US20190381188A1 - Nanoparticles For Crossing The Blood Brain Barrier And Methods Of Treatment Using The Same - Google Patents
Nanoparticles For Crossing The Blood Brain Barrier And Methods Of Treatment Using The Same Download PDFInfo
- Publication number
- US20190381188A1 US20190381188A1 US16/438,762 US201916438762A US2019381188A1 US 20190381188 A1 US20190381188 A1 US 20190381188A1 US 201916438762 A US201916438762 A US 201916438762A US 2019381188 A1 US2019381188 A1 US 2019381188A1
- Authority
- US
- United States
- Prior art keywords
- nanoparticle
- therapeutic agent
- molecule therapeutic
- brain
- polymer
- Prior art date
- Legal status (The legal status is an assumption and is not a legal conclusion. Google has not performed a legal analysis and makes no representation as to the accuracy of the status listed.)
- Abandoned
Links
- 239000002105 nanoparticle Substances 0.000 title claims abstract description 541
- 238000000034 method Methods 0.000 title claims abstract description 131
- 230000008499 blood brain barrier function Effects 0.000 title claims abstract description 106
- 210000001218 blood-brain barrier Anatomy 0.000 title claims abstract description 106
- 238000011282 treatment Methods 0.000 title claims abstract description 69
- 239000003814 drug Substances 0.000 claims abstract description 249
- 229940124597 therapeutic agent Drugs 0.000 claims abstract description 175
- 230000008685 targeting Effects 0.000 claims abstract description 116
- 239000003446 ligand Substances 0.000 claims abstract description 115
- 229940127089 cytotoxic agent Drugs 0.000 claims abstract description 11
- 239000002246 antineoplastic agent Substances 0.000 claims abstract description 10
- 229920000642 polymer Polymers 0.000 claims description 287
- 229940127093 camptothecin Drugs 0.000 claims description 149
- 210000004556 brain Anatomy 0.000 claims description 139
- KLWPJMFMVPTNCC-UHFFFAOYSA-N Camptothecin Natural products CCC1(O)C(=O)OCC2=C1C=C3C4Nc5ccccc5C=C4CN3C2=O KLWPJMFMVPTNCC-UHFFFAOYSA-N 0.000 claims description 106
- VSJKWCGYPAHWDS-UHFFFAOYSA-N dl-camptothecin Natural products C1=CC=C2C=C(CN3C4=CC5=C(C3=O)COC(=O)C5(O)CC)C4=NC2=C1 VSJKWCGYPAHWDS-UHFFFAOYSA-N 0.000 claims description 106
- 150000003384 small molecules Chemical class 0.000 claims description 106
- VSJKWCGYPAHWDS-FQEVSTJZSA-N camptothecin Chemical compound C1=CC=C2C=C(CN3C4=CC5=C(C3=O)COC(=O)[C@]5(O)CC)C4=NC2=C1 VSJKWCGYPAHWDS-FQEVSTJZSA-N 0.000 claims description 102
- 125000005647 linker group Chemical group 0.000 claims description 100
- 229920002521 macromolecule Polymers 0.000 claims description 90
- 150000002605 large molecules Chemical class 0.000 claims description 87
- 208000003174 Brain Neoplasms Diseases 0.000 claims description 71
- 229940022353 herceptin Drugs 0.000 claims description 69
- 150000001875 compounds Chemical class 0.000 claims description 67
- 239000003795 chemical substances by application Substances 0.000 claims description 62
- -1 2-imidazolyl Chemical group 0.000 claims description 46
- DSLZVSRJTYRBFB-UHFFFAOYSA-N Galactaric acid Natural products OC(=O)C(O)C(O)C(O)C(O)C(O)=O DSLZVSRJTYRBFB-UHFFFAOYSA-N 0.000 claims description 46
- DSLZVSRJTYRBFB-DUHBMQHGSA-N galactaric acid Chemical compound OC(=O)[C@H](O)[C@@H](O)[C@@H](O)[C@H](O)C(O)=O DSLZVSRJTYRBFB-DUHBMQHGSA-N 0.000 claims description 45
- 238000012384 transportation and delivery Methods 0.000 claims description 44
- 108090000765 processed proteins & peptides Proteins 0.000 claims description 39
- 210000002889 endothelial cell Anatomy 0.000 claims description 38
- 229940024606 amino acid Drugs 0.000 claims description 27
- 235000001014 amino acid Nutrition 0.000 claims description 27
- 150000001413 amino acids Chemical class 0.000 claims description 27
- 125000000524 functional group Chemical group 0.000 claims description 27
- 150000003077 polyols Chemical group 0.000 claims description 27
- SFUIGUOONHIVLG-UHFFFAOYSA-N (2-nitrophenyl)boronic acid Chemical compound OB(O)C1=CC=CC=C1[N+]([O-])=O SFUIGUOONHIVLG-UHFFFAOYSA-N 0.000 claims description 22
- CKLJMWTZIZZHCS-REOHCLBHSA-N L-aspartic acid Chemical compound OC(=O)[C@@H](N)CC(O)=O CKLJMWTZIZZHCS-REOHCLBHSA-N 0.000 claims description 19
- 125000003178 carboxy group Chemical group [H]OC(*)=O 0.000 claims description 17
- 238000003776 cleavage reaction Methods 0.000 claims description 16
- 230000007017 scission Effects 0.000 claims description 16
- 125000000217 alkyl group Chemical group 0.000 claims description 15
- 150000003839 salts Chemical class 0.000 claims description 15
- 208000012902 Nervous system disease Diseases 0.000 claims description 14
- QZAYGJVTTNCVMB-UHFFFAOYSA-N serotonin Chemical compound C1=C(O)C=C2C(CCN)=CNC2=C1 QZAYGJVTTNCVMB-UHFFFAOYSA-N 0.000 claims description 14
- 235000003704 aspartic acid Nutrition 0.000 claims description 13
- OQFSQFPPLPISGP-UHFFFAOYSA-N beta-carboxyaspartic acid Natural products OC(=O)C(N)C(C(O)=O)C(O)=O OQFSQFPPLPISGP-UHFFFAOYSA-N 0.000 claims description 13
- 230000027455 binding Effects 0.000 claims description 13
- 229960000575 trastuzumab Drugs 0.000 claims description 13
- 239000004475 Arginine Substances 0.000 claims description 12
- DCXYFEDJOCDNAF-UHFFFAOYSA-N Asparagine Natural products OC(=O)C(N)CC(N)=O DCXYFEDJOCDNAF-UHFFFAOYSA-N 0.000 claims description 12
- WHUUTDBJXJRKMK-UHFFFAOYSA-N Glutamic acid Natural products OC(=O)C(N)CCC(O)=O WHUUTDBJXJRKMK-UHFFFAOYSA-N 0.000 claims description 12
- DCXYFEDJOCDNAF-REOHCLBHSA-N L-asparagine Chemical compound OC(=O)[C@@H](N)CC(N)=O DCXYFEDJOCDNAF-REOHCLBHSA-N 0.000 claims description 12
- KDXKERNSBIXSRK-UHFFFAOYSA-N Lysine Natural products NCCCCC(N)C(O)=O KDXKERNSBIXSRK-UHFFFAOYSA-N 0.000 claims description 12
- 239000004472 Lysine Substances 0.000 claims description 12
- MTCFGRXMJLQNBG-UHFFFAOYSA-N Serine Natural products OCC(N)C(O)=O MTCFGRXMJLQNBG-UHFFFAOYSA-N 0.000 claims description 12
- AYFVYJQAPQTCCC-UHFFFAOYSA-N Threonine Natural products CC(O)C(N)C(O)=O AYFVYJQAPQTCCC-UHFFFAOYSA-N 0.000 claims description 12
- 239000004473 Threonine Substances 0.000 claims description 12
- ODKSFYDXXFIFQN-UHFFFAOYSA-N arginine Natural products OC(=O)C(N)CCCNC(N)=N ODKSFYDXXFIFQN-UHFFFAOYSA-N 0.000 claims description 12
- 235000009582 asparagine Nutrition 0.000 claims description 12
- 229960001230 asparagine Drugs 0.000 claims description 12
- 125000002091 cationic group Chemical group 0.000 claims description 12
- VYFYYTLLBUKUHU-UHFFFAOYSA-N dopamine Chemical compound NCCC1=CC=C(O)C(O)=C1 VYFYYTLLBUKUHU-UHFFFAOYSA-N 0.000 claims description 12
- 235000013922 glutamic acid Nutrition 0.000 claims description 12
- 239000004220 glutamic acid Substances 0.000 claims description 12
- ZDXPYRJPNDTMRX-UHFFFAOYSA-N glutamine Natural products OC(=O)C(N)CCC(N)=O ZDXPYRJPNDTMRX-UHFFFAOYSA-N 0.000 claims description 12
- HNDVDQJCIGZPNO-UHFFFAOYSA-N histidine Natural products OC(=O)C(N)CC1=CN=CN1 HNDVDQJCIGZPNO-UHFFFAOYSA-N 0.000 claims description 12
- QIVBCDIJIAJPQS-VIFPVBQESA-N L-tryptophane Chemical compound C1=CC=C2C(C[C@H](N)C(O)=O)=CNC2=C1 QIVBCDIJIAJPQS-VIFPVBQESA-N 0.000 claims description 11
- OUYCCCASQSFEME-QMMMGPOBSA-N L-tyrosine Chemical compound OC(=O)[C@@H](N)CC1=CC=C(O)C=C1 OUYCCCASQSFEME-QMMMGPOBSA-N 0.000 claims description 11
- QIVBCDIJIAJPQS-UHFFFAOYSA-N Tryptophan Natural products C1=CC=C2C(CC(N)C(O)=O)=CNC2=C1 QIVBCDIJIAJPQS-UHFFFAOYSA-N 0.000 claims description 11
- OUYCCCASQSFEME-UHFFFAOYSA-N tyrosine Natural products OC(=O)C(N)CC1=CC=C(O)C=C1 OUYCCCASQSFEME-UHFFFAOYSA-N 0.000 claims description 11
- 230000008878 coupling Effects 0.000 claims description 10
- 238000010168 coupling process Methods 0.000 claims description 10
- 238000005859 coupling reaction Methods 0.000 claims description 10
- 230000007062 hydrolysis Effects 0.000 claims description 10
- 238000006460 hydrolysis reaction Methods 0.000 claims description 10
- 238000006722 reduction reaction Methods 0.000 claims description 10
- 102000004338 Transferrin Human genes 0.000 claims description 9
- 108090000901 Transferrin Proteins 0.000 claims description 9
- 150000002009 diols Chemical group 0.000 claims description 9
- 239000002207 metabolite Substances 0.000 claims description 9
- 239000012581 transferrin Substances 0.000 claims description 9
- 125000000539 amino acid group Chemical group 0.000 claims description 8
- 125000003118 aryl group Chemical group 0.000 claims description 8
- 150000001733 carboxylic acid esters Chemical class 0.000 claims description 8
- 230000007935 neutral effect Effects 0.000 claims description 8
- 125000000449 nitro group Chemical group [O-][N+](*)=O 0.000 claims description 8
- 229940002612 prodrug Drugs 0.000 claims description 8
- 239000000651 prodrug Substances 0.000 claims description 8
- BWGNESOTFCXPMA-UHFFFAOYSA-N Dihydrogen disulfide Chemical compound SS BWGNESOTFCXPMA-UHFFFAOYSA-N 0.000 claims description 7
- 239000003638 chemical reducing agent Substances 0.000 claims description 7
- 230000002255 enzymatic effect Effects 0.000 claims description 7
- 150000002148 esters Chemical class 0.000 claims description 7
- 150000007857 hydrazones Chemical class 0.000 claims description 7
- 150000002466 imines Chemical class 0.000 claims description 7
- UWKQSNNFCGGAFS-XIFFEERXSA-N irinotecan Chemical compound C1=C2C(CC)=C3CN(C(C4=C([C@@](C(=O)OC4)(O)CC)C=4)=O)C=4C3=NC2=CC=C1OC(=O)N(CC1)CCC1N1CCCCC1 UWKQSNNFCGGAFS-XIFFEERXSA-N 0.000 claims description 7
- 229960004768 irinotecan Drugs 0.000 claims description 7
- 150000002905 orthoesters Chemical class 0.000 claims description 7
- 229940076279 serotonin Drugs 0.000 claims description 7
- FJHBVJOVLFPMQE-QFIPXVFZSA-N 7-Ethyl-10-Hydroxy-Camptothecin Chemical compound C1=C(O)C=C2C(CC)=C(CN3C(C4=C([C@@](C(=O)OC4)(O)CC)C=C33)=O)C3=NC2=C1 FJHBVJOVLFPMQE-QFIPXVFZSA-N 0.000 claims description 6
- BVKZGUZCCUSVTD-UHFFFAOYSA-L Carbonate Chemical compound [O-]C([O-])=O BVKZGUZCCUSVTD-UHFFFAOYSA-L 0.000 claims description 6
- DHKHKXVYLBGOIT-UHFFFAOYSA-N acetaldehyde Diethyl Acetal Natural products CCOC(C)OCC DHKHKXVYLBGOIT-UHFFFAOYSA-N 0.000 claims description 6
- 125000002057 carboxymethyl group Chemical group [H]OC(=O)C([H])([H])[*] 0.000 claims description 6
- 229960003638 dopamine Drugs 0.000 claims description 6
- 125000004029 hydroxymethyl group Chemical group [H]OC([H])([H])* 0.000 claims description 6
- 239000002858 neurotransmitter agent Substances 0.000 claims description 6
- 230000002441 reversible effect Effects 0.000 claims description 6
- 125000004169 (C1-C6) alkyl group Chemical group 0.000 claims description 5
- BTBUEUYNUDRHOZ-UHFFFAOYSA-N Borate Chemical compound [O-]B([O-])[O-] BTBUEUYNUDRHOZ-UHFFFAOYSA-N 0.000 claims description 4
- 229920003171 Poly (ethylene oxide) Polymers 0.000 claims description 4
- 150000001408 amides Chemical class 0.000 claims description 4
- 125000001997 phenyl group Chemical group [H]C1=C([H])C([H])=C(*)C([H])=C1[H] 0.000 claims description 4
- 238000009833 condensation Methods 0.000 claims description 3
- 230000005494 condensation Effects 0.000 claims description 3
- 125000002228 disulfide group Chemical group 0.000 claims description 3
- 125000002777 acetyl group Chemical class [H]C([H])([H])C(*)=O 0.000 claims 1
- 239000000203 mixture Substances 0.000 description 113
- 206010028980 Neoplasm Diseases 0.000 description 92
- 239000000562 conjugate Substances 0.000 description 62
- 230000001225 therapeutic effect Effects 0.000 description 48
- 208000037265 diseases, disorders, signs and symptoms Diseases 0.000 description 47
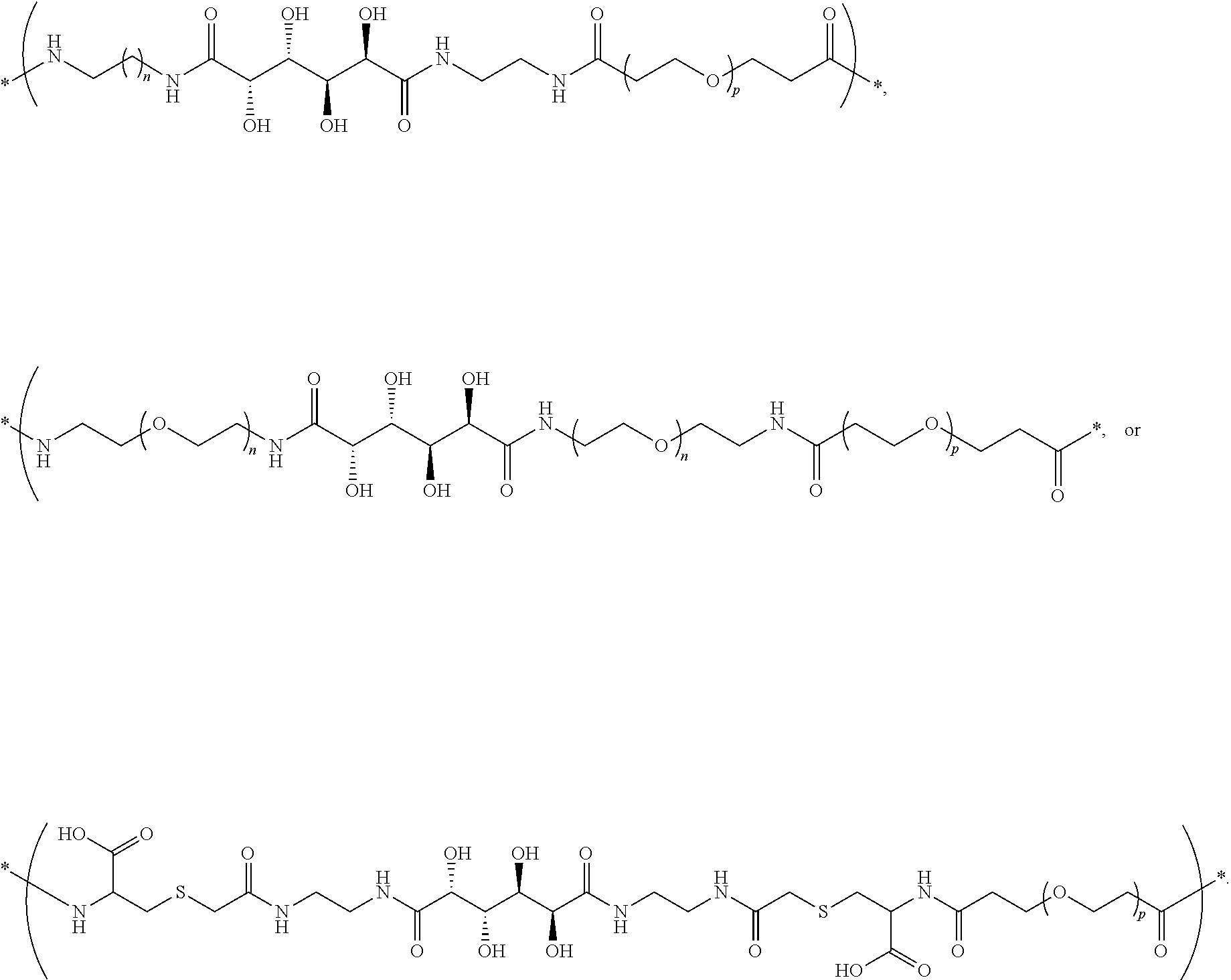
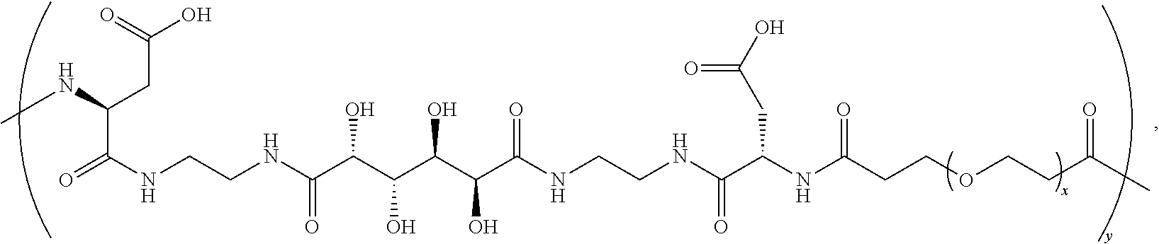
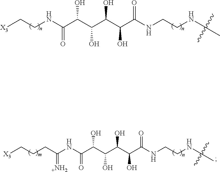
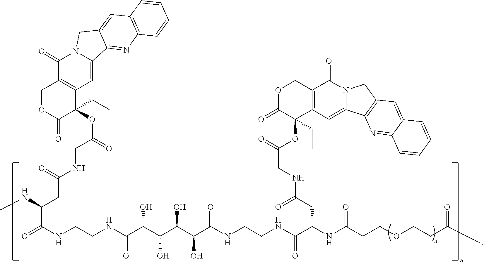
- 0 *CCCNC(=O)[C@@H](O)[C@H](O)[C@H](O)[C@@H](O)C(*)=O.*NCCOCCNC(=O)[C@@H](O)[C@H](O)[C@H](O)[C@@H](O)C(*)=O.*OCCNC(=O)[C@@H](O)[C@H](O)[C@H](O)[C@@H](O)C(C)=O Chemical compound *CCCNC(=O)[C@@H](O)[C@H](O)[C@H](O)[C@@H](O)C(*)=O.*NCCOCCNC(=O)[C@@H](O)[C@H](O)[C@H](O)[C@@H](O)C(*)=O.*OCCNC(=O)[C@@H](O)[C@H](O)[C@H](O)[C@@H](O)C(C)=O 0.000 description 44
- 210000004027 cell Anatomy 0.000 description 44
- 229920001223 polyethylene glycol Polymers 0.000 description 42
- 239000012216 imaging agent Substances 0.000 description 38
- 239000002202 Polyethylene glycol Substances 0.000 description 37
- OKKJLVBELUTLKV-UHFFFAOYSA-N Methanol Chemical compound OC OKKJLVBELUTLKV-UHFFFAOYSA-N 0.000 description 33
- 201000010099 disease Diseases 0.000 description 33
- 238000002347 injection Methods 0.000 description 33
- 239000007924 injection Substances 0.000 description 33
- 229940079593 drug Drugs 0.000 description 32
- XKRFYHLGVUSROY-UHFFFAOYSA-N Argon Chemical compound [Ar] XKRFYHLGVUSROY-UHFFFAOYSA-N 0.000 description 30
- 239000000126 substance Substances 0.000 description 30
- 238000001990 intravenous administration Methods 0.000 description 29
- IAZDPXIOMUYVGZ-UHFFFAOYSA-N Dimethylsulphoxide Chemical compound CS(C)=O IAZDPXIOMUYVGZ-UHFFFAOYSA-N 0.000 description 28
- FAPWRFPIFSIZLT-UHFFFAOYSA-M Sodium chloride Chemical compound [Na+].[Cl-] FAPWRFPIFSIZLT-UHFFFAOYSA-M 0.000 description 28
- 230000015572 biosynthetic process Effects 0.000 description 28
- 206010059282 Metastases to central nervous system Diseases 0.000 description 27
- 241000699670 Mus sp. Species 0.000 description 27
- 238000007917 intracranial administration Methods 0.000 description 25
- 239000011780 sodium chloride Substances 0.000 description 25
- 230000000694 effects Effects 0.000 description 24
- 239000007787 solid Substances 0.000 description 24
- 229920005862 polyol Polymers 0.000 description 23
- 238000009472 formulation Methods 0.000 description 22
- 206010061289 metastatic neoplasm Diseases 0.000 description 22
- 102000004196 processed proteins & peptides Human genes 0.000 description 22
- 108090000623 proteins and genes Proteins 0.000 description 22
- 238000003786 synthesis reaction Methods 0.000 description 22
- 206010027476 Metastases Diseases 0.000 description 21
- 230000000259 anti-tumor effect Effects 0.000 description 21
- 235000018102 proteins Nutrition 0.000 description 21
- 102000004169 proteins and genes Human genes 0.000 description 21
- IAZDPXIOMUYVGZ-WFGJKAKNSA-N Dimethyl sulfoxide Chemical compound [2H]C([2H])([2H])S(=O)C([2H])([2H])[2H] IAZDPXIOMUYVGZ-WFGJKAKNSA-N 0.000 description 20
- 230000004614 tumor growth Effects 0.000 description 20
- 201000011510 cancer Diseases 0.000 description 19
- 229920001184 polypeptide Polymers 0.000 description 19
- 210000005100 blood-tumour barrier Anatomy 0.000 description 18
- 239000000243 solution Substances 0.000 description 18
- 238000006243 chemical reaction Methods 0.000 description 17
- 230000000875 corresponding effect Effects 0.000 description 17
- 239000000463 material Substances 0.000 description 17
- XLYOFNOQVPJJNP-UHFFFAOYSA-N water Substances O XLYOFNOQVPJJNP-UHFFFAOYSA-N 0.000 description 17
- 206010006187 Breast cancer Diseases 0.000 description 16
- 208000026310 Breast neoplasm Diseases 0.000 description 16
- 230000009401 metastasis Effects 0.000 description 16
- 230000031998 transcytosis Effects 0.000 description 16
- 102000007238 Transferrin Receptors Human genes 0.000 description 15
- 108010033576 Transferrin Receptors Proteins 0.000 description 15
- 229910052786 argon Inorganic materials 0.000 description 15
- 201000006417 multiple sclerosis Diseases 0.000 description 15
- 239000002245 particle Substances 0.000 description 15
- 239000008280 blood Substances 0.000 description 14
- 210000004369 blood Anatomy 0.000 description 14
- ZADPBFCGQRWHPN-UHFFFAOYSA-N boronic acid Chemical compound OBO ZADPBFCGQRWHPN-UHFFFAOYSA-N 0.000 description 14
- 210000003169 central nervous system Anatomy 0.000 description 14
- 208000035475 disorder Diseases 0.000 description 14
- 239000012528 membrane Substances 0.000 description 14
- 230000001394 metastastic effect Effects 0.000 description 14
- 230000000926 neurological effect Effects 0.000 description 13
- 102000005962 receptors Human genes 0.000 description 13
- 108020003175 receptors Proteins 0.000 description 13
- 208000017891 HER2 positive breast carcinoma Diseases 0.000 description 12
- 229920001606 poly(lactic acid-co-glycolic acid) Polymers 0.000 description 12
- 238000005160 1H NMR spectroscopy Methods 0.000 description 11
- 210000001519 tissue Anatomy 0.000 description 11
- MTCFGRXMJLQNBG-REOHCLBHSA-N (2S)-2-Amino-3-hydroxypropansäure Chemical compound OC[C@H](N)C(O)=O MTCFGRXMJLQNBG-REOHCLBHSA-N 0.000 description 10
- YMWUJEATGCHHMB-UHFFFAOYSA-N Dichloromethane Chemical compound ClCCl YMWUJEATGCHHMB-UHFFFAOYSA-N 0.000 description 10
- ODKSFYDXXFIFQN-BYPYZUCNSA-P L-argininium(2+) Chemical compound NC(=[NH2+])NCCC[C@H]([NH3+])C(O)=O ODKSFYDXXFIFQN-BYPYZUCNSA-P 0.000 description 10
- WHUUTDBJXJRKMK-VKHMYHEASA-N L-glutamic acid Chemical compound OC(=O)[C@@H](N)CCC(O)=O WHUUTDBJXJRKMK-VKHMYHEASA-N 0.000 description 10
- ZDXPYRJPNDTMRX-VKHMYHEASA-N L-glutamine Chemical compound OC(=O)[C@@H](N)CCC(N)=O ZDXPYRJPNDTMRX-VKHMYHEASA-N 0.000 description 10
- HNDVDQJCIGZPNO-YFKPBYRVSA-N L-histidine Chemical compound OC(=O)[C@@H](N)CC1=CN=CN1 HNDVDQJCIGZPNO-YFKPBYRVSA-N 0.000 description 10
- KDXKERNSBIXSRK-YFKPBYRVSA-N L-lysine Chemical compound NCCCC[C@H](N)C(O)=O KDXKERNSBIXSRK-YFKPBYRVSA-N 0.000 description 10
- AYFVYJQAPQTCCC-GBXIJSLDSA-N L-threonine Chemical compound C[C@@H](O)[C@H](N)C(O)=O AYFVYJQAPQTCCC-GBXIJSLDSA-N 0.000 description 10
- 239000000427 antigen Substances 0.000 description 10
- 108091007433 antigens Proteins 0.000 description 10
- 102000036639 antigens Human genes 0.000 description 10
- 150000004676 glycans Chemical class 0.000 description 10
- 108091033319 polynucleotide Proteins 0.000 description 10
- 239000002157 polynucleotide Substances 0.000 description 10
- 102000040430 polynucleotide Human genes 0.000 description 10
- 229920001282 polysaccharide Polymers 0.000 description 10
- 239000005017 polysaccharide Substances 0.000 description 10
- 230000003442 weekly effect Effects 0.000 description 10
- WEVYAHXRMPXWCK-UHFFFAOYSA-N Acetonitrile Chemical compound CC#N WEVYAHXRMPXWCK-UHFFFAOYSA-N 0.000 description 9
- 208000014644 Brain disease Diseases 0.000 description 9
- 208000018737 Parkinson disease Diseases 0.000 description 9
- 230000004888 barrier function Effects 0.000 description 9
- 125000002887 hydroxy group Chemical group [H]O* 0.000 description 9
- 230000003993 interaction Effects 0.000 description 9
- 239000000546 pharmaceutical excipient Substances 0.000 description 9
- 208000024827 Alzheimer disease Diseases 0.000 description 8
- 208000023105 Huntington disease Diseases 0.000 description 8
- 229920001577 copolymer Polymers 0.000 description 8
- 238000009826 distribution Methods 0.000 description 8
- 238000000132 electrospray ionisation Methods 0.000 description 8
- 229910052739 hydrogen Inorganic materials 0.000 description 8
- 239000001257 hydrogen Substances 0.000 description 8
- 230000001965 increasing effect Effects 0.000 description 8
- 238000001228 spectrum Methods 0.000 description 8
- 238000007910 systemic administration Methods 0.000 description 8
- 230000009885 systemic effect Effects 0.000 description 8
- 241001465754 Metazoa Species 0.000 description 7
- 230000007246 mechanism Effects 0.000 description 7
- 239000000178 monomer Substances 0.000 description 7
- 230000035515 penetration Effects 0.000 description 7
- 230000004044 response Effects 0.000 description 7
- 230000032258 transport Effects 0.000 description 7
- LYCAIKOWRPUZTN-UHFFFAOYSA-N Ethylene glycol Chemical compound OCCO LYCAIKOWRPUZTN-UHFFFAOYSA-N 0.000 description 6
- PIICEJLVQHRZGT-UHFFFAOYSA-N Ethylenediamine Chemical compound NCCN PIICEJLVQHRZGT-UHFFFAOYSA-N 0.000 description 6
- UQSXHKLRYXJYBZ-UHFFFAOYSA-N Iron oxide Chemical compound [Fe]=O UQSXHKLRYXJYBZ-UHFFFAOYSA-N 0.000 description 6
- JGFZNNIVVJXRND-UHFFFAOYSA-N N,N-Diisopropylethylamine (DIPEA) Chemical compound CCN(C(C)C)C(C)C JGFZNNIVVJXRND-UHFFFAOYSA-N 0.000 description 6
- 102000015636 Oligopeptides Human genes 0.000 description 6
- 108010038807 Oligopeptides Proteins 0.000 description 6
- WYURNTSHIVDZCO-UHFFFAOYSA-N Tetrahydrofuran Chemical compound C1CCOC1 WYURNTSHIVDZCO-UHFFFAOYSA-N 0.000 description 6
- ZMANZCXQSJIPKH-UHFFFAOYSA-N Triethylamine Chemical compound CCN(CC)CC ZMANZCXQSJIPKH-UHFFFAOYSA-N 0.000 description 6
- 150000001241 acetals Chemical class 0.000 description 6
- 230000006023 anti-tumor response Effects 0.000 description 6
- 230000001413 cellular effect Effects 0.000 description 6
- 238000002512 chemotherapy Methods 0.000 description 6
- 230000021615 conjugation Effects 0.000 description 6
- 238000002296 dynamic light scattering Methods 0.000 description 6
- JVTAAEKCZFNVCJ-UHFFFAOYSA-N lactic acid Chemical compound CC(O)C(O)=O JVTAAEKCZFNVCJ-UHFFFAOYSA-N 0.000 description 6
- 150000002632 lipids Chemical class 0.000 description 6
- 239000008194 pharmaceutical composition Substances 0.000 description 6
- HXITXNWTGFUOAU-UHFFFAOYSA-N phenylboronic acid Chemical compound OB(O)C1=CC=CC=C1 HXITXNWTGFUOAU-UHFFFAOYSA-N 0.000 description 6
- 229920000728 polyester Polymers 0.000 description 6
- 238000002360 preparation method Methods 0.000 description 6
- 230000008569 process Effects 0.000 description 6
- 239000002904 solvent Substances 0.000 description 6
- 235000000346 sugar Nutrition 0.000 description 6
- 108091023037 Aptamer Proteins 0.000 description 5
- 239000006144 Dulbecco’s modified Eagle's medium Substances 0.000 description 5
- AEMRFAOFKBGASW-UHFFFAOYSA-N Glycolic acid Chemical compound OCC(O)=O AEMRFAOFKBGASW-UHFFFAOYSA-N 0.000 description 5
- 208000012766 Growth delay Diseases 0.000 description 5
- 238000000585 Mann–Whitney U test Methods 0.000 description 5
- 239000004480 active ingredient Substances 0.000 description 5
- WQZGKKKJIJFFOK-PHYPRBDBSA-N alpha-D-galactose Chemical compound OC[C@H]1O[C@H](O)[C@H](O)[C@@H](O)[C@H]1O WQZGKKKJIJFFOK-PHYPRBDBSA-N 0.000 description 5
- 239000012736 aqueous medium Substances 0.000 description 5
- 210000005013 brain tissue Anatomy 0.000 description 5
- 230000007423 decrease Effects 0.000 description 5
- 229930182830 galactose Natural products 0.000 description 5
- 230000002209 hydrophobic effect Effects 0.000 description 5
- 238000003384 imaging method Methods 0.000 description 5
- 238000001727 in vivo Methods 0.000 description 5
- 230000033001 locomotion Effects 0.000 description 5
- 238000000816 matrix-assisted laser desorption--ionisation Methods 0.000 description 5
- 229960000513 necitumumab Drugs 0.000 description 5
- 229960003301 nivolumab Drugs 0.000 description 5
- 229960003347 obinutuzumab Drugs 0.000 description 5
- 230000007170 pathology Effects 0.000 description 5
- 229960002621 pembrolizumab Drugs 0.000 description 5
- 229960002087 pertuzumab Drugs 0.000 description 5
- 229920000515 polycarbonate Polymers 0.000 description 5
- 239000004417 polycarbonate Substances 0.000 description 5
- 229920000570 polyether Polymers 0.000 description 5
- 238000002560 therapeutic procedure Methods 0.000 description 5
- IJGRMHOSHXDMSA-UHFFFAOYSA-N Atomic nitrogen Chemical compound N#N IJGRMHOSHXDMSA-UHFFFAOYSA-N 0.000 description 4
- 206010055113 Breast cancer metastatic Diseases 0.000 description 4
- SRBFZHDQGSBBOR-IOVATXLUSA-N D-xylopyranose Chemical compound O[C@@H]1COC(O)[C@H](O)[C@H]1O SRBFZHDQGSBBOR-IOVATXLUSA-N 0.000 description 4
- AOJJSUZBOXZQNB-TZSSRYMLSA-N Doxorubicin Chemical compound O([C@H]1C[C@@](O)(CC=2C(O)=C3C(=O)C=4C=CC=C(C=4C(=O)C3=C(O)C=21)OC)C(=O)CO)[C@H]1C[C@H](N)[C@H](O)[C@H](C)O1 AOJJSUZBOXZQNB-TZSSRYMLSA-N 0.000 description 4
- 108010021625 Immunoglobulin Fragments Proteins 0.000 description 4
- 102000008394 Immunoglobulin Fragments Human genes 0.000 description 4
- XEEYBQQBJWHFJM-UHFFFAOYSA-N Iron Chemical compound [Fe] XEEYBQQBJWHFJM-UHFFFAOYSA-N 0.000 description 4
- 239000005551 L01XE03 - Erlotinib Substances 0.000 description 4
- 239000004952 Polyamide Substances 0.000 description 4
- 108020004459 Small interfering RNA Proteins 0.000 description 4
- DTQVDTLACAAQTR-UHFFFAOYSA-N Trifluoroacetic acid Chemical compound OC(=O)C(F)(F)F DTQVDTLACAAQTR-UHFFFAOYSA-N 0.000 description 4
- 108091008605 VEGF receptors Proteins 0.000 description 4
- 108010073929 Vascular Endothelial Growth Factor A Proteins 0.000 description 4
- 102000009484 Vascular Endothelial Growth Factor Receptors Human genes 0.000 description 4
- 102000005789 Vascular Endothelial Growth Factors Human genes 0.000 description 4
- 108010019530 Vascular Endothelial Growth Factors Proteins 0.000 description 4
- 238000010521 absorption reaction Methods 0.000 description 4
- 239000000370 acceptor Substances 0.000 description 4
- 239000013543 active substance Substances 0.000 description 4
- 125000004429 atom Chemical group 0.000 description 4
- 239000003085 diluting agent Substances 0.000 description 4
- AAKJLRGGTJKAMG-UHFFFAOYSA-N erlotinib Chemical compound C=12C=C(OCCOC)C(OCCOC)=CC2=NC=NC=1NC1=CC=CC(C#C)=C1 AAKJLRGGTJKAMG-UHFFFAOYSA-N 0.000 description 4
- 239000012634 fragment Substances 0.000 description 4
- XGALLCVXEZPNRQ-UHFFFAOYSA-N gefitinib Chemical compound C=12C=C(OCCCN3CCOCC3)C(OC)=CC2=NC=NC=1NC1=CC=C(F)C(Cl)=C1 XGALLCVXEZPNRQ-UHFFFAOYSA-N 0.000 description 4
- 239000003102 growth factor Substances 0.000 description 4
- 239000011159 matrix material Substances 0.000 description 4
- 238000010172 mouse model Methods 0.000 description 4
- 239000002773 nucleotide Substances 0.000 description 4
- 125000003729 nucleotide group Chemical group 0.000 description 4
- CTSLXHKWHWQRSH-UHFFFAOYSA-N oxalyl chloride Chemical compound ClC(=O)C(Cl)=O CTSLXHKWHWQRSH-UHFFFAOYSA-N 0.000 description 4
- 229960001972 panitumumab Drugs 0.000 description 4
- 230000035699 permeability Effects 0.000 description 4
- 229920001515 polyalkylene glycol Polymers 0.000 description 4
- 229920002647 polyamide Polymers 0.000 description 4
- 229960002633 ramucirumab Drugs 0.000 description 4
- 229960004641 rituximab Drugs 0.000 description 4
- 238000002390 rotary evaporation Methods 0.000 description 4
- 230000004083 survival effect Effects 0.000 description 4
- 238000012385 systemic delivery Methods 0.000 description 4
- RCINICONZNJXQF-MZXODVADSA-N taxol Chemical compound O([C@@H]1[C@@]2(C[C@@H](C(C)=C(C2(C)C)[C@H](C([C@]2(C)[C@@H](O)C[C@H]3OC[C@]3([C@H]21)OC(C)=O)=O)OC(=O)C)OC(=O)[C@H](O)[C@@H](NC(=O)C=1C=CC=CC=1)C=1C=CC=CC=1)O)C(=O)C1=CC=CC=C1 RCINICONZNJXQF-MZXODVADSA-N 0.000 description 4
- 239000003981 vehicle Substances 0.000 description 4
- 210000003462 vein Anatomy 0.000 description 4
- 229920001661 Chitosan Polymers 0.000 description 3
- 108020004414 DNA Proteins 0.000 description 3
- KCXVZYZYPLLWCC-UHFFFAOYSA-N EDTA Chemical compound OC(=O)CN(CC(O)=O)CCN(CC(O)=O)CC(O)=O KCXVZYZYPLLWCC-UHFFFAOYSA-N 0.000 description 3
- 102000004190 Enzymes Human genes 0.000 description 3
- 108090000790 Enzymes Proteins 0.000 description 3
- LFQSCWFLJHTTHZ-UHFFFAOYSA-N Ethanol Chemical compound CCO LFQSCWFLJHTTHZ-UHFFFAOYSA-N 0.000 description 3
- 101000599951 Homo sapiens Insulin-like growth factor I Proteins 0.000 description 3
- VEXZGXHMUGYJMC-UHFFFAOYSA-N Hydrochloric acid Chemical compound Cl VEXZGXHMUGYJMC-UHFFFAOYSA-N 0.000 description 3
- 102100037852 Insulin-like growth factor I Human genes 0.000 description 3
- 239000005517 L01XE01 - Imatinib Substances 0.000 description 3
- 239000005411 L01XE02 - Gefitinib Substances 0.000 description 3
- 206010051696 Metastases to meninges Diseases 0.000 description 3
- ZMXDDKWLCZADIW-UHFFFAOYSA-N N,N-Dimethylformamide Chemical compound CN(C)C=O ZMXDDKWLCZADIW-UHFFFAOYSA-N 0.000 description 3
- 229930012538 Paclitaxel Natural products 0.000 description 3
- 229920002873 Polyethylenimine Polymers 0.000 description 3
- 239000006146 Roswell Park Memorial Institute medium Substances 0.000 description 3
- 108091027967 Small hairpin RNA Proteins 0.000 description 3
- HEMHJVSKTPXQMS-UHFFFAOYSA-M Sodium hydroxide Chemical compound [OH-].[Na+] HEMHJVSKTPXQMS-UHFFFAOYSA-M 0.000 description 3
- 238000009825 accumulation Methods 0.000 description 3
- 230000002378 acidificating effect Effects 0.000 description 3
- 230000004913 activation Effects 0.000 description 3
- 238000004458 analytical method Methods 0.000 description 3
- 125000000129 anionic group Chemical group 0.000 description 3
- 239000000074 antisense oligonucleotide Substances 0.000 description 3
- 238000012230 antisense oligonucleotides Methods 0.000 description 3
- 238000013459 approach Methods 0.000 description 3
- 239000007864 aqueous solution Substances 0.000 description 3
- 238000004630 atomic force microscopy Methods 0.000 description 3
- 150000001540 azides Chemical class 0.000 description 3
- 230000009286 beneficial effect Effects 0.000 description 3
- 230000008901 benefit Effects 0.000 description 3
- 230000004071 biological effect Effects 0.000 description 3
- 150000001642 boronic acid derivatives Chemical class 0.000 description 3
- 125000005620 boronic acid group Chemical group 0.000 description 3
- 150000005829 chemical entities Chemical class 0.000 description 3
- 230000000973 chemotherapeutic effect Effects 0.000 description 3
- 239000002131 composite material Substances 0.000 description 3
- 230000003247 decreasing effect Effects 0.000 description 3
- 238000009792 diffusion process Methods 0.000 description 3
- 238000010494 dissociation reaction Methods 0.000 description 3
- 230000005593 dissociations Effects 0.000 description 3
- 238000012377 drug delivery Methods 0.000 description 3
- 210000001163 endosome Anatomy 0.000 description 3
- 102000052116 epidermal growth factor receptor activity proteins Human genes 0.000 description 3
- 108700015053 epidermal growth factor receptor activity proteins Proteins 0.000 description 3
- 229960001433 erlotinib Drugs 0.000 description 3
- 230000029142 excretion Effects 0.000 description 3
- 108020001507 fusion proteins Proteins 0.000 description 3
- 102000037865 fusion proteins Human genes 0.000 description 3
- 229960002584 gefitinib Drugs 0.000 description 3
- 230000014509 gene expression Effects 0.000 description 3
- 239000011521 glass Substances 0.000 description 3
- PCHJSUWPFVWCPO-UHFFFAOYSA-N gold Chemical compound [Au] PCHJSUWPFVWCPO-UHFFFAOYSA-N 0.000 description 3
- 229910052737 gold Inorganic materials 0.000 description 3
- 239000010931 gold Substances 0.000 description 3
- 230000012010 growth Effects 0.000 description 3
- 238000004128 high performance liquid chromatography Methods 0.000 description 3
- KTUFNOKKBVMGRW-UHFFFAOYSA-N imatinib Chemical compound C1CN(C)CCN1CC1=CC=C(C(=O)NC=2C=C(NC=3N=C(C=CN=3)C=3C=NC=CC=3)C(C)=CC=2)C=C1 KTUFNOKKBVMGRW-UHFFFAOYSA-N 0.000 description 3
- 230000001976 improved effect Effects 0.000 description 3
- 238000000338 in vitro Methods 0.000 description 3
- 238000010874 in vitro model Methods 0.000 description 3
- 238000010348 incorporation Methods 0.000 description 3
- 230000002401 inhibitory effect Effects 0.000 description 3
- 230000005764 inhibitory process Effects 0.000 description 3
- 239000004310 lactic acid Substances 0.000 description 3
- 235000014655 lactic acid Nutrition 0.000 description 3
- 230000000670 limiting effect Effects 0.000 description 3
- 238000005259 measurement Methods 0.000 description 3
- 108020004999 messenger RNA Proteins 0.000 description 3
- 230000004060 metabolic process Effects 0.000 description 3
- OJURWUUOVGOHJZ-UHFFFAOYSA-N methyl 2-[(2-acetyloxyphenyl)methyl-[2-[(2-acetyloxyphenyl)methyl-(2-methoxy-2-oxoethyl)amino]ethyl]amino]acetate Chemical compound C=1C=CC=C(OC(C)=O)C=1CN(CC(=O)OC)CCN(CC(=O)OC)CC1=CC=CC=C1OC(C)=O OJURWUUOVGOHJZ-UHFFFAOYSA-N 0.000 description 3
- 239000002808 molecular sieve Substances 0.000 description 3
- YOHYSYJDKVYCJI-UHFFFAOYSA-N n-[3-[[6-[3-(trifluoromethyl)anilino]pyrimidin-4-yl]amino]phenyl]cyclopropanecarboxamide Chemical class FC(F)(F)C1=CC=CC(NC=2N=CN=C(NC=3C=C(NC(=O)C4CC4)C=CC=3)C=2)=C1 YOHYSYJDKVYCJI-UHFFFAOYSA-N 0.000 description 3
- 230000020477 pH reduction Effects 0.000 description 3
- 229960001592 paclitaxel Drugs 0.000 description 3
- 239000008177 pharmaceutical agent Substances 0.000 description 3
- 230000003285 pharmacodynamic effect Effects 0.000 description 3
- 229920000058 polyacrylate Polymers 0.000 description 3
- 239000000580 polymer-drug conjugate Substances 0.000 description 3
- 239000000047 product Substances 0.000 description 3
- 230000009467 reduction Effects 0.000 description 3
- 230000002829 reductive effect Effects 0.000 description 3
- 239000012465 retentate Substances 0.000 description 3
- 239000002924 silencing RNA Substances 0.000 description 3
- 239000004055 small Interfering RNA Substances 0.000 description 3
- 229940126586 small molecule drug Drugs 0.000 description 3
- URGAHOPLAPQHLN-UHFFFAOYSA-N sodium aluminosilicate Chemical compound [Na+].[Al+3].[O-][Si]([O-])=O.[O-][Si]([O-])=O URGAHOPLAPQHLN-UHFFFAOYSA-N 0.000 description 3
- 238000007920 subcutaneous administration Methods 0.000 description 3
- 239000000725 suspension Substances 0.000 description 3
- 238000012360 testing method Methods 0.000 description 3
- YLQBMQCUIZJEEH-UHFFFAOYSA-N tetrahydrofuran Natural products C=1C=COC=1 YLQBMQCUIZJEEH-UHFFFAOYSA-N 0.000 description 3
- 231100000331 toxic Toxicity 0.000 description 3
- 230000002588 toxic effect Effects 0.000 description 3
- 210000004881 tumor cell Anatomy 0.000 description 3
- FBDOJYYTMIHHDH-OZBJMMHXSA-N (19S)-19-ethyl-19-hydroxy-17-oxa-3,13-diazapentacyclo[11.8.0.02,11.04,9.015,20]henicosa-2,4,6,8,10,14,20-heptaen-18-one Chemical compound CC[C@@]1(O)C(=O)OCC2=CN3Cc4cc5ccccc5nc4C3C=C12 FBDOJYYTMIHHDH-OZBJMMHXSA-N 0.000 description 2
- 108091032973 (ribonucleotides)n+m Proteins 0.000 description 2
- BVFOCZRAMDADEF-UHFFFAOYSA-N *.*.*.*.B.B.B.B.CC.CC.CC.CC.CC.CC.CC.CC.CC.CC.CC Chemical compound *.*.*.*.B.B.B.B.CC.CC.CC.CC.CC.CC.CC.CC.CC.CC.CC BVFOCZRAMDADEF-UHFFFAOYSA-N 0.000 description 2
- RTQWWZBSTRGEAV-PKHIMPSTSA-N 2-[[(2s)-2-[bis(carboxymethyl)amino]-3-[4-(methylcarbamoylamino)phenyl]propyl]-[2-[bis(carboxymethyl)amino]propyl]amino]acetic acid Chemical group CNC(=O)NC1=CC=C(C[C@@H](CN(CC(C)N(CC(O)=O)CC(O)=O)CC(O)=O)N(CC(O)=O)CC(O)=O)C=C1 RTQWWZBSTRGEAV-PKHIMPSTSA-N 0.000 description 2
- WNIFCLWDGNHGMX-UHFFFAOYSA-N 3-borono-5-nitrobenzoic acid Chemical compound OB(O)C1=CC(C(O)=O)=CC([N+]([O-])=O)=C1 WNIFCLWDGNHGMX-UHFFFAOYSA-N 0.000 description 2
- 239000012109 Alexa Fluor 568 Substances 0.000 description 2
- 108020000948 Antisense Oligonucleotides Proteins 0.000 description 2
- 102100022005 B-lymphocyte antigen CD20 Human genes 0.000 description 2
- 102100024217 CAMPATH-1 antigen Human genes 0.000 description 2
- KJUXQMCMQKAOQG-BREVMMEPSA-N CC[C@@H](CC(=O)NCC(=O)O[C@@]1(CC)C(=O)OCC2=C1C=C1C3=NC4=C(C=CC=C4)C=C3CN1C2=O)C(=O)NCCCC(=O)[C@H](O)[C@@H](O)[C@@H](O)[C@H](O)C(=O)NCCCC(=O)[C@H](CC(=O)NCC(=O)O[C@@]1(CC)C(=O)OCC2=C1C=C1C3=C(C=C4C=CC=CC4=N3)CN1C2=O)NC(=O)CCOCCC(C)=O Chemical compound CC[C@@H](CC(=O)NCC(=O)O[C@@]1(CC)C(=O)OCC2=C1C=C1C3=NC4=C(C=CC=C4)C=C3CN1C2=O)C(=O)NCCCC(=O)[C@H](O)[C@@H](O)[C@@H](O)[C@H](O)C(=O)NCCCC(=O)[C@H](CC(=O)NCC(=O)O[C@@]1(CC)C(=O)OCC2=C1C=C1C3=C(C=C4C=CC=CC4=N3)CN1C2=O)NC(=O)CCOCCC(C)=O KJUXQMCMQKAOQG-BREVMMEPSA-N 0.000 description 2
- 108010065524 CD52 Antigen Proteins 0.000 description 2
- ZWRXRZVPONQJBW-UHFFFAOYSA-N COCCOCCC(=O)C(C)(C)C Chemical compound COCCOCCC(=O)C(C)(C)C ZWRXRZVPONQJBW-UHFFFAOYSA-N 0.000 description 2
- FBPFZTCFMRRESA-FSIIMWSLSA-N D-Glucitol Natural products OC[C@H](O)[C@H](O)[C@@H](O)[C@H](O)CO FBPFZTCFMRRESA-FSIIMWSLSA-N 0.000 description 2
- FBPFZTCFMRRESA-KVTDHHQDSA-N D-Mannitol Chemical compound OC[C@@H](O)[C@@H](O)[C@H](O)[C@H](O)CO FBPFZTCFMRRESA-KVTDHHQDSA-N 0.000 description 2
- FBPFZTCFMRRESA-JGWLITMVSA-N D-glucitol Chemical compound OC[C@H](O)[C@@H](O)[C@H](O)[C@H](O)CO FBPFZTCFMRRESA-JGWLITMVSA-N 0.000 description 2
- 102000001301 EGF receptor Human genes 0.000 description 2
- 108060006698 EGF receptor Proteins 0.000 description 2
- 102000050554 Eph Family Receptors Human genes 0.000 description 2
- 108091008815 Eph receptors Proteins 0.000 description 2
- 102000010834 Extracellular Matrix Proteins Human genes 0.000 description 2
- 108010037362 Extracellular Matrix Proteins Proteins 0.000 description 2
- 229930091371 Fructose Natural products 0.000 description 2
- RFSUNEUAIZKAJO-ARQDHWQXSA-N Fructose Chemical compound OC[C@H]1O[C@](O)(CO)[C@@H](O)[C@@H]1O RFSUNEUAIZKAJO-ARQDHWQXSA-N 0.000 description 2
- 239000005715 Fructose Substances 0.000 description 2
- 241000963438 Gaussia <copepod> Species 0.000 description 2
- WQZGKKKJIJFFOK-GASJEMHNSA-N Glucose Natural products OC[C@H]1OC(O)[C@H](O)[C@@H](O)[C@@H]1O WQZGKKKJIJFFOK-GASJEMHNSA-N 0.000 description 2
- PEDCQBHIVMGVHV-UHFFFAOYSA-N Glycerine Chemical compound OCC(O)CO PEDCQBHIVMGVHV-UHFFFAOYSA-N 0.000 description 2
- 108090000288 Glycoproteins Proteins 0.000 description 2
- 102000003886 Glycoproteins Human genes 0.000 description 2
- 238000011460 HER2-targeted therapy Methods 0.000 description 2
- 102400001369 Heparin-binding EGF-like growth factor Human genes 0.000 description 2
- 101800001649 Heparin-binding EGF-like growth factor Proteins 0.000 description 2
- 101000897405 Homo sapiens B-lymphocyte antigen CD20 Proteins 0.000 description 2
- 101000934338 Homo sapiens Myeloid cell surface antigen CD33 Proteins 0.000 description 2
- 101000610604 Homo sapiens Tumor necrosis factor receptor superfamily member 10B Proteins 0.000 description 2
- 101000851376 Homo sapiens Tumor necrosis factor receptor superfamily member 8 Proteins 0.000 description 2
- 102000017727 Immunoglobulin Variable Region Human genes 0.000 description 2
- 108010067060 Immunoglobulin Variable Region Proteins 0.000 description 2
- 102000003746 Insulin Receptor Human genes 0.000 description 2
- 108010001127 Insulin Receptor Proteins 0.000 description 2
- 102100039688 Insulin-like growth factor 1 receptor Human genes 0.000 description 2
- 101710184277 Insulin-like growth factor 1 receptor Proteins 0.000 description 2
- 239000002136 L01XE07 - Lapatinib Substances 0.000 description 2
- 102000000853 LDL receptors Human genes 0.000 description 2
- 108010001831 LDL receptors Proteins 0.000 description 2
- 101710172064 Low-density lipoprotein receptor-related protein Proteins 0.000 description 2
- 108060001084 Luciferase Proteins 0.000 description 2
- 239000005089 Luciferase Substances 0.000 description 2
- 241000124008 Mammalia Species 0.000 description 2
- 229930195725 Mannitol Natural products 0.000 description 2
- 102000018697 Membrane Proteins Human genes 0.000 description 2
- 108010052285 Membrane Proteins Proteins 0.000 description 2
- 241000699666 Mus <mouse, genus> Species 0.000 description 2
- 102100025243 Myeloid cell surface antigen CD33 Human genes 0.000 description 2
- ZDZOTLJHXYCWBA-VCVYQWHSSA-N N-debenzoyl-N-(tert-butoxycarbonyl)-10-deacetyltaxol Chemical compound O([C@H]1[C@H]2[C@@](C([C@H](O)C3=C(C)[C@@H](OC(=O)[C@H](O)[C@@H](NC(=O)OC(C)(C)C)C=4C=CC=CC=4)C[C@]1(O)C3(C)C)=O)(C)[C@@H](O)C[C@H]1OC[C@]12OC(=O)C)C(=O)C1=CC=CC=C1 ZDZOTLJHXYCWBA-VCVYQWHSSA-N 0.000 description 2
- 208000003788 Neoplasm Micrometastasis Diseases 0.000 description 2
- 206010061309 Neoplasm progression Diseases 0.000 description 2
- 208000025966 Neurological disease Diseases 0.000 description 2
- YHIPILPTUVMWQT-UHFFFAOYSA-N Oplophorus luciferin Chemical compound C1=CC(O)=CC=C1CC(C(N1C=C(N2)C=3C=CC(O)=CC=3)=O)=NC1=C2CC1=CC=CC=C1 YHIPILPTUVMWQT-UHFFFAOYSA-N 0.000 description 2
- 239000002033 PVDF binder Substances 0.000 description 2
- NBIIXXVUZAFLBC-UHFFFAOYSA-N Phosphoric acid Chemical compound OP(O)(O)=O NBIIXXVUZAFLBC-UHFFFAOYSA-N 0.000 description 2
- 239000004721 Polyphenylene oxide Substances 0.000 description 2
- JUJWROOIHBZHMG-UHFFFAOYSA-N Pyridine Chemical compound C1=CC=NC=C1 JUJWROOIHBZHMG-UHFFFAOYSA-N 0.000 description 2
- 102000004584 Somatomedin Receptors Human genes 0.000 description 2
- 108010017622 Somatomedin Receptors Proteins 0.000 description 2
- CZMRCDWAGMRECN-UGDNZRGBSA-N Sucrose Chemical compound O[C@H]1[C@H](O)[C@@H](CO)O[C@@]1(CO)O[C@@H]1[C@H](O)[C@@H](O)[C@H](O)[C@@H](CO)O1 CZMRCDWAGMRECN-UGDNZRGBSA-N 0.000 description 2
- 229930006000 Sucrose Natural products 0.000 description 2
- 102000007000 Tenascin Human genes 0.000 description 2
- 108010008125 Tenascin Proteins 0.000 description 2
- 108060008683 Tumor Necrosis Factor Receptor Proteins 0.000 description 2
- 102100040112 Tumor necrosis factor receptor superfamily member 10B Human genes 0.000 description 2
- 102100036857 Tumor necrosis factor receptor superfamily member 8 Human genes 0.000 description 2
- 241000700605 Viruses Species 0.000 description 2
- 239000002253 acid Substances 0.000 description 2
- 230000009471 action Effects 0.000 description 2
- 239000011149 active material Substances 0.000 description 2
- 150000001299 aldehydes Chemical class 0.000 description 2
- HAXFWIACAGNFHA-UHFFFAOYSA-N aldrithiol Chemical compound C=1C=CC=NC=1SSC1=CC=CC=N1 HAXFWIACAGNFHA-UHFFFAOYSA-N 0.000 description 2
- 125000003277 amino group Chemical group 0.000 description 2
- 230000006907 apoptotic process Effects 0.000 description 2
- PYMYPHUHKUWMLA-UHFFFAOYSA-N arabinose Natural products OCC(O)C(O)C(O)C=O PYMYPHUHKUWMLA-UHFFFAOYSA-N 0.000 description 2
- 238000000149 argon plasma sintering Methods 0.000 description 2
- 229940120638 avastin Drugs 0.000 description 2
- OQAQJWFVENTVSM-UHFFFAOYSA-N azorous acid Chemical compound ON(O)O OQAQJWFVENTVSM-UHFFFAOYSA-N 0.000 description 2
- SRBFZHDQGSBBOR-UHFFFAOYSA-N beta-D-Pyranose-Lyxose Natural products OC1COC(O)C(O)C1O SRBFZHDQGSBBOR-UHFFFAOYSA-N 0.000 description 2
- WQZGKKKJIJFFOK-VFUOTHLCSA-N beta-D-glucose Chemical compound OC[C@H]1O[C@@H](O)[C@H](O)[C@@H](O)[C@@H]1O WQZGKKKJIJFFOK-VFUOTHLCSA-N 0.000 description 2
- 229960000397 bevacizumab Drugs 0.000 description 2
- 239000011230 binding agent Substances 0.000 description 2
- 239000003124 biologic agent Substances 0.000 description 2
- 210000005101 blood-brain tumor barrier Anatomy 0.000 description 2
- 230000037396 body weight Effects 0.000 description 2
- 229960000455 brentuximab vedotin Drugs 0.000 description 2
- 239000000872 buffer Substances 0.000 description 2
- 125000002843 carboxylic acid group Chemical group 0.000 description 2
- 238000005119 centrifugation Methods 0.000 description 2
- 210000004720 cerebrum Anatomy 0.000 description 2
- 229960005395 cetuximab Drugs 0.000 description 2
- 239000013043 chemical agent Substances 0.000 description 2
- 238000011260 co-administration Methods 0.000 description 2
- 230000000295 complement effect Effects 0.000 description 2
- 239000002299 complementary DNA Substances 0.000 description 2
- 230000002596 correlated effect Effects 0.000 description 2
- 238000000604 cryogenic transmission electron microscopy Methods 0.000 description 2
- 231100000433 cytotoxic Toxicity 0.000 description 2
- 230000001472 cytotoxic effect Effects 0.000 description 2
- 230000034994 death Effects 0.000 description 2
- 231100000517 death Toxicity 0.000 description 2
- 108010017271 denileukin diftitox Proteins 0.000 description 2
- 230000001419 dependent effect Effects 0.000 description 2
- 238000011161 development Methods 0.000 description 2
- 238000000502 dialysis Methods 0.000 description 2
- 150000004985 diamines Chemical class 0.000 description 2
- 230000004069 differentiation Effects 0.000 description 2
- 239000006185 dispersion Substances 0.000 description 2
- 229960004679 doxorubicin Drugs 0.000 description 2
- 230000012202 endocytosis Effects 0.000 description 2
- 229930013356 epothilone Natural products 0.000 description 2
- 229940082789 erbitux Drugs 0.000 description 2
- 125000002534 ethynyl group Chemical group [H]C#C* 0.000 description 2
- 230000007717 exclusion Effects 0.000 description 2
- 230000001747 exhibiting effect Effects 0.000 description 2
- 210000002744 extracellular matrix Anatomy 0.000 description 2
- 210000002950 fibroblast Anatomy 0.000 description 2
- 239000012530 fluid Substances 0.000 description 2
- OVBPIULPVIDEAO-LBPRGKRZSA-N folic acid Chemical compound C=1N=C2NC(N)=NC(=O)C2=NC=1CNC1=CC=C(C(=O)N[C@@H](CCC(O)=O)C(O)=O)C=C1 OVBPIULPVIDEAO-LBPRGKRZSA-N 0.000 description 2
- 238000005227 gel permeation chromatography Methods 0.000 description 2
- 230000002068 genetic effect Effects 0.000 description 2
- 239000008103 glucose Substances 0.000 description 2
- 230000003394 haemopoietic effect Effects 0.000 description 2
- 229960001001 ibritumomab tiuxetan Drugs 0.000 description 2
- 229960002411 imatinib Drugs 0.000 description 2
- 230000006872 improvement Effects 0.000 description 2
- 230000001939 inductive effect Effects 0.000 description 2
- 238000001802 infusion Methods 0.000 description 2
- NOESYZHRGYRDHS-UHFFFAOYSA-N insulin Chemical compound N1C(=O)C(NC(=O)C(CCC(N)=O)NC(=O)C(CCC(O)=O)NC(=O)C(C(C)C)NC(=O)C(NC(=O)CN)C(C)CC)CSSCC(C(NC(CO)C(=O)NC(CC(C)C)C(=O)NC(CC=2C=CC(O)=CC=2)C(=O)NC(CCC(N)=O)C(=O)NC(CC(C)C)C(=O)NC(CCC(O)=O)C(=O)NC(CC(N)=O)C(=O)NC(CC=2C=CC(O)=CC=2)C(=O)NC(CSSCC(NC(=O)C(C(C)C)NC(=O)C(CC(C)C)NC(=O)C(CC=2C=CC(O)=CC=2)NC(=O)C(CC(C)C)NC(=O)C(C)NC(=O)C(CCC(O)=O)NC(=O)C(C(C)C)NC(=O)C(CC(C)C)NC(=O)C(CC=2NC=NC=2)NC(=O)C(CO)NC(=O)CNC2=O)C(=O)NCC(=O)NC(CCC(O)=O)C(=O)NC(CCCNC(N)=N)C(=O)NCC(=O)NC(CC=3C=CC=CC=3)C(=O)NC(CC=3C=CC=CC=3)C(=O)NC(CC=3C=CC(O)=CC=3)C(=O)NC(C(C)O)C(=O)N3C(CCC3)C(=O)NC(CCCCN)C(=O)NC(C)C(O)=O)C(=O)NC(CC(N)=O)C(O)=O)=O)NC(=O)C(C(C)CC)NC(=O)C(CO)NC(=O)C(C(C)O)NC(=O)C1CSSCC2NC(=O)C(CC(C)C)NC(=O)C(NC(=O)C(CCC(N)=O)NC(=O)C(CC(N)=O)NC(=O)C(NC(=O)C(N)CC=1C=CC=CC=1)C(C)C)CC1=CN=CN1 NOESYZHRGYRDHS-UHFFFAOYSA-N 0.000 description 2
- 102000006495 integrins Human genes 0.000 description 2
- 108010044426 integrins Proteins 0.000 description 2
- 238000007918 intramuscular administration Methods 0.000 description 2
- 229960005386 ipilimumab Drugs 0.000 description 2
- 229910052742 iron Inorganic materials 0.000 description 2
- BCFGMOOMADDAQU-UHFFFAOYSA-N lapatinib Chemical compound O1C(CNCCS(=O)(=O)C)=CC=C1C1=CC=C(N=CN=C2NC=3C=C(Cl)C(OCC=4C=C(F)C=CC=4)=CC=3)C2=C1 BCFGMOOMADDAQU-UHFFFAOYSA-N 0.000 description 2
- 229960004891 lapatinib Drugs 0.000 description 2
- 210000005240 left ventricle Anatomy 0.000 description 2
- 230000003902 lesion Effects 0.000 description 2
- 231100000053 low toxicity Toxicity 0.000 description 2
- 210000004072 lung Anatomy 0.000 description 2
- 239000000594 mannitol Substances 0.000 description 2
- 235000010355 mannitol Nutrition 0.000 description 2
- 238000004519 manufacturing process Methods 0.000 description 2
- HAWPXGHAZFHHAD-UHFFFAOYSA-N mechlorethamine Chemical compound ClCCN(C)CCCl HAWPXGHAZFHHAD-UHFFFAOYSA-N 0.000 description 2
- 229960004961 mechlorethamine Drugs 0.000 description 2
- 239000002609 medium Substances 0.000 description 2
- 108091070501 miRNA Proteins 0.000 description 2
- 239000002679 microRNA Substances 0.000 description 2
- 230000004048 modification Effects 0.000 description 2
- 238000012986 modification Methods 0.000 description 2
- 229960005027 natalizumab Drugs 0.000 description 2
- 230000004770 neurodegeneration Effects 0.000 description 2
- 208000015122 neurodegenerative disease Diseases 0.000 description 2
- 229910052757 nitrogen Inorganic materials 0.000 description 2
- 229950005751 ocrelizumab Drugs 0.000 description 2
- 229960002450 ofatumumab Drugs 0.000 description 2
- 229950008516 olaratumab Drugs 0.000 description 2
- 210000000056 organ Anatomy 0.000 description 2
- 238000007911 parenteral administration Methods 0.000 description 2
- 239000013612 plasmid Substances 0.000 description 2
- 229920002981 polyvinylidene fluoride Polymers 0.000 description 2
- 238000002600 positron emission tomography Methods 0.000 description 2
- 239000002244 precipitate Substances 0.000 description 2
- 150000003141 primary amines Chemical class 0.000 description 2
- 108091006084 receptor activators Proteins 0.000 description 2
- 230000035945 sensitivity Effects 0.000 description 2
- PCMORTLOPMLEFB-ONEGZZNKSA-N sinapic acid Chemical compound COC1=CC(\C=C\C(O)=O)=CC(OC)=C1O PCMORTLOPMLEFB-ONEGZZNKSA-N 0.000 description 2
- PCMORTLOPMLEFB-UHFFFAOYSA-N sinapinic acid Natural products COC1=CC(C=CC(O)=O)=CC(OC)=C1O PCMORTLOPMLEFB-UHFFFAOYSA-N 0.000 description 2
- 238000005549 size reduction Methods 0.000 description 2
- 239000011734 sodium Substances 0.000 description 2
- 239000000600 sorbitol Substances 0.000 description 2
- 230000006641 stabilisation Effects 0.000 description 2
- 238000011105 stabilization Methods 0.000 description 2
- 239000005720 sucrose Substances 0.000 description 2
- 150000008163 sugars Chemical class 0.000 description 2
- 125000000446 sulfanediyl group Chemical group *S* 0.000 description 2
- 150000003871 sulfonates Chemical class 0.000 description 2
- 229910052717 sulfur Inorganic materials 0.000 description 2
- HSVFKFNNMLUVEY-UHFFFAOYSA-N sulfuryl diazide Chemical compound [N-]=[N+]=NS(=O)(=O)N=[N+]=[N-] HSVFKFNNMLUVEY-UHFFFAOYSA-N 0.000 description 2
- 238000004627 transmission electron microscopy Methods 0.000 description 2
- 229960001612 trastuzumab emtansine Drugs 0.000 description 2
- 239000000439 tumor marker Substances 0.000 description 2
- 102000003298 tumor necrosis factor receptor Human genes 0.000 description 2
- 230000005751 tumor progression Effects 0.000 description 2
- 229940079023 tysabri Drugs 0.000 description 2
- 210000005166 vasculature Anatomy 0.000 description 2
- 229920003169 water-soluble polymer Polymers 0.000 description 2
- 229940055760 yervoy Drugs 0.000 description 2
- 238000000733 zeta-potential measurement Methods 0.000 description 2
- OMJKFYKNWZZKTK-POHAHGRESA-N (5z)-5-(dimethylaminohydrazinylidene)imidazole-4-carboxamide Chemical compound CN(C)N\N=C1/N=CN=C1C(N)=O OMJKFYKNWZZKTK-POHAHGRESA-N 0.000 description 1
- 150000000185 1,3-diols Chemical class 0.000 description 1
- ZRHUHDUEXWHZMA-UHFFFAOYSA-N 1,4-dihydropyrazol-5-one Chemical class O=C1CC=NN1 ZRHUHDUEXWHZMA-UHFFFAOYSA-N 0.000 description 1
- PNDPGZBMCMUPRI-HVTJNCQCSA-N 10043-66-0 Chemical compound [131I][131I] PNDPGZBMCMUPRI-HVTJNCQCSA-N 0.000 description 1
- 238000004607 11B NMR spectroscopy Methods 0.000 description 1
- 238000001644 13C nuclear magnetic resonance spectroscopy Methods 0.000 description 1
- 238000004293 19F NMR spectroscopy Methods 0.000 description 1
- 150000005258 1H-pyrrolo(2,3-b)pyridines Chemical class 0.000 description 1
- NDMPLJNOPCLANR-UHFFFAOYSA-N 3,4-dihydroxy-15-(4-hydroxy-18-methoxycarbonyl-5,18-seco-ibogamin-18-yl)-16-methoxy-1-methyl-6,7-didehydro-aspidospermidine-3-carboxylic acid methyl ester Natural products C1C(CC)(O)CC(CC2(C(=O)OC)C=3C(=CC4=C(C56C(C(C(O)C7(CC)C=CCN(C67)CC5)(O)C(=O)OC)N4C)C=3)OC)CN1CCC1=C2NC2=CC=CC=C12 NDMPLJNOPCLANR-UHFFFAOYSA-N 0.000 description 1
- RYCSNJCJOVQGBC-UHFFFAOYSA-N 3-(1-cyclopropyl-2h-pyridin-4-yl)-1h-quinolin-2-one Chemical class O=C1NC2=CC=CC=C2C=C1C(C=C1)=CCN1C1CC1 RYCSNJCJOVQGBC-UHFFFAOYSA-N 0.000 description 1
- FPQQSJJWHUJYPU-UHFFFAOYSA-N 3-(dimethylamino)propyliminomethylidene-ethylazanium;chloride Chemical compound Cl.CCN=C=NCCCN(C)C FPQQSJJWHUJYPU-UHFFFAOYSA-N 0.000 description 1
- AOJJSUZBOXZQNB-VTZDEGQISA-N 4'-epidoxorubicin Chemical compound O([C@H]1C[C@@](O)(CC=2C(O)=C3C(=O)C=4C=CC=C(C=4C(=O)C3=C(O)C=21)OC)C(=O)CO)[C@H]1C[C@H](N)[C@@H](O)[C@H](C)O1 AOJJSUZBOXZQNB-VTZDEGQISA-N 0.000 description 1
- KEULITJLZYZYPU-AWEZNQCLSA-N 4-o-benzyl 1-o-(2,5-dioxopyrrolidin-1-yl) (2s)-2-[(2-methylpropan-2-yl)oxycarbonylamino]butanedioate Chemical compound C([C@H](NC(=O)OC(C)(C)C)C(=O)ON1C(CCC1=O)=O)C(=O)OCC1=CC=CC=C1 KEULITJLZYZYPU-AWEZNQCLSA-N 0.000 description 1
- NMUSYJAQQFHJEW-KVTDHHQDSA-N 5-azacytidine Chemical compound O=C1N=C(N)N=CN1[C@H]1[C@H](O)[C@H](O)[C@@H](CO)O1 NMUSYJAQQFHJEW-KVTDHHQDSA-N 0.000 description 1
- MJZJYWCQPMNPRM-UHFFFAOYSA-N 6,6-dimethyl-1-[3-(2,4,5-trichlorophenoxy)propoxy]-1,6-dihydro-1,3,5-triazine-2,4-diamine Chemical compound CC1(C)N=C(N)N=C(N)N1OCCCOC1=CC(Cl)=C(Cl)C=C1Cl MJZJYWCQPMNPRM-UHFFFAOYSA-N 0.000 description 1
- VVIAGPKUTFNRDU-UHFFFAOYSA-N 6S-folinic acid Natural products C1NC=2NC(N)=NC(=O)C=2N(C=O)C1CNC1=CC=C(C(=O)NC(CCC(O)=O)C(O)=O)C=C1 VVIAGPKUTFNRDU-UHFFFAOYSA-N 0.000 description 1
- 108010012934 Albumin-Bound Paclitaxel Proteins 0.000 description 1
- 229930183010 Amphotericin Natural products 0.000 description 1
- QGGFZZLFKABGNL-UHFFFAOYSA-N Amphotericin A Natural products OC1C(N)C(O)C(C)OC1OC1C=CC=CC=CC=CCCC=CC=CC(C)C(O)C(C)C(C)OC(=O)CC(O)CC(O)CCC(O)C(O)CC(O)CC(O)(CC(O)C2C(O)=O)OC2C1 QGGFZZLFKABGNL-UHFFFAOYSA-N 0.000 description 1
- 108010064942 Angiopep-2 Proteins 0.000 description 1
- 102100029470 Apolipoprotein E Human genes 0.000 description 1
- 101710095339 Apolipoprotein E Proteins 0.000 description 1
- 206010003591 Ataxia Diseases 0.000 description 1
- OGBVRMYSNSKIEF-UHFFFAOYSA-N Benzylphosphonic acid Chemical class OP(O)(=O)CC1=CC=CC=C1 OGBVRMYSNSKIEF-UHFFFAOYSA-N 0.000 description 1
- 229920002498 Beta-glucan Polymers 0.000 description 1
- 108010006654 Bleomycin Proteins 0.000 description 1
- ZOXJGFHDIHLPTG-UHFFFAOYSA-N Boron Chemical compound [B] ZOXJGFHDIHLPTG-UHFFFAOYSA-N 0.000 description 1
- ZOXJGFHDIHLPTG-BJUDXGSMSA-N Boron-10 Chemical compound [10B] ZOXJGFHDIHLPTG-BJUDXGSMSA-N 0.000 description 1
- 241000283690 Bos taurus Species 0.000 description 1
- CPELXLSAUQHCOX-UHFFFAOYSA-M Bromide Chemical compound [Br-] CPELXLSAUQHCOX-UHFFFAOYSA-M 0.000 description 1
- AAYPYEURIKCGBK-UHFFFAOYSA-N C.CC(C)(C)C1=CC(B(O)O)=C([N+](=O)[O-])C=C1.CC(C)(C)C1=CC(B(O)O)=CC([N+](=O)[O-])=C1.CC(C)(C)C1=CC(B(O)O)=CC=C1[N+](=O)[O-] Chemical compound C.CC(C)(C)C1=CC(B(O)O)=C([N+](=O)[O-])C=C1.CC(C)(C)C1=CC(B(O)O)=CC([N+](=O)[O-])=C1.CC(C)(C)C1=CC(B(O)O)=CC=C1[N+](=O)[O-] AAYPYEURIKCGBK-UHFFFAOYSA-N 0.000 description 1
- BWJLPPNETHKXGE-BWISDPERSA-O C.CCCCC(=O)[C@H](O)[C@@H](O)[C@@H](O)[C@H](O)C(=O)NCCCC(C)(C)C.CCCCC(=[NH2+])CC(=O)[C@H](O)[C@@H](O)[C@@H](O)[C@H](O)C(=O)NCCCC(C)(C)C Chemical compound C.CCCCC(=O)[C@H](O)[C@@H](O)[C@@H](O)[C@H](O)C(=O)NCCCC(C)(C)C.CCCCC(=[NH2+])CC(=O)[C@H](O)[C@@H](O)[C@@H](O)[C@H](O)C(=O)NCCCC(C)(C)C BWJLPPNETHKXGE-BWISDPERSA-O 0.000 description 1
- RNOIOFYUQLXUQP-NJBSIHIMSA-N C.CC[C@@H](CC(=O)NCC(=O)O[C@@]1(CC)C(=O)OCC2=C1C=C1C3=NC4=C(C=CC=C4)C=C3CN1C2=O)C(=O)NCCCC(=O)[C@H](O)[C@@H](O)[C@@H](O)[C@H](O)C(=O)NCCCC(=O)[C@H](CC(=O)NCC(=O)O[C@@]1(CC)C(=O)OCC2=C1C=C1C3=C(C=C4C=CC=CC4=N3)CN1C2=O)NC(=O)CCOCCC(C)=O Chemical compound C.CC[C@@H](CC(=O)NCC(=O)O[C@@]1(CC)C(=O)OCC2=C1C=C1C3=NC4=C(C=CC=C4)C=C3CN1C2=O)C(=O)NCCCC(=O)[C@H](O)[C@@H](O)[C@@H](O)[C@H](O)C(=O)NCCCC(=O)[C@H](CC(=O)NCC(=O)O[C@@]1(CC)C(=O)OCC2=C1C=C1C3=C(C=C4C=CC=CC4=N3)CN1C2=O)NC(=O)CCOCCC(C)=O RNOIOFYUQLXUQP-NJBSIHIMSA-N 0.000 description 1
- KOWXKIHEBFTVRU-UHFFFAOYSA-N CC.CC Chemical compound CC.CC KOWXKIHEBFTVRU-UHFFFAOYSA-N 0.000 description 1
- UEDPIFIUPMHGOJ-IMEWCYJXSA-N CCC(CC)(C([C@@H]([C@H]([C@H]([C@@H](C(NCCOC(CC)(C1CC1)I)=O)O)O)O)O)=O)I Chemical compound CCC(CC)(C([C@@H]([C@H]([C@H]([C@@H](C(NCCOC(CC)(C1CC1)I)=O)O)O)O)O)=O)I UEDPIFIUPMHGOJ-IMEWCYJXSA-N 0.000 description 1
- PSBLMXWINXUVPH-MDJXSLEXSA-O CCCCC(=O)[C@H](O)[C@@H](O)[C@@H](O)[C@H](O)C(=O)NCCCC(C)(C)C.CCCCC(=[NH2+])CC(=O)[C@H](O)[C@@H](O)[C@@H](O)[C@H](O)C(=O)NCCCC(C)(C)C Chemical compound CCCCC(=O)[C@H](O)[C@@H](O)[C@@H](O)[C@H](O)C(=O)NCCCC(C)(C)C.CCCCC(=[NH2+])CC(=O)[C@H](O)[C@@H](O)[C@@H](O)[C@H](O)C(=O)NCCCC(C)(C)C PSBLMXWINXUVPH-MDJXSLEXSA-O 0.000 description 1
- XVVOLCSSAFPFFC-ZDCRXTMVSA-N CCCCC(=O)[C@H](O)[C@@H](O)[C@@H](O)[C@H](O)C(=O)NCCN Chemical compound CCCCC(=O)[C@H](O)[C@@H](O)[C@@H](O)[C@H](O)C(=O)NCCN XVVOLCSSAFPFFC-ZDCRXTMVSA-N 0.000 description 1
- BUGJHODMAUGVKQ-SRRHFSFDSA-N CC[C@@H](CC(=O)O)C(=O)NCCCC(=O)[C@H](O)[C@@H](O)[C@@H](O)[C@H](O)C(=O)NCCCC(=O)[C@H](CC(=O)O)NC(=O)CCOCCC(C)=O Chemical compound CC[C@@H](CC(=O)O)C(=O)NCCCC(=O)[C@H](O)[C@@H](O)[C@@H](O)[C@H](O)C(=O)NCCCC(=O)[C@H](CC(=O)O)NC(=O)CCOCCC(C)=O BUGJHODMAUGVKQ-SRRHFSFDSA-N 0.000 description 1
- MSFURZBGSKIPBZ-NMLBUPMWSA-N COCCOCCC(=O)NCCCC(=O)[C@H](O)[C@@H](O)[C@@H](O)[C@H](O)C(=O)NCCCC(C)(C)C Chemical compound COCCOCCC(=O)NCCCC(=O)[C@H](O)[C@@H](O)[C@@H](O)[C@H](O)C(=O)NCCCC(C)(C)C MSFURZBGSKIPBZ-NMLBUPMWSA-N 0.000 description 1
- GAGWJHPBXLXJQN-UORFTKCHSA-N Capecitabine Chemical compound C1=C(F)C(NC(=O)OCCCCC)=NC(=O)N1[C@H]1[C@H](O)[C@H](O)[C@@H](C)O1 GAGWJHPBXLXJQN-UORFTKCHSA-N 0.000 description 1
- GAGWJHPBXLXJQN-UHFFFAOYSA-N Capecitabine Natural products C1=C(F)C(NC(=O)OCCCCC)=NC(=O)N1C1C(O)C(O)C(C)O1 GAGWJHPBXLXJQN-UHFFFAOYSA-N 0.000 description 1
- OKTJSMMVPCPJKN-UHFFFAOYSA-N Carbon Chemical compound [C] OKTJSMMVPCPJKN-UHFFFAOYSA-N 0.000 description 1
- 108010078791 Carrier Proteins Proteins 0.000 description 1
- 102000014914 Carrier Proteins Human genes 0.000 description 1
- 102000005600 Cathepsins Human genes 0.000 description 1
- 108010084457 Cathepsins Proteins 0.000 description 1
- 241000700199 Cavia porcellus Species 0.000 description 1
- 241000282693 Cercopithecidae Species 0.000 description 1
- 102000019034 Chemokines Human genes 0.000 description 1
- 108010012236 Chemokines Proteins 0.000 description 1
- 229920002101 Chitin Polymers 0.000 description 1
- VEXZGXHMUGYJMC-UHFFFAOYSA-M Chloride anion Chemical compound [Cl-] VEXZGXHMUGYJMC-UHFFFAOYSA-M 0.000 description 1
- 208000017667 Chronic Disease Diseases 0.000 description 1
- 208000000094 Chronic Pain Diseases 0.000 description 1
- 241000699800 Cricetinae Species 0.000 description 1
- 229920000858 Cyclodextrin Polymers 0.000 description 1
- CMSMOCZEIVJLDB-UHFFFAOYSA-N Cyclophosphamide Chemical compound ClCCN(CCCl)P1(=O)NCCCO1 CMSMOCZEIVJLDB-UHFFFAOYSA-N 0.000 description 1
- UHDGCWIWMRVCDJ-CCXZUQQUSA-N Cytarabine Chemical compound O=C1N=C(N)C=CN1[C@H]1[C@@H](O)[C@H](O)[C@@H](CO)O1 UHDGCWIWMRVCDJ-CCXZUQQUSA-N 0.000 description 1
- 108010092160 Dactinomycin Proteins 0.000 description 1
- 206010059866 Drug resistance Diseases 0.000 description 1
- HTIJFSOGRVMCQR-UHFFFAOYSA-N Epirubicin Natural products COc1cccc2C(=O)c3c(O)c4CC(O)(CC(OC5CC(N)C(=O)C(C)O5)c4c(O)c3C(=O)c12)C(=O)CO HTIJFSOGRVMCQR-UHFFFAOYSA-N 0.000 description 1
- 241000283074 Equus asinus Species 0.000 description 1
- 241000283073 Equus caballus Species 0.000 description 1
- 108010008165 Etanercept Proteins 0.000 description 1
- 241000282326 Felis catus Species 0.000 description 1
- GHASVSINZRGABV-UHFFFAOYSA-N Fluorouracil Chemical compound FC1=CNC(=O)NC1=O GHASVSINZRGABV-UHFFFAOYSA-N 0.000 description 1
- MPJKWIXIYCLVCU-UHFFFAOYSA-N Folinic acid Natural products NC1=NC2=C(N(C=O)C(CNc3ccc(cc3)C(=O)NC(CCC(=O)O)CC(=O)O)CN2)C(=O)N1 MPJKWIXIYCLVCU-UHFFFAOYSA-N 0.000 description 1
- GYHNNYVSQQEPJS-YPZZEJLDSA-N Gallium-68 Chemical compound [68Ga] GYHNNYVSQQEPJS-YPZZEJLDSA-N 0.000 description 1
- 208000032612 Glial tumor Diseases 0.000 description 1
- 206010018338 Glioma Diseases 0.000 description 1
- 229920002527 Glycogen Polymers 0.000 description 1
- 229940125497 HER2 kinase inhibitor Drugs 0.000 description 1
- 208000031886 HIV Infections Diseases 0.000 description 1
- 208000037357 HIV infectious disease Diseases 0.000 description 1
- 101500025419 Homo sapiens Epidermal growth factor Proteins 0.000 description 1
- UFHFLCQGNIYNRP-UHFFFAOYSA-N Hydrogen Chemical compound [H][H] UFHFLCQGNIYNRP-UHFFFAOYSA-N 0.000 description 1
- 238000004566 IR spectroscopy Methods 0.000 description 1
- XDXDZDZNSLXDNA-TZNDIEGXSA-N Idarubicin Chemical compound C1[C@H](N)[C@H](O)[C@H](C)O[C@H]1O[C@@H]1C2=C(O)C(C(=O)C3=CC=CC=C3C3=O)=C3C(O)=C2C[C@@](O)(C(C)=O)C1 XDXDZDZNSLXDNA-TZNDIEGXSA-N 0.000 description 1
- XDXDZDZNSLXDNA-UHFFFAOYSA-N Idarubicin Natural products C1C(N)C(O)C(C)OC1OC1C2=C(O)C(C(=O)C3=CC=CC=C3C3=O)=C3C(O)=C2CC(O)(C(C)=O)C1 XDXDZDZNSLXDNA-UHFFFAOYSA-N 0.000 description 1
- 108060003951 Immunoglobulin Proteins 0.000 description 1
- 102000004877 Insulin Human genes 0.000 description 1
- 108090001061 Insulin Proteins 0.000 description 1
- PIWKPBJCKXDKJR-UHFFFAOYSA-N Isoflurane Chemical compound FC(F)OC(Cl)C(F)(F)F PIWKPBJCKXDKJR-UHFFFAOYSA-N 0.000 description 1
- FBOZXECLQNJBKD-ZDUSSCGKSA-N L-methotrexate Chemical compound C=1N=C2N=C(N)N=C(N)C2=NC=1CN(C)C1=CC=C(C(=O)N[C@@H](CCC(O)=O)C(O)=O)C=C1 FBOZXECLQNJBKD-ZDUSSCGKSA-N 0.000 description 1
- 239000007987 MES buffer Substances 0.000 description 1
- AFVFQIVMOAPDHO-UHFFFAOYSA-N Methanesulfonic acid Chemical compound CS(O)(=O)=O AFVFQIVMOAPDHO-UHFFFAOYSA-N 0.000 description 1
- 241001529936 Murinae Species 0.000 description 1
- 101000864821 Mus musculus Doublesex- and mab-3-related transcription factor 2 Proteins 0.000 description 1
- OVBPIULPVIDEAO-UHFFFAOYSA-N N-Pteroyl-L-glutaminsaeure Natural products C=1N=C2NC(N)=NC(=O)C2=NC=1CNC1=CC=C(C(=O)NC(CCC(O)=O)C(O)=O)C=C1 OVBPIULPVIDEAO-UHFFFAOYSA-N 0.000 description 1
- UBQYURCVBFRUQT-UHFFFAOYSA-N N-benzoyl-Ferrioxamine B Chemical compound CC(=O)N(O)CCCCCNC(=O)CCC(=O)N(O)CCCCCNC(=O)CCC(=O)N(O)CCCCCN UBQYURCVBFRUQT-UHFFFAOYSA-N 0.000 description 1
- QJGQUHMNIGDVPM-BJUDXGSMSA-N Nitrogen-13 Chemical compound [13N] QJGQUHMNIGDVPM-BJUDXGSMSA-N 0.000 description 1
- 108091034117 Oligonucleotide Proteins 0.000 description 1
- 241000283973 Oryctolagus cuniculus Species 0.000 description 1
- 208000002193 Pain Diseases 0.000 description 1
- 102000007079 Peptide Fragments Human genes 0.000 description 1
- 108010033276 Peptide Fragments Proteins 0.000 description 1
- 241000009328 Perro Species 0.000 description 1
- ABLZXFCXXLZCGV-UHFFFAOYSA-N Phosphorous acid Chemical class OP(O)=O ABLZXFCXXLZCGV-UHFFFAOYSA-N 0.000 description 1
- OAICVXFJPJFONN-UHFFFAOYSA-N Phosphorus Chemical compound [P] OAICVXFJPJFONN-UHFFFAOYSA-N 0.000 description 1
- 239000004698 Polyethylene Substances 0.000 description 1
- 229920002565 Polyethylene Glycol 400 Polymers 0.000 description 1
- 102000004245 Proteasome Endopeptidase Complex Human genes 0.000 description 1
- 108090000708 Proteasome Endopeptidase Complex Proteins 0.000 description 1
- 108010029485 Protein Isoforms Proteins 0.000 description 1
- 102000001708 Protein Isoforms Human genes 0.000 description 1
- 239000012980 RPMI-1640 medium Substances 0.000 description 1
- 238000001069 Raman spectroscopy Methods 0.000 description 1
- 241000700159 Rattus Species 0.000 description 1
- 102100029986 Receptor tyrosine-protein kinase erbB-3 Human genes 0.000 description 1
- 101710100969 Receptor tyrosine-protein kinase erbB-3 Chemical class 0.000 description 1
- 102100029981 Receptor tyrosine-protein kinase erbB-4 Human genes 0.000 description 1
- 101710100963 Receptor tyrosine-protein kinase erbB-4 Chemical class 0.000 description 1
- 229920002472 Starch Polymers 0.000 description 1
- NINIDFKCEFEMDL-UHFFFAOYSA-N Sulfur Chemical compound [S] NINIDFKCEFEMDL-UHFFFAOYSA-N 0.000 description 1
- NINIDFKCEFEMDL-AKLPVKDBSA-N Sulfur-35 Chemical compound [35S] NINIDFKCEFEMDL-AKLPVKDBSA-N 0.000 description 1
- 241000282898 Sus scrofa Species 0.000 description 1
- NAVMQTYZDKMPEU-UHFFFAOYSA-N Targretin Chemical compound CC1=CC(C(CCC2(C)C)(C)C)=C2C=C1C(=C)C1=CC=C(C(O)=O)C=C1 NAVMQTYZDKMPEU-UHFFFAOYSA-N 0.000 description 1
- 206010066901 Treatment failure Diseases 0.000 description 1
- YZCKVEUIGOORGS-NJFSPNSNSA-N Tritium Chemical compound [3H] YZCKVEUIGOORGS-NJFSPNSNSA-N 0.000 description 1
- JXLYSJRDGCGARV-WWYNWVTFSA-N Vinblastine Natural products O=C(O[C@H]1[C@](O)(C(=O)OC)[C@@H]2N(C)c3c(cc(c(OC)c3)[C@]3(C(=O)OC)c4[nH]c5c(c4CCN4C[C@](O)(CC)C[C@H](C3)C4)cccc5)[C@@]32[C@H]2[C@@]1(CC)C=CCN2CC3)C JXLYSJRDGCGARV-WWYNWVTFSA-N 0.000 description 1
- XYVNHPYNSPGYLI-UUOKFMHZSA-N [(2r,3s,4r,5r)-5-(2-amino-6-oxo-3h-purin-9-yl)-4-hydroxy-2-(phosphonooxymethyl)oxolan-3-yl] dihydrogen phosphate Chemical compound C1=2NC(N)=NC(=O)C=2N=CN1[C@@H]1O[C@H](COP(O)(O)=O)[C@@H](OP(O)(O)=O)[C@H]1O XYVNHPYNSPGYLI-UUOKFMHZSA-N 0.000 description 1
- RTJVUHUGTUDWRK-CSLCKUBZSA-N [(2r,4ar,6r,7r,8s,8ar)-6-[[(5s,5ar,8ar,9r)-9-(3,5-dimethoxy-4-phosphonooxyphenyl)-8-oxo-5a,6,8a,9-tetrahydro-5h-[2]benzofuro[6,5-f][1,3]benzodioxol-5-yl]oxy]-2-methyl-7-[2-(2,3,4,5,6-pentafluorophenoxy)acetyl]oxy-4,4a,6,7,8,8a-hexahydropyrano[3,2-d][1,3]d Chemical compound COC1=C(OP(O)(O)=O)C(OC)=CC([C@@H]2C3=CC=4OCOC=4C=C3[C@@H](O[C@H]3[C@@H]([C@@H](OC(=O)COC=4C(=C(F)C(F)=C(F)C=4F)F)[C@@H]4O[C@H](C)OC[C@H]4O3)OC(=O)COC=3C(=C(F)C(F)=C(F)C=3F)F)[C@@H]3[C@@H]2C(OC3)=O)=C1 RTJVUHUGTUDWRK-CSLCKUBZSA-N 0.000 description 1
- 229960003697 abatacept Drugs 0.000 description 1
- 229960000446 abciximab Drugs 0.000 description 1
- 229940028652 abraxane Drugs 0.000 description 1
- 229940119059 actemra Drugs 0.000 description 1
- 229930183665 actinomycin Natural products 0.000 description 1
- 229960002964 adalimumab Drugs 0.000 description 1
- 239000000654 additive Substances 0.000 description 1
- 230000000996 additive effect Effects 0.000 description 1
- 229960002833 aflibercept Drugs 0.000 description 1
- 108010081667 aflibercept Proteins 0.000 description 1
- 125000003158 alcohol group Chemical group 0.000 description 1
- 229960002459 alefacept Drugs 0.000 description 1
- 229960000548 alemtuzumab Drugs 0.000 description 1
- SHGAZHPCJJPHSC-YCNIQYBTSA-N all-trans-retinoic acid Chemical compound OC(=O)\C=C(/C)\C=C\C=C(/C)\C=C\C1=C(C)CCCC1(C)C SHGAZHPCJJPHSC-YCNIQYBTSA-N 0.000 description 1
- 230000008841 allosteric interaction Effects 0.000 description 1
- HSFWRNGVRCDJHI-UHFFFAOYSA-N alpha-acetylene Natural products C#C HSFWRNGVRCDJHI-UHFFFAOYSA-N 0.000 description 1
- 229910000147 aluminium phosphate Inorganic materials 0.000 description 1
- 150000001409 amidines Chemical class 0.000 description 1
- 150000001412 amines Chemical class 0.000 description 1
- MDFFNEOEWAXZRQ-UHFFFAOYSA-N aminyl Chemical compound [NH2] MDFFNEOEWAXZRQ-UHFFFAOYSA-N 0.000 description 1
- 229940009444 amphotericin Drugs 0.000 description 1
- APKFDSVGJQXUKY-INPOYWNPSA-N amphotericin B Chemical compound O[C@H]1[C@@H](N)[C@H](O)[C@@H](C)O[C@H]1O[C@H]1/C=C/C=C/C=C/C=C/C=C/C=C/C=C/[C@H](C)[C@@H](O)[C@@H](C)[C@H](C)OC(=O)C[C@H](O)C[C@H](O)CC[C@@H](O)[C@H](O)C[C@H](O)C[C@](O)(C[C@H](O)[C@H]2C(O)=O)O[C@H]2C1 APKFDSVGJQXUKY-INPOYWNPSA-N 0.000 description 1
- 150000001450 anions Chemical class 0.000 description 1
- 239000003242 anti bacterial agent Substances 0.000 description 1
- 230000000181 anti-adherent effect Effects 0.000 description 1
- 239000003911 antiadherent Substances 0.000 description 1
- 229940088710 antibiotic agent Drugs 0.000 description 1
- 239000007900 aqueous suspension Substances 0.000 description 1
- 229950005725 arcitumomab Drugs 0.000 description 1
- 238000003149 assay kit Methods 0.000 description 1
- QVGXLLKOCUKJST-UHFFFAOYSA-N atomic oxygen Chemical compound [O] QVGXLLKOCUKJST-UHFFFAOYSA-N 0.000 description 1
- 229960002756 azacitidine Drugs 0.000 description 1
- 125000005334 azaindolyl group Chemical group N1N=C(C2=CC=CC=C12)* 0.000 description 1
- VSRXQHXAPYXROS-UHFFFAOYSA-N azanide;cyclobutane-1,1-dicarboxylic acid;platinum(2+) Chemical compound [NH2-].[NH2-].[Pt+2].OC(=O)C1(C(O)=O)CCC1 VSRXQHXAPYXROS-UHFFFAOYSA-N 0.000 description 1
- LMEKQMALGUDUQG-UHFFFAOYSA-N azathioprine Chemical compound CN1C=NC([N+]([O-])=O)=C1SC1=NC=NC2=C1NC=N2 LMEKQMALGUDUQG-UHFFFAOYSA-N 0.000 description 1
- 229960002170 azathioprine Drugs 0.000 description 1
- 229960004669 basiliximab Drugs 0.000 description 1
- 229940022836 benlysta Drugs 0.000 description 1
- 229960002938 bexarotene Drugs 0.000 description 1
- 229950008086 bezlotoxumab Drugs 0.000 description 1
- 125000002619 bicyclic group Chemical group 0.000 description 1
- 230000007321 biological mechanism Effects 0.000 description 1
- 229960000074 biopharmaceutical Drugs 0.000 description 1
- 229960001561 bleomycin Drugs 0.000 description 1
- OYVAGSVQBOHSSS-UAPAGMARSA-O bleomycin A2 Chemical compound N([C@H](C(=O)N[C@H](C)[C@@H](O)[C@H](C)C(=O)N[C@@H]([C@H](O)C)C(=O)NCCC=1SC=C(N=1)C=1SC=C(N=1)C(=O)NCCC[S+](C)C)[C@@H](O[C@H]1[C@H]([C@@H](O)[C@H](O)[C@H](CO)O1)O[C@@H]1[C@H]([C@@H](OC(N)=O)[C@H](O)[C@@H](CO)O1)O)C=1N=CNC=1)C(=O)C1=NC([C@H](CC(N)=O)NC[C@H](N)C(N)=O)=NC(N)=C1C OYVAGSVQBOHSSS-UAPAGMARSA-O 0.000 description 1
- 230000000903 blocking effect Effects 0.000 description 1
- 210000000988 bone and bone Anatomy 0.000 description 1
- 229910052796 boron Inorganic materials 0.000 description 1
- GXJABQQUPOEUTA-RDJZCZTQSA-N bortezomib Chemical compound C([C@@H](C(=O)N[C@@H](CC(C)C)B(O)O)NC(=O)C=1N=CC=NC=1)C1=CC=CC=C1 GXJABQQUPOEUTA-RDJZCZTQSA-N 0.000 description 1
- 229960001467 bortezomib Drugs 0.000 description 1
- 208000029028 brain injury Diseases 0.000 description 1
- 229920005605 branched copolymer Polymers 0.000 description 1
- 210000000481 breast Anatomy 0.000 description 1
- 239000006227 byproduct Substances 0.000 description 1
- 238000011088 calibration curve Methods 0.000 description 1
- 229940112129 campath Drugs 0.000 description 1
- 229960001838 canakinumab Drugs 0.000 description 1
- 229960004117 capecitabine Drugs 0.000 description 1
- 229940034605 capromab pendetide Drugs 0.000 description 1
- 239000002775 capsule Substances 0.000 description 1
- 229910052799 carbon Inorganic materials 0.000 description 1
- 125000004432 carbon atom Chemical group C* 0.000 description 1
- OKTJSMMVPCPJKN-BJUDXGSMSA-N carbon-11 Chemical compound [11C] OKTJSMMVPCPJKN-BJUDXGSMSA-N 0.000 description 1
- 229960004562 carboplatin Drugs 0.000 description 1
- 150000007942 carboxylates Chemical class 0.000 description 1
- 150000001732 carboxylic acid derivatives Chemical class 0.000 description 1
- 239000000969 carrier Substances 0.000 description 1
- 230000015556 catabolic process Effects 0.000 description 1
- 239000003054 catalyst Substances 0.000 description 1
- 230000004663 cell proliferation Effects 0.000 description 1
- 230000004700 cellular uptake Effects 0.000 description 1
- 239000001913 cellulose Substances 0.000 description 1
- 229920002678 cellulose Polymers 0.000 description 1
- 239000003576 central nervous system agent Substances 0.000 description 1
- 230000008496 central nervous system homeostasis Effects 0.000 description 1
- 210000001638 cerebellum Anatomy 0.000 description 1
- 229960003115 certolizumab pegol Drugs 0.000 description 1
- 238000012512 characterization method Methods 0.000 description 1
- 239000002738 chelating agent Substances 0.000 description 1
- 125000003636 chemical group Chemical group 0.000 description 1
- JCKYGMPEJWAADB-UHFFFAOYSA-N chlorambucil Chemical compound OC(=O)CCCC1=CC=C(N(CCCl)CCCl)C=C1 JCKYGMPEJWAADB-UHFFFAOYSA-N 0.000 description 1
- 229960004630 chlorambucil Drugs 0.000 description 1
- 210000002987 choroid plexus Anatomy 0.000 description 1
- 229940090100 cimzia Drugs 0.000 description 1
- DQLATGHUWYMOKM-UHFFFAOYSA-L cisplatin Chemical compound N[Pt](N)(Cl)Cl DQLATGHUWYMOKM-UHFFFAOYSA-L 0.000 description 1
- 229960004316 cisplatin Drugs 0.000 description 1
- 238000000576 coating method Methods 0.000 description 1
- 239000003086 colorant Substances 0.000 description 1
- 229940000425 combination drug Drugs 0.000 description 1
- 238000002648 combination therapy Methods 0.000 description 1
- 230000002860 competitive effect Effects 0.000 description 1
- 238000010668 complexation reaction Methods 0.000 description 1
- 239000011246 composite particle Substances 0.000 description 1
- 238000006482 condensation reaction Methods 0.000 description 1
- 230000001268 conjugating effect Effects 0.000 description 1
- 229940010466 cosentyx Drugs 0.000 description 1
- JMZZXKLQQWGKQV-QFIPXVFZSA-N cpt-gly Chemical compound C1=CC=C2C=C(CN3C4=CC5=C(C3=O)COC(=O)[C@]5(OC(=O)CN)CC)C4=NC2=C1 JMZZXKLQQWGKQV-QFIPXVFZSA-N 0.000 description 1
- 125000004122 cyclic group Chemical group 0.000 description 1
- 229940097362 cyclodextrins Drugs 0.000 description 1
- 229960004397 cyclophosphamide Drugs 0.000 description 1
- 229960000684 cytarabine Drugs 0.000 description 1
- 239000002254 cytotoxic agent Substances 0.000 description 1
- 231100000599 cytotoxic agent Toxicity 0.000 description 1
- 229960003901 dacarbazine Drugs 0.000 description 1
- 229960002806 daclizumab Drugs 0.000 description 1
- 230000009849 deactivation Effects 0.000 description 1
- 229960000958 deferoxamine Drugs 0.000 description 1
- 238000006731 degradation reaction Methods 0.000 description 1
- 230000003111 delayed effect Effects 0.000 description 1
- 229960002923 denileukin diftitox Drugs 0.000 description 1
- 238000013461 design Methods 0.000 description 1
- 238000003795 desorption Methods 0.000 description 1
- 239000007884 disintegrant Substances 0.000 description 1
- 238000006073 displacement reaction Methods 0.000 description 1
- 229960003668 docetaxel Drugs 0.000 description 1
- 239000002552 dosage form Substances 0.000 description 1
- 231100000673 dose–response relationship Toxicity 0.000 description 1
- 239000003937 drug carrier Substances 0.000 description 1
- 239000013583 drug formulation Substances 0.000 description 1
- 125000006575 electron-withdrawing group Chemical group 0.000 description 1
- 230000009881 electrostatic interaction Effects 0.000 description 1
- 230000008030 elimination Effects 0.000 description 1
- 238000003379 elimination reaction Methods 0.000 description 1
- 239000003480 eluent Substances 0.000 description 1
- 210000003038 endothelium Anatomy 0.000 description 1
- 230000002708 enhancing effect Effects 0.000 description 1
- 230000007515 enzymatic degradation Effects 0.000 description 1
- 206010015037 epilepsy Diseases 0.000 description 1
- 229960001904 epirubicin Drugs 0.000 description 1
- HESCAJZNRMSMJG-KKQRBIROSA-N epothilone A Chemical class C/C([C@@H]1C[C@@H]2O[C@@H]2CCC[C@@H]([C@@H]([C@@H](C)C(=O)C(C)(C)[C@@H](O)CC(=O)O1)O)C)=C\C1=CSC(C)=N1 HESCAJZNRMSMJG-KKQRBIROSA-N 0.000 description 1
- 150000003883 epothilone derivatives Chemical class 0.000 description 1
- 229960000403 etanercept Drugs 0.000 description 1
- 229960005420 etoposide Drugs 0.000 description 1
- VJJPUSNTGOMMGY-MRVIYFEKSA-N etoposide Chemical compound COC1=C(O)C(OC)=CC([C@@H]2C3=CC=4OCOC=4C=C3[C@@H](O[C@H]3[C@@H]([C@@H](O)[C@@H]4O[C@H](C)OC[C@H]4O3)O)[C@@H]3[C@@H]2C(OC3)=O)=C1 VJJPUSNTGOMMGY-MRVIYFEKSA-N 0.000 description 1
- 238000013401 experimental design Methods 0.000 description 1
- 210000003722 extracellular fluid Anatomy 0.000 description 1
- 230000002349 favourable effect Effects 0.000 description 1
- 239000000945 filler Substances 0.000 description 1
- 239000000706 filtrate Substances 0.000 description 1
- 239000000796 flavoring agent Substances 0.000 description 1
- 235000019634 flavors Nutrition 0.000 description 1
- 238000001506 fluorescence spectroscopy Methods 0.000 description 1
- 229960002949 fluorouracil Drugs 0.000 description 1
- 235000019152 folic acid Nutrition 0.000 description 1
- 239000011724 folic acid Substances 0.000 description 1
- 229960000304 folic acid Drugs 0.000 description 1
- VVIAGPKUTFNRDU-ABLWVSNPSA-N folinic acid Chemical compound C1NC=2NC(N)=NC(=O)C=2N(C=O)C1CNC1=CC=C(C(=O)N[C@@H](CCC(O)=O)C(O)=O)C=C1 VVIAGPKUTFNRDU-ABLWVSNPSA-N 0.000 description 1
- 235000008191 folinic acid Nutrition 0.000 description 1
- 239000011672 folinic acid Substances 0.000 description 1
- 235000003599 food sweetener Nutrition 0.000 description 1
- SDUQYLNIPVEERB-QPPQHZFASA-N gemcitabine Chemical compound O=C1N=C(N)C=CN1[C@H]1C(F)(F)[C@H](O)[C@@H](CO)O1 SDUQYLNIPVEERB-QPPQHZFASA-N 0.000 description 1
- 229960005277 gemcitabine Drugs 0.000 description 1
- 238000001415 gene therapy Methods 0.000 description 1
- 229940080856 gleevec Drugs 0.000 description 1
- 235000011187 glycerol Nutrition 0.000 description 1
- 229940096919 glycogen Drugs 0.000 description 1
- 150000004820 halides Chemical class 0.000 description 1
- 229910052736 halogen Inorganic materials 0.000 description 1
- 150000002367 halogens Chemical class 0.000 description 1
- 210000003128 head Anatomy 0.000 description 1
- 230000036541 health Effects 0.000 description 1
- 208000019622 heart disease Diseases 0.000 description 1
- 210000001308 heart ventricle Anatomy 0.000 description 1
- 150000002391 heterocyclic compounds Chemical class 0.000 description 1
- 108010045676 holotransferrin Proteins 0.000 description 1
- 230000013632 homeostatic process Effects 0.000 description 1
- 229920001519 homopolymer Polymers 0.000 description 1
- 229940088597 hormone Drugs 0.000 description 1
- 239000005556 hormone Substances 0.000 description 1
- 229940116978 human epidermal growth factor Drugs 0.000 description 1
- 208000033519 human immunodeficiency virus infectious disease Diseases 0.000 description 1
- 229940048921 humira Drugs 0.000 description 1
- 229930195733 hydrocarbon Natural products 0.000 description 1
- 150000002430 hydrocarbons Chemical class 0.000 description 1
- 125000004435 hydrogen atom Chemical group [H]* 0.000 description 1
- XMBWDFGMSWQBCA-UHFFFAOYSA-N hydrogen iodide Chemical compound I XMBWDFGMSWQBCA-UHFFFAOYSA-N 0.000 description 1
- 230000003301 hydrolyzing effect Effects 0.000 description 1
- WGCNASOHLSPBMP-UHFFFAOYSA-N hydroxyacetaldehyde Natural products OCC=O WGCNASOHLSPBMP-UHFFFAOYSA-N 0.000 description 1
- 229960000908 idarubicin Drugs 0.000 description 1
- 229940071829 ilaris Drugs 0.000 description 1
- 102000018358 immunoglobulin Human genes 0.000 description 1
- 230000001771 impaired effect Effects 0.000 description 1
- 229940037993 inflectra Drugs 0.000 description 1
- 239000004615 ingredient Substances 0.000 description 1
- 239000003112 inhibitor Substances 0.000 description 1
- 229940030980 inova Drugs 0.000 description 1
- 238000003780 insertion Methods 0.000 description 1
- 230000037431 insertion Effects 0.000 description 1
- 229940125396 insulin Drugs 0.000 description 1
- 238000001361 intraarterial administration Methods 0.000 description 1
- 239000007925 intracardiac injection Substances 0.000 description 1
- 238000007912 intraperitoneal administration Methods 0.000 description 1
- 238000007919 intrasynovial administration Methods 0.000 description 1
- 238000007913 intrathecal administration Methods 0.000 description 1
- 238000010253 intravenous injection Methods 0.000 description 1
- 238000005040 ion trap Methods 0.000 description 1
- 229940084651 iressa Drugs 0.000 description 1
- 230000002427 irreversible effect Effects 0.000 description 1
- 229960002725 isoflurane Drugs 0.000 description 1
- 229960005435 ixekizumab Drugs 0.000 description 1
- 210000003734 kidney Anatomy 0.000 description 1
- 201000010901 lateral sclerosis Diseases 0.000 description 1
- 229960001691 leucovorin Drugs 0.000 description 1
- 238000012417 linear regression Methods 0.000 description 1
- 210000004185 liver Anatomy 0.000 description 1
- 238000011068 loading method Methods 0.000 description 1
- 230000007774 longterm Effects 0.000 description 1
- 239000000314 lubricant Substances 0.000 description 1
- 210000002751 lymph Anatomy 0.000 description 1
- 230000002132 lysosomal effect Effects 0.000 description 1
- 230000014759 maintenance of location Effects 0.000 description 1
- 238000001819 mass spectrum Methods 0.000 description 1
- 231100000682 maximum tolerated dose Toxicity 0.000 description 1
- 230000001404 mediated effect Effects 0.000 description 1
- SGDBTWWWUNNDEQ-LBPRGKRZSA-N melphalan Chemical compound OC(=O)[C@@H](N)CC1=CC=C(N(CCCl)CCCl)C=C1 SGDBTWWWUNNDEQ-LBPRGKRZSA-N 0.000 description 1
- 229960001924 melphalan Drugs 0.000 description 1
- GLVAUDGFNGKCSF-UHFFFAOYSA-N mercaptopurine Chemical compound S=C1NC=NC2=C1NC=N2 GLVAUDGFNGKCSF-UHFFFAOYSA-N 0.000 description 1
- 229960001428 mercaptopurine Drugs 0.000 description 1
- 229960000485 methotrexate Drugs 0.000 description 1
- 125000000956 methoxy group Chemical group [H]C([H])([H])O* 0.000 description 1
- 244000005700 microbiome Species 0.000 description 1
- 238000000386 microscopy Methods 0.000 description 1
- 230000000116 mitigating effect Effects 0.000 description 1
- 239000003607 modifier Substances 0.000 description 1
- 238000012544 monitoring process Methods 0.000 description 1
- 150000002772 monosaccharides Chemical class 0.000 description 1
- 208000005264 motor neuron disease Diseases 0.000 description 1
- 229930014626 natural product Natural products 0.000 description 1
- GVUGOAYIVIDWIO-UFWWTJHBSA-N nepidermin Chemical compound C([C@@H](C(=O)N[C@@H]([C@@H](C)CC)C(=O)NCC(=O)N[C@@H](CCC(O)=O)C(=O)N[C@@H](CCCNC(N)=N)C(=O)N[C@@H](CS)C(=O)N[C@@H](CCC(N)=O)C(=O)N[C@@H](CC=1C=CC(O)=CC=1)C(=O)N[C@@H](CCCNC(N)=N)C(=O)N[C@@H](CC(O)=O)C(=O)N[C@@H](CC(C)C)C(=O)N[C@@H](CCCCN)C(=O)N[C@@H](CC=1C2=CC=CC=C2NC=1)C(=O)N[C@@H](CC=1C2=CC=CC=C2NC=1)C(=O)N[C@@H](CCC(O)=O)C(=O)N[C@@H](CC(C)C)C(=O)N[C@@H](CCCNC(N)=N)C(O)=O)NC(=O)CNC(=O)[C@@H](NC(=O)[C@@H](NC(=O)[C@H](CS)NC(=O)[C@H](CC(N)=O)NC(=O)[C@H](CS)NC(=O)[C@H](C)NC(=O)[C@H](CC=1C=CC(O)=CC=1)NC(=O)[C@H](CCCCN)NC(=O)[C@H](CC(O)=O)NC(=O)[C@H](CC(C)C)NC(=O)[C@H](C)NC(=O)[C@H](CCC(O)=O)NC(=O)[C@@H](NC(=O)[C@H](CC=1C=CC(O)=CC=1)NC(=O)[C@H](CCSC)NC(=O)[C@H](CS)NC(=O)[C@@H](NC(=O)CNC(=O)[C@H](CC(O)=O)NC(=O)[C@H](CC=1NC=NC=1)NC(=O)[C@H](CC(C)C)NC(=O)[C@H](CS)NC(=O)[C@H](CC=1C=CC(O)=CC=1)NC(=O)CNC(=O)[C@H](CC(O)=O)NC(=O)[C@H](CC=1NC=NC=1)NC(=O)[C@H](CO)NC(=O)[C@H](CC(C)C)NC(=O)[C@H]1N(CCC1)C(=O)[C@H](CS)NC(=O)[C@H](CCC(O)=O)NC(=O)[C@H](CO)NC(=O)[C@H](CC(O)=O)NC(=O)[C@H](CO)NC(=O)[C@@H](N)CC(N)=O)C(C)C)[C@@H](C)CC)C(C)C)C(C)C)C1=CC=C(O)C=C1 GVUGOAYIVIDWIO-UFWWTJHBSA-N 0.000 description 1
- 230000004112 neuroprotection Effects 0.000 description 1
- 150000002823 nitrates Chemical class 0.000 description 1
- HPWSILFIEPCDCG-UHFFFAOYSA-N nitroboronic acid Chemical compound OB(O)[N+]([O-])=O HPWSILFIEPCDCG-UHFFFAOYSA-N 0.000 description 1
- 125000006501 nitrophenyl group Chemical group 0.000 description 1
- 230000009871 nonspecific binding Effects 0.000 description 1
- 102000039446 nucleic acids Human genes 0.000 description 1
- 108020004707 nucleic acids Proteins 0.000 description 1
- 150000007523 nucleic acids Chemical class 0.000 description 1
- 239000012038 nucleophile Substances 0.000 description 1
- 229960000470 omalizumab Drugs 0.000 description 1
- 229940100027 ontak Drugs 0.000 description 1
- 230000003287 optical effect Effects 0.000 description 1
- 210000001672 ovary Anatomy 0.000 description 1
- 230000002018 overexpression Effects 0.000 description 1
- DWAFYCQODLXJNR-BNTLRKBRSA-L oxaliplatin Chemical compound O1C(=O)C(=O)O[Pt]11N[C@@H]2CCCC[C@H]2N1 DWAFYCQODLXJNR-BNTLRKBRSA-L 0.000 description 1
- 229960001756 oxaliplatin Drugs 0.000 description 1
- 229910052760 oxygen Inorganic materials 0.000 description 1
- 239000001301 oxygen Substances 0.000 description 1
- 125000004430 oxygen atom Chemical group O* 0.000 description 1
- 229960000402 palivizumab Drugs 0.000 description 1
- NXJCBFBQEVOTOW-UHFFFAOYSA-L palladium(2+);dihydroxide Chemical compound O[Pd]O NXJCBFBQEVOTOW-UHFFFAOYSA-L 0.000 description 1
- 230000003725 paracellular diffusion Effects 0.000 description 1
- 244000045947 parasite Species 0.000 description 1
- 230000036961 partial effect Effects 0.000 description 1
- 238000005192 partition Methods 0.000 description 1
- 230000037361 pathway Effects 0.000 description 1
- 230000000149 penetrating effect Effects 0.000 description 1
- WXZMFSXDPGVJKK-UHFFFAOYSA-N pentaerythritol Chemical compound OCC(CO)(CO)CO WXZMFSXDPGVJKK-UHFFFAOYSA-N 0.000 description 1
- 230000002093 peripheral effect Effects 0.000 description 1
- 239000012466 permeate Substances 0.000 description 1
- 229910052698 phosphorus Inorganic materials 0.000 description 1
- 239000011574 phosphorus Substances 0.000 description 1
- 239000006069 physical mixture Substances 0.000 description 1
- 230000004962 physiological condition Effects 0.000 description 1
- 230000001766 physiological effect Effects 0.000 description 1
- 239000002504 physiological saline solution Substances 0.000 description 1
- 229920001896 polybutyrate Polymers 0.000 description 1
- 229920000573 polyethylene Polymers 0.000 description 1
- 229920000139 polyethylene terephthalate Polymers 0.000 description 1
- 239000005020 polyethylene terephthalate Substances 0.000 description 1
- 229920001451 polypropylene glycol Polymers 0.000 description 1
- 239000004810 polytetrafluoroethylene Substances 0.000 description 1
- 229920001343 polytetrafluoroethylene Polymers 0.000 description 1
- 238000001485 positron annihilation lifetime spectroscopy Methods 0.000 description 1
- 230000003389 potentiating effect Effects 0.000 description 1
- OIGNJSKKLXVSLS-VWUMJDOOSA-N prednisolone Chemical compound O=C1C=C[C@]2(C)[C@H]3[C@@H](O)C[C@](C)([C@@](CC4)(O)C(=O)CO)[C@@H]4[C@@H]3CCC2=C1 OIGNJSKKLXVSLS-VWUMJDOOSA-N 0.000 description 1
- 229960005205 prednisolone Drugs 0.000 description 1
- 239000003755 preservative agent Substances 0.000 description 1
- 125000002924 primary amino group Chemical group [H]N([H])* 0.000 description 1
- CPTBDICYNRMXFX-UHFFFAOYSA-N procarbazine Chemical compound CNNCC1=CC=C(C(=O)NC(C)C)C=C1 CPTBDICYNRMXFX-UHFFFAOYSA-N 0.000 description 1
- 229960000624 procarbazine Drugs 0.000 description 1
- 229940092597 prolia Drugs 0.000 description 1
- 230000001737 promoting effect Effects 0.000 description 1
- 230000000069 prophylactic effect Effects 0.000 description 1
- 238000011321 prophylaxis Methods 0.000 description 1
- XNSAINXGIQZQOO-SRVKXCTJSA-N protirelin Chemical compound NC(=O)[C@@H]1CCCN1C(=O)[C@@H](NC(=O)[C@H]1NC(=O)CC1)CC1=CN=CN1 XNSAINXGIQZQOO-SRVKXCTJSA-N 0.000 description 1
- 238000000425 proton nuclear magnetic resonance spectrum Methods 0.000 description 1
- UMJSCPRVCHMLSP-UHFFFAOYSA-N pyridine Natural products COC1=CC=CN=C1 UMJSCPRVCHMLSP-UHFFFAOYSA-N 0.000 description 1
- 125000004076 pyridyl group Chemical class 0.000 description 1
- 125000001453 quaternary ammonium group Chemical group 0.000 description 1
- 150000003246 quinazolines Chemical class 0.000 description 1
- 230000005855 radiation Effects 0.000 description 1
- 238000001959 radiotherapy Methods 0.000 description 1
- 229920005604 random copolymer Polymers 0.000 description 1
- 239000011541 reaction mixture Substances 0.000 description 1
- 238000001953 recrystallisation Methods 0.000 description 1
- 229940116176 remicade Drugs 0.000 description 1
- 229940107685 reopro Drugs 0.000 description 1
- 230000003362 replicative effect Effects 0.000 description 1
- 230000008261 resistance mechanism Effects 0.000 description 1
- 238000012552 review Methods 0.000 description 1
- 210000003705 ribosome Anatomy 0.000 description 1
- OHRURASPPZQGQM-GCCNXGTGSA-N romidepsin Chemical compound O1C(=O)[C@H](C(C)C)NC(=O)C(=C/C)/NC(=O)[C@H]2CSSCC\C=C\[C@@H]1CC(=O)N[C@H](C(C)C)C(=O)N2 OHRURASPPZQGQM-GCCNXGTGSA-N 0.000 description 1
- 229960003452 romidepsin Drugs 0.000 description 1
- OHRURASPPZQGQM-UHFFFAOYSA-N romidepsin Natural products O1C(=O)C(C(C)C)NC(=O)C(=CC)NC(=O)C2CSSCCC=CC1CC(=O)NC(C(C)C)C(=O)N2 OHRURASPPZQGQM-UHFFFAOYSA-N 0.000 description 1
- 108010091666 romidepsin Proteins 0.000 description 1
- 210000003079 salivary gland Anatomy 0.000 description 1
- 210000003752 saphenous vein Anatomy 0.000 description 1
- 150000003335 secondary amines Chemical class 0.000 description 1
- 230000028327 secretion Effects 0.000 description 1
- 229960004540 secukinumab Drugs 0.000 description 1
- 150000003346 selenoethers Chemical class 0.000 description 1
- 238000000926 separation method Methods 0.000 description 1
- 210000002966 serum Anatomy 0.000 description 1
- 231100000161 signs of toxicity Toxicity 0.000 description 1
- 229940068638 simponi Drugs 0.000 description 1
- 229940115586 simulect Drugs 0.000 description 1
- 238000009097 single-agent therapy Methods 0.000 description 1
- 238000002603 single-photon emission computed tomography Methods 0.000 description 1
- 239000002002 slurry Substances 0.000 description 1
- 159000000000 sodium salts Chemical class 0.000 description 1
- PUZPDOWCWNUUKD-ULWFUOSBSA-M sodium;fluorine-18(1-) Chemical compound [18F-].[Na+] PUZPDOWCWNUUKD-ULWFUOSBSA-M 0.000 description 1
- 239000002594 sorbent Substances 0.000 description 1
- 125000006850 spacer group Chemical group 0.000 description 1
- 230000009870 specific binding Effects 0.000 description 1
- 208000020431 spinal cord injury Diseases 0.000 description 1
- 239000008107 starch Substances 0.000 description 1
- 235000019698 starch Nutrition 0.000 description 1
- 229940032147 starch Drugs 0.000 description 1
- 229940071598 stelara Drugs 0.000 description 1
- 210000001562 sternum Anatomy 0.000 description 1
- 150000003431 steroids Chemical class 0.000 description 1
- 125000005504 styryl group Chemical group 0.000 description 1
- 210000002330 subarachnoid space Anatomy 0.000 description 1
- 239000011593 sulfur Substances 0.000 description 1
- QAOWNCQODCNURD-UHFFFAOYSA-N sulfuric acid Substances OS(O)(=O)=O QAOWNCQODCNURD-UHFFFAOYSA-N 0.000 description 1
- 239000006228 supernatant Substances 0.000 description 1
- 230000008093 supporting effect Effects 0.000 description 1
- 239000004094 surface-active agent Substances 0.000 description 1
- 238000001356 surgical procedure Methods 0.000 description 1
- 239000003765 sweetening agent Substances 0.000 description 1
- 208000024891 symptom Diseases 0.000 description 1
- 229940036185 synagis Drugs 0.000 description 1
- 229920001059 synthetic polymer Polymers 0.000 description 1
- 239000003826 tablet Substances 0.000 description 1
- 229950003999 tafluposide Drugs 0.000 description 1
- 229940060681 taltz Drugs 0.000 description 1
- 229940120982 tarceva Drugs 0.000 description 1
- 229940063683 taxotere Drugs 0.000 description 1
- NRUKOCRGYNPUPR-QBPJDGROSA-N teniposide Chemical compound COC1=C(O)C(OC)=CC([C@@H]2C3=CC=4OCOC=4C=C3[C@@H](O[C@H]3[C@@H]([C@@H](O)[C@@H]4O[C@@H](OC[C@H]4O3)C=3SC=CC=3)O)[C@@H]3[C@@H]2C(OC3)=O)=C1 NRUKOCRGYNPUPR-QBPJDGROSA-N 0.000 description 1
- 229960001278 teniposide Drugs 0.000 description 1
- AOCSUUGBCMTKJH-UHFFFAOYSA-N tert-butyl n-(2-aminoethyl)carbamate Chemical compound CC(C)(C)OC(=O)NCCN AOCSUUGBCMTKJH-UHFFFAOYSA-N 0.000 description 1
- 150000003512 tertiary amines Chemical group 0.000 description 1
- 230000004797 therapeutic response Effects 0.000 description 1
- RBNBDIMXFJYDLQ-UHFFFAOYSA-N thieno[3,2-d]pyrimidine Chemical class C1=NC=C2SC=CC2=N1 RBNBDIMXFJYDLQ-UHFFFAOYSA-N 0.000 description 1
- 125000001544 thienyl group Chemical group 0.000 description 1
- 210000001578 tight junction Anatomy 0.000 description 1
- 229960003989 tocilizumab Drugs 0.000 description 1
- JOXIMZWYDAKGHI-UHFFFAOYSA-M toluene-4-sulfonate Chemical compound CC1=CC=C(S([O-])(=O)=O)C=C1 JOXIMZWYDAKGHI-UHFFFAOYSA-M 0.000 description 1
- 238000011200 topical administration Methods 0.000 description 1
- UCFGDBYHRUNTLO-QHCPKHFHSA-N topotecan Chemical compound C1=C(O)C(CN(C)C)=C2C=C(CN3C4=CC5=C(C3=O)COC(=O)[C@]5(O)CC)C4=NC2=C1 UCFGDBYHRUNTLO-QHCPKHFHSA-N 0.000 description 1
- 229960000303 topotecan Drugs 0.000 description 1
- 229960005267 tositumomab Drugs 0.000 description 1
- 238000013518 transcription Methods 0.000 description 1
- 230000035897 transcription Effects 0.000 description 1
- 230000009466 transformation Effects 0.000 description 1
- 238000013519 translation Methods 0.000 description 1
- 238000013520 translational research Methods 0.000 description 1
- 230000007723 transport mechanism Effects 0.000 description 1
- 238000011269 treatment regimen Methods 0.000 description 1
- 229960001727 tretinoin Drugs 0.000 description 1
- 229910052722 tritium Inorganic materials 0.000 description 1
- 229940121358 tyrosine kinase inhibitor Drugs 0.000 description 1
- 239000005483 tyrosine kinase inhibitor Substances 0.000 description 1
- 229960003824 ustekinumab Drugs 0.000 description 1
- ZOCKGBMQLCSHFP-KQRAQHLDSA-N valrubicin Chemical compound O([C@H]1C[C@](CC2=C(O)C=3C(=O)C4=CC=CC(OC)=C4C(=O)C=3C(O)=C21)(O)C(=O)COC(=O)CCCC)[C@H]1C[C@H](NC(=O)C(F)(F)F)[C@H](O)[C@H](C)O1 ZOCKGBMQLCSHFP-KQRAQHLDSA-N 0.000 description 1
- 229960000653 valrubicin Drugs 0.000 description 1
- 230000002792 vascular Effects 0.000 description 1
- GPXBXXGIAQBQNI-UHFFFAOYSA-N vemurafenib Chemical compound CCCS(=O)(=O)NC1=CC=C(F)C(C(=O)C=2C3=CC(=CN=C3NC=2)C=2C=CC(Cl)=CC=2)=C1F GPXBXXGIAQBQNI-UHFFFAOYSA-N 0.000 description 1
- 229960003862 vemurafenib Drugs 0.000 description 1
- 229960003048 vinblastine Drugs 0.000 description 1
- JXLYSJRDGCGARV-XQKSVPLYSA-N vincaleukoblastine Chemical compound C([C@@H](C[C@]1(C(=O)OC)C=2C(=CC3=C([C@]45[C@H]([C@@]([C@H](OC(C)=O)[C@]6(CC)C=CCN([C@H]56)CC4)(O)C(=O)OC)N3C)C=2)OC)C[C@@](C2)(O)CC)N2CCC2=C1NC1=CC=CC=C21 JXLYSJRDGCGARV-XQKSVPLYSA-N 0.000 description 1
- OGWKCGZFUXNPDA-XQKSVPLYSA-N vincristine Chemical compound C([N@]1C[C@@H](C[C@]2(C(=O)OC)C=3C(=CC4=C([C@]56[C@H]([C@@]([C@H](OC(C)=O)[C@]7(CC)C=CCN([C@H]67)CC5)(O)C(=O)OC)N4C=O)C=3)OC)C[C@@](C1)(O)CC)CC1=C2NC2=CC=CC=C12 OGWKCGZFUXNPDA-XQKSVPLYSA-N 0.000 description 1
- 229960004528 vincristine Drugs 0.000 description 1
- OGWKCGZFUXNPDA-UHFFFAOYSA-N vincristine Natural products C1C(CC)(O)CC(CC2(C(=O)OC)C=3C(=CC4=C(C56C(C(C(OC(C)=O)C7(CC)C=CCN(C67)CC5)(O)C(=O)OC)N4C=O)C=3)OC)CN1CCC1=C2NC2=CC=CC=C12 OGWKCGZFUXNPDA-UHFFFAOYSA-N 0.000 description 1
- UGGWPQSBPIFKDZ-KOTLKJBCSA-N vindesine Chemical compound C([C@@H](C[C@]1(C(=O)OC)C=2C(=CC3=C([C@]45[C@H]([C@@]([C@H](O)[C@]6(CC)C=CCN([C@H]56)CC4)(O)C(N)=O)N3C)C=2)OC)C[C@@](C2)(O)CC)N2CCC2=C1N=C1[C]2C=CC=C1 UGGWPQSBPIFKDZ-KOTLKJBCSA-N 0.000 description 1
- 229960004355 vindesine Drugs 0.000 description 1
- GBABOYUKABKIAF-GHYRFKGUSA-N vinorelbine Chemical compound C1N(CC=2C3=CC=CC=C3NC=22)CC(CC)=C[C@H]1C[C@]2(C(=O)OC)C1=CC([C@]23[C@H]([C@]([C@H](OC(C)=O)[C@]4(CC)C=CCN([C@H]34)CC2)(O)C(=O)OC)N2C)=C2C=C1OC GBABOYUKABKIAF-GHYRFKGUSA-N 0.000 description 1
- 229960002066 vinorelbine Drugs 0.000 description 1
- 230000009278 visceral effect Effects 0.000 description 1
- BPQMGSKTAYIVFO-UHFFFAOYSA-N vismodegib Chemical compound ClC1=CC(S(=O)(=O)C)=CC=C1C(=O)NC1=CC=C(Cl)C(C=2N=CC=CC=2)=C1 BPQMGSKTAYIVFO-UHFFFAOYSA-N 0.000 description 1
- 229960004449 vismodegib Drugs 0.000 description 1
- 239000011782 vitamin Substances 0.000 description 1
- 235000013343 vitamin Nutrition 0.000 description 1
- 229940088594 vitamin Drugs 0.000 description 1
- 229930003231 vitamin Natural products 0.000 description 1
- 229940014556 xgeva Drugs 0.000 description 1
- 229940099073 xolair Drugs 0.000 description 1
- 229940106067 zinbryta Drugs 0.000 description 1
Images
Classifications
-
- A—HUMAN NECESSITIES
- A61—MEDICAL OR VETERINARY SCIENCE; HYGIENE
- A61K—PREPARATIONS FOR MEDICAL, DENTAL OR TOILETRY PURPOSES
- A61K31/00—Medicinal preparations containing organic active ingredients
- A61K31/13—Amines
- A61K31/135—Amines having aromatic rings, e.g. ketamine, nortriptyline
- A61K31/137—Arylalkylamines, e.g. amphetamine, epinephrine, salbutamol, ephedrine or methadone
-
- A—HUMAN NECESSITIES
- A61—MEDICAL OR VETERINARY SCIENCE; HYGIENE
- A61K—PREPARATIONS FOR MEDICAL, DENTAL OR TOILETRY PURPOSES
- A61K31/00—Medicinal preparations containing organic active ingredients
- A61K31/33—Heterocyclic compounds
- A61K31/395—Heterocyclic compounds having nitrogen as a ring hetero atom, e.g. guanethidine or rifamycins
- A61K31/40—Heterocyclic compounds having nitrogen as a ring hetero atom, e.g. guanethidine or rifamycins having five-membered rings with one nitrogen as the only ring hetero atom, e.g. sulpiride, succinimide, tolmetin, buflomedil
- A61K31/403—Heterocyclic compounds having nitrogen as a ring hetero atom, e.g. guanethidine or rifamycins having five-membered rings with one nitrogen as the only ring hetero atom, e.g. sulpiride, succinimide, tolmetin, buflomedil condensed with carbocyclic rings, e.g. carbazole
- A61K31/404—Indoles, e.g. pindolol
- A61K31/4045—Indole-alkylamines; Amides thereof, e.g. serotonin, melatonin
-
- A—HUMAN NECESSITIES
- A61—MEDICAL OR VETERINARY SCIENCE; HYGIENE
- A61K—PREPARATIONS FOR MEDICAL, DENTAL OR TOILETRY PURPOSES
- A61K31/00—Medicinal preparations containing organic active ingredients
- A61K31/33—Heterocyclic compounds
- A61K31/395—Heterocyclic compounds having nitrogen as a ring hetero atom, e.g. guanethidine or rifamycins
- A61K31/435—Heterocyclic compounds having nitrogen as a ring hetero atom, e.g. guanethidine or rifamycins having six-membered rings with one nitrogen as the only ring hetero atom
- A61K31/47—Quinolines; Isoquinolines
- A61K31/4738—Quinolines; Isoquinolines ortho- or peri-condensed with heterocyclic ring systems
- A61K31/4745—Quinolines; Isoquinolines ortho- or peri-condensed with heterocyclic ring systems condensed with ring systems having nitrogen as a ring hetero atom, e.g. phenantrolines
-
- A—HUMAN NECESSITIES
- A61—MEDICAL OR VETERINARY SCIENCE; HYGIENE
- A61K—PREPARATIONS FOR MEDICAL, DENTAL OR TOILETRY PURPOSES
- A61K47/00—Medicinal preparations characterised by the non-active ingredients used, e.g. carriers or inert additives; Targeting or modifying agents chemically bound to the active ingredient
- A61K47/50—Medicinal preparations characterised by the non-active ingredients used, e.g. carriers or inert additives; Targeting or modifying agents chemically bound to the active ingredient the non-active ingredient being chemically bound to the active ingredient, e.g. polymer-drug conjugates
- A61K47/51—Medicinal preparations characterised by the non-active ingredients used, e.g. carriers or inert additives; Targeting or modifying agents chemically bound to the active ingredient the non-active ingredient being chemically bound to the active ingredient, e.g. polymer-drug conjugates the non-active ingredient being a modifying agent
- A61K47/56—Medicinal preparations characterised by the non-active ingredients used, e.g. carriers or inert additives; Targeting or modifying agents chemically bound to the active ingredient the non-active ingredient being chemically bound to the active ingredient, e.g. polymer-drug conjugates the non-active ingredient being a modifying agent the modifying agent being an organic macromolecular compound, e.g. an oligomeric, polymeric or dendrimeric molecule
- A61K47/59—Medicinal preparations characterised by the non-active ingredients used, e.g. carriers or inert additives; Targeting or modifying agents chemically bound to the active ingredient the non-active ingredient being chemically bound to the active ingredient, e.g. polymer-drug conjugates the non-active ingredient being a modifying agent the modifying agent being an organic macromolecular compound, e.g. an oligomeric, polymeric or dendrimeric molecule obtained otherwise than by reactions only involving carbon-to-carbon unsaturated bonds, e.g. polyureas or polyurethanes
-
- A—HUMAN NECESSITIES
- A61—MEDICAL OR VETERINARY SCIENCE; HYGIENE
- A61K—PREPARATIONS FOR MEDICAL, DENTAL OR TOILETRY PURPOSES
- A61K47/00—Medicinal preparations characterised by the non-active ingredients used, e.g. carriers or inert additives; Targeting or modifying agents chemically bound to the active ingredient
- A61K47/50—Medicinal preparations characterised by the non-active ingredients used, e.g. carriers or inert additives; Targeting or modifying agents chemically bound to the active ingredient the non-active ingredient being chemically bound to the active ingredient, e.g. polymer-drug conjugates
- A61K47/51—Medicinal preparations characterised by the non-active ingredients used, e.g. carriers or inert additives; Targeting or modifying agents chemically bound to the active ingredient the non-active ingredient being chemically bound to the active ingredient, e.g. polymer-drug conjugates the non-active ingredient being a modifying agent
- A61K47/56—Medicinal preparations characterised by the non-active ingredients used, e.g. carriers or inert additives; Targeting or modifying agents chemically bound to the active ingredient the non-active ingredient being chemically bound to the active ingredient, e.g. polymer-drug conjugates the non-active ingredient being a modifying agent the modifying agent being an organic macromolecular compound, e.g. an oligomeric, polymeric or dendrimeric molecule
- A61K47/59—Medicinal preparations characterised by the non-active ingredients used, e.g. carriers or inert additives; Targeting or modifying agents chemically bound to the active ingredient the non-active ingredient being chemically bound to the active ingredient, e.g. polymer-drug conjugates the non-active ingredient being a modifying agent the modifying agent being an organic macromolecular compound, e.g. an oligomeric, polymeric or dendrimeric molecule obtained otherwise than by reactions only involving carbon-to-carbon unsaturated bonds, e.g. polyureas or polyurethanes
- A61K47/60—Medicinal preparations characterised by the non-active ingredients used, e.g. carriers or inert additives; Targeting or modifying agents chemically bound to the active ingredient the non-active ingredient being chemically bound to the active ingredient, e.g. polymer-drug conjugates the non-active ingredient being a modifying agent the modifying agent being an organic macromolecular compound, e.g. an oligomeric, polymeric or dendrimeric molecule obtained otherwise than by reactions only involving carbon-to-carbon unsaturated bonds, e.g. polyureas or polyurethanes the organic macromolecular compound being a polyoxyalkylene oligomer, polymer or dendrimer, e.g. PEG, PPG, PEO or polyglycerol
-
- A—HUMAN NECESSITIES
- A61—MEDICAL OR VETERINARY SCIENCE; HYGIENE
- A61K—PREPARATIONS FOR MEDICAL, DENTAL OR TOILETRY PURPOSES
- A61K47/00—Medicinal preparations characterised by the non-active ingredients used, e.g. carriers or inert additives; Targeting or modifying agents chemically bound to the active ingredient
- A61K47/50—Medicinal preparations characterised by the non-active ingredients used, e.g. carriers or inert additives; Targeting or modifying agents chemically bound to the active ingredient the non-active ingredient being chemically bound to the active ingredient, e.g. polymer-drug conjugates
- A61K47/51—Medicinal preparations characterised by the non-active ingredients used, e.g. carriers or inert additives; Targeting or modifying agents chemically bound to the active ingredient the non-active ingredient being chemically bound to the active ingredient, e.g. polymer-drug conjugates the non-active ingredient being a modifying agent
- A61K47/62—Medicinal preparations characterised by the non-active ingredients used, e.g. carriers or inert additives; Targeting or modifying agents chemically bound to the active ingredient the non-active ingredient being chemically bound to the active ingredient, e.g. polymer-drug conjugates the non-active ingredient being a modifying agent the modifying agent being a protein, peptide or polyamino acid
-
- A—HUMAN NECESSITIES
- A61—MEDICAL OR VETERINARY SCIENCE; HYGIENE
- A61K—PREPARATIONS FOR MEDICAL, DENTAL OR TOILETRY PURPOSES
- A61K47/00—Medicinal preparations characterised by the non-active ingredients used, e.g. carriers or inert additives; Targeting or modifying agents chemically bound to the active ingredient
- A61K47/50—Medicinal preparations characterised by the non-active ingredients used, e.g. carriers or inert additives; Targeting or modifying agents chemically bound to the active ingredient the non-active ingredient being chemically bound to the active ingredient, e.g. polymer-drug conjugates
- A61K47/69—Medicinal preparations characterised by the non-active ingredients used, e.g. carriers or inert additives; Targeting or modifying agents chemically bound to the active ingredient the non-active ingredient being chemically bound to the active ingredient, e.g. polymer-drug conjugates the conjugate being characterised by physical or galenical forms, e.g. emulsion, particle, inclusion complex, stent or kit
- A61K47/6921—Medicinal preparations characterised by the non-active ingredients used, e.g. carriers or inert additives; Targeting or modifying agents chemically bound to the active ingredient the non-active ingredient being chemically bound to the active ingredient, e.g. polymer-drug conjugates the conjugate being characterised by physical or galenical forms, e.g. emulsion, particle, inclusion complex, stent or kit the form being a particulate, a powder, an adsorbate, a bead or a sphere
- A61K47/6927—Medicinal preparations characterised by the non-active ingredients used, e.g. carriers or inert additives; Targeting or modifying agents chemically bound to the active ingredient the non-active ingredient being chemically bound to the active ingredient, e.g. polymer-drug conjugates the conjugate being characterised by physical or galenical forms, e.g. emulsion, particle, inclusion complex, stent or kit the form being a particulate, a powder, an adsorbate, a bead or a sphere the form being a solid microparticle having no hollow or gas-filled cores
- A61K47/6929—Medicinal preparations characterised by the non-active ingredients used, e.g. carriers or inert additives; Targeting or modifying agents chemically bound to the active ingredient the non-active ingredient being chemically bound to the active ingredient, e.g. polymer-drug conjugates the conjugate being characterised by physical or galenical forms, e.g. emulsion, particle, inclusion complex, stent or kit the form being a particulate, a powder, an adsorbate, a bead or a sphere the form being a solid microparticle having no hollow or gas-filled cores the form being a nanoparticle, e.g. an immuno-nanoparticle
- A61K47/6931—Medicinal preparations characterised by the non-active ingredients used, e.g. carriers or inert additives; Targeting or modifying agents chemically bound to the active ingredient the non-active ingredient being chemically bound to the active ingredient, e.g. polymer-drug conjugates the conjugate being characterised by physical or galenical forms, e.g. emulsion, particle, inclusion complex, stent or kit the form being a particulate, a powder, an adsorbate, a bead or a sphere the form being a solid microparticle having no hollow or gas-filled cores the form being a nanoparticle, e.g. an immuno-nanoparticle the material constituting the nanoparticle being a polymer
- A61K47/6935—Medicinal preparations characterised by the non-active ingredients used, e.g. carriers or inert additives; Targeting or modifying agents chemically bound to the active ingredient the non-active ingredient being chemically bound to the active ingredient, e.g. polymer-drug conjugates the conjugate being characterised by physical or galenical forms, e.g. emulsion, particle, inclusion complex, stent or kit the form being a particulate, a powder, an adsorbate, a bead or a sphere the form being a solid microparticle having no hollow or gas-filled cores the form being a nanoparticle, e.g. an immuno-nanoparticle the material constituting the nanoparticle being a polymer the polymer being obtained otherwise than by reactions involving carbon to carbon unsaturated bonds, e.g. polyesters, polyamides or polyglycerol
-
- A—HUMAN NECESSITIES
- A61—MEDICAL OR VETERINARY SCIENCE; HYGIENE
- A61K—PREPARATIONS FOR MEDICAL, DENTAL OR TOILETRY PURPOSES
- A61K9/00—Medicinal preparations characterised by special physical form
- A61K9/14—Particulate form, e.g. powders, Processes for size reducing of pure drugs or the resulting products, Pure drug nanoparticles
- A61K9/16—Agglomerates; Granulates; Microbeadlets ; Microspheres; Pellets; Solid products obtained by spray drying, spray freeze drying, spray congealing,(multiple) emulsion solvent evaporation or extraction
- A61K9/1605—Excipients; Inactive ingredients
- A61K9/1629—Organic macromolecular compounds
- A61K9/1641—Organic macromolecular compounds obtained otherwise than by reactions only involving carbon-to-carbon unsaturated bonds, e.g. polyethylene glycol, poloxamers
-
- A—HUMAN NECESSITIES
- A61—MEDICAL OR VETERINARY SCIENCE; HYGIENE
- A61K—PREPARATIONS FOR MEDICAL, DENTAL OR TOILETRY PURPOSES
- A61K9/00—Medicinal preparations characterised by special physical form
- A61K9/48—Preparations in capsules, e.g. of gelatin, of chocolate
- A61K9/50—Microcapsules having a gas, liquid or semi-solid filling; Solid microparticles or pellets surrounded by a distinct coating layer, e.g. coated microspheres, coated drug crystals
- A61K9/51—Nanocapsules; Nanoparticles
- A61K9/5107—Excipients; Inactive ingredients
- A61K9/513—Organic macromolecular compounds; Dendrimers
- A61K9/5138—Organic macromolecular compounds; Dendrimers obtained by reactions only involving carbon-to-carbon unsaturated bonds, e.g. polyvinyl pyrrolidone, poly(meth)acrylates
-
- A—HUMAN NECESSITIES
- A61—MEDICAL OR VETERINARY SCIENCE; HYGIENE
- A61P—SPECIFIC THERAPEUTIC ACTIVITY OF CHEMICAL COMPOUNDS OR MEDICINAL PREPARATIONS
- A61P35/00—Antineoplastic agents
-
- A—HUMAN NECESSITIES
- A61—MEDICAL OR VETERINARY SCIENCE; HYGIENE
- A61K—PREPARATIONS FOR MEDICAL, DENTAL OR TOILETRY PURPOSES
- A61K39/00—Medicinal preparations containing antigens or antibodies
- A61K2039/505—Medicinal preparations containing antigens or antibodies comprising antibodies
-
- B—PERFORMING OPERATIONS; TRANSPORTING
- B82—NANOTECHNOLOGY
- B82Y—SPECIFIC USES OR APPLICATIONS OF NANOSTRUCTURES; MEASUREMENT OR ANALYSIS OF NANOSTRUCTURES; MANUFACTURE OR TREATMENT OF NANOSTRUCTURES
- B82Y5/00—Nanobiotechnology or nanomedicine, e.g. protein engineering or drug delivery
-
- C—CHEMISTRY; METALLURGY
- C07—ORGANIC CHEMISTRY
- C07K—PEPTIDES
- C07K16/00—Immunoglobulins [IGs], e.g. monoclonal or polyclonal antibodies
- C07K16/18—Immunoglobulins [IGs], e.g. monoclonal or polyclonal antibodies against material from animals or humans
- C07K16/32—Immunoglobulins [IGs], e.g. monoclonal or polyclonal antibodies against material from animals or humans against translation products of oncogenes
-
- Y—GENERAL TAGGING OF NEW TECHNOLOGICAL DEVELOPMENTS; GENERAL TAGGING OF CROSS-SECTIONAL TECHNOLOGIES SPANNING OVER SEVERAL SECTIONS OF THE IPC; TECHNICAL SUBJECTS COVERED BY FORMER USPC CROSS-REFERENCE ART COLLECTIONS [XRACs] AND DIGESTS
- Y10—TECHNICAL SUBJECTS COVERED BY FORMER USPC
- Y10S—TECHNICAL SUBJECTS COVERED BY FORMER USPC CROSS-REFERENCE ART COLLECTIONS [XRACs] AND DIGESTS
- Y10S977/00—Nanotechnology
- Y10S977/70—Nanostructure
- Y10S977/773—Nanoparticle, i.e. structure having three dimensions of 100 nm or less
-
- Y—GENERAL TAGGING OF NEW TECHNOLOGICAL DEVELOPMENTS; GENERAL TAGGING OF CROSS-SECTIONAL TECHNOLOGIES SPANNING OVER SEVERAL SECTIONS OF THE IPC; TECHNICAL SUBJECTS COVERED BY FORMER USPC CROSS-REFERENCE ART COLLECTIONS [XRACs] AND DIGESTS
- Y10—TECHNICAL SUBJECTS COVERED BY FORMER USPC
- Y10S—TECHNICAL SUBJECTS COVERED BY FORMER USPC CROSS-REFERENCE ART COLLECTIONS [XRACs] AND DIGESTS
- Y10S977/00—Nanotechnology
- Y10S977/902—Specified use of nanostructure
- Y10S977/904—Specified use of nanostructure for medical, immunological, body treatment, or diagnosis
- Y10S977/906—Drug delivery
Definitions
- the present disclosure is directed to the nanoparticles capable of and for use in delivering therapeutic agents across the blood brain barrier.
- CNS central nervous system
- Alzheimer's disease alone affects over five million people in the United States and is expected to increase to over thirteen million by 2050.
- the proportion of deaths from many other leading causes of mortality in the United States, such as heart disease and stroke have seen significant decreases over the last decade, the proportion of deaths from Alzheimer's disease has increased 68%.
- a similar trend, in both high economic cost and a relative lack of progress in treatment, is seen with many other neurodegenerative diseases, including Huntington's disease, Parkinson's disease, multiple sclerosis, and brain cancers.
- Brain metastases of breast cancer are also presenting an increasing challenge in the clinic. Historically, brain metastases were not a major problem for most breast cancer patients because they usually developed late during the disease, and lack of systemic control limited survival. However, new therapies have improved clinical outcomes in some subsets of patients, and brain progression has become a more significant threat to long-term survival. Certain of these cancers are caused by the overexpression HER2, EGFR, HER3, and/or HER4 complexes. For example, in women with human epidermal growth factor 2 (HER2)-positive breast cancer, improved control of systemic disease with new therapies has unmasked brain metastases that historically would have remained clinically silent. Efficacy of therapeutic agents against brain metastases is limited by their inability to permeate the blood-brain and blood-tumor barriers (BBB and BTB) in therapeutic amounts.
- BBB and BTB blood-tumor barriers
- HER2-targeted therapies can effectively control extracranial disease, they have limited distribution to brain metastases and demonstrate poor efficacy in this setting. That is, while HER2-targeted therapies effectively control systemic disease, their efficacy against brain metastases is hindered by their inability to penetrate the blood-brain and blood-tumor barriers (BBB and BTB).
- BBB and BTB blood-brain and blood-tumor barriers
- BBB blood-brain barrier
- BBB blood-brain barrier
- BBB blood-tumor barrier
- BBB blood-tumor barrier
- Many drugs commonly used to treat HER2-positive breast cancer are unable to reach therapeutic concentrations in the brain and circumventing the BBB and BTB remains a major obstacle in effective treatment of brain metastases.
- BBB blood-brain barrier
- the BBB is a physical barrier between the CNS parenchyma and vasculature that plays a critical role in maintaining homeostasis within the CNS.
- the BBB consists of several barriers in parallel, with the two that are best described being the vascular BBB, consisting primarily of the capillary bed, and the blood-cerebrospinal fluid (blood-CSF) barrier, consisting primarily of the choroid plexus. Tight junctions exist between endothelial cells that inhibit paracellular diffusion of polar molecules, macromolecules and cells. This forces solute transport into the CNS to occur primarily across individual endothelial cells.
- lipid solubility can increase transport rate across the BBB, it can also lower the concentration of the drug in the blood.
- the percent of administered drug entering the brain is determined by both the rate of transport across the BBB and the amount of drug presented to the brain.
- lipid-soluble-low-Mr small-molecule therapeutics include Alzheimer disease, stroke/neuroprotection, brain and spinal cord injury, brain cancer, HIV infection of the brain, various ataxia-producing disorders, amytrophic lateral sclerosis (ALS), Huntington disease, Parkinson disease (PD), multiple sclerosis (MS). and childhood inborn genetic errors affecting the brain.
- ALS amytrophic lateral sclerosis
- PD Parkinson disease
- MS multiple sclerosis
- the present disclosure is directed to addressing some of these challenges and concerns.
- the present disclosure is directed to nanoparticles suitable for delivering therapeutics and imaging agents across the blood brain barrier to treat a range of neurological conditions and diseases that would benefit from the systemic delivery of these therapeutics and imaging agents across the blood brain barrier.
- Certain embodiments of the disclosure includes polymer, polymer conjugate, or nanoparticle compositions comprising a polymer or nanoparticle core to which is bonded: (a) at least one targeting agent, the targeting agent comprising a ligand attached to an external surface of the nanoparticle core by a linker; the ligand having an affinity for binding to a receptor expressed by endothelial cells of the blood-brain barrier; and the linker being cleavable when subject to conditions inside an endothelial cell of the blood-brain barrier, wherein the cleavage comprises hydrolysis, chemical reduction, or enzymatic cleavage of the linker; and one or both of (b) at least one small molecule therapeutic agent, optionally linked to the nanoparticle core by way of an optional linker; and/
- the polymer or nanoparticle core comprises, consists essentially of, or consists of a polyol containing polymer, a poly(lactic-co-glycolic acid) (PLGA), chitosan, polyethyleneimine, polysaccharide, polyester, polyamide, polyether, polycarbonate, polyacrylate, iron oxide, or gold.
- the polymer or nanoparticle core comprises, consists essentially of, or consists of a polyol-containing polymer, preferably a sugar-containing polymer, for example, a polymer derived from glucose, fructose, mannitol, mucic acid, sucrose, galactose, sorbitol. xylose or galactose, more preferably from mucic acid.
- a sugar-containing polymer for example, a polymer derived from glucose, fructose, mannitol, mucic acid, sucrose, galactose, sorbitol. xylose or galactose, more
- the polymer or nanoparticle core independently comprises units of the formula:
- the polymer or nanoparticle core comprises a polymer containing a polyol, wherein the polymer containing the polyol is derived from the coupling of a compound of Formula A:
- the compound of Formula B does not include:
- the polymer or nanoparticle core comprises a polymer or nanoparticle core polymer comprises a polyol structure:
- the polymer or nanoparticle core comprises a polymer or nanoparticle core polymer comprises alternating charged and uncharged segments comprising one or more of the following structural units of Formula (I) or Formula (II) or Formula (III):
- A is an uncharged segment comprising polyalkylene glycol
- B is a cationically charged segment comprising at least one polyhydroxy linkage comprising at least one pair of vicinal diols.
- the B segment comprises at least one repeating subunit comprising a caionic mucic acid polymer (cMAP) residue structure.
- cMAP caionic mucic acid polymer
- the cleavable linker between the targeting ligand and the polymer or nanoparticle core comprises one or more of an acetal, borate ester, a carboxylic ester, a diaminoketal, a disulfide, a ketal, a hydrazone, an imine, a ketal, an orthoester, or a peptide linkage.
- linkages are variously susceptible to cleavage under the conditions associated with a brain endothelial cell, for example by hydrolysis, chemical reduction, enzymatic cleavage, or other means.
- the cleavable linkage comprises at least one borate ester of a (nitro)phenyl boronic acid-containing polymer comprising a structure:
- the at least one targeting ligand independently comprises or consists of a nucleotide, polynucleotide, aptamer, peptide, oligopeptide, polypeptide, protein, polysaccharide, antibody or antibody fragment.
- the at least one of the targeting ligands is one known to specifically bind to receptor or surface protein expressed by a brain endothelial cell that undergoes transcytosis.
- useful targeting ligands are set forth elsewhere within this disclosure.
- In certain additional or alternative embodiments comprise or consist of, but are not limited to, chemical entities that specifically bind to certain identified targeted receptors. Transferrin is an attractive option for this targeting ligand and serves as a specific embodiment in this capacity.
- Each polymer or nanoparticle core can be conjugated to a single targeting ligand (per core) or to several thousand such targeting ligands (per core). Moreover, the polymer or nanoparticle core can be conjugated to a single type of targeting ligand or multiple types. Further, while at least one targeting ligand must be conjugated to each polymer or nanoparticle core by a cleavable linkage, as set forth elsewhere herein, additional targeting ligands can also be linked to the core with non-cleavable linkages, offering added functionality to the structures. Still further, the polymer or nanoparticle core may further comprise free pendant moieties capable of acting as linking groups (cleavable or otherwise) to which no targeting linkages are attached. Such linkable groups offer the possibility for attaching other biological, chemical, or imaging agents to the core, or may link such biological, chemical, or imaging agents to the core.
- the small molecule optionally attached to the polymer or nanoparticle core is a pharmaceutical compound useful in the treatment of Alzheimer's disease, Huntington's disease, Parkinson's disease, multiple sclerosis, and brain cancer.
- Such compounds include neurotransmitters, chemotherapeutic, and other biologically active materials.
- Compounds such as dopamine, serotonin, camptothecin, irinotecan, SN-38, or a derivative, metabolite, or prodrug thereof are but a small list of compounds set forth in this disclosure.
- the small molecule can also be “tagged” with radio-isotopes for molecular imaging of the tumor marker in vivo.
- the small molecule therapeutic compound may be chemically or electrostatically bonded to the polymer or nanoparticle core or may be encapsulated within the structure of the nanoparticle core without being chemically or electrostatically bonded thereto.
- the small molecule linker may be either chemically stable (i.e., able to maintain its structure in its presented or intended environment) or may be cleavable by any of the mechanisms associated with the term “cleavable” as set forth elsewhere herein.
- this linking group may comprise one or more amino acid residues, such as a residue of arginine, histidine, lysine, aspartic acid, glutamic acid, serine, threonine, asparagine, glutamine, tyrosine, tryptophan, or a salt thereof.
- amino acid residues such as a residue of arginine, histidine, lysine, aspartic acid, glutamic acid, serine, threonine, asparagine, glutamine, tyrosine, tryptophan, or a salt thereof.
- the large molecule therapeutic agent is a nucleotide, polynucleotide, aptamer, peptide, oligopeptide, polypeptide, protein (including fusion proteins), polysaccharide, antibody or antibody fragment useful in the treatment of Alzheimer's disease, Huntington's disease, Parkinson's disease, multiple sclerosis, and cancer.
- the large molecule is an antibody.
- the present disclosure exemplifies the use of trastuzumab (Herceptin®) in this capacity, though the large molecule therapeutic agent is not so limited to this material, and the disclosure sets for a wide range of materials useful in this capacity.
- the large molecule therapeutic compound may be attached to the polymer or nanoparticle core either by a direct chemical bond or via a linking group.
- the linking group may be either chemically stable (i.e., able to maintain its structure in its presented or intended environment) or may be cleavable by any of the mechanisms associated with the term “cleavable” as set forth elsewhere herein. Additionally, or alternatively, this linking group may comprise one or more amino acid residues, such as for example arginine, histidine, lysine, aspartic acid, glutamic acid, serine, threonine, asparagine, glutamine, tyrosine, tryptophan, or a salt thereof.
- compositions have been disclosed in terms of a polymer, polymer conjugate, or nanoparticle composition in preferred embodiments, the composition is a nanoparticle.
- the disclosure also embraces populations of nanoparticles, and pharmaceutical compositions derived therefrom.
- the disclosure embraces methods of using these nanoparticle compositions for systemically delivering enhanced levels of therapeutics, including the combination of small and large molecule therapeutics, past the blood brain barrier and into the brain parenchyma.
- Such methods are directed to specific patient patient populations, previously identified for such treatment. These methods comprise systematically administering to such a subject having a neurological brain disorder and in need of such treatment the nanoparticles as disclosed herein.
- the enhanced level of the therapeutic agent delivered by the nanoparticles to the brain parenchyma can be defined as an amount that is greater than is delivered using otherwise equivalent nanoparticles that do not contain the cleavable linker under the same conditions.
- the disclosed treatments include those where the attached small or large molecule therapeutic agent is otherwise incapable of passing through the blood brain barrier to deliver therapeutically effective amounts of the agent.
- this administration is accompanied by the co-administration of a therapeutic or imaging agent that is itself able to pass the blood brain barrier and deliver therapeutic amounts in the brain parenchyma.
- This tandem administration may be provided at the same time, in the same delivery vehicle, or at different times, in different delivery vehicles during a given treatment regime.
- the enhanced level of the therapeutic agent delivered by the nanoparticles to the brain parenchyma can be defined as an amount that is greater than is delivered using otherwise equivalent nanoparticles that do not contain the cleavable linker under the same conditions.
- FIG. 1(A) shows a scheme of acid-cleavable targeting strategy. Following endocytosis, rapid acidification of endosome triggers separation of Tf ligands from the nanoparticle core, allowing free diffusion of the nanoparticle into the brain parenchyma after transcytosis.
- FIG. 1(B) illustrates the preparation of TfR-targeted and non-targeted MAP-CPT nanoparticles and pH-dependence of nitroPBA-diol complex.
- y ⁇ 20 for material used in this study
- z ⁇ 120 for 5 kDa PEG.
- FIG. 2 illustrates a proposed mechanism for delivery of drug and antibody combination to brain metastases using acid-cleavable targeting ligands.
- Tf ligands and Herceptin remain bound to the diols on the nanoparticle surface.
- rapid acidification of the endosome to pH 5.5 triggers their dissociation from the nanoparticle core, allowing free diffusion into the brain once transcytosis is complete.
- FIG. 3 shows a synthetic scheme of MAP-CPT polymer-drug conjugate. w ⁇ 82 for 3.4 kDa PEG; x ⁇ 20 for material used in this study.
- FIGS. 5 (A-C) illustrates of breast cancer brain metastasis models.
- FIGS. 5 (A) Intracranial (IC) injection of tumor cells allows for direct establishment of brain metastases.
- ICD intracardiac
- FIG. 6 shows apical to basal transport of non-targeted and TfR-targeted MAP-CPT nanoparticles in model BBB.
- TfR-targeted (blue) and non-targeted (gray) nanoparticles were added to apical wells in either serum-free DMEM (DMEM), or in the presence of either 2.5 mg/mL Tf (DMEM+Tf) or equimolar high-affinity anti-TfR Ab (DMEM+Ab). Data shown are the average of 4 wells for each group. Error bars indicate SE.
- FIGS. 7 (A-B) show the effect of anti-HER2 therapy on HER2-positive BT474-Gluc breast cancer brain metastases established in Rag2 ⁇ / ⁇ ;Il2rg ⁇ / ⁇ mice.
- Trastuzumab at 5 mg/kg was administered twice weekly via intravenous tail vein injection, and treatment was initiated when tumors reached 10 mm 3 in volume.
- MRI was used to monitor brain tumor size and response to treatment.
- Tumors established by IC injection FIG. 7(A)
- FIG. 7(B) showed significant delay in tumor progression, whereas those established by IV injection ( FIG. 7(B) ) did not.
- FIG. 8 provides a detailed illustration of intracranial (A), intracardiac (B), and intravenous (C) breast cancer brain metastasis models and timelines for efficacy study. Numbers below timeline indicate mean (range) time in months to establishment of visible brain metastases (BM; ⁇ 0.2 mm 3 in volume) by MRI. Thick arrows denote treatment schedule for the study, with 4 weekly doses administered once tumors reached ⁇ 2 mm 3 in volume.
- FIG. 9 shows data for brain tumors established using different methods show differential response to therapeutics.
- Tumor growth curves of BT474-Gluc metastatic brain tumors treated with CPT (orange, 4 mg/kg), non-targeted MAP-CPT nanoparticles (gray, 4 mg CPT/kg), and TfR-targeted MAP-CPT nanoparticles (blue, 4 mg CPT/kg) compared to saline (black) when established by IC (A), ICD (B), and IV injection (C).
- Data shown are the average of 6 mice per treatment group. Error bars indicate SE.
- FIG. 10 shows blood Gluc activity of IC-established tumors is correlated with tumor volume, as measured by MRI, for each treatment group. Blood Gluc activity is plotted against tumor volume for saline (black), CPT (orange), non-targeted MAP-CPT nanoparticle (gray), and TfR-targeted MAP-CPT nanoparticle (blue) treatment groups. Linear regression was performed using MATLAB.
- FIGS. 11 (A-C) show individual tumor growth curves of BT474-Gluc metastatic brain tumors treated with CPT (orange, 4 mg/kg), non-targeted MAP-CPT nanoparticles (gray, 4 mg CPT/kg), and TfR-targeted MAP-CPT nanoparticles (blue, 4 mg CPT/kg) compared to saline (black) when established by IC ( FIG. 11(A) ), ICD ( FIG. 11(B) ), and IV injection ( FIG. 11(C) ). Open circles denote leptomeningeal metastases. 2 of 24 total metastases included in this study for both the ICD and IV models were leptomeningeal. All other brain tumors were intracerebral.
- FIGS. 12 (A-B) show brain uptake of therapeutics is model-dependent in tumor, but not healthy tissue.
- FIG. 12(A) shows brain uptake in BT474-Gluc tumor tissue as calculated by percent injected dose per g of tissue for different treatments.
- FIG. 12(B) Percent injected dose in healthy brain tissue. Brain uptake was determined 24 h after a 4 mg/kg dose (CPT basis). Data shown are the average of 4 mice per treatment group. Error bars indicate SE. ND, not detectable.
- FIG. 13 shows BT474-Gluc cells isolated from brain tumors following IC-(circle), ICD- (square), and IV-establishment (triangle) as well as parental cells (solid circle) are similarly sensitive to CPT. Data shown are the average of 4 dose-response curves for each cell line. Error bars indicate SE.
- FIG. 14 (A-B) shows synthetic schemes for nitroPBA conjugates.
- FIG. 14(A) Herceptin-PEG3.5 k-nitroPBA. y ⁇ 84 for 3.5 kDa PEG.
- FIG. 14(B) Tf-PEG5 k-nitroPBA. z ⁇ 120 for 5 kDa PEG.
- FIG. 15 shows schemes for synthesis of MAP-AF568 polymer conjugate. w ⁇ 82 for 3.4 kDa PEG; x ⁇ 20 for material used in Examples.
- FIG. 16 shows representative MRI images of metastatic brain tumors at the start of treatment (A), and 8 weeks after the start of treatment with saline (B), free CPT and Herceptin (C), TfR-targeted CPT nanoparticles (D), TfR-targeted Herceptin nanoparticles (E) and TfR-targeted combination CPT/Herceptin nanoparticles (F).
- Dotted lines denote tumor margins.
- Formulations were systemically administered weekly for 4 weeks at a dose of 4 and/or 24 mg/kg (CPT and/or Herceptin bases, respectively).
- Scale bar 2 mm; NP, nanoparticle.
- FIG. 17 shows images of metastatic brain tumors imaged by MRI following IV injection of BT474-Gluc cells.
- Intracerebral (A,B,C) and leptomeningeal metastases were detected (D). Most intracerebral metastases were in the cerebrum (A), with occasional metastases in the cerebellum (B). Multifocal metastases were occasionally observed (C). Leptomeningeal metastases most commonly grew in the subarachnoid space (D). Scale bar, 2 mm.
- FIG. 18 Combined nanoparticle delivery of CPT and Herceptin inhibits brain metastatic tumor growth more effectively than nanoparticle delivery of either monotherapy and combined free drug.
- Tumor growth curves of BT474-Gluc metastatic brain tumors treated with free CPT and Herceptin (gray, 4 and 24 mg/kg, respectively), TfR-targeted CPT nanoparticles (orange, 4 mg CPT/kg), TfR-targeted Herceptin nanoparticles (purple, 24 mg Herceptin/kg) and TfR-targeted combination CPT/Herceptin nanoparticles (blue, 4 mg CPT/kg and 24 mg Herceptin/kg) compared to saline (black).
- Data shown are the average of 6 mice per treatment group. Error bars indicate SE.
- FIG. 19 shows individual tumor growth curves of BT474-Gluc metastatic brain tumors treated with CPT and Herceptin (gray, 4 and 24 mg/kg, respectively), TfR-targeted CPT nanoparticles (orange, 4 mg CPT/kg), TfR-targeted Herceptin nanoparticles (purple, 24 mg Herceptin/kg) and TfR-targeted combination CPT/Herceptin nanoparticles (blue, 4 mg CPT/kg and 24 mg Herceptin/kg) compared to saline (black).
- NP nanoparticle.
- the present disclosure is directed to nanoparticles comprising targeting agents and therapeutics and/or imaging agents, suitable for, but not limited to, delivering the therapeutics and/or imaging agents to the brain of a subject.
- the the described nanoparticles are loaded with the therapeutic agent and/or imaging agent of interest prior to administration of the nanoparticle to the subject.
- the targeting ligand facilitates delivery of the nanoparticle to a target cell of interest, such as a brain endothelial cell.
- the nanoparticle dissociates from the targeting agent.
- the described methods may be carried out to deliver a neurotransmitter such as serotonin or dopamine to the brain, which may be used to treat a neurological disorder.
- a neurotransmitter such as serotonin or dopamine
- Other agents for use in treating neurological disorders may also be delivered to the brain via the described methods.
- Imaging agents that might not readily access the brain on their own may also be delivered using the described methods.
- the described methods may be used to deliver a nanoparticle carrying the imaging agent Cu64 to the brain of a subject to allow for imaging. Further, the described methods may be used to deliver a combination of one or more therapeutic agents, imaging agents, or both therapeutic agents, imaging agent to the brain of a subject.
- the nanoparticles contain therapeutics suitable for the control and treatment of cancer-tumors, especially cancer-tumors of the brain. More specifically, the instant disclosure materials and methods which allow therapeutics to cross the blood-brain-barrier (BBB) and blood-tumor-barriers (BTB) for the treatment of conditions including metastatic, HER2-positive brain tumors.
- BBB blood-brain-barrier
- BTB blood-tumor-barriers
- TfR-targeted therapeutic nanoparticles designed to transcytose the BBB/BTB.
- Transferrin (Tf) was attached to nanoparticles consisting of a mucic acid polymer (MAP) conjugate of camptothecin (CPT), denoted MAP-CPT, through a pH-dependent, boronic acid-diol complexation to the vicinal diols contained within the mucic acid portions of the polymer.
- MAP-CPT mucic acid polymer
- boronic acid-diol complexation to the vicinal diols contained within the mucic acid portions of the polymer.
- TfR-targeted nanoparticles carrying more potent therapeutic agents would reveal even greater tumor size reductions.
- an exemplary delivery system was investigated for its ability to shuttle an anti-HER2 monoclonal antibody, Herceptin, alone or in combination with a CPT payload, across the BBB to achieve enhanced antitumor activity over the previously reported efficacy of CPT alone ( FIG. 2 ).
- the present application discloses nanoparticles carrying therapeutic agents, including chemotherapeutic agent, and targeting ligands, where the nanoparticles are suitable for delivering these chemotherapeutic agents throughout a patient, including through the blood the blood brain barrier and methods of using these patients on those patients in need of such treatment. While described in terms of chemotherapy, it is appreciated that some of the nanoparticles are also capable of carrying therapeutics not directed to cancer across the blood brain barrier for treatment of other neurological conditions, for example serotonin or dopanine for treatment of diseases such as Parkinson's disease, Huntington disease, and multiple sclerosis, such as described in U.S. Patent Application Publ. No. 2014/0348754, which is incorporated by reference herein for all purposes, but at least for the use of the nanoparticles for this purpose.
- ASPECT 1 A method of treating a neurological disorder in a patient, the method comprising systemically administering a first small molecule therapeutic agent and/or a large molecule therapeutic agent to the patient in need of such treatment, wherein
- the first small molecule therapeutic agent and/or the large molecule therapeutic agent is attached to a nanoparticle comprising a nanoparticle core and a targeting agent, the targeting agent comprising at least one targeting ligand attached to an external surface of the nanoparticle core by a linker having a cleavable linkage;
- the administration of the first small molecule therapeutic agent and/or the large molecule therapeutic agent attached to the nanoparticle results in the delivery of the first small molecule therapeutic agent and/or the large molecule therapeutic agent past the blood brain barrier and into the subject's brain parenchyma in an amount is greater than would be delivered were the first small molecule therapeutic agent and/or the large molecule therapeutic agent not attached to the nanoparticle.
- ASPECT 2 The method of ASPECT 1, wherein the method comprises delivering the large molecule therapeutic agent attached to the nanoparticle, such that the large molecule therapeutic agent is delivered past the blood brain barrier and into the subject's brain parenchyma in an amount that is greater than would be delivered were the large molecule therapeutic agent not attached to the nanoparticle.
- ASPECT 3 The method of ASPECT 1 or 2, wherein the amount of the large molecule therapeutic agent that passes the blood brain barrier and into the subject's brain parenchyma is a therapeutically effective amount for the neurological disorder.
- ASPECT 4 The method of any one of ASPECTS 1 to 3, further comprising systemically administering to the patient a second small molecule therapeutic agent that itself able to pass the blood brain barrier and be delivered into the subject's brain parenchyma in a therapeutically effective amount, wherein the second small molecule therapeutic agent is not attached to the nanoparticle.
- ASPECT 5 The method of any one of ASPECTS 1 to 4, wherein the first and second small molecule therapeutic agents are not the same.
- ASPECT 6 The method of any one of ASPECTS 1 to 5, wherein the method comprises delivering both the first small molecule therapeutic agent and the large molecule therapeutic agent, both attached to the nanoparticle, such that both the first small molecule therapeutic agent and the large molecule therapeutic agent are delivered past the blood brain barrier and into the subject's brain parenchyma in amounts that are individually greater than would be delivered were the small molecule therapeutic agent and the large molecule therapeutic agent large molecule therapeutic agent not attached to the nanoparticle.
- ASPECT 7 The method of any one of ASPECTS 1 to 6, wherein the amount of first small molecule therapeutic agent and the large molecule therapeutic agent that passes the blood brain barrier and into the subject's brain parenchyma are individually a therapeutically effective amount for the neurological disorder.
- ASPECT 8 The method of any one of ASPECTS 1 to 7, wherein the neurological disorder is brain cancer, including brain cancer metastasized other systemic, extracranial cancers, including brain cancer metastasized from HER2-positive breast cancer.
- ASPECT 9 The method of any one of ASPECTS 1 to 8, wherein the nanoparticle core comprises a polymer comprising units of the formula:
- ASPECT 10 The method of any one of ASPECTS 1 to 9, wherein the nanoparticle core comprises a polyol structure:
- y is in a range of from 10 to 25;
- R is a functional group residue corresponding to that of an amino acid containing a third functional group, for example arginine (R is CH 2 CH 2 CH 2 NHC(NH 2 ) 2 + ), histidine (R is CH 2 -imidazolyl), lysine (R is CH 2 —CH 2 —CH 2 —CH 2 —NH 2 ), aspartic acid (R is CH 2 —COOH), glutamic acid (R is CH 2 —CH 2 —COOH), serine (R is CH 2 —OH), threonine (R is CH(OH)(CH 3 )) asparagine (R is CH 2 —C(O)NH 2 ), glutamine (R is CH 2 —CH 2 —C(O)NH 2 ), tyrosine (R is CH 2 -Ph-OH), tryptophan (R is CH 2 -indolyl), or a salt thereof, and/or where R is coupled to one or more of the targeting agent, the first small molecule
- ASPECT 11 The method of any one of ASPECTS 1 to 10, wherein the nanoparticle core comprises a polymer derived from the coupling of a compound of Formula A with a compound of Formula B; wherein the compound of Formula A is:
- n is a number from 1 to 20;
- R is a functional group residue (e.g., —COOH, —NH 2 , —OH) corresponding to that of an amino acid containing a third functional group, for example arginine (R is CH 2 CH 2 CH 2 NHC(NH 2 ) 2 +), histidine (R is CH 2 -imidazolyl), lysine (R is CH 2 —CH 2 —CH 2 —CH 2 —NH 2 ), aspartic acid (R is CH 2 —COOH), glutamic acid (R is CH 2 —CH 2 —COOH), serine (R is CH 2 —OH), threonine (R is CH(OH)(CH 3 )) asparagine (R is CH 2 —C(O)NH 2 ), glutamine (R is CH 2 —CH 2 —C(O)NH 2 ), tyrosine (R is CH 2 -Ph-OH), tryptophan (R is CH 2 -indolyl), or a salt thereof; and
- p is a number from 20 to 200.
- L is a leaving group
- ASPECT 12 The method of any one of ASPECTS 1 to 11, wherein the nanoparticle core comprises a polymer comprises units of the formula:
- n is a number from 1 to 20 and p is a number from 20 to 200.
- cleavable linkage comprises an acetal, a borate ester, a carbonate, a carboxylic acid ester, a diamino ketal, a disulfide, a hydrazone, an imine, a ketal, an orthoester, or a peptide linkage.
- ASPECT 14 The method of any one of ASPECTS 1 to 13, wherein the at least one targeting agent comprises at least one borate ester of a (nitro)phenyl boronic acid-containing polymer comprising a structure:
- the nanoparticle core and the (nitro)phenyl boronic acid-containing polymer are reversible connected to one another by the borate condensation linkage between the (nitro)phenyl boronic acid moieties of the (nitro)phenyl boronic acid-containing polymer and at least one pair of vicinal diols of the nanoparticle core, X 5 being at the distal end of this connection;
- R A is nitro
- n 1;
- s is a number in a range of from 2 to 2000;
- L is a linking group between the phenyl ring and the polyethylene oxide linkage, the linking group comprising an amide, carbonate, ester, or disulfide group;
- X 5 is a C 1-6 alkyl, optionally substituted with —OH, —COOH, —B(OH) 2 —, —C( ⁇ O)O(alkyl), —C( ⁇ O)O(aryl), —NH 2 , —NH(alkyl), —N(alkyl) 2 , or —SH, wherein the at least one targeting agent is coupled thereto.
- ASPECT 15 The method of any one of ASPECTS 1 to 14, wherein the first small molecule therapeutic agent is linked to the nanoparticle core by a linker comprising an amino acid residue.
- ASPECT 16 The method of any one of ASPECTS 1 to 15, wherein the first small molecule therapeutic agent is a neurotransmitter or a chemotherapeutic agent.
- ASPECT 17 The method of any one of ASPECTS 1 to 16, wherein the first small molecule therapeutic agent is dopamine, serotonin, camptothecin, irinotecan, SN-38, or a metabolite, or prodrug thereof.
- ASPECT 18 The method of any one of ASPECTS 1 to 17, wherein the nanoparticle comprises a unit structure:
- ASPECT 19 The method of any one of ASPECTS 1 to 18, wherein the targeting ligand is transferrin.
- ASPECT 20 The method of any one of ASPECTS 1 to 19, wherein the large molecule therapeutic agent is trastuzumab (Herceptin).
- ASPECT 21 The method of any one of ASPECTS 1 to 20, wherein the first small molecule therapeutic agent is camptothecin, irinotecan, SN-38, or a metabolite, or prodrug thereof and the large molecule therapeutic agent is trastuzumab (Herceptin).
- the first small molecule therapeutic agent is camptothecin, irinotecan, SN-38, or a metabolite, or prodrug thereof and the large molecule therapeutic agent is trastuzumab (Herceptin).
- transitional terms “comprising,” “consisting essentially of,” and “consisting” are intended to connote their generally in accepted meanings in the patent vernacular; that is, (i) “comprising,” which is synonymous with “including,” “containing,” or “characterized by,” is inclusive or open-ended and does not exclude additional, unrecited elements or method steps; (ii) “consisting of” excludes any element, step, or ingredient not specified in the claim; and (iii) “consisting essentially of” limits the scope of a claim to the specified materials or steps and those that do not materially affect the basic and novel characteristic(s) of the claimed invention.
- Embodiments described in terms of the phrase “comprising” also provide, as embodiments, those which are independently described in terms of “consisting of” and “consisting essentially of.”
- the basic and novel characteristic(s) is the ability to provide the described effect associated with the description as described herein or as explicitly specified.
- the basic and novel characteristic of the methods and compositions are the ability, at least, to deliver cargo across the blood brain barrier using systemic administrations at levels that would not be achieved by the systemic administration of the cargo by itself.
- embodiments described in terms of the amino acid residues arginine, histidine, lysine, aspartic acid, glutamic acid, serine, threonine, asparagine, glutamine, tyrosine, tryptophan, or a salt thereof also include, as separate embodiments, lists where one or more of these amino acids are excluded
- composition is administered to a patient or subject
- administration means application of the composition to the patient or subject.
- systemic administration means the administration of a nanoparticle or composition thereof other than directly into the central nervous system, such that it enters the individual's system and, thus, is subject to metabolism and other like processes, for example, subcutaneous administration.
- parenteral administration and “administered parenterally” as used herein means modes of administration other than enteral and topical administration, usually by injection, and includes, without limitation, intravenous, intramuscular, intra-arterial, intrathecal, intracapsular, intraorbital, intracardiac, intradermal, intraperitoneal, transtracheal, subcutaneous, subcuticular, intraarticular, subcapsular, subarachnoid, and intrastemal, injection and infusion.
- Formulations suitable for parenteral administration usually comprise a sterile aqueous preparation of the active compound, which preferably is isotonic with the blood of the recipient (e.g., physiological saline solution). Such formulations may be presented in unit-dose or multi-dose form.
- Actual dosage levels of the active ingredient or agent in the pharmaceutical compositions herein described may be varied to obtain an amount of the active ingredient which is effective to achieve the desired therapeutic response for a particular individual, composition, and mode of administration, without being toxic to the individual.
- the patients or subjects are administered at least one of the described nanoparticles or populations of nanoparticles in an individual or daily dose in a range of from about 0.01 ⁇ g to 5000 mg per dose or per kg of the weight of the subject.
- the patient or subject is administered at least one of the nanoparticles or populations of nanoparticles set forth herein at a daily or individual dose in a range of from 0.01 ⁇ g to 0.1 ⁇ g, from 0.1 ⁇ g to 1 ⁇ g, from 1 ⁇ g to 10 ⁇ g, from 10 ⁇ g to 100 ⁇ g, from 100 ⁇ g to 1000 ⁇ g, from 1 mg to 5 mg, from 5 mg to 10 mg, from 10 mg to 50 mg, from 50 mg to 100 mg, from 100 mg to 150 mg, from 150 mg to 200 mg, from 200 mg to 250 mg, from 250 mg to 500 mg, from 500 mg to 750 mg, from 750 mg to 1000 mg, from 1000 mg to 2000 mg, from 2000 mg to 3000 mg, from 3000
- the described methods may be carried out so the nanoparticles described herein is administered to a subject weekly, bi-weekly, monthly, bi-month, semiannually, or annually. Treatment may be initiated with smaller dosages that are less than the optimum dose followed by an increase in dosage over the course of the treatment until the optimum effect under the circumstances is reached.
- agent indicates a compound capable of exhibiting a chemical or biological activity associated to the target.
- chemical activity indicates the ability of the molecule to perform a chemical reaction.
- biological activity indicates the ability of the molecule to affect a living matter.
- Exemplary chemical activities of agents comprise formation of a covalent or electrostatic interaction.
- Exemplary biological activities of agents comprise production and secretion of endogenous molecules, absorption and metabolization of endogenous or exogenous molecules and activation or deactivation of genetic expression including transcription and translation of a gene of interest.
- antibody includes reference to an immunoglobulin molecule that is reactive with a particular antigen.
- the term also includes genetically engineered forms such as chimeric antibodies (e.g., humanized murine antibodies), heteroconjugate antibodies (e.g., bispecific antibodies) and recombinant single chain Fv fragments (scFv), disulfide stabilized (dsFv) Fv fragments, or pFv fragments.
- chimeric antibodies e.g., humanized murine antibodies
- heteroconjugate antibodies e.g., bispecific antibodies
- dsFv disulfide stabilized
- antibody also includes antigen binding forms of antibodies (e.g., Fab′, F(ab′) 2 , Fab, Fv and rIgG).
- trastuzumab Herceptin®
- trastuzumab is a useful antibody, and a preferred embodiment, for the treatment of breast cancer, and for cancers that are HER2 positive.
- an antibody immunologically reactive with, or “specific for,” a particular antigen is a relative term and means that the antibody binds to that antigen with an affinity that is at least 10-old higher than would be observed for non-specific binding exhibited by the antibody.
- an antibody said to be “specific for” a given antigen may in fact selectively bind other antigens with an affinity that is 10-fold-high than it exhibits in nonspecific interactions.
- attach refers to connecting or uniting by a bond, link, force or tie in order to keep two or more components together, which encompasses either direct or indirect attachment such that for example where a first compound is directly bound to a second compound, and the embodiments wherein one or more intermediate compounds, and in particular molecules, are disposed between the first compound and the second compound.
- the term “cargo” refers to the therapeutic or imaging agents being delivered (as if by “ferry”) by the nanoparticles described herein
- polyols are coupled to the boronic acid polymers.
- the term “coupled” or “coupling” as used herein with reference to attachment between two molecules indicates an interaction forming a reversible covalent linkage.
- a boronic acid presented on the boronic acid polymer interact with hydroxyl groups of the polyols associated with the nanoparticle core via a rapid and reversible pair-wise covalent interaction to form boronic esters in a suitable medium.
- the boronic acid moieties are suitable for forming borate esters with the hydroxy groups of the nanoparticle surfaces, and for hydrolyzing under certain triggering events (e.g., changes in pH).
- Suitable media include water and several aqueous solutions and additional organic media identifiable by a skilled person.
- boronic acid polymers and polyols polymers react in a condensation reaction producing water as a side product.
- the boronic acid polyol interaction is generally more favorable in aqueous solutions but is also known to proceed in organic media.
- cyclic esters formed with 1,2 and 1,3 diols are generally more stable than their acyclic ester counterparts.
- brain cancer refers to a condition where the cancer cells are present in the brain of the patient or subject, typically arising from metastases from other cancers outside the brain (“extracranial cancers”).
- extracranial cancers When the brain cancer arises from the metastates of other extracranial cancers (for example, breast cancer), the methods and compositions disclosed herein allow for the use of those therapeutic agents, suitable for treating these extracranial cancers, but which are otherwise unable to pass the BBB, to deliver therapeutic levels of the metastasized brain cancers.
- conjugated indicates that one molecule has fobrmed a covalent bond with a second molecule.
- the term also refers to linkages where atoms covalently bond with alternating single and multiple (e.g. double) bonds (e.g., C ⁇ C—C ⁇ C—C) and influence each other to produce electron delocalization.
- alternating single and multiple bonds e.g., C ⁇ C—C ⁇ C—C
- delivering a compound in the sense of the present disclosure indicates the ability to affect positioning and movement of the compound at a certain time under a certain set of conditions, so that the compound's positioning and movement under those conditions are altered with respect to the positioning and movement that the compound would otherwise have.
- delivery of a compound with respect to a reference endpoint indicates the ability to control positioning and movement of the compound so that the compound is eventually positioned on the selected reference endpoint.
- delivery of a compound is usually associated to a corresponding modification of the chemical and/or biological detectable properties and activities of the compound.
- delivery of a compound is also typically associated with modification of the pharmacokinetics and possibly pharmacodynamics of the compound.
- Pharmacokinetic of a compound indicates absorption, distribution, metabolism and excretion of the compound from the system, typically provided by the body of an individual.
- absorption indicates the process of a substance entering the body
- distributed indicates the dispersion or dissemination of substances throughout the fluids and tissues of the body
- metabolism indicates the irreversible transformation of parent compounds into daughter metabolites
- excretion indicates the elimination of the substances from the body.
- pharmacokinetics also comprises liberation of the compound from the formulation which indicates process of release of the compound, typically a drug, from the formulation.
- pharmacodynamic indicates physiological effects of a compound on the body or on microorganisms or parasites within or on the body and the mechanisms of drug action and the relationship between drug concentration and effect.
- a skilled person will be able to identify the techniques and procedures suitable to detect pharmacokinetics and pharmacodynamic features and properties of a compound of interest and in particular of an agent of interest such as a drug.
- the described method may be used to deliver therapeutic agents to the brain of a subject, by loading the described nanoparticles with a therapeutic agent of interest prior to administration of the nanoparticle to the subject.
- the targeting agent will facilitate delivery to a target cell of interest, such as a brain endothelial cell.
- the nanoparticle will dissociate from the targeting agent.
- the internalized nanoparticle will then be excreted from the cell into the interstitial space of the brain where the particle will destabilize and secrete the loaded agent, thereby delivering the agent to the brain or other target location.
- the described methods may be carried out to deliver a neurotransmitter such as serotonin or dopamine to the brain, which may be used to treat a neurological disorder.
- a neurotransmitter such as serotonin or dopamine
- Other agents for use in treating neurological disorders may also be delivered to the brain via the described methods.
- Imaging agents that might not readily access the brain on their own may also be delivered using the described methods.
- the described methods may be used to deliver a nanoparticle carrying the imaging agent Cu-64 to the brain of a subject to allow for imaging. Further, the described methods may be used to deliver a combination of one or more therapeutic agents, imaging agents, or both therapeutic agents and imaging agent to the brain of a subject.
- the subject may be any animal, and preferably is a mammal such as a mouse, rat, hamster, guinea pig, rabbit, cat, dog, monkey, donkey, cow, horse, pig, and the like. Most preferably, the mammal is a human.
- the subject is one known to have a condition that would benefit by the treatment being administered; i.e., would benefit from delivery of the therapeutic agent to the brain of the patient by systemic means (direct injection of the therapeutic into the brain is one option, but the nanoparticle delivery systems are intended to allow for the systemic delivery of the therapeutics, and it is in this context that delivery is envisioned).
- Such a patient has a disease or condition of the brain where conventional treatments (i.e., without the use of the nanoparticles described herein) are unable to deliver sufficient quantities of the therapeutic agent systemically.
- This pre-recognition of the disease or condition in the subject is implicit in the definition of the subject or patient.
- subjects may be administered at least one of the described nanoparticles in a daily dose range of 0.01 ⁇ g to 500 mg per kg of the weight of the subject.
- the dose administered to the subject may also be measured in terms of total amount of at least one of the described nanoparticles administered per day.
- a subject is administered 5 to 5000 milligrams of at least one of the described nanoparticles per dose.
- a subject is administered up to 10 milligrams of at least one of the described nanoparticles per dose.
- a subject is administered up to 100 milligrams of at least one of the described nanoparticles per dose.
- a subject is administered up to 250 milligrams of at least one of the described nanoparticles per dose. In some embodiments, a subject is administered up to 500 milligrams of at least one of the described nanoparticles per dose. In some embodiments, a subject is administered up to 750 milligrams of at least one of the described nanoparticles per dose. In some embodiments, a subject is administered up to 1000 milligrams of at least one of the described nanoparticles per dose. In some embodiments, a subject is administered up to 1500 milligrams of at least one of the described nanoparticles per dose. In some embodiments, a subject is administered up to 2000 milligrams of at least one of the described nanoparticles per dose.
- a subject is administered up to 2500 milligrams of at least one of the described nanoparticles per dose. In some embodiments, a subject is administered up to 3000 milligrams of at least one of the described nanoparticles per dose. In some embodiments, a subject is administered up to 3500 milligrams of at least one of the described nanoparticles per dose. In some embodiments, a subject is administered up to 4000 milligrams of at least one of the described nanoparticles per dose. In some embodiments, a subject is administered up to 4500 milligrams of at least one of the described nanoparticles per dose. In some embodiments, a subject is administered up to 5000 milligrams of at least one of the described nanoparticles per dose.
- the described methods may be carried out so the nanoparticles described herein is administered to a subject weekly, bi-weekly, monthly, bi-month, semi-annually, or annually. Treatment may be initiated with smaller dosages that are less than the optimum dose followed by an increase in dosage over the course of the treatment until the optimum effect under the circumstances is reached.
- BBB blood brain barrier
- the methods may comprise the systemic administration of a plurality of nanoparticles to a subject having the neurological brain disorder (e.g., a disease such as cancer) and in need of delivery of the therapeutic agent across a blood-brain barrier to the subject's brain parenchyma, the plurality of nanoparticles being administered at a dose rate sufficient to enhance the delivery of the therapeutic agent to the brain parenchyma in therapeutically useful quantities that are higher than available using the free therapeutic agent alone.
- the neurological brain disorder e.g., a disease such as cancer
- this in increase in delivery of the therapeutic agent using the nanoparticles can be at least 2 times, at least 5 time, at least 10 times, at least 100 times, or at least 1000 times higher than with the therapeutic agent alone.
- the therapeutic agent may, by itself, be unable to cross the blood-brain barrier (or such delivery is imperceptively small), such that any improvement in the delivery of y such agent by means of the nanoparticle(s) disclosed herein is considered to constitute delivery.
- the nanoparticles described herein may be administered orally in any acceptable dosage form such as capsules, tablets, aqueous suspensions, solutions or the like.
- the nanoparticles may also be administered parenterally including but not limited to: subcutaneous, intravenous, intramuscular, intra-articular, intra-synovial, and intrasternal injection or infusion techniques.
- the nanoparticles will be administered intravenously or intraperitoneally, for example, by injection.
- the nanoparticles are administered by intravenous and intracardiac injection.
- diluent indicates a diluting agent which is issued to dilute or carry an active ingredient of a composition. Suitable diluents include any substance that can decrease the viscosity of a medicinal preparation.
- excipient indicates an inactive substance used as a carrier for the active ingredients of a medication.
- Suitable excipients for the pharmaceutical compositions herein disclosed include any substance that enhances the ability of the body of an individual to absorb the nanoparticle.
- Suitable excipients also include any substance that can be used to bulk up formulations with nanoparticles to allow for convenient and accurate dosage.
- excipients can be used in the manufacturing process to aid in the handling of nanoparticles.
- different excipients may be used.
- Exemplary excipients include but are not limited to antiadherents, binders, coatings disintegrants, fillers, flavors (such as sweeteners) and colors, glidants, lubricants, preservatives, sorbents.
- the term “functional group” as used herein indicates specific groups of atoms within a molecular structure or portion thereof that are responsible for the characteristic chemical reactions of that structure or portion thereof.
- exemplary functional groups include hydrocarbons, groups containing halogen, groups containing oxygen, groups containing nitrogen and groups containing phosphorus and sulfur all identifiable by a skilled person.
- Functional groups in the sense of the present disclosure include a carboxylic acid, amine, triarylphosphine, azide, acetylene, sulfonyl azide, thio acid and aldehyde.
- a functional group able to bind a corresponding functional group in a targeting ligand can be selected to comprise the following binding partners: carboxylic acid group and amine group, azide and acetylene groups, azide and triarylphosphine group, sulfonyl azide and thio acid, and aldehyde and primary amine.
- Additional functional groups can be identified by a skilled person upon reading of the present disclosure.
- the term “corresponding functional group” refers to a functional group that can react to another functional group.
- functional groups that can react with each other can be referred to as corresponding functional groups.
- An end-group indicates a constitutional unit that is an extremity of a macromolecule or oligomer molecule.
- the end-group of a PET polyester may be an alcohol group or a carboxylic acid group.
- End groups can be used to determine molar mass.
- Exemplary end groups comprise —OH, —COOH, NH 2 , and OCH 3 .
- leaving group refers to a functional group susceptible to displacement by a nucleophile. Leaving groups can be anions or neutral moieties, but in either case it is crucial that the leaving group be able to stabilize the additional electron density that results from bond heterolysis. Exemplary leaving groups include halides such as chloride, bromide, and iodide, sulfonate esters such as mesylate and tosylate, water, and cationic amines.
- ligand or “targeting ligand” as used in the present disclosure indicates any molecule that can be presented on the surface of a nanoparticle for the purpose of engaging a specific target, and in particular specific cellular recognition, for example by enabling cell receptor attachment of the nanoparticle.
- suitable ligands include, but are not limited to, vitamins (e.g. folic acid), proteins (e.g. transferrin, monoclonal antibodies), monosaccharides (e.g. galactose), peptides, and polysaccharides.
- targeting ligands can be antibodies against certain surface cell receptors such as transferrin receptor (“TfR”).
- nanoparticle indicates a composite structure of nanoscale dimensions.
- nanoparticles are typically particles of a size in the range of from about 1 to about 1000 nm and are usually spherical although different morphologies are possible depending on the nanoparticle composition.
- the portion of the nanoparticle contacting an environment external to the nanoparticle is generally identified as the surface of the nanoparticle.
- the size limitation can be restricted to two dimensions and so that nanoparticles herein described include composite structure having a diameter from about 1 to about 1000 nm, where the specific diameter depends on the nanoparticle composition and on the intended use of the nanoparticle according to the experimental design.
- nanoparticles to be used in several therapeutic applications typically have a size of about 200 nm or below.
- the nanoparticles are for delivery associated to cancer treatment typically have a diameter from about 80 nm to about 120 nm.
- Nanoparticle dimensions and properties can be detected by techniques known in the art. Exemplary techniques to detect particles dimensions include but are not limited to dynamic light scattering (DLS) and nanoparticle tracking analysis (NTA) and a variety of microscopies such at transmission electron microscopy (TEM) and atomic force microscopy (AFM). Exemplary techniques to detect particle morphology include but are not limited to TEM and AFM. Exemplary techniques to detect surface charges of the nanoparticle include but are not limited to zeta potential method.
- DLS dynamic light scattering
- NTA nanoparticle tracking analysis
- TEM transmission electron microscopy
- AFM atomic force microscopy
- Exemplary techniques to detect particle morphology include but are not limited to TEM and AFM.
- Exemplary techniques to detect surface charges of the nanoparticle include but are not limited to zeta potential method.
- Additional techniques suitable to detect other chemical properties comprise by 1 H, 11 B, 13 C and 19 F NMR, UV/Vis and infrared/Raman spectroscopies and fluorescence spectroscopy (when nanoparticle is used in combination with fluorescent labels) and additional techniques identifiable by a skilled person
- Optional or “optionally” means that the subsequently described circumstance may or may not occur, so that the description includes those embodiments where the circumstance occurs and instances where it does not.
- the term “optionally linked” is interpreted to mean that the therapeutic agent may or may not be linked to the nanoparticle, and embraces both embodiments in the alternative.
- the term “optional linker” embraces both embodiments, in the alternative, where the linker is either present or absent (in this case, since the optional linker refers to the linking of the therapeutic agent and the nanoparticle core, where the linker is absent, the inkage is a direct bond.
- a “polymer” as used at least in the context of the nanoparticle core herein embraces its generally recognized meaning and indicates a large molecule composed of repeating structural units typically connected by covalent chemical bonds.
- a suitable polymer may be a linear and/or branched and can take the form of a homopolymer or a co-polymer. If a co-polymer is used, the co-polymer may be a random copolymer or a branched co-polymer.
- Exemplary polymers comprise water-dispersible and, in particular, water-soluble polymers.
- suitable polymers include, but are not limited to polysaccharides, polyesters, polyamides, polyethers, polycarbonates, polyacrylates, etc.
- the polymer should have a low toxicity profile and that are not toxic or cytotoxic.
- Suitable polymers include polymers having a molecular weight of about 500,000 or below. Suitable polymers can have a molecular weight of about 100,000 and below.
- polymer containing a boronic acid or a “linker having a boronic acid” and the like as used herein indicate containing at least one boronic acid group presented for binding to a hydroxyl group of a polymer containing polyols.
- polymers containing boronic acids of the nanoparticles herein described include a polymer comprising in at least one structural unit an alkyl or aryl substituted boronic acid containing a carbon to boron chemical bond.
- Suitable boronic acid polymers comprise polymers wherein boronic acid is in a terminal structural unit or in any other suitable position to provide the resulting polymer with hydrophilic properties.
- the (nitro)phenyl boronic acids and especially nitrophenyl boronic acids, are preferred.
- the parenthetical “nitro” reflects separate embodiments where the phenylboronic acid moiety has at least one nitro group appended to the phenyl group (i.e., a nitrophenylboronic acid moiety) and where the phenylboronic acid group does not contain a nitro group (i.e., a phenylboronic acid moiety).
- polymer containing a polyol or “polyol-containing polymer” refers to a polymer refers to a polymer presenting multiple hydroxyl functional groups. These multiple hydroxyl groups can serve to improve the hydrophilicity of the core, making the it better dispersible in aqueous media and/or may provide sites for linking the various linking groups described herein.
- the polymer containing a polyol suitable to form the nanoparticles here described comprise polymers presenting at least a portion of the hydroxyl functional groups for a coupling interaction with at least one boronic acid of a polymer containing a boronic acid.
- the polyols comprise monomeric polyols such as pentaerythritol, ethylene glycol, glycerin, and various sugars, including mucic acid.
- Exemplary polymers containing polyols comprise polyesters, polyethers and polysaccharides.
- Exemplary suitable polyethers include but are not limited to diols, such as polyethylene glycol, polypropylene glycol, and poly(tetramethylene ether) glycol.
- suitable polysaccharides include but are not limited to cyclodextrins, starch, glycogen, cellulose, chitin and ⁇ -Glucans.
- polyesters include but are not limited to polycarbonate, polybutyrate and polyethylene terephthalate, all terminated with hydroxyl end groups.
- Exemplary polymers containing polyols comprise polymers of about 500,000 or less molecular weight and in particular from about 300 to about 100,000.
- polypeptide indicates an organic linear, circular, or branched polymer composed of two or more amino acid monomers and/or analogs thereof.
- polypeptide includes amino acid polymers of any length including full length proteins and peptides, as well as analogs and fragments thereof.
- a polypeptide of three or more amino acids is also called a protein oligomer, peptide or oligopeptide.
- peptide and oligopeptide usually indicate a polypeptide with less than 50 amino acid monomers.
- amino acid refers to any of the twenty naturally occurring amino acids, non-natural amino acids, and artificial amino acids and includes both D an L optical isomers.
- non-natural amino acids include D-stereoisomers of naturally occurring amino acids (these including useful ligand building blocks because they are not susceptible to enzymatic degradation).
- artificial amino acids indicate molecules that can be readily coupled together using standard amino acid coupling chemistry, but with molecular structures that do not resemble the naturally occurring amino acids.
- amino acid analog refers to an amino acid in which one or more individual atoms have been replaced, either with a different atom, isotope, or with a different functional group but is otherwise identical to original amino acid from which the analog is derived. All of these amino acids can be synthetically incorporated into a peptide or polypeptide using standard amino acid coupling chemistries.
- polypeptide as used herein includes polymers comprising one or more monomer or building blocks other than an amino acid monomer. The terms monomer, subunit, or building blocks indicate chemical compounds that under appropriate conditions can become chemically bonded to another monomer of the same or different chemical nature to form a polymer.
- polypeptide is further intended to comprise a polymer wherein one or more of the building blocks is covalently bound to another by a chemical bond other than amide or peptide bond.
- protein indicates a polypeptide with a particular secondary and tertiary structure that can participate in, but not limited to, interactions with other biomolecules including other proteins, DNA, RNA, lipids, metabolites, hormones, chemokines, and small molecules
- proteins herein described are antibodies.
- the terra protein embraces fusion proteins.
- prevent as used herein to describe the action of inhibiting cell proliferation or the growth of tumors, or ameliorating the symptoms, prolonging the survival of, or otherwise mitigating the undesirable effects of the disease for which the patient is being treated.
- the distinction between the terms “small molecule therapeutic” and “large molecule therapeutic” should be apparent to a person of skill in the art, as based on molecular weight of the molecule.
- the demarcation may be defined as a molecular weight of about 600 Da, 800 Da, 1000 Da, or 1200 Da.
- small molecules capable of passing the blood brain barrier unless the molecule is specifically known to be incapable of passing the blood brain barrier, this is normally defined by a “Rule of Five,” typically attributed to Lipinski, that describes the physical parameters seen as necessary or essential for a small molecule to pass. According to this Rule, a good absorption and permeability is likely if:
- Oil/water distribution coefficient (Log P) is ⁇ 5;
- Hydrogen bond acceptor ⁇ 7-10 (expressed as the sum of Ns and Os);
- a small molecule therapeutic will be considered capable of passing the blood brain barrier without the disclosed nanoparticle systems if it is otherwise known to pass or meets these criteria. Likewise, unless otherwise stated, a small molecule will be deemed incapable of passing through the blood brain barrier to deliver therapeutically effect amounts without the nanoparticles set forth herein, if it does not satisfy these criteria.
- PSA polar surface area
- a 2 surface area occupied by nitrogen and oxygen atoms and the polar hydrogens attached to them and is strongly reflective of hydrogen bonding capacity and polarity—less than 60-70 ⁇ 2
- substantially free refers to a composition in which the core or surface composition contains less than 3 mol % of the cMAP polymer, preferably less than 1%, and more preferably no cMAP polymer. Unless otherwise indicated, the term refers to the absence of cMAP polymer.
- target indicates a biological system of interest including organs, tissues, or any portion thereof and may include in vitro or in vivo biological systems or any portion thereof.
- the target is a tumor or cancer cells within the brain itself.
- the terms “therapeutic agent” and “chemotherapeutic agent” are intended to mean a compound that, when present in a therapeutically effective amount, produces a desired therapeutic effect on a patient; for example, utilized to treat, combat, ameliorate, prevent or improve an unwanted condition or disease of a patient or subject. In the case of cancer, this includes stopping the progression of the cancer and/or a reduction in the presence of corresponding tumors or cancer cells. Such inhibition may occur for example, and without limitation, via a direct interaction, and/or through a competitive interaction, or via an allosteric interaction with a corresponding receptor.
- brackets or parentheses in this way, is intended to refer to separate embodiments where the bracketed or parenthetical text is both present and absent.
- the term more generally encompasses any lipophilic or hydrophilic, synthetic or naturally occurring biologically active therapeutic agent including those known in the art.
- therapeutic agents include, but are not limited to, small molecule pharmaceuticals, antibiotics, steroids, polynucleotides (e.g.
- genomic DNA e.g. cDNA, mRNA, siRNA, shRNA, miRNA, antisense oligonucleotides, viruses, and chimeric polynucleotides
- plasmids e.g. doxorubicin
- chelating agents e.g. deferoxamine, ethylenediaminetetraacetic acid (EDTA)
- natural products e.g. Taxol, Amphotericin
- other biologically active macromolecules such as, for example, proteins and enzymes. See also U.S. Pat. No.
- 6,048,736 which lists active agents (therapeutic agents) that can be used as therapeutic agent with nanoparticles herein described Small molecule therapeutic agents may not only be the therapeutic agent within the composite particle but, in an additional embodiment, may be covalently bound to a polymer in the composite.
- the covalent bond is reversible (e.g. through a prodrug form or biodegradable linkage such as a disulfide) and provides another way of delivering the therapeutic agent.
- therapeutic agent that can be delivered with the nanoparticles herein described include chemotherapeutics such as epothilones, camptothecin-based drugs, taxol, or a nucleic acid such as a plasmid, siRNA, shRNA mRNA, antisense oligonucleotides aptamers or their combination, and additional drugs identifiable by a skilled person upon reading of the present disclosure
- a “therapeutically effective amount” or “effective amount” of a composition is a predetermined amount calculated to achieve the desired effect.
- the activity contemplated by the present methods includes both medical therapeutic and/or prophylactic treatment, as appropriate.
- “therapeutically effective amount” refers to the amount of active compound or pharmaceutical agent that elicits a biological or medicinal response in a tissue, system, animal, individual or human that is being sought by a researcher, veterinarian, medical doctor or other clinician, which includes one or more of the following as specified in the particular methodology: (1) preventing the disease; for example, preventing a disease, condition or disorder in an individual that may be predisposed to the disease, condition or disorder but does not yet experience or display the pathology or symptomatology of the disease, (2) inhibiting the disease; for example, inhibiting a disease, condition or disorder in an individual that is experiencing or displaying the pathology or symptomatology of the disease, condition or disorder (i.e., arresting further development of the pathology and/or symptomatology), and (3) ameliorating the disease; for example
- transferrin As used herein, the term “transferrin” (abbreviated “Tf”) is meant to encompass variants and isoforms of the protein, as well as fragments of the protein capable of binding to the transferrin receptor (“TfR”). For example, the term would include holo-transferrin as well as transferrin itself.
- beneficial or desired clinical results include, but are not limited to, diminishment of the extent of the condition, disorder or disease; stabilization (i.e., not worsening) of the state of the condition, disorder or disease; delay in onset or slowing of the progression of the condition, disorder or disease; amelioration of the condition, disorder or disease state; and remission (whether partial or total), whether detectable or undetectable, or enhancement or improvement of the condition, disorder or disease.
- Treatment includes eliciting a clinically significant response with or without excessive levels of side effects.
- vehicle indicates any of various media acting usually as solvents, carriers, binders, excipients or diluents for a nanoparticle comprised in the composition as an active ingredient.
- a polymer, polymer conjugate, or nanoparticle composition comprising:
- At least one targeting agent comprising a ligand attached to an external surface of the nanoparticle core by a linker
- the nanoparticle comprises polyol-containing polymer, such as a mucic acid-containing polymer (MAP) or a cationic mucic acid polymer (cMAP), a peptide, a poly(lactic-co-glycolic acid) (PLGA) polymer, chitosan, a synthetic polymer such as a polyamide, a polycarbonate, a polyethylene, a polyethyleneimine, gold, and/or iron oxide, or any combination thereof, and further wherein
- MAP mucic acid-containing polymer
- cMAP cationic mucic acid polymer
- PLGA poly(lactic-co-glycolic acid)
- chitosan a synthetic polymer such as a polyamide, a polycarbonate, a polyethylene, a polyethyleneimine, gold, and/or iron oxide, or any combination thereof, and further wherein
- the large molecule therapeutic agent, when present, and the targeting agent comprise different chemical entities. Additionally, or alternatively, in certain independent Aspects of this Embodiment, the presence of a cationic mucic acid polymer (cMAP) is specifically excluded.
- cMAP cationic mucic acid polymer
- composition is or can be independently characterized as a polymer (i.e., without regard to any specific second order structure) comprising the single polymer or more polymers, for example a mucic acid polymer linked to a small molecule therapeutic agent.
- composition is or can be characterized as a polymer chain (i.e., without regard to any specific second order structure) comprising the coupling of two or more polymers, for example a mucic acid polymer and a (nitro-boronic acid polymer).
- composition is or can be characterized as a nanoparticle or population of nanoparticles.
- the core is independently characterized simply as a polymer.
- the core is independently characterized as a nanoparticle.
- the polymer, polymer conjugate, or nanoparticle composition comprises the polymer or nanoparticle core to which is bonded at least one targeting agent and the at least one small molecule therapeutic agent.
- the polymer, polymer conjugate, or nanoparticle composition comprises the polymer or nanoparticle core to which is bonded at least one targeting agent and the at least one large molecule therapeutic agent.
- the polymer, polymer conjugate, or nanoparticle composition comprises the polymer or nanoparticle core to which is bonded at least one targeting agent, the at least one small molecule therapeutic agent, and the at least one large molecule therapeutic agent.
- the linker comprises a polyethylene glycol (PEG) polymer moiety conjugated to the surface of the nanoparticle core by a pH sensitive linkage selected from the group consisting of an acetal, a borate ester, a carbonate, a carboxylic acid ester, a diamino ketal, a disulfide, a hydrazone, an imine, a ketal, an orthoester, or a peptide linkage.
- PEG polyethylene glycol
- the linker comprises, when the pH sensitive linkage is carboxylic acid ester linkage, the surface of the nanoparticle core comprises poly(lactic-co-glycolic acid) (PLGA) polymers, wherein the linker is dissociable when subject to pH conditions inside an endothelial cell of the blood-brain barrier.
- PLGA poly(lactic-co-glycolic acid)
- the linker comprises a polyethylene glycol (PEG) polymer moiety conjugated to the surface of the nanoparticle core by a peptide linkage, wherein the peptide linkage can be enzymatically cleaved to cause dissociation of the ligand from the nanoparticle when the nanoparticle is inside a brain endothelial cell.
- PEG polyethylene glycol
- one or both of the therapeutic agents characterized as small molecule therapeutic agent and the large molecule therapeutic agent is a small molecule chemotherapeutic agent and large molecule chemotherapeutic agent, respectively.
- the polymer, polymer conjugate, or nanoparticle composition comprises a structure as described in any one of the structures described in U.S. Pat. Nos. 8,557,292; 8,746,999; 8,968,714; 9,186,327; 9,334,367; 9,610,355; or 9,913,911 (CIT-5200); PCT application PCT/US2009/053620 (CIT-5200); U.S. Pat. No. 9,468,681; PCT application PCT/US2013/028663 (CIT-6456); U.S. Pat. No. 9,132,097; PCT application PCT/US2013/028681 (CIT-6455); U.S.
- MAP mucic acid polymer
- cMAP cationic mucic acid polymer
- PLGA poly(lactic-co-glycolic acid)
- water-dispersible and in particular water-soluble polymers may be considered for this purpose.
- the polymer should have a low toxicity profile and in particular that are not toxic or cytotoxic.
- such polymers include those having a molecular weight of about 500,000 or below.
- suitable polymers can have a molecular weight of about 100,000 and below.
- the polymer or nanoparticle core by itself (i.e., without the targeting ligand, or small or large molecule therapeutic compounds), as further characterized herein, is considered an independent aspect of this Embodiment.
- the polyol-containing polymer of the polymer, polymer conjugate, or nanoparticle composition further comprises dihydroxy, hydroxy-amine, and/or diamine linkages between the polyol moieties, wherein the dihydroxy, hydroxy-amine, and/or diamine linkages independently comprise 1 to 6 carbon atoms between the respective hydroxy and amine functional groups.
- the polymer or nanoparticle core contains no cationic moieties (e.g., does not contain any cationic mucic acid polymers (cMAP) or polymer portions.
- the polymer or nanoparticle core contains a net cationic charge, a net anionic charge, or is charge-balanced neutral.
- a net cationic charge may be provided by the incorporation of amidines, quaternary ammoniums, primary, secondary, or tertiary amine groups (protonated below their pKa's), and immidazolium groups.
- a net anionic charge may be provided by the incorporation of functional groups including sulfonates, nitrates, carboxylates, and phosphonates.
- n is a number from 1 to 20;
- R is a functional group residue (e.g., —COOH, —NH 2 , —OH) corresponding to that of an amino acid containing a third functional group, for example arginine (R is CH 2 CH 2 CH 2 NHC(NH 2 ) 2 + ), histidine (R is CH 2 -imidazolyl), lysine (R is CH 2 —CH 2 —CH 2 —CH 2 —NH 2 ), aspartic acid (R is CH 2 —COOH), glutamic acid (R is CH 2 —CH 2 —COOH), serine (R is CH 2 —OH), threonine (R is CH(OH)(CH 3 )) asparagine (R is CH 2 —C(O)NH 2 ), glutamine (R is CH 2 —CH 2 —C(O)NH 2 ), tyrosine (R is CH 2 -Ph-OH), tryptophan (R is CH 2 -indolyl), or a salt thereof;
- q is a number from 1 to 20;
- p is a number from 20 to 200.
- L is a leaving group
- the compound of Formula B is:
- the compound of Formula B specifically excludes:
- the compound of Formula B is:
- q is a number from 1 to 20 and p is a number from 20 to 200. Additionally, or alternatively, in other independent Aspects any one of Embodiments 7 to 9, n is 1 and q is 1.
- n is a number from 1 to 20 with a trifunctional amino acid, for example including arginine, histidine, lysine, aspartic acid, glutamic acid, serine, threonine, asparagine, or glutamine, or a moiety derived therefrom, preferably from aspartic acid, or a moiety derived therefrom.
- a trifunctional amino acid for example including arginine, histidine, lysine, aspartic acid, glutamic acid, serine, threonine, asparagine, or glutamine, or a moiety derived therefrom, preferably from aspartic acid, or a moiety derived therefrom.
- x is in a range of from 15 to 100, preferably 20 to 85.
- y is in a range of from 10 to 25, preferably 15 to 25, more preferably about 20, or more broadly:
- R is a functional group residue (containing, e.g., a —COOH, —NH 2 , —OH residue) corresponding to that of an amino acid containing a third functional group, for example arginine (R is CH 2 CH 2 CH 2 NHC(NH 2 ) 2 +), histidine (R is CH 2 -imidazolyl), lysine (R is CH 2 —CH 2 —CH 2 —CH 2 —NH 2 ), aspartic acid (R is CH 2 —COOH), glutamic acid (R is CH 2 —CH 2 —COOH), serine (R is CH 2 —OH), threonine (R is CH(OH)(CH 3 )) asparagine (R is CH 2 —C(O)NH 2 ), glutamine (R is CH 2 —CH 2 —C(O)NH 2 ), tyrosine (R is CH 2 -Ph-OH), tryptophan (R is CH 2 -indolyl), or
- R is independently linked to one or more of the targeting agent, the small molecule [chemo]therapeutic agent, and/or the large molecule [chemo]therapeutic agent.
- the residues of the lactic acid, glycolic acid, or a combination thereof are arranged as polymers or co-polymers of these materials.
- the polymer or nanoparticle core copolymer consists of these polymers or co-polymers.
- the polymer or nanoparticle core copolymer comprise one or more sugar polyol (including mucic acid), lactic acid, and/or glycolic acid residues.
- poly(lactic-co-glycolic acid) (PLGA) core is further modified to incorporate sugars having suitable hydroxyl groups to allow the particle to be conjugated to a boronic acid-containing targeting agent.
- A is an uncharged segment comprising polyalkylene glycol
- a and B is a cationically charged segment comprising at least one polyhydroxy linkage comprising at least one pair of vicinal diols.
- a and B independently have number average molecular weights in a range 500 Da to about 5000 Da, greater than 5000 da to about 10 kDa, greater than 10 kDa to about 20 kDa, greater than 20 kDa to about 30 kDa, greater than 30 kDa to about 40 kDa, greater than greater than 40 kDa to about 50 kDa, or any combination thereof.
- either A or B, or both A and B have a number average molecular weight in a range of greater than 5000 Da to about 50,000 Da.
- Embodiment 15 or 15 wherein the polyalkylene glycol has a nominal number averaged molecular weight in a range of from about 500 Daltons to about 50,000 Daltons. Additionally, or alternatively, in certain Aspects of this Embodiment, the polyalkylene glycol has a nominal number averaged molecular weight in a range of from about 500 Da to about 1 kDa, greater than 1 kDa to about 5 kDa, greater than 5 kDa to about 10 kDa, greater than 10 kDa to about 15 kDa, greater than 15 kDa to about 20 kDa, greater than 20 kDa to about 30 kDa, greater than 30 kDa to about 40 kDa, greater than 40 kDa to about 50 kDa, or any combination of two or more of these ranges.
- m is 1, 2, 3, 4, 5, 6, 7, 8, 9, or 10, preferably 4-6 or 5.
- n is independently at each occurrence 1, 2, 3, 4, 5, 6, 7, 8, 9, or 10, preferably 4-6 or 5;
- n is independently at each occurrence 1, 2, 3, 4, or 5. In other related embodiments, m and n can be larger, for example to about 10.
- p and q are sufficient to provide a number average molecular weight for the subunits comprising cMAP and PEG, respectively, independently in a range of from about 500 Da to about 50,000 Da;
- n is independently at each occurrence 1, 2, 3, 4, 5, 6, 7, 8, 9, or 10, preferably 4-6 or 5;
- n and r are independently at each occurrence 0, 1, 2, 3, 4, or 5;
- X 1 and X 2 are independently at each occurrence C 1-6 alkyl, optionally substituted with —OH, —COOH, —C( ⁇ O)O(alkyl), —C( ⁇ O)O(aryl), —NH 2 , —NH(alkyl), —N(alkyl) 2 , or a salt or protected analog thereof.
- numeric values for p corresponds to a range of from about 1 to about 100, preferably from about 10 to about 100, and the numeric values for q corresponds to as range from about 12 to about 1200. In subsets of these embodiments, q can also be in a range of from about 100 to about 500.
- p and q are sufficient to provide a number average molecular weight for the subunits comprising cMAP and PEG, respectively, independently in a range of from about 500 Da to about 1000 Da, greater than 1000 Da to about 5000 Da, greater than 5000 Da to about 10,000 Da, greater than 10,000 to about 25,000 Da, greater than 25,000 Da to about 50,000 Da, or any combination of two or more of these ranges, as well as the corresponding numeric values for these MW n ranges.
- X 1 and X 2 are independently —(CH 2 ) 1-4 —COOH and —(CH 2 ) 1-4 —NH 2 .
- p and q are sufficient to provide a number average molecular weight for the subunits comprising cMAP and PEG, respectively, independently in a range of from about 500 Da to about 50,000 Da;
- n is independently at each occurrence 1, 2, 3, 4, 5, 6, 7, 8, 9, or 10, preferably 4-6 or 5;
- n and r are independently at each occurrence 0, 1, 2, 3, 4, or 5;
- z is equal to or greater than 1 (up to about 2, 4, 6, 8, or 10);
- X 2 is independently at each occurrence C 1-6 alkyl, optionally substituted with —OH, —COOH, —C( ⁇ O)O(alkyl), —C( ⁇ O)O(aryl), —NH 2 , —NH(alkyl), —N(alkyl) 2 , or a salt or protected analog thereof, and.
- X 3 is —OH, —COOH, —C( ⁇ O)O(alkyl), —C( ⁇ O)O(aryl), —NH 2 , —NH(alkyl), —N(alkyl) 2 , or a salt or protected analog thereof.
- the numeric values for p corresponds to a range of from about 1 to about 100, preferably from about 10 to about 100, and the numeric values for q corresponds to as range from about 12 to about 1200. In subsets of these embodiments, q can also be in a range of from about 100 to about 500.
- p and q are sufficient to provide a number average molecular weight for the subunits comprising cMAP and PEG, respectively, independently in a range of from about 500 Da to about 1000 Da, greater than 1000 Da to about 5000 Da, greater than 5000 Da to about 10,000 Da, greater than 10,000 to about 25,000 Da, greater than 25,000 Da to about 50,000 Da, or any combination of two or more of these ranges, as well as the corresponding numeric values for these MW n ranges.
- X 1 and X 2 are independently —(CH 2 ) 1-4 —COOH and —(CH 2 ) 1-4 —NH 2
- p and q are sufficient to provide a number average molecular weight for the subunits comprising cMAP and PEG, respectively, independently in a range of from about 500 Da to about 50,000 Da, preferably from about 1000 Da to about 5000 Da;
- n is independently at each occurrence 1, 2, 3, 4, 5, 6, 7, 8, 9, or 10, preferably 4-6 or 5;
- n and r are independently at each occurrence 0, 1, 2, 3, 4, or 5;
- z is equal to or greater than 1 (up to about 2, 4, 6, 8, or 10);
- X 3 and X 4 are independently at each occurrence —OH, —COOH, —C( ⁇ O)O(alkyl), —C( ⁇ O)O(aryl), —NH 2 , —NH(alkyl), —N(alkyl) 2 , or a salt or protected analog thereof.
- the numeric values for p corresponds to a range of from about 1 to about 100, preferably from about 10 to about 100, and the numeric values for q corresponds to as range from about 12 to about 1200. In subsets of these embodiments, q can also be in a range of from about 100 to about 500.
- p and q are sufficient to provide a number average molecular weight for the subunits comprising cMAP and PEG, respectively, independently in a range of from about 500 Da to about 1000 Da, greater than 1000 Da to about 5000 Da, greater than 5000 Da to about 10,000 Da, greater than 10,000 to about 25,000 Da, greater than 25,000 Da to about 50,000 Da, or any combination of two or more of these ranges, as well as the corresponding numeric values for these MW n ranges.
- X 1 and X 2 are independently —(CH 2 ) 1-4 —COOH and —(CH 2 ) 1-4 —NH 2
- m is 4, 5, or 6, preferably 5.
- Embodiments for example where the cMAP fragment has MW n of about 420 Da, this corresponds to p having numeric values in ranges of about 12 to about 36, from about 14 to about 33, from about 17 to about 31, from about 19 to about 29, from about 22 to about 26, or about 24.
- ethylene glycol fragment has MWn of about 44 Da
- the cleavable linkage comprises one or more of an acetal, borate ester, a carboxylic ester, a diamino, a disulfide, a ketal, a hydrazone, an imine, a ketal, an orthoester, or a peptide linkage.
- the cleavable linkage further comprises a polyethylene glycol (PEG) polymer moiety conjugated to the surface of the nanoparticle core by a pH sensitive linkage selected from the group consisting of nitrophenylboronic acid ester, carboxylic acid ester, diamino ketal, orthoester, acetal, ketal, imine, and hydrazone linkage.
- PEG polyethylene glycol
- the pH sensitive linkage may be a carboxylic acid ester linkage, wherein the linker is dissociable when subject to pH conditions inside an endothelial cell of the blood-brain barrier.
- the linker may comprise a polyethylene glycol (PEG) polymer moiety conjugated to the surface of the nanoparticle core by a peptide linkage, wherein the peptide linkage can be enzymatically cleaved to cause dissociation of the ligand from the nanoparticle when the nanoparticle is inside a brain endothelial cell).
- the cleavable linker may include a polypeptide or chemical bond that can be chemically or enzymatically cleaved to cause disassociation of the ligand from the nanoparticle when the nanoparticle is inside a brain endothelial cell.
- the linker can incorporate an enzyme target sequence just before the attached ligand to facilitate cleavage of the ligand following entry into a cellular endosome, thereby separating the ligand from the nanoparticle.
- the linker may include a cathepsin cleavage site to promote disassociation of the ligand from the nanoparticle.
- a cathepsin cleavage site to promote disassociation of the ligand from the nanoparticle.
- sequences targeted by enzymes could be employed in a similar manner to cause disassociation of the nanoparticle from its ligand, which will allow the nanoparticle to move into the parenchyma of the CNS following excretion by the cell.
- a proteasome degradation tag could also be incorporated into the linker to cause the ligand to be degraded, but leaving the nanoparticle itself intact, as this would effectively dissociate the ligand and the nanoparticle following cellular uptake.
- linkers with particular chemical bonds that can be chemically cleaved such as orthoesters, acetals, ketals, imines, and hydrazones, should also be understood to be within the scope of this disclosure, as those skilled in the art will appreciate that such bonds could be used to facilitate disassociation of a ligand from a conjugated nanoparticle.
- the cleavable linker includes a disulfide bond that can be reduced to cause disassociation of the ligand from the nanoparticle when the nanoparticle is inside a brain endothelial cell.
- the disulfide bond may be placed between two component polymers bridging the nanoparticle and the ligand, such that upon reduction of the disulfide bond the nanoparticle and the ligand would be separated.
- the linker is composed of two PEG polymers that are joined by a disulfide bond where one of the PEG polymers is conjugated to the nanoparticle core and the other is conjugated to a ligand that mediates targeting when linked to the nanoparticle core. After such a particle is endocytosed by a cell, the ligand can become disassociated from the nanoparticle, which will promote egress of the nanoparticle into the parenchyma of the CNS.
- the linker may include a hydrolyzable chemical bond that can be disrupted at low pH to cause disassociation of the ligand from the nanoparticle when the nanoparticle is inside a brain endothelial cell.
- the hydrolyzable bond may be placed between two component polymers bridging the nanoparticle and the ligand, such that upon hydrolysis of the bond the nanoparticle and the ligand would be separated.
- the linker is composed of a PEG polymer conjugated to the nanoparticle core at one end and linked via a diamino ketal (DAK) to a ligand that mediates targeting.
- DAK diamino ketal
- the targeting agent having a hydrolyzable chemical bond that can be disrupted at low pH to cause disassociation of the ligand from the nanoparticle could be formed by having a ligand attached to a DAK linker that is attached to PEG-orthopyridyl disulfide (OPSS), where the ligand and OPSS are at opposite ends of the targeting agent.
- OPSS PEG-orthopyridyl disulfide
- the linker may include a chemical bond having a pKa that can be disrupted at low pH to cause disassociation of the ligand from the nanoparticle when the nanoparticle is inside a brain endothelial cell.
- the hydrolyzable bond may be placed at one end of the targeting agent to mediate conjugation to the nanoparticle core. In this configuration, a shift in the pH that favors hydrolysis of the bond between the nanoparticle core and the targeting ligand would cause the core to be separated from the ligand on the targeting ligand.
- the targeting ligand linker comprises a borate ester linkage, that permit covalent bonding between the nanoparticle core and the targeting ligand, but once the particle is endocytosed by a cell, the ligand will become disassociated from the nanoparticle when it encounters a low pH environment sufficient to hydrolyze the borate ester, this hydrolysis promoting the egress of the nanoparticle into the parenchyma of the CNS
- the polymer or nanoparticle core and the (nitro)phenyl boronic acid-containing polymer are reversible connected to one another by the borate condensation linkage between the (nitro)phenyl boronic acid moieties of the (nitro)phenyl boronic acid-containing polymer and at least one pair of vicinal diols of the polymer or nanoparticle core, X 5 being at the distal end of this connection;
- R A is nitro (or other electron withdrawing group
- n 0, 1, 2, 3, or 4, preferably 1;
- s is a number in a range of from 2 to 2000;
- L is a linking group between the phenyl ring and the polyethylene oxide linkage, the linking group comprising an amide, carbonate, ester, or disulfide group;
- X 5 is a C 1-6 alkyl, optionally substituted with —OH, —COOH, —B(OH) 2 —, —C( ⁇ O)O(alkyl), —C( ⁇ O)O(aryl), —NH 2 , —NH(alkyl), —N(alkyl) 2 , or —SH, and/or the at least one targeting agent coupled thereto.
- s is any whole number between 20 and 1200. In certain embodiments, s may be any whole number between about 120 and about 180. In some embodiments, n may be any whole number between about 140 and 160. In some embodiments, s may be any one of 110, 111, 112, 113, 114, 115, 116, 117, 118, 119, 120, 121, 122, 123, 124, 125, 126, 127, 128, 129, 130, 131, 132, 133, 134, 135, 136, 137, 138, 139, 140, 141, 142, 143, 144, 145, 146, 147, 148, 149, 150, 151, 152, 153, 154, 155, 156, 157, 158, 159, or 160.
- the PEG segment used with any of the linkers described herein may be about 2 kDa, about 5 kDa, about 6, kDa, about 7 kDa, about 8 kDa, about 9 kDa, about 10 kDa, about 11 kDa, about 12 kDa, about 13 kDa, about 14 kDa, or about 15 kDa.
- Exemplary structures for the (nitro)phenyl boronic acid moiety include:
- borate —B(OH) 2 functional group can be ortho or para to the L group, as well as meta, and nitro group can occupy any position not otherwise occupied by the L or —B(OH) 2 groups.
- At least one of these (nitro)phenyl boronic acid-containing polymer links or couples a single targeting agent to the polymer or nanoparticle core. That is, while each polymer or nanoparticle core may have a plurality of these (nitro)phenyl boronic acid-containing polymers attached thereto, in some independent Aspects, only one of these (nitro)phenyl boronic acid-containing polymers (on average) links the targeting agent to the polymer or nanoparticle core.
- two or more (e.g., 2, 3, 4, 5, 6, 7, 8, 9, 10, or more) of these (nitro)phenyl boronic acid-containing polymers each link or couple independent targeting agents to a single polymer or nanoparticle core, where the independent targeting agents may be the same or different.
- L is —(C 0-2 alkylene-)NH—C( ⁇ O)—(C 0-2 alkylene)-, —(C 0-2 alkylene)-C( ⁇ O)—NH—(C 0-2 alkylene)-, —(C 0-2 alkylene)-O—C( ⁇ O)— (C 0-2 alkylene)- or —(C 0-2 alkylene)-C( ⁇ O)—O—(C 0-2 alkylene)-.
- L is —NH—C( ⁇ O)—, —C( ⁇ O)—NH—, —O—C( ⁇ O)—, or —C( ⁇ O)—O—.
- the at least one of the targeting ligands is one known to specifically bind to receptor or surface protein expressed by a brain endothelial cell that undergoes transcytosis.
- Targeting cellular proteins that undergo transcytosis may increase the likelihood of success of the provided methods because these cellular proteins are known to transport proteins and other molecules from one side of a cell to the other, often in a coordinated manner.
- the targeting ligand that may be used in the compositions and with the described methods independently comprises or consists of, but are not limited to, transferrin, an antibody specific for the transferrin receptor, a polypeptide that specifically binds to the transferrin receptor, insulin, an antibody specific for the insulin receptor, a polypeptide that specifically binds to the insulin receptor, insulin-like growth factor 1, an antibody specific for the insulin-like growth factor receptor 1, a polypeptide that specifically binds to the insulin-like growth factor receptor 1, apolipoprotein E, angiopep-2, an antibody specific for low density lipoprotein receptor or lipoprotein receptor-related protein, a polypeptide that specifically binds to low density lipoprotein receptor or lipoprotein receptor-related protein; an antibody specific for diphtheria toxin receptor, or a polypeptide that specifically binds to diphtheria toxin receptor.
- Other cellular proteins capable of facilitating transcytosis that are known in the art may also be targeted by a ligand for carrying out the
- the targeting ligand is or comprises any one of the foregoing targeting ligands that are known to associate with hematopoietic differentiation antigens (glycoproteins usually associated with CD groupings and include CD20, CD30, CD33, and CD52).
- hematopoietic differentiation antigens glycoproteins usually associated with CD groupings and include CD20, CD30, CD33, and CD52.
- the targeting ligand is or comprises any one of the foregoing targeting ligands that are known to associate with growth factors such as epidermal growth factor receptor (EGFR; also known as ErbB 1), ErbB2 (also known as HER2), ErbB3, MET, insulin-like growth factor 1 receptor (IGF 1R), ephrin receptor A3 (EphA3), TNF receptor apoptosis-inducing ligand receptor 1 (TRAIL-R1), TRAIL-R2, and receptor activator of nuclear factor xK3 ligand (RANKL).
- EGFR epidermal growth factor receptor
- ErbB2 also known as HER2
- ErbB3, MET insulin-like growth factor 1 receptor
- IGF 1R insulin-like growth factor 1 receptor
- EphA3 ephrin receptor A3
- TRAIL-R1 TNF receptor apoptosis-inducing ligand receptor 1
- TRAIL-R2 TNF receptor apopto
- the targeting ligand is or comprises any one of the foregoing targeting ligands that are known to associate with proteins or growth factors that support the formation of new microvasculature, including vascular endothelial growth factor (VEGF), VEGF receptor (VEGFR), and integrins aV(33 and a5(31. Additionally, or alternatively, the targeting ligand is or comprises any one of the foregoing targeting ligands that are known to associate with Stromal and extracellular matrix antigens that are therapeutic targets include fibroblast activation protein (FAP) and tenascin.
- FAP fibroblast activation protein
- each polymer or nanoparticle core may have attached thereto a number of targeting ligands in a range of from 1 to 5, from 5 to 10, from 10 to 15, from 15 to 20, from 20 to 50, from 50 to 100, from 100 to 200, from 200 to 300, from 300 to 400, from 400 to 500, or from 500 to 1000 per polymer or nanoparticle core, or a range of two or more of the foregoing ranges, for example from 1 to 10 or from 5 to 50 targeting ligands per polymer or nanoparticle core, either on an individual basis or on average for a population of the polymer or nanoparticle cores.
- the targeting ligands may comprise the same or different chemical moieties suitable for this purpose.
- the polymer or nanoparticle core(s) may contain additional cleavable linking groups that are not conjugated to the targeting ligands (i.e., the number of cleavable linking groups attached to the polymer or nanoparticle core is greater than the number of conjugated targeting ligands).
- a given polymer or nanoparticle core may have 100 cleavable linking groups attached to the core, only 1, 2, 3, 4, or 5 of which are conjugated to a targeting ligand.
- the remaining cleavable linking groups may be free appendages (i.e., contain a functional group capable of binding to another chemical group, such as described elsewhere herein) and/or may serve as a binding site for one or more of the small or large molecule therapeutic agents or imaging agents described herein.
- the polymer or nanoparticle core may comprise 1, 2, 3, 4, or 5 cleavable linking group per polymer or nanoparticle core, wherein all or only a portion of which are conjugated to the at least one targeting ligand.
- Embodiment provides independently for the presence of an average of 1, 2, 3, 4, or 5 cleavable linking groups per polymer or nanoparticle core in a population of polymer or nanoparticle core, wherein all or only a portion of which are conjugated to the at least one targeting ligand as set forth above.
- each polymer or nanoparticle core may have attached thereto a number of cleavable linking groups in a range of from 1 to 5, from 5 to 10, from 10 to 15, from 15 to 20, from 20 to 50, from 50 to 100, from 100 to 200, from 200 to 300, from 300 to 400, from 400 to 500, or from 500 to 1000 per polymer or nanoparticle core, or a range of two or more of the foregoing ranges, for example from 1 to 10 or from 5 to 50 targeting ligands per polymer or nanoparticle core, either on an individual basis or on average for a population of the polymer or nanoparticle cores, wherein all or only a portion of which are conjugated to the at least one targeting ligand as set forth above.
- the ratio of targeting agents to cleavable linking groups attached to the polymer or nanoparticle core may be about 100:1, about 50:1, about 20:1, about 10:1, about 7:1, about 5:1, about 4:1, about 3:1, about 2:1, or about 1:1.
- the relative distribution of cleavable linking groups and the targeting agents may be described in term of the percentage of total attached conjugates that are targeting agents, relative to the total cleavable linking groups.
- the targeting ligands are conjugated to about 1%, 2%, 3%, 4%, 5%, 6%, 7%, 8%, 9%, 10%, 15%, 20%, 25%, 30%, 40%, 50%, 60%, 70%, 80%, 90%, 95%, 98%, or substantially 100% of the cleavable linking groups attached to the polymer or nanoparticle core.
- the ratios and percentages described herein may account for mixed populations of conjugates, such as embodiments where more than one targeting agent and/or spacer molecule is attached to a nanoparticle core.
- the nanoparticle core and targeting ligand can be conjugated by a linker that can facilitate disassociation of the ligand from the nanoparticle when inside a brain endothelial cell.
- the linker may include a disulfide bond that can be reduced to cause disassociation of the ligand from the nanoparticle when the nanoparticle is inside a brain endothelial cell.
- the targeting ligand linker may include a polypeptide that can be enzymatically cleaved to cause disassociation of the ligand from the nanoparticle when the nanoparticle is inside a brain endothelial cell.
- the linker may include a hydrolyzable chemical bond that can be disrupted at low pH to cause disassociation of the ligand from the nanoparticle when the nanoparticle is inside a brain endothelial cell.
- the linker may include a chemical bond having a pKa that can be disrupted at low pH to cause disassociation of the ligand from the nanoparticle when the nanoparticle is inside a brain endothelial cell.
- the linker comprises a nitrophenyl boronic acid when unbound to the nanoparticle that forms a nitrophenyl boronic ester to bind to the nanoparticle core, where decoupling of the linker and the nanoparticle core will be favored at acidic pH (e.g., about 6.8 to about 2.0).
- the targeting agent may include a diamino ketal (DAK) linkage to facilitate disassociation of the nanoparticle and the ligand once inside a brain endothelial cell, where decoupling of the linker and the nanoparticle core will be favored at acidic pH.
- the described methods may be carried out using a targeting agent with a linker having a disulfide bond that can facilitate disassociation of an attached ligand from the nanoparticle under reducing conditions encountered in a brain endothelial cell.
- the polymer or nanoparticle core may comprise a first targeting ligand and a second targeting ligand, wherein the first targeting ligand is linked by such a cleavable linkage, whereas the second targeting ligand is not, and the second targeting ligand is linked by a linker that is not amenable to disassociation from the nanoparticle core when inside of a brain endothelial cell, and that second targeting ligand targets the nanoparticle to a specific cell in the brain.
- the small molecule is a neurotransmitter. Additionally, or alternatively, the small molecule is dopamine or serotonin.
- the small molecule is a chemotherapeutic. Additionally, or alternatively, the small molecule is one or more of Camptothecin, Erlotinib (Tarceva®), Gefitinib (Iressa®), Imatinib (Gleevec®), Irinotecan, Lapatinib, SN-38, or a derivative, metabolite, or prodrug thereof.
- the small molecule is or comprises abraxane, actinomycin, alitrerinoin, azacitidine, azathioprine, bexarotene, bleomycin, bortezomib, camptothecin, capecitabone, carboplatin, cisplatin, capecitabine, chlorambucil, cyclophosphamide, cytarabine, dacarbazine, docetaxel, doxifluiridine, daunorubcin, doxorubicin, epirubicin, epothilone, erlotinib, etoposide, 5-fluorouracil, folinic acid, gefitinib, gemcitabine, idarubicin, imatinib, irinotecan, mechlorethamine, melphalan, mercaptopurine, methotrexate, mitoxanrone, mustine, oxaliplatin
- the small molecule may include molecules more broadly described in U.S. Pat. Nos. 5,747,498; 6,900,221; 7,087,613; RE41065 (corresponding to Erlotinib); U.S. Pat. Nos. 5,457,105; 5,616,582; 5,770,599 (corresponding to Gefitinib); U.S. Pat. Nos. 6,391,874; 6,713,485; 6,727,256; 6,828,320; and 7,157,466 (corresponding to Lapatinib), each of which is incorporated by reference herein in its entirety.
- the small molecule may include any one of the fused heterocyclic compounds disclosed in WO97/13771, WO98/02437, WO00/44728, U.S. Pat. No. 6,596,878, US 2005/0148607, and US 2008/0214584; any one of the quinazoline derivatives disclosed in WO02/02552, WO01/98277, WO003/049740, WO003/050108, and U.S. Pat. No. 6,596,878; any one of the thienopyrimidine derivatives disclosed in WO003/053446 and U.S. Pat. No.
- the small molecule can also be “tagged” with radio-isotopes for molecular imaging of the tumor marker in vivo.
- Radio-labeled compounds are required for Positron Emission Tomography (PET) and Single Photon Emission Computed Tomography (SPECT).
- PET Positron Emission Tomography
- SPECT Single Photon Emission Computed Tomography
- imaging enhancing agent can include at least one of tritium, boron-10, carbon-11, gallium-68, nitrogen-13, sulfur-35, iodine-131, or fluorine-18 at a level above the natural abundance of each element.
- the small molecule therapeutic compound may be chemically or electrostatically bonded to the polymer or nanoparticle core or may be encasulated within the structure of the nanoparticle core without being chemically or electrostatically bonded.
- the nanoparticle may present a hydrophilic exterior surface in aqueous media, while having a hydrophobic pocket within its structure, allowing for the encapulation of a hydrophobic small molecule therapeutic to be encapsulated within that hydrophobic pocket.
- optional linker in the context of this Embodiment refers to independent Aspects of this Embodiment where the attachment of the small molecule therapeutic compound to the nanoparticle core is either by a direct chemical bond or via a linking group.
- the linking group may be either chemically stable (i.e., able to maintain its structure in its presented or intended environment) or may be cleavable by any of the mechanisms associated with the term “cleavable” as set forth elsewhere herein.
- this linking group may comprise one or more amino acid residues, such as a residue of arginine, histidine, lysine, aspartic acid, glutamic acid, serine, threonine, asparagine, glutamine, tyrosine, tryptophan, or a salt thereof.
- the small molecule therapeutic compound, camptothecin is linked to a MAP polymer nanopolymer surface according to:
- the large molecule is an antibody.
- the large molecule therapeutic agent is an antibody and the antibody is a monoclonal antibody. Additionally, or alternatively, the large molecule therapeutic agent is abciximab (Reopro), adalimnumab, alemtuzumab (Campath), basiliximab (Simulect), belirnumab (Benlysta), bevacizumab (Avastin), bezlotoxumab (Zinplava), canakinumab (Ilaris), certolizumab pegol (Cimzia), cetuximab (Erbitux), daclizumab (Zenapax, Zinbryta), denosurnab (Prolia, Xgeva), efalizurnab (Raptiva), golimumrnab (Simponi, Simrnponi Aria), inflectra (Remicade), ipilimumab (Yervoy), ixekizumab
- the large molecule therapeutic agent is a conjugated monoclonal antibody. Additionally, or alternatively, the large molecule therapeutic agent is a ibritumomab tiuxetan (Zevalin), Brentuximab vedotin (Adcetris), or Ado-trastuzumab emtansine (Kadcyla, also called TDM-1), denileukin diftitox (Ontak) Additionally, or alternatively, the large molecule therapeutic agent is one or more of ipilimumab, natalizumab, necitumumab, nivolumab, obinutuzumab, ocrelizumab, pembrolizumab, pertuzumab, or pamucirurnab.
- the large molecule therapeutic agent is one or more of adalimumab (Humira, Amjevita), Bevacizumab (Avastin), cetuximab (Erbitux), ipilirnurnab (Yervoy), natalizumnab (Tysabri), necitumumab (Portrazza), nivolumab (Opdivo), obinutuzumab (Gazyva), ocrelizumrab (Ocrevus), panitumumab (Vectibix), pembrolizumab (Keytruda), pertuzumab (Perjeta), ramucirumab (Cyramza), rituximab (Rituxan), trastuzumab (Herceptin). Additionally, or alternatively, the large molecule therapeutic agent is arcitumomab, ibritumomab, capromab pendetide, and/or tositum
- the antibody includes one known to associate with hematopoietic differentiation antigens (glycoproteins usually associated with CD groupings and include CD20, CD30, CD33, and CD52). Additionally, or alternatively, the antibody includes one known to associate with growth factors such as epidermal growth factor receptor (EGFR; also known as ErbB 1), ErbB2 (also known as HER2), ErbB3, MET, insulin-like growth factor 1 receptor (IGF 1R), ephrin receptor A3 (EphA3), TNF receptor apoptosis-inducing ligand receptor 1 (TRAIL-R1), TRAIL-R2, and receptor activator of nuclear factor ⁇ ligand (RANKL).
- EGFR epidermal growth factor receptor
- ErbB2 also known as HER2
- ErbB3, MET insulin-like growth factor 1 receptor
- IGF 1R insulin-like growth factor 1 receptor
- EphA3 ephrin receptor A3
- TRAIL-R1
- the antibody includes one known to associate with proteins or growth factors that support the formation of new microvasculature, including vascular endothelial growth factor (VEGF), VEGF receptor (VEGFR), and integrins ⁇ V ⁇ 3 and ⁇ 5 ⁇ 1. Additionally, or alternatively, the antibody includes one known to associate with Stromal and extracellular matrix antigens that are therapeutic targets include fibroblast activation protein (FAP) and tenascin.
- VEGF vascular endothelial growth factor
- VEGFR VEGF receptor
- integrins ⁇ V ⁇ 3 and ⁇ 5 ⁇ 1 integrins ⁇ V ⁇ 3 and ⁇ 5 ⁇ 1.
- the antibody includes one known to associate with Stromal and extracellular matrix antigens that are therapeutic targets include fibroblast activation protein (FAP) and tenascin.
- FAP fibroblast activation protein
- the large molecule therapeutic agent is a polynucleotide.
- the polynucleotide is or comprises a genomic DNA, cDNA, mRNA, siRNA, shRNA, miRNA, antisense oligonucleotide, virus, or a chimeric polynucleotide. or a small molecule therapeutic agent.
- the large molecule therapeutic agent is a fusion protein. Additionally, or alternatively, the large molecule therapeutic agent is Abatacept, Alefacept (Amevive)Aflibercept, or Etanercept
- the large molecule therapeutic compound may be attached to the polymer or nanoparticle core either by a direct chemical bond or via a linking group.
- the linking group may be either chemically stable (i.e., able to maintain its structure in its presented or intended environment) or may be cleavable by any of the mechanisms associated with the term “cleavable” as set forth elsewhere herein. Additionally, or alternatively, this linking group may comprise one or more amino acid residues, such as for example arginine, histidine, lysine, aspartic acid, glutamic acid, serine, threonine, asparagine, glutamine, tyrosine, tryptophan, or a salt thereof.
- nanoparticle of any one of claims 1 to 33 said nanoparticle being substantially spherical and having a cross-section dimension in a range of from about 20 nm to about 300 nm. Additional, or alternative Aspects of this Embodiment include those where the cross-section dimension of the nanoparticles are in a range of from 20 nm to 30 nm, from 30 nm to 40 nm, from 40 nm to 50 nm, from 50 nm to 60 nm, from 60 nm to 70 nm, from 70 nm to 80 nm, from 80 nm to 90 nm, from 90 nm to 100 nm, from 100 nm to 120 nm, from 120 nm to 140 nm, from 140 nm to 160 nm, from 160 nm to 180 nm, from 180 nm to 200 nm, from 200 nm to 220 nm, from 220 nm to 240 nm, from 240
- the nanoparticle of any one of claims 1 to 34 the nanoparticle having an average zeta potential of from about 0 mV to about ⁇ 15.0 mV as measured by phase analysis light scattering.
- the charge of the targeted nanoparticle is near neutral.
- the zeta potential of the nanoparticles for use with the methods described herein can be characterized as having a range of from about 0 mV to about 0.5 mV, from about ⁇ 0.5 mV to about ⁇ 1 mV, from about ⁇ 1 mV to about ⁇ 2 mV, from about ⁇ 2 mV to about ⁇ 3 mV, from about ⁇ 3 mV to about ⁇ 4 mV, from about ⁇ 4 mV to about ⁇ 5 mV, from about ⁇ 5 mV to about ⁇ 6 mV, from about ⁇ 6 mV to about ⁇ 7 mV, from about ⁇ 7 mV to about ⁇ 8 mV, from about ⁇ 8 mV to about ⁇ 9 mV, from about ⁇ 9 mV to about ⁇ 10 mV, from about ⁇ 10 mV to about ⁇ 11 mV, from about ⁇ 11 to about ⁇ 12 mV, from about
- the described nanoparticle will have a zeta potential of ⁇ 5.0, ⁇ 5.1, ⁇ 5.2, ⁇ 5.3, ⁇ 5.4, ⁇ 5.5, ⁇ 5.6, ⁇ 5.7, ⁇ 5.8, ⁇ 5.9, ⁇ 6.0, ⁇ 6.1, ⁇ 6.2, ⁇ 6.3, ⁇ 6.4, ⁇ 6.5, ⁇ 6.6, ⁇ 6.7, ⁇ 6.8, ⁇ 6.9, ⁇ 7.0, ⁇ 7.1, ⁇ 7.2, ⁇ 7.3, ⁇ 7.4, ⁇ 7.5, ⁇ 7.6, ⁇ 7.7, ⁇ 7.8, ⁇ 7.9, or ⁇ 8.0 mV.
- the imaging agent is present in addition to the small molecule or large molecule therapeutic.
- the imaging agent is present in lieu of one or both of the small molecule or large molecule therapeutic.
- the imaging agent is Cu-64.
- a plurality of nanoparticles comprising the composition of any one of Embodiments 1 to 32 or described in terms of any one of Embodiments 33 to 36.
- the plurality of nanoparticles of Embodiment 36 each individual nanoparticle being described by the composition of any one of Embodiments 1 to 32 or the characteristics of any one of Embodiments 33 to 36, the plurality of nanoparticles being substantially monodispersed, exhibiting a standard deviation in cross-sectional dimension (i.e., diameter) among the nanoparticles of less than 20%, 30%, 40%, 50%, or 60%, as measured by cryo-transmission electron microscopy (cryo-TEM).
- a standard deviation in cross-sectional dimension i.e., diameter
- a pharmaceutical composition comprising the polymer, polymer conjugate, or nanoparticle composition of any one of Embodiments 1 to 38, the composition comprising a biologically active agent and pharmaceutically acceptable carrier or excipient.
- the polymers, polymer-conjugates, and/or nanoparticles may exist as dispersions in aqueous media, said aqueous media optionally also containing buffers, surfactants, or other modifiers.
- aqueous media optionally also containing buffers, surfactants, or other modifiers.
- pharmaceutical compositions comprising one or more biologically active agents and any of the polymers or polymer conjugates or nanoparticles or plurality of nanoparticles described herein and a pharmaceutically acceptable vehicle, carrier or excipient.
- a method of delivering enhanced levels of a therapeutic agent or imaging agent to a brain parenchyma of a subject having a neurological brain disorder comprising systemically administering the nanoparticles of any one of Embodiments 1 to 38 or a pharmaceutical composition of Embodiment 39 to a patient in need of such enhanced delivery.
- Implicit in certain aspects of this description is that at least one of the therapeutic agents or imaging agents being ferried by the nanoparticle composition may itself be unable to make the passage across the blood brain barrier to achieve therapeutically effective amounts in the parenchyma without the use of the nanoparticles disclosed herein (i.e., the cargo falls outside the definition of small molecule capable of passing the blood brain barrier set forth elsewhere herein).
- the bioavailability of the therapeutic or imaging agent is improved using the nanoparticle, relative to an administration of the therapeutic or imaging agent by itself.
- the description of enhanced delivery or enhanced levels is intended to reflect the ability of the disclosed nanoparticles to pass through the BBB, by transcytosis or other means, to deliver the cargo (therapeutic and/or imaging agents) at levels and/or rates higher than the cargo can be delivered themselves (without being ferried by the nanoparticles).
- Embodiment comprise method of treating a neurological disorder in a patient, the methods comprising systemically administering a first small molecule therapeutic agent and/or a large molecule therapeutic agent to the patient in need of such treatment, wherein
- the first small molecule therapeutic agent and/or the large molecule therapeutic agent is attached to a nanoparticle comprising a nanoparticle core and a targeting agent, the targeting agent comprising at least one targeting ligand attached to an external surface of the nanoparticle core by a linker having a cleavable linkage;
- the administration of the first small molecule therapeutic agent and/or the large molecule therapeutic agent attached to the nanoparticle results in the delivery of the first small molecule therapeutic agent and/or the large molecule therapeutic agent past the blood brain barrier and into the subject's brain parenchyma in an amount is greater than would be delivered were the first small molecule therapeutic agent and/or the large molecule therapeutic agent not attached to the nanoparticle.
- a useful figure of merit for measuring the utility of these methods is an enhancement ratio of the steady state amount of small or large molecule therapeutic or imaging agent present in the brain parenchyma, having passed through the blood brain barrier after systemic delivery through use of these nanoparticles, relative to the amount of small or large molecule therapeutic or imaging agent present in the brain parenchyma, having passed through the blood brain barrier after systemic delivery of the small or large molecule therapeutic or imaging agent by itself, under otherwise comparable conditions.
- this enhancement ratio can range from 2 to 3 times, from 3 to 5 times, from 5 to 10 times, from 10 to 25 times, from 25 to 50 times, from 50 to 100 times, from 100 time to 500 times, or a combination of two or more of these foregoing ranges, depending on the nature of the therapeutic or imaging agent.
- the enhanced level of the therapeutic agent delivered by the nanoparticles to the brain parenchyma can be defined as an amount that is greater than is delivered using otherwise equivalent nanoparticles that do not contain the cleavable linker under the same conditions.
- the method may be characterized as a method of delivering enhanced levels of a therapeutic agent to a brain parenchyma of a subject having a neurological brain disorder, said therapeutic agent being unable to achieve therapeutically effective levels in the brain parenchyma through systemic administration of the agent itself, the method comprising systemically administering a plurality of one or more of the nanoparticles described herein to the subject having the neurological brain disorder (including any of the diseases set forth elsewhere herein) and in need of delivery of an enhanced level of the therapeutic agent across a blood-brain barrier to the subject's brain parenchyma, the plurality of nanoparticles being administered at a dose rate sufficient to enhance the delivery of the chemotherapeutic agent to the brain parenchyma in therapeutically useful quantities that are higher than available by systematically administering the free therapeutic agent alone.
- the methods of treating a patient/subject having a neurological condition may include use of the disclosed nanoparticles in combination with conventional drug or other therapy.
- the nanoparticle compositions described herein have been described as especially useful for ferrying therapeutics and imaging agents (that are otherwise blocked to any practical extent), across the blood brain barrier, these disclosed nanoparticle compositions may also be used to complement conventional treatments involving the use of therapeutics that can, by themselves, pass the blood brain barrier. While the number of small molecule therapeutics capable of passing through the blood brain barrier is relatively small (e.g., less than 2% of small molecule therapeutics and essentially 100% of large-molecule therapeutics), some can make this passage, as described elsewhere herein.
- Embodiment includes those methods of treating a patient known or believed to have a neurological disorder, the method comprising systemically administering a composition described in any one of Embodiments 1 to 39 to a patient or subject in need of such treatment, wherein in the composition comprises at least one small and/or large molecule therapeutic agent and/or imaging agent that by itself is incapable of passing through the blood brain barrier in sufficient amounts to yield therapeutically effective amounts in the brain parenchyma of the patient or subject, where the systemic administration results in therapeutically effective amounts of the small and/or large molecule therapeutic agent and/or imaging agent in the brain parenchyma of the patient or subject.
- the method further comprises systemically administering to the patient or subject in need of such treatment, a second small and/or large molecule therapeutic agent and/or imaging agent, unattached to a nanoparticle described herein, that by itself is capable of passing through the blood brain barrier to deliver a therapeutically effective amount in the brain parenchyma.
- a second small and/or large molecule therapeutic agent and/or imaging agent unattached to a nanoparticle described herein, that by itself is capable of passing through the blood brain barrier to deliver a therapeutically effective amount in the brain parenchyma.
- the nanoparticle composition and the unattached second small and/or large molecule therapeutic agent and/or imaging agent may be administered at the same time or at different times, within a given treatment regimen.
- the nanoparticle composition may further comprise at least one other small and/or large molecule therapeutic agent and/or imaging agent that, by itself, can pass through the blood brain barrier to achieve therapeutically effective levels in the brain parenchyma by itself.
- such methods embrace the systemic co-administration, to a patient in need of treatment for a neurological condition, of (a) a conventional small molecule therapeutic agent that can pass the blood brain barrier by itself, with (b) a nanoparticle composition as disclosed herein, where the nanoparticle composition comprises a monoclonal antibody, wherein both the conventional small molecule therapeutic and the antibody are delivered past the blood brain barrier to the brain parenchyma in therapeutically effective amounts.
- the neurological brain disorder is one that requires direct invervention of the therapeutic or imaging agent in the brain. Additionally, or alternatively, the neurological condition is independently Alzheimer's disease, Huntington's disease, Parkinson's disease, multiple sclerosis, or brain cancer. In certain Aspects of this Embodiment, the neurological brain disorder is a brain cancer originating from the metastasis of other systemic, extracranial cancers, including brain cancer metastasized from HER2-positive breast cancer including brain cancer metastasized from HER2-positive breast cancer.
- TfR transferrin receptor
- the present study focused on HER2-positive breast cancer brain metastasis because of the inadequate drug concentrations achieved in these tumors in the clinical setting.
- the targeted nanoparticle delivery system described herein was found to be useful in delivering CPT to HER2-positive breast cancer brain metastases.
- significant differences in efficacy as well as brain penetration of both TfR-targeted and non-targeted therapeutics were observed between the models, showing that the method of establishing brain metastases can affect brain uptake of therapeutic agents.
- both the ICD and IV models provided for a more intact BBB/BTB.
- the ICD model may allow for a slightly increased permeability to small molecule drugs, but not to larger nanoparticle entities when compared to the IV model. Consistent with a modest uptake in healthy brain tissue, it is possible that the high number of microscopic tumor foci commonly observed throughout the brain following ICD injection may contribute to a slight net increase in parenchymal penetration as a whole. Nevertheless, this effect was minimal.
- TfR-targeted nanoparticles were capable of delivering a small molecule chemotherapeutic, CPT, to HER2-positive breast cancer brain metastases.
- TfR-targeted MAP-CPT nanoparticles significantly slowed tumor growth in the brain and demonstrated increased accumulation in brain metastases relative to free drug and non-targeted nanoparticles.
- the specific example of assembling a TfR-targeted nanoparticle system for CPT was selected to test the delivery strategy.
- CPT is not a particularly good drug for use with BT474 cells (relative to other breast cancer cell lines).
- TfR-targeted nanoparticles delivering therapeutic agents with greater potency will reveal even more significant tumor size reductions.
- TfR-targeted nanoparticles accumulated in significant amounts in healthy brain tissue when compared to free drug and non-targeted nanoparticles in all three models.
- This whole-brain penetration has implications for the selection of therapeutics that should be incorporated into this delivery system and of target diseases.
- the ability to penetrate not only tumor tissue, but also healthy tissue could be advantageous in accessing micrometastases or fingers of glioma tumors that are frequently the reason for treatment failure.
- this targeted nanoparticle system may offer a compelling approach to delivering therapeutics across an intact BBB.
- mucic acid-based, targeted nanoparticles designed to transcytose the BBB/BTB to deliver both a small molecule drug, camptothecin (CPT), and therapeutic antibody, Herceptin, and the combination was investigated as a means to treat brain metastases in mice.
- CPT camptothecin
- Herceptin therapeutic antibody
- BBB-targeted combination CPT/Herceptin nanoparticles significantly inhibited tumor growth compared to free CPT/Herceptin and BBB-targeted nanoparticles carrying CPT alone.
- BBB-targeted nanoparticles carrying only Herceptin also elicited considerable antitumor activity.
- MAP-CPT polymer-drug conjugate was prepared as described in FIG. 3 . Properties of the material used in this study are provided in Table 1. MAP-CPT conjugate was then dialyzed against water to form nanoparticles with hydrophobic CPT molecules preferentially clustered in the core and mucic acid diols on the surface ( FIG. 4(A) ).
- MAP Polymer dn/dc 0.14 MW a (kDa) 68 Polydispersity b 1.26 MAP-CPT conjugate Wt % CPT 12.
- the solid was washed with methanol (750 mL), and recrystallized with methanol (350 mL) at 85° C. for 1.5 h. The mixture was again cooled to room temperature and filtered. The solid was washed with methanol (750 mL), and dried under vacuum at 75° C. overnight to yield N-Boc-protected mucic acid ethylenediamine (19.2 g) as a white solid.
- N-Boc-protected mucic acid ethylenediamine (19.2 g) in a 500 mL round-bottomed flask was placed in a water bath.
- 3 N hydrochloric acid in methanol (325 mL) was added, and the reaction flask was sealed and vented with a needle.
- the suspension was stirred at 25° C. for 8 h.
- the slurry was filtered through a glass frit with a fine grain, and washed with methanol (900 mL) until the filtrate pH was close to neutral.
- the solid was dried under vacuum at 80° C. overnight to yield mucic acid ethylenediamine (11.5 g) as a white solid.
- Mucic acid ethylenediamine (3 g, 1 equiv) was dissolved in 30 mL DMSO in a 250 mL round-bottomed flask. To this was added Boc-Asp(OBzl)-OSu (10.3 g, 3 equiv, Bachem) in acetonitrile (80 mL) and pyridine (3.2 mL, 5 equiv). The reaction was stirred and refluxed at 60° C. overnight. The mixture was cooled to room temperature, and acetonitrile was removed by rotary evaporation. The solution was precipitated by addition of nanopure water, and the precipitate was recrystallized with nanopure water (100 mL) at 85° C. for 1 h.
- the solid was dissolved in dichloromethane (30 mL) and dried by rotary evaporation twice more, and then recrystallized with tetrahydrofuran (30 mL) at 55° C. for 1 h. The mixture was cooled to room temperature and filtered through a glass frit with a fine grain. The solid was washed with tetrahydrofuran (100 mL), and dried under vacuum at 50° C. overnight to yield mucic acid di(Asp(OBzl)-amine) (1.4 g) as a white solid.
- Mucic acid di(Asp-amine) (220 mg, 1 equiv) and di(succinimidyl proprionate)-PEG (3.4 kDa, 1 g, 1 equiv, JenKem) were equilibrated to room temperature for 1 h, then added to an oven-dried 10 mL round-bottomed flask. The reaction flask was sealed, and the two solids were dried under vacuum for 4 h. Anhydrous dimethyl sulfoxide (7 mL) was added under argon to dissolve the two solids.
- Polymer molecular weight was determined on a gel permeation chromatography (GPC) system equipped with an Agilent 1100 HPLC with binary pump and injector with 2 size exclusion columns in series (PL aquagel-OH 40 8 ⁇ m, Agilent) connected to Wyatt DAWN HELEOS light scattering and Wyatt Optilab rEX refractive index detectors.
- MAP was dissolved at six different concentrations in PBS, pH 7.4 and directly injected into the refractive index detector at 0.2 mL/min using a syringe pump to determine specific refractive increment, dn/dc.
- Absolute molecular weight was determined by injecting 100 L of MAP dissolved at 4 mg/mL in PBS, pH 7.4 onto the column. PBS was used as the eluent at a flow rate of 0.7 mL/min, and the detected polymer peak was analyzed using ASTRA V Software.
- MAP was prepared and characterized as follows. Anhydrous dimethyl sulfoxide (10 mL) was added under argon to dissolve MAP (200 mg, 1 equiv) in a 25 mL round-bottomed flask. To this was added EDC (83 mg, 4 equiv) and NHS (32 mg, 3 equiv) dissolved in anhydrous dimethyl sulfoxide (3 mL), followed by 20-O-glycincamptothecin trifluoroacetic acid salt (CPT-gly.TFA, 170 mg, 3 equiv) dissolved in dimethyl sulfoxide (3 mL) and anhydrous N,N-diisopropylethylamine (56 ⁇ L) dried over molecular sieves.
- EDC 83 mg, 4 equiv
- NHS 32 mg, 3 equiv
- CPT-gly.TFA 20-O-glycincamptothecin trifluoroacetic acid salt
- the reaction was stirred under argon at room temperature overnight.
- the solution was dialyzed against dimethyl sulfoxide 3 times and nanopure water 2 times using a 10 kDa MWCO Spectra/Por 7 membrane (Spectrum). Precipitate was removed by centrifugation at 3220 g for 15 min, and the supernatant was filtered through a 0.2 ⁇ m Supor membrane Acrodisc syringe filter (Pall) to yield MAP-CPT conjugate as self-assembled nanoparticles in solution. A portion of this clear yellow solution was lyophilized to determine percent CPT conjugation. The remaining product was formulated into 0.9% (w/v) saline and stored at ⁇ 20° C.
- Lyophilized MAP-CPT was dissolved in dimethyl sulfoxide at 10 mg/mL, diluted to 0.1 mg/mL with 1 N NaOH, and incubated overnight. Fluorescence was measured at 370/440 nm (ex/em) using a Safire 2 multi-mode plate reader (Tecan). A calibration curve of known concentrations of CPT was prepared and used to determine the CPT concentration in the mixture.
- the solution was dialyzed against dimethyl sulfoxide 3 times and nanopure water 4 times using a 10 kDa MWCO Spectra/Por 7 membrane (Spectrum).
- the retentate was filtered through a 0.2 ⁇ m Supor membrane Acrodisc syringe filter (Pall) to yield MAP-AF568 conjugate as self-assembled nanoparticles in solution.
- the product was then formulated into 0.9% (w/v) saline and stored at ⁇ 20° C.
- 3-carboxy-5-nitrophenyl boronic acid (nitroPBA, 100 mg, 1 equiv, Alfa Aesar) was added to an oven-dried 10 mL round-bottomed flask. The reaction flask was sealed and vented with argon. Anhydrous tetrahydrofuran with BHT inhibitor (4 mL) was added to dissolve the boronic acid, followed by anhydrous dimethylformamide (7 ⁇ L, 0.2 equiv). The flask was cooled to 0° C. in an ice bath, and oxalyl chloride (98 jL, 2.4 equiv) was added dropwise.
- 3-acyl chloride-5-nitrophenyl boronic acid (46 mg, 2 equiv) was added to an oven-dried 25 mL round-bottomed flask. The reaction flask was sealed, vented with argon, and cooled to 0° C. in an ice bath. Anhydrous DCM (5 mL was added to dissolve the boronic acid. Acetic acid-PEG3.5 k-amine (3.5 kDa, 350 mg, 1 equiv, JenKem) was added to a separate oven-dried 10 mL round-bottomed flask. The flask was sealed and vented with argon.
- the solution was filtered through a 0.2 ⁇ m Supor membrane Acrodisc syringe filter (Pall) and dialyzed against nanopure water until constant pH using a 1 kDa MWCO Spectra/Por 7 membrane (Spectrum).
- the retentate was filtered through a 0.2 ⁇ m Durapore PVDF membrane Millex syringe filter (Millipore), and lyophilized to yield CO2H-PEG3.5 k-nitroPBA (238 mg) as a white solid.
- CO2H-PEG3.5 k-nitroPBA (11.2 mg, 25 equiv), EDC-HCl (6.1 mg, 250 equiv), and NHS (5.5 mg, 375 equiv) were dissolved in 0.1 M MES buffer, pH 6.0 (0.33 mL), and stirred for 15 min at room temperature. The reaction mixture was then added to a 0.5 mL Amicon Ultra 3 kDa spin filter (Millipore), and centrifuged to isolate the activated nitroPBA-PEG3.5 k-NHS ester. The ester was added to Herceptin (20 mg, 1 equiv) dissolved in 0.1 M PBS, 0.15 M NaCl, pH 7.4 (1 mL).
- the reaction was lightly agitated for 2 h at room temperature, and then dialyzed against 0.1 M PBS, 0.15 M NaCl, pH 7.4 using 0.5 mL Amicon Ultra 50 kDa spin filters (EMD Millipore) to remove excess PEG. A portion of this solution was dialyzed into 10 mM PB, pH 7.4, and conjugation was verified by MALDI-TOF using a sinapinic acid matrix. MALDI: 153063.6. The remaining Herceptin-PEG3.5 k-nitroPBA was formulated into PBS, pH 7.4, and stored at 4° C.
- TfR-targeted CPT nanoparticles Tf-PEG5 k-nitroPBA conjugates in PBS, pH 7.4 were added at 20 ⁇ molar excess to MAP-CPT nanoparticles (20 Tf per particle). The solution was gently mixed by pipette and allowed to equilibrate for 10 min.
- Herceptin and combination CPT/Herceptin nanoparticles Herceptin-PEG3.5 k-nitroPBA conjugates in PBS, pH 7.4 were added at an equal molar ratio to either MAP-AF568 or MAP-CPT nanoparticles (1 Herceptin per particle), respectively. The solution was gently mixed and allowed to equilibrate as above.
- Tf-PEG5 k-nitroPBA conjugates in PBS, pH 7.4 were then added at 20 ⁇ molar excess to either Herceptin or combination CPT/Herceptin nanoparticles (20 Tf per particle) to form TfR-targeted Herceptin and TfR-targeted combination CPT/Herceptin nanoparticles, respectively.
- the solution was again mixed by pipette and allowed to equilibrate for 10 min.
- Nanoparticle formulations were filtered using a 0.45 ⁇ m PTFE membrane Millex syringe filter (Millipore).
- Nanoparticles were characterized using a Brookhaven Instruments Corporation (BIC) ZetaPALS. Nanoparticles were diluted in PBS, pH 7.4 and hydrodynamic diameter was measured by dynamic light scattering (DLS) using BIC Particle Sizing Software. Particle formulations were diluted in 10 mM PB, pH 7.4 and zeta potential was measured using BIC PALS Zeta Potential Analyzer software with a target residual of 0.02. Five runs were performed for both the nanoparticle diameter and zeta potential measurements.
- BIC Brookhaven Instruments Corporation
- ICD Intracardiac
- BT474-Gluc cells transduced with an expression cassette encoding Gluc and CFP separated by an internal ribosomal entry site using a lentiviral vector, were obtained from Dr. Jain at Harvard University.
- BT474-Gluc cells were maintained in RPMI 1640 supplemented with 10% (v/v) FBS in a humidified oven at 37° C. with 5% CO 2 .
- 100,000 BT474-Gluc cells were suspended in 100 ⁇ L of RPMI and slowly injected into the left ventricle of female Rag2 ⁇ / ⁇ ;I1l2rg ⁇ / ⁇ mice.
- 50,000 BT474-Gluc cells in 2 ⁇ L RPMI were intracranially injected into the right cerebral hemisphere of female Rag2 ⁇ / ⁇ ;Il2rg ⁇ / ⁇ mice (Jackson Laboratory) using a stereotaxic apparatus at a rate of 0.1 ⁇ L/min.
- the coordinates for injection were 2 mm posterior, 1.5 mm lateral to bregma, and 2.5 mm depth from bregma.
- 2 M cells were suspended in 150 ⁇ L RPMI and slowly injected into the lateral tail vein of restrained female Rag2 ⁇ / ⁇ ;Il2rg ⁇ / ⁇ mice.
- BT474-Gluc brain metastatic tumors were monitored by MRI every third week until macroscopic tumors were visible ( ⁇ 0.2 mm 3 in volume). Tumor growth was then monitored weekly by MRI, as for the IC model. Mice were anaesthetized with 1.5-2% (v/v) isoflurane in O 2 at a flow rate of 1-1.5 mL/min. T2-weighted 3D RARE images were acquired to assess the tumor volume.
- the image acquisition parameters were as follows: echo time: 6.1 ms; repetition time: 250 ms; rapid acquisition relaxation enhanced (RARE) factor: 4; number of averages: 4; field of view: 2.0 cm ⁇ 1.2 cm ⁇ 0.8 cm; matrix: 200 ⁇ 120 ⁇ 80 (100 m isotropic resolution).
- Tumor volume was determined manually from the T2 hyperintense tumor regions of the brain using Fiji software.
- tumor size was also monitored by measuring the activity of secreted Gluc in the blood. 20 ⁇ L of blood was collected weekly from the saphenous vein, mixed with 5 ⁇ L of 50 mM EDTA, and immediately frozen at ⁇ 20° C. until time for analysis.
- CPT at a dose of 4 mg/kg (in 20% DMSO, 20% PEG 400, 30% ethanol, and 30% 10 mM pH 3.5 phosphoric acid), Herceptin at 24 mg/kg (in PBS, pH 7.4), TfR-targeted CPT nanoparticles at 4 mg/kg (CPT basis, in PBS, pH 7.4), TfR-targeted Herceptin nanoparticles at 24 mg/kg (Herceptin basis, in PBS, pH 7.4), and TfR-targeted combination CPT/Herceptin nanoparticles at 4 and 24 mg/kg (CPT and Herceptin bases, respectively, in PBS, pH 7.4) were freshly prepared.
- TfR-targeted MAP-CPT nanoparticles showed a significantly increased capacity to cross the bEnd.3 cells compared to non-targeted nanoparticles ( FIG. 6 ).
- TfR-targeted nanoparticles showed a decreased ability to cross the model BBB when coincubated with serum concentrations of Tf, indicating TfR binding is essential to crossing.
- TfR-targeted nanoparticles also revealed a decreased ability to cross the transwells, consistent with previous reports of high-affinity Ab:TfR interactions leading to lysosomal trafficking.
- HER2-positive BT474-Gluc cells were intravenously (IV) injected into Rag2 ⁇ / ⁇ ;Il2rg ⁇ / ⁇ mice, and formation of brain metastases was monitored by MRI.
- This cell line was engineered to express Gaussia luciferase (Gluc) that can be used as a surrogate for tumor burden (29).
- Gluc Gaussia luciferase
- trastuzumab Treatment with trastuzumab led to delay in tumor progression when tumors were established by IC injection, suggesting this method of forming brain tumors may disrupt the BBB/BTB ( FIGS. 7 (A-B)). In contrast, trastuzumab failed to control tumor growth for tumors established IV, mimicking the clinical situation.
- This metastasis volume was chosen as an intermediate size between small micrometastases (0.1-1 mm 3 ) and large lesions (>4-10 mm 3 ).
- the different formulations were systemically administered by lateral tail vein injection once per week for 4 weeks at a dose of 4 mg/kg (CPT basis).
- Brain tumor volume was measured weekly by MRI.
- Blood Gluc activity was measured in addition only for the IC model, due to substantial extracranial tumor burden in the ICD and IV models.
- TfR-targeted MAP-CPT nanoparticles significantly delayed brain metastatic tumor growth compared to saline, resulting in an 8.4-fold decrease in mean tumor volume by the end of the study ( FIG. 9 and Table 3).
- treatment with non-targeted MAP-CPT nanoparticles or CPT also led to substantial tumor growth inhibition (3.5- or 2.6-fold reduction in mean final tumor volume, respectively), supporting the hypothesis that artificial transport pathways may be introduced following IC tumor establishment.
- the blood Gluc activity for each treatment group correlated well with tumor volume, as measured by MRI ( FIG. 10 ). Individual antitumor data are provided in FIGS. 11 (A-C).
- TfR-targeted MAP-CPT nanoparticles markedly slowed tumor growth compared to saline (2.5-fold decrease in mean tumor volume; FIG. 9(C) and Table 5). Notably, no tumor growth inhibition was observed with CPT or non-targeted MAP-CPT nanoparticles compared to saline in this model, more closely replicating the clinical situation.
- mice were anesthetized and perfused with PBS to clear any remaining nanoparticles or free drug from the bloodstream. Drug uptake into tumor and healthy brain tissue was quantified by HPLC as previously described.
- nitroPBA 3-carboxy-5-nitrophenyl boronic acid
- Tf Tf-containing analog
- the nitro-PBA boronic acid derivative was chosen because of its high binding constant and low pKa (ca. 6.8) values with MAP.
- the nitroPBA conjugates formed stable boronic acid esters with the nanoparticle in circulation, but quickly dissociated from the nanoparticle at pH ⁇ 6.8 to provide ligand detachment during transcytosis.
- TfR-targeted combination CPT/Herceptin nanoparticles Herceptin-PEG3.5 k-nitroPBA conjugate was added to the MAP-CPT nanoparticles at a 1:1 molar ratio, followed by Tf-PEG5 k-nitroPBA at a 20 molar excess in PBS, pH 7.4 ( FIG. 4(A) ).
- Tf-PEG5 k-nitroPBA was directly added to the MAP-CPT nanoparticles at 20 molar excess ( FIG. 2B ).
- a Herceptin only nanoparticle control was prepared by conjugating a hydrophobic fluorophore (Alexa Fluor 568, AF568) lacking antitumor activity to the MAP polymer to promote the formation of nanoparticles upon dialysis in water ( FIG. 15 ).
- Herceptin-PEG3.5 k-nitroPBA and Tf-PEG5 k-nitroPBA conjugates were added as above to the MAP-AF568 nanoparticles at 1:1 and 20:1 molar ratios, respectively, to form TfR-targeted Herceptin nanoparticles ( FIG. 4(C) ).
- Nanoparticles containing Herceptin were purposefully formulated with an average of one antibody per nanoparticle. Numerous antibodies can be added to the nanoparticles. However, adding just one allowed us to test the “worst-case scenario” for delivering an antibody to the brain. If brain delivery and antitumor activity was observed, it was likely that even better efficacy would be achievable with nanoparticles containing multiple
- Nanoparticle diameter and zeta potential measurements were performed on the above formulations to verify that the nanoparticles had properties appropriate for transcytosis from systemic administrations as well as diffusion through brain tissue, namely a sub-100-nm diameter and negative-near-neutral zeta potential. All three nanoparticle formulations had diameters between 30-40 nm, as measured by dynamic light scattering, and negative-near-neutral zeta potentials when measured in pH 7.4 buffer (Tables 6(A-B)).
- Nanoparticle Zeta diameter, potential Formulation pH 7.4, nm pH 7.4, mV TfR-targeted CPT nanoparticle 31.6 ⁇ 1.3 ⁇ 1.07 ⁇ 0.48 TfR-targeted Herceptin nanoparticle 34.1 ⁇ 1.9 ⁇ 0.38 ⁇ 0.75 TfR-targeted combination CPT/Herceptin 29.8 ⁇ 1.6 ⁇ 1.22 ⁇ 0.64 nanoparticle Data shown for hydrodynamic diameter and zeta potential are the average of 5 measurements ⁇ 1 SD.
- the breast cancer brain metastasis model was established by intracardiac (ICD) injection of HER2-positive BT474-Gluc cells into Rag2 ⁇ / ⁇ ;Il2rg ⁇ / ⁇ mice.
- ICD intracardiac
- the present inventors have previously shown that the method used to form brain tumors in mice can dramatically affect the efficacy of therapeutics and their brain penetration.
- FIGS. 16 and 17 shows a representative MRI image of the metastatic tumors at the start of treatment.
- the different formulations were systemically administered weekly for 4 weeks at a dose of 4 and/or 24 mg/kg (CPT and/or Herceptin bases, respectively), and tumor volume was measured weekly by MRI for 8 weeks.
- FIG. 18 and Table 3 show the results from treating mice bearing brain tumors with the formulations described above. Data from individual animals are provided in FIG. 19 .
- the tumor growth delay is not significantly different than previously observed for CPT alone.27
- TfR-targeted Herceptin nanoparticles gave a greater antitumor response than those containing CPT, suggesting that the nanoparticles can deliver functional antibodies into the brain via transcytosis. It is also encouraging that significant antitumor activity can be achieved when only one antibody is on each nanoparticle. Future studies will explore variable amounts of antibody contents.
- TfR-targeted nanoparticles containing either the antibody Herceptin alone or in combination with the small molecule drug CPT were shown to deliver their payloads to intracranial breast cancer tumors to provide significant antitumor activity. These results not only show that functional antibodies can be delivered to the brain, but also that they can be used in combination with other drugs to provide enhanced antitumor activity.
- This initial study was performed with a single dose amount and a single dosing schedule. The dosing amount used here is well below what is possible with the nanoparticles and was selected in order to have proper comparison to free CPT administered near the maximum tolerated dose. Therefore, further studies with increasing dosing amounts and alternative dosing schedules are merited. Importantly, these results demonstrate the ability to deliver therapeutic combinations to treat brain metastases as well as other brain diseases.
Landscapes
- Health & Medical Sciences (AREA)
- Chemical & Material Sciences (AREA)
- Life Sciences & Earth Sciences (AREA)
- General Health & Medical Sciences (AREA)
- Medicinal Chemistry (AREA)
- Veterinary Medicine (AREA)
- Public Health (AREA)
- Pharmacology & Pharmacy (AREA)
- Animal Behavior & Ethology (AREA)
- Epidemiology (AREA)
- Engineering & Computer Science (AREA)
- Bioinformatics & Cheminformatics (AREA)
- Nanotechnology (AREA)
- Immunology (AREA)
- Organic Chemistry (AREA)
- Proteomics, Peptides & Aminoacids (AREA)
- Emergency Medicine (AREA)
- Biochemistry (AREA)
- Genetics & Genomics (AREA)
- Molecular Biology (AREA)
- Biophysics (AREA)
- Oncology (AREA)
- Chemical Kinetics & Catalysis (AREA)
- General Chemical & Material Sciences (AREA)
- Nuclear Medicine, Radiotherapy & Molecular Imaging (AREA)
- Physics & Mathematics (AREA)
- Biomedical Technology (AREA)
- Optics & Photonics (AREA)
- Medicinal Preparation (AREA)
- Pharmaceuticals Containing Other Organic And Inorganic Compounds (AREA)
- Acyclic And Carbocyclic Compounds In Medicinal Compositions (AREA)
- Medicines That Contain Protein Lipid Enzymes And Other Medicines (AREA)
- Medicines Containing Antibodies Or Antigens For Use As Internal Diagnostic Agents (AREA)
Abstract
The present application discloses nanoparticles carrying therapeutic agents, including chemotherapeutic agents, and targeting ligands suitable for delivering these therapeutic agents through the blood brain barrier and methods of using these patients on those patients in need of such treatment.
Description
- This application claims priority to U.S. Patent Application Ser. No. 62/684,593 filed Jun. 13, 2018, the contents of which are incorporated by reference herein for all purposes.
- This invention was made with government support under Grant No. CA151819 awarded by the National Institutes of Health. The government has certain rights in the invention.
- The present disclosure is directed to the nanoparticles capable of and for use in delivering therapeutic agents across the blood brain barrier.
- Chronic diseases of the central nervous system (CNS) are a major cause of morbidity and mortality in the developed world. Alzheimer's disease alone affects over five million people in the United States and is expected to increase to over thirteen million by 2050. Moreover, while the proportion of deaths from many other leading causes of mortality in the United States, such as heart disease and stroke, have seen significant decreases over the last decade, the proportion of deaths from Alzheimer's disease has increased 68%. A similar trend, in both high economic cost and a relative lack of progress in treatment, is seen with many other neurodegenerative diseases, including Huntington's disease, Parkinson's disease, multiple sclerosis, and brain cancers.
- Brain metastases of breast cancer are also presenting an increasing challenge in the clinic. Historically, brain metastases were not a major problem for most breast cancer patients because they usually developed late during the disease, and lack of systemic control limited survival. However, new therapies have improved clinical outcomes in some subsets of patients, and brain progression has become a more significant threat to long-term survival. Certain of these cancers are caused by the overexpression HER2, EGFR, HER3, and/or HER4 complexes. For example, in women with human epidermal growth factor 2 (HER2)-positive breast cancer, improved control of systemic disease with new therapies has unmasked brain metastases that historically would have remained clinically silent. Efficacy of therapeutic agents against brain metastases is limited by their inability to permeate the blood-brain and blood-tumor barriers (BBB and BTB) in therapeutic amounts.
- Although HER2-targeted therapies can effectively control extracranial disease, they have limited distribution to brain metastases and demonstrate poor efficacy in this setting. That is, while HER2-targeted therapies effectively control systemic disease, their efficacy against brain metastases is hindered by their inability to penetrate the blood-brain and blood-tumor barriers (BBB and BTB). Current therapeutic options such as surgery, radiation and chemotherapy are considered palliative, and rarely provide a significant increase in survival.
- As with the delivery of most chemotherapeutics to the brain, delivery of HER2-inhibitors to brain metastases is limited by poor drug penetration across the blood-brain barrier (BBB), a selective cellular barrier that acts as a regulator for the movement of molecules into and out of the brain. The tumor microvasculature associated with brain metastases, often referred to as the blood-tumor barrier (BTB), has increased passive permeability relative to the intact BBB; however, the loss in barrier integrity is limited and highly variable from tumor to tumor and even within the metastatic lesion. Many drugs commonly used to treat HER2-positive breast cancer are unable to reach therapeutic concentrations in the brain and circumventing the BBB and BTB remains a major obstacle in effective treatment of brain metastases.
- A major reason for the lack of progress in treating these diseases is due to the presence of the blood-brain barrier (BBB). The BBB is a physical barrier between the CNS parenchyma and vasculature that plays a critical role in maintaining homeostasis within the CNS. The BBB consists of several barriers in parallel, with the two that are best described being the vascular BBB, consisting primarily of the capillary bed, and the blood-cerebrospinal fluid (blood-CSF) barrier, consisting primarily of the choroid plexus. Tight junctions exist between endothelial cells that inhibit paracellular diffusion of polar molecules, macromolecules and cells. This forces solute transport into the CNS to occur primarily across individual endothelial cells. Though critically important for maintaining CNS homeostasis, the impermeability of the BBB to most solutes has proven a tremendous obstacle for drug delivery to the CNS. Currently, 98% of small molecule therapeutics and essentially 100% of large-molecule therapeutics, including, monoclonal antibodies, proteins and gene therapies, do not cross the BBB. Only a small class of drugs—small molecules with high lipid solubility and a low molecular mass (Mr) of <400-500 Daltons (Da)—actually cross the BBB by themselves.
- While a low molecular weight and high degree of lipid solubility favor crossing by this mechanism, a drug taken up by the membranes that form the BBB must then partition into the aqueous environment of the brain's interstitial fluid to exert an effect. As a result, a substance that is too lipid soluble can be sequestered by the capillary bed of the barrier and not reach the cells behind the BBB. Thus, while lipid solubility can increase transport rate across the BBB, it can also lower the concentration of the drug in the blood. The percent of administered drug entering the brain is determined by both the rate of transport across the BBB and the amount of drug presented to the brain. Use of lipid solubility to improve drug delivery to the brain must thus find the balance between increased permeation of the BBB and decreased concentrations in blood.
- There are only a few diseases of the brain that consistently respond to this category of small molecules, and these include depression, chronic pain, and epilepsy. In contrast, many other serious illness disorders of the brain do not respond to the conventional lipid-soluble-low-Mr small-molecule therapeutics, and these include Alzheimer disease, stroke/neuroprotection, brain and spinal cord injury, brain cancer, HIV infection of the brain, various ataxia-producing disorders, amytrophic lateral sclerosis (ALS), Huntington disease, Parkinson disease (PD), multiple sclerosis (MS). and childhood inborn genetic errors affecting the brain.
- The present disclosure is directed to addressing some of these challenges and concerns.
- The present disclosure is directed to nanoparticles suitable for delivering therapeutics and imaging agents across the blood brain barrier to treat a range of neurological conditions and diseases that would benefit from the systemic delivery of these therapeutics and imaging agents across the blood brain barrier. Certain embodiments of the disclosure includes polymer, polymer conjugate, or nanoparticle compositions comprising a polymer or nanoparticle core to which is bonded: (a) at least one targeting agent, the targeting agent comprising a ligand attached to an external surface of the nanoparticle core by a linker; the ligand having an affinity for binding to a receptor expressed by endothelial cells of the blood-brain barrier; and the linker being cleavable when subject to conditions inside an endothelial cell of the blood-brain barrier, wherein the cleavage comprises hydrolysis, chemical reduction, or enzymatic cleavage of the linker; and one or both of (b) at least one small molecule therapeutic agent, optionally linked to the nanoparticle core by way of an optional linker; and/or (c) at least one large molecule therapeutic agent, linked to the nanoparticle by way of an optional linker; wherein the the large molecule therapeutic agent, when present, and the targeting agent comprise different chemical entities. In certain preferred embodiments, the composition is a nanoparticle comprises the polymer or nanoparticle core to which is bonded at least one targeting agent, the at least one small molecule therapeutic agent, and the at least one large molecule therapeutic agent.
- In other independent embodiments, the polymer or nanoparticle core comprises, consists essentially of, or consists of a polyol containing polymer, a poly(lactic-co-glycolic acid) (PLGA), chitosan, polyethyleneimine, polysaccharide, polyester, polyamide, polyether, polycarbonate, polyacrylate, iron oxide, or gold. In such preferred embodiments, the the polymer or nanoparticle core comprises, consists essentially of, or consists of a polyol-containing polymer, preferably a sugar-containing polymer, for example, a polymer derived from glucose, fructose, mannitol, mucic acid, sucrose, galactose, sorbitol. xylose or galactose, more preferably from mucic acid. A wide range of such structures are set forth herein.
- Additionally, or alternatively, the polymer or nanoparticle core independently comprises units of the formula:
- Additionally, or alternatively, in some embodiments, the polymer or nanoparticle core comprises a polymer containing a polyol, wherein the polymer containing the polyol is derived from the coupling of a compound of Formula A:
- with a compound of Formula B:
- wherein n, q, p, L, and R are described elsewhere herein. Additionally, or alternatively, in some embodiments, the compound of Formula B does not include:
- Additionally, or alternatively, in some embodiments, the polymer or nanoparticle core comprises a polymer or nanoparticle core polymer comprises a polyol structure:
- where X, Y, and R are defined elsewhere herein.
- Additionally, or alternatively, in some embodiments, the polymer or nanoparticle core comprises a polymer or nanoparticle core polymer comprises alternating charged and uncharged segments comprising one or more of the following structural units of Formula (I) or Formula (II) or Formula (III):
- where A is an uncharged segment comprising polyalkylene glycol; and B is a cationically charged segment comprising at least one polyhydroxy linkage comprising at least one pair of vicinal diols. In some of these embodiments, the B segment comprises at least one repeating subunit comprising a caionic mucic acid polymer (cMAP) residue structure. Various structures and permutations of these A and B segments, and their associated structures, are set forth elsewhere herein.
- Additionally, or alternatively, in some independent embodiments, the cleavable linker between the targeting ligand and the polymer or nanoparticle core comprises one or more of an acetal, borate ester, a carboxylic ester, a diaminoketal, a disulfide, a ketal, a hydrazone, an imine, a ketal, an orthoester, or a peptide linkage. These linkages are variously susceptible to cleavage under the conditions associated with a brain endothelial cell, for example by hydrolysis, chemical reduction, enzymatic cleavage, or other means. In certain specific embodiments, the cleavable linkage comprises at least one borate ester of a (nitro)phenyl boronic acid-containing polymer comprising a structure:
- where RA, n, S, and X5 are set forth elsewhere herein. Various additional configurations of such linkages are set forth herein. This linkage, cleavable within the endothelial cell, is critical to these nanoparticles' ability to ferry cargo across the blood brain barrier and other barriers.
- In some embodiments the at least one targeting ligand independently comprises or consists of a nucleotide, polynucleotide, aptamer, peptide, oligopeptide, polypeptide, protein, polysaccharide, antibody or antibody fragment. Additionally, or alternatively, and as described elsewhere herein, the at least one of the targeting ligands is one known to specifically bind to receptor or surface protein expressed by a brain endothelial cell that undergoes transcytosis. A wide variety of useful targeting ligands are set forth elsewhere within this disclosure. In certain additional or alternative embodiments comprise or consist of, but are not limited to, chemical entities that specifically bind to certain identified targeted receptors. Transferrin is an attractive option for this targeting ligand and serves as a specific embodiment in this capacity.
- Each polymer or nanoparticle core can be conjugated to a single targeting ligand (per core) or to several thousand such targeting ligands (per core). Moreover, the the polymer or nanoparticle core can be conjugated to a single type of targeting ligand or multiple types. Further, while at least one targeting ligand must be conjugated to each polymer or nanoparticle core by a cleavable linkage, as set forth elsewhere herein, additional targeting ligands can also be linked to the core with non-cleavable linkages, offering added functionality to the structures. Still further, the polymer or nanoparticle core may further comprise free pendant moieties capable of acting as linking groups (cleavable or otherwise) to which no targeting linkages are attached. Such linkable groups offer the possibility for attaching other biological, chemical, or imaging agents to the core, or may link such biological, chemical, or imaging agents to the core.
- In certain independent embodiments, the small molecule optionally attached to the polymer or nanoparticle core is a pharmaceutical compound useful in the treatment of Alzheimer's disease, Huntington's disease, Parkinson's disease, multiple sclerosis, and brain cancer. Such compounds include neurotransmitters, chemotherapeutic, and other biologically active materials. Compounds such as dopamine, serotonin, camptothecin, irinotecan, SN-38, or a derivative, metabolite, or prodrug thereof are but a small list of compounds set forth in this disclosure.
- Alternatively, or additionally, the small molecule can also be “tagged” with radio-isotopes for molecular imaging of the tumor marker in vivo.
- In certain independent additive or alternative embodiments, the small molecule therapeutic compound may be chemically or electrostatically bonded to the polymer or nanoparticle core or may be encapsulated within the structure of the nanoparticle core without being chemically or electrostatically bonded thereto. When chemically linked, the small molecule linker may be either chemically stable (i.e., able to maintain its structure in its presented or intended environment) or may be cleavable by any of the mechanisms associated with the term “cleavable” as set forth elsewhere herein. Additionally, or alternatively, this linking group may comprise one or more amino acid residues, such as a residue of arginine, histidine, lysine, aspartic acid, glutamic acid, serine, threonine, asparagine, glutamine, tyrosine, tryptophan, or a salt thereof.
- In certain independent embodiments, the large molecule therapeutic agent is a nucleotide, polynucleotide, aptamer, peptide, oligopeptide, polypeptide, protein (including fusion proteins), polysaccharide, antibody or antibody fragment useful in the treatment of Alzheimer's disease, Huntington's disease, Parkinson's disease, multiple sclerosis, and cancer. In certain Aspects of this Embodiment, the large molecule is an antibody. In this regard, the present disclosure exemplifies the use of trastuzumab (Herceptin®) in this capacity, though the large molecule therapeutic agent is not so limited to this material, and the disclosure sets for a wide range of materials useful in this capacity.
- As with the small molecule compound, the large molecule therapeutic compound may be attached to the polymer or nanoparticle core either by a direct chemical bond or via a linking group. The linking group may be either chemically stable (i.e., able to maintain its structure in its presented or intended environment) or may be cleavable by any of the mechanisms associated with the term “cleavable” as set forth elsewhere herein. Additionally, or alternatively, this linking group may comprise one or more amino acid residues, such as for example arginine, histidine, lysine, aspartic acid, glutamic acid, serine, threonine, asparagine, glutamine, tyrosine, tryptophan, or a salt thereof.
- While the compositions have been disclosed in terms of a polymer, polymer conjugate, or nanoparticle composition in preferred embodiments, the composition is a nanoparticle. The disclosure also embraces populations of nanoparticles, and pharmaceutical compositions derived therefrom.
- Additionally, the disclosure embraces methods of using these nanoparticle compositions for systemically delivering enhanced levels of therapeutics, including the combination of small and large molecule therapeutics, past the blood brain barrier and into the brain parenchyma. Such methods are directed to specific patient patient populations, previously identified for such treatment. These methods comprise systematically administering to such a subject having a neurological brain disorder and in need of such treatment the nanoparticles as disclosed herein. In this context, the enhanced level of the therapeutic agent delivered by the nanoparticles to the brain parenchyma can be defined as an amount that is greater than is delivered using otherwise equivalent nanoparticles that do not contain the cleavable linker under the same conditions. Several means for determining the effectiveness are set forth elsewhere herein.
- In some embodiments, the disclosed treatments include those where the attached small or large molecule therapeutic agent is otherwise incapable of passing through the blood brain barrier to deliver therapeutically effective amounts of the agent. In still other embodiments, this administration is accompanied by the co-administration of a therapeutic or imaging agent that is itself able to pass the blood brain barrier and deliver therapeutic amounts in the brain parenchyma. This tandem administration may be provided at the same time, in the same delivery vehicle, or at different times, in different delivery vehicles during a given treatment regime. In this context, the enhanced level of the therapeutic agent delivered by the nanoparticles to the brain parenchyma can be defined as an amount that is greater than is delivered using otherwise equivalent nanoparticles that do not contain the cleavable linker under the same conditions.
- The methods of administering these compositions, and the certain neurological conditions suitable for treatment are set forth elsewhere herein.
- The patent or application file contains at least one drawing executed in color. Copies of this patent or patent application publication with color drawing(s) will be provided by the Office upon request and payment of the necessary fee.
- The present application is further understood when read in conjunction with the appended drawings. For illustrating the subject matter, there are shown in the drawings exemplary embodiments of the subject matter; however, the presently disclosed subject matter is not limited to the specific methods, devices, and systems disclosed. In addition, the drawings are not necessarily drawn to scale. In the drawings:
-
FIG. 1(A) shows a scheme of acid-cleavable targeting strategy. Following endocytosis, rapid acidification of endosome triggers separation of Tf ligands from the nanoparticle core, allowing free diffusion of the nanoparticle into the brain parenchyma after transcytosis.FIG. 1(B) illustrates the preparation of TfR-targeted and non-targeted MAP-CPT nanoparticles and pH-dependence of nitroPBA-diol complex. x˜82 for 3.4 kDa PEG; y˜20 for material used in this study; z˜120 for 5 kDa PEG. -
FIG. 2 illustrates a proposed mechanism for delivery of drug and antibody combination to brain metastases using acid-cleavable targeting ligands. At extracellular pH 7.4, Tf ligands and Herceptin remain bound to the diols on the nanoparticle surface. After endocytosis, rapid acidification of the endosome to pH 5.5 triggers their dissociation from the nanoparticle core, allowing free diffusion into the brain once transcytosis is complete. -
FIG. 3 shows a synthetic scheme of MAP-CPT polymer-drug conjugate. w˜82 for 3.4 kDa PEG; x˜20 for material used in this study. -
FIG. 4 (A-C). Single-agent or combination drug and antibody nanoparticle delivery systems. Preparation of TfR-targeted combination CPT/Herceptin nanoparticle (FIG. 4(A) ), TfR-targeted CPT nanoparticle (FIG. 4(B) ) and TfR-targeted Herceptin nanoparticle (FIG. 4(C) ) formulations. w˜82 for 3.4 kDa PEG; x˜20 for material used in this study; y˜84 for 3.5 kDa PEG; z˜120 for 5 kDa PEG. -
FIGS. 5 (A-C) illustrates of breast cancer brain metastasis models. FIGS. 5 (A): Intracranial (IC) injection of tumor cells allows for direct establishment of brain metastases.FIG. 5 (B): Following intracardiac (ICD) injection into the left ventricle, tumor cells can head to brain vasculature, as well as to other organs. Some cells will successfully extravasate and form macroscopic brain tumors.FIG. 5 (C): After intravenous (IV) injection, most tumor cells will arrest in the lung capillary bed, as well as other sites, followed by subsequent metastasis to the brain. -
FIG. 6 shows apical to basal transport of non-targeted and TfR-targeted MAP-CPT nanoparticles in model BBB. TfR-targeted (blue) and non-targeted (gray) nanoparticles were added to apical wells in either serum-free DMEM (DMEM), or in the presence of either 2.5 mg/mL Tf (DMEM+Tf) or equimolar high-affinity anti-TfR Ab (DMEM+Ab). Data shown are the average of 4 wells for each group. Error bars indicate SE. -
FIGS. 7 (A-B) show the effect of anti-HER2 therapy on HER2-positive BT474-Gluc breast cancer brain metastases established in Rag2−/−;Il2rg−/− mice. Trastuzumab at 5 mg/kg was administered twice weekly via intravenous tail vein injection, and treatment was initiated when tumors reached 10 mm3 in volume. MRI was used to monitor brain tumor size and response to treatment. Tumors established by IC injection (FIG. 7(A) ) showed significant delay in tumor progression, whereas those established by IV injection (FIG. 7(B) ) did not. -
FIG. 8 provides a detailed illustration of intracranial (A), intracardiac (B), and intravenous (C) breast cancer brain metastasis models and timelines for efficacy study. Numbers below timeline indicate mean (range) time in months to establishment of visible brain metastases (BM; ˜0.2 mm3 in volume) by MRI. Thick arrows denote treatment schedule for the study, with 4 weekly doses administered once tumors reached ˜2 mm3 in volume. -
FIG. 9 shows data for brain tumors established using different methods show differential response to therapeutics. Tumor growth curves of BT474-Gluc metastatic brain tumors treated with CPT (orange, 4 mg/kg), non-targeted MAP-CPT nanoparticles (gray, 4 mg CPT/kg), and TfR-targeted MAP-CPT nanoparticles (blue, 4 mg CPT/kg) compared to saline (black) when established by IC (A), ICD (B), and IV injection (C). Data shown are the average of 6 mice per treatment group. Error bars indicate SE. -
FIG. 10 shows blood Gluc activity of IC-established tumors is correlated with tumor volume, as measured by MRI, for each treatment group. Blood Gluc activity is plotted against tumor volume for saline (black), CPT (orange), non-targeted MAP-CPT nanoparticle (gray), and TfR-targeted MAP-CPT nanoparticle (blue) treatment groups. Linear regression was performed using MATLAB. -
FIGS. 11 (A-C) show individual tumor growth curves of BT474-Gluc metastatic brain tumors treated with CPT (orange, 4 mg/kg), non-targeted MAP-CPT nanoparticles (gray, 4 mg CPT/kg), and TfR-targeted MAP-CPT nanoparticles (blue, 4 mg CPT/kg) compared to saline (black) when established by IC (FIG. 11(A) ), ICD (FIG. 11(B) ), and IV injection (FIG. 11(C) ). Open circles denote leptomeningeal metastases. 2 of 24 total metastases included in this study for both the ICD and IV models were leptomeningeal. All other brain tumors were intracerebral. -
FIGS. 12 (A-B) show brain uptake of therapeutics is model-dependent in tumor, but not healthy tissue.FIG. 12(A) shows brain uptake in BT474-Gluc tumor tissue as calculated by percent injected dose per g of tissue for different treatments.FIG. 12(B) Percent injected dose in healthy brain tissue. Brain uptake was determined 24 h after a 4 mg/kg dose (CPT basis). Data shown are the average of 4 mice per treatment group. Error bars indicate SE. ND, not detectable. -
FIG. 13 shows BT474-Gluc cells isolated from brain tumors following IC-(circle), ICD- (square), and IV-establishment (triangle) as well as parental cells (solid circle) are similarly sensitive to CPT. Data shown are the average of 4 dose-response curves for each cell line. Error bars indicate SE. -
FIG. 14 (A-B) shows synthetic schemes for nitroPBA conjugates. (FIG. 14(A) ) Herceptin-PEG3.5 k-nitroPBA. y˜84 for 3.5 kDa PEG. (FIG. 14(B) ) Tf-PEG5 k-nitroPBA. z˜120 for 5 kDa PEG. -
FIG. 15 shows schemes for synthesis of MAP-AF568 polymer conjugate. w˜82 for 3.4 kDa PEG; x˜20 for material used in Examples. -
FIG. 16 shows representative MRI images of metastatic brain tumors at the start of treatment (A), and 8 weeks after the start of treatment with saline (B), free CPT and Herceptin (C), TfR-targeted CPT nanoparticles (D), TfR-targeted Herceptin nanoparticles (E) and TfR-targeted combination CPT/Herceptin nanoparticles (F). Dotted lines denote tumor margins. Formulations were systemically administered weekly for 4 weeks at a dose of 4 and/or 24 mg/kg (CPT and/or Herceptin bases, respectively). Scale bar, 2 mm; NP, nanoparticle. -
FIG. 17 shows images of metastatic brain tumors imaged by MRI following IV injection of BT474-Gluc cells. Intracerebral (A,B,C) and leptomeningeal metastases were detected (D). Most intracerebral metastases were in the cerebrum (A), with occasional metastases in the cerebellum (B). Multifocal metastases were occasionally observed (C). Leptomeningeal metastases most commonly grew in the subarachnoid space (D). Scale bar, 2 mm. -
FIG. 18 . Combined nanoparticle delivery of CPT and Herceptin inhibits brain metastatic tumor growth more effectively than nanoparticle delivery of either monotherapy and combined free drug. Tumor growth curves of BT474-Gluc metastatic brain tumors treated with free CPT and Herceptin (gray, 4 and 24 mg/kg, respectively), TfR-targeted CPT nanoparticles (orange, 4 mg CPT/kg), TfR-targeted Herceptin nanoparticles (purple, 24 mg Herceptin/kg) and TfR-targeted combination CPT/Herceptin nanoparticles (blue, 4 mg CPT/kg and 24 mg Herceptin/kg) compared to saline (black). Data shown are the average of 6 mice per treatment group. Error bars indicate SE. -
FIG. 19 shows individual tumor growth curves of BT474-Gluc metastatic brain tumors treated with CPT and Herceptin (gray, 4 and 24 mg/kg, respectively), TfR-targeted CPT nanoparticles (orange, 4 mg CPT/kg), TfR-targeted Herceptin nanoparticles (purple, 24 mg Herceptin/kg) and TfR-targeted combination CPT/Herceptin nanoparticles (blue, 4 mg CPT/kg and 24 mg Herceptin/kg) compared to saline (black). NP, nanoparticle. - The present disclosure is directed to nanoparticles comprising targeting agents and therapeutics and/or imaging agents, suitable for, but not limited to, delivering the therapeutics and/or imaging agents to the brain of a subject. In some embodiments, the the described nanoparticles are loaded with the therapeutic agent and/or imaging agent of interest prior to administration of the nanoparticle to the subject. Following delivery of the loaded nanoparticle, the targeting ligand facilitates delivery of the nanoparticle to a target cell of interest, such as a brain endothelial cell. Following internalization by the target cell, the nanoparticle dissociates from the targeting agent. In the case of brain endothelial cells, the internalized nanoparticle will then be excreted from the cell into the interstitial space of the brain where the particle will destabilize and secrete the loaded agent, thereby delivering the agent to the brain or other target location. In some embodiments the described methods may be carried out to deliver a neurotransmitter such as serotonin or dopamine to the brain, which may be used to treat a neurological disorder. Other agents for use in treating neurological disorders may also be delivered to the brain via the described methods. Imaging agents that might not readily access the brain on their own may also be delivered using the described methods. In some embodiments the described methods may be used to deliver a nanoparticle carrying the imaging agent Cu64 to the brain of a subject to allow for imaging. Further, the described methods may be used to deliver a combination of one or more therapeutic agents, imaging agents, or both therapeutic agents, imaging agent to the brain of a subject.
- In certain embodiments, the nanoparticles contain therapeutics suitable for the control and treatment of cancer-tumors, especially cancer-tumors of the brain. More specifically, the instant disclosure materials and methods which allow therapeutics to cross the blood-brain-barrier (BBB) and blood-tumor-barriers (BTB) for the treatment of conditions including metastatic, HER2-positive brain tumors.
- There has been significant interest in engineering nanoparticles and other nanoscale or polymeric drug formulations to enhance the delivery of therapeutic agents to the brain following systemic administration. The use of endogenous transport mechanisms at the BBB such as receptor-mediated transcytosis (RMT) has emerged as a promising approach to shuttle a variety of payloads across the BBB. In particular, transferrin receptor (TfR) has been one of the primary targets investigated for RMT because of its high expression on the blood side of the BBB endothelium.
- As described herein, the inventors investigated the brain uptake and efficacy of TfR-targeted therapeutic nanoparticles designed to transcytose the BBB/BTB. Transferrin (Tf) was attached to nanoparticles consisting of a mucic acid polymer (MAP) conjugate of camptothecin (CPT), denoted MAP-CPT, through a pH-dependent, boronic acid-diol complexation to the vicinal diols contained within the mucic acid portions of the polymer. With this acid-cleavable targeting strategy, nanoparticles retain high avidity to TfR on the blood side of the BBB to enable practical, systemic dosing, yet release the targeting agents upon acidification during transcytosis to allow their release into the brain.
FIGS. 1 (A-B). The present inventors have demonstrated that these targeted nanoparticles, administered systemically, were able to deliver CPT to HER2-positive breast cancer brain metastases in mice and eliciting a considerable antitumor response. - The present inventors further hypothesized that TfR-targeted nanoparticles carrying more potent therapeutic agents would reveal even greater tumor size reductions. In this disclosure, an exemplary delivery system was investigated for its ability to shuttle an anti-HER2 monoclonal antibody, Herceptin, alone or in combination with a CPT payload, across the BBB to achieve enhanced antitumor activity over the previously reported efficacy of CPT alone (
FIG. 2 ). - The present application discloses nanoparticles carrying therapeutic agents, including chemotherapeutic agent, and targeting ligands, where the nanoparticles are suitable for delivering these chemotherapeutic agents throughout a patient, including through the blood the blood brain barrier and methods of using these patients on those patients in need of such treatment. While described in terms of chemotherapy, it is appreciated that some of the nanoparticles are also capable of carrying therapeutics not directed to cancer across the blood brain barrier for treatment of other neurological conditions, for example serotonin or dopanine for treatment of diseases such as Parkinson's disease, Huntington disease, and multiple sclerosis, such as described in U.S. Patent Application Publ. No. 2014/0348754, which is incorporated by reference herein for all purposes, but at least for the use of the nanoparticles for this purpose.
- The present disclosure in its full context, includes sections labeled General Terms, General Embodiments of the Present Disclosure, and Examples. These sections more fully describe the following enumerated aspects of the present disclosure, as well as embodiments not listed as follows. None of these sections, or provisions that follow, are to be interpreted as limiting the disclosure to any particular section, and should be considered in total for the teachings of the present disclosure.
- ASPECT 1: A method of treating a neurological disorder in a patient, the method comprising systemically administering a first small molecule therapeutic agent and/or a large molecule therapeutic agent to the patient in need of such treatment, wherein
- (a) the first small molecule therapeutic agent and/or the large molecule therapeutic agent is attached to a nanoparticle comprising a nanoparticle core and a targeting agent, the targeting agent comprising at least one targeting ligand attached to an external surface of the nanoparticle core by a linker having a cleavable linkage;
-
- (i) the external surface of the nanoparticle comprising a neutral and/or negatively charged mucic acid-containing polymer (MAP) (including where the nanoparticle core and/or surface is substantially free of cationic mucic-acid containing polymer (cMAP));
- (ii) the at least one targeting ligand having an affinity for binding to a receptor expressed by endothelial cells of the blood-brain barrier; and
- (iii) the cleavable linkage being cleavable when subject to conditions inside an endothelial cell of the blood-brain barrier, wherein the cleavage comprises hydrolysis, chemical reduction, or enzymatic cleavage of the linker; and wherein one or both of
- (iv) the small molecule therapeutic agent is optionally linked to the nanoparticle core by way of an optional linker; and/or
- (v) the large molecule therapeutic agent is linked to the nanoparticle by way of an optional linker; and
- (b) the administration of the first small molecule therapeutic agent and/or the large molecule therapeutic agent attached to the nanoparticle results in the delivery of the first small molecule therapeutic agent and/or the large molecule therapeutic agent past the blood brain barrier and into the subject's brain parenchyma in an amount is greater than would be delivered were the first small molecule therapeutic agent and/or the large molecule therapeutic agent not attached to the nanoparticle.
-
ASPECT 2. The method ofASPECT 1, wherein the method comprises delivering the large molecule therapeutic agent attached to the nanoparticle, such that the large molecule therapeutic agent is delivered past the blood brain barrier and into the subject's brain parenchyma in an amount that is greater than would be delivered were the large molecule therapeutic agent not attached to the nanoparticle. -
ASPECT 3. The method of 1 or 2, wherein the amount of the large molecule therapeutic agent that passes the blood brain barrier and into the subject's brain parenchyma is a therapeutically effective amount for the neurological disorder.ASPECT -
ASPECT 4. The method of any one ofASPECTS 1 to 3, further comprising systemically administering to the patient a second small molecule therapeutic agent that itself able to pass the blood brain barrier and be delivered into the subject's brain parenchyma in a therapeutically effective amount, wherein the second small molecule therapeutic agent is not attached to the nanoparticle. -
ASPECT 5. The method of any one ofASPECTS 1 to 4, wherein the first and second small molecule therapeutic agents are not the same. -
ASPECT 6. The method of any one ofASPECTS 1 to 5, wherein the method comprises delivering both the first small molecule therapeutic agent and the large molecule therapeutic agent, both attached to the nanoparticle, such that both the first small molecule therapeutic agent and the large molecule therapeutic agent are delivered past the blood brain barrier and into the subject's brain parenchyma in amounts that are individually greater than would be delivered were the small molecule therapeutic agent and the large molecule therapeutic agent large molecule therapeutic agent not attached to the nanoparticle. -
ASPECT 7. The method of any one ofASPECTS 1 to 6, wherein the amount of first small molecule therapeutic agent and the large molecule therapeutic agent that passes the blood brain barrier and into the subject's brain parenchyma are individually a therapeutically effective amount for the neurological disorder. -
ASPECT 8. The method of any one ofASPECTS 1 to 7, wherein the neurological disorder is brain cancer, including brain cancer metastasized other systemic, extracranial cancers, including brain cancer metastasized from HER2-positive breast cancer. - ASPECT 9. The method of any one of ASPECTS 1 to 8, wherein the nanoparticle core comprises a polymer comprising units of the formula:
- ASPECT 10. The method of any one of ASPECTS 1 to 9, wherein the nanoparticle core comprises a polyol structure:
- where y is in a range of from 10 to 25;
- where R is a functional group residue corresponding to that of an amino acid containing a third functional group, for example arginine (R is CH2CH2CH2NHC(NH2)2 +), histidine (R is CH2-imidazolyl), lysine (R is CH2—CH2—CH2—CH2—NH2), aspartic acid (R is CH2—COOH), glutamic acid (R is CH2—CH2—COOH), serine (R is CH2—OH), threonine (R is CH(OH)(CH3)) asparagine (R is CH2—C(O)NH2), glutamine (R is CH2—CH2—C(O)NH2), tyrosine (R is CH2-Ph-OH), tryptophan (R is CH2-indolyl), or a salt thereof, and/or where R is coupled to one or more of the targeting agent, the first small molecule therapeutic agent, and/or the large molecule therapeutic agent.
- ASPECT 11. The method of any one of ASPECTS 1 to 10, wherein the nanoparticle core comprises a polymer derived from the coupling of a compound of Formula A with a compound of Formula B; wherein the compound of Formula A is:
- wherein n is a number from 1 to 20; and
- R is a functional group residue (e.g., —COOH, —NH2, —OH) corresponding to that of an amino acid containing a third functional group, for example arginine (R is CH2CH2CH2NHC(NH2)2+), histidine (R is CH2-imidazolyl), lysine (R is CH2—CH2—CH2—CH2—NH2), aspartic acid (R is CH2—COOH), glutamic acid (R is CH2—CH2—COOH), serine (R is CH2—OH), threonine (R is CH(OH)(CH3)) asparagine (R is CH2—C(O)NH2), glutamine (R is CH2—CH2—C(O)NH2), tyrosine (R is CH2-Ph-OH), tryptophan (R is CH2-indolyl), or a salt thereof; and
- the compound of Formula B is:
- but not
- in which
- p is a number from 20 to 200; and
- L is a leaving group.
- ASPECT 12. The method of any one of ASPECTS 1 to 11, wherein the nanoparticle core comprises a polymer comprises units of the formula:
- wherein n is a number from 1 to 20 and p is a number from 20 to 200.
- ASPECT 13. The method of any one of
ASPECTS 1 to 13, wherein the cleavable linkage comprises an acetal, a borate ester, a carbonate, a carboxylic acid ester, a diamino ketal, a disulfide, a hydrazone, an imine, a ketal, an orthoester, or a peptide linkage. - ASPECT 14. The method of any one of ASPECTS 1 to 13, wherein the at least one targeting agent comprises at least one borate ester of a (nitro)phenyl boronic acid-containing polymer comprising a structure:
- wherein
- the nanoparticle core and the (nitro)phenyl boronic acid-containing polymer are reversible connected to one another by the borate condensation linkage between the (nitro)phenyl boronic acid moieties of the (nitro)phenyl boronic acid-containing polymer and at least one pair of vicinal diols of the nanoparticle core, X5 being at the distal end of this connection;
- RA is nitro;
- n is 1;
- s is a number in a range of from 2 to 2000;
- L is a linking group between the phenyl ring and the polyethylene oxide linkage, the linking group comprising an amide, carbonate, ester, or disulfide group; and
- X5 is a C1-6 alkyl, optionally substituted with —OH, —COOH, —B(OH)2—, —C(═O)O(alkyl), —C(═O)O(aryl), —NH2, —NH(alkyl), —N(alkyl)2, or —SH, wherein the at least one targeting agent is coupled thereto.
-
ASPECT 15. The method of any one ofASPECTS 1 to 14, wherein the first small molecule therapeutic agent is linked to the nanoparticle core by a linker comprising an amino acid residue. - ASPECT 16. The method of any one of
ASPECTS 1 to 15, wherein the first small molecule therapeutic agent is a neurotransmitter or a chemotherapeutic agent. - ASPECT 17. The method of any one of
ASPECTS 1 to 16, wherein the first small molecule therapeutic agent is dopamine, serotonin, camptothecin, irinotecan, SN-38, or a metabolite, or prodrug thereof. - ASPECT 18. The method of any one of ASPECTS 1 to 17, wherein the nanoparticle comprises a unit structure:
- ASPECT 19. The method of any one of
ASPECTS 1 to 18, wherein the targeting ligand is transferrin. -
ASPECT 20. The method of any one ofASPECTS 1 to 19, wherein the large molecule therapeutic agent is trastuzumab (Herceptin). - ASPECT 21. The method of any one of
ASPECTS 1 to 20, wherein the first small molecule therapeutic agent is camptothecin, irinotecan, SN-38, or a metabolite, or prodrug thereof and the large molecule therapeutic agent is trastuzumab (Herceptin). - In the present disclosure the singular forms “a,” “an,” and “the” include the plural reference, and reference to a particular numerical value includes at least that particular value, unless the context clearly indicates otherwise. Thus, for example, a reference to “a material” is a reference to at least one of such materials and equivalents thereof known to those skilled in the art.
- When a value is expressed as an approximation by use of the descriptor “about,” it will be understood that the particular value forms another embodiment. In general, use of the term “about” indicates approximations that can vary depending on the desired properties sought to be obtained by the disclosed subject matter and is to be interpreted in the specific context in which it is used, based on its function. The person skilled in the art will be able to interpret this as a matter of routine. In some cases, the number of significant figures used for a particular value may be one non-limiting method of determining the extent of the word “about.” In other cases, the gradations used in a series of values may be used to determine the intended range available to the term “about” for each value. Where present, all ranges are inclusive and combinable. That is, references to values stated in ranges include every value within that range.
- It is to be appreciated that certain features of the invention which are, for clarity, described herein in the context of separate embodiments, may also be provided in combination in a single embodiment. That is, unless obviously incompatible or specifically excluded, each individual embodiment is deemed to be combinable with any other embodiment(s) and such a combination is considered to be another embodiment. Conversely, various features of the invention that are, for brevity, described in the context of a single embodiment, aspects, Embodiment, or Aspect may also be provided separately or in any sub-combination. Finally, while an embodiment may be described as part of a series of steps or part of a more general structure, each said step may also be considered an independent embodiment in itself, combinable with others. Still further, where certain features are described in terms of a one category (e.g., in terms of a method or composition), it is to be understood that that feature is equally applicable to all categories (e.g., features described in the context of compositions are also applicable to methods, and vice versa).
- The transitional terms “comprising,” “consisting essentially of,” and “consisting” are intended to connote their generally in accepted meanings in the patent vernacular; that is, (i) “comprising,” which is synonymous with “including,” “containing,” or “characterized by,” is inclusive or open-ended and does not exclude additional, unrecited elements or method steps; (ii) “consisting of” excludes any element, step, or ingredient not specified in the claim; and (iii) “consisting essentially of” limits the scope of a claim to the specified materials or steps and those that do not materially affect the basic and novel characteristic(s) of the claimed invention. Embodiments described in terms of the phrase “comprising” (or its equivalents), also provide, as embodiments, those which are independently described in terms of “consisting of” and “consisting essentially of.” For those composition embodiments provided in terms of “consisting essentially of,” the basic and novel characteristic(s) is the ability to provide the described effect associated with the description as described herein or as explicitly specified. In particular here, the basic and novel characteristic of the methods and compositions are the ability, at least, to deliver cargo across the blood brain barrier using systemic administrations at levels that would not be achieved by the systemic administration of the cargo by itself.
- When a list is presented, unless stated otherwise, it is to be understood that each individual element of that list, and every combination of that list, is a separate embodiment. For example, a list of embodiments presented as “A, B, or C” is to be interpreted as including the embodiments, “A,” “B,” “C,” “A or B,” “A or C,” “B or C,” or “A, B, or C.” That is, where lists are provided within an embodiment, additional embodiments include those lists that exclude one or more elements of the first list, without the need for specific exclusions. For example, embodiments described in terms of the amino acid residues arginine, histidine, lysine, aspartic acid, glutamic acid, serine, threonine, asparagine, glutamine, tyrosine, tryptophan, or a salt thereof also include, as separate embodiments, lists where one or more of these amino acids are excluded
- Throughout this specification, words are to be afforded their normal meaning, as would be understood by those skilled in the relevant art.
- Where a composition is administered to a patient or subject, the term “administration” means application of the composition to the patient or subject. The terms “systemic administration,” “administered systemically,” “peripheral administration” and “administered peripherally” as used herein mean the administration of a nanoparticle or composition thereof other than directly into the central nervous system, such that it enters the individual's system and, thus, is subject to metabolism and other like processes, for example, subcutaneous administration. The terms “parenteral administration” and “administered parenterally” as used herein means modes of administration other than enteral and topical administration, usually by injection, and includes, without limitation, intravenous, intramuscular, intra-arterial, intrathecal, intracapsular, intraorbital, intracardiac, intradermal, intraperitoneal, transtracheal, subcutaneous, subcuticular, intraarticular, subcapsular, subarachnoid, and intrastemal, injection and infusion.
- Formulations suitable for parenteral administration usually comprise a sterile aqueous preparation of the active compound, which preferably is isotonic with the blood of the recipient (e.g., physiological saline solution). Such formulations may be presented in unit-dose or multi-dose form.
- Actual dosage levels of the active ingredient or agent in the pharmaceutical compositions herein described may be varied to obtain an amount of the active ingredient which is effective to achieve the desired therapeutic response for a particular individual, composition, and mode of administration, without being toxic to the individual.
- In some embodiments, the patients or subjects are administered at least one of the described nanoparticles or populations of nanoparticles in an individual or daily dose in a range of from about 0.01 μg to 5000 mg per dose or per kg of the weight of the subject. In additional or alternative embodiments, the patient or subject is administered at least one of the nanoparticles or populations of nanoparticles set forth herein at a daily or individual dose in a range of from 0.01 μg to 0.1 μg, from 0.1 μg to 1 μg, from 1 μg to 10 μg, from 10 μg to 100 μg, from 100 μg to 1000 μg, from 1 mg to 5 mg, from 5 mg to 10 mg, from 10 mg to 50 mg, from 50 mg to 100 mg, from 100 mg to 150 mg, from 150 mg to 200 mg, from 200 mg to 250 mg, from 250 mg to 500 mg, from 500 mg to 750 mg, from 750 mg to 1000 mg, from 1000 mg to 2000 mg, from 2000 mg to 3000 mg, from 3000 mg to 4000 mg, or from 4000 mg to 5000 mg per dose or per kg of the weight of the subject, or the daily or individual dose dose is defined by two or more of the foregoing ranges, for example, from 0.1 μg to 1 mg per kg of body weight or from 1 mg to 10 mg per dose or from 10 mg to 1000 mg per day. In some embodiments, the described methods may be carried out so the nanoparticles described herein is administered to a subject weekly, bi-weekly, monthly, bi-month, semiannually, or annually. Treatment may be initiated with smaller dosages that are less than the optimum dose followed by an increase in dosage over the course of the treatment until the optimum effect under the circumstances is reached.
- The term “agent” as used herein indicates a compound capable of exhibiting a chemical or biological activity associated to the target. The term “chemical activity” as used herein indicates the ability of the molecule to perform a chemical reaction. The term biological activity as used herein indicates the ability of the molecule to affect a living matter. Exemplary chemical activities of agents comprise formation of a covalent or electrostatic interaction. Exemplary biological activities of agents comprise production and secretion of endogenous molecules, absorption and metabolization of endogenous or exogenous molecules and activation or deactivation of genetic expression including transcription and translation of a gene of interest.
- The term “antibody” includes reference to an immunoglobulin molecule that is reactive with a particular antigen. The term also includes genetically engineered forms such as chimeric antibodies (e.g., humanized murine antibodies), heteroconjugate antibodies (e.g., bispecific antibodies) and recombinant single chain Fv fragments (scFv), disulfide stabilized (dsFv) Fv fragments, or pFv fragments. The term “antibody” also includes antigen binding forms of antibodies (e.g., Fab′, F(ab′)2, Fab, Fv and rIgG). In the present disclosure, trastuzumab (Herceptin®) is a useful antibody, and a preferred embodiment, for the treatment of breast cancer, and for cancers that are HER2 positive.
- An antibody immunologically reactive with, or “specific for,” a particular antigen is a relative term and means that the antibody binds to that antigen with an affinity that is at least 10-old higher than would be observed for non-specific binding exhibited by the antibody. Thus, an antibody said to be “specific for” a given antigen may in fact selectively bind other antigens with an affinity that is 10-fold-high than it exhibits in nonspecific interactions.
- The term “attach”, “attached” or “attachment” as used herein, refers to connecting or uniting by a bond, link, force or tie in order to keep two or more components together, which encompasses either direct or indirect attachment such that for example where a first compound is directly bound to a second compound, and the embodiments wherein one or more intermediate compounds, and in particular molecules, are disposed between the first compound and the second compound.
- Where used herein, the term “cargo” refers to the therapeutic or imaging agents being delivered (as if by “ferry”) by the nanoparticles described herein
- In the nanoparticles herein described polyols polymers are coupled to the boronic acid polymers. The term “coupled” or “coupling” as used herein with reference to attachment between two molecules indicates an interaction forming a reversible covalent linkage. In the presence of a suitable medium, a boronic acid presented on the boronic acid polymer interact with hydroxyl groups of the polyols associated with the nanoparticle core via a rapid and reversible pair-wise covalent interaction to form boronic esters in a suitable medium. Typically, the boronic acid moieties are suitable for forming borate esters with the hydroxy groups of the nanoparticle surfaces, and for hydrolyzing under certain triggering events (e.g., changes in pH). Suitable media include water and several aqueous solutions and additional organic media identifiable by a skilled person. Typically, when contacted in an aqueous medium boronic acid polymers and polyols polymers react in a condensation reaction producing water as a side product. The boronic acid polyol interaction is generally more favorable in aqueous solutions but is also known to proceed in organic media. In addition, cyclic esters formed with 1,2 and 1,3 diols are generally more stable than their acyclic ester counterparts.
- The term “brain cancer” refers to a condition where the cancer cells are present in the brain of the patient or subject, typically arising from metastases from other cancers outside the brain (“extracranial cancers”). When the brain cancer arises from the metastates of other extracranial cancers (for example, breast cancer), the methods and compositions disclosed herein allow for the use of those therapeutic agents, suitable for treating these extracranial cancers, but which are otherwise unable to pass the BBB, to deliver therapeutic levels of the metastasized brain cancers.
- The term “conjugated” as used herein indicates that one molecule has fobrmed a covalent bond with a second molecule. The term also refers to linkages where atoms covalently bond with alternating single and multiple (e.g. double) bonds (e.g., C═C—C═C—C) and influence each other to produce electron delocalization. The person of skill in the art would be able to understand and distinguish these meanings, depending on the context.
- The terms “deliver” and “delivery,” as used herein, indicate the activity of affecting the spatial location of a compound, and, in particular, specifying the preferred location of a compound. Accordingly, delivering a compound in the sense of the present disclosure indicates the ability to affect positioning and movement of the compound at a certain time under a certain set of conditions, so that the compound's positioning and movement under those conditions are altered with respect to the positioning and movement that the compound would otherwise have.
- In particular, delivery of a compound with respect to a reference endpoint indicates the ability to control positioning and movement of the compound so that the compound is eventually positioned on the selected reference endpoint. In an in vitro system, delivery of a compound is usually associated to a corresponding modification of the chemical and/or biological detectable properties and activities of the compound. In an in vivo system, delivery of a compound is also typically associated with modification of the pharmacokinetics and possibly pharmacodynamics of the compound.
- Pharmacokinetic of a compound indicates absorption, distribution, metabolism and excretion of the compound from the system, typically provided by the body of an individual. In particular the term “absorption” indicates the process of a substance entering the body, the term “distribution” indicates the dispersion or dissemination of substances throughout the fluids and tissues of the body, the term “metabolism” indicates the irreversible transformation of parent compounds into daughter metabolites and the term “excretion” indicates the elimination of the substances from the body. If the compound is in a formulation, pharmacokinetics also comprises liberation of the compound from the formulation which indicates process of release of the compound, typically a drug, from the formulation. The term “pharmacodynamic” indicates physiological effects of a compound on the body or on microorganisms or parasites within or on the body and the mechanisms of drug action and the relationship between drug concentration and effect. A skilled person will be able to identify the techniques and procedures suitable to detect pharmacokinetics and pharmacodynamic features and properties of a compound of interest and in particular of an agent of interest such as a drug.
- The described method may be used to deliver therapeutic agents to the brain of a subject, by loading the described nanoparticles with a therapeutic agent of interest prior to administration of the nanoparticle to the subject. Following delivery of the loaded nanoparticle, the targeting agent will facilitate delivery to a target cell of interest, such as a brain endothelial cell. Following internalization by the target cell, the nanoparticle will dissociate from the targeting agent. In the case of brain endothelial cells, the internalized nanoparticle will then be excreted from the cell into the interstitial space of the brain where the particle will destabilize and secrete the loaded agent, thereby delivering the agent to the brain or other target location. In some embodiments the described methods may be carried out to deliver a neurotransmitter such as serotonin or dopamine to the brain, which may be used to treat a neurological disorder. Other agents for use in treating neurological disorders may also be delivered to the brain via the described methods. Imaging agents that might not readily access the brain on their own may also be delivered using the described methods. In some embodiments the described methods may be used to deliver a nanoparticle carrying the imaging agent Cu-64 to the brain of a subject to allow for imaging. Further, the described methods may be used to deliver a combination of one or more therapeutic agents, imaging agents, or both therapeutic agents and imaging agent to the brain of a subject.
- The subject may be any animal, and preferably is a mammal such as a mouse, rat, hamster, guinea pig, rabbit, cat, dog, monkey, donkey, cow, horse, pig, and the like. Most preferably, the mammal is a human. Importantly, the subject is one known to have a condition that would benefit by the treatment being administered; i.e., would benefit from delivery of the therapeutic agent to the brain of the patient by systemic means (direct injection of the therapeutic into the brain is one option, but the nanoparticle delivery systems are intended to allow for the systemic delivery of the therapeutics, and it is in this context that delivery is envisioned). That is, such a patient has a disease or condition of the brain where conventional treatments (i.e., without the use of the nanoparticles described herein) are unable to deliver sufficient quantities of the therapeutic agent systemically. This pre-recognition of the disease or condition in the subject is implicit in the definition of the subject or patient.
- In some embodiments, subjects may be administered at least one of the described nanoparticles in a daily dose range of 0.01 μg to 500 mg per kg of the weight of the subject. The dose administered to the subject may also be measured in terms of total amount of at least one of the described nanoparticles administered per day. In some embodiments, a subject is administered 5 to 5000 milligrams of at least one of the described nanoparticles per dose. In some embodiments, a subject is administered up to 10 milligrams of at least one of the described nanoparticles per dose. In some embodiments, a subject is administered up to 100 milligrams of at least one of the described nanoparticles per dose. In some embodiments, a subject is administered up to 250 milligrams of at least one of the described nanoparticles per dose. In some embodiments, a subject is administered up to 500 milligrams of at least one of the described nanoparticles per dose. In some embodiments, a subject is administered up to 750 milligrams of at least one of the described nanoparticles per dose. In some embodiments, a subject is administered up to 1000 milligrams of at least one of the described nanoparticles per dose. In some embodiments, a subject is administered up to 1500 milligrams of at least one of the described nanoparticles per dose. In some embodiments, a subject is administered up to 2000 milligrams of at least one of the described nanoparticles per dose. In some embodiments, a subject is administered up to 2500 milligrams of at least one of the described nanoparticles per dose. In some embodiments, a subject is administered up to 3000 milligrams of at least one of the described nanoparticles per dose. In some embodiments, a subject is administered up to 3500 milligrams of at least one of the described nanoparticles per dose. In some embodiments, a subject is administered up to 4000 milligrams of at least one of the described nanoparticles per dose. In some embodiments, a subject is administered up to 4500 milligrams of at least one of the described nanoparticles per dose. In some embodiments, a subject is administered up to 5000 milligrams of at least one of the described nanoparticles per dose. In some embodiments, the described methods may be carried out so the nanoparticles described herein is administered to a subject weekly, bi-weekly, monthly, bi-month, semi-annually, or annually. Treatment may be initiated with smaller dosages that are less than the optimum dose followed by an increase in dosage over the course of the treatment until the optimum effect under the circumstances is reached.
- When discussing the beneficial aspects of the ability of the nanoparticles to deliver the therapeutic (or any other) agent across the blood brain barrier (BBB), several criteria may be used. Given the otherwise impenetrability of the BBB to therapeutics or other agents, one such criterion is the ability of the nanoparticle(s) to deliver the pharmaceutical agent in an amount to be therapeutically useful, under conditions where the delivery of the pharmaceutical agent by itself is unsuccessful in doing so. In such embodiments, the methods may comprise the systemic administration of a plurality of nanoparticles to a subject having the neurological brain disorder (e.g., a disease such as cancer) and in need of delivery of the therapeutic agent across a blood-brain barrier to the subject's brain parenchyma, the plurality of nanoparticles being administered at a dose rate sufficient to enhance the delivery of the therapeutic agent to the brain parenchyma in therapeutically useful quantities that are higher than available using the free therapeutic agent alone. In separate embodiments, depending on the efficiency of the brain parenchyma in blocking the passage of the therapeutic agent alone, this in increase in delivery of the therapeutic agent using the nanoparticles can be at least 2 times, at least 5 time, at least 10 times, at least 100 times, or at least 1000 times higher than with the therapeutic agent alone. In some cases, the therapeutic agent may, by itself, be unable to cross the blood-brain barrier (or such delivery is imperceptively small), such that any improvement in the delivery of y such agent by means of the nanoparticle(s) disclosed herein is considered to constitute delivery.
- The nanoparticles described herein may be administered orally in any acceptable dosage form such as capsules, tablets, aqueous suspensions, solutions or the like. The nanoparticles may also be administered parenterally including but not limited to: subcutaneous, intravenous, intramuscular, intra-articular, intra-synovial, and intrasternal injection or infusion techniques. Alternatively, the nanoparticles will be administered intravenously or intraperitoneally, for example, by injection. In independent exemplary embodiments, the nanoparticles are administered by intravenous and intracardiac injection.
- The term “diluent” as used herein indicates a diluting agent which is issued to dilute or carry an active ingredient of a composition. Suitable diluents include any substance that can decrease the viscosity of a medicinal preparation.
- The term “excipient” as used herein indicates an inactive substance used as a carrier for the active ingredients of a medication. Suitable excipients for the pharmaceutical compositions herein disclosed include any substance that enhances the ability of the body of an individual to absorb the nanoparticle. Suitable excipients also include any substance that can be used to bulk up formulations with nanoparticles to allow for convenient and accurate dosage. In addition to their use in the single-dosage quantity, excipients can be used in the manufacturing process to aid in the handling of nanoparticles. Depending on the route of administration, and form of medication, different excipients may be used. Exemplary excipients include but are not limited to antiadherents, binders, coatings disintegrants, fillers, flavors (such as sweeteners) and colors, glidants, lubricants, preservatives, sorbents.
- The term “functional group” as used herein indicates specific groups of atoms within a molecular structure or portion thereof that are responsible for the characteristic chemical reactions of that structure or portion thereof. Exemplary functional groups include hydrocarbons, groups containing halogen, groups containing oxygen, groups containing nitrogen and groups containing phosphorus and sulfur all identifiable by a skilled person. Functional groups in the sense of the present disclosure include a carboxylic acid, amine, triarylphosphine, azide, acetylene, sulfonyl azide, thio acid and aldehyde. For example, a functional group able to bind a corresponding functional group in a targeting ligand can be selected to comprise the following binding partners: carboxylic acid group and amine group, azide and acetylene groups, azide and triarylphosphine group, sulfonyl azide and thio acid, and aldehyde and primary amine. Additional functional groups can be identified by a skilled person upon reading of the present disclosure. As used herein, the term “corresponding functional group” refers to a functional group that can react to another functional group. Thus, functional groups that can react with each other can be referred to as corresponding functional groups.
- An end-group indicates a constitutional unit that is an extremity of a macromolecule or oligomer molecule. For example the end-group of a PET polyester may be an alcohol group or a carboxylic acid group. End groups can be used to determine molar mass. Exemplary end groups comprise —OH, —COOH, NH2, and OCH3.
- The term “leaving group,” as understood by persons skilled in the art of organic synthesis, refers to a functional group susceptible to displacement by a nucleophile. Leaving groups can be anions or neutral moieties, but in either case it is crucial that the leaving group be able to stabilize the additional electron density that results from bond heterolysis. Exemplary leaving groups include halides such as chloride, bromide, and iodide, sulfonate esters such as mesylate and tosylate, water, and cationic amines.
- The term “ligand” or “targeting ligand” as used in the present disclosure indicates any molecule that can be presented on the surface of a nanoparticle for the purpose of engaging a specific target, and in particular specific cellular recognition, for example by enabling cell receptor attachment of the nanoparticle. Examples of suitable ligands include, but are not limited to, vitamins (e.g. folic acid), proteins (e.g. transferrin, monoclonal antibodies), monosaccharides (e.g. galactose), peptides, and polysaccharides. In particular targeting ligands can be antibodies against certain surface cell receptors such as transferrin receptor (“TfR”).
- The term “nanoparticle” as used herein indicates a composite structure of nanoscale dimensions. In particular, nanoparticles are typically particles of a size in the range of from about 1 to about 1000 nm and are usually spherical although different morphologies are possible depending on the nanoparticle composition. The portion of the nanoparticle contacting an environment external to the nanoparticle is generally identified as the surface of the nanoparticle. In nanoparticles herein described, the size limitation can be restricted to two dimensions and so that nanoparticles herein described include composite structure having a diameter from about 1 to about 1000 nm, where the specific diameter depends on the nanoparticle composition and on the intended use of the nanoparticle according to the experimental design. For example, nanoparticles to be used in several therapeutic applications typically have a size of about 200 nm or below. In certain embodiments where the nanoparticles are for delivery associated to cancer treatment typically have a diameter from about 80 nm to about 120 nm.
- Additional desirable properties of the nanoparticle(s), such as surface charges and steric stabilization, can also vary in view of the specific application of interest. Properties of the particles may be understood by a skilled person upon reading of the present disclosure. Nanoparticle dimensions and properties can be detected by techniques known in the art. Exemplary techniques to detect particles dimensions include but are not limited to dynamic light scattering (DLS) and nanoparticle tracking analysis (NTA) and a variety of microscopies such at transmission electron microscopy (TEM) and atomic force microscopy (AFM). Exemplary techniques to detect particle morphology include but are not limited to TEM and AFM. Exemplary techniques to detect surface charges of the nanoparticle include but are not limited to zeta potential method. Additional techniques suitable to detect other chemical properties comprise by 1H, 11B, 13C and 19F NMR, UV/Vis and infrared/Raman spectroscopies and fluorescence spectroscopy (when nanoparticle is used in combination with fluorescent labels) and additional techniques identifiable by a skilled person
- “Optional” or “optionally” means that the subsequently described circumstance may or may not occur, so that the description includes those embodiments where the circumstance occurs and instances where it does not. For example, in the phrase “at least one small molecule therapeutic agent, optionally linked to the nanoparticle core by way of an optional linker,” the term “optionally linked” is interpreted to mean that the therapeutic agent may or may not be linked to the nanoparticle, and embraces both embodiments in the alternative. Similarly, the term “optional linker” embraces both embodiments, in the alternative, where the linker is either present or absent (in this case, since the optional linker refers to the linking of the therapeutic agent and the nanoparticle core, where the linker is absent, the inkage is a direct bond.
- The term a “polymer” as used at least in the context of the nanoparticle core, herein embraces its generally recognized meaning and indicates a large molecule composed of repeating structural units typically connected by covalent chemical bonds. A suitable polymer may be a linear and/or branched and can take the form of a homopolymer or a co-polymer. If a co-polymer is used, the co-polymer may be a random copolymer or a branched co-polymer. Exemplary polymers comprise water-dispersible and, in particular, water-soluble polymers. For example, suitable polymers include, but are not limited to polysaccharides, polyesters, polyamides, polyethers, polycarbonates, polyacrylates, etc. For therapeutic and/or pharmaceutical uses and applications, the polymer should have a low toxicity profile and that are not toxic or cytotoxic. Suitable polymers include polymers having a molecular weight of about 500,000 or below. Suitable polymers can have a molecular weight of about 100,000 and below.
- The term “polymer containing a boronic acid” or a “linker having a boronic acid” and the like as used herein indicate containing at least one boronic acid group presented for binding to a hydroxyl group of a polymer containing polyols. In particular, polymers containing boronic acids of the nanoparticles herein described include a polymer comprising in at least one structural unit an alkyl or aryl substituted boronic acid containing a carbon to boron chemical bond. Suitable boronic acid polymers comprise polymers wherein boronic acid is in a terminal structural unit or in any other suitable position to provide the resulting polymer with hydrophilic properties. In this regard, the (nitro)phenyl boronic acids, and especially nitrophenyl boronic acids, are preferred. As used herein, in the context of “(nitro)phenylboronic acid,” the parenthetical “nitro” reflects separate embodiments where the phenylboronic acid moiety has at least one nitro group appended to the phenyl group (i.e., a nitrophenylboronic acid moiety) and where the phenylboronic acid group does not contain a nitro group (i.e., a phenylboronic acid moiety).
- The term “polymer containing a polyol” or “polyol-containing polymer” refers to a polymer refers to a polymer presenting multiple hydroxyl functional groups. These multiple hydroxyl groups can serve to improve the hydrophilicity of the core, making the it better dispersible in aqueous media and/or may provide sites for linking the various linking groups described herein. In certain embodiments, the polymer containing a polyol suitable to form the nanoparticles here described comprise polymers presenting at least a portion of the hydroxyl functional groups for a coupling interaction with at least one boronic acid of a polymer containing a boronic acid.
- In certain embodiments, the polyols comprise monomeric polyols such as pentaerythritol, ethylene glycol, glycerin, and various sugars, including mucic acid. Exemplary polymers containing polyols comprise polyesters, polyethers and polysaccharides. Exemplary suitable polyethers include but are not limited to diols, such as polyethylene glycol, polypropylene glycol, and poly(tetramethylene ether) glycol. Exemplary, suitable polysaccharides include but are not limited to cyclodextrins, starch, glycogen, cellulose, chitin and β-Glucans. Exemplary, suitable polyesters include but are not limited to polycarbonate, polybutyrate and polyethylene terephthalate, all terminated with hydroxyl end groups. Exemplary polymers containing polyols comprise polymers of about 500,000 or less molecular weight and in particular from about 300 to about 100,000.
- The term “polypeptide” as used herein indicates an organic linear, circular, or branched polymer composed of two or more amino acid monomers and/or analogs thereof. The term “polypeptide” includes amino acid polymers of any length including full length proteins and peptides, as well as analogs and fragments thereof. A polypeptide of three or more amino acids is also called a protein oligomer, peptide or oligopeptide. In particular, the terms “peptide” and “oligopeptide” usually indicate a polypeptide with less than 50 amino acid monomers. As used herein the term “amino acid”, “amino acidic monomer”, or “amino acid residue” refers to any of the twenty naturally occurring amino acids, non-natural amino acids, and artificial amino acids and includes both D an L optical isomers. In particular, non-natural amino acids include D-stereoisomers of naturally occurring amino acids (these including useful ligand building blocks because they are not susceptible to enzymatic degradation). The term “artificial amino acids” indicate molecules that can be readily coupled together using standard amino acid coupling chemistry, but with molecular structures that do not resemble the naturally occurring amino acids. The term “amino acid analog” refers to an amino acid in which one or more individual atoms have been replaced, either with a different atom, isotope, or with a different functional group but is otherwise identical to original amino acid from which the analog is derived. All of these amino acids can be synthetically incorporated into a peptide or polypeptide using standard amino acid coupling chemistries. The term “polypeptide” as used herein includes polymers comprising one or more monomer or building blocks other than an amino acid monomer. The terms monomer, subunit, or building blocks indicate chemical compounds that under appropriate conditions can become chemically bonded to another monomer of the same or different chemical nature to form a polymer. The term “polypeptide” is further intended to comprise a polymer wherein one or more of the building blocks is covalently bound to another by a chemical bond other than amide or peptide bond.
- The term “protein” as used herein indicates a polypeptide with a particular secondary and tertiary structure that can participate in, but not limited to, interactions with other biomolecules including other proteins, DNA, RNA, lipids, metabolites, hormones, chemokines, and small molecules Exemplary proteins herein described are antibodies. The terra protein embraces fusion proteins.
- The term “prevent” as used herein to describe the action of inhibiting cell proliferation or the growth of tumors, or ameliorating the symptoms, prolonging the survival of, or otherwise mitigating the undesirable effects of the disease for which the patient is being treated.
- The distinction between the terms “small molecule therapeutic” and “large molecule therapeutic” should be apparent to a person of skill in the art, as based on molecular weight of the molecule. In certain embodiments, the demarcation may be defined as a molecular weight of about 600 Da, 800 Da, 1000 Da, or 1200 Da. In the context of “small molecules capable of passing the blood brain barrier,” unless the molecule is specifically known to be incapable of passing the blood brain barrier, this is normally defined by a “Rule of Five,” typically attributed to Lipinski, that describes the physical parameters seen as necessary or essential for a small molecule to pass. According to this Rule, a good absorption and permeability is likely if:
- Molecular weight is ≤600;
- Oil/water distribution coefficient (Log P) is ≤5;
- Hydrogen bond donors ≤3-5 (expressed as the sum of OHs and NHs);
- Hydrogen bond acceptor ≤7-10 (expressed as the sum of Ns and Os); and
- Number of rotatable bonds ≤5-10.
- For the purposes of this disclosure, a small molecule therapeutic will be considered capable of passing the blood brain barrier without the disclosed nanoparticle systems if it is otherwise known to pass or meets these criteria. Likewise, unless otherwise stated, a small molecule will be deemed incapable of passing through the blood brain barrier to deliver therapeutically effect amounts without the nanoparticles set forth herein, if it does not satisfy these criteria. Against this context, a review by H. Pajouhesh, et al., “Medicinal Chemical Properties of Successful Central Nervous System Drugs” NeuroRx, 2005 October; 2(4) 541-553, which is incorporated by reference herein for its teaching in this regard, based on literature surveys concluded that successful CNS drugs had:
- Molecular weight—preferably below a 400 to 600-Da range;
- Oil/water distribution coefficient (Log P)—preferably in the range of 1.5-2.7;
- Hydrogen bond donors and acceptors—collectively (O+N)=4.32:2.12 hydrogen bond acceptors and 1.5 hydrogen bond donors;
- PSA (polar surface area) (defined as the surface area (A2) occupied by nitrogen and oxygen atoms and the polar hydrogens attached to them and is strongly reflective of hydrogen bonding capacity and polarity—less than 60-70 Å2
- Aqueous solubility >60 μg/ml;
- Number of rotatable bonds—less than 5.
- The number of (OH+NH) bonds (≤1.5 to 2), number of (O+N) bonds (≤4.3 to 6), hydrogen bond acceptors (≤2.5 to 4), and rotatable bonds (≤4.7 to 7) appeared to distinguish CNS (74) and gastrointestinal-metabolic (38) drugs marketed between 1983 and 2002, suggesting these parameters are most important. Generally, marketed CNS drugs tend to smaller with a more compact and less flexible structure, the surface having fewer polar groups able to function as hydrogen bond donors and acceptors and compared to the total surface area, the PSA is reduced. These can give further definition to the small molecules capable of passing the blood brain barrier.
- The term “substantially free” as in “where the nanoparticle core and/or surface is substantially free of cationic mucic-acid containing polymer (cMAP)” refers to a composition in which the core or surface composition contains less than 3 mol % of the cMAP polymer, preferably less than 1%, and more preferably no cMAP polymer. Unless otherwise indicated, the term refers to the absence of cMAP polymer.
- The term “target” as used herein indicates a biological system of interest including organs, tissues, or any portion thereof and may include in vitro or in vivo biological systems or any portion thereof. In certain embodiments, the target is a tumor or cancer cells within the brain itself.
- As used herein, the terms “therapeutic agent” and “chemotherapeutic agent” are intended to mean a compound that, when present in a therapeutically effective amount, produces a desired therapeutic effect on a patient; for example, utilized to treat, combat, ameliorate, prevent or improve an unwanted condition or disease of a patient or subject. In the case of cancer, this includes stopping the progression of the cancer and/or a reduction in the presence of corresponding tumors or cancer cells. Such inhibition may occur for example, and without limitation, via a direct interaction, and/or through a competitive interaction, or via an allosteric interaction with a corresponding receptor. The term “[chemo]therapeutic agent” is intended to embrace the separate embodiments of the general term “therapeutic agent” and the more specific “chemotherapeutic agent,” the latter term generally associated with cytotoxic agents for use in chemotherapy for cancer. More generally, the use of brackets or parentheses, in this way, is intended to refer to separate embodiments where the bracketed or parenthetical text is both present and absent.
- In a addition to the therapeutic agents disclosed elsewhere herein, the term more generally encompasses any lipophilic or hydrophilic, synthetic or naturally occurring biologically active therapeutic agent including those known in the art. The Merck Index, An Encyclopedia of Chemicals, Drugs, and Biologicals, 13th Edition, 2001, Merck and Co., Inc., Whitehouse Station, N.J. Examples of such therapeutic agents include, but are not limited to, small molecule pharmaceuticals, antibiotics, steroids, polynucleotides (e.g. genomic DNA, cDNA, mRNA, siRNA, shRNA, miRNA, antisense oligonucleotides, viruses, and chimeric polynucleotides), plasmids, peptides, peptide fragments, small molecules (e.g. doxorubicin), chelating agents (e.g. deferoxamine, ethylenediaminetetraacetic acid (EDTA)), natural products (e.g. Taxol, Amphotericin), and other biologically active macromolecules such as, for example, proteins and enzymes. See also U.S. Pat. No. 6,048,736 which lists active agents (therapeutic agents) that can be used as therapeutic agent with nanoparticles herein described Small molecule therapeutic agents may not only be the therapeutic agent within the composite particle but, in an additional embodiment, may be covalently bound to a polymer in the composite. In several embodiments, the covalent bond is reversible (e.g. through a prodrug form or biodegradable linkage such as a disulfide) and provides another way of delivering the therapeutic agent. In several embodiments therapeutic agent that can be delivered with the nanoparticles herein described include chemotherapeutics such as epothilones, camptothecin-based drugs, taxol, or a nucleic acid such as a plasmid, siRNA, shRNA mRNA, antisense oligonucleotides aptamers or their combination, and additional drugs identifiable by a skilled person upon reading of the present disclosure
- A “therapeutically effective amount” or “effective amount” of a composition is a predetermined amount calculated to achieve the desired effect. The activity contemplated by the present methods includes both medical therapeutic and/or prophylactic treatment, as appropriate. As used herein, “therapeutically effective amount” refers to the amount of active compound or pharmaceutical agent that elicits a biological or medicinal response in a tissue, system, animal, individual or human that is being sought by a researcher, veterinarian, medical doctor or other clinician, which includes one or more of the following as specified in the particular methodology: (1) preventing the disease; for example, preventing a disease, condition or disorder in an individual that may be predisposed to the disease, condition or disorder but does not yet experience or display the pathology or symptomatology of the disease, (2) inhibiting the disease; for example, inhibiting a disease, condition or disorder in an individual that is experiencing or displaying the pathology or symptomatology of the disease, condition or disorder (i.e., arresting further development of the pathology and/or symptomatology), and (3) ameliorating the disease; for example, ameliorating a disease, condition or disorder in an individual that is experiencing or displaying the pathology or symptomatology of the disease, condition or disorder (i.e., reducing the severity of the pathology and/or symptomatology).
- As used herein, the term “transferrin” (abbreviated “Tf”) is meant to encompass variants and isoforms of the protein, as well as fragments of the protein capable of binding to the transferrin receptor (“TfR”). For example, the term would include holo-transferrin as well as transferrin itself.
- The terms “treat,” “treated,” or “treating” as used herein refers to both therapeutic treatment and prophylactic or preventative measures, wherein the object is to prevent or slow down (lessen) an undesired physiological condition, disorder or disease, or to obtain beneficial or desired clinical results. For the purposes of this invention, beneficial or desired clinical results include, but are not limited to, diminishment of the extent of the condition, disorder or disease; stabilization (i.e., not worsening) of the state of the condition, disorder or disease; delay in onset or slowing of the progression of the condition, disorder or disease; amelioration of the condition, disorder or disease state; and remission (whether partial or total), whether detectable or undetectable, or enhancement or improvement of the condition, disorder or disease. Treatment includes eliciting a clinically significant response with or without excessive levels of side effects.
- The term “vehicle” as used herein indicates any of various media acting usually as solvents, carriers, binders, excipients or diluents for a nanoparticle comprised in the composition as an active ingredient.
- The following listing of embodiments is intended to complement, rather than displace or supersede, the previous descriptions.
- A polymer, polymer conjugate, or nanoparticle composition comprising:
- a polymer or nanoparticle core to which is bonded
- (a) at least one targeting agent, the targeting agent comprising a ligand attached to an external surface of the nanoparticle core by a linker;
-
- the ligand having an affinity for binding to a receptor expressed by endothelial cells of the blood-brain barrier; and
- the linker being cleavable when subject to conditions inside an endothelial cell of the blood-brain barrier, wherein the cleavage comprises hydrolysis, chemical reduction, or enzymatic cleavage of the linker;
and one or both of
- (b) at least one small molecule therapeutic agent, optionally linked to the nanoparticle core by way of an optional linker; and/or
- (c) at least one large molecule therapeutic agent, linked to the nanoparticle by way of an optional linker;
- wherein the nanoparticle comprises polyol-containing polymer, such as a mucic acid-containing polymer (MAP) or a cationic mucic acid polymer (cMAP), a peptide, a poly(lactic-co-glycolic acid) (PLGA) polymer, chitosan, a synthetic polymer such as a polyamide, a polycarbonate, a polyethylene, a polyethyleneimine, gold, and/or iron oxide, or any combination thereof, and further wherein
- the large molecule therapeutic agent, when present, and the targeting agent comprise different chemical entities. Additionally, or alternatively, in certain independent Aspects of this Embodiment, the presence of a cationic mucic acid polymer (cMAP) is specifically excluded.
- Additionally, or alternatively, in certain independent Aspects of this Embodiment, the composition is or can be independently characterized as a polymer (i.e., without regard to any specific second order structure) comprising the single polymer or more polymers, for example a mucic acid polymer linked to a small molecule therapeutic agent.
- Additionally, or alternatively, in certain independent Aspects of this Embodiment, the composition is or can be characterized as a polymer chain (i.e., without regard to any specific second order structure) comprising the coupling of two or more polymers, for example a mucic acid polymer and a (nitro-boronic acid polymer).
- Additionally, or alternatively, in certain independent Aspects of this Embodiment, the composition is or can be characterized as a nanoparticle or population of nanoparticles.
- Additionally, or alternatively, in certain independent Aspects of this Embodiment, the core is independently characterized simply as a polymer. In other independent Aspects of this Embodiment, the core is independently characterized as a nanoparticle.
- Additionally, or alternatively, in certain independent Aspects of this Embodiment, the polymer, polymer conjugate, or nanoparticle composition comprises the polymer or nanoparticle core to which is bonded at least one targeting agent and the at least one small molecule therapeutic agent.
- Additionally, or alternatively, in other independent Aspects of this Embodiment, the polymer, polymer conjugate, or nanoparticle composition comprises the polymer or nanoparticle core to which is bonded at least one targeting agent and the at least one large molecule therapeutic agent.
- Additionally, or alternatively, in other independent Aspects of this Embodiment, the polymer, polymer conjugate, or nanoparticle composition comprises the polymer or nanoparticle core to which is bonded at least one targeting agent, the at least one small molecule therapeutic agent, and the at least one large molecule therapeutic agent.
- Additionally, or alternatively, in other independent Aspects of this Embodiment, the linker comprises a polyethylene glycol (PEG) polymer moiety conjugated to the surface of the nanoparticle core by a pH sensitive linkage selected from the group consisting of an acetal, a borate ester, a carbonate, a carboxylic acid ester, a diamino ketal, a disulfide, a hydrazone, an imine, a ketal, an orthoester, or a peptide linkage.
- Additionally, or alternatively, in other independent Aspects of this Embodiment, the linker comprises, when the pH sensitive linkage is carboxylic acid ester linkage, the surface of the nanoparticle core comprises poly(lactic-co-glycolic acid) (PLGA) polymers, wherein the linker is dissociable when subject to pH conditions inside an endothelial cell of the blood-brain barrier.
- Additionally, or alternatively, in other independent Aspects of this Embodiment, the linker comprises a polyethylene glycol (PEG) polymer moiety conjugated to the surface of the nanoparticle core by a peptide linkage, wherein the peptide linkage can be enzymatically cleaved to cause dissociation of the ligand from the nanoparticle when the nanoparticle is inside a brain endothelial cell.
- Additionally, or alternatively, in other independent Aspects of this Embodiment, one or both of the therapeutic agents characterized as small molecule therapeutic agent and the large molecule therapeutic agent is a small molecule chemotherapeutic agent and large molecule chemotherapeutic agent, respectively.
- Additionally, or alternatively, in other independent Aspects of this Embodiment, the polymer, polymer conjugate, or nanoparticle composition comprises a structure as described in any one of the structures described in U.S. Pat. Nos. 8,557,292; 8,746,999; 8,968,714; 9,186,327; 9,334,367; 9,610,355; or 9,913,911 (CIT-5200); PCT application PCT/US2009/053620 (CIT-5200); U.S. Pat. No. 9,468,681; PCT application PCT/US2013/028663 (CIT-6456); U.S. Pat. No. 9,132,097; PCT application PCT/US2013/028681 (CIT-6455); U.S. patent application Ser. No. 14/120,309; PCT application PCT/US2014/000099 (CIT-6566); U.S. patent application Ser. No. 15/180,201; or PCT application PCT/US2016/037166 (CIT-7222). These references are incorporatede by reference herein for all purposes, but at least for the descriptions of the nanoparticles and uses thereof described therein.
- The polymer, polymer conjugate, or nanoparticle composition of
Embodiment 1, wherein the polymer or nanoparticle core comprises, consists essentially of, or consists of mucic acid polymer (MAP), a cationic mucic acid polymer (cMAP), a poly(lactic-co-glycolic acid) (PLGA), chitosan, polyethyleneimine, polysaccharide, polyester, polyamide, polyether, polycarbonate, polyacrylate, iron oxide, or gold. Each of these materials constitute independent Aspects of this Embodiment. - Additionally, or alternatively, other water-dispersible and in particular water-soluble polymers may be considered for this purpose. For therapeutic and/or pharmaceutical uses and applications, the polymer should have a low toxicity profile and in particular that are not toxic or cytotoxic. Additionally, or alternatively, such polymers include those having a molecular weight of about 500,000 or below. In particular, suitable polymers can have a molecular weight of about 100,000 and below.
- Further, in additional or alternative Aspects of this Embodiment, the polymer or nanoparticle core by itself (i.e., without the targeting ligand, or small or large molecule therapeutic compounds), as further characterized herein, is considered an independent aspect of this Embodiment.
- The polymer, polymer conjugate, or nanoparticle composition of
1 or 2, wherein the polymer or nanoparticle core comprises, consists essentially of, or consists of a polyol-containing polymer, preferably a sugar-containing polymer, for example, a polymer derived from glucose, fructose, mannitol, mucic acid, sucrose, galactose, sorbitol. xylose or galactose, more preferably from mucic acid. Additionally, or alternatively, in certain Aspects of this Embodiment, the polyol-containing polymer of the polymer, polymer conjugate, or nanoparticle composition further comprises dihydroxy, hydroxy-amine, and/or diamine linkages between the polyol moieties, wherein the dihydroxy, hydroxy-amine, and/or diamine linkages independently comprise 1 to 6 carbon atoms between the respective hydroxy and amine functional groups.Embodiment - The polymer, polymer conjugate, or nanoparticle composition of any one of
Embodiments 1 to 3, wherein the polymer or nanoparticle core is charge neutral and/or negatively charged. In certain Aspects of this Embodiment, the polymer or nanoparticle core contains no cationic moieties (e.g., does not contain any cationic mucic acid polymers (cMAP) or polymer portions. - The polymer, polymer conjugate, or nanoparticle composition of any one of
Embodiments 1 to 3, wherein the polymer or nanoparticle core comprises at least one cationic and/or at least one anionic moiety. Additionally, or alternatively, in independent Aspects of this Embodiment, the polymer or nanoparticle core contains a net cationic charge, a net anionic charge, or is charge-balanced neutral. In certain independent Aspects within this Embodiment, a net cationic charge may be provided by the incorporation of amidines, quaternary ammoniums, primary, secondary, or tertiary amine groups (protonated below their pKa's), and immidazolium groups. In certain independent Aspects within this Embodiment, a net anionic charge may be provided by the incorporation of functional groups including sulfonates, nitrates, carboxylates, and phosphonates. - The polymer, polymer conjugate, or nanoparticle composition of any one of Embodiments 1 to 5, wherein the polymer or nanoparticle core independently comprises units of the formula:
- The polymer, polymer conjugate, or nanoparticle composition of any one of Embodiments 1 to 6, wherein the polymer or nanoparticle core comprises a polymer containing a polyol, wherein the polymer containing the polyol is derived from the coupling of a compound of Formula A with a compound of Formula B; wherein the compound of Formula A is:
- wherein n is a number from 1 to 20; and
- R is a functional group residue (e.g., —COOH, —NH2, —OH) corresponding to that of an amino acid containing a third functional group, for example arginine (R is CH2CH2CH2NHC(NH2)2 +), histidine (R is CH2-imidazolyl), lysine (R is CH2—CH2—CH2—CH2—NH2), aspartic acid (R is CH2—COOH), glutamic acid (R is CH2—CH2—COOH), serine (R is CH2—OH), threonine (R is CH(OH)(CH3)) asparagine (R is CH2—C(O)NH2), glutamine (R is CH2—CH2—C(O)NH2), tyrosine (R is CH2-Ph-OH), tryptophan (R is CH2-indolyl), or a salt thereof; and
- the compound of Formula B is:
- in which
- q is a number from 1 to 20;
- p is a number from 20 to 200; and
- L is a leaving group.
- Additionally, or alternatively, in independent Aspects of this Embodiment, the compound of Formula B is:
- Additionally, or alternatively, in some Aspects of this Embodiment, the compound of Formula B specifically excludes:
- Additionally, or alternatively, in independent Aspects of this Embodiment, the compound of Formula B is:
- The polymer, polymer conjugate, or nanoparticle composition of any one of Embodiments 1 to 7, wherein the polymer or nanoparticle core independently comprises units of the formula:
- The polymer, polymer conjugate, or nanoparticle composition of any one of Embodiments 1 to 8, wherein the polymer or nanoparticle core independently comprises units of the formula:
- Additionally, or alternatively, in independent Aspects of any one of
Embodiments 7 to 9, q is a number from 1 to 20 and p is a number from 20 to 200. Additionally, or alternatively, in other independent Aspects any one ofEmbodiments 7 to 9, n is 1 and q is 1. - The polymer, polymer conjugate, or nanoparticle composition of any one of Embodiments 1 to 9, wherein the polymer or nanoparticle core independently comprises units derived from the coupling of:
- where n is a number from 1 to 20 with a trifunctional amino acid, for example including arginine, histidine, lysine, aspartic acid, glutamic acid, serine, threonine, asparagine, or glutamine, or a moiety derived therefrom, preferably from aspartic acid, or a moiety derived therefrom.
- The polymer, polymer conjugate, or nanoparticle composition of any one of Embodiments 1 to 10, wherein the polymer or nanoparticle core polymer comprises a polyol and a polyethylene oxide linkage:
- where x is in a range of from 15 to 100, preferably 20 to 85.
- The polymer, polymer conjugate, or nanoparticle composition of any one of Embodiments 1 to 11, wherein the polymer or nanoparticle core polymer comprises a polyol structure:
- where y is in a range of from 10 to 25, preferably 15 to 25, more preferably about 20, or more broadly:
- where R is a functional group residue (containing, e.g., a —COOH, —NH2, —OH residue) corresponding to that of an amino acid containing a third functional group, for example arginine (R is CH2CH2CH2NHC(NH2)2+), histidine (R is CH2-imidazolyl), lysine (R is CH2—CH2—CH2—CH2—NH2), aspartic acid (R is CH2—COOH), glutamic acid (R is CH2—CH2—COOH), serine (R is CH2—OH), threonine (R is CH(OH)(CH3)) asparagine (R is CH2—C(O)NH2), glutamine (R is CH2—CH2—C(O)NH2), tyrosine (R is CH2-Ph-OH), tryptophan (R is CH2-indolyl), or a salt thereof.
- Additionally, or alternatively, in certain Aspects of this Embodiment, R is independently linked to one or more of the targeting agent, the small molecule [chemo]therapeutic agent, and/or the large molecule [chemo]therapeutic agent.
- The polymer, polymer conjugate, or nanoparticle composition of any one of
Embodiments 1 to 12, wherein the polymer or nanoparticle core copolymer comprises residues of lactic acid, glycolic acid, or a combination thereof. In certain additional or alternative Aspects of this Embodiment, the residues of the lactic acid, glycolic acid, or a combination thereof are arranged as polymers or co-polymers of these materials. Additionally, or alternatively, the polymer or nanoparticle core copolymer consists of these polymers or co-polymers. Additionally, or alternatively, the polymer or nanoparticle core copolymer comprise one or more sugar polyol (including mucic acid), lactic acid, and/or glycolic acid residues. That is, in some Aspects of this Embodiment, poly(lactic-co-glycolic acid) (PLGA) core is further modified to incorporate sugars having suitable hydroxyl groups to allow the particle to be conjugated to a boronic acid-containing targeting agent. - The polymer, polymer conjugate, or nanoparticle composition of any one of Embodiments 1 to 13, wherein the polymer or nanoparticle core polymer comprises alternating charged and uncharged segments comprising one or more of the following structural units of Formula (I) or Formula (II) or Formula (III):
- wherein
- A is an uncharged segment comprising polyalkylene glycol;
- B is a cationically charged segment comprising at least one polyhydroxy linkage comprising at least one pair of vicinal diols. In certain subset embodiments, A and B independently have number average molecular weights in a range 500 Da to about 5000 Da, greater than 5000 da to about 10 kDa, greater than 10 kDa to about 20 kDa, greater than 20 kDa to about 30 kDa, greater than 30 kDa to about 40 kDa, greater than greater than 40 kDa to about 50 kDa, or any combination thereof. In other subsets, either A or B, or both A and B have a number average molecular weight in a range of greater than 5000 Da to about 50,000 Da.
- The polymer, polymer conjugate, or nanoparticle composition of Embodiment 14, wherein A is or comprises polyethylene glycol and an appropriate linking group.
- The polymer, polymer conjugate, or nanoparticle composition of
15 or 15, wherein the polyalkylene glycol has a nominal number averaged molecular weight in a range of from about 500 Daltons to about 50,000 Daltons. Additionally, or alternatively, in certain Aspects of this Embodiment, the polyalkylene glycol has a nominal number averaged molecular weight in a range of from about 500 Da to about 1 kDa, greater than 1 kDa to about 5 kDa, greater than 5 kDa to about 10 kDa, greater than 10 kDa to about 15 kDa, greater than 15 kDa to about 20 kDa, greater than 20 kDa to about 30 kDa, greater than 30 kDa to about 40 kDa, greater than 40 kDa to about 50 kDa, or any combination of two or more of these ranges.Embodiment - The polymer, polymer conjugate, or nanoparticle composition of any one of Embodiments 14 to 16, where B is a cationically charged segment comprising at least one polyhydroxy sugar linkage comprising at least one pair of vicinal diols.
- The polymer, polymer conjugate, or nanoparticle composition of any one of Embodiments 14 to 17, wherein B comprises at least one repeating subunit comprising a structure:
- Note that the structure designated as
- is functionally equivalent to that presented immediately preceding and this representation is intended to refer to both.
- The polymer, polymer conjugate, or nanoparticle composition of any one of Embodiments 14 to 18, wherein B further comprises at least one repeating subunit comprising a structure:
- wherein m is 1, 2, 3, 4, 5, 6, 7, 8, 9, or 10, preferably 4-6 or 5.
- The polymer, polymer conjugate, or nanoparticle composition of any one of Embodiments 14 to 19, wherein B comprises at least one repeating subunit comprising cMAP, whose subunit structure is represented as:
- wherein
- m is independently at each
1, 2, 3, 4, 5, 6, 7, 8, 9, or 10, preferably 4-6 or 5; andoccurrence - n is independently at each
1, 2, 3, 4, or 5. In other related embodiments, m and n can be larger, for example to about 10.occurrence - The polymer, polymer conjugate, or nanoparticle composition of any one of Embodiments 14 to 20, described by a structure:
- wherein
- Chain A is
- Chain B is
- cMAP is
- p and q are sufficient to provide a number average molecular weight for the subunits comprising cMAP and PEG, respectively, independently in a range of from about 500 Da to about 50,000 Da;
- m is independently at each
1, 2, 3, 4, 5, 6, 7, 8, 9, or 10, preferably 4-6 or 5;occurrence - n and r are independently at each
0, 1, 2, 3, 4, or 5; andoccurrence - X1 and X2 are independently at each occurrence C1-6 alkyl, optionally substituted with —OH, —COOH, —C(═O)O(alkyl), —C(═O)O(aryl), —NH2, —NH(alkyl), —N(alkyl)2, or a salt or protected analog thereof.
- Note that, to meet the molecular weight restrictions, the numeric values for p corresponds to a range of from about 1 to about 100, preferably from about 10 to about 100, and the numeric values for q corresponds to as range from about 12 to about 1200. In subsets of these embodiments, q can also be in a range of from about 100 to about 500. In certain subsets of this Embodiment, p and q are sufficient to provide a number average molecular weight for the subunits comprising cMAP and PEG, respectively, independently in a range of from about 500 Da to about 1000 Da, greater than 1000 Da to about 5000 Da, greater than 5000 Da to about 10,000 Da, greater than 10,000 to about 25,000 Da, greater than 25,000 Da to about 50,000 Da, or any combination of two or more of these ranges, as well as the corresponding numeric values for these MWn ranges. In other subsets of this Embodiment, X1 and X2 are independently —(CH2)1-4—COOH and —(CH2)1-4—NH2.
- The polymer, polymer conjugate, or nanoparticle composition of any one of Embodiments 14 to 21, described by a structure:
- wherein
- cMAP is
- Chain B is
- Chain C is
- End Group D is:
- p and q are sufficient to provide a number average molecular weight for the subunits comprising cMAP and PEG, respectively, independently in a range of from about 500 Da to about 50,000 Da;
- m is independently at each
1, 2, 3, 4, 5, 6, 7, 8, 9, or 10, preferably 4-6 or 5;occurrence - n and r are independently at each
0, 1, 2, 3, 4, or 5;occurrence - z is equal to or greater than 1 (up to about 2, 4, 6, 8, or 10); and
- X2 is independently at each occurrence C1-6 alkyl, optionally substituted with —OH, —COOH, —C(═O)O(alkyl), —C(═O)O(aryl), —NH2, —NH(alkyl), —N(alkyl)2, or a salt or protected analog thereof, and.
- X3 is —OH, —COOH, —C(═O)O(alkyl), —C(═O)O(aryl), —NH2, —NH(alkyl), —N(alkyl)2, or a salt or protected analog thereof.
- Again, as in Embodiment 21, to meet the molecular weight restrictions, the numeric values for p corresponds to a range of from about 1 to about 100, preferably from about 10 to about 100, and the numeric values for q corresponds to as range from about 12 to about 1200. In subsets of these embodiments, q can also be in a range of from about 100 to about 500. In certain subsets of this Embodiment, p and q are sufficient to provide a number average molecular weight for the subunits comprising cMAP and PEG, respectively, independently in a range of from about 500 Da to about 1000 Da, greater than 1000 Da to about 5000 Da, greater than 5000 Da to about 10,000 Da, greater than 10,000 to about 25,000 Da, greater than 25,000 Da to about 50,000 Da, or any combination of two or more of these ranges, as well as the corresponding numeric values for these MWn ranges. In other subsets of this Embodiment, X1 and X2 are independently —(CH2)1-4—COOH and —(CH2)1-4—NH2
- The polymer, polymer conjugate, or nanoparticle composition of any one of Embodiments 13 to 21, described by a structure:
- wherein
- End Group D is:
- cMAP is
- Chain C is
- p and q are sufficient to provide a number average molecular weight for the subunits comprising cMAP and PEG, respectively, independently in a range of from about 500 Da to about 50,000 Da, preferably from about 1000 Da to about 5000 Da;
- m is independently at each
1, 2, 3, 4, 5, 6, 7, 8, 9, or 10, preferably 4-6 or 5;occurrence - n and r are independently at each
0, 1, 2, 3, 4, or 5;occurrence - z is equal to or greater than 1 (up to about 2, 4, 6, 8, or 10); and
- X3 and X4 are independently at each occurrence —OH, —COOH, —C(═O)O(alkyl), —C(═O)O(aryl), —NH2, —NH(alkyl), —N(alkyl)2, or a salt or protected analog thereof.
- Again, as in Embodiments 21 and 22, to meet the molecular weight restrictions, the numeric values for p corresponds to a range of from about 1 to about 100, preferably from about 10 to about 100, and the numeric values for q corresponds to as range from about 12 to about 1200. In subsets of these embodiments, q can also be in a range of from about 100 to about 500. In certain subsets of this Embodiment, p and q are sufficient to provide a number average molecular weight for the subunits comprising cMAP and PEG, respectively, independently in a range of from about 500 Da to about 1000 Da, greater than 1000 Da to about 5000 Da, greater than 5000 Da to about 10,000 Da, greater than 10,000 to about 25,000 Da, greater than 25,000 Da to about 50,000 Da, or any combination of two or more of these ranges, as well as the corresponding numeric values for these MWn ranges. In other subsets of this Embodiment, X1 and X2 are independently —(CH2)1-4—COOH and —(CH2)1-4—NH2
- Additionally, or alternatively, in certain Aspects of Embodiments 19 to 22, m is 4, 5, or 6, preferably 5.
- Additionally, or alternatively, in certain Aspects of Embodiments 19 to 22, wherein n is 1.
- Additionally, or alternatively, in certain Aspects of Embodiments 19 to 22, wherein r is 2, 3, or 4, preferably 3.
- The polymer, polymer conjugate, or nanoparticle composition of any one of Embodiments 14 to 23, wherein p is sufficient to provide a number average molecular weight of the subunit comprising cMAP in a range of from about or greater than 5 kDa to about 15 kDa, from about or greater than 6 kDa to about 14 kDa, from about or greater than 7 kDa to about 13 kDa, from about or greater than 8 kDa to about 12 kDa, from about or greater than 9 kDa to about 11 kDa, or about 10 kDa. In some subset Embodiments, for example where the cMAP fragment has MWn of about 420 Da, this corresponds to p having numeric values in ranges of about 12 to about 36, from about 14 to about 33, from about 17 to about 31, from about 19 to about 29, from about 22 to about 26, or about 24.
- The polymer, polymer conjugate, or nanoparticle composition of any one of
Embodiments 20 to 24, wherein q is sufficient to provide a number average molecular weight of the subunit comprising PEG in a range of from about or greater than 500 Da to about 50 kDa, from about or greater than 1 kDa to about 40 kDa, from about or greater than 5 kDa to about 30 kDa, or from about or greater than 5 kDa to about 20 kDa. In some of these Embodiments, for example assuming ethylene glycol fragment has MWn of about 44 Da, this corresponds to q having numeric values in ranges of about 11 to about 1200, from about 23 to about 910, from about 110 to about 680, or from about 110 to about 450. - The polymer, polymer conjugate, or nanoparticle composition of any one of
Embodiments 1 to 25, wherein the linker attaching the targeting agent to the polymer or nanoparticle core is cleavable when subject to conditions inside an endothelial cell of the blood-brain barrier, wherein the cleavage comprises hydrolysis, chemical reduction, or enzymatic cleavage of the linker. - Additionally, or alternatively, the cleavable linkage comprises one or more of an acetal, borate ester, a carboxylic ester, a diamino, a disulfide, a ketal, a hydrazone, an imine, a ketal, an orthoester, or a peptide linkage. Additionally, or alternatively, the cleavable linkage further comprises a polyethylene glycol (PEG) polymer moiety conjugated to the surface of the nanoparticle core by a pH sensitive linkage selected from the group consisting of nitrophenylboronic acid ester, carboxylic acid ester, diamino ketal, orthoester, acetal, ketal, imine, and hydrazone linkage. Additionally, or alternatively, where the surface of the nanoparticle core is or comprises a poly(lactic-co-glycolic acid) (PLGA) polymeror moiety, the pH sensitive linkage may be a carboxylic acid ester linkage, wherein the linker is dissociable when subject to pH conditions inside an endothelial cell of the blood-brain barrier. Additionally, or alternatively, the linker may comprise a polyethylene glycol (PEG) polymer moiety conjugated to the surface of the nanoparticle core by a peptide linkage, wherein the peptide linkage can be enzymatically cleaved to cause dissociation of the ligand from the nanoparticle when the nanoparticle is inside a brain endothelial cell).
- A variety of linkers may be used to attach the targeting ligand to the polymer or nanoparticle core, and in some instances may be used with different nanoparticles. In some Aspects of this Embodiment, the cleavable linker may include a polypeptide or chemical bond that can be chemically or enzymatically cleaved to cause disassociation of the ligand from the nanoparticle when the nanoparticle is inside a brain endothelial cell. For example, the linker can incorporate an enzyme target sequence just before the attached ligand to facilitate cleavage of the ligand following entry into a cellular endosome, thereby separating the ligand from the nanoparticle. In one embodiment the linker may include a cathepsin cleavage site to promote disassociation of the ligand from the nanoparticle. Those skilled in the art will understand that other sequences targeted by enzymes could be employed in a similar manner to cause disassociation of the nanoparticle from its ligand, which will allow the nanoparticle to move into the parenchyma of the CNS following excretion by the cell. Alternatively, a proteasome degradation tag could also be incorporated into the linker to cause the ligand to be degraded, but leaving the nanoparticle itself intact, as this would effectively dissociate the ligand and the nanoparticle following cellular uptake. The use of linkers with particular chemical bonds that can be chemically cleaved, such as orthoesters, acetals, ketals, imines, and hydrazones, should also be understood to be within the scope of this disclosure, as those skilled in the art will appreciate that such bonds could be used to facilitate disassociation of a ligand from a conjugated nanoparticle.
- In some Aspects of this Embodiment, the cleavable linker includes a disulfide bond that can be reduced to cause disassociation of the ligand from the nanoparticle when the nanoparticle is inside a brain endothelial cell. In one embodiment the disulfide bond may be placed between two component polymers bridging the nanoparticle and the ligand, such that upon reduction of the disulfide bond the nanoparticle and the ligand would be separated. In one Aspect of this Embodiment the linker is composed of two PEG polymers that are joined by a disulfide bond where one of the PEG polymers is conjugated to the nanoparticle core and the other is conjugated to a ligand that mediates targeting when linked to the nanoparticle core. After such a particle is endocytosed by a cell, the ligand can become disassociated from the nanoparticle, which will promote egress of the nanoparticle into the parenchyma of the CNS.
- In some Aspects of this Embodiment, the linker may include a hydrolyzable chemical bond that can be disrupted at low pH to cause disassociation of the ligand from the nanoparticle when the nanoparticle is inside a brain endothelial cell. In one embodiment the hydrolyzable bond may be placed between two component polymers bridging the nanoparticle and the ligand, such that upon hydrolysis of the bond the nanoparticle and the ligand would be separated. In one embodiment the linker is composed of a PEG polymer conjugated to the nanoparticle core at one end and linked via a diamino ketal (DAK) to a ligand that mediates targeting. After such a particle is endocytosed by a cell, the ligand will become disassociated from the nanoparticle when it encounters a low pH environment, which will promote egress of the nanoparticle into the parenchyma of the CNS. In one Aspect, the targeting agent having a hydrolyzable chemical bond that can be disrupted at low pH to cause disassociation of the ligand from the nanoparticle could be formed by having a ligand attached to a DAK linker that is attached to PEG-orthopyridyl disulfide (OPSS), where the ligand and OPSS are at opposite ends of the targeting agent.
- In some Aspects of this Embodiment, the linker may include a chemical bond having a pKa that can be disrupted at low pH to cause disassociation of the ligand from the nanoparticle when the nanoparticle is inside a brain endothelial cell. In one embodiment the hydrolyzable bond may be placed at one end of the targeting agent to mediate conjugation to the nanoparticle core. In this configuration, a shift in the pH that favors hydrolysis of the bond between the nanoparticle core and the targeting ligand would cause the core to be separated from the ligand on the targeting ligand. In one Aspect of this Embodiment, the targeting ligand linker comprises a borate ester linkage, that permit covalent bonding between the nanoparticle core and the targeting ligand, but once the particle is endocytosed by a cell, the ligand will become disassociated from the nanoparticle when it encounters a low pH environment sufficient to hydrolyze the borate ester, this hydrolysis promoting the egress of the nanoparticle into the parenchyma of the CNS
- The polymer, polymer conjugate, or nanoparticle composition of any one of Embodiments 1 to 26, comprising at least one borate ester of a (nitro)phenyl boronic acid-containing polymer comprising a structure:
- wherein
- the polymer or nanoparticle core and the (nitro)phenyl boronic acid-containing polymer are reversible connected to one another by the borate condensation linkage between the (nitro)phenyl boronic acid moieties of the (nitro)phenyl boronic acid-containing polymer and at least one pair of vicinal diols of the polymer or nanoparticle core, X5 being at the distal end of this connection;
- RA is nitro (or other electron withdrawing group);
- n is 0, 1, 2, 3, or 4, preferably 1;
- s is a number in a range of from 2 to 2000;
- L is a linking group between the phenyl ring and the polyethylene oxide linkage, the linking group comprising an amide, carbonate, ester, or disulfide group; and
- X5 is a C1-6 alkyl, optionally substituted with —OH, —COOH, —B(OH)2—, —C(═O)O(alkyl), —C(═O)O(aryl), —NH2, —NH(alkyl), —N(alkyl)2, or —SH, and/or the at least one targeting agent coupled thereto.
- In some Aspects of this Embodiment, s is any whole number between 20 and 1200. In certain embodiments, s may be any whole number between about 120 and about 180. In some embodiments, n may be any whole number between about 140 and 160. In some embodiments, s may be any one of 110, 111, 112, 113, 114, 115, 116, 117, 118, 119, 120, 121, 122, 123, 124, 125, 126, 127, 128, 129, 130, 131, 132, 133, 134, 135, 136, 137, 138, 139, 140, 141, 142, 143, 144, 145, 146, 147, 148, 149, 150, 151, 152, 153, 154, 155, 156, 157, 158, 159, or 160. Alternatively, the PEG segment used with any of the linkers described herein may be about 2 kDa, about 5 kDa, about 6, kDa, about 7 kDa, about 8 kDa, about 9 kDa, about 10 kDa, about 11 kDa, about 12 kDa, about 13 kDa, about 14 kDa, or about 15 kDa.
- Exemplary structures for the (nitro)phenyl boronic acid moiety include:
- though it should be apparent that the borate —B(OH)2 functional group can be ortho or para to the L group, as well as meta, and nitro group can occupy any position not otherwise occupied by the L or —B(OH)2 groups.
- Additionally, or alternatively, in certain Aspects of this Embodiment, at least one of these (nitro)phenyl boronic acid-containing polymer links or couples a single targeting agent to the polymer or nanoparticle core. That is, while each polymer or nanoparticle core may have a plurality of these (nitro)phenyl boronic acid-containing polymers attached thereto, in some independent Aspects, only one of these (nitro)phenyl boronic acid-containing polymers (on average) links the targeting agent to the polymer or nanoparticle core.
- Additionally, or alternatively, in other Aspects of this Embodiment, two or more (e.g., 2, 3, 4, 5, 6, 7, 8, 9, 10, or more) of these (nitro)phenyl boronic acid-containing polymers each link or couple independent targeting agents to a single polymer or nanoparticle core, where the independent targeting agents may be the same or different.
- Additionally, or alternatively, in other Aspects of this Embodiment, L is —(C0-2alkylene-)NH—C(═O)—(C0-2alkylene)-, —(C0-2alkylene)-C(═O)—NH—(C0-2alkylene)-, —(C0-2alkylene)-O—C(═O)— (C0-2alkylene)- or —(C0-2alkylene)-C(═O)—O—(C0-2alkylene)-.
- Additionally, or alternatively, in other Aspects of this Embodiment, L is —NH—C(═O)—, —C(═O)—NH—, —O—C(═O)—, or —C(═O)—O—.
- The polymer, polymer conjugate, or nanoparticle composition of any one of
Embodiments 1 to 27, wherein the at least one targeting ligand independently comprises or consists of a nucleotide, polynucleotide, aptamer, peptide, oligopeptide, polypeptide, protein, polysaccharide, antibody or antibody fragment. - Additionally, or alternatively, and as described elsewhere herein, the at least one of the targeting ligands is one known to specifically bind to receptor or surface protein expressed by a brain endothelial cell that undergoes transcytosis. Targeting cellular proteins that undergo transcytosis may increase the likelihood of success of the provided methods because these cellular proteins are known to transport proteins and other molecules from one side of a cell to the other, often in a coordinated manner. Additionally, or alternatively, the targeting ligand that may be used in the compositions and with the described methods independently comprises or consists of, but are not limited to, transferrin, an antibody specific for the transferrin receptor, a polypeptide that specifically binds to the transferrin receptor, insulin, an antibody specific for the insulin receptor, a polypeptide that specifically binds to the insulin receptor, insulin-
like growth factor 1, an antibody specific for the insulin-likegrowth factor receptor 1, a polypeptide that specifically binds to the insulin-likegrowth factor receptor 1, apolipoprotein E, angiopep-2, an antibody specific for low density lipoprotein receptor or lipoprotein receptor-related protein, a polypeptide that specifically binds to low density lipoprotein receptor or lipoprotein receptor-related protein; an antibody specific for diphtheria toxin receptor, or a polypeptide that specifically binds to diphtheria toxin receptor. Other cellular proteins capable of facilitating transcytosis that are known in the art may also be targeted by a ligand for carrying out the methods disclosed herein. - Additionally, or alternatively, the targeting ligand is or comprises any one of the foregoing targeting ligands that are known to associate with hematopoietic differentiation antigens (glycoproteins usually associated with CD groupings and include CD20, CD30, CD33, and CD52). Additionally, or alternatively, the targeting ligand is or comprises any one of the foregoing targeting ligands that are known to associate with growth factors such as epidermal growth factor receptor (EGFR; also known as ErbB 1), ErbB2 (also known as HER2), ErbB3, MET, insulin-
like growth factor 1 receptor (IGF 1R), ephrin receptor A3 (EphA3), TNF receptor apoptosis-inducing ligand receptor 1 (TRAIL-R1), TRAIL-R2, and receptor activator of nuclear factor xK3 ligand (RANKL). Additionally, or alternatively, the targeting ligand is or comprises any one of the foregoing targeting ligands that are known to associate with proteins or growth factors that support the formation of new microvasculature, including vascular endothelial growth factor (VEGF), VEGF receptor (VEGFR), and integrins aV(33 and a5(31. Additionally, or alternatively, the targeting ligand is or comprises any one of the foregoing targeting ligands that are known to associate with Stromal and extracellular matrix antigens that are therapeutic targets include fibroblast activation protein (FAP) and tenascin. - The polymer, polymer conjugate, or nanoparticle composition of any one of
Embodiments 1 to 28, wherein the at least one targeting ligand is present in a range of from one to 1000, conjugated to the polymer or nanoparticle core by the linking groups. Additional or alternative Aspects of this Embodiment provide independently for the presence of 1, 2, 3, 4, or 5 targeting ligands per polymer or nanoparticle core. Additional or alternative Aspects of this Embodiment provide independently for the presence of an average of 1, 2, 3, 4, or 5 targeting ligands per polymer or nanoparticle core in a population of polymer or nanoparticle core. Additionally, or alternatively, each polymer or nanoparticle core may have attached thereto a number of targeting ligands in a range of from 1 to 5, from 5 to 10, from 10 to 15, from 15 to 20, from 20 to 50, from 50 to 100, from 100 to 200, from 200 to 300, from 300 to 400, from 400 to 500, or from 500 to 1000 per polymer or nanoparticle core, or a range of two or more of the foregoing ranges, for example from 1 to 10 or from 5 to 50 targeting ligands per polymer or nanoparticle core, either on an individual basis or on average for a population of the polymer or nanoparticle cores. - In each case, the targeting ligands may comprise the same or different chemical moieties suitable for this purpose.
- In alternative, or additional Aspects of this Embodiment, the polymer or nanoparticle core(s) may contain additional cleavable linking groups that are not conjugated to the targeting ligands (i.e., the number of cleavable linking groups attached to the polymer or nanoparticle core is greater than the number of conjugated targeting ligands). For example, a given polymer or nanoparticle core may have 100 cleavable linking groups attached to the core, only 1, 2, 3, 4, or 5 of which are conjugated to a targeting ligand. The remaining cleavable linking groups may be free appendages (i.e., contain a functional group capable of binding to another chemical group, such as described elsewhere herein) and/or may serve as a binding site for one or more of the small or large molecule therapeutic agents or imaging agents described herein. In such Aspects of this Embodiment, the polymer or nanoparticle core may comprise 1, 2, 3, 4, or 5 cleavable linking group per polymer or nanoparticle core, wherein all or only a portion of which are conjugated to the at least one targeting ligand. Additional or alternative Aspects of this Embodiment provide independently for the presence of an average of 1, 2, 3, 4, or 5 cleavable linking groups per polymer or nanoparticle core in a population of polymer or nanoparticle core, wherein all or only a portion of which are conjugated to the at least one targeting ligand as set forth above. Additionally, or alternatively, each polymer or nanoparticle core may have attached thereto a number of cleavable linking groups in a range of from 1 to 5, from 5 to 10, from 10 to 15, from 15 to 20, from 20 to 50, from 50 to 100, from 100 to 200, from 200 to 300, from 300 to 400, from 400 to 500, or from 500 to 1000 per polymer or nanoparticle core, or a range of two or more of the foregoing ranges, for example from 1 to 10 or from 5 to 50 targeting ligands per polymer or nanoparticle core, either on an individual basis or on average for a population of the polymer or nanoparticle cores, wherein all or only a portion of which are conjugated to the at least one targeting ligand as set forth above.
- In alternative, or additional Aspects of this Embodiment, the ratio of targeting agents to cleavable linking groups attached to the polymer or nanoparticle core may be about 100:1, about 50:1, about 20:1, about 10:1, about 7:1, about 5:1, about 4:1, about 3:1, about 2:1, or about 1:1. Alternatively, or alternatively, the relative distribution of cleavable linking groups and the targeting agents may be described in term of the percentage of total attached conjugates that are targeting agents, relative to the total cleavable linking groups. In some independent Aspects, the targeting ligands are conjugated to about 1%, 2%, 3%, 4%, 5%, 6%, 7%, 8%, 9%, 10%, 15%, 20%, 25%, 30%, 40%, 50%, 60%, 70%, 80%, 90%, 95%, 98%, or substantially 100% of the cleavable linking groups attached to the polymer or nanoparticle core. The ratios and percentages described herein may account for mixed populations of conjugates, such as embodiments where more than one targeting agent and/or spacer molecule is attached to a nanoparticle core.
- Additionally, the nanoparticle core and targeting ligand can be conjugated by a linker that can facilitate disassociation of the ligand from the nanoparticle when inside a brain endothelial cell. In some of the described embodiments the linker may include a disulfide bond that can be reduced to cause disassociation of the ligand from the nanoparticle when the nanoparticle is inside a brain endothelial cell. As also disclosed elsewhere herein, the targeting ligand linker may include a polypeptide that can be enzymatically cleaved to cause disassociation of the ligand from the nanoparticle when the nanoparticle is inside a brain endothelial cell. In some of the described embodiments the linker may include a hydrolyzable chemical bond that can be disrupted at low pH to cause disassociation of the ligand from the nanoparticle when the nanoparticle is inside a brain endothelial cell. In some of the described embodiments the linker may include a chemical bond having a pKa that can be disrupted at low pH to cause disassociation of the ligand from the nanoparticle when the nanoparticle is inside a brain endothelial cell. In some of these Aspects, the linker comprises a nitrophenyl boronic acid when unbound to the nanoparticle that forms a nitrophenyl boronic ester to bind to the nanoparticle core, where decoupling of the linker and the nanoparticle core will be favored at acidic pH (e.g., about 6.8 to about 2.0). In other independent Aspects, the targeting agent may include a diamino ketal (DAK) linkage to facilitate disassociation of the nanoparticle and the ligand once inside a brain endothelial cell, where decoupling of the linker and the nanoparticle core will be favored at acidic pH. Additionally, the described methods may be carried out using a targeting agent with a linker having a disulfide bond that can facilitate disassociation of an attached ligand from the nanoparticle under reducing conditions encountered in a brain endothelial cell.
- Additionally, or alternatively, while at least one targeting ligand is linked to the polymer or nanoparticle core by a cleavable linking group, not all targeting ligands need to be so linked. In other Aspects of this Embodiment the polymer or nanoparticle core may comprise a first targeting ligand and a second targeting ligand, wherein the first targeting ligand is linked by such a cleavable linkage, whereas the second targeting ligand is not, and the second targeting ligand is linked by a linker that is not amenable to disassociation from the nanoparticle core when inside of a brain endothelial cell, and that second targeting ligand targets the nanoparticle to a specific cell in the brain.
- The polymer, polymer conjugate, or nanoparticle composition of any one of
Embodiments 1 to 29, wherein the small molecule is a pharmaceutical compound useful in the treatment of Alzheimer's disease, Huntington's disease, Parkinson's disease, multiple sclerosis, or cancer, including brain cancer, including brain cancer metastasized from HER2-positive breast cancer. - In certain Aspects of this Embodiment, the small molecule is a neurotransmitter. Additionally, or alternatively, the small molecule is dopamine or serotonin.
- In certain Aspects of this Embodiment, the small molecule is a chemotherapeutic. Additionally, or alternatively, the small molecule is one or more of Camptothecin, Erlotinib (Tarceva®), Gefitinib (Iressa®), Imatinib (Gleevec®), Irinotecan, Lapatinib, SN-38, or a derivative, metabolite, or prodrug thereof.
- Additionally, or alternatively, the small molecule is or comprises abraxane, actinomycin, alitrerinoin, azacitidine, azathioprine, bexarotene, bleomycin, bortezomib, camptothecin, capecitabone, carboplatin, cisplatin, capecitabine, chlorambucil, cyclophosphamide, cytarabine, dacarbazine, docetaxel, doxifluiridine, daunorubcin, doxorubicin, epirubicin, epothilone, erlotinib, etoposide, 5-fluorouracil, folinic acid, gefitinib, gemcitabine, idarubicin, imatinib, irinotecan, mechlorethamine, melphalan, mercaptopurine, methotrexate, mitoxanrone, mustine, oxaliplatin, paclitaxel, prednisolone, procarbazine, romidepsin, tafluposide, taxotere, teniposide, thioguainine topotecan, tretinoin, valrubicin, vemurafenib, vinblastine, vincristine, vindesine, vinorelbine, vismodegib, vorinosat, or a derivative, metabolite, or prodrug thereof.
- Additionally, or alternatively, the small molecule may include molecules more broadly described in U.S. Pat. Nos. 5,747,498; 6,900,221; 7,087,613; RE41065 (corresponding to Erlotinib); U.S. Pat. Nos. 5,457,105; 5,616,582; 5,770,599 (corresponding to Gefitinib); U.S. Pat. Nos. 6,391,874; 6,713,485; 6,727,256; 6,828,320; and 7,157,466 (corresponding to Lapatinib), each of which is incorporated by reference herein in its entirety. In still other Aspects of this Embodiment, additionally, or alternatively, the small molecule may include any one of the fused heterocyclic compounds disclosed in WO97/13771, WO98/02437, WO00/44728, U.S. Pat. No. 6,596,878, US 2005/0148607, and US 2008/0214584; any one of the quinazoline derivatives disclosed in WO02/02552, WO01/98277, WO003/049740, WO003/050108, and U.S. Pat. No. 6,596,878; any one of the thienopyrimidine derivatives disclosed in WO003/053446 and U.S. Pat. No. 7,300,935; any one of the thienyl derivatives disclosed in U.S. Pat. No. 5,710,173; any one of the aromatic azole derivatives disclosed in WO01/77107, WO003/031442, U.S. Pat. Nos. 6,716,863 and 6,984,653; any one of the bicyclic or heterocyclic aryl compounds disclosed in WO 92/20642; any one of the vinylene-azaindole derivatives disclosed in WO94/14808; any one of the azaindoles disclosed in WO003/000688 and WO96/000226; any one of the 1-cyclopropyl-4-pyridyl-quinolones disclosed in U.S. Pat. No. 5,330,992; any one of the styryl compounds disclosed in U.S. Pat. Nos. 5,217,999 and 5,596,878; any one of the styryl-substituted pyridyl compounds disclosed in U.S. Pat. No. 5,302,606; any one of the tyrphostin-like compounds disclosed in U.S. Pat. No. 6,225,346; any one of the seleoindoles or selenides disclosed in WO94/03427; any one of the 1H-pyrrolo[2,3-b]pyridines disclosed in WO01/098299; any one of the tricyclic polyhydroxylic compounds disclosed in WO92/21660; any one of the 2-pyrazolin-5-ones disclosed in WO 01/01921), and benzylphosphonic acid compounds disclosed in WO91/15495) Each of these compounds have been described as compounds for use as tyrosine kinase inhibitors for use in the treatment of cancer. Each of these references is incorporated by reference herein in its entirety for all purposes, or at least for the compounds disclosed as useful in the treatment of cancer.
- Alternatively, or additionally, the small molecule can also be “tagged” with radio-isotopes for molecular imaging of the tumor marker in vivo. Radio-labeled compounds are required for Positron Emission Tomography (PET) and Single Photon Emission Computed Tomography (SPECT). Such imaging enhancing agent can include at least one of tritium, boron-10, carbon-11, gallium-68, nitrogen-13, sulfur-35, iodine-131, or fluorine-18 at a level above the natural abundance of each element.
- The polymer, polymer conjugate, or nanoparticle composition of any one of
Embodiments 1 to 30, wherein the small molecule therapeutic compound is linked to the nanoparticle core by way of an optional linker. As set forth above, the small molecule therapeutic molecule may be chemically or electrostatically bonded to the polymer or nanoparticle core or may be encasulated within the structure of the nanoparticle core without being chemically or electrostatically bonded. For example, the nanoparticle may present a hydrophilic exterior surface in aqueous media, while having a hydrophobic pocket within its structure, allowing for the encapulation of a hydrophobic small molecule therapeutic to be encapsulated within that hydrophobic pocket. - The term “optional linker” in the context of this Embodiment refers to independent Aspects of this Embodiment where the attachment of the small molecule therapeutic compound to the nanoparticle core is either by a direct chemical bond or via a linking group. The linking group may be either chemically stable (i.e., able to maintain its structure in its presented or intended environment) or may be cleavable by any of the mechanisms associated with the term “cleavable” as set forth elsewhere herein. Additionally, or alternatively, this linking group may comprise one or more amino acid residues, such as a residue of arginine, histidine, lysine, aspartic acid, glutamic acid, serine, threonine, asparagine, glutamine, tyrosine, tryptophan, or a salt thereof. In but one non-limiting example of this concept, the small molecule therapeutic compound, camptothecin, is linked to a MAP polymer nanopolymer surface according to:
- The polymer, polymer conjugate, or nanoparticle composition of any one of
Embodiments 1 to 31, wherein the large molecule therapeutic agent is a nucleotide, polynucleotide, aptamer, peptide, oligopeptide, polypeptide, protein, polysaccharide, antibody or antibody fragment useful in the treatment of Alzheimer's disease, Huntington's disease, Parkinson's disease, multiple sclerosi, and cancer. In certain Aspects of this Embodiment, the large molecule is an antibody. - Additionally, or alternatively, the large molecule therapeutic agent is an antibody and the antibody is a monoclonal antibody. Additionally, or alternatively, the large molecule therapeutic agent is abciximab (Reopro), adalimnumab, alemtuzumab (Campath), basiliximab (Simulect), belirnumab (Benlysta), bevacizumab (Avastin), bezlotoxumab (Zinplava), canakinumab (Ilaris), certolizumab pegol (Cimzia), cetuximab (Erbitux), daclizumab (Zenapax, Zinbryta), denosurnab (Prolia, Xgeva), efalizurnab (Raptiva), golimumrnab (Simponi, Simrnponi Aria), inflectra (Remicade), ipilimumab (Yervoy), ixekizumab (Taltz), natalizumab (Tysabri), necitumumab (Portrazza), nivolumab (Opdivo), obinutuzumab (Gazyva), ocrelizumab (Ocrevus), ofatumumab (Arzerra), olaratumab (Lartruvo), omalizumab (Xolair), palivizumab (Synagis), panitumumab (Vectibix), pembrolizumab (Keytruda), pertuzumab (Perjeta), ramucirumab (Cyramza), rituximab (Rituxan), secukinumab (Cosentyx), tocilizumab (Actemra), trastuzumab (Herceptin®), and/or ustekinumab (Stelara). Additionally, or alternatively, the large molecule therapeutic agent is a conjugated monoclonal antibody. Additionally, or alternatively, the large molecule therapeutic agent is a ibritumomab tiuxetan (Zevalin), Brentuximab vedotin (Adcetris), or Ado-trastuzumab emtansine (Kadcyla, also called TDM-1), denileukin diftitox (Ontak) Additionally, or alternatively, the large molecule therapeutic agent is one or more of ipilimumab, natalizumab, necitumumab, nivolumab, obinutuzumab, ocrelizumab, pembrolizumab, pertuzumab, or pamucirurnab. Additionally, or alternatively, the large molecule therapeutic agent is one or more of adalimumab (Humira, Amjevita), Bevacizumab (Avastin), cetuximab (Erbitux), ipilirnurnab (Yervoy), natalizumnab (Tysabri), necitumumab (Portrazza), nivolumab (Opdivo), obinutuzumab (Gazyva), ocrelizumrab (Ocrevus), panitumumab (Vectibix), pembrolizumab (Keytruda), pertuzumab (Perjeta), ramucirumab (Cyramza), rituximab (Rituxan), trastuzumab (Herceptin). Additionally, or alternatively, the large molecule therapeutic agent is arcitumomab, ibritumomab, capromab pendetide, and/or tositumomab.
- Additionally, or alternatively, the antibody includes one known to associate with hematopoietic differentiation antigens (glycoproteins usually associated with CD groupings and include CD20, CD30, CD33, and CD52). Additionally, or alternatively, the antibody includes one known to associate with growth factors such as epidermal growth factor receptor (EGFR; also known as ErbB 1), ErbB2 (also known as HER2), ErbB3, MET, insulin-
like growth factor 1 receptor (IGF 1R), ephrin receptor A3 (EphA3), TNF receptor apoptosis-inducing ligand receptor 1 (TRAIL-R1), TRAIL-R2, and receptor activator of nuclear factor κβ ligand (RANKL). Additionally, or alternatively, the antibody includes one known to associate with proteins or growth factors that support the formation of new microvasculature, including vascular endothelial growth factor (VEGF), VEGF receptor (VEGFR), and integrins αVβ3 and α5β1. Additionally, or alternatively, the antibody includes one known to associate with Stromal and extracellular matrix antigens that are therapeutic targets include fibroblast activation protein (FAP) and tenascin. - Additionally, or alternatively, the large molecule therapeutic agent is a polynucleotide. Within this Aspect, the polynucleotide is or comprises a genomic DNA, cDNA, mRNA, siRNA, shRNA, miRNA, antisense oligonucleotide, virus, or a chimeric polynucleotide. or a small molecule therapeutic agent. Additionally, or alternatively, the polynucleotide that is an RNA molecule, preferably an siRNA molecule.
- Additionally, or alternatively, the large molecule therapeutic agent is a fusion protein. Additionally, or alternatively, the large molecule therapeutic agent is Abatacept, Alefacept (Amevive)Aflibercept, or Etanercept
- Additionally, or alternatively, in the context of this Embodiment, the large molecule therapeutic compound may be attached to the polymer or nanoparticle core either by a direct chemical bond or via a linking group. The linking group may be either chemically stable (i.e., able to maintain its structure in its presented or intended environment) or may be cleavable by any of the mechanisms associated with the term “cleavable” as set forth elsewhere herein. Additionally, or alternatively, this linking group may comprise one or more amino acid residues, such as for example arginine, histidine, lysine, aspartic acid, glutamic acid, serine, threonine, asparagine, glutamine, tyrosine, tryptophan, or a salt thereof.
- The polymer, polymer conjugate, or nanoparticle composition of any one of
Embodiments 1 to 32, wherein the composition is a nanoparticle, - The nanoparticle of any one of
claims 1 to 33, said nanoparticle being substantially spherical and having a cross-section dimension in a range of from about 20 nm to about 300 nm. Additional, or alternative Aspects of this Embodiment include those where the cross-section dimension of the nanoparticles are in a range of from 20 nm to 30 nm, from 30 nm to 40 nm, from 40 nm to 50 nm, from 50 nm to 60 nm, from 60 nm to 70 nm, from 70 nm to 80 nm, from 80 nm to 90 nm, from 90 nm to 100 nm, from 100 nm to 120 nm, from 120 nm to 140 nm, from 140 nm to 160 nm, from 160 nm to 180 nm, from 180 nm to 200 nm, from 200 nm to 220 nm, from 220 nm to 240 nm, from 240 nm to 260 nm, from 260 nm to 280 nm, from 280 nm to 300 nm, or any combination of two or more of these foregoing ranges, for example from 80 nm to 100 nm. In each of these cases, the dimensions refer to measurements obtained by dynamic light scattering, though any other method as known in the art may be used. - The nanoparticle of any one of
claims 1 to 34, the nanoparticle having an average zeta potential of from about 0 mV to about −15.0 mV as measured by phase analysis light scattering. In certain Aspects of this Embodiment, the charge of the targeted nanoparticle is near neutral. Alternatively, or additionally, the zeta potential of the nanoparticles for use with the methods described herein can be characterized as having a range of from about 0 mV to about 0.5 mV, from about −0.5 mV to about −1 mV, from about −1 mV to about −2 mV, from about −2 mV to about −3 mV, from about −3 mV to about −4 mV, from about −4 mV to about −5 mV, from about −5 mV to about −6 mV, from about −6 mV to about −7 mV, from about −7 mV to about −8 mV, from about −8 mV to about −9 mV, from about −9 mV to about −10 mV, from about −10 mV to about −11 mV, from about −11 to about −12 mV, from about −12 mV to about −13 mV, from about −13 mV to about −14 mV, from about −14 mV to about −15 mV, or a combination of two or more of these ranges, for example, in a range of from about −5 mV to about −7 mV. In some Aspects of this Embodiment the described nanoparticle will have a zeta potential of −5.0, −5.1, −5.2, −5.3, −5.4, −5.5, −5.6, −5.7, −5.8, −5.9, −6.0, −6.1, −6.2, −6.3, −6.4, −6.5, −6.6, −6.7, −6.8, −6.9, −7.0, −7.1, −7.2, −7.3, −7.4, −7.5, −7.6, −7.7, −7.8, −7.9, or −8.0 mV. - The nanoparticle of any one of
Embodiments 1 to 35, the nanoparticle further comprising an imaging agent. In certain Aspects of this Embodiment, the imaging agent is present in addition to the small molecule or large molecule therapeutic. In other independent Aspects of this Embodiment, the imaging agent is present in lieu of one or both of the small molecule or large molecule therapeutic. In certain Aspects of this Embodiment, the imaging agent is Cu-64. - A plurality of nanoparticles, each individual nanoparticle comprising the composition of any one of
Embodiments 1 to 32 or described in terms of any one of Embodiments 33 to 36. - The plurality of nanoparticles of Embodiment 36, each individual nanoparticle being described by the composition of any one of
Embodiments 1 to 32 or the characteristics of any one of Embodiments 33 to 36, the plurality of nanoparticles being substantially monodispersed, exhibiting a standard deviation in cross-sectional dimension (i.e., diameter) among the nanoparticles of less than 20%, 30%, 40%, 50%, or 60%, as measured by cryo-transmission electron microscopy (cryo-TEM). - A pharmaceutical composition comprising the polymer, polymer conjugate, or nanoparticle composition of any one of
Embodiments 1 to 38, the composition comprising a biologically active agent and pharmaceutically acceptable carrier or excipient. - In certain Aspects of this Embodiment, the polymers, polymer-conjugates, and/or nanoparticles may exist as dispersions in aqueous media, said aqueous media optionally also containing buffers, surfactants, or other modifiers. The present disclosure also contemplates pharmaceutical compositions comprising one or more biologically active agents and any of the polymers or polymer conjugates or nanoparticles or plurality of nanoparticles described herein and a pharmaceutically acceptable vehicle, carrier or excipient.
- A method of delivering enhanced levels of a therapeutic agent or imaging agent to a brain parenchyma of a subject having a neurological brain disorder, the method comprising systemically administering the nanoparticles of any one of
Embodiments 1 to 38 or a pharmaceutical composition of Embodiment 39 to a patient in need of such enhanced delivery. Implicit in certain aspects of this description is that at least one of the therapeutic agents or imaging agents being ferried by the nanoparticle composition may itself be unable to make the passage across the blood brain barrier to achieve therapeutically effective amounts in the parenchyma without the use of the nanoparticles disclosed herein (i.e., the cargo falls outside the definition of small molecule capable of passing the blood brain barrier set forth elsewhere herein). In this regard, the bioavailability of the therapeutic or imaging agent is improved using the nanoparticle, relative to an administration of the therapeutic or imaging agent by itself. The description of enhanced delivery or enhanced levels is intended to reflect the ability of the disclosed nanoparticles to pass through the BBB, by transcytosis or other means, to deliver the cargo (therapeutic and/or imaging agents) at levels and/or rates higher than the cargo can be delivered themselves (without being ferried by the nanoparticles). - Additionally, or alternatively, further Aspects of this Embodiment comprise method of treating a neurological disorder in a patient, the methods comprising systemically administering a first small molecule therapeutic agent and/or a large molecule therapeutic agent to the patient in need of such treatment, wherein
- (a) the first small molecule therapeutic agent and/or the large molecule therapeutic agent is attached to a nanoparticle comprising a nanoparticle core and a targeting agent, the targeting agent comprising at least one targeting ligand attached to an external surface of the nanoparticle core by a linker having a cleavable linkage;
-
- (i) the external surface of the nanoparticle comprising a neutral and/or negatively charged mucic acid-containing polymer (MAP) (including substantially free of cationic mucic-acid containing polymer (cMAP));
- (ii) the at least one targeting ligand having an affinity for binding to a receptor expressed by endothelial cells of the blood-brain barrier; and
- (iii) the cleavable linkage being cleavable when subject to conditions inside an endothelial cell of the blood-brain barrier, wherein the cleavage comprises hydrolysis, chemical reduction, or enzymatic cleavage of the linker; and wherein one or both of
- (iv) the small molecule therapeutic agent is optionally linked to the nanoparticle core by way of an optional linker; and/or
- (v) the large molecule therapeutic agent is linked to the nanoparticle by way of an optional linker; and
- (b) the administration of the first small molecule therapeutic agent and/or the large molecule therapeutic agent attached to the nanoparticle results in the delivery of the first small molecule therapeutic agent and/or the large molecule therapeutic agent past the blood brain barrier and into the subject's brain parenchyma in an amount is greater than would be delivered were the first small molecule therapeutic agent and/or the large molecule therapeutic agent not attached to the nanoparticle.
- Additionally, or alternatively, in some further Aspects of this Embodiment, a useful figure of merit for measuring the utility of these methods is an enhancement ratio of the steady state amount of small or large molecule therapeutic or imaging agent present in the brain parenchyma, having passed through the blood brain barrier after systemic delivery through use of these nanoparticles, relative to the amount of small or large molecule therapeutic or imaging agent present in the brain parenchyma, having passed through the blood brain barrier after systemic delivery of the small or large molecule therapeutic or imaging agent by itself, under otherwise comparable conditions. In certain Aspects of this Embodiment, this enhancement ratio can range from 2 to 3 times, from 3 to 5 times, from 5 to 10 times, from 10 to 25 times, from 25 to 50 times, from 50 to 100 times, from 100 time to 500 times, or a combination of two or more of these foregoing ranges, depending on the nature of the therapeutic or imaging agent.
- Additionally, or alternatively, the enhanced level of the therapeutic agent delivered by the nanoparticles to the brain parenchyma can be defined as an amount that is greater than is delivered using otherwise equivalent nanoparticles that do not contain the cleavable linker under the same conditions. Additionally, or alternatively, the method may be characterized as a method of delivering enhanced levels of a therapeutic agent to a brain parenchyma of a subject having a neurological brain disorder, said therapeutic agent being unable to achieve therapeutically effective levels in the brain parenchyma through systemic administration of the agent itself, the method comprising systemically administering a plurality of one or more of the nanoparticles described herein to the subject having the neurological brain disorder (including any of the diseases set forth elsewhere herein) and in need of delivery of an enhanced level of the therapeutic agent across a blood-brain barrier to the subject's brain parenchyma, the plurality of nanoparticles being administered at a dose rate sufficient to enhance the delivery of the chemotherapeutic agent to the brain parenchyma in therapeutically useful quantities that are higher than available by systematically administering the free therapeutic agent alone.
- Additionally, or alternatively, the methods of treating a patient/subject having a neurological condition may include use of the disclosed nanoparticles in combination with conventional drug or other therapy. For example, while the nanoparticle compositions described herein have been described as especially useful for ferrying therapeutics and imaging agents (that are otherwise blocked to any practical extent), across the blood brain barrier, these disclosed nanoparticle compositions may also be used to complement conventional treatments involving the use of therapeutics that can, by themselves, pass the blood brain barrier. While the number of small molecule therapeutics capable of passing through the blood brain barrier is relatively small (e.g., less than 2% of small molecule therapeutics and essentially 100% of large-molecule therapeutics), some can make this passage, as described elsewhere herein.
- Accordingly, independent Aspects of this Embodiment include those methods of treating a patient known or believed to have a neurological disorder, the method comprising systemically administering a composition described in any one of
Embodiments 1 to 39 to a patient or subject in need of such treatment, wherein in the composition comprises at least one small and/or large molecule therapeutic agent and/or imaging agent that by itself is incapable of passing through the blood brain barrier in sufficient amounts to yield therapeutically effective amounts in the brain parenchyma of the patient or subject, where the systemic administration results in therapeutically effective amounts of the small and/or large molecule therapeutic agent and/or imaging agent in the brain parenchyma of the patient or subject. - Alternatively, or additionally, the method further comprises systemically administering to the patient or subject in need of such treatment, a second small and/or large molecule therapeutic agent and/or imaging agent, unattached to a nanoparticle described herein, that by itself is capable of passing through the blood brain barrier to deliver a therapeutically effective amount in the brain parenchyma. The nanoparticle composition and the unattached second small and/or large molecule therapeutic agent and/or imaging agent may be administered at the same time or at different times, within a given treatment regimen.
- Additionally, or alternatively, in this context, the nanoparticle composition may further comprise at least one other small and/or large molecule therapeutic agent and/or imaging agent that, by itself, can pass through the blood brain barrier to achieve therapeutically effective levels in the brain parenchyma by itself.
- In but one illustrative example of this latter concept, not intending to limit its scope in any way, such methods embrace the systemic co-administration, to a patient in need of treatment for a neurological condition, of (a) a conventional small molecule therapeutic agent that can pass the blood brain barrier by itself, with (b) a nanoparticle composition as disclosed herein, where the nanoparticle composition comprises a monoclonal antibody, wherein both the conventional small molecule therapeutic and the antibody are delivered past the blood brain barrier to the brain parenchyma in therapeutically effective amounts.
- In certain Aspects of this Embodiment, the neurological brain disorder is one that requires direct invervention of the therapeutic or imaging agent in the brain. Additionally, or alternatively, the neurological condition is independently Alzheimer's disease, Huntington's disease, Parkinson's disease, multiple sclerosis, or brain cancer. In certain Aspects of this Embodiment, the neurological brain disorder is a brain cancer originating from the metastasis of other systemic, extracranial cancers, including brain cancer metastasized from HER2-positive breast cancer including brain cancer metastasized from HER2-positive breast cancer.
- The methods of administering these compositions are set forth elsewhere herein.
- The Examples are provided to illustrate some of the concepts described within this disclosure. While each Example is considered to provide specific individual embodiments of composition, methods of preparation and use, none of the Examples should be considered to limit the more general embodiments described herein. While the examples provided here focus on specific nanoparticle materials, it is believed that the principles described are relevant to other nanoparticle materials disclosed elsewhere herein. Accordingly, the descriptions provided here should not be construed to limit the disclosure, and the reader is advised to look to the nature of the claims as a broader description.
- In these examples, efforts have been made to ensure accuracy with respect to numbers used (e.g. amounts, temperature, etc.) but some experimental error and deviation should be accounted for. Unless indicated otherwise, temperature is in degrees C., pressure is at or near atmospheric.
- Summary of Approach:
- Herein, murine models are shown to have a significant effect on the ability of therapeutics to traverse the BBB/BTB. Certain transferrin receptor (TfR)-targeted, therapeutic nanoparticles were designed and investigated herein as representative exemplars of these general design and treatment concepts. These exemplary nanoparticles were investigated as to their brain uptake and antitumor efficacy compared to non-targeted nanoparticles and free drug in three murine models. Two of the models used have been previously described in the literature and involve intracranial (IC) or intracardiac (ICD) injection of human breast cancer cells. A third model developed here involves intravenous (IV) injection of the cancer cells.
- The present study focused on HER2-positive breast cancer brain metastasis because of the inadequate drug concentrations achieved in these tumors in the clinical setting. In contrast, the targeted nanoparticle delivery system described herein was found to be useful in delivering CPT to HER2-positive breast cancer brain metastases. Importantly, significant differences in efficacy as well as brain penetration of both TfR-targeted and non-targeted therapeutics were observed between the models, showing that the method of establishing brain metastases can affect brain uptake of therapeutic agents.
- The present studies focused on understanding whether two types of breast cancer brain metastasis mouse models from the literature as well as a third, new model created in this study provide impaired drug delivery to brain metastases like what is observed for patients with HER2-positive, metastatic breast cancer. In patients, non-BBB-permeable agents were unable to accumulate in brain metastases in pharmacologically active amounts. However, this same delivery limitation was not observed in the IC model. These results showed that a non-BBB-penetrant small molecule (CPT) and a non-targeted nanoparticle therapeutic (ca. 30-40 nm diameter) could elicit a significant antitumor response as well as accumulate in high amounts in IC-established brain tumors. In contrast to the IC model, both the ICD and IV models provided for a more intact BBB/BTB. These results indicated that the ICD model may allow for a slightly increased permeability to small molecule drugs, but not to larger nanoparticle entities when compared to the IV model. Consistent with a modest uptake in healthy brain tissue, it is possible that the high number of microscopic tumor foci commonly observed throughout the brain following ICD injection may contribute to a slight net increase in parenchymal penetration as a whole. Nevertheless, this effect was minimal.
- Most importantly, the present data show that the method of establishing brain tumors can dramatically affect the efficacy of therapeutics and their brain penetration. These findings suggested that, although the IC model allowed for consistent and reproducible tumor growth in the brain parenchyma and thus may be useful for studying basic biological mechanisms, this model must be used with caution for translational research with diseases where a non-permissive BBB is clinically relevant. While tumor burden is not as consistent in the ICD and IV models, our data support the use of these models if the experimenter is interested in transport properties of a given therapeutic.
- Additionally, the present studies showed that TfR-targeted nanoparticles were capable of delivering a small molecule chemotherapeutic, CPT, to HER2-positive breast cancer brain metastases. TfR-targeted MAP-CPT nanoparticles significantly slowed tumor growth in the brain and demonstrated increased accumulation in brain metastases relative to free drug and non-targeted nanoparticles. The specific example of assembling a TfR-targeted nanoparticle system for CPT was selected to test the delivery strategy. CPT is not a particularly good drug for use with BT474 cells (relative to other breast cancer cell lines). Thus, it is encouraging to observe tumor growth delay when delivering CPT via targeted nanoparticles to the BT474-Gluc brain metastases. It is expected that TfR-targeted nanoparticles delivering therapeutic agents with greater potency will reveal even more significant tumor size reductions.
- Further, TfR-targeted nanoparticles accumulated in significant amounts in healthy brain tissue when compared to free drug and non-targeted nanoparticles in all three models. This whole-brain penetration has implications for the selection of therapeutics that should be incorporated into this delivery system and of target diseases. In the case of brain cancers, the ability to penetrate not only tumor tissue, but also healthy tissue could be advantageous in accessing micrometastases or fingers of glioma tumors that are frequently the reason for treatment failure. For other brain diseases where whole-brain therapeutic exposure is highly desired, such as neurodegenerative diseases, this targeted nanoparticle system may offer a compelling approach to delivering therapeutics across an intact BBB.
- In the studies described herein, mucic acid-based, targeted nanoparticles designed to transcytose the BBB/BTB to deliver both a small molecule drug, camptothecin (CPT), and therapeutic antibody, Herceptin, and the combination was investigated as a means to treat brain metastases in mice. Treatment with BBB-targeted combination CPT/Herceptin nanoparticles significantly inhibited tumor growth compared to free CPT/Herceptin and BBB-targeted nanoparticles carrying CPT alone. Though not as efficacious, BBB-targeted nanoparticles carrying only Herceptin also elicited considerable antitumor activity. These results demonstrated the promise of the targeted nanoparticle system for the delivery of antibody alone or in combination with other drugs across the BBB/BTB to improve clinical outcomes.
- MAP-CPT polymer-drug conjugate was prepared as described in
FIG. 3 . Properties of the material used in this study are provided in Table 1. MAP-CPT conjugate was then dialyzed against water to form nanoparticles with hydrophobic CPT molecules preferentially clustered in the core and mucic acid diols on the surface (FIG. 4(A) ). -
TABLE 1 Properties of MAP polymer and MAP-CPT polymer-drug conjugate Material Property Value MAP Polymer dn/dc (mL/g) 0.14 MWa (kDa) 68 Polydispersityb 1.26 MAP-CPT conjugate Wt % CPT 12. aMW, molecular weight determined as (Mw + Mn)/2; Mw, weight average molecular weight; Mn, number average molecular weight. bPolydispersity determined as Mw/Mn. - 1H NMR spectra were acquired on a Varian 600 MHz spectrometer (Inova). Electrospray ionization (ESI) masses of small molecules were acquired on a Finnigan LCQ ion trap mass spectrometer. Matrix-assisted laser desorption/ionization-time-of-flight (MALDI-TOF) mass spectra for polymers were acquired on an Applied Biosystems Voyager DE-PRO.
- Methanol (360 mL) was added to mucic acid (15 g, 1 equiv, Alfa Aesar) in a 500 mL round-bottomed flask. To this was added concentrated sulfuric acid (1.2 mL, 0.3 equiv). The suspension was stirred and refluxed at 85° C. overnight. The mixture was cooled to room temperature and filtered through a Buchner funnel using
Whatman Grade 5 filter paper. The solid was washed with methanol (600 mL), and recrystallized with a mixture of methanol (240 mL) and triethylamine (1.5 mL) at 85° C. for 1 h. The mixture was again cooled to room temperature and filtered. The solid was washed with methanol (600 mL), and dried under vacuum at 75° C. overnight to yield mucic acid dimethyl ester (14.2 g) as a white solid. 1H NMR (600 MHz, DMSO-d6): 4.91 (d, 2H), 4.80 (q, 2H), 4.28 (d, 2H), 3.78 (q, 2H), 3.63 (s, 6H). ESI/MS: 261.0 [M+Na]+. - Methanol (225 mL) was added to mucic acid dimethyl ester (14.2 g, 1 equiv) in a 500 mL round-bottomed flask. To this was added triethylamine (21.7 mL, 2.6 equiv), and the mixture was stirred and refluxed at 85° C. for 30 min, forming a yellow suspension. N-Boc-ethylenediamine (24.6 mL, 2.6 equiv, AK Scientific) in methanol (55 mL) was added, and the reaction was stirred and refluxed at 85° C. overnight. The mixture was cooled to room temperature, and filtered through a Buchner funnel using
Whatman Grade 5 filter paper. The solid was washed with methanol (750 mL), and recrystallized with methanol (350 mL) at 85° C. for 1.5 h. The mixture was again cooled to room temperature and filtered. The solid was washed with methanol (750 mL), and dried under vacuum at 75° C. overnight to yield N-Boc-protected mucic acid ethylenediamine (19.2 g) as a white solid. 1H NMR (600 MHz, DMSO-d6): 7.71 (t, 2H), 6.81 (t, 2H), 5.13 (d, 2H), 4.35 (q, 2H), 4.09 (d, 2H), 3.77 (q, 2H), 3.12 (m, 4H), 2.98 (m, 4H), 1.36 (s, 18). ESI/MS: 517.1 [M+Na]+. - N-Boc-protected mucic acid ethylenediamine (19.2 g) in a 500 mL round-bottomed flask was placed in a water bath. 3 N hydrochloric acid in methanol (325 mL) was added, and the reaction flask was sealed and vented with a needle. The suspension was stirred at 25° C. for 8 h. The slurry was filtered through a glass frit with a fine grain, and washed with methanol (900 mL) until the filtrate pH was close to neutral. The solid was dried under vacuum at 80° C. overnight to yield mucic acid ethylenediamine (11.5 g) as a white solid. 1H NMR (600 MHz, DMSO-d6): 7.97-7.84 (m, 8H), 5.30 (d, 2H), 4.58 (d, 2H), 4.16 (d, 2H), 3.82 (m, 2H), 3.39-3.32 (m, 4H), 2.85 (m, 4H). ESI/MS: 295.0 [M+H]+.
- Mucic acid ethylenediamine (3 g, 1 equiv) was dissolved in 30 mL DMSO in a 250 mL round-bottomed flask. To this was added Boc-Asp(OBzl)-OSu (10.3 g, 3 equiv, Bachem) in acetonitrile (80 mL) and pyridine (3.2 mL, 5 equiv). The reaction was stirred and refluxed at 60° C. overnight. The mixture was cooled to room temperature, and acetonitrile was removed by rotary evaporation. The solution was precipitated by addition of nanopure water, and the precipitate was recrystallized with nanopure water (100 mL) at 85° C. for 1 h. The mixture was cooled to room temperature, filtered through a glass frit with a fine grain, and washed with nanopure water (200 mL). The recrystallization procedure was repeated with acetonitrile. The solid was dried under vacuum at 50° C. overnight to yield mucic acid di(Asp(OBzl)-Boc) (2.1 g) as a white solid. 1H NMR (600 MHz, DMSO-d6): 7.94 (t, 2H), 7.76 (t, 2H), 7.37-7.31 (m, 10H), 7.06 (d, 2H), 5.13-5.08 (m, 6H), 4.37-4.32 (d, 2H), 4.30-4.28 (d, 2H), 4.14-4.12 (d, 2H), 3.81-3.79 (d, 2H), 3.18-3.09 (m, 8H), 2.79-2.57 (m, 4H), 1.38 (s, 18H). ESI/MS: 905.0 [M+H]+.
- Dichloromethane (18 mL) was added to mucic acid di(Asp(OBzl)-Boc) (2.1 g, 1 equiv) in a 50 mL round-bottomed flask vented with argon. The flask was cooled to 0° C. in an ice bath, and trifluoroacetic acid (6 mL, 36 equiv) was added dropwise. The reaction was stirred for 8 h under argon, slowly equilibrating to room temperature. Solvent was removed by rotary evaporation. The solid was dissolved in dichloromethane (30 mL) and dried by rotary evaporation twice more, and then recrystallized with tetrahydrofuran (30 mL) at 55° C. for 1 h. The mixture was cooled to room temperature and filtered through a glass frit with a fine grain. The solid was washed with tetrahydrofuran (100 mL), and dried under vacuum at 50° C. overnight to yield mucic acid di(Asp(OBzl)-amine) (1.4 g) as a white solid. 1H NMR (600 MHz, DMSO-d6): 8.46 (t, 2H), 8.21 (s, 6H), 7.80 (t, 2H), 7.39-7.35 (m, 10H), 5.19-5.16 (t, 2H), 5.13 (s, 4H), 4.41 (s, 2H), 4.15-4.13 (d, 2H), 4.06-4.04 (d, 2H), 3.83 (s, 2H), 3.22-3.16 (m, 8H), 3.02-2.83 (m, 4H). ESI/MS: 705.3 [M+H]+.
- Methanol (50 mL) was added to mucic acid di(Asp(OBzl)-amine) (1.4 g, 1 equiv) and 20% (w) palladium hydroxide on carbon (568 mg, 10 equiv) in a 100 mL round-bottomed flask. The reaction flask was sealed and vented with argon for 30 min. Hydrogen gas was added by a double-layered balloon, and the reaction was stirred for 24 h at room temperature. Catalyst was separated by centrifugation at 3220 g for 15 min, and the solvent removed by rotary evaporation. The solid was reconstituted in nanopure water, and the solution was filtered through a 0.2 m Supor membrane Acrodisc syringe filter (Pall) and lyophilized to yield mucic acid di(Asp-amine) (1.1 g) as a white solid. 1H NMR (600 MHz, DMSO-d6): 8.39 (t, 2H), 8.18 (broad, 6H), 7.77 (t, 2H), 5.18 (t, 2H), 4.46 (s, 2H), 4.12 (s, 2H), 3.96-3.94 (m, 2H), 3.79 (s, 2H), 3.21-3.11 (m, 8H), 2.84-2.65 (m, 4H). ESI/MS: 525.2 [M+H]+. The product was stored under argon at −20° C.
- Mucic acid di(Asp-amine) (220 mg, 1 equiv) and di(succinimidyl proprionate)-PEG (3.4 kDa, 1 g, 1 equiv, JenKem) were equilibrated to room temperature for 1 h, then added to an oven-dried 10 mL round-bottomed flask. The reaction flask was sealed, and the two solids were dried under vacuum for 4 h. Anhydrous dimethyl sulfoxide (7 mL) was added under argon to dissolve the two solids. To this was added anhydrous N,N-diisopropylethylamine (205 μL, 4 equiv) dried over molecular sieves, and the solution was stirred under argon at room temperature for 42 h. The solution was dialyzed against dimethyl sulfoxide and nanopure water using a 10 kDa MWCO Spectra/
Por 7 membrane (Spectrum), filtered through a 0.2 m Supor membrane Acrodisc syringe filter (Pall) and lyophilized to yield MAP (983 mg) as a white, sponge-like solid. 1H NMR (600 MHz, DMSO-d6): 8.11 (d, 1H), 8.08 (d, 1H), 7.83 (t, 1H), 7.79 (t, 1H), 7.73 (t, 2H), 4.49 (td, 2H), 4.14 (d, 2H), 3.69 (ddt, 2H), 3.59 (t, 4.3H), 3.53-3.43 (s-PEG), 3.18-3.07 (m, 8H), 2.61-2.43 (m, 4H), 2.38 (t, 4.3H). - Determination of MAP Molecular Weight.
- Polymer molecular weight was determined on a gel permeation chromatography (GPC) system equipped with an Agilent 1100 HPLC with binary pump and injector with 2 size exclusion columns in series (PL aquagel-
OH 40 8 μm, Agilent) connected to Wyatt DAWN HELEOS light scattering and Wyatt Optilab rEX refractive index detectors. MAP was dissolved at six different concentrations in PBS, pH 7.4 and directly injected into the refractive index detector at 0.2 mL/min using a syringe pump to determine specific refractive increment, dn/dc. Absolute molecular weight was determined by injecting 100 L of MAP dissolved at 4 mg/mL in PBS, pH 7.4 onto the column. PBS was used as the eluent at a flow rate of 0.7 mL/min, and the detected polymer peak was analyzed using ASTRA V Software. - MAP was prepared and characterized as follows. Anhydrous dimethyl sulfoxide (10 mL) was added under argon to dissolve MAP (200 mg, 1 equiv) in a 25 mL round-bottomed flask. To this was added EDC (83 mg, 4 equiv) and NHS (32 mg, 3 equiv) dissolved in anhydrous dimethyl sulfoxide (3 mL), followed by 20-O-glycincamptothecin trifluoroacetic acid salt (CPT-gly.TFA, 170 mg, 3 equiv) dissolved in dimethyl sulfoxide (3 mL) and anhydrous N,N-diisopropylethylamine (56 μL) dried over molecular sieves. The reaction was stirred under argon at room temperature overnight. The solution was dialyzed against
dimethyl sulfoxide 3 times andnanopure water 2 times using a 10 kDa MWCO Spectra/Por 7 membrane (Spectrum). Precipitate was removed by centrifugation at 3220 g for 15 min, and the supernatant was filtered through a 0.2 μm Supor membrane Acrodisc syringe filter (Pall) to yield MAP-CPT conjugate as self-assembled nanoparticles in solution. A portion of this clear yellow solution was lyophilized to determine percent CPT conjugation. The remaining product was formulated into 0.9% (w/v) saline and stored at −20° C. - Determination of CPT Content in MAP-CPT
- Lyophilized MAP-CPT was dissolved in dimethyl sulfoxide at 10 mg/mL, diluted to 0.1 mg/mL with 1 N NaOH, and incubated overnight. Fluorescence was measured at 370/440 nm (ex/em) using a
Safire 2 multi-mode plate reader (Tecan). A calibration curve of known concentrations of CPT was prepared and used to determine the CPT concentration in the mixture. - Anhydrous dimethyl sulfoxide (3 mL) was added under argon to dissolve MAP (30 mg, 1 equiv) in a 10 mL round-bottomed flask. To this was added EDC (13 mg, 4 equiv) and NHS (5 mg, 3 equiv) dissolved in anhydrous dimethyl sulfoxide (1 mL), followed by
Alexa Fluor 568 hydrazide, sodium salt (AF568, 12 mg, 1 equiv) dissolved in dimethyl sulfoxide (1 mL). The reaction was stirred under argon at room temperature overnight. The solution was dialyzed againstdimethyl sulfoxide 3 times andnanopure water 4 times using a 10 kDa MWCO Spectra/Por 7 membrane (Spectrum). The retentate was filtered through a 0.2 μm Supor membrane Acrodisc syringe filter (Pall) to yield MAP-AF568 conjugate as self-assembled nanoparticles in solution. The product was then formulated into 0.9% (w/v) saline and stored at −20° C. - 3-carboxy-5-nitrophenyl boronic acid (nitroPBA, 100 mg, 1 equiv, Alfa Aesar) was added to an oven-dried 10 mL round-bottomed flask. The reaction flask was sealed and vented with argon. Anhydrous tetrahydrofuran with BHT inhibitor (4 mL) was added to dissolve the boronic acid, followed by anhydrous dimethylformamide (7 μL, 0.2 equiv). The flask was cooled to 0° C. in an ice bath, and oxalyl chloride (98 jL, 2.4 equiv) was added dropwise. After addition of oxalyl chloride, the ice bath was removed and the reaction was stirred under argon for 2 hrs. Solvent was evaporated under vacuum to yield 3-acyl chloride-5-nitrophenyl boronic acid (101 mg) as a yellow solid.
- 3-acyl chloride-5-nitrophenyl boronic acid (46 mg, 2 equiv) was added to an oven-dried 25 mL round-bottomed flask. The reaction flask was sealed, vented with argon, and cooled to 0° C. in an ice bath. Anhydrous DCM (5 mL was added to dissolve the boronic acid. Acetic acid-PEG3.5 k-amine (3.5 kDa, 350 mg, 1 equiv, JenKem) was added to a separate oven-dried 10 mL round-bottomed flask. The flask was sealed and vented with argon. To this was added anhydrous N,N-diisopropylethylamine (35 μL, equiv) dried over molecular sieves, and anhydrous DCM (5 mL) to dissolve the PEG. The PEG solution was added dropwise to the boronic acid solution. The reaction flask was left in the ice bath to slowly warm to room temperature and stirred under argon overnight protected from light. Solvent was removed under vacuum, and the solid reconstituted in 0.5 N HCl (4 mL) and stirred for 15 min. The solution was filtered through a 0.2 μm Supor membrane Acrodisc syringe filter (Pall) and dialyzed against nanopure water until constant pH using a 1 kDa MWCO Spectra/
Por 7 membrane (Spectrum). The retentate was filtered through a 0.2 μm Durapore PVDF membrane Millex syringe filter (Millipore), and lyophilized to yield CO2H-PEG3.5 k-nitroPBA (238 mg) as a white solid. 1H NMR (600 MHz, DMSO-d6): 12.52 (s-COOH, 1H), 8.90 (t, 1H), 8.72 (m, 1H), 8.69 (m, 1H), 8.64 (m, 1H), 8.61 (s, 2H), 4.01 (s, 2H), 3.53-3.46 (s-PEG). MALDI: 3978.4. - A similar synthesis procedure was followed using acetic acid-PEG5 k-amine (5 kDa, 500 mg, 1 equiv, JenKem) to synthesize CO2H-PEG5 k-nitroPBA. Solvent was removed under vacuum, and the solid reconstituted in 0.5 N HCl (5 mL) and stirred for 15 min. The solution was filtered through a 0.2 μm Supor membrane Acrodisc syringe filter (Pall) and dialyzed against nanopure water until constant pH using a 15
mL Amicon Ultra 3 kDa spin filter (Millipore). The retentate was filtered through a 0.2 μm Durapore PVDF membrane Millex syringe filter (Millipore), and lyophilized to yield CO2H-PEG5 k-nitroPBA (452 mg) as a white solid. 1H NMR (600 MHz, DMSO-d6): 12.52 (s-COOH, 1H), 8.90 (t, 1H), 8.73 (m, 1H), 8.68 (m, 1H), 8.65 (m, 1H), 8.62 (s, 2H), 4.00 (s, 2H), 3.53-3.46 (s-PEG). MALDI: 5476.7. - A similar procedure was followed using methoxy-PEG-amine (5 kDa, 500 mg, 1 equiv, JenKem) to synthesize OMe-PEG-nitroPBA. 1H NMR (600 MHz, DMSO-d6): 8.90 (t, 1H), 8.72 (m, 1H), 8.69 (m, 1H), 8.64 (m, 1H), 8.60 (s, 2H), 3.54-3.48 (s-PEG), 3.23 (s, 2H). MALDI: 5825.4.
- CO2H-PEG3.5 k-nitroPBA (11.2 mg, 25 equiv), EDC-HCl (6.1 mg, 250 equiv), and NHS (5.5 mg, 375 equiv) were dissolved in 0.1 M MES buffer, pH 6.0 (0.33 mL), and stirred for 15 min at room temperature. The reaction mixture was then added to a 0.5
mL Amicon Ultra 3 kDa spin filter (Millipore), and centrifuged to isolate the activated nitroPBA-PEG3.5 k-NHS ester. The ester was added to Herceptin (20 mg, 1 equiv) dissolved in 0.1 M PBS, 0.15 M NaCl, pH 7.4 (1 mL). The reaction was lightly agitated for 2 h at room temperature, and then dialyzed against 0.1 M PBS, 0.15 M NaCl, pH 7.4 using 0.5 mL Amicon Ultra 50 kDa spin filters (EMD Millipore) to remove excess PEG. A portion of this solution was dialyzed into 10 mM PB, pH 7.4, and conjugation was verified by MALDI-TOF using a sinapinic acid matrix. MALDI: 153063.6. The remaining Herceptin-PEG3.5 k-nitroPBA was formulated into PBS, pH 7.4, and stored at 4° C. - A similar procedure was followed using CO2H-PEG5 k-nitroPBA (16 mg, 25 equiv) and human holo-Tf (10 mg, 1 equiv, Sigma) to prepare Tf-PEG5 k-nitroPBA. Following dialysis against 0.1 M PBS, 0.15 M NaCl, pH 7.4 to remove excess PEG, the amount of iron loaded to the Tf after conjugation was verified by UV-VIS on a NanoDrop system (Thermo Scientific) using the ratio of A465/A280. This ratio was compared to that of the unreacted human holo-Tf, and a value ≥80% of the unreacted ratio confirmed adequate iron retention following synthesis steps. A portion of this solution was dialyzed into 10 mM PB, pH 7.4, and conjugation was verified by MALDI-TOF using a sinapinic acid matrix. MALDI: 85210.7. The remaining Tf-PEG5 k-nitroPBA was formulated into PBS, pH 7.4, and stored at 4° C.
- To prepare TfR-targeted CPT nanoparticles, Tf-PEG5 k-nitroPBA conjugates in PBS, pH 7.4 were added at 20× molar excess to MAP-CPT nanoparticles (20 Tf per particle). The solution was gently mixed by pipette and allowed to equilibrate for 10 min. To prepare Herceptin and combination CPT/Herceptin nanoparticles, Herceptin-PEG3.5 k-nitroPBA conjugates in PBS, pH 7.4 were added at an equal molar ratio to either MAP-AF568 or MAP-CPT nanoparticles (1 Herceptin per particle), respectively. The solution was gently mixed and allowed to equilibrate as above. Tf-PEG5 k-nitroPBA conjugates in PBS, pH 7.4 were then added at 20× molar excess to either Herceptin or combination CPT/Herceptin nanoparticles (20 Tf per particle) to form TfR-targeted Herceptin and TfR-targeted combination CPT/Herceptin nanoparticles, respectively. The solution was again mixed by pipette and allowed to equilibrate for 10 min. Nanoparticle formulations were filtered using a 0.45 μm PTFE membrane Millex syringe filter (Millipore).
- An analogous procedure was used with OMe-PEG-nitroPBA was used to prepare the corresponding non-targeted nanoparticles.
- Nanoparticles were characterized using a Brookhaven Instruments Corporation (BIC) ZetaPALS. Nanoparticles were diluted in PBS, pH 7.4 and hydrodynamic diameter was measured by dynamic light scattering (DLS) using BIC Particle Sizing Software. Particle formulations were diluted in 10 mM PB, pH 7.4 and zeta potential was measured using BIC PALS Zeta Potential Analyzer software with a target residual of 0.02. Five runs were performed for both the nanoparticle diameter and zeta potential measurements.
- Intracardiac (ICD) Brain Metastasis Model.
- All animals were treated according to the NIH guidelines for animal care and use as approved by the Caltech Institutional Animal Care and Use Committee. BT474-Gluc cells, transduced with an expression cassette encoding Gluc and CFP separated by an internal ribosomal entry site using a lentiviral vector, were obtained from Dr. Jain at Harvard University. BT474-Gluc cells were maintained in RPMI 1640 supplemented with 10% (v/v) FBS in a humidified oven at 37° C. with 5% CO2. 100,000 BT474-Gluc cells were suspended in 100 μL of RPMI and slowly injected into the left ventricle of female Rag2−/−;I1l2rg−/− mice. Injections were performed blind, midway between the sternal notch and top of xyphoid process, and 13% anatomical left of sternum. Successful insertion into the left cardiac ventricle was confirmed by a bright red pulse of blood in the syringe. See
FIGS. 5 (A-C). - For the IC model, 50,000 BT474-Gluc cells in 2 μL RPMI were intracranially injected into the right cerebral hemisphere of female Rag2−/−;Il2rg−/− mice (Jackson Laboratory) using a stereotaxic apparatus at a rate of 0.1 μL/min. The coordinates for injection were 2 mm posterior, 1.5 mm lateral to bregma, and 2.5 mm depth from bregma. For the IV model, 2 M cells were suspended in 150 μL RPMI and slowly injected into the lateral tail vein of restrained female Rag2−/−;Il2rg−/− mice.
- Tumor Size Monitoring.
- For ICD and IV models, formation of BT474-Gluc brain metastatic tumors was monitored by MRI every third week until macroscopic tumors were visible (˜0.2 mm3 in volume). Tumor growth was then monitored weekly by MRI, as for the IC model. Mice were anaesthetized with 1.5-2% (v/v) isoflurane in O2 at a flow rate of 1-1.5 mL/min. T2-weighted 3D RARE images were acquired to assess the tumor volume. The image acquisition parameters were as follows: echo time: 6.1 ms; repetition time: 250 ms; rapid acquisition relaxation enhanced (RARE) factor: 4; number of averages: 4; field of view: 2.0 cm×1.2 cm×0.8 cm; matrix: 200×120×80 (100 m isotropic resolution). Tumor volume was determined manually from the T2 hyperintense tumor regions of the brain using Fiji software. For the IC model, tumor size was also monitored by measuring the activity of secreted Gluc in the blood. 20 μL of blood was collected weekly from the saphenous vein, mixed with 5 μL of 50 mM EDTA, and immediately frozen at −20° C. until time for analysis. Blood was transferred to an opaque 96-well plate (Nunc), and Gluc activity measured using the Pierce Gaussia Luciferase Flash Assay Kit, according to the manufacturer's protocol. Photon counts were acquired for 5 s following addition of coelenterazine using a
Safire 2 multi-mode plate reader (Tecan). Pairwise group comparisons testing for statistically significant differences were performed using the Wilcoxon-Mann-Whitney test in MATLAB. - Treatments.
- Treatment began when brain metastatic tumors reached −2 mm3, as measured by MRI. Mice in each model were randomized into four groups of six mice per group. CPT at a dose of 4 mg/kg (in 20% DMSO, 20
% PEG 400, 30% ethanol, and 30% 10 mM pH 3.5 phosphoric acid), Herceptin at 24 mg/kg (in PBS, pH 7.4), TfR-targeted CPT nanoparticles at 4 mg/kg (CPT basis, in PBS, pH 7.4), TfR-targeted Herceptin nanoparticles at 24 mg/kg (Herceptin basis, in PBS, pH 7.4), and TfR-targeted combination CPT/Herceptin nanoparticles at 4 and 24 mg/kg (CPT and Herceptin bases, respectively, in PBS, pH 7.4) were freshly prepared. The different formulations were systemically administered by lateral tail vein injection once per week for 4 weeks. Injections were standardized to 150 μL per 20 g body weight. The control treatment was 0.9% (w/v) saline. No gross signs of toxicity were obsered from either the non-targeted or the targeted nanoparticles in these studies, though animals did have reactions to dosing with CPT alone. - Specific Binding of TfR Allows Targeted Nanoparticles to Cross an In Vitro Model of the BBB.
- To perform an initial screen of transcytosis capacity, we used the bEnd.3 immortalized mouse brain endothelial cell line in an established in vitro model of the BBB. Nanoparticles were added to the apical compartment of bEnd.3-coated transwells in serum-free DMEM and allowed to cross the model BBB for 8 h, after which the full volume of the basal compartment was removed and CPT content measured using HPLC.
- After 8 h, TfR-targeted MAP-CPT nanoparticles showed a significantly increased capacity to cross the bEnd.3 cells compared to non-targeted nanoparticles (
FIG. 6 ). In addition, TfR-targeted nanoparticles showed a decreased ability to cross the model BBB when coincubated with serum concentrations of Tf, indicating TfR binding is essential to crossing. Interestingly, when coincubated with an equimolar amount of high affinity anti-TfR Abs, TfR-targeted nanoparticles also revealed a decreased ability to cross the transwells, consistent with previous reports of high-affinity Ab:TfR interactions leading to lysosomal trafficking. - Development of Mouse Model that Replicates the Metastasis Process in HER2-Positive Breast Cancer Brain Metastasis Patients.
- In an attempt to create a clinically representative, impermeable barrier to standard therapeutics, we developed a new model of HER2-positive breast cancer brain metastasis that reproduces human cancer dissemination. Metastasis models are illustrated in
FIG. 5 . HER2-positive BT474-Gluc cells were intravenously (IV) injected into Rag2−/−;Il2rg−/− mice, and formation of brain metastases was monitored by MRI. This cell line was engineered to express Gaussia luciferase (Gluc) that can be used as a surrogate for tumor burden (29). Rag2−/−;Il2rg−/− mice were chosen because they have shown the ability to allow multi-organ metastatic spread of HER2-positive breast cancer cell lines injected IV. - IV injection of BT474-Gluc cells reproduced the metastatic pattern observed in breast cancer patients, with multiple metastatic sites (Table 2). Importantly, brain tumors developed in a majority of the mice (>90%) before they succumbed to visceral tumor burden, with a distribution similar to that observed in patients. The median time to establishment of brain metastatic tumors visible by MRI was 4.2 months (range 2.9-6.1 months). We tested the effects of a standard anti-HER2 therapy, trastuzumab, on the growth of BT474-Gluc tumors established by IV injection versus the commonly used intracranial (IC) method. Treatment with trastuzumab led to delay in tumor progression when tumors were established by IC injection, suggesting this method of forming brain tumors may disrupt the BBB/BTB (
FIGS. 7 (A-B)). In contrast, trastuzumab failed to control tumor growth for tumors established IV, mimicking the clinical situation. -
TABLE 2 Metastatic ability of human BT474-Gluc breast cancer cells in Rag2−/−; Il2rg−/− mice following IV injection. Brain Lung Bone Liver Ovary Lymph Other* 22/24 24/24 6/8 16/17 24/24 24/24 19/24 Metastasis incidence provided by site per number of mice for which tissue type was analyzed. *Other metastatic sites included kidney, salivary glands, and interscapular space. - Brain Tumors Show Significant Delay in Growth with TfR-Targeted Nanoparticles, but their Response Differs when Established by Different Methods.
- We compared the efficacy of TfR-targeted MAP-CPT nanoparticles, non-targeted MAP-CPT nanoparticles and CPT on the growth of BT474-Gluc brain metastatic tumors in Rag2−/−;Il2rg−/− mice established by IC, ICD and IV methods (
FIG. 8 ). After IC, ICD or IV injection of BT474-Gluc cells, formation of brain metastatic tumors was monitored by MRI. A total of six mice were used for each treatment group per model, and treatment was initiated when tumors reached 2 mm3 in volume. This metastasis volume was chosen as an intermediate size between small micrometastases (0.1-1 mm3) and large lesions (>4-10 mm3). The different formulations were systemically administered by lateral tail vein injection once per week for 4 weeks at a dose of 4 mg/kg (CPT basis). Brain tumor volume was measured weekly by MRI. Blood Gluc activity was measured in addition only for the IC model, due to substantial extracranial tumor burden in the ICD and IV models. - In mice bearing IC-established brain tumors, TfR-targeted MAP-CPT nanoparticles significantly delayed brain metastatic tumor growth compared to saline, resulting in an 8.4-fold decrease in mean tumor volume by the end of the study (
FIG. 9 and Table 3). However, treatment with non-targeted MAP-CPT nanoparticles or CPT also led to substantial tumor growth inhibition (3.5- or 2.6-fold reduction in mean final tumor volume, respectively), supporting the hypothesis that artificial transport pathways may be introduced following IC tumor establishment. The blood Gluc activity for each treatment group correlated well with tumor volume, as measured by MRI (FIG. 10 ). Individual antitumor data are provided inFIGS. 11 (A-C). -
TABLE 3 Antitumor efficacy in Rag2−/−; Il2rg−/− mice bearing human BT474-Gluc breast cancer metastatic brain tumors established by IC injection. Mean Median tumor tumor P volume volume vs. (mm3) (mm3) saline Saline 101 100 — CPT (4 mg/kg) 39 39 0.0022 Non-targeted MAP-CPT nanoparticle 29 30 0.0022 (4 mg CPT/kg) TfR-targeted MAP-CPT nanoparticle 12 12 0.0022 (4 mg CPT/kg) Data provided are mean and median tumor volumes at the end of the study. P values were calculated using the Wilcoxon-Mann-Whitney test. -
TABLE 4 Antitumor efficacy in Rag2−/−; Il2rg−/−mice bearing human BT474-Gluc breast cancer metastatic brain tumors established by ICD injection. Mean Median tumor tumor P volume volume vs. (mm3) (mm3) saline Saline 87 88 — CPT (4 mg/kg) 69 71 0.0022 Non-targeted MAP-CPT nanoparticle 87 89 0.9372 (4 mg of CPT/kg) TfR-targeted MAP-CPT nanoparticle 33 32 0.0022 (4 mg of CPT/kg) Data provided are mean and median tumor volumes at the end of the study. P values were calculated using the Wilcoxon-Mann-Whitney test. -
TABLE 5 Antitumor efficacy in Rag2−/−; Il2rg−/− mice bearing human BT474-Gluc breast cancel metastatic brain tumors established by IV injection. Mean Median tumor tumor P volume volume vs. (mm3) (mm3) saline Saline 83 83 — CPT (4 mg/kg) 86 86 0.5887 Non-targeted MAP-CPT nanoparticle 84 84 0.9372 (4 mg of CPT/kg) TfR-targeted MAP-CPT nanoparticle 33 31 0.0022 (4 mg of CPT/kg) Data provided are mean and median tumor volumes at the end of the study. P values were calculated using the Wilcoxon-Mann-Whitney test. - In contrast to results from the IC model, only treatment with TfR-targeted MAP-CPT nanoparticles resulted in substantial tumor growth delay compared to saline when tumors were established by ICD injection (2.6-fold decrease in mean tumor volume;
FIG. 9(B) and Table 4). Interestingly, we observed a modest response with CPT treatment, but not with non-targeted MAP-CPT nanoparticles (although this difference was not significant). - Similar to the ICD model, with IV-established brain tumors, TfR-targeted MAP-CPT nanoparticles markedly slowed tumor growth compared to saline (2.5-fold decrease in mean tumor volume;
FIG. 9(C) and Table 5). Notably, no tumor growth inhibition was observed with CPT or non-targeted MAP-CPT nanoparticles compared to saline in this model, more closely replicating the clinical situation. - Brain Uptake of Therapeutics Differs in Tumor, but not Healthy Tissue Between Models.
- To ascertain whether differences in brain penetration of the therapeutics might explain the discordance in efficacy between brain metastasis models, we systemically administered an additional dose of each treatment at the end of the efficacy study. After 24 h, mice were anesthetized and perfused with PBS to clear any remaining nanoparticles or free drug from the bloodstream. Drug uptake into tumor and healthy brain tissue was quantified by HPLC as previously described.
- Tumor tissue collected from IC-established, but not from ICD- and IV-established brain tumors showed significant accumulation of CPT and non-targeted MAP-CPT nanoparticles, consistent with the hypothesis that the barrier in IC-established tumors may be more permeable to therapeutics than what is observed in patients with HER2-positive disease (
FIGS. 12 (A-B)). In addition, cells isolated from BT474-Gluc tumors from all three models as well as the respective parental cells had comparable sensitivities to CPT in vitro (SIAppendix,FIG. 13 ), ruling out permanent, model-specific drug sensitivity as the origin for anti-tumor ifferences. Although there is evidence that brain-specific drug resistance mechanisms may also be important (7), these data strongly implicate BBB/BTB permeability to the therapeutic agents as a key mediator of the differential treatment response between the models in this study. - Conjugates of 3-carboxy-5-nitrophenyl boronic acid (nitroPBA)-Herceptin and Tf were synthesized by adding nitroPBA to 3.5-kDa polyethylene glycol (PEG), followed by conjugation of the polymer to Herceptin using EDC/NHS chemistry (
FIG. 14(A) ). A Tf-containing analog was prepared using 5-kDa PEG (FIG. 14(B) ). The nitro-PBA boronic acid derivative was chosen because of its high binding constant and low pKa (ca. 6.8) values with MAP. As a result, the nitroPBA conjugates formed stable boronic acid esters with the nanoparticle in circulation, but quickly dissociated from the nanoparticle at pH<6.8 to provide ligand detachment during transcytosis. - To assemble TfR-targeted combination CPT/Herceptin nanoparticles, Herceptin-PEG3.5 k-nitroPBA conjugate was added to the MAP-CPT nanoparticles at a 1:1 molar ratio, followed by Tf-PEG5 k-nitroPBA at a 20 molar excess in PBS, pH 7.4 (
FIG. 4(A) ). To compare the antitumor activity of nanoparticles containing only CPT, Tf-PEG5 k-nitroPBA was directly added to the MAP-CPT nanoparticles at 20 molar excess (FIG. 2B ). A Herceptin only nanoparticle control was prepared by conjugating a hydrophobic fluorophore (Alexa Fluor 568, AF568) lacking antitumor activity to the MAP polymer to promote the formation of nanoparticles upon dialysis in water (FIG. 15 ). Herceptin-PEG3.5 k-nitroPBA and Tf-PEG5 k-nitroPBA conjugates were added as above to the MAP-AF568 nanoparticles at 1:1 and 20:1 molar ratios, respectively, to form TfR-targeted Herceptin nanoparticles (FIG. 4(C) ). Nanoparticles containing Herceptin were purposefully formulated with an average of one antibody per nanoparticle. Numerous antibodies can be added to the nanoparticles. However, adding just one allowed us to test the “worst-case scenario” for delivering an antibody to the brain. If brain delivery and antitumor activity was observed, it was likely that even better efficacy would be achievable with nanoparticles containing multiple antibodies. - Nanoparticle diameter and zeta potential measurements were performed on the above formulations to verify that the nanoparticles had properties appropriate for transcytosis from systemic administrations as well as diffusion through brain tissue, namely a sub-100-nm diameter and negative-near-neutral zeta potential. All three nanoparticle formulations had diameters between 30-40 nm, as measured by dynamic light scattering, and negative-near-neutral zeta potentials when measured in pH 7.4 buffer (Tables 6(A-B)).
-
TABLE 6A Nanoparticle formulations and characteristics Nanoparticle Zeta diameter, potential, Formulation pH 7.4, nm pH 7.4, mV TfR-targeted CPT nanoparticle 31.6 ± 1.3 −1.07 ± 0.48 TfR-targeted Herceptin nanoparticle 34.1 ± 1.9 −0.38 ± 0.75 TfR-targeted combination CPT/Herceptin 29.8 ± 1.6 −1.22 ± 0.64 nanoparticle Data shown for hydrodynamic diameter and zeta potential are the average of 5 measurements ± 1 SD. -
TABLE 6B Nanoparticle formulations and characteristics. Nanoparticle Zeta Nanoparticle Zeta diameter, potential, diameter, potential, Formulation pH 7.4, nm pH 7.4, mV pH 5.5, nm pH 5.5, mV MAP-CPT 37.8 ± 1.4 −0.39 ± 0.78 38.2 ± 1.8 −0.27 ± 0.84 nanoparticle TfR-targeted 29.4 ± 1.2 −1.32 ± 0.45 37.9 ± 1.3 −0.51 ± 0.42 MAP-CPT nanoparticle Non-targeted 45.6 ± 1.7 −0.57 ± 0.88 37.6 ± 1.9 −0.43 ± 0.68 MAP-CPT nanoparticle Data shown for hydrodynamic diameter and zeta potential are the average of 5 measurements ± 1 SD. - The breast cancer brain metastasis model was established by intracardiac (ICD) injection of HER2-positive BT474-Gluc cells into Rag2−/−;Il2rg−/− mice. The present inventors have previously shown that the method used to form brain tumors in mice can dramatically affect the efficacy of therapeutics and their brain penetration. A marked antitumor response and brain accumulation of free CPT, a non-BBB-penetrant small molecule, and a non-targeted nanoparticle containing CPT in tumors that were established by stereotaxic intracranial injection was observed. In contrast, treatment with the nanoparticles lacking Tf to enable transcytosis gave no antitumor response in both the ICD model and a third model involving intravenous injection of the cancer cells that more closely replicated the metastasis process in patients was used. The ICD model, however, did allow CPT to penetrate and have a small antitumor effect while our new model did not. Here, the ICD model was chosen because it appeared to have an impermeable BBB/BTB to larger nanoparticle entities, and would allow comparison to other studies that have employed this method of creating brain metastases.
- To assess how the incorporation of the therapeutic antibody affected the efficacy of the targeted nanoparticles, the antitumor activity of TfR-targeted combination CPT/Herceptin nanoparticles compared to TfR-targeted CPT nanoparticles, TfR-targeted Herceptin nanoparticles and combined free CPT and Herceptin in the ICD model were investigated. A saline treatment group was used as the control. Treatment was initiated when tumors reached 2 mm3 in volume.
FIGS. 16 and 17 shows a representative MRI image of the metastatic tumors at the start of treatment. The different formulations were systemically administered weekly for 4 weeks at a dose of 4 and/or 24 mg/kg (CPT and/or Herceptin bases, respectively), and tumor volume was measured weekly by MRI for 8 weeks. -
FIG. 18 and Table 3 show the results from treating mice bearing brain tumors with the formulations described above. Data from individual animals are provided inFIG. 19 . For the physical mixture of CPT and Herceptin, the tumor growth delay is not significantly different than previously observed for CPT alone.27 These results suggest that Herceptin is not penetrating the BBB/BTB to an extent to produce any antitumor activity, and are consistent with data published for Herceptin alone. -
TABLE 3 Antitumor efficacy in Rag2−/−; I12rg−/− mice bearing human BT474-Gluc breast cancer metastatic brain tumors. Mean Median tumor tumor P volume volume vs. (mm3) (mm3) saline Saline 89 89 — CPT and Herceptin (4 and 24 mg/kg, 72 74 0.0087 respectively) TfR-targeted CPT nanoparticle 35 35 0.0022 (4 mg CPT/kg) TfR-targeted Herceptin nanoparticle 17 16 0.0022 (24 mg Herceptin/kg) TfR-targeted combination CPT/ Herceptin 5 5 0.0022 nanoparticle (4 mg CPT/kg and 24 mg Herceptin/kg) Data provided are mean and median tumor volumes at the end of the study. P values were calculated using the Wilcoxon-Mann-Whitney test. - The tumor growth delay from treatment with TfR-targeted CPT nanoparticles was as observed previously and showed the excellent reproducibility of both the model and the nanoparticle synthesis. Compared to previous data demonstrating no tumor growth delay with nanoparticles lacking Tf, these results suggested that the antitumor effects observed for this treatment are facilitated by targeted nanoparticle delivery of CPT alone.
- TfR-targeted Herceptin nanoparticles gave a greater antitumor response than those containing CPT, suggesting that the nanoparticles can deliver functional antibodies into the brain via transcytosis. It is also encouraging that significant antitumor activity can be achieved when only one antibody is on each nanoparticle. Future studies will explore variable amounts of antibody contents.
- When both Herceptin and CPT are combined in a TfR-targeted nanoparticle, the best antitumor response was observed (compared to the data from Herceptin alone or CPT alone), and the antitumor effects appeared to be quite durable. Notably, the type of formulation for the combination (free drug vs. nanoparticle) greatly affected the outcome of the brain metastases, as shown in
FIG. 18 . MRI images further illustrate the differences between the tumors after treatment with the above formulations (FIG. 16 ). These results suggested that both the CPT and Herceptin are delivered to the brain via transcytosis of the nanoparticle and indicate that combination therapies will be possible with this type of delivery system. - In summary, TfR-targeted nanoparticles containing either the antibody Herceptin alone or in combination with the small molecule drug CPT were shown to deliver their payloads to intracranial breast cancer tumors to provide significant antitumor activity. These results not only show that functional antibodies can be delivered to the brain, but also that they can be used in combination with other drugs to provide enhanced antitumor activity. This initial study was performed with a single dose amount and a single dosing schedule. The dosing amount used here is well below what is possible with the nanoparticles and was selected in order to have proper comparison to free CPT administered near the maximum tolerated dose. Therefore, further studies with increasing dosing amounts and alternative dosing schedules are merited. Importantly, these results demonstrate the ability to deliver therapeutic combinations to treat brain metastases as well as other brain diseases.
- The following references provide additional information useful for understanding the principles and issues associated with the present disclosure, and are incorporated by reference herein for all purposes, or at least for their discussions concerning issues directed to allowing for passage of pharmacueticals and other pharmacuetically active materials across the BBB.
- 1. Cairncross, J. G., Kim, J. H., and Posner, J. B. (1980) Radiation therapy for brain metastases. Ann. Neurol. 7, 529-541.
- 2. Barnholtz-Sloan, J. S., Sloan, A. E., Davis, F. G., Vigneau, F. D., Lai, P., and Sawaya R. E. (2004) Incidence proportions of brain metastases in patients diagnosed (1973 to 2001) in the Metropolitan Detroit Cancer Surveillance System. J. Clin. Oncol. 22, 2865-2872.
- 3. Crivellari, D., Pagani, O., Veronesi, A., Lombardi, D., Nole, F., Thuirlimann, B., Hess, D., Borner, M., Bauer, J., Martinelli, G., et al. (2001) High incidence of central nervous system involvement in patients with metastatic or locally advanced breast cancer treated with epirubicin and docetaxel. Ann. Oncol. 12, 353-356.
- 4. Lin, N. U., Amiri-Kordestani, L., Palmieri, D., Liewehr, D. J., and Steeg, P. S. (2013) CNS metastases in breast cancer: old challenge, new frontiers. Clin. Cancer Res. 19, 6404-6418.
- 5. Kennecke, H., Yerushalmi, R., Woods, R., Cheang, M. C., Voduc, D., Speers, C. H., Nielsen, T. O., and Gelmon, K. (2010) Metastatic behavior of breast cancer subtypes. J. Clin. Oncol. 28, 3271-3277.
- 6. Rostami, R., Mittal, S., Rostami, P., Tavassoli, F., and Jabbari B. (2016) Brain metastasis in breast cancer: a comprehensive literature review. J. Neurooncol. 127, 407-414.
- 7. Lin, N. U., and Winer, E. P. (2007) Brain metastases: the HER2 paradigm. Clin. Cancer Res. 13, 1648-1655.
- 8. Aversa, C., Rossi, V., Geuna, E., Martinello, R., Milani, A., Redana, S., Valabrega, G., Aglietta, M., and Montemurro, F. (2014) Metastatic breast cancer sybtypes and central nervous system metastases. Breast 23, 623-628.
- 9. Taskar, K. S., Rudraraju, V., Mittapali, R. K., Samala, R., Throsheim, H. R., Lockman, J., Gril, B., Hua, E., Palmieri, D., Polli, J. W., et al. (2012) Lapatinib distribution in HER2 overexpressing experimental brain metastases of breast cancer. Pharm. Res. 29, 770-781.
- 10. Morikawa, A., Peereboom, D. M., Thorsheim, H. R., Samala, R., Baylan, R., Murphy, C. G., Lockman, P. R., Simmons, A., Weil, R. J., Tabar, V., et al. (2015) Capecitabine and lapatinib uptake in surgically resected brain metastases from metastatic breast cancer patients: a prospective study. Neuro. Oncol. 17, 289-295.
- 11. Bohn, K. A., Adkins, C. E., Mittapali, R. K., Terrell-Hall, T. B., Mohammad, A. S., Shah, N., Dolan, E. L., Nounou, M. I., and Lockman, P. R. (2016) Semi-automated rapid quantification of brain vessel density using fluorescent microscopy. J. Neurosci. Methods 270, 124-131.
- 12. Oehrlich, N. E., Spineli, L. M., Papendorf, F., and Park-Simon, T. W. (2017) Clinical outcome of brain metastases differs significantly among breast cancer subtypes. Oncol Lett. 14, 194-200.
- 13. Shah, N., Mohammad, A. S., Saralkar, P., Sprowls, S. A., Vickers, S. D., John, D., Tallman, R. M., Lucke-Wold, B. P., Jarrell, K. E., Pinti, M., et al. (2018) Investigational chemotherapy and novel pharmacokinetic mechanisms for the treatment of breast cancer brain metastases. Pharmacol. Res. 132, 47-68.
- 14. Ramakrishna, N., Temin, S., Chandarlapaty, S., Crews, J. R., Davidson, N. E., Esteva, F. J., Giordano, S. H., Gonzalez-Angulo, A. M., Kirshner, J. J., Krop, I., et al. (2014) Recommendations on disease management for patients with advanced human epidermal growth factor receptor 2-positive breast cancer and brain metastases: American Society of Clinical Oncology clinical practice guideline. J. Clin. Oncol. 32, 2100-2108.
- 15. Pardridge, W. M. (2005) The blood-brain barrier: Bottleneck in brain drug development.
NeuroRx 2, 3-14. - 16. Lockman, P. R., Mittapalli, R. K., Taskar, K. S., Rudraraju, V., Gril, B., Bohn, K. A., Adkins, C. E., Roberts, A., Thorsheim, H. R., Gaasch, J. A., et al. (2010) Heterogeneous blood-tumor barrier permeability determines drug efficacy in experimental brain metastases of breast cancer. Clin. Cancer Res. 16, 5664-5678.
- 17. Mittapalli, R. K., Adkins, C. E., Bohn, K. A., Mohammad, A. S., Lockman, J. A., and Lockman, P. R. (2017) Quantitative fluorescence microscopy measures vascular pore size in primary and metastatic brain tumors. Cancer Res. 77, 238-246.
- 18. Osswald, M., Blaes, J., Liao, Y., Solecki, G., Gommel, M., Berghoff, A. S., Salphati, L., Wallin, J. J., Phillips, H. S., Wick, W., et al. (2016) Impact of blood-brain barrier integrity on tumor growth and therapy response in brain metastases. Clin. Cancer Res. 22, 6078-6087.
- 19. Mehta, A. I., Brufsky, A. M., and Sampson, J. H. (2013) Therapeutic approaches for HER2-positive brain metastases: circumventing the blood-brain barrier. Cancer Treat. Rev. 39, 261-269.
- 20. Mittapalli, R. K., Liu, X., Adkins, C. E., Nounou, M. I., Bohn, K. A., Terrell, T. B., Qhattal, H. S., Geldenhuys, W. J., Palmieri, D., Steeg, P. S., et al. (2013) Paclitaxel-hyaluronic nanoconjugates prolong overall survival in a preclinical brain metastases of breast cancer model. Mol. Cancer Ther. 12, 2389-2399.
- 21. Adkins, C. E., Nounou, M. I., Hye, T., Mohammad, A. S., Terrell-Hall, T., Mohan, N. K., Eldon, M. A., Hoch, U., and Lockman, P. R. (2015) NKTR-102 efficacy versus irinotecan in a mouse model of brain metastases of breast cancer.
BMC Cancer 15, 685. - 22. Mohammad, A. S., Griffith, J. I., Adkins, C. E., Shah, N., Sechrest, E., Dolan, E. L., Terrell-Hall, T. B., Hendriks, B. S., Lee, H., and Lockman, P. R. (2018) Liposomal irinotecan accumulates in metastatic lesions, crosses the blood-tumor barrier (BTB), and prolongs survival in an experimental model of brain metastases of triple negative breast cancer. Pharm. Res. 35.
- 23. Pardridge, W. M. (2007) Drug targeting to the brain. Pharm. Res. 24, 1733-1744.
- 24. Chen, Y., and Liu, L. (2012) Modern methods for delivery of drugs across the bloodbrain barrier. Adv. Drug Deliv. Rev. 64, 640-665.
- 25. Pardridge, W. M. (2017) Delivery of biologics across the blood-brain barrier with molecular trojan horse technology. BioDrugs 31, 503-519.
- 26. Uchida, Y., Ohtsuki, S., Katsukura, Y., Ikeda, C., Suzuki, T., Kamiie, J., and Terasaki T. (2011) Quantitative targeted absolute proteomics of human blood-brain barrier transporters and receptors. J. Neurochem. 117, 333-345.
- 27. Wyatt, E. A., and Davis, M. E. (2018) Method of establishing breast cancer brain metastases affects brain uptake and efficacy of targeted, therapeutic nanoparticles. Bioeng. Tranls. Med. doi: 10.1002/btm2.10108.
- 28. Clark, A. J., and Davis, M. E. (2015) Increased brain uptake of targeted nanoparticles by adding an acid-cleavable linkage between transferrin and the nanoparticle core. Proc. Natl. Acad. Sci. USA 112, 12486-12491.
- 29. Han, H., and Davis, M. E. (2013) Targeted nanoparticles assembled via complexation of boronic-acid-containing targeting moieties to diol-containing polymers. Bioconjug. Chem. 24, 669-677.
- 30. Wiley, D. T., Webster, P., Gale, A., and Davis, M. E. (2010) Transcytosis and brain uptake of transferrin-containing nanoparticles by tuning avidity to transferrin receptor. Proc. Natl. Acad. Sci. USA 110, 8662-8667.
- 31. Nance, E. A., Woodworth, G. F., Sailor, K. A., Shih, T. Y., Xu, Q., Swaminathan, G., Xiang, D., Eberhart, C., and Hanes, J. (2012) A dense poly(ethylene glycol) coating improves penetration of large polymeric nanoparticles within brain tissue. Sci. Transl. Med. 4, 149ra119.
- 32. Terrell-Hall, T. B., Nounou, M. I., El-Amrawy, F., Griffith, J. I. G., and Lockman, P. R. (2017) Trastuzumab distribution in an in-vivo and in-vitro model of brain metastases of breast cancer.
Oncotarget 8, 83734-83744. - All references cited within this specification are incorporated by reference in their entireties for all purposes, or at least for their teachings in the context of their recitation.
Claims (21)
1. A method of treating a neurological disorder in a patient, the method comprising systemically administering a first small molecule therapeutic agent and/or a large molecule therapeutic agent to the patient in need of such treatment, wherein
(a) the first small molecule therapeutic agent and/or the large molecule therapeutic agent is attached to a nanoparticle comprising a nanoparticle core and a targeting agent, the targeting agent comprising at least one targeting ligand attached to an external surface of the nanoparticle core by a linker having a cleavable linkage;
(i) the external surface of the nanoparticle comprising a neutral and/or negatively charged mucic acid-containing polymer (MAP) (including being substantially free of cationic mucic-acid containing polymer (cMAP));
(ii) the at least one targeting ligand having an affinity for binding to a receptor expressed by endothelial cells of the blood-brain barrier; and
(iii) the cleavable linkage being cleavable when subject to conditions inside an endothelial cell of the blood-brain barrier, wherein the cleavage comprises hydrolysis, chemical reduction, or enzymatic cleavage of the linker; and wherein one or both of
(iv) the small molecule therapeutic agent is optionally linked to the nanoparticle core by way of an optional linker; and/or
(v) the large molecule therapeutic agent is linked to the nanoparticle by way of an optional linker; and
(b) the administration of the first small molecule therapeutic agent and/or the large molecule therapeutic agent attached to the nanoparticle results in the delivery of the first small molecule therapeutic agent and/or the large molecule therapeutic agent past the blood brain barrier and into the subject's brain parenchyma in an amount is greater than would be delivered were the first small molecule therapeutic agent and/or the large molecule therapeutic agent not attached to the nanoparticle.
2. The method of claim 1 , wherein the method comprises delivering the large molecule therapeutic agent attached to the nanoparticle, such that the large molecule therapeutic agent is delivered past the blood brain barrier and into the subject's brain parenchyma in an amount that is greater than would be delivered were the large molecule therapeutic agent not attached to the nanoparticle.
3. The method of claim 2 , wherein the amount of the large molecule therapeutic agent that passes the blood brain barrier and into the subject's brain parenchyma is a therapeutically effective amount for the neurological disorder.
4. The method of claim 2 , further comprising systemically administering to the patient a second small molecule therapeutic agent that itself able to pass the blood brain barrier and be delivered into the subject's brain parenchyma in a therapeutically effective amount, wherein the second small molecule therapeutic agent is not attached to the nanoparticle.
5. The method of claim 4 , wherein the first and second small molecule therapeutic agents are not the same.
6. The method of claim 1 , wherein the method comprises delivering both the first small molecule therapeutic agent and the large molecule therapeutic agent, both attached to the nanoparticle, such that both the first small molecule therapeutic agent and the large molecule therapeutic agent are delivered past the blood brain barrier and into the subject's brain parenchyma in amounts that are individually greater than would be delivered were the small molecule therapeutic agent and the large molecule therapeutic agent large molecule therapeutic agent not attached to the nanoparticle.
7. The method of claim 6 , wherein the amount of first small molecule therapeutic agent and the large molecule therapeutic agent that passes the blood brain barrier and into the subject's brain parenchyma are individually a therapeutically effective amount for the neurological disorder.
8. The method of claim 1 , wherein the neurological disorder is brain cancer.
10. The method of claim 1 , wherein the nanoparticle core comprises a polyol structure:
where y is in a range of from 10 to 25;
where R is a functional group residue corresponding to that of an amino acid containing a third functional group, for example arginine (R is CH2CH2CH2NHC(NH2)2), histidine (R is CH2-imidazolyl), lysine (R is CH2—CH2—CH2—CH2—NH2), aspartic acid (R is CH2—COOH), glutamic acid (R is CH2—CH2—COOH), serine (R is CH2—OH), threonine (R is CH(OH)(CH3)) asparagine (R is CH2—C(O)NH2), glutamine (R is CH2—CH2—C(O)NH2), tyrosine (R is CH2-Ph-OH), tryptophan (R is CH2-indolyl), or a salt thereof, and/or where R is coupled to one or more of the targeting agent, the first small molecule therapeutic agent, and/or the large molecule therapeutic agent.
11. The method of claim 1 , wherein the nanoparticle core comprises a polymer derived from the coupling of a compound of Formula A with a compound of Formula B; wherein the compound of Formula A is:
wherein n is a number from 1 to 20; and
R is a functional group residue (e.g., —COOH, —NH2, —OH) corresponding to that of an amino acid containing a third functional group, for example arginine (R is CH2CH2CH2NHC(NH2)2+), histidine (R is CH2-imidazolyl), lysine (R is CH2—CH2—CH2—CH2—NH2), aspartic acid (R is CH2—COOH), glutamic acid (R is CH2—CH2—COOH), serine (R is CH2—OH), threonine (R is CH(OH)(CH3)) asparagine (R is CH2—C(O)NH2), glutamine (R is CH2—CH2—C(O)NH2), tyrosine (R is CH2-Ph-OH), tryptophan (R is CH2-indolyl), or a salt thereof; and
the compound of Formula B is:
but not
in which
p is a number from 20 to 200; and
L is a leaving group.
13. The method of claim 1 , wherein the cleavable linkage comprises an acetal, a borate ester, a carbonate, a carboxylic acid ester, a diamino ketal, a disulfide, a hydrazone, an imine, a ketal, an orthoester, or a peptide linkage.
14. The method of claim 1 , wherein the at least one targeting agent comprises at least one borate ester of a (nitro)phenyl boronic acid-containing polymer comprising a structure:
wherein
the nanoparticle core and the (nitro)phenyl boronic acid-containing polymer are reversible connected to one another by the borate condensation linkage between the (nitro)phenyl boronic acid moieties of the (nitro)phenyl boronic acid-containing polymer and at least one pair of vicinal diols of the nanoparticle core, X5 being at the distal end of this connection;
RA is nitro;
n is 1;
s is a number in a range of from 2 to 2000;
L is a linking group between the phenyl ring and the polyethylene oxide linkage, the linking group comprising an amide, carbonate, ester, or disulfide group; and
X5 is a C1-6 alkyl, optionally substituted with —OH, —COOH, —B(OH)2—, —C(═O)O(alkyl), —C(═O)O(aryl), —NH2, —NH(alkyl), —N(alkyl)2, or —SH, wherein the at least one targeting agent is coupled thereto.
15. The method of claim 1 , wherein the first small molecule therapeutic agent is linked to the nanoparticle core by a linker comprising an amino acid residue.
16. The method of claim 1 , wherein the first small molecule therapeutic agent is a neurotransmitter or a chemotherapeutic agent.
17. The method of claim 15 , wherein the first small molecule therapeutic agent is dopamine, serotonin, camptothecin, irinotecan, SN-38, or a metabolite, or prodrug thereof.
19. The method of claim 1 , wherein the targeting ligand is transferrin.
20. The method of claim 1 , wherein the large molecule therapeutic agent is trastuzumab (Herceptin).
21. The method of claim 1 , wherein the first small molecule therapeutic agent is camptothecin, irinotecan, SN-38, or a metabolite, or prodrug thereof and the large molecule therapeutic agent is trastuzumab (Herceptin).
Priority Applications (2)
| Application Number | Priority Date | Filing Date | Title |
|---|---|---|---|
| US16/438,762 US20190381188A1 (en) | 2018-06-13 | 2019-06-12 | Nanoparticles For Crossing The Blood Brain Barrier And Methods Of Treatment Using The Same |
| US17/215,443 US11998616B2 (en) | 2018-06-13 | 2021-03-29 | Nanoparticles for crossing the blood brain barrier and methods of treatment using the same |
Applications Claiming Priority (2)
| Application Number | Priority Date | Filing Date | Title |
|---|---|---|---|
| US201862684593P | 2018-06-13 | 2018-06-13 | |
| US16/438,762 US20190381188A1 (en) | 2018-06-13 | 2019-06-12 | Nanoparticles For Crossing The Blood Brain Barrier And Methods Of Treatment Using The Same |
Related Child Applications (1)
| Application Number | Title | Priority Date | Filing Date |
|---|---|---|---|
| US17/215,443 Continuation US11998616B2 (en) | 2018-06-13 | 2021-03-29 | Nanoparticles for crossing the blood brain barrier and methods of treatment using the same |
Publications (1)
| Publication Number | Publication Date |
|---|---|
| US20190381188A1 true US20190381188A1 (en) | 2019-12-19 |
Family
ID=68839032
Family Applications (2)
| Application Number | Title | Priority Date | Filing Date |
|---|---|---|---|
| US16/438,762 Abandoned US20190381188A1 (en) | 2018-06-13 | 2019-06-12 | Nanoparticles For Crossing The Blood Brain Barrier And Methods Of Treatment Using The Same |
| US17/215,443 Active 2040-01-17 US11998616B2 (en) | 2018-06-13 | 2021-03-29 | Nanoparticles for crossing the blood brain barrier and methods of treatment using the same |
Family Applications After (1)
| Application Number | Title | Priority Date | Filing Date |
|---|---|---|---|
| US17/215,443 Active 2040-01-17 US11998616B2 (en) | 2018-06-13 | 2021-03-29 | Nanoparticles for crossing the blood brain barrier and methods of treatment using the same |
Country Status (5)
| Country | Link |
|---|---|
| US (2) | US20190381188A1 (en) |
| EP (1) | EP3806887A4 (en) |
| JP (1) | JP7483193B2 (en) |
| CA (1) | CA3099440A1 (en) |
| WO (1) | WO2019241327A1 (en) |
Cited By (2)
| Publication number | Priority date | Publication date | Assignee | Title |
|---|---|---|---|---|
| US20210170049A1 (en) * | 2019-12-04 | 2021-06-10 | Dantari, Inc. | Methods and compositions for synthesis of therapeutic nanoparticles |
| US20220175689A1 (en) * | 2020-11-17 | 2022-06-09 | Phosphorex, Inc. | Novel drug delivery composition and process for blood-brain barrier crossing |
Families Citing this family (4)
| Publication number | Priority date | Publication date | Assignee | Title |
|---|---|---|---|---|
| IL317123A (en) | 2018-08-27 | 2025-01-01 | Regeneron Pharma | Use of Raman Spectroscopy in Downstream Purification |
| EP4495596A1 (en) * | 2023-07-20 | 2025-01-22 | Universidad de Granada | Functionalized nanoparticles (nps) |
| WO2025054419A1 (en) * | 2023-09-08 | 2025-03-13 | California Institute Of Technology | Compositions for transport of therapeutic cargos using antibody binders targeting ca-iv |
| WO2025076356A1 (en) * | 2023-10-05 | 2025-04-10 | Dantari, Inc. | Poly-nitrophenyl boronic acid-containing polymers |
Family Cites Families (107)
| Publication number | Priority date | Publication date | Assignee | Title |
|---|---|---|---|---|
| US4631190A (en) | 1981-06-26 | 1986-12-23 | Shen Wei C | Acidity-sensitive spacer molecule to control the release of pharmaceuticals from molecular carriers |
| US5217999A (en) | 1987-12-24 | 1993-06-08 | Yissum Research Development Company Of The Hebrew University Of Jerusalem | Styryl compounds which inhibit EGF receptor protein tyrosine kinase |
| ES2064101T3 (en) | 1990-04-02 | 1995-01-16 | Pfizer | THYROSINE KINASE INHIBITORS BENZYLPHOSPHONIC ACID COMPOUNDS. |
| US5302606A (en) | 1990-04-16 | 1994-04-12 | Rhone-Poulenc Rorer Pharmaceuticals Inc. | Styryl-substituted pyridyl compounds which inhibit EGF receptor tyrosine kinase |
| SG64322A1 (en) | 1991-05-10 | 1999-04-27 | Rhone Poulenc Rorer Int | Bis mono and bicyclic aryl and heteroaryl compounds which inhibit egf and/or pdgf receptor tyrosine kinase |
| CA2108889A1 (en) | 1991-05-29 | 1992-11-30 | Robert Lee Dow | Tricyclic polyhydroxylic tyrosine kinase inhibitors |
| AU661533B2 (en) | 1992-01-20 | 1995-07-27 | Astrazeneca Ab | Quinazoline derivatives |
| US5936079A (en) | 1992-04-06 | 1999-08-10 | Alton Ochsner Medical Foundation | Oligonucleotide which binds to a chromosomal binding site for p53 protein |
| RU2155187C2 (en) | 1992-08-06 | 2000-08-27 | Варнер-Ламберт Компани | Derivatives of indole, their tautomers, mixtures of their isomers or separate isomers and pharmaceutically acceptable salts, pharmaceutical composition showing antitumor or inhibiting protein tyrosine kinase activity and method of inhibition of protein tyrosine kinase-depending disease or control of aberrant growth of mammalian or human cells |
| US5330992A (en) | 1992-10-23 | 1994-07-19 | Sterling Winthrop Inc. | 1-cyclopropyl-4-pyridyl-quinolinones |
| GB9226855D0 (en) | 1992-12-23 | 1993-02-17 | Erba Carlo Spa | Vinylene-azaindole derivatives and process for their preparation |
| US5565215A (en) | 1993-07-23 | 1996-10-15 | Massachusettes Institute Of Technology | Biodegradable injectable particles for imaging |
| WO1995024190A2 (en) | 1994-03-07 | 1995-09-14 | Sugen, Inc. | Receptor tyrosine kinase inhibitors for inhibiting cell proliferative disorders and compositions thereof |
| GB9412719D0 (en) | 1994-06-24 | 1994-08-17 | Erba Carlo Spa | Substituted azaindolylidene compounds and process for their preparation |
| US6007845A (en) * | 1994-07-22 | 1999-12-28 | Massachusetts Institute Of Technology | Nanoparticles and microparticles of non-linear hydrophilic-hydrophobic multiblock copolymers |
| US6610832B1 (en) | 1995-03-23 | 2003-08-26 | Biopure Corporation | Preserving a hemoglobin blood substitute with a transparent overwrap |
| GB9508538D0 (en) | 1995-04-27 | 1995-06-14 | Zeneca Ltd | Quinazoline derivatives |
| US6034081A (en) | 1995-05-30 | 2000-03-07 | Buckman Laboratories International Inc | Potentiation of biocide activity using an N-alkyl heterocyclic compound |
| US5693631A (en) | 1995-05-30 | 1997-12-02 | Buckman Laboratories International, Inc. | Potentiation of the microbicide 2-(thiocyanomethylthio) benzothiazole using an N-alkyl heterocyclic compound |
| US5747498A (en) | 1996-05-28 | 1998-05-05 | Pfizer Inc. | Alkynyl and azido-substituted 4-anilinoquinazolines |
| US5710173A (en) | 1995-06-07 | 1998-01-20 | Sugen, Inc. | Thienyl compounds for inhibition of cell proliferative disorders |
| US5596878A (en) | 1995-06-26 | 1997-01-28 | Thermo King Corporation | Methods and apparatus for operating a refrigeration unit |
| AR004010A1 (en) | 1995-10-11 | 1998-09-30 | Glaxo Group Ltd | HETERO CYCLIC COMPOUNDS |
| FR2749853B1 (en) | 1996-06-12 | 1998-10-16 | Rhone Poulenc Chimie | IMPROVED FORMULATION BASED ON A HYDROXYL COMPOUND AND A COMPLEX AMPHIPHILIC COMPOUND USED IN PARTICULAR TO MODIFY THE RHEOLOGICAL PROPERTIES OF EMULSIONS |
| WO1998001162A2 (en) | 1996-07-09 | 1998-01-15 | The Johns Hopkins University | Gene delivery system |
| EP0912559B1 (en) | 1996-07-13 | 2002-11-06 | Glaxo Group Limited | Fused heterocyclic compounds as protein tyrosine kinase inhibitors |
| ES2191187T3 (en) | 1996-07-13 | 2003-09-01 | Glaxo Group Ltd | BICYCLE HETEROAROMATIC COMPOUNDS AS INHIBITORS OF PROTEIN TIROSIN-QUINASA. |
| US5948878A (en) | 1997-04-15 | 1999-09-07 | Burgess; Stephen W. | Cationic polymers for nucleic acid transfection and bioactive agent delivery |
| ATE252919T1 (en) | 1997-08-27 | 2003-11-15 | California Inst Of Techn | COMPOSITIONS AND THEIR USE FOR PREVENTING ADHESIONS BETWEEN BODY TISSUES |
| US6225346B1 (en) | 1997-10-24 | 2001-05-01 | Sugen, Inc. | Tyrphostin like compounds |
| RS49779B (en) | 1998-01-12 | 2008-06-05 | Glaxo Group Limited, | BICYCLIC HETEROAROMATIC COMPOUNDS AS PROTEIN TYROSINE KINASE INHIBITORS |
| US6048736A (en) | 1998-04-29 | 2000-04-11 | Kosak; Kenneth M. | Cyclodextrin polymers for carrying and releasing drugs |
| US7091192B1 (en) | 1998-07-01 | 2006-08-15 | California Institute Of Technology | Linear cyclodextrin copolymers |
| AU5565299A (en) | 1998-08-17 | 2000-03-06 | California Institute Of Technology | Devices and methods for analysis of non-ionic solutes |
| DE69921158T2 (en) | 1998-08-27 | 2006-01-12 | Eidgenössische Technische Hochschule Zürich | YELLOW AND MULTILAYER SURFACE STRUCTURES OF BORONIC ACIDIC POLYMERS |
| UA71945C2 (en) | 1999-01-27 | 2005-01-17 | Pfizer Prod Inc | Substituted bicyclic derivatives being used as anticancer agents |
| US7087613B2 (en) | 1999-11-11 | 2006-08-08 | Osi Pharmaceuticals, Inc. | Treating abnormal cell growth with a stable polymorph of N-(3-ethynylphenyl)-6,7-bis(2-methoxyethoxy)-4-quinazolinamine hydrochloride |
| UA74803C2 (en) | 1999-11-11 | 2006-02-15 | Осі Фармасьютікалз, Інк. | A stable polymorph of n-(3-ethynylphenyl)-6,7-bis(2-methoxyetoxy)-4-quinazolinamine hydrochloride, a method for producing thereof (variants) and pharmaceutical use |
| PE20011178A1 (en) | 2000-04-07 | 2001-11-19 | Takeda Chemical Industries Ltd | HETEROCYCLIC COMPOUNDS AND THEIR PRODUCTION |
| US6372250B1 (en) | 2000-04-25 | 2002-04-16 | The Regents Of The University Of California | Non-invasive gene targeting to the brain |
| US6335342B1 (en) | 2000-06-19 | 2002-01-01 | Pharmacia & Upjohn S.P.A. | Azaindole derivatives, process for their preparation, and their use as antitumor agents |
| JP4044839B2 (en) | 2000-06-22 | 2008-02-06 | ファイザー・プロダクツ・インク | Substituted bicyclic derivatives for treating abnormal cell proliferation |
| MXPA02012681A (en) | 2000-06-30 | 2003-04-25 | Glaxo Group Ltd | Quinazoline ditosylate salt compounds. |
| TWI321054B (en) | 2000-12-19 | 2010-03-01 | California Inst Of Techn | Compositions containing inclusion complexes |
| GB0115109D0 (en) | 2001-06-21 | 2001-08-15 | Aventis Pharma Ltd | Chemical compounds |
| US7041280B2 (en) | 2001-06-29 | 2006-05-09 | Genzyme Corporation | Aryl boronate functionalized polymers for treating obesity |
| ATE388691T1 (en) | 2001-07-10 | 2008-03-15 | Univ North Carolina State | CARRIER FOR THE RELEASE OF NANOPARTICLES |
| JP2004536135A (en) | 2001-07-23 | 2004-12-02 | ラモット・アット・テル・アビブ・ユニバーシテイ・リミテッド | Methods and compositions for treating fungal infections |
| WO2003011943A1 (en) | 2001-07-30 | 2003-02-13 | California Institute Of Technology | Synthesis of substituted poly(aniline)s |
| DK1427750T3 (en) | 2001-08-30 | 2011-02-14 | Biorexis Pharmaceutical Corp | Modified transferrin fusion proteins |
| US6984653B2 (en) | 2001-10-05 | 2006-01-10 | Takeda Pharmaceutical Company Limited | Heterocyclic compounds, oxazole derivatives, process for preparation of the same and use thereof |
| US7157277B2 (en) | 2001-11-28 | 2007-01-02 | Neose Technologies, Inc. | Factor VIII remodeling and glycoconjugation of Factor VIII |
| HRP20040529A2 (en) | 2001-12-12 | 2004-10-31 | Pfizer Prod Inc | Quinazoline derivatives for the treatment of abnormal cell growth |
| WO2003050108A1 (en) | 2001-12-12 | 2003-06-19 | Pfizer Products Inc. | Salt forms of e-2-methoxy-n-(3-(4-(3-methyl-pyridin-3-yloxy)-phenylamino)-quinazolin-6-yl)-allyl)-acetamide, its preparation and its use against cancer |
| EP1463507A1 (en) | 2001-12-19 | 2004-10-06 | SmithKline Beecham Corporation | Thienopyrimidine compounds as protein tyrosine kinase inhibitors |
| US7591994B2 (en) | 2002-12-13 | 2009-09-22 | Immunomedics, Inc. | Camptothecin-binding moiety conjugates |
| US7094427B2 (en) | 2002-05-29 | 2006-08-22 | Impax Laboratories, Inc. | Combination immediate release controlled release levodopa/carbidopa dosage forms |
| JPWO2003101491A1 (en) | 2002-06-03 | 2005-09-29 | 三菱ウェルファーマ株式会社 | Prophylactic and / or therapeutic agent for Her2 or / and EGFR expression or activation target |
| CN104383554B (en) | 2002-09-06 | 2018-06-08 | 天蓝制药公司 | For transmitting the polymer based on cyclodextrin of therapeutic agent |
| AU2003291567A1 (en) | 2002-11-19 | 2004-06-15 | Genzyme Corporation | Polymeric boronic acid derivatives as lipase inhibitors |
| WO2004047768A2 (en) | 2002-11-26 | 2004-06-10 | Seacoast Neuroscience, Inc. | Buoyant polymer particles delivering therapeutic agents |
| CA2514407C (en) | 2003-01-29 | 2012-01-03 | Takeda Pharmaceutical Company Limited | Thienopyrimidine compounds and use thereof |
| JP2005119255A (en) | 2003-10-17 | 2005-05-12 | San Quest:Kk | Calling card printing device with function for incorporating cellular phone image |
| US20050090732A1 (en) | 2003-10-28 | 2005-04-28 | Triton Biosystems, Inc. | Therapy via targeted delivery of nanoscale particles |
| EP1734936B1 (en) | 2004-01-30 | 2014-09-10 | Rutgers, The State University | Amphiphilic star-like or scoprion-like macromolecules, various compositions and uses thereof |
| US7399645B2 (en) | 2004-05-12 | 2008-07-15 | Applera Corporation | Constrained cis-diol-borate bioconjugation system |
| CN101974125B (en) | 2004-07-30 | 2013-09-18 | 巴斯夫欧洲公司 | Polymeric boronic acid derivatives and their use for papermaking |
| US7413173B2 (en) | 2004-09-10 | 2008-08-19 | Ric Investments, Llc | Molded water chamber base plate for use in a humidifier and ventilator assembly |
| US7867774B2 (en) | 2004-10-12 | 2011-01-11 | Luminex Corporation | Methods for altering surface characteristics of microspheres |
| TW200618820A (en) | 2004-11-05 | 2006-06-16 | Alza Corp | Liposome formulations of boronic acid compounds |
| JP2006248978A (en) | 2005-03-10 | 2006-09-21 | Mebiopharm Co Ltd | New liposome preparation |
| TWI335352B (en) | 2005-03-31 | 2011-01-01 | Calando Pharmaceuticals Inc | Inhibitors of ribonucleotide reductase subunit 2 and uses thereof |
| EP1893241A2 (en) | 2005-04-28 | 2008-03-05 | Ventana Medical Systems, Inc. | Fluorescent nanoparticles conjugated to antibodies via a peg linker |
| WO2007035716A2 (en) | 2005-09-16 | 2007-03-29 | Raptor Pharmaceutical Inc. | Compositions comprising receptor-associated protein (rap) variants specific for cr-containing proteins and uses thereof |
| AU2006293410B2 (en) | 2005-09-20 | 2012-10-04 | Yissum Research Development Company Of The Hebrew University Of Jerusalem Ltd | Nanoparticles for targeted delivery of active agents |
| US7988988B2 (en) | 2005-11-21 | 2011-08-02 | Bausch & Lomb Incorporated | Contact lenses with mucin affinity |
| WO2008011561A2 (en) | 2006-07-21 | 2008-01-24 | Massachusetts Institute Of Technology | End-modified poly(beta-amino esters) and uses thereof |
| CA2659407A1 (en) | 2006-08-17 | 2008-05-22 | Novartis Ag | Nanoparticle compositions |
| WO2008042222A2 (en) | 2006-09-29 | 2008-04-10 | Genzyme Corporation | Amide dendrimer compositions |
| US7825127B2 (en) | 2006-12-28 | 2010-11-02 | Takeda Pharmaceutical Company, Limited | Method for treating cancer |
| WO2009036022A1 (en) | 2007-09-10 | 2009-03-19 | Board Of Regents, The University Of Texas System | Enhancement of polysaccharide-mediated nucleic acid delivery |
| CA2711014C (en) | 2007-12-28 | 2018-10-23 | Impax Laboratories, Inc. | Controlled release formulations of levodopa and uses thereof |
| US20100029545A1 (en) | 2008-08-04 | 2010-02-04 | Sumerlin Brent S | Boronic acid-containing block copolymers for controlled drug delivery |
| JP5848127B2 (en) | 2008-08-13 | 2016-01-27 | カリフォルニア インスティテュート オブ テクノロジー | Carrier nanoparticles and related compositions, methods and systems |
| US8367166B2 (en) | 2008-10-31 | 2013-02-05 | Chevron U.S.A. Inc. | Synthesis of higher diamondoids |
| CA2759098A1 (en) | 2009-04-14 | 2010-10-21 | Smith Holdings, Llc | Methods and compositions for the treatment of medical conditions involving cellular programming |
| MX357630B (en) | 2009-05-27 | 2018-07-17 | Selecta Biosciences Inc | Targeted synthetic nanocarriers with ph sensitive release of immunomodulatory agents. |
| FR2946476B1 (en) | 2009-06-05 | 2014-03-21 | Aeg Power Solutions Bv | CONTINUOUS-CONTINUOUS CONVERTER WITH DOUBLE ALTERNATION CONTROL |
| US20100330686A1 (en) | 2009-06-29 | 2010-12-30 | Seung Bum Park | Nanosensor for sugar detection |
| EP2496614A4 (en) | 2009-11-06 | 2014-02-26 | Univ Washington Ct Commerciali | SELF-ASSEMBLED PARTICLES OF ZWITTERIONIC POLYMERS AND ASSOCIATED METHODS |
| WO2011072133A1 (en) | 2009-12-09 | 2011-06-16 | William Marsh Rice University | Therapeutic compositions and methods for delivery of active agents cleavably linked to nanoparticles |
| US20120309691A1 (en) | 2010-02-04 | 2012-12-06 | Dapeng Zhou | Tumor targeted delivery of immunomodulators by nanopolymers |
| EP2582741B1 (en) | 2010-06-18 | 2016-07-27 | Universiteit Twente | Boronated polymers |
| JP5756858B2 (en) | 2010-08-20 | 2015-07-29 | セルリアン・ファーマ・インコーポレイテッド | Composites, particles, compositions and related methods |
| EP2648756A4 (en) | 2010-12-10 | 2016-06-08 | California Inst Of Techn | TARGETING RENAL MESANGIOM WITH DEFINED DIAMETER NANOPARTICLES |
| US10106650B2 (en) | 2011-05-13 | 2018-10-23 | The Regents Of The University Of California | Reversibly crosslinked micelle systems |
| DE102012017025B4 (en) | 2012-08-28 | 2018-05-30 | Kennametal Inc. | Tool holder for a cutting insert and assembly with such a tool holder |
| GB201220474D0 (en) * | 2012-11-14 | 2012-12-26 | Sagetis Biotech Sl | Polypeptides |
| CN105007905A (en) | 2013-03-01 | 2015-10-28 | 加州理工学院 | Targeted nanoparticles |
| CN110078915B (en) | 2013-03-01 | 2021-10-22 | 加州理工学院 | Nanoparticles stabilized with nitrophenylboronic acid compositions |
| US9132097B2 (en) * | 2013-03-01 | 2015-09-15 | California Institute Of Technology | Nanoparticles stabilized with nitrophenylboronic acid compositions |
| US9468681B2 (en) | 2013-03-01 | 2016-10-18 | California Institute Of Technology | Targeted nanoparticles |
| US20140348754A1 (en) * | 2013-05-14 | 2014-11-27 | California Institute Of Technology | Method of Delivering Therapeutics and Imaging Agents to the Brain by Nanoparticles that Cross the Blood Brain Barrier |
| WO2016037166A1 (en) | 2014-09-07 | 2016-03-10 | Yu Zhang | Novel anti-oxidant compositions and methods of delivery |
| CN111643479B (en) | 2015-07-01 | 2023-10-27 | 加州理工学院 | Cationic mucic acid polymer-based delivery system |
| DE102019001338A1 (en) | 2019-02-26 | 2020-08-27 | Daimler Ag | Arrangement of a line on a housing part for a motor vehicle |
| CA3158694A1 (en) * | 2019-12-04 | 2021-06-10 | Dantari, Inc. | Methods and compositions for synthesis of therapeutic nanoparticles |
-
2019
- 2019-06-12 WO PCT/US2019/036682 patent/WO2019241327A1/en not_active Ceased
- 2019-06-12 CA CA3099440A patent/CA3099440A1/en active Pending
- 2019-06-12 JP JP2020562610A patent/JP7483193B2/en active Active
- 2019-06-12 EP EP19818613.2A patent/EP3806887A4/en active Pending
- 2019-06-12 US US16/438,762 patent/US20190381188A1/en not_active Abandoned
-
2021
- 2021-03-29 US US17/215,443 patent/US11998616B2/en active Active
Cited By (3)
| Publication number | Priority date | Publication date | Assignee | Title |
|---|---|---|---|---|
| US20210170049A1 (en) * | 2019-12-04 | 2021-06-10 | Dantari, Inc. | Methods and compositions for synthesis of therapeutic nanoparticles |
| US11738092B2 (en) * | 2019-12-04 | 2023-08-29 | Dantari, Inc. | Methods and compositions for synthesis of therapeutic nanoparticles |
| US20220175689A1 (en) * | 2020-11-17 | 2022-06-09 | Phosphorex, Inc. | Novel drug delivery composition and process for blood-brain barrier crossing |
Also Published As
| Publication number | Publication date |
|---|---|
| JP7483193B2 (en) | 2024-05-15 |
| JP2021528369A (en) | 2021-10-21 |
| CA3099440A1 (en) | 2019-12-19 |
| US11998616B2 (en) | 2024-06-04 |
| EP3806887A4 (en) | 2022-04-06 |
| WO2019241327A1 (en) | 2019-12-19 |
| US20210220483A1 (en) | 2021-07-22 |
| EP3806887A1 (en) | 2021-04-21 |
Similar Documents
| Publication | Publication Date | Title |
|---|---|---|
| US11998616B2 (en) | Nanoparticles for crossing the blood brain barrier and methods of treatment using the same | |
| US10342879B2 (en) | Carrier nanoparticles and related compositions, methods and systems | |
| US9446149B2 (en) | Nanoparticles stabilized with nitrophenylboronic acid compositions | |
| US11285212B2 (en) | Targeted nanoparticles | |
| EP3513812B1 (en) | Nanoparticles stabilized with nitrophenylboronic acid compositions | |
| WO2014133547A1 (en) | Targeted nanoparticles | |
| US11975077B2 (en) | Guanylurea functionalized peptides and proteins for therapeutics |
Legal Events
| Date | Code | Title | Description |
|---|---|---|---|
| STPP | Information on status: patent application and granting procedure in general |
Free format text: DOCKETED NEW CASE - READY FOR EXAMINATION |
|
| STPP | Information on status: patent application and granting procedure in general |
Free format text: FINAL REJECTION MAILED |
|
| AS | Assignment |
Owner name: CALIFORNIA INSTITUTE OF TECHNOLOGY, CALIFORNIA Free format text: ASSIGNMENT OF ASSIGNORS INTEREST;ASSIGNORS:DAVIS, MARK E.;WYATT, EMILY A.;SIGNING DATES FROM 20190806 TO 20201218;REEL/FRAME:054693/0525 |
|
| STCB | Information on status: application discontinuation |
Free format text: ABANDONED -- FAILURE TO RESPOND TO AN OFFICE ACTION |
















































