuführen. Hierzu wird unter Anwendung starker Basen wie z.B. Lithiumdiisopropylamid das Keton in A-Xlll in das Enolat überführt und mit einer Verbindung der allgemeinen Formel X-R2a', worin X ein Halogen repräsentiert umgesetzt. Als Halogen X ist bevorzugt Chlor, Brom und lod.In the event that R 2a 'in A-Xlll is hydrogen, there is the possibility of introducing a second radical R 2a ', which has the meanings mentioned above, except hydrogen. For this purpose, using strong bases such as lithium diisopropylamide, the ketone in A-XIII is converted into the enolate and reacted with a compound of the general formula XR 2a ', where X represents a halogen. Halogen X is preferably chlorine, bromine and iodine.
Der zuvor beschriebene Weg kann ebenfalls dazu benutzt werden, C1 -C6-Epothilon- Bausteine zu synthetisieren, die an C-1 eine Carbonsäure oder deren Ester enthalten Die Synthese des Bausteins A-XXII wird im folgenden Schema 2 am Beispiel der von D-(-)-Pantolacton abgeleiteten Zwischenstufe A-V beschrieben. Aus L-(+)-Pantolacton erhält man die entsprechenden, zu A-V bis A-XXVII enantiomeren Verbindungen ent-A-V bis ent-A-XXVII und aus racemischem DL-Pantolacton die entsprechenden racemischen Verbindungen rac-A-V bis rac-A-XXVII:The previously described route can also be used to synthesize C1-C6 epothilone building blocks which contain a carboxylic acid or its ester at C-1 The synthesis of the building block A-XXII is described in the following scheme 2 using the example of the intermediate AV derived from D - (-) - pantolactone. The corresponding compounds ent-AV to ent-A-XXVII which are enantiomeric to AV to A-XXVII are obtained from L - (+) - pantolactone and the corresponding racemic compounds rac-AV to rac-A-XXVII from racemic DL-pantolactone:
Schema 2Scheme 2
A-XV A-XVI A-XVI I A-XV A-XVI A-XVI I
R1 a R1b' R 2a' Rl a.Rι „ p 2a' R 1 a R 1b ' R 2a' Rl a . R ι "p 2a '
PG10O OPG3 OH PG10O OPG3 O PG 10 O OPG 3 OH PG 10 O OPG 3 O
A-XVI II A-XIX A-XXA-XVI II A-XIX A-XX
A-Vll X A-Vll X
A-XXI II A-XXI V A-XXVA-XXI II A-XXI V A-XXV
A-XXVI A-XXVII Schritt o (A-V => A-XV):A-XXVI A-XXVII Step o (AV => A-XV):
Die Oxidation des primären Alkohols in A-V zum Aldehyd A-XV erfolgt nach den, unterThe oxidation of the primary alcohol in A-V to the aldehyde A-XV takes place according to, below
Schritt k) genannten Bedingungen. Bevorzugt ist das Oxidationsverfahren nach Swern.Step k) conditions mentioned. The oxidation method according to Swern is preferred.
Schritt p (A-XV => A-XVI ):Step p (A-XV => A-XVI):
Die Umsetzung der Aldehyde A-XV zu Alkoholen der Formel A-XVI erfolgt mit metallorganischen Verbindungen der allgemeinen Formel M-CHR2a'R2b', worin M für ein Alkalimetall, vorzugsweise Lithium oder ein zweiwertiges Metall MX, worin X ein Halogen repräsentiert und die Reste R2a' und R2b' jeweils die oben genannten Bedeutungen aufweisen. Als zweiwertiges Metall ist bevorzugt Magnesium und Zink, als Halogen X ist bevorzugt Chlor, Brom und lod.The reaction of the aldehydes A-XV to alcohols of the formula A-XVI takes place with organometallic compounds of the general formula M-CHR 2a 'R 2b ', in which M is an alkali metal, preferably lithium or a divalent metal MX, in which X represents a halogen and the radicals R 2a 'and R 2b ' each have the meanings given above. Magnesium and zinc are preferred as divalent metal, and chlorine, bromine and iodine are preferred as halogen X.
Schritt q (A-XVI => A-XVI I):Step q (A-XVI => A-XVI I):
An die Doppelbindung in A-XVI wird nach anti-Markovnikov Wasser addiert. Hierzu eignen sich die unter e) beschriebenen Verfahren.Anti-Markovnikov water is added to the double bond in A-XVI. The methods described under e) are suitable for this.
Schritt r (A-XVI l => A-XVI II):Step r (A-XVI l => A-XVI II):
Die freie Hydroxygruppe in A-XVI I wird nach den, dem Fachmann bekannten Methoden geschützt. Als Schutzgruppe PG1 ^ kommen die, dem Fachmann bekannten Schutzgruppen, wie sie schon vorstehend für PG8 im Schritt a (A-Il => A-Ill) genannt wurden, in Frage.The free hydroxyl group in A-XVI I is protected by the methods known to those skilled in the art. The protective groups PG 1 ^ are the protective groups known to the person skilled in the art, as already mentioned above for PG 8 in step a (A-II => A-III).
Bevorzugt sind solche Schutzgruppen, die unter basischen oder hydrogenolytischenProtective groups which are preferred are those which are basic or hydrogenolytic
Reaktionsbedingungen gespalten werden können, wie z.B. Benzyi-, para-Nitrobenzyl-,Reaction conditions can be split, e.g. Benzyi, para-nitrobenzyl,
Acetyl-, Propionyl-, Butyryl-, Benzoyl -Rest. Besonders bevorzugt ist der Benzoyl-Rest.Acetyl, propionyl, butyryl, benzoyl radical. The benzoyl radical is particularly preferred.
Schritt s (A-XVIII => A-XIX):Step s (A-XVIII => A-XIX):
Die Oxidation des sekundären Alkohols in A-XVII zum Keton A-XIX erfolgt nach den, unter Schritt k) genannten Bedingungen. Bevorzugt ist die Oxidation mit N-Methyl- morpholino-N-oxid unter Verwendung von Tetrapropylammoniumperruthenat.The oxidation of the secondary alcohol in A-XVII to the ketone A-XIX takes place according to the conditions mentioned under step k). Oxidation with N-methylmorpholino-N-oxide using tetrapropylammonium perruthenate is preferred.
Schritt t (A-XIX => A-XX):Step t (A-XIX => A-XX):
Die Schutzgruppe PG10 in XIX wird nun selektiv gespalten. Handelt es sich um eine hydrogenolytisch spaltbare Schutzgruppe, so wird vorzugsweise in Gegenwart von Palladium- oder Platin-Katalysatoren in inerten Lösungsmitteln wie beispielsweise Ethylacetat oder Ethanol hydriert. Handelt es sich um eine basisch spaltbare Schutzgruppe, so findet vorzugsweise Verwendung die Verseifung mit Carbonaten in alkoholischer Lösung wie z.B. Kaliumcarbonat in Methanol, die Verseifung mit wässrigen Lösungen von Alkalihydroxiden wie z.B. Lithiumhydroxid oder Natriumhydroxid unter Verwendung von organischen, mit Wasser mischbaren Losungsmitteln wie z.B Methanol. Ethanol, Tetranydrofuran oder Dioxan.The protection group PG 10 in XIX is now split selectively. If it is a hydrogenolytically cleavable protective group, hydrogenation is preferably carried out in the presence of palladium or platinum catalysts in inert solvents such as, for example, ethyl acetate or ethanol. If it is a basic cleavable protective group, use is preferably made of saponification with carbonates in alcoholic solution, such as, for example, potassium carbonate in methanol, and saponification with aqueous solutions of alkali metal hydroxides, such as, for example, lithium hydroxide or sodium hydroxide Use of organic, water-miscible solvents such as methanol. Ethanol, tetranydrofuran or dioxane.
Schritt u (A-XVI I => A-XXI): Die Oxidation der Alkohole in A-XVII zum Ketoaldehyd A-XXI erfolgt nach den, unter Schritt k) genannten Bedingungen. Bevorzugt ist die Oxidation mit N-Methyl-morpholino- N-oxid unter Verwendung von Tetrapropylammoniumperruthenat sowie die Methode nach Swern.Step u (A-XVI I => A-XXI): The oxidation of the alcohols in A-XVII to the ketoaldehyde A-XXI takes place according to the conditions mentioned under step k). Oxidation with N-methylmorpholino-N-oxide using tetrapropylammonium perruthenate and the Swern method are preferred.
Schritt v (A-XX => A-XXI):Step v (A-XX => A-XXI):
Die Oxidation des primären Alkohols in A-XX zum Ketoaldehyd A-XXI erfolgt nach den, unter Schritt k) genannten Bedingungen. Bevorzugt ist die Oxidation mit N-Methyl- morphoiino-N-oxid unter Verwendung von Tetrapropylammoniumperruthenat.The oxidation of the primary alcohol in A-XX to ketoaldehyde A-XXI takes place according to the conditions mentioned under step k). Oxidation with N-methylmorphoiino-N-oxide using tetrapropylammonium perruthenate is preferred.
Schritt w (A-XXI => A-XXII):Step w (A-XXI => A-XXII):
Die Oxidation des Aldehydes in A-XXI zur Carbonsäure A-XXII (R1 b=Wasserstoff) erfolgt nach den, dem Fachmann bekannten Methoden. Beispielsweise genannt sei die Oxidation nach Jones, die Oxidation mit Kaliumpermanganat beispielsweise in einem wässngen System aus tert.-Butanol und Natπumdihydrogenphosphat, die Oxidation mit Natπumchlorit in wässrigem tert.-Butanol gegebenenfalls in Gegenwart eines Chlorfängers wie z.B. 2-Methyl-2-buten.The oxidation of the aldehyde in A-XXI to the carboxylic acid A-XXII (R 1 b = hydrogen) takes place according to the methods known to the person skilled in the art. Examples include oxidation according to Jones, oxidation with potassium permanganate, for example in an aqueous system composed of tert-butanol and sodium dihydrogen phosphate, oxidation with sodium chlorite in aqueous tert-butanol, if appropriate in the presence of a chlorine scavenger such as 2-methyl-2-butene.
Die Oxidation des Aldehydes in A-XXI zum Ester A-XXII, worin R14b die oben genannten Bedeutungen hat und ungleich Wasserstoff ist, kann beispielsweise mit Pyridiniumdichromat und dem gewünschten Alkohol HO-R14b in einem inerten Lösungsmittel wie z.B. Dimethylformamid erfolgen.The oxidation of the aldehyde in A-XXI to the ester A-XXII, in which R 14 b has the meanings given above and is not hydrogen, can be carried out, for example, with pyridinium dichromate and the desired alcohol HO-R 14b in an inert solvent such as dimethylformamide.
Schritt x (A-Vll => A-XXIII):Step x (A-Vll => A-XXIII):
Die Oxidation des primären Alkohols in A-Vll zum Aldehyd A-XXIII erfolgt nach den, unter Schritt k) genannten Bedingungen. Bevorzugt ist die Oxidation mit N-Methyl-morpholino- N-oxid unter Verwendung von Tetrapropylammoniumperruthenat sowie die Methode nach Swern.The oxidation of the primary alcohol in A-VIII to the aldehyde A-XXIII takes place according to the conditions mentioned under step k). Oxidation with N-methylmorpholino-N-oxide using tetrapropylammonium perruthenate and the Swern method are preferred.
Schritt y (A-XXIII => A-XXIV):Step y (A-XXIII => A-XXIV):
Die Oxidation des Aldehyds A-XXIII zur Carbonsäure bzw. deren Ester A-XXIV erfolgt nach den bereits unter w) beschriebenen Bedingungen.The oxidation of the aldehyde A-XXIII to the carboxylic acid or its ester A-XXIV takes place according to the conditions already described under w).
Schritt z (A-XXIV => A-XXV):Step z (A-XXIV => A-XXV):
Die unter Schritt d) eingeführte Schutzgruppe PG§ wird wie unter Schritt i beschrieben gespalten Schritt aa i.A-XXV => A-XXVI):The protection group PG§ introduced under step d) is split as described under step i Step aa i . A-XXV => A-XXVI):
Die Oxidation des primären Alkohols in A-XXV zum Aldehyd A-XXVI erfolgt nach den, unter Schritt k) genannten Bedingungen. Bevorzugt ist die Oxidation mit N-Methyl- morpholino-N-oxid unter Verwendung von Tetrapropylammoniumperruthenat sowie die Methode nach Swern.The oxidation of the primary alcohol in A-XXV to the aldehyde A-XXVI takes place according to the conditions mentioned under step k). Oxidation with N-methylmorpholino-N-oxide using tetrapropylammonium perruthenate is preferred, as is the Swern method.
Schritt ab (A-XXVI =x> A-XXVII):Step from (A-XXVI = x> A-XXVII):
Die Umsetzung der Aldehyde A-XXVI zu Alkoholen der Formel A-XXVII erfolgt nach den, unter Schritt I) genannten Bedingungen.The conversion of the aldehydes A-XXVI to alcohols of the formula A-XXVII takes place according to the conditions mentioned under step I).
Schritt ac (A-XXVII => A-XXII):Step ac (A-XXVII => A-XXII):
Die Oxidation des sekundären Alkohols in A-XXVII zum Keton A-XXII erfolgt nach den, unter Schritt k) genannten Bedingungen. Bevorzugt ist die Oxidation mit N-Methyl- morpholino-N-oxid unter Verwendung von Tetrapropylammoniumperruthenat.The oxidation of the secondary alcohol in A-XXVII to the ketone A-XXII takes place according to the conditions mentioned under step k). Oxidation with N-methylmorpholino-N-oxide using tetrapropylammonium perruthenate is preferred.
Die Verbindungen der Formel A, in der R1 a' und Rlb' alle die in der allgemeinen Formel A angegebenen Bedeutungen haben können, lassen sich ferner aus wohlfeilen oder leicht zugänglichen Malonsäuredialkylestern auf effiziente Weise mit hoher optischer Reinheit hersteilen.The compounds of the formula A, in which R 1 a ' and d Rlb' can all have the meanings given in the general formula A, can also be prepared efficiently and with high optical purity from cheap or easily accessible malonic acid dialkyl esters.
Die Synthese wird im folgenden Schema 3 beschrieben: The synthesis is described in Scheme 3 below:
Schema 3Scheme 3
Alkyl- > Alkyl- >
A-XXVIII A-XXIX A-XXXA-XXVIII A-XXIX A-XXX
A-XXXI A-XXXI 1 A-XXXI IIA-XXXI A-XXXI 1 A-XXXI II
aιaι
A-Vlll bzw. ent-A-VIIIA-VIII or ent-A-VIII
Schritt ad (A-XXVIII => A-XXIX): Entsprechend substituierte Malonsäuresterderivate A-XXVIII, die entweder käuflich sind oder nach den, dem Fachmann bekannten Verfahren aus Malonsäuren oder deren Alkylestern hergestellt werden können, werden zu Diolen A-XXIX reduziert. Hierzu eignen sich die, dem Fachmann bekannten Reduktionsmittel wie z.B. Diisobutylaluminiumhydrid, komplexe Metallhydride wie z.B. Lithiumaluminiumhydrid.Step ad (A-XXVIII => A-XXIX): Correspondingly substituted malonic acid ester derivatives A-XXVIII, which are either commercially available or can be prepared from malonic acids or their alkyl esters by methods known to the person skilled in the art, are reduced to diols A-XXIX. The reducing agents known to the person skilled in the art, e.g. Diisobutyl aluminum hydride, complex metal hydrides such as e.g. Lithium aluminum hydride.
Schritt ae (A-XXIX => A-XXX):Step ae (A-XXIX => A-XXX):
Eine freie Hydroxylgruppe in A-XXIX wird nach den, dem Fachmann bekannten Methoden selektiv geschützt. Als Schutzgruppe PG1 1 kommen die, dem Fachmann bekannten Schutzgruppen, wie sie schon vorstehend für PG^ im Schritt a (A-Il => A-Ill) genannt wurden, in Frage.A free hydroxyl group in A-XXIX is selectively protected by methods known to those skilled in the art. The protective groups PG 1 1 which are known to the person skilled in the art, as already mentioned above for PG ^ in step a (A-II => A-III), are suitable.
Bevorzugt sind Silizium-haitige Schutzgruppen.Protective groups containing silicon are preferred.
Schritt af (A-XXX = A-XXXI):Step af (A-XXX = A-XXXI):
Die Oxidation der verbliebenen, primären Hydroxylgruppe in A-XXX zum Aldehyd A-XXXI erfolgt nach den, unter Schritt k) genannten Bedingungen. Bevorzugt ist die Oxidation mitThe oxidation of the remaining primary hydroxyl group in A-XXX to the aldehyde A-XXXI takes place according to the conditions mentioned under step k). Oxidation with is preferred
N-Methyl-morpholino-N-oxid unter Verwendung von Tetrapropyiammoniumper-ruthenat, die Verwendung von Pyπdiniumchlorochromat. Pyπαiniumdichromat sowie die Methode nach Swern.N-methyl-morpholino-N-oxide using tetrapropyammonium per-ruthenate, the use of Pyπdiniumchlorochromat. Pyπαiniumdichromat and the Swern method.
Schritt ag (A-XXXI => A-XXXI I): Die Aldehyde A-XXXI werden mit einem- Ester der Essigsäure chG1 OC(0)CH3, worin chG1 eine chiraie Hilfsgruppe bedeutet, im Sinne einer Aldolreaktion umgesetzt. Die Verbindungen chG1 OC(0)CH3 werden in optisch reiner Form in die Aldolreaktion eingesetzt. Die Art der chiraien Hilfsgruppe bestimmt, ob die Aldolreaktion mit hoher Diastereoselektivität verläuft oder ein mit physikalischen Methoden trennbares Diastereomerengemisch ergibt. Eine Übersicht über vergleichbare diastereoselektive Aldolreaktionen findet sich in Angew. Chem. 99 (1987), 24-37. Als chiraie Hilfsgruppen chG^ -OH eignen sich beispielsweise optisch reines 2-Phenyi-cyclohexanol, Pulegol, 2- Hydroxy-1 ,2,2-triphenylethanol, 8-Phenylmenthol.Step ag (A-XXXI => A-XXXI I): The aldehydes A-XXXI are reacted with an ester of acetic acid chG 1 OC (0) CH3, in which chG 1 is a chiral auxiliary group, in the sense of an aldol reaction. The compounds chG 1 OC (0) CH3 are used in optically pure form in the aldol reaction. The type of chiraic auxiliary group determines whether the aldol reaction proceeds with high diastereoselectivity or results in a diastereomer mixture that can be separated by physical methods. An overview of comparable diastereoselective aldol reactions can be found in Angew. Chem. 99 (1987), 24-37. As chiraie auxiliary groups chG ^ -OH, for example, optically pure 2-phenyi-cyclohexanol, pulegol, 2-hydroxy-1, 2,2-triphenylethanol, 8-phenylmenthol are suitable.
Schritt ah (A-XXXII => A-XXXI II):Step ah (A-XXXII => A-XXXI II):
Die diastereomerenreinen Verbindungen A-XXXII können dann nach dem Fachmann bekannten Verfahren durch Verseifung der Estereinheit unter gleichzeitiger Freisetzung der wiederverwendbaren chiralen Hilfskomponente chG1-OH in enantiomerenreine Verbindungen des Typs A-XXXIII oder ent-A-XXXIII überführt werden. Für die Verseifung geeignet sind Carbonate in alkoholischer Lösung wie z.B. Kaiiumcarbonat in Methanol, wässrige Lösungen von Alkalihydroxiden wie z.B. Lithiumhydroxid oder Natriumhydroxid unter Verwendung von organischer, mit Wasser mischbaren Lösungsmitteln wie z.B. Methanol, Ethanol, Tetrahydrofuran oder Dioxan.The diastereomerically pure compounds A-XXXII can then be converted into enantiomerically pure compounds of the type A-XXXIII or ent-A-XXXIII by saponification of the ester unit with simultaneous release of the reusable chiral auxiliary component chG 1 -OH by processes known to the person skilled in the art. Suitable for saponification are carbonates in alcoholic solution such as, for example, potassium carbonate in methanol, aqueous solutions of alkali hydroxides such as, for example, lithium hydroxide or sodium hydroxide using organic, water-miscible solvents such as, for example, methanol, ethanol, tetrahydrofuran or dioxane.
Schritt ai (A-XXXII => A-Vlll):Step ai (A-XXXII => A-Vlll):
Alternativ zum Schritt ah kann die chiraie Hilfsgruppe auch reduktiv entfernt werden. Auf diese Weise werden die enantiomerenreinen Verbindungen des Typs A-Vlll bzw. ent-A- VIII erhalten. Die Reduktion kann nach den, dem Fachmann bekannten Verfahren durchgeführt werden. Als Reduktionsmittel kommen z.B. Diisobutylaluminiumhydrid und komplexe Metallhydride wie z.B. Lithiumaiuminiumhydrid in Frage.As an alternative to step ah, the chiraie auxiliary group can also be removed reductively. In this way, the enantiomerically pure compounds of the type A-VIII or ent-A-VIII are obtained. The reduction can be carried out according to the methods known to the person skilled in the art. As reducing agents are e.g. Diisobutyl aluminum hydride and complex metal hydrides such as e.g. Lithiumiumiumiumhydrid in question.
Die Verbindungen A-Vlll bzw. ent-A-VIII können wie zuvor beschrieben in Verbindungen des Typs A-Xlll bzw. ent-A-XIII überführt werden. Entsprechend lassen sich Verbindungen des Typs A-XXXIII bzw. ent-A-XXXIII gemäß oben beschriebenen Verfahren in Verbindungen des Typs A-XXII bzw. ent-A-XXH überführen.The compounds A-VIII or ent-A-VIII can, as described above, be converted into compounds of the type A-Xlll or ent-A-XIII. Correspondingly, compounds of type A-XXXIII or ent-A-XXXIII can be converted into compounds of type A-XXII or ent-A-XXH according to the methods described above.
Alternativ zum oben geschilderten Weg kann die Sequenz auch ohne Verwendung einer chiralen Hilfsgruppe chG'' durchgeführt werden. Auf diese Weise werden dann racemische Mischungen von Verbindungen des Typs rac-A-VIll bzw. rac-A-XXXHI über die entsprechenden, racemischen Vorstufen erhalten. Diese Mischungen können wiederum nach den, dem Fachmann bekannten Verfanren zur Racematspaltung, z.B. Chromatographie an chiralen Säulen, getrennt werden. Die Fortsetzung der Synthese kann aber auch mit den racemischen Gemischen erfolgen.As an alternative to the route described above, the sequence can also be carried out without using a chiral auxiliary group chG ' '. In this way, racemic mixtures of compounds of the type rac-A-III or rac-A-XXXHI are then receive the corresponding racemic precursors. These mixtures can in turn be separated according to the methods known to those skilled in the art for resolving racemates, for example chromatography on chiral columns. The synthesis can also be continued with the racemic mixtures.
Darstellung der Teilfragmente B (siehe auch WO 99/07692)Representation of partial fragments B (see also WO 99/07692)
Schema 4Scheme 4
R4a' R4b' R 4a ' R 4b'
,4a' o 4b', 4a 'o 4b'
-> AlkytO-> AlkytO
OPG12 HO -> PG130OPG 12 HO -> PG 13 0
OPG 2 OPG12OPG 2 OPG 1 2
B-Vlll B-IX B-XB-VIII B-IX B-X
Schritt a (B-Il ^ B-Ill):Step a (B-Il ^ B-Ill):
Eine Hydroxylgruppe in B-Il wird nach den, dem Fachmann bekannten Methoden geschützt. Als Schutzgruppe PG12 kommen die, dem Fachmann bekannten Schutzgruppen, wie sie schon vorstehend für PG8 im Schritt a (A-il => A-Ill) genannt wurden, in Frage.A hydroxyl group in B-II is protected by the methods known to the person skilled in the art. The protective groups PG 12 are the protective groups known to the person skilled in the art, as already mentioned above for PG 8 in step a (A-il => A-III).
Bevorzugt sind Silizium haltige Schutzgruppen, die unter sauren Reaktionsbedingungen oder Anwendung von Fluorid gespalten werden können, wie z.B. der Trimethylsilyl-, Tπethylsilyl- tert -Butyldimethylsilyl- tert -Butyldiphenvisilyl- Tπbenzylsilyl-Protective groups containing silicon, which can be cleaved under acidic reaction conditions or using fluoride, such as, for example, the trimethylsilyl, Tπethylsilyl- tert -Butyldimethylsilyl- tert -Butyldiphenvisilyl- Tπbenzylsilyl-
Tπisopropylsilyi-Rest.Tπisopropylsilyi residue.
Besonders bevorzugt ist der tert -Butyldimethylsilyi-RestThe tert-butyldimethylsilyi radical is particularly preferred
Schritt b (B-Ill ^ B-IV)Step b (B-Ill ^ B-IV)
Die freie Hydroxylgruppe in B-Ill wird nach den, dem Fachmann bekannten Methoden in eine Abgangsgruppe LG überfuhrt. Als Abgangsgruppe LG eignen sich beispielsweise Halogene wie z.B. Brom oder lod oder Alkyl- bzw Arylsuifonate, die aus den entsprechenden Sulfonsaurehalogeniden bzw. Sulfonsaureanhydnden nach den, dem Fachmann bekannten Methoden hergestellt werden.The free hydroxyl group in B-III is converted into a leaving group LG by the methods known to the person skilled in the art. Halogens such as e.g. Bromine or iodine or alkyl or aryl sulfonates which are prepared from the corresponding sulfonic acid halides or sulfonic acid anhydrides by the methods known to the person skilled in the art.
Als Abgangsgruppe LG bevorzugt ist das Trifluormethansuifonat.Trifluoromethane suifonate is preferred as the leaving group LG.
Schritt c (B-IV => B-Vll):Step c (B-IV => B-Vll):
Die Verbindung B-IV wird mit dem Enolat einer Carbonylverbindung der allgemeinen Formel B-V, worin chG2 eine einfache Alkoxygruppe oder aber eine chiraie Hilfsgruppe sein kann, nach den, dem Fachmann bekannten Methoden alkyliert. Das Enolat wird durch Einwirkung starker Basen wie z.B. Lithiumdiisopropylamid, Lithiumhexamethyidisilazan bei niedrigen Temperaturen hergestellt. Als chiraie Hilfsgruppe chG2-H (B-Vl) eignen sich chiraie, optisch rein herstellbare und wohlfeile Alkohole wie z.B. Pulegol, 2-Phenylcyclohexanol, 2-Hydroxy-1 ,2,2-tπphenylethanol, 8- Phenylmenthol oder optisch rein herstellbare und wohlfeile, reaktive NH-Gruppen enthaltende Verbindungen wie z.B. Amme, Aminosäuren, Lactame oder Oxazolidinone. Bevorzugt sind Oxazolidinone, besonders bevorzugt die Verbindungen der Formeln B- Vla bis B-Vld. Durch die Wahl des jeweiligen Antipoden wird die absolute Stereochemie am α-Carbonylkohienstoff der Verbindung der allgemeinen Formel B-Vll festgelegt. Auf diesem Wege lassen sich die Verbindungen der allgemeinen Formeln B-Vll bis B-XVII bzw. deren jeweilige Enantiomere ent-B-VII bis ent-B-XVII eπantiomerenrein erhalten. Wird als chG2-H (B-Vl) ein achiraier Alkohol wie z.B. Ethanol eingesetzt, so erhält man die racemischen Verbindungen rac-B-VII bis rac-B-XVII.The compound B-IV is alkylated with the enolate of a carbonyl compound of the general formula BV, in which chG 2 can be a simple alkoxy group or a chiral auxiliary group, by the methods known to the person skilled in the art. The enolate is produced by the action of strong bases such as lithium diisopropylamide, lithium hexamethyidisilazane at low temperatures. The chiraie auxiliary group chG 2 -H (B-VI) are chiraie, optically pure and inexpensive alcohols such as pulegol, 2-phenylcyclohexanol, 2-hydroxy-1, 2,2-tπphenylethanol, 8-phenylmenthol or optically pure and inexpensive, reactive NH-containing compounds such as nurse, amino acids, lactams or oxazolidinones. Oxazolidinones are preferred, particularly preferably the compounds of the formulas B-Vla to B-Vld. The choice of the respective antipode determines the absolute stereochemistry of the α-carbonyl carbonate of the compound of the general formula B-VIII. In this way, the compounds of the general formulas B-VIII to B-XVII or their respective enantiomers ent-B-VII to ent-B-XVII can be obtained in an eπantiomerically pure manner. If an achira alcohol such as ethanol is used as chG 2 -H (B-VI), the racemic compounds rac-B-VII to rac-B-XVII are obtained.
Schritt d (B-Vll => B-Vl II)Step d (B-Vll => B-Vl II)
Repräsentiert die Gruppe chG2 eine der unter Schritt c erwähnten chiralen Hilfsgruppen, so wird diese durch Umesterung von B-Vll in einen Alkylester der allgemeinen Formel B- VIII wiedergewonnen. Die Umesterung erfolgt nach den, dem Fachmann bekannten Methoden. Bevorzugt ist die Umesterung mit einfachen Alkoholen wie z.B. Methanol oder Ethanol in Gegenwart entsprechender Titan(IV)alkoholate Schritt e (B-VMI => B-IX)If the group chG 2 represents one of the chiral auxiliary groups mentioned under step c, this is recovered by transesterification of B-VIII into an alkyl ester of the general formula B-VIII. The transesterification takes place according to the methods known to the person skilled in the art. Transesterification with simple alcohols such as methanol or ethanol in the presence of corresponding titanium (IV) alcoholates is preferred Step e (B-VMI => B-IX)
Der Ester in 3-VIII wirα zum Alkonol 3-iX reαuziert Als ReαuKtionsmittei eignen sicn die, dem Fachmann bekannten Reduktionsmittel wie z.B Aluminiumhydride wie z.B Lithiumaiuminiumhydπd oder Diisobutylaluminium-hydπd. Die Reaktion erfolgt in einem inerten Losungsmittel wie z.B. Diethylether, Tetra h yd rofu ran, Toluol.The ester in 3-VIII is αα converted to the Alkonol 3-iX. Suitable reducing agents are the reducing agents known to the person skilled in the art, such as aluminum hydrides such as lithium aluminum hydride or diisobutyl aluminum hydride. The reaction takes place in an inert solvent such as e.g. Diethyl ether, tetrahydrofuran, toluene.
Schritt e (B-Vll => B-IX):Step e (B-Vll => B-IX):
Alternativ zu den Schritten d) und e) kann die Carbonyigruppe in B-Vll nach den unter Schritt e) genannten Bedingungen direkt zu den Alkoholen der allgemeinen Formel B-IX reduziert werden. Auch hier kann die chiraie Hilfskomponente chG2-H wiedergewonnen werden.As an alternative to steps d) and e), the carbonyi group in B-VIII can be reduced directly to the alcohols of the general formula B-IX under the conditions mentioned under step e). The chiraie auxiliary component chG 2 -H can also be recovered here.
Schritt f (B-IX => B-X):Step f (B-IX => B-X):
Für den Fall, das R3 kein Wasserstoffatom ist, wird zunächst die primäre Hydroxygruppe in B-IX nach den, dem Fachmann bekannten Methoden zum entsprechenden Aldehyd oxidiert. Beispielsweise genannt sei die Oxidation mit Pyπdiniumchlorochromat, Pyπdiniumdichromat, Chromtπoxid-Pyπdin-Kompiex, die Oxidation nach Swern oder verwandter Methoden z.B. unter Verwendung von Oxalylchlond in Dimethylsulfoxid, die Verwendung des Dess-Martin-Penodinans, die Verwendung von Stickstoffoxiden wie z.B. N-Methyl-morpholino-N-oxid in Gegenwart geeigneter Katalysatoren wie z.B. Tetrapropylammoniumperruthenat in inerten Losungsmitteln. Bevorzugt ist die Oxidation nach Swern sowie mit N-Methyl-morpholino-N-oxid unter Verwendung von Tetrapropylammoniumperruthenat. Anschließend können die so erhaltenen Aldehyde zu entsprechenden Alkoholen mit metallorganischen Verbindungen der allgemeinen Formel M-R^, worin M für ein Alkalimetall, vorzugsweise Lithium oder ein zweiwertiges Metall MX, worin X ein Halogen repräsentiert und der Rest R3 die oben genannten Bedeutungen aufweist. Als zweiwertiges Metall ist bevorzugt Magnesium und Zink, ais Halogen X ist bevorzugt Chlor, Brom und lod. Die freie Hydroxylgruppe des so erhaltenen sekundären Alkohols (R^ ≠ H) oder für den Fall R3 = H die freie Hydroxylgruppe in B-IX wird nach den, dem Fachmann bekannten Methoden geschützt. Als Schutzgruppe PG1^ kommen die, dem Fachmann bekannten Schutzgruppen, wie sie schon vorstehend für PG8 im Schritt a (A-Il = A-Ill) genannt wurden, in Frage. Bevorzugt sind solche Schutzgruppeπ, die unter sauren Reaktionsbedingungen gespalten werden können, wie z.B der Methoxymethyl-, Tetrahydropyranyl-, Tetrahydrofuranyl-, Trimethylsilyl-Rest. Besonders bevorzugt ist der Tetrahydropyranyl-Rest. Schritt g (B-X => B-Xl)In the event that R3 is not a hydrogen atom, the primary hydroxyl group in B-IX is first oxidized to the corresponding aldehyde by methods known to those skilled in the art. Examples include oxidation with pyπdinium chlorochromate, pyπdinium dichromate, chromium oxide-pyπdin complex, oxidation by Swern or related methods, for example using oxalyl chloride in dimethyl sulfoxide, using Dess-Martin penodinane, using nitrogen oxides such as N-methyl morpholino-N-oxide in the presence of suitable catalysts such as tetrapropylammonium perruthenate in inert solvents. Oxidation according to Swern and with N-methyl-morpholino-N-oxide using tetrapropylammonium perruthenate is preferred. The aldehydes thus obtained can then be converted into corresponding alcohols with organometallic compounds of the general formula MR ^, where M is an alkali metal, preferably lithium or a divalent metal MX, where X represents a halogen and the radical R3 has the meanings given above. Magnesium and zinc are preferred as the divalent metal, and halogen X is preferably chlorine, bromine and iodine. The free hydroxyl group of the secondary alcohol thus obtained (R ^ ^ H) or in the case R3 = H the free hydroxyl group in B-IX is protected by the methods known to the person skilled in the art. The protective groups PG 1 ^ which are known to the person skilled in the art, as already mentioned above for PG 8 in step a (A-II = A-III), are suitable. Preference is given to those protecting groups which can be cleaved under acidic reaction conditions, such as, for example, the methoxymethyl, tetrahydropyranyl, tetrahydrofuranyl, trimethylsilyl radical. The tetrahydropyranyl radical is particularly preferred. Step g (BX => B-Xl)
Die unter Schritt a ) eingefunrte Scnutzgruppe PG'' 2 wirα nun nacn den, αem Facnmann bekannten Verfahren gespalten Handelt es sich um einen Silylether, so eignet sich für die Spaltung die Umsetzung mit Fluonden wie beispielsweise Tetrabutylammoniumfluoπd, dem Fluorwasserstoff-Pyπdin-Komplex, Kaliumfluorid oder die Anwendung verdünnter Mineralsauren, die Verwendung von katalytischen Mengen Säuren wie z.B. para-Toluolsulfonsaure, para-Toluoisulfonsaure-pyπdiniumsalz, Camphersulfonsäure in alkoholischen Losungen, vorzugsweise in Ethanol oder Isopropanol.The protective group PG ' ' 2, which has been darkened in step a), is now split according to the process known to a person. If it is a silyl ether, the reaction with fluons such as tetrabutylammonium fluoride, the hydrogen fluoride-pyrin complex, potassium fluoride is suitable for the split or the use of dilute mineral acids, the use of catalytic amounts of acids such as, for example, para-toluenesulfonic acid, para-toluoisulfonic acid pyπdinium salt, camphorsulfonic acid in alcoholic solutions, preferably in ethanol or isopropanol.
Schritt h (B-Xl =* B-Xll):Step h (B-Xl = * B-Xll):
Für den Fall, das R25 kein Wasserstoffatom ist, wird zunächst die primäre Hydroxygruppe in B-Xl nach den, dem Fachmann bekannten Methoden zum entsprechenden Aldehyd oxidiert. Beispielsweise genannt sei die Oxidation mit Pyndiniumchlorochromat, Pyndiniumdichromat, Chromtπoxid-Pyπdin-Komplex, die Oxidation nach Swern oder verwandter Methoden z.B. unter Verwendung von Oxalylchloπd in Dimethylsulfoxid, die Verwendung des Dess-Martin-Peπodinans, die Verwendung von Stickstoffoxiden wie z.B. N-Methyi-morpholino-N-oxid in Gegenwart geeigneter Katalysatoren wie z.B. Tetrapropylammoniumperruthenat in inerten Losungsmitteln. Bevorzugt ist die Oxidation nach Swern sowie mit N-Methyl-morpholino- N-oxid unter Verwendung von Tetrapropylammoniumperruthenat.In the event that R 25 is not a hydrogen atom, the primary hydroxyl group in B-Xl is first oxidized to the corresponding aldehyde by methods known to those skilled in the art. Examples include oxidation with pyndinium chlorochromate, pyndinium dichromate, chromium oxide-pyridine complex, oxidation according to Swern or related methods, for example using oxalyl chloride in dimethyl sulfoxide, the use of Dess-Martin-Peπodinans, the use of nitrogen oxides such as N-methyl morpholino-N-oxide in the presence of suitable catalysts such as tetrapropylammonium perruthenate in inert solvents. Oxidation according to Swern and with N-methyl-morpholino-N-oxide using tetrapropylammonium perruthenate is preferred.
Anschließend können die so erhaltenen Aldehyde zu entsprechenden Alkoholen mit metallorganischen Verbindungen der allgemeinen Formel M-R2^, worin M für ein Alkalimetall, vorzugsweise Lithium oder ein zweiwertiges Metall MX, worin X ein Halogen repräsentiert und der Rest R2^ die oben genannten Bedeutungen aufweist. Als zweiwertiges Metall ist bevorzugt Magnesium und Zink, als Halogen X ist bevorzugt Chlor, Brom und lod.The aldehydes thus obtained can then be converted into corresponding alcohols with organometallic compounds of the general formula MR 2 ^, where M is an alkali metal, preferably lithium or a divalent metal MX, where X represents a halogen and the radical R 2 ^ has the meanings given above. Magnesium and zinc are preferred as divalent metal, and chlorine, bromine and iodine are preferred as halogen X.
Gegebenenfalls wird die freie primäre Hydroxylgruppe nach den dem Fachmann bekannten Verfahren in ein Halogenid überführt. Bevorzugte Halogenide sind Chlor, besonders aber Brom und lod. Die Substitution der Hydroxylgruppe gegen ein Brom kann z.B. mittels Triphenylphosphin/Tetrabrommethan aber auch nach jedem anderen dem Fachmann bekannten Verfahren erfolgen. Die Etablierung eines lodatoms kann aus dem Bromid durch Substitution z.B. nach Finkelstein mit Natπumiodid in Aceton erfolgen. Auch die direkte Überführung der Hydroxylgruppe in das lodid ist möglich, z.B. unter Verwendung von elementarem lod, imidazol und Tπphenylphosphin in Dichlormethan.If appropriate, the free primary hydroxyl group is converted into a halide by the processes known to the person skilled in the art. Preferred halides are chlorine, but especially bromine and iodine. The substitution of the hydroxyl group for a bromine can e.g. by means of triphenylphosphine / tetrabromomethane but also by any other process known to the person skilled in the art. The establishment of an iodine atom can be derived from the bromide by substitution e.g. according to Finkelstein with sodium iodide in acetone. Direct conversion of the hydroxyl group into the iodide is also possible, e.g. using elemental iodine, imidazole and Tπphenylphosphin in dichloromethane.
Schritt i (B-Xll => B-Xlll):Step i (B-Xll => B-Xlll):
Soll die Verknüpfung der C13-C16-Einheιt mit der Position 12 des Epothilonrestes bzw von Epothilonbruchstucken, z.B einer C7-C12-Eιnheιt durch Wittigreaktion erfolgen, wie z.B. in Nature Vol. 387, 268-272 (1997) beschrieben, so werden ausgehend von den Halogeniden B-Xll nach den dem Fachmann bekannten Verfahren die Triphenyi- phosphonium-halogenide (R1 7 = P(Ph)3+Hal_ Alkyl- bzw. Arylphoshonate (R1 7 =P(0)(OQ)2) oder Phosphinoxide (R1 7 = P(0)Ph2) des Typs B-Xll hergestellt. Ph bedeutet dabei Phenyl; Hai steht für F,---Cl, Br oder I und Q ist ein C-j-C-j o-Alkyi- oder Phenylrest.Should the C13-C16 unit be linked to position 12 of the epothilone residue or epothilone fragments, for example a C7-C12 unit by Wittig reaction, such as For example, described in Nature Vol. 387, 268-272 (1997), the triphenylphosphonium halides (R 1 7 = P (Ph) 3 + Hal _ alkyl) are started from the halides B-XII by the processes known to the person skilled in the art - or aryl phosphonates (R 1 7 = P (0) (OQ) 2) or phosphine oxides (R 1 7 = P (0) Ph2) of the type B-XII. Ph is phenyl; shark stands for F, - -Cl, Br or I and Q is a CjCj o-alkyl or phenyl radical.
Zur Darstellung der Phosphoniumsalze eignet sich z.B. die Umsetzung der entsprechenden Halogenide mit Triphenylphosphin in Lösungsmitteln wie Toluol oder Benzol gegebenenfalls in Gegenwart einer Base wie beispielsweise Triethylamin oder Diisopropylethylamin.For the preparation of the phosphonium salts e.g. the reaction of the corresponding halides with triphenylphosphine in solvents such as toluene or benzene, optionally in the presence of a base such as triethylamine or diisopropylethylamine.
Die Darstellung der Phosphonate kann z.B. durch Reaktion der Halogenide B-Xl mit einem metallierten Dialkylphosphit erfolgen. Die Metallierung erfolgt üblicherweise mit starken Basen wie z.B. Butyllithium. Die Darstellung der Phosphinoxide kann z.B. durch Umsetzung der Halogenide B-Xl mit metalliertem Diphenylphosphin und anschließender Oxidation erfolgen. Für die Metallierung eignen sich ebenfalls starke Basen wie Butyllithium. Die anschließende Oxidation zum Phosphinoxid kann dann z.B. mit verdünnter wäßriger Wasserstoffperoxid-Lösung erfolgen.The representation of the phosphonates can e.g. by reaction of the halides B-Xl with a metalated dialkyl phosphite. The metalation is usually done with strong bases such as Butyllithium. The representation of the phosphine oxides can e.g. by reaction of the halides B-Xl with metallized diphenylphosphine and subsequent oxidation. Strong bases such as butyllithium are also suitable for the metalation. The subsequent oxidation to phosphine oxide can then e.g. with dilute aqueous hydrogen peroxide solution.
Alternativ können die Verbindungen der allgemeinen Formel B-Xlll über den in Schema 5 beschriebenen Weg hergestellt werden.Alternatively, the compounds of the general formula B-XIII can be prepared via the route described in Scheme 5.
Schema 5Scheme 5
B-XIV B-XV B-XVI B-XVIIB-XIV B-XV B-XVI B-XVII
B-XVI I -—"—- B-XlB-XVI I -— "—- B-Xl
Schritt k (B-XIV = B-XV):Step k (B-XIV = B-XV):
Ausgehend von wohlfeil erhältlichen Essigesterderivaten der allgemeinen Formel B-XIV, in denen R^a' und R^b' die oben genannten Bedeutungen haben, wird das Esterenolat durch Einwirkung starker Basen wie z.B. Lithiumdiisopropylamid, Lithiumhexamethyldisilazan bei niedrigen Temperaturen hergestellt und mit 3-Halogen-1- propin, vorzugsweise 3-Brom-1 -propin zu Verbindungen der allgeminen Formel B-XV umgesetzt. Schritt I (B-XV =^ B-XVI):Starting from cheaply available ethyl acetate derivatives of the general formula B-XIV, in which R ^ a 'and R ^ b' have the meanings given above, the ester enolate is prepared by the action of strong bases such as lithium diisopropylamide, lithium hexamethyldisilazane at low temperatures and with 3-halogen -1-propyne, preferably 3-bromo-1-propyne, to give compounds of the general formula B-XV. Step I (B-XV = ^ B-XVI):
Die Reduktion des Esters 3-XV zum Akohol B-XVI erfolgt nach den unter Schritt e) beschriebenen Methoden, vorzugsweise unter Verwendung von Diisobutylaluminium- hydrid.The ester 3-XV is reduced to the alcohol B-XVI by the methods described in step e), preferably using diisobutylaluminum hydride.
Schritt m (B-XVI => B-XVII):Step m (B-XVI => B-XVII):
Für den Fall, das R3 kein Wasserstoffatom ist, wird zunächst die primäre Hydroxygruppe in B-XVI nach den, dem Fachmann bekannten Methoden zum entsprechenden Aldehyd oxidiert. Beispielsweise genannt sei die Oxidation mit Pyridiniumchlorochromat, Pyridiniumdichromat, Chromtrioxid-Pyridin-Komplex, die Oxidation nach Swern oder verwandter Methoden z.B. unter Verwendung von Oxalylchlorid in Dimethylsuifoxid, dieIn the event that R 3 is not a hydrogen atom, the primary hydroxyl group in B-XVI is first oxidized to the corresponding aldehyde by methods known to those skilled in the art. Examples include oxidation with pyridinium chlorochromate, pyridinium dichromate, chromium trioxide-pyridine complex, oxidation according to Swern or related methods, for example using oxalyl chloride in dimethyl sulfoxide
Verwendung des Dess-Martin-Periodinans, die Verwendung von Stickstoffoxiden wie z.B.Use of the Dess-Martin periodinan, the use of nitrogen oxides such as
N-Methyl-morpholino-N-oxid in Gegenwart geeigneter Katalysatoren wie z.B.N-methyl-morpholino-N-oxide in the presence of suitable catalysts such as e.g.
Tetrapropylammoniumperruthenat in inerten Lösungsmitteln. Bevorzugt ist die Oxidation nach Swern sowie mit N-Methyl-morpholino-N-oxid unter Verwendung vonTetrapropylammonium perruthenate in inert solvents. Oxidation according to Swern and with N-methyl-morpholino-N-oxide using is preferred
Tetrapropylammoniumperruthenat.Tetrapropylammonium perruthenate.
Anschließend können die so erhaltenen Aldehyde zu entsprechenden Alkoholen mit metallorganischen Verbindungen der allgemeinen Formel M-R3, worin M für einThe aldehydes obtained in this way can then be converted into corresponding alcohols with organometallic compounds of the general formula MR 3 , where M is a
Alkalimetall, vorzugsweise Lithium oder ein zweiwertiges Metall MX, worin X ein Halogen repräsentiert und der Rest R3 die oben genannten Bedeutungen aufweist. Als zweiwertiges Metall ist bevorzugt Magnesium und Zink, als Halogen X ist bevorzugtAlkali metal, preferably lithium or a divalent metal MX, in which X represents a halogen and the radical R 3 has the meanings given above. Magnesium and zinc are preferred as the divalent metal, and X is preferred as the halogen
Chlor, Brom und lod.Chlorine, bromine and iodine.
Die freie Hydroxylgruppe des so erhaltenen sekundären Alkohols (R3 ≠ H) oder für denThe free hydroxyl group of the secondary alcohol thus obtained (R 3 ≠ H) or for the
Fall R3 = H die freie Hydroxylgruppe in B-XVII wird nach den, dem Fachmann bekannten Methoden geschützt. Als Schutzgruppe PG14 kommen die, dem Fachmann bekanntenCase R 3 = H the free hydroxyl group in B-XVII is protected by the methods known to the person skilled in the art. The protective group PG 14 includes those known to the person skilled in the art
Schutzgruppen, wie sie schon vorstehend für PG3 im Schritt a (A-Il => A-Ill) genannt wurden, in Frage.Protecting groups, as already mentioned above for PG 3 in step a (A-Il => A-Ill), are questionable.
Bevorzugt sind Silizium haltige Schutzgruppen, die unter sauren Reaktionsbedingungen oder Anwendung von Fluorid gespalten werden können, wie z.B. der Trimethylsilyl-, Triethylsilyl-, tert.-Butyldimethylsilyl-, tert.-Butyldiphenylsilyl-, Tribenzyisilyl-,Protective groups containing silicon which can be cleaved under acidic reaction conditions or using fluoride, such as e.g. the trimethylsilyl, triethylsilyl, tert.-butyldimethylsilyl, tert.-butyldiphenylsilyl, tribenzyisilyl,
Triisopropylsilyl-Rest.Triisopropylsilyl residue.
Besonders bevorzugt ist der tert.-Butyldimethylsilyl-Rest.The tert-butyldimethylsilyl radical is particularly preferred.
Schritt n (B-XVII => B-Xl): Das Acetylen B-XVII kann nach den, dem Fachmann bekannten Verfahren deprotoniert und das erhaltene Acetylid mit Formaldehyd zu einem Alkohol der allgemeinen Formel B- XI umgesetzt werden. Zur Deprotonierung eignen sich Alkylalkaliverbindungen wie z.B. Buthyllithium oder andere starke Basen wie z.B. Alkalihexamethyldisilazane oder Lithiumdiisopropylamid. Bevorzugt wird π-Butyllithium. Auf dem in Schema 5 beschriebenen Weg werden zunächst die racemischen Verbindungen rac-B-XI erhalten. Optional bieten die durcnlaufenen Stufen rac-B-XV bzw. rac-B-XVI gemäß Schema 6 die Möglichkeit zur chemischen Racematspaltung und somit auch einen Zugang zu den enantiomerenremen Verbindungen B-XVI bzw. ent-B-XVI, sofern R^a' nicht identisch ist mit R4 '.Step n (B-XVII => B-Xl): The acetylene B-XVII can be deprotonated by the processes known to the person skilled in the art and the acetylide obtained can be reacted with formaldehyde to give an alcohol of the general formula B-XI. Alkyl alkali compounds such as butyl lithium or other strong bases such as alkali hexamethyl disilazanes or lithium diisopropyl amide are suitable for deprotonation. Π-Butyllithium is preferred. In the way described in Scheme 5, the racemic compounds rac-B-XI are obtained first. Optionally, the continuous steps rac-B-XV or rac-B-XVI according to Scheme 6 offer the possibility of chemical resolution and thus also access to the enantiomerically rare compounds B-XVI or ent-B-XVI, provided that R ^ a ' is not identical to R 4 '.
Schema 6Scheme 6
B-XVaB-XVa
p v i . r n* p V\ /| pvi. rn * p V \ / |
B-XVIaB-XVIa
Schritt o (rac-B-XV => B-XVa):Step o (rac-B-XV => B-XVa):
Die racemische Verbindung rac-B-XV läßt sich mit einem chiralen, optisch rein erhältlichen Alkohol chG3-OH nach den, dem Fachmann bekannten Methoden, bespielsweise dem unter Schritt d) genannten Verfahren zu einem Gemisch der diastereomeren Ester B-XVa umestern und mit einfachen chromatographischen Methoden trennen. Als chiraie Alkohole kommen beispielsweise Pulegol, 2- Phenylcyclohexanol, 2-Hydroxy-1,2,2-triphenylethanol, 8-Phenylmenthol in Betracht.The racemic compound rac-B-XV can be transesterified with a chiral, optically obtainable alcohol chG 3 -OH by the methods known to the person skilled in the art, for example the process mentioned under step d), to give a mixture of the diastereomeric esters B-XVa and with separate simple chromatographic methods. Possible chiral alcohols are, for example, pulegol, 2-phenylcyclohexanol, 2-hydroxy-1,2,2-triphenylethanol, 8-phenylmenthol.
Schritt p (B-XVa => B-XVI und ent-B-XVI):Step p (B-XVa => B-XVI and ent-B-XVI):
Die diastereomereinreinen Ester B-XVa lassen sich jeweils nach dem unter Schritt e beschriebenen Verfahren zu den Alkoholen B-XVI bzw. ent-B-XVI reduzieren, wobei die unter Schritt o beschriebene Hilfskomponente chG3-OH wiedergewonnen werden kann.The diastereomerically pure esters B-XVa can each be reduced to the alcohols B-XVI or ent-B-XVI by the process described in step e, the auxiliary component chG 3 -OH described in step o being able to be recovered.
Schritt q (rac-B-XVI => B-XVIa):Step q (rac-B-XVI => B-XVIa):
Die racemische Verbindung rac-B-XVI läßt sich mit einer chiralen, optisch rein erhältlichen Säure chG4-C02H, deren Ester, Anhydrid oder Säurehalogenid nach den, dem Fachmann bekannten Methoden zu einem Gemisch der diastereomeren Ester B-XVIa umsetzen und mit einfachen chromatographischen Methoden trennen. Als chiraie Säuren kommen beispielsweise Äpfelsäure, Weinsäure bzw. deren Derivate in Betracht. Schritt r (B-XVIa => B-XVI und ent-B-XVI):The racemic compound rac-B-XVI can be converted to a mixture of the diastereomeric esters B-XVIa with a chiral, optically purely obtainable acid chG 4 -C02H, its ester, anhydride or acid halide by the methods known to the person skilled in the art and with simple chromatographic Separate methods. Suitable chiraic acids are, for example, malic acid, tartaric acid or their derivatives. Step r (B-XVIa => B-XVI and ent-B-XVI):
Die diastereomereinreinen Ester B-XVIa lassen sich jeweils nach dem unter Schritt e beschriebenen Verfahren zu den Alkoholen B-XVI bzw. ent-B-XVI reduzieren, oder nach den, dem Fachmann bekannten Methoden verseifen wobei im letztgenannten Fall die unter Schritt u beschriebene Hilfskomp©nente chG^-C02H wiedergewonnen werden kann.The diastereomerically pure esters B-XVIa can each be reduced to the alcohols B-XVI or ent-B-XVI by the process described under step e, or saponified by the methods known to the person skilled in the art, in which case the auxiliary comp described in step u © nente chG ^ -C02H can be recovered.
Darstellung der Teilfragmente C (siehe auch WO 99/07692):Representation of the partial fragments C (see also WO 99/07692):
Teilfragmente der Formel C können aus wohlfeiler, preiswert erhältlicher Äpfelsäure in effizienter Weise mit hoher optischer Reinheit (>99.5%ee) hergestellt werden.Partial fragments of formula C can be produced from inexpensive, inexpensive malic acid in an efficient manner with high optical purity (> 99.5% ee).
Die Synthese wird im folgenden Schema 7 am Beispiel der L-(-)-Äpfelsäure (C-l) beschrieben. Ausgehend von D(+)-Äpfelsäure (ent-C-l) erhält man die entsprechenden enantiomeren Verbindungen (ent-C-ll bis ent-C-XI) und ausgehend von racemischer Äpfelsäure (rac-C-l) die entsprechenden racemischen Verbindungen (rac-C-ll bis rac-C- XI). The synthesis is described in the following scheme 7 using the example of L - (-) - malic acid (Cl). Starting from D (+) - malic acid (ent-Cl), the corresponding enantiomeric compounds (ent-C-II to ent-C-XI) are obtained, and starting from racemic malic acid (rac-Cl), the corresponding racemic compounds (rac-C -ll to rac-C-XI).
Schema 7Scheme 7
' '
C-l C-Il C-l IIC-l C-Il C-l II
Schritt a (Äpfelsäure C-l => C-Il):Step a (malic acid C-1 => C-II):
L-(-)-Äpfelsäure wird nach einem literaturbekannten Verfahren (Liebigs Ann. Chem.L - (-) - Malic acid is produced using a method known from the literature (Liebigs Ann. Chem.
1993, 1273-1278) in das Hydroxylacton C-Il überführt.1993, 1273-1278) converted into the hydroxylactone C-II.
Schritt b (C-Il => C-Ill):Step b (C-Il => C-Ill):
Die freie Hydroxygruppe in Verbindung C-Il wird nach den, dem Fachmann bekannten Methoden geschützt. Als Schutzgruppe PG1 5 kommen die, dem Fachmann bekannten Schutzgruppen, wie sie schon vorstehend für PG8 im Schritt a (A-Il ■=> A-Ill) genannt wurden, in Frage.The free hydroxy group in compound C-II is protected by the methods known to the person skilled in the art. As protective group PG 1 5 which occur to those skilled known protecting groups such as those already mentioned above for PG 8 in step a (A-II ■ => A-III) in question.
Bevorzugt sind solche Schutzgruppen, die unter Einwirkung von Fluorid gespalten werden können, aber unter schwach sauren Reaktionsbedingungen stabil sind, wie z.B. der tert.-Butyldiphenylsilyl-, tert.-Butyldimethylsilyl-, oder Triisopropylsilyl-Rest. Besonders bevorzugt sind der tert.-Butyldiphenylsilyl- und der tert.-Butyldimethylsilyl- Rest.Preference is given to protecting groups which can be cleaved under the action of fluoride but are stable under weakly acidic reaction conditions, such as, for example, the tert-butyldiphenylsilyl, tert-butyldimethylsilyl or triisopropylsilyl radical. The tert-butyldiphenylsilyl and the tert-butyldimethylsilyl radical are particularly preferred.
Schritt e (C-Ill => C-IV):Step e (C-Ill => C-IV):
Das Lacton C-Ill wird zum Lactol C-IV nach den dem Fachmann bekannten Methoden reduziert. Als Reduktionsmittel eignen sich in ihrer Reaktivität modifizierte Aluminiumhydride wie z.B. Diisobutylaluminium-hydrid. Die Reaktion erfolgt, in einem inerten Lösungsmittel wie z.B. Toluol, vorzugsweise bei niedrigen Temperaturen (-20 bis -100°C).The lactone C-III is reduced to lactol C-IV by the methods known to the person skilled in the art. Reactivity modified aluminum hydrides such as e.g. Diisobutyl aluminum hydride. The reaction is carried out in an inert solvent such as e.g. Toluene, preferably at low temperatures (-20 to -100 ° C).
Schritt d (C-IV => C-V):Step d (C-IV => C-V):
Die Umsetzung des Lactols C-IV zu Verbindungen der Formel C-V erfolgt mit metallorganischen Verbindungen der allgemeinen Formel M-R8' worin M für ein Alkalimetall, vorzugsweise Lithium oder ein zweiwertiges Metall MX steht, worin X ein Halogen repräsentiert und R8' die oben genannten Bedeutungen aufweist. Als zweiwertiges Metali ist bevorzugt Magnesium und Zink, als Halogen X ist bevorzugt Chlor, Brom und lod.The conversion of the lactol C-IV to compounds of the formula CV takes place with organometallic compounds of the general formula MR 8 'in which M is an alkali metal, preferably lithium or a divalent metal MX, in which X represents a halogen and R 8 ' has the meanings given above having. Magnesium and zinc are preferred as divalent metals, and chlorine, bromine and iodine are preferred as halogen X.
Schritt e (C-V => C-Vl): Die primäre Hydroxylgruppe in Verbindung C-V wird nach den, dem Fachmann bekannten Methoden selektiv gegenüber der sekundären Hydroxylgruppe geschützt.Step e (C-V => C-VI): The primary hydroxyl group in compound C-V is selectively protected against the secondary hydroxyl group by the methods known to the person skilled in the art.
Als Schutzgruppe PG^8 kommen die, dem Fachmann bekannten Schutzgruppen, wie sie schon vorstehend für PG8 im Schritt a (A-Il = A-Ill) genannt wurden, in Frage.The protective groups PG ^ 8 which are known to the person skilled in the art, as mentioned above for PG 8 in step a (A-II = A-III), are suitable.
Bevorzugt sind solche Schutzgruppen, die unter schwach sauren Reaktionsbedingungen gespalten werden können, wie z.B. der Trimethylsilyl-, Triethylsilyl, -tert.-Preferred protective groups are those which can be cleaved under weakly acidic reaction conditions, such as e.g. the trimethylsilyl-, triethylsilyl, -tert.-
Butyldimethylsilyl-Rest.Butyldimethylsilyl residue.
Besonders bevorzugt ist der tert.-Butyldimethylsilyl-Rest.The tert-butyldimethylsilyl radical is particularly preferred.
Schritt f (C-Vl => C-Vll): Die Oxidation des sekundären Alkohols in C-Vl zum Keton C-Vll erfolgt nach den, dem Fachmann bekannten Methoden. Beispielsweise genannt sei die Oxidation mit Pyridiniumchiorochromat, Pyridiniumdichromat, Chromtrioxid-Pyridin-Komplex, die Oxidation nach Swern oder verwandter Methoden z.B. unter Verwendung von Oxalylchlorid in Dimethylsulfoxid, die Verwendung des Dess-Martin-Periodinans, die Verwendung von Stickstoffoxiden wie z.B. N-Methyl-morpholino-N-oxid in Gegenwart geeigneter Katalysatoren wie z.B. Tetrapropylammoniumperruthenat in inerten Lösungsmitteln. Bevorzugt ist die Oxidation nach Swern. Schritt g (C-Vll => C-Vlll):Step f (C-Vl => C-Vll): The oxidation of the secondary alcohol in C-Vl to the ketone C-Vll takes place according to the methods known to the person skilled in the art. Examples include oxidation with pyridinium chlorochromate, pyridinium dichromate, chromium trioxide-pyridine complex, oxidation by Swern or related methods, for example using oxalyl chloride in dimethyl sulfoxide, the use of Dess-Martin periodinane, the use of nitrogen oxides such as N-methyl morpholino-N-oxide in the presence of suitable catalysts such as tetrapropylammonium perruthenate in inert solvents. Swern oxidation is preferred. Step g (C-Vll => C-Vlll):
Für Verbindungen in denen U gleich CR^ 'R'' ' ist, wird diese Gruppierung nach den dem Fachmann bekannten Verfahren etabliert. Hierzu eignen sich Methoden wie z.B. die Wittig- oder Wittig/Homer-Reaktion, die Addition einer metallorganischen Verbindung MCHR1 'R 2' unter Abspaltung von Wasser. Bevorzugt ist die Wittig- und Wittig/Homer- Reaktion unter Verwendung von Phosphoniumhalogeniden des Typs CR1 1'R1 2'P(Ph)3+Ha|- oder Phosphonaten des Typs CR1 'R1 2'P(0)(OAIkyl)2 mit Ph gleich Phenyl, R1 1 ', R12' und Halogen in den bereits genannten Bedeutungen mit starken Basen wie z.B. n-Butyllithium, Kalium-tert.-butanoiat, Natriumethanolat, Natriumhexamethyidisiiazan; als Base bevorzugt ist n-Butyllithium.For compounds in which U is CR ^ 'R ' '', this grouping is established according to the methods known to the person skilled in the art. Methods such as the Wittig or Wittig / Homer reaction, the addition of an organometallic compound MCHR 1 'R 2 ' with elimination of water are suitable for this. The Wittig and Wittig / Homer reaction is preferred using phosphonium halides of the type CR 1 1 'R 1 2 ' P (Ph) 3 + Ha | - or phosphonates of the type CR 1 'R 1 2 ' P (0) ( OAlkyl) 2 with Ph equal to phenyl, R 1 1 ', R 12 ' and halogen in the meanings already mentioned with strong bases such as, for example, n-butyllithium, potassium tert-butanoate, sodium ethanolate, sodium hexamethyidisiiazane; n-butyllithium is preferred as the base.
Für Verbindungen, in denen U zwei Alkoxygruppen OR9 oder eine C2-Cιo-Alkylen-α,ω- dioxygruppe darstellt, wird das Keton nach den dem Fachmann bekannten Methoden beispielsweise unter Verwendung eines Alkohols HÖR9 oder eines C2-Cιo-Alkylen-α,ω- diols unter Säurekatalyse ketalisiert.For compounds in which U represents two alkoxy groups OR 9 or a C2-Cιo-alkylene-α, ω-dioxy group, the ketone is by the methods known to the person skilled in the art, for example using an alcohol HÖR 9 or a C2-Cιo-alkylene-α , ω- diols ketalisiert under acid catalysis.
Schritt h (C-Vlll => C-IX):Step h (C-VIII => C-IX):
Die unter e eingeführte Schutzgruppe PG18 wird nun nach den dem Fachmann bekannten Verfahren selektiv in Gegenwart von PG1 ^ gespalten. Handelt es sich um eine sauer abspaltbare Schutzgruppe so erfolgt die Spaltung bevorzugt unter schwach sauren Bedindungen, wie z.B. durch Umsetzung mit verdünnten organischen Säuren in inerten Lösungsmittel. Bevorzugt ist Essigsäure.The protective group PG 18 introduced under e is now selectively cleaved in the presence of PG 1 ^ using the processes known to those skilled in the art. If the protective group can be split off with acid, the cleavage is preferably carried out under weakly acidic conditions, such as, for example, by reaction with dilute organic acids in inert solvents. Acetic acid is preferred.
Schritt i (C-IX => C-X):Step i (C-IX => C-X):
Die Oxidation des primären Alkohols in C-IX zum Aldehyd der allgemeinen Formel C-X erfolgt nach den, dem Fachmann bekannten Verfahren. Beispielsweise genannt sei die Oxidation mit Pyridiniumchlorochromat, Pyridiniumdichromat, Chromtrioxid-Pyridin- Komplex, die Oxidation nach Swern oder verwandter Methoden z.B. unter Verwendung von Oxalylchlorid in Dimethylsulfoxid, die Verwendung des Dess-Martin-Periodinans, die Verwendung von Stickstoffoxiden wie z.B. N-Methyl-morpholino-N-oxid in Gegenwart geeigneter Katalysatoren wie z.B. Tetrapropylammoniumperruthenat in inerten Lösungsmitteln. Bevorzugt ist die Oxidation nach Swern sowie mit N-Methyl-morpholino- N-oxid unter Verwendung von Tetrapropylammoniumperruthenat.The oxidation of the primary alcohol in C-IX to the aldehyde of the general formula C-X takes place according to the methods known to the person skilled in the art. Examples include oxidation with pyridinium chlorochromate, pyridinium dichromate, chromium trioxide-pyridine complex, oxidation according to Swern or related methods, e.g. using oxalyl chloride in dimethyl sulfoxide, using Dess-Martin periodinane, using nitrogen oxides such as e.g. N-methyl-morpholino-N-oxide in the presence of suitable catalysts such as e.g. Tetrapropylammonium perruthenate in inert solvents. Oxidation according to Swern and with N-methyl-morpholino-N-oxide using tetrapropylammonium perruthenate is preferred.
Schritt k (C-X = C-XI): Die Umsetzung der Aldehyde C-X zu Alkoholen der allgemeinen Formel C-XI erfolgt nach den, dem Fachmann bekannten Methoden mit metallorganischen Verbindungen der allgemeinen Formel M-R^', worin M für ein Alkalimetall, vorzugsweise Lithium oder ein zweiwertiges Metall MX, worin X ein Halogen repräsentiert und der Rest R^' die oben genannte Bedeutung aufweist. Als zweiwertiges Metall ist bevorzugt Magnesium und Zink, als Halogen X ist bevorzugt Chlor, Brom und lod.Step k (CX = C-XI): The conversion of the aldehydes CX to alcohols of the general formula C-XI takes place according to the methods known to the person skilled in the art with organometallic compounds of the general formula MR ^ ', where M is an alkali metal, preferably lithium or a divalent metal MX, where X represents a halogen and the rest R ^ 'the above has the meaning mentioned. Magnesium and zinc are preferred as divalent metal, and chlorine, bromine and iodine are preferred as halogen X.
Schritt I (C-XI => C-XI I):Step I (C-XI => C-XI I):
Die Oxidation des Alkohols C-XI zum Keton der allgemeinen Formei C-Xll erfolgt nach den unter k) genannten Verfahren oder durch Jones-Oxidation. Bevorzugt ist die Oxidation nach Jones.The alcohol C-XI is oxidized to the ketone of the general formula C-XII by the processes mentioned under k) or by Jones oxidation. Oxidation according to Jones is preferred.
Darstellung der Teilfragmente ABC und deren Zyklisierung zu I:Representation of the partial fragments ABC and their cyclization to I:
Teilfragmente der allgemeinen Formei ABPartial fragments of the general Formei AB
worin R3, R4a, R4b, R5, R6, R25, R7, R20, D, E, U und V die bereits genannten Bedeutungen haben, werden aus den zuvor beschriebenen Fragmenten B und C nach dem in Schema 8 gezeigten Verfahren erhalten.wherein R 3 , R 4a , R 4b , R 5 , R 6 , R 25 , R 7 , R 20 , D, E, U and V have the meanings already mentioned, from the fragments B and C described above according to the in Scheme 8 obtained procedure.
Schema 8Scheme 8
BCBC
Schritt a (B + C = BC):Step a (B + C = BC):
Die Verbindung B, in der R1 7 die Bedeutung eines Wittigsaizes hat und eventuell vorhandene zusätzliche Carbonylgruppen geschützt sind, wird durch eine geeignete Base wie z.B. n-Butyllithium, Lithiumdiisopropylamid, Kalium-tert.butanolat, Natrium- oder Lithium-hexamethyldisilazid deprotoniert und mit einer Verbindung C, worin W die Bedeutung eines Sauerstoffatomes hat, umgesetzt. Teilfragmente der allgemeinen Formel ABCThe compound B, in which R 1 7 has the meaning of a Wittigsaize and any additional carbonyl groups that may be present are protected, is deprotonated by a suitable base such as, for example, n-butyllithium, lithium diisopropylamide, potassium tert-butoxide, sodium or lithium hexamethyldisilazide and with a compound C, in which W has the meaning of an oxygen atom. Partial fragments of the general formula ABC
ABC,ABC,
worin R^, R1b, R2a, R2b, R3, R4a> R4b, R5, R6t R25? R7> R8? R14 R15, D) E> u und Z die bereits genannten Bedeutungen haben, werden aus den zuvor beschriebenen Fragmenten AB und C nach dem in Schema 9 gezeigten Verfahren erhalten.where R ^, R 1 b, R 2 a, R2b, R 3, R 4 a> R 4b, R 5, R 6 t R 25 ? R 7 > R 8 ? R 14 R 15, D) E> u and Z have the meanings already mentioned, are obtained from the fragments AB and C described above by the process shown in Scheme 9.
Schema 9Scheme 9
ABCABC
Schritt b (BC + A = ABC): Die Verbindung BC, worin V die Bedeutung eines Sauerstoffatomes hat und eventuell vorhandene zusätzliche Carbonylgruppen geschützt sind, wird mit dem Enolat einer Carbonylverbindung der allgemeinen Formel A, worin Z die Bedeutung eines Sauerstoffatomes hat, alkyliert. Das Enolat wird durch Einwirkung starker Basen wie z.B. Lithiumdiisopropylamid, Lithiumhexamethyldisilazan bei niedrigen Temperaturen hergestellt.Step b (BC + A = ABC): The compound BC, in which V has the meaning of an oxygen atom and any additional carbonyl groups which may be present are protected, is alkylated with the enolate of a carbonyl compound of the general formula A, in which Z has the meaning of an oxygen atom. The enolate is formed by the action of strong bases such as e.g. Lithium diisopropylamide, lithium hexamethyldisilazane produced at low temperatures.
Schritt c (ABC = I):Step c (ABC = I):
Die Verbindungen ABC, in denen R14 eine Carbonsäure CO2H und R20 ein Wasserstoffatom darstellt, setzt man nach den, dem Fachmann bekannten Methoden für die Bildung großer Macrolide zu Verbindungen der Formel I, in denen Y die Bedeutung eines Sauerstoffatomes besitzt, um. Bevorzugt wird die in "Reagents for Organic Synthesis, Vol. 16, p 353" beschriebene Methode unter Verwendung von 2,4,6- Trichiorbenzoesäurechlorid und geeigneten Basen wie z.B. Triethylamin, 4- Dimethylaminopyridin, Natriumhydrid.The compounds ABC, in which R 14 is a carboxylic acid CO2H and R 20 is a hydrogen atom, are set according to the methods known to the person skilled in the art for the formation of large macrolides to give compounds of the formula I in which Y is of an oxygen atom, in order. The method described in "Reagents for Organic Synthesis, Vol. 16, p 353" is preferred using 2,4,6-trichiorbenzoic acid chloride and suitable bases such as, for example, triethylamine, 4-dimethylaminopyridine and sodium hydride.
Schritt d (ABC =» I):Step d (ABC = »I):
Die Verbindungen ABC, in denen R14 eine Gruppe CH2OH und R20 ein Wasserstoffatom darstellt, lassen sich vorzugsweise unter Verwendung von Triphenylphosphin und Azodiestem wie beispielsweise Azodicarbonsäurediethylester zu Verbindungen der Formel I, in denen Y die Bedeutung zweier Wasserstoffatome hat, umsetzen.The compounds ABC, in which R 14 represents a group CH2OH and R 20 represents a hydrogen atom, can preferably be converted into compounds of the formula I, in which Y has the meaning of two hydrogen atoms, using triphenylphosphine and azodiesters such as, for example, diethyl azodicarboxylate.
Die Verbindungen ABC, in denen R14 eine Gruppe CH2θSθ2Alkyl oder CH2θSθ2Aryl oder CH2θSθ2Aralkyl und R20 ein Wasserstoffatom darstellt, lassen sich nach Deprotonierung mit geeigneten Basen wie beispielsweise Natriumhydrid, n-Buthyllithium, 4-Dimethylaminopyridin, Hünig-Base, Alkylihexamethyldisilazanen zu Verbindungen der Formel I, in denen Y die Bedeutung zweier Wasserstoffatome hat, zyklisieren.The compounds ABC, in which R 14 represents a group CH2θSθ2alkyl or CH2θSθ2Aryl or CH2θSθ2Aralkyl and R 20 represents a hydrogen atom, can be deprotonated with suitable bases such as sodium hydride, n-butyllithium, 4-dimethylaminopyridine, Hünig base, alkylhexamethyldisilazanes to give the compounds of the compounds I, in which Y has the meaning of two hydrogen atoms, cyclize.
Die Erfindung betrifft auch dieses Verfahren zur Herstellung der Verbindungen der allgemeinen Formel I sowie die neuen Zwischenprodukte der allgemeinen Formeln B, C, BC und ABC einschließlich aller Stereoisomeren dieser Verbindungen und auch deren Gemische. The invention also relates to this process for the preparation of the compounds of the general formula I and the new intermediates of the general formulas B, C, BC and ABC including all stereoisomers of these compounds and also mixtures thereof.
Die flexible Funktionalisierung der beschriebenen Bausteine A, B und C gewährleistet auch eine von dem oben beschriebenen Verfahren abweichende Verknüpfungsreihenfolge, die zu den Bausteinen ABC führt. Diese Verfahren sind in der folgenden Tabelle zusammengestellt:The flexible functionalization of the described modules A, B and C also ensures a linking sequence which deviates from the method described above and which leads to the modules ABC. These procedures are summarized in the following table:
Nach diesen Verfahren lassen sich die Bausteine A, B und C, wie in Schema 10 angegeben, verknüpfen:Using these methods, building blocks A, B and C can be linked as shown in Scheme 10:
Schema 10Scheme 10
A-B-C c oder dA-B-C c or d
A + B A-B + CA + B A-B + C
C-A-B c oder dC-A-B c or d
A + C C-A + BA + C C-A + B
c oder dc or d
C-B-AC-B-A
B + C C-B + AB + C C-B + A
c oder d A-C-Bc or d A-C-B
Freie Hydroxylgmppen in I, A, B, C, AB, ABC können durch Verethemng oder Veresterung, freie Carbonylgmppen durch Ketaiisiemng, Enoletherbildung oder Reduktion weiter funktioneil abgewandelt sein.Free hydroxyl groups in I, A, B, C, AB, ABC can be further functionally modified by etherification or esterification, free carbonyl groups by ketaiization, enol ether formation or reduction.
Die Erfindung betrifft auch diese Verfahren zur Herstellung der Epothilon-Derivate der allgemeinen Formel. The invention also relates to these processes for the preparation of the epothilone derivatives of the general formula.
Biologische Wirkungen und Anwendungsbereiche der neuen Derivate:Biological effects and areas of application of the new derivatives:
Die neuen Verbindungen der Formel I sind wertvolle Pharmaka. Sie interagieren mit Tubulin, indem sie gebildete Mikrotubuli stabilisieren und sind somit in der Lage, die Zellteilung phasenspezifisch zu beeinflussen. Dies betrifft vor allem schnell wachsende, neoplastische Zellen, deren Wachstum durch interzelluläre Regeimechnismen weitgehend unbeeinflußt ist. Wirkstoffe dieser Art sind prinzipiell geeignet zur Behandlung maligner Tumoren. Als Anwendungsbereich seien beispielweise genannt die Therapie von Ovarial-, Magen-, Colon-, Adeno-, Bmst-, Lungen-, Kopf- und Nacken- Karzinomen, dem malignen Melanom, der akuten lymphozytären und myelocytären Leukämie. Die erfindungsgemäßen Verbindungen eignen sich aufgrund ihrer Eigenschaften prinzipiell zur Anti-Angiogenese-Therapie sowie zur Behandlung chronischer entzündlicher Erkrankungen wie beispielsweise der Psoriasis oder der Arthritis. Zur Vermeidung unkontrollierter Zellwucherungen an sowie der besseren Verträglichkeit von medizinischen Implantaten lassen sie sich prinzipiell in die hierfür verwendeten polymeren Materialien auf- bzw. einbringen. Die erfindungsgemäßen Verbindungen können alleine oder zur Erzielung additiver oder synergistischer Wirkungen in Kombination mit weiteren in der Tumortherapie anwendbaren Prinzipien und Substanzklassen verwendet werden. Als Beispiele seien genannt die Kombination mitThe new compounds of formula I are valuable pharmaceuticals. They interact with tubulin by stabilizing formed microtubules and are therefore able to influence cell division in a phase-specific manner. This concerns above all fast growing, neoplastic cells, the growth of which is largely unaffected by intercellular control mechanisms. In principle, active substances of this type are suitable for the treatment of malignant tumors. Areas of application include the therapy of ovarian, stomach, colon, adeno, BMM, lung, head and neck carcinomas, malignant melanoma, acute lymphocytic and myelocytic leukemia. Because of their properties, the compounds according to the invention are suitable in principle for anti-angiogenesis therapy and for the treatment of chronic inflammatory diseases such as, for example, psoriasis or arthritis. In order to avoid uncontrolled cell growth on and the better compatibility of medical implants, they can in principle be applied or incorporated into the polymeric materials used for this. The compounds according to the invention can be used alone or to achieve additive or synergistic effects in combination with other principles and classes of substances which can be used in tumor therapy. Examples include the combination with
= Platinkomplexen wie z.B. Cisplatin, Carbopiatin,= Platinum complexes such as Cisplatin, carbopiatin,
=> interkalierenden Substanzen z.B. aus der Klasse der Anthracycline wie z.B.=> intercalating substances e.g. from the class of anthracyclines such as
Doxo bicin oder aus der Klasse der Antrapyrazole wie z.B. CI-941 , => mit Tubulin interagierenden Substanzen z.B. aus der Klasse der Vinka-Alkaloide wie z.B. Vincristin, Vinblastin oder aus der Klasse der Taxane wie z.B. Taxol,Doxo bicin or from the class of antrapyrazoles such as CI-941, => substances interacting with tubulin e.g. from the class of Vinka alkaloids such as Vincristine, vinblastine or from the taxane class such as Taxol,
Taxotere oder aus der Klasse der Makrolide wie z.B. Rhizoxin oder andere Verbindungen wie z.B. Colchicin, Combretastatin A-4, = DNA Topoisomeraseinhibitoren wie z.B. Camptothecin, Etoposid, Topotecan, Teniposid, => Folat- oder Pyrimidin-Antimetaboliten wie z.B. Lometfexol, Gemcitubin, = DNA alkylierenden Verbindungen wie z.B. Adozelesin, Dystamycin A, => Inhibitoren von Wachstumsfaktoren (z.B. von PDGF, EGF, TGFb, EGF) wie z.B.Taxotere or from the macrolide class such as Rhizoxin or other compounds such as e.g. Colchicine, Combretastatin A-4, = DNA topoisomerase inhibitors such as e.g. Camptothecin, etoposide, topotecan, teniposide, => folate or pyrimidine antimetabolites such as Lometfexol, Gemcitubin, = DNA alkylating compounds such as e.g. Adozelesin, dystamycin A, => inhibitors of growth factors (e.g. PDGF, EGF, TGFb, EGF) such as e.g.
Somatostatin, Suramin, Bombesin-Antagonisten, = Inhibitoren der Protein Tyrosin Kinase oder der Protein Kinasen A oder C wie z.B. Erbstatin, Genistein, Staurosporin, llmofosin, 8-CI-cAMP,Somatostatin, suramin, bombesin antagonists, = inhibitors of protein tyrosine kinase or protein kinases A or C such as e.g. Erbstatin, Genistein, Staurosporin, llmofosin, 8-CI-cAMP,
= Antihormonen aus der Klasse der Antigestagene wie z.B. Mifepriston, Onapriston oder aus der Klasse der Antiöstrogene wie z.B. Tamoxifen oder aus der Klasse der Antiandrogene wie z.B. Cyproteronacetat, => Metastasen inhibierenden Verbindungen z.B. aus der Klasse der Eicosanoide wie z.B. PGι'2, PGE-j , o-Cxo-PGE-] sowie deren stabiler Derivate (z.B. Iloprost, Cicaprost, Misoprostol). = Inhibitoren onkogen.er RAS-Proteine, welche die mitotiscne Sigπaltransduktion beeinflussen wie beispielsweise iπ tbitoren der Farnesyl-Protein-Transferase,Anti-hormones from the class of anti-progestogens such as mifepristone, onapristone or from the class of anti-estrogens such as tamoxifen or from the class of anti-androgens such as cyproterone acetate, => Compounds inhibiting metastases, for example from the class of eicosanoids such as PGι'2, PGE-j, o-Cxo-PGE-] and their stable derivatives (for example iloprost, cicaprost, misoprostol). = Inhibitors of oncogenic RAS proteins which influence the mitotic signal transduction, such as, for example, inhibitors of farnesyl protein transferase,
— natürlichen oder künstlich erzeugten Antikörpern, die gegen Faktoren bzw. deren Rezeptoren, die das Tumorwachstum fördern, gerichtet sind wie beispielsweise der erbB2-Antikόrper, Die Erfindung betrifft auch Arzneimittel auf Basis der pharmazeutisch verträglichen, d.h. in den verwendeten Dosen nicht toxischen Verbindungen der allgemeinen Formel I, gegebenenfalls zusammen mit den üblichen Hilfs- und Trägerstoffen. Die erfindungsgemäßen Verbindungen können nach an sich bekannten Methoden der Galenik zu pharmazeutischen Präparaten für die enteraie, percutane, parenterale oder lokale Applikation verarbeitet werden. Sie können in Form von Tabletten, Dragees, Gel- kapsein, Granulaten, Suppositorien, Implantaten, injizierbaren sterilen wäßrigen oder öligen Lösungen, Suspensionen oder Emulsionen, Salben, Cremes und Gelen verabreicht werden.Natural or artificially produced antibodies which are directed against factors or their receptors which promote tumor growth, such as, for example, the erbB2 antibody, the invention also relates to medicaments based on the pharmaceutically acceptable, i.e. in the doses used, non-toxic compounds of the general formula I, if appropriate together with the customary auxiliaries and carriers. The compounds according to the invention can be processed into pharmaceutical preparations for enteric, percutaneous, parenteral or local application according to known galenical methods. They can be administered in the form of tablets, coated tablets, gel capsules, granules, suppositories, implants, injectable sterile aqueous or oily solutions, suspensions or emulsions, ointments, creams and gels.
Der oder die Wirkstoffe können dabei mit den in der Galenik üblichen Hilfsstoffen wie z.B. Gummiarabikum, Talk, Stärke, Mannit, Methylcellulose, Laktose, Tensiden wie Tweens oder Myrj, Magnesiumstearat, wäßrigen oder nicht wäßrigen Trägern, Paraffinderivaten, Netz-, Dispergier-, Emulgier-, Konservierungsmitteln und Aromastoffen zur Geschmackskorrektur (z.B. etherischen Ölen) gemischt werden.The active ingredient (s) can be combined with the auxiliaries commonly used in galenics, e.g. Gum arabic, talc, starch, mannitol, methyl cellulose, lactose, surfactants such as tweens or myrj, magnesium stearate, aqueous or non-aqueous vehicles, paraffin derivatives, wetting, dispersing, emulsifying, preserving agents and flavoring agents for flavor correction (e.g. essential oils).
Die Erfindung betrifft somit auch pharmazeutische Zusammensetzungen, die als Wirkstoff zumindest eine erfindungsgemäße Verbindung enthalten. Eine Dosiseinheit enthält etwa 0,1-100 mg Wirkstoff(e). Die Dosierung der erfindungsgemäßen Verbindungen liegt beim Menschen bei etwa 0,1-1000 mg pro Tag.The invention thus also relates to pharmaceutical compositions which contain at least one compound according to the invention as active ingredient. One dose unit contains about 0.1-100 mg of active ingredient (s). The dosage of the compounds according to the invention in humans is about 0.1-1000 mg per day.
Die nachfolgenden Beispiele dienen der näheren Erläute ng der Erfindung, ohne sie darauf einschränken zu wollen: The following examples serve to explain the invention in more detail without wishing to restrict it:
Beispiel 1example 1
(4S,7R,8S,9S,13(E),16S(E))-4,3-Dihydroxy-16-(1 -methyi-2-(2-methyi-4- thiazoiyl)ethenyl)-1 -oxa-5,5,7,9,14-pentamethyl-cyclohexadec-13-en-2,6-dion(4S, 7R, 8S, 9S, 13 (E), 16S (E)) - 4,3-dihydroxy-16- (1-methyl-2- (2-methyl-4-thiazoiyl) ethenyl) -1-oxa -5,5,7,9,14-pentamethyl-cyclohexadec-13-ene-2,6-dione
Beispiel 1 aExample 1 a
(3S)-1 -Oxa-2-oxo-3-(tetrahydropyran-2(RS)-yloxy)-4,4-dimethyl-cyclopentan(3S) -1-Oxa-2-oxo-3- (tetrahydropyran-2 (RS) -yloxy) -4,4-dimethyl-cyclopentane
Die Lösung von 74,1 g (569 mmol) D-(-)-Pantolacton in 11 wasserfreiem Dichlormethan versetzt man unter einer Atmosphäre aus trockenem Argon mit 102 ml 3,4-Dihydro-2H- pyran, 2 g p-Toluolsulfonsäure-Pyridiniumsalz und rührt 16 Stunden bei 23°C. Man gießt in eine gesättigte Natriumhydrogencarbonatlösung, trennt die organische Phase ab und trocknet über Natriumsulfat. Nach Filtration und Lösungsmittelabzug chromatographiert man den Rückstand an ca. 5 kg feinem Kieselgel mit einem Gemisch aus n-Hexan und Ethylacetat. Isoliert werden 1 19,6 g (558 mmol, 98%) der Titelverbindung als farbloses Öl. 1 H-NMR (CDCI3): δ = 1 ,13 (3H), 1 ,22 (3H), 1 ,46-1 ,91 (6H), 3,50-3,61 (1 H), 3,86 (1 H), 3,92 (1 H), 4,01 (1 H), 4,16 (1 H), 5,16 (1 H) ppm.The solution of 74.1 g (569 mmol) of D - (-) - pantolactone in 11 anhydrous dichloromethane is mixed with 102 ml of 3,4-dihydro-2H-pyran, 2 g of p-toluenesulfonic acid pyridinium salt under an atmosphere of dry argon and stirred for 16 hours at 23 ° C. It is poured into a saturated sodium bicarbonate solution, the organic phase is separated off and dried over sodium sulfate. After filtration and removal of solvent, the residue is chromatographed on about 5 kg of fine silica gel with a mixture of n-hexane and ethyl acetate. 1 19.6 g (558 mmol, 98%) of the title compound are isolated as a colorless oil. 1 H NMR (CDCI3): δ = 1.13 (3H), 1.22 (3H), 1.46-1, 91 (6H), 3.50-3.61 (1H), 3.86 (1H), 3.92 (1H), 4.01 (1H), 4.16 (1H), 5.16 (1H) ppm.
Beispiel 1 bExample 1 b
(2RS,3S)-1 -Oxa-2-hydroxy-3-(tetrahydropyran-2(RS)-yioxy)-4,4-dimethyl- cyciopentan(2RS, 3S) -1-Oxa-2-hydroxy-3- (tetrahydropyran-2 (RS) -yioxy) -4,4-dimethyl-cyciopentane
Die Lösung von 1 17,5 g (548 mmol) der nach Beispiel 1 a dargestellten Verbindung in 2,4 I wasserfreiem Toluol kühlt man unter einer Atmosphäre aus trockenem Argon auf -70°C, versetzt innerhalb 1 Stunde mit 540 ml einer 1 ,2 molaren Lösung von Diisobutylaluminiumhydrid in Toluol und rührt noch 3 Stunden bei -70°C. Man läßt auf - 20°C erwärmen, versetzt mit gesättigter Ammoniumchloridiösung, Wasser und trennt die ausgefallenen Aluminiumsalze durch Filtration über Celite ab. Das Fiitrat wird mit Wasser und gesättigter Natriumchloridlösung gewaschen und über Magnesiumsulfat getrocknet. Isoliert werden nach Filtration und Lösungsmittelabzug 1 11 ,4 g (515 mmol, 94%) der Titelverbindung als farbloses Öl, das man ohne Reinigung weiter umsetzt. IR (CHCI3): 3480, 3013, 2950, 2874, 1262, 1 133, 1074, 1026 und 808 cm"1.The solution of 1 17.5 g (548 mmol) of the compound shown in Example 1 a in 2.4 I of anhydrous toluene is cooled to -70 ° C. under an atmosphere of dry argon, and 540 ml of a 1, 2 molar solution of diisobutylaluminium hydride in toluene and stirred for 3 hours at -70 ° C. The mixture is allowed to warm to −20 ° C., saturated ammonium chloride solution, water are added and the precipitated aluminum salts are separated off by filtration through Celite. The filtrate is washed with water and saturated sodium chloride solution and dried over magnesium sulfate. After filtration and removal of solvent, 11.4 g (515 mmol, 94%) of the title compound are isolated as a colorless oil, which is reacted further without purification. IR (CHCI3): 3480, 3013, 2950, 2874, 1262, 1 133, 1074, 1026 and 808 cm " 1 .
Beispiel 1cExample 1c
(3S)-2,2-Dimethyl-3-(tetrahydropyran-2(R)-yloxy)-pent-4-en-1 -ol und (3S)-2,2-(3S) -2,2-dimethyl-3- (tetrahydropyran-2 (R) -yloxy) -pent-4-en-1 -ol and (3S) -2,2-
Dimethyl-3-(tetrahydropyran-2(S)-yloxy)-pent-4-en-1 -ol Die Aufschlämmung von 295 g Methyl-triphenylphosphoniumbromid in 2,5 I wasserfreiem Tetra h yd rofu ran versetzt man unter einer Atmosphäre aus trockenem Argon bei -60°C mit 313 ml einer 2,4 molaren Lösung von n-Butyllithium in n-Hexan, läßt auf 23°C erwärmen, eine Stunde nachrühren und kühlt auf 0°C. Man versetzt mit der Lösung von 66,2 g (306 mmol) der nach Beispiel 1 b dargestellten Verbindung in 250 ml Tetra h yd rofu ran. laßt auf 23°C erwarmen und 18 Stunden rühren Man gießt in eine gesattigte Natπumnydrogencarbonatlosung, extrahiert mehrfach mit Dichiormethan und trocknet die vereinigten organischen Extrakte über Natriumsulfat Nach Filtration und Losungsmittelabzug chromatographiert man den Ruckstand an ca. 5 I feinem Kieseigel mit einem Gradientensystem aus n-Hexan und Ethylacetat. Isoliert werden 36,5 g (170 mmol, 56%) des unpolaren, 14,4 g (67,3 mmol, 22%) des polaren THP-Isomeren der Titelverbindung, sowie 7,2 g (33,3 mmol; 1 1 %) des Ausgangsmateπals jeweils als farbloses Öl. 1 H-NMR (CDCI3), unpolares Isomer: δ = 0,78 (3H), 0,92 (3H), 1 ,41-1 ,58 (4H), 1 ,63-1 ,87 (2H), 3,18 (1 H), 3,41 (1 H), 3,48 (1 H), 3,68 (1 H), 3,94 (1 H), 4,00 (1 H), 4,43 (1 H), 5,19 (1 H), 5,27 (1 H), 5,75 (1 H) ppm.Dimethyl-3- (tetrahydropyran-2 (S) -yloxy) -pent-4-en-1 -ol The slurry of 295 g of methyl triphenylphosphonium bromide in 2.5 l of anhydrous tetrahydrofuran is added under an atmosphere of dry Argon at -60 ° C with 313 ml of a 2.4 molar solution of n-butyllithium in n-hexane, allowed to warm to 23 ° C, stirred for an hour and cooled to 0 ° C. A solution of 66.2 g (306 mmol) of the compound shown in Example 1b in 250 ml is added Tetra h yd rofu ran. Allow to warm to 23 ° C. and stir for 18 hours. Pour into a saturated sodium bicarbonate solution, extract several times with dichloromethane and dry the combined organic extracts over sodium sulfate. After filtration and removal of the solvent, the residue is chromatographed on about 5 l of fine gravel hedgehog using a gradient system composed of n- Hexane and ethyl acetate. 36.5 g (170 mmol, 56%) of the non-polar, 14.4 g (67.3 mmol, 22%) of the polar THP isomer of the title compound and 7.2 g (33.3 mmol; 1 l are isolated %) of the starting material as a colorless oil. 1 H-NMR (CDCI3), non-polar isomer: δ = 0.78 (3H), 0.92 (3H), 1, 41-1, 58 (4H), 1, 63-1, 87 (2H), 3 , 18 (1H), 3.41 (1H), 3.48 (1H), 3.68 (1H), 3.94 (1H), 4.00 (1H), 4.43 (1H), 5.19 (1H), 5.27 (1H), 5.75 (1H) ppm.
1 H-NMR (CDCI3), polares Isomer: δ = 0,83 (3H), 0,93 (3H), 1 ,42-1 ,87 (6H), 2,76 (1 H), 3,30 (1 H), 3,45 (1 H), 3,58 (1 H), 3,83 (1 H), 3,89 (1 H), 4,65 (1 H), 5,12-5,27 (2H), 5,92 (1 H ppm. 1 H-NMR (CDCI3), polar isomer: δ = 0.83 (3H), 0.93 (3H), 1, 42-1, 87 (6H), 2.76 (1 H), 3.30 ( 1 H), 3.45 (1 H), 3.58 (1 H), 3.83 (1 H), 3.89 (1 H), 4.65 (1 H), 5.12-5, 27 (2H), 5.92 (1H ppm.
Beispiel 1 dExample 1 d
(3S)-1 -(tert.-ButyldiphenyisiIyloxy)-2,2-dimethyl-pentan-3-(tetrahydropyran-2-yloxy)- pent-4-en(3S) -1 - (tert-ButyldiphenyisiIyloxy) -2,2-dimethyl-pentan-3- (tetrahydropyran-2-yloxy) - pent-4-ene
Die Lösung von 59,3 g (277 mmol) des nach Beispiel 1 c dargestellten THP-Isomeren- Gemisches in 1000 ml wasserfreiem Dimethylformamid versetzt man unter einer Atmosphäre aus trockenem Argon mit 28 g Imidazol, 85 ml tert.-Butyldiphenylchiorsiian und rührt 16 Stunden bei 23°C. Man gießt in Wasser, extrahiert mehrfach mit Dichiormethan, wäscht die vereinigten organischen Extrakte mit Wasser und trocknet über Natriumsulfat. Nach Filtration und Lösungsmittelabzug chromatographiert man den Rückstand an feinem Kieselgel mit einem Gradientensystem aus n-Hexan und Ethylacetat. Isoliert werden 106,7 g (236 mmol, 85%) der Titelverbindung als farbloses Öl.The solution of 59.3 g (277 mmol) of the THP isomer mixture shown in Example 1 c in 1000 ml of anhydrous dimethylformamide is admixed with 28 g of imidazole, 85 ml of tert-butyldiphenylchloride, under an atmosphere of dry argon, and stirred for 16 hours at 23 ° C. It is poured into water, extracted several times with dichloromethane, the combined organic extracts are washed with water and dried over sodium sulfate. After filtration and removal of the solvent, the residue is chromatographed on fine silica gel using a gradient system composed of n-hexane and ethyl acetate. 106.7 g (236 mmol, 85%) of the title compound are isolated as a colorless oil.
1H-NMR (CDCI3): δ = 0,89 (3H), 0,99 (3H), 1 ,08 (9H), 1 ,34-1 ,82 (6H), 3,40 (1 H), 3,51 (2H), 3,76 (1 H), 4,02 (1 H), 4,67 (1 H), 5,18 (1 H), 5,23 (1 H), 5,68 (1 H), 7,30-7,48 (6H), 7,60-7,73 (4H) ppm. 1 H-NMR (CDCI3): δ = 0.89 (3H), 0.99 (3H), 1.08 (9H), 1.34-1, 82 (6H), 3.40 (1 H), 3.51 (2H), 3.76 (1H), 4.02 (1H), 4.67 (1H), 5.18 (1H), 5.23 (1H), 5.68 (1H), 7.30-7.48 (6H), 7.60-7.73 (4H) ppm.
Beispiel 1 eExample 1 e
(3S)-1 -(tert.-Butyldiphenylsilyloxy)-2,2-dimethyl-3-(tetrahydropyran-2-yloxy)-pentan-(3S) -1 - (tert-butyldiphenylsilyloxy) -2,2-dimethyl-3- (tetrahydropyran-2-yloxy) pentane
5-ol Die Losung von 3,09 g (6,83 mmol) der nach Beispiel 1 d dargestellten Verbindung in 82 ml Tetrahydrofuran versetzt man man unter einer Atmosphäre aus trockenem Argon bei 23°C mit 13,1 ml einer 1 molaren Lösung von Boran in Tetrahydrofuran und läßt 1 Stunde reagieren. Anschließend versetzt man unter Eiskühlung mit 16,4 ml einer 5%- igen Natronlauge sowie 8,2 ml einer 30%-ιgen Wasserstoffperoxidlosung und rührt weitere 30 Minuten. Man gießt in Wasser, extrahiert mehrfach mit Ethylacetat, wäscht die vereinigten organischen Extrakte mit Wasser, gesättigter Natπumchloπdlösung und trocknet über Magnesiumsulfat. Den nach Filtration und Lόsungsmitteiabzug erhaltenen Rückstand reinigt man durch Chromatographie an feinem Kieselgel mit einem Gradientensystem aus n-Hexan und Ethylacetat. Isoliert werden 1 ,78 g (3,78 mmol, 55%) der Titelverbindung als chromatographisch trennbares Gemisch der beiden THP- Epimeren sowie 0,44g (1 ,14 mmol, 17%) der Titelverbindung aus Beispiel 6 jeweils als farbloses Öl. 1 H-NMR (CDCI3), unpolares THP-Isomer: δ = 0,80 (3H), 0,88 (3H), 1 ,10 (9H), 1 ,18-1 ,80 (9H), 3,27 (1 H), 3,39 (1 H), 3,48 (1 H), 3,64 (1 H), 3,83 (1 H), 3,90-4,08 (2H), 4,49 (1 H), 7,31-7,50 (6H), 7,58-7,73 (4H) ppm.5-ol The solution of 3.09 g (6.83 mmol) of the compound shown in Example 1 d in 82 ml of tetrahydrofuran is mixed with 13.1 ml of a 1 molar solution of under an atmosphere of dry argon at 23 ° C. Borane in tetrahydrofuran and allowed to react for 1 hour. 16.4 ml of a 5% strength sodium hydroxide solution and 8.2 ml of a 30% strength hydrogen peroxide solution are then added, and the mixture is stirred another 30 minutes. It is poured into water, extracted several times with ethyl acetate, the combined organic extracts are washed with water, saturated sodium chloride solution and dried over magnesium sulfate. The residue obtained after filtration and removal of solvent is purified by chromatography on fine silica gel using a gradient system composed of n-hexane and ethyl acetate. 1.78 g (3.78 mmol, 55%) of the title compound are isolated as a chromatographically separable mixture of the two THP epimers and 0.44 g (1.14 mmol, 17%) of the title compound from Example 6 in each case as a colorless oil. 1 H-NMR (CDCI 3 ), non-polar THP isomer: δ = 0.80 (3H), 0.88 (3H), 1, 10 (9H), 1, 18-1, 80 (9H), 3, 27 (1H), 3.39 (1H), 3.48 (1H), 3.64 (1H), 3.83 (1H), 3.90-4.08 (2H), 4th , 49 (1H), 7.31-7.50 (6H), 7.58-7.73 (4H) ppm.
1 H-NMR (CDCI3), polares THP-Isomer: δ = 0,89 (3H), 0,98 (3H), 1 ,08 (9H), 1 ,36-1 ,60 (4H), 1 ,62-1 ,79 (3H), 1 ,88 (1 H), 2,03 (1 H), 3,37 (1 H), 3,50 (1 H), 3,57 (1 H), 3,62-3,83 (4H), 4,70 (1 H), 7,30-7,48 (6H), 7,61-7,73 (4H) ppm.1 H NMR (CDCI3), polar THP isomer: δ = 0.89 (3H), 0.98 (3H), 1, 08 (9H), 1, 36-1, 60 (4H), 1, 62 -1.79 (3H), 1.88 (1H), 2.03 (1H), 3.37 (1H), 3.50 (1H), 3.57 (1H), 3, 62-3.83 (4H), 4.70 (1H), 7.30-7.48 (6H), 7.61-7.73 (4H) ppm.
Beispiel 1f (3S)-1 -(tert.-Butyldiphenylsilyloxy)-2,2-dimethyl-3-hydroxy-pent-4-enExample 1f (3S) -1 - (tert-Butyldiphenylsilyloxy) -2,2-dimethyl-3-hydroxy-pent-4-ene
Die Lösung von 106,7 g (236 mmol) der nach Beispiel 1 d dargestellten Verbindung in 1 ,5 I wasserfreiem Ethanol versetzt man unter einer Atmosphäre aus trockenem Argon mit 5,9 g Pyridinium-p-Toluolsulfonat und erhitzt 6 Stunden auf 50αC. Nach Lösungsmittelabzug chromatographiert man den Rückstand an feinem Kieselgel mit einem Gemisch aus n-Hexan und Ethylacetat. Isoliert werden 82,6 g (224 mmol, 95%) der Titelverbindung als farbloses Öl, in dem noch zusätzlich ca. 5g Ethoxy- tetrahydropyran enthalten sind. 1 H-NMR (CDCI3) einer analytischen Probe: δ = 0,89 (6H), 1 ,08 (9H), 3,45 (1 H), 3,49 (1 H), 3,58 (1 H), 4,09 (1 H), 5,21 (1 H), 5,33 (1 H), 5,93 (1 H), 7,34-7,51 (6H), 7,63-7,73 (4H) ppm.The solution of 106.7 g (236 mmol) of the compound shown in Example 1d in 1.5 I of anhydrous ethanol is mixed under an atmosphere of dry argon with 5.9 g of pyridinium p-toluenesulfonate and heated to 50 α for 6 hours C. After removal of the solvent, the residue is chromatographed on fine silica gel with a mixture of n-hexane and ethyl acetate. 82.6 g (224 mmol, 95%) of the title compound are isolated as a colorless oil which also contains about 5 g of ethoxytetrahydropyran. 1 H-NMR (CDCI3) of an analytical sample: δ = 0.89 (6H), 1.08 (9H), 3.45 (1 H), 3.49 (1 H), 3.58 (1 H) , 4.09 (1H), 5.21 (1H), 5.33 (1H), 5.93 (1H), 7.34-7.51 (6H), 7.63-7, 73 (4H) ppm.
Beispiel 1g (3S)-1 -(tert.-Butyldiphenylsilyloxy)-2,2-dlmethyl-pentan-3,5-diolExample 1g (3S) -1 - (tert-butyldiphenylsilyloxy) -2,2-dlmethylpentan-3,5-diol
Die Lösung von 570 mg (1 ,55 mmol) der nach Beispiel 1f dargestellten Verbindung setzt man in Analogie zu Beispiel 1 e um und isoliert nach Aufarbeitung und Reinigung 410 mg (1 ,06 mmoi, 68%) der Titelverbindung als farbloses Öl.The solution of 570 mg (1.55 mmol) of the compound shown in Example 1f is reacted analogously to Example 1e and, after workup and purification, 410 mg (1.06 mmoi, 68%) of the title compound is isolated as a colorless oil.
1 H-NMR (CDCI3): δ = 0,82 (3H), 0,93 (3H), 1 ,08 (9H), 1 ,56-1 ,79 (2H), 3,11 (1H), 3,50 (2H), 3,78-3,92 (3H), 4,02 (1 H), 7,34-7,51 (6H), 7,61-7,71 (4H) ppm.1 H-NMR (CDCI3): δ = 0.82 (3H), 0.93 (3H), 1.08 (9H), 1, 56-1, 79 (2H), 3.11 (1H), 3 , 50 (2H), 3.78-3.92 (3H), 4.02 (1H), 7.34-7.51 (6H), 7.61-7.71 (4H) ppm.
Beispiel 1 h 4(S)-[2-Methyl-1 -(tert.-butyidiphenylsilyloxy)-prop-2-yl]-2,2-dimethyl-[1 ,3]dioxan Die Losung von 100 mg (0.212 mmol) der nach Beispiel 1 e dargestellten Verbindungen in 2,5 mi wasserfreiem Aceton versetzt man unter einer Atmosphäre aus trocKenem Argon mit 78,9 mg Kupfer(ll)sulfat, einer Spatelspitze p-Toiuolsulfonsaure-Moπohydrat und rührt 16 Stunden bei 23°C. Man versetzt mit gesättigter Natπumhydrogencarbonatlösung, extrahiert mehrfach mit Diethylether, wäscht mit gesättigter Natriumchloridlösung und trocknet über Natriumsulfat. Den nach Filtration und Lösungsmittelabzug erhaltenen Rückstand reinigt man durch Chromatographie an feinem Kieselgel mit einem Gradientensystem aus n-Hexan und Ethylacetat. Isoliert werden 24 mg (56 μmol, 27%) der Titelverbindung als farbloses Öl. 1 H-NMR (CDCI3): δ = 0,83 (3H), 0,89 (3H), 1 ,07 (9H), 1 ,30 (1 H), 1 ,36 (3H), 1 ,44 (3H), 1 ,71 (1 H), 3,24 (1 H), 3,62 (1 H), 3,86 (1 H), 3,91-4,03 (2H), 7,31-7,48 (6H), 7,61-7,74 (4H) ppm.Example 1 h 4 (S) - [2-methyl-1 - (tert-butyidiphenylsilyloxy) prop-2-yl] -2,2-dimethyl- [1, 3] dioxane The solution of 100 mg (0.212 mmol) of the compounds shown in Example 1 e in 2.5 ml of anhydrous acetone is mixed with 78.9 mg of copper (II) sulfate, a spatula tip of p-toluenesulfonic acid monohydrate and under an atmosphere of dry argon stirred for 16 hours at 23 ° C. Saturated sodium bicarbonate solution is added, the mixture is extracted several times with diethyl ether, washed with saturated sodium chloride solution and dried over sodium sulfate. The residue obtained after filtration and removal of solvent is purified by chromatography on fine silica gel using a gradient system composed of n-hexane and ethyl acetate. 24 mg (56 μmol, 27%) of the title compound are isolated as a colorless oil. 1 H-NMR (CDCI3): δ = 0.83 (3H), 0.89 (3H), 1.07 (9H), 1.30 (1H), 1.36 (3H), 1.44 ( 3H), 1.71 (1H), 3.24 (1H), 3.62 (1H), 3.86 (1H), 3.91-4.03 (2H), 7.31- 7.48 (6H), 7.61-7.74 (4H) ppm.
Variante II 320 mg (0,88 mmol) der nach Beispiel 1 g dargestellten Verbindung setzt man in Analogie zu Beispiel 1 h;Variante I um und isoliert nach Aufarbeitung und Reinigung 234 mg (0,548 mmol, 62%) der Titelverbindung. Variante IIIVariant II 320 mg (0.88 mmol) of the compound shown in Example 1 g are reacted analogously to Example 1 h; variant I and, after workup and purification, 234 mg (0.548 mmol, 62%) of the title compound are isolated. Variant III
Die Lösung von 5,60 g (14,5 mmol) der nach Beispiel 1 g dargestellten Verbindung in 250 ml wasserfreiem Dichiormethan versetzt man unter einer Atmosphäre aus trockenem Argon mit 10 ml 2,2-Dimethoxypropan, 145 mg Campher-10-sulfonsäure und rührt 6 Stunden bei 23°C. Man versetzt mit Triethylamin, verdünnt mit Ethylacetat, wäscht mit gesättigter Natriumhydrogencarbonatlösung und trocknet über Natriumsulfat. Nach Filtration und Lösungsmittelabzug chromatographiert man den Rückstand an feinem Kieselgel mit einem Gemisch aus n-Hexan und Ethylacetat. Isoliert werden 5,52 g (12,9 mmol, 89%) der Titelverbindung als farbloses Öl.The solution of 5.60 g (14.5 mmol) of the compound shown in Example 1 g in 250 ml of anhydrous dichloromethane is mixed with 10 ml of 2,2-dimethoxypropane, 145 mg of camphor-10-sulfonic acid and under an atmosphere of dry argon stir for 6 hours at 23 ° C. Triethylamine is added, the mixture is diluted with ethyl acetate, washed with saturated sodium bicarbonate solution and dried over sodium sulfate. After filtration and removal of solvent, the residue is chromatographed on fine silica gel with a mixture of n-hexane and ethyl acetate. 5.52 g (12.9 mmol, 89%) of the title compound are isolated as a colorless oil.
Beispiel 1 iExample 1 i
(4S)-4-(2-Methyl-1 -hydroxy-prop-2-yl)-2,2-dimethyl-[1 ,3]dioxan(4S) -4- (2-Methyl-1-hydroxy-prop-2-yl) -2,2-dimethyl- [1, 3] dioxane
Die Lösung von 5,6 g (13,1 mmol) der nach Beispiel 1 h dargestellten Verbindung in 75 ml wasserfreiem Tetrahydrofuran versetzt man unter einer Atmosphäre aus trockenem Argon mit 39 ml einer 1 molaren Lösung von Tetrabutylammoniumfluorid in Tetrahydrofuran und erwärmt 16 Stunden auf 50°C. Man versetzt mit gesättigter Natriumhydrogencarbonatlösung, extrahiert mehrfach mit Ethylacetat, wäscht mit gesättigter Natriumchloridlösung und trocknet über Natriumsulfat. Den nach Filtration und Lösungsmittelabzug erhaltenen Rückstand reinigt man durch Chromatographie an feinem Kieselgel mit einem Gradientensystem aus n-Hexan und Ethylacetat. Isoliert werden 2,43 g (12,9 mmol, 99%) der Titelverbindung als farbloses Öl. 1 H-NMR (CDCI3): δ = 0,87 (3H), 0,90 (3H), 1 ,35 (1 H), 1 ,37 (3H), 1 ,43 (3H), 1 ,77 (1 H), 2,93 (1 H), 3,36 (1 H), 3,53 (1 H), 3,79 (1 H), 3,87 (1 H), 3,96 (1 H) ppm. Beispiel 1 kThe solution of 5.6 g (13.1 mmol) of the compound shown in Example 1 h in 75 ml of anhydrous tetrahydrofuran is mixed with 39 ml of a 1 molar solution of tetrabutylammonium fluoride in tetrahydrofuran under an atmosphere of dry argon and heated to 50 for 16 hours ° C. Saturated sodium hydrogen carbonate solution is added, the mixture is extracted several times with ethyl acetate, washed with saturated sodium chloride solution and dried over sodium sulfate. The residue obtained after filtration and removal of solvent is purified by chromatography on fine silica gel using a gradient system composed of n-hexane and ethyl acetate. 2.43 g (12.9 mmol, 99%) of the title compound are isolated as a colorless oil. 1 H-NMR (CDCI3): δ = 0.87 (3H), 0.90 (3H), 1.35 (1 H), 1.37 (3H), 1.43 (3H), 1.77 ( 1 H), 2.93 (1 H), 3.36 (1 H), 3.53 (1 H), 3.79 (1 H), 3.87 (1 H), 3.96 (1 H) ) ppm. Example 1 k
(4S)-4-(2- ethyl-1 -oxo-prop-2-yl)-2,2-dimethyl-[1 ,3]dioxan(4S) -4- (2-ethyl-1-oxo-prop-2-yl) -2,2-dimethyl- [1, 3] dioxane
Die Lösung von 0,13 ml Oxalylchlond in 5,7 ml wasserfreiem Dichiormethan kühlt man unter einer Atmosphäre aus trockenem Argon auf -70°C, versetzt mit 0,21 ml Dimethylsulfoxid. der Losung von 200 mg (1 ,06 mmol) der nach Beispiel 1 ι dargestellten Verbindung in 5,7 ml wasserfreiem Dichiormethan und rührt 0,5 Stunden. Anschließend versetzt man mit 0,65 ml Tπethylamin, läßt 1 Stunde bei -30°C reagieren und versetzt mit n-Hexan und gesättigter Natriumhydrogencarbonatlösung. Die organische Phase wird abgetrennt, die wässrige noch mehrfach mit n-Hexan extrahiert, die vereinigten organischen Extrakte mit Wasser gewaschen und über Magnesiumsulfat getrocknet. Den nach Filtration und Lösungsmittelabzug erhaltenen Rückstand setzt man ohne Reinigung weiter um.The solution of 0.13 ml of oxalyl chloride in 5.7 ml of anhydrous dichloromethane is cooled to -70 ° C. under an atmosphere of dry argon, mixed with 0.21 ml of dimethyl sulfoxide. the solution of 200 mg (1.06 mmol) of the compound shown in Example 1 in 5.7 ml of anhydrous dichloromethane and stirred for 0.5 hours. Then it is mixed with 0.65 ml Tπethylamin, allowed to react for 1 hour at -30 ° C and mixed with n-hexane and saturated sodium bicarbonate solution. The organic phase is separated off, the aqueous phase is extracted several times with n-hexane, the combined organic extracts are washed with water and dried over magnesium sulfate. The residue obtained after filtration and removal of solvent is reacted further without purification.
Beispiel 11Example 11
(4S)-4-((3RS)-2-Methyi-3-hydroxy-pent-2-yl)-2,2-dimethyi-[1 ,3]dioxan(4S) -4 - ((3RS) -2-Methyl-3-hydroxy-pent-2-yl) -2,2-dimethyi- [1,3] dioxane
Die Lösung von 900 mg (4,83 mmol) der nach Beispiel 1 k dargestellten Verbindung in 14 ml wasserfreiem Diethylether versetzt man unter einer Atmosphäre aus trockenem Argon bei 0°C mit 2.42 ml einer 2,4 molaren Lösung von Ethyimagnesiumbromid in Diethylether, läßt auf 23°C erwärmen und 16 Stunden rühren. Man versetzt mit gesättigter Ammoniumchloπdlόsung, trennt die organische Phase ab und trocknet über Natriumsulfat. Den nach Filtration und Lösungsmittelabzug erhaltenen Rückstand reinigt man durch Chromatographie an feinem Kieselgel mit einem Gradientensystem aus n- Hexan und Ethylacetat. Isoliert werden 863 mg (3,99 mmol, 83%) der chromatographisch trennbaren 3R- und 3S- Epimeren der Titeiverbindung sowie 77 mg der in Beispiel 1 i beschriebenen Titelverbindung jeweils als farbloses OI.The solution of 900 mg (4.83 mmol) of the compound shown in Example 1 k in 14 ml of anhydrous diethyl ether is mixed with 2.42 ml of a 2.4 molar solution of ethyl magnesium bromide in diethyl ether under an atmosphere of dry argon at 0 ° C. Warm to 23 ° C and stir for 16 hours. Saturated ammonium chloride solution is added, the organic phase is separated off and dried over sodium sulfate. The residue obtained after filtration and removal of solvent is purified by chromatography on fine silica gel using a gradient system composed of n-hexane and ethyl acetate. 863 mg (3.99 mmol, 83%) of the chromatographically separable 3R and 3S epimers of the titite compound and 77 mg of the title compound described in Example 1 i are each isolated as a colorless oil.
1 H-NMR (CDCI3) unpolares Isomer: δ = 0,86 (3H), 0,89 (3H), 1 ,03 (3H), 1 ,25-1 ,37 (2H), 1 ,37 (3H), 1 ,46 (3H), 1 ,49 (1 H), 1 ,84 (1 H), 3,35 (1 H), 3,55 (1 H), 3.81-4,02 (3H) ppm. 1 H-NMR (CDCI3) polares Isomer: δ = 0,72 (3H), 0,91 (3H), 0,99 (3H), 1 ,25-1 ,44 (2H), 1 ,38 (3H), 1 ,43-1 ,60 (1 H), 1 ,49 (3H), 1 ,76 (1 H), 3,39 (1 H), 3,63 (1 H), 3,79-4,03 (3H) ppm. 1 H-NMR (CDCI3) non-polar isomer: δ = 0.86 (3H), 0.89 (3H), 1, 03 (3H), 1, 25-1, 37 (2H), 1, 37 (3H) , 1.46 (3H), 1.49 (1H), 1.84 (1H), 3.35 (1H), 3.55 (1H), 3.81-4.02 (3H) ppm. 1 H-NMR (CDCI3) polar isomer: δ = 0.72 (3H), 0.91 (3H), 0.99 (3H), 1, 25-1, 44 (2H), 1, 38 (3H) , 1, 43-1, 60 (1 H), 1, 49 (3H), 1, 76 (1 H), 3.39 (1 H), 3.63 (1 H), 3.79-4, 03 (3H) ppm.
Beispiel 1 m (4S)-4-(2- ethyl-3-oxo-peπt-2-yl)-2,2-dimethyl-[1,3]dioxan Die Lösung von 850 mg (3,93 mmol) eines Gemisches der nach Beispiel 11 dargestellten Verbindungen in 63 ml wasserfreiem Dichiormethan versetzt man mit Molekuiarsieb (4A, ca. 80 Kugeln), 690 mg N-Methylmorpholino-N-oxid, 70 mg Tetrapropylammoniumperruthenat und rührt 16 Stunden bei 23°C unter einer Atmosphäre aus trockenem Argon Man engt ein und reinigt das erhaltene Rohprodukt durch Chromatographie an ca. 200 ml feinem Kieselgel mit einem Gradientensystem aus n-Hexan und Ethylacetat. Isoliert werden 728 mg (3,39 mmol, 36%) der Titeiverbindung als farbloses Öl. t H-NMR (CDCI3): δ = 1 ,00 (3H), 1 ,07 (3H), 1 ,1 1 (3H), 1 ,31 (3H), 1 ,32 (3H), 1 ,41 (3H), 1 ,62 (1 H), 2,52 (2H), 3,86 (1 H), 3,97 (1 K>,^4,05 (1 H) ppm.Example 1 m (4S) -4- (2-ethyl-3-oxopent-2-yl) -2,2-dimethyl- [1,3] dioxane The solution of 850 mg (3.93 mmol) of a mixture the compounds shown in Example 11 in 63 ml of anhydrous dichloromethane are mixed with molecular sieve (4A, approx. 80 spheres), 690 mg of N-methylmorpholino-N-oxide, 70 mg of tetrapropylammonium perruthenate and stirred for 16 hours at 23 ° C. under an atmosphere of dry Argon The mixture is concentrated and the crude product obtained is purified by chromatography on about 200 ml of fine silica gel with a gradient system of n-hexane and ethyl acetate. 728 mg (3.39 mmol, 36%) of the titanium compound are isolated as a colorless oil. t H-NMR (CDCI3): δ = 1.00 (3H), 1.07 (3H), 1.11 (3H), 1.31 (3H), 1.32 (3H), 1.41 ( 3H), 1.62 (1H), 2.52 (2H), 3.86 (1H), 3.97 (1K>, ^ 4.05 (1H) ppm.
Beispiel 1 n 4-Tert.-butyldimethylsilyloxy-but-2-in-1-olExample 1 n 4-tert-butyldimethylsilyloxy-but-2-yn-1-ol
Zu einer Lösung von 100 g 2-Butin-1-ol und 158 g Imidazol in 300 ml Dimethylformamid tropft man bei 0°C unter Stickstoff langsam eine Lösung von 175 g tert.- Butyldimethylsilylchlorid in 100 ml eines 1 :1 Gemisches von Hexan und Dimethylformamid und rührt 2 Stunden bei 0°C und 16 Stunden bei 22°C. Man verdünnt die Reaktionsmischung mit 2.5 I Ether, wäscht einmal mit Wasser, einmal mit 5%iger Schwefelsäure, einmal mit Wasser, einmal mit gesättigter Natriumhydrogencarbonat- Lösung und mit halbgesättigter Natriumchlorid-Lösung neutral. Nach Trocknung über Natriumsulfat und Filtration wird im Vakuum eingeengt. Den so erhaltenen Rückstand reinigt man durch Chromatographie an Kieselgel. Mit Hexan / 0-40% Ether erhält man 74.3 g der Titelverbindung als farbloses Öl.A solution of 175 g of tert-butyldimethylsilyl chloride in 100 ml of a 1: 1 mixture of hexane and. Is slowly added dropwise at 0 ° C. under nitrogen to a solution of 100 g of 2-butyn-1-ol and 158 g of imidazole in 300 ml of dimethylformamide Dimethylformamide and stirred for 2 hours at 0 ° C and 16 hours at 22 ° C. The reaction mixture is diluted with 2.5 l of ether, washed once with water, once with 5% sulfuric acid, once with water, once with saturated sodium bicarbonate solution and with semi-saturated sodium chloride solution. After drying over sodium sulfate and filtration, the mixture is concentrated in vacuo. The residue thus obtained is purified by chromatography on silica gel. With hexane / 0-40% ether, 74.3 g of the title compound are obtained as a colorless oil.
IR (Film): 3357, 2929, 2858, 1472, 1362, 1255, 1 132, 1083, 1015, 837, 778 cm -1IR (film): 3357, 2929, 2858, 1472, 1362, 1255, 1 132, 1083, 1015, 837, 778 cm -1
Beispiel 1oExample 1o
(4R,5S,2'S)-4-Methyl-5-phenyl-3-[1 -oxo-2-methyl-6-(tert.-butyldimethylsiIyloxy)-hex- 4-in-1 -yl]-2-oxazolidinon(4R, 5S, 2'S) -4-methyl-5-phenyl-3- [1-oxo-2-methyl-6- (tert-butyldimethylsilyloxy) hex-4-in-1-yl] -2-oxazolidinone
Zu 21 g einer Lösung des nach Beispiel 1 n hergestellten Silylethers in 125 ml Toluol gibt man unter Stickstoff 1 1.3 ml Lutidin. Anschließend kühlt man auf -40°C und tropft bei dieser Temperatur 17.7 ml Trifiuormethansulfonsäureanhydrid zu. Dann verdünnt man mit 100 ml Hexan und rührt 10 Minuten. Diese Lösung wird unter Stickstoff über eine Umkehrfritte zu einer Lösung gegeben, die aus 17.8 g Hexamethyidisilazan in 140 ml Tetrahydrofuran mit 73.5 ml einer 1.6 M Lösung von Butyllithium in Hexan bei -60°C (10 Minuten Nachrührzeit) und 23.3 g (4R,5S)-4-Methyl-5-phenyl-3-propionyl-2-oxazolidinon in 62 ml Tetrahydrofuran (30 Minuten Nachrührzeit) hergestellt wurde. Man läßt 1 Stunde bei -60°C Nachrühren, versetzt dann mit 6 ml Essigsäure in 5 ml Tetrahydrofuran und läßt die Reaktionsmischung auf 22°C erwärmen. Man gibt auf 80 ml Wasser und extrahiert dreimal mit Ether. Die vereinigten organischen Phasen werden zweimal mit gesättigter Natriumchlorid-Lösung gewaschen und über Natriumsulfat getrocknet. Nach Filtration wird im Vakuum eingeengt. Den so erhaltenen Rückstand reinigt man durch Chromatographie an Kieselgel. Mit Hexan / 0-20% Ether erhält man 16.0 g der Titelverbindung als farbloses Öl. 1 H-NMR (CDCI3): 0= 0.10 (6H), 0.90 (9H), 0.92 (3H), 1 .28 (3H), 2.47 (1 H), 2.61 (1 H), 3.96 (1 H), 4.26 (2H), 4.78 (1 H), 5.68 (1 H), 7.31 (1 H), 7.3-7.5 (3H) ppm.1.3 ml of lutidine are added under nitrogen to 21 g of a solution of the silyl ether prepared according to Example 1 n in 125 ml of toluene. The mixture is then cooled to -40 ° C. and 17.7 ml of trifluoromethanesulfonic anhydride are added dropwise at this temperature. Then diluted with 100 ml of hexane and stirred for 10 minutes. This solution is added under nitrogen via a reverse frit to a solution consisting of 17.8 g of hexamethyidisilazane in 140 ml of tetrahydrofuran with 73.5 ml of a 1.6 M solution of butyllithium in hexane at -60 ° C (10 minutes stirring time) and 23.3 g (4R, 5S ) -4-methyl-5-phenyl-3-propionyl-2-oxazolidinone in 62 ml of tetrahydrofuran (30 minutes stirring time). The mixture is left to stir at -60 ° C. for 1 hour, 6 ml of acetic acid in 5 ml of tetrahydrofuran are then added, and the reaction mixture is allowed to warm to 22 ° C. The mixture is poured into 80 ml of water and extracted three times with ether. The combined organic phases are washed twice with saturated sodium chloride solution and dried over sodium sulfate. After filtration, the mixture is concentrated in vacuo. The residue thus obtained is purified by chromatography on silica gel. With hexane / 0-20% ether, 16.0 g of the title compound is obtained as a colorless oil. 1 H-NMR (CDCI3): 0 = 0.10 (6H), 0.90 (9H), 0.92 (3H), 1.28 (3H), 2.47 (1 H), 2.61 (1 H), 3.96 (1 H), 4.26 (2H), 4.78 (1H), 5.68 (1H), 7.31 (1H), 7.3-7.5 (3H) ppm.
Beispiel 1 p (2S)-2- ethyl-6-(tert.-butyldimethylsilyk>xy)-4-hexinsäureethylesterExample 1 p (2S) -2-ethyl-6- (tert-butyldimethylsilyk> xy) -4-hexinic acid ethyl ester
Zu einer Lösung von 39.3 g des nach Beispiel 1 o hergestellten Alkylierungsproduktes in 120 ml Ethanol gibt man unter Stickstoff 9.0 ml Titan(IV)ethylat und erhitzt unter Rückfluß für 4 Stunden. Die Reaktionsmischung wird im Vakuum eingeengt und der Rückstand in 100 ml Essigester gelöst. Man gibt 3 ml Wasser hinzu, rührt für 20 Minuten, saugt vom Niederschlag ab und wäscht gut mit Essigester nach. Das Filtrat wird eingeengt, mit 200 ml Hexan versetzt und vom Niederschlag abfiltriert. Der Niederschlag wird gut mit Hexan gewaschen. Das Filtrat wird im Vakuum eingeengt und der so erhaltene Rückstand durch Chromatographie an Kieselgel gereinigt. Mit Hexan / 0-20% Ether erhält man 25.4 g der Titelverbindung als farbloses Öl. 1 H-NMR (CD2CI2): δ= 0.10 (3H), 0.90 (9H), 1.2-1.3 (6H), 2.37 (1 H), 2.54 (1 H), 2.60 (1 H), 4.12 (2H), 4.27 (2H) ppm.9.0 ml of titanium (IV) ethylate are added to a solution of 39.3 g of the alkylation product prepared according to Example 10 in 120 ml of ethanol and the mixture is heated under reflux for 4 hours. The reaction mixture is concentrated in vacuo and the residue is dissolved in 100 ml of ethyl acetate. 3 ml of water are added, the mixture is stirred for 20 minutes, the precipitate is filtered off with suction and washed well with ethyl acetate. The filtrate is concentrated, 200 ml of hexane are added and the precipitate is filtered off. The precipitate is washed well with hexane. The filtrate is concentrated in vacuo and the residue thus obtained is purified by chromatography on silica gel. With hexane / 0-20% ether, 25.4 g of the title compound is obtained as a colorless oil. 1 H-NMR (CD2CI2): δ = 0.10 (3H), 0.90 (9H), 1.2-1.3 (6H), 2.37 (1 H), 2.54 (1 H), 2.60 (1 H), 4.12 (2H), 4.27 (2H) ppm.
Beispiel 1q (2S)-2-Methyl-6-(tert.-butyidimethylsilyioxy)-hexansäureethylester Eine Lösung von 10.5 g des nach Beispiel 1 p hergestellten Esters in 200 ml Essigester versetzt man mit 1 g 10% Palladium auf Kohle und rührt 3 Stunden bei 22°C in einer Wasserstoffatmosphäre. Anschließend filtriert man vom Katalysator ab, wäscht gut mit Essigester nach und engt das Filtrat im Vakuum ein. Den so erhaltenen Rückstand reinigt man durch Chromatographie an Kieselgel. Mit Hexan / 0-10% Ether erhält man 9.95 g der Titelverbindung als farbloses Öl.Example 1q (2S) -2-Methyl-6- (tert-butyidimethylsilyioxy) hexanoic acid ethyl ester A solution of 10.5 g of the ester prepared according to Example 1 p in 200 ml of ethyl acetate is mixed with 1 g of 10% palladium-on-carbon and stirred for 3 hours at 22 ° C in a hydrogen atmosphere. The catalyst is then filtered off, washed well with ethyl acetate and the filtrate is concentrated in vacuo. The residue thus obtained is purified by chromatography on silica gel. With hexane / 0-10% ether, 9.95 g of the title compound is obtained as a colorless oil.
1 H-NMR (CD2CI2): δ= 0.01 (6H), 0.84 (9H), 1.07 (3H), 1.18 (3H), 1.2 -1.7 (6H), 2.38 (1 H), 3.57 (2H), 4.05 (2H) ppm. 1 H-NMR (CD2CI2): δ = 0.01 (6H), 0.84 (9H), 1.07 (3H), 1.18 (3H), 1.2 -1.7 (6H), 2.38 (1 H), 3.57 (2H), 4.05 ( 2H) ppm.
Beispiel 1 r (2S)-2-Methyl-6-(tert.-butyldimethylsilyloxy)-hexan-1 -olExample 1 r (2S) -2-methyl-6- (tert-butyldimethylsilyloxy) hexan-1-ol
Zu einer Lösung aus 9.94 g des nach Beispiel 1 q hergestellten Esters in 130 ml Toluol gibt man bei -40°C unter Stickstoff 63 ml einer 1.2 M Lösung von Diisobutylaluminiumhydrid in Toluol und rührt 1 Stunde bei dieser Temperatur. Anschließend gibt man vorsichtig 15 ml Isopropanol und nach 10 Minuten 30 ml Wasser hinzu, läßt auf 22°C kommen und rührt bei dieser Temperatur 2 Stunden. Man filtriert vom Niederschlag ab, wäscht gut mit Essigester nach und engt das Filtrat im Vakuum ein. Der so erhaltene Rückstand wird durch Chromatographie an Kieseigel gereinigt. Mit Hexan / 0-30% Ether erhält man 7.9 g der Titelverbindung als farbloses Öl. [α]D -8.1 ° (c = 0.97, CHCI3) 1 H-NMR (CDCI3): δ= 0.07 (3H), 0.89 (9H), 0.91 (3H), 1 .0-1 .7 (7H), 3.48 (2H), 3.52 (2H) ppm.63 ml of a 1.2 M solution of diisobutylaluminum hydride in toluene are added to a solution of 9.94 g of the ester prepared according to Example 1 q in 130 ml of toluene at -40 ° C. under nitrogen and the mixture is stirred for 1 hour at this temperature. Subsequently, 15 ml of isopropanol are carefully added and after 10 minutes 30 ml of water are added, the mixture is allowed to come to 22 ° C. and the mixture is stirred at this temperature for 2 hours. The precipitate is filtered off, washed well with ethyl acetate and the filtrate is concentrated in vacuo. The residue thus obtained is purified by chromatography on silica gel. With hexane / 0-30% ether, 7.9 g of the title compound is obtained as a colorless oil. [α] D -8.1 ° (c = 0.97, CHCI3) 1 H NMR (CDCI3): δ = 0.07 (3H), 0.89 (9H), 0.91 (3H), 1 .0-1 .7 (7H), 3.48 (2H), 3.52 (2H) ppm.
Beispiel 1 s (2S)-2-Methyi-6-(tert.-butyldimethylsilyloxy)-1 -(tetrahydro-2H-pyran-2-yloxy)-hexanExample 1 s (2S) -2-Methyl-6- (tert-butyldimethylsilyloxy) -1 - (tetrahydro-2H-pyran-2-yloxy) hexane
Zu 6.4 g des nach Beispiel 1 r hergestellten Alkohols in 26 ml Methyleπchlorid gibt man bei 0°C unter Argon 3.52 ml Dihydropyran gefolgt von 49 mg p-ToiuolsuJfonsäure- Monohydrat. Nach 1.5 Stunden Rühren bei 0°C wird mit 10 ml gesättigte Natriumhydrogencarbonat-Lösung versetzt und mit Ether verdünnt. Die organische Phase wird zweimal mit halbgesättigter Natriumchlorid-Lösung gewaschen und über Natriumsulfat getrocknet. Nach Filtration wird im Vakuum eingeengt und der so erhaltene Rückstand durch Chromatographie an Kieselgei gereinigt. Mit Hexan / 0-5% Ether erhält man 4.75 g der Titelverbindung als farbloses Öl. 1 H-NMR (CDCI3): δ= 0.05 (6H), 0.89 (9H), 0.92 (3H), 1.0-1.9 (13H), 3.19 (1 H), 3.50 (1 H), 3.55-3.65 (3H), 4.87 (1 H), 4.57 (1 H) ppm.To 6.4 g of the alcohol prepared according to Example 1 r in 26 ml of methyl chloride are added at 0 ° C. under argon 3.52 ml of dihydropyran followed by 49 mg of p-toluenesulfonic acid monohydrate. After stirring for 1.5 hours at 0 ° C., 10 ml of saturated sodium bicarbonate solution are added and the mixture is diluted with ether. The organic phase is washed twice with semi-saturated sodium chloride solution and dried over sodium sulfate. After filtration, the mixture is concentrated in vacuo and the residue thus obtained is purified by chromatography on silica gel. With hexane / 0-5% ether, 4.75 g of the title compound is obtained as a colorless oil. 1 H-NMR (CDCI3): δ = 0.05 (6H), 0.89 (9H), 0.92 (3H), 1.0-1.9 (13H), 3.19 (1 H), 3.50 (1 H), 3.55-3.65 (3H) , 4.87 (1H), 4.57 (1H) ppm.
Beispiel 1t (5S)-5-Methyi-6-(tetrahydro-2H-pyran-2-yloxy)-hexan-1 -olExample 1t (5S) -5-Methyl-6- (tetrahydro-2H-pyran-2-yloxy) hexan-1-ol
Zu einer Lösung von 4.7 g des nach Beispiel 1s hergestellten THP-Ethers in 170 ml Tetrahydrofuran gibt man unter Stickstoff 13.5 g Tetrabutylammoniumfluorid-Trihydrat und rührt 3 Stunden. Anschließend verdünnt man die Reaktionsmischung mit 800 mi Ether und wäscht dreimal mit je 20 ml halbgesättigter Natriumchlorid-Lösung und trocknet über Natriumsulfat. Nach Filtration wird im Vakuum eingeengt und der so erhaltene Rückstand durch Chromatographie an Kieseigel gereinigt. Mit Hexan / 0-50% Essigester erhält man 2.88 g der Titelverbindung als farbloses Öl.13.5 g of tetrabutylammonium fluoride trihydrate are added to a solution of 4.7 g of the THP ether prepared according to Example 1s in 170 ml of tetrahydrofuran under nitrogen and the mixture is stirred for 3 hours. The reaction mixture is then diluted with 800 ml of ether and washed three times with 20 ml of semi-saturated sodium chloride solution and dried over sodium sulfate. After filtration, the mixture is concentrated in vacuo and the residue thus obtained is purified by chromatography on silica gel. With hexane / 0-50% ethyl acetate, 2.88 g of the title compound is obtained as a colorless oil.
1 H-NMR (CD2CI2): δ= 0.90 / 0.92 (3H), 1.1-1.9 (13H), 3.18 (1 H), 3.40-3.65 (4H), 3.82 (1 H), 4.53 (1 H) ppm. 1 H-NMR (CD2CI2): δ = 0.90 / 0.92 (3H), 1.1-1.9 (13H), 3.18 (1 H), 3.40-3.65 (4H), 3.82 (1 H), 4.53 (1 H) ppm.
Beispiel 1 u (2S)-6-lod-2-methyl-1 -(tetrahydro-2H-pyran-2-yloxy)-hexanExample 1 u (2S) -6-iodo-2-methyl-1 - (tetrahydro-2H-pyran-2-yloxy) hexane
Zu einer Lösung von 13.4 g Triphenylphosphin und 3.47 g Imidazol in 200 ml Methylenchlorid gibt man 12.9 g lod. Anschließend tropft man den nach Beispiel 1t hergestellten Alkohol in 50 ml Methyienchlorid bei 22°C zu und rührt für 30 Minuten. Dann wird im Vakuum eingeengt und der so erhaltene Rückstand durch Chromatographie an Kieselgel gereinigt. Mit Hexan / 5% Ether erhält man 10.2 g der Titelverbindung als schwach gelb gefärbtes Öl.12.9 g of iodine are added to a solution of 13.4 g of triphenylphosphine and 3.47 g of imidazole in 200 ml of methylene chloride. The alcohol prepared according to Example 1t is then added dropwise in 50 ml of methyl chloride at 22 ° C. and the mixture is stirred for 30 minutes. The mixture is then concentrated in vacuo and the residue thus obtained is purified by chromatography on silica gel. With hexane / 5% ether, 10.2 g of the title compound is obtained as a pale yellow oil.
1 H-NMR (CDCI3): δ= 0.94 / 0.95 (3H), 1.0-1 .9 (13H), 3.1-3.3 (3H), 3.4-3.7 (2H), 3.85 (1 H), 4.57 (1 H) ppm. Beispiel 1v (5S)-5-Methyl-6-(tetrahydro-2H-pyran-2-yioxy)-hex-1 -yi-triphenyiphosphonium iodid 1 H-NMR (CDCI3): δ = 0.94 / 0.95 (3H), 1.0-1 .9 (13H), 3.1-3.3 (3H), 3.4-3.7 (2H), 3.85 (1 H), 4.57 (1 H ) ppm. Example 1v (5S) -5-Methyl-6- (tetrahydro-2H-pyran-2-yioxy) hex-1-yi-triphenyiphosphonium iodide
Eine Mischung von 10.2 g des vorstehend hergestellten lodids, 40.9 g Triphenylphosphin und 12.1 g N-Ethyldiisopropylamin werden bei 80°C für 6 Stunden gerührt. Nach dem Abkühlen wird in 30 ml Methylenchiorid -angelöst, mit 500 ml Ether versetzt, 10 Minuten gerührt und anschließend abdekantiert. Dies wird noch weitere viermal wiederholt. Der so erhaltene Rückstand wird in wasserfreiem Tetrahydrofuran gelöst, mit Toluol versetzt und Im Vakuum eingeengt. Man erhält 17.1 g der Titelverbindung als festen Schaum. 1 H-NMR (CDCI3): δ= 0.85 / 0.86 (3H), 1.10 (1 H), 1.7-1.9 (13H), 3.13 (1 H), 3.40-3.55 (2H), 3.64 (1 H), 3.79 (1 H), 4.49 (1 H), 7.6-7.9 (15H) ppm.A mixture of 10.2 g of the iodide prepared above, 40.9 g of triphenylphosphine and 12.1 g of N-ethyldiisopropylamine are stirred at 80 ° C. for 6 hours. After cooling, it is dissolved in 30 ml of methylene chloride, 500 ml of ether are added, the mixture is stirred for 10 minutes and then decanted. This is repeated four more times. The residue thus obtained is dissolved in anhydrous tetrahydrofuran, mixed with toluene and concentrated in vacuo. 17.1 g of the title compound are obtained as a solid foam. 1 H-NMR (CDCI3): δ = 0.85 / 0.86 (3H), 1.10 (1 H), 1.7-1.9 (13H), 3.13 (1 H), 3.40-3.55 (2H), 3.64 (1 H), 3.79 (1H), 4.49 (1H), 7.6-7.9 (15H) ppm.
Beispiel 1w (S)-Dihydro-3-hydroxy-2(3H)-furanonExample 1w (S) -Dihydro-3-hydroxy-2 (3H) -furanon
10 g L-(-)-Äpfelsäure werden in 45 ml Trifluoressigsäureanhydrid 2 Stunden bei 25°C gerührt. Danach engt man im Vakuum ein, addiert zu dem Rückstand 7 ml Methanoi und läßt 12 Stunden nachrühren. Anschließend wird im Vakuum eingeengt. Der erhaltene Rückstand wird in 150 ml absolutem Tetrahydrofuran gelöst. Man kühlt auf 0°C und addiert 150 ml Boran-Tetrahydrofuran-Komplex und läßt 2,5 Stunden bei 0°C nachrühren. Danach werden 150 ml Methanol addiert. Man läßt eine Stunde bei Raumtemperatur nachrühren und engt dann im Vakuum ein. Das erhaltene Rohprodukt wird in 80 ml Toluol gelöst. Man addiert 5 g Dowex® (aktiviert, sauer)und kocht eine Stunde unter Rückfluß. Anschließend wird das Dowex® abfiltriert und das Filtrat im Vakuum eingeengt. Das erhaltene Rohprodukt (7,61 g) wird ohne Aufreinigung in die Folgestufe eingesetzt.10 g of L - (-) - malic acid are stirred in 45 ml of trifluoroacetic anhydride for 2 hours at 25 ° C. The mixture is then concentrated in vacuo, 7 ml of methanoi are added to the residue and the mixture is stirred for 12 hours. It is then concentrated in vacuo. The residue obtained is dissolved in 150 ml of absolute tetrahydrofuran. The mixture is cooled to 0 ° C. and 150 ml of borane-tetrahydrofuran complex are added and the mixture is stirred at 0 ° C. for 2.5 hours. Then 150 ml of methanol are added. The mixture is left to stir for one hour at room temperature and then concentrated in vacuo. The crude product obtained is dissolved in 80 ml of toluene. 5 g of Dowex® (activated, acidic) are added and the mixture is boiled under reflux for one hour. The Dowex® is then filtered off and the filtrate is concentrated in vacuo. The crude product obtained (7.61 g) is used in the next stage without purification.
Beispiel 1x (S)-Dihydro-3-[[(1 ,1 -dimethylethyl)diphenylsilyl]oxy]-2(3H)-furanonExample 1x (S) -dihydro-3 - [[(1, 1-dimethylethyl) diphenylsilyl] oxy] -2 (3H) -furanone
Zu einer Lösung von 7,61 g der unter Beispiel 1w beschriebenen Substanz und 10 g Imidazol in 100 ml /V,/V-Dimethylformamid werden 24 ml terf.-Butyldiphenylsilylchlorid addiert. Man läßt zwei Stunden bei 25°C nachrühren und gießt dann das Reaktionsgemisch auf eiskalte gesättigte Natriumhydrogencarbonatlösung. Man extrahiert mit Ethylacetat, wäscht die organische Phase mit gesättigter Natriumchloridlösung, trocknet über Natriumsulfat und engt im Vakuum ein. Nach Säulenchromatographie des Rohprodukts an Kieselgel mit einem Gemisch aus Hexan/Ethylacetat werden 13,4 g der Titeiverbindung erhalten.24 ml of tert-butyldiphenylsilyl chloride are added to a solution of 7.61 g of the substance described in Example 1w and 10 g of imidazole in 100 ml / V, / V-dimethylformamide. The mixture is stirred for two hours at 25 ° C and then poured onto ice-cold saturated sodium bicarbonate solution. It is extracted with ethyl acetate, the organic phase is washed with saturated sodium chloride solution, dried over sodium sulfate and concentrated in vacuo. After column chromatography of the crude product on silica gel with a mixture of hexane / ethyl acetate, 13.4 g of the titanium compound are obtained.
1 H-NMR (CDCI3): δ = 7,72 (2H), 7,70 (2H), 7,40-7,50 (6H), 4,30-4,42 (2H), 4,01 (1 H), 2,10-2,30 (2H), 1 ,1 1 (9H) ppm.1 H NMR (CDCI3): δ = 7.72 (2H), 7.70 (2H), 7.40-7.50 (6H), 4.30-4.42 (2H), 4.01 ( 1 H), 2.10-2.30 (2H), 1.1, 1 (9H) ppm.
Beispiel 1y (2RS,3S)-3-[[(1 ,1 -Dimethylethyl)diphenylsilyl]oxy]tetrahydro-2-furanolExample 1y (2RS, 3S) -3 - [[(1, 1-dimethylethyl) diphenylsilyl] oxy] tetrahydro-2-furanol
Zu einer Lösung von 13,4 g der unter Beispiel 1 x beschriebenen Substanz in 150 ml absolutem Tetrahydrofuran werden 80 ml einer 1 molaren Lösung von Diisobutylaluminiumhydrid in Hexan bei -78°C addiert. Man rührt 45 Minuten bei -78°C nach und quencht dann mit Wasser-.^ Man extrahiert mit Ethylacetat, wäscht die organische Phase mit gesättigter Natriumchloridlösung, trocknet über Natriumsulfat und engt im Vakuum ein. Man erhält 13,46 g der Titelverbindung, welche ohne Reinigung in die Folgestufe eingesetzt wird.80 ml of a 1 molar solution of diisobutylaluminum hydride in hexane at -78 ° C. are added to a solution of 13.4 g of the substance described in Example 1 x in 150 ml of absolute tetrahydrofuran. The mixture is stirred at -78 ° C for 45 minutes and then quenched with water. It is extracted with ethyl acetate, the organic phase is washed with saturated sodium chloride solution, dried over sodium sulfate and concentrated in vacuo. 13.46 g of the title compound are obtained, which is used in the subsequent step without purification.
Beispiel 1zExample 1z
(2RS,3S)-3-[[(1 ,1 -Dimethylethyl)diphenylsilyl]oxy]-1 ,4-pentandiol(2RS, 3S) -3 - [[(1, 1-dimethylethyl) diphenylsilyl] oxy] -1, 4-pentanediol
Zu 20 ml einer 3 molaren Lösung von Methylmagnesiumchlorid in Tetrahydrofuran wird bei 0°C eine Lösung von 13,46 g der unter Beispiel 1y beschriebenen Substanz in 150 ml absolutem Tetrahydrofuran getropft. Man läßt eine Stunde bei 0°C nachrühren und gießt dann auf gesättigte wäßrige Ammoniumchloridlösung. Man extrahiert mit Ethylacetat, wäscht die organische Phase mit gesättigter Natriumchloridlösung, trocknet über Natriumsulfat und engt im Vakuum ein. Nach Säulenchromatographie des Rohprodukts an Kieselgel mit einem Gemisch aus Hexan/Ethylacetat werden 11 ,42 g der Titeiverbindung erhalten. 1 H-NMR (CDCI3): δ = 7,65-7,75 (4H), 7,40-7,55 (6H), 5,20 (1 H), 4,30 (2H), 3,70 (1 H), 1 ,80 (2H), 1 ,05 (9H) ppm.A solution of 13.46 g of the substance described in Example 1y in 150 ml of absolute tetrahydrofuran is added dropwise to 20 ml of a 3 molar solution of methylmagnesium chloride in tetrahydrofuran at 0.degree. The mixture is stirred for one hour at 0 ° C and then poured onto saturated aqueous ammonium chloride solution. It is extracted with ethyl acetate, the organic phase is washed with saturated sodium chloride solution, dried over sodium sulfate and concentrated in vacuo. After column chromatography of the crude product on silica gel with a mixture of hexane / ethyl acetate, 11.42 g of the titan compound are obtained. 1 H NMR (CDCI3): δ = 7.65-7.75 (4H), 7.40-7.55 (6H), 5.20 (1H), 4.30 (2H), 3.70 (1H), 1.80 (2H), 1.05 (9H) ppm.
Beispiel 1 aaExample 1 aa
(2RS,3S)-5-[[Dimethyl(1 ,1 -dimethylethyl)silyl]oxy]-3-[[(1 ,1 - dimethylethyl)diphenylsilyl]oxy]-2-pentanol(2RS, 3S) -5 - [[Dimethyl (1, 1-dimethylethyl) silyl] oxy] -3 - [[(1, 1-dimethylethyl) diphenylsilyl] oxy] -2-pentanol
Zu einer Lösung von 11 ,42 g der unter Beispiel 1z beschriebenen Substanz und 3,25 g 1H-lmidazol in 120 ml Λ/,Λ -Dimethylformamid werden 4,9 g terf-Butyldimethylsilylchlorid addiert. Man läßt 2 Stunden bei 25°C nachrühren und gießt dann das Reaktionsgemisch auf eiskalte gesättigte Natriumhydrogencarbonatlösung. Man extrahiert mit Ethylacetat, wäscht die organische Phase mit gesättigter Natriumchloridlösung, trocknet über Natriumsulfat und engt im Vakuum ein. Nach Säulenchromatographie des Rohprodukts an Kieselgel mit einem Gemisch aus Hexan/Ethylacetat werden 10,64 g der Titelverbindung erhalten. 1 H-NMR (CDCI3): δ = 7,60-7,70 (4H), 7,30-7,45 (6H), 3,70-3,80 (2H), 3,40 (1 H), 3,00 (1 H), 1 ,80 (1 H), 1 ,60 (1 H), 1 ,05-1 ,12 (12H), 0,82 (9H), 0,02 (6H) ppm.4.9 g of tert-butyldimethylsilyl chloride are added to a solution of 11.42 g of the substance described in Example 1z and 3.25 g of 1H-imidazole in 120 ml of Λ /, Λ -dimethylformamide. The mixture is stirred for 2 hours at 25 ° C and then poured onto ice-cold saturated sodium bicarbonate solution. It is extracted with ethyl acetate, the organic phase is washed with saturated sodium chloride solution, dried over sodium sulfate and concentrated in vacuo. After column chromatography of the crude product on silica gel with a mixture of hexane / ethyl acetate, 10.64 g of the title compound are obtained. 1 H-NMR (CDCI3): δ = 7.60-7.70 (4H), 7.30-7.45 (6H), 3.70-3.80 (2H), 3.40 (1 H) , 3.00 (1H), 1.80 (1H), 1.60 (1H), 1.05-1, 12 (12H), 0.82 (9H), 0.02 (6H) ppm .
Beispiel 1abExample 1ab
(3S)-5-[[Dimethyl(1 ,1 -dimethylethyl)silyl]oxy]-3-[[(1 ,1 - dimethylethyl)diphenyisilyl]oxy]-2-pentanon Zu 7,37 mi Oxaiylchloπd in 80 ml Dichiormethan werden bei -78°C 13 ml Dimethylsulfoxid addiert. Man läßt 3 Minuten πachrύhren und addiert dann 1046 g der unter Beispiel 1 aa beschriebenen Substanz in 100 ml Dichiormethan. Nach weiteren 15 Minuten Nachrührzeit werden 52 ml Triethylamin hinzugetropft. Anschließend läßt man auf 0°C erwärmen. Danach wird, das Reaktionsgemisch auf gesättigte Natriumhydrogencarbonatlösung gegossen. Man extrahiert mit Dichiormethan. wäscht die organische Phase mit gesättigter Natriumchloridlösung, trocknet über Natriumsulfat und engt im Vakuum ein. Nach Säulenchromatographie des Rohprodukts an Kieselgel mit einem Gemisch aus Hexan/Ethylacetat werden 9,3 g der Titelverbindung erhalten. 1 H-NMR (CDCI3): δ = 7,60-7,70 (4H), 7,32-7,50 (6H), 4,25 (1 H), 3,72 (1 H), 3,58 (1 H), 2,05 (3H), 1 ,90 (1 H), 1 ,75 (1 H), 1 ,13 (9H), 0,89 (9H), 0,01 (6H) ppm. Beispiel 1 ac(3S) -5 - [[Dimethyl (1, 1-dimethylethyl) silyl] oxy] -3 - [[(1, 1-dimethylethyl) diphenyisilyl] oxy] -2-pentanone To 7.37 ml of oxaiyl chloride in 80 ml of dichloromethane, 13 ml of dimethyl sulfoxide are added at -78 ° C. The mixture is left to stir for 3 minutes and then 1046 g of the substance described in Example 1 aa are added in 100 ml of dichloromethane. After a further 15 minutes of stirring, 52 ml of triethylamine are added dropwise. Then allowed to warm to 0 ° C. The reaction mixture is then poured onto saturated sodium bicarbonate solution. It is extracted with dichloromethane. washes the organic phase with saturated sodium chloride solution, dries over sodium sulfate and concentrates in vacuo. After column chromatography of the crude product on silica gel with a mixture of hexane / ethyl acetate, 9.3 g of the title compound are obtained. 1 H NMR (CDCI 3 ): δ = 7.60-7.70 (4H), 7.32-7.50 (6H), 4.25 (1H), 3.72 (1H), 3rd , 58 (1H), 2.05 (3H), 1.90 (1H), 1.75 (1H), 1.13 (9H), 0.89 (9H), 0.01 (6H) ppm. Example 1 ac
(E,3S)-1 -[[Dimethyl(1 ,1 -dimethylethyl)silyl]oxy]-3-[[(1 ,1 - dimethylethyl)diphenylsilyl]oxy]-4-methyl-5-(2-methylthiazol-4-yl)-pent-4-en Die Lösung von 6,82g Diethyl(2-methylthiazol-4-yl)methanphosphonat in 300 ml wasserfreiem Tetrahydrofuran kühlt man unter einer Atmosphäre aus trockenem Argon auf -5°C, versetzt mit 16,2 mi einer 1 ,6 molaren Lösung von n-3uthy!lithium in n-Hexan, läßt auf 23°C erwärmen und 2 Stunden rühren. Anschließend kühlt man auf -78°C, tropft die Lösung von 6,44 g (13,68 mmol) der nach Beispiel 1 ab dargestellten Verbindung in 150 ml Tetrahydrofuran zu, läßt auf 23°C erwärmen und 16 Stunden rühren. Man gießt in gesättigte Ammoniumchloridlösung, extrahiert mehrfach mit Ethylacetat, wäscht die vereinigten organischen Extrakte mit gesättigter Natriumchloridlösung und trocknet über Natriumsulfat. Den nach Filtration und Lösungsmittelabzug erhaltenen Rückstand reinigt man durch Chromatographie an feinem Kieselgel mit einem Gradientensystem aus n- Hexan und Ethylacetat. Isoliert werden 6,46 g (1 1 ,4 mmol, 83%) der Titeiverbindung als farbloses Öl.(E, 3S) -1 - [[dimethyl (1, 1-dimethylethyl) silyl] oxy] -3 - [[(1, 1 - dimethylethyl) diphenylsilyl] oxy] -4-methyl-5- (2-methylthiazole- 4-yl) -pent-4-en The solution of 6.82 g of diethyl (2-methylthiazol-4-yl) methanephosphonate in 300 ml of anhydrous tetrahydrofuran is cooled to -5 ° C. under an atmosphere of dry argon, mixed with 16. 2 ml of a 1.6 molar solution of n-3uthy! Lithium in n-hexane, allowed to warm to 23 ° C. and stirred for 2 hours. The mixture is then cooled to -78 ° C., the solution of 6.44 g (13.68 mmol) of the compound shown in Example 1 from 150 ml of tetrahydrofuran is added dropwise, the mixture is heated to 23 ° C. and stirred for 16 hours. It is poured into saturated ammonium chloride solution, extracted several times with ethyl acetate, the combined organic extracts are washed with saturated sodium chloride solution and dried over sodium sulfate. The residue obtained after filtration and removal of solvent is purified by chromatography on fine silica gel using a gradient system composed of n-hexane and ethyl acetate. 6.46 g (11.4 mmol, 83%) of the titanium compound are isolated as a colorless oil.
1 H-NMR (CDCI3): δ = -0,04 (6H), 0,83 (9H), 1 ,10 (9H), 1 ,79 (1 H), 1 ,90 (1 H), 1 ,97 (3H), 2,51 (3H), 3,51 (2H), 4,38 (1 H), 6,22 (1 H), 6,74 (1 H), 7,23-7,47 (6H), 7,63 (2H), 7,70 (2H) ppm.1 H-NMR (CDCI3): δ = -0.04 (6H), 0.83 (9H), 1, 10 (9H), 1, 79 (1 H), 1, 90 (1 H), 1, 97 (3H), 2.51 (3H), 3.51 (2H), 4.38 (1H), 6.22 (1H), 6.74 (1H), 7.23-7.47 (6H), 7.63 (2H), 7.70 (2H) ppm.
Beispiel l adExample l ad
(E,3S)-3-[[(1 ,1 -Dimethylethyl)diphenylsilyl]oxy]-4-methyl-5-(2-methylthiazol-4-yl)- pent-4-en-1 -ol(E, 3S) -3 - [[(1, 1-dimethylethyl) diphenylsilyl] oxy] -4-methyl-5- (2-methylthiazol-4-yl) pent-4-en-1-ol
Die Lösung von 4,79 g (8,46 mmol) der nach Beispiel 1 ac dargestellten Verbindung in 48 ml Tetrahydrofuran versetzt man mit 48 ml eines 65:35: 10-Gemisches aus Eisessig/Wasser T etrahydrofuran und rührt 2,5 Tage bei 23°C. Man gießt in gesättigte Natriumcarbonatlösung, extrahiert mehrfach mit Ethylacetat, wäscht die vereinigten organischen Extrakte mit gesättigter Natriumchloridlösung und trocknet über Natriumsulfat. Den nach Filtration und Lösungsmittelabzug erhaltenen Rückstand reinigt man durch Chromatographie an feinem Kieseigel mit einem Gradientensystem aus n- Hexan und Ethylacetat. Isoliert werden 3,42 g (7.57 mmol, 90%) der Titelverbindung als farbloses Öl.The solution of 4.79 g (8.46 mmol) of the compound shown in Example 1 ac in 48 ml of tetrahydrofuran is mixed with 48 ml of a 65:35:10 mixture of glacial acetic acid / water tetrahydrofuran and stirred for 2.5 days 23 ° C. It is poured into saturated sodium carbonate solution, extracted several times with ethyl acetate, the combined organic extracts are washed with saturated sodium chloride solution and dried over sodium sulfate. Purifies the residue obtained after filtration and removal of solvent by chromatography on fine silica gel with a gradient system of n-hexane and ethyl acetate. 3.42 g (7.57 mmol, 90%) of the title compound are isolated as a colorless oil.
1 H-NMR (CDCI3): δ = 1 ,10 (9H), 1 .53 (1 H), 1 ,81 (2H), 1 ,96 (3H), 2,71 (3H), 3,59 (2H), 1 H-NMR (CDCI3): δ = 1, 10 (9H), 1.53 (1 H), 1, 81 (2H), 1, 96 (3H), 2.71 (3H), 3.59 ( 2H),
D 4,41 (1 H), 6,38 (1 H), 6,78 (1 H), 7,26-7,4θ (6H), 7,65 (2H), 7,72 (2H) ppm.D 4.41 (1H), 6.38 (1H), 6.78 (1H), 7.26-7.4θ (6H), 7.65 (2H), 7.72 (2H) ppm .
Beispiel 1 aeExample 1 ae
(E,3S)-3-[[(1 ,1-Dimethylethyl)diphenylsilyl]oxy]-4-methyl-5-(2-methylthiazol-4-yl)- pent-4-enal 0 Zu 1.55 ml Oxaiylchlorid in 14.4 ml Methylenchlorid werden bei -70°C 2.73 ml Dimethylsulfoxid in 11.5 ml Methylenchlorid zugetropft. Man läßt 10 Minuten nachrühren und gibt dann 6.0 g des unter Beispiel l ad beschriebenen Alkohols in 1 1.5 mi Methylenchlorid. Nach weiteren 2 Stunden Nachrührzeit werden 5.55 ml Triethylamin hinzugetropft. Anschließend läßt man innerhalb einer Stunde auf -40°C erwärmen und 5 gibt dann das Reaktionsgemisch auf 30 ml Wasser. Man extrahiert zweimal mit Methyienchlorid, wäscht die organische Phase mit gesättigter Natriumchloridlösung, trocknet über Natriumsulfat und engt im Vakuum ein. Das so erhaltene Rohprodukt wird ohne weitere Reinigung in die nächste Stufe eingesetzt. 1 H-NMR (CDCI3): δ = 1.09 (9H), 2.01 (3H), 2.51 (1 H), 2.66 (1 H), 2.72 (3H), 4.69 (1 H), 0 6.43 (1 H), 6.81 (1 H), 7.3-7.8 (10H), 9.63 (1 H) ppm. Beispiel 1 af(E, 3S) -3 - [[(1, 1-dimethylethyl) diphenylsilyl] oxy] -4-methyl-5- (2-methylthiazol-4-yl) - pent-4-enal 0 To 1.55 ml of oxaiyl chloride in 14.4 2.73 ml of dimethyl sulfoxide in 11.5 ml of methylene chloride are added dropwise at -70 ° C. ml of methylene chloride. The mixture is stirred for 10 minutes and then 6.0 g of the alcohol described in Example 1 ad are added to 1.5 ml of methylene chloride. After a further 2 hours of stirring, 5.55 ml of triethylamine are added dropwise. The mixture is then allowed to warm to -40 ° C. within one hour and the reaction mixture is then poured into 30 ml of water. The mixture is extracted twice with methylene chloride, the organic phase is washed with saturated sodium chloride solution, dried over sodium sulfate and concentrated in vacuo. The crude product thus obtained is used in the next step without further purification. 1 H-NMR (CDCI3): δ = 1.09 (9H), 2.01 (3H), 2.51 (1 H), 2.66 (1 H), 2.72 (3H), 4.69 (1 H), 0 6.43 (1 H), 6.81 (1H), 7.3-7.8 (10H), 9.63 (1H) ppm. Example 1 af
(E,4S,2RS)-3-[[(1 ,1-Dimethylethyi)diphenylsilyl]oxy]-5-methyl-6-(2-methylthiazol-4- yl)-hex-5-en-2-ol Zu einer Lösung von 5.9 g des vorstehend hergestellten Aldehyds in 83 ml 5 Tetrahydrofuran tropft man bei -10°C unter Stickstoff 6.94 ml einer 3 molaren Methylmagnesiumchlorid-Lösuπg in Tetrahydrofuran. Nach 30 minütigem Rühren bei -10°C wird die Reaktionsmischung auf gesättigte Ammoniumchlorid-Lösung gegeben und dreimal mit Ether extrahiert. Die vereinigten organischen Phasen werden mit gesättigter Natriumchlorid-Lösung gewaschen, über Natriumsulfat getrocknet und im 0 Vakuum eingeengt. Das so erhaltene Rohprodukt wird durch Chromatographie an Kieselgel gereinigt. Mit Hexan / 0 - 80% Essigester erhält man 5.3 g der Titelverbindung als farbloses Öl.(E, 4S, 2RS) -3 - [[(1, 1-dimethylethyl) diphenylsilyl] oxy] -5-methyl-6- (2-methylthiazol-4-yl) hex-5-en-2-ol Zu a solution of 5.9 g of the aldehyde prepared above in 83 ml of 5 tetrahydrofuran is added dropwise at -10 ° C. under nitrogen to 6.94 ml of a 3 molar methylmagnesium chloride solution in tetrahydrofuran. After stirring for 30 minutes at -10 ° C., the reaction mixture is poured onto saturated ammonium chloride solution and extracted three times with ether. The combined organic phases are washed with saturated sodium chloride solution, dried over sodium sulfate and concentrated in vacuo. The crude product thus obtained is purified by chromatography on silica gel. With hexane / 0 - 80% ethyl acetate, 5.3 g of the title compound are obtained as a colorless oil.
1 H-NMR (CDCI3): δ = 1.00-1.15 (12H), 1.55-1.90 (2H), 1.90 / 2.04 (3H), 2.69 / 2.72 (3H), 3.90 (1 H), 4.40 / 4.48 (1 H), 6.23 / 6.51 (1 H), 6.69 / 6.80 (1 H), 7.20-7.50 (6H), 7.60-7.80 5 (4H) ppm. Beispiel lag1 H-NMR (CDCI3): δ = 1.00-1.15 (12H), 1.55-1.90 (2H), 1.90 / 2.04 (3H), 2.69 / 2.72 (3H), 3.90 (1 H), 4.40 / 4.48 (1 H ), 6.23 / 6.51 (1H), 6.69 / 6.80 (1H), 7.20-7.50 (6H), 7.60-7.80 5 (4H) ppm. Example
(E,4S)-3-[[(1 ,1 -Dimethylethyl)diphenylsiIyl]oxy]-5-methyl-6-(2-methylthiazol-4-yl)- hex-5-en-2-on Zu einer Losung von 5 25 g des vorstehend beschriebenen Alkohols in 1 13 ml Aceton tropft man bei -40°C 22 5 ml Jones-Reagenz jnd rührt kraftig. Man läßt das Reaktionsgemisch innerhalb einer Stunde auf -10°C erwarmen, versetzt mit 0 5 ml Isopropanol und rührt nochmals 15 Minuten Nun wird mit Ether verdünnt, viermal mit gesättigter Natnumchlorid-Losung gewaschen, über Natriumsulfat getrocknet und nach Filtration im Vakuum eingeengt. Den so erhaltenen Ruckstand reinigt man durch Chromatographie an Kieselgel. Mit Hexan / 0-60% Essigester erhalt man 4 01 g der Titelverbindung als farbloses OI. 1 H-NMR (CDCI3): δ = 1.07 (9H), 1.94 (3H), 2.00 (3H), 2.59 (1 H), 2.70 (3H), 2.74 (1 H), 4.73 (1 H), 6.29 (1 H), 6.75 (1 H), 7.25-7.50 (6H), 7.60-7.75 (4H) ppm.(E, 4S) -3 - [[(1, 1-dimethylethyl) diphenylsilyl] oxy] -5-methyl-6- (2-methylthiazol-4-yl) - hex-5-en-2-one To a solution of 5 25 g of the alcohol described above in 1 13 ml of acetone, 22 5 ml of Jones reagent are added dropwise at -40 ° C. and the mixture is stirred vigorously. The reaction mixture is allowed to warm to -10 ° C. within one hour, 0 ml of isopropanol is added and the mixture is stirred for another 15 minutes. The mixture is then diluted with ether, washed four times with saturated sodium chloride solution, dried over sodium sulfate and, after filtration, concentrated in vacuo. The residue thus obtained is purified by chromatography on silica gel. With hexane / 0-60% ethyl acetate, 4 01 g of the title compound is obtained as a colorless oil. 1 H NMR (CDCI 3 ): δ = 1.07 (9H), 1.94 (3H), 2.00 (3H), 2.59 (1 H), 2.70 (3H), 2.74 (1 H), 4.73 (1 H), 6.29 (1H), 6.75 (1H), 7.25-7.50 (6H), 7.60-7.75 (4H) ppm.
Beispiel 1 ahExample 1 ah
(1 E,5E/Z,3S,10S)-3-[[(1 ,1 -Dimethylethyl)diphenylsilyl]oxy]-2,5,10-trimethyl-1 -(2- methyithiazol-4-yl)-11 -(tetrahydro-2H-pyran-2-yloxy)-undec-1 ,5-dien Zu einer Lösung von 7.24 g des in Beispiel 1v beschriebenen Phosphoniumsaizes in 80 ml Tetrahydrofuran gibt man bei 0°C unter Argon 1 1.5 ml einer 1 molaren Losung von Natπumbιs(tπmethyisιiylamιd) in Tetrahydrofuran und rührt anschließend 30 Minuten bei 22°C. Dann wird bei -40°C 2.61 g des in Beispiel l ag hergestellten Ketons in 8 ml Tetrahydrofuran zugegeben und 45 Minuten bei dieser Temperatur gerührt. Die Reaktionsmischung gibt man auf gesättigte Ammoniumchlorid-Losung und extrahiert viermal mit Ether. Die vereinigten organischen Phasen werden mit gesättigter Natnumchlorid-Losung gewaschen, über Natriumsulfat getrocknet und nach Filtration im Vakuum eingeengt. Der so erhaltenen Rückstand wurde mit denen aus zwei weiteren Ansätzen, in denen insgesamt 3.57 g des Ketons aus Beispiel l ag umgesetzt wurden, durch Chromatographie an Kieseigel gereinigt. Mit Hexan / 0-70% Ether erhalt man 3.7 g der Titelverbindung als farbloses Öl. H-NMR (CDCI3): δ = 0.80-0.92 (3H), 0.92-1.95 (13H), 1.07 (9H), 1.30 / 1.44 (3H), 1.98 / 1.99 (3H), 2.15-2.40 (2H), 2.70 (3H), 3.08 / 3.18 (1 H), 3.47-3.62 (2H), 3.85 (1 H), 4.27 (1 H), 4.55 (1 H), 5.05 (1 H), 6.19 (1 H), 6.78 (1 H), 7.24-7.48 (6H), 7.57-7.78 (4H) ppm.(1E, 5E / Z, 3S, 10S) -3 - [[(1, 1-dimethylethyl) diphenylsilyl] oxy] -2,5,10-trimethyl-1 - (2-methylithiazol-4-yl) -11 - (tetrahydro-2H-pyran-2-yloxy) -undec-1,5-diene 1.5 ml of a 1 molar solution is added to a solution of 7.24 g of the phosphonium seed described in Example 1v in 80 ml of tetrahydrofuran at 0 ° C. under argon 1 Solution of Natπumbιs (tπmethyisιiylamιd) in tetrahydrofuran and then stirred for 30 minutes at 22 ° C. 2.61 g of the ketone prepared in Example 1 ag in 8 ml of tetrahydrofuran are then added at -40 ° C. and the mixture is stirred at this temperature for 45 minutes. The reaction mixture is poured onto saturated ammonium chloride solution and extracted four times with ether. The combined organic phases are washed with saturated sodium chloride solution, dried over sodium sulfate and, after filtration, concentrated in vacuo. The residue obtained in this way was purified by chromatography on silica gel with those from two further batches in which a total of 3.57 g of the ketone from Example 1 ag were reacted. With hexane / 0-70% ether, 3.7 g of the title compound are obtained as a colorless oil. H-NMR (CDCI3): δ = 0.80-0.92 (3H), 0.92-1.95 (13H), 1.07 (9H), 1.30 / 1.44 (3H), 1.98 / 1.99 (3H), 2.15-2.40 (2H), 2.70 (3H), 3.08 / 3.18 (1H), 3.47-3.62 (2H), 3.85 (1H), 4.27 (1H), 4.55 (1H), 5.05 (1H), 6.19 (1H), 6.78 (1H), 7.24-7.48 (6H), 7.57-7.78 (4H) ppm.
Beispiel 1 aiExample 1 ai
(6E/Z,10E,2S,9S)-9-[[(1 ,1 -Dimethylethyl)diphenylsilyl]oxy]-2,7,10-trimethyl-11 -(2- methyithiazol-4-yi)- undec-6,10-dien-1 -ol(6E / Z, 10E, 2S, 9S) -9 - [[(1, 1-dimethylethyl) diphenylsilyl] oxy] -2,7,10-trimethyl-11 - (2-methylithiazol-4-yi) - undec- 6,10-dien-1-ol
Zu einer Lösung von 4 0 g der in Beispiel 1 ah hergestellten Verbindung in 21 ml Ethanol gibt man 156 mg Pyndinium-p-toluolsulfonat und rührt unter Argon 24 Stunden bei 50°C Anschließend wird im Vakuum eingeengt und der so erhaltene Rückstand durch Chromatographie an Kieselgel gereinigt. Mit Hexan / 0-60% Essigester erhalt man 2.59 g der Titeiverbindung als farbloses Öl 1 H-NMR 1 CDCI3): ό = 0.82 / 0.85 (3H), 0.91 (2H), 1.08 (9H), 1 .05-1.90 (5H), 1.38 / 1.45 (3H), 2.00 ,3H), 2.2C-2.40 (2H), 2.70 (3H), 3.30-3.48 (2H), 4.26 (1 H), 4.98 ,' 5.05 (1 H), 6.15 / 6.18 .1 H), 6.79 (1 H), 7.20-7.50 (6H), 7.60-7.76 (4H) ppm.156 mg of pyndinium p-toluenesulfonate are added to a solution of 40 g of the compound prepared in Example 1 ah in 21 ml of ethanol and the mixture is stirred under argon at 50 ° C. for 24 hours. The mixture is then concentrated in vacuo and the residue thus obtained is chromatographed Silica gel cleaned. With hexane / 0-60% ethyl acetate, 2.59 g of the titanium compound is obtained as a colorless oil 1 H-NMR 1 CDCI3): ό = 0.82 / 0.85 (3H), 0.91 (2H), 1.08 (9H), 1.05-1.90 (5H), 1.38 / 1.45 (3H), 2.00, 3H), 2.2C -2.40 (2H), 2.70 (3H), 3.30-3.48 (2H), 4.26 (1 H), 4.98, ' 5.05 (1 H), 6.15 / 6.18 .1 H), 6.79 (1 H), 7.20-7.50 (6H), 7.60-7.76 (4H) ppm.
Beispiel 1 akExample 1 ak
(6E/Z,10E.2S,9S)-9-[[(1 ,1 -Dimethylethyl)diphenyisilyl]oxy]-2,7,10-trimethyl- 1 -(2- methylthiazol-4-yl)-undec-6,10-dienal(6E / Z, 10E.2S, 9S) -9 - [[(1, 1-dimethylethyl) diphenyisilyl] oxy] -2,7,10-trimethyl-1 - (2-methylthiazol-4-yl) -undec- 6,10-dienal
Zu 0.416 ml Oxalylchlorid in 3.5 ml Methylenchlorid werden bei -70°C 0.729 ml Dimethylsulfoxid in 3.0 ml Methylenchlorid zugetropft. Man läßt 10 Minuten nachrühren und gibt dann 2.0 g des vorstehend hergestellten Alkohols in 3.0 ml Methylenchlorid zu. Nach weiteren 2 Stunden Nachrührzeit werden 1.49 ml Triethylamin hinzugetropft. Anschließend läßt man innerhalb einer Stunde auf -40°C erwärmen und gibt dann das Reaktionsgemisch auf 15 ml Wasser. Man extrahiert zweimal mit Methylenchlorid, wäscht die organische Phase mit gesättigter Natriumchloridlösung, trocknet über Natriumsulfat und engt im Vakuum ein. Das so erhaltene Rohprodukt (1 .96 g) wird ohne weitere Reinigung in die nächste Stufe eingesetzt.0.729 ml of dimethyl sulfoxide in 3.0 ml of methylene chloride are added dropwise to 0.416 ml of oxalyl chloride in 3.5 ml of methylene chloride at -70 ° C. The mixture is stirred for 10 minutes and then 2.0 g of the alcohol prepared above in 3.0 ml of methylene chloride are added. After a further 2 hours of stirring, 1.49 ml of triethylamine are added dropwise. Then allowed to warm to -40 ° C within one hour and then add the reaction mixture to 15 ml of water. It is extracted twice with methylene chloride, the organic phase is washed with saturated sodium chloride solution, dried over sodium sulfate and concentrated in vacuo. The crude product thus obtained (1.96 g) is used in the next step without further purification.
1 H-NMR (CDCI3): δ = 0.97 / 1.01 (3H), 1.07 (9H), 1.0-2.1 (6H), 1.45 / 1.55 (3H), 2.00 / 2.01 (3H), 2.10-2.48 (3H), 2.69 (3H), 4.25 / 4.27 (1 H), 5.01 / 5.03 (1 H), 6.16 / 6.17 (1 H), 6.79 (1 H), 7.25-7.50 (6H), 7.58-7.77 (4H), 9.49 / 9.54 (1 H) ppm. Beispiel 1 al1 H-NMR (CDCI3): δ = 0.97 / 1.01 (3H), 1.07 (9H), 1.0-2.1 (6H), 1.45 / 1.55 (3H), 2.00 / 2.01 (3H), 2.10-2.48 (3H), 2.69 (3H), 4.25 / 4.27 (1H), 5.01 / 5.03 (1H), 6.16 / 6.17 (1H), 6.79 (1H), 7.25-7.50 (6H), 7.58-7.77 (4H), 9.49 / 9.54 (1H) ppm. Example 1 al
(4S(4R,5S,6S,11 E/Z,13S,14E))-4-(13-[[(1 ,1 -Dimethylethyl)diphenylsilyl]oxy]-15-(2- methyl-4-thiazolyl)-3-oxo-5-hydroxy-2,4,6,11,14-pentamethyl-pentadeca-10,14-dien-(4S (4R, 5S, 6S, 11 E / Z, 13S, 14E)) - 4- (13 - [[((1, 1-dimethylethyl) diphenylsilyl] oxy] -15- (2-methyl-4-thiazolyl) -3-oxo-5-hydroxy-2,4,6,11,14-pentamethyl-pentadeca-10,14-diene -
2-yl)-2,2-dimethyl-[1 ,3]dioxan (A) und2-yl) -2,2-dimethyl- [1, 3] dioxane (A) and
(4S(4R,5R,6S,11 E/Z,13S,14E))-4-(13-[[(1 ,1 -Dimethylethyl)diphenylsilyl]oxy]-15-(2- methyl-4-thiazolyl)-3-oxo-5-hydroxy-2,4,6,11 ,14-pentamethyl-pentadeca-10,14-dien- 2-yl)-2,2-dimethyl-[1 ,3]dioxan (B)(4S (4R, 5R, 6S, 11 E / Z, 13S, 14E)) - 4- (13 - [[((1, 1-dimethylethyl) diphenylsilyl] oxy] -15- (2-methyl-4-thiazolyl) -3-oxo-5-hydroxy-2,4,6,11, 14-pentamethyl-pentadeca-10,14-dien-2-yl) -2,2-dimethyl- [1, 3] dioxane (B)
Zu einer Lösung von 0.62 ml Diisopropyiamin in 3 ml Tetrahydrofuran gibt man bei -30°C unter Argon 1.92 ml einer 2.4 molaren Lösung von Butyllithium in Hexan zu. Nach 15 minütigem Rühren wird auf -70°C abgekühlt und eine Lösung von 857 mg der nach Beispiel 11 hergestellten Verbindung in 3 ml Tetrahydrofuran zugetropft. Nach einer Stunde Rühren werden 500 mg des in Beispiel 1 ak hergestellten Aldehyds in 3 ml Tetrahydrofuran zugetropft. Nach 1.5 Stunden Rühren bei dieser Temperatur wird die Reaktionsmischung auf gesättigte Ammoniumchlorid-Lösung gegeben und mehrfach mit Essigester extrahiert. Die vereinigten organischen Phasen werden mit gesättigter Natriumchiorid-Lösung gewaschen, über Natriumsuifat getrocknet und nach Filtration im Vakuum eingeengt. Der so erhaltene Rückstand wird durch Chromatographie an Kieselgel gereinigt. Mit Hexan / 0-50% Ether erhält man 1.62 g der Titeiverbindung (A) als farbloses Öl, sowie 0.12 g der diastereomeren Verbindung B als schwach gelbgefärbtes Öl. 1 H-NMR (CDCI3) von A: δ = 0.75 / 0.79 (3H), 1.00 / 1 .01 (3H), 1 .05 (9H), 1.09 / 1 .10 (3H), 1 .20 (3H), 1 .30 / 1.43 (3H), 1.35 (3H), 1.43 (3H), 0.30-1.95 (10H), 1 .96 / 1.99 (3H), 2.03-2.40 (2H), 2.70 (3H), 3.18-3.40 (2H), 3.80-4.09 (3H), 4.27 (1 H), 5.06 (1 H), 6.18 (1 H), 6.79 (1 H), 7.22-7.48 (6H), 7.58-7.77 (4H) ppm. H-NMR (CDCl3) von B: δ = 0.80-2.80 (18H), 1.02 (3H), 1 .08 (12H), 1.28 (3H), 1.33 (3H), 1.41 / 1 .42 (3H), 1.97 / 1 .98 (3H), 2.71 (3H), 3.13-3.57 (2H), 3.75-4.15 (3H), 4.26 (1 H), 5.03 (1 H), 6.18 (1 H), 6.78 (1 H), 7.22-7.50 (6H), 7.53-7.70 (4H) ppm. Beispiel 1 am (4S(4R,5S,6S,11 E/Z,13S,14E))-4-(13-[[(1 ,1 -Dimethylethyl)diphenyisilyl]oxy]-15-(2- methyl-4-thiazolyl)-3-oxo-5-(tetrahydropyran-2-yloxy)-2,4,6,11 ,14-pentamethyl- pentadeca-10,14-dien-2-yl)-2,2-dimethyl-[1 ,3]dioxan1.92 ml of a 2.4 molar solution of butyllithium in hexane are added at -30 ° C. under argon to a solution of 0.62 ml of diisopropylamine in 3 ml of tetrahydrofuran. After stirring for 15 minutes, the mixture is cooled to -70 ° C. and a solution of 857 mg of the compound prepared according to Example 11 in 3 ml of tetrahydrofuran is added dropwise. After stirring for one hour, 500 mg of the aldehyde prepared in Example 1 ak in 3 ml of tetrahydrofuran are added dropwise. After stirring at this temperature for 1.5 hours, the reaction mixture is poured onto saturated ammonium chloride solution and extracted several times with ethyl acetate. The combined organic phases are washed with saturated sodium chloride solution, dried over sodium sulfate and, after filtration, concentrated in vacuo. The residue thus obtained is purified by chromatography on silica gel. With hexane / 0-50% ether, 1.62 g of the titan compound (A) is obtained as a colorless oil, and 0.12 g of the diastereomeric compound B as a pale yellow-colored oil. 1 H-NMR (CDCI3) of A: δ = 0.75 / 0.79 (3H), 1.00 / 1 .01 (3H), 1 .05 (9H), 1.09 / 1 .10 (3H), 1 .20 (3H) , 1.30 / 1.43 (3H), 1.35 (3H), 1.43 (3H), 0.30-1.95 (10H), 1.96 / 1.99 (3H), 2.03-2.40 (2H), 2.70 (3H), 3.18- 3.40 (2H), 3.80-4.09 (3H), 4.27 (1H), 5.06 (1H), 6.18 (1H), 6.79 (1H), 7.22-7.48 (6H), 7.58-7.77 (4H) ppm . H-NMR (CDCl3) of B: δ = 0.80-2.80 (18H), 1.02 (3H), 1 .08 (12H), 1.28 (3H), 1.33 (3H), 1.41 / 1 .42 (3H), 1.97 / 1.98 (3H), 2.71 (3H), 3.13-3.57 (2H), 3.75-4.15 (3H), 4.26 (1H), 5.03 (1H), 6.18 (1H), 6.78 (1H) , 7.22-7.50 (6H), 7.53-7.70 (4H) ppm. Example 1 on (4S (4R, 5S, 6S, 11 E / Z, 13S, 14E)) - 4- (13 - [[(1, 1-dimethylethyl) diphenyisilyl] oxy] -15- (2-methyl-4 -thiazolyl) -3-oxo-5- (tetrahydropyran-2-yloxy) -2,4,6,11, 14-pentamethyl-pentadeca-10,14-dien-2-yl) -2,2-dimethyl- [ 1, 3] dioxane
Zu einer Lösung der vorstehend hergestellten Titelverbindung A in 30 ml Methylenchlorid gibt man 200 mg p-Toluolsulfonsäure-monohydrat und 3.03 ml Dihydropyran und rührt 3 Tage bei 22°C. Dann wird die Reaktionsmischung auf gesättigte Natriumhydrogencarbonat-Lösung gegossen und mit Methyienchiorid extrahiert. Die vereinigten organischen Phasen werden mit gesättigter Natriumchiorid-Lösung gewaschen, über Natriumsulfat getrocknet und nach Filtration im Vakuum eingeengt. Der so erhaltene Rückstand wird durch Chromatographie an Kieselgel gereinigt. Mit Hexan / 0-40% Essigester erhält man 1.53 g der Titelverbindung als farbloses Öl. H-NMR (CDCI3): δ = 0,8-2.55 (37H), 1.06 (9H), 1.96 / 1 .98 (3H), 2.69 (3H), 3.10-4.15 (8H), 4.26 (1 H), 4.40-4.63 (1 H), 5.05 (1 H), 6.17 (1 H), 6.78 (1 H), 7.21-7.48 (6H), 7.55- 7.74 (4H) ppm.200 mg of p-toluenesulfonic acid monohydrate and 3.03 ml of dihydropyran are added to a solution of the title compound A prepared above in 30 ml of methylene chloride and the mixture is stirred at 22 ° C. for 3 days. Then the reaction mixture is poured onto saturated sodium bicarbonate solution and extracted with methylene chloride. The combined organic phases are washed with saturated sodium chloride solution, dried over sodium sulfate and, after filtration, concentrated in vacuo. The residue thus obtained is purified by chromatography on silica gel. With hexane / 0-40% ethyl acetate, 1.53 g of the title compound is obtained as a colorless oil. H-NMR (CDCI3): δ = 0.8-2.55 (37H), 1.06 (9H), 1.96 / 1.98 (3H), 2.69 (3H), 3.10-4.15 (8H), 4.26 (1H), 4.40-4.63 (1H), 5.05 (1H), 6.17 (1H), 6.78 (1H), 7.21-7.48 (6H), 7.55-7.74 (4H) ppm.
Beispiel 1an (4S(4R,5S,6S,11 E/Z,13S,14E))-4-(13-Hydroxy-15-(2-methyl-4-thiazolyl)-3-oxo-5- (tetrahydropyran-2-yloxy)-2,4,6,11,14-pentamethyl-pentadeca-10,14-dien-2-yl)-2,2- dlmethyl-[1 ,3]dioxanExample 1an (4S (4R, 5S, 6S, 11 E / Z, 13S, 14E)) - 4- (13-hydroxy-15- (2-methyl-4-thiazolyl) -3-oxo-5- (tetrahydropyran 2-yloxy) -2,4,6,11,14-pentamethyl-pentadeca-10,14-dien-2-yl) -2,2-dlmethyl- [1, 3] dioxane
Zu einer Lösung der vorstehend hergestellten Verbindung in 50 ml Tetrahydrofuran gibt man 5.34 ml einer 1 molaren Lösung von Tetrabutyiammoniumfluorid in Tetrahydrofuran und rührt zunächst 12 Stunden bei 22°C und anschließend 4 Stunden bei 50°C. Dann wird die Reaktionsmischung auf gesättigte Ammoniumchlorid-Lösung gegossen und mit Essigester extrahiert. Die organische Phase wird über Natriumsulfat getrocknet und nach Filtration im Vakuum eingeengt. Der so erhaltene Rückstand wird durch Chromatographie an Kieseigel gereinigt. Mit Hexan / 0-80% Essigester erhält man 851 mg der Titelverbindung als farbloses Öl.5.34 ml of a 1 molar solution of tetrabutyiammonium fluoride in tetrahydrofuran are added to a solution of the compound prepared above in 50 ml of tetrahydrofuran and the mixture is first stirred at 22 ° C. for 12 hours and then at 50 ° C. for 4 hours. Then the reaction mixture is poured onto saturated ammonium chloride solution and extracted with ethyl acetate. The organic phase is dried over sodium sulfate and, after filtration, concentrated in vacuo. The residue thus obtained is purified by chromatography on silica gel. With hexane / 0-80% ethyl acetate, 851 mg of the title compound is obtained as a colorless oil.
1 H-NMR (CDCI3): δ = 0,80-2.60 (39H), 2.07 (3H), 2.73 (3H), 3.28 (1 H), 3.45 (1 H), 3.60- 4.33 (6H), 4.43-4.61 (1 H), 5.25-5.43 (1 H), 6.60 (1 H), 6.95 (1 H) ppm.1 H-NMR (CDCI3): δ = 0.80-2.60 (39H), 2.07 (3H), 2.73 (3H), 3.28 (1 H), 3.45 (1 H), 3.60- 4.33 (6H), 4.43- 4.61 (1H), 5.25-5.43 (1H), 6.60 (1H), 6.95 (1H) ppm.
Beispiel 1 ao (3S,6R,7S,8S,12E/Z.15S.16E)-17-(2-Methyl-4-thiazolyi)-5-oxo-4,4,6,8,13.16- hexamethyi-heptadeca-12,16-dien-1 ,3,7,15-tetraolExample 1 ao (3S, 6R, 7S, 8S, 12E / Z.15S.16E) -17- (2-methyl-4-thiazolyi) -5-oxo-4,4,6,8,13.16-hexamethyi-heptadeca-12, 16-diene-1, 3,7,15-tetraol
Zu einer Losung von 725 mg des vorstehend hergestellten Alkohols in 33 ml Ethanol gibt man 445 mg p-Toluoisulfonsaure-monohydrat und rührt 3 5 Stunden unter Stickstoff bei 22°C Dann wird die Reaktionsmischung auf gesattigte Natriumhydrogencarbonat- Lösung gegossen und mit Methyienchiorid extrahiert. Die organische Phase wird über Natriumsulfat getrocknet und nach Filtration im Vakuum eingeengt. Der so erhaltene Rückstand wird durch Chromatographie an Kieselgel gereinigt. Mit Hexan / 0-100% Essigester / 0-10% Methanol erhält man 505 mg der Titeiverbindung als farbloses Öl. 1 H-NMR (CDCI3): δ = 0.84 / 0.87 (3H), 1.07 (3H), 1.13 (3H), 1.23 (3H), 1.68 / 1.77 (3H), 1.00-1.85 (10H), 2.06 (3H), 2.08-2.6 (3H), 2.72 (3H), 3.20-3.51 (4H), 3.89 (2H), 4.05 (1 H), 4.23 / 4.29 (1 H), 5.30 / 5.40 (1 H), 6.61 (1 H), 6.96 / 6.97 (1 H) ppm.445 mg of p-toluenesulfonic acid monohydrate are added to a solution of 725 mg of the alcohol prepared above in 33 ml of ethanol and the mixture is stirred under nitrogen at 22 ° C. for 3 hours. Then the reaction mixture is poured onto saturated sodium bicarbonate solution and extracted with methylene chloride. The organic phase is dried over sodium sulfate and, after filtration, concentrated in vacuo. The residue thus obtained is purified by chromatography on silica gel. With hexane / 0-100% ethyl acetate / 0-10% methanol, 505 mg of the titanium compound is obtained as a colorless oil. 1 H-NMR (CDCI3): δ = 0.84 / 0.87 (3H), 1.07 (3H), 1.13 (3H), 1.23 (3H), 1.68 / 1.77 (3H), 1.00-1.85 (10H), 2.06 (3H) , 2.08-2.6 (3H), 2.72 (3H), 3.20-3.51 (4H), 3.89 (2H), 4.05 (1 H), 4.23 / 4.29 (1 H), 5.30 / 5.40 (1 H), 6.61 (1 H), 6.96 / 6.97 (1H) ppm.
Beispiel 1 ap (3S,6R,7S,8S,12E/Z,15S,16E)-17-(2-Methyl-4-thiazolyl)-4,4,6,8,13,16-hexamethyi- 1 ,3,7,15-tetrakis-[[dimethyl-(1 ,1 -dimethylethyl)siiyi]oxy]-heptadeca-12,16-dien-5-onExample 1 ap (3S, 6R, 7S, 8S, 12E / Z, 15S, 16E) -17- (2-methyl-4-thiazolyl) -4,4,6,8,13,16-hexamethyi- 1,3 , 7,15-tetrakis - [[dimethyl- (1, 1-dimethylethyl) siiyi] oxy] -heptadeca-12,16-dien-5-one
Zu einer Lösung von 490 mg des vorstehend hergestellten Tetrols in 30 ml Methyienchiorid gibt man bei -70°C unter Argon 4 ml 2,6-Lutιdin und tropft dann 3.9 ml Tnfluormethansulfonsaure-tert.butyldimethylsilylester zu und rührt 24 Stunden bei -70°C. Dann wird die Reaktionsmischung auf gesättigte Natriumhydrogencarbonat-Lösung gegossen und mit Methylenchlorid extrahiert. Die organische Phase wird über Natriumsulfat getrocknet und nach Filtration im Vakuum eingeengt. Der so erhaltene Rückstand wird durch Chromatographie an Kieselgel gereinigt. Mit Hexan / 0-50% Essigester erhält man 742 mg der Titeiverbindung als farbloses Öl. "Η-NMR (CDCI3): δ = 0.00-0.15 (24H), 0.90 (39H), 0.95-1 ,75 (9H), 1.05 (3H), 1.06 (3H), 1.22 (3H), 1.53 / 1 .62 (3H), 2.00 / 2.02 (3H), 2.21 (2H), 2.71 (3H), 3.15 (1 H), 3.58 (1 H), 3.67 (1 H), 3.77 (1 H), 3.90 (1 H), 4.23 (1 H), 5.18 (1 H), 6.49 (1 H), 6.92 / 6.93 (1 H) ppm.To a solution of 490 mg of the tetrol prepared above in 30 ml of methylene chloride, 4 ml of 2,6-lutidine are added at -70 ° C. under argon and then 3.9 ml of tert.butyldimethylsilyl ester of fluoromethanesulfonate are added dropwise and the mixture is stirred at -70 ° C. for 24 hours . Then the reaction mixture is poured onto saturated sodium bicarbonate solution and extracted with methylene chloride. The organic phase is dried over sodium sulfate and, after filtration, concentrated in vacuo. The residue thus obtained is purified by chromatography on silica gel. With hexane / 0-50% ethyl acetate, 742 mg of the titanium compound is obtained as a colorless oil. " Η NMR (CDCI3): δ = 0.00-0.15 (24H), 0.90 (39H), 0.95-1, 75 (9H), 1.05 (3H), 1.06 (3H), 1.22 (3H), 1.53 / 1. 62 (3H), 2.00 / 2.02 (3H), 2.21 (2H), 2.71 (3H), 3.15 (1H), 3.58 (1H), 3.67 (1H), 3.77 (1H), 3.90 (1H ), 4.23 (1 H), 5.18 (1 H), 6.49 (1 H), 6.92 / 6.93 (1 H) ppm.
Beispiel 1aq (3S,6R,7S,8S,12E/Z,15S,16E)-17-(2-Methyl-4-thiazolyl)-4,4,6,8,13,16-hexamethyl-1- hydroxy-3,7,15-tris-[[dimethyl-(1 ,1 -dimethylethyl)silyi]oxy]-heptadeca-12,16-dien-5- onExample 1aq (3S, 6R, 7S, 8S, 12E / Z, 15S, 16E) -17- (2-methyl-4-thiazolyl) -4,4,6,8,13,16-hexamethyl-1-hydroxy- 3,7,15-tris - [[dimethyl- (1, 1-dimethylethyl) silyi] oxy] -heptadeca-12,16-dien-5-one
Zu einer Lösung von 735 mg des vorstehend hergestellten Silylethers in einem Gemisch aus 8 ml Dichiormethan und 8 ml Methanol gibt man bei 0°C unter Argon 179 mg Campher-10-sulfoπsaure, läßt auf 22°C erwarmen und rührt noch 1 ,5 Stunden Anschließend gibt man 0.6 ml Triethylamin zu, gießt in eine gesattigte Natriumhydrogencarbonatlösung und extrahiert mehrfach mit Dichiormethan. Die organische Phase wird über Natriumsulfat getrocknet und nach Filtration im Vakuum eingeengt. Der so erhaltene Rückstand wird durch Chromatographie an Kieselgei gereinigt. Mit Hexan / 0-20% Essigester erhält man 527 mg der Titelverbindung als farbloses OI.179 mg of camphor-10-sulfonic acid are added at 0 ° C. under argon to a solution of 735 mg of the silyl ether prepared above in a mixture of 8 ml of dichloromethane and 8 ml of methanol, and the mixture is allowed to warm to 22 ° C. and is stirred for a further 1.5 hours Then 0.6 ml of triethylamine is added, poured into a saturated sodium hydrogen carbonate solution and extracted several times with dichloromethane. The organic phase is dried over sodium sulfate and, after filtration, concentrated in vacuo. The residue thus obtained is chromatographed on silica gel cleaned. With hexane / 0-20% ethyl acetate, 527 mg of the title compound is obtained as a colorless oil.
1 H-NMR (CDCI3): δ = 0.00-0.17 (18H), 0.93 (30H), 1.09 (9H), 0.90-1.54 (8H), 1 .66 / 1 .73 (3H), 1.93 (2H), 2.00 / 2.03 (3H), 2.20 (2H), 2.73 (3H), 3.15 (1 H), 3.67 (2H), 3.81 (1 H), 4.10 (1 H), 4.23 (1 H), 5.20 (1 H), 6.47 (1 H),= 6.92 / 6.94 (1 H) ppm. 1 H-NMR (CDCI3): δ = 0.00-0.17 (18H), 0.93 (30H), 1.09 (9H), 0.90-1.54 (8H), 1.66 / 1.73 (3H), 1.93 (2H), 2.00 / 2.03 (3H), 2.20 (2H), 2.73 (3H), 3.15 (1H), 3.67 (2H), 3.81 (1H), 4.10 (1H), 4.23 (1H), 5.20 (1H ), 6.47 (1 H), = 6.92 / 6.94 (1 H) ppm.
Beispiel 1 arExample 1 ar
(3S,6R,7S,8S,12E/Z,15S,16E)-17-(2-Methyl-4-thiazolyl)-4,4,6,8,13,16-hexamethyl- 3,7,15-tris-[[dimethyl-(1 ,1 -dimethylethyl)silyl]oxy]-5-oxo-heptadeca-12,16-dienal Zu einer Lösung von 520 mg des vorstehend hergestellten Alkohols in 30 ml Methyienchiorid gibt man bei 0°C unter Argon 1.28 g Collins-Reagenz und rührt 15 Minuten bei 0°C. Dann wird mit Celite versetzt und mit Ether verdünnt. Man filtriert über Celite ab, wäscht gut mit Ether nach und engt das Filtrat im Vakuum ein. Die so erhaltene Titelverbindung (463 mg) wird ohne weitere Reinigung als schwach gelb gefärbtes Öl in die nächste Stufe eingesetzt.(3S, 6R, 7S, 8S, 12E / Z, 15S, 16E) -17- (2-methyl-4-thiazolyl) -4,4,6,8,13,16-hexamethyl-3,7,15- tris - [[dimethyl- (1, 1-dimethylethyl) silyl] oxy] -5-oxo-heptadeca-12,16-dienal To a solution of 520 mg of the alcohol prepared above in 30 ml of methyl chloride is added at 0 ° C. Argon 1.28 g Collins reagent and stir at 0 ° C for 15 minutes. Then Celite is added and the mixture is diluted with ether. It is filtered off through Celite, washed well with ether and the filtrate is concentrated in vacuo. The title compound (463 mg) thus obtained is used in the next step as a pale yellow oil without further purification.
"Η-NMR (CDCI3): δ = 0.0-0.17 (18H), 0.91 (30H), 1.05 (3H), 1.10 (3H), 1.27 (3H), 1.65 / 1.72 (3H), 1.00-1.62 (8H), 2.00 / 2.03 (3H), 2.21 (2H), 2.30-2.58 (3H), 2.72 (3H), 3.14 (1 H), 3.79 (1 H), 4.23 (1 H), 5.20 (1 H), 6.47 (1 H), 6.92 / 6.94 (1 H) ppm. " Η NMR (CDCI3): δ = 0.0-0.17 (18H), 0.91 (30H), 1.05 (3H), 1.10 (3H), 1.27 (3H), 1.65 / 1.72 (3H), 1.00-1.62 (8H) , 2.00 / 2.03 (3H), 2.21 (2H), 2.30-2.58 (3H), 2.72 (3H), 3.14 (1 H), 3.79 (1 H), 4.23 (1 H), 5.20 (1 H), 6.47 (1H), 6.92 / 6.94 (1H) ppm.
Beispiel l asExample l as
(3S,6R,7S,8S,12Z,15S,16E)-17-(2- ethyl-4-thiazolyl)-4,4,6,8,13,16-hexamethyl-(3S, 6R, 7S, 8S, 12Z, 15S, 16E) -17- (2-ethyl-4-thiazolyl) -4,4,6,8,13,16-hexamethyl-
3,7,15-tris-[[dimethyl-(1 ,1-dimet ylethyl)silyl]oxy]-5-oxo-heptadeca-12,16-diensäure3,7,15-tris - [[dimethyl- (1,1-dimethylethyl) silyl] oxy] -5-oxo-heptadeca-12,16-dienoic acid
(A) und(A) and
(3S,6R,7S,8S,12E,15S,16E)-17-(2-Methyl-4-thiazolyl)-4,4,6,8,13,16-hexamethyl- 3,7,15-tris-[[dimethyl-(1 ,1 -dimethylethyl)silyl]oxy]-5-oxo-heptadeca-12,16-diensäure(3S, 6R, 7S, 8S, 12E, 15S, 16E) -17- (2-methyl-4-thiazolyl) -4,4,6,8,13,16-hexamethyl-3,7,15-tris- [[dimethyl- (1,1-dimethylethyl) silyl] oxy] -5-oxo-heptadeca-12,16-dienoic acid
(B)(B)
Zu einer Lösung von 530 mg des vorstehend hergestellten Aldehyds in 19.5 ml Aceton gibt man bei -30°C 1.5 ml einer standardisierten, 8N Chromschwefelsäurelösung und rührt 45 Minuten. Man gießt in ein Gemisch aus Wasser und Diethylether und wäscht die organische Phase zweimal mit gesättigter Natriumchiorid-Lösung. Die organische Phase wird über Natriumsulfat getrocknet und nach Filtration im Vakuum eingeengt. Der so erhaltene Rückstand wird durch zweimalige Chromatographie an Kieseigel gereinigt. Mit Hexan / 0-90% Essigester erhält man 162 mg der Titelverbindung A als unpolare Komponente und 171 mg der Titelverbindung B als polare Komponente als farblose Öle. H-NMR (CDCI3) von A: δ = 0.00-0.18 (18H), 0.88 (30H), 0.90-1 .68 (7H), 1.09 (3H), 1.17 (3H), 1.20 (3H), 1.75 (3H), 1.98 (3H), 2.00-2.50 (4H), 2.72 (3H), 3.16 (1 H), 3.73 (1 H), 4.33 (1 H), 4.43 (1 H), 5.23 (1 H), 6.72 (1 H), 6.97 (1 H) ppm. 1 H-NMR (CDCI3) von B: δ = 0.00-0.17 (18H), 0.90 (30H), 0.90-1 .45 (7H), 1 .07 (3H), 1 .13 (3H), 1.23 (3H), 1 .63 (3H), 1 .97 (3H), 1.85-2.58 (4H), 2.51 (3H), 3.17 (1 H), 3.80 (1 H), 4.21 (1 H), 4.39 (1 H), 5.18 (1 H), 6.46 (1 H), 6.92 (1 H) ppm.To a solution of 530 mg of the aldehyde prepared above in 19.5 ml of acetone, 1.5 ml of a standardized 8N chromosulfuric acid solution are added at -30 ° C. and the mixture is stirred for 45 minutes. It is poured into a mixture of water and diethyl ether and the organic phase is washed twice with saturated sodium chloride solution. The organic phase is dried over sodium sulfate and, after filtration, concentrated in vacuo. The residue thus obtained is purified by chromatography on silica gel twice. With hexane / 0-90% ethyl acetate, 162 mg of the title compound A are obtained as a non-polar component and 171 mg of the title compound B as a polar component as colorless oils. H-NMR (CDCI3) of A: δ = 0.00-0.18 (18H), 0.88 (30H), 0.90-1 .68 (7H), 1.09 (3H), 1.17 (3H), 1.20 (3H), 1.75 (3H ), 1.98 (3H), 2.00-2.50 (4H), 2.72 (3H), 3.16 (1 H), 3.73 (1 H), 4.33 (1 H), 4.43 (1 H), 5.23 (1 H), 6.72 (1H), 6.97 (1H) ppm. 1 H-NMR (CDCI3) of B: δ = 0.00-0.17 (18H), 0.90 (30H), 0.90-1.45 (7H), 1.07 (3H), 1.13 (3H), 1.23 (3H ), 1.63 (3H), 1.97 (3H), 1.85-2.58 (4H), 2.51 (3H), 3.17 (1H), 3.80 (1H), 4.21 (1H), 4.39 (1H ), 5.18 (1H), 6.46 (1H), 6.92 (1H) ppm.
Beispiel 1 atExample 1 at
(3S,6R,7S,8S,12E.15S,16E)-17-(2- ethyl-4-thiazolyl)-4,4,6,8,13,16-hexamethyl-3,7- bis-[[dimethyl-(1 ,1 -dimethylethyl)silyl]oxy]-15-hydroxy-5-oxo-heptadeca-12,16- diensäure(3S, 6R, 7S, 8S, 12E.15S, 16E) -17- (2-ethyl-4-thiazolyl) -4,4,6,8,13,16-hexamethyl-3,7- bis - [[ dimethyl- (1,1-dimethylethyl) silyl] oxy] -15-hydroxy-5-oxo-heptadeca-12,16-dienoic acid
Zu einer Lösung von 50 mg der unter Beispiel las hergestellten Titelverbindung B in 1.5 ml Tetrahydrofuran gibt man bei 22°C unter Argon 0.59 ml einer 1 molaren Lösung von Tetrabutylammoniumfluorid und rührt 16 Stunden. Dann wird die Reaktionsmischung auf eiskalte gesättigte Ammoniumchlorid-Lösung gegeben und mit Essigester extrahiert. Die vereinigten organischen Phasen wäscht man einmal mit 1 N Salzsäure und einmal mit gesättigter Natriumchiorid-Lösung. Die organische Phase wird über Natriumsulfat getrocknet und nach Filtration im Vakuum eingeengt. Der so erhaltene Rückstand wird durch Chromatographie an Kieselgel gereinigt. Mit Hexan 7 0-80% Essigester erhält man 42 mg der Titelverbindung als farbloses Öl.0.59 ml of a 1 molar solution of tetrabutylammonium fluoride is added to a solution of 50 mg of the title compound B prepared in Example las in 1.5 ml of tetrahydrofuran at 22 ° C. under argon and the mixture is stirred for 16 hours. Then the reaction mixture is poured onto ice-cold saturated ammonium chloride solution and extracted with ethyl acetate. The combined organic phases are washed once with 1 N hydrochloric acid and once with saturated sodium chloride solution. The organic phase is dried over sodium sulfate and, after filtration, concentrated in vacuo. The residue thus obtained is purified by chromatography on silica gel. With hexane 7 0-80% ethyl acetate, 42 mg of the title compound is obtained as a colorless oil.
1 H-NMR (CDCI3): δ = 0.00-0.15 (12H), 0.91 (21 H), 1.07 (3H), 1.13 (3H), 1.23 (3H), 0.80- 1.50 (9H), 1.69 (3H), 2.03 (3H), 2.1 1-2.58 (4H), 2.73 (3H), 3.15 (1 H), 3.80 (1 H), 4.24 (1 H), 4.41 (1 H), 5.31 (1 H), 6.53 (1 H), 6.95 (1 H) ppm.1 H-NMR (CDCI3): δ = 0.00-0.15 (12H), 0.91 (21 H), 1.07 (3H), 1.13 (3H), 1.23 (3H), 0.80-1.50 (9H), 1.69 (3H), 2.03 (3H), 2.1 1-2.58 (4H), 2.73 (3H), 3.15 (1 H), 3.80 (1 H), 4.24 (1 H), 4.41 (1 H), 5.31 (1 H), 6.53 ( 1 H), 6.95 (1 H) ppm.
Beispiel 1 auExample 1 au
(4S,7R,8S,9S,13E,16S(E))-4,8-Bis-[[dimethyl-{1 ,1 -dimethylethyl)silyl]oxy]-16-(1 - methyl-2-(2-methyl-4-thiazolyl)ethenyl)-1-oxa-5,5,7,9,14-pentamethyl-cyclohexadec- 13-en-2,6-dion(4S, 7R, 8S, 9S, 13E, 16S (E)) - 4,8-bis - [[dimethyl- {1, 1-dimethylethyl) silyl] oxy] -16- (1-methyl-2- (2nd -methyl-4-thiazolyl) ethenyl) -1-oxa-5,5,7,9,14-pentamethyl-cyclohexadec-13-ene-2,6-dione
Zu einer Lösung von 118 mg der vorstehend hergestellten Säure in 6 ml Tetrahydrofuran gibt man unter Argon 75 μl Triethylamin, 50 μl 2,4,6-Trichlorbenzoyichlorid und rührt 15 Minuten. Diese Lösung wird innerhalb von 3 Stunden zu einer Lösung von 195 mg 4- Dimethylaminopyridin in 90 ml Toluol getropft und weitere 15 Minuten bei 23°C gerührt. Man engt im Vakuum und reinigt den so erhaltenen Rückstand durch Chromatographie an Kieselgel. Mit Hexan / 0-40% Essigester erhält man 87 mg der Titelverbindung als farbloses Öl.75 μl of triethylamine, 50 μl of 2,4,6-trichlorobenzoyichloride are added to a solution of 118 mg of the acid prepared above in 6 ml of tetrahydrofuran under argon and the mixture is stirred for 15 minutes. This solution is added dropwise to a solution of 195 mg of 4-dimethylaminopyridine in 90 ml of toluene within 3 hours and the mixture is stirred at 23 ° C. for a further 15 minutes. It is concentrated in vacuo and the residue thus obtained is purified by chromatography on silica gel. With hexane / 0-40% ethyl acetate, 87 mg of the title compound is obtained as a colorless oil.
1 H-NMR (CDCI3): δ = 0.00-0.17 (12H), 0.87 (9H), 0.93 (9H), 0.96 (3H), 1.12 (3H), 1.14 (3H), 1 .21 (3H), 1 .63 (3H), 2.14 (3H), 1 .00-2.37 (10H), 2.49 (1 H), 2.62 (1 H), 2.73 (1 H), 2.82 (1 H), 3.05 (1 H), 3.92 (1 H), 4.20 (1 H), 5.31 (1 H), 5.37 (1 H), 6.59 (1 H), 6.95 (1 H) ppm.1 H-NMR (CDCI3): δ = 0.00-0.17 (12H), 0.87 (9H), 0.93 (9H), 0.96 (3H), 1.12 (3H), 1.14 (3H), 1 .21 (3H), 1 .63 (3H), 2.14 (3H), 1 .00-2.37 (10H), 2.49 (1 H), 2.62 (1 H), 2.73 (1 H), 2.82 (1 H), 3.05 (1 H), 3.92 (1H), 4.20 (1H), 5.31 (1H), 5.37 (1H), 6.59 (1H), 6.95 (1H) ppm.
Beispiel 1 (4S,7R,8S,9S,13E,16S(E))-4,8-Dihydroxy-16-(1 -methyl-2-(2-methyl-4- thiazoiyl)ethenyl)-1 -oxa-5,5,7,9.14-pentamethyl-cyclohexadec-13-en-2,6-dionexample 1 (4S, 7R, 8S, 9S, 13E, 16S (E)) - 4,8-dihydroxy-16- (1-methyl-2- (2-methyl-4-thiazoiyl) ethenyl) -1-oxa-5, 5,7,9,14-pentamethyl-cyclohexadec-13-ene-2,6-dione
Zu einer Lösung von 45 mg des vorstehend hergestellten Lactons in 1 .5 ml Methylenchlorid gibt man bei -10°C unter Argon 348 μl einer 20%igen Lösung von Trifluoressigsäure in Methylenchlorid. Man läßt auf 0°C erwärmen und rührt 5 Stunden bei dieser Temperatur. Dann wird das Reaktionsgemisch im Vakuum eingeengt und der so erhaltene Rückstand durch Chromatographie an Kieselgel gereinigt. Mit Hexan / 0- 80% Essigester erhält man 22.4 mg der Titelverbindung ais farbloses Öl. 1 H-NMR (CDCI3): δ = 0.99 (3H), 1.08 (3H), 1.20 (3H), 1.31 (3H), 1.64 (3H), 1.05-1.75 (5H), 1.90 (1 H), 2.01 (3H), 2.21 (2H), 2.34 (1 H), 2.49-2.52 (3H), 2.72 (3H), 3.10 (1 H), 3.22 (1 H), 3.77 (1 H), 4.02 (1 H), 5.31 (1 H), 5.52 (1 H), 6.58 (1 H), 6.98 (1 H) ppm.348 μl of a 20% strength solution of trifluoroacetic acid in methylene chloride are added to a solution of 45 mg of the lactone prepared above in 1.5 ml of methylene chloride at -10 ° C. under argon. The mixture is allowed to warm to 0 ° C. and is stirred at this temperature for 5 hours. The reaction mixture is then concentrated in vacuo and the residue thus obtained is purified by chromatography on silica gel. With hexane / 0-80% ethyl acetate, 22.4 mg of the title compound is obtained as a colorless oil. 1 H-NMR (CDCI3): δ = 0.99 (3H), 1.08 (3H), 1.20 (3H), 1.31 (3H), 1.64 (3H), 1.05-1.75 (5H), 1.90 (1 H), 2.01 ( 3H), 2.21 (2H), 2.34 (1 H), 2.49-2.52 (3H), 2.72 (3H), 3.10 (1 H), 3.22 (1 H), 3.77 (1 H), 4.02 (1 H), 5.31 (1H), 5.52 (1H), 6.58 (1H), 6.98 (1H) ppm.
Beispiel 2Example 2
(1 S,3S(E),7S,10R,11 S,12S,16S)-7,11 -Dihydroxy-3-(1 -methyl-2-(2-methyl-4- thiazolyl)ethenyl)-1 ,8,8,10,12-pentamethyl-4,17-dioxabicyclo[14.1.0]heptadecan-5,9- dion (A) und(1 S, 3S (E), 7S, 10R, 11 S, 12S, 16S) -7.11-dihydroxy-3- (1-methyl-2- (2-methyl-4-thiazolyl) ethenyl) -1, 8,8,10,12-pentamethyl-4,17-dioxabicyclo [14.1.0] heptadecane-5,9-dione (A) and
(1 R,3S(E),7S,10R,11 S,12S,16R)-7,11 -Dihydroxy-3-(1 -methyl-2-(2-methyl-4- thiazoiyl)ethenyl)-1 , 8,8,10,12-pentamethyl-4,17-dioxabicyclo[14.1.0]heptadecan-5,9- dion (B) Zu einer Lösung von 20 mg der nach Beispiel 1 hergestellten Titelverbindung in 0.4 ml Acetonitril gibt man bei 0°C unter Argon 233 μl einer 0.1037 molaren EDTA-diNatrium- Salzlösung und 389 μl 1 ,1 ,1-Trifluoraceton. Dann wird eine Mischung aus 47.6 mg Oxon und 27.3 mg Natriumhydrogencarbonat zugegeben und für 2.5 Stunden bei 0°C gerührt. Anschließend versetzt man mit Natriumthiosulfat-Lösung und extrahiert mehrfach mit Essigester. Die vereinigten organischen Phasen werden mit gesättigter Natriumchiorid- Lösung gewaschen, über Natriumsulfat getrocknet und nach Filtration im Vakuum eingeengt. Ein zweiter Ansatz in gleicher Größe liefert eine weitere Charge an Rohprodukt. Die so erhaltenen vereinigten Rohprodukte reinigt man durch präparative Dickschichtchromatographie mit Hexan / 50% Essigester vor. Die eigentliche Trennung der Titelverbindungen A und B erfolgt durch eine HPLC-Trennung (Chiralpak AD 10μ; Hexan:Ethanol 85:15). Man erhält auf diese Weise 6.7 mg der Titelverbindung A und 16.2 mg der Titeiverbindung B als farblose Öle.(1 R, 3S (E), 7S, 10R, 11 S, 12S, 16R) -7.11-dihydroxy-3- (1-methyl-2- (2-methyl-4-thiazoiyl) ethenyl) -1, 8,8,10,12-pentamethyl-4,17-dioxabicyclo [14.1.0] heptadecane-5,9-dione (B) To a solution of 20 mg of the title compound prepared according to Example 1 in 0.4 ml of acetonitrile is added at 0 ° C under argon 233 μl of a 0.1037 molar EDTA-di-sodium salt solution and 389 μl 1, 1, 1-trifluoroacetone. A mixture of 47.6 mg oxone and 27.3 mg sodium hydrogen carbonate is then added and the mixture is stirred at 0 ° C. for 2.5 hours. Then sodium thiosulfate solution is added and the mixture is extracted several times with ethyl acetate. The combined organic phases are washed with saturated sodium chloride solution, dried over sodium sulfate and, after filtration, concentrated in vacuo. A second batch of the same size provides another batch of raw product. The combined crude products thus obtained are pre-cleaned by preparative thick layer chromatography with hexane / 50% ethyl acetate. The actual separation of the title compounds A and B is carried out by HPLC separation (Chiralpak AD 10μ; hexane: ethanol 85:15). In this way, 6.7 mg of the title compound A and 16.2 mg of the titite compound B are obtained as colorless oils.
1 H-NMR (CDCI3) von A: δ = 0.99 (3H), 1.05 (3H), 1.16 (3H), 1 .43 (3H), 1 .45 (3H), 1.05- 1.72 (8H), 2.00 (2H), 2.09 (3H), 2.44 (2H), 2.72 (3H), 2.89 (1 H), 3.50 (1 H), 3.83 (1 H), 4.14 (1 H), 4.50 (1 H), 5.62 (1 H), 6.57 (1 H), 6.98 (1 H) ppm.1 H NMR (CDCI3) of A: δ = 0.99 (3H), 1.05 (3H), 1.16 (3H), 1.43 (3H), 1.45 (3H), 1.05-1.72 (8H), 2.00 ( 2H), 2.09 (3H), 2.44 (2H), 2.72 (3H), 2.89 (1 H), 3.50 (1 H), 3.83 (1 H), 4.14 (1 H), 4.50 (1 H), 5.62 ( 1 H), 6.57 (1 H), 6.98 (1 H) ppm.
1 H-NMR (CDCI3) von B: δ = 1.03 (3H), 1.13 (3H), 1.23 (3H), 1.34 (3H), 1.36 (3H), 1.07- 1.72 (7H), 1.70 (1 H), 2.08 (3H), 2.22 (2H), 2.50 (1 H), 2.60 (1 H), 2.72 (3H), 2.93 (1 H), 3.25 (1 H), 3.57 (1 H), 3.82 (1 H), 4.05 (1 H), 5.44 (1 H), 6.66 (1 H), 6.98 (1 H) ppm. Beispiel 31 H-NMR (CDCI3) of B: δ = 1.03 (3H), 1.13 (3H), 1.23 (3H), 1.34 (3H), 1.36 (3H), 1.07- 1.72 (7H), 1.70 (1 H), 2.08 (3H), 2.22 (2H), 2.50 (1 H), 2.60 (1 H), 2.72 (3H), 2.93 (1 H), 3.25 (1 H), 3.57 (1 H), 3.82 (1 H) , 4.05 (1H), 5.44 (1H), 6.66 (1H), 6.98 (1H) ppm. Example 3
(4S,7R,8S,9S,13Z.16S(E))-4,8-Dihydroxy-16-(1 -methyl-2-(2-methyl-4- thiazolyl)ethenyl)-1 -oxa-5,5,7,9,14-pentamethyl-cyclohexadec-13-en-2,6-dion(4S, 7R, 8S, 9S, 13Z.16S (E)) - 4,8-dihydroxy-16- (1-methyl-2- (2-methyl-4-thiazolyl) ethenyl) -1-oxa-5, 5,7,9,14-pentamethyl-cyclohexadec-13-ene-2,6-dione
Beispiel 3aExample 3a
(3S,6R,7S,8S,12Z,15S,16E)-17-(2-Methyl-4-thiazolyl)-4,4,6,8,13,16-hexamethyl-3,7- bis-[[dimethyl-(1 ,1-dimethylethyl)silyl]oxy]-15-hydroxy-5-oxo-heptadeca-12,16- diensäure(3S, 6R, 7S, 8S, 12Z, 15S, 16E) -17- (2-methyl-4-thiazolyl) -4,4,6,8,13,16-hexamethyl-3,7- bis - [[ dimethyl- (1,1-dimethylethyl) silyl] oxy] -15-hydroxy-5-oxo-heptadeca-12,16-dienoic acid
In Analogie zu Beispiel 1s werden 150 mg der in Beispiel 1 r hergestellten Titelverbindung A umgesetzt. Man erhält 81 mg der Titeiverbindung als farbloses Öl.Analogously to Example 1s, 150 mg of the title compound A prepared in Example 1r are reacted. 81 mg of the titanium compound are obtained as a colorless oil.
1 H-NMR (CDCI3): δ = 0.00-0.16 (12H), 0.90 (21 H), 1.08 (3H), 1.17 (3H), 1.18 (3H), 0.80- 2.28 (8H), 1.78 (3H), 2.03 (3H), 2.30-2.55 (4H), 2.73 (3H), 3.14 (1 H), 3.78 (1 H), 4.28 (1H), 4.42 (1 H), 5.38 (1 H), 6.78 (1 H), 6.97 (1 H) ppm.1 H-NMR (CDCI3): δ = 0.00-0.16 (12H), 0.90 (21 H), 1.08 (3H), 1.17 (3H), 1.18 (3H), 0.80-2.28 (8H), 1.78 (3H), 2.03 (3H), 2.30-2.55 (4H), 2.73 (3H), 3.14 (1 H), 3.78 (1 H), 4.28 (1H), 4.42 (1 H), 5.38 (1 H), 6.78 (1 H ), 6.97 (1H) ppm.
Beispiel 3bExample 3b
(4S,7R,8S,9S,13Z,16S(E))-4,8-Bis-[[dimethyl-(1 ,1 -dimethylethyl)silyi]oxy]-16-<1 - methyl-2-(2-methyl-4-thiazolyl)ethenyl)-1-oxa-5,5,7,9,14-pentamethyl-cyclohexadec-(4S, 7R, 8S, 9S, 13Z, 16S (E)) - 4,8-bis - [[dimethyl- (1, 1-dimethylethyl) silyi] oxy] -16- <1 - methyl-2- (2 -methyl-4-thiazolyl) ethenyl) -1-oxa-5,5,7,9,14-pentamethyl-cyclohexadec-
13-en-2,6-dion13-en-2,6-dione
In Analogie zu Beispiel 1au werden 81 mg der vorstehend hergestellten Verbindung umgesetzt. Man erhält nach Säulenchromatographie 75 mg, die nochmals durch präparative Dickschichtchromatographie mit Hexan / 10% Essigester gereinigt werden.Analogously to Example 1au, 81 mg of the compound prepared above are reacted. 75 mg are obtained after column chromatography, which are again purified by preparative thick-layer chromatography with hexane / 10% ethyl acetate.
Man erhält 58 mg der Titelverbindung als farbloses Öl.58 mg of the title compound are obtained as a colorless oil.
1 H-NMR (CDCI3): δ = 0.00-0.17 (12H), 0.79-0.99 (24H), 1.09 (3H), 1.16 (3H), 1.72 (3H),1 H-NMR (CDCI3): δ = 0.00-0.17 (12H), 0.79-0.99 (24H), 1.09 (3H), 1.16 (3H), 1.72 (3H),
1.00-1.92 (8H), 2.12 (3H), 2.31 (2H), 2.68 (1 H), 2.71 (1 H), 2.88 (1 H), 2.99 (2H), 3.89 (1 H), 3.98 (1 H), 5.06 (1 H), 5.27 (1 H), 6.59 (1 H), 6.98 (1 H) ppm.1.00-1.92 (8H), 2.12 (3H), 2.31 (2H), 2.68 (1 H), 2.71 (1 H), 2.88 (1 H), 2.99 (2H), 3.89 (1 H), 3.98 (1 H ), 5.06 (1H), 5.27 (1H), 6.59 (1H), 6.98 (1H) ppm.
Beispiel 3Example 3
(4S,7R,8S,9S,13Z,16S(E))-4,8-Dihydroxy-16-(1 -methyl-2-(2-methyl-4- thiazoiyl)ethenyi)-1-oxa-5,5,7,9,14-pentamethyl-cyclohexadec-13-en-2,6-dion In Analogie zu Beispiel 1 werden 27 mg der vorstehend hergestellten Verbindung umgesetzt. Die Reinigung erfolgt durch präparative Dickschichtchromatographie mit Hexan / 20% Essigester. Man erhält 17.4 mg der Titelverbindung als farbloses Öl. 1H-NMR (CDCI3): δ = 1.02 (3H), 1.11 (3H), 1.20 (3H), 1.35 (3H), 1.75 (3H), 1.10-2.05 (7H), 2.10 (3H), 2.20 (1 H), 2.39 (1 H), 2.51 (1 H), 2.70 (3H), 2.83-3.01 (2H), 3.14 (1 H), 3.80 (1 H), 3.42 (1 H), 4.20 (1 H), 5.23 (1 H), 5.40 (1H), 6.62 (1H), 6.98 (1 H) ppm.(4S, 7R, 8S, 9S, 13Z, 16S (E)) - 4,8-dihydroxy-16- (1-methyl-2- (2-methyl-4-thiazoiyl) ethenyi) -1-oxa-5, 5,7,9,14-pentamethyl-cyclohexadec-13-en-2,6-dione In analogy to Example 1, 27 mg of the compound prepared above are reacted. The purification is carried out by preparative thick-layer chromatography with hexane / 20% ethyl acetate. 17.4 mg of the title compound are obtained as a colorless oil. 1H-NMR (CDCI3): δ = 1.02 (3H), 1.11 (3H), 1.20 (3H), 1.35 (3H), 1.75 (3H), 1.10-2.05 (7H), 2.10 (3H), 2.20 (1H ), 2.39 (1 H), 2.51 (1 H), 2.70 (3H), 2.83-3.01 (2H), 3.14 (1 H), 3.80 (1 H), 3.42 (1 H), 4.20 (1 H), 5.23 (1H), 5.40 (1H), 6.62 (1H), 6.98 (1H) ppm.
Beispiel 4 (1 R,3S(E),7S,10R,11 S,12S,16S)-7,11 -Dihydroxy-3-(1 -methyl-2-(2-methyi-4- thiazoiyl)ethenyl)-1,8,8,10,12-pentamethyl-4,17-dioxabicyclo[14.1.0]heptadecan-5,9- dion (A) undExample 4 (1 R, 3S (E), 7S, 10R, 11 S, 12S, 16S) -7.11-dihydroxy-3- (1-methyl-2- (2-methyl-4-thiazoiyl) ethenyl) -1, 8,8,10,12-pentamethyl-4,17-dioxabicyclo [14.1.0] heptadecane-5,9-dione (A) and
(1S,3S(E),7S,10R,11S,12S,16R)-7,11-Dihydroxy-3-(1-met yl-2-(2-methyl-4- thiazolyi)ethenyl)-1, 8,8, 0,12-pentamβtByl-4,17-dioxabicyclo[14.1.0]heptadecan-5,9- dion (B)(1S, 3S (E), 7S, 10R, 11S, 12S, 16R) -7,11-dihydroxy-3- (1-methyl-2- (2-methyl-4-thiazolyi) ethenyl) -1, 8 , 8, 0,12-pentamβtByl-4,17-dioxabicyclo [14.1.0] heptadecane-5,9-dione (B)
In Analogie zu Beispiel 2 werden 15 mg der in Beispiel 3 hergestellten Verbindung umgesetzt. Die Reinigung erfolgt nur durch präparative Dickschichtchromatographie.Analogously to Example 2, 15 mg of the compound prepared in Example 3 are reacted. The purification is carried out only by preparative thick layer chromatography.
Man erhält 0.3 mg der Titelverbindung A und 11 mg der Titelverbindung B als farblose Öle.0.3 mg of the title compound A and 11 mg of the title compound B are obtained as colorless oils.
1H-NMR (CDCI3) von A: δ = 0.94 (3H), 1.04 (3H), 1.10 (3H), 1.41 (3H), 1.43 (3H), 1.05-1H-NMR (CDCI3) of A: δ = 0.94 (3H), 1.04 (3H), 1.10 (3H), 1.41 (3H), 1.43 (3H), 1.05-
2.20 (7H), 2.12 (3H), 2.24-2.65 (4H), 2.73 (3H), 3.32 (1H), 3.40-3.82 (2H), 4.07 (1H),2.20 (7H), 2.12 (3H), 2.24-2.65 (4H), 2.73 (3H), 3.32 (1H), 3.40-3.82 (2H), 4.07 (1H),
5.80 (1H), 6.62 (1H), 6.98 (1H) ppm.5.80 (1H), 6.62 (1H), 6.98 (1H) ppm.
1H-NMR (CDCI3) von B: δ = 1.03 (3H), 1.15 (3H), 1.21 (3H), 1.36 (3H), 1.38 (3H), 1.10- 1.97 (9H), 2.05 (3H), 2.09 (1H), 2.42 (1H), 2.53 (1H), 2.70 (3H), 2.72 (1H), 3.14 (1H),1H-NMR (CDCI3) of B: δ = 1.03 (3H), 1.15 (3H), 1.21 (3H), 1.36 (3H), 1.38 (3H), 1.10-1.97 (9H), 2.05 (3H), 2.09 ( 1H), 2.42 (1H), 2.53 (1H), 2.70 (3H), 2.72 (1H), 3.14 (1H),
3.67 (1H), 3.81 (1H), 4.12 (1H), 5.49 (1H), 6.56 (1H), 6.97 (1H) ppm. 3.67 (1H), 3.81 (1H), 4.12 (1H), 5.49 (1H), 6.56 (1H), 6.97 (1H) ppm.
Claims
Priority Applications (1)
| Application Number | Priority Date | Filing Date | Title |
|---|---|---|---|
| AU50369/99A AU5036999A (en) | 1998-06-30 | 1999-06-30 | Epothilon derivatives, their preparation process, intermediate products and their pharmaceutical use |
Applications Claiming Priority (4)
| Application Number | Priority Date | Filing Date | Title |
|---|---|---|---|
| DE19830060.3 | 1998-06-30 | ||
| DE19830060A DE19830060A1 (en) | 1998-06-30 | 1998-06-30 | New epothilone derivatives, used as mitosis regulators e.g. for treating malignant tumors, psoriasis or arthritis |
| DE19923001A DE19923001A1 (en) | 1999-05-13 | 1999-05-13 | New epothilone derivatives, used as mitosis regulators e.g. for treating malignant tumors, psoriasis or arthritis |
| DE19923001.3 | 1999-05-13 |
Publications (1)
| Publication Number | Publication Date |
|---|---|
| WO2000000485A1 true WO2000000485A1 (en) | 2000-01-06 |
Family
ID=26047217
Family Applications (1)
| Application Number | Title | Priority Date | Filing Date |
|---|---|---|---|
| PCT/EP1999/004915 Ceased WO2000000485A1 (en) | 1998-06-30 | 1999-06-30 | Epothilon derivatives, their preparation process, intermediate products and their pharmaceutical use |
Country Status (2)
| Country | Link |
|---|---|
| AU (1) | AU5036999A (en) |
| WO (1) | WO2000000485A1 (en) |
Cited By (58)
| Publication number | Priority date | Publication date | Assignee | Title |
|---|---|---|---|---|
| WO2000049021A3 (en) * | 1999-02-18 | 2000-12-28 | Schering Ag | 16-halogen-epothilone derivatives, method for producing them and their pharmaceutical use |
| US6350878B1 (en) | 1998-05-18 | 2002-02-26 | Novartis Ag | Intermediates for the synthesis of epothilones and methods for their preparation |
| US6365749B1 (en) | 1997-12-04 | 2002-04-02 | Bristol-Myers Squibb Company | Process for the preparation of ring-opened epothilone intermediates which are useful for the preparation of epothilone analogs |
| US6380395B1 (en) | 1998-04-21 | 2002-04-30 | Bristol-Myers Squibb Company | 12, 13-cyclopropane epothilone derivatives |
| US6410301B1 (en) | 1998-11-20 | 2002-06-25 | Kosan Biosciences, Inc. | Myxococcus host cells for the production of epothilones |
| US6498257B1 (en) | 1998-04-21 | 2002-12-24 | Bristol-Myers Squibb Company | 2,3-olefinic epothilone derivatives |
| US6518421B1 (en) | 2000-03-20 | 2003-02-11 | Bristol-Myers Squibb Company | Process for the preparation of epothilone analogs |
| US6576651B2 (en) | 2001-01-25 | 2003-06-10 | Bristol-Myers Squibb Company | Pharmaceutical compositions, dosage forms and methods for oral administration of epothilones |
| US6589968B2 (en) | 2001-02-13 | 2003-07-08 | Kosan Biosciences, Inc. | Epothilone compounds and methods for making and using the same |
| US6593115B2 (en) | 2000-03-24 | 2003-07-15 | Bristol-Myers Squibb Co. | Preparation of epothilone intermediates |
| US6605599B1 (en) | 1997-07-08 | 2003-08-12 | Bristol-Myers Squibb Company | Epothilone derivatives |
| US6613912B2 (en) | 1995-11-17 | 2003-09-02 | Gesellschaft Fur Biotechnologische Forschung Mbh (Gbf) | Epothilons C and D, preparation and compositions |
| US6624310B1 (en) | 1998-06-18 | 2003-09-23 | Gesellschaft Fuer Biotechnologische Forschung, Mbh (Gbf) | Epothilone minor constituents |
| WO2003007924A3 (en) * | 2001-07-19 | 2003-09-25 | Novartis Ag | Combinations comprising epothilones and pharmaceutical uses thereof |
| WO2002067941A3 (en) * | 2001-02-27 | 2003-11-20 | Novartis Ag | Combination comprising a signal transduction inhibitor and an epothilone derivative |
| US6670384B2 (en) | 2001-01-25 | 2003-12-30 | Bristol-Myers Squibb Company | Methods of administering epothilone analogs for the treatment of cancer |
| US6686380B2 (en) | 2001-02-20 | 2004-02-03 | Bristol-Myers Squibb Company | Treatment of refractory tumors using epothilone derivatives |
| US6689802B2 (en) | 2000-08-16 | 2004-02-10 | Bristol-Myers Squibb Company | Polymorphs of an epothilone analog |
| US6727276B2 (en) | 2001-02-20 | 2004-04-27 | Bristol-Myers Squibb Company | Epothilone derivatives for the treatment of refractory tumors |
| US6800653B2 (en) | 2001-06-01 | 2004-10-05 | Bristol-Myers Squibb Compnay | Epothilone derivatives |
| WO2004085388A2 (en) | 2003-03-24 | 2004-10-07 | Bristol-Myers Squibb Company | Cyclic protein tyrosine kinase inhibitors |
| US6849651B2 (en) | 1996-12-03 | 2005-02-01 | Sloan-Kettering Institute For Cancer Research | Synthesis of epothilones, intermediates thereto, analogues and uses thereof |
| US6858411B1 (en) | 1998-11-20 | 2005-02-22 | Kosan Biosciences, Inc. | Recombinant methods and materials for producing epothilone and epothilone derivatives |
| US6893859B2 (en) | 2001-02-13 | 2005-05-17 | Kosan Biosciences, Inc. | Epothilone derivatives and methods for making and using the same |
| US6936628B2 (en) | 2002-04-04 | 2005-08-30 | Bristol-Myers Squibb Company | Oral administration of epothilones |
| WO2005084295A2 (en) | 2004-03-01 | 2005-09-15 | Bristol-Myers Squibb Company | Fused heterotricyclic compounds as inhibitors of 17b-hydroxysteroid dehydrogenase 3 |
| WO2005087232A1 (en) | 2004-03-04 | 2005-09-22 | Bristol-Myers Squibb Company | Bicyclic modulators of androgen receptor function |
| US6965034B2 (en) | 1996-12-03 | 2005-11-15 | Sloan-Kettering Institute For Cancer Research | Synthesis of epothilones, intermediates thereto and analogues thereof |
| US7008936B2 (en) | 2002-06-14 | 2006-03-07 | Bristol-Myers Squibb Company | Combination of epothilone analogs and chemotherapeutic agents for the treatment of proliferative diseases |
| US7022330B2 (en) | 2001-01-25 | 2006-04-04 | Bristol-Myers Squibb Company | Parenteral formulation for epothilone analogs |
| US7053069B2 (en) | 2002-05-15 | 2006-05-30 | Bristol-Myers Squibb Company | Pharmaceutical compositions and methods of using C-21 modified epothilone derivatives |
| US7091226B2 (en) | 1998-02-25 | 2006-08-15 | Novartis Ag | Cancer treatment with epothilones |
| US7172884B2 (en) | 2002-09-23 | 2007-02-06 | Bristol-Myers Squibb Company | Methods for the preparation, isolation and purification of epothilone B, and x-ray crystal structures of epothilone B |
| US7211593B2 (en) | 2002-03-12 | 2007-05-01 | Bristol-Myers Squibb Co. | C12-cyano epothilone derivatives |
| US7312237B2 (en) | 2001-03-14 | 2007-12-25 | Bristol-Myers Squibb Co. | Combination of epothilone analogs and chemotherapeutic agents for the treatment of prolilferative diseases |
| US7405234B2 (en) | 2002-05-17 | 2008-07-29 | Bristol-Myers Squibb Company | Bicyclic modulators of androgen receptor function |
| US7632858B2 (en) | 2002-11-15 | 2009-12-15 | Bristol-Myers Squibb Company | Open chain prolyl urea-related modulators of androgen receptor function |
| US7696241B2 (en) | 2004-03-04 | 2010-04-13 | Bristol-Myers Squibb Company | Bicyclic compounds as modulators of androgen receptor function and method |
| AU2008203233B2 (en) * | 2001-07-19 | 2010-04-29 | Novartis Ag | Combinations comprising epothilones and pharmaceutical uses thereof |
| SG162616A1 (en) * | 2002-06-10 | 2010-07-29 | Novartis Ag | Combinations comprising epothilones and pharmaceutical uses thereof |
| US7820702B2 (en) | 2004-02-04 | 2010-10-26 | Bristol-Myers Squibb Company | Sulfonylpyrrolidine modulators of androgen receptor function and method |
| US7846952B2 (en) | 1996-11-18 | 2010-12-07 | Helmholtz-Zentrum Fuer Infektionsforschung Gmbh | Epothilones C, D, E, and F, preparation and compositions |
| EP2308833A2 (en) | 1999-04-15 | 2011-04-13 | Bristol-Myers Squibb Company | Cyclic protein tyrosine kinase inhibitors |
| US8017749B2 (en) | 2006-12-04 | 2011-09-13 | The Board Of Trustees Of The University Of Illinois | Compositions and methods to treat cancer with cupredoxins and CpG rich DNA |
| WO2012100206A2 (en) | 2011-01-20 | 2012-07-26 | Board Of Regents, The University Of Texas System | Mri markers, delivery and extraction systems, and methods of manufacture and use thereof |
| US8232244B2 (en) | 2007-02-08 | 2012-07-31 | The Board Of Trustees Of The University Of Illinois | Compositions and methods to prevent cancer with cupredoxins |
| WO2013007172A1 (en) | 2011-07-09 | 2013-01-17 | 北京市丰硕维康技术开发有限责任公司 | Platinum compounds for treating cell proliferative disease, preparation methods and uses thereof |
| WO2013041014A1 (en) | 2011-09-19 | 2013-03-28 | 北京市丰硕维康技术开发有限责任公司 | Platinum compound having amino- or alkylamino-containing succinic acid derivatives as leaving group, preparation method therefor, and use thereof |
| WO2013092983A2 (en) | 2011-12-23 | 2013-06-27 | Innate Pharma | Enzymatic conjugation of polypeptides |
| WO2014075391A1 (en) | 2012-11-17 | 2014-05-22 | 北京市丰硕维康技术开发有限责任公司 | Platinum compound of malonic acid derivative having leaving group containing amino or alkylamino |
| WO2014140300A1 (en) | 2013-03-15 | 2014-09-18 | Innate Pharma | Solid phase tgase-mediated conjugation of antibodies |
| US9427478B2 (en) | 2013-06-21 | 2016-08-30 | Innate Pharma | Enzymatic conjugation of polypeptides |
| US10036010B2 (en) | 2012-11-09 | 2018-07-31 | Innate Pharma | Recognition tags for TGase-mediated conjugation |
| US10071169B2 (en) | 2013-06-20 | 2018-09-11 | Innate Pharma | Enzymatic conjugation of polypeptides |
| US10132799B2 (en) | 2012-07-13 | 2018-11-20 | Innate Pharma | Screening of conjugated antibodies |
| WO2019092148A1 (en) | 2017-11-10 | 2019-05-16 | Innate Pharma | Antibodies with functionalized glutamine residues |
| EP3566719A1 (en) | 2010-05-18 | 2019-11-13 | Cerulean Pharma Inc. | Compositions and methods for treatment of autoimmune and other diseases |
| US10675326B2 (en) | 2004-10-07 | 2020-06-09 | The Board Of Trustees Of The University Of Illinois | Compositions comprising cupredoxins for treating cancer |
Citations (3)
| Publication number | Priority date | Publication date | Assignee | Title |
|---|---|---|---|---|
| WO1997019086A1 (en) * | 1995-11-17 | 1997-05-29 | GESELLSCHAFT FüR BIOTECHNOLOGISCHE FORSCHUNG MBH (GBF) | Epothilone derivatives, preparation and use |
| WO1998025929A1 (en) * | 1996-12-13 | 1998-06-18 | Novartis Ag | Epothilone analogs |
| WO1999007692A2 (en) * | 1997-08-09 | 1999-02-18 | Schering Aktiengesellschaft | New epothilone derivatives, method for producing same and their pharmaceutical use |
-
1999
- 1999-06-30 AU AU50369/99A patent/AU5036999A/en not_active Abandoned
- 1999-06-30 WO PCT/EP1999/004915 patent/WO2000000485A1/en not_active Ceased
Patent Citations (3)
| Publication number | Priority date | Publication date | Assignee | Title |
|---|---|---|---|---|
| WO1997019086A1 (en) * | 1995-11-17 | 1997-05-29 | GESELLSCHAFT FüR BIOTECHNOLOGISCHE FORSCHUNG MBH (GBF) | Epothilone derivatives, preparation and use |
| WO1998025929A1 (en) * | 1996-12-13 | 1998-06-18 | Novartis Ag | Epothilone analogs |
| WO1999007692A2 (en) * | 1997-08-09 | 1999-02-18 | Schering Aktiengesellschaft | New epothilone derivatives, method for producing same and their pharmaceutical use |
Non-Patent Citations (7)
| Title |
|---|
| A. BALOG ET AL.: "A NOVEL ALDOL CONDENSATION", ANGEWANDTE CHEMIE. INTERNATIONAL EDITION., vol. 37, no. 19, 16 October 1998 (1998-10-16), VERLAG CHEMIE. WEINHEIM., DE, pages 2675 - 8, XP002121756, ISSN: 0570-0833 * |
| D.MENG ET AL.: "TOTAL SYNTHESIS OF EPOTHILONE A AND B", JOURNAL OF THE AMERICAN CHEMICAL SOCIETY., vol. 119, no. 42, 1997, AMERICAN CHEMICAL SOCIETY, WASHINGTON, DC., US, pages 10073 - 10092, XP002122507, ISSN: 0002-7863 * |
| HIDEAKI OIKAWA ET AL.: "SYNTHETIC STUDY OF AAL-TOXINS", TETRAHEDRON LETTERS., vol. 37, no. 34, 1996, ELSEVIER SCIENCE PUBLISHERS, AMSTERDAM., NL, pages 6169 - 6172, XP002122509, ISSN: 0040-4039 * |
| K C NICOLAOU ET AL: "JOURNAL OF THE AMERICAN CHEMICAL SOCIETY", JOURNAL OF THE AMERICAN CHEMICAL SOCIETY, vol. 119, no. 34, 1 January 1997 (1997-01-01), pages 7974 - 7991, XP002095719, ISSN: 0002-7863 * |
| K.C. NICOLAOU ET AL.: "TOTAL SYNTHESIS OF OXAZOLE- AND CYCLOPROPANE-CONTAINING EPOTHILONE B", CHEM. EUR. J., vol. 3, no. 12, 1997, WEINHEIM, pages 1971 - 1986, XP002121565 * |
| M.SATO ET AL.: "STUDIES ON STEREOCHEMISTRY OF THEONEZOLIDES A", TETRAHEDRON., vol. 54, no. 19, 1998, ELSEVIER SCIENCE PUBLISHERS, AMSTERDAM., NL, pages 4819 - 4826, XP002122508, ISSN: 0040-4020 * |
| S.C. SINHA ET AL.: "THE ANTIBODY CATALYSIS ROUTE TO THE TOTAL SYNTHESIS OF EPOTHILONES.", PROCEEDINGS OF THE NATIONAL ACADEMY OF SCIENCES OF USA., vol. 95, no. 25, December 1988 (1988-12-01), NATIONAL ACADEMY OF SCIENCE. WASHINGTON., US, pages 14603 - 8, XP002121755, ISSN: 0027-8424 * |
Cited By (120)
| Publication number | Priority date | Publication date | Assignee | Title |
|---|---|---|---|---|
| US6831076B2 (en) | 1995-11-17 | 2004-12-14 | Gesellschaft Fur Biotechnologische Forschung Mbh (Gbf) | Epothilons C and D, preparation and compositions |
| US6613912B2 (en) | 1995-11-17 | 2003-09-02 | Gesellschaft Fur Biotechnologische Forschung Mbh (Gbf) | Epothilons C and D, preparation and compositions |
| US8076490B2 (en) | 1996-11-18 | 2011-12-13 | Helmholtz-Zentrum Fuer Infektionsforschung Gmbh | Epothilones C, D, E, and F, preparation and compositions |
| US7846952B2 (en) | 1996-11-18 | 2010-12-07 | Helmholtz-Zentrum Fuer Infektionsforschung Gmbh | Epothilones C, D, E, and F, preparation and compositions |
| US6965034B2 (en) | 1996-12-03 | 2005-11-15 | Sloan-Kettering Institute For Cancer Research | Synthesis of epothilones, intermediates thereto and analogues thereof |
| US6849651B2 (en) | 1996-12-03 | 2005-02-01 | Sloan-Kettering Institute For Cancer Research | Synthesis of epothilones, intermediates thereto, analogues and uses thereof |
| USRE41990E1 (en) | 1996-12-03 | 2010-12-07 | Sloan-Kettering Institute For Cancer Research | Synthesis of epothilones, intermediates thereto, analogues and uses thereof |
| US6972335B2 (en) | 1996-12-03 | 2005-12-06 | Sloan-Kettering Institute For Cancer Research | Synthesis of epothilones, intermediates thereto, analogues and uses thereof |
| USRE41893E1 (en) | 1997-07-08 | 2010-10-26 | Bristol-Myers Squibb Company | Epothilone derivatives |
| USRE41911E1 (en) | 1997-07-08 | 2010-11-02 | Bristol-Myers Squibb Company | Epothilone derivatives |
| US6605599B1 (en) | 1997-07-08 | 2003-08-12 | Bristol-Myers Squibb Company | Epothilone derivatives |
| US8921542B2 (en) | 1997-07-08 | 2014-12-30 | Bristol-Myers Squibb Company | Epothilone derivatives |
| USRE43003E1 (en) | 1997-07-08 | 2011-12-06 | Bristol-Myers Squibb Company | Epothilone derivatives |
| USRE41895E1 (en) | 1997-07-08 | 2010-10-26 | Bristol-Myers Squibb Company | Epothilone derivatives |
| US7241755B2 (en) | 1997-07-08 | 2007-07-10 | Bristol-Myers Squibb Company | Epothilone derivatives |
| US7125899B2 (en) | 1997-07-08 | 2006-10-24 | Bristol-Myers Squibb Company | Epothilone derivatives |
| US8536327B2 (en) | 1997-07-08 | 2013-09-17 | Bristol-Myers Squibb Company | Epothilone derivatives |
| US6365749B1 (en) | 1997-12-04 | 2002-04-02 | Bristol-Myers Squibb Company | Process for the preparation of ring-opened epothilone intermediates which are useful for the preparation of epothilone analogs |
| US7091226B2 (en) | 1998-02-25 | 2006-08-15 | Novartis Ag | Cancer treatment with epothilones |
| US6498257B1 (en) | 1998-04-21 | 2002-12-24 | Bristol-Myers Squibb Company | 2,3-olefinic epothilone derivatives |
| US6380395B1 (en) | 1998-04-21 | 2002-04-30 | Bristol-Myers Squibb Company | 12, 13-cyclopropane epothilone derivatives |
| US6399638B1 (en) | 1998-04-21 | 2002-06-04 | Bristol-Myers Squibb Company | 12,13-modified epothilone derivatives |
| US6831090B2 (en) | 1998-04-21 | 2004-12-14 | Bristol-Myers Squibb Company | 2,3-olefinic epothilone derivatives |
| US6350878B1 (en) | 1998-05-18 | 2002-02-26 | Novartis Ag | Intermediates for the synthesis of epothilones and methods for their preparation |
| US6624310B1 (en) | 1998-06-18 | 2003-09-23 | Gesellschaft Fuer Biotechnologische Forschung, Mbh (Gbf) | Epothilone minor constituents |
| US7235669B2 (en) | 1998-06-18 | 2007-06-26 | Helmholtz-Zentrum Fur Infektionsforschung, Gmbh | Epothilone side components |
| US7402421B2 (en) | 1998-11-20 | 2008-07-22 | Kosan Biosciences, Inc. | Recombinant methods and materials for producing epothilone and epothilone derivatives |
| US6921650B1 (en) | 1998-11-20 | 2005-07-26 | Kosan Biosciences, Inc. | Recombinant methods and materials for producing epothilone and epothilone derivatives |
| US7129071B1 (en) | 1998-11-20 | 2006-10-31 | Kosan Biosciences, Inc. | Recombinant methods and materials for producing epothilone and epothilone derivatives |
| US6858411B1 (en) | 1998-11-20 | 2005-02-22 | Kosan Biosciences, Inc. | Recombinant methods and materials for producing epothilone and epothilone derivatives |
| US7732186B2 (en) | 1998-11-20 | 2010-06-08 | Kosan Biosciences, Inc. | Recombinant methods and materials for producing epothilone and epothilone derivatives |
| US6410301B1 (en) | 1998-11-20 | 2002-06-25 | Kosan Biosciences, Inc. | Myxococcus host cells for the production of epothilones |
| US7067286B2 (en) | 1998-11-20 | 2006-06-27 | Kosan Biosciences, Inc. | Cystobacterineae host cells containing heterologous PKS genes for the synthesis of polykedtides |
| US6930102B2 (en) | 1999-02-18 | 2005-08-16 | Schering Ag | 16-halogen-epothilone derivatives, process for their production, and their pharmaceutical use |
| WO2000049021A3 (en) * | 1999-02-18 | 2000-12-28 | Schering Ag | 16-halogen-epothilone derivatives, method for producing them and their pharmaceutical use |
| EA009206B1 (en) * | 1999-02-18 | 2007-12-28 | Шеринг Акциенгезельшафт | 16-halogen-epothilone derivatives and their pharmaceutical use |
| EP3222619A1 (en) | 1999-04-15 | 2017-09-27 | Bristol-Myers Squibb Holdings Ireland | Cyclic protein tyrosine kinase inhibitors |
| EP2308833A2 (en) | 1999-04-15 | 2011-04-13 | Bristol-Myers Squibb Company | Cyclic protein tyrosine kinase inhibitors |
| USRE39356E1 (en) * | 2000-03-20 | 2006-10-17 | Bristol-Myers Squibb Co. | Process for the preparation of epothilone analogs |
| US6518421B1 (en) | 2000-03-20 | 2003-02-11 | Bristol-Myers Squibb Company | Process for the preparation of epothilone analogs |
| US6593115B2 (en) | 2000-03-24 | 2003-07-15 | Bristol-Myers Squibb Co. | Preparation of epothilone intermediates |
| US6689802B2 (en) | 2000-08-16 | 2004-02-10 | Bristol-Myers Squibb Company | Polymorphs of an epothilone analog |
| US6982276B2 (en) | 2000-08-16 | 2006-01-03 | Bristol-Myers Squibb Company | Polymorphs of an epothilone analog |
| US7153879B2 (en) | 2000-08-16 | 2006-12-26 | Bristol-Myers Squibb Company | Polymorphs of an epothilone analog |
| USRE39251E1 (en) * | 2000-08-16 | 2006-08-29 | Bristol-Myers Squibb Co. | Polymorphs of an epothilone analog |
| USRE40387E1 (en) * | 2001-01-25 | 2008-06-17 | Bristol-Myers Squibb Company | Pharmaceutical compositions, dosage forms and methods for oral administration of epothilones |
| US8632788B2 (en) | 2001-01-25 | 2014-01-21 | Bristol-Myers Squibb Company | Parenteral formulation for epothilone analogs |
| US7022330B2 (en) | 2001-01-25 | 2006-04-04 | Bristol-Myers Squibb Company | Parenteral formulation for epothilone analogs |
| US6576651B2 (en) | 2001-01-25 | 2003-06-10 | Bristol-Myers Squibb Company | Pharmaceutical compositions, dosage forms and methods for oral administration of epothilones |
| US6670384B2 (en) | 2001-01-25 | 2003-12-30 | Bristol-Myers Squibb Company | Methods of administering epothilone analogs for the treatment of cancer |
| US6893859B2 (en) | 2001-02-13 | 2005-05-17 | Kosan Biosciences, Inc. | Epothilone derivatives and methods for making and using the same |
| US7176235B2 (en) | 2001-02-13 | 2007-02-13 | Kosan Biosciences, Inc. | Epothilone derivatives and methods for making and using the same |
| US6589968B2 (en) | 2001-02-13 | 2003-07-08 | Kosan Biosciences, Inc. | Epothilone compounds and methods for making and using the same |
| US6727276B2 (en) | 2001-02-20 | 2004-04-27 | Bristol-Myers Squibb Company | Epothilone derivatives for the treatment of refractory tumors |
| USRE41393E1 (en) | 2001-02-20 | 2010-06-22 | Bristol-Myers Squibb Company | Treatment of refractory tumors using epothilone derivatives |
| US6686380B2 (en) | 2001-02-20 | 2004-02-03 | Bristol-Myers Squibb Company | Treatment of refractory tumors using epothilone derivatives |
| RU2313345C2 (en) * | 2001-02-27 | 2007-12-27 | Новартис Аг | Combinations containing transduction signal inhibitor and epotilone derivative |
| AU2002308218B2 (en) * | 2001-02-27 | 2005-11-10 | Novartis Ag | Combination comprising a signal transduction inhibitor and an epothilone derivative |
| WO2002067941A3 (en) * | 2001-02-27 | 2003-11-20 | Novartis Ag | Combination comprising a signal transduction inhibitor and an epothilone derivative |
| US7312237B2 (en) | 2001-03-14 | 2007-12-25 | Bristol-Myers Squibb Co. | Combination of epothilone analogs and chemotherapeutic agents for the treatment of prolilferative diseases |
| US8598215B2 (en) | 2001-03-14 | 2013-12-03 | Bristol-Myers Squibb Company | Combination of epothilone analogs and chemotherapeutic agents for the treatment of proliferative diseases |
| US8569347B2 (en) | 2001-03-14 | 2013-10-29 | Bristol-Myers Squibb Company | Combination of epothilone analogs and chemotherapeutic agents for the treatment of proliferative diseases |
| US6800653B2 (en) | 2001-06-01 | 2004-10-05 | Bristol-Myers Squibb Compnay | Epothilone derivatives |
| EP2210643A3 (en) * | 2001-07-19 | 2010-11-24 | Novartis AG | Combinations comprising epothilones and pharmaceutical uses thereof |
| RU2375058C2 (en) * | 2001-07-19 | 2009-12-10 | Новартис Аг | Combinations including epothilones, and their pharmaceutical application |
| AU2008203233B2 (en) * | 2001-07-19 | 2010-04-29 | Novartis Ag | Combinations comprising epothilones and pharmaceutical uses thereof |
| US7612052B2 (en) | 2001-07-19 | 2009-11-03 | Novartis Ag | Combinations comprising epothilones and pharmaceutical uses thereof |
| WO2003007924A3 (en) * | 2001-07-19 | 2003-09-25 | Novartis Ag | Combinations comprising epothilones and pharmaceutical uses thereof |
| AU2005246964B2 (en) * | 2001-07-19 | 2008-04-24 | Novartis Ag | Combinations comprising epothilones and pharmaceutical uses thereof |
| JP2010159271A (en) * | 2001-07-19 | 2010-07-22 | Novartis Ag | Epothilone-containing combinational preparation and use thereof as pharmaceutical |
| US8008330B2 (en) | 2001-07-19 | 2011-08-30 | Novartis Ag | Combinations comprising epothilones and pharmaceutical uses thereof |
| AU2002328921B2 (en) * | 2001-07-19 | 2006-11-02 | Novartis Ag | Combinations comprising epothilones and pharmaceutical uses thereof |
| US7211593B2 (en) | 2002-03-12 | 2007-05-01 | Bristol-Myers Squibb Co. | C12-cyano epothilone derivatives |
| US6936628B2 (en) | 2002-04-04 | 2005-08-30 | Bristol-Myers Squibb Company | Oral administration of epothilones |
| US7053069B2 (en) | 2002-05-15 | 2006-05-30 | Bristol-Myers Squibb Company | Pharmaceutical compositions and methods of using C-21 modified epothilone derivatives |
| US7405234B2 (en) | 2002-05-17 | 2008-07-29 | Bristol-Myers Squibb Company | Bicyclic modulators of androgen receptor function |
| US7772267B2 (en) | 2002-05-17 | 2010-08-10 | Bristol-Myers Squibb Company | Bicyclic modulators of androgen receptor function |
| SG162616A1 (en) * | 2002-06-10 | 2010-07-29 | Novartis Ag | Combinations comprising epothilones and pharmaceutical uses thereof |
| US7008936B2 (en) | 2002-06-14 | 2006-03-07 | Bristol-Myers Squibb Company | Combination of epothilone analogs and chemotherapeutic agents for the treatment of proliferative diseases |
| US7172884B2 (en) | 2002-09-23 | 2007-02-06 | Bristol-Myers Squibb Company | Methods for the preparation, isolation and purification of epothilone B, and x-ray crystal structures of epothilone B |
| USRE42191E1 (en) | 2002-09-23 | 2011-03-01 | Bristol-Myers Squibb Company | Methods for the preparation, isolation and purification of epothilone B, and X-ray crystal structures of epothilone B |
| US7767432B2 (en) | 2002-09-23 | 2010-08-03 | Bristol-Myers Squibb Company | Methods for the preparation, isolation and purification of epothilone B, and x-ray crystal structures of epothilone B |
| US7241899B2 (en) | 2002-09-23 | 2007-07-10 | Bristol-Myers Squibb Company | Methods for the preparation, isolation and purification of epothilone B, and X-ray crystal structures of epothilone B |
| US7632858B2 (en) | 2002-11-15 | 2009-12-15 | Bristol-Myers Squibb Company | Open chain prolyl urea-related modulators of androgen receptor function |
| WO2004085388A2 (en) | 2003-03-24 | 2004-10-07 | Bristol-Myers Squibb Company | Cyclic protein tyrosine kinase inhibitors |
| US7989640B2 (en) | 2004-02-04 | 2011-08-02 | Bristol-Myers Squibb Company | Sulfonylpyrrolidine modulators of androgen receptor function and method |
| US7820702B2 (en) | 2004-02-04 | 2010-10-26 | Bristol-Myers Squibb Company | Sulfonylpyrrolidine modulators of androgen receptor function and method |
| WO2005084295A2 (en) | 2004-03-01 | 2005-09-15 | Bristol-Myers Squibb Company | Fused heterotricyclic compounds as inhibitors of 17b-hydroxysteroid dehydrogenase 3 |
| US7732480B2 (en) | 2004-03-04 | 2010-06-08 | Bristol-Myers Squibb Company | Bicyclic compounds as modulators of androgen receptor function and method |
| WO2005087232A1 (en) | 2004-03-04 | 2005-09-22 | Bristol-Myers Squibb Company | Bicyclic modulators of androgen receptor function |
| US7625923B2 (en) | 2004-03-04 | 2009-12-01 | Bristol-Myers Squibb Company | Bicyclic modulators of androgen receptor function |
| US7696241B2 (en) | 2004-03-04 | 2010-04-13 | Bristol-Myers Squibb Company | Bicyclic compounds as modulators of androgen receptor function and method |
| US10675326B2 (en) | 2004-10-07 | 2020-06-09 | The Board Of Trustees Of The University Of Illinois | Compositions comprising cupredoxins for treating cancer |
| US8017749B2 (en) | 2006-12-04 | 2011-09-13 | The Board Of Trustees Of The University Of Illinois | Compositions and methods to treat cancer with cupredoxins and CpG rich DNA |
| US11046733B2 (en) | 2006-12-04 | 2021-06-29 | The Board Of Trustees Of The University Of Illinois | Compositions and methods to treat cancer with CpG rich DNA and cupredoxins |
| US9969781B2 (en) | 2006-12-04 | 2018-05-15 | Tapas Das Gupta | Compositions and methods to treat cancer with CpG rich DNA and cupredoxins |
| US8232244B2 (en) | 2007-02-08 | 2012-07-31 | The Board Of Trustees Of The University Of Illinois | Compositions and methods to prevent cancer with cupredoxins |
| US10086037B2 (en) | 2007-02-08 | 2018-10-02 | Tapas Das Gupta | Compositions and methods to prevent cancer with cupredoxins |
| EP3566719A1 (en) | 2010-05-18 | 2019-11-13 | Cerulean Pharma Inc. | Compositions and methods for treatment of autoimmune and other diseases |
| WO2012100206A2 (en) | 2011-01-20 | 2012-07-26 | Board Of Regents, The University Of Texas System | Mri markers, delivery and extraction systems, and methods of manufacture and use thereof |
| US9138421B2 (en) | 2011-07-09 | 2015-09-22 | Beijing Fswelcome Technology Development Co., Ltd. | Platinum compounds for treating cell proliferative diseases, preparation method and use thereof |
| WO2013007172A1 (en) | 2011-07-09 | 2013-01-17 | 北京市丰硕维康技术开发有限责任公司 | Platinum compounds for treating cell proliferative disease, preparation methods and uses thereof |
| WO2013041014A1 (en) | 2011-09-19 | 2013-03-28 | 北京市丰硕维康技术开发有限责任公司 | Platinum compound having amino- or alkylamino-containing succinic acid derivatives as leaving group, preparation method therefor, and use thereof |
| US9175024B2 (en) | 2011-09-19 | 2015-11-03 | Beijing Fswelcome Technology Development Co., Ltd. | Platinum compound having amino or alkylamino-containing succinic acid derivatives as leaving group, preparation method thereof, and use thereof |
| US9717803B2 (en) | 2011-12-23 | 2017-08-01 | Innate Pharma | Enzymatic conjugation of polypeptides |
| US9764038B2 (en) | 2011-12-23 | 2017-09-19 | Innate Pharma | Enzymatic conjugation of antibodies |
| WO2013092983A2 (en) | 2011-12-23 | 2013-06-27 | Innate Pharma | Enzymatic conjugation of polypeptides |
| US10675359B2 (en) | 2011-12-23 | 2020-06-09 | Innate Pharma | Enzymatic conjugation of antibodies |
| WO2013092998A1 (en) | 2011-12-23 | 2013-06-27 | Innate Pharma | Enzymatic conjugation of antibodies |
| US10132799B2 (en) | 2012-07-13 | 2018-11-20 | Innate Pharma | Screening of conjugated antibodies |
| EP3564259A2 (en) | 2012-11-09 | 2019-11-06 | Innate Pharma | Recognition tags for tgase-mediated conjugation |
| US10036010B2 (en) | 2012-11-09 | 2018-07-31 | Innate Pharma | Recognition tags for TGase-mediated conjugation |
| US9725477B2 (en) | 2012-11-17 | 2017-08-08 | Beijing Fswelcome Technology Development Co., Ltd | Platinum compounds of malonic acid derivative having leaving group containing amino or alkylamino |
| WO2014075391A1 (en) | 2012-11-17 | 2014-05-22 | 北京市丰硕维康技术开发有限责任公司 | Platinum compound of malonic acid derivative having leaving group containing amino or alkylamino |
| US10611824B2 (en) | 2013-03-15 | 2020-04-07 | Innate Pharma | Solid phase TGase-mediated conjugation of antibodies |
| WO2014140300A1 (en) | 2013-03-15 | 2014-09-18 | Innate Pharma | Solid phase tgase-mediated conjugation of antibodies |
| US10071169B2 (en) | 2013-06-20 | 2018-09-11 | Innate Pharma | Enzymatic conjugation of polypeptides |
| US10434180B2 (en) | 2013-06-21 | 2019-10-08 | Innate Pharma | Enzymatic conjugation of polypeptides |
| US9427478B2 (en) | 2013-06-21 | 2016-08-30 | Innate Pharma | Enzymatic conjugation of polypeptides |
| WO2019092148A1 (en) | 2017-11-10 | 2019-05-16 | Innate Pharma | Antibodies with functionalized glutamine residues |
Also Published As
| Publication number | Publication date |
|---|---|
| AU5036999A (en) | 2000-01-17 |
Similar Documents
| Publication | Publication Date | Title |
|---|---|---|
| WO2000000485A1 (en) | Epothilon derivatives, their preparation process, intermediate products and their pharmaceutical use | |
| EP1005465B1 (en) | New epothilone derivatives, method for producing same and their pharmaceutical use | |
| WO2001081342A2 (en) | Novel epothilone derivatives, method for the preparation thereof and their pharmaceutical use | |
| EP1150980B1 (en) | 16-halogen-epothilone derivatives, method for producing them and their pharmaceutical use | |
| WO2000049019A2 (en) | Novel epothilone derivatives, method for producing them and their pharmaceutical use | |
| NO328149B1 (en) | Epoxy-epothilone compounds, process for their preparation, their use for the preparation of pharmaceutical compositions and the pharmaceutical compositions. | |
| EP1161430A2 (en) | Epothilon derivatives, method for the production and the use thereof as pharmaceuticals | |
| WO2000049020A2 (en) | Novel epothilon derivatives, method for the production thereof and their pharmaceutical application | |
| DE19908767A1 (en) | New stable, modified epothilone derivatives, are cell division regulators useful for treating malignant tumors, angiogenesis or chronic inflammatory disease | |
| EP1282618A2 (en) | 9-oxa-epothilon derivatives, method for the production and use thereof in pharmaceutical preparations | |
| DE19830060A1 (en) | New epothilone derivatives, used as mitosis regulators e.g. for treating malignant tumors, psoriasis or arthritis | |
| AU4310300A (en) | 6-alkenyl-, 6-alkinyl- and 6-epoxy-epothilone derivatives, process for their production, and their use in pharmaceutical preparations | |
| DE19751200A1 (en) | New epothilone derivatives | |
| DE19923001A1 (en) | New epothilone derivatives, used as mitosis regulators e.g. for treating malignant tumors, psoriasis or arthritis | |
| DE19908765A1 (en) | New, chemically and metabolically stable 16-halo or cyano-epothilone derivatives are cell division regulators useful e.g. for treating malignant tumors or chronic inflammatory disease | |
| DE19954230A1 (en) | New, chemically and metabolically stable 16-halo or cyano-epothilone derivatives are cell division regulators useful e.g. for treating malignant tumors or chronic inflammatory disease | |
| DE10015836A1 (en) | New epothilone derivatives used for treating e.g. malignant melanoma, breast carcinoma, psoriasis, multiple sclerosis and arthritis | |
| DE10041470A1 (en) | New 6-substituted 12,13-(cyclopropyl or azacyclopropyl)-epothilone derivatives, useful as cell division regulators for treating e.g. malignant tumors, psoriasis or arthritis | |
| DE19954229A1 (en) | New epothilone derivatives, useful for treating malignant tumors such as ovarian, stomach, colon, breast and lung carcinoma, acute lymphocytic and myelocytic leukemia and chronic inflammatory diseases such as psoriasis | |
| DE19954228A1 (en) | New epothilone derivatives used for treating e.g. malignant melanoma, breast carcinoma, psoriasis, multiple sclerosis and arthritis | |
| DE19907480A1 (en) | New epothilone derivatives, useful for treating malignant tumors such as ovarian, stomach, colon, breast and lung carcinoma, acute lymphocytic and myelocytic leukemia and chronic inflammatory diseases such as psoriasis | |
| DE19921086A1 (en) | New stable 6-alkenyl- or 6-alkynyl-epothilone derivatives, are cell division regulators useful for treating malignant tumors, angiogenesis or chronic inflammatory disease | |
| AU2004200948A1 (en) | Epothilon derivatives, method for the production and the use thereof as pharmaceuticals | |
| AU4438602A (en) | New epothilone derivatives, process for their production, and their pharmaceutical use | |
| DE19748928A1 (en) | New epothilone derivatives |
Legal Events
| Date | Code | Title | Description |
|---|---|---|---|
| AK | Designated states |
Kind code of ref document: A1 Designated state(s): AE AL AM AT AU AZ BA BB BG BR BY CA CH CN CU CZ DK EE ES FI GB GD GE GH GM HR HU ID IL IN IS JP KE KG KP KR KZ LC LK LR LS LT LU LV MD MG MK MN MW MX NO NZ PL PT RO RU SD SE SG SI SK SL TJ TM TR TT UA UG US UZ VN YU ZA ZW |
|
| AL | Designated countries for regional patents |
Kind code of ref document: A1 Designated state(s): GH GM KE LS MW SD SL SZ UG ZW AM AZ BY KG KZ MD RU TJ TM AT BE CH CY DE DK ES FI FR GB GR IE IT LU MC NL PT SE BF BJ CF CG CI CM GA GN GW ML MR NE SN TD TG |
|
| 121 | Ep: the epo has been informed by wipo that ep was designated in this application | ||
| DFPE | Request for preliminary examination filed prior to expiration of 19th month from priority date (pct application filed before 20040101) | ||
| 122 | Ep: pct application non-entry in european phase | ||
| NENP | Non-entry into the national phase |
Ref country code: CA |














































