US20200297701A1 - Psma binding ligand-linker conjugates and methods for using - Google Patents
Psma binding ligand-linker conjugates and methods for using Download PDFInfo
- Publication number
- US20200297701A1 US20200297701A1 US16/749,896 US202016749896A US2020297701A1 US 20200297701 A1 US20200297701 A1 US 20200297701A1 US 202016749896 A US202016749896 A US 202016749896A US 2020297701 A1 US2020297701 A1 US 2020297701A1
- Authority
- US
- United States
- Prior art keywords
- linker
- psma
- linkers
- releasable
- group
- Prior art date
- Legal status (The legal status is an assumption and is not a legal conclusion. Google has not performed a legal analysis and makes no representation as to the accuracy of the status listed.)
- Abandoned
Links
- 0 *C1=CC(OCCC(=O)OCC)=CC=C1COC(C)=O Chemical compound *C1=CC(OCCC(=O)OCC)=CC=C1COC(C)=O 0.000 description 31
- MWQOSHKKUJTEIP-UHFFFAOYSA-N *.O=C=O.S.[H]C(CCCS)CCC(=O)O Chemical compound *.O=C=O.S.[H]C(CCCS)CCC(=O)O MWQOSHKKUJTEIP-UHFFFAOYSA-N 0.000 description 1
- KOYFVENSJKYNNQ-HEHALKNMSA-N C.C.CCCCCCCCC(=O)C[C@@H](CC1=CC=CC=C1)C(=O)N[C@@H](CC1=CC=CC=C1)C(=O)CC[C@H](NC(=O)OC(C)(C)C)C(=O)C[C@@H](CC(=O)OC(C)(C)C)C(=O)N[C@@H](CSC(C1=CC=CC=C1)(C1=CC=CC=C1)C1=CC=CC=C1)C(=O)OCC1=CC=C(OCC)C=C1.CCOC1=CC=C(COC(=O)[C@H](CSC(C2=CC=CC=C2)(C2=CC=CC=C2)C2=CC=CC=C2)NC(=O)[C@H](CC(=O)OC(C)(C)C)CC(=O)[C@H](CCC(=O)[C@H](CC2=CC=CC=C2)NC(=O)[C@@H](C)CC2=CC=CC=C2)NC(=O)OC(C)(C)C)C=C1.[H][C@@](CCC(=O)CCCCCCCCC(=O)N[C@@H](CC1=CC=CC=C1)C(=O)C[C@@H](CC1=CC=CC=C1)C(=O)NC[C@H](N)C(=O)N[C@@H](CC(=O)O)C(=O)N[C@@H](CS)C(=O)O)(NC(=O)N[C@@]([H])(CCC(=O)O)OC=O)C(=O)O.[H][C@@](CCC(=O)NCCCCCCCC(=O)C[C@@H](CC1=CC=CC=C1)C(=O)N[C@@H](CC1=CC=CC=C1)C(=O)CC[C@H](NC(=O)OC(C)(C)C)C(=O)C[C@@H](CC(=O)OC(C)(C)C)C(=O)N[C@@H](CSC(C1=CC=CC=C1)(C1=CC=CC=C1)C1=CC=CC=C1)C(=O)OCC1=CC=C(OCC)C=C1)(NC(=O)N[C@]([H])(C)CCC(=O)OC(C)(C)C)C(=O)OC(C)(C)C Chemical compound C.C.CCCCCCCCC(=O)C[C@@H](CC1=CC=CC=C1)C(=O)N[C@@H](CC1=CC=CC=C1)C(=O)CC[C@H](NC(=O)OC(C)(C)C)C(=O)C[C@@H](CC(=O)OC(C)(C)C)C(=O)N[C@@H](CSC(C1=CC=CC=C1)(C1=CC=CC=C1)C1=CC=CC=C1)C(=O)OCC1=CC=C(OCC)C=C1.CCOC1=CC=C(COC(=O)[C@H](CSC(C2=CC=CC=C2)(C2=CC=CC=C2)C2=CC=CC=C2)NC(=O)[C@H](CC(=O)OC(C)(C)C)CC(=O)[C@H](CCC(=O)[C@H](CC2=CC=CC=C2)NC(=O)[C@@H](C)CC2=CC=CC=C2)NC(=O)OC(C)(C)C)C=C1.[H][C@@](CCC(=O)CCCCCCCCC(=O)N[C@@H](CC1=CC=CC=C1)C(=O)C[C@@H](CC1=CC=CC=C1)C(=O)NC[C@H](N)C(=O)N[C@@H](CC(=O)O)C(=O)N[C@@H](CS)C(=O)O)(NC(=O)N[C@@]([H])(CCC(=O)O)OC=O)C(=O)O.[H][C@@](CCC(=O)NCCCCCCCC(=O)C[C@@H](CC1=CC=CC=C1)C(=O)N[C@@H](CC1=CC=CC=C1)C(=O)CC[C@H](NC(=O)OC(C)(C)C)C(=O)C[C@@H](CC(=O)OC(C)(C)C)C(=O)N[C@@H](CSC(C1=CC=CC=C1)(C1=CC=CC=C1)C1=CC=CC=C1)C(=O)OCC1=CC=C(OCC)C=C1)(NC(=O)N[C@]([H])(C)CCC(=O)OC(C)(C)C)C(=O)OC(C)(C)C KOYFVENSJKYNNQ-HEHALKNMSA-N 0.000 description 1
- SXSLPHHKKIVOTQ-UHFFFAOYSA-N C1CS1.C1CS1.C=C1C=CC(=S)C=C1.C=C1C=CC(=S)C=C1.CN.CN.CNC(=O)OCC1=CC=C(SSC)C=C1.CNC(=O)OCCSSC.CO.CO.COC(=O)OCC1=CC=C(SSC)C=C1.COC(=O)OCCSSC.CSC.CSC.CSC.CSC.O=C=O.O=C=O.O=C=O.O=C=O Chemical compound C1CS1.C1CS1.C=C1C=CC(=S)C=C1.C=C1C=CC(=S)C=C1.CN.CN.CNC(=O)OCC1=CC=C(SSC)C=C1.CNC(=O)OCCSSC.CO.CO.COC(=O)OCC1=CC=C(SSC)C=C1.COC(=O)OCCSSC.CSC.CSC.CSC.CSC.O=C=O.O=C=O.O=C=O.O=C=O SXSLPHHKKIVOTQ-UHFFFAOYSA-N 0.000 description 1
- AQYHSHPAEXLVEF-OXOJUWDDSA-N CC(=O)CC(NC(=O)NC(COC=O)OC=O)C(=O)O.CC(=O)CC(NC(C)=O)C(=O)O.[H][C@@](CC(C)=O)(NC(=O)N[C@@]([H])(COC=O)OC=O)C(=O)O Chemical compound CC(=O)CC(NC(=O)NC(COC=O)OC=O)C(=O)O.CC(=O)CC(NC(C)=O)C(=O)O.[H][C@@](CC(C)=O)(NC(=O)N[C@@]([H])(COC=O)OC=O)C(=O)O AQYHSHPAEXLVEF-OXOJUWDDSA-N 0.000 description 1
- QOSKNNAOACOFHW-ZQMHIHESSA-N CC(=O)[C@@H](C)CSC(C1=CC=CC=C1)(C1=CC=CC=C1)C1=CC=CC=C1.CC(=O)[C@H](CSC(C1=CC=CC=C1)(C1=CC=CC=C1)C1=CC=CC=C1)CC(=O)[C@@H](C)CC(=O)OC(C)(C)C.CC(=O)[C@H](CSC(C1=CC=CC=C1)(C1=CC=CC=C1)C1=CC=CC=C1)CC(=O)[C@H](CC(=O)OC(C)(C)C)NC(=O)[C@H](CNC(=O)[C@@H](CC(=O)[C@@H](C)CC1=CC=CC=C1)CC1=CC=CC=C1)NC(=O)OC(C)(C)C.CC(=O)[C@H](CSC(C1=CC=CC=C1)(C1=CC=CC=C1)C1=CC=CC=C1)CC(=O)[C@H](CC(=O)OC(C)(C)C)NC(=O)[C@H](CNC(=O)[C@H](C)CC1=CC=CC=C1)NC(=O)OC(C)(C)C.CCCC(=O)N[C@@H](CC1=CC=CC=C1)C(=O)C[C@@H](CC1=CC=CC=C1)C(=O)NC[C@H](NC(=O)OC(C)(C)C)C(=O)N[C@@H](CC(=O)OC(C)(C)C)C(=O)C[C@@H](CSC(C1=CC=CC=C1)(C1=CC=CC=C1)C1=CC=CC=C1)C(C)=O.CC[C@H](NC(=O)OC(C)(C)C)C(=O)N[C@@H](CC(=O)OC(C)(C)C)C(=O)C[C@@H](CSC(C1=CC=CC=C1)(C1=CC=CC=C1)C1=CC=CC=C1)C(C)=O.[H][C@@](CCC(=O)NCCC(=O)N[C@@H](CC1=CC=CC=C1)C(=O)C[C@@H](CC1=CC=CC=C1)C(=O)NC[C@H](N)C(=O)NC(CC(=O)O)C(=O)CC(CS)C(=O)O)(NC(=O)N[C@@]([H])(CCC(=O)OC(C)(C)C)OC=O)C(=O)O.[H][C@@](CCC(=O)NCCC(=O)N[C@@H](CC1=CC=CC=C1)C(=O)C[C@@H](CC1=CC=CC=C1)C(=O)NC[C@H](NC(=O)OC(C)(C)C)C(=O)N[C@@H](CC(=O)OC(C)(C)C)C(=O)C[C@@H](CSC(C1=CC=CC=C1)(C1=CC=CC=C1)C1=CC=CC=C1)C(C)=O)(NC(=O)N[C@]([H])(C)CCC(=O)OC(C)(C)C)C(=O)OC(C)(C)C Chemical compound CC(=O)[C@@H](C)CSC(C1=CC=CC=C1)(C1=CC=CC=C1)C1=CC=CC=C1.CC(=O)[C@H](CSC(C1=CC=CC=C1)(C1=CC=CC=C1)C1=CC=CC=C1)CC(=O)[C@@H](C)CC(=O)OC(C)(C)C.CC(=O)[C@H](CSC(C1=CC=CC=C1)(C1=CC=CC=C1)C1=CC=CC=C1)CC(=O)[C@H](CC(=O)OC(C)(C)C)NC(=O)[C@H](CNC(=O)[C@@H](CC(=O)[C@@H](C)CC1=CC=CC=C1)CC1=CC=CC=C1)NC(=O)OC(C)(C)C.CC(=O)[C@H](CSC(C1=CC=CC=C1)(C1=CC=CC=C1)C1=CC=CC=C1)CC(=O)[C@H](CC(=O)OC(C)(C)C)NC(=O)[C@H](CNC(=O)[C@H](C)CC1=CC=CC=C1)NC(=O)OC(C)(C)C.CCCC(=O)N[C@@H](CC1=CC=CC=C1)C(=O)C[C@@H](CC1=CC=CC=C1)C(=O)NC[C@H](NC(=O)OC(C)(C)C)C(=O)N[C@@H](CC(=O)OC(C)(C)C)C(=O)C[C@@H](CSC(C1=CC=CC=C1)(C1=CC=CC=C1)C1=CC=CC=C1)C(C)=O.CC[C@H](NC(=O)OC(C)(C)C)C(=O)N[C@@H](CC(=O)OC(C)(C)C)C(=O)C[C@@H](CSC(C1=CC=CC=C1)(C1=CC=CC=C1)C1=CC=CC=C1)C(C)=O.[H][C@@](CCC(=O)NCCC(=O)N[C@@H](CC1=CC=CC=C1)C(=O)C[C@@H](CC1=CC=CC=C1)C(=O)NC[C@H](N)C(=O)NC(CC(=O)O)C(=O)CC(CS)C(=O)O)(NC(=O)N[C@@]([H])(CCC(=O)OC(C)(C)C)OC=O)C(=O)O.[H][C@@](CCC(=O)NCCC(=O)N[C@@H](CC1=CC=CC=C1)C(=O)C[C@@H](CC1=CC=CC=C1)C(=O)NC[C@H](NC(=O)OC(C)(C)C)C(=O)N[C@@H](CC(=O)OC(C)(C)C)C(=O)C[C@@H](CSC(C1=CC=CC=C1)(C1=CC=CC=C1)C1=CC=CC=C1)C(C)=O)(NC(=O)N[C@]([H])(C)CCC(=O)OC(C)(C)C)C(=O)OC(C)(C)C QOSKNNAOACOFHW-ZQMHIHESSA-N 0.000 description 1
- HPJZCHHIBFOHPE-HTSDWAGESA-N CC(=O)[C@@H](C)CSC(C1=CC=CC=C1)(C1=CC=CC=C1)C1=CC=CC=C1.CC(=O)[C@H](CSC(C1=CC=CC=C1)(C1=CC=CC=C1)C1=CC=CC=C1)CC(=O)[C@@H](C)CC1=CC=CC=C1.CC(=O)[C@H](CSC(C1=CC=CC=C1)(C1=CC=CC=C1)C1=CC=CC=C1)CC(=O)[C@H](CC1=CC=CC=C1)NC(=O)[C@@H](C)CC(=O)OC(C)(C)C.CC(=O)[C@H](CSC(C1=CC=CC=C1)(C1=CC=CC=C1)C1=CC=CC=C1)CC(=O)[C@H](CC1=CC=CC=C1)NC(=O)[C@@H](CC(=O)CC[C@H](C)C(=O)OC(C)(C)C)CC(=O)OC(C)(C)C.[H][C@@](CCC(=O)N[C@@H](CCC(=O)C[C@@H](CC(=O)O)C(=O)N[C@@H](CC1=CC=CC=C1)C(=O)C[C@@H](CS)C(=O)O)C(=O)O)(NC(=O)N[C@@]([H])(CCC(=O)O)OC=O)C(=O)O.[H][C@@](CCC(=O)N[C@@H](CCC(=O)C[C@@H](CC(=O)OC(C)(C)C)C(=O)N[C@@H](CC1=CC=CC=C1)C(=O)C[C@@H](CSC(C1=CC=CC=C1)(C1=CC=CC=C1)C1=CC=CC=C1)C(C)=O)C(=O)OC(C)(C)C)(NC(=O)N[C@]([H])(C)CCC(=O)OC(C)(C)C)C(=O)OC(C)(C)C Chemical compound CC(=O)[C@@H](C)CSC(C1=CC=CC=C1)(C1=CC=CC=C1)C1=CC=CC=C1.CC(=O)[C@H](CSC(C1=CC=CC=C1)(C1=CC=CC=C1)C1=CC=CC=C1)CC(=O)[C@@H](C)CC1=CC=CC=C1.CC(=O)[C@H](CSC(C1=CC=CC=C1)(C1=CC=CC=C1)C1=CC=CC=C1)CC(=O)[C@H](CC1=CC=CC=C1)NC(=O)[C@@H](C)CC(=O)OC(C)(C)C.CC(=O)[C@H](CSC(C1=CC=CC=C1)(C1=CC=CC=C1)C1=CC=CC=C1)CC(=O)[C@H](CC1=CC=CC=C1)NC(=O)[C@@H](CC(=O)CC[C@H](C)C(=O)OC(C)(C)C)CC(=O)OC(C)(C)C.[H][C@@](CCC(=O)N[C@@H](CCC(=O)C[C@@H](CC(=O)O)C(=O)N[C@@H](CC1=CC=CC=C1)C(=O)C[C@@H](CS)C(=O)O)C(=O)O)(NC(=O)N[C@@]([H])(CCC(=O)O)OC=O)C(=O)O.[H][C@@](CCC(=O)N[C@@H](CCC(=O)C[C@@H](CC(=O)OC(C)(C)C)C(=O)N[C@@H](CC1=CC=CC=C1)C(=O)C[C@@H](CSC(C1=CC=CC=C1)(C1=CC=CC=C1)C1=CC=CC=C1)C(C)=O)C(=O)OC(C)(C)C)(NC(=O)N[C@]([H])(C)CCC(=O)OC(C)(C)C)C(=O)OC(C)(C)C HPJZCHHIBFOHPE-HTSDWAGESA-N 0.000 description 1
- MULBSOAITZWCTE-VIQSXLJDSA-N CC(C)(C)OCC1=CC=CC=C1.CN[C@@H](CCC(=O)O)C(=O)O.[H][C@@](CCC(=O)OC(C)(C)C)(NC(=O)N[C@]([H])(C)CCC(=O)O)C(=O)OC(C)(C)C.[H][C@@](CCC(=O)OC(C)(C)C)(NC(=O)N[C@]([H])(C)CCC(=O)OCC1=CC=CC=C1)C(=O)OC(C)(C)C.[H][C@](N)(CCC(=O)OC(C)(C)C)C(=O)OC(C)(C)C Chemical compound CC(C)(C)OCC1=CC=CC=C1.CN[C@@H](CCC(=O)O)C(=O)O.[H][C@@](CCC(=O)OC(C)(C)C)(NC(=O)N[C@]([H])(C)CCC(=O)O)C(=O)OC(C)(C)C.[H][C@@](CCC(=O)OC(C)(C)C)(NC(=O)N[C@]([H])(C)CCC(=O)OCC1=CC=CC=C1)C(=O)OC(C)(C)C.[H][C@](N)(CCC(=O)OC(C)(C)C)C(=O)OC(C)(C)C MULBSOAITZWCTE-VIQSXLJDSA-N 0.000 description 1
- MZVQVTHDZFCTFK-UHFFFAOYSA-N CC(C)(C)SS Chemical compound CC(C)(C)SS MZVQVTHDZFCTFK-UHFFFAOYSA-N 0.000 description 1
- JROJIZFFANVHRY-UHFFFAOYSA-N CC(C)(SS)C(N)C(=O)O Chemical compound CC(C)(SS)C(N)C(=O)O JROJIZFFANVHRY-UHFFFAOYSA-N 0.000 description 1
- FQZGUICBGRLHKK-UHFFFAOYSA-N CC(C)(SSCCO)C(N)C(=O)O Chemical compound CC(C)(SSCCO)C(N)C(=O)O FQZGUICBGRLHKK-UHFFFAOYSA-N 0.000 description 1
- XJGBNZRVGOENRN-UHFFFAOYSA-N CC(F)(F)C(N)=O Chemical compound CC(F)(F)C(N)=O XJGBNZRVGOENRN-UHFFFAOYSA-N 0.000 description 1
- SDNUTQAYPMABGF-UHFFFAOYSA-N CC(F)(F)C=O Chemical compound CC(F)(F)C=O SDNUTQAYPMABGF-UHFFFAOYSA-N 0.000 description 1
- IKZWQDXMCQQSLL-HWKANZROSA-N CC/C=N/N Chemical compound CC/C=N/N IKZWQDXMCQQSLL-HWKANZROSA-N 0.000 description 1
- JRQHXZCNQQDNTJ-ZZXKWVIFSA-N CC/C=N/NC(N)=O Chemical compound CC/C=N/NC(N)=O JRQHXZCNQQDNTJ-ZZXKWVIFSA-N 0.000 description 1
- DXGBABXDDADEKJ-HWKANZROSA-N CC/C=N/NC=O Chemical compound CC/C=N/NC=O DXGBABXDDADEKJ-HWKANZROSA-N 0.000 description 1
- VDIJUVQRYSOTPG-PTYZHTEPSA-N CCC(=O)OCCSSC1=CC=CC=N1.CCCC(=O)OCN(C(=O)[C@@H](NC(=O)[C@H]1CCCCN1C)C(C)CC)[C@H](C[C@@H](OC(C)=O)C1=NC(C(=O)N[C@@H](CC2=CC=C(O)C=C2)C[C@H](C)C(=O)NCC(=O)OCCSSC2=CC=CC=N2)=CS1)C(C)C.CCCC(=O)OCN(C(=O)[C@@H](NC(=O)[C@H]1CCCCN1C)C(C)CC)[C@H](C[C@@H](OC(C)=O)C1=NC(C(=O)N[C@@H](CC2=CC=C(O)C=C2)C[C@H](C)C(=O)O)=CS1)C(C)C.[H][C@@](CCC(=O)NCCCCCCC(=O)NC(CC1=CC=CC=C1)C(=O)CC(CC1=CC=CC=C1)C(=O)NC[C@H](N)C(=O)N[C@@H](CC(=O)O)C(=O)C[C@H](CS)C(=O)O)(NC(=O)N[C@@]([H])(CCC(=O)O)OC=O)C(=O)O.[H][C@@](CCC(=O)NCCCCCCC(=O)N[C@@H](CC1=CC=CC=C1)C(=O)CC(CC1=CC=CC=C1)C(=O)NC[C@H](N)C(=O)N[C@@H](CC(=O)O)C(=O)C[C@H](CSSCCOC(=O)NCC(=O)[C@@H](C)C[C@H](CC1=CC=C(O)C=C1)NC(=O)C1=CSC([C@@H](C[C@H](C(C)C)N(COC(=O)CCC)C(=O)[C@@H](CC(=O)[C@H]2CCCCN2C)C(C)CC)OC(C)=O)=N1)C(=O)O)(NC(=O)N[C@@]([H])(CCC(=O)O)OC=O)C(=O)O Chemical compound CCC(=O)OCCSSC1=CC=CC=N1.CCCC(=O)OCN(C(=O)[C@@H](NC(=O)[C@H]1CCCCN1C)C(C)CC)[C@H](C[C@@H](OC(C)=O)C1=NC(C(=O)N[C@@H](CC2=CC=C(O)C=C2)C[C@H](C)C(=O)NCC(=O)OCCSSC2=CC=CC=N2)=CS1)C(C)C.CCCC(=O)OCN(C(=O)[C@@H](NC(=O)[C@H]1CCCCN1C)C(C)CC)[C@H](C[C@@H](OC(C)=O)C1=NC(C(=O)N[C@@H](CC2=CC=C(O)C=C2)C[C@H](C)C(=O)O)=CS1)C(C)C.[H][C@@](CCC(=O)NCCCCCCC(=O)NC(CC1=CC=CC=C1)C(=O)CC(CC1=CC=CC=C1)C(=O)NC[C@H](N)C(=O)N[C@@H](CC(=O)O)C(=O)C[C@H](CS)C(=O)O)(NC(=O)N[C@@]([H])(CCC(=O)O)OC=O)C(=O)O.[H][C@@](CCC(=O)NCCCCCCC(=O)N[C@@H](CC1=CC=CC=C1)C(=O)CC(CC1=CC=CC=C1)C(=O)NC[C@H](N)C(=O)N[C@@H](CC(=O)O)C(=O)C[C@H](CSSCCOC(=O)NCC(=O)[C@@H](C)C[C@H](CC1=CC=C(O)C=C1)NC(=O)C1=CSC([C@@H](C[C@H](C(C)C)N(COC(=O)CCC)C(=O)[C@@H](CC(=O)[C@H]2CCCCN2C)C(C)CC)OC(C)=O)=N1)C(=O)O)(NC(=O)N[C@@]([H])(CCC(=O)O)OC=O)C(=O)O VDIJUVQRYSOTPG-PTYZHTEPSA-N 0.000 description 1
- STBUQDFSDBCTFX-YEXVQLDRSA-N CCC(=O)OCCSSC1=CC=CC=N1.CCCC(=O)OCN(C(=O)[C@@H](NC(=O)[C@H]1CCCCN1C)C(C)CC)[C@H](C[C@@H](OC(C)=O)C1=NC(C(=O)N[C@@H](CC2=CC=C(O)C=C2)C[C@H](C)C(=O)NCC(=O)OCCSSC2=CC=CC=N2)=CS1)C(C)C.CCCC(=O)OCN(C(=O)[C@@H](NC(=O)[C@H]1CCCCN1C)C(C)CC)[C@H](C[C@@H](OC(C)=O)C1=NC(C(=O)N[C@@H](CC2=CC=C(O)C=C2)C[C@H](C)C(=O)O)=CS1)C(C)C.[H][C@@](CCC(=O)N[C@@H](CCC(=O)C[C@@H](CC(=O)O)C(=O)N[C@@H](CC1=CC=CC=C1)C(=O)C[C@@H](CSSCCOC(=O)NCC(=O)[C@@H](C)C[C@H](CC1=CC=C(O)C=C1)NC(=O)C1=CSC([C@@H](C[C@H](C(C)C)N(COC(=O)CCC)C(=O)[C@@H](CC(=O)[C@H]2CCCCN2C)C(C)CC)OC(C)=O)=N1)C(=O)O)C(=O)O)(NC(=O)N[C@@]([H])(CCC(=O)O)OC=O)C(=O)O.[H][C@](CCC(=O)O)(NC(=O)N[C@]([H])(CCC(=O)NC(CCC(=O)CC(CC(=O)O)C(=O)NC(CC1=CC=CC=C1)C(=O)CC(CS)C(=O)O)C(=O)O)C(=O)O)OC=O Chemical compound CCC(=O)OCCSSC1=CC=CC=N1.CCCC(=O)OCN(C(=O)[C@@H](NC(=O)[C@H]1CCCCN1C)C(C)CC)[C@H](C[C@@H](OC(C)=O)C1=NC(C(=O)N[C@@H](CC2=CC=C(O)C=C2)C[C@H](C)C(=O)NCC(=O)OCCSSC2=CC=CC=N2)=CS1)C(C)C.CCCC(=O)OCN(C(=O)[C@@H](NC(=O)[C@H]1CCCCN1C)C(C)CC)[C@H](C[C@@H](OC(C)=O)C1=NC(C(=O)N[C@@H](CC2=CC=C(O)C=C2)C[C@H](C)C(=O)O)=CS1)C(C)C.[H][C@@](CCC(=O)N[C@@H](CCC(=O)C[C@@H](CC(=O)O)C(=O)N[C@@H](CC1=CC=CC=C1)C(=O)C[C@@H](CSSCCOC(=O)NCC(=O)[C@@H](C)C[C@H](CC1=CC=C(O)C=C1)NC(=O)C1=CSC([C@@H](C[C@H](C(C)C)N(COC(=O)CCC)C(=O)[C@@H](CC(=O)[C@H]2CCCCN2C)C(C)CC)OC(C)=O)=N1)C(=O)O)C(=O)O)(NC(=O)N[C@@]([H])(CCC(=O)O)OC=O)C(=O)O.[H][C@](CCC(=O)O)(NC(=O)N[C@]([H])(CCC(=O)NC(CCC(=O)CC(CC(=O)O)C(=O)NC(CC1=CC=CC=C1)C(=O)CC(CS)C(=O)O)C(=O)O)C(=O)O)OC=O STBUQDFSDBCTFX-YEXVQLDRSA-N 0.000 description 1
- JJQATHGVYIUCJQ-UHFFFAOYSA-N CCC1CCC(OC)CC1 Chemical compound CCC1CCC(OC)CC1 JJQATHGVYIUCJQ-UHFFFAOYSA-N 0.000 description 1
- WJKYOQDIQYJXSD-UHFFFAOYSA-N CCC=N Chemical compound CCC=N WJKYOQDIQYJXSD-UHFFFAOYSA-N 0.000 description 1
- TVZOPKUFZVUOHE-YGCGNCNLSA-N CCCC(=O)OCN(C(=O)[C@@H](CC(=O)[C@H]1CCCCN1C)C(C)CC)[C@H](C[C@@H](OC(C)=O)C1=NC(C(=O)N[C@@H](CC2=CC=C(O)C=C2)C[C@H](C)C(=O)CNC(=O)OCC)=CS1)C(C)C.[H][C@@](CCC(=O)NCCC(=O)N[C@@H](CC1=CC=CC=C1)C(=O)C[C@@H](CC1=CC=CC=C1)C(=O)NC[C@H](N)C(=O)N[C@@H](CC(=O)O)C(=O)C[C@H](CSSCC)C(=O)O)(NC(=O)N[C@@]([H])(CCC(=O)O)OC=O)C(=O)O Chemical compound CCCC(=O)OCN(C(=O)[C@@H](CC(=O)[C@H]1CCCCN1C)C(C)CC)[C@H](C[C@@H](OC(C)=O)C1=NC(C(=O)N[C@@H](CC2=CC=C(O)C=C2)C[C@H](C)C(=O)CNC(=O)OCC)=CS1)C(C)C.[H][C@@](CCC(=O)NCCC(=O)N[C@@H](CC1=CC=CC=C1)C(=O)C[C@@H](CC1=CC=CC=C1)C(=O)NC[C@H](N)C(=O)N[C@@H](CC(=O)O)C(=O)C[C@H](CSSCC)C(=O)O)(NC(=O)N[C@@]([H])(CCC(=O)O)OC=O)C(=O)O TVZOPKUFZVUOHE-YGCGNCNLSA-N 0.000 description 1
- UWLMTPWVDGGHER-UHFFFAOYSA-N CCCCC=O.CCSC1CC(=O)N(CC=O)C1=O Chemical compound CCCCC=O.CCSC1CC(=O)N(CC=O)C1=O UWLMTPWVDGGHER-UHFFFAOYSA-N 0.000 description 1
- ULGVZVCBRORKDH-IFQDNTNLSA-N CCCN(C)CC1=C(OC)C=C(OCCCC(=O)NCC)C=C1.CCNC(=O)CCCOC1=CC(OC)=C(CN(C)CCN)C=C1.CCNC(=O)CCCOC1=CC(OC)=C(CN(CCNC[Mt])C(=O)OCC2C3=C(C=CC=C3)C3=C2C=CC=C3)C=C1.O=C=O.O=C=O.[H]C1=CC(NC(=S)NCCCC(=O)CC[C@]([H])(NC(=O)N[C@@]([H])(CCC(=O)O)OC=O)C(=O)O)=CC=C1C1=C2C=CC(=O)C=C2OC2=CC(O)=CC=C21.[H][C@@](CCC(=O)O)(NC(=O)N[C@]([H])(C)CCC(=O)OC(C)(C)C)C(C)(C)C Chemical compound CCCN(C)CC1=C(OC)C=C(OCCCC(=O)NCC)C=C1.CCNC(=O)CCCOC1=CC(OC)=C(CN(C)CCN)C=C1.CCNC(=O)CCCOC1=CC(OC)=C(CN(CCNC[Mt])C(=O)OCC2C3=C(C=CC=C3)C3=C2C=CC=C3)C=C1.O=C=O.O=C=O.[H]C1=CC(NC(=S)NCCCC(=O)CC[C@]([H])(NC(=O)N[C@@]([H])(CCC(=O)O)OC=O)C(=O)O)=CC=C1C1=C2C=CC(=O)C=C2OC2=CC(O)=CC=C21.[H][C@@](CCC(=O)O)(NC(=O)N[C@]([H])(C)CCC(=O)OC(C)(C)C)C(C)(C)C ULGVZVCBRORKDH-IFQDNTNLSA-N 0.000 description 1
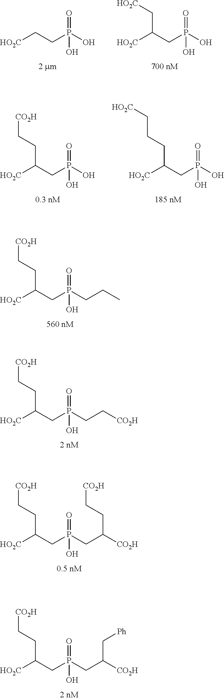
- XGEXVUKHPAVPNZ-PGFJYOPPSA-N CCCP(=O)(O)CC(CCC(=O)O)C(=O)O.O=C(O)CC(CP(=O)(O)O)C(=O)O.O=C(O)CCC(CP(=O)(O)O)C(=O)O.O=C(O)CCCC(CP(=O)(O)O)C(=O)O.O=C(O)CCP(=O)(O)O.O=COC(CCC(=O)O)CP(=O)(O)CC(CCC(=O)O)C(=O)O.O=COC(CCC1=CC=CC=C1)CP(=O)(O)CC(CCC(=O)O)C(=O)O.O=COCCP(=O)(O)CC(CCC(=O)O)C(=O)O.O=P(O)(O)O.[H][C@@](CCC(=O)O)(NC(=O)N[C@@]([H])(CCC(=O)O)OC=O)C(=O)O.[H][C@@](CCC(=O)O)(NC(=O)N[C@@]([H])(CCC1=NN=NN1)OC=O)C(=O)O.[H][C@@](CCC(=O)O)(NC(=O)N[C@@]([H])(CS)OC=O)C(=O)O.[H][C@@](CCC(=O)O)(NC(=O)N[C@@]([H])(CSC(C)(C)C)OC=O)C(=O)O Chemical compound CCCP(=O)(O)CC(CCC(=O)O)C(=O)O.O=C(O)CC(CP(=O)(O)O)C(=O)O.O=C(O)CCC(CP(=O)(O)O)C(=O)O.O=C(O)CCCC(CP(=O)(O)O)C(=O)O.O=C(O)CCP(=O)(O)O.O=COC(CCC(=O)O)CP(=O)(O)CC(CCC(=O)O)C(=O)O.O=COC(CCC1=CC=CC=C1)CP(=O)(O)CC(CCC(=O)O)C(=O)O.O=COCCP(=O)(O)CC(CCC(=O)O)C(=O)O.O=P(O)(O)O.[H][C@@](CCC(=O)O)(NC(=O)N[C@@]([H])(CCC(=O)O)OC=O)C(=O)O.[H][C@@](CCC(=O)O)(NC(=O)N[C@@]([H])(CCC1=NN=NN1)OC=O)C(=O)O.[H][C@@](CCC(=O)O)(NC(=O)N[C@@]([H])(CS)OC=O)C(=O)O.[H][C@@](CCC(=O)O)(NC(=O)N[C@@]([H])(CSC(C)(C)C)OC=O)C(=O)O XGEXVUKHPAVPNZ-PGFJYOPPSA-N 0.000 description 1
- KIODMEAZCZQWQW-UHFFFAOYSA-N CCC[SiH](C)C1CCCCC1 Chemical compound CCC[SiH](C)C1CCCCC1 KIODMEAZCZQWQW-UHFFFAOYSA-N 0.000 description 1
- RKBPDRKYFUTFRH-QHYIPAHUSA-N CCNC(=O)CCCOC1=CC(OC)=C(CN(C)CCN)C=C1.CCNC(=O)CCCOC1=CC(OC)=C(CN(C)CCNC(=O)CC[C@@H](C)CC(=O)CCCCCCCNC(=O)OCC2C3=C(C=CC=C3)C3=C2C=CC=C3)C=C1.CCNC(=O)CCCOC1=CC(OC)=C(CN(C)CCNC(=O)CC[C@H](NC(=O)OCC2C3=C(C=CC=C3)C3=C2C=CC=C3)C(=O)OC(C)(C)C)C=C1.O=C=O.[H]C1=CC(NC(=S)NCCCCCCCC(=O)C[C@@H](CCC(=O)NCCCC(=O)CC[C@]([H])(NC(=O)N[C@@]([H])(CCC(=O)O)OC=O)C(=O)O)OC=O)=CC=C1C1=C2C=CC(=O)C=C2OC2=CC(O)=CC=C21 Chemical compound CCNC(=O)CCCOC1=CC(OC)=C(CN(C)CCN)C=C1.CCNC(=O)CCCOC1=CC(OC)=C(CN(C)CCNC(=O)CC[C@@H](C)CC(=O)CCCCCCCNC(=O)OCC2C3=C(C=CC=C3)C3=C2C=CC=C3)C=C1.CCNC(=O)CCCOC1=CC(OC)=C(CN(C)CCNC(=O)CC[C@H](NC(=O)OCC2C3=C(C=CC=C3)C3=C2C=CC=C3)C(=O)OC(C)(C)C)C=C1.O=C=O.[H]C1=CC(NC(=S)NCCCCCCCC(=O)C[C@@H](CCC(=O)NCCCC(=O)CC[C@]([H])(NC(=O)N[C@@]([H])(CCC(=O)O)OC=O)C(=O)O)OC=O)=CC=C1C1=C2C=CC(=O)C=C2OC2=CC(O)=CC=C21 RKBPDRKYFUTFRH-QHYIPAHUSA-N 0.000 description 1
- DQXMQHRMIYBARA-SYIUBBKASA-N CCOC(C)(C)C.[H][C@@](CCC(=O)OC(C)(C)C)(NC(=O)N[C@]([H])(C)C[Fm]=S)C(=O)OC(C)(C)C.[H][C@](N)(CCC(=O)OC(C)(C)C)C(=O)OC(C)(C)C Chemical compound CCOC(C)(C)C.[H][C@@](CCC(=O)OC(C)(C)C)(NC(=O)N[C@]([H])(C)C[Fm]=S)C(=O)OC(C)(C)C.[H][C@](N)(CCC(=O)OC(C)(C)C)C(=O)OC(C)(C)C DQXMQHRMIYBARA-SYIUBBKASA-N 0.000 description 1
- QGBMSFLTRRZTGI-UHFFFAOYSA-N CC[SiH](C)C Chemical compound CC[SiH](C)C QGBMSFLTRRZTGI-UHFFFAOYSA-N 0.000 description 1
- HHYVXVUKDCVIRM-UHFFFAOYSA-N COC1(O)CCC(C(N)=O)CC1 Chemical compound COC1(O)CCC(C(N)=O)CC1 HHYVXVUKDCVIRM-UHFFFAOYSA-N 0.000 description 1
- SSOZBCCITNPUMJ-UHFFFAOYSA-N COC1(O)CCCCC1 Chemical compound COC1(O)CCCCC1 SSOZBCCITNPUMJ-UHFFFAOYSA-N 0.000 description 1
- RUAQCSVWLWGIQP-UHFFFAOYSA-N COC1=CC=C(C(O)O)C=C1 Chemical compound COC1=CC=C(C(O)O)C=C1 RUAQCSVWLWGIQP-UHFFFAOYSA-N 0.000 description 1
- YRBWGQDHNJVXSO-UHFFFAOYSA-N COC1CCC(C=O)CC1 Chemical compound COC1CCC(C=O)CC1 YRBWGQDHNJVXSO-UHFFFAOYSA-N 0.000 description 1
- AFVFQIVMOAPDHO-UHFFFAOYSA-N CS(=O)(=O)O Chemical compound CS(=O)(=O)O AFVFQIVMOAPDHO-UHFFFAOYSA-N 0.000 description 1
- AQYCMVICBNBXNA-BYPYZUCNSA-N C[C@@H](CCC(=O)O)C(=O)O Chemical compound C[C@@H](CCC(=O)O)C(=O)O AQYCMVICBNBXNA-BYPYZUCNSA-N 0.000 description 1
- CVZZASDFCQGBHL-BYPYZUCNSA-N C[C@@H](CCC(=O)O)C1=NN=NN1 Chemical compound C[C@@H](CCC(=O)O)C1=NN=NN1 CVZZASDFCQGBHL-BYPYZUCNSA-N 0.000 description 1
- MJFCGTSNCHSGPL-UHFFFAOYSA-N C[Si](O)(CCC[SH](=O)=O)C1CCCCC1 Chemical compound C[Si](O)(CCC[SH](=O)=O)C1CCCCC1 MJFCGTSNCHSGPL-UHFFFAOYSA-N 0.000 description 1
- VJTKAGRMQCEVHM-UHFFFAOYSA-N C[Y].NC(=O)OCC1=CC=C(S)C=C1 Chemical compound C[Y].NC(=O)OCC1=CC=C(S)C=C1 VJTKAGRMQCEVHM-UHFFFAOYSA-N 0.000 description 1
- LHWDBSXMSLYTRB-UHFFFAOYSA-N C[Y].O=COCC1=CC=C(O)C=C1 Chemical compound C[Y].O=COCC1=CC=C(O)C=C1 LHWDBSXMSLYTRB-UHFFFAOYSA-N 0.000 description 1
- URHBIGANSLXETO-UHFFFAOYSA-N C[Y].O=COCC1=CC=C(S)C=C1 Chemical compound C[Y].O=COCC1=CC=C(S)C=C1 URHBIGANSLXETO-UHFFFAOYSA-N 0.000 description 1
- WMLTZMMFXZJZLH-UHFFFAOYSA-N N=CCC=O Chemical compound N=CCC=O WMLTZMMFXZJZLH-UHFFFAOYSA-N 0.000 description 1
- JLSJEUQOXVVCPN-UHFFFAOYSA-N NC(=O)CCS Chemical compound NC(=O)CCS JLSJEUQOXVVCPN-UHFFFAOYSA-N 0.000 description 1
- DESOKPVCITVVDS-UHFFFAOYSA-N NC(=O)OCCS Chemical compound NC(=O)OCCS DESOKPVCITVVDS-UHFFFAOYSA-N 0.000 description 1
- KBLDTMXSLGYQAE-UHFFFAOYSA-N NC(CC(=O)O)C(=O)N1CC1 Chemical compound NC(CC(=O)O)C(=O)N1CC1 KBLDTMXSLGYQAE-UHFFFAOYSA-N 0.000 description 1
- XMYQHJDBLRZMLW-UHFFFAOYSA-N NCO Chemical compound NCO XMYQHJDBLRZMLW-UHFFFAOYSA-N 0.000 description 1
- DSJZKVCWSWVJQH-UHFFFAOYSA-N NCOC=O Chemical compound NCOC=O DSJZKVCWSWVJQH-UHFFFAOYSA-N 0.000 description 1
- BVKZGUZCCUSVTD-UHFFFAOYSA-N O=C(O)O Chemical compound O=C(O)O BVKZGUZCCUSVTD-UHFFFAOYSA-N 0.000 description 1
- LFTFMOXYCPJGCN-UHFFFAOYSA-N O=C=O.O=C=O.O=C=O.O=C=O.O=C=O.O=C=O.O=C=O.O=C=O.O=C=O.O=C=O.[H]C(CCC(=O)O)CP(=O)(O)CC(CC1=CC=CC=C1)C(=O)O.[H]C(CCC(=O)O)CP(=O)(O)CC(CCC(=O)O)C(=O)O.[H]C(CCC(=O)O)CP(=O)(O)CCC.[H]C(CCC(=O)O)CP(=O)(O)CCC(=O)O.[H]C(CCC(=O)O)CP(=O)(O)O.[H]CC([H])CP(=O)(O)O.[H]CCCC([H])CP(=O)(O)O.[H]CCP(=O)(O)O Chemical compound O=C=O.O=C=O.O=C=O.O=C=O.O=C=O.O=C=O.O=C=O.O=C=O.O=C=O.O=C=O.[H]C(CCC(=O)O)CP(=O)(O)CC(CC1=CC=CC=C1)C(=O)O.[H]C(CCC(=O)O)CP(=O)(O)CC(CCC(=O)O)C(=O)O.[H]C(CCC(=O)O)CP(=O)(O)CCC.[H]C(CCC(=O)O)CP(=O)(O)CCC(=O)O.[H]C(CCC(=O)O)CP(=O)(O)O.[H]CC([H])CP(=O)(O)O.[H]CCCC([H])CP(=O)(O)O.[H]CCP(=O)(O)O LFTFMOXYCPJGCN-UHFFFAOYSA-N 0.000 description 1
- MLTUUFJRBQWJAI-UHFFFAOYSA-N O=C=O.[H]C(C)CCC(=O)O Chemical compound O=C=O.[H]C(C)CCC(=O)O MLTUUFJRBQWJAI-UHFFFAOYSA-N 0.000 description 1
- KUTPKOPPLLFKSS-CRPWEAKJSA-N O=C=O.[H]C(CCC(=O)O)NC(=O)N[C@@H](CCC(=O)C[C@@H](CCC(=O)N[C@@H](CC(=O)O)C(=O)C[C@@H](CC1=CC=CC=C1)C(=O)N[C@@H](CSSCCOC(=O)CNC(=O)[C@@]1(O)[C@H](O)[C@]2(CC)C=CCN3CC[C@@]4(C5=CC([C@@]6(C(=O)OC)CC7CN(CCC8=C6CC6=CC=CC=C68)C[C@](O)(CC)C7)=C(OC)C=C5N(C)[C@@]14[H])[C@@]32[H])C(=O)O)C(=O)O)C(=O)O Chemical compound O=C=O.[H]C(CCC(=O)O)NC(=O)N[C@@H](CCC(=O)C[C@@H](CCC(=O)N[C@@H](CC(=O)O)C(=O)C[C@@H](CC1=CC=CC=C1)C(=O)N[C@@H](CSSCCOC(=O)CNC(=O)[C@@]1(O)[C@H](O)[C@]2(CC)C=CCN3CC[C@@]4(C5=CC([C@@]6(C(=O)OC)CC7CN(CCC8=C6CC6=CC=CC=C68)C[C@](O)(CC)C7)=C(OC)C=C5N(C)[C@@]14[H])[C@@]32[H])C(=O)O)C(=O)O)C(=O)O KUTPKOPPLLFKSS-CRPWEAKJSA-N 0.000 description 1
- UOOSMZZWKUTOFL-UHFFFAOYSA-N O=C=O.[H]C(N)CC(=O)N1CC1 Chemical compound O=C=O.[H]C(N)CC(=O)N1CC1 UOOSMZZWKUTOFL-UHFFFAOYSA-N 0.000 description 1
- PGWWVQSRNXVTRY-MFKPNYIPSA-N O=C=O.[H]C([H])(CCC(=O)O)NC(=O)N[C@@]([H])(CCC(=O)CCCCC(=O)N[C@@H](CC1=CC=CC=C1)C(=O)C[C@@H](CC1=CC=CC=C1)C(=O)NC[C@H](N)C(=O)N[C@@H](CC(=O)O)C(=O)C[C@@H](CSC)C(=O)O)C(=O)O Chemical compound O=C=O.[H]C([H])(CCC(=O)O)NC(=O)N[C@@]([H])(CCC(=O)CCCCC(=O)N[C@@H](CC1=CC=CC=C1)C(=O)C[C@@H](CC1=CC=CC=C1)C(=O)NC[C@H](N)C(=O)N[C@@H](CC(=O)O)C(=O)C[C@@H](CSC)C(=O)O)C(=O)O PGWWVQSRNXVTRY-MFKPNYIPSA-N 0.000 description 1
- JTLGERRGWVMAJD-HUUHFLMQSA-N O=C=O.[H]C([H])(CCC(=O)O)NC(=O)N[C@@]([H])(CCC(=O)CCCCC(=O)N[C@@H](CC1=CC=CC=C1)C(=O)C[C@@H](CC1=CC=CC=C1)C(=O)NC[C@H](N)C(=O)N[C@@H](CC(=O)O)C(=O)C[C@@H](CSC1CC(=O)N(CCNC(=O)CCC2=N3C(=CC4=C(C)C=C(C)N4[B-]3(F)F)C=C2)C1=O)C(=O)O)C(=O)O Chemical compound O=C=O.[H]C([H])(CCC(=O)O)NC(=O)N[C@@]([H])(CCC(=O)CCCCC(=O)N[C@@H](CC1=CC=CC=C1)C(=O)C[C@@H](CC1=CC=CC=C1)C(=O)NC[C@H](N)C(=O)N[C@@H](CC(=O)O)C(=O)C[C@@H](CSC1CC(=O)N(CCNC(=O)CCC2=N3C(=CC4=C(C)C=C(C)N4[B-]3(F)F)C=C2)C1=O)C(=O)O)C(=O)O JTLGERRGWVMAJD-HUUHFLMQSA-N 0.000 description 1
- REDAWQUAOWGMAS-ACEUHKDHSA-N O=C=O.[H]C([H])(CCC(=O)O)NC(=O)N[C@@]([H])(CCC(=O)NCCC(=O)N[C@@H](CC1=CC=CC=C1)C(=O)C[C@@H](CC1=CC=CC=C1)C(=O)N[C@@H](CC(=O)O)C(=O)C[C@H](CSSCCOC(=O)NCC(=O)[C@@H](C)C[C@H](CC1=CC=C(O)C=C1)NC(=O)C1=CSC([C@@H](C[C@H](C(C)C)N(COC(=O)CCC)C(=O)[C@@H](CC(=O)[C@H]2CCCCN2C)C(C)CC)OC(C)=O)=N1)C(=O)O)C(=O)O Chemical compound O=C=O.[H]C([H])(CCC(=O)O)NC(=O)N[C@@]([H])(CCC(=O)NCCC(=O)N[C@@H](CC1=CC=CC=C1)C(=O)C[C@@H](CC1=CC=CC=C1)C(=O)N[C@@H](CC(=O)O)C(=O)C[C@H](CSSCCOC(=O)NCC(=O)[C@@H](C)C[C@H](CC1=CC=C(O)C=C1)NC(=O)C1=CSC([C@@H](C[C@H](C(C)C)N(COC(=O)CCC)C(=O)[C@@H](CC(=O)[C@H]2CCCCN2C)C(C)CC)OC(C)=O)=N1)C(=O)O)C(=O)O REDAWQUAOWGMAS-ACEUHKDHSA-N 0.000 description 1
- UWSXSBIQQUBDSC-UHFFFAOYSA-N O=C=O.[H]C1=C(C=O)C=C(C(=O)O)C(C=O)=C1 Chemical compound O=C=O.[H]C1=C(C=O)C=C(C(=O)O)C(C=O)=C1 UWSXSBIQQUBDSC-UHFFFAOYSA-N 0.000 description 1
- RCEYITVVBHQZFS-UHFFFAOYSA-N O=C=O.[H]C1=C(C=O)C=C(C=O)C(C(=O)O)=C1 Chemical compound O=C=O.[H]C1=C(C=O)C=C(C=O)C(C(=O)O)=C1 RCEYITVVBHQZFS-UHFFFAOYSA-N 0.000 description 1
- CCGJOZCRLKOBNV-QDLXYICFSA-N O=C=O.[H]C1=CC(N2C(=O)CC(SC[C@H](NC(=O)[C@@H](CC(=O)CCOCCOCCOCCOCCOCCOCCCC(=O)CC[C@]([H])(NC(=O)N[C@@]([H])(CCC(=O)O)OC=O)C(=O)O)CC3=CC=CC=C3)C(=O)O)C2=O)=CC=C1C1=C2C=C(F)C(=O)C=C2OC2=CC(O)=C(F)C=C21.[H][C@@](CCC(=O)CCCOCCOCCOCCOCCOCCOCCC(=O)C[C@@H](CC1=CC=CC=C1)C(=O)N[C@@H](CS)C(=O)O)(NC(=O)N[C@@]([H])(CCC(=O)O)OC=O)C(=O)O Chemical compound O=C=O.[H]C1=CC(N2C(=O)CC(SC[C@H](NC(=O)[C@@H](CC(=O)CCOCCOCCOCCOCCOCCOCCCC(=O)CC[C@]([H])(NC(=O)N[C@@]([H])(CCC(=O)O)OC=O)C(=O)O)CC3=CC=CC=C3)C(=O)O)C2=O)=CC=C1C1=C2C=C(F)C(=O)C=C2OC2=CC(O)=C(F)C=C21.[H][C@@](CCC(=O)CCCOCCOCCOCCOCCOCCOCCC(=O)C[C@@H](CC1=CC=CC=C1)C(=O)N[C@@H](CS)C(=O)O)(NC(=O)N[C@@]([H])(CCC(=O)O)OC=O)C(=O)O CCGJOZCRLKOBNV-QDLXYICFSA-N 0.000 description 1
- KOILPNTXJOSBAC-AFOFAGDHSA-N O=C=O.[H][C@@](CCC(=O)NCCC(=O)N[C@@H](CC1=CC=CC=C1)C(=O)C[C@@H](CC1=CC=CC=C1)C(=O)NC[C@H](N)C(=O)N[C@@H](CC(=O)O)C(=O)C[C@@H](CSSCCOC(=O)NCC(=O)[C@]1(O)C2N(C)C3=CC(OC)=C([C@@]4(C)CC5N(CCC[C@@]5(O)CC)CC/C5=C\4NC4=CC=CC=C45)C=C3[C@@]23CCN2CCC[C@@](CC)([C@H]1O)[C@]23[H])C(=O)O)(NC(=O)N[C@@]([H])(CCC(=O)O)OC=O)C(=O)O Chemical compound O=C=O.[H][C@@](CCC(=O)NCCC(=O)N[C@@H](CC1=CC=CC=C1)C(=O)C[C@@H](CC1=CC=CC=C1)C(=O)NC[C@H](N)C(=O)N[C@@H](CC(=O)O)C(=O)C[C@@H](CSSCCOC(=O)NCC(=O)[C@]1(O)C2N(C)C3=CC(OC)=C([C@@]4(C)CC5N(CCC[C@@]5(O)CC)CC/C5=C\4NC4=CC=CC=C45)C=C3[C@@]23CCN2CCC[C@@](CC)([C@H]1O)[C@]23[H])C(=O)O)(NC(=O)N[C@@]([H])(CCC(=O)O)OC=O)C(=O)O KOILPNTXJOSBAC-AFOFAGDHSA-N 0.000 description 1
- BMYLOHDOJPEVOR-UHFFFAOYSA-N O=CCCS Chemical compound O=CCCS BMYLOHDOJPEVOR-UHFFFAOYSA-N 0.000 description 1
- UAEQUXKDKOVLOU-UHFFFAOYSA-N O=COCCS Chemical compound O=COCCS UAEQUXKDKOVLOU-UHFFFAOYSA-N 0.000 description 1
- ANNOAXSNNSIVAM-UHFFFAOYSA-N O=COCN1C(=O)CC(S)C1=O Chemical compound O=COCN1C(=O)CC(S)C1=O ANNOAXSNNSIVAM-UHFFFAOYSA-N 0.000 description 1
- IMCPZZDFFRYPFA-UHFFFAOYSA-N O=COCN1C(=O)CCC1=O Chemical compound O=COCN1C(=O)CCC1=O IMCPZZDFFRYPFA-UHFFFAOYSA-N 0.000 description 1
- PSOZWYNNXVVACD-KEMRWEKESA-N O=[99Tc].[H][C@@](CCC(=O)O)(NC(=O)N[C@@]([H])(CSC1CC(=O)N(CCCCCC(=O)CC[C@H](NC)C(=O)N(C)[C@@H](CC(=O)O)C(=O)N(C)[C@@H](CSC)C(=O)O)C1=O)C(=O)O)OC=O Chemical compound O=[99Tc].[H][C@@](CCC(=O)O)(NC(=O)N[C@@]([H])(CSC1CC(=O)N(CCCCCC(=O)CC[C@H](NC)C(=O)N(C)[C@@H](CC(=O)O)C(=O)N(C)[C@@H](CSC)C(=O)O)C1=O)C(=O)O)OC=O PSOZWYNNXVVACD-KEMRWEKESA-N 0.000 description 1
- KVOOQCGWOPDWCB-UHFFFAOYSA-N OC(c1cc(C(O)=O)c(C=O)cc1C=O)=O Chemical compound OC(c1cc(C(O)=O)c(C=O)cc1C=O)=O KVOOQCGWOPDWCB-UHFFFAOYSA-N 0.000 description 1
- IAOKAJRJDXVHQR-UHFFFAOYSA-N Oc1ccc(CO[I]=O)cc1 Chemical compound Oc1ccc(CO[I]=O)cc1 IAOKAJRJDXVHQR-UHFFFAOYSA-N 0.000 description 1
- INUPWTUBGVXTOQ-HGADGHSLSA-N [H][C@@](CCC(=O)CCCCC(=O)N[C@@H](CC1=CC=CC=C1)C(=O)C[C@@H](CC1=CC=CC=C1)C(=O)NC[C@H](N)C(=O)N[C@@H](CC(=O)O)C(=O)C[C@@H](CSC1CC(=O)N(C2=CC=C(C3=C4C=C(F)C(=O)C=C4OC4=CC(O)=C(F)C=C43)C(C(=O)O)=C2)C1=O)C(=O)O)(NC(=O)N[C@@]([H])(CCC(=O)O)OC=O)C(=O)O Chemical compound [H][C@@](CCC(=O)CCCCC(=O)N[C@@H](CC1=CC=CC=C1)C(=O)C[C@@H](CC1=CC=CC=C1)C(=O)NC[C@H](N)C(=O)N[C@@H](CC(=O)O)C(=O)C[C@@H](CSC1CC(=O)N(C2=CC=C(C3=C4C=C(F)C(=O)C=C4OC4=CC(O)=C(F)C=C43)C(C(=O)O)=C2)C1=O)C(=O)O)(NC(=O)N[C@@]([H])(CCC(=O)O)OC=O)C(=O)O INUPWTUBGVXTOQ-HGADGHSLSA-N 0.000 description 1
- QRSKMVOKUQEZKY-WRUCXVIDSA-N [H][C@@](CCC(=O)CCCCCCCCC(=O)N[C@@H](CC1=CC=CC=C1)C(=O)C[C@@H](CC1=CC=CC=C1)C(=O)NC(CCNC(=O)CCC1=N2C(=CC3=C(C)C=C(C)N3[B-]2(F)F)C=C1)C(=O)CC(CSSCCNS(=O)(=O)C1=CC(S(=O)(=O)[O-])=C(C2=C3C=CC(N(CC)CC)=CC3=[O+]C3=CC(N(CC)CC)=CC=C32)C=C1)C(=O)O)(NC(=O)N[C@@]([H])(CCC(=O)O)OC=O)C(=O)O Chemical compound [H][C@@](CCC(=O)CCCCCCCCC(=O)N[C@@H](CC1=CC=CC=C1)C(=O)C[C@@H](CC1=CC=CC=C1)C(=O)NC(CCNC(=O)CCC1=N2C(=CC3=C(C)C=C(C)N3[B-]2(F)F)C=C1)C(=O)CC(CSSCCNS(=O)(=O)C1=CC(S(=O)(=O)[O-])=C(C2=C3C=CC(N(CC)CC)=CC3=[O+]C3=CC(N(CC)CC)=CC=C32)C=C1)C(=O)O)(NC(=O)N[C@@]([H])(CCC(=O)O)OC=O)C(=O)O QRSKMVOKUQEZKY-WRUCXVIDSA-N 0.000 description 1
- UGEMYHKCYTVHAR-PHDQXTSJSA-B [H][C@@](CCC(=O)CCCCCCCCC(=O)N[C@@H](CC1=CC=CC=C1)C(=O)C[C@@H](CCC(=O)NC[C@@H]1N[99Tc]23(=O)SC[C@@H](C(=O)O)N2C(=O)[C@H](CC(=O)O)N3C1=O)C(=O)O)(NC(=O)N[C@@]([H])(CCC(=O)O)OC=O)C(=O)O.[H][C@@](CCC(=O)CC[C@@H]1N[99Tc]23(=O)SC[C@@H](C)N2C(=O)[C@H](CC(=O)O)N3C1=O)(NC(=O)N[C@@]([H])(CCC(=O)O)OC=O)C(=O)O.[H][C@@](CCC(=O)NCCOCCOCCOCCOCCOCCOCCC(=O)N[C@@H](CC1=CC=CC=C1)C(=O)CC[C@@H]1N[99Tc]23(=O)SC[C@@H](C(=O)O)N2C(=O)[C@H](CC(=O)O)N3C1=O)(NC(=O)N[C@@]([H])(CCC(=O)O)OC=O)C(=O)O.[H][C@@](CCC(=O)N[C@@H](CCC(=O)C[C@@H](CC1=CC=CC=C1)C(=O)NC[C@@H]1N[99Tc]23(=O)SC[C@@H](C)N2C(=O)[C@H](CC(=O)O)N3C1=O)C(=O)O)(NC(=O)N[C@@]([H])(CCC(=O)O)OC=O)C(=O)O Chemical compound [H][C@@](CCC(=O)CCCCCCCCC(=O)N[C@@H](CC1=CC=CC=C1)C(=O)C[C@@H](CCC(=O)NC[C@@H]1N[99Tc]23(=O)SC[C@@H](C(=O)O)N2C(=O)[C@H](CC(=O)O)N3C1=O)C(=O)O)(NC(=O)N[C@@]([H])(CCC(=O)O)OC=O)C(=O)O.[H][C@@](CCC(=O)CC[C@@H]1N[99Tc]23(=O)SC[C@@H](C)N2C(=O)[C@H](CC(=O)O)N3C1=O)(NC(=O)N[C@@]([H])(CCC(=O)O)OC=O)C(=O)O.[H][C@@](CCC(=O)NCCOCCOCCOCCOCCOCCOCCC(=O)N[C@@H](CC1=CC=CC=C1)C(=O)CC[C@@H]1N[99Tc]23(=O)SC[C@@H](C(=O)O)N2C(=O)[C@H](CC(=O)O)N3C1=O)(NC(=O)N[C@@]([H])(CCC(=O)O)OC=O)C(=O)O.[H][C@@](CCC(=O)N[C@@H](CCC(=O)C[C@@H](CC1=CC=CC=C1)C(=O)NC[C@@H]1N[99Tc]23(=O)SC[C@@H](C)N2C(=O)[C@H](CC(=O)O)N3C1=O)C(=O)O)(NC(=O)N[C@@]([H])(CCC(=O)O)OC=O)C(=O)O UGEMYHKCYTVHAR-PHDQXTSJSA-B 0.000 description 1
- PNRBQONCMCOKQP-DVTQOUIQSA-N [H][C@@](CCC(=O)CCCCCCCCC(=O)N[C@@H](CC1=CC=CC=C1)C(=O)C[C@H](C(=O)O)C(=O)NC[C@H](N)C(=O)N[C@@H](CC(=O)O)C(=O)N[C@@H](CS)C(=O)O)(NC(=O)N[C@@]([H])(CCC(=O)O)OC=O)C(=O)O Chemical compound [H][C@@](CCC(=O)CCCCCCCCC(=O)N[C@@H](CC1=CC=CC=C1)C(=O)C[C@H](C(=O)O)C(=O)NC[C@H](N)C(=O)N[C@@H](CC(=O)O)C(=O)N[C@@H](CS)C(=O)O)(NC(=O)N[C@@]([H])(CCC(=O)O)OC=O)C(=O)O PNRBQONCMCOKQP-DVTQOUIQSA-N 0.000 description 1
- NSWODBLDKBWNLO-UTXDEELTSA-N [H][C@@](CCC(=O)CCCNC(=O)CCOCCOCCOCCOCCOCCOCCNC(=S)NC1=CC=C(C2=C3C=CC(=O)C=C3OC3=CC(O)=CC=C32)C(C(=O)O)=C1)(NC(=O)N[C@@]([H])(CCC(=O)O)OC=O)C(=O)O Chemical compound [H][C@@](CCC(=O)CCCNC(=O)CCOCCOCCOCCOCCOCCOCCNC(=S)NC1=CC=C(C2=C3C=CC(=O)C=C3OC3=CC(O)=CC=C32)C(C(=O)O)=C1)(NC(=O)N[C@@]([H])(CCC(=O)O)OC=O)C(=O)O NSWODBLDKBWNLO-UTXDEELTSA-N 0.000 description 1
- AAPYUXGKLJCJDI-SCNDPSIQSA-N [H][C@@](CCC(=O)CCCNC(=O)CC[C@@H](CC(=O)C(CC1=CC=CC=C1)NC(=O)C(CC(=O)C1=CC=C([18F])C=C1)CC1=CC=CC=C1)OC=O)(NC(=O)N[C@@]([H])(CCC(=O)O)OC=O)C(=O)O Chemical compound [H][C@@](CCC(=O)CCCNC(=O)CC[C@@H](CC(=O)C(CC1=CC=CC=C1)NC(=O)C(CC(=O)C1=CC=C([18F])C=C1)CC1=CC=CC=C1)OC=O)(NC(=O)N[C@@]([H])(CCC(=O)O)OC=O)C(=O)O AAPYUXGKLJCJDI-SCNDPSIQSA-N 0.000 description 1
- NVOMOZNRRPUYQZ-LWIMATGVSA-N [H][C@@](CCC(=O)CCCNC(=O)CC[C@@H](CC(=O)C(CC1=CC=CC=C1)NC(=O)C(CC(=O)CN(CCN(CCN(COC=O)CC(=O)O)CC(=O)O)COC=O)CC1=CC=CC=C1)OC=O)(NC(=O)N[C@@]([H])(CCC(=O)O)OC=O)C(=O)O Chemical compound [H][C@@](CCC(=O)CCCNC(=O)CC[C@@H](CC(=O)C(CC1=CC=CC=C1)NC(=O)C(CC(=O)CN(CCN(CCN(COC=O)CC(=O)O)CC(=O)O)COC=O)CC1=CC=CC=C1)OC=O)(NC(=O)N[C@@]([H])(CCC(=O)O)OC=O)C(=O)O NVOMOZNRRPUYQZ-LWIMATGVSA-N 0.000 description 1
- NDCBSRXZYKCEIV-CAYZWFBLSA-N [H][C@@](CCC(=O)CCCNC(=O)CC[C@@H](CC(=O)C(CC1=CC=CC=C1)NC(=O)C(CC(=O)CN1CCN(COC=O)CCN(CC(=O)O)CCN(CC(=O)O)CC1)CC1=CC=CC=C1)OC=O)(NC(=O)N[C@@]([H])(CCC(=O)O)OC=O)C(=O)O Chemical compound [H][C@@](CCC(=O)CCCNC(=O)CC[C@@H](CC(=O)C(CC1=CC=CC=C1)NC(=O)C(CC(=O)CN1CCN(COC=O)CCN(CC(=O)O)CCN(CC(=O)O)CC1)CC1=CC=CC=C1)OC=O)(NC(=O)N[C@@]([H])(CCC(=O)O)OC=O)C(=O)O NDCBSRXZYKCEIV-CAYZWFBLSA-N 0.000 description 1
- QUZDRDRALFFLQN-XNMCCTNNSA-N [H][C@@](CCC(=O)CCCNC(=O)CC[C@H](NC(=S)NC1=CC=C(C2=C3C=CC(=O)C=C3OC3=CC(O)=CC=C32)C(C(=O)O)=C1)C(=O)O)(NC(=O)N[C@@]([H])(CCC(=O)O)OC=O)C(=O)O Chemical compound [H][C@@](CCC(=O)CCCNC(=O)CC[C@H](NC(=S)NC1=CC=C(C2=C3C=CC(=O)C=C3OC3=CC(O)=CC=C32)C(C(=O)O)=C1)C(=O)O)(NC(=O)N[C@@]([H])(CCC(=O)O)OC=O)C(=O)O QUZDRDRALFFLQN-XNMCCTNNSA-N 0.000 description 1
- QHTSCGPWWFZQNZ-QTSYWCPOSA-N [H][C@@](CCC(=O)CCCNC(=O)[C@@H](CC(=O)C(CC1=CC=CC=C1)NC(=O)C(CC(=S)CCC1=CC=C(C2=C3=CC=C(O)C=C3OC3=CC(=O)C=CC32)C(C(=O)O)=C1)CC1=CC=CC=C1)OC=O)(NC(=O)N[C@@]([H])(CCC(=O)O)OC=O)C(=O)O Chemical compound [H][C@@](CCC(=O)CCCNC(=O)[C@@H](CC(=O)C(CC1=CC=CC=C1)NC(=O)C(CC(=S)CCC1=CC=C(C2=C3=CC=C(O)C=C3OC3=CC(=O)C=CC32)C(C(=O)O)=C1)CC1=CC=CC=C1)OC=O)(NC(=O)N[C@@]([H])(CCC(=O)O)OC=O)C(=O)O QHTSCGPWWFZQNZ-QTSYWCPOSA-N 0.000 description 1
- WHFAJHXCEUOLOD-JTPRNTFWSA-N [H][C@@](CCC(=O)CCCNC(=O)[C@@H](CC(=O)CCCCCCCNC(=S)NC1=CC=C(C2=C3C=CC(=O)C=C3OC3=CC(O)=CC=C32)C(C(=O)O)=C1)CC1=CC=CC=C1)(NC(=O)N[C@@]([H])(CCC(=O)O)OC=O)C(=O)O Chemical compound [H][C@@](CCC(=O)CCCNC(=O)[C@@H](CC(=O)CCCCCCCNC(=S)NC1=CC=C(C2=C3C=CC(=O)C=C3OC3=CC(O)=CC=C32)C(C(=O)O)=C1)CC1=CC=CC=C1)(NC(=O)N[C@@]([H])(CCC(=O)O)OC=O)C(=O)O WHFAJHXCEUOLOD-JTPRNTFWSA-N 0.000 description 1
- QTNJDWQXJDQFAQ-CRQURPHKSA-O [H][C@@](CCC(=O)CCCNC(=O)[C@@H](CC(=O)CCCCCCCNC(=S)NC1=CC=C(C2=C3C=CC(=[N+](CC)CC)C=C3OC3=CC(N(CC)CC)=CC=C32)C(C(=O)O)=C1)CC1=CC=CC=C1)(NC(=O)N[C@@]([H])(CCC(=O)O)OC=O)C(=O)O Chemical compound [H][C@@](CCC(=O)CCCNC(=O)[C@@H](CC(=O)CCCCCCCNC(=S)NC1=CC=C(C2=C3C=CC(=[N+](CC)CC)C=C3OC3=CC(N(CC)CC)=CC=C32)C(C(=O)O)=C1)CC1=CC=CC=C1)(NC(=O)N[C@@]([H])(CCC(=O)O)OC=O)C(=O)O QTNJDWQXJDQFAQ-CRQURPHKSA-O 0.000 description 1
- OWZYPRYQUWGXCC-WOOOASHGSA-N [H][C@@](CCC(=O)C[C@@H](CC1=CC=CC=C1)C(=O)NCCCC(=O)CNC(=O)[C@@H](CC(=O)[C@H](CC1=CC=CC=C1)NC(=O)C1=CC([N+](=O)[O-])=CC=C1[18F])CC1=CC=CC=C1)(NC(=O)N[C@@]([H])(CCC(=O)O)OC=O)C(=O)O Chemical compound [H][C@@](CCC(=O)C[C@@H](CC1=CC=CC=C1)C(=O)NCCCC(=O)CNC(=O)[C@@H](CC(=O)[C@H](CC1=CC=CC=C1)NC(=O)C1=CC([N+](=O)[O-])=CC=C1[18F])CC1=CC=CC=C1)(NC(=O)N[C@@]([H])(CCC(=O)O)OC=O)C(=O)O OWZYPRYQUWGXCC-WOOOASHGSA-N 0.000 description 1
- CAFXMZKQDMYKNI-RYNNMHRWSA-N [H][C@@](CCC(=O)C[C@@H](CC1=CC=CC=C1)C(=O)NCCCC(=O)CNC(=O)[C@@H](CC(=O)[C@H](CC1=CC=CC=C1)NC(=O)C1=CC=C([18F])C=C1)CC1=CC=CC=C1)(NC(=O)N[C@@]([H])(CCC(=O)O)OC=O)C(=O)O Chemical compound [H][C@@](CCC(=O)C[C@@H](CC1=CC=CC=C1)C(=O)NCCCC(=O)CNC(=O)[C@@H](CC(=O)[C@H](CC1=CC=CC=C1)NC(=O)C1=CC=C([18F])C=C1)CC1=CC=CC=C1)(NC(=O)N[C@@]([H])(CCC(=O)O)OC=O)C(=O)O CAFXMZKQDMYKNI-RYNNMHRWSA-N 0.000 description 1
- KYZSUBDJEZPWDW-YMWMNDLVSA-L [H][C@@](CCC(=O)C[C@@H](CC1=CC=CC=C1)C(=O)NCCCC(=O)CNC(=O)[C@@H](CC(=O)[C@H](CC1=CC=CC=C1)NC(=O)CCCC1(C)C2=C(C=CC(S(=O)(=O)[O-])=C2)N(CCCS(=O)(=O)[O-])/C1=C\C=C\C1=[O+]C2=C(C=CC(N(CC)CCCS(=O)(=O)[O-])=C2)C(C(C)(C)C)=C1)CC1=CC=CC=C1)(NC(=O)N[C@@]([H])(CCC(=O)O)OC=O)C(=O)O Chemical compound [H][C@@](CCC(=O)C[C@@H](CC1=CC=CC=C1)C(=O)NCCCC(=O)CNC(=O)[C@@H](CC(=O)[C@H](CC1=CC=CC=C1)NC(=O)CCCC1(C)C2=C(C=CC(S(=O)(=O)[O-])=C2)N(CCCS(=O)(=O)[O-])/C1=C\C=C\C1=[O+]C2=C(C=CC(N(CC)CCCS(=O)(=O)[O-])=C2)C(C(C)(C)C)=C1)CC1=CC=CC=C1)(NC(=O)N[C@@]([H])(CCC(=O)O)OC=O)C(=O)O KYZSUBDJEZPWDW-YMWMNDLVSA-L 0.000 description 1
- XCVUZRRCNWTQIV-SEVMIYONSA-M [H][C@@](CCC(=O)C[C@@H](CC1=CC=CC=C1)C(=O)NCCCC(=O)CNC(=O)[C@@H](CC(=O)[C@H](CC1=CC=CC=C1)NC(=O)CCCC1(C)C2=C(C=CC=C2)N(CCCS(=O)(=O)[O-])/C1=C/C=C1\CCCC(/C=C/C2=[N+](CCCS(=O)(=O)[O-])C3=CC=CC=C3C2(C)C)=C1OC1=CC=C(S(=O)(=O)O)C=C1)CC1=CC=CC=C1)(NC(=O)N[C@@]([H])(CCC(=O)O)OC=O)C(=O)O Chemical compound [H][C@@](CCC(=O)C[C@@H](CC1=CC=CC=C1)C(=O)NCCCC(=O)CNC(=O)[C@@H](CC(=O)[C@H](CC1=CC=CC=C1)NC(=O)CCCC1(C)C2=C(C=CC=C2)N(CCCS(=O)(=O)[O-])/C1=C/C=C1\CCCC(/C=C/C2=[N+](CCCS(=O)(=O)[O-])C3=CC=CC=C3C2(C)C)=C1OC1=CC=C(S(=O)(=O)O)C=C1)CC1=CC=CC=C1)(NC(=O)N[C@@]([H])(CCC(=O)O)OC=O)C(=O)O XCVUZRRCNWTQIV-SEVMIYONSA-M 0.000 description 1
- DAHMWRGPWZZQFL-NCVSDBLLSA-N [H][C@@](CCC(=O)C[C@@H](CC1=CC=CC=C1)C(=O)NCCCC(=O)CNC(=O)[C@@H](CC(=O)[C@H](CC1=CC=CC=C1)NC(=O)CN1CCN(COC=O)CCN(CC(=O)O)CCN(CC(=O)O)CC1)CC1=CC=CC=C1)(NC(=O)N[C@@]([H])(CCC(=O)O)OC=O)C(=O)O Chemical compound [H][C@@](CCC(=O)C[C@@H](CC1=CC=CC=C1)C(=O)NCCCC(=O)CNC(=O)[C@@H](CC(=O)[C@H](CC1=CC=CC=C1)NC(=O)CN1CCN(COC=O)CCN(CC(=O)O)CCN(CC(=O)O)CC1)CC1=CC=CC=C1)(NC(=O)N[C@@]([H])(CCC(=O)O)OC=O)C(=O)O DAHMWRGPWZZQFL-NCVSDBLLSA-N 0.000 description 1
- SLNNVFNVTYNHSA-GVPFQLLASA-N [H][C@@](CCC(=O)C[C@@H](CC1=CC=CC=C1)C(=O)NCCCC(=O)CNC(=O)[C@@H](CC(=O)[C@H](CC1=CC=CC=C1)NC(=S)NC1=CC=C(C2=C3C=CC(=O)C=C3OC3=CC(O)=CC=C32)C(C(=O)O)=C1)CC1=CC=CC=C1)(NC(=O)N[C@@]([H])(CCC(=O)O)OC=O)C(=O)O Chemical compound [H][C@@](CCC(=O)C[C@@H](CC1=CC=CC=C1)C(=O)NCCCC(=O)CNC(=O)[C@@H](CC(=O)[C@H](CC1=CC=CC=C1)NC(=S)NC1=CC=C(C2=C3C=CC(=O)C=C3OC3=CC(O)=CC=C32)C(C(=O)O)=C1)CC1=CC=CC=C1)(NC(=O)N[C@@]([H])(CCC(=O)O)OC=O)C(=O)O SLNNVFNVTYNHSA-GVPFQLLASA-N 0.000 description 1
- NDGXDGJCMFRRCT-PDOSAGMDSA-N [H][C@@](CCC(=O)NCCC(=O)N[C@@H](CC1=CC=CC=C1)C(=O)C[C@@H](CC1=CC=CC=C1)C(=O)NC[C@H](N)C(=O)N[C@@H](CC(=O)O)C(=O)C[C@@H](CSSCCOC(=O)O[C@]1(CC)C(=O)OC/C2=C1/C=C1C3=N/C4=CC=CC=C4\C=C3\CN/1C2=O)C(=O)O)(NC(=O)N[C@@]([H])(CCC(=O)O)OC=O)C(=O)O Chemical compound [H][C@@](CCC(=O)NCCC(=O)N[C@@H](CC1=CC=CC=C1)C(=O)C[C@@H](CC1=CC=CC=C1)C(=O)NC[C@H](N)C(=O)N[C@@H](CC(=O)O)C(=O)C[C@@H](CSSCCOC(=O)O[C@]1(CC)C(=O)OC/C2=C1/C=C1C3=N/C4=CC=CC=C4\C=C3\CN/1C2=O)C(=O)O)(NC(=O)N[C@@]([H])(CCC(=O)O)OC=O)C(=O)O NDGXDGJCMFRRCT-PDOSAGMDSA-N 0.000 description 1
- VOQAOBQNUXYAFB-FOVXMUJNSA-N [H][C@@](CCC(=O)NCCOCCOCCOCCOCCOCCOCCC(=O)N[C@@H](CC1=CC=CC=C1)C(=O)CC[C@H](N)C(=O)N[C@@H](CC(=O)O)C(=O)N[C@@H](CS)C(=O)O)(NC(=O)N[C@@]([H])(CCC(=O)O)OC=O)C(=O)O Chemical compound [H][C@@](CCC(=O)NCCOCCOCCOCCOCCOCCOCCC(=O)N[C@@H](CC1=CC=CC=C1)C(=O)CC[C@H](N)C(=O)N[C@@H](CC(=O)O)C(=O)N[C@@H](CS)C(=O)O)(NC(=O)N[C@@]([H])(CCC(=O)O)OC=O)C(=O)O VOQAOBQNUXYAFB-FOVXMUJNSA-N 0.000 description 1
- NJTLGQLWMTWGTF-LOWIYNLUSA-N [H][C@@](CCC(=O)N[C@@H](CC1=CC=CC=C1)C(=O)C[C@H](CCC(=O)NCC(=O)C[C@@H](CC1=CC=CC=C1)C(=O)N[C@@H](CC1=CC=CC=C1)C(=O)CC[C@H](N)C(=O)N[C@@H](CC(=O)O)C(=O)N[C@@H](CS)C(=O)O)C(=O)O)(NC(=O)N[C@@]([H])(CCC(=O)O)OC=O)C(=O)O Chemical compound [H][C@@](CCC(=O)N[C@@H](CC1=CC=CC=C1)C(=O)C[C@H](CCC(=O)NCC(=O)C[C@@H](CC1=CC=CC=C1)C(=O)N[C@@H](CC1=CC=CC=C1)C(=O)CC[C@H](N)C(=O)N[C@@H](CC(=O)O)C(=O)N[C@@H](CS)C(=O)O)C(=O)O)(NC(=O)N[C@@]([H])(CCC(=O)O)OC=O)C(=O)O NJTLGQLWMTWGTF-LOWIYNLUSA-N 0.000 description 1
- MRNUCIKRRLAEEB-RGNYHHDESA-N [H][C@@](CCC(=O)N[C@@H](CCC(=O)C[C@@H](CC(=O)O)C(=O)N[C@H](CC1=CC=CC=C1)C(=O)C[C@H](CSSCCOC(=O)NCC(=O)[C@@H](C)C[C@H](CC1=CC=C(O)C=C1)NC(=O)C1=CSC(C(C[C@H](C(C)C)N(COC(=O)CCC)C(=O)[C@@H](CC(=O)[C@H]2CCCCN2C)C(C)CC)OC(C)=O)=N1)C(=O)O)C(=O)O)(NC(=O)N[C@@]([H])(CCC(=O)O)OC=O)C(=O)O Chemical compound [H][C@@](CCC(=O)N[C@@H](CCC(=O)C[C@@H](CC(=O)O)C(=O)N[C@H](CC1=CC=CC=C1)C(=O)C[C@H](CSSCCOC(=O)NCC(=O)[C@@H](C)C[C@H](CC1=CC=C(O)C=C1)NC(=O)C1=CSC(C(C[C@H](C(C)C)N(COC(=O)CCC)C(=O)[C@@H](CC(=O)[C@H]2CCCCN2C)C(C)CC)OC(C)=O)=N1)C(=O)O)C(=O)O)(NC(=O)N[C@@]([H])(CCC(=O)O)OC=O)C(=O)O MRNUCIKRRLAEEB-RGNYHHDESA-N 0.000 description 1
- SAELFEYLIDWIDM-BUEUIASKSA-N [H][C@@](CCC(=O)N[C@@H](CCC(=O)C[C@@H](CC1=CC=CC=C1)C(=O)NC[C@H](N)C(=O)N[C@@H](CC(=O)O)C(=O)N[C@@H](CS)C(=O)O)C(=O)O)(NC(=O)N[C@@]([H])(CCC(=O)O)OC=O)C(=O)O Chemical compound [H][C@@](CCC(=O)N[C@@H](CCC(=O)C[C@@H](CC1=CC=CC=C1)C(=O)NC[C@H](N)C(=O)N[C@@H](CC(=O)O)C(=O)N[C@@H](CS)C(=O)O)C(=O)O)(NC(=O)N[C@@]([H])(CCC(=O)O)OC=O)C(=O)O SAELFEYLIDWIDM-BUEUIASKSA-N 0.000 description 1
- GNPDVTLYGAHIEZ-QGTXDPQJSA-N [H][C@@](CCC(=O)O)(NC(=O)N[C@@]([H])(CSC1CC(=O)N(CCCCCC(=O)CC[C@H](N)C(=O)N[C@@H](CC(=O)O)C(=O)N[C@@H](CS)C(=O)O)C1=O)C(=O)O)OC=O Chemical compound [H][C@@](CCC(=O)O)(NC(=O)N[C@@]([H])(CSC1CC(=O)N(CCCCCC(=O)CC[C@H](N)C(=O)N[C@@H](CC(=O)O)C(=O)N[C@@H](CS)C(=O)O)C1=O)C(=O)O)OC=O GNPDVTLYGAHIEZ-QGTXDPQJSA-N 0.000 description 1
- ZSQBRAOULXWAGL-OATUJAORSA-M [H][C@](CCC(=O)O)(NC(=O)N[C@]([H])(CCC(=O)NCCOCCOCCC(=O)NC(CC1=CC=CC=C1)C(=O)CC(CS)C(=O)C(=O)O)C(=O)O)OC=O.[H][C@](CCC(=O)O)(NC(=O)N[C@]([H])(CCC(=O)NCCOCCOCCC(=O)NC(CC1=CC=CC=C1)C(=O)CC(CSC1CC(=O)N(CCCC(=O)C2=CC=C(C3=C4C=CC(=[NH2+])C(S(=O)(=O)[O-])=C4OC4=C(S(=O)(=O)[O-])C(N)=CC=C43)C(C(=O)O)=C2)C1=O)C(=O)C(=O)O)C(=O)O)OC=O Chemical compound [H][C@](CCC(=O)O)(NC(=O)N[C@]([H])(CCC(=O)NCCOCCOCCC(=O)NC(CC1=CC=CC=C1)C(=O)CC(CS)C(=O)C(=O)O)C(=O)O)OC=O.[H][C@](CCC(=O)O)(NC(=O)N[C@]([H])(CCC(=O)NCCOCCOCCC(=O)NC(CC1=CC=CC=C1)C(=O)CC(CSC1CC(=O)N(CCCC(=O)C2=CC=C(C3=C4C=CC(=[NH2+])C(S(=O)(=O)[O-])=C4OC4=C(S(=O)(=O)[O-])C(N)=CC=C43)C(C(=O)O)=C2)C1=O)C(=O)C(=O)O)C(=O)O)OC=O ZSQBRAOULXWAGL-OATUJAORSA-M 0.000 description 1
Images
Classifications
-
- A—HUMAN NECESSITIES
- A61—MEDICAL OR VETERINARY SCIENCE; HYGIENE
- A61K—PREPARATIONS FOR MEDICAL, DENTAL OR TOILETRY PURPOSES
- A61K31/00—Medicinal preparations containing organic active ingredients
- A61K31/33—Heterocyclic compounds
- A61K31/395—Heterocyclic compounds having nitrogen as a ring hetero atom, e.g. guanethidine or rifamycins
- A61K31/41—Heterocyclic compounds having nitrogen as a ring hetero atom, e.g. guanethidine or rifamycins having five-membered rings with two or more ring hetero atoms, at least one of which being nitrogen, e.g. tetrazole
- A61K31/425—Thiazoles
- A61K31/426—1,3-Thiazoles
-
- A—HUMAN NECESSITIES
- A61—MEDICAL OR VETERINARY SCIENCE; HYGIENE
- A61K—PREPARATIONS FOR MEDICAL, DENTAL OR TOILETRY PURPOSES
- A61K31/00—Medicinal preparations containing organic active ingredients
- A61K31/33—Heterocyclic compounds
- A61K31/395—Heterocyclic compounds having nitrogen as a ring hetero atom, e.g. guanethidine or rifamycins
- A61K31/435—Heterocyclic compounds having nitrogen as a ring hetero atom, e.g. guanethidine or rifamycins having six-membered rings with one nitrogen as the only ring hetero atom
- A61K31/47—Quinolines; Isoquinolines
- A61K31/4738—Quinolines; Isoquinolines ortho- or peri-condensed with heterocyclic ring systems
- A61K31/4745—Quinolines; Isoquinolines ortho- or peri-condensed with heterocyclic ring systems condensed with ring systems having nitrogen as a ring hetero atom, e.g. phenantrolines
-
- A—HUMAN NECESSITIES
- A61—MEDICAL OR VETERINARY SCIENCE; HYGIENE
- A61K—PREPARATIONS FOR MEDICAL, DENTAL OR TOILETRY PURPOSES
- A61K31/00—Medicinal preparations containing organic active ingredients
- A61K31/33—Heterocyclic compounds
- A61K31/395—Heterocyclic compounds having nitrogen as a ring hetero atom, e.g. guanethidine or rifamycins
- A61K31/435—Heterocyclic compounds having nitrogen as a ring hetero atom, e.g. guanethidine or rifamycins having six-membered rings with one nitrogen as the only ring hetero atom
- A61K31/47—Quinolines; Isoquinolines
- A61K31/475—Quinolines; Isoquinolines having an indole ring, e.g. yohimbine, reserpine, strychnine, vinblastine
-
- A—HUMAN NECESSITIES
- A61—MEDICAL OR VETERINARY SCIENCE; HYGIENE
- A61K—PREPARATIONS FOR MEDICAL, DENTAL OR TOILETRY PURPOSES
- A61K47/00—Medicinal preparations characterised by the non-active ingredients used, e.g. carriers or inert additives; Targeting or modifying agents chemically bound to the active ingredient
- A61K47/50—Medicinal preparations characterised by the non-active ingredients used, e.g. carriers or inert additives; Targeting or modifying agents chemically bound to the active ingredient the non-active ingredient being chemically bound to the active ingredient, e.g. polymer-drug conjugates
- A61K47/51—Medicinal preparations characterised by the non-active ingredients used, e.g. carriers or inert additives; Targeting or modifying agents chemically bound to the active ingredient the non-active ingredient being chemically bound to the active ingredient, e.g. polymer-drug conjugates the non-active ingredient being a modifying agent
- A61K47/54—Medicinal preparations characterised by the non-active ingredients used, e.g. carriers or inert additives; Targeting or modifying agents chemically bound to the active ingredient the non-active ingredient being chemically bound to the active ingredient, e.g. polymer-drug conjugates the non-active ingredient being a modifying agent the modifying agent being an organic compound
-
- A—HUMAN NECESSITIES
- A61—MEDICAL OR VETERINARY SCIENCE; HYGIENE
- A61K—PREPARATIONS FOR MEDICAL, DENTAL OR TOILETRY PURPOSES
- A61K47/00—Medicinal preparations characterised by the non-active ingredients used, e.g. carriers or inert additives; Targeting or modifying agents chemically bound to the active ingredient
- A61K47/50—Medicinal preparations characterised by the non-active ingredients used, e.g. carriers or inert additives; Targeting or modifying agents chemically bound to the active ingredient the non-active ingredient being chemically bound to the active ingredient, e.g. polymer-drug conjugates
- A61K47/51—Medicinal preparations characterised by the non-active ingredients used, e.g. carriers or inert additives; Targeting or modifying agents chemically bound to the active ingredient the non-active ingredient being chemically bound to the active ingredient, e.g. polymer-drug conjugates the non-active ingredient being a modifying agent
- A61K47/54—Medicinal preparations characterised by the non-active ingredients used, e.g. carriers or inert additives; Targeting or modifying agents chemically bound to the active ingredient the non-active ingredient being chemically bound to the active ingredient, e.g. polymer-drug conjugates the non-active ingredient being a modifying agent the modifying agent being an organic compound
- A61K47/542—Carboxylic acids, e.g. a fatty acid or an amino acid
-
- A—HUMAN NECESSITIES
- A61—MEDICAL OR VETERINARY SCIENCE; HYGIENE
- A61K—PREPARATIONS FOR MEDICAL, DENTAL OR TOILETRY PURPOSES
- A61K47/00—Medicinal preparations characterised by the non-active ingredients used, e.g. carriers or inert additives; Targeting or modifying agents chemically bound to the active ingredient
- A61K47/50—Medicinal preparations characterised by the non-active ingredients used, e.g. carriers or inert additives; Targeting or modifying agents chemically bound to the active ingredient the non-active ingredient being chemically bound to the active ingredient, e.g. polymer-drug conjugates
- A61K47/51—Medicinal preparations characterised by the non-active ingredients used, e.g. carriers or inert additives; Targeting or modifying agents chemically bound to the active ingredient the non-active ingredient being chemically bound to the active ingredient, e.g. polymer-drug conjugates the non-active ingredient being a modifying agent
- A61K47/54—Medicinal preparations characterised by the non-active ingredients used, e.g. carriers or inert additives; Targeting or modifying agents chemically bound to the active ingredient the non-active ingredient being chemically bound to the active ingredient, e.g. polymer-drug conjugates the non-active ingredient being a modifying agent the modifying agent being an organic compound
- A61K47/547—Chelates, e.g. Gd-DOTA or Zinc-amino acid chelates; Chelate-forming compounds, e.g. DOTA or ethylenediamine being covalently linked or complexed to the pharmacologically- or therapeutically-active agent
-
- A—HUMAN NECESSITIES
- A61—MEDICAL OR VETERINARY SCIENCE; HYGIENE
- A61K—PREPARATIONS FOR MEDICAL, DENTAL OR TOILETRY PURPOSES
- A61K47/00—Medicinal preparations characterised by the non-active ingredients used, e.g. carriers or inert additives; Targeting or modifying agents chemically bound to the active ingredient
- A61K47/50—Medicinal preparations characterised by the non-active ingredients used, e.g. carriers or inert additives; Targeting or modifying agents chemically bound to the active ingredient the non-active ingredient being chemically bound to the active ingredient, e.g. polymer-drug conjugates
- A61K47/51—Medicinal preparations characterised by the non-active ingredients used, e.g. carriers or inert additives; Targeting or modifying agents chemically bound to the active ingredient the non-active ingredient being chemically bound to the active ingredient, e.g. polymer-drug conjugates the non-active ingredient being a modifying agent
- A61K47/54—Medicinal preparations characterised by the non-active ingredients used, e.g. carriers or inert additives; Targeting or modifying agents chemically bound to the active ingredient the non-active ingredient being chemically bound to the active ingredient, e.g. polymer-drug conjugates the non-active ingredient being a modifying agent the modifying agent being an organic compound
- A61K47/548—Phosphates or phosphonates, e.g. bone-seeking
-
- A—HUMAN NECESSITIES
- A61—MEDICAL OR VETERINARY SCIENCE; HYGIENE
- A61K—PREPARATIONS FOR MEDICAL, DENTAL OR TOILETRY PURPOSES
- A61K47/00—Medicinal preparations characterised by the non-active ingredients used, e.g. carriers or inert additives; Targeting or modifying agents chemically bound to the active ingredient
- A61K47/50—Medicinal preparations characterised by the non-active ingredients used, e.g. carriers or inert additives; Targeting or modifying agents chemically bound to the active ingredient the non-active ingredient being chemically bound to the active ingredient, e.g. polymer-drug conjugates
- A61K47/51—Medicinal preparations characterised by the non-active ingredients used, e.g. carriers or inert additives; Targeting or modifying agents chemically bound to the active ingredient the non-active ingredient being chemically bound to the active ingredient, e.g. polymer-drug conjugates the non-active ingredient being a modifying agent
- A61K47/62—Medicinal preparations characterised by the non-active ingredients used, e.g. carriers or inert additives; Targeting or modifying agents chemically bound to the active ingredient the non-active ingredient being chemically bound to the active ingredient, e.g. polymer-drug conjugates the non-active ingredient being a modifying agent the modifying agent being a protein, peptide or polyamino acid
- A61K47/64—Drug-peptide, drug-protein or drug-polyamino acid conjugates, i.e. the modifying agent being a peptide, protein or polyamino acid which is covalently bonded or complexed to a therapeutically active agent
-
- A—HUMAN NECESSITIES
- A61—MEDICAL OR VETERINARY SCIENCE; HYGIENE
- A61K—PREPARATIONS FOR MEDICAL, DENTAL OR TOILETRY PURPOSES
- A61K49/00—Preparations for testing in vivo
- A61K49/001—Preparation for luminescence or biological staining
- A61K49/0013—Luminescence
- A61K49/0017—Fluorescence in vivo
- A61K49/0019—Fluorescence in vivo characterised by the fluorescent group, e.g. oligomeric, polymeric or dendritic molecules
- A61K49/0021—Fluorescence in vivo characterised by the fluorescent group, e.g. oligomeric, polymeric or dendritic molecules the fluorescent group being a small organic molecule
- A61K49/0041—Xanthene dyes, used in vivo, e.g. administered to a mice, e.g. rhodamines, rose Bengal
-
- A—HUMAN NECESSITIES
- A61—MEDICAL OR VETERINARY SCIENCE; HYGIENE
- A61K—PREPARATIONS FOR MEDICAL, DENTAL OR TOILETRY PURPOSES
- A61K49/00—Preparations for testing in vivo
- A61K49/001—Preparation for luminescence or biological staining
- A61K49/0013—Luminescence
- A61K49/0017—Fluorescence in vivo
- A61K49/0019—Fluorescence in vivo characterised by the fluorescent group, e.g. oligomeric, polymeric or dendritic molecules
- A61K49/0021—Fluorescence in vivo characterised by the fluorescent group, e.g. oligomeric, polymeric or dendritic molecules the fluorescent group being a small organic molecule
- A61K49/0041—Xanthene dyes, used in vivo, e.g. administered to a mice, e.g. rhodamines, rose Bengal
- A61K49/0043—Fluorescein, used in vivo
-
- A—HUMAN NECESSITIES
- A61—MEDICAL OR VETERINARY SCIENCE; HYGIENE
- A61K—PREPARATIONS FOR MEDICAL, DENTAL OR TOILETRY PURPOSES
- A61K49/00—Preparations for testing in vivo
- A61K49/001—Preparation for luminescence or biological staining
- A61K49/0013—Luminescence
- A61K49/0017—Fluorescence in vivo
- A61K49/005—Fluorescence in vivo characterised by the carrier molecule carrying the fluorescent agent
- A61K49/0052—Small organic molecules
-
- A—HUMAN NECESSITIES
- A61—MEDICAL OR VETERINARY SCIENCE; HYGIENE
- A61K—PREPARATIONS FOR MEDICAL, DENTAL OR TOILETRY PURPOSES
- A61K49/00—Preparations for testing in vivo
- A61K49/001—Preparation for luminescence or biological staining
- A61K49/0013—Luminescence
- A61K49/0017—Fluorescence in vivo
- A61K49/005—Fluorescence in vivo characterised by the carrier molecule carrying the fluorescent agent
- A61K49/0056—Peptides, proteins, polyamino acids
-
- A—HUMAN NECESSITIES
- A61—MEDICAL OR VETERINARY SCIENCE; HYGIENE
- A61K—PREPARATIONS FOR MEDICAL, DENTAL OR TOILETRY PURPOSES
- A61K51/00—Preparations containing radioactive substances for use in therapy or testing in vivo
- A61K51/02—Preparations containing radioactive substances for use in therapy or testing in vivo characterised by the carrier, i.e. characterised by the agent or material covalently linked or complexing the radioactive nucleus
- A61K51/04—Organic compounds
-
- A—HUMAN NECESSITIES
- A61—MEDICAL OR VETERINARY SCIENCE; HYGIENE
- A61K—PREPARATIONS FOR MEDICAL, DENTAL OR TOILETRY PURPOSES
- A61K51/00—Preparations containing radioactive substances for use in therapy or testing in vivo
- A61K51/02—Preparations containing radioactive substances for use in therapy or testing in vivo characterised by the carrier, i.e. characterised by the agent or material covalently linked or complexing the radioactive nucleus
- A61K51/04—Organic compounds
- A61K51/0402—Organic compounds carboxylic acid carriers, fatty acids
-
- A—HUMAN NECESSITIES
- A61—MEDICAL OR VETERINARY SCIENCE; HYGIENE
- A61K—PREPARATIONS FOR MEDICAL, DENTAL OR TOILETRY PURPOSES
- A61K51/00—Preparations containing radioactive substances for use in therapy or testing in vivo
- A61K51/02—Preparations containing radioactive substances for use in therapy or testing in vivo characterised by the carrier, i.e. characterised by the agent or material covalently linked or complexing the radioactive nucleus
- A61K51/04—Organic compounds
- A61K51/0489—Phosphates or phosphonates, e.g. bone-seeking phosphonates
-
- A—HUMAN NECESSITIES
- A61—MEDICAL OR VETERINARY SCIENCE; HYGIENE
- A61K—PREPARATIONS FOR MEDICAL, DENTAL OR TOILETRY PURPOSES
- A61K51/00—Preparations containing radioactive substances for use in therapy or testing in vivo
- A61K51/02—Preparations containing radioactive substances for use in therapy or testing in vivo characterised by the carrier, i.e. characterised by the agent or material covalently linked or complexing the radioactive nucleus
- A61K51/04—Organic compounds
- A61K51/08—Peptides, e.g. proteins, carriers being peptides, polyamino acids, proteins
- A61K51/088—Peptides, e.g. proteins, carriers being peptides, polyamino acids, proteins conjugates with carriers being peptides, polyamino acids or proteins
-
- A—HUMAN NECESSITIES
- A61—MEDICAL OR VETERINARY SCIENCE; HYGIENE
- A61P—SPECIFIC THERAPEUTIC ACTIVITY OF CHEMICAL COMPOUNDS OR MEDICINAL PREPARATIONS
- A61P13/00—Drugs for disorders of the urinary system
- A61P13/08—Drugs for disorders of the urinary system of the prostate
-
- A—HUMAN NECESSITIES
- A61—MEDICAL OR VETERINARY SCIENCE; HYGIENE
- A61P—SPECIFIC THERAPEUTIC ACTIVITY OF CHEMICAL COMPOUNDS OR MEDICINAL PREPARATIONS
- A61P25/00—Drugs for disorders of the nervous system
- A61P25/28—Drugs for disorders of the nervous system for treating neurodegenerative disorders of the central nervous system, e.g. nootropic agents, cognition enhancers, drugs for treating Alzheimer's disease or other forms of dementia
-
- A—HUMAN NECESSITIES
- A61—MEDICAL OR VETERINARY SCIENCE; HYGIENE
- A61P—SPECIFIC THERAPEUTIC ACTIVITY OF CHEMICAL COMPOUNDS OR MEDICINAL PREPARATIONS
- A61P35/00—Antineoplastic agents
-
- A—HUMAN NECESSITIES
- A61—MEDICAL OR VETERINARY SCIENCE; HYGIENE
- A61P—SPECIFIC THERAPEUTIC ACTIVITY OF CHEMICAL COMPOUNDS OR MEDICINAL PREPARATIONS
- A61P43/00—Drugs for specific purposes, not provided for in groups A61P1/00-A61P41/00
-
- C—CHEMISTRY; METALLURGY
- C07—ORGANIC CHEMISTRY
- C07C—ACYCLIC OR CARBOCYCLIC COMPOUNDS
- C07C323/00—Thiols, sulfides, hydropolysulfides or polysulfides substituted by halogen, oxygen or nitrogen atoms, or by sulfur atoms not being part of thio groups
- C07C323/50—Thiols, sulfides, hydropolysulfides or polysulfides substituted by halogen, oxygen or nitrogen atoms, or by sulfur atoms not being part of thio groups containing thio groups and carboxyl groups bound to the same carbon skeleton
- C07C323/51—Thiols, sulfides, hydropolysulfides or polysulfides substituted by halogen, oxygen or nitrogen atoms, or by sulfur atoms not being part of thio groups containing thio groups and carboxyl groups bound to the same carbon skeleton having the sulfur atoms of the thio groups bound to acyclic carbon atoms of the carbon skeleton
- C07C323/52—Thiols, sulfides, hydropolysulfides or polysulfides substituted by halogen, oxygen or nitrogen atoms, or by sulfur atoms not being part of thio groups containing thio groups and carboxyl groups bound to the same carbon skeleton having the sulfur atoms of the thio groups bound to acyclic carbon atoms of the carbon skeleton the carbon skeleton being acyclic and saturated
-
- C—CHEMISTRY; METALLURGY
- C07—ORGANIC CHEMISTRY
- C07D—HETEROCYCLIC COMPOUNDS
- C07D207/00—Heterocyclic compounds containing five-membered rings not condensed with other rings, with one nitrogen atom as the only ring hetero atom
- C07D207/02—Heterocyclic compounds containing five-membered rings not condensed with other rings, with one nitrogen atom as the only ring hetero atom with only hydrogen or carbon atoms directly attached to the ring nitrogen atom
- C07D207/30—Heterocyclic compounds containing five-membered rings not condensed with other rings, with one nitrogen atom as the only ring hetero atom with only hydrogen or carbon atoms directly attached to the ring nitrogen atom having two double bonds between ring members or between ring members and non-ring members
- C07D207/34—Heterocyclic compounds containing five-membered rings not condensed with other rings, with one nitrogen atom as the only ring hetero atom with only hydrogen or carbon atoms directly attached to the ring nitrogen atom having two double bonds between ring members or between ring members and non-ring members with hetero atoms or with carbon atoms having three bonds to hetero atoms with at the most one bond to halogen, e.g. ester or nitrile radicals, directly attached to ring carbon atoms
- C07D207/36—Oxygen or sulfur atoms
- C07D207/40—2,5-Pyrrolidine-diones
- C07D207/416—2,5-Pyrrolidine-diones with hetero atoms or with carbon atoms having three bonds to hetero atoms with at the most one bond to halogen, e.g. ester or nitrile radicals, directly attached to other ring carbon atoms
-
- C—CHEMISTRY; METALLURGY
- C07—ORGANIC CHEMISTRY
- C07K—PEPTIDES
- C07K5/00—Peptides containing up to four amino acids in a fully defined sequence; Derivatives thereof
- C07K5/04—Peptides containing up to four amino acids in a fully defined sequence; Derivatives thereof containing only normal peptide links
- C07K5/08—Tripeptides
Definitions
- the invention described herein pertains to compounds and methods for treating diseases of the prostate, such as prostate cancer and related diseases. More specifically, embodiments of the invention described herein pertain to conjugates of biologically active agents conjugated to PSMA binding ligands.
- the prostate is one of the male reproductive organs found in the pelvis below the urinary bladder. It functions to produce and store seminal fluid which provides nutrients and fluids that are vital for the survival of sperm introduced into the vagina during reproduction. Like many other tissues, the prostate glands are also prone to develop either malignant (cancerous) or benign (non-cancerous) tumors.
- the American Cancer Society predicted that over 230,000 men would be diagnosed with prostrate cancer and over 30,000 men would die from the disease in year 2005. In fact, prostate cancer is one of the most common male cancers in western societies, and is the second leading form of malignancy among American men.
- Current treatment methods for prostrate cancer include hormonal therapy, radiation therapy, surgery, chemotherapy, photodynamic therapy, and combination therapy.
- PSMA prostate specific membrane antigen
- PSMA is named largely due to its higher level of expression on prostate cancer cells; however, its particular function on prostate cancer cells remains unresolved.
- PSMA is over-expressed in the malignant prostate tissues when compared to other organs in the human body such as kidney, proximal small intestine, and salivary glands. Though PSMA is expressed in brain, that expression is minimal, and most ligands of PSMA are polar and are not capable of penetrating the blood brain barrier.
- PSMA is a type II cell surface membrane-bound glycoprotein with ⁇ 110 kD molecular weight, including an intracellular segment (amino acids 1-18), a transmembrane domain (amino acids 19-43), and an extensive extracellular domain (amino acids 44-750).
- PSMA plays a role in central nervous system, where it metabolizes N-acetyl-aspartyl glutamate (NAAG) into glutamic and N-acetyl aspartic acid. Accordingly, it is also sometimes referred to as an N-acetyl alpha linked acidic dipeptidase (NAALADase).
- NAAG N-acetyl-aspartyl glutamate
- NAALADase N-acetyl alpha linked acidic dipeptidase
- PSMA is also sometimes referred to as a folate hydrolase I (FOLH I) or glutamate carboxypeptidase (GCP II) due to its role in the proximal small intestine where it removes ⁇ -linked glutamate from poly- ⁇ -glutamated folate and ⁇ -linked glutamate from peptides and small molecules.
- FOLH I folate hydrolase I
- GCP II glutamate carboxypeptidase
- PSMA also shares similarities with human transferrin receptor (TfR), because both PSMA and TfR are type II glycoproteins. More specifically, PSMA shows 54% and 60% homology to TfR1 and TfR2, respectively. However, though TfR exists only in dimeric form due to the formation of inter-strand sulfhydryl linkages, PSMA can exist in either dimeric or monomeric form.
- TfR human transferrin receptor
- PSMA undergoes rapid internalization into the cell in a similar fashion to cell surface bound receptors like vitamin receptors. PSMA is internalized through clathrin-coated pits and subsequently can either recycle to the cell surface or go to lysosomes. It has been suggested that the dimer and monomer form of PSMA are inter-convertible, though direct evidence of the interconversion is being debated. Even so, only the dimer of PSMA possesses enzymatic activity, and the monomer does not.
- PSMA represents a viable target for the selective and/or specific delivery of biologically active agents, including diagnostic agents, imaging agents, and therapeutic agents to such prostate cells.
- PSMA prostate specific membrane antigen
- linker may be useful in the imaging, diagnosis, and/or treatment of prostate cancer, and related diseases that involve pathogenic cell populations expressing or over-expressing PSMA.
- PSMA is a cell surface protein that is internalized in a process analogous to endocytosis observed with cell surface receptors, such as vitamin receptors. Accordingly, it has been discovered that certain conjugates that include a linker having a predetermined length, and/or a predetermined diameter, and/or preselected functional groups along its length may be used to treat, image, and/or diagnose such diseases.
- B is a prostate specific membrane antigen (PSMA) binding or targeting ligand
- L is a linker
- D is a drug.
- drug D collectively includes therapeutic agents, cytotoxic agents, imaging agents, diagnostic agents, and the like, unless otherwise indicated or by the context.
- the conjugate described herein is used to eliminate a pathogenic population of cells and therefore the drug D is a therapeutic agent, a cytotoxic agent, and the like.
- the conjugate described herein is used to image and/or diagnose a disease or disease state, and therefore the drug D is an imaging agent, a diagnostic agent, and the like.
- Other configurations are also contemplated and described herein. It is to be understood that analogs and derivatives of each of the foregoing B, L. and D are also contemplated and described herein, and that when used herein, the terms B, L, and D collectively refer to such analogs and derivatives.
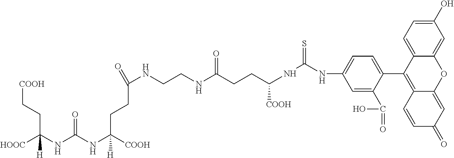
- the linker L may be a releasable or non-releasable linker. In one aspect, the linker L is at least about 7 atoms in length. In one variation, the linker L is at least about 10 atoms in length. In one variation, the linker L is at least about 14 atoms in length. In another variation, the linker L is between about 7 and about 31, between about 7 and about 24, or between about 7 and about 20 atoms in length. In another variation, the linker L is between about 14 and about 31, between about 14 and about 24, or between about 14 and about 20 atoms in length.
- the linker L is at least about 10 angstroms ( ⁇ ) in length. In one variation, the linker L is at least about 15 ⁇ in length. In another variation, the linker L is at least about 20 ⁇ in length. In another variation, the linker L is in the range from about 10 ⁇ to about 30 ⁇ in length.
- At least a portion of the length of the linker L is about 5 ⁇ in diameter or less at the end connected to the binding ligand B. In one variation, at least a portion of the length of the linker L is about 4 ⁇ or less, or about 3 ⁇ or less in diameter at the end connected to the binding ligand B. It is appreciated that the illustrative embodiments that include a diameter requirement of about 5 ⁇ or less, about 4 ⁇ or less, or about 3 ⁇ or less may include that requirement for a predetermined length of the linker, thereby defining a cylindrical-like portion of the linker.
- the linker includes a cylindrical portion at the end connected to the binding ligand that is at least about 7 ⁇ in length and about 5 ⁇ or less, about 4 ⁇ or less, or about 3 ⁇ or less in diameter.
- the linker L includes one or more hydrophilic linkers capable of interacting with one or more residues of PSMA, including amino acids that have hydrophobic side chains, such as Ser, Thr, Cys, Arg, Orn, Lys, Asp, Glu, Gn, and like residues.
- the linker L includes one or more hydrophobic linkers capable of interacting with one or more residues of PSMA, including amino acids that have hydrophilic side chains, such as Val, Leu, Ile, Phe, Tyr, Met, and like residues. It is to be understood that the foregoing embodiments and aspects may be included in the linker L either alone or in combination with each other.
- linkers L that are at least about 7 atoms in length and about 5 ⁇ , about 4 ⁇ or less, or about 3 ⁇ or less in diameter or less are contemplated and described herein, and also include one or more hydrophilic linkers capable of interacting with one or more residues of PSMA, including Val, Leu, Ile, Phe. Tyr, Met, and like residues are contemplated and described herein.
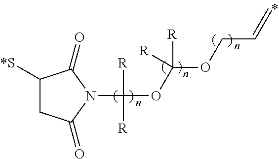
- one end of the linker is not branched and comprises a chain of carbon, oxygen, nitrogen, and sulfur atoms.
- the linear chain of carbon, oxygen, nitrogen, and sulfur atoms is at least 5 atoms in length.
- the linear chain is at least 7 atoms, or at least 10 atoms in length.
- the chain of carbon, oxygen, nitrogen, and sulfur atoms are not substituted.
- a portion of the chain of carbon, oxygen, nitrogen, and sulfur atoms is cyclized with a divalent fragment.
- a linker (L) comprising the dipeptide Phe-Phe may include a piperazin-1,4-diyl structure by cyclizing two nitrogens with an ethylene fragment, or substituted variation thereof.
- compositions are described herein, where the pharmaceutical composition includes the conjugates described herein in amounts effective to treat diseases and disease states, diagnose diseases or disease states, and/or image tissues and/or cells that are associated with pathogenic populations of cells expressing or over expressing PSMA.
- the pharmaceutical compositions also include one or more carriers, diluents, and/or excipients.
- methods for treating diseases and disease states, diagnosing diseases or disease states, and/or imaging tissues and/or cells that are associated with pathogenic populations of cells expressing or over expressing PSMA are described herein. Such methods include the step of administering the conjugates described herein, and/or pharmaceutical compositions containing the conjugates described herein, in amounts effective to treat diseases and disease states, diagnose diseases or disease states, and/or image tissues and/or cells that are associated with pathogenic populations of cells expressing or over expressing PSMA.
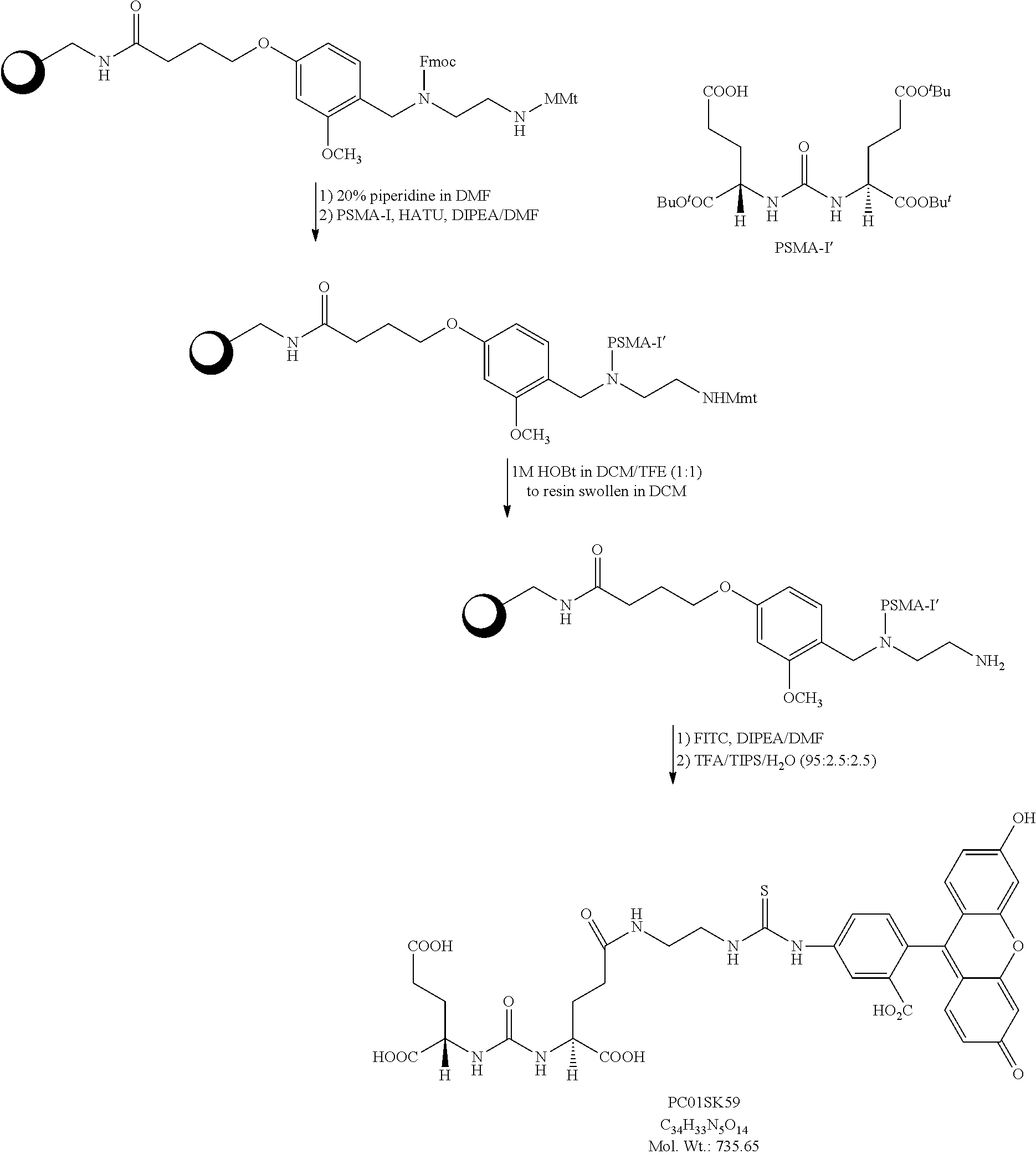
- FIG. 1B In Vitro Binding Studies Using LNCaP Cells and SK33 (14 atom linker). LNCaP cells containing increasing concentrations of DUPA- 99m Tc in the presence ( ⁇ ) or absence ( ⁇ ) of excess PMPA
- FIG. 2 Cell bound radioactivity verses concentration of SK28- 99m Tc; at 4° C. ( ⁇ ) and at 37° C. ( ⁇ ).
- FIG. 3B K D values for DUPA-Linker- 99m Tc compounds binding to LNCaP cells.
- FIG. 4 Plot of days post injection verses tumor volume for LNCaP tumors: (a) 2.5 million+Matrigel; (b) 2.5 million+HC Matrigel; (c) 5 million+Matrigel; (d) 5 million+HC Matrigel.
- FIG. 5A Plot of days post injection verses tumor volume for LNCaP tumors (27 mice) and (b) KB cells (5 mice) and A549 cells (5 mice).
- FIG. 5B Plot of days post injection versus tumor volume for KB cells (5 mice) and A549 cells (5 mice).
- FIG. 6A Mice (Set 1) previously injected with LNCaP tumors, treated with 1 ng/kg SK28- 99m Tc (14-atom linker), the left hand image shows white light images and image shows an overlay of the radioimage with the white light image.
- the right mouse was treated with 50 mg/kg PMPA (to block PSMA binding) and the left mouse was treated without added PMPA.
- FIG. 6B Mice (Set 2) previously injected with LNCaP tumors, treated with 1 ng/kg SK28- 99m Tc (14-atom linker), the left hand image shows white light images and image shows an overlay of the radioimage with the white light image.
- the right mouse was treated with 50 mg/kg PMPA (to block PSMA binding) and the left mouse was treated without added PMPA.
- FIG. 6C Mice (Set 3) previously injected with LNCaP tumors, treated with 1 ng/kg SK28- 99m Tc (14-atom linker), the left hand image shows white light images and image shows an overlay of the radioimage with the white light image.
- the right mouse was treated with 50 mg/kg PMPA (to block PSMA binding) and the left mouse was treated without added PMPA.
- FIG. 6D Shows a single mouse study for LNCaP tumors imaged using Kodak imager 4 hours after subcutaneous (administered through intraperitoneal) injection of 1 ng/kg SK28- 99m Tc showing in the left hand image an overlay of radioimage with kidney shield and white light image with no shield and in the right hand image an overlay of radioimage with kidney shield and X-ray image with no shield.
- FIG. 7A Mice previously injected with LNCaP tumors treated using SK60- 99m Tc (zero atom linker).
- the left image shows white light images
- the center image shows overlay of radioimage with white light image
- the right image shows overlay of radioimage with white light image by shielding the kidney of mice.
- FIG. 7B Mice previously injected with KB cells treated using SK28- 99m Tc (14 atom linker).
- the left image shows white light images
- the center image shows overlay of radioimage with white light image
- the right image shows overlay of radioimage with white light image by shielding the kidney of mice.
- FIG. 7C Mice previously injected with A549 cells treated using SK28- 99m Tc (14 atom linker).
- the left image shows white light images
- the center image shows overlay of radioimage with white light image
- the right image shows overlay of radioimage with white light image by shielding the kidney of mice.
- FIG. 7D Whole body images of solid tumor xenografts in nu/nu mice taken 4 h after injection of 150 ⁇ Ci DUPA- 99m Tc. Overlay of whole-body radioimages on white light images of mice bearing LNCaP tumors that were treated with DUPA- 99m Tc in the absence (a, c) or presence (b, d) of 100-fold molar excess PMPA. Overlay of radioimages on white light images of mice bearing an A549 tumor (e) or a KB tumor (f) that were similarly treated with DUPA- 99m Tc.
- FIG. 8A Bio-distribution data as measured for direct cpm count verses tissue for SK28- 99m Tc with or without PMPA (as a competitor) on LNCaP, (a) without, (b) with; (c) A549; and (d) KB tumors implanted on axial of male nude mice.
- FIG. 8B Bio-distribution data just for tumor and kidney for SK28- 99m Tc with (b) or without (a) PMPA (as a competitor) on LNCaP tumors implant on axial of male nude mice.
- FIG. 8C Biodistribution studies of DUPA- 99m Tc in nu/nu mice bearing LNCaP, A549, or KB tumors.
- FIG. 9A Acute MTD (single dose) showing percentage weight change after a single dose of SK71; saline alone, 1.1 ⁇ mol/kg, 2.3 ⁇ mol/kg, 4.5 ⁇ mol/kg, and 9 ⁇ mol/kg.
- FIG. 9B Chronic MTD showing percentage weight change after 5 doses given on alternate days (M, W, F, M, W); saline alone, 2 ⁇ mol/kg and 4 ⁇ mol/kg.
- FIG. 10A Efficacy study showing tumor volume in animals treated with the conjugate SK71 administered in 5 doses on alternate days (M, W, F, M, W) at 1 ⁇ mol/kg.
- FIG. 10B Efficacy study (control group) showing tumor volume in animals treated with saline alone administered in 5 doses on alternate days (M, W, F, M, W).
- FIG. 10C Efficacy study (competition) showing tumor volume in animals treated with excess PSMA and the conjugate SK71 administered in 5 doses on alternate days (M, W, F, M, W) at 1 ⁇ mol/kg.
- FIG. 11 Efficacy Study (1 micromole/kg every other day for 10 days; i.e. 5 doses).
- FIG. 12A [ 3 H]-Thymidine incorporation of LNCaP cells after treatment with SK71 (IC 50 ⁇ 2 nM).
- FIG. 12B [ 3 H]-Thymidine incorporation of LNCaP cells after treatment with SK77 (IC 50 ⁇ 3 nM).
- FIG. 12C [ 3 H]-Thymidine incorporation of LNCaP cells after treatment with SK37 (IC 50 ⁇ 33 nM).
- FIG. 12D [ 3 H]-Thymidine incorporation of LNCaP cells after treatment with SK45 (IC 50 ⁇ 29 nM).
- FIG. 13A The effect of treatment with SK71 (1.5 ⁇ mol/kg) on tumor volume in nu/nu mice previously treated with LNCaP cells in HC Matrigel. Treated mice ( ⁇ ), untreated mice (•), treated mice pre-injected with 100-fold molar excess of PMPA ( ⁇ ).
- FIG. 13B The effect of treatment with SK71 (1.5 ⁇ mol kg) on percentage weight change in nu/nu mice previously treated with LNCaP cells in HC Matrigel. Treated mice ( ⁇ ), untreated mice (•), treated mice pre-injected with 100-fold molar excess of PMPA ( ⁇ ).
- FIG. 13C The effect of treatment with SK71 (2.0 ⁇ mol/kg) on tumor volume in nu/nu mice previously treated with LNCaP cells in HC Matrigel. Treated mice ( ⁇ ), untreated mice (•), treated mice pre-injected with 30-fold molar excess of PMPA ( ⁇ ).
- FIG. 13D The effect of treatment with SK71 (2.0 ⁇ mol/kg) on percentage weight change in nu/nu mice previously treated with LNCaP cells in HC Matrigel. Treated mice ( ⁇ ), untreated mice (•), treated mice pre-injected with 30-fold molar excess of PMPA ( ).
- FIG. 14A The effect of treatment with SK77 (2.0 ⁇ mol/kg) on tumor volume in nu/nu mice previously treated with LNCaP cells in HC Matrigel. Untreated mice ( ⁇ ), treated mice ( ⁇ ).
- FIG. 14B The effect of treatment with SK77 (2.0 ⁇ mol/kg) on percentage weight change in nu/nu mice previously treated with LNCaP cells in HC Matrigel. Untreated mice ( ⁇ ), treated mice ( ⁇ ).
- FIG. 15A MUPA 99mTc imaging agent conjugate (9-atom linker) with energy minimized computer model.
- FIG. 15B MUPA 99mTc imaging agent conjugate (syn-SK33, 14-atom linker) with energy minimized computer model.
- Drug delivery conjugates are described herein where a PSMA binding ligand is attached to a releasable or non-releasable linker which is attached to a drug, therapeutic agent, diagnostic agent, or imaging agent.
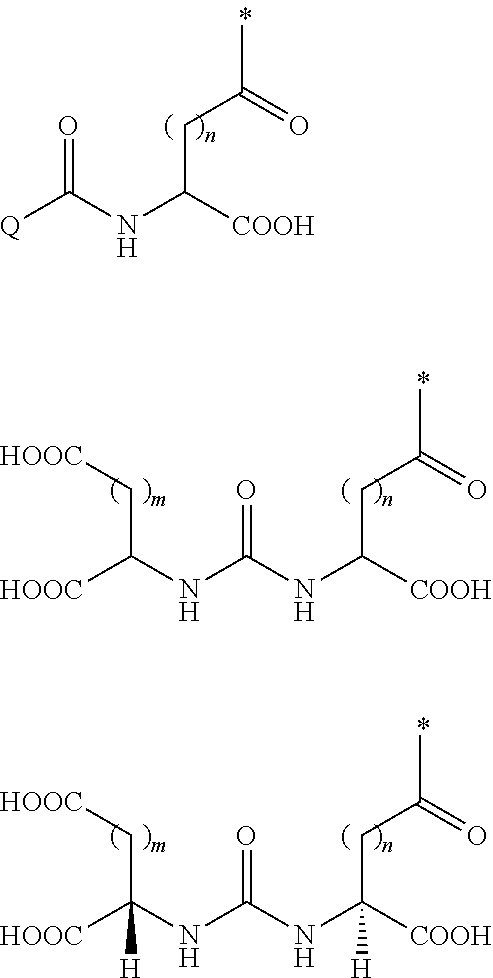
- bivalent linkers described herein may be included in linkers used to prepare PSMA-binding drug conjugates, PSMA-binding imaging agent conjugates, and PSMA-binding diagnostic agent conjugates of the following formulae:
- B is a PSMA-binding moiety, including analogs or derivatives thereof.
- L is a linker
- TA is a therapeutic agent, including analogs or derivatives thereof
- IA is an imaging agent, including analogs or derivatives thereof
- DA is a diagnostic agent, including analogs or derivatives thereof.
- the linker L can comprise multiple bivalent linkers, including the bivalent linkers described herein. It is also to be understood that as used herein, TA collectively refers to therapeutic agents, and analogs and derivatives thereof. IA collectively refers to imaging agents, and analogs and derivatives thereof, and DA collectively refers to diagnostic agents, and analogs and derivatives thereof.
- the linker may also include one or more spacer linkers and optionally additional releasable linkers.
- the spacer and releasable linkers may be attached to each other in any order or combination.
- the PSMA binding ligand may be attached to a spacer linker or to a releasable linker.
- the drug, therapeutic agent, diagnostic agent, or imaging agent may be attached to a spacer linker or to a releasable linker.
- Each of these components of the conjugates may be connected through existing or additional heteroatoms on the targeting ligand, drug, therapeutic agent, diagnostic agent, imaging agent, releasable or spacer linker.
- Illustrative heteroatoms include nitrogen, oxygen, sulfur, and the formulae —(NHR 1 NHR 2 )—, —SO—, —(SO 2 )—, and —N(R 3 )O—, wherein R 1 , R 2 , and R 3 are each independently selected from hydrogen, alkyl, heteroalkyl, heterocyclyl, aryl, heteroaryl, arylalkyl, heteroarylalkyl, and the like, each of which may be optionally substituted.
- compounds are described herein that include linkers having predetermined length and diameter dimensions.
- linkers are described herein that satisfy one or more minimum length requirements, or a length requirement falling within a predetermined range.
- satisfaction of a minimum length requirement may be understood to be determined by computer modeling of the extended conformations of linkers.
- satisfaction of a minimum length requirement may be understood to be determined by having a certain number of atoms, whether or not substituted, forming a backbone chain of atoms connecting the binding ligand (B) with the drug (D).
- the backbone chain of atoms is cyclized with another divalent fragment.
- linkers are described herein that satisfy one or more maximum or minimum diameter requirements.
- satisfaction of a maximum or minimum diameter requirement may be understood to be determined by computer modeling of various conformations of linkers modeled as the space-filling, CPK, or like configurations.
- satisfaction of a maximum or minimum diameter requirement may be understood to be apply to one or more selected portions of the linker, for example the portion of the linker proximal to the binding ligand (B), or the portion of the linker proximal to the drug (D), and the like.
- linkers are described herein that satisfy one or more chemical composition requirements, such as linkers that include one or more polar groups that may positively interact with the one or more Arg or Lys side-chain nitrogens and/or Asp or Glu side chain oxygens found in the funnel portion of PSMA.
- linkers are described herein that satisfy one or more chemical composition requirements, such as linkers that include one or more non-polar groups that may positively interact with the one or more Tyr or Phe side-chain carbons found in the funnel portion of PSMA.
- the atom-length of the linker is defined by the number of atoms separating the binding or targeting ligand B, or analog or derivative thereof, and the drug D, or analog or derivative thereof. Accordingly, in configurations where the binding ligand B, or analog or derivative thereof, is attached directly to the drug D, or analog or derivative thereof, the attachment is also termed herein as a “0-atom” linker. It is understood that such 0-atom linkers include the configuration wherein B and D are directly attached by removing a hydrogen atom from each attachment point on B and D, respectively.
- such 0-atom linkers include the configuration wherein B and D are attached through an overlapping heteroatom by removing a hydrogen atom from one of B or D, and a heteroatom functional group, such as OH, SH, NH 2 , and the like from the other of B or D. It is also understood that such 0-atom linkers include the configuration wherein B and D are attached through a double bond, which may be formed by removing two hydrogen atoms from each attachment point on B and D, respectively, or whereby B and D are attached through one or more overlapping heteroatoms by removing two hydrogen atoms, one hydrogen and one heteroatom functional group, or two heteroatom functional groups, such as OH, SH, NH 2 , and the like, from each of B or D.
- B and D may be attached through a double bond formed by removing a double bonded heteroatom functional group, such as O, S, NH, and the like, from one or both of B or D.
- heteroatom functional groups include those attached to saturated carbon atoms, unsaturated carbon atoms (including carbonyl groups), and other heteroatoms.
- linkers that are greater than 0 atoms are defined in an analogous manner.
- linkers (L) are described having a chain length of at least 7 atoms. In one variation, linkers (L) are described having a chain length of at least 14 atoms. In another variation, linkers (L) are described having a chain length in the range from about 7 atoms to about 20 atoms. In another variation, linkers (L) are described having a chain length in the range from about 14 atoms to about 24 atoms.
- the length of the linker (L) is defined by measuring the length of an extended conformation of the linker.
- extended conformations may be measured in art-recognized computer modeling programs, such as PC Model 7 (MMX).
- MMX PC Model 7
- linkers are described having a chain length of at least 15 ⁇ , at least 20 ⁇ , or at least 25 ⁇ .
- linkers are described having at least one hydrophobic side chain group, such as an alkyl, cycloalkyl, aryl, arylalkyl, or like group, each of which is optionally substituted.
- the hydrophobic group is included in the linker by incorporating one or more Phe or Tyr groups, including substituted variants thereof, and analogs and derivatives thereof, in the linker chain. It is appreciated that such Phe and/or Tyr side chain groups may form positive pi-pi ( ⁇ - ⁇ ) interactions with Tyr and Phe residues found in the funnel of PSMA.
- the funnel shaped tunnel leading to the catalytic site or active site of PSMA imposes length, shape, and/or chemical composition requirements on the linker portion of conjugates of PSMA binding ligands and therapeutic, diagnostic, and imaging agents that positively and negatively affect the interactions between PSMA and those conjugates.
- length, shape, and/or chemical composition requirements were assessed using molecular modeling.
- the space filling and surface model of the PSMA complex with (s)-2-(4-iodobenzensylphosphonomethyl)-pentanedioic [2-PMPA derivative] PDB ID code 2C6P were generated using PROTEIN EXPLORER.
- the PROTEIN EXPLORER model verified the 20 ⁇ deep funnel, and also showed diameter features at various locations along the funnel that may be used to define linkers having favorable structural features.
- the model showed that close to the active site of PSMA, there are a higher number of hydrophobic residues that may provide additional binding interactions when the corresponding functional groups are included in the linker.
- the model showed the presence of three hydrophobic pockets that may provide additional binding interactions when the corresponding functional groups are included in the linker.
- the following molecular models were created for a conjugate of MUPA and a tripeptide 99m Tc imaging agent connected by a 9-atom linker, as shown in FIG. 15A , and syn-SK33 including a branched 14-atom linker, as shown in FIG. 15B .
- Such models may be used to calculate the length of the linker connecting the binding ligand (B) and the drug (D).
- models may be modified to create extended conformations, and subsequently used to calculate the length of the linker connecting the binding ligand (B) and the drug (D).
- the first human PSMA gene was cloned from LNCaP cells and is reported to be located in chromosome 11p11-12. In addition, there is a PSMA-like gene located at the loci 11q14.3.
- the crystal structure of PSMA has been reported by two different groups at different resolutions, and each shows that the active site contains two zinc atoms, confirming that PSMA is also considered a zinc metalloprotease.
- Davis et al, PNAS, 102:5981-86, (2005) reported the crystal structure at low resolution (3.5 ⁇ ), while Mesters et al, The EMBO Journal, 1-10 (2006) reported the crystal structure at higher resolution (2-2.2 ⁇ ), the disclosures of which are incorporated herein by reference.
- the crystal structures show that PSMA is a homodimer that contains a protease domain, an apical domain, a helical domain and a CPG2 dimerization domain.
- the protease domain of PSMA contains a binuclear zinc site, catalytic residues and a substrate binding region including three arginine residues (also referred to as a substrate binding arginine patch).
- the two zinc ions in the active site are each ligated to an oxygen of phosphate, or to the phosphinate moiety of the inhibitor GPI 18431 for the co-crystal structure.
- PSMA was co-crystallized with both potent inhibitors, weak inhibitors, and glutamate at 2.0, 2.4, and 2.2 ⁇ , respectively.
- the high resolution crystal structure shows a 20 ⁇ deep funnel shaped tunnel leads to the catalytic site or active site of PSMA.
- the funnel is lined with the side chains of a number of Arg and Lys residues, Asp and Glu residues, and Tyr and Phe residues.
- the linker (L) is a chain of atoms selected from C, N, O, S, Si, and P.
- the linker may have a wide variety of lengths, such as in the range from about 7 to about 100.
- the atoms used in forming the linker may be combined in all chemically relevant ways, such as chains of carbon atoms forming alkylene groups, chains of carbon and oxygen atoms forming polyoxyalkylene groups, chains of carbon and nitrogen atoms forming polyamines, and others.
- bonds connecting atoms in the chain may be either saturated or unsaturated, such that for example, alkanes, alkenes, alkynes, cycloalkanes, arylenes, imides, and the like may be divalent radicals that are included in the linker.
- the atoms forming the linker may also be cyclized upon each other to form divalent cyclic radicals in the linker.
- the chain forming the linker may be substituted with a wide variety of groups.
- linkers (L) are described that include at least one releasable linker. In one variation, linkers (L) are described that include at least two releasable linkers. In another variation, linkers (L) are described that include at least one self-immolative linker. In another variation, linkers (L) are described that include at least one releasable linker that is not a disulfide. In another embodiment, linkers (L) are described that do not include a releasable linker.
- linker L is a non-releasable linker. It is appreciated that non-releasable linkers may be used when the drug is advantageously retained by the binding ligand-linker conjugate, such as in imaging, diagnosing, uses of the conjugates described herein.
- linkers L described herein comprise various atoms, chains of atoms, functional groups, and combinations of functional groups.
- the linker L may be referred to by the presence of spacer linkers, releasable linkers, and heteroatoms.
- such references are not to be construed as limiting the definition of the linkers L described herein.
- the linker (L) comprising spacer and/or releasable linkers can be any biocompatible linker.
- the releasable or cleavable linker can be, for example, a linker susceptible to cleavage under the reducing or oxidizing conditions present in or on cells, a pH-sensitive linker that may be an acid-labile or base-labile linker, or a linker that is cleavable by biochemical or metabolic processes, such as an enzyme-labile linker.
- the spacer and/or releasable linker comprises about 1 to about 30 atoms, or about 2 to about 20 atoms.
- Lower molecular weight linkers i.e., those having an approximate molecular weight of about 30 to about 300 are also described.
- Precursors to such linkers may be selected to have either nucleophilic or electrophilic functional groups, or both, optionally in a protected form with a readily cleavable protecting group to facilitate their use in synthesis of the intermediate species.
- releasable linker refers to a linker that includes at least one bond that can be broken under physiological conditions (e.g., a pH-labile, acid-labile, oxidatively-labile, or enzyme-labile bond).
- physiological conditions e.g., a pH-labile, acid-labile, oxidatively-labile, or enzyme-labile bond.
- the cleavable bond or bonds may be present in the interior of a cleavable linker and/or at one or both ends of a cleavable linker.
- physiological conditions resulting in bond breaking include standard chemical hydrolysis reactions that occur, for example, at physiological pH, or as a result of compartmentalization into a cellular organelle such as an endosome having a lower pH than cytosolic pH.
- the bivalent linkers described herein may undergo cleavage under other physiological or metabolic conditions, such as by the action of a glutathione mediated mechanism. It is appreciated that the lability of the cleavable bond may be adjusted by including functional groups or fragments within the bivalent linker L that are able to assist or facilitate such bond breakage, also termed anchimeric assistance.
- the linker includes radicals that form one or more spacer linkers and/or releasable linkers that are taken together to form the linkers described herein having certain length, diameter, and/or functional group requirements.
- linkers described herein include releasable linkers that cleave under the conditions described herein by a chemical mechanism involving beta elimination.
- releasable linkers include beta-thio, beta-hydroxy, and beta-amino substituted carboxylic acids and derivatives thereof, such as esters, amides, carbonates, carbamates, and ureas.
- such releasable linkers include 2- and 4-thioarylesters, carbamates, and carbonates.
- releasable linkers may also be referred to by the functional groups they contain, illustratively such as disulfide groups, ketal groups, and the like, as described herein. Accordingly, it is understood that a cleavable bond can connect two adjacent atoms within the releasable linker and/or connect other linkers, or the binding ligand B, or the therapeutic, diagnostic, or imaging agent D, as described herein, at either or both ends of the releasable linker. In the case where a cleavable bond connects two adjacent atoms within the releasable linker, following breakage of the bond, the releasable linker is broken into two or more fragments.
- the releasable linker is separated from the other moiety.
- another moiety such as an additional heteroatom, a spacer linker, another releasable linker, the drug D, or analog or derivative thereof, or the binding ligand B, or analog or derivative thereof, following breakage of the bond.
- the releasable and spacer linkers may be arranged in such a way that subsequent to the cleavage of a bond in the bivalent linker, released functional groups anchimerically assist the breakage or cleavage of additional bonds, as described above.
- An illustrative embodiment of such a bivalent linker or portion thereof includes compounds having the formula:
- X is an heteroatom, such as nitrogen, oxygen, or sulfur
- n is an integer selected from 0, 1, 2, and 3
- R is hydrogen, or a substituent, including a substituent capable of stabilizing a positive charge inductively or by resonance on the aryl ring, such as alkoxy, and the like, and the symbol (*) indicates points of attachment for additional spacer or releasable linkers, or heteroatoms, forming the bivalent linker, or alternatively for attachment of the drug, or analog or derivative thereof, or the vitamin, or analog or derivative thereof.
- Assisted cleavage may include mechanisms involving benzylium intermediates, benzyne intermediates, lactone cyclization, oxonium intermediates, beta-elimination, and the like. It is further appreciated that, in addition to fragmentation subsequent to cleavage of the releasable linker, the initial cleavage of the releasable linker may be facilitated by an anchimerically assisted mechanism.
- the hydroxyalkanoic acid which may cyclize, facilitates cleavage of the methylene bridge, by for example an oxonium ion, and facilitates bond cleavage or subsequent fragmentation after bond cleavage of the releasable linker.
- acid catalyzed oxonium ion-assisted cleavage of the methylene bridge may begin a cascade of fragmentation of this illustrative bivalent linker, or fragment thereof.
- acid-catalyzed hydrolysis of the carbamate may facilitate the beta elimination of the hydroxyalkanoic acid, which may cyclize, and facilitate cleavage of methylene bridge, by for example an oxonium ion. It is appreciated that other chemical mechanisms of bond breakage or cleavage under the metabolic, physiological, or cellular conditions described herein may initiate such a cascade of fragmentation. It is appreciated that other chemical mechanisms of bond breakage or cleavage under the metabolic, physiological, or cellular conditions described herein may initiate such a cascade of fragmentation.
- Illustrative mechanisms for cleavage of the bivalent linkers described herein include the following 1,4 and 1,6 fragmentation mechanisms
- X is an exogenous or endogenous nucleophile, glutathione, or bioreducing agent, and the like, and either of Z or Z′ is a PSMA binding ligand, or a drug, therapeutic agent, diagnostic agent, or imaging agent, or either of Z or Z′ is a PSMA binding ligand, or a drug, therapeutic agent, diagnostic agent, or imaging agent connected through other portions of the bivalent linker.
- Z or Z′ is a PSMA binding ligand, or a drug, therapeutic agent, diagnostic agent, or imaging agent connected through other portions of the bivalent linker.
- the bond cleavage may also occur by acid catalyzed elimination of the carbamate moiety, which may be anchimerically assisted by the stabilization provided by either the aryl group of the beta sulfur or disulfide illustrated in the above examples.
- the releasable linker is the carbamate moiety.
- the fragmentation may be initiated by a nucleophilic attack on the disulfide group, causing cleavage to form a thiolate.
- the thiolate may intermolecularly displace a carbonic acid or carbamic acid moiety and form the corresponding thiacyclopropane.
- the resulting phenyl thiolate may further fragment to release a carbonic acid or carbamic acid moiety by forming a resonance stabilized intermediate.
- the releaseable nature of the illustrative bivalent linkers described herein may be realized by whatever mechanism may be relevant to the chemical, metabolic, physiological, or biological conditions present.
- Z is the vitamin, or analog or derivative thereof, or the drug, or analog or derivative thereof, or each is a vitamin or drug moiety in conjunction with other portions of the polyvalent linker, such as a drug or vitamin moiety including one or more spacer linkers and/or other releasable linkers.
- acid-catalyzed elimination of the carbamate leads to the release of CO 2 and the nitrogen-containing moiety attached to Z, and the formation of a benzyl cation, which may be trapped by water, or any other Lewis base.
- the releasable linker includes a disulfide.
- the releasable linker may be a divalent radical comprising alkyleneaziridin-1-yl, alkylenecarbonylaziridin-1-yl, carbonylalkylaziridin-1-yl, alkylenesulfoxylaziridin-1-yl, sulfoxylalkylaziridin-1-yl, sulfonylalkylaziridin-1-yl, or alkylenesulfonylaziridin-1-yl, wherein each of the releasable linkers is optionally substituted with a substituent X 2 , as defined below.
- Additional illustrative releasable linkers include methylene, 1-alkoxyalkylene, 1-alkoxycycloalkylene, 1-alkoxyalkylenecarbonyl, 1-alkoxycycloalkylenecarbonyl, carbonylarylcarbonyl, carbonyl(carboxyaryl)carbonyl, carbonyl(biscarboxyaryl)carbonyl, haloalkylenecarbonyl, alkylene(dialkylsilyl), alkylene(alkylarylsilyl), alkylene(diarylsilyl), (dialkylsilyl)aryl, (alkylarylsilyl)aryl, (diarylsilyl)aryl, oxycarbonyloxy, oxycarbonyloxyalkyl, sulfonyloxy, oxysulfonylalkyl, iminoalkylidenyl, carbonylalkylideniminyl, iminocycloalkylidenyl, carbonylcycl
- the releasable linker may include oxygen, and the releasable linkers can be methylene, 1-alkoxyalkylene, 1-alkoxycycloalkylene, 1-alkoxyalkylenecarbonyl, and 1-alkoxycycloalkylenecarbonyl, wherein each of the releasable linkers is optionally substituted with a substituent X 2 , as defined below, and the releasable linker is bonded to the oxygen to form an acetal or ketal.
- the releasable linker may include oxygen, and the releasable linker can be methylene, wherein the methylene is substituted with an optionally-substituted aryl, and the releasable linker is bonded to the oxygen to form an acetal or ketal.
- the releasable linker may include oxygen, and the releasable linker can be sulfonylalkyl, and the releasable linker is bonded to the oxygen to form an alkylsulfonate.
- the releasable linker may include nitrogen, and the releasable linkers can be iminoalkylidenyl, carbonylalkylideniminyl, iminocycloalkylidenyl, and carbonylcycloalkylideniminyl, wherein each of the releasable linkers is optionally substituted with a substituent X 2 , as defined below, and the releasable linker is bonded to the nitrogen to form an hydrazone.
- the hydrazone may be acylated with a carboxylic acid derivative, an orthoformate derivative, or a carbamoyl derivative to form various acylhydrazone releasable linkers.
- the releasable linker may include oxygen
- the releasable linkers can be alkylene(dialkylsilyl), alkylene(alkylarylsilyl), alkylene(diarylsilyl), (dialkylsilyl)aryl, (alkylarylsilyl)aryl, and (diarylsilyl)aryl, wherein each of the releasable linkers is optionally substituted with a substituent X 2 , as defined below, and the releasable linker is bonded to the oxygen to form a silanol.
- the drug can include a nitrogen atom
- the releasable linker may include nitrogen
- the releasable linkers can be carbonylarylcarbonyl, carbonyl(carboxyaryl)carbonyl, carbonyl(biscarboxyaryl)carbonyl, and the releasable linker can be bonded to the heteroatom nitrogen to form an amide, and also bonded to the drug nitrogen to form an amide.
- the drug can include an oxygen atom
- the releasable linker may include nitrogen
- the releasable linkers can be carbonylarylcarbonyl, carbonyl(carboxyaryl)carbonyl, carbonyl(biscarboxyaryl)carbonyl, and the releasable linker can form an amide, and also bonded to the drug oxygen to form an ester.
- the substituents X 2 can be alkyl, alkoxy, alkoxyalkyl, hydroxy, hydroxyalkyl, amino, aminoalkyl, alkylaminoalkyl, dialkylaminoalkyl, halo, haloalkyl, sulfhydrylalkyl, alkylthioalkyl, aryl, substituted aryl, arylalkyl, substituted arylalkyl, heteroaryl, substituted heteroaryl, carboxy, carboxyalkyl, alkyl carboxylate, alkyl alkanoate, guanidinoalkyl, R 4 -carbonyl, R 5 -carbonylalkyl, R 6 -acylamino, and R 7 -acylaminoalkyl, wherein R 4 and R 5 are each independently selected from amino acids, amino acid derivatives, and peptides, and wherein R 6 and R 7 are each independently selected from amino acids, amino acid derivatives, and peptides.
- the heterocycles can be pyrrolidines, piperidines, oxazolidines, isoxazolidines, thiazolidines, isothiazolidines, pyrrolidinones, piperidinones, oxazolidinones, isoxazolidinones, thiazolidinones, isothiazolidinones, and succinimides.
- polyvalent linkers described herein are or include compounds of the following formulae:
- n is an integer selected from 1 to about 4;
- R a and R b are each independently selected from the group consisting of hydrogen and alkyl, including lower alkyl such as C 1 -C 4 alkyl that are optionally branched; or R a and R b are taken together with the attached carbon atom to form a carbocyclic ring;
- R is an optionally substituted alkyl group, an optionally substituted acyl group, or a suitably selected nitrogen protecting group; and (*) indicates points of attachment for the drug, vitamin, imaging agent, diagnostic agent, other polyvalent linkers, or other parts of the conjugate.
- polyvalent linkers described herein are or include compounds of the following formulae
- R is an optionally substituted alkyl group, an optionally substituted acyl group, or a suitably selected nitrogen protecting group; and (*) indicates points of attachment for the drug, vitamin, imaging agent, diagnostic agent, other polyvalent linkers, or other parts of the conjugate.
- polyvalent linkers described herein are or include compounds of the following formulae
- R is an optionally substituted alkyl group, an optionally substituted acyl group, or a suitably selected nitrogen protecting group; and (*) indicates points of attachment for the drug, vitamin, imaging agent, diagnostic agent, other polyvalent linkers, or other parts of the conjugate.
- the linker L includes one or more spacer linkers.
- spacer linkers can be 1-alkylenesuccinimid-3-yl, optionally substituted with a substituent X 1 , as defined below
- the releasable linkers can be methylene, 1-alkoxyalkylene, 1-alkoxycycloalkylene, 1-alkoxyalkylenecarbonyl, 1-alkoxycycloalkylenecarbonyl, wherein each of the releasable linkers is optionally substituted with a substituent X 2 , as defined below, and wherein the spacer linker and the releasable linker are each bonded to the spacer linker to form a succinimid-1-ylalkyl acetal or ketal.
- the spacer linkers can be carbonyl, thionocarbonyl, alkylene, cycloalkylene, alkylenecycloalkyl, alkylenecarbonyl, cycloalkylenecarbonyl, carbonylalkylcarbonyl, 1-alkylenesuccinimid-3-yl, 1-(carbonylalkyl)succinimid-3-yl, alkylenesulfoxyl, sulfonylalkyl, alkylenesulfoxylalkyl, alkylenesulfonylalkyl, carbonyltetrahydro-2H-pyranyl, carbonyltetrahydrofuranyl, 1-(carbonyltetrahydro-2H-pyranyl)succinimid-3-yl, and 1-(carbonyltetrahydrofuranyl)succinimid-3-yl, wherein each of the spacer linkers is optionally substituted with a substituent X 1 , as defined below.
- the spacer linker may include an additional nitrogen, and the spacer linkers can be alkylenecarbonyl, cycloalkylenecarbonyl, carbonylalkylcarbonyl, 1-(carbonylalkyl)succinimid-3-yl, wherein each of the spacer linkers is optionally substituted with a substituent X 1 , as defined below, and the spacer linker is bonded to the nitrogen to form an amide.
- the spacer linker may include an additional sulfur, and the spacer linkers can be alkylene and cycloalkylene, wherein each of the spacer linkers is optionally substituted with carboxy, and the spacer linker is bonded to the sulfur to form a thiol.
- the spacer linker can include sulfur, and the spacer linkers can be 1-alkylenesuccinimid-3-yl and 1-(carbonylalkyl)succinimid-3-yl, and the spacer linker is bonded to the sulfur to form a succinimid-3-ylthiol.
- the spacer linker can include nitrogen
- the releasable linker can be a divalent radical comprising alkyleneaziridin-1-yl, carbonylalkylaziridin-1-yl, sulfoxylalkylaziridin-1-yl, or sulfonylalkylaziridin-1-yl, wherein each of the releasable linkers is optionally substituted with a substituent X 2 , as defined below.
- the spacer linkers can be carbonyl, thionocarbonyl, alkylenecarbonyl, cycloalkylenecarbonyl, carbonylalkylcarbonyl, 1-(carbonylalkyl)succinimid-3-yl, wherein each of the spacer linkers is optionally substituted with a substituent X 1 , as defined below, and wherein the spacer linker is bonded to the releasable linker to form an aziridine amide.
- the substituents X 1 can be alkyl, alkoxy, alkoxyalkyl, hydroxy, hydroxyalkyl, amino, aminoalkyl, alkylaminoalkyl, dialkylaminoalkyl, halo, haloalkyl, sulfhydrylalkyl, alkylthioalkyl, aryl, substituted aryl, arylalkyl, substituted arylalkyl, heteroaryl, substituted heteroaryl, carboxy, carboxyalkyl, alkyl carboxylate, alkyl alkanoate, guanidinoalkyl, R 4 -carbonyl, R 5 -carbonylalkyl, R 6 -acylamino, and R 7 -acylaminoalkyl, wherein R 4 and R 5 are each independently selected from amino acids, amino acid derivatives, and peptides, and wherein R 6 and R 7 are each independently selected from amino acids, amino acid derivatives, and peptides.
- Additional illustrative spacer linkers include alkylene-amino-alkylenecarbonyl, alkylene-thio-(carbonylalkylsuccinimid-3-yl), and the like, as further illustrated by the following formulae:
- linkers that include hydrophilic regions are also described.
- the hydrophilic region of the linker forms part or all of a spacer linker included in the conjugates described herein.
- Illustrative hydrophilic spacer linkers are described in PCT international application serial No. PCT/US2008/068093, filed Jun. 25, 2008, the disclosure of which is incorporated herein by reference.
- cycloalkyl as used herein includes molecular fragments or radicals comprising a bivalent chain of carbon atoms, a portion of which forms a ring. It is to be understood that the term cycloalkyl as used herein includes fragments and radicals attached at either ring atoms or non-ring atoms, such as, such as cyclopropyl, cyclohexyl, 3-ethylcyclopent-1-yl, cyclopropylethyl, cyclohexylmethyl, and the like.
- cycloalkylene as used herein includes molecular fragments or radicals comprising a bivalent chain of carbon atoms, a portion of which forms a ring. It is to be understood that the term cycloalkyl as used herein includes fragments and radicals attached at either ring atoms or non-ring atoms, such as cycloprop-1,1-diyl, cycloprop-1,2-diyl, cyclohex-1,4-diyl, 3-ethylcyclopent-1,2-diyl, 1-methylenecyclohex-4-yl, and the like.
- heteroalkyl and “heteroalkylene” as used herein includes molecular fragments or radicals comprising monovalent and divalent, respectively, groups that are formed from a linear or branched chain of carbon atoms and heteroatoms, wherein the heteroatoms are selected from nitrogen, oxygen, and sulfur, such as alkoxyalkyl, alkyleneoxyalkyl, aminoalkyl, alkylaminoalkyl, alkyleneaminoalkyl, alkylthioalkyl, alkylenethioalkyl, alkoxyalkylaminoalkyl, alkylaminoalkoxyalkyl, alkyleneoxyalkylaaminoalkyl, and the like.
- heterocyclyl as used herein includes molecular fragments or radicals comprising a monovalent chain of carbon atoms and heteroatoms, wherein the heteroatoms are selected from nitrogen, oxygen, and sulfur, a portion of which, including at least one heteroatom, form a ring, such as aziridine, pyrrolidine, oxazolidine, 3-methoxypyrrolidine, 3-methylpiperazine, and the like. Accordingly, as used herein, heterocyclyl includes alkylheterocyclyl, heteroalkylheterocyclyl, heterocyclylalkyl, heterocyclylheteroalkyl, and the like.
- heterocyclyl as used herein includes fragments and radicals attached at either ring atoms or non-ring atoms, such as tetrahydrofuran-2-yl, piperidin-1-yl, piperidin-4-yl, piperazin-1-yl, morpholin-1-yl, tetrahydrofuran-2-ylmethyl, piperidin-1-ylethyl, piperidin-4-ylmethyl, piperazin-1-ylpropyl, morpholin-1-ylethyl, and the like.
- aryl as used herein includes molecular fragments or radicals comprising an aromatic mono or polycyclic ring of carbon atoms, such as phenyl, naphthyl, and the like.
- heteroaryl as used herein includes molecular fragments or radicals comprising an aromatic mono or polycyclic ring of carbon atoms and at least one heteroatom selected from nitrogen, oxygen, and sulfur, such as pyridinyl, pyrimidinyl, indolyl, benzoxazolyl, and the like.
- substituted aryl or “substituted heteroaryl” as used herein includes molecular fragments or radicals comprising aryl or heteroaryl substituted with one or more substituents, such as alkyl, heteroalkyl, halo, hydroxy, amino, alkyl or dialkylamino, alkoxy, alkylsulfonyl, aminosulfonyl, carboxylate, alkoxycarbonyl, aminocarbonyl, cyano, nitro, and the like. It is to be understood that the alkyl groups in such substituents may be optionally substituted with halo.
- amino acid as used herein includes molecular fragments or radicals comprising an aminoalkylcarboxylate, where the alkyl radical is optionally substituted with alkyl, hydroxy alkyl, sulfhydrylalkyl, aminoalkyl, carboxyalkyl, and the like, including groups corresponding to the naturally occurring amino acids, such as serine, cysteine, methionine, aspartic acid, glutamic acid, and the like.
- amino acid is a divalent radical having the general formula:
- R is hydrogen, alkyl, acyl, or a suitable nitrogen protecting group
- R′ and R′′ are hydrogen or a substituent, each of which is independently selected in each occurrence, and q is an integer such as 1, 2, 3, 4, or 5.
- R′ and/or R′′ independently correspond to, but are not limited to, hydrogen or the side chains present on naturally occurring amino acids, such as methyl, benzyl, hydroxymethyl, thiomethyl, carboxyl, carboxylmethyl, guanidinopropyl, and the like, and derivatives and protected derivatives thereof.
- the above described formula includes all stereoisomeric variations.
- the amino acid may be selected from asparagine, aspartic acid, cysteine, glutamic acid, lysine, glutamine, arginine, serine, omitine, threonine, and the like.
- the amino acid may be selected from phenylalanine, tyrosine, and the like, derivatives thereof, and substituted variants thereof.
- arylalkyl and heteroarylalkyl as used herein includes molecular fragments or radicals comprising aryl and heteroaryl, respectively, as defined herein substituted with a linear or branched alkylene group, such as benzyl, phenethyl, ⁇ -methylbenzyl, picolinyl, pyrimidinylethyl, and the like.
- haloalkoxyalkyl referring to for example trifluoromethyloxy ethyl, 1,2-difluoro-2-chloroeth-1-yloxypropyl, and the like.
- amino acid derivative refers generally to aminoalkylcarboxylate, where the amino radical or the carboxylate radical are each optionally substituted with alkyl, carboxylalkyl, alkylamino, and the like, or optionally protected; and the intervening divalent alkyl fragment is optionally substituted with alkyl, hydroxy alkyl, sulfhydrylalkyl, aminoalkyl, carboxyalkyl, and the like, including groups corresponding to the side chains found in naturally occurring amino acids, such as are found in serine, cysteine, methionine, aspartic acid, glutamic acid, and the like.
- peptide as used herein includes molecular fragments or radicals comprising a series of amino acids and amino acid analogs and derivatives covalently linked one to the other by amide bonds.
- the bivalent linker comprises a spacer linker and a releasable linker taken together to form 3-thiosuccinimid-1-ylalkyloxymethyloxy, where the methyl is optionally substituted with alkyl or substituted aryl.
- the bivalent linker comprises a spacer linker and a releasable linker taken together to form 3-thiosuccinimid-1-ylalkylcarbonyl, where the carbonyl forms an acylaziridine with the drug, or analog or derivative thereof.
- the bivalent linker comprises an a spacer linker and a releasable linker taken together to form 1-alkoxycycloalkylenoxy.
- the bivalent linker comprises a spacer linker and a releasable linker taken together to form alkyleneaminocarbonyl(dicarboxylarylene)carboxylate.
- the bivalent linker comprises a releasable linker, a spacer linker, and a releasable linker taken together to form dithioalkylcarbonylhydrazide, where the hydrazide forms an hydrazone with the drug, or analog or derivative thereof.
- the bivalent linker comprises a spacer linker and a releasable linker taken together to form 3-thiosuccinimid-1-ylalkylcarbonylhydrazide, where the hydrazide forms an hydrazone with the drug, or analog or derivative thereof.
- the bivalent linker comprises a spacer linker and a releasable linker taken together to form 3-thioalkylsulfonylalkyl(disubstituted silyl)oxy, where the disubstituted silyl is substituted with alkyl or optionally substituted aryl.
- the bivalent linker comprises a plurality of spacer linkers selected from the group consisting of the naturally occurring amino acids and stereoisomers thereof.
- the bivalent linker comprises a releasable linker, a spacer linker, and a releasable linker taken together to form 3-dithioalkyloxycarbonyl, where the carbonyl forms a carbonate with the drug, or analog or derivative thereof.
- the bivalent linker comprises a releasable linker, a spacer linker, and a releasable linker taken together to form 3-dithioarylalkyloxycarbonyl, where the carbonyl forms a carbonate with the drug, or analog or derivative thereof, and the aryl is optionally substituted.
- the bivalent linker comprises a spacer linker and a releasable linker taken together to form 3-thiosuccinimid-1-ylalkyloxyalkyloxyalkylidene, where the alkylidene forms an hydrazone with the drug, or analog or derivative thereof, each alkyl is independently selected, and the oxyalkyloxy is optionally substituted with alkyl or optionally substituted aryl.
- the bivalent linker comprises a releasable linker, a spacer linker, and a releasable linker taken together to form 3-dithioalkyloxycarbonylhydrazide.
- the bivalent linker comprises a releasable linker, a spacer linker, and a releasable linker taken together to form 3-dithioalkylamino, where the amino forms a vinylogous amide with the drug, or analog or derivative thereof.
- the bivalent linker comprises a releasable linker, a spacer linker, and a releasable linker taken together to form 3-dithioalkylamino, where the amino forms a vinylogous amide with the drug, or analog or derivative thereof, and the alkyl is ethyl.
- the bivalent linker comprises a releasable linker, a spacer linker, and a releasable linker taken together to form 3-dithioalkylaminocarbonyl, where the carbonyl forms a carbamate with the drug, or analog or derivative thereof.
- the bivalent linker comprises a releasable linker, a spacer linker, and a releasable linker taken together to form 3-dithioalkylaminocarbonyl, where the carbonyl forms a carbamate with the drug, or analog or derivative thereof, and the alkyl is ethyl.
- the bivalent linker comprises a releasable linker, a spacer linker, and a releasable linker taken together to form 3-dithioarylalkyloxycarbonyl, where the carbonyl forms a carbamate or a carbamoylaziridine with the drug, or analog or derivative thereof.
- the polyvalent linker includes spacer linkers and releasable linkers connected to form a polyvalent 3-thiosuccinimid-1-ylalkyloxymethyloxy group, illustrated by the following formula
- n is an integer from 1 to 6, the alkyl group is optionally substituted, and the methyl is optionally substituted with an additional alkyl or optionally substituted aryl group, each of which is represented by an independently selected group R.
- the (*) symbols indicate points of attachment of the polyvalent linker fragment to other parts of the conjugates described herein.
- the polyvalent linker includes spacer linkers and releasable linkers connected to form a polyvalent 3-thiosuccinimid-1-ylalkylcarbonyl group, illustrated by the following formula
- the polyvalent linker includes spacer linkers and releasable linkers connected to form a polyvalent 3-thioalkylsulfonylalkyl(disubstituted silyl)oxy group, where the disubstituted silyl is substituted with alkyl and/or optionally substituted aryl groups.
- the polyvalent linker includes spacer linkers and releasable linkers connected to form a polyvalent dithioalkylcarbonylhydrazide group, or a polyvalent 3-thiosuccinimid-1-ylalkylcarbonylhydrazide, illustrated by the following formulae
- n is an integer from 1 to 6, the alkyl group is optionally substituted, and the hydrazide forms an hydrazone with (B), (D), or another part of the polyvalent linker (L).
- the (*) symbols indicate points of attachment of the polyvalent linker fragment to other parts of the conjugates described herein.
- the polyvalent linker includes spacer linkers and releasable linkers connected to form a polyvalent 3-thiosuccinimid-1-ylalkyloxyalkyloxvalkylidene group, illustrated by the following formula
- each n is an independently selected integer from 1 to 6, each alkyl group independently selected and is optionally substituted, such as with alkyl or optionally substituted aryl, and where the alkylidene forms an hydrazone with (B), (D), or another part of the polyvalent linker (L).
- the (*) symbols indicate points of attachment of the polyvalent linker fragment to other parts of the conjugates described herein.
- Additional illustrative linkers are described in WO 2006/012527, the disclosure of which is incorporated herein by reference. Additional linkers are described in the following Table, where the (*) atom is the point of attachment of additional spacer or releasable linkers, the drug, and/or the binding ligand.
- Each of the spacer and releasable linkers described herein is bivalent.
- the connections between spacer linkers, releasable linkers, drugs D and ligands B may occur at any atom found in the various spacer linkers, releasable linkers, drugs D, and ligands B.
- the drug can include a nitrogen atom, and the releasable linker can be haloalkylenecarbonyl, optionally substituted with a substituent X 2 , and the releasable linker is bonded to the drug nitrogen to form an amide.
- the drug can include an oxygen atom, and the releasable linker can be haloalkylenecarbonyl, optionally substituted with a substituent X 2 , and the releasable linker is bonded to the drug oxygen to form an ester.
- the drug can include a double-bonded nitrogen atom, and in this embodiment, the releasable linkers can be alkylenecarbonylamino and 1-(alkylenecarbonylamino)succinimid-3-yl, and the releasable linker can be bonded to the drug nitrogen to form an hydrazone.
- the releasable linkers can be alkylenecarbonylamino and 1-(alkylenecarbonylamino)succinimid-3-yl, and the releasable linker can be bonded to the drug nitrogen to form an hydrazone.
- the drug can include a sulfur atom, and in this embodiment, the releasable linkers can be alkylenethio and carbonylalkylthio, and the releasable linker can be bonded to the drug sulfur to form a disulfide.
- the binding or targeting ligand capable of binding or targeting PSMA is a phosphoric, phosphonic, or phosphinic acid or derivative thereof.
- the phosphoric, phosphonic, or phosphinic acid or derivative thereof includes one or more carboxylic acid groups.
- the phosphoric, phosphonic, or phosphinic acid or derivative thereof includes one or more thiol groups or derivatives thereof.
- the phosphoric, phosphonic, or phosphinic acid or derivative thereof includes one or more carboxylic acid bioisosteres, such as an optionally substituted tetrazole, and the like.
- the PSMA ligand is a derivative of pentanedioic acid.
- the pentanedioic acid derivative is a compound of the formula:
- X is RP(O)(OH)CH 2 — (see, e.g., U.S. Pat. No. 5,968,915 incorporated herein by reference); RP(O)(OH)N(R 1 )— (see, e.g., U.S. Pat. No. 5,863,536 incorporated herein by reference); RP(O)(OH)O— (see, e.g., U.S. Pat. No. 5,795,877 incorporated herein by reference); RN(OH)C(O)Y— or RC(O)NH(OH)Y, wherein Y is —CR 1 R 2 —, —NR 3 — or —O— (see, e.g., U.S. Pat.
- R, R 1 , R 2 , and R 3 are each independently selected from hydrogen, C 1 -C 9 straight or branched chain alkyl, C 2 -C 9 straight or branched chain alkenyl, C 3 -C 8 cycloalkyl, C 5 -C 7 cycloalkenyl, and aryl.
- each of R, R 1 , R 2 , and R 3 may be optionally substituted, such as with one or more groups selected from C 3 -C 8 cycloalkyl, C 5 -C 7 cycloalkenyl, halo, hydroxy, nitro, trifluoromethyl, C 1 -C 6 straight or branched chain alkyl, C 2 -C 6 straight or branched chain alkenyl, C 1 -C 4 alkoxy, C 2 -C 4 alkenyloxy, phenoxy, benzyloxy, amino, aryl.
- aryl is selected from 1-naphthyl, 2-naphthyl, 2-indolyl, 3-indolyl, 2-furyl, 3-furyl, 2-thienyl, 3-thienyl, 2-pyridyl, 3-pyridyl, 4-pyridyl, benzyl, and phenyl, and in each case aryl may be optionally substituted with one or more, illustratively with one to three, groups selected from halo, hydroxy, nitro, trifluoromethyl, C 1 -C 6 straight or branched chain alkyl, C 2 -C 6 straight or branched chain alkenyl, C 1 -C 4 alkoxy, C 2 -C 4 alkenyloxy, phenoxy, benzyloxy, and amino.
- R is not hydrogen.
- PSMA ligands described in U.S. Pat. No. 5,968,915 include 2-[[methylhydroxyphosphinyl]methyl]pentanedioic acid; 2-[[ethylhydroxyphosphinyl]methyl]pentanedioic acid; 2-[[propylhydroxyphosphinyl]methyl]pentanedioic acid; 2-[[butylhydroxyphosphinyl]methyl]pentanedioic acid; 2-[[cyclohexylhydroxyphosphinyl]methyl]pentanedioic acid; 2-[[phenylhydroxyphosphinyl]methyl]pentanedioic acid; 2-[[2-(tetrahydrofuranyl)hydroxyphosphinyl]methyl] pentanedioic acid; 2-[[[(2-tetrahydropyranyl)hydroxyphosphinyl]methyl] pentanedioic acid; 2-[[[(2-tetrahydropyrany
- PSMA ligands described in U.S. Pat. No. 5,863,536 include N-[methylhydroxyphosphinyl]glutamic acid; N-[ethylhdroxyphosphinyl]glutamic acid; N-[propylhydroxyphosphinyl]glutamic acid; N-[butylhydroxyphosphinyl]glutamic acid; N-[phenylhydroxyphosphinyl]glutamic acid; N-[(phenylmethyl)hydroxyphosphinyl]glutamic acid; N-[((2-phenylethyl)methyl)hydroxyphosphinyl]glutamic acid; and N-methyl-N-[phenylhydroxyphosphinyl]glutamic acid.
- PSMA ligands described in U.S. Pat. No. 5,795,877 include 2-[[methylhydroxyphosphinyl]oxy]pentanedioic acid; 2-[[ethylhydroaxyphosphinyl]oxy]pentanedioic acid; 2-[[propylhydroxyphosphinyl]oxy]pentanedioic acid; 2-[[butylhydroxyphosphinyl]oxy]pentanedioic acid; 2-[[phenylhydroxyphosphinyl]oxy]pentanedioic acid; 2-[[((4-pyridyl)methyl)hydroxyphosphinyl]oxy]pentanedioic acid; 2-[[((2-pyridyl)methyl)hydroxyphosphinyl]oxy]pentanedioic acid; 2-[[[(phenylmethyl)hydroxyphosphinyl]oxy]pentanedioic acid; and 2[[[((2-
- PSMA ligands described in U.S. Pat. No. 5,962,521 include 2-[[(N-hydroxy)carbamoyl]methyl]pentanedioic acid; 2-[[(N-hydroxy-N-methyl)carbamoyl]methyl]pentanedioic acid; 2-[[(N-butyl-N-hydroxy) carbamoyl]methyl]pentanedioic acid; 2-[[(N-benzyl-N-hydroxy)carbamoyl]methyl]pentanedioic acid; 2-[[(N-hydroxy-N-phenyl)carbamoyl]methyl]pentanedioic acid; 2-[[(N-hydroxy-N-2-phenylethyl)carbamoyl]methyl]pentanedioic acid; 2-[[[(N-ethyl-N-hydroxy) carbamoyl]methyl]pentanedioic acid; 2-[[[[
- PSMA ligands described in U.S. Pat. No. 5,902,817 include 2-[(sulfinyl)methyl]pentanedioic acid; 2-[(methylsulfinyl)methyl]pentanedioic acid; 2-[(ethylsulfinyl)methyl]pentanedioic acid; 2-[(propylsulfinyl)methyl]pentanedioic acid; 2-[(butylsulfinyl)methyl]pentanedioic acid; 2-[(phenylsulfinyl]methyl]pentanedioic acid; 2-[[(2-phenylethyl)sulfinyl]methyl]pentanedioic acid; 2-[[[(3-phenylpropyl)sulfinyl]methyl]pentanedioic acid; 2-[[[(4-pyridyl)sulfinyl]methyl
- Pentanedioic acid derivatives described herein have been reported to have high binding affinity at PSMA, including but not limited to the following phosphonic and phosphinic acid derivatives
- the pentanedioic acid derivative includes a thiol group, such as compounds of the following formulae:
- the PSMA ligand is a urea of two amino acids.
- the amino acids include one or more additional carboxylic acids.
- the amino acids include one or more additional phosphoric, phosphonic, phosphinic, sulfinic, sulfonic, or boronic acids.
- the amino acids include one or more thiol groups or derivatives thereof.
- the amino acids includes one or more carboxylic acid bioisosteres, such as tetrazoles and the like.
- the PSMA ligand is a aminocarbonyl derivative of pentanedioic acid.
- the aminocarbonylpentanedioic acid derivative is a compound of the formula:
- R 1 and R 2 are each selected from hydrogen, optionally substituted carboxylic acids, such as thiolacetic acids, thiolpropionic acids, and the like; malonic acids, succinic acids, glutamic acids, adipic acids, and the like; and others.
- carboxylic acids such as thiolacetic acids, thiolpropionic acids, and the like
- malonic acids succinic acids, glutamic acids, adipic acids, and the like
- succinic acids glutamic acids, adipic acids, and the like
- others are described in J. Med. Chem. 44:298-301 (2001) and J. Med. Chem. 47:1729-38 (2004), the disclosures of which are incorporated herein by reference.
- the PSMA ligand is a compound of the formula:
- urea compounds described herein may also be advantageous in the preparation of the ligands also described herein due to the sub-nanomolar potency, water solubility, and/or long term stability of these compounds.
- the urea compounds described herein may generally be prepared from commercially available starting materials as described herein.
- each of the above illustrative pentanedioic acid compounds and urea compounds there is at least one asymmetric carbon atom.
- the above illustrative formulae are intended to refer both individually and collectively to all stereoisomers as pure enantiomers, or mixtures of enantiomers and/or diastereomers, including but not limited to racemic mixtures, mixtures that include one epimer at a first asymmetric carbon but allow mixtures at other asymmetric carbons, including racemic mixtures, and the like.
- the binding agent is a urea of an amino dicarboxylic acid, such as aspartic acid, glutamic acid, and the like, and another amino dicarboxylic acid, or an analog thereof, such as a binding agent of the formulae
- Q is a an amino dicarboxylic acid, such as aspartic acid, glutamic acid, or an analog thereof, n and m are each selected from an integer between 1 and about 6, and (*) represents the point of attachment for the linker L.
- the PSMA ligand includes at least four carboxylic acid groups, or at least three free carboxylic acid groups after the PSMA ligand is conjugated to the agent or linker. It is understood that as described herein, carboxylic acid groups on the PSMA ligand include bioisosteres of carboxylic acids.
- the PSMA ligand is a compound of the formulae:
- the PSMA ligand is 2-[3-(1-Carboxy-2-mercapto-ethyl)-ureido]-pentanedioic acid (MUPA) or 2-[3-(1,3-Dicarboxy-propyl)-ureido]-pentanedioic acid (DUPA)
- PSMA ligands include peptide analogs such as quisqualic acid, aspartate glutamate (Asp-Glu), Glu-Glu, Gly-Glu, ⁇ -Glu-Glu, beta-N-acetyl-L-aspartate-L-glutamate ( ⁇ -NAAG), and the like.
- the binding agent is a urea of an amino dicarboxylic acid, such as aspartic acid, glutamic acid, and the like, and another amino dicarboxylic acid, or an analog thereof
- the linker is peptide of amino acids, including naturally occurring and non-naturally occurring amino acids.
- the linker is a peptide comprising amino acids selected from Glu, Asp, Phe, Cys, beta-amino Ala. and aminoalkylcarboxylic acids, such as Gly, beta Ala, amino valeric acid, amino caproic acid, and the like.
- the linker is a peptide consisting of amino acids selected from Glu.
- the linker is a peptide comprising at least one Phe.
- the linker is a peptide comprising at least two Phe residues, or at least three Phe residues.
- the linker is a peptide comprising Glu-Phe or a dipeptide of an aminoalkylcarboxylic acid and Phe.
- the linker is a peptide comprising Glu-Phe-Phe or a tripeptide of an aminoalkylcarboxylic acid and two Phe residues.
- the linker is a peptide comprising one or more Phe residues, where at least one Phe is about 7 to about 11, or about 7 to about 14 atoms from the binding ligand B.
- the linker is a peptide comprising Phe-Phe about 7 to about 11, or about 7 to about 14 atoms from the binding ligand B. It is to be understood that in each of the foregoing embodiments and variations, one or more Phe residues may be replaced with Tyr, or another substituted variation thereof.
- the binding agent is a urea of an amino dicarboxylic acid, such as aspartic acid, glutamic acid, and the like, and another amino dicarboxylic acid, or an analog thereof
- the linker includes one or more aryl or arylalkyl groups, each of which is optionally substituted, attached to the backbone of the linker.
- the linker is a peptide comprising one or more aryl or arylalkyl groups, each of which is optionally substituted, attached to the backbone of the linker about 7 to about 1 atoms from the binding ligand B.
- the linker is a peptide comprising two aryl or arylalkyl groups, each of which is optionally substituted, attached to the backbone of the linker, where one aryl or arylalkyl group is about 7 to about 11, or about 7 to about 14 atoms from the binding ligand B, and the other aryl or arylalkyl group is about 10 to about 14, or about 10 to about 17 atoms from the binding ligand B.
- the conjugates are targeted to cells that express or over-express PSMA, using a PSMA binding ligand. Once delivered, the conjugates bind to PSMA. It is understood that in certain embodiments the conjugates remain on the surface of the cell for a period of time sufficient for imaging and/or diagnosis. In other embodiments, the conjugates are internalized in the cell expressing or over-expressing PSMA by endogenous cellular mechanisms, such as endocytosis, for subsequent imaging and/or diagnosis, or treatment. Once internalized, the conjugates may remain intact or be decomposed, degraded, or otherwise altered to allow the release of the agent forming the conjugate.
- the agent may remain intact as the conjugate or be released once it has been internalized into the targeted cell. It is further appreciated that in therapeutic configurations, the agent is advantageously released from the conjugate once it has been internalized into the targeted cell.
- the drug is an imaging agent. In another illustrative variation, the drug is a diagnostic agent. In another illustrative variation, the drug is an chemotherapeutic agent.
- the imaging agent is a radioisotope covalently attached to the linker.
- the imaging agent is a radioactive isotope, such as a radioactive isotope of a metal, coordinated to a chelating group.
- radioactive metal isotopes include technetium, rhenium, gallium, gadolinium, indium, copper, and the like, including isotopes 111 In, 99m Tc, 67 Cu, 67 Cu, 67 Ga, 68 Ga, and the like. Additional illustrative examples of radionuclide imaging agents are described in U.S. Pat. No. 7,128,893, the disclosure of which is incorporated herein by reference. Additional illustrative chelating groups are tripeptide or tetrapeptides, including but not limited to tripeptides having the formula:
- R is independently selected in each instance H, alkyl, heteroalkyl, cycloalkyl, heterocyclyl, alkenyl, alkynyl, aryl, heteroaryl, arylalkyl, heteroarylalkyl, and the like, each of which is optionally substituted. It is to be understood that one R includes a heteroatom, such as nitro, oxygen, or sulfur, and is the point of attachment of linker L. Illustratively, the following chelating groups are described:
- X is oxygen, nitrogen, or sulfur, and where X is attached to linker L, and n is an integer from 1 to about 5.
- the imaging agent is a fluorescent agent.
- Fluorescent agents include Oregon Green fluorescent agents, including but not limited to Oregon Green 488, Oregon Green 514, and the like, AlexaFluor fluorescent agents, including but not limited to AlexaFluor 488, AlexaFluor 647, and the like, fluorescein, and related analogs, BODIPY fluorescent agents, including but not limited to BODIPY F1, BODIPY 505, and the like, rhodamine fluorescent agents, including but not limited to tetramethylrhodamine, and the like, DyLight fluorescent agents, including but not limited to DyLight 680, DyLight 800, and the like, CW 800, Texas Red, phycoerythrin, and others.
- Illustrative fluorescent agent are shown in the following illustrative general structures:
- X is oxygen, nitrogen, or sulfur, and where X is attached to linker L;
- Y is OR a , NR a 2 , or NR a 3 + ; and
- Y′ is O, NR a , or NR a 2 + ; where each R is independently selected in each instance from H, fluoro, sulfonic acid, sulfonate, and salts thereof, and the like; and R a is hydrogen or alkyl.
- X is oxygen, nitrogen, or sulfur, and where X is attached to linker L; and each R is independently selected in each instance from H, alkyl, heteroalkyl, and the like; and n is an integer from 0 to about 4.
- the imaging agent is a PET imaging agent, or a FRET imaging agent.
- FRET imaging agents include 64 Cu, 65 Cu, and the like.
- the imaging isotope may be present on any part of the linker, or alternatively may be present on a structure attached to the linker.
- fluoroaryl groups such as fluorophenyl, difluorophenyl, fluoronitrophenyl, and the like are described.
- alkyl and alkyl aryl are described.
- the chemotherapeutic agent is a cytotoxic compound.
- the cytotoxic compounds described herein operate by any of a large number of mechanisms of action. Generally, cytotoxic compounds disrupt cellular mechanisms that are important for cell survival and/or cell proliferation and/or cause apoptosis.
- the drug can be any molecule capable of modulating or otherwise modifying cell function, including pharmaceutically active compounds.
- Suitable molecules can include, but are not limited to: peptides, oligopeptides, retro-inverso oligopeptides, proteins, protein analogs in which at least one non-peptide linkage replaces a peptide linkage, apoproteins, glycoproteins, enzymes, coenzymes, enzyme inhibitors, amino acids and their derivatives, receptors and other membrane proteins; antigens and antibodies thereto; haptens and antibodies thereto; hormones, lipids, phospholipids, liposomes; toxins; antibiotics; analgesics; bronchodilators; beta-blockers; antimicrobial agents; antihypertensive agents; cardiovascular agents including antiarrhythmics, cardiac glycosides, antianginals and vasodilators; central nervous system agents including stimulants, psychotropics, antimanics, and depressants; antiviral agents; antihistamines; cancer
- the drug can be any drug known in the art which is cytotoxic, enhances tumor permeability, inhibits tumor cell proliferation, promotes apoptosis, decreases anti-apoptotic activity in target cells, is used to treat diseases caused by infectious agents, enhances an endogenous immune response directed to the pathogenic cells, or is useful for treating a disease state caused by any type of pathogenic cell.
- Drugs suitable for use in accordance with this invention include adrenocorticoids and corticosteroids, alkylating agents, antiandrogens, antiestrogens, androgens, aclamycin and aclamycin derivatives, estrogens, antimetabolites such as cytosine arabinoside, purine analogs, pyrimidine analogs, and methotrexate, busulfan, carboplatin, chlorambucil, cisplatin and other platinum compounds, taxanes, such as tamoxiphen, taxol, paclitaxel, paclitaxel derivatives, Taxotere®, and the like, maytansines and analogs and derivatives thereof, cyclophosphamide, daunomycin, doxorubicin, rhizoxin, T2 toxin, plant alkaloids, prednisone, hydroxyurea, teniposide, mitomvcins, discodermolides, microtubule inhibitors, epot
- the invention described herein also includes pharmaceutical compositions comprising an amount of a binding ligand (B) drug delivery conjugate effective to eliminate a population of pathogenic cells in a host animal when administered in one or more doses.
- the binding ligand drug delivery conjugate is preferably administered to the host animal parenterally, e.g., intradermally, subcutaneously, intramuscularly, intraperitoneally, intravenously, or intrathecally.
- the binding ligand drug delivery conjugate can be administered to the host animal by other medically useful processes, such as orally, and any effective dose and suitable therapeutic dosage form, including prolonged release dosage forms, can be used.
- parenteral dosage forms include aqueous solutions of the active agent, in an isotonic saline, 5% glucose or other well-known pharmaceutically acceptable liquid carriers such as liquid alcohols, glycols, esters, and amides.
- the parenteral dosage form in accordance with this invention can be in the form of a reconstitutable lyophilizate comprising the dose of the drug delivery conjugate.
- any of a number of prolonged release dosage forms known in the art can be administered such as, for example, the biodegradable carbohydrate matrices described in U.S. Pat. Nos. 4,713,249; 5,266,333; and 5,417,982, the disclosures of which are incorporated herein by reference, or, alternatively, a slow pump (e.g., an osmotic pump) can be used.
- a slow pump e.g., an osmotic pump
- At least one additional composition comprising a therapeutic factor can be administered to the host in combination or as an adjuvant to the above-detailed methodology, to enhance the binding ligand drug delivery conjugate-mediated elimination of the population of pathogenic cells, or more than one additional therapeutic factor can be administered.
- the therapeutic factor can be selected from a chemotherapeutic agent, or another therapeutic factor capable of complementing the efficacy of the administered binding ligand drug delivery conjugate.
- therapeutically effective combinations of these factors can be used.
- chemotherapeutic agents which are, for example, cytotoxic themselves or can work to enhance tumor permeability, are also suitable for use in the method of the invention in combination with the binding ligand drug delivery conjugates.
- chemotherapeutic agents include adrenocorticoids and corticosteroids, alkylating agents, antiandrogens, antiestrogens, androgens, aclamycin and aclamycin derivatives, estrogens, antimetabolites such as cytosine arabinoside, purine analogs, pyrimidine analogs, and methotrexate, busulfan, carboplatin, chlorambucil, cisplatin and other platinum compounds, tamoxiphen, taxol, paclitaxel, paclitaxel derivatives, Taxotere®, cyclophosphamide, daunomycin, doxorubicin, rhizoxin, T2 toxin, plant alkaloids, prednisone, hydroxyurea,
- the therapeutic factor can be administered to the host animal prior to, after, or at the same time as the binding ligand drug delivery conjugates and the therapeutic factor can be administered as part of the same composition containing the binding ligand drug delivery conjugate or as part of a different composition than the binding ligand drug delivery conjugate. Any such therapeutic composition containing the therapeutic factor at a therapeutically effective dose can be used in the present invention.
- binding ligand drug delivery conjugate can be used.
- the host animal can be treated with conjugates with different vitamins, but the same drug in a co-dosing protocol.
- the host animal can be treated with conjugates comprising the same binding ligand linked to different drugs, or various binding ligands linked to various drugs.
- binding ligand drug delivery conjugates with the same or different vitamins, and the same or different drugs comprising multiple vitamins and multiple drugs as part of the same drug delivery conjugate could be used.
- any effective regimen for administering the binding ligand drug delivery conjugates can be used.
- the binding ligand drug delivery conjugates can be administered as single doses, or can be divided and administered as a multiple-dose daily regimen.
- a staggered regimen for example, one to three days per week can be used as an alternative to daily treatment, and for the purpose of defining this invention such intermittent or staggered daily regimen is considered to be equivalent to every day treatment and within the scope of this invention.
- the host is treated with multiple injections of the binding ligand drug delivery conjugate to eliminate the population of pathogenic cells.
- the host is injected multiple times (preferably about 2 up to about 50 times) with the binding ligand drug delivery conjugate, for example, at 12-72 hour intervals or at 48-72 hour intervals.
- additional injections of the binding ligand drug delivery conjugate can be administered to the patient at an interval of days or months after the initial injections(s) and the additional injections prevent recurrence of the disease state caused by the pathogenic cells.
- the binding ligand drug delivery conjugates can be administered parenterally to the animal or patient suffering from the disease state, for example, intradermally, subcutaneously, intramuscularly, intraperitoneally, or intravenously in combination with a pharmaceutically acceptable carrier.
- the binding ligand drug delivery conjugates can be administered to the animal or patient by other medically useful procedures and effective doses can be administered in standard or prolonged release dosage forms.
- the therapeutic method can be used alone or in combination with other therapeutic methods recognized for treatment of disease states mediated by activated macrophages.
- Described herein is a method for imaging pathogenic cell populations that express or over-express PSMA.
- Described herein is a method for diagnosing diseases and disease states that are related to pathogenic cell populations that express or over-express PSMA.
- the compounds described herein bind selectively and/or specifically to cells that express or over-express PSMA. In addition, they not only show selectivity between pathogenic cells and normal tissues, they show selectivity among pathogenic cell populations (see FIG. 8 where PSMA expressing LnCAP cells are preferentially visualized compared to A549 tumors or KB tumos, which are not).
- the response is specific to PSMA binding as indicated by competition studies conducted with the conjugates described herein where binding is determined with the conjugate alone or in the presence of excess PMPA, a known binding ligand of PSMA. Binding at both the kidney and tumor is blocked in the presence of excess PMPA (see, for example, Method Examples described herein).
- the conjugate has a binding constant K d of about 100 nM or less. In another aspect, the conjugate has a binding constant K d of about 75 nM or less. In another aspect, the conjugate has a binding constant K d of about 50 nM or less. In another aspect, the conjugate has a binding constant K d of about 25 nM or less.
- the conjugates described herein exhibit selectivity for PSMA expressing or PSMA over-expressing cells or tissues relative to normal tissues such as blood, hear, lung, liver, spleen, duodenum, skin, muscle, bladder, and prostate, with at least 3-fold selectivity, or at least 5-fold selectivity.
- the conjugates described herein exhibit selectivity for PSMA expressing or PSMA over-expressing cells or tissues relative to normal tissues with at least 10-fold selectivity. It is appreciated that the selectivity observed for imaging is indicative of the selectivity that may be observed in treating disease states responsive to the selective or specific elimination of cells or cell populations that express or over-express PSMA.
- the unitary daily dosage of the drug delivery conjugate can vary significantly depending on the host condition, the disease state being treated, the molecular weight of the conjugate, its route of administration and tissue distribution, and the possibility of co-usage of other therapeutic treatments such as radiation therapy.
- the effective amount to be administered to a patient is based on body surface area, patient weight, and physician assessment of patient condition. Effective doses can range, for example, from about 1 ng/kg to about 1 mg/kg, from about 1 ⁇ g/kg to about 500 ⁇ g/kg, from about 1 ⁇ g/kg to about 100 ⁇ g/kg, and from about 1 ⁇ g/kg to about 10 ⁇ g/kg.
- any manner of forming a conjugate between the bivalent linker (L) and the binding ligand (B), or analog or derivative thereof, between the bivalent linker (L) and the drug, or analog or derivative thereof, including any intervening heteroatoms can be utilized in accordance with the present invention.
- any art-recognized method of forming a conjugate between the spacer linker, the releasable linker, and one or more heteroatoms to form the bivalent linker (L) can be used.
- the conjugate can be formed by direct conjugation of any of these molecules, for example, through hydrogen, ionic, or covalent bonds. Covalent bonding can occur, for example, through the formation of amide, ester, disulfide, or imino bonds between acid, aldehyde, hydroxy, amino, sulfhydryl, or hydrazo groups.
- the synthetic methods are chosen depending upon the selection of the optionally included heteroatoms or the heteroatoms that are already present on the spacer linkers, releasable linkers, the drug, and/or the binding ligand.
- the relevant bond forming reactions are described in Richard C. Larock, “Comprehensive Organic Transformations, a guide to functional group preparations,” VCH Publishers, Inc. New York (1989), and in Theodora E. Greene & Peter G. M. Wuts, “Protective Groups ion Organic Synthesis,” 2d edition, John Wiley & Sons, Inc. New York (1991), the disclosures of which are incorporated herein by reference.
- disulfide groups can be generally formed by reacting an alkyl or aryl sulfonylthioalkyl derivative, or the corresponding heteroaryldithioalkyl derivative such as a pyridin-2-yldithioalkyl derivative, and the like, with an alkylenethiol derivative.
- an alkyl or aryl sulfonylthioalkyl derivative may be prepared according to the method of Ranasinghe and Fuchs, Synth. Commun. 18(3), 227-32 (1988), the disclosure of which is incorporated herein by reference.
- unsymmetrical dialkyl disulfides are based on a transthiolation of unsymmetrical heteroaryl-alkyl disulfides, such as 2-thiopyridinyl, 3-nitro-2-thiopyridinyl, and like disulfides, with alkyl thiol, as described in WO 88/01622, European Patent Application No. 0116208A1, and U.S. Pat. No. 4,691,024, the disclosures of which are incorporated herein by reference.
- carbonates, thiocarbonates, and carbamates can generally be formed by reacting an hydroxy-substituted compound, a thio-substituted compound, or an amine-substituted compound, respectively, with an activated alkoxycarbonyl derivative having a suitable leaving group.
- the compounds described herein may be prepared by conventional organic synthetic methods. In addition, the compounds described herein may be prepared as indicated below. Unless otherwise indicated, all starting materials and reagents are available from commercial supplies. All amino acid starting materials were purchased from Chem-Impex Int (Chicago. Ill.). 1 H NMR spectra were obtained using a Bruker 500 MHz cryoprobe, unless otherwise indicated.
- the reaction mixture was allowed to come to room temperature over a period of 1 h and continued to stir at room temperature overnight.
- the reaction mixture was washed with 1N HCl, brine and dried over Na 2 SO 4 .
- Fmoc Fluorenylmethyloxycarbonyl
- SPPS Fluorenylmethyloxycarbonyl
- Radio labeling of SK28 with 99m Tc may be performed according to published procedures. A formulation vial was warmed to room temperature for 10 min and heated in a boiling water bath for 3 min. Then 15 mCi of sodium pertechnetate 99m Tc (1.0 mL) was injected and an equal volume of gas was withdrawn from the vial to normalize the pressure. The vial was heated in the boiling water bath for 15-20 min and then cooled to room temperature before using in the experiment. Radiochemical purity was analyzed by radioactive TLC (>98%/), that showed syn and anti isomers of the radio labeled compound (SK33/SK28- 99m Tc).
- PSMA imaging agent conjugates illustrated for SK59 using Universal PSMA (DUPA) resin, a 2-atom linker, and FITC. This conjugate may also be used for detecting circulating tumor cells in prostate cancer patients.
- DUPA Universal PSMA
- 2-atom linker a 2-atom linker
- FITC a 2-atom linker
- This conjugate may also be used for detecting circulating tumor cells in prostate cancer patients.
- the pendant Mmt (4-Methoxytrityl) was removed with IM HOBT (1-Hyroxybenzotriazole) in DCM/TFE (trifluoroethanol).
- IM HOBT 1-Hyroxybenzotriazole
- DCM/TFE trifluoroethanol
- the resin intermediate can be washed with DMF and used immediately in subsequent synthetic steps or washed with DCM/DMF and then with MeOH, and dried for later use.
- SK63(7-atom linker, C39H40N6O17, Mol. Wt.: 864.76) was prepared using universal PSMA resin and standard Fmoc SPPS conjugated with Fmoc-Glu-(O t Bu)-OH.
- n is an integer from 4 to about 30 may also be prepared according to the processes described herein.
- n is an integer from 4 to about 30 may also be prepared according to the processes described herein.
- DUPA imaging agent conjugate compounds SK51, SK45, and SK49 were prepared according to the processes described herein, where n is 5:
- SK45 25 Atom linker BODIPY 505, C67H87BF2N13O20S, Mol. Wt.: 1475.35
- n is an integer from 0 to about 12 may also be prepared according to the processes described herein.
- SK49 25 Atom linker-Oregon Green 488, C71H76F2N10O24, Mol. Wt.: 1523.478
- n is an integer from 0 to about 12 may also be prepared according to the processes described herein.
- DUPA vinblastine and DUPA camptothecin compounds were prepared according to the processes described herein.
- LNCaP cells a human prostate cancer cell line over-expressing PSMA, purchased from American Type Culture Collection (ATCC)
- ATCC American Type Culture Collection
- LNCaP cells were seeded in two 24-well (120,000 cells/well) falcon plates and allowed to grow to adherent monolayers for 48 hours in RPMI with glutamine (2 mM)(Gibco RPMI medium 1640, catalog #22400) plus 10%/6 FBS (Fetal Bovine Serum), 1% sodium pyruvate (100 mM) and 1% PS (penicillin streptomycin) in a 5%-CO2 atmosphere at 37° C.
- glutamine (2 mM)(Gibco RPMI medium 1640, catalog #22400)
- FBS Fetal Bovine Serum
- 1% sodium pyruvate 100 mM
- PS penicillin streptomycin
- Cells of one 24-well plate were incubated with increasing concentrations of SK28-99mTc from 0 nM-450 nM (triplicates for each concentration) in a 5%-CO2 atmosphere at 37° C. for 1 hour.
- Cells of the second 24-well plate were incubated with 50 uM PMPA in a 5%-CO2 atmosphere at 37° C. for 30 minutes, then incubated with increasing concentrations of SK28-99mTc from 0 nM-450 nM (triplicates for each concentration) in a 5%-CO2 atmosphere at 37° C. for 1 hour (competition study). Cells were rinsed three times with 1.0 mL of RPMI.
- LNCaP cells (150,000 cells/well) were seeded onto 24-well Falcon plates and allowed to form confluent monolayers over 48 h. Spent medium in each well was replaced with fresh medium (0.5 mL) containing increasing concentrations of DUPA-99mTc in the presence ( ⁇ ) or absence ( ⁇ ) of excess PMPA. After incubating for 1 h at 37° C., cells were rinsed with culture medium (2 ⁇ 1.0 mL) and tris buffer (1 ⁇ 1.0 mL) to remove any unbound radioactivity.
- LNCaP cells were seeded in a 24-well falcon plate and allowed to grow to adherent monolayers for 48 hours in RPMI (Gibco RPMI medium 1640, catalog #22400) plus 10% FBS (Fetal Bovine Serum), 1% glutaric and 1% PS (penicillin streptomycin) in a 5%-CO2 atmosphere at 37° C. Cells were then incubated with increasing concentrations of SK28-99mTc from 0 nM-450 nM (triplicates for each concentration) in a 5%-CO2 atmosphere at 4° C. or at 37° C. for 1 hour.
- RPMI Gibco RPMI medium 1640, catalog #22400
- FBS Fetal Bovine Serum
- PS penicillin streptomycin
- the cell bound radioactivity at the saturation point at 4° C. 12 000 cpm.
- the number of atoms at the saturation point (1.76 ⁇ 107 atom) ⁇ (12 000 cpm).
- the number of cells/well 245,000.
- LNCaP cells were seeded in 24-well (120,000 cells/plate) falcon plates (10 plates) and allowed to grow to adherent monolayers for 48 hours in RPMI (Gibco RPMI medium 1640, catalog #22400) plus 10% FBS (Fetal Bovine Serum), 1% sodium pyruvate and 1% PS (penicillin streptomycin) in a 5%-CO2 atmosphere at 37° C.
- RPMI Gibco RPMI medium 1640, catalog #22400
- FBS Fetal Bovine Serum
- PS penicillin streptomycin
- SK60-99mTc zero atom spacer
- SK62-99mTc 7 atom spacer
- SK28-99mTc 14 atom spacer
- SK38-99mTc 16 atom spacer
- SK57-99mTc 24 atom spacer
- Cells were rinsed three times with 1.0 mL of RPMI. Cells were lysed with tris-buffer, transferred to individual gamma scintigraphy vials, and radioactivity was counted.
- the plot of cell bound radioactivity verses concentration of the radiolabeled compound was used to calculate the Kd value.
- the plot of % saturation verses concentration of the radiolabeled compound as well as the plot for Kd verses spacer length are shown ( FIGS. 3A and B).
- LNCaP cells were maintained in RPMI 1640 (Gibco RPMI medium 1640, catalog #22400) with glutamine (2 mM), 100/FBS (Fetal Bovine Serum), 1% sodium pyruvate (100 mM) and 1% PS (penicillin streptomycin) in a 5%-CO2 atmosphere at 37° C.
- RPMI 1640 Gibco RPMI medium 1640, catalog #22400
- glutamine 2 mM
- 100/FBS Fetal Bovine Serum
- 1% sodium pyruvate 100 mM
- PS penicillin streptomycin
- mice were allowed to acclimate for one week prior to inoculation of LNCaP cells.
- Matrigel and high concentrated (HC) matrigel were purchased from BD Biosciences.
- Nude mice were inoculated with either 2.5 ⁇ 106 or 5.0 ⁇ 10 6 in vitro propagated LNCaP cells in 50% matrigel (100 uL RPMI medium+100 uL of matrigel) or 50%6 high concentrated matrigel (100 uL RPMI medium+100 uL of HC matrigel) to determine optimal conditions, including number of cells, vehicle, etc.
- Cells were subcutaneously injected into each axial and each flank of the nude mice to determine the optimal site. The volume of each tumor was measured in perpendicular directions twice a week using a caliper and body weight was measured once a week (data not shown).
- L measurement of longest axis in millimeters
- W measurement of axis perpendicular to L in millimeters.
- LNCaP, KB, and A549 cells were maintained in RPMI 1640 (Gibco RPMI medium 1640, catalog #22400) with glutamine (2 mM), 10% FBS (Fetal Bovine Serum), 1% sodium pyruvate (100 mM) and 1% PS (penicillin streptomycin) in a 5%-CO2 atmosphere at 37° C.
- RPMI 1640 Gibco RPMI medium 1640, catalog #22400
- glutamine 2 mM
- FBS Fetal Bovine Serum
- sodium pyruvate 100 mM
- PS penicillin streptomycin
- 5.0 ⁇ 106 LNCaP cells in 50% high concentrated matrigel, 1.0 ⁇ 106 KB cells in RPMI medium, or 1.0 ⁇ 10 6 A549 cells in RPMI medium were subcutaneously injected into the right axial (some animals were injected in both) of the nude mice.
- the volume of each tumor was measured in two perpendicular directions twice a week using a caliper (See FIGS. 5A and 5B ) and body weight was measured once a week (data not shown).
- FIGS. 6A, 6B, and 6C show images of mice with human LNCaP tumors using SK28-99mTc (radiolabeled 14 Atom spacer).
- FIGS. 6A-6C represent 3 separate sets of mice: the left hand image shows white light images and the right hand image shows an overlay of the radioimage with the white light image of mice with LNCaP tumors imaged using a Kodak camera imager 4 hours after subcutaneous (administered through intraperitoneal) injection of 1 ng/kg SK28-99mTc without [left mouse in each set of images] and with 50 mg/kg PMPA [right mouse in both sets of images] to block PSMA (as a competitor).
- 6D shows a single mouse study for LNCaP tumors imaged using Kodak imager 4 hours after subcutaneous (administered through intraperitoneal) injection of 1 ng/kg SK28-99mTc showing in the left hand image an overlay of radioimage with kidney shield and white light image with no shield and in the right hand image an overlay of radioimage with kidney shield and X-ray image with no shield.
- DUPA-99mTc was injected intraperitoneally (i.p.) into athymic nude mice bearing LNCaP tumors on their shoulders. After 4 h to allow for clearance of unbound conjugate, the distribution of the retained DUPA-99mTc was imaged by gamma scintigraphy. As seen in FIG. 7D (a) and 7 D(c), the targeted 99mTc radiotracer accumulated mainly in the PSMA positive LNCaP tumor, with little or no radioactivity in other tissues except the kidneys.
- kidney uptake may be peculiar to the mouse, since immunohistochemical and RT-PCR analyses suggest that PSMA expression is high in murine kidneys but minimal in human kidneys.
- In vivo specificity of the PSMA-targeted imaging agent was further tested by prior administration of excess PMPA to block all PSMA sites before DUPA-99mTc administration. As shown in FIGS. 7D (b) and 7 D(d), blocked LNCaP tumors display no DUPA-99mTc uptake, confirming the specificity of the DUPA conjugate for PSMA in vivo.
- the radiotracer was also administered to two PSMA negative mouse xenograft models [A549 (a human lung cancer cell line) and KB (a human nasopharyngeal cancer cell line)], and again whole body images were taken. As anticipated, no radioactivity was observed in either KB or A549 tumors ( FIGS. 7D (e) and 7 D(f)), even after shielding of the kidneys was performed to allow detection of low levels of DUPA-99mTc in other tissues. These studies thus confirm that very little DUPA-99mTc binding occurs to sites unrelated to PSMA in vivo.
- FIG. 7D shows the whole body images of solid tumor xenografts in nu/nu mice taken 4 h after injection of 150 ⁇ Ci DUPA-99mTc.
- Overlay of radioimages on white light images were also obtained of mice bearing an A549 tumor 7 D(e) or a KB tumor 7 D(f) that were similarly treated with DUPA-99mTc. Except in images 7 D(a) and 7 D(b), kidneys were shielded with lead pads. All images were taken using a Kodak Imaging Station 4 h after an intraperitoneal injection of DUPA-99mTc. Arrows indicate solid tumor xenografts. Similar images were obtained on all 5 mice in each treatment group.
- LNCaP tumors solid bars
- LNCaP tumors in mice pre-injected with 100-fold molar excess of PMPA open bars
- A549 tumors cross-hatched bars
- KB tumors horizontally-hatched bars
- SK71 Multiple dose toxicity in live mice.
- SK71 was administered in 5 doses on alternate days (M, W, F, M, W).
- the data show that the MTD for SK71 is 2 ⁇ mol/kg for multiple dosing, and that the conjugate is effective on LNCaP tumors (mice used for MTD 2 weeks after implantation of LNCaP cells before treatment was initiated). All 4 mice in the saline control group had large tumors, whereas no mice in the two treated groups had visible tumors after 18 days of treatment. (See FIG. 9B )
- FIGS. 13A and 13C Effect of SK71 on the growth of subcutaneous tumors ( FIGS. 13A and 13C , and on the weights of the treated mice ( FIGS. 13B and 13D ).
- LNCaP cells in HC Matrigel were implanted subcutaneously into shoulders of nu/nu male mice. Once tumors reached either 100 mm3 ( 13 A, 13 B) or 330 mm3 ( 13 C, 13 D) in volume, animals were treated with SK71 [1.5 ⁇ mol/kg (a, b) or 2.0 ⁇ mol/kg (c, d)].
- FIG. 10 SK71 potency in vivo.
- FIG. 14A Effect of SK77 on the growth of subcutaneous tumors ( FIG. 14A ), and on the weights of the treated mice ( FIG. 14B ).
Landscapes
- Health & Medical Sciences (AREA)
- Life Sciences & Earth Sciences (AREA)
- Chemical & Material Sciences (AREA)
- General Health & Medical Sciences (AREA)
- Veterinary Medicine (AREA)
- Animal Behavior & Ethology (AREA)
- Public Health (AREA)
- Epidemiology (AREA)
- Medicinal Chemistry (AREA)
- Pharmacology & Pharmacy (AREA)
- Engineering & Computer Science (AREA)
- Organic Chemistry (AREA)
- Proteomics, Peptides & Aminoacids (AREA)
- Bioinformatics & Cheminformatics (AREA)
- Biomedical Technology (AREA)
- Physics & Mathematics (AREA)
- Optics & Photonics (AREA)
- Molecular Biology (AREA)
- Biophysics (AREA)
- Biochemistry (AREA)
- General Chemical & Material Sciences (AREA)
- Nuclear Medicine, Radiotherapy & Molecular Imaging (AREA)
- Chemical Kinetics & Catalysis (AREA)
- Genetics & Genomics (AREA)
- Neurology (AREA)
- Neurosurgery (AREA)
- Psychiatry (AREA)
- Hospice & Palliative Care (AREA)
- Urology & Nephrology (AREA)
- Medicinal Preparation (AREA)
- Medicines Containing Antibodies Or Antigens For Use As Internal Diagnostic Agents (AREA)
- Peptides Or Proteins (AREA)
- Pharmaceuticals Containing Other Organic And Inorganic Compounds (AREA)
- Medicines That Contain Protein Lipid Enzymes And Other Medicines (AREA)
- Pyrane Compounds (AREA)
- Plural Heterocyclic Compounds (AREA)
Abstract
Description
- This application claims priority to U.S. Provisional Patent Application Ser. No. 60/956,489 filed on Aug. 17, 2007, and U.S. Provisional Patent Application Ser. No. 61/074,358 filed on Jun. 20, 2008, the entire disclosure of which is hereby incorporated by reference.
- The invention described herein pertains to compounds and methods for treating diseases of the prostate, such as prostate cancer and related diseases. More specifically, embodiments of the invention described herein pertain to conjugates of biologically active agents conjugated to PSMA binding ligands.
- The prostate is one of the male reproductive organs found in the pelvis below the urinary bladder. It functions to produce and store seminal fluid which provides nutrients and fluids that are vital for the survival of sperm introduced into the vagina during reproduction. Like many other tissues, the prostate glands are also prone to develop either malignant (cancerous) or benign (non-cancerous) tumors. The American Cancer Society predicted that over 230,000 men would be diagnosed with prostrate cancer and over 30,000 men would die from the disease in year 2005. In fact, prostate cancer is one of the most common male cancers in western societies, and is the second leading form of malignancy among American men. Current treatment methods for prostrate cancer include hormonal therapy, radiation therapy, surgery, chemotherapy, photodynamic therapy, and combination therapy. The selection of a treatment generally varies depending on the stage of the cancer. However, many of these treatments affect the quality of life of the patient, especially those men who are diagnosed with prostrate cancer over
age 50. For example, the use of hormonal drugs is often accompanied by side effects such as osteoporosis and liver damage. Such side effects might be mitigated by the use of treatments that are more selective or specific to the tissue being responsible for the disease state, and avoid non-target tissues like the bones or the liver. As described herein, prostate specific membrane antigen (PSMA) represents a target for such selective or specific treatments. - PSMA is named largely due to its higher level of expression on prostate cancer cells; however, its particular function on prostate cancer cells remains unresolved. PSMA is over-expressed in the malignant prostate tissues when compared to other organs in the human body such as kidney, proximal small intestine, and salivary glands. Though PSMA is expressed in brain, that expression is minimal, and most ligands of PSMA are polar and are not capable of penetrating the blood brain barrier. PSMA is a type II cell surface membrane-bound glycoprotein with ˜110 kD molecular weight, including an intracellular segment (amino acids 1-18), a transmembrane domain (amino acids 19-43), and an extensive extracellular domain (amino acids 44-750). While the functions of the intracellular segment and the transmembrane domains are currently believed to be insignificant, the extracellular domain is involved in several distinct activities. PSMA plays a role in central nervous system, where it metabolizes N-acetyl-aspartyl glutamate (NAAG) into glutamic and N-acetyl aspartic acid. Accordingly, it is also sometimes referred to as an N-acetyl alpha linked acidic dipeptidase (NAALADase). PSMA is also sometimes referred to as a folate hydrolase I (FOLH I) or glutamate carboxypeptidase (GCP II) due to its role in the proximal small intestine where it removes γ-linked glutamate from poly-γ-glutamated folate and α-linked glutamate from peptides and small molecules.
- PSMA also shares similarities with human transferrin receptor (TfR), because both PSMA and TfR are type II glycoproteins. More specifically, PSMA shows 54% and 60% homology to TfR1 and TfR2, respectively. However, though TfR exists only in dimeric form due to the formation of inter-strand sulfhydryl linkages, PSMA can exist in either dimeric or monomeric form.
- Unlike many other membrane-bound proteins, PSMA undergoes rapid internalization into the cell in a similar fashion to cell surface bound receptors like vitamin receptors. PSMA is internalized through clathrin-coated pits and subsequently can either recycle to the cell surface or go to lysosomes. It has been suggested that the dimer and monomer form of PSMA are inter-convertible, though direct evidence of the interconversion is being debated. Even so, only the dimer of PSMA possesses enzymatic activity, and the monomer does not.
- Though the activity of the PSMA on the cell surface of the prostate cells remains under investigation, it has been recognized by the inventors herein that PSMA represents a viable target for the selective and/or specific delivery of biologically active agents, including diagnostic agents, imaging agents, and therapeutic agents to such prostate cells.
- It has been discovered that biologically active compounds that are conjugated to ligands capable of binding to prostate specific membrane antigen (PSMA) via a linker may be useful in the imaging, diagnosis, and/or treatment of prostate cancer, and related diseases that involve pathogenic cell populations expressing or over-expressing PSMA. PSMA is a cell surface protein that is internalized in a process analogous to endocytosis observed with cell surface receptors, such as vitamin receptors. Accordingly, it has been discovered that certain conjugates that include a linker having a predetermined length, and/or a predetermined diameter, and/or preselected functional groups along its length may be used to treat, image, and/or diagnose such diseases.
- In one illustrative embodiment of the invention, conjugates having the formula
-
B-L-D - are described wherein B is a prostate specific membrane antigen (PSMA) binding or targeting ligand, L is a linker, and D is a drug. As used herein, the term drug D collectively includes therapeutic agents, cytotoxic agents, imaging agents, diagnostic agents, and the like, unless otherwise indicated or by the context. For example, in one illustrative configuration, the conjugate described herein is used to eliminate a pathogenic population of cells and therefore the drug D is a therapeutic agent, a cytotoxic agent, and the like. In another illustrative configuration, the conjugate described herein is used to image and/or diagnose a disease or disease state, and therefore the drug D is an imaging agent, a diagnostic agent, and the like. Other configurations are also contemplated and described herein. It is to be understood that analogs and derivatives of each of the foregoing B, L. and D are also contemplated and described herein, and that when used herein, the terms B, L, and D collectively refer to such analogs and derivatives.
- In one illustrative embodiment, the linker L may be a releasable or non-releasable linker. In one aspect, the linker L is at least about 7 atoms in length. In one variation, the linker L is at least about 10 atoms in length. In one variation, the linker L is at least about 14 atoms in length. In another variation, the linker L is between about 7 and about 31, between about 7 and about 24, or between about 7 and about 20 atoms in length. In another variation, the linker L is between about 14 and about 31, between about 14 and about 24, or between about 14 and about 20 atoms in length.
- In an alternative aspect, the linker L is at least about 10 angstroms (Å) in length. In one variation, the linker L is at least about 15 Å in length. In another variation, the linker L is at least about 20 Å in length. In another variation, the linker L is in the range from about 10 Å to about 30 Å in length.
- In an alternative aspect, at least a portion of the length of the linker L is about 5 Å in diameter or less at the end connected to the binding ligand B. In one variation, at least a portion of the length of the linker L is about 4 Å or less, or about 3 Å or less in diameter at the end connected to the binding ligand B. It is appreciated that the illustrative embodiments that include a diameter requirement of about 5 Å or less, about 4 Å or less, or about 3 Å or less may include that requirement for a predetermined length of the linker, thereby defining a cylindrical-like portion of the linker. Illustratively, in another variation, the linker includes a cylindrical portion at the end connected to the binding ligand that is at least about 7 Å in length and about 5 Å or less, about 4 Å or less, or about 3 Å or less in diameter.
- In another embodiment, the linker L includes one or more hydrophilic linkers capable of interacting with one or more residues of PSMA, including amino acids that have hydrophobic side chains, such as Ser, Thr, Cys, Arg, Orn, Lys, Asp, Glu, Gn, and like residues. In another embodiment, the linker L includes one or more hydrophobic linkers capable of interacting with one or more residues of PSMA, including amino acids that have hydrophilic side chains, such as Val, Leu, Ile, Phe, Tyr, Met, and like residues. It is to be understood that the foregoing embodiments and aspects may be included in the linker L either alone or in combination with each other. For example, linkers L that are at least about 7 atoms in length and about 5 Å, about 4 Å or less, or about 3 Å or less in diameter or less are contemplated and described herein, and also include one or more hydrophilic linkers capable of interacting with one or more residues of PSMA, including Val, Leu, Ile, Phe. Tyr, Met, and like residues are contemplated and described herein.
- In another embodiment, one end of the linker is not branched and comprises a chain of carbon, oxygen, nitrogen, and sulfur atoms. In one embodiment, the linear chain of carbon, oxygen, nitrogen, and sulfur atoms is at least 5 atoms in length. In one variation, the linear chain is at least 7 atoms, or at least 10 atoms in length. In another embodiment, the chain of carbon, oxygen, nitrogen, and sulfur atoms are not substituted. In one variation, a portion of the chain of carbon, oxygen, nitrogen, and sulfur atoms is cyclized with a divalent fragment. For example, a linker (L) comprising the dipeptide Phe-Phe may include a piperazin-1,4-diyl structure by cyclizing two nitrogens with an ethylene fragment, or substituted variation thereof.
- In another embodiment, pharmaceutical compositions are described herein, where the pharmaceutical composition includes the conjugates described herein in amounts effective to treat diseases and disease states, diagnose diseases or disease states, and/or image tissues and/or cells that are associated with pathogenic populations of cells expressing or over expressing PSMA. Illustratively, the pharmaceutical compositions also include one or more carriers, diluents, and/or excipients.
- In another embodiment, methods for treating diseases and disease states, diagnosing diseases or disease states, and/or imaging tissues and/or cells that are associated with pathogenic populations of cells expressing or over expressing PSMA are described herein. Such methods include the step of administering the conjugates described herein, and/or pharmaceutical compositions containing the conjugates described herein, in amounts effective to treat diseases and disease states, diagnose diseases or disease states, and/or image tissues and/or cells that are associated with pathogenic populations of cells expressing or over expressing PSMA.
-
FIG. 1A . Cell bound radioactivity versus concentration of SK28-99mTc (Kd=18.12 nM) in the presence (▴) or absence (▪) of excess PMPA -
FIG. 1B . In Vitro Binding Studies Using LNCaP Cells and SK33 (14 atom linker). LNCaP cells containing increasing concentrations of DUPA-99mTc in the presence (▴) or absence (▪) of excess PMPA -
FIG. 2 . Cell bound radioactivity verses concentration of SK28-99mTc; at 4° C. (▪) and at 37° C. (♦). -
FIG. 3A . Plot of cell bound radioactivity versus concentration of DUPA-Linker-99mTc imaging agents: (▪) 0-atom linker (Kd=171 nM); (▴) 7-atom linker (Kd=68 nM); (▾) 14-atom linker (Kd=15 nM); (♦) 16-atom linker (Kd=40 nM). -
FIG. 3B . KD values for DUPA-Linker-99mTc compounds binding to LNCaP cells. -
FIG. 4 . Plot of days post injection verses tumor volume for LNCaP tumors: (a) 2.5 million+Matrigel; (b) 2.5 million+HC Matrigel; (c) 5 million+Matrigel; (d) 5 million+HC Matrigel. -
FIG. 5A . Plot of days post injection verses tumor volume for LNCaP tumors (27 mice) and (b) KB cells (5 mice) and A549 cells (5 mice). -
FIG. 5B . Plot of days post injection versus tumor volume for KB cells (5 mice) and A549 cells (5 mice). -
FIG. 6A . Mice (Set 1) previously injected with LNCaP tumors, treated with 1 ng/kg SK28-99mTc (14-atom linker), the left hand image shows white light images and image shows an overlay of the radioimage with the white light image. In each panel, the right mouse was treated with 50 mg/kg PMPA (to block PSMA binding) and the left mouse was treated without added PMPA. -
FIG. 6B . Mice (Set 2) previously injected with LNCaP tumors, treated with 1 ng/kg SK28-99mTc (14-atom linker), the left hand image shows white light images and image shows an overlay of the radioimage with the white light image. In each panel, the right mouse was treated with 50 mg/kg PMPA (to block PSMA binding) and the left mouse was treated without added PMPA. -
FIG. 6C . Mice (Set 3) previously injected with LNCaP tumors, treated with 1 ng/kg SK28-99mTc (14-atom linker), the left hand image shows white light images and image shows an overlay of the radioimage with the white light image. In each panel, the right mouse was treated with 50 mg/kg PMPA (to block PSMA binding) and the left mouse was treated without added PMPA. -
FIG. 6D . Shows a single mouse study for LNCaP tumors imaged usingKodak imager 4 hours after subcutaneous (administered through intraperitoneal) injection of 1 ng/kg SK28-99mTc showing in the left hand image an overlay of radioimage with kidney shield and white light image with no shield and in the right hand image an overlay of radioimage with kidney shield and X-ray image with no shield. -
FIG. 7A . Mice previously injected with LNCaP tumors treated using SK60-99mTc (zero atom linker). The left image shows white light images, the center image shows overlay of radioimage with white light image, and the right image shows overlay of radioimage with white light image by shielding the kidney of mice. -
FIG. 7B . Mice previously injected with KB cells treated using SK28-99mTc (14 atom linker). The left image shows white light images, the center image shows overlay of radioimage with white light image, and the right image shows overlay of radioimage with white light image by shielding the kidney of mice. -
FIG. 7C . Mice previously injected with A549 cells treated using SK28-99mTc (14 atom linker). The left image shows white light images, the center image shows overlay of radioimage with white light image, and the right image shows overlay of radioimage with white light image by shielding the kidney of mice. -
FIG. 7D . Whole body images of solid tumor xenografts in nu/nu mice taken 4 h after injection of 150 μCi DUPA-99mTc. Overlay of whole-body radioimages on white light images of mice bearing LNCaP tumors that were treated with DUPA-99mTc in the absence (a, c) or presence (b, d) of 100-fold molar excess PMPA. Overlay of radioimages on white light images of mice bearing an A549 tumor (e) or a KB tumor (f) that were similarly treated with DUPA-99mTc. -
FIG. 8A . Bio-distribution data as measured for direct cpm count verses tissue for SK28-99mTc with or without PMPA (as a competitor) on LNCaP, (a) without, (b) with; (c) A549; and (d) KB tumors implanted on axial of male nude mice. -
FIG. 8B . Bio-distribution data just for tumor and kidney for SK28-99mTc with (b) or without (a) PMPA (as a competitor) on LNCaP tumors implant on axial of male nude mice. -
FIG. 8C . Biodistribution studies of DUPA-99mTc in nu/nu mice bearing LNCaP, A549, or KB tumors. -
FIG. 9A . Acute MTD (single dose) showing percentage weight change after a single dose of SK71; saline alone, 1.1 μmol/kg, 2.3 μmol/kg, 4.5 μmol/kg, and 9 μmol/kg. -
FIG. 9B . Chronic MTD showing percentage weight change after 5 doses given on alternate days (M, W, F, M, W); saline alone, 2 μmol/kg and 4 μmol/kg. -
FIG. 10A . Efficacy study showing tumor volume in animals treated with the conjugate SK71 administered in 5 doses on alternate days (M, W, F, M, W) at 1 μmol/kg. -
FIG. 10B . Efficacy study (control group) showing tumor volume in animals treated with saline alone administered in 5 doses on alternate days (M, W, F, M, W). -
FIG. 10C . Efficacy study (competition) showing tumor volume in animals treated with excess PSMA and the conjugate SK71 administered in 5 doses on alternate days (M, W, F, M, W) at 1 μmol/kg. -
FIG. 11 . Efficacy Study (1 micromole/kg every other day for 10 days; i.e. 5 doses). -
FIG. 12A . [3H]-Thymidine incorporation of LNCaP cells after treatment with SK71 (IC50˜2 nM). -
FIG. 12B . [3H]-Thymidine incorporation of LNCaP cells after treatment with SK77 (IC50˜3 nM). -
FIG. 12C . [3H]-Thymidine incorporation of LNCaP cells after treatment with SK37 (IC50˜33 nM). -
FIG. 12D . [3H]-Thymidine incorporation of LNCaP cells after treatment with SK45 (IC50˜29 nM). -
FIG. 13A . The effect of treatment with SK71 (1.5 μmol/kg) on tumor volume in nu/nu mice previously treated with LNCaP cells in HC Matrigel. Treated mice (▪), untreated mice (•), treated mice pre-injected with 100-fold molar excess of PMPA (▴). -
FIG. 13B . The effect of treatment with SK71 (1.5 μmol kg) on percentage weight change in nu/nu mice previously treated with LNCaP cells in HC Matrigel. Treated mice (▪), untreated mice (•), treated mice pre-injected with 100-fold molar excess of PMPA (▴). -
FIG. 13C . The effect of treatment with SK71 (2.0 μmol/kg) on tumor volume in nu/nu mice previously treated with LNCaP cells in HC Matrigel. Treated mice (▪), untreated mice (•), treated mice pre-injected with 30-fold molar excess of PMPA (▾). -
FIG. 13D . The effect of treatment with SK71 (2.0 μmol/kg) on percentage weight change in nu/nu mice previously treated with LNCaP cells in HC Matrigel. Treated mice (▪), untreated mice (•), treated mice pre-injected with 30-fold molar excess of PMPA ( ). -
FIG. 14A . The effect of treatment with SK77 (2.0 μmol/kg) on tumor volume in nu/nu mice previously treated with LNCaP cells in HC Matrigel. Untreated mice (▪), treated mice (▾). -
FIG. 14B . The effect of treatment with SK77 (2.0 μmol/kg) on percentage weight change in nu/nu mice previously treated with LNCaP cells in HC Matrigel. Untreated mice (▪), treated mice (▾). -
FIG. 15A . MUPA 99mTc imaging agent conjugate (9-atom linker) with energy minimized computer model. -
FIG. 15B . MUPA 99mTc imaging agent conjugate (syn-SK33, 14-atom linker) with energy minimized computer model. - Drug delivery conjugates are described herein where a PSMA binding ligand is attached to a releasable or non-releasable linker which is attached to a drug, therapeutic agent, diagnostic agent, or imaging agent.
- Illustratively, the bivalent linkers described herein may be included in linkers used to prepare PSMA-binding drug conjugates, PSMA-binding imaging agent conjugates, and PSMA-binding diagnostic agent conjugates of the following formulae:
-
B-L-TA -
B-L-IA -
B-L-DA - where B is a PSMA-binding moiety, including analogs or derivatives thereof. L is a linker, TA is a therapeutic agent, including analogs or derivatives thereof, IA is an imaging agent, including analogs or derivatives thereof, and DA is a diagnostic agent, including analogs or derivatives thereof. The linker L can comprise multiple bivalent linkers, including the bivalent linkers described herein. It is also to be understood that as used herein, TA collectively refers to therapeutic agents, and analogs and derivatives thereof. IA collectively refers to imaging agents, and analogs and derivatives thereof, and DA collectively refers to diagnostic agents, and analogs and derivatives thereof.
- The linker may also include one or more spacer linkers and optionally additional releasable linkers. The spacer and releasable linkers may be attached to each other in any order or combination. Similarly, the PSMA binding ligand may be attached to a spacer linker or to a releasable linker. Similarly, the drug, therapeutic agent, diagnostic agent, or imaging agent may be attached to a spacer linker or to a releasable linker. Each of these components of the conjugates may be connected through existing or additional heteroatoms on the targeting ligand, drug, therapeutic agent, diagnostic agent, imaging agent, releasable or spacer linker. Illustrative heteroatoms include nitrogen, oxygen, sulfur, and the formulae —(NHR1NHR2)—, —SO—, —(SO2)—, and —N(R3)O—, wherein R1, R2, and R3 are each independently selected from hydrogen, alkyl, heteroalkyl, heterocyclyl, aryl, heteroaryl, arylalkyl, heteroarylalkyl, and the like, each of which may be optionally substituted.
- In one illustrative embodiment, compounds are described herein that include linkers having predetermined length and diameter dimensions. In one aspect, linkers are described herein that satisfy one or more minimum length requirements, or a length requirement falling within a predetermined range. In another aspect, satisfaction of a minimum length requirement may be understood to be determined by computer modeling of the extended conformations of linkers. In another aspect, satisfaction of a minimum length requirement may be understood to be determined by having a certain number of atoms, whether or not substituted, forming a backbone chain of atoms connecting the binding ligand (B) with the drug (D). In another embodiment, the backbone chain of atoms is cyclized with another divalent fragment. In another aspect, linkers are described herein that satisfy one or more maximum or minimum diameter requirements. In another aspect, satisfaction of a maximum or minimum diameter requirement may be understood to be determined by computer modeling of various conformations of linkers modeled as the space-filling, CPK, or like configurations. In another aspect, satisfaction of a maximum or minimum diameter requirement may be understood to be apply to one or more selected portions of the linker, for example the portion of the linker proximal to the binding ligand (B), or the portion of the linker proximal to the drug (D), and the like. In another aspect, linkers are described herein that satisfy one or more chemical composition requirements, such as linkers that include one or more polar groups that may positively interact with the one or more Arg or Lys side-chain nitrogens and/or Asp or Glu side chain oxygens found in the funnel portion of PSMA. In one variation, linkers are described herein that satisfy one or more chemical composition requirements, such as linkers that include one or more non-polar groups that may positively interact with the one or more Tyr or Phe side-chain carbons found in the funnel portion of PSMA.
- In one embodiment, the atom-length of the linker is defined by the number of atoms separating the binding or targeting ligand B, or analog or derivative thereof, and the drug D, or analog or derivative thereof. Accordingly, in configurations where the binding ligand B, or analog or derivative thereof, is attached directly to the drug D, or analog or derivative thereof, the attachment is also termed herein as a “0-atom” linker. It is understood that such 0-atom linkers include the configuration wherein B and D are directly attached by removing a hydrogen atom from each attachment point on B and D, respectively. It is also understood that such 0-atom linkers include the configuration wherein B and D are attached through an overlapping heteroatom by removing a hydrogen atom from one of B or D, and a heteroatom functional group, such as OH, SH, NH2, and the like from the other of B or D. It is also understood that such 0-atom linkers include the configuration wherein B and D are attached through a double bond, which may be formed by removing two hydrogen atoms from each attachment point on B and D, respectively, or whereby B and D are attached through one or more overlapping heteroatoms by removing two hydrogen atoms, one hydrogen and one heteroatom functional group, or two heteroatom functional groups, such as OH, SH, NH2, and the like, from each of B or D. In addition, B and D may be attached through a double bond formed by removing a double bonded heteroatom functional group, such as O, S, NH, and the like, from one or both of B or D. It is also to be understood that such heteroatom functional groups include those attached to saturated carbon atoms, unsaturated carbon atoms (including carbonyl groups), and other heteroatoms. Similarly, the length of linkers that are greater than 0 atoms are defined in an analogous manner.
- Accordingly, in another illustrative embodiment, linkers (L) are described having a chain length of at least 7 atoms. In one variation, linkers (L) are described having a chain length of at least 14 atoms. In another variation, linkers (L) are described having a chain length in the range from about 7 atoms to about 20 atoms. In another variation, linkers (L) are described having a chain length in the range from about 14 atoms to about 24 atoms.
- In another embodiment, the length of the linker (L) is defined by measuring the length of an extended conformation of the linker. Such extended conformations may be measured in art-recognized computer modeling programs, such as PC Model 7 (MMX). Accordingly, in another illustrative embodiment, linkers are described having a chain length of at least 15 Å, at least 20 Å, or at least 25 Å.
- In another embodiment, linkers are described having at least one hydrophobic side chain group, such as an alkyl, cycloalkyl, aryl, arylalkyl, or like group, each of which is optionally substituted. In one aspect, the hydrophobic group is included in the linker by incorporating one or more Phe or Tyr groups, including substituted variants thereof, and analogs and derivatives thereof, in the linker chain. It is appreciated that such Phe and/or Tyr side chain groups may form positive pi-pi (π-π) interactions with Tyr and Phe residues found in the funnel of PSMA. In addition, it is appreciated that the presence of large side chain branches, such as the arylalkyl groups found on Phe and Tyr may provide a level of conformational rigidity to the linker, thus limiting the degrees of freedom, and reducing coiling and promoting extended conformations of the linker. Without being bound by theory, it is appreciated that such entropy restrictions may increase the overall binding energy of the bound conjugates described herein. In addition, it is appreciated that the rigidity increases that may be provided by sterically hindered side chains, such as Phe and Tyr described herein, may reduce or prevent coiling and interactions between the ligand and the imaging agent. For example, computational energy minimization of a representative 9-atom and 14-atom linker (see, for example,
FIGS. 15A and 15B ) shows that there are no intra-molecular interactions between the ligand and the imaging agent. Moreover, the presence of side chain the two Phe side chains appears to promote a more extended conformation in syn-SK33 (FIG. 15B ) than in the aminohexanoic acid-containing conjugate (FIG. 15A ) - It has been discovered herein that the funnel shaped tunnel leading to the catalytic site or active site of PSMA imposes length, shape, and/or chemical composition requirements on the linker portion of conjugates of PSMA binding ligands and therapeutic, diagnostic, and imaging agents that positively and negatively affect the interactions between PSMA and those conjugates. Described herein are illustrative embodiments of those conjugates that include such length, shape, and/or chemical composition requirements on the linker. Such length, shape, and/or chemical composition requirements were assessed using molecular modeling. For example, the space filling and surface model of the PSMA complex with (s)-2-(4-iodobenzensylphosphonomethyl)-pentanedioic [2-PMPA derivative] PDB ID code 2C6P were generated using PROTEIN EXPLORER. The PROTEIN EXPLORER model verified the 20 Å deep funnel, and also showed diameter features at various locations along the funnel that may be used to define linkers having favorable structural features. In addition, the model showed that close to the active site of PSMA, there are a higher number of hydrophobic residues that may provide additional binding interactions when the corresponding functional groups are included in the linker. Finally, the model showed the presence of three hydrophobic pockets that may provide additional binding interactions when the corresponding functional groups are included in the linker.
- In another illustrative embodiment, the following molecular models were created for a conjugate of MUPA and a tripeptide 99mTc imaging agent connected by a 9-atom linker, as shown in
FIG. 15A , and syn-SK33 including a branched 14-atom linker, as shown inFIG. 15B . The models were created using PC Model 7 (MMX) with energy minimization, and using the following bond length parameters: C—C(sp3-sp3)=1.53 Å, C—C(sp3-sp2)=1.51 Å, C—N(sp3-N)=1.47 Å. C—N(sp2-N)=1.38 Å. Such models may be used to calculate the length of the linker connecting the binding ligand (B) and the drug (D). In addition, such models may be modified to create extended conformations, and subsequently used to calculate the length of the linker connecting the binding ligand (B) and the drug (D). - The first human PSMA gene was cloned from LNCaP cells and is reported to be located in chromosome 11p11-12. In addition, there is a PSMA-like gene located at the loci 11q14.3. The crystal structure of PSMA has been reported by two different groups at different resolutions, and each shows that the active site contains two zinc atoms, confirming that PSMA is also considered a zinc metalloprotease. Davis et al, PNAS, 102:5981-86, (2005) reported the crystal structure at low resolution (3.5 Å), while Mesters et al, The EMBO Journal, 1-10 (2006) reported the crystal structure at higher resolution (2-2.2 Å), the disclosures of which are incorporated herein by reference. The crystal structures show that PSMA is a homodimer that contains a protease domain, an apical domain, a helical domain and a CPG2 dimerization domain. The protease domain of PSMA contains a binuclear zinc site, catalytic residues and a substrate binding region including three arginine residues (also referred to as a substrate binding arginine patch). In the crystal structure, the two zinc ions in the active site are each ligated to an oxygen of phosphate, or to the phosphinate moiety of the inhibitor GPI 18431 for the co-crystal structure. In the high resolution crystal structures of the extracellular domain, PSMA was co-crystallized with both potent inhibitors, weak inhibitors, and glutamate at 2.0, 2.4, and 2.2 Å, respectively. The high resolution crystal structure shows a 20 Å deep funnel shaped tunnel leads to the catalytic site or active site of PSMA. The funnel is lined with the side chains of a number of Arg and Lys residues, Asp and Glu residues, and Tyr and Phe residues.
- In another embodiment, the linker (L) is a chain of atoms selected from C, N, O, S, Si, and P. The linker may have a wide variety of lengths, such as in the range from about 7 to about 100. The atoms used in forming the linker may be combined in all chemically relevant ways, such as chains of carbon atoms forming alkylene groups, chains of carbon and oxygen atoms forming polyoxyalkylene groups, chains of carbon and nitrogen atoms forming polyamines, and others. In addition, it is to be understood that the bonds connecting atoms in the chain may be either saturated or unsaturated, such that for example, alkanes, alkenes, alkynes, cycloalkanes, arylenes, imides, and the like may be divalent radicals that are included in the linker. In addition, it is to be understood that the atoms forming the linker may also be cyclized upon each other to form divalent cyclic radicals in the linker. In each of the foregoing and other linkers described herein the chain forming the linker may be substituted with a wide variety of groups.
- In another embodiment, linkers (L) are described that include at least one releasable linker. In one variation, linkers (L) are described that include at least two releasable linkers. In another variation, linkers (L) are described that include at least one self-immolative linker. In another variation, linkers (L) are described that include at least one releasable linker that is not a disulfide. In another embodiment, linkers (L) are described that do not include a releasable linker.
- It is appreciated that releasable linkers may be used when the drug to be delivered is advantageously liberated from the binding ligand-linker conjugate so that the free drug will have the same or nearly the same effect at the target as it would when administered without the targeting provided by the conjugates described herein. In another embodiment, the linker L is a non-releasable linker. It is appreciated that non-releasable linkers may be used when the drug is advantageously retained by the binding ligand-linker conjugate, such as in imaging, diagnosing, uses of the conjugates described herein. It is to be understood that the choice of a releasable linker or a non-releasable linker may be made independently for each application or configuration of the conjugates, without limiting the invention described herein. It is to be further understood that the linkers L described herein comprise various atoms, chains of atoms, functional groups, and combinations of functional groups. Where appropriate in the present disclosure, the linker L may be referred to by the presence of spacer linkers, releasable linkers, and heteroatoms. However, such references are not to be construed as limiting the definition of the linkers L described herein.
- The linker (L) comprising spacer and/or releasable linkers (i.e., cleavable linkers) can be any biocompatible linker. The releasable or cleavable linker can be, for example, a linker susceptible to cleavage under the reducing or oxidizing conditions present in or on cells, a pH-sensitive linker that may be an acid-labile or base-labile linker, or a linker that is cleavable by biochemical or metabolic processes, such as an enzyme-labile linker. In one embodiment, the spacer and/or releasable linker comprises about 1 to about 30 atoms, or about 2 to about 20 atoms. Lower molecular weight linkers (i.e., those having an approximate molecular weight of about 30 to about 300) are also described. Precursors to such linkers may be selected to have either nucleophilic or electrophilic functional groups, or both, optionally in a protected form with a readily cleavable protecting group to facilitate their use in synthesis of the intermediate species.
- The term “releasable linker” as used herein refers to a linker that includes at least one bond that can be broken under physiological conditions (e.g., a pH-labile, acid-labile, oxidatively-labile, or enzyme-labile bond). The cleavable bond or bonds may be present in the interior of a cleavable linker and/or at one or both ends of a cleavable linker. It should be appreciated that such physiological conditions resulting in bond breaking include standard chemical hydrolysis reactions that occur, for example, at physiological pH, or as a result of compartmentalization into a cellular organelle such as an endosome having a lower pH than cytosolic pH. Illustratively, the bivalent linkers described herein may undergo cleavage under other physiological or metabolic conditions, such as by the action of a glutathione mediated mechanism. It is appreciated that the lability of the cleavable bond may be adjusted by including functional groups or fragments within the bivalent linker L that are able to assist or facilitate such bond breakage, also termed anchimeric assistance. The lability of the cleavable bond can also be adjusted by, for example, substitutional changes at or near the cleavable bond, such as including alpha branching adjacent to a cleavable disulfide bond, increasing the hydrophobicity of substituents on silicon in a moiety having a silicon-oxygen bond that may be hydrolyzed, homologating alkoxy groups that form part of a ketal or acetal that may be hydrolyzed, and the like. In addition, it is appreciated that additional functional groups or fragments may be included within the bivalent linker L that are able to assist or facilitate additional fragmentation of the PSMA binding drug linker conjugates after bond breaking of the releasable linker.
- In another embodiment, the linker includes radicals that form one or more spacer linkers and/or releasable linkers that are taken together to form the linkers described herein having certain length, diameter, and/or functional group requirements.
- Another illustrative embodiment of the linkers described herein, include releasable linkers that cleave under the conditions described herein by a chemical mechanism involving beta elimination. In one aspect, such releasable linkers include beta-thio, beta-hydroxy, and beta-amino substituted carboxylic acids and derivatives thereof, such as esters, amides, carbonates, carbamates, and ureas. In another aspect, such releasable linkers include 2- and 4-thioarylesters, carbamates, and carbonates.
- It is to be understood that releasable linkers may also be referred to by the functional groups they contain, illustratively such as disulfide groups, ketal groups, and the like, as described herein. Accordingly, it is understood that a cleavable bond can connect two adjacent atoms within the releasable linker and/or connect other linkers, or the binding ligand B, or the therapeutic, diagnostic, or imaging agent D, as described herein, at either or both ends of the releasable linker. In the case where a cleavable bond connects two adjacent atoms within the releasable linker, following breakage of the bond, the releasable linker is broken into two or more fragments. Alternatively, in the case where a cleavable bond is between the releasable linker and another moiety, such as an additional heteroatom, a spacer linker, another releasable linker, the drug D, or analog or derivative thereof, or the binding ligand B, or analog or derivative thereof, following breakage of the bond, the releasable linker is separated from the other moiety.
- In another embodiment, the releasable and spacer linkers may be arranged in such a way that subsequent to the cleavage of a bond in the bivalent linker, released functional groups anchimerically assist the breakage or cleavage of additional bonds, as described above. An illustrative embodiment of such a bivalent linker or portion thereof includes compounds having the formula:
- where X is an heteroatom, such as nitrogen, oxygen, or sulfur, n is an integer selected from 0, 1, 2, and 3, R is hydrogen, or a substituent, including a substituent capable of stabilizing a positive charge inductively or by resonance on the aryl ring, such as alkoxy, and the like, and the symbol (*) indicates points of attachment for additional spacer or releasable linkers, or heteroatoms, forming the bivalent linker, or alternatively for attachment of the drug, or analog or derivative thereof, or the vitamin, or analog or derivative thereof. It is appreciated that other substituents may be present on the aryl ring, the benzyl carbon, the alkanoic acid, or the methylene bridge, including but not limited to hydroxy, alkyl, alkoxy, alkylthio, halo, and the like. Assisted cleavage may include mechanisms involving benzylium intermediates, benzyne intermediates, lactone cyclization, oxonium intermediates, beta-elimination, and the like. It is further appreciated that, in addition to fragmentation subsequent to cleavage of the releasable linker, the initial cleavage of the releasable linker may be facilitated by an anchimerically assisted mechanism.
- In this embodiment, the hydroxyalkanoic acid, which may cyclize, facilitates cleavage of the methylene bridge, by for example an oxonium ion, and facilitates bond cleavage or subsequent fragmentation after bond cleavage of the releasable linker. Alternatively, acid catalyzed oxonium ion-assisted cleavage of the methylene bridge may begin a cascade of fragmentation of this illustrative bivalent linker, or fragment thereof. Alternatively, acid-catalyzed hydrolysis of the carbamate may facilitate the beta elimination of the hydroxyalkanoic acid, which may cyclize, and facilitate cleavage of methylene bridge, by for example an oxonium ion. It is appreciated that other chemical mechanisms of bond breakage or cleavage under the metabolic, physiological, or cellular conditions described herein may initiate such a cascade of fragmentation. It is appreciated that other chemical mechanisms of bond breakage or cleavage under the metabolic, physiological, or cellular conditions described herein may initiate such a cascade of fragmentation.
- Illustrative mechanisms for cleavage of the bivalent linkers described herein include the following 1,4 and 1,6 fragmentation mechanisms
- where X is an exogenous or endogenous nucleophile, glutathione, or bioreducing agent, and the like, and either of Z or Z′ is a PSMA binding ligand, or a drug, therapeutic agent, diagnostic agent, or imaging agent, or either of Z or Z′ is a PSMA binding ligand, or a drug, therapeutic agent, diagnostic agent, or imaging agent connected through other portions of the bivalent linker. It is to be understood that although the above fragmentation mechanisms are depicted as concerted mechanisms, any number of discrete steps may take place to effect the ultimate fragmentation of the bivalent linker to the final products shown. For example, it is appreciated that the bond cleavage may also occur by acid catalyzed elimination of the carbamate moiety, which may be anchimerically assisted by the stabilization provided by either the aryl group of the beta sulfur or disulfide illustrated in the above examples. In those variations of this embodiment, the releasable linker is the carbamate moiety. Alternatively, the fragmentation may be initiated by a nucleophilic attack on the disulfide group, causing cleavage to form a thiolate. The thiolate may intermolecularly displace a carbonic acid or carbamic acid moiety and form the corresponding thiacyclopropane. In the case of the benzyl-containing bivalent linkers, following an illustrative breaking of the disulfide bond, the resulting phenyl thiolate may further fragment to release a carbonic acid or carbamic acid moiety by forming a resonance stabilized intermediate. In any of these cases, the releaseable nature of the illustrative bivalent linkers described herein may be realized by whatever mechanism may be relevant to the chemical, metabolic, physiological, or biological conditions present.
- Other illustrative mechanisms for bond cleavage of the releasable linker include oxonium-assisted cleavage as follows:
- where Z is the vitamin, or analog or derivative thereof, or the drug, or analog or derivative thereof, or each is a vitamin or drug moiety in conjunction with other portions of the polyvalent linker, such as a drug or vitamin moiety including one or more spacer linkers and/or other releasable linkers. In this embodiment, acid-catalyzed elimination of the carbamate leads to the release of CO2 and the nitrogen-containing moiety attached to Z, and the formation of a benzyl cation, which may be trapped by water, or any other Lewis base.
- In one embodiment, the releasable linker includes a disulfide.
- In another embodiment, the releasable linker may be a divalent radical comprising alkyleneaziridin-1-yl, alkylenecarbonylaziridin-1-yl, carbonylalkylaziridin-1-yl, alkylenesulfoxylaziridin-1-yl, sulfoxylalkylaziridin-1-yl, sulfonylalkylaziridin-1-yl, or alkylenesulfonylaziridin-1-yl, wherein each of the releasable linkers is optionally substituted with a substituent X2, as defined below.
- Additional illustrative releasable linkers include methylene, 1-alkoxyalkylene, 1-alkoxycycloalkylene, 1-alkoxyalkylenecarbonyl, 1-alkoxycycloalkylenecarbonyl, carbonylarylcarbonyl, carbonyl(carboxyaryl)carbonyl, carbonyl(biscarboxyaryl)carbonyl, haloalkylenecarbonyl, alkylene(dialkylsilyl), alkylene(alkylarylsilyl), alkylene(diarylsilyl), (dialkylsilyl)aryl, (alkylarylsilyl)aryl, (diarylsilyl)aryl, oxycarbonyloxy, oxycarbonyloxyalkyl, sulfonyloxy, oxysulfonylalkyl, iminoalkylidenyl, carbonylalkylideniminyl, iminocycloalkylidenyl, carbonylcycloalkylideniminyl, alkylenethio, alkylenearylthio, and carbonylalkylthio, wherein each of the releasable linkers is optionally substituted with a substituent X2, as defined below.
- In the preceding embodiment, the releasable linker may include oxygen, and the releasable linkers can be methylene, 1-alkoxyalkylene, 1-alkoxycycloalkylene, 1-alkoxyalkylenecarbonyl, and 1-alkoxycycloalkylenecarbonyl, wherein each of the releasable linkers is optionally substituted with a substituent X2, as defined below, and the releasable linker is bonded to the oxygen to form an acetal or ketal. Alternatively, the releasable linker may include oxygen, and the releasable linker can be methylene, wherein the methylene is substituted with an optionally-substituted aryl, and the releasable linker is bonded to the oxygen to form an acetal or ketal. Further, the releasable linker may include oxygen, and the releasable linker can be sulfonylalkyl, and the releasable linker is bonded to the oxygen to form an alkylsulfonate.
- In another embodiment of the above releasable linker embodiment, the releasable linker may include nitrogen, and the releasable linkers can be iminoalkylidenyl, carbonylalkylideniminyl, iminocycloalkylidenyl, and carbonylcycloalkylideniminyl, wherein each of the releasable linkers is optionally substituted with a substituent X2, as defined below, and the releasable linker is bonded to the nitrogen to form an hydrazone. In an alternate configuration, the hydrazone may be acylated with a carboxylic acid derivative, an orthoformate derivative, or a carbamoyl derivative to form various acylhydrazone releasable linkers.
- Alternatively, the releasable linker may include oxygen, and the releasable linkers can be alkylene(dialkylsilyl), alkylene(alkylarylsilyl), alkylene(diarylsilyl), (dialkylsilyl)aryl, (alkylarylsilyl)aryl, and (diarylsilyl)aryl, wherein each of the releasable linkers is optionally substituted with a substituent X2, as defined below, and the releasable linker is bonded to the oxygen to form a silanol.
- In the above releasable linker embodiment, the drug can include a nitrogen atom, the releasable linker may include nitrogen, and the releasable linkers can be carbonylarylcarbonyl, carbonyl(carboxyaryl)carbonyl, carbonyl(biscarboxyaryl)carbonyl, and the releasable linker can be bonded to the heteroatom nitrogen to form an amide, and also bonded to the drug nitrogen to form an amide.
- In the above releasable linker embodiment, the drug can include an oxygen atom, the releasable linker may include nitrogen, and the releasable linkers can be carbonylarylcarbonyl, carbonyl(carboxyaryl)carbonyl, carbonyl(biscarboxyaryl)carbonyl, and the releasable linker can form an amide, and also bonded to the drug oxygen to form an ester.
- The substituents X2 can be alkyl, alkoxy, alkoxyalkyl, hydroxy, hydroxyalkyl, amino, aminoalkyl, alkylaminoalkyl, dialkylaminoalkyl, halo, haloalkyl, sulfhydrylalkyl, alkylthioalkyl, aryl, substituted aryl, arylalkyl, substituted arylalkyl, heteroaryl, substituted heteroaryl, carboxy, carboxyalkyl, alkyl carboxylate, alkyl alkanoate, guanidinoalkyl, R4-carbonyl, R5-carbonylalkyl, R6-acylamino, and R7-acylaminoalkyl, wherein R4 and R5 are each independently selected from amino acids, amino acid derivatives, and peptides, and wherein R6 and R7 are each independently selected from amino acids, amino acid derivatives, and peptides. In this embodiment the releasable linker can include nitrogen, and the substituent X2 and the releasable linker can form an heterocycle.
- The heterocycles can be pyrrolidines, piperidines, oxazolidines, isoxazolidines, thiazolidines, isothiazolidines, pyrrolidinones, piperidinones, oxazolidinones, isoxazolidinones, thiazolidinones, isothiazolidinones, and succinimides.
- In one embodiment, the polyvalent linkers described herein are or include compounds of the following formulae:
- where n is an integer selected from 1 to about 4; Ra and Rb are each independently selected from the group consisting of hydrogen and alkyl, including lower alkyl such as C1-C4 alkyl that are optionally branched; or Ra and Rb are taken together with the attached carbon atom to form a carbocyclic ring; R is an optionally substituted alkyl group, an optionally substituted acyl group, or a suitably selected nitrogen protecting group; and (*) indicates points of attachment for the drug, vitamin, imaging agent, diagnostic agent, other polyvalent linkers, or other parts of the conjugate.
- In another embodiment, the polyvalent linkers described herein are or include compounds of the following formulae
- where m is an integer selected from 1 to about 4; R is an optionally substituted alkyl group, an optionally substituted acyl group, or a suitably selected nitrogen protecting group; and (*) indicates points of attachment for the drug, vitamin, imaging agent, diagnostic agent, other polyvalent linkers, or other parts of the conjugate.
- In another embodiment, the polyvalent linkers described herein are or include compounds of the following formulae
- where m is an integer selected from 1 to about 4; R is an optionally substituted alkyl group, an optionally substituted acyl group, or a suitably selected nitrogen protecting group; and (*) indicates points of attachment for the drug, vitamin, imaging agent, diagnostic agent, other polyvalent linkers, or other parts of the conjugate.
- In another embodiment, the linker L includes one or more spacer linkers. Such spacer linkers can be 1-alkylenesuccinimid-3-yl, optionally substituted with a substituent X1, as defined below, and the releasable linkers can be methylene, 1-alkoxyalkylene, 1-alkoxycycloalkylene, 1-alkoxyalkylenecarbonyl, 1-alkoxycycloalkylenecarbonyl, wherein each of the releasable linkers is optionally substituted with a substituent X2, as defined below, and wherein the spacer linker and the releasable linker are each bonded to the spacer linker to form a succinimid-1-ylalkyl acetal or ketal.
- The spacer linkers can be carbonyl, thionocarbonyl, alkylene, cycloalkylene, alkylenecycloalkyl, alkylenecarbonyl, cycloalkylenecarbonyl, carbonylalkylcarbonyl, 1-alkylenesuccinimid-3-yl, 1-(carbonylalkyl)succinimid-3-yl, alkylenesulfoxyl, sulfonylalkyl, alkylenesulfoxylalkyl, alkylenesulfonylalkyl, carbonyltetrahydro-2H-pyranyl, carbonyltetrahydrofuranyl, 1-(carbonyltetrahydro-2H-pyranyl)succinimid-3-yl, and 1-(carbonyltetrahydrofuranyl)succinimid-3-yl, wherein each of the spacer linkers is optionally substituted with a substituent X1, as defined below. In this embodiment, the spacer linker may include an additional nitrogen, and the spacer linkers can be alkylenecarbonyl, cycloalkylenecarbonyl, carbonylalkylcarbonyl, 1-(carbonylalkyl)succinimid-3-yl, wherein each of the spacer linkers is optionally substituted with a substituent X1, as defined below, and the spacer linker is bonded to the nitrogen to form an amide. Alternatively, the spacer linker may include an additional sulfur, and the spacer linkers can be alkylene and cycloalkylene, wherein each of the spacer linkers is optionally substituted with carboxy, and the spacer linker is bonded to the sulfur to form a thiol. In another embodiment, the spacer linker can include sulfur, and the spacer linkers can be 1-alkylenesuccinimid-3-yl and 1-(carbonylalkyl)succinimid-3-yl, and the spacer linker is bonded to the sulfur to form a succinimid-3-ylthiol.
- In an alternative to the above-described embodiments, the spacer linker can include nitrogen, and the releasable linker can be a divalent radical comprising alkyleneaziridin-1-yl, carbonylalkylaziridin-1-yl, sulfoxylalkylaziridin-1-yl, or sulfonylalkylaziridin-1-yl, wherein each of the releasable linkers is optionally substituted with a substituent X2, as defined below. In this alternative embodiment, the spacer linkers can be carbonyl, thionocarbonyl, alkylenecarbonyl, cycloalkylenecarbonyl, carbonylalkylcarbonyl, 1-(carbonylalkyl)succinimid-3-yl, wherein each of the spacer linkers is optionally substituted with a substituent X1, as defined below, and wherein the spacer linker is bonded to the releasable linker to form an aziridine amide.
- The substituents X1 can be alkyl, alkoxy, alkoxyalkyl, hydroxy, hydroxyalkyl, amino, aminoalkyl, alkylaminoalkyl, dialkylaminoalkyl, halo, haloalkyl, sulfhydrylalkyl, alkylthioalkyl, aryl, substituted aryl, arylalkyl, substituted arylalkyl, heteroaryl, substituted heteroaryl, carboxy, carboxyalkyl, alkyl carboxylate, alkyl alkanoate, guanidinoalkyl, R4-carbonyl, R5-carbonylalkyl, R6-acylamino, and R7-acylaminoalkyl, wherein R4 and R5 are each independently selected from amino acids, amino acid derivatives, and peptides, and wherein R6 and R7 are each independently selected from amino acids, amino acid derivatives, and peptides. In this embodiment the spacer linker can include nitrogen, and the substituent X1 and the spacer linker to which they are bound to form an heterocycle.
- Additional illustrative spacer linkers include alkylene-amino-alkylenecarbonyl, alkylene-thio-(carbonylalkylsuccinimid-3-yl), and the like, as further illustrated by the following formulae:
- where the integers x and y are 1, 2, 3, 4, or 5:
- In another embodiment, linkers that include hydrophilic regions are also described. In one aspect, the hydrophilic region of the linker forms part or all of a spacer linker included in the conjugates described herein. Illustrative hydrophilic spacer linkers are described in PCT international application serial No. PCT/US2008/068093, filed Jun. 25, 2008, the disclosure of which is incorporated herein by reference.
- The term “cycloalkyl” as used herein includes molecular fragments or radicals comprising a bivalent chain of carbon atoms, a portion of which forms a ring. It is to be understood that the term cycloalkyl as used herein includes fragments and radicals attached at either ring atoms or non-ring atoms, such as, such as cyclopropyl, cyclohexyl, 3-ethylcyclopent-1-yl, cyclopropylethyl, cyclohexylmethyl, and the like.
- The term “cycloalkylene” as used herein includes molecular fragments or radicals comprising a bivalent chain of carbon atoms, a portion of which forms a ring. It is to be understood that the term cycloalkyl as used herein includes fragments and radicals attached at either ring atoms or non-ring atoms, such as cycloprop-1,1-diyl, cycloprop-1,2-diyl, cyclohex-1,4-diyl, 3-ethylcyclopent-1,2-diyl, 1-methylenecyclohex-4-yl, and the like.
- The terms “heteroalkyl” and “heteroalkylene” as used herein includes molecular fragments or radicals comprising monovalent and divalent, respectively, groups that are formed from a linear or branched chain of carbon atoms and heteroatoms, wherein the heteroatoms are selected from nitrogen, oxygen, and sulfur, such as alkoxyalkyl, alkyleneoxyalkyl, aminoalkyl, alkylaminoalkyl, alkyleneaminoalkyl, alkylthioalkyl, alkylenethioalkyl, alkoxyalkylaminoalkyl, alkylaminoalkoxyalkyl, alkyleneoxyalkylaaminoalkyl, and the like.
- The term “heterocyclyl” as used herein includes molecular fragments or radicals comprising a monovalent chain of carbon atoms and heteroatoms, wherein the heteroatoms are selected from nitrogen, oxygen, and sulfur, a portion of which, including at least one heteroatom, form a ring, such as aziridine, pyrrolidine, oxazolidine, 3-methoxypyrrolidine, 3-methylpiperazine, and the like. Accordingly, as used herein, heterocyclyl includes alkylheterocyclyl, heteroalkylheterocyclyl, heterocyclylalkyl, heterocyclylheteroalkyl, and the like. It is to be understood that the term heterocyclyl as used herein includes fragments and radicals attached at either ring atoms or non-ring atoms, such as tetrahydrofuran-2-yl, piperidin-1-yl, piperidin-4-yl, piperazin-1-yl, morpholin-1-yl, tetrahydrofuran-2-ylmethyl, piperidin-1-ylethyl, piperidin-4-ylmethyl, piperazin-1-ylpropyl, morpholin-1-ylethyl, and the like.
- The term “aryl” as used herein includes molecular fragments or radicals comprising an aromatic mono or polycyclic ring of carbon atoms, such as phenyl, naphthyl, and the like.
- The term “heteroaryl” as used herein includes molecular fragments or radicals comprising an aromatic mono or polycyclic ring of carbon atoms and at least one heteroatom selected from nitrogen, oxygen, and sulfur, such as pyridinyl, pyrimidinyl, indolyl, benzoxazolyl, and the like.
- The term “substituted aryl” or “substituted heteroaryl” as used herein includes molecular fragments or radicals comprising aryl or heteroaryl substituted with one or more substituents, such as alkyl, heteroalkyl, halo, hydroxy, amino, alkyl or dialkylamino, alkoxy, alkylsulfonyl, aminosulfonyl, carboxylate, alkoxycarbonyl, aminocarbonyl, cyano, nitro, and the like. It is to be understood that the alkyl groups in such substituents may be optionally substituted with halo.
- The term “iminoalkylidenyl” as used herein includes molecular fragments or radicals comprising a divalent radical containing alkylene as defined herein and a nitrogen atom, where the terminal carbon of the alkylene is double-bonded to the nitrogen atom, such as the formulae —(CH)═N—, —(CH2)2(CH)═N—, —CH2C(Me)=N—, and the like.
- The term “amino acid” as used herein includes molecular fragments or radicals comprising an aminoalkylcarboxylate, where the alkyl radical is optionally substituted with alkyl, hydroxy alkyl, sulfhydrylalkyl, aminoalkyl, carboxyalkyl, and the like, including groups corresponding to the naturally occurring amino acids, such as serine, cysteine, methionine, aspartic acid, glutamic acid, and the like.
- For example, in one embodiment, amino acid is a divalent radical having the general formula:
-
—N(R)—(CR′R″)q—C(O)— - where R is hydrogen, alkyl, acyl, or a suitable nitrogen protecting group, R′ and R″ are hydrogen or a substituent, each of which is independently selected in each occurrence, and q is an integer such as 1, 2, 3, 4, or 5. Illustratively. R′ and/or R″ independently correspond to, but are not limited to, hydrogen or the side chains present on naturally occurring amino acids, such as methyl, benzyl, hydroxymethyl, thiomethyl, carboxyl, carboxylmethyl, guanidinopropyl, and the like, and derivatives and protected derivatives thereof. The above described formula includes all stereoisomeric variations. For example, the amino acid may be selected from asparagine, aspartic acid, cysteine, glutamic acid, lysine, glutamine, arginine, serine, omitine, threonine, and the like. In one variation, the amino acid may be selected from phenylalanine, tyrosine, and the like, derivatives thereof, and substituted variants thereof.
- The terms “arylalkyl” and “heteroarylalkyl” as used herein includes molecular fragments or radicals comprising aryl and heteroaryl, respectively, as defined herein substituted with a linear or branched alkylene group, such as benzyl, phenethyl, α-methylbenzyl, picolinyl, pyrimidinylethyl, and the like.
- It is to be understood that the above-described terms can be combined to generate chemically-relevant groups, such as “haloalkoxyalkyl” referring to for example trifluoromethyloxy ethyl, 1,2-difluoro-2-chloroeth-1-yloxypropyl, and the like.
- The term “amino acid derivative” as used herein refers generally to aminoalkylcarboxylate, where the amino radical or the carboxylate radical are each optionally substituted with alkyl, carboxylalkyl, alkylamino, and the like, or optionally protected; and the intervening divalent alkyl fragment is optionally substituted with alkyl, hydroxy alkyl, sulfhydrylalkyl, aminoalkyl, carboxyalkyl, and the like, including groups corresponding to the side chains found in naturally occurring amino acids, such as are found in serine, cysteine, methionine, aspartic acid, glutamic acid, and the like.
- The term “peptide” as used herein includes molecular fragments or radicals comprising a series of amino acids and amino acid analogs and derivatives covalently linked one to the other by amide bonds.
- In another embodiment, the bivalent linker comprises a spacer linker and a releasable linker taken together to form 3-thiosuccinimid-1-ylalkyloxymethyloxy, where the methyl is optionally substituted with alkyl or substituted aryl.
- In another embodiment, the bivalent linker comprises a spacer linker and a releasable linker taken together to form 3-thiosuccinimid-1-ylalkylcarbonyl, where the carbonyl forms an acylaziridine with the drug, or analog or derivative thereof.
- In another embodiment, the bivalent linker comprises an a spacer linker and a releasable linker taken together to form 1-alkoxycycloalkylenoxy.
- In another embodiment, the bivalent linker comprises a spacer linker and a releasable linker taken together to form alkyleneaminocarbonyl(dicarboxylarylene)carboxylate.
- In another embodiment, the bivalent linker comprises a releasable linker, a spacer linker, and a releasable linker taken together to form dithioalkylcarbonylhydrazide, where the hydrazide forms an hydrazone with the drug, or analog or derivative thereof.
- In another embodiment, the bivalent linker comprises a spacer linker and a releasable linker taken together to form 3-thiosuccinimid-1-ylalkylcarbonylhydrazide, where the hydrazide forms an hydrazone with the drug, or analog or derivative thereof.
- In another embodiment, the bivalent linker comprises a spacer linker and a releasable linker taken together to form 3-thioalkylsulfonylalkyl(disubstituted silyl)oxy, where the disubstituted silyl is substituted with alkyl or optionally substituted aryl.
- In another embodiment, the bivalent linker comprises a plurality of spacer linkers selected from the group consisting of the naturally occurring amino acids and stereoisomers thereof.
- In another embodiment, the bivalent linker comprises a releasable linker, a spacer linker, and a releasable linker taken together to form 3-dithioalkyloxycarbonyl, where the carbonyl forms a carbonate with the drug, or analog or derivative thereof.
- In another embodiment, the bivalent linker comprises a releasable linker, a spacer linker, and a releasable linker taken together to form 3-dithioarylalkyloxycarbonyl, where the carbonyl forms a carbonate with the drug, or analog or derivative thereof, and the aryl is optionally substituted.
- In another embodiment, the bivalent linker comprises a spacer linker and a releasable linker taken together to form 3-thiosuccinimid-1-ylalkyloxyalkyloxyalkylidene, where the alkylidene forms an hydrazone with the drug, or analog or derivative thereof, each alkyl is independently selected, and the oxyalkyloxy is optionally substituted with alkyl or optionally substituted aryl.
- In another embodiment, the bivalent linker comprises a releasable linker, a spacer linker, and a releasable linker taken together to form 3-dithioalkyloxycarbonylhydrazide.
- In another embodiment, the bivalent linker comprises a releasable linker, a spacer linker, and a releasable linker taken together to form 3-dithioalkylamino, where the amino forms a vinylogous amide with the drug, or analog or derivative thereof.
- In another embodiment, the bivalent linker comprises a releasable linker, a spacer linker, and a releasable linker taken together to form 3-dithioalkylamino, where the amino forms a vinylogous amide with the drug, or analog or derivative thereof, and the alkyl is ethyl.
- In another embodiment, the bivalent linker comprises a releasable linker, a spacer linker, and a releasable linker taken together to form 3-dithioalkylaminocarbonyl, where the carbonyl forms a carbamate with the drug, or analog or derivative thereof.
- In another embodiment, the bivalent linker comprises a releasable linker, a spacer linker, and a releasable linker taken together to form 3-dithioalkylaminocarbonyl, where the carbonyl forms a carbamate with the drug, or analog or derivative thereof, and the alkyl is ethyl.
- In another embodiment, the bivalent linker comprises a releasable linker, a spacer linker, and a releasable linker taken together to form 3-dithioarylalkyloxycarbonyl, where the carbonyl forms a carbamate or a carbamoylaziridine with the drug, or analog or derivative thereof.
- In another embodiment, the polyvalent linker includes spacer linkers and releasable linkers connected to form a polyvalent 3-thiosuccinimid-1-ylalkyloxymethyloxy group, illustrated by the following formula
- where n is an integer from 1 to 6, the alkyl group is optionally substituted, and the methyl is optionally substituted with an additional alkyl or optionally substituted aryl group, each of which is represented by an independently selected group R. The (*) symbols indicate points of attachment of the polyvalent linker fragment to other parts of the conjugates described herein.
- In another embodiment, the polyvalent linker includes spacer linkers and releasable linkers connected to form a polyvalent 3-thiosuccinimid-1-ylalkylcarbonyl group, illustrated by the following formula
- where n is an integer from 1 to 6, and the alkyl group is optionally substituted. The (*) symbols indicate points of attachment of the polyvalent linker fragment to other parts of the conjugates described herein. In another embodiment, the polyvalent linker includes spacer linkers and releasable linkers connected to form a polyvalent 3-thioalkylsulfonylalkyl(disubstituted silyl)oxy group, where the disubstituted silyl is substituted with alkyl and/or optionally substituted aryl groups.
- In another embodiment, the polyvalent linker includes spacer linkers and releasable linkers connected to form a polyvalent dithioalkylcarbonylhydrazide group, or a polyvalent 3-thiosuccinimid-1-ylalkylcarbonylhydrazide, illustrated by the following formulae
- where n is an integer from 1 to 6, the alkyl group is optionally substituted, and the hydrazide forms an hydrazone with (B), (D), or another part of the polyvalent linker (L). The (*) symbols indicate points of attachment of the polyvalent linker fragment to other parts of the conjugates described herein.
- In another embodiment, the polyvalent linker includes spacer linkers and releasable linkers connected to form a polyvalent 3-thiosuccinimid-1-ylalkyloxyalkyloxvalkylidene group, illustrated by the following formula
- where each n is an independently selected integer from 1 to 6, each alkyl group independently selected and is optionally substituted, such as with alkyl or optionally substituted aryl, and where the alkylidene forms an hydrazone with (B), (D), or another part of the polyvalent linker (L). The (*) symbols indicate points of attachment of the polyvalent linker fragment to other parts of the conjugates described herein.
- Additional illustrative linkers are described in WO 2006/012527, the disclosure of which is incorporated herein by reference. Additional linkers are described in the following Table, where the (*) atom is the point of attachment of additional spacer or releasable linkers, the drug, and/or the binding ligand.
- Each of the spacer and releasable linkers described herein is bivalent. In addition, the connections between spacer linkers, releasable linkers, drugs D and ligands B may occur at any atom found in the various spacer linkers, releasable linkers, drugs D, and ligands B.
- The drug can include a nitrogen atom, and the releasable linker can be haloalkylenecarbonyl, optionally substituted with a substituent X2, and the releasable linker is bonded to the drug nitrogen to form an amide.
- The drug can include an oxygen atom, and the releasable linker can be haloalkylenecarbonyl, optionally substituted with a substituent X2, and the releasable linker is bonded to the drug oxygen to form an ester.
- The drug can include a double-bonded nitrogen atom, and in this embodiment, the releasable linkers can be alkylenecarbonylamino and 1-(alkylenecarbonylamino)succinimid-3-yl, and the releasable linker can be bonded to the drug nitrogen to form an hydrazone.
- The drug can include a sulfur atom, and in this embodiment, the releasable linkers can be alkylenethio and carbonylalkylthio, and the releasable linker can be bonded to the drug sulfur to form a disulfide.
- In another embodiment, the binding or targeting ligand capable of binding or targeting PSMA is a phosphoric, phosphonic, or phosphinic acid or derivative thereof. In one aspect, the phosphoric, phosphonic, or phosphinic acid or derivative thereof includes one or more carboxylic acid groups. In another aspect, the phosphoric, phosphonic, or phosphinic acid or derivative thereof includes one or more thiol groups or derivatives thereof. In another aspect, the phosphoric, phosphonic, or phosphinic acid or derivative thereof includes one or more carboxylic acid bioisosteres, such as an optionally substituted tetrazole, and the like.
- In another embodiment, the PSMA ligand is a derivative of pentanedioic acid. Illustratively, the pentanedioic acid derivative is a compound of the formula:
- wherein X is RP(O)(OH)CH2— (see, e.g., U.S. Pat. No. 5,968,915 incorporated herein by reference); RP(O)(OH)N(R1)— (see, e.g., U.S. Pat. No. 5,863,536 incorporated herein by reference); RP(O)(OH)O— (see, e.g., U.S. Pat. No. 5,795,877 incorporated herein by reference); RN(OH)C(O)Y— or RC(O)NH(OH)Y, wherein Y is —CR1R2—, —NR3— or —O— (see, e.g., U.S. Pat. No. 5,962,521 incorporated herein by reference); RS(O)Y, RSO2Y, or RS(OX)(NH)Y, wherein Y is —CR1R2—, —NR3— or —O— (see, e.g., U.S. Pat. No. 5,902,817 incorporated herein by reference); and RS-alkyl, wherein R is for example hydrogen, alkyl, aryl, or arylalkyl, each of which may be optionally substituted (see, e.g., J. Med. Chem. 46:1989-1996 (2003) incorporated herein by reference).
- In each of the foregoing formulae, R, R1, R2, and R3 are each independently selected from hydrogen, C1-C9 straight or branched chain alkyl, C2-C9 straight or branched chain alkenyl, C3-C8 cycloalkyl, C5-C7 cycloalkenyl, and aryl. In addition, in each case, each of R, R1, R2, and R3 may be optionally substituted, such as with one or more groups selected from C3-C8 cycloalkyl, C5-C7 cycloalkenyl, halo, hydroxy, nitro, trifluoromethyl, C1-C6 straight or branched chain alkyl, C2-C6 straight or branched chain alkenyl, C1-C4 alkoxy, C2-C4 alkenyloxy, phenoxy, benzyloxy, amino, aryl. In one aspect, aryl is selected from 1-naphthyl, 2-naphthyl, 2-indolyl, 3-indolyl, 2-furyl, 3-furyl, 2-thienyl, 3-thienyl, 2-pyridyl, 3-pyridyl, 4-pyridyl, benzyl, and phenyl, and in each case aryl may be optionally substituted with one or more, illustratively with one to three, groups selected from halo, hydroxy, nitro, trifluoromethyl, C1-C6 straight or branched chain alkyl, C2-C6 straight or branched chain alkenyl, C1-C4 alkoxy, C2-C4 alkenyloxy, phenoxy, benzyloxy, and amino. In one variation of each of the above formulae, R is not hydrogen.
- Illustrative PSMA ligands described in U.S. Pat. No. 5,968,915 include 2-[[methylhydroxyphosphinyl]methyl]pentanedioic acid; 2-[[ethylhydroxyphosphinyl]methyl]pentanedioic acid; 2-[[propylhydroxyphosphinyl]methyl]pentanedioic acid; 2-[[butylhydroxyphosphinyl]methyl]pentanedioic acid; 2-[[cyclohexylhydroxyphosphinyl]methyl]pentanedioic acid; 2-[[phenylhydroxyphosphinyl]methyl]pentanedioic acid; 2-[[2-(tetrahydrofuranyl)hydroxyphosphinyl]methyl] pentanedioic acid; 2-[[(2-tetrahydropyranyl)hydroxyphosphinyl]methyl] pentanedioic acid; 2-[[((4-pyridyl)methyl)hydroxyphosphinyl]methyl] pentanedioic acid; 2-[[((2-pyridyl)methyl)hydroxyphosphinyl]methyl] pentanedioic acid; 2-[[(phenylmethyl)hydroxyphosphinyl]methyl] pentanedioic acid; 2-[[((2-phenylethyl)methyl)hydroxyphosphinyl]methyl] pentanedioic acid; 2-[[((3-phenylpropyl)methyl)hydroxyphosphinyl]methyl] pentanedioic acid; 2-[[((3-phenylbutyl)methyl)hydroxyphosphinyl]methyl] pentanedioic acid; 2-[[((2-phenylbutyl)methyl)hydroxyphosphinyl]methyl] pentanedioic acid; 2-[[(4-phenylbutyl)hydroxyphosphinyl]methyl]pentanedioic acid; and 2-[[(aminomethyl)hydroxyphosphinyl]methyl]pentanedioic acid.
- Illustrative PSMA ligands described in U.S. Pat. No. 5,863,536 include N-[methylhydroxyphosphinyl]glutamic acid; N-[ethylhdroxyphosphinyl]glutamic acid; N-[propylhydroxyphosphinyl]glutamic acid; N-[butylhydroxyphosphinyl]glutamic acid; N-[phenylhydroxyphosphinyl]glutamic acid; N-[(phenylmethyl)hydroxyphosphinyl]glutamic acid; N-[((2-phenylethyl)methyl)hydroxyphosphinyl]glutamic acid; and N-methyl-N-[phenylhydroxyphosphinyl]glutamic acid.
- Illustrative PSMA ligands described in U.S. Pat. No. 5,795,877 include 2-[[methylhydroxyphosphinyl]oxy]pentanedioic acid; 2-[[ethylhydroaxyphosphinyl]oxy]pentanedioic acid; 2-[[propylhydroxyphosphinyl]oxy]pentanedioic acid; 2-[[butylhydroxyphosphinyl]oxy]pentanedioic acid; 2-[[phenylhydroxyphosphinyl]oxy]pentanedioic acid; 2-[[((4-pyridyl)methyl)hydroxyphosphinyl]oxy]pentanedioic acid; 2-[[((2-pyridyl)methyl)hydroxyphosphinyl]oxy]pentanedioic acid; 2-[[(phenylmethyl)hydroxyphosphinyl]oxy]pentanedioic acid; and 2[[((2-phenylethyl)methyl)hydroxyphosphinyl]oxy] pentanedioic acid.
- Illustrative PSMA ligands described in U.S. Pat. No. 5,962,521 include 2-[[(N-hydroxy)carbamoyl]methyl]pentanedioic acid; 2-[[(N-hydroxy-N-methyl)carbamoyl]methyl]pentanedioic acid; 2-[[(N-butyl-N-hydroxy) carbamoyl]methyl]pentanedioic acid; 2-[[(N-benzyl-N-hydroxy)carbamoyl]methyl]pentanedioic acid; 2-[[(N-hydroxy-N-phenyl)carbamoyl]methyl]pentanedioic acid; 2-[[(N-hydroxy-N-2-phenylethyl)carbamoyl]methyl]pentanedioic acid; 2-[[(N-ethyl-N-hydroxy) carbamoyl]methyl]pentanedioic acid; 2-[[(N-hydroxy-N-propyl)carbamoyl]methyl]pentanedioic acid; 2-[[(N-hydroxy-N-3-phenylpropyl)carbamoyl]methyl]pentanedioic acid; 2-[[(N-hydroxy-N-4-pyridyl) carbamoyl]methyl]pentanedioic acid; 2-[[(N-hydroxy)carboxamido]methyl]pentanedioic acid: 2-[[N-hydroxy (methyl) carboxamido]methyl]pentanedioic acid; 2-[[N-hydroxy (benzyl) carboxamido]methyl]pentanedioic acid; 2-[[N-hydroxy(phenyl)carboxamido]methyl]pentanedioic acid; 2-[[N-hydroxy(2-phenylethyl)carboxamido]methyl]pentanedioic acid; 2-[[N-hydroxy(ethyl)carboxamido]methyl]pentanedioic acid; 2-[[N-hydroxy(propyl) carboxamido]methyl]pentanedioic acid; 2-[[N-hydroxy (3-phenylpropyl) carboxamido]methyl]pentanedioic acid; and 2-[[N-hydroxy(4-pyridyl)carboxamido]methyl]pentanedioic acid.
- Illustrative PSMA ligands described in U.S. Pat. No. 5,902,817 include 2-[(sulfinyl)methyl]pentanedioic acid; 2-[(methylsulfinyl)methyl]pentanedioic acid; 2-[(ethylsulfinyl)methyl]pentanedioic acid; 2-[(propylsulfinyl)methyl]pentanedioic acid; 2-[(butylsulfinyl)methyl]pentanedioic acid; 2-[(phenylsulfinyl]methyl]pentanedioic acid; 2-[[(2-phenylethyl)sulfinyl]methyl]pentanedioic acid; 2-[[(3-phenylpropyl)sulfinyl]methyl]pentanedioic acid; 2-[[(4-pyridyl)sulfinyl]methyl]pentanedioic acid; 2-[(benzylsulfinyl)methyl]pentanedioic acid; 2-[(sulfonyl)methyl]pentanedioic acid; 2-[(methylsulfonyl)methyl]pentanedioic acid; 2-[(ethylsulfonyl)methyl]pentanedioic acid; 2-[(propylsulfonyl)methyl]pentanedioic acid; 2-[(butylsulfonyl)methyl]pentanedioic acid; 2-[(phenylsulfonyl]methyl]pentanedioic acid; 2-[[(2-phenylethyl)sulfonyl]methyl]pentanedioic acid; 2-[[(3-phenylpropyl)sulfonyl]methyl]pentanedioic acid; 2-[[(4-pyridyl) sulfonyl]methyl]pentanedioic acid; 2-[(benzylsulfonyl)methyl]pentanedioic acid; 2-[(sulfoximinyl)methyl]pentanedioic acid; 2-[(methylsulfoximinyl)methyl]pentanedioic acid; 2-[(ethylsulfoximinyl)methyl]pentanedioic acid; 2-[(propylsulfoximinyl)methyl]pentanedioic acid; 2-[(butylsulfoximinyl)methyl]pentanedioic acid; 2-[(phenylsulfoximinyl]methyl]pentanedioic acid; 2-[[(2-phenylethyl)sulfoximinyl]methyl]pentanedioic acid; 2-[[(3-phenylpropyl) sulfoximinyl]methyl]pentanedioic acid; 2-[[(4-pyridyl)sulfoximinyl]methyl]pentanedioic acid; and 2-[(benzylsulfoximinyl)methyl]pentanedioic acid.
- Pentanedioic acid derivatives described herein have been reported to have high binding affinity at PSMA, including but not limited to the following phosphonic and phosphinic acid derivatives
- with the dissociation constants (Ki values) shown for the E-I complex (see. Current Medicinal Chem. 8:949-.957 (2001); Silverman, “The Organic Chemistry of Drug Design and Drug Action,” Elsevier Academic Press (2nd Ed. 2003), the disclosures of which are incorporated herein by reference);
- In another illustrative embodiment, the pentanedioic acid derivative includes a thiol group, such as compounds of the following formulae:
- with the inhibition constants (IC50 values) shown for the E-I complex.
- In another embodiment, the PSMA ligand is a urea of two amino acids. In one aspect, the amino acids include one or more additional carboxylic acids. In another aspect, the amino acids include one or more additional phosphoric, phosphonic, phosphinic, sulfinic, sulfonic, or boronic acids. In another aspect, the amino acids include one or more thiol groups or derivatives thereof. In another aspect, the amino acids includes one or more carboxylic acid bioisosteres, such as tetrazoles and the like.
- In another embodiment, the PSMA ligand is a aminocarbonyl derivative of pentanedioic acid. Illustratively, the aminocarbonylpentanedioic acid derivative is a compound of the formula:
- wherein R1 and R2 are each selected from hydrogen, optionally substituted carboxylic acids, such as thiolacetic acids, thiolpropionic acids, and the like; malonic acids, succinic acids, glutamic acids, adipic acids, and the like; and others. Illustrative aminocarbonylpentanedioic acid derivatives are described in J. Med. Chem. 44:298-301 (2001) and J. Med. Chem. 47:1729-38 (2004), the disclosures of which are incorporated herein by reference.
- In another embodiment, the PSMA ligand is a compound of the formula:
- It is appreciated that the urea compounds described herein may also be advantageous in the preparation of the ligands also described herein due to the sub-nanomolar potency, water solubility, and/or long term stability of these compounds. The urea compounds described herein may generally be prepared from commercially available starting materials as described herein.
- It is appreciated that in each of the above illustrative pentanedioic acid compounds and urea compounds, there is at least one asymmetric carbon atom. Accordingly, the above illustrative formulae are intended to refer both individually and collectively to all stereoisomers as pure enantiomers, or mixtures of enantiomers and/or diastereomers, including but not limited to racemic mixtures, mixtures that include one epimer at a first asymmetric carbon but allow mixtures at other asymmetric carbons, including racemic mixtures, and the like.
- In another illustrative embodiment, the binding agent is a urea of an amino dicarboxylic acid, such as aspartic acid, glutamic acid, and the like, and another amino dicarboxylic acid, or an analog thereof, such as a binding agent of the formulae
- wherein Q is a an amino dicarboxylic acid, such as aspartic acid, glutamic acid, or an analog thereof, n and m are each selected from an integer between 1 and about 6, and (*) represents the point of attachment for the linker L.
- In another embodiment, the PSMA ligand includes at least four carboxylic acid groups, or at least three free carboxylic acid groups after the PSMA ligand is conjugated to the agent or linker. It is understood that as described herein, carboxylic acid groups on the PSMA ligand include bioisosteres of carboxylic acids.
- Illustratively, the PSMA ligand is a compound of the formulae:
- In another embodiment, the PSMA ligand is 2-[3-(1-Carboxy-2-mercapto-ethyl)-ureido]-pentanedioic acid (MUPA) or 2-[3-(1,3-Dicarboxy-propyl)-ureido]-pentanedioic acid (DUPA)
- Other illustrative examples of PSMA ligands include peptide analogs such as quisqualic acid, aspartate glutamate (Asp-Glu), Glu-Glu, Gly-Glu, γ-Glu-Glu, beta-N-acetyl-L-aspartate-L-glutamate (β-NAAG), and the like.
- In another illustrative embodiment, the binding agent is a urea of an amino dicarboxylic acid, such as aspartic acid, glutamic acid, and the like, and another amino dicarboxylic acid, or an analog thereof, and the linker is peptide of amino acids, including naturally occurring and non-naturally occurring amino acids. In one embodiment, the linker is a peptide comprising amino acids selected from Glu, Asp, Phe, Cys, beta-amino Ala. and aminoalkylcarboxylic acids, such as Gly, beta Ala, amino valeric acid, amino caproic acid, and the like. In another embodiment, the linker is a peptide consisting of amino acids selected from Glu. Asp, Phe, Cys, beta-amino Ala, and aminoalkylcarboxylic acids, such as Gly, beta Ala, amino valeric acid, amino caproic acid, and the like. In another embodiment, the linker is a peptide comprising at least one Phe. In variations, the linker is a peptide comprising at least two Phe residues, or at least three Phe residues. In another embodiment, the linker is a peptide comprising Glu-Phe or a dipeptide of an aminoalkylcarboxylic acid and Phe. In another embodiment, the linker is a peptide comprising Glu-Phe-Phe or a tripeptide of an aminoalkylcarboxylic acid and two Phe residues. In another embodiment, the linker is a peptide comprising one or more Phe residues, where at least one Phe is about 7 to about 11, or about 7 to about 14 atoms from the binding ligand B. In another embodiment, the linker is a peptide comprising Phe-Phe about 7 to about 11, or about 7 to about 14 atoms from the binding ligand B. It is to be understood that in each of the foregoing embodiments and variations, one or more Phe residues may be replaced with Tyr, or another substituted variation thereof.
- In another illustrative embodiment, the binding agent is a urea of an amino dicarboxylic acid, such as aspartic acid, glutamic acid, and the like, and another amino dicarboxylic acid, or an analog thereof, and the linker includes one or more aryl or arylalkyl groups, each of which is optionally substituted, attached to the backbone of the linker. In another embodiment, the linker is a peptide comprising one or more aryl or arylalkyl groups, each of which is optionally substituted, attached to the backbone of the linker about 7 to about 1 atoms from the binding ligand B. In another embodiment, the linker is a peptide comprising two aryl or arylalkyl groups, each of which is optionally substituted, attached to the backbone of the linker, where one aryl or arylalkyl group is about 7 to about 11, or about 7 to about 14 atoms from the binding ligand B, and the other aryl or arylalkyl group is about 10 to about 14, or about 10 to about 17 atoms from the binding ligand B.
- As described herein, the conjugates are targeted to cells that express or over-express PSMA, using a PSMA binding ligand. Once delivered, the conjugates bind to PSMA. It is understood that in certain embodiments the conjugates remain on the surface of the cell for a period of time sufficient for imaging and/or diagnosis. In other embodiments, the conjugates are internalized in the cell expressing or over-expressing PSMA by endogenous cellular mechanisms, such as endocytosis, for subsequent imaging and/or diagnosis, or treatment. Once internalized, the conjugates may remain intact or be decomposed, degraded, or otherwise altered to allow the release of the agent forming the conjugate. It is appreciated that in imaging and/or diagnostic configurations, the agent may remain intact as the conjugate or be released once it has been internalized into the targeted cell. It is further appreciated that in therapeutic configurations, the agent is advantageously released from the conjugate once it has been internalized into the targeted cell.
- In one illustrative embodiment, the drug is an imaging agent. In another illustrative variation, the drug is a diagnostic agent. In another illustrative variation, the drug is an chemotherapeutic agent.
- In one aspect, the imaging agent is a radioisotope covalently attached to the linker. In another aspect, the imaging agent is a radioactive isotope, such as a radioactive isotope of a metal, coordinated to a chelating group. Illustrative radioactive metal isotopes include technetium, rhenium, gallium, gadolinium, indium, copper, and the like, including isotopes 111In, 99mTc, 67Cu, 67Cu, 67Ga, 68Ga, and the like. Additional illustrative examples of radionuclide imaging agents are described in U.S. Pat. No. 7,128,893, the disclosure of which is incorporated herein by reference. Additional illustrative chelating groups are tripeptide or tetrapeptides, including but not limited to tripeptides having the formula:
- wherein R is independently selected in each instance H, alkyl, heteroalkyl, cycloalkyl, heterocyclyl, alkenyl, alkynyl, aryl, heteroaryl, arylalkyl, heteroarylalkyl, and the like, each of which is optionally substituted. It is to be understood that one R includes a heteroatom, such as nitro, oxygen, or sulfur, and is the point of attachment of linker L. Illustratively, the following chelating groups are described:
- where X is oxygen, nitrogen, or sulfur, and where X is attached to linker L, and n is an integer from 1 to about 5.
- In another aspect, the imaging agent is a fluorescent agent. Fluorescent agents include Oregon Green fluorescent agents, including but not limited to Oregon Green 488, Oregon Green 514, and the like, AlexaFluor fluorescent agents, including but not limited to AlexaFluor 488, AlexaFluor 647, and the like, fluorescein, and related analogs, BODIPY fluorescent agents, including but not limited to BODIPY F1, BODIPY 505, and the like, rhodamine fluorescent agents, including but not limited to tetramethylrhodamine, and the like, DyLight fluorescent agents, including but not limited to DyLight 680, DyLight 800, and the like, CW 800, Texas Red, phycoerythrin, and others. Illustrative fluorescent agent are shown in the following illustrative general structures:
- where X is oxygen, nitrogen, or sulfur, and where X is attached to linker L; Y is ORa, NRa 2, or NRa 3 +; and Y′ is O, NRa, or NRa 2 +; where each R is independently selected in each instance from H, fluoro, sulfonic acid, sulfonate, and salts thereof, and the like; and Ra is hydrogen or alkyl.
- where X is oxygen, nitrogen, or sulfur, and where X is attached to linker L; and each R is independently selected in each instance from H, alkyl, heteroalkyl, and the like; and n is an integer from 0 to about 4.
- In another aspect, the imaging agent is a PET imaging agent, or a FRET imaging agent. PET imaging agents 18F, 11C, 64Cu, 65Cu, and the like. FRET imaging agents include 64Cu, 65Cu, and the like. It appreciated that in the case of 18F, 11C, the imaging isotope may be present on any part of the linker, or alternatively may be present on a structure attached to the linker. For example in the case of 18F, fluoroaryl groups, such as fluorophenyl, difluorophenyl, fluoronitrophenyl, and the like are described. For example in the case of 11C, alkyl and alkyl aryl are described.
- In another aspect, the chemotherapeutic agent is a cytotoxic compound. The cytotoxic compounds described herein operate by any of a large number of mechanisms of action. Generally, cytotoxic compounds disrupt cellular mechanisms that are important for cell survival and/or cell proliferation and/or cause apoptosis.
- The drug can be any molecule capable of modulating or otherwise modifying cell function, including pharmaceutically active compounds. Suitable molecules can include, but are not limited to: peptides, oligopeptides, retro-inverso oligopeptides, proteins, protein analogs in which at least one non-peptide linkage replaces a peptide linkage, apoproteins, glycoproteins, enzymes, coenzymes, enzyme inhibitors, amino acids and their derivatives, receptors and other membrane proteins; antigens and antibodies thereto; haptens and antibodies thereto; hormones, lipids, phospholipids, liposomes; toxins; antibiotics; analgesics; bronchodilators; beta-blockers; antimicrobial agents; antihypertensive agents; cardiovascular agents including antiarrhythmics, cardiac glycosides, antianginals and vasodilators; central nervous system agents including stimulants, psychotropics, antimanics, and depressants; antiviral agents; antihistamines; cancer drugs including chemotherapeutic agents; tranquilizers; anti-depressants; H-2 antagonists; anticonvulsants; antinauseants; prostaglandins and prostaglandin analogs; muscle relaxants; anti-inflammatory substances; stimulants; decongestants; antiemetics; diuretics; antispasmodics; antiasthmatics; anti-Parkinson agents; expectorants; cough suppressants; mucolytics; and mineral and nutritional additives.
- Further, the drug can be any drug known in the art which is cytotoxic, enhances tumor permeability, inhibits tumor cell proliferation, promotes apoptosis, decreases anti-apoptotic activity in target cells, is used to treat diseases caused by infectious agents, enhances an endogenous immune response directed to the pathogenic cells, or is useful for treating a disease state caused by any type of pathogenic cell. Drugs suitable for use in accordance with this invention include adrenocorticoids and corticosteroids, alkylating agents, antiandrogens, antiestrogens, androgens, aclamycin and aclamycin derivatives, estrogens, antimetabolites such as cytosine arabinoside, purine analogs, pyrimidine analogs, and methotrexate, busulfan, carboplatin, chlorambucil, cisplatin and other platinum compounds, taxanes, such as tamoxiphen, taxol, paclitaxel, paclitaxel derivatives, Taxotere®, and the like, maytansines and analogs and derivatives thereof, cyclophosphamide, daunomycin, doxorubicin, rhizoxin, T2 toxin, plant alkaloids, prednisone, hydroxyurea, teniposide, mitomvcins, discodermolides, microtubule inhibitors, epothilones, tubulysin, cyclopropyl benz[e]indolone, seco-cyclopropyl benz[e]indolone, O—Ac-seco-cyclopropyl benz[e]indolone, bleomycin and any other antibiotic, nitrogen mustards, nitrosureas, vincristine, vinblastine, and analogs and derivative thereof such as deacetylvinblastine monohydrazide, colchicine, colchicine derivatives, allocolchicine, thiocolchicine, trityl cysteine, Halicondrin B, dolastatins such as
dolastatin 10, amanitins such as α-amanitin, camptothecin, irinotecan, and other camptothecin derivatives thereof, geldanamycin and geldanamycin derivatives, estramustine, nocodazole, MAP4, colcemid, inflammatory and proinflammatoriy agents, peptide and peptidomimetic signal transduction inhibitors, and any other art-recognized drug or toxin. Other drugs that can be used in accordance with the invention include penicillins, cephalosporins, vancomycin, erythromycin, clindamycin, rifampin, chloramphenicol, aminoglycoside antibiotics, gentamicin, amphotericin B, acyclovir, trifluridine, ganciclovir, zidovudine, amantadine, ribavirin, and any other art-recognized antimicrobial compound. - Illustrative drugs and other therapeutic agents are described in U.S. Patent Application Publication Nos. US-2005-0002942-A1, US-2001-0031252-A1, and US-2003-0086900-A1. Illustrative imaging agents and diagnostic agents are described in U.S. Patent Application Publication No. US-2004-0033195-A1 and International Patent Application Publication No. WO 03/097647. The disclosures of each of the foregoing patent application publications are incorporated herein by reference.
- The invention described herein also includes pharmaceutical compositions comprising an amount of a binding ligand (B) drug delivery conjugate effective to eliminate a population of pathogenic cells in a host animal when administered in one or more doses. The binding ligand drug delivery conjugate is preferably administered to the host animal parenterally, e.g., intradermally, subcutaneously, intramuscularly, intraperitoneally, intravenously, or intrathecally. Alternatively, the binding ligand drug delivery conjugate can be administered to the host animal by other medically useful processes, such as orally, and any effective dose and suitable therapeutic dosage form, including prolonged release dosage forms, can be used.
- Examples of parenteral dosage forms include aqueous solutions of the active agent, in an isotonic saline, 5% glucose or other well-known pharmaceutically acceptable liquid carriers such as liquid alcohols, glycols, esters, and amides. The parenteral dosage form in accordance with this invention can be in the form of a reconstitutable lyophilizate comprising the dose of the drug delivery conjugate. In one aspect of the present embodiment, any of a number of prolonged release dosage forms known in the art can be administered such as, for example, the biodegradable carbohydrate matrices described in U.S. Pat. Nos. 4,713,249; 5,266,333; and 5,417,982, the disclosures of which are incorporated herein by reference, or, alternatively, a slow pump (e.g., an osmotic pump) can be used.
- In one illustrative aspect, at least one additional composition comprising a therapeutic factor can be administered to the host in combination or as an adjuvant to the above-detailed methodology, to enhance the binding ligand drug delivery conjugate-mediated elimination of the population of pathogenic cells, or more than one additional therapeutic factor can be administered. The therapeutic factor can be selected from a chemotherapeutic agent, or another therapeutic factor capable of complementing the efficacy of the administered binding ligand drug delivery conjugate.
- In one illustrative aspect, therapeutically effective combinations of these factors can be used. In one embodiment, for example, therapeutically effective amounts of the therapeutic factor, for example, in amounts ranging from about 0.1 MIU/m2/dose/day to about 15 MIU/m2/dose/day in a multiple dose daily regimen, or for example, in amounts ranging from about 0.1 MIU/m2/dose/day to about 7.5 MIU/m2/dose/day in a multiple dose daily regimen, can be used along with the binding ligand drug delivery conjugates to eliminate, reduce, or neutralize pathogenic cells in a host animal harboring the pathogenic cells (MIU=million international units; m2=approximate body surface area of an average human).
- In another embodiment, chemotherapeutic agents, which are, for example, cytotoxic themselves or can work to enhance tumor permeability, are also suitable for use in the method of the invention in combination with the binding ligand drug delivery conjugates. Such chemotherapeutic agents include adrenocorticoids and corticosteroids, alkylating agents, antiandrogens, antiestrogens, androgens, aclamycin and aclamycin derivatives, estrogens, antimetabolites such as cytosine arabinoside, purine analogs, pyrimidine analogs, and methotrexate, busulfan, carboplatin, chlorambucil, cisplatin and other platinum compounds, tamoxiphen, taxol, paclitaxel, paclitaxel derivatives, Taxotere®, cyclophosphamide, daunomycin, doxorubicin, rhizoxin, T2 toxin, plant alkaloids, prednisone, hydroxyurea, teniposide, mitomycins, discodermolides, microtubule inhibitors, epothilones, tubulysin, cyclopropyl benz[e]indolone, seco-cyclopropyl benz[e]indolone, O—Ac-seco-cyclopropyl benz[e]indolone, bleomycin and any other antibiotic, nitrogen mustards, nitrosureas, vincristine, vinblastine, and analogs and derivative thereof such as deacetylvinblastine monohydrazide, colchicine, colchicine derivatives, allocolchicine, thiocolchicine, trityl cysteine, Halicondrin B, dolastatins such as
dolastatin 10, amanitins such as α-amanitin, camptothecin, irinotecan, and other camptothecin derivatives thereof, geldanamycin and geldanamycin derivatives, estramustine, nocodazole, MAP4, colcemid, inflammatory and proinflammatory agents, peptide and peptidomimetic signal transduction inhibitors, and any other art-recognized drug or toxin. Other drugs that can be used in accordance with the invention include penicillins, cephalosporins, vancomycin, erythromycin, clindamycin, rifampin, chloramphenicol, aminoglycoside antibiotics, gentamicin, amphotericin B, acyclovir, trifluridine, ganciclovir, zidovudine, amantadine, ribavirin, maytansines and analogs and derivatives thereof, gemcitabine, and any other art-recognized antimicrobial compound. - The therapeutic factor can be administered to the host animal prior to, after, or at the same time as the binding ligand drug delivery conjugates and the therapeutic factor can be administered as part of the same composition containing the binding ligand drug delivery conjugate or as part of a different composition than the binding ligand drug delivery conjugate. Any such therapeutic composition containing the therapeutic factor at a therapeutically effective dose can be used in the present invention.
- Additionally, more than one type of binding ligand drug delivery conjugate can be used. Illustratively, for example, the host animal can be treated with conjugates with different vitamins, but the same drug in a co-dosing protocol. In other embodiments, the host animal can be treated with conjugates comprising the same binding ligand linked to different drugs, or various binding ligands linked to various drugs. In another illustrative embodiment, binding ligand drug delivery conjugates with the same or different vitamins, and the same or different drugs comprising multiple vitamins and multiple drugs as part of the same drug delivery conjugate could be used.
- In another illustrative aspect, any effective regimen for administering the binding ligand drug delivery conjugates can be used. For example, the binding ligand drug delivery conjugates can be administered as single doses, or can be divided and administered as a multiple-dose daily regimen. In other embodiments, a staggered regimen, for example, one to three days per week can be used as an alternative to daily treatment, and for the purpose of defining this invention such intermittent or staggered daily regimen is considered to be equivalent to every day treatment and within the scope of this invention. In one embodiment, the host is treated with multiple injections of the binding ligand drug delivery conjugate to eliminate the population of pathogenic cells. In another embodiment, the host is injected multiple times (preferably about 2 up to about 50 times) with the binding ligand drug delivery conjugate, for example, at 12-72 hour intervals or at 48-72 hour intervals. In other embodiments, additional injections of the binding ligand drug delivery conjugate can be administered to the patient at an interval of days or months after the initial injections(s) and the additional injections prevent recurrence of the disease state caused by the pathogenic cells.
- Illustratively, the binding ligand drug delivery conjugates can be administered parenterally to the animal or patient suffering from the disease state, for example, intradermally, subcutaneously, intramuscularly, intraperitoneally, or intravenously in combination with a pharmaceutically acceptable carrier. In another embodiment, the binding ligand drug delivery conjugates can be administered to the animal or patient by other medically useful procedures and effective doses can be administered in standard or prolonged release dosage forms. In another aspect, the therapeutic method can be used alone or in combination with other therapeutic methods recognized for treatment of disease states mediated by activated macrophages.
- Described herein is a method for imaging pathogenic cell populations that express or over-express PSMA.
- Described herein is a method for diagnosing diseases and disease states that are related to pathogenic cell populations that express or over-express PSMA. The compounds described herein bind selectively and/or specifically to cells that express or over-express PSMA. In addition, they not only show selectivity between pathogenic cells and normal tissues, they show selectivity among pathogenic cell populations (see
FIG. 8 where PSMA expressing LnCAP cells are preferentially visualized compared to A549 tumors or KB tumos, which are not). In addition, the response is specific to PSMA binding as indicated by competition studies conducted with the conjugates described herein where binding is determined with the conjugate alone or in the presence of excess PMPA, a known binding ligand of PSMA. Binding at both the kidney and tumor is blocked in the presence of excess PMPA (see, for example, Method Examples described herein). - In another embodiment, the conjugate has a binding constant Kd of about 100 nM or less. In another aspect, the conjugate has a binding constant Kd of about 75 nM or less. In another aspect, the conjugate has a binding constant Kd of about 50 nM or less. In another aspect, the conjugate has a binding constant Kd of about 25 nM or less.
- In another embodiment, the conjugates described herein exhibit selectivity for PSMA expressing or PSMA over-expressing cells or tissues relative to normal tissues such as blood, hear, lung, liver, spleen, duodenum, skin, muscle, bladder, and prostate, with at least 3-fold selectivity, or at least 5-fold selectivity. In one variation, the conjugates described herein exhibit selectivity for PSMA expressing or PSMA over-expressing cells or tissues relative to normal tissues with at least 10-fold selectivity. It is appreciated that the selectivity observed for imaging is indicative of the selectivity that may be observed in treating disease states responsive to the selective or specific elimination of cells or cell populations that express or over-express PSMA.
- The unitary daily dosage of the drug delivery conjugate can vary significantly depending on the host condition, the disease state being treated, the molecular weight of the conjugate, its route of administration and tissue distribution, and the possibility of co-usage of other therapeutic treatments such as radiation therapy. The effective amount to be administered to a patient is based on body surface area, patient weight, and physician assessment of patient condition. Effective doses can range, for example, from about 1 ng/kg to about 1 mg/kg, from about 1 μg/kg to about 500 μg/kg, from about 1 μg/kg to about 100 μg/kg, and from about 1 μg/kg to about 10 μg/kg.
- Generally, any manner of forming a conjugate between the bivalent linker (L) and the binding ligand (B), or analog or derivative thereof, between the bivalent linker (L) and the drug, or analog or derivative thereof, including any intervening heteroatoms, can be utilized in accordance with the present invention. Also, any art-recognized method of forming a conjugate between the spacer linker, the releasable linker, and one or more heteroatoms to form the bivalent linker (L) can be used. The conjugate can be formed by direct conjugation of any of these molecules, for example, through hydrogen, ionic, or covalent bonds. Covalent bonding can occur, for example, through the formation of amide, ester, disulfide, or imino bonds between acid, aldehyde, hydroxy, amino, sulfhydryl, or hydrazo groups.
- The synthetic methods are chosen depending upon the selection of the optionally included heteroatoms or the heteroatoms that are already present on the spacer linkers, releasable linkers, the drug, and/or the binding ligand. In general, the relevant bond forming reactions are described in Richard C. Larock, “Comprehensive Organic Transformations, a guide to functional group preparations,” VCH Publishers, Inc. New York (1989), and in Theodora E. Greene & Peter G. M. Wuts, “Protective Groups ion Organic Synthesis,” 2d edition, John Wiley & Sons, Inc. New York (1991), the disclosures of which are incorporated herein by reference.
- More specifically, disulfide groups can be generally formed by reacting an alkyl or aryl sulfonylthioalkyl derivative, or the corresponding heteroaryldithioalkyl derivative such as a pyridin-2-yldithioalkyl derivative, and the like, with an alkylenethiol derivative. For example, the required alkyl or aryl sulfonylthioalkyl derivative may be prepared according to the method of Ranasinghe and Fuchs, Synth. Commun. 18(3), 227-32 (1988), the disclosure of which is incorporated herein by reference. Other methods of preparing unsymmetrical dialkyl disulfides are based on a transthiolation of unsymmetrical heteroaryl-alkyl disulfides, such as 2-thiopyridinyl, 3-nitro-2-thiopyridinyl, and like disulfides, with alkyl thiol, as described in WO 88/01622, European Patent Application No. 0116208A1, and U.S. Pat. No. 4,691,024, the disclosures of which are incorporated herein by reference. Further, carbonates, thiocarbonates, and carbamates can generally be formed by reacting an hydroxy-substituted compound, a thio-substituted compound, or an amine-substituted compound, respectively, with an activated alkoxycarbonyl derivative having a suitable leaving group.
- The compounds described herein may be prepared by conventional organic synthetic methods. In addition, the compounds described herein may be prepared as indicated below. Unless otherwise indicated, all starting materials and reagents are available from commercial supplies. All amino acid starting materials were purchased from Chem-Impex Int (Chicago. Ill.). 1H NMR spectra were obtained using a
Bruker 500 MHz cryoprobe, unless otherwise indicated. - General synthesis of PSMA inhibitor intermediates for conjugation. Illustrated for specific synthesis of DUPA derivative 2-[3-(1,3-Bis-tert-butoxycarbonyl-propyl)-ureido]-pentanedioic acid 1-tert-butyl ester (I).
- SK09. To a mixture of L-glutamate di-tert-butylester HCl (1.0 g, 3.39 mmol) and triphosgene (329.8 mg, 1.12 mmol) in CH2Cl2 (25.0 mL) cooled to −78° C., triethylamine (1.0 mL, 8.19 mmol) was added. After stirring for 2 h at −78° C. under nitrogen, mixture of L-Glu(OBn)-O-tert-Bu (1.2 g, 3.72 mmol) and triethylamine (600 μL, 4.91 mmol) in CH2Cl2 (5.0 mL) was added. The reaction mixture was allowed to come to room temperature over a period of 1 h and continued to stir at room temperature overnight. The reaction mixture was washed with 1N HCl, brine and dried over Na2SO4. The crude product was purified using a flash chromatography (hexane:EtOAc=1:1, Rt=0.67) to give SK09 (1.76 g, 90.2%). C30H46N2O9: MW=578.69 g/mol; colorless oil; 1H NMR (CDCl3) δ 1.43 (s, 9H, CH3-tBu); 1.44 (s, 9H, CH3-tBu); 1.46 (s, 9H, CH3-tBu); 1.85 (m, 1H, Glu-H); 1.87 (m, 1H, Glu-H); 2.06 (m, 1H, Glu-H); 2.07 (m, 1H, Glu-H); 2.30 (m, 2H, Glu-H); 2.44 (m, 2H, Glu-H); 4.34 [s (broad), 1H, αH]; 4.38 [s (broad), 1H, α-H]; 5.10 (s, 2H. CH2—Ar); 5.22 [s (broad), 2H, Urea-H); 7.34 (m, 5H, Ar—H). 13C NMR (CDCl3) δ 28.16; 28.25; 28.54; 28.60; 30.52; 31.73; 53.13; 53.22; 66.58; 80.71; 82.25; 82.35; 128.39; 128.71; 136.03; 156.96; 172.01; 172.16; 172.65; 173.13: CI-MS=579 (M+H)+, ESI-MS=579 (M+H)+, 601 (M+Na adduct).
- SK23. To a solution of compound SK09 (250 mg, 432 mmol) in CH2Cl2, 30% Pd/C (50 mg) was added. The reaction mixture was hydrogenated at 1 atm, room temperature for 24 h. Pd/C was filtered through celite pad and washed with CH2Cl2. The crude product was purified using a flash chromatography (hexane:EtOAc=40:60, Rt=0.58) to give SK23 (169 mg, 80.2%). C23H40N2O9; MW=488.57 g/mol; colorless oil; 1H NMR (CDCl3) δ 1.46 (m, 27H, CH3-tBu); 1.91 (m, 2H, Glu-H); 2.07 (m, 1H, Glu-H); 2.18 (m, 1H, Glu-H); 2.33 (m, 2H, Glu-H): 2.46 (m, 2H, Glu-H); 4.31 (s (broad), 1H, αH); 4.35 (s (broad), 1H, α-H); 5.05 (t, 2H, Urea-H); CI-MS=489 (M+H)+, ESI-MS=489 (M+H)+, 511 (M+Na adduct), 487 (M−H)−.
- General synthesis of PSMA inhibitor intermediates for conjugation. Illustrated for specific synthesis of tertiary butyl protected MUPA derivative 2-[3-(1-tert-Butoxycarbonyl-2-mercapto-ethyl)-ureido]-pentanedioic acid di-tert-butyl ester (II).
- SK15. To a mixture of L-glutamate di-tert-butylester HCl (200 mg, 0.676 mmol) and triphosgene (67 mg, 0.228 mmol) in CH2Cl2 (5.0 mL), cooled to −78° C., triethylamine (50 μL, 0.410 mmol) was added. After stirring for 2 h at −78° C. under nitrogen, mixture of D-Cys(Fm)-OtBu (291.4 mg, 0.774 mmol) and triethylamine (30 μL, 240 mmol) in CH2Cl2 (1.0 mL) was added. The reaction mixture was allowed to come to room temperature over a period of 1 h and continued to stir at room temperature overnight. The reaction mixture was washed with 1N HCl, brine and dried over Na2SO4. The crude product was purified using a flash chromatography (hexane:EtOAc=50:50, Rt=0.6) to give SK15 (374 mg, 86.4%). C35H48N2O7S; MW=640.83 g/mol; pale yallow oil; 1H NMR (CDCl3) δ 1.45 (s, 27H, CH3-tBu); 1.88 (m, 1H, Glu-H); 2.10 (m, 1H, Glu-H); 2.32 (m, 2H, Glu-H); 2.97 (m, 2H, Fm—CH2): 3.13 (m, 2H, Cys-H); 4.09 (t, 1H, Fm—H); 4.38 (m, 1H, αH); 4.66 (m, 1H, α-H); 5.55 (d, 1H, Urea-H); 5.67 (d, 1H, Urea-H); 7.30 (q, 2H, Ar—H); 7.36 (q, 2H, Ar—H); 7.73 (m, 4H, Ar—H). 13C NMR (CDCl3) δ 28.05; 28.14; 28.42; 31.64; 36.27; 37.25; 53.07; 53.73; 80.51; 81.98; 82.42; 119.85; 124.95; 125.09; 127.09; 127.51; 141.09; 145.99; 156.76; 170.80; 172.15; 172.43; CI-MS=641 (M+H)+, ESI-MS=641 (M+H)+.
- General synthesis of PSMA imaging agent conjugates. Illustrated by synthesis of 14-atom linker compound SK28.
- SK28 was synthesized using standard Fluorenylmethyloxycarbonyl (Fmoc) solid phase peptide synthesis (SPPS) starting from Fmoc-Cys(Trt)-Wang resin (Novabiochem; Catalog #04-12-2050). SK28 was purified using reverse phase preparative HPLC (Waters,
xTerra C 18 10 μm; 19×250 mm) A=0.1 TFA, B=Acetonitrile (ACN); λ=257 nm; Solvent gradient: 5% B to 80% B in 25 min, 80% B wash 30 min run, (61%). Purified compounds were analyzed using reverse phase analytical HPLC (Waters,X-Bridge C 18 5 rpm; 3.0×15 mm); A=0.1 TFA, B=ACN; λ=257 nm, 5% B to 80% B in 10 min, 80% B wash 15 min run. C47H65N2O17S; MW=1060.13 g/mol; white solid: Rt=7.7 min; 1H NMR (DMSO-d6/D2O) δ 0.93 (m, 2H); 1.08 (m, 5H); 1.27 (m, 5H); 1.69 (m, 2H); 1.90 (m, 2H); 1.94 (m, 2H); 2.10 (m, 2H); 2.24 (q, 2H); 2.62 (m, 2H); 2.78 (m, 4H); 2.88 (dd, 1H); 2.96 (t, 2H); 3.01 (dd, 1H); 3.31 (dd, 1H); 3.62 (dd, 1H); 3.80 (q, 1H, αH); 4.07 (m, 1H, αH); 4.37 (m, 1H, αH); 4.42 (m, 2H, αH); 4.66 (m, 1H, αH); 7.18 (m, 10H, Ar—H): LC-MS=1061 (M+H)+; ESI-MS=1061 (M+H)+. - The following example compound was synthesized by an analogous process.
- The following compounds were synthesized according to the processes described herein using Fmoc SPPS starting from Fmoc-Cys(Trt)-Wang resin (Novabiochem; Catalog #04-12-2050), and purified using reverse phase preparative HPLC (Waters, xTerra C18 10 μm; 19×250 mm) and analyzed using reverse phase analytical HPLC (Waters, X-Bridge C18 5 μm; 3.0×15 mm):
- SK60 (0-atom linker): solvent gradient A=0.1 TFA, B=ACN; λ=220 nm; Solvent gradient: 1% B to 50% B in 25 min, 80% B wash 30 min run, (75.3%). C21H32N6O14S; MW=624.58 g/mol; white solid; Rt=6.3 min; 1H NMR (DMSO-d6/D2O) δ 1.70 (m, 2H); 1.92 (m, 2H); 2.17 (m, 2H); 2.23 (m, 2H); 2.57 (m, 1H); 2.77 (m, 4H); 3.45 (dd, 1H); 3.54 (dd, 1H): 3.83 (t, 1H, αH); 4.06 (m, 1H, αH); 4.38 (m, 1H, α-H); 4.63 (m, 1H, α-H); ESI-MS=625 (M+H)+
- SK62 (7 atom linker): solvent gradient A=0.1 TFA, TFA, B=ACN; λ=220, 257 nm; Solvent gradient: 1% B to 50% B in 25 min, 80% B wash 30 min run, (72%). C35H48N8O18S; MW-900.86 g/mol; white solid: Rt=8.2 min; 1H NMR (DMOS-d6/D2O) δ 1.62 (m, 1H); 1.70 (m, 2H); 1.79 (m, 1H); 1.90 (m, 2H); 2.09 (t, 2H); 2.16 (m, 2H); 2.24 (m, 2H); 2.60 (m, 1H); 2.75 (m, 4H); 2.81 (m, 1H); 2.97 (m, 1H); 3.33 (dd, 1H); 3.60 (dd, 1H); 3.81 (t, 1H, αH); 4.07 (m, 2H, αH); 4.33 [m, 1H, α-H]; 4.39 (t, α-H); 4.65 (m, 1H. α-H); 7.20 (m, 5H, Ar—H); ESI-MS=901 (M+H)+.
- SK38 (16 atom linker): solvent gradient A=10 mM NH4OAc, B=ACN; λ=257 nm; Solvent gradient: 1% B to 80% B in 25 min, 80% B wash 30 min run, (63%). C43H63N9O19S, MW=1042.07 g/mol; white solid; Rt=min; 1H NMR (DMSO-d6/D2O) δ 0.94 (m, 2H); 1.08 (m, 5H); 1.27 (m, 5H); 1.66 (m, 2H); 1.70 (m, 2H); 1.79 (m, 1H); 1.90 (m, 2H); 2.09 (t, 2H); 2.74 (m, 2H); 2.84 (m, 1H); 2.95 (t, 3H); 3.07 (d, 2H); 3.23 (m, 1H); 3.43 (dd, 1H); 3.52 (dt, 1H); 3.78 (m, 1H, αH); 3.81 (m, 1H, αH); 3.88 (m, 1H, αH); 4.11 (m, 1H, αH); 4.39 [m, 2H, α-H]; 4.65 (m, 1H, α-H); 7.14 (m, 1H, Ar—H); 7.21 (m, 4H. Ar—H): ESI-MS=1043 (M+H)+.
- SK57 (24 atom linker): solvent gradient A=0.1 TFA, B=ACN; λ=257 nm; Solvent gradient: 1% B to 50% B in 25 min, 80% B wash 30 min run, (56%). C45H70N8O22S, MW=1107.14 g/mol; colorless solid: 1H NMR (DMSO-d6/D2O) δ 1.66 (m, 2H); 2.07 (m, 4H); 2.31 (t, 1H); 2.43 (m, 1H); 2.77 (m, 2H); 2.98 (dd, 1H); 3.14 (t, 2H); 3.24 (d, 1H); 3.40 (m, 4H, PEG-H); 3.46 (s, 24H, PEG-H); 3.78 (t, 1H); 3.81 (t, 1H); 4.03 (m, 1H, αH); 4.40 (m, 2H, α-H); 7.16 (m, 1H, Ar—H); 7.22 (m, 4H, Ar—H): ESI-MS=1108 (M+H)+.
- The following compound may be synthesized according to the processes described herein.
- General process for adding radionuclide to chelating group. Illustrated for radio labeling of SK28 with 99mTc to prepare SK33.
- Preparation of SK28 formulation kits. HPLC grade Millipore filtered water (50 mL) was added to a 100 mL bottle and argon was purged for at least 10 min. Sodium α-D-glucoheptonate dihydrate (800 mg) was dissolved in argon purged water (5 mL). Stannous chloride dihydrate (10 mg) was dissolved in 0.02 M HCl (10 mL) while bubbling argon. Stannous chloride (0.8 mL) was added to the sodium glucoheptonate solution under argon. SK28 (1.4 mg) was added to the sodium glucoheptonate/stannous chloride solution under argon. The pH of the reaction mixture was adjusted to 6.8±0.2 using 0.1 N NaOH. Argon purged water (5.2 mL) was added to the reaction mixture to make total volume as 10 mL, 1.0 mL of reaction mixture was dispensed to each vial (10 vials) under argon atmosphere and lyophilized for 36-48 h. The vials were sealed with rubber stoppers and aluminum seals under argon atmosphere to make SK28 formulation kits. The formulation kit vials were stored at −20° C. until they used.
- Labeling SK28 with 99mTc. Radio labeling of SK28 with 99mTc may be performed according to published procedures. A formulation vial was warmed to room temperature for 10 min and heated in a boiling water bath for 3 min. Then 15 mCi of sodium pertechnetate 99mTc (1.0 mL) was injected and an equal volume of gas was withdrawn from the vial to normalize the pressure. The vial was heated in the boiling water bath for 15-20 min and then cooled to room temperature before using in the experiment. Radiochemical purity was analyzed by radioactive TLC (>98%/), that showed syn and anti isomers of the radio labeled compound (SK33/SK28-99mTc).
- The following Examples were prepared according to the processes described herein (both syn and anti isomers were obtained; only the syn isomer is shown):
- The following compound may be synthesized according to the processes described herein.
- General synthesis of PSMA imaging agent conjugates illustrated for SK59 using Universal PSMA (DUPA) resin, a 2-atom linker, and FITC. This conjugate may also be used for detecting circulating tumor cells in prostate cancer patients.
- Synthesis of PSMA universal resin and SK59. Universal PSMA ligand (DUPA) resin was synthesized using Universal NovaTag™ resin (Novabiochem; Catalog #04-12-3910). Fmoc group was deprotected using 20% piperidine/DMF (N,N-dimethylformamide), after swelling the resin with DCM (CH2Cl2) and DMF, tert-Butyl protected DUPA was coupled using HATU [2-(1H-7-azabenzotriazol-1-yl)-, 1,3,3-tetramethyl uronium hexafluorophosphate] and DIPEA (N,N-diisopropylethylamine) in DMF. The pendant Mmt (4-Methoxytrityl) was removed with IM HOBT (1-Hyroxybenzotriazole) in DCM/TFE (trifluoroethanol). The resin intermediate can be washed with DMF and used immediately in subsequent synthetic steps or washed with DCM/DMF and then with MeOH, and dried for later use.
- Universal PSMA resin was reacted with commercially available FITC (1.25 equiv) in the presence of DIPEA (4 equiv) in DMF to yield SK59 (2 atom linker) construct. The final compound was cleaved from the resin using a mixture of TFA (trifluoro acetic acid), TIPS (triisopropylsilane), and water. Purification was by reverse phase preparative HPLC (Waters,
xTerra C 18 5 μm; 19×150 mm) A=10 mM NH4OAc, B=ACN; λ=488 nm; Solvent gradient: 1% B to 50% B in 25 min, 80% B wash 40 min run, (63%). SK59 was analyzed using reverse phase analytical HPLC (Waters,X-Bridge C 18 5 μm; 3.0×15 mm); A=10 mM NH4OAc, B=ACN; λ=488 nm, 1% B to 50% B in 10 min, 80% B wash 15 min run; C34H33N6O13S; MW=751.72 g/mol; orange color solid, Rt=7.2 min; ESI-MS=752 (M+H)+; 774 (M+Na)+; 750 (M−H)−. - General synthesis of PSMA imaging agent conjugates illustrated for SK64 using Universal PSMA (DUPA) resin, a 16-atom linker, and FITC.
- Universal PSMA resin was coupled with Fmoc-Glu-(OtBu)-OH and Fmoc-EAOA (8-aminooctonoic acid) using standard Fmoc SPPS. After conjugating with fluoresceinisothiocyanate (1.25 equiv) in the presence of DIPEA (4 equiv) in DMF, SK64 (16 atom linker) compound was cleaved from the resin using TFA/TIPS/H2O. Purification was performed using reverse phase preparative HPLC (Waters,
xTerra C 18 5 μm; 19×150 mm) A=10 mM NH4OAc, B=ACN; λ=488 nm; Solvent gradient: 1% B to 50% B in 25 min, 80% B wash 40 min run, (57%). SK64 was analyzed using reverse phase analytical HPLC (Waters,X-Bridge C 18 5 μm; 3.0×150 mm); A=10 mM NH4OAc, B=ACN; λ=488 nm, 1% B to 50% B in 10 min, 80% B wash 15 min run; C47H55N7O17S; MW=1022.04 g/mol; orange color solid. Rt=7.8 min; ESI-MS=1022 (M+H)+; 1020 (M−H)−. - The following compounds were prepared using the synthetic processes described herein:
- SK63(7-atom linker, C39H40N6O17, Mol. Wt.: 864.76), was prepared using universal PSMA resin and standard Fmoc SPPS conjugated with Fmoc-Glu-(OtBu)-OH. After coupling with FITC, compounds were cleaved from the resin using TFA/TIPS/H2O cocktail and purified with reverse phase preparative HPLC (Waters,
xTerra C 18 5 μm; 19×150 mm) A=10 mM NH4OAc, B=ACN; λ=488 nm; Solvent gradient: 1% B to 50% B in 25 min, 80% B wash 40 min run, (65%); analyzed using reverse phase analytical HPLC (Waters,X-Bridge C 18 5 μm; 3.0×150 mm); A=10 mM NH4OAc, B=ACN; λ=488 nm, 1% B to 50% B in 10 min, 80% B wash 15 min run; SK63: C39H40N6O16S; MW=880.83 g/mol; orange color solid, Rt=6.8 min; ESI-MS=881 (M+H)+; 903 (M+Na)+; 863 (M−H)−. - SK58 (24-atom linker, C49H62N6O20S, Mol. Wt.: 1087.11) was prepared using universal PSMA resin and standard Fmoc SPPS conjugated with Fmoc-(PEG)6-OH and purified by HPLC 1% B to 60% B in 25 min, 80% B wash 40 min run, (65%); analyzed using reverse phase analytical HPLC (Waters,
X-Bridge C 18 5 μm; 3.0×150 mm); A=10 mM NH4OAc, B=ACN; λ=488 nm, 1% B to 60% B in 10 min. 80% B wash 15 min run: C49H60N6O20S MW=1087.11 g/mol; orange color solid, Rt=7.3 min; ESI-MS=1087 (M+H)+; 1109 (M+Na)+; 1085 (M−H)−. - General synthesis of Cys-maleimide PSMA imaging agent conjugates illustrated for SK56 using Wang PSMA (DUPA) resin, a 28-atom linker, and
- Related analogs where n is an integer from 4 to about 30 may also be prepared according to the processes described herein.
- SK54 was prepared using standard Fmoc SPPS starting from Fmoc-Cys(Trt)-Wang resin (Novabiochem; Catalog #04-12-2050), purified using reverse phase preparative HPLC (Waters,
xTerra C 18 10 μm; 19×250 mm) A=0.1 TFA; B=ACN; λ=257 nm; Solvent gradient: 1% B to 60% B in 25 min, 80% B wash 40 min run, (63%), and analyzed using reverse phase analytical HPLC (Waters,X-Bridge C 18 5 μm; 3.0×50 mm); A=10 mM NH4OAc, B=ACN; λ=257 nm, 1% B to 50% B in 10 min, 80% B wash 15 min run; C38H59N5O18S, MW=−905.96 g/mol; colorless solid; Rt=9.2 min, LC-MS=−906.3 g/mol; ESI-MS-906 (M+H)+; 904 (M−H)−. - SK56 (24 atom linker). HPLC grade Milli-Q water and satd NaHCO3 were purged with argon for 10 min. SK54 was dissolved in 1.0 mL of argon purged water while bubbling argon. The pH of the solution was increased up to 6.8 and oregon green 488 maleimide dissolved in 1.0 mL of THF was added to the reaction mixture. The reaction was monitored by analytical HPLC (10 mM NH4OAc, pH=7.0; 1% B to 50% B in 10
min 80% B wash 15 min run) and reaction was completed within 10 min. THF was evaporated and reaction mixture was diluted with 5.0 mL of 7 mM phosphate buffer. Purification was performed using reverse phase preparative HPLC (Waters,xTerra C 18 10 μm; 19×250 mm) A=7 mM Phosphate buffer pH=7.2, B=ACN; λ=488 nm; Solvent gradient: 1% B to 50% B in 25 min, 80% B wash 40 min run, (89%); and analyzed using reverse phase analytical HPLC (Waters.X-Bridge C 18 5 μm; 3.0×150 mm); A=10 mM NH4OAc. B=ACN; λ=488 nm, 1% B to 50% B in 10 min, 80% B wash 15 min run; C62H70F2N6O25S; MW=1369.31 g/mol; orange color solid, Rt=7.0 min; LC-MS=1370.2; ESI-MS=1391 (M+Na)+. - The following 24-atom linker compounds were prepared in an analogous manner to those described herein using the General syntheses described herein.
- The following AlexaFluor 488 conjugate compound was prepared according to the processes described herein starting with SK55, where n=3.
- Related analogs where n is an integer from 4 to about 30 may also be prepared according to the processes described herein.
- The following DUPA imaging agent conjugate compounds, SK51, SK45, and SK49 were prepared according to the processes described herein, where n is 5:
-
- SK51 (25-atom linker, and AlexaFluor 647, MW˜2300 (commercially available from Invitrogen))
Related analogs where n is an integer from 0 to about 12 may also be prepared according to the processes described herein.
- SK51 (25-atom linker, and AlexaFluor 647, MW˜2300 (commercially available from Invitrogen))
- SK45 (25 Atom linker BODIPY 505, C67H87BF2N13O20S, Mol. Wt.: 1475.35) Related analogs where n is an integer from 0 to about 12 may also be prepared according to the processes described herein.
- SK49 (25 Atom linker-Oregon Green 488, C71H76F2N10O24, Mol. Wt.: 1523.48) Related analogs where n is an integer from 0 to about 12 may also be prepared according to the processes described herein.
- Synthesis of the Linker. In each of the foregoing Examples, the linker was synthesized using standard Fmoc SPPS starting from Fmoc-Cys(Trt)-Wang resin (Novabiochem; Catalog #04-12-2050); C47H65N2O17S; MW=1060.13 g/mol; white solid: Rt=7.7 min; 1H NMR (DMSO-d6/D2O) δ 0.93 (m, 2H); 1.08 (m, 5H); 1.27 (m, 5H); 1.69 (m, 2H); 1.90 (m, 2H); 1.94 (m, 2H); 2.10 (m, 2H); 2.24 (q, 2H); 2.62 (m, 2H); 2.78 (m, 4H); 2.88 (dd, 1H); 2.96 (t, 2H); 3.01 (dd, 1H); 3.31 (dd, 1H) 3.62 (dd, 1H); 3.80 (q, 1H, αH); 4.07 (m, 1H, αH); 4.37 (m, 1H, αH); 4.42 (m, 2H, αH); 4.66 (m, 1H, αH); 7.18 (m, 10H, Ar—H); LC-MS=1061 (M+H)+; ESI-MS=1061 (M+H)+.
- Synthesis of SK51 (AlexaFluor 647 conjugate), SK45 (BODIPY conjugate) and SK49 (Oregon Green 488 conjugate). HPLC grade Milli-Q water and satd NaHCO3 were purged with argon for 10 min. Linker was dissolved in 1.0 mL of argon purged while bubbling argon. The pH of the solution was increased to 6.8 and AlexaFluor maleimide, BODIPY maleimide, or Oregon green 488 maleimide, respectively, was dissolved in 1.0 mL of tetrahydrofuran (THF) was added to the reaction mixture. Progress of the reaction was monitored by analytical HPLC (10 mM NH4OAc, pH=7.0; 1% B to 50% B in 10
min 80% B wash 15 min run) and reaction was completed within 10 min. THF was evaporated and reaction mixture was diluted with 5.0 mL of 1 mM phosphate buffer (pH=7.2). - Compounds were purified using reverse phase preparative HPLC (Waters,
xTerra C 18 5 μm; 18×150 mm) A=1 mM Phosphate buffer pH=7.2, B=ACN; λ=647 or 488 nm; Solvent gradient: 1% B to 50% B in 25 min, 80% B wash 40 min run; and analyzed using reverse phase analytical HPLC (Waters,X-Bridge C 18 5 μm; 3.0×50 mm); A=10 mM NH4OAc, B=ACN; λ=588 or 488 nm, 1% B to 50% B in 10 min, 80% B wash 15 min run. - SK51: MW˜2360.13 g/mol; blue color solid, Rt=6.7 min; (structure of the AlexaFluor 647 is not known);
- SK45: C67H87BF2N13O20S; MW=1475.35 g/mol; orange color solid, Rt=7.6 min; LC-MS=1475.3 (M+H)+;
- SK49: C71H76F2N10O24S; MW=1523.48 g/mol; orange color solid, Rt=6.7 min; LC-MS=1524 (M+H)+.
- General synthesis of PSMA disulfide linker intermediate for releasable agent conjugate, illustrated for SK68.
- SK68 was synthesized using standard Fmoc SPPS starting from Fmoc-Cys(Trt)-Wang resin (Novabiochem; Catalog #04-12-2050), purified using reverse phase preparative HPLC (Waters,
xTerra C 18 10 μm; 19×250 mm) A=0.1 TFA, B=ACN; λ=257 nm; Solvent gradient: 1% B to 50% B in 30 min, 80% B wash 40 min run, (68%); and analyzed using reverse phase analytical HPLC (Waters,X-Bridge C 18 5 μm; 3.0×15 mm); A=0.1 TFA, B=ACN; λ=257 nm, 1% B to 50% B in 10 min, 80% B wash 15 min run. C32H42N6O17S; MW=814.77 g/mol; white solid; Rt=8.2 min; 1H NMR (DMOS-d6/D2O) δ 1.70 (m, 3H); 1.90 (m, 3H); 2.10 (m, 2H); 2.17 (m, 2H); 2.23 (m, 2H); 2.36 (m, 1H); 2.59 (dd, 1H); 2.79 (m, 3H): 3.04 (dd, 1H); 4.07 (m, 2H, αH); 4.13 (m, 1H, αH); 4.37 [m, 1H, α-H]; 4.47 (m, 2H, α-H); 7.19 (m, 5H, Ar—H); 7.87 (d, Ures-NH); 8.20 (d, 1H, Urea-NH); LC-MS=815.3 (M+H)+. - General synthesis of PSMA disulfide linker intermediate for releasable agent conjugate, illustrated for SK28L.
- SK28 was synthesized using standard Fmoc-SPPS starting from Fmoc-Cys(Trt)-Wang resin (Novabiochem; Catalog #04-12-2050); purified using reverse phase preparative HPLC (Waters,
xTerra C 18 10 μm; 19×250 mm) A=0.1 TFA, B=ACN; λ=257 nm; Solvent gradient: 5% B to 80% B in 25 min, 80% B wash 30 min run, (61%); and analyzed using reverse phase analytical HPLC (Waters,X-Bridge C 18 5 μm; 3.0×15 mm); A=0.1 TFA, B=ACN; λ=257 nm, 5% B to 80% B in 10 min, 80% B wash 15 min run. SK28L: C47H65N2O17S; MW=1060.13 g/mol; white solid; Rt=7.7 min; 1H NMR (DMSO-d6/D2O) δ 0.93 (m, 2H); 1.08 (m, 5H); 1.27 (m, 5H); 1.69 (m, 2H); 1.90 (m, 2H); 1.94 (m, 2H); 2.10 (m, 2H); 2.24 (q, 2H); 2.62 (m, 2H); 2.78 (m, 4H); 2.88 (dd, 1H); 2.96 (t, 2H); 3.01 (dd, 1H); 3.31 (dd, 1H); 3.62 (dd, 1H); 3.80 (q, 1H, αH); 4.07 (m, 1H, αH); 4.37 (m, 1H, αH); 4.42 (m, 2H, αH); 4.66 (m, 1H, αH); 7.18 (m, 10H, Ar—H): LC-MS=1061 (M+H)+; ESI-MS=1061 (M+H)+. - General synthesis for preparing disulfide-linked conjugates, illustrated for tubulysin B conjugate SK71 (20-atom linker).
- Synthesis of EC0312. Tubulysin B (30 mg, 0.036 mmol) was dissolved in ethylacetate (600 μL) under argon at −15° C. Isobutyl chlorofomate (4.7 μL, 0.054 mmol) and diisopropylethylamine (13.2 μL, 0.076 mmol) were added to the reaction mixture; reaction was stirred at −15° C. for 45 min under argon. EC0311 (13.4 mg, 0.054 mmol) dissolved in ethylacetate (500 μL) was added. Reaction mixture was stirred at −15° C. for another 15 min and then at room temperature for 45 min. Solvent was evaporated and residue was purified using short column (2%-8% methanol in CH2Cl2) to get EC0312 (34.4 mg, 90.5%). EC0312 was characterized using NMR (
Varian 300 MHz, in CDCl3), and LC-MS=1058.3 (M+H)+. - Synthesis of SK71. HPLC grade Milli-Q water and satd NaHCO3 were purged with argon for 10 min. SK68 was dissolved in 1.0 mL of argon purged water while bubbling argon through the solution. The pH of the solution was increased to 6.8 using argon purged NaHCO3 and EC0312 dissolved in THF (2.0 mL) was added to the reaction mixture. Progress of the reaction was monitored by analytical HPLC (10 mM NH4OAc, pH=7.0; λ=254; 1% B to 50% B in 10
min 80% B wash 15 min run) and reaction was completed within 10 min. THF was evaporated and reaction mixture was diluted with 5.0 mL of 2 mM phosphate buffer. SK71 (61.3%) was purified using reverse phase preparative HPLC (Waters,xTerra C 18 10 μm; 19×250 mm) A=2 mM Phosphate buffer. B=ACN; λ=254 nm; 5% B to 80% B in 25min 80% B wash 40 min run; and analyzed using reverse phase analytical HPLC (Waters,X-Bridge C 18 5 μm; 3.0×15 mm); A=10 mM NH4OAc, B=ACN; λ=254 nm, 1% B to 50% B in 10 min, 80% B wash 15 min run. C77H109N13O28S3; MW=1760.95 g/mol; white color solid. Rt=7.6 min; 1H NMR (DMSO-d6/D2O) was consistent with the SK71 structure; HRMS (MALDI) (m/z): (M−H)− calcd. for, C77H110N13O28S3, 1758.6594; found, 1758.7033; LRMS (LCMS) (m/z): (M+H)+ calcd. for 1761.9; found, 1761.8; UV/Vis: λmax=254 nm. - Similarly, the D-Cys analog of SK71 was prepared as described herein.
- General synthesis for preparing disulfide-linked conjugates, illustrated for tubulysin B conjugate SK77 (31-atom linker).
- HPLC grade Milli-Q water and satd NaHCO3 were purged with argon for 10 min. SK68 was dissolved in 1.0 mL of mM argon purged water while bubbling argon. The pH of the solution was increased to 6.8 using argon purged NaHCO3 and EC0312 dissolved in THF (2.0 mL) was added to the reaction mixture. Progress of the reaction was monitored by analytical HPLC (10 mM NH4OAc, pH=7.0; λ=254; 1% B to 50% B in 10
min 80% B wash 15 min run) and reaction was completed within 10 min. THF was evaporated and reaction mixture was diluted with 5.0 mL of 2 mM phosphate buffer. SK77 (61%) was purified using reverse phase preparative HPLC (Waters,xTerra C 18 10 μm; 19×250 mm) A=2 mM phosphate buffer, B=ACN; λ=254 nm; 5% B to 80% B in 25min 80% B wash 40 min run; and analyzed using reverse phase analytical HPLC (Waters,X-Bridge C 18 5 μm; 3.0×15 mm); A=10 mM NH4OAc. B=ACN; λ=254 nm, 1% B to 50% B in 10 min, 80% B wash 15 min run. C93H133N16O28S3: MW=2006.32 g/mol; white color solid, Rt=7.7 min; 1H NMR (DMSO-d6/D2O); LC-MS=2007.0 (M+H)+. - Similarly, the D-Cys analog of SK77 was prepared as described herein.
- Similarly, the D-Cys, propanoic acid analog of SK77 was prepared as described herein.
- The following DUPA vinblastine and DUPA camptothecin compounds, SK37 and SK45, respectively, were prepared according to the processes described herein.
- SK37 (vinblastine conjugate, C93H123N15O26S2, Mol. Wt.: 1931.19) prepared in 63.1% yield. C93H123N15O26S2: MW=1931.19 g/mol; white color solid, Rt=7.7 min; 1H NMR (DMSO-d6/D2O); LC-MS=1932.6 (M+H)+.
- SK45 (camptothecin conjugate, C70H83N11O23S2, Mol. Wt.: 1510.60) prepared in 66% yield. C70H83N11O23S2: MW=1510.60 g/mol; white color solid, Rt=7.5 min; 1H NMR (DMSO-d6/D2O): LC-MS=1511.1 (M+H)+.
- Similarly, the Glu-Asp-Phe analog of SK37 was prepared as described herein.
- The following compounds were prepared using the synthetic processes described herein:
-
-
-
-
-
-
-
-
-
-
-
-
-
- The foregoing exemplary embodiments are intended to be illustrative of the invention, and should not be interpreted or construed as limiting in any way the invention as described herein.
- In Vitro Binding Studies Using Lncap Cells and SK28 (14 Atom Spacer). LNCaP cells (a human prostate cancer cell line over-expressing PSMA, purchased from American Type Culture Collection (ATCC)) were seeded in two 24-well (120,000 cells/well) falcon plates and allowed to grow to adherent monolayers for 48 hours in RPMI with glutamine (2 mM)(Gibco RPMI medium 1640, catalog #22400) plus 10%/6 FBS (Fetal Bovine Serum), 1% sodium pyruvate (100 mM) and 1% PS (penicillin streptomycin) in a 5%-CO2 atmosphere at 37° C. Cells of one 24-well plate were incubated with increasing concentrations of SK28-99mTc from 0 nM-450 nM (triplicates for each concentration) in a 5%-CO2 atmosphere at 37° C. for 1 hour. Cells of the second 24-well plate were incubated with 50 uM PMPA in a 5%-CO2 atmosphere at 37° C. for 30 minutes, then incubated with increasing concentrations of SK28-99mTc from 0 nM-450 nM (triplicates for each concentration) in a 5%-CO2 atmosphere at 37° C. for 1 hour (competition study). Cells were rinsed three times with 1.0 mL of RPMI. Cells were lysed with tris-buffer, transferred to individual gamma scintigraphy vials, and radioactivity was counted. The plot of cell bound radioactivity verses concentration of radiolabeled compound was used to calculate the Kd value. The competition study was used to determine the binding specificity of the ligand (DUPA) to the PSMA (
FIG. 1A ). - In Vitro Binding Studies Using LNCaP Cells and SK33 (14 atom spacer). LNCaP cells (150,000 cells/well) were seeded onto 24-well Falcon plates and allowed to form confluent monolayers over 48 h. Spent medium in each well was replaced with fresh medium (0.5 mL) containing increasing concentrations of DUPA-99mTc in the presence (▴) or absence (▪) of excess PMPA. After incubating for 1 h at 37° C., cells were rinsed with culture medium (2×1.0 mL) and tris buffer (1×1.0 mL) to remove any unbound radioactivity. After suspending cells in tris buffer (0.5 mL), cell bound radioactivity was counted using a γ-counter (Packard, Packard Instrument Company). The dissociation constant (KD) was calculated using a plot of cell bound radioactivity versus the concentration of the radiotracer using nonlinear regression in
GraphPad Prism 4. Error bars represent 1 standard deviation (n=3). Experiment was performed three times with similar results. (FIG. 1B ). - Quantification of PSMA Molecules on LNCaP Cells. LNCaP cells were seeded in a 24-well falcon plate and allowed to grow to adherent monolayers for 48 hours in RPMI (Gibco RPMI medium 1640, catalog #22400) plus 10% FBS (Fetal Bovine Serum), 1% glutaric and 1% PS (penicillin streptomycin) in a 5%-CO2 atmosphere at 37° C. Cells were then incubated with increasing concentrations of SK28-99mTc from 0 nM-450 nM (triplicates for each concentration) in a 5%-CO2 atmosphere at 4° C. or at 37° C. for 1 hour. Cells were rinsed three times with 1.0 mL of RPMI. Cells were lysed with tris-buffer, transferred to individual gamma scintigraphy vials, and radioactivity was counted. The plot of cell bound radioactivity verses concentration of radiolabeled compound was used to calculate number of PSMA/LNCaP cell. The radioactivity of a 30 nM sample of SK28-99mTc (20 uL) was counted. At 4° C. (to prevent endocytosis of PSMA), the number of moles in the 30 nM sample=30 nM×20 uL=(30×10-9 mol/L)×(20×10-6 L)=6×10-13 mol. The number of atoms in the 30 nM sample=(6×10-13 mol)×(6.023×1023 atom/mol)=3.6×1011 atom. The radio count of 20 uL of the 30 nM sample=20477 cpm (cpm/atom=3.6×1011/20477=1.76×107). The cell bound radioactivity at the saturation point at 4° C.=12 000 cpm. The number of atoms at the saturation point=(1.76×107 atom)×(12 000 cpm). The number of cells/well=245,000. The number of PSMA/cell at 4° C.=(2.12×1011)/2.45×105=864 396.4˜0.9×106 PSMA/LNCaP cell.
- The cell bound radioactivity at the saturation point at 37° C.=33,000 cpm (approximately three fold higher than at 4° C.). This shows that PSMA undergoes endocytosis, unloading the drug and recycling, similar to cell surface receptors. See
FIG. 2 . - Spacer-Dependent Binding Studies. LNCaP cells were seeded in 24-well (120,000 cells/plate) falcon plates (10 plates) and allowed to grow to adherent monolayers for 48 hours in RPMI (Gibco RPMI medium 1640, catalog #22400) plus 10% FBS (Fetal Bovine Serum), 1% sodium pyruvate and 1% PS (penicillin streptomycin) in a 5%-CO2 atmosphere at 37° C. Cells were then incubated with increasing concentrations of SK60-99mTc (zero atom spacer), SK62-99mTc (7 atom spacer), SK28-99mTc (14 atom spacer), SK38-99mTc (16 atom spacer) and SK57-99mTc (24 atom spacer) from 0 nM-1280 nM (triplicates for each concentration) in a 5%-CO2 atmosphere at 37° C. for 1 hour. Also, in separate plates, cells was incubated with 50 uM PMPA in a 5%-CO2 atmosphere at 37° C. for 30 minutes and then incubated with increasing concentration of SK60-99mTc (zero atom spacer), SK62-99mTc (7 atom spacer), SK28-99mTc (14 atom spacer), SK38-99mTc (16 atom spacer) and SK57-99mTc (24 atom spacer) from 0 nM-1280 nM (triplicates for each concentration) in a 5%-CO2 atmosphere at 37° C. for 1 hour (competition studies; data not shown). Cells were rinsed three times with 1.0 mL of RPMI. Cells were lysed with tris-buffer, transferred to individual gamma scintigraphy vials, and radioactivity was counted. The plot of cell bound radioactivity verses concentration of the radiolabeled compound was used to calculate the Kd value. The plot of % saturation verses concentration of the radiolabeled compound as well as the plot for Kd verses spacer length are shown (
FIGS. 3A and B). - In Vivo Growth of Human LNCaP Tumor Cells in Nude Mice. LNCaP cells were maintained in RPMI 1640 (Gibco RPMI medium 1640, catalog #22400) with glutamine (2 mM), 100/FBS (Fetal Bovine Serum), 1% sodium pyruvate (100 mM) and 1% PS (penicillin streptomycin) in a 5%-CO2 atmosphere at 37° C. Four to five week-old athymic male nude mice (nu/nu) were obtained from the NCI Charles River and maintained in a sterile environment. Mice were housed in polycarbonate shoebox cages with wire top lids and maintained on a normal diet. Mice were allowed to acclimate for one week prior to inoculation of LNCaP cells. Matrigel and high concentrated (HC) matrigel were purchased from BD Biosciences. Nude mice were inoculated with either 2.5×106 or 5.0×10 6 in vitro propagated LNCaP cells in 50% matrigel (100 uL RPMI medium+100 uL of matrigel) or 50%6 high concentrated matrigel (100 uL RPMI medium+100 uL of HC matrigel) to determine optimal conditions, including number of cells, vehicle, etc. Cells were subcutaneously injected into each axial and each flank of the nude mice to determine the optimal site. The volume of each tumor was measured in perpendicular directions twice a week using a caliper and body weight was measured once a week (data not shown).
- The volume of each tumor was calculated as 0.5×L×W2, where L=measurement of longest axis in millimeters and W=measurement of axis perpendicular to L in millimeters. Approximately 5.0×106 LNCaP cells in 50% HC matrigel on the axial gave 600 mm3 tumors within 30 days. See
FIG. 4 . - Comparison of lncap, kb and a549 Cell Tumor Growth in Mice. LNCaP, KB, and A549 cells were maintained in RPMI 1640 (Gibco RPMI medium 1640, catalog #22400) with glutamine (2 mM), 10% FBS (Fetal Bovine Serum), 1% sodium pyruvate (100 mM) and 1% PS (penicillin streptomycin) in a 5%-CO2 atmosphere at 37° C. Four-five weeks old male nude mice (nu/nu) were obtained from the NCI Charles River and maintained in a sterile environment. Mice were housed in polycarbonate shoebox cages with wire top lids and maintained on a normal diet. Mice were allowed to acclimate for one week prior to inoculation of cells.
- For tumor cell inoculation, 5.0×106 LNCaP cells in 50% high concentrated matrigel, 1.0×106 KB cells in RPMI medium, or 1.0×10 6 A549 cells in RPMI medium were subcutaneously injected into the right axial (some animals were injected in both) of the nude mice. The volume of each tumor was measured in two perpendicular directions twice a week using a caliper (See
FIGS. 5A and 5B ) and body weight was measured once a week (data not shown). The volume of the tumors were calculated as 0.5×L×W2, where L=measurement of longest axis in millimeters and W=measurement of axis perpendicular to L in millimeters. - In Vivo Imaging of Tumors in Mouse Using PSMA-99mTc. When tumors reached a volume of between 500-600 mm3, 99mTc-labeled compounds (e.g. SK28-99mTc, SK60-99mTc, etc) prepared as described, were administered through intraperitoneal injection (subcutaneously). Four hours later, animals were euthanized and blood was taken by cardio punch and transferred to individual gamma scintigraphy vials per each animal. The imaging experiments were carried out using either a Kodak or gamma scintigraphic camera imager (
FIGS. 6A, 6B, 6C, 7A, 7B and 7C ). [Note: PMPA was injected 30 minutes before injecting SK28-99mTc. Other than uptake in the cancerous masses, SK28-99mTc distribution was limited to kidneys (FIGS. 6A, 6B and 6C ). Both mice (FIGS. 7A, 7B and 7C ) were injected with SK60-99mTc and distribution was limited mostly to the kidneys (no tumor uptake even after shielding both kidneys.)] -
FIGS. 6A, 6B, and 6C show images of mice with human LNCaP tumors using SK28-99mTc (radiolabeled 14 Atom spacer).FIGS. 6A-6C represent 3 separate sets of mice: the left hand image shows white light images and the right hand image shows an overlay of the radioimage with the white light image of mice with LNCaP tumors imaged using aKodak camera imager 4 hours after subcutaneous (administered through intraperitoneal) injection of 1 ng/kg SK28-99mTc without [left mouse in each set of images] and with 50 mg/kg PMPA [right mouse in both sets of images] to block PSMA (as a competitor).FIG. 6D shows a single mouse study for LNCaP tumors imaged usingKodak imager 4 hours after subcutaneous (administered through intraperitoneal) injection of 1 ng/kg SK28-99mTc showing in the left hand image an overlay of radioimage with kidney shield and white light image with no shield and in the right hand image an overlay of radioimage with kidney shield and X-ray image with no shield. - In Vivo Imaging of Tumors in Mouse Using dupa-99mTc. To further establish the specificity of our DUPA conjugates for prostate cancer cells, DUPA-99mTc was injected intraperitoneally (i.p.) into athymic nude mice bearing LNCaP tumors on their shoulders. After 4 h to allow for clearance of unbound conjugate, the distribution of the retained DUPA-99mTc was imaged by gamma scintigraphy. As seen in
FIG. 7D (a) and 7D(c), the targeted 99mTc radiotracer accumulated mainly in the PSMA positive LNCaP tumor, with little or no radioactivity in other tissues except the kidneys. Importantly, kidney uptake may be peculiar to the mouse, since immunohistochemical and RT-PCR analyses suggest that PSMA expression is high in murine kidneys but minimal in human kidneys. In vivo specificity of the PSMA-targeted imaging agent was further tested by prior administration of excess PMPA to block all PSMA sites before DUPA-99mTc administration. As shown inFIGS. 7D (b) and 7D(d), blocked LNCaP tumors display no DUPA-99mTc uptake, confirming the specificity of the DUPA conjugate for PSMA in vivo. To further document this specificity, the radiotracer was also administered to two PSMA negative mouse xenograft models [A549 (a human lung cancer cell line) and KB (a human nasopharyngeal cancer cell line)], and again whole body images were taken. As anticipated, no radioactivity was observed in either KB or A549 tumors (FIGS. 7D (e) and 7D(f)), even after shielding of the kidneys was performed to allow detection of low levels of DUPA-99mTc in other tissues. These studies thus confirm that very little DUPA-99mTc binding occurs to sites unrelated to PSMA in vivo. -
FIG. 7D shows the whole body images of solid tumor xenografts in nu/nu mice taken 4 h after injection of 150 μCi DUPA-99mTc. Overlay of whole-body radioimages on white light images of mice bearing LNCaP tumors that were treated with DUPA-99mTc in the absence 7D(a, c) or presence 7D(b, d) of 100-fold molar excess PMPA. Overlay of radioimages on white light images were also obtained of mice bearing an A549 tumor 7D(e) or a KB tumor 7D(f) that were similarly treated with DUPA-99mTc. Except in images 7D(a) and 7D(b), kidneys were shielded with lead pads. All images were taken using a Kodak Imaging Station 4 h after an intraperitoneal injection of DUPA-99mTc. Arrows indicate solid tumor xenografts. Similar images were obtained on all 5 mice in each treatment group. - Biodistribution Studies. After imaging, all animals were dissected approximately 6-7 h after administering SK28-99mTc or SK60-99mTc [or other radiolabeled compounds (data not shown)] and organs (blood, tumor, heart, liver, kidney, spleen, skin, muscle, etc) were transferred to individual gamma scintigraphy vials for each animal and radioactivity was counted. Note: blood samples were collected (using cardio punch) immediately after sacrificing the animal and before imaging the animal. The plot of tumor to tissue cpm/g ratio verses tissue was used to determine bio-distribution of the imaging agent (
FIGS. 8A and 8B ). - Biodistribution studies of DUPA-99mTc in nu/nu mice bearing LNCaP, A549, or KB tumors. Tumor-bearing mice were euthanized 4 h after intraperitoneal injection of DUPA-99mTc (50 μmol/kg, 150 μCi) and tissue-accumulated radioactivity was counted using a γ-counter. The percent injected dose per gram wet tissue was calculated as described in the Methods. The data were obtained in a single experiment and error bars represent s.d. (n=5). LNCaP tumors (solid bars), LNCaP tumors in mice pre-injected with 100-fold molar excess of PMPA (open bars), A549 tumors (cross-hatched bars), KB tumors (horizontally-hatched bars) (
FIG. 8C ). - Single dose toxicity in live mice. Administration of SK71 was in a single dose as indicated. The data show that the MTD for the conjugate is about 4.5 μmol/kg for single dosing. (See
FIG. 9A ) - Multiple dose toxicity in live mice. SK71 was administered in 5 doses on alternate days (M, W, F, M, W). The data show that the MTD for SK71 is 2 μmol/kg for multiple dosing, and that the conjugate is effective on LNCaP tumors (mice used for
MTD 2 weeks after implantation of LNCaP cells before treatment was initiated). All 4 mice in the saline control group had large tumors, whereas no mice in the two treated groups had visible tumors after 18 days of treatment. (SeeFIG. 9B ) - Efficacy study compared to control group and competition group. Animals were treated with (a) the conjugate SK71 administered in 5 doses on alternate days (M, W, F, M, W) at 1 mol·kg, and compared to (b) vehicle treated animals (
FIG. 10B ), and to (c) animals treated with the conjugate in conjunction with PMPA. Treatment at 1 μmol/kg shows a successive decrease in tumor size (starting tumor size approximately 250 mm3) during the course of treatment. At the lower dose of 1 μmol/kg shown inFIG. 10A , tumor volumes rebounded at the cessation of dosing. At the higher dose of at least 2 μmol/kg, complete disappearance of the tumor was observed during the testing period. The competition experiments (SeeFIG. 10C ) indicate that the successful treatment of the implanted tumor is related to selective or specific targeting of PSMA mediated delivery. - Efficacy Study (1 micromole/kg every other day for 10 days; i.e. 5 doses). The data (See
FIG. 11 ) indicate that tumors in treated animals decreased in size during the duration of treatment. - Evaluation of a PSMA-Targeted Therapeutic Agent in Vitro. Analysis of SK71 (
FIG. 12A ), SK77 (FIG. 12B ). SK37 (FIG. 12C ), and SK45 (FIG. 12D ), toxicity to LNCaP cells in culture. LNCaP cells were pulsed for 2 h with increasing concentrations of SK71 or SK77 in the presence (▴) or absence (▪) of 100-fold molar excess PMPA. After 2× washes, cells were incubated an additional 66 h in fresh medium at 37° C. Cell viability was then analyzed using the [3H]-thymidine incorporation assay, as described herein. Data were obtained in a single experiment and error bars represent s.d. (n=3 wells per concentration). - Potency In Vivo. Effect of SK71 on the growth of subcutaneous tumors (
FIGS. 13A and 13C , and on the weights of the treated mice (FIGS. 13B and 13D ). LNCaP cells in HC Matrigel were implanted subcutaneously into shoulders of nu/nu male mice. Once tumors reached either 100 mm3 (13A, 13B) or 330 mm3 (13C, 13D) in volume, animals were treated with SK71 [1.5 μmol/kg (a, b) or 2.0 μmol/kg (c, d)]. Treated mice (▪), untreated mice (•), treated mice pre-injected with 100-fold (13A, 13B) or 30-fold (13C, 13D) molar excess of PMPA (▴ and ▾, respectively). Data were obtained in a single experiment and error bars represent s.d. [n=4 (13A, 13B) or 3 (13C, 13D)].FIG. 10 . SK71 potency in vivo. - Potency In Vivo. Effect of SK77 on the growth of subcutaneous tumors (
FIG. 14A ), and on the weights of the treated mice (FIG. 14B ). LNCaP cells in HC Matrigel were implanted subcutaneously into shoulders of nu/nu male mice. Once tumors reached 100 mm3 in volume, animals were treated with SK77 (2 μmol/kg). Untreated mice (▪), treated mice (▾). Data were obtained in a single experiment and error bars represent s.d. (n=4 mice/group).
Claims (8)
B-L-IA
Priority Applications (2)
| Application Number | Priority Date | Filing Date | Title |
|---|---|---|---|
| US16/749,896 US20200297701A1 (en) | 2007-08-17 | 2020-01-22 | Psma binding ligand-linker conjugates and methods for using |
| US18/181,487 US20230346752A1 (en) | 2007-08-17 | 2023-03-09 | Psma binding ligand-linker conjugates and methods for using |
Applications Claiming Priority (8)
| Application Number | Priority Date | Filing Date | Title |
|---|---|---|---|
| US95648907P | 2007-08-17 | 2007-08-17 | |
| US7435808P | 2008-06-20 | 2008-06-20 | |
| US12/673,931 US9193763B2 (en) | 2007-08-17 | 2008-08-15 | PSMA binding ligand-linker conjugates and methods for using |
| PCT/US2008/073375 WO2009026177A1 (en) | 2007-08-17 | 2008-08-15 | Psma binding ligand-linker conjugates and methods for using |
| US14/794,482 US10046054B2 (en) | 2007-08-17 | 2015-11-23 | PSMA binding ligand-linker conjugates and methods for using |
| US15/606,913 US10406240B2 (en) | 2007-08-17 | 2017-05-26 | PSMA binding ligand-linker conjugates and methods for using |
| US15/990,136 US10646581B2 (en) | 2007-08-17 | 2018-05-25 | PSMA binding ligand-linker conjugates and methods for using |
| US16/749,896 US20200297701A1 (en) | 2007-08-17 | 2020-01-22 | Psma binding ligand-linker conjugates and methods for using |
Related Parent Applications (1)
| Application Number | Title | Priority Date | Filing Date |
|---|---|---|---|
| US15/990,136 Continuation US10646581B2 (en) | 2007-08-17 | 2018-05-25 | PSMA binding ligand-linker conjugates and methods for using |
Related Child Applications (1)
| Application Number | Title | Priority Date | Filing Date |
|---|---|---|---|
| US18/181,487 Continuation US20230346752A1 (en) | 2007-08-17 | 2023-03-09 | Psma binding ligand-linker conjugates and methods for using |
Publications (1)
| Publication Number | Publication Date |
|---|---|
| US20200297701A1 true US20200297701A1 (en) | 2020-09-24 |
Family
ID=40378553
Family Applications (25)
| Application Number | Title | Priority Date | Filing Date |
|---|---|---|---|
| US12/673,931 Active 2030-11-16 US9193763B2 (en) | 2007-08-17 | 2008-08-15 | PSMA binding ligand-linker conjugates and methods for using |
| US13/826,079 Active US8907058B2 (en) | 2007-08-17 | 2013-03-14 | PSMA binding ligand-linker conjugates and methods for using |
| US14/794,482 Active US10046054B2 (en) | 2007-08-17 | 2015-11-23 | PSMA binding ligand-linker conjugates and methods for using |
| US15/606,913 Active US10406240B2 (en) | 2007-08-17 | 2017-05-26 | PSMA binding ligand-linker conjugates and methods for using |
| US15/959,110 Active US10624969B2 (en) | 2007-08-17 | 2018-04-20 | PSMA binding ligand-linker conjugates and methods for using |
| US15/990,083 Active US10517956B2 (en) | 2007-08-17 | 2018-05-25 | PSMA binding ligand-linker conjugates and methods for using |
| US15/990,144 Active US10624971B2 (en) | 2007-08-17 | 2018-05-25 | PSMA binding ligand-linker conjugates and methods for using |
| US15/990,152 Active US10828282B2 (en) | 2007-08-17 | 2018-05-25 | PSMA binding ligand-linker conjugates and methods for using |
| US15/990,136 Active US10646581B2 (en) | 2007-08-17 | 2018-05-25 | PSMA binding ligand-linker conjugates and methods for using |
| US15/990,095 Active US10624970B2 (en) | 2007-08-17 | 2018-05-25 | PSMA binding ligand-linker conjugates and methods for using |
| US15/990,111 Active US10485878B2 (en) | 2007-08-17 | 2018-05-25 | PSMA binding ligand-linker conjugates and methods for using |
| US15/997,451 Active US10517957B2 (en) | 2007-08-17 | 2018-06-04 | PSMA binding ligand-linker conjugates and methods for using |
| US16/507,713 Active US11298341B2 (en) | 2007-08-17 | 2019-07-10 | PSMA binding ligand-linker conjugates and methods for using |
| US16/717,753 Abandoned US20200188523A1 (en) | 2007-08-17 | 2019-12-17 | Psma binding ligand-linker conjugates and methods for using |
| US16/749,827 Active US11083710B2 (en) | 2007-08-17 | 2020-01-22 | PSMA binding ligand-linker conjugates and methods for using |
| US16/749,896 Abandoned US20200297701A1 (en) | 2007-08-17 | 2020-01-22 | Psma binding ligand-linker conjugates and methods for using |
| US16/869,268 Active 2028-10-26 US11504357B2 (en) | 2007-08-17 | 2020-05-07 | PSMA binding ligand-linker conjugates and methods for using |
| US17/086,063 Active 2029-07-19 US11717514B2 (en) | 2007-08-17 | 2020-10-30 | PSMA binding ligand-linker conjugates and methods for using |
| US17/358,726 Active 2031-01-31 US12496292B2 (en) | 2007-08-17 | 2021-06-25 | PSMA binding ligand-linker conjugates and methods for using |
| US17/359,277 Active US11369590B2 (en) | 2007-08-17 | 2021-06-25 | PSMA binding ligand-linker conjugates and methods for using |
| US17/359,314 Active US11318121B2 (en) | 2007-08-17 | 2021-06-25 | PSMA binding ligand-linker conjugates and methods for using |
| US17/573,304 Pending US20230000836A1 (en) | 2007-08-17 | 2022-01-11 | Psma binding ligand-linker conjugates and methods for using |
| US17/991,013 Pending US20230293497A1 (en) | 2007-08-17 | 2022-11-21 | Psma binding ligand-linker conjugates and methods for using |
| US18/181,487 Pending US20230346752A1 (en) | 2007-08-17 | 2023-03-09 | Psma binding ligand-linker conjugates and methods for using |
| US18/977,274 Pending US20250108039A1 (en) | 2007-08-17 | 2024-12-11 | Psma binding ligand-linker conjugates and methods for using |
Family Applications Before (15)
| Application Number | Title | Priority Date | Filing Date |
|---|---|---|---|
| US12/673,931 Active 2030-11-16 US9193763B2 (en) | 2007-08-17 | 2008-08-15 | PSMA binding ligand-linker conjugates and methods for using |
| US13/826,079 Active US8907058B2 (en) | 2007-08-17 | 2013-03-14 | PSMA binding ligand-linker conjugates and methods for using |
| US14/794,482 Active US10046054B2 (en) | 2007-08-17 | 2015-11-23 | PSMA binding ligand-linker conjugates and methods for using |
| US15/606,913 Active US10406240B2 (en) | 2007-08-17 | 2017-05-26 | PSMA binding ligand-linker conjugates and methods for using |
| US15/959,110 Active US10624969B2 (en) | 2007-08-17 | 2018-04-20 | PSMA binding ligand-linker conjugates and methods for using |
| US15/990,083 Active US10517956B2 (en) | 2007-08-17 | 2018-05-25 | PSMA binding ligand-linker conjugates and methods for using |
| US15/990,144 Active US10624971B2 (en) | 2007-08-17 | 2018-05-25 | PSMA binding ligand-linker conjugates and methods for using |
| US15/990,152 Active US10828282B2 (en) | 2007-08-17 | 2018-05-25 | PSMA binding ligand-linker conjugates and methods for using |
| US15/990,136 Active US10646581B2 (en) | 2007-08-17 | 2018-05-25 | PSMA binding ligand-linker conjugates and methods for using |
| US15/990,095 Active US10624970B2 (en) | 2007-08-17 | 2018-05-25 | PSMA binding ligand-linker conjugates and methods for using |
| US15/990,111 Active US10485878B2 (en) | 2007-08-17 | 2018-05-25 | PSMA binding ligand-linker conjugates and methods for using |
| US15/997,451 Active US10517957B2 (en) | 2007-08-17 | 2018-06-04 | PSMA binding ligand-linker conjugates and methods for using |
| US16/507,713 Active US11298341B2 (en) | 2007-08-17 | 2019-07-10 | PSMA binding ligand-linker conjugates and methods for using |
| US16/717,753 Abandoned US20200188523A1 (en) | 2007-08-17 | 2019-12-17 | Psma binding ligand-linker conjugates and methods for using |
| US16/749,827 Active US11083710B2 (en) | 2007-08-17 | 2020-01-22 | PSMA binding ligand-linker conjugates and methods for using |
Family Applications After (9)
| Application Number | Title | Priority Date | Filing Date |
|---|---|---|---|
| US16/869,268 Active 2028-10-26 US11504357B2 (en) | 2007-08-17 | 2020-05-07 | PSMA binding ligand-linker conjugates and methods for using |
| US17/086,063 Active 2029-07-19 US11717514B2 (en) | 2007-08-17 | 2020-10-30 | PSMA binding ligand-linker conjugates and methods for using |
| US17/358,726 Active 2031-01-31 US12496292B2 (en) | 2007-08-17 | 2021-06-25 | PSMA binding ligand-linker conjugates and methods for using |
| US17/359,277 Active US11369590B2 (en) | 2007-08-17 | 2021-06-25 | PSMA binding ligand-linker conjugates and methods for using |
| US17/359,314 Active US11318121B2 (en) | 2007-08-17 | 2021-06-25 | PSMA binding ligand-linker conjugates and methods for using |
| US17/573,304 Pending US20230000836A1 (en) | 2007-08-17 | 2022-01-11 | Psma binding ligand-linker conjugates and methods for using |
| US17/991,013 Pending US20230293497A1 (en) | 2007-08-17 | 2022-11-21 | Psma binding ligand-linker conjugates and methods for using |
| US18/181,487 Pending US20230346752A1 (en) | 2007-08-17 | 2023-03-09 | Psma binding ligand-linker conjugates and methods for using |
| US18/977,274 Pending US20250108039A1 (en) | 2007-08-17 | 2024-12-11 | Psma binding ligand-linker conjugates and methods for using |
Country Status (16)
| Country | Link |
|---|---|
| US (25) | US9193763B2 (en) |
| EP (7) | EP3838298B1 (en) |
| JP (9) | JP2010536790A (en) |
| CN (2) | CN102014956B (en) |
| AU (1) | AU2008289108C1 (en) |
| CA (1) | CA2696627C (en) |
| DK (1) | DK2187965T3 (en) |
| ES (1) | ES2768224T3 (en) |
| HK (1) | HK1212588A1 (en) |
| HU (1) | HUE047200T2 (en) |
| IL (1) | IL203998A (en) |
| NZ (2) | NZ583931A (en) |
| PL (1) | PL2187965T3 (en) |
| PT (1) | PT2187965T (en) |
| SI (1) | SI2187965T1 (en) |
| WO (1) | WO2009026177A1 (en) |
Cited By (7)
| Publication number | Priority date | Publication date | Assignee | Title |
|---|---|---|---|---|
| US11083710B2 (en) | 2007-08-17 | 2021-08-10 | Purdue Research Foundation | PSMA binding ligand-linker conjugates and methods for using |
| WO2022108992A1 (en) * | 2020-11-17 | 2022-05-27 | The Johns Hopkins University | Prostate-specific membrane antigen (psma)-targeted prodrug for selective killing of cells expressing psma |
| US11931430B2 (en) | 2013-10-18 | 2024-03-19 | Novartis Ag | Labeled inhibitors of prostate specific membrane antigen (PSMA) as agents for the treatment of prostate cancer |
| US12091693B2 (en) | 2010-02-25 | 2024-09-17 | Purdue Research Foundation | PSMA binding ligand-linker conjugates and methods for using |
| US12178892B2 (en) | 2013-11-14 | 2024-12-31 | Purdue Research Foundation | Compounds for positron emission tomography |
| US12208102B2 (en) | 2018-04-17 | 2025-01-28 | Endocyte, Inc. | Methods of treating cancer |
| US12324846B2 (en) | 2023-07-31 | 2025-06-10 | Curium Us Llc | [177LU] lutetium-PSMA IandT composition and dosimetry, kit, method of making, and method of using thereof |
Families Citing this family (124)
| Publication number | Priority date | Publication date | Assignee | Title |
|---|---|---|---|---|
| MXPA03010035A (en) | 2001-05-02 | 2004-06-30 | Purdue Research Foundation | Treatment and diagnosis of macrophage mediated disease. |
| US8043602B2 (en) | 2002-02-07 | 2011-10-25 | Endocyte, Inc. | Folate targeted enhanced tumor and folate receptor positive tissue optical imaging technology |
| US8043603B2 (en) | 2002-02-07 | 2011-10-25 | Endocyte, Inc. | Folate targeted enhanced tumor and folate receptor positive tissue optical imaging technology |
| DE602004017452D1 (en) | 2003-05-30 | 2008-12-11 | Purdue Research Foundation | DIAGNOSTIC PROCEDURE FOR ATHEROSCLEROSIS |
| US8288557B2 (en) | 2004-07-23 | 2012-10-16 | Endocyte, Inc. | Bivalent linkers and conjugates thereof |
| WO2007006041A2 (en) | 2005-07-05 | 2007-01-11 | Purdue Research Foundation | Imaging and therapeutic method using monocytes |
| US8795633B2 (en) | 2005-09-23 | 2014-08-05 | Purdue Research Foundation | Multiphoton in vivo flow cytometry method and device |
| EP2087337A4 (en) | 2006-11-03 | 2010-09-08 | Purdue Research Foundation | <I> EX VIVO </ I> FLOW CYTOMETRY METHOD AND DEVICE |
| ES2547481T3 (en) | 2006-11-08 | 2015-10-06 | Molecular Insight Pharmaceuticals, Inc. | Heterodimers of glutamic acid |
| AU2008213702B2 (en) | 2007-02-07 | 2014-04-24 | Purdue Research Foundation | Positron emission tomography imaging method |
| CN104127878A (en) | 2007-03-14 | 2014-11-05 | 恩多塞特公司 | Binding ligand linked drug delivery conjugates of tubulysins |
| EP2164525A2 (en) | 2007-05-25 | 2010-03-24 | Purdue Research Foundation | Method of imaging localized infections |
| CA2690943A1 (en) | 2007-06-25 | 2008-12-31 | Endocyte, Inc. | Conjugates containing hydrophilic spacer linkers |
| US9877965B2 (en) | 2007-06-25 | 2018-01-30 | Endocyte, Inc. | Vitamin receptor drug delivery conjugates for treating inflammation |
| GB0718967D0 (en) | 2007-09-28 | 2007-11-07 | Ge Healthcare Ltd | Peptide imaging agents |
| US8852630B2 (en) * | 2008-05-13 | 2014-10-07 | Yale University | Chimeric small molecules for the recruitment of antibodies to cancer cells |
| CA2723816C (en) * | 2008-05-13 | 2017-06-20 | Yale University | Chimeric small molecules for the recruitment of antibodies to cancer cells |
| US20180009767A9 (en) | 2009-03-19 | 2018-01-11 | The Johns Hopkins University | Psma targeted fluorescent agents for image guided surgery |
| EP3222617B1 (en) | 2009-03-19 | 2022-07-06 | The Johns Hopkins University | Psma-targeting compounds and uses thereof |
| CN102714296A (en) | 2009-05-19 | 2012-10-03 | Aic布莱博公司 | Composite current collector and method of forming same |
| US8394922B2 (en) | 2009-08-03 | 2013-03-12 | Medarex, Inc. | Antiproliferative compounds, conjugates thereof, methods therefor, and uses thereof |
| US12083191B2 (en) | 2009-10-19 | 2024-09-10 | Case Western Reserve University | Composition and methods for imaging cells |
| US20120322741A1 (en) * | 2010-02-25 | 2012-12-20 | Purdue Research Foundation | Psma binding ligand-linker conjugates and methods for using |
| US10363309B2 (en) | 2011-02-04 | 2019-07-30 | Case Western Reserve University | Targeted nanoparticle conjugates |
| KR102087854B1 (en) | 2011-06-10 | 2020-03-12 | 메르사나 테라퓨틱스, 인코포레이티드 | Protein-Polymer-Drug Conjugates |
| EP2721039B1 (en) * | 2011-06-15 | 2018-01-10 | Cancer Targeted Technology LLC | Chelated psma inhibitors |
| US8784774B2 (en) | 2011-09-16 | 2014-07-22 | General Electric Company | Labeled molecular imaging agents and methods of use |
| US20130116404A1 (en) | 2011-11-08 | 2013-05-09 | Case Western Reserve University | Targeted non-invasive imaging probes of egfr expressing cells |
| US10080805B2 (en) | 2012-02-24 | 2018-09-25 | Purdue Research Foundation | Cholecystokinin B receptor targeting for imaging and therapy |
| US20140080175A1 (en) | 2012-03-29 | 2014-03-20 | Endocyte, Inc. | Processes for preparing tubulysin derivatives and conjugates thereof |
| WO2014009774A1 (en) | 2012-07-12 | 2014-01-16 | Hangzhou Dac Biotech Co., Ltd | Conjugates of cell binding molecules with cytotoxic agents |
| US20140081659A1 (en) | 2012-09-17 | 2014-03-20 | Depuy Orthopaedics, Inc. | Systems and methods for surgical and interventional planning, support, post-operative follow-up, and functional recovery tracking |
| CA2887727A1 (en) | 2012-10-16 | 2014-04-24 | Endocyte, Inc. | Drug delivery conjugates containing unnatural amino acids and methods for using |
| HK1211493A1 (en) | 2012-11-15 | 2016-05-27 | 恩多塞特公司 | Conjugates for treating diseases caused by psma expressing cells |
| JP6133431B2 (en) | 2012-11-24 | 2017-05-24 | ハンジョウ ディーエーシー バイオテック シーオー.,エルティディ.Hangzhou Dac Biotech Co.,Ltd. | Use of hydrophilic conjugates and conjugation reactions between drug molecules and cell binding molecules |
| CA2892863C (en) | 2012-12-10 | 2022-03-15 | Mersana Therapeutics, Inc. | Polymeric scaffold based on phf for targeted drug delivery |
| WO2014093640A1 (en) | 2012-12-12 | 2014-06-19 | Mersana Therapeutics,Inc. | Hydroxy-polmer-drug-protein conjugates |
| SI2956173T1 (en) | 2013-02-14 | 2017-06-30 | Bristol-Myers Squibb Company | Tubulysin compounds, methods of making and use |
| US10207005B2 (en) | 2013-02-15 | 2019-02-19 | Case Western Reserve University | Photodynamic therapy composition |
| US12465651B2 (en) | 2013-02-15 | 2025-11-11 | Case Western Reserve University | Photodynamic therapy composition |
| US9889199B2 (en) * | 2013-02-15 | 2018-02-13 | Case Western Reserve University | PSMA ligands and uses thereof |
| US11975074B2 (en) | 2013-02-15 | 2024-05-07 | Case Western Reserve University | Photodynamic therapy composition |
| WO2014153002A1 (en) * | 2013-03-14 | 2014-09-25 | The California Institute For Biomedical Research | Bispecific antibodies and uses thereof |
| US10434194B2 (en) | 2013-06-20 | 2019-10-08 | Case Western Reserve University | PSMA targeted nanobubbles for diagnostic and therapeutic applications |
| WO2015057692A1 (en) * | 2013-10-14 | 2015-04-23 | The Johns Hopkins University | Prostate-specific membrane antigen-targeted photosensitizers for photodynamic therapy |
| KR102357968B1 (en) * | 2013-10-15 | 2022-02-03 | 더 스크립스 리서치 인스티튜트 | Chimeric antigen receptor t cell switches and uses thereof |
| CN105829349B (en) | 2013-10-15 | 2023-02-03 | 斯克利普斯研究所 | Peptide chimeric antigen receptor T cell switches and uses thereof |
| JP2017501115A (en) * | 2013-11-06 | 2017-01-12 | パーデュー・リサーチ・ファウンデーションPurdue Research Foundation | DUPA-indenoisoquinoline complex |
| US9468693B2 (en) | 2014-01-23 | 2016-10-18 | General Electric Company | Labeled molecular imaging agents and methods of use |
| US9468692B2 (en) | 2014-01-23 | 2016-10-18 | General Electric Company | Labeled molecular imaging agents and methods of use |
| US10464955B2 (en) | 2014-02-28 | 2019-11-05 | Hangzhou Dac Biotech Co., Ltd. | Charged linkers and their uses for conjugation |
| CA2950892C (en) | 2014-05-06 | 2023-10-24 | The Johns Hopkins University | Metal/radiometal-labeled psma inhibitors for psma-targeted imaging and radiotherapy |
| CN116966310A (en) | 2014-05-14 | 2023-10-31 | 塔歌牧恩治疗公司 | Improved polyethyleneimine polyethylene glycol carrier |
| CN104262458B (en) * | 2014-08-29 | 2017-02-01 | 邵国强 | Polypeptide in targeted combination with PSMA (prostate specific membrane antigen) membrane out-region, radionuclide labeled polypeptide and application thereof |
| WO2016047794A1 (en) * | 2014-09-26 | 2016-03-31 | 株式会社カネカ | Method for producing hydrophobic peptide |
| WO2016065142A2 (en) | 2014-10-22 | 2016-04-28 | The Johns Hopkins University | New scaffolds and multifunctional intermediates for imaging psma and cancer therapy |
| US10077287B2 (en) | 2014-11-10 | 2018-09-18 | Bristol-Myers Squibb Company | Tubulysin analogs and methods of making and use |
| US10188759B2 (en) | 2015-01-07 | 2019-01-29 | Endocyte, Inc. | Conjugates for imaging |
| IL237525A (en) | 2015-03-03 | 2017-05-29 | Shalom Eli | Method for labeling a prostate-specific membrane antigen ligand with a radioactive isotope |
| WO2016154621A1 (en) | 2015-03-26 | 2016-09-29 | The California Institute For Biomedical Research | SWITCHABLE NON-scFv CHIMERIC RECEPTORS, SWITCHES, AND USES THEREOF |
| EP3283113A4 (en) | 2015-04-15 | 2018-12-05 | The California Institute for Biomedical Research | Optimized pne-based chimeric receptor t cell switches and uses thereof |
| WO2018094035A2 (en) * | 2016-11-16 | 2018-05-24 | Purdue Research Foundation | Ligand ionophore conjugates |
| WO2016183131A1 (en) | 2015-05-11 | 2016-11-17 | Purdue Research Foundation | Ligand ionophore conjugates |
| EP3319936B1 (en) | 2015-07-12 | 2025-12-17 | Hangzhou Dac Biotech Co., Ltd. | Bridge linkers for conjugation of cell-binding molecules |
| US9839687B2 (en) | 2015-07-15 | 2017-12-12 | Suzhou M-Conj Biotech Co., Ltd. | Acetylenedicarboxyl linkers and their uses in specific conjugation of a cell-binding molecule |
| US10420850B2 (en) | 2015-08-14 | 2019-09-24 | Endocyte, Inc. | Method of imaging with a chelating agent |
| US10842887B2 (en) | 2015-09-09 | 2020-11-24 | On Target Laboratories, LLC | PSMA-targeted NIR dyes and their uses |
| US9808538B2 (en) * | 2015-09-09 | 2017-11-07 | On Target Laboratories, LLC | PSMA-targeted NIR dyes and their uses |
| EP3805250A1 (en) | 2015-09-30 | 2021-04-14 | Deutsches Krebsforschungszentrum | Improved 18f - tagged inhibitors of prostate specific membrane antigen (psma) and their use as imaging agents for prostate cancer |
| CA3002774A1 (en) * | 2015-10-23 | 2017-04-27 | Sorrento Therapeutics, Inc. | Programmable universal cell receptors and methods of using the same |
| US10405753B2 (en) * | 2015-11-10 | 2019-09-10 | Intuitive Surgical Operations, Inc. | Pharmaceutical compositions of near IR closed chain, sulfo-cyanine dyes |
| ES2919323T3 (en) | 2015-12-04 | 2022-07-26 | Seagen Inc | Conjugates of quaternized tubulisin compounds |
| US11793880B2 (en) | 2015-12-04 | 2023-10-24 | Seagen Inc. | Conjugates of quaternized tubulysin compounds |
| ES2992761T3 (en) | 2016-02-04 | 2024-12-17 | Scripps Research Inst | Humanized anti-cd3 antibodies, conjugates and uses thereof |
| WO2017161170A1 (en) * | 2016-03-16 | 2017-09-21 | Purdue Research Foundation | Carbonic anhydrase ix targeting agents and methods |
| JP2019515880A (en) | 2016-03-16 | 2019-06-13 | エンドサイト・インコーポレイテッドEndocyte, Inc. | Carbonic anhydrase IX inhibitor conjugates and uses thereof |
| US20170296679A1 (en) * | 2016-04-18 | 2017-10-19 | Intuitive Surgical Operations, Inc. | Compositions of Near IR Closed Chain, Sulfo-Cyanine Dyes and Prostate Specific Membrane Antigen Ligands |
| US10308606B2 (en) | 2016-09-09 | 2019-06-04 | On Target Laboratories, LLC | PSMA-targeted NIR dyes and their uses |
| KR102613430B1 (en) | 2016-10-19 | 2023-12-18 | 더 스크립스 리서치 인스티튜트 | Chimeric antigen receptor effector cell switches with humanized targeting moieties and/or optimized chimeric antigen receptor-interacting domains and uses thereof |
| KR20220147721A (en) | 2016-11-14 | 2022-11-03 | 항저우 디에이씨 바이오테크 씨오, 엘티디 | Conjugation linkers, cell binding molecule-drug conjugates containing the likers, methods of making and uses such conjugates with the linkers |
| JP7162592B2 (en) | 2016-12-14 | 2022-10-28 | パーデュー・リサーチ・ファウンデイション | Fibroblast activation protein (FAP) targeted imaging and therapy |
| KR102085798B1 (en) | 2016-12-28 | 2020-03-06 | 주식회사 인투셀 | Compounds comprising beta-galactoside self-immolative linker |
| US11524082B2 (en) * | 2017-08-22 | 2022-12-13 | Purdue Research Foundation | FBSA-based therapeutic and radioimaging conjugates targeting carbonic anhydrase positive cancers |
| CN111432844B (en) * | 2017-09-22 | 2023-10-27 | 海德堡医药研究有限责任公司 | Amanitin conjugates targeting PSMA |
| IL275317B (en) | 2017-12-13 | 2022-09-01 | Sciencons AS | Complex comprising a psma-targeting compound linked to a lead or thorium radionuclide |
| US11813340B2 (en) | 2018-02-06 | 2023-11-14 | The Johns Hopkins University | PSMA targeted radiohalogenated urea-polyaminocarboxylates for cancer radiotherapy |
| WO2019183633A1 (en) | 2018-03-23 | 2019-09-26 | Case Western Reserve Univeristy | Psma targeted conjugate compounds and uses thereof |
| WO2019246445A1 (en) * | 2018-06-20 | 2019-12-26 | The Research Foundation For The State University Of New York | Triazamacrocycle-derived chelator compositions for coordination of imaging and therapy metal ions and methods of using same |
| CN110922450B (en) * | 2018-09-19 | 2021-11-02 | 薪火炙药(北京)科技有限公司 | PSMA activated antitumor prodrug CPT-X and preparation method and application thereof |
| EP3853213A4 (en) | 2018-09-21 | 2022-07-06 | Endocyte, Inc. | PROTECTIVE AGENTS AND THEIR USE |
| RU2697519C1 (en) * | 2018-10-15 | 2019-08-15 | Общество с ограниченной ответственностью "Изварино Фарма" | Peptide agent comprising a psma-binding ligand based on a urea derivative, a method for production thereof and use thereof for preparing a conjugate with a drug and diagnostic agent |
| WO2020108753A1 (en) * | 2018-11-28 | 2020-06-04 | ITM Isotopen Technologien München AG | Novel tumor antigen binding agents and uses thereof |
| US20220054659A1 (en) * | 2018-12-14 | 2022-02-24 | The Johns Hopkins University | Psma-targeted pamam dendrimers for specific delivery of imaging, contrast and therapeutic agents |
| WO2020150740A1 (en) * | 2019-01-18 | 2020-07-23 | Case Western Reserve University | Psma ligand targeted compounds and uses thereof |
| BR112021012110A2 (en) * | 2019-01-30 | 2021-09-08 | Technische Universität München | RADIOPHARMACEUTICALS REPLACED BY SILICON FLUORIDE ACCEPTOR |
| CN120097930A (en) | 2019-05-20 | 2025-06-06 | 因多塞特股份有限公司 | Method for preparing PSMA conjugates |
| CN110305187B (en) * | 2019-06-06 | 2021-02-23 | 原子高科股份有限公司 | Prostate cancer PET diagnostic reagent68Ga-NOTA-ANCP-PSMA and preparation method and application thereof |
| CN110305186B (en) * | 2019-06-06 | 2021-02-23 | 原子高科股份有限公司 | Prostate cancer PET diagnostic reagent68Ga-DOTA-ANCP-PSMA and preparation method and application thereof |
| BR112021025984A2 (en) | 2019-06-29 | 2022-04-12 | Hangzhou Dac Biotech Co Ltd | Tubulisin b antibody-derived conjugate (analog), compound, pharmaceutical composition, e, uses of the conjugate, compounds and pharmaceutical compositions |
| RU2713151C1 (en) * | 2019-07-02 | 2020-02-04 | Общество с ограниченной ответственностью "Изварино Фарма" | Conjugate of a fluorescent dye with a peptide substance which contains a psma-binding ligand based on a urea derivative for visualizing cells expressing psma, a method for production thereof and use thereof |
| CA3146560A1 (en) | 2019-07-10 | 2021-01-14 | Cybrexa 2, Inc. | Peptide conjugates of cytotoxins as therapeutics |
| JP7675060B2 (en) | 2019-07-10 | 2025-05-12 | サイブレクサ 3,インコーポレイテッド | Peptide conjugates of microtubule targeting agents as therapeutic agents |
| WO2021081430A1 (en) * | 2019-10-23 | 2021-04-29 | Collagen Medical, LLC | Fibrin-binding compounds for imaging and treatment |
| DE102019135564B4 (en) * | 2019-12-20 | 2022-05-19 | Johannes-Gutenberg-Universität Mainz | Connection for smart drug delivery and pharmaceutical kit for dual nuclear medicine-cytotoxic theranostics |
| WO2021178890A1 (en) | 2020-03-06 | 2021-09-10 | Sorrento Therapeutics, Inc. | Innate immunity killer cells targeting psma positive tumor cells |
| WO2021250240A1 (en) | 2020-06-12 | 2021-12-16 | Orano | Diaza-18-crown-6 derivative useful for chelating radium, conjugate and radium chelate comprising the same, and uses thereof |
| US12521435B2 (en) | 2020-07-03 | 2026-01-13 | Case Western Reserve University | Photodynamic therapy composition |
| CA3192963A1 (en) | 2020-10-08 | 2022-04-14 | Esteban Pombo-Villar | Immunotherapy for the treatment of cancer |
| WO2022101352A1 (en) | 2020-11-12 | 2022-05-19 | Abx Advanced Biochemical Compounds Gmbh | Ligands of prostate specific membrane antigen (psma) containing heteroaromatic linker building blocks |
| JP2024517657A (en) * | 2021-04-23 | 2024-04-23 | ウイスコンシン アラムナイ リサーチ ファウンデーシヨン | PSMA-targeting ligands with optimal properties for imaging and therapy |
| CN118852044A (en) | 2021-09-03 | 2024-10-29 | 晶核生物医药科技(南京)有限公司 | A peptide urea derivative, a pharmaceutical composition containing the same and its application |
| AU2021362997A1 (en) | 2021-11-03 | 2024-05-16 | Hangzhou Dac Biotech Co., Ltd. | Specific conjugation of an antibody |
| CA3237153A1 (en) | 2021-11-05 | 2023-05-11 | Targimmune Therapeutics Ag | Targeted linear conjugates comprising polyethyleneimine and polyethylene glycol and polyplexes comprising the same |
| AU2022388735A1 (en) | 2021-11-09 | 2024-05-30 | Case Western Reserve University | Psma targeted conjugate compounds and uses thereof |
| TW202426433A (en) | 2022-09-23 | 2024-07-01 | 瑞士商紐利迪姆股份公司 | Fibroblast activation protein (fap) inhibitors, fap conjugates, and diagnostic and therapeutic uses thereof |
| CN120282804A (en) | 2022-09-23 | 2025-07-08 | 核素迪姆股份公司 | High purity copper radiopharmaceutical compositions and diagnostic and therapeutic uses thereof |
| EP4615509A1 (en) | 2022-11-07 | 2025-09-17 | TargImmune Therapeutics AG | Psma-targeting linear conjugates comprising polyethyleneimine and polyethylene glycol and polyplexes comprising the same |
| JP2025537216A (en) | 2022-11-07 | 2025-11-14 | ターグイミューン セラピューティクス アクチエンゲゼルシャフト | Polyplexes of nucleic acids with targeted conjugates containing polyethyleneimine and polyethylene glycol |
| EP4615511A1 (en) | 2022-11-07 | 2025-09-17 | TargImmune Therapeutics AG | Targeted linear conjugates comprising polyethyleneimine and polyethylene glycol and polyplexes comprising the same |
| AU2024208501A1 (en) | 2023-01-10 | 2025-07-24 | Sun Pharma Advanced Research Company Limited | Ligand-drug conjugates |
| WO2024206482A1 (en) * | 2023-03-27 | 2024-10-03 | Yale University | Methods and kits for delivery of compounds into cells |
| US20250213705A1 (en) | 2023-08-23 | 2025-07-03 | Bright Peak Therapeutics Ag | Psma targeting ligands and methods of use |
| WO2025119908A1 (en) | 2023-12-06 | 2025-06-12 | Bracco Imaging Spa | Psma-targeting fluorescent probes |
| WO2025238236A1 (en) | 2024-05-16 | 2025-11-20 | Targimmune Therapeutics Ag | Polyplexes of nucleic acids and targeted conjugates comprising polyethyleneimine and polyethylene glycol |
Family Cites Families (232)
| Publication number | Priority date | Publication date | Assignee | Title |
|---|---|---|---|---|
| US4713249A (en) | 1981-11-12 | 1987-12-15 | Schroeder Ulf | Crystallized carbohydrate matrix for biologically active substances, a process of preparing said matrix, and the use thereof |
| DE3376114D1 (en) | 1982-12-07 | 1988-05-05 | Kyowa Hakko Kogyo Kk | Mitomycin analogues |
| JPS60255789A (en) | 1984-06-01 | 1985-12-17 | Kyowa Hakko Kogyo Co Ltd | Mitomycin derivative, its preparation, and antitumor agent |
| US5266333A (en) | 1985-03-06 | 1993-11-30 | American Cyanamid Company | Water dispersible and water soluble carbohydrate polymer compositions for parenteral administration of growth hormone |
| US5103018A (en) | 1986-08-26 | 1992-04-07 | Kyowa Hakko Kogyo Kabushiki Kaisha | Mitomycin derivatives |
| WO1991007418A1 (en) | 1989-11-13 | 1991-05-30 | Xoma Corporation | Chimeric mouse-human a10 antibody with specificity to a human tumor cell antigen |
| US5627165A (en) | 1990-06-13 | 1997-05-06 | Drug Innovation & Design, Inc. | Phosphorous prodrugs and therapeutic delivery systems using same |
| AU653565B2 (en) | 1990-12-21 | 1994-10-06 | Nikken Corporation | Raw sewage disposal apparatus and prefab for accomodating the same |
| US6291196B1 (en) | 1992-01-31 | 2001-09-18 | Research Corporation Technologies, Inc. | Melanoma and prostate cancer specific antibodies for immunodetection and immunotherapy |
| US7070782B1 (en) | 1992-11-05 | 2006-07-04 | Sloan-Kettering Institute For Cancer Research | Prostate-specific membrane antigen |
| US6569432B1 (en) | 1995-02-24 | 2003-05-27 | Sloan-Kettering Institute For Cancer Research | Prostate-specific membrane antigen and uses thereof |
| JP3538221B2 (en) | 1993-11-19 | 2004-06-14 | 富士写真フイルム株式会社 | Fixing concentrate and processing method of silver halide photographic material using the same |
| US5417982A (en) | 1994-02-17 | 1995-05-23 | Modi; Pankaj | Controlled release of drugs or hormones in biodegradable polymer microspheres |
| US5866679A (en) | 1994-06-28 | 1999-02-02 | Merck & Co., Inc. | Peptides |
| US6946133B1 (en) | 1996-03-20 | 2005-09-20 | The United States Of America As Represented By The Department Of Health And Human Services | Prostate specific antigen oligo-epitope peptide |
| JP2000507577A (en) | 1996-04-01 | 2000-06-20 | エピックス メディカル,インコーポレイテッド | Bioactive contrast agents for diagnostic imaging |
| WO1997038313A1 (en) | 1996-04-05 | 1997-10-16 | The Johns Hopkins University | A method of enriching rare cells |
| US5795877A (en) | 1996-12-31 | 1998-08-18 | Guilford Pharmaceuticals Inc. | Inhibitors of NAALADase enzyme activity |
| US5902817A (en) | 1997-04-09 | 1999-05-11 | Guilford Pharmaceuticals Inc. | Certain sulfoxide and sulfone derivatives |
| US5863536A (en) | 1996-12-31 | 1999-01-26 | Guilford Pharmaceuticals Inc. | Phosphoramidate derivatives |
| US6054444A (en) | 1997-04-24 | 2000-04-25 | Guilford Pharmaceuticals Inc. | Phosphonic acid derivatives |
| US5672592A (en) | 1996-06-17 | 1997-09-30 | Guilford Pharmaceuticals Inc. | Certain phosphonomethyl-pentanedioic acid derivatives thereof |
| US5998362A (en) | 1996-09-12 | 1999-12-07 | Merck & Co., Inc. | Conjugates useful in the treatment of prostate cancer |
| US6368598B1 (en) * | 1996-09-16 | 2002-04-09 | Jcrt Radiation Oncology Support Services, Inc. | Drug complex for treatment of metastatic prostate cancer |
| US5962521A (en) | 1997-04-04 | 1999-10-05 | Guilford Pharmaceuticals Inc. | Hydroxamic acid derivatives |
| US6177404B1 (en) | 1996-10-15 | 2001-01-23 | Merck & Co., Inc. | Conjugates useful in the treatment of benign prostatic hyperplasia |
| US5948750A (en) | 1996-10-30 | 1999-09-07 | Merck & Co., Inc. | Conjugates useful in the treatment of prostate cancer |
| US7008765B1 (en) | 1997-04-10 | 2006-03-07 | The Johns Hopkins University | PCA3, PCA3 genes, and methods of use |
| US6127333A (en) | 1997-07-10 | 2000-10-03 | Merck & Co., Inc. | Conjugates useful in the treatment of prostate cancer |
| US6391305B1 (en) | 1997-09-10 | 2002-05-21 | Merck & Co., Inc. | Conjugates useful in the treatment of prostate cancer |
| US20020115596A1 (en) | 1997-10-27 | 2002-08-22 | Merk & Co., Inc. | Conjugates useful in the treatment of prostate cancer |
| IL136167A0 (en) | 1997-12-02 | 2001-05-20 | Merck & Co Inc | Conjugates useful in the treatment of prostate cancer |
| ZA9810974B (en) | 1997-12-02 | 1999-06-03 | Merck & Co Inc | Conjugates useful in the treatment of prostate cancer |
| US20040081659A1 (en) | 1997-12-02 | 2004-04-29 | Merck & Co., Inc. | Conjugates useful in the treatment of prostate cancer |
| WO1999045374A2 (en) | 1998-03-03 | 1999-09-10 | Mosaic Technologies | Purification and detection processes using reversible affinity electrophoresis |
| US20020103136A1 (en) | 1998-03-05 | 2002-08-01 | Dong-Mei Feng | Conjugates useful in the treatment of prostate cancer |
| US6232287B1 (en) | 1998-03-13 | 2001-05-15 | The Burnham Institute | Molecules that home to various selected organs or tissues |
| US6093382A (en) | 1998-05-16 | 2000-07-25 | Bracco Research Usa Inc. | Metal complexes derivatized with folate for use in diagnostic and therapeutic applications |
| US6833438B1 (en) | 1999-06-01 | 2004-12-21 | Agensys, Inc. | Serpentine transmembrane antigens expressed in human cancers and uses thereof |
| DK1086223T3 (en) | 1998-06-01 | 2009-11-30 | Agensys Inc | Novel serpentine transmembrane antigens expressed in human cancers and their applications |
| US20070020327A1 (en) | 1998-11-10 | 2007-01-25 | John Fikes | Inducing cellular immune responses to prostate cancer antigens using peptide and nucleic acid compositions |
| US6174858B1 (en) | 1998-11-17 | 2001-01-16 | Merck & Co., Inc. | Conjugates useful in the treatment of prostate cancer |
| US20030207808A1 (en) | 1999-02-18 | 2003-11-06 | Kinneret Savitzky | Novel nucleic acid and amino acid sequences |
| AU4063600A (en) | 1999-04-05 | 2000-10-23 | Merck & Co., Inc. | A method of treating cancer |
| US6528499B1 (en) | 2000-04-27 | 2003-03-04 | Georgetown University | Ligands for metabotropic glutamate receptors and inhibitors of NAALADase |
| US6479470B1 (en) * | 1999-04-28 | 2002-11-12 | Georgetown University | Ligands for metabotropic glutamate receptors and inhibitors of NAALAdase |
| AUPQ014799A0 (en) | 1999-05-04 | 1999-05-27 | Access Pharmaceuticals Australia Pty Limited | Amplification of folate-mediated targeting to tumor cells using polymers |
| US7166573B1 (en) | 1999-05-28 | 2007-01-23 | Ludwig Institute For Cancer Research | Breast, gastric and prostate cancer associated antigens and uses therefor |
| US20040146516A1 (en) | 1999-06-17 | 2004-07-29 | Utah Ventures Ii L.P. | Lumen-exposed molecules and methods for targeted delivery |
| US7361338B2 (en) | 1999-10-05 | 2008-04-22 | Agensys, Inc. | Methods to inhibit growth of prostate cancer cells |
| US6692724B1 (en) | 1999-10-25 | 2004-02-17 | Board Of Regents, The University Of Texas System | Ethylenedicysteine (EC)-drug conjugates, compositions and methods for tissue specific disease imaging |
| US6428785B1 (en) | 1999-10-28 | 2002-08-06 | Immunolytics Inc. | Method and composition for treating prostate cancer |
| CA2391534A1 (en) | 1999-11-15 | 2001-05-25 | Drug Innovation & Design, Inc. | Selective cellular targeting: multifunctional delivery vehicles |
| NZ521898A (en) | 2000-03-31 | 2004-11-26 | Purdue Research Foundation | Use of a ligand-immunogen conjugate such as folate-FITC for enhancing an endogenous immune response |
| US20030072794A1 (en) | 2000-06-09 | 2003-04-17 | Teni Boulikas | Encapsulation of plasmid DNA (lipogenes™) and therapeutic agents with nuclear localization signal/fusogenic peptide conjugates into targeted liposome complexes |
| US6933114B2 (en) | 2000-10-16 | 2005-08-23 | Gilead Sciences, Inc. | Nucleic acid ligands to the prostate specific membrane antigen |
| US20020132983A1 (en) | 2000-11-30 | 2002-09-19 | Junghans Richard P. | Antibodies as chimeric effector cell receptors against tumor antigens |
| US7468354B2 (en) * | 2000-12-01 | 2008-12-23 | Genspera, Inc. | Tissue specific prodrugs |
| JP2004536034A (en) * | 2001-01-08 | 2004-12-02 | ネオルクス コーポレイション | Therapeutic and diagnostic compounds, compositions and methods |
| MXPA03007037A (en) | 2001-02-07 | 2003-11-18 | Beth Israel Hospital | Modified psma ligands and uses related thereto. |
| US7767202B2 (en) | 2001-03-16 | 2010-08-03 | The Johns Hopkins University | Modulation of systemic immune responses by transplantation of hematopoietic stem cells transduced with genes encoding antigens and antigen presenting cell regulatory molecules |
| US7875612B2 (en) | 2001-04-24 | 2011-01-25 | Purdue Research Foundation | Folate mimetics and folate-receptor binding conjugates thereof |
| MXPA03010035A (en) | 2001-05-02 | 2004-06-30 | Purdue Research Foundation | Treatment and diagnosis of macrophage mediated disease. |
| US7109165B2 (en) | 2001-05-18 | 2006-09-19 | Sirna Therapeutics, Inc. | Conjugates and compositions for cellular delivery |
| IL158969A0 (en) | 2001-06-01 | 2004-05-12 | Cornell Res Foundation Inc | Modified antibodies to prostate-specific membrane antigen and uses thereof |
| US7514078B2 (en) | 2001-06-01 | 2009-04-07 | Cornell Research Foundation, Inc. | Methods of treating prostate cancer with anti-prostate specific membrane antigen antibodies |
| US20040018203A1 (en) | 2001-06-08 | 2004-01-29 | Ira Pastan | Pegylation of linkers improves antitumor activity and reduces toxicity of immunoconjugates |
| ATE430935T1 (en) | 2001-06-21 | 2009-05-15 | Glycomimetics Inc | DETECTION AND TREATMENT OF PROSTATE CANCER |
| EP1409017A4 (en) | 2001-06-25 | 2006-05-24 | Drug Innovation & Design Inc | Exponential pattern recognition based cellular targeting, compositions, methods and anticancer applications |
| US7755757B2 (en) | 2007-02-14 | 2010-07-13 | Chemimage Corporation | Distinguishing between renal oncocytoma and chromophobe renal cell carcinoma using raman molecular imaging |
| US7893223B2 (en) | 2001-07-17 | 2011-02-22 | Bracco Imaging S.P.A. | Multidentate AZA ligands able to complex metal ions and the use thereof in diagnostics and therapy |
| US7282476B2 (en) | 2001-08-24 | 2007-10-16 | University Of Victoria Innovation And Development Corporation | Proaerolysin containing protease activation sequences and methods of use for treatment of prostate cancer |
| WO2003024388A2 (en) | 2001-09-20 | 2003-03-27 | Cornell Research Foundation, Inc. | Methods and compositions for treating and preventing skin disorders using binding agents specific for psma |
| US20030232760A1 (en) | 2001-09-21 | 2003-12-18 | Merck & Co., Inc. | Conjugates useful in the treatment of prostate cancer |
| DK1434603T3 (en) | 2001-09-28 | 2010-04-26 | Purdue Research Foundation | Method of treatment using ligand-immunogen conjugates |
| US20030215456A1 (en) | 2001-10-02 | 2003-11-20 | Sui-Long Yao | Method of treating cancer |
| US20030133927A1 (en) | 2001-10-10 | 2003-07-17 | Defeo-Jones Deborah | Conjugates useful in the treatment of prostate cancer |
| US20040058857A1 (en) | 2001-11-29 | 2004-03-25 | Siu-Long Yao | Method of treating cancer |
| US20070031438A1 (en) | 2001-12-10 | 2007-02-08 | Junghans Richard P | Antibodies as chimeric effector cell receptors against tumor antigens |
| CA2473289C (en) | 2002-01-10 | 2014-07-29 | The Johns Hopkins University | Asymmetric urea compounds useful as naaladase and psma imaging agents |
| US7344700B2 (en) | 2002-02-28 | 2008-03-18 | University Of Tennessee Research Corporation | Radiolabeled selective androgen receptor modulators and their use in prostate cancer imaging and therapy |
| EP1497462A4 (en) | 2002-03-07 | 2007-11-07 | Univ Johns Hopkins Med | GENOMIC SCREENING FOR CANCER RELATED GENES DELIVERED EPIGENETICALLY SILENT |
| US7534580B2 (en) | 2002-05-01 | 2009-05-19 | Ambrilia Biopharma Inc. | PSP94 diagnostic reagents and assays |
| NZ536467A (en) | 2002-05-06 | 2006-11-30 | Endocyte Inc | Vitamin-targeted imaging agents |
| KR20040106547A (en) | 2002-05-15 | 2004-12-17 | 엔도사이트, 인코포레이티드 | Vitamin-mitomycin conjugates |
| US7767803B2 (en) | 2002-06-18 | 2010-08-03 | Archemix Corp. | Stabilized aptamers to PSMA and their use as prostate cancer therapeutics |
| EP2353611B1 (en) | 2002-07-31 | 2015-05-13 | Seattle Genetics, Inc. | Drug conjugates and their use for treating cancer, an autoimmune disease or an infectious disease |
| JP2004064945A (en) | 2002-07-31 | 2004-02-26 | Hitachi Koki Co Ltd | Rotating body drive |
| AR040956A1 (en) | 2002-07-31 | 2005-04-27 | Schering Ag | NEW CONJUGATES OF EFFECTORS, PROCEDURES FOR THEIR PREPARATION AND PHARMACEUTICAL USE |
| WO2006028429A2 (en) | 2002-08-05 | 2006-03-16 | The Johns Hopkins University | Peptides for targeting the prostate specific membrane antigen |
| US7662795B2 (en) | 2002-08-08 | 2010-02-16 | The Johns Hopkins University | Enhancement of adenoviral oncolytic activity by modification of the E1A gene product |
| US8487128B2 (en) | 2002-11-26 | 2013-07-16 | Chs Pharma, Inc. | Protection of normal cells |
| AU2003303374A1 (en) | 2002-12-20 | 2004-07-22 | The Johns Hopkins University | Treatment of metastatic cancer with the b-subunit of shiga toxin |
| US20080008649A1 (en) | 2003-01-13 | 2008-01-10 | Bracco Imaging S.P.A. | Gastrin Releasing Peptide Compounds |
| US7226577B2 (en) | 2003-01-13 | 2007-06-05 | Bracco Imaging, S. P. A. | Gastrin releasing peptide compounds |
| CA2512867C (en) | 2003-01-27 | 2014-08-26 | Endocyte, Inc. | Vitamin receptor binding drug delivery conjugates |
| EP1587837B1 (en) | 2003-01-28 | 2012-06-13 | Proscan RX Pharma Inc. | Epitope sequences for prostate cancer diagnosis and treatment |
| US7638122B2 (en) | 2003-03-07 | 2009-12-29 | University Of South Florida | Stat3 antagonists and their use as vaccines against cancer |
| WO2004080412A2 (en) | 2003-03-07 | 2004-09-23 | The University Of Toledo | Paclitaxel hybrid derivatives |
| US20070179100A1 (en) | 2003-04-09 | 2007-08-02 | Muthiah Manoharan | Protected monomers |
| EP2660322A3 (en) | 2003-04-17 | 2013-11-13 | Alnylam Pharmaceuticals Inc. | Modified iRNA agents |
| US7605182B2 (en) | 2003-05-01 | 2009-10-20 | Aposense Ltd. | Compounds that selectively bind to membranes of apoptotic cells |
| US8088387B2 (en) | 2003-10-10 | 2012-01-03 | Immunogen Inc. | Method of targeting specific cell populations using cell-binding agent maytansinoid conjugates linked via a non-cleavable linker, said conjugates, and methods of making said conjugates |
| US7172751B2 (en) | 2003-06-13 | 2007-02-06 | Immunomedics, Inc. | D-amino acid peptides |
| US7232805B2 (en) | 2003-09-10 | 2007-06-19 | Inflabloc Pharmaceuticals, Inc. | Cobalamin conjugates for anti-tumor therapy |
| WO2005051315A2 (en) | 2003-11-24 | 2005-06-09 | The Regents Of The University Of California | On-demand cleavable linkers for radioconjugates for cancer imaging and therapy |
| FR2864546A1 (en) | 2003-12-24 | 2005-07-01 | Assist Publ Hopitaux De Paris | METHOD OF IDENTIFYING AND PREPARING T REGULATORY / SUPPRESSOR T CELLS, COMPOSITIONS AND USES |
| WO2006051531A2 (en) | 2004-11-09 | 2006-05-18 | Spectrum Dynamics Llc | Radioimaging |
| US8586932B2 (en) | 2004-11-09 | 2013-11-19 | Spectrum Dynamics Llc | System and method for radioactive emission measurement |
| DE102004004787A1 (en) | 2004-01-30 | 2005-08-18 | Schering Ag | New effector-linker and effector-recognition unit conjugates derived from epothilones, useful as targeted drugs for treating proliferative diseases, e.g. tumors or neurodegenerative disease |
| CA2556752C (en) | 2004-02-23 | 2016-02-02 | Genentech, Inc. | Heterocyclic self-immolative linkers and conjugates |
| US20070254317A1 (en) | 2004-03-03 | 2007-11-01 | Biomerieux | Method for Detecting the Activatable Free Form of Psa and the Use Thereof for Diagnosing Benign Pathologies of the Prostate and Adenocarcinoma of the Prostate |
| WO2005094882A1 (en) | 2004-03-03 | 2005-10-13 | Millennium Pharmaceuticals, Inc. | Modified antibodies to prostate-specific membrane antigen and uses thereof |
| ES2311895T3 (en) * | 2004-03-15 | 2009-02-16 | F. Hoffmann-La Roche Ag | THE USE OF BNP TYPE PEPTIDES AND ANF TYPE PEPTIDES TO ASSESS THE RISK OF PADDING A CARDIO-VASCULAR COMPLICATION AS A FREQUENCY OF OVERLOADING THE VOLUME. |
| WO2005111238A2 (en) | 2004-04-19 | 2005-11-24 | Archemix Corporation | Aptamer-mediated intracellular delivery of therapeutic oligonucleotides |
| CA2606138A1 (en) | 2004-04-19 | 2005-10-27 | Proscan Rx Pharma | Prostate cancer diagnosis and treatment |
| CA2564076C (en) * | 2004-05-19 | 2014-02-18 | Medarex, Inc. | Chemical linkers and conjugates thereof |
| US7691962B2 (en) | 2004-05-19 | 2010-04-06 | Medarex, Inc. | Chemical linkers and conjugates thereof |
| US20080008719A1 (en) | 2004-07-10 | 2008-01-10 | Bowdish Katherine S | Methods and compositions for the treatment of prostate cancer |
| US8288557B2 (en) | 2004-07-23 | 2012-10-16 | Endocyte, Inc. | Bivalent linkers and conjugates thereof |
| JP5055603B2 (en) | 2004-08-04 | 2012-10-24 | メントリック・バイオテック・リミテッド・ライアビリティ・カンパニー | Mutated Fc region |
| JP2008511552A (en) | 2004-08-30 | 2008-04-17 | ニューロメッド ファーマシューティカルズ リミテッド | Urea derivatives as calcium channel blockers |
| US7713944B2 (en) | 2004-10-13 | 2010-05-11 | Isis Pharmaceuticals, Inc. | Oligomers comprising activated disulfides which bind to plasma proteins and their use for delivery to cells |
| CN101087783B (en) | 2004-10-27 | 2010-12-08 | 詹森药业有限公司 | Trisubstituted thiophenes as progesterone receptor modulators |
| US8423125B2 (en) | 2004-11-09 | 2013-04-16 | Spectrum Dynamics Llc | Radioimaging |
| US20060140871A1 (en) | 2004-11-30 | 2006-06-29 | Sillerud Laurel O | Magnetic resonance imaging of prostate cancer |
| US7741510B2 (en) | 2005-01-13 | 2010-06-22 | E. I. Du Pont De Nemours And Company | Rheology control agents |
| US7872235B2 (en) | 2005-01-13 | 2011-01-18 | Spectrum Dynamics Llc | Multi-dimensional image reconstruction and analysis for expert-system diagnosis |
| US20060155021A1 (en) | 2005-01-13 | 2006-07-13 | Lenges Christian P | Coating compositions containing rheology control agents |
| CA2596469A1 (en) | 2005-02-01 | 2006-08-10 | Government Of The U.S.A, As Represented By The Secretary Department Of H Ealth & Human Services | Biomarkers for tissue status |
| WO2006093991A1 (en) | 2005-03-02 | 2006-09-08 | The Cleveland Clinic Foundation | Compounds which bind psma and uses thereof |
| US20090105172A1 (en) | 2005-03-07 | 2009-04-23 | Diener John L | Stabilized Aptamers to PSMA and Their Use as Prostate Cancer Therapeutics |
| US8088908B2 (en) | 2005-05-10 | 2012-01-03 | City Of Hope | Humanized anti-prostate stem cell antigen monoclonal antibody |
| KR101068612B1 (en) | 2005-05-24 | 2011-09-30 | 휴마시스 주식회사 | Diagnostic device using similar structure protein ratio measurement |
| NZ564954A (en) | 2005-06-14 | 2011-02-25 | Protox Therapeutics Inc | Method of treating or preventing benign prostatic hyperplasia using modified pore-forming proteins |
| CN103127523A (en) | 2005-06-20 | 2013-06-05 | Psma开发有限公司 | Psma antibody-drug conjugates |
| US7403088B2 (en) | 2005-06-29 | 2008-07-22 | Eaton Corporation | Handle apparatus and electrical switching apparartus employing the same |
| WO2007006041A2 (en) | 2005-07-05 | 2007-01-11 | Purdue Research Foundation | Imaging and therapeutic method using monocytes |
| US20070010014A1 (en) | 2005-07-06 | 2007-01-11 | General Electric Company | Compositions and methods for enhanced delivery to target sites |
| EP1909853B1 (en) | 2005-07-19 | 2015-03-18 | Biosensors International Group, Ltd. | Imaging protocols |
| EP2382995A3 (en) | 2005-08-19 | 2013-09-25 | Endocyte, Inc. | Ligand conjugates of Vinca alkaloids, analogs and derivatives |
| BRPI0615354A2 (en) | 2005-08-19 | 2011-05-17 | Endocyte Inc | receptor binding drug release conjugate, pharmaceutical composition comprising it, as well as its use |
| EP2015781A4 (en) | 2005-09-12 | 2009-12-23 | Univ Johns Hopkins | COMPOSITIONS WITH ANTIANGIOGENIC EFFECT AND ITS USES |
| JP5368099B2 (en) | 2005-10-07 | 2013-12-18 | ゲルベ | A compound comprising a moiety for recognition of a biological target coupled to a signal moiety capable of complexing with gallium |
| JP2009518289A (en) | 2005-11-21 | 2009-05-07 | メディバス エルエルシー | Polymer particles for delivery of macromolecules and methods of use |
| AU2006318438B2 (en) | 2005-11-23 | 2011-09-22 | Ventana Medical Systems, Inc. | Molecular conjugate |
| US8258256B2 (en) | 2006-01-05 | 2012-09-04 | The Johns Hopkins University | Compositions and methods for the treatment of cancer |
| US7635682B2 (en) | 2006-01-06 | 2009-12-22 | Genspera, Inc. | Tumor activated prodrugs |
| CN101443340B (en) | 2006-03-14 | 2013-12-04 | 癌靶技术有限责任公司 | Peptidomimetic inhibitors of psma, compounds comprising them, and methods of use |
| JP2009531324A (en) | 2006-03-20 | 2009-09-03 | ザ リージェンツ オブ ザ ユニバーシティ オブ カリフォルニア | Engineered anti-prostatic stem cell antigen (PSCA) antibody for cancer targeting |
| US20070225213A1 (en) | 2006-03-23 | 2007-09-27 | Kosak Matthew K | Nucleic acid carriers for delivery of therapeutic agents |
| US20140314864A1 (en) | 2006-03-31 | 2014-10-23 | Massachusetts Institute Of Technology | System for Targeted Delivery of Therapeutic Agents |
| ES2776100T3 (en) | 2006-03-31 | 2020-07-29 | Massachusetts Inst Technology | System for targeted delivery of therapeutic agents |
| US7842280B2 (en) * | 2006-09-06 | 2010-11-30 | Case Western Reserve University | Flexibly labeling peptides |
| EP2087337A4 (en) * | 2006-11-03 | 2010-09-08 | Purdue Research Foundation | <I> EX VIVO </ I> FLOW CYTOMETRY METHOD AND DEVICE |
| ES2547481T3 (en) | 2006-11-08 | 2015-10-06 | Molecular Insight Pharmaceuticals, Inc. | Heterodimers of glutamic acid |
| AU2007328207A1 (en) | 2006-12-05 | 2008-06-12 | Landec Corporation | Drug delivery |
| WO2008085828A2 (en) | 2007-01-03 | 2008-07-17 | The Johns Hopkins University | Peptide modulators of angiogenesis and use thereof |
| CA2675202C (en) | 2007-01-11 | 2014-09-16 | Immunomedics, Inc. | Methods and compositions for improved f-18 labeling of proteins, peptides and other molecules |
| AU2007345648A1 (en) | 2007-01-26 | 2008-08-07 | City Of Hope | Methods and compositions for the treatment of cancer or other diseases |
| AU2008213702B2 (en) | 2007-02-07 | 2014-04-24 | Purdue Research Foundation | Positron emission tomography imaging method |
| WO2008101231A2 (en) | 2007-02-16 | 2008-08-21 | Endocyte, Inc. | Methods and compositions for treating and diagnosing kidney disease |
| CN104127878A (en) | 2007-03-14 | 2014-11-05 | 恩多塞特公司 | Binding ligand linked drug delivery conjugates of tubulysins |
| WO2008124197A1 (en) | 2007-04-10 | 2008-10-16 | The Johns Hopkins University | Imaging and therapy of virus-associated tumors |
| CA2690943A1 (en) | 2007-06-25 | 2008-12-31 | Endocyte, Inc. | Conjugates containing hydrophilic spacer linkers |
| AU2008269094B2 (en) | 2007-06-26 | 2015-04-09 | The Johns Hopkins University | Labeled inhibitors of prostate specific membrane antigen (PSMA), biological evaluation, and use as imaging agents |
| GB0723246D0 (en) | 2007-07-03 | 2008-01-09 | Barton Michelle | p53 modulator |
| CA2693707A1 (en) | 2007-07-13 | 2009-03-05 | The Johns Hopkins University | B7-dc variants |
| JP2010535248A (en) | 2007-07-31 | 2010-11-18 | ザ ジョンズ ホプキンス ユニバーシティー | Polypeptide-nucleic acid complex for immunological prevention or immunotherapy of neoplastic disorders or infections |
| EP3838298B1 (en) | 2007-08-17 | 2025-02-26 | Purdue Research Foundation | Psma binding ligand-linker conjugates and methods for using |
| HUE035101T2 (en) | 2007-09-28 | 2018-05-02 | Pfizer | Cancer Cell Targeting Using Nanoparticles |
| JP2011500835A (en) | 2007-10-25 | 2011-01-06 | エンドサイト,インコーポレイテッド | Tubulysins and preparation process |
| US8450290B2 (en) | 2007-11-26 | 2013-05-28 | Enzon Pharmaceuticals, Inc. | Methods for treating androgen receptor dependent disorders including cancers |
| WO2009070302A1 (en) | 2007-11-30 | 2009-06-04 | The Johns Hopkins University | Prostate specific membrane antigen (psma) targeted nanoparticles for therapy of prostate cancer |
| EP2231194B1 (en) | 2007-12-04 | 2017-02-22 | Alnylam Pharmaceuticals Inc. | Folate-irna conjugates |
| WO2009076434A1 (en) | 2007-12-12 | 2009-06-18 | Molecular Insight Pharmaceuticals, Inc. | Inhibitors of integrin vla-4 |
| CN102083427B (en) | 2008-01-09 | 2014-12-10 | 分子洞察制药公司 | Inhibitors of carbonic anhydrase IX |
| ITTO20080313A1 (en) | 2008-04-22 | 2009-10-23 | Marco Colombatti | ISOLATED MONOCLONAL ANTIBODY OR ITS FRAGMENT BINDING THE PROSTATE'S SPECIFIC MEMBRANE ANTIGEN, ITS CONJUGATES AND ITS USES |
| EP2285960B1 (en) | 2008-05-08 | 2015-07-08 | Asuragen, INC. | Compositions and methods related to mir-184 modulation of neovascularization or angiogenesis |
| CA2723816C (en) | 2008-05-13 | 2017-06-20 | Yale University | Chimeric small molecules for the recruitment of antibodies to cancer cells |
| US8852630B2 (en) | 2008-05-13 | 2014-10-07 | Yale University | Chimeric small molecules for the recruitment of antibodies to cancer cells |
| ES2765240T3 (en) | 2008-06-16 | 2020-06-08 | Pfizer | Drug-loaded polymeric nanoparticles and manufacturing procedures and use thereof |
| HRP20171133T1 (en) | 2008-08-01 | 2017-10-20 | The Johns Hopkins University | PSMA-BINDING AGENTS AND THEIR USES |
| WO2010027641A2 (en) | 2008-08-15 | 2010-03-11 | Georgetown University | Na channels, disease, and related assays and compositions |
| EP2727606A3 (en) | 2008-09-08 | 2015-09-23 | Psma Development Company, L.L.C. | Compounds for killing psma-expressing, taxane-resistant cancer cells |
| EP2166021A1 (en) | 2008-09-16 | 2010-03-24 | Ganymed Pharmaceuticals AG | Monoclonal antibodies for treatment of cancer |
| EP2349274B1 (en) | 2008-09-17 | 2025-04-09 | Endocyte, Inc. | Folate receptor binding conjugates of antifolates |
| US20110288152A1 (en) | 2008-10-17 | 2011-11-24 | Purdue Research Foundation | Psma binding ligand-linker conjugates and methods for using |
| US8211402B2 (en) | 2008-12-05 | 2012-07-03 | Molecular Insight Pharmaceuticals, Inc. | CA-IX specific radiopharmaceuticals for the treatment and imaging of cancer |
| CN102272100B (en) | 2008-12-05 | 2016-08-17 | 分子制药洞察公司 | Technetium- and rhenium-bis(heteroaryl) complexes for inhibiting PSMA and methods of use thereof |
| WO2010065899A2 (en) | 2008-12-05 | 2010-06-10 | Molecular Insight Pharmaceuticals, Inc. | Technetium-and rhenium-bis(heteroaryl)complexes and methods of use thereof |
| US10517969B2 (en) | 2009-02-17 | 2019-12-31 | Cornell University | Methods and kits for diagnosis of cancer and prediction of therapeutic value |
| US8772226B2 (en) | 2009-03-17 | 2014-07-08 | The Johns Hopkins University | Methods and compositions for the detection of cancer |
| EP3222617B1 (en) | 2009-03-19 | 2022-07-06 | The Johns Hopkins University | Psma-targeting compounds and uses thereof |
| BR112012000210A2 (en) | 2009-06-15 | 2019-09-24 | Molecular Insight Pharm Inc | process for the production of glutamic acid heterodimers. |
| CN104857534A (en) | 2009-07-31 | 2015-08-26 | 恩多塞特公司 | Folate-targeted diagnostics and treatment |
| US8394922B2 (en) | 2009-08-03 | 2013-03-12 | Medarex, Inc. | Antiproliferative compounds, conjugates thereof, methods therefor, and uses thereof |
| US8313128B2 (en) | 2009-08-20 | 2012-11-20 | Rhoost, Llc. | Safety locking mechanism for doors |
| WO2011031517A1 (en) | 2009-08-27 | 2011-03-17 | Nuclea Biotechnologies, LLC | Method and assay for determining fas expression |
| JP6251477B2 (en) | 2009-12-02 | 2017-12-20 | イマジナブ・インコーポレーテッド | J591 minibody and CYS diabody targeting human prostate specific membrane antigen (PSMA) and methods for using them |
| JP5891175B2 (en) | 2009-12-11 | 2016-03-22 | バインド セラピューティックス インコーポレイテッド | Stable formulation against lyophilization of therapeutic particles |
| CA2788907A1 (en) | 2010-02-04 | 2011-08-11 | Radius Health, Inc. | Selective androgen receptor modulators |
| US9951324B2 (en) | 2010-02-25 | 2018-04-24 | Purdue Research Foundation | PSMA binding ligand-linker conjugates and methods for using |
| US20120322741A1 (en) | 2010-02-25 | 2012-12-20 | Purdue Research Foundation | Psma binding ligand-linker conjugates and methods for using |
| CN101863924B (en) | 2010-05-17 | 2012-06-27 | 北京师范大学 | 99mTc labeled hydrazinonicotinamide-dioxoctanoyl-folate complex and its preparation method |
| ES2675320T3 (en) | 2010-12-06 | 2018-07-10 | Molecular Insight Pharmaceuticals, Inc. | Dendrimers addressed to PSMA |
| WO2012166923A2 (en) | 2011-05-31 | 2012-12-06 | Bind Biosciences | Drug loaded polymeric nanoparticles and methods of making and using same |
| AU2012294639B2 (en) | 2011-08-05 | 2017-10-26 | Molecular Insight Pharmaceuticals, Inc. | Radiolabeled prostate specific membrane antigen inhibitors |
| WO2013028664A1 (en) | 2011-08-22 | 2013-02-28 | Siemens Medical Solutions Usa, Inc. | Psma imaging agents |
| EP2822386B1 (en) | 2012-02-29 | 2021-05-05 | Purdue Research Foundation | Folate receptor alpha binding ligands |
| US20140107316A1 (en) | 2012-10-16 | 2014-04-17 | Endocyte, Inc. | Drug delivery conjugates containing unnatural amino acids and methods for using |
| CA2887727A1 (en) | 2012-10-16 | 2014-04-24 | Endocyte, Inc. | Drug delivery conjugates containing unnatural amino acids and methods for using |
| HK1211493A1 (en) | 2012-11-15 | 2016-05-27 | 恩多塞特公司 | Conjugates for treating diseases caused by psma expressing cells |
| US20140154702A1 (en) | 2012-11-30 | 2014-06-05 | Endocyte, Inc. | Methods For Treating Cancer Using Combination Therapies |
| HK1216176A1 (en) | 2012-12-21 | 2016-10-21 | Medlmmune Limited | Unsymmetrical pyrrolobenzodiazepines-dimers for use in the treatment of proliferative and autoimmune diseases |
| CN110179995A (en) | 2012-12-28 | 2019-08-30 | 塔弗达治疗有限公司 | The targeting conjugate and its preparation of encapsulating in the grain |
| US9889199B2 (en) | 2013-02-15 | 2018-02-13 | Case Western Reserve University | PSMA ligands and uses thereof |
| US20140249315A1 (en) | 2013-03-01 | 2014-09-04 | Endocyte, Inc. | Processes for preparing tubulysins |
| US20170232119A1 (en) * | 2013-03-15 | 2017-08-17 | Purdue Research Foundation | Synthesis and composition of amino acid linking groups conjugated to compounds used for the targeted imaging of tumors |
| US10406246B2 (en) | 2013-10-17 | 2019-09-10 | Deutsches Kresbsforschungszentrum | Double-labeled probe for molecular imaging and use thereof |
| EP3415489A1 (en) | 2013-10-18 | 2018-12-19 | Deutsches Krebsforschungszentrum | Labeled inhibitors of prostate specific membrane antigen (psma), their use as imaging agents and pharmaceutical agents for the treatment of prostate cancer |
| WO2015057250A1 (en) | 2013-10-18 | 2015-04-23 | Psma Development Company, Llc | Combination therapies with psma ligand conjugates |
| SG10201803618RA (en) | 2013-11-14 | 2018-06-28 | Endocyte Inc | Compounds for positron emission tomography |
| CA2950892C (en) | 2014-05-06 | 2023-10-24 | The Johns Hopkins University | Metal/radiometal-labeled psma inhibitors for psma-targeted imaging and radiotherapy |
| PL3183236T3 (en) | 2014-08-24 | 2022-07-18 | Max-Planck-Gesellschaft Zur Förderung Der Wissenschaften | Method for the production of 18f-labeled active esters and their application exemplified by the preparation of a psma-specific pet-tracer |
| US9956305B2 (en) | 2014-09-08 | 2018-05-01 | Molecular Insight Pharmaceuticals, Inc. | Organ protection in PSMA-targeted radionuclide therapy of prostate cancer |
| WO2016183131A1 (en) * | 2015-05-11 | 2016-11-17 | Purdue Research Foundation | Ligand ionophore conjugates |
| US10842887B2 (en) * | 2015-09-09 | 2020-11-24 | On Target Laboratories, LLC | PSMA-targeted NIR dyes and their uses |
| US9808538B2 (en) * | 2015-09-09 | 2017-11-07 | On Target Laboratories, LLC | PSMA-targeted NIR dyes and their uses |
| FR3043970B1 (en) | 2015-11-25 | 2019-06-21 | Medtech Sa | MECHANICAL GROUND STABILIZATION SYSTEM FOR VEHICLES WITH CASTERS |
| JP6806471B2 (en) | 2016-06-16 | 2021-01-06 | キヤノン株式会社 | Focus detection device and method, and imaging device |
| US10308606B2 (en) * | 2016-09-09 | 2019-06-04 | On Target Laboratories, LLC | PSMA-targeted NIR dyes and their uses |
-
2008
- 2008-08-15 EP EP20196752.8A patent/EP3838298B1/en active Active
- 2008-08-15 ES ES08798020T patent/ES2768224T3/en active Active
- 2008-08-15 EP EP18175078.7A patent/EP3388086B1/en active Active
- 2008-08-15 EP EP08798020.7A patent/EP2187965B1/en not_active Revoked
- 2008-08-15 SI SI200832106T patent/SI2187965T1/en unknown
- 2008-08-15 JP JP2010521210A patent/JP2010536790A/en active Pending
- 2008-08-15 PL PL08798020T patent/PL2187965T3/en unknown
- 2008-08-15 EP EP20196755.1A patent/EP3831380A3/en not_active Withdrawn
- 2008-08-15 NZ NZ583931A patent/NZ583931A/en unknown
- 2008-08-15 HU HUE08798020A patent/HUE047200T2/en unknown
- 2008-08-15 AU AU2008289108A patent/AU2008289108C1/en active Active
- 2008-08-15 CN CN200880111794.1A patent/CN102014956B/en active Active
- 2008-08-15 WO PCT/US2008/073375 patent/WO2009026177A1/en not_active Ceased
- 2008-08-15 CN CN201510221167.5A patent/CN104873982A/en active Pending
- 2008-08-15 CA CA2696627A patent/CA2696627C/en active Active
- 2008-08-15 PT PT87980207T patent/PT2187965T/en unknown
- 2008-08-15 NZ NZ600085A patent/NZ600085A/en unknown
- 2008-08-15 EP EP24202375.2A patent/EP4464384A3/en active Pending
- 2008-08-15 US US12/673,931 patent/US9193763B2/en active Active
- 2008-08-15 EP EP20216457.0A patent/EP3858347A3/en active Pending
- 2008-08-15 EP EP19188077.2A patent/EP3656403B1/en active Active
- 2008-08-15 DK DK08798020.7T patent/DK2187965T3/en active
-
2010
- 2010-02-17 IL IL203998A patent/IL203998A/en active IP Right Grant
-
2013
- 2013-03-14 US US13/826,079 patent/US8907058B2/en active Active
-
2014
- 2014-06-18 JP JP2014125603A patent/JP5902237B2/en active Active
-
2015
- 2015-11-23 US US14/794,482 patent/US10046054B2/en active Active
-
2016
- 2016-01-15 HK HK16100437.3A patent/HK1212588A1/en unknown
- 2016-03-09 JP JP2016046076A patent/JP2016153410A/en active Pending
-
2017
- 2017-05-26 US US15/606,913 patent/US10406240B2/en active Active
- 2017-11-21 JP JP2017223872A patent/JP6596479B2/en active Active
-
2018
- 2018-04-20 US US15/959,110 patent/US10624969B2/en active Active
- 2018-05-25 US US15/990,083 patent/US10517956B2/en active Active
- 2018-05-25 US US15/990,144 patent/US10624971B2/en active Active
- 2018-05-25 US US15/990,152 patent/US10828282B2/en active Active
- 2018-05-25 US US15/990,136 patent/US10646581B2/en active Active
- 2018-05-25 US US15/990,095 patent/US10624970B2/en active Active
- 2018-05-25 JP JP2018100343A patent/JP6625690B2/en active Active
- 2018-05-25 US US15/990,111 patent/US10485878B2/en active Active
- 2018-06-04 US US15/997,451 patent/US10517957B2/en active Active
-
2019
- 2019-07-10 US US16/507,713 patent/US11298341B2/en active Active
- 2019-09-30 JP JP2019179190A patent/JP6838118B2/en active Active
- 2019-12-17 US US16/717,753 patent/US20200188523A1/en not_active Abandoned
-
2020
- 2020-01-22 US US16/749,827 patent/US11083710B2/en active Active
- 2020-01-22 US US16/749,896 patent/US20200297701A1/en not_active Abandoned
- 2020-05-07 US US16/869,268 patent/US11504357B2/en active Active
- 2020-10-30 US US17/086,063 patent/US11717514B2/en active Active
-
2021
- 2021-02-10 JP JP2021019732A patent/JP7079355B2/en active Active
- 2021-06-25 US US17/358,726 patent/US12496292B2/en active Active
- 2021-06-25 US US17/359,277 patent/US11369590B2/en active Active
- 2021-06-25 US US17/359,314 patent/US11318121B2/en active Active
-
2022
- 2022-01-11 US US17/573,304 patent/US20230000836A1/en active Pending
- 2022-05-19 JP JP2022082105A patent/JP7609824B2/en active Active
- 2022-11-21 US US17/991,013 patent/US20230293497A1/en active Pending
-
2023
- 2023-03-09 US US18/181,487 patent/US20230346752A1/en active Pending
-
2024
- 2024-06-12 JP JP2024095014A patent/JP2024117783A/en active Pending
- 2024-12-11 US US18/977,274 patent/US20250108039A1/en active Pending
Cited By (14)
| Publication number | Priority date | Publication date | Assignee | Title |
|---|---|---|---|---|
| US11083710B2 (en) | 2007-08-17 | 2021-08-10 | Purdue Research Foundation | PSMA binding ligand-linker conjugates and methods for using |
| US11298341B2 (en) | 2007-08-17 | 2022-04-12 | Purdue Research Foundation | PSMA binding ligand-linker conjugates and methods for using |
| US11318121B2 (en) | 2007-08-17 | 2022-05-03 | Purdue Research Foundation | PSMA binding ligand-linker conjugates and methods for using |
| US12496292B2 (en) | 2007-08-17 | 2025-12-16 | Purdue Research Foundation | PSMA binding ligand-linker conjugates and methods for using |
| US11369590B2 (en) | 2007-08-17 | 2022-06-28 | Purdue Research Foundation | PSMA binding ligand-linker conjugates and methods for using |
| US11504357B2 (en) | 2007-08-17 | 2022-11-22 | Purdue Research Foundation | PSMA binding ligand-linker conjugates and methods for using |
| US11717514B2 (en) | 2007-08-17 | 2023-08-08 | Purdue Research Foundation | PSMA binding ligand-linker conjugates and methods for using |
| US12091693B2 (en) | 2010-02-25 | 2024-09-17 | Purdue Research Foundation | PSMA binding ligand-linker conjugates and methods for using |
| US11951190B2 (en) | 2013-10-18 | 2024-04-09 | Novartis Ag | Use of labeled inhibitors of prostate specific membrane antigen (PSMA), as agents for the treatment of prostate cancer |
| US11931430B2 (en) | 2013-10-18 | 2024-03-19 | Novartis Ag | Labeled inhibitors of prostate specific membrane antigen (PSMA) as agents for the treatment of prostate cancer |
| US12178892B2 (en) | 2013-11-14 | 2024-12-31 | Purdue Research Foundation | Compounds for positron emission tomography |
| US12208102B2 (en) | 2018-04-17 | 2025-01-28 | Endocyte, Inc. | Methods of treating cancer |
| WO2022108992A1 (en) * | 2020-11-17 | 2022-05-27 | The Johns Hopkins University | Prostate-specific membrane antigen (psma)-targeted prodrug for selective killing of cells expressing psma |
| US12324846B2 (en) | 2023-07-31 | 2025-06-10 | Curium Us Llc | [177LU] lutetium-PSMA IandT composition and dosimetry, kit, method of making, and method of using thereof |
Also Published As
Similar Documents
| Publication | Publication Date | Title |
|---|---|---|
| US11318121B2 (en) | PSMA binding ligand-linker conjugates and methods for using | |
| HK40118231A (en) | Psma binding ligand-linker conjugates and methods for using |
Legal Events
| Date | Code | Title | Description |
|---|---|---|---|
| STPP | Information on status: patent application and granting procedure in general |
Free format text: DOCKETED NEW CASE - READY FOR EXAMINATION |
|
| AS | Assignment |
Owner name: PURDUE RESEARCH FOUNDATION, INDIANA Free format text: ASSIGNMENT OF ASSIGNORS INTEREST;ASSIGNORS:LOW, PHILIP STEWART;KULARATNE, SUMITH A;REEL/FRAME:053725/0267 Effective date: 20080916 |
|
| STPP | Information on status: patent application and granting procedure in general |
Free format text: NON FINAL ACTION MAILED |
|
| STPP | Information on status: patent application and granting procedure in general |
Free format text: RESPONSE TO NON-FINAL OFFICE ACTION ENTERED AND FORWARDED TO EXAMINER |
|
| STPP | Information on status: patent application and granting procedure in general |
Free format text: NON FINAL ACTION MAILED |
|
| STPP | Information on status: patent application and granting procedure in general |
Free format text: RESPONSE TO NON-FINAL OFFICE ACTION ENTERED AND FORWARDED TO EXAMINER |
|
| STPP | Information on status: patent application and granting procedure in general |
Free format text: FINAL REJECTION MAILED |
|
| STCB | Information on status: application discontinuation |
Free format text: ABANDONED -- FAILURE TO RESPOND TO AN OFFICE ACTION |



























































































