US20140329762A1 - Compositions for treating muscular dystrophy - Google Patents
Compositions for treating muscular dystrophy Download PDFInfo
- Publication number
- US20140329762A1 US20140329762A1 US14/213,629 US201414213629A US2014329762A1 US 20140329762 A1 US20140329762 A1 US 20140329762A1 US 201414213629 A US201414213629 A US 201414213629A US 2014329762 A1 US2014329762 A1 US 2014329762A1
- Authority
- US
- United States
- Prior art keywords
- dmd
- dystrophin
- exon
- antisense oligonucleotide
- antisense
- Prior art date
- Legal status (The legal status is an assumption and is not a legal conclusion. Google has not performed a legal analysis and makes no representation as to the accuracy of the status listed.)
- Abandoned
Links
- 239000000203 mixture Substances 0.000 title claims abstract description 91
- 201000006938 muscular dystrophy Diseases 0.000 title abstract description 21
- 238000000034 method Methods 0.000 claims abstract description 79
- 101001053946 Homo sapiens Dystrophin Proteins 0.000 claims abstract description 19
- 206010013801 Duchenne Muscular Dystrophy Diseases 0.000 claims description 643
- 108010069091 Dystrophin Proteins 0.000 claims description 129
- 102000001039 Dystrophin Human genes 0.000 claims description 124
- 108091034117 Oligonucleotide Proteins 0.000 claims description 104
- 239000000074 antisense oligonucleotide Substances 0.000 claims description 75
- 238000012230 antisense oligonucleotides Methods 0.000 claims description 75
- 238000011282 treatment Methods 0.000 claims description 73
- 239000002773 nucleotide Substances 0.000 claims description 54
- 125000003729 nucleotide group Chemical group 0.000 claims description 51
- 239000000835 fiber Substances 0.000 claims description 41
- 230000000694 effects Effects 0.000 claims description 30
- 125000004573 morpholin-4-yl group Chemical group N1(CCOCC1)* 0.000 claims description 23
- ISAKRJDGNUQOIC-UHFFFAOYSA-N Uracil Chemical compound O=C1C=CNC(=O)N1 ISAKRJDGNUQOIC-UHFFFAOYSA-N 0.000 claims description 20
- 230000001965 increasing effect Effects 0.000 claims description 20
- RWQNBRDOKXIBIV-UHFFFAOYSA-N thymine Chemical compound CC1=CNC(=O)NC1=O RWQNBRDOKXIBIV-UHFFFAOYSA-N 0.000 claims description 20
- 108090000765 processed proteins & peptides Proteins 0.000 claims description 18
- 241000282414 Homo sapiens Species 0.000 claims description 16
- 238000012360 testing method Methods 0.000 claims description 16
- 229910052698 phosphorus Inorganic materials 0.000 claims description 14
- 229910052799 carbon Inorganic materials 0.000 claims description 13
- 230000000295 complement effect Effects 0.000 claims description 12
- OAICVXFJPJFONN-UHFFFAOYSA-N Phosphorus Chemical compound [P] OAICVXFJPJFONN-UHFFFAOYSA-N 0.000 claims description 11
- 239000011574 phosphorus Substances 0.000 claims description 11
- 230000006735 deficit Effects 0.000 claims description 10
- 230000001939 inductive effect Effects 0.000 claims description 10
- 229940113082 thymine Drugs 0.000 claims description 10
- 229940035893 uracil Drugs 0.000 claims description 10
- 238000001802 infusion Methods 0.000 claims description 9
- OKTJSMMVPCPJKN-UHFFFAOYSA-N Carbon Chemical compound [C] OKTJSMMVPCPJKN-UHFFFAOYSA-N 0.000 claims description 8
- 239000004475 Arginine Substances 0.000 claims description 7
- ODKSFYDXXFIFQN-UHFFFAOYSA-N arginine Natural products OC(=O)C(N)CCCNC(N)=N ODKSFYDXXFIFQN-UHFFFAOYSA-N 0.000 claims description 7
- 230000001413 cellular effect Effects 0.000 claims description 7
- 230000003442 weekly effect Effects 0.000 claims description 7
- ANCLJVISBRWUTR-UHFFFAOYSA-N diaminophosphinic acid Chemical compound NP(N)(O)=O ANCLJVISBRWUTR-UHFFFAOYSA-N 0.000 claims description 6
- 238000005304 joining Methods 0.000 claims description 6
- MHCMWGPPLOSCJY-UHFFFAOYSA-N 4-$l^{1}-azanylmorpholine Chemical compound [N]N1CCOCC1 MHCMWGPPLOSCJY-UHFFFAOYSA-N 0.000 claims description 5
- 150000003431 steroids Chemical class 0.000 claims description 5
- 238000007910 systemic administration Methods 0.000 claims description 5
- 108091028043 Nucleic acid sequence Proteins 0.000 claims description 4
- 230000004700 cellular uptake Effects 0.000 claims description 4
- LOKCTEFSRHRXRJ-UHFFFAOYSA-I dipotassium trisodium dihydrogen phosphate hydrogen phosphate dichloride Chemical compound P(=O)(O)(O)[O-].[K+].P(=O)(O)([O-])[O-].[Na+].[Na+].[Cl-].[K+].[Cl-].[Na+] LOKCTEFSRHRXRJ-UHFFFAOYSA-I 0.000 claims description 4
- 238000009826 distribution Methods 0.000 claims description 4
- 239000002953 phosphate buffered saline Substances 0.000 claims description 4
- 230000000692 anti-sense effect Effects 0.000 abstract description 71
- 230000027455 binding Effects 0.000 abstract description 12
- 230000001976 improved effect Effects 0.000 abstract description 10
- 229950005470 eteplirsen Drugs 0.000 description 75
- 150000001875 compounds Chemical class 0.000 description 69
- UYTPUPDQBNUYGX-UHFFFAOYSA-N guanine Chemical compound O=C1NC(N)=NC2=C1N=CN2 UYTPUPDQBNUYGX-UHFFFAOYSA-N 0.000 description 50
- -1 hydrocarbon radical Chemical class 0.000 description 49
- 108020004999 messenger RNA Proteins 0.000 description 45
- 239000002502 liposome Substances 0.000 description 44
- 108090000623 proteins and genes Proteins 0.000 description 43
- 239000002585 base Substances 0.000 description 31
- 239000003814 drug Substances 0.000 description 28
- 102000004169 proteins and genes Human genes 0.000 description 27
- 108700024394 Exon Proteins 0.000 description 26
- 102220492049 Phospholipid scramblase 1_H53A_mutation Human genes 0.000 description 26
- 210000004027 cell Anatomy 0.000 description 26
- 229920001223 polyethylene glycol Polymers 0.000 description 26
- 108091032973 (ribonucleotides)n+m Proteins 0.000 description 25
- 229920000642 polymer Polymers 0.000 description 25
- 235000018102 proteins Nutrition 0.000 description 25
- 238000009472 formulation Methods 0.000 description 24
- 201000010099 disease Diseases 0.000 description 23
- 208000037265 diseases, disorders, signs and symptoms Diseases 0.000 description 23
- 229940068196 placebo Drugs 0.000 description 23
- 239000000902 placebo Substances 0.000 description 23
- 150000003839 salts Chemical class 0.000 description 23
- 239000003795 chemical substances by application Substances 0.000 description 22
- 229940079593 drug Drugs 0.000 description 21
- 230000014509 gene expression Effects 0.000 description 21
- 210000003205 muscle Anatomy 0.000 description 21
- 150000007523 nucleic acids Chemical class 0.000 description 21
- 201000006935 Becker muscular dystrophy Diseases 0.000 description 20
- 102220537690 Monocyte to macrophage differentiation factor_H44A_mutation Human genes 0.000 description 20
- 239000002202 Polyethylene glycol Substances 0.000 description 20
- JLCPHMBAVCMARE-UHFFFAOYSA-N [3-[[3-[[3-[[3-[[3-[[3-[[3-[[3-[[3-[[3-[[3-[[5-(2-amino-6-oxo-1H-purin-9-yl)-3-[[3-[[3-[[3-[[3-[[3-[[5-(2-amino-6-oxo-1H-purin-9-yl)-3-[[5-(2-amino-6-oxo-1H-purin-9-yl)-3-hydroxyoxolan-2-yl]methoxy-hydroxyphosphoryl]oxyoxolan-2-yl]methoxy-hydroxyphosphoryl]oxy-5-(5-methyl-2,4-dioxopyrimidin-1-yl)oxolan-2-yl]methoxy-hydroxyphosphoryl]oxy-5-(6-aminopurin-9-yl)oxolan-2-yl]methoxy-hydroxyphosphoryl]oxy-5-(6-aminopurin-9-yl)oxolan-2-yl]methoxy-hydroxyphosphoryl]oxy-5-(6-aminopurin-9-yl)oxolan-2-yl]methoxy-hydroxyphosphoryl]oxy-5-(6-aminopurin-9-yl)oxolan-2-yl]methoxy-hydroxyphosphoryl]oxyoxolan-2-yl]methoxy-hydroxyphosphoryl]oxy-5-(5-methyl-2,4-dioxopyrimidin-1-yl)oxolan-2-yl]methoxy-hydroxyphosphoryl]oxy-5-(4-amino-2-oxopyrimidin-1-yl)oxolan-2-yl]methoxy-hydroxyphosphoryl]oxy-5-(5-methyl-2,4-dioxopyrimidin-1-yl)oxolan-2-yl]methoxy-hydroxyphosphoryl]oxy-5-(5-methyl-2,4-dioxopyrimidin-1-yl)oxolan-2-yl]methoxy-hydroxyphosphoryl]oxy-5-(6-aminopurin-9-yl)oxolan-2-yl]methoxy-hydroxyphosphoryl]oxy-5-(6-aminopurin-9-yl)oxolan-2-yl]methoxy-hydroxyphosphoryl]oxy-5-(4-amino-2-oxopyrimidin-1-yl)oxolan-2-yl]methoxy-hydroxyphosphoryl]oxy-5-(4-amino-2-oxopyrimidin-1-yl)oxolan-2-yl]methoxy-hydroxyphosphoryl]oxy-5-(4-amino-2-oxopyrimidin-1-yl)oxolan-2-yl]methoxy-hydroxyphosphoryl]oxy-5-(6-aminopurin-9-yl)oxolan-2-yl]methoxy-hydroxyphosphoryl]oxy-5-(4-amino-2-oxopyrimidin-1-yl)oxolan-2-yl]methyl [5-(6-aminopurin-9-yl)-2-(hydroxymethyl)oxolan-3-yl] hydrogen phosphate Polymers Cc1cn(C2CC(OP(O)(=O)OCC3OC(CC3OP(O)(=O)OCC3OC(CC3O)n3cnc4c3nc(N)[nH]c4=O)n3cnc4c3nc(N)[nH]c4=O)C(COP(O)(=O)OC3CC(OC3COP(O)(=O)OC3CC(OC3COP(O)(=O)OC3CC(OC3COP(O)(=O)OC3CC(OC3COP(O)(=O)OC3CC(OC3COP(O)(=O)OC3CC(OC3COP(O)(=O)OC3CC(OC3COP(O)(=O)OC3CC(OC3COP(O)(=O)OC3CC(OC3COP(O)(=O)OC3CC(OC3COP(O)(=O)OC3CC(OC3COP(O)(=O)OC3CC(OC3COP(O)(=O)OC3CC(OC3COP(O)(=O)OC3CC(OC3COP(O)(=O)OC3CC(OC3COP(O)(=O)OC3CC(OC3COP(O)(=O)OC3CC(OC3CO)n3cnc4c(N)ncnc34)n3ccc(N)nc3=O)n3cnc4c(N)ncnc34)n3ccc(N)nc3=O)n3ccc(N)nc3=O)n3ccc(N)nc3=O)n3cnc4c(N)ncnc34)n3cnc4c(N)ncnc34)n3cc(C)c(=O)[nH]c3=O)n3cc(C)c(=O)[nH]c3=O)n3ccc(N)nc3=O)n3cc(C)c(=O)[nH]c3=O)n3cnc4c3nc(N)[nH]c4=O)n3cnc4c(N)ncnc34)n3cnc4c(N)ncnc34)n3cnc4c(N)ncnc34)n3cnc4c(N)ncnc34)O2)c(=O)[nH]c1=O JLCPHMBAVCMARE-UHFFFAOYSA-N 0.000 description 20
- 102000039446 nucleic acids Human genes 0.000 description 20
- 108020004707 nucleic acids Proteins 0.000 description 20
- 125000002091 cationic group Chemical group 0.000 description 19
- 210000001519 tissue Anatomy 0.000 description 19
- 102220509593 Small integral membrane protein 10_H51A_mutation Human genes 0.000 description 16
- 229940024606 amino acid Drugs 0.000 description 16
- 235000001014 amino acid Nutrition 0.000 description 16
- 150000001413 amino acids Chemical class 0.000 description 16
- 229910052739 hydrogen Inorganic materials 0.000 description 16
- 239000001257 hydrogen Substances 0.000 description 16
- 230000035772 mutation Effects 0.000 description 16
- 108020000948 Antisense Oligonucleotides Proteins 0.000 description 15
- 239000000463 material Substances 0.000 description 15
- 229920000858 Cyclodextrin Polymers 0.000 description 14
- 150000002632 lipids Chemical group 0.000 description 14
- 238000004519 manufacturing process Methods 0.000 description 14
- 239000008194 pharmaceutical composition Substances 0.000 description 14
- 239000004094 surface-active agent Substances 0.000 description 14
- 230000001225 therapeutic effect Effects 0.000 description 14
- 238000012384 transportation and delivery Methods 0.000 description 14
- PEDCQBHIVMGVHV-UHFFFAOYSA-N Glycerine Chemical compound OCC(O)CO PEDCQBHIVMGVHV-UHFFFAOYSA-N 0.000 description 13
- 230000015572 biosynthetic process Effects 0.000 description 13
- 230000003111 delayed effect Effects 0.000 description 13
- 125000004435 hydrogen atom Chemical group [H]* 0.000 description 13
- 239000012528 membrane Substances 0.000 description 13
- 239000004480 active ingredient Substances 0.000 description 12
- 238000004458 analytical method Methods 0.000 description 12
- 229940097362 cyclodextrins Drugs 0.000 description 12
- XLYOFNOQVPJJNP-UHFFFAOYSA-N water Substances O XLYOFNOQVPJJNP-UHFFFAOYSA-N 0.000 description 12
- 108010051109 Cell-Penetrating Peptides Proteins 0.000 description 11
- 102000020313 Cell-Penetrating Peptides Human genes 0.000 description 11
- 108020004414 DNA Proteins 0.000 description 11
- 238000001574 biopsy Methods 0.000 description 11
- 230000015556 catabolic process Effects 0.000 description 11
- 238000006731 degradation reaction Methods 0.000 description 11
- 239000002552 dosage form Substances 0.000 description 11
- 239000000693 micelle Substances 0.000 description 11
- 230000014616 translation Effects 0.000 description 11
- 102220540101 WD repeat and coiled-coil-containing protein_H16A_mutation Human genes 0.000 description 10
- 238000010521 absorption reaction Methods 0.000 description 10
- 230000002411 adverse Effects 0.000 description 10
- 125000000217 alkyl group Chemical group 0.000 description 10
- 239000000969 carrier Substances 0.000 description 10
- 230000006870 function Effects 0.000 description 10
- 125000000623 heterocyclic group Chemical group 0.000 description 10
- 235000000346 sugar Nutrition 0.000 description 10
- 239000013598 vector Substances 0.000 description 10
- 241001465754 Metazoa Species 0.000 description 9
- DNIAPMSPPWPWGF-UHFFFAOYSA-N Propylene glycol Chemical compound CC(O)CO DNIAPMSPPWPWGF-UHFFFAOYSA-N 0.000 description 9
- 125000003545 alkoxy group Chemical group 0.000 description 9
- 125000003710 aryl alkyl group Chemical group 0.000 description 9
- 238000012217 deletion Methods 0.000 description 9
- 230000037430 deletion Effects 0.000 description 9
- 239000003937 drug carrier Substances 0.000 description 9
- 108010082406 peptide permease Proteins 0.000 description 9
- 239000000546 pharmaceutical excipient Substances 0.000 description 9
- 230000008569 process Effects 0.000 description 9
- IJGRMHOSHXDMSA-UHFFFAOYSA-N Atomic nitrogen Chemical compound N#N IJGRMHOSHXDMSA-UHFFFAOYSA-N 0.000 description 8
- 102220555330 Caspase-4_H20A_mutation Human genes 0.000 description 8
- 102100034343 Integrase Human genes 0.000 description 8
- 101710203526 Integrase Proteins 0.000 description 8
- 102000006308 Sarcoglycans Human genes 0.000 description 8
- 108010083379 Sarcoglycans Proteins 0.000 description 8
- QVGXLLKOCUKJST-UHFFFAOYSA-N atomic oxygen Chemical compound [O] QVGXLLKOCUKJST-UHFFFAOYSA-N 0.000 description 8
- 230000008859 change Effects 0.000 description 8
- OPTASPLRGRRNAP-UHFFFAOYSA-N cytosine Chemical compound NC=1C=CNC(=O)N=1 OPTASPLRGRRNAP-UHFFFAOYSA-N 0.000 description 8
- 230000002950 deficient Effects 0.000 description 8
- 238000001727 in vivo Methods 0.000 description 8
- 229910052760 oxygen Inorganic materials 0.000 description 8
- 239000001301 oxygen Substances 0.000 description 8
- 102000040430 polynucleotide Human genes 0.000 description 8
- 108091033319 polynucleotide Proteins 0.000 description 8
- 239000002157 polynucleotide Substances 0.000 description 8
- 239000000243 solution Substances 0.000 description 8
- 239000000725 suspension Substances 0.000 description 8
- 238000013519 translation Methods 0.000 description 8
- SLXKOJJOQWFEFD-UHFFFAOYSA-N 6-aminohexanoic acid Chemical compound NCCCCCC(O)=O SLXKOJJOQWFEFD-UHFFFAOYSA-N 0.000 description 7
- 102220479948 Alkaline phosphatase, germ cell type_H45A_mutation Human genes 0.000 description 7
- LFQSCWFLJHTTHZ-UHFFFAOYSA-N Ethanol Chemical compound CCO LFQSCWFLJHTTHZ-UHFFFAOYSA-N 0.000 description 7
- CDBYLPFSWZWCQE-UHFFFAOYSA-L Sodium Carbonate Chemical compound [Na+].[Na+].[O-]C([O-])=O CDBYLPFSWZWCQE-UHFFFAOYSA-L 0.000 description 7
- 239000013543 active substance Substances 0.000 description 7
- UCMIRNVEIXFBKS-UHFFFAOYSA-N beta-alanine Chemical compound NCCC(O)=O UCMIRNVEIXFBKS-UHFFFAOYSA-N 0.000 description 7
- 238000000576 coating method Methods 0.000 description 7
- 230000007423 decrease Effects 0.000 description 7
- 238000001990 intravenous administration Methods 0.000 description 7
- 239000007788 liquid Substances 0.000 description 7
- 230000004048 modification Effects 0.000 description 7
- 238000012986 modification Methods 0.000 description 7
- 239000000843 powder Substances 0.000 description 7
- 238000012545 processing Methods 0.000 description 7
- 208000024891 symptom Diseases 0.000 description 7
- 239000003826 tablet Substances 0.000 description 7
- 125000005309 thioalkoxy group Chemical group 0.000 description 7
- 125000004169 (C1-C6) alkyl group Chemical group 0.000 description 6
- 102220493341 Sodium/calcium exchanger 3_H34A_mutation Human genes 0.000 description 6
- NINIDFKCEFEMDL-UHFFFAOYSA-N Sulfur Chemical group [S] NINIDFKCEFEMDL-UHFFFAOYSA-N 0.000 description 6
- QTBSBXVTEAMEQO-UHFFFAOYSA-N acetic acid Substances CC(O)=O QTBSBXVTEAMEQO-UHFFFAOYSA-N 0.000 description 6
- 239000002253 acid Substances 0.000 description 6
- 239000002775 capsule Substances 0.000 description 6
- 235000010980 cellulose Nutrition 0.000 description 6
- 229920002678 cellulose Polymers 0.000 description 6
- KRKNYBCHXYNGOX-UHFFFAOYSA-N citric acid Chemical compound OC(=O)CC(O)(C(O)=O)CC(O)=O KRKNYBCHXYNGOX-UHFFFAOYSA-N 0.000 description 6
- FDGQSTZJBFJUBT-UHFFFAOYSA-N hypoxanthine Chemical compound O=C1NC=NC2=C1NC=N2 FDGQSTZJBFJUBT-UHFFFAOYSA-N 0.000 description 6
- 239000007924 injection Substances 0.000 description 6
- 238000002347 injection Methods 0.000 description 6
- 238000001964 muscle biopsy Methods 0.000 description 6
- 231100000252 nontoxic Toxicity 0.000 description 6
- 230000003000 nontoxic effect Effects 0.000 description 6
- 239000003921 oil Substances 0.000 description 6
- 125000002924 primary amino group Chemical group [H]N([H])* 0.000 description 6
- 102000004196 processed proteins & peptides Human genes 0.000 description 6
- 239000000126 substance Substances 0.000 description 6
- 125000000547 substituted alkyl group Chemical group 0.000 description 6
- 239000003981 vehicle Substances 0.000 description 6
- KDCGOANMDULRCW-UHFFFAOYSA-N 7H-purine Chemical compound N1=CNC2=NC=NC2=C1 KDCGOANMDULRCW-UHFFFAOYSA-N 0.000 description 5
- 102220557489 Caspase-4_H46A_mutation Human genes 0.000 description 5
- 108020004705 Codon Proteins 0.000 description 5
- 108010010803 Gelatin Proteins 0.000 description 5
- 102220470870 Pleiotrophin_H14A_mutation Human genes 0.000 description 5
- 229920000954 Polyglycolide Polymers 0.000 description 5
- 102220608658 Secreted phosphoprotein 24_H10A_mutation Human genes 0.000 description 5
- CZMRCDWAGMRECN-UGDNZRGBSA-N Sucrose Chemical compound O[C@H]1[C@H](O)[C@@H](CO)O[C@@]1(CO)O[C@@H]1[C@H](O)[C@@H](O)[C@H](O)[C@@H](CO)O1 CZMRCDWAGMRECN-UGDNZRGBSA-N 0.000 description 5
- 229930006000 Sucrose Natural products 0.000 description 5
- 230000001594 aberrant effect Effects 0.000 description 5
- 125000003282 alkyl amino group Chemical group 0.000 description 5
- 239000003963 antioxidant agent Substances 0.000 description 5
- 235000006708 antioxidants Nutrition 0.000 description 5
- 238000013459 approach Methods 0.000 description 5
- 125000004429 atom Chemical group 0.000 description 5
- 230000008901 benefit Effects 0.000 description 5
- 230000004071 biological effect Effects 0.000 description 5
- 239000011248 coating agent Substances 0.000 description 5
- 125000002147 dimethylamino group Chemical group [H]C([H])([H])N(*)C([H])([H])[H] 0.000 description 5
- 235000019441 ethanol Nutrition 0.000 description 5
- 239000000194 fatty acid Substances 0.000 description 5
- 239000008273 gelatin Substances 0.000 description 5
- 229920000159 gelatin Polymers 0.000 description 5
- 235000019322 gelatine Nutrition 0.000 description 5
- 235000011852 gelatine desserts Nutrition 0.000 description 5
- 235000011187 glycerol Nutrition 0.000 description 5
- 229920001477 hydrophilic polymer Polymers 0.000 description 5
- 238000000338 in vitro Methods 0.000 description 5
- 230000004220 muscle function Effects 0.000 description 5
- 229910052757 nitrogen Inorganic materials 0.000 description 5
- 235000019198 oils Nutrition 0.000 description 5
- 239000002674 ointment Substances 0.000 description 5
- 150000007524 organic acids Chemical class 0.000 description 5
- 239000002245 particle Substances 0.000 description 5
- 239000003755 preservative agent Substances 0.000 description 5
- 238000011160 research Methods 0.000 description 5
- 229920006395 saturated elastomer Polymers 0.000 description 5
- 239000007787 solid Substances 0.000 description 5
- 239000005720 sucrose Substances 0.000 description 5
- 150000008163 sugars Chemical class 0.000 description 5
- 229910052717 sulfur Inorganic materials 0.000 description 5
- 239000011593 sulfur Substances 0.000 description 5
- 239000000829 suppository Substances 0.000 description 5
- 238000003786 synthesis reaction Methods 0.000 description 5
- 239000000454 talc Substances 0.000 description 5
- 235000012222 talc Nutrition 0.000 description 5
- 229910052623 talc Inorganic materials 0.000 description 5
- 125000000008 (C1-C10) alkyl group Chemical group 0.000 description 4
- 125000006823 (C1-C6) acyl group Chemical group 0.000 description 4
- HZAXFHJVJLSVMW-UHFFFAOYSA-N 2-Aminoethan-1-ol Chemical compound NCCO HZAXFHJVJLSVMW-UHFFFAOYSA-N 0.000 description 4
- 229930024421 Adenine Natural products 0.000 description 4
- GFFGJBXGBJISGV-UHFFFAOYSA-N Adenine Chemical compound NC1=NC=NC2=C1N=CN2 GFFGJBXGBJISGV-UHFFFAOYSA-N 0.000 description 4
- GUBGYTABKSRVRQ-XLOQQCSPSA-N Alpha-Lactose Chemical compound O[C@@H]1[C@@H](O)[C@@H](O)[C@@H](CO)O[C@H]1O[C@@H]1[C@@H](CO)O[C@H](O)[C@H](O)[C@H]1O GUBGYTABKSRVRQ-XLOQQCSPSA-N 0.000 description 4
- CIWBSHSKHKDKBQ-JLAZNSOCSA-N Ascorbic acid Chemical compound OC[C@H](O)[C@H]1OC(=O)C(O)=C1O CIWBSHSKHKDKBQ-JLAZNSOCSA-N 0.000 description 4
- 241000416162 Astragalus gummifer Species 0.000 description 4
- VTYYLEPIZMXCLO-UHFFFAOYSA-L Calcium carbonate Chemical compound [Ca+2].[O-]C([O-])=O VTYYLEPIZMXCLO-UHFFFAOYSA-L 0.000 description 4
- 229920002134 Carboxymethyl cellulose Polymers 0.000 description 4
- FBPFZTCFMRRESA-FSIIMWSLSA-N D-Glucitol Natural products OC[C@H](O)[C@H](O)[C@@H](O)[C@H](O)CO FBPFZTCFMRRESA-FSIIMWSLSA-N 0.000 description 4
- FBPFZTCFMRRESA-JGWLITMVSA-N D-glucitol Chemical compound OC[C@H](O)[C@@H](O)[C@H](O)[C@H](O)CO FBPFZTCFMRRESA-JGWLITMVSA-N 0.000 description 4
- 108010069440 Dystrophin-Associated Protein Complex Proteins 0.000 description 4
- DHMQDGOQFOQNFH-UHFFFAOYSA-N Glycine Chemical compound NCC(O)=O DHMQDGOQFOQNFH-UHFFFAOYSA-N 0.000 description 4
- AEMRFAOFKBGASW-UHFFFAOYSA-N Glycolic acid Polymers OCC(O)=O AEMRFAOFKBGASW-UHFFFAOYSA-N 0.000 description 4
- GUBGYTABKSRVRQ-QKKXKWKRSA-N Lactose Natural products OC[C@H]1O[C@@H](O[C@H]2[C@H](O)[C@@H](O)C(O)O[C@@H]2CO)[C@H](O)[C@@H](O)[C@H]1O GUBGYTABKSRVRQ-QKKXKWKRSA-N 0.000 description 4
- 239000000232 Lipid Bilayer Substances 0.000 description 4
- 102220510409 Matrix-remodeling-associated protein 5_H50A_mutation Human genes 0.000 description 4
- 108091027974 Mature messenger RNA Proteins 0.000 description 4
- GXCLVBGFBYZDAG-UHFFFAOYSA-N N-[2-(1H-indol-3-yl)ethyl]-N-methylprop-2-en-1-amine Chemical compound CN(CCC1=CNC2=C1C=CC=C2)CC=C GXCLVBGFBYZDAG-UHFFFAOYSA-N 0.000 description 4
- 229920002732 Polyanhydride Polymers 0.000 description 4
- 102220470575 Protein ripply1_H21A_mutation Human genes 0.000 description 4
- 102220509333 Small integral membrane protein 10_H22A_mutation Human genes 0.000 description 4
- FAPWRFPIFSIZLT-UHFFFAOYSA-M Sodium chloride Chemical compound [Na+].[Cl-] FAPWRFPIFSIZLT-UHFFFAOYSA-M 0.000 description 4
- DBMJMQXJHONAFJ-UHFFFAOYSA-M Sodium laurylsulphate Chemical compound [Na+].CCCCCCCCCCCCOS([O-])(=O)=O DBMJMQXJHONAFJ-UHFFFAOYSA-M 0.000 description 4
- 229920002472 Starch Polymers 0.000 description 4
- 229920001615 Tragacanth Polymers 0.000 description 4
- 108010075653 Utrophin Proteins 0.000 description 4
- 102000011856 Utrophin Human genes 0.000 description 4
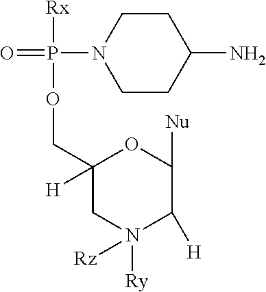
- 0 [1*]P(C)(=O)OCC1([H])CN(C)(C)C([H])C(C)O1 Chemical compound [1*]P(C)(=O)OCC1([H])CN(C)(C)C([H])C(C)O1 0.000 description 4
- 150000007513 acids Chemical class 0.000 description 4
- 125000002252 acyl group Chemical group 0.000 description 4
- 229960000643 adenine Drugs 0.000 description 4
- 125000003342 alkenyl group Chemical group 0.000 description 4
- 238000010171 animal model Methods 0.000 description 4
- 238000000137 annealing Methods 0.000 description 4
- WPYMKLBDIGXBTP-UHFFFAOYSA-N benzoic acid Chemical compound OC(=O)C1=CC=CC=C1 WPYMKLBDIGXBTP-UHFFFAOYSA-N 0.000 description 4
- 229920002988 biodegradable polymer Polymers 0.000 description 4
- 239000004621 biodegradable polymer Substances 0.000 description 4
- 235000010948 carboxy methyl cellulose Nutrition 0.000 description 4
- HVYWMOMLDIMFJA-DPAQBDIFSA-N cholesterol Chemical group C1C=C2C[C@@H](O)CC[C@]2(C)[C@@H]2[C@@H]1[C@@H]1CC[C@H]([C@H](C)CCCC(C)C)[C@@]1(C)CC2 HVYWMOMLDIMFJA-DPAQBDIFSA-N 0.000 description 4
- 238000003776 cleavage reaction Methods 0.000 description 4
- 229920001577 copolymer Polymers 0.000 description 4
- 239000006071 cream Substances 0.000 description 4
- 229940104302 cytosine Drugs 0.000 description 4
- GHVNFZFCNZKVNT-UHFFFAOYSA-N decanoic acid Chemical compound CCCCCCCCCC(O)=O GHVNFZFCNZKVNT-UHFFFAOYSA-N 0.000 description 4
- 230000001419 dependent effect Effects 0.000 description 4
- 238000013461 design Methods 0.000 description 4
- 235000014113 dietary fatty acids Nutrition 0.000 description 4
- 102220480159 eIF5-mimic protein 2_H52A_mutation Human genes 0.000 description 4
- 239000003995 emulsifying agent Substances 0.000 description 4
- 239000000839 emulsion Substances 0.000 description 4
- 238000005516 engineering process Methods 0.000 description 4
- 150000002148 esters Chemical class 0.000 description 4
- 229930195729 fatty acid Natural products 0.000 description 4
- 239000008187 granular material Substances 0.000 description 4
- 229910052736 halogen Inorganic materials 0.000 description 4
- 150000002367 halogens Chemical class 0.000 description 4
- 125000001072 heteroaryl group Chemical group 0.000 description 4
- 229930195733 hydrocarbon Natural products 0.000 description 4
- 230000002209 hydrophobic effect Effects 0.000 description 4
- 125000002887 hydroxy group Chemical group [H]O* 0.000 description 4
- 239000007943 implant Substances 0.000 description 4
- 230000006872 improvement Effects 0.000 description 4
- 239000004615 ingredient Substances 0.000 description 4
- 238000007918 intramuscular administration Methods 0.000 description 4
- 239000008101 lactose Substances 0.000 description 4
- 239000000314 lubricant Substances 0.000 description 4
- HQKMJHAJHXVSDF-UHFFFAOYSA-L magnesium stearate Chemical compound [Mg+2].CCCCCCCCCCCCCCCCCC([O-])=O.CCCCCCCCCCCCCCCCCC([O-])=O HQKMJHAJHXVSDF-UHFFFAOYSA-L 0.000 description 4
- 230000001404 mediated effect Effects 0.000 description 4
- 239000004005 microsphere Substances 0.000 description 4
- 150000007522 mineralic acids Chemical class 0.000 description 4
- 239000000178 monomer Substances 0.000 description 4
- 210000000663 muscle cell Anatomy 0.000 description 4
- 210000001087 myotubule Anatomy 0.000 description 4
- 239000002777 nucleoside Substances 0.000 description 4
- QIQXTHQIDYTFRH-UHFFFAOYSA-N octadecanoic acid Chemical compound CCCCCCCCCCCCCCCCCC(O)=O QIQXTHQIDYTFRH-UHFFFAOYSA-N 0.000 description 4
- 238000007911 parenteral administration Methods 0.000 description 4
- 239000006072 paste Substances 0.000 description 4
- 239000012071 phase Substances 0.000 description 4
- 125000001997 phenyl group Chemical group [H]C1=C([H])C([H])=C(*)C([H])=C1[H] 0.000 description 4
- 230000006461 physiological response Effects 0.000 description 4
- 239000006187 pill Substances 0.000 description 4
- 239000011148 porous material Substances 0.000 description 4
- 238000002203 pretreatment Methods 0.000 description 4
- 230000000750 progressive effect Effects 0.000 description 4
- 150000003254 radicals Chemical group 0.000 description 4
- 230000010076 replication Effects 0.000 description 4
- 230000004044 response Effects 0.000 description 4
- 102220005348 rs41461652 Human genes 0.000 description 4
- 230000007017 scission Effects 0.000 description 4
- RMAQACBXLXPBSY-UHFFFAOYSA-N silicic acid Chemical compound O[Si](O)(O)O RMAQACBXLXPBSY-UHFFFAOYSA-N 0.000 description 4
- 235000010356 sorbitol Nutrition 0.000 description 4
- 239000000600 sorbitol Substances 0.000 description 4
- 239000007921 spray Substances 0.000 description 4
- 235000019698 starch Nutrition 0.000 description 4
- 238000007920 subcutaneous administration Methods 0.000 description 4
- 125000001424 substituent group Chemical group 0.000 description 4
- 125000005017 substituted alkenyl group Chemical group 0.000 description 4
- 230000008685 targeting Effects 0.000 description 4
- 230000000699 topical effect Effects 0.000 description 4
- 235000010487 tragacanth Nutrition 0.000 description 4
- 239000000196 tragacanth Substances 0.000 description 4
- 229940116362 tragacanth Drugs 0.000 description 4
- 239000001993 wax Substances 0.000 description 4
- 239000000080 wetting agent Substances 0.000 description 4
- JNYAEWCLZODPBN-JGWLITMVSA-N (2r,3r,4s)-2-[(1r)-1,2-dihydroxyethyl]oxolane-3,4-diol Chemical compound OC[C@@H](O)[C@H]1OC[C@H](O)[C@H]1O JNYAEWCLZODPBN-JGWLITMVSA-N 0.000 description 3
- IIZPXYDJLKNOIY-JXPKJXOSSA-N 1-palmitoyl-2-arachidonoyl-sn-glycero-3-phosphocholine Chemical compound CCCCCCCCCCCCCCCC(=O)OC[C@H](COP([O-])(=O)OCC[N+](C)(C)C)OC(=O)CCC\C=C/C\C=C/C\C=C/C\C=C/CCCCC IIZPXYDJLKNOIY-JXPKJXOSSA-N 0.000 description 3
- 229920001817 Agar Polymers 0.000 description 3
- 102220480202 Alkaline phosphatase, germ cell type_H37A_mutation Human genes 0.000 description 3
- 239000004215 Carbon black (E152) Substances 0.000 description 3
- 102220557495 Caspase-4_H26A_mutation Human genes 0.000 description 3
- 102000012192 Cystatin C Human genes 0.000 description 3
- 108010061642 Cystatin C Proteins 0.000 description 3
- XEKOWRVHYACXOJ-UHFFFAOYSA-N Ethyl acetate Chemical compound CCOC(C)=O XEKOWRVHYACXOJ-UHFFFAOYSA-N 0.000 description 3
- UGQMRVRMYYASKQ-UHFFFAOYSA-N Hypoxanthine nucleoside Natural products OC1C(O)C(CO)OC1N1C(NC=NC2=O)=C2N=C1 UGQMRVRMYYASKQ-UHFFFAOYSA-N 0.000 description 3
- 208000026350 Inborn Genetic disease Diseases 0.000 description 3
- UGQMRVRMYYASKQ-KQYNXXCUSA-N Inosine Chemical compound O[C@@H]1[C@H](O)[C@@H](CO)O[C@H]1N1C2=NC=NC(O)=C2N=C1 UGQMRVRMYYASKQ-KQYNXXCUSA-N 0.000 description 3
- 229930010555 Inosine Natural products 0.000 description 3
- KFZMGEQAYNKOFK-UHFFFAOYSA-N Isopropanol Chemical compound CC(C)O KFZMGEQAYNKOFK-UHFFFAOYSA-N 0.000 description 3
- 235000010643 Leucaena leucocephala Nutrition 0.000 description 3
- 240000007472 Leucaena leucocephala Species 0.000 description 3
- 102100022397 Nitric oxide synthase, brain Human genes 0.000 description 3
- 101710111444 Nitric oxide synthase, brain Proteins 0.000 description 3
- 101710163270 Nuclease Proteins 0.000 description 3
- 108091093037 Peptide nucleic acid Proteins 0.000 description 3
- 102220505632 Phospholipase A and acyltransferase 4_H23Q_mutation Human genes 0.000 description 3
- 102220470868 Pleiotrophin_H15A_mutation Human genes 0.000 description 3
- 102220472506 Protein ENL_H31D_mutation Human genes 0.000 description 3
- 102220572573 Protein artemis_H33A_mutation Human genes 0.000 description 3
- 102220572574 Protein artemis_H35A_mutation Human genes 0.000 description 3
- 102220561385 Protein artemis_H38A_mutation Human genes 0.000 description 3
- CZPWVGJYEJSRLH-UHFFFAOYSA-N Pyrimidine Chemical compound C1=CN=CN=C1 CZPWVGJYEJSRLH-UHFFFAOYSA-N 0.000 description 3
- 102220509307 Small integral membrane protein 10_H32A_mutation Human genes 0.000 description 3
- 102220493338 Sodium/calcium exchanger 3_H39A_mutation Human genes 0.000 description 3
- RYYWUUFWQRZTIU-UHFFFAOYSA-N Thiophosphoric acid Chemical group OP(O)(S)=O RYYWUUFWQRZTIU-UHFFFAOYSA-N 0.000 description 3
- 102220531684 WD repeat and coiled-coil-containing protein_H12A_mutation Human genes 0.000 description 3
- 235000010419 agar Nutrition 0.000 description 3
- 235000010443 alginic acid Nutrition 0.000 description 3
- 229920000615 alginic acid Polymers 0.000 description 3
- 125000000304 alkynyl group Chemical group 0.000 description 3
- 150000001408 amides Chemical class 0.000 description 3
- 229960002684 aminocaproic acid Drugs 0.000 description 3
- 239000003242 anti bacterial agent Substances 0.000 description 3
- 125000003118 aryl group Chemical group 0.000 description 3
- 235000012216 bentonite Nutrition 0.000 description 3
- 229940000635 beta-alanine Drugs 0.000 description 3
- 239000000872 buffer Substances 0.000 description 3
- 238000004113 cell culture Methods 0.000 description 3
- 238000006243 chemical reaction Methods 0.000 description 3
- 239000003086 colorant Substances 0.000 description 3
- 238000013270 controlled release Methods 0.000 description 3
- 125000004122 cyclic group Chemical group 0.000 description 3
- 235000018417 cysteine Nutrition 0.000 description 3
- 238000011161 development Methods 0.000 description 3
- 238000003745 diagnosis Methods 0.000 description 3
- 239000003085 diluting agent Substances 0.000 description 3
- 239000006185 dispersion Substances 0.000 description 3
- 239000003623 enhancer Substances 0.000 description 3
- MMXKVMNBHPAILY-UHFFFAOYSA-N ethyl laurate Chemical compound CCCCCCCCCCCC(=O)OCC MMXKVMNBHPAILY-UHFFFAOYSA-N 0.000 description 3
- 238000001125 extrusion Methods 0.000 description 3
- 239000000945 filler Substances 0.000 description 3
- 230000037433 frameshift Effects 0.000 description 3
- 210000001035 gastrointestinal tract Anatomy 0.000 description 3
- 239000000499 gel Substances 0.000 description 3
- 208000016361 genetic disease Diseases 0.000 description 3
- 239000003862 glucocorticoid Substances 0.000 description 3
- 125000005842 heteroatom Chemical group 0.000 description 3
- 238000009396 hybridization Methods 0.000 description 3
- 239000000017 hydrogel Substances 0.000 description 3
- 239000003701 inert diluent Substances 0.000 description 3
- 230000000977 initiatory effect Effects 0.000 description 3
- 229960003786 inosine Drugs 0.000 description 3
- 229940070765 laurate Drugs 0.000 description 3
- 235000010445 lecithin Nutrition 0.000 description 3
- 239000000787 lecithin Substances 0.000 description 3
- 229940067606 lecithin Drugs 0.000 description 3
- 239000006210 lotion Substances 0.000 description 3
- 239000003550 marker Substances 0.000 description 3
- 239000011159 matrix material Substances 0.000 description 3
- 238000012544 monitoring process Methods 0.000 description 3
- 125000002950 monocyclic group Chemical group 0.000 description 3
- QJGQUHMNIGDVPM-UHFFFAOYSA-N nitrogen group Chemical group [N] QJGQUHMNIGDVPM-UHFFFAOYSA-N 0.000 description 3
- 229940049964 oleate Drugs 0.000 description 3
- 239000004006 olive oil Substances 0.000 description 3
- IPCSVZSSVZVIGE-UHFFFAOYSA-N palmitic acid group Chemical group C(CCCCCCCCCCCCCCC)(=O)O IPCSVZSSVZVIGE-UHFFFAOYSA-N 0.000 description 3
- 125000004437 phosphorous atom Chemical group 0.000 description 3
- 229920000515 polycarbonate Polymers 0.000 description 3
- 239000004417 polycarbonate Substances 0.000 description 3
- 229960004063 propylene glycol Drugs 0.000 description 3
- 201000001474 proteinuria Diseases 0.000 description 3
- 238000003757 reverse transcription PCR Methods 0.000 description 3
- HFHDHCJBZVLPGP-UHFFFAOYSA-N schardinger α-dextrin Chemical class O1C(C(C2O)O)C(CO)OC2OC(C(C2O)O)C(CO)OC2OC(C(C2O)O)C(CO)OC2OC(C(O)C2O)C(CO)OC2OC(C(C2O)O)C(CO)OC2OC2C(O)C(O)C1OC2CO HFHDHCJBZVLPGP-UHFFFAOYSA-N 0.000 description 3
- 235000012239 silicon dioxide Nutrition 0.000 description 3
- 235000019333 sodium laurylsulphate Nutrition 0.000 description 3
- 239000002904 solvent Substances 0.000 description 3
- 210000002784 stomach Anatomy 0.000 description 3
- 125000004426 substituted alkynyl group Chemical group 0.000 description 3
- 125000003107 substituted aryl group Chemical group 0.000 description 3
- 238000006467 substitution reaction Methods 0.000 description 3
- 239000000375 suspending agent Substances 0.000 description 3
- 210000002700 urine Anatomy 0.000 description 3
- 238000001262 western blot Methods 0.000 description 3
- YBJHBAHKTGYVGT-ZKWXMUAHSA-N (+)-Biotin Chemical compound N1C(=O)N[C@@H]2[C@H](CCCCC(=O)O)SC[C@@H]21 YBJHBAHKTGYVGT-ZKWXMUAHSA-N 0.000 description 2
- PUPZLCDOIYMWBV-UHFFFAOYSA-N (+/-)-1,3-Butanediol Chemical compound CC(O)CCO PUPZLCDOIYMWBV-UHFFFAOYSA-N 0.000 description 2
- 125000006527 (C1-C5) alkyl group Chemical group 0.000 description 2
- RYCNUMLMNKHWPZ-SNVBAGLBSA-N 1-acetyl-sn-glycero-3-phosphocholine Chemical class CC(=O)OC[C@@H](O)COP([O-])(=O)OCC[N+](C)(C)C RYCNUMLMNKHWPZ-SNVBAGLBSA-N 0.000 description 2
- VBICKXHEKHSIBG-UHFFFAOYSA-N 1-monostearoylglycerol Chemical compound CCCCCCCCCCCCCCCCCC(=O)OCC(O)CO VBICKXHEKHSIBG-UHFFFAOYSA-N 0.000 description 2
- CBBFWSMELCDMPZ-UHFFFAOYSA-N 2-(methylamino)acetamide Chemical group CNCC(N)=O CBBFWSMELCDMPZ-UHFFFAOYSA-N 0.000 description 2
- FWMNVWWHGCHHJJ-SKKKGAJSSA-N 4-amino-1-[(2r)-6-amino-2-[[(2r)-2-[[(2r)-2-[[(2r)-2-amino-3-phenylpropanoyl]amino]-3-phenylpropanoyl]amino]-4-methylpentanoyl]amino]hexanoyl]piperidine-4-carboxylic acid Chemical compound C([C@H](C(=O)N[C@H](CC(C)C)C(=O)N[C@H](CCCCN)C(=O)N1CCC(N)(CC1)C(O)=O)NC(=O)[C@H](N)CC=1C=CC=CC=1)C1=CC=CC=C1 FWMNVWWHGCHHJJ-SKKKGAJSSA-N 0.000 description 2
- 102220598594 5-hydroxytryptamine receptor 1E_H42A_mutation Human genes 0.000 description 2
- 102220497139 5-hydroxytryptamine receptor 3B_H27A_mutation Human genes 0.000 description 2
- 102220496123 5-hydroxytryptamine receptor 3B_H30A_mutation Human genes 0.000 description 2
- LRSASMSXMSNRBT-UHFFFAOYSA-N 5-methylcytosine Chemical compound CC1=CNC(=O)N=C1N LRSASMSXMSNRBT-UHFFFAOYSA-N 0.000 description 2
- 102000010825 Actinin Human genes 0.000 description 2
- 108010063503 Actinin Proteins 0.000 description 2
- QGZKDVFQNNGYKY-UHFFFAOYSA-N Ammonia Chemical compound N QGZKDVFQNNGYKY-UHFFFAOYSA-N 0.000 description 2
- NLXLAEXVIDQMFP-UHFFFAOYSA-N Ammonia chloride Chemical compound [NH4+].[Cl-] NLXLAEXVIDQMFP-UHFFFAOYSA-N 0.000 description 2
- 239000004322 Butylated hydroxytoluene Substances 0.000 description 2
- NLZUEZXRPGMBCV-UHFFFAOYSA-N Butylhydroxytoluene Chemical compound CC1=CC(C(C)(C)C)=C(O)C(C(C)(C)C)=C1 NLZUEZXRPGMBCV-UHFFFAOYSA-N 0.000 description 2
- OYPRJOBELJOOCE-UHFFFAOYSA-N Calcium Chemical compound [Ca] OYPRJOBELJOOCE-UHFFFAOYSA-N 0.000 description 2
- 241000282472 Canis lupus familiaris Species 0.000 description 2
- 239000005632 Capric acid (CAS 334-48-5) Substances 0.000 description 2
- 102220555352 Caspase-4_H29A_mutation Human genes 0.000 description 2
- 102220546098 Cell surface hyaluronidase_H36A_mutation Human genes 0.000 description 2
- 102220489765 Cofilin-1_H47A_mutation Human genes 0.000 description 2
- FBPFZTCFMRRESA-KVTDHHQDSA-N D-Mannitol Chemical compound OC[C@@H](O)[C@@H](O)[C@H](O)[C@H](O)CO FBPFZTCFMRRESA-KVTDHHQDSA-N 0.000 description 2
- FEWJPZIEWOKRBE-JCYAYHJZSA-N Dextrotartaric acid Chemical compound OC(=O)[C@H](O)[C@@H](O)C(O)=O FEWJPZIEWOKRBE-JCYAYHJZSA-N 0.000 description 2
- 206010061818 Disease progression Diseases 0.000 description 2
- KCXVZYZYPLLWCC-UHFFFAOYSA-N EDTA Chemical compound OC(=O)CN(CC(O)=O)CCN(CC(O)=O)CC(O)=O KCXVZYZYPLLWCC-UHFFFAOYSA-N 0.000 description 2
- LVGKNOAMLMIIKO-UHFFFAOYSA-N Elaidinsaeure-aethylester Natural products CCCCCCCCC=CCCCCCCCC(=O)OCC LVGKNOAMLMIIKO-UHFFFAOYSA-N 0.000 description 2
- 239000001856 Ethyl cellulose Substances 0.000 description 2
- ZZSNKZQZMQGXPY-UHFFFAOYSA-N Ethyl cellulose Chemical compound CCOCC1OC(OC)C(OCC)C(OCC)C1OC1C(O)C(O)C(OC)C(CO)O1 ZZSNKZQZMQGXPY-UHFFFAOYSA-N 0.000 description 2
- QUSNBJAOOMFDIB-UHFFFAOYSA-N Ethylamine Chemical compound CCN QUSNBJAOOMFDIB-UHFFFAOYSA-N 0.000 description 2
- 241000206672 Gelidium Species 0.000 description 2
- WQZGKKKJIJFFOK-GASJEMHNSA-N Glucose Natural products OC[C@H]1OC(O)[C@H](O)[C@@H](O)[C@@H]1O WQZGKKKJIJFFOK-GASJEMHNSA-N 0.000 description 2
- 239000004471 Glycine Substances 0.000 description 2
- 102100034459 Hepatitis A virus cellular receptor 1 Human genes 0.000 description 2
- 101710185991 Hepatitis A virus cellular receptor 1 homolog Proteins 0.000 description 2
- 108091027305 Heteroduplex Proteins 0.000 description 2
- VEXZGXHMUGYJMC-UHFFFAOYSA-N Hydrochloric acid Chemical compound Cl VEXZGXHMUGYJMC-UHFFFAOYSA-N 0.000 description 2
- UFHFLCQGNIYNRP-UHFFFAOYSA-N Hydrogen Chemical compound [H][H] UFHFLCQGNIYNRP-UHFFFAOYSA-N 0.000 description 2
- 108091092195 Intron Proteins 0.000 description 2
- 102220475870 Keratin, type I cytoskeletal 10_H13A_mutation Human genes 0.000 description 2
- 102220479923 Leucine-rich repeat-containing protein 26_H11A_mutation Human genes 0.000 description 2
- 102220636400 Leucine-rich repeat-containing protein 26_H19A_mutation Human genes 0.000 description 2
- KDXKERNSBIXSRK-UHFFFAOYSA-N Lysine Natural products NCCCCC(N)C(O)=O KDXKERNSBIXSRK-UHFFFAOYSA-N 0.000 description 2
- FYYHWMGAXLPEAU-UHFFFAOYSA-N Magnesium Chemical compound [Mg] FYYHWMGAXLPEAU-UHFFFAOYSA-N 0.000 description 2
- 229930195725 Mannitol Natural products 0.000 description 2
- 241000699666 Mus <mouse, genus> Species 0.000 description 2
- 241000699670 Mus sp. Species 0.000 description 2
- 102220481012 Myosin-binding protein H-like_H28A_mutation Human genes 0.000 description 2
- 108700003203 N-methylglycinamide Proteins 0.000 description 2
- 102220530780 Nicotinamide/nicotinic acid mononucleotide adenylyltransferase 2_H24A_mutation Human genes 0.000 description 2
- 229910019142 PO4 Inorganic materials 0.000 description 2
- ISWSIDIOOBJBQZ-UHFFFAOYSA-N Phenol Chemical compound OC1=CC=CC=C1 ISWSIDIOOBJBQZ-UHFFFAOYSA-N 0.000 description 2
- NBIIXXVUZAFLBC-UHFFFAOYSA-N Phosphoric acid Chemical compound OP(O)(O)=O NBIIXXVUZAFLBC-UHFFFAOYSA-N 0.000 description 2
- GLUUGHFHXGJENI-UHFFFAOYSA-N Piperazine Chemical compound C1CNCCN1 GLUUGHFHXGJENI-UHFFFAOYSA-N 0.000 description 2
- RVGRUAULSDPKGF-UHFFFAOYSA-N Poloxamer Chemical compound C1CO1.CC1CO1 RVGRUAULSDPKGF-UHFFFAOYSA-N 0.000 description 2
- 239000004952 Polyamide Substances 0.000 description 2
- ATUOYWHBWRKTHZ-UHFFFAOYSA-N Propane Chemical compound CCC ATUOYWHBWRKTHZ-UHFFFAOYSA-N 0.000 description 2
- ZTHYODDOHIVTJV-UHFFFAOYSA-N Propyl gallate Chemical compound CCCOC(=O)C1=CC(O)=C(O)C(O)=C1 ZTHYODDOHIVTJV-UHFFFAOYSA-N 0.000 description 2
- 101710149951 Protein Tat Proteins 0.000 description 2
- 102220470577 Protein ripply1_H25A_mutation Human genes 0.000 description 2
- 108010039259 RNA Splicing Factors Proteins 0.000 description 2
- 102000015097 RNA Splicing Factors Human genes 0.000 description 2
- 102220597498 RNA-binding region-containing protein 3_H40A_mutation Human genes 0.000 description 2
- 235000021355 Stearic acid Nutrition 0.000 description 2
- IQFYYKKMVGJFEH-XLPZGREQSA-N Thymidine Chemical compound O=C1NC(=O)C(C)=CN1[C@@H]1O[C@H](CO)[C@@H](O)C1 IQFYYKKMVGJFEH-XLPZGREQSA-N 0.000 description 2
- 108700019146 Transgenes Proteins 0.000 description 2
- 102220549750 Ubiquitin D_H11D_mutation Human genes 0.000 description 2
- 108020000999 Viral RNA Proteins 0.000 description 2
- 241000700605 Viruses Species 0.000 description 2
- 102220540102 WD repeat and coiled-coil-containing protein_H16D_mutation Human genes 0.000 description 2
- 102220482694 Zinc finger protein 750_H43A_mutation Human genes 0.000 description 2
- XLOMVQKBTHCTTD-UHFFFAOYSA-N Zinc monoxide Chemical compound [Zn]=O XLOMVQKBTHCTTD-UHFFFAOYSA-N 0.000 description 2
- 238000009825 accumulation Methods 0.000 description 2
- NIXOWILDQLNWCW-UHFFFAOYSA-M acrylate group Chemical group C(C=C)(=O)[O-] NIXOWILDQLNWCW-UHFFFAOYSA-M 0.000 description 2
- 239000002671 adjuvant Substances 0.000 description 2
- 239000000783 alginic acid Substances 0.000 description 2
- 229960001126 alginic acid Drugs 0.000 description 2
- 150000004781 alginic acids Chemical class 0.000 description 2
- 125000001931 aliphatic group Chemical group 0.000 description 2
- 125000002947 alkylene group Chemical group 0.000 description 2
- 150000001370 alpha-amino acid derivatives Chemical class 0.000 description 2
- 125000000266 alpha-aminoacyl group Chemical group 0.000 description 2
- WNROFYMDJYEPJX-UHFFFAOYSA-K aluminium hydroxide Chemical compound [OH-].[OH-].[OH-].[Al+3] WNROFYMDJYEPJX-UHFFFAOYSA-K 0.000 description 2
- 125000000539 amino acid group Chemical group 0.000 description 2
- 125000000129 anionic group Chemical group 0.000 description 2
- 239000007864 aqueous solution Substances 0.000 description 2
- 235000010323 ascorbic acid Nutrition 0.000 description 2
- 239000011668 ascorbic acid Substances 0.000 description 2
- 229960005070 ascorbic acid Drugs 0.000 description 2
- 238000003556 assay Methods 0.000 description 2
- 239000000440 bentonite Substances 0.000 description 2
- 229910000278 bentonite Inorganic materials 0.000 description 2
- SVPXDRXYRYOSEX-UHFFFAOYSA-N bentoquatam Chemical compound O.O=[Si]=O.O=[Al]O[Al]=O SVPXDRXYRYOSEX-UHFFFAOYSA-N 0.000 description 2
- SESFRYSPDFLNCH-UHFFFAOYSA-N benzyl benzoate Chemical compound C=1C=CC=CC=1C(=O)OCC1=CC=CC=C1 SESFRYSPDFLNCH-UHFFFAOYSA-N 0.000 description 2
- 125000001797 benzyl group Chemical group [H]C1=C([H])C([H])=C(C([H])=C1[H])C([H])([H])* 0.000 description 2
- WQZGKKKJIJFFOK-VFUOTHLCSA-N beta-D-glucose Chemical compound OC[C@H]1O[C@@H](O)[C@H](O)[C@@H](O)[C@@H]1O WQZGKKKJIJFFOK-VFUOTHLCSA-N 0.000 description 2
- 150000001576 beta-amino acids Chemical class 0.000 description 2
- 125000002619 bicyclic group Chemical group 0.000 description 2
- 239000011230 binding agent Substances 0.000 description 2
- 230000003115 biocidal effect Effects 0.000 description 2
- 229920000249 biocompatible polymer Polymers 0.000 description 2
- 239000006172 buffering agent Substances 0.000 description 2
- 235000010354 butylated hydroxytoluene Nutrition 0.000 description 2
- 229940095259 butylated hydroxytoluene Drugs 0.000 description 2
- 210000004899 c-terminal region Anatomy 0.000 description 2
- 239000011575 calcium Substances 0.000 description 2
- 229910052791 calcium Inorganic materials 0.000 description 2
- 229910000019 calcium carbonate Inorganic materials 0.000 description 2
- 235000010216 calcium carbonate Nutrition 0.000 description 2
- 150000001721 carbon Chemical group 0.000 description 2
- 239000001768 carboxy methyl cellulose Substances 0.000 description 2
- 230000000747 cardiac effect Effects 0.000 description 2
- 239000012876 carrier material Substances 0.000 description 2
- 150000001768 cations Chemical class 0.000 description 2
- 230000036755 cellular response Effects 0.000 description 2
- 239000001913 cellulose Substances 0.000 description 2
- 239000003153 chemical reaction reagent Substances 0.000 description 2
- OSASVXMJTNOKOY-UHFFFAOYSA-N chlorobutanol Chemical compound CC(C)(O)C(Cl)(Cl)Cl OSASVXMJTNOKOY-UHFFFAOYSA-N 0.000 description 2
- 235000012000 cholesterol Nutrition 0.000 description 2
- 235000015165 citric acid Nutrition 0.000 description 2
- 229940110456 cocoa butter Drugs 0.000 description 2
- 235000019868 cocoa butter Nutrition 0.000 description 2
- 238000010668 complexation reaction Methods 0.000 description 2
- 238000007796 conventional method Methods 0.000 description 2
- 235000012343 cottonseed oil Nutrition 0.000 description 2
- 229960002433 cysteine Drugs 0.000 description 2
- XUJNEKJLAYXESH-UHFFFAOYSA-N cysteine Natural products SCC(N)C(O)=O XUJNEKJLAYXESH-UHFFFAOYSA-N 0.000 description 2
- 230000006378 damage Effects 0.000 description 2
- 238000001514 detection method Methods 0.000 description 2
- ZBCBWPMODOFKDW-UHFFFAOYSA-N diethanolamine Chemical compound OCCNCCO ZBCBWPMODOFKDW-UHFFFAOYSA-N 0.000 description 2
- ZUOUZKKEUPVFJK-UHFFFAOYSA-N diphenyl Chemical compound C1=CC=CC=C1C1=CC=CC=C1 ZUOUZKKEUPVFJK-UHFFFAOYSA-N 0.000 description 2
- 230000005750 disease progression Effects 0.000 description 2
- 239000002270 dispersing agent Substances 0.000 description 2
- POULHZVOKOAJMA-UHFFFAOYSA-N dodecanoic acid Chemical compound CCCCCCCCCCCC(O)=O POULHZVOKOAJMA-UHFFFAOYSA-N 0.000 description 2
- 239000008298 dragée Substances 0.000 description 2
- 230000002708 enhancing effect Effects 0.000 description 2
- 239000002702 enteric coating Substances 0.000 description 2
- 238000009505 enteric coating Methods 0.000 description 2
- 235000019325 ethyl cellulose Nutrition 0.000 description 2
- 229920001249 ethyl cellulose Polymers 0.000 description 2
- 125000001495 ethyl group Chemical group [H]C([H])([H])C([H])([H])* 0.000 description 2
- LVGKNOAMLMIIKO-QXMHVHEDSA-N ethyl oleate Chemical compound CCCCCCCC\C=C/CCCCCCCC(=O)OCC LVGKNOAMLMIIKO-QXMHVHEDSA-N 0.000 description 2
- 229940093471 ethyl oleate Drugs 0.000 description 2
- 238000011156 evaluation Methods 0.000 description 2
- 150000004665 fatty acids Chemical class 0.000 description 2
- 239000000796 flavoring agent Substances 0.000 description 2
- 230000004907 flux Effects 0.000 description 2
- 239000012634 fragment Substances 0.000 description 2
- 125000000524 functional group Chemical group 0.000 description 2
- 235000021472 generally recognized as safe Nutrition 0.000 description 2
- 239000008103 glucose Substances 0.000 description 2
- 125000002791 glucosyl group Chemical group C1([C@H](O)[C@@H](O)[C@H](O)[C@H](O1)CO)* 0.000 description 2
- 125000003827 glycol group Chemical group 0.000 description 2
- 229940093915 gynecological organic acid Drugs 0.000 description 2
- BXWNKGSJHAJOGX-UHFFFAOYSA-N hexadecan-1-ol Chemical compound CCCCCCCCCCCCCCCCO BXWNKGSJHAJOGX-UHFFFAOYSA-N 0.000 description 2
- 235000010979 hydroxypropyl methyl cellulose Nutrition 0.000 description 2
- 239000001866 hydroxypropyl methyl cellulose Substances 0.000 description 2
- 229920003088 hydroxypropyl methyl cellulose Polymers 0.000 description 2
- UFVKGYZPFZQRLF-UHFFFAOYSA-N hydroxypropyl methyl cellulose Chemical compound OC1C(O)C(OC)OC(CO)C1OC1C(O)C(O)C(OC2C(C(O)C(OC3C(C(O)C(O)C(CO)O3)O)C(CO)O2)O)C(CO)O1 UFVKGYZPFZQRLF-UHFFFAOYSA-N 0.000 description 2
- 230000028993 immune response Effects 0.000 description 2
- 238000011065 in-situ storage Methods 0.000 description 2
- 238000010348 incorporation Methods 0.000 description 2
- 230000002401 inhibitory effect Effects 0.000 description 2
- 150000007529 inorganic bases Chemical class 0.000 description 2
- 230000010354 integration Effects 0.000 description 2
- 230000003993 interaction Effects 0.000 description 2
- 210000000936 intestine Anatomy 0.000 description 2
- 238000010255 intramuscular injection Methods 0.000 description 2
- 239000007927 intramuscular injection Substances 0.000 description 2
- 125000001449 isopropyl group Chemical group [H]C([H])([H])C([H])(*)C([H])([H])[H] 0.000 description 2
- JVTAAEKCZFNVCJ-UHFFFAOYSA-N lactic acid Chemical compound CC(O)C(O)=O JVTAAEKCZFNVCJ-UHFFFAOYSA-N 0.000 description 2
- 239000003446 ligand Substances 0.000 description 2
- 230000000670 limiting effect Effects 0.000 description 2
- 125000005647 linker group Chemical group 0.000 description 2
- 239000008297 liquid dosage form Substances 0.000 description 2
- 210000004185 liver Anatomy 0.000 description 2
- 239000011777 magnesium Substances 0.000 description 2
- 229910052749 magnesium Inorganic materials 0.000 description 2
- 235000019359 magnesium stearate Nutrition 0.000 description 2
- 239000000594 mannitol Substances 0.000 description 2
- 235000010355 mannitol Nutrition 0.000 description 2
- 230000007246 mechanism Effects 0.000 description 2
- 230000004060 metabolic process Effects 0.000 description 2
- 229910052751 metal Inorganic materials 0.000 description 2
- 239000002184 metal Substances 0.000 description 2
- 125000002496 methyl group Chemical group [H]C([H])([H])* 0.000 description 2
- 239000004530 micro-emulsion Substances 0.000 description 2
- 125000000896 monocarboxylic acid group Chemical group 0.000 description 2
- 238000000465 moulding Methods 0.000 description 2
- 238000010172 mouse model Methods 0.000 description 2
- 230000003387 muscular Effects 0.000 description 2
- 210000003098 myoblast Anatomy 0.000 description 2
- 239000002088 nanocapsule Substances 0.000 description 2
- 239000002105 nanoparticle Substances 0.000 description 2
- 210000005036 nerve Anatomy 0.000 description 2
- 239000012457 nonaqueous media Substances 0.000 description 2
- 125000000371 nucleobase group Chemical group 0.000 description 2
- 150000003833 nucleoside derivatives Chemical class 0.000 description 2
- OQCDKBAXFALNLD-UHFFFAOYSA-N octadecanoic acid Natural products CCCCCCCC(C)CCCCCCCCC(O)=O OQCDKBAXFALNLD-UHFFFAOYSA-N 0.000 description 2
- 235000008390 olive oil Nutrition 0.000 description 2
- 210000000056 organ Anatomy 0.000 description 2
- 235000005985 organic acids Nutrition 0.000 description 2
- 150000007530 organic bases Chemical class 0.000 description 2
- 230000007170 pathology Effects 0.000 description 2
- MCYTYTUNNNZWOK-LCLOTLQISA-N penetratin Chemical compound C([C@H](NC(=O)[C@H](CC=1C2=CC=CC=C2NC=1)NC(=O)[C@H]([C@@H](C)CC)NC(=O)[C@H](CCCCN)NC(=O)[C@@H](NC(=O)[C@H](CCC(N)=O)NC(=O)[C@@H](N)CCCNC(N)=N)[C@@H](C)CC)C(=O)N[C@@H](CCC(N)=O)C(=O)N[C@@H](CC(N)=O)C(=O)N[C@@H](CCCNC(N)=N)C(=O)N[C@@H](CCCNC(N)=N)C(=O)N[C@@H](CCSC)C(=O)N[C@@H](CCCCN)C(=O)N[C@@H](CC=1C2=CC=CC=C2NC=1)C(=O)N[C@@H](CCCCN)C(=O)N[C@@H](CCCCN)C(N)=O)C1=CC=CC=C1 MCYTYTUNNNZWOK-LCLOTLQISA-N 0.000 description 2
- 108010043655 penetratin Proteins 0.000 description 2
- 230000035515 penetration Effects 0.000 description 2
- 239000002304 perfume Substances 0.000 description 2
- 230000002093 peripheral effect Effects 0.000 description 2
- NBIIXXVUZAFLBC-UHFFFAOYSA-K phosphate Chemical compound [O-]P([O-])([O-])=O NBIIXXVUZAFLBC-UHFFFAOYSA-K 0.000 description 2
- 239000010452 phosphate Substances 0.000 description 2
- 235000021317 phosphate Nutrition 0.000 description 2
- 125000002467 phosphate group Chemical group [H]OP(=O)(O[H])O[*] 0.000 description 2
- 150000003904 phospholipids Chemical class 0.000 description 2
- 235000011007 phosphoric acid Nutrition 0.000 description 2
- 125000004193 piperazinyl group Chemical group 0.000 description 2
- 125000003386 piperidinyl group Chemical group 0.000 description 2
- 239000013612 plasmid Substances 0.000 description 2
- 229920001983 poloxamer Polymers 0.000 description 2
- 229920000058 polyacrylate Polymers 0.000 description 2
- 229920002647 polyamide Polymers 0.000 description 2
- 229920000728 polyester Polymers 0.000 description 2
- 239000004633 polyglycolic acid Substances 0.000 description 2
- 229920002704 polyhistidine Polymers 0.000 description 2
- 229920005862 polyol Polymers 0.000 description 2
- 150000003077 polyols Chemical class 0.000 description 2
- 229920001296 polysiloxane Polymers 0.000 description 2
- 235000013855 polyvinylpyrrolidone Nutrition 0.000 description 2
- 239000001267 polyvinylpyrrolidone Substances 0.000 description 2
- 229920000036 polyvinylpyrrolidone Polymers 0.000 description 2
- BWHMMNNQKKPAPP-UHFFFAOYSA-L potassium carbonate Chemical compound [K+].[K+].[O-]C([O-])=O BWHMMNNQKKPAPP-UHFFFAOYSA-L 0.000 description 2
- 239000002243 precursor Substances 0.000 description 2
- 238000002360 preparation method Methods 0.000 description 2
- 230000002265 prevention Effects 0.000 description 2
- 239000003380 propellant Substances 0.000 description 2
- 238000011321 prophylaxis Methods 0.000 description 2
- 125000001436 propyl group Chemical group [H]C([*])([H])C([H])([H])C([H])([H])[H] 0.000 description 2
- 230000009325 pulmonary function Effects 0.000 description 2
- 238000011002 quantification Methods 0.000 description 2
- 230000009467 reduction Effects 0.000 description 2
- 238000012552 review Methods 0.000 description 2
- 102220005610 rs1063739 Human genes 0.000 description 2
- 102220237717 rs779249550 Human genes 0.000 description 2
- 210000000518 sarcolemma Anatomy 0.000 description 2
- 210000002966 serum Anatomy 0.000 description 2
- 239000008159 sesame oil Substances 0.000 description 2
- 235000011803 sesame oil Nutrition 0.000 description 2
- 229910000029 sodium carbonate Inorganic materials 0.000 description 2
- GEHJYWRUCIMESM-UHFFFAOYSA-L sodium sulfite Chemical compound [Na+].[Na+].[O-]S([O-])=O GEHJYWRUCIMESM-UHFFFAOYSA-L 0.000 description 2
- 239000007909 solid dosage form Substances 0.000 description 2
- 239000008247 solid mixture Substances 0.000 description 2
- 230000009870 specific binding Effects 0.000 description 2
- PFNFFQXMRSDOHW-UHFFFAOYSA-N spermine Chemical compound NCCCNCCCCNCCCN PFNFFQXMRSDOHW-UHFFFAOYSA-N 0.000 description 2
- 230000006641 stabilisation Effects 0.000 description 2
- 238000011105 stabilization Methods 0.000 description 2
- 238000010186 staining Methods 0.000 description 2
- 239000008107 starch Substances 0.000 description 2
- 229940032147 starch Drugs 0.000 description 2
- 238000007619 statistical method Methods 0.000 description 2
- 239000008117 stearic acid Substances 0.000 description 2
- 125000005415 substituted alkoxy group Chemical group 0.000 description 2
- 125000005346 substituted cycloalkyl group Chemical group 0.000 description 2
- 230000002459 sustained effect Effects 0.000 description 2
- 238000013268 sustained release Methods 0.000 description 2
- 239000012730 sustained-release form Substances 0.000 description 2
- 239000003765 sweetening agent Substances 0.000 description 2
- 239000006188 syrup Substances 0.000 description 2
- 235000020357 syrup Nutrition 0.000 description 2
- 230000009885 systemic effect Effects 0.000 description 2
- 229940037128 systemic glucocorticoids Drugs 0.000 description 2
- 125000004632 tetrahydrothiopyranyl group Chemical group S1C(CCCC1)* 0.000 description 2
- 229940124597 therapeutic agent Drugs 0.000 description 2
- 238000002560 therapeutic procedure Methods 0.000 description 2
- 231100000331 toxic Toxicity 0.000 description 2
- 230000002588 toxic effect Effects 0.000 description 2
- 231100000419 toxicity Toxicity 0.000 description 2
- 230000001988 toxicity Effects 0.000 description 2
- VZCYOOQTPOCHFL-UHFFFAOYSA-N trans-butenedioic acid Natural products OC(=O)C=CC(O)=O VZCYOOQTPOCHFL-UHFFFAOYSA-N 0.000 description 2
- 230000005945 translocation Effects 0.000 description 2
- 241001430294 unidentified retrovirus Species 0.000 description 2
- 239000002691 unilamellar liposome Substances 0.000 description 2
- 230000003827 upregulation Effects 0.000 description 2
- 230000002792 vascular Effects 0.000 description 2
- 235000015112 vegetable and seed oil Nutrition 0.000 description 2
- 239000008158 vegetable oil Substances 0.000 description 2
- 125000000391 vinyl group Chemical group [H]C([*])=C([H])[H] 0.000 description 2
- XOOUIPVCVHRTMJ-UHFFFAOYSA-L zinc stearate Chemical compound [Zn+2].CCCCCCCCCCCCCCCCCC([O-])=O.CCCCCCCCCCCCCCCCCC([O-])=O XOOUIPVCVHRTMJ-UHFFFAOYSA-L 0.000 description 2
- QIJRTFXNRTXDIP-UHFFFAOYSA-N (1-carboxy-2-sulfanylethyl)azanium;chloride;hydrate Chemical compound O.Cl.SCC(N)C(O)=O QIJRTFXNRTXDIP-UHFFFAOYSA-N 0.000 description 1
- XUNKPNYCNUKOAU-VXJRNSOOSA-N (2s)-2-[[(2s)-2-[[(2s)-2-[[(2s)-2-[[(2s)-2-[[(2s)-2-[[(2s)-2-[[(2s)-2-[[(2s)-2-amino-5-(diaminomethylideneamino)pentanoyl]amino]-5-(diaminomethylideneamino)pentanoyl]amino]-5-(diaminomethylideneamino)pentanoyl]amino]-5-(diaminomethylideneamino)pentanoyl]a Chemical compound NC(N)=NCCC[C@H](N)C(=O)N[C@@H](CCCN=C(N)N)C(=O)N[C@@H](CCCN=C(N)N)C(=O)N[C@@H](CCCN=C(N)N)C(=O)N[C@@H](CCCN=C(N)N)C(=O)N[C@@H](CCCN=C(N)N)C(=O)N[C@@H](CCCN=C(N)N)C(=O)N[C@@H](CCCN=C(N)N)C(=O)N[C@@H](CCCN=C(N)N)C(O)=O XUNKPNYCNUKOAU-VXJRNSOOSA-N 0.000 description 1
- BHQCQFFYRZLCQQ-UHFFFAOYSA-N (3alpha,5alpha,7alpha,12alpha)-3,7,12-trihydroxy-cholan-24-oic acid Natural products OC1CC2CC(O)CCC2(C)C2C1C1CCC(C(CCC(O)=O)C)C1(C)C(O)C2 BHQCQFFYRZLCQQ-UHFFFAOYSA-N 0.000 description 1
- QGVQZRDQPDLHHV-DPAQBDIFSA-N (3s,8s,9s,10r,13r,14s,17r)-10,13-dimethyl-17-[(2r)-6-methylheptan-2-yl]-2,3,4,7,8,9,11,12,14,15,16,17-dodecahydro-1h-cyclopenta[a]phenanthrene-3-thiol Chemical compound C1C=C2C[C@@H](S)CC[C@]2(C)[C@@H]2[C@@H]1[C@@H]1CC[C@H]([C@H](C)CCCC(C)C)[C@@]1(C)CC2 QGVQZRDQPDLHHV-DPAQBDIFSA-N 0.000 description 1
- GVJHHUAWPYXKBD-IEOSBIPESA-N (R)-alpha-Tocopherol Natural products OC1=C(C)C(C)=C2O[C@@](CCC[C@H](C)CCC[C@H](C)CCCC(C)C)(C)CCC2=C1C GVJHHUAWPYXKBD-IEOSBIPESA-N 0.000 description 1
- FYADHXFMURLYQI-UHFFFAOYSA-N 1,2,4-triazine Chemical class C1=CN=NC=N1 FYADHXFMURLYQI-UHFFFAOYSA-N 0.000 description 1
- 229940058015 1,3-butylene glycol Drugs 0.000 description 1
- OZOMQRBLCMDCEG-CHHVJCJISA-N 1-[(z)-[5-(4-nitrophenyl)furan-2-yl]methylideneamino]imidazolidine-2,4-dione Chemical compound C1=CC([N+](=O)[O-])=CC=C1C(O1)=CC=C1\C=N/N1C(=O)NC(=O)C1 OZOMQRBLCMDCEG-CHHVJCJISA-N 0.000 description 1
- JRLOEMCOOZSCQP-UHFFFAOYSA-N 1-[3-(2-quinolinylmethoxy)phenyl]-1-hexanol Chemical compound CCCCCC(O)C1=CC=CC(OCC=2N=C3C=CC=CC3=CC=2)=C1 JRLOEMCOOZSCQP-UHFFFAOYSA-N 0.000 description 1
- LDMOEFOXLIZJOW-UHFFFAOYSA-N 1-dodecanesulfonic acid Chemical class CCCCCCCCCCCCS(O)(=O)=O LDMOEFOXLIZJOW-UHFFFAOYSA-N 0.000 description 1
- 125000006017 1-propenyl group Chemical group 0.000 description 1
- UZGKAASZIMOAMU-UHFFFAOYSA-N 124177-85-1 Chemical compound NP(=O)=O UZGKAASZIMOAMU-UHFFFAOYSA-N 0.000 description 1
- 229930182834 17alpha-Estradiol Natural products 0.000 description 1
- VOXZDWNPVJITMN-SFFUCWETSA-N 17α-estradiol Chemical compound OC1=CC=C2[C@H]3CC[C@](C)([C@@H](CC4)O)[C@@H]4[C@@H]3CCC2=C1 VOXZDWNPVJITMN-SFFUCWETSA-N 0.000 description 1
- QSHACTSJHMKXTE-UHFFFAOYSA-N 2-(2-aminopropyl)-7h-purin-6-amine Chemical compound CC(N)CC1=NC(N)=C2NC=NC2=N1 QSHACTSJHMKXTE-UHFFFAOYSA-N 0.000 description 1
- PIINGYXNCHTJTF-UHFFFAOYSA-N 2-(2-azaniumylethylamino)acetate Chemical group NCCNCC(O)=O PIINGYXNCHTJTF-UHFFFAOYSA-N 0.000 description 1
- OIQOAYVCKAHSEJ-UHFFFAOYSA-N 2-[2,3-bis(2-hydroxyethoxy)propoxy]ethanol;hexadecanoic acid;octadecanoic acid Chemical compound OCCOCC(OCCO)COCCO.CCCCCCCCCCCCCCCC(O)=O.CCCCCCCCCCCCCCCCCC(O)=O OIQOAYVCKAHSEJ-UHFFFAOYSA-N 0.000 description 1
- 125000005273 2-acetoxybenzoic acid group Chemical group 0.000 description 1
- TWJNQYPJQDRXPH-UHFFFAOYSA-N 2-cyanobenzohydrazide Chemical compound NNC(=O)C1=CC=CC=C1C#N TWJNQYPJQDRXPH-UHFFFAOYSA-N 0.000 description 1
- JNODDICFTDYODH-UHFFFAOYSA-N 2-hydroxytetrahydrofuran Chemical compound OC1CCCO1 JNODDICFTDYODH-UHFFFAOYSA-N 0.000 description 1
- 125000003903 2-propenyl group Chemical group [H]C([*])([H])C([H])=C([H])[H] 0.000 description 1
- NOPKOJDDVCBPTP-DJSZNTTKSA-N 23739-88-0 Chemical compound CC(=O)OC[C@H]([C@H]([C@H]([C@@H]1OC(C)=O)OC(C)=O)O[C@H]2O[C@@H]([C@@H](O[C@H]3O[C@H](COC(C)=O)[C@H]([C@H]([C@@H]3OC(C)=O)OC(C)=O)O[C@H]3O[C@H](COC(C)=O)[C@H]([C@H]([C@@H]3OC(C)=O)OC(C)=O)O[C@H]3O[C@H](COC(C)=O)[C@H]([C@H]([C@@H]3OC(C)=O)OC(C)=O)O[C@H]3O[C@H](COC(C)=O)[C@H]([C@H]([C@@H]3OC(C)=O)OC(C)=O)O3)[C@@H](OC(C)=O)[C@@H]2OC(C)=O)COC(=O)C)O[C@@H]1O[C@H]1[C@@H](OC(C)=O)[C@H](OC(C)=O)[C@@H]3O[C@@H]1COC(C)=O NOPKOJDDVCBPTP-DJSZNTTKSA-N 0.000 description 1
- FJKROLUGYXJWQN-UHFFFAOYSA-N 4-hydroxybenzoic acid Chemical compound OC(=O)C1=CC=C(O)C=C1 FJKROLUGYXJWQN-UHFFFAOYSA-N 0.000 description 1
- UJBCLAXPPIDQEE-UHFFFAOYSA-N 5-prop-1-ynyl-1h-pyrimidine-2,4-dione Chemical compound CC#CC1=CNC(=O)NC1=O UJBCLAXPPIDQEE-UHFFFAOYSA-N 0.000 description 1
- QNNARSZPGNJZIX-UHFFFAOYSA-N 6-amino-5-prop-1-ynyl-1h-pyrimidin-2-one Chemical compound CC#CC1=CNC(=O)N=C1N QNNARSZPGNJZIX-UHFFFAOYSA-N 0.000 description 1
- DWVLBZMSEOBQDH-UHFFFAOYSA-N 8-benzyl-7-[2-(ethylamino)ethyl]-1,3-dimethylpurine-2,6-dione Chemical compound N=1C=2N(C)C(=O)N(C)C(=O)C=2N(CCNCC)C=1CC1=CC=CC=C1 DWVLBZMSEOBQDH-UHFFFAOYSA-N 0.000 description 1
- QTBSBXVTEAMEQO-UHFFFAOYSA-M Acetate Chemical compound CC([O-])=O QTBSBXVTEAMEQO-UHFFFAOYSA-M 0.000 description 1
- 102000007469 Actins Human genes 0.000 description 1
- 108010085238 Actins Proteins 0.000 description 1
- 239000012110 Alexa Fluor 594 Substances 0.000 description 1
- 239000005995 Aluminium silicate Substances 0.000 description 1
- 108020004519 Antisense Oligoribonucleotides Proteins 0.000 description 1
- 235000003276 Apios tuberosa Nutrition 0.000 description 1
- 244000105624 Arachis hypogaea Species 0.000 description 1
- 235000010777 Arachis hypogaea Nutrition 0.000 description 1
- 235000010744 Arachis villosulicarpa Nutrition 0.000 description 1
- 241000894006 Bacteria Species 0.000 description 1
- 239000005711 Benzoic acid Substances 0.000 description 1
- DWRXFEITVBNRMK-UHFFFAOYSA-N Beta-D-1-Arabinofuranosylthymine Natural products O=C1NC(=O)C(C)=CN1C1C(O)C(O)C(CO)O1 DWRXFEITVBNRMK-UHFFFAOYSA-N 0.000 description 1
- BVKZGUZCCUSVTD-UHFFFAOYSA-M Bicarbonate Chemical compound OC([O-])=O BVKZGUZCCUSVTD-UHFFFAOYSA-M 0.000 description 1
- 102220477608 Bis(5'-nucleosyl)-tetraphosphatase [asymmetrical]_H31A_mutation Human genes 0.000 description 1
- COVZYZSDYWQREU-UHFFFAOYSA-N Busulfan Chemical compound CS(=O)(=O)OCCCCOS(C)(=O)=O COVZYZSDYWQREU-UHFFFAOYSA-N 0.000 description 1
- PNIMHWCSJGNCDE-PXVFKZFASA-N CN1CCC(N(C)C(=N)N)CC1.CN1CCC(N(C)C)CC1.CN1CCC(N2CCCC2)CC1.CN1CCC(N2CCCCC2)CC1.CN1CCC(N2CCOCC2)CC1.CN1CCC(N2CCSCC2)CC1.CN1CCC([N+](C)(C)C)CC1.CN1CCC([N+]2(C)CCCC2)CC1.[H]N(C(=N)N)C1CCN(C)CC1.[H]N(C(=O)[C@@H](N)CCCCN)C1CCN(C)CC1.[H]N(C(C)=O)C1CCN(C)CC1.[H]N(C)C1CCN(C)CC1.[H]N(CC)C1CCN(C)CC1.[H]N(CC=C(C)C)C1CCN(C)CC1.[H]N(CCC[C@H](N)C(=O)N([H])C1CCN(C)CC1)C(=N)N.[H]N([H])C1CCN(C)CC1 Chemical compound CN1CCC(N(C)C(=N)N)CC1.CN1CCC(N(C)C)CC1.CN1CCC(N2CCCC2)CC1.CN1CCC(N2CCCCC2)CC1.CN1CCC(N2CCOCC2)CC1.CN1CCC(N2CCSCC2)CC1.CN1CCC([N+](C)(C)C)CC1.CN1CCC([N+]2(C)CCCC2)CC1.[H]N(C(=N)N)C1CCN(C)CC1.[H]N(C(=O)[C@@H](N)CCCCN)C1CCN(C)CC1.[H]N(C(C)=O)C1CCN(C)CC1.[H]N(C)C1CCN(C)CC1.[H]N(CC)C1CCN(C)CC1.[H]N(CC=C(C)C)C1CCN(C)CC1.[H]N(CCC[C@H](N)C(=O)N([H])C1CCN(C)CC1)C(=N)N.[H]N([H])C1CCN(C)CC1 PNIMHWCSJGNCDE-PXVFKZFASA-N 0.000 description 1
- QCMYYKRYFNMIEC-UHFFFAOYSA-N COP(O)=O Chemical class COP(O)=O QCMYYKRYFNMIEC-UHFFFAOYSA-N 0.000 description 1
- 101100480512 Caenorhabditis elegans tag-51 gene Proteins 0.000 description 1
- 241000282465 Canis Species 0.000 description 1
- 241000283707 Capra Species 0.000 description 1
- BVKZGUZCCUSVTD-UHFFFAOYSA-L Carbonate Chemical compound [O-]C([O-])=O BVKZGUZCCUSVTD-UHFFFAOYSA-L 0.000 description 1
- 102220555354 Caspase-4_H29D_mutation Human genes 0.000 description 1
- 208000002177 Cataract Diseases 0.000 description 1
- 102000009193 Caveolin Human genes 0.000 description 1
- 108050000084 Caveolin Proteins 0.000 description 1
- 241000700199 Cavia porcellus Species 0.000 description 1
- 229920001661 Chitosan Polymers 0.000 description 1
- 239000004380 Cholic acid Substances 0.000 description 1
- 108010009685 Cholinergic Receptors Proteins 0.000 description 1
- 108091062157 Cis-regulatory element Proteins 0.000 description 1
- KRKNYBCHXYNGOX-UHFFFAOYSA-K Citrate Chemical compound [O-]C(=O)CC(O)(CC([O-])=O)C([O-])=O KRKNYBCHXYNGOX-UHFFFAOYSA-K 0.000 description 1
- 108091026890 Coding region Proteins 0.000 description 1
- 229920002261 Corn starch Polymers 0.000 description 1
- 102000004420 Creatine Kinase Human genes 0.000 description 1
- 108010042126 Creatine kinase Proteins 0.000 description 1
- 229920002785 Croscarmellose sodium Polymers 0.000 description 1
- 206010011655 Cushingoid Diseases 0.000 description 1
- XZMCDFZZKTWFGF-UHFFFAOYSA-N Cyanamide Chemical compound NC#N XZMCDFZZKTWFGF-UHFFFAOYSA-N 0.000 description 1
- 229920001651 Cyanoacrylate Polymers 0.000 description 1
- 102220506849 Cytokine SCM-1 beta_H28D_mutation Human genes 0.000 description 1
- QNAYBMKLOCPYGJ-UHFFFAOYSA-N D-alpha-Ala Natural products CC([NH3+])C([O-])=O QNAYBMKLOCPYGJ-UHFFFAOYSA-N 0.000 description 1
- HMFHBZSHGGEWLO-SOOFDHNKSA-N D-ribofuranose Chemical compound OC[C@H]1OC(O)[C@H](O)[C@@H]1O HMFHBZSHGGEWLO-SOOFDHNKSA-N 0.000 description 1
- QXKAIJAYHKCRRA-BXXZVTAOSA-N D-ribonic acid Chemical group OC[C@@H](O)[C@@H](O)[C@@H](O)C(O)=O QXKAIJAYHKCRRA-BXXZVTAOSA-N 0.000 description 1
- 102000053602 DNA Human genes 0.000 description 1
- YZCKVEUIGOORGS-OUBTZVSYSA-N Deuterium Chemical compound [2H] YZCKVEUIGOORGS-OUBTZVSYSA-N 0.000 description 1
- 235000019739 Dicalciumphosphate Nutrition 0.000 description 1
- 241000168726 Dictyostelium discoideum Species 0.000 description 1
- 102000007623 Dystroglycans Human genes 0.000 description 1
- 108010071885 Dystroglycans Proteins 0.000 description 1
- 241000196324 Embryophyta Species 0.000 description 1
- 206010015150 Erythema Diseases 0.000 description 1
- OTMSDBZUPAUEDD-UHFFFAOYSA-N Ethane Chemical compound CC OTMSDBZUPAUEDD-UHFFFAOYSA-N 0.000 description 1
- LYCAIKOWRPUZTN-UHFFFAOYSA-N Ethylene glycol Chemical class OCCO LYCAIKOWRPUZTN-UHFFFAOYSA-N 0.000 description 1
- PIICEJLVQHRZGT-UHFFFAOYSA-N Ethylenediamine Chemical compound NCCN PIICEJLVQHRZGT-UHFFFAOYSA-N 0.000 description 1
- 102220628885 Eukaryotic translation initiation factor 5A-2_H52D_mutation Human genes 0.000 description 1
- 108010037362 Extracellular Matrix Proteins Proteins 0.000 description 1
- 102000010834 Extracellular Matrix Proteins Human genes 0.000 description 1
- 206010015866 Extravasation Diseases 0.000 description 1
- 239000001116 FEMA 4028 Substances 0.000 description 1
- 241000282326 Felis catus Species 0.000 description 1
- 239000004606 Fillers/Extenders Substances 0.000 description 1
- PXGOKWXKJXAPGV-UHFFFAOYSA-N Fluorine Chemical compound FF PXGOKWXKJXAPGV-UHFFFAOYSA-N 0.000 description 1
- VZCYOOQTPOCHFL-OWOJBTEDSA-N Fumaric acid Chemical compound OC(=O)\C=C\C(O)=O VZCYOOQTPOCHFL-OWOJBTEDSA-N 0.000 description 1
- 102000003886 Glycoproteins Human genes 0.000 description 1
- 108090000288 Glycoproteins Proteins 0.000 description 1
- 206010019280 Heart failures Diseases 0.000 description 1
- 239000004705 High-molecular-weight polyethylene Substances 0.000 description 1
- 241000282412 Homo Species 0.000 description 1
- 108700003968 Human immunodeficiency virus 1 tat peptide (49-57) Proteins 0.000 description 1
- CPELXLSAUQHCOX-UHFFFAOYSA-N Hydrogen bromide Chemical compound Br CPELXLSAUQHCOX-UHFFFAOYSA-N 0.000 description 1
- 239000004354 Hydroxyethyl cellulose Substances 0.000 description 1
- 229920000663 Hydroxyethyl cellulose Polymers 0.000 description 1
- DGAQECJNVWCQMB-PUAWFVPOSA-M Ilexoside XXIX Chemical compound C[C@@H]1CC[C@@]2(CC[C@@]3(C(=CC[C@H]4[C@]3(CC[C@@H]5[C@@]4(CC[C@@H](C5(C)C)OS(=O)(=O)[O-])C)C)[C@@H]2[C@]1(C)O)C)C(=O)O[C@H]6[C@@H]([C@H]([C@@H]([C@H](O6)CO)O)O)O.[Na+] DGAQECJNVWCQMB-PUAWFVPOSA-M 0.000 description 1
- 206010061218 Inflammation Diseases 0.000 description 1
- 206010022095 Injection Site reaction Diseases 0.000 description 1
- 102000008070 Interferon-gamma Human genes 0.000 description 1
- 108010074328 Interferon-gamma Proteins 0.000 description 1
- ONIBWKKTOPOVIA-BYPYZUCNSA-N L-Proline Chemical compound OC(=O)[C@@H]1CCCN1 ONIBWKKTOPOVIA-BYPYZUCNSA-N 0.000 description 1
- 239000011786 L-ascorbyl-6-palmitate Substances 0.000 description 1
- QAQJMLQRFWZOBN-LAUBAEHRSA-N L-ascorbyl-6-palmitate Chemical compound CCCCCCCCCCCCCCCC(=O)OC[C@H](O)[C@H]1OC(=O)C(O)=C1O QAQJMLQRFWZOBN-LAUBAEHRSA-N 0.000 description 1
- JVTAAEKCZFNVCJ-UHFFFAOYSA-M Lactate Chemical compound CC(O)C([O-])=O JVTAAEKCZFNVCJ-UHFFFAOYSA-M 0.000 description 1
- 239000005639 Lauric acid Substances 0.000 description 1
- 102220605785 Leukocyte immunoglobulin-like receptor subfamily B member 4_H20D_mutation Human genes 0.000 description 1
- WHXSMMKQMYFTQS-UHFFFAOYSA-N Lithium Chemical compound [Li] WHXSMMKQMYFTQS-UHFFFAOYSA-N 0.000 description 1
- 239000004472 Lysine Substances 0.000 description 1
- 241000124008 Mammalia Species 0.000 description 1
- 240000003183 Manihot esculenta Species 0.000 description 1
- 235000016735 Manihot esculenta subsp esculenta Nutrition 0.000 description 1
- AFVFQIVMOAPDHO-UHFFFAOYSA-N Methanesulfonic acid Chemical compound CS(O)(=O)=O AFVFQIVMOAPDHO-UHFFFAOYSA-N 0.000 description 1
- DBTDEFJAFBUGPP-UHFFFAOYSA-N Methanethial Chemical compound S=C DBTDEFJAFBUGPP-UHFFFAOYSA-N 0.000 description 1
- 229920000168 Microcrystalline cellulose Polymers 0.000 description 1
- 102000002151 Microfilament Proteins Human genes 0.000 description 1
- 108010040897 Microfilament Proteins Proteins 0.000 description 1
- YNAVUWVOSKDBBP-UHFFFAOYSA-N Morpholine Chemical group C1COCCN1 YNAVUWVOSKDBBP-UHFFFAOYSA-N 0.000 description 1
- 241001529936 Murinae Species 0.000 description 1
- 101001053945 Mus musculus Dystrophin Proteins 0.000 description 1
- 101000973497 Mus musculus E3 ubiquitin-protein ligase MIB2 Proteins 0.000 description 1
- 206010028289 Muscle atrophy Diseases 0.000 description 1
- 235000021360 Myristic acid Nutrition 0.000 description 1
- TUNFSRHWOTWDNC-UHFFFAOYSA-N Myristic acid Natural products CCCCCCCCCCCCCC(O)=O TUNFSRHWOTWDNC-UHFFFAOYSA-N 0.000 description 1
- WHNWPMSKXPGLAX-UHFFFAOYSA-N N-Vinyl-2-pyrrolidone Chemical compound C=CN1CCCC1=O WHNWPMSKXPGLAX-UHFFFAOYSA-N 0.000 description 1
- 229910002651 NO3 Inorganic materials 0.000 description 1
- 108091061960 Naked DNA Proteins 0.000 description 1
- 206010028980 Neoplasm Diseases 0.000 description 1
- NHNBFGGVMKEFGY-UHFFFAOYSA-N Nitrate Chemical compound [O-][N+]([O-])=O NHNBFGGVMKEFGY-UHFFFAOYSA-N 0.000 description 1
- REYJJPSVUYRZGE-UHFFFAOYSA-N Octadecylamine Chemical compound CCCCCCCCCCCCCCCCCCN REYJJPSVUYRZGE-UHFFFAOYSA-N 0.000 description 1
- 240000007817 Olea europaea Species 0.000 description 1
- 241000283973 Oryctolagus cuniculus Species 0.000 description 1
- 208000001132 Osteoporosis Diseases 0.000 description 1
- 102220516111 POTE ankyrin domain family member B3_H30D_mutation Human genes 0.000 description 1
- 235000021314 Palmitic acid Nutrition 0.000 description 1
- 235000019483 Peanut oil Nutrition 0.000 description 1
- 229940049937 Pgp inhibitor Drugs 0.000 description 1
- 229920003171 Poly (ethylene oxide) Polymers 0.000 description 1
- 229920002730 Poly(butyl cyanoacrylate) Polymers 0.000 description 1
- 239000004698 Polyethylene Substances 0.000 description 1
- 229920001710 Polyorthoester Polymers 0.000 description 1
- 239000004743 Polypropylene Substances 0.000 description 1
- 239000004793 Polystyrene Substances 0.000 description 1
- 102220543577 Polyunsaturated fatty acid 5-lipoxygenase_H25D_mutation Human genes 0.000 description 1
- 239000004372 Polyvinyl alcohol Substances 0.000 description 1
- ZLMJMSJWJFRBEC-UHFFFAOYSA-N Potassium Chemical compound [K] ZLMJMSJWJFRBEC-UHFFFAOYSA-N 0.000 description 1
- 241000288906 Primates Species 0.000 description 1
- ONIBWKKTOPOVIA-UHFFFAOYSA-N Proline Natural products OC(=O)C1CCCN1 ONIBWKKTOPOVIA-UHFFFAOYSA-N 0.000 description 1
- 102000007327 Protamines Human genes 0.000 description 1
- 108010007568 Protamines Proteins 0.000 description 1
- 229940079156 Proteasome inhibitor Drugs 0.000 description 1
- 238000010240 RT-PCR analysis Methods 0.000 description 1
- 241000700159 Rattus Species 0.000 description 1
- 208000026980 Renal tubular disease Diseases 0.000 description 1
- 208000004756 Respiratory Insufficiency Diseases 0.000 description 1
- 108091028664 Ribonucleotide Chemical group 0.000 description 1
- PYMYPHUHKUWMLA-LMVFSUKVSA-N Ribose Natural products OC[C@@H](O)[C@@H](O)[C@@H](O)C=O PYMYPHUHKUWMLA-LMVFSUKVSA-N 0.000 description 1
- 235000004443 Ricinus communis Nutrition 0.000 description 1
- 102000001424 Ryanodine receptors Human genes 0.000 description 1
- 240000004808 Saccharomyces cerevisiae Species 0.000 description 1
- 235000019485 Safflower oil Nutrition 0.000 description 1
- 241001635911 Sarepta Species 0.000 description 1
- 108091081021 Sense strand Proteins 0.000 description 1
- 235000002595 Solanum tuberosum Nutrition 0.000 description 1
- 244000061456 Solanum tuberosum Species 0.000 description 1
- 108010019965 Spectrin Proteins 0.000 description 1
- 102000005890 Spectrin Human genes 0.000 description 1
- 108091081024 Start codon Proteins 0.000 description 1
- 108010090804 Streptavidin Proteins 0.000 description 1
- 101710172711 Structural protein Proteins 0.000 description 1
- QAOWNCQODCNURD-UHFFFAOYSA-L Sulfate Chemical compound [O-]S([O-])(=O)=O QAOWNCQODCNURD-UHFFFAOYSA-L 0.000 description 1
- 230000005867 T cell response Effects 0.000 description 1
- FEWJPZIEWOKRBE-UHFFFAOYSA-N Tartaric acid Natural products [H+].[H+].[O-]C(=O)C(O)C(O)C([O-])=O FEWJPZIEWOKRBE-UHFFFAOYSA-N 0.000 description 1
- GSEJCLTVZPLZKY-UHFFFAOYSA-N Triethanolamine Chemical compound OCCN(CCO)CCO GSEJCLTVZPLZKY-UHFFFAOYSA-N 0.000 description 1
- 102220575130 UDP-glucuronosyltransferase 1A1_H39D_mutation Human genes 0.000 description 1
- 240000008042 Zea mays Species 0.000 description 1
- 235000005824 Zea mays ssp. parviglumis Nutrition 0.000 description 1
- 235000002017 Zea mays subsp mays Nutrition 0.000 description 1
- FMRLDPWIRHBCCC-UHFFFAOYSA-L Zinc carbonate Chemical compound [Zn+2].[O-]C([O-])=O FMRLDPWIRHBCCC-UHFFFAOYSA-L 0.000 description 1
- RLXCFCYWFYXTON-JTTSDREOSA-N [(3S,8S,9S,10R,13S,14S,17R)-3-hydroxy-10,13-dimethyl-17-[(2R)-6-methylheptan-2-yl]-2,3,4,7,8,9,11,12,14,15,16,17-dodecahydro-1H-cyclopenta[a]phenanthren-16-yl] N-hexylcarbamate Chemical group C1C=C2C[C@@H](O)CC[C@]2(C)[C@@H]2[C@@H]1[C@@H]1CC(OC(=O)NCCCCCC)[C@H]([C@H](C)CCCC(C)C)[C@@]1(C)CC2 RLXCFCYWFYXTON-JTTSDREOSA-N 0.000 description 1
- AICSPIPCYBWDLX-UHFFFAOYSA-N [H]C1C(C)OC([H])(COP(C)(=O)N2CCC(N)CC2)CN1(C)C Chemical compound [H]C1C(C)OC([H])(COP(C)(=O)N2CCC(N)CC2)CN1(C)C AICSPIPCYBWDLX-UHFFFAOYSA-N 0.000 description 1
- 230000002159 abnormal effect Effects 0.000 description 1
- 230000005856 abnormality Effects 0.000 description 1
- 239000002250 absorbent Substances 0.000 description 1
- 230000002745 absorbent Effects 0.000 description 1
- 239000003655 absorption accelerator Substances 0.000 description 1
- 229940022663 acetate Drugs 0.000 description 1
- DPXJVFZANSGRMM-UHFFFAOYSA-N acetic acid;2,3,4,5,6-pentahydroxyhexanal;sodium Chemical compound [Na].CC(O)=O.OCC(O)C(O)C(O)C(O)C=O DPXJVFZANSGRMM-UHFFFAOYSA-N 0.000 description 1
- XVIYCJDWYLJQBG-UHFFFAOYSA-N acetic acid;adamantane Chemical compound CC(O)=O.C1C(C2)CC3CC1CC2C3 XVIYCJDWYLJQBG-UHFFFAOYSA-N 0.000 description 1
- 102000034337 acetylcholine receptors Human genes 0.000 description 1
- 230000002378 acidificating effect Effects 0.000 description 1
- NIXOWILDQLNWCW-UHFFFAOYSA-N acrylic acid group Chemical group C(C=C)(=O)O NIXOWILDQLNWCW-UHFFFAOYSA-N 0.000 description 1
- 230000009471 action Effects 0.000 description 1
- 239000000654 additive Substances 0.000 description 1
- 239000002998 adhesive polymer Substances 0.000 description 1
- 239000008272 agar Substances 0.000 description 1
- 150000001298 alcohols Chemical class 0.000 description 1
- 239000003513 alkali Substances 0.000 description 1
- 125000004183 alkoxy alkyl group Chemical group 0.000 description 1
- 208000026935 allergic disease Diseases 0.000 description 1
- 125000003275 alpha amino acid group Chemical group 0.000 description 1
- 229940087168 alpha tocopherol Drugs 0.000 description 1
- HMFHBZSHGGEWLO-UHFFFAOYSA-N alpha-D-Furanose-Ribose Natural products OCC1OC(O)C(O)C1O HMFHBZSHGGEWLO-UHFFFAOYSA-N 0.000 description 1
- HSFWRNGVRCDJHI-UHFFFAOYSA-N alpha-acetylene Natural products C#C HSFWRNGVRCDJHI-UHFFFAOYSA-N 0.000 description 1
- 230000004075 alteration Effects 0.000 description 1
- AZDRQVAHHNSJOQ-UHFFFAOYSA-N alumane Chemical class [AlH3] AZDRQVAHHNSJOQ-UHFFFAOYSA-N 0.000 description 1
- 229910052782 aluminium Inorganic materials 0.000 description 1
- XAGFODPZIPBFFR-UHFFFAOYSA-N aluminium Chemical compound [Al] XAGFODPZIPBFFR-UHFFFAOYSA-N 0.000 description 1
- 229910000147 aluminium phosphate Inorganic materials 0.000 description 1
- 235000012211 aluminium silicate Nutrition 0.000 description 1
- 150000001412 amines Chemical class 0.000 description 1
- 239000002647 aminoglycoside antibiotic agent Substances 0.000 description 1
- 229910021529 ammonia Inorganic materials 0.000 description 1
- 235000019270 ammonium chloride Nutrition 0.000 description 1
- BFNBIHQBYMNNAN-UHFFFAOYSA-N ammonium sulfate Chemical compound N.N.OS(O)(=O)=O BFNBIHQBYMNNAN-UHFFFAOYSA-N 0.000 description 1
- 229910052921 ammonium sulfate Inorganic materials 0.000 description 1
- 235000011130 ammonium sulphate Nutrition 0.000 description 1
- 238000005349 anion exchange Methods 0.000 description 1
- 239000005557 antagonist Substances 0.000 description 1
- 125000002178 anthracenyl group Chemical group C1(=CC=CC2=CC3=CC=CC=C3C=C12)* 0.000 description 1
- 230000000844 anti-bacterial effect Effects 0.000 description 1
- 239000003429 antifungal agent Substances 0.000 description 1
- 229940121375 antifungal agent Drugs 0.000 description 1
- 239000000427 antigen Substances 0.000 description 1
- 108091007433 antigens Proteins 0.000 description 1
- 102000036639 antigens Human genes 0.000 description 1
- 239000002825 antisense oligoribonucleotide Substances 0.000 description 1
- 229920006187 aquazol Polymers 0.000 description 1
- 239000007900 aqueous suspension Substances 0.000 description 1
- 125000000637 arginyl group Chemical group N[C@@H](CCCNC(N)=N)C(=O)* 0.000 description 1
- 210000004507 artificial chromosome Anatomy 0.000 description 1
- 150000005840 aryl radicals Chemical class 0.000 description 1
- 235000010385 ascorbyl palmitate Nutrition 0.000 description 1
- 230000037429 base substitution Effects 0.000 description 1
- 230000003542 behavioural effect Effects 0.000 description 1
- 125000003785 benzimidazolyl group Chemical group N1=C(NC2=C1C=CC=C2)* 0.000 description 1
- 125000000499 benzofuranyl group Chemical group O1C(=CC2=C1C=CC=C2)* 0.000 description 1
- 235000010233 benzoic acid Nutrition 0.000 description 1
- 125000001164 benzothiazolyl group Chemical group S1C(=NC2=C1C=CC=C2)* 0.000 description 1
- 125000004196 benzothienyl group Chemical group S1C(=CC2=C1C=CC=C2)* 0.000 description 1
- 125000004541 benzoxazolyl group Chemical group O1C(=NC2=C1C=CC=C2)* 0.000 description 1
- 229960002903 benzyl benzoate Drugs 0.000 description 1
- IQFYYKKMVGJFEH-UHFFFAOYSA-N beta-L-thymidine Natural products O=C1NC(=O)C(C)=CN1C1OC(CO)C(O)C1 IQFYYKKMVGJFEH-UHFFFAOYSA-N 0.000 description 1
- 229960004853 betadex Drugs 0.000 description 1
- 239000003613 bile acid Substances 0.000 description 1
- 239000000227 bioadhesive Substances 0.000 description 1
- 238000004638 bioanalytical method Methods 0.000 description 1
- 238000010876 biochemical test Methods 0.000 description 1
- 230000008827 biological function Effects 0.000 description 1
- 229960002685 biotin Drugs 0.000 description 1
- 235000020958 biotin Nutrition 0.000 description 1
- 239000011616 biotin Substances 0.000 description 1
- 235000010290 biphenyl Nutrition 0.000 description 1
- 239000004305 biphenyl Substances 0.000 description 1
- 210000004369 blood Anatomy 0.000 description 1
- 239000008280 blood Substances 0.000 description 1
- 230000008499 blood brain barrier function Effects 0.000 description 1
- 230000017531 blood circulation Effects 0.000 description 1
- 210000001218 blood-brain barrier Anatomy 0.000 description 1
- 230000036760 body temperature Effects 0.000 description 1
- 230000037396 body weight Effects 0.000 description 1
- 238000006664 bond formation reaction Methods 0.000 description 1
- 210000000988 bone and bone Anatomy 0.000 description 1
- 239000008366 buffered solution Substances 0.000 description 1
- 244000309464 bull Species 0.000 description 1
- 239000001273 butane Substances 0.000 description 1
- 235000019437 butane-1,3-diol Nutrition 0.000 description 1
- 125000004369 butenyl group Chemical group C(=CCC)* 0.000 description 1
- 125000000484 butyl group Chemical group [H]C([*])([H])C([H])([H])C([H])([H])C([H])([H])[H] 0.000 description 1
- 235000019282 butylated hydroxyanisole Nutrition 0.000 description 1
- 125000000480 butynyl group Chemical group [*]C#CC([H])([H])C([H])([H])[H] 0.000 description 1
- FATUQANACHZLRT-KMRXSBRUSA-L calcium glucoheptonate Chemical compound [Ca+2].OC[C@@H](O)[C@@H](O)[C@H](O)[C@@H](O)C(O)C([O-])=O.OC[C@@H](O)[C@@H](O)[C@H](O)[C@@H](O)C(O)C([O-])=O FATUQANACHZLRT-KMRXSBRUSA-L 0.000 description 1
- 239000001506 calcium phosphate Substances 0.000 description 1
- 235000012241 calcium silicate Nutrition 0.000 description 1
- CJZGTCYPCWQAJB-UHFFFAOYSA-L calcium stearate Chemical compound [Ca+2].CCCCCCCCCCCCCCCCCC([O-])=O.CCCCCCCCCCCCCCCCCC([O-])=O CJZGTCYPCWQAJB-UHFFFAOYSA-L 0.000 description 1
- 235000013539 calcium stearate Nutrition 0.000 description 1
- 239000008116 calcium stearate Substances 0.000 description 1
- 125000004432 carbon atom Chemical group C* 0.000 description 1
- 125000002915 carbonyl group Chemical group [*:2]C([*:1])=O 0.000 description 1
- 125000003178 carboxy group Chemical group [H]OC(*)=O 0.000 description 1
- 150000001735 carboxylic acids Chemical class 0.000 description 1
- 239000008112 carboxymethyl-cellulose Substances 0.000 description 1
- 239000004359 castor oil Substances 0.000 description 1
- 210000000170 cell membrane Anatomy 0.000 description 1
- 229920002301 cellulose acetate Polymers 0.000 description 1
- 210000003169 central nervous system Anatomy 0.000 description 1
- 229960000541 cetyl alcohol Drugs 0.000 description 1
- 239000002738 chelating agent Substances 0.000 description 1
- 238000007385 chemical modification Methods 0.000 description 1
- 229960004926 chlorobutanol Drugs 0.000 description 1
- 150000005827 chlorofluoro hydrocarbons Chemical class 0.000 description 1
- 235000019416 cholic acid Nutrition 0.000 description 1
- BHQCQFFYRZLCQQ-OELDTZBJSA-N cholic acid Chemical compound C([C@H]1C[C@H]2O)[C@H](O)CC[C@]1(C)[C@@H]1[C@@H]2[C@@H]2CC[C@H]([C@@H](CCC(O)=O)C)[C@@]2(C)[C@@H](O)C1 BHQCQFFYRZLCQQ-OELDTZBJSA-N 0.000 description 1
- 229960002471 cholic acid Drugs 0.000 description 1
- OEYIOHPDSNJKLS-UHFFFAOYSA-N choline Chemical compound C[N+](C)(C)CCO OEYIOHPDSNJKLS-UHFFFAOYSA-N 0.000 description 1
- 229960001231 choline Drugs 0.000 description 1
- 230000002759 chromosomal effect Effects 0.000 description 1
- 210000000349 chromosome Anatomy 0.000 description 1
- 125000000259 cinnolinyl group Chemical group N1=NC(=CC2=CC=CC=C12)* 0.000 description 1
- 230000004087 circulation Effects 0.000 description 1
- 239000004927 clay Substances 0.000 description 1
- 230000007012 clinical effect Effects 0.000 description 1
- 101150045189 cmo gene Proteins 0.000 description 1
- 230000015271 coagulation Effects 0.000 description 1
- 238000005345 coagulation Methods 0.000 description 1
- 238000004040 coloring Methods 0.000 description 1
- 239000007891 compressed tablet Substances 0.000 description 1
- 238000007906 compression Methods 0.000 description 1
- 230000006835 compression Effects 0.000 description 1
- 238000012790 confirmation Methods 0.000 description 1
- 230000021615 conjugation Effects 0.000 description 1
- 230000037020 contractile activity Effects 0.000 description 1
- 235000005822 corn Nutrition 0.000 description 1
- 235000005687 corn oil Nutrition 0.000 description 1
- 239000002285 corn oil Substances 0.000 description 1
- 239000008120 corn starch Substances 0.000 description 1
- 239000002385 cottonseed oil Substances 0.000 description 1
- 229960000913 crospovidone Drugs 0.000 description 1
- 239000003431 cross linking reagent Substances 0.000 description 1
- 235000010947 crosslinked sodium carboxy methyl cellulose Nutrition 0.000 description 1
- 239000001767 crosslinked sodium carboxy methyl cellulose Substances 0.000 description 1
- 239000000287 crude extract Substances 0.000 description 1
- 239000013078 crystal Substances 0.000 description 1
- 210000004748 cultured cell Anatomy 0.000 description 1
- 125000004093 cyano group Chemical group *C#N 0.000 description 1
- NLCKLZIHJQEMCU-UHFFFAOYSA-N cyano prop-2-enoate Chemical group C=CC(=O)OC#N NLCKLZIHJQEMCU-UHFFFAOYSA-N 0.000 description 1
- 125000000753 cycloalkyl group Chemical group 0.000 description 1
- 125000001995 cyclobutyl group Chemical group [H]C1([H])C([H])([H])C([H])(*)C1([H])[H] 0.000 description 1
- 125000000582 cycloheptyl group Chemical group [H]C1([H])C([H])([H])C([H])([H])C([H])([H])C([H])(*)C([H])([H])C1([H])[H] 0.000 description 1
- 125000000113 cyclohexyl group Chemical group [H]C1([H])C([H])([H])C([H])([H])C([H])(*)C([H])([H])C1([H])[H] 0.000 description 1
- 125000000640 cyclooctyl group Chemical group [H]C1([H])C([H])([H])C([H])([H])C([H])([H])C([H])(*)C([H])([H])C([H])([H])C1([H])[H] 0.000 description 1
- 125000001511 cyclopentyl group Chemical group [H]C1([H])C([H])([H])C([H])([H])C([H])(*)C1([H])[H] 0.000 description 1
- 229960001305 cysteine hydrochloride Drugs 0.000 description 1
- 150000001945 cysteines Chemical class 0.000 description 1
- 210000004292 cytoskeleton Anatomy 0.000 description 1
- 230000001086 cytosolic effect Effects 0.000 description 1
- 229960001987 dantrolene Drugs 0.000 description 1
- 230000003247 decreasing effect Effects 0.000 description 1
- 230000007547 defect Effects 0.000 description 1
- 210000000852 deltoid muscle Anatomy 0.000 description 1
- KXGVEGMKQFWNSR-UHFFFAOYSA-N deoxycholic acid Natural products C1CC2CC(O)CCC2(C)C2C1C1CCC(C(CCC(O)=O)C)C1(C)C(O)C2 KXGVEGMKQFWNSR-UHFFFAOYSA-N 0.000 description 1
- 239000005547 deoxyribonucleotide Substances 0.000 description 1
- 125000002637 deoxyribonucleotide group Chemical group 0.000 description 1
- 229910052805 deuterium Inorganic materials 0.000 description 1
- 238000000502 dialysis Methods 0.000 description 1
- NEFBYIFKOOEVPA-UHFFFAOYSA-K dicalcium phosphate Chemical compound [Ca+2].[Ca+2].[O-]P([O-])([O-])=O NEFBYIFKOOEVPA-UHFFFAOYSA-K 0.000 description 1
- 229940038472 dicalcium phosphate Drugs 0.000 description 1
- 229910000390 dicalcium phosphate Inorganic materials 0.000 description 1
- 229940043237 diethanolamine Drugs 0.000 description 1
- HPNMFZURTQLUMO-UHFFFAOYSA-N diethylamine Chemical compound CCNCC HPNMFZURTQLUMO-UHFFFAOYSA-N 0.000 description 1
- 238000009792 diffusion process Methods 0.000 description 1
- UGMCXQCYOVCMTB-UHFFFAOYSA-K dihydroxy(stearato)aluminium Chemical compound CCCCCCCCCCCCCCCCCC(=O)O[Al](O)O UGMCXQCYOVCMTB-UHFFFAOYSA-K 0.000 description 1
- BOKOVLFWCAFYHP-UHFFFAOYSA-N dihydroxy-methoxy-sulfanylidene-$l^{5}-phosphane Chemical class COP(O)(O)=S BOKOVLFWCAFYHP-UHFFFAOYSA-N 0.000 description 1
- 230000003292 diminished effect Effects 0.000 description 1
- 125000005982 diphenylmethyl group Chemical group [H]C1=C([H])C([H])=C(C([H])=C1[H])C([H])(*)C1=C([H])C([H])=C([H])C([H])=C1[H] 0.000 description 1
- 238000011979 disease modifying therapy Methods 0.000 description 1
- 239000007884 disintegrant Substances 0.000 description 1
- 238000004090 dissolution Methods 0.000 description 1
- 101150015424 dmd gene Proteins 0.000 description 1
- POULHZVOKOAJMA-UHFFFAOYSA-M dodecanoate Chemical compound CCCCCCCCCCCC([O-])=O POULHZVOKOAJMA-UHFFFAOYSA-M 0.000 description 1
- 230000003828 downregulation Effects 0.000 description 1
- HUGILZFVSVLCAO-XVKRXUDYSA-N drisapersen Chemical compound CO[C@@H]1[C@H](O)[C@@H](COP(=O)(S)O[C@@H]2[C@@H](COP(=O)(S)O[C@@H]3[C@@H](COP(=O)(S)O[C@@H]4[C@@H](COP(=O)(S)O[C@@H]5[C@@H](COP(=O)(S)O[C@@H]6[C@@H](COP(=O)(S)O[C@@H]7[C@@H](COP(=O)(S)O[C@@H]8[C@@H](COP(=O)(S)O[C@@H]9[C@@H](COP(=O)(S)O[C@@H]%10[C@@H](COP(=O)(S)O[C@@H]%11[C@@H](COP(=O)(S)O[C@@H]%12[C@@H](COP(=O)(S)O[C@@H]%13[C@@H](COP(=O)(S)O[C@@H]%14[C@@H](COP(=O)(S)O[C@@H]%15[C@@H](COP(=O)(S)O[C@@H]%16[C@@H](COP(=O)(S)O[C@@H]%17[C@@H](COP(=O)(S)O[C@@H]%18[C@@H](COP(=O)(S)O[C@@H]%19[C@@H](COP(=O)(S)O[C@@H]%20[C@@H](CO)O[C@H]([C@@H]%20OC)N%21C=CC(=O)NC%21=O)O[C@H]([C@@H]%19OC)N%22C=CC(=NC%22=O)N)O[C@H]([C@@H]%18OC)n%23cnc%24c(N)ncnc%23%24)O[C@H]([C@@H]%17OC)n%25cnc%26c(N)ncnc%25%26)O[C@H]([C@@H]%16OC)n%27cnc%28C(=O)NC(=Nc%27%28)N)O[C@H]([C@@H]%15OC)n%29cnc%30C(=O)NC(=Nc%29%30)N)O[C@H]([C@@H]%14OC)n%31cnc%32c(N)ncnc%31%32)O[C@H]([C@@H]%13OC)n%33cnc%34c(N)ncnc%33%34)O[C@H]([C@@H]%12OC)n%35cnc%36C(=O)NC(=Nc%35%36)N)O[C@H]([C@@H]%11OC)n%37cnc%38c(N)ncnc%37%38)O[C@H]([C@@H]%10OC)N%39C=CC(=O)NC%39=O)O[C@H]([C@@H]9OC)n%40cnc%41C(=O)NC(=Nc%40%41)N)O[C@H]([C@@H]8OC)n%42cnc%43C(=O)NC(=Nc%42%43)N)O[C@H]([C@@H]7OC)N%44C=CC(=NC%44=O)N)O[C@H]([C@@H]6OC)n%45cnc%46c(N)ncnc%45%46)O[C@H]([C@@H]5OC)N%47C=CC(=O)NC%47=O)O[C@H]([C@@H]4OC)N%48C=CC(=O)NC%48=O)O[C@H]([C@@H]3OC)N%49C=CC(=O)NC%49=O)O[C@H]([C@@H]2OC)N%50C=CC(=NC%50=O)N)O[C@H]1N%51C=CC(=O)NC%51=O HUGILZFVSVLCAO-XVKRXUDYSA-N 0.000 description 1
- 229960000378 drisapersen Drugs 0.000 description 1
- 238000009509 drug development Methods 0.000 description 1
- 230000008030 elimination Effects 0.000 description 1
- 238000003379 elimination reaction Methods 0.000 description 1
- 230000001804 emulsifying effect Effects 0.000 description 1
- 238000005538 encapsulation Methods 0.000 description 1
- 230000002255 enzymatic effect Effects 0.000 description 1
- 238000003114 enzyme-linked immunosorbent spot assay Methods 0.000 description 1
- 230000008029 eradication Effects 0.000 description 1
- 231100000321 erythema Toxicity 0.000 description 1
- 229940031098 ethanolamine Drugs 0.000 description 1
- BEFDCLMNVWHSGT-UHFFFAOYSA-N ethenylcyclopentane Chemical compound C=CC1CCCC1 BEFDCLMNVWHSGT-UHFFFAOYSA-N 0.000 description 1
- RTZKZFJDLAIYFH-UHFFFAOYSA-N ether Substances CCOCC RTZKZFJDLAIYFH-UHFFFAOYSA-N 0.000 description 1
- 125000001301 ethoxy group Chemical group [H]C([H])([H])C([H])([H])O* 0.000 description 1
- 229940093499 ethyl acetate Drugs 0.000 description 1
- 125000002534 ethynyl group Chemical group [H]C#C* 0.000 description 1
- 230000029142 excretion Effects 0.000 description 1
- 230000001747 exhibiting effect Effects 0.000 description 1
- 239000013604 expression vector Substances 0.000 description 1
- 210000002744 extracellular matrix Anatomy 0.000 description 1
- 230000036251 extravasation Effects 0.000 description 1
- 238000001914 filtration Methods 0.000 description 1
- GNBHRKFJIUUOQI-UHFFFAOYSA-N fluorescein Chemical compound O1C(=O)C2=CC=CC=C2C21C1=CC=C(O)C=C1OC1=CC(O)=CC=C21 GNBHRKFJIUUOQI-UHFFFAOYSA-N 0.000 description 1
- 238000001917 fluorescence detection Methods 0.000 description 1
- 229910052731 fluorine Inorganic materials 0.000 description 1
- 239000011737 fluorine Substances 0.000 description 1
- 239000006260 foam Substances 0.000 description 1
- 239000012458 free base Substances 0.000 description 1
- 230000005714 functional activity Effects 0.000 description 1
- 125000002541 furyl group Chemical group 0.000 description 1
- 230000005021 gait Effects 0.000 description 1
- 239000007903 gelatin capsule Substances 0.000 description 1
- 238000001415 gene therapy Methods 0.000 description 1
- 230000002068 genetic effect Effects 0.000 description 1
- 230000001434 glomerular Effects 0.000 description 1
- 125000005456 glyceride group Chemical group 0.000 description 1
- YQEMORVAKMFKLG-UHFFFAOYSA-N glycerine monostearate Natural products CCCCCCCCCCCCCCCCCC(=O)OC(CO)CO YQEMORVAKMFKLG-UHFFFAOYSA-N 0.000 description 1
- SVUQHVRAGMNPLW-UHFFFAOYSA-N glycerol monostearate Natural products CCCCCCCCCCCCCCCCC(=O)OCC(O)CO SVUQHVRAGMNPLW-UHFFFAOYSA-N 0.000 description 1
- 150000002334 glycols Chemical class 0.000 description 1
- 239000002748 glycoprotein P inhibitor Substances 0.000 description 1
- 229920000578 graft copolymer Polymers 0.000 description 1
- 230000009036 growth inhibition Effects 0.000 description 1
- 230000036541 health Effects 0.000 description 1
- 230000004217 heart function Effects 0.000 description 1
- 210000003709 heart valve Anatomy 0.000 description 1
- 230000002489 hematologic effect Effects 0.000 description 1
- IPCSVZSSVZVIGE-UHFFFAOYSA-M hexadecanoate Chemical compound CCCCCCCCCCCCCCCC([O-])=O IPCSVZSSVZVIGE-UHFFFAOYSA-M 0.000 description 1
- 125000005980 hexynyl group Chemical group 0.000 description 1
- 238000004128 high performance liquid chromatography Methods 0.000 description 1
- HNDVDQJCIGZPNO-UHFFFAOYSA-N histidine Natural products OC(=O)C(N)CC1=CN=CN1 HNDVDQJCIGZPNO-UHFFFAOYSA-N 0.000 description 1
- 238000000265 homogenisation Methods 0.000 description 1
- 239000003906 humectant Substances 0.000 description 1
- 230000036571 hydration Effects 0.000 description 1
- 238000006703 hydration reaction Methods 0.000 description 1
- 150000002430 hydrocarbons Chemical class 0.000 description 1
- QAOWNCQODCNURD-UHFFFAOYSA-M hydrogensulfate Chemical compound OS([O-])(=O)=O QAOWNCQODCNURD-UHFFFAOYSA-M 0.000 description 1
- XLYOFNOQVPJJNP-UHFFFAOYSA-M hydroxide Chemical compound [OH-] XLYOFNOQVPJJNP-UHFFFAOYSA-M 0.000 description 1
- 235000019447 hydroxyethyl cellulose Nutrition 0.000 description 1
- UWYVPFMHMJIBHE-OWOJBTEDSA-N hydroxymaleic acid group Chemical group O/C(/C(=O)O)=C/C(=O)O UWYVPFMHMJIBHE-OWOJBTEDSA-N 0.000 description 1
- 229920003063 hydroxymethyl cellulose Polymers 0.000 description 1
- 229940031574 hydroxymethyl cellulose Drugs 0.000 description 1
- 238000010191 image analysis Methods 0.000 description 1
- 125000002883 imidazolyl group Chemical group 0.000 description 1
- 238000003018 immunoassay Methods 0.000 description 1
- 238000013115 immunohistochemical detection Methods 0.000 description 1
- 238000002513 implantation Methods 0.000 description 1
- 238000000099 in vitro assay Methods 0.000 description 1
- 238000005462 in vivo assay Methods 0.000 description 1
- 125000001041 indolyl group Chemical group 0.000 description 1
- 230000004054 inflammatory process Effects 0.000 description 1
- 230000005764 inhibitory process Effects 0.000 description 1
- 239000007972 injectable composition Substances 0.000 description 1
- 230000000266 injurious effect Effects 0.000 description 1
- 102000006495 integrins Human genes 0.000 description 1
- 108010044426 integrins Proteins 0.000 description 1
- 229960003130 interferon gamma Drugs 0.000 description 1
- 238000001361 intraarterial administration Methods 0.000 description 1
- 238000000185 intracerebroventricular administration Methods 0.000 description 1
- 238000007912 intraperitoneal administration Methods 0.000 description 1
- 238000007913 intrathecal administration Methods 0.000 description 1
- 230000007794 irritation Effects 0.000 description 1
- 125000000959 isobutyl group Chemical group [H]C([H])([H])C([H])(C([H])([H])[H])C([H])([H])* 0.000 description 1
- 125000000555 isopropenyl group Chemical group [H]\C([H])=C(\*)C([H])([H])[H] 0.000 description 1
- 125000001786 isothiazolyl group Chemical group 0.000 description 1
- 239000007951 isotonicity adjuster Substances 0.000 description 1
- 125000000842 isoxazolyl group Chemical group 0.000 description 1
- NLYAJNPCOHFWQQ-UHFFFAOYSA-N kaolin Chemical compound O.O.O=[Al]O[Si](=O)O[Si](=O)O[Al]=O NLYAJNPCOHFWQQ-UHFFFAOYSA-N 0.000 description 1
- 230000003907 kidney function Effects 0.000 description 1
- 235000014655 lactic acid Nutrition 0.000 description 1
- 239000004310 lactic acid Substances 0.000 description 1
- 229940099584 lactobionate Drugs 0.000 description 1
- JYTUSYBCFIZPBE-AMTLMPIISA-N lactobionic acid Chemical compound OC(=O)[C@H](O)[C@@H](O)[C@@H]([C@H](O)CO)O[C@@H]1O[C@H](CO)[C@H](O)[C@H](O)[C@H]1O JYTUSYBCFIZPBE-AMTLMPIISA-N 0.000 description 1
- 208000003173 lipoprotein glomerulopathy Diseases 0.000 description 1
- 239000006194 liquid suspension Substances 0.000 description 1
- 229910052744 lithium Inorganic materials 0.000 description 1
- 230000003908 liver function Effects 0.000 description 1
- 230000007774 longterm Effects 0.000 description 1
- 239000007937 lozenge Substances 0.000 description 1
- 210000004072 lung Anatomy 0.000 description 1
- 210000004324 lymphatic system Anatomy 0.000 description 1
- VTHJTEIRLNZDEV-UHFFFAOYSA-L magnesium dihydroxide Chemical compound [OH-].[OH-].[Mg+2] VTHJTEIRLNZDEV-UHFFFAOYSA-L 0.000 description 1
- 239000000347 magnesium hydroxide Substances 0.000 description 1
- 229910001862 magnesium hydroxide Inorganic materials 0.000 description 1
- 238000012423 maintenance Methods 0.000 description 1
- VZCYOOQTPOCHFL-UPHRSURJSA-N maleic acid Chemical compound OC(=O)\C=C/C(O)=O VZCYOOQTPOCHFL-UPHRSURJSA-N 0.000 description 1
- 210000004962 mammalian cell Anatomy 0.000 description 1
- 238000005259 measurement Methods 0.000 description 1
- 230000034217 membrane fusion Effects 0.000 description 1
- 150000002734 metacrylic acid derivatives Chemical class 0.000 description 1
- FQPSGWSUVKBHSU-UHFFFAOYSA-N methacrylamide Chemical compound CC(=C)C(N)=O FQPSGWSUVKBHSU-UHFFFAOYSA-N 0.000 description 1
- 125000005395 methacrylic acid group Chemical group 0.000 description 1
- 125000000956 methoxy group Chemical group [H]C([H])([H])O* 0.000 description 1
- 230000011987 methylation Effects 0.000 description 1
- 238000007069 methylation reaction Methods 0.000 description 1
- 244000005700 microbiome Species 0.000 description 1
- 229940016286 microcrystalline cellulose Drugs 0.000 description 1
- 235000019813 microcrystalline cellulose Nutrition 0.000 description 1
- 239000008108 microcrystalline cellulose Substances 0.000 description 1
- 239000011859 microparticle Substances 0.000 description 1
- 235000013336 milk Nutrition 0.000 description 1
- 239000008267 milk Substances 0.000 description 1
- 210000004080 milk Anatomy 0.000 description 1
- 238000002156 mixing Methods 0.000 description 1
- 239000003607 modifier Substances 0.000 description 1
- 239000007932 molded tablet Substances 0.000 description 1
- CQDGTJPVBWZJAZ-UHFFFAOYSA-N monoethyl carbonate Chemical compound CCOC(O)=O CQDGTJPVBWZJAZ-UHFFFAOYSA-N 0.000 description 1
- 235000021281 monounsaturated fatty acids Nutrition 0.000 description 1
- 150000002780 morpholines Chemical class 0.000 description 1
- 125000002757 morpholinyl group Chemical group 0.000 description 1
- 239000002324 mouth wash Substances 0.000 description 1
- 210000004165 myocardium Anatomy 0.000 description 1
- 210000003365 myofibril Anatomy 0.000 description 1
- WQEPLUUGTLDZJY-UHFFFAOYSA-N n-Pentadecanoic acid Natural products CCCCCCCCCCCCCCC(O)=O WQEPLUUGTLDZJY-UHFFFAOYSA-N 0.000 description 1
- IJDNQMDRQITEOD-UHFFFAOYSA-N n-butane Chemical compound CCCC IJDNQMDRQITEOD-UHFFFAOYSA-N 0.000 description 1
- 125000001280 n-hexyl group Chemical group C(CCCCC)* 0.000 description 1
- OFBQJSOFQDEBGM-UHFFFAOYSA-N n-pentane Natural products CCCCC OFBQJSOFQDEBGM-UHFFFAOYSA-N 0.000 description 1
- 125000000740 n-pentyl group Chemical group [H]C([H])([H])C([H])([H])C([H])([H])C([H])([H])C([H])([H])* 0.000 description 1
- 239000002077 nanosphere Substances 0.000 description 1
- 125000001624 naphthyl group Chemical group 0.000 description 1
- 230000003982 neuronal uptake Effects 0.000 description 1
- 150000002829 nitrogen Chemical class 0.000 description 1
- 108091027963 non-coding RNA Proteins 0.000 description 1
- 102000042567 non-coding RNA Human genes 0.000 description 1
- 231100000344 non-irritating Toxicity 0.000 description 1
- 239000002736 nonionic surfactant Substances 0.000 description 1
- 230000009871 nonspecific binding Effects 0.000 description 1
- ZQPPMHVWECSIRJ-KTKRTIGZSA-N oleic acid Chemical compound CCCCCCCC\C=C/CCCCCCCC(O)=O ZQPPMHVWECSIRJ-KTKRTIGZSA-N 0.000 description 1
- 229920001542 oligosaccharide Polymers 0.000 description 1
- 230000014207 opsonization Effects 0.000 description 1
- 210000004789 organ system Anatomy 0.000 description 1
- 150000002895 organic esters Chemical class 0.000 description 1
- 239000003960 organic solvent Substances 0.000 description 1
- 230000008520 organization Effects 0.000 description 1
- 125000002971 oxazolyl group Chemical group 0.000 description 1
- 125000003566 oxetanyl group Chemical group 0.000 description 1
- 125000000466 oxiranyl group Chemical group 0.000 description 1
- 125000004043 oxo group Chemical group O=* 0.000 description 1
- 230000000242 pagocytic effect Effects 0.000 description 1
- 238000007427 paired t-test Methods 0.000 description 1
- 125000000913 palmityl group Chemical group [H]C([*])([H])C([H])([H])C([H])([H])C([H])([H])C([H])([H])C([H])([H])C([H])([H])C([H])([H])C([H])([H])C([H])([H])C([H])([H])C([H])([H])C([H])([H])C([H])([H])C([H])([H])C([H])([H])[H] 0.000 description 1
- 239000012188 paraffin wax Substances 0.000 description 1
- 230000036961 partial effect Effects 0.000 description 1
- 235000010603 pastilles Nutrition 0.000 description 1
- 230000008506 pathogenesis Effects 0.000 description 1
- 230000001575 pathological effect Effects 0.000 description 1
- 239000000312 peanut oil Substances 0.000 description 1
- ONTNXMBMXUNDBF-UHFFFAOYSA-N pentatriacontane-17,18,19-triol Chemical compound CCCCCCCCCCCCCCCCC(O)C(O)C(O)CCCCCCCCCCCCCCCC ONTNXMBMXUNDBF-UHFFFAOYSA-N 0.000 description 1
- 150000002972 pentoses Chemical class 0.000 description 1
- 125000005981 pentynyl group Chemical group 0.000 description 1
- 239000008177 pharmaceutical agent Substances 0.000 description 1
- 230000003285 pharmacodynamic effect Effects 0.000 description 1
- 230000000144 pharmacologic effect Effects 0.000 description 1
- WVDDGKGOMKODPV-ZQBYOMGUSA-N phenyl(114C)methanol Chemical compound O[14CH2]C1=CC=CC=C1 WVDDGKGOMKODPV-ZQBYOMGUSA-N 0.000 description 1
- WLJVXDMOQOGPHL-UHFFFAOYSA-N phenylacetic acid Chemical compound OC(=O)CC1=CC=CC=C1 WLJVXDMOQOGPHL-UHFFFAOYSA-N 0.000 description 1
- RYIOLWQRQXDECZ-UHFFFAOYSA-N phosphinous acid Chemical class PO RYIOLWQRQXDECZ-UHFFFAOYSA-N 0.000 description 1
- 150000003009 phosphonic acids Chemical class 0.000 description 1
- 150000008298 phosphoramidates Chemical class 0.000 description 1
- 150000003013 phosphoric acid derivatives Chemical class 0.000 description 1
- 150000003016 phosphoric acids Chemical class 0.000 description 1
- OJMIONKXNSYLSR-UHFFFAOYSA-N phosphorous acid Chemical class OP(O)O OJMIONKXNSYLSR-UHFFFAOYSA-N 0.000 description 1
- 125000002743 phosphorus functional group Chemical group 0.000 description 1
- 125000004592 phthalazinyl group Chemical group C1(=NN=CC2=CC=CC=C12)* 0.000 description 1
- 230000004962 physiological condition Effects 0.000 description 1
- 150000003053 piperidines Chemical class 0.000 description 1
- 230000036470 plasma concentration Effects 0.000 description 1
- 229960000502 poloxamer Drugs 0.000 description 1
- 229920000747 poly(lactic acid) Polymers 0.000 description 1
- 229920001306 poly(lactide-co-caprolactone) Polymers 0.000 description 1
- 229920001281 polyalkylene Polymers 0.000 description 1
- 229920000768 polyamine Polymers 0.000 description 1
- 229920002721 polycyanoacrylate Polymers 0.000 description 1
- 125000003367 polycyclic group Chemical group 0.000 description 1
- 229920000573 polyethylene Polymers 0.000 description 1
- 229920000656 polylysine Polymers 0.000 description 1
- 235000010482 polyoxyethylene sorbitan monooleate Nutrition 0.000 description 1
- 239000000244 polyoxyethylene sorbitan monooleate Substances 0.000 description 1
- 229920001155 polypropylene Polymers 0.000 description 1
- 229920001282 polysaccharide Polymers 0.000 description 1
- 239000005017 polysaccharide Substances 0.000 description 1
- 150000004804 polysaccharides Chemical class 0.000 description 1
- 229920000136 polysorbate Polymers 0.000 description 1
- 229940068968 polysorbate 80 Drugs 0.000 description 1
- 229920000053 polysorbate 80 Polymers 0.000 description 1
- 229920002223 polystyrene Polymers 0.000 description 1
- 229920002635 polyurethane Polymers 0.000 description 1
- 239000004814 polyurethane Substances 0.000 description 1
- 229920002451 polyvinyl alcohol Polymers 0.000 description 1
- 235000013809 polyvinylpolypyrrolidone Nutrition 0.000 description 1
- 229920000523 polyvinylpolypyrrolidone Polymers 0.000 description 1
- 239000011591 potassium Substances 0.000 description 1
- 229910052700 potassium Inorganic materials 0.000 description 1
- 229910000027 potassium carbonate Inorganic materials 0.000 description 1
- 235000011181 potassium carbonates Nutrition 0.000 description 1
- 229920001592 potato starch Polymers 0.000 description 1
- XOFYZVNMUHMLCC-ZPOLXVRWSA-N prednisone Chemical compound O=C1C=C[C@]2(C)[C@H]3C(=O)C[C@](C)([C@@](CC4)(O)C(=O)CO)[C@@H]4[C@@H]3CCC2=C1 XOFYZVNMUHMLCC-ZPOLXVRWSA-N 0.000 description 1
- 229960004618 prednisone Drugs 0.000 description 1
- 230000002028 premature Effects 0.000 description 1
- 230000002335 preservative effect Effects 0.000 description 1
- 150000003141 primary amines Chemical class 0.000 description 1
- 230000002035 prolonged effect Effects 0.000 description 1
- 125000001500 prolyl group Chemical group [H]N1C([H])(C(=O)[*])C([H])([H])C([H])([H])C1([H])[H] 0.000 description 1
- 239000001294 propane Substances 0.000 description 1
- 125000004368 propenyl group Chemical group C(=CC)* 0.000 description 1
- 230000000069 prophylactic effect Effects 0.000 description 1
- 239000000473 propyl gallate Substances 0.000 description 1
- 235000010388 propyl gallate Nutrition 0.000 description 1
- 229940075579 propyl gallate Drugs 0.000 description 1
- 235000013772 propylene glycol Nutrition 0.000 description 1
- 125000002568 propynyl group Chemical group [*]C#CC([H])([H])[H] 0.000 description 1
- 229950008679 protamine sulfate Drugs 0.000 description 1
- 239000003207 proteasome inhibitor Substances 0.000 description 1
- 230000006337 proteolytic cleavage Effects 0.000 description 1
- 230000002294 pubertal effect Effects 0.000 description 1
- 230000002685 pulmonary effect Effects 0.000 description 1
- 238000000746 purification Methods 0.000 description 1
- IGFXRKMLLMBKSA-UHFFFAOYSA-N purine Chemical compound N1=C[N]C2=NC=NC2=C1 IGFXRKMLLMBKSA-UHFFFAOYSA-N 0.000 description 1
- 150000003212 purines Chemical class 0.000 description 1
- 125000003373 pyrazinyl group Chemical group 0.000 description 1
- 125000003226 pyrazolyl group Chemical group 0.000 description 1
- 125000002098 pyridazinyl group Chemical group 0.000 description 1
- 125000004076 pyridyl group Chemical group 0.000 description 1
- 125000000714 pyrimidinyl group Chemical group 0.000 description 1
- 125000000719 pyrrolidinyl group Chemical group 0.000 description 1
- 125000000168 pyrrolyl group Chemical group 0.000 description 1
- 150000003856 quaternary ammonium compounds Chemical class 0.000 description 1
- 150000003242 quaternary ammonium salts Chemical class 0.000 description 1
- 125000002294 quinazolinyl group Chemical group N1=C(N=CC2=CC=CC=C12)* 0.000 description 1
- 125000002943 quinolinyl group Chemical group N1=C(C=CC2=CC=CC=C12)* 0.000 description 1
- 102000005962 receptors Human genes 0.000 description 1
- 108020003175 receptors Proteins 0.000 description 1
- 210000000664 rectum Anatomy 0.000 description 1
- 230000003362 replicative effect Effects 0.000 description 1
- 230000000241 respiratory effect Effects 0.000 description 1
- 201000004193 respiratory failure Diseases 0.000 description 1
- 230000000717 retained effect Effects 0.000 description 1
- 239000003340 retarding agent Substances 0.000 description 1
- 230000002441 reversible effect Effects 0.000 description 1
- 239000002336 ribonucleotide Chemical group 0.000 description 1
- 125000002652 ribonucleotide group Chemical group 0.000 description 1
- 102200104659 rs121908725 Human genes 0.000 description 1
- 102200026945 rs121918101 Human genes 0.000 description 1
- 102220005352 rs281864814 Human genes 0.000 description 1
- 102220005517 rs33931984 Human genes 0.000 description 1
- 102220264466 rs773865323 Human genes 0.000 description 1
- 102220118501 rs886042074 Human genes 0.000 description 1
- 108091052345 ryanodine receptor (TC 1.A.3.1) family Proteins 0.000 description 1
- 235000005713 safflower oil Nutrition 0.000 description 1
- 239000003813 safflower oil Substances 0.000 description 1
- YGSDEFSMJLZEOE-UHFFFAOYSA-M salicylate Chemical compound OC1=CC=CC=C1C([O-])=O YGSDEFSMJLZEOE-UHFFFAOYSA-M 0.000 description 1
- 229960001860 salicylate Drugs 0.000 description 1
- 238000005070 sampling Methods 0.000 description 1
- 235000003441 saturated fatty acids Nutrition 0.000 description 1
- 150000003335 secondary amines Chemical class 0.000 description 1
- 238000010187 selection method Methods 0.000 description 1
- 238000000926 separation method Methods 0.000 description 1
- 238000007493 shaping process Methods 0.000 description 1
- 150000004760 silicates Chemical class 0.000 description 1
- 238000004513 sizing Methods 0.000 description 1
- 210000002027 skeletal muscle Anatomy 0.000 description 1
- 239000011734 sodium Substances 0.000 description 1
- 229910052708 sodium Inorganic materials 0.000 description 1
- WBHQBSYUUJJSRZ-UHFFFAOYSA-M sodium bisulfate Chemical compound [Na+].OS([O-])(=O)=O WBHQBSYUUJJSRZ-UHFFFAOYSA-M 0.000 description 1
- 229910000342 sodium bisulfate Inorganic materials 0.000 description 1
- 229940100996 sodium bisulfate Drugs 0.000 description 1
- 235000017550 sodium carbonate Nutrition 0.000 description 1
- 235000019812 sodium carboxymethyl cellulose Nutrition 0.000 description 1
- 229920001027 sodium carboxymethylcellulose Polymers 0.000 description 1
- 239000011780 sodium chloride Substances 0.000 description 1
- 239000001509 sodium citrate Substances 0.000 description 1
- NLJMYIDDQXHKNR-UHFFFAOYSA-K sodium citrate Chemical compound O.O.[Na+].[Na+].[Na+].[O-]C(=O)CC(O)(CC([O-])=O)C([O-])=O NLJMYIDDQXHKNR-UHFFFAOYSA-K 0.000 description 1
- HRZFUMHJMZEROT-UHFFFAOYSA-L sodium disulfite Chemical compound [Na+].[Na+].[O-]S(=O)S([O-])(=O)=O HRZFUMHJMZEROT-UHFFFAOYSA-L 0.000 description 1
- 229940001584 sodium metabisulfite Drugs 0.000 description 1
- 235000010262 sodium metabisulphite Nutrition 0.000 description 1
- RYYKJJJTJZKILX-UHFFFAOYSA-M sodium octadecanoate Chemical compound [Na+].CCCCCCCCCCCCCCCCCC([O-])=O RYYKJJJTJZKILX-UHFFFAOYSA-M 0.000 description 1
- 239000008109 sodium starch glycolate Substances 0.000 description 1
- 229940079832 sodium starch glycolate Drugs 0.000 description 1
- 229920003109 sodium starch glycolate Polymers 0.000 description 1
- 229940001482 sodium sulfite Drugs 0.000 description 1
- 235000010265 sodium sulphite Nutrition 0.000 description 1
- 238000010532 solid phase synthesis reaction Methods 0.000 description 1
- 238000000527 sonication Methods 0.000 description 1
- 235000010199 sorbic acid Nutrition 0.000 description 1
- 239000004334 sorbic acid Substances 0.000 description 1
- 229940075582 sorbic acid Drugs 0.000 description 1
- 239000003549 soybean oil Substances 0.000 description 1
- 235000012424 soybean oil Nutrition 0.000 description 1
- 241000894007 species Species 0.000 description 1
- 229940063675 spermine Drugs 0.000 description 1
- 210000000952 spleen Anatomy 0.000 description 1
- 210000001324 spliceosome Anatomy 0.000 description 1
- 230000002269 spontaneous effect Effects 0.000 description 1
- 239000003381 stabilizer Substances 0.000 description 1
- 210000000130 stem cell Anatomy 0.000 description 1
- 238000009168 stem cell therapy Methods 0.000 description 1
- 239000008174 sterile solution Substances 0.000 description 1
- 239000008223 sterile water Substances 0.000 description 1
- 239000003206 sterilizing agent Substances 0.000 description 1
- 230000004936 stimulating effect Effects 0.000 description 1
- 238000010254 subcutaneous injection Methods 0.000 description 1
- 239000007929 subcutaneous injection Substances 0.000 description 1
- KDYFGRWQOYBRFD-UHFFFAOYSA-L succinate(2-) Chemical compound [O-]C(=O)CCC([O-])=O KDYFGRWQOYBRFD-UHFFFAOYSA-L 0.000 description 1
- 150000003460 sulfonic acids Chemical class 0.000 description 1
- 230000003319 supportive effect Effects 0.000 description 1
- 238000010189 synthetic method Methods 0.000 description 1
- 238000012385 systemic delivery Methods 0.000 description 1
- 235000002906 tartaric acid Nutrition 0.000 description 1
- 239000011975 tartaric acid Substances 0.000 description 1
- 229940095064 tartrate Drugs 0.000 description 1
- 125000000999 tert-butyl group Chemical group [H]C([H])([H])C(*)(C([H])([H])[H])C([H])([H])[H] 0.000 description 1
- 150000003512 tertiary amines Chemical class 0.000 description 1
- 125000003718 tetrahydrofuranyl group Chemical group 0.000 description 1
- 125000001412 tetrahydropyranyl group Chemical group 0.000 description 1
- 125000004853 tetrahydropyridinyl group Chemical group N1(CCCC=C1)* 0.000 description 1
- 125000003507 tetrahydrothiofenyl group Chemical group 0.000 description 1
- 230000004797 therapeutic response Effects 0.000 description 1
- 125000000335 thiazolyl group Chemical group 0.000 description 1
- 239000002562 thickening agent Substances 0.000 description 1
- 125000001544 thienyl group Chemical group 0.000 description 1
- 150000003568 thioethers Chemical class 0.000 description 1
- 206010043554 thrombocytopenia Diseases 0.000 description 1
- 229940104230 thymidine Drugs 0.000 description 1
- 230000036962 time dependent Effects 0.000 description 1
- 230000005919 time-dependent effect Effects 0.000 description 1
- AOBORMOPSGHCAX-DGHZZKTQSA-N tocofersolan Chemical compound OCCOC(=O)CCC(=O)OC1=C(C)C(C)=C2O[C@](CCC[C@H](C)CCC[C@H](C)CCCC(C)C)(C)CCC2=C1C AOBORMOPSGHCAX-DGHZZKTQSA-N 0.000 description 1
- 229960000984 tocofersolan Drugs 0.000 description 1
- JOXIMZWYDAKGHI-UHFFFAOYSA-N toluene-4-sulfonic acid Chemical compound CC1=CC=C(S(O)(=O)=O)C=C1 JOXIMZWYDAKGHI-UHFFFAOYSA-N 0.000 description 1
- 238000011200 topical administration Methods 0.000 description 1
- 238000013518 transcription Methods 0.000 description 1
- 230000035897 transcription Effects 0.000 description 1
- 238000010361 transduction Methods 0.000 description 1
- 230000026683 transduction Effects 0.000 description 1
- 238000001890 transfection Methods 0.000 description 1
- 230000001052 transient effect Effects 0.000 description 1
- 238000002054 transplantation Methods 0.000 description 1
- 238000011269 treatment regimen Methods 0.000 description 1
- 125000004306 triazinyl group Chemical group 0.000 description 1
- ZMANZCXQSJIPKH-UHFFFAOYSA-O triethylammonium ion Chemical compound CC[NH+](CC)CC ZMANZCXQSJIPKH-UHFFFAOYSA-O 0.000 description 1
- 229960004418 trolamine Drugs 0.000 description 1
- 125000002948 undecyl group Chemical group [H]C([*])([H])C([H])([H])C([H])([H])C([H])([H])C([H])([H])C([H])([H])C([H])([H])C([H])([H])C([H])([H])C([H])([H])C([H])([H])[H] 0.000 description 1
- 241001515965 unidentified phage Species 0.000 description 1
- 125000004417 unsaturated alkyl group Chemical group 0.000 description 1
- 210000001364 upper extremity Anatomy 0.000 description 1
- 238000011144 upstream manufacturing Methods 0.000 description 1
- 230000002485 urinary effect Effects 0.000 description 1
- 229940070710 valerate Drugs 0.000 description 1
- NQPDZGIKBAWPEJ-UHFFFAOYSA-N valeric acid Chemical compound CCCCC(O)=O NQPDZGIKBAWPEJ-UHFFFAOYSA-N 0.000 description 1
- 235000019871 vegetable fat Nutrition 0.000 description 1
- 108700026220 vif Genes Proteins 0.000 description 1
- 229920002554 vinyl polymer Polymers 0.000 description 1
- 239000013603 viral vector Substances 0.000 description 1
- 230000004584 weight gain Effects 0.000 description 1
- 235000019786 weight gain Nutrition 0.000 description 1
- 230000029663 wound healing Effects 0.000 description 1
- 239000011667 zinc carbonate Substances 0.000 description 1
- 235000004416 zinc carbonate Nutrition 0.000 description 1
- 229910000010 zinc carbonate Inorganic materials 0.000 description 1
- UGZADUVQMDAIAO-UHFFFAOYSA-L zinc hydroxide Chemical compound [OH-].[OH-].[Zn+2] UGZADUVQMDAIAO-UHFFFAOYSA-L 0.000 description 1
- 229940007718 zinc hydroxide Drugs 0.000 description 1
- 229910021511 zinc hydroxide Inorganic materials 0.000 description 1
- 239000011787 zinc oxide Substances 0.000 description 1
- 235000014692 zinc oxide Nutrition 0.000 description 1
- 239000002076 α-tocopherol Substances 0.000 description 1
- 235000004835 α-tocopherol Nutrition 0.000 description 1
Images
Classifications
-
- A—HUMAN NECESSITIES
- A61—MEDICAL OR VETERINARY SCIENCE; HYGIENE
- A61K—PREPARATIONS FOR MEDICAL, DENTAL OR TOILETRY PURPOSES
- A61K31/00—Medicinal preparations containing organic active ingredients
- A61K31/70—Carbohydrates; Sugars; Derivatives thereof
- A61K31/7088—Compounds having three or more nucleosides or nucleotides
- A61K31/7125—Nucleic acids or oligonucleotides having modified internucleoside linkage, i.e. other than 3'-5' phosphodiesters
-
- A—HUMAN NECESSITIES
- A61—MEDICAL OR VETERINARY SCIENCE; HYGIENE
- A61K—PREPARATIONS FOR MEDICAL, DENTAL OR TOILETRY PURPOSES
- A61K9/00—Medicinal preparations characterised by special physical form
- A61K9/0012—Galenical forms characterised by the site of application
- A61K9/0019—Injectable compositions; Intramuscular, intravenous, arterial, subcutaneous administration; Compositions to be administered through the skin in an invasive manner
-
- A—HUMAN NECESSITIES
- A61—MEDICAL OR VETERINARY SCIENCE; HYGIENE
- A61P—SPECIFIC THERAPEUTIC ACTIVITY OF CHEMICAL COMPOUNDS OR MEDICINAL PREPARATIONS
- A61P1/00—Drugs for disorders of the alimentary tract or the digestive system
-
- A—HUMAN NECESSITIES
- A61—MEDICAL OR VETERINARY SCIENCE; HYGIENE
- A61P—SPECIFIC THERAPEUTIC ACTIVITY OF CHEMICAL COMPOUNDS OR MEDICINAL PREPARATIONS
- A61P21/00—Drugs for disorders of the muscular or neuromuscular system
-
- A—HUMAN NECESSITIES
- A61—MEDICAL OR VETERINARY SCIENCE; HYGIENE
- A61P—SPECIFIC THERAPEUTIC ACTIVITY OF CHEMICAL COMPOUNDS OR MEDICINAL PREPARATIONS
- A61P21/00—Drugs for disorders of the muscular or neuromuscular system
- A61P21/02—Muscle relaxants, e.g. for tetanus or cramps
-
- C—CHEMISTRY; METALLURGY
- C12—BIOCHEMISTRY; BEER; SPIRITS; WINE; VINEGAR; MICROBIOLOGY; ENZYMOLOGY; MUTATION OR GENETIC ENGINEERING
- C12N—MICROORGANISMS OR ENZYMES; COMPOSITIONS THEREOF; PROPAGATING, PRESERVING, OR MAINTAINING MICROORGANISMS; MUTATION OR GENETIC ENGINEERING; CULTURE MEDIA
- C12N15/00—Mutation or genetic engineering; DNA or RNA concerning genetic engineering, vectors, e.g. plasmids, or their isolation, preparation or purification; Use of hosts therefor
- C12N15/09—Recombinant DNA-technology
- C12N15/11—DNA or RNA fragments; Modified forms thereof; Non-coding nucleic acids having a biological activity
- C12N15/113—Non-coding nucleic acids modulating the expression of genes, e.g. antisense oligonucleotides; Antisense DNA or RNA; Triplex- forming oligonucleotides; Catalytic nucleic acids, e.g. ribozymes; Nucleic acids used in co-suppression or gene silencing
-
- C—CHEMISTRY; METALLURGY
- C12—BIOCHEMISTRY; BEER; SPIRITS; WINE; VINEGAR; MICROBIOLOGY; ENZYMOLOGY; MUTATION OR GENETIC ENGINEERING
- C12N—MICROORGANISMS OR ENZYMES; COMPOSITIONS THEREOF; PROPAGATING, PRESERVING, OR MAINTAINING MICROORGANISMS; MUTATION OR GENETIC ENGINEERING; CULTURE MEDIA
- C12N2310/00—Structure or type of the nucleic acid
- C12N2310/30—Chemical structure
- C12N2310/33—Chemical structure of the base
-
- C—CHEMISTRY; METALLURGY
- C12—BIOCHEMISTRY; BEER; SPIRITS; WINE; VINEGAR; MICROBIOLOGY; ENZYMOLOGY; MUTATION OR GENETIC ENGINEERING
- C12N—MICROORGANISMS OR ENZYMES; COMPOSITIONS THEREOF; PROPAGATING, PRESERVING, OR MAINTAINING MICROORGANISMS; MUTATION OR GENETIC ENGINEERING; CULTURE MEDIA
- C12N2320/00—Applications; Uses
- C12N2320/30—Special therapeutic applications
Definitions
- the present invention relates to improved methods for treating muscular dystrophy in a patient. It also provides compositions suitable for facilitating exon skipping in the human dystrophin gene.
- Antisense technologies are being developed using a range of chemistries to affect gene expression at a variety of different levels (transcription, splicing, stability, translation). Much of that research has focused on the use of antisense compounds to correct or compensate for abnormal or disease-associated genes in a wide range of indications. Antisense molecules are able to inhibit gene expression with specificity, and because of this, many research efforts concerning oligonucleotides as modulators of gene expression have focused on inhibiting the expression of targeted genes or the function of cis-acting elements. The antisense oligonucleotides are typically directed against RNA, either the sense strand (e.g., mRNA), or minus-strand in the case of some viral RNA targets.
- RNA either the sense strand (e.g., mRNA), or minus-strand in the case of some viral RNA targets.
- the oligonucleotides generally either promote the decay of the targeted mRNA, block translation of the mRNA or block the function of cis-acting RNA elements, thereby effectively preventing either de novo synthesis of the target protein or replication of the viral RNA.
- the effects of mutations on the eventual expression of a gene can be modulated through a process of targeted exon skipping during the splicing process.
- the splicing process is directed by complex multi-component machinery that brings adjacent exon-intron junctions in pre-mRNA into close proximity and performs cleavage of phosphodiester bonds at the ends of the introns with their subsequent reformation between exons that are to be spliced together.
- This complex and highly precise process is mediated by sequence motifs in the pre-mRNA that are relatively short, semi-conserved RNA segments to which various nuclear splicing factors that are then involved in the splicing reactions bind.
- Kole et al. U.S. Pat. Nos. 5,627,274; 5,916,808; 5,976,879; and 5,665,593 disclose methods of combating aberrant splicing using modified antisense oligonucleotide analogs that do not promote decay of the targeted pre-mRNA. Bennett et al. (U.S. Pat. No. 6,210,892) describe antisense modulation of wild-type cellular mRNA processing also using antisense oligonucleotide analogs that do not induce RNAse H-mediated cleavage of the target RNA.
- the process of targeted exon skipping is likely to be particularly useful in long genes where there are many exons and introns, where there is redundancy in the genetic constitution of the exons or where a protein is able to function without one or more particular exons.
- Efforts to redirect gene processing for the treatment of genetic diseases associated with truncations caused by mutations in various genes have focused on the use of antisense oligonucleotides that either: (1) fully or partially overlap with the elements involved in the splicing process; or (2) bind to the pre-mRNA at a position sufficiently close to the element to disrupt the binding and function of the splicing factors that would normally mediate a particular splicing reaction which occurs at that element.
- Duchenne muscular dystrophy is caused by a defect in the expression of the protein dystrophin.
- the gene encoding the protein contains 79 exons spread out over more than 2 million nucleotides of DNA. Any exonic mutation that changes the reading frame of the exon, or introduces a stop codon, or is characterized by removal of an entire out of frame exon or exons, or duplications of one or more exons, has the potential to disrupt production of functional dystrophin, resulting in DMD.
- DMD Disease onset can be documented at birth with elevated creatine kinase levels, and significant motor deficits may be present in the first year of life.
- age of seven or eight most patients with DMD have an increasingly labored gait and are losing the ability to rise from the floor and climb stairs; by ages 10 to 14, most are wheelchair-dependent.
- DMD is uniformly fatal; affected individuals typically die of respiratory and/or cardiac failure in their late teens or early 20s.
- the continuous progression of DMD allows for therapeutic intervention at all stages of the disease; however, treatment is currently limited to glucocorticoids, which are associated with numerous side effects including weight gain, behavioral changes, pubertal changes, osteoporosis, Cushingoid facies, growth inhibition, and cataracts. Consequently, developing better therapies to treat the underlying cause of this disease is imperative.
- Becker muscular dystrophy A less severe form of muscular dystrophy, Becker muscular dystrophy (BMD) has been found to arise where a mutation, typically a deletion of one or more exons, results in a correct reading frame along the entire dystrophin transcript, such that translation of mRNA into protein is not prematurely terminated. If the joining of the upstream and downstream exons in the processing of a mutated dystrophin pre-mRNA maintains the correct reading frame of the gene, the result is an mRNA coding for a protein with a short internal deletion that retains some activity, resulting in a Becker phenotype.
- the first example of specific and reproducible exon skipping in the mdx mouse model was reported by Wilton et al. (Wilton, Lloyd et al. 1999). By directing an antisense molecule to the donor splice site, consistent and efficient exon 23 skipping was induced in the dystrophin mRNA within 6 hours of treatment of the cultured cells. Wilton et al. also describe targeting the acceptor region of the mouse dystrophin pre-mRNA with longer antisense oligonucleotides.
- SSOs splice switching oligonucleotides
- an antisense oligonucleotide which utilizes a negatively charged phosphorothioate backbone, has been associated in clinical trials with proteinuria, increased urinary al-microglobulin, thrombocytopenia and injection site reactions, such as erythema and inflammation.
- the present invention is based, at least in part, on compelling evidence of a therapeutic effect of an exon skipping antisense oligonucleotide, eteplirsen, which represents a major advance in the treatment of DMD by addressing the underlying cause of the disease.
- the novel finding that treatment with an exon 51 skipping antisense oligonucleotide, eteplirsen, produced reliable increases in novel dystrophin and stabilized walking ability (e.g., stabilization of ambulation), as measured by the 6 Minute Walk Test (6MWT), underscores the potential alter the course of the disease. Significantly, no drug-related adverse events were seen in 576 infusions administered over one year.
- the use of exon skipping antisense oligonucleotides could treat an estimated 70% to 80% of patients who have DMD due to a deletion in the dystrophin gene.
- the present invention relates to methods of treating Duchenne muscular dystrophy (DMD) or Becker muscular dystrophy (BMD) in patients by administering an effective amount of a composition comprising an antisense oligonucleotide of 20 to 50 nucleotides in length comprising at least 10 consecutive nucleotides complementary to a target region in an exon of the human dystrophin gene to specifically hybridize to the target region, induce exon skipping, and thereby treat the disease.
- DMD Duchenne muscular dystrophy
- BMD Becker muscular dystrophy
- an effective amount is at least 20 mg/kg for a period of time sufficient to increase the number of dystrophin-positive fibers in a subject to at least 20% of normal, and stabilize, maintain, or improve walking distance from a 20% deficit, for example in a 6 MWT, in the patient, relative to a healthy peer.
- an effective amount is at least 20 mg/kg to about 30 mg/kg, about 25 mg/kg to about 30 mg/kg, or about 30 mg/kg to about 50 mg/kg.
- an effective amount is about 30 mg/kg or about 50 mg/kg.
- an effective amount is at least 20 mg/kg, about 25 mg/kg, about 30 mg/kg, or about 30 mg/kg to about 50 mg/kg, for at least 24 weeks, at least 36 weeks, or at least 48 weeks, to thereby increase the number of dystrophin-positive fibers in a subject to at least 20%, about 30%, about 40%, about 50%, about 60%, about 70%, about 80%, about 90%, about 95% of normal, and stabilize or improve walking distance from a 20% deficit, for example in a 6 MWT, in the patient relative to a healthy peer.
- treatment increases the number of dystrophin-positive fibers to 20-60%, or 30-50% of normal in the patient.
- treatment is by systemic administration, such as once weekly by infusion.
- treatment includes administering another therapeutic agent, such as a steroid to the subject.
- the present invention provides a method of treating DMD or BMD in a patient by administering about 30 mg/kg to about 50 mg/kg of a composition comprising an antisense oligonucleotide of 20 to 50 nucleotides in length comprising at least 10 consecutive nucleotides complementary to a target region in an exon of the human dystrophin gene, wherein the antisense oligonucleotide specifically hybridizes to the target region inducing exon skipping, thereby treating the subject.
- the antisense oligonucleotide is substantially uncharged.
- the antisense oligonucleotide comprises morpholino subunits linked by phosphorus-containing intersubunit linkages joining a morpholino nitrogen of one subunit to a 5′ exocyclic carbon of an adjacent subunit.
- the antisense oligonucleotide comprises morpholino subunits linked by substantially uncharged phosphorus-containing intersubunit linkages joining a morpholino nitrogen of one subunit to a 5′ exocyclic carbon of an adjacent subunit.
- the antisense oligonucleotide comprises morpholino subunits and phosphorodiamidate intersubunit linkages.
- the antisense oligonucleotide is 20 to 50, 30 to 50, or 20 to 30 nucleotides in length comprising at least 10, 12, 15, 17, or 20 consecutive nucleotides complementary to a target region in an exon of the human dystrophin gene selected from the group consisting of exon 51, exon 50, exon 53, exon 45, exon 46, exon 44, exon 52, exon 55 and exon 8.
- the antisense is 20 to 50, 30 to 50, or 20 to 30 nucleotides in length and includes at least 20 consecutive nucleotides eteplirsen (SEQ ID NO: 1).
- the antisense oligonucleotide is 20 to 50, 30 to 50, or 20 to 30 nucleotides in length and includes at least 10, 12, 15, 17, or 20 consecutive nucleotides of the antisense oligonucleotide set forth as SEQ ID NO: 2, SEQ ID NO: 3, SEQ ID NO: 4, SEQ ID NO: 5, SEQ ID NO: 6, SEQ ID NO: 7, SEQ ID NO: 8, or SEQ ID NO: 9.
- the antisense oligonucleotide is 20 to 50, 30 to 50, or 20 to 30 nucleotides in length and includes at least 10, 12, 15, 17, or 20 consecutive nucleotides of a nucleotide sequences set forth in Tables 3 and 4, wherein uracil bases in the antisense oligonucleotide are optionally thymine bases.
- the composition includes eteplirsen (SEQ ID NO: 1), and, optionally, a pharmaceutically acceptable carrier.
- the composition includes an antisense oligonucleotide selected from the group consisting of SEQ ID NOS: 1-9, such as SEQ ID NO: 1, SEQ ID NO: 2, SEQ ID NO: 3, SEQ ID NO: 4, SEQ ID NO: 5, SEQ ID NO: 6, SEQ ID NO: 7, SEQ ID NO: 8, and SEQ ID NO: 9.
- the antisense oligonucleotide is any one or a combination of the nucleotide sequences set forth in Tables 3 and 4, wherein uracil bases in the antisense oligonucleotide are optionally thymine bases.
- the antisense oligonucleotide is chemically linked to one or more moieties or conjugates that enhance the activity, cellular distribution, or cellular uptake of the antisense oligonucleotide, such as an arginine-rich peptide.
- the present invention provides a method of treating DMD or BMD in a patient by administering at least 20 mg/kg of a composition comprising eteplirsen (SEQ ID NO: 1) for a period of time sufficient to increase the number of dystrophin-positive fibers in a subject to at least about 20% of normal, and stabilize or improve walking distance from a 20% deficit, for example in a 6 MWT, in the patient, relative to a healthy peer.
- a composition comprising eteplirsen (SEQ ID NO: 1) for a period of time sufficient to increase the number of dystrophin-positive fibers in a subject to at least about 20% of normal, and stabilize or improve walking distance from a 20% deficit, for example in a 6 MWT, in the patient, relative to a healthy peer.
- an effective amount is at least 20 mg/kg to about 30 mg/kg, about 25 mg/kg to about 30 mg/kg, or about 30 mg/kg to about 50 mg/kg of a composition comprising eteplirsen (SEQ ID NO: 1), and, optionally, a pharmaceutically acceptable carrier, such as phosphate-buffered saline.
- a composition comprising eteplirsen (SEQ ID NO: 1), and, optionally, a pharmaceutically acceptable carrier, such as phosphate-buffered saline.
- an effective amount of a composition comprising eteplirsen is at least 20 mg/kg, about 25 mg/kg, about 30 mg/kg, or about 30 mg/kg to about 50 mg/kg, for at least 24 weeks, at least 36 weeks, or at least 48 weeks, to thereby increase the number of dystrophin-positive fibers in a subject to at least about 20%, about 30%, about 40%, about 50%, about 60%, about 70%, about 80%, about 90%, about 95% of normal, and stabilize or improve walking distance from a 20% deficit, for example in a 6 MWT, in the patient relative to a healthy peer.
- treatment with antisense oligonucleotides of the present invention slows or reduces the loss of ambulation that would be expected without treatment.
- treatment with the antisense oligonucleotides of the present invention stabilizes, maintains, or increases a stable walking distance in a patient.
- treatment may increase the stable walking distance in the patient from baseline to greater than 3, 5, 6, 7, 8, 9, 10, 15, 20, 25, 30 or 50 meters (including all integers in between).
- FIG. 1A shows an exemplary morpholino oligomer structure with a phosphorodiamidate linkage.
- FIG. 1B shows a conjugate of an arginine-rich peptide and an antisense oligomer, in accordance with an embodiment of the invention.
- FIG. 1C shows a conjugate as in FIG. 1B , wherein the backbone linkages contain one or more positively charged groups.
- FIGS. 1D-G show the repeating subunit segment of exemplary morpholino oligonucleotides, designated D through G.
- FIG. 2 is a schematic representation of the study design for treating DMD patients. Twelve DMD patients were randomized to one of three cohorts in the double-blind, placebo-controlled study, 201: Cohort 1, eteplirsen 30 mg/kg/wk; Cohort 2, eteplirsen 50 mg/kg/wk; and Cohort 3, placebo/delayed eteplirsen. At week 25, placebo-treated patients in Cohort 3 switched to open-label treatment with 30 or 50 mg/kg/week eteplirsen. Patients were maintained on their same dose of eteplirsen under the open-label extension study, 202. Muscle Biopsies.
- FIG. 3 depicts dystrophin-positive muscle fibers after 12, 24, and 48 weeks of eteplirsen.
- Panels A and B show the mean absolute change from baseline in the percentage of dystrophin-positive fibers at weeks 12, 24, and week 48 by treatment group.
- *P-value is for comparison between eteplirsen and placebo using the pooled results from weeks 12 and 24, and is based on an analysis of covariance model for ranked data with treatment as a fixed effect and baseline value and time since DMD diagnosis as covariates. Mean changes shown are based on descriptive statistics.
- ⁇ P-value is from a paired t-test comparing the week 48 value to baseline.
- ⁇ Results from the placebo-treated patients biopsied at weeks 12 and 24 are pooled.
- ⁇ Placebo/delayed eteplirsen patients began receiving eteplirsen at week 25 and had received a total of 24 doses at week 48.
- FIG. 4 shows the effects of eteplirsen on the dystrophin-associated glycoprotein complex.
- A Representative examples of time-dependent increases in dystrophin-positive fibers in relation to treatment for all participating study patients.
- B nNOS ⁇ staining in muscle from DMD (a) and normal (c) control patients (not in study), and from patient 6 at baseline (b) and week 48 (d), demonstrates restoration of nNOS ⁇ binding with eteplirsen.
- ⁇ -sarcoglycan (e) and ⁇ -sarcoglycan (f) staining in patient 6 at week 48 demonstrate restoration of the sarcoglycan complex with eteplirsen.
- C RT-PCR shows skipped product (289 bp) post-treatment in the muscle of patient 12.
- FIG. 5 graphically depicts the functional efficacy of eteplirsen.
- the dark purple line shows the change from baseline in distance walked on the 6MWT over time for the 6 evaluable patients who received eteplirsen from the start of 201 (two boys were unable to at or beyond week 24 were excluded from this analysis).
- the gray line shows change from baseline in distance walked on the 6MWT for the 4 patients who received placebo for the first 24 weeks and eteplirsen for the last 24 weeks.
- Embodiments of the present invention relate to improved methods for treating muscular dystrophy, such as DMD and BMD, by administering antisense compounds that are specifically designed to induce exon skipping in the human dystrophin gene.
- Dystrophin plays a vital role in muscle function, and various muscle-related diseases are characterized by mutated forms of this gene.
- the improved methods described herein may be used for inducing exon skipping in mutated forms of the human dystrophin gene, such as the mutated dystrophin genes found in DMD and BMD.
- the antisense compounds of the present invention hybridize to selected regions of a pre-processed RNA of a mutated human dystrophin gene, induce exon skipping and differential splicing in that otherwise aberrantly spliced dystrophin mRNA, and thereby allow muscle cells to produce an mRNA transcript that encodes a functional dystrophin protein.
- the resulting dystrophin protein is not necessarily the “wild-type” form of dystrophin, but is rather a truncated, yet functional or semi-functional, form of dystrophin.
- these and related embodiments are useful in the prophylaxis and treatment of muscular dystrophy, especially those forms of muscular dystrophy, such as DMD and BMD, that are characterized by the expression of defective dystrophin proteins due to aberrant mRNA splicing.
- the methods described herein further provide improved treatment options for patients with muscular dystrophy and offer significant and practical advantages over alternate methods of treating relevant forms of muscular dystrophy.
- the improved methods relate to the administration of an antisense compound for inducing exon skipping in the human dystrophin gene at a higher dose and/or for a longer duration than prior approaches.
- the invention relates to improved methods for treating muscular dystrophy such as DMD and BMD, by inducing exon skipping in a patient.
- exon skipping is induced by administering an effective amount of a composition which includes a charge-neutral, phosphorodiamidate morpholino oligomer (PMO), such as eteplirsen, which selectively binds to a target sequence in an exon of dystrophin pre-mRNA.
- PMO charge-neutral, phosphorodiamidate morpholino oligomer
- the invention relates to methods of treating DMD or BMD in which an effective amount of a composition e.g., at least 20 mg/kg, about 25 mg/kg, about 30 mg/kg or about 30 mg/kg to about 50 mg/kg, which includes an antisense as described herein, such as eteplirsen, over a period of time sufficient to treat the disease.
- a composition e.g., at least 20 mg/kg, about 25 mg/kg, about 30 mg/kg or about 30 mg/kg to about 50 mg/kg, which includes an antisense as described herein, such as eteplirsen, over a period of time sufficient to treat the disease.
- Some embodiments of the present invention relate to the use of eteplirsen as a disease-modifying therapy for treating DMD.
- eteplirsen As a clinical study described in the Examples, no drug-related adverse events were seen in 576 infusions of eteplirsen administered over one year, nor were there any infusion-associated reactions, cardiac abnormalities, or any other organ system involvement.
- There was also no evidence of glomerular or renal tubular dysfunction in eteplirsen-treated patients over the course of the study e.g., no proteinuria, elevations in serum cytstatin C, or urine cystatin C or KIM-1).
- the safety profile of eteplirsen and other exon-skipping antisense oligonucleotides described herein may be attributed to its unique chemical composition, which is characterized by nucleotides bound to morpholine rings linked through charge-neutral phosphorodiamidate moieties.
- dystrophin-positive fibers In DMD patients treated with eteplirsen for one year, the mean percentage of dystrophin-positive fibers was increased to 47% of normal, relative to baseline. The magnitude of the increase was dependent upon treatment duration. Significant increases in dystrophin levels were observed in the 24-week biopsies taken from patients in Cohort 1 (30 mg/kg) and in the 48-week biopsies from patients in Cohort 3 (who started eteplirsen at week 25).
- Eteplirsen's clinical benefit mirrored its ability to induce exon skipping and restore functional dystrophin production.
- Clinical effect was assessed with the 6MWT, a measure of endurance and muscular capacity that goes beyond the assessment of strength in individual muscle groups.
- Patients who received 30 or 50 mg/kg eteplirsen from the beginning maintained a stable walking distance over 48 weeks, consistent with eteplirsen-induced increases in novel dystrophin expression between weeks 12 and 24.
- patients in the placebo/delayed eteplirsen cohort lost 70 meters by week 36, but appeared to stabilize by week 48 (24 weeks after initiating eteplirsen). This is the same timeframe in which a clinical impact was seen in patients who received 30 or 50 mg/kg eteplirsen once a week from the start of the study.
- the present invention is based, at least in part, on the evidence of a therapeutic effect of eteplirsen, which represents a major advance in the treatment of DMD by addressing the underlying cause of the disease. Accordingly, the invention relates to methods of treating DMD or BMD in patients by administering an effective amount of a composition which includes an antisense oligonucleotide, such as eteplirsen, which is complementary to a target region in an exon of the human dystrophin gene to specifically hybridize to the target region, induce exon skipping, and treat the disease.
- an antisense oligonucleotide such as eteplirsen
- treatment is by administering one or more antisense oligonucleotides of the present invention (e.g., a nucleotide sequence shown in Tables 3 and 4), optionally as part of a pharmaceutical formulation or dosage form, to a subject in need thereof.
- Treatment includes inducing exon-skipping in a subject by administering an effective amount of one or more antisense oligonucleotides, in which the exon is any one or more of exons 1-79 from the dystrophin gene.
- the exon is exon 44, 45, 46, 47, 48, 49, 50, 51, 52, 53, 54, 55, 56 or 8 from the human dystrophin gene.
- complementarity refers to polynucleotides (i.e., a sequence of nucleotides) related by base-pairing rules.
- sequence “T-G-A (5′-3′) is complementary to the sequence “T-C-A (5′-3′).”
- Complementarity may be “partial,” in which only some of the nucleic acids' bases are matched according to base pairing rules. Or, there may be “complete” or “total” complementarity between the nucleic acids. The degree of complementarity between nucleic acid strands has significant effects on the efficiency and strength of hybridization between nucleic acid strands.
- some embodiments can include one or more but preferably 6, 5, 4, 3, 2, or 1 mismatches with respect to the target RNA. Variations at any location within the oligomer are included. In certain embodiments, variations in sequence near the termini of an oligomer are generally preferable to variations in the interior, and if present are typically within about 6, 5, 4, 3, 2, or 1 nucleotides of the 5′ and/or 3′ terminus.
- cell penetrating peptide and “CPP” are used interchangeably and refer to cationic cell penetrating peptides, also called transport peptides, carrier peptides, or peptide transduction domains.
- the peptides as shown herein, have the capability of inducing cell penetration within 100% of cells of a given cell culture population and allow macromolecular translocation within multiple tissues in vivo upon systemic administration.
- a preferred CPP embodiment is an arginine-rich peptide as described further below.
- antisense oligomer and “antisense compound” and “antisense oligonucleotide” are used interchangeably and refer to a sequence of cyclic subunits, each bearing a base-pairing moiety, linked by intersubunit linkages that allow the base-pairing moieties to hybridize to a target sequence in a nucleic acid (typically an RNA) by Watson-Crick base pairing, to form a nucleic acid:oligomer heteroduplex within the target sequence.
- the cyclic subunits are based on ribose or another pentose sugar or, in a preferred embodiment, a morpholino group (see description of morpholino oligomers below).
- the oligomer may have exact or near sequence complementarity to the target sequence; variations in sequence near the termini of an oligomer are generally preferable to variations in the interior.
- Such an antisense oligomer can be designed to block or inhibit translation of mRNA or to inhibit natural pre-mRNA splice processing, and may be said to be “directed to” or “targeted against” a target sequence with which it hybridizes.
- the target sequence is typically a region including an AUG start codon of an mRNA, a Translation Suppressing Oligomer, or splice site of a pre-processed mRNA, a Splice Suppressing Oligomer (SSO).
- the target sequence for a splice site may include an mRNA sequence having its 5′ end 1 to about 25 base pairs downstream of a normal splice acceptor junction in a preprocessed mRNA.
- a preferred target sequence is any region of a preprocessed mRNA that includes a splice site or is contained entirely within an exon coding sequence or spans a splice acceptor or donor site.
- An oligomer is more generally said to be “targeted against” a biologically relevant target, such as a protein, virus, or bacteria, when it is targeted against the nucleic acid of the target in the manner described above.
- morpholino oligomer or “PMO” (phosphoramidate- or phosphorodiamidate morpholino oligomer) refer to an oligonucleotide analog composed of morpholino subunit structures, where (i) the structures are linked together by phosphorus-containing linkages, one to three atoms long, preferably two atoms long, and preferably uncharged or cationic, joining the morpholino nitrogen of one subunit to a 5′ exocyclic carbon of an adjacent subunit, and (ii) each morpholino ring bears a purine or pyrimidine base-pairing moiety effective to bind, by base specific hydrogen bonding, to a base in a polynucleotide.
- PMO phosphoramidate- or phosphorodiamidate morpholino oligomer
- the oxygen attached to phosphorus may be substituted with sulfur (thiophosphorodiamidate).
- the 5′ oxygen may be substituted with amino or lower alkyl substituted amino.
- the pendant nitrogen attached to phosphorus may be unsubstituted, monosubstituted, or disubstituted with (optionally substituted) lower alkyl.
- the purine or pyrimidine base pairing moiety is typically adenine, cytosine, guanine, uracil, thymine or inosine.
- naturally occurring amino acid refers to an amino acid present in proteins found in nature.
- non-natural amino acids refers to those amino acids not present in proteins found in nature, examples include beta-alanine ( ⁇ -Ala), 6-aminohexanoic acid (Ahx) and 6-aminopentanoic acid.
- an “exon” refers to a defined section of nucleic acid that encodes for a protein, or a nucleic acid sequence that is represented in the mature form of an RNA molecule after either portions of a pre-processed (or precursor) RNA have been removed by splicing.
- the mature RNA molecule can be a messenger RNA (mRNA) or a functional form of a non-coding RNA, such as rRNA or tRNA.
- mRNA messenger RNA
- rRNA or tRNA a functional form of a non-coding RNA, such as rRNA or tRNA.
- the human dystrophin gene has about 79 exons.
- an “intron” refers to a nucleic acid region (within a gene) that is not translated into a protein.
- An intron is a non-coding section that is transcribed into a precursor mRNA (pre-mRNA), and subsequently removed by splicing during formation of the mature RNA.
- an “effective amount” or “therapeutically effective amount” refers to an amount of therapeutic compound, such as an antisense oligonucleotide, administered to a human subject, either as a single dose or as part of a series of doses, which is effective to produce a desired therapeutic effect.
- an antisense oligonucleotide this effect is typically brought about by inhibiting translation or natural splice-processing of a selected target sequence.
- an effective amount is at least 20 mg/kg of a composition including an antisense oligonucleotide for a period of time to treat the subject.
- an effective amount is at least 20 mg/kg of a composition including an antisense oligonucleotide to increase the number of dystrophin-positive fibers in a subject to at least 20% of normal. In another embodiment, an effective amount is at least 20 mg/kg of a composition including an antisense oligonucleotide to stabilize, maintain, or improve walking distance from a 20% deficit, for example in a 6 MWT, in a patient, relative to a healthy peer. In another embodiment, an effective amount is at least 20 mg/kg to about 30 mg/kg, about 25 mg/kg to about 30 mg/kg, or about 30 mg/kg to about 50 mg/kg. In yet another embodiment, an effective amount is about 30 mg/kg or about 50 mg/kg.
- an effective amount is at least 20 mg/kg, about 25 mg/kg, about 30 mg/kg, or about 30 mg/kg to about 50 mg/kg, for at least 24 weeks, at least 36 weeks, or at least 48 weeks, to thereby increase the number of dystrophin-positive fibers in a subject to at least 20%, about 30%, about 40%, about 50%, about 60%, about 70%, about 80%, about 90%, about 95% of normal, and stabilize or improve walking distance from a 20% deficit, for example in a 6 MWT, in the patient relative to a healthy peer.
- treatment increases the number of dystrophin-positive fibers to 20-60%, or 30-50% of normal in the patient.
- Exon skipping refers generally to the process by which an entire exon, or a portion thereof, is removed from a given pre-processed RNA, and is thereby excluded from being present in the mature RNA, such as the mature mRNA that is translated into a protein. Hence, the portion of the protein that is otherwise encoded by the skipped exon is not present in the expressed form of the protein, typically creating an altered, though still functional, form of the protein.
- the exon being skipped is an aberrant exon from the human dystrophin gene, which may contain a mutation or other alteration in its sequence that otherwise causes aberrant splicing.
- the exon being skipped is any one or more of exons 1-79 of the human dystrophin gene, such as 3-8, 10-16, 19-40, 42-47, and 50-55, though exons 44, 45, 46, 47, 48, 49, 50, 51, 52, 53, 54, 55, 56 and 8 of the human dystrophin gene are preferred.
- Dystrophin is a rod-shaped cytoplasmic protein, and a vital part of the protein complex that connects the cytoskeleton of a muscle fiber to the surrounding extracellular matrix through the cell membrane.
- Dystrophin contains multiple functional domains. For instance, dystrophin contains an actin binding domain at about amino acids 14-240 and a central rod domain at about amino acids 253-3040. This large central domain is formed by 24 spectrin-like triple-helical elements of about 109 amino acids, which have homology to alpha-actinin and spectrin.
- the repeats are typically interrupted by four proline-rich non-repeat segments, also referred to as hinge regions.
- Repeats 15 and 16 are separated by an 18 amino acid stretch that appears to provide a major site for proteolytic cleavage of dystrophin.
- the sequence identity between most repeats ranges from 10-25%.
- One repeat contains three alpha-helices: 1, 2 and 3.
- Alpha-helices 1 and 3 are each formed by 7 helix turns, probably interacting as a coiled-coil through a hydrophobic interface.
- Alpha-helix 2 has a more complex structure and is formed by segments of four and three helix turns, separated by a Glycine or Proline residue.
- Each repeat is encoded by two exons, typically interrupted by an intron between amino acids 47 and 48 in the first part of alpha-helix 2. The other intron is found at different positions in the repeat, usually scattered over helix-3.
- Dystrophin also contains a cysteine-rich domain at about amino acids 3080-3360), including a cysteine-rich segment (i.e., 15 Cysteines in 280 amino acids) showing homology to the C-terminal domain of the slime mold (Dictyostelium discoideum) alpha-actinin.
- the carboxy-terminal domain is at about amino acids 3361-3685.
- the amino-terminus of dystrophin binds to F-actin and the carboxy-terminus binds to the dystrophin-associated protein complex (DAPC) at the sarcolemma.
- the DAPC includes the dystroglycans, sarcoglycans, integrins and caveolin, and mutations in any of these components cause autosomally inherited muscular dystrophies.
- the DAPC is destabilized when dystrophin is absent, which results in diminished levels of the member proteins, and in turn leads to progressive fibre damage and membrane leakage.
- muscle cells produce an altered and functionally defective form of dystrophin, or no dystrophin at all, mainly due to mutations in the gene sequence that lead to incorrect splicing.
- a “defective” dystrophin protein may be characterized by the forms of dystrophin that are produced in certain subjects with DMD or BMD, as known in the art, or by the absence of detectable dystrophin.
- the terms “function” and “functional” and the like refer to a biological, enzymatic, or therapeutic function.
- a “functional” dystrophin protein refers generally to a dystrophin protein having sufficient biological activity to reduce the progressive degradation of muscle tissue that is otherwise characteristic of muscular dystrophy, typically as compared to the altered or “defective” form of dystrophin protein that is present in certain subjects with DMD or BMD.
- a functional dystrophin protein may have about 10%, 20%, 30%, 40%, 50%, 60%, 70%, 80%, 90%, or 100% (including all integers in between) of the in vitro or in vivo biological activity of wild-type dystrophin, as measured according to routine techniques in the art.
- dystrophin-related activity in muscle cultures in vitro can be measured according to myotube size, myofibril organization (or disorganization), contractile activity, and spontaneous clustering of acetylcholine receptors (see, e.g., Brown et al., Journal of Cell Science. 112:209-216, 1999).
- Animal models are also valuable resources for studying the pathogenesis of disease, and provide a means to test dystrophin-related activity.
- Two of the most widely used animal models for DMD research are the mdx mouse and the golden retriever muscular dystrophy (GRMD) dog, both of which are dystrophin negative (see, e.g., Collins & Morgan, Int J Exp Pathol 84: 165-172, 2003).
- GRMD golden retriever muscular dystrophy
- These and other animal models can be used to measure the functional activity of various dystrophin proteins. Included are truncated forms of dystrophin, such as those forms that are produced by certain of the exon-skipping anti
- the term “restoration” of dystrophin synthesis or production refers generally to the production of a dystrophin protein including truncated forms of dystrophin in a patient with muscular dystrophy following treatment with an antisense oligonucleotide as described herein.
- treatment results in an increase in novel dystrophin production in a patient by 1%, 5%, 10%, 20%, 30%, 40%, 50%, 60%, 70%, 80%, 90% or 100% (including all integers in between).
- treatment increases the number of dystrophin-positive fibers to at least 20%, about 30%, about 40%, about 50%, about 60%, about 70%, about 80%, about 90% or about 95% to 100% of normal in the subject.
- treatment increases the number of dystrophin-positive fibers to about 20% to about 60%, or about 30% to about 50% of normal in the subject.
- the percent of dystrophin-positive fibers in a patient following treatment can be determined by a muscle biopsy using known techniques. For example, a muscle biopsy may be taken from a suitable muscle, such as the biceps brachii muscle in a patient.
- Analysis of the percentage of positive dystrophin fibers may be performed pre-treatment and/or post-treatment or at time points throughout the course of treatment.
- a post-treatment biopsy is taken from the contralateral muscle from the pre-treatment biopsy.
- Pre- and post-treatment dystrophin expression studies may be performed using any suitable assay for dystrophin.
- immunohistochemical detection is performed on tissue sections from the muscle biopsy using an antibody that is a marker for dystrophin, such as a monoclonal or a polyclonal antibody.
- the MANDYS106 antibody can be used which is a highly sensitive marker for dystrophin. Any suitable secondary antibody may be used.
- the percent dystrophin-positive fibers are calculated by dividing the number of positive fibers by the total fibers counted. Normal muscle samples have 100% dystrophin-positive fibers. Therefore, the percent dystrophin-positive fibers can be expressed as a percentage of normal. To control for the presence of trace levels of dystrophin in the pretreatment muscle as well as revertant fibers a baseline can be set using sections of pre-treatment muscles from each patient when counting dystrophin-positive fibers in post-treatment muscles. This may be used as a threshold for counting dystrophin-positive fibers in sections of post-treatment muscle in that patient.
- antibody-stained tissue sections can also be used for dystrophin quantification using Bioquant image analysis software (Bioquant Image Analysis Corporation, Arlington, Tenn.). The total dystrophin fluorescence signal intensity can be reported as a percentage of normal.
- Western blot analysis with monoclonal or polyclonal anti-dystrophin antibodies can be used to determine the percentage of dystrophin positive fibers.
- the anti-dystrophin antibody NCL-Dysl from Novacastra may be used.
- the percentage of dystrophin-positive fibers can also be analyzed by determining the expression of the components of the sarcoglycan complex ( ⁇ , ⁇ ) and/or neuronal NOS.
- isolated is meant material that is substantially or essentially free from components that normally accompany it in its native state.
- an “isolated polynucleotide,” as used herein, may refer to a polynucleotide that has been purified or removed from the sequences that flank it in a naturally-occurring state, e.g., a DNA fragment that has been removed from the sequences that are normally adjacent to the fragment.
- sufficient length refers to an antisense oligonucleotide that is complementary to at least 8, more typically 8-30, contiguous nucleobases in a target dystrophin pre-mRNA.
- an antisense of sufficient length includes at least 8, 9, 10, 11, 12, 13, 14, or 15 contiguous nucleobases in the target dystrophin pre-mRNA.
- an antisense of sufficient length includes at least 16, 17, 18, 19, 20, 21, 22, 23, 24, or 25 contiguous nucleobases in the target dystrophin pre-mRNA.
- An antisense oligonucleotide of sufficient length has at least a minimal number of nucleotides to be capable of specifically hybridizing to any one or more of exons 1-79 of the dystrophin gene.
- the antisense oligonucleotide of the invention has a minimal number of nucleotides to be capable of specifically hybridizing to any one or more of exons 44, 45, 46, 47, 48, 49, 50, 51, 52, 53, 54, 55, 56 or 8 of the human dystrophin gene.
- an oligonucleotide of sufficient length is from about 10 to about 50 nucleotides in length, including oligonucleotides of 10, 11, 12, 13, 14, 15, 16, 17, 18, 19, 20, 21, 22, 23, 24, 25, 26, 27, 28, 29, 30, 31, 32, 33, 34, 35, 36, 37, 38, 39 and 40 or more nucleotides.
- an oligonucleotide of sufficient length is from 10 to about 30 nucleotides in length.
- an oligonucleotide of sufficient length is from 15 to about 25 nucleotides in length.
- an oligonucleotide of sufficient length is from 20 to 30, or 20 to 50, nucleotides in length.
- an oligonucleotide of sufficient length is from 25 to 28 nucleotides in length.
- “enhance” or “enhancing,” or “increase” or “increasing,” or “stimulate” or “stimulating,” refers generally to the ability of one or antisense compounds or compositions to produce or cause a greater physiological response (i.e., downstream effects) in a cell or a subject, as compared to the response caused by either no antisense compound or a control compound.
- a measurable physiological response may include increased expression of a functional form of a dystrophin protein, or increased dystrophin-related biological activity in muscle tissue, among other responses apparent from the understanding in the art and the description herein.
- Increased muscle function can also be measured, including increases or improvements in muscle function by about 1%, 2%, 3%, 4%, 5%, 6%, 7%, 8%, 9%, 10%, 11%, 12%, 13%, 14%, 15%, 16%, 17%, 18%, 19%, 20%, 25%, 30%, 35%, 40%, 45%, 50%, 55%, 60%, 65%, 70%, 75%, 80%, 85%, 90%, 95%, or 100%.
- the percentage of muscle fibers that express a functional dystrophin can also be measured, including increased dystrophin expression in about 1%, 2%, %, 15%, 16%, 17%, 18%, 19%, 20%, 25%, 30%, 35%, 40%, 45%, 50%, 55%, 60%, 65%, 70%, 75%, 80%, 85%, 90%, 95%, or 100% of muscle fibers. For instance, it has been shown that around 40% of muscle function improvement can occur if 25-30% of fibers express dystrophin (see, e.g., DelloRusso et al, Proc Natl Acad Sci USA 99: 12979-12984, 2002).
- An “increased” or “enhanced” amount is typically a “statistically significant” amount, and may include an increase that is 1.1, 1.2, 2, 3, 4, 5, 6, 7, 8, 9, 10, 15, 20, 30, 40, 50 or more times (e.g., 500, 1000 times) (including all integers and decimal points in between and above 1), e.g., 1.5, 1.6, 1.7, 1.8, etc.) the amount produced by no antisense compound (the absence of an agent) or a control compound.
- the term “reduce” or “inhibit” may relate generally to the ability of one or more antisense compounds of the invention to “decrease” a relevant physiological or cellular response, such as a symptom of a disease or condition described herein, as measured according to routine techniques in the diagnostic art.
- Relevant physiological or cellular responses in vivo or in vitro will be apparent to persons skilled in the art, and may include reductions in the symptoms or pathology of muscular dystrophy, or reductions in the expression of defective forms of dystrophin, such as the altered forms of dystrophin that are expressed in individuals with DMD or BMD.
- a “decrease” in a response may be statistically significant as compared to the response produced by no antisense compound or a control composition, and may include a 1%, 2%, 3%, 4%, 5%, 6%, 7%, 8%, 9%, 10%, 11%, 12%, 13%, 14%, 15%, 16%, 17%, 18%, 19%, 20%, 25%, 30%, 35%, 40%, 45%, 50%, 55%, 60%, 65%, 70%, 75%, 80%, 85%, 90%, 95%, or 100% decrease, including all integers in between.
- vector delivery systems that are capable of expressing the oligomeric, dystrophin-targeting sequences of the present invention, such as vectors that express a polynucleotide sequence comprising any one or more of the sequences shown in Tables 3 and 4, and variants thereof, as described herein.
- vector or “nucleic acid construct” is meant a polynucleotide molecule, preferably a DNA molecule derived, for example, from a plasmid, bacteriophage, yeast or virus, into which a polynucleotide can be inserted or cloned.
- a vector preferably contains one or more unique restriction sites and can be capable of autonomous replication in a defined host cell including a target cell or tissue or a progenitor cell or tissue thereof, or be integrated with the genome of the defined host such that the cloned sequence is reproducible.
- the vector can be an autonomously replicating vector, i.e., a vector that exists as an extra-chromosomal entity, the replication of which is independent of chromosomal replication, e.g., a linear or closed circular plasmid, an extra-chromosomal element, a mini-chromosome, or an artificial chromosome.
- the vector can contain any means for assuring self-replication.
- the vector can be one which, when introduced into the host cell, is integrated into the genome and replicated together with the chromosome(s) into which it has been integrated.
- Treatment of an individual (e.g. a mammal, such as a human) or a cell is any type of intervention used in an attempt to alter the natural course of the individual or cell.
- Treatment includes, but is not limited to, administration of a pharmaceutical composition, and may be performed either prophylactically or subsequent to the initiation of a pathologic event or contact with an etiologic agent.
- Treatment includes any desirable effect on the symptoms or pathology of a disease or condition associated with the dystrophin protein, as in certain forms of muscular dystrophy, and may include, for example, minimal changes or improvements in one or more measurable markers of the disease or condition being treated.
- prophylactic treatments which can be directed to reducing the rate of progression of the disease or condition being treated, delaying the onset of that disease or condition, or reducing the severity of its onset. “Treatment” or “prophylaxis” does not necessarily indicate complete eradication, cure, or prevention of the disease or condition, or associated symptoms thereof.
- treatment with an antisense oligonucleotide of the invention increases novel dystrophin production and slows or reduces the loss of ambulation that would be expected without treatment.
- treatment may stabilize, maintain, improve or increase walking ability (e.g., stabilization of ambulation) in the subject.
- treatment maintains or increases a stable walking distance in a patient, as measured by, for example, the 6 Minute Walk Test (6MWT), described by McDonald, et al. (Muscle Nerve, 2010; 42:966-74, herein incorporated by reference).
- a change in the 6 Minute Walk Distance (6MWD) may be expressed as an absolute value, a percentage change or a change in the %-predicted value.
- treatment maintains or improves a stable walking distance in a 6MWT from a 20% deficit in the subject relative to a healthy peer.
- the performance of a DMD patient in the 6MWT relative to the typical performance of a healthy peer can be determined by calculating a %-predicted value.
- the %-predicted 6MWD may be calculated using the following equation for males: 196.72+(39.81 ⁇ age) ⁇ (1.36 ⁇ age 2 )+(132.28 ⁇ height in meters).
- the %-predicted 6MWD may be calculated using the following equation: 188.61+(51.50 ⁇ age) ⁇ (1.86 ⁇ age 2 )+(86.10 ⁇ height in meters) (Henricson et al. PLoS Curr., 2012, version 2, herein incorporated by reference).
- treatment with an antisense oligonucleotide increases the stable walking distance in the patient from baseline to greater than 3, 5, 6, 7, 8, 9, 10, 15, 20, 25, 30 or 50 meters (including all integers in between).
- Loss of muscle function in patients with DMD may occur against the background of normal childhood growth and development. Indeed, younger children with DMD may show an increase in distance walked during 6MWT over the course of about 1 year despite progressive muscular impairment.
- the 6MWD from patients with DMD is compared to typically developing control subjects and to existing normative data from age and sex matched subjects.
- normal growth and development can be accounted for using an age and height based equation fitted to normative data. Such an equation can be used to convert 6MWD to a percent-predicted (%-predicted) value in subjects with DMD.
- analysis of %-predicted 6MWD data represents a method to account for normal growth and development, and may show that gains in function at early ages (e.g., less than or equal to age 7) represent stable rather than improving abilities in patients with DMD (Henricson et al. PLoS Curr., 2012, version 2, herein incorporated by reference).
- a “subject,” as used herein, includes any animal that exhibits a symptom, or is at risk for exhibiting a symptom, which can be treated with an antisense compound of the invention, such as a subject that has or is at risk for having DMD or BMD, or any of the symptoms associated with these conditions (e.g., muscle fibre loss).
- Suitable subjects include laboratory animals (such as mouse, rat, rabbit, or guinea pig), farm animals, and domestic animals or pets (such as a cat or dog).
- Non-human primates and, preferably, human patients, are included.
- Alkyl or “alkylene” both refer to a saturated straight or branched chain hydrocarbon radical containing from 1 to 18 carbons. Examples include without limitation methyl, ethyl, propyl, iso-propyl, butyl, iso-butyl, tert-butyl, n-pentyl and n-hexyl.
- lower alkyl refers to an alkyl group, as defined herein, containing between 1 and 8 carbons.
- Alkenyl refers to an unsaturated straight or branched chain hydrocarbon radical containing from 2 to 18 carbons and comprising at least one carbon to carbon double bond. Examples include without limitation ethenyl, propenyl, iso-propenyl, butenyl, iso-butenyl, tert-butenyl, n-pentenyl and n-hexenyl.
- lower alkenyl refers to an alkenyl group, as defined herein, containing between 2 and 8 carbons.
- Alkynyl refers to an unsaturated straight or branched chain hydrocarbon radical containing from 2 to 18 carbons comprising at least one carbon to carbon triple bond. Examples include without limitation ethynyl, propynyl, iso-propynyl, butynyl, iso-butynyl, tert-butynyl, pentynyl and hexynyl.
- lower alkynyl refers to an alkynyl group, as defined herein, containing between 2 and 8 carbons.
- Cycloalkyl refers to a mono- or poly-cyclic alkyl radical. Examples include without limitation cyclobutyl, cyclopentyl, cyclohexyl, cycloheptyl and cyclooctyl.
- Aryl refers to a cyclic aromatic hydrocarbon moiety containing from to 18 carbons having one or more closed ring(s). Examples include without limitation phenyl, benzyl, naphthyl, anthracenyl, phenanthracenyl and biphenyl.
- Alkyl refers to a radical of the formula RaRb where Ra is an alkylene chain as defined above and Rb is one or more aryl radicals as defined above, for example, benzyl, diphenylmethyl and the like.
- Alkoxy refers to a radical of the formula —ORda where Rd is an alkyl radical as defined herein.
- Rd is an alkyl radical as defined herein.
- lower alkoxy refers to an alkoxy group, as defined herein, containing between 1 and 8 carbons. Examples of alkoxy groups include, without limitation, methoxy and ethoxy.
- Alkoxyalkyl refers to an alkyl group substituted with an alkoxy group.
- Carbonyl refers to the C( ⁇ O)— radical.
- Amino refers to the NH 2 radical.
- Alkylamino refers to a radical of the formula —NHRd or —NRdRd where each Rd is, independently, an alkyl radical as defined herein.
- the term “lower alkylamino” refers to an alkylamino group, as defined herein, containing between 1 and 8 carbons.
- Heterocycle means a 5- to 7-membered monocyclic, or 7- to 10-membered bicyclic, heterocyclic ring which is either saturated, unsaturated, or aromatic, and which contains from 1 to 4 heteroatoms independently selected from nitrogen, oxygen and sulfur, and wherein the nitrogen and sulfur heteroatoms may be optionally oxidized, and the nitrogen heteroatom may be optionally quaternized, including bicyclic rings in which any of the above heterocycles are fused to a benzene ring.
- the heterocycle may be attached via any heteroatom or carbon atom.
- Heterocycles include heteroaryls as defined below.
- heterocycles also include morpholinyl, pyrrolidinonyl, pyrrolidinyl, piperidinyl, piperizinyl, hydantoinyl, valerolactamyl, oxiranyl, oxetanyl, tetrahydrofuranyl, tetrahydropyranyl, tetrahydropyridinyl, tetrahydrothiophenyl, tetrahydrothiopyranyl, tetrahydropyrimidinyl, tetrahydrothiopyranyl, and the like.
- Heteroaryl means an aromatic heterocycle ring of 5- to 10 members and having at least one heteroatom selected from nitrogen, oxygen and sulfur, and containing at least 1 carbon atom, including both mono- and bicyclic ring systems.
- Representative heteroaryls are pyridyl, furyl, benzofuranyl, thiophenyl, benzothiophenyl, quinolinyl, pyrrolyl, indolyl, oxazolyl, benzoxazolyl, imidazolyl, benzimidazolyl, thiazolyl, benzothiazolyl, isoxazolyl, pyrazolyl, isothiazolyl, pyridazinyl, pyrimidinyl, pyrazinyl, triazinyl, cinnolinyl, phthalazinyl, and quinazolinyl.
- optionally substituted alkyl means that, when substituted, at least one hydrogen atom is replaced with a substituent. In the case of an oxo substituent ( ⁇ O) two hydrogen atoms are replaced.
- substituents include: deuterium, optionally substituted alkyl, optionally substituted alkenyl, optionally substituted alkynyl, optionally substituted aryl, optionally substituted heterocycle, optionally substituted cycloalkyl, oxo, halogen, —CN, —ORx, NRxRy, NRxC( ⁇ O)Ry, NRxSO2Ry, —NRxC( ⁇ O)NRxRy, C( ⁇ O)Rx, C( ⁇ O)ORx, C( ⁇ O)NRxRy, —SOmRx and —SOmNRxRy, wherein m is 0, 1 or 2, Rx and Ry are the same or different and independently hydrogen, optionally substituted alkyl, optionally substituted alkenyl, optionally substituted alkynyl, optionally substituted aryl, optionally substituted heterocycle or optionally substituted cycloalkyl and each of said optionally substituted alkyl, optionally substituted
- the first letter designates the species (e.g. H: human, M: murine, C: canine).
- “#” designates target dystrophin exon number.
- “A/D” indicates acceptor or donor splice site at the beginning and end of the exon, respectively.
- (x y) represents the annealing coordinates where “ ⁇ ” or “+” indicate intronic or exonic sequences respectively. For example, A( ⁇ 6+18) would indicate the last 6 bases of the intron preceding the target exon and the first 18 bases of the target exon. The closest splice site would be the acceptor so these coordinates would be preceded with an “A”.
- Describing annealing coordinates at the donor splice site could be D(+2-18) where the last 2 exonic bases and the first 18 intronic bases correspond to the annealing site of the antisense molecule.
- Exemplary embodiments of the invention relate to morpholino oligonucleotides having phosphorus-containing backbone linkages are illustrated in FIGS. 1A-1C .
- Preferred is a phosphorodiamidate-linked morpholino oligonucleotide such as shown in FIG. 1C , which is modified, in accordance with one aspect of the present invention, to contain positively charged groups at preferably 10%-50% of its backbone linkages.
- Morpholino oligonucleotides with uncharged backbone linkages, including antisense oligonucleotides, are detailed, for example, in (Summerton and Weller 1997) and in co-owned U.S. Pat. Nos.
- Important properties of the morpholino-based subunits include: 1) the ability to be linked in a oligomeric form by stable, uncharged or positively charged backbone linkages; 2) the ability to support a nucleotide base (e.g. adenine, cytosine, guanine, thymidine, uracil and inosine) such that the polymer formed can hybridize with a complementary-base target nucleic acid, including target RNA, Tm values above about 45° C.
- a nucleotide base e.g. adenine, cytosine, guanine, thymidine, uracil and inosine
- oligonucleotide in relatively short oligonucleotides (e.g., 10-15 bases); 3) the ability of the oligonucleotide to be actively or passively transported into mammalian cells; and 4) the ability of the antisense oligonucleotide:RNA heteroduplex to resist RNAse and RNase H degradation, respectively.
- Exemplary backbone structures for antisense oligonucleotides of the claimed subject matter include the morpholino subunit types shown in FIGS. 1D-G , each linked by an uncharged or positively charged, phosphorus-containing subunit linkage.
- FIG. 1D shows a phosphorus-containing linkage which forms the five atom repeating-unit backbone, where the morpholino rings are linked by a 1-atom phosphoamide linkage.
- FIG. 1E shows a linkage which produces a 6-atom repeating-unit backbone.
- the atom Y linking the 5′ morpholino carbon to the phosphorus group may be sulfur, nitrogen, carbon or, preferably, oxygen.
- the X moiety pendant from the phosphorus may be fluorine, an alkyl or substituted alkyl, an alkoxy or substituted alkoxy, a thioalkoxy or substituted thioalkoxy, or unsubstituted, monosubstituted, or disubstituted nitrogen, including cyclic structures, such as morpholines or piperidines.
- Alkyl, alkoxy and thioalkoxy preferably include 1-6 carbon atoms.
- the Z moieties are sulfur or oxygen, and are preferably oxygen.
- the linkages shown in FIGS. 1F and 1G are designed for 7-atom unit-length backbones.
- the X moiety is as in Structure 1 E
- the Y moiety may be methylene, sulfur, or, preferably, oxygen.
- the X and Y moieties are as in Structure 1 E.
- a substantially uncharged oligonucleotide may be modified, in accordance with an aspect of the invention, to include charged linkages, e.g., up to about 1 per every 2-5 uncharged linkages, such as about 4-5 per every 10 uncharged linkages.
- optimal improvement in antisense activity may be seen when about 25% of the backbone linkages are cationic.
- enhancement may be seen with a small number e.g., 10-20% cationic linkages, or where the number of cationic linkages are in the range 50-80%, such as about 60%.
- Oligomers having any number of cationic linkages are provided, including fully cationic-linked oligomers. Preferably, however, the oligomers are partially charged, having, for example, 10%-80%. In preferred embodiments, about 10% to 60%, and preferably 20% to 50% of the linkages are cationic.
- the cationic linkages are interspersed along the backbone.
- the partially charged oligomers preferably contain at least two consecutive uncharged linkages; that is, the oligomer preferably does not have a strictly alternating pattern along its entire length.
- oligomers having blocks of cationic linkages and blocks of uncharged linkages; for example, a central block of uncharged linkages may be flanked by blocks of cationic linkages, or vice versa.
- the oligomer has approximately equal-length 5′, 3′ and center regions, and the percentage of cationic linkages in the center region is greater than about 50%, preferably greater than about 70%.
- the antisense compounds can be prepared by stepwise solid-phase synthesis, employing methods detailed in the references cited above, and below with respect to the synthesis of oligonucleotides having a mixture or uncharged and cationic backbone linkages.
- additional chemical moieties to the antisense compound, e.g., to enhance pharmacokinetics or to facilitate capture or detection of the compound.
- Such a moiety may be covalently attached, according to standard synthetic methods. For example, addition of a polyethylene glycol moiety or other hydrophilic polymer, e.g., one having 1-100 monomeric subunits, may be useful in enhancing solubility.
- a reporter moiety such as fluorescein or a radiolabeled group
- the reporter label attached to the oligomer may be a ligand, such as an antigen or biotin, capable of binding a labeled antibody or streptavidin.
- a moiety for attachment or modification of an antisense compound it is generally of course desirable to select chemical compounds of groups that are biocompatible and likely to be tolerated by a subject without undesirable side effects.
- Oligomers for use in antisense applications generally range in length from about 10 to about 50 subunits, more preferably about 10 to 30 subunits, and typically 15-25 bases.
- an oligomer of the invention having 19-20 subunits, a useful length for an antisense compound may ideally have two to ten, e.g., four to eight, cationic linkages, and the remainder uncharged linkages.
- An oligomer having 14-15 subunits may ideally have two to seven, e.g., 3, 4, or 5, cationic linkages and the remainder uncharged linkages.
- the oligomers have 25 to 28 subunits.
- Each morpholino ring structure supports a base pairing moiety, to form a sequence of base pairing moieties which is typically designed to hybridize to a selected antisense target in a cell or in a subject being treated.
- the base pairing moiety may be a purine or pyrimidine found in native DNA or RNA (e.g., A, G, C, T or U) or an analog, such as hypoxanthine (the base component of the nucleoside inosine) or 5-methyl cytosine.
- certain embodiments are directed to oligomers comprising novel intersubunit linkages, including PMO-X oligomers and those having modified terminal groups.
- these oligomers have higher affinity for DNA and RNA than do the corresponding unmodified oligomers and demonstrate improved cell delivery, potency, and/or tissue distribution properties compared to oligomers having other intersubunit linkages.
- the structural features and properties of the various linkage types and oligomers are described in more detail in the following discussion. The synthesis of these and related oligomers is described in co-owned U.S. application Ser. No. 13/118,298, which is incorporated by reference in its entirety.
- the invention provides for an oligonucleotide having a sequence complementary to the target sequence which is associated with a human disease, and comprises a sequence of nucleotides having a formula:
- Nu is a nucleobase
- R 1 has the formula
- q 0, 1, or 2;
- R 2 is selected from the group consisting of hydrogen, C 1 -C 5 alkyl, C 1 -C 5 aralkyl, and a formamidinyl group, and
- R 3 is selected from the group consisting of hydrogen, C 1 -C 10 acyl, C 1 -C 10 aminoacyl, acyl moiety of a natural or unnatural alpha or beta amino acid, C 1 -C 10 aralkyl, and C 1 -C 10 alkyl, or
- R 2 and R 3 are joined to form a 5-7 membered ring where the ring may be optionally substituted with a substituent selected from the group consisting of C 1 -C 10 alkyl, phenyl, halogen, and C 1 -C 10 aralkyl;
- R 4 is selected from the group consisting of an electron pair, hydrogen, a C 1 -C 6 alkyl and C 1 -C 6 aralkyl;
- Rx is selected from the group consisting of sarcosinamide, hydroxyl, a nucleotide, a cell penetrating peptide moiety, and piperazinyl;
- Ry is selected from the group consisting of hydrogen, a C 1 -C 6 alkyl, a nucleotide a cell penetrating peptide moiety, an amino acid, a formamidinyl group, and C 1 -C 6 acyl; and,
- Rz is selected from the group consisting of an electron pair, hydrogen, a C 1 -C 6 alkyl, and C 1 -C 6 acyl pharmaceutically acceptable salts thereof.
- Nu may be selected from the group consisting of adenine, guanine, thymine, uracil, cytosine, and hypoxanthine. More preferably Nu is thymine or uracil.
- the invention provides an oligonucleotide having a sequence of nucleotides having a formula:
- Nu is a nucleobase
- R 1 is selected from the group consisting of R 1 ′ and R 1 ′′ wherein R 1 ′ is dimethylamino and R 1 ′′ has the formula
- R 1 is R 1 ′′
- q is 0, 1, or 2; with the proviso that at least one of R 1 is a piperidinyl moiety;
- R 2 is selected from the group consisting of hydrogen, C 1 -C 5 alkyl, C 1 -C 5 aralkyl, and a formamidinyl group, and
- R 3 is selected from the group consisting of hydrogen, C 1 -C 10 acyl, C 1 -C 10 aminoacyl, acyl moiety of a natural or unnatural alpha or beta amino acid, C 1 -C 10 aralkyl, and C 1 -C 10 alkyl, or
- R 2 and R 3 are joined to form a 5-7 membered ring where the ring may be optionally substituted with a substituent selected from the group consisting of C 1 -C 10 alkyl, phenyl, halogen, and C 1 -C 10 aralkyl;
- R 4 is selected from the group consisting of an electron pair, hydrogen, a C 1 -C 6 alkyl and aralkyl;
- Rx is selected from the group consisting of sarcosinamide, hydroxyl, a nucleotide, a cell penetrating peptide moiety, and piperazinyl;
- Ry is selected from the group consisting of hydrogen, a C 1 -C 6 alkyl, a nucleotide a cell penetrating peptide moiety, an amino acid, a formamidinyl group, and C 1 -C 6 acyl; and,
- Rz is selected from the group consisting of an electron pair, hydrogen, a C 1 -C 6 alkyl, and C 1 -C 6 acyl pharmaceutically acceptable salts thereof.
- Nu may be selected from the group consisting of adenine, guanine, thymine, uracil, cytosine, and hypoxanthine. More preferably Nu is thymine or uracil.
- R 1 groups are dimethylamino (i.e. R 1 ′). More, preferably, 90-50% of the R 1 groups are dimethylamino. Most, preferably about 66% of the R 1 groups are dimethylamino.
- R 1 ′′ may be selected from the group consisting of
- At least one nucleotide of the oligonucleotide has the formula:
- Rx, Ry, Rz, and Nu are as stated above. Most preferably, Nu is thymine or uracil.
- thymine is the preferred base pairing moiety (Nu or Pi) containing the chemical modifications described above, any base subunit known to a person of skill in the art can be used as the base pairing moiety.
- oligonucleotide and the DNA or RNA are complementary to each other when a sufficient number of corresponding positions in each molecule are occupied by nucleotides which can hydrogen bond with each other.
- “specifically hybridizable” and “complementary” are terms which are used to indicate a sufficient degree of complementarity or precise pairing such that stable and specific binding occurs between the oligonucleotide and the DNA or RNA target. It is understood in the art that the sequence of an antisense molecule need not be 100% complementary to that of its target sequence to be specifically hybridizable.
- An antisense molecule is specifically hybridizable when binding of the compound to the target DNA or RNA molecule interferes with the normal function of the target DNA or RNA to cause a loss of utility, and there is a sufficient degree of complementarity to avoid non-specific binding of the antisense compound to non-target sequences under conditions in which specific binding is desired, i.e., under physiological conditions in the case of in vivo assays or therapeutic treatment, and in the case of in vitro assays, under conditions in which the assays are performed.
- the exon deletion should not lead to a reading frame shift in the shortened transcribed mRNA.
- the end of the first exon encodes two of three nucleotides in a codon and the next exon is deleted then the third exon in the linear sequence must start with a single nucleotide that is capable of completing the nucleotide triplet for a codon. If the third exon does not commence with a single nucleotide there will be a reading frame shift that would lead to the generation of truncated or a non-functional protein.
- codon arrangements at the end of exons in structural proteins may not always break at the end of a codon, consequently there may be a need to delete more than one exon from the pre-mRNA to ensure in-frame reading of the mRNA.
- a plurality of antisense oligonucleotides may need to be selected by the method of the invention wherein each is directed to a different region responsible for inducing splicing in the exons that are to be deleted.
- the length of an antisense molecule may vary so long as it is capable of binding selectively to the intended location within the pre-mRNA molecule.
- the length of such sequences can be determined in accordance with selection procedures described herein.
- the antisense molecule will be from about 10 nucleotides in length up to about 50 nucleotides in length. It will be appreciated however that any length of nucleotides within this range may be used in the method.
- the length of the antisense molecule is between 10-30 nucleotides in length.
- antisense molecules The most common method for producing antisense molecules is the methylation of the 2′ hydroxyribose position and the incorporation of a phosphorothioate backbone produces molecules that superficially resemble RNA but that are much more resistant to nuclease degradation.
- the antisense molecules used in the method may be adapted to minimize or prevent cleavage by endogenous RNase H. This property is highly preferred as the treatment of the RNA with the unmethylated oligonucleotides either intracellularly or in crude extracts that contain RNase H leads to degradation of the pre-mRNA: antisense oligonucleotide duplexes. Any form of modified antisense molecules that is capable of by-passing or not inducing such degradation may be used in the present method.
- An example of antisense molecules which when duplexed with RNA are not cleaved by cellular RNase H is 2′-O-methyl derivatives. 2′-O-methyl-oligoribonucleotides are very stable in a cellular environment and in animal tissues, and their duplexes with RNA have higher Tm values than their ribo- or deoxyribo-counterparts.
- Antisense molecules that do not activate RNase H can be made in accordance with known techniques (see, e.g., U.S. Pat. No. 5,149,797). Such antisense molecules, which may be deoxyribonucleotide or ribonucleotide sequences, simply contain any structural modification which sterically hinders or prevents binding of RNase H to a duplex molecule containing the oligonucleotide as one member thereof, which structural modification does not substantially hinder or disrupt duplex formation. Because the portions of the oligonucleotide involved in duplex formation are substantially different from those portions involved in RNase H binding thereto, numerous antisense molecules that do not activate RNase H are available.
- such antisense molecules may be oligonucleotides wherein at least one, or all, of the inter-nucleotide bridging phosphate residues are modified phosphates, such as methyl phosphonates, methyl phosphorothioates, phosphoromorpholidates, phosphoropiperazidates and phosphoramidates.
- modified phosphates such as methyl phosphonates, methyl phosphorothioates, phosphoromorpholidates, phosphoropiperazidates and phosphoramidates.
- every other one of the internucleotide bridging phosphate residues may be modified as described.
- such antisense molecules are molecules wherein at least one, or all, of the nucleotides contain a 2′ lower alkyl moiety (e.g., C 1 -C 4 , linear or branched, saturated or unsaturated alkyl, such as methyl, ethyl, ethenyl, propyl, 1-propenyl, 2-propenyl, and isopropyl).
- a 2′ lower alkyl moiety e.g., C 1 -C 4 , linear or branched, saturated or unsaturated alkyl, such as methyl, ethyl, ethenyl, propyl, 1-propenyl, 2-propenyl, and isopropyl.
- every other one of the nucleotides may be modified as described.
- antisense oligonucleotides are a preferred form of the antisense molecules
- the present invention comprehends other oligomeric antisense molecules, including but not limited to oligonucleotide mimetics such as are described below.
- oligonucleotides containing modified backbones or non-natural inter-nucleoside linkages include those that retain a phosphorus atom in the backbone and those that do not have a phosphorus atom in the backbone.
- modified oligonucleotides that do not have a phosphorus atom in their inter-nucleoside backbone can also be considered to be oligonucleosides.
- both the sugar and the inter-nucleoside linkage, i.e., the backbone, of the nucleotide units are replaced with novel groups.
- the base units are maintained for hybridization with an appropriate nucleic acid target compound.
- an oligonucleotide mimetic that has been shown to have excellent hybridization properties, is referred to as a peptide nucleic acid (PNA).
- PNA peptide nucleic acid
- the sugar-backbone of an oligonucleotide is replaced with an amide containing backbone, in particular an aminoethylglycine backbone.
- the nucleo-bases are retained and are bound directly or indirectly to aza nitrogen atoms of the amide portion of the backbone.
- Modified oligonucleotides may also contain one or more substituted sugar moieties.
- Oligonucleotides may also include nucleobase (often referred to in the art simply as “base”) modifications or substitutions.
- nucleobases are particularly useful for increasing the binding affinity of the oligomeric compounds of the invention. These include 5-substituted pyrimidines, 6-azapyrimidines and N-2, N-6 and O-6 substituted purines, including 2-aminopropyladenine, 5-propynyluracil and 5-propynylcytosine. 5-methylcytosine substitutions have been shown to increase nucleic acid duplex stability by 0.6-1.2° C. and are presently preferred base substitutions, even more particularly when combined with 2′-O-methoxyethyl sugar modifications.
- oligonucleotides of the invention involves chemically linking to the oligonucleotide one or more moieties or conjugates that enhance the activity, cellular distribution or cellular uptake of the oligonucleotide.
- moieties include but are not limited to lipid moieties such as a cholesterol moiety, cholic acid, a thioether, e.g., hexyl-5-tritylthiol, a thiocholesterol, an aliphatic chain, e.g., dodecandiol or undecyl residues, a phospholipid, e.g., di-hexadecyl-rac-glycerol or triethylammonium 1,2-di-O-hexadecyl-rac-glycero-3-H-phosphonate, a polyamine or a polyethylene glycol chain, or adamantane acetic acid, a palmityl moiety, or
- the present invention also includes antisense compounds that are chimeric compounds.
- “Chimeric” antisense compounds or “chimeras,” in the context of this invention, are antisense molecules, particularly oligonucleotides, which contain two or more chemically distinct regions, each made up of at least one monomer unit, i.e., a nucleotide in the case of an oligonucleotide compound.
- oligonucleotides typically contain at least one region wherein the oligonucleotide is modified so as to confer upon the increased resistance to nuclease degradation, increased cellular uptake, and an additional region for increased binding affinity for the target nucleic acid.
- the antisense compounds of the invention may include an oligonucleotide moiety conjugated to a CPP, preferably an arginine-rich peptide transport moiety effective to enhance transport of the compound into cells.
- the transport moiety is preferably attached to a terminus of the oligomer, as shown, for example, in FIGS. 1B and 1C .
- the peptides have the capability of inducing cell penetration within 30%, 40%, 50%, 60%, 70%, 80%, 90% or 100% of cells of a given cell culture population, including all integers in between, and allow macromolecular translocation within multiple tissues in vivo upon systemic administration.
- the cell-penetrating peptide may be an arginine-rich peptide transporter.
- the cell-penetrating peptide may be Penetratin or the Tat peptide.
- These peptides are well known in the art and are disclosed, for example, in US Publication No. 2010-0016215 A1, incorporated by reference in its entirety.
- a particularly preferred approach to conjugation of peptides to antisense oligonucleotides can be found in PCT publication WO2012/150960, which is incorporated by reference in its entirety.
- a preferred embodiment of a peptide conjugated oligonucleotide of the present invention utilizes glycine as the linker between the CPP and the antisense oligonucleotide.
- a preferred peptide conjugated PMO consists of R 6 -G-PMO.
- the transport moieties as described above have been shown to greatly enhance cell entry of attached oligomers, relative to uptake of the oligomer in the absence of the attached transport moiety. Uptake is preferably enhanced at least ten fold, and more preferably twenty fold, relative to the unconjugated compound.
- arginine-rich peptide transporters i.e., cell-penetrating peptides
- Certain peptide transporters have been shown to be highly effective at delivery of antisense compounds into primary cells including muscle cells (Marshall, Oda et al. 2007; Jearawiriyapaisarn, Moulton et al. 2008; Wu, Moulton et al. 2008).
- the peptide transporters described herein when conjugated to an antisense PMO, demonstrate an enhanced ability to alter splicing of several gene transcripts (Marshall, Oda et al. 2007).
- peptide transporters excluding linkers are given below in Table 1.
- the present invention provides formulations or compositions suitable for the therapeutic delivery of antisense oligomers, as described herein.
- the present invention provides pharmaceutically acceptable compositions that comprise a therapeutically-effective amount of one or more of the oligomers described herein, formulated together with one or more pharmaceutically acceptable carriers (additives) and/or diluents. While it is possible for an oligomer of the present invention to be administered alone, it is preferable to administer the compound as a pharmaceutical formulation (composition).
- compositions of the present invention may be administered alone or in combination with another therapeutic.
- the additional therapeutic may be administered prior, concurrently or subsequently to the administration of the composition of the present invention.
- the compositions may be administered in combination with a steroid and/or an antibiotic.
- the steroid may be a glucocorticoid or prednisone.
- Other agents which can be administered include an antagonist of the ryanodine receptor, such as dantrolene, which has been shown to enhance antisense-mediated exon skipping in patient cells and a mouse model of DMD (G. Kendall et al. Sci Tranl Med 4 164ra160 (2012), incorporated herein by reference).
- nucleic acid molecules Methods for the delivery of nucleic acid molecules are described, for example, in Akhtar et al., 1992, Trends Cell Bio., 2:139; and Delivery Strategies for Antisense Oligonucleotide Therapeutics, ed. Akhtar; Sullivan et al., PCT WO 94/02595. These and other protocols can be utilized for the delivery of virtually any nucleic acid molecule, including the isolated oligomers of the present invention.
- compositions of the present invention may be specially formulated for administration in solid or liquid form, including those adapted for the following: (1) oral administration, for example, drenches (aqueous or non-aqueous solutions or suspensions), tablets, e.g., those targeted for buccal, sublingual, and systemic absorption, boluses, powders, granules, pastes for application to the tongue; (2) parenteral administration, for example, by subcutaneous, intramuscular, intravenous or epidural injection as, for example, a sterile solution or suspension, or sustained-release formulation; (3) topical application, for example, as a cream, ointment, or a controlled-release patch or spray applied to the skin; (4) intravaginally or intrarectally, for example, as a pessary, cream or foam; (5) sublingually; (6) ocularly; (7) transdermally; or (8) nasally.
- oral administration for example, drenches (aqueous or non-aqueous solutions or suspensions), tablets
- phrases “pharmaceutically acceptable” is employed herein to refer to those compounds, materials, compositions, and/or dosage forms which are, within the scope of sound medical judgment, suitable for use in contact with the tissues of human beings and animals without excessive toxicity, irritation, allergic response, or other problem or complication, commensurate with a reasonable benefit/risk ratio.
- pharmaceutically-acceptable carrier means a pharmaceutically-acceptable material, composition or vehicle, such as a liquid or solid filler, diluent, excipient, manufacturing aid (e.g., lubricant, talc magnesium, calcium or zinc stearate, or steric acid), or solvent encapsulating material, involved in carrying or transporting the subject compound from one organ, or portion of the body, to another organ, or portion of the body.
- manufacturing aid e.g., lubricant, talc magnesium, calcium or zinc stearate, or steric acid
- solvent encapsulating material involved in carrying or transporting the subject compound from one organ, or portion of the body, to another organ, or portion of the body.
- Each carrier must be “acceptable” in the sense of being compatible with the other ingredients of the formulation and not injurious to the patient.
- materials that can serve as pharmaceutically-acceptable carriers include, without limitation: (1) sugars, such as lactose, glucose and sucrose; (2) starches, such as corn starch and potato starch; (3) cellulose, and its derivatives, such as sodium carboxymethyl cellulose, ethyl cellulose and cellulose acetate; (4) powdered tragacanth; (5) malt; (6) gelatin; (7) talc; (8) excipients, such as cocoa butter and suppository waxes; (9) oils, such as peanut oil, cottonseed oil, safflower oil, sesame oil, olive oil, corn oil and soybean oil; (10) glycols, such as propylene glycol; (11) polyols, such as glycerin, sorbitol, mannitol and polyethylene glycol; (12) esters, such as ethyl oleate and ethyl laurate; (13) agar; (14) buffering agents, such as magnesium hydroxide and
- agents suitable for formulation with the antisense oligomers of the instant invention include: PEG conjugated nucleic acids, phospholipid conjugated nucleic acids, nucleic acids containing lipophilic moieties, phosphorothioates, P-glycoprotein inhibitors (such as Pluronic P85) which can enhance entry of drugs into various tissues; biodegradable polymers, such as poly (DL-lactide-coglycolide) microspheres for sustained release delivery after implantation (Emerich, D F et al., 1999, Cell Transplant, 8, 47-58) Alkermes, Inc.
- nanoparticles such as those made of polybutylcyanoacrylate, which can deliver drugs across the blood brain barrier and can alter neuronal uptake mechanisms (Prog Neuropsychopharmacol Biol Psychiatry, 23, 941-949, 1999).
- the invention also features the use of the composition comprising surface-modified liposomes containing poly (ethylene glycol) lipids (PEG-modified, branched and unbranched or combinations thereof, or long-circulating liposomes or stealth liposomes).
- Oligomers of the invention can also comprise covalently attached PEG molecules of various molecular weights.
- These formulations offer a method for increasing the accumulation of drugs in target tissues. This class of drug carriers resists opsonization and elimination by the mononuclear phagocytic system (MPS or RES), thereby enabling longer blood circulation times and enhanced tissue exposure for the encapsulated drug (Lasic et al. Chem. Rev.
- the present invention includes oligomer compositions prepared for delivery as described in U.S. Pat. Nos. 6,692,911, 7,163,695 and 7,070,807.
- the present invention provides an oligomer of the present invention in a composition comprising copolymers of lysine and histidine (HK) (as described in U.S. Pat. Nos. 7,163,695, 7,070,807, and 6,692,911) either alone or in combination with PEG (e.g., branched or unbranched PEG or a mixture of both), in combination with PEG and a targeting moiety or any of the foregoing in combination with a crosslinking agent.
- HK lysine and histidine
- the present invention provides antisense oligomers in compositions comprising gluconic-acid-modified polyhistidine or gluconylated-polyhistidine/transferrin-polylysine.
- compositions comprising gluconic-acid-modified polyhistidine or gluconylated-polyhistidine/transferrin-polylysine.
- amino acids with properties similar to His and Lys may be substituted within the composition.
- oligomers described herein may contain a basic functional group, such as amino or alkylamino, and are, thus, capable of forming pharmaceutically-acceptable salts with pharmaceutically-acceptable acids.
- pharmaceutically-acceptable salts refers to the relatively non-toxic, inorganic and organic acid addition salts of compounds of the present invention. These salts can be prepared in situ in the administration vehicle or the dosage form manufacturing process, or by separately reacting a purified compound of the invention in its free base form with a suitable organic or inorganic acid, and isolating the salt thus formed during subsequent purification.
- Representative salts include the hydrobromide, hydrochloride, sulfate, bisulfate, phosphate, nitrate, acetate, valerate, oleate, palmitate, stearate, laurate, benzoate, lactate, phosphate, tosylate, citrate, maleate, fumarate, succinate, tartrate, napthylate, mesylate, glucoheptonate, lactobionate, and laurylsulphonate salts and the like. (See, e.g., Berge et al. (1977) “Pharmaceutical Salts”, J. Pharm. Sci. 66:1-19).
- the pharmaceutically acceptable salts of the subject oligomers include the conventional nontoxic salts or quaternary ammonium salts of the compounds, e.g., from non-toxic organic or inorganic acids.
- such conventional nontoxic salts include those derived from inorganic acids such as hydrochloride, hydrobromic, sulfuric, sulfamic, phosphoric, nitric, and the like; and the salts prepared from organic acids such as acetic, propionic, succinic, glycolic, stearic, lactic, malic, tartaric, citric, ascorbic, palmitic, maleic, hydroxymaleic, phenylacetic, glutamic, benzoic, salicyclic, sulfanilic, 2-acetoxybenzoic, fumaric, toluenesulfonic, methanesulfonic, ethane disulfonic, oxalic, isothionic, and the like.
- the oligomers of the present invention may contain one or more acidic functional groups and, thus, are capable of forming pharmaceutically-acceptable salts with pharmaceutically-acceptable bases.
- pharmaceutically-acceptable salts in these instances refers to the relatively non-toxic, inorganic and organic base addition salts of compounds of the present invention. These salts can likewise be prepared in situ in the administration vehicle or the dosage form manufacturing process, or by separately reacting the purified compound in its free acid form with a suitable base, such as the hydroxide, carbonate or bicarbonate of a pharmaceutically-acceptable metal cation, with ammonia, or with a pharmaceutically-acceptable organic primary, secondary or tertiary amine.
- a suitable base such as the hydroxide, carbonate or bicarbonate of a pharmaceutically-acceptable metal cation, with ammonia, or with a pharmaceutically-acceptable organic primary, secondary or tertiary amine.
- Representative alkali or alkaline earth salts include the lithium, sodium, potassium, calcium, magnesium, and aluminum salts and the like.
- Representative organic amines useful for the formation of base addition salts include ethylamine, diethylamine, ethylenediamine, ethanolamine, diethanolamine, piperazine and the like. (See, e.g., Berge et al., supra).
- wetting agents such as sodium lauryl sulfate and magnesium stearate, as well as coloring agents, release agents, coating agents, sweetening, flavoring and perfuming agents, preservatives and antioxidants can also be present in the compositions.
- antioxidants examples include: (1) water soluble antioxidants, such as ascorbic acid, cysteine hydrochloride, sodium bisulfate, sodium metabisulfite, sodium sulfite and the like; (2) oil-soluble antioxidants, such as ascorbyl palmitate, butylated hydroxyanisole (BHA), butylated hydroxytoluene (BHT), lecithin, propyl gallate, alpha-tocopherol, and the like; and (3) metal chelating agents, such as citric acid, ethylenediamine tetraacetic acid (EDTA), sorbitol, tartaric acid, phosphoric acid, and the like.
- water soluble antioxidants such as ascorbic acid, cysteine hydrochloride, sodium bisulfate, sodium metabisulfite, sodium sulfite and the like
- oil-soluble antioxidants such as ascorbyl palmitate, butylated hydroxyanisole (BHA), butylated hydroxytoluene (BHT), le
- Formulations of the present invention include those suitable for oral, nasal, topical (including buccal and sublingual), rectal, vaginal and/or parenteral administration.
- the formulations may conveniently be presented in unit dosage form and may be prepared by any methods well known in the art of pharmacy.
- the amount of active ingredient that can be combined with a carrier material to produce a single dosage form will vary depending upon the host being treated, the particular mode of administration.
- the amount of active ingredient which can be combined with a carrier material to produce a single dosage form will generally be that amount of the compound which produces a therapeutic effect. Generally, out of one hundred percent, this amount will range from about 0.1 percent to about ninety-nine percent of active ingredient, preferably from about 5 percent to about 70 percent, most preferably from about 10 percent to about 30 percent.
- a formulation of the present invention comprises an excipient selected from cyclodextrins, celluloses, liposomes, micelle forming agents, e.g., bile acids, and polymeric carriers, e.g., polyesters and polyanhydrides; and an oligomer of the present invention.
- an aforementioned formulation renders orally bioavailable an oligomer of the present invention.
- Methods of preparing these formulations or compositions include the step of bringing into association an oligomer of the present invention with the carrier and, optionally, one or more accessory ingredients.
- the formulations are prepared by uniformly and intimately bringing into association a compound of the present invention with liquid carriers, or finely divided solid carriers, or both, and then, if necessary, shaping the product.
- Formulations of the invention suitable for oral administration may be in the form of capsules, cachets, pills, tablets, lozenges (using a flavored basis, usually sucrose and acacia or tragacanth), powders, granules, or as a solution or a suspension in an aqueous or non-aqueous liquid, or as an oil-in-water or water-in-oil liquid emulsion, or as an elixir or syrup, or as pastilles (using an inert base, such as gelatin and glycerin, or sucrose and acacia) and/or as mouth washes and the like, each containing a predetermined amount of a compound of the present invention as an active ingredient.
- An oligomer of the present invention may also be administered as a bolus, electuary or paste.
- the active ingredient may be mixed with one or more pharmaceutically-acceptable carriers, such as sodium citrate or dicalcium phosphate, and/or any of the following: (1) fillers or extenders, such as starches, lactose, sucrose, glucose, mannitol, and/or silicic acid; (2) binders, such as, for example, carboxymethylcellulose, alginates, gelatin, polyvinyl pyrrolidone, sucrose and/or acacia; (3) humectants, such as glycerol; (4) disintegrating agents, such as agar-agar, calcium carbonate, potato or tapioca starch, alginic acid, certain silicates, and sodium carbonate; (5) solution retarding agents, such as paraffin; (6) absorption accelerators, such as quaternary ammonium compounds and surfactants, such as polox
- compositions may also comprise buffering agents.
- Solid compositions of a similar type may also be employed as fillers in soft and hard-shelled gelatin capsules using such excipients as lactose or milk sugars, as well as high molecular weight polyethylene glycols and the like.
- a tablet may be made by compression or molding, optionally with one or more accessory ingredients.
- Compressed tablets may be prepared using binder (e.g., gelatin or hydroxypropylmethyl cellulose), lubricant, inert diluent, preservative, disintegrant (for example, sodium starch glycolate or cross-linked sodium carboxymethyl cellulose), surface-active or dispersing agent.
- Molded tablets may be made by molding in a suitable machine a mixture of the powdered compound moistened with an inert liquid diluent.
- the tablets, and other solid dosage forms of the pharmaceutical compositions of the present invention may optionally be scored or prepared with coatings and shells, such as enteric coatings and other coatings well known in the pharmaceutical-formulating art. They may also be formulated so as to provide slow or controlled release of the active ingredient therein using, for example, hydroxypropylmethyl cellulose in varying proportions to provide the desired release profile, other polymer matrices, liposomes and/or microspheres. They may be formulated for rapid release, e.g., freeze-dried.
- compositions may be sterilized by, for example, filtration through a bacteria-retaining filter, or by incorporating sterilizing agents in the form of sterile solid compositions which can be dissolved in sterile water, or some other sterile injectable medium immediately before use.
- These compositions may also optionally contain opacifying agents and may be of a composition that they release the active ingredient(s) only, or preferentially, in a certain portion of the gastrointestinal tract, optionally, in a delayed manner.
- embedding compositions which can be used include polymeric substances and waxes.
- the active ingredient can also be in micro-encapsulated form, if appropriate, with one or more of the above-described excipients.
- Liquid dosage forms for oral administration of the compounds of the invention include pharmaceutically acceptable emulsions, microemulsions, solutions, suspensions, syrups and elixirs.
- the liquid dosage forms may contain inert diluents commonly used in the art, such as, for example, water or other solvents, solubilizing agents and emulsifiers, such as ethyl alcohol, isopropyl alcohol, ethyl carbonate, ethyl acetate, benzyl alcohol, benzyl benzoate, propylene glycol, 1,3-butylene glycol, oils (in particular, cottonseed, groundnut, corn, germ, olive, castor and sesame oils), glycerol, tetrahydrofuryl alcohol, polyethylene glycols and fatty acid esters of sorbitan, and mixtures thereof.
- inert diluents commonly used in the art, such as, for example, water or other solvents, solubilizing agents and
- the oral compositions can also include adjuvants such as wetting agents, emulsifying and suspending agents, sweetening, flavoring, coloring, perfuming and preservative agents.
- adjuvants such as wetting agents, emulsifying and suspending agents, sweetening, flavoring, coloring, perfuming and preservative agents.
- Suspensions in addition to the active compounds, may contain suspending agents as, for example, ethoxylated isostearyl alcohols, polyoxyethylene sorbitol and sorbitan esters, microcrystalline cellulose, aluminum metahydroxide, bentonite, agar-agar and tragacanth, and mixtures thereof.
- suspending agents as, for example, ethoxylated isostearyl alcohols, polyoxyethylene sorbitol and sorbitan esters, microcrystalline cellulose, aluminum metahydroxide, bentonite, agar-agar and tragacanth, and mixtures thereof.
- Formulations for rectal or vaginal administration may be presented as a suppository, which may be prepared by mixing one or more compounds of the invention with one or more suitable nonirritating excipients or carriers comprising, for example, cocoa butter, polyethylene glycol, a suppository wax or a salicylate, and which is solid at room temperature, but liquid at body temperature and, therefore, will melt in the rectum or vaginal cavity and release the active compound.
- suitable nonirritating excipients or carriers comprising, for example, cocoa butter, polyethylene glycol, a suppository wax or a salicylate, and which is solid at room temperature, but liquid at body temperature and, therefore, will melt in the rectum or vaginal cavity and release the active compound.
- Formulations or dosage forms for the topical or transdermal administration of an oligomer as provided herein include powders, sprays, ointments, pastes, creams, lotions, gels, solutions, patches and inhalants.
- the active oligomers may be mixed under sterile conditions with a pharmaceutically-acceptable carrier, and with any preservatives, buffers, or propellants which may be required.
- the ointments, pastes, creams and gels may contain, in addition to an active compound of this invention, excipients, such as animal and vegetable fats, oils, waxes, paraffins, starch, tragacanth, cellulose derivatives, polyethylene glycols, silicones, bentonites, silicic acid, talc and zinc oxide, or mixtures thereof.
- excipients such as animal and vegetable fats, oils, waxes, paraffins, starch, tragacanth, cellulose derivatives, polyethylene glycols, silicones, bentonites, silicic acid, talc and zinc oxide, or mixtures thereof.
- Powders and sprays can contain, in addition to an oligomer of the present invention, excipients such as lactose, talc, silicic acid, aluminum hydroxide, calcium silicates and polyamide powder, or mixtures of these substances.
- Sprays can additionally contain customary propellants, such as chlorofluorohydrocarbons and volatile unsubstituted hydrocarbons, such as butane and propane.
- Transdermal patches have the added advantage of providing controlled delivery of an oligomer of the present invention to the body.
- dosage forms can be made by dissolving or dispersing the oligomer in the proper medium.
- Absorption enhancers can also be used to increase the flux of the agent across the skin. The rate of such flux can be controlled by either providing a rate controlling membrane or dispersing the agent in a polymer matrix or gel, among other methods known in the art.
- compositions suitable for parenteral administration may comprise one or more oligomers of the invention in combination with one or more pharmaceutically-acceptable sterile isotonic aqueous or nonaqueous solutions, dispersions, suspensions or emulsions, or sterile powders which may be reconstituted into sterile injectable solutions or dispersions just prior to use, which may contain sugars, alcohols, antioxidants, buffers, bacteriostats, solutes which render the formulation isotonic with the blood of the intended recipient or suspending or thickening agents.
- aqueous and nonaqueous carriers examples include water, ethanol, polyols (such as glycerol, propylene glycol, polyethylene glycol, and the like), and suitable mixtures thereof, vegetable oils, such as olive oil, and injectable organic esters, such as ethyl oleate.
- polyols such as glycerol, propylene glycol, polyethylene glycol, and the like
- vegetable oils such as olive oil
- injectable organic esters such as ethyl oleate.
- Proper fluidity can be maintained, for example, by the use of coating materials, such as lecithin, by the maintenance of the required particle size in the case of dispersions, and by the use of surfactants.
- compositions may also contain adjuvants such as preservatives, wetting agents, emulsifying agents and dispersing agents. Prevention of the action of microorganisms upon the subject oligomers may be ensured by the inclusion of various antibacterial and antifungal agents, for example, paraben, chlorobutanol, phenol sorbic acid, and the like. It may also be desirable to include isotonic agents, such as sugars, sodium chloride, and the like into the compositions. In addition, prolonged absorption of the injectable pharmaceutical form may be brought about by the inclusion of agents which delay absorption such as aluminum monostearate and gelatin.
- adjuvants such as preservatives, wetting agents, emulsifying agents and dispersing agents.
- the absorption of the drug in order to prolong the effect of a drug, it is desirable to slow the absorption of the drug from subcutaneous or intramuscular injection. This may be accomplished by the use of a liquid suspension of crystalline or amorphous material having poor water solubility, among other methods known in the art. The rate of absorption of the drug then depends upon its rate of dissolution which, in turn, may depend upon crystal size and crystalline form. Alternatively, delayed absorption of a parenterally-administered drug form is accomplished by dissolving or suspending the drug in an oil vehicle.
- Injectable depot forms may be made by forming microencapsule matrices of the subject oligomers in biodegradable polymers such as polylactide-polyglycolide. Depending on the ratio of oligomer to polymer, and the nature of the particular polymer employed, the rate of oligomer release can be controlled. Examples of other biodegradable polymers include poly(orthoesters) and poly(anhydrides). Depot injectable formulations may also prepared by entrapping the drug in liposomes or microemulsions that are compatible with body tissues.
- biodegradable polymers such as polylactide-polyglycolide.
- Depot injectable formulations may also prepared by entrapping the drug in liposomes or microemulsions that are compatible with body tissues.
- the oligomers of the present invention are administered as pharmaceuticals, to humans and animals, they can be given per se or as a pharmaceutical composition containing, for example, 0.1 to 99% (more preferably, 10 to 30%) of active ingredient in combination with a pharmaceutically acceptable carrier.
- the formulations or preparations of the present invention may be given orally, parenterally, systemically, topically, rectally or intramuscular administartion. They are typically given in forms suitable for each administration route. For example, they are administered in tablets or capsule form, by injection, inhalation, eye lotion, ointment, suppository, etc. administration by injection, infusion or inhalation; topical by lotion or ointment; and rectal by suppositories.
- parenteral administration and “administered parenterally” as used herein means modes of administration other than enteral and topical administration, usually by injection, and includes, without limitation, intravenous, intramuscular, intraarterial, intrathecal, intracapsular, intraorbital, intracardiac, intradermal, intraperitoneal, transtracheal, subcutaneous, subcuticular, intraarticular, subcapsular, subarachnoid, intraspinal and intrasternal injection and infusion.
- systemic administration means the administration of a compound, drug or other material other than directly into the central nervous system, such that it enters the patient's system and, thus, is subject to metabolism and other like processes, for example, subcutaneous administration.
- the oligomers of the present invention which may be used in a suitable hydrated form, and/or the pharmaceutical compositions of the present invention, may be formulated into pharmaceutically-acceptable dosage forms by conventional methods known to those of skill in the art.
- Actual dosage levels of the active ingredients in the pharmaceutical compositions of this invention may be varied so as to obtain an amount of the active ingredient which is effective to achieve the desired therapeutic response for a particular patient, composition, and mode of administration, without being unacceptably toxic to the patient.
- the selected dosage level will depend upon a variety of factors including the activity of the particular oligomer of the present invention employed, or the ester, salt or amide thereof, the route of administration, the time of administration, the rate of excretion or metabolism of the particular oligomer being employed, the rate and extent of absorption, the duration of the treatment, other drugs, compounds and/or materials used in combination with the particular oligomer employed, the age, sex, weight, condition, general health and prior medical history of the patient being treated, and like factors well known in the medical arts.
- a physician or veterinarian having ordinary skill in the art can readily determine and prescribe the effective amount of the pharmaceutical composition required.
- the physician or veterinarian could start doses of the compounds of the invention employed in the pharmaceutical composition at levels lower than that required in order to achieve the desired therapeutic effect and gradually increase the dosage until the desired effect is achieved.
- a suitable daily dose of a compound of the invention will be that amount of the compound which is the lowest dose effective to produce a therapeutic effect.
- Such an effective dose will generally depend upon the factors described above.
- oral, intravenous, intracerebroventricular, intramuscular and subcutaneous doses of the compounds of this invention for a patient, when used for the indicated effects will range from about 0.0001 to about 100 mg per kilogram of body weight per day.
- Preferred doses of the oligomers of the present invention are administered generally from about 20-100 mg/kg. In some cases, doses of greater than 100 mg/kg may be necessary. For i.v. administration, preferred doses are from about 0.5 mg to 100 mg/kg.
- the oligomers are administered at doses of about 20 mg/kg, 21 mg/kg, 25 mg/kg, 26 mg/kg, 27 mg/kg, 28 mg/kg, 29 mg/kg, 30 mg/kg, 31 mg/kg, 32 mg/kg, 33 mg/kg, 34 mg/kg, 35 mg/kg, 36 mg/kg, 37 mg/kg, 38 mg/kg, 39 mg/kg, 40 mg/kg, 41 mg/kg, 42 mg/kg, 43 mg/kg, 44 mg/kg, 45 mg/kg, 46 mg/kg, 47 mg/kg, 48 mg/kg, 49 mg/kg 50 mg/kg, 51 mg/kg, 52 mg/kg, 53 mg/kg, 54 mg/kg, 55 mg/kg, 56 mg/kg, 57 mg/kg, 58 mg/kg, 59 mg/kg, 60 mg/kg, 65 mg/kg, 70 mg/kg, 75 mg/kg, 80 mg/kg, 85 mg/kg, 90 mg/kg, 95 mg/kg, 100 mg/kg, including all integers in between
- the effective daily dose of the active compound may be administered as two, three, four, five, six or more sub-doses administered separately at appropriate intervals throughout the day, optionally, in unit dosage forms.
- dosing is one administration per day.
- dosing is one or more administration per every 2, 3, 4, 5, 6, 7, 8, 9, 10, 11, 12, 13, 14 days, or every 1, 2, 3, 4, 5, 6, 7, 8, 9, 10, 11, 12 weeks, or every 1, 2, 3, 4, 5, 6, 7, 8, 9, 10, 11, 12 months, as needed, to maintain the desired expression of a functional dystrophin protein.
- the oligomers of the present invention are administered, generally at regular intervals (e.g., daily, weekly, biweekly, monthly, bimonthly).
- the oligomers may be administered at regular intervals, e.g., daily; once every two days; once every three days; once every 3 to 7 days; once every 3 to 10 days; once every 7 to 10 days; once every week; once every two weeks; once monthly.
- the oligomers may be administered once weekly by intravenous infusion.
- the oligomers may be administered intermittently over a longer period of time, e.g., for several weeks, months or years.
- the oligomers may be administered once every one, two, three, four, five, six, seven, eight, nine, ten, eleven or twelve months.
- the oligomers may be administered once every one, two, three, four or five years. Administration may be followed by, or concurrent with, administration of an antibiotic, steroid or other therapeutic agent.
- the treatment regimen may be adjusted (dose, frequency, route, etc.) as indicated, based on the results of immunoassays, other biochemical tests and physiological examination of the subject under treatment.
- Nucleic acid molecules can be administered to cells by a variety of methods known to those familiar to the art, including, but not restricted to, encapsulation in liposomes, by iontophoresis, or by incorporation into other vehicles, such as hydrogels, cyclodextrins, biodegradable nanocapsules, and bioadhesive microspheres, as described herein and known in the art.
- microemulsification technology may be utilized to improve bioavailability of lipophilic (water insoluble) pharmaceutical agents. Examples include Trimetrine (Dordunoo, S. K., et al., Drug Development and Industrial Pharmacy, 17(12), 1685-1713, 1991 and REV 5901 (Sheen, P.
- microemulsification provides enhanced bioavailability by preferentially directing absorption to the lymphatic system instead of the circulatory system, which thereby bypasses the liver, and prevents destruction of the compounds in the hepatobiliary circulation.
- the formulations contain micelles formed from an oligomer as provided herein and at least one amphiphilic carrier, in which the micelles have an average diameter of less than about 100 nm. More preferred embodiments provide micelles having an average diameter less than about 50 nm, and even more preferred embodiments provide micelles having an average diameter less than about 30 nm, or even less than about 20 nm.
- amphiphilic carriers While all suitable amphiphilic carriers are contemplated, the presently preferred carriers are generally those that have Generally-Recognized-as-Safe (GRAS) status, and that can both solubilize the compound of the present invention and microemulsify it at a later stage when the solution comes into a contact with a complex water phase (such as one found in human gastro-intestinal tract).
- GRAS Generally-Recognized-as-Safe
- amphiphilic ingredients that satisfy these requirements have HLB (hydrophilic to lipophilic balance) values of 2-20, and their structures contain straight chain aliphatic radicals in the range of C-6 to C-20. Examples are polyethylene-glycolized fatty glycerides and polyethylene glycols.
- amphiphilic carriers include saturated and monounsaturated polyethyleneglycolyzed fatty acid glycerides, such as those obtained from fully or partially hydrogenated various vegetable oils.
- oils may advantageously consist of tri-, di-, and mono-fatty acid glycerides and di- and mono-polyethyleneglycol esters of the corresponding fatty acids, with a particularly preferred fatty acid composition including capric acid 4-10, capric acid 3-9, lauric acid 40-50, myristic acid 14-24, palmitic acid 4-14 and stearic acid 5-15%.
- amphiphilic carriers includes partially esterified sorbitan and/or sorbitol, with saturated or mono-unsaturated fatty acids (SPAN-series) or corresponding ethoxylated analogs (TWEEN-series).
- SPAN-series saturated or mono-unsaturated fatty acids
- TWEEN-series corresponding ethoxylated analogs
- amphiphilic carriers may be particularly useful, including Gelucire-series, Labrafil, Labrasol, or Lauroglycol (all manufactured and distributed by Gattefosse Corporation, Saint Priest, France), PEG-mono-oleate, PEG-di-oleate, PEG-mono-laurate and di-laurate, Lecithin, Polysorbate 80, etc (produced and distributed by a number of companies in USA and worldwide).
- the delivery may occur by use of liposomes, nanocapsules, microparticles, microspheres, lipid particles, vesicles, and the like, for the introduction of the compositions of the present invention into suitable host cells.
- the compositions of the present invention may be formulated for delivery either encapsulated in a lipid particle, a liposome, a vesicle, a nanosphere, a nanoparticle or the like.
- the formulation and use of such delivery vehicles can be carried out using known and conventional techniques.
- Hydrophilic polymers suitable for use in the present invention are those which are readily water-soluble, can be covalently attached to a vesicle-forming lipid, and which are tolerated in vivo without toxic effects (i.e., are biocompatible).
- Suitable polymers include polyethylene glycol (PEG), polylactic (also termed polylactide), polyglycolic acid (also termed polyglycolide), a polylactic-polyglycolic acid copolymer, and polyvinyl alcohol.
- polymers have a molecular weight of from about 100 or 120 daltons up to about 5,000 or 10,000 daltons, or from about 300 daltons to about 5,000 daltons.
- the polymer is polyethyleneglycol having a molecular weight of from about 100 to about 5,000 daltons, or having a molecular weight of from about 300 to about 5,000 daltons. In certain embodiments, the polymer is polyethyleneglycol of 750 daltons (PEG(750)). Polymers may also be defined by the number of monomers therein; a preferred embodiment of the present invention utilizes polymers of at least about three monomers, such PEG polymers consisting of three monomers (approximately 150 daltons).
- hydrophilic polymers which may be suitable for use in the present invention include polyvinylpyrrolidone, polymethoxazoline, polyethyloxazoline, polyhydroxypropyl methacrylamide, polymethacrylamide, polydimethylacrylamide, and derivatized celluloses such as hydroxymethylcellulose or hydroxyethylcellulose.
- a formulation of the present invention comprises a biocompatible polymer selected from the group consisting of polyamides, polycarbonates, polyalkylenes, polymers of acrylic and methacrylic esters, polyvinyl polymers, polyglycolides, polysiloxanes, polyurethanes and co-polymers thereof, celluloses, polypropylene, polyethylenes, polystyrene, polymers of lactic acid and glycolic acid, polyanhydrides, poly(ortho)esters, poly(butic acid), poly(valeric acid), poly(lactide-co-caprolactone), polysaccharides, proteins, polyhyaluronic acids, polycyanoacrylates, and blends, mixtures, or copolymers thereof.
- a biocompatible polymer selected from the group consisting of polyamides, polycarbonates, polyalkylenes, polymers of acrylic and methacrylic esters, polyvinyl polymers, polyglycolides, polysiloxanes, polyurethanes and
- Cyclodextrins are cyclic oligosaccharides, consisting of 6, 7 or 8 glucose units, designated by the Greek letter ⁇ , ⁇ , or ⁇ , respectively.
- the glucose units are linked by ⁇ -1,4-glucosidic bonds.
- all secondary hydroxyl groups at C-2, C-3) are located on one side of the ring, while all the primary hydroxyl groups at C-6 are situated on the other side.
- the external faces are hydrophilic, making the cyclodextrins water-soluble.
- the cavities of the cyclodextrins are hydrophobic, since they are lined by the hydrogen of atoms C-3 and C-5, and by ether-like oxygens.
- These matrices allow complexation with a variety of relatively hydrophobic compounds, including, for instance, steroid compounds such as 17 ⁇ -estradiol (see, e.g., van Uden et al. Plant Cell Tiss. Org. Cult. 38:1-3-113 (1994)).
- the complexation takes place by Van der Waals interactions and by hydrogen bond formation.
- the physico-chemical properties of the cyclodextrin derivatives depend strongly on the kind and the degree of substitution. For example, their solubility in water ranges from insoluble (e.g., triacetyl-beta-cyclodextrin) to 147% soluble (w/v) (G-2-beta-cyclodextrin). In addition, they are soluble in many organic solvents.
- the properties of the cyclodextrins enable the control over solubility of various formulation components by increasing or decreasing their solubility.
- Parmeter (I), et al. (U.S. Pat. No. 3,453,259) and Gramera, et al. (U.S. Pat. No. 3,459,731) described electroneutral cyclodextrins.
- Other derivatives include cyclodextrins with cationic properties [Parmeter (II), U.S. Pat. No. 3,453,257], insoluble crosslinked cyclodextrins (Solms, U.S. Pat. No. 3,420,788), and cyclodextrins with anionic properties [Parmeter (III), U.S. Pat. No. 3,426,011].
- cyclodextrin derivatives with anionic properties carboxylic acids, phosphorous acids, phosphinous acids, phosphonic acids, phosphoric acids, thiophosphonic acids, thiosulphinic acids, and sulfonic acids have been appended to the parent cyclodextrin [see, Parmeter (III), supra]. Furthermore, sulfoalkyl ether cyclodextrin derivatives have been described by Stella, et al. (U.S. Pat. No. 5,134,127).
- Liposomes consist of at least one lipid bilayer membrane enclosing an aqueous internal compartment. Liposomes may be characterized by membrane type and by size. Small unilamellar vesicles (SUVs) have a single membrane and typically range between 0.02 and 0.05 ⁇ m in diameter; large unilamellar vesicles (LUVS) are typically larger than 0.05 ⁇ m. Oligolamellar large vesicles and multilamellar vesicles have multiple, usually concentric, membrane layers and are typically larger than 0.1 ⁇ m. Liposomes with several nonconcentric membranes, i.e., several smaller vesicles contained within a larger vesicle, are termed multivesicular vesicles.
- SUVs Small unilamellar vesicles
- Oligolamellar large vesicles and multilamellar vesicles have multiple, usually concentric, membrane layers and are typically larger than 0.1 ⁇ m.
- One aspect of the present invention relates to formulations comprising liposomes containing an oligomer of the present invention, where the liposome membrane is formulated to provide a liposome with increased carrying capacity.
- the compound of the present invention may be contained within, or adsorbed onto, the liposome bilayer of the liposome.
- An oligomer of the present invention may be aggregated with a lipid surfactant and carried within the liposome's internal space; in these cases, the liposome membrane is formulated to resist the disruptive effects of the active agent-surfactant aggregate.
- the lipid bilayer of a liposome contains lipids derivatized with polyethylene glycol (PEG), such that the PEG chains extend from the inner surface of the lipid bilayer into the interior space encapsulated by the liposome, and extend from the exterior of the lipid bilayer into the surrounding environment.
- PEG polyethylene glycol
- Active agents contained within liposomes of the present invention are in solubilized form. Aggregates of surfactant and active agent (such as emulsions or micelles containing the active agent of interest) may be entrapped within the interior space of liposomes according to the present invention.
- a surfactant acts to disperse and solubilize the active agent, and may be selected from any suitable aliphatic, cycloaliphatic or aromatic surfactant, including but not limited to biocompatible lysophosphatidylcholines (LPGs) of varying chain lengths (for example, from about C14 to about C20).
- LPGs biocompatible lysophosphatidylcholines
- Polymer-derivatized lipids such as PEG-lipids may also be utilized for micelle formation as they will act to inhibit micelle/membrane fusion, and as the addition of a polymer to surfactant molecules decreases the CMC of the surfactant and aids in micelle formation.
- Liposomes according to the present invention may be prepared by any of a variety of techniques that are known in the art. See, e.g., U.S. Pat. No. 4,235,871; Published PCT applications WO 96/14057; New RRC, Liposomes: A practical approach, IRL Press, Oxford (1990), pages 33-104; Lasic D D, Liposomes from physics to applications, Elsevier Science Publishers BV, Amsterdam, 1993.
- liposomes of the present invention may be prepared by diffusing a lipid derivatized with a hydrophilic polymer into preformed liposomes, such as by exposing preformed liposomes to micelles composed of lipid-grafted polymers, at lipid concentrations corresponding to the final mole percent of derivatized lipid which is desired in the liposome.
- Liposomes containing a hydrophilic polymer can also be formed by homogenization, lipid-field hydration, or extrusion techniques, as are known in the art.
- the active agent is first dispersed by sonication in a lysophosphatidylcholine or other low CMC surfactant (including polymer grafted lipids) that readily solubilizes hydrophobic molecules.
- a lysophosphatidylcholine or other low CMC surfactant including polymer grafted lipids
- the resulting micellar suspension of active agent is then used to rehydrate a dried lipid sample that contains a suitable mole percent of polymer-grafted lipid, or cholesterol.
- the lipid and active agent suspension is then formed into liposomes using extrusion techniques as are known in the art, and the resulting liposomes separated from the unencapsulated solution by standard column separation.
- the liposomes are prepared to have substantially homogeneous sizes in a selected size range.
- One effective sizing method involves extruding an aqueous suspension of the liposomes through a series of polycarbonate membranes having a selected uniform pore size; the pore size of the membrane will correspond roughly with the largest sizes of liposomes produced by extrusion through that membrane. See e.g., U.S. Pat. No. 4,737,323 (Apr. 12, 1988).
- reagents such as DharmaFECT® and Lipofectamine® may be utilized to introduce polynucleotides or proteins into cells.
- release characteristics of a formulation of the present invention depend on the encapsulating material, the concentration of encapsulated drug, and the presence of release modifiers.
- release can be manipulated to be pH dependent, for example, using a pH sensitive coating that releases only at a low pH, as in the stomach, or a higher pH, as in the intestine.
- An enteric coating can be used to prevent release from occurring until after passage through the stomach.
- Multiple coatings or mixtures of cyanamide encapsulated in different materials can be used to obtain an initial release in the stomach, followed by later release in the intestine.
- Release can also be manipulated by inclusion of salts or pore forming agents, which can increase water uptake or release of drug by diffusion from the capsule.
- Excipients which modify the solubility of the drug can also be used to control the release rate.
- Agents which enhance degradation of the matrix or release from the matrix can also be incorporated. They can be added to the drug, added as a separate phase (i.e., as particulates), or can be co-dissolved in the polymer phase depending on the compound. In most cases the amount should be between 0.1 and thirty percent (w/w polymer).
- Types of degradation enhancers include inorganic salts such as ammonium sulfate and ammonium chloride, organic acids such as citric acid, benzoic acid, and ascorbic acid, inorganic bases such as sodium carbonate, potassium carbonate, calcium carbonate, zinc carbonate, and zinc hydroxide, and organic bases such as protamine sulfate, spermine, choline, ethanolamine, diethanolamine, and triethanolamine and surfactants such as Tween® and Pluronic®.
- Pore forming agents which add microstructure to the matrices i.e., water soluble compounds such as inorganic salts and sugars
- the range is typically between one and thirty percent (w/w polymer).
- Uptake can also be manipulated by altering residence time of the particles in the gut. This can be achieved, for example, by coating the particle with, or selecting as the encapsulating material, a mucosal adhesive polymer.
- a mucosal adhesive polymer examples include most polymers with free carboxyl groups, such as chitosan, celluloses, and especially polyacrylates (as used herein, polyacrylates refers to polymers including acrylate groups and modified acrylate groups such as cyanoacrylates and methacrylates).
- An oligomer may be formulated to be contained within, or, adapted to release by a surgical or medical device or implant.
- an implant may be coated or otherwise treated with an oligomer.
- hydrogels, or other polymers such as biocompatible and/or biodegradable polymers, may be used to coat an implant with the compositions of the present invention (i.e., the composition may be adapted for use with a medical device by using a hydrogel or other polymer).
- Polymers and copolymers for coating medical devices with an agent are well-known in the art.
- implants include, but are not limited to, stents, drug-eluting stents, sutures, prosthesis, vascular catheters, dialysis catheters, vascular grafts, prosthetic heart valves, cardiac pacemakers, implantable cardioverter defibrillators, IV needles, devices for bone setting and formation, such as pins, screws, plates, and other devices, and artificial tissue matrices for wound healing.
- the oligomers for use according to the invention may be formulated for administration in any convenient way for use in human or veterinary medicine, by analogy with other pharmaceuticals.
- the antisense oligomers and their corresponding formulations may be administered alone or in combination with other therapeutic strategies in the treatment of muscular dystrophy, such as myoblast transplantation, stem cell therapies, administration of aminoglycoside antibiotics, proteasome inhibitors, and up-regulation therapies (e.g., upregulation of utrophin, an autosomal paralogue of dystrophin).
- kits for treatment of a patient with a genetic disease which kit comprises at least an antisense molecule (e.g., one or more antisense oligonucleotides capable of specifically hybridizing to any one or more of exons 1-79 of the dystrophin gene; for example, Exon 51 as set forth in Tables 3 and 4 herein), packaged in a suitable container, together with instructions for its use.
- the kits may also contain peripheral reagents such as buffers, stabilizers, etc.
- Eligible patients were between 7 and 13 years of age (inclusive), with out-of-frame deletions of the DMD gene that could be corrected by skipping exon 51. Patients were confirmed to have stable cardiac and pulmonary function and a stable dose of glucocorticoids for at least 24 weeks prior to enrollment. Only patients who could walk between 200 and 400 meters ( ⁇ 10%) on the 6-Minute Walk Test (6MWT) at baseline were enrolled.
- 6MWT 6-Minute Walk Test
- Eteplirsen [sequence 5′-CTCCAACATCAAGGAAGATGGCATTTCTAG-3′] (SEQ ID NO:1) was supplied by Sarepta Therapeutics, Inc. in single-use vials of phosphate-buffered saline (100 mg/ml). Eteplirsen was reconstituted with 150 ml normal saline and infused over 60 minutes. Placebo, administered during the first 24 weeks of Study 201, was supplied as identical vials of phosphate-buffered saline and was administered in the same manner as eteplirsen.
- Pharmacokinetic parameters of eteplirsen were established from plasma and urine taken after the twelfth dose using a validated and sensitive anion exchange high-performance liquid chromatography with fluorescence detection bioanalytical method. Single samples for analysis of plasma concentrations were taken at weeks 24, 25, and 36. Immune response to novel dystrophin protein was measured every six weeks through week 24 with ELISPOT following methods previously published.
- MANDYS106 a gift from Glen Morris, MDA Monoclonal Antibody Library
- MANDYS106 Three 10 ⁇ m frozen sections, separated by at least 200 ⁇ m, were stained with MANDYS106, followed by a secondary antibody (Alexa Fluor 594 goat antimouse antibody). Percent dystrophin-positive fibers were calculated by dividing the number of positive fibers by the total fibers counted. As normal muscle samples have 100% dystrophin-positive fibers, percent dystrophin-positive fibers is expressed as a percentage of normal. The same antibody-stained sections were used for dystrophin quantification using Bioquant image analysis software. The total dystrophin fluorescence signal intensity was reported as a percentage of normal.
- Supportive measurements included expression of the components of the sarcoglycan complex ( ⁇ , ⁇ ), neuronal NOS, and Western blot (with the anti-dystrophin antibody NCL-Dysl from Novacastra).
- RT-PCR analysis for confirmation of exon skipping, was performed on 400 ng of total RNA using dystrophin-specific reverse primers as previously described.
- the 6MWT was administered using the protocol established for patients with DMD by McDonald, et al. (Muscle Nerve, 2010; 42:966-74, herein incorporated by reference). Exploratory functional outcomes included the North Star Ambulatory Assessment, quantitative muscle testing, the 9-Hole Peg Test, pulmonary function testing (PFT), timed function tests, and assessment of quality of life.
- Exploratory functional outcomes included the North Star Ambulatory Assessment, quantitative muscle testing, the 9-Hole Peg Test, pulmonary function testing (PFT), timed function tests, and assessment of quality of life.
- SAS version 9.3 (Cary, N.C.) was used for all statistical analyses.
- Mixed model with treatment as fixed effect, subject nested within treatment as random effect, with the baseline value and time since DMD diagnosis as covariates for the analysis of muscle biopsy data was used.
- Mixed model repeated measures MMRM with treatment, time, and treatment-by-time interaction terms as fixed effect, subject nested within treatment as random effect, and with the baseline value and time since DMD diagnosis as covariates for analysis of the 6MWT data was used.
- Baseline characteristics of the 12 patients in this study are summarized in Table 2. Five different genotypes amenable to exon 51 skipping were represented in the study population. Mean distances on the 6-Minute Walk Test (6MWT) at baseline were similar to those in other studies of children with DMD, and as expected, were well below the 600 plus meters typically observed in age-matched healthy children. Due to the stochastic nature of the sampling, the 30 mg/kg cohort was slightly older, heavier, and taller, relative to the other cohorts, and had a lower mean 6MWT distance at baseline. All patients received all infusions of study medication as planned and completed all assessments.
- 6MWT 6-Minute Walk Test
- Eteplirsen was well tolerated with no treatment-related adverse events, serious adverse events, discontinuations or missed doses through 48 weeks of treatment. Moreover, no clinically significant changes were observed on physical examination or in vital signs. Electrocardiograms, echocardiograms, and PFTs remained stable, and chemistries showed no clinically significant changes in hematologic, renal, coagulation or liver functions. Mild and transient proteinuria was observed in a single placebo-treated subject.
- Plasma clearance averaged 339 ⁇ 75.8 mL/hr/kg for 30 mg/kg and 319 ⁇ 125 mL/hr/kg for 50 mg/kg.
- Half-life averaged 3.30 ⁇ 0.341 hr for 30 mg/kg and 3.17 ⁇ 0.249 hr for 50 mg/kg, with renal clearance accounting for approximately 65-70% of total systemic clearance.
- eteplirsen produced robust increases in the number and intensity of dystrophin-positive fibers.
- patients who received 30 or 50 mg/kg eteplirsen without interruption for 48 weeks showed a mean increase in the percentage of dystrophin-positive fibers to 47% of normal (p ⁇ 0.001), relative to baseline. Increases were similar when the 30 (52%; p ⁇ 0.001) and 50 (43%; p ⁇ 0.008) mg/kg cohorts were analyzed separately, suggesting that eteplirsen's effect on the production of novel dystrophin is independent of dose within this range of doses.
- Biopsies were taken at staggered time points (see FIG. 2 ) to evaluate the impact of treatment duration on novel dystrophin production.
- the 50 mg/kg cohort had undetectable levels of novel dystrophin.
- the 30 mg/kg cohort demonstrated an increase in the percentage of dystrophin-positive fibers to 23% of normal (p ⁇ 0.002), and at week 48, after 24 weeks of treatment with 30 or 50 mg/kg eteplirsen, the 4 patients in the placebo/delayed eteplirsen cohort showed an increase to 38% of normal, relative to baseline (p ⁇ 0.009).
- Treatment duration plays an important role in eteplirsen's ability to uniformly restore novel dystrophin production. Consistent with these findings, eteplirsen also significantly increased mean fluorescence signal intensity at week 48 in all three treatment groups (all p-values ⁇ 0.023).
- FIG. 4 illustrates eteplirsen's time-dependent effect on the percentage of dystrophin-positive fibers (Panel A), which was accompanied by restoration of ⁇ - and ⁇ -sarcoglycan and nNOS ⁇ at the sarcolemma (Panel B).
- Dystrophin expression and exon skipping were confirmed by Western blot and RT-PCR in all patients. RT-PCR results from a representative patient are shown in Panel C. These data confirmed the increase in functional dystrophin in the patients.
- the progressive loss of walking ability is a universal hallmark of DMD, with most patients showing functional compromise by 7 or 8 years of age and becoming wheelchair dependent by 10 to 14 years of age. Consistent with this, boys assigned to the placebo/delayed eteplirsen cohort in this study showed a decline in walking ability after week 12 at a rate predicted by prior studies, culminating in a loss of approximately 60 meters by week 48 ( FIG. 5 ). In marked contrast, eteplirsen-treated patients maintained a stable walking distance over the duration of the study, with a mean increase from baseline of about 7 meters by week 48.
Landscapes
- Health & Medical Sciences (AREA)
- Life Sciences & Earth Sciences (AREA)
- Chemical & Material Sciences (AREA)
- Engineering & Computer Science (AREA)
- Genetics & Genomics (AREA)
- General Health & Medical Sciences (AREA)
- Organic Chemistry (AREA)
- Bioinformatics & Cheminformatics (AREA)
- Molecular Biology (AREA)
- Biomedical Technology (AREA)
- Pharmacology & Pharmacy (AREA)
- Veterinary Medicine (AREA)
- Public Health (AREA)
- Medicinal Chemistry (AREA)
- Animal Behavior & Ethology (AREA)
- Biochemistry (AREA)
- General Engineering & Computer Science (AREA)
- Zoology (AREA)
- Wood Science & Technology (AREA)
- Biotechnology (AREA)
- Epidemiology (AREA)
- General Chemical & Material Sciences (AREA)
- Chemical Kinetics & Catalysis (AREA)
- Nuclear Medicine, Radiotherapy & Molecular Imaging (AREA)
- Plant Pathology (AREA)
- Microbiology (AREA)
- Physics & Mathematics (AREA)
- Biophysics (AREA)
- Neurology (AREA)
- Orthopedic Medicine & Surgery (AREA)
- Physical Education & Sports Medicine (AREA)
- Pain & Pain Management (AREA)
- Dermatology (AREA)
- Pharmaceuticals Containing Other Organic And Inorganic Compounds (AREA)
- Medicines That Contain Protein Lipid Enzymes And Other Medicines (AREA)
- Medicines Containing Material From Animals Or Micro-Organisms (AREA)
- Peptides Or Proteins (AREA)
Abstract
Improved compositions and methods for treating muscular dystrophy by administering antisense molecules capable of binding to a selected target site in the human dystrophin gene to induce exon skipping are described.
Description
- This application claims priority to U.S. Provisional Application No. 61/793,463, filed on Mar. 15, 2013, entitled “COMPOSITIONS FOR TREATING MUSCULAR DYSTROPHY”. The entire contents of the foregoing application are incorporated herein by reference.
- The instant application contains a Sequence Listing which has been submitted in computer readable form (CRF) via EFS-Web and is hereby incorporated by reference in its entirety. Said CRF, created on Jul. 22, 2014, is named AVN—012 A_Sequence_Listing.txt and is 187 Kilobytes in size. The Sequence Listing is being submitted by EFS Web and is hereby incorporated by reference into the specification.
- The present invention relates to improved methods for treating muscular dystrophy in a patient. It also provides compositions suitable for facilitating exon skipping in the human dystrophin gene.
- Antisense technologies are being developed using a range of chemistries to affect gene expression at a variety of different levels (transcription, splicing, stability, translation). Much of that research has focused on the use of antisense compounds to correct or compensate for abnormal or disease-associated genes in a wide range of indications. Antisense molecules are able to inhibit gene expression with specificity, and because of this, many research efforts concerning oligonucleotides as modulators of gene expression have focused on inhibiting the expression of targeted genes or the function of cis-acting elements. The antisense oligonucleotides are typically directed against RNA, either the sense strand (e.g., mRNA), or minus-strand in the case of some viral RNA targets. To achieve a desired effect of specific gene down-regulation, the oligonucleotides generally either promote the decay of the targeted mRNA, block translation of the mRNA or block the function of cis-acting RNA elements, thereby effectively preventing either de novo synthesis of the target protein or replication of the viral RNA.
- However, such techniques are not useful where the object is to up-regulate production of the native protein or compensate for mutations that induce premature termination of translation, such as nonsense or frame-shifting mutations. In these cases, the defective gene transcript should not be subjected to targeted degradation or steric inhibition, so the antisense oligonucleotide chemistry should not promote target mRNA decay or block translation.
- In a variety of genetic diseases, the effects of mutations on the eventual expression of a gene can be modulated through a process of targeted exon skipping during the splicing process. The splicing process is directed by complex multi-component machinery that brings adjacent exon-intron junctions in pre-mRNA into close proximity and performs cleavage of phosphodiester bonds at the ends of the introns with their subsequent reformation between exons that are to be spliced together. This complex and highly precise process is mediated by sequence motifs in the pre-mRNA that are relatively short, semi-conserved RNA segments to which various nuclear splicing factors that are then involved in the splicing reactions bind. By changing the way the splicing machinery reads or recognizes the motifs involved in pre-mRNA processing, it is possible to create differentially spliced mRNA molecules. It has now been recognized that the majority of human genes are alternatively spliced during normal gene expression, although the mechanisms involved have not been identified. Bennett et al. (U.S. Pat. No. 6,210,892) describe antisense modulation of wild-type cellular mRNA processing using antisense oligonucleotide analogs that do not induce RNAse H-mediated cleavage of the target RNA. This finds utility in being able to generate alternatively spliced mRNAs that lack specific exons (e.g., as described by (Sazani, Kole, et al. 2007) for the generation of soluble TNF superfamily receptors that lack exons encoding membrane spanning domains.
- In cases where a normally functional protein is prematurely terminated because of mutations therein, a means for restoring some functional protein production through antisense technology has been shown to be possible through intervention during the splicing processes, and that if exons associated with disease-causing mutations can be specifically deleted from some genes, a shortened protein product can sometimes be produced that has similar biological properties of the native protein or has sufficient biological activity to ameliorate the disease caused by mutations associated with the exon (see e.g., Sierakowska, Sambade et al. 1996; Wilton, Lloyd et al. 1999; van Deutekom, Bremmer-Bout et al. 2001; Lu, Mann et al. 2003; Aartsma-Rus, Janson et al. 2004). Kole et al. (U.S. Pat. Nos. 5,627,274; 5,916,808; 5,976,879; and 5,665,593) disclose methods of combating aberrant splicing using modified antisense oligonucleotide analogs that do not promote decay of the targeted pre-mRNA. Bennett et al. (U.S. Pat. No. 6,210,892) describe antisense modulation of wild-type cellular mRNA processing also using antisense oligonucleotide analogs that do not induce RNAse H-mediated cleavage of the target RNA.
- The process of targeted exon skipping is likely to be particularly useful in long genes where there are many exons and introns, where there is redundancy in the genetic constitution of the exons or where a protein is able to function without one or more particular exons. Efforts to redirect gene processing for the treatment of genetic diseases associated with truncations caused by mutations in various genes have focused on the use of antisense oligonucleotides that either: (1) fully or partially overlap with the elements involved in the splicing process; or (2) bind to the pre-mRNA at a position sufficiently close to the element to disrupt the binding and function of the splicing factors that would normally mediate a particular splicing reaction which occurs at that element.
- Duchenne muscular dystrophy (DMD) is caused by a defect in the expression of the protein dystrophin. The gene encoding the protein contains 79 exons spread out over more than 2 million nucleotides of DNA. Any exonic mutation that changes the reading frame of the exon, or introduces a stop codon, or is characterized by removal of an entire out of frame exon or exons, or duplications of one or more exons, has the potential to disrupt production of functional dystrophin, resulting in DMD.
- Disease onset can be documented at birth with elevated creatine kinase levels, and significant motor deficits may be present in the first year of life. By the age of seven or eight, most patients with DMD have an increasingly labored gait and are losing the ability to rise from the floor and climb stairs; by
ages 10 to 14, most are wheelchair-dependent. DMD is uniformly fatal; affected individuals typically die of respiratory and/or cardiac failure in their late teens or early 20s. The continuous progression of DMD allows for therapeutic intervention at all stages of the disease; however, treatment is currently limited to glucocorticoids, which are associated with numerous side effects including weight gain, behavioral changes, pubertal changes, osteoporosis, Cushingoid facies, growth inhibition, and cataracts. Consequently, developing better therapies to treat the underlying cause of this disease is imperative. - A less severe form of muscular dystrophy, Becker muscular dystrophy (BMD) has been found to arise where a mutation, typically a deletion of one or more exons, results in a correct reading frame along the entire dystrophin transcript, such that translation of mRNA into protein is not prematurely terminated. If the joining of the upstream and downstream exons in the processing of a mutated dystrophin pre-mRNA maintains the correct reading frame of the gene, the result is an mRNA coding for a protein with a short internal deletion that retains some activity, resulting in a Becker phenotype.
- For many years it has been known that deletions of an exon or exons which do not alter the reading frame of a dystrophin protein would give rise to a BMD phenotype, whereas an exon deletion that causes a frame-shift will give rise to DMD (Monaco, Bertelson et al. 1988). In general, dystrophin mutations including point mutations and exon deletions that change the reading frame and thus interrupt proper protein translation result in DMD. It should also be noted that some BMD and DMD patients have exon deletions covering multiple exons.
- Modulation of mutant dystrophin pre-mRNA splicing with antisense oligoribonucleotides has been reported both in vitro and in vivo (see e.g., Matsuo, Masumura et al. 1991; Takeshima, Nishio et al. 1995; Pramono, Takeshima et al. 1996; Dunckley, Eperon et al. 1997; Dunckley, Manoharan et al. 1998; Errington, Mann et al. 2003).
- The first example of specific and reproducible exon skipping in the mdx mouse model was reported by Wilton et al. (Wilton, Lloyd et al. 1999). By directing an antisense molecule to the donor splice site, consistent and efficient exon 23 skipping was induced in the dystrophin mRNA within 6 hours of treatment of the cultured cells. Wilton et al. also describe targeting the acceptor region of the mouse dystrophin pre-mRNA with longer antisense oligonucleotides. While the first antisense oligonucleotide directed at the intron 23 donor splice site induced consistent exon skipping in primary cultured myoblasts, this compound was found to be much less efficient in immortalized cell cultures expressing higher levels of dystrophin. However, with refined targeting and antisense oligonucleotide design, the efficiency of specific exon removal was increased by almost an order of magnitude (Mann, Honeyman et al. 2002).
- Recent studies have begun to address the challenge of achieving sustained dystrophin expression accompanied by minimal adverse effects in tissues affected by the absence of dystrophin. Intramuscular injection of an antisense oligonucleotide targeted to exon 51 (PRO051) into the tibialis anterior muscle in four patients with DMD resulted in specific skipping of exon 51 without any clinically apparent adverse effects (Mann, Honeyman et al. 2002; van Deutekom, Janson et al. 2007). Studies looking at systemic delivery of an antisense phosphorodiamidate morpholino oligomer conjugated to a cell-penetrating peptide (PPMO) targeted to exon 23 in mdx mice produced high and sustained dystrophin protein production in skeletal and cardiac muscles without detectable toxicity (Jearawiriyapaisarn, Moulton et al. 2008; Wu, Moulton et al. 2008; Yin, Moulton et al. 2008).
- Recent clinical trials testing the safety and efficacy of splice switching oligonucleotides (SSOs) for the treatment of DMD are based on SSO technology to induce alternative splicing of pre-mRNAs by steric blockade of the spliceosome (Cirak et al., 2011; Goemans et al., 2011; Kinali et al., 2009; van Deutekom et al., 2007). However, despite these successes, the pharmacological options available for treating DMD are limited. Notably, an antisense oligonucleotide (drisapersen), which utilizes a negatively charged phosphorothioate backbone, has been associated in clinical trials with proteinuria, increased urinary al-microglobulin, thrombocytopenia and injection site reactions, such as erythema and inflammation.
- Thus, there remains a need for improved compositions and methods for treating muscular dystrophy, such as DMD and BMD in patients.
- The present invention is based, at least in part, on compelling evidence of a therapeutic effect of an exon skipping antisense oligonucleotide, eteplirsen, which represents a major advance in the treatment of DMD by addressing the underlying cause of the disease. The novel finding that treatment with an exon 51 skipping antisense oligonucleotide, eteplirsen, produced reliable increases in novel dystrophin and stabilized walking ability (e.g., stabilization of ambulation), as measured by the 6 Minute Walk Test (6MWT), underscores the potential alter the course of the disease. Significantly, no drug-related adverse events were seen in 576 infusions administered over one year. When applied to other exons, the use of exon skipping antisense oligonucleotides could treat an estimated 70% to 80% of patients who have DMD due to a deletion in the dystrophin gene.
- Accordingly, the present invention relates to methods of treating Duchenne muscular dystrophy (DMD) or Becker muscular dystrophy (BMD) in patients by administering an effective amount of a composition comprising an antisense oligonucleotide of 20 to 50 nucleotides in length comprising at least 10 consecutive nucleotides complementary to a target region in an exon of the human dystrophin gene to specifically hybridize to the target region, induce exon skipping, and thereby treat the disease. In one embodiment, an effective amount is at least 20 mg/kg for a period of time sufficient to increase the number of dystrophin-positive fibers in a subject to at least 20% of normal, and stabilize, maintain, or improve walking distance from a 20% deficit, for example in a 6 MWT, in the patient, relative to a healthy peer. In another embodiment, an effective amount is at least 20 mg/kg to about 30 mg/kg, about 25 mg/kg to about 30 mg/kg, or about 30 mg/kg to about 50 mg/kg. In yet another embodiment, an effective amount is about 30 mg/kg or about 50 mg/kg.
- In another aspect, an effective amount is at least 20 mg/kg, about 25 mg/kg, about 30 mg/kg, or about 30 mg/kg to about 50 mg/kg, for at least 24 weeks, at least 36 weeks, or at least 48 weeks, to thereby increase the number of dystrophin-positive fibers in a subject to at least 20%, about 30%, about 40%, about 50%, about 60%, about 70%, about 80%, about 90%, about 95% of normal, and stabilize or improve walking distance from a 20% deficit, for example in a 6 MWT, in the patient relative to a healthy peer. In one embodiment, treatment increases the number of dystrophin-positive fibers to 20-60%, or 30-50% of normal in the patient. In some embodiments, treatment is by systemic administration, such as once weekly by infusion. In other embodiments, treatment includes administering another therapeutic agent, such as a steroid to the subject.
- In another aspect, the present invention provides a method of treating DMD or BMD in a patient by administering about 30 mg/kg to about 50 mg/kg of a composition comprising an antisense oligonucleotide of 20 to 50 nucleotides in length comprising at least 10 consecutive nucleotides complementary to a target region in an exon of the human dystrophin gene, wherein the antisense oligonucleotide specifically hybridizes to the target region inducing exon skipping, thereby treating the subject. In one embodiment, the antisense oligonucleotide is substantially uncharged. In another embodiment, the antisense oligonucleotide comprises morpholino subunits linked by phosphorus-containing intersubunit linkages joining a morpholino nitrogen of one subunit to a 5′ exocyclic carbon of an adjacent subunit. In yet another embodiment, the antisense oligonucleotide comprises morpholino subunits linked by substantially uncharged phosphorus-containing intersubunit linkages joining a morpholino nitrogen of one subunit to a 5′ exocyclic carbon of an adjacent subunit. In other aspects, the antisense oligonucleotide comprises morpholino subunits and phosphorodiamidate intersubunit linkages.
- In some embodiments, the antisense oligonucleotide is 20 to 50, 30 to 50, or 20 to 30 nucleotides in length comprising at least 10, 12, 15, 17, or 20 consecutive nucleotides complementary to a target region in an exon of the human dystrophin gene selected from the group consisting of exon 51,
exon 50, exon 53, exon 45, exon 46, exon 44, exon 52,exon 55 andexon 8. In one embodiment, the antisense is 20 to 50, 30 to 50, or 20 to 30 nucleotides in length and includes at least 20 consecutive nucleotides eteplirsen (SEQ ID NO: 1). In another embodiment, the antisense oligonucleotide is 20 to 50, 30 to 50, or 20 to 30 nucleotides in length and includes at least 10, 12, 15, 17, or 20 consecutive nucleotides of the antisense oligonucleotide set forth as SEQ ID NO: 2, SEQ ID NO: 3, SEQ ID NO: 4, SEQ ID NO: 5, SEQ ID NO: 6, SEQ ID NO: 7, SEQ ID NO: 8, or SEQ ID NO: 9. In yet another embodiment, the antisense oligonucleotide is 20 to 50, 30 to 50, or 20 to 30 nucleotides in length and includes at least 10, 12, 15, 17, or 20 consecutive nucleotides of a nucleotide sequences set forth in Tables 3 and 4, wherein uracil bases in the antisense oligonucleotide are optionally thymine bases. - In one embodiment, the composition includes eteplirsen (SEQ ID NO: 1), and, optionally, a pharmaceutically acceptable carrier. In another embodiment, the composition includes an antisense oligonucleotide selected from the group consisting of SEQ ID NOS: 1-9, such as SEQ ID NO: 1, SEQ ID NO: 2, SEQ ID NO: 3, SEQ ID NO: 4, SEQ ID NO: 5, SEQ ID NO: 6, SEQ ID NO: 7, SEQ ID NO: 8, and SEQ ID NO: 9. In yet another embodiment, the antisense oligonucleotide is any one or a combination of the nucleotide sequences set forth in Tables 3 and 4, wherein uracil bases in the antisense oligonucleotide are optionally thymine bases. In some aspects, the antisense oligonucleotide is chemically linked to one or more moieties or conjugates that enhance the activity, cellular distribution, or cellular uptake of the antisense oligonucleotide, such as an arginine-rich peptide.
- In another aspect, the present invention provides a method of treating DMD or BMD in a patient by administering at least 20 mg/kg of a composition comprising eteplirsen (SEQ ID NO: 1) for a period of time sufficient to increase the number of dystrophin-positive fibers in a subject to at least about 20% of normal, and stabilize or improve walking distance from a 20% deficit, for example in a 6 MWT, in the patient, relative to a healthy peer. In another embodiment, an effective amount is at least 20 mg/kg to about 30 mg/kg, about 25 mg/kg to about 30 mg/kg, or about 30 mg/kg to about 50 mg/kg of a composition comprising eteplirsen (SEQ ID NO: 1), and, optionally, a pharmaceutically acceptable carrier, such as phosphate-buffered saline.
- In another aspect, an effective amount of a composition comprising eteplirsen (SEQ ID NO: 1) is at least 20 mg/kg, about 25 mg/kg, about 30 mg/kg, or about 30 mg/kg to about 50 mg/kg, for at least 24 weeks, at least 36 weeks, or at least 48 weeks, to thereby increase the number of dystrophin-positive fibers in a subject to at least about 20%, about 30%, about 40%, about 50%, about 60%, about 70%, about 80%, about 90%, about 95% of normal, and stabilize or improve walking distance from a 20% deficit, for example in a 6 MWT, in the patient relative to a healthy peer. In some embodiments, treatment with antisense oligonucleotides of the present invention slows or reduces the loss of ambulation that would be expected without treatment. In some embodiments, treatment with the antisense oligonucleotides of the present invention stabilizes, maintains, or increases a stable walking distance in a patient. For example, treatment may increase the stable walking distance in the patient from baseline to greater than 3, 5, 6, 7, 8, 9, 10, 15, 20, 25, 30 or 50 meters (including all integers in between).
- The patent or application file contains at least one drawing executed in color. Copies of this patent or patent application publication with color drawing(s) will be provided by the Office upon request and payment of the necessary fee.
-
FIG. 1A shows an exemplary morpholino oligomer structure with a phosphorodiamidate linkage. -
FIG. 1B shows a conjugate of an arginine-rich peptide and an antisense oligomer, in accordance with an embodiment of the invention. -
FIG. 1C shows a conjugate as inFIG. 1B , wherein the backbone linkages contain one or more positively charged groups. -
FIGS. 1D-G show the repeating subunit segment of exemplary morpholino oligonucleotides, designated D through G. -
FIG. 2 is a schematic representation of the study design for treating DMD patients. Twelve DMD patients were randomized to one of three cohorts in the double-blind, placebo-controlled study, 201:Cohort 1, eteplirsen 30 mg/kg/wk;Cohort 2, eteplirsen 50 mg/kg/wk; and Cohort 3, placebo/delayed eteplirsen. At week 25, placebo-treated patients in Cohort 3 switched to open-label treatment with 30 or 50 mg/kg/week eteplirsen. Patients were maintained on their same dose of eteplirsen under the open-label extension study, 202. Muscle Biopsies. Patients underwent biceps biopsies at baseline and deltoid biopsies atweek 48 for analysis of dystrophin. Additional biceps biopsies were obtained at week 12 (from patients inCohort 2 and two patients in Cohort 3) or week 24 (from patients inCohort 1 and two patients in Cohort 3). Efficacy Evaluations. The 6MWT was used as a functional outcome measure and was performed pre-treatment and every 12 weeks post treatment throughweek 48. -
FIG. 3 depicts dystrophin-positive muscle fibers after 12, 24, and 48 weeks of eteplirsen. Panels A and B show the mean absolute change from baseline in the percentage of dystrophin-positive fibers at 12, 24, andweeks week 48 by treatment group. In Panel A: *P-value is for comparison between eteplirsen and placebo using the pooled results from 12 and 24, and is based on an analysis of covariance model for ranked data with treatment as a fixed effect and baseline value and time since DMD diagnosis as covariates. Mean changes shown are based on descriptive statistics. †P-value is from a paired t-test comparing theweeks week 48 value to baseline. ‡Results from the placebo-treated patients biopsied at 12 and 24 are pooled. §Placebo/delayed eteplirsen patients began receiving eteplirsen at week 25 and had received a total of 24 doses atweeks week 48. Abbreviations: BL=baseline; NA=not applicable; ND=not done; NS=not significant; SE=standard error. -
FIG. 4 shows the effects of eteplirsen on the dystrophin-associated glycoprotein complex. (A) Representative examples of time-dependent increases in dystrophin-positive fibers in relation to treatment for all participating study patients. (B) nNOS μ staining in muscle from DMD (a) and normal (c) control patients (not in study), and frompatient 6 at baseline (b) and week 48 (d), demonstrates restoration of nNOSμ binding with eteplirsen. β-sarcoglycan (e) and γ-sarcoglycan (f) staining inpatient 6 atweek 48 demonstrate restoration of the sarcoglycan complex with eteplirsen. (C) RT-PCR shows skipped product (289 bp) post-treatment in the muscle ofpatient 12. -
FIG. 5 graphically depicts the functional efficacy of eteplirsen. The dark purple line shows the change from baseline in distance walked on the 6MWT over time for the 6 evaluable patients who received eteplirsen from the start of 201 (two boys were unable to at or beyondweek 24 were excluded from this analysis). The gray line shows change from baseline in distance walked on the 6MWT for the 4 patients who received placebo for the first 24 weeks and eteplirsen for the last 24 weeks. - Embodiments of the present invention relate to improved methods for treating muscular dystrophy, such as DMD and BMD, by administering antisense compounds that are specifically designed to induce exon skipping in the human dystrophin gene. Dystrophin plays a vital role in muscle function, and various muscle-related diseases are characterized by mutated forms of this gene. Hence, in certain embodiments, the improved methods described herein may be used for inducing exon skipping in mutated forms of the human dystrophin gene, such as the mutated dystrophin genes found in DMD and BMD.
- Due to aberrant mRNA splicing events caused by mutations, these mutated human dystrophin genes either express defective dystrophin protein or express no measurable dystrophin at all, a condition that leads to various forms of muscular dystrophy. To remedy this condition, the antisense compounds of the present invention hybridize to selected regions of a pre-processed RNA of a mutated human dystrophin gene, induce exon skipping and differential splicing in that otherwise aberrantly spliced dystrophin mRNA, and thereby allow muscle cells to produce an mRNA transcript that encodes a functional dystrophin protein. In certain embodiments, the resulting dystrophin protein is not necessarily the “wild-type” form of dystrophin, but is rather a truncated, yet functional or semi-functional, form of dystrophin.
- By increasing the levels of functional dystrophin protein in muscle cells, these and related embodiments are useful in the prophylaxis and treatment of muscular dystrophy, especially those forms of muscular dystrophy, such as DMD and BMD, that are characterized by the expression of defective dystrophin proteins due to aberrant mRNA splicing. The methods described herein further provide improved treatment options for patients with muscular dystrophy and offer significant and practical advantages over alternate methods of treating relevant forms of muscular dystrophy. For example, in some embodiments, the improved methods relate to the administration of an antisense compound for inducing exon skipping in the human dystrophin gene at a higher dose and/or for a longer duration than prior approaches.
- Thus, the invention relates to improved methods for treating muscular dystrophy such as DMD and BMD, by inducing exon skipping in a patient. In some embodiments, exon skipping is induced by administering an effective amount of a composition which includes a charge-neutral, phosphorodiamidate morpholino oligomer (PMO), such as eteplirsen, which selectively binds to a target sequence in an exon of dystrophin pre-mRNA. In some embodiments, the invention relates to methods of treating DMD or BMD in which an effective amount of a composition e.g., at least 20 mg/kg, about 25 mg/kg, about 30 mg/kg or about 30 mg/kg to about 50 mg/kg, which includes an antisense as described herein, such as eteplirsen, over a period of time sufficient to treat the disease.
- Some embodiments of the present invention relate to the use of eteplirsen as a disease-modifying therapy for treating DMD. In a clinical study described in the Examples, no drug-related adverse events were seen in 576 infusions of eteplirsen administered over one year, nor were there any infusion-associated reactions, cardiac abnormalities, or any other organ system involvement. There was also no evidence of glomerular or renal tubular dysfunction in eteplirsen-treated patients over the course of the study (e.g., no proteinuria, elevations in serum cytstatin C, or urine cystatin C or KIM-1). Without being bound by theory, the safety profile of eteplirsen and other exon-skipping antisense oligonucleotides described herein may be attributed to its unique chemical composition, which is characterized by nucleotides bound to morpholine rings linked through charge-neutral phosphorodiamidate moieties.
- In DMD patients treated with eteplirsen for one year, the mean percentage of dystrophin-positive fibers was increased to 47% of normal, relative to baseline. The magnitude of the increase was dependent upon treatment duration. Significant increases in dystrophin levels were observed in the 24-week biopsies taken from patients in Cohort 1 (30 mg/kg) and in the 48-week biopsies from patients in Cohort 3 (who started eteplirsen at week 25).
- Eteplirsen's clinical benefit mirrored its ability to induce exon skipping and restore functional dystrophin production. Clinical effect was assessed with the 6MWT, a measure of endurance and muscular capacity that goes beyond the assessment of strength in individual muscle groups. Patients who received 30 or 50 mg/kg eteplirsen from the beginning maintained a stable walking distance over 48 weeks, consistent with eteplirsen-induced increases in novel dystrophin expression between
12 and 24. In contrast, patients in the placebo/delayed eteplirsen cohort lost 70 meters byweeks week 36, but appeared to stabilize by week 48 (24 weeks after initiating eteplirsen). This is the same timeframe in which a clinical impact was seen in patients who received 30 or 50 mg/kg eteplirsen once a week from the start of the study. - The present invention is based, at least in part, on the evidence of a therapeutic effect of eteplirsen, which represents a major advance in the treatment of DMD by addressing the underlying cause of the disease. Accordingly, the invention relates to methods of treating DMD or BMD in patients by administering an effective amount of a composition which includes an antisense oligonucleotide, such as eteplirsen, which is complementary to a target region in an exon of the human dystrophin gene to specifically hybridize to the target region, induce exon skipping, and treat the disease. In one embodiment, treatment is by administering one or more antisense oligonucleotides of the present invention (e.g., a nucleotide sequence shown in Tables 3 and 4), optionally as part of a pharmaceutical formulation or dosage form, to a subject in need thereof. Treatment includes inducing exon-skipping in a subject by administering an effective amount of one or more antisense oligonucleotides, in which the exon is any one or more of exons 1-79 from the dystrophin gene. Preferably, the exon is
44, 45, 46, 47, 48, 49, 50, 51, 52, 53, 54, 55, 56 or 8 from the human dystrophin gene.exon - Unless defined otherwise, all technical and scientific terms used herein have the same meaning as commonly understood by those of ordinary skill in the art to which the invention belongs. Although any methods and materials similar or equivalent to those described herein can be used in the practice or testing of the present invention, preferred methods and materials are described. For the purposes of the present invention, the following terms are defined below.
- By “about” is meant a quantity, level, value, number, frequency, percentage, dimension, size, amount, weight or length that varies by as much as 30, 25, 20, 15, 10, 9, 8, 7, 6, 5, 4, 3, 2 or 1% to a reference quantity, level, value, number, frequency, percentage, dimension, size, amount, weight or length.
- The terms “complementary” and “complementarity” refer to polynucleotides (i.e., a sequence of nucleotides) related by base-pairing rules. For example, the sequence “T-G-A (5′-3′),” is complementary to the sequence “T-C-A (5′-3′).” Complementarity may be “partial,” in which only some of the nucleic acids' bases are matched according to base pairing rules. Or, there may be “complete” or “total” complementarity between the nucleic acids. The degree of complementarity between nucleic acid strands has significant effects on the efficiency and strength of hybridization between nucleic acid strands. While perfect complementarity is often desired, some embodiments can include one or more but preferably 6, 5, 4, 3, 2, or 1 mismatches with respect to the target RNA. Variations at any location within the oligomer are included. In certain embodiments, variations in sequence near the termini of an oligomer are generally preferable to variations in the interior, and if present are typically within about 6, 5, 4, 3, 2, or 1 nucleotides of the 5′ and/or 3′ terminus.
- The terms “cell penetrating peptide” and “CPP” are used interchangeably and refer to cationic cell penetrating peptides, also called transport peptides, carrier peptides, or peptide transduction domains. The peptides, as shown herein, have the capability of inducing cell penetration within 100% of cells of a given cell culture population and allow macromolecular translocation within multiple tissues in vivo upon systemic administration. A preferred CPP embodiment is an arginine-rich peptide as described further below.
- The terms “antisense oligomer” and “antisense compound” and “antisense oligonucleotide” are used interchangeably and refer to a sequence of cyclic subunits, each bearing a base-pairing moiety, linked by intersubunit linkages that allow the base-pairing moieties to hybridize to a target sequence in a nucleic acid (typically an RNA) by Watson-Crick base pairing, to form a nucleic acid:oligomer heteroduplex within the target sequence. The cyclic subunits are based on ribose or another pentose sugar or, in a preferred embodiment, a morpholino group (see description of morpholino oligomers below). The oligomer may have exact or near sequence complementarity to the target sequence; variations in sequence near the termini of an oligomer are generally preferable to variations in the interior.
- Such an antisense oligomer can be designed to block or inhibit translation of mRNA or to inhibit natural pre-mRNA splice processing, and may be said to be “directed to” or “targeted against” a target sequence with which it hybridizes. The target sequence is typically a region including an AUG start codon of an mRNA, a Translation Suppressing Oligomer, or splice site of a pre-processed mRNA, a Splice Suppressing Oligomer (SSO). The target sequence for a splice site may include an mRNA sequence having its 5′
end 1 to about 25 base pairs downstream of a normal splice acceptor junction in a preprocessed mRNA. A preferred target sequence is any region of a preprocessed mRNA that includes a splice site or is contained entirely within an exon coding sequence or spans a splice acceptor or donor site. An oligomer is more generally said to be “targeted against” a biologically relevant target, such as a protein, virus, or bacteria, when it is targeted against the nucleic acid of the target in the manner described above. - The terms “morpholino oligomer” or “PMO” (phosphoramidate- or phosphorodiamidate morpholino oligomer) refer to an oligonucleotide analog composed of morpholino subunit structures, where (i) the structures are linked together by phosphorus-containing linkages, one to three atoms long, preferably two atoms long, and preferably uncharged or cationic, joining the morpholino nitrogen of one subunit to a 5′ exocyclic carbon of an adjacent subunit, and (ii) each morpholino ring bears a purine or pyrimidine base-pairing moiety effective to bind, by base specific hydrogen bonding, to a base in a polynucleotide. See, for example, the structure in
FIG. 1A , which shows a preferred phosphorodiamidate linkage type. Variations can be made to this linkage as long as they do not interfere with binding or activity. For example, the oxygen attached to phosphorus may be substituted with sulfur (thiophosphorodiamidate). The 5′ oxygen may be substituted with amino or lower alkyl substituted amino. The pendant nitrogen attached to phosphorus may be unsubstituted, monosubstituted, or disubstituted with (optionally substituted) lower alkyl. The purine or pyrimidine base pairing moiety is typically adenine, cytosine, guanine, uracil, thymine or inosine. The synthesis, structures, and binding characteristics of morpholino oligomers are detailed in U.S. Pat. Nos. 5,698,685, 5,217,866, 5,142,047, 5,034,506, 5,166,315, 5,521,063, 5,506,337, 8,076,476, 8,299,206 and 7,943,762 (cationic linkages), all of which are incorporated herein by reference. Modified intersubunit linkages and terminal groups are detailed in PCT application US2011/038459 and publication WO/2011/150408 which are incorporated herein by reference in their entirety. - An “amino acid subunit” or “amino acid residue” can refer to an α-amino acid residue (—CO—CHR—NH—) or a β- or other amino acid residue (e.g. —CO—(CH2)nCHR—NH—), where R is a side chain (which may include hydrogen) and n is 1 to 6, preferably 1 to 4.
- The term “naturally occurring amino acid” refers to an amino acid present in proteins found in nature. The term “non-natural amino acids” refers to those amino acids not present in proteins found in nature, examples include beta-alanine (β-Ala), 6-aminohexanoic acid (Ahx) and 6-aminopentanoic acid.
- An “exon” refers to a defined section of nucleic acid that encodes for a protein, or a nucleic acid sequence that is represented in the mature form of an RNA molecule after either portions of a pre-processed (or precursor) RNA have been removed by splicing. The mature RNA molecule can be a messenger RNA (mRNA) or a functional form of a non-coding RNA, such as rRNA or tRNA. The human dystrophin gene has about 79 exons.
- An “intron” refers to a nucleic acid region (within a gene) that is not translated into a protein. An intron is a non-coding section that is transcribed into a precursor mRNA (pre-mRNA), and subsequently removed by splicing during formation of the mature RNA.
- An “effective amount” or “therapeutically effective amount” refers to an amount of therapeutic compound, such as an antisense oligonucleotide, administered to a human subject, either as a single dose or as part of a series of doses, which is effective to produce a desired therapeutic effect. For an antisense oligonucleotide, this effect is typically brought about by inhibiting translation or natural splice-processing of a selected target sequence. In some embodiments, an effective amount is at least 20 mg/kg of a composition including an antisense oligonucleotide for a period of time to treat the subject. In one embodiment, an effective amount is at least 20 mg/kg of a composition including an antisense oligonucleotide to increase the number of dystrophin-positive fibers in a subject to at least 20% of normal. In another embodiment, an effective amount is at least 20 mg/kg of a composition including an antisense oligonucleotide to stabilize, maintain, or improve walking distance from a 20% deficit, for example in a 6 MWT, in a patient, relative to a healthy peer. In another embodiment, an effective amount is at least 20 mg/kg to about 30 mg/kg, about 25 mg/kg to about 30 mg/kg, or about 30 mg/kg to about 50 mg/kg. In yet another embodiment, an effective amount is about 30 mg/kg or about 50 mg/kg. In another aspect, an effective amount is at least 20 mg/kg, about 25 mg/kg, about 30 mg/kg, or about 30 mg/kg to about 50 mg/kg, for at least 24 weeks, at least 36 weeks, or at least 48 weeks, to thereby increase the number of dystrophin-positive fibers in a subject to at least 20%, about 30%, about 40%, about 50%, about 60%, about 70%, about 80%, about 90%, about 95% of normal, and stabilize or improve walking distance from a 20% deficit, for example in a 6 MWT, in the patient relative to a healthy peer. In one embodiment, treatment increases the number of dystrophin-positive fibers to 20-60%, or 30-50% of normal in the patient.
- “Exon skipping” refers generally to the process by which an entire exon, or a portion thereof, is removed from a given pre-processed RNA, and is thereby excluded from being present in the mature RNA, such as the mature mRNA that is translated into a protein. Hence, the portion of the protein that is otherwise encoded by the skipped exon is not present in the expressed form of the protein, typically creating an altered, though still functional, form of the protein. In certain embodiments, the exon being skipped is an aberrant exon from the human dystrophin gene, which may contain a mutation or other alteration in its sequence that otherwise causes aberrant splicing. In certain embodiments, the exon being skipped is any one or more of exons 1-79 of the human dystrophin gene, such as 3-8, 10-16, 19-40, 42-47, and 50-55, though
44, 45, 46, 47, 48, 49, 50, 51, 52, 53, 54, 55, 56 and 8 of the human dystrophin gene are preferred.exons - “Dystrophin” is a rod-shaped cytoplasmic protein, and a vital part of the protein complex that connects the cytoskeleton of a muscle fiber to the surrounding extracellular matrix through the cell membrane. Dystrophin contains multiple functional domains. For instance, dystrophin contains an actin binding domain at about amino acids 14-240 and a central rod domain at about amino acids 253-3040. This large central domain is formed by 24 spectrin-like triple-helical elements of about 109 amino acids, which have homology to alpha-actinin and spectrin. The repeats are typically interrupted by four proline-rich non-repeat segments, also referred to as hinge regions.
Repeats 15 and 16 are separated by an 18 amino acid stretch that appears to provide a major site for proteolytic cleavage of dystrophin. The sequence identity between most repeats ranges from 10-25%. One repeat contains three alpha-helices: 1, 2 and 3. Alpha-helices 1 and 3 are each formed by 7 helix turns, probably interacting as a coiled-coil through a hydrophobic interface. Alpha-helix 2 has a more complex structure and is formed by segments of four and three helix turns, separated by a Glycine or Proline residue. Each repeat is encoded by two exons, typically interrupted by an intron betweenamino acids 47 and 48 in the first part of alpha-helix 2. The other intron is found at different positions in the repeat, usually scattered over helix-3. Dystrophin also contains a cysteine-rich domain at about amino acids 3080-3360), including a cysteine-rich segment (i.e., 15 Cysteines in 280 amino acids) showing homology to the C-terminal domain of the slime mold (Dictyostelium discoideum) alpha-actinin. The carboxy-terminal domain is at about amino acids 3361-3685. - The amino-terminus of dystrophin binds to F-actin and the carboxy-terminus binds to the dystrophin-associated protein complex (DAPC) at the sarcolemma. The DAPC includes the dystroglycans, sarcoglycans, integrins and caveolin, and mutations in any of these components cause autosomally inherited muscular dystrophies. The DAPC is destabilized when dystrophin is absent, which results in diminished levels of the member proteins, and in turn leads to progressive fibre damage and membrane leakage. In various forms of muscular dystrophy, such as Duchenne's muscular dystrophy (DMD) and Becker's muscular dystrophy (BMD), muscle cells produce an altered and functionally defective form of dystrophin, or no dystrophin at all, mainly due to mutations in the gene sequence that lead to incorrect splicing. The predominant expression of the defective dystrophin protein, or the complete lack of dystrophin or a dystrophin-like protein, leads to rapid progression of muscle degeneration, as noted above. In this regard, a “defective” dystrophin protein may be characterized by the forms of dystrophin that are produced in certain subjects with DMD or BMD, as known in the art, or by the absence of detectable dystrophin.
- As used herein, the terms “function” and “functional” and the like refer to a biological, enzymatic, or therapeutic function.
- A “functional” dystrophin protein refers generally to a dystrophin protein having sufficient biological activity to reduce the progressive degradation of muscle tissue that is otherwise characteristic of muscular dystrophy, typically as compared to the altered or “defective” form of dystrophin protein that is present in certain subjects with DMD or BMD. In certain embodiments, a functional dystrophin protein may have about 10%, 20%, 30%, 40%, 50%, 60%, 70%, 80%, 90%, or 100% (including all integers in between) of the in vitro or in vivo biological activity of wild-type dystrophin, as measured according to routine techniques in the art. As one example, dystrophin-related activity in muscle cultures in vitro can be measured according to myotube size, myofibril organization (or disorganization), contractile activity, and spontaneous clustering of acetylcholine receptors (see, e.g., Brown et al., Journal of Cell Science. 112:209-216, 1999). Animal models are also valuable resources for studying the pathogenesis of disease, and provide a means to test dystrophin-related activity. Two of the most widely used animal models for DMD research are the mdx mouse and the golden retriever muscular dystrophy (GRMD) dog, both of which are dystrophin negative (see, e.g., Collins & Morgan, Int J Exp Pathol 84: 165-172, 2003). These and other animal models can be used to measure the functional activity of various dystrophin proteins. Included are truncated forms of dystrophin, such as those forms that are produced by certain of the exon-skipping antisense compounds of the present invention.
- The term “restoration” of dystrophin synthesis or production refers generally to the production of a dystrophin protein including truncated forms of dystrophin in a patient with muscular dystrophy following treatment with an antisense oligonucleotide as described herein. In some embodiments, treatment results in an increase in novel dystrophin production in a patient by 1%, 5%, 10%, 20%, 30%, 40%, 50%, 60%, 70%, 80%, 90% or 100% (including all integers in between). In some embodiments, treatment increases the number of dystrophin-positive fibers to at least 20%, about 30%, about 40%, about 50%, about 60%, about 70%, about 80%, about 90% or about 95% to 100% of normal in the subject. In other embodiments, treatment increases the number of dystrophin-positive fibers to about 20% to about 60%, or about 30% to about 50% of normal in the subject. The percent of dystrophin-positive fibers in a patient following treatment can be determined by a muscle biopsy using known techniques. For example, a muscle biopsy may be taken from a suitable muscle, such as the biceps brachii muscle in a patient.
- Analysis of the percentage of positive dystrophin fibers may be performed pre-treatment and/or post-treatment or at time points throughout the course of treatment. In some embodiments, a post-treatment biopsy is taken from the contralateral muscle from the pre-treatment biopsy. Pre- and post-treatment dystrophin expression studies may be performed using any suitable assay for dystrophin. In one embodiment, immunohistochemical detection is performed on tissue sections from the muscle biopsy using an antibody that is a marker for dystrophin, such as a monoclonal or a polyclonal antibody. For example, the MANDYS106 antibody can be used which is a highly sensitive marker for dystrophin. Any suitable secondary antibody may be used.
- In some embodiments, the percent dystrophin-positive fibers are calculated by dividing the number of positive fibers by the total fibers counted. Normal muscle samples have 100% dystrophin-positive fibers. Therefore, the percent dystrophin-positive fibers can be expressed as a percentage of normal. To control for the presence of trace levels of dystrophin in the pretreatment muscle as well as revertant fibers a baseline can be set using sections of pre-treatment muscles from each patient when counting dystrophin-positive fibers in post-treatment muscles. This may be used as a threshold for counting dystrophin-positive fibers in sections of post-treatment muscle in that patient. In other embodiments, antibody-stained tissue sections can also be used for dystrophin quantification using Bioquant image analysis software (Bioquant Image Analysis Corporation, Nashville, Tenn.). The total dystrophin fluorescence signal intensity can be reported as a percentage of normal. In addition, Western blot analysis with monoclonal or polyclonal anti-dystrophin antibodies can be used to determine the percentage of dystrophin positive fibers. For example, the anti-dystrophin antibody NCL-Dysl from Novacastra may be used. The percentage of dystrophin-positive fibers can also be analyzed by determining the expression of the components of the sarcoglycan complex (β,γ) and/or neuronal NOS.
- By “isolated” is meant material that is substantially or essentially free from components that normally accompany it in its native state. For example, an “isolated polynucleotide,” as used herein, may refer to a polynucleotide that has been purified or removed from the sequences that flank it in a naturally-occurring state, e.g., a DNA fragment that has been removed from the sequences that are normally adjacent to the fragment.
- As used herein, “sufficient length” refers to an antisense oligonucleotide that is complementary to at least 8, more typically 8-30, contiguous nucleobases in a target dystrophin pre-mRNA. In some embodiments, an antisense of sufficient length includes at least 8, 9, 10, 11, 12, 13, 14, or 15 contiguous nucleobases in the target dystrophin pre-mRNA. In other embodiments an antisense of sufficient length includes at least 16, 17, 18, 19, 20, 21, 22, 23, 24, or 25 contiguous nucleobases in the target dystrophin pre-mRNA. An antisense oligonucleotide of sufficient length has at least a minimal number of nucleotides to be capable of specifically hybridizing to any one or more of exons 1-79 of the dystrophin gene. Preferably, the antisense oligonucleotide of the invention has a minimal number of nucleotides to be capable of specifically hybridizing to any one or more of
44, 45, 46, 47, 48, 49, 50, 51, 52, 53, 54, 55, 56 or 8 of the human dystrophin gene. Preferably an oligonucleotide of sufficient length is from about 10 to about 50 nucleotides in length, including oligonucleotides of 10, 11, 12, 13, 14, 15, 16, 17, 18, 19, 20, 21, 22, 23, 24, 25, 26, 27, 28, 29, 30, 31, 32, 33, 34, 35, 36, 37, 38, 39 and 40 or more nucleotides. In one embodiment, an oligonucleotide of sufficient length is from 10 to about 30 nucleotides in length. In another embodiment, an oligonucleotide of sufficient length is from 15 to about 25 nucleotides in length. In yet another embodiment, an oligonucleotide of sufficient length is from 20 to 30, or 20 to 50, nucleotides in length. In yet another embodiment, an oligonucleotide of sufficient length is from 25 to 28 nucleotides in length.exons - By “enhance” or “enhancing,” or “increase” or “increasing,” or “stimulate” or “stimulating,” refers generally to the ability of one or antisense compounds or compositions to produce or cause a greater physiological response (i.e., downstream effects) in a cell or a subject, as compared to the response caused by either no antisense compound or a control compound. A measurable physiological response may include increased expression of a functional form of a dystrophin protein, or increased dystrophin-related biological activity in muscle tissue, among other responses apparent from the understanding in the art and the description herein. Increased muscle function can also be measured, including increases or improvements in muscle function by about 1%, 2%, 3%, 4%, 5%, 6%, 7%, 8%, 9%, 10%, 11%, 12%, 13%, 14%, 15%, 16%, 17%, 18%, 19%, 20%, 25%, 30%, 35%, 40%, 45%, 50%, 55%, 60%, 65%, 70%, 75%, 80%, 85%, 90%, 95%, or 100%. The percentage of muscle fibers that express a functional dystrophin can also be measured, including increased dystrophin expression in about 1%, 2%, %, 15%, 16%, 17%, 18%, 19%, 20%, 25%, 30%, 35%, 40%, 45%, 50%, 55%, 60%, 65%, 70%, 75%, 80%, 85%, 90%, 95%, or 100% of muscle fibers. For instance, it has been shown that around 40% of muscle function improvement can occur if 25-30% of fibers express dystrophin (see, e.g., DelloRusso et al, Proc Natl Acad Sci USA 99: 12979-12984, 2002). An “increased” or “enhanced” amount is typically a “statistically significant” amount, and may include an increase that is 1.1, 1.2, 2, 3, 4, 5, 6, 7, 8, 9, 10, 15, 20, 30, 40, 50 or more times (e.g., 500, 1000 times) (including all integers and decimal points in between and above 1), e.g., 1.5, 1.6, 1.7, 1.8, etc.) the amount produced by no antisense compound (the absence of an agent) or a control compound.
- The term “reduce” or “inhibit” may relate generally to the ability of one or more antisense compounds of the invention to “decrease” a relevant physiological or cellular response, such as a symptom of a disease or condition described herein, as measured according to routine techniques in the diagnostic art. Relevant physiological or cellular responses (in vivo or in vitro) will be apparent to persons skilled in the art, and may include reductions in the symptoms or pathology of muscular dystrophy, or reductions in the expression of defective forms of dystrophin, such as the altered forms of dystrophin that are expressed in individuals with DMD or BMD. A “decrease” in a response may be statistically significant as compared to the response produced by no antisense compound or a control composition, and may include a 1%, 2%, 3%, 4%, 5%, 6%, 7%, 8%, 9%, 10%, 11%, 12%, 13%, 14%, 15%, 16%, 17%, 18%, 19%, 20%, 25%, 30%, 35%, 40%, 45%, 50%, 55%, 60%, 65%, 70%, 75%, 80%, 85%, 90%, 95%, or 100% decrease, including all integers in between.
- Also included are vector delivery systems that are capable of expressing the oligomeric, dystrophin-targeting sequences of the present invention, such as vectors that express a polynucleotide sequence comprising any one or more of the sequences shown in Tables 3 and 4, and variants thereof, as described herein. By “vector” or “nucleic acid construct” is meant a polynucleotide molecule, preferably a DNA molecule derived, for example, from a plasmid, bacteriophage, yeast or virus, into which a polynucleotide can be inserted or cloned. A vector preferably contains one or more unique restriction sites and can be capable of autonomous replication in a defined host cell including a target cell or tissue or a progenitor cell or tissue thereof, or be integrated with the genome of the defined host such that the cloned sequence is reproducible. Accordingly, the vector can be an autonomously replicating vector, i.e., a vector that exists as an extra-chromosomal entity, the replication of which is independent of chromosomal replication, e.g., a linear or closed circular plasmid, an extra-chromosomal element, a mini-chromosome, or an artificial chromosome. The vector can contain any means for assuring self-replication. Alternatively, the vector can be one which, when introduced into the host cell, is integrated into the genome and replicated together with the chromosome(s) into which it has been integrated.
- “Treatment” of an individual (e.g. a mammal, such as a human) or a cell is any type of intervention used in an attempt to alter the natural course of the individual or cell. Treatment includes, but is not limited to, administration of a pharmaceutical composition, and may be performed either prophylactically or subsequent to the initiation of a pathologic event or contact with an etiologic agent. Treatment includes any desirable effect on the symptoms or pathology of a disease or condition associated with the dystrophin protein, as in certain forms of muscular dystrophy, and may include, for example, minimal changes or improvements in one or more measurable markers of the disease or condition being treated. Also included are “prophylactic” treatments, which can be directed to reducing the rate of progression of the disease or condition being treated, delaying the onset of that disease or condition, or reducing the severity of its onset. “Treatment” or “prophylaxis” does not necessarily indicate complete eradication, cure, or prevention of the disease or condition, or associated symptoms thereof.
- In one embodiment, treatment with an antisense oligonucleotide of the invention increases novel dystrophin production and slows or reduces the loss of ambulation that would be expected without treatment. For example, treatment may stabilize, maintain, improve or increase walking ability (e.g., stabilization of ambulation) in the subject. In some embodiments, treatment maintains or increases a stable walking distance in a patient, as measured by, for example, the 6 Minute Walk Test (6MWT), described by McDonald, et al. (Muscle Nerve, 2010; 42:966-74, herein incorporated by reference). A change in the 6 Minute Walk Distance (6MWD) may be expressed as an absolute value, a percentage change or a change in the %-predicted value. In some embodiments, treatment maintains or improves a stable walking distance in a 6MWT from a 20% deficit in the subject relative to a healthy peer. The performance of a DMD patient in the 6MWT relative to the typical performance of a healthy peer can be determined by calculating a %-predicted value. For example, the %-predicted 6MWD may be calculated using the following equation for males: 196.72+(39.81×age)−(1.36×age2)+(132.28×height in meters). For females, the %-predicted 6MWD may be calculated using the following equation: 188.61+(51.50×age)−(1.86×age2)+(86.10×height in meters) (Henricson et al. PLoS Curr., 2012,
version 2, herein incorporated by reference). In some embodiments, treatment with an antisense oligonucleotide increases the stable walking distance in the patient from baseline to greater than 3, 5, 6, 7, 8, 9, 10, 15, 20, 25, 30 or 50 meters (including all integers in between). - Loss of muscle function in patients with DMD may occur against the background of normal childhood growth and development. Indeed, younger children with DMD may show an increase in distance walked during 6MWT over the course of about 1 year despite progressive muscular impairment. In some embodiments, the 6MWD from patients with DMD is compared to typically developing control subjects and to existing normative data from age and sex matched subjects. In some embodiments, normal growth and development can be accounted for using an age and height based equation fitted to normative data. Such an equation can be used to convert 6MWD to a percent-predicted (%-predicted) value in subjects with DMD. In certain embodiments, analysis of %-predicted 6MWD data represents a method to account for normal growth and development, and may show that gains in function at early ages (e.g., less than or equal to age 7) represent stable rather than improving abilities in patients with DMD (Henricson et al. PLoS Curr., 2012,
version 2, herein incorporated by reference). - A “subject,” as used herein, includes any animal that exhibits a symptom, or is at risk for exhibiting a symptom, which can be treated with an antisense compound of the invention, such as a subject that has or is at risk for having DMD or BMD, or any of the symptoms associated with these conditions (e.g., muscle fibre loss). Suitable subjects (patients) include laboratory animals (such as mouse, rat, rabbit, or guinea pig), farm animals, and domestic animals or pets (such as a cat or dog). Non-human primates and, preferably, human patients, are included.
- “Alkyl” or “alkylene” both refer to a saturated straight or branched chain hydrocarbon radical containing from 1 to 18 carbons. Examples include without limitation methyl, ethyl, propyl, iso-propyl, butyl, iso-butyl, tert-butyl, n-pentyl and n-hexyl. The term “lower alkyl” refers to an alkyl group, as defined herein, containing between 1 and 8 carbons.
- “Alkenyl” refers to an unsaturated straight or branched chain hydrocarbon radical containing from 2 to 18 carbons and comprising at least one carbon to carbon double bond. Examples include without limitation ethenyl, propenyl, iso-propenyl, butenyl, iso-butenyl, tert-butenyl, n-pentenyl and n-hexenyl. The term “lower alkenyl” refers to an alkenyl group, as defined herein, containing between 2 and 8 carbons.
- “Alkynyl” refers to an unsaturated straight or branched chain hydrocarbon radical containing from 2 to 18 carbons comprising at least one carbon to carbon triple bond. Examples include without limitation ethynyl, propynyl, iso-propynyl, butynyl, iso-butynyl, tert-butynyl, pentynyl and hexynyl. The term “lower alkynyl” refers to an alkynyl group, as defined herein, containing between 2 and 8 carbons.
- “Cycloalkyl” refers to a mono- or poly-cyclic alkyl radical. Examples include without limitation cyclobutyl, cyclopentyl, cyclohexyl, cycloheptyl and cyclooctyl.
- “Aryl” refers to a cyclic aromatic hydrocarbon moiety containing from to 18 carbons having one or more closed ring(s). Examples include without limitation phenyl, benzyl, naphthyl, anthracenyl, phenanthracenyl and biphenyl.
- “Aralkyl” refers to a radical of the formula RaRb where Ra is an alkylene chain as defined above and Rb is one or more aryl radicals as defined above, for example, benzyl, diphenylmethyl and the like.
- “Thioalkoxy” refers to a radical of the formula —SRc where Rc is an alkyl radical as defined herein. The term “lower thioalkoxy” refers to an alkoxy group, as defined herein, containing between 1 and 8 carbons.
- “Alkoxy” refers to a radical of the formula —ORda where Rd is an alkyl radical as defined herein. The term “lower alkoxy” refers to an alkoxy group, as defined herein, containing between 1 and 8 carbons. Examples of alkoxy groups include, without limitation, methoxy and ethoxy.
- “Alkoxyalkyl” refers to an alkyl group substituted with an alkoxy group.
- “Carbonyl” refers to the C(═O)— radical.
- “Guanidynyl” refers to the H2N(C═NH2)—NH— radical.
- “Amidinyl” refers to the H2N(C═NH2)CH— radical.
- “Amino” refers to the NH2 radical.
- “Alkylamino” refers to a radical of the formula —NHRd or —NRdRd where each Rd is, independently, an alkyl radical as defined herein. The term “lower alkylamino” refers to an alkylamino group, as defined herein, containing between 1 and 8 carbons.
- “Heterocycle” means a 5- to 7-membered monocyclic, or 7- to 10-membered bicyclic, heterocyclic ring which is either saturated, unsaturated, or aromatic, and which contains from 1 to 4 heteroatoms independently selected from nitrogen, oxygen and sulfur, and wherein the nitrogen and sulfur heteroatoms may be optionally oxidized, and the nitrogen heteroatom may be optionally quaternized, including bicyclic rings in which any of the above heterocycles are fused to a benzene ring. The heterocycle may be attached via any heteroatom or carbon atom. Heterocycles include heteroaryls as defined below. Thus, in addition to the heteroaryls listed below, heterocycles also include morpholinyl, pyrrolidinonyl, pyrrolidinyl, piperidinyl, piperizinyl, hydantoinyl, valerolactamyl, oxiranyl, oxetanyl, tetrahydrofuranyl, tetrahydropyranyl, tetrahydropyridinyl, tetrahydrothiophenyl, tetrahydrothiopyranyl, tetrahydropyrimidinyl, tetrahydrothiopyranyl, and the like.
- “Heteroaryl” means an aromatic heterocycle ring of 5- to 10 members and having at least one heteroatom selected from nitrogen, oxygen and sulfur, and containing at least 1 carbon atom, including both mono- and bicyclic ring systems. Representative heteroaryls are pyridyl, furyl, benzofuranyl, thiophenyl, benzothiophenyl, quinolinyl, pyrrolyl, indolyl, oxazolyl, benzoxazolyl, imidazolyl, benzimidazolyl, thiazolyl, benzothiazolyl, isoxazolyl, pyrazolyl, isothiazolyl, pyridazinyl, pyrimidinyl, pyrazinyl, triazinyl, cinnolinyl, phthalazinyl, and quinazolinyl.
- The terms “optionally substituted alkyl”, “optionally substituted alkenyl”, “optionally substituted alkoxy”, “optionally substituted thioalkoxy”, “optionally substituted alkyl amino”, “optionally substituted lower alkyl”, “optionally substituted lower alkenyl”, “optionally substituted lower alkoxy”, “optionally substituted lower thioalkoxy”, “optionally substituted lower alkyl amino” and “optionally substituted heterocyclyl” mean that, when substituted, at least one hydrogen atom is replaced with a substituent. In the case of an oxo substituent (═O) two hydrogen atoms are replaced. In this regard, substituents include: deuterium, optionally substituted alkyl, optionally substituted alkenyl, optionally substituted alkynyl, optionally substituted aryl, optionally substituted heterocycle, optionally substituted cycloalkyl, oxo, halogen, —CN, —ORx, NRxRy, NRxC(═O)Ry, NRxSO2Ry, —NRxC(═O)NRxRy, C(═O)Rx, C(═O)ORx, C(═O)NRxRy, —SOmRx and —SOmNRxRy, wherein m is 0, 1 or 2, Rx and Ry are the same or different and independently hydrogen, optionally substituted alkyl, optionally substituted alkenyl, optionally substituted alkynyl, optionally substituted aryl, optionally substituted heterocycle or optionally substituted cycloalkyl and each of said optionally substituted alkyl, optionally substituted alkenyl, optionally substituted alkynyl, optionally substituted aryl, optionally substituted heterocycle and optionally substituted cycloalkyl substituents may be further substituted with one or more of oxo, halogen, —CN, —ORx, NRxRy, NRxC(═O)Ry, NRxSO2Ry, —NRxC(═O)NRxRy, C(═O)Rx, C(═O)ORx, C(═O)NRxRy, —SOmRx and —SOmNRxRy.
- An antisense molecule nomenclature system was proposed and published to distinguish between the different antisense molecules (see Mann et al., (2002)
J Gen Med 4, 644-654). This nomenclature became especially relevant when testing several slightly different antisense molecules, all directed at the same target region, as shown below: -
H#A/D(x:y). - The first letter designates the species (e.g. H: human, M: murine, C: canine). “#” designates target dystrophin exon number. “A/D” indicates acceptor or donor splice site at the beginning and end of the exon, respectively. (x y) represents the annealing coordinates where “−” or “+” indicate intronic or exonic sequences respectively. For example, A(−6+18) would indicate the last 6 bases of the intron preceding the target exon and the first 18 bases of the target exon. The closest splice site would be the acceptor so these coordinates would be preceded with an “A”. Describing annealing coordinates at the donor splice site could be D(+2-18) where the last 2 exonic bases and the first 18 intronic bases correspond to the annealing site of the antisense molecule. Entirely exonic annealing coordinates that would be represented by A(+65+85), that is the site between the 65th and 85th nucleotide from the start of that exon.
- Exemplary embodiments of the invention relate to morpholino oligonucleotides having phosphorus-containing backbone linkages are illustrated in
FIGS. 1A-1C . Preferred is a phosphorodiamidate-linked morpholino oligonucleotide such as shown inFIG. 1C , which is modified, in accordance with one aspect of the present invention, to contain positively charged groups at preferably 10%-50% of its backbone linkages. Morpholino oligonucleotides with uncharged backbone linkages, including antisense oligonucleotides, are detailed, for example, in (Summerton and Weller 1997) and in co-owned U.S. Pat. Nos. 5,698,685, 5,217,866, 5,142,047, 5,034,506, 5,166,315, 5,185, 444, 5,521,063, 5,506,337, 8,076,476, 8,299,206 and 7,943,762 all of which are expressly incorporated by reference herein. - Important properties of the morpholino-based subunits include: 1) the ability to be linked in a oligomeric form by stable, uncharged or positively charged backbone linkages; 2) the ability to support a nucleotide base (e.g. adenine, cytosine, guanine, thymidine, uracil and inosine) such that the polymer formed can hybridize with a complementary-base target nucleic acid, including target RNA, Tm values above about 45° C. in relatively short oligonucleotides (e.g., 10-15 bases); 3) the ability of the oligonucleotide to be actively or passively transported into mammalian cells; and 4) the ability of the antisense oligonucleotide:RNA heteroduplex to resist RNAse and RNase H degradation, respectively.
- Exemplary backbone structures for antisense oligonucleotides of the claimed subject matter include the morpholino subunit types shown in
FIGS. 1D-G , each linked by an uncharged or positively charged, phosphorus-containing subunit linkage.FIG. 1D shows a phosphorus-containing linkage which forms the five atom repeating-unit backbone, where the morpholino rings are linked by a 1-atom phosphoamide linkage.FIG. 1E shows a linkage which produces a 6-atom repeating-unit backbone. In this structure, the atom Y linking the 5′ morpholino carbon to the phosphorus group may be sulfur, nitrogen, carbon or, preferably, oxygen. The X moiety pendant from the phosphorus may be fluorine, an alkyl or substituted alkyl, an alkoxy or substituted alkoxy, a thioalkoxy or substituted thioalkoxy, or unsubstituted, monosubstituted, or disubstituted nitrogen, including cyclic structures, such as morpholines or piperidines. Alkyl, alkoxy and thioalkoxy preferably include 1-6 carbon atoms. The Z moieties are sulfur or oxygen, and are preferably oxygen. - The linkages shown in
FIGS. 1F and 1G are designed for 7-atom unit-length backbones. In structure 1F, the X moiety is as in Structure 1E, and the Y moiety may be methylene, sulfur, or, preferably, oxygen. In Structure 1G, the X and Y moieties are as in Structure 1E. Particularly preferred morpholino oligonucleotides include those composed of morpholino subunit structures of the form shown inFIG. 1E , where X=NH2, N(CH3)2, or 1-piperazine or other charged group, Y═O, and Z═O. - A substantially uncharged oligonucleotide may be modified, in accordance with an aspect of the invention, to include charged linkages, e.g., up to about 1 per every 2-5 uncharged linkages, such as about 4-5 per every 10 uncharged linkages. In certain embodiments, optimal improvement in antisense activity may be seen when about 25% of the backbone linkages are cationic. In certain embodiments, enhancement may be seen with a small number e.g., 10-20% cationic linkages, or where the number of cationic linkages are in the range 50-80%, such as about 60%.
- Oligomers having any number of cationic linkages are provided, including fully cationic-linked oligomers. Preferably, however, the oligomers are partially charged, having, for example, 10%-80%. In preferred embodiments, about 10% to 60%, and preferably 20% to 50% of the linkages are cationic.
- In one embodiment, the cationic linkages are interspersed along the backbone. The partially charged oligomers preferably contain at least two consecutive uncharged linkages; that is, the oligomer preferably does not have a strictly alternating pattern along its entire length.
- Also considered are oligomers having blocks of cationic linkages and blocks of uncharged linkages; for example, a central block of uncharged linkages may be flanked by blocks of cationic linkages, or vice versa. In one embodiment, the oligomer has approximately equal-length 5′, 3′ and center regions, and the percentage of cationic linkages in the center region is greater than about 50%, preferably greater than about 70%.
- In certain embodiments, the antisense compounds can be prepared by stepwise solid-phase synthesis, employing methods detailed in the references cited above, and below with respect to the synthesis of oligonucleotides having a mixture or uncharged and cationic backbone linkages. In some cases, it may be desirable to add additional chemical moieties to the antisense compound, e.g., to enhance pharmacokinetics or to facilitate capture or detection of the compound. Such a moiety may be covalently attached, according to standard synthetic methods. For example, addition of a polyethylene glycol moiety or other hydrophilic polymer, e.g., one having 1-100 monomeric subunits, may be useful in enhancing solubility.
- A reporter moiety, such as fluorescein or a radiolabeled group, may be attached for purposes of detection. Alternatively, the reporter label attached to the oligomer may be a ligand, such as an antigen or biotin, capable of binding a labeled antibody or streptavidin. In selecting a moiety for attachment or modification of an antisense compound, it is generally of course desirable to select chemical compounds of groups that are biocompatible and likely to be tolerated by a subject without undesirable side effects.
- Oligomers for use in antisense applications generally range in length from about 10 to about 50 subunits, more preferably about 10 to 30 subunits, and typically 15-25 bases. For example, an oligomer of the invention having 19-20 subunits, a useful length for an antisense compound, may ideally have two to ten, e.g., four to eight, cationic linkages, and the remainder uncharged linkages. An oligomer having 14-15 subunits may ideally have two to seven, e.g., 3, 4, or 5, cationic linkages and the remainder uncharged linkages. In a preferred embodiment, the oligomers have 25 to 28 subunits.
- Each morpholino ring structure supports a base pairing moiety, to form a sequence of base pairing moieties which is typically designed to hybridize to a selected antisense target in a cell or in a subject being treated. The base pairing moiety may be a purine or pyrimidine found in native DNA or RNA (e.g., A, G, C, T or U) or an analog, such as hypoxanthine (the base component of the nucleoside inosine) or 5-methyl cytosine.
- As noted above, certain embodiments are directed to oligomers comprising novel intersubunit linkages, including PMO-X oligomers and those having modified terminal groups. In some embodiments, these oligomers have higher affinity for DNA and RNA than do the corresponding unmodified oligomers and demonstrate improved cell delivery, potency, and/or tissue distribution properties compared to oligomers having other intersubunit linkages. The structural features and properties of the various linkage types and oligomers are described in more detail in the following discussion. The synthesis of these and related oligomers is described in co-owned U.S. application Ser. No. 13/118,298, which is incorporated by reference in its entirety.
- In certain embodiments, the invention provides for an oligonucleotide having a sequence complementary to the target sequence which is associated with a human disease, and comprises a sequence of nucleotides having a formula:
- wherein Nu is a nucleobase;
- R1 has the formula
- q is 0, 1, or 2;
- R2 is selected from the group consisting of hydrogen, C1-C5 alkyl, C1-C5 aralkyl, and a formamidinyl group, and
- R3 is selected from the group consisting of hydrogen, C1-C10 acyl, C1-C10 aminoacyl, acyl moiety of a natural or unnatural alpha or beta amino acid, C1-C10 aralkyl, and C1-C10 alkyl, or
- R2 and R3 are joined to form a 5-7 membered ring where the ring may be optionally substituted with a substituent selected from the group consisting of C1-C10 alkyl, phenyl, halogen, and C1-C10 aralkyl;
- R4 is selected from the group consisting of an electron pair, hydrogen, a C1-C6 alkyl and C1-C6 aralkyl;
- Rx is selected from the group consisting of sarcosinamide, hydroxyl, a nucleotide, a cell penetrating peptide moiety, and piperazinyl;
- Ry is selected from the group consisting of hydrogen, a C1-C6 alkyl, a nucleotide a cell penetrating peptide moiety, an amino acid, a formamidinyl group, and C1-C6 acyl; and,
- Rz is selected from the group consisting of an electron pair, hydrogen, a C1-C6 alkyl, and C1-C6 acyl pharmaceutically acceptable salts thereof.
- Nu may be selected from the group consisting of adenine, guanine, thymine, uracil, cytosine, and hypoxanthine. More preferably Nu is thymine or uracil.
- In preferred embodiments, the invention provides an oligonucleotide having a sequence of nucleotides having a formula:
- wherein Nu is a nucleobase;
- R1 is selected from the group consisting of R1′ and R1″ wherein R1′ is dimethylamino and R1″ has the formula
- wherein at least one R1 is R1″;
- q is 0, 1, or 2; with the proviso that at least one of R1 is a piperidinyl moiety;
- R2 is selected from the group consisting of hydrogen, C1-C5 alkyl, C1-C5 aralkyl, and a formamidinyl group, and
- R3 is selected from the group consisting of hydrogen, C1-C10 acyl, C1-C10 aminoacyl, acyl moiety of a natural or unnatural alpha or beta amino acid, C1-C10 aralkyl, and C1-C10 alkyl, or
- R2 and R3 are joined to form a 5-7 membered ring where the ring may be optionally substituted with a substituent selected from the group consisting of C1-C10 alkyl, phenyl, halogen, and C1-C10 aralkyl;
- R4 is selected from the group consisting of an electron pair, hydrogen, a C1-C6 alkyl and aralkyl;
- Rx is selected from the group consisting of sarcosinamide, hydroxyl, a nucleotide, a cell penetrating peptide moiety, and piperazinyl;
- Ry is selected from the group consisting of hydrogen, a C1-C6 alkyl, a nucleotide a cell penetrating peptide moiety, an amino acid, a formamidinyl group, and C1-C6 acyl; and,
- Rz is selected from the group consisting of an electron pair, hydrogen, a C1-C6 alkyl, and C1-C6 acyl pharmaceutically acceptable salts thereof.
- Nu may be selected from the group consisting of adenine, guanine, thymine, uracil, cytosine, and hypoxanthine. More preferably Nu is thymine or uracil.
- About 90-50% of the R1 groups are dimethylamino (i.e. R1′). More, preferably, 90-50% of the R1 groups are dimethylamino. Most, preferably about 66% of the R1 groups are dimethylamino.
- R1″ may be selected from the group consisting of
- Preferably, at least one nucleotide of the oligonucleotide has the formula:
- wherein Rx, Ry, Rz, and Nu are as stated above. Most preferably, Nu is thymine or uracil.
- Although thymine (T) is the preferred base pairing moiety (Nu or Pi) containing the chemical modifications described above, any base subunit known to a person of skill in the art can be used as the base pairing moiety.
- The oligonucleotide and the DNA or RNA are complementary to each other when a sufficient number of corresponding positions in each molecule are occupied by nucleotides which can hydrogen bond with each other. Thus, “specifically hybridizable” and “complementary” are terms which are used to indicate a sufficient degree of complementarity or precise pairing such that stable and specific binding occurs between the oligonucleotide and the DNA or RNA target. It is understood in the art that the sequence of an antisense molecule need not be 100% complementary to that of its target sequence to be specifically hybridizable. An antisense molecule is specifically hybridizable when binding of the compound to the target DNA or RNA molecule interferes with the normal function of the target DNA or RNA to cause a loss of utility, and there is a sufficient degree of complementarity to avoid non-specific binding of the antisense compound to non-target sequences under conditions in which specific binding is desired, i.e., under physiological conditions in the case of in vivo assays or therapeutic treatment, and in the case of in vitro assays, under conditions in which the assays are performed.
- While the above method may be used to select antisense molecules capable of deleting any exon from within a protein that is capable of being shortened without affecting its biological function, the exon deletion should not lead to a reading frame shift in the shortened transcribed mRNA. Thus, if in a linear sequence of three exons the end of the first exon encodes two of three nucleotides in a codon and the next exon is deleted then the third exon in the linear sequence must start with a single nucleotide that is capable of completing the nucleotide triplet for a codon. If the third exon does not commence with a single nucleotide there will be a reading frame shift that would lead to the generation of truncated or a non-functional protein.
- It will be appreciated that the codon arrangements at the end of exons in structural proteins may not always break at the end of a codon, consequently there may be a need to delete more than one exon from the pre-mRNA to ensure in-frame reading of the mRNA. In such circumstances, a plurality of antisense oligonucleotides may need to be selected by the method of the invention wherein each is directed to a different region responsible for inducing splicing in the exons that are to be deleted.
- The length of an antisense molecule may vary so long as it is capable of binding selectively to the intended location within the pre-mRNA molecule. The length of such sequences can be determined in accordance with selection procedures described herein. Generally, the antisense molecule will be from about 10 nucleotides in length up to about 50 nucleotides in length. It will be appreciated however that any length of nucleotides within this range may be used in the method. Preferably, the length of the antisense molecule is between 10-30 nucleotides in length.
- The most common method for producing antisense molecules is the methylation of the 2′ hydroxyribose position and the incorporation of a phosphorothioate backbone produces molecules that superficially resemble RNA but that are much more resistant to nuclease degradation.
- To avoid degradation of pre-mRNA during duplex formation with the antisense molecules, the antisense molecules used in the method may be adapted to minimize or prevent cleavage by endogenous RNase H. This property is highly preferred as the treatment of the RNA with the unmethylated oligonucleotides either intracellularly or in crude extracts that contain RNase H leads to degradation of the pre-mRNA: antisense oligonucleotide duplexes. Any form of modified antisense molecules that is capable of by-passing or not inducing such degradation may be used in the present method. An example of antisense molecules which when duplexed with RNA are not cleaved by cellular RNase H is 2′-O-methyl derivatives. 2′-O-methyl-oligoribonucleotides are very stable in a cellular environment and in animal tissues, and their duplexes with RNA have higher Tm values than their ribo- or deoxyribo-counterparts.
- Antisense molecules that do not activate RNase H can be made in accordance with known techniques (see, e.g., U.S. Pat. No. 5,149,797). Such antisense molecules, which may be deoxyribonucleotide or ribonucleotide sequences, simply contain any structural modification which sterically hinders or prevents binding of RNase H to a duplex molecule containing the oligonucleotide as one member thereof, which structural modification does not substantially hinder or disrupt duplex formation. Because the portions of the oligonucleotide involved in duplex formation are substantially different from those portions involved in RNase H binding thereto, numerous antisense molecules that do not activate RNase H are available. For example, such antisense molecules may be oligonucleotides wherein at least one, or all, of the inter-nucleotide bridging phosphate residues are modified phosphates, such as methyl phosphonates, methyl phosphorothioates, phosphoromorpholidates, phosphoropiperazidates and phosphoramidates. For example, every other one of the internucleotide bridging phosphate residues may be modified as described. In another non-limiting example, such antisense molecules are molecules wherein at least one, or all, of the nucleotides contain a 2′ lower alkyl moiety (e.g., C1-C4, linear or branched, saturated or unsaturated alkyl, such as methyl, ethyl, ethenyl, propyl, 1-propenyl, 2-propenyl, and isopropyl). For example, every other one of the nucleotides may be modified as described.
- While antisense oligonucleotides are a preferred form of the antisense molecules, the present invention comprehends other oligomeric antisense molecules, including but not limited to oligonucleotide mimetics such as are described below.
- Specific examples of preferred antisense compounds useful in this invention include oligonucleotides containing modified backbones or non-natural inter-nucleoside linkages. As defined in this specification, oligonucleotides having modified backbones include those that retain a phosphorus atom in the backbone and those that do not have a phosphorus atom in the backbone. For the purposes of this specification, and as sometimes referenced in the art, modified oligonucleotides that do not have a phosphorus atom in their inter-nucleoside backbone can also be considered to be oligonucleosides.
- In other preferred oligonucleotide mimetics, both the sugar and the inter-nucleoside linkage, i.e., the backbone, of the nucleotide units are replaced with novel groups. The base units are maintained for hybridization with an appropriate nucleic acid target compound. One such oligomeric compound, an oligonucleotide mimetic that has been shown to have excellent hybridization properties, is referred to as a peptide nucleic acid (PNA). In PNA compounds, the sugar-backbone of an oligonucleotide is replaced with an amide containing backbone, in particular an aminoethylglycine backbone. The nucleo-bases are retained and are bound directly or indirectly to aza nitrogen atoms of the amide portion of the backbone.
- Modified oligonucleotides may also contain one or more substituted sugar moieties. Oligonucleotides may also include nucleobase (often referred to in the art simply as “base”) modifications or substitutions. Certain nucleo-bases are particularly useful for increasing the binding affinity of the oligomeric compounds of the invention. These include 5-substituted pyrimidines, 6-azapyrimidines and N-2, N-6 and O-6 substituted purines, including 2-aminopropyladenine, 5-propynyluracil and 5-propynylcytosine. 5-methylcytosine substitutions have been shown to increase nucleic acid duplex stability by 0.6-1.2° C. and are presently preferred base substitutions, even more particularly when combined with 2′-O-methoxyethyl sugar modifications.
- Another modification of the oligonucleotides of the invention involves chemically linking to the oligonucleotide one or more moieties or conjugates that enhance the activity, cellular distribution or cellular uptake of the oligonucleotide. Such moieties include but are not limited to lipid moieties such as a cholesterol moiety, cholic acid, a thioether, e.g., hexyl-5-tritylthiol, a thiocholesterol, an aliphatic chain, e.g., dodecandiol or undecyl residues, a phospholipid, e.g., di-hexadecyl-rac-glycerol or
triethylammonium 1,2-di-O-hexadecyl-rac-glycero-3-H-phosphonate, a polyamine or a polyethylene glycol chain, or adamantane acetic acid, a palmityl moiety, or an octadecylamine or hexylamino-carbonyl-oxycholesterol moiety. - It is not necessary for all positions in a given compound to be uniformly modified, and in fact more than one of the aforementioned modifications may be incorporated in a single compound or even at a single nucleoside within an oligonucleotide. The present invention also includes antisense compounds that are chimeric compounds. “Chimeric” antisense compounds or “chimeras,” in the context of this invention, are antisense molecules, particularly oligonucleotides, which contain two or more chemically distinct regions, each made up of at least one monomer unit, i.e., a nucleotide in the case of an oligonucleotide compound. These oligonucleotides typically contain at least one region wherein the oligonucleotide is modified so as to confer upon the increased resistance to nuclease degradation, increased cellular uptake, and an additional region for increased binding affinity for the target nucleic acid.
- The antisense compounds of the invention may include an oligonucleotide moiety conjugated to a CPP, preferably an arginine-rich peptide transport moiety effective to enhance transport of the compound into cells. The transport moiety is preferably attached to a terminus of the oligomer, as shown, for example, in
FIGS. 1B and 1C . The peptides have the capability of inducing cell penetration within 30%, 40%, 50%, 60%, 70%, 80%, 90% or 100% of cells of a given cell culture population, including all integers in between, and allow macromolecular translocation within multiple tissues in vivo upon systemic administration. In one embodiment, the cell-penetrating peptide may be an arginine-rich peptide transporter. In another embodiment, the cell-penetrating peptide may be Penetratin or the Tat peptide. These peptides are well known in the art and are disclosed, for example, in US Publication No. 2010-0016215 A1, incorporated by reference in its entirety. A particularly preferred approach to conjugation of peptides to antisense oligonucleotides can be found in PCT publication WO2012/150960, which is incorporated by reference in its entirety. A preferred embodiment of a peptide conjugated oligonucleotide of the present invention utilizes glycine as the linker between the CPP and the antisense oligonucleotide. For example, a preferred peptide conjugated PMO consists of R6-G-PMO. - The transport moieties as described above have been shown to greatly enhance cell entry of attached oligomers, relative to uptake of the oligomer in the absence of the attached transport moiety. Uptake is preferably enhanced at least ten fold, and more preferably twenty fold, relative to the unconjugated compound.
- The use of arginine-rich peptide transporters (i.e., cell-penetrating peptides) are particularly useful in practicing the present invention. Certain peptide transporters have been shown to be highly effective at delivery of antisense compounds into primary cells including muscle cells (Marshall, Oda et al. 2007; Jearawiriyapaisarn, Moulton et al. 2008; Wu, Moulton et al. 2008). Furthermore, compared to other known peptide transporters such as Penetratin and the Tat peptide, the peptide transporters described herein, when conjugated to an antisense PMO, demonstrate an enhanced ability to alter splicing of several gene transcripts (Marshall, Oda et al. 2007).
- Exemplary peptide transporters, excluding linkers are given below in Table 1.
-
TABLE 1 Exemplary peptide transporters SEQ NAME ID (DESIGNATION) SEQUENCE NOA rTAT RRRQRRKKR 876 Tat RKKRRQRRR 877 R9F2 RRRRRRRRRFF 878 R5F2R4 RRRRRFFRRRR 879 R4 RRRR 880 R5 RRRRR 881 R6 RRRRRR 882 R7 RRRRRRR 883 R8 RRRRRRRR 884 R9 RRRRRRRRR 885 (RX)8 RXRXRXRXRXRXRXRX 886 (RAhxR)4; (P007) RAhxRRAhxRRAhxRRAhxR 887 (RAhxR)5; (CP04057) RAhxRRAhxRRAhxRRAhxRRAhxR 888 (RAhxRRBR)2; (CP06062) RAhxRRBRRAhxRRBR 889 (RAR)4F2 RARRARRARRARFF 890 (RGR)4F2 RGRRGRRGRRGRFF 891 ASequences assigned to SEQ ID NOs do not include the linkage portion (e.g., C, G, P, Ahx, B, AhxB where Ahx and B refer to 6-aminohexanoic acid and beta-alanine, respectively). - In certain embodiments, the present invention provides formulations or compositions suitable for the therapeutic delivery of antisense oligomers, as described herein. Hence, in certain embodiments, the present invention provides pharmaceutically acceptable compositions that comprise a therapeutically-effective amount of one or more of the oligomers described herein, formulated together with one or more pharmaceutically acceptable carriers (additives) and/or diluents. While it is possible for an oligomer of the present invention to be administered alone, it is preferable to administer the compound as a pharmaceutical formulation (composition).
- The compositions of the present invention may be administered alone or in combination with another therapeutic. The additional therapeutic may be administered prior, concurrently or subsequently to the administration of the composition of the present invention. For example, the compositions may be administered in combination with a steroid and/or an antibiotic. The steroid may be a glucocorticoid or prednisone. Other agents which can be administered include an antagonist of the ryanodine receptor, such as dantrolene, which has been shown to enhance antisense-mediated exon skipping in patient cells and a mouse model of DMD (G. Kendall et al.
Sci Tranl Med 4 164ra160 (2012), incorporated herein by reference). - Methods for the delivery of nucleic acid molecules are described, for example, in Akhtar et al., 1992, Trends Cell Bio., 2:139; and Delivery Strategies for Antisense Oligonucleotide Therapeutics, ed. Akhtar; Sullivan et al., PCT WO 94/02595. These and other protocols can be utilized for the delivery of virtually any nucleic acid molecule, including the isolated oligomers of the present invention.
- As detailed below, the pharmaceutical compositions of the present invention may be specially formulated for administration in solid or liquid form, including those adapted for the following: (1) oral administration, for example, drenches (aqueous or non-aqueous solutions or suspensions), tablets, e.g., those targeted for buccal, sublingual, and systemic absorption, boluses, powders, granules, pastes for application to the tongue; (2) parenteral administration, for example, by subcutaneous, intramuscular, intravenous or epidural injection as, for example, a sterile solution or suspension, or sustained-release formulation; (3) topical application, for example, as a cream, ointment, or a controlled-release patch or spray applied to the skin; (4) intravaginally or intrarectally, for example, as a pessary, cream or foam; (5) sublingually; (6) ocularly; (7) transdermally; or (8) nasally.
- The phrase “pharmaceutically acceptable” is employed herein to refer to those compounds, materials, compositions, and/or dosage forms which are, within the scope of sound medical judgment, suitable for use in contact with the tissues of human beings and animals without excessive toxicity, irritation, allergic response, or other problem or complication, commensurate with a reasonable benefit/risk ratio.
- The phrase “pharmaceutically-acceptable carrier” as used herein means a pharmaceutically-acceptable material, composition or vehicle, such as a liquid or solid filler, diluent, excipient, manufacturing aid (e.g., lubricant, talc magnesium, calcium or zinc stearate, or steric acid), or solvent encapsulating material, involved in carrying or transporting the subject compound from one organ, or portion of the body, to another organ, or portion of the body. Each carrier must be “acceptable” in the sense of being compatible with the other ingredients of the formulation and not injurious to the patient.
- Some examples of materials that can serve as pharmaceutically-acceptable carriers include, without limitation: (1) sugars, such as lactose, glucose and sucrose; (2) starches, such as corn starch and potato starch; (3) cellulose, and its derivatives, such as sodium carboxymethyl cellulose, ethyl cellulose and cellulose acetate; (4) powdered tragacanth; (5) malt; (6) gelatin; (7) talc; (8) excipients, such as cocoa butter and suppository waxes; (9) oils, such as peanut oil, cottonseed oil, safflower oil, sesame oil, olive oil, corn oil and soybean oil; (10) glycols, such as propylene glycol; (11) polyols, such as glycerin, sorbitol, mannitol and polyethylene glycol; (12) esters, such as ethyl oleate and ethyl laurate; (13) agar; (14) buffering agents, such as magnesium hydroxide and aluminum hydroxide; (15) alginic acid; (16) pyrogen-free water; (17) isotonic saline; (18) Ringer's solution; (19) ethyl alcohol; (20) pH buffered solutions; (21) polyesters, polycarbonates and/or polyanhydrides; and (22) other non-toxic compatible substances employed in pharmaceutical formulations.
- Additional non-limiting examples of agents suitable for formulation with the antisense oligomers of the instant invention include: PEG conjugated nucleic acids, phospholipid conjugated nucleic acids, nucleic acids containing lipophilic moieties, phosphorothioates, P-glycoprotein inhibitors (such as Pluronic P85) which can enhance entry of drugs into various tissues; biodegradable polymers, such as poly (DL-lactide-coglycolide) microspheres for sustained release delivery after implantation (Emerich, D F et al., 1999, Cell Transplant, 8, 47-58) Alkermes, Inc. Cambridge, Mass.; and loaded nanoparticles, such as those made of polybutylcyanoacrylate, which can deliver drugs across the blood brain barrier and can alter neuronal uptake mechanisms (Prog Neuropsychopharmacol Biol Psychiatry, 23, 941-949, 1999).
- The invention also features the use of the composition comprising surface-modified liposomes containing poly (ethylene glycol) lipids (PEG-modified, branched and unbranched or combinations thereof, or long-circulating liposomes or stealth liposomes). Oligomers of the invention can also comprise covalently attached PEG molecules of various molecular weights. These formulations offer a method for increasing the accumulation of drugs in target tissues. This class of drug carriers resists opsonization and elimination by the mononuclear phagocytic system (MPS or RES), thereby enabling longer blood circulation times and enhanced tissue exposure for the encapsulated drug (Lasic et al. Chem. Rev. 1995, 95, 2601-2627; Ishiwata et al., Chem. Pharm. Bull. 1995, 43, 1005-1011). Such liposomes have been shown to accumulate selectively in tumors, presumably by extravasation and capture in the neovascularized target tissues (Lasic et al., Science 1995, 267, 1275-1276; Oku et al., 1995, Biochim. Biophys. Acta, 1238, 86-90). The long-circulating liposomes enhance the pharmacokinetics and pharmacodynamics of DNA and RNA, particularly compared to conventional cationic liposomes which are known to accumulate in tissues of the MPS (Liu et al., J. Biol. Chem. 1995, 42, 24864-24870; Choi et al., International PCT Publication No. WO 96/10391; Ansell et al., International PCT Publication No. WO 96/10390; Holland et al., International PCT Publication No. WO 96/10392). Long-circulating liposomes are also likely to protect drugs from nuclease degradation to a greater extent compared to cationic liposomes, based on their ability to avoid accumulation in metabolically aggressive MPS tissues such as the liver and spleen.
- In a further embodiment, the present invention includes oligomer compositions prepared for delivery as described in U.S. Pat. Nos. 6,692,911, 7,163,695 and 7,070,807. In this regard, in one embodiment, the present invention provides an oligomer of the present invention in a composition comprising copolymers of lysine and histidine (HK) (as described in U.S. Pat. Nos. 7,163,695, 7,070,807, and 6,692,911) either alone or in combination with PEG (e.g., branched or unbranched PEG or a mixture of both), in combination with PEG and a targeting moiety or any of the foregoing in combination with a crosslinking agent. In certain embodiments, the present invention provides antisense oligomers in compositions comprising gluconic-acid-modified polyhistidine or gluconylated-polyhistidine/transferrin-polylysine. One skilled in the art will also recognize that amino acids with properties similar to His and Lys may be substituted within the composition.
- Certain embodiments of the oligomers described herein may contain a basic functional group, such as amino or alkylamino, and are, thus, capable of forming pharmaceutically-acceptable salts with pharmaceutically-acceptable acids. The term “pharmaceutically-acceptable salts” in this respect, refers to the relatively non-toxic, inorganic and organic acid addition salts of compounds of the present invention. These salts can be prepared in situ in the administration vehicle or the dosage form manufacturing process, or by separately reacting a purified compound of the invention in its free base form with a suitable organic or inorganic acid, and isolating the salt thus formed during subsequent purification. Representative salts include the hydrobromide, hydrochloride, sulfate, bisulfate, phosphate, nitrate, acetate, valerate, oleate, palmitate, stearate, laurate, benzoate, lactate, phosphate, tosylate, citrate, maleate, fumarate, succinate, tartrate, napthylate, mesylate, glucoheptonate, lactobionate, and laurylsulphonate salts and the like. (See, e.g., Berge et al. (1977) “Pharmaceutical Salts”, J. Pharm. Sci. 66:1-19).
- The pharmaceutically acceptable salts of the subject oligomers include the conventional nontoxic salts or quaternary ammonium salts of the compounds, e.g., from non-toxic organic or inorganic acids. For example, such conventional nontoxic salts include those derived from inorganic acids such as hydrochloride, hydrobromic, sulfuric, sulfamic, phosphoric, nitric, and the like; and the salts prepared from organic acids such as acetic, propionic, succinic, glycolic, stearic, lactic, malic, tartaric, citric, ascorbic, palmitic, maleic, hydroxymaleic, phenylacetic, glutamic, benzoic, salicyclic, sulfanilic, 2-acetoxybenzoic, fumaric, toluenesulfonic, methanesulfonic, ethane disulfonic, oxalic, isothionic, and the like.
- In certain embodiments, the oligomers of the present invention may contain one or more acidic functional groups and, thus, are capable of forming pharmaceutically-acceptable salts with pharmaceutically-acceptable bases. The term “pharmaceutically-acceptable salts” in these instances refers to the relatively non-toxic, inorganic and organic base addition salts of compounds of the present invention. These salts can likewise be prepared in situ in the administration vehicle or the dosage form manufacturing process, or by separately reacting the purified compound in its free acid form with a suitable base, such as the hydroxide, carbonate or bicarbonate of a pharmaceutically-acceptable metal cation, with ammonia, or with a pharmaceutically-acceptable organic primary, secondary or tertiary amine. Representative alkali or alkaline earth salts include the lithium, sodium, potassium, calcium, magnesium, and aluminum salts and the like. Representative organic amines useful for the formation of base addition salts include ethylamine, diethylamine, ethylenediamine, ethanolamine, diethanolamine, piperazine and the like. (See, e.g., Berge et al., supra).
- Wetting agents, emulsifiers and lubricants, such as sodium lauryl sulfate and magnesium stearate, as well as coloring agents, release agents, coating agents, sweetening, flavoring and perfuming agents, preservatives and antioxidants can also be present in the compositions.
- Examples of pharmaceutically-acceptable antioxidants include: (1) water soluble antioxidants, such as ascorbic acid, cysteine hydrochloride, sodium bisulfate, sodium metabisulfite, sodium sulfite and the like; (2) oil-soluble antioxidants, such as ascorbyl palmitate, butylated hydroxyanisole (BHA), butylated hydroxytoluene (BHT), lecithin, propyl gallate, alpha-tocopherol, and the like; and (3) metal chelating agents, such as citric acid, ethylenediamine tetraacetic acid (EDTA), sorbitol, tartaric acid, phosphoric acid, and the like.
- Formulations of the present invention include those suitable for oral, nasal, topical (including buccal and sublingual), rectal, vaginal and/or parenteral administration. The formulations may conveniently be presented in unit dosage form and may be prepared by any methods well known in the art of pharmacy. The amount of active ingredient that can be combined with a carrier material to produce a single dosage form will vary depending upon the host being treated, the particular mode of administration. The amount of active ingredient which can be combined with a carrier material to produce a single dosage form will generally be that amount of the compound which produces a therapeutic effect. Generally, out of one hundred percent, this amount will range from about 0.1 percent to about ninety-nine percent of active ingredient, preferably from about 5 percent to about 70 percent, most preferably from about 10 percent to about 30 percent.
- In certain embodiments, a formulation of the present invention comprises an excipient selected from cyclodextrins, celluloses, liposomes, micelle forming agents, e.g., bile acids, and polymeric carriers, e.g., polyesters and polyanhydrides; and an oligomer of the present invention. In certain embodiments, an aforementioned formulation renders orally bioavailable an oligomer of the present invention.
- Methods of preparing these formulations or compositions include the step of bringing into association an oligomer of the present invention with the carrier and, optionally, one or more accessory ingredients. In general, the formulations are prepared by uniformly and intimately bringing into association a compound of the present invention with liquid carriers, or finely divided solid carriers, or both, and then, if necessary, shaping the product.
- Formulations of the invention suitable for oral administration may be in the form of capsules, cachets, pills, tablets, lozenges (using a flavored basis, usually sucrose and acacia or tragacanth), powders, granules, or as a solution or a suspension in an aqueous or non-aqueous liquid, or as an oil-in-water or water-in-oil liquid emulsion, or as an elixir or syrup, or as pastilles (using an inert base, such as gelatin and glycerin, or sucrose and acacia) and/or as mouth washes and the like, each containing a predetermined amount of a compound of the present invention as an active ingredient. An oligomer of the present invention may also be administered as a bolus, electuary or paste.
- In solid dosage forms of the invention for oral administration (capsules, tablets, pills, dragees, powders, granules, trouches and the like), the active ingredient may be mixed with one or more pharmaceutically-acceptable carriers, such as sodium citrate or dicalcium phosphate, and/or any of the following: (1) fillers or extenders, such as starches, lactose, sucrose, glucose, mannitol, and/or silicic acid; (2) binders, such as, for example, carboxymethylcellulose, alginates, gelatin, polyvinyl pyrrolidone, sucrose and/or acacia; (3) humectants, such as glycerol; (4) disintegrating agents, such as agar-agar, calcium carbonate, potato or tapioca starch, alginic acid, certain silicates, and sodium carbonate; (5) solution retarding agents, such as paraffin; (6) absorption accelerators, such as quaternary ammonium compounds and surfactants, such as poloxamer and sodium lauryl sulfate; (7) wetting agents, such as, for example, cetyl alcohol, glycerol monostearate, and non-ionic surfactants; (8) absorbents, such as kaolin and bentonite clay; (9) lubricants, such as talc, calcium stearate, magnesium stearate, solid polyethylene glycols, sodium lauryl sulfate, zinc stearate, sodium stearate, stearic acid, and mixtures thereof; (10) coloring agents; and (11) controlled release agents such as crospovidone or ethyl cellulose. In the case of capsules, tablets and pills, the pharmaceutical compositions may also comprise buffering agents. Solid compositions of a similar type may also be employed as fillers in soft and hard-shelled gelatin capsules using such excipients as lactose or milk sugars, as well as high molecular weight polyethylene glycols and the like.
- A tablet may be made by compression or molding, optionally with one or more accessory ingredients. Compressed tablets may be prepared using binder (e.g., gelatin or hydroxypropylmethyl cellulose), lubricant, inert diluent, preservative, disintegrant (for example, sodium starch glycolate or cross-linked sodium carboxymethyl cellulose), surface-active or dispersing agent. Molded tablets may be made by molding in a suitable machine a mixture of the powdered compound moistened with an inert liquid diluent.
- The tablets, and other solid dosage forms of the pharmaceutical compositions of the present invention, such as dragees, capsules, pills and granules, may optionally be scored or prepared with coatings and shells, such as enteric coatings and other coatings well known in the pharmaceutical-formulating art. They may also be formulated so as to provide slow or controlled release of the active ingredient therein using, for example, hydroxypropylmethyl cellulose in varying proportions to provide the desired release profile, other polymer matrices, liposomes and/or microspheres. They may be formulated for rapid release, e.g., freeze-dried. They may be sterilized by, for example, filtration through a bacteria-retaining filter, or by incorporating sterilizing agents in the form of sterile solid compositions which can be dissolved in sterile water, or some other sterile injectable medium immediately before use. These compositions may also optionally contain opacifying agents and may be of a composition that they release the active ingredient(s) only, or preferentially, in a certain portion of the gastrointestinal tract, optionally, in a delayed manner. Examples of embedding compositions which can be used include polymeric substances and waxes. The active ingredient can also be in micro-encapsulated form, if appropriate, with one or more of the above-described excipients.
- Liquid dosage forms for oral administration of the compounds of the invention include pharmaceutically acceptable emulsions, microemulsions, solutions, suspensions, syrups and elixirs. In addition to the active ingredient, the liquid dosage forms may contain inert diluents commonly used in the art, such as, for example, water or other solvents, solubilizing agents and emulsifiers, such as ethyl alcohol, isopropyl alcohol, ethyl carbonate, ethyl acetate, benzyl alcohol, benzyl benzoate, propylene glycol, 1,3-butylene glycol, oils (in particular, cottonseed, groundnut, corn, germ, olive, castor and sesame oils), glycerol, tetrahydrofuryl alcohol, polyethylene glycols and fatty acid esters of sorbitan, and mixtures thereof.
- Besides inert diluents, the oral compositions can also include adjuvants such as wetting agents, emulsifying and suspending agents, sweetening, flavoring, coloring, perfuming and preservative agents.
- Suspensions, in addition to the active compounds, may contain suspending agents as, for example, ethoxylated isostearyl alcohols, polyoxyethylene sorbitol and sorbitan esters, microcrystalline cellulose, aluminum metahydroxide, bentonite, agar-agar and tragacanth, and mixtures thereof.
- Formulations for rectal or vaginal administration may be presented as a suppository, which may be prepared by mixing one or more compounds of the invention with one or more suitable nonirritating excipients or carriers comprising, for example, cocoa butter, polyethylene glycol, a suppository wax or a salicylate, and which is solid at room temperature, but liquid at body temperature and, therefore, will melt in the rectum or vaginal cavity and release the active compound.
- Formulations or dosage forms for the topical or transdermal administration of an oligomer as provided herein include powders, sprays, ointments, pastes, creams, lotions, gels, solutions, patches and inhalants. The active oligomers may be mixed under sterile conditions with a pharmaceutically-acceptable carrier, and with any preservatives, buffers, or propellants which may be required. The ointments, pastes, creams and gels may contain, in addition to an active compound of this invention, excipients, such as animal and vegetable fats, oils, waxes, paraffins, starch, tragacanth, cellulose derivatives, polyethylene glycols, silicones, bentonites, silicic acid, talc and zinc oxide, or mixtures thereof.
- Powders and sprays can contain, in addition to an oligomer of the present invention, excipients such as lactose, talc, silicic acid, aluminum hydroxide, calcium silicates and polyamide powder, or mixtures of these substances. Sprays can additionally contain customary propellants, such as chlorofluorohydrocarbons and volatile unsubstituted hydrocarbons, such as butane and propane.
- Transdermal patches have the added advantage of providing controlled delivery of an oligomer of the present invention to the body. Such dosage forms can be made by dissolving or dispersing the oligomer in the proper medium. Absorption enhancers can also be used to increase the flux of the agent across the skin. The rate of such flux can be controlled by either providing a rate controlling membrane or dispersing the agent in a polymer matrix or gel, among other methods known in the art.
- Pharmaceutical compositions suitable for parenteral administration may comprise one or more oligomers of the invention in combination with one or more pharmaceutically-acceptable sterile isotonic aqueous or nonaqueous solutions, dispersions, suspensions or emulsions, or sterile powders which may be reconstituted into sterile injectable solutions or dispersions just prior to use, which may contain sugars, alcohols, antioxidants, buffers, bacteriostats, solutes which render the formulation isotonic with the blood of the intended recipient or suspending or thickening agents. Examples of suitable aqueous and nonaqueous carriers which may be employed in the pharmaceutical compositions of the invention include water, ethanol, polyols (such as glycerol, propylene glycol, polyethylene glycol, and the like), and suitable mixtures thereof, vegetable oils, such as olive oil, and injectable organic esters, such as ethyl oleate. Proper fluidity can be maintained, for example, by the use of coating materials, such as lecithin, by the maintenance of the required particle size in the case of dispersions, and by the use of surfactants.
- These compositions may also contain adjuvants such as preservatives, wetting agents, emulsifying agents and dispersing agents. Prevention of the action of microorganisms upon the subject oligomers may be ensured by the inclusion of various antibacterial and antifungal agents, for example, paraben, chlorobutanol, phenol sorbic acid, and the like. It may also be desirable to include isotonic agents, such as sugars, sodium chloride, and the like into the compositions. In addition, prolonged absorption of the injectable pharmaceutical form may be brought about by the inclusion of agents which delay absorption such as aluminum monostearate and gelatin.
- In some cases, in order to prolong the effect of a drug, it is desirable to slow the absorption of the drug from subcutaneous or intramuscular injection. This may be accomplished by the use of a liquid suspension of crystalline or amorphous material having poor water solubility, among other methods known in the art. The rate of absorption of the drug then depends upon its rate of dissolution which, in turn, may depend upon crystal size and crystalline form. Alternatively, delayed absorption of a parenterally-administered drug form is accomplished by dissolving or suspending the drug in an oil vehicle.
- Injectable depot forms may be made by forming microencapsule matrices of the subject oligomers in biodegradable polymers such as polylactide-polyglycolide. Depending on the ratio of oligomer to polymer, and the nature of the particular polymer employed, the rate of oligomer release can be controlled. Examples of other biodegradable polymers include poly(orthoesters) and poly(anhydrides). Depot injectable formulations may also prepared by entrapping the drug in liposomes or microemulsions that are compatible with body tissues.
- When the oligomers of the present invention are administered as pharmaceuticals, to humans and animals, they can be given per se or as a pharmaceutical composition containing, for example, 0.1 to 99% (more preferably, 10 to 30%) of active ingredient in combination with a pharmaceutically acceptable carrier.
- As noted above, the formulations or preparations of the present invention may be given orally, parenterally, systemically, topically, rectally or intramuscular administartion. They are typically given in forms suitable for each administration route. For example, they are administered in tablets or capsule form, by injection, inhalation, eye lotion, ointment, suppository, etc. administration by injection, infusion or inhalation; topical by lotion or ointment; and rectal by suppositories.
- The phrases “parenteral administration” and “administered parenterally” as used herein means modes of administration other than enteral and topical administration, usually by injection, and includes, without limitation, intravenous, intramuscular, intraarterial, intrathecal, intracapsular, intraorbital, intracardiac, intradermal, intraperitoneal, transtracheal, subcutaneous, subcuticular, intraarticular, subcapsular, subarachnoid, intraspinal and intrasternal injection and infusion.
- The phrases “systemic administration,” “administered systemically,” “peripheral administration” and “administered peripherally” as used herein mean the administration of a compound, drug or other material other than directly into the central nervous system, such that it enters the patient's system and, thus, is subject to metabolism and other like processes, for example, subcutaneous administration.
- Regardless of the route of administration selected, the oligomers of the present invention, which may be used in a suitable hydrated form, and/or the pharmaceutical compositions of the present invention, may be formulated into pharmaceutically-acceptable dosage forms by conventional methods known to those of skill in the art. Actual dosage levels of the active ingredients in the pharmaceutical compositions of this invention may be varied so as to obtain an amount of the active ingredient which is effective to achieve the desired therapeutic response for a particular patient, composition, and mode of administration, without being unacceptably toxic to the patient.
- The selected dosage level will depend upon a variety of factors including the activity of the particular oligomer of the present invention employed, or the ester, salt or amide thereof, the route of administration, the time of administration, the rate of excretion or metabolism of the particular oligomer being employed, the rate and extent of absorption, the duration of the treatment, other drugs, compounds and/or materials used in combination with the particular oligomer employed, the age, sex, weight, condition, general health and prior medical history of the patient being treated, and like factors well known in the medical arts.
- A physician or veterinarian having ordinary skill in the art can readily determine and prescribe the effective amount of the pharmaceutical composition required. For example, the physician or veterinarian could start doses of the compounds of the invention employed in the pharmaceutical composition at levels lower than that required in order to achieve the desired therapeutic effect and gradually increase the dosage until the desired effect is achieved. In general, a suitable daily dose of a compound of the invention will be that amount of the compound which is the lowest dose effective to produce a therapeutic effect. Such an effective dose will generally depend upon the factors described above. Generally, oral, intravenous, intracerebroventricular, intramuscular and subcutaneous doses of the compounds of this invention for a patient, when used for the indicated effects, will range from about 0.0001 to about 100 mg per kilogram of body weight per day.
- Preferred doses of the oligomers of the present invention (e.g., phosphorodiamidate morpholino oligomers; eteplirsen) are administered generally from about 20-100 mg/kg. In some cases, doses of greater than 100 mg/kg may be necessary. For i.v. administration, preferred doses are from about 0.5 mg to 100 mg/kg. In some embodiments, the oligomers are administered at doses of about 20 mg/kg, 21 mg/kg, 25 mg/kg, 26 mg/kg, 27 mg/kg, 28 mg/kg, 29 mg/kg, 30 mg/kg, 31 mg/kg, 32 mg/kg, 33 mg/kg, 34 mg/kg, 35 mg/kg, 36 mg/kg, 37 mg/kg, 38 mg/kg, 39 mg/kg, 40 mg/kg, 41 mg/kg, 42 mg/kg, 43 mg/kg, 44 mg/kg, 45 mg/kg, 46 mg/kg, 47 mg/kg, 48 mg/kg, 49 mg/
kg 50 mg/kg, 51 mg/kg, 52 mg/kg, 53 mg/kg, 54 mg/kg, 55 mg/kg, 56 mg/kg, 57 mg/kg, 58 mg/kg, 59 mg/kg, 60 mg/kg, 65 mg/kg, 70 mg/kg, 75 mg/kg, 80 mg/kg, 85 mg/kg, 90 mg/kg, 95 mg/kg, 100 mg/kg, including all integers in between. In a preferred embodiment, the oligomer is administered at 30 mg/kg. In another preferred embodiment, the oligomer is administered at 50 mg/kg. - If desired, the effective daily dose of the active compound may be administered as two, three, four, five, six or more sub-doses administered separately at appropriate intervals throughout the day, optionally, in unit dosage forms. In certain situations, dosing is one administration per day. In certain embodiments, dosing is one or more administration per every 2, 3, 4, 5, 6, 7, 8, 9, 10, 11, 12, 13, 14 days, or every 1, 2, 3, 4, 5, 6, 7, 8, 9, 10, 11, 12 weeks, or every 1, 2, 3, 4, 5, 6, 7, 8, 9, 10, 11, 12 months, as needed, to maintain the desired expression of a functional dystrophin protein.
- In some embodiments, the oligomers of the present invention (e.g., phosphorodiamidate morpholino oligomers; eteplirsen) are administered, generally at regular intervals (e.g., daily, weekly, biweekly, monthly, bimonthly). The oligomers may be administered at regular intervals, e.g., daily; once every two days; once every three days; once every 3 to 7 days; once every 3 to 10 days; once every 7 to 10 days; once every week; once every two weeks; once monthly. For example, the oligomers may be administered once weekly by intravenous infusion. The oligomers may be administered intermittently over a longer period of time, e.g., for several weeks, months or years. For example, the oligomers may be administered once every one, two, three, four, five, six, seven, eight, nine, ten, eleven or twelve months. In addition, the oligomers may be administered once every one, two, three, four or five years. Administration may be followed by, or concurrent with, administration of an antibiotic, steroid or other therapeutic agent. The treatment regimen may be adjusted (dose, frequency, route, etc.) as indicated, based on the results of immunoassays, other biochemical tests and physiological examination of the subject under treatment.
- Nucleic acid molecules can be administered to cells by a variety of methods known to those familiar to the art, including, but not restricted to, encapsulation in liposomes, by iontophoresis, or by incorporation into other vehicles, such as hydrogels, cyclodextrins, biodegradable nanocapsules, and bioadhesive microspheres, as described herein and known in the art. In certain embodiments, microemulsification technology may be utilized to improve bioavailability of lipophilic (water insoluble) pharmaceutical agents. Examples include Trimetrine (Dordunoo, S. K., et al., Drug Development and Industrial Pharmacy, 17(12), 1685-1713, 1991 and REV 5901 (Sheen, P. C., et al., J Pharm Sci 80(7), 712-714, 1991). Among other benefits, microemulsification provides enhanced bioavailability by preferentially directing absorption to the lymphatic system instead of the circulatory system, which thereby bypasses the liver, and prevents destruction of the compounds in the hepatobiliary circulation.
- In one aspect of invention, the formulations contain micelles formed from an oligomer as provided herein and at least one amphiphilic carrier, in which the micelles have an average diameter of less than about 100 nm. More preferred embodiments provide micelles having an average diameter less than about 50 nm, and even more preferred embodiments provide micelles having an average diameter less than about 30 nm, or even less than about 20 nm.
- While all suitable amphiphilic carriers are contemplated, the presently preferred carriers are generally those that have Generally-Recognized-as-Safe (GRAS) status, and that can both solubilize the compound of the present invention and microemulsify it at a later stage when the solution comes into a contact with a complex water phase (such as one found in human gastro-intestinal tract). Usually, amphiphilic ingredients that satisfy these requirements have HLB (hydrophilic to lipophilic balance) values of 2-20, and their structures contain straight chain aliphatic radicals in the range of C-6 to C-20. Examples are polyethylene-glycolized fatty glycerides and polyethylene glycols.
- Examples of amphiphilic carriers include saturated and monounsaturated polyethyleneglycolyzed fatty acid glycerides, such as those obtained from fully or partially hydrogenated various vegetable oils. Such oils may advantageously consist of tri-, di-, and mono-fatty acid glycerides and di- and mono-polyethyleneglycol esters of the corresponding fatty acids, with a particularly preferred fatty acid composition including capric acid 4-10, capric acid 3-9, lauric acid 40-50, myristic acid 14-24, palmitic acid 4-14 and stearic acid 5-15%. Another useful class of amphiphilic carriers includes partially esterified sorbitan and/or sorbitol, with saturated or mono-unsaturated fatty acids (SPAN-series) or corresponding ethoxylated analogs (TWEEN-series).
- Commercially available amphiphilic carriers may be particularly useful, including Gelucire-series, Labrafil, Labrasol, or Lauroglycol (all manufactured and distributed by Gattefosse Corporation, Saint Priest, France), PEG-mono-oleate, PEG-di-oleate, PEG-mono-laurate and di-laurate, Lecithin, Polysorbate 80, etc (produced and distributed by a number of companies in USA and worldwide).
- In certain embodiments, the delivery may occur by use of liposomes, nanocapsules, microparticles, microspheres, lipid particles, vesicles, and the like, for the introduction of the compositions of the present invention into suitable host cells. In particular, the compositions of the present invention may be formulated for delivery either encapsulated in a lipid particle, a liposome, a vesicle, a nanosphere, a nanoparticle or the like. The formulation and use of such delivery vehicles can be carried out using known and conventional techniques.
- Hydrophilic polymers suitable for use in the present invention are those which are readily water-soluble, can be covalently attached to a vesicle-forming lipid, and which are tolerated in vivo without toxic effects (i.e., are biocompatible). Suitable polymers include polyethylene glycol (PEG), polylactic (also termed polylactide), polyglycolic acid (also termed polyglycolide), a polylactic-polyglycolic acid copolymer, and polyvinyl alcohol. In certain embodiments, polymers have a molecular weight of from about 100 or 120 daltons up to about 5,000 or 10,000 daltons, or from about 300 daltons to about 5,000 daltons. In other embodiments, the polymer is polyethyleneglycol having a molecular weight of from about 100 to about 5,000 daltons, or having a molecular weight of from about 300 to about 5,000 daltons. In certain embodiments, the polymer is polyethyleneglycol of 750 daltons (PEG(750)). Polymers may also be defined by the number of monomers therein; a preferred embodiment of the present invention utilizes polymers of at least about three monomers, such PEG polymers consisting of three monomers (approximately 150 daltons).
- Other hydrophilic polymers which may be suitable for use in the present invention include polyvinylpyrrolidone, polymethoxazoline, polyethyloxazoline, polyhydroxypropyl methacrylamide, polymethacrylamide, polydimethylacrylamide, and derivatized celluloses such as hydroxymethylcellulose or hydroxyethylcellulose.
- In certain embodiments, a formulation of the present invention comprises a biocompatible polymer selected from the group consisting of polyamides, polycarbonates, polyalkylenes, polymers of acrylic and methacrylic esters, polyvinyl polymers, polyglycolides, polysiloxanes, polyurethanes and co-polymers thereof, celluloses, polypropylene, polyethylenes, polystyrene, polymers of lactic acid and glycolic acid, polyanhydrides, poly(ortho)esters, poly(butic acid), poly(valeric acid), poly(lactide-co-caprolactone), polysaccharides, proteins, polyhyaluronic acids, polycyanoacrylates, and blends, mixtures, or copolymers thereof.
- Cyclodextrins are cyclic oligosaccharides, consisting of 6, 7 or 8 glucose units, designated by the Greek letter α, β, or γ, respectively. The glucose units are linked by α-1,4-glucosidic bonds. As a consequence of the chair conformation of the sugar units, all secondary hydroxyl groups (at C-2, C-3) are located on one side of the ring, while all the primary hydroxyl groups at C-6 are situated on the other side. As a result, the external faces are hydrophilic, making the cyclodextrins water-soluble. In contrast, the cavities of the cyclodextrins are hydrophobic, since they are lined by the hydrogen of atoms C-3 and C-5, and by ether-like oxygens. These matrices allow complexation with a variety of relatively hydrophobic compounds, including, for instance, steroid compounds such as 17α-estradiol (see, e.g., van Uden et al. Plant Cell Tiss. Org. Cult. 38:1-3-113 (1994)). The complexation takes place by Van der Waals interactions and by hydrogen bond formation. For a general review of the chemistry of cyclodextrins, see, Wenz, Agnew. Chem. Int. Ed. Engl., 33:803-822 (1994).
- The physico-chemical properties of the cyclodextrin derivatives depend strongly on the kind and the degree of substitution. For example, their solubility in water ranges from insoluble (e.g., triacetyl-beta-cyclodextrin) to 147% soluble (w/v) (G-2-beta-cyclodextrin). In addition, they are soluble in many organic solvents. The properties of the cyclodextrins enable the control over solubility of various formulation components by increasing or decreasing their solubility.
- Numerous cyclodextrins and methods for their preparation have been described. For example, Parmeter (I), et al. (U.S. Pat. No. 3,453,259) and Gramera, et al. (U.S. Pat. No. 3,459,731) described electroneutral cyclodextrins. Other derivatives include cyclodextrins with cationic properties [Parmeter (II), U.S. Pat. No. 3,453,257], insoluble crosslinked cyclodextrins (Solms, U.S. Pat. No. 3,420,788), and cyclodextrins with anionic properties [Parmeter (III), U.S. Pat. No. 3,426,011]. Among the cyclodextrin derivatives with anionic properties, carboxylic acids, phosphorous acids, phosphinous acids, phosphonic acids, phosphoric acids, thiophosphonic acids, thiosulphinic acids, and sulfonic acids have been appended to the parent cyclodextrin [see, Parmeter (III), supra]. Furthermore, sulfoalkyl ether cyclodextrin derivatives have been described by Stella, et al. (U.S. Pat. No. 5,134,127).
- Liposomes consist of at least one lipid bilayer membrane enclosing an aqueous internal compartment. Liposomes may be characterized by membrane type and by size. Small unilamellar vesicles (SUVs) have a single membrane and typically range between 0.02 and 0.05 μm in diameter; large unilamellar vesicles (LUVS) are typically larger than 0.05 μm. Oligolamellar large vesicles and multilamellar vesicles have multiple, usually concentric, membrane layers and are typically larger than 0.1 μm. Liposomes with several nonconcentric membranes, i.e., several smaller vesicles contained within a larger vesicle, are termed multivesicular vesicles.
- One aspect of the present invention relates to formulations comprising liposomes containing an oligomer of the present invention, where the liposome membrane is formulated to provide a liposome with increased carrying capacity. Alternatively or in addition, the compound of the present invention may be contained within, or adsorbed onto, the liposome bilayer of the liposome. An oligomer of the present invention may be aggregated with a lipid surfactant and carried within the liposome's internal space; in these cases, the liposome membrane is formulated to resist the disruptive effects of the active agent-surfactant aggregate.
- According to one embodiment of the present invention, the lipid bilayer of a liposome contains lipids derivatized with polyethylene glycol (PEG), such that the PEG chains extend from the inner surface of the lipid bilayer into the interior space encapsulated by the liposome, and extend from the exterior of the lipid bilayer into the surrounding environment.
- Active agents contained within liposomes of the present invention are in solubilized form. Aggregates of surfactant and active agent (such as emulsions or micelles containing the active agent of interest) may be entrapped within the interior space of liposomes according to the present invention. A surfactant acts to disperse and solubilize the active agent, and may be selected from any suitable aliphatic, cycloaliphatic or aromatic surfactant, including but not limited to biocompatible lysophosphatidylcholines (LPGs) of varying chain lengths (for example, from about C14 to about C20). Polymer-derivatized lipids such as PEG-lipids may also be utilized for micelle formation as they will act to inhibit micelle/membrane fusion, and as the addition of a polymer to surfactant molecules decreases the CMC of the surfactant and aids in micelle formation. Preferred are surfactants with CMOs in the micromolar range; higher CMC surfactants may be utilized to prepare micelles entrapped within liposomes of the present invention.
- Liposomes according to the present invention may be prepared by any of a variety of techniques that are known in the art. See, e.g., U.S. Pat. No. 4,235,871; Published PCT applications WO 96/14057; New RRC, Liposomes: A practical approach, IRL Press, Oxford (1990), pages 33-104; Lasic D D, Liposomes from physics to applications, Elsevier Science Publishers BV, Amsterdam, 1993. For example, liposomes of the present invention may be prepared by diffusing a lipid derivatized with a hydrophilic polymer into preformed liposomes, such as by exposing preformed liposomes to micelles composed of lipid-grafted polymers, at lipid concentrations corresponding to the final mole percent of derivatized lipid which is desired in the liposome. Liposomes containing a hydrophilic polymer can also be formed by homogenization, lipid-field hydration, or extrusion techniques, as are known in the art.
- In another exemplary formulation procedure, the active agent is first dispersed by sonication in a lysophosphatidylcholine or other low CMC surfactant (including polymer grafted lipids) that readily solubilizes hydrophobic molecules. The resulting micellar suspension of active agent is then used to rehydrate a dried lipid sample that contains a suitable mole percent of polymer-grafted lipid, or cholesterol. The lipid and active agent suspension is then formed into liposomes using extrusion techniques as are known in the art, and the resulting liposomes separated from the unencapsulated solution by standard column separation.
- In one aspect of the present invention, the liposomes are prepared to have substantially homogeneous sizes in a selected size range. One effective sizing method involves extruding an aqueous suspension of the liposomes through a series of polycarbonate membranes having a selected uniform pore size; the pore size of the membrane will correspond roughly with the largest sizes of liposomes produced by extrusion through that membrane. See e.g., U.S. Pat. No. 4,737,323 (Apr. 12, 1988). In certain embodiments, reagents such as DharmaFECT® and Lipofectamine® may be utilized to introduce polynucleotides or proteins into cells.
- The release characteristics of a formulation of the present invention depend on the encapsulating material, the concentration of encapsulated drug, and the presence of release modifiers. For example, release can be manipulated to be pH dependent, for example, using a pH sensitive coating that releases only at a low pH, as in the stomach, or a higher pH, as in the intestine. An enteric coating can be used to prevent release from occurring until after passage through the stomach. Multiple coatings or mixtures of cyanamide encapsulated in different materials can be used to obtain an initial release in the stomach, followed by later release in the intestine. Release can also be manipulated by inclusion of salts or pore forming agents, which can increase water uptake or release of drug by diffusion from the capsule. Excipients which modify the solubility of the drug can also be used to control the release rate. Agents which enhance degradation of the matrix or release from the matrix can also be incorporated. They can be added to the drug, added as a separate phase (i.e., as particulates), or can be co-dissolved in the polymer phase depending on the compound. In most cases the amount should be between 0.1 and thirty percent (w/w polymer). Types of degradation enhancers include inorganic salts such as ammonium sulfate and ammonium chloride, organic acids such as citric acid, benzoic acid, and ascorbic acid, inorganic bases such as sodium carbonate, potassium carbonate, calcium carbonate, zinc carbonate, and zinc hydroxide, and organic bases such as protamine sulfate, spermine, choline, ethanolamine, diethanolamine, and triethanolamine and surfactants such as Tween® and Pluronic®. Pore forming agents which add microstructure to the matrices (i.e., water soluble compounds such as inorganic salts and sugars) are added as particulates. The range is typically between one and thirty percent (w/w polymer).
- Uptake can also be manipulated by altering residence time of the particles in the gut. This can be achieved, for example, by coating the particle with, or selecting as the encapsulating material, a mucosal adhesive polymer. Examples include most polymers with free carboxyl groups, such as chitosan, celluloses, and especially polyacrylates (as used herein, polyacrylates refers to polymers including acrylate groups and modified acrylate groups such as cyanoacrylates and methacrylates).
- An oligomer may be formulated to be contained within, or, adapted to release by a surgical or medical device or implant. In certain aspects, an implant may be coated or otherwise treated with an oligomer. For example, hydrogels, or other polymers, such as biocompatible and/or biodegradable polymers, may be used to coat an implant with the compositions of the present invention (i.e., the composition may be adapted for use with a medical device by using a hydrogel or other polymer). Polymers and copolymers for coating medical devices with an agent are well-known in the art. Examples of implants include, but are not limited to, stents, drug-eluting stents, sutures, prosthesis, vascular catheters, dialysis catheters, vascular grafts, prosthetic heart valves, cardiac pacemakers, implantable cardioverter defibrillators, IV needles, devices for bone setting and formation, such as pins, screws, plates, and other devices, and artificial tissue matrices for wound healing.
- In addition to the methods provided herein, the oligomers for use according to the invention may be formulated for administration in any convenient way for use in human or veterinary medicine, by analogy with other pharmaceuticals. The antisense oligomers and their corresponding formulations may be administered alone or in combination with other therapeutic strategies in the treatment of muscular dystrophy, such as myoblast transplantation, stem cell therapies, administration of aminoglycoside antibiotics, proteasome inhibitors, and up-regulation therapies (e.g., upregulation of utrophin, an autosomal paralogue of dystrophin).
- The routes of administration described are intended only as a guide since a skilled practitioner will be able to determine readily the optimum route of administration and any dosage for any particular animal and condition. Multiple approaches for introducing functional new genetic material into cells, both in vitro and in vivo have been attempted (Friedmann (1989) Science, 244:1275-1280). These approaches include integration of the gene to be expressed into modified retroviruses (Friedmann (1989) supra; Rosenberg (1991) Cancer Research 51(18), suppl.: 5074S-5079S); integration into non-retrovirus vectors (e.g., adeno-associated viral vectors) (Rosenfeld, et al. (1992) Cell, 68:143-155; Rosenfeld, et al. (1991) Science, 252:431-434); or delivery of a transgene linked to a heterologous promoter-enhancer element via liposomes (Friedmann (1989), supra; Brigham, et al. (1989) Am. J. Med. Sci., 298:278-281; Nabel, et al. (1990) Science, 249:1285-1288; Hazinski, et al. (1991) Am. J. Resp. Cell Molec. Biol., 4:206-209; and Wang and Huang (1987) Proc. Natl. Acad. Sci. (USA), 84:7851-7855); coupled to ligand-specific, cation-based transport systems (Wu and Wu (1988) J. Biol. Chem., 263:14621-14624) or the use of naked DNA, expression vectors (Nabel et al. (1990), supra); Wolff et al. (1990) Science, 247:1465-1468). Direct injection of transgenes into tissue produces only localized expression (Rosenfeld (1992) supra); Rosenfeld et al. (1991) supra; Brigham et al. (1989) supra; Nabel (1990) supra; and Hazinski et al. (1991) supra). The Brigham et al. group (Am. J. Med. Sci. (1989) 298:278-281 and Clinical Research (1991) 39 (abstract)) have reported in vivo transfection only of lungs of mice following either intravenous or intratracheal administration of a DNA liposome complex. An example of a review article of human gene therapy procedures is: Anderson, Science (1992) 256:808-813.
- The invention also provides kits for treatment of a patient with a genetic disease which kit comprises at least an antisense molecule (e.g., one or more antisense oligonucleotides capable of specifically hybridizing to any one or more of exons 1-79 of the dystrophin gene; for example, Exon 51 as set forth in Tables 3 and 4 herein), packaged in a suitable container, together with instructions for its use. The kits may also contain peripheral reagents such as buffers, stabilizers, etc. Those of ordinary skill in the field should appreciate that applications of the above method has wide application for identifying antisense molecules suitable for use in the treatment of many other diseases.
- Eligible patients were between 7 and 13 years of age (inclusive), with out-of-frame deletions of the DMD gene that could be corrected by skipping exon 51. Patients were confirmed to have stable cardiac and pulmonary function and a stable dose of glucocorticoids for at least 24 weeks prior to enrollment. Only patients who could walk between 200 and 400 meters (±10%) on the 6-Minute Walk Test (6MWT) at baseline were enrolled.
- This one-year trial was conducted in two phases: (1) treatment was double-blind through
week 24 and (2) open-label thereafter. Primary endpoints were change in percent dystrophin fibers and ambulation as measured by the 6-Minute Walk Test (6MWT). -
Study 201 was a single-site, randomized, double-blind, placebo-controlled, multiple-dose efficacy, safety and tolerability trial of eteplirsen. Twelve patients with DMD were randomized to one of three groups: eteplirsen 30 mg/kg/week (Cohort 1); eteplirsen 50 mg/kg/week (Cohort 2); or placebo/delayed eteplirsen (Cohort 3). All patients received weekly intravenous eteplirsen or placebo/delayed eteplirsen dosing. Placebo-treated patients crossed over to weekly eteplirsen 30 (n=2) or 50 mg/kg (n=2) at week 25. Efficacy and safety were assessed at scheduled visits, and an independent Data Safety Monitoring Board ensured the welfare of all patients. All patients had bicep biopsies at baseline. Follow-up biopsies were performed in the opposite arm (biceps) atweek 12 for the 50 mg/kg group and two placebo-treated patients and atweek 24 for the 30 mg/kg group and two placebo-treated patients. - Patients continued weekly dosing with 30 or 50 mg/kg eteplirsen under
Study 202, a long-term, open-label extension study. All efficacy assessments continued to be performed duringStudy 202, including a third biopsy (in the left deltoid muscle) in all patients atweek 48. Monitoring of adverse events continued throughout the study. A schematic of the study design is shown inFIG. 1 . - Eteplirsen [sequence 5′-CTCCAACATCAAGGAAGATGGCATTTCTAG-3′] (SEQ ID NO:1) was supplied by Sarepta Therapeutics, Inc. in single-use vials of phosphate-buffered saline (100 mg/ml). Eteplirsen was reconstituted with 150 ml normal saline and infused over 60 minutes. Placebo, administered during the first 24 weeks of
Study 201, was supplied as identical vials of phosphate-buffered saline and was administered in the same manner as eteplirsen. - Safety was assessed by evaluation of adverse events, vital signs, physical examinations, electrocardiograms, echocardiograms, and clinical laboratory testing. In addition, kidney function was monitored via regular assessments of serum cystatin C and urine cystatin C and KIM-1.
- Pharmacokinetic parameters of eteplirsen were established from plasma and urine taken after the twelfth dose using a validated and sensitive anion exchange high-performance liquid chromatography with fluorescence detection bioanalytical method. Single samples for analysis of plasma concentrations were taken at
24, 25, and 36. Immune response to novel dystrophin protein was measured every six weeks throughweeks week 24 with ELISPOT following methods previously published. - Pre- and post-treatment dystrophin expression studies were based on MANDYS106 [a gift from Glen Morris, MDA Monoclonal Antibody Library], a highly sensitive marker for dystrophin used in prior studies of eteplirsen and other exon skipping candidates. Three 10 μm frozen sections, separated by at least 200 μm, were stained with MANDYS106, followed by a secondary antibody (Alexa Fluor 594 goat antimouse antibody). Percent dystrophin-positive fibers were calculated by dividing the number of positive fibers by the total fibers counted. As normal muscle samples have 100% dystrophin-positive fibers, percent dystrophin-positive fibers is expressed as a percentage of normal. The same antibody-stained sections were used for dystrophin quantification using Bioquant image analysis software. The total dystrophin fluorescence signal intensity was reported as a percentage of normal.
- Supportive measurements included expression of the components of the sarcoglycan complex (β,γ), neuronal NOS, and Western blot (with the anti-dystrophin antibody NCL-Dysl from Novacastra). RT-PCR analysis, for confirmation of exon skipping, was performed on 400 ng of total RNA using dystrophin-specific reverse primers as previously described.
- The 6MWT was administered using the protocol established for patients with DMD by McDonald, et al. (Muscle Nerve, 2010; 42:966-74, herein incorporated by reference). Exploratory functional outcomes included the North Star Ambulatory Assessment, quantitative muscle testing, the 9-Hole Peg Test, pulmonary function testing (PFT), timed function tests, and assessment of quality of life.
- SAS version 9.3 (Cary, N.C.) was used for all statistical analyses. Mixed model with treatment as fixed effect, subject nested within treatment as random effect, with the baseline value and time since DMD diagnosis as covariates for the analysis of muscle biopsy data was used. Mixed model repeated measures (MMRM) with treatment, time, and treatment-by-time interaction terms as fixed effect, subject nested within treatment as random effect, and with the baseline value and time since DMD diagnosis as covariates for analysis of the 6MWT data was used. Safety and muscle biopsy analyses were performed on the intent-to-treat population; analysis of ambulation-related outcomes, including the 6MWT, used a modified intent-to-treat (mITT) population that excluded two patients in
Cohort 1 who showed signs of disease progression and significant decline on the 6MWT within weeks of enrollment and could not perform measures of ambulation atweek 24 or beyond. - Baseline characteristics of the 12 patients in this study are summarized in Table 2. Five different genotypes amenable to exon 51 skipping were represented in the study population. Mean distances on the 6-Minute Walk Test (6MWT) at baseline were similar to those in other studies of children with DMD, and as expected, were well below the 600 plus meters typically observed in age-matched healthy children. Due to the stochastic nature of the sampling, the 30 mg/kg cohort was slightly older, heavier, and taller, relative to the other cohorts, and had a lower mean 6MWT distance at baseline. All patients received all infusions of study medication as planned and completed all assessments.
-
TABLE 2 Baseline Demography and Disease Characteristics Placebo/ Eteplirsen Eteplirsen Delayed Eteplirsen 30 mg/ kg 50 mg/kg Treatment Arm N = 4 N = 4 N = 4 Mutation 45-50 n (%) 0 2 (50) 1 (25) 48-50 n (%) 0 1 (25) 0 49-50 n (%) 3 (75) 0 2 (50) 50 n (%) 1 (25) 0 0 52 n (%) 0 1 (25) 1 (25) Gender n (%) Male 4 (100) 4 (100) 4 (100) Age, years Mean 8.5 9.3 8.5 SD 1.73 0.50 1.29 Min, Max 7, 10 9, 10 7, 10 Height, cm Mean 119.3 130.5 121.3 SD 3.40 9.47 7.85 Min, Max 116, 124 117, 138 117, 133 Weight, kg Mean 30.6 34.8 29.0 SD 6.04 7.05 6.38 Min, Max 22.1, 36.2 24.8, 39.8 23.7, 38.3 Race, n (%) Asian 0 1 (25) 0 White 4 (100) 3 (75) 4 (100) 6MWT*, meters Mean 394.5 355.3 396.0 SD 42.25 74.78 26.61 Min, Max 364, 456 261, 442 365, 429 - Eteplirsen was well tolerated with no treatment-related adverse events, serious adverse events, discontinuations or missed doses through 48 weeks of treatment. Moreover, no clinically significant changes were observed on physical examination or in vital signs. Electrocardiograms, echocardiograms, and PFTs remained stable, and chemistries showed no clinically significant changes in hematologic, renal, coagulation or liver functions. Mild and transient proteinuria was observed in a single placebo-treated subject.
- Analysis of PK parameters at
week 12 revealed rapid absorption. Plasma clearance averaged 339±75.8 mL/hr/kg for 30 mg/kg and 319±125 mL/hr/kg for 50 mg/kg. Half-life averaged 3.30±0.341 hr for 30 mg/kg and 3.17±0.249 hr for 50 mg/kg, with renal clearance accounting for approximately 65-70% of total systemic clearance. - At
week 48, eteplirsen produced robust increases in the number and intensity of dystrophin-positive fibers. As shown inFIG. 3 , patients who received 30 or 50 mg/kg eteplirsen without interruption for 48 weeks showed a mean increase in the percentage of dystrophin-positive fibers to 47% of normal (p≦0.001), relative to baseline. Increases were similar when the 30 (52%; p≦0.001) and 50 (43%; p≦0.008) mg/kg cohorts were analyzed separately, suggesting that eteplirsen's effect on the production of novel dystrophin is independent of dose within this range of doses. - Biopsies were taken at staggered time points (see
FIG. 2 ) to evaluate the impact of treatment duration on novel dystrophin production. Atweek 12, the 50 mg/kg cohort had undetectable levels of novel dystrophin. Atweek 24, the 30 mg/kg cohort demonstrated an increase in the percentage of dystrophin-positive fibers to 23% of normal (p≦0.002), and atweek 48, after 24 weeks of treatment with 30 or 50 mg/kg eteplirsen, the 4 patients in the placebo/delayed eteplirsen cohort showed an increase to 38% of normal, relative to baseline (p≦0.009). Together these data suggest that treatment duration plays an important role in eteplirsen's ability to uniformly restore novel dystrophin production. Consistent with these findings, eteplirsen also significantly increased mean fluorescence signal intensity atweek 48 in all three treatment groups (all p-values≦0.023). -
FIG. 4 illustrates eteplirsen's time-dependent effect on the percentage of dystrophin-positive fibers (Panel A), which was accompanied by restoration of β- and γ-sarcoglycan and nNOSμ at the sarcolemma (Panel B). Dystrophin expression and exon skipping were confirmed by Western blot and RT-PCR in all patients. RT-PCR results from a representative patient are shown in Panel C. These data confirmed the increase in functional dystrophin in the patients. - The progressive loss of walking ability is a universal hallmark of DMD, with most patients showing functional compromise by 7 or 8 years of age and becoming wheelchair dependent by 10 to 14 years of age. Consistent with this, boys assigned to the placebo/delayed eteplirsen cohort in this study showed a decline in walking ability after
week 12 at a rate predicted by prior studies, culminating in a loss of approximately 60 meters by week 48 (FIG. 5 ). In marked contrast, eteplirsen-treated patients maintained a stable walking distance over the duration of the study, with a mean increase from baseline of about 7 meters byweek 48. The difference between the eteplirsen-treated patients and those in the placebo/delayed eteplirsen cohort first became statistically significant at week 32 (39-meter difference; p≦0.05). Interestingly, patients in the placebo/delayed eteplirsen cohort appeared to stabilize afterweek 36, i.e., between 12 and 24 weeks after initiating treatment with eteplirsen at week 25. As previously noted, two boys who showed signs of rapid disease progression and significant decline on the 6MWT within weeks of enrollment and were unable to perform measures of ambulation at 24 weeks or beyond, were excluded from this analysis. However, both remained on eteplirsen throughweek 48 with no treatment-related adverse events and maintained stable pulmonary and upper limb function as measured by PFT and the 9-Hole Peg Test, respectively. - Notably, patients receiving eteplirsen for 48 weeks, evaluable on the 6MWT (n=6), significantly (p≦0.001) improved on the 6MWT (67.3 m) compared to the placebo/delayed cohort.
- There were no differences between the eteplirsen- and placebo-treated patients in the number of interferon-γ-induced spot forming colonies to dystrophin peptide pools (extended over the entire protein) at any time point assessed, including
week 24, indicating that the newly expressed dystrophin in the eteplirsen-treated patients did not elicit a T-cell response. - All publications and patent applications cited in this specification are herein incorporated by reference as if each individual publication or patent application were specifically and individually indicated to be incorporated by reference.
-
- 1. Emery A E H. Population frequencies of inherited neuromuscular diseases—a world survey. Neuromuscul Disord 1991; 1:19-29.
- 2. Mendell J R, Shilling C, Leslie N D, Flanigan K M, al-Dahhak R, Gastier-Foster, J, et al. Evidence-based path to newborn screening for Duchenne muscular dystrophy. Ann Neurol 2012; 71:304-13.
- 3. McDonald C M, Abresch R T, Carter G T, Fowler W M Jr, Johnson E R, Kilmer D D, et al. Profiles of neuromuscular diseases. Duchenne muscular dystrophy. Am J Phys Med Rehabil 1995; 74:S70-S92.
- 4. Bushby K, Finkel R, Birnkrant D J, Case L E, Clemens P R, Cripe L, et al. Diagnosis and management of Duchenne muscular dystrophy, part 1: diagnosis, and pharmacological and psychosocial management. Lancet Neurol 2010; 9:77-93.
- 5. Kohler M, Clarenbach C F, Boni L, Brack T, Russi E W, Bloch K E. Quality of life, physical disability and respiratory impairment in Duchenne muscular dystrophy. Am J Respir Crit Care Med 2005; 172:1032-6.
- 6. Mendell J R, Moxley R T, Griggs R C, Brooke M H, Fenichel G M, Miller J P, et al. Randomized, double-blind six-month trial of prednisone in Duchenne's muscular dystrophy. N Engl J Med 1989; 320:1592-97.
- 7. Manzur A Y, Kuntzer T, Pike M, Swan A. Glucocorticoid corticosteroids for Duchenne muscular dystrophy. Cochrane Database Syst Rev. 2004; (2):CD003725.
- 8. van Deutekom J C, Janson A A, Ginjaar I B, Frankhuizen W S, Aartsma-Rus A, Bremmer-Bout M, et al. Local dystrophin restoration with antisense oligonucleotide PRO051. N Engl J Med 2007; 357:2677-86.
- 9. Kinali M, Arechavala-Gomeza V, Feng L, Cirak S, Hunt D, Adkin C, et al. Local restoration of dystrophin expression with the morpholino oligomer AVI-4658 in Duchenne muscular dystrophy: a single-blind, placebo-controlled, dose-escalation, proof-of-concept study. Lancet Neurol 2009; 8:918-28.
- 10. Goemans N M, Tulinius M, van den Akker J T, Burm B E, Ekhart P F, Heuvelmans N, et al. Systemic administration of PRO051 in Duchenne's muscular dystrophy. N Engl J Med 2011; 364:1513-22.
- 11. Cirak S, Arechavala-Gomeza V, Guglieri M, Feng L, Torelli S, Anthony K, et al. Exon skipping and dystrophin restoration in patients with Duchenne muscular dystrophy after systemic phosphorodiamidate morpholino oligomer treatment: an open-label,
phase 2, dose-escalation study. Lancet 2011; 378:595-605. - 12. Aartsma-Rus A, Fokkema I, Verschuuren J, Ginjaar I, van Deutekom J, van Ommen G J, et al. Theoretic applicability of antisense-mediated exon skipping for Duchenne muscular dystrophy mutations. Hum Mutat 2009; 30:293-99.
- 13. Muntoni F, Torelli S, Ferlini A. Dystrophin and mutations: one gene, several proteins, multiple phenotypes. Lancet Neurol. 2003; 2:731-40.
- 14. Bushby K M, Gardner-Medwin D. The clinical, genetic and dystrophin characteristics of Becker muscular dystrophy. I. Natural history. J Neurol 1993; 240:98-104.
- 15. Arechavala-Gomeza V, Graham I R, Popplewell L J, Adams A M, Aartsma-Rus A, Kinali M, et al. Comparative analysis of antisense oligonucleotide sequences for targeted skipping of exon 51 during dystrophin pre-mRNA splicing in human muscle. Hum Gene Ther 2007; 18:798-810.
- 16. Mendell J R, Campbell K, Rodino-Klapac L, Sahenk Z, Shilling C, Lewis S, et al. Dystrophin immunity revealed by gene therapy in Duchenne muscular dystrophy. N Engl J Med 2010; 363:1429-37.
- 17. Nguyen T M, Morris G E. Use of epitope libraries to identify exon-specific monoclonal antibodies for characterization of altered dystrophins in muscular dystrophy. Am J Hum Genet 1993; 52:1057-66.
- 18. Arechavala-Gomeza V, Kinali M, Feng L, Brown S C, Sewry C, Morgan J E, et al. Immunohistological intensity measurements as a tool to assess sarcolemma-associated protein expression. Neuropathol Appl Neurobiol 2010; 36: 265-74.
- 19. McDonald C M, Henricson E K, Han J J, Abresch R T, Nicorici A, Elfring G L, et al. The 6-minute walk test as a new outcome measure in Duchenne muscular dystrophy. Muscle Nerve 2010; 41:500-10.
- 20. Mazzone E, Vasco G, Sormani M P, Torrente Y, Berardinelli A, Messina S, et al. Functional changes in Duchenne muscular dystrophy: a 12-month longitudinal cohort study. Neurology 2011; 77(3):250-6.
- 21. McDonald C M, Henricson E K, Han J J, Abresch R T, Nicorici A, Atkinson L, et al. The 6-minute walk test in Duchenne/Becker muscular dystrophy: longitudinal observations. Muscle Nerve 2010; 42: 966-74.
- 22. Strober J B. Therapeutics in Duchenne muscular dystrophy. NeuroRX 2006; 3:225-34.
- 23. Hoffman E P, Fischbeck K H, Brown R H, Johnson M, Medori R, Loike J D, et al. Characterization of dystrophin in muscle-biopsy specimens from patients with Duchenne's or Becker's muscular dystrophy. N Engl J Med 1988; 318:1363-68.
- 24. Azofeifa J, Voit T, Hubner C, Cremer M. X-chromosome methylation in manifesting and healthy carriers of dystrophinopathies: concordance of activation ratios among first degree female relatives and skewed inactivation as cause of the affected phenotypes. Hum Genet 1995; 96:167-76.
- 25. van Putten M, Hulsker M, Nadarajah V D, van Heiningen S H, van Huizen E, van Iterson M, et al. The Effects of Low Levels of Dystrophin on Mouse Muscle Function and Pathology. PLoS ONE 2012; 7:e31937.
- 26. Brooke M H, Fenichel G M, Griggs R C, Mendell J R, Moxley R, Miller J P, et al. Clinical investigation in Duchenne dystrophy: 2. Determination of the “power” of therapeutic trials based on the natural history. Muscle Nerve. 1983; 6:91-103.
- 27. Ahmad A, Brinson M, Hodges B L, Chamberlain J S, Amalfitano A. Mdx mice inducibly expressing dystrophin provide insights into the potential of gene therapy for Duchenne muscular dystrophy. Hum Mol Genet 2000; 9:2507-15.
- 28. Hoffman E P, Bronson A, Levin A A, Takeda S, Yokota T, Baudy A R, Connor E M. Restoring dystrophin expression in Duchenne muscular dystrophy muscle: Progress in exon skipping and stop codon read through. Am J Path 2011; 179:12-22.
- 29. Merlini L, Gennari M, Malaspina E, Cecconi I, Armaroli A, Gnudi S, et al. Early corticosteroid treatment in 4 Duchenne muscular dystrophy patients: 14-year follow-up. Muscle Nerve 2012; 45:796-802.
- 30. Fletcher S, Honeyman K, Fall A M, Harding P L, Johnsen R D, Steinhaus J P, et al. Morpholino oligomer-mediated exon skipping averts the onset of dystrophic pathology in the mdx mouse. Mol Ther 2007; 15:1587-92.
- 31. Yokota T, Lu Q L, Partridge T, Kobayashi M, Nakamura A, Takeda S, et al. Efficacy of systemic morpholino exon-skipping in Duchenne dystrophy dogs. Ann Neurol 2009; 65:667-76.
- 32. Aartsma-Rus A, Janson A A, Kaman W E, Bremmer-Bout M, van Ommen G J, den Dunnen J T, et al. Antisense-induced multiexon skipping for Duchenne muscular dystrophy makes more sense. Am J Hum Genet 2004; 74:83-92.
- With respect to the nucleic acid sequences provided in the application, persons skilled in the art will appreciate that depending on the use of the oligomers, Ts and Us are interchangeable.
-
TABLE 3 EXON SEQ ID SEQUENCE NUCLEOTIDE SEQUENCE (5′-3′) 51 1 eteplirsen CTC CAA CAT CAA GGA AGA TGG CAT H51A(+66 + 95) TTC TAG 51 2 H51A(+66 + 90) ACA UCA AGG AAG AUG GCA UUU CUA G 51 3 H51A(+61 + 90) ACA UCA AGG AAG AUG GCA UUU CUA GUU UGG 51 4 Hu.DMD.exon51.25.001.2 GAG CAG GTA CCT CCA ACA TCA AGG AA 50 5 H50D(+07 − 18) GGG AUC CAG UAU ACU UAC AGG CUC C 50 6 AVI−4038/5038 CTT ACA GGC TCC AAT AGT GGT CAG T 53 7 H53A27(+30 + 56) CCT CCG GTT CTG AAG GTG TTC TTG TAC 53 8 H53A(+36 + 60) GTT GCC TCC GGT TCT GAA GGT GTT C 45 9 H45A (−03 + 19) CAA TGC CAT CCT GGA GTT CCT G -
TABLE 4 SEQ ID SEQUENCE NUCLEOTIDE SEQUENCE (5′ - 3′) 10 H8A(−06 + 18) GAU AGG UGG UAU CAA CAU CUG UAA 11 H8A (−04 + 18) GAU AGG UGG UAU CAA CAU CUG 12 H8A(−07 + 18) GAU AGG UGG UAU CAA CAU CUG UAA G 13 H8A(−06 + 14) GGU GGU AUC AAC AUC UGU AA 14 H8A(−10 + 10) GUA UCA ACA UCU GUA AGC AC 15 H7A(+45 + 67) UGC AUG UUC CAG UCG UUG UGU GG 16 H7A(+02 + 26) CAC UAU UCC AGU CAA AUA GGU CUG G 17 H7D(+15−10) AUU UAC CAA CCU UCA GGA UCG AGU A 18 H7A(−18 + 03) GGC CUA AAA CAC AUA CAC AUA 19 C6A(−10 + 10) CAU UUU UGA CCU ACA UGU GG 20 C6A(−14 + 06) UUU GAC CUA CAU GUG GAA AG 21 C6A(−14 + 12) UAC AUU UUU GAC CUA CAU GUG GAA AG 22 C6A(−14 + 09) AUU UUU GAC CUA CAU GGG AAA G 23 CH6A(+69 + 91) UAC GAG UUG AUU GUC GGA CCC AG 24 C6D(+12 − 13) GUG GUC UCC UUA CCU AUG ACU GUG G 25 C6D(+06 − 11) GGU CUC CUU ACC UAU GA 26 H6D(+04 − 21) UGU CUC AGU AAU CUU CUU ACC UAU 27 H6D(+18 − 04) UCU UAC CUA UGA CUA UGG AUG AGA 28 H4A(+13 + 32) GCA UGA ACU CUU GUG GAU CC 29 H4D(+04 − 16) CCA GGG UAC UAC UUA CAU UA 30 H4D(−24 − 44) AUC GUG UGU CAC AGC AUC CAG 31 H4A(+11 + 40) UGU UCA GGG CAU GAA CUC UUG UGG AUC CUU 32 H3A(+30 + 60) UAG GAG GCG CCU CCC AUC CUG UAG GUC ACU G 33 H3A(+35 + 65) AGG UCU AGG AGG CGC CUC CCA UCC UGU AGG U 34 H3A(+30 + 54) GCG CCU CCC AUC CUG UAG GUC ACU G 35 H3D(+46 − 21) CUU CGA GGA GGU CUA GGA GGC GCC UC 36 H3A(+30 + 50) CUC CCA UCC UGU AGG UCA CUG 37 H3D(+19 − 03) UAC CAG UUU UUG CCC UGU CAG G 38 H3A(−06 + 20) UCA AUA UGC UGC UUC CCA AAC UGA AA 39 H3A(+37 + 61) CUA GGA GGC GCC UCC CAU CCU GUA G 40 H5A(+20 + 50) UUA UGA UUU CCA UCU ACG AUG UCA GUA CUU C 41 H5D(+25 − 05) CUU ACC UGC CAG UGG AGG AUU AUA UUC CAA A 42 H5D(+10 − 15) CAU CAG GAU UCU UAC CUG CCA GUG G 43 H5A(+10 + 34) CGA UGU CAG UAC UUC CAA UAU UCA C 44 H5D(−04 − 21) ACC AUU CAU CAG GAU UCU 45 H5D(+16 − 02) ACC UGC CAG UGG AGG AUU 46 H5A(−07 + 20) CCA AUA UUC ACU AAA UCA ACC UGU UAA 47 H5D(+18 − 12) CAG GAU UGU UAC CUG CCA GUG GAG GAU UAU 48 H5A(+05 + 35) ACG AUG UCA GUA CUU CCA AUA UUC ACU AAA U 49 H5A(+15 + 45) AUU UCC AUC UAC GAU GUC AGU ACU UCC AAU A 50 H10A(−05 + 16) CAG GAG CUU CCA AAU GCU GCA 51 H10A(−05 + 24) CUU GUC UUC AGG AGC UUC CAA AUG CUG CA 52 H10A(+98 + 119) UCC UCA GCA GAA AGA AGC CAC G 53 H10A(+130 + 149) UUA GAA AUC UCU CCU UGU GC 54 H10A(−33 − 14) UAA AUU GGG UGU UAC ACA AU 55 H11D(+26 + 49) CCC UGA GGC AUU CCC AUC UUG AAU 56 H11D(+11 − 09) AGG ACU UAC UUG CUU UGU UU 57 H11A(+118 + 140) CUU GAA UUU AGG AGA UUC AUC UG 58 H11A(+75 + 97) CAU CUU CUG AUA AUU UUC CUG UU 59 H12A(+52 + 75) UCU UCU GUU UUU GUU AGC CAG UCA 60 H12A(−10 + 10) UCU AUG UAA ACU GAA AAU UU 61 H12A(+11 + 30) UUC UGG AGA UCC AUU AAA AC 62 H13A(+77 + 100) CAG CAG UUG CGU GAU CUC CAC UAG 63 H13A(+55 + 75) UUC AUC AAC UAC CAC CAC CAU 64 H13D(+06 − 19) CUA AGC AAA AUA AUC UGA CCU UAA G 65 H14A(+37 + 64) CUU GUA AAA GAA CCC AGC GGU CUU CUG U 66 H14A(+14 + 35) CAU CUA CAG AUG UUU GCC CAU C 67 H14A(+51 + 73) GAA GGA UGU CUU GUA AAA GAA CC 68 H14D(−02 + 18) ACC UGU UCU UCA GUA AGA CG 69 H14D(+14 − 10) CAU GAC ACA CCU GUU CUU CAG UAA 70 H14A(+61 + 80) CAU UUG AGA AGG AUG UCU UG 71 H14A(−12 + 12) AUC UCC CAA UAC CUG GAG AAG AGA 72 H15A(−12 + 19) GCC AUG CAC UAA AAA GGC ACU GCA AGA CAU U 73 H15A(+48 + 71) UCU UUA AAG CCA GUU GUG UGA AUC 74 H15A(+08 + 28) UUU CUG AAA GCC AUG CAC UAA 75 H15D(+17 − 08) GUA CAU ACG GCC AGU UUU UGA AGA C 76 H16A(−12 + 19) CUA GAU CCG CUU UUA AAA CCU GUU AAA ACA A 77 H16A(−06 + 25) UCU UUU CUA GAU CCG CUU UUA AAA CCU GUU A 78 H16A(−06 + 19) CUA GAU CCG CUU UUA AAA CCU GUU A 79 H16A(+87 + 109) CCG UCU UCU GGG UCA CUG ACU UA 80 H16A(−07 + 19) CUA GAU CCG CUU UUA AAA CCU GUU AA 81 H16A(−07 + 13) CCG CUU UUA AAA CCU GUU AA 82 H16A(+12 + 37) UGG AUU GCU UUU UCU UUU CUA GAU CC 83 H16A(+92 + 116) CAU GCU UCC GUC UUC UGG GUC ACU G 84 H16A(+45 + 67) G AUC UUG UUU GAG UGA AUA CAG U 85 H16A(+105 + 126) GUU AUC CAG CCA UGC UUC CGU C 86 H16D(+05 − 20) UGA UAA UUG GUA UCA CUA ACC UGU G 87 H16D(+12 − 11) GUA UCA CUA ACC UGU GCU GUA C 88 H19A(+35 + 53) CUG CUG GCA UCU UGC AGU U 89 H19A(+35 + 65) GCC UGA GCU GAU CUG CUG GCA UCU UGC AGU U 90 H20A(+44 + 71) CUG GCA GAA UUC GAU CCA CCG GCU GUU C 91 H20A(+147 + 168) CAG CAG UAG UUG UCA UCU GCU C 92 H20A(+185 + 203) UGA UGG GGU GGU GGG UUG G 93 H20A(−08 + 17) AUC UGC AUU AAC ACC CUC UAG AAA G 94 H20A(+30 + 53) CCG GCU GUU CAG UUG UUC UGA GGC 95 H20A(−11 + 17) AUC UGC AUU AAC ACC CUC UAG AAA GAA A 96 H20D(+08 − 20) GAA GGA GAA GAG AUU CUU ACC UUA CAA A 97 H20A(+44 + 63) AUU CGA UCC ACC GGC UGU UC 98 H20A(+149 + 168) CAG CAG UAG UUG UCA UCU GC 99 H21A(−06 + 16) GCC GGU UGA CUU CAU CCU GUG C 100 H21A(+85 + 106) CUG CAU CCA GGA ACA UGG GUC C 101 H21A(+85 + 108) GUC UGC AUC CAG GAA CAU GGG UC 102 H21A(+08 + 31) GUU GAA GAU CUG AUA GCC GGU UGA 103 H21D(+18 − 07) UAC UUA CUG UCU GUA GCU CUU UCU 104 H22A(+22 + 45) CAC UCA UGG UCU CCU GAU AGC GCA 105 H22A(+125 + 146) CUG CAA UUC CCC GAG UCU CUG C 106 H22A(+47 + 69) ACU GCU GGA CCC AUG UCC UGA UG 107 H22A(+80 + 101) CUA AGU UGA GGU AUG GAG AGU 108 H22D(+13 − 11) UAU UCA CAG ACC UGC AAU UCC CC 109 H23A(+34 + 59) ACA GUG GUG CUG AGA UAG UAU AGG CC 110 H23A(+18 + 39) UAG GCC ACU UUG UUG CUC UUG C 111 H23A(+72 + 90) UUC AGA GGG CGC UUU CUU C 112 H24A(+48 + 70) GGG CAG GCC AUU CCU CCU UCA GA 113 H24A(−02 + 22) UCU UCA GGG UUU GUA UGU GAU UCU 114 H25A(+9 + 36) CUG GGC UGA AUU GUC UGA AUA UCA CUG 115 H25A(+131 + 156) CUG UUG GCA CAU GUG AUC CCA CUG AG 116 H25D(+16 − 08) GUC UAU ACC UGU UGG CAC AUG UGA 117 H26A(+132 + 156) UGC UUU CUG UAA UUC AUC UGG AGU U 118 H26A(−07 + 19) CCU CCU UUC UGG CAU AGA CCU UCC AC 119 H26A(+68 + 92) UGU GUC AUC CAU UCG UGC AUC UCU G 120 H27A(+82 + 106) UUA AGG CCU CUU GUG CUA CAG GUG G 121 H27A(−4 + 19) GGG GCU CUU CUU UAG CUC UCU GA 122 H27D(+19 − 03) GAC UUC CAA AGU CUU GCA UUU C 123 H28A(−05 + 19) GCC AAC AUG CCC AAA CUU CCU AAG 124 H28A(+99 + 124) CAG AGA UUU CCU CAG CUC CGC CAG GA 125 H28D(+16 − 05) CUU ACA UCU AGC ACC UCA GAG 126 H29A(+57 + 81) UCC GCC AUC UGU UAG GGU CUG UGC C 127 H29A(+18 + 42) AUU UGG GUU AUC CUC UGA AUG UCG C 128 H29D(+17 − 05) CAU ACC UCU UCA UGU AGU UCC C 129 H30A(+122 + 147) CAU UUG AGC UGC GUC CAC CUU GUC UG 130 H30A(+25 + 50) UCC UGG GCA GAC UGG AUG CUC UGU UC 131 H30D(+19 − 04) UUG CCU GGG CUU CCU GAG GCA UU 132 H31D(+06 − 18) UUC UGA AAU AAC AUA UAC CUG UGC 133 H31D(+03 − 22) UAG UUU CUG AAA UAA CAU AUA CCU G 134 H31A(+05 + 25) GAC UUG UCA AAU CAG AUU GGA 135 H31D(+04 − 20) GUU UCU GAA AUA ACA UAU ACC UGU 136 H32D(+04 − 16) CAC CAG AAA UAC AUA CCA CA 137 H32A(+151 + 170) CAA UGA UUU AGC UGU GAC UG 138 H32A(+10 + 32) CGA AAC UUC AUG GAG ACA UCU UG 139 H32A(+49 + 73) CUU GUA GAC GCU GCU CAA AAU UGG C 140 H33D(+09 − 11) CAU GCA CAC ACC UUU GCU CC 141 H33A(+53 + 76) UCU GUA CAA UCU GAC GUC CAG UCU 142 H33A(+30 + 56) GUC UUU AUC ACC AUU UCC ACU UCA GAC 143 H33A(+64 + 88) CCG UCU GCU UUU UCU GUA CAA UCU G 144 H34A(+83 + 104) UCC AUA UCU GUA GCU GCC AGC C 145 H34A(+143 + 165) CCA GGC AAC UUC AGA AUC CAA AU 146 H34A(−20 + 10) UUU CUG UUA CCU GAA AAG AAU UAU AAU GAA 147 H34A(+46 + 70) CAU UCA UUU CCU UUC GCA UCU UAC G 148 H34A(+95 + 120) UGA UCU CUU UGU CAA UUC CAU AUC UG 149 H34D(+10 − 20) UUC AGU GAU AUA GGU UUU ACC UUU CCC CAG 150 H34A(+72 + 96) CUG UAG CUG CCA GCC AUU CUG UCA AG 151 H35A(+141 + 161) UCU UCU GCU CGG GAG GUG ACA 152 H35A(+116 + 135) CCA GUU ACU AUU CAG AAG AC 153 H35A(+24 + 43) UCU UCA GGU GCA CCU UCU GU 154 H36A(+26 + 50) UGU GAU GUG GUC CAC AUU CUG GUC A 155 H36A(−02 + 18) CCA UGU GUU UCU GGU AUU CC 156 H37A(+26 + 50) CGU GUA GAG UCC ACC UUU GGG CGU A 157 H37A(+82 + 105) UAC UAA UUU CCU GCA GUG GUC ACC 158 H37A(+134 + 157) UUC UGU GUG AAA UGG CUG CAA AUC 159 H38A(−01 + 19) CCU UCA AAG GAA UGG AGG CC 160 H38A(+59 + 83) UGC UGA AUU UCA GCC UCC AGU GGU U 161 H38A(+88 + 112) UGA AGU CUU CCU CUU UCA GAU UCA C 162 H39A(+62 + 85) CUG GCU UUC UCU CAU CUG UGA UUC 163 H39A(+39 + 58) GUU GUA AGU UGU CUC CUC UU 164 H39A(+102 + 121) UUG UCU GUA ACA GCU GCU GU 165 H39D(+10 − 10) GCU CUA AUA CCU UGA GAG CA 166 H40A(−05 + 17) CUU UGA GAC CUC AAA UCC UGU U 167 H40A(+129 + 153) CUU UAU UUU CCU UUC AUC UCU GGG C 168 H42A(−04 + 23) AUC GUU UCU UCA CGG ACA GUG UGC UGG 169 H42A(+86 + 109) GGG CUU GUG AGA CAU GAG UGA UUU 170 H42D(+19 − 02) A CCU UCA GAG GAC UCC UCU UGC 171 H43D(+10−15) UAU GUG UUA CCU ACC CUU GUC GGU C 172 H43A(+101 + 120) GGA GAG AGC UUC CUG UAG CU 173 H43A(+78 + 100) UCA CCC UUU CCA CAG GCG UUG CA 174 H44A(+85 + 104) UUU GUG UCU UUC UGA GAA AC 175 H44D(+10 − 10) AAA GAC UUA CCU UAA GAU AC 176 H44A(−06 + 14) AUC UGU CAA AUC GCC UGC AG 177 H46D(+16 − 04) UUA CCU UGA CUU GCU CAA GC 178 H46A(+90 + 109) UCC AGG UUC AAG UGG GAU AC 179 H47A(+76 + 100) GCU CUU CUG GGC UUA UGG GAG CAC U 180 H47D(+25 − 02) ACC UUU AUC CAC UGG AGA UUU GUC UGC 181 H47A(−9 + 12) UUC CAC CAG UAA CUG AAA CAG 182 H50A(+02 + 30) CCA CUC AGA GCU CAG AUC UUC UAA CUU CC 183 H50A(+07 + 33) CUU CCA CUC AGA GCU CAG AUC UUC UAA 184 H51A(−01 + 25) ACC AGA GUA ACA GUC UGA GUA GGA GC 185 H51D(+16 − 07) CUC AUA CCU UCU GCU UGA UGA UC 186 H51A(+111 + 134) UUC UGU CCA AGC CCG GUU GAA AUC 187 H51A(+66 + 95) CUC CAA CAU CAA GGA AGA UGG CAU UUC UAG 188 H51D(+08 − 17) AUC AUU UUU UCU CAU ACC UUC UGC U 189 H51A/D(+08 − 17) & (−15 + ) AUC AUU UUU UCU CAU ACC UUC UGC UAG GAG CUA AAA 190 H51A(+175 + 195) CAC CCA CCA UCA CCC UCU GUG 191 H51A(+199 + 220) AUC AUC UCG UUG AUA UCC UCA A 192 H52A(−07 + 14) UCC UGC AUU GUU GCC UGU AAG 193 H52A(+12 + 41) UCC AAC UGG GGA CGC CUC UGU UCC AAA UCC 194 H52A(+17 + 37) ACU GGG GAC GCC UCU GUU CCA 195 H52A(+93 + 112) CCG UAA UGA UUG UUC UAG CC 196 H52D(+05 − 15) UGU UAA AAA ACU UAC UUC GA 197 H53A(+45 + 69) CAU UCA ACU GUU GCC UCC GGU UCU G 198 H53A(+39 + 62) CUG UUG CCU CCG GUU CUG AAG GUG 199 H53A(+39 + 69) CAU UCA ACU GUU GCC UCC GGU UCU GAA GGU G 200 H53D(+14 − 07) UAC UAA CCU UGG UUU CUG UGA 201 H53A(+23 + 47) CUG AAG GUG UUC UUG UAC UUC AUC C 202 H53A(+150 + 176) UGU AUA GGG ACC CUC CUU CCA UGA CUC 203 H53D(+20 − 05) CUA ACC UUG GUU UCU GUG AUU UUC U 204 H53D(+09 − 18) GGU AUC UUU GAU ACU AAC CUU GGU UUC 205 H53A(−12 + 10) AUU CUU UCA ACU AGA AUA AAA G 206 H53A(−07 + 18) GAU UCU GAA UUC UUU CAA CUA GAA U 207 H53A(+07 + 26) AUC CCA CUG AUU CUG AAU UC 208 H53A(+124 + 145) UUG GCU CUG GCC UGU CCU AAG A 209 H46A(+86 + 115) CUC UUU UCC AGG UUC AAG UGG GAU ACU AGC 210 H46A(+107 + 137) CAA GCU UUU CUU UUA GUU GCU GCU CUU UUC C 211 H46A(−10 + 20) UAU UCU UUU GUU CUU CUA GCC UGG AGA AAG 212 H46A(+50 + 77) CUG CUU CCU CCA ACC AUA AAA CAA AUU C 213 H45A(−06 + 20) CCA AUG CCA UCC UGG AGU UCC UGU AA 214 H45A(+91 + 110) UCC UGU AGA AUA CUG GCA UC 215 H45A(+125 + 151) UGC AGA CCU CCU GCC ACC GCA GAU UCA 216 H45D(+16 − 04) CUA CCU CUU UUU UCU GUC UG 217 H45A(+71 + 90) UGU UUU UGA GGA UUG CUG AA Description Sequence SEQ ID NO H53A(+33 + 60) GTTGCCTCCGGTTCTGAAGGTGTTCTTG 218 H53A(+23 + 47) CTGAAGGTGTTCTTGTACTTCATCC 219 H53A(+33 + 62) CTGTTGCCTCCGGTTCTGAAGGTGTTCTTG 220 H53A(+33 + 65) CAACTGTTGCCTCCGGTTCTGAAGGTGTTCTTG 221 H53A(+31 + 55) CTCCGGTTCTGAAGGTGTTCTTGTA 222 H53A(+46 + 73) ATTTCATTCAACTGTTGCCTCCGGTTCT 223 H53A(+22 + 46) TGAAGGTGTTCTTGTACTTCATCCC 224 H53A(+46 + 69) CATTCAACTGTTGCCTCCGGTTCT 225 H53A(+40 + 61) TGTTGCCTCCGGTTCTGAAGGT 226 H53A(+30 + 60) GTTGCCTCCGGTTCTGAAGGTGTTC 227 H53A(+30 + 57) GCCTCCGGTTCTGAAGGTGTTCTTGTAC 228 H53A(+30 + 56) CCTCCGGTTCTGAAGGTGTTCTTGTAC 229 H53A(+30 + 55) CTCCGGTTCTGAAGGTGTTCTTGTAC 230 H53A(+33 + 57) GCCTCCGGTTCTGAAGGTGTTCTTG 231 H44A(−07 + 17) CAGATCTGTCAAATCGCCTGCAGG 232 H44A(−07 + 20) CAACAGATCTGTCAAATCGCCTGCAGG 233 H44A(−07 + 22) CTCAACAGATCTGTCAAATCGCCTGCAGG 234 H44A(+77 + 101) GTGTCTTTCTGAGAAACTGTTCAGC 235 H44A(+64 + 91) GAGAAACTGTTCAGCTTCTGTTAGCCAC 236 H44A(+62 + 89) GAAACTGTTCAGCTTCTGTTAGCCACTG 237 H44A(+62 + 85) CTGTTCAGCTTCTGTTAGCCACTG 238 H44A(−06 + 14) ATCTGTCAAATCGCCTGCAG 239 H44A(+85 + 104) TTTGTGTCTTTCTGAGAAAC 240 H44A(+61 + 84) TGTTCAGCTTCTGTTAGCCACTGA 241 H44A(−10 + 15) GATCTGTCAAATCGCCTGCAGGTAA 242 H44A(+64 + 88) AAACTGTTCAGCTTCTGTTAGCCAC 243 H44A(+79 + 103) TTGTGTCTTTCTGAGAAACTGTTCA 244 H44A(−06 + 20) CAACAGATCTGTCAAATCGCCTGCAG 245 H44A(−09 + 17) CAGATCTGTCAAATCGCCTGCAGGTA 246 H44A(+59 + 85) CTGTTCAGCTTCTGTTAGCCACTGATT 247 H44A(+59 + 89) GAAACTGTTCAGCTTCTGTTAGCCACTGATT 248 H44A(+65 + 90) AGAAACTGTTCAGCTTCTGTTAGCCA 249 Name Sequences SEQ ID NO. Oligomer Targeting Sequences (5′ to 3′): Hu.DMD.Exon44.25.001 CTGCAGGTAAAAGCATATGGATCAA 250 Hu.DMD.Exon44.25.002 ATCGCCTGCAGGTAAAAGCATATGG 251 Hu.DMD.Exon44.25.003 GTCAAATCGCCTGCAGGTAAAAGCA 252 Hu.DMD.Exon44.25.005 CAACAGATCTGTCAAATCGCCTGCA 253 Hu.DMD.Exon44.25.006 TTTCTCAACAGATCTGTCAAATCGC 254 Hu.DMD.Exon44.25.007 CCATTTCTCAACAGATCTGTCAAAT 255 Hu.DMD.Exon44.25.008 ATAATGAAAACGCCGCCATTTCTCA 256 Hu.DMD.Exon44.25.009 AAATATCTTTATATCATAATGAAAA 257 Hu.DMD.Exon44.25.010 TGTTAGCCACTGATTAAATATCTTT 258 Hu.DMD.Exon44.25.013 CCAATTCTCAGGAATTTGTGTCTTT 259 Hu.DMD.Exon44.25.014 GTATTTAGCATGTTCCCAATTCTCA 260 Hu.DMD.Exon44.25.015 CTTAAGATACCATTTGTATTTAGCA 261 Hu.DMD.Exon44.25.016 CTTACCTTAAGATACCATTTGTATT 262 Hu.DMD.Exon44.25.017 AAAGACTTACCTTAAGATACCATTT 263 Hu.DMD.Exon44.25.018 AAATCAAAGACTTACCTTAAGATAC 264 Hu.DMD.Exon44.25.019 AAAACAAATCAAAGACTTACCTTAA 265 Hu.DMD.Exon44.25.020 TCGAAAAAACAAATCAAAGACTTAC 266 Hu.DMD.Exon45.25.001 CTGTAAGATACCAAAAAGGCAAAAC 267 Hu.DMD.Exon45.25.002 CCTGTAAGATACCAAAAAGGCAAAA 268 Hu.DMD.Exon45.25.002.2 AGTTCCTGTAAGATACCAAAAAGGC 269 Hu.DMD.Exon45.25.003 GAGTTCCTGTAAGATACCAAAAAGG 270 Hu.DMD.Exon45.25.003.2 CCTGGAGTTCCTGTAAGATACCAAA 271 Hu.DMD.Exon45.25.004 TCCTGGAGTTCCTGTAAGATACCAA 272 Hu.DMD.Exon45.25.004.2 GCCATCCTGGAGTTCCTGTAAGATA 273 Hu.DMD.Exon45.25.005 TGCCATCCTGGAGTTCCTGTAAGAT 274 Hu.DMD.Exon45.25.005.2 CCAATGCCATCCTGGAGTTCCTGTA 275 Hu.DMD.Exon45.25.006 CCCAATGCCATCCTGGAGTTCCTGT 276 Hu.DMD.Exon45.25.006.2 GCTGCCCAATGCCATCCTGGAGTTC 277 Hu.DMD.Exon45.25.007 CGCTGCCCAATGCCATCCTGGAGTT 278 Hu.DMD.Exon45.25.008 AACAGTTTGCCGCTGCCCAATGCCA 279 Hu.DMD.Exon45.25.008.2 CTGACAACAGTTTGCCGCTGCCCAA 280 Hu.DMD.Exon45.25.009 GTTGCATTCAATGTTCTGACAACAG 281 Hu.DMD.Exon45.25.010 GCTGAATTATTTCTTCCCCAGTTGC 282 Hu.DMD.Exon45.25.010.2 ATTATTTCTTCCCCAGTTGCATTCA 283 Hu.DMD.Exon45.25.011 GGCATCTGTTTTTGAGGATTGCTGA 284 Hu.DMD.Exon45.25.011.2 TTTGAGGATTGCTGAATTATTTCTT 285 Hu.DMD.Exon45.25.012 AATTTTTCCTGTAGAATACTGGCAT 286 Hu.DMD.Exon45.25.012.2 ATACTGGCATCTGTTTTTGAGGATT 287 Hu.DMD.Exon45.25.013 ACCGCAGATTCAGGCTTCCCAATTT 288 Hu.DMD.Exon45.25.014 CTGTTTGCAGACCTCCTGCCACCGC 289 Hu.DMD.Exon45.25.014.2 AGATTCAGGCTTCCCAATTTTTCCT 290 Hu.DMD.Exon45.25.015 CTCTTTTTTCTGTCTGACAGCTGTT 291 Hu.DMD.Exon45.25.015.2 ACCTCCTGCCACCGCAGATTCAGGC 292 Hu.DMD.Exon45.25.016 CCTACCTCTTTTTTCTGTCTGACAG 293 Hu.DMD.Exon45.25.016.2 GACAGCTGTTTGCAGACCTCCTGCC 294 Hu.DMD.Exon45.25.017 GTCGCCCTACCTCTTTTTTCTGTCT 295 Hu.DMD.Exon45.25.018 GATCTGTCGCCCTACCTCTTTTTTC 296 Hu.DMD.Exon45.25.019 TATTAGATCTGTCGCCCTACCTCTT 297 Hu.DMD.Exon45.25.020 ATTCCTATTAGATCTGTCGCCCTAC 298 Hu.DMD.Exon45.20.001 AGATACCAAAAAGGCAAAAC 299 Hu.DMD.Exon45.20.002 AAGATACCAAAAAGGCAAAA 300 Hu.DMD.Exon45.20.003 CCTGTAAGATACCAAAAAGG 301 Hu.DMD.Exon45.20.004 GAGTTCCTGTAAGATACCAA 302 Hu.DMD.Exon45.20.005 TCCTGGAGTTCCTGTAAGAT 303 Hu.DMD.Exon45.20.006 TGCCATCCTGGAGTTCCTGT 304 Hu.DMD.Exon45.20.007 CCCAATGCCATCCTGGAGTT 305 Hu.DMD.Exon45.20.008 CGCTGCCCAATGCCATCCTG 306 Hu.DMD.Exon45.20.009 CTGACAACAGTTTGCCGCTG 307 Hu.DMD.Exon45.20.010 GTTGCATTCAATGTTCTGAC 308 Hu.DMD.Exon45.20.011 ATTATTTCTTCCCCAGTTGC 309 Hu.DMD.Exon45.20.012 TTTGAGGATTGCTGAATTAT 310 Hu.DMD.Exon45.20.013 ATACTGGCATCTGTTTTTGA 311 Hu.DMD.Exon45.20.014 AATTTTTCCTGTAGAATACT 312 Hu.DMD.Exon45.20.015 AGATTCAGGCTTCCCAATTT 313 Hu.DMD.Exon45.20.016 ACCTCCTGCCACCGCAGATT 314 Hu.DMD.Exon45.20.017 GACAGCTGTTTGCAGACCTC 315 Hu.DMD.Exon45.20.018 CTCTTTTTTCTGTCTGACAG 316 Hu.DMD.Exon45.20.019 CCTACCTCTTTTTTCTGTCT 317 Hu.DMD.Exon45.20.020 GTCGCCCTACCTCTTTTTTC 318 Hu.DMD.Exon45.20.021 GATCTGTCGCCCTACCTCTT 319 Hu.DMD.Exon45.20.022 TATTAGATCTGTCGCCCTAC 320 Hu.DMD.Exon45.20.023 ATTCCTATTAGATCTGTCGC 321 Hu.DMD.Exon46.25.001 GGGGGATTTGAGAAAATAAAATTAC 322 Hu.DMD.Exon46.25.002 ATTTGAGAAAATAAAATTACCTTGA 323 Hu.DMD.Exon46.25.002.2 CTAGCCTGGAGAAAGAAGAATAAAA 324 Hu.DMD.Exon46.25.003 AGAAAATAAAATTACCTTGACTTGC 325 Hu.DMD.Exon46.25.003.2 TTCTTCTAGCCTGGAGAAAGAAGAA 326 Hu.DMD.Exon46.25.004 ATAAAATTACCTTGACTTGCTCAAG 327 Hu.DMD.Exon46.25.004.2 TTTTGTTCTTCTAGCCTGGAGAAAG 328 Hu.DMD.Exon46.25.005 ATTACCTTGACTTGCTCAAGCTTTT 329 Hu.DMD.Exon46.25.005.2 TATTCTTTTGTTCTTCTAGCCTGGA 330 Hu.DMD.Exon46.25.006 CTTGACTTGCTCAAGCTTTTCTTTT 331 Hu.DMD.Exon46.25.006.2 CAAGATATTCTTTTGTTCTTCTAGC 332 Hu.DMD.Exon46.25.007 CTTTTAGTTGCTGCTCTTTTCCAGG 333 Hu.DMD.Exon46.25.008 CCAGGTTCAAGTGGGATACTAGCAA 334 Hu.DMD.Exon46.25.008.2 ATCTCTTTGAAATTCTGACAAGATA 335 Hu.DMD.Exon46.25.009 AGCAATGTTATCTGCTTCCTCCAAC 336 Hu.DMD.Exon46.25.009.2 AACAAATTCATTTAAATCTCTTTGA 337 Hu.DMD.Exon46.25.010 CCAACCATAAAACAAATTCATTTAA 338 Hu.DMD.Exon46.25.010.2 TTCCTCCAACCATAAAACAAATTCA 339 Hu.DMD.Exon46.25.011 TTTAAATCTCTTTGAAATTCTGACA 340 Hu.DMD.Exon46.25.012 TGACAAGATATTCTTTTGTTCTTCT 341 Hu.DMD.Exon46.25.012.2 TTCAAGTGGGATACTAGCAATGTTA 342 Hu.DMD.Exon46.25.013 AGATATTCTTTTGTTCTTCTAGCCT 343 Hu.DMD.Exon46.25.013.2 CTGCTCTTTTCCAGGTTCAAGTGGG 344 Hu.DMD.Exon46.25.014 TTCTTTTGTTCTTCTAGCCTGGAGA 345 Hu.DMD.Exon46.25.014.2 CTTTTCTTTTAGTTGCTGCTCTTTT 346 Hu.DMD.Exon46.25.015 TTGTTCTTCTAGCCTGGAGAAAGAA 347 Hu.DMD.Exon46.25.016 CTTCTAGCCTGGAGAAAGAAGAATA 348 Hu.DMD.Exon46.25.017 AGCCTGGAGAAAGAAGAATAAAATT 349 Hu.DMD.Exon46.25.018 CTGGAGAAAGAAGAATAAAATTGTT 350 Hu.DMD.Exon46.20.001 GAAAGAAGAATAAAATTGTT 351 Hu.DMD.Exon46.20.002 GGAGAAAGAAGAATAAAATT 352 Hu.DMD.Exon46.20.003 AGCCTGGAGAAAGAAGAATA 353 Hu.DMD.Exon46.20.004 CTTCTAGCCTGGAGAAAGAA 354 Hu.DMD.Exon46.20.005 TTGTTCTTCTAGCCTGGAGA 355 Hu.DMD.Exon46.20.006 TTCTTTTGTTCTTCTAGCCT 356 Hu.DMD.Exon46.20.007 TGACAAGATATTCTTTTGTT 357 Hu.DMD.Exon46.20.008 ATCTCTTTGAAATTCTGACA 358 Hu.DMD.Exon46.20.009 AACAAATTCATTTAAATCTC 359 Hu.DMD.Exon46.20.010 TTCCTCCAACCATAAAACAA 360 Hu.DMD.Exon46.20.011 AGCAATGTTATCTGCTTCCT 361 Hu.DMD.Exon46.20.012 TTCAAGTGGGATACTAGCAA 362 Hu.DMD.Exon46.20.013 CTGCTCTTTTCCAGGTTCAA 363 Hu.DMD.Exon46.20.014 CTTTTCTTTTAGTTGCTGCT 364 Hu.DMD.Exon46.20.015 CTTGACTTGCTCAAGCTTTT 365 Hu.DMD.Exon46.20.016 ATTACCTTGACTTGCTCAAG 366 Hu.DMD.Exon46.20.017 ATAAAATTACCTTGACTTGC 367 Hu.DMD.Exon46.20.018 AGAAAATAAAATTACCTTGA 368 Hu.DMD.Exon46.20.019 ATTTGAGAAAATAAAATTAC 369 Hu.DMD.Exon46.20.020 GGGGGATTTGAGAAAATAAA 370 Hu.DMD.Exon47.25.001 CTGAAACAGACAAATGCAACAACGT 371 Hu.DMD.Exon47.25.002 AGTAACTGAAACAGACAAATGCAAC 372 Hu.DMD.Exon47.25.003 CCACCAGTAACTGAAACAGACAAAT 373 Hu.DMD.Exon47.25.004 CTCTTCCACCAGTAACTGAAACAGA 374 Hu.DMD.Exon47.25.005 GGCAACTCTTCCACCAGTAACTGAA 375 Hu.DMD.Exon47.25.006 GCAGGGGCAACTCTTCCACCAGTAA 376 Hu.DMD.Exon47.25.007 CTGGCGCAGGGGCAACTCTTCCACC 377 Hu.DMD.Exon47.25.008 TTTAATTGTTTGAGAATTCCCTGGC 378 Hu.DMD.Exon47.25.008.2 TTGTTTGAGAATTCCCTGGCGCAGG 379 Hu.DMD.Exon47.25.009 GCACGGGTCCTCCAGTTTCATTTAA 380 Hu.DMD.Exon47.25.009.2 TCCAGTTTCATTTAATTGTTTGAGA 381 Hu.DMD.Exon47.25.010 GCTTATGGGAGCACTTACAAGCACG 382 Hu.DMD.Exon47.25.010.2 TACAAGCACGGGTCCTCCAGTTTCA 383 Hu.DMD.Exon47.25.011 AGTTTATCTTGCTCTTCTGGGCTTA 384 Hu.DMD.Exon47.25.012 TCTGCTTGAGCTTATTTTCAAGTTT 385 Hu.DMD.Exon47.25.012.2 ATCTTGCTCTTCTGGGCTTATGGGA 386 Hu.DMD.Exon47.25.013 CTTTATCCACTGGAGATTTGTCTGC 387 Hu.DMD.Exon47.25.013.2 CTTATTTTCAAGTTTATCTTGCTCT 388 Hu.DMD.Exon47.25.014 CTAACCTTTATCCACTGGAGATTTG 389 Hu.DMD.Exon47.25.014.2 ATTTGTCTGCTTGAGCTTATTTTCA 390 Hu.DMD.Exon47.25.015 AATGTCTAACCTTTATCCACTGGAG 391 Hu.DMD.Exon47.25.016 TGGTTAATGTCTAACCTTTATCCAC 392 Hu.DMD.Exon47.25.017 AGAGATGGTTAATGTCTAACCTTTA 393 Hu.DMD.Exon47.25.018 ACGGAAGAGATGGTTAATGTCTAAC 394 Hu.DMD.Exon47.20.001 ACAGACAAATGCAACAACGT 395 Hu.DMD.Exon47.20.002 CTGAAACAGACAAATGCAAC 396 Hu.DMD.Exon47.20.003 AGTAACTGAAACAGACAAAT 397 Hu.DMD.Exon47.20.004 CCACCAGTAACTGAAACAGA 398 Hu.DMD.Exon47.20.005 CTCTTCCACCAGTAACTGAA 399 Hu.DMD.Exon47.20.006 GGCAACTCTTCCACCAGTAA 400 Hu.DMD.Exon47.20.007 CTGGCGCAGGGGCAACTCTT 401 Hu.DMD.Exon47.20.008 TTGTTTGAGAATTCCCTGGC 402 Hu.DMD.Exon47.20.009 TCCAGTTTCATTTAATTGTT 403 Hu.DMD.Exon47.20.010 TACAAGCACGGGTCCTCCAG 404 Hu.DMD.Exon47.20.011 GCTTATGGGAGCACTTACAA 405 Hu.DMD.Exon47.20.012 ATCTTGCTCTTCTGGGCTTA 406 Hu.DMD.Exon47.20.013 CTTATTTTCAAGTTTATCTT 407 Hu.DMD.Exon47.20.014 ATTTGTCTGCTTGAGCTTAT 408 Hu.DMD.Exon47.20.015 CTTTATCCACTGGAGATTTG 409 Hu.DMD.Exon47.20.016 CTAACCTTTATCCACTGGAG 410 Hu.DMD.Exon47.20.017 AATGTCTAACCTTTATCCAC 411 Hu.DMD.Exon47.20.018 TGGTTAATGTCTAACCTTTA 412 Hu.DMD.Exon47.20.019 AGAGATGGTTAATGTCTAAC 413 Hu.DMD.Exon47.20.020 ACGGAAGAGATGGTTAATGT 414 Hu.DMD.Exon48.25.001 CTGAAAGGAAAATACATTTTAAAAA 415 Hu.DMD.Exon48.25.002 CCTGAAAGGAAAATACATTTTAAAA 416 Hu.DMD.Exon48.25.002.2 GAAACCTGAAAGGAAAATACATTTT 417 Hu.DMD.Exon48.25.003 GGAAACCTGAAAGGAAAATACATTT 418 Hu.DMD.Exon48.25.003.2 CTCTGGAAACCTGAAAGGAAAATAC 419 Hu.DMD.Exon48.25.004 GCTCTGGAAACCTGAAAGGAAAATA 420 Hu.DMD.Exon48.25.004.2 TAAAGCTCTGGAAACCTGAAAGGAA 421 Hu.DMD.Exon48.25.005 GTAAAGCTCTGGAAACCTGAAAGGA 422 Hu.DMD.Exon48.25.005.2 TCAGGTAAAGCTCTGGAAACCTGAA 423 Hu.DMD.Exon48.25.006 CTCAGGTAAAGCTCTGGAAACCTGA 424 Hu.DMD.Exon48.25.006.2 GTTTCTCAGGTAAAGCTCTGGAAAC 425 Hu.DMD.Exon48.25.007 TGTTTCTCAGGTAAAGCTCTGGAAA 426 Hu.DMD.Exon48.25.007.2 AATTTCTCCTTGTTTCTCAGGTAAA 427 Hu.DMD.Exon48.25.008 TTTGAGCTTCAATTTCTCCTTGTTT 428 Hu.DMD.Exon48.25.008 TTTTATTTGAGCTTCAATTTCTCCT 429 Hu.DMD.Exon48.25.009 AAGCTGCCCAAGGTCTTTTATTTGA 430 Hu.DMD.Exon48.25.010 AGGTCTTCAAGCTTTTTTTCAAGCT 431 Hu.DMD.Exon48.25.010.2 TTCAAGCTTTTTTTCAAGCTGCCCA 432 Hu.DMD.Exon48.25.011 GATGATTTAACTGCTCTTCAAGGTC 433 Hu.DMD.Exon48.25.011.2 CTGCTCTTCAAGGTCTTCAAGCTTT 434 Hu.DMD.Exon48.25.012 AGGAGATAACCACAGCAGCAGATGA 435 Hu.DMD.Exon48.25.012.2 CAGCAGATGATTTAACTGCTCTTCA 436 Hu.DMD.Exon48.25.013 ATTTCCAACTGATTCCTAATAGGAG 437 Hu.DMD.Exon48.25.014 CTTGGTTTGGTTGGTTATAAATTTC 438 Hu.DMD.Exon48.25.014.2 CAACTGATTCCTAATAGGAGATAAC 439 Hu.DMD.Exon48.25.015 CTTAACGTCAAATGGTCCTTCTTGG 440 Hu.DMD.Exon48.25.015.2 TTGGTTATAAATTTCCAACTGATTC 441 Hu.DMD.Exon48.25.016 CCTACCTTAACGTCAAATGGTCCTT 442 Hu.DMD.Exon48.25.016.2 TCCTTCTTGGTTTGGTTGGTTATAA 443 Hu.DMD.Exon48.25.017 AGTTCCCTACCTTAACGTCAAATGG 444 Hu.DMD.Exon48.25.018 CAAAAAGTTCCCTACCTTAACGTCA 445 Hu.DMD.Exon48.25.019 TAAAGCAAAAAGTTCCCTACCTTAA 446 Hu.DMD.Exon48.25.020 ATATTTAAAGCAAAAAGTTCCCTAC 447 Hu.DMD.Exon48.20.001 AGGAAAATACATTTTAAAAA 448 Hu.DMD.Exon48.20.002 AAGGAAAATACATTTTAAAA 449 Hu.DMD.Exon48.20.003 CCTGAAAGGAAAATACATTT 450 Hu.DMD.Exon48.20.004 GGAAACCTGAAAGGAAAATA 451 Hu.DMD.Exon48.20.005 GCTCTGGAAACCTGAAAGGA 452 Hu.DMD.Exon48.20.006 GTAAAGCTCTGGAAACCTGA 453 Hu.DMD.Exon48.20.007 CTCAGGTAAAGCTCTGGAAA 454 Hu.DMD.Exon48.20.008 AATTTCTCCTTGTTTCTCAG 455 Hu.DMD.Exon48.20.009 TTTTATTTGAGCTTCAATTT 456 Hu.DMD.Exon48.20.010 AAGCTGCCCAAGGTCTTTTA 457 Hu.DMD.Exon48.20.011 TTCAAGCTTTTTTTCAAGCT 458 Hu.DMD.Exon48.20.012 CTGCTCTTCAAGGTCTTCAA 459 Hu.DMD.Exon48.20.013 CAGCAGATGATTTAACTGCT 460 Hu.DMD.Exon48.20.014 AGGAGATAACCACAGCAGCA 461 Hu.DMD.Exon48.20.015 CAACTGATTCCTAATAGGAG 462 Hu.DMD.Exon48.20.016 TTGGTTATAAATTTCCAACT 463 Hu.DMD.Exon48.20.017 TCCTTCTTGGTTTGGTTGGT 464 Hu.DMD.Exon48.20.018 CTTAACGTCAAATGGTCCTT 465 Hu.DMD.Exon48.20.019 CCTACCTTAACGTCAAATGG 466 Hu.DMD.Exon48.20.020 AGTTCCCTACCTTAACGTCA 467 Hu.DMD.Exon48.20.021 CAAAAAGTTCCCTACCTTAA 468 Hu.DMD.Exon48.20.022 TAAAGCAAAAAGTTCCCTAC 469 Hu.DMD.Exon48.20.023 ATATTTAAAGCAAAAAGTTC 470 Hu.DMD.Exon49.25.001 CTGGGGAAAAGAACCCATATAGTGC 471 Hu.DMD.Exon49.25.002 TCCTGGGGAAAAGAACCCATATAGT 472 Hu.DMD.Exon49.25.002.2 GTTTCCTGGGGAAAAGAACCCATAT 473 Hu.DMD.Exon49.25.003 CAGTTTCCTGGGGAAAAGAACCCAT 474 Hu.DMD.Exon49.25.003.2 TTTCAGTTTCCTGGGGAAAAGAACC 475 Hu.DMD.Exon49.25.004 TATTTCAGTTTCCTGGGGAAAAGAA 476 Hu.DMD.Exon49.25.004.2 TGCTATTTCAGTTTCCTGGGGAAAA 477 Hu.DMD.Exon49.25.005 ACTGCTATTTCAGTTTCCTGGGGAA 478 Hu.DMD.Exon49.25.005.2 TGAACTGCTATTTCAGTTTCCTGGG 479 Hu.DMD.Exon49.25.006 CTTGAACTGCTATTTCAGTTTCCTG 480 Hu.DMD.Exon49.25.006.2 TAGCTTGAACTGCTATTTCAGTTTC 481 Hu.DMD.Exon49.25.007 TTTAGCTTGAACTGCTATTTCAGTT 482 Hu.DMD.Exon49.25.008 TTCCACATCCGGTTGTTTAGCTTGA 483 Hu.DMD.Exon49.25.009 TGCCCTTTAGACAAAATCTCTTCCA 484 Hu.DMD.Exon49.25.009.2 TTTAGACAAAATCTCTTCCACATCC 485 Hu.DMD.Exon49.25.010 GTTTTTCCTTGTACAAATGCTGCCC 486 Hu.DMD.Exon49.25.010.2 GTACAAATGCTGCCCTTTAGACAAA 487 Hu.DMD.Exon49.25.011 CTTCACTGGCTGAGTGGCTGGTTTT 488 Hu.DMD.Exon49.25.011.2 GGCTGGTTTTTCCTTGTACAAATGC 489 Hu.DMD.Exon49.25.012 ATTACCTTCACTGGCTGAGTGGCTG 490 Hu.DMD.Exon49.25.013 GCTTCATTACCTTCACTGGCTGAGT 491 Hu.DMD.Exon49.25.014 AGGTTGCTTCATTACCTTCACTGGC 492 Hu.DMD.Exon49.25.015 GCTAGAGGTTGCTTCATTACCTTCA 493 Hu.DMD.Exon49.25.016 ATATTGCTAGAGGTTGCTTCATTAC 494 Hu.DMD.Exon49.20.001 GAAAAGAACCCATATAGTGC 495 Hu.DMD.Exon49.20.002 GGGAAAAGAACCCATATAGT 496 Hu.DMD.Exon49.20.003 TCCTGGGGAAAAGAACCCAT 497 Hu.DMD.Exon49.20.004 CAGTTTCCTGGGGAAAAGAA 498 Hu.DMD.Exon49.20.005 TATTTCAGTTTCCTGGGGAA 499 Hu.DMD.Exon49.20.006 ACTGCTATTTCAGTTTCCTG 500 Hu.DMD.Exon49.20.007 CTTGAACTGCTATTTCAGTT 501 Hu.DMD.Exon49.20.008 TTTAGCTTGAACTGCTATTT 502 Hu.DMD.Exon49.20.009 TTCCACATCCGGTTGTTTAG 503 Hu.DMD.Exon49.20.010 TTTAGACAAAATCTCTTCCA 504 Hu.DMD.Exon49.20.011 GTACAAATGCTGCCCTTTAG 505 Hu.DMD.Exon49.20.012 GGCTGGTTTTTCCTTGTACA 506 Hu.DMD.Exon49.20.013 CTTCACTGGCTGAGTGGCTG 507 Hu.DMD.Exon49.20.014 ATTACCTTCACTGGCTGAGT 508 Hu.DMD.Exon49.20.015 GCTTCATTACCTTCACTGGC 509 Hu.DMD.Exon49.20.016 AGGTTGCTTCATTACCTTCA 510 Hu.DMD.Exon49.20.017 GCTAGAGGTTGCTTCATTAC 511 Hu.DMD.Exon49.20.018 ATATTGCTAGAGGTTGCTTC 512 Hu.DMD.Exon50.25.001 CTTTAACAGAAAAGCATACACATTA 513 Hu.DMD.Exon50.25.002 TCCTCTTTAACAGAAAAGCATACAC 514 Hu.DMD.Exon50.25.002.2 TTCCTCTTTAACAGAAAAGCATACA 515 Hu.DMD.Exon50.25.003 TAACTTCCTCTTTAACAGAAAAGCA 516 Hu.DMD.Exon50.25.003.2 CTAACTTCCTCTTTAACAGAAAAGC 517 Hu.DMD.Exon50.25.004 TCTTCTAACTTCCTCTTTAACAGAA 518 Hu.DMD.Exon50.25.004.2 ATCTTCTAACTTCCTCTTTAACAGA 519 Hu.DMD.Exon50.25.005 TCAGATCTTCTAACTTCCTCTTTAA 520 Hu.DMD.Exon50.25.005.2 CTCAGATCTTCTAACTTCCTCTTTA 521 Hu.DMD.Exon50.25.006 AGAGCTCAGATCTTCTAACTTCCTC 522 Hu.DMD.Exon50.25.006.2 CAGAGCTCAGATCTTCTAACTTCCT 523 NG−08−0731 Hu.DMD.Exon50.25.007 CACTCAGAGCTCAGATCTTCTACT 524 Hu.DMD.Exon50.25.007.2 CCTTCCACTCAGAGCTCAGATCTTC 525 Hu.DMD.Exon50.25.008 GTAAACGGTTTACCGCCTTCCACTC 526 Hu.DMD.Exon50.25.009 CTTTGCCCTCAGCTCTTGAAGTAAA 527 Hu.DMD.Exon50.25.009.2 CCCTCAGCTCTTGAAGTAAACGGTT 528 Hu.DMD.Exon50.25.010 CCAGGAGCTAGGTCAGGCTGCTTTG 529 Hu.DMD.Exon50.25.010.2 GGTCAGGCTGCTTTGCCCTCAGCTC 530 Hu.DMD.Exon50.25.011 AGGCTCCAATAGTGGTCAGTCCAGG 531 Hu.DMD.Exon50.25.011.2 TCAGTCCAGGAGCTAGGTCAGGCTG 532 Hu.DMD.Exon50.25.012 CTTACAGGCTCCAATAGTGGTCAGT 533 AVI−5038 Hu.DMD.Exon50.25.013 GTATACTTACAGGCTCCAATAGTGG 534 Hu.DMD.Exon50.25.014 ATCCAGTATACTTACAGGCTCCAAT 535 Hu.DMD.Exon50.25.015 ATGGGATCCAGTATACTTACAGGCT 536 NG−08−0741 Hu.DMD.Exon50.25.016 AGAGAATGGGATCCAGTATACTTAC 537 NG−08−0742 Hu.DMD.Exon50.20.001 ACAGAAAAGCATACACATTA 538 Hu.DMD.Exon50.20.002 TTTAACAGAAAAGCATACAC 539 Hu.DMD.Exon50.20.003 TCCTCTTTAACAGAAAAGCA 540 Hu.DMD.Exon50.20.004 TAACTTCCTCTTTAACAGAA 541 Hu.DMD.Exon50.20.005 TCTTCTAACTTCCTCTTTAA 542 Hu.DMD.Exon50.20.006 TCAGATCTTCTAACTTCCTC 543 Hu.DMD.Exon50.20.007 CCTTCCACTCAGAGCTCAGA 544 Hu.DMD.Exon50.20.008 GTAAACGGTTTACCGCCTTC 545 Hu.DMD.Exon50.20.009 CCCTCAGCTCTTGAAGTAAA 546 Hu.DMD.Exon50.20.010 GGTCAGGCTGCTTTGCCCTC 547 Hu.DMD.Exon50.20.011 TCAGTCCAGGAGCTAGGTCA 548 Hu.DMD.Exon50.20.012 AGGCTCCAATAGTGGTCAGT 549 Hu.DMD.Exon50.20.013 CTTACAGGCTCCAATAGTGG 550 Hu.DMD.Exon50.20.014 GTATACTTACAGGCTCCAAT 551 Hu.DMD.Exon50.20.015 ATCCAGTATACTTACAGGCT 552 Hu.DMD.Exon50.20.016 ATGGGATCCAGTATACTTAC 553 Hu.DMD.Exon50.20.017 AGAGAATGGGATCCAGTATA 554 Hu.DMD.Exon51.25.001−44 CTAAAATATTTTGGGTTTTTGCAAAA 555 Hu.DMD.Exon51.25.002−45 GCTAAAATATTTTGGGTTTTTGCAAA 556 Hu.DMD.Exon51.25.002.2−46 TAGGAGCTAAAATATTTTGGGTTTTT 557 Hu.DMD.Exon51.25.003 AGTAGGAGCTAAAATATTTTGGGTT 558 Hu.DMD.Exon51.25.003.2 TGAGTAGGAGCTAAAATATTTTGGG 559 Hu.DMD.Exon51.25.004 CTGAGTAGGAGCTAAAATATTTTGGG 560 Hu.DMD.Exon51.25.004.2 CAGTCTGAGTAGGAGCTAAAATATT 561 Hu.DMD.Exon51.25.005 ACAGTCTGAGTAGGAGCTAAAATATT 562 Hu.DMD.Exon51.25.005.2 GAGTAACAGTCTGAGTAGGAGCTAAA 563 Hu.DMD.Exon51.25.006 CAGAGTAACAGTCTGAGTAGGAGCT 564 Hu.DMD.Exon51.25.006.2 CACCAGAGTAACAGTCTGAGTAGGAG 565 Hu.DMD.Exon51.25.007 GTCACCAGAGTAACAGTCTGAGTAG 566 Hu.DMD.Exon51.25.007.2 AACCACAGGTTGTGTCACCAGAGTAA 567 Hu.DMD.Exon51.25.008 GTTGTGTCACCAGAGTAACAGTCTG 568 Hu.DMD.Exon51.25.009 TGGCAGTTTCCTTAGTAACCACAGGT 569 Hu.DMD.Exon51.25.010 ATTTCTAGTTTGGAGATGGCAGTTTC 570 Hu.DMD.Exon51.25.010.2 GGAAGATGGCATTTCTAGTTTGGAG 571 Hu.DMD.Exon51.25.011 CATCAAGGAAGATGGCATTTCTAGTT 572 Hu.DMD.Exon51.25.011.2 GAGCAGGTACCTCCAACATCAAGGAA 573 Hu.DMD.Exon51.25.012 ATCTGCCAGAGCAGGTACCTCCAAC 574 Hu.DMD.Exon51.25.013 AAGTTCTGTCCAAGCCCGGTTGAAAT 575 Hu.DMD.Exon51.25.013.2 CGGTTGAAATCTGCCAGAGCAGGTAC 576 Hu.DMD.Exon51.25.014 GAGAAAGCCAGTCGGTAAGTTCTGTC 577 Hu.DMD.Exon51.25.014.2 GTCGGTAAGTTCTGTCCAAGCCCGG 578 Hu.DMD.Exon51.25.015 ATAACTTGATCAAGCAGAGAAAGCCA 579 Hu.DMD.Exon51.25.015.2 AAGCAGAGAAAGCCAGTCGGTAAGT 580 Hu.DMD.Exon51.25.016 CACCCTCTGTGATTTTATAACTTGAT 581 Hu.DMD.Exon51.25.017 CAAGGTCACCCACCATCACCCTCTGT 582 Hu.DMD.Exon51.25.017.2 CATCACCCTCTGTGATTTTATAACT 583 Hu.DMD.Exon51.25.018 CTTCTGCTTGATGATCATCTCGTTGA 584 Hu.DMD.Exon51.25.019 CCTTCTGCTTGATGATCATCTCGTTG 585 Hu.DMD.Exon51.25.019.2 ATCTCGTTGATATCCTCAAGGTCACC 586 Hu.DMD.Exon51.25.020 TCATACCTTCTGCTTGATGATCATCT 587 Hu.DMD.Exon51.25.020.2 TCATTTTTTCTCATACCTTCTGCTTG 588 Hu.DMD.Exon51.25.021 TTTTCTCATACCTTCTGCTTGATGAT 589 Hu.DMD.Exon51.25.022 TTTTATCATTTTTTCTCATACCTTCT 590 Hu.DMD.Exon51.25.023 CCAACTTTTATCATTTTTTCTCATAC 591 Hu.DMD.Exon51.20.001 ATATTTTGGGTTTTTGCAAA 592 Hu.DMD.Exon51.20.002 AAAATATTTTGGGTTTTTGC 593 Hu.DMD.Exon51.20.003 GAGCTAAAATATTTTGGGTT 594 Hu.DMD.Exon51.20.004 AGTAGGAGCTAAAATATTTT 595 Hu.DMD.Exon51.20.005 GTCTGAGTAGGAGCTAAAAT 596 Hu.DMD.Exon51.20.006 TAACAGTCTGAGTAGGAGCT 597 Hu.DMD.Exon51.20.007 CAGAGTAACAGTCTGAGTAG 598 Hu.DMD.Exon51.20.008 CACAGGTTGTGTCACCAGAG 599 Hu.DMD.Exon51.20.009 AGTTTCCTTAGTAACCACAG 600 Hu.DMD.Exon51.20.010 TAGTTTGGAGATGGCAGTTT 601 Hu.DMD.Exon51.20.011 GGAAGATGGCATTTCTAGTT 602 Hu.DMD.Exon51.20.012 TACCTCCAACATCAAGGAAG 603 Hu.DMD.Exon51.20.013 ATCTGCCAGAGCAGGTACCT 604 Hu.DMD.Exon51.20.014 CCAAGCCCGGTTGAAATCTG 605 Hu.DMD.Exon51.20.015 GTCGGTAAGTTCTGTCCAAG 606 Hu.DMD.Exon51.20.016 AAGCAGAGAAAGCCAGTCGG 607 Hu.DMD.Exon51.20.017 TTTTATAACTTGATCAAGCA 608 Hu.DMD.Exon51.20.018 CATCACCCTCTGTGATTTTA 609 Hu.DMD.Exon51.20.019 CTCAAGGTCACCCACCATCA 610 Hu.DMD.Exon51.20.020 CATCTCGTTGATATCCTCAA 611 Hu.DMD.Exon51.20.021 CTTCTGCTTGATGATCATCT 612 Hu.DMD.Exon51.20.022 CATACCTTCTGCTTGATGAT 613 Hu.DMD.Exon51.20.023 TTTCTCATACCTTCTGCTTG 614 Hu.DMD.Exon51.20.024 CATTTTTTCTCATACCTTCT 615 Hu.DMD.Exon51.20.025 TTTATCATTTTTTCTCATAC 616 Hu.DMD.Exon51.20.026 CAACTTTTATCATTTTTTCT 617 Hu.DMD.Exon52.25.001 CTGTAAGAACAAATATCCCTTAGTA 618 Hu.DMD.Exon52.25.002 TGCCTGTAAGAACAAATATCCCTTA 619 Hu.DMD.Exon52.25.002.2 GTTGCCTGTAAGAACAAATATCCCT 620 Hu.DMD.Exon52.25.003 ATTGTTGCCTGTAAGAACAAATATC 621 Hu.DMD.Exon52.25.003.2 GCATTGTTGCCTGTAAGAACAAATA 622 Hu.DMD.Exon52.25.004 CCTGCATTGTTGCCTGTAAGAACAA 623 Hu.DMD.Exon52.25.004.2 ATCCTGCATTGTTGCCTGTAAGAAC 624 Hu.DMD.Exon52.25.005 CAAATCCTGCATTGTTGCCTGTAAG 625 Hu.DMD.Exon52.25.005.2 TCCAAATCCTGCATTGTTGCCTGTA 626 Hu.DMD.Exon52.25.006 TGTTCCAAATCCTGCATTGTTGCCT 627 Hu.DMD.Exon52.25.006.2 TCTGTTCCAAATCCTGCATTGTTGC 628 Hu.DMD.Exon52.25.007 AACTGGGGACGCCTCTGTTCCAAAT 629 Hu.DMD.Exon52.25.007.2 GCCTCTGTTCCAAATCCTGCATTGT 630 Hu.DMD.Exon52.25.008 CAGCGGTAATGAGTTCTTCCAACTG 631 Hu.DMD.Exon52.25.008.2 CTTCCAACTGGGGACGCCTCTGTTC 632 Hu.DMD.Exon52.25.009 CTTGTTTTTCAAATTTTGGGCAGCG 633 Hu.DMD.Exon52.25.010 CTAGCCTCTTGATTGCTGGTCTTGT 634 Hu.DMD.Exon52.25.010.2 TTTTCAAATTTTGGGCAGCGGTAAT 635 Hu.DMD.Exon52.25.011 TTCGATCCGTAATGATTGTTCTAGC 636 Hu.DMD.Exon52.25.011.2 GATTGCTGGTCTTGTTTTTCAAATT 637 Hu.DMD.Exon52.25.012 CTTACTTCGATCCGTAATGATTGTT 638 Hu.DMD.Exon52.25.012.2 TTGTTCTAGCCTCTTGATTGCTGGT 639 Hu.DMD.Exon52.25.013 AAAAACTTACTTCGATCCGTAATGA 640 Hu.DMD.Exon52.25.014 TGTTAAAAAACTTACTTCGATCCGT 641 Hu.DMD.Exon52.25.015 ATGCTTGTTAAAAAACTTACTTCGA 642 Hu.DMD.Exon52.25.016 GTCCCATGCTTGTTAAAAAACTTAC 643 Hu.DMD.Exon52.20.001 AGAACAAATATCCCTTAGTA 644 Hu.DMD.Exon52.20.002 GTAAGAACAAATATCCCTTA 645 Hu.DMD.Exon52.20.003 TGCCTGTAAGAACAAATATC 646 Hu.DMD.Exon52.20.004 ATTGTTGCCTGTAAGAACAA 647 Hu.DMD.Exon52.20.005 CCTGCATTGTTGCCTGTAAG 648 Hu.DMD.Exon52.20.006 CAAATCCTGCATTGTTGCCT 649 Hu.DMD.Exon52.20.007 GCCTCTGTTCCAAATCCTGC 650 Hu.DMD.Exon52.20.008 CTTCCAACTGGGGACGCCTC 651 Hu.DMD.Exon52.20.009 CAGCGGTAATGAGTTCTTCC 652 Hu.DMD.Exon52.20.010 TTTTCAAATTTTGGGCAGCG 653 Hu.DMD.Exon52.20.011 GATTGCTGGTCTTGTTTTTC 654 Hu.DMD.Exon52.20.012 TTGTTCTAGCCTCTTGATTG 655 Hu.DMD.Exon52.20.013 TTCGATCCGTAATGATTGTT 656 Hu.DMD.Exon52.20.014 CTTACTTCGATCCGTAATGA 657 Hu.DMD.Exon52.20.015 AAAAACTTACTTCGATCCGT 658 Hu.DMD.Exon52.20.016 TGTTAAAAAACTTACTTCGA 659 Hu.DMD.Exon52.20.017 ATGCTTGTTAAAAAACTTAC 660 Hu.DMD.Exon52.20.018 GTCCCATGCTTGTTAAAAAA 661 Hu.DMD.Exon53.25.001 CTAGAATAAAAGGAAAAATAAATAT 662 Hu.DMD.Exon53.25.002 AACTAGAATAAAAGGAAAAATAAAT 663 Hu.DMD.Exon53.25.002.2 TTCAACTAGAATAAAAGGAAAAATA 664 Hu.DMD.Exon53.25.003 CTTTCAACTAGAATAAAAGGAAAAA 665 Hu.DMD.Exon53.25.003.2 ATTCTTTCAACTAGAATAAAAGGAA 666 Hu.DMD.Exon53.25.004 GAATTCTTTCAACTAGAATAAAAGG 667 Hu.DMD.Exon53.25.004.2 TCTGAATTCTTTCAACTAGAATAAA 668 Hu.DMD.Exon53.25.005 ATTCTGAATTCTTTCAACTAGAATA 669 Hu.DMD.Exon53.25.005.2 CTGATTCTGAATTCTTTCAACTAGA 670 Hu.DMD.Exon53.25.006 CACTGATTCTGAATTCTTTCAACTA 671 Hu.DMD.Exon53.25.006.2 TCCCACTGATTCTGAATTCTTTCAA 672 Hu.DMD.Exon53.25.007 CATCCCACTGATTCTGAATTCTTTC 673 Hu.DMD.Exon53.25.008 TACTTCATCCCACTGATTCTGAATT 674 Hu.DMD.Exon53.25.009 CGGTTCTGAAGGTGTTCTTGTACT 675 Hu.DMD.Exon53.25.009.2 CTGTTGCCTCCGGTTCTGAAGGTGT 676 Hu.DMD.Exon53.25.010 TTTCATTCAACTGTTGCCTCCGGTT 677 Hu.DMD.Exon53.25.010.2 TAACATTTCATTCAACTGTTGCCTC 678 Hu.DMD.Exon53.25.011 TTGTGTTGAATCCTTTAACATTTCA 679 Hu.DMD.Exon53.25.012 TCTTCCTTAGCTTCCAGCCATTGTG 680 Hu.DMD.Exon53.25.012.2 CTTAGCTTCCAGCCATTGTGTTGAA 681 Hu.DMD.Exon53.25.013 GTCCTAAGACCTGCTCAGCTTCTTC 682 Hu.DMD.Exon53.25.013.2 CTGCTCAGCTTCTTCCTTAGCTTCC 683 Hu.DMD.Exon53.25.014 CTCAAGCTTGGCTCTGGCCTGTCCT 684 Hu.DMD.Exon53.25.014.2 GGCCTGTCCTAAGACCTGCTCAGCT 685 Hu.DMD.Exon53.25.015 TAGGGACCCTCCTTCCATGACTCAA 686 Hu.DMD.Exon53.25.016 TTTGGATTGCATCTACTGTATAGGG 687 Hu.DMD.Exon53.25.016.2 ACCCTCCTTCCATGACTCAAGCTTG 688 Hu.DMD.Exon53.25.017 CTTGGTTTCTGTGATTTTCTTTTGG 689 Hu.DMD.Exon53.25.017.2 ATCTACTGTATAGGGACCCTCCTTC 690 Hu.DMD.Exon53.25.018 CTAACCTTGGTTTCTGTGATTTTCT 691 Hu.DMD.Exon53.25.018.2 TTTCTTTTGGATTGCATCTACTGTA 692 Hu.DMD.Exon53.25.019 TGATACTAACCTTGGTTTCTGTGAT 693 Hu.DMD.Exon53.25.020 ATCTTTGATACTAACCTTGGTTTCT 694 Hu.DMD.Exon53.25.021 AAGGTATCTTTGATACTAACCTTGG 695 Hu.DMD.Exon53.25.022 TTAAAAAGGTATCTTTGATACTAAC 696 Hu.DMD.Exon53.20.001 ATAAAAGGAAAAATAAATAT 697 Hu.DMD.Exon53.20.002 GAATAAAAGGAAAAATAAAT 698 Hu.DMD.Exon53.20.003 AACTAGAATAAAAGGAAAAA 699 Hu.DMD.Exon53.20.004 CTTTCAACTAGAATAAAAGG 700 Hu.DMD.Exon53.20.005 GAATTCTTTCAACTAGAATA 701 Hu.DMD.Exon53.20.006 ATTCTGAATTCTTTCAACTA 702 Hu.DMD.Exon53.20.007 TACTTCATCCCACTGATTCT 703 Hu.DMD.Exon53.20.008 CTGAAGGTGTTCTTGTACT 704 Hu.DMD.Exon53.20.009 CTGTTGCCTCCGGTTCTGAA 705 Hu.DMD.Exon53.20.010 TAACATTTCATTCAACTGTT 706 Hu.DMD.Exon53.20.011 TTGTGTTGAATCCTTTAACA 707 Hu.DMD.Exon53.20.012 CTTAGCTTCCAGCCATTGTG 708 Hu.DMD.Exon53.20.013 CTGCTCAGCTTCTTCCTTAG 709 Hu.DMD.Exon53.20.014 GGCCTGTCCTAAGACCTGCT 710 Hu.DMD.Exon53.20.015 CTCAAGCTTGGCTCTGGCCT 711 Hu.DMD.Exon53.20.016 ACCCTCCTTCCATGACTCAA 712 Hu.DMD.Exon53.20.017 ATCTACTGTATAGGGACCCT 713 Hu.DMD.Exon53.20.018 TTTCTTTTGGATTGCATCTA 714 Hu.DMD.Exon53.20.019 CTTGGTTTCTGTGATTTTCT 715 Hu.DMD.Exon53.20.020 CTAACCTTGGTTTCTGTGAT 716 Hu.DMD.Exon53.20.021 TGATACTAACCTTGGTTTCT 717 Hu.DMD.Exon53.20.022 ATCTTTGATACTAACCTTGG 718 Hu.DMD.Exon53.20.023 AAGGTATCTTTGATACTAAC 719 Hu.DMD.Exon53.20.024 TTAAAAAGGTATCTTTGATA 720 Hu.DMD.Exon54.25.001 CTATAGATTTTTATGAGAAAGAGA 721 Hu.DMD.Exon54.25.002 AACTGCTATAGATTTTTATGAGAAA 722 Hu.DMD.Exon54.25.003 TGGCCAACTGCTATAGATTTTTATG 723 Hu.DMD.Exon54.25.004 GTCTTTGGCCAACTGCTATAGATTT 724 Hu.DMD.Exon54.25.005 CGGAGGTCTTTGGCCAACTGCTATA 725 Hu.DMD.Exon54.25.006 ACTGGCGGAGGTCTTTGGCCAACTG 726 Hu.DMD.Exon54.25.007 TTTGTCTGCCACTGGCGGAGGTCTT 727 Hu.DMD.Exon54.25.008 AGTCATTTGCCACATCTACATTTGT 728 Hu.DMD.Exon54.25.008.2 TTTGCCACATCTACATTTGTCTGCC 729 Hu.DMD.Exon54.25.009 CCGGAGAAGTTTCAGGGCCAAGTCA 730 Hu.DMD.Exon54.25.010 GTATCATCTGCAGAATAATCCCGGA 731 Hu.DMD.Exon54.25.010.2 TAATCCCGGAGAAGTTTCAGGGCCA 732 Hu.DMD.Exon54.25.011 TTATCATGTGGACTTTTCTGGTATC 733 Hu.DMD.Exon54.25.012 AGAGGCATTGATATTCTCTGTTATC 734 Hu.DMD.Exon54.25.012.2 ATGTGGACTTTTCTGGTATCATCTG 735 Hu.DMD.Exon54.25.013 CTTTTATGAATGCTTCTCCAAGAGG 736 Hu.DMD.Exon54.25.013.2 ATATTCTCTGTTATCATGTGGACTT 737 Hu.DMD.Exon54.25.014 CATACCTTTTATGAATGCTTCTCCA 738 Hu.DMD.Exon54.25.014.2 CTCCAAGAGGCATTGATATTCTCTG 739 Hu.DMD.Exon54.25.015 TAATTCATACCTTTTATGAATGCTT 740 Hu.DMD.Exon54.25.016 TAATGTAATTCATACCTTTTATGAA 741 Hu.DMD.Exon54.25.017 AGAAATAATGTAATTCATACCTTTT 742 Hu.DMD.Exon54.25.018 GTTTTAGAAATAATGTAATTCATAC 743 Hu.DMD.Exon54.20.001 GATTTTTATGAGAAAGAGA 744 Hu.DMD.Exon54.20.002 CTATAGATTTTTATGAGAAA 745 Hu.DMD.Exon54.20.003 AACTGCTATAGATTTTTATG 746 Hu.DMD.Exon54.20.004 TGGCCAACTGCTATAGATTT 747 Hu.DMD.Exon54.20.005 GTCTTTGGCCAACTGCTATA 748 Hu.DMD.Exon54.20.006 CGGAGGTCTTTGGCCAACTG 749 Hu.DMD.Exon54.20.007 TTTGTCTGCCACTGGCGGAG 750 Hu.DMD.Exon54.20.008 TTTGCCACATCTACATTTGT 751 Hu.DMD.Exon54.20.009 TTCAGGGCCAAGTCATTTGC 752 Hu.DMD.Exon54.20.010 TAATCCCGGAGAAGTTTCAG 753 Hu.DMD.Exon54.20.011 GTATCATCTGCAGAATAATC 754 Hu.DMD.Exon54.20.012 ATGTGGACTTTTCTGGTATC 755 Hu.DMD.Exon54.20.013 ATATTCTCTGTTATCATGTG 756 Hu.DMD.Exon54.20.014 CTCCAAGAGGCATTGATATT 757 Hu.DMD.Exon54.20.015 CTTTTATGAATGCTTCTCCA 758 Hu.DMD.Exon54.20.016 CATACCTTTTATGAATGCTT 759 Hu.DMD.Exon54.20.017 TAATTCATACCTTTTATGAA 760 Hu.DMD.Exon54.20.018 TAATGTAATTCATACCTTTT 761 Hu.DMD.Exon54.20.019 AGAAATAATGTAATTCATAC 762 Hu.DMD.Exon54.20.020 GTTTTAGAAATAATGTAATT 763 Hu.DMD.Exon55.25.001 CTGCAAAGGACCAAATGTTCAGATG 764 Hu.DMD.Exon55.25.002 TCACCCTGCAAAGGACCAAATGTTC 765 Hu.DMD.Exon55.25.003 CTCACTCACCCTGCAAAGGACCAAA 766 Hu.DMD.Exon55.25.004 TCTCGCTCACTCACCCTGCAAAGGA 767 Hu.DMD.Exon55.25.005 CAGCCTCTCGCTCACTCACCCTGCA 768 Hu.DMD.Exon55.25.006 CAAAGCAGCCTCTCGCTCACTCACC 769 Hu.DMD.Exon55.25.007 TCTTCCAAAGCAGCCTCTCGCTCAC 770 Hu.DMD.Exon55.25.007.2 TCTATGAGTTTCTTCCAAAGCAGCC 771 Hu.DMD.Exon55.25.008 GTTGCAGTAATCTATGAGTTTCTTC 772 Hu.DMD.Exon55.25.008.2 GAACTGTTGCAGTAATCTATGAGTT 773 Hu.DMD.Exon55.25.009 TTCCAGGTCCAGGGGGAACTGTTGC 774 Hu.DMD.Exon55.25.010 GTAAGCCAGGCAAGAAACTTTTCCA 775 Hu.DMD.Exon55.25.010.2 CCAGGCAAGAAACTTTTCCAGGTCC 776 Hu.DMD.Exon55.25.011 TGGCAGTTGTTTCAGCTTCTGTAAG 777 Hu.DMD.Exon55.25.011.2 TTCAGCTTCTGTAAGCCAGGCAAGA 778 Hu.DMD.Exon55.25.012 GGTAGCATCCTGTAGGACATTGGCA 779 Hu.DMD.Exon55.25.012.2 GACATTGGCAGTTGTTTCAGCTTCT 780 Hu.DMD.Exon55.25.013 TCTAGGAGCCTTTCCTTACGGGTAG 781 Hu.DMD.Exon55.25.014 CTTTTACTCCCTTGGAGTCTTCTAG 782 Hu.DMD.Exon55.25.014.2 GAGCCTTTCCTTACGGGTAGCATCC 783 Hu.DMD.Exon55.25.015 TTGCCATTGTTTCATCAGCTCTTTT 784 Hu.DMD.Exon55.25.015.2 CTTGGAGTCTTCTAGGAGCCTTTCC 785 Hu.DMD.Exon55.25.016 CTTACTTGCCATTGTTTCATCAGCT 786 Hu.DMD.Exon55.25.016.2 CAGCTCTTTTACTCCCTTGGAGTCT 787 Hu.DMD.Exon55.25.017 CCTGACTTACTTGCCATTGTTTCAT 788 Hu.DMD.Exon55.25.018 AAATGCCTGACTTACTTGCCATTGT 789 Hu.DMD.Exon55.25.019 AGCGGAAATGCCTGACTTACTTGCC 790 Hu.DMD.Exon55.25.020 GCTAAAGCGGAAATGCCTGACTTAC 791 Hu.DMD.Exon55.20.001 AAGGACCAAATGTTCAGATG 792 Hu.DMD.Exon55.20.002 CTGCAAAGGACCAAATGTTC 793 Hu.DMD.Exon55.20.003 TCACCCTGCAAAGGACCAAA 794 Hu.DMD.Exon55.20.004 CTCACTCACCCTGCAAAGGA 795 Hu.DMD.Exon55.20.005 TCTCGCTCACTCACCCTGCA 796 Hu.DMD.Exon55.20.006 CAGCCTCTCGCTCACTCACC 797 Hu.DMD.Exon55.20.007 CAAAGCAGCCTCTCGCTCAC 798 Hu.DMD.Exon55.20.008 TCTATGAGTTTCTTCCAAAG 799 Hu.DMD.Exon55.20.009 GAACTGTTGCAGTAATCTAT 800 Hu.DMD.Exon55.20.010 TTCCAGGTCCAGGGGGAACT 801 Hu.DMD.Exon55.20.011 CCAGGCAAGAAACTTTTCCA 802 Hu.DMD.Exon55.20.012 TTCAGCTTCTGTAAGCCAGG 803 Hu.DMD.Exon55.20.013 GACATTGGCAGTTGTTTCAG 804 Hu.DMD.Exon55.20.014 GGTAGCATCCTGTAGGACAT 805 Hu.DMD.Exon55.20.015 GAGCCTTTCCTTACGGGTAG 806 Hu.DMD.Exon55.20.016 CTTGGAGTCTTCTAGGAGCC 807 Hu.DMD.Exon55.20.017 CAGCTCTTTTACTCCCTTGG 808 Hu.DMD.Exon55.20.018 TTGCCATTGTTTCATCAGCT 809 Hu.DMD.Exon55.20.019 CTTACTTGCCATTGTTTCAT 810 Hu.DMD.Exon55.20.020 CCTGACTTACTTGCCATTGT 811 Hu.DMD.Exon55.20.021 AAATGCCTGACTTACTTGCC 812 Hu.DMD.Exon55.20.022 AGCGGAAATGCCTGACTTAC 813 Hu.DMD.Exon55.20.023 GCTAAAGCGGAAATGCCTGA 814 H50A(+02 + 30)−AVI−5656 CCACTCAGAGCTCAGATCTTCTAACTTCC 815 H50D(+07 − 18)−AVI−5915 GGGATCCAGTATACTTACAGGCTCC 816 H50A(+07 + 33) CTTCCACTCAGAGCTCAGATCTTCTAA 817 H51A(+61 + 90)−AVI−4657 ACATCAAGGAAGATGGCATTTCTAGTTTGG 818 H51A(+66 + 95)−AVI−4658 CTCCAACATCAAGGAAGATGGCATTTCTAG 819 H51A(+111 + 134) TTCTGTCCAAGCCCGGTTGAAATC 820 H51A(+175 + 195) CACCCACCATCACCCTCYGTG 821 H51A(+199 + 220) ATCATCTCGTTGATATCCTCAA 822 H51A(+66 + 90) ACATCAAGGAAGATGGCATTTCTAG 823 H51A(−01 + 25) ACCAGAGTAACAGTCTGAGTAGGAGC 824 h51AON1 TCAAGGAAGATGGCATTTCT 825 h51AON2 CCTCTGTGATTTTATAACTTGAT 826 H51D(+08 − 17) ATCATTTTTTCTCATACCTTCTGCT 827 H51D(+16 − 07) CTCATACCTTCTGCTTGATGATC 828 hAON#23 TGGCATTTCTAGTTTGG 829 hAON#24 CCAGAGCAGGTACCTCCAACATC 830 h44AON1 CGCCGCCATTTCTCAACAG 831 H45A(+71 + 90) TGTTTTTGAGGATTGCTGAA 832 h45AON1 GCTGAATTATTTCTTCCCC 833 h45AON5 GCCCAATGCCATCCTGG 834 H45A(−06 + 20) CCAATGCCATCCTGGAGTTCCTGTAA 835 H53A(+39 + 69) CATTCAACTGTTGCCTCCGGTTCTGAAGGTG 836 h53AON1 CTGTTGCCTCCGGTTCTG 837 H53A(−12 + 10) ATTCTTTCAACTAGAATAAAAG 838 huEx45.30.66 GCCATCCTGGAGTTCCTGTAAGATACCAAA 839 huEx45.30.71 CCAATGCCATCCTGGAGTTCCTGTAAGATA 840 huEx45.30.79 GCCGCTGCCCAATGCCATCCTGGAGTTCCT 841 huEx45.30.83 GTTTGCCGCTGCCCAATGCCATCCTGGAGT 842 huEx45.30.88 CAACAGTTTGCCGCTGCCCAATGCCATCCT 843 huEx45.30.92 CTGACAACAGTTTGCCGCTGCCCAATGCCA 844 huEx45.30.96 TGTTCTGACAACAGTTTGCCGCTGCCCAAT 845 huEx45.30.99 CAATGTTCTGACAACAGTTTGCCGCTGCCC 846 huEx45.30.103 CATTCAATGTTCTGACAACAGTTTGCCGCT 847 huEx45.30.120 TATTTCTTCCCCAGTTGCATTCAATGTTCT 848 huEx45.30.127 GCTGAATTATTTCTTCCCCAGTTGCATTCA 849 huEx45.30.132 GGATTGCTGAATTATTTCTTCCCCAGTTGC 850 huEx45.30.137 TTTGAGGATTGCTGAATTATTTCTTCCCCA 851 huEx53.30.84 GTACTTCATCCCACTGATTCTGAATTCTTT 852 huEx53.30.88 TCTTGTACTTCATCCCACTGATTCTGAATT 853 huEx53.30.91 TGTTCTTGTACTTCATCCCACTGATTCTGA 854 huEx53.30.103 CGGTTCTGAAGGTGTTCTTGTACTTCATCC 855 huEx53.30.106 CTCCGGTTCTGAAGGTGTTCTTGTACTTCA 856 huEx53.30.109 TGCCTCCGGTTCTGAAGGTGTTCTTGTACT 857 huEx53.30.112 TGTTGCCTCCGGTTCTGAAGGTGTTCTTGT 858 huEx53.30.115 AACTGTTGCCTCCGGTTCTGAAGGTGTTCT 859 huEx53.30.118 TTCAACTGTTGCCTCCGGTTCTGAAGGTGT 860 h50A0N1 h50A0N2 Peptide Transporters (NH2 to COOH)*: rTAT RRRQRRKKRC 861 R9F2 RRRRRRRRRFFC 862 (RRAhx)4B RRAhxRRAhxRRAhxRRAhxB 863 (RAhxR)4AhxB; (P007) RAhxRRAhxRRAhxRRAhxRAhxB 864 (AhxRR)4AhxB AhxRRAhxRRAhxRRAhxRRAhxB 865 (RAhx)6B RAhxRAhxRAhxRAhxRAhxRAhxB 866 (RAhx)8B RAhxRAhxRAhxRAhxRAhxRAhxRAhxB 867 (RAhxR)5AhxB RAhxRRAhxRRAhxRRAhxRRAhxRAhxB 868 (RAhxRRBR)2AhxB; RAhxRRBRRAhxRRBRAhxB 869 (CPO6062) MSP ASSLNIA 870 Cell Penetrating Peptide/Homing Peptide/PMO Conjugates (NH2 to COOH and 5′ to 3′) MSP−PMO ASSLNIA−XB− 871 GGCCAAACCTCGGCTTACCTGAAAT 875 CP06062−MSP−PMO RXRRBRRXRRBR−XB−ASSLNIA−X− 872 GGCCAAACCTCGGCTTACCTGAAAT 875 MSP−CP06062−PMO ASSLNIA−X−RXRRBRRXRRBR−B− 873 GGCCAAACCTCGGCTTACCTGAAAT 875 CP06062−PMO RXRRBRRXRRBR−XB− 874 GGCCAAACCTCGGCTTACCTGAAAT 875 *Ahx is 6−aminohexanoic acid and B is beta−alanine
Claims (23)
1. A method of treating Duchenne muscular dystrophy or Becker muscular dystrophy in a human subject comprising administering about 30 mg/kg to about 50 mg/kg of a composition comprising an antisense oligonucleotide of 20 to 50 nucleotides in length comprising at least 10 consecutive nucleotides complementary to a target region in an exon of the human dystrophin gene, wherein the antisense oligonucleotide specifically hybridizes to the target region inducing exon skipping, thereby treating Duchenne muscular dystrophy or Becker muscular dystrophy in the subject.
2. The method of claim 1 , wherein treatment increases the number of dystrophin-positive fibers to at least 20%, 30%, 40%, 50%, 60%, 70%, 80%, 90% or 95% of normal in the subject.
3. The method of claim 2 , wherein the number of dystrophin-positive fibers is increased to between 20-60% of normal in the human subject.
4. The method of claim 2 , wherein the number of dystrophin-positive fibers is increased to between 30-50% of normal in the human subject.
5. The method of claim 1 , wherein about 30 mg/kg of the composition is administered to the human subject.
6. The method of claim 1 , wherein about 50 mg/kg of the composition is administered to the human subject.
7. The method of claim 1 , wherein treatment improves or maintains a stable walking distance in a 6 minute walk test from a 20% deficit in the subject relative to a healthy peer.
8. The method of claim 1 , wherein the antisense oligonucleotide is substantially uncharged.
9. The method of claim 1 , wherein the antisense oligonucleotide comprises morpholino subunits linked by phosphorus-containing intersubunit linkages joining a morpholino nitrogen of one subunit to a 5′ exocyclic carbon of an adjacent subunit.
10. The method of claim 1 , wherein the antisense oligonucleotide comprises morpholino subunits linked by substantially uncharged phosphorus-containing intersubunit linkages joining a morpholino nitrogen of one subunit to a 5′ exocyclic carbon of an adjacent subunit.
11. The method of claim 1 , wherein the antisense oligonucleotide comprises morpholino subunits and phosphorodiamidate intersubunit linkages.
12. The method of claim 1 , wherein the antisense oligonucleotide is chemically linked to one or more moieties or conjugates that enhance the activity, cellular distribution, or cellular uptake of the antisense oligonucleotide.
13. The method of claim 12 , wherein the antisense oligonucleotide is conjugated to an arginine-rich peptide.
14. The method of claim 1 , wherein the antisense oligonucleotide is 30 to 50 nucleotides in length.
15. The method of claim 1 , wherein the antisense oligonucleotide is 20 to 30 nucleotides in length.
16. The method of claim 1 , wherein the exon in the human dystrophin gene is selected from the group consisting of exon 51, exon 50, exon 53, exon 45, exon 46, exon 44, exon 52, exon 55 and exon 8.
17. The method of claim 1 , wherein the antisense oligonucleotide is selected from the group consisting of SEQ ID NOS: 1-9.
18. The method of claim 1 , wherein the antisense oligonucleotide is SEQ ID NO: 1.
19. The method of claim 1 , wherein the antisense oligonucleotide is any one or a combination of the nucleotide sequences set forth in Tables 3 and 4, wherein uracil bases in the antisense oligonucleotide are optionally thymine bases.
20. The method of claim 1 , wherein the composition further comprises phosphate-buffered saline.
21. The method of claim 1 , wherein the composition is administered by systemic administration.
22. The method of claim 1 , wherein the composition is administered once weekly by infusion.
23. The method of claim 1 , further comprising administering a steroid to the human subject.
Priority Applications (4)
| Application Number | Priority Date | Filing Date | Title |
|---|---|---|---|
| US14/213,629 US20140329762A1 (en) | 2013-03-15 | 2014-03-14 | Compositions for treating muscular dystrophy |
| US15/359,152 US10337003B2 (en) | 2013-03-15 | 2016-11-22 | Compositions for treating muscular dystrophy |
| US16/422,241 US20190359982A1 (en) | 2013-03-15 | 2019-05-24 | Compositions for treating muscular dystrophy |
| US17/506,846 US20220033820A1 (en) | 2013-03-15 | 2021-10-21 | Compositions for treating muscular dystrophy |
Applications Claiming Priority (2)
| Application Number | Priority Date | Filing Date | Title |
|---|---|---|---|
| US201361793463P | 2013-03-15 | 2013-03-15 | |
| US14/213,629 US20140329762A1 (en) | 2013-03-15 | 2014-03-14 | Compositions for treating muscular dystrophy |
Related Child Applications (1)
| Application Number | Title | Priority Date | Filing Date |
|---|---|---|---|
| US15/359,152 Continuation US10337003B2 (en) | 2013-03-15 | 2016-11-22 | Compositions for treating muscular dystrophy |
Publications (1)
| Publication Number | Publication Date |
|---|---|
| US20140329762A1 true US20140329762A1 (en) | 2014-11-06 |
Family
ID=50678303
Family Applications (8)
| Application Number | Title | Priority Date | Filing Date |
|---|---|---|---|
| US14/213,629 Abandoned US20140329762A1 (en) | 2013-03-15 | 2014-03-14 | Compositions for treating muscular dystrophy |
| US14/214,567 Active US9506058B2 (en) | 2013-03-15 | 2014-03-14 | Compositions for treating muscular dystrophy |
| US15/359,152 Active US10337003B2 (en) | 2013-03-15 | 2016-11-22 | Compositions for treating muscular dystrophy |
| US15/604,335 Active US10364431B2 (en) | 2013-03-15 | 2017-05-24 | Compositions for treating muscular dystrophy |
| US16/422,241 Abandoned US20190359982A1 (en) | 2013-03-15 | 2019-05-24 | Compositions for treating muscular dystrophy |
| US16/434,799 Abandoned US20200040337A1 (en) | 2013-03-15 | 2019-06-07 | Compositions for treating muscular dystrophy |
| US17/506,846 Abandoned US20220033820A1 (en) | 2013-03-15 | 2021-10-21 | Compositions for treating muscular dystrophy |
| US17/567,252 Abandoned US20220403385A1 (en) | 2013-03-15 | 2022-01-03 | Compositions for treating muscular dystrophy |
Family Applications After (7)
| Application Number | Title | Priority Date | Filing Date |
|---|---|---|---|
| US14/214,567 Active US9506058B2 (en) | 2013-03-15 | 2014-03-14 | Compositions for treating muscular dystrophy |
| US15/359,152 Active US10337003B2 (en) | 2013-03-15 | 2016-11-22 | Compositions for treating muscular dystrophy |
| US15/604,335 Active US10364431B2 (en) | 2013-03-15 | 2017-05-24 | Compositions for treating muscular dystrophy |
| US16/422,241 Abandoned US20190359982A1 (en) | 2013-03-15 | 2019-05-24 | Compositions for treating muscular dystrophy |
| US16/434,799 Abandoned US20200040337A1 (en) | 2013-03-15 | 2019-06-07 | Compositions for treating muscular dystrophy |
| US17/506,846 Abandoned US20220033820A1 (en) | 2013-03-15 | 2021-10-21 | Compositions for treating muscular dystrophy |
| US17/567,252 Abandoned US20220403385A1 (en) | 2013-03-15 | 2022-01-03 | Compositions for treating muscular dystrophy |
Country Status (14)
| Country | Link |
|---|---|
| US (8) | US20140329762A1 (en) |
| EP (2) | EP2968991A2 (en) |
| JP (2) | JP2016516066A (en) |
| KR (2) | KR20150133768A (en) |
| CN (2) | CN113633787A (en) |
| AU (3) | AU2014233456B2 (en) |
| BR (1) | BR112015022998A2 (en) |
| CA (1) | CA2906812A1 (en) |
| EA (1) | EA201591792A1 (en) |
| HK (1) | HK1220154A1 (en) |
| IL (3) | IL241558B (en) |
| MX (2) | MX373959B (en) |
| NZ (2) | NZ631289A (en) |
| WO (1) | WO2014144978A2 (en) |
Cited By (17)
| Publication number | Priority date | Publication date | Assignee | Title |
|---|---|---|---|---|
| US9217148B2 (en) | 2013-03-14 | 2015-12-22 | Sarepta Therapeutics, Inc. | Exon skipping compositions for treating muscular dystrophy |
| US9228187B2 (en) | 2009-11-12 | 2016-01-05 | The University Of Western Australia | Antisense molecules and methods for treating pathologies |
| US9234198B1 (en) | 2008-10-24 | 2016-01-12 | Sarepta Therapeutics, Inc. | Multiple exon skipping compositions for DMD |
| US9249416B2 (en) | 2004-06-28 | 2016-02-02 | The University Of Western Australia | Antisense oligonucleotides for inducing exon skipping and methods of use thereof |
| WO2016037162A1 (en) | 2014-09-07 | 2016-03-10 | Selecta Biosciences, Inc. | Methods and compositions for attenuating anti-viral transfer vector immune responses |
| US9506058B2 (en) | 2013-03-15 | 2016-11-29 | Sarepta Therapeutics, Inc. | Compositions for treating muscular dystrophy |
| WO2019018383A1 (en) | 2017-07-18 | 2019-01-24 | Calimmune, Inc. | Compositions and methods for treating beta-hemoglobinopathies |
| WO2019075360A1 (en) | 2017-10-13 | 2019-04-18 | Selecta Biosciences, Inc. | Methods and compositions for attenuating anti-viral transfer vector igm responses |
| CN110382695A (en) * | 2016-11-28 | 2019-10-25 | 得克萨斯州大学系统董事会 | Prevent muscular dystrophy by the gene editing of CRISPR/CPF1 mediation |
| WO2020139796A1 (en) | 2018-12-23 | 2020-07-02 | Csl Behring L.L.C. | Haematopoietic stem cell-gene therapy for wiskott-aldrich syndrome |
| WO2020139800A1 (en) | 2018-12-23 | 2020-07-02 | Csl Behring L.L.C. | Donor t-cells with kill switch |
| WO2020243261A1 (en) | 2019-05-28 | 2020-12-03 | Selecta Biosciences, Inc. | Methods and compositions for attenuated anti-viral transfer vector immune response |
| WO2021087164A1 (en) * | 2019-10-30 | 2021-05-06 | Shire Human Genetic Therapies, Inc. | Methods for detecting oligonucleotides |
| WO2021263070A1 (en) | 2020-06-26 | 2021-12-30 | Csl Behring Llc | Donor t-cells with kill switch |
| US11479772B2 (en) * | 2017-09-22 | 2022-10-25 | The Regents Of The University Of Colorado | Thiomorpholino oligonucleotides for the treatment of muscular dystrophy |
| WO2023064367A1 (en) | 2021-10-12 | 2023-04-20 | Selecta Biosciences, Inc. | Methods and compositions for attenuating anti-viral transfer vector igm responses |
| WO2023172624A1 (en) | 2022-03-09 | 2023-09-14 | Selecta Biosciences, Inc. | Immunosuppressants in combination with anti-igm agents and related dosing |
Families Citing this family (70)
| Publication number | Priority date | Publication date | Assignee | Title |
|---|---|---|---|---|
| CA2596506C (en) | 2005-02-09 | 2021-04-06 | Avi Biopharma, Inc. | Antisense composition and method for treating muscle atrophy |
| TWI541024B (en) | 2010-09-01 | 2016-07-11 | 日本新藥股份有限公司 | Antisense nucleic acid |
| US20130085139A1 (en) | 2011-10-04 | 2013-04-04 | Royal Holloway And Bedford New College | Oligomers |
| WO2013163628A2 (en) | 2012-04-27 | 2013-10-31 | Duke University | Genetic correction of mutated genes |
| US9828582B2 (en) | 2013-03-19 | 2017-11-28 | Duke University | Compositions and methods for the induction and tuning of gene expression |
| US10676726B2 (en) | 2015-02-09 | 2020-06-09 | Duke University | Compositions and methods for epigenome editing |
| MA41795A (en) | 2015-03-18 | 2018-01-23 | Sarepta Therapeutics Inc | EXCLUSION OF AN EXON INDUCED BY ANTISENSE COMPOUNDS IN MYOSTATIN |
| AU2016264471B2 (en) | 2015-05-19 | 2022-01-27 | Sarepta Therapeutics, Inc. | Peptide oligonucleotide conjugates |
| JP6384845B2 (en) | 2015-09-15 | 2018-09-05 | 日本新薬株式会社 | Antisense nucleic acid |
| EP3653216A1 (en) * | 2015-09-30 | 2020-05-20 | Sarepta Therapeutics, Inc. | Methods for treating muscular dystrophy |
| KR20180056766A (en) | 2015-10-09 | 2018-05-29 | 웨이브 라이프 사이언시스 리미티드 | Nucleotide compositions and methods thereof |
| EP3858993A1 (en) | 2015-10-09 | 2021-08-04 | Sarepta Therapeutics, Inc. | Compositions and methods for treating duchenne muscular dystrophy and related disorders |
| EP4089175A1 (en) | 2015-10-13 | 2022-11-16 | Duke University | Genome engineering with type i crispr systems in eukaryotic cells |
| EA201891317A3 (en) * | 2015-11-30 | 2019-04-30 | Дьюк Юниверсити | THERAPEUTIC TARGETS FOR CORRECTION OF HUMAN DISTROPHIN GENE BY EDITING GENES AND METHODS OF THEIR APPLICATION |
| EA201891419A1 (en) * | 2015-12-15 | 2019-01-31 | Сарепта Терапьютикс, Инк. | Peptide-Oligonucleotide Conjugates |
| MA45328A (en) | 2016-04-01 | 2019-02-06 | Avidity Biosciences Llc | NUCLEIC ACID-POLYPEPTIDE COMPOSITIONS AND USES THEREOF |
| US20190127713A1 (en) | 2016-04-13 | 2019-05-02 | Duke University | Crispr/cas9-based repressors for silencing gene targets in vivo and methods of use |
| BR112018074299A2 (en) * | 2016-05-24 | 2019-03-12 | Sarepta Therapeutics, Inc. | pharmaceutical compositions comprising eteplirsen |
| MA45362A (en) | 2016-05-24 | 2019-04-10 | Sarepta Therapeutics Inc | PROCESSES FOR THE PREPARATION OF MORPHOLINO OLIGOMERS OF PHOSPHORODIAMIDATE |
| SG10202101836TA (en) | 2016-05-24 | 2021-03-30 | Sarepta Therapeutics Inc | Processes for preparing phosphorodiamidate morpholino oligomers |
| US11472824B2 (en) | 2016-05-24 | 2022-10-18 | Sarepta Therapeutics, Inc. | Processes for preparing phosphorodiamidate morpholino oligomers |
| PT3464306T (en) | 2016-05-24 | 2024-05-17 | Sarepta Therapeutics Inc | Processes for preparing phosphorodiamidate morpholino oligomers |
| HRP20241428T1 (en) | 2016-05-24 | 2025-01-03 | Sarepta Therapeutics, Inc. | PROCEDURES FOR PREPARATION OF OLIGOMERS |
| EP3478697A1 (en) * | 2016-06-30 | 2019-05-08 | Sarepta Therapeutics, Inc. | Exon skipping oligomers for muscular dystrophy |
| JP7490211B2 (en) | 2016-07-19 | 2024-05-27 | デューク ユニバーシティ | Therapeutic Applications of CPF1-Based Genome Editing |
| CN106581043A (en) * | 2016-10-24 | 2017-04-26 | 佳木斯大学 | Medicinal preparation suitable for Duchenne muscular dystrophy and preparation method thereof |
| DK3554552T3 (en) * | 2016-12-19 | 2022-10-24 | Sarepta Therapeutics Inc | EXON SKIPPING OLIGOMER CONJUGATES AGAINST MUSCULAR DYSTROPHY |
| PL3554554T3 (en) | 2016-12-19 | 2022-12-19 | Sarepta Therapeutics, Inc. | Exon-skipping oligomer conjugates in muscular dystrophy |
| LT3554553T (en) * | 2016-12-19 | 2022-08-25 | Sarepta Therapeutics, Inc. | Exon skipping oligomer conjugates for muscular dystrophy |
| SG10202107429WA (en) * | 2017-01-06 | 2021-08-30 | Avidity Biosciences Inc | Nucleic acid-polypeptide compositions and methods of inducing exon skipping |
| EP4403171A3 (en) | 2017-06-19 | 2024-09-11 | University of Maryland, Baltimore | Microtubule polymerization inhibitor prodrugs and methods of using the same |
| GB201711809D0 (en) | 2017-07-21 | 2017-09-06 | Governors Of The Univ Of Alberta | Antisense oligonucleotide |
| KR20200046069A (en) * | 2017-08-31 | 2020-05-06 | 사렙타 쎄러퓨틱스 인코퍼레이티드 | How to treat muscular dystrophy |
| AU2018335880B2 (en) * | 2017-09-22 | 2025-04-10 | Avidity Biosciences, Inc. | Nucleic acid-polypeptide compositions and methods of inducing exon skipping |
| US20200248178A1 (en) * | 2017-09-28 | 2020-08-06 | Sarepta Therapeutics, Inc. | Combination therapies for treating muscular dystrophy |
| EP3720448A4 (en) | 2017-12-06 | 2021-11-03 | Avidity Biosciences, Inc. | COMPOSITIONS AND METHODS FOR THE TREATMENT OF MUSCLE ATROPHY AND MYOTONIC DYSTROPHY |
| EP3740580A4 (en) | 2018-01-19 | 2021-10-20 | Duke University | GENOMIC ENGINEERING WITH CRISPR-CAS SYSTEMS IN EUKARYOTES |
| CN111836893A (en) * | 2018-01-31 | 2020-10-27 | 德克萨斯大学系统董事会 | Compositions and methods for correcting dystrophin mutations in human cardiomyocytes |
| MA52148A (en) | 2018-03-16 | 2021-01-20 | Sarepta Therapeutics Inc | PEPTIDES CHIMÈRES FOR ADMINISTRATION OF ANTISENS |
| JP2021521794A (en) * | 2018-04-26 | 2021-08-30 | サレプタ セラピューティクス, インコーポレイテッド | Exon skipping oligomers and oligomeric conjugates for muscular dystrophy |
| US10765760B2 (en) * | 2018-05-29 | 2020-09-08 | Sarepta Therapeutics, Inc. | Exon skipping oligomer conjugates for muscular dystrophy |
| EP4219717A3 (en) * | 2018-06-13 | 2023-12-20 | Sarepta Therapeutics, Inc. | Exon skipping oligomers for muscular dystrophy |
| JP2021526796A (en) * | 2018-06-13 | 2021-10-11 | サレプタ セラピューティクス, インコーポレイテッド | Exon skipping oligomer for muscular dystrophy |
| BR112020026542A2 (en) | 2018-06-26 | 2021-04-06 | Nippon Shinyaku Co., Ltd. | COMPOSITION THAT UNDERSTANDS ANTISENSE OLIGONUCLEOTIDE AND USE OF THE SAME FOR TREATMENT OF DUCHENNE MUSCULAR DYSTROPHY |
| US20220193250A1 (en) | 2018-08-02 | 2022-06-23 | Dyne Therapeutics, Inc. | Muscle targeting complexes and uses thereof for treating facioscapulohumeral muscular dystrophy |
| US11168141B2 (en) | 2018-08-02 | 2021-11-09 | Dyne Therapeutics, Inc. | Muscle targeting complexes and uses thereof for treating dystrophinopathies |
| SG11202100934PA (en) | 2018-08-02 | 2021-02-25 | Dyne Therapeutics Inc | Muscle targeting complexes and uses thereof for treating dystrophinopathies |
| US12018087B2 (en) | 2018-08-02 | 2024-06-25 | Dyne Therapeutics, Inc. | Muscle-targeting complexes comprising an anti-transferrin receptor antibody linked to an oligonucleotide and methods of delivering oligonucleotide to a subject |
| WO2020157760A1 (en) | 2019-01-31 | 2020-08-06 | Bar Ilan University | Neoantigens created by aberrant-induced splicing and uses thereof in enhancing immunotherapy |
| MX2021011498A (en) * | 2019-03-28 | 2022-01-04 | Sarepta Therapeutics Inc | METHODS TO TREAT MUSCULAR DYSTROPHY WITH CASIMERSIN. |
| US20220193246A1 (en) * | 2019-04-18 | 2022-06-23 | Sarepta Therapeutics, Inc. | Compositions for treating muscular dystrophy |
| US12497615B2 (en) | 2019-04-25 | 2025-12-16 | Avidity Biosciences, Inc. | Nucleic acid compositions and methods of multi-exon skipping |
| EP3987029A1 (en) * | 2019-06-19 | 2022-04-27 | Sarepta Therapeutics, Inc. | Methods for treating muscular dystrophy |
| EP4007633A4 (en) * | 2019-08-02 | 2024-05-08 | Research Institute at Nationwide Children's Hospital | NUCLEIC ACIDS TARGETING EXON 44 AND RECOMBINANT ADENO-ASSOCIATED VIRUS COMPRISING SAID NUCLEIC ACIDS FOR THE TREATMENT OF DYSTROPHIN-BASED MYOPATHIES |
| MY209476A (en) * | 2019-12-26 | 2025-07-11 | Nippon Shinyaku Co Ltd | Antisense nucleic acid that induces skipping of exon 50 |
| TW202144572A (en) | 2020-03-19 | 2021-12-01 | 美商亞維代堤生物科學公司 | Compositions and methods of treating facioscapulohumeral muscular dystrophy |
| US20230256047A1 (en) * | 2020-06-17 | 2023-08-17 | Stealth Biotherapeutics Inc. | Methods and compositions for the treatment of muscular dystrophy |
| US11969475B2 (en) | 2021-07-09 | 2024-04-30 | Dyne Therapeutics, Inc. | Muscle targeting complexes and uses thereof for treating facioscapulohumeral muscular dystrophy |
| US11771776B2 (en) * | 2021-07-09 | 2023-10-03 | Dyne Therapeutics, Inc. | Muscle targeting complexes and uses thereof for treating dystrophinopathies |
| AU2022309028A1 (en) | 2021-07-09 | 2024-01-25 | Dyne Therapeutics, Inc. | Muscle targeting complexes and formulations for treating dystrophinopathies |
| US11638761B2 (en) | 2021-07-09 | 2023-05-02 | Dyne Therapeutics, Inc. | Muscle targeting complexes and uses thereof for treating Facioscapulohumeral muscular dystrophy |
| CA3231330A1 (en) | 2021-09-16 | 2023-03-23 | Avidity Biosciences, Inc. | Compositions and methods of treating facioscapulohumeral muscular dystrophy |
| IL311507A (en) * | 2021-09-16 | 2024-05-01 | Dyne Therapeutics Inc | Dosing of muscle targeting complexes for treating dystrophinopathies |
| WO2023127918A1 (en) | 2021-12-27 | 2023-07-06 | 日本新薬株式会社 | Method for producing oligonucleic acid compound |
| EP4215614A1 (en) | 2022-01-24 | 2023-07-26 | Dynacure | Combination therapy for dystrophin-related diseases |
| US20250170259A1 (en) | 2022-03-03 | 2025-05-29 | Yale University | Compositions and methods for delivering therapeutic polynucleotides for exon skipping |
| CN119013401A (en) * | 2022-03-17 | 2024-11-22 | 萨勒普塔医疗公司 | Phosphorodiamidite morpholines substituted oligomer conjugates |
| US12071621B2 (en) | 2022-04-05 | 2024-08-27 | Avidity Biosciences, Inc. | Anti-transferrin receptor antibody-PMO conjugates for inducing DMD exon 44 skipping |
| IL317874A (en) | 2022-06-24 | 2025-02-01 | Tune Therapeutics Inc | Compositions, systems, and methods for reducing low-density lipoprotein through targeted gene repression |
| CN115820642B (en) * | 2022-11-11 | 2023-10-10 | 昆明理工大学 | A CRISPR-Cas9 system for treating Duchenne muscular dystrophy |
Citations (2)
| Publication number | Priority date | Publication date | Assignee | Title |
|---|---|---|---|---|
| US20100130591A1 (en) * | 2008-10-24 | 2010-05-27 | Peter Sazani | Multiple exon skipping compositions for dmd |
| US20110294753A1 (en) * | 2007-10-26 | 2011-12-01 | Prosensa Technologies B.V. | Means and methods for counteracting muscle disorders |
Family Cites Families (141)
| Publication number | Priority date | Publication date | Assignee | Title |
|---|---|---|---|---|
| CH445129A (en) | 1964-04-29 | 1967-10-15 | Nestle Sa | Process for the preparation of high molecular weight inclusion compounds |
| US3459731A (en) | 1966-12-16 | 1969-08-05 | Corn Products Co | Cyclodextrin polyethers and their production |
| US3426011A (en) | 1967-02-13 | 1969-02-04 | Corn Products Co | Cyclodextrins with anionic properties |
| US3453257A (en) | 1967-02-13 | 1969-07-01 | Corn Products Co | Cyclodextrin with cationic properties |
| US3453259A (en) | 1967-03-22 | 1969-07-01 | Corn Products Co | Cyclodextrin polyol ethers and their oxidation products |
| US4235871A (en) | 1978-02-24 | 1980-11-25 | Papahadjopoulos Demetrios P | Method of encapsulating biologically active materials in lipid vesicles |
| US4458066A (en) | 1980-02-29 | 1984-07-03 | University Patents, Inc. | Process for preparing polynucleotides |
| US5190931A (en) | 1983-10-20 | 1993-03-02 | The Research Foundation Of State University Of New York | Regulation of gene expression by employing translational inhibition of MRNA utilizing interfering complementary MRNA |
| US5521063A (en) | 1985-03-15 | 1996-05-28 | Antivirals Inc. | Polynucleotide reagent containing chiral subunits and methods of use |
| DE3687030T2 (en) | 1985-03-15 | 1993-03-11 | Eugene Stirchak | STEREO-REGULAR POLYNUCLEOTID-BINDING POLYMERS. |
| US5217866A (en) | 1985-03-15 | 1993-06-08 | Anti-Gene Development Group | Polynucleotide assay reagent and method |
| US5506337A (en) | 1985-03-15 | 1996-04-09 | Antivirals Inc. | Morpholino-subunit combinatorial library and method |
| US5185444A (en) | 1985-03-15 | 1993-02-09 | Anti-Gene Deveopment Group | Uncharged morpolino-based polymers having phosphorous containing chiral intersubunit linkages |
| US5166315A (en) | 1989-12-20 | 1992-11-24 | Anti-Gene Development Group | Sequence-specific binding polymers for duplex nucleic acids |
| US5034506A (en) | 1985-03-15 | 1991-07-23 | Anti-Gene Development Group | Uncharged morpholino-based polymers having achiral intersubunit linkages |
| US4737323A (en) | 1986-02-13 | 1988-04-12 | Liposome Technology, Inc. | Liposome extrusion method |
| KR0166088B1 (en) | 1990-01-23 | 1999-01-15 | . | Cyclodextrin derivatives with increased water solubility and uses thereof |
| US5149797A (en) | 1990-02-15 | 1992-09-22 | The Worcester Foundation For Experimental Biology | Method of site-specific alteration of rna and production of encoded polypeptides |
| US5138045A (en) | 1990-07-27 | 1992-08-11 | Isis Pharmaceuticals | Polyamine conjugated oligonucleotides |
| US20020123476A1 (en) | 1991-03-19 | 2002-09-05 | Emanuele R. Martin | Therapeutic delivery compositions and methods of use thereof |
| ES2153379T3 (en) | 1992-03-31 | 2001-03-01 | Abbott Lab | LIGASA REACTION PROCEDURE IN MULTIPLEX CHAIN. |
| US5869252A (en) | 1992-03-31 | 1999-02-09 | Abbott Laboratories | Method of multiplex ligase chain reaction |
| US6806084B1 (en) | 1992-06-04 | 2004-10-19 | The Regents Of The University Of California | Methods for compositions for in vivo gene delivery |
| EP1251170A3 (en) | 1992-07-17 | 2002-10-30 | Ribozyme Pharmaceuticals, Inc. | Method and reagent for treatment of NF-kappaB dependent animal diseases |
| US5985558A (en) | 1997-04-14 | 1999-11-16 | Isis Pharmaceuticals Inc. | Antisense oligonucleotide compositions and methods for the inibition of c-Jun and c-Fos |
| DK0698092T3 (en) | 1993-05-11 | 2007-11-26 | Univ North Carolina | Anti-sense oligonucleotides which combat irregular splicing and methods for its use |
| US5801154A (en) | 1993-10-18 | 1998-09-01 | Isis Pharmaceuticals, Inc. | Antisense oligonucleotide modulation of multidrug resistance-associated protein |
| US6391636B1 (en) | 1994-05-31 | 2002-05-21 | Isis Pharmaceuticals, Inc. | Antisense oligonucleotide modulation of raf gene expression |
| US5753613A (en) | 1994-09-30 | 1998-05-19 | Inex Pharmaceuticals Corporation | Compositions for the introduction of polyanionic materials into cells |
| US5885613A (en) | 1994-09-30 | 1999-03-23 | The University Of British Columbia | Bilayer stabilizing components and their use in forming programmable fusogenic liposomes |
| US5820873A (en) | 1994-09-30 | 1998-10-13 | The University Of British Columbia | Polyethylene glycol modified ceramide lipids and liposome uses thereof |
| IL115849A0 (en) | 1994-11-03 | 1996-01-31 | Merz & Co Gmbh & Co | Tangential filtration preparation of liposomal drugs and liposome product thereof |
| GB9510718D0 (en) | 1995-05-26 | 1995-07-19 | Sod Conseils Rech Applic | Antisense oligonucleotides |
| EP0882061B1 (en) | 1996-02-14 | 2004-05-19 | Isis Pharmaceuticals, Inc. | Sugar-modified gapped oligonucleotides |
| AU2585197A (en) | 1996-03-20 | 1997-10-10 | Regents Of The University Of California, The | Antisense approach to gene inhibition |
| US6153436A (en) | 1997-01-10 | 2000-11-28 | The Board Of Trustees Of The University Of Arkansas | Method of gene delivery using wildtype adeno associated viral (AAV) vectors with insertions |
| WO1999042091A2 (en) | 1998-02-19 | 1999-08-26 | Massachusetts Institute Of Technology | Use of polycations as endosomolytic agents |
| US20030114401A1 (en) | 2001-12-06 | 2003-06-19 | Isis Pharmaceuticals Inc. | Antisense modulation of Ship-1 expression |
| GB9819999D0 (en) | 1998-09-14 | 1998-11-04 | Univ London | Treatment of cancer |
| US6210892B1 (en) | 1998-10-07 | 2001-04-03 | Isis Pharmaceuticals, Inc. | Alteration of cellular behavior by antisense modulation of mRNA processing |
| CA2350531A1 (en) | 1998-11-13 | 2000-05-25 | Smriti Iyengar | Method for treating pain |
| KR20010102992A (en) | 1999-01-29 | 2001-11-17 | 추후보정 | Non-invasive method for detecting target rna |
| US20020049173A1 (en) | 1999-03-26 | 2002-04-25 | Bennett C. Frank | Alteration of cellular behavior by antisense modulation of mRNA processing |
| JP2000325085A (en) | 1999-05-21 | 2000-11-28 | Masafumi Matsuo | Pharmaceutical composition for treatment of duchenne muscular dystrophy |
| AU768904B2 (en) | 1999-06-21 | 2004-01-08 | Murdoch Childrens Research Institute, The | A method for the prophylaxis and/or treatment of medical disorders |
| US7070807B2 (en) | 1999-12-29 | 2006-07-04 | Mixson A James | Branched histidine copolymers and methods for using same |
| WO2001047496A1 (en) | 1999-12-29 | 2001-07-05 | Mixson A James | Histidine copolymer and methods for using same |
| KR20020079768A (en) | 2000-01-04 | 2002-10-19 | 에이브이아이 바이오파마 인코포레이티드 | Antisense antibacterial cell division composition and method |
| WO2001072765A1 (en) | 2000-03-28 | 2001-10-04 | Isis Pharmaceuticals, Inc. | ALTERATION OF CELLULAR BEHAVIOR BY ANTISENSE MODULATION OF mRNA PROCESSING |
| US6653467B1 (en) | 2000-04-26 | 2003-11-25 | Jcr Pharmaceutical Co., Ltd. | Medicament for treatment of Duchenne muscular dystrophy |
| WO2001083695A2 (en) | 2000-04-28 | 2001-11-08 | Xiao Xiao | Dna sequences encoding dystrophin minigenes and methods of use thereof |
| AU5736601A (en) | 2000-05-01 | 2001-11-12 | Hybridon Inc | Modulation of oligonucleotide cpg-mediated immune stimulation by positional modification of nucleosides |
| KR20020097241A (en) | 2000-05-04 | 2002-12-31 | 에이브이아이 바이오파마 인코포레이티드 | Splice-region antisense composition and method |
| US6727355B2 (en) | 2000-08-25 | 2004-04-27 | Jcr Pharmaceuticals Co., Ltd. | Pharmaceutical composition for treatment of Duchenne muscular dystrophy |
| JP4836366B2 (en) | 2000-08-25 | 2011-12-14 | 雅文 松尾 | Duchenne muscular dystrophy treatment |
| WO2002018656A2 (en) | 2000-08-30 | 2002-03-07 | Avi Biopharma, Inc. | Method for analysis of oligonucleotide analogs |
| US20070037165A1 (en) | 2000-09-08 | 2007-02-15 | Applera Corporation | Polymorphisms in known genes associated with human disease, methods of detection and uses thereof |
| US6559279B1 (en) | 2000-09-08 | 2003-05-06 | Isis Pharmaceuticals, Inc. | Process for preparing peptide derivatized oligomeric compounds |
| EP1319014A1 (en) | 2000-09-20 | 2003-06-18 | Isis Pharmaceuticals, Inc. | Antisense modulation of flip-c expression |
| EP1191097A1 (en) | 2000-09-21 | 2002-03-27 | Leids Universitair Medisch Centrum | Induction of exon skipping in eukaryotic cells |
| US6689615B1 (en) | 2000-10-04 | 2004-02-10 | James Murto | Methods and devices for processing blood samples |
| JP3781687B2 (en) | 2001-02-23 | 2006-05-31 | 松下電器産業株式会社 | Genetic diagnostic apparatus and genetic diagnostic method |
| US6656732B1 (en) | 2001-05-18 | 2003-12-02 | Isis Pharmaceuticals, Inc. | Antisense inhibition of src-c expression |
| US20030224353A1 (en) | 2001-10-16 | 2003-12-04 | Stein David A. | Antisense antiviral agent and method for treating ssRNA viral infection |
| US7655785B1 (en) | 2002-11-14 | 2010-02-02 | Rosetta Genomics Ltd. | Bioinformatically detectable group of novel regulatory oligonucleotides and uses thereof |
| EP2305813A3 (en) | 2002-11-14 | 2012-03-28 | Dharmacon, Inc. | Fuctional and hyperfunctional sirna |
| US7250289B2 (en) | 2002-11-20 | 2007-07-31 | Affymetrix, Inc. | Methods of genetic analysis of mouse |
| US7314750B2 (en) | 2002-11-20 | 2008-01-01 | Affymetrix, Inc. | Addressable oligonucleotide array of the rat genome |
| CA2507125C (en) | 2002-11-25 | 2014-04-22 | Masafumi Matsuo | Ena nucleic acid pharmaceuticals capable of modifying splicing of mrna precursors |
| WO2004083432A1 (en) | 2003-03-21 | 2004-09-30 | Academisch Ziekenhuis Leiden | Modulation of exon recognition in pre-mrna by interfering with the secondary rna structure |
| ES2500921T3 (en) | 2003-04-29 | 2014-10-01 | Sarepta Therapeutics, Inc. | Compositions to enhance the transport and antisense efficacy of nucleic acid analogs in cells |
| JP5110877B2 (en) * | 2003-06-02 | 2012-12-26 | ワイス・エルエルシー | Use of myostatin (GDF8) inhibitors in combination with corticosteroids to treat neuromuscular disorders |
| ATE387217T1 (en) | 2003-07-11 | 2008-03-15 | Lbr Medbiotech B V | MANNOSE-6-PHOSPHATE RECEPTOR-MEDIATED GENE TRANSFER TO MUSCLE CELLS |
| CN1829794B (en) | 2003-08-05 | 2011-06-08 | Avi生物制药公司 | Oligonucleotide analog and method for treating flavivirus infections |
| US20050048495A1 (en) | 2003-08-29 | 2005-03-03 | Baker Brenda F. | Isoform-specific targeting of splice variants |
| CA2538729A1 (en) | 2003-09-12 | 2005-03-31 | Avi Biopharma, Inc. | Compound and method for treating androgen-independent prostate cancer |
| US20050171044A1 (en) | 2003-12-24 | 2005-08-04 | Stein David A. | Oligonucleotide compound and method for treating nidovirus infections |
| US20050288246A1 (en) | 2004-05-24 | 2005-12-29 | Iversen Patrick L | Peptide conjugated, inosine-substituted antisense oligomer compound and method |
| SI1766010T1 (en) | 2004-06-28 | 2011-06-30 | Univ Western Australia | Antisense oligonucleotides for inducing exon skipping and methods of use thereof |
| FR2874384B1 (en) | 2004-08-17 | 2010-07-30 | Genethon | ADENO-ASSOCIATED VIRAL VECTOR FOR PRODUCING EXON JUMP IN A GENE ENCODING A PROTEIN WITH DISPENSABLE DOMAINS |
| US8129352B2 (en) | 2004-09-16 | 2012-03-06 | Avi Biopharma, Inc. | Antisense antiviral compound and method for treating ssRNA viral infection |
| US20060148740A1 (en) | 2005-01-05 | 2006-07-06 | Prosensa B.V. | Mannose-6-phosphate receptor mediated gene transfer into muscle cells |
| US20120122801A1 (en) | 2005-01-05 | 2012-05-17 | Prosensa B.V. | Mannose-6-phosphate receptor mediated gene transfer into muscle cells |
| CA2596506C (en) | 2005-02-09 | 2021-04-06 | Avi Biopharma, Inc. | Antisense composition and method for treating muscle atrophy |
| NO20051491L (en) | 2005-03-21 | 2006-09-22 | Norsk Hydro As | Method and arrangement of a gravity separator. |
| CA2605512A1 (en) | 2005-04-22 | 2006-10-26 | Academisch Ziekenhuis Leiden | Modulation of exon recognition in pre-mrna by interfering with the binding of sr proteins and by interfering with secondary rna structure. |
| US8067571B2 (en) | 2005-07-13 | 2011-11-29 | Avi Biopharma, Inc. | Antibacterial antisense oligonucleotide and method |
| EP1937312B1 (en) | 2005-08-30 | 2016-06-29 | Ionis Pharmaceuticals, Inc. | Chimeric oligomeric compounds for modulation of splicing |
| US8524676B2 (en) | 2005-09-08 | 2013-09-03 | Sarepta Therapeutics, Inc. | Method for treating enterovirus or rhinovirus infection using antisense antiviral compounds |
| US8501704B2 (en) | 2005-11-08 | 2013-08-06 | Sarepta Therapeutics, Inc. | Immunosuppression compound and treatment method |
| EP2535413A3 (en) | 2005-11-10 | 2016-04-13 | Roche Innovation Center Copenhagen A/S | Splice switching oligomers for the TNF superfamily receptors and their use in treatment of disease |
| US20090011004A1 (en) | 2005-12-30 | 2009-01-08 | Philadelphia Health & Education Corp., D/B/A/ Drexel University Of College Of Medicine | Improved carriers for delivery of nucleic acid agents to cells and tissues |
| GB0602767D0 (en) * | 2006-02-10 | 2006-03-22 | Vastox Plc | Treatment of muscular dystrophy |
| US8785407B2 (en) | 2006-05-10 | 2014-07-22 | Sarepta Therapeutics, Inc. | Antisense antiviral agent and method for treating ssRNA viral infection |
| EP2735568B8 (en) | 2006-05-10 | 2017-09-27 | Sarepta Therapeutics, Inc. | Oligonucleotide analogs having cationic intersubunit linkages |
| US20070265215A1 (en) | 2006-05-11 | 2007-11-15 | Iversen Patrick L | Antisense restenosis composition and method |
| EP1857548A1 (en) | 2006-05-19 | 2007-11-21 | Academisch Ziekenhuis Leiden | Means and method for inducing exon-skipping |
| US20100016215A1 (en) | 2007-06-29 | 2010-01-21 | Avi Biopharma, Inc. | Compound and method for treating myotonic dystrophy |
| US20090099066A1 (en) | 2007-06-29 | 2009-04-16 | Avi Biopharma, Inc. | Tissue specific peptide conjugates and methods |
| US8299206B2 (en) | 2007-11-15 | 2012-10-30 | Avi Biopharma, Inc. | Method of synthesis of morpholino oligomers |
| US8076476B2 (en) | 2007-11-15 | 2011-12-13 | Avi Biopharma, Inc. | Synthesis of morpholino oligomers using doubly protected guanine morpholino subunits |
| WO2009101399A1 (en) | 2008-02-12 | 2009-08-20 | Isis Innovation Limited | Treatment of muscular dystrophy using peptide nucleic acid ( pna) |
| DK2108366T3 (en) * | 2008-04-09 | 2012-01-30 | Santhera Pharmaceuticals Ch | Idebenone for the treatment of respiratory disease in muscular dystrophy |
| EP2119783A1 (en) | 2008-05-14 | 2009-11-18 | Prosensa Technologies B.V. | Method for efficient exon (44) skipping in Duchenne Muscular Dystrophy and associated means |
| US8084601B2 (en) | 2008-09-11 | 2011-12-27 | Royal Holloway And Bedford New College Royal Holloway, University Of London | Oligomers |
| CA2741629C (en) | 2008-10-27 | 2022-07-05 | Academisch Ziekenhuis Leiden | Methods and means for efficient skipping of exon 45 in duchenne muscular dystrophy pre-mrna |
| AU2009335740B2 (en) | 2008-12-17 | 2016-04-21 | Sarepta Therapeutics, Inc. | Antisense compositions and methods for modulating contact hypersensitivity or contact dermatitis |
| US20120149756A1 (en) | 2009-04-10 | 2012-06-14 | Associatin Institut de Myologie | Tricyclo-dna antisense oligonucleotides, compositions, and methods for the treatment of disease |
| CA2759899A1 (en) | 2009-04-24 | 2010-10-28 | Prosensa Technologies B.V. | Oligonucleotide comprising an inosine for treating dmd |
| EP2435583B1 (en) | 2009-05-25 | 2014-07-09 | Università degli Studi di Roma "La Sapienza" | miR-31 IN DUCHENNE MUSCULAR DYSTROPHY THERAPY |
| EP2258863A1 (en) | 2009-05-25 | 2010-12-08 | Universita'Degli Studi di Roma "La Sapienza" | miRNA biomarkers for the diagnosis of duchenne muscular dystrophy progression, for monitoring therapeutic interventions, and as therapeutics |
| ITTO20090487A1 (en) | 2009-06-26 | 2010-12-27 | Univ Ferrara | ANTISENSE OLIGONUCLEOTIDS ACTS TO INDOCATE EXONIC SKIPPING AND THEIR USE AS MEDICATION FOR THE TREATMENT OF DUCHENNE MUSCULAR DYSTROPHY (DMD) |
| US20110269665A1 (en) | 2009-06-26 | 2011-11-03 | Avi Biopharma, Inc. | Compound and method for treating myotonic dystrophy |
| US20120172415A1 (en) | 2009-08-31 | 2012-07-05 | Thomas Voit | Exon Skipping Therapy for Functional Amelioration of Semifunctional Dystrophin in Becker and Duchenne Muscular Dystrophy |
| IT1397011B1 (en) | 2009-10-14 | 2012-12-20 | Univ Ferrara | NANOPARTICLE OF THE CORE-SHELL TYPE SUITABLE FOR THE VEHICULATION OF THERAPEUTIC OLIGONUCLEOTIDS IN TARGET FABRICS AND ITS USE FOR THE PREPARATION OF A MEDICATION FOR THE TREATMENT OF THE DUCHENNE MUSCULAR DYSTROPHY. |
| WO2011057350A1 (en) | 2009-11-12 | 2011-05-19 | The University Of Western Australia | Antisense molecules and methods for treating pathologies |
| TWI495473B (en) | 2009-11-13 | 2015-08-11 | Sarepta Therapeutics Inc | Antisense antiviral compound and method for treating influenza viral infection |
| US9050373B2 (en) | 2010-05-13 | 2015-06-09 | The Charlotte-Mecklenburg Hospital Authority | Pharmaceutical compositions comprising antisense oligonucleotides and methods of using same |
| TWI620756B (en) | 2010-05-28 | 2018-04-11 | 薩羅塔治療公司 | Oligonucleotide analogues having modified intersubunit linkages and/or terminal groups |
| CN106994124A (en) | 2010-06-28 | 2017-08-01 | 萩原正敏 | Prevention/improver of genetic disease |
| TWI541024B (en) | 2010-09-01 | 2016-07-11 | 日本新藥股份有限公司 | Antisense nucleic acid |
| KR101764462B1 (en) | 2010-09-30 | 2017-08-02 | 니뽄 신야쿠 가부시키가이샤 | Morpholino nucleic acid derivative |
| MX2013009191A (en) | 2011-02-08 | 2013-11-04 | Charlotte Mecklenburg Hospital | Antisense oligonucleotides. |
| US9161948B2 (en) | 2011-05-05 | 2015-10-20 | Sarepta Therapeutics, Inc. | Peptide oligonucleotide conjugates |
| KR102229650B1 (en) | 2011-05-05 | 2021-03-19 | 사렙타 쎄러퓨틱스, 인코퍼레이티드 | Peptide Oligonucleotide conjugates |
| WO2013033407A2 (en) | 2011-08-30 | 2013-03-07 | The Regents Of The University Of California | Identification of small molecules that enhance therapeutic exon skipping |
| US20140080896A1 (en) | 2011-08-30 | 2014-03-20 | The Regents Of The University Of California | Identification of small molecules that facilitate therapeutic exon skipping |
| ES2736007T3 (en) * | 2011-09-05 | 2019-12-23 | Mitsubishi Tanabe Pharma Corp | Medicinal agent for the treatment of amyotrophic lateral sclerosis or the prevention of the progression of a phase of amyotrophic lateral sclerosis |
| PL2581448T3 (en) | 2011-10-13 | 2015-08-31 | Association Inst De Myologie | Tricyclo-phosphorothioate DNA |
| CN117721110A (en) | 2011-12-28 | 2024-03-19 | 日本新药株式会社 | antisense nucleic acid |
| BR112014018427B1 (en) | 2012-01-27 | 2021-11-03 | Biomarin Technologies B.V. | RNA MODULATOR OLIGONUCLEOTIDES WITH IMPROVED FEATURES FOR THE TREATMENT OF DUCHENNE AND BECKER'S MUSCULAR DYSTROPHY |
| ES2706198T3 (en) | 2012-03-20 | 2019-03-27 | Sarepta Therapeutics Inc | Conjugates of boronic acid of oligonucleotide analogues |
| CA2877644A1 (en) | 2012-07-03 | 2014-01-09 | Prosensa Technologies B.V. | Oligonucleotide for the treatment of muscular dystrophy patients |
| KR20200143739A (en) | 2012-12-20 | 2020-12-24 | 사렙타 쎄러퓨틱스 인코퍼레이티드 | Improved exon skipping compositions for treating muscular dystrophy |
| EP3495485A3 (en) | 2013-03-14 | 2019-08-21 | Sarepta Therapeutics, Inc. | Exon skipping compositions for treating muscular dystrophy |
| MX366485B (en) | 2013-03-14 | 2019-07-10 | Sarepta Therapeutics Inc | COMPOSITIONS FOR EXON JUMPING FOR THE TREATMENT OF MUSCULAR DYSTROPHY. |
| US20140329762A1 (en) | 2013-03-15 | 2014-11-06 | Sarepta Therapeutics, Inc. | Compositions for treating muscular dystrophy |
| JP6461917B2 (en) | 2013-04-20 | 2019-01-30 | リサーチ インスティチュート アット ネイションワイド チルドレンズ ホスピタル | Delivery of exon 2 targeted U7 snRNA polynucleotide constructs by recombinant adeno-associated virus |
| ES2987399T3 (en) * | 2013-06-05 | 2024-11-14 | Univ Duke | RNA-guided gene editing and gene regulation |
| EP3653216A1 (en) | 2015-09-30 | 2020-05-20 | Sarepta Therapeutics, Inc. | Methods for treating muscular dystrophy |
| JP7441455B2 (en) * | 2017-09-22 | 2024-03-01 | ザ リージェンツ オブ ザ ユニバーシティ オブ コロラド,ア ボディー コーポレイト | Thiomorpholino oligonucleotides for the treatment of muscular dystrophy |
-
2014
- 2014-03-14 US US14/213,629 patent/US20140329762A1/en not_active Abandoned
- 2014-03-14 EP EP14722043.8A patent/EP2968991A2/en not_active Withdrawn
- 2014-03-14 NZ NZ631289A patent/NZ631289A/en unknown
- 2014-03-14 NZ NZ732507A patent/NZ732507A/en unknown
- 2014-03-14 BR BR112015022998A patent/BR112015022998A2/en not_active Application Discontinuation
- 2014-03-14 MX MX2015013117A patent/MX373959B/en active IP Right Grant
- 2014-03-14 EP EP19207586.9A patent/EP3662912B1/en active Active
- 2014-03-14 EA EA201591792A patent/EA201591792A1/en unknown
- 2014-03-14 HK HK16108175.2A patent/HK1220154A1/en unknown
- 2014-03-14 KR KR1020157029546A patent/KR20150133768A/en not_active Ceased
- 2014-03-14 CN CN202110759294.6A patent/CN113633787A/en active Pending
- 2014-03-14 CN CN201480026195.5A patent/CN105307723A/en active Pending
- 2014-03-14 WO PCT/US2014/029610 patent/WO2014144978A2/en not_active Ceased
- 2014-03-14 JP JP2016503163A patent/JP2016516066A/en not_active Withdrawn
- 2014-03-14 US US14/214,567 patent/US9506058B2/en active Active
- 2014-03-14 AU AU2014233456A patent/AU2014233456B2/en active Active
- 2014-03-14 CA CA2906812A patent/CA2906812A1/en active Pending
- 2014-03-14 KR KR1020207034743A patent/KR20200139271A/en not_active Ceased
-
2015
- 2015-09-10 IL IL24155815A patent/IL241558B/en active IP Right Grant
- 2015-09-15 MX MX2020004986A patent/MX2020004986A/en unknown
-
2016
- 2016-11-22 US US15/359,152 patent/US10337003B2/en active Active
-
2017
- 2017-05-24 US US15/604,335 patent/US10364431B2/en active Active
-
2019
- 2019-02-22 JP JP2019030772A patent/JP2019108349A/en active Pending
- 2019-05-20 AU AU2019203505A patent/AU2019203505A1/en not_active Abandoned
- 2019-05-24 US US16/422,241 patent/US20190359982A1/en not_active Abandoned
- 2019-06-07 US US16/434,799 patent/US20200040337A1/en not_active Abandoned
- 2019-10-06 IL IL26984519A patent/IL269845A/en unknown
-
2020
- 2020-10-29 AU AU2020260492A patent/AU2020260492A1/en not_active Abandoned
- 2020-11-23 IL IL278912A patent/IL278912A/en unknown
-
2021
- 2021-10-21 US US17/506,846 patent/US20220033820A1/en not_active Abandoned
-
2022
- 2022-01-03 US US17/567,252 patent/US20220403385A1/en not_active Abandoned
Patent Citations (2)
| Publication number | Priority date | Publication date | Assignee | Title |
|---|---|---|---|---|
| US20110294753A1 (en) * | 2007-10-26 | 2011-12-01 | Prosensa Technologies B.V. | Means and methods for counteracting muscle disorders |
| US20100130591A1 (en) * | 2008-10-24 | 2010-05-27 | Peter Sazani | Multiple exon skipping compositions for dmd |
Cited By (43)
| Publication number | Priority date | Publication date | Assignee | Title |
|---|---|---|---|---|
| US9994851B2 (en) | 2004-06-28 | 2018-06-12 | The University Of Western Australia | Antisense oligonucleotides for inducing exon skipping and methods of use thereof |
| US10995337B2 (en) | 2004-06-28 | 2021-05-04 | The University Of Western Australia | Antisense oligonucleotides for inducing exon skipping and methods of use thereof |
| US10266827B2 (en) | 2004-06-28 | 2019-04-23 | The University Of Western Australia | Antisense oligonucleotides for inducing exon skipping and methods of use thereof |
| US9249416B2 (en) | 2004-06-28 | 2016-02-02 | The University Of Western Australia | Antisense oligonucleotides for inducing exon skipping and methods of use thereof |
| US10968450B2 (en) | 2004-06-28 | 2021-04-06 | The University Of Western Australia | Antisense oligonucleotides for inducing exon skipping and methods of use thereof |
| US9422555B2 (en) | 2004-06-28 | 2016-08-23 | The University Of Western Australia | Antisense oligonucleotides for inducing exon skipping and methods of use thereof |
| USRE47691E1 (en) | 2004-06-28 | 2019-11-05 | The University Of Western Australia | Antisense oligonucleotides for inducing exon skipping and methods of use thereof |
| US9441229B2 (en) | 2004-06-28 | 2016-09-13 | The University Of Western Australia | Antisense oligonucleotides for inducing exon skipping and methods of use thereof |
| US10227590B2 (en) | 2004-06-28 | 2019-03-12 | The University Of Western Australia | Antisense oligonucleotides for inducing exon skipping and methods of use thereof |
| US9447415B2 (en) | 2004-06-28 | 2016-09-20 | The University Of Western Australia | Antisense oligonucleotides for inducing exon skipping and methods of use thereof |
| US10781451B2 (en) | 2004-06-28 | 2020-09-22 | The University Of Western Australia | Antisense oligonucleotides for inducing exon skipping and methods of use thereof |
| USRE47751E1 (en) | 2004-06-28 | 2019-12-03 | The University Of Western Australia | Antisense oligonucleotides for inducing exon skipping and methods of use thereof |
| US10421966B2 (en) | 2004-06-28 | 2019-09-24 | The University Of Western Australia | Antisense oligonucleotides for inducing exon skipping and methods of use thereof |
| US9605262B2 (en) | 2004-06-28 | 2017-03-28 | The University Of Western Australia | Antisense oligonucleotides for inducing exon skipping and methods of use thereof |
| USRE47769E1 (en) | 2004-06-28 | 2019-12-17 | The University Of Western Australia | Antisense oligonucleotides for inducing exon skipping and methods of use thereof |
| US9447416B2 (en) | 2008-10-24 | 2016-09-20 | Sarepta Therapeutics, Inc. | Multiple exon skipping compositions for DMD |
| US9453225B2 (en) | 2008-10-24 | 2016-09-27 | Sarepta Therapeutics, Inc. | Multiple exon skipping compositions for DMD |
| US9447417B2 (en) | 2008-10-24 | 2016-09-20 | Sarepta Therapeutics, Inc. | Multiple exon skipping compositions for DMD |
| US9434948B2 (en) | 2008-10-24 | 2016-09-06 | Sarepta Therapeutics, Inc. | Multiple exon skipping compositions for DMD |
| US9234198B1 (en) | 2008-10-24 | 2016-01-12 | Sarepta Therapeutics, Inc. | Multiple exon skipping compositions for DMD |
| US10287586B2 (en) | 2009-11-12 | 2019-05-14 | The University Of Western Australia | Antisense molecules and methods for treating pathologies |
| US9758783B2 (en) | 2009-11-12 | 2017-09-12 | The University Of Western Australia | Antisense molecules and methods for treating pathologies |
| US11447776B2 (en) | 2009-11-12 | 2022-09-20 | The University Of Western Australia | Antisense molecules and methods for treating pathologies |
| US9228187B2 (en) | 2009-11-12 | 2016-01-05 | The University Of Western Australia | Antisense molecules and methods for treating pathologies |
| US10781450B2 (en) | 2009-11-12 | 2020-09-22 | Sarepta Therapeutics, Inc. | Antisense molecules and methods for treating pathologies |
| US10907154B2 (en) | 2013-03-14 | 2021-02-02 | Sarepta Therapeutics, Inc. | Exon skipping compositions for treating muscular dystrophy |
| US9217148B2 (en) | 2013-03-14 | 2015-12-22 | Sarepta Therapeutics, Inc. | Exon skipping compositions for treating muscular dystrophy |
| US11932851B2 (en) | 2013-03-14 | 2024-03-19 | Sarepta Therapeutics, Inc. | Exon skipping compositions for treating muscular dystrophy |
| US10364431B2 (en) | 2013-03-15 | 2019-07-30 | Sarepta Therapeutics, Inc. | Compositions for treating muscular dystrophy |
| US10337003B2 (en) | 2013-03-15 | 2019-07-02 | Sarepta Therapeutics, Inc. | Compositions for treating muscular dystrophy |
| US9506058B2 (en) | 2013-03-15 | 2016-11-29 | Sarepta Therapeutics, Inc. | Compositions for treating muscular dystrophy |
| WO2016037162A1 (en) | 2014-09-07 | 2016-03-10 | Selecta Biosciences, Inc. | Methods and compositions for attenuating anti-viral transfer vector immune responses |
| CN110382695A (en) * | 2016-11-28 | 2019-10-25 | 得克萨斯州大学系统董事会 | Prevent muscular dystrophy by the gene editing of CRISPR/CPF1 mediation |
| WO2019018383A1 (en) | 2017-07-18 | 2019-01-24 | Calimmune, Inc. | Compositions and methods for treating beta-hemoglobinopathies |
| US11479772B2 (en) * | 2017-09-22 | 2022-10-25 | The Regents Of The University Of Colorado | Thiomorpholino oligonucleotides for the treatment of muscular dystrophy |
| WO2019075360A1 (en) | 2017-10-13 | 2019-04-18 | Selecta Biosciences, Inc. | Methods and compositions for attenuating anti-viral transfer vector igm responses |
| WO2020139800A1 (en) | 2018-12-23 | 2020-07-02 | Csl Behring L.L.C. | Donor t-cells with kill switch |
| WO2020139796A1 (en) | 2018-12-23 | 2020-07-02 | Csl Behring L.L.C. | Haematopoietic stem cell-gene therapy for wiskott-aldrich syndrome |
| WO2020243261A1 (en) | 2019-05-28 | 2020-12-03 | Selecta Biosciences, Inc. | Methods and compositions for attenuated anti-viral transfer vector immune response |
| WO2021087164A1 (en) * | 2019-10-30 | 2021-05-06 | Shire Human Genetic Therapies, Inc. | Methods for detecting oligonucleotides |
| WO2021263070A1 (en) | 2020-06-26 | 2021-12-30 | Csl Behring Llc | Donor t-cells with kill switch |
| WO2023064367A1 (en) | 2021-10-12 | 2023-04-20 | Selecta Biosciences, Inc. | Methods and compositions for attenuating anti-viral transfer vector igm responses |
| WO2023172624A1 (en) | 2022-03-09 | 2023-09-14 | Selecta Biosciences, Inc. | Immunosuppressants in combination with anti-igm agents and related dosing |
Also Published As
Similar Documents
| Publication | Publication Date | Title |
|---|---|---|
| US20220403385A1 (en) | Compositions for treating muscular dystrophy | |
| US20230104708A1 (en) | Exon skipping compositions for treating muscular dystrophy | |
| US11932851B2 (en) | Exon skipping compositions for treating muscular dystrophy | |
| US20180002689A1 (en) | Exon skipping compositions for treating muscular dystrophy | |
| US8871918B2 (en) | Multiple exon skipping compositions for DMD | |
| AU2013204838A1 (en) | Multiple exon skipping compositions for DMD |
Legal Events
| Date | Code | Title | Description |
|---|---|---|---|
| AS | Assignment |
Owner name: SAREPTA THERAPEUTICS, INC., WASHINGTON Free format text: ASSIGNMENT OF ASSIGNORS INTEREST;ASSIGNOR:KAYE, EDWARD M;REEL/FRAME:033443/0095 Effective date: 20130920 |
|
| STCB | Information on status: application discontinuation |
Free format text: ABANDONED -- FAILURE TO RESPOND TO AN OFFICE ACTION |





