WO2021250240A1 - Diaza-18-crown-6 derivative useful for chelating radium, conjugate and radium chelate comprising the same, and uses thereof - Google Patents
Diaza-18-crown-6 derivative useful for chelating radium, conjugate and radium chelate comprising the same, and uses thereof Download PDFInfo
- Publication number
- WO2021250240A1 WO2021250240A1 PCT/EP2021/065774 EP2021065774W WO2021250240A1 WO 2021250240 A1 WO2021250240 A1 WO 2021250240A1 EP 2021065774 W EP2021065774 W EP 2021065774W WO 2021250240 A1 WO2021250240 A1 WO 2021250240A1
- Authority
- WO
- WIPO (PCT)
- Prior art keywords
- group
- diaza
- crown
- radium
- derivative
- Prior art date
- Legal status (The legal status is an assumption and is not a legal conclusion. Google has not performed a legal analysis and makes no representation as to the accuracy of the status listed.)
- Ceased
Links
- 0 C*C(CCc1nc(CN(CC*C2)CCOCCOCCN(Cc3nc(P(*)(O)=O)ccc3)CCOC2S)ccc1)C(C)=O Chemical compound C*C(CCc1nc(CN(CC*C2)CCOCCOCCN(Cc3nc(P(*)(O)=O)ccc3)CCOC2S)ccc1)C(C)=O 0.000 description 1
Classifications
-
- C—CHEMISTRY; METALLURGY
- C07—ORGANIC CHEMISTRY
- C07F—ACYCLIC, CARBOCYCLIC OR HETEROCYCLIC COMPOUNDS CONTAINING ELEMENTS OTHER THAN CARBON, HYDROGEN, HALOGEN, OXYGEN, NITROGEN, SULFUR, SELENIUM OR TELLURIUM
- C07F9/00—Compounds containing elements of Groups 5 or 15 of the Periodic Table
- C07F9/02—Phosphorus compounds
- C07F9/28—Phosphorus compounds with one or more P—C bonds
- C07F9/38—Phosphonic acids [RP(=O)(OH)2]; Thiophosphonic acids ; [RP(=X1)(X2H)2(X1, X2 are each independently O, S or Se)]
- C07F9/3804—Phosphonic acids [RP(=O)(OH)2]; Thiophosphonic acids ; [RP(=X1)(X2H)2(X1, X2 are each independently O, S or Se)] not used, see subgroups
- C07F9/3839—Polyphosphonic acids
-
- A—HUMAN NECESSITIES
- A61—MEDICAL OR VETERINARY SCIENCE; HYGIENE
- A61K—PREPARATIONS FOR MEDICAL, DENTAL OR TOILETRY PURPOSES
- A61K51/00—Preparations containing radioactive substances for use in therapy or testing in vivo
- A61K51/02—Preparations containing radioactive substances for use in therapy or testing in vivo characterised by the carrier, i.e. characterised by the agent or material covalently linked or complexing the radioactive nucleus
- A61K51/04—Organic compounds
- A61K51/08—Peptides, e.g. proteins, carriers being peptides, polyamino acids, proteins
- A61K51/088—Peptides, e.g. proteins, carriers being peptides, polyamino acids, proteins conjugates with carriers being peptides, polyamino acids or proteins
-
- C—CHEMISTRY; METALLURGY
- C07—ORGANIC CHEMISTRY
- C07B—GENERAL METHODS OF ORGANIC CHEMISTRY; APPARATUS THEREFOR
- C07B59/00—Introduction of isotopes of elements into organic compounds ; Labelled organic compounds per se
- C07B59/004—Acyclic, carbocyclic or heterocyclic compounds containing elements other than carbon, hydrogen, halogen, oxygen, nitrogen, sulfur, selenium or tellurium
-
- C—CHEMISTRY; METALLURGY
- C07—ORGANIC CHEMISTRY
- C07D—HETEROCYCLIC COMPOUNDS
- C07D273/00—Heterocyclic compounds containing rings having nitrogen and oxygen atoms as the only ring hetero atoms, not provided for by groups C07D261/00 - C07D271/00
- C07D273/08—Heterocyclic compounds containing rings having nitrogen and oxygen atoms as the only ring hetero atoms, not provided for by groups C07D261/00 - C07D271/00 having two nitrogen atoms and more than one oxygen atom
-
- C—CHEMISTRY; METALLURGY
- C07—ORGANIC CHEMISTRY
- C07F—ACYCLIC, CARBOCYCLIC OR HETEROCYCLIC COMPOUNDS CONTAINING ELEMENTS OTHER THAN CARBON, HYDROGEN, HALOGEN, OXYGEN, NITROGEN, SULFUR, SELENIUM OR TELLURIUM
- C07F3/00—Compounds containing elements of Groups 2 or 12 of the Periodic Table
- C07F3/003—Compounds containing elements of Groups 2 or 12 of the Periodic Table without C-Metal linkages
-
- C—CHEMISTRY; METALLURGY
- C07—ORGANIC CHEMISTRY
- C07F—ACYCLIC, CARBOCYCLIC OR HETEROCYCLIC COMPOUNDS CONTAINING ELEMENTS OTHER THAN CARBON, HYDROGEN, HALOGEN, OXYGEN, NITROGEN, SULFUR, SELENIUM OR TELLURIUM
- C07F9/00—Compounds containing elements of Groups 5 or 15 of the Periodic Table
- C07F9/02—Phosphorus compounds
- C07F9/547—Heterocyclic compounds, e.g. containing phosphorus as a ring hetero atom
- C07F9/6558—Heterocyclic compounds, e.g. containing phosphorus as a ring hetero atom containing at least two different or differently substituted hetero rings neither condensed among themselves nor condensed with a common carbocyclic ring or ring system
- C07F9/65586—Heterocyclic compounds, e.g. containing phosphorus as a ring hetero atom containing at least two different or differently substituted hetero rings neither condensed among themselves nor condensed with a common carbocyclic ring or ring system at least one of the hetero rings does not contain nitrogen as ring hetero atom
Definitions
- the invention belongs to the field of chelation of radium in physiological media.
- diaza-18-crown-6 derivative which is able to form stable chelates with radium ions (Ra 2+ ) in physiological media and which is functionalized with a moiety for a covalent bonding reaction.
- This moiety allows, for example, covalently bonding the diaza-18-crown-6 derivative to a biological cell-targeting moiety in view of preparing a radiopharmaceutical or grafting the diaza-18-crown-6 derivative onto a solid support in view of preparing a stationary phase for chromatography column.
- It also relates to a conjugate comprising the diaza-18-crown-6 derivative covalently bonded to a biological cell-targeting moiety and, notably, to a cancer cell- targeting moiety.
- a chelate comprising radium and, notably, radium-223, radium-224 or radium-225, chelated by the conjugate.
- Radium-223 is the first a-emitter radionuclide which was approved by the Food and Drug Administration (FDA) for a-radiotherapy applications.
- FDA Food and Drug Administration
- Radium-223 is currently used as an aqueous injectable solution containing radium- 223 chloride ( 223 RaCl 2 ), which is commercially available as XofigoTM, for treating castration- resistant prostate cancers with symptomatic bone metastases and no known visceral metastases.
- 223 RaCl2 radium- 223 chloride
- the targeting of the cancer cells by 223 RaCl2 relies on the inherent chemistry of radium which is similar to that of calcium and which leads radium-223 to accumulate in bone mineralization sites.
- chelating agents which are able to form stable chelates with Ra 2+ ions in physiological media and which further comprise a moiety allowing these chelates to be selectively delivered to disease-specific sites. It is known that diaza-18-crown-6 derivatives bearing two pendent arms are able to form chelates in aqueous media with many metal ions such as barium, radium, lead, bismuth, lanthanide and actinide ions.
- diaza-18-crown-6 derivative in which each of the pendent arms is a picolinic acid (i.e. a pyridyl-2 carboxylic acid).
- This diaza-18-crown- 6 derivative which is known as Macropa, has been proposed notably to extract lanthanides from aqueous media (see ES-A-2340 120), to remove or inhibit barium sulfate scale (see WO-A-2019/232294) but also to prepare radiolabeled conjugates useful in targeted a- radiotherapy of cancers (see WO-A-2020/106886).
- the invention sets out precisely to propose such a compound.
- This compound is a diaza-18-crown-6 derivative of formula (I): wherein: B is a moiety for a covalent bonding reaction; the two A are identical to each other and are a group of formula (II): where: n is 0, 1, 2, 3 or 4; and
- X 1 , X 2 , X 3 , X 4 and X 5 which may be identical or different, are a nitrogen atom, a -CH group or a -CR group wherein R is a -P(O)(OR 1 )(OR 2 ), -P(O)R 1 (OR 2 ), -P(O)R 1 R 2 , -P(S)(SR 1 )(SR 2 ), -P(S)R 1 (SR 2 ) or -P(S)R 1 R 2 group in which R 1 and R 2 , which may be identical or different, are a hydrogen atom, or a straight-chain or branched alkyl group having 1 to 4 carbon atoms, with the proviso that no more than two of X 1 , X 2 , X 3 , X 4 and X 5 are a nitrogen atom and no more than one of X 1 , X 2 , X 3 , X 4 and X 5 is a
- moiety for o covalent bonding reaction is meant any moiety comprising at least one reactive group allowing a covalent bonding, by a chemical reaction, of the diaza- 18-crown-6 derivative to another (organic, inorganic or organic-inorganic) compound or material which itself comprises at least one reactive group.
- the moiety for a covalent bonding reaction may notably be a moiety comprising at least one reactive group allowing a covalently bonding, by a chemical reaction, of the diaza-18-crown-6 derivative, directly or through a spacer arm, to a biological cell-targeting moiety.
- straight-chain or branched alkyl group having 1 to 4 carbon atoms is meant any alkyl group chosen from methyl, ethyl, n-propyl, isopropyl, n-butyl, sec-butyl, isobutyl and tert-butyl groups.
- X 1 is preferably a nitrogen atom
- one of X 2 , X 3 , X 4 and X 5 is preferably a -CR group, in which case three of X 2 , X 3 , X 4 and X 5 are a -CH group.
- X 2 is a -CR group while X 3 , X 4 and X 5 are a -CH group.
- the R of the -CR group is preferably a -P(O)(OR 1 )(OR 2 ), -P(O)R 1 (OR 2 ) or -P(O) R 1 R 2 group.
- n is 1.
- Diaza-18-crown-6 derivatives having such preferred features are in particular the diaza-18-crown-6 derivatives of formula (III): in which B, R 1 and R 2 are as defined above.
- R 1 and R 2 are identical to each other and are a hydrogen atom, a methyl group or an ethyl group. More preferably, R 1 and R 2 are a hydrogen atom.
- diaza-18-crown-6-derivative which is particularly preferred is the diaza- 18-crown-6-derivative of formula (IV):
- the moiety B is preferably a saturated or unsaturated, acyclic hydrocarbon group comprising 1 to 12 carbon atoms with optionally one or more heteroatoms, and comprising a reactive group chosen from the carboxyl, acyl halide, acid anhydride, hydroxyl, aldehyde, azide, ketone, thiol, amine, amide, halogeno, ester, ether, vinyl, alkynyl (for example, propargyl), imide, maleimide and oxime groups.
- a reactive group chosen from the carboxyl, acyl halide, acid anhydride, hydroxyl, aldehyde, azide, ketone, thiol, amine, amide, halogeno, ester, ether, vinyl, alkynyl (for example, propargyl), imide, maleimide and oxime groups.
- saturated or unsaturated, acyclic hydrocarbon group comprising 1 to 12 carbon atoms and optionally one or more heteroatoms is meant any saturated, linear or branched, hydrocarbon group, i.e. any alkyl group, comprising 1, 2, 3, 4, 5, 6, 7, 8, 9, 10, 11 or 12 carbon atoms or any unsaturated, linear or branched, hydrocarbon group, i.e. any alkenyl or alkynyl group, comprising 2, 3, 4, 5, 6, 7, 8, 9, 10, 11 or 12 carbon atoms, the chain of which may be interrupted by one or more heteroatoms or be substituted by one or more heteroatoms.
- heteroatom any atom other than carbon and hydrogen atoms, the heteroatom being typically a nitrogen, oxygen or sulphur atom.
- the reactive group of the moiety B is preferably a terminal carboxyl group (-COOH) or amine group (-NH2).
- the moiety B may notably be a group of formula:
- diaza-18-crown-6 derivatives comprising such a moiety B are those of formulae (VII) and (VIII) which are shown in Figures 2 and 3.
- the diaza-18-crown-6 derivative may be used for preparing a stationary phase for chromatography column.
- Such a stationary phase may be prepared by grafting the diaza-18-crown-6 derivative by means of the moiety B onto a solid support which may be either an inorganic support such as, for example, silica or alumina particles, silica gel, porous glass, or an organic support such as a polymer (polyacrylamide, polyvinyl, poly(meth)acrylate, agarose for example) or still an inorganic-organic support.
- the grafting is possibly made after creation on the solid support of reactive sites able to react with the reactive group of the moiety B.
- the diaza-18-crown-6 derivative is preferably used for preparing a conjugate comprising a biological cell-targeting moiety useful, after chelation of radium, as a radiopharmaceutical.
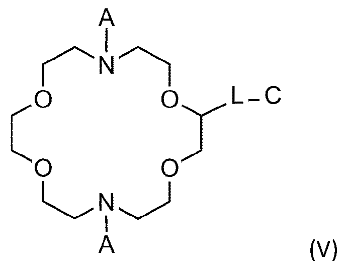
- Such a conjugate may be represented by formula (V): wherein: the two A are as defined hereinabove;
- L is a linker
- C is a biological cell-targeting moiety.
- biological cell-targeting moiety any moiety able to specifically recognize and bind to biological cells.
- a moiety may be a biomolecule (i.e. a molecule which is naturally present in living beings) or with a synthetic molecule which mimics structurally and/or functionally a biomolecule.
- the targeting moiety for biological cells may notably comprise or be constituted by a monoclonal antibody, a monoclonal antibody fragment, a protein, a peptide, a carbohydrate, an aptamer, a vitamin, a hormone, a neurotransmitter, a steroid, a vesicle such as a liposome, a growth factor, an agonist or antagonist ligand of a cell receptor such as a membrane receptor.
- the diaza-18-crown-6-ether derivative may be directly bonded to the moiety C, in which case L is the rest of the moiety B of the diaza-18-crown- 6 derivative.
- rest of the moiety B is meant the atom group belonging to the moiety B which remains on the diaza-18-crown-6-ether derivative after being bonded to the moiety C.
- the diaza-18-crown-6-ether derivative may also be bonded to the moiety C via a spacer arm to which the moiety C is already bonded or will be later bonded, in which case L is the atom group formed by the rest of the moiety B together with the rest of the spacer arm.
- rest of the spacer arm is meant the atom group belonging to the spacer arm which remains after being bonded, on the one hand, to the moiety B and, on the other hand, to the moiety C.
- the spacer arm may be chosen from a large number of compounds, as long as they have at least two reactive groups capable of chemically reacting with, on the one hand, the reactive group of the moiety B and, on the other hand, a reactive group belonging to the moiety C, and do not adversely affect the solubility of the conjugate in aqueous media and, notably, in physiological media.
- the spacer arm may notably be a polyethylene glycol such as, for example, PEG2, PEG4, PEG 6 or PEG12, an oligopeptide (preferably of no more than 10 amino acids), a polyamine, a polyol, an amino-alkanoic acid such as 4-aminobutanoic acid, 5-aminopentanoic acid or 6-aminohexanoic acid, an alkanedioic acid such as butanedioic acid, pentanedioic acid or hexanedioic acid, a group comprising at least one cycle (which may be a cycloalkyl such as a cyclopentyl or cyclohexyl, a saturated or unsaturated heterocycle such as a piperidinyl, pyridinyl, phenyl or triazolyl cycle) together with two reactive functions such as 4-amino-l-carboxymethylpiperidine or 4-(2aminoethyl, 4-
- the targeting moiety for biological cells is preferably:
- GRPR bombesin receptor
- PSMA prostate specific membrane antigen
- a radium chelate is obtained.
- an example of a preferred radium chelate may be the chelate of formula (VI):
- the chelated radium is preferably radium-223, radium- 224 or radium-225, in which case the radium chelate may be used as a radiopharmaceutical and, notably, for treating a cancer by targeted a-radiotherapy, which cancer is preferably a prostate cancer and, most preferably, a castration-resistant prostate cancer.
- Figure 1 illustrates a general synthesis route of the diaza-18-crown-6 derivatives of formula (I).
- Figure 2 illustrates a first example of adaptation of the general synthesis route of
- Figure 3 illustrates a second example of adaptation of the general synthesis route of Figure 1 to the synthesis of another particular diaza-18-crown-6 derivative of formula (I).
- the diaza-18-crown-6 derivatives of formula (I) may be obtained by the general synthesis route illustrated in Figure 1.
- a first step denoted A 1,2-ethanediol, denoted 1 and substituted with a moiety B which has been previously protected by an appropriate protective group and which is therefore denoted B pr , is subjected to a reaction with a monohalogenoacetic acid of formula: HalCH 2 COOH in which Hal is, for example, a chlorine, bromine or fluorine atom, in the presence of a strong base such as potassium tert- butoxide in tert-butanol, to obtain compound 2.
- a monohalogenoacetic acid of formula: HalCH 2 COOH in which Hal is, for example, a chlorine, bromine or fluorine atom, in the presence of a strong base such as potassium tert- butoxide in tert-butanol, to obtain compound 2.
- compound 2 is subjected to a reaction with an oxalyl halide of formula: (COHal) 2 in which Hal is, for example, a chorine, bromine or fluorine atom, in the presence of a weak base such as pyridine, in an apolar solvent such as toluene, to obtain compound 3.
- Hal is, for example, a chorine, bromine or fluorine atom
- compound 3 is subjected to a reaction with 2,2'-(ethylenedioxy)bis(ethylamine) of formula: NH 2 (CH 2 ) 2 O(CH 2 ) 2 O(CH 2 ) 2 NH 2 , in the presence of a strong base such as triethylamine (NEt 3 ), in an apolar solvent such as toluene, to obtain compound 4.
- a strong base such as triethylamine (NEt 3 )
- apolar solvent such as toluene
- compound 4 is subjected to a reaction with a strong reducing agent, such as a tetrahydroaluminate of formula: MAIH4 in which M is, for example, sodium, potassium or lithium, in a polar solvent such as tetrahydrofurane (THF) to obtain compound 5.
- a strong reducing agent such as a tetrahydroaluminate of formula: MAIH4 in which M is, for example, sodium, potassium or lithium
- THF tetrahydrofurane
- compound 5 is subjected to a reaction with a halide of formula: in which Hal is, for example, a chlorine, bromine or fluorine atom, in the presence of a carbonate of formula: M 2 CO 3 in which M is, for example, sodium or potassium, in a polar solvent such as acetonitrile, to obtain compound 6.
- a halide of formula: in which Hal is, for example, a chlorine, bromine or fluorine atom in the presence of a carbonate of formula: M 2 CO 3 in which M is, for example, sodium or potassium, in a polar solvent such as acetonitrile, to obtain compound 6.
- Figure 2 illustrates an adaptation of the general synthesis route shown in Figure 1 to the synthesis of the diaza-18-crown-6 derivative of formula (VII): which corresponds to the diaza-18-crown-6 derivative of formula (IV) wherein the moiety B is a -CH 2 -O-(CH 2 ) 2 -COOH group.
- this synthesis comprises 9 steps, denoted a) to i). Step a):
- Step a) corresponds to step A of Figure 1.
- the aqueous layer was acidified with hydrochloric acid (HCI) and extracted with ethyl acetate (EtOAc) and the combined organic layers were washed with brine, dried over magnesium sulfate (MgSO 4 ), filtered and the solvent was removed under reduced pressure to give the crude compound as a yellow oil.
- the crude oil was purified by vacuum distillation to give 2,2'-((3-(allyloxy)propane-l,2- diyl)bis(oxy))diacetic acid.
- Step b) corresponds to step B of Figure 1.
- oxalyl chloride ((COCI) 2 )
- pyridine oxalyl chloride
- the mixture was stirred at room temperature for 18 hours.
- the mixture was filtered and the solvent was removed under reduced pressure.
- the excess oxalyl chloride was removed by co-evaporation with toluene to give 2,2'-((3-(allyloxy)propane-l,2-diyl)bis(oxy))diacetyl chloride.
- Step c) corresponds to step C of Figure 1.
- Step d) corresponds to step D of Figure 1.
- the crude compound was purified by column chromatography (silica, CHCl 3 :MeOH:NH 4 OH 100:5:0.1) to give (7,16-dibenzyl-1,4,10,13- tetraoxa-7,16-diazacyclooctadecan-2-yl)methanol.
- the crude compound was purified by column chromatography (silica/alumina, solvent system) to give methyl 3-((7, 16-dibenzyl- 1,4,10,13-tetraoxa-7,16-diazacyclo-octadecan-2-yl)methoxy)propanoate.
- Step h) corresponds to step E of Figure 1.
- Figure 3 illustrates an adaptation of the general synthesis route shown in Figure 1 to the synthesis of the diaza-18-crown-6 derivative of formula (VIII): which corresponds to the diaza-18-crown-6 derivative of formula (IV) wherein B is a -CH 2 - NH-CO-(CH 2 )2-COOH group.
- this synthesis comprises 12 steps, denoted a) to I).
- Steps a) to e) are identical to steps a) to e) as described above and shown in Figure 2 and lead to (7,16-dibenzyl-l,4,10,13-tetraoxa-7,16-diazacyclooctadecan-2-yl)-methanol.
- tert-butyl ((1,4,10,13- tetraoxa-7,16-diazacyclooctadecan-2-yl)methyl)(tert-butoxycarbonyl)carbamate.
- the crude product was purified by column chromatography (alumina, CHCbiMeOH 100:0.05) to give tert-butyl ((7,16-bis((6-(diethoxyphosphoryl)-pyridin-2- yl)methyl)-l,4,10,13-tetraoxa-7,16-diazacyclooctadecan-2-yl)methyl)(tert- butoxycarbonyl)carbamate.
- the diaza-18-crown-6 derivative of formula (IX) was compared to Macropa in the experimental study while it was compared to CyDTA (i.e. 1,2-cyclohexylenedinitrilo- tetraacetic acid), DTPA (i.e. diethylenetriaminepentaacetic acid), EDTA (i.e. ethylene- diaminetetraacetic acid), EGTA (i.e. triethyleneglycoldiaminetetraacetic acid), DOTA (i.e. 1,4,7,10-tetraazacyclododecane-l,4,7,10-tetraacetic acid) and Macropa in the computational analysis.
- CyDTA i.e. 1,2-cyclohexylenedinitrilo- tetraacetic acid
- DTPA i.e. diethylenetriaminepentaacetic acid
- EDTA i.e. ethylene- diaminetetraacetic acid
- EGTA i.e
- 223 RaCl 2 namely XofigoTM
- XofigoTM Commercially available 223 RaCl 2 , namely XofigoTM
- TK100-B01-S Triskem International
- ion exchange resin 200 mg
- 6 mL of XofigoTM were loaded to the cartridge.
- 15 mL of an aqueous solution of 0.01 M HCI were loaded to the cartridge and were let eluting.
- the desalinated trapped 223 Ra was eluted with 300 ⁇ L portions of an aqueous solution of 0.1 M HCI. The fractions were collected and the radioactivity of each portion was measured.
- the total concentration of the eluted 223 Ra was measured as 0.5 MBq/mL with a recovery rate >90%.
- 0,1 mL solutions containing 5 ⁇ g, 10 mg, 25 mg, 50 ⁇ g and 100 ⁇ g of diaza-18- crown-6 derivative of formula (IX) or Macropa were prepared with sterile, demetallated water.
- desalinated 223 Ra in 0.1 M HCI (0.02 MBq, 0.1 mL) and 0.2 mL of 1 M ammonium acetate buffer (pH 7.5) were successively added to each solution and the pH was adjusted to 7 by addition of 1 M NaOH (1-3 pL) if necessary. Reactions were performed for 30 minutes at room temperature.
- the chelating yields were evaluated by thin layer radiochromatography. To do this, 15 ⁇ L of the prepared Ra-labeled chelator solutions were spotted onto DGA TLC sheets (Triskem International). The impregnated DGA sheets were then developed in a 0.1 M NaOH solution and monitored by means of a phosphor imager (CycloneTM Plus Storage Phosphor System, Perkin Elmer).
- DFT Density Functional Theory
- the binding constant K eq is related to reaction enthalpy ⁇ G by:
- reaction enthalpy AG (or Gibbs free energy) for the formation of the complex can be calculated by the difference of the inner enthalpy of the reaction components:
- the Polarizable Continuum Model has also been used to mimic solvent-specific effects.
- the metal-chelator complexes were simulated without additional water molecules. The calculation considers only the metal-chelator interaction enthalpy, while further effects are taken into account by linear correction factors. Based on linear correlation, all potential sources of systematic errors will be collected in a chelator- or metal-specific correction terms ( a metal, a chelator) and (bmetai, bcheiator) according to the following equation:
- the correction factors, a m etai, a chelator and correction constants b metal, b chelator were determined by plotting the calculated binding constants as a function of literature binding constants described by T. Sekine et ol. (Bult. Chem. Soc. J. 1968, 41, 3013-3015) for Ca, Sr, Ba and Ra cations and CyDTA, DTPA, EDTA, EGTA chelators. The correction factors a and b were fitted until a slope of 1.00 was achieved for all calculated systems.
- the current results allow an estimation of the binding constants and indicate that a stronger coordination for the diaza-18-crown-6 derivative of formula (IX) than for Macropa can be expected.
- the peptide JMV594 was firstly synthesized according to standard Fmoc peptide synthesis on solid support.
- the amino acids were coupled one by one on a rink amide resin with HATU (1.9 eq.) and DIPEA (5 eq.).
- the diaza-18-crown-6 derivative of formula (VII) was coupled to the spacer arm by reaction of the carboxyl group of the diaza-18-crown-6 derivative with the amino group of the spacer arm.
- the conjugate was globally deprotected and cleaved from the resin with a cocktail containing trifluoroacetic acid, phenol, water and triisopropylsilane.
Landscapes
- Chemical & Material Sciences (AREA)
- Organic Chemistry (AREA)
- Health & Medical Sciences (AREA)
- Life Sciences & Earth Sciences (AREA)
- General Health & Medical Sciences (AREA)
- Biochemistry (AREA)
- Molecular Biology (AREA)
- Proteomics, Peptides & Aminoacids (AREA)
- Physics & Mathematics (AREA)
- Medicinal Chemistry (AREA)
- Optics & Photonics (AREA)
- Pharmacology & Pharmacy (AREA)
- Epidemiology (AREA)
- Animal Behavior & Ethology (AREA)
- Public Health (AREA)
- Veterinary Medicine (AREA)
- Pharmaceuticals Containing Other Organic And Inorganic Compounds (AREA)
Abstract
The invention relates to a diaza-18-crown-6 derivative having formula (I): wherein: B is a moiety for a covalent bonding reaction; the two A are identical to each other and are a group of formula (II): where: n = 0 to 4; X1, X2, X3, X4 and X5 are N, a -CH group or a -CR group wherein R is a -P(O)(OR1)(OR2), -P(O)R1(OR2), -P(O)R1R2, -P(S)(SR1)(SR2), -P(S)R1(SR2) or -P(S)R1R2 group in which R1 and R2, identical or different, are H, or a C1-C4 alkyl group, provided that no more than two of X1, X2, X3, X4 and X5 are N and no more than one of X1, X2, X3, X4 and X5 is a -CR group. The invention also relates to a conjugate comprising the diaza-18-crown-6 derivative covalently bonded to a targeting moiety for biological cells, a chelate comprising radium chelated by the conjugate, and to uses of the diaza-18-crown-6 derivative, the conjugate and the chelate.
Description
DIAZA-18-CROWN-6 DERIVATIVE USEFUL FOR CHELATING RADIUM, CONJUGATE AND RADIUM CHELATE COMPRISING THE SAME, AND USES THEREOF
DESCRIPTION
Technical Field
The invention belongs to the field of chelation of radium in physiological media.
More specifically, it relates to a diaza-18-crown-6 derivative which is able to form stable chelates with radium ions (Ra2+) in physiological media and which is functionalized with a moiety for a covalent bonding reaction. This moiety allows, for example, covalently bonding the diaza-18-crown-6 derivative to a biological cell-targeting moiety in view of preparing a radiopharmaceutical or grafting the diaza-18-crown-6 derivative onto a solid support in view of preparing a stationary phase for chromatography column.
It also relates to a conjugate comprising the diaza-18-crown-6 derivative covalently bonded to a biological cell-targeting moiety and, notably, to a cancer cell- targeting moiety.
It further relates to a chelate comprising radium and, notably, radium-223, radium-224 or radium-225, chelated by the conjugate.
It still further relates to uses of the diaza-18-crown-6 derivative, the conjugate and the chelate.
Background of the Invention
Radium-223 is the first a-emitter radionuclide which was approved by the Food and Drug Administration (FDA) for a-radiotherapy applications.
Radium-223 is currently used as an aqueous injectable solution containing radium- 223 chloride (223RaCl2), which is commercially available as Xofigo™, for treating castration- resistant prostate cancers with symptomatic bone metastases and no known visceral metastases. The targeting of the cancer cells by 223RaCl2 relies on the inherent chemistry of radium which is similar to that of calcium and which leads radium-223 to accumulate in bone mineralization sites.
In order to broaden the uses of radium in a-radiotherapy, it is needed to have chelating agents which are able to form stable chelates with Ra2+ ions in physiological media and which further comprise a moiety allowing these chelates to be selectively delivered to disease-specific sites. It is known that diaza-18-crown-6 derivatives bearing two pendent arms are able to form chelates in aqueous media with many metal ions such as barium, radium, lead, bismuth, lanthanide and actinide ions.
Particular attention has been given to a diaza-18-crown-6 derivative in which each of the pendent arms is a picolinic acid (i.e. a pyridyl-2 carboxylic acid). This diaza-18-crown- 6 derivative, which is known as Macropa, has been proposed notably to extract lanthanides from aqueous media (see ES-A-2340 120), to remove or inhibit barium sulfate scale (see WO-A-2019/232294) but also to prepare radiolabeled conjugates useful in targeted a- radiotherapy of cancers (see WO-A-2020/106886).
Considering that it should be useful to further expand the range of radium chelating agents and, notably, of radium chelating agents able to be used in a-radiotherapy, the inventors set themselves the goal of providing new compounds which are able to chelate Ra2+ ions efficiently and in a stable manner in physiological media and which can further be covalently bonded to a biological cell-targeting moiety and, in particular, to a cancer cell-targeting moiety. Summary of the Invention
The invention sets out precisely to propose such a compound.
This compound is a diaza-18-crown-6 derivative of formula (I):
wherein:
B is a moiety for a covalent bonding reaction; the two A are identical to each other and are a group of formula (II):
where: n is 0, 1, 2, 3 or 4; and
X1, X2, X3, X4 and X5, which may be identical or different, are a nitrogen atom, a -CH group or a -CR group wherein R is a -P(O)(OR1)(OR2), -P(O)R1(OR2), -P(O)R1R2, -P(S)(SR1)(SR2), -P(S)R1(SR2) or -P(S)R1R2 group in which R1 and R2, which may be identical or different, are a hydrogen atom, or a straight-chain or branched alkyl group having 1 to 4 carbon atoms, with the proviso that no more than two of X1, X2, X3, X4 and X5 are a nitrogen atom and no more than one of X1, X2, X3, X4 and X5 is a -CR group.
By "moiety for o covalent bonding reaction", is meant any moiety comprising at least one reactive group allowing a covalent bonding, by a chemical reaction, of the diaza- 18-crown-6 derivative to another (organic, inorganic or organic-inorganic) compound or material which itself comprises at least one reactive group. The moiety for a covalent bonding reaction may notably be a moiety comprising at least one reactive group allowing a covalently bonding, by a chemical reaction, of the diaza-18-crown-6 derivative, directly or through a spacer arm, to a biological cell-targeting moiety.
By "straight-chain or branched alkyl group having 1 to 4 carbon atoms”, is meant any alkyl group chosen from methyl, ethyl, n-propyl, isopropyl, n-butyl, sec-butyl, isobutyl and tert-butyl groups.
According to the invention, X1 is preferably a nitrogen atom, one of X2, X3, X4 and X5 is preferably a -CR group, in which case three of X2, X3, X4 and X5 are a -CH group.
More preferably, X2 is a -CR group while X3, X4 and X5 are a -CH group.
Also, according to the invention, the R of the -CR group is preferably a -P(O)(OR1)(OR2), -P(O)R1(OR2) or -P(O) R1R2 group. Advantageously, n is 1.
Diaza-18-crown-6 derivatives having such preferred features are in particular the diaza-18-crown-6 derivatives of formula (III):
in which B, R1 and R2 are as defined above.
Preferably, R1 and R2 are identical to each other and are a hydrogen atom, a methyl group or an ethyl group. More preferably, R1 and R2 are a hydrogen atom.
Hence, a diaza-18-crown-6-derivative which is particularly preferred is the diaza- 18-crown-6-derivative of formula (IV):
According to the invention, the moiety B is preferably a saturated or unsaturated, acyclic hydrocarbon group comprising 1 to 12 carbon atoms with optionally one or more heteroatoms, and comprising a reactive group chosen from the carboxyl, acyl halide, acid anhydride, hydroxyl, aldehyde, azide, ketone, thiol, amine, amide, halogeno, ester, ether, vinyl, alkynyl (for example, propargyl), imide, maleimide and oxime groups.
By "saturated or unsaturated, acyclic hydrocarbon group comprising 1 to 12 carbon atoms and optionally one or more heteroatoms" , is meant any saturated, linear or branched, hydrocarbon group, i.e. any alkyl group, comprising 1, 2, 3, 4, 5, 6, 7, 8, 9, 10, 11 or 12 carbon atoms or any unsaturated, linear or branched, hydrocarbon group, i.e. any
alkenyl or alkynyl group, comprising 2, 3, 4, 5, 6, 7, 8, 9, 10, 11 or 12 carbon atoms, the chain of which may be interrupted by one or more heteroatoms or be substituted by one or more heteroatoms.
By "heteroatom" , is meant any atom other than carbon and hydrogen atoms, the heteroatom being typically a nitrogen, oxygen or sulphur atom.
The reactive group of the moiety B is preferably a terminal carboxyl group (-COOH) or amine group (-NH2).
Hence, the moiety B may notably be a group of formula:
* -(CH2)p-NH2, where p is an integer from 1 to 10 and, preferably, from 1 to 6,
* -(CH2)q-COOH, where q is an integer from 1 to 10 and, preferably, from 1 to 6,
* -(CH2)r-O-(CH2)s-NH2, where r and s, identical or different, are integers from 1 to 5 and, preferably, equal to 1, 2 or 3,
* -(CH2)r-O-(CH2)s-COOH, where r and s, identical or different, are integers from 1 to 5 and, preferably, equal to 1, 2 or 3,
* -(CH2)r-NH-CO-(CH2)s-NH2, where r and s, identical or different, are integers from 1 to 5 and, preferably, equal to 1, 2 or 3, or
* -(CH2)r-NH-CO-(CH2)s-COOH, where r and s, identical or different, are integers from 1 to 5 and, preferably, equal to 1, 2 or 3.
Examples of diaza-18-crown-6 derivatives comprising such a moiety B are those of formulae (VII) and (VIII) which are shown in Figures 2 and 3.
According to the invention, the diaza-18-crown-6 derivative may be used for preparing a stationary phase for chromatography column.
Such a stationary phase may be prepared by grafting the diaza-18-crown-6 derivative by means of the moiety B onto a solid support which may be either an inorganic support such as, for example, silica or alumina particles, silica gel, porous glass, or an organic support such as a polymer (polyacrylamide, polyvinyl, poly(meth)acrylate, agarose for example) or still an inorganic-organic support. As known perse, the grafting is possibly made after creation on the solid support of reactive sites able to react with the reactive group of the moiety B.
However, the diaza-18-crown-6 derivative is preferably used for preparing a conjugate comprising a biological cell-targeting moiety useful, after chelation of radium, as a radiopharmaceutical.
L is a linker;
C is a biological cell-targeting moiety.
By "biological cell-targeting moiety", is meant any moiety able to specifically recognize and bind to biological cells. Such a moiety may be a biomolecule (i.e. a molecule which is naturally present in living beings) or with a synthetic molecule which mimics structurally and/or functionally a biomolecule.
Thus, the targeting moiety for biological cells may notably comprise or be constituted by a monoclonal antibody, a monoclonal antibody fragment, a protein, a peptide, a carbohydrate, an aptamer, a vitamin, a hormone, a neurotransmitter, a steroid, a vesicle such as a liposome, a growth factor, an agonist or antagonist ligand of a cell receptor such as a membrane receptor.
According to the invention, the diaza-18-crown-6-ether derivative may be directly bonded to the moiety C, in which case L is the rest of the moiety B of the diaza-18-crown- 6 derivative. By "rest of the moiety B", is meant the atom group belonging to the moiety B which remains on the diaza-18-crown-6-ether derivative after being bonded to the moiety C.
However, the diaza-18-crown-6-ether derivative may also be bonded to the moiety C via a spacer arm to which the moiety C is already bonded or will be later bonded,
in which case L is the atom group formed by the rest of the moiety B together with the rest of the spacer arm. Hereto, by "rest of the spacer arm", is meant the atom group belonging to the spacer arm which remains after being bonded, on the one hand, to the moiety B and, on the other hand, to the moiety C.
The spacer arm may be chosen from a large number of compounds, as long as they have at least two reactive groups capable of chemically reacting with, on the one hand, the reactive group of the moiety B and, on the other hand, a reactive group belonging to the moiety C, and do not adversely affect the solubility of the conjugate in aqueous media and, notably, in physiological media.
Thus, for example, the spacer arm may notably be a polyethylene glycol such as, for example, PEG2, PEG4, PEG6 or PEG12, an oligopeptide (preferably of no more than 10 amino acids), a polyamine, a polyol, an amino-alkanoic acid such as 4-aminobutanoic acid, 5-aminopentanoic acid or 6-aminohexanoic acid, an alkanedioic acid such as butanedioic acid, pentanedioic acid or hexanedioic acid, a group comprising at least one cycle (which may be a cycloalkyl such as a cyclopentyl or cyclohexyl, a saturated or unsaturated heterocycle such as a piperidinyl, pyridinyl, phenyl or triazolyl cycle) together with two reactive functions such as 4-amino-l-carboxymethylpiperidine or 4-(2aminoethyl)-l- carboxymethyl piperazine, and combinations thereof.
If the conjugate is intended to be used, after chelation of radium, as a radiopharmaceutical for treating a prostate cancer and, in particular, a castration-resistant cancer prostate by targeted a-radiotherapy, then the targeting moiety for biological cells is preferably:
- either a bombesin receptor (GRPR) antagonist peptide such as, for example, one of those which are disclosed in WO-A-2009/109332 and notably the peptide known as JMV594 (of formula: DPhe-Gln-Trp-Ala-Val-Gly-His-Sta-Leu-NH2);
- or a ligand of the prostate specific membrane antigen (PSMA) such as, for example, one of those which are disclosed in WO-A-2009/026177 and notably one of those which are urea of two amino acids.
After chelation of radium by the conjugate as defined hereinabove, a radium chelate is obtained.
Without being bound by any theory, an example of a preferred radium chelate may be the chelate of formula (VI):
According to the invention, the chelated radium is preferably radium-223, radium- 224 or radium-225, in which case the radium chelate may be used as a radiopharmaceutical and, notably, for treating a cancer by targeted a-radiotherapy, which cancer is preferably a prostate cancer and, most preferably, a castration-resistant prostate cancer.
Other characteristics and advantages of the invention will become betterapparent on reading the complement to the description that follows. Obviously, this complement to the description is only given to illustrate the object of the invention and does not constitute in any case a limitation of said object.
Brief Description of the Figures
Figure 1 illustrates a general synthesis route of the diaza-18-crown-6 derivatives of formula (I). Figure 2 illustrates a first example of adaptation of the general synthesis route of
Figure 1 to the synthesis of a particular diaza-18-crown-6 derivative of formula (I).
Figure 3 illustrates a second example of adaptation of the general synthesis route of Figure 1 to the synthesis of another particular diaza-18-crown-6 derivative of formula (I).
Detailed Description of the Invention I - General synthesis route of the diaza-18-crown-6 derivatives of formula (I):
The diaza-18-crown-6 derivatives of formula (I) may be obtained by the general synthesis route illustrated in Figure 1.
As shown in Figure 1, at a first step denoted A, 1,2-ethanediol, denoted 1 and substituted with a moiety B which has been previously protected by an appropriate protective group and which is therefore denoted Bpr, is subjected to a reaction with a monohalogenoacetic acid of formula: HalCH2COOH in which Hal is, for example, a chlorine, bromine or fluorine atom, in the presence of a strong base such as potassium tert- butoxide in tert-butanol, to obtain compound 2.
At a second step denoted B in Figure 1, compound 2 is subjected to a reaction with an oxalyl halide of formula: (COHal)2 in which Hal is, for example, a chorine, bromine or fluorine atom, in the presence of a weak base such as pyridine, in an apolar solvent such as toluene, to obtain compound 3.
At a third step denoted C in Figure 1, compound 3 is subjected to a reaction with 2,2'-(ethylenedioxy)bis(ethylamine) of formula: NH2(CH2)2O(CH2)2O(CH2)2NH2, in the presence of a strong base such as triethylamine (NEt3), in an apolar solvent such as toluene, to obtain compound 4.
At a fourth step denoted D in Figure 1, compound 4 is subjected to a reaction with a strong reducing agent, such as a tetrahydroaluminate of formula: MAIH4 in which M is, for example, sodium, potassium or lithium, in a polar solvent such as tetrahydrofurane (THF) to obtain compound 5.
At a fifth step denoted E in Figure 1, compound 5 is subjected to a reaction with a halide of formula:
in which Hal is, for example, a chlorine, bromine or fluorine atom, in the presence of a carbonate of formula: M2CO3 in which M is, for example, sodium or potassium, in a polar solvent such as acetonitrile, to obtain compound 6.
At a last step denoted F in Figure 1, the moiety B is deprotected to obtain a diaza- 18-crown-6 derivative of formula (I).
II - Examples of adaptation of the general synthesis route to the synthesis of particular diaza-18-crown-6 derivatives of formula (I):
As obvious for one skilled in the art, the general synthesis route shown in Figure 1 may be adapted notably depending on the meaning of the moiety B and the meanings of R1 and/or R2 in the -CR group of the diaza-18-crown-6 derivative of formula (I).
As a first example, Figure 2 illustrates an adaptation of the general synthesis route shown in Figure 1 to the synthesis of the diaza-18-crown-6 derivative of formula (VII):
which corresponds to the diaza-18-crown-6 derivative of formula (IV) wherein the moiety B is a -CH2-O-(CH2)2-COOH group.
As shown in Figure 2, this synthesis comprises 9 steps, denoted a) to i). Step a):
Step a) corresponds to step A of Figure 1.
To a solution of potassium tert- butoxide (tBuOK) in tert-butanol was added 3-(allyl)oxy-l, 2-propanediol. The solution was stirred at room temperature for 1 hour before a solution of chloroacetic acid (CICH2COOH) in tert-butanol was added dropwise over an hour. The mixture was refluxed for 18 hours before the reaction was cooled to room temperature and the solvent was removed under reduced pressure. The residue was dissolved in H2O and extracted with diethyl ether (Et2O). The aqueous layer was acidified with hydrochloric acid (HCI) and extracted with ethyl acetate (EtOAc) and the combined organic layers were washed with brine, dried over magnesium sulfate (MgSO4), filtered and the solvent was removed under reduced pressure to give the crude compound as a yellow oil. The crude oil was purified by vacuum distillation to give 2,2'-((3-(allyloxy)propane-l,2- diyl)bis(oxy))diacetic acid.
Step b):
Step b) corresponds to step B of Figure 1.
To a solution of 2,2,-((3-(allyloxy)propane-l,2-diyl)bis(oxy))diacetic acid in toluene were added oxalyl chloride ((COCI)2) and pyridine. The mixture was stirred at room temperature for 18 hours. The mixture was filtered and the solvent was removed under reduced pressure. The excess oxalyl chloride was removed by co-evaporation with toluene to give 2,2'-((3-(allyloxy)propane-l,2-diyl)bis(oxy))diacetyl chloride.
Step c):
Step c) corresponds to step C of Figure 1.
To a stirred flask of toluene were simultaneously added dropwise a solution of 2'-((3-(allyloxy)propane-l,2-diyl)bis(oxy))diacetyl chloride in toluene and a solution of NEt3 and 2,2'-(ethane-1,2-diylbis(oxy))bis(ethan-l-amine) in toluene. The mixture was stirred for 18 hours before the solid was filtered and washed with toluene. The solvent was removed under reduced pressure to give the crude compound as a pale yellow oil. The crude compound was purified by column chromatography (alumina, CHCI3 eluent) to afford 2-((allyloxy)methyl)-1,4,10,13-tetraoxa-7,16-diazacyclooctadecane-6,17-dione. Step d):
Step d) corresponds to step D of Figure 1.
To a suspension of LiAIH4 in THF was added 2-((allyloxy)methyl)-1,4,10,13- tetraoxa-7,16-diazacyclo-octadecane-6,17-dione. The mixture was stirred at reflux, before sodium hydroxide was added dropwise and the mixture was stirred at room temperature. The reaction mixture was filtered and washes with hot THF before the solvent was removed under reduced pressure. The crude compound was purified by column chromatography (alumina, CHCl3EtOH 25:1) to give (1,4,10,13-tetraoxa-7,16-diazacyclooctadecan-2- yl)methanol.
Step e):
To a solution of (1,4,10,13-tetraoxa-7,16-diazacyclooctadecan-2-yl)methanol in THF was added K2CO3 and the mixture was stirred at room temperature for 15 min. To the stirred mixture benzyl chloride (BnCI) was added and the reaction was stirred. The excess K2CO3 was removed via filtration and the reaction was washed with THF before the solvent was removed under reduced pressure. The crude compound was purified by column chromatography (silica, CHCl3:MeOH:NH4OH 100:5:0.1) to give (7,16-dibenzyl-1,4,10,13- tetraoxa-7,16-diazacyclooctadecan-2-yl)methanol.
Step f):
To a solution of (7,16-dibenzyl-l,4,10,13-tetraoxa-7,16-diazacyclooctadecan-2- yl)methanol in THF was added sodium hydride (NaH). The mixture was stirred at room temperature before methyl 3-bromopropionate was added. The reaction was stirred. To the crude reaction, H2O was added and the product was extracted with dichloromethane. The combined organic extracts were washed with brine, dried with Na2SO4 , filtered and the solvent was removed under reduced pressure. The crude compound was purified by column chromatography (silica/alumina, solvent system) to give methyl 3-((7, 16-dibenzyl- 1,4,10,13-tetraoxa-7,16-diazacyclo-octadecan-2-yl)methoxy)propanoate.
Step g):
To a flask containing of methyl 3-((7,16-dibenzyl-l,4,10,13-tetraoxa-7,16- diazacyclooctadecan-2-yl)methoxy)propanoate in MeOH was added 10% palladium on carbon (Pd/C). The flask was flushed with N2 and then H2 and the reaction mixture was stirred under an H2 atmosphere. The reaction mixture was filtered through celite and the washed with methanol and the solvent was removed under reduced pressure to give methyl 3-((l,4,10,13-tetraoxa-7,16-diazacyclooctadecan-2-yl)methoxy)propanoate.
Step h):
Step h) corresponds to step E of Figure 1.
To a stirred solution of methyl 3-((l,4,10,13-tetraoxa-7,16-diazacyclooctadecan-2- yl)methoxy)propanoate in acetonitrile was added K2CO3 and diethyl(6-(chloro- methyl)pyridin-2-yl)phosphonate. The reaction mixture was stirred at reflux for 18 hours
before the excess K2CO3 was removed via filtration and the solvent was removed under reduced pressure. The crude product was purified by column chromatography (silica/alumina, CHCI3) to give methyl 3-((7,16-bis((6-(diethoxy-phosphoryl)-pyridin-2- yl)methyl)-1,4,10,13-tetraoxa-7,16-diazacyclooctadecan-2-yl)-methoxy)-propanoate. Step i):
A solution of methyl 3-((7,16-bis((6-(diethoxyphosphoryl)pyridin-2-yl)methyl)- l,4,10,13-tetraoxa-7,16-diazacyclooctadecan-2-yl)methoxy)propanoate in 8 M HCI was stirred. The solvent was removed under reduced pressure to give the diaza-18-crown-6 derivative of formula (VII).
As a second example, Figure 3 illustrates an adaptation of the general synthesis route shown in Figure 1 to the synthesis of the diaza-18-crown-6 derivative of formula (VIII):
which corresponds to the diaza-18-crown-6 derivative of formula (IV) wherein B is a -CH2- NH-CO-(CH2)2-COOH group.
As shown in Figure 3, this synthesis comprises 12 steps, denoted a) to I).
Steps a) to e):
Steps a) to e) are identical to steps a) to e) as described above and shown in Figure 2 and lead to (7,16-dibenzyl-l,4,10,13-tetraoxa-7,16-diazacyclooctadecan-2-yl)-methanol.
Step f):
To a solution of (7,16-dibenzyl-l,4,10,13-tetraoxa-7,16-diazacyclooctadecan-2- yl)methanol in DCM were added triethylamine and methanesulfonyl chloride. The reaction mixture was stirred at room temperature for 3 hours. The product was extracted with HCI (1 M) and washed with DCM. The aqueous layer was basified with NaOH (2 M), extracted
with DCM and the organic solvent was removed under reduced pressure to give (7,16- dibenzyl-l,4,10,13-tetraoxa-7,16-diazacyclooctadecan-2-yl)methyl methane-sulfonate.
Step g):
To a solution of (7,16-dibenzyl-l,4,10,13-tetraoxa-7,16-diazacyclooctadecan-2- yl)methyl methanesulfonate in DMF was added sodium azide. The reaction mixture was stirred at 60 °C for 2 hours before the solvent was removed under reduced pressure. The residue was redissolved in HCI (1 M) and washed with DCM. The aqueous layer was basified with NaOH (2 M), extracted with DCM and the organic solvent was removed under reduced pressure. The crude product was purified by column chromatography (silica, DCM:MeOH:NH4OH 100:5:0.1) to give 2-(azidomethyl)-7,16-dibenzyl-l,4,10,13-tetraoxa- 7,16-diazacyclooctadecane.
Step h):
To a solution of 2-(azidomethyl)-7,16-dibenzyl-l,4,10,13-tetraoxa-7,16- diazacyclooctadecane in THF:H2O was added PPh3. The reaction mixture was stirred at 40 °C for 3 hours before the solvent was removed under reduced pressure. The residue was redissolved in HCI (1 M) and washed with DCM. The aqueous layer was basified with NaOH (2 M) and extracted with DCM and the organic solvent was removed under reduced pressure. The crude product was dissolved in THF and 4-dimethylaminopyridine and di-tert- butyl dicarbonate were added. The reaction was stirred at 45 °C for 24 hours before the solvent was removed under reduced pressure. The residue was redissolved in HCI (1 M) and washed with DCM. The aqueous layer was basified with NaOH (2 M), extracted with DCM and the organic solvent was removed under reduced pressure. The crude product was purified by column chromatography (alumina, DCM:MeOH 100:0.05) to give tert-butyl (tert-butoxycarbonyl)((7,16-dibenzyl-l,4,10,13-tetraoxa-7,16-diazacycloocta-decan-2- yl)methyl)carbamate.
Step i):
To a solution of tert-butyl (tert-butoxycarbonyl)((7,16-dibenzyl-l,4,10,13- tetraoxa-7,16-diazacyclooctadecan-2-yl)methyl)carbamate in MeOH was added Pd/C (10 %). The reaction vessel was purged with H2 and the reaction was stirred under a H2 atmosphere for 18 hours. The mixture was filtered through Celite™ and the solvent was removed under reduced pressure. The residue was redissolved in HCI (1 M) and washed with DCM. The aqueous layer was basified with NaOH (2 M), extracted with DCM and the organic solvent was removed under reduced pressure to give tert-butyl ((1,4,10,13- tetraoxa-7,16-diazacyclooctadecan-2-yl)methyl)(tert-butoxycarbonyl)carbamate.
Step i):
To a solution of tert-butyl ((l,4,10,13-tetraoxa-7,16-diazacyclooctadecan-2- yl)methyl)(tert-butoxycarbonyl)carbamate in THF were added potassium carbonate and diethyl (6-(chloromethyl)pyridin-2-yl)phosphonate in THF. The reaction mixture was stirred at reflux for 20 hours before the solvent was removed under reduced pressure. The residue was redissolved in HCI (1 M) and washed with DCM. The aqueous layer was basified with NaOH (2 M), extracted with DCM and the organic solvent was removed under reduced pressure. The crude product was purified by column chromatography (alumina, CHCbiMeOH 100:0.05) to give tert-butyl ((7,16-bis((6-(diethoxyphosphoryl)-pyridin-2- yl)methyl)-l,4,10,13-tetraoxa-7,16-diazacyclooctadecan-2-yl)methyl)(tert- butoxycarbonyl)carbamate.
Step k):
A solution of tert-butyl ((7,16-bis((6-(diethoxyphosphoryl)pyridin-2-yl)methyl)- l,4,10,13-tetraoxa-7,16-diazacyclooctadecan-2-yl)methyl)(tert-butoxycarbonyl)carbamate in HCI (6 M) was stirred at reflux for 18 hours. The solvent was removed under reduced pressure to give (((2-(aminomethyl)-l,4,10,13-tetraoxa-7,16-diazacyclooctadecane-7,16- diyl)bis(methylene))bis(pyridine-6,2-diyl))bis(phosphonic acid).
Step I):
To a mixture of (((2-(aminomethyl)-l,4,10,13-tetraoxa-7,16-diazacyclo- octadecane-7,16-diyl)bis(methylene))bis(pyridine-6,2-diyl))bis(phosphonic acid) in DMF were added diisopropylethylamine and succinic anhydride. The reaction mixture was
stirred at 75 °C for 20 hours before the solvent was removed under reduced pressure to give the diaza-18-crown-6 derivative of formula (VIII).
III - Radium chelation properties of the diaza-18-crown-6 derivatives of formula (I):
An experimental study and a computational analysis were carried out in view of appreciating the ability of the diaza-18-crown-6 derivatives of formula (I) to chelate radium in physiological media.
Insofar as the moiety B is presumed not to be involved in the ability of the diaza- 18-crown-6 derivatives to chelate radium, the experimental study and the computational analysis were carried out using the diaza-18-crown-6 derivative of formula (IX):
which differs from the diaza-18-crown-6 derivative of formula (IV) only in that moiety B is absent.
This diaza-18-crown-6 derivative was synthetized as shown in Figure 1 using 1,2-ethanediol as a starting product.
The diaza-18-crown-6 derivative of formula (IX) was compared to Macropa in the experimental study while it was compared to CyDTA (i.e. 1,2-cyclohexylenedinitrilo- tetraacetic acid), DTPA (i.e. diethylenetriaminepentaacetic acid), EDTA (i.e. ethylene- diaminetetraacetic acid), EGTA (i.e. triethyleneglycoldiaminetetraacetic acid), DOTA (i.e. 1,4,7,10-tetraazacyclododecane-l,4,7,10-tetraacetic acid) and Macropa in the computational analysis.
In this respect, it is reminded that Macropa is of formula:
Sterile water (Aqua, B. Braun) previously demetalled by means of a self-built cartridge equipped with Chelex™ 100 sodium form resin (Sigma-Aldrich) was used in the experiments described below including the preparation of all aqueous solutions (buffer, HCI etc.).
Commercially available 223RaCl2, namely Xofigo™, was used as a source of radium- 223 and was therefore desalinated using a self-built cartridge equipped with 200 mg of TK100-B01-S (Triskem International) ion exchange resin. To do this, 6 mL of Xofigo™ were loaded to the cartridge. First, 15 mL of an aqueous solution of 0.01 M HCI were loaded to the cartridge and were let eluting. Then, the desalinated trapped 223Ra was eluted with 300 μL portions of an aqueous solution of 0.1 M HCI. The fractions were collected and the radioactivity of each portion was measured. The total concentration of the eluted 223Ra was measured as 0.5 MBq/mL with a recovery rate >90%. 0,1 mL solutions containing 5 μg, 10 mg, 25 mg, 50 μg and 100 μg of diaza-18- crown-6 derivative of formula (IX) or Macropa were prepared with sterile, demetallated water. Then, desalinated 223Ra in 0.1 M HCI (0.02 MBq, 0.1 mL) and 0.2 mL of 1 M ammonium acetate buffer (pH 7.5) were successively added to each solution and the pH was adjusted to 7 by addition of 1 M NaOH (1-3 pL) if necessary. Reactions were performed for 30 minutes at room temperature.
The chelating yields were evaluated by thin layer radiochromatography. To do this, 15 μL of the prepared Ra-labeled chelator solutions were spotted onto DGA TLC sheets (Triskem International). The impregnated DGA sheets were then developed in a 0.1 M
NaOH solution and monitored by means of a phosphor imager (Cyclone™ Plus Storage Phosphor System, Perkin Elmer).
The results showed that:
- a chelating yield of >99 % was obtained with the solution containing 50 mg of the diaza-18-crown-6 derivative of formula (IX) whereas a chelating yield of >99% was only obtained with the solution containing 100 μg of Macropa; and
- the specific activity of the chelate formed by the diaza-18-crown-6 derivative of formula (IX) with radium-223 was twice higher than the specific activity of the chelate formed by Macropa with radium-223 (0.24 MBq/μmol versus 0.11 MBq/μmol ).
Computational analysis:
A computational analysis based on Density Functional Theory (DFT) modelling method has been performed in order to determine the binding constant Keq of the diaza- 18-crown-6 derivative of formula (IX) with radium.
The reaction enthalpy AG (or Gibbs free energy) for the formation of the complex can be calculated by the difference of the inner enthalpy of the reaction components:
By calculation of the vibrational nodes of the structures at 298.150 Kelvin (20° Celsius) and atmospheric pressure, the inner enthalpy of each reaction part can be obtained.
The calculations have been made with Gaussianl6 software (see M. J. Frisch et a!., Gaussian 16 Revision C.01, Gaussian Inc. Wallingford CT, 2016) using the CAM-B3LYP functional (see T. Yanai et al., Chem. Phys. Lett. 2004, 393, 51-57) and the correlation- consistent basis sets by Dunning (see J.G. Hill and K.A. Peterson, J Chem. Phys. 2017, 147, 244106). The metal ions were calculated with additional diffuse and pseudo-potential functions (see I.S. Lim et. al.,J. Chem. Phys. 2006, 124, 034107). The Polarizable Continuum Model (PCM) has also been used to mimic solvent-specific effects.
The metal-chelator complexes were simulated without additional water molecules. The calculation considers only the metal-chelator interaction enthalpy, while further effects are taken into account by linear correction factors. Based on linear correlation, all potential sources of systematic errors will be collected in a chelator- or metal-specific correction terms (ametal, achelator) and (bmetai, bcheiator) according to the following equation:
The correction factors, ametai, achelator and correction constants bmetal, bchelator, were determined by plotting the calculated binding constants as a function of literature binding constants described by T. Sekine et ol. (Bult. Chem. Soc. J. 1968, 41, 3013-3015) for Ca, Sr, Ba and Ra cations and CyDTA, DTPA, EDTA, EGTA chelators. The correction factors a and b were fitted until a slope of 1.00 was achieved for all calculated systems.
For the calculation of chelators for which no literature data are available (e.g. Ra- Macropa and Ra-diaza-18-crown-6 derivative of formula (IX)) the a-factor and b-factor, which are unknown (and no binding constant can be calculated), have been therefore estimated in taking into account the number of atoms in the chelator system.
Tables I and II below give the literature, calculated and interpolated binding constants (expressed as log K) of Ca, Sr, Ba and Ra cations with different chelators.
Literature values: T. Sekine et ol., Bult. Chem. Soc. J. 1968, 41, 3013-3015 n. a.: missing values
The current results allow an estimation of the binding constants and indicate that a stronger coordination for the diaza-18-crown-6 derivative of formula (IX) than for Macropa can be expected. Without being bound by any theory, it is inferred that the difference may be related to the denticity of the chelating systems. While Macropa denticity is limited to a denticity of n=10, that one of the diaza-18-crown-6 derivative of formula (IX) can vary between n=10-12 due to the presence of the phosphonate groups which can coordinate the cation via two or four oxygen atoms.
Calculations are underlining that the coordination sphere of Ra and Ba is fully saturated by diaza-18-crown-6 derivative of formula (IX) and is containing no additional
water molecules. Therefore, no significant difference in coordination behavior is expected for the diaza-18-crown-6 derivatives of formula (VI) to (IX).
IV - Preparation of a conjugate:
The conjugate of formula (X):
was obtained by coupling the diaza-18-crown-6 derivative of formula (VII) to the bombesin receptor antagonist peptide JMV594 of formula: DPhe-GIn-Trp-Ala-Val-Gly-His-Sta-Leu- NH2, via a spacer arm, namely a 4-amino-l-carboxymethyl-piperidine.
To do this, the peptide JMV594 was firstly synthesized according to standard Fmoc peptide synthesis on solid support. The amino acids were coupled one by one on a rink amide resin with HATU (1.9 eq.) and DIPEA (5 eq.).
Next, the spacer arm 4-amino-l-carboxymethylpiperidine was coupled in the same manner to the N -terminus of the resulting peptide chain.
Next, the diaza-18-crown-6 derivative of formula (VII) was coupled to the spacer arm by reaction of the carboxyl group of the diaza-18-crown-6 derivative with the amino group of the spacer arm.
In a last step, the conjugate was globally deprotected and cleaved from the resin with a cocktail containing trifluoroacetic acid, phenol, water and triisopropylsilane.
References cited
ES-A-2 340120 WO-A-2019/232294 WO-A-2020/106886 WO-A-2009/109332
M. J. Frisch et al., Gaussian 16 Revision C.01, Gaussian Inc. Wallingford CT, 2016 T. Yanai et al., Chem. Phys. Lett. 2004, 393, 51-57 J.G. Hill and K.A. Peterson, J Chem. Phys. 2017, 147, 244106 I.S. Lim et. al., J. Chem. Phys. 2006, 124, 034107
T. Sekine et al., Bult. Chem. Soc. J. 1968, 41, 3013-3015
Claims
1. Diaza-18-crown-6 derivative of formula (I):
wherein: B is a moiety for a covalent bonding reaction; the two A are identical to each other and are a group of formula (II):
where: n is 0, 1, 2, 3 or 4; and X1, X2, X3, X4 and X5, which may be identical or different, are a nitrogen atom, a -CH group or a -CR group wherein R is a -P(O)(OR1)(OR2), -P(O)R1(OR2), -P(O)R1R2, -P(S)(SR1)(SR2), -P(S)R1(SR2) or -P(S)R1R2 group in which R1 and R2, which may be identical or different, are a hydrogen atom, or a straight-chain or branched alkyl group having 1 to 4 carbon atoms, with the proviso that no more than two of X1, X2, X3, X4 and X5 are a nitrogen atom and no more than one of X1, X2, X3, X4 and X5 is a -CR group.
2. Diaza-18-crown-6 derivative according to claim 1, wherein X1 is a nitrogen atom, one of X2, X3, X4 and X5 is a -CR group and three of X2, X3, X4 and X5 are a -CH group.
3. Diaza-18-crown-6 derivative according to claim 1 or claim 2, wherein X2 is a
-CR group whereas X3, X4 and X5 are a -CH group.
4. Diaza-18-crown-6 derivative according to any one of claims 1 to 3, the R group is preferably a -P(O)(OR1)(OR2), -P(O)R1(OR2) or -P(O)R1R2 group.
5. Diaza-18-crown-6 derivative according to any one of claims 1 to 4, wherein n is 1.
6. Diaza-18-crown-6 derivative according to any one of claims 1 to 5, of formula
7. Diaza-18-crown-6 derivative according to claim 6, wherein R1 and R2 are identical to each other and are a hydrogen atom, a methyl group or an ethyl group.
8. Diaza-18-crown-6 derivative according to any one of claims 1 to 7, wherein B is a saturated or unsaturated, acyclic hydrocarbon group comprising 1 to 12 carbon atoms with optionally one or more heteroatoms, and comprising a reactive group chosen from the carboxyl, acyl halide, acid anhydride, hydroxyl, aldehyde, azide, ketone, thiol, amine, amide, halogeno, ester, ether, vinyl, propargyl, imide, maleimide and oxime groups.
9. Use of a diaza-18-crown-6 derivative according to any one of claims 1 to 8 for preparing a stationary phase for chromatography column.
10. Use of a diaza-18-crown-6 derivative according to any one of claims 1 to 8 for preparing a conjugate comprising a targeting moiety for biological cells.
L is a linker; and
C is a biological cell-targeting moiety.
12. Conjugate according to claim 11, wherein C is a monoclonal antibody, a monoclonal antibody fragment, a protein, a peptide, a carbohydrate, an aptamer, a folate or a folate derivative.
13. Conjugate according to claim 11 or claim 12, wherein C is a GRPR-receptor antagonist bombesin analog peptide or a ligand of the prostate specific membrane antigen.
14. Conjugate according to any one of claims 11 to 13, wherein C is the bombesin analog peptide JMV594.
15. Chelate comprising radium chelated by a conjugate according to any one of claims 11 to 14.
16. Chelate according to claim 15, wherein radium is radium-223, radium-224 or radium-225.
17. Chelate according to claim 15 or claim 16, for use as a radiopharmaceutical.
18. Chelate according to claim 17, for use for treating a cancer by targeted a- radiotherapy, preferably a prostate cancer.
Applications Claiming Priority (2)
| Application Number | Priority Date | Filing Date | Title |
|---|---|---|---|
| EP20305646.0 | 2020-06-12 | ||
| EP20305646 | 2020-06-12 |
Publications (1)
| Publication Number | Publication Date |
|---|---|
| WO2021250240A1 true WO2021250240A1 (en) | 2021-12-16 |
Family
ID=72644171
Family Applications (1)
| Application Number | Title | Priority Date | Filing Date |
|---|---|---|---|
| PCT/EP2021/065774 Ceased WO2021250240A1 (en) | 2020-06-12 | 2021-06-11 | Diaza-18-crown-6 derivative useful for chelating radium, conjugate and radium chelate comprising the same, and uses thereof |
Country Status (1)
| Country | Link |
|---|---|
| WO (1) | WO2021250240A1 (en) |
Citations (6)
| Publication number | Priority date | Publication date | Assignee | Title |
|---|---|---|---|---|
| WO2009026177A1 (en) | 2007-08-17 | 2009-02-26 | Purdue Research Foundation | Psma binding ligand-linker conjugates and methods for using |
| WO2009109332A1 (en) | 2008-03-07 | 2009-09-11 | Universitätsspital Bern | Bombesin analog peptide antagonist conjugates |
| ES2340120A1 (en) | 2008-03-13 | 2010-05-28 | Justo Torrijos Oliva | Armable instrument of help to start in the practice of the golf. (Machine-translation by Google Translate, not legally binding) |
| WO2019232294A1 (en) | 2018-06-01 | 2019-12-05 | Cornell University | Metal-chelating compositions and their use in methods of removing or inhibiting barium scale |
| WO2020106886A1 (en) | 2018-11-20 | 2020-05-28 | Cornell University | Macrocyclic complexes of radionuclides and their use in radiotherapy of cancer |
| WO2020229974A1 (en) * | 2019-05-10 | 2020-11-19 | Janssen Biotech, Inc. | Macrocyclic chelators and methods of use thereof |
-
2021
- 2021-06-11 WO PCT/EP2021/065774 patent/WO2021250240A1/en not_active Ceased
Patent Citations (6)
| Publication number | Priority date | Publication date | Assignee | Title |
|---|---|---|---|---|
| WO2009026177A1 (en) | 2007-08-17 | 2009-02-26 | Purdue Research Foundation | Psma binding ligand-linker conjugates and methods for using |
| WO2009109332A1 (en) | 2008-03-07 | 2009-09-11 | Universitätsspital Bern | Bombesin analog peptide antagonist conjugates |
| ES2340120A1 (en) | 2008-03-13 | 2010-05-28 | Justo Torrijos Oliva | Armable instrument of help to start in the practice of the golf. (Machine-translation by Google Translate, not legally binding) |
| WO2019232294A1 (en) | 2018-06-01 | 2019-12-05 | Cornell University | Metal-chelating compositions and their use in methods of removing or inhibiting barium scale |
| WO2020106886A1 (en) | 2018-11-20 | 2020-05-28 | Cornell University | Macrocyclic complexes of radionuclides and their use in radiotherapy of cancer |
| WO2020229974A1 (en) * | 2019-05-10 | 2020-11-19 | Janssen Biotech, Inc. | Macrocyclic chelators and methods of use thereof |
Non-Patent Citations (8)
| Title |
|---|
| BRADSHAW J S ET AL: "PREPARATION OF SILICA GEL-BOUND MACROCYCLES AND THEIR CATION-BINDING PROPERTIES", ORACLE MAGAZINE, ORACLE, US, no. 12, 1 January 1988 (1988-01-01), pages 812 - 814, XP009079161 * |
| BRADSHAW JERALD S. ET AL: "Synthesis of (allyloxy)methyl-substituted diaza-18-crown-6 compounds for attachment to silica gel", THE JOURNAL OF ORGANIC CHEMISTRY, vol. 53, no. 14, 1 July 1988 (1988-07-01), pages 3190 - 3195, XP055833661, ISSN: 0022-3263, DOI: 10.1021/jo00249a012 * |
| I.S. LIM, 1. CHEM. PHYS., vol. 124, 2006, pages 034107 |
| I.S. LIM, J. CHEM. PHYS., vol. 124, 2006, pages 034107 |
| J.G. HILLK.A. PETERSON, J CHEM. PHYS., vol. 147, 2017, pages 244106 |
| M. J. FRISCH ET AL.: "Gaussian 16 Revision C.01", 2016, GAUSSIAN INC. |
| T. SEKINE ET AL., BULT. CHEM. SOC. J., vol. 41, 1968, pages 3013 - 3015 |
| T. YANAI ET AL., CHEM. PHYS. LETT., vol. 393, 2004, pages 51 - 57 |
Similar Documents
| Publication | Publication Date | Title |
|---|---|---|
| EP3723815B1 (en) | Psma ligands for imaging and endoradiotherapy | |
| CA3222226A1 (en) | Trislinker-conjugated dimeric labeling precursors and radiotracers derived therefrom | |
| CA2222183A1 (en) | Stable reagents for the preparation of radiopharmaceuticals | |
| CN1125905A (en) | 2-pyridylmethylenepolyazamacrocyclophosphonic acids, complexes and derivatives thereof, for use as contrast agents | |
| Stichelberger et al. | Versatile synthetic approach to new bifunctional chelating agents tailor made for labeling with the fac-[M (CO) 3]+ core (M= Tc, 99mTc, Re): synthesis, in vitro, and in vivo behavior of the model complex [M (APPA)(CO) 3](appa=[(5-amino-pentyl)-pyridin-2-yl-methyl-amino]-acetic acid) | |
| US7053242B1 (en) | Carbon monoxide source for preparation of transition-metal-carbonyl-complexes | |
| EP2663571B1 (en) | Triazacyclononane-based phosphinate ligand and its use for molecular imaging | |
| AU2004210208B2 (en) | Diagnostic imaging agents with MMP inhibitory activity | |
| CA2891593C (en) | Di-macrocycles | |
| WO2021250240A1 (en) | Diaza-18-crown-6 derivative useful for chelating radium, conjugate and radium chelate comprising the same, and uses thereof | |
| Benoist et al. | A Click procedure with heterogeneous copper to tether technetium-99m chelating agents and rhenium complexes. Evaluation of the chelating properties and biodistribution of the new radiolabelled glucose conjugates | |
| JP3935218B2 (en) | Radioactive transition metal nitride heterocomplexes | |
| EP3494999A1 (en) | Psma ligands for imaging and endoradiotherapy | |
| US6488909B1 (en) | Chelating agents as well as their tricarbonyl complexes with technetium and rhenium | |
| US9125955B2 (en) | 99mTc imaging agents and methods of use | |
| JP6410339B2 (en) | Radionuclide labeled octreotide derivatives | |
| EP2032590A1 (en) | Triazole containing metal chelating agents | |
| WO2023013589A1 (en) | Radioactive metal complex and method for producing same, and radioactive metal scavenger | |
| Xia et al. | Synthesis of pyridyl derivatives for the future functionalization of biomolecules labeled with the fac-[188 Re (CO) 3 (H 2 O) 3]+ precursor | |
| US20030027302A1 (en) | Bifunctional chelating agent | |
| EP4338758A1 (en) | Diagnostic pet imaging of cardiac amyloidosis using bisphosphonate tracers | |
| JP2006514612A (en) | Production of M (CO) 3 complex by solid phase technique via metal assisted cleavage from solid support | |
| KR100755935B1 (en) | Histidine derivatives and metal tricarbonyl complexes using the same, methods for their preparation and contrast agents comprising them | |
| CN119630622A (en) | Silicon-based fluoride acceptor groups for radiopharmaceuticals | |
| JP2025540211A (en) | Cyclen-based compounds and their Gd(III) complexes for use as multimodal PET/MRI contrast agents - Patent Application 20070122999 |
Legal Events
| Date | Code | Title | Description |
|---|---|---|---|
| 121 | Ep: the epo has been informed by wipo that ep was designated in this application |
Ref document number: 21732034 Country of ref document: EP Kind code of ref document: A1 |
|
| NENP | Non-entry into the national phase |
Ref country code: DE |
|
| 122 | Ep: pct application non-entry in european phase |
Ref document number: 21732034 Country of ref document: EP Kind code of ref document: A1 |

















